WO2019154120A1 - Cytotoxic agent and conjugate thereof, preparation method therefor and use thereof - Google Patents
Cytotoxic agent and conjugate thereof, preparation method therefor and use thereof Download PDFInfo
- Publication number
- WO2019154120A1 WO2019154120A1 PCT/CN2019/073148 CN2019073148W WO2019154120A1 WO 2019154120 A1 WO2019154120 A1 WO 2019154120A1 CN 2019073148 W CN2019073148 W CN 2019073148W WO 2019154120 A1 WO2019154120 A1 WO 2019154120A1
- Authority
- WO
- WIPO (PCT)
- Prior art keywords
- group
- compound
- alkyl
- formula
- membered
- Prior art date
- Legal status (The legal status is an assumption and is not a legal conclusion. Google has not performed a legal analysis and makes no representation as to the accuracy of the status listed.)
- Ceased
Links
- 0 CC[C@](C(C=C1N2Cc3c1nc(cccc1)c1c3*CC(C)*)=C(CO1)C2=O)(C1=O)OC(OCc(cc1)ccc1NC(C)C)=O Chemical compound CC[C@](C(C=C1N2Cc3c1nc(cccc1)c1c3*CC(C)*)=C(CO1)C2=O)(C1=O)OC(OCc(cc1)ccc1NC(C)C)=O 0.000 description 15
- CMXBDPSUJGOYRI-UHFFFAOYSA-N CC(C1CCC(CN(C(C=C2)=O)C2=O)CC1)=O Chemical compound CC(C1CCC(CN(C(C=C2)=O)C2=O)CC1)=O CMXBDPSUJGOYRI-UHFFFAOYSA-N 0.000 description 1
- KFJFHNJRDXFUEZ-UHFFFAOYSA-N CC(CCCCCN(C(C=C1)=O)C1=O)=O Chemical compound CC(CCCCCN(C(C=C1)=O)C1=O)=O KFJFHNJRDXFUEZ-UHFFFAOYSA-N 0.000 description 1
- IYCDZRRZYVQVDM-UHFFFAOYSA-N CC(N1CCC(CN(C(C=C2)=O)C2=O)CC1)=O Chemical compound CC(N1CCC(CN(C(C=C2)=O)C2=O)CC1)=O IYCDZRRZYVQVDM-UHFFFAOYSA-N 0.000 description 1
- OJAWOLWHEQUTDE-UHFFFAOYSA-N Cc1c[n](C)nn1 Chemical compound Cc1c[n](C)nn1 OJAWOLWHEQUTDE-UHFFFAOYSA-N 0.000 description 1
- PQBYMIGEEFVPNG-UHFFFAOYSA-N O=C(Oc(c(F)c(c(F)c1F)F)c1F)Cl Chemical compound O=C(Oc(c(F)c(c(F)c1F)F)c1F)Cl PQBYMIGEEFVPNG-UHFFFAOYSA-N 0.000 description 1
- NXLNNXIXOYSCMB-UHFFFAOYSA-N [O-][N+](c(cc1)ccc1OC(Cl)=O)=O Chemical compound [O-][N+](c(cc1)ccc1OC(Cl)=O)=O NXLNNXIXOYSCMB-UHFFFAOYSA-N 0.000 description 1
Images
Classifications
-
- A—HUMAN NECESSITIES
- A61—MEDICAL OR VETERINARY SCIENCE; HYGIENE
- A61K—PREPARATIONS FOR MEDICAL, DENTAL OR TOILETRY PURPOSES
- A61K31/00—Medicinal preparations containing organic active ingredients
- A61K31/33—Heterocyclic compounds
- A61K31/395—Heterocyclic compounds having nitrogen as a ring hetero atom, e.g. guanethidine or rifamycins
- A61K31/435—Heterocyclic compounds having nitrogen as a ring hetero atom, e.g. guanethidine or rifamycins having six-membered rings with one nitrogen as the only ring hetero atom
- A61K31/47—Quinolines; Isoquinolines
- A61K31/4738—Quinolines; Isoquinolines ortho- or peri-condensed with heterocyclic ring systems
- A61K31/4745—Quinolines; Isoquinolines ortho- or peri-condensed with heterocyclic ring systems condensed with ring systems having nitrogen as a ring hetero atom, e.g. phenantrolines
-
- A—HUMAN NECESSITIES
- A61—MEDICAL OR VETERINARY SCIENCE; HYGIENE
- A61K—PREPARATIONS FOR MEDICAL, DENTAL OR TOILETRY PURPOSES
- A61K39/00—Medicinal preparations containing antigens or antibodies
- A61K39/395—Antibodies; Immunoglobulins; Immune serum, e.g. antilymphocytic serum
-
- A—HUMAN NECESSITIES
- A61—MEDICAL OR VETERINARY SCIENCE; HYGIENE
- A61K—PREPARATIONS FOR MEDICAL, DENTAL OR TOILETRY PURPOSES
- A61K47/00—Medicinal preparations characterised by the non-active ingredients used, e.g. carriers or inert additives; Targeting or modifying agents chemically bound to the active ingredient
- A61K47/50—Medicinal preparations characterised by the non-active ingredients used, e.g. carriers or inert additives; Targeting or modifying agents chemically bound to the active ingredient the non-active ingredient being chemically bound to the active ingredient, e.g. polymer-drug conjugates
- A61K47/51—Medicinal preparations characterised by the non-active ingredients used, e.g. carriers or inert additives; Targeting or modifying agents chemically bound to the active ingredient the non-active ingredient being chemically bound to the active ingredient, e.g. polymer-drug conjugates the non-active ingredient being a modifying agent
- A61K47/68—Medicinal preparations characterised by the non-active ingredients used, e.g. carriers or inert additives; Targeting or modifying agents chemically bound to the active ingredient the non-active ingredient being chemically bound to the active ingredient, e.g. polymer-drug conjugates the non-active ingredient being a modifying agent the modifying agent being an antibody, an immunoglobulin or a fragment thereof, e.g. an Fc-fragment
-
- A—HUMAN NECESSITIES
- A61—MEDICAL OR VETERINARY SCIENCE; HYGIENE
- A61P—SPECIFIC THERAPEUTIC ACTIVITY OF CHEMICAL COMPOUNDS OR MEDICINAL PREPARATIONS
- A61P35/00—Antineoplastic agents
Definitions
- the invention belongs to the field of medical technology.
- the present invention relates to a novel cytotoxic agent which is a camptothecin derivative, a conjugate thereof to a target, a preparation method of the cytotoxic agent and conjugate, and the conjugate Use in the prevention and/or treatment of proliferative diseases associated with abnormal cellular activity, including but not limited to cancer diseases.
- Chemotherapy was once the standard treatment for cancer, but high-killing bioactive molecules can kill normal cells, causing serious side effects.
- Targeted anti-tumor drugs have become a hot spot in the field of cancer research due to their simultaneous targeting and anti-tumor activity.
- biomacromolecules such as therapeutic antibodies or antibody fragments for targeted therapy of tumors.
- biomacromolecules are highly targeted, they have limited therapeutic effects on solid tumors.
- bioactive molecules have high killing efficacy against cancer cells, they lack targeting and often accidentally injure normal cells, causing serious toxicity. side effect.
- R 1 is each independently selected from H (hydrogen), D (oxime), halogen, nitro, -NR a R b , C 1-6 alkyl, halo C 1-6 alkyl at each occurrence (for example -CF 3 ), C 1-6 alkoxy, halo C 1-6 alkoxy (for example -OCF 3 ) and C 3-6 cycloalkyl;
- R a and R b are each independently selected from H (hydrogen) ), D( ⁇ ), C 1-6 alkyl, C 3-6 cycloalkyl, 6-10 membered aryl, 5-12 membered heteroaryl, -C 1-6 alkylene-C 3-6 Cycloalkyl, -C 1-6 alkylene-(6-10 membered aryl) and -C 1-6 alkylene group (5-12 membered heteroaryl);
- n 1 is 1, 2, 3 or 4;
- L 3 is absent or is selected from -NR 7 - and optionally substituted by one or more R 7 : C 3-8 cycloalkylene, 6-10 membered arylene (eg phenylene or Naphthylene), 5-12 membered heteroarylene, 3-8 membered heterocyclylene, 6-12 membered subbridged heterocyclic group, 6-12 membered snail heterocyclic group, 6-12 membered sub-fused a cyclic group, -NR 8 -C 3-8 cycloalkylene- and -C 3-8 cycloalkylene-NR 8 -, when the above group contains a nitrogen atom, the nitrogen atom is optionally a quaternary ammonium
- L 4 is absent or is selected from C 1-6 alkylene, -NR 9 -C 1-6 alkylene-, -C 1-6 alkylene-NR 9 -, -NR 9 - and is one or more R 9 substituted 3-7 membered nitrogen-containing heterocyclylene;
- R 9 is independently selected from H (hydrogen), D (oxime), C 1-6 alkyl, C 3-6 cycloalkyl, 6-10 a aryl group (e.g., phenyl or naphthyl) and a 5-12 membered heteroaryl; said C 1-6 alkyl or C 1-6 alkylene optionally being one or more H (hydrogen), D ( ⁇ ) or halogen substituted;
- Step 4 The compound of the formula (Ia) is reacted under conditions to remove the amino protecting group to give a compound of the formula (I') or a pharmaceutically acceptable salt thereof.
- PG 1 and PG 2 are each independently an amino protecting group, preferably Boc or MMT,
- the method includes the following steps:
- the term "conjugate” means a substance obtained by linking a cytotoxic agent to a target.
- the cytotoxic agent is linked to the target by a linker.
- the linker is capable of cleavage in a particular environment (e.g., an intracellular low pH environment) or a specific action (e.g., the action of a lysosomal protease) to separate the cytotoxic agent from the target.
- the linker comprises a cleavable or non-cleavable unit, such as a peptide or a disulfide bond.
- the cytotoxic agent is linked directly to the target by a covalent bond that is capable of cleavage under a particular environment or action, thereby isolating the cytotoxic agent from the target.
- a "small molecule” is defined herein as a biologically active small molecule drug.
- the small molecule has a molecular weight of no greater than 2000 Da, such as no greater than 1500 Da, 1000 Da, or 500 Da.
- the monoclonal antibodies used in the present invention can be produced by a number of methods.
- monoclonal antibodies for use in the present invention can be obtained by hybridoma methods using a variety of species including cells of mice, hamsters, rats, and humans (see, for example, Kohler et al., 1975, Nature, 256:495).
- Alternatively by recombinant DNA techniques see, for example, US 4,816,567), or isolated from phage antibody libraries (see, for example, Clackson et al, 1991, Nature, 352: 624-628; and Marks et al, 1991, Journal of Molecular Biology , 222: 581-597).
- the target anti-Trop-2 antibody is RS7 as described in U.S. Patent No. 7,517,964; and hRS7 (i.e., Sacituzumab of the present invention) as described in US 2012/0237518.
- Anti-Trop-2 antibodies useful in the present invention can also be obtained by screening methods for designing, constructing, and constructing antibody libraries displaying antibodies, as disclosed in CN103476941A.
- ErbB2 and Her2 are used interchangeably, both of which represent the human HER2 protein of the native sequence (Genebank accession number: X03363, see, for example, Semba et al., 1985, PNAS, 82: 6497-6501; and Yamamoto et al. , 1986, Nature, 319: 230-234) and functional derivatives thereof, such as amino acid sequence variants.
- ErbB2 represents the gene encoding human Her2, and neu represents the gene encoding rat pl85neu.
- C 1-6 alkyl means a straight or branched alkyl group having 1 to 6 carbon atoms, and includes, for example, "C 1-4 alkyl” or "C 1-3 alkyl". Specific examples include, but are not limited to, methyl, ethyl, n-propyl, isopropyl, n-butyl, isobutyl, sec-butyl, tert-butyl, n-pentyl, isopentyl, 2- Methyl butyl, neopentyl, 1-ethylpropyl, n-hexyl, isohexyl, 3-methylpentyl, 2-methylpentyl, 1-methylpentyl, 3,3-dimethyl Butyl, 2,2-dimethylbutyl, 1,1-dimethylbutyl, 1,2-dimethylbutyl, 1,3-dimethylbutyl, 2,3-dimethyl Butyl, 2-ethyl, methyl, 1,1
- C 1-6 alkylene is a corresponding divalent group, and includes, for example, “C 1-4 alkylene”, “C 1-3 alkylene”, and the like, and specific examples include, but are not limited to, Base, ethylene, propylene, butylene, pentylene and hexylene.
- halogen includes fluorine, chlorine, bromine and iodine.
- the term "3-8 membered heterocyclic group” means a cyclic group having 3 to 8 ring atoms in which at least one ring atom is a hetero atom such as a nitrogen atom, an oxygen atom or a sulfur atom.
- a ring atom eg, a carbon atom, a nitrogen atom, or a sulfur atom
- the "3-8 membered heterocyclic group” includes, for example, “3-8 membered nitrogen-containing heterocyclic group", “3-8 membered oxygen-containing heterocyclic group", "3-6 membered heterocyclic group", and "3-6 member”.
- 6-12 membered fused ring group is a corresponding divalent group, and includes, for example, “6-11 membered fused ring group”, “6-10 membered fused ring group”, and “6-8 membered subcondensed group". Ring group”, “10-12 membered fused ring group” and “7-10 membered fused ring group”.
- 6-12 membered subbridged heterocyclic group is a corresponding divalent group and includes, for example, “6-12 membered nitrogen-containing ylidene heterocyclic group", “8-11 membered nitrogen-containing ylidene heterocyclic group”, “8-membered nitrogen-containing subbridge heterocyclic group”, “6-11 membered subbridge heterocyclic group”, “6-9 membered subbridge heterocyclic group”, “6-10 membered subbridged heterocyclic group”, “7 -10 membered subbridge heterocyclic group”, “7-9 membered subbridged heterocyclic group”, "7-8 membered subbridged heterocyclic group”, “8 membered subbridged heterocyclic group”, “9-10 member Bridged heterocyclic group” and “8-10 membered subbridge heterocyclic group” and the like. Specific examples include but are not limited to
- counter ion means an ion that is accompanied by an ionic species to maintain electrical neutrality, for example, in sodium chloride, a sodium cation is a counter ion of a chloride anion, and vice versa.
- the group referred to in the present invention is obtained by substituting 1, 2 or 3 hydrogen atoms of the compound/conjugate in the group with other atoms, and the number of the substituted hydrogen atoms It can be determined based on the number of valence bonds formed by the group in the compound or conjugate of the invention.
- an alkyl group is a group obtained by substituting one hydrogen atom in an alkane
- an alkylene group is a group obtained by substituting two hydrogen atoms in an alkane
- the methyl group and the ethyl group are respectively one of methane and ethane.
- the group obtained by substituting a hydrogen atom, a methylene group and an ethylene group are respectively a group obtained by substituting two hydrogen atoms in methane and ethane.
- substituent may be unsubstituted or (2) substituted. If the carbon of the substituent is described as being optionally substituted by one or more of the list of substituents, then one or more hydrogens on the carbon (to the extent of any hydrogen present) may be independently and/or together independently The optional substituents selected are substituted. If the nitrogen of the substituent is described as being optionally substituted by one or more of the list of substituents, then one or more hydrogens on the nitrogen (to the extent of any hydrogen present) may each be independently selected. Substitute substitution.
- each substituent is selected independently of the other.
- each substituent may be the same or different from another (other) substituent.
- the substituents of the substituents may be derived from any suitable position of the substituent, unless otherwise indicated.
- solvate refers to a substance formed by association of a compound/conjugate with a solvent molecule.
- the solvent may be an organic solvent (for example, methanol, ethanol, propanol, acetonitrile, etc.) or the like.
- a compound/conjugate of the invention can form an ethanolate with ethanol.
- DAR means the drug antibody ratio.
- the average DAR value refers to the average of the DAR of each conjugate in the pharmaceutical composition.
- R 1 is each independently selected from H (hydrogen), D (oxime), halogen, nitro, -NR a R b , C 1-6 alkyl, halo C 1-6 alkyl at each occurrence (for example -CF 3 ), C 1-6 alkoxy, halo C 1-6 alkoxy (for example -OCF 3 ) and C 3-6 cycloalkyl;
- R a and R b are each independently selected from H (hydrogen) ), D( ⁇ ), C 1-6 alkyl, C 3-6 cycloalkyl, 6-10 membered aryl, 5-12 membered heteroaryl, -C 1-6 alkylene-C 3-6 Cycloalkyl, -C 1-6 alkylene-(6-10 membered aryl) and -C 1-6 alkylene group (5-12 membered heteroaryl); n 1 1, 2, 3 or 4 ;
- R 2 is selected from the group consisting of H (hydrogen), D (oxime), C 1-6 alkyl, -NR c R d and a 3-7 membered nitrogen-containing heterocyclic group;
- R is each independently selected from H (hydrogen), D (oxime), halogen, nitro, cyano, C 1-6 alkyl, halo C 1-6 alkyl (eg, -CF 3 ). , C 1-6 alkoxy, halo C 1-6 alkoxy (eg -OCF 3 ), C 3-6 cycloalkyl, 6-10 membered aryl and 5-12 membered heteroaryl; n is 1, 2, 3 or 4;
- R 2 is selected from the group consisting of H (hydrogen), D ( ⁇ ), C 1-6 alkyl, and -NR c R d ;
- each R is independently selected from H (hydrogen), D (oxime), C 1-6 alkyl, halo C 1 - 6 alkyl (eg, -CF 3 ), C 1-6 alkoxy and halo C 1-6 alkoxy (e.g., -OCF 3 ); n is 1, 2 or 3.
- L 1 is selected from (Such as ), The above group is attached to AA by one of the two positions marked by 1 or 2, and is linked to L 2 by another position, preferably, the above group is linked to AA by the position of 1 mark, and the position of the mark by 2 L 2 is attached;
- R 3 , R 4 , R 5 and R 6 are each independently selected from H (hydrogen), D (oxime), halogen, carboxyl, sulfonate, cyano, C 1-6 alkyl, halogenated C 1-6 alkyl and cyano substituted C 1-6 alkyl;
- y1 and y2 are each independently 0, 1, 2, 3, 4, 5, 6, 7, 8, 9, or 10.
- L 1 is selected from (Such as ), The above group is attached to AA by one of the two positions marked by 1 or 2, and is linked to L 2 by another position, preferably, the above group is linked to AA by the position of 1 mark, and the position of the mark by 2 L 2 is attached;
- R 3 , R 4 , R 5 and R 6 are each independently selected from H (hydrogen), D (oxime), halogen, carboxyl, sulfonate, cyano, C 1-6 alkyl, halogenated C 1-6 alkyl and cyano substituted C 1-6 alkyl;
- y1 and y2 are each independently 0, 1, 2, 3, 4, 5, 6, 7, 8, 9, or 10.
- L 3 is absent or is selected from -NR 7 - and the following groups optionally substituted by one or more R 7 : E is a counterion, each of R 7 being independently selected from H (hydrogen), D (oxime), methyl and -CF 3 at each occurrence, and the above group is one of two positions labeled by 1 or 2 and L 2 is joined and connected to L 4 by another position, preferably, the above group is linked to L 2 by the position of 1 mark, and is connected to L 4 by the position of 2 mark.
- E is a counterion, each of R 7 being independently selected from H (hydrogen), D (oxime), methyl and -CF 3 at each occurrence, and the above group is one of two positions labeled by 1 or 2 and L 2 is joined and connected to L 4 by another position, preferably, the above group is linked to L 2 by the position of 1 mark, and is connected to L 4 by the position of 2 mark.
- L 4 is absent or selected from the group consisting of C 1-6 alkylene, -NR 9 -C 1-6 alkylene-, -C 1-6 alkylene-NR 9 - and -NR 9 -;
- R 9 is independently selected from H (hydrogen), D (oxime), C 1-6 alkyl and C 3-6 cycloalkyl; the C 1-6 alkyl or C 1-6 alkylene Optionally substituted with one or more H(hydrogen), D( ⁇ ) or halogen.
- the cancer disease is selected from the group consisting of breast cancer (eg, triple negative breast cancer) and gastric cancer.
- the cancer disease is selected from the group consisting of gastric cancer.
- “Pharmaceutically acceptable carrier” in the context of the invention means a diluent, adjuvant, excipient or vehicle with which the therapeutic agent is administered, and which is suitable for contacting humans and/or others within the scope of sound medical judgment. Animal tissue without excessive toxicity, irritation, allergic reactions or other problems or complications corresponding to a reasonable benefit/risk ratio.
- compositions of the invention may act systemically and/or locally.
- they may be administered in a suitable route, for example by injection (for example intravenous, intraarterial, subcutaneous, intraperitoneal, intramuscular, including instillation) or transdermal administration; or by oral, buccal, or oral administration.
- injection for example intravenous, intraarterial, subcutaneous, intraperitoneal, intramuscular, including instillation
- transdermal administration or by oral, buccal, or oral administration.
- the pharmaceutical composition can be formulated into any orally acceptable preparation including, but not limited to, tablets, capsules, granules, pills, syrups, oral solutions, oral suspensions, and oral emulsions. Wait.
- the carrier used for the tablet generally includes lactose and corn starch, and a lubricant such as magnesium stearate may also be added.
- the diluent used in the capsules generally includes lactose and dried corn starch.
- Oral suspensions are usually prepared by admixing the active ingredient with suitable emulsifiers and suspensions.
- suitable emulsifiers and suspensions may also be added to the above oral formulation forms.
- some sweeteners, fragrances or colorants may also be added to the above oral formulation forms.
- the pharmaceutical compositions When administered transdermally or topically, the pharmaceutical compositions may be in the form of a suitable ointment, lotion or lozenge, wherein the active ingredient is suspended or dissolved in one or more carriers.
- Carriers which can be used in ointment preparations include, but are not limited to, mineral oil, liquid petrolatum, white petrolatum, propylene glycol, polyethylene oxide, polypropylene oxide, emulsifying wax and water; and carriers which can be used for lotions or elixirs include, but are not limited to, minerals Oil, sorbitan monostearate, Tween 60, cetyl esters wax, hexadecene aryl alcohol, 2-octyldodecanol, benzyl alcohol and water.
- the pharmaceutical composition can also be administered in the form of an injection, including an injection, a sterile powder for injection, and a concentrated solution for injection.
- carriers and solvents which can be used include water, Ringer's solution and isotonic sodium chloride solution.
- sterile, fixed oils may also be employed as a solvent or suspension medium such as a monoglyceride or a diglyceride.
- the conjugate of the present invention may be included in the pharmaceutical composition or a suitable dosage form in an amount of from about 0.01 mg to about 1000 mg, suitably from 0.1 to 800 mg, preferably from 0.5 to 500 mg, more preferably from 0.5 to 350 mg, particularly preferably from 1 to 1. 250mg.
- treating means reversing, alleviating, inhibiting the progression of a condition or condition to which such a term applies or one or more symptoms of such a condition or condition, or Prevention of such a condition or condition or one or more symptoms of such condition or condition.
- “Individual” as used herein includes human or non-human animals.
- Exemplary human individuals include a human individual (referred to as a patient) or a normal individual having a disease, such as the disease described herein.
- “Non-human animals” in the present invention include all vertebrates, such as non-mammals (eg, birds, amphibians, reptiles) and mammals, such as non-human primates, domestic animals, and/or domesticated animals (eg, sheep, dogs). , cats, cows, pigs, etc.).
- the invention provides a method of preparing a compound of Formula (I'), or a pharmaceutically acceptable salt, solvate, hydrate, isomer thereof, or any crystalline form or racemate thereof:
- R d ' is R d or PG 1 ,
- PG 1 and PG 2 are each independently an amino protecting group, preferably Boc or MMT,
- the method includes the following steps:
- Step 1 reacting the compound (Ia)-d with the compound (Ia)-e in the presence of a metal catalyst to obtain a compound of the formula (Ia), and
- Step 2 The compound of the formula (Ia) is reacted under conditions to remove the amino protecting group to give a compound of the formula (I') or a pharmaceutically acceptable salt thereof.
- the metal catalyst is a monovalent copper salt such as a cuprous halide (such as cuprous chloride, cuprous bromide or cuprous iodide); or a divalent copper salt/reducing agent such as copper sulfate/sodium ascorbate .
- a cuprous halide such as cuprous chloride, cuprous bromide or cuprous iodide
- a divalent copper salt/reducing agent such as copper sulfate/sodium ascorbate .
- said step 1 of the process for preparing a compound of formula (I') is carried out at a temperature of from -10 ° C to 60 ° C, preferably from 0 ° C to 35 ° C, more preferably from 0 ° C to 25 ° C.
- the molar ratio of the compound (Ia)-d to the metal catalyst is 1: (1-15), preferably 1: (1-10), Most preferred is 1: (1-5).
- said step 1 of the process for the preparation of a compound of formula (I') is carried out in water and/or an organic solvent; said organic solvent being selected from the group consisting of N,N-dimethylformamide, dimethyl sulfoxide, N-methylpyrrolidone, saturated hydrocarbons (such as cyclohexane or hexane), halogenated hydrocarbons (such as dichloromethane, chloroform or 1,2-dichloroethane), ethers (such as tetrahydrofuran, diethyl ether, two Oxane or 1,2-dimethoxyethane), nitriles (such as acetonitrile), alcohols (such as methanol, ethanol, isopropanol or tert-butanol), and any combination thereof.
- organic solvent being selected from the group consisting of N,N-dimethylformamide, dimethyl sulfoxide, N-methylpyrrolidone, saturated hydrocarbons (such as cyclo
- the conditions for the removal of the amino protecting group are acidic conditions, more preferably the conditions in which trifluoroacetic acid is present.
- said step 2 of the process for the preparation of a compound of formula (I') is carried out in water and/or an organic solvent; said organic solvent being selected from the group consisting of N,N-dimethylformamide, dimethyl sulfoxide, N-methylpyrrolidone, saturated hydrocarbons (such as cyclohexane or hexane), halogenated hydrocarbons (such as dichloromethane, chloroform or 1,2-dichloroethane), ethers (such as tetrahydrofuran, diethyl ether, two Oxane or 1,2-dimethoxyethane), nitriles (such as acetonitrile), alcohols (such as methanol, ethanol, isopropanol or tert-butanol), and any combination thereof.
- said organic solvent being selected from the group consisting of N,N-dimethylformamide, dimethyl sulfoxide, N-methylpyrrolidone, saturated hydrocarbons (such as cycl
- the method of preparing a compound of formula (I'), or a pharmaceutically acceptable salt, solvate, hydrate, isomer thereof, or any crystal form or racemate thereof is as follows:
- R d " is R d or hydrogen
- R d ' is R d or PG 1 ,
- the method includes the following steps:
- Step 3 reacting the compound (Ia)-d with the compound (Ia)-e in the presence of a metal catalyst to obtain a compound of the formula (Ia), and
- Step 4 The compound of the formula (Ia) is reacted under conditions to remove the amino protecting group to give a compound of the formula (I') or a pharmaceutically acceptable salt thereof.
- the base of the second step of the process for preparing the compound of the formula (I') is selected from the group consisting of an organic base and an inorganic base such as triethylamine, diisopropylethylamine, p-dimethylaminopyridine, pyridine, 2,4,6. -Trimethylpyridine or the like, preferably p-dimethylaminopyridine.
- the metal catalyst of the third step of the method for preparing the compound of the formula (I') is a monovalent copper salt, such as a cuprous halide (such as cuprous chloride, cuprous bromide or cuprous iodide); or a divalent Copper salt/reducing agent, such as copper sulfate/sodium ascorbate.
- a monovalent copper salt such as a cuprous halide (such as cuprous chloride, cuprous bromide or cuprous iodide); or a divalent Copper salt/reducing agent, such as copper sulfate/sodium ascorbate.
- said step 4 of the process for preparing a compound of formula (I') is carried out at a temperature of from -10 °C to 60 °C, preferably from 0 °C to 35 °C, more preferably from 0 °C to 25 °C.
- R d ' is R d or PG 1 ,
- LG is a leaving group, preferably a hydroxyl group or a succinimide-N-oxy group,
- the base is an organic base or an inorganic base;
- the organic base is selected from the group consisting of triethylamine, DIPEA, pyridine, NMM and DMAP;
- the inorganic base is selected from the group consisting of NaH, NaOH, Na 2 CO 3 and K 2 CO 3 .
- the condensation reagent is selected from the group consisting of phosgene, solid phosgene, HATU, HBTU, EEDQ, DEPC, DCC, DIC, EDC, BOP, PyAOP and PyBOP.
- the method of preparing a compound of formula (I"), or a pharmaceutically acceptable salt, solvate, hydrate, isomer thereof, or any crystal form or racemate thereof is as follows:
- Step 1 in the presence of a reducing agent, the compound (Ia)-d is reacted to obtain the compound (Ib)-a;
- the base is DIPEA.
- said step 1 of the process for the preparation of a compound of formula (I") is carried out in an organic solvent; said organic solvent being selected from ethers (for example tetrahydrofuran, diethyl ether, dioxane or 1,2-dimethoxy) Ethane), an alcohol (for example methanol, ethanol, isopropanol or tert-butanol), ethyl acetate and any combination thereof, preferably tetrahydrofuran.
- ethers for example tetrahydrofuran, diethyl ether, dioxane or 1,2-dimethoxy
- an alcohol for example methanol, ethanol, isopropanol or tert-butanol
- ethyl acetate any combination thereof, preferably tetrahydrofuran.
- the molar ratio of the compound (Ib)-a to the base is 1: (0.5-4), preferably 1: (0.8-3), more Preferably 1: (1-2).
- said step 2 of the process for the preparation of a compound of formula (I") is carried out in water and/or an organic solvent; said organic solvent being selected from the group consisting of N,N-dimethylformamide, dimethyl sulfoxide, N-methylpyrrolidone, saturated hydrocarbons (such as cyclohexane or hexane), halogenated hydrocarbons (such as dichloromethane, chloroform or 1,2-dichloroethane), ethers (such as tetrahydrofuran, diethyl ether, two Oxane or 1,2-dimethoxyethane), nitriles (such as acetonitrile), alcohols (such as methanol, ethanol, isopropanol or tert-butanol), and any combination thereof.
- organic solvent being selected from the group consisting of N,N-dimethylformamide, dimethyl sulfoxide, N-methylpyrrolidone, saturated hydrocarbons (such as cyclohe
- said step three of the process for preparing a compound of formula (I") is carried out at a temperature of from -10 °C to 60 °C, preferably from 0 °C to 35 °C, more preferably from 0 °C to 25 °C.
- said step 3 of the process for preparing a compound of formula (I") is carried out in water and/or an organic solvent; said organic solvent being selected from the group consisting of N,N-dimethylformamide, dimethyl sulfoxide, N-methylpyrrolidone, saturated hydrocarbons (such as cyclohexane or hexane), halogenated hydrocarbons (such as dichloromethane, chloroform or 1,2-dichloroethane), ethers (such as tetrahydrofuran, diethyl ether, two Oxane or 1,2-dimethoxyethane), nitriles (such as acetonitrile), alcohols (such as methanol, ethanol, isopropanol or tert-butanol), and any combination thereof.
- said organic solvent being selected from the group consisting of N,N-dimethylformamide, dimethyl sulfoxide, N-methylpyrrolidone, saturated hydrocarbons (such as cyclohe
- Trifluoroacetic acid (0.1 mL) was added to a reaction mixture of Compound 9-2 (20 mg, 0.011 mmol The reaction mixture was concentrated and purified by preparative EtOAc (EtOAc) ESI-MS (m/z): 760.0 [M / 2+H] + .
- I-1 was replaced with I-8 to give the product of I-8 and antibody coupling, designated II-10-A.
- LC represents the antibody light chain
- HC represents the antibody heavy chain
- DAR1 represents a conjugate comprising an antibody light or heavy chain and a cytotoxic agent
- DAR2 represents an antibody light or heavy chain and two a conjugate of a cytotoxic agent
- DAR3 represents a conjugate comprising one antibody light or heavy chain and three cytotoxic agents
- DAR4 represents a conjugate comprising one antibody light or heavy chain and four cytotoxic agents .
- Sample treatment Dilute the sample to 1 mg/mL, add 1M DTT (dithiothreitol) to a final DTT concentration of 20 mmol/L, and mix at 37 ° C for 30 min.
- DTT dithiothreitol
- Mobile phase A 0.1% formic acid (FA) / 98% H 2 O / 2% acetonitrile (ACN); mobile phase B: 0.1% FA / 2% H 2 O / 98% ACN
- Mass spectrometry deconvolution results are shown in Figures 1 and 2.
- DAR Light chain coupled with 0 to 2 cytotoxic agents (LC, DAR1 and DAR2 ratios of 22%, 72%, respectively) were calculated based on the ratio of signal intensity after mass deconvolution. 6%), heavy chain coupling of 1 to 3 cytotoxic agents (DAR1, DAR2 and DAR3 ratios of 49%, 27% and 24%, respectively), thereby calculating the coupling ratio of antibody to cytotoxic agent (average DAR) The value) is 5.0.
- DAR Light chain coupled with 0 to 1 cytotoxic agent (LC and DAR1 ratios of 16% and 84%, respectively) were calculated based on the ratio of signal intensity after mass deconvolution.
- the heavy chain was coupled with 1 to 3 cytotoxic agents (the ratios of DAR1, DAR2, and DAR3 were 31%, 23%, and 46%, respectively), and the coupling ratio (average DAR value) of the antibody to the cytotoxic agent was calculated to be 6.0.
- DAR Light chain coupled with 0 to 1 cytotoxic agent (24% and 76% for LC and DAR1, respectively), based on the ratio of signal intensity after deconvolution by mass spectrometry, Heavy chain coupling of 0 to 4 cytotoxic agents (HC, DAR1, DAR2, DAR3, and DAR4 ratios of 6%, 43%, 20%, 25%, and 6%, respectively), thereby calculating the antibody and cytotoxic agent
- the joint ratio (average DAR value) was 5.2.
- DAR Light chain coupled with 0 to 1 cytotoxic agent (19% and 81% for LC and DAR1, respectively) was calculated based on the ratio of signal intensity after mass deconvolution. Heavy chain coupling of 0 to 4 cytotoxic agents (HC, DAR1, DAR2, DAR3, and DAR4 ratios of 6%, 37%, 18%, 32%, and 7%, respectively), thereby calculating the antibody and cytotoxic agent
- the joint ratio (average DAR value) is 5.5.
- Mass spectrometry deconvolution results are shown in Figures 13 and 14.
- the DAR light chain coupled with 0 to 1 cytotoxic agent (LC and DAR1 ratios of 20% and 80%, respectively) was calculated based on the ratio of signal intensity after mass deconvolution.
- Heavy chain coupling of 0 to 4 cytotoxic agents HC, DAR1, DAR2, DAR3, and DAR4 ratios of 4%, 43%, 20%, 29%, and 4%, respectively
- the joint ratio (average DAR value) is 5.3.
- DAR Light chain coupled with 0 to 1 cytotoxic agent (LC and DAR1 ratios of 26% and 74%, respectively) was calculated based on the ratio of signal intensity after mass deconvolution. Heavy chain coupling of 0 to 4 cytotoxic agents (HC, DAR1, DAR2, DAR3, and DAR4 ratios of 6%, 41%, 21%, 23%, and 9%, respectively), thereby calculating the antibody and cytotoxic agent The joint ratio (average DAR value) was 5.2.
- Mass spectrometry deconvolution results are shown in Figures 19 and 20.
- DAR Light chain coupled with 0 to 1 cytotoxic agent (19% and 81% for LC and DAR1, respectively), based on the ratio of signal intensity after deconvolution of mass spectrometry, The heavy chain is coupled with 0 to 3 cytotoxic agents (HC, DAR1, DAR2, and DAR3 ratios of 3%, 47%, 18%, and 32%, respectively), thereby calculating the coupling ratio of the antibody to the cytotoxic agent (average DAR) The value) is 5.2.
- Mass spectrometry deconvolution results are shown in Figures 21 and 22, and DAR is calculated based on the ratio of signal intensity after deconvolution of mass spectrometry: light chain coupled with 0 to 1 cytotoxic agent (LC and DAR1 ratios are 28% and 72%, respectively). Heavy chain coupling of 0 to 4 cytotoxic agents (HC, DAR1, DAR2, DAR3, and DAR4 ratios of 9%, 48%, 19%, 18%, and 6%, respectively), thereby calculating the antibody and cytotoxic agent The joint ratio (average DAR value) is 4.7.
- Example 26 The coupling reaction was monitored by SEC-HPLC for SEC detection.
- Injection volume 30 ⁇ g; isocratic operation for 30min
- the main coupling product had a molecular weight of about 150 kD, that is, II-8-A obtained by coupling I-6 with the antibody, and still maintained the intact structure of the antibody.
- the main coupling product had a molecular weight of about 150 kD, that is, II-14-A obtained by coupling I-12 with the antibody, and still maintained the intact structure of the antibody.
- the breast cancer cells HCC1806 (Trop-2 positive cell line, Nanjing Branch) were digested by trypsin using conventional methods, and tumor cells were collected and resuspended in the corresponding assay medium (RPMI1640 containing 2% FBS). The diluted conjugate and cytotoxic agent were separately added to a 96-well plate and then added to the cells. After 3 days of cell culture, 20 ⁇ L of CCK8 reagent (RHINO BIO) was added to each well for 2 hours, and the activity of dehydrogenase in the mitochondria was measured using a microplate reader (manufactured by Molecular Devices, model: SpectraMax M2, detection wavelength: 450 nm). Based on this, the EC 50 value of the growth inhibitory effect of the cytotoxic agent and the conjugate on the breast cancer cell HCC1806 was calculated. The results of the growth inhibition of conjugates on breast cancer cells HCC1806 are shown in Table 1 below:
- the antibody-drug conjugate of the present invention has a significant growth inhibitory effect on HCC1806 (breast cancer cells).
- the EC 50 values of the growth inhibitory action of the compound 1-1 in Example 1, the compound 4-2 in the Example 4, and the compound 5-2 in the Example 5 on the breast cancer cell HCC1806 were 4.07 nM and 7.56 nM, respectively.
- 8.72 nM, and the corresponding antibody-drug conjugates II-1-A, II-7-A and II-8-A have EC 50 values of 1.54 nM, 1.63 nM and 1.15 nM, respectively, which are significantly lower than corresponding The EC 50 value of the cytotoxic agent. This further demonstrates that after the cytotoxic agent is conjugated to the antibody, its tumor inhibiting activity is significantly enhanced due to increased targeting.
- samples of II-1-A, II-7-A and II-8-A were prepared from rat plasma, cynomolgus plasma and 0.5% bovine serum albumin (BSA) PBS buffer, respectively, and placed at 37 ° C. In the biochemical incubator, they were incubated for 0h, 1h, 4h, 24h, 48h and 72h respectively, and then stored at -80 °C. The release of cytotoxic agent in the conjugate was determined by LC/MS to determine the conjugate. Plasma stability.
- the cytotoxic agents corresponding to II-1-A, II-7-A and II-8-A are the compound 1-1 in Example 1, the compound 4-2 in Example 4, and the compound in Example 5, respectively. 5-2.
- both II-1-A, II-7-A and II-8-A have good plasma stability in cynomolgus plasma, rat plasma and 0.5% BSA PBS buffer.
- mice were cultured in RPMI1640 medium containing 10% heat-inactivated fetal bovine serum, and NCI-N87 cells in exponential growth phase were collected. Resuspend in PBS to the appropriate concentration and inoculate subcutaneously on the right scapula of Balb/c nude mice. After approximately 100-200mm 3 volumes of inoculation of tumor growth, tumor volume removed too small (less than 100mm 3) or too large (greater than 200mm 3) mice, the remaining mice were randomized into groups (8 / group) and to Drug conjugate or solvent control (saline), tail vein injection, 2 times a week for a total of 3 weeks.
- saline Drug conjugate or solvent control
- the tumor growth inhibition rate TGI (%) was calculated using the following formula to evaluate the antitumor efficacy of antibody-drug conjugates:
- the end of VT the mean volume of the tumor at the end of the experiment in the conjugate treatment group
- End of VC the mean volume of the tumor at the end of the experiment in the solvent control group
- the conjugates of the present invention e.g., II-8-A and II-10-A
- the P value results indicate that the conjugate exhibits significant contrast compared with the physiological saline group. Anti-tumor efficacy trend.
- conjugates of the present invention for example, II-8-A and II-10-A
- the conjugates of the present invention not only have remarkable antitumor effects, but also have excellent properties. Security.
Landscapes
- Health & Medical Sciences (AREA)
- Chemical & Material Sciences (AREA)
- Life Sciences & Earth Sciences (AREA)
- Medicinal Chemistry (AREA)
- General Health & Medical Sciences (AREA)
- Public Health (AREA)
- Pharmacology & Pharmacy (AREA)
- Veterinary Medicine (AREA)
- Animal Behavior & Ethology (AREA)
- Epidemiology (AREA)
- Engineering & Computer Science (AREA)
- Immunology (AREA)
- Bioinformatics & Cheminformatics (AREA)
- Microbiology (AREA)
- Mycology (AREA)
- Chemical Kinetics & Catalysis (AREA)
- General Chemical & Material Sciences (AREA)
- Nuclear Medicine, Radiotherapy & Molecular Imaging (AREA)
- Organic Chemistry (AREA)
- Pharmaceuticals Containing Other Organic And Inorganic Compounds (AREA)
Abstract
Description
本发明属于医药技术领域。具体而言,本发明涉及新型细胞毒性剂(其为喜树碱衍生物),其与靶向物的偶联物、所述细胞毒性剂和偶联物的制备方法,以及所述偶联物在预防和/或治疗与细胞活性异常相关的增殖性疾病(包括但不限于癌症疾病)中的用途。The invention belongs to the field of medical technology. In particular, the present invention relates to a novel cytotoxic agent which is a camptothecin derivative, a conjugate thereof to a target, a preparation method of the cytotoxic agent and conjugate, and the conjugate Use in the prevention and/or treatment of proliferative diseases associated with abnormal cellular activity, including but not limited to cancer diseases.
发明背景Background of the invention
化疗一度是癌症的标准疗法,但高杀伤力的生物活性分子会误杀正常细胞,从而引起严重的副作用。靶向抗肿瘤药物由于同时具有靶向性和抗肿瘤活性,已成为当今肿瘤研究领域的热点。20世纪以来,将生物大分子药物(例如治疗性抗体或抗体片段)用于肿瘤的靶向治疗已取得突破性进展。然而,生物大分子药物虽然靶向性强,但对实体瘤的治疗效果有限;而生物活性分子虽然对癌细胞具备高度的杀伤效力,但缺乏靶向性,常常误伤正常细胞,从而引起严重毒副作用。Chemotherapy was once the standard treatment for cancer, but high-killing bioactive molecules can kill normal cells, causing serious side effects. Targeted anti-tumor drugs have become a hot spot in the field of cancer research due to their simultaneous targeting and anti-tumor activity. Since the 20th century, breakthroughs have been made in the use of biomacromolecules such as therapeutic antibodies or antibody fragments for targeted therapy of tumors. However, although biomacromolecules are highly targeted, they have limited therapeutic effects on solid tumors. Although bioactive molecules have high killing efficacy against cancer cells, they lack targeting and often accidentally injure normal cells, causing serious toxicity. side effect.
近年来研究发现,可将治疗性抗体与生物活性分子相连,形成抗体-药物偶联物(ADC)。ADC融合了抗体的靶向作用和生物活性分子的高活性,成为一种“生物导弹”。抗体引导ADC结合到靶细胞,随后被细胞内化,释放药物以治疗疾病。由于抗体对肿瘤细胞相关靶点具有特异性和靶向性,其应用价值不仅体现在治疗方面,同时还成为药物靶向输送的理想载体,降低了药物的副作用。In recent years, studies have found that therapeutic antibodies can be linked to biologically active molecules to form antibody-drug conjugates (ADCs). The ADC combines the targeting of antibodies with the high activity of biologically active molecules to become a "bio-missile". The antibody directs the ADC to bind to the target cell, which is then internalized by the cell, releasing the drug to treat the disease. Because the antibody has specificity and targeting to tumor cell related targets, its application value is not only reflected in the treatment, but also becomes an ideal carrier for drug targeted delivery, which reduces the side effects of the drug.
通常,ADC药物由抗体、生物活性分子及连接基组成。生物活性分子通过连接基共价偶联到抗体上。抗体(例如单克隆抗体)能够特异性地识别癌细胞表面的特异性靶点,进而能够引导ADC到达癌细胞表面,并使ADC通过细胞内吞效应进入癌细胞。生物活性分子可在胞内释放,从而达到专一性杀灭癌细胞而不损伤正常组织细胞的作用。Typically, ADC drugs consist of antibodies, biologically active molecules, and linkers. The biologically active molecule is covalently coupled to the antibody via a linker. Antibodies (eg, monoclonal antibodies) are capable of specifically recognizing specific targets on the surface of cancer cells, thereby directing the ADC to the surface of the cancer cells and allowing the ADC to enter the cancer cells through the endocytosis effect. Bioactive molecules can be released intracellularly, thereby achieving the effect of specifically killing cancer cells without damaging normal tissue cells.
小分子药物偶联物(SMDC)和抗体-药物偶联物(ADC)的设计原理相同,即通过化学方法把生物活性分子和一些能选择性地结合至肿瘤细胞表面受体的小分子配体偶联,由此提高效应分子(生物活性分子)对肿瘤细胞的靶向性。SMDC的化学结构和ADC几乎完全一样,但是采用小分子配体替代抗体。目前,尚无SMDC上市。Small molecule drug conjugates (SMDCs) and antibody-drug conjugates (ADCs) are designed with the same principle of chemically binding biologically active molecules and small molecule ligands that selectively bind to tumor cell surface receptors. Coupling, thereby increasing the targeting of effector molecules (bioactive molecules) to tumor cells. The chemical structure of SMDC is almost identical to that of ADC, but small molecule ligands are used instead of antibodies. Currently, there is no SMDC listed.
