WO2018178194A1 - Pharmaceutical compositions for use in the treatment of brain injuries or demyelinating disorders - Google Patents
Pharmaceutical compositions for use in the treatment of brain injuries or demyelinating disorders Download PDFInfo
- Publication number
- WO2018178194A1 WO2018178194A1 PCT/EP2018/058002 EP2018058002W WO2018178194A1 WO 2018178194 A1 WO2018178194 A1 WO 2018178194A1 EP 2018058002 W EP2018058002 W EP 2018058002W WO 2018178194 A1 WO2018178194 A1 WO 2018178194A1
- Authority
- WO
- WIPO (PCT)
- Prior art keywords
- compound
- chir99021
- svz
- gsk3p
- group
- Prior art date
- Legal status (The legal status is an assumption and is not a legal conclusion. Google has not performed a legal analysis and makes no representation as to the accuracy of the status listed.)
- Ceased
Links
Classifications
-
- A—HUMAN NECESSITIES
- A61—MEDICAL OR VETERINARY SCIENCE; HYGIENE
- A61K—PREPARATIONS FOR MEDICAL, DENTAL OR TOILETRY PURPOSES
- A61K31/00—Medicinal preparations containing organic active ingredients
- A61K31/33—Heterocyclic compounds
- A61K31/395—Heterocyclic compounds having nitrogen as a ring hetero atom, e.g. guanethidine or rifamycins
- A61K31/41—Heterocyclic compounds having nitrogen as a ring hetero atom, e.g. guanethidine or rifamycins having five-membered rings with two or more ring hetero atoms, at least one of which being nitrogen, e.g. tetrazole
- A61K31/425—Thiazoles
- A61K31/426—1,3-Thiazoles
-
- A—HUMAN NECESSITIES
- A61—MEDICAL OR VETERINARY SCIENCE; HYGIENE
- A61K—PREPARATIONS FOR MEDICAL, DENTAL OR TOILETRY PURPOSES
- A61K31/00—Medicinal preparations containing organic active ingredients
- A61K31/16—Amides, e.g. hydroxamic acids
- A61K31/165—Amides, e.g. hydroxamic acids having aromatic rings, e.g. colchicine, atenolol, progabide
-
- A—HUMAN NECESSITIES
- A61—MEDICAL OR VETERINARY SCIENCE; HYGIENE
- A61K—PREPARATIONS FOR MEDICAL, DENTAL OR TOILETRY PURPOSES
- A61K31/00—Medicinal preparations containing organic active ingredients
- A61K31/21—Esters, e.g. nitroglycerine, selenocyanates
- A61K31/215—Esters, e.g. nitroglycerine, selenocyanates of carboxylic acids
- A61K31/216—Esters, e.g. nitroglycerine, selenocyanates of carboxylic acids of acids having aromatic rings, e.g. benactizyne, clofibrate
-
- A—HUMAN NECESSITIES
- A61—MEDICAL OR VETERINARY SCIENCE; HYGIENE
- A61K—PREPARATIONS FOR MEDICAL, DENTAL OR TOILETRY PURPOSES
- A61K31/00—Medicinal preparations containing organic active ingredients
- A61K31/33—Heterocyclic compounds
- A61K31/395—Heterocyclic compounds having nitrogen as a ring hetero atom, e.g. guanethidine or rifamycins
- A61K31/495—Heterocyclic compounds having nitrogen as a ring hetero atom, e.g. guanethidine or rifamycins having six-membered rings with two or more nitrogen atoms as the only ring heteroatoms, e.g. piperazine or tetrazines
- A61K31/505—Pyrimidines; Hydrogenated pyrimidines, e.g. trimethoprim
- A61K31/506—Pyrimidines; Hydrogenated pyrimidines, e.g. trimethoprim not condensed and containing further heterocyclic rings
-
- A—HUMAN NECESSITIES
- A61—MEDICAL OR VETERINARY SCIENCE; HYGIENE
- A61K—PREPARATIONS FOR MEDICAL, DENTAL OR TOILETRY PURPOSES
- A61K31/00—Medicinal preparations containing organic active ingredients
- A61K31/33—Heterocyclic compounds
- A61K31/395—Heterocyclic compounds having nitrogen as a ring hetero atom, e.g. guanethidine or rifamycins
- A61K31/535—Heterocyclic compounds having nitrogen as a ring hetero atom, e.g. guanethidine or rifamycins having six-membered rings with at least one nitrogen and one oxygen as the ring hetero atoms, e.g. 1,2-oxazines
- A61K31/5375—1,4-Oxazines, e.g. morpholine
- A61K31/5377—1,4-Oxazines, e.g. morpholine not condensed and containing further heterocyclic rings, e.g. timolol
-
- A—HUMAN NECESSITIES
- A61—MEDICAL OR VETERINARY SCIENCE; HYGIENE
- A61K—PREPARATIONS FOR MEDICAL, DENTAL OR TOILETRY PURPOSES
- A61K45/00—Medicinal preparations containing active ingredients not provided for in groups A61K31/00 - A61K41/00
- A61K45/06—Mixtures of active ingredients without chemical characterisation, e.g. antiphlogistics and cardiaca
Definitions
- the invention is in the field of neuroregenerative medicine. Controlling the fate of neural stem cells represents a key therapeutic strategy in neuroregenerative medicine.
- the inventors used in silico genomic approaches, namely searchable platform-independent expression database/connectivity map (SPIED/CMAP) strategy, to identify small molecules that are predicted to regulate transcriptional changes associated with oligodendrogenesis and/or neurogenesis in the subventricular zone (SVZ) neurogenic niche.
- SPIED/CMAP searchable platform-independent expression database/connectivity map
- SVZ subventricular zone
- the present invention thus relates to compounds, such as PI3K or GSK3P inhibitors, and pharmaceutical composition for use in the treatment of brain injuries, such as perinatal hypoxia/ischemia, or demyelinating disorders, such as periventricular leukomalacias or multiple sclerosis.
- Perinatal cerebral hypoxia-ischemia resulting from compromised placental or pulmonary gas exchange, is a major cause of acute perinatal brain injury, leading ultimately to neurologic damage such as cerebral palsy, mental retardation, and epilepsy.
- neurologic damage such as cerebral palsy, mental retardation, and epilepsy.
- no individual neuroprotective agents have been proven safe and effective for the protection of neonates from neurological sequels after hypoxia/ischemia insults.
- SUMMARY Germinal activity persists after birth in the central nervous system. It is believed that gliogenesis and neurogenesis continues even throughout adulthood. These two processes are defined by stages of cell proliferation, migration and differentiation. The site for gliogenesis and neurogenesis occurs in the subventricular zone and subgranular layer of the hippocampal dentate gyrus, where the local environment tightly regulates germinal activity. Although there is evidence that suggests that both gliogenesis and neurogenesis increase after injuries such as hypoxic/ischemic brain injury, the endogenous repair mechanisms do not resolve the brain damage that occurs. Thus, directing the fate of neural stem cells in the subventricular zone would be an effective therapeutic strategy for promoting repair following neurodegeneration or demyelination.
- inhibitors of certain known pathways are capable of exhibiting similar transcriptional signatures as those observed in subventricular zone niches and/or lineages.
- Such inhibitors are likely to be capable of promoting oligodendrogenesis and/or neurogenesis of the post-natal or adult subventricular zone, and may therefore lead to the treatment of brain injuries, such as perinatal hypoxia/ischemia, or demyelinating disorders, such as periventricular leukomalacias or multiple sclerosis.
- a first object of the present disclosure is a compound for use in treating brain injuries, such as hypoxic/ischemic brain injury in the adult and/or perinatal hypoxia/ischemia, or demyelinating disorders, such as periventricular leukomalacias or multiple sclerosis, wherein said compound is selected among: ⁇ inhibitors of GSK3p, such as AR-A014418 and CHIR99021,
- inhibitors of HDAC such as tricho statin- A or vorinostat
- inhibitors of prolyl-4-hydroxylase that promotes Notch signalling such as ciclopirox
- ⁇ antagonists of ⁇ / ⁇ adrenergic receptors such as nadolol
- a preferred embodiment of the present disclosure relates to a compound which is an inhibitor of GSK3P or PI3K, for use in treating brain injuries or demyelinating disorders, in a subject in need thereof.
- said compound inhibitor of GSK3P may be selected from the group consisting of:
- 6-BIO and other indirubin analogs hymenialdisine, debromohymenialdisine, dibromocantherelline, meridianine A,
- TDZD-8 NP0011 1, HMK-32, Manzamine A, Palinurin, Tricantin, and L803-mts, or their pharmaceutically acceptable salts.
- said compound inhibitor of PBK may be selected from the group consisting of: LY294002 wortmannin, or a derivative of wortmannin, such as demthoxyviridin; or, an isoform-selective inhibitor of PI3K selected among the following compounds: NVP-BYL719 (Alpelisib, Novartis), BKM120 (Buparlisib), INK1117 (Millenium), A66 (University of Auckland), GSK260301 (Glaxosmithkhne), KIN-193 (Astra-Zeneca), TGX221 (Monash University), TG1202, CALlOl (Idelalisib, Gilead Sciences), GS-9820 (Gilead Sciences), AMG319 (Amgen), IC87114 (Icos Corporation), BAY80-6946 (Copanlisib, Bayer Healthcare), GDC0032 (Taselisib, Genentech/Roche), GDC09
- a second object of the present disclosure relates to a pharmaceutical composition, for use in the treatment of brain injury or demyelinating disorders, said composition comprising
- GSK3p • inhibitors of GSK3p, such as AR-A014418 and CHIR99021, ⁇ inhibitors of PI3K/Akt, such as LY294002,
- inhibitors of HDAC such as tricho statin- A or vorinostat
- inhibitors of prolyl-4-hydroxylase that promotes Notch signalling such as ciclopirox
- said pharmaceutical composition comprises (i) an inhibitor of GSK3P or PI3K as defined above, and (ii) a pharmaceutically acceptable carrier.
- a third object of the present disclosure relates to a method for promoting oligodendrogenesis and/or neurogenesis, said method comprising the administration of an efficient amount of the above-defined inhibitor (e.g. GSK3P or PI3K inhibitors) in a subject in need thereof, thereby promoting oligodendrogenesis and/or neurogenesis.
- an efficient amount of the above-defined inhibitor e.g. GSK3P or PI3K inhibitors
- inhibitor refers to a compound that binds to an enzyme and that is capable of inhibiting its catalytic activity upon the presence of the natural ligand of the enzyme, preferably dose-dependent. Intensity of the inhibition can be referred as IC50, i.e, the concentration of the inhibitors required to obtain 50% of inhibition in a determined assay. In specific embodiments, inhibitors have an IC50 of ⁇ or less, ⁇ or less, ⁇ ⁇ or less, ⁇ or less, ⁇ or less or InM or less, as measured in a functional assay.
- antagonists refers to a compound that binds to a receptor and block the activation of the receptor upon the presence of the natural ligand or an agonist of the receptor, preferably dose-dependent. Antagonist may block the binding of the natural ligand to the receptor (competitive antagonist) or be non-competitive antagonist. Intensity of the inhibition can also be referred as IC50, i.e, the concentration of the inhibitors required to obtain 50% of inhibition in a determined assay. In specific embodiments, antagonists may have an IC50 of ⁇ or less, ⁇ or less, ⁇ ⁇ or less, ⁇ or less, ⁇ or less or InM or less, as measured in a functional assay.
- small molecule refers to a molecule (natural or synthetic) of a size comparable to those organic molecules generally used in pharmaceuticals.
- Preferred small molecules range in size up to about 10000 Da, more preferably up to 5000 Da, more preferably up to 2000 Da and most preferably up to about 1000 Da.
- a compound capable of "promoting oligodendrogenesis” refers to a compound that is capable of inducing oligodendrocyte differentiation from neural stem cells either in vivo or in vitro. Such property can be tested for example as described in the example with the compound LY-294002 after infusion into the cerebrospinal fluid of the lateral ventricle of a mice (see MATERIALS AND METHODS part below, Section “in vivo procedures”).
- a compound capable of "promoting neurogenesis” refers to a compound that is capable of inducing neural precursor differentiation (in particular glutamatergic neural precursors) from neural stem cells, either in vivo or in vitro.
- the term "rejuvenation” refers to reinducing lineages or activity that is observed in the germinal region early after birth.
- treating denotes reversing, alleviating, inhibiting the progress of, or preventing the disorder or condition to which such term applies, or reversing, alleviating, inhibiting the progress of, or preventing one or more symptoms of the disorder or condition to which such term applies.
- the term "subject" refers to an animal. Typically, the animal is a mammal. A subject also refers to, for example, primates (e.g., human), cows, sheep, goats, horses, dogs, cats, rabbits, rats, mice, fish, birds and the like. In one preferred embodiment, the subject is a human.
- primates e.g., human
- the subject is a human.
- brain injuries refers to traumatic brain injury or other forms of acquired brain injury, including without limitation: hypoxic/ischemic brain injury in the adult, perinatal hypoxia/ischemia, or stroke.
- demyelinating disorders refers to any disease of the nervous system in which the myelin shealth surrounding neurons is damaged. More specifically, the term refers to demyelinating disorders of the central nervous system, including without limitation: multiple sclerosis, devic's diseases or other inflammatory demyelinating diseases, CNS neuropathies, central pontine meylinolysis, myelopathies like Tabes dorsalis, leukoencephalopathies, leukodystrophies, periventricular leukomalacia.
- said demyelinating disorders refer to multiple sclerosis or periventricular leukomalacias.
- the term "optionally substituted” refers to the replacement of hydrogen with a monovalent or divalent radical. Suitable substitution groups include, for example, hydroxyl, nitro, amino, imino, cyano, halo, thio, thioamido, amidino, imidino, oxo, oxamidino, methoxamidino, imidino, guanidino, sulfonamido, carboxyl, formyl, loweralkyl, haloloweralkyl, loweralkoxy, haloloweralkoxy, loweralkoxyalkyl, alkylcarbonyl, arylcarbonyl, aralkylcarbonyl, heteroarylcarbonyl, heteroaralkylcarbonyl, alkylthio, amino alky 1, cyano alky 1, and the like.
- substitution group can itself be substituted.
- the group substituted onto the substitution group can be carboxyl, halo; nitro, amino, cyano, hydroxyl, loweralkyl, loweralkoxy, aminocarbonyl,-SR, thioamido,-S0 3 H,-S0 2 R or cycloalkyl, where R is typically hydrogen, hydroxyl or loweralkyl.
- substituted substituent when the substituted substituent includes a straight chain group, the substitution can occur either within the chain (e. g., 2-hydroxypropyl, 2-aminobutyl, and the like) or at the chain terminus (e. g., 2 -hydroxy ethyl, 3-cyanopropyl, and the like).
- Substituted substitutents can be straight chain, branched or cyclic arrangements of covalently bonded carbon or heteroatoms.
- “Loweralkyl” as used herein refers to branched or straight chain alkyl groups comprising one to ten carbon atoms that are unsubstituted or substituted, e. g., with one or more halogen, hydroxyl or other groups, including, e. g., methyl, ethyl, propyl, isopropyl, n-butyl, t-butyl, neopentyl, trifiuoromethyl, pentafluoroethyl and the like.
- “Alkylenyl” refers to a divalent straight chain or branched chain saturated aliphatic radical having from 1 to 20 carbon atoms.
- alkylenyl groups employed in compounds of the present invention are loweralkylenyl groups that have from 1 to about 6 carbon atoms in their backbone.
- Alkenyl refers herein to straight chain, branched, or cyclic radicals having one or more double bonds and from 2 to 20 carbon atoms.
- Alkynyl refers herein to straight chain, branched, or cyclic radicals having one or more triple bonds and from 2 to 20 carbon atoms.
- Loweralkoxy refers to R-O- wherein R is loweralkyl.
- Representative examples of loweralkoxy groups include methoxy, ethoxy, t-butoxy, trifiuoromethoxy and the like.
- Cycloalkyl refers to a mono-or polycyclic, heterocyclic or carbocyclic alkyl substituent. Typical cycloalkyl substituents have from 3 to 8 backbone (i. e., ring) atoms in which each backbone atom is either carbon or a heteroatom.
- 'Tieterocycloalkyl refers herein to cycloalkyl substituents that have from 1 to 5, and more typically from 1 to 4 heteroatoms in the ring structure. Suitable heteroatoms employed in compounds of the present invention are nitrogen, oxygen, and sulfur. Representative heterocycloalkyl moieties include, for example, morpholino, piperazinyl, piperadinyl and the like.
- Carbocycloalkyl groups are cycloalkyl groups in which all ring atoms are carbon.
- polycyclic refers herein to fused and non-fused alkyl cyclic structures.
- Halo refers herein to a halogen radical, such as fluorine, chlorine, bromine or iodine.
- HaloalkyF' refers to an alkyl radical substituted with one or more halogen atoms.
- haloloweralkyl refers to a loweralkyl radical substituted with one or more halogen atoms.
- haloalkoxy refers to an alkoxy radical substituted with one or more halogen atoms.
- 'Tialoloweralkoxy refers to a loweralkoxy radical substituted with one or more, halogen atoms.
- Aryl refers to monocyclic and polycyclic aromatic groups having from 3 to 14 backbone carbon or hetero atoms, and includes both carbocyclic aryl groups and heterocyclic aryl groups.
- Carbocyclic aryl groups are aryl groups in which all ring atoms in the aromatic ring are carbon.
- hetero aryl refers herein to aryl groups having from 1 to 4 heteroatoms as ring atoms in an aromatic ring with the remainder of the ring atoms being carbon atoms.
- polycyclic refers herein to fused and non-fused cyclic structures in which at least one cyclic structure is aromatic, such as, for example, benzodioxozolo (which has a heterocyclic structure fused to a phenyl group, naphthyl, and the like.
- Exemplary aryl moieties employed as substituents in compounds of the present invention include phenyl, pyridyl, pyrimidinyl, thiazolyl, indolyl, imidazolyl, oxadiazolyl, tetrazolyl, pyrazinyl, triazolyl, thiophenyl, furanyl, quinolinyl, purinyl, naphthyl, benzothiazolyl, benzopyridyl, and benzimidazolyl, and the like.
- aralkyl refers to an alkyl group substituted with an aryl group. Typically, aralkyl groups employed in compounds of the present invention have from 1 to 6 carbon atoms incorporated within the alkyl portion of the aralkyl group. Suitable aralkyl groups employed in compounds of the present invention include, for example, benzyl, picolyl, and the like.
- Amino refers herein to the group-NH2.
- alkylamino refers herein to the group- NRR'where R and Rare each independently selected from hydrogen or a lower alkyl.
- arylamino refer herein to the group -NRR'where R is aryl and R'is hydrogen, a lower alkyl, or an aryl.
- aralkylamino refer herein to the group NRR'where R is a lower aralkyl and R'is hydrogen, a loweralkyl, an aryl, or a loweraralkyl.
- arylcycloalkylamino refers herein to the group, aryl-cycloalkyl-NH-, where cycloalkyl is a divalent cycloalkyl group. Typically, cycloalkyl has from 3 to 6 backbone atoms, of which, optionally 1 to about 4 are heteroatoms.
- aminoalkyl refers to an alkyl group that is terminally substituted with an amino group.
- alkoxyalkyl refers to the group-alkl ,-0-alk2 where alkl is alkylenyl or alkenyl, and alk2 is alkyl or alkenyl.
- loweralkoxyalkyl refers to an alkoxyalkyl where alkl , is loweralkylenyl or loweralkenyl, and alk2 is loweralkyl or loweralkenyl.
- aryloxyalkyl refers to the group-alkylenyl-O-aryl.
- aralkoxyalkyl refers to the group-alkylenyl-O-aralkyl, where aralkyl is a loweraralkyl.
- alkoxyalkylamino refers herein to the group-NR- (alkoxylalkyl), where R is typically hydrogen, loweraralkyl, or loweralkyl.
- aminoloweralkoxyalkyl refers herein to an aminoalkoxyalkyl in which the alkoxyalkyl is a loweralkoxyalkyl.
- aminocarbonyl refers herein to the group-C (0)-NH2.
- Substituted aminocarbonyl refers herein to the group -C(0)-NRR where R is loweralkyl and R' is hydrogen or a loweralkyl.
- arylaminocarbonyl refers herein to the group -C(O) NRR' where R is an aryl and R' is hydrogen, loweralkyl or aryl.
- aralkylaminocarbonyl refers herein to the group -C(0)-NRR' where R is loweraralkyl and R' is hydrogen, loweralkyl, aryl, or loweraralkyl.
- aminosulfonyl refers herein to the group -S (0) 2 -NH 2 .
- Substituted aminosulfonyl refer herein to the group -S(0) 2 -NRR' where R is loweralkyl and R is hydrogen or a loweralkyl.
- aralkylaminosulfonlyaryl refers herein to the group -aryl-S(0) 2 -NH-aralkyl, where the aralkyl is loweraralkyl.
- Carbonyl refers to the divalent group-C (O)-.
- Carbonyloxy refers generally to the group -C(0)-0-. Such groups include esters, -C (O)-O- R, where R is loweralkyl, cycloalkyl, aryl, or loweraralkyl.
- carbonyloxy cycloalkyl refers generally herein to both an"carbonyloxycarbocycloalkyl” and an"carbonyloxyheterocycloalkyl", i. e., where R is a carbocycloalkyl or heterocycloalkyl, respectively.
- arylcarbonyloxy refer herein to the group C(0)-0-aryl, where aryl is a mono-or polycyclic, carbocycloaryl or heterocycloaryl.
- aralkylcarbonyloxy refers herein to the group -C(0)-0-aralkyl, where the aralkyl is loweraralkyl.
- sulfonyl refers herein to the group-S0 2 -.
- Alkylsulfonyl refers to a substituted sulfonyl of the structure-S0 2 R- in which R is alkyl.
- Alkylsulfonyl groups employed in compounds of the present invention are typically loweralkylsulfonyl groups having from 1 to 6 carbon atoms in its backbone structure.
- typical alkylsulfonyl groups employed in compounds of the present invention include, for example, methylsulfonyl (i. e., where R is methyl), ethylsulfonyl (i. e., where R is ethyl), propylsulfonyl (i. e., where R is propyl), and the like.
- arylsulfonyl refers herein to the group-S0 2 -aryl.
- aralkylsulfonyl refers herein to the group-S0 2 -aralkyl, in which the aralkyl is loweraralkyl.
- sulfonamido refers herein to -S0 2 NH 2 .
- carbonylamino refers to the divalent group -NH-C(O)- in which the hydrogen atom of the amide nitrogen of the carbonylamino group can be replaced a loweralkyl, aryl, or loweraralkyl group.
- groups include moieties such as carbamate esters (-NH-C (O)-O-R) and amides -NH-C(0)-0-R, where R is a straight or branched chain loweralkyl, cycloalkyl, or aryl or loweraralkyl.
- loweralkylcarbonylamino refers to alkylcarbonylamino where R is a loweralkyl having from 1 to about 6 carbon atoms in its backbone structure.
- arylcarbonylamino refers to group -NH-C(0)-R where R is an aryl.
- aralkylcarbonylamino refers to carbonylamino where R is a lower aralkyl.
- the hydrogen atoms at any of the nitrogens can be replaced with a suitable substituent, such as loweralkyl, aryl, or loweraralkyl.
- An object of the disclosure relates to inhibitors of GSK3P for their use in treating brain injuries and/or demyelinating disorders as described below.
- GSK3p inhibitors AR-A014418 and CHIR99021 have been shown in the present examples to promote rejuvenation of the adult subventricular zone and, in particular, the GSK3P inhibitor CHIR99021 has been shown to regenerate new myelinating oligodendrocytes and promote neurogenesis in a model of premature brain injury.
- GSK3P refers to the isozyme Glycogen Synthase Kinase 3 beta, also known as GSK3B, which is encoded in human by the GSK3B gene.
- a human amino acid sequence of human GSK3P is shown at UniProtKB database under accession number P49841.
- Glycogen synthase kinase 3 (GSK-3) is a well-known serine/threonine protein kinase that has emerged as a key target in drug discovery. It has been implicated in multiple cellular processes and linked with the pathogenesis of several diseases. As reviewed for example by Edgar Finzelman and Martinez 2011 (Frontiers in molecular neuroscience, Vol. 4, Article 32, pp 1-18), GSK-3 activity has been linked with several human diseases including diabetes, inflammation, and neurodegenerative and psychiatric disorders. These GSK3P inhibitors are well-known in the art and described for example in Finkelman and Martinez 2011 (Frontiers in molecular neuroscience, Vol. 4, Article 32, pp 1 -18, see Table 1).
- the GSK3P compound inhibitor is selected among the following compounds:
- TDZD-8 NP0011 1 , HMK-32, Manzamine A, Palinurin, Tricantin, L803-mts.
- said GSK3P inhibitor is a compound selected from compounds having formula (I):
- W is optionally substituted carbon or nitrogen
- X and Y are independently selected from the group consisting of nitrogen, oxygen, and optionally substituted carbon; preferably both X and Y are nitrogen.
- A is optionally substituted aryl or heteroaryl
- Ri, R 2 , R 3 and R4 are independently selected from the group consisting of hydrogen, hydroxyl, and optionally substituted loweralkyl, cycloloweralkyl, alkylaminoalkyl, loweralkoxy, amino, alkylamino, alkylcarbonyl, arylcarbonyl, aralkylcarbonyl, heteroarylcarbonyl, heteroaralkylcarbonyl, aryl and heteroaryl, and R'i, R' 2 , R' 3 and R'4 are independently selected from the group consisting of hydrogen, and optionally substituted loweralkyl;
- R 5 and R 7 are independently selected from the group consisting of hydrogen, halo, and optionally substituted loweralkyl, cycloalkyl, alkoxy, amino, aminoalkoxy, alkylcarbonylamino, arylcarbonylamino, aralkylcarbonylamino, heteroarylcarbonylamino, heteroaralkylcarbonylamino, cycloimido, heterocycloimido, amidino, cycloamidino, heterocycloamidino, guanidinyl, aryl, biaryl, heteroaryl, heterobiaryl, heterocycloalkyl, and arylsulfonamido ;
- R 6 is selected from the group consisting of hydrogen, hydroxy, halo, carboxyl, nitro, amino, amido, amidino, imido, cyano, and substituted or unsubstituted loweralkyl, loweralkoxy, alkylcarbonyl, arylcarbonyl, aralkylcarbonyl, heteroarylcarbonyl, heteroaralkylcarbonyl, alkylcarbonyloxy, arylcarbonyloxy, aralkylcarbonyloxy, heteroarylcarbonyloxy, heteroaralkylcarbonyloxy, alkylaminocarbonyloxy, arylaminocarbonyloxy, formyl, loweralkylcarbonyl, loweralkoxycarbonyl, aminocarbonyl, aminoaryl, alkylsulfonyl, sulfonamido, aminoalkoxy, alkylamino, heteroarylamino, alkylcarbonylamino, alkylaminocarbonylamino, aryla
- A has the formula:
- R9 are independently selected from the group consisting of hydrogen, nitro, amino, cyano, halo, thioamido, amidino, oxamidino, alkoxyamidino, imidino, guanidinyl, sulfonamido, carboxyl, formyl, loweralkyl, haloloweralkyl, loweralkoxy, haloloweralkoxy, loweralkoxyalkyl, loweralkylaminoloweralkoxy, loweralkylcarbonyl, loweraralkylcarbonyl, lowerheteroaralkylcarbonyl, alkylthio, aryl and, aralkyl.
- A is selected from the group consisting of nitropyridyl, aminonitropyridyl, cyanopyridyl, cyanothiazolyl, aminocyanopyridyl, trifluoromethylpyridyl, methoxypyridyl, methoxynitropyridyl, methoxycyanopyridyl and nitrothiazolyl.
- At least one of R5 and R 7 is substituted or unsubstituted moiety of the formula (III):
- Rio, Ri i, R12, R13, and RH are independently selected from the group consisting of hydrogen, nitro, amino, cyano, halo, thioamido, carboxyl, hydroxy, and optionally substituted loweralkyl, loweralkoxy, loweralkoxyalkyl, haloloweralkyl, haloloweralkoxy, aminoalkyl, alkylamino, alkylthio, alkylcarbonylamino, aralkylcarbonylamino, heteroaralkylcarbonylamino, arylcarbonylamino, heteroarylcarbonylamino aminocarbonyl, loweralkylaminocarbonyl, aminoaralkyl,, loweralkylaminoalkyl, aryl, heteroaryl, cycloheteroalkyl, aralkyl, alkylcarbonyloxy, arylcarbonyloxy, aralkylcarbonyloxy, arylcarbonyloxyalkyl, alky
- Rio, Rn, R13, and RH are hydrogen and R12 is selected from the group consisting of halo, loweralkyl, hydroxy, loweralkoxy, haloloweralkyl, aminocarbonyl, alkylaminocarbonyl and cyano;
- Rn, R13, and R14 are hydrogen and Rio and R12 are independently selected from the group consisting of halo, loweralkyl, hydroxy, loweralkoxy, haloloweralkyl and cyano;
- Rio, R11, R13, and R14 are hydrogen and R12 is heteroaryl;
- Rio, Rn, R13, and Rn are hydrogen and Ri2 is a heterocycloalkyl; and wherein at least one of Rio, R11 , R12, R13, and RH are halo and the remainder of Rio, Rn, R12, R13, and R14 are hydrogen.
- At least one of R5 and R 7 is selected from the group consisting of dichlorophenyl, difiuorophenyl, trifiuoromethylphenyl, chlorofiuorophenyl, bromochlorophenyl, ethylphenyl, methylchlorophenyl, imidazolylphenyl, cyanophenyl, morphlinophenyl and cyanochlorophenyl.
