WO2018148726A1 - Polymerase enzyme from phage t4 - Google Patents
Polymerase enzyme from phage t4 Download PDFInfo
- Publication number
- WO2018148726A1 WO2018148726A1 PCT/US2018/018002 US2018018002W WO2018148726A1 WO 2018148726 A1 WO2018148726 A1 WO 2018148726A1 US 2018018002 W US2018018002 W US 2018018002W WO 2018148726 A1 WO2018148726 A1 WO 2018148726A1
- Authority
- WO
- WIPO (PCT)
- Prior art keywords
- polymerase
- seq
- mutations
- enzyme
- dna
- Prior art date
- Legal status (The legal status is an assumption and is not a legal conclusion. Google has not performed a legal analysis and makes no representation as to the accuracy of the status listed.)
- Ceased
Links
- 0 C(C12)[C@]1[C@]21[C@](C2)*=C2C1 Chemical compound C(C12)[C@]1[C@]21[C@](C2)*=C2C1 0.000 description 2
Classifications
-
- C—CHEMISTRY; METALLURGY
- C12—BIOCHEMISTRY; BEER; SPIRITS; WINE; VINEGAR; MICROBIOLOGY; ENZYMOLOGY; MUTATION OR GENETIC ENGINEERING
- C12N—MICROORGANISMS OR ENZYMES; COMPOSITIONS THEREOF; PROPAGATING, PRESERVING, OR MAINTAINING MICROORGANISMS; MUTATION OR GENETIC ENGINEERING; CULTURE MEDIA
- C12N9/00—Enzymes; Proenzymes; Compositions thereof; Processes for preparing, activating, inhibiting, separating or purifying enzymes
- C12N9/10—Transferases (2.)
- C12N9/12—Transferases (2.) transferring phosphorus containing groups, e.g. kinases (2.7)
- C12N9/1241—Nucleotidyltransferases (2.7.7)
- C12N9/1252—DNA-directed DNA polymerase (2.7.7.7), i.e. DNA replicase
-
- C—CHEMISTRY; METALLURGY
- C12—BIOCHEMISTRY; BEER; SPIRITS; WINE; VINEGAR; MICROBIOLOGY; ENZYMOLOGY; MUTATION OR GENETIC ENGINEERING
- C12Y—ENZYMES
- C12Y207/00—Transferases transferring phosphorus-containing groups (2.7)
- C12Y207/07—Nucleotidyltransferases (2.7.7)
- C12Y207/07007—DNA-directed DNA polymerase (2.7.7.7), i.e. DNA replicase
Definitions
- the present invention is in the field of molecular biology, in particular in the field of enzymes and more particular in the field of polymerases. It is also in the field of nucleic acid sequencing.
- the invention relates to polymerase enzymes, in particular modified DNA polymerases which show improved incorporation of modified nucleotides compared to a control polymerase. Also included in the present invention are methods of using the modified polymerases for DNA sequencing, in particular next generation sequencing.
- family A, B and C polymerases Three main super families of DNA polymerase exist, based upon their amino acid similarity to E. coli DNA polymerases I, II and III. They are called family A, B and C polymerases respectively. Whilst crystallographic analysis of Family A and B polymerases reveals a common structural core for the nucleotide binding site, sequence motifs that are well conserved within families are only weakly conserved between families, and there are significant differences in the way these polymerases discriminate between nucleotide analogues. Early experiments with DNA polymerases revealed difficulties incorporating modified nucleotides such as dideoxynucleotides (ddNTPs).
- ddNTPs dideoxynucleotides
- DNA polymerases have been modified to increase the rates of incorporation of nucleotide analogues.
- the majority of these have focused on variants of Family A polymerases with the aim of increasing the incorporation of dideoxynucleotide chain terminators.
- Tabor, S. and Richardson, C.C. ((1995) Proc. Natl. Acad. Sci (USA) 92:6339) describe the replacement of phenylalanine 667 with tyrosine in T. aquaticus DNA polymerase and the effects this has on discrimination of dideoxynucleotides by the DNA polymerase.
- DNA polymerases In order to increase the efficiency of incorporation of modified nucleotides, DNA polymerases have been utilized or engineered such that they lack 3 ' -5 ' exonuclease activity (designated exo-).
- exo- The exo- variant of 9°N polymerase is described by Perler et al, 1998 US 5756334 and by Southworth et al, 1996 Proc. Natl Acad. Sci USA 93:5281.
- A486Y variant of Pfu DNA polymerase (Evans et al, 2000. Nucl. Acids. Res. 28: 1059). A series of random mutations was introduced into the polymerase gene and variants were identified that had improved incorporation of ddNTPs. The A486Y mutation improved the ratio of ddNTP/dNTP in sequencing ladders by 150 -fold compared to wild type. However, mutation of Y410 to A or F produced a variant that resulted in an inferior sequencing ladder compared to the wild type enzyme. For further information, reference is made to International Publication No. WO 01/38546.
- A485L variant of 9°N DNA polymerase (Gardner and Jack, 2002. Nucl. Acids Res. 30:605). This study demonstrated that the mutation of Alanine to Leucine at amino acid 485 enhanced the incorporation of nucleotide analogues that lack a 3' sugar hydroxyl moiety (acyNTPs and dideoxyNTPs).
- A485T variant of Tsp JDF-3 DNA polymerase (Arezi et al, 2002. J. Mol. Biol. 322:719). In this paper, random mutations were introduced into the JDF-3 polymerase from which variants were identified that had enhanced incorporation of ddNTPs.
- WO 01/23411 describes the use of the A488L variant of Vent in the incorporation of dideoxynucleotides and acyclonucleotides into DNA.
- the application also covers methods of sequencing that employ these nucleotide analogues and variants of 9°N DNA polymerase that are mutated at residue 485.
- WO 2005/024010 Al also relates to the modification of the motif A region and to the 9°N DNA polymerase.
- EP 1 664 287 Bl also relates to various altered family B type archeal polymerase enzymes which is capable of improved incorporation of nucleotides which have been modified at the 3' sugar hydroxyl such that the substituent is larger in size than the naturally occurring 3' hydroxyl group, compared to a control family B type archeal polymerase enzyme.
- labels can be attached to the base or the 3' -OH via cleavable or non-cleavable linkers. In case of cleavable linkers attached to the base, there is usually a residual spacer arm left after the cleavage. This residual modification may interfere with incorporation of subsequent nucleotides by polymerase.
- polymerases for carrying out sequencing by synthesis process (SBS) that are tolerable of these scars.
- SBS sequencing by synthesis process
- Most polymerase enzymes are derived from archaea.
- the inventors have attempted to look for organisms other than, e.g. 9°N. Astonishingly, the inventors have been able to identify an entirely different organism giving rise to a polymerase demonstrating astonishing capabilities.
- T4 DNA polymerase is a mesophilic, T4 phage derived polymerase which belongs to family B polymerases (Eleanor K. Spicer, John Rush, Claire Fung, Linda J. Reha-Krantz, Jim D. Karam, and William H. Konigsberg, J. Biol. Chem, Vol. 263, No. 16, Issue of June 5, pp. 7478-7486,1988). As a member of B family it shares certain conserved regions with other family B polymerases (Dan K. Braithwaite and Junetsu Ito, Nucleic Acids Res., 1993, Vol. 21, No. 4 787-802).
- Exonuclease activity is associated with specific residue Asp-219 (MICHELLE WEST FREY, NANCY G. NOSSAL, TODD L. CAPSON, STEPHEN J. BENKOVIC, Proc. Natl. Acad. Sci. USA, Vol. 90, pp. 2579-2583, 1993).
- the inventors have analyzed whether such other DNA polymerases could be modified to produce improved rates of incorporation of such 3' substituted nucleotide analogues.
- the invention relates to a polymerase enzyme according to SEQ ID NO. 1 or any polymerase that shares at least 70%, 80%, 90%, 95%, 98% amino acid sequence identity thereto, comprising a mutation selected from the group of: (i) at position 412 of SEQ ID NO. 1 : serine (S) and/or (L412S), (ii) at position 413 of SEQ ID NO. 1 : glycine (G) and/or (Y413G), (iii) at position 414 of SEQ ID NO. 1 : serine (S) (P414S), wherein the enzyme has little or no 3'-5' exonuclease activity.
- the enzyme is from Bacteriophage T4 or Pyrococcus furiosus.
- polymerases also carry modifications/substitutions at position equivalent to that of 485 present in 9°N family in T4 DNA polymerase that position is equivalent to 555.
- Particularly preferred substitution is N->L. Substitutions at this position exhibit synergy with substitutions at positions 412/413/414
- the invention also relates to the use of a modified polymerase in DNA sequencing and a kit comprising such an enzyme.
- incorporation means joining of the modified nucleotide to the free 3' hydroxyl group of a second nucleotide via formation of a phosphodiester linkage with the 5' phosphate group of the modified nucleotide.
- the second nucleotide to which the modified nucleotide is joined will typically occur at the 3' end of a polynucleotide chain.
- modified nucleotides and “nucleotide analogues” when used in the context of this invention refer to nucleotides which have been modified at the 3' sugar hydroxyl such that the substituent is larger in size than the naturally occurring 3' hydroxyl group.
- these nucleotides may carry additional modifications, such as detectable labels attached to the base moiety. These terms may be used interchangeably.
- large 3' substituent(s) refers to a substituent group at the 3' sugar hydroxyl which is larger in size than the naturally occurring 3' hydroxyl group.
- improved incorporation is defined to include an increase in the efficiency and/or observed rate of incorporation of at least one modified nucleotide, compared to a control polymerase enzyme.
- the invention is not limited just to improvements in absolute rate of incorporation of the modified nucleotides.
- the polymerases also incorporate other modifications and so called dark nucleotides, hence, “improved incorporation” is to be interpreted accordingly as also encompassing improvements in any of these other properties, with or without an increase in the rate of incorporation.
- tolerance for modifications on the bases could be the result of the improved properties as could be ability to incorporate modified nucleotides at a range of concentrations and temperatures.
- the "improvement" need not be constant over all cycles.
- “improvement” may be the ability to incorporate the modified nucleotides at low temperatures and/or over a wider temperature range than the control enzyme.