目前,已经上市的ADC有四种:Mylotarg(Gemtuzumab Ozogamicin,吉妥珠单抗奥唑米星)、Adcetris(Brentuximab Vedotin,CD30单抗-MMAE)、Kadcyla(Trastuzumab Emtansine,曲妥珠单抗-美登素生物碱)和Besponsa(Inotuzumab ozogamicin,CD22单抗-卡奇霉素)。Currently, there are four ADCs already on the market: Mylotarg (Gemtuzumab Ozogamicin, gemtuzumab oxazoic acid), Adcetris (Brentuximab Vedotin, CD30 mAb-MMAE), Kadcyla (Trastuzumab Emtansine, trastuzumab-美Dessert alkaloids and Besponsa (Inotuzumab ozogamicin, CD22 mAb-caccimycin).
发明概述Summary of invention
经过深入地研究,本发明人意外地发现了一种偶联物,包含靶向物部分和具有抗肿瘤作用的细胞毒性剂部分(喜树碱衍生物),其对肿瘤细胞具有良好的抑制能力。After intensive research, the inventors have unexpectedly discovered a conjugate comprising a target moiety and a cytotoxic agent moiety (camptothecin derivative) having an antitumor effect, which has good inhibitory ability against tumor cells. .
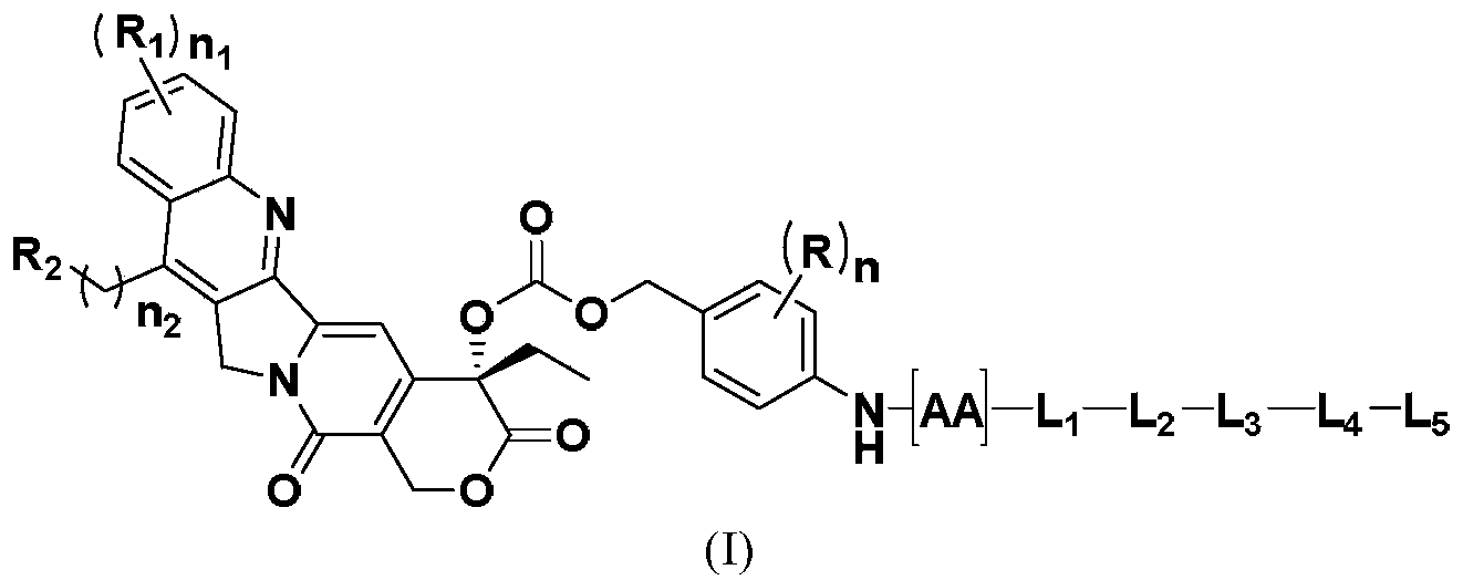
本发明的第一个方面提供式(I)的化合物或其药学可接受的盐、溶剂化物、水合物、异构体,或它们的任意晶型或消旋物,A first aspect of the invention provides a compound of formula (I), or a pharmaceutically acceptable salt, solvate, hydrate, isomer thereof, or any crystalline form or racemate thereof,
其中:among them:
R 1在每次出现时各自独立地选自H(氢)、D(氘)、卤素、硝基、-NR aR b、C 1-6烷基、卤代C 1-6烷基(例如-CF 3)、C 1-6烷氧基、卤代C 1-6烷氧基(例如-OCF 3)和C 3-6环烷基;R a和R b各自独 立地选自H(氢)、D(氘)、C 1-6烷基、C 3-6环烷基、6-10元芳基、5-12元杂芳基、-C 1-6亚烷基-C 3-6环烷基、-C 1-6亚烷基-(6-10元芳基)和-C 1-6亚烷基-(5-12元杂芳基);n 1为1、2、3或4; R 1 is each independently selected from H (hydrogen), D (oxime), halogen, nitro, -NR a R b , C 1-6 alkyl, halo C 1-6 alkyl at each occurrence (for example -CF 3 ), C 1-6 alkoxy, halo C 1-6 alkoxy (for example -OCF 3 ) and C 3-6 cycloalkyl; R a and R b are each independently selected from H (hydrogen) ), D(氘), C 1-6 alkyl, C 3-6 cycloalkyl, 6-10 membered aryl, 5-12 membered heteroaryl, -C 1-6 alkylene-C 3-6 Cycloalkyl, -C 1-6 alkylene-(6-10 membered aryl) and -C 1-6 alkylene group (5-12 membered heteroaryl); n 1 is 1, 2, 3 or 4;
R 2选自H(氢)、D(氘)、C 1-6烷基、-NR cR d和3-7元含氮杂环基;R c和R d各自独立地选自H(氢)、D(氘)、C 1-6烷基、C 3-6环烷基、6-10元芳基、5-12元杂芳基、-C 1-6亚烷基-C 3-6环烷基、-C 1-6亚烷基-(6-10元芳基)、-C 1-6亚烷基-(5-12元杂芳基)、C 1-6烷基-C(=O)-、卤代C 1-6烷基-C(=O)-、6-10元芳基-C(=O)-、5-12元杂芳基-C(=O)-、6-10元芳基-C 1-6亚烷基-C(=O)-、5-12元杂芳基-C 1-6亚烷基-C(=O)-、C 1-6烷基-SO 2-、卤代C 1-6烷基-SO 2-、6-10元芳基-SO 2-和5-12元杂芳基-SO 2-;所述6-10元芳基和5-12元杂芳基任选地被H(氢)、D(氘)、卤素或C 1-6烷基取代;n 2为0、1、2、3或4; R 2 is selected from the group consisting of H (hydrogen), D (oxime), C 1-6 alkyl, -NR c R d and a 3-7 membered nitrogen-containing heterocyclic group; R c and R d are each independently selected from H (hydrogen) ), D(氘), C 1-6 alkyl, C 3-6 cycloalkyl, 6-10 membered aryl, 5-12 membered heteroaryl, -C 1-6 alkylene-C 3-6 Cycloalkyl, -C 1-6 alkylene-(6-10 membered aryl), -C 1-6 alkylene-(5-12 membered heteroaryl), C 1-6 alkyl-C ( =O)-, halogenated C 1-6 alkyl-C(=O)-, 6-10 membered aryl-C(=O)-, 5-12 membered heteroaryl-C(=O)-, 6-10 membered aryl-C 1-6 alkylene-C(=O)-, 5-12 membered heteroaryl-C 1-6 alkylene-C(=O)-, C 1-6 alkane a base-SO 2 -, a halogenated C 1-6 alkyl-SO 2 -, a 6-10 membered aryl-SO 2 - and a 5-12 membered heteroaryl-SO 2 -; the 6-10 membered aryl group And a 5-12 membered heteroaryl group is optionally substituted by H (hydrogen), D (hydrazine), halogen or C 1-6 alkyl; n 2 is 0, 1, 2, 3 or 4;
R在每次出现时各自独立地选自H(氢)、D(氘)、卤素、硝基、氰基、C 1-6烷基、卤代C 1-6烷基(例如-CF 3)、C 1-6烷氧基、卤代C 1-6烷氧基(例如-OCF 3)、C 3-6环烷基、6-10元芳基和5-12元杂芳基;n为1、2、3或4; R is each independently selected from H (hydrogen), D (oxime), halogen, nitro, cyano, C 1-6 alkyl, halo C 1-6 alkyl (eg, -CF 3 ). , C 1-6 alkoxy, halo C 1-6 alkoxy (eg -OCF 3 ), C 3-6 cycloalkyl, 6-10 membered aryl and 5-12 membered heteroaryl; n is 1, 2, 3 or 4;
AA选自氨基酸基团和包含2-6个氨基酸的肽的基团;AA is selected from the group consisting of an amino acid group and a peptide comprising 2-6 amino acids;
L 1选自-(CH 2) t1-、 (如 )、 和 以上基团通过1或2标记的两个位置之一与AA连接,并且通过另一位置与L 2连接,优选地,以上基团通过1标记的位置与AA连接,并且通过2标记的位置与L 2连接;R 3、R 4、R 5和R 6各自独立地选自H(氢)、D(氘)、卤素、羧基、磺酸基、氰基、C 1-6烷基、卤代C 1-6烷基、氰基取代的C 1-6烷基、C 1-6烷氧基和C 3-6环烷基,或者R 3与R 4、R 5与R 6或R 3与R 5连同其所连接的原子/基团共同形成3-8元环;t1、t2、y 1和y 2各自独立地为0、1、2、3、4、5、6、7、8、9或10; L 1 is selected from -(CH 2 ) t1 -, (Such as ), with The above group is attached to AA by one of the two positions marked by 1 or 2, and is linked to L 2 by another position, preferably, the above group is linked to AA by the position of 1 mark, and the position of the mark by 2 L 2 is attached; R 3 , R 4 , R 5 and R 6 are each independently selected from H (hydrogen), D (oxime), halogen, carboxyl, sulfonate, cyano, C 1-6 alkyl, halogenated C 1-6 alkyl, cyano substituted C 1-6 alkyl, C 1-6 alkoxy and C 3-6 cycloalkyl, or R 3 and R 4 , R 5 and R 6 or R 3 R 5 together with the atom/group to which it is attached forms a 3-8 membered ring; t1, t2, y 1 and y 2 are each independently 0, 1, 2, 3, 4, 5, 6, 7, 8, 9 or 10;
L 2不存在或者为 其通过1或2标记的两个位置之一与L 1连接,并且通过另一位置与L 3连接,优选地,其通过1标记的位置与L 1连接,并且通过2标记的位置与L 3连接,Z 1选自O、S和-NH-,Z 2不存在或选自O、S和-NH-,m1和m2各自独立地为0、1、2、3、4、5、6、7、8、9或10; L 2 does not exist or is One of its two positions marks to L 1 via 1 or 2, and L 3 is connected by a further position, preferably it is connected to L 1 via a marked location, and by the marked position 2 and L 3 Connected, Z 1 is selected from O, S and -NH-, Z 2 is absent or selected from O, S and -NH-, and m1 and m2 are each independently 0, 1, 2, 3, 4, 5, 6, 7, 8, 9 or 10;
L 3不存在或者选自-NR 7-和任选地被一个或多个R 7取代的下列基团:C 3-8亚环烷基、6-10元亚芳基(例如亚苯基或亚萘基)、5-12元亚杂芳基、3-8元亚杂环基、6-12元亚桥杂环基、6-12元亚螺杂环基、6-12元亚稠杂环基、-NR 8-C 3-8亚环烷基-和-C 3-8亚环烷基-NR 8-,当以上基团包含氮原子时,所述氮原子任选地是季铵化的;R 7在每次出现时各自独立地选自H(氢)、D(氘)、卤素、=O、氰基、羧基、磺酸基、C 1-6烷基、卤代C 1-6烷基、氰基取代的C 1-6烷基、C 1-6烷氧基、C 2-6烯基和C 2-6炔基,R 8选自H(氢)、D(氘)、C 1-6烷基、C 3-6环烷基和C 1-6烷氧基; L 3 is absent or is selected from -NR 7 - and optionally substituted by one or more R 7 : C 3-8 cycloalkylene, 6-10 membered arylene (eg phenylene or Naphthylene), 5-12 membered heteroarylene, 3-8 membered heterocyclylene, 6-12 membered subbridged heterocyclic group, 6-12 membered snail heterocyclic group, 6-12 membered sub-fused a cyclic group, -NR 8 -C 3-8 cycloalkylene- and -C 3-8 cycloalkylene-NR 8 -, when the above group contains a nitrogen atom, the nitrogen atom is optionally a quaternary ammonium Each of R 7 is independently selected from H (hydrogen), D (oxime), halogen, =O, cyano, carboxyl, sulfonate, C 1-6 alkyl, halo C 1 at each occurrence. a -6 alkyl group, a cyano substituted C 1-6 alkyl group, a C 1-6 alkoxy group, a C 2-6 alkenyl group and a C 2-6 alkynyl group, and R 8 is selected from the group consisting of H (hydrogen) and D (氘) ), C 1-6 alkyl, C 3-6 cycloalkyl and C 1-6 alkoxy;
L 4不存在或者选自C 1-6亚烷基、-NR 9-C 1-6亚烷基-、-C 1-6亚烷基-NR 9-、-NR 9-和被一个或多个R 9取代的3-7元含氮亚杂环基;R 9独立地选自H(氢)、D(氘)、C 1-6烷基、C 3-6环烷基、6-10元芳基(例如苯基或萘基)和5-12元杂芳基;所述C 1-6烷基或C 1-6亚烷基任选地被一个或多个H(氢)、D(氘)或卤素取代;并且 L 4 is absent or is selected from C 1-6 alkylene, -NR 9 -C 1-6 alkylene-, -C 1-6 alkylene-NR 9 -, -NR 9 - and is one or more R 9 substituted 3-7 membered nitrogen-containing heterocyclylene; R 9 is independently selected from H (hydrogen), D (oxime), C 1-6 alkyl, C 3-6 cycloalkyl, 6-10 a aryl group (e.g., phenyl or naphthyl) and a 5-12 membered heteroaryl; said C 1-6 alkyl or C 1-6 alkylene optionally being one or more H (hydrogen), D (氘) or halogen substituted;
L 5选自 r为0、1、2、3、4或5。 L 5 is selected from r is 0, 1, 2, 3, 4 or 5.
本发明的第二方面提供式(II)的偶联物或其药学可接受的盐、溶剂化物、水合物、异构体,或它们的任意晶型或消旋物,A second aspect of the invention provides a conjugate of formula (II), or a pharmaceutically acceptable salt, solvate, hydrate, isomer thereof, or any crystalline form or racemate thereof,
其中,A为靶向物中移除γ个巯基后所得的基团或者靶向物中二硫键被还原后再移除γ个巯基后所得的基团;Wherein, A is a group obtained by removing γ thiol groups in the target or a group obtained by reducing a disulfide bond in the target and then removing γ thiol groups;
L 5′选自 其通过1或2标记的两个位置之一与L 4连接,并且通过另一位置与靶向物的巯基连接;优选地,其通过1标记的位置与L 4连接,并且通过2标记的位置与靶向物的巯基连接;r为0、1、2、3、4或5; L 5 ' is selected from It is linked to L 4 by one of the two positions labeled 1 or 2 and to the thiol group of the target by another position; preferably it is linked to L 4 by the position of the 1 mark and passes the position of the 2 mark Attached to the thiol group of the target; r is 0, 1, 2, 3, 4 or 5;
γ为1到10的整数,例如,γ为1、2、3、4、5、6、7、8、9或10;优选地,γ为4到8的整数,例如,γ为4、5、6、7或8;并且γ is an integer of 1 to 10, for example, γ is 1, 2, 3, 4, 5, 6, 7, 8, 9, or 10; preferably, γ is an integer of 4 to 8, for example, γ is 4, 5 , 6, 7 or 8; and
其余各基团如上文所定义。The remaining groups are as defined above.
本发明的第三方面提供药物组合物,其包含一种或多种(优选两种或更多种)本发明的式(II)的偶联物或其药学可接受的盐、溶剂化物、水合物、异构体,或它们的任意晶型或消旋物,以及任选存在的一种或多种药学可接受的载体,并且所述药物组合物任选地进一步包含一种或多种其他抗癌药如化疗剂和/或抗体,其中所述药物组合物的平均DAR值为1到10的整数或小数,例如1.0、1.5、2.0、2.5、3.0、3.5、4.0、4.1、4.2、4.3、4.4、4.5、4.6、4.7、4.8、4.9、5.0、5.1、5.2、5.3、5.4、5.5、5.6、5.7、5.8、5.9、6.0、6.1、6.2、6.3、6.4、6.5、6.6、6.7、6.8、6.9、7.0、7.1、7.2、7.3、7.4、7.5、7.6、7.7、7.8、7.9、8.0、8.5、9.0、9.5或10.0,优选4到8的整数或者小数,例如4.0、4.1、4.2、4.3、4.4、4.5、4.6、4.7、4.8、4.9、5.0、5.1、5.2、5.3、5.4、5.5、5.6、5.7、5.8、5.9、6.0、6.1、6.2、6.3、6.4、6.5、6.6、6.7、6.8、6.9、7.0、7.1、7.2、7.3、7.4、7.5、7.6、7.7、7.8、7.9或8.0。A third aspect of the invention provides a pharmaceutical composition comprising one or more (preferably two or more) conjugates of formula (II) of the invention, or a pharmaceutically acceptable salt, solvate thereof, hydrate thereof Or an isomer, or any crystalline form or racemate thereof, and optionally one or more pharmaceutically acceptable carriers, and the pharmaceutical composition optionally further comprises one or more other An anticancer drug such as a chemotherapeutic agent and/or an antibody, wherein the pharmaceutical composition has an average DAR value of an integer or a decimal of 1 to 10, such as 1.0, 1.5, 2.0, 2.5, 3.0, 3.5, 4.0, 4.1, 4.2, 4.3. 4.4, 4.5, 4.6, 4.7, 4.8, 4.9, 5.0, 5.1, 5.2, 5.3, 5.4, 5.5, 5.6, 5.7, 5.8, 5.9, 6.0, 6.1, 6.2, 6.3, 6.4, 6.5, 6.6, 6.7, 6.8 6.9, 7.0, 7.1, 7.2, 7.3, 7.4, 7.5, 7.6, 7.7, 7.8, 7.9, 8.0, 8.5, 9.0, 9.5 or 10.0, preferably an integer or fraction of 4 to 8, such as 4.0, 4.1, 4.2, 4.3 4.4, 4.5, 4.6, 4.7, 4.8, 4.9, 5.0, 5.1, 5.2, 5.3, 5.4, 5.5, 5.6, 5.7, 5.8, 5.9, 6.0, 6.1, 6.2, 6.3, 6.4, 6.5, 6.6, 6.7 6.8, 6.9, 7.0, 7.1, 7.2, 7.3, 7.4, 7.5, 7.6, 7.7, 7.8, 7.9 or 8.0.
本发明的第四方面提供本发明的式(II)的偶联物或其药学可接受的盐、溶剂化物、水合物、异构体,或它们的任意晶型或消旋物在制备用于预防或治疗癌症疾病的药物中的用途。A fourth aspect of the present invention provides a conjugate of the formula (II) of the present invention or a pharmaceutically acceptable salt, solvate, hydrate, isomer thereof, or any crystal form or racemate thereof, which is used in the preparation Use in medicines for the prevention or treatment of cancer diseases.
本发明的第五方面提供本发明的式(II)的偶联物或其药学可接受的盐、溶剂化物、水合物、异构体,或它们的任意晶型或消旋物,其用于预防或治疗癌症疾病。A fifth aspect of the present invention provides a conjugate of the formula (II) of the present invention or a pharmaceutically acceptable salt, solvate, hydrate, isomer thereof, or any crystal form or racemate thereof, which is used for Prevent or treat cancer diseases.
本发明的第六方面提供预防或治疗癌症疾病的方法,所述方法包括向需要其的个体给药有效量的本发明的式(II)的偶联物或其药学可接受的盐、溶剂化物、水合物、异构体,或它们的任意晶型或消旋物。A sixth aspect of the invention provides a method for preventing or treating a cancer disease, which comprises administering an effective amount of a conjugate of the formula (II) of the present invention or a pharmaceutically acceptable salt or solvate thereof to an individual in need thereof , hydrates, isomers, or any of their crystal forms or racemates.
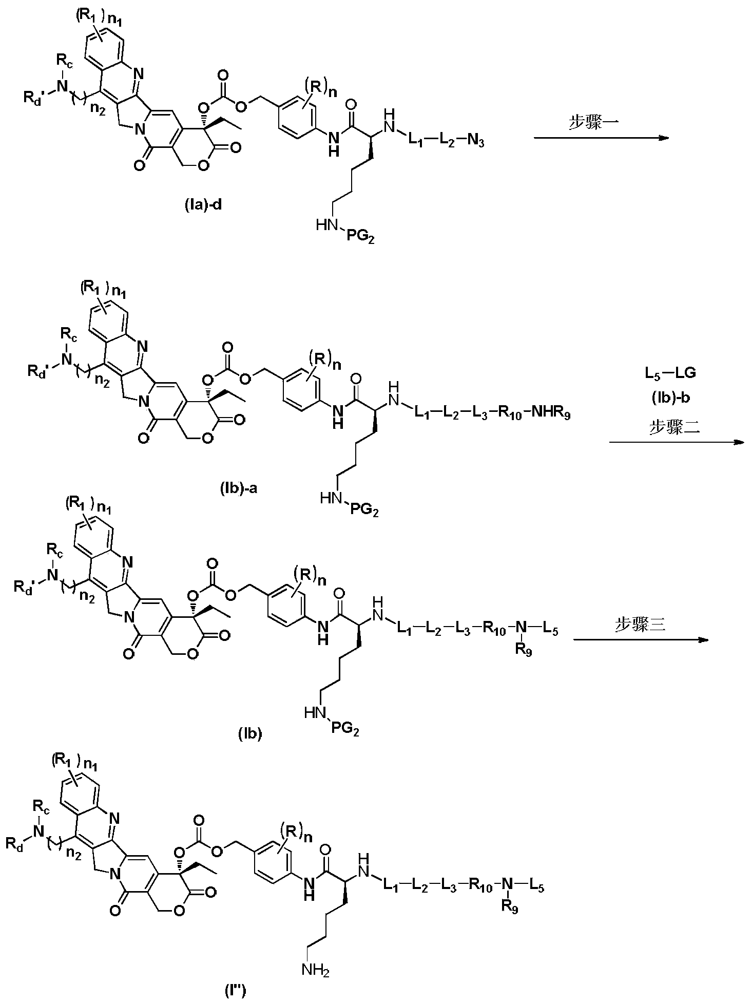
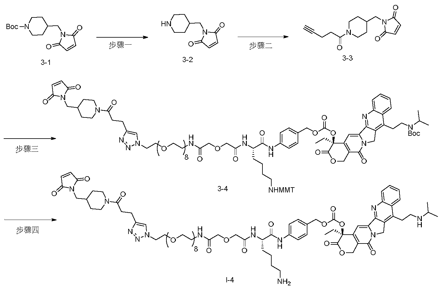
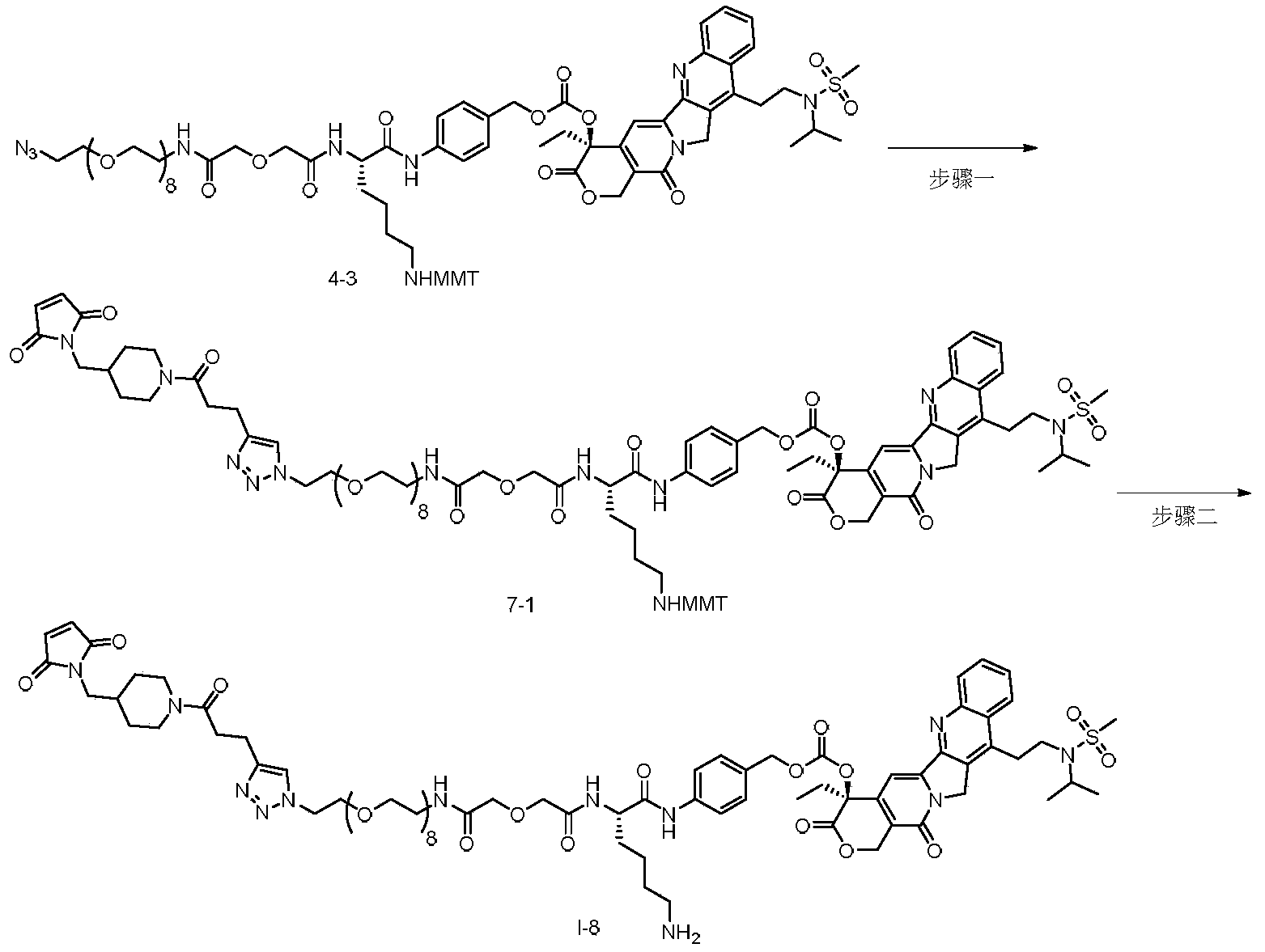
本发明的第七方面提供制备式(I′)的化合物或其药学可接受的盐、溶剂化物、水合物、异构体,或它们的任意晶型或消旋物的方法:A seventh aspect of the invention provides a process for the preparation of a compound of formula (I'), or a pharmaceutically acceptable salt, solvate, hydrate, isomer thereof, or any crystalline form or racemate thereof:
其中:among them:
R d″为R d或氢, R d " is R d or hydrogen,
R d′为R d或PG 1, R d ' is R d or PG 1 ,
PG 1和PG 2各自独立地为氨基保护基,优选为Boc或MMT, PG 1 and PG 2 are each independently an amino protecting group, preferably Boc or MMT,
其余各基团如上文所定义,The remaining groups are as defined above,
所述方法包括以下步骤:The method includes the following steps:
步骤一:在碱的存在下,进行氮原子的官能团化或保护(如乙酰化、甲磺酰化、Boc保护),使化合物(Ia)-a通过反应得到(Ia)-b的化合物,条件是当R d″和R d′均为R d时,无需进行步骤一的反应; Step 1: In the presence of a base, functionalization or protection of a nitrogen atom (such as acetylation, mesylation, Boc protection), the compound (Ia)-a is reacted to obtain a compound of (Ia)-b, conditions When R d " and R d ' are both R d , the reaction of the first step is not required;
步骤二:在缩合试剂和碱存在的条件下,使化合物(Ia)-b与化合物(Ia)-c进行反应,得到(Ia)-d的化合物;Step 2: reacting the compound (Ia)-b with the compound (Ia)-c in the presence of a condensation reagent and a base to obtain a compound of (Ia)-d;
步骤三:在金属催化剂存在的条件下,使化合物(Ia)-d与化合物(Ia)-e进行反应,得到式(Ia)的化合物,以及Step 3: reacting the compound (Ia)-d with the compound (Ia)-e in the presence of a metal catalyst to obtain a compound of the formula (Ia), and
步骤四:在脱除氨基保护基的条件下,使式(Ia)的化合物进行反应,得到式(I′)的化合物或其药学可接受的盐。Step 4: The compound of the formula (Ia) is reacted under conditions to remove the amino protecting group to give a compound of the formula (I') or a pharmaceutically acceptable salt thereof.
本发明的第八方面提供制备式(I″)的化合物或其药学可接受的盐、溶剂化物、水合物、异构体,或它们的任意晶型或消旋物的方法:An eighth aspect of the invention provides a process for the preparation of a compound of formula (I"), or a pharmaceutically acceptable salt, solvate, hydrate, isomer thereof, or any crystalline form or racemate thereof:
其中:among them:
R d′为R d或PG 1, R d ' is R d or PG 1 ,
R 10不存在或者为C 1-6亚烷基,所述C 1-6亚烷基任选地被一个或多个H(氢)、D(氘)或卤素取代, R 10 is absent or is C 1-6 alkylene, a C 1-6 alkylene group optionally substituted by one or more of H (hydrogen), D (deuterium) or halogen,
PG 1和PG 2各自独立地为氨基保护基,优选为Boc或MMT, PG 1 and PG 2 are each independently an amino protecting group, preferably Boc or MMT,
LG为离去基团,优选为羟基或琥珀酰亚胺-N-氧基,LG is a leaving group, preferably a hydroxyl group or a succinimide-N-oxy group,
其余各基团如上文所定义,The remaining groups are as defined above,
所述方法包括以下步骤:The method includes the following steps:
步骤一:在还原剂存在的条件下,化合物(Ia)-d进行反应得到化合物(Ib)-a;Step 1: in the presence of a reducing agent, the compound (Ia)-d is reacted to obtain the compound (Ib)-a;
步骤二:在碱存在的条件下,任选地在缩合试剂的存在下,使化合物(Ib)-a与化合物(Ib)-b进行反应得到式(Ib)的化合物,以及Step 2: reacting compound (Ib)-a with compound (Ib)-b in the presence of a base, optionally in the presence of a condensation reagent, to give a compound of formula (Ib), and
步骤三:在脱除氨基保护基的条件下,使式(Ib)的化合物进行反应,得到式(I″)的化合物或其药学可接受的盐。Step 3: The compound of the formula (Ib) is reacted under conditions to remove the amino protecting group to give a compound of the formula (I") or a pharmaceutically acceptable salt thereof.
本发明的第九方面提供制备式(II)的偶联物或其药学可接受的盐、溶剂化物、水合物、异构体,或它们的任意晶型或消旋物的方法,A ninth aspect of the invention provides a process for the preparation of a conjugate of formula (II), or a pharmaceutically acceptable salt, solvate, hydrate, isomer thereof, or any crystalline form or racemate thereof,
所述方法包括将式(I)的化合物与靶向物偶联,The method comprises coupling a compound of formula (I) to a target,
其中各基团如上文所定义。Each of the groups is as defined above.
图1 II-1-A轻链去卷积图。Figure 1 II-1-A light chain deconvolution diagram.
图2 II-1-A重链去卷积图。Figure 2 II-1-A heavy chain deconvolution diagram.
图3 II-5-A轻链去卷积图。Figure 3 II-5-A light chain deconvolution diagram.
图4 II-5-A重链去卷积图。Figure 4 II-5-A heavy chain deconvolution diagram.
图5 II-6-A轻链去卷积图。Figure 5 II-6-A light chain deconvolution diagram.
图6 II-6-A重链去卷积图。Figure 6 II-6-A heavy chain deconvolution diagram.
图7 II-7-A轻链去卷积图。Figure 7 II-7-A light chain deconvolution diagram.
图8 II-7-A重链去卷积图。Figure 8 II-7-A heavy chain deconvolution diagram.
图9 II-8-A轻链去卷积图。Figure 9 II-8-A light chain deconvolution diagram.
图10 II-8-A重链去卷积图。Figure 10 II-8-A heavy chain deconvolution diagram.
图11 II-9-A轻链去卷积图。Figure 11 II-9-A light chain deconvolution diagram.
图12 II-9-A重链去卷积图。Figure 12 II-9-A heavy chain deconvolution diagram.
图13 II-10-A轻链去卷积图。Figure 13 II-10-A light chain deconvolution diagram.
图14 II-10-A重链去卷积图。Figure 14 II-10-A heavy chain deconvolution plot.
图15 II-11-A轻链去卷积图。Figure 15 II-11-A light chain deconvolution diagram.
图16 II-11-A重链去卷积图。Figure 16 II-11-A heavy chain deconvolution plot.
图17 II-12-A轻链去卷积图。Figure 17 II-12-A light chain deconvolution diagram.
图18 II-12-A重链去卷积图。Figure 18 II-12-A heavy chain deconvolution diagram.
图19 II-13-A轻链去卷积图。Figure 19 II-13-A light chain deconvolution diagram.
图20 II-13-A重链去卷积图。Figure 20 II-13-A heavy chain deconvolution diagram.
图21 II-15-A轻链去卷积图。Figure 21 II-15-A light chain deconvolution diagram.
图22 II-15-A重链去卷积图。Figure 22 II-15-A heavy chain deconvolution diagram.
图23 II-1-A的SEC色谱图。Figure 23 SEC chromatogram of II-1-A.
图24 II-5-A的SEC色谱图。Figure 24 SEC chromatogram of II-5-A.
图25 II-7-A的SEC色谱图。Figure 25 SEC chromatogram of II-7-A.
图26 II-8-A的SEC色谱图。Figure 26 SEC chromatogram of II-8-A.
图27 II-10-A的SEC色谱图。Figure 27 SEC chromatogram of II-10-A.
图28 II-14-A的SEC色谱图。Figure 28 SEC chromatogram of II-14-A.
图29 II-1-A、II-7-A和II-8-A在食蟹猴血浆中的细胞毒性剂释放情况。Figure 29 Release of cytotoxic agents in the plasma of cynomolgus monkeys II-1-A, II-7-A and II-8-A.
图30 II-1-A、II-7-A和II-8-A在大鼠血浆中的细胞毒性剂释放情况。Figure 30. Cytotoxic agent release in rat plasma of II-1-A, II-7-A and II-8-A.
图31 II-1-A、II-7-A和II-8-A在5%牛血清白蛋白(BSA)PBS缓冲液中的细胞毒性剂释放情况。Figure 31. Cytotoxic agent release of II-1-A, II-7-A and II-8-A in 5% bovine serum albumin (BSA) PBS buffer.
发明详细描述Detailed description of the invention
术语定义Definition of Terms
在本发明中,除非另有说明,否则本文中使用的术语具有与本领域普通技术人员通常所理解相同的含义。并且,本文中所用的细胞培养、分子遗传学、核酸化学、免疫学实验室操作步骤均为相应领域内广泛使用的常规步骤。同时,为了更好地理解本发明,下面提供相关术语的定义和解释。In the present invention, the terms used herein have the same meaning as commonly understood by one of ordinary skill in the art unless otherwise stated. Moreover, the cell culture, molecular genetics, nucleic acid chemistry, and immunology laboratory procedures used herein are all routine steps widely used in the corresponding art. Also, for a better understanding of the present invention, definitions and explanations of related terms are provided below.
在本发明中,术语“偶联物”是指细胞毒性剂与靶向物连接得到的物质。在本发明的部分实施方案中,细胞毒性剂与靶向物通过连接基相连。所述连接基在特定环境(例如胞内低pH值环境)中或特定作用(例如溶酶体蛋白酶的作用)下能够断裂,从而使细胞毒性剂与靶向物分离。在本发明的部分实施方案中,所述连接基包含可切割或不可切割的单元,例如肽或二硫键。在本发明的部分实施方案中,细胞毒性剂与靶向物直接通过共价键相连,所述共价键在特定环境或作用下能够断裂,从而使细胞毒性剂与靶向物分离。In the present invention, the term "conjugate" means a substance obtained by linking a cytotoxic agent to a target. In some embodiments of the invention, the cytotoxic agent is linked to the target by a linker. The linker is capable of cleavage in a particular environment (e.g., an intracellular low pH environment) or a specific action (e.g., the action of a lysosomal protease) to separate the cytotoxic agent from the target. In some embodiments of the invention, the linker comprises a cleavable or non-cleavable unit, such as a peptide or a disulfide bond. In some embodiments of the invention, the cytotoxic agent is linked directly to the target by a covalent bond that is capable of cleavage under a particular environment or action, thereby isolating the cytotoxic agent from the target.
在本发明中,术语“细胞毒性剂”指能够对细胞的生长或增殖产生有害效果的物质,也指抑制或妨碍细胞的功能和/或引起细胞死亡或破坏的物质。In the present invention, the term "cytotoxic agent" means a substance capable of exerting a detrimental effect on the growth or proliferation of cells, and also means a substance which inhibits or hinders the function of cells and/or causes cell death or destruction.
“小分子”在本文中定义为具有生物活性的小分子药物。在某些实施方案中,所述小分子的分子量不大于2000Da,例如不大于1500Da、1000Da或500Da。A "small molecule" is defined herein as a biologically active small molecule drug. In certain embodiments, the small molecule has a molecular weight of no greater than 2000 Da, such as no greater than 1500 Da, 1000 Da, or 500 Da.
在本发明中,术语“连接基”是指将细胞毒性剂与靶向物连接起来的结构片段。In the present invention, the term "linker" refers to a structural fragment that links a cytotoxic agent to a target.
在本发明中,术语“靶向物”指能够与细胞表面的靶标(或靶标的部分)特异性结合的物质。通过靶向物部分与靶标的相互作用,偶联物可以被递送至特定的细胞群。In the present invention, the term "target" refers to a substance that is capable of specifically binding to a target (or a portion of a target) on a cell surface. The conjugate can be delivered to a particular cell population by interaction of the target moiety with the target.
在本发明中,当靶向物为抗体时,所述偶联物可被称为“抗体-药物偶联物”。在本发明中,“抗体-药物偶联物”与“免疫偶联物”可以互换使用。In the present invention, when the target is an antibody, the conjugate may be referred to as an "antibody-drug conjugate." In the present invention, "antibody-drug conjugate" and "immunoconjugate" are used interchangeably.
在本发明中,术语“抗体”取其最广义的解释,包括完整的单克隆抗体、多克隆抗体以及由至少两个完整抗体形成的多特异性抗体(例如双特异性抗体),只要它们具有所需的生物学活性。在本文中,“抗体”和“免疫球蛋白”可以互换使用。In the present invention, the term "antibody" is used in its broadest sense and includes intact monoclonal antibodies, polyclonal antibodies, and multispecific antibodies (eg, bispecific antibodies) formed from at least two intact antibodies, as long as they have The required biological activity. As used herein, "antibody" and "immunoglobulin" are used interchangeably.
在本发明中,术语“单克隆抗体”指抗体来自一群基本均一的抗体,即构成该集群的各抗体完全相同,除了可能存在的少量天然突变。单克隆抗体具有针对抗原的一个决定簇(表位)的高特异性,而与其相对的多克隆抗体则包含针对不同决定簇(表位)的不同抗体。除了特异性之外,单克隆抗体的优点还在于合成时可以不受其他抗体的污染。此处修饰语“单克隆”表示该抗体的特征在于来自一个基本均一的抗体群,而不应理解成需由特殊方法制得。In the present invention, the term "monoclonal antibody" refers to an antibody from a population of substantially homogeneous antibodies, i.e., the individual antibodies comprising the cluster are identical except for a small number of natural mutations that may be present. Monoclonal antibodies have high specificity for one determinant (epitope) of the antigen, while polyclonal antibodies relative thereto contain different antibodies for different determinants (epitopes). In addition to specificity, monoclonal antibodies have the advantage of being free from contamination by other antibodies during synthesis. The modifier "monoclonal" as used herein means that the antibody is characterized by a substantially homogeneous population of antibodies and is not to be construed as being prepared by a particular method.
在本发明的部分实施方案中,单克隆抗体还特别包括嵌合抗体,即重链和/或轻链的一部分与某种、某类或某亚类抗体相同或同源,其余部分则与另一种、另一类或另一亚类抗体相同或同源,只要它们具有所需的生物学活性(参见例如US 4,816,567;和Morrison等人,1984,PNAS,81:6851-6855)。可用于本发明的嵌合抗体包括灵长类化(primatized)抗体,其包含来自非人灵长类(例如古猴或猩猩等)的可变区抗原结合序列和人恒定区序列。In some embodiments of the invention, the monoclonal antibody also specifically includes a chimeric antibody, ie, a portion of the heavy and/or light chain is identical or homologous to a certain, certain or a subset of antibodies, and the remainder is One, another or another subclass of antibodies are identical or homologous as long as they have the desired biological activity (see, for example, US 4,816,567; and Morrison et al., 1984, PNAS, 81:6851-6855). Chimeric antibodies useful in the present invention include primatized antibodies comprising variable region antigen binding sequences from human non-human primates (e.g., ancient monkeys or orangutans, etc.) and human constant region sequences.
术语“抗体片段”是指抗体的一部分,优选是抗原结合区或可变区。抗体片段的实例包括Fab、Fab′、F(ab′) 2、Fd、Fv、dAb和互补决定区片段;二抗体(diabody);线性抗体;和单链抗体分子。 The term "antibody fragment" refers to a portion of an antibody, preferably an antigen binding or variable region. Examples of antibody fragments include Fab, Fab', F(ab') 2 , Fd, Fv, dAb and complementarity determining region fragments; diabodies; linear antibodies; and single chain antibody molecules.
术语“双特异性抗体”与“双功能抗体偶联物”可互换使用,是指由第一抗体(片段)和第二抗体(片段)通过偶联臂所形成的偶联物,该偶联物保留了各自抗体的活性,故具有双功能和双特异性。The term "bispecific antibody" is used interchangeably with "bifunctional antibody conjugate" and refers to a conjugate formed by a first antibody (fragment) and a second antibody (fragment) by a coupling arm. The conjugate retains the activity of the respective antibody and is therefore bifunctional and bispecific.
术语“多特异性抗体”包括例如三特异性抗体和四特异性抗体,前者是具有三种不同抗原结合特异性的抗体,而后者是具有四种不同抗原结合特异性的抗体。The term "multispecific antibody" includes, for example, trispecific antibodies and tetraspecific antibodies, the former being antibodies having three different antigen binding specificities and the latter being antibodies having four different antigen binding specificities.
术语“完整抗体”指包含抗原结合可变区和轻链恒定区(CL)、重链恒定区(CH1、CH2和CH3)的抗体。恒定区可以是天然序列(例如人天然恒定区序列)或其氨基酸序列变体。完整抗体优选是具有一种或多种效应功能的完整抗体。The term "intact antibody" refers to an antibody comprising an antigen binding variable region and a light chain constant region (CL), a heavy chain constant region (CH1, CH2, and CH3). The constant region can be a native sequence (eg, a human native constant region sequence) or an amino acid sequence variant thereof. An intact antibody is preferably an intact antibody having one or more effector functions.
术语“前抗(Probody)”是一种修饰的抗体,包括一种抗体或一种抗体片段,能专门与其靶点结合,能够与掩蔽基团耦合,其中掩蔽基团指对抗体或抗体片段与其靶点的结合能力的裂解常数比没有耦合掩蔽基团的抗体或抗体片段与其靶点的结合能力的裂解常数至少大100倍、1000 倍或者10000倍。The term "Probody" is a modified antibody comprising an antibody or an antibody fragment that specifically binds to its target and is capable of coupling to a masking group, wherein the masking group refers to an antibody or antibody fragment thereof The cleavage constant of the binding ability of the target is at least 100-fold, 1000-fold or 10,000-fold greater than the cleavage constant of the binding ability of the antibody or antibody fragment without the coupling masking group to its target.
在本发明中,非人(例如鼠)抗体的“人源化”形式指包含最少量非人免疫球蛋白序列的嵌合抗体。大多数人源化抗体是人接受者免疫球蛋白的超变区残基被置换成具有所需特异性、亲和力和功能的非人(例如小鼠、大鼠、兔或非人灵长类)超变区残基(供者抗体)。在一些实施方案中,人免疫球蛋白的框架区(FR)残基也被置换成非人残基。而且,人源化抗体还可以包含受者抗体或供者抗体中没有的残基。这些修饰是为了进一步优化抗体的性能。人源化抗体一般包含至少一个,通常是两个可变区,其中所有或几乎所有超变环(hypervanable loops)与非人免疫球蛋白的相对应,而FR则完全或几乎完全是人免疫球蛋白的序列。人源化抗体还可以包含免疫球蛋白恒定区(Fc,通常是人免疫球蛋白Fc)的至少一部分。有关细节参见例如Jones等人,1986,Nature,321:522-525;Riechmann等人,1988,Nature,332:323-329;和Presta,1992,CurrOp Struct Bwl 2:593-596。In the present invention, a "humanized" form of a non-human (eg, murine) antibody refers to a chimeric antibody comprising a minimal amount of non-human immunoglobulin sequences. Most humanized antibodies are human receptors. The hypervariable region residues of immunoglobulins are replaced by non-humans (eg, mice, rats, rabbits, or non-human primates) with the desired specificity, affinity, and function. Hypervariable region residues (donor antibodies). In some embodiments, the framework region (FR) residues of the human immunoglobulin are also replaced with non-human residues. Moreover, the humanized antibody may also comprise residues that are not found in the recipient antibody or in the donor antibody. These modifications are intended to further optimize the performance of the antibody. Humanized antibodies generally comprise at least one, usually two variable regions, wherein all or nearly all of the hypervanable loops correspond to non-human immunoglobulins, while FR is completely or almost entirely human immunoglobulin. The sequence of the protein. A humanized antibody can also comprise at least a portion of an immunoglobulin constant region (Fc, typically a human immunoglobulin Fc). For details, see, for example, Jones et al, 1986, Nature, 321 :522-525; Riechmann et al, 1988, Nature, 332:323-329; and Presta, 1992, CurrOp Struct Bwl 2:593-596.