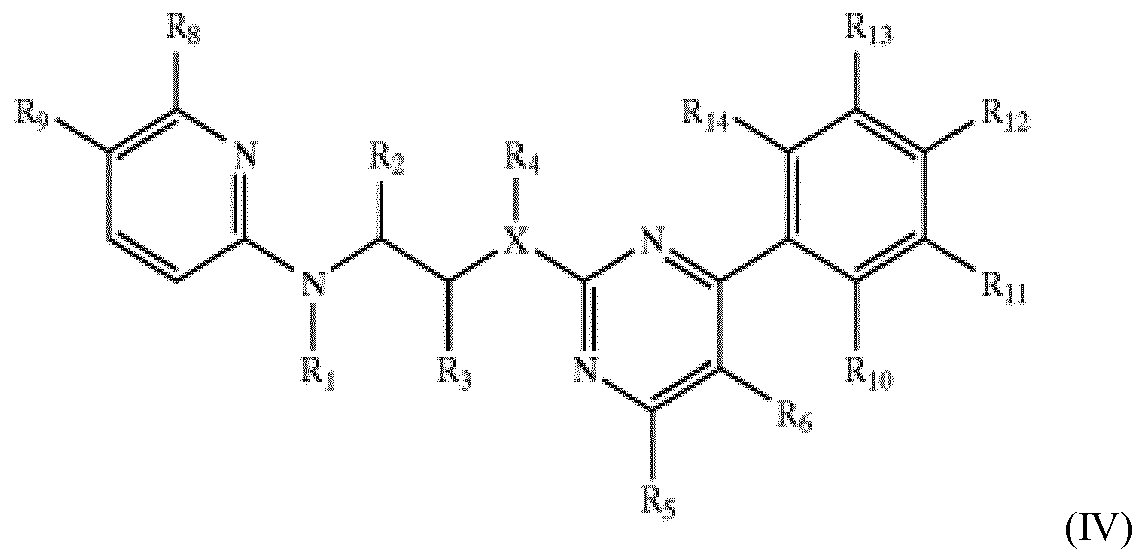
- said GSK3P inhibitor is a compound selected from the compounds of formula (TV):
- R 5 is selected from the group consisting of hydrogen, nitro, cyano, amino, alkyl, halo, haloloweralkyl, alkyloxycarbonyl, aminocarbonyl, alkylsulfonyl and arylsulfonyl, and the pharmaceutically acceptable salts thereof.
- said GSK3P inhibitor is CHIR99021 or 6-[(2- ⁇ [4-(2,4- dichlorphenyl)-5-(4-methylimidazol-2-yl)pyrimidin-2-yl]amino ⁇ ethyl)amino]pyridine-3- carbonitrile, as shown in the Formula (V) below, or its pharmaceutically acceptable salt.
- GSK3P inhibitors such as CHIR-99021 and their variants or their pharmaceutically acceptable salts have also been described in detail in W099/65897.
- said GSK3P inhibitor is AR-A014418 as shown in the Formula below, or its pharmaceutically acceptable salt.
- the disclosure further relates to inhibitors of the PI3K/Akt pathway for their use in treating brain injuries and/or demyelinating disorders as described below.
- the Akt/mTOR inhibitor Sirolimus and the PI3K inhibitor LY 294002 have been shown to exhibit the largest numbers of target genes associated to oligodendrogenesis.
- the PI3K Akt pathway has been well described in the art and is an intracellular signalling pathway which is key in regulating the cell cycle.
- the activation of PI3K phosphorylates and activates AKT, localizing it in the plasma membrane.
- AKT have a number of downstream effects, including the activation of Ptdlns-3ps and mTOR.
- a review of the PBK Akt/mTOR pathway and their inhibitors can be found for example in Molecular Cancer Therapeutics, Divmann et al, 2014, 13(5) 1021-1031.
- inhibitors of mTOR for therapeutic uses according to the present disclosure may be selected among the following compounds: Sirolimus, Everolimus, Temsirolimus, AZD2014 (AstraZeneca), MLN0128 (Intellikine), CC-223 (Cellgene).
- Inhibitors of AKT may be selected among the following compounds: Perifosine (Keryx), MK2206 (Merck), GDC- 0068 (Genentech), GSK2110183 (GSK), GSK2141795 (GSK), or their pharmaceutically acceptable salts thereof.
- the disclosure relates in particular to inhibitors of phosphoinositide 3 -kinases PI3K for their use in treating brain injuries and/or demyelinating disorders as described below.
- Inositol phospholipids play an important role in cellular signal transduction. Signaling downstream from inositol phospholipids triggers a wide variety of cellular responses including growth, differentiation, death, vesicle trafficking and motility
- Phosphoinositide 3-kinases (also called phophatidylinositide 3-kinases) are a family of enzymes. They phosphorylate the 3 'hydroxyl group of the onositol ring of the phosphatidylinositol (Ptdlns). The PI3K signalling pathway can be activated, resulting in the synthesis of PIP3 from PIP2.
- a compound inhibitor of PI3K refers to a compound capable of inhibiting the kinase activity of at least one member of PI3K family, for example, at least a member of Class I PBK.
- said PI3K inhibitor may be a pan-inhibitor of Class I PI3K (known as pi 10) or isoform specific of Class I PI3K isoforms (among the four types of isoforms, pi 10a, ⁇ ⁇ , ⁇ ⁇ or pl l05).
- the PI3K inhibitor is wortmannin, or a derivative of wortmannin, such as demthoxyviridin.
- the PI3K inhibitor is an isoform-selective inhibitor of PI3K selected among the following compounds:
- NVP-BYL719 (Alpelisib, Novartis), BKM120 (Buparlisib), INK11 17 (Millenium), A66 (University of Auckland), GSK260301 (Glaxosmithkline), KTN-193 (Astra-Zeneca), TGX221 (Monash University), TG1202, CALlOl (Idelalisib, Gilead Sciences), GS-9820 (Gilead Sciences), AMG319 (Amgen), IC87114 (Icos Corporation), BAY80-6946 (Copanlisib, Bayer Healthcare), GDC0032 (Taselisib, Genentech/Roche), GDC0941 (Pictlisib, Genentech), ⁇ 145 (Duvelisib, Infinity), SAR405 (Sanofi), PX-866 (Oncothyreon), or their pharmaceutically acceptable salts.
- PI3K inhibitors are well-known in the art and described for example in Wang et al Acta Pharmacological Sinica (2015) 36: 1 170-1 176.
- the PI3K inhibitor is LY294002 of the formula below:
- TGF beta signaling pathway is involved in a wide range of cellular process. There are a variety of mechanisms where the pathway is modulated either positively or negatively: There are agonists for ligands and R-SMADs; there are decoy receptors; and R-SMADs and receptors are ubiquitinated.
- the pathway is for example described in Bone Research, Rahman et al 2015, 3, 15005.
- Chordin and Noggin are both secreted BMP antagonists that bind BMP ligands extracellularly and prevent their association with receptors, thereby blocking BMP signalling. Noggin and Chordin have been shown to be neural inducers.
- TGF beta inhibitors are described in Nature Review Drug Discovery 1 1 , 790- 81 1. Those include without limitation Trabedersen (Antisense Pharma), Lucanix (NovaRx), Lerdelimumab (Cambridge Antibody Technology), LY2382770 (Eli Lilly). Monensin has also been shown to be an indirect inhibitor of TGF beta pathway (referred herein as TGF beta modulator), inhibiting the membrane expression of TGF beta.
- TGF beta modulator an indirect inhibitor of TGF beta pathway
- the TGFp modulator is monensin of the formula below:
- CDK inhibitors such as GW-8510 which was within the most highly ranked dorsalizing perturbagens or oligodendrogenesis target genes.
- CDK refers to the protein kinases (cyclin-dependent kinases) which binds a protein called cyclin.
- the cyclin-CDK complex is an active kinase.
- CDKs phosphorylate their substrates on serines and threonines. CDKs are well-known in the art and have been identified as potential target for cancer treatment by CDK inhibitors.
- CDK inhibitors refer to compounds capable of inhibiting CDK activity.
- CDK inhibitors may target a broad spectrum of CDKs or specific types of CDKs (such as CDK4 and CDK6 or CDK2 for example).
- CDK inhibitors are well-known in the art and include without limitation the following compounds: Paldociclib (PD-0332991), letrozole, Abemaciclib (LY2835219), Ribciclib (LEE01 1) and Triciclib (G1T28), GW-8510 (a CDK2 inhibitor).
- the CDK inhibitor is a CDK2 inhibitor, and more specifically: GW-8510 of the formula below: harmaceutically acceptable salt.
- HDACs histone deacetylases
- HDAC inhibitors block this action and can result in hyperacetylation of histones, thereby affecting gene expression.
- HDAC inhibitors have been well studied in the art in particular as a class of cytostatic agents that inhibit the proliferation of tumor cells in culture and in vivo by inducing cell cycle arrest, differentiation and/or apoptosis. For a review please see Nature Reviews Genetics 15, 364
- HDAC inhibitors include for example Class I, II and IV HDACs by binding to the zinc- containing catalytic domain of the HDACs.
- fist generation HDAC inhibitor examples include
- cyclic tetrapeptides such as trapoxin B
- depsipeptides such as trapoxin B
- HDAC inhibitors include the hydroxamic acids vorinostat (SAHA), belinostat (PXDIOI), LAQ824, and panobinostat (LBH589), and the benzamides: entinostat (MS-275), CI994 and mocetinostat (MGCD0103).
- the HDAC inhibitor is tricho statin- A of the formula below:
- the HDAC inhibitor is vorinostat of the formula below:
- Ciclopirox an inhibitor of prolyl-4-hydroxylase was also identified and ranked as dorsalizing pertubagen, and therefore as a compound capable of promoting neurogenesis.
- Prolyl 4 hydroxylases are iron- and 2-oxoglutamate-dependent dioxygenase enzymes which have been well-described in the art.
- inhibitors of P4H refers to compound capable of inhibiting the enzymatic activity of P4H and include without limitation:
- - Peptide inhibitors such as poly(L-proline) or peptides in which proline residue is replaced by 5-oxaproline,
- the P4H inhibitor is ciclopirox of the formula below:
- the beta blocker nadolol was identified.
- antagonist of ⁇ / ⁇ adrenergic receptors may be used for stimulating neurogenesis, and thereby treating brain injuries or demyelinating disorders.
- Antagonists of ⁇ / ⁇ adrenergic receptors include in particular the beta-blocker, a class of small molecules known for their use in treating cardiac arrhythmias or myocardial infaction and hypertension.
- Beta blockers are competitive antagonists that block the adrenergic beta receptors by blocking the binding of adrenaline or noradrenaline.
- beta blockers include non-selective agents such as Propanolol, bucindolol, carteolol, carvedilol, labetalol, nadolol, oxprenolol, penbutolol, pindolol, sotalol, or timolol.
- Alpha blockers are antagonist of the alpha adrenergic receptors.
- alpha blockers include non-selective a-adrenergic receptor antagonists such as: Phenoxybenzamine, phentolamine, tolazoline or trazodone.
- the antagonist of ⁇ / ⁇ adrenergic receptor is nadolol of the formula below:
- the antagonist of ⁇ / ⁇ adrenergic receptor is phenoxybenzamine of the formula below:
- the hippo signalling pathway is composed of a core kinase cascade initiating from Hippo (Mstl and Mast2 in mammals) to the phosphorylation of a Yki (YAP and TAZ in mammals), which leads to change of the subcellular localization of Yki from the nucleus, where it acts as a transcriptional activator, to the cytoplasm.
- Hippo Mstl and Mast2 in mammals
- YAP and TAZ phosphorylation of a Yki
- a review of the hippo signalling pathway is provided by Mo et al Embo Reports 2014, 15, 642-656.
- inhibitors of the hippo pathway are described for example in Nature Reviews Drug Discovery 13, 63-79 (2014). They include without limitation the YAP inhibitor Verteporfin, the MST1 inhibitor 9E1 , certain GPCR inhibitors such as Epinephrine, glucagon, dihydrexidine, b-adrenergic receptor antagonist such as Dobutamine, tyrosine kinase inhibitor such as Datasatinib, inhibitors of YAP nuclear localization such as blebbistatin, ML7, Botulinum toxin C3, or Y27632.
- GPCR inhibitors such as Epinephrine, glucagon, dihydrexidine
- b-adrenergic receptor antagonist such as Dobutamine
- tyrosine kinase inhibitor such as Datasatinib
- inhibitors of YAP nuclear localization such as blebbistatin, ML7, Botulinum toxin C3, or Y27632.
- an inhibitor of the hippo pathway is verteporfin of the formula below:
- Table 1 Compounds for use in promoting oligodendrogenesis
- the compounds listed in Table 1 may further be administered to a subject in need thereof alone or as a combination of 2 or more compounds selected from Table 1.
- trichostatin-A may be combined with LY-294002 for specific stimulation of oligodendrogenesis.
- Table 2 Compounds for use in promoting neurogenesis
- the compounds listed in Table 2 may further be administered to a subject in need thereof alone or as a combination of 2 or more compounds selected from Table 1.
- AR- A014418 may be combined with adiphenine for specific stimulation of adult neurogenesis (rejuvenation).
- Another object of the invention relates to a method for treating brain injuries, or demyelinating disorders such as periventricular leukomalacia or multiple sclerosis, comprising administering to a subject in need thereof a therapeutically effective amount of compound inhibitors as described above, in particular, PI3K or GSK3P inhibitors.
- the present disclosure relates to GSK3P inhibitors, in particular GSK3b inhibitors of formula (I), (IV) or (V), such as CHIR99021 compound or its pharmaceutically acceptable salts, for use in treating hypoxic/ischemic brain injury in the adult or perinatal hypoxia/ischemia.
- GSK3P inhibitors in particular GSK3b inhibitors of formula (I), (IV) or (V), such as CHIR99021 compound or its pharmaceutically acceptable salts, for use in treating hypoxic/ischemic brain injury in the adult or perinatal hypoxia/ischemia.
- CHIR99021 compound or their variants of formula (I), (IV) or (V) or pharmaceutically acceptable salts is not used in combination with other GSK3P or PI3K inhibitors.
- CHIR99021 compound or their variants of formula (I), (IV) or (V) or its pharmaceutically acceptable salts is used as a monotherapy for treating hypoxic/ischemic brain injury in the adult or perinatal hypoxia/ischemia.
- Such compound inhibitors may be administered in the form of a pharmaceutical composition, as defined below.
- a “therapeutically effective amount” is intended for a minimal amount of active agent which is necessary to impart therapeutic benefit to a subject.
- a “therapeutically effective amount” to a subject is such an amount which induces, ameliorates or otherwise causes an improvement in the pathological symptoms, disease progression or physiological conditions associated with or resistance to succumbing to a disorder. It will be understood that the total daily usage of the compounds of the present invention will be decided by the attending physician within the scope of sound medical judgment.
- the specific therapeutically effective dose level for any particular subject will depend upon a variety of factors including the disorder being treated and the severity of the disorder; activity of the specific compound employed; the specific composition employed, the age, body weight, general health, sex and diet of the subject; the time of administration, route of administration, and rate of excretion of the specific compound employed; the duration of the treatment; drugs used in combination or coincidential with the specific compound employed; and like factors well known in the medical arts.
- the daily dosage of the products may be varied over a wide range from 0.01 to 1,000 mg per adult per day.
- the compositions contain 0.01 , 0.05, 0.1, 0.5, 1.0, 2.5, 5.0, 10.0, 15.0, 25.0, 50.0, 100, 250 and 500 mg of the active ingredient for the symptomatic adjustment of the dosage to the subject to be treated.
- a medicament typically contains from about 0.01 mg to about 500 mg of the active ingredient, preferably from 1 mg to about 100 mg of the active ingredient.
- An effective amount of the drug is ordinarily supplied at a dosage level from 0.0002 mg/kg to about 20 mg/kg of body weight per day, especially from about 0.001 mg/kg to 7 mg/kg of body weight per day.
- the compound inhibitor as described above may be combined with pharmaceutically acceptable excipients, and optionally sustained-release matrices, such as biodegradable polymers, to form pharmaceutical compositions.
- “Pharmaceutically” or “pharmaceutically acceptable” refer to molecular entities and compositions that do not produce an adverse, allergic or other untoward reaction when administered to a mammal, especially a human, as appropriate.
- a pharmaceutically acceptable carrier or excipient refers to a non-toxic solid, semi-solid or liquid filler, diluent, encapsulating material or formulation auxiliary of any type.
- compositions of the present invention for oral, sublingual, subcutaneous, intramuscular, intravenous, transdermal, local or rectal administration can be administered in a unit administration form, as a mixture with conventional pharmaceutical supports, to animals and human beings.
- Suitable unit administration forms comprise oral-route forms such as tablets, gel capsules, powders, granules and oral suspensions or solutions, sublingual and buccal administration forms, aerosols, implants, subcutaneous, transdermal, topical, intraperitoneal, intramuscular, intravenous, subdermal, transdermal, intrathecal and intranasal administration forms and rectal administration forms.
- said pharmaceutical compositions are formulated for intranasal, intrathecal and/or intraventricular administration.
- implantable continuous infusion device may be implanted by surgery for direct delivering of the compound inhibitor into the cerebrospinal fluid.
- the pharmaceutical compositions contain vehicles which are pharmaceutically acceptable for a formulation capable of being injected. These may be in particular isotonic, sterile, saline solutions (monosodium or disodium phosphate, sodium, potassium, calcium or magnesium chloride and the like or mixtures of such salts), or dry, especially freeze-dried compositions which upon addition, depending on the case, of sterilized water or physiological saline, permit the constitution of injectable solutions.
- the pharmaceutical forms suitable for injectable use include sterile aqueous solutions or dispersions; formulations including sesame oil, peanut oil or aqueous propylene glycol; and sterile powders for the extemporaneous preparation of sterile injectable solutions or dispersions.
- the form must be sterile and must be fluid to the extent that easy syringability exists. It must be stable under the conditions of manufacture and storage and must be preserved against the contaminating action of microorganisms, such as bacteria and fungi.
- Solutions comprising compounds of the invention as free base or pharmacologically acceptable salts can be prepared in water suitably mixed with a surfactant, such as hydroxypropylcellulose.
- Dispersions can also be prepared in glycerol, liquid polyethylene glycols, and mixtures thereof and in oils. Under ordinary conditions of storage and use, these preparations contain a preservative to prevent the growth of microorganisms.
- the carrier can also be a solvent or dispersion medium containing, for example, water, ethanol, polyol (for example, glycerol, propylene glycol, and liquid polyethylene glycol, and the like), suitable mixtures thereof, and vegetables oils.
- the proper fluidity can be maintained, for example, by the use of a coating, such as lecithin, by the maintenance of the required particle size in the case of dispersion and by the use of surfactants.
- the prevention of the action of microorganisms can be brought about by various antibacterial and antifungal agents, for example, parabens, chlorobutanol, phenol, sorbic acid, thimerosal, and the like.
- isotonic agents for example, sugars or sodium chloride.
- Prolonged absorption of the injectable compositions can be brought about by the use in the compositions of agents delaying absorption, for example, aluminium monostearate and gelatin.
- Sterile injectable solutions are prepared by incorporating the active polypeptides in the required amount in the appropriate solvent with several of the other ingredients enumerated above, as required, followed by filtered sterilization.
- dispersions are prepared by incorporating the various sterilized active ingredients into a sterile vehicle which contains the basic dispersion medium and the required other ingredients from those enumerated above.
- sterile powders for the preparation of sterile injectable solutions
- the preferred methods of preparation are vacuum-drying and freeze-drying techniques which yield a powder of the active ingredient plus any additional desired ingredient from a previously sterile-filtered solution thereof.
- solutions will be administered in a manner compatible with the dosage formulation and in such amount as is therapeutically effective.
- the formulations are easily administered in a variety of dosage forms, such as the type of injectable solutions described above, but drug release capsules and the like can also be employed.
- parenteral administration in an aqueous solution for example, the solution should be suitably buffered if necessary and the liquid diluent first rendered isotonic with sufficient saline or glucose.
- aqueous solutions are especially suitable for intravenous, intramuscular, subcutaneous and intraperitoneal administration.
- sterile aqueous media which can be employed will be known to those of skill in the art in light of the present disclosure.
- one dosage could be dissolved in 1 ml of isotonic NaCl solution and either added to 1000 ml of hypodermoclysis fluid or injected at the proposed site of infusion. Some variation in dosage will necessarily occur depending on the condition of the subject being treated. The person responsible for administration will, in any event, determine the appropriate dose for the individual subject
- the inventors have shown that the above defined compound inhibitors, typically, GSK3P and PI3K inhibitors, have the properties of promoting oligodendrogenesis and/or rejuvenation in vivo, in particular in the subventricular zone of a subject.
- another aspect of the present disclosure relates to a method for promoting the oligodendrogenesis and/or neurogenesis, comprising the administration of an efficient amount of a compound inhibitor as defined above in a subject in need thereof.
- FIGURES LEGENDS Fig. 1 Pharmacological stimulation of Wnt/ -catenin signaling rescues oligodendrocyte precursor (OP) and glutamatergic neuron progenitor numbers in the adult mouse.
- OP oligodendrocyte precursor
- A glutamatergic neuron progenitor numbers in the adult mouse.
- (B) Representative coronal sections illustrating the pronounced and rapid decrease of Wnt canonical signaling in the Gal reporter mouse ( GAL+) and the parallel decrease of glutamatergic NPs (Tbr2+) and OPs (01ig2+) in the SVZ of mouse brain at the age of 6 d (P6), 2 mo (P60), and 4 mo (P120) in 3 individual animals for each time point).
- Fig. 2 CHIR99021 promotes dorsal subventricular zone (dSVZ)-derived cortical oligodendrocyte (OL) regeneration following chronic hypoxia.
- a Cre plasmid was electroporated in the dS VZ of ROSA-YFP mice 1 day after birth (PI) for permanent labeling of dorsal neural stem cells (NSCs). Mice were placed in a hypoxic chamber containing 10% 0 2 from P3 to Pl l then subjected to intranasal CHIR99021 administration from Pl l to P13. Animals were sacrificed at PI 9 for analysis of recombined cell number, migration, and differentiation.
- Right confocal micrographs show expression of CC1 in YFP+ cells in the most superficial cortical layers, supporting the successful differentiation of the newborn OLs (large arrow) that support myelin (small arrow shows colocalizing YFP+/MBP+ myelinated fibers) in CHIR99021 treated animals.
- %age percentage, E13/E15: respectively 13 and 15 days after fecundation; P3/P15/P1 1/P19: respectively 3, 1 1 , 15 and 19 days after birth; Ctrl: control, Hx: hypoxic ; P-values: * ⁇ 0.05 ; ** ⁇ 0.01 ; *** ⁇ 0.001 .
- FIG. 4 CHIR99021 administration promotes acquisition of layer specific markers by newborn neurons following hypoxia.
- A Experimental design: a CRE plasmid was electroporated in the dorsal microdomain of the SVZ of ROSA YFP mice (dorsal EPO) at PI before to undergo a hypoxic environment (10% 02) from P3 to PI 1 , followed by intranasal administration of CHIR99021 from Pl l to P13. Mice were terminated at P19 or at P45.
- C-D Density and proportion of neuron-like YFP+ cells co-expressing Cuxl and Ctip2 following hypoxia (Hx) and CHIR99021 treatment (Hx+CHIR) at PI 9.
- E Representative pictures illustrating the pattern of expression of the cortical markers Satb2, Ctip2 and Cuxl . Satb2 is localized in all cortical layers while Ctip2 is specific for deep and Cuxl specific from the upper cortical layers.
- F Percentage of YFP+ neurons expressing Satb2, Cuxl , Ctip2 or Cuxl and Ctip2 within the deeper or upper cortical layers at P19.
- G Microphotographs of a YFP+ cortical neuron at P45 in Hx+CHIR conditions.
- EPO electroporation
- P3/P11/P13/P19/P45 respectively 3, 1 1, 13, 19 and 45 days after birth %age: percentage.
- LI-TV cortical layers 1 to 4
- LV-VI cortical layers 5 and 6.
- P-values ns > 0.05 ; * ⁇ 0.05 ; ** ⁇ 0.01.
- A-B Graphs showing the proportion of astrocytes and OLs in the YFP+ glial population of the cortex at PI 9, in the normoxic (Ctrl) and hypoxic animals (Hx), with or without CHIR99021 treatment (Ctrl + CHIR; Hx + CHIR) at PI 9 (A) and P45 (B).
- C Representative pictures of YFP+ astrocytes (Gfap+) and oligodendrocytes (01ig2+).
- D-E Graphs showing the density of YFP+/01ig2+ cells in the cortex at P19 (D) and P45 (E).
- F Representative pictures of the markers used to characterize the distinct stages of OL maturation.
- FIG. 1 Diagram shows the different stages of maturation of oligodendrocytes: progenitor, iOL, mOL, characterized by the expression of a combination of CC1 and Oligl markers.
- H-I Graph shows the proportion of YFP+ OLs at different stages of maturation in the cortex at PI 9 (H) and P45 (I).
- Figure 6 Evidences that ChiR treatment does not deplete the "reservoir" of qNSCs in the adult SVZ.
- NSCs i.e.: Sox2+
- qNSCs Mcm2+/Ki67-
- aNSCs Mcm2+/Ki67+
- B Representative photomicrographs of the dorso-lateral SVZ in the several experimental conditions (Nx, Nx+chiR, Hx, Hx+chiR).
- C-D Quantifications of qNSCs (C, Mcm2+/Ki67-) and aNSCs (D, Mcm2+/Ki67+) in the dorso-lateral SVZ.
- E The proportions of qNSCs and aNSCs remains relatively stable in all experimental conditions.
- F Represention of the SVZ regions where quantification of label retaining cells (i.e. qNSCs) presented in H-J were made.
- G quantification of label retaining cells in the P90 SVZ demonstrate relatively stability of the number of qNSCs in all experimental conditions.
- H-J similar resultas are obtained when of label retaining cells are quantified in each SVZ microdomains (as illustrated in F).
- NSCs neural stem cells
- aNSCs actively cycling neural stem cells
- qNSCs quiescent neural stem cells
- SVZ subventricular zone
- dSVZ dorsal subventricular zone
- 1SVZ lateral subventricular zone
- vmSVZ ventro-medial subventricular zone
- LV lateral ventricule
- Nx normoxic
- Hx hypoxic.
- Scale bars 10 ⁇ m in B & 1mm in F. P-value: * ⁇ 0.05.
- the Hes5-EGFP reporter mouse line was used in combination with Prominin-1 immunodetection to isolate NSCs from microdissected dorsal and lateral microdomains by fluorescence-activated cell sorting.
- the Ascll-EGFP Bac transgenic reporter mouse line was used to isolate the 25% brightest cells, i.e., corresponding to TAPs, from either microdomain.
- Half a litter of animals were used to pool for each replicate throughout.
- these datasets (recently made publicly available from NCBI Gene Expression Omnibus [http://www.ncbi.nlm.nih.gov/geo] GEO Series accession number GSE60905) were analyzed using previously applied bioinformatics methods, with only minor modifications [1].
- the numbers of probes that were differentially expressed across the ten samples analyzed represented a total of ⁇ 37K probe sets within the 10% FDR range.
- Genego Metacore https://portal.genego.com/
- GSEA http :/ /www .bro adinstitute .
- org/gsea/ msi gdb/index sp were used to filter and select for probes associated as secreted morphogens (tropic factors, growth factors, extracellular signaling molecules, mitogens, and secreted inhibitors of signaling pathways).
- the numbers of morphogen from this filtered list that were significantly altered amounted to 530 probes, representing approximately 330 individual genes.
- Identification of spatially enriched signaling ligands, regardless of sample type was done by comparing all dorsal versus all lateral samples. This gene list was uploaded onto Genego Metacore and Process Network option selected using the default parameters.
- the "dorsal NSCs/TAPs,” “lateral NSCs/TAPs,” “postnatal NSCS/TAPs,” “oligodendroglial lineage,” and the “rejuvenating" transcriptional signatures were defined using Partek (1.8-fold change, FDR ⁇ 5%), as follows. Probes significant across multiple normalized datasets in the background (representing ⁇ 40K probes) were processed. For identification of "dorsalizing" small molecules, dNSCs/dTAPs datasets (positive range) were compared with probes significantly different in the background.
- the data are available for download in the form of ranked probe sets for each microarray sample on the [HG-U133A] Affymetrix Human Genome U133A Array platform.
- Identified small molecules cellular targets were exhaustively characterized using publicly available drug repositories (www.DrugBank.ca/; www.genome.jp/kegg/drug/; http://insilico.chantc.de/supcrtargct/; www.pharmgkb.org; http://stitch.cmbl.de/).
- Small molecules protein targets identified were cross-checked in http -J /www. genecards .org/ for classifying them under general GO terms. All analyses presented are shown as a percentage. Small molecule target gene analysis
- Target genes are defined as the genes from the queried expression profiles that are also induced by a given small molecule. Target genes for each analysis were generated as follows. To generate lists of genes perturbed by the small molecules, gene replicates were pooled and the relative expression levels calculated. Changes passing the Student's t test / value of ⁇ 0.05 were processed, and when there were multiple probes for a given gene, the probe with the biggest fold change was assigned to the gene. These were aligned for matching signatures with the transcriptional profiles corresponding to the small molecules repurposed in the CMAP using pattern-matching algorithms that enable identification of functional connections between drugs, genes, and diseases through the transitory feature of common gene-expression changes [4].
- the entire database is available for download (http://www.broadinstitute.org/gsea/msigdb/index.jsp) in the form of ranked probe sets for each microarray sample on the [HG-U133A] Affymetrix Human Genome U133A Array platform.
- "target genes" of select small molecules we first performed hierarchical clustering of their expression profile in the various cell types and lineage that compose the SVZ using the following datasets: purified postnatal NSCs and TAPs (GSE60905 [1 ]), for purified glial cells (GSE9566 [25]), and adult NSCs/NPs/ependymal cells (GSE18765 [29]).
- Target genes were then classified by "Process network and pathway maps" GO categories. Briefly, target gene lists containing the contrasts and fold changes were analyzed via the web platform http://www.broadinstitute.org/cmap/index.jsp and functionally classified using Genego Metacore (https://portal.genego.com/) for Process Networks and Pathway Maps.
- Objects within this network were restricted to 70-80 in accordance with those highly ranked and most significant within the earlier GO analysis, and signaling-to-transcriptional options were selected.
- Internal clusters (2—4) within the network module were arranged according to the highest ranked GO pathways within the analysis in the pathway selection menu. A full description of the definition of objects and nodes can be found here: https://portal.genego.com/legends/MetaCoreQuickReferenceGuide.pdf.
- SVZ microdissection qPCR
- western blot The SVZ microdomains were microdissected using previously published protocols [1].
- mouse pups were killed humanely by cervical dislocation.