- “improvement” may be the ability to incorporate the modified nucleotides when using a lower concentration of the modified nucleotides as substrate or lower concentration of polymerase.
- the altered polymerase should exhibit detectable incorporation of the modified nucleotide when working at a substrate concentration in the nanomolar range.
- altered polymerase enzyme means that the polymerase has at least one amino acid change compared to the control polymerase enzyme.
- this change will comprise the substitution of at least one amino acid for another.
- these changes will be conservative changes, to maintain the overall charge distribution of the protein.
- the invention is not limited to only conservative substitutions. Non-conservative substitutions are also envisaged in the present invention.
- the modification in the polymerase sequence may be a deletion or addition of one or more amino acids from or to the protein, provided that the polymerase has improved activity with respect to the incorporation of nucleotides modified at the 3' sugar hydroxyl such that the substituent is larger in size than the naturally occurring 3' hydroxyl group as compared to a control polymerase enzyme, such as T4 DNA polymerase wildtype (SEQ ID NO. 1), however lacking the 3'-5 ' exonuclease activity.
- a control polymerase enzyme such as T4 DNA polymerase wildtype (SEQ ID NO. 1), however lacking the 3'-5 ' exonuclease activity.
- the control polymerase may comprise any one of the listed substitution mutations functionally equivalent to the amino acid sequence of the given base polymerase (or an exo- variant thereof).
- the control polymerase may be a mutant version of the listed base polymerase having one of the stated mutations or combinations of mutations, and preferably having amino acid sequence identical to that of the base polymerase (or an exo- variant thereof) other than at the mutations recited above.
- the control polymerase may be a homologous mutant version of a polymerase other than the stated base polymerase, which includes a functionally equivalent or homologous mutation (or combination of mutations) to those recited in relation to the amino acid sequence of the base polymerase.
- control polymerase could be a mutant version of the Pfu polymerase having one of the mutations or combinations of mutations listed as optional or preferable above and below relative to the Pfu amino acid sequence, or it could be a T4 polymerase or a mutant thereof or a mutant version of another polymerase. It would however not comprise the S-G-S mutation claimed herein.
- control polymerase is the wildtype T4 polymerase with the SEQ ID No: 1.
- the invention also encompasses enzymes claimed herein, wherein the amino acid sequence has been altered in non-conserved regions or positions. One skilled in the art will understand that many amino acid positions may be altered without changing the enzyme activity.
- nucleotide is defined herein to include both nucleotides and nucleosides.
- Nucleosides as for nucleotides, comprise a purine or pyrimidine base linked glycosidically to ribose or deoxyribose, but they lack the phosphate residues which would make them a nucleotide.
- Synthetic and naturally occurring nucleotides, prior to their modification at the 3' sugar hydroxyl, are included within the definition. Labeling of the bases can occur via naturally occurring groups (such as exocyclic amines for adenosine or guanosine) or via modifications, such as 5- and 7- deaza analogs.
- One preferred embodiment is attachment via 5- (pyrimidines) and 7- deaza (purines) propynyl group, more preferably propargylamine or propargylhydroxy group. Another preferred attachment is via hydroxymethyl groups as disclosed in US9322050.
- mutations within the amino acid sequence of a polymerase are written in the following form: (i) single letter amino acid as found in wild type polymerase, (ii) position of the change in the amino acid sequence of the polymerase and (iii) single letter amino acid as found in the altered polymerase. So, mutation of a Tyrosine residue in the wild type polymerase to a Valine residue in the altered polymerase at position 414 of the amino acid sequence would be written as Y414V. This is standard procedure in molecular biology.
- the sheer increase in rates of incorporation of the modified analogues that have been achieved with polymerases of the invention is unexpected.
- the examples show that even existing polymerases with mutations do not exhibit these high incorporation rates. This is important because as time passes various different modified nucleotides a have and will arise.
- the invention relates to a polymerase enzyme according to SEQ ID NO. 1 or any polymerase that shares at least 70%, 80%, 85%, 90%, 95% or, 98% amino acid sequence identity thereto, comprising a mutation selected from the group of: (i) at position 412 of SEQ ID NO. 1: serine (S) and/or (L413S), (ii) at position 413 of SEQ ID NO.
- the enzyme claimed shares 75%, 80%, 85%, 90%, 95%, 98%, 99%, 99,5% or 100% sequence identity with the enzyme according to SEQ ID NO. 1. These percentages do not include the additionally claimed mutations.
- the invention also relates to a nucleic acid encoding an enzyme according to SEQ ID NO. 1, however encompassing the following mutations:
- the altered polymerase will generally and preferably be an "isolated” or “purified” polypeptide.
- isolated polypeptide a polypeptide that is essentially free from contaminating cellular components is meant, such as carbohydrates, lipids, nucleic acids or other proteinaceous impurities which may be associated with the polypeptide in nature.
- One may use a His-tag for purification, but other means may also be used.
- at least the altered polymerase may be a "recombinant" polypeptide.
- the altered polymerase according to the invention may be a family B type DNA polymerase, or a mutant or variant thereof.
- Family B DNA polymerases include numerous archaeal DNA polymerase, human DNA polymerase a and T4, RB69 and ⁇ 29 phage DNA polymerases.
- Family A polymerases include polymerases such as Taq, and T7 DNA polymerase.
- the polymerase is selected from any family B archaeal DNA polymerase, human DNA polymerase a or T4, RB69 and ⁇ 29 phage DNA polymerases.
- the polymerase is from an organism belonging to the family of Thermococcaceae, preferably from the genera of Pyrococcus.
- Such organisms include, Pyrococcus abyssi, Pyrococcus woesei, Pyrococcus yayanosii, Pyrococcus horikoshii, Pryococcus furiosus or, e.g. Pryococcus glycovorans.
- the most preferred is Pyrococcus furiosus.
- polymerase is selected from non-archeal B family polymerases such as T4 DNA polymerase.
- the polymerase comprises all of the following mutations, L412S, Y413G and P414S and optionally additionally, comprises one or more of the following additional mutations or equivalent mutations in other polymerase families: D219A, N555L. Mutations at 219 positions are known to eliminate most of the exonuclease proofreading ability. Mutations at position 485 (9°N) or 555 equivalent in T4 are known to enhance incorporation of non-native nucleotides (terminator mutations); see Gardner and Jack, 2002. Nucl. Acids Res. 30:605.
- the enzyme additionally comprises a mutation N555L in SEQ ID NO. 1.
- Preferred is a polymerase, wherein the enzyme shares 95%, preferably even 98% sequence identity (not counting the mutations) with SEQ ID NO. 1 and additionally has the following set of mutations, (i) L412S, Y413G, P414S and (ii) N555L.
- Preferred is a polymerase, wherein the enzyme shares 95%, preferably 98% sequence identity with SEQ ID NO. 1 and additionally has the following set of mutations L412S, Y413G, P414S and I472V.
- Preferred is a polymerase, wherein the enzyme shares 95%, preferably even 98% sequence identity with SEQ ID NO. 1 and additionally has the following set of mutations, (i) L412S, Y413G, P414S and (ii) I472V, F476D
- the enzyme as an amino acid sequence exactly according to SEQ ID NO. 4-8.
- the modified polymerase comprises a mutation corresponding to A485L in 9°N polymerase (N555L in T4).
- This mutation corresponds to A488L in Vent and A486L in Pfu.
- A486Y variant of Pfu DNA polymerase (Evans et al, 2000. Nucl. Acids. Res. 28: 1059). A series of random mutations was introduced into the polymerase gene and variants were identified that had improved incorporation of ddNTPs. The A486Y mutation improved the ratio of ddNTP/dNTP in sequencing ladders by 150-fold compared to wild type.
- mutation of Y410 to A or F produced a variant that resulted in an inferior sequencing ladder compared to the wild type enzyme; see also WO 01/38546.
- A485L variant of 9°N DNA polymerase (Gardner and Jack, 2002. Nucl. Acids Res. 30:605). This study demonstrated that the mutation of Alanine to Leucine at amino acid 485 enhanced the incorporation of nucleotide analogues that lack a 3' sugar hydroxyl moiety (acyNTPs and dideoxyNTPs).
- A485T variant of Tsp JDF-3 DNA polymerase (Arezi et al, 2002. J. Mol. Biol. 322:719).
- WO 01/23411 describes the use of the A488L variant of Vent in the incorporation of dideoxynucleotides and acyclonucleotides into DNA.
- the application also covers methods of sequencing that employ these nucleotide analogues and variants of 9°N DNA polymerase that are mutated at residue 485.
- preferred polymerase carries additional mutations which can further enhance ability to incorporate reversibly terminating nucleotides.
- Such preferred compositions can be identified by performing a combination of mutagenesis and computational analysis to identify most beneficial amino acid substitutions and their combinations (Feng et al, Chem Commuii (Carnb). 2015 Jun 18;51(48):9760-72).In essence, this methodology includes:
- the screening methodology involves the use of DNA substrate bound to microtiter plate and incubation with cellular lysate expressing novel polymerase in the presence of fluorescently labeled, reversibly terminating nucleotides. After incubation and wash fluorescent signal is measured and is proportional to the observed activity.
- the design of this assay is illustrated in Figure 12.
- the method can also be applied to measure relative fidelity of incorporation reversibly terminating nucleotides.
- the incubation can be performed with incorrect nucleotide and the extent of incorporation can easily be measured.
- Example of such measurement is shown in Figure 13. As can be seen from the data the newly constructed polymerases of the present invention have enhanced activity for incorporating bulky nucleotides.
- the invention relates to a polymerase with the mutations shown herein which exhibits an increased rate of incorporation of nucleotides which have been modified at the 3' sugar hydroxyl such that the substituent is larger in size than the naturally occurring 3' hydroxyl group and ddNTP, compared to the control polymerase being a normal unmodified enzyme.
- nucleotides are disclosed in WO 2004/018497 A2.