完整抗体可根据重链恒定区的氨基酸序列分为不同的“类”。主要的五类是IgA、IgD、IgE、IgG和IgM,其中几类还可以分为不同的“亚类”(同种型),例如IgG1、IgG2、IgG3、IgG4、IgA1和IgA2。抗体不同类的重链恒定区分别称为α、δ、ε、γ和μ。免疫球蛋白不同类的亚基结构和三维构型是本领域中公知的。Intact antibodies can be divided into different "classes" based on the amino acid sequence of the heavy chain constant region. The main five classes are IgA, IgD, IgE, IgG and IgM, several of which can also be divided into different "subclasses" (isotypes), such as IgG1, IgG2, IgG3, IgG4, IgA1 and IgA2. The heavy chain constant regions of different classes of antibodies are called α, δ, ε, γ and μ, respectively. Subunit structures and three-dimensional configurations of different classes of immunoglobulins are well known in the art.
在本发明中,尽管大多数情况下抗体中的氨基酸取代是被L-氨基酸取代,但也不限于此。在一些实施方案中,抗体肽链中可以包括一个或多个D-氨基酸。包含D-氨基酸的肽在口腔、肠道或血浆中比仅包含L-氨基酸的肽更加稳定而不易降解。In the present invention, although the amino acid substitution in the antibody is substituted by the L-amino acid in most cases, it is not limited thereto. In some embodiments, one or more D-amino acids can be included in the antibody peptide chain. Peptides comprising D-amino acids are more stable and less susceptible to degradation in the oral, intestinal or plasma than peptides comprising only L-amino acids.
本发明所用的单克隆抗体可以由许多方法生产。例如,用于本发明的单克隆抗体可以通过杂交瘤方法,使用许多物种(包括小鼠、仓鼠、大鼠和人的细胞)获得(参见例如Kohler等人,1975,Nature,256:495),或者通过重组DNA技术制得(参见例如US 4,816,567),或者从噬菌体抗体库中分离得到(参见例如Clackson等人,1991,Nature,352:624-628;和Marks等人,1991,Journal of Molecular Biology,222:581-597)。可用于本发明的单克隆抗体包括但不限于:抗Trop-2的单克隆抗体,例如Sacituzumab(即Isactuzumab或hRS7抗体),或抗Her2的单克隆抗体,例如曲妥珠单抗或帕妥珠单抗(Pertuzumab)。The monoclonal antibodies used in the present invention can be produced by a number of methods. For example, monoclonal antibodies for use in the present invention can be obtained by hybridoma methods using a variety of species including cells of mice, hamsters, rats, and humans (see, for example, Kohler et al., 1975, Nature, 256:495). Alternatively by recombinant DNA techniques (see, for example, US 4,816,567), or isolated from phage antibody libraries (see, for example, Clackson et al, 1991, Nature, 352: 624-628; and Marks et al, 1991, Journal of Molecular Biology , 222: 581-597). Monoclonal antibodies useful in the present invention include, but are not limited to, monoclonal antibodies against Trop-2, such as Sacituzumab (i.e., Isactuzumab or hRS7 antibody), or monoclonal antibodies against Her2, such as trastuzumab or Patuxin. Monoclonal antibody (Pertuzumab).
在本发明的部分实施方案中,靶向物抗Trop-2抗体为记载于美国专利第7,517,964号中的RS7;以及记载于US2012/0237518中的hRS7(即本发明的Sacituzumab)。可用于本发明的抗Trop-2抗体还可以通过CN103476941A中公开的载体设计、构建和构建展示抗体的抗体库的方法筛选获得。In some embodiments of the invention, the target anti-Trop-2 antibody is RS7 as described in U.S. Patent No. 7,517,964; and hRS7 (i.e., Sacituzumab of the present invention) as described in US 2012/0237518. Anti-Trop-2 antibodies useful in the present invention can also be obtained by screening methods for designing, constructing, and constructing antibody libraries displaying antibodies, as disclosed in CN103476941A.
在本发明中,Trop-2或TROP2是指人滋养层细胞表面抗原-2(human trophoblast cell-surface antigens 2),又称为TACSTD2、M1S1、GA733-1、EGP-1,其是由许多人类肿瘤(如乳腺癌、结直肠癌、肺癌、胰腺癌、卵巢癌、前列腺癌或宫颈癌)细胞表达的细胞表面受体。在部分实施方案中,本发明的化合物或偶联物能够抑制或杀伤表达TROP2受体的细胞,例如乳腺癌、结直肠癌、肺癌、胰腺癌、卵巢癌、前列腺癌或宫颈癌。In the present invention, Trop-2 or TROP2 refers to human trophoblast cell surface antigens 2, also known as TACSTD2, M1S1, GA733-1, EGP-1, which is composed of many humans. A cell surface receptor expressed by a tumor (such as breast cancer, colorectal cancer, lung cancer, pancreatic cancer, ovarian cancer, prostate cancer, or cervical cancer). In some embodiments, a compound or conjugate of the invention is capable of inhibiting or killing a cell that expresses a TROP2 receptor, such as breast cancer, colorectal cancer, lung cancer, pancreatic cancer, ovarian cancer, prostate cancer, or cervical cancer.
在本发明的部分实施方案中,所述靶向物为曲妥珠单抗或帕妥珠单抗。曲妥珠单抗是抗Her2的单克隆抗体,其氨基酸序列是本领域技术人员已知的,其示意性序列可参见例如CN103319599。曲妥珠单抗重链末位Lys是容易缺失的,但这种缺失不影响生物活性,参见Dick,L.W.等人,Biotechnol.Bioeng.,100:1132-1143。帕妥珠单抗的示例性的重链序列和轻链序列可参见US7560111的SEQ ID No.16和SEQ ID No.15。In some embodiments of the invention, the target is trastuzumab or pertuzumab. Trastuzumab is a monoclonal antibody against Her2 whose amino acid sequence is known to those skilled in the art, the schematic sequence of which can be found, for example, in CN103319599. Lys at the end of the heavy chain of trastuzumab is readily deleted, but this deletion does not affect biological activity, see Dick, L. W. et al, Biotechnol. Bioeng., 100: 1132-1143. Exemplary heavy chain and light chain sequences of pertuzumab can be found in SEQ ID No. 16 and SEQ ID No. 15 of US7560111.
在本发明中,ErbB2和Her2可互换使用,二者均表示天然序列的人Her2蛋白(Genebank登录号:X03363,参见例如Semba等人,1985,PNAS,82:6497-6501;和Yamamoto等人,1986,Nature,319:230-234)及其功能性衍生物,例如氨基酸序列变体。ErbB2表示编码人Her2的基因,neu表示编码大鼠p185neu的基因。在部分实施方案中,本发明的化合物或偶联物能够抑制或杀伤表达ErbB2受体的细胞,例如乳腺癌细胞、卵巢癌细胞、胃癌细胞、子宫内膜癌细胞、唾液腺癌细胞、肺癌细胞、肾癌细胞、结肠癌细胞、甲状腺癌细胞、胰腺癌细胞、膀胱癌细胞或肝癌细胞。In the present invention, ErbB2 and Her2 are used interchangeably, both of which represent the human HER2 protein of the native sequence (Genebank accession number: X03363, see, for example, Semba et al., 1985, PNAS, 82: 6497-6501; and Yamamoto et al. , 1986, Nature, 319: 230-234) and functional derivatives thereof, such as amino acid sequence variants. ErbB2 represents the gene encoding human Her2, and neu represents the gene encoding rat pl85neu. In some embodiments, the compounds or conjugates of the invention are capable of inhibiting or killing cells expressing the ErbB2 receptor, such as breast cancer cells, ovarian cancer cells, gastric cancer cells, endometrial cancer cells, salivary gland cancer cells, lung cancer cells, Renal cancer cells, colon cancer cells, thyroid cancer cells, pancreatic cancer cells, bladder cancer cells or liver cancer cells.
在本发明中,术语“氨基酸”包括天然氨基酸和非天然氨基酸。上述天然氨基酸和非天然氨基酸,可以为L构型,也可以为D构型。具体实例包括但是不限于:L-赖氨酸、D-赖氨酸、L-鸟氨酸、D-鸟氨酸、L-缬氨酸、D-缬氨酸、L-瓜氨酸、D-瓜氨酸、L-丙氨酸、D-丙氨酸、L-苯丙氨酸、D-苯丙氨酸、甘氨酸、L-亮氨酸、D-亮氨酸、L-异亮氨酸、D-异亮氨酸、L-天冬氨酸、D-天冬氨酸、L-天冬酰胺、D-天冬酰胺、L-谷氨酸、D-谷氨酸、L-谷氨酰胺、D-谷氨酰胺、L-精氨酸、D-精氨酸、L-组氨 酸、D-组氨酸、L-酪氨酸、D-酪氨酸、L-甲硫氨酸、D-甲硫氨酸等。In the present invention, the term "amino acid" includes natural amino acids and unnatural amino acids. The above natural amino acid and unnatural amino acid may be in the L configuration or the D configuration. Specific examples include, but are not limited to, L-lysine, D-lysine, L-ornithine, D-ornithine, L-valine, D-valine, L-citrulline, D - citrulline, L-alanine, D-alanine, L-phenylalanine, D-phenylalanine, glycine, L-leucine, D-leucine, L-isoleucine Acid, D-isoleucine, L-aspartic acid, D-aspartic acid, L-asparagine, D-asparagine, L-glutamic acid, D-glutamic acid, L-Valley Aminoamide, D-glutamine, L-arginine, D-arginine, L-histidine, D-histidine, L-tyrosine, D-tyrosine, L-methylthioamide Acid, D-methionine, and the like.
在本发明中,术语“C 1-6烷基”表示直链或支链的含有1-6个碳原子的烷基,包括例如“C 1-4烷基”、“C 1-3烷基”等,具体实例包括但不限于:甲基、乙基、正丙基、异丙基、正丁基、异丁基、仲丁基、叔丁基、正戊基、异戊基、2-甲基丁基、新戊基、1-乙基丙基、正己基、异己基、3-甲基戊基、2-甲基戊基、1-甲基戊基、3,3-二甲基丁基、2,2-二甲基丁基、1,1-二甲基丁基、1,2-二甲基丁基、1,3-二甲基丁基、2,3-二甲基丁基、2-乙基丁基和1,2-二甲基丙基等。术语“C 1-6亚烷基”为相应的二价基团,包括例如“C 1-4亚烷基”、“C 1-3亚烷基”等,具体实例包括但不限于:亚甲基、亚乙基、亚丙基、亚丁基、亚戊基和亚己基等。 In the present invention, the term "C 1-6 alkyl" means a straight or branched alkyl group having 1 to 6 carbon atoms, and includes, for example, "C 1-4 alkyl" or "C 1-3 alkyl". Specific examples include, but are not limited to, methyl, ethyl, n-propyl, isopropyl, n-butyl, isobutyl, sec-butyl, tert-butyl, n-pentyl, isopentyl, 2- Methyl butyl, neopentyl, 1-ethylpropyl, n-hexyl, isohexyl, 3-methylpentyl, 2-methylpentyl, 1-methylpentyl, 3,3-dimethyl Butyl, 2,2-dimethylbutyl, 1,1-dimethylbutyl, 1,2-dimethylbutyl, 1,3-dimethylbutyl, 2,3-dimethyl Butyl, 2-ethylbutyl and 1,2-dimethylpropyl, and the like. The term "C 1-6 alkylene" is a corresponding divalent group, and includes, for example, "C 1-4 alkylene", "C 1-3 alkylene", and the like, and specific examples include, but are not limited to, Base, ethylene, propylene, butylene, pentylene and hexylene.
在本发明中,术语“C 2-10烯基”是指含有至少一个双键且碳原子数为2-10的直链、支链或环状的烯基,包括例如“C 2-6烯基”、“C 24烯基”等。其实例包括但不限于:乙烯基、1-丙烯基、2-丙烯基、1-丁烯基、2-丁烯基、1,3-丁二烯基、1-戊烯基、2-戊烯基、3-戊烯基、1,3-戊二烯基、1,4-戊二烯基、1-己烯基、2-己烯基、3-己烯基、1,4-己二烯基、环戊烯基、1,3-环戊二烯基、环己烯基和1,4-环己二烯基等。术语“C 2-10亚烯基”为相应的二价基团,包括例如“C 2-6亚烯基”、“C 2-4亚烯基”等。其实例包括但不限于:亚乙烯基、亚丙烯基、亚丁烯基、亚戊烯基、亚己烯基、亚环戊烯基和亚环己烯基等。 In the present invention, the term "C 2-10 alkenyl" means a straight-chain, branched or cyclic alkenyl group having at least one double bond and having 2 to 10 carbon atoms, and includes, for example, "C 2-6 alkene". ",""C 24 alkenyl" and the like. Examples thereof include, but are not limited to, vinyl, 1-propenyl, 2-propenyl, 1-butenyl, 2-butenyl, 1,3-butadienyl, 1-pentenyl, 2-pentyl Alkenyl, 3-pentenyl, 1,3-pentadienyl, 1,4-pentadienyl, 1-hexenyl, 2-hexenyl, 3-hexenyl, 1,4-hexyl Dienyl, cyclopentenyl, 1,3-cyclopentadienyl, cyclohexenyl, and 1,4-cyclohexadienyl, and the like. The term "C 2-10 alkenylene" is a corresponding divalent group including, for example, "C 2-6 alkenylene", "C 2-4 alkenylene" and the like. Examples thereof include, but are not limited to, a vinylidene group, a propylene group, a butenylene group, a pentenylene group, a hexylene group, a cyclopentylene group, a cyclohexylene group, and the like.
在本发明中,术语“C 2-10炔基”是指含有至少一个三键且碳原子数为2-10的直链或支链的炔基,包括例如“C 2-6炔基”、“C 2-4炔基”等。其实例包括但不限于:乙炔基、丙炔基、2-丁炔基、2-戊炔基、3-戊炔基、4-甲基-2-戊炔基、2-己炔基、3-己炔基和5-甲基-2-己炔基等。术语“C 2-10亚炔基”为相应的二价基团,包括例如“C 2-6亚炔基”、“C 2-4亚炔基”等。其实例包括但不限于:亚乙炔基、亚丙炔基、亚丁炔基、亚戊炔基和亚己炔基等。 In the present invention, the term "C 2-10 alkynyl" means a straight or branched alkynyl group having at least one triple bond and having 2 to 10 carbon atoms, and includes, for example, "C 2-6 alkynyl group", "C 2-4 alkynyl" and the like. Examples thereof include, but are not limited to, ethynyl, propynyl, 2-butynyl, 2-pentynyl, 3-pentynyl, 4-methyl-2-pentynyl, 2-hexynyl, 3 - hexynyl and 5-methyl-2-hexynyl and the like. The term "C 2-10 alkynylene" is a corresponding divalent group including, for example, "C 2-6 alkynylene", "C 2-4 alkynylene" and the like. Examples thereof include, but are not limited to, ethynylene, propynylene, butynylene, pentynylene, and hexynylene.
在本发明中,术语“卤素”包括氟、氯、溴和碘。In the present invention, the term "halogen" includes fluorine, chlorine, bromine and iodine.
在本发明中,术语“3-10元环烷基”或“C 3-10环烷基”是指含有3-10个碳原子的饱和环状烷基,包括例如“C 3-8环烷基”、“C 3-6环烷基”、“C 4-6环烷基”、“C 5-7环烷基”或“C 5-6环烷基”等。具体实例包括但不限于:环丙烷基、环丁烷基、环戊烷基、环己烷基、环庚烷基和环辛烷基等。术语“3-10元亚环烷基”或“C 3-10亚环烷基”为相应的二价基团,包括例如“C 3-8亚环烷基”、“C 3-6亚环烷基”、“C 4-6亚环烷基”、“C 5-7亚环烷基”或“C 5-6亚环烷基”等。具体实例包括但不限于:亚环丙基、亚环丁基、亚环戊基、亚环己基、亚环庚基和亚环辛基等。 In the present invention, the term "3-10 membered cycloalkyl" or "C 3-10 cycloalkyl" means a saturated cyclic alkyl group having 3 to 10 carbon atoms, and includes, for example, "C 3-8 cycloalkane". ",""C 3-6 cycloalkyl", "C 4-6 cycloalkyl", "C 5-7 cycloalkyl" or "C 5-6 cycloalkyl" and the like. Specific examples include, but are not limited to, cyclopropyl, cyclobutane, cyclopentyl, cyclohexane, cycloheptyl, cyclooctyl, and the like. The term "3-10 membered cycloalkylene" or "C 3-10 cycloalkylene" is a corresponding divalent group including, for example, "C 3-8 cycloalkylene", "C 3-6 cyclo ring"Alkyl","C 4-6 cycloalkylene", "C 5-7 cycloalkylene" or "C 5-6 cycloalkylene" and the like. Specific examples include, but are not limited to, cyclopropylene, cyclobutylene, cyclopentylene, cyclohexylene, cycloheptylene, and cyclooctylene.
在本发明中,术语“3-8元杂环基”是指含有3-8个环原子(其中至少一个环原子为杂原子,例如氮原子、氧原子或硫原子)的环状基团。任选地,环状结构中的环原子(例如碳原子、氮原子或硫原子)可以被氧代。“3-8元杂环基”包括例如“3-8元含氮杂环基”、“3-8元含氧杂环基”、“3-6元杂环基”、“3-6元含氧杂环基”、“4-7元杂环基”、“4-6元杂环基”、“5-7元杂环基”、“5-6元杂环基”、“5-6元含氮杂环基”,优选包括但不限于环氧乙烷基、氧代环丁烷基、吡咯烷基、四氢呋喃基、哌啶基、哌嗪基、四氢吡喃基和高哌嗪基等。术语“3-8元亚杂环基”为相应的二价基团,包括例如“3-8元含氮亚杂环基”、“3-7元含氮亚杂环基”、“3-8元含氧亚杂环基”、“3-6元亚杂环基”、“3-6元含氧亚杂环基”、“4-7元亚杂环基”、“4-6元亚杂环基”、“5-7元亚杂环基”、“5-6元亚杂环基”、“5-6元含氮亚杂环基”,优选包括但不限于亚环氧乙烷基、亚氧代环丁烷基、亚吡咯烷基、亚四氢呋喃基、亚哌啶基、亚哌嗪基、亚四氢吡喃基和亚高哌嗪基等。In the present invention, the term "3-8 membered heterocyclic group" means a cyclic group having 3 to 8 ring atoms in which at least one ring atom is a hetero atom such as a nitrogen atom, an oxygen atom or a sulfur atom. Optionally, a ring atom (eg, a carbon atom, a nitrogen atom, or a sulfur atom) in the cyclic structure may be substituted by oxo. The "3-8 membered heterocyclic group" includes, for example, "3-8 membered nitrogen-containing heterocyclic group", "3-8 membered oxygen-containing heterocyclic group", "3-6 membered heterocyclic group", and "3-6 member". "Oxygen-containing heterocyclic group", "4-7 membered heterocyclic group", "4-6 membered heterocyclic group", "5-7 membered heterocyclic group", "5-6 membered heterocyclic group", "5- 6-membered nitrogen-containing heterocyclic group", preferably including but not limited to oxiranyl, oxocyclobutane, pyrrolidinyl, tetrahydrofuranyl, piperidinyl, piperazinyl, tetrahydropyranyl and gaoprene Azinyl and the like. The term "3-8 membered heterocyclylene" is a corresponding divalent group and includes, for example, "3-8 membered nitrogen-containing heterocyclylene", "3-7 membered nitrogen-containing heterocyclylene", "3- 8-membered oxygen-containing heterocyclylene", "3-6 membered heterocyclylene", "3-6 membered oxyheterocyclylene", "4-7 membered heterocyclylene", "4-6 member" "heterocyclylene", "5-7 membered heterocyclylene", "5-6 membered heterocyclylene", "5-6 membered nitrogen-containing heterocyclylene", preferably including but not limited to ethylene oxide B Alkyl, oxycyclobutanealkyl, pyrrolidinyl, tetrahydrofuranyl, piperidinyl, piperazinyl, tetrahydropyranyl and xagopiperazinyl, and the like.
在本文中,术语“6-12元螺环基”是指由两个或两个以上环状结构彼此共用一个碳原子所形成的、含有6-12个环碳原子的环状结构。任选地,环状结构中的碳原子可以被氧代。“6-12元螺环基”包括例如“6-11元螺环基”、“6-10元螺环基”、“7-10元螺环基”、“7-9元螺环基”、“7-8元螺环基”、“9-10元螺环基”和“8-10元螺环基”等。具体实例包括但不仅限于: 等。术语“6-12元亚螺环基”为相应的二价基团,包括例如“6-11元亚螺环基”、“6-10元亚螺环基”、“7-10元亚螺环基”、“7-9元亚螺环基”、“7-8元亚螺环基”、“9-10元亚螺 环基”和“8-10元亚螺环基”等。 As used herein, the term "6-12 membered spirocyclic group" means a cyclic structure having 6 to 12 ring carbon atoms formed by two or more cyclic structures sharing one carbon atom with each other. Optionally, the carbon atoms in the cyclic structure can be replaced by oxo. The "6-12 membered spiro group" includes, for example, "6-11 membered spiro group", "6-10 membered spiro group", "7-10 membered spiro group", and "7-9 membered spiro group" , "7-8 yuan spiro group", "9-10 yuan spiro group" and "8-10 yuan spiro group" and so on. Specific examples include, but are not limited to: Wait. The term "6-12 membered spirocyclyl" is a corresponding divalent group and includes, for example, "6-11 membered spirocyclyl", "6-10 membered spirocyclyl", and "7-10 membered snail". "Cycloalkyl", "7-9 membered spirocyclyl", "7-8 membered spirocyclyl", "9-10 membered spirocyclyl" and "8-10 membered spirocyclyl" and the like.
在本文中,术语“6-12元桥环基”是指由两个或两个以上环状结构彼此共用两个非相邻碳原子所形成的、含有6-12个环碳原子的环状结构。任选地,环状结构中的碳原子可以被氧代。“6-12元桥环基”包括例如“6-11元桥环基”、“6-10元桥环基”、“7-10元桥环基”、“7-9元桥环基”、“7-8元桥环基”、“9-10元桥环基”和“8-10元桥环基”等。具体实例包括但不仅限于: 等。术语“6-12元亚桥环基”为相应的二价基团,包括例如“6-11元亚桥环基”、“6-10元亚桥环基”、“7-10元亚桥环基”、“7-9元亚桥环基”、“7-8元亚桥环基”、“9-10元亚桥环基”和“8-10元亚桥环基”等。 As used herein, the term "6-12 membered bridged ring group" refers to a ring of 6 to 12 ring carbon atoms formed by two or more ring structures sharing two non-adjacent carbon atoms with each other. structure. Optionally, the carbon atoms in the cyclic structure can be replaced by oxo. "6-12 Yuan Bridged Ring Group" includes, for example, "6-11 Yuan Bridged Ring Group", "6-10 Yuan Bridged Ring Group", "7-10 Yuan Bridged Ring Group", "7-9 Yuan Bridged Ring Group" , "7-8 yuan bridge ring base", "9-10 yuan bridge ring base" and "8-10 yuan bridge ring base" and so on. Specific examples include, but are not limited to: Wait. The term "6-12 membered subbridged ring group" is a corresponding divalent group including, for example, "6-11 membered subbridged ring group", "6-10 membered subbridged ring group", and "7-10 membered subbridge" Ring group", "7-9 member subbridge ring group", "7-8 member subbridge ring group", "9-10 yuan subbridge ring group" and "8-10 yuan subbridge ring group".
在本文中,术语“6-12元稠环基”是指由两个或两个以上环状结构彼此共用两个相邻的原子所形成的、含有6-12个环碳原子的环状结构,包括“6-11元稠环基”、“6-10元稠环基”、“6-8元稠环基”、“10-12元稠环基”和“7-10元稠环基”。其实例包括但不限于: 等。术语“6-12元亚稠环基”为相应的二价基团,包括例如“6-11元亚稠环基”、“6-10元亚稠环基”、“6-8元亚稠环基”、“10-12元亚稠环基”和“7-10元亚稠环基”。 As used herein, the term "6-12 membered fused ring group" refers to a cyclic structure having 6 to 12 ring carbon atoms formed by two or more ring structures sharing two adjacent atoms with each other. , including "6-11 membered fused ring group", "6-10 membered fused ring group", "6-8 membered fused ring group", "10-12 membered fused ring group" and "7-10 membered fused ring group"". Examples include, but are not limited to: Wait. The term "6-12 membered fused ring group" is a corresponding divalent group, and includes, for example, "6-11 membered fused ring group", "6-10 membered fused ring group", and "6-8 membered subcondensed group". Ring group", "10-12 membered fused ring group" and "7-10 membered fused ring group".
在本发明中,术语“6-12元螺杂环基”是指由两个或两个以上环状结构彼此共用一个环原子所形成的、含有6-12个环原子(其中至少一个环原子为杂原子,例如氮原子、氧原子或硫原子)的环状结构。任选地,环状结构中的环原子(例如碳原子、氮原子或硫原子)可以被氧代。“6-12元螺杂环基”包括例如“6-12元含氮螺杂环基”、“6-11元螺杂环基”、“6-10元螺杂环基”、“7-11元螺杂环基”、“7-10元螺杂环基”、“7-9元螺杂环基”、“7-8元螺杂环基”、“9-10元螺杂环基”和“8-10元螺杂环基”等。具体实例包括但不仅限于: 等。术语“6-12元亚螺杂环基”为相应的二价基团,包括例如“6-12元含氮亚螺杂环基”、“8-11元含氮亚螺杂环基”、“11元含氮亚螺杂环基”、“6-11元亚螺杂环基”、“6-10元亚螺杂环基”、“7-11元亚螺杂环基”、“7-10元亚螺杂环基”、“7-9元亚螺杂环基”、“7-8元亚螺杂环基”、“9-10元亚螺杂环基”和“8-10元亚螺杂环基”等。 In the present invention, the term "6-12 membered spiroheterocyclyl" means a group of 6 to 12 ring atoms (having at least one ring atom) formed by two or more ring structures sharing one ring atom with each other. It is a cyclic structure of a hetero atom such as a nitrogen atom, an oxygen atom or a sulfur atom. Optionally, a ring atom (eg, a carbon atom, a nitrogen atom, or a sulfur atom) in the cyclic structure may be substituted by oxo. The "6-12 membered spiroheterocyclyl" includes, for example, "6-12 membered nitrogen-containing spiroheterocyclyl", "6-11 membered spiroheterocyclyl", "6-10 membered spiroheterocyclyl", and "7- 11-membered spiroheterocyclyl", "7-10-membered spiroheterocyclyl", "7-9-membered spiroheterocyclyl", "7-8-membered spiroheterocyclyl", and "9-10-membered spiroheterocyclyl" And "8-10 yuan spiroheterocyclyl" and the like. Specific examples include, but are not limited to: Wait. The term "6-12 membered spiroheterocyclyl" is a corresponding divalent group and includes, for example, "6-12 membered nitrogen-containing spiroheterocyclyl", "8-11 membered nitrogen-containing spiroheterocyclyl", "11-membered nitrogen-containing snail heterocyclic group", "6-11 membered snail heterocyclic group", "6-10 membered snail heterocyclic group", "7-11 membered snail heterocyclic group", "7 -10 membered snail heterocyclic group, "7-9 membered snail heterocyclic group", "7-8 membered snail heterocyclic group", "9-10 membered snail heterocyclic group" and "8-10" Yuan Yaspiroheterocyclic group" and the like.
在本发明中,术语“6-12元桥杂环基”是指由两个或两个以上环状结构彼此共用两个非相邻的环原子所形成的、含有6-12个环原子(其中至少一个环原子为杂原子,例如氮原子、氧原子或硫原子) 的环状结构。任选地,环状结构中的环原子(例如碳原子、氮原子或硫原子)可以被氧代。“6-12元桥杂环基”包括例如“6-12元含氮桥杂环基”、“6-11元桥杂环基”、“6-9元桥杂环基”、“6-10元桥杂环基”、“7-10元桥杂环基”、“7-9元桥杂环基”、“7-8元桥杂环基”、“8元桥杂环基”、“9-10元桥杂环基”和“8-10元桥杂环基”等。具体实例包括但不仅限于: 等。术语“6-12元亚桥杂环基”为相应的二价基团,包括例如“6-12元含氮亚桥杂环基”、“8-11元含氮亚桥杂环基”、“8元含氮亚桥杂环基”、“6-11元亚桥杂环基”、“6-9元亚桥杂环基”、“6-10元亚桥杂环基”、“7-10元亚桥杂环基”、“7-9元亚桥杂环基”、“7-8元亚桥杂环基”、“8元亚桥杂环基”、“9-10元亚桥杂环基”和“8-10元亚桥杂环基”等。具体实例包括但不仅限于 In the present invention, the term "6-12 membered bridged heterocyclic group" means a group of 6 to 12 ring atoms formed by two or more ring structures sharing two non-adjacent ring atoms with each other ( A ring structure in which at least one of the ring atoms is a hetero atom such as a nitrogen atom, an oxygen atom or a sulfur atom. Optionally, a ring atom (eg, a carbon atom, a nitrogen atom, or a sulfur atom) in the cyclic structure may be substituted by oxo. The "6-12 membered bridged heterocyclic group" includes, for example, "6-12 membered nitrogen-containing bridged heterocyclic group", "6-11 membered bridged heterocyclic group", "6-9 membered bridged heterocyclic group", and "6- 10-membered bridged heterocyclic group, "7-10 membered bridged heterocyclic group", "7-9 membered bridged heterocyclic group", "7-8 membered bridged heterocyclic group", "8-membered bridged heterocyclic group", "9-10 membered bridged heterocyclic group" and "8-10 membered bridged heterocyclic group" and the like. Specific examples include, but are not limited to: Wait. The term "6-12 membered subbridged heterocyclic group" is a corresponding divalent group and includes, for example, "6-12 membered nitrogen-containing ylidene heterocyclic group", "8-11 membered nitrogen-containing ylidene heterocyclic group", "8-membered nitrogen-containing subbridge heterocyclic group", "6-11 membered subbridge heterocyclic group", "6-9 membered subbridge heterocyclic group", "6-10 membered subbridged heterocyclic group", "7 -10 membered subbridge heterocyclic group", "7-9 membered subbridged heterocyclic group", "7-8 membered subbridged heterocyclic group", "8 membered subbridged heterocyclic group", "9-10 member Bridged heterocyclic group" and "8-10 membered subbridge heterocyclic group" and the like. Specific examples include but are not limited to
在本发明中,术语“6-12元稠杂环基”是指由两个或两个以上环状结构彼此共用两个相邻的原子所形成的、含有6-12个环原子(其中至少一个环原子为杂原子,例如氮原子、氧原子或硫原子)的环状结构。任选地,环状结构中的环原子(例如碳原子、氮原子或硫原子)可以被氧代。“6-12元稠杂环基”包括例如“6-12元含氮稠杂环基”、“6-11元稠杂环基”、“6-10元稠杂环基”、“7-10元稠杂环基”、“8-10元稠杂环基”、“8-10元含氮稠杂环基”、“9-10元稠杂环基”、“9-10元含氮稠杂环基”和“6-12元含氧稠杂环基”等。具体实例包括但不仅限于:四氢咪唑并[4,5-c]吡啶基、3,4-二氢喹唑啉基、1,2-二氢喹喔啉基、苯并[d][1,3]二氧杂环戊烯基、1,3-二氢异苯并呋喃基、4H-1,3-苯并噁嗪基、4,6-二氢-1H-呋喃并[3,4-d]咪唑基、3a,4,6,6a-四氢-1H-呋喃并[3,4-d]咪唑基、4,6-二氢-1H-噻吩并[3,4-d]咪唑基、4,6-二氢-1H-吡咯并[3,4-d]咪唑基、苯并咪唑烷基、八氢-苯并[d]咪唑基、十氢喹啉基、六氢噻吩并咪唑基、六氢呋喃并咪唑基、4,5,6,7-四氢-1H-苯并[d]咪唑基、八氢环戊烯并[c]吡咯基、二氢吲哚基、二氢异吲哚基、苯并噁唑烷基、苯并噻唑烷基、1,2,3,4-四氢异喹啉基、1,2,3,4-四氢喹啉基和4H-1,3-苯并噁嗪基等。术语“6-12元亚稠杂环基”为相应的二价基团,包括例如“6-12元含氮亚稠杂环基”、“6-11元亚稠杂环基”、“6-10元亚稠杂环基”、“7-10元亚稠杂环基”、“8-10元亚稠杂环基”、“8-11元含氮亚稠杂环基”、“8-10元含氮亚稠杂环基”、“8元含氮亚稠杂环基”、“9-10元亚稠杂环基”、“9-10元含氮亚稠杂环基”和“6-12元含氧亚稠杂环基”等。In the present invention, the term "6-12 membered fused heterocyclic group" means a group of 6 to 12 ring atoms formed by two or more ring structures sharing two adjacent atoms with each other (at least A ring structure in which a ring atom is a hetero atom such as a nitrogen atom, an oxygen atom or a sulfur atom. Optionally, a ring atom (eg, a carbon atom, a nitrogen atom, or a sulfur atom) in the cyclic structure may be substituted by oxo. The "6-12 membered fused heterocyclic group" includes, for example, "6-12 membered nitrogen-containing fused heterocyclic group", "6-11 membered fused heterocyclic group", "6-10 membered fused heterocyclic group", and "7- 10 membered fused heterocyclic group", "8-10 membered fused heterocyclic group", "8-10 membered nitrogen-containing fused heterocyclic group", "9-10 membered fused heterocyclic group", "9-10 membered nitrogen-containing group" A fused heterocyclic group" and a "6-12 membered oxygen-containing fused heterocyclic group" and the like. Specific examples include, but are not limited to, tetrahydroimidazo[4,5-c]pyridyl, 3,4-dihydroquinazolinyl, 1,2-dihydroquinoxalinyl, benzo[d][1 , 3]dioxolyl, 1,3-dihydroisobenzofuranyl, 4H-1,3-benzoxazinyl, 4,6-dihydro-1H-furo[3,4 -d]imidazolyl, 3a,4,6,6a-tetrahydro-1H-furo[3,4-d]imidazolyl, 4,6-dihydro-1H-thieno[3,4-d]imidazole , 4,6-dihydro-1H-pyrrolo[3,4-d]imidazolyl, benzimidazolylalkyl, octahydro-benzo[d]imidazolyl, decahydroquinolyl, hexahydrothieno Imidazolyl, hexahydrofurfurimidazolyl, 4,5,6,7-tetrahydro-1H-benzo[d]imidazolyl, octahydrocyclopenta[c]pyrrolyl, indanyl, di Hydroisoisoindolyl, benzoxazole alkyl, benzothiazolidinyl, 1,2,3,4-tetrahydroisoquinolinyl, 1,2,3,4-tetrahydroquinolinyl and 4H- 1,3-benzoxazinyl and the like. The term "6-12 membered heterofused heterocyclic group" is a corresponding divalent group and includes, for example, "6-12 membered nitrogen-containing sulfene heterocyclic group", "6-11 membered heterofused heterocyclic group", "6" -10 membered fused heterocyclic group", "7-10 membered fused heterocyclic group", "8-10 membered fused heterocyclic group", "8-11 membered nitrogen-containing fused heterocyclic group", "8" -10-membered nitrogen-containing fused heterocyclic group", "8-membered nitrogen-containing fused heterocyclic group", "9-10 membered fused heterocyclic group", "9-10 membered nitrogen-containing fused heterocyclic group" and "6-12 yuan oxygen-containing fused heterocyclic group" and the like.
在本文中,术语“芳基”是指具有芳香性的单环或多环烃基,例如6-20元芳基、6-10元芳基和5-8元芳基等。具体的实例包括但不限于苯基、萘基、蒽基和菲基等。所述“6-20元芳基”是指含有6-20个环原子的芳基。术语“亚芳基”为相应的二价基团,例如6-10元亚芳基、5-8元亚芳基等。具体的实例包括但不限于亚苯基、亚萘基、亚蒽基和亚菲基等。As used herein, the term "aryl" refers to a monocyclic or polycyclic hydrocarbon group having an aromatic character, such as a 6-20 membered aryl group, a 6-10 membered aryl group, a 5-8 membered aryl group, and the like. Specific examples include, but are not limited to, phenyl, naphthyl, anthracenyl, phenanthryl and the like. The "6-20 membered aryl group" means an aryl group having 6 to 20 ring atoms. The term "arylene" is a corresponding divalent group, such as a 6-10 membered arylene group, a 5-8 membered arylene group, and the like. Specific examples include, but are not limited to, phenylene, naphthylene, anthracenylene, phenanthrylene, and the like.
在本发明中,术语“杂芳基”是指具有芳香性的环状基团,其中至少一个环原子为杂原子,例如氮原子、氧原子或硫原子。任选地,环状结构中的环原子(例如碳原子、氮原子或硫原子)可以被氧代。具体实例包括但不限于5-10元杂芳基、5-10元含氮杂芳基、6-10元含氧杂芳基、6-8元含氮杂芳基和5-8元含氧杂芳基等,例如呋喃基、噻吩基、吡咯基、噻唑基、异噻唑基、噻二唑基、噁唑基、异噁唑基、噁二唑基、咪唑基、吡唑基、1,2,3-三唑基、1,2,4-三唑基、1,2,3-噁二唑基、1,2,4-噁 二唑基、1,2,5-噁二唑基、1,3,4-噁二唑基、吡啶基、2-吡啶酮基、4-吡啶酮基、嘧啶基、1,4-二氧杂环己二烯基、2H-1,2-噁嗪基、4H-1,2-噁嗪基、6H-1,2-噁嗪基、4H-1,3-噁嗪基、6H-1,3-噁嗪基、4H-1,4-噁嗪基、哒嗪基、吡嗪基、1,2,3-三嗪基、1,3,5-三嗪基、1,2,4,5-四嗪基、氮杂环庚三烯基、1,3-二氮杂环庚三烯基和氮杂环辛四烯基等。术语“亚杂芳基”为相应的二价基团,具体实例包括但不限于含氮亚杂芳基、5-12元亚杂芳基、5-10元亚杂芳基、5-10元含氮亚杂芳基、5-6元含氮亚杂芳基、6元含氮亚杂芳基、6-10元含氧亚杂芳基、6-8元含氮亚杂芳基和5-8元含氧亚杂芳基等,例如亚呋喃基、亚噻吩基、亚吡咯基、亚噻唑基、亚噁唑基、亚咪唑基、亚吡唑基、亚三唑基、亚吡啶基、亚嘧啶基、亚噁嗪基、亚哒嗪基、亚吡嗪基、亚三嗪基和亚四嗪基。In the present invention, the term "heteroaryl" refers to a cyclic group having an aromatic character in which at least one ring atom is a hetero atom such as a nitrogen atom, an oxygen atom or a sulfur atom. Optionally, a ring atom (eg, a carbon atom, a nitrogen atom, or a sulfur atom) in the cyclic structure may be substituted by oxo. Specific examples include, but are not limited to, a 5-10 membered heteroaryl group, a 5-10 membered nitrogen-containing heteroaryl group, a 6-10 membered oxygen-containing heteroaryl group, a 6-8 membered nitrogen-containing heteroaryl group, and a 5-8 membered oxygen group. a heteroaryl group or the like, such as furyl, thienyl, pyrrolyl, thiazolyl, isothiazolyl, thiadiazolyl, oxazolyl, isoxazolyl, oxadiazolyl, imidazolyl, pyrazolyl, 1, 2,3-Triazolyl, 1,2,4-triazolyl, 1,2,3-oxadiazolyl, 1,2,4-oxadiazolyl, 1,2,5-
在本发明中,术语“平衡离子”是指伴随离子物质以保持电中性的离子,例如,在氯化钠中,钠阳离子是氯阴离子的平衡离子,反之亦然。In the present invention, the term "counter ion" means an ion that is accompanied by an ionic species to maintain electrical neutrality, for example, in sodium chloride, a sodium cation is a counter ion of a chloride anion, and vice versa.
任选地,本发明中涉及到的基团中的氢可以被氘取代。Optionally, the hydrogen in the groups involved in the present invention may be substituted by deuterium.
本发明中提到的基团,是由所述基团对应的化合物/偶联物中1、2或3个氢原子被其它原子取代所得到的,所述被取代的的氢原子的个数可以根据所述基团在本发明化合物或偶联物中形成的价键数所确定。例如,烷基是由烷烃中一个氢原子被取代得到的基团,亚烷基是由烷烃中两个氢原子被取代得到的基团,甲基和乙基分别是由甲烷和乙烷中一个氢原子被取代得到的基团,亚甲基和亚乙基分别是由甲烷和乙烷中两个氢原子被取代得到的基团。The group referred to in the present invention is obtained by substituting 1, 2 or 3 hydrogen atoms of the compound/conjugate in the group with other atoms, and the number of the substituted hydrogen atoms It can be determined based on the number of valence bonds formed by the group in the compound or conjugate of the invention. For example, an alkyl group is a group obtained by substituting one hydrogen atom in an alkane, and an alkylene group is a group obtained by substituting two hydrogen atoms in an alkane, and the methyl group and the ethyl group are respectively one of methane and ethane. The group obtained by substituting a hydrogen atom, a methylene group and an ethylene group are respectively a group obtained by substituting two hydrogen atoms in methane and ethane.
如本文中所使用,术语“取代”指所指定的原子上的一个或多个(例如一个、两个、三个或四个)氢被从所指出的基团的选择代替,条件是未超过所指定的原子在当前情况下的正常原子价并且所述取代形成稳定的化合物/偶联物。取代基和/或变量的组合仅仅当这种组合形成稳定的化合物/偶联物时才是允许的。As used herein, the term "substituted" means that one or more (eg, one, two, three, or four) hydrogens on the designated atom are replaced by the selection of the indicated group, provided that the The normal valence of the specified atom in the present case and the substitution form a stable compound/conjugate. Combinations of substituents and/or variables are permissible only if such combinations form stable compounds/conjugates.
如果取代基被描述为“任选地被取代”,则取代基可(1)未被取代或(2)被取代。如果取代基的碳被描述为任选地被取代基列表中的一个或多个取代,则碳上的一个或多个氢(至存在的任何氢的程度)可单独和/或一起被独立地选择的任选的取代基替代。如果取代基的氮被描述为任选地被取代基列表中的一个或多个取代,则氮上的一个或多个氢(至存在的任何氢的程度)可各自被独立地选择的任选的取代基替代。If a substituent is described as "optionally substituted," the substituent may be unsubstituted or (2) substituted. If the carbon of the substituent is described as being optionally substituted by one or more of the list of substituents, then one or more hydrogens on the carbon (to the extent of any hydrogen present) may be independently and/or together independently The optional substituents selected are substituted. If the nitrogen of the substituent is described as being optionally substituted by one or more of the list of substituents, then one or more hydrogens on the nitrogen (to the extent of any hydrogen present) may each be independently selected. Substitute substitution.
如果取代基被描述为“独立地选自”一组,则各取代基独立于另一者被选择。因此,各取代基可与另一(其他)取代基相同或不同。If a substituent is described as being "independently selected from" a group, each substituent is selected independently of the other. Thus, each substituent may be the same or different from another (other) substituent.
如本文中所使用,术语“一个或多个”意指在合理条件下的1个或超过1个,例如2个、3个、4个、5个或10个。As used herein, the term "one or more" means 1 or more than 1, such as 2, 3, 4, 5 or 10 under reasonable conditions.
除非另外指明,否则如本文中所使用,取代基的连接点可来自取代基的任意适宜位置。The substituents of the substituents, as used herein, may be derived from any suitable position of the substituent, unless otherwise indicated.
当取代基的键显示为穿过环中连接两个原子的键时,则这样的取代基可键连至该可取代的环中的任一成环原子。When a bond of a substituent is shown to pass through a bond connecting two atoms in the ring, such a substituent may be bonded to any of the ring-forming atoms in the substitutable ring.
在本文中,术语“溶剂化物”是指化合物/偶联物与溶剂分子缔合形成的物质。所述溶剂可以是有机溶剂(例如甲醇、乙醇、丙醇、乙腈等)等。例如,本发明化合物/偶联物可以与乙醇形成乙醇化物。As used herein, the term "solvate" refers to a substance formed by association of a compound/conjugate with a solvent molecule. The solvent may be an organic solvent (for example, methanol, ethanol, propanol, acetonitrile, etc.) or the like. For example, a compound/conjugate of the invention can form an ethanolate with ethanol.
在本发明中,术语“水合物”是指化合物/偶联物与水分子缔合形成的物质。In the present invention, the term "hydrate" means a substance formed by association of a compound/conjugate with a water molecule.