- brains were rapidly dissected free and placed in ice-cold postnatal-specific coronal brain matrix (Zivic Instruments, US) to obtain tissue segments of 500- ⁇ thickness containing the rostral periventricular tissue as above for whole genome transcriptome analysis.
- LY-294002 -induced genes pups were treated by intraventricular infusion (see below) at P9 and P10, and 180 min following final infusion, tissue was microdissected.
- pups aged at P10 were treated with LY-294002 (see below), and 45 min following injection, pups were systematically killed by cervical dislocation and tissue microdissected and flash frozen in lysis buffer in liquid nitrogen for storage at -80°C [10].
- One litter of pups was pooled to yield 1 "n” number.
- relative gene expression was determined using the 2 ⁇ ⁇ method versus the housekeeping gene GAPDH (Glyceraldehyde-3 -phosphate dehydrogenase).
- Primers were designed by Primer Express 1.5 software and synthesized by Eurofins (Ebersberg, Germany). Unstated primers in main text were custom designed and obtained from (Qiagen).
- Protein was extracted with lysis buffer and standard procedures as previous [57]. For SDS- PAGE gels, 15 ⁇ g was loaded and transferred to a PVDF membrane (GE Healthcare, Amersham). Blots were preincubated in a blocking solution of 5% BSA in 0.2% TBST (0.1 M Tris base, 0.1 % Tween 20, pH 7.4) for 1 h at RT and incubated with primary antibodies overnight at 4°C and after washing, with a horseradish peroxidase-conjugated anti-rabbit antibody (1 :10,000-1 :25,000; Pierce Biotechnology). Primary antibodies were all obtained from Cell Signaling and used in concentrations of 1 :500 for phosphor- forms and 1 :2000 for total forms of protein.
- Protein bands were detected by adding SuperSignal West Pico Chemiluminescent Substrate (Pierce) by exposing the blot in a Stella detector (Raytest). Densitometry analysis was performed with NIH software and by normalizing the band intensities to total Akt or total Erkl/2 values. Intensity values for pAkt were combined and pAkt-473 shown only. Gene expression and western blot data are presented as mean + standard deviation of the mean (SD) or standard error of the mean (SEM), respectively, and samples compared for significance using unpaired t test (t test) or (Prism v3.02 software; GraphPad).
- SD standard deviation of the mean
- SEM standard error of the mean
- mice Animals were killed humanely by cervical dislocation and brains removed rapidly to ice-cold fixative. Mouse pups of similar size were used throughout. Mice aged P8 were treated by intraventricular infusion into the LV daily for 3 d, and brains sampled at P 1 1 , overnight following the final injection. Mice were deeply anesthetized under isofluorane and differing concentrations of LY-294002 (Sigma-Aldrich), dissolved in sterile DMSO, sterile filtered, and co-administered with sterile saline delivered into the CSF of the LV using a Hamilton syringe at point 2 mm from the midline along the Bregma and to a depth of 2 mm.
- LY-294002 Sigma-Aldrich
- Methods applied for studying rejuvenation of the adult SVZ were perform by infusing GSK3 inhibitors into the ventricular system of adult P90 mice.
- Animals were anesthetized with a subcutaneous injection of Ketamin (60 mg/kg body weight), Xylazine (13 mg/kg body weight), and Acepromazine (1.5 mg/kg body weight) before being fixed in a stereotaxic apparatus.
- a canula (Alzet, Brain infusion kit 3) was stable implanted at the following coordinates (Bregma -0.5 mm; lateral 1 mm, depth: 2.5 mm) for intraventricular infusion of the GSK3 inhibitors CHIR99021 and AR-A014418.
- Delivering the small molecules was achieved over a period of 3 d using an osmotic miniupump (1 ⁇ /h, model 1003D; Alzet Osmotic Pumps) into the CSF. Sham animals received all surgical steps, catheter implantation, and pump insertion.
- dSVZ NSCs were permanently labeled by dorsal electroporation [60] of a Cre plasmid (Cambridge, MA, www.addgene.org, plasmids 13775) in Cre-reporter mice (ROSA26-Flox- Stop-Flox YFP, Jackson Laboratories).
- a pCAGs-Cre plasmid under a chicken ⁇ -actin promoter was obtained from Addgene (Cambridge, MA, www.addgene.org, plasmids 13775).
- mice aged P 1 were electroporated, then placed in a hypoxic rearing chamber maintaining at 9.5%— 10.5% 0 2 concentration by displacement with N 2 as described previously [43]. Hypoxia began at P3 for 8 d until PI 1. A separate group was maintained in a normal atmosphere (normoxic group). CHIR99021 was administered by intranasal administration as previously described [45]. Mucus was first permeabilized by the use of type TV hyaluronidase, then, 10 ⁇ of CHIR99021 (Sigma) was administrated 4 times (starting at the end of the hypoxic period, then every 12 h), at a concentration of 1.5 mM in sterile PBS (Vehicle was used as a control).
- mice were terminated after the hypoxic period at PI 1, after 8 days after cessation of hypoxia at PI 9, or at P45.
- BrdU was administrated with the drinking water between P45 to P59. Animals were sacrificed, at P45 and P90.
- mice were killed by injection with an intraperitoneal overdose of pentobarbital (Eutha77 in Ringer's solution) followed by transcardial perfusion with 4% paraformaldehyde (PFA) dissolved in 0.1 M phosphate buffered saline (PBS; pH 7.4). Following removal, brains were post-fixed in 4% PFA overnight at 4°C and cut in coronal sections at 30-50 ⁇ thickness for obtaining serial sections.
- pentobarbital Eutha77 in Ringer's solution
- PFA paraformaldehyde
- MI myelin index
- the number of myelin sheaths crossing a diagonal transect was counted in each confocal z-section at 1 , 5, 10, 15, 20, 25, and 30 ⁇ (captured using a 40x objective) so that the MI represents the density of DsRed+ myelin sheaths within a volume of 1.6 x 10 6 ⁇ 3 .
- Optical density of BGal staining in the Batgal mouse line was performed in the complete dorsal SVZ from epifiuorescence microscope images, with Leica software. Values were normalized regarding to area and DAPI intensity using LAS-AF software. Quantifications of BGal+, Tbr2+, Ki67+, Mcm2+, and 01ig2 at PI 1 , P15, P19, P45 in the entire dSVZ were done from images taken with Leica SPEII confocal microscope, on 3 (for PI 1 and PI 5) or 4 sections (for PI 9, P45) per brain. Quantification of Dcx+ cells in the OB was performed using stereological analysis with Mercator software on 3 sections per brain. Estimation of the density of YFP+ cells originating from the dorsal electroporation of dsCRE plasmid in ROSA-YFP mice was performed by defining a volume of cortex reached by the electroporated cells.
- Statistical significance was tested using GraphPad Prism v302 for multiple variables, using or one-way analysis of variance (ANOVA) followed by Bonferroni's post hoc test, and for two variables, using unpaired t tests (referred to as t test), where appropriate.
- ANOVA analysis of variance
- t test unpaired t tests
- the SVZ contains NSCs and their progeny, the transient amplifying progenitors TAPs), which generate both NPs and OPs.
- the SVZ can be subdivided into discrete spatial microdomains (or niches) from which distinct neural lineages originate. While subtypes of GABAergic interneurons originate from all SVZ regions, the dorsal SVZ (dSVZ) additionally gives rise to glutamatergic NPs and is the primary source of forebrain OPs (reviewed in [6,7,13]).
- Metacore categories in each microdomain were ranked, and only two categories overlapped, namely "Chemotaxis" and “Notch signaling," stressing the importance of these pathways within the neurogenic niche as well as highlighting the existence of discrete signaling processes that are specific to the dorsal and lateral SVZ.
- enriched transcripts generic to the SVZ niche those coding for secreted signaling factors (grouped here for simplicity as "morphogens") were prominent in both SVZ microdomains; many of these were enriched in NSCs/TAPs. Examination of the dorsal and lateral SVZ revealed a large number of genes differentially enriched within the two microdomains.
- the dSVZ contained the greatest number of genes that were uniquely expressed, in line with the greater diversity of lineages originating from this microdomain.
- the Wnt ligands were specific to the dSVZ, whilst Shh was specific to the lateral SVZ, in accordance with evidence that these signaling pathways have key roles in dorsalization and ventralization of the SVZ, respectively [12,15].
- the TGF /Bmp family and their pathway inhibitor Noggin were enriched in the dSVZ, indicating they may have a specific role in driving cell fate in this microdomain.
- the lateral SVZ was enriched in the proneural determinants Bmp2 and Tgfa [16], as well as an abundance of chemokines and secreted molecules with undefined roles in neurogenesis.
- a number of Fgf ligands were specific to the dorsal or lateral SVZ, indicative of functional divergence of FGF signaling within the microdomains. Together, these results highlight major regionalization of signaling pathways within the SVZ, supporting the possibility they could be directly targeted to instruct lineage commitment of NSCs.
- Target genes Small molecules were ranked according to the number of genes that are altered, referred to as "target genes” (See Table 3A-D), and the protein targets of each small molecule were classified according to Gene Ontology (GO) terms (see Materials and Methods for further details).
- Table 3 Top-ranked small molecules identified from SPIED/CMAP analysis of small molecules that promote (A) dorsalization of the SVZ, (B) ventralization of the SVZ, (C) oligodendrogenesis, and (D) neurogenesis. Small molecules are ranked according to the lar est numbers of "target” or "perturbed” genes.
- the GSK3 inhibitor AR- A014418 was one of the top ranking "rejuvenating" small molecules (see below), which we have shown promotes the genesis of glutamatergic NPs in the postnatal SVZ via the canonical Wnt signaling pathway [10,15].
- LY-294002 and AR-A014418 were identified as promising agents that may specifically regulate oligodendrogenesis (Table 3C) or neurogenesis (Table 3D), respectively, and were selected for further analysis to resolve signaling-to-transcriptional interactions by Genego Metacore network visualization and in vivo validation.
- LY-294002 induces transcriptional changes that promote oligodendrogenesis
- LY-294002 is a widely used and highly specific inhibitor of PBK/Akt. Expression of the target genes of LY-294002 in SVZ cell types/lineages was compared by hierarchical clustering, highlighting their association with late-stage OLs compared to other cell lineages, including NSCs/TAPS of the dSVZ. Further target genes analysis provided additional information on the mode of action and predicted effects of LY-294002. Categorizing target genes for GO Pathway Maps and Process Networks revealed up-regulation of genes associated with oligodendrogenesis and myelination and down-regulation of genes related to cell cycle behavior and neurogenesis. Finally, Genego Metacore network visualization was applied to resolve signaling-to-transcriptional interactions (detailed in Materials and Methods).
- LY-294002 up-regulated transcriptional nodes were associated with oligodendrogenesis, while down-regulated nodes included Notch signaling, proneuronal TFs, and astroglial-related genes. Altogether, LY-294002 appeared as a strong candidate for inducing specifically oligodendrogenesis in the postnatal SVZ. It was infused into the CSF of the lateral ventricle, commencing at P8, and the effects on the SVZ were determined at PI 1 by immunostaining and biochemical and quantitative PCR (qPCR) analysis of its target genes, as described in our previous studies [10,15].
- qPCR biochemical and quantitative PCR
- Intraventricular infusion to achieve a CSF concentration of 3 ⁇ LY-294002 effectively inhibited Akt phosphorylation, the immediate target of PI3K, throughout the SVZ and rapidly and specifically promoted oligodendrogenesis in the dSVZ.
- Quantification performed through the rostro-caudal axis of the lateral ventricle revealed a pronounced induction of the OL lineage marker 01ig2, particularly in the most dSVZ region.
- NSCs were identified as glial fibrillary acidic protein (GFAP) immunopositive cells in direct contact with the lateral ventricle wall, and their proliferative state was assessed using 5-ethynyl-2 deoxyuridine (EdU; mice received a single intraperitoneal (i.p.) injection of EdU at P8).
- EdU 5-ethynyl-2 deoxyuridine
- GFAP immunoreactivity and the extent of GFAP+/EdU colocalization were significantly reduced following LY-294002 infusion, indicating a general loss of both proliferative and nonproliferative GFAP+ NSCs, consistent with evidence of their precocious differentiation into OPs.
- LY-294002 acts via the target genes/nodes identified by the target gene analysis and provided additional information on its modes of action. Analysis revealed Fgf2 and Igf 1 were not increased, indicating they were not the mechanism of action of LY-294002. Conversely, LY-294002 significantly decreased Shh signaling, which promotes SVZ ventralization, together with Notch signaling, which stimulates NSCs self-renewal and is a major rate-limiting determinant of OL differentiation [37,38]. Overall, these analyses support that LY-294002 -mediated PBK/Akt inhibition promotes an environment permissive to oligodendrogenesis while inhibiting signaling pathways that promote neuronal cell fates.
- AR-A014418 induces transcriptional changes that promote rejuvenation of the adult SVZ
- AR-A014418 is a highly specific inhibitor of GSK3 , which the SPIED/CMAP analysis identified as having one of the highest number of target genes associated with rejuvenation (Table 3D) as well as being positively related to dorsalization of the SVZ (Table 3A) and negatively related to ventralization (Table 3B). Consistent with this, the target genes of AR- A014418 were enriched more prominently in dorsal NSCs/TAPs and OPs, than other cell types.
- Genego Metacore network visualization identified up-regulated nodes mainly consisting of transcriptional regulators, notably TFs associated with neurogenesis (e.g., Tbr2, NeuroDl, Pax6) and oligodendrogenesis (e.g., Oligl/2, SoxlO).
- Down-regulated nodes included members of pro-inflammatory cytokines, such as IL-33, that likely inhibit neurogenesis [39], as well as Id4, which is up-regulated in adulthood and is a potent inhibitor of neurogenesis [40]. These analyses support AR-A014418 as a strong candidate for promoting lineage and signaling pathways that are characteristic of the early postnatal SVZ, whilst down-regulating inhibitory factors associated with the decline in neurogenic capacity in the adult.
- GSK3 inhibitors AR-A014418 and second generation inhibitor CHIR99021 were examined directly in vivo by infusion into the CSF of the lateral ventricle (Fig ID and IE).
- these agents were tested in postnatal mice to confirm our previous findings that their infusion into the CSF effectively inhibits GSK3 activity and stimulates Wnt/ -catenin signaling in the dSVZ [15] and promote the generation of glutamatergic NPs and OPs.
- Phenotypic characterization of the cells revealed significantly enhanced oligodendrogenesis (YFP+/01ig2+, Fig 2F), regeneration of new myelinating OLs (YFP+/CC1+/MBP+, Fig 2F), as well as increased neurogenesis (YFP+/NeuN+, Fig 2G) following hypoxia and CHIR99021 treatment.
- CHIR99021 promotes the spontaneous activation of Wnt/p-catenin signaling occurring following chronic hypoxia
- Wnt/p-catenin pathway plays a crucial role in maintaining the dorsal identity of SVZ stem cells and progenitors and its activity decreases throughout embryogenesis in the pallial ventricular-subventricular zone (VZ-SVZ) and in the dorsal SVZ throughout early postnatal life [1 1].
- VZ-SVZ pallial ventricular-subventricular zone
- CHIR99021 intranasal administration following the hypoxic period increased BGal OD in both normoxic and hypoxic conditions, confirming that CHIR99021 promotes Wnt/b-catenin signalling (Fig 3C).
- hypoxia increased significantly the proportion of oligodendrocyte progenitors (01ig2+ cells) co- expressing Gal in the dorsal SVZ, it did not affect much the proportion of glutamatergic neuron progenitors (Tbr2+ cells) co-expressing Gal (Fig D-E).
- CHIR99021 increased the activity of Wnt/p-catenin signalling in both lineages (Fig D-E).
- CHIR99021 administration promotes the early specification of hypoxia-induced cortical neurons
- Fig 4A We first investigated the identity of postnatally born cortical neurons, using the same experimental design (Fig 4A).
- Satb2 that labels a population of neurons that can be observed throughout cortical layers.
- Cuxl and Ctip2 as markers of upper (layers I-IV) and deeper (layers V-VI) cortical neurons, respectively (Fig 4E).
- Fig 4E a significant fraction of YFP+ neurons expressed one or the other of these markers.
- YFP+ cortical were localized in the cortical layers corresponding to the marker they expressed. Indeed, more than 95% of YFP+/Cuxl+ neurons were located in upper cortical layers, where YFP+/Ctip2+ neurons were consistently absent. Inversely, all YFP+/Ctip2+ neurons were located in deeper cortical layers, where only 1 YFP+/Cuxl+ neurons was observed. In agreement with the more widespread Satb2 expression, about 55% of the YFP+/Satb2+ cells were localized in the upper layers while about 45% were in the deeper layers (Fig 4F). Thus, newborn cortical neurons appear to rapidly specify to acquire layer specific markers in accordance with their final location.
- CHIR99021 promotes the maturation and long term survival of newborn cortical oligodendrocytes We assessed in more details the gliogenic response observed following hypoxia, as well as its modulation by the CHIR99021 treatment. To this end, cortical YFP+ glial cells were characterized by using the astrocytic marker Gfap and the oligodendroglial marker 01ig2 at both P19 and P45 (Fig 5 A and 5B, respectively).
- oligodendrocytes immature oligodendrocytes, iOL
- CC1 and Oligl co-express CC1 and Oligl in their cytoplasm
- mOL mature oligodendrocytes
- Fig 5G The proportion of YFP+ cortical iOL and mOL reveals a significant increase in the proportion of iOL which represent about 95% of the OL population in the hypoxic (Hx) brains compared to about 40% in the controls (Ctrl), suggesting a delay in oligodendrocyte maturation due to hypoxia (Fig 5H).
- CHIR99021 administration promoted the maturation of YFP+ cortical oligodendrocytes, increasing significantly the proportion of mOL from 5 to 30% and decreasing accordingly the proportion of iOL (Fig 5H).
- Fig 5H the proportion of mOL
- the ratios between the different stages of maturation are similar in all the conditions with a larger proportion of mOL (Fig 51).
- results highlight an effect of hypoxia on oligodendrocyte maturation in the cortex by 8 days following the end of the hypoxic period, which can be reversed by CHIR99021 administration.
- results show that a larger number of cortical OLs is produced following CHIR99021 administration, which mature more rapidly.
- Acute CHIR99021 treatment has a long term effects on dorsal subventricular zone germinal activity
- Neural stem cells can be subdivided in several populations that reflect different stages of activation.
- Sox2, Mcm2 and Ki67 to identify subpopulations of NSCs.
- Quiescent NSCs express the stem cell marker Sox2 but none of the proliferation markers Mcm2 and Ki67.
- Activated NSCs express Sox2 and Mcm2, while actively cycling NSCs also express Ki67 (Fig 6A).
- the proportion of NSCs subpopulations was quantified in the dorsal SVZ at P45, that is to say more than one month after hypoxia and/or CHIR99021 treatment.
- the analysis revealed a no effect of hypoxia and/or CHIR99021 on the number of quiescent NSCs (Fig 6C).
- hypoxia and/or CHIR99021 do not result in a depletion of the pool of quiescent NSCs. This was confirmed by using a BrdU-retaining protocol.
- Williams G A searchable cross-platform gene expression database reveals connections between drug treatments and disease.
- PubMed PMID 16626393. 49. Maslov AY, Barone TA, Plunkett RJ, Pruitt SC. Neural stem cell detection, characterization, and age-related changes in the subventricular zone of mice. J Neurosci. 2004;24(7):1726-33. Epub 2004/02/20. doi: 10.1523/JNEUROSCI.4608-03.2004. PubMed PMID: 14973255.
Landscapes
- Health & Medical Sciences (AREA)
- Chemical & Material Sciences (AREA)
- Medicinal Chemistry (AREA)
- Pharmacology & Pharmacy (AREA)
- Epidemiology (AREA)
- Life Sciences & Earth Sciences (AREA)
- Animal Behavior & Ethology (AREA)
- General Health & Medical Sciences (AREA)
- Public Health (AREA)
- Veterinary Medicine (AREA)
- Emergency Medicine (AREA)
- Pharmaceuticals Containing Other Organic And Inorganic Compounds (AREA)
Abstract
The invention is in the field of neuroregenerative medicine. Controlling the fate of neural stem cells represents a key therapeutic strategy in neuroregenerative medicine. The inventors used in silico genomic approaches, searchable platform-independent expression database/connectivity map (SPIED/CMAP) strategy, to identify small molecules that are predicted to regulate transcriptional changes associated with neurogenesis in the subventricular zone (SVZ) neurogenic niche. The approach was validated by demonstrating that two of the identified small molecules, inhibiting PI3K/Akt and GSK3β respectively, were able to differentially direct the fate of NSCs in vivo, to promote oligodendrogenesis and neurogenesis, in the postnatal and adult SVZ. The present invention thus relates to methods and pharmaceutical composition for use in the treatment of brain injuries or demyelinating disorders, and in particular to PI3K or GSK3β inhibitors for use in treating brain injuries, such as perinatal hypoxia/ischemia, or demyelinating disorders such as periventricular leukomalacias or multiple sclerosis.
Description
PHARMACEUTICAL COMPOSITIONS FOR USE IN THE TREATMENT OF BRAIN INJURIES OR DEMYELINATING DISORDERS
TECHNICAL FIELD
The invention is in the field of neuroregenerative medicine. Controlling the fate of neural stem cells represents a key therapeutic strategy in neuroregenerative medicine. The inventors used in silico genomic approaches, namely searchable platform-independent expression database/connectivity map (SPIED/CMAP) strategy, to identify small molecules that are predicted to regulate transcriptional changes associated with oligodendrogenesis and/or neurogenesis in the subventricular zone (SVZ) neurogenic niche. The approach was validated by demonstrating that two of the identified small molecules, inhibiting PBK/Akt and GSK3P respectively, were able to differentially direct the fate of NSCs in vivo, to promote oligodendrogenesis and neurogenesis, in the postnatal and adult SVZ. The present invention thus relates to compounds, such as PI3K or GSK3P inhibitors, and pharmaceutical composition for use in the treatment of brain injuries, such as perinatal hypoxia/ischemia, or demyelinating disorders, such as periventricular leukomalacias or multiple sclerosis.
BACKGROUND
Perinatal cerebral hypoxia-ischemia, resulting from compromised placental or pulmonary gas exchange, is a major cause of acute perinatal brain injury, leading ultimately to neurologic damage such as cerebral palsy, mental retardation, and epilepsy. At present, no individual neuroprotective agents have been proven safe and effective for the protection of neonates from neurological sequels after hypoxia/ischemia insults. The insight into the biochemical and cellular mechanisms of neuronal injury with perinatal cerebral hypoxia-ischemia have helped to provide interventions to interrupt those deleterious cascades, principally focusing on the potential effects of free radical scavengers, such as N- acetylcysteine ( AC) and allopurinol, magnesium, glutamate receptor blockers, erythropoietin (Epo), and hypothermia.
However, there is still a need to identify and develop therapeutic strategies to increase neuroprotection and/or promote cellular repair to efficiently treat brain injuries, such as perinatal hypoxia/ischemia.
SUMMARY Germinal activity persists after birth in the central nervous system. It is believed that gliogenesis and neurogenesis continues even throughout adulthood. These two processes are defined by stages of cell proliferation, migration and differentiation. The site for gliogenesis and neurogenesis occurs in the subventricular zone and subgranular layer of the hippocampal dentate gyrus, where the local environment tightly regulates germinal activity. Although there is evidence that suggests that both gliogenesis and neurogenesis increase after injuries such as hypoxic/ischemic brain injury, the endogenous repair mechanisms do not resolve the brain damage that occurs. Thus, directing the fate of neural stem cells in the subventricular zone would be an effective therapeutic strategy for promoting repair following neurodegeneration or demyelination.
Surprisingly, the inventors discovered that inhibitors of certain known pathways are capable of exhibiting similar transcriptional signatures as those observed in subventricular zone niches and/or lineages. Such inhibitors are likely to be capable of promoting oligodendrogenesis and/or neurogenesis of the post-natal or adult subventricular zone, and may therefore lead to the treatment of brain injuries, such as perinatal hypoxia/ischemia, or demyelinating disorders, such as periventricular leukomalacias or multiple sclerosis.
Accordingly, a first object of the present disclosure is a compound for use in treating brain injuries, such as hypoxic/ischemic brain injury in the adult and/or perinatal hypoxia/ischemia, or demyelinating disorders, such as periventricular leukomalacias or multiple sclerosis, wherein said compound is selected among: · inhibitors of GSK3p, such as AR-A014418 and CHIR99021,
• inhibitors of PBK/Akt, such as LY294002,
• inhibitors of CDK, such as GW-8510,
• inhibitors of TGFp or modulators of Bmp pathway, such as monensin,
• inhibitors of HDAC, such as tricho statin- A or vorinostat,
• inhibitors of prolyl-4-hydroxylase that promotes Notch signalling, such as ciclopirox, · antagonists of α/β adrenergic receptors, such as nadolol,
• inhibitors of the hippo pathway, such as verteporfin.
In particular, the inventors have more specifically shown that administration of an inhibitor of GSK3P or PI3K in the brain of postnatal or adult mice effectively promotes oligodendrogenesis and/or rejuvenation. Therefore, a preferred embodiment of the present disclosure relates to a compound which is an inhibitor of GSK3P or PI3K, for use in treating brain injuries or demyelinating disorders, in a subject in need thereof.
Typically, said compound inhibitor of GSK3P may be selected from the group consisting of:
6-BIO and other indirubin analogs, hymenialdisine, debromohymenialdisine, dibromocantherelline, meridianine A,
- CHIR98014, CHIR99023, CHIR99021, SB216763, AR-A014418, Kenpaullone, Alsterpaullone, Kazpaullone,
- SB415286, TWS119, Aloisine A,
- TDZD-8, NP0011 1, HMK-32, Manzamine A, Palinurin, Tricantin, and L803-mts, or their pharmaceutically acceptable salts.
In another specific embodiment, said compound inhibitor of PBK may be selected from the group consisting of: LY294002 wortmannin, or a derivative of wortmannin, such as demthoxyviridin; or, an isoform-selective inhibitor of PI3K selected among the following compounds: NVP-BYL719 (Alpelisib, Novartis), BKM120 (Buparlisib), INK1117 (Millenium), A66 (University of Auckland), GSK260301 (Glaxosmithkhne), KIN-193 (Astra-Zeneca), TGX221
(Monash University), TG1202, CALlOl (Idelalisib, Gilead Sciences), GS-9820 (Gilead Sciences), AMG319 (Amgen), IC87114 (Icos Corporation), BAY80-6946 (Copanlisib, Bayer Healthcare), GDC0032 (Taselisib, Genentech/Roche), GDC0941 (Pictlisib, Genentech), ΓΡΙ145 (Duvelisib, Infinity), SAR405 (Sanofi), PX-866 (Oncothyreon), or their pharmaceutically acceptable salts.
A second object of the present disclosure relates to a pharmaceutical composition, for use in the treatment of brain injury or demyelinating disorders, said composition comprising
(i) a compound which is selected among
• inhibitors of GSK3p, such as AR-A014418 and CHIR99021, · inhibitors of PI3K/Akt, such as LY294002,
• inhibitors of CDK, such as GW-8510,
• inhibitors of TGFp or modulators of Bmp pathway, such as monensin,
• inhibitors of HDAC, such as tricho statin- A or vorinostat,
• inhibitors of prolyl-4-hydroxylase that promotes Notch signalling, such as ciclopirox,
• antagonists of α/β adrenergic receptors, such as nadolol,
• inhibitors of the hippo pathway, such as verteporfin; and,
(ii) a pharmaceutically acceptable carrier.
More preferably, said pharmaceutical composition comprises (i) an inhibitor of GSK3P or PI3K as defined above, and (ii) a pharmaceutically acceptable carrier.
A third object of the present disclosure relates to a method for promoting oligodendrogenesis and/or neurogenesis, said method comprising the administration of an efficient amount of the above-defined inhibitor (e.g. GSK3P or PI3K inhibitors) in a subject in need thereof, thereby promoting oligodendrogenesis and/or neurogenesis.
DETAILED DESCRIPTION General Definition
As used herein, the term "inhibitor" refers to a compound that binds to an enzyme and that is capable of inhibiting its catalytic activity upon the presence of the natural ligand of the enzyme, preferably dose-dependent. Intensity of the inhibition can be referred as IC50, i.e, the concentration of the inhibitors required to obtain 50% of inhibition in a determined assay. In specific embodiments, inhibitors have an IC50 of ΙΟΟμΜ or less, ΙΟμΜ or less, Ι μΜ or less, ΙΟΟηΜ or less, ΙΟηΜ or less or InM or less, as measured in a functional assay.
Similarly, the term "antagonist" refers to a compound that binds to a receptor and block the activation of the receptor upon the presence of the natural ligand or an agonist of the receptor, preferably dose-dependent. Antagonist may block the binding of the natural ligand to the receptor (competitive antagonist) or be non-competitive antagonist. Intensity of the inhibition can also be referred as IC50, i.e, the concentration of the inhibitors required to obtain 50% of inhibition in a determined assay. In specific embodiments, antagonists may have an IC50 of ΙΟΟμΜ or less, ΙΟμΜ or less, Ι μΜ or less, ΙΟΟηΜ or less, ΙΟηΜ or less or InM or less, as measured in a functional assay.
The term "small molecule" or "small organic molecule" refers to a molecule (natural or synthetic) of a size comparable to those organic molecules generally used in pharmaceuticals. The term excludes biological macromolecules (e. g., proteins, nucleic acids, etc.). Preferred small molecules range in size up to about 10000 Da, more preferably up to 5000 Da, more preferably up to 2000 Da and most preferably up to about 1000 Da.
As used herein, a compound capable of "promoting oligodendrogenesis" refers to a compound that is capable of inducing oligodendrocyte differentiation from neural stem cells either in vivo or in vitro. Such property can be tested for example as described in the example with the compound LY-294002 after infusion into the cerebrospinal fluid of the lateral ventricle of a mice (see MATERIALS AND METHODS part below, Section "in vivo procedures").
As used herein, a compound capable of "promoting neurogenesis" refers to a compound that is capable of inducing neural precursor differentiation (in particular glutamatergic neural precursors) from neural stem cells, either in vivo or in vitro. Such property can be tested for example as described in the example with the compound AR-A014418 and CHIR99021 after infusion into the cerebrospinal fluid of the lateral ventricle of a mice (see MATERIALS AND METHODS part below, Section "in vivo procedures").