- a modified nucleotide molecule comprising a purine or pyrimidine base and a ribose or deoxyribose sugar moiety having a removable 3'-OH blocking group covalently attached thereto, such that the 3' carbon atom has attached a group of the structure: -O-Z is disclosed, wherein Z is any of -C(R') 2 - N(R") 2 'C(R') 2 -N(H)R", and -C(R) 2 -N 3 , wherein each R" is or is part of a removable protecting group; each R is independently a hydrogen atom, an alkyl, substituted alkyl, arylalkyl, alkenyl, alkynyl, aryl, heteroaryl, heterocyclic, acyl, cyano, alkoxy, aryloxy, heteroaryloxy or amido group, or a detectable label attached through
- the claimed polymerase may be used in extension reactions and sequencing reactions very well when a novel nucleotide is used.
- the invention relates to a method of sequencing a nucleic acid wherein the claimed polymerase is used together with the following nucleotide.
- nucleotide has the following characteristics. It is a deoxynucleoside triphosphate comprising a nucleobase and a sugar, said nucleobase comprising a detectable label attached via a cleavable oxymethylenedisulfide linker, said sugar comprising a 3'-0 capped by a cleavable protecting group comprising methylenedisulfide.
- the nucleobase is a non-natural nucleobase and is selected from the group comprising 7-deaza guanine, 7-deaza adenine, 2-amino,7-deaza adenine, and 2-amino adenine.
- the cleavable protecting group is of the formula -CH 2 -SS-R, wherein R is selected from the group comprising alkyl and substituted alkyl groups.
- the nucleotide has this structure:
- B is a nucleobase
- R is selected from the group comprising alkyl and substituted alkyl groups
- LI and L2 are connecting groups.
- the invention relates to a kit comprising a DNA polymerase as disclosed herein and claimed herein, and at least one deoxynucleoside triphosphate comprising a nucleobase and a sugar, said sugar comprising a cleavable protecting group on the 3'-0, wherein said cleavable protecting group comprises methylenedisulfide, and wherein said nucleoside further comprises a detectable label attached via a cleavable oxymethylenedisulfide linker to the nucleobase of said nucleoside.
- Claimed is also a reaction mixture comprising a nucleic acid template with a primer hybridized to said template, a DNA polymerase according to the invention and at least one deoxynucleoside triphosphate comprising a nucleobase and a sugar, said sugar comprising a cleavable protecting group on the 3'-0, wherein said cleavable protecting group comprises methylenedisulfide, wherein said nucleoside further comprises a detectable label attached via a cleavable oxymethylenedisulfide linker to the nucleobase of said nucleoside.
- Claimed is a method of performing a DNA synthesis reaction comprising the steps of a) providing a nucleic acid template with a primer hybridized to said template, the DNA polymerase according to the invention, at least one deoxynucleoside triphosphate comprising a nucleobase and a sugar, said sugar comprising a cleavable protecting group on the 3'-0, wherein said cleavable protecting group comprises methylenedisulfide, wherein said nucleoside further comprises a detectable label attached via a cleavable oxymethylenedisulfide linker to the nucleobase of said nucleoside, and b) subjecting said reaction mixture to conditions which enable a DNA polymerase catalyzed primer extension reaction.
- the invention also relates to a method for analyzing a DNA sequence comprising the steps of a) providing a nucleic acid template with a primer hybridized to said template forming a primer/template hybridization complex, b) adding DNA polymerase according to the invention, and a first deoxynucleoside triphosphate comprising a nucleobase and a sugar, said sugar comprising a cleavable protecting group on the 3'-0, wherein said cleavable protecting group comprises methylenedisulfide, wherein said nucleoside further comprises a first detectable label attached via a cleavable oxymethylenedisulfide linker to the nucleobase of said nucleoside, c) subjecting said reaction mixture to conditions which enable a DNA polymerase catalyzed primer extension reaction so as to create a modified primer/template hybridization complex, and d) detecting a said first detectable label of said deoxynucleoside triphosphate in said modified primer/template hybridization
- the blocking group may be repeatedly removed and novel nucleotides added. These methods are known to the person skilled in the art.
- 3'-0 methylenedisulfide capped deoxynucleoside triphosphate compounds representing analogs of A, G, C and T or U are used in step b).
- step e) is performed by exposing said modified primer/template hybridization complex to a reducing agent. This can be TCEP.
- the labeled nucleotide that is used is as follows.
- D is selected from the group consisting of an azide, disulfide alkyi and disulfide substituted alkyi groups
- B is a nucleobase
- A is an attachment group
- C is a cleavable site core
- Li and L 2 are connecting groups
- Label is a label.
- the nucleobase is selected from the group of 7-deaza guanine, 7-deaza adenine, 2-amino,7-deaza adenine, and 2-amino adenine.
- Li is selected from the group consisting of -CON H(CH 2 ) x - -CO-0(CH 2 ) x - -CON H-(OCH 2 CH 2 0) X -CO- O(CH 2 CH 2 0) x - and -CO(CH 2 ) x - wherein x is 0-10.
- L 2 can be,
- L 2 can be, -N H-, -(CH 2 ) X -N H-, -C(Me) 2 (CH 2 ) x NH-, -CH(Me)(CH 2 ) x N H-, -C(Me) 2 (CH 2 ) x CO, - CH(Me)(CH 2 ) x CO-, -(CH 2 ) x OCONH(CH 2 ) y O(CH 2 ) z N H-, -(CH 2 ) x CONH(CH 2 CH 2 0) y (CH 2 ) z NH-, and - C0NH(CH 2 ) x -, -C0(CH 2 ) x - wherein x, y, and z are each independently selected from is 0-10.
- the labeled nucleotide has the following structure:
- the labeled nucleotide has the following structure:
- the invention also relates to polymerases with T4 backbone in which some or all cysteine residues are substitute by other amino acids, preferably serine, alanine, threonine or valine.
- the invention also relates to a nucleic acid molecule encoding a polymerase according to the invention, as well as an expression vector comprising said nucleic acid molecule.
- the invention also relates to a method for incorporating nucleotides which have been modified at the 3' sugar hydroxyl such that the substituent is larger in size than the naturally occurring 3' hydroxyl group into DNA comprising the following substances (i) a polymerase according to the invention, (ii) template DNA, (iii) one or more nucleotides, which have been
- the invention also relates to a method for incorporating nucleotides which have been modified at the 3' sugar hydroxyl such that the substituent is larger in size than the naturally occurring 3' hydroxyl group into DNA comprising the following substances (i) a polymerase according to the invention, (ii) template DNA, (iii) one or more nucleotides, which have been modified at the 3' sugar hydroxyl such that the substituent is larger in size than the naturally occurring 3' hydroxyl group, wherein the blocking group comprises a disulfide preferably, methylenedisulfide.
- the invention also relates to the use of a polymerase according to the invention in methods such as nucleic acid labeling, or sequencing.
- the polymerases of the present invention are useful in a variety of techniques requiring incorporation of a nucleotide into a polynucleotide, which include sequencing reactions, polynucleotide synthesis, nucleic acid amplification, nucleic acid hybridization assays, single nucleotide polymorphism studies, and other such techniques. All such uses and methods utilizing the modified polymerases of the invention are included within the scope of the present invention.
- nucleotides bearing a 3' block allows successive nucleotides to be incorporated into a polynucleotide chain in a controlled manner. After each nucleotide addition the presence of the 3' block prevents incorporation of a further nucleotide into the chain. Once the nature of the incorporated nucleotide has been determined, the block may be removed, leaving a free 3' hydroxyl group for addition of the next nucleotide. Sequencing by synthesis of DNA ideally requires the controlled (i.e. one at a time) incorporation of the correct complementary nucleotide opposite the oligonucleotide being sequenced.
- blocking group of the sequencing nucleotides is required to ensure a single nucleotide incorporation but which then prevents any further nucleotide incorporation into the polynucleotide chain.
- the blocking group must then be removable, under reaction conditions which do not interfere with the integrity of the DNA being sequenced. The sequencing cycle can then continue with the incorporation of the next blocked, labelled nucleotide.
- nucleotide and more usually nucleotide triphosphates, generally require a 3 OH-blocking group so as to prevent the polymerase used to incorporate it into a polynucleotide chain from continuing to replicate once the base on the nucleotide is added.
- the DNA template for a sequencing reaction will typically comprise a double-stranded region having a free 3' hydroxyl group which serves as a primer or initiation point for the addition of further nucleotides in the sequencing reaction. The region of the DNA template to be sequenced will overhang this free 3' hydroxyl group on the complementary strand.
- the primer bearing the free 3' hydroxyl group may be added as a separate component (e.g. a short oligonucleotide) which hybridizes to a region of the template to be sequenced.
- the primer and the template strand to be sequenced may each form part of a partially self-complementary nucleic acid strand capable of forming an intramolecular duplex, such as for example a hairpin loop structure.
- Nucleotides are added successively to the free 3' hydroxyl group, resulting in synthesis of a polynucleotide chain in the 5' to 3' direction. After each nucleotide addition the nature of the base which has been added will be determined, thus providing sequence information for the DNA template.
- modified nucleotides can act as chain terminators. Once the modified nucleotide has been incorporated into the growing polynucleotide chain complementary to the region of the template being sequenced there is no free 3'-OH group available to direct further sequence extension and therefore the polymerase can not add further nucleotides. Once the nature of the base incorporated into the growing chain has been determined, the 3' block may be removed to allow addition of the next successive nucleotide. By ordering the products derived using these modified nucleotides it is possible to deduce the DNA sequence of the DNA template.
- Such reactions can be done in a single experiment if each of the modified nucleotides has attached a different label, known to correspond to the particular base, to facilitate discrimination between the bases added at each incorporation step.
- a separate reaction may be carried out containing each of the modified nucleotides separately.
- the modified nucleotides carry a label to facilitate their detection.
- this is a fluorescent label.
- Each nucleotide type may carry a different fluorescent label.
- the detectable label need not be a fluorescent label. Any label can be used which allows the detection of the incorporation of the nucleotide into the DNA sequence.
- One method for detecting the fluorescently labelled nucleotides comprises using laser light of a wavelength specific for the labelled nucleotides, or the use of other suitable sources of illumination.
- the fluorescence from the label on the nucleotide may be detected by a CCD camera.
- the DNA templates are immobilised on a surface they may preferably be immobilised on a surface to form a high density array.
- the high density array comprises a single molecule array, wherein there is a single DNA molecule at each discrete site that is detectable on the array.
- Single-molecule arrays comprised of nucleic acid molecules that are individually resolvable by optical means and the use of such arrays in sequencing are described, for example, in WO 00/06770, the contents of which are incorporated herein by reference.