在本发明的实施方案中,如果所述化合物/偶联物存在手性碳,则本发明包括基于该手性碳的任何立体构型形成的异构体,例如包括消旋体或任何一种镜像异构体。而且,本发明包括全部可能出现的其他立体异构体。也就是说,本发明的化合物/偶联物包括所有对映异构体、非对映异构体、顺反异构体、消旋体等。In an embodiment of the invention, if a chiral carbon is present in the compound/conjugate, the invention includes isomers formed based on any stereo configuration of the chiral carbon, for example including racemates or any Mirror isomer. Moreover, the invention includes all other stereoisomers that may be present. That is, the compounds/conjugates of the present invention include all enantiomers, diastereomers, cis and trans isomers, racemates and the like.
本文中可使用 描绘本发明的化合物/偶联物的化学键。使用 以描绘键连至不对称碳原子的键欲表明,包括该碳原子处的所有可能的立体异构体(例如,特定的对映异构体、外消旋混合物等)。使用 以描绘键连至不对称碳原子的键欲表明,存在所示的立体异构体。当存在于外消旋混合物中时,使用 以定义相对立体化学,而非绝对立体化学。除非另外指明,否则本发明的化合物/偶联物意欲可以立体异构体(其包括顺式及反式异构体、光学异构体(例如R及S对映异构体)、非对映异构体、几何异构体、旋转异构体、构象异构体、阻转异构体及其混合物)的形式存在。本发明的化合物/偶联物可表现一种以上类型的异构现象,且由其混合物(例如外消旋混合物及非对映异构体对)组成。 Can be used in this article The chemical linkages of the compounds/conjugates of the invention are depicted. use The bond depicted to the asymmetric carbon atom is intended to include all possible stereoisomers at the carbon atom (e.g., specific enantiomers, racemic mixtures, etc.). use To characterize the bond to the asymmetric carbon atom, it is indicated that the stereoisomer shown is present. When present in a racemic mixture, use To define relative stereochemistry, not absolute stereochemistry. Unless otherwise indicated, the compounds/conjugates of the invention are intended to be stereoisomers (including cis and trans isomers, optical isomers (eg, R and S enantiomers), diastereomeric Forms of isomers, geometric isomers, rotamers, conformers, atropisomers, and mixtures thereof exist. The compounds/conjugates of the invention may exhibit more than one type of isomerism and consist of a mixture thereof (e.g., a racemic mixture and a diastereomeric pair).
本发明涵盖本发明的化合物/偶联物的所有可能的结晶形式或多晶型物,其可为单一多晶型 物或多于一种多晶型物的任意比例的混合物。The invention encompasses all possible crystalline forms or polymorphs of the compounds/conjugates of the invention, which may be a single polymorph or a mixture of more than one polymorph in any ratio.
本发明的化合物/偶联物的药学可接受的盐包括其酸加成盐及碱加成盐。Pharmaceutically acceptable salts of the compounds/conjugates of the invention include the acid addition salts and base addition salts thereof.
适合的酸加成盐由形成药学可接受盐的酸来形成。实例包括天冬氨酸盐、葡庚糖酸盐、葡糖酸盐、乳清酸盐、棕榈酸盐及其它类似的盐。Suitable acid addition salts are formed from acids which form pharmaceutically acceptable salts. Examples include aspartate, glucoheptonate, gluconate, orotate, palmitate, and other similar salts.
适合的碱加成盐由形成药学可接受盐的碱来形成。实例包括铝盐、精氨酸盐、胆碱盐、镁盐及其它类似的盐。Suitable base addition salts are formed from bases which form pharmaceutically acceptable salts. Examples include aluminum salts, arginine salts, choline salts, magnesium salts, and other similar salts.
适合的盐的综述参见Stahl及Wermuth的“Handbook of Pharmaceutical Salts:Properties,Selection,and Use”(Wiley-VCH,2002)。用于制备本发明的化合物/偶联物的药学可接受的盐的方法为本领域技术人员己知的。For a review of suitable salts, see "Handbook of Pharmaceutical Salts: Properties, Selection, and Use" by Stahl and Wermuth (Wiley-VCH, 2002). Methods for preparing pharmaceutically acceptable salts of the compounds/conjugates of the present invention are known to those skilled in the art.
在本发明的范围内还包括本发明的化合物/偶联物的代谢物,即在给药本发明的化合物/偶联物时体内形成的物质。这样的产物可由例如被给药的化合物/偶联物的氧化、还原、水解、酰胺化、脱酰胺化、酯化、酶解等产生。因此,本发明包括本发明的化合物/偶联物的代谢物,包括通过使本发明的化合物/偶联物与哺乳动物接触足以产生其代谢产物的时间的方法制得的化合物/偶联物。Also included within the scope of the invention are metabolites of the compounds/conjugates of the invention, ie, substances formed in vivo upon administration of the compounds/conjugates of the invention. Such products may be produced, for example, by oxidation, reduction, hydrolysis, amidation, deamidation, esterification, enzymatic hydrolysis, and the like of the administered compound/conjugate. Accordingly, the invention includes metabolites of the compounds/conjugates of the invention, including compounds/conjugates prepared by contacting a compound/conjugate of the invention with a mammal for a time sufficient to produce a metabolic product thereof.
如本文中所使用,“DAR”表示药物/抗体比值(drug antibody ratio)。平均DAR值是指药物组合物中各偶联物的DAR的平均值。As used herein, "DAR" means the drug antibody ratio. The average DAR value refers to the average of the DAR of each conjugate in the pharmaceutical composition.
偶联物Conjugate
在一些实施方案中,本发明提供式(I)的化合物或其药学可接受的盐、溶剂化物、水合物、异构体,或它们的任意晶型或消旋物,In some embodiments, the invention provides a compound of Formula (I), or a pharmaceutically acceptable salt, solvate, hydrate, isomer thereof, or any crystalline form or racemate thereof,
其中:among them:
R
1在每次出现时各自独立地选自H(氢)、D(氘)、卤素、硝基、-NR
aR
b、C
1-6烷基、卤代C
1-6烷基(例如-CF
3)、C
1-6烷氧基、卤代C
1-6烷氧基(例如-OCF
3)和C
3-6环烷基;R
a和R
b各自独立地选自H(氢)、D(氘)、C
1-6烷基、C
3-6环烷基、6-10元芳基、5-12元杂芳基、-C
1-6亚烷基-C
3-6环烷基、-C
1-6亚烷基-(6-10元芳基)和-C
1-6亚烷基-(5-12元杂芳基);n
11、2、3或4;
R 1 is each independently selected from H (hydrogen), D (oxime), halogen, nitro, -NR a R b , C 1-6 alkyl, halo C 1-6 alkyl at each occurrence (for example -CF 3 ), C 1-6 alkoxy, halo C 1-6 alkoxy (for example -OCF 3 ) and C 3-6 cycloalkyl; R a and R b are each independently selected from H (hydrogen) ), D(氘), C 1-6 alkyl, C 3-6 cycloalkyl, 6-10 membered aryl, 5-12 membered heteroaryl, -C 1-6 alkylene-C 3-6 Cycloalkyl, -C 1-6 alkylene-(6-10 membered aryl) and -C 1-6 alkylene group (5-12 membered heteroaryl);
R 2选自H(氢)、D(氘)、C 1-6烷基、-NR cR d和3-7元含氮杂环基;R c和R d各自独立地选自H(氢)、D(氘)、C 1-6烷基、C 3-6环烷基、6-10元芳基、5-12元杂芳基、-C 1-6亚烷基-C 3-6环烷基、-C 1-6亚烷基-(6-10元芳基)、-C 1-6亚烷基-(5-12元杂芳基)、C 1-6烷基-C(=O)-、卤代C 1-6烷基-C(=O)-、6-10元芳基-C(=O)-、5-12元杂芳基-C(=O)-、6-10元芳基-C 1-6亚烷基-C(=O)-、5-12元杂芳基-C 1-6亚烷基-C(=O)-、C 1-6烷基-SO 2-、卤代C 1-6烷基-SO 2-、6-10元芳基-SO 2-和5-12元杂芳基-SO 2-;所述6-10元芳基和5-12元杂芳基任选地被H(氢)、D(氘)、卤素或C 1-6烷基取代;n 2为0、1、2、3或4; R 2 is selected from the group consisting of H (hydrogen), D (oxime), C 1-6 alkyl, -NR c R d and a 3-7 membered nitrogen-containing heterocyclic group; R c and R d are each independently selected from H (hydrogen) ), D(氘), C 1-6 alkyl, C 3-6 cycloalkyl, 6-10 membered aryl, 5-12 membered heteroaryl, -C 1-6 alkylene-C 3-6 Cycloalkyl, -C 1-6 alkylene-(6-10 membered aryl), -C 1-6 alkylene-(5-12 membered heteroaryl), C 1-6 alkyl-C ( =O)-, halogenated C 1-6 alkyl-C(=O)-, 6-10 membered aryl-C(=O)-, 5-12 membered heteroaryl-C(=O)-, 6-10 membered aryl-C 1-6 alkylene-C(=O)-, 5-12 membered heteroaryl-C 1-6 alkylene-C(=O)-, C 1-6 alkane a base-SO 2 -, a halogenated C 1-6 alkyl-SO 2 -, a 6-10 membered aryl-SO 2 - and a 5-12 membered heteroaryl-SO 2 -; the 6-10 membered aryl group And a 5-12 membered heteroaryl group is optionally substituted by H (hydrogen), D (hydrazine), halogen or C 1-6 alkyl; n 2 is 0, 1, 2, 3 or 4;
R在每次出现时各自独立地选自H(氢)、D(氘)、卤素、硝基、氰基、C 1-6烷基、卤代C 1-6烷基(例如-CF 3)、C 1-6烷氧基、卤代C 1-6烷氧基(例如-OCF 3)、C 3-6环烷基、6-10元芳基和5-12元杂芳基;n为1、2、3或4; R is each independently selected from H (hydrogen), D (oxime), halogen, nitro, cyano, C 1-6 alkyl, halo C 1-6 alkyl (eg, -CF 3 ). , C 1-6 alkoxy, halo C 1-6 alkoxy (eg -OCF 3 ), C 3-6 cycloalkyl, 6-10 membered aryl and 5-12 membered heteroaryl; n is 1, 2, 3 or 4;
AA选自氨基酸基团和包含2-6个氨基酸的肽的基团;AA is selected from the group consisting of an amino acid group and a peptide comprising 2-6 amino acids;
L 1选自-(CH 2) t1-、 (如 )、 以上基团通过1或2标记的两个位置之一 与AA连接,并且通过另一位置与L 2连接,优选地,以上基团通过1标记的位置与AA连接,并且通过2标记的位置与L 2连接;R 3、R 4、R 5和R 6各自独立地选自H(氢)、D(氘)、卤素、羧基、磺酸基、氰基、C 1-6烷基、卤代C 1-6烷基、氰基取代的C 1-6烷基、C 1-6烷氧基和C 3-6环烷基,或者R 3与R 4、R 5与R 6或R 3与R 5连同其所连接的原子/基团共同形成3-8元环;t1、t2、y 1和y 2各自独立地为0、1、2、3、4、5、6、7、8、9或10; L 1 is selected from -(CH 2 ) t1 -, (Such as ), The above group is attached to AA by one of the two positions marked by 1 or 2, and is linked to L 2 by another position, preferably, the above group is linked to AA by the position of 1 mark, and the position of the mark by 2 L 2 is attached; R 3 , R 4 , R 5 and R 6 are each independently selected from H (hydrogen), D (oxime), halogen, carboxyl, sulfonate, cyano, C 1-6 alkyl, halogenated C 1-6 alkyl, cyano substituted C 1-6 alkyl, C 1-6 alkoxy and C 3-6 cycloalkyl, or R 3 and R 4 , R 5 and R 6 or R 3 R 5 together with the atom/group to which it is attached forms a 3-8 membered ring; t1, t2, y 1 and y 2 are each independently 0, 1, 2, 3, 4, 5, 6, 7, 8, 9 or 10;
L 2不存在或者为 其通过1或2标记的两个位置之一与L 1连接,并且通过另一位置与L 3连接,优选地,其通过1标记的位置与L 1连接,并且通过2标记的位置与L 3连接,Z 1选自O、S和-NH-,Z 2不存在或选自O、S和-NH-,m1和m2各自独立地为0、1、2、3、4、5、6、7、8、9或10; L 2 does not exist or is One of its two positions marks to L 1 via 1 or 2, and L 3 is connected by a further position, preferably it is connected to L 1 via a marked location, and by the marked position 2 and L 3 Connected, Z 1 is selected from O, S and -NH-, Z 2 is absent or selected from O, S and -NH-, and m1 and m2 are each independently 0, 1, 2, 3, 4, 5, 6, 7, 8, 9 or 10;
L 3不存在或者选自-NR 7-和任选地被一个或多个R 7取代的下列基团:C 3-8亚环烷基、6-10元亚芳基(例如亚苯基或亚萘基)、5-12元亚杂芳基、3-8元亚杂环基、6-12元亚桥杂环基、6-12元亚螺杂环基、6-12元亚稠杂环基、-NR 8-C 3-8亚环烷基-和-C 3-8亚环烷基-NR 8-,当以上基团包含氮原子时,所述氮原子任选地是季铵化的;R 7在每次出现时各自独立地选自H(氢)、D(氘)、卤素、=O、氰基、羧基、磺酸基、C 1-6烷基、卤代C 1-6烷基、氰基取代的C 1-6烷基、C 1-6烷氧基、C 2-6烯基和C 2-6炔基,R 8选自H(氢)、D(氘)、C 1-6烷基、C 3-6环烷基和C 1-6烷氧基; L 3 is absent or is selected from -NR 7 - and optionally substituted by one or more R 7 : C 3-8 cycloalkylene, 6-10 membered arylene (eg phenylene or Naphthylene), 5-12 membered heteroarylene, 3-8 membered heterocyclylene, 6-12 membered subbridged heterocyclic group, 6-12 membered snail heterocyclic group, 6-12 membered sub-fused a cyclic group, -NR 8 -C 3-8 cycloalkylene- and -C 3-8 cycloalkylene-NR 8 -, when the above group contains a nitrogen atom, the nitrogen atom is optionally a quaternary ammonium Each of R 7 is independently selected from H (hydrogen), D (oxime), halogen, =O, cyano, carboxyl, sulfonate, C 1-6 alkyl, halo C 1 at each occurrence. a -6 alkyl group, a cyano substituted C 1-6 alkyl group, a C 1-6 alkoxy group, a C 2-6 alkenyl group and a C 2-6 alkynyl group, and R 8 is selected from the group consisting of H (hydrogen) and D (氘) ), C 1-6 alkyl, C 3-6 cycloalkyl and C 1-6 alkoxy;
L 4不存在或者选自C 1-6亚烷基、-NR 9-C 1-6亚烷基-、-C 1-6亚烷基-NR 9-、-NR 9-和被一个或多个R 9取代的3-7元含氮亚杂环基;R 9独立地选自H(氢)、D(氘)、C 1-6烷基、C 3-6环烷基、6-10元芳基(例如苯基或萘基)和5-12元杂芳基;所述C 1-6烷基或C 1-6亚烷基任选地被一个或多个H(氢)、D(氘)或卤素取代;并且 L 4 is absent or is selected from C 1-6 alkylene, -NR 9 -C 1-6 alkylene-, -C 1-6 alkylene-NR 9 -, -NR 9 - and is one or more R 9 substituted 3-7 membered nitrogen-containing heterocyclylene; R 9 is independently selected from H (hydrogen), D (oxime), C 1-6 alkyl, C 3-6 cycloalkyl, 6-10 a aryl group (e.g., phenyl or naphthyl) and a 5-12 membered heteroaryl; said C 1-6 alkyl or C 1-6 alkylene optionally being one or more H (hydrogen), D (氘) or halogen substituted;
L 5选自 r为0、1、2、3、4或5。 L 5 is selected from r is 0, 1, 2, 3, 4 or 5.
在优选的实施方案中,R 1在每次出现时各自独立地选自H(氢)、D(氘)、F、C1、硝基、-NR aR b、C 1-6烷基、-CF 3、-OCH 3和-OCF 3;R a和R b各自独立地选自H(氢)、D(氘)、C 1-6烷基、C 3-6环烷基、6-10元芳基、5-12元杂芳基、-C 1-6亚烷基-C 3-6环烷基、-C 1-6亚烷基-(6-10元芳基)和-C 1-6亚烷基-(5-12元杂芳基);n 1为1、2或3。 In a preferred embodiment, R 1 is each independently selected from H (hydrogen), D (氘), F, C1, nitro, -NR a R b , C 1-6 alkyl, at each occurrence. CF 3 , -OCH 3 and -OCF 3 ; R a and R b are each independently selected from H (hydrogen), D (oxime), C 1-6 alkyl, C 3-6 cycloalkyl, 6-10. Aryl, 5-12 membered heteroaryl, -C 1-6 alkylene-C 3-6 cycloalkyl, -C 1-6 alkylene-(6-10 membered aryl) and -C 1- 6 alkylene-(5-12 membered heteroaryl); n 1 is 1, 2 or 3.
优选地,R 1在每次出现时各自独立地选自H(氢)、F、硝基、-NR aR b、C 1-4烷基、-CF 3、-OCH 3和-OCF 3;R a和R b各自独立地选自H(氢)、C 1-6烷基、C 3-6环烷基、6-10元芳基和5-12元杂芳基;n 1为1或2。 Preferably, each occurrence of R 1 is independently selected from the group consisting of H (hydrogen), F, nitro, -NR a R b , C 1-4 alkyl, -CF 3 , -OCH 3 and -OCF 3 ; R a and R b are each independently selected from the group consisting of H (hydrogen), C 1-6 alkyl, C 3-6 cycloalkyl, 6-10 membered aryl, and 5-12 membered heteroaryl; n 1 is 1 or 2.
更优选地,R 1在每次出现时各自独立地选自H(氢)、硝基、-NH 2、-N(CH 3) 2和-OCH 3;n 1为1或2。 More preferably, each occurrence of R 1 is independently selected from the group consisting of H (hydrogen), nitro, -NH 2 , -N(CH 3 ) 2 and -OCH 3 ; n 1 is 1 or 2.
在优选的实施方案中,R 2选自H(氢)、D(氘)、C 1-6烷基和-NR cR d;R c和R d各自独立地选自H(氢)、D(氘)、C 1-6烷基、C 3-6环烷基、6-10元芳基、5-12元杂芳基、-C 1-6亚烷基-C 3-6环烷基、-C 1-6亚烷基-(6-10元芳基)、-C 1-6亚烷基-(5-12元杂芳基)、C 1-6烷基-C(=O)-、卤代C 1-6烷基-C(=O)-、6-10元芳基-C(=O)-、5-12元杂芳基-C(=O)-、C 1-6烷基-SO 2-、卤代C 1-6烷基-SO 2-、6-10元芳基-SO 2-和5-12元杂芳基-SO 2-;所述6-10元芳基和5-12元杂芳基任选地被H(氢)、D(氘)、卤素或C 1-6烷基取代;n 2为0、1、2、3或4。 In a preferred embodiment, R 2 is selected from the group consisting of H (hydrogen), D (氘), C 1-6 alkyl, and -NR c R d ; R c and R d are each independently selected from H (hydrogen), D (氘), C 1-6 alkyl, C 3-6 cycloalkyl, 6-10 membered aryl, 5-12 membered heteroaryl, -C 1-6 alkylene-C 3-6 cycloalkyl , -C 1-6 alkylene-(6-10 membered aryl), -C 1-6 alkylene group (5-12 membered heteroaryl), C 1-6 alkyl-C(=O) -, halogenated C 1-6 alkyl-C(=O)-, 6-10 membered aryl-C(=O)-, 5-12 membered heteroaryl-C(=O)-, C 1- 6- alkyl-SO 2 -, halogenated C 1-6 alkyl-SO 2 -, 6-10 membered aryl-SO 2 - and 5-12 membered heteroaryl-SO 2 -; 6-10 yuan aryl and 5-12 membered heteroaryl is optionally substituted with H (hydrogen), D (deuterium), halogen or C 1-6 alkyl substituents; n 2 is 0, 1 or 4.
优选地,R 2选自H(氢)、C 1-6烷基和-NR cR d;R c和R d各自独立地选自H(氢)、D(氘)、C 1- 6烷基、C 3-6环烷基、C 1-6烷基-C(=O)-、卤代C 1-6烷基-C(=O)-、6-10元芳基-C(=O)-、5-12元杂芳基-C(=O)-、C 1-6烷基-SO 2-、卤代C 1-6烷基-SO 2-、6-10元芳基-SO 2-和5-12元杂芳基-SO 2-;所述6-10元芳基和5-12元杂芳基任选地被H(氢)、D(氘)、卤素或C 1-6烷基取代;n 2为0、1、2或3。 Preferably, R 2 is selected from the group consisting of H (hydrogen), C 1-6 alkyl and -NR c R d ; R c and R d are each independently selected from H (hydrogen), D (氘), C 1 - 6 alkane , C 3-6 cycloalkyl, C 1-6 alkyl-C(=O)-, halogenated C 1-6 alkyl-C(=O)-, 6-10 member aryl-C (= O)-, 5-12 membered heteroaryl-C(=O)-, C 1-6 alkyl-SO 2 -, halogenated C 1-6 alkyl-SO 2 -, 6-10 membered aryl- SO 2 - and 5-12 membered heteroaryl-SO 2 -; the 6-10 membered aryl group and the 5-12 membered heteroaryl group are optionally H (hydrogen), D (oxime), halogen or C 1 -6 alkyl substituted; n 2 is 0, 1, 2 or 3.
更优选地,R 2选自H(氢)、C 1-6烷基和-NR cR d;R c和R d各自独立地选自H(氢)、C 1-6烷基、C 1-6烷基-C(=O)-、卤代C 1-6烷基-C(=O)-、6-10元芳基-C(=O)-、C 1-6烷基-SO 2-、卤代C 1-6烷基-SO 2-和6-10元芳基-SO 2-;所述6-10元芳基任选地被H(氢)或C 1-6烷基取代;n 2为0、1、2或3。 More preferably, R 2 is selected from the group consisting of H (hydrogen), C 1-6 alkyl and -NR c R d ; R c and R d are each independently selected from H (hydrogen), C 1-6 alkyl, C 1 -6- alkyl-C(=O)-, halogenated C 1-6 alkyl-C(=O)-, 6-10 membered aryl-C(=O)-, C 1-6 alkyl-SO 2- , halo C 1-6 alkyl-SO 2 - and 6-10 membered aryl-SO 2 -; the 6-10 membered aryl group optionally being H (hydrogen) or C 1-6 alkyl Substituted; n 2 is 0, 1, 2 or 3.
更优选地,R 2选自H(氢)、C 1-6烷基和-NR cR d;R c和R d各自独立地选自H(氢)、C 1-6烷基、CH 3C(=O)-、CF 3C(=O)-、苯甲酰基、CH 3SO 2-、CF 3SO 2-和对甲苯磺酰基;n 2为1或2。 More preferably, R 2 is selected from the group consisting of H (hydrogen), C 1-6 alkyl and -NR c R d ; R c and R d are each independently selected from H (hydrogen), C 1-6 alkyl, CH 3 C(=O)-, CF 3 C(=O)-, benzoyl, CH 3 SO 2 -, CF 3 SO 2 - and p-toluenesulfonyl; n 2 is 1 or 2.
最优选地,R 2选自H(氢)、C 1-6烷基和-NR cR d;R c和R d各自独立地选自H(氢)、甲基、异丙基、CH 3C(=O)-、苯甲酰基、CH 3SO 2-和对甲苯磺酰基;n 2为2。 Most preferably, R 2 is selected from the group consisting of H (hydrogen), C 1-6 alkyl and -NR c R d ; R c and R d are each independently selected from H (hydrogen), methyl, isopropyl, CH 3 C(=O)-, benzoyl, CH 3 SO 2 - and p-toluenesulfonyl; n 2 is 2.
在优选的实施方案中,R在每次出现时各自独立地选自H(氢)、D(氘)、C 1-6烷基、卤代C 1- 6烷基(例如-CF 3)、C 1-6烷氧基和卤代C 1-6烷氧基(例如-OCF 3);n为1、2或3。 In a preferred embodiment, each R is independently selected from H (hydrogen), D (oxime), C 1-6 alkyl, halo C 1 - 6 alkyl (eg, -CF 3 ), C 1-6 alkoxy and halo C 1-6 alkoxy (e.g., -OCF 3 ); n is 1, 2 or 3.
优选地,R在每次出现时各自独立地选自H(氢)、C 1-6烷基和卤代C 1-6烷基(例如-CF 3);n为1或2。 Preferably, R is each independently selected from H (hydrogen), C 1-6 alkyl, and halo C 1-6 alkyl (eg, -CF 3 ); n is 1 or 2.
更优选地,R在每次出现时各自独立地选自H(氢)、甲基和-CF 3;n为1或2。 More preferably, R is each independently selected from H (hydrogen), methyl and -CF 3 at each occurrence; n is 1 or 2.
在优选的实施方案中,AA选自 以上基团通过1或2标记的两个位置之一与-L1-基团连接,并且通过另一位置与 连接,优选地,以上基团通过1标记的位置与-L 1-基团连接,并且通过2标记的位置与 连接。 In a preferred embodiment, AA is selected from The above group is attached to the -L1- group by one of the two positions marked by 1 or 2, and passes through another position Linking, preferably, the above group is attached to the -L 1 - group via the position of the 1 label, and the position of the label is 2 connection.
更优选地,AA选自 以上基团通过1或2标记的两个位置之一与-L1-基团连接,并且通过另一位置与 连接,优选地,以上基团通过1标记的位置与-L1-基团连接,并且通过2标记的位置与 连接。 More preferably, AA is selected from The above group is attached to the -L1- group by one of the two positions marked by 1 or 2, and passes through another position Linking, preferably, the above group is attached to the -L1- group through the position of the 1 label, and the position of the label is 2 connection.
最优选地,AA选自 和 以上基团通过1或2标记的两个位置之一与-L1-基团连接,并且通过另一位置与 连接,优选地,以上基团通过1标记的位置与-L1-基团连接,并且通过2标记的 位置与 连接。 Most preferably, AA is selected from with The above group is attached to the -L1- group by one of the two positions marked by 1 or 2, and passes through another position Linking, preferably, the above group is attached to the -L1- group through the position of the 1 label, and the position of the label is 2 connection.
在优选的实施方案中,L 1选自 (如 )、 以上基团通过1或2标记的两个位置之一与AA连接,并且通过另一位置与L 2连接,优选地,以上基团通过1标记的位置与AA连接,并且通过2标记的位置与L 2连接;R 3、R 4、R 5和R 6各自独立地选自H(氢)、D(氘)、卤素、羧基、磺酸基、氰基、C 1-6烷基、卤代C 1-6烷基、氰基取代的C 1-6烷基、C 1-6烷氧基和C 3-6环烷基;y1和y2各自独立地为0、1、2、3、4、5、6、7、8、9或10。 In a preferred embodiment, L 1 is selected from (Such as ), The above group is attached to AA by one of the two positions marked by 1 or 2, and is linked to L 2 by another position, preferably, the above group is linked to AA by the position of 1 mark, and the position of the mark by 2 L 2 is attached; R 3 , R 4 , R 5 and R 6 are each independently selected from H (hydrogen), D (oxime), halogen, carboxyl, sulfonate, cyano, C 1-6 alkyl, halogenated C 1-6 alkyl, cyano substituted C 1-6 alkyl, C 1-6 alkoxy and C 3-6 cycloalkyl; y1 and y2 are each independently 0, 1, 2, 3, 4 , 5, 6, 7, 8, 9 or 10.
优选地,L 1选自 (如 )、 以上基团通过1或2标记的两个位置之一与AA连接,并且通过另一位置与L 2连接,优选地,以上基团通过1标记的位置与AA连接,并且通过2标记的位置与L 2连接;R 3、R 4、R 5和R 6各自独立地选自H(氢)、D(氘)、卤素、羧基、磺酸基、氰基、C 1-6烷基、卤代C 1-6烷基和氰基取代的C 1-6烷基;y1和y2各自独立地为0、1、2、3、4、5、6、7、8、9或10。 Preferably, L 1 is selected from (Such as ), The above group is attached to AA by one of the two positions marked by 1 or 2, and is linked to L 2 by another position, preferably, the above group is linked to AA by the position of 1 mark, and the position of the mark by 2 L 2 is attached; R 3 , R 4 , R 5 and R 6 are each independently selected from H (hydrogen), D (oxime), halogen, carboxyl, sulfonate, cyano, C 1-6 alkyl, halogenated C 1-6 alkyl and cyano substituted C 1-6 alkyl; y1 and y2 are each independently 0, 1, 2, 3, 4, 5, 6, 7, 8, 9, or 10.
更优选地,L 1选自 (如 )、 以上基团通过1或2标记的两个位置之一与AA连接,并且通过另一位置与L 2连接,优选地,以上基团通过1标记的位置与AA连接,并且通过2标记的位置与L 2连接;R 3、R 4、R 5和R 6各自独立地选自H(氢)、D(氘)、卤素、羧基、磺酸基、氰基、C 1-6烷基、卤代C 1-6烷基和氰基取代的C 1-6烷基;y1和y2各自独立地为0、1、2、3、4、5、6、7、8、9或10。 More preferably, L 1 is selected from (Such as ), The above group is attached to AA by one of the two positions marked by 1 or 2, and is linked to L 2 by another position, preferably, the above group is linked to AA by the position of 1 mark, and the position of the mark by 2 L 2 is attached; R 3 , R 4 , R 5 and R 6 are each independently selected from H (hydrogen), D (oxime), halogen, carboxyl, sulfonate, cyano, C 1-6 alkyl, halogenated C 1-6 alkyl and cyano substituted C 1-6 alkyl; y1 and y2 are each independently 0, 1, 2, 3, 4, 5, 6, 7, 8, 9, or 10.
最优选地,L 1选自 其通过1或2标记的两个位置之一与AA连接,并且通过另一位置与L 2连接,优选地,以上基团通过1标记的位置与AA连接,并且通过2标记的位置与L 2连接。 Most preferably, L 1 is selected from It is linked to AA by one of the two positions labeled 1 or 2 and to L 2 by another position, preferably the above group is linked to AA by the position of 1 mark, and the position of L 2 is passed by 2 connection.
在优选的实施方案中,L 2不存在或者为 其通过1或2标记的两个位置之一与L 1连接,并且通过另一位置与L 3连接,优选地,其通过1标记的位置与L 1连接,并且通过2标记的位置与L 3连接,Z 1选自O和-NH-,Z 2不存在或选自O和-NH-,m1和m2各自独立地为0、1、2、3、4、5、6、7、8、9或10。 In a preferred embodiment, L 2 is absent or One of its two positions marks to L 1 via 1 or 2, and L 3 is connected by a further position, preferably it is connected to L 1 via a marked location, and by the marked position 2 and L 3 Connected, Z 1 is selected from O and -NH-, Z 2 is absent or selected from O and -NH-, and m1 and m2 are each independently 0, 1, 2, 3, 4, 5, 6, 7, 8, 9 or 10.
优选地,L 2不存在或者为 其通过1或2标记的两个位置之一与L 1连接,并且通过另一位置与L 3连接,优选地,其通过1标记的位置与L 1连接,并且通过2标记的位置与L 3连接,Z 1为-NH-,Z 2不存在或为-NH-,m1和m2各自独立地为0、1、2、3、4、5、6、7、8、9或10。 Preferably, L 2 is absent or is One of its two positions marks to L 1 via 1 or 2, and L 3 is connected by a further position, preferably it is connected to L 1 via a marked location, and by the marked position 2 and L 3 For the connection, Z 1 is -NH-, Z 2 is absent or is -NH-, and m1 and m2 are each independently 0, 1 , 2 , 3, 4, 5, 6, 7, 8, 9, or 10.
更优选地,L 2不存在或者选自 其通过1或2标记的两个位置之一与L 1连接,并且通过另一位置与L 3连接,优选地,其通过1标记的位置与L 1连接,并且通过2标记的位置与L 3连接。 More preferably, L 2 is absent or selected from One of its two positions marks to L 1 via 1 or 2, and L 3 is connected by a further position, preferably it is connected to L 1 via a marked location, and by the marked position 2 and L 3 connection.
在优选的实施方案中,L 3不存在或者选自-NR 7-和任选地被一个或多个R 7取代的下列基团:C 3-8亚环烷基、亚苯基、亚萘基、5-12元亚杂芳基、3-8元亚杂环基、6-12元亚桥杂环基、6-12元亚螺杂环基和6-12元亚稠杂环基,当以上基团包含氮原子时,所述氮原子任选地是季铵化的;R 7在每次出现时各自独立地选自H(氢)、D(氘)、卤素、羧基、磺酸基、C 1-4烷基、-CF 3、C 1-4烷氧基、C 2-6烯基和C 2-6炔基。 In a preferred embodiment, L 3 is absent or selected from -NR 7 - and optionally substituted by one or more R 7 : C 3-8 cycloalkylene, phenylene, naphthalene a group, a 5-12 membered heteroarylene group, a 3-8 membered heterocyclylene group, a 6-12 membered subbridged heterocyclic group, a 6-12 membered snail heterocyclic group, and a 6-12 membered heterofused heterocyclic group. When the above group contains a nitrogen atom, the nitrogen atom is optionally quaternized; R 7 is each independently selected from H (hydrogen), D (oxime), halogen, carboxyl, sulfonic acid. Base, C 1-4 alkyl, -CF 3 , C 1-4 alkoxy, C 2-6 alkenyl and C 2-6 alkynyl.
优选地,L 3不存在或者选自-NR 7-和任选地被一个或多个R 7取代的下列基团: E为平衡离子,R 7在每次出现时各自独立地选自H(氢)、D(氘)、甲基和-CF 3,以上基团通过1或2标记的两个位置之一与L 2连接,并且通过另一位置与L 4连接,优选地,以上基团通过1标记的位置与L 2连接,并且通过2标记的位置与L 4连接。 Preferably, L 3 is absent or is selected from -NR 7 - and the following groups optionally substituted by one or more R 7 : E is a counterion, each of R 7 being independently selected from H (hydrogen), D (oxime), methyl and -CF 3 at each occurrence, and the above group is one of two positions labeled by 1 or 2 and L 2 is joined and connected to L 4 by another position, preferably, the above group is linked to L 2 by the position of 1 mark, and is connected to L 4 by the position of 2 mark.
更优选地,L 3不存在或者选自: More preferably, L 3 is absent or selected from:
E为平衡离子,R 7在每次出现时各自独立地选自H(氢)、D(氘)、甲基和-CF 3,以上基团通过1或2标记的两个位置之一与L 2连接,并且通过另一位置与L 4连接,优选地,以上基团通过1标记的位置与L 2连接,并且通过2标记的位置与L 4连接。 E is a counterion, each of R 7 being independently selected from H (hydrogen), D (oxime), methyl and -CF 3 at each occurrence, and the above group is one of two positions labeled by 1 or 2 and L 2 is joined and connected to L 4 by another position, preferably, the above group is linked to L 2 by the position of 1 mark, and is connected to L 4 by the position of 2 mark.
最优选地,L 3不存在或者选自 E为平衡离子,优选为卤素阴离子,更优选为氯离子、溴离子或碘离子,以上基团通过1或2标记的两个位置之一与L 2连接,并且通过另一位置与L 4连接,优选地,以上基团通过1标记的位置与L 2连接,并且通过2标记的位置与L 4连接。 Most preferably, L 3 is absent or selected from E is a counter ion, preferably a halogen anion, more preferably a chloride ion, a bromide ion or an iodide ion, the above group being linked to L 2 by one of two positions labeled 1 or 2, and connected to L 4 through another position Preferably, the above group is attached to L 2 through the position of the 1 mark and to the L 4 through the position of the 2 mark.
在优选的实施方案中,L 4不存在或者选自C 1-6亚烷基、-NR 9-C 1-6亚烷基-、-C 1-6亚烷基-NR 9-和-NR 9-;R 9独立地选自H(氢)、D(氘)、C 1-6烷基和C 3-6环烷基;所述C 1-6烷基或C 1-6亚烷基任选地被一个或多个H(氢)、D(氘)或卤素取代。 In a preferred embodiment, L 4 is absent or selected from the group consisting of C 1-6 alkylene, -NR 9 -C 1-6 alkylene-, -C 1-6 alkylene-NR 9 - and -NR 9 -; R 9 is independently selected from H (hydrogen), D (oxime), C 1-6 alkyl and C 3-6 cycloalkyl; the C 1-6 alkyl or C 1-6 alkylene Optionally substituted with one or more H(hydrogen), D(氘) or halogen.
优选地,L 4不存在或者选自-CH 2CH 2-、-NHCH 2-、-CH 2NH-和-NH-。 Preferably, L 4 is absent or selected from the group consisting of -CH 2 CH 2 -, -NHCH 2 -, -CH 2 NH- and -NH-.
在优选的实施方案中,L 5选自 In a preferred embodiment, L 5 is selected from
优选地,L 5选自 Preferably, L 5 is selected from
在优选的实施方案中,所述式(I)的化合物选自:In a preferred embodiment, the compound of formula (I) is selected from the group consisting of
在优选的实施方案中,所述式(I)的化合物选自:In a preferred embodiment, the compound of formula (I) is selected from the group consisting of
在一些实施方案中,本发明提供式(II)的偶联物或其药学可接受的盐、溶剂化物、水合物、异构体,或它们的任意晶型或消旋物,In some embodiments, the invention provides a conjugate of Formula (II), or a pharmaceutically acceptable salt, solvate, hydrate, isomer thereof, or any crystalline form or racemate thereof,
其中,A为靶向物中移除γ个巯基后所得的基团或者靶向物中二硫键被还原后再移除γ个巯基后所得的基团;Wherein, A is a group obtained by removing γ thiol groups in the target or a group obtained by reducing a disulfide bond in the target and then removing γ thiol groups;
L 5′选自 其通过1或2标记的两个位置之一与L 4连接,并且通过另一位置与靶向物的巯基连接;优选地,其通过1标记的位置与L 4连接,并且通过2标记的位置与靶向物的巯基连接;r为0、1、2、3、4或5; L 5 ' is selected from It is linked to L 4 by one of the two positions labeled 1 or 2 and to the thiol group of the target by another position; preferably it is linked to L 4 by the position of the 1 mark and passes the position of the 2 mark Attached to the thiol group of the target; r is 0, 1, 2, 3, 4 or 5;
γ为1到10的整数,例如γ为1、2、3、4、5、6、7、8、9或10;优选地,γ为4到8的整数,例如γ为4、5、6、7或8;并且γ is an integer from 1 to 10, for example, γ is 1, 2, 3, 4, 5, 6, 7, 8, 9, or 10; preferably, γ is an integer from 4 to 8, for example, γ is 4, 5, 6 , 7 or 8; and
其余各基团如上文所定义。The remaining groups are as defined above.
在优选的实施方案中,L 5′选自 其通过1或2标记的两个位置之一与L 4连接,并且通过另一位置与靶向物的巯基连接;优选地,其通过1标记的位置与L 4连接,并且通过2标记的位置与靶向物的巯基连接。 In a preferred embodiment, L 5 ' is selected from It is linked to L 4 by one of the two positions labeled 1 or 2 and to the thiol group of the target by another position; preferably it is linked to L 4 by the position of the 1 mark and passes the position of the 2 mark Attached to the thiol group of the target.
优选地,L 5′选自 其通过1或2标记的两个位置之一与L 4连接,并且通过另一位置与靶向物的巯基连接;优选地,其通过1标记的位置与L 4连接,并且通过2标记的位置与靶向物的巯基连接。 Preferably, L 5 ' is selected from It is linked to L 4 by one of the two positions labeled 1 or 2 and to the thiol group of the target by another position; preferably it is linked to L 4 by the position of the 1 mark and passes the position of the 2 mark Attached to the thiol group of the target.
在优选的实施方案中,所述靶向物选自小分子配体、蛋白质、多肽和非蛋白质试剂(如糖、RNA或DNA)。In a preferred embodiment, the target is selected from the group consisting of a small molecule ligand, a protein, a polypeptide, and a non-proteinaceous agent (such as a sugar, RNA or DNA).
优选地,所述靶向物为靶向以下靶标的物质:表皮生长因子、Trop-2、CD37、Her2、CD70、EGFRvIII、间皮素、叶酸受体1、CEA CAM5、黏蛋白(如黏蛋白1和黏蛋白16)、CD138、CD20、CD19、CD30、SLTRK6、连接蛋白4、组织因子、内皮肽受体、STEAP1、SLC39A6、鸟苷酸环化酶C、PSMA、CCD79b、CD22、磷酸钠协同转运蛋白2B、GPNMB、滋养层细胞糖蛋白、AGS-16、EGFR、CD33、CD66e、CD74、CD56、PD-L1、DR5、E16、0772P、MPF、Napi3b、Sema 5b、PSCA hlg、ETBR、MSG783、STEAP2、TrpM4、CRIPTO、CD21、CD79b、FcRH2、NCA、MDP、IL20Rα、短蛋白聚糖、EphB2R、ASLG659、PSCA、GEDA、BAFF-R、CD79a、CXCR5、HLA-DOB、P2X5、CD72、LY64、FcRH1、IRTA2、TENB2、整合素α5β6、整合素α4β7、FGF2、FGFR2、Her3、CA6、DLL3、DLL4、P-钙黏着蛋白、EpCAM、pCAD、CD223、LYPD3、 LY6E、EFNA4、ROR1、SLITRK6、5T4、ENPP3、密封蛋白18.2、BMPR1B、Tyro7、c-Met、ApoE、CD1 lc、CD40、CD45(PTPRC)、CD49D(ITGA4)、CD80、CSF1R、CTSD、GZMB、Ly86、MS4A7、PIK3AP1、PIK3CD、CCR5、IFNG、IL10RA1、IL-6、ACTA2、COL7A1、LOX、LRRC15、MCPT8、MMP10、NOG、SERPINEl、STAT1、TGFBR1、CTSS、PGF、VEGFA、C1QA、C1QB、ANGPTL4、EGLN、EGLN3、BNIP3、AIF1、CCL5、CXCL10、CXCL11、IFI6、PLOD2、KISS1R、STC2、DDIT4、PFKFB3、PGK1、PDK1、AKR1C1、AKR1C2、CADM1、CDH11、COL6A3、CTGF、HMOX1、KRT33A、LUM、WNT5A、IGFBP3、MMP14、CDCP1、PDGFRA、TCF4、TGF、TGFB1、TGFB2、CD11b、ADGRE1、EMR2、TNFRSF21、UPK1B、TNFSF9、MMP16、MFI2、IGF-1R、RNF43和NaPi2b。Preferably, the target is a substance that targets the following targets: epidermal growth factor, Trop-2, CD37, Her2, CD70, EGFRvIII, mesothelin, folate receptor 1, CEA CAM5, mucin (eg mucin) 1 and mucin 16), CD138, CD20, CD19, CD30, SLTRK6, connexin 4, tissue factor, endothelin receptor, STEAP1, SLC39A6, guanylate cyclase C, PSMA, CCD79b, CD22, sodium phosphate synergy Transporter 2B, GPNMB, trophoblastic glycoprotein, AGS-16, EGFR, CD33, CD66e, CD74, CD56, PD-L1, DR5, E16, 0772P, MPF, Napi3b, Sema 5b, PSCA hlg, ETBR, MSG783, STEAP2, TrpM4, CRIPTO, CD21, CD79b, FcRH2, NCA, MDP, IL20Rα, short proteoglycan, EphB2R, ASLG659, PSCA, GEDA, BAFF-R, CD79a, CXCR5, HLA-DOB, P2X5, CD72, LY64, FcRH1 , IRTA2, TENB2, integrin α5β6, integrin α4β7, FGF2, FGFR2, Her3, CA6, DLL3, DLL4, P-cadherin, EpCAM, pCAD, CD223, LYPD3, LY6E, EFNA4, ROR1, SLITRK6, 5T4, ENPP3 , sealing protein 18.2, BMPR1B, Tyro7, c-Met, ApoE, CD1 lc, CD40, CD45 (P TPRC), CD49D (ITGA4), CD80, CSF1R, CTSD, GZMB, Ly86, MS4A7, PIK3AP1, PIK3CD, CCR5, IFNG, IL10RA1, IL-6, ACTA2, COL7A1, LOX, LRRC15, MCPT8, MMP10, NOG, SERPINEl, STAT1, TGFBR1, CTSS, PGF, VEGFA, C1QA, C1QB, ANGPTL4, EGLN, EGLN3, BNIP3, AIF1, CCL5, CXCL10, CXCL11, IFI6, PLOD2, KISS1R, STC2, DDIT4, PFKFB3, PGK1, PDK1, AKR1C1, AKR1C2 CADM1, CDH11, COL6A3, CTGF, HMOX1, KRT33A, LUM, WNT5A, IGFBP3, MMP14, CDCP1, PDGFRA, TCF4, TGF, TGFB1, TGFB2, CD11b, ADGRE1, EMR2, TNFRSF21, UPK1B, TNFSF9, MMP16, MFI2, IGF- 1R, RNF43 and NaPi2b.