As used herein, the term "rejuvenation" refers to reinducing lineages or activity that is observed in the germinal region early after birth.
As used herein, the term "treating" or "treatment", denotes reversing, alleviating, inhibiting the progress of, or preventing the disorder or condition to which such term applies, or reversing, alleviating, inhibiting the progress of, or preventing one or more symptoms of the disorder or condition to which such term applies.
As used herein, the term "subject" refers to an animal. Typically, the animal is a mammal. A subject also refers to, for example, primates (e.g., human), cows, sheep, goats, horses, dogs, cats, rabbits, rats, mice, fish, birds and the like. In one preferred embodiment, the subject is a human.
As used herein, the term "brain injuries" refers to traumatic brain injury or other forms of acquired brain injury, including without limitation: hypoxic/ischemic brain injury in the adult, perinatal hypoxia/ischemia, or stroke.
As used herein, the term "demyelinating disorders" refers to any disease of the nervous system in which the myelin shealth surrounding neurons is damaged. More specifically, the term refers to demyelinating disorders of the central nervous system, including without limitation: multiple sclerosis, devic's diseases or other inflammatory demyelinating diseases, CNS neuropathies, central pontine meylinolysis, myelopathies like Tabes dorsalis, leukoencephalopathies, leukodystrophies, periventricular leukomalacia.
In preferred embodiments, said demyelinating disorders refer to multiple sclerosis or periventricular leukomalacias.
As used herein, the term "optionally substituted" refers to the replacement of hydrogen with a monovalent or divalent radical. Suitable substitution groups include, for example, hydroxyl, nitro, amino, imino, cyano, halo, thio, thioamido, amidino, imidino, oxo, oxamidino, methoxamidino, imidino, guanidino, sulfonamido, carboxyl, formyl, loweralkyl, haloloweralkyl, loweralkoxy, haloloweralkoxy, loweralkoxyalkyl, alkylcarbonyl, arylcarbonyl, aralkylcarbonyl, heteroarylcarbonyl, heteroaralkylcarbonyl, alkylthio, amino alky 1, cyano alky 1, and the like.
The substitution group can itself be substituted. The group substituted onto the substitution group can be carboxyl, halo; nitro, amino, cyano, hydroxyl, loweralkyl, loweralkoxy, aminocarbonyl,-SR, thioamido,-S03H,-S02R or cycloalkyl, where R is typically hydrogen, hydroxyl or loweralkyl.
When the substituted substituent includes a straight chain group, the substitution can occur either within the chain (e. g., 2-hydroxypropyl, 2-aminobutyl, and the like) or at the chain terminus (e. g., 2 -hydroxy ethyl, 3-cyanopropyl, and the like). Substituted substitutents can be straight chain, branched or cyclic arrangements of covalently bonded carbon or heteroatoms.
"Loweralkyl" as used herein refers to branched or straight chain alkyl groups comprising one to ten carbon atoms that are unsubstituted or substituted, e. g., with one or more halogen, hydroxyl or other groups, including, e. g., methyl, ethyl, propyl, isopropyl, n-butyl, t-butyl, neopentyl, trifiuoromethyl, pentafluoroethyl and the like. "Alkylenyl" refers to a divalent straight chain or branched chain saturated aliphatic radical having from 1 to 20 carbon atoms. Typical alkylenyl groups employed in compounds of the present invention are loweralkylenyl groups that have from 1 to about 6 carbon atoms in their backbone. "Alkenyl" refers herein to straight chain, branched, or cyclic radicals having one or more double bonds and from 2 to 20 carbon atoms. "Alkynyl" refers herein to straight chain, branched, or cyclic radicals having one or more triple bonds and from 2 to 20 carbon atoms.
"Loweralkoxy" as used herein refers to R-O- wherein R is loweralkyl. Representative examples of loweralkoxy groups include methoxy, ethoxy, t-butoxy, trifiuoromethoxy and the like.
"Cycloalkyl" refers to a mono-or polycyclic, heterocyclic or carbocyclic alkyl substituent. Typical cycloalkyl substituents have from 3 to 8 backbone (i. e., ring) atoms in which each backbone atom is either carbon or a heteroatom. The term 'Tieterocycloalkyl" refers herein to cycloalkyl substituents that have from 1 to 5, and more typically from 1 to 4 heteroatoms in the ring structure. Suitable heteroatoms employed in compounds of the present invention are nitrogen, oxygen, and sulfur. Representative heterocycloalkyl moieties include, for example, morpholino, piperazinyl, piperadinyl and the like.
Carbocycloalkyl groups are cycloalkyl groups in which all ring atoms are carbon. When used in connection with cycloalkyl substituents, the term"polycyclic"refers herein to fused and non-fused alkyl cyclic structures.
"Halo" refers herein to a halogen radical, such as fluorine, chlorine, bromine or iodine. "HaloalkyF'refers to an alkyl radical substituted with one or more halogen atoms.
The term "haloloweralkyl" refers to a loweralkyl radical substituted with one or more halogen atoms. The term "haloalkoxy" refers to an alkoxy radical substituted with one or more halogen atoms. The term 'Tialoloweralkoxy" refers to a loweralkoxy radical substituted with one or more, halogen atoms.
"Aryl" refers to monocyclic and polycyclic aromatic groups having from 3 to 14 backbone carbon or hetero atoms, and includes both carbocyclic aryl groups and heterocyclic aryl groups. Carbocyclic aryl groups are aryl groups in which all ring atoms in the aromatic ring are carbon. The term "hetero aryl" refers herein to aryl groups having from 1 to 4 heteroatoms as ring atoms in an aromatic ring with the remainder of the ring atoms being carbon atoms. When used in connection with aryl substituents, the term "polycyclic "refers herein to fused and non-fused cyclic structures in which at least one cyclic structure is aromatic, such as, for example, benzodioxozolo (which has a heterocyclic structure fused to a phenyl group, naphthyl, and the like.
Exemplary aryl moieties employed as substituents in compounds of the present invention include phenyl, pyridyl, pyrimidinyl, thiazolyl, indolyl, imidazolyl, oxadiazolyl, tetrazolyl,
pyrazinyl, triazolyl, thiophenyl, furanyl, quinolinyl, purinyl, naphthyl, benzothiazolyl, benzopyridyl, and benzimidazolyl, and the like.
"Aralkyl" refers to an alkyl group substituted with an aryl group. Typically, aralkyl groups employed in compounds of the present invention have from 1 to 6 carbon atoms incorporated within the alkyl portion of the aralkyl group. Suitable aralkyl groups employed in compounds of the present invention include, for example, benzyl, picolyl, and the like.
"Amino"refers herein to the group-NH2. The term"alkylamino"refers herein to the group- NRR'where R and Rare each independently selected from hydrogen or a lower alkyl. The term"arylamino"refers herein to the group -NRR'where R is aryl and R'is hydrogen, a lower alkyl, or an aryl. The term"aralkylamino "refers herein to the group NRR'where R is a lower aralkyl and R'is hydrogen, a loweralkyl, an aryl, or a loweraralkyl.
The term"arylcycloalkylamino "refers herein to the group, aryl-cycloalkyl-NH-, where cycloalkyl is a divalent cycloalkyl group. Typically, cycloalkyl has from 3 to 6 backbone atoms, of which, optionally 1 to about 4 are heteroatoms. The term"aminoalkyl" refers to an alkyl group that is terminally substituted with an amino group.
The term"alkoxyalkyl"refers to the group-alkl ,-0-alk2 where alkl is alkylenyl or alkenyl, and alk2 is alkyl or alkenyl. The term "loweralkoxyalkyl" refers to an alkoxyalkyl where alkl , is loweralkylenyl or loweralkenyl, and alk2 is loweralkyl or loweralkenyl. The term "aryloxyalkyl" refers to the group-alkylenyl-O-aryl. The term"aralkoxyalkyl" refers to the group-alkylenyl-O-aralkyl, where aralkyl is a loweraralkyl.
The term "alkoxyalkylamino" refers herein to the group-NR- (alkoxylalkyl), where R is typically hydrogen, loweraralkyl, or loweralkyl. The term "aminoloweralkoxyalkyl" refers herein to an aminoalkoxyalkyl in which the alkoxyalkyl is a loweralkoxyalkyl.
The term "aminocarbonyl" refers herein to the group-C (0)-NH2. "Substituted aminocarbonyl" refers herein to the group -C(0)-NRR where R is loweralkyl and R' is hydrogen or a loweralkyl. The term "arylaminocarbonyl" refers herein to the group -C(O) NRR' where R is an aryl and R' is hydrogen, loweralkyl or aryl. "aralkylaminocarbonyl"
refers herein to the group -C(0)-NRR' where R is loweraralkyl and R' is hydrogen, loweralkyl, aryl, or loweraralkyl.
"Aminosulfonyl" refers herein to the group -S (0)2-NH2. "Substituted aminosulfonyl"refers herein to the group -S(0)2-NRR' where R is loweralkyl and R is hydrogen or a loweralkyl. The term "aralkylaminosulfonlyaryl" refers herein to the group -aryl-S(0)2-NH-aralkyl, where the aralkyl is loweraralkyl.
"Carbonyl" refers to the divalent group-C (O)-.
"Carbonyloxy" refers generally to the group -C(0)-0-. Such groups include esters, -C (O)-O- R, where R is loweralkyl, cycloalkyl, aryl, or loweraralkyl. The term "carbonyloxy cycloalkyl" refers generally herein to both an"carbonyloxycarbocycloalkyl" and an"carbonyloxyheterocycloalkyl", i. e., where R is a carbocycloalkyl or heterocycloalkyl, respectively. The term"arylcarbonyloxy"refers herein to the group C(0)-0-aryl, where aryl is a mono-or polycyclic, carbocycloaryl or heterocycloaryl.
The term"aralkylcarbonyloxy" refers herein to the group -C(0)-0-aralkyl, where the aralkyl is loweraralkyl.
The term "sulfonyl" refers herein to the group-S02-.
"Alkylsulfonyl" refers to a substituted sulfonyl of the structure-S02R- in which R is alkyl.
Alkylsulfonyl groups employed in compounds of the present invention are typically loweralkylsulfonyl groups having from 1 to 6 carbon atoms in its backbone structure. Thus, typical alkylsulfonyl groups employed in compounds of the present invention include, for example, methylsulfonyl (i. e., where R is methyl), ethylsulfonyl (i. e., where R is ethyl), propylsulfonyl (i. e., where R is propyl), and the like. The term "arylsulfonyl" refers herein to the group-S02-aryl. The term "aralkylsulfonyl" refers herein to the group-S02-aralkyl, in which the aralkyl is loweraralkyl. The term "sulfonamido" refers herein to -S02NH2.
As used herein, the term "carbonylamino" refers to the divalent group -NH-C(O)- in which the hydrogen atom of the amide nitrogen of the carbonylamino group can be replaced a
loweralkyl, aryl, or loweraralkyl group. Such groups include moieties such as carbamate esters (-NH-C (O)-O-R) and amides -NH-C(0)-0-R, where R is a straight or branched chain loweralkyl, cycloalkyl, or aryl or loweraralkyl. The term "loweralkylcarbonylamino" refers to alkylcarbonylamino where R is a loweralkyl having from 1 to about 6 carbon atoms in its backbone structure. The term"arylcarbonylamino" refers to group -NH-C(0)-R where R is an aryl. Similarly, the term"aralkylcarbonylamino" refers to carbonylamino where R is a lower aralkyl.
As used herein, the term"guanidino"or"guanidyl"refers to moieties derived from guanidine, H2N-C (=NH)-NH2. Such moieties include those bonded at the nitrogen atom carrying the formal double bond (the"2"-position of the guanidine, e. g., diaminomethyleneamino, (H2N) 2C=NH-) and those bonded at either of the nitrogen atoms carrying a formal single bond (the"l-"and/or"3"-positions of the guanidine, e. g., H2N-C (=NH)-NH-). The hydrogen atoms at any of the nitrogens can be replaced with a suitable substituent, such as loweralkyl, aryl, or loweraralkyl.
As used herein, the term"amidino" refers to the moieties R-C(=N)-NR'- (the radical being at the "N1" nitrogen) and R(NR')C=N- (the radical being at the"N2" nitrogen), where R and R'can be hydrogen, loweralkyl, aryl, or loweraralkyl. GSK3P inhibitors
An object of the disclosure relates to inhibitors of GSK3P for their use in treating brain injuries and/or demyelinating disorders as described below.
For example, the GSK3p inhibitors AR-A014418 and CHIR99021 have been shown in the present examples to promote rejuvenation of the adult subventricular zone and, in particular, the GSK3P inhibitor CHIR99021 has been shown to regenerate new myelinating oligodendrocytes and promote neurogenesis in a model of premature brain injury.
As used herein, the term GSK3P refers to the isozyme Glycogen Synthase Kinase 3 beta, also known as GSK3B, which is encoded in human by the GSK3B gene. A human amino acid sequence of human GSK3P is shown at UniProtKB database under accession number P49841.
Glycogen synthase kinase 3 (GSK-3) is a well-known serine/threonine protein kinase that has emerged as a key target in drug discovery. It has been implicated in multiple cellular processes and linked with the pathogenesis of several diseases. As reviewed for example by Edgar Finzelman and Martinez 2011 (Frontiers in molecular neuroscience, Vol. 4, Article 32, pp 1-18), GSK-3 activity has been linked with several human diseases including diabetes, inflammation, and neurodegenerative and psychiatric disorders. These GSK3P inhibitors are well-known in the art and described for example in Finkelman and Martinez 2011 (Frontiers in molecular neuroscience, Vol. 4, Article 32, pp 1 -18, see Table 1).
In specific embodiments, the GSK3P compound inhibitor is selected among the following compounds:
- 6-BIO and other indirubin analogs, hymenialdisine, debromohymenialdisine, dibromocantherelline, meridianine A
- CHIR98014, CHIR99023, CHIR99021, SB216763, AR-A014418, Kenpaullone, Alsterpaullone, Kazpaullone,
- SB415286, TWS 119, Aloisine A,
- TDZD-8, NP0011 1 , HMK-32, Manzamine A, Palinurin, Tricantin, L803-mts.
In a particular embodiment, said GSK3P inhibitor is a compound selected from compounds having formula (I):
wherein:
W is optionally substituted carbon or nitrogen
X and Y are independently selected from the group consisting of nitrogen, oxygen, and optionally substituted carbon; preferably both X and Y are nitrogen.
A is optionally substituted aryl or heteroaryl;
Ri, R2, R3 and R4 are independently selected from the group consisting of hydrogen, hydroxyl, and optionally substituted loweralkyl, cycloloweralkyl, alkylaminoalkyl, loweralkoxy, amino, alkylamino, alkylcarbonyl, arylcarbonyl, aralkylcarbonyl, heteroarylcarbonyl, heteroaralkylcarbonyl, aryl and heteroaryl, and R'i, R'2, R'3 and R'4 are independently selected from the group consisting of hydrogen, and optionally substituted loweralkyl;
R5 and R7 are independently selected from the group consisting of hydrogen, halo, and optionally substituted loweralkyl, cycloalkyl, alkoxy, amino, aminoalkoxy, alkylcarbonylamino, arylcarbonylamino, aralkylcarbonylamino, heteroarylcarbonylamino, heteroaralkylcarbonylamino, cycloimido, heterocycloimido, amidino, cycloamidino, heterocycloamidino, guanidinyl, aryl, biaryl, heteroaryl, heterobiaryl, heterocycloalkyl, and arylsulfonamido ;
R6 is selected from the group consisting of hydrogen, hydroxy, halo, carboxyl, nitro, amino, amido, amidino, imido, cyano, and substituted or unsubstituted loweralkyl, loweralkoxy, alkylcarbonyl, arylcarbonyl, aralkylcarbonyl, heteroarylcarbonyl, heteroaralkylcarbonyl, alkylcarbonyloxy, arylcarbonyloxy, aralkylcarbonyloxy, heteroarylcarbonyloxy,
heteroaralkylcarbonyloxy, alkylaminocarbonyloxy, arylaminocarbonyloxy, formyl, loweralkylcarbonyl, loweralkoxycarbonyl, aminocarbonyl, aminoaryl, alkylsulfonyl, sulfonamido, aminoalkoxy, alkylamino, heteroarylamino, alkylcarbonylamino, alkylaminocarbonylamino, arylaminocarbonylamino, aralkylcarbonylamino, heteroarylcarbonylamino, arylcarbonylamino, heteroarylcarbonylamino cycloamido, cyclothioamido, cycloamidino, heterocycloamidino, cycloimido, heterocycloimido, guanidinyl, aryl, heteroaryl, heterocyclo, heterocycloalkyl, arylsulfonyl and arylsulfonamido; and the pharmaceutically acceptable salts thereof.
In some specific embodiments, A has the formula:
(Π) wherein Rs and R9 are independently selected from the group consisting of hydrogen, nitro, amino, cyano, halo, thioamido, amidino, oxamidino, alkoxyamidino, imidino, guanidinyl, sulfonamido, carboxyl, formyl, loweralkyl, haloloweralkyl, loweralkoxy, haloloweralkoxy, loweralkoxyalkyl, loweralkylaminoloweralkoxy, loweralkylcarbonyl, loweraralkylcarbonyl, lowerheteroaralkylcarbonyl, alkylthio, aryl and, aralkyl. Most preferably, A is selected from the group consisting of nitropyridyl, aminonitropyridyl, cyanopyridyl, cyanothiazolyl, aminocyanopyridyl, trifluoromethylpyridyl, methoxypyridyl, methoxynitropyridyl, methoxycyanopyridyl and nitrothiazolyl.
In some embodiments, at least one of R5 and R7 is substituted or unsubstituted moiety of the formula (III):
wherein Rio, Ri i, R12, R13, and RH are independently selected from the group consisting of hydrogen, nitro, amino, cyano, halo, thioamido, carboxyl, hydroxy, and optionally substituted loweralkyl, loweralkoxy, loweralkoxyalkyl, haloloweralkyl, haloloweralkoxy, aminoalkyl, alkylamino, alkylthio, alkylcarbonylamino, aralkylcarbonylamino, heteroaralkylcarbonylamino, arylcarbonylamino, heteroarylcarbonylamino aminocarbonyl, loweralkylaminocarbonyl, aminoaralkyl,, loweralkylaminoalkyl, aryl, heteroaryl, cycloheteroalkyl, aralkyl, alkylcarbonyloxy, arylcarbonyloxy, aralkylcarbonyloxy, arylcarbonyloxyalkyl, alkylcarbonyloxyalkyl, heteroarylcarbonyloxyalkyl, aralkycarbonyloxyalkyl, and heteroaralkcarbonyloxyalkyl. Presently particularly preferred compounds are obtained wherein Rio, Rn, R13, and RH are hydrogen and R12 is selected from the group consisting of halo, loweralkyl, hydroxy, loweralkoxy, haloloweralkyl, aminocarbonyl, alkylaminocarbonyl and cyano; Rn, R13, and R14 are hydrogen and Rio and R12 are independently selected from the group consisting of halo, loweralkyl, hydroxy, loweralkoxy, haloloweralkyl and cyano; Rio, R11, R13, and R14 are hydrogen and R12 is heteroaryl; Rio, Rn, R13, and Rn are hydrogen and Ri2 is a heterocycloalkyl; and wherein at least one of Rio, R11 , R12, R13, and RH are halo and the remainder of Rio, Rn, R12, R13, and R14 are hydrogen. Preferably, at least one of R5 and R7 is selected from the group consisting of dichlorophenyl, difiuorophenyl, trifiuoromethylphenyl, chlorofiuorophenyl, bromochlorophenyl, ethylphenyl, methylchlorophenyl, imidazolylphenyl, cyanophenyl, morphlinophenyl and cyanochlorophenyl.
In a more specific embodiment, said GSK3P inhibitor is a compound selected from the compounds of formula (TV):
wherein X, Ri-R6, and RS-RM have the meanings described above, and R5 is selected from the group consisting of hydrogen, nitro, cyano, amino, alkyl, halo, haloloweralkyl, alkyloxycarbonyl, aminocarbonyl, alkylsulfonyl and arylsulfonyl, and the pharmaceutically acceptable salts thereof.
In a particular embodiment, said GSK3P inhibitor is CHIR99021 or 6-[(2-{[4-(2,4- dichlorphenyl)-5-(4-methylimidazol-2-yl)pyrimidin-2-yl]amino}ethyl)amino]pyridine-3- carbonitrile, as shown in the Formula (V) below, or its pharmaceutically acceptable salt.
These GSK3P inhibitors, such as CHIR-99021 and their variants or their pharmaceutically acceptable salts have also been described in detail in W099/65897.
In another preferred embodiment, said GSK3P inhibitor is AR-A014418 as shown in the Formula below, or its pharmaceutically acceptable salt.
PI3K/Akt pathway inhibitors
The disclosure further relates to inhibitors of the PI3K/Akt pathway for their use in treating brain injuries and/or demyelinating disorders as described below. As described in the Examples, the Akt/mTOR inhibitor Sirolimus and the PI3K inhibitor LY 294002 have been shown to exhibit the largest numbers of target genes associated to oligodendrogenesis.
The PI3K Akt pathway has been well described in the art and is an intracellular signalling pathway which is key in regulating the cell cycle. The activation of PI3K phosphorylates and activates AKT, localizing it in the plasma membrane. AKT have a number of downstream effects, including the activation of Ptdlns-3ps and mTOR. A review of the PBK Akt/mTOR pathway and their inhibitors can be found for example in Molecular Cancer Therapeutics, Dienstmann et al, 2014, 13(5) 1021-1031.
Typically, inhibitors of mTOR for therapeutic uses according to the present disclosure, may be selected among the following compounds: Sirolimus, Everolimus, Temsirolimus, AZD2014 (AstraZeneca), MLN0128 (Intellikine), CC-223 (Cellgene). Inhibitors of AKT may be selected among the following compounds: Perifosine (Keryx), MK2206 (Merck), GDC- 0068 (Genentech), GSK2110183 (GSK), GSK2141795 (GSK), or their pharmaceutically acceptable salts thereof. The disclosure relates in particular to inhibitors of phosphoinositide 3 -kinases PI3K for their use in treating brain injuries and/or demyelinating disorders as described below.
Inositol phospholipids play an important role in cellular signal transduction. Signaling downstream from inositol phospholipids triggers a wide variety of cellular responses including growth, differentiation, death, vesicle trafficking and motility.
Phosphoinositide 3-kinases (PI3K) (also called phophatidylinositide 3-kinases) are a family of enzymes. They phosphorylate the 3 'hydroxyl group of the onositol ring of the phosphatidylinositol (Ptdlns). The PI3K signalling pathway can be activated, resulting in the synthesis of PIP3 from PIP2.
As used herein, a compound inhibitor of PI3K refers to a compound capable of inhibiting the kinase activity of at least one member of PI3K family, for example, at least a member of Class I PBK.
In particular embodiments, said PI3K inhibitor may be a pan-inhibitor of Class I PI3K (known as pi 10) or isoform specific of Class I PI3K isoforms (among the four types of isoforms, pi 10a, ρΐ ΐθβ, ρΐ ΐθγ or pl l05).
In other specific embodiments, the PI3K inhibitor is wortmannin, or a derivative of wortmannin, such as demthoxyviridin.
In other specific embodiments, the PI3K inhibitor is an isoform-selective inhibitor of PI3K selected among the following compounds:
NVP-BYL719 (Alpelisib, Novartis), BKM120 (Buparlisib), INK11 17 (Millenium), A66 (University of Auckland), GSK260301 (Glaxosmithkline), KTN-193 (Astra-Zeneca), TGX221 (Monash University), TG1202, CALlOl (Idelalisib, Gilead Sciences), GS-9820 (Gilead Sciences), AMG319 (Amgen), IC87114 (Icos Corporation), BAY80-6946 (Copanlisib, Bayer Healthcare), GDC0032 (Taselisib, Genentech/Roche), GDC0941 (Pictlisib, Genentech), ΓΡΙ145 (Duvelisib, Infinity), SAR405 (Sanofi), PX-866 (Oncothyreon), or their pharmaceutically acceptable salts. Such PI3K inhibitors are well-known in the art and described for example in Wang et al Acta Pharmacological Sinica (2015) 36: 1 170-1 176.
In a particular embodiment, the PI3K inhibitor is LY294002 of the formula below:
Modulators of TGFp or Bmp pathway The TGF beta signaling pathway is involved in a wide range of cellular process. There are a variety of mechanisms where the pathway is modulated either positively or negatively: There are agonists for ligands and R-SMADs; there are decoy receptors; and R-SMADs and receptors are ubiquitinated. The pathway is for example described in Bone Research, Rahman et al 2015, 3, 15005. Chordin and Noggin are both secreted BMP antagonists that bind BMP ligands extracellularly and prevent their association with receptors, thereby blocking BMP signalling. Noggin and Chordin have been shown to be neural inducers.
Examples of TGF beta inhibitors are described in Nature Review Drug Discovery 1 1 , 790- 81 1. Those include without limitation Trabedersen (Antisense Pharma), Lucanix (NovaRx), Lerdelimumab (Cambridge Antibody Technology), LY2382770 (Eli Lilly). Monensin has also been shown to be an indirect inhibitor of TGF beta pathway (referred herein as TGF beta modulator), inhibiting the membrane expression of TGF beta.
In a particular embodiment, the TGFp modulator is monensin of the formula below:
A prominent categorie of perturbagen identified in the connectivity map shown in the Examples was CDK inhibitors (such as GW-8510 which was within the most highly ranked dorsalizing perturbagens or oligodendrogenesis target genes).
As used herein, CDK refers to the protein kinases (cyclin-dependent kinases) which binds a protein called cyclin. The cyclin-CDK complex is an active kinase. CDKs phosphorylate their substrates on serines and threonines. CDKs are well-known in the art and have been identified as potential target for cancer treatment by CDK inhibitors.
As used herein, CDK inhibitors refer to compounds capable of inhibiting CDK activity. CDK inhibitors may target a broad spectrum of CDKs or specific types of CDKs (such as CDK4 and CDK6 or CDK2 for example).
CDK inhibitors are well-known in the art and include without limitation the following compounds: Paldociclib (PD-0332991), letrozole, Abemaciclib (LY2835219), Ribciclib (LEE01 1) and Triciclib (G1T28), GW-8510 (a CDK2 inhibitor).
In a particular embodiment, the CDK inhibitor is a CDK2 inhibitor, and more specifically: GW-8510 of the formula below:
harmaceutically acceptable salt.
Inhibitors of HDAC
The highest ranking amongst molecules associated with oligodendrogenesis as identified in the SPIED analysis shown in the examples include trichostatin-A and vorinostat, both molecules being potent inhibitors of histone deacetylases (HDACs).
Reversible modification of the terminal tails of core histones constitutes the major epigenetic mechanism for remodeling higher-order chromatin structure and controlling gene expression. HDAC inhibitors (HDI) block this action and can result in hyperacetylation of histones, thereby affecting gene expression. HDAC inhibitors have been well studied in the art in particular as a class of cytostatic agents that inhibit the proliferation of tumor cells in culture and in vivo by inducing cell cycle arrest, differentiation and/or apoptosis. For a review please see Nature Reviews Genetics 15, 364
(2014).
HDAC inhibitors include for example Class I, II and IV HDACs by binding to the zinc- containing catalytic domain of the HDACs. Examples of such fist generation HDAC inhibitor include
- hydroxamic acids, such as trichostatin A,
cyclic tetrapeptides (such as trapoxin B) and the depsipeptides,
- benzamides,
- electrophilic ketones, and
- the aliphatic acid compounds such as phenylbutyrate and valproic acid.
Second generation of HDAC inhibitors include the hydroxamic acids vorinostat (SAHA), belinostat (PXDIOI), LAQ824, and panobinostat (LBH589), and the benzamides: entinostat (MS-275), CI994 and mocetinostat (MGCD0103).
In a particular embodiment, the HDAC inhibitor is tricho statin- A of the formula below:
or its pharmaceutically acceptable salt.
In another embodiment, the HDAC inhibitor is vorinostat of the formula below:
or its pharmaceutically acceptable salt.
Inhibitors of prolyl-4-hydroxylase that promotes Notch signalling
Ciclopirox, an inhibitor of prolyl-4-hydroxylase was also identified and ranked as dorsalizing pertubagen, and therefore as a compound capable of promoting neurogenesis.
Prolyl 4 hydroxylases (P4H) are iron- and 2-oxoglutamate-dependent dioxygenase enzymes which have been well-described in the art. For a review see for example Kant et al., Korean J Physiol Pharmacol April, 2013 Vol 17: 111 -120.
As used herein, inhibitors of P4H refers to compound capable of inhibiting the enzymatic activity of P4H and include without limitation:
- Peptide inhibitors such as poly(L-proline) or peptides in which proline residue is replaced by 5-oxaproline,
L-mimosine, coumalic acid, doxorubicin and daunarubicine, Ciclopirox.
In a particular embodiment, the P4H inhibitor is ciclopirox of the formula below:
Antagonist of α/β adrenergic receptors
Within the highest ranking molecules associated with neurogenesis as identified in the SPIED analysis, the beta blocker nadolol was identified.
More generally, antagonist of α/β adrenergic receptors may be used for stimulating neurogenesis, and thereby treating brain injuries or demyelinating disorders. Antagonists of α/β adrenergic receptors include in particular the beta-blocker, a class of small molecules known for their use in treating cardiac arrhythmias or myocardial infaction and hypertension.
Beta blockers are competitive antagonists that block the adrenergic beta receptors by blocking the binding of adrenaline or noradrenaline. Examples of beta blockers include non-selective agents such as
Propanolol, bucindolol, carteolol, carvedilol, labetalol, nadolol, oxprenolol, penbutolol, pindolol, sotalol, or timolol.
Alpha blockers are antagonist of the alpha adrenergic receptors. Examples of alpha blockers include non-selective a-adrenergic receptor antagonists such as: Phenoxybenzamine, phentolamine, tolazoline or trazodone.
In a particular embodiment, the antagonist of α/β adrenergic receptor is nadolol of the formula below:
In another specific embodiment, the antagonist of α/β adrenergic receptor is phenoxybenzamine of the formula below:
Inhibitors of the hippo pathway
The hippo signalling pathway is composed of a core kinase cascade initiating from Hippo (Mstl and Mast2 in mammals) to the phosphorylation of a Yki (YAP and TAZ in mammals), which leads to change of the subcellular localization of Yki from the nucleus, where it acts as a transcriptional activator, to the cytoplasm.