- Single molecule arrays comprised of individually resolvable nucleic acid molecules including a hairpin loop structure are described in WO 01/57248, the contents of which are also incorporated herein by reference.
- the polymerases of the invention are suitable for use in conjunction with single molecule arrays prepared according to the disclosures of WO 00/06770 of WO 01/57248.
- the scope of the invention is not intended to be limited to the use of the polymerases in connection with single molecule arrays.
- Single molecule array-based sequencing methods may work by adding fluorescently labelled modified nucleotides and an altered polymerase to the single molecule array.
- Complementary nucleotides would base-pair to the first base of each nucleotide fragment and would be added to the primer in a reaction catalysed by the improved polymerase enzyme. Remaining free nucleotides would be removed. Then, laser light of a specific wavelength for each modified nucleotide would excite the appropriate label on the incorporated modified nucleotides, leading to the fluorescence of the label. This fluorescence could be detected by a suitable CCD camera that can scan the entire array to identify the incorporated modified nucleotides on each fragment. Thus millions of sites could potentially be detected in parallel. Fluorescence could then be removed. The identity of the incorporated modified nucleotide would reveal the identity of the base in the sample sequence to which it is paired.
- the cycle of incorporation, detection and identification would then be repeated approximately 25 times to determine the first 25 bases in each oligonucleotide fragment attached to the array, which is detectable.
- the first 25 bases for the hundreds of millions of oligonucleotide fragments attached in single copy to the array could be determined.
- the invention is not limited to sequencing 25 bases. Many more or less bases could be sequenced depending on the level of detail of sequence information required and the complexity of the array.
- the generated sequences could be aligned and compared to specific reference sequences. This would allow determination of any number of known and unknown genetic variations such as single nucleotide polymorphisms (SNPs) for example.
- SNPs single nucleotide polymorphisms
- the utility of the altered polymerases of the invention is not limited to sequencing applications using single-molecule arrays.
- the polymerases may be used in conjunction with any type of array-based (and particularly any high density array-based) sequencing technology requiring the use of a polymerase to incorporate nucleotides into a polynucleotide chain, and in particular any array-based sequencing technology which relies on the incorporation of modified nucleotides having large 3' substituents (larger than natural hydroxyl group), such as 3' blocking groups.
- the polymerases of the invention may be used for nucleic acid sequencing on essentially any type of array formed by immobilisation of nucleic acid molecules on a solid support.
- suitable arrays may include, for example, multi-polynucleotide or clustered arrays in which distinct regions on the array comprise multiple copies of one individual polynucleotide molecule or even multiple copies of a small-number of different polynucleotide molecules (e.g. multiple copies of two complementary nucleic acid strands).
- the polymerases of the invention may be utilised in the nucleic acid sequencing method described in WO 98/44152, the contents of which are incorporated herein by reference.
- This International application describes a method of parallel sequencing of multiple templates located at distinct locations on a solid support. The method relies on incorporation of labelled nucleotides into a polynucleotide chain.
- the polymerases of the invention may be used in the method described in International Application WO 00/18957, the contents of which are incorporated herein by reference.
- This application describes a method of solid-phase nucleic acid amplification and sequencing in which a large number of distinct nucleic acid molecules are arrayed and amplified simultaneously at high density via formation of nucleic acid colonies and the nucleic acid colonies are subsequently sequenced.
- the altered polymerases of the invention may be utilised in the sequencing step of this method.
- Multi-polynucleotide or clustered arrays of nucleic acid molecules may be produced using techniques generally known in the art.
- WO 98/44151 and WO 00/18957 both describe methods of nucleic acid amplification which allow amplification products to be immobilised on a solid support in order to form arrays comprised of clusters or "colonies" of immobilised nucleic acid molecules.
- the contents of WO 98/44151 and WO 00/18957 relating to the preparation of clustered arrays and use of such arrays as templates for nucleic acid sequencing are incorporated herein by reference.
- the nucleic acid molecules present on the clustered arrays prepared according to these methods are suitable templates for sequencing using the polymerases of the invention.
- the invention is not intended to use of the polymerases in sequencing reactions carried out on clustered arrays prepared according to these specific methods.
- the polymerases of the invention may further be used in methods of fluorescent in situ sequencing, such as that described by Mitra et al. Analytical Biochemistry 320, 55-65, 2003.
- the invention provides a kit, comprising: (a) the polymerase according to the invention, and optionally, a plurality of different individual nucleotides of the invention and/or packaging materials therefor.
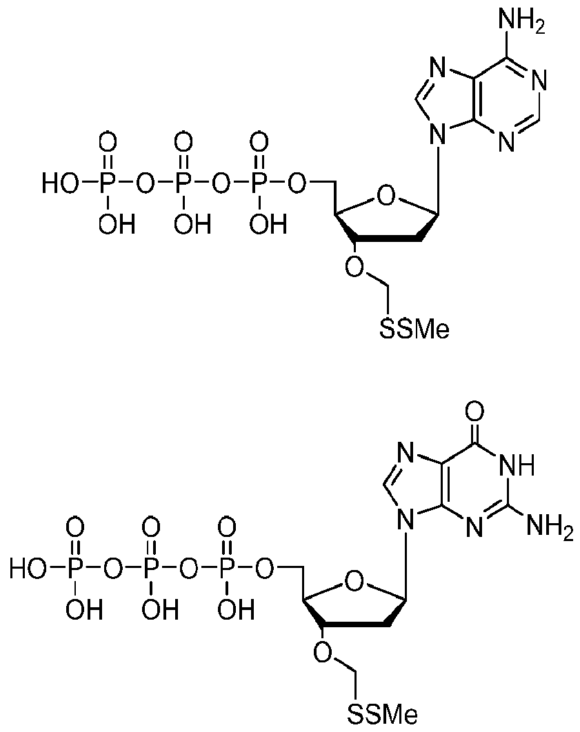
- Fig. 1 shows labeled analogs of nucleoside triphosphates with 3'-0 methylenedisulfide- containing protecting group, where labels are attached to the nucleobase via cleavable oxymethylenedisulfide linker (-OCH 2 -SS-).
- the analogs are (clockwise from the top left) for deoxyadenosine, thymidine or deoxyuridine, deoxycytidine and deoxyguanosine.
- Fig. 2 shows an example of the labeled nucleotides where the spacer of the cleavable linker includes the propargyl ether linker.
- the analogs are (clockwise from the top left) for deoxyadenosine, thymidine or deoxyuridine, deoxycytidine and deoxyguanosine.
- Fig. 3 shows a synthetic route of the labeled nucleotides specific for labeled dT intermediate.
- Fig. 4 shows a cleavable linker synthesis starting from an 1,4-butanediol.
- Fig. 5 shows the measurement of polymerase performance using extension in solution and capillary electrophoresis.
- the rate of single base terminating dNTP incorporation is measured.
- the extended fluorescent primer is detected by capillary electrophoresis (CE).
- CE capillary electrophoresis
- the relative rate dNTP addition is determined by plots of fraction extended primer over time.
- Fig. 6 shows generic universal building blocks structures comprising new cleavable linkers usable with the enzymes of the present invention.
- PG Protective Group, LI, L2 - linkers (aliphatic, aromatic, mixed polarity straight chain or branched).
- RG Reactive Group.
- such building blocks carry an Fmoc protective group on one end of the linker and reactive NHS carbonate or carbamate on the other end. This preferred combination is particularly useful in modified nucleotides synthesis comprising new cleavable linkers.
- a protective group should be removable under conditions compatible with nucleic acid/nucleotides chemistry and the reactive group should be selective.
- an Fmoc group can be easily removed using base such as piperidine or ammonia, therefore exposing amine group at the terminal end of the linker for the attachment of cleavable marker.
- a library of compounds comprising variety of markers can be constructed this way very quickly.
- Fig. 7 illustrates amino acid alignment generated using BLAST between 9 deg N polymerase and T4 DNA polymerase. Regions with common motifs showing steric gate and A485 (9 deg N) and N555 (T4) positions outlined.
- Fig. 8 shows incorporation of fluorescently labeled, reversibly terminating nucleotide R6G- dU- 3'-0-CH 2 SSCH3 as measured by fluorescence plate based assay for polymerases of the present invention: wild type T4 polymerase (WT, SEQ ID # 1) JPoll30 (SEQ ID #5), JPoll31 (SEQ ID #4), Duplex DNA was immobilized on the plate, a solution of polymerase and nucleotide was added and after incubation plate was washed and read with fluorescence plate reader.
- WT wild type T4 polymerase
- JPoll30 SEQ ID #5
- JPoll31 SEQ ID #4
- Fig. 9 shows incorporation of fluorescently labeled, reversibly terminating nucleotide Cy5- dG- 3'-0-CH 2 SSCH 3 as measured by fluorescence plate based assay for polymerases of the present invention: wild type T4 polymerase (WT, SEQ ID # 1) JPoll30 (SEQ ID #5), JPoll31 (SEQ ID #4), Duplex DNA was immobilized on the plate, a solution of polymerase and nucleotide was added and after incubation plate was washed and read with fluorescence plate reader.
- WT wild type T4 polymerase
- JPoll30 SEQ ID #5
- JPoll31 SEQ ID #4
- Fig. 10 shows incorporation of fluorescently labeled, reversibly terminating nucleotide Alexa488-dC- 3'-0-CH 2 SSCH 3 as measured by fluorescence plate based assay for polymerases of the present invention: wild type T4 polymerase (WT, SEQ ID # 1) JPoll30 (SEQ ID #5), JPoll31 (SEQ ID #4), Duplex DNA was immobilized on the plate, a solution of polymerase and nucleotide was added and after incubation plate was washed and read with fluorescence plate reader.
- WT wild type T4 polymerase
- JPoll30 SEQ ID #5
- JPoll31 SEQ ID #4
- Fig. 11 shows incorporation of fluorescently labeled, reversibly terminating nucleotide ROX- dA- 3'-0-CH 2 SSCH 3 as measured by fluorescence plate based assay for polymerases of the present invention: wild type T4 polymerase (WT, SEQ ID # 1) JPoll30 (SEQ ID #5), JPoll31 (SEQ ID #4), Duplex DNA was immobilized on the plate, a solution of polymerase and nucleotide was added and after incubation plate was washed and read with fluorescence plate reader.