优选地,所述靶向物选自小分子配体,例如叶酸衍生物、谷氨酸脲衍生物、生长抑素衍生物、芳基磺酰胺类衍生物(例如碳酸酐酶IX抑制剂)、连接两个脂肪族吲哚的多烯、花青染料和IR-783或其衍生物;抗体,例如单克隆抗体或其抗原结合片段,其中,所述单克隆抗体或其抗原结合片段包括Fab、Fab′、F(ab′)2、Fd、Fv、dAb、互补决定区片段、单链抗体(如,scFv)、非人抗体、人源化抗体、嵌合抗体、全人抗体、前抗、双特异性抗体或多特异性抗体;识别细胞表面整联蛋白受体的RGD肽;识别细胞表面生长因子受体的生长因子例如EGF、PDGF或VEGF;能识别功能性细胞表面纤溶酶原活化因子、蛙皮素、缓激肽、生长抑素或前列腺特异性膜抗原受体的肽;CD40配体、CD30配体、OX40配体、PD-1配体、ErbB配体、Her2配体、TACSTD2配体、DR5配体和Trop-2配体。Preferably, the target is selected from the group consisting of small molecule ligands such as folic acid derivatives, glutamate urea derivatives, somatostatin derivatives, aryl sulfonamide derivatives (eg, carbonic anhydrase IX inhibitors), a combination of two aliphatic anthraquinone polyenes, a cyanine dye, and IR-783 or a derivative thereof; an antibody, such as a monoclonal antibody or an antigen-binding fragment thereof, wherein the monoclonal antibody or antigen-binding fragment thereof comprises a Fab, Fab', F(ab')2, Fd, Fv, dAb, complementarity determining region fragment, single chain antibody (eg, scFv), non-human antibody, humanized antibody, chimeric antibody, fully human antibody, pro-antibody, Bispecific antibody or multispecific antibody; RGD peptide that recognizes cell surface integrin receptor; growth factor that recognizes cell surface growth factor receptor such as EGF, PDGF or VEGF; recognizes functional cell surface plasminogen activation a peptide of factor, bombesin, bradykinin, somatostatin or prostate specific membrane antigen receptor; CD40 ligand, CD30 ligand, OX40 ligand, PD-1 ligand, ErbB ligand, Her2 ligand, TACSTD2 ligand, DR5 ligand and Trop-2 ligand.
更优选地,所述靶向物为抗Trop-2的单克隆抗体或抗Her 2的单克隆抗体,例如Sacituzumab、曲妥珠单抗或帕妥珠单抗。More preferably, the target is a monoclonal antibody against Trop-2 or a monoclonal antibody against Her2, such as Sacituzumab, trastuzumab or pertuzumab.
在优选的实施方案中,所述偶联物选自:In a preferred embodiment, the conjugate is selected from the group consisting of
其中,A为Sacituzumab、曲妥珠单抗或帕妥珠单抗中移除γ个巯基后所得的基团或者Sacituzumab、曲妥珠单抗或帕妥珠单抗中二硫键被还原后再移除γ个巯基后所得的基团,γ为1到10的整数,例如γ为1、2、3、4、5、6、7、8、9或10。Wherein, A is a group obtained by removing γ sulfhydryl groups in Sacituzumab, trastuzumab or pertuzumab or a disulfide bond in Sacituzumab, trastuzumab or pertuzumab is reduced The group obtained after removing γ thiol groups, γ is an integer of 1 to 10, for example, γ is 1, 2, 3, 4, 5, 6, 7, 8, 9, or 10.
优选地,所述偶联物选自:Preferably, the conjugate is selected from the group consisting of:
其中,A1为Sacituzumab中移除γ个巯基后所得的基团或者Sacituzumab中二硫键被还原后再移除γ个巯基后所得的基团,γ为4到8的整数,例如γ为4、5、6、7或8。Wherein, A1 is a group obtained by removing γ thiol groups in Sacituzumab or a group obtained by reducing γ thiol groups after reduction of a disulfide bond in Sacituzumab, and γ is an integer of 4 to 8, for example, γ is 4. 5, 6, 7 or 8.
药物组合物和治疗方法Pharmaceutical compositions and methods of treatment
在一些实施方案中,本发明提供药物组合物,其包含一种或多种(优选两种或更多种)本发明的式(II)的偶联物或其药学可接受的盐、溶剂化物、水合物、异构体,或它们的任意晶型或消旋物,以及任选存在的一种或多种药学可接受的载体,并且所述药物组合物任选地进一步包含一种或多种其他抗癌药如化疗剂和/或抗体,其中所述药物组合物的平均DAR值为1到10的整数或小数,例如1.0、1.5、2.0、2.5、3.0、3.5、4.0、4.1、4.2、4.3、4.4、4.5、4.6、4.7、4.8、4.9、5.0、5.1、5.2、5.3、5.4、5.5、5.6、5.7、5.8、5.9、6.0、6.1、6.2、6.3、6.4、6.5、6.6、6.7、6.8、6.9、7.0、7.1、7.2、7.3、7.4、7.5、7.6、7.7、7.8、7.9、8.0、8.5、9.0、9.5或10.0,优选4到8的整数或者小数,例如4.0、4.1、4.2、4.3、4.4、4.5、4.6、4.7、4.8、4.9、5.0、5.1、5.2、5.3、5.4、5.5、5.6、5.7、5.8、5.9、6.0、6.1、6.2、6.3、6.4、6.5、6.6、6.7、6.8、6.9、7.0、7.1、7.2、7.3、7.4、7.5、7.6、7.7、7.8、7.9或8.0。In some embodiments, the invention provides a pharmaceutical composition comprising one or more (preferably two or more) conjugates of formula (II) of the invention, or a pharmaceutically acceptable salt, solvate thereof a hydrate, an isomer, or any crystalline form or racemate thereof, and optionally one or more pharmaceutically acceptable carriers, and the pharmaceutical composition optionally further comprises one or more Other anticancer drugs, such as chemotherapeutic agents and/or antibodies, wherein the pharmaceutical composition has an average DAR value of an integer or fraction from 1 to 10, such as 1.0, 1.5, 2.0, 2.5, 3.0, 3.5, 4.0, 4.1, 4.2. , 4.3, 4.4, 4.5, 4.6, 4.7, 4.8, 4.9, 5.0, 5.1, 5.2, 5.3, 5.4, 5.5, 5.6, 5.7, 5.8, 5.9, 6.0, 6.1, 6.2, 6.3, 6.4, 6.5, 6.6, 6.7 6.8, 6.9, 7.0, 7.1, 7.2, 7.3, 7.4, 7.5, 7.6, 7.7, 7.8, 7.9, 8.0, 8.5, 9.0, 9.5 or 10.0, preferably an integer or fraction of 4 to 8, such as 4.0, 4.1, 4.2 , 4.3, 4.4, 4.5, 4.6, 4.7, 4.8, 4.9, 5.0, 5.1, 5.2, 5.3, 5.4, 5.5, 5.6, 5.7, 5.8, 5.9, 6.0, 6.1, 6.2, 6.3, 6.4, 6.5 6.6, 6.7, 6.8, 6.9, 7.0, 7.1, 7.2, 7.3, 7.4, 7.5, 7.6, 7.7, 7.8, 7.9 or 8.0.
在一些实施方案中,本发明提供本发明的式(II)的偶联物或其药学可接受的盐、溶剂化物、水合物、异构体,或它们的任意晶型或消旋物在制备用于预防或治疗癌症疾病的药物中的用途。In some embodiments, the invention provides a conjugate of formula (II) of the invention, or a pharmaceutically acceptable salt, solvate, hydrate, isomer thereof, or any crystalline form or racemate thereof, in the preparation Use in medicines for preventing or treating cancer diseases.
在一些实施方案中,本发明提供本发明的式(II)的偶联物或其药学可接受的盐、溶剂化物、水合物、异构体,或它们的任意晶型或消旋物,其用于预防或治疗癌症疾病。In some embodiments, the invention provides a conjugate of formula (II) of the invention, or a pharmaceutically acceptable salt, solvate, hydrate, isomer thereof, or any crystalline form or racemate thereof, For the prevention or treatment of cancer diseases.
在一些实施方案中,本发明提供预防或治疗癌症疾病的方法,所述方法包括向需要其的个体给药有效量的本发明的式(II)的偶联物或其药学可接受的盐、溶剂化物、水合物、异构体,或它们的任意晶型或消旋物。In some embodiments, the invention provides a method of preventing or treating a cancer disease, the method comprising administering to an individual in need thereof an effective amount of a conjugate of Formula (II) of the present invention, or a pharmaceutically acceptable salt thereof, Solvates, hydrates, isomers, or any crystal form or racemate thereof.
优选地,所述癌症疾病选自乳腺癌(例如三阴性乳腺癌)、胃癌、食管癌(例如食管腺癌和食管鳞状细胞癌)、脑瘤、唾液腺癌、肺癌(例如小细胞性肺癌和非小细胞性肺癌)、鳞状上皮细胞癌、膀胱癌、卵巢癌、腹膜癌、胰腺癌、头颈癌、子宫颈癌、子宫内膜癌、结直肠癌、肝癌、肾癌、结肠癌、实体瘤、非霍奇金淋巴瘤、中枢神经系统肿瘤(例如神经胶质瘤、多形性胶质母细胞瘤、胶质瘤或肉瘤)、前列腺癌和甲状腺癌。Preferably, the cancer disease is selected from the group consisting of breast cancer (eg, triple negative breast cancer), gastric cancer, esophageal cancer (eg, esophageal adenocarcinoma and esophageal squamous cell carcinoma), brain tumor, salivary gland cancer, lung cancer (eg, small cell lung cancer and Non-small cell lung cancer), squamous cell carcinoma, bladder cancer, ovarian cancer, peritoneal cancer, pancreatic cancer, head and neck cancer, cervical cancer, endometrial cancer, colorectal cancer, liver cancer, kidney cancer, colon cancer, entity Tumor, non-Hodgkin's lymphoma, central nervous system tumor (eg glioma, glioblastoma multiforme, glioma or sarcoma), prostate cancer and thyroid cancer.
更优选地,所述癌症疾病选自乳腺癌(例如三阴性乳腺癌)和胃癌。More preferably, the cancer disease is selected from the group consisting of breast cancer (eg, triple negative breast cancer) and gastric cancer.
进一步优选地,所述癌症疾病选自胃癌。Further preferably, the cancer disease is selected from the group consisting of gastric cancer.
本发明中“药学可接受的载体”是指与治疗剂一同给药的稀释剂、辅剂、赋形剂或媒介物,并且其在合理的医学判断的范围内适于接触人类和/或其它动物的组织而没有过度的毒性、刺激、过敏反应 或与合理的益处/风险比相应的其它问题或并发症。"Pharmaceutically acceptable carrier" in the context of the invention means a diluent, adjuvant, excipient or vehicle with which the therapeutic agent is administered, and which is suitable for contacting humans and/or others within the scope of sound medical judgment. Animal tissue without excessive toxicity, irritation, allergic reactions or other problems or complications corresponding to a reasonable benefit/risk ratio.
在本发明的药物组合物中可使用的药学可接受的载体包括但不限于无菌液体,例如水和油,包括那些石油、动物、植物或合成来源的油,例如花生油、大豆油、矿物油、芝麻油等。当所述药物组合物通过静脉内给药时,水是示例性载体。还可以使用生理盐水和葡萄糖及甘油水溶液作为液体载体,特别是用于注射液。适合的药物赋形剂包括淀粉、葡萄糖、乳糖、蔗糖、明胶、麦芽糖、白垩、硅胶、硬脂酸钠、单硬脂酸甘油酯、滑石、氯化钠、脱脂奶粉、甘油、丙二醇、水、乙醇等。所述组合物还可以视需要包含少量的湿润剂、乳化剂或pH缓冲剂。口服制剂可以包含标准载体,如药物级的甘露醇、乳糖、淀粉、硬脂酸镁、糖精钠、纤维素、碳酸镁等。适合的药学可接受的载体的实例如在Remington’s Pharmaceutical Sciences(1990)中所述。Pharmaceutically acceptable carriers that can be used in the pharmaceutical compositions of the present invention include, but are not limited to, sterile liquids such as water and oils, including those of petroleum, animal, vegetable or synthetic origin, such as peanut oil, soybean oil, mineral oil. , sesame oil, etc. Water is an exemplary carrier when the pharmaceutical composition is administered intravenously. It is also possible to use physiological saline and an aqueous solution of glucose and glycerin as a liquid carrier, particularly for injection. Suitable pharmaceutical excipients include starch, glucose, lactose, sucrose, gelatin, maltose, chalk, silica gel, sodium stearate, glyceryl monostearate, talc, sodium chloride, skimmed milk powder, glycerin, propylene glycol, water, Ethanol and the like. The composition may also contain minor amounts of wetting agents, emulsifying agents or pH buffering agents as needed. Oral formulations may contain standard carriers such as pharmaceutical grades of mannitol, lactose, starch, magnesium stearate, sodium saccharin, cellulose, magnesium carbonate, and the like. Examples of suitable pharmaceutically acceptable carriers are as described in Remington's Pharmaceutical Sciences (1990).
本发明的药物组合物可以系统地作用和/或局部地作用。为此目的,它们可以适合的途径给药,例如通过注射(如静脉内、动脉内、皮下、腹膜内、肌内注射,包括滴注)或经皮给药;或通过口服、含服、经鼻、透粘膜、局部、以眼用制剂的形式或通过吸入给药。The pharmaceutical compositions of the invention may act systemically and/or locally. For this purpose, they may be administered in a suitable route, for example by injection (for example intravenous, intraarterial, subcutaneous, intraperitoneal, intramuscular, including instillation) or transdermal administration; or by oral, buccal, or oral administration. Nasal, transmucosal, topical, in the form of ophthalmic preparations or by inhalation.
所述药物组合物可根据给药途径制成各种适合的剂型。例如片剂、胶囊剂、锭剂、硬糖剂、颗粒剂、口服溶液剂、口服混悬剂、口服乳剂、散剂、酊剂、糖浆剂、注射剂、栓剂、凝胶剂、软膏剂、乳膏剂、糊剂、洗剂、搽剂、水性混悬剂、酏剂、眼用制剂、丸剂、植入剂、气雾剂、粉雾剂、喷雾剂等。The pharmaceutical composition can be formulated into a variety of suitable dosage forms depending on the route of administration. For example, tablets, capsules, troches, hard candy, granules, oral solutions, oral suspensions, oral emulsions, powders, elixirs, syrups, injections, suppositories, gels, ointments, creams, Pastes, lotions, tinctures, aqueous suspensions, elixirs, ophthalmic preparations, pills, implants, aerosols, powders, sprays, and the like.
当口服用药时,所述药物组合物可制成任意口服可接受的制剂形式,包括但不限于片剂、胶囊剂、颗粒剂、丸剂、糖浆剂、口服溶液剂、口服混悬剂和口服乳剂等。其中,片剂使用的载体一般包括乳糖和玉米淀粉,另外也可加入润滑剂如硬脂酸镁。胶囊剂使用的稀释剂一般包括乳糖和干燥玉米淀粉。口服混悬剂则通常是将活性成分与适合的乳化剂和悬浮剂混合使用。任选地,以上口服制剂形式中还可加入一些甜味剂、芳香剂或着色剂。When administered orally, the pharmaceutical composition can be formulated into any orally acceptable preparation including, but not limited to, tablets, capsules, granules, pills, syrups, oral solutions, oral suspensions, and oral emulsions. Wait. Among them, the carrier used for the tablet generally includes lactose and corn starch, and a lubricant such as magnesium stearate may also be added. The diluent used in the capsules generally includes lactose and dried corn starch. Oral suspensions are usually prepared by admixing the active ingredient with suitable emulsifiers and suspensions. Optionally, some sweeteners, fragrances or colorants may also be added to the above oral formulation forms.
当经皮或局部施用时,所述药物组合物可制成适当的软膏、洗剂或搽剂形式,其中将活性成分悬浮或溶解于一种或多种载体中。软膏制剂可使用的载体包括但不限于:矿物油、液体凡士林、白凡士林、丙二醇、聚氧化乙烯、聚氧化丙烯、乳化蜡和水;洗剂或搽剂可使用的载体包括但不限于:矿物油、脱水山梨糖醇单硬脂酸酯、吐温60、十六烷酯蜡、十六碳烯芳醇、2-辛基十二烷醇、苄醇和水。When administered transdermally or topically, the pharmaceutical compositions may be in the form of a suitable ointment, lotion or lozenge, wherein the active ingredient is suspended or dissolved in one or more carriers. Carriers which can be used in ointment preparations include, but are not limited to, mineral oil, liquid petrolatum, white petrolatum, propylene glycol, polyethylene oxide, polypropylene oxide, emulsifying wax and water; and carriers which can be used for lotions or elixirs include, but are not limited to, minerals Oil, sorbitan monostearate,
所述药物组合物还可以注射剂形式用药,包括注射液、注射用无菌粉末和注射用浓溶液。其中,可使用的载体和溶剂包括水、林格氏溶液和等渗氯化钠溶液。另外,灭菌的非挥发油也可用作溶剂或悬浮介质,如单甘油酯或二甘油酯。The pharmaceutical composition can also be administered in the form of an injection, including an injection, a sterile powder for injection, and a concentrated solution for injection. Among them, carriers and solvents which can be used include water, Ringer's solution and isotonic sodium chloride solution. In addition, sterile, fixed oils may also be employed as a solvent or suspension medium such as a monoglyceride or a diglyceride.
如本文中所使用的术语“有效量”指被给药后会在一定程度上缓解所治疗病症的一或多种症状的偶联物的量。The term "effective amount" as used herein refers to the amount of a conjugate that, after administration, will alleviate one or more symptoms of the condition being treated to some extent.
可调整给药方案以提供最佳所需响应。例如,可给药单次推注,可随时间给药数个分剂量,或可如治疗情况的急需所表明而按比例减少或增加剂量。要注意,剂量值可随要减轻的病况的类型及严重性而变化,且可包括单次或多次剂量。要进一步理解,对于任何特定个体,具体的给药方案应根据个体需要及给药组合物或监督组合物的给药的人员的专业判断来随时间调整。The dosing regimen can be adjusted to provide the optimal desired response. For example, a single bolus may be administered, several divided doses may be administered over time, or the dose may be proportionally reduced or increased as indicated by the urgent need for treatment. It is noted that the dose value can vary with the type and severity of the condition to be alleviated and can include single or multiple doses. It is to be further understood that for any particular individual, the particular dosage regimen will be adjusted over time according to the individual needs and the professional judgment of the person administering the composition or the composition of the supervised composition.
所给药的本发明的偶联物的量会取决于所治疗的个体、病症或病况的严重性、给药的速率、偶联物的处置及处方医师的判断。一般而言,有效剂量在每日每kg体重约0.0001至约50mg,例如约0.01至约10mg/kg/日(单次或分次给药)。对70kg的人而言,这会合计为约0.007mg/日至约3500mg/日,例如约0.7mg/日至约700mg/日。在一些情况下,不高于前述范围的下限的剂量水平可以是足够的,而在其它情况下,仍可在不引起任何有害副作用的情况下采用较大剂量,条件是首先将所述较大剂量分成数个较小剂量以在一整天中给药。The amount of conjugate of the invention administered will depend on the severity of the individual, condition or condition being treated, the rate of administration, the treatment of the conjugate, and the judgment of the prescribing physician. Generally, an effective dose will be from about 0.0001 to about 50 mg per kg body weight per day, for example from about 0.01 to about 10 mg/kg/day (single or divided doses). For a 70 kg person, this would add up to about 0.007 mg/day to about 3500 mg/day, such as from about 0.7 mg/day to about 700 mg/day. In some cases, a dose level that is not higher than the lower limit of the aforementioned range may be sufficient, while in other cases, a larger dose may still be employed without causing any harmful side effects, provided that the larger The dose is divided into several smaller doses to be administered throughout the day.
本发明的偶联物在药物组合物或适合的剂型中的含量或用量可以是约0.01mg至约1000mg,适合地是0.1-800mg,优选0.5-500mg,更优选0.5-350mg,特别优选1-250mg。The conjugate of the present invention may be included in the pharmaceutical composition or a suitable dosage form in an amount of from about 0.01 mg to about 1000 mg, suitably from 0.1 to 800 mg, preferably from 0.5 to 500 mg, more preferably from 0.5 to 350 mg, particularly preferably from 1 to 1. 250mg.
除非另外说明,否则如本文中所使用,术语“治疗(treating)”意指逆转、减轻、抑制这样的术语所应用的病症或病况或者这样的病症或病况的一或多种症状的进展,或预防这样的病症或病况或者这样的病症或病况的一或多种症状。The term "treating" as used herein, unless otherwise indicated, means reversing, alleviating, inhibiting the progression of a condition or condition to which such a term applies or one or more symptoms of such a condition or condition, or Prevention of such a condition or condition or one or more symptoms of such condition or condition.
如本文所使用的“个体”包括人或非人动物。示例性人个体包括患有疾病(例如本文所述的疾病)的人个体(称为患者)或正常个体。本发明中“非人动物”包括所有脊椎动物,例如非哺乳动物(例如鸟类、两栖动物、爬行动物)和哺乳动物,例如非人灵长类、家畜和/或驯化动物(例如绵羊、犬、猫、奶牛、猪等)。"Individual" as used herein includes human or non-human animals. Exemplary human individuals include a human individual (referred to as a patient) or a normal individual having a disease, such as the disease described herein. "Non-human animals" in the present invention include all vertebrates, such as non-mammals (eg, birds, amphibians, reptiles) and mammals, such as non-human primates, domestic animals, and/or domesticated animals (eg, sheep, dogs). , cats, cows, pigs, etc.).
制备方法Preparation
在一些实施方案中,本发明提供制备式(I′)的化合物或其药学可接受的盐、溶剂化物、水合物、异构体,或它们的任意晶型或消旋物的方法:In some embodiments, the invention provides a method of preparing a compound of Formula (I'), or a pharmaceutically acceptable salt, solvate, hydrate, isomer thereof, or any crystalline form or racemate thereof:
其中:among them:
R d′为R d或PG 1, R d ' is R d or PG 1 ,
PG 1和PG 2各自独立地为氨基保护基,优选为Boc或MMT, PG 1 and PG 2 are each independently an amino protecting group, preferably Boc or MMT,
其余各基团如上文所定义,The remaining groups are as defined above,
所述方法包括以下步骤:The method includes the following steps:
步骤一:在金属催化剂存在的条件下,使化合物(Ia)-d与化合物(Ia)-e进行反应,得到式(Ia)的化合物,以及Step 1: reacting the compound (Ia)-d with the compound (Ia)-e in the presence of a metal catalyst to obtain a compound of the formula (Ia), and
步骤二:在脱除氨基保护基的条件下,使式(Ia)的化合物进行反应,得到式(I′)的化合物或其药学可接受的盐。Step 2: The compound of the formula (Ia) is reacted under conditions to remove the amino protecting group to give a compound of the formula (I') or a pharmaceutically acceptable salt thereof.
优选地,所述金属催化剂为一价铜盐,例如卤化亚铜(如氯化亚铜、溴化亚铜或碘化亚铜);或者二价铜盐/还原剂,例如硫酸铜/抗坏血酸钠。Preferably, the metal catalyst is a monovalent copper salt such as a cuprous halide (such as cuprous chloride, cuprous bromide or cuprous iodide); or a divalent copper salt/reducing agent such as copper sulfate/sodium ascorbate .
优选地,制备式(I′)的化合物的方法的所述步骤一在-10℃-60℃,优选0℃-35℃,更优选0℃-25℃的温度下进行。Preferably, said
优选地,制备式(I′)的化合物的方法的所述步骤一中,化合物(Ia)-d与金属催化剂的摩尔比为1∶(1-15),优选1∶(1-10),最优选1∶(1-5)。Preferably, in the first step of the method for preparing the compound of the formula (I'), the molar ratio of the compound (Ia)-d to the metal catalyst is 1: (1-15), preferably 1: (1-10), Most preferred is 1: (1-5).
优选地,制备式(I′)的化合物的方法的所述步骤一在水和/或有机溶剂中进行;所述有机溶剂选自N,N-二甲基甲酰胺、二甲基亚砜、N-甲基吡咯烷酮、饱和烃类(例如环己烷或己烷)、卤代烃类(例如二氯甲烷、氯仿或1,2-二氯乙烷)、醚类(例如四氢呋喃、乙醚、二噁烷或1,2-二甲氧基乙烷)、腈类(例如乙腈)、醇类(例如甲醇、乙醇、异丙醇或叔丁醇)及其任意组合。Preferably, said
优选地,所述脱除氨基保护基的条件为酸性条件,更优选为三氟乙酸存在的条件。Preferably, the conditions for the removal of the amino protecting group are acidic conditions, more preferably the conditions in which trifluoroacetic acid is present.
优选地,制备式(I′)的化合物的方法的所述步骤二在-10℃-60℃,优选0℃-35℃,更优选0℃-25℃的温度下进行。Preferably, said step two of the process for preparing a compound of formula (I') is carried out at a temperature of from -10 °C to 60 °C, preferably from 0 °C to 35 °C, more preferably from 0 °C to 25 °C.
优选地,制备式(I′)的化合物的方法的所述步骤二在水和/或有机溶剂中进行;所述有机溶剂选自N,N-二甲基甲酰胺、二甲基亚砜、N-甲基吡咯烷酮、饱和烃类(例如环己烷或己烷)、卤代烃类(例如二氯甲烷、氯仿或1,2-二氯乙烷)、醚类(例如四氢呋喃、乙醚、二噁烷或1,2-二甲氧基乙烷)、腈类(例 如乙腈)、醇类(例如甲醇、乙醇、异丙醇或叔丁醇)及其任意组合。Preferably, said step 2 of the process for the preparation of a compound of formula (I') is carried out in water and/or an organic solvent; said organic solvent being selected from the group consisting of N,N-dimethylformamide, dimethyl sulfoxide, N-methylpyrrolidone, saturated hydrocarbons (such as cyclohexane or hexane), halogenated hydrocarbons (such as dichloromethane, chloroform or 1,2-dichloroethane), ethers (such as tetrahydrofuran, diethyl ether, two Oxane or 1,2-dimethoxyethane), nitriles (such as acetonitrile), alcohols (such as methanol, ethanol, isopropanol or tert-butanol), and any combination thereof.
优选地,所述制备式(I′)的化合物或其药学可接受的盐、溶剂化物、水合物、异构体,或它们的任意晶型或消旋物的方法如下:Preferably, the method of preparing a compound of formula (I'), or a pharmaceutically acceptable salt, solvate, hydrate, isomer thereof, or any crystal form or racemate thereof, is as follows:
其中:among them:
R d″为R d或氢, R d " is R d or hydrogen,
R d′为R d或PG 1, R d ' is R d or PG 1 ,
PG 1和PG 2各自独立地为氨基保护基,优选为Boc或MMT, PG 1 and PG 2 are each independently an amino protecting group, preferably Boc or MMT,
其余各基团如上文所定义,The remaining groups are as defined above,
所述方法包括以下步骤:The method includes the following steps:
步骤一:在碱的存在下,进行氮原子的官能团化或保护(如乙酰化、甲磺酰化、Boc保护),使化合物(Ia)-a通过反应得到(Ia)-b的化合物,条件是当R d″和R d′均为R d时,无需进行步骤一的反应; Step 1: In the presence of a base, functionalization or protection of a nitrogen atom (such as acetylation, mesylation, Boc protection), the compound (Ia)-a is reacted to obtain a compound of (Ia)-b, conditions When R d " and R d ' are both R d , the reaction of the first step is not required;
步骤二:在缩合试剂和碱存在的条件下,使化合物(Ia)-b与化合物(Ia)-c进行反应,得到(Ia)-d的化合物;Step 2: reacting the compound (Ia)-b with the compound (Ia)-c in the presence of a condensation reagent and a base to obtain a compound of (Ia)-d;
步骤三:在金属催化剂存在的条件下,使化合物(Ia)-d与化合物(Ia)-e进行反应,得到式(Ia)的化合物,以及Step 3: reacting the compound (Ia)-d with the compound (Ia)-e in the presence of a metal catalyst to obtain a compound of the formula (Ia), and
步骤四:在脱除氨基保护基的条件下,使式(Ia)的化合物进行反应,得到式(I′)的化合物或其药学 可接受的盐。Step 4: The compound of the formula (Ia) is reacted under conditions to remove the amino protecting group to give a compound of the formula (I') or a pharmaceutically acceptable salt thereof.
优选地,制备式(I′)化合物方法所述步骤一的碱选自有机碱和无机碱,例如三乙胺、二异丙基乙胺、碳酸钾、碳酸铯、氢氧化钠、氢氧化钾,优选三乙胺、二异丙基乙胺。Preferably, the base for the preparation of the compound of the formula (I') is selected from the group consisting of an organic base and an inorganic base such as triethylamine, diisopropylethylamine, potassium carbonate, cesium carbonate, sodium hydroxide or potassium hydroxide. Preferred is triethylamine or diisopropylethylamine.
优选地,制备式(I′)的化合物的方法的所述步骤一在0℃-40℃,优选10℃-30℃的温度下进行。Preferably, said
优选地,制备式(I′)的化合物的方法的所述步骤一在有机溶剂中进行;所述有机溶剂选自N,N-二甲基甲酰胺、二甲基亚砜、N-甲基吡咯烷酮、饱和烃类(例如环己烷或己烷)、卤代烃类(例如二氯甲烷、氯仿或1,2-二氯乙烷)、腈类(例如乙腈)及其任意组合,优选二氯甲烷。Preferably, the first step of the process for preparing the compound of the formula (I') is carried out in an organic solvent; the organic solvent is selected from the group consisting of N,N-dimethylformamide, dimethyl sulfoxide, N-methyl Pyrrolidone, a saturated hydrocarbon (such as cyclohexane or hexane), a halogenated hydrocarbon (such as dichloromethane, chloroform or 1,2-dichloroethane), a nitrile (such as acetonitrile), and any combination thereof, preferably two Methyl chloride.
优选地,制备式(I′)化合物方法所述步骤二的缩合试剂选自羰基二咪唑、三光气,优选三光气。Preferably, the condensing agent of the second step of the process for preparing the compound of the formula (I') is selected from the group consisting of carbonyldiimidazole, triphosgene, preferably triphosgene.
优选地,制备式(I′)化合物方法所述步骤二的碱选自有机碱和无机碱,例如三乙胺、二异丙基乙胺、对二甲氨基吡啶、吡啶、2,4,6-三甲基吡啶等,优选对二甲氨基吡啶。Preferably, the base of the second step of the process for preparing the compound of the formula (I') is selected from the group consisting of an organic base and an inorganic base such as triethylamine, diisopropylethylamine, p-dimethylaminopyridine, pyridine, 2,4,6. -Trimethylpyridine or the like, preferably p-dimethylaminopyridine.
优选地,制备式(I′)化合物方法所述步骤二中,化合物(Ia)-b与(Ia)-c的摩尔比为1∶(0.3-2),优选1∶(0.8-1.5)。Preferably, in the second step of the process for preparing the compound of the formula (I'), the molar ratio of the compound (Ia)-b to (Ia)-c is 1: (0.3-2), preferably 1: (0.8-1.5).
优选地,制备式(I′)化合物方法所述步骤二中,化合物(Ia)-b与缩合剂及碱的摩尔比为1∶(0.3-1)∶(2-10),优选1∶(0.4-0.7)∶(3-6)。Preferably, in the step 2 of the method for preparing the compound of the formula (I'), the molar ratio of the compound (Ia)-b to the condensing agent and the base is 1: (0.3-1): (2-10), preferably 1: ( 0.4-0.7): (3-6).
优选地,制备式(I′)的化合物的方法的所述步骤二在有机溶剂中进行;所述有机溶剂选自N,N-二甲基甲酰胺、二甲基亚砜、N-甲基吡咯烷酮、饱和烃类(例如环己烷或己烷)、卤代烃类(例如二氯甲烷、氯仿或1,2-二氯乙烷)、腈类(例如乙腈)及其任意组合,优选二氯甲烷。Preferably, said step 2 of the process for preparing a compound of formula (I') is carried out in an organic solvent; said organic solvent being selected from the group consisting of N,N-dimethylformamide, dimethyl sulfoxide, N-methyl Pyrrolidone, a saturated hydrocarbon (such as cyclohexane or hexane), a halogenated hydrocarbon (such as dichloromethane, chloroform or 1,2-dichloroethane), a nitrile (such as acetonitrile), and any combination thereof, preferably two Methyl chloride.
优选地,制备式(I′)化合物方法所述步骤三所述金属催化剂为一价铜盐,例如卤化亚铜(如氯化亚铜、溴化亚铜或碘化亚铜);或者二价铜盐/还原剂,例如硫酸铜/抗坏血酸钠。Preferably, the metal catalyst of the third step of the method for preparing the compound of the formula (I') is a monovalent copper salt, such as a cuprous halide (such as cuprous chloride, cuprous bromide or cuprous iodide); or a divalent Copper salt/reducing agent, such as copper sulfate/sodium ascorbate.
优选地,制备式(I′)化合物方法所述步骤三在-10℃-60℃,优选0℃-35℃,更优选0℃-25℃的温度下进行。Preferably, the third step of the process for preparing the compound of the formula (I') is carried out at a temperature of from -10 ° C to 60 ° C, preferably from 0 ° C to 35 ° C, more preferably from 0 ° C to 25 ° C.
优选地,制备式(I′)化合物方法所述步骤三中,化合物(Ia)-d与金属催化剂的摩尔比为1∶(1-15),优选1∶(1-10),最优选1∶(1-5)。Preferably, in the step (3) of the method for preparing the compound of the formula (I'), the molar ratio of the compound (Ia)-d to the metal catalyst is 1: (1-15), preferably 1: (1-10), most preferably 1 :(1-5).
优选地,制备式(I′)化合物方法所述步骤三在水和/或有机溶剂中进行;所述有机溶剂选自N,N-二甲基甲酰胺、二甲基亚砜、N-甲基吡咯烷酮、饱和烃类(例如环己烷或己烷)、卤代烃类(例如二氯甲烷、氯仿或1,2-二氯乙烷)、醚类(例如四氢呋喃、乙醚、二噁烷或1,2-二甲氧基乙烷)、腈类(例如乙腈)、醇类(例如甲醇、乙醇、异丙醇或叔丁醇)及其任意组合。Preferably, the method of preparing the compound of the formula (I') is carried out in water and/or an organic solvent; the organic solvent is selected from the group consisting of N,N-dimethylformamide, dimethyl sulfoxide, N-A Pyrrolidone, saturated hydrocarbons (such as cyclohexane or hexane), halogenated hydrocarbons (such as dichloromethane, chloroform or 1,2-dichloroethane), ethers (such as tetrahydrofuran, diethyl ether, dioxane or 1,2-Dimethoxyethane), nitriles (such as acetonitrile), alcohols (such as methanol, ethanol, isopropanol or tert-butanol), and any combination thereof.
优选地,制备式(I′)化合物方法所述步骤四所述脱除氨基保护基的条件为酸性条件,更优选为三氟乙酸存在的条件。Preferably, the step of removing the amino protecting group described in the fourth step of the method for preparing the compound of the formula (I') is an acidic condition, more preferably a condition in which trifluoroacetic acid is present.
优选地,制备式(I′)的化合物的方法的所述步骤四在-10℃-60℃,优选0℃-35℃,更优选0℃-25℃的温度下进行。Preferably, said
优选地,制备式(I′)的化合物的方法的所述步骤四在水和/或有机溶剂中进行;所述有机溶剂选自N,N-二甲基甲酰胺、二甲基亚砜、N-甲基吡咯烷酮、饱和烃类(例如环己烷或己烷)、卤代烃类(例如二氯甲烷、氯仿或1,2-二氯乙烷)、醚类(例如四氢呋喃、乙醚、二噁烷或1,2-二甲氧基乙烷)、腈类(例如乙腈)、醇类(例如甲醇、乙醇、异丙醇或叔丁醇)及其任意组合。Preferably, said
在一些实施方案中,本发明提供制备式(I″)的化合物或其药学可接受的盐、溶剂化物、水合物、异构体,或它们的任意晶型或消旋物的方法:In some embodiments, the invention provides a method of preparing a compound of Formula (I"), or a pharmaceutically acceptable salt, solvate, hydrate, isomer thereof, or any crystalline form or racemate thereof:
其中:among them:
R d′为R d或PG 1, R d ' is R d or PG 1 ,
R 10不存在或者为C 1-6亚烷基,所述C 1-6亚烷基任选地被一个或多个H(氢)、D(氘)或卤素取代, R 10 is absent or is C 1-6 alkylene, a C 1-6 alkylene group optionally substituted by one or more of H (hydrogen), D (deuterium) or halogen,
PG 1和PG 2各自独立地为氨基保护基,优选为Boc或MMT, PG 1 and PG 2 are each independently an amino protecting group, preferably Boc or MMT,
LG为离去基团,优选为羟基或琥珀酰亚胺-N-氧基,LG is a leaving group, preferably a hydroxyl group or a succinimide-N-oxy group,
其余各基团如上文所定义,The remaining groups are as defined above,
所述方法包括以下步骤:The method includes the following steps:
步骤一:在碱存在的条件下,任选地在缩合试剂的存在下,使化合物(Ib)-a与化合物(Ib)-b进行反应得到式(Ib)的化合物,以及Step 1: reacting compound (Ib)-a with compound (Ib)-b in the presence of a base, optionally in the presence of a condensing reagent, to obtain a compound of formula (Ib), and
步骤二:在脱除氨基保护基的条件下,使式(Ib)的化合物进行反应,得到式(I″)的化合物或其药学可接受的盐。Step 2: The compound of the formula (Ib) is reacted under conditions to remove the amino protecting group to give a compound of the formula (I") or a pharmaceutically acceptable salt thereof.
优选地,所述碱为有机碱或无机碱;所述有机碱选自三乙胺、DIPEA、吡啶、NMM和DMAP;所述无机碱选自NaH、NaOH、Na 2CO 3和K 2CO 3。 Preferably, the base is an organic base or an inorganic base; the organic base is selected from the group consisting of triethylamine, DIPEA, pyridine, NMM and DMAP; the inorganic base is selected from the group consisting of NaH, NaOH, Na 2 CO 3 and K 2 CO 3 .
优选地,所述碱为DIPEA。Preferably, the base is DIPEA.
优选地,所述缩合试剂选自光气、固体光气、 HATU、HBTU、EEDQ、DEPC、DCC、DIC、EDC、BOP、PyAOP和PyBOP。 Preferably, the condensation reagent is selected from the group consisting of phosgene, solid phosgene, HATU, HBTU, EEDQ, DEPC, DCC, DIC, EDC, BOP, PyAOP and PyBOP.
优选地,制备式(I″)的化合物的方法的所述步骤一在-10℃-60℃,优选0℃-35℃,更优选0℃-25℃ 的温度下进行。Preferably, said
优选地,制备式(I″)的化合物的方法的所述步骤一中,化合物(Ib)-a与碱的摩尔比为1∶(0.5-4),优选1∶(0.8-3),更优选1∶(1-2)。Preferably, in the step (1) of the method for preparing the compound of the formula (I"), the molar ratio of the compound (Ib)-a to the base is 1: (0.5-4), preferably 1: (0.8-3), more Preferably 1: (1-2).
优选地,制备式(I″)的化合物的方法的所述步骤一在水和/或有机溶剂中进行;所述有机溶剂选自N,N-二甲基甲酰胺、二甲基亚砜、N-甲基吡咯烷酮、饱和烃类(例如环己烷或己烷)、卤代烃类(例如二氯甲烷、氯仿或1,2-二氯乙烷)、醚类(例如四氢呋喃、乙醚、二噁烷或1,2-二甲氧基乙烷)、腈类(例如乙腈)、醇类(例如甲醇、乙醇、异丙醇或叔丁醇)及其任意组合。Preferably, said
优选地,所述脱除氨基保护基的条件为酸性条件,更优选为三氟乙酸存在的条件。Preferably, the conditions for the removal of the amino protecting group are acidic conditions, more preferably the conditions in which trifluoroacetic acid is present.
优选地,制备式(I″)的化合物的方法的所述步骤二在-10℃-60℃,优选0℃-35℃,更优选0℃-25℃的温度下进行。Preferably, said step two of the process for preparing a compound of formula (I") is carried out at a temperature of from -10 °C to 60 °C, preferably from 0 °C to 35 °C, more preferably from 0 °C to 25 °C.
优选地,制备式(I″)的化合物的方法的所述步骤二在水和/或有机溶剂中进行;所述有机溶剂选自N,N-二甲基甲酰胺、二甲基亚砜、N-甲基吡咯烷酮、饱和烃类(例如环己烷或己烷)、卤代烃类(例如二氯甲烷、氯仿或1,2-二氯乙烷)、醚类(例如四氢呋喃、乙醚、二噁烷或1,2-二甲氧基乙烷)、腈类(例如乙腈)、醇类(例如甲醇、乙醇、异丙醇或叔丁醇)及其任意组合。Preferably, said step 2 of the process for the preparation of a compound of formula (I") is carried out in water and/or an organic solvent; said organic solvent being selected from the group consisting of N,N-dimethylformamide, dimethyl sulfoxide, N-methylpyrrolidone, saturated hydrocarbons (such as cyclohexane or hexane), halogenated hydrocarbons (such as dichloromethane, chloroform or 1,2-dichloroethane), ethers (such as tetrahydrofuran, diethyl ether, two Oxane or 1,2-dimethoxyethane), nitriles (such as acetonitrile), alcohols (such as methanol, ethanol, isopropanol or tert-butanol), and any combination thereof.
优选地,所述制备式(I″)的化合物或其药学可接受的盐、溶剂化物、水合物、异构体,或它们的任意晶型或消旋物的方法如下:Preferably, the method of preparing a compound of formula (I"), or a pharmaceutically acceptable salt, solvate, hydrate, isomer thereof, or any crystal form or racemate thereof, is as follows:
其中:among them:
R d′为R d或PG 1, R d ' is R d or PG 1 ,
R 10不存在或者为C 1-6亚烷基,所述C 1-6亚烷基任选地被一个或多个H(氢)、D(氘)或卤素取代, R 10 is absent or is C 1-6 alkylene, a C 1-6 alkylene group optionally substituted by one or more of H (hydrogen), D (deuterium) or halogen,
PG 1和PG 2各自独立地为氨基保护基,优选为Boc或MMT, PG 1 and PG 2 are each independently an amino protecting group, preferably Boc or MMT,
LG为离去基团,优选为羟基或琥珀酰亚胺-N-氧基,LG is a leaving group, preferably a hydroxyl group or a succinimide-N-oxy group,
其余各基团如上文所定义,The remaining groups are as defined above,
所述方法包括以下步骤:The method includes the following steps:
步骤一:在还原剂存在的条件下,化合物(Ia)-d进行反应得到化合物(Ib)-a;Step 1: in the presence of a reducing agent, the compound (Ia)-d is reacted to obtain the compound (Ib)-a;
步骤二:在碱存在的条件下,任选地在缩合试剂的存在下,使化合物(Ib)-a与化合物(Ib)-b进行反应得到式(Ib)的化合物,以及Step 2: reacting compound (Ib)-a with compound (Ib)-b in the presence of a base, optionally in the presence of a condensation reagent, to give a compound of formula (Ib), and
步骤三:在脱除氨基保护基的条件下,使式(Ib)的化合物进行反应,得到式(I″)的化合物或其药学可接受的盐。Step 3: The compound of the formula (Ib) is reacted under conditions to remove the amino protecting group to give a compound of the formula (I") or a pharmaceutically acceptable salt thereof.
优选地,所述还原剂为氢化锂铝、钯碳、氢氧化钯、二氧化铂、三苯基膦,优选的为二氧化铂、三苯基膦。Preferably, the reducing agent is lithium aluminum hydride, palladium carbon, palladium hydroxide, platinum dioxide, triphenylphosphine, preferably platinum dioxide, triphenylphosphine.
优选地,所述碱为有机碱或无机碱;所述有机碱选自三乙胺、DIPEA、吡啶、NMM和DMAP;所述无机碱选自NaH、NaOH、Na 2CO 3和K 2CO 3。 Preferably, the base is an organic base or an inorganic base; the organic base is selected from the group consisting of triethylamine, DIPEA, pyridine, NMM and DMAP; the inorganic base is selected from the group consisting of NaH, NaOH, Na 2 CO 3 and K 2 CO 3 .
优选地,所述碱为DIPEA。Preferably, the base is DIPEA.
优选地,所述缩合试剂选自光气、固体光气、 HATU、HBTU、EEDQ、DEPC、DCC、DIC、EDC、BOP、PyAOP和PyBOP。 Preferably, the condensation reagent is selected from the group consisting of phosgene, solid phosgene, HATU, HBTU, EEDQ, DEPC, DCC, DIC, EDC, BOP, PyAOP and PyBOP.
优选地,制备式(I″)的化合物的方法的所述步骤一在-10℃-50℃,优选10℃-30℃的温度下进行。Preferably, said
优选地,制备式(I″)的化合物的方法的所述步骤二在-10℃-60℃,优选0℃-35℃,更优选0℃-25℃的温度下进行。Preferably, said step two of the process for preparing a compound of formula (I") is carried out at a temperature of from -10 °C to 60 °C, preferably from 0 °C to 35 °C, more preferably from 0 °C to 25 °C.
优选地,制备式(I″)的化合物的方法的所述步骤一在有机溶剂中进行;所述有机溶剂选自醚类(例如四氢呋喃、乙醚、二噁烷或1,2-二甲氧基乙烷)、醇类(例如甲醇、乙醇、异丙醇或叔丁醇)、乙酸乙酯及其任意组合,优选四氢呋喃。Preferably, said
优选地,制备式(I″)的化合物的方法的所述步骤二中,化合物(Ib)-a与碱的摩尔比为1∶(0.5-4),优选1∶(0.8-3),更优选1∶(1-2)。Preferably, in the second step of the method for preparing the compound of the formula (I"), the molar ratio of the compound (Ib)-a to the base is 1: (0.5-4), preferably 1: (0.8-3), more Preferably 1: (1-2).
优选地,制备式(I″)的化合物的方法的所述步骤二在水和/或有机溶剂中进行;所述有机溶剂选自N,N-二甲基甲酰胺、二甲基亚砜、N-甲基吡咯烷酮、饱和烃类(例如环己烷或己烷)、卤代烃类(例如二氯甲烷、氯仿或1,2-二氯乙烷)、醚类(例如四氢呋喃、乙醚、二噁烷或1,2-二甲氧基乙烷)、腈类(例如乙腈)、醇类(例如甲醇、乙醇、异丙醇或叔丁醇)及其任意组合。Preferably, said step 2 of the process for the preparation of a compound of formula (I") is carried out in water and/or an organic solvent; said organic solvent being selected from the group consisting of N,N-dimethylformamide, dimethyl sulfoxide, N-methylpyrrolidone, saturated hydrocarbons (such as cyclohexane or hexane), halogenated hydrocarbons (such as dichloromethane, chloroform or 1,2-dichloroethane), ethers (such as tetrahydrofuran, diethyl ether, two Oxane or 1,2-dimethoxyethane), nitriles (such as acetonitrile), alcohols (such as methanol, ethanol, isopropanol or tert-butanol), and any combination thereof.