A review of the hippo signalling pathway is provided by Mo et al Embo Reports 2014, 15, 642-656.
Examples of inhibitors of the hippo pathway are described for example in Nature Reviews Drug Discovery 13, 63-79 (2014). They include without limitation the YAP inhibitor Verteporfin, the MST1 inhibitor 9E1 , certain GPCR inhibitors such as Epinephrine, glucagon, dihydrexidine, b-adrenergic receptor antagonist such as Dobutamine, tyrosine kinase inhibitor such as Datasatinib, inhibitors of YAP nuclear localization such as blebbistatin, ML7, Botulinum toxin C3, or Y27632.
In a specific embodiment, an inhibitor of the hippo pathway is verteporfin of the formula below:
Preferred compounds for use according to the present disclosure
The following compounds in Table 1 are the top ranked molecules identified from the SPIED/CMAP analysis of small molecules that promote oligodendrogenesis. Accordingly, they may be particularly useful for treating brain injuries and/or demyelinating disorders as described in the next section:
Table 1: Compounds for use in promoting oligodendrogenesis
The compounds listed in Table 1 may further be administered to a subject in need thereof alone or as a combination of 2 or more compounds selected from Table 1. For example, trichostatin-A may be combined with LY-294002 for specific stimulation of oligodendrogenesis.
The following compounds in Table 2 are the top ranked molecules identified from the SPIED/CMAP analysis of small molecules that promote neurogenesis (rejuvenation). Accordingly, they may be particularly useful for treating brain injuries and/or demyelinating disorders as described in the next section:
Table 2: Compounds for use in promoting neurogenesis
Compound Target
AR-A014418 GSK3p inhibitor monensin TGFp/Bmp and Noggin
nadolol Beta-blocker
GW-8510 CDK inhibitor adiphenine Nicotinic antagonist
The compounds listed in Table 2 may further be administered to a subject in need thereof alone or as a combination of 2 or more compounds selected from Table 1. For example, AR- A014418 may be combined with adiphenine for specific stimulation of adult neurogenesis (rejuvenation).
Therapeutic uses
Another object of the invention relates to a method for treating brain injuries, or demyelinating disorders such as periventricular leukomalacia or multiple sclerosis, comprising administering to a subject in need thereof a therapeutically effective amount of compound inhibitors as described above, in particular, PI3K or GSK3P inhibitors.
In a more specific embodiment, the present disclosure relates to GSK3P inhibitors, in particular GSK3b inhibitors of formula (I), (IV) or (V), such as CHIR99021 compound or its pharmaceutically acceptable salts, for use in treating hypoxic/ischemic brain injury in the adult or perinatal hypoxia/ischemia. In other specific embodiments, CHIR99021 compound or their variants of formula (I), (IV) or (V) or pharmaceutically acceptable salts, is not used in combination with other GSK3P or PI3K inhibitors. In a more specific embodiment, CHIR99021 compound or their variants of formula (I), (IV) or (V) or its pharmaceutically acceptable salts, is used as a monotherapy for treating hypoxic/ischemic brain injury in the adult or perinatal hypoxia/ischemia. Such compound inhibitors may be administered in the form of a pharmaceutical composition, as defined below.
A "therapeutically effective amount" is intended for a minimal amount of active agent which is necessary to impart therapeutic benefit to a subject. For example, a "therapeutically
effective amount" to a subject is such an amount which induces, ameliorates or otherwise causes an improvement in the pathological symptoms, disease progression or physiological conditions associated with or resistance to succumbing to a disorder. It will be understood that the total daily usage of the compounds of the present invention will be decided by the attending physician within the scope of sound medical judgment.
The specific therapeutically effective dose level for any particular subject will depend upon a variety of factors including the disorder being treated and the severity of the disorder; activity of the specific compound employed; the specific composition employed, the age, body weight, general health, sex and diet of the subject; the time of administration, route of administration, and rate of excretion of the specific compound employed; the duration of the treatment; drugs used in combination or coincidential with the specific compound employed; and like factors well known in the medical arts.
For example, it is well within the skill of the art to start doses of the compound at levels lower than those required to achieve the desired therapeutic effect and to gradually increase the dosage until the desired effect is achieved. However, the daily dosage of the products may be varied over a wide range from 0.01 to 1,000 mg per adult per day. Typically, the compositions contain 0.01 , 0.05, 0.1, 0.5, 1.0, 2.5, 5.0, 10.0, 15.0, 25.0, 50.0, 100, 250 and 500 mg of the active ingredient for the symptomatic adjustment of the dosage to the subject to be treated. A medicament typically contains from about 0.01 mg to about 500 mg of the active ingredient, preferably from 1 mg to about 100 mg of the active ingredient. An effective amount of the drug is ordinarily supplied at a dosage level from 0.0002 mg/kg to about 20 mg/kg of body weight per day, especially from about 0.001 mg/kg to 7 mg/kg of body weight per day.
The compound inhibitor as described above may be combined with pharmaceutically acceptable excipients, and optionally sustained-release matrices, such as biodegradable polymers, to form pharmaceutical compositions.
"Pharmaceutically" or "pharmaceutically acceptable" refer to molecular entities and compositions that do not produce an adverse, allergic or other untoward reaction when administered to a mammal, especially a human, as appropriate. A pharmaceutically acceptable
carrier or excipient refers to a non-toxic solid, semi-solid or liquid filler, diluent, encapsulating material or formulation auxiliary of any type.
The pharmaceutical compositions of the present invention for oral, sublingual, subcutaneous, intramuscular, intravenous, transdermal, local or rectal administration, the active principle, alone or in combination with another active principle, can be administered in a unit administration form, as a mixture with conventional pharmaceutical supports, to animals and human beings. Suitable unit administration forms comprise oral-route forms such as tablets, gel capsules, powders, granules and oral suspensions or solutions, sublingual and buccal administration forms, aerosols, implants, subcutaneous, transdermal, topical, intraperitoneal, intramuscular, intravenous, subdermal, transdermal, intrathecal and intranasal administration forms and rectal administration forms. Preferably, said pharmaceutical compositions are formulated for intranasal, intrathecal and/or intraventricular administration.
Alternatively, implantable continuous infusion device may be implanted by surgery for direct delivering of the compound inhibitor into the cerebrospinal fluid. Typically, the pharmaceutical compositions contain vehicles which are pharmaceutically acceptable for a formulation capable of being injected. These may be in particular isotonic, sterile, saline solutions (monosodium or disodium phosphate, sodium, potassium, calcium or magnesium chloride and the like or mixtures of such salts), or dry, especially freeze-dried compositions which upon addition, depending on the case, of sterilized water or physiological saline, permit the constitution of injectable solutions. The pharmaceutical forms suitable for injectable use include sterile aqueous solutions or dispersions; formulations including sesame oil, peanut oil or aqueous propylene glycol; and sterile powders for the extemporaneous preparation of sterile injectable solutions or dispersions. In all cases, the form must be sterile and must be fluid to the extent that easy syringability exists. It must be stable under the conditions of manufacture and storage and must be preserved against the contaminating action of microorganisms, such as bacteria and fungi. Solutions comprising compounds of the invention as free base or pharmacologically acceptable salts can be prepared in water suitably mixed with a surfactant, such as hydroxypropylcellulose.
Dispersions can also be prepared in glycerol, liquid polyethylene glycols, and mixtures thereof and in oils. Under ordinary conditions of storage and use, these preparations contain a preservative to prevent the growth of microorganisms.
The carrier can also be a solvent or dispersion medium containing, for example, water, ethanol, polyol (for example, glycerol, propylene glycol, and liquid polyethylene glycol, and the like), suitable mixtures thereof, and vegetables oils. The proper fluidity can be maintained, for example, by the use of a coating, such as lecithin, by the maintenance of the required particle size in the case of dispersion and by the use of surfactants. The prevention of the action of microorganisms can be brought about by various antibacterial and antifungal agents, for example, parabens, chlorobutanol, phenol, sorbic acid, thimerosal, and the like. In many cases, it will be preferable to include isotonic agents, for example, sugars or sodium chloride. Prolonged absorption of the injectable compositions can be brought about by the use in the compositions of agents delaying absorption, for example, aluminium monostearate and gelatin. Sterile injectable solutions are prepared by incorporating the active polypeptides in the required amount in the appropriate solvent with several of the other ingredients enumerated above, as required, followed by filtered sterilization. Generally, dispersions are prepared by incorporating the various sterilized active ingredients into a sterile vehicle which contains the basic dispersion medium and the required other ingredients from those enumerated above. In the case of sterile powders for the preparation of sterile injectable solutions, the preferred methods of preparation are vacuum-drying and freeze-drying techniques which yield a powder of the active ingredient plus any additional desired ingredient from a previously sterile-filtered solution thereof. Upon formulation, solutions will be administered in a manner compatible with the dosage formulation and in such amount as is therapeutically effective. The formulations are easily administered in a variety of dosage forms, such as the type of injectable solutions described above, but drug release capsules and the like can also be employed. For parenteral administration in an aqueous solution, for example, the solution should be suitably buffered if necessary and the liquid diluent first rendered isotonic with sufficient saline or glucose. These particular aqueous solutions are especially suitable for intravenous, intramuscular, subcutaneous and intraperitoneal administration. In this connection, sterile aqueous media which can be employed will be
known to those of skill in the art in light of the present disclosure. For example, one dosage could be dissolved in 1 ml of isotonic NaCl solution and either added to 1000 ml of hypodermoclysis fluid or injected at the proposed site of infusion. Some variation in dosage will necessarily occur depending on the condition of the subject being treated. The person responsible for administration will, in any event, determine the appropriate dose for the individual subject
Methods for promoting oligodendrogenesis and/or rejuvenation
The inventors have shown that the above defined compound inhibitors, typically, GSK3P and PI3K inhibitors, have the properties of promoting oligodendrogenesis and/or rejuvenation in vivo, in particular in the subventricular zone of a subject.
Therefore, another aspect of the present disclosure relates to a method for promoting the oligodendrogenesis and/or neurogenesis, comprising the administration of an efficient amount of a compound inhibitor as defined above in a subject in need thereof.
FIGURES LEGENDS Fig. 1: Pharmacological stimulation of Wnt/ -catenin signaling rescues oligodendrocyte precursor (OP) and glutamatergic neuron progenitor numbers in the adult mouse. (A)
Quantitative PCR (qPCR) analysis reveals a pronounced decrease of Wnt targets genes Lefl and Axin2 and pallial Emxl and Tbr2 transcripts expression in the dorsal subventricular zone (dSVZ) between P6 and P60 (n = 3 for P6 and P60). Results are expressed as a percentage and normalized in comparison with Gapdh level of expression and compared using unpaired t test. (B) Representative coronal sections illustrating the pronounced and rapid decrease of Wnt canonical signaling in the Gal reporter mouse ( GAL+) and the parallel decrease of glutamatergic NPs (Tbr2+) and OPs (01ig2+) in the SVZ of mouse brain at the age of 6 d (P6), 2 mo (P60), and 4 mo (P120) in = 3 individual animals for each time point). (C) Quantification of the average number of GAL+, Tbr2+, and 01ig2+ cells in the dorsal wall of the SVZ in P6, P60, and P120 mice (3 animals per age). (D) Representative pictures of Ki67, Tbr2, and 01ig2 expression in the adult (P90) SVZ before and after treatment with GSK3 inhibitors (AR-A014418, not shown, and CHIR99021 , shown). (E) Percentage
increase of proliferation (Ki67, EdU), OPs (01ig2), glutamatergic NPs (Tbr2), and NSC (Mcm2/GFAP) numbers following intraventricular infusion of AR-A014418 (3-10 μΜ) and CHIR99021 (3-10 μΜ). Values are normalized compared to the controls (n = 5 for each of control, AR-A014418, and CHIR99021). Error bars represent standard error of the mean (SEM). **, p < 0.01 ; *, p < 0.05; t test. Scale Bar = 1 mm (B) and 50 μιη (D).
Fig. 2: CHIR99021 promotes dorsal subventricular zone (dSVZ)-derived cortical oligodendrocyte (OL) regeneration following chronic hypoxia. (A) Schematic representation of the experimental workflow. A Cre plasmid was electroporated in the dS VZ of ROSA-YFP mice 1 day after birth (PI) for permanent labeling of dorsal neural stem cells (NSCs). Mice were placed in a hypoxic chamber containing 10% 02 from P3 to Pl l then subjected to intranasal CHIR99021 administration from Pl l to P13. Animals were sacrificed at PI 9 for analysis of recombined cell number, migration, and differentiation. (B) Schematic representation of the results quantified in (C-E). (C-D) CHIR99021 treatment following hypoxia leads to a decrease of YFP+ cells in the dSVZ (C), paralleled by a concomitant increase in the cortex (n = 4 for hypoxic and n = 4 for CHIR99021) (D). (E) The average distance of the ten farthest YFP+ cells from the dorsal SVZ is increased following CHIR99021 treatment (n = 4 for hypoxic and n = 3 for CHIR99021). (F-G) CHIR99021 treatment promote de novo oligodendrogenesis (F), YFP+/01ig2+, and neurogenesis (G), YFP+/NeuN+; left confocal micrographs following hypoxia (n = 7 for hypoxic and n = 6 for CHIR99021). Right confocal micrographs show expression of CC1 in YFP+ cells in the most superficial cortical layers, supporting the successful differentiation of the newborn OLs (large arrow) that support myelin (small arrow shows colocalizing YFP+/MBP+ myelinated fibers) in CHIR99021 treated animals. ***p < 0.001 ; **, p < 0.01 ; *, p < 0.05; t test used throughout. Scale bars = 20 μηι throughout. Figure 3 : CHIR99021 promotes the spontaneous activation of Wnt/ -catenin signaling occurring following chronic hypoxia. (A) Experimental design: BatGal mice were subjected to hypoxia from P3 to Pl l , then to CHIR99021 intranasal administration from Pl l to PI 3. Mice were terminated either at PI 1 either at PI 5. (B) OD of Gal staining in the dorsal SVZ in normoxic (Ctrl) and hypoxic (Hx) mice at PI . (C) OD of Gal staining in the dorsal SVZ in
and in normoxic, normoxic treated with CHIR99021 (Ctrl+chir), hypoxic and hypoxic treated with chir (Hx+chir) at PI 5. (D-E) Graphs show the percentage of Tbr2 and 01ig2+ cells co- expressing Gal in the dorsal SVZ at PI 5 and in normoxic, normoxic treated with CHIR99021 (Ctrl+chir), hypoxic and hypoxic treated with chir (Hx+chir). Abbreviations: %age: percentage, E13/E15: respectively 13 and 15 days after fecundation; P3/P15/P1 1/P19: respectively 3, 1 1 , 15 and 19 days after birth; Ctrl: control, Hx: hypoxic ; P-values: *<0.05 ; ** < 0.01 ; ***<0.001 .
Figure 4: CHIR99021 administration promotes acquisition of layer specific markers by newborn neurons following hypoxia. (A) Experimental design: a CRE plasmid was electroporated in the dorsal microdomain of the SVZ of ROSA YFP mice (dorsal EPO) at PI before to undergo a hypoxic environment (10% 02) from P3 to PI 1 , followed by intranasal administration of CHIR99021 from Pl l to P13. Mice were terminated at P19 or at P45. (B) Illustrations of neuron-like YFP+ cells expressing the cortical neuron markers Cuxl , Ctip2 and Satb2 at PI 9. (C-D) Density and proportion of neuron-like YFP+ cells co-expressing Cuxl and Ctip2 following hypoxia (Hx) and CHIR99021 treatment (Hx+CHIR) at PI 9. (E) Representative pictures illustrating the pattern of expression of the cortical markers Satb2, Ctip2 and Cuxl . Satb2 is localized in all cortical layers while Ctip2 is specific for deep and Cuxl specific from the upper cortical layers. (F) Percentage of YFP+ neurons expressing Satb2, Cuxl , Ctip2 or Cuxl and Ctip2 within the deeper or upper cortical layers at P19. (G) Microphotographs of a YFP+ cortical neuron at P45 in Hx+CHIR conditions. Scale bars: 50 microns in E, 10 microns in B and G. Abbreviations: EPO: electroporation ; Hx; hypoxic/Hx+CHIR: hypoxic treated with CHIR99021 ; P3/P11/P13/P19/P45 : respectively 3, 1 1, 13, 19 and 45 days after birth %age: percentage. LI-TV : cortical layers 1 to 4; LV-VI : cortical layers 5 and 6. P-values: ns > 0.05 ; * < 0.05 ; **<0.01. Figure 5: CHIR99021 promotes oligodendrocytes production and maturation following hypoxia. (A-B) Graphs showing the proportion of astrocytes and OLs in the YFP+ glial population of the cortex at PI 9, in the normoxic (Ctrl) and hypoxic animals (Hx), with or without CHIR99021 treatment (Ctrl + CHIR; Hx + CHIR) at PI 9 (A) and P45 (B). (C) Representative pictures of YFP+ astrocytes (Gfap+) and oligodendrocytes (01ig2+). (D-E)
Graphs showing the density of YFP+/01ig2+ cells in the cortex at P19 (D) and P45 (E). (F) Representative pictures of the markers used to characterize the distinct stages of OL maturation. (G) Diagram shows the different stages of maturation of oligodendrocytes: progenitor, iOL, mOL, characterized by the expression of a combination of CC1 and Oligl markers. (H-I) Graph shows the proportion of YFP+ OLs at different stages of maturation in the cortex at PI 9 (H) and P45 (I). Scale bars: 20 microns in C and F, Abbreviations: %age: percentage ; OL: oligodendrocytes, iOL: immature oligodendrocytes, mOL: mature oligodendrocytes, P19/P45: respectively 19 and 45 days after birth ; Ctrl: normoxic/Ctrl+CHIR: normoxic treated with CHIR99021/Hx; hypoxic/Hx+CHIR: hypoxic treated with CHIR99021. P-values: * < 0.05 ; **<0.01 ; ***<0.001.
Figure 6: Evidences that ChiR treatment does not deplete the "reservoir" of qNSCs in the adult SVZ. (A) NSCs (i.e.: Sox2+) can be subdivided based on their expression of Mcm2 and/or Ki67 (qNSCs: Mcm2+/Ki67-; aNSCs: Mcm2+/Ki67+). (B) Representative photomicrographs of the dorso-lateral SVZ in the several experimental conditions (Nx, Nx+chiR, Hx, Hx+chiR). (C-D) Quantifications of qNSCs (C, Mcm2+/Ki67-) and aNSCs (D, Mcm2+/Ki67+) in the dorso-lateral SVZ. (E) The proportions of qNSCs and aNSCs remains relatively stable in all experimental conditions. (F) Represention of the SVZ regions where quantification of label retaining cells (i.e. qNSCs) presented in H-J were made. (G) quantification of label retaining cells in the P90 SVZ demonstrate relatively stability of the number of qNSCs in all experimental conditions. (H-J) similar resultas are obtained when of label retaining cells are quantified in each SVZ microdomains (as illustrated in F).
NSCs: neural stem cells; aNSCs: actively cycling neural stem cells; qNSCs: quiescent neural stem cells; SVZ: subventricular zone; dSVZ: dorsal subventricular zone; 1SVZ: lateral subventricular zone; vmSVZ: ventro-medial subventricular zone; LV: lateral ventricule; Nx: normoxic; Hx: hypoxic. Scale bars=10μm in B & 1mm in F. P-value: *< 0.05.
EXAMPLES
MATERIALS AND METHODS
Unless stated, all materials were purchased from Sigma-Aldrich. All procedures were in accordance and approvals of the United Kingdom Home Office Animals Scientific Procedures Act (1986), Ethics Committee of the Veterinary Department of the Canton of Zurich (Approval ID 182/2011). Experiments in France were performed in accordance with European requirements 2010/63/UE and have been approved by the Animal Care and Use Committee CELY E (APAFIS#187 & 188). Animal procedures were executed in accordance with UK/Swiss/French law, with strict consideration given to the care and use of animals. All mice were bred over wild-type C57/BL6 background for several generations, and positive animals for Mashl -EGFP were selected at birth under UV light.
Methods applied for studying Wnt/ -catenin signaling are based on previous studies using BatGal mice expressing the β-galactosidase reporter under the control of TCF/LEF binding sites, thereby reflecting the activity of Wnt/ -catenin signaling [62].
Bioinformatics
Whole genome transcriptome datasets of the isolated SVZ microdomains and region-specific NSCs and TAPs are described in detail in a recent study that described transcriptional regulators acting in SVZ regionalization [1 ]. Briefly, the rostral periventricular regions of postnatal mice of different ages (P4, P8, and PI 1) of the Ascll-EGFPBac transgenic reporter mouse line were carefully microdissected under a fluorescent binocular microscope in R Ase-free and sterile conditions. Isolated SVZ microdomains were derived from brain coordinates of +1 and 0 relative to Bregma. The Hes5-EGFP reporter mouse line was used in combination with Prominin-1 immunodetection to isolate NSCs from microdissected dorsal and lateral microdomains by fluorescence-activated cell sorting. Similarly, the Ascll-EGFPBac transgenic reporter mouse line was used to isolate the 25% brightest cells, i.e., corresponding to TAPs, from either microdomain. Half a litter of animals were used to pool for each replicate throughout. In the present study, these datasets (recently made publicly available from NCBI Gene Expression Omnibus [http://www.ncbi.nlm.nih.gov/geo] GEO Series accession number GSE60905) were analyzed using previously applied bioinformatics methods, with only minor modifications [1]. In brief, data were cured (background subtraction, normalization, and summarization) using robust multi-chip analysis (RMA) using
the Partek Genomic Suite software package version 6.6 using stringent false discovery rate (FDR) with / values where necessary in the analysis. All data were normalized collectively with datasets from previous studies of isolated NSC, NPs, and glia (i.e., GSE60905, GSE9566, GSE 18765) for optimal parameters. Partek was used to assemble affymetrix data and generate hierarchical clustering and gene lists. GO sets were generated using the latest MGI mouse GO datasets via the Broad Institute
(http://www.broadinstitute.org/gsea/index.jsp). The numbers of probes that were differentially expressed across the ten samples analyzed (dNSCs, dTAPs, INSCs, ITAPs, P4 dSVZ, P4 lateral SVZ, P8 dSVZ, P8 lateral SVZ, PI 1 dSVZ, and PI 1 lateral SVZ) represented a total of ~37K probe sets within the 10% FDR range. Genego Metacore (https://portal.genego.com/) and GSEA (http :/ /www .bro adinstitute . org/gsea/ msi gdb/index sp) were used to filter and select for probes associated as secreted morphogens (tropic factors, growth factors, extracellular signaling molecules, mitogens, and secreted inhibitors of signaling pathways). The numbers of morphogen from this filtered list that were significantly altered amounted to 530 probes, representing approximately 330 individual genes. Identification of spatially enriched signaling ligands, regardless of sample type was done by comparing all dorsal versus all lateral samples. This gene list was uploaded onto Genego Metacore and Process Network option selected using the default parameters. Determination of the spatial expression profiles of secreted signaling factors in SVZ microdomains was performed by comparing datasets using appropriate fold changes and FDR cut-offs (Partek, 1.65-fold change and FDR <5%). For all analyses, raw expression values are provided and Heatmaps are presented in the manuscript.
SPIED analysis
For SPIED identification of small molecules, the "dorsal NSCs/TAPs," "lateral NSCs/TAPs," "postnatal NSCS/TAPs," "oligodendroglial lineage," and the "rejuvenating" transcriptional signatures were defined using Partek (1.8-fold change, FDR < 5%), as follows. Probes significant across multiple normalized datasets in the background (representing ~40K probes) were processed. For identification of "dorsalizing" small molecules, dNSCs/dTAPs datasets (positive range) were compared with probes significantly different in the background. This
list was then further refined and compared with other postnatal datasets (negative range), using the advanced tab in list manager followed by criteria configuration in generating lists with merged expression profiles. For identification of "ventralizing" small molecules, INSCs/lTAPs datasets (positive range) were compared as above against with probes significantly different in the background. This list was further refined and compared with other postnatal datasets from the same study (negative range) [1 ]. For identification of "pro- oligodendrogenic" small molecules, publicly available datasets of forebrain-derived OL lineage cells (positive range; GSE9566) were compared to dNSCs and dTAPs (negative range) from which they emerge. Finally, for identification of "rejuvenating" small molecules, publicly available datasets of adult NSCs [29] (positive range) were compared with postnatal dNSCs/lNSCs (negative range) [1]. These expression profiles, consisting of gene symbols of "enriched" genes, were next uploaded onto SPIED (http://www.spied.org.uk/cgi-bin/HGNC- SPIED3.1.cgi) to interrogate the CMAP initiative in an unbiased way and identify small molecules predicted to promote the positive ranges of gene signatures using default parameters. The Broad CMAP 2.0 (CMAP2.0) database consists of the transcriptional profiles corresponding to the effects of small molecules at various concentrations and treatment times using panels of human cell lines. The data are available for download in the form of ranked probe sets for each microarray sample on the [HG-U133A] Affymetrix Human Genome U133A Array platform. Identified small molecules cellular targets were exhaustively characterized using publicly available drug repositories (www.DrugBank.ca/; www.genome.jp/kegg/drug/; http://insilico.chantc.de/supcrtargct/; www.pharmgkb.org; http://stitch.cmbl.de/). Small molecules protein targets identified were cross-checked in http -J /www. genecards .org/ for classifying them under general GO terms. All analyses presented are shown as a percentage. Small molecule target gene analysis
"Target genes" are defined as the genes from the queried expression profiles that are also induced by a given small molecule. Target genes for each analysis were generated as follows. To generate lists of genes perturbed by the small molecules, gene replicates were pooled and the relative expression levels calculated. Changes passing the Student's t test / value of <0.05
were processed, and when there were multiple probes for a given gene, the probe with the biggest fold change was assigned to the gene. These were aligned for matching signatures with the transcriptional profiles corresponding to the small molecules repurposed in the CMAP using pattern-matching algorithms that enable identification of functional connections between drugs, genes, and diseases through the transitory feature of common gene-expression changes [4]. The entire database is available for download (http://www.broadinstitute.org/gsea/msigdb/index.jsp) in the form of ranked probe sets for each microarray sample on the [HG-U133A] Affymetrix Human Genome U133A Array platform. For analysis of "target genes" of select small molecules, we first performed hierarchical clustering of their expression profile in the various cell types and lineage that compose the SVZ using the following datasets: purified postnatal NSCs and TAPs (GSE60905 [1 ]), for purified glial cells (GSE9566 [25]), and adult NSCs/NPs/ependymal cells (GSE18765 [29]). Target genes were then classified by "Process network and pathway maps" GO categories. Briefly, target gene lists containing the contrasts and fold changes were analyzed via the web platform http://www.broadinstitute.org/cmap/index.jsp and functionally classified using Genego Metacore (https://portal.genego.com/) for Process Networks and Pathway Maps.
Last, target genes were studied further for obtaining the shortest path between genes associated with highly ranked process networks and pathway maps using standard Dijkstra's shortest paths algorithm and applying default parameters [7,56]. Background RMA normalized data for all probe sets relevant for the postnatal and adult SVZ derived from postnatal NSCs and TAPs ((GSE60905) [1]), purified glial cells ((GSE9566 [25]), and adult NSCs/NPs/ependymal cells ((GSE18765 [29]) were uploaded onto Genego Metacore (raw data are provided with the manuscript). This allows obtaining, visualizing, aligning, and clustering the most relevant target genes based on small molecule target genes with reference to basally expressed genes in the SVZ. Objects within this network were restricted to 70-80 in accordance with those highly ranked and most significant within the earlier GO analysis, and signaling-to-transcriptional options were selected. Internal clusters (2—4) within the network module were arranged according to the highest ranked GO pathways within the
analysis in the pathway selection menu. A full description of the definition of objects and nodes can be found here: https://portal.genego.com/legends/MetaCoreQuickReferenceGuide.pdf.
SVZ microdissection, qPCR, and western blot The SVZ microdomains were microdissected using previously published protocols [1]. In brief, mouse pups were killed humanely by cervical dislocation. In sterile and R Ase-free conditions, brains were rapidly dissected free and placed in ice-cold postnatal-specific coronal brain matrix (Zivic Instruments, US) to obtain tissue segments of 500-μηι thickness containing the rostral periventricular tissue as above for whole genome transcriptome analysis. For examination of LY-294002 -induced genes by qPCR, pups were treated by intraventricular infusion (see below) at P9 and P10, and 180 min following final infusion, tissue was microdissected. Five pups were used to pool for individual "n" numbers, and RNA was systematically amplified for all "n" numbers as previous [10]. For western blot, pups aged at P10 were treated with LY-294002 (see below), and 45 min following injection, pups were systematically killed by cervical dislocation and tissue microdissected and flash frozen in lysis buffer in liquid nitrogen for storage at -80°C [10]. One litter of pups was pooled to yield 1 "n" number. For qPCR experiments, relative gene expression was determined using the 2 ΔΔ Τ method versus the housekeeping gene GAPDH (Glyceraldehyde-3 -phosphate dehydrogenase). Primers were designed by Primer Express 1.5 software and synthesized by Eurofins (Ebersberg, Germany). Unstated primers in main text were custom designed and obtained from (Qiagen).
Protein was extracted with lysis buffer and standard procedures as previous [57]. For SDS- PAGE gels, 15 μg was loaded and transferred to a PVDF membrane (GE Healthcare, Amersham). Blots were preincubated in a blocking solution of 5% BSA in 0.2% TBST (0.1 M Tris base, 0.1 % Tween 20, pH 7.4) for 1 h at RT and incubated with primary antibodies overnight at 4°C and after washing, with a horseradish peroxidase-conjugated anti-rabbit antibody (1 :10,000-1 :25,000; Pierce Biotechnology). Primary antibodies were all obtained from Cell Signaling and used in concentrations of 1 :500 for phosphor- forms and 1 :2000 for total forms of protein. Protein bands were detected by adding SuperSignal West Pico
Chemiluminescent Substrate (Pierce) by exposing the blot in a Stella detector (Raytest). Densitometry analysis was performed with NIH software and by normalizing the band intensities to total Akt or total Erkl/2 values. Intensity values for pAkt were combined and pAkt-473 shown only. Gene expression and western blot data are presented as mean + standard deviation of the mean (SD) or standard error of the mean (SEM), respectively, and samples compared for significance using unpaired t test (t test) or (Prism v3.02 software; GraphPad).