- WT wild type T4 polymerase
- JPoll30 SEQ ID #5
- JPoll31 SEQ ID #4
- Fig.12 Incorporation of fluorescently labeled, reversibly terminating nucleotides R6G-dU- 3'- 0-CH 2 SSCH 3, Alexa488-dC- 3'-0-CH 2 SSCH 3i ROX-dA- 3'-0-CH 2 SSCH 3 or Cy5-dG-3'-0- CH 2 SSCH 3 as measured by fluorescence plate based assay for polymerases of the present invention with mutations listed in Figure 13. Partial duplex DNA was immobilized on the plate, a solution of polymerase and nucleotide was added and after incubation plate was washed and read with fluorescence plate reader to detect nucleotide incorporation. Incorporation improvement observed for all polymerases containing mutations listed in Figure 13 for at least one of the fluorescently labeled, reversibly terminating nucleotides.
- Fig.13 Amino acid positions and mutations that improve incorporation of fluorescently labeled, reversibly terminating nucleotides R6G-dU- 3'-0-CH 2 SSCH 3, Alexa488-dC- 3 -0- CH 2 SSCH 3 ROX-dA- 3'-0-CH 2 SSCH 3 or Cy5-dG-3'-0-CH 2 SSCH 3
- Fig.14 Incorporation of fluorescently labeled, reversibly terminating nucleotides R6G-dU- 3'- 0-CH 2 SSCH 3i Alexa488-dC- 3'-0-CH 2 SSCH 3i ROX-dA- 3'-0-CH 2 SSCH 3 or Cy5-dG-3'-0- CH 2 SSCH 3 as measured by fluorescence plate based assay for polymerases of the present invention with preferred combination of mutations as follows:
- Final purification was carried out by CI8 Prep HPLC as described above resulting in ⁇ 25% yield of compound 5.
- the mixture was separated into two equal fractions, and each was transferred to a 2000mL beaker and neutralized by slowly adding saturated K2CO 3 solution until CO2 gas evolution was stopped (pH 8). The mixture was then extracted with EtOAc in a separating funnel. The organic part was then washed with saturated solution of NaHC0 3 (2X1L) followed by with distilled water (2X1L), then the organic part was dried over Na2SC>4.
- N 4 -Benzoyl-5'-0-(tert-butyldimethylsilyl)-3'-0-(methylthiomethyl)-2'-deoxycytidine (7) (2.526g, 5.0 mmol) dissolved in dry CH2CI2 (35 mL) was added with molecular sieve-3A (lOg). The mixture was stirred for 30 minutes. It was then added with Et3N (5.5 mmol), and stirred for 20 minutes on an ice-salt-water bath. It was then added slowly with 1M SO2CI2 in CH2CI2 (7.5 mL, 7.5 mmol) using a syringe and stirred at the same temperature for 2 hours under N2-atmosphere.
Landscapes
- Life Sciences & Earth Sciences (AREA)
- Health & Medical Sciences (AREA)
- Chemical & Material Sciences (AREA)
- Organic Chemistry (AREA)
- Zoology (AREA)
- Engineering & Computer Science (AREA)
- Bioinformatics & Cheminformatics (AREA)
- Molecular Biology (AREA)
- Wood Science & Technology (AREA)
- Genetics & Genomics (AREA)
- General Health & Medical Sciences (AREA)
- Biochemistry (AREA)
- General Engineering & Computer Science (AREA)
- Medicinal Chemistry (AREA)
- Biomedical Technology (AREA)
- Biotechnology (AREA)
- Microbiology (AREA)
- Enzymes And Modification Thereof (AREA)
- Measuring Or Testing Involving Enzymes Or Micro-Organisms (AREA)
Abstract
The present invention relates to a polymerase enzyme with improved ability to incorporate reversibly terminating nucleotides. The enzyme comprising the following mutations in the motif A region (SGS). It relates to a polymerase enzyme according to SEQ ID NO. 1 or any polymerase that shares at least 70% amino acid sequence identity thereto, comprising a mutation selected from the group of (i) at position 412 of SEQ ID NO. 1 : serine (S) (L412S) and/or, (ii) at position 413 of SEQ ID NO. 1: glycine (G) (Y413G) and/or (iii) at position 414 of SEQ ID NO. 1: serine (S) (P414S), wherein the enzyme has little or no 3'-5' exonuclease activity.
Description
POLYMERASE ENZYME FROM PHAGE T4
FIELD OF THE INVENTION
The present invention is in the field of molecular biology, in particular in the field of enzymes and more particular in the field of polymerases. It is also in the field of nucleic acid sequencing.
BACKGROUND
The invention relates to polymerase enzymes, in particular modified DNA polymerases which show improved incorporation of modified nucleotides compared to a control polymerase. Also included in the present invention are methods of using the modified polymerases for DNA sequencing, in particular next generation sequencing.
Three main super families of DNA polymerase exist, based upon their amino acid similarity to E. coli DNA polymerases I, II and III. They are called family A, B and C polymerases respectively. Whilst crystallographic analysis of Family A and B polymerases reveals a common structural core for the nucleotide binding site, sequence motifs that are well conserved within families are only weakly conserved between families, and there are significant differences in the way these polymerases discriminate between nucleotide analogues. Early experiments with DNA polymerases revealed difficulties incorporating modified nucleotides such as dideoxynucleotides (ddNTPs). There are, therefore, several examples in which DNA polymerases have been modified to increase the rates of incorporation of nucleotide analogues. The majority of these have focused on variants of Family A polymerases with the aim of increasing the incorporation of dideoxynucleotide chain terminators. For example, Tabor, S. and Richardson, C.C. ((1995) Proc. Natl. Acad. Sci (USA) 92:6339) describe the replacement of phenylalanine 667 with tyrosine in T. aquaticus DNA polymerase and the effects this has on discrimination of dideoxynucleotides by the DNA polymerase.
In order to increase the efficiency of incorporation of modified nucleotides, DNA polymerases have been utilized or engineered such that they lack 3 ' -5 ' exonuclease activity
(designated exo-). The exo- variant of 9°N polymerase is described by Perler et al, 1998 US 5756334 and by Southworth et al, 1996 Proc. Natl Acad. Sci USA 93:5281.
Gardner A.F. and Jack W.E. (Determinants of nucleotide sugar recognition in an archaeon DNA polymerase Nucl. Acids Res. 27:2545, 1999) describe mutations in Vent DNA polymerase that enhance the incorporation of ribo-, 2' and 3'deoxyribo- and 2'-3'-dideoxy- ribonucleotides. The two individual mutations in Vent polymerase, Y412V and A488L, enhanced the relative activity of the enzyme with the nucleotide ATP. In addition, other substitutions at Y412 and A488 also increased ribonucleotide incorporation, though to a lesser degree. It was concluded that the bulk of the amino acid side chain at residue 412 acts as a "steric gate" to block access of the 2 '-hydroxyl of the ribonucleotide sugar to the binding site. However, the rate enhancement with cordycepin (3'deoxy adenosine triphosphate) was only 2- fold, suggesting that the Y412V polymerase variant was also sensitive to the loss of the 3 ' sugar hydroxyl. For residue A488, the change in activity is less easily rationalized. A488 is predicted to point away from the nucleotide binding site; here the enhancement in activity was explained through a change to the activation energy required for the enzymatic reaction. These mutations in Vent correspond to Y409 and A485 in 9°N polymerase.
The universality of the A488L mutation in conferring reduced discrimination against nucleotide analogs has been confirmed by homologous mutations in the following hyperthermophilic polymerases:
A486Y variant of Pfu DNA polymerase (Evans et al, 2000. Nucl. Acids. Res. 28: 1059). A series of random mutations was introduced into the polymerase gene and variants were identified that had improved incorporation of ddNTPs. The A486Y mutation improved the ratio of ddNTP/dNTP in sequencing ladders by 150 -fold compared to wild type. However, mutation of Y410 to A or F produced a variant that resulted in an inferior sequencing ladder compared to the wild type enzyme. For further information, reference is made to International Publication No. WO 01/38546.
A485L variant of 9°N DNA polymerase (Gardner and Jack, 2002. Nucl. Acids Res. 30:605). This study demonstrated that the mutation of Alanine to Leucine at amino acid 485 enhanced the incorporation of nucleotide analogues that lack a 3' sugar hydroxyl moiety (acyNTPs and dideoxyNTPs).
A485T variant of Tsp JDF-3 DNA polymerase (Arezi et al, 2002. J. Mol. Biol. 322:719). In this paper, random mutations were introduced into the JDF-3 polymerase from which variants were identified that had enhanced incorporation of ddNTPs. Individually, two mutations, A485T and P410L, improved ddNTP uptake compared to the wild type enzyme. In combination, these mutations had an additive effect and improved ddNTP incorporation by 250 -fold. This paper demonstrates that the simultaneous mutation of two regions of a DNA polymerase can have additive affects on nucleotide analogue incorporation. In addition, this report demonstrates that P410, which lies adjacent to Y409 described above, also plays a role in the discrimination of nucleotide sugar analogues.
WO 01/23411 describes the use of the A488L variant of Vent in the incorporation of dideoxynucleotides and acyclonucleotides into DNA. The application also covers methods of sequencing that employ these nucleotide analogues and variants of 9°N DNA polymerase that are mutated at residue 485.
WO 2005/024010 Al also relates to the modification of the motif A region and to the 9°N DNA polymerase. EP 1 664 287 Bl also relates to various altered family B type archeal polymerase enzymes which is capable of improved incorporation of nucleotides which have been modified at the 3' sugar hydroxyl such that the substituent is larger in size than the naturally occurring 3' hydroxyl group, compared to a control family B type archeal polymerase enzyme.
Alignment of T4 DNA polymerase against 9°N polymerase sequence reveals similarity in the region responsible for ribo/deoxyribo sugar recognition (steric gate).