优选地,所述脱除氨基保护基的条件为酸性条件,更优选为三氟乙酸存在的条件。Preferably, the conditions for the removal of the amino protecting group are acidic conditions, more preferably the conditions in which trifluoroacetic acid is present.
优选地,制备式(I″)的化合物的方法的所述步骤三在-10℃-60℃,优选0℃-35℃,更优选0℃-25℃的温度下进行。Preferably, said step three of the process for preparing a compound of formula (I") is carried out at a temperature of from -10 °C to 60 °C, preferably from 0 °C to 35 °C, more preferably from 0 °C to 25 °C.
优选地,制备式(I″)的化合物的方法的所述步骤三在水和/或有机溶剂中进行;所述有机溶剂选自N,N-二甲基甲酰胺、二甲基亚砜、N-甲基吡咯烷酮、饱和烃类(例如环己烷或己烷)、卤代烃类(例如二氯甲烷、氯仿或1,2-二氯乙烷)、醚类(例如四氢呋喃、乙醚、二噁烷或1,2-二甲氧基乙烷)、腈类(例如乙腈)、醇类(例如甲醇、乙醇、异丙醇或叔丁醇)及其任意组合。Preferably, said step 3 of the process for preparing a compound of formula (I") is carried out in water and/or an organic solvent; said organic solvent being selected from the group consisting of N,N-dimethylformamide, dimethyl sulfoxide, N-methylpyrrolidone, saturated hydrocarbons (such as cyclohexane or hexane), halogenated hydrocarbons (such as dichloromethane, chloroform or 1,2-dichloroethane), ethers (such as tetrahydrofuran, diethyl ether, two Oxane or 1,2-dimethoxyethane), nitriles (such as acetonitrile), alcohols (such as methanol, ethanol, isopropanol or tert-butanol), and any combination thereof.
在一些实施方案中,本发明提供制备式(II)的偶联物或其药学可接受的盐、溶剂化物、水合物、异构体,或它们的任意晶型或消旋物的方法,In some embodiments, the invention provides a method of preparing a conjugate of Formula (II), or a pharmaceutically acceptable salt, solvate, hydrate, isomer thereof, or any crystalline form or racemate thereof,
所述方法包括将式(I)的化合物与靶向物偶联,The method comprises coupling a compound of formula (I) to a target,
其中各基团如上文所定义。Each of the groups is as defined above.
优选地,所述方法包括:将式(I)的化合物与靶向物混合;在混合前任选地将所述靶向物中的二硫键还原。Preferably, the method comprises: mixing a compound of formula (I) with a target; optionally reducing a disulfide bond in the target prior to mixing.
优选地,所述二硫键还原通过使用硫醇类还原剂进行;硫醇类还原剂优选为TCEP。Preferably, the disulfide bond reduction is carried out by using a thiol reducing agent; the thiol reducing agent is preferably TCEP.
优选地,所述方法包括:将包含靶向物的溶液与式(I)的化合物混合。Preferably, the method comprises mixing a solution comprising a target with a compound of formula (I).
优选地,所述靶向物与式(I)的化合物的摩尔比为1∶(1-20)。Preferably, the molar ratio of the target to the compound of formula (I) is 1: (1-20).
优选地,所述方法在0℃-50℃,优选15℃-25℃的温度下进行。Preferably, the process is carried out at a temperature between 0 ° C and 50 ° C, preferably between 15 ° C and 25 ° C.
优选地,所述方法在水和/或有机溶剂中进行;所述有机溶剂选自N,N-二甲基甲酰胺、N,N-二甲基乙酰胺、二甲基亚砜和N-甲基吡咯烷酮。Preferably, the method is carried out in water and/or an organic solvent; the organic solvent is selected from the group consisting of N,N-dimethylformamide, N,N-dimethylacetamide, dimethyl sulfoxide and N- Methyl pyrrolidone.
优选地,所述方法还包括经选自离子交换色谱、疏水色谱、反相色谱和亲和色谱中的一种或多种色谱方法进行纯化。Preferably, the method further comprises purifying by one or more chromatographic methods selected from the group consisting of ion exchange chromatography, hydrophobic chromatography, reverse phase chromatography, and affinity chromatography.
发明的有益效果Advantageous effects of the invention
本发明的式(I)的化合物可高效地与靶向物(如抗体)进行偶联,并且偶联效率高,未发生偶联的靶向物(如抗体)少。所得偶联物具有明显的体外肿瘤细胞生长抑制活性,具有优异的抗肿瘤作用。The compound of the formula (I) of the present invention can be efficiently coupled with a target such as an antibody, and the coupling efficiency is high, and a target (such as an antibody) to which no coupling occurs is small. The obtained conjugate has remarkable in vitro tumor cell growth inhibitory activity and has an excellent antitumor effect.
以下通过实施例形式的具体实施方式,对本发明的上述内容作进一步的详细说明。但不应将此理解为本发明上述主题的范围仅限于以下实施例。凡基于本发明上述内容所实现的技术均属于本发明的范围。The above content of the present invention will be further described in detail below by way of specific embodiments in the form of embodiments. However, the scope of the above-mentioned subject matter of the present invention should not be construed as being limited to the following examples. Any technique implemented based on the above description of the present invention is within the scope of the present invention.
以下的实施例中记载的化合物/偶联物的结构通过核磁共振波谱( 1H NMR)和/或质谱(MS)来确定。 The structure of the compound/conjugate described in the following examples was determined by nuclear magnetic resonance spectroscopy ( 1 H NMR) and/or mass spectrometry (MS).
核磁共振波谱(
1H NMR)的测定仪器使用Bruker 400 MHz核磁共振仪;测定溶剂为氘代甲醇(CD
3OD)、氘代氯仿(CDCl
3)或六氘代二甲基亚砜(DMSO-d
6);内标物质为四甲基硅烷(TMS)。
The nuclear magnetic resonance spectroscopy ( 1 H NMR) was measured using a
实施例的核磁共振(NMR)波谱数据中的缩写含义如下:The abbreviations in the nuclear magnetic resonance (NMR) spectrum data of the examples are as follows:
s:单峰(singlet)、d:二重峰(doublet)、t:三重峰(triplet)、q:四重峰(quartet)、dd:双二重峰(double doublet)、qd:四二重峰(quartet doublet)、ddd:双双二重峰(double double doublet)、ddt:双双三重峰(double double triplet)、dddd:双双双二重峰(double double double doublet)、m:多重峰(multiplet)、br:宽峰(broad)、J:偶合常数、Hz:赫兹、DMSO-d 6:六氘代二甲基亚砜。 s: singlet, d: doublet, t: triplet, q: quartet, dd: double doublet, qd: quadruple Quartet doublet, ddd: double double doublet, ddt: double double triplet, dddd: double double double doublet, m: multiplet , br: broad peak, J: coupling constant, Hz: Hertz, DMSO-d 6 : hexamethylene dimethyl sulfoxide.
将全部δ值用ppm值表示。All δ values are expressed in ppm values.
质谱(MS)的测定仪器使用Agilent(ESI)质谱仪,型号为Agilent 6120B。The mass spectrometer (MS) assay instrument used an Agilent (ESI) mass spectrometer, model Agilent 6120B.
制备高效液相方法如下:The method for preparing the high-performance liquid phase is as follows:
方法A:Method A:
色谱柱:Waters Bridge Prep C18 OBD 5μm 19x150mmColumn: Waters Bridge Prep C18 OBD 5μm 19x150mm
流动相A:乙腈;流动相B:水Mobile phase A: acetonitrile; mobile phase B: water
方法B:Method B:
色谱柱:Waters SunFire Prep C18 OBD 5μm 19x150mmColumn: Waters SunFire Prep C18 OBD 5μm 19x150mm
流动相A:乙腈;流动相B:水(含有0.05%三氟乙酸)Mobile phase A: acetonitrile; mobile phase B: water (containing 0.05% trifluoroacetic acid)
方法C:Method C:
色谱柱:Waters SunFire Prep C18 OBD 5μm 19x150mmColumn: Waters SunFire Prep C18 OBD 5μm 19x150mm
流动相A:乙腈;流动相B:水(含有0.05%甲酸)Mobile phase A: acetonitrile; mobile phase B: water (containing 0.05% formic acid)
方法D:Method D:
色谱柱:Waters Bridge Prep C18 OBD 5μm 19x150mmColumn: Waters Bridge Prep C18 OBD 5μm 19x150mm
流动相A:乙腈;流动相B:水(含有0.05%碳酸氢铵)Mobile phase A: acetonitrile; mobile phase B: water (containing 0.05% ammonium bicarbonate)
本发明中缩写具有以下含义:The abbreviation in the present invention has the following meanings:
Boc 叔丁氧羰基Boc tert-butoxycarbonyl
BOP 苯并三氮唑-1-基氧基三(二甲基氨基)磷鎓六氟磷酸盐BOP benzotriazol-1-yloxytris(dimethylamino)phosphonium hexafluorophosphate
DCC N,N′-二环己基碳二亚胺DCC N,N'-dicyclohexylcarbodiimide
DCM 二氯甲烷DCM dichloromethane
DEPC 氰基磷酸二乙酯DEPC cyanophosphate
DIC N,N′-二异丙基碳二亚胺DIC N, N'-diisopropylcarbodiimide
DIPEA N,N-二异丙基乙胺DIPEA N,N-diisopropylethylamine
DMAP 4-二甲氨基吡啶DMAP 4-dimethylaminopyridine
DMSO-d 6 六氘代二甲基亚砜 DMSO-d 6 hexamethylene dimethyl sulfoxide
DTT 二硫苏糖醇DTT dithiothreitol
EDC 1,2-二氯乙烷
EEDQ 2-乙氧基-1-乙氧碳酰基-1,2-二氢喹啉EEDQ 2-ethoxy-1-ethoxycarbonyl-1,2-dihydroquinoline
FA 甲酸FA formic acid
HATU 2-(7-偶氮苯并三氮唑)-N,N,N′,N′-四甲基脲六氟磷酸盐HATU 2-(7-azobenzotriazole)-N,N,N',N'-tetramethylurea hexafluorophosphate
HBTU 苯并三氮唑-N,N,N′,N′-四甲基脲六氟磷酸盐HBTU benzotriazole-N,N,N',N'-tetramethylurea hexafluorophosphate
MMT 对甲氧基三苯甲基MMT p-methoxytrityl
MeOH 甲醇MeOH methanol
NMM N-甲基吗啡啉NMM N-methylmorpholine
PyAOP (3H-1,2,3-三唑并[4,5-b]吡啶-3-氧基)三-1-吡咯烷基鏻六氟磷酸盐PyAOP (3H-1,2,3-triazolo[4,5-b]pyridin-3-yloxy)tri-1-pyrrolidinium hexafluorophosphate
PyBOP 1H-苯并三唑-1-基氧三吡咯烷基六氟磷酸盐PyBOP 1H-benzotriazol-1-yloxytripyrrolidinyl hexafluorophosphate
TCEP 三(2-羧乙基)膦TCEP tris(2-carboxyethyl)phosphine
TMS 四甲基硅烷TMS tetramethylsilane
实施例1Example 1
4-((S)-2-(4-氨基丁基)-35-(4-(((1r,4r)-4-((2,5-二氧代-2,5-二氢-1H-吡咯-1-基)甲基)环己烷甲酰胺基)甲基)-1H-1,2,3-三唑-1-基)-4,8-二氧代-6,12,15,18,21,24,27,30,33-九氧杂-3,9-二氮杂三十五烷酰胺基)苄基((S)-4-乙基-11-(2-(异丙基氨基)乙基)-3,14-二氧代-3,4,12,14-四氢-1H-吡喃并[3′,4′:6,7]吲哚嗪并[1,2-b]喹啉-4-基)碳酸酯(化合物I-1)的合成4-((S)-2-(4-Aminobutyl)-35-(4-((1r,4r)-4-((2,5-dioxo-2,5-dihydro-1H) -pyrrol-1-yl)methyl)cyclohexanecarboxamido)methyl)-1H-1,2,3-triazol-1-yl)-4,8-dioxo-6,12,15 ,18,21,24,27,30,33-nonaoxa-3,9-diazatridecylamide)benzyl ((S)-4-ethyl-11-(2-(iso) Propylamino)ethyl)-3,14-dioxo-3,4,12,14-tetrahydro-1H-pyrano[3',4':6,7]pyridazine[1, Synthesis of 2-b]quinolin-4-yl)carbonate (Compound I-1)
步骤一:step one:
(S)-(2-(4-乙基-4-羟基-3,14-二氧代-3,4,12,14-四氢-1H-吡喃并[3′,4′:6,7]吲哚嗪并[1,2-b]喹啉-11-基)乙基)(异丙基)氨基甲酸叔丁酯(化合物1-2)的合成(S)-(2-(4-ethyl-4-hydroxy-3,14-dioxo-3,4,12,14-tetrahydro-1H-pyrano[3',4':6, 7] Synthesis of tert-butyl pyridazine[1,2-b]quinolin-11-yl)ethyl)(isopropyl)carbamate (Compound 1-2)
将二碳酸二叔丁酯(288mg,1.32mmol)滴加入化合物1-1(310mg,0.66mmol)和三乙胺(200mg,1.98mmol)的二氯甲烷(10mL)溶液中,室温条件下反应24h。经硅胶柱色谱法纯化(DCM/MeOH=10∶1)得标题化合物,412mg。ESI-MS(m/z):534.2[M+H] +。 Di-tert-butyl dicarbonate (288 mg, 1.32 mmol) was added dropwise to a solution of compound 1-1 (310 mg, 0.66 mmol) and triethylamine (200 mg, 1.98 mmol) in dichloromethane (10 mL). . The title compound (412 mg) was obtained. ESI-MS (m/z): 534.2 [M+H] + .
步骤二:Step two:
(2-((S)-4-((((4-((S)-35-叠氮基-2-(4-(((4-甲氧基苯基)二苯基甲基)氨基)丁基)-4,8-二氧代-6,12,15,18,21,24,27,30,33-九氧杂-3,9-二氮杂三十五烷酰胺基)苄基)氧基)羰基)氧基)-4-乙基-3,14-二氧代-3,4,12,14-四氢-1H-吡喃并[3′,4′:6,7]吲哚嗪并[1,2-b]喹啉-11-基)乙基)(异丙基)氨基甲酸叔丁酯(化合物1-3)的合成(2-((S)-4-((((4-(()))-)-azido-2-(4-(((4-methoxyphenyl)diphenylmethyl)amino) Butyl)-4,8-dioxo-6,12,15,18,21,24,27,30,33-nonoxa-3,9-diazatridecylamide)benzyl Oxy)carbonyl)oxy)-4-ethyl-3,14-dioxo-3,4,12,14-tetrahydro-1H-pyrano[3',4':6,7 Synthesis of tert-butyl phthalazino[1,2-b]quinolin-11-yl)ethyl)(isopropyl)carbamate (Compound 1-3)
0℃及氮气氛围中将三光气(85mg,0.29mmol)的二氯甲烷溶液(1mL)滴加入4-二甲氨基吡啶(234mg,1.92mmol)和化合物1-2(256mg,0.48mmol)的二氯甲烷(4mL)混合溶液中,反应1h。在氮气保护和0℃下,将(S)-2-(32-叠氮基-5-氧代-3,9,12,15,18,21,24,27,30-九氧杂-6-氮杂三十二烷酰胺基)-N-(4-(羟甲基)苯基)-6-(((4-甲氧基苯基)二苯基甲基)氨基)己酰胺(212.05mg,0.2mmol)加入反应液中,在0℃下反应2h。反应液经制备高效液相色谱纯化(方法A)得标题化合物,75mg。ESI-MS(m/z):1619.8[M+H] +。 A solution of triphosgene (85 mg, 0.29 mmol) in dichloromethane (1 mL) was added dropwise to a solution of 4-dimethylaminopyridine (234 mg, 1.92 mmol) and compound 1-2 (256 mg, 0.48 mmol) at 0 ° C under a nitrogen atmosphere. In a mixed solution of methyl chloride (4 mL), the reaction was carried out for 1 h. (S)-2-(32-azido-5-oxo-3,9,12,15,18,21,24,27,30-nonaoxa-6 under nitrogen protection at 0 °C -azadodecanamide)-N-(4-(hydroxymethyl)phenyl)-6-(((4-methoxyphenyl)diphenylmethyl)amino)hexanamide (212.05 Mg, 0.2 mmol) was added to the reaction solution, and the mixture was reacted at 0 ° C for 2 h. The reaction mixture was purified by preparative high-purpur chromatography (Method A). ESI-MS (m/z): 1619.8 [M+H] + .
步骤三:Step three:
(2-((S)-4-((((4-((S)-35-(4-(((1r,4r)-4-((2,5-二氧代-2,5-二氢-1H-吡咯-1-基)甲基)环己烷甲酰胺基)甲基)-1H-1,2,3-三唑-1-基)-2-(4-(((4-甲氧基苯基)二苯基甲基)氨基)丁基)-4,8-二氧代6,12,15,18,21,24,27,30,33-九氧杂-3,9-二氮杂三十五烷酰胺基)苄基)氧基)羰基)氧基)-4-乙基-3,14-二氧代-3,4,12,14-四氢-1H-吡喃并[3′,4′:6,7]吲哚嗪并[1,2-b]喹啉-11-基)乙基)(异丙基)氨基甲酸叔丁酯(化合物1-4)的合成(2-((S)-4-((((((r)))))) Dihydro-1H-pyrrol-1-yl)methyl)cyclohexanecarboxamide)methyl)-1H-1,2,3-triazol-1-yl)-2-(4-(((4) -Methoxyphenyl)diphenylmethyl)amino)butyl)-4,8-
室温条件下,将溴化亚铜(18.67mg,0.13mmol)和水(0.5mL)加入(1r,4r)-4-((2,5-二氧代-2,5-二氢-1H-吡咯-1-基)甲基)-N-(丙-2-炔-1-基)环己烷甲酰胺(25mg,0.09mmol)和化合物1-3(75mg,0.046mmol)的二甲基亚砜(3mL)溶液中,反应2h。反应液经制备高效液相色谱纯化(方法A)得标题化合物,68mg。ESI-MS(m/z):1893.9[M+H] +。 Add cuprous bromide (18.67 mg, 0.13 mmol) and water (0.5 mL) to (1r,4r)-4-((2,5-dioxo-2,5-dihydro-1H-) at room temperature. Pyrrol-1-yl)methyl)-N-(prop-2-yn-1-yl)cyclohexanecarboxamide (25 mg, 0.09 mmol) and compound 1-3 (75 mg, 0.046 mmol) in dimethyl In a solution of sulfone (3 mL), the reaction was carried out for 2 h. The reaction mixture was purified by preparative EtOAc (EtOAc) ESI-MS (m/z): 1893.9 [M+H] + .
步骤四:Step four:
化合物I-1的合成Synthesis of Compound I-1
室温条件下,将化合物1-4(75mg,0.04mmol)加入三氟乙酸(0.2mL)、二氯甲烷(0.05mL)和水(0.025mL)的混合溶剂中,搅拌反应5min。反应液经制备高效液相色谱纯化(方法B)得标题化合物的三氟乙酸盐,21.6mg。ESI-MS(m/z):1521.7[M+H] +。 Compound 1-4 (75 mg, 0.04 mmol) was added to a mixed solvent of trifluoroacetic acid (0.2 mL), dichloromethane (0.05 mL) and water (0.025 mL), and the mixture was stirred for 5 min. The reaction mixture was purified by preparative high-purpur chromatography (Method B). ESI-MS (m/z): 1521.7 [M+H] + .
实施例2Example 2
4-((S)-2-(4-氨基丁基)-35-(4-((6-(2,5-二氧代-2,5-二氢-1H-吡咯-1-基)己酰胺基)甲基)-1H-1,2,3-三唑-1-基)-4,8-二氧代-6,12,15,18,21,24,27,30,33-九氧杂-3,9-二氮杂三十五烷酰胺基)苄基((S)-4-乙基-11-(2-(异丙基氨基)乙基)-3,14-二氧代-3,4,12,14-四氢-1H-吡喃并[3′,4′:6,7]吲哚嗪并[1,2-b]喹啉-4-基)碳酸酯(化合物I-3)的合成4-((S)-2-(4-Aminobutyl)-35-(4-((6-(2,5-dioxo-2,5-dihydro-1H-pyrrol-1-yl)) Hexanoyl)methyl)-1H-1,2,3-triazol-1-yl)-4,8-dioxo-6,12,15,18,21,24,27,30,33- Nonaza-3,9-diazatridecylamide)benzyl ((S)-4-ethyl-11-(2-(isopropylamino)ethyl)-3,14-di Oxo-3,4,12,14-tetrahydro-1H-pyrano[3',4':6,7]oxazino[1,2-b]quinolin-4-yl)carbonate Synthesis of (Compound I-3)
步骤一:step one:
(2-((S)-4-((((4-((S)-35-(4-((6-(2,5-二氧代-2,5-二氢-1H-吡咯-1-基)己酰胺基)甲基)-1H-1,2,3-三唑-1-基)-2-(4-(((4-甲氧基苯基)二苯基甲基)氨基)丁基)-4,8-二氧代-6,12,15,18,21,24,27,30,33-九氧杂-3,9-二氮杂三十五烷酰胺基)苄基)氧基)羰基)氧基)-4-乙基-3,14-二氧代-3,4,12,14-四氢-1H-吡喃并[3′,4′:6,7]吲哚嗪并[1,2-b]喹啉-11-基)乙基)(异丙基)氨基甲酸叔丁酯(化合物2-1)的合成(2-((S)-4-(((((((((((((((((((((((((((((((( 1-yl)hexanoamido)methyl)-1H-1,2,3-triazol-1-yl)-2-(4-((4-methoxyphenyl)diphenylmethyl) Amino)butyl)-4,8-dioxo-6,12,15,18,21,24,27,30,33-nonoxa-3,9-diazatridecylamide) Benzyl)oxy)carbonyl)oxy)-4-ethyl-3,14-dioxo-3,4,12,14-tetrahydro-1H-pyrano[3',4':6, 7] Synthesis of tert-butyl pyridazine-[1,2-b]quinolin-11-yl)ethyl)(isopropyl)carbamate (Compound 2-1)
采用与实施例1步骤三类似的合成方法,以6-(2,5-二氧代-2,5-二氢-1H-吡咯-1-基)-N-(丙-2-炔-1-基)己酰胺代替(1r,4r)-4-((2,5-二氧代-2,5-二氢-1H-吡咯-1-基)甲基)-N-(丙-2-炔-1-基)环己烷甲酰胺,经制备高效液相色谱纯化(方法A)得标题化合物,28mg。ESI-MS(m/z):1867.9[M+H] +。 Using a synthetic method similar to that of Step 3 of Example 1, 6-(2,5-dioxo-2,5-dihydro-1H-pyrrol-1-yl)-N-(prop-2-yn-1 -yl)hexanoic acid instead of (1r,4r)-4-((2,5-dioxo-2,5-dihydro-1H-pyrrol-1-yl)methyl)-N-(prop-2- Purification by preparative high performance liquid chromatography (Method A) ESI-MS (m/z): 1867.9 [M+H] + .
步骤二:Step two:
化合物I-3的制备Preparation of Compound I-3
采用与实施例1步骤四类似的合成方法,以化合物2-1代替化合物1-4,得标题化合物的三氟乙酸盐,5.18mg。ESI-MS(m/z):1495.7[M+H] +。 Substituting compound 2-1 for compound 1-4 to give the title compound as trifluoroacetic acid salt, 5.18 mg. ESI-MS (m/z): 1495.7 [M+H] + .
实施例3Example 3
4-((S)-2-(4-氨基丁基)-35-(4-(3-(4-((2,5-二氧代-2,5-二氢-1H-吡咯-1-基)甲基)哌啶-1-基)-3-氧代丙基)-1H-1,2,3-三唑-1-基)-4,8-二氧代-6,12,15,18,21,24,27,30,33-九氧杂-3,9-二氮杂三十五烷酰胺基)苄基((S)-4-乙基-11-(2-(异丙基氨基)乙基)-3,14-二氧代-3,4,12,14-四氢-1H-吡喃并[3′,4′:6,7]吲哚嗪并[1,2-b]喹啉-4-基)碳酸酯(化合物I-4)的合成4-((S)-2-(4-Aminobutyl)-35-(4-(3-(4-((2,5-dioxo-2,5-dihydro-1H-pyrrole-1) -yl)methyl)piperidin-1-yl)-3-oxopropyl)-1H-1,2,3-triazol-1-yl)-4,8-dioxo-6,12, 15,18,21,24,27,30,33-nonaoxa-3,9-diazatridecylamide)benzyl ((S)-4-ethyl-11-(2-( Isopropylamino)ethyl)-3,14-dioxo-3,4,12,14-tetrahydro-1H-pyrano[3',4':6,7]pyridazine[1] Synthesis of 2-b]quinolin-4-yl)carbonate (Compound I-4)
步骤一:step one:
1-(哌啶-4-基甲基)-1H-吡咯-2,5-二酮(化合物3-2)的合成Synthesis of 1-(piperidin-4-ylmethyl)-1H-pyrrole-2,5-dione (compound 3-2)
室温条件下,在化合物3-1的二氯甲烷(3mL)溶液中加入三氟乙酸(1mL)。室温反应2h。反应液浓缩,得标题化合物粗品,98mg。产物不经纯化直接用于下一步。ESI-MS(m/z):195.2[M+H] +。 Trifluoroacetic acid (1 mL) was added to a solution of Compound 3-1 in dichloromethane (3 mL). The reaction was carried out for 2 h at room temperature. The reaction mixture was concentrated to give crystall The product was used in the next step without purification. ESI-MS (m/z): 195.2 [M+H] + .
步骤二:Step two:
1-((1-(戊-4-炔酰基)哌啶-4-基)甲基)-1H-吡咯-2,5-二酮(化合物3-3)的合成Synthesis of 1-((1-(pent-4-ynyl)piperidin-4-yl)methyl)-1H-pyrrole-2,5-dione (Compound 3-3)
室温条件下,将N,N-二异丙基乙胺(67mg,0.52mmol)和O-(7-氮杂苯并三唑-1-基)-N,N,N′,N′-四甲基脲六氟磷酸盐(235mg,0.62mmol)分别加入戊-4-炔酸(55mg,0.56mmol)和化合物3-2(100mg,0.52mmol)的二氯甲烷(5mL)溶液中,室温反应3h。反应液经制备高效液相色谱纯化(方法C)得标题化合物,89mg。ESI-MS(m/z):275.1[M+H] +。 N,N-diisopropylethylamine (67 mg, 0.52 mmol) and O-(7-azabenzotriazol-1-yl)-N,N,N',N'-four at room temperature Methylurea hexafluorophosphate (235 mg, 0.62 mmol) was added to a solution of pent-4-ynoic acid (55 mg, 0.56 mmol) and compound 3-2 (100 mg, 0.52 mmol) in dichloromethane (5 mL). 3h. The reaction mixture was purified by preparative EtOAc (EtOAc) ESI-MS (m/z): 275.1 [M+H] + .
步骤三:Step three:
(2-((S)-4-((((4-((S)-35-(4-(3-(4-((2,5-二氧代-2,5-二氢-1H-吡咯-1-基)甲基)哌啶-1-基)-3-氧代丙基)-1H-1,2,3-三唑-1-基)-2-(4-(((4-甲氧基苯基)二苯基甲基)氨基)丁基)-4,8-二氧代-6,12,15,18,21,24,27,30,33-九氧杂-3,9-二氮杂三十五烷酰胺基)苄基)氧基)羰基)氧基)-4-乙基-3,14-二氧代-3,4,12,14-四氢-1H-吡喃并[3′,4′:6,7]吲哚嗪并[1,2-b]喹啉-11-基)乙基)(异丙基)氨基甲酸叔丁酯(化合物3-4)的合成(2-((S)-4-(((((((((((((((((((((((((((()))) -pyrrol-1-yl)methyl)piperidin-1-yl)-3-oxopropyl)-1H-1,2,3-triazol-1-yl)-2-(4-((( 4-methoxyphenyl)diphenylmethyl)amino)butyl)-4,8-dioxo-6,12,15,18,21,24,27,30,33-nonaoxa- 3,9-diazatridecanoylamino)benzyl)oxy)carbonyl)oxy)-4-ethyl-3,14-dioxo-3,4,12,14-tetrahydro- 1H-pyrano[3',4':6,7]pyridazino[1,2-b]quinolin-11-yl)ethyl)(isopropyl)carbamic acid tert-butyl ester (Compound 3 -4) synthesis
采用与实施例1步骤三类似的合成方法,以化合物3-3代替(1r,4r)-4-((2,5-二氧代-2,5-二氢-1H-吡咯-1-基)甲基)-N-(丙-2-炔-1-基)环己烷甲酰胺,得标题化合物,26mg。ESI-MS(m/z):1893.9[M+H] +。 Substitution of compound 3-3 for (1r,4r)-4-((2,5-dioxo-2,5-dihydro-1H-pyrrol-1-yl) was carried out in a similar manner to that in the first step of Example 1. Methyl)-N-(prop-2-yn-1-yl)cyclohexanecarboxamide gave the title compound, 26 mg. ESI-MS (m/z): 1893.9 [M+H] + .
步骤四:Step four:
化合物I-4的合成Synthesis of Compound I-4
采用与实施例1步骤四类似的合成方法,以化合物3-4代替化合物1-4,得标题化合物的三氟乙酸盐,2.39mg。ESI-MS(m/z):1521.7[M+H] +。 The title compound was obtained as the trifluoroacetic acid salt of the title compound (yield: 2.39 mg). ESI-MS (m/z): 1521.7 [M+H] + .
实施例4Example 4
4-((S)-2-(4-氨基丁基)-35-(4-(((1r,4r)-4-((2,5-二氧代-2,5-二氢-1H-吡咯-1-基)甲基)环己烷甲酰胺基)甲基)-1H-1,2,3-三唑-1-基)-4,8-二氧代-6,12,15,18,21,24,27,30,33-九氧杂-3,9-二氮杂三十五烷酰胺基)苄基((S)-4-乙基-11-(2-(N-异丙基甲基磺酰胺基)乙基)-3,14-二氧代-3,4,12,14-四氢-1H-吡喃并[3′,4′:6,7]吲哚嗪并[1,2-b]喹啉-4-基)碳酸酯(化合物I-5)的合成4-((S)-2-(4-Aminobutyl)-35-(4-((1r,4r)-4-((2,5-dioxo-2,5-dihydro-1H) -pyrrol-1-yl)methyl)cyclohexanecarboxamido)methyl)-1H-1,2,3-triazol-1-yl)-4,8-dioxo-6,12,15 ,18,21,24,27,30,33-nonaoxa-3,9-diazatridecylamide)benzyl ((S)-4-ethyl-11-(2-(N -isopropylmethylsulfonamido)ethyl)-3,14-dioxo-3,4,12,14-tetrahydro-1H-pyrano[3',4':6,7]吲Synthesis of oxazino[1,2-b]quinolin-4-yl)carbonate (Compound I-5)
步骤一:step one:
(S)-N-(2-(4-乙基-4-羟基-3,14-二酮-3,4,12,14-四氢-1H-吡喃并[3′,4′:6,7]吲哚嗪并[1,2-b]喹啉-11-基)乙基)N-异丙基甲磺酰胺(化合物4-2)的合成(S)-N-(2-(4-ethyl-4-hydroxy-3,14-dione-3,4,12,14-tetrahydro-1H-pyrano[3',4':6 ,7]Synthesis of pyridazino[1,2-b]quinolin-11-yl)ethyl)N-isopropylmethanesulfonamide (Compound 4-2)
室温下,将化合物4-1盐酸盐(150mg,0.33mmol)溶于二氯甲烷(4mL)中,降温至0℃,滴加甲烷磺酰氯(109.5mg,0.96mmol),室温搅拌反应过夜。经制备高效液相色谱纯化(方法C)得标题化合物75mg。ESI-MS(m/z):512.3[M+H] +。 Compound 4-1 hydrochloride (150 mg, 0.33 mmol) was dissolved in dichloromethane (4 mL), EtOAc (EtOAc) Purification by preparative high performance liquid chromatography (Method C) gave the title compound 75 mg. ESI-MS (m/z): 512.3 [M+H] + .
步骤二:Step two:
4-((S)-35-叠氮基-2-(4-(((4-甲氧基苯基)二苯基甲基)氨基)丁基)-4,8-二氧代-6,12,15,18,21,24,27,30,33-九氧杂-3,9-二氮杂三十五烷酰胺基)苄基((S)-4-乙基-11-(2-(N-异丙基甲基磺酰胺基)乙基)-3,14-二氧代-3,4,12,14-四氢-1H-吡喃并[3′,4′:6,7]吲哚嗪并[1,2-b]喹啉-4-基)碳酸酯(化合物4-3)的合成4-((S)-35-azido-2-(4-(((4-methoxyphenyl)diphenylmethyl)amino)butyl)-4,8-dioxo-6 ,12,15,18,21,24,27,30,33-nonaoxa-3,9-diazatridecylamide)benzyl ((S)-4-ethyl-11-( 2-(N-isopropylmethylsulfonamido)ethyl)-3,14-dioxo-3,4,12,14-tetrahydro-1H-pyrano[3',4':6 ,7]Synthesis of oxazino[1,2-b]quinolin-4-yl)carbonate (Compound 4-3)
0℃及氮气氛围中将三光气(41mg,0.14mmol)的二氯甲烷溶液(1mL)滴加入4-二甲氨基吡啶(136.5mg,1.12mmol)和化合物4-2(71.7mg,0.14mmol)的二氯甲烷(4mL)混合溶液中,反应1h。在氮气保护和0℃下,将(S)-2-(32-叠氮基-5-氧代-3,9,12,15,18,21,24,27,30-九氧杂-6-氮杂三十二烷酰胺基)-N-(4-(羟甲基)苯基)-6-(((4-甲氧基苯基)二苯基甲基)氨基)己酰胺(14.0mg,0.14mmol)加入反应液中,在0℃下反应2h。反应液经制备高效液相色谱纯化(方法A)得标题化合物,43.0mg。ESI-MS(m/z):1597.7[M+H] +。 A solution of triphosgene (41 mg, 0.14 mmol) in dichloromethane (1 mL) was added dropwise to 4-dimethylaminopyridine (136.5 mg, 1.12 mmol) and compound 4-2 (71.7 mg, 0.14 mmol). The mixed solution of dichloromethane (4 mL) was reacted for 1 h. (S)-2-(32-azido-5-oxo-3,9,12,15,18,21,24,27,30-nonaoxa-6 under nitrogen protection at 0 °C -azadodecanamide)-N-(4-(hydroxymethyl)phenyl)-6-(((4-methoxyphenyl)diphenylmethyl)amino)hexanamide (14.0 Mg, 0.14 mmol) was added to the reaction solution, and the mixture was reacted at 0 ° C for 2 h. The reaction mixture was purified by preparative EtOAc (EtOAc) ESI-MS (m/z): 1597.7 [M+H] + .
步骤三:Step three:
4-((S)-35-(4-(((1r,4r)-4-((2,5-二氧代-2,5-二氢-1H-吡咯-1-基)甲基)环己烷甲酰胺基)甲基)-1H-1,2,3-三唑-1-基)-2-(4-(((4-甲氧基苯基)二苯基甲基)氨基)丁基)-4,8-二氧代-6,12,15,18,21,24,27,30,33-九氧杂-3,9-二氮杂三十五烷酰胺基)苄基((S)-4-乙基-11-(2-(N-异丙基甲基磺酰胺基)乙基)-3,14-二氧代-3,4,12,14-四氢-1H-吡喃并[3′,4′:6,7]吲哚嗪并[1,2-b]喹啉-4-基)碳酸酯(化合物4-4)的合成。4-((S)-35-(4-(((1r,4r)-4-((2,5-dioxo-2,5-dihydro-1H-pyrrol-1-yl)methyl)) Cyclohexanecarboxamide)methyl)-1H-1,2,3-triazol-1-yl)-2-(4-((4-methoxyphenyl)diphenylmethyl)amino Butyl)-4,8-dioxo-6,12,15,18,21,24,27,30,33-nonoxa-3,9-diazatridecylamide)benzyl (S)-4-Ethyl-11-(2-(N-isopropylmethylsulfonamido)ethyl)-3,14-dioxo-3,4,12,14-tetrahydro Synthesis of -1H-pyrano[3',4':6,7]oxazino[1,2-b]quinolin-4-yl)carbonate (Compound 4-4).
室温下,将化合物4-3(43mg,0.025mmol)和(1r,4r)-4-((2,5-二氧代-2,5-二氢-1H-吡咯-1-基)甲基)-N-(丙-2-炔-1-基)环己烷甲酰胺(14.0mg,0.050mmol)加入到H 2O(0.4ml)和DMSO(1.6ml)的混合溶剂中,再加入溴化亚铜(10.8mg,0.075mmol),搅拌反应2h。过滤,滤液经制备高效液相色谱纯化(方法A)得标题化合物,30.0mg。ESI-MS(m/z):1871.8[M+H] +。 Compound 4-3 (43 mg, 0.025 mmol) and (1r, 4r)-4-((2,5-dioxo-2,5-dihydro-1H-pyrrol-1-yl)methyl at room temperature -N-(prop-2-yn-1-yl)cyclohexanecarboxamide (14.0 mg, 0.050 mmol) was added to a mixed solvent of H 2 O (0.4 ml) and DMSO (1.6 ml), followed by bromine Cuprous (10.8 mg, 0.075 mmol) was stirred for 2 h. Filtration and purification of the filtrate by preparative HPLC (Method A) ESI-MS (m/z): 1871.8 [M+H] + .
步骤四:Step four:
化合物I-5的合成Synthesis of Compound I-5
室温条件下,将化合物4-4(30mg,0.016mmol)加入三氟乙酸(0.2mL)、二氯甲烷(0.05mL)和水(0.025mL)的混合溶剂中,搅拌反应5min。反应液经制备高效液相色谱纯化(方法B)得标题化合物的三氟乙酸盐,5.68mg。Compound 4-4 (30 mg, 0.016 mmol) was added to a mixed solvent of trifluoroacetic acid (0.2 mL), dichloromethane (0.05 mL) and water (0.025 mL), and the mixture was stirred for 5 min. The reaction mixture was purified by preparative high-purpur chromatography (Method B).
1H NMR(400MHz,DMSO-d 6)δ10.19(s,1H),8.33(d,J=8.3Hz,1H),8.23-8.21(m,3H),8.10(t,J=5.6Hz,1H),7.89(t,J=7.9Hz,1H),7.82(s,1H),7.80(t,J=7.5Hz,1H),7.68(s,3H),7.61(d,J=8.4Hz,2H),7.33(d,J=8.5Hz,2H),7.06(s,1H),7.01(s,2H),5.54(d,J=3.9Hz,2H),5.46(s,2H),5.11(q,J=12.2Hz,2H),4.47(t,J=4.9Hz,3H),4.25(d,J=5.5Hz,2H),4.04(d,J=3.6Hz,2H),4.00(d,J=2.5Hz,2H),3.99-3.93(m,1H),3.78(t,J=5.2Hz,2H),3.50-3.43(m,32H),3.39-3.35(m,2H),3.28(q,J=5.6Hz,2H),3.23(d,J=7.0Hz,2H),3.00(s,3H),2.82-2.74(m,2H),2.21-2.15(m,2H),2.09-2.02(m,1H),1.82-1.66(m,4H),1.63-1.47(m,5H),1.42-1.23(m,4H),1.15(q,J=6.9Hz,6H),0.91(t,J=7.4Hz,3H),0.89-0.84(m,2H).ESI-MS(m/z):800.5[M/2+H] +。 1 H NMR (400MHz, DMSO- d 6) δ10.19 (s, 1H), 8.33 (d, J = 8.3Hz, 1H), 8.23-8.21 (m, 3H), 8.10 (t, J = 5.6Hz, 1H), 7.89 (t, J = 7.9 Hz, 1H), 7.82 (s, 1H), 7.80 (t, J = 7.5 Hz, 1H), 7.68 (s, 3H), 7.61 (d, J = 8.4 Hz, 2H), 7.33 (d, J = 8.5 Hz, 2H), 7.06 (s, 1H), 7.01 (s, 2H), 5.54 (d, J = 3.9 Hz, 2H), 5.46 (s, 2H), 5.11 ( q, J = 12.2 Hz, 2H), 4.47 (t, J = 4.9 Hz, 3H), 4.25 (d, J = 5.5 Hz, 2H), 4.04 (d, J = 3.6 Hz, 2H), 4.00 (d, J=2.5 Hz, 2H), 3.99-3.93 (m, 1H), 3.78 (t, J = 5.2 Hz, 2H), 3.50-3.43 (m, 32H), 3.39-3.35 (m, 2H), 3.28 (q) , J=5.6 Hz, 2H), 3.23 (d, J=7.0 Hz, 2H), 3.00 (s, 3H), 2.82-2.74 (m, 2H), 2.21-2.15 (m, 2H), 2.09-2.02 ( m,1H), 1.82-1.66 (m, 4H), 1.63-1.47 (m, 5H), 1.42-1.23 (m, 4H), 1.15 (q, J = 6.9 Hz, 6H), 0.91 (t, J = ESI-MS (m/z): 800.5 [M/2+H] + .
实施例5Example 5
4-((S)-2-(4-氨基丁基)-35-(4-(((1r,4r)-4-((2,5-二氧代-2,5-二氢-1H-吡咯-1-基)甲基)环己烷甲酰胺基)甲基)-1H-1,2,3-三唑-1-基)-4,8-二氧代-6,12,15,18,21,24,27,30,33-九氧杂-3,9-二氮杂三十五烷酰胺基)苄基((S)-4-乙基-11-(2-(N-异丙基乙酰胺基)乙基)-3,14-二氧代-3,4,12,14-四氢-1H-吡喃并[3′,4′:6,7]吲哚嗪并[1,2-b]喹啉-4-基)碳酸酯(化合物I-6)的合成4-((S)-2-(4-Aminobutyl)-35-(4-((1r,4r)-4-((2,5-dioxo-2,5-dihydro-1H) -pyrrol-1-yl)methyl)cyclohexanecarboxamido)methyl)-1H-1,2,3-triazol-1-yl)-4,8-dioxo-6,12,15 ,18,21,24,27,30,33-nonaoxa-3,9-diazatridecylamide)benzyl ((S)-4-ethyl-11-(2-(N -isopropylacetamido)ethyl)-3,14-dioxo-3,4,12,14-tetrahydro-1H-pyrano[3',4':6,7]pyridazine Synthesis of [1,2-b]quinolin-4-yl)carbonate (Compound I-6)
步骤一:step one:
(S)-N-(2-(4-乙基-4-羟基-3,14-二氧代-3,4,12,14-四氢-1H-吡喃并[3′,4′:6,7]吲哚嗪并[1,2-b]喹啉-11-基)乙基)-N-异丙基乙酰胺(化合物5-2)的合成(S)-N-(2-(4-ethyl-4-hydroxy-3,14-dioxo-3,4,12,14-tetrahydro-1H-pyrano[3',4': Synthesis of 6,7]oxazino[1,2-b]quinolin-11-yl)ethyl)-N-isopropylacetamide (Compound 5-2)
室温下,将三乙胺(300mg,3.0mmol)和乙酰氯(100mg,1.2mmol)依次滴入化合物5-1(440mg,1.0mmol)的二氯甲烷(30mL)溶液中,室温反应2h。反应液浓缩,制备高效液相色谱纯化(方法C)得标题化合物,185.2mg。ESI-MS(m/z):476.3[M+H] +。 Triethylamine (300 mg, 3.0 mmol) and acetyl chloride (100 mg, 1.2 mmol) were added dropwise to a solution of Compound 5-1 (440 mg, 1.0 mmol) in dichloromethane (30 mL). The reaction mixture was concentrated to give purified crystals crystals crystals eluted ESI-MS (m/z): 476.3 [M+H] + .