In vivo procedures
Animals were killed humanely by cervical dislocation and brains removed rapidly to ice-cold fixative. Mouse pups of similar size were used throughout. Mice aged P8 were treated by intraventricular infusion into the LV daily for 3 d, and brains sampled at P 1 1 , overnight following the final injection. Mice were deeply anesthetized under isofluorane and differing concentrations of LY-294002 (Sigma-Aldrich), dissolved in sterile DMSO, sterile filtered, and co-administered with sterile saline delivered into the CSF of the LV using a Hamilton syringe at point 2 mm from the midline along the Bregma and to a depth of 2 mm. Sterile saline/DMSO vehicle were used as controls throughout this study. Concentrations of small molecules infused into the CSF of the lateral ventricle were based on the known CSF availability of agents, as performed previously by the authors [57] and elsewhere based on CSF volume and turnover in the adult mouse [58]. Methods applied for studying postnatal oligodendrogenesis are based on previous studies using C57/BL6 mice and transgenic mouse line in which fluorescent reporters DsRed are under control of the PLP promoter [57,59].
Methods applied for studying rejuvenation of the adult SVZ were perform by infusing GSK3 inhibitors into the ventricular system of adult P90 mice. Animals were anesthetized with a subcutaneous injection of Ketamin (60 mg/kg body weight), Xylazine (13 mg/kg body weight), and Acepromazine (1.5 mg/kg body weight) before being fixed in a stereotaxic apparatus. After exposure of the skull surface, a canula (Alzet, Brain infusion kit 3) was stable implanted at the following coordinates (Bregma -0.5 mm; lateral 1 mm, depth: 2.5 mm) for intraventricular infusion of the GSK3 inhibitors CHIR99021 and AR-A014418. Delivering the small molecules was achieved over a period of 3 d using an osmotic miniupump (1 μΐ/h,
model 1003D; Alzet Osmotic Pumps) into the CSF. Sham animals received all surgical steps, catheter implantation, and pump insertion.
For studying recruitment of SVZ NSCs following hypoxia and small molecule administration, dSVZ NSCs were permanently labeled by dorsal electroporation [60] of a Cre plasmid (Cambridge, MA, www.addgene.org, plasmids 13775) in Cre-reporter mice (ROSA26-Flox- Stop-Flox YFP, Jackson Laboratories). A pCAGs-Cre plasmid under a chicken β-actin promoter was obtained from Addgene (Cambridge, MA, www.addgene.org, plasmids 13775). Mice aged P 1 were electroporated, then placed in a hypoxic rearing chamber maintaining at 9.5%— 10.5% 02 concentration by displacement with N2 as described previously [43]. Hypoxia began at P3 for 8 d until PI 1. A separate group was maintained in a normal atmosphere (normoxic group). CHIR99021 was administered by intranasal administration as previously described [45]. Mucus was first permeabilized by the use of type TV hyaluronidase, then, 10 μΐ of CHIR99021 (Sigma) was administrated 4 times (starting at the end of the hypoxic period, then every 12 h), at a concentration of 1.5 mM in sterile PBS (Vehicle was used as a control). Mice were terminated after the hypoxic period at PI 1, after 8 days after cessation of hypoxia at PI 9, or at P45. In order to study the activity of Wnt/b- catenin signaling, we used the Bat-Gal mouse line (Maretto et ai, 2003b) which were subjected to hypoxia and/or intranasal administration of CHIR99021 following protocols already described. Mice were terminated at PI 1 before treatment or at P15.
For label retraining cells protocols, BrdU was administrated with the drinking water between P45 to P59. Animals were sacrificed, at P45 and P90.
Immunohistochemistry
Standard immunofluorescence protocols were applied as previously described [15]. Mice were killed by injection with an intraperitoneal overdose of pentobarbital (Eutha77 in Ringer's solution) followed by transcardial perfusion with 4% paraformaldehyde (PFA) dissolved in 0.1 M phosphate buffered saline (PBS; pH 7.4). Following removal, brains were post-fixed in 4% PFA overnight at 4°C and cut in coronal sections at 30-50 μπι thickness for obtaining serial sections. Primary antibodies used were goat anti-Dcx (1 :400 Santa Cruz); anti-Mcm2 (1 :400 Santa Cruz); mouse anti-Oligl (1 :100, Abeam); mouse anti-Satb2 (1 :200,
Santa Cruz); rat anti-Ctip2 (1 :500, abeam); rabbit anti-Cuxl (1 :200, Santa Cruz); rabbit anti- Cas3A (1 :1000, Millipore); rabbit anti-Ki67 (1 :500 Thermoscientific; 1 :300, Millipore); chicken anti- -galactosidase (1 :500, Abeam); mouse anti-Ki67 (1 :500, BD Pharmingen); 1 :300, Millipore); rabbit anti-GFAP (1 :300, DAKO); rabbit anti-01ig2 (1 :400, Millipore); chicken anti-GFP (1 : 1000; Abeam, AB13970); mouse anti-NeuN (1 :500, Millipore, MAB377); rat anti-MBP (1 :300, Millipore, AB40390); rabbit anti-Tbr2 (1 :500, Abeam). Appropriate secondary antibodies conjugated with Alexafiuor 488, 568, or 405 (1 :400, Molecular Probes) were applied. Control experiments were performed using appropriate blocking peptides where available or otherwise by omission of the primary antibody. Fluorescent labeling of cells in S-phase by EdU (5-ethynyl-2'-deoxyuridine) detection was performed following manufacturers guidelines using Click-it EdU Alexa Fluor 555 imaging kit (Invitrogen). Tissues were mounted on poly- lysine coated glass slides with Vectashield mounting media (Vector Laboratories) and sealed with covers lips.
Imaging and quantification procedures Imaging and analysis methods are described in detail in our previous methodological study [61]. All quantifications were performed using a homogenous sampling approach that has been optimized for three-dimensional analysis of microdo mains in the mouse SVZ [10] and provides an accurate quantification equivalent to exhaustive stereological methods from which it is adapted [61]. In brief, serial coronal sections were processed throughout the entire rostro-caudal extent of the SVZ (series of six sections for adult tissues and at least three for the postnatal SVZ). Quantification was performed on equivalent areas in each experimental group [10]. Images were captured using a Zeiss LSM Meta 5.1 , Zeiss LSM Meta 7.1, or Leica SPEII confocal microscope and processed with Zeiss LSM Image Examiner (V. 5.2.0.121) or LAS-AF software (V. 2.7), maintaining the acquisition parameters constant to allow comparison between samples. The number of cells expressing the markers Ki67, EdU, BrdU, 01ig2, Tbr2, Mcm2, Dcx, Ascll , and GFAP were quantified with at least three fields of view per section on series of equally spaced sections of 40-μπι thickness encompassing the entire rostral lateral ventricle as previously described [10,59]. The dSVZ in both ages was defined based on DAPI counterstaining (Invitrogen). Quantifications were performed on confocal z-
2 2 ·
stacks of 230 μπι x 230 μπι in the x-y-plane and 30 μπι in the z-plane, with a volume of 1.6 x 106 μηι3. For the case of GFAP+ cells, i.e., NSCs, only cells directly adjacent to the ependymal layer were analyzed as previous for similar postnatal ages [10]. The myelin index (MI), a means to measure postnatal myelination in the corpus callosum, was done in serial sections from PLP-DsRed mice [59]. The number of myelin sheaths crossing a diagonal transect was counted in each confocal z-section at 1 , 5, 10, 15, 20, 25, and 30 μηι (captured using a 40x objective) so that the MI represents the density of DsRed+ myelin sheaths within a volume of 1.6 x 106 μηι3.
Optical density of BGal staining in the Batgal mouse line was performed in the complete dorsal SVZ from epifiuorescence microscope images, with Leica software. Values were normalized regarding to area and DAPI intensity using LAS-AF software. Quantifications of BGal+, Tbr2+, Ki67+, Mcm2+, and 01ig2 at PI 1 , P15, P19, P45 in the entire dSVZ were done from images taken with Leica SPEII confocal microscope, on 3 (for PI 1 and PI 5) or 4 sections (for PI 9, P45) per brain. Quantification of Dcx+ cells in the OB was performed using stereological analysis with Mercator software on 3 sections per brain. Estimation of the density of YFP+ cells originating from the dorsal electroporation of dsCRE plasmid in ROSA-YFP mice was performed by defining a volume of cortex reached by the electroporated cells.
Statistical significance was tested using GraphPad Prism v302 for multiple variables, using or one-way analysis of variance (ANOVA) followed by Bonferroni's post hoc test, and for two variables, using unpaired t tests (referred to as t test), where appropriate.
RESULTS
Identification of divergent signaling pathways in SVZ microdomains
The SVZ contains NSCs and their progeny, the transient amplifying progenitors TAPs), which generate both NPs and OPs. The SVZ can be subdivided into discrete spatial microdomains (or niches) from which distinct neural lineages originate. While subtypes of GABAergic interneurons originate from all SVZ regions, the dorsal SVZ (dSVZ) additionally gives rise to glutamatergic NPs and is the primary source of forebrain OPs (reviewed in [6,7,13]). To identify the molecular hallmarks that determine cell fate within these
microdomains, we previously generated whole transcriptome datasets of NSCs, TAPs, and their respective SVZ niches at postnatal day (P)4, P8, and PI 1 [1 ], which correspond to the postnatal period of greatest germinal activity and lineage diversity [6,14]. Here, we interrogated these datasets to identify signaling and metabolic processes that are unique to NSCs, TAPs, and their respective SVZ niches. Transcripts enriched in dorsal versus lateral datasets were compared using GeneGO Metacore for Process Networks, and the function of individual genes were classified using http://www.genecards.org. The top ten Metacore categories in each microdomain were ranked, and only two categories overlapped, namely "Chemotaxis" and "Notch signaling," stressing the importance of these pathways within the neurogenic niche as well as highlighting the existence of discrete signaling processes that are specific to the dorsal and lateral SVZ. Among enriched transcripts generic to the SVZ niche, those coding for secreted signaling factors (grouped here for simplicity as "morphogens") were prominent in both SVZ microdomains; many of these were enriched in NSCs/TAPs. Examination of the dorsal and lateral SVZ revealed a large number of genes differentially enriched within the two microdomains. Notably, the dSVZ contained the greatest number of genes that were uniquely expressed, in line with the greater diversity of lineages originating from this microdomain. In particular, the Wnt ligands were specific to the dSVZ, whilst Shh was specific to the lateral SVZ, in accordance with evidence that these signaling pathways have key roles in dorsalization and ventralization of the SVZ, respectively [12,15]. In addition, several members of the TGF /Bmp family and their pathway inhibitor Noggin were enriched in the dSVZ, indicating they may have a specific role in driving cell fate in this microdomain. The lateral SVZ was enriched in the proneural determinants Bmp2 and Tgfa [16], as well as an abundance of chemokines and secreted molecules with undefined roles in neurogenesis. A number of Fgf ligands were specific to the dorsal or lateral SVZ, indicative of functional divergence of FGF signaling within the microdomains. Together, these results highlight major regionalization of signaling pathways within the SVZ, supporting the possibility they could be directly targeted to instruct lineage commitment of NSCs.
SPIED/CMAP identification of small molecules for manipulating SVZ regionalization and NSC fate
We applied a novel pharmacogenomics approach to probe SVZ regionalization. To this end, a meta-analysis was performed to identify relationships between the transcriptional signatures of SVZ niches and/or lineages to those induced by exposure to small bioactive molecules in different contexts. This CMAP approach allows the identification of small bioactive molecules capable of inducing transcriptional changes similar to those observed in the queried samples and therefore to potentially manipulate cell fate in the SVZ [3.4.1 7]. Small molecules were ranked according to the number of genes that are altered, referred to as "target genes" (See Table 3A-D), and the protein targets of each small molecule were classified according to Gene Ontology (GO) terms (see Materials and Methods for further details). Table 3. Top-ranked small molecules identified from SPIED/CMAP analysis of small molecules that promote (A) dorsalization of the SVZ, (B) ventralization of the SVZ, (C) oligodendrogenesis, and (D) neurogenesis. Small molecules are ranked according to the lar est numbers of "target" or "perturbed" genes.
Small molecules that may drive NSC/TAP dorsalization or ventralization were identified by comparing the transcriptome of dorsal and lateral NSCs/TAPs, as summarized in Tables 3A and 3B. Significantly, the GSK3 inhibitor AR-A014418, which we have previously demonstrated dorsalizes the SVZ [10], was identified in the top ten dorsalizing pertubagens (Table 3A). Conversely, 3-nitropropionic acid ranked highly in the ventralizing screen (Table 3B) and is an activator of GSK3 [18], which we have shown represses SVZ dorsalization [15]. Drugs targeting the ventralizing Shh signaling pathway [12] were also identified, such as tolnaftate, which has been described as inhibiting Shh signaling [19]. Altogether, these findings help validate our approach (see below). Among other small molecules, the most prominent category was "Receptor antagonists", consistent with neurotransmitters being major regulators of neurogenesis in the SVZ [20]. Notably, ventralizing perturbagens targeting muscarinic acetylcholine (mACh) receptors were highly ranked, e.g., terfenadine (Table 3B), suggesting mACh receptors are important determinants of interneuron specification in the lateral SVZ [21]. The two other prominent categories of small molecules were associated with "Signaling" and "Metabolism", which included the most highly ranked dorsalizing perturbagen GW-8510, a potent Cdk inhibitor (Table 3 A), and ciclopirox, an inhibitor of prolyl-4-hydroxylase that promotes Notch signaling and NSC activation [22,23]. The most highly ranked ventralizing perturbagen was verteporfin (Table 3B), which alters downstream transcriptional activity of the hippo pathway to regulate cell cycle and neuronal differentiation [24].
Small molecules that may promote oligodendrogenesis were identified by comparing the transcriptome of dorsal NSCs/TAPs (i.e., the main postnatal forebrain source of OLs) with publicly available transcriptional datasets of oligodendroglial lineage cells [25]. The results are summarized in Table 3C. Most small molecules were related to "Gene regulation" and "Signaling". Many from the latter category, including two of the top ten ranked pro- oligodendrogenesis drugs LY-294002 and sirolimus, are inhibitors of PI3K/Akt/mTor signaling (Table 3C), which acts downstream of several ligands enriched in the dSVZ.
Notably, many of the small molecules associated with oligodendrogenesis were within "Epigenetic" and "Cell cycle" categories, which barely featured in the other SPIED analyses. The highest ranking amongst these were trichostatin-A and vorinostat (Table 3C), which are potent inhibitors of histone deacetylases (HDACs) with broad epigenetic activities, consistent with evidence that HDACs repression is required during NSC differentiation into OPs [26,27]. Similarly, the higher ranking of the Cdk inhibitors GW-8510 and camptothecin (Table 3C) highlights the importance of inhibition of Cdks in regulating cell cycle progression and differentiation of OPs from NSCs, in support of previous studies [28].
Small molecules that may rejuvenate the adult SVZ were identified by comparing the transcriptome of postnatal NSCs [1] and adult NSCs [29]. The aim of this approach was to identify key transcriptional changes underlying the decline in the activity and loss of competence of NSCs that occurs in adulthood, which is attributed to the combined up- regulation of inhibitory and down-regulation of positive cues [30], and is critical for the response of NSCs to brain injury and degeneration [31 ,32]. In this manner, key small molecules were identified for "rejuvenating" adult NSC 3D), approximately 20% of which overlapped with those required in dorsalizing or ventralizing the postnatal SVZ, and were categorized as "Receptor antagonist," "Signaling," and "Metabolism." Some interesting candidates included antagonists for α/β adrenergic receptors, including the highly ranked nadolol (Table 3D), which have been described to promote NSC activation from quiescence in the dentate gyrus [33] and enhance NP survival following exit from the SVZ [34]. A key signaling pertubagen was monensin, which impedes TGF processing [35], a major neurogenesis inhibitory factor during ageing [36]. Significantly, the GSK3 inhibitor AR- A014418 was one of the top ranking "rejuvenating" small molecules (see below), which we have shown promotes the genesis of glutamatergic NPs in the postnatal SVZ via the canonical Wnt signaling pathway [10,15].
Based on these SPIED/CMAP analyses, LY-294002 and AR-A014418 were identified as promising agents that may specifically regulate oligodendrogenesis (Table 3C) or neurogenesis (Table 3D), respectively, and were selected for further analysis to resolve
signaling-to-transcriptional interactions by Genego Metacore network visualization and in vivo validation.
LY-294002 induces transcriptional changes that promote oligodendrogenesis
LY-294002 is a widely used and highly specific inhibitor of PBK/Akt. Expression of the target genes of LY-294002 in SVZ cell types/lineages was compared by hierarchical clustering, highlighting their association with late-stage OLs compared to other cell lineages, including NSCs/TAPS of the dSVZ. Further target genes analysis provided additional information on the mode of action and predicted effects of LY-294002. Categorizing target genes for GO Pathway Maps and Process Networks revealed up-regulation of genes associated with oligodendrogenesis and myelination and down-regulation of genes related to cell cycle behavior and neurogenesis. Finally, Genego Metacore network visualization was applied to resolve signaling-to-transcriptional interactions (detailed in Materials and Methods). LY-294002 up-regulated transcriptional nodes were associated with oligodendrogenesis, while down-regulated nodes included Notch signaling, proneuronal TFs, and astroglial-related genes. Altogether, LY-294002 appeared as a strong candidate for inducing specifically oligodendrogenesis in the postnatal SVZ. It was infused into the CSF of the lateral ventricle, commencing at P8, and the effects on the SVZ were determined at PI 1 by immunostaining and biochemical and quantitative PCR (qPCR) analysis of its target genes, as described in our previous studies [10,15]. Intraventricular infusion to achieve a CSF concentration of 3 μΜ LY-294002 effectively inhibited Akt phosphorylation, the immediate target of PI3K, throughout the SVZ and rapidly and specifically promoted oligodendrogenesis in the dSVZ. Quantification performed through the rostro-caudal axis of the lateral ventricle revealed a pronounced induction of the OL lineage marker 01ig2, particularly in the most dSVZ region. NSCs were identified as glial fibrillary acidic protein (GFAP) immunopositive cells in direct contact with the lateral ventricle wall, and their proliferative state was assessed using 5-ethynyl-2 deoxyuridine (EdU; mice received a single intraperitoneal (i.p.) injection of EdU at P8). Compared to controls, GFAP immunoreactivity and the extent of GFAP+/EdU colocalization were significantly reduced following LY-294002 infusion, indicating a general loss of both proliferative and nonproliferative GFAP+ NSCs, consistent with evidence of their precocious differentiation into OPs. Immunolabeling for Dcx and 01ig2 in combination with
EdU to identify NPs and OPs, respectively, revealed different effects of LY-294002 on these two lineages. Notably, the numbers of 01ig2+/EdU+ OPs were increased dramatically, and a greater proportion of these cells expressed Ascll, whereas Dcx+/EdU+ NPs were reduced, as was the overall number of Dcx+ cells in the dSVZ. This indicates that LY-294002 promoted the early stages of oligodendrogenesis at the expense of neurogenesis. In addition, OL differentiation was also enhanced as revealed by a doubling of proteolipid protein (PLP)- DsRed+ OLs and a subsequent 30% enhancement in myelination as revealed by myelin index measurements by the end of the treatment.
Importantly, qPCR of the microdissected SVZ confirmed LY-294002 acts via the target genes/nodes identified by the target gene analysis and provided additional information on its modes of action. Analysis revealed Fgf2 and Igf 1 were not increased, indicating they were not the mechanism of action of LY-294002. Conversely, LY-294002 significantly decreased Shh signaling, which promotes SVZ ventralization, together with Notch signaling, which stimulates NSCs self-renewal and is a major rate-limiting determinant of OL differentiation [37,38]. Overall, these analyses support that LY-294002 -mediated PBK/Akt inhibition promotes an environment permissive to oligodendrogenesis while inhibiting signaling pathways that promote neuronal cell fates.
AR-A014418 induces transcriptional changes that promote rejuvenation of the adult SVZ AR-A014418 is a highly specific inhibitor of GSK3 , which the SPIED/CMAP analysis identified as having one of the highest number of target genes associated with rejuvenation (Table 3D) as well as being positively related to dorsalization of the SVZ (Table 3A) and negatively related to ventralization (Table 3B). Consistent with this, the target genes of AR- A014418 were enriched more prominently in dorsal NSCs/TAPs and OPs, than other cell types. Furthermore, pathway/network analysis of AR-A014418 target genes revealed an up- regulation of multiple categories related to neurogenesis, oligodendrogenesis, and Wnt signaling, consistent with our recent evidence that AR-A014418 promotes generation of glutamatergic NPs and OPs from the postnatal dSVZ via canonical Wnt signaling [10,15]. Genego Metacore network visualization identified up-regulated nodes mainly consisting of
transcriptional regulators, notably TFs associated with neurogenesis (e.g., Tbr2, NeuroDl, Pax6) and oligodendrogenesis (e.g., Oligl/2, SoxlO). Down-regulated nodes included members of pro-inflammatory cytokines, such as IL-33, that likely inhibit neurogenesis [39], as well as Id4, which is up-regulated in adulthood and is a potent inhibitor of neurogenesis [40]. These analyses support AR-A014418 as a strong candidate for promoting lineage and signaling pathways that are characteristic of the early postnatal SVZ, whilst down-regulating inhibitory factors associated with the decline in neurogenic capacity in the adult.
An age-related decline in SVZ activity was confirmed by qPCR analysis of adult SVZ microdomains, which indicated a parallel decline in neurogenic potential and canonical Wnt/ -catenin signaling in the dSVZ. This was confirmed by an observed sharp decline in the expression of Lefl and Axin2 and the dSVZ\glutamatergic NP markers Emxl and Tbr2 (Fig 1A). Analysis of BAT-gal mice [41] further demonstrated a decline in Wnt/ -catenin activity between P6 and P60, together with a decrease in the densities of Tbr2+ NPs and to a lesser extent 01ig2+ OPs in the adult and their apparent loss by PI 20 (Fig IB and 1C). These analyses reveal that the neurogenic capacity and lineage diversity of the dSVZ declines in the adult brain [30,42] and, based on the SPIED/CMAP analysis, we predicted GSK3 inhibitors are strong candidates for rejuvenating the adult dSVZ.
The effects of the GSK3 inhibitors AR-A014418 and second generation inhibitor CHIR99021 on dorsal lineages in the adult SVZ were examined directly in vivo by infusion into the CSF of the lateral ventricle (Fig ID and IE). First, these agents were tested in postnatal mice to confirm our previous findings that their infusion into the CSF effectively inhibits GSK3 activity and stimulates Wnt/ -catenin signaling in the dSVZ [15] and promote the generation of glutamatergic NPs and OPs. Next, we examined the effects of AR- A014418 or CHIR99021 in the adult (P90) dSVZ; the agents were infusion into the lateral ventricle caudally to ensure no damage to the SVZ by the injection procedure, whilst ensuring effective distribution of agents at a concentration of 3-10 μΜ at the SVZ, which is rostral to the injection site. Treatment with AR-A014418 and CHIR99021 dramatically stimulated the germinal activity of the adult dSVZ, increasing proliferation as revealed by Ki67 immuno labeling and EdU incorporation, with profound effects on Mcm2/GFAP+ NSCs and
Tbr2+ glutamatergic NPs, which were respectively increased 5-fold and 6-fold (Fig ID and IE). There was also an increase in oligodendrogenesis, as evinced by a 3-fold increase in the number of 01ig2+ cells (Fig ID and IE). Importantly, careful analysis revealed no marker co- expression (i.e. 01ig2/Tbr2 and Dlx2/Tbr2, <50 cells/brain in five animals), supporting appropriate and lineage-specific progenitor specification. Thus, infusion of GSK3 inhibitors were able to rejuvenate the SVZ by promoting the reemergence of lineages associated with early postnatal life, as predicted by the SPIED/CMAP analysis.
Administration of small bioactive molecules that promotes SVZ germinal activity in a model of premature brain injury. The results reported above validate the SPIED/CMAP -based approach for lineage-specific manipulation of SVZ germinal activity at various ages. Next, we explored the regenerative potential in a neuropathological context in a model of premature injury that leads to diffuse oligodendroglial and neuronal loss throughout the cortex [43]. To investigate the potential of small bioactive molecules to promote the spontaneous cellular regeneration previously observed in this model [44,45], we selected the GSK3 inhibitor CHIR99021 for its predicted capacity to induce dorsal lineages, i.e., oligodendrogenesis and neurogenesis [10], and high activity at low concentrations in inducing dorsal lineages. Dorsal electroporation of a Cre plasmid in Rosa-YFP Cre reporter mice allowed long-term labeling and fate mapping of dorsal NSCs. Intranasal CHIR99021 delivery in hypoxic animals led to a significant decrease in the number of YFP+ cells in the dSVZ, while their number concomitantly increased in the cortex (Fig 2C and D). This efficient cortical cellular recruitment was accompanied by a significant enhancement of migration of YFP+ cells following CHIR99021 treatment (Fig 2B and E). Phenotypic characterization of the cells revealed significantly enhanced oligodendrogenesis (YFP+/01ig2+, Fig 2F), regeneration of new myelinating OLs (YFP+/CC1+/MBP+, Fig 2F), as well as increased neurogenesis (YFP+/NeuN+, Fig 2G) following hypoxia and CHIR99021 treatment. Expression of postmitotic markers CC1 and NeuN in OLs and neurons, respectively, support their successful differentiation following CHIR99021 treatment (Fig 2G, H). These results illustrate the capacity of small bioactive
molecules identified in our bioinformatic approach to promote regeneration following forebrain injury.
CHIR99021 promotes the spontaneous activation of Wnt/p-catenin signaling occurring following chronic hypoxia Wnt/p-catenin pathway plays a crucial role in maintaining the dorsal identity of SVZ stem cells and progenitors and its activity decreases throughout embryogenesis in the pallial ventricular-subventricular zone (VZ-SVZ) and in the dorsal SVZ throughout early postnatal life [1 1]. We investigated whether Wnt/p-catenin signalling was affected by the period of hypoxia in the dorsal SVZ and thereby if cortical regeneration following hypoxia could be partly due to this signalling pathway. To do this, we used the BatGal mice, expressing b- galactosidase under the control of a Wnt target promotor [62] subjected to chronic hypoxia and terminated at Pl l (Fig 3 A). Interestingly, the optical density (OD) of b-galactosidase staining in the dorsal SVZ was increased in the hypoxic brains compared to the normoxic ones (Ctrl), suggesting a spontaneous activation of Wnt/p-catenin signalling after hypoxia in the dorsal SVZ (Fig 3B). Moreover, CHIR99021 intranasal administration following the hypoxic period increased BGal OD in both normoxic and hypoxic conditions, confirming that CHIR99021 promotes Wnt/b-catenin signalling (Fig 3C). Interestingly, although hypoxia increased significantly the proportion of oligodendrocyte progenitors (01ig2+ cells) co- expressing Gal in the dorsal SVZ, it did not affect much the proportion of glutamatergic neuron progenitors (Tbr2+ cells) co-expressing Gal (Fig D-E). CHIR99021 increased the activity of Wnt/p-catenin signalling in both lineages (Fig D-E).
Together, our results show that chronic hypoxia promotes the activity of Wnt/p-catenin signaling in the dorsal SVZ, which could be involved in the recruitment of dorsal SVZ cells for cortical repair. Moreover, intranasal administration of CHIR99021 further increases Wnt/p-catenin activity in the dorsal progenitor populations of the SVZ. As a consequence, intranasal administration of CHIR99021 after the hypoxic period could potentiate the effect of hypoxia on Wnt/p-catenin signaling for cortical repair.
CHIR99021 administration promotes the early specification of hypoxia-induced cortical neurons
We first investigated the identity of postnatally born cortical neurons, using the same experimental design (Fig 4A). We selected several glutamatergic markers in order to investigate their expression by newborn cortical neurons at PI 9. We used Satb2 that labels a population of neurons that can be observed throughout cortical layers. In addition, we used Cuxl and Ctip2 as markers of upper (layers I-IV) and deeper (layers V-VI) cortical neurons, respectively (Fig 4E). Interestingly, a significant fraction of YFP+ neurons expressed one or the other of these markers. Thus, about 38% of the YFP+ neurons expressed Satb2 corresponding to a density of 25 per mm3 in the area reached by the electroporation (not shown), 10% of the upper cortical layer Cuxl and about 25% the deep layer cortical marker Ctip2 (Fig 4B-D). Together, these results suggest that a large proportion of newborn neurons derived from the dorsal most SVZ regions are glutamatergic and rapidly acquire subtype- specific cortical neurons markers expression.
We next assessed the layer distribution of these positive neurons at PI 9. Interestingly, YFP+ cortical were localized in the cortical layers corresponding to the marker they expressed. Indeed, more than 95% of YFP+/Cuxl+ neurons were located in upper cortical layers, where YFP+/Ctip2+ neurons were consistently absent. Inversely, all YFP+/Ctip2+ neurons were located in deeper cortical layers, where only 1 YFP+/Cuxl+ neurons was observed. In agreement with the more widespread Satb2 expression, about 55% of the YFP+/Satb2+ cells were localized in the upper layers while about 45% were in the deeper layers (Fig 4F). Thus, newborn cortical neurons appear to rapidly specify to acquire layer specific markers in accordance with their final location.
We next investigated the effect of CHIR99021 intranasal administration onto newborn neurons specification. The increase number YFP+/NeuN observed following CHIR99021 administration appears to include an increase in the number of Cuxl+ and more strikingly of Ctip2+ neurons being generated (Fig 4D). In parallel, the proportion of YFP+ neurons expressing one or the other of these layer specific cortical markers greatly increased from 35% to 75% following CHIR99021 treatment. Remarkably, the proportion of YFP+/Ctip2+ neurons showed the largest increase (25% to 60%, Fig 4D). The layer specific distribution of Cuxl and Ctip2+ neurons was preserved following CHIR99021 treatment (Fig 4F).