Yet, the modifications today still do not show sufficiently high incorporation rates of modified nucleotides (3ΌΗ substituted analogs or having both substitutions on 3' -OH and carrying labels at the base). It would therefore be beneficial in order to improve sequencing performance to have enzymes that have such high incorporation rates of variety of modified nucleotides. One additional feature that is desirable is the tolerance for base modifications. For example, labels can be attached to the base or the 3' -OH via cleavable or non-cleavable linkers. In case of cleavable linkers attached to the base, there is usually a residual spacer arm left after the cleavage. This residual modification may interfere with incorporation of
subsequent nucleotides by polymerase. Therefore, it is highly desirable to have polymerases for carrying out sequencing by synthesis process (SBS) that are tolerable of these scars. Most polymerase enzymes are derived from archaea. To improve the efficiency of certain DNA sequencing methods, the inventors have attempted to look for organisms other than, e.g. 9°N. Astonishingly, the inventors have been able to identify an entirely different organism giving rise to a polymerase demonstrating astonishing capabilities.
SUMMARY OF THE INVENTION
T4 DNA polymerase is a mesophilic, T4 phage derived polymerase which belongs to family B polymerases (Eleanor K. Spicer, John Rush, Claire Fung, Linda J. Reha-Krantz, Jim D. Karam, and William H. Konigsberg, J. Biol. Chem, Vol. 263, No. 16, Issue of June 5, pp. 7478-7486,1988). As a member of B family it shares certain conserved regions with other family B polymerases (Dan K. Braithwaite and Junetsu Ito, Nucleic Acids Res., 1993, Vol. 21, No. 4 787-802). Exonuclease activity is associated with specific residue Asp-219 (MICHELLE WEST FREY, NANCY G. NOSSAL, TODD L. CAPSON, STEPHEN J. BENKOVIC, Proc. Natl. Acad. Sci. USA, Vol. 90, pp. 2579-2583, 1993).
Alignment of T4 DNA polymerase against 9°N polymerase sequence reveals some similarity in the region responsible for ribo/deoxyribo sugar recognition (steric gate).
Also, to improve the efficiency of certain DNA sequencing methods, the inventors have analyzed whether such other DNA polymerases could be modified to produce improved rates of incorporation of such 3' substituted nucleotide analogues.
The invention relates to a polymerase enzyme according to SEQ ID NO. 1 or any polymerase that shares at least 70%, 80%, 90%, 95%, 98% amino acid sequence identity thereto, comprising a mutation selected from the group of: (i) at position 412 of SEQ ID NO. 1 : serine (S) and/or (L412S), (ii) at position 413 of SEQ ID NO. 1 : glycine (G) and/or (Y413G), (iii) at position 414 of SEQ ID NO. 1 : serine (S) (P414S), wherein the enzyme has little or no 3'-5' exonuclease activity. Preferably, the enzyme is from Bacteriophage T4 or Pyrococcus furiosus. In one embodiment polymerases also carry modifications/substitutions at position equivalent to that of 485 present in 9°N family in T4 DNA polymerase that position is
equivalent to 555. Particularly preferred substitution is N->L. Substitutions at this position exhibit synergy with substitutions at positions 412/413/414
The invention also relates to the use of a modified polymerase in DNA sequencing and a kit comprising such an enzyme.
Herein, "incorporation" means joining of the modified nucleotide to the free 3' hydroxyl group of a second nucleotide via formation of a phosphodiester linkage with the 5' phosphate group of the modified nucleotide. The second nucleotide to which the modified nucleotide is joined will typically occur at the 3' end of a polynucleotide chain.
Herein, "modified nucleotides" and "nucleotide analogues" when used in the context of this invention refer to nucleotides which have been modified at the 3' sugar hydroxyl such that the substituent is larger in size than the naturally occurring 3' hydroxyl group. In addition, these nucleotides may carry additional modifications, such as detectable labels attached to the base moiety. These terms may be used interchangeably.
Herein, the term "large 3' substituent(s)" refers to a substituent group at the 3' sugar hydroxyl which is larger in size than the naturally occurring 3' hydroxyl group.
Herein, "improved" incorporation is defined to include an increase in the efficiency and/or observed rate of incorporation of at least one modified nucleotide, compared to a control polymerase enzyme. However, the invention is not limited just to improvements in absolute rate of incorporation of the modified nucleotides. As shown below the polymerases also incorporate other modifications and so called dark nucleotides, hence, "improved incorporation" is to be interpreted accordingly as also encompassing improvements in any of these other properties, with or without an increase in the rate of incorporation. For example, tolerance for modifications on the bases could be the result of the improved properties as could be ability to incorporate modified nucleotides at a range of concentrations and temperatures. The "improvement" need not be constant over all cycles. Herein, "improvement" may be the ability to incorporate the modified nucleotides at low temperatures and/or over a wider temperature range than the control enzyme. Herein, "improvement" may be the ability to incorporate the modified nucleotides when using a lower concentration of the modified nucleotides as substrate or lower concentration of
polymerase. Preferably the altered polymerase should exhibit detectable incorporation of the modified nucleotide when working at a substrate concentration in the nanomolar range.
Herein, "altered polymerase enzyme" means that the polymerase has at least one amino acid change compared to the control polymerase enzyme. In general, this change will comprise the substitution of at least one amino acid for another. In certain instances, these changes will be conservative changes, to maintain the overall charge distribution of the protein. However, the invention is not limited to only conservative substitutions. Non-conservative substitutions are also envisaged in the present invention. Moreover, it is within the contemplation of the present invention that the modification in the polymerase sequence may be a deletion or addition of one or more amino acids from or to the protein, provided that the polymerase has improved activity with respect to the incorporation of nucleotides modified at the 3' sugar hydroxyl such that the substituent is larger in size than the naturally occurring 3' hydroxyl group as compared to a control polymerase enzyme, such as T4 DNA polymerase wildtype (SEQ ID NO. 1), however lacking the 3'-5 ' exonuclease activity.
The control polymerase may comprise any one of the listed substitution mutations functionally equivalent to the amino acid sequence of the given base polymerase (or an exo- variant thereof). Thus, the control polymerase may be a mutant version of the listed base polymerase having one of the stated mutations or combinations of mutations, and preferably having amino acid sequence identical to that of the base polymerase (or an exo- variant thereof) other than at the mutations recited above. Alternatively, the control polymerase may be a homologous mutant version of a polymerase other than the stated base polymerase, which includes a functionally equivalent or homologous mutation (or combination of mutations) to those recited in relation to the amino acid sequence of the base polymerase. By way of illustration, the control polymerase could be a mutant version of the Pfu polymerase having one of the mutations or combinations of mutations listed as optional or preferable above and below relative to the Pfu amino acid sequence, or it could be a T4 polymerase or a mutant thereof or a mutant version of another polymerase. It would however not comprise the S-G-S mutation claimed herein.
Alternatively, the control polymerase is the wildtype T4 polymerase with the SEQ ID No: 1.
The invention also encompasses enzymes claimed herein, wherein the amino acid sequence has been altered in non-conserved regions or positions. One skilled in the art will understand that many amino acid positions may be altered without changing the enzyme activity.
Herein, "nucleotide" is defined herein to include both nucleotides and nucleosides. Nucleosides, as for nucleotides, comprise a purine or pyrimidine base linked glycosidically to ribose or deoxyribose, but they lack the phosphate residues which would make them a nucleotide. Synthetic and naturally occurring nucleotides, prior to their modification at the 3' sugar hydroxyl, are included within the definition. Labeling of the bases can occur via naturally occurring groups (such as exocyclic amines for adenosine or guanosine) or via modifications, such as 5- and 7- deaza analogs. One preferred embodiment is attachment via 5- (pyrimidines) and 7- deaza (purines) propynyl group, more preferably propargylamine or propargylhydroxy group. Another preferred attachment is via hydroxymethyl groups as disclosed in US9322050.
Herein, and throughout the specification mutations within the amino acid sequence of a polymerase are written in the following form: (i) single letter amino acid as found in wild type polymerase, (ii) position of the change in the amino acid sequence of the polymerase and (iii) single letter amino acid as found in the altered polymerase. So, mutation of a Tyrosine residue in the wild type polymerase to a Valine residue in the altered polymerase at position 414 of the amino acid sequence would be written as Y414V. This is standard procedure in molecular biology.
DETAILED DESCRIPTION OF THE INVENTION
The sheer increase in rates of incorporation of the modified analogues that have been achieved with polymerases of the invention is unexpected. The examples show that even existing polymerases with mutations do not exhibit these high incorporation rates. This is important because as time passes various different modified nucleotides a have and will arise. The invention relates to a polymerase enzyme according to SEQ ID NO. 1 or any polymerase that shares at least 70%, 80%, 85%, 90%, 95% or, 98% amino acid sequence identity thereto, comprising a mutation selected from the group of: (i) at position 412 of SEQ ID NO. 1: serine (S) and/or (L413S), (ii) at position 413 of SEQ ID NO. 1: glycine (G) and/or (Y413G), (iii) at
position 414 of SEQ ID NO. 1 : serine (S) (P414S), wherein the enzyme has little or no 3'-5' exonuclease activity.
Preferably, the enzyme claimed shares 75%, 80%, 85%, 90%, 95%, 98%, 99%, 99,5% or 100% sequence identity with the enzyme according to SEQ ID NO. 1. These percentages do not include the additionally claimed mutations.
The invention also relates to a nucleic acid encoding an enzyme according to SEQ ID NO. 1, however encompassing the following mutations:
(i) at position 412 of SEQ ID NO. 1 : serine (S), glutamine (Q), tyrosine (Y) or phenylalanine (F) and/or (L412S, L412Q, L412Y, L412F)
(ii) at position 413 of SEQ ID NO. 1 : glycine (G), alanine (A), serine (S) and/or (Y413G, Y413A, Y413S),
(iii) at position 414 of SEQ ID NO. 1 : serine (S), valine (V), isoleucine (I), cysteine (C), alanine (A) (P414S, P414I, P414V, P414C, P414A)
(iv) wherein the enzyme has little or no 3'-5' exonuclease activity.
The altered polymerase will generally and preferably be an "isolated" or "purified" polypeptide. By "isolated polypeptide" a polypeptide that is essentially free from contaminating cellular components is meant, such as carbohydrates, lipids, nucleic acids or other proteinaceous impurities which may be associated with the polypeptide in nature. One may use a His-tag for purification, but other means may also be used. Preferably, at least the altered polymerase may be a "recombinant" polypeptide.