步骤二:Step two:
4-((S)-35-叠氮基-2-(4-(((4-甲氧基苯基)二苯基甲基)氨基)丁基)-4,8-二氧代-6,12,15,18,21,24,27,30,33-九氧杂-3,9-二氮杂三十五烷酰胺基)苄基((S)-4-乙基-11-(2-(N-异丙基乙酰胺基)乙基)-3,14-二氧代-3,4,12,14-四氢-1H-吡喃并[3′,4′:6,7]吲哚嗪并[1,2-b]喹啉-4-基)碳酸酯(化合物5-3)的合成4-((S)-35-azido-2-(4-(((4-methoxyphenyl)diphenylmethyl)amino)butyl)-4,8-dioxo-6 ,12,15,18,21,24,27,30,33-nonaoxa-3,9-diazatridecylamide)benzyl ((S)-4-ethyl-11-( 2-(N-isopropylacetamido)ethyl)-3,14-dioxo-3,4,12,14-tetrahydro-1H-pyrano[3',4':6,7 Synthesis of oxazino[1,2-b]quinolin-4-yl)carbonate (Compound 5-3)
室温下将化合物5-2(60mg,0.13mmol)溶于干燥的二氯甲烷(2mL)中,氮气保护,降温至0℃,加入4-二甲氨基吡啶(185mg,1.51mmol)的干燥二氯甲烷(0.5mL)溶液,然后缓慢滴加三光气(37mg,0.13mmol)的干燥二氯甲烷(0.5mL)溶液,加毕,0℃搅拌反应1小时。向反应液中加入(S)-2-(32-叠氮基-5-氧代-3,9,12,15,18,21,24,27,30-九氧杂-6-氮杂三十二烷酰胺基)-N-(4-(羟甲基)苯基)-6-(((4-甲氧基苯基)二苯基甲基)氨基)己酰胺(118mg,0.11mmol)的干燥二氯甲烷(0.5mL)溶液,加毕,在0℃下反应2h。制备高效液相色谱纯化(方法A)得标题化合物,60mg。ESI-MS(m/z):1562.5[M+H] +。 Compound 5-2 (60 mg, 0.13 mmol) was dissolved in dry dichloromethane <RTI ID=0.0>(2 </RTI><RTIID=0.0></RTI></RTI><RTIgt; A solution of methane (0.5 mL) was added dropwise a solution of triphos (37 mg, 0.13 mmol) in dry dichloromethane (0.5 mL), and the mixture was stirred and stirred at 0 ° C for 1 hour. (S)-2-(32-azido-5-oxo-3,9,12,15,18,21,24,27,30-nonaoxa-6-azatriene was added to the reaction solution. Dodecanoylamino)-N-(4-(hydroxymethyl)phenyl)-6-(((4-methoxyphenyl)diphenylmethyl)amino)hexanamide (118 mg, 0.11 mmol) A dry dichloromethane (0.5 mL) solution was added and the mixture was stirred at 0 ° C for 2 h. Purification by preparative high performance liquid chromatography (Method A) gave the title compound. ESI-MS (m/z): 1562.5 [M+H] + .
步骤三:Step three:
4-((2S)-35-(4-(((1r,4r)-4-((2,5-二氧代-2,5-二氢-1H-吡咯-1-基)甲基)环己烷甲酰胺基)甲基)-1H-1,2,3-三唑-1-基)-2-(4-(((4-甲氧基苯基)二苯基甲基)氨基)丁基)-4,8-二氧代-6,12,15,18,21,24,27,30,33-九氧杂-3,9-二氮杂三十五烷酰胺基)苄基((S)-4-乙基-11-(2-(N-异丙基乙酰胺基)乙基)-3,14-二氧代-3,4,12,14-四氢-1H-吡喃并[3′,4′:6,7]吲哚嗪并[1,2-b]喹啉-4-基)碳酸酯(化合物5-4)的合成4-((2S)-35-(4-((1r,4r)-4-((2,5-dioxo-2,5-dihydro-1H-pyrrol-1-yl)methyl)) Cyclohexanecarboxamide)methyl)-1H-1,2,3-triazol-1-yl)-2-(4-((4-methoxyphenyl)diphenylmethyl)amino Butyl)-4,8-dioxo-6,12,15,18,21,24,27,30,33-nonoxa-3,9-diazatridecylamide)benzyl (S)-4-Ethyl-11-(2-(N-isopropylacetamido)ethyl)-3,14-dioxo-3,4,12,14-tetrahydro-1H Synthesis of pyrano[3',4':6,7]oxazino[1,2-b]quinolin-4-yl)carbonate (Compound 5-4)
室温下,将化合物5-3(20mg,0.012mmol)和(1r,4r)-4-((2,5-二氧代-2,5-二氢-1H-吡咯-1-基)甲基)-N-(丙-2-炔-1-基)环己烷甲酰胺(5.3mg,0.019mmol)溶于二甲基亚砜(0.5mL)和水(0.1mL)中,加入溴 化亚铜(3.67mg,0.026mmol),搅拌反应1h。过滤,滤液经制备高效液相色谱纯化(方法A)得标题化合物,18mg。ESI-MS(m/z):1836.5[M+H] +。 Compound 5-3 (20 mg, 0.012 mmol) and (1r, 4r)-4-((2,5-dioxo-2,5-dihydro-1H-pyrrol-1-yl)methyl at room temperature -N-(prop-2-yn-1-yl)cyclohexanecarboxamide (5.3 mg, 0.019 mmol) was dissolved in dimethyl sulfoxide (0.5 mL) and water (0.1 mL). Copper (3.67 mg, 0.026 mmol) was stirred for 1 h. Filtration and purification of the filtrate by preparative HPLC (Method A) ESI-MS (m/z): 1836.5 [M+H] + .
步骤四:Step four:
化合物I-6的合成Synthesis of Compound I-6
室温下将化合物5-4(18mg,0.011mmol)溶于乙腈(0.4ml)和水(0.1ml)中,滴加三氟乙酸(0.5ml)的乙腈(0.5ml)溶液,室温搅拌2h。反应液经制备高效液相色谱纯化(方法B)得标题化合物的三氟乙酸盐,14mg。Compound 5-4 (18 mg, 0.011 mmol) was dissolved in EtOAc (EtOAc) (EtOAc) The reaction mixture was purified by preparative high-purpur chromatography (Method B).
1H NMR(400MHz,DMSO-d 6)δ10.19(s,1H),8.57(d,J=8.5Hz,1H),8.21(t,J=6.4Hz,3H),8.10(t,J=5.6Hz,1H),7.89(t,J=7.9Hz,1H),7.82(s,1H),7.79(t,J=7.3Hz,1H),7.69(s,3H),7.61(d,J=8.6Hz,2H),7.33(d,J=8.6Hz,2H),7.05(s,1H),7.01(s,2H),5.54(d,J=4.0Hz,2H),5.45(s,2H),5.11(q,J=12.2Hz,2H),4.47(t,J=5.1Hz,3H),4.25(d,J=5.6Hz,2H),4.13-4.06(m,1H),4.04(d,J=3.6Hz,2H),4.00(d,J=2.6Hz,2H),3.78(t,J=5.3Hz,2H),3.50-3.40(m,34H),3.28(q,J=6.0Hz,2H),3.23(d,J=7.1Hz,2H),2.82-2.74(m,2H),2.23-2.16(m,2H),2.14(s,3H),2.10-2.02(m,1H),1.79-1.66(m,4H),1.63-1.47(m,5H),1.42-1.22(m,4H),1.19(q,J=3.1Hz,6H),0.91(t,J=7.3Hz,3H),0.89-0.83(m,2H).ESI-MS(m/z):1563.7[M+H] +。 1 H NMR (400 MHz, DMSO-d 6 ) δ 10.19 (s, 1H), 8.57 (d, J = 8.5 Hz, 1H), 8.21. (t, J = 6.4 Hz, 3H), 8.10 (t, J = 5.6 Hz, 1H), 7.89 (t, J = 7.9 Hz, 1H), 7.82 (s, 1H), 7.79 (t, J = 7.3 Hz, 1H), 7.69 (s, 3H), 7.61 (d, J = 8.6 Hz, 2H), 7.33 (d, J = 8.6 Hz, 2H), 7.05 (s, 1H), 7.01 (s, 2H), 5.54 (d, J = 4.0 Hz, 2H), 5.45 (s, 2H) , 5.11 (q, J = 12.2 Hz, 2H), 4.47 (t, J = 5.1 Hz, 3H), 4.25 (d, J = 5.6 Hz, 2H), 4.13-4.06 (m, 1H), 4.04 (d, J = 3.6 Hz, 2H), 4.00 (d, J = 2.6 Hz, 2H), 3.78 (t, J = 5.3 Hz, 2H), 3.50-3.40 (m, 34H), 3.28 (q, J = 6.0 Hz, 2H), 3.23 (d, J = 7.1 Hz, 2H), 2.82-2.74 (m, 2H), 2.23-2.16 (m, 2H), 2.14 (s, 3H), 2.10-2.02 (m, 1H), 1.79 -1.66 (m, 4H), 1.63-1.47 (m, 5H), 1.42-1.22 (m, 4H), 1.19 (q, J = 3.1 Hz, 6H), 0.91 (t, J = 7.3 Hz, 3H), ESI-MS (m/z): 1563.7 [M+H] + .
实施例6Example 6
4-((S)-2-(4-氨基丁基)-35-(4-((6-((2,5-二氧代-2,5-二氢-1H-吡咯-1-基)己酰胺基)甲基)-1H-1,2,3-三唑-1-基)-4,8-二氧代-6,12,15,18,21,24,27,30,33-九氧杂-3,9-二氮杂三十五烷酰胺基)苄基((S)-4-乙基-11-(2-(N-异丙基乙酰胺基)乙基)-3,14-二氧代-3,4,12,14-四氢-1H-吡喃并[3′,4′:6,7]吲哚嗪并[1,2-b]喹啉-4-基)碳酸酯(化合物I-7)的合成4-((S)-2-(4-Aminobutyl)-35-(4-((6-((2,5-dioxo-2,5-dihydro-1H-pyrrol-1-yl) Caproamido)methyl)-1H-1,2,3-triazol-1-yl)-4,8-dioxo-6,12,15,18,21,24,27,30,33 -nonaoxa-3,9-diazatridecanoylamino)benzyl ((S)-4-ethyl-11-(2-(N-isopropylacetamido)ethyl)- 3,14-dioxo-3,4,12,14-tetrahydro-1H-pyrano[3',4':6,7]pyridazino[1,2-b]quinoline-4 Synthesis of -base)carbonate (compound I-7)
步骤一:step one:
4-((S)-35-(4-((6-(2,5-二氧代-2,5-二氢-1H-吡咯-1-基)己酰胺基)甲基)-1H-1,2,3-三唑-1-基)-2-(4-(((4-甲氧基苯基)二苯基甲基)氨基)丁基)-4,8-二氧代-6,12,15,18,21,24,27,30,33-九氧杂-3,9-二氮杂三十五烷酰胺基)苄基((S)-4-乙基-11-(2-(N-异丙基乙酰胺基)乙基)-3,14-二氧代-3,4,12,14-四氢-1H-吡喃并[3′,4′:6,7]吲哚嗪并[1,2-b]喹啉-4-基)碳酸酯(化合物6-1)的合成4-((S)-35-(4-((6-(2,5-dioxo-2,5-dihydro-1H-pyrrol-1-yl)hexanamido)methyl)-1H- 1,2,3-triazol-1-yl)-2-(4-(((4-methoxyphenyl)diphenylmethyl)amino)butyl)-4,8-dioxo- 6,12,15,18,21,24,27,30,33-nonaoxa-3,9-diazatridecylamide)benzyl ((S)-4-ethyl-11- (2-(N-isopropylacetamido)ethyl)-3,14-dioxo-3,4,12,14-tetrahydro-1H-pyrano[3',4':6, 7] Synthesis of oxazino[1,2-b]quinolin-4-yl)carbonate (Compound 6-1)
采用与实施例5步骤三类似的合成方法,以6-(2,5-二氧代-2,5-二氢-1H-吡咯-1-基)N-(丙-2-炔-1- 基)己酰胺代替(1r,4r)-4-((2,5-二氧代-2,5-二氢-1H-吡咯-1-基)甲基)-N-(丙-2-炔-1-基)环己烷甲酰胺,经制备高效液相色谱纯化(方法A)得标题化合物,10mg。ESI-MS(m/z):1810.5[M+H] +。 Using a synthetic procedure similar to that of Step 3 of Example 5, 6-(2,5-dioxo-2,5-dihydro-1H-pyrrol-1-yl)N-(prop-2-yn-1- Substituted hexamide to replace (1r,4r)-4-((2,5-dioxo-2,5-dihydro-1H-pyrrol-1-yl)methyl)-N-(prop-2-yne) Purification by preparative high performance liquid chromatography (method A) gave the title compound, 10 mg. ESI-MS (m/z): 1810.5 [M+H] + .
步骤二:Step two:
4-((S)-2-(4-氨基丁基)-35-(4-((4-((2,5-二氧代-2,5-二氢-1H-吡咯-1-基)乙酰胺)甲基)-1H-1,2,3-三唑-1-基)-4,8-二氧代-6,12,15,18,21,24,27,30,33-九氧杂-3,9-二氮杂三十五烷基氨基)苄基((S)-4-乙基-11-(2-(N-异丙基乙酰胺基)乙基)-3,14-二氧-3,4,12,14-四氢-1H-吡喃并[3′,4′:6,7]吲哚嗪并[1,2-b]喹啉-4-基)碳酸酯三氟乙酸盐(化合物I-7)的合成4-((S)-2-(4-Aminobutyl)-35-(4-((4-((2,5-dioxo-2,5-dihydro-1H-pyrrol-1-yl) Acetamide)methyl)-1H-1,2,3-triazol-1-yl)-4,8-dioxo-6,12,15,18,21,24,27,30,33- Nonaza-3,9-diazatridecylamino)benzyl ((S)-4-ethyl-11-(2-(N-isopropylacetamido)ethyl)-3 ,14-Dioxy-3,4,12,14-tetrahydro-1H-pyrano[3',4':6,7]pyridazino[1,2-b]quinolin-4-yl Synthesis of Carbonate Trifluoroacetate (Compound I-7)
采用与实施例5步骤四类似的合成方法,以化合物6-1代替化合物5-4,经制备高效液相色谱纯化(方法B)得标题化合物的三氟乙酸盐,1.67mg。ESI-MS(m/z):1537.7[M+H] +。 The title compound was purified by preparative high-performance liquid chromatography (Method B) to give the title compound as a trifluoroacetate, 1.67 mg. ESI-MS (m/z): 1537.7 [M+H] + .
实施例7Example 7
4-((S)-2-(4-氨基丁基)-35-(4-(3-(4-((2,5-二氧代-2,5-二氢-1H-吡咯-1-基)甲基)哌啶-1-基)-3-氧代丙基)-1H-1,2,3-三唑-1-基)-4,8-二氧代-6,12,15,18,21,24,27,30,33-九氧杂-3,9-二氮杂三十五烷酰胺基)苄基((S)-4-乙基-11-(2-(N-异丙基甲基磺酰胺基)乙基)-3,14-二氧代-3,4,12,14-四氢-1H-吡喃并[3′,4′:6,7]吲哚嗪并[1,2-b]喹啉-4-基)碳酸酯(化合物I-8)的合成4-((S)-2-(4-Aminobutyl)-35-(4-(3-(4-((2,5-dioxo-2,5-dihydro-1H-pyrrole-1) -yl)methyl)piperidin-1-yl)-3-oxopropyl)-1H-1,2,3-triazol-1-yl)-4,8-dioxo-6,12, 15,18,21,24,27,30,33-nonaoxa-3,9-diazatridecylamide)benzyl ((S)-4-ethyl-11-(2-( N-isopropylmethylsulfonylamino)ethyl)-3,14-dioxo-3,4,12,14-tetrahydro-1H-pyrano[3',4':6,7] Synthesis of oxazino[1,2-b]quinolin-4-yl)carbonate (Compound I-8)
步骤一:step one:
4-((S)-35-(4-(3-(4-((2,5-二氧代-2,5-二氢-1H-吡咯-1-基)甲基)哌啶-1-基)-3-氧代丙基)-1H-1,2,3-三唑-1-基)-2-(4-(((4-甲氧基苯基)二苯基甲基)氨基)丁基)-4,8-二氧代-6,12,15,18,21,24,27,30,33-九氧杂-3,9-二氮杂三十五烷酰胺基)苄基((S)-4-乙基-11-(2-(N-异丙基甲基磺酰胺基)乙基)-3,14-二氧代-3,4,12,14-四氢-1H-吡喃并[3′,4′:6,7]吲哚嗪并[1,2-b]喹啉-4-基)碳酸酯(化合物7-1)的合成4-((S)-35-(4-(3-(4-((2,5-dioxo-2,5-dihydro-1H-pyrrol-1-yl)methyl)piperidine-1 -yl)-3-oxopropyl)-1H-1,2,3-triazol-1-yl)-2-(4-((4-methoxyphenyl)diphenylmethyl) Amino)butyl)-4,8-dioxo-6,12,15,18,21,24,27,30,33-nonoxa-3,9-diazatridecylamide) Benzyl ((S)-4-ethyl-11-(2-(N-isopropylmethylsulfonamido)ethyl)-3,14-dioxo-3,4,12,14-tetra Synthesis of Hydrogen-1H-pyrano[3',4':6,7]oxazino[1,2-b]quinolin-4-yl)carbonate (Compound 7-1)
采用与实施例5步骤三类似的合成方法,以1-((1-(戊-4-炔酰基)哌啶-4-基)甲基)-1H-吡咯-2,5-二酮代替(1r,4r)-4-((2,5-二氧代-2,5-二氢-1H-吡咯-1-基)甲基)-N-(丙-2-炔-1-基)环己烷甲酰胺,经制备高效液相色谱纯化(方法A)得标题化合物,35mg。ESI-MS(m/z):1871.8[M+H] +。 Substitution with 1-((1-(pent-4-ynyl)piperidin-4-yl)methyl)-1H-pyrrole-2,5-dione by a similar method to the third step of Example 5 ( 1r,4r)-4-((2,5-dioxo-2,5-dihydro-1H-pyrrol-1-yl)methyl)-N-(prop-2-yn-1-yl) ring The title compound was obtained after purification by preparative high-purity chromatography (Method A). ESI-MS (m/z): 1871.8 [M+H] + .
步骤二:Step two:
化合物I-8的制备Preparation of Compound I-8
采用与实施例5步骤四类似的合成方法,以化合物7-1代替化合物5-4,经制备高效液相色谱纯化(方法B)得标题化合物的三氟乙酸盐,9.15mg。ESI-MS(m/z):1599.7[M+H] +。 The title compound was obtained as a trifluoroacetic acid salt of the title compound (yield: EtOAc). ESI-MS (m/z): 1599.7 [M+H] + .
实施例8Example 8
4-((S)-2-(4-氨基丁基)-35-(4-(3-(4-((2,5-二氧代-2,5-二氢-1H-吡咯-1-基)甲基)哌啶-1-基)-3-氧代丙基)-1H-1,2,3-三唑-1-基)-4,8-二氧代-6,12,15,18,21,24,27,30,33-九氧杂-3,9-二氮杂三十五烷酰胺基)苄基((S)-4-乙基-11-(2-(N-异丙基乙酰胺基)乙基)-3,14-二氧代-3,4,12,14-四氢-1H-吡喃并[3′,4′:6,7]吲哚嗪并[1,2-b]喹啉-4-基)碳酸酯(化合物I-9)的合成4-((S)-2-(4-Aminobutyl)-35-(4-(3-(4-((2,5-dioxo-2,5-dihydro-1H-pyrrole-1) -yl)methyl)piperidin-1-yl)-3-oxopropyl)-1H-1,2,3-triazol-1-yl)-4,8-dioxo-6,12, 15,18,21,24,27,30,33-nonaoxa-3,9-diazatridecylamide)benzyl ((S)-4-ethyl-11-(2-( N-isopropylacetamido)ethyl)-3,14-dioxo-3,4,12,14-tetrahydro-1H-pyrano[3',4':6,7]吲哚Synthesis of oxazolo[1,2-b]quinolin-4-yl)carbonate (Compound I-9)
步骤一:step one:
4-((S)-35-(4-(3-(4-((2,5-二氧代-2,5-二氢-1H-吡咯-1-基)甲基)哌啶-1-基)-3-氧代丙基)-1H-1,2,3-三唑-1-基)-2-(4-(((4-甲氧基苯基)二苯基甲基)氨基)丁基)-4,8-二氧代-6,12,15,18,21,24,27,30,33-九氧杂-3,9-二氮杂三十五烷酰胺基)苄基((S)-4-乙基-11-(2-(N-异丙基乙酰胺基)乙基)-3,14-二氧代-3,4,12,14-四氢-1H-吡喃并[3′,4′:6,7]吲哚嗪并[1,2-b]喹啉-4-基)碳酸酯(化合物8-1)的合成4-((S)-35-(4-(3-(4-((2,5-dioxo-2,5-dihydro-1H-pyrrol-1-yl)methyl)piperidine-1 -yl)-3-oxopropyl)-1H-1,2,3-triazol-1-yl)-2-(4-((4-methoxyphenyl)diphenylmethyl) Amino)butyl)-4,8-dioxo-6,12,15,18,21,24,27,30,33-nonoxa-3,9-diazatridecylamide) Benzyl ((S)-4-ethyl-11-(2-(N-isopropylacetamido)ethyl)-3,14-dioxo-3,4,12,14-tetrahydro- Synthesis of 1H-pyrano[3',4':6,7]oxazino[1,2-b]quinolin-4-yl)carbonate (Compound 8-1)
采用实施例5步骤三类似的合成方法,以1-((1-(戊-4-炔酰基)哌啶-4-基)甲基)-1H-吡咯-2,5-二酮代替(1r,4r)-4-((2,5-二氧代-2,5-二氢-1H-吡咯-1-基)甲基)-N-(丙-2-炔-1-基)环己烷甲酰胺,经制备高效液相色谱纯化(方法A)得标题化合物,30mg。ESI-MS(m/z):1835.8[M+H] +。 Substituting 1-((1-(pent-4-ynyl)piperidin-4-yl)methyl)-1H-pyrrole-2,5-dione (1r) in a similar manner to the third step of Example 5 , 4r)-4-((2,5-dioxo-2,5-dihydro-1H-pyrrol-1-yl)methyl)-N-(prop-2-yn-1-yl)cyclohexane The title compound was obtained after purification by preparative HPLC (Method A). ESI-MS (m/z): 1835.8 [M+H] + .
步骤二:Step two:
化合物I-9的制备Preparation of Compound I-9
采用与实施例5步骤四类似的合成方法,以化合物8-1代替化合物5-4,经制备高效液相色谱纯化(方法B)得标题化合物的三氟乙酸盐,23.3mg。ESI-MS(m/z):1563.7[M+H] +。 The title compound was obtained as a trifluoroacetic acid salt of the title compound (23.3 mg). ESI-MS (m/z): 1563.7 [M+H] + .
实施例9Example 9
4-((S)-36-(4-氨基丁基)-1-((1r,4r)-4-((2,5-二氧代-2,5-二氢-1H-吡咯-1-基)甲基)环己基)-1,30,34-三氧代-5,8,11,14,17,20,23,26,32-九氧杂-2,29,35-三氮杂三十七烷酰胺基)苄基((S)-4-乙基-11-(2-(N-异丙基甲基磺酰胺基)乙基)-3,14-二氧代-3,4,12,14-四氢-1H-吡喃并[3′,4′:6,7]吲哚嗪并[1,2-b]喹啉-4-基)碳酸酯(化合物I-10)的合成4-((S)-36-(4-aminobutyl)-1-((1r,4r)-4-((2,5-dioxo-2,5-dihydro-1H-pyrrole-1) -yl)methyl)cyclohexyl)-1,30,34-trioxo-5,8,11,14,17,20,23,26,32-nonaoxa-2,29,35-triazole Hetero-heptadecanoylamino)benzyl ((S)-4-ethyl-11-(2-(N-isopropylmethylsulfonamido)ethyl)-3,14-dioxo-3 ,4,12,14-tetrahydro-1H-pyrano[3',4':6,7]oxazino[1,2-b]quinolin-4-yl)carbonate (Compound I- 10) Synthesis
步骤一:step one:
4-((S)-35-氨基-2-(4-(((4-甲氧基苯基)二苯基甲基)氨基)丁基)-4,8-二氧代-6,12,15,18,21,24,27,30,33-九氧杂-3,9-二氮杂三十五烷酰胺基)苄基((S)-4-乙基-11-(2-(N-异丙基甲基磺酰胺基)乙基)-3,14-二氧代-3,4,12,14-四氢-1H-吡喃并[3′,4′:6,7]吲哚嗪并[1,2-b]喹啉-4-基)碳酸酯(化合物9-1)的合成4-((S)-35-Amino-2-(4-((4-methoxyphenyl)diphenylmethyl)amino)butyl)-4,8-dioxo-6,12 ,15,18,21,24,27,30,33-nonaoxa-3,9-diazatridecylamide)benzyl ((S)-4-ethyl-11-(2- (N-isopropylmethylsulfonylamino)ethyl)-3,14-dioxo-3,4,12,14-tetrahydro-1H-pyrano[3',4':6,7 Synthesis of oxazino[1,2-b]quinolin-4-yl)carbonate (Compound 9-1)
室温下,将化合物4-3(30mg,0.019mmol)溶于四氢呋喃(6.0mL)中,N 2保护下加入二氧化铂(5mg),氢气置换三次,室温条件下反应3h。滤除不溶物,滤液浓缩,粗品经制备高效液相色谱纯化(方法D)得标题化合物,15mg。ESI-MS(m/z):650.3[(M-273)/2+H] +。 Compound 4-3 (30 mg, 0.019 mmol) was dissolved in tetrahydrofuran (6.0 mL) at room temperature. Platinum dioxide (5 mg) was added under N 2 and the mixture was replaced with hydrogen three times and reacted at room temperature for 3 h. The insoluble material was filtered off, and the filtrate was concentrated. ESI-MS (m/z): 650.3 [(M-273) / 2+H] + .
步骤二:Step two:
4-((S)-1-((1r,4r)-4-((2,5-二氧代-2,5-二氢-1H-吡咯-1-基)甲基)环己基)-36-(4-(((4-甲氧基苯基)二苯基甲基)氨基)丁基)-1,30,34-三氧代-5,8,11,14,17,20,23,26,32-九氧杂-2,29,35-三氮杂三十七烷酰胺基)苄基((S)-4-乙基-11-(2-(N-异丙基甲基磺酰胺基)乙基)-3,14-二氧代-3,4,12,14-四氢-1H-吡喃并[3′,4′:6,7]吲哚嗪并[1,2-b]喹啉-4-基)碳酸酯(化合物9-2)的合成4-((S)-1-((1,5r)-4-((2,5-dioxo-2,5-dihydro-1H-pyrrol-1-yl)methyl)cyclohexyl)- 36-(4-((4-methoxyphenyl)diphenylmethyl)amino)butyl)-1,30,34-trioxo-5,8,11,14,17,20, 23,26,32-nonaoxa-2,29,35-triazatridecylamide)benzyl ((S)-4-ethyl-11-(2-(N-isopropyl) Alkylsulfonyl)ethyl)-3,14-dioxo-3,4,12,14-tetrahydro-1H-pyrano[3',4':6,7]pyridazine[1] Synthesis of 2-b]quinolin-4-yl)carbonate (Compound 9-2)
室温下,将化合物9-1(20mg,0.013mmol)和(1r,4r)-4-((2,5-二氧代-2,5-二氢-1H-吡咯-1-基)甲基)环己烷甲酸甲酯(6mg,0.019mmol)溶于二氯甲烷(2mL)中,滴加N,N-二异丙基乙胺(3.0mg,0.025mmol),加毕,室温反应30min。反应液直接用于下一步反应。Compound 9-1 (20 mg, 0.013 mmol) and (1r, 4r)-4-((2,5-dioxo-2,5-dihydro-1H-pyrrol-1-yl)methyl at room temperature Methyl cyclohexanecarboxylate (6 mg, 0.019 mmol) was dissolved in dichloromethane (2 mL), and N,N-diisopropylethylamine (3.0 mg, 0.025 mmol) was added dropwise. The reaction solution was used directly for the next reaction.
步骤三:Step three:
化合物I-10的合成Synthesis of Compound I-10
向化合物9-2(20mg,0.011mmol)的二氯甲烷(2.0mL)反应液中加入三氟乙酸(0.1mL),室温反应30min。反应液浓缩,经制备高效液相色谱纯化(方法B)得标题化合物的三氟乙酸盐,4.0mg。ESI-MS(m/z):760.0[M/2+H] +。 Trifluoroacetic acid (0.1 mL) was added to a reaction mixture of Compound 9-2 (20 mg, 0.011 mmol The reaction mixture was concentrated and purified by preparative EtOAc (EtOAc) ESI-MS (m/z): 760.0 [M / 2+H] + .
实施例10Example 10
4-((S)-36-(4-氨基丁基)-1-((1r,4r)-4-((2,5-二氧代-2,5-二氢-1H-吡咯-1-基)甲基)环己基)-1,30,34-三氧代-5,8,11,14,17,20,23,26,32-九氧杂-2,29,35-三氮杂三十七烷酰胺基)苄基((S)-4-乙基-11-(2-(N-异丙基乙酰胺基)乙基)-3,14-二氧代-3,4,12,14-四氢-1H-吡喃并[3′,4′:6,7]吲哚嗪并[1,2-b]喹啉-4-基)碳酸酯(化合物I-11)的合成4-((S)-36-(4-aminobutyl)-1-((1r,4r)-4-((2,5-dioxo-2,5-dihydro-1H-pyrrole-1) -yl)methyl)cyclohexyl)-1,30,34-trioxo-5,8,11,14,17,20,23,26,32-nonaoxa-2,29,35-triazole Hetero-heptadecanolamide)benzyl ((S)-4-ethyl-11-(2-(N-isopropylacetamido)ethyl)-3,14-dioxo-3,4 ,12,14-tetrahydro-1H-pyrano[3',4':6,7]oxazino[1,2-b]quinolin-4-yl)carbonate (Compound I-11) Synthesis
步骤一:step one:
4-((S)-35-氨基-2-(4-(((4-甲氧基苯基)二苯基甲基)氨基)丁基)-4,8-二氧代-6,12,15,18,21,24,27,30,33-九氧杂-3,9-二氮杂三十五烷酰胺基)苄基((S)-4-乙基-11-(2-(N-异丙基乙酰胺基)乙基)-3,14-二氧代-3,4,12,14-四氢-1H-吡喃并[3′,4′:6,7]吲哚嗪并[1,2-b]喹啉-4-基)碳酸酯(化合物10-1)的合成4-((S)-35-Amino-2-(4-((4-methoxyphenyl)diphenylmethyl)amino)butyl)-4,8-dioxo-6,12 ,15,18,21,24,27,30,33-nonaoxa-3,9-diazatridecylamide)benzyl ((S)-4-ethyl-11-(2- (N-isopropylacetamido)ethyl)-3,14-dioxo-3,4,12,14-tetrahydro-1H-pyrano[3',4':6,7]吲Synthesis of oxazino[1,2-b]quinolin-4-yl)carbonate (Compound 10-1)
采用与实施例9步骤一类似的合成方法,以化合物5-3代替化合物4-3,经制备高效液相色谱纯化(方法D)得标题化合物,15mg。ESI-MS(m/z):632.5[(M-273)/2+H] +。 The title compound was obtained by the preparative high-performance liquid chromatography (method D). ESI-MS (m/z): 632.5 [(M-273) / 2+H] + .
步骤二:Step two:
4-((S)-1-((1r,4r)-4-((2,5-二氧代-2,5-二氢-1H-吡咯-1-基)甲基)环己基)-36-(4-(((4-甲氧基苯基)二苯基甲基)氨基)丁基)-1,30,34-三氧代-5,8,11,14,17,20,23,26,32-九氧杂-2,29,35-三氮杂三十七烷酰胺基)苄基((S)-4-乙基-11-(2-(N-异丙基乙酰胺基)乙基)-3,14-二氧代-3,4,12,14-四氢-1H-吡喃并[3′,4′:6,7]吲哚嗪并[1,2-b]喹啉-4-基)碳酸酯(化合物10-2)的合成4-((S)-1-((1,5r)-4-((2,5-dioxo-2,5-dihydro-1H-pyrrol-1-yl)methyl)cyclohexyl)- 36-(4-((4-methoxyphenyl)diphenylmethyl)amino)butyl)-1,30,34-trioxo-5,8,11,14,17,20, 23,26,32-nonaoxa-2,29,35-triazatridecanoylamino)benzyl ((S)-4-ethyl-11-(2-(N-isopropyl) Amido)ethyl)-3,14-dioxo-3,4,12,14-tetrahydro-1H-pyrano[3',4':6,7]pyridazine[1,2 Synthesis of -b]quinolin-4-yl)carbonate (Compound 10-2)
采用与实施例9步骤二类似的合成方法,以化合物10-1代替化合物9-1,反应液直接用于下一步反应。The synthesis method similar to the second step of Example 9 was carried out, and the compound 10-1 was used instead of the compound 9-1, and the reaction liquid was directly used for the next reaction.
步骤三:Step three:
化合物I-11的合成Synthesis of Compound I-11
采用与实施例9步骤三类似的合成方法,以化合物10-2代替化合物9-2,制备高效液相色谱纯 化(方法B)得标题化合物的三氟乙酸盐,1.5mg。ESI-MS(m/z):742.0[M/2+H] +。 Purification by high performance liquid chromatography (method B) gave the title compound as a trifluoroacetic acid salt, 1.5 mg. ESI-MS (m/z): 742.0 [M / 2+H] + .
实施例11Example 11
4-((S)-2-(4-氨基丁基)-35-(4-(((1r,4r)-4-((2,5-二氧代-2,5-二氢-1H-吡咯-1-基)甲基)环己烷甲酰胺基)甲基)-1H-1,2,3-三唑-1-基)-4,8-二氧代-6,12,15,18,21,24,27,30,33-九氧杂-3,9-二氮杂三十五烷酰胺基)-2-甲基苄基((S)-4-乙基-11-(2-(N-异丙基乙酰胺基)乙基)-3,14-二氧代-3,4,12,14-四氢-1H-吡喃并[3′,4′:6,7]吲哚嗪并[1,2-b]喹啉-4-基)碳酸酯(化合物I-12)的合成4-((S)-2-(4-Aminobutyl)-35-(4-((1r,4r)-4-((2,5-dioxo-2,5-dihydro-1H) -pyrrol-1-yl)methyl)cyclohexanecarboxamido)methyl)-1H-1,2,3-triazol-1-yl)-4,8-dioxo-6,12,15 ,18,21,24,27,30,33-nonaoxa-3,9-diazatridecylamide)-2-methylbenzyl ((S)-4-ethyl-11- (2-(N-isopropylacetamido)ethyl)-3,14-dioxo-3,4,12,14-tetrahydro-1H-pyrano[3',4':6, 7] Synthesis of oxazino[1,2-b]quinolin-4-yl)carbonate (Compound I-12)
步骤一:step one:
(S)-2-氨基-N-(4-(羟基甲基)-3-甲基苯基)-6-(((4-甲氧基苯基)二苯基甲基)氨基)己酰胺(化合物11-2)的合成(S)-2-Amino-N-(4-(hydroxymethyl)-3-methylphenyl)-6-(((4-methoxyphenyl)diphenylmethyl)amino)hexanamide Synthesis of (Compound 11-2)
室温下,将4-氨基-2-甲基苄醇(107mg,0.78mmol)和化合物11-1(500mg,0.78mmol)溶于二氯甲烷(5mL)中,加入2-乙氧基-1-乙氧羰基-1,2-二氢喹啉(289mg,1.17mmol),35℃下搅拌反应5h。降至室温,向反应液中加入二乙胺(1mL),继续搅拌2h。反应液浓缩,经硅胶柱色谱法纯化(DCM/MeOH=30/1)得标题化合物,300mg。4-Amino-2-methylbenzyl alcohol (107 mg, 0.78 mmol) and compound 11-1 (500 mg, 0.78 mmol) were dissolved in dichloromethane (5 mL). Ethoxycarbonyl-1,2-dihydroquinoline (289 mg, 1.17 mmol) was stirred at 35 ° C for 5 h. After dropping to room temperature, diethylamine (1 mL) was added to the reaction mixture and stirring was continued for 2 h. The reaction mixture was concentrated and purified mjjjjjjjj
步骤二:Step two:
(S)-2-(32-叠氮基-5-氧代-3,9,12,15,18,21,24,27,30-九氧杂-6-氮杂三十二烷酰胺基)-N-(4-(羟甲基)-3-甲基苯基)-6-(((4-甲氧基苯基)二苯基甲基)氨基)己酰胺(化合物11-3)的合成(S)-2-(32-azido-5-oxo-3,9,12,15,18,21,24,27,30-nonoxaoxa-6-azatridodecanoylamide -N-(4-(hydroxymethyl)-3-methylphenyl)-6-(((4-methoxyphenyl)diphenylmethyl)amino)hexanamide (Compound 11-3) Synthesis
室温下将化合物11-2(100mg,0.19mmol)和32-叠氮基-5-氧代-3,9,12,15,18,21,24,27,30-九氧杂-6-氮杂三十二烷-1-酸(103mg,0.19mmol)溶于二氯甲烷(5mL)中,加入2-乙氧基-1-乙氧羰基-1,2-二氢喹啉(69mg,0.28mmol),30℃下搅拌反应5h。反应液浓缩,经硅胶柱色谱法(DCM/MeOH=10/1)纯化得标题化合物,154mg。ESI-MS(m/z):1074.5[M+H] +。 Compound 11-2 (100 mg, 0.19 mmol) and 32-azido-5-oxo-3,9,12,15,18,21,24,27,30-nonaoxa-6-nitrogen at room temperature Hetero-d-dodecane-1-acid (103 mg, 0.19 mmol) was dissolved in dichloromethane (5 mL) and 2-ethoxy-1-ethoxycarbonyl-1,2-dihydroquinoline (69 mg, 0.28) Methyl), the reaction was stirred at 30 ° C for 5 h. The reaction mixture was concentrated and purified tolulululululu ESI-MS (m/z): 1074.5 [M+H] + .
步骤三:Step three:
4-((S)-35-叠氮基-2-(4-(((4-甲氧基苯基)二苯基甲基)氨基)丁基)-4,8-二氧代-6,12,15,18,21,24,27,30,33-九氧杂-3,9-二氮杂三十五烷酰胺基)-2-甲基苄基((S)-4-乙基-11-(2-(N-异丙基 乙酰胺基)乙基)-3,14-二氧代-3,4,12,14-四氢-1H-吡喃并[3′,4′:6,7]吲哚嗪并[1,2-b]喹啉-4-基)碳酸酯(化合物11-4)的合成4-((S)-35-azido-2-(4-(((4-methoxyphenyl)diphenylmethyl)amino)butyl)-4,8-dioxo-6 ,12,15,18,21,24,27,30,33-nonaoxa-3,9-diazatridecylamide)-2-methylbenzyl ((S)-4-B -11-(2-(N-isopropylacetamido)ethyl)-3,14-dioxo-3,4,12,14-tetrahydro-1H-pyrano[3',4 Synthesis of ':6,7]oxazino[1,2-b]quinolin-4-yl)carbonate (Compound 11-4)
采用实施例5步骤二类似的合成方法,以化合物11-3代替(S)-2-(32-叠氮基-5-氧代-3,9,12,15,18,21,24,27,30-九氧杂-6-氮杂三十二烷酰胺基)-N-(4-(羟甲基)苯基)-6-(((4-甲氧基苯基)二苯基甲基)氨基)己酰胺,经制备高效液相色谱纯化(方法A)得标题化合物,60mg。ESI-MS(m/z):1575.6[M+H] +。 Substituting the compound 11-3 for the substitution of (S)-2-(32-azido-5-oxo-3,9,12,15,18,21,24,27 by a similar synthesis method in the second step of Example 5. , 30-nonaoxa-6-azatridodecanoylamino)-N-(4-(hydroxymethyl)phenyl)-6-(((4-methoxyphenyl)diphenyl) Purification by preparative high performance liquid chromatography (Method A) gave the title compound, 60 mg. ESI-MS (m/z): 1575.6 [M+H] + .
步骤四:Step four:
4-((S)-35-(4-(((1r,4r)-4-((2,5-二氧代-2,5-二氢-1H-吡咯-1-基)甲基)环己烷甲酰胺基)甲基)-1H-1,2,3-三唑-1-基)-2-(4-(((4-甲氧基苯基)二苯基甲基)氨基)丁基)-4,8-二氧代-6,12,15,18,21,24,27,30,33-九氧杂-3,9-二氮杂三十五烷酰胺基)-2-甲基苄基((S)-4-乙基-11-(2-(N-异丙基乙酰胺基)乙基)-3,14-二氧代-3,4,12,14-四氢-1H-吡喃并[3′,4′:6,7]吲哚嗪并[1,2-b]喹啉-4-基)碳酸酯(化合物11-5)的合成4-((S)-35-(4-(((1r,4r)-4-((2,5-dioxo-2,5-dihydro-1H-pyrrol-1-yl)methyl)) Cyclohexanecarboxamide)methyl)-1H-1,2,3-triazol-1-yl)-2-(4-((4-methoxyphenyl)diphenylmethyl)amino Butyl)-4,8-dioxo-6,12,15,18,21,24,27,30,33-nonoxa-3,9-diazatridecylamide)- 2-methylbenzyl ((S)-4-ethyl-11-(2-(N-isopropylacetamido)ethyl)-3,14-dioxo-3,4,12,14 Synthesis of tetrahydro-1H-pyrano[3',4':6,7]oxazino[1,2-b]quinolin-4-yl)carbonate (Compound 11-5)
采用实施例5步骤三类似的合成方法,以化合物11-4代替化合物5-3,经制备高效液相色谱纯化(方法A)得标题化合物,15mg。ESI-MS(m/z):1824.7[M+H] +。 The title compound was obtained by the preparative high-performance liquid chromatography (method A). ESI-MS (m/z): 1824.7 [M+H] + .
步骤五:Step five:
化合物I-12的合成Synthesis of Compound I-12
室温下,将化合物11-5(15mg,0.008mmol)溶于乙腈(0.4mL)和水(0.1mL)中,滴加三氟乙酸(0.5mL)的乙腈(0.5mL)溶液。室温搅拌2h。经制备高效液相色谱纯化(方法B)得标题化合物的三氟乙酸盐,8.12mg。ESI-MS(m/z):1577.7[M+H] +。 Compound 11-5 (15 mg, 0.008 mmol) was dissolved in acetonitrile (0.4 mL) and water (0.1 mL), and a solution of trifluoroacetic acid (0.5 mL) in acetonitrile (0.5 mL). Stir at room temperature for 2 h. Purification by preparative high performance liquid chromatography (Method B) gave the title compound. ESI-MS (m/z): 1577.7 [M+H] + .
实施例12Example 12
4-((S)-2-(4-氨基丁基)-35-(4-((6-(2,5-二氧代-2,5-二氢-1H-吡咯-1-基)己酰胺基)甲基)-1H-1,2,3-三唑-1-基)-4,8-二氧代-6,12,15,18,21,24,27,30,33-九氧杂-3,9-二氮杂三十五烷酰胺基)苄基((S)-4-乙基-11-(2-(N-异丙基甲基磺酰胺基)乙基)-3,14-二氧代-3,4,12,14-四氢-1H-吡喃并[3′,4′:6,7]吲哚嗪并[1,2-b]喹啉-4-基)碳酸酯(化合物I-13)的合成4-((S)-2-(4-Aminobutyl)-35-(4-((6-(2,5-dioxo-2,5-dihydro-1H-pyrrol-1-yl)) Hexanoyl)methyl)-1H-1,2,3-triazol-1-yl)-4,8-dioxo-6,12,15,18,21,24,27,30,33- Nonaza-3,9-diazatridecylamide)benzyl ((S)-4-ethyl-11-(2-(N-isopropylmethylsulfonamido)ethyl) -3,14-dioxo-3,4,12,14-tetrahydro-1H-pyrano[3',4':6,7]pyridazino[1,2-b]quinoline- Synthesis of 4-yl)carbonate (Compound I-13)
步骤一:step one:
4-((S)-35-(4-((6-(2,5-二氧代-2,5-二氢-1H-吡咯-1-基)己酰胺基)甲基)-1H-1,2,3-三唑-1-基)-2-(4-(((4-甲氧基苯基)二苯基甲基)氨基)丁基)-4,8-二氧代-6,12,15,18,21,24,27,30,33-九氧杂-3,9-二氮杂三十五烷酰胺基)苄基((S)-4-乙基-11-(2-(N-异丙基甲基磺酰胺基)乙基)-3,14-二氧代-3,4,12,14-四氢-1H-吡喃并[3′,4′:6,7]吲哚嗪并[1,2-b]喹啉-4-基)碳酸酯(化合物12-1)的合成4-((S)-35-(4-((6-(2,5-dioxo-2,5-dihydro-1H-pyrrol-1-yl)hexanamido)methyl)-1H- 1,2,3-triazol-1-yl)-2-(4-(((4-methoxyphenyl)diphenylmethyl)amino)butyl)-4,8-dioxo- 6,12,15,18,21,24,27,30,33-nonaoxa-3,9-diazatridecylamide)benzyl ((S)-4-ethyl-11- (2-(N-Isopropylmethylsulfonyl)ethyl)-3,14-dioxo-3,4,12,14-tetrahydro-1H-pyrano[3',4': Synthesis of 6,7]oxazino[1,2-b]quinolin-4-yl)carbonate (Compound 12-1)
采用实施例4中步骤三类似的合成方法,以6-(2,5-二氧代-2,5-二氢-1H-吡咯-1-基)-N-(丙-2-炔-1-基)己酰胺代替(1r,4r)-4-((2,5-二氧代-2,5-二氢-1H-吡咯-1-基)甲基)-N-(丙-2-炔-1-基)环己烷甲酰胺,经制备高效液相色谱纯化(方法A)得标题化合物,30mg。ESI-MS(m/z):1846.7[M+H] +。 Using a similar synthetic procedure as in step 3 of Example 4, 6-(2,5-dioxo-2,5-dihydro-1H-pyrrol-1-yl)-N-(prop-2-yne-1 -yl)hexanoic acid instead of (1r,4r)-4-((2,5-dioxo-2,5-dihydro-1H-pyrrol-1-yl)methyl)-N-(prop-2- Purification by preparative high performance liquid chromatography (method A) gave the title compound, 30 mg. ESI-MS (m/z): 1846.7 [M+H] + .
步骤二:Step two:
化合物I-13的合成Synthesis of Compound I-13
采用实施例4中步骤四类似的合成方法,以化合物12-1代替化合物4-4,经制备高效液相色谱纯化(方法B)得标题化合物的三氟乙酸盐,19.2mg。ESI-MS(m/z):1574.6[M+H] +。 The title compound was obtained as a trifluoroacetic acid salt of the title compound (19.2 mg). ESI-MS (m/z): 1574.6 [M+H] + .