In order to assess the long-term survival of newborn neurons, we repeated those analyses at P45. No YFP+ cortical neurons were observed in the hypoxic condition, indicating that the spontaneous cortical neurogenesis observed following neonatal hypoxia is abortive. Further, only rare YFP+/NeuN+ cells were observed in the hypoxic brains following CHIR99021 administration (Fig 4G) and were all located in deep layers, suggesting that the faster acquisition of layer markers is insufficient to facilitate the integration and long-term survival of newborn neurons.
CHIR99021 promotes the maturation and long term survival of newborn cortical oligodendrocytes We assessed in more details the gliogenic response observed following hypoxia, as well as its modulation by the CHIR99021 treatment. To this end, cortical YFP+ glial cells were characterized by using the astrocytic marker Gfap and the oligodendroglial marker 01ig2 at both P19 and P45 (Fig 5 A and 5B, respectively).
For both timepoints, the balance between YFP+ engaging into an astrocytic fate (Gfap+, 40%) and oligodendrocyte fate (01ig2+, 60%) was not affected by hypoxia (compare Ctrl to Hx in Fig 5A and 5B). Interestingly, CHIR99021 treatment promoted oligodendrogenesis in both normoxic (Ctrl) and hypoxic (Hx) animals, as reflected by the increased proportion of YFP+ cells acquiring an oligodendroglial identity at P19 and P45 (Fig 5A-B). Quantification of the density of YFP+ oligodendrocytes at PI 9, confirmed the increased oligodendrogenesis following CHIR99021 administration, which appeared more consistent in hypoxic animals when compared to controls (Fig 5D). Analysis performed at P45, substantiated these observations by confirming the increased density of YFP+/01ig2+ cells within the cortex, following hypoxia and CHIR99021 treatment (Fig 5E).
We next assessed if this increased oligodendrogenesis was paralleled by an effect of CHIR99021 administration on the maturation of newborn oligodendrocytes. Indeed, Wnt/β- catenin signalling controls distinct stages of oligodendrogenesis. In order to investigate the effects of hypoxia and/or CHIR99021 treatment onto oligodendrocyte maturation, we combined the immunodetection of two oligodendrocyte markers Oligl and CC1. Previous studies have shown that OL progenitors express Oligl in the nucleus, while maturing
oligodendrocytes first express CC1 (i.e. immature oligodendrocytes, iOL), then co-express CC1 and Oligl in their cytoplasm (i.e. mature oligodendrocytes, mOL; Fig 5G). The proportion of YFP+ cortical iOL and mOL reveals a significant increase in the proportion of iOL which represent about 95% of the OL population in the hypoxic (Hx) brains compared to about 40% in the controls (Ctrl), suggesting a delay in oligodendrocyte maturation due to hypoxia (Fig 5H). CHIR99021 administration promoted the maturation of YFP+ cortical oligodendrocytes, increasing significantly the proportion of mOL from 5 to 30% and decreasing accordingly the proportion of iOL (Fig 5H). At P45, the ratios between the different stages of maturation are similar in all the conditions with a larger proportion of mOL (Fig 51).
Altogether, those results highlight an effect of hypoxia on oligodendrocyte maturation in the cortex by 8 days following the end of the hypoxic period, which can be reversed by CHIR99021 administration. In addition, those results show that a larger number of cortical OLs is produced following CHIR99021 administration, which mature more rapidly. Acute CHIR99021 treatment has a long term effects on dorsal subventricular zone germinal activity
The results presented above reveal that a two-day treatment with CHIR99021 results in both short term and long term effects onto cellular regeneration following hypoxia. We wondered if such acute treatment could have long-term effects on the reservoir of SVZ neural stem cells and therefore onto the germinal activity of this region.
Neural stem cells (NSCs) can be subdivided in several populations that reflect different stages of activation. Here, we used expression of Sox2, Mcm2 and Ki67, to identify subpopulations of NSCs. Quiescent NSCs express the stem cell marker Sox2 but none of the proliferation markers Mcm2 and Ki67. Activated NSCs express Sox2 and Mcm2, while actively cycling NSCs also express Ki67 (Fig 6A). The proportion of NSCs subpopulations was quantified in the dorsal SVZ at P45, that is to say more than one month after hypoxia and/or CHIR99021 treatment. The analysis revealed a no effect of hypoxia and/or CHIR99021 on the number of quiescent NSCs (Fig 6C). Interestingly, hypoxia followed by CHIR99021 treatment slightly increased the number of activated (Fig 6D).
Together, these results indicate that hypoxia and/or CHIR99021 do not result in a depletion of the pool of quiescent NSCs. This was confirmed by using a BrdU-retaining protocol.
Administration of BrdU for 2 weeks (from P45 to P60) was followed by a period of clearance before the mice were sacrificed at P90. Quantification of the number of BrdU-retaining cells (i.e. quiescent NSCs) in the SVZ did not reveal significant changes between experimental groups (Fig 6G). Analysis of distinct SVZ microdomains (indicated on Fig 6F) confirmed an absence of a long term effect of hypoxia and CHIR99021 in all microdomains (Fig 6 H-J). these results confirm that a CHIR99021 treatment at the end of the hypoxic treatment promote SVZ-mediated cellular regeneration with no negative long term effects on the pool of NSCs nor on the germinal activity of this region.
References
1. Azim K, Hurtado-Chong A, Fischer B, Kumar N, Zweifel S, Taylor V, et al. Transcriptional Hallmarks of Heterogeneous Neural Stem Cell Niches of the Subventricular Zone. Stem cells. 2015;33(7):2232-42. doi: 10.1002/stem.2017. PubMed PMID: 25827345. 2. Llorens-Bobadilla E, Zhao S, Baser A, Saiz-Castro G, Zwadlo K, Martin-Villalba A. Single-Cell Transcriptomics Reveals a Population of Dormant Neural Stem Cells that Become Activated upon Brain Injury. Cell Stem Cell. 2015; 17(3):329-40. doi: 10.1016/j.stem.2015.07.002. PubMed PMID: 26235341.
3. Stegmaier K, Ross KN, Colavito SA, O'Malley S, Stockwell BR, Golub TR. Gene expression-based high-throughput screening(GE-HTS) and application to leukemia differentiation. Nat Genet. 2004;36(3):257-63. doi: 10.1038/ngl305. PubMed PMID: 14770183.
4. Lamb J, Crawford ED, Peck D, Modell JW, Blat IC, Wrobel MJ, et al. The Connectivity Map: using gene-expression signatures to connect small molecules, genes, and disease. Science. 2006;313(5795):1929-35. Epub 2006/09/30. doi: 10.1126/science. l 132939. PubMed PMID: 17008526.
5. Bond AM, Ming GL, Song H. Adult Mammalian Neural Stem Cells and Neurogenesis: Five Decades Later. Cell Stem Cell. 2015;17(4):385-95. Epub 2015/10/03. doi: 10.1016/j.stem.2015.09.003. PubMed PMID: 26431 181 ; PubMed Central PMCID: PMC4683085.
6. Fiorelli R, Azim K, Fischer B, Raineteau O. Adding a spatial dimension to postnatal ventricular-subventricular zone neurogenesis. Development. 2015; 142(12):2109-20. doi: 10.1242/dev.l 19966. PubMed PMID: 26081572.
7. Azim K, Berninger B, Raineteau O. Mosaic Subventricular Origins of Forebrain Ohgodendrogenesis. Front Neurosci. 2016; 10:107. doi: 10.3389/fnins.2016.00107. PubMed
PMID: 27047329; PubMed Central PMCID: PMCPMC4805584.
8. Menn B, Garcia- Verdugo JM, Yaschine C, Gonzalez -Perez O, Ro witch D, Alvarez - Buylla A. Origin of oligodendrocytes in the subventricular zone of the adult brain. J Neurosci. 2006;26(30):7907-18. doi: 10.1523/JNEUROSCI.1299-06.2006. PubMed PMID: 16870736.
9. Merkle FT, Mirzadeh Z, Alvarez-Buylla A. Mosaic organization of neural stem cells in the adult brain. Science. 2007;317(5836):381-4. doi: 10.1126/science. l 144914. PubMed
PMID: 17615304.
10. Azim K, Fischer B, Hurtado-Chong A, Draganova K, Cantu C, Zemke M, et al. Persistent Wnt/beta-Catenin Signaling Determines Dorsalization of the Postnatal Subventricular Zone and Neural Stem Cell Specification into Oligodendrocytes and Glutamatergic Neurons. Stem cells. 2014;32(5): 1301-12. doi: 10.1002/stem.l639. PubMed PMID: 24449255.
1 1. Ortega F, Gascon S, Masserdotti G, Deshpande A, Simon C, Fischer J, et al. Oligodendrogliogenic and neurogenic adult subependymal zone neural stem cells constitute distinct lineages and exhibit differential responsiveness to Wnt signalling. Nat Cell Biol. 2013;15(6):602-13. Epub 2013/05/07. doi: 10.1038/ncb2736. PubMed PMID: 23644466.
12. Hirie RA, Shah JK, Harwell CC, Levine JH, Guinto CD, Lezameta M, et al. Persistent sonic hedgehog signaling in adult brain determines neural stem cell positional identity. Neuron. 2011;71(2):250-62. Epub 2011/07/28. doi: 10.1016/j.neuron.2011.05.018. PubMed PMID: 21791285.
13. Weinandy F, Ninkovic J, Gotz M. Restrictions in time and space—new insights into generation of specific neuronal subtypes in the adult mammalian brain. Eur J Neurosci. 2011 ;33(6):1045-54. Epub 2011/03/15. doi: 10.11 11/j.1460-9568.2011.07602.x. PubMed PMID: 21395847.
14. Batista-Brito R, Close J, Machold R, Fishell G. The distinct temporal origins of olfactory bulb interneuron subtypes. J Neurosci. 2008;28(15):3966-75. PubMed PMID:
18400896.
15. Azim K, Rivera A, Raineteau O, Butt AM. GSK3beta regulates oligodendrogenesis in the dorsal microdomain of the subventricular zone via Wnt-beta-catenin signaling. Glia. 2014;62(5):778-9. doi: 10.1002/glia.22641. PubMed PMID: 24677550.
16. Colak D, Mori T, Brill MS, Pfeifer A, Falk S, Deng C, et al. Adult neurogenesis requires Smad4-mediated bone morphogenic protein signaling in stem cells. J Neurosci. 2008;28(2):434-46. Epub 2008/01/1 1. doi: 10.1523/JNEUROSCI.4374-07.2008. PubMed PMID: 18184786.
17. Williams G. A searchable cross-platform gene expression database reveals connections between drug treatments and disease. Bmc Genomics. 2012; 13. doi: Artn 12
Doi 10.1 186/1471-2164-13-12. PubMed PMID: ISI:000301926800001.
18. Crespo-Biel N, Camins A, Gutierrez-Cuesta J, Melchiorri D, Nicoletti F, Pallas M, et al. Regulation of GSK-3beta by calpain in the 3-nitropropionic acid model. Hippocampus. 2010;20(8):962-70. Epub 2009/08/29. doi: 10.1002/hipo.20691. PubMed PMID: 19714564.
19. Lipinski RJ, Bushman W. Identification of Hedgehog signaling inhibitors with relevant human exposure by small molecule screening. Toxicology in vitro : an international journal published in association with BIBRA. 2010;24(5): 1404-9. Epub 2010/05/04. doi: 10.1016/j.tiv.2010.04.01 1. PubMed PMID: 20434536; PubMed Central PMCID: PMC2891024.
20. Berg DA, Belnoue L, Song H, Simon A. Neurotransmitter-mediated control of neurogenesis in the adult vertebrate brain. Development. 2013;140(12):2548-61. Epub 2013/05/30. doi: 10.1242/dev.088005. PubMed PMID: 23715548; PubMed Central PMCID: PMC3666382.
21. Samarasinghe RA, Kanuparthi PS, Timothy Greenamyre J, DeFranco DB, Di Maio R. Transient muscarinic and glutamatergic stimulation of neural stem cells triggers acute and persistent changes in differentiation. Neurobiol Dis. 2014;70:252-61. Epub 2014/07/09. doi: 10.1016/j.nbd.2014.06.020. PubMed PMID: 25003306; PubMed Central PMCID: PMC4152385.
22. Ma TC, Langley B, Ko B, Wei N, Gazaryan IG, Zareen N, et al. A screen for inducers of p21(wafl/cipl) identifies HIF prolyl hydroxylase inhibitors as neuroprotective agents with antitumor properties. Neurobiol Dis. 2013;49:13-21. doi: 10.1016/j.nbd.2012.08.016. PubMed PMID: 22944173; PubMed Central PMCID: PMC3706502.
23. Zheng X, Linke S, Dias JM, Zheng X, Gradin K, Wallis TP, et al. Interaction with factor inhibiting HIF-1 defines an additional mode of cross-coupling between the Notch and hypoxia signaling pathways. Proc Natl Acad Sci U S A. 2008;105(9):3368-73. doi: 10.1073/pnas.0711591 105. PubMed PMID: 18299578; PubMed Central PMCID: PMC2265116.
24. Zhang H, Deo M, Thompson RC, Uhler MD, Turner DL. Negative regulation of Yap during neuronal differentiation. Dev Biol. 2012;361(1):103-15. Epub 2011/11/01. doi:
10.1016/j.ydbio.201 1.10.017. PubMed PMID: 22037235; PubMed Central PMCID: PMC3235039.
25. Cahoy JD, Emery B, Kaushal A, Foo LC, Zamanian JL, Christopherson KS, et al. A transcriptome database for astrocytes, neurons, and oligodendrocytes: a new resource for understanding brain development and function. J Neurosci. 2008;28(l):264-78. Epub 2008/01/04. doi: 10.1523/JNEUROSCI.4178-07.2008. PubMed PMID: 18171944.
26. Caste lo-Branco G, Lilja T, Wallenborg K, Falcao AM, Marques SC, Gracias A, et al. Neural stem cell differentiation is dictated by distinct actions of nuclear receptor corepressors and histone deacetylases. Stem cell reports. 2014;3(3):502-15. Epub 2014/09/23. doi: 10.1016/j.stemcr.2014.07.008. PubMed PMID: 25241747; PubMed Central PMCID: PMC4266002.
27. Wu M, Hernandez M, Shen S, Sabo JK, Kelkar D, Wang J, et al. Differential modulation of the oligodendrocyte transcriptome by sonic hedgehog and bone morphogenetic protein 4 via opposing effects on histone acetylation. J Neurosci. 2012;32(19):6651 -64. Epub 2012/05/1 1. doi: 10.1523/JNEUROSCI.4876-11.2012. PubMed PMID: 22573687; PubMed Central PMCID: PMC3412138.
28. Caillava C, Vandenbosch R, Jablonska B, Deboux C, Spigoni G, Gallo V, et al. Cdk2 loss accelerates precursor differentiation and remyelination in the adult central nervous system. J Cell Biol. 2011 ; 193(2):397-407. Epub 2011/04/20. doi: 10.1083/jcb.201004146. PubMed PMID: 21502361 ; PubMed Central PMCID: PMC3080270.
29. Beckervordersandforth R, Tripathi P, Ninkovic J, Bayam E, Lepier A, Stempfhuber B, et al. In vivo fate mapping and expression analysis reveals molecular hallmarks of prospectively isolated adult neural stem cells. Cell Stem Cell. 2010;7(6):744-58. Epub 2010/11/30. doi: 10.1016/j.stem.2010.1 1.017. PubMed PMID: 21 112568.
30. Hamilton LK, Joppe SE, Cochard LM, Fernandes KJL. Aging and neurogenesis in the adult forebrain: what we have learned and where we should go from here (vol 37, pg 1978,
2013). European Journal of Neuroscience. 2013;38(2):2339-. doi: Doi 10.11 1 l/Ejn.12326. PubMed PMID: ISL000321704800016.
31. Curtis MA, Faull RL, Eriksson PS. The effect of neurodegenerative diseases on the subventricular zone. Nat Rev Neurosci. 2007;8(9):712-23. Epub 2007/08/21. doi: 10.1038/nrn2216. PubMed PMID: 17704813.
32. Kim Y, Szele FG. Activation of subventricular zone stem cells after neuronal injury. Cell and tissue research. 2008;331(l):337-45. Epub 2007/08/19. doi: 10.1007/s00441-007- 0451-1. PubMed PMID: 17694326.
33. Jhaveri DJ, Nanavaty I, Prosper BW, Marathe S, Husain BF, Kernie SG, et al. Opposing effects of alpha2- and beta-adrenergic receptor stimulation on quiescent neural precursor cell activity and adult hippocampal neurogenesis. PLoS ONE. 2014;9(6):e98736. doi: 10.1371/journal.pone.0098736. PubMed PMID: 24922313; PubMed Central PMCID: PMC4055446.
34. Bauer S, Moyse E, Jourdan F, Colpaert F, Martel JC, Marien M. Effects of the alpha 2-adrenoreceptor antagonist dexefaroxan on neurogenesis in the olfactory bulb of the adult rat in vivo: selective protection against neuronal death. Neuroscience. 2003; 117(2):281-91. PubMed PMID: 12614670.
35. Mitchell H, Choudhury A, Pagano RE, Leof EB. Ligand-dependent and -independent transforming growth factor-beta receptor recycling regulated by clathrin-mediated endocytosis and Rabl l . Molecular biology of the cell. 2004; 15(9):4166-78. doi: 10.1091/mbc.E04-03-0245. PubMed PMID: 15229286; PubMed Central PMCID: PMC515349.
36. Pineda JR, Daynac M, Chicheportiche A, Cebrian-Silla A, Sii Felice K, Garcia- Verdugo JM, et al. Vascular-derived TGF-beta increases in the stem cell niche and perturbs neurogenesis during aging and following irradiation in the adult mouse brain. EMBO molecular medicine. 2013;5(4):548-62. doi: 10.1002/emmm.201202197. PubMed PMID: 23526803; PubMed Central PMCID: PMC3628106.
37. Basak O, Giachino C, Fiorini E, Macdonald HR, Taylor V. Neurogenic subventricular zone stem/progenitor cells are No tchl -dependent in their active but not quiescent state. J Neurosci. 2012;32(16):5654-66. doi: 10.1523/JNEUROSCI.0455-12.2012. PubMed PMID: 22514327.
38. Wang S, Sdrulla AD, diSibio G, Bush G, Nofziger D, Hicks C, et al. Notch receptor activation inhibits oligodendrocyte differentiation. Neuron. 1998;21(l):63-75. PubMed PMID: 9697852.
39. Gonzalez-Perez O, Jauregui-Huerta F, Galvez-Contreras AY. Immune system modulates the function of adult neural stem cells. Current immunology reviews.
2010;6(3): 167-73. Epub 2010/11/03. doi: 10.2174/157339510791823772. PubMed PMID: 21037937; PubMed Central PMCID: PMC2964894.
40. Hirai S, Miwa A, Ohtaka-Maruyama C, Kasai M, Okabe S, Hata Y, et al. RP58 controls neuron and astrocyte differentiation by downregulating the expression of Id 1-4 genes in the developing cortex. Embo J. 2012;31(5): 1190-202. Epub 2012/01/12. doi: 10.1038/emboj.201 1.486. PubMed PMID: 22234186; PubMed Central PMCID: PMC3297993.
41. Maretto S, Cordenonsi M, Dupont S, Braghetta P, Broccoli V, Hassan AB, et al. Mapping Wnt/beta-catenin signaling during mouse development and in colorectal tumors. Proc Natl Acad Sci U S A. 2003;100(6):3299-304. Epub 2003/03/11. doi: 10.1073/pnas.0434590100. PubMed PMID: 12626757; PubMed Central PMCID: PMC152286.
42. Shook BA, Manz DH, Peters JJ, Kang S, Conover JC. Spatiotemporal Changes to the Subventricular Zone Stem Cell Pool through Aging. Journal of Neuroscience. 2012;32(20):6947-56. doi: Doi 10.1523/Jneurosci.5987-l 1.2012. PubMed PMID: ISL000304419700020.
43. Fagel DM, Ganat Y, Silbereis J, Ebbitt T, Stewart W, Zhang H, et al. Cortical neurogenesis enhanced by chronic perinatal hypoxia. Exp Neurol. 2006; 199(1):77-91. doi: 10.1016/j.expneurol.2005.04.006. PubMed PMID: 15916762.
44. Bi B, Salmaso N, Komitova M, Simonini MV, Silbereis J, Cheng E, et al. Cortical glial fibrillary acidic protein-positive cells generate neurons after perinatal hypoxic injury. J Neurosci. 201 1;31(25):9205-21. doi: 10.1523/JNEUROSCI.0518-11.201 1. PubMed PMID: 21697371; PubMed Central PMCID: PMCPMC3142780.
45. Scafidi J, Hammond TR, Scafidi S, Ritter J, Jablonska B, Roncal M, et al. Intranasal epidermal growth factor treatment rescues neonatal brain injury. Nature. 2014;506(7487):230-
4. doi: 10.1038/naturel2880. PubMed PMID: 24390343; PubMed Central PMCID: PMCPMC4106485.
46. Guardiola-Diaz HM, Ishii A, Bansal R. Erkl/2 MAPK and mTOR signaling sequentially regulates progression through distinct stages of oligodendrocyte differentiation. GLIA. 2011. Epub 2011/12/07. doi: 10.1002/glia.22281. PubMed PMID: 22144101.
47. Vemuri GS, McMorris FA. Oligodendrocytes and their precursors require phosphatidylinositol 3-kinase signaling for survival. Development. 1996; 122(8):2529-37. PubMed PMID: 8756297.
48. Luo J, Daniels SB, Lennington JB, Notti RQ, Conover JC. The aging neurogenic subventricular zone. Aging cell. 2006;5(2): 139-52. Epub 2006/04/22. doi: 10.11 11/j.1474-
9726.2006.00197.x. PubMed PMID: 16626393.
49. Maslov AY, Barone TA, Plunkett RJ, Pruitt SC. Neural stem cell detection, characterization, and age-related changes in the subventricular zone of mice. J Neurosci. 2004;24(7):1726-33. Epub 2004/02/20. doi: 10.1523/JNEUROSCI.4608-03.2004. PubMed PMID: 14973255.
50. Zhu Y, Demidov ON, Goh AM, Virshup DM, Lane DP, Bulavin DV. Phosphatase WIPl regulates adult neurogenesis and WNT signaling during aging. The Journal of clinical investigation. 2014; 124(7):3263-73. doi: 10.1172/JCI73015. PubMed PMID: 24911 145; PubMed Central PMCID: PMC4071391.
51. Singh KK, Ge X, Mao Y, Drane L, Meletis K, Samuels BA, et al. Dixdcl is a critical regulator of DISCI and embryonic cortical development. Neuron. 2010;67(l):33-48. doi:
10.1016/j.neuron.2010.06.002. PubMed PMID: 20624590; PubMed Central PMCID: PMCPMC2938013.
52. Bernier PJ, Vinet J, Cossette M, Parent A. Characterization of the subventricular zone of the adult human brain: evidence for the involvement of Bcl-2. Neurosci Res. 2000;37(l):67-78. Epub 2000/05/10. PubMed PMID: 10802345.
53. Ernst A, Alkass K, Bernard S, Salehpour M, Perl S, Tisdale J, et al. Neurogenesis in the striatum of the adult human brain. Cell. 2014; 156(5):1072-83. Epub 2014/02/25. doi: 10.1016/j.cell.2014.01.044. PubMed PMID: 24561062.
54. Inta D, Cameron HA, Gass P. New neurons in the adult striatum: from rodents to humans. Trends Neurosci. 2015;38(9):517-23. doi: 10.1016/j.tins.2015.07.005. PubMed
PMID: 26298770; PubMed Central PMCID: PMCPMC4564523.
55. De Marchis S, Fasolo A, Puche AC. Subventricular zone-derived neuronal progenitors migrate into the subcortical forebrain of postnatal mice. J Comp Neurol. 2004;476(3):290- 300. doi: 10.1002/cne.20217. PubMed PMID: 15269971.
56. Hwang PI, Wu HB, Wang CD, Lin BL, Chen CT, Yuan S, et al. Tissue-specific gene expression templates for accurate molecular characterization of the normal physiological states of multiple human tissues with implication in development and cancer studies. Bmc Genomics. 2011 ;12:439. doi: 10.1186/1471-2164-12-439. PubMed PMID: 21880155; PubMed Central PMCID: PMCPMC3178546.
57. Azim K, Butt AM. GSK3beta negatively regulates oligodendrocyte differentiation and myelination in vivo. GLIA. 2011 ;59(4):540-53. Epub 2011/02/15. doi: 10.1002/glia.21 122. PubMed PMID: 21319221.
58. Pardridge WM. Transnasal and intraventricular delivery. In "Peptide Drug Delivery to the Brain" (Table 4.2): Raven Press; 1991.
59. Azim K, Raineteau O, Butt AM. Intraventricular injection of FGF-2 promotes generation of oligodendrocyte-lineage cells in the postnatal and adult forebrain. GLIA. 2012;60(12): 1977-90. Epub 2012/09/07. doi: 10.1002/glia.22413. PubMed PMID: 22951928.
60. Fernandez ME, Croce S, Boutin C, Cremer H, Raineteau O. Targeted electroporation of defined lateral ventricular walls: a novel and rapid method to study fate specification during postnatal forebrain neurogenesis. Neural Dev. 2011 ;6: 13. Epub 2011/04/07. doi:
10.1186/1749-8104-6-13. PubMed PMID: 21466691 ; PubMed Central PMCID: PMC3098142.
61. Azim K, Fiorelli R, Zweifel S, Hurtado-Chong A, Yoshikawa K, Slomianka L, et al. 3 -dimensional examination of the adult mouse sub ventricular zone reveals lineage-specific microdomains. PLoS ONE. 2012;7(1 l):e49087. Epub 2012/1 1/21. doi: 10.1371/journal.pone.0049087. PubMed PMID: 23166605; PubMed Central PMCID: PMC3499551.
62. Maretto S, Cordenonsi M, Dupont S, Braghetta P, Broccoli V, et al. 2003. Mapping Wnt/beta-catenin signaling during mouse development and in colorectal tumors. Proc Natl Acad Sci U S A 100: 3299-304
Claims
1. A compound for use in treating brain injuries, such as hypoxic/ischemic brain injury in the adult and/or perinatal hypoxia/ischemia, or demyelinating disorders, such as periventricular leukomalacias or multiple sclerosis, wherein said compound is selected among inhibitors of GSK3p, such as CHIR99021 and AR-A014418 or their pharmaceutically acceptable salts.
2. The compound for use according to Claim 1 , wherein said compound inhibitor of GSK3P is selected from the group consisting of the compounds of the following formula (IV):
X is selected from the group consisting of nitrogen, oxygen, and optionally substituted carbon; preferably X is nitrogen.
Ri, R2, R3 and R4 are independently selected from the group consisting of hydrogen, hydroxyl, and optionally substituted loweralkyl, cycloloweralkyl, alkylaminoalkyl, loweralkoxy, amino, alkylamino, alkylcarbonyl, arylcarbonyl, aralkylcarbonyl, heteroarylcarbonyl, hetero aralkylcarbonyl, aryl and heteroaryl,
R5 is selected from the group consisting of hydrogen, halo, and optionally substituted loweralkyl, cycloalkyl, alkoxy, amino, aminoalkoxy, alkylcarbonylamino, arylcarbonylamino, aralkylcarbonylamino, heteroarylcarbonylamino, heteroaralkylcarbonylamino, cycloimido, heterocycloimido, amidino, cycloamidino, heterocycloamidino, guanidinyl, aryl, biaryl, heteroaryl, heterobiaryl, heterocycloalkyl, and arylsulfonamido ;
R6 is selected from the group consisting of hydrogen, hydroxy, halo, carboxyl, nitro, amino, amido, amidino, imido, cyano, and substituted or unsubstituted loweralkyl, loweralkoxy, alkylcarbonyl, arylcarbonyl, aralkylcarbonyl, heteroarylcarbonyl, heteroaralkylcarbonyl, alkylcarbonyloxy, arylcarbonyloxy, aralkylcarbonyloxy, heteroarylcarbonyloxy, hetero aralkylcarbonyloxy, alkylaminocarbonyloxy, arylaminocarbonyloxy, formyl, loweralkylcarbonyl, loweralkoxycarbonyl, aminocarbonyl, aminoaryl, alkylsulfonyl, sulfonamido, aminoalkoxy, alkylamino, heteroarylamino, alkylcarbonylamino, alkylaminocarbonylamino, arylaminocarbonylamino, aralkylcarbonylamino, heteroarylcarbonylamino, arylcarbonylamino, heteroarylcarbonylamino cycloamido, cyclothioamido, cycloamidino, heterocycloamidino, cycloimido, heterocycloimido, guanidinyl, aryl, heteroaryl, heterocyclo, heterocycloalkyl, arylsulfonyl and arylsulfonamido; preferably heteroaryl.
Rs and R9 are independently selected from the group consisting of hydrogen, nitro, amino, cyano, halo, thioamido, amidino, oxamidino, alkoxyamidino, imidino, guanidinyl, sulfonamido, carboxyl, formyl, loweralkyl, haloloweralkyl, loweralkoxy, haloloweralkoxy, loweralkoxyalkyl, loweralkylaminoloweralkoxy, loweralkylcarbonyl, loweraralkylcarbonyl, lowerheteroaralkylcarbonyl, alkylthio, aryl and, aralkyl, preferably Rs is hydrogen, and R9 is cyano.
Rio, R11, R12, Ri3, and RH are independently selected from the group consisting of hydrogen, nitro, amino, cyano, halo, thioamido, carboxyl, hydroxy, and optionally substituted loweralkyl, loweralkoxy, loweralkoxyalkyl, haloloweralkyl, haloloweralkoxy, aminoalkyl, alkylamino, alkylthio, alkylcarbonylamino, aralkylcarbonylamino, heteroaralkylcarbonylamino, arylcarbonylamino, heteroarylcarbonylamino aminocarbonyl, loweralkylaminocarbonyl, aminoaralkyl,, loweralkylaminoalkyl, aryl, heteroaryl, cycloheteroalkyl, aralkyl, alkylcarbonyloxy, arylcarbonyloxy, aralkylcarbonyloxy, arylcarbonyloxyalkyl, alkylcarbonyloxyalkyl, heteroarylcarbonyloxyalkyl, aralkycarbonyloxyalkyl, and heteroaralkcarbonyloxyalkyl, preferably Rio, R11, R12, R13, and RH are independently
selected from the group consisting of hydrogen and halo, most preferably R12 and R14 are halo, such as chloro, and Rio, R11 and R13 are hydrogen.