The altered polymerase according to the invention may be a family B type DNA polymerase, or a mutant or variant thereof. Family B DNA polymerases include numerous archaeal DNA polymerase, human DNA polymerase a and T4, RB69 and φ29 phage DNA polymerases. Family A polymerases include polymerases such as Taq, and T7 DNA polymerase. In one embodiment the polymerase is selected from any family B archaeal DNA polymerase, human DNA polymerase a or T4, RB69 and φ29 phage DNA polymerases.
Preferably, the polymerase is from an organism belonging to the family of Thermococcaceae, preferably from the genera of Pyrococcus. Such organisms include, Pyrococcus abyssi,
Pyrococcus woesei, Pyrococcus yayanosii, Pyrococcus horikoshii, Pryococcus furiosus or, e.g. Pryococcus glycovorans. The most preferred is Pyrococcus furiosus. More preferably polymerase is selected from non-archeal B family polymerases such as T4 DNA polymerase.
Ideally, the polymerase comprises all of the following mutations, L412S, Y413G and P414S and optionally additionally, comprises one or more of the following additional mutations or equivalent mutations in other polymerase families: D219A, N555L. Mutations at 219 positions are known to eliminate most of the exonuclease proofreading ability. Mutations at position 485 (9°N) or 555 equivalent in T4 are known to enhance incorporation of non-native nucleotides (terminator mutations); see Gardner and Jack, 2002. Nucl. Acids Res. 30:605.
Preferably, the enzyme additionally comprises a mutation N555L in SEQ ID NO. 1.
Preferred is a polymerase, wherein the enzyme shares 95%, preferably even 98% sequence identity (not counting the mutations) with SEQ ID NO. 1 and additionally has the following set of mutations, (i) L412S, Y413G, P414S and (ii) N555L.
Preferred is a polymerase, wherein the enzyme shares 95%, preferably 98% sequence identity with SEQ ID NO. 1 and additionally has the following set of mutations L412S, Y413G, P414S and I472V.
Preferred is a polymerase, wherein the enzyme shares 95%, preferably even 98% sequence identity with SEQ ID NO. 1 and additionally has the following set of mutations, (i) L412S, Y413G, P414S and (ii) I472V, F476D
Preferred is a polymerase, wherein the enzyme shares 95%, preferably even 98% sequence identity with SEQ ID NO. 1 and additionally has the following set of mutations, (i) L412S, Y413G, P414S and comprising mutations selected from the following group: I472V, F476D, G743R, I583V, L567M, G719K, F487D.
Preferred is a polymerase, wherein the enzyme shares 95%, preferably even 98% sequence identity with SEQ ID NO. 1 and additionally has the following set of mutations, (i) L412S, Y413G, P414S and comprising mutations selected from the following group: I472V, F476D, G743R, I583V, L567M, G719K, F487D and N555Y.
Preferred is a polymerase, wherein the enzyme shares 95%, preferably even 98% sequence identity with SEQ ID NO. 1 and additionally has the following set of mutations L412S, Y413G, P414S I472V, and G743R.
Preferred is a polymerase, wherein the enzyme shares 95%, preferably even 98% sequence identity with SEQ ID NO. 1 and additionally has the following set of mutations L412S, Y413G, P414S, I472V, F476D and G743R.
Preferred is a polymerase, wherein the enzyme shares 95%, preferably even 98% sequence identity with SEQ ID NO. 1 and additionally has the following set of mutations L412S, Y413G, P414S, I472V, F476D, G743R, I583V, L567M, G719K and F487D.
Preferred is a polymerase, wherein the enzyme shares 95%, preferably even 98% sequence identity with SEQ ID NO. 1 and additionally has the following set of mutations L412S, Y413G, P414S, I472V, F476D, G743R, I583V, L567M, G719K, F487D and N555Y.
Please submit sequences of special interest, they should be added to the sequence listing.
Preferred is a polymerase, wherein the enzyme shares 95%, preferably even 98% sequence identity with SEQ ID NO. 4-8
Preferred is a polymerase, wherein the enzyme shares 95%, preferably even 98% sequence identity with SEQ ID NO. 4-8. In a very preferred embodiment the enzyme as an amino acid sequence exactly according to SEQ ID NO. 4-8.
Preferably, the modified polymerase comprises a mutation corresponding to A485L in 9°N polymerase (N555L in T4). This mutation corresponds to A488L in Vent and A486L in Pfu. Several other groups have published on this mutation. A486Y variant of Pfu DNA polymerase (Evans et al, 2000. Nucl. Acids. Res. 28: 1059). A series of random mutations was introduced into the polymerase gene and variants were identified that had improved incorporation of ddNTPs. The A486Y mutation improved the ratio of ddNTP/dNTP in sequencing ladders by 150-fold compared to wild type. However, mutation of Y410 to A or F produced a variant that resulted in an inferior sequencing ladder compared to the wild type
enzyme; see also WO 01/38546. A485L variant of 9°N DNA polymerase (Gardner and Jack, 2002. Nucl. Acids Res. 30:605). This study demonstrated that the mutation of Alanine to Leucine at amino acid 485 enhanced the incorporation of nucleotide analogues that lack a 3' sugar hydroxyl moiety (acyNTPs and dideoxyNTPs). A485T variant of Tsp JDF-3 DNA polymerase (Arezi et al, 2002. J. Mol. Biol. 322:719). In this paper, random mutations were introduced into the JDF-3 polymerase from which variants were identified that had enhanced incorporation of ddNTPs. WO 01/23411 describes the use of the A488L variant of Vent in the incorporation of dideoxynucleotides and acyclonucleotides into DNA. The application also covers methods of sequencing that employ these nucleotide analogues and variants of 9°N DNA polymerase that are mutated at residue 485.
In another embodiment of this invention, preferred polymerase carries additional mutations which can further enhance ability to incorporate reversibly terminating nucleotides. Such preferred compositions can be identified by performing a combination of mutagenesis and computational analysis to identify most beneficial amino acid substitutions and their combinations (Feng et al, Chem Commuii (Carnb). 2015 Jun 18;51(48):9760-72).In essence, this methodology includes:
1. Identification of potential beneficial amino acid positions by random and sequencing of variants showing improved properties.
2. Determination of beneficial amino acid positions by saturation mutagenesis at each of the identified positions.
In order to identify highly performing variants a novel screening methodology has also been developed. In essence, the screening methodology involves the use of DNA substrate bound to microtiter plate and incubation with cellular lysate expressing novel polymerase in the presence of fluorescently labeled, reversibly terminating nucleotides. After incubation and wash fluorescent signal is measured and is proportional to the observed activity. The design of this assay is illustrated in Figure 12.
In addition to measuring activity in high throughput fashion the method can also be applied to measure relative fidelity of incorporation reversibly terminating nucleotides. For example, the incubation can be performed with incorrect nucleotide and the extent of incorporation can easily be measured. Example of such measurement is shown in Figure 13. As can be seen
from the data the newly constructed polymerases of the present invention have enhanced activity for incorporating bulky nucleotides.
The results of library screening leading to identification of key amino acid positions in T4 backbone is shown in Figure 14. As can be seen, additional activity improvements are observed compared to the starting enzyme encompassing SGS mutation at positions 412/413/414. These improvements as measureed by screeening assay range from 1.3 - 5 -fold improvement.
The outcome of directed evolution process as described above and reference in publication (Feng et al, Chem Commim (Camb). 2015 Jun 18;51(48):9760-72)resulted in identification of additional beneficial mutations in the T4 backbone and is illustrated in Figure 15.
The invention relates to a polymerase with the mutations shown herein which exhibits an increased rate of incorporation of nucleotides which have been modified at the 3' sugar hydroxyl such that the substituent is larger in size than the naturally occurring 3' hydroxyl group and ddNTP, compared to the control polymerase being a normal unmodified enzyme.
Such nucleotides are disclosed in WO 2004/018497 A2. Here, a modified nucleotide molecule comprising a purine or pyrimidine base and a ribose or deoxyribose sugar moiety having a removable 3'-OH blocking group covalently attached thereto, such that the 3' carbon atom has attached a group of the structure: -O-Z is disclosed, wherein Z is any of -C(R')2- N(R")2'C(R')2-N(H)R", and -C(R)2-N3, wherein each R" is or is part of a removable protecting group; each R is independently a hydrogen atom, an alkyl, substituted alkyl, arylalkyl, alkenyl, alkynyl, aryl, heteroaryl, heterocyclic, acyl, cyano, alkoxy, aryloxy, heteroaryloxy or amido group, or a detectable label attached through a linking group; or (R)2 represents an alkylidene group of formula =C(R")2 wherein each R'" may be the same or different and is selected from the group comprising hydrogen and halogen atoms and alkyl groups; and wherein said molecule may be reacted to yield an intermediate in which each R" is exchanged for H, which intermediate dissociates under aqueous conditions to afford a molecule with a free 3ΌΗ.
The inventors have found that the claimed polymerase may be used in extension reactions and sequencing reactions very well when a novel nucleotide is used. Thus, the invention
relates to a method of sequencing a nucleic acid wherein the claimed polymerase is used together with the following nucleotide.
In a preferred embodiment nucleotide has the following characteristics. It is a deoxynucleoside triphosphate comprising a nucleobase and a sugar, said nucleobase comprising a detectable label attached via a cleavable oxymethylenedisulfide linker, said sugar comprising a 3'-0 capped by a cleavable protecting group comprising methylenedisulfide.
Ideally, the nucleobase is a non-natural nucleobase and is selected from the group comprising 7-deaza guanine, 7-deaza adenine, 2-amino,7-deaza adenine, and 2-amino adenine.
Ideally, the cleavable protecting group is of the formula -CH2-SS-R, wherein R is selected from the group comprising alkyl and substituted alkyl groups.
Preferably, the nucleotide has this structure:
Here, B is a nucleobase, R is selected from the group comprising alkyl and substituted alkyl groups, and LI and L2 are connecting groups. Preferably, Li and L2 are independently selected from the group comprising -CO-, -CONH-, -NHCONH-, -0-, -S-, -ON, and -N=N-., alkyl, aryl, branched alkyl, branched aryl. Ideally Li and L2 are the same.