偶联物的制备Preparation of conjugate
实施例13 II-1-A的制备Example 13 Preparation of II-1-A
取Sacituzumab 5mg,用稀释液(20mM PB+150mM NaCl+20mM依地酸钠溶液,pH 7.6)稀释(依地酸钠终浓度为5mM,抗体终浓度为10mg/mL),混匀;然后用1M Na 2PO4溶液调节pH至7.4,加入10mMTCEP溶液混匀,室温放置30min;向上述溶液体系加入溶解在二甲基亚砜中的I-1(I-1与抗体的摩尔比为9∶1),混匀,室温静置2h。最后采用G-25凝胶柱将缓冲液置换为pH 6.5的PBS溶液,得到I-1与抗体偶联的产物,命名为II-1-A。 Take 5 mg of Sacituzumab, dilute with a diluent (20 mM PB + 150 mM NaCl + 20 mM sodium edetate solution, pH 7.6) (final concentration of sodium edetate 5 mM, final antibody concentration of 10 mg / mL), mix; then use 1M The Na 2 PO4 solution was adjusted to pH 7.4, mixed with 10 mM TCEP solution, and allowed to stand at room temperature for 30 min; I-1 (I-1 to antibody molar ratio of 9:1) dissolved in dimethyl sulfoxide was added to the above solution system. , mix, and let stand at room temperature for 2 h. Finally, the buffer was replaced with a PBS solution of pH 6.5 using a G-25 gel column to obtain a product of I-1 and antibody coupling, designated as II-1-A.
实施例14 II-5-A的制备Example 14 Preparation of II-5-A
采用与实施例13类似的方法,将I-1替换为I-3,得到I-3与抗体偶联的产物,命名为II-5-A。In a similar manner to Example 13, I-1 was replaced with I-3 to give the product of I-3 and antibody coupling, designated II-5-A.
实施例15 II-6-A的制备Example 15 Preparation of II-6-A
采用与实施例13类似的方法,将I-1替换为I-4,得到I-4与抗体偶联的产物,命名为II-6-A。In a similar manner to Example 13, I-1 was replaced with I-4 to give the product of I-4 and antibody coupling, designated II-6-A.
实施例16 II-7-A的制备Example 16 Preparation of II-7-A
采用与实施例13类似的方法,将I-1替换为I-5,得到I-5与抗体偶联的产物,命名为II-7-A。In a similar manner to Example 13, I-1 was replaced with I-5 to give the product of I-5 and antibody coupling, designated II-7-A.
实施例17 II-8-A的制备Example 17 Preparation of II-8-A
采用与实施例13类似的方法,将I-1替换为I-6,得到I-6与抗体偶联的产物,命名为II-8-A。In a similar manner to Example 13, I-1 was replaced with I-6 to give the product of I-6 and antibody coupling, designated II-8-A.
实施例18 II-9-A的制备Example 18 Preparation of II-9-A
采用与实施例13类似的方法,将I-1替换为I-7,得到I-7与抗体偶联的产物,命名为II-9-A。In a similar manner to Example 13, I-1 was replaced with I-7 to give the product of I-7 and antibody coupling, designated II-9-A.
实施例19 II-10-A的制备Example 19 Preparation of II-10-A
采用与实施例13类似的方法,将I-1替换为I-8,得到I-8与抗体偶联的产物,命名为II-10-A。In a similar manner to Example 13, I-1 was replaced with I-8 to give the product of I-8 and antibody coupling, designated II-10-A.
实施例20 II-11-A的制备Example 20 Preparation of II-11-A
采用与实施例13类似的方法,将I-1替换为I-9,得到I-9与抗体偶联的产物,命名为II-11-A。In a similar manner to Example 13, I-1 was replaced with I-9 to give the product of I-9 and antibody coupling, designated II-11-A.
实施例21 II-12-A的制备Example 21 Preparation of II-12-A
采用与实施例13类似的方法,将I-1替换为I-10,得到I-10与抗体偶联的产物,命名为II-12-A。In a similar manner to Example 13, I-1 was replaced with I-10 to give the product of I-10 and antibody coupling, designated as II-12-A.
实施例22 II-13-A的制备Example 22 Preparation of II-13-A
采用与实施例13类似的方法,将I-1替换为I-11,得到I-11与抗体偶联的产物,命名为II-13-A。In a similar manner to Example 13, I-1 was replaced with I-11 to give the product of I-11 and antibody coupling, designated II-13-A.
实施例23 II-14-A的制备Example 23 Preparation of II-14-A
采用与实施例13类似的方法,将I-1替换为I-12,得到I-12与抗体偶联的产物,命名为II-14-A。In a similar manner to Example 13, I-1 was replaced with I-12 to give the product of I-12 and antibody coupling, designated II-14-A.
实施例24 II-15-A的制备Example 24 Preparation of II-15-A
采用与实施例13类似的方法,将I-1替换为I-13,得到I-13与抗体偶联的产物,命名为II-15-A。In a similar manner to Example 13, I-1 was replaced with I-13 to give the product of I-13 and antibody coupling, designated II-15-A.
偶联物的分子量测定与DAR值分析Molecular weight determination and DAR value analysis of conjugates
在以下实施例中,LC表示抗体轻链,HC表示抗体重链,DAR1表示包含一条抗体轻链或重链和一个细胞毒性剂的偶联物,DAR2表示包含一条抗体轻链或重链和两个细胞毒性剂的偶联物,DAR3表示包含一条抗体轻链或重链和三个细胞毒性剂的偶联物,DAR4表示包含一条抗体轻链或重链和四个细胞毒性剂的偶联物。In the following examples, LC represents the antibody light chain, HC represents the antibody heavy chain, DAR1 represents a conjugate comprising an antibody light or heavy chain and a cytotoxic agent, and DAR2 represents an antibody light or heavy chain and two a conjugate of a cytotoxic agent, DAR3 represents a conjugate comprising one antibody light or heavy chain and three cytotoxic agents, and DAR4 represents a conjugate comprising one antibody light or heavy chain and four cytotoxic agents .
实施例25对偶联后得到的偶联物进行LC-MS分子量分析Example 25 LC-MS molecular weight analysis of the conjugate obtained after coupling
样品处理:将待测样品稀释至1mg/mL,加入1M DTT(二硫苏糖醇)至DTT终浓度为20mmol/L,混匀后37℃水浴30min。Sample treatment: Dilute the sample to 1 mg/mL, add 1M DTT (dithiothreitol) to a final DTT concentration of 20 mmol/L, and mix at 37 ° C for 30 min.
色谱测定条件如下:The chromatographic conditions are as follows:
液相色谱柱:ACQUITU Protein BEH C18 1.7μm,2.1mm×100mm LC column: ACQUITU Protein BEH C18 1.7μm, 2.1mm×100mm
流动相A:0.1%甲酸(FA)/98%H 2O/2%乙腈(ACN);流动相B:0.1%FA/2%H 2O/98%ACN Mobile phase A: 0.1% formic acid (FA) / 98% H 2 O / 2% acetonitrile (ACN); mobile phase B: 0.1% FA / 2% H 2 O / 98% ACN
流速:0.25mL/min;样品室温度:8℃;柱温:60℃;进样量:1μgFlow rate: 0.25 mL/min; sample chamber temperature: 8 ° C; column temperature: 60 ° C; injection volume: 1 μg
洗脱条件:Elution conditions:
质谱测定条件:Mass spectrometry conditions:
质谱型号:Triple TOF 5600+Mass Spectrometer Model: Triple TOF 5600+
GS1 60;GS2 60;CUR30;TEM 350;ISVF5500;DP300;CE10;m/z 600-5000
化合物I-1与抗体偶联后形成的偶联物II-1-A的轻链和重链的理论分子量以及实测分子量(以主要糖型G0F计算)见下表:The theoretical molecular weight of the light chain and heavy chain of the conjugate II-1-A formed by coupling of the compound I-1 with the antibody and the measured molecular weight (calculated as the main glycoform G0F) are shown in the following table:
质谱去卷积结果如图1和2所示,根据质谱去卷积后信号强度比例计算DAR:轻链偶联0~2个细胞毒性剂(LC、DAR1和DAR2比例分别为22%、72%、6%),重链偶联1~3个细胞毒性剂(DAR1、DAR2和DAR3比例分别为49%、27%和24%),由此计算抗体与细胞毒性剂的偶联比(平均DAR值)为5.0。Mass spectrometry deconvolution results are shown in Figures 1 and 2. DAR: Light chain coupled with 0 to 2 cytotoxic agents (LC, DAR1 and DAR2 ratios of 22%, 72%, respectively) were calculated based on the ratio of signal intensity after mass deconvolution. 6%), heavy chain coupling of 1 to 3 cytotoxic agents (DAR1, DAR2 and DAR3 ratios of 49%, 27% and 24%, respectively), thereby calculating the coupling ratio of antibody to cytotoxic agent (average DAR) The value) is 5.0.
化合物I-3与抗体偶联后形成的偶联物II-5-A的轻链和重链的理论分子量以及实测分子量(以主要糖型G0F计算)见下表:The theoretical molecular weight of the light chain and heavy chain of the conjugate II-5-A formed by coupling of the compound I-3 with the antibody and the measured molecular weight (calculated as the main glycoform G0F) are shown in the following table:
质谱去卷积结果如图3和4所示,根据质谱去卷积后信号强度比例计算DAR:轻链偶联0~1个细胞毒性剂(LC和DAR1比例分别为18%和82%),重链偶联1~3个细胞毒性剂(DAR1、DAR2和DAR3比例分别为46%、20%和34%),由此计算抗体与细胞毒性剂的偶联比(平均DAR值)为5.4。Mass spectrometry deconvolution results are shown in Figures 3 and 4. DAR: Light chain coupled with 0 to 1 cytotoxic agent (LC and DAR1 ratios of 18% and 82%, respectively) was calculated based on the ratio of signal intensity after mass deconvolution. The heavy chain was coupled with 1 to 3 cytotoxic agents (the ratios of DAR1, DAR2, and DAR3 were 46%, 20%, and 34%, respectively), and the coupling ratio (average DAR value) of the antibody to the cytotoxic agent was calculated to be 5.4.
化合物I-4与抗体偶联后形成的偶联物II-6-A的轻链和重链的理论分子量以及实测分子量(以主要糖型G0F计算)见下表:The theoretical molecular weight of the light chain and heavy chain of the conjugate II-6-A formed by coupling of the compound I-4 with the antibody and the measured molecular weight (calculated as the main glycoform G0F) are shown in the following table:
质谱去卷积结果如图5和6所示,根据质谱去卷积后信号强度比例计算DAR:轻链偶联0~1个 细胞毒性剂(LC和DAR1比例分别为16%和84%),重链偶联1~3个细胞毒性剂(DAR1、DAR2和DAR3比例分别为31%、23%和46%),由此计算抗体与细胞毒性剂的偶联比(平均DAR值)为6.0。Mass spectrometry deconvolution results are shown in Figures 5 and 6. DAR: Light chain coupled with 0 to 1 cytotoxic agent (LC and DAR1 ratios of 16% and 84%, respectively) were calculated based on the ratio of signal intensity after mass deconvolution. The heavy chain was coupled with 1 to 3 cytotoxic agents (the ratios of DAR1, DAR2, and DAR3 were 31%, 23%, and 46%, respectively), and the coupling ratio (average DAR value) of the antibody to the cytotoxic agent was calculated to be 6.0.
化合物I-5与抗体偶联后形成的偶联物II-7-A的轻链和重链的理论分子量以及实测分子量(以主要糖型G0F计算)见下表:The theoretical molecular weight of the light chain and heavy chain of the conjugate II-7-A formed by coupling of the compound I-5 with the antibody and the measured molecular weight (calculated as the main glycoform G0F) are shown in the following table:
质谱去卷积结果如图7和8所示,根据质谱去卷积后信号强度比例计算DAR:轻链偶联0~1个细胞毒性剂(LC和DAR1比例分别为24%和76%),重链偶联0~4个细胞毒性剂(HC、DAR1、DAR2、DAR3和DAR4比例分别为6%、43%、20%、25%和6%),由此计算抗体与细胞毒性剂的偶联比(平均DAR值)为5.2。Mass spectrometry deconvolution results are shown in Figures 7 and 8. DAR: Light chain coupled with 0 to 1 cytotoxic agent (24% and 76% for LC and DAR1, respectively), based on the ratio of signal intensity after deconvolution by mass spectrometry, Heavy chain coupling of 0 to 4 cytotoxic agents (HC, DAR1, DAR2, DAR3, and DAR4 ratios of 6%, 43%, 20%, 25%, and 6%, respectively), thereby calculating the antibody and cytotoxic agent The joint ratio (average DAR value) was 5.2.
化合物I-6与抗体偶联后形成的偶联物II-8-A的轻链和重链的理论分子量以及实测分子量(以主要糖型G0F计算)见下表:The theoretical molecular weight of the light chain and heavy chain of the conjugate II-8-A formed by coupling of the compound I-6 with the antibody and the measured molecular weight (calculated as the main glycoform G0F) are shown in the following table:
质谱去卷积结果如图9和10所示,根据质谱去卷积后信号强度比例计算DAR:轻链偶联0~1个细胞毒性剂(LC和DAR1比例分别为19%和81%),重链偶联0~4个细胞毒性剂(HC、DAR1、DAR2、DAR3和DAR4比例分别为6%、37%、18%、32%和7%),由此计算抗体与细胞毒性剂的偶联比(平均DAR值)为5.5。Mass spectrometry deconvolution results are shown in Figures 9 and 10. DAR: Light chain coupled with 0 to 1 cytotoxic agent (19% and 81% for LC and DAR1, respectively) was calculated based on the ratio of signal intensity after mass deconvolution. Heavy chain coupling of 0 to 4 cytotoxic agents (HC, DAR1, DAR2, DAR3, and DAR4 ratios of 6%, 37%, 18%, 32%, and 7%, respectively), thereby calculating the antibody and cytotoxic agent The joint ratio (average DAR value) is 5.5.
化合物I-7与抗体偶联后形成的偶联物II-9-A的轻链和重链的理论分子量以及实测分子量(以主要糖型G0F计算)见下表:The theoretical molecular weight of the light chain and heavy chain of the conjugate II-9-A formed by coupling of the compound I-7 with the antibody and the measured molecular weight (calculated as the main glycoform G0F) are shown in the following table:
质谱去卷积结果如图11和12所示,根据质谱去卷积后信号强度比例计算DAR:轻链偶联0~1个细胞毒性剂(LC和DAR1比例分别为19%和81%),重链偶联0~3个细胞毒性剂(HC、DAR1、DAR2和DAR3比例分别为3%、45%、18%和34%),由此计算抗体与细胞毒性剂的偶联比(平均DAR值)为5.3。Mass spectrometry deconvolution results are shown in Figures 11 and 12. DAR: Light chain coupled with 0 to 1 cytotoxic agent (19% and 81% for LC and DAR1, respectively) was calculated based on the ratio of signal intensity after mass deconvolution. The heavy chain is coupled with 0 to 3 cytotoxic agents (HC, DAR1, DAR2, and DAR3 ratios of 3%, 45%, 18%, and 34%, respectively), thereby calculating the coupling ratio of the antibody to the cytotoxic agent (average DAR) The value) is 5.3.
化合物I-8与抗体偶联后形成的偶联物II-10-A的轻链和重链的理论分子量以及实测分子量(以主要糖型G0F计算)见下表:The theoretical molecular weight of the light chain and heavy chain of the conjugate II-10-A formed by coupling of the compound I-8 with the antibody and the measured molecular weight (calculated as the main glycoform G0F) are shown in the following table:
质谱去卷积结果如图13和14所示,根据质谱去卷积后信号强度比例计算DAR:轻链偶联0~1个细胞毒性剂(LC和DAR1比例分别为20%和80%),重链偶联0~4个细胞毒性剂(HC、DAR1、DAR2、DAR3和DAR4比例分别为4%、43%、20%、29%和4%),由此计算抗体与细胞毒性剂的偶联比(平均DAR值)为5.3。Mass spectrometry deconvolution results are shown in Figures 13 and 14. The DAR: light chain coupled with 0 to 1 cytotoxic agent (LC and DAR1 ratios of 20% and 80%, respectively) was calculated based on the ratio of signal intensity after mass deconvolution. Heavy chain coupling of 0 to 4 cytotoxic agents (HC, DAR1, DAR2, DAR3, and DAR4 ratios of 4%, 43%, 20%, 29%, and 4%, respectively), thereby calculating the antibody and cytotoxic agent The joint ratio (average DAR value) is 5.3.
化合物I-9与抗体偶联后形成的偶联物II-11-A的轻链和重链的理论分子量以及实测分子量(以主要糖型G0F计算)见下表:The theoretical molecular weight of the light chain and heavy chain of the conjugate II-11-A formed by coupling of the compound I-9 with the antibody and the measured molecular weight (calculated as the main glycoform G0F) are shown in the following table:
质谱去卷积结果如图15和16所示,根据质谱去卷积后信号强度比例计算DAR:轻链偶联0~1个细胞毒性剂(LC和DAR1比例分别为19%和81%),重链偶联0~4个细胞毒性剂(HC、DAR1、DAR2、DAR3和DAR4比例分别为5%、44%、17%、31%和3%),由此计算抗体与细胞毒性剂的偶联比(平均DAR值)为5.3。Mass spectrometry deconvolution results are shown in Figures 15 and 16. DAR: Light chain coupled with 0 to 1 cytotoxic agent (19% and 81% for LC and DAR1, respectively) was calculated based on the ratio of signal intensity after mass deconvolution. Heavy chain coupling of 0 to 4 cytotoxic agents (HC, DAR1, DAR2, DAR3, and DAR4 ratios of 5%, 44%, 17%, 31%, and 3%, respectively), thereby calculating the antibody and cytotoxic agent The joint ratio (average DAR value) is 5.3.
化合物I-10与抗体偶联后形成的偶联物II-12-A的轻链和重链的理论分子量以及实测分子量(以主要糖型G0F计算)见下表:The theoretical molecular weight of the light chain and heavy chain of the conjugate II-12-A formed by coupling of the compound I-10 with the antibody and the measured molecular weight (calculated as the main glycoform G0F) are shown in the following table:
质谱去卷积结果如图17和18所示,根据质谱去卷积后信号强度比例计算DAR:轻链偶联0~1个细胞毒性剂(LC和DAR1比例分别为26%和74%),重链偶联0~4个细胞毒性剂(HC、DAR1、DAR2、DAR3和DAR4比例分别为6%、41%、21%、23%和9%),由此计算抗体与细胞毒性剂的偶联比(平均DAR值)为5.2。Mass spectrometry deconvolution results are shown in Figures 17 and 18. DAR: Light chain coupled with 0 to 1 cytotoxic agent (LC and DAR1 ratios of 26% and 74%, respectively) was calculated based on the ratio of signal intensity after mass deconvolution. Heavy chain coupling of 0 to 4 cytotoxic agents (HC, DAR1, DAR2, DAR3, and DAR4 ratios of 6%, 41%, 21%, 23%, and 9%, respectively), thereby calculating the antibody and cytotoxic agent The joint ratio (average DAR value) was 5.2.
化合物I-11与抗体偶联后形成的偶联物II-13-A的轻链和重链的理论分子量以及实测分子量(以主要糖型G0F计算)见下表:The theoretical molecular weight of the light chain and heavy chain of the conjugate II-13-A formed by coupling of the compound I-11 with the antibody and the measured molecular weight (calculated as the main glycoform G0F) are shown in the following table:
质谱去卷积结果如图19和20所示,根据质谱去卷积后信号强度比例计算DAR:轻链偶联0~1 个细胞毒性剂(LC和DAR1比例分别为19%和81%),重链偶联0~3个细胞毒性剂(HC、DAR1、DAR2和DAR3比例分别为3%、47%、18%和32%),由此计算抗体与细胞毒性剂的偶联比(平均DAR值)为5.2。Mass spectrometry deconvolution results are shown in Figures 19 and 20. DAR: Light chain coupled with 0 to 1 cytotoxic agent (19% and 81% for LC and DAR1, respectively), based on the ratio of signal intensity after deconvolution of mass spectrometry, The heavy chain is coupled with 0 to 3 cytotoxic agents (HC, DAR1, DAR2, and DAR3 ratios of 3%, 47%, 18%, and 32%, respectively), thereby calculating the coupling ratio of the antibody to the cytotoxic agent (average DAR) The value) is 5.2.
化合物I-13与抗体偶联后形成的偶联物II-15-A的轻链和重链的理论分子量以及实测分子量(以主要糖型G0F计算)见下表:The theoretical molecular weight of the light chain and heavy chain of the conjugate II-15-A formed by coupling of the compound I-13 with the antibody and the measured molecular weight (calculated as the main glycoform G0F) are shown in the following table:
质谱去卷积结果如图21和22所示,根据质谱去卷积后信号强度比例计算DAR:轻链偶联0~1个细胞毒性剂(LC和DAR1比例分别为28%和72%),重链偶联0~4个细胞毒性剂(HC、DAR1、DAR2、DAR3和DAR4比例分别为9%、48%、19%、18%和6%),由此计算抗体与细胞毒性剂的偶联比(平均DAR值)为4.7。Mass spectrometry deconvolution results are shown in Figures 21 and 22, and DAR is calculated based on the ratio of signal intensity after deconvolution of mass spectrometry: light chain coupled with 0 to 1 cytotoxic agent (LC and DAR1 ratios are 28% and 72%, respectively). Heavy chain coupling of 0 to 4 cytotoxic agents (HC, DAR1, DAR2, DAR3, and DAR4 ratios of 9%, 48%, 19%, 18%, and 6%, respectively), thereby calculating the antibody and cytotoxic agent The joint ratio (average DAR value) is 4.7.
体积排阻色谱(SEC)分析Size exclusion chromatography (SEC) analysis
实施例26通过SEC-HPLC监测偶联反应,进行SEC检测。Example 26 The coupling reaction was monitored by SEC-HPLC for SEC detection.
色谱条件:Chromatographic conditions:
液相色谱柱:TOSOH TSKgel G3000 SWXL 7.8×300mmLiquid chromatography column: TOSOH TSKgel G3000 SWXL 7.8×300mm
流动相:25mmol/L Na 2HPO 4,25mmol/L NaH 2PO 4,300mmol/L NaCl,pH6.5 Mobile phase: 25 mmol/L Na 2 HPO 4 , 25 mmol/L NaH 2 PO 4 , 300 mmol/L NaCl, pH 6.5
流速:0.5mL/min;检测波长:280nm;柱温:室温;样品室温度:8℃Flow rate: 0.5 mL/min; detection wavelength: 280 nm; column temperature: room temperature; sample chamber temperature: 8 ° C
进样量:30μg;等度运行30minInjection volume: 30μg; isocratic operation for 30min
根据SEC保留时间及峰面积比例(图23),确认主要偶联产物分子量约为150kD,即I-1与抗体偶联得到的II-1-A,仍然保持抗体的完整结构。Based on the SEC retention time and peak area ratio (Fig. 23), it was confirmed that the main coupling product had a molecular weight of about 150 kD, that is, II-1-A obtained by coupling I-1 with the antibody, and still maintained the intact structure of the antibody.
根据SEC保留时间及峰面积比例(图24),确认主要偶联产物分子量约为150kD,即I-3与抗体偶联得到的II-5-A,仍然保持抗体的完整结构。Based on the SEC retention time and peak area ratio (Fig. 24), it was confirmed that the main coupling product had a molecular weight of about 150 kD, that is, II-5-A obtained by coupling I-3 with the antibody, and still maintained the intact structure of the antibody.
根据SEC保留时间及峰面积比例(图25),确认主要偶联产物分子量约为150kD,即I-5与抗体偶联得到的II-7-A,仍然保持抗体的完整结构。Based on the SEC retention time and peak area ratio (Fig. 25), it was confirmed that the main coupling product had a molecular weight of about 150 kD, that is, II-7-A obtained by coupling I-5 with the antibody, and still maintained the intact structure of the antibody.
根据SEC保留时间及峰面积比例(图26),确认主要偶联产物分子量约为150kD,即I-6与抗体偶联得到的II-8-A,仍然保持抗体的完整结构。Based on the SEC retention time and peak area ratio (Fig. 26), it was confirmed that the main coupling product had a molecular weight of about 150 kD, that is, II-8-A obtained by coupling I-6 with the antibody, and still maintained the intact structure of the antibody.
根据SEC保留时间及峰面积比例(图27),确认主要偶联产物分子量约为150kD,即I-8与抗体偶联得到的II-10-A,仍然保持抗体的完整结构。Based on the SEC retention time and peak area ratio (Fig. 27), it was confirmed that the main coupling product had a molecular weight of about 150 kD, that is, II-10-A obtained by coupling I-8 with the antibody, and still maintained the intact structure of the antibody.
根据SEC保留时间及峰面积比例(图28),确认主要偶联产物分子量约为150kD,即I-12与抗体偶联得到的II-14-A,仍然保持抗体的完整结构。Based on the SEC retention time and peak area ratio (Fig. 28), it was confirmed that the main coupling product had a molecular weight of about 150 kD, that is, II-14-A obtained by coupling I-12 with the antibody, and still maintained the intact structure of the antibody.
体积排阻色谱(SEC)分析显示,抗体偶联细胞毒性剂后,抗体的轻链和重链仍以疏水作用力等方式结合,保持抗体的完整结构,较好地保持了抗体的活性。Size exclusion chromatography (SEC) analysis showed that after the antibody was conjugated to the cytotoxic agent, the light and heavy chains of the antibody were still bound by hydrophobic interaction, etc., maintaining the intact structure of the antibody and maintaining the activity of the antibody well.
生物学测试Biological test
实施例27偶联物体外药效测试Example 27 conjugated object external drug efficacy test
该测试通过将本发明的细胞毒性剂(实施例1中的化合物1-1、实施例4中的化合物4-2和实施例5中的化合物5-2)及抗体-药物偶联物分别与肿瘤细胞共同培养,并检测线粒体内的脱氢酶的活性,以评价偶联物对细胞增殖的抑制作用。测试步骤:用对应检测培养基(RPMI1640含2%FBS)稀释偶联物,细胞毒性剂作为对照,以1000nM起始,4倍稀释,稀释12个浓度梯度。使用胰酶通过常规方法对乳腺癌细胞HCC1806(Trop-2阳性细胞系,南京科佰生物)进行消化,收集肿瘤细胞,用对应的检测培养基(RPMI1640含2%FBS)重悬。将稀释后的偶联物及细胞毒性剂分别加入到96孔板中,再加入细胞。细胞培养3天后,每孔加入CCK8试剂(RHINO BIO)20μL,反应2小时,使用酶标仪(厂家:Molecular Devices,型号:SpectraMax M2,检测波长为450nm)检测线粒体内的脱氢酶的活性, 据此计算细胞毒性剂及偶联物对乳腺癌细胞HCC1806生长抑制作用的EC 50值。偶联物对乳腺癌细胞HCC1806生长抑制结果如下表1所示: This test is carried out by using the cytotoxic agent of the present invention (Compound 1-1 in Example 1, Compound 4-2 in Example 4, and Compound 5-2 in Example 5) and antibody-drug conjugate, respectively. Tumor cells were co-cultured and the activity of dehydrogenase in the mitochondria was examined to evaluate the inhibitory effect of the conjugate on cell proliferation. Test procedure: The conjugate was diluted with the corresponding detection medium (RPMI 1640 containing 2% FBS), and the cytotoxic agent was used as a control, starting at 1000 nM, diluted 4 times, and diluting 12 concentration gradients. The breast cancer cells HCC1806 (Trop-2 positive cell line, Nanjing Branch) were digested by trypsin using conventional methods, and tumor cells were collected and resuspended in the corresponding assay medium (RPMI1640 containing 2% FBS). The diluted conjugate and cytotoxic agent were separately added to a 96-well plate and then added to the cells. After 3 days of cell culture, 20 μL of CCK8 reagent (RHINO BIO) was added to each well for 2 hours, and the activity of dehydrogenase in the mitochondria was measured using a microplate reader (manufactured by Molecular Devices, model: SpectraMax M2, detection wavelength: 450 nm). Based on this, the EC 50 value of the growth inhibitory effect of the cytotoxic agent and the conjugate on the breast cancer cell HCC1806 was calculated. The results of the growth inhibition of conjugates on breast cancer cells HCC1806 are shown in Table 1 below:
表1.偶联物对乳腺癌细胞HCC1806生长抑制结果Table 1. Growth inhibition results of conjugates on breast cancer cells HCC1806
如表1可见,本发明的抗体-药物偶联物对HCC1806(乳腺癌细胞)具有显著的生长抑制作用。As can be seen from Table 1, the antibody-drug conjugate of the present invention has a significant growth inhibitory effect on HCC1806 (breast cancer cells).
另外,实施例1中的化合物1-1、实施例4中的化合物4-2和实施例5中的化合物5-2对乳腺癌细胞HCC1806生长抑制作用的EC 50值分别为4.07nM、7.56nM及8.72nM,而其相应的抗体-药物偶联物II-1-A、II-7-A和II-8-A的EC 50值分别为1.54nM、1.63nM及1.15nM,明显低于相应的细胞毒性剂的EC 50值。这进一步说明,细胞毒性剂偶联抗体后,由于靶向性提高,其抑制肿瘤的活性明显增强。 Further, the EC 50 values of the growth inhibitory action of the compound 1-1 in Example 1, the compound 4-2 in the Example 4, and the compound 5-2 in the Example 5 on the breast cancer cell HCC1806 were 4.07 nM and 7.56 nM, respectively. And 8.72 nM, and the corresponding antibody-drug conjugates II-1-A, II-7-A and II-8-A have EC 50 values of 1.54 nM, 1.63 nM and 1.15 nM, respectively, which are significantly lower than corresponding The EC 50 value of the cytotoxic agent. This further demonstrates that after the cytotoxic agent is conjugated to the antibody, its tumor inhibiting activity is significantly enhanced due to increased targeting.
实施例28偶联物血浆稳定性测试Example 28 Conjugate Plasma Stability Test
实验方法:分别用大鼠血浆、食蟹猴血浆和0.5%牛血清白蛋白(BSA)PBS缓冲液配制II-1-A、II-7-A和II-8-A样品,置于37℃生化培养箱中,分别孵育0h、1h、4h、24h、48h和72h后取出,置于-80℃保存,采用LC/MS检测偶联物中细胞毒性剂的释放情况,以确定偶联物的血浆稳定性。II-1-A、II-7-A和II-8-A对应的细胞毒性剂分别为实施例1中的化合物1-1、实施例4中的化合物4-2和实施例5中的化合物5-2。Experimental methods: samples of II-1-A, II-7-A and II-8-A were prepared from rat plasma, cynomolgus plasma and 0.5% bovine serum albumin (BSA) PBS buffer, respectively, and placed at 37 ° C. In the biochemical incubator, they were incubated for 0h, 1h, 4h, 24h, 48h and 72h respectively, and then stored at -80 °C. The release of cytotoxic agent in the conjugate was determined by LC/MS to determine the conjugate. Plasma stability. The cytotoxic agents corresponding to II-1-A, II-7-A and II-8-A are the compound 1-1 in Example 1, the compound 4-2 in Example 4, and the compound in Example 5, respectively. 5-2.
由图29-31可知,在食蟹猴血浆、大鼠血浆和0.5%BSA PBS缓冲液中,II-1-A、II-7-A和II-8-A均具有良好的血浆稳定性。As can be seen from Figures 29-31, both II-1-A, II-7-A and II-8-A have good plasma stability in cynomolgus plasma, rat plasma and 0.5% BSA PBS buffer.
实施例29偶联物体内药效测试Example 29 Pharmacodynamic test in a coupled object
实验方法:将NCI-N87细胞在含10%热灭活胎牛血清的RPMI1640培养基中培养,收集指数生长期的NCI-N87细胞。用PBS重悬至适合浓度,接种于Balb/c裸鼠右侧肩胛处皮下。接种后肿瘤生长体积为约100-200mm 3时,剔除肿瘤体积过小(小于100mm 3)或过大(大于200mm 3)的小鼠,将余下小鼠进行随机分组(8只/组)并给药偶联物或溶剂对照(生理盐水),尾静脉注射,每周给药2次,共计3周。给药后观察3周,每周2次用游标卡尺测量肿瘤直径,并按如下计算公式计算肿瘤体积:V=0.5a 2×b,其中a和b分别表示肿瘤的长径和短径。每天观察记录动物死亡情况。 Experimental method: NCI-N87 cells were cultured in RPMI1640 medium containing 10% heat-inactivated fetal bovine serum, and NCI-N87 cells in exponential growth phase were collected. Resuspend in PBS to the appropriate concentration and inoculate subcutaneously on the right scapula of Balb/c nude mice. After approximately 100-200mm 3 volumes of inoculation of tumor growth, tumor volume removed too small (less than 100mm 3) or too large (greater than 200mm 3) mice, the remaining mice were randomized into groups (8 / group) and to Drug conjugate or solvent control (saline), tail vein injection, 2 times a week for a total of 3 weeks. After 3 weeks of administration, the tumor diameter was measured with a vernier caliper twice a week, and the tumor volume was calculated according to the following formula: V = 0.5 a 2 × b, where a and b represent the long and short diameters of the tumor, respectively. Animal deaths were recorded daily.
采用以下公式计算肿瘤生长抑制率TGI(%),用于评价抗体-药物偶联物的抑瘤疗效:The tumor growth inhibition rate TGI (%) was calculated using the following formula to evaluate the antitumor efficacy of antibody-drug conjugates:
TGI(%)=[1-(VT末-VT始)/(VC末-VC始)]×100%TGI (%) = [1- (VT end - VT start) / (VC end - VC start)] × 100%
其中,VT末:偶联物处理组实验结束时肿瘤体积均值,Among them, the end of VT: the mean volume of the tumor at the end of the experiment in the conjugate treatment group,
VT始:偶联物处理组给药开始时肿瘤体积均值,VT start: the mean volume of the tumor at the start of administration of the conjugate treatment group,
VC末:溶剂对照组实验结束时肿瘤体积均值,End of VC: the mean volume of the tumor at the end of the experiment in the solvent control group,
VC始:溶剂对照组给药开始时肿瘤体积均值。Beginning of VC: mean volume of tumor at the beginning of drug control group administration.
实验结果如下表2所示:The experimental results are shown in Table 2 below:
表2.偶联物体内药效测试结果Table 2. Results of drug efficacy test in coupled objects
由表2可知,本发明的偶联物(例如II-8-A和II-10-A)具有显著的抗肿瘤作用,并且P值结果说明偶联物与生理盐水组相比体现出明显的抑瘤药效趋势。As can be seen from Table 2, the conjugates of the present invention (e.g., II-8-A and II-10-A) have significant antitumor effects, and the P value results indicate that the conjugate exhibits significant contrast compared with the physiological saline group. Anti-tumor efficacy trend.
另外,在评价周期内偶联物处理组无动物死亡或体重下降,表明本发明的偶联物(例如II-8-A和II-10-A)不仅具有显著的抗肿瘤作用,还具有优良的安全性。In addition, there was no animal death or weight loss in the conjugate treatment group during the evaluation period, indicating that the conjugates of the present invention (for example, II-8-A and II-10-A) not only have remarkable antitumor effects, but also have excellent properties. Security.
尽管本发明通过之前的具体实施例得到说明,但应当理解,不应将其解释为受此限制。本发明涵盖之前公开的一般方面,并且本领域技术人员可在不背离本发明的精神和范围的情况下进行多种修饰或改变本发明的各种细节。因此,本说明书仅为说明的目的,而非为限制的目的。Although the invention has been illustrated by the foregoing specific embodiments, it should be understood that The present invention covers the general aspects of the invention, and various modifications and changes in the details of the invention may be made without departing from the spirit and scope of the invention. Accordingly, the description is for illustrative purposes only and not for purposes of limitation.
Claims (22)
Priority Applications (1)
| Application Number | Priority Date | Filing Date | Title |
|---|---|---|---|
| CN201980006396.1A CN111542324B (en) | 2018-02-11 | 2019-01-25 | Cytotoxic agents and conjugates thereof, preparation methods and uses thereof |
Applications Claiming Priority (2)
| Application Number | Priority Date | Filing Date | Title |
|---|---|---|---|
| CN201810140073 | 2018-02-11 | ||
| CN201810140073.9 | 2018-02-11 |
Publications (1)
| Publication Number | Publication Date |
|---|---|
| WO2019154120A1 true WO2019154120A1 (en) | 2019-08-15 |
Family
ID=67548185
Family Applications (1)
| Application Number | Title | Priority Date | Filing Date |
|---|---|---|---|
| PCT/CN2019/073148 Ceased WO2019154120A1 (en) | 2018-02-11 | 2019-01-25 | Cytotoxic agent and conjugate thereof, preparation method therefor and use thereof |
Country Status (2)
| Country | Link |
|---|---|
| CN (1) | CN111542324B (en) |
| WO (1) | WO2019154120A1 (en) |
Cited By (4)
| Publication number | Priority date | Publication date | Assignee | Title |
|---|---|---|---|---|
| WO2020156189A1 (en) * | 2019-01-30 | 2020-08-06 | 四川科伦博泰生物医药股份有限公司 | Camptothecin derivative and water-soluble prodrug thereof, pharmaceutical composition containing same, preparation method, and use |
| WO2021228141A1 (en) * | 2020-05-15 | 2021-11-18 | 四川科伦博泰生物医药股份有限公司 | Antibody drug conjugate, preparation method therefor and use thereof |
| CN116478175A (en) * | 2022-09-09 | 2023-07-25 | 杭州爱科瑞思生物医药有限公司 | Camptothecin-7-ethylamine derivative and preparation method and application thereof |
| US12297265B2 (en) | 2018-12-28 | 2025-05-13 | Sichuan Kelun-Biotech Biopharmaceutical Co., Ltd. | Antibody and use thereof |
Families Citing this family (1)
| Publication number | Priority date | Publication date | Assignee | Title |
|---|---|---|---|---|
| CN120093940A (en) * | 2021-02-09 | 2025-06-06 | 苏州宜联生物医药有限公司 | Bioactive substance conjugate and preparation method and use thereof |
Citations (6)
| Publication number | Priority date | Publication date | Assignee | Title |
|---|---|---|---|---|
| CN104755494A (en) * | 2012-10-11 | 2015-07-01 | 第一三共株式会社 | Antibody-Drug Conjugates |
| WO2015148126A1 (en) * | 2014-03-12 | 2015-10-01 | Invictus Oncology Pvt. Ltd. | Targeted drug delivery through affinity based linkers |
| CN105407891A (en) * | 2013-07-23 | 2016-03-16 | 免疫医疗公司 | Antibody-SN-38 immunoconjugate with CL2A linker |
| CN107206101A (en) * | 2014-12-03 | 2017-09-26 | 基因泰克公司 | Quaternary ammonium compound and its antibody drug conjugate |
| WO2017189279A1 (en) * | 2016-04-27 | 2017-11-02 | Immunomedics, Inc. | Efficacy of anti-trop-2-sn-38 antibody drug conjugates for therapy of tumors relapsed/refractory to checkpoint inhibitors |
| CN107469089A (en) * | 2016-06-07 | 2017-12-15 | 北京键凯科技股份有限公司 | A kind of PEG connexons and aglucon drug conjugates |
Family Cites Families (9)
| Publication number | Priority date | Publication date | Assignee | Title |
|---|---|---|---|---|
| US7282567B2 (en) * | 2002-06-14 | 2007-10-16 | Immunomedics, Inc. | Monoclonal antibody hPAM4 |
| US8877901B2 (en) * | 2002-12-13 | 2014-11-04 | Immunomedics, Inc. | Camptothecin-binding moiety conjugates |
| LT3903829T (en) * | 2009-02-13 | 2023-06-12 | Immunomedics, Inc. | Immunoconjugates with an intracellularly-cleavable linkage |
| WO2011068845A1 (en) * | 2009-12-02 | 2011-06-09 | Immunomedics, Inc. | Combining radioimmunotherapy and antibody-drug conjugates for improved cancer therapy |
| US9492566B2 (en) * | 2012-12-13 | 2016-11-15 | Immunomedics, Inc. | Antibody-drug conjugates and uses thereof |
| MX379460B (en) * | 2012-12-13 | 2025-03-11 | Immunomedics Inc | DOSES OF ANTIBODY IMMUNOCONJUGATES AND SN-38 FOR ENHANCED EFFICACY AND REDUCED TOXICITY. |
| ES2819573T3 (en) * | 2012-12-13 | 2021-04-16 | Immunomedics Inc | Method for Producing Antibody-SN-38 Immunoconjugates with a CL2A Linker |
| PT3204018T (en) * | 2014-10-07 | 2021-11-12 | Immunomedics Inc | Neoadjuvant use of antibody-drug conjugates |
| CN108697809A (en) * | 2016-08-23 | 2018-10-23 | 四川科伦博泰生物医药股份有限公司 | A kind of antibody-drug conjugates and its preparation method and application |
-
2019
- 2019-01-25 WO PCT/CN2019/073148 patent/WO2019154120A1/en not_active Ceased
- 2019-01-25 CN CN201980006396.1A patent/CN111542324B/en active Active
Patent Citations (6)
| Publication number | Priority date | Publication date | Assignee | Title |
|---|---|---|---|---|
| CN104755494A (en) * | 2012-10-11 | 2015-07-01 | 第一三共株式会社 | Antibody-Drug Conjugates |
| CN105407891A (en) * | 2013-07-23 | 2016-03-16 | 免疫医疗公司 | Antibody-SN-38 immunoconjugate with CL2A linker |
| WO2015148126A1 (en) * | 2014-03-12 | 2015-10-01 | Invictus Oncology Pvt. Ltd. | Targeted drug delivery through affinity based linkers |
| CN107206101A (en) * | 2014-12-03 | 2017-09-26 | 基因泰克公司 | Quaternary ammonium compound and its antibody drug conjugate |
| WO2017189279A1 (en) * | 2016-04-27 | 2017-11-02 | Immunomedics, Inc. | Efficacy of anti-trop-2-sn-38 antibody drug conjugates for therapy of tumors relapsed/refractory to checkpoint inhibitors |
| CN107469089A (en) * | 2016-06-07 | 2017-12-15 | 北京键凯科技股份有限公司 | A kind of PEG connexons and aglucon drug conjugates |
Cited By (4)
| Publication number | Priority date | Publication date | Assignee | Title |
|---|---|---|---|---|
| US12297265B2 (en) | 2018-12-28 | 2025-05-13 | Sichuan Kelun-Biotech Biopharmaceutical Co., Ltd. | Antibody and use thereof |
| WO2020156189A1 (en) * | 2019-01-30 | 2020-08-06 | 四川科伦博泰生物医药股份有限公司 | Camptothecin derivative and water-soluble prodrug thereof, pharmaceutical composition containing same, preparation method, and use |
| WO2021228141A1 (en) * | 2020-05-15 | 2021-11-18 | 四川科伦博泰生物医药股份有限公司 | Antibody drug conjugate, preparation method therefor and use thereof |
| CN116478175A (en) * | 2022-09-09 | 2023-07-25 | 杭州爱科瑞思生物医药有限公司 | Camptothecin-7-ethylamine derivative and preparation method and application thereof |
Also Published As
| Publication number | Publication date |
|---|---|
| CN111542324B (en) | 2023-09-12 |
| CN111542324A (en) | 2020-08-14 |
Similar Documents
| Publication | Publication Date | Title |
|---|---|---|
| US20240382612A1 (en) | Bioactive conjugate, preparation method therefor and use thereof | |
| CN111447939B (en) | Method for preparing conjugate | |
| US11071788B2 (en) | Antibody drug conjugates of kinesin spindel protein (KSP) inhibitors with antiB7H3-antibodies | |
| CN111542324B (en) | Cytotoxic agents and conjugates thereof, preparation methods and uses thereof | |
| US20180185510A1 (en) | Antibody drug conjugates of kinesin spindel protein (ksp) inhibitors with anti-b7h3-antibodies | |
| CA2990076A1 (en) | Antibody drug conjugates (adcs) and antibody prodrug conjugates (apdcs) with enzymatically cleavable groups | |
| TW201420117A (en) | Antibody-drug conjugate | |
| CN105102455A (en) | Hydrophilic self-immolative linkers and conjugates thereof | |
| WO2023155808A1 (en) | Conjugate of antibody-eribulin or derivative thereof, intermediate thereof, preparation method therefor, pharmaceutical composition thereof and use thereof | |
| WO2018192407A1 (en) | Cytotoxin and conjugate, uses of same, and preparation method therefor | |
| CA3038588A1 (en) | Medical use of anti-c met antibody-cytotoxic drug conjugate | |
| TW202535884A (en) | Selective drug release from conjugates of biologically active compounds | |
| KR102923527B1 (en) | Bioactive molecular conjugates, methods for preparing the same, and uses thereof | |
| TW202508638A (en) | Linker compounds and ligand-drug conjugates, preparation methods and uses thereof | |
| KR20260010741A (en) | Linker compounds and ligand-drug conjugates, methods for preparing the same, and uses thereof | |
| WO2024193692A1 (en) | Linker and use thereof in ligand drug conjugate |
Legal Events
| Date | Code | Title | Description |
|---|---|---|---|
| 121 | Ep: the epo has been informed by wipo that ep was designated in this application |
Ref document number: 19750593 Country of ref document: EP Kind code of ref document: A1 |
|
| NENP | Non-entry into the national phase |
Ref country code: DE |
|
| 122 | Ep: pct application non-entry in european phase |
Ref document number: 19750593 Country of ref document: EP Kind code of ref document: A1 |






















































































































