3. The compound for use according to Claim 1 , wherein said compound inhibitor of GSK3P is selected from the group consisting of the following compounds:
- CHIR99021 , CHIR98014, CHIR99023, SB216763, AR-A014418, Kenpaullone, Alsterpaullone, Kazpaullone,
- 6-BIO and other indirubin analogs, hymenialdisine, debromohymenialdisine, dibromocantherelline, meridianine A,
- SB415286, TWS119, Aloisine A,
- TDZD-8, NP0011 1, HMK-32, Manzamine A, Palinurin, Tricantin, and L803-mts, or their pharmaceutically acceptable salts.
4. The compound for use according to Claim 1 , 2 or 3, wherein said compound inhibitor of GSK3P is CHIR99021 or their pharmaceutically acceptable salts.
5. The compound for use according to any one of Claims 1-4, wherein said brain injury is perinatal hypoxia/ischemia.
6. The compound for use according to any one of Claims 1-5, wherein said compound inhibitor of GSK3P is used as a monotherapy for treating said brain injuries.
7. A pharmaceutical composition, for use in the treatment of brain injuries or demyelinating disorders, comprising (i) a compound inhibitor of GSK3P, and (ii) a pharmaceutically acceptable carrier.
8. The pharmaceutical composition of Claim 7, wherein said compound inhibitor of GSK3P is (i) CHIR99021 , or (ii) a compound of formula (IV) as defined in Claim 2, or (iii) one of their pharmaceutically acceptable salts.
9. A method for promoting the oligodendrogenesis and/or neurogenesis, comprising the administration of an efficient amount of a compound inhibitor of GSK3P in a subject in need thereof, thereby promoting the oligodendrogenesis and/or neurogenesis.
10. The method according to Claim 9, wherein said compound inhibitor of GSK3P is selected from the compounds of formula (IV) as defined in Claim 2.
1 1. The method according to Claim 9, wherein said compound inhibitor of GSK3P is selected from the group consisting of: 6-BIO and other indirubin analogs, hymenialdisine, debromohymenialdisine, dibromocantherelline, meridianine A,
- CHIR99021 , CHIR98014, CHIR99023, SB216763, AR-A014418, Kenpaullone, Alsterpaullone, Kazpaullone,
- SB415286, TWS119, Aloisine A,
- TDZD-8, NP0011 1, HMK-32, Manzamine A, Palinurin, Tricantin, and L803-mts, or their pharmaceutically acceptable salts.
12. The method according to Claim 11 , wherein said compound inhibitor is the inhibitor of GSK3P CHIR99021 or AR-A014418, or their pharmaceutically acceptable salts.
Applications Claiming Priority (2)
| Application Number | Priority Date | Filing Date | Title |
|---|---|---|---|
| EP17305356.2 | 2017-03-28 | ||
| EP17305356 | 2017-03-28 |
Publications (1)
| Publication Number | Publication Date |
|---|---|
| WO2018178194A1 true WO2018178194A1 (en) | 2018-10-04 |
Family
ID=58530483
Family Applications (1)
| Application Number | Title | Priority Date | Filing Date |
|---|---|---|---|
| PCT/EP2018/058002 Ceased WO2018178194A1 (en) | 2017-03-28 | 2018-03-28 | Pharmaceutical compositions for use in the treatment of brain injuries or demyelinating disorders |
Country Status (1)
| Country | Link |
|---|---|
| WO (1) | WO2018178194A1 (en) |
Cited By (2)
| Publication number | Priority date | Publication date | Assignee | Title |
|---|---|---|---|---|
| WO2020198037A1 (en) * | 2019-03-25 | 2020-10-01 | The University Of Vermont | Methods to promote cerebral blood flow in the brain |
| CN115197167A (en) * | 2022-07-22 | 2022-10-18 | 中国药科大学 | 1,2,4-thiadiazolidine-3,5-dione compound and its preparation method and application |
Citations (5)
| Publication number | Priority date | Publication date | Assignee | Title |
|---|---|---|---|---|
| WO1999065897A1 (en) | 1998-06-19 | 1999-12-23 | Chiron Corporation | Inhibitors of glycogen synthase kinase 3 |
| US20020132792A1 (en) * | 2000-11-30 | 2002-09-19 | Schering Ag | Aryl-substituted indirubin derivatives, their production and use |
| EP1645286A1 (en) * | 2003-04-18 | 2006-04-12 | Kyowa Hakko Kogyo Co., Ltd. | Drug for nerve regeneration |
| WO2008097861A2 (en) * | 2007-02-02 | 2008-08-14 | Braincells, Inc. | MODULATION OF NEUROGENESIS WITH BIGUANIDES AND GSK3-ß AGENTS |
| US20160143984A1 (en) * | 2014-11-25 | 2016-05-26 | The Penn State Research Foundation | Chemical reprogramming of human glial cells into neurons for brain and spinal cord repair |
-
2018
- 2018-03-28 WO PCT/EP2018/058002 patent/WO2018178194A1/en not_active Ceased
Patent Citations (5)
| Publication number | Priority date | Publication date | Assignee | Title |
|---|---|---|---|---|
| WO1999065897A1 (en) | 1998-06-19 | 1999-12-23 | Chiron Corporation | Inhibitors of glycogen synthase kinase 3 |
| US20020132792A1 (en) * | 2000-11-30 | 2002-09-19 | Schering Ag | Aryl-substituted indirubin derivatives, their production and use |
| EP1645286A1 (en) * | 2003-04-18 | 2006-04-12 | Kyowa Hakko Kogyo Co., Ltd. | Drug for nerve regeneration |
| WO2008097861A2 (en) * | 2007-02-02 | 2008-08-14 | Braincells, Inc. | MODULATION OF NEUROGENESIS WITH BIGUANIDES AND GSK3-ß AGENTS |
| US20160143984A1 (en) * | 2014-11-25 | 2016-05-26 | The Penn State Research Foundation | Chemical reprogramming of human glial cells into neurons for brain and spinal cord repair |
Non-Patent Citations (74)
| Title |
|---|
| "UniProtKB", Database accession no. P49841 |
| AZIM K; BERNINGER B; RAINETEAU O: "Mosaic Subventricular Origins of Forebrain Oligodendrogenesis", FRONT NEUROSCI., vol. 10, 2016, pages 107 |
| AZIM K; BUTT AM: "GSK3beta negatively regulates oligodendrocyte differentiation and myelination in vivo", GLIA, vol. 59, no. 4, 2011, pages 540 - 53 |
| AZIM K; FIORELLI R; ZWEIFEL S; HURTADO-CHONG A; YOSHIKAWA K; SLOMIANKA L ET AL.: "3-dimensional examination of the adult mouse sub ventricular zone reveals lineage-specific microdomains", PLOS ONE, vol. 7, no. 11, 2012, pages e49087 |
| AZIM K; FISCHER B; HURTADO-CHONG A; DRAGANOVA K; CANTU C; ZEMKE M ET AL.: "Persistent Wnt/beta-Catenin Signaling Determines Dorsalization of the Postnatal Subventricular Zone and Neural Stem Cell Specification into Oligodendrocytes and Glutamatergic Neurons", STEM CELLS., vol. 32, no. 5, 2014, pages 1301 - 12 |
| AZIM K; HURTADO-CHONG A; FISCHER B; KUMAR N; ZWEIFEL S; TAYLOR V ET AL.: "Transcriptional Hallmarks of Heterogeneous Neural Stem Cell Niches of the Subventricular Zone", STEM CELLS, vol. 33, no. 7, 2015, pages 2232 - 42 |
| AZIM K; RAINETEAU O; BUTT AM: "Intraventricular injection of FGF-2 promotes generation of oligodendrocyte-lineage cells in the postnatal and adult forebrain", GLIA, vol. 60, no. 12, 2012, pages 1977 - 90 |
| AZIM K; RIVERA A; RAINETEAU O; BUTT AM: "GSK3beta regulates oligodendrogenesis in the dorsal microdomain of the subventricular zone via Wnt-beta-catenin signaling", GLIA., vol. 62, no. 5, 2014, pages 778 - 9 |
| BASAK O; GIACHINO C; FIORINI E; MACDONALD HR; TAYLOR V: "Neurogenic subventricular zone stem/progenitor cells are Notchl-dependent in their active but not quiescent state", J NEUROSCI, vol. 32, no. 16, 2012, pages 5654 - 66 |
| BATISTA-BRITO R; CLOSE J; MACHOLD R; FISHELL G.: "The distinct temporal origins of olfactory bulb interneuron subtypes", J NEUROSCI., vol. 28, no. 15, 2008, pages 3966 - 75 |
| BAUER S; MOYSE E; JOURDAN F; COLPAERT F; MARTEL JC; MARIEN M.: "Effects of the alpha 2-adrenoreceptor antagonist dexefaroxan on neurogenesis in the olfactory bulb of the adult rat in vivo: selective protection against neuronal death", NEUROSCIENCE, vol. 117, no. 2, 2003, pages 281 - 91 |
| BECKERVORDERSANDFORTH R; TRIPATHI P; NINKOVIC J; BAYAM E; LEPIER A; STEMPFHUBER B ET AL.: "In vivo fate mapping and expression analysis reveals molecular hallmarks of prospectively isolated adult neural stem cells", CELL STEM CELL, vol. 7, no. 6, 2010, pages 744 - 58, XP028211790, DOI: doi:10.1016/j.stem.2010.11.017 |
| BERG DA; BELNOUE L; SONG H; SIMON A: "Neurotransmitter-mediated control of neurogenesis in the adult vertebrate brain", DEVELOPMENT, vol. 140, no. 12, 2013, pages 2548 - 61 |
| BERNIER PJ; VINET J; COSSETTE M; PARENT A: "Characterization of the subventricular zone of the adult human brain: evidence for the involvement of Bcl-2", NEUROSCI RES., vol. 37, no. l, 2000, pages 67 - 78, XP001191101, DOI: doi:10.1016/S0168-0102(00)00102-4 |
| BI B; SALMASO N; KOMITOVA M; SIMONINI MV; SILBEREIS J; CHENG E ET AL.: "Cortical glial fibrillary acidic protein-positive cells generate neurons after perinatal hypoxic injury", J NEUROSCI., vol. 31, no. 25, 2011, pages 9205 - 21 |
| BOND AM; MING GL; SONG H.: "Adult Mammalian Neural Stem Cells and Neurogenesis: Five Decades Later", CELL STEM CELL., vol. 17, no. 4, 2015, pages 385 - 95 |
| CAHOY JD; EMERY B; KAUSHAL A; FOO LC; ZAMANIAN JL; CHRISTOPHERSON KS ET AL.: "A transcriptome database for astrocytes, neurons, and oligodendrocytes: a new resource for understanding brain development and function", J NEUROSCI., vol. 28, no. l, 2008, pages 264 - 78, XP055015206, DOI: doi:10.1523/JNEUROSCI.4178-07.2008 |
| CAILLAVA C; VANDENBOSCH R; JABLONSKA B; DEBOUX C; SPIGONI G; GALLO V ET AL.: "Cdk2 loss accelerates precursor differentiation and remyelination in the adult central nervous system", J CELL BIOL., vol. 193, no. 2, 2011, pages 397 - 407 |
| CASTELO-BRANCO G; LILJA T; WALLENBORG K; FALCAO AM; MARQUES SC; GRACIAS A ET AL.: "Neural stem cell differentiation is dictated by distinct actions of nuclear receptor corepressors and histone deacetylases", STEM CELL REPORTS, vol. 3, no. 3, 2014, pages 502 - 15 |
| CLAUDIA CARMASSI ET AL: "A new look at an old drug: neuroprotective effects and therapeutic potentials of lithium salts", NEUROPSYCHIATRIC DISEASE AND TREATMENT, vol. Volume 12, 11 July 2016 (2016-07-11), pages 1687 - 1703, XP055403970, DOI: 10.2147/NDT.S106479 * |
| COLAK D; MORI T; BRILL MS; PFEIFER A; FALK S; DENG C ET AL.: "Adult neurogenesis requires Smad4-mediated bone morphogenic protein signaling in stem cells", J NEUROSCI., vol. 28, no. 2, 2008, pages 434 - 46 |
| CRESPO-BIEL N; CAMINS A; GUTIERREZ-CUESTA J; MELCHIORRI D; NICOLETTI F; PALLAS M ET AL.: "Regulation of GSK-3beta by calpain in the 3-nitropropionic acid model", HIPPOCAMPUS, vol. 20, no. 8, 2010, pages 962 - 70 |
| CURTIS MA; FAULL RL; ERIKSSON PS: "The effect of neurodegenerative diseases on the subventricular zone", NAT REV NEUROSCI., vol. 8, no. 9, 2007, pages 712 - 23 |
| DE MARCHIS S; FASOLO A; PUCHE AC: "Subventricular zone-derived neuronal progenitors migrate into the subcortical forebrain of postnatal mice", J COMP NEUROL., vol. 476, no. 3, 2004, pages 290 - 300 |
| DIENSTMANN ET AL., MOLECULAR CANCER THERAPEUTICS, vol. 13, no. 5, 2014, pages 1021 - 1031 |
| ERNST A; ALKASS K; BERNARD S; SALEHPOUR M; PERL S; TISDALE J ET AL.: "Neurogenesis in the striatum of the adult human brain", CELL, vol. 156, no. 5, 2014, pages 1072 - 83, XP028667662, DOI: doi:10.1016/j.cell.2014.01.044 |
| FAGEL DM; GANAT Y; SILBEREIS J; EBBITT T; STEWART W; ZHANG H ET AL.: "Cortical neurogenesis enhanced by chronic perinatal hypoxia", EXP NEUROL., vol. 199, no. 1, 2006, pages 77 - 91, XP024946014, DOI: doi:10.1016/j.expneurol.2005.04.006 |
| FERNANDEZ ME; CROCE S; BOUTIN C; CREMER H; RAINETEAU O: "Targeted electroporation of defined lateral ventricular walls: a novel and rapid method to study fate specification during postnatal forebrain neurogenesis", NEURAL DEV., vol. 6, 2011, pages 13, XP021098851, DOI: doi:10.1186/1749-8104-6-13 |
| FIORELLI R; AZIM K; FISCHER B; RAINETEAU O: "Adding a spatial dimension to postnatal ventricular-subventricular zone neurogenesis", DEVELOPMENT, vol. 142, no. 12, 2015, pages 2109 - 20 |
| FRONTIERS IN MOLECULAR NEUROSCIENCE, vol. 4, pages 1 - 18 |
| GONZALEZ-PEREZ O; JAUREGUI-HUERTA F; GALVEZ-CONTRERAS AY: "Immune system modulates the function of adult neural stem cells", CURRENT IMMUNOLOGY REVIEWS, vol. 6, no. 3, 2010, pages 167 - 73 |
| GUARDIOLA-DIAZ HM; ISHII A; BANSAL R: "Erkl/2 MAPK and mTOR signaling sequentially regulates progression through distinct stages of oligodendrocyte differentiation", GLIA, 2011 |
| HAMILTON LK; JOPPE SE; COCHARD LM; FERNANDES KJL: "Aging and neurogenesis in the adult forebrain: what we have learned and where we should go from here (vol 37, pg 1978, 2013", EUROPEAN JOURNAL OF NEUROSCIENCE, vol. 38, no. 2, 2013, pages 2339 |
| HIRAI S; MIWA A; OHTAKA-MARUYAMA C; KASAI M; OKABE S; HATA Y ET AL.: "RP58 controls neuron and astrocyte differentiation by downregulating the expression of Id 1-4 genes in the developing cortex", EMBO J., vol. 31, no. 5, 2012, pages 1190 - 202 |
| HWANG PI; WU HB; WANG CD; LIN BL; CHEN CT; YUAN S ET AL.: "Tissue-specific gene expression templates for accurate molecular characterization of the normal physiological states of multiple human tissues with implication in development and cancer studies", BMC GENOMICS, vol. 12, 2011, pages 439, XP021108722, DOI: doi:10.1186/1471-2164-12-439 |
| IHRIE RA; SHAH JK; HARWELL CC; LEVINE JH; GUINTO CD; LEZAMETA M ET AL.: "Persistent sonic hedgehog signaling in adult brain determines neural stem cell positional identity", NEURON, vol. 71, no. 2, 2011, pages 250 - 62, XP028246464, DOI: doi:10.1016/j.neuron.2011.05.018 |
| INTA D; CAMERON HA; GASS P: "New neurons in the adult striatum: from rodents to humans", TRENDS NEUROSCI, vol. 38, no. 9, 2015, pages 517 - 23 |
| JHAVERI DJ; NANAVATY I; PROSPER BW; MARATHE S; HUSAIN BF; KERNIE SG ET AL.: "Opposing effects of alpha2- and beta-adrenergic receptor stimulation on quiescent neural precursor cell activity and adult hippocampal neurogenesis", PLOS ONE, vol. 9, no. 6, 2014, pages e98736 |
| KANT ET AL., KOREAN J PHYSIOL PHARMACOL APRIL, vol. 17, 2013, pages 111 - 120 |
| KIM Y; SZELE FG: "Activation of subventricular zone stem cells after neuronal injury", CELL AND TISSUE RESEARCH, vol. 331, no. l, 2008, pages 337 - 45 |
| LAMB J; CRAWFORD ED; PECK D; MODELL JW; BLAT IC; WROBEL MJ ET AL.: "The Connectivity Map: using gene-expression signatures to connect small molecules, genes, and disease", SCIENCE, vol. 313, no. 5795, 2006, pages 1929 - 35, XP055253665, DOI: doi:10.1126/science.1132939 |
| LIPINSKI RJ; BUSHMAN W.: "Identification of Hedgehog signaling inhibitors with relevant human exposure by small molecule screening", TOXICOLOGY IN VITRO : AN INTERNATIONAL JOURNAL PUBLISHED IN ASSOCIATION WITH BIBRA, vol. 24, no. 5, 2010, pages 1404 - 9, XP027080417, DOI: doi:10.1016/j.tiv.2010.04.011 |
| LLORENS-BOBADILLA E; ZHAO S; BASER A; SAIZ-CASTRO G; ZWADLO K; MARTIN-VILLALBA A: "Single-Cell Transcriptomics Reveals a Population of Dormant Neural Stem Cells that Become Activated upon Brain Injury", CELL STEM CELL, vol. 17, no. 3, 2015, pages 329 - 40 |
| LUO J; DANIELS SB; LENNINGTON JB; NOTTI RQ; CONOVER JC: "The aging neurogenic subventricular zone", AGING CELL, vol. 5, no. 2, 2006, pages 139 - 52 |
| MA TC; LANGLEY B; KO B; WEI N; GAZARYAN IG; ZAREEN N ET AL.: "A screen for inducers ofp21(waf1/cip1) identifies HIF prolyl hydroxylase inhibitors as neuroprotective agents with antitumor properties", NEUROBIOL DIS., vol. 49, 2013, pages 13 - 21, XP028958049, DOI: doi:10.1016/j.nbd.2012.08.016 |
| MARETTO S; CORDENONSI M; DUPONT S; BRAGHETTA P; BROCCOLI V ET AL.: "Mapping Wnt/beta-catenin signaling during mouse development and in colorectal tumors", PROC NATL ACAD SCI U S A, vol. 100, 2003, pages 3299 - 304 |
| MARETTO S; CORDENONSI M; DUPONT S; BRAGHETTA P; BROCCOLI V; HASSAN AB ET AL.: "Mapping Wnt/beta-catenin signaling during mouse development and in colorectal tumors", PROC NATL ACAD SCI USA., vol. 100, no. 6, 2003, pages 3299 - 304 |
| MASLOV AY; BARONE TA; PLUNKETT RJ; PRUITT SC: "Neural stem cell detection, characterization, and age-related changes in the subventricular zone of mice", J NEUROSCI., vol. 24, no. 7, 2004, pages 1726 - 33, XP002505725, DOI: doi:10.1523/JNEUROSCI.4608-03.2004 |
| MENN B; GARCIA-VERDUGO JM; YASCHINE C; GONZALEZ-PEREZ O; ROWITCH D; ALVAREZ-BUYLLA A: "Origin of oligodendrocytes in the subventricular zone of the adult brain", J NEUROSCI., vol. 26, no. 30, 2006, pages 7907 - 18 |
| MERKLE FT; MIRZADEH Z; ALVAREZ-BUYLLA A: "Mosaic organization of neural stem cells in the adult brain", SCIENCE, vol. 317, no. 5836, 2007, pages 381 - 4 |
| MITCHELL H; CHOUDHURY A; PAGANO RE; LEOF EB: "Ligand-dependent and -independent transforming growth factor-beta receptor recycling regulated by clathrin-mediated endocytosis and Rabll", MOLECULAR BIOLOGY OF THE CELL, vol. 15, no. 9, 2004, pages 4166 - 78 |
| MO ET AL., EMBO REPORTS, vol. 15, 2014, pages 642 - 656 |
| NATURE REVIEW DRUG DISCOVERY, vol. 11, pages 790 - 811 |
| NATURE REVIEWS DRUG DISCOVERY, vol. 13, 2014, pages 63 - 79 |
| NATURE REVIEWS GENETICS, vol. 15, 2014, pages 364 |
| ORTEGA F; GASCON S; MASSERDOTTI G; DESHPANDE A; SIMON C; FISCHER J ET AL.: "Oligodendrogliogenic and neurogenic adult subependymal zone neural stem cells constitute distinct lineages and exhibit differential responsiveness to Wnt signalling", NAT CELL BIOL., vol. 15, no. 6, 2013, pages 602 - 13 |
| PARDRIDGE WM: "Transnasal and intraventricular delivery", 1991, RAVEN PRESS, article "Peptide Drug Delivery to the Brain" |
| PINEDA JR; DAYNAC M; CHICHEPORTICHE A; CEBRIAN-SILLA A; SII FELICE K; GARCIA-VERDUGO JM ET AL.: "Vascular-derived TGF-beta increases in the stem cell niche and perturbs neurogenesis during aging and following irradiation in the adult mouse brain", EMBO MOLECULAR MEDICINE, vol. 5, no. 4, 2013, pages 548 - 62 |
| RAHMAN ET AL., BONE RESEARCH, vol. 3, 2015, pages 15005 |
| SAMARASINGHE RA; KANUPARTHI PS; TIMOTHY GREENAMYRE J; DEFRANCO DB; DI MAIO R: "Transient muscarinic and glutamatergic stimulation of neural stem cells triggers acute and persistent changes in differentiation", NEUROBIOL DIS., vol. 70, 2014, pages 252 - 61, XP029042925, DOI: doi:10.1016/j.nbd.2014.06.020 |
| SCAFIDI J; HAMMOND TR; SCAFIDI S; RITTER J; JABLONSKA B; RONCAL M ET AL.: "Intranasal epidermal growth factor treatment rescues neonatal brain injury", NATURE, vol. 506, no. 7487, 2014, pages 230 - 4, XP055238283, DOI: doi:10.1038/nature12880 |
| SHOOK BA; MANZ DH; PETERS JJ; KANG S; CONOVER JC: "Spatiotemporal Changes to the Subventricular Zone Stem Cell Pool through Aging", JOURNAL OF NEUROSCIENCE, vol. 32, no. 20, 2012, pages 6947 - 56 |
| SINGH KK; GE X; MAO Y; DRANE L; MELETIS K; SAMUELS BA ET AL.: "Dixdcl is a critical regulator of DISCI and embryonic cortical development", NEURON., vol. 67, no. l, 2010, pages 33 - 48 |
| STEGMAIER K; ROSS KN; COLAVITO SA; O'MALLEY S; STOCKWELL BR; GOLUB TR: "Gene expression-based high-throughput screening(GE-HTS) and application to leukemia differentiation", NAT GENET., vol. 36, no. 3, 2004, pages 257 - 63, XP008039240, DOI: doi:10.1038/ng1305 |
| VEMURI GS; MCMORRIS FA: "Oligodendrocytes and their precursors require phosphatidylinositol 3-kinase signaling for survival", DEVELOPMENT, vol. 122, no. 8, 1996, pages 2529 - 37 |
| WANG ET AL., ACTA PHARMACOLOGICAL SINICA, vol. 36, 2015, pages 1170 - 1176 |
| WANG S; SDRULLA AD; DISIBIO G; BUSH G; NOFZIGER D; HICKS C ET AL.: "Notch receptor activation inhibits oligodendrocyte differentiation", NEURON, vol. 21, no. 1, 1998, pages 63 - 75 |
| WEINANDY F; NINKOVIC J; GOTZ M.: "Restrictions in time and space--new insights into generation of specific neuronal subtypes in the adult mammalian brain", EUR J NEUROSCI., vol. 33, no. 6, 2011, pages 1045 - 54 |
| WILLIAMS G: "A searchable cross-platform gene expression database reveals connections between drug treatments and disease", BMC GENOMICS, 2012 |
| WU M; HERNANDEZ M; SHEN S; SABO JK; KELKAR D; WANG J ET AL.: "Differential modulation of the oligodendrocyte transcriptome by sonic hedgehog and bone morphogenetic protein 4 via opposing effects on histone acetylation", J NEUROSCI., vol. 32, no. 19, 2012, pages 6651 - 64, XP055452874, DOI: doi:10.1523/JNEUROSCI.4876-11.2012 |
| YINGYING ZHAO ET AL: "GSK-3[beta] Inhibition Induced Neuroprotection, Regeneration, and Functional Recovery after Intracerebral Hemorrhagic Stroke", CELL TRANSPLANTATION, vol. 26, no. 3, 1 March 2017 (2017-03-01), US, pages 395 - 407, XP055403959, ISSN: 0963-6897, DOI: 10.3727/096368916X694364 * |
| ZHANG H; DEO M; THOMPSON RC; UHLER MD; TURNER DL: "Negative regulation of Yap during neuronal differentiation", DEV BIOL., vol. 361, no. 1, 2012, pages 103 - 15, XP028335445, DOI: doi:10.1016/j.ydbio.2011.10.017 |
| ZHENG X; LINKE S; DIAS JM; ZHENG X; GRADIN K; WALLIS TP ET AL.: "Interaction with factor inhibiting HIF-1 defines an additional mode of cross-coupling between the Notch and hypoxia signaling pathways", PROC NATL ACAD SCI USA., vol. 105, no. 9, 2008, pages 3368 - 73 |
| ZHU Y; DEMIDOV ON; GOH AM; VIRSHUP DM; LANE DP; BULAVIN DV: "Phosphatase WIP1 regulates adult neurogenesis and WNT signaling during aging", THE JOURNAL OF CLINICAL INVESTIGATION, vol. 124, no. 7, 2014, pages 3263 - 73 |
Cited By (3)
| Publication number | Priority date | Publication date | Assignee | Title |
|---|---|---|---|---|
| WO2020198037A1 (en) * | 2019-03-25 | 2020-10-01 | The University Of Vermont | Methods to promote cerebral blood flow in the brain |
| CN115197167A (en) * | 2022-07-22 | 2022-10-18 | 中国药科大学 | 1,2,4-thiadiazolidine-3,5-dione compound and its preparation method and application |
| CN115197167B (en) * | 2022-07-22 | 2023-07-28 | 中国药科大学 | 1,2, 4-thiadiazolidine-3, 5-dione compound, and preparation method and application thereof |
Similar Documents
| Publication | Publication Date | Title |
|---|---|---|
| CN104869987B (en) | Methods and compositions for regenerating hair cells and/or supporting cells | |
| Robel et al. | Reactive astrogliosis causes the development of spontaneous seizures | |
| US12043653B2 (en) | Efficient delivery of therapeutic molecules to cells of the inner ear | |
| US20120010178A1 (en) | Methods and compounds for treatment of neurodegenerative disorders | |
| US12239651B2 (en) | Treatment of hearing loss | |
| BR112013028095B1 (en) | Use of csf-1r inhibitors for the treatment of brain tumors | |
| US20150164901A1 (en) | Compounds, compositions and methods for treating or preventing neurodegenerative disorders | |
| CN112166187B (en) | Treatment for minimal residual cancer | |
| Saraswat et al. | Heparanome-mediated rescue of oligodendrocyte progenitor quiescence following inflammatory demyelination | |
| Nakayama et al. | A zebrafish embryo screen utilizing gastrulation identifies the HTR2C inhibitor pizotifen as a suppressor of EMT-mediated metastasis | |
| Wu et al. | Retracted | |
| Man et al. | SOX10 mediates glioblastoma cell-state plasticity | |
| WO2018178194A1 (en) | Pharmaceutical compositions for use in the treatment of brain injuries or demyelinating disorders | |
| CN104740633A (en) | Application of specific inhibitor of SHH signaling pathway | |
| Cao et al. | Hypoxia Promotes Glioma Stem Cell Proliferation by Enhancing the 14‐3‐3β Expression via the PI3K Pathway | |
| US20210161900A1 (en) | Compositions and methods for the treatment of senescent tumor cells | |
| EP3823671B1 (en) | Inhibition of prc2 subunits to treat eye disorders | |
| Cherry et al. | Small molecule approaches to upregulate SMN expression from the SMN2 locus | |
| Guo et al. | Apelin-13 attenuates microglia-mediated neuroinflammation following intracerebral hemorrhage via targeting JAK2/STAT3 signaling pathway | |
| WO2017174626A1 (en) | Methods and pharmaceutical compositions for inhibiting mast cell degranulation | |
| Rasool | PHF6 transcriptional regulation of neural stem cells and its misregulation in the rare developmental disorder of intellectual disability, Börjeson-Forssman-Lehmann syndrome | |
| Bornstein | The role of mTOR in mitochondrial disease | |
| Valencia et al. | WIP1 is a novel specific target for growth hormone action. | |
| Ioannidis | Investigating the Role of Select Receptors in Radiation-Induced Cellular Plasticity Events in Glioblastoma | |
| Lorenzati | Uncovering novel players in oligodendroglial physiopathology and heterogeneity |
Legal Events
| Date | Code | Title | Description |
|---|---|---|---|
| 121 | Ep: the epo has been informed by wipo that ep was designated in this application |
Ref document number: 18712916 Country of ref document: EP Kind code of ref document: A1 |
|
| NENP | Non-entry into the national phase |
Ref country code: DE |
|
| 122 | Ep: pct application non-entry in european phase |
Ref document number: 18712916 Country of ref document: EP Kind code of ref document: A1 |

