The invention relates to a kit comprising a DNA polymerase as disclosed herein and claimed herein, and at least one deoxynucleoside triphosphate comprising a nucleobase and a sugar, said sugar comprising a cleavable protecting group on the 3'-0, wherein said cleavable protecting group comprises methylenedisulfide, and wherein said nucleoside further comprises a detectable label attached via a cleavable oxymethylenedisulfide linker to the nucleobase of said nucleoside.
Claimed is also a reaction mixture comprising a nucleic acid template with a primer hybridized to said template, a DNA polymerase according to the invention and at least one deoxynucleoside triphosphate comprising a nucleobase and a sugar, said sugar comprising a cleavable protecting group on the 3'-0, wherein said cleavable protecting group comprises methylenedisulfide, wherein said nucleoside further comprises a detectable label attached via a cleavable oxymethylenedisulfide linker to the nucleobase of said nucleoside.
Claimed is a method of performing a DNA synthesis reaction comprising the steps of a) providing a nucleic acid template with a primer hybridized to said template, the DNA polymerase according to the invention, at least one deoxynucleoside triphosphate comprising a nucleobase and a sugar, said sugar comprising a cleavable protecting group on the 3'-0, wherein said cleavable protecting group comprises methylenedisulfide, wherein said nucleoside further comprises a detectable label attached via a cleavable oxymethylenedisulfide linker to the nucleobase of said nucleoside, and b) subjecting said reaction mixture to conditions which enable a DNA polymerase catalyzed primer extension reaction.
The invention also relates to a method for analyzing a DNA sequence comprising the steps of a) providing a nucleic acid template with a primer hybridized to said template forming a primer/template hybridization complex, b) adding DNA polymerase according to the invention, and a first deoxynucleoside triphosphate comprising a nucleobase and a sugar, said sugar comprising a cleavable protecting group on the 3'-0, wherein said cleavable protecting group comprises methylenedisulfide, wherein said nucleoside further comprises a first detectable label attached via a cleavable oxymethylenedisulfide linker to the nucleobase of said nucleoside, c) subjecting said reaction mixture to conditions which enable a DNA polymerase catalyzed primer extension reaction so as to create a modified primer/template hybridization complex, and d) detecting a said first detectable label of said deoxynucleoside triphosphate in said modified primer/template hybridization complex. The blocking group may be repeatedly removed and novel nucleotides added. These methods are known to the person skilled in the art. Here, differently labeled, 3'-0 methylenedisulfide capped deoxynucleoside triphosphate compounds representing analogs of A, G, C and T or U are used in step b). Ideally, step e) is performed by exposing said modified primer/template hybridization complex to a reducing agent. This can be TCEP.
In another embodiment the labeled nucleotide that is used is as follows.
Here, D is selected from the group consisting of an azide, disulfide alkyi and disulfide substituted alkyi groups, B is a nucleobase, A is an attachment group, C is a cleavable site core, Li and L2 are connecting groups, and Label is a label. Ideally, the nucleobase is selected from the group of 7-deaza guanine, 7-deaza adenine, 2-amino,7-deaza adenine, and 2-amino adenine.
Li is selected from the group consisting of -CON H(CH2)x- -CO-0(CH2)x- -CON H-(OCH2CH20)X-CO- O(CH2CH20)x- and -CO(CH2)x- wherein x is 0-10. L2 can be,
L2 can be, -N H-, -(CH2)X-N H-, -C(Me)2(CH2)xNH-, -CH(Me)(CH2)xN H-, -C(Me)2(CH2)xCO, - CH(Me)(CH2)xCO-, -(CH2)xOCONH(CH2)yO(CH2)zN H-, -(CH2)xCONH(CH2CH20)y(CH2)zNH-, and - C0NH(CH2)x-, -C0(CH2)x- wherein x, y, and z are each independently selected from is 0-10.
Preferably the labeled nucleotide has the following structu
Preferably the labeled nucleotide has the following structure:
Preferably the labeled nucleotide has the following structure:
Preferably the labeled nucleotide has the following structure:
Preferably the non-labeled nucleotides have the following structures:
The invention also relates to polymerases with T4 backbone in which some or all cysteine residues are substitute by other amino acids, preferably serine, alanine, threonine or valine.
The invention also relates to a nucleic acid molecule encoding a polymerase according to the invention, as well as an expression vector comprising said nucleic acid molecule.
The invention also relates to a method for incorporating nucleotides which have been modified at the 3' sugar hydroxyl such that the substituent is larger in size than the naturally occurring 3' hydroxyl group into DNA comprising the following substances (i) a polymerase according to the invention, (ii) template DNA, (iii) one or more nucleotides, which have been
modified at the 3' sugar hydroxyl such that the substituent is larger in size than the naturally occurring 3' hydroxyl group.
The invention also relates to a method for incorporating nucleotides which have been modified at the 3' sugar hydroxyl such that the substituent is larger in size than the naturally occurring 3' hydroxyl group into DNA comprising the following substances (i) a polymerase according to the invention, (ii) template DNA, (iii) one or more nucleotides, which have been modified at the 3' sugar hydroxyl such that the substituent is larger in size than the naturally occurring 3' hydroxyl group, wherein the blocking group comprises a disulfide preferably, methylenedisulfide.
The invention also relates to the use of a polymerase according to the invention in methods such as nucleic acid labeling, or sequencing. The polymerases of the present invention are useful in a variety of techniques requiring incorporation of a nucleotide into a polynucleotide, which include sequencing reactions, polynucleotide synthesis, nucleic acid amplification, nucleic acid hybridization assays, single nucleotide polymorphism studies, and other such techniques. All such uses and methods utilizing the modified polymerases of the invention are included within the scope of the present invention.
In sequencing the use of nucleotides bearing a 3' block allows successive nucleotides to be incorporated into a polynucleotide chain in a controlled manner. After each nucleotide addition the presence of the 3' block prevents incorporation of a further nucleotide into the chain. Once the nature of the incorporated nucleotide has been determined, the block may be removed, leaving a free 3' hydroxyl group for addition of the next nucleotide. Sequencing by synthesis of DNA ideally requires the controlled (i.e. one at a time) incorporation of the correct complementary nucleotide opposite the oligonucleotide being sequenced. This allows for accurate sequencing by adding nucleotides in multiple cycles as each nucleotide residue is sequenced one at a time, thus preventing an uncontrolled series of incorporations occurring. The incorporated nucleotide is read using an appropriate label attached thereto before removal of the label moiety and the subsequent next round of sequencing. In order to ensure only a single incorporation occurs, a structural modification ("blocking group") of the sequencing nucleotides is required to ensure a single nucleotide incorporation but which then prevents any further nucleotide incorporation into the polynucleotide chain. The blocking group must then be removable, under reaction conditions which do not interfere with the
integrity of the DNA being sequenced. The sequencing cycle can then continue with the incorporation of the next blocked, labelled nucleotide. In order to be of practical use, the entire process should consist of high yielding, highly specific chemical and enzymatic steps to facilitate multiple cycles of sequencing. To be useful in DNA sequencing, nucleotide, and more usually nucleotide triphosphates, generally require a 3 OH-blocking group so as to prevent the polymerase used to incorporate it into a polynucleotide chain from continuing to replicate once the base on the nucleotide is added. The DNA template for a sequencing reaction will typically comprise a double-stranded region having a free 3' hydroxyl group which serves as a primer or initiation point for the addition of further nucleotides in the sequencing reaction. The region of the DNA template to be sequenced will overhang this free 3' hydroxyl group on the complementary strand. The primer bearing the free 3' hydroxyl group may be added as a separate component (e.g. a short oligonucleotide) which hybridizes to a region of the template to be sequenced. Alternatively, the primer and the template strand to be sequenced may each form part of a partially self-complementary nucleic acid strand capable of forming an intramolecular duplex, such as for example a hairpin loop structure. Nucleotides are added successively to the free 3' hydroxyl group, resulting in synthesis of a polynucleotide chain in the 5' to 3' direction. After each nucleotide addition the nature of the base which has been added will be determined, thus providing sequence information for the DNA template.
Such DNA sequencing may be possible if the modified nucleotides can act as chain terminators. Once the modified nucleotide has been incorporated into the growing polynucleotide chain complementary to the region of the template being sequenced there is no free 3'-OH group available to direct further sequence extension and therefore the polymerase can not add further nucleotides. Once the nature of the base incorporated into the growing chain has been determined, the 3' block may be removed to allow addition of the next successive nucleotide. By ordering the products derived using these modified nucleotides it is possible to deduce the DNA sequence of the DNA template. Such reactions can be done in a single experiment if each of the modified nucleotides has attached a different label, known to correspond to the particular base, to facilitate discrimination between the bases added at each incorporation step. Alternatively, a separate reaction may be carried out containing each of the modified nucleotides separately.
In a preferred embodiment the modified nucleotides carry a label to facilitate their detection. Preferably this is a fluorescent label. Each nucleotide type may carry a different fluorescent label. However, the detectable label need not be a fluorescent label. Any label can be used which allows the detection of the incorporation of the nucleotide into the DNA sequence.
One method for detecting the fluorescently labelled nucleotides, suitable for use in the second and third aspects of the invention, comprises using laser light of a wavelength specific for the labelled nucleotides, or the use of other suitable sources of illumination.
In one embodiment the fluorescence from the label on the nucleotide may be detected by a CCD camera.
If the DNA templates are immobilised on a surface they may preferably be immobilised on a surface to form a high density array. Most preferably, and in accordance with the technology developed by the applicants for the present invention, the high density array comprises a single molecule array, wherein there is a single DNA molecule at each discrete site that is detectable on the array. Single-molecule arrays comprised of nucleic acid molecules that are individually resolvable by optical means and the use of such arrays in sequencing are described, for example, in WO 00/06770, the contents of which are incorporated herein by reference. Single molecule arrays comprised of individually resolvable nucleic acid molecules including a hairpin loop structure are described in WO 01/57248, the contents of which are also incorporated herein by reference. The polymerases of the invention are suitable for use in conjunction with single molecule arrays prepared according to the disclosures of WO 00/06770 of WO 01/57248. However, it is to be understood that the scope of the invention is not intended to be limited to the use of the polymerases in connection with single molecule arrays. Single molecule array-based sequencing methods may work by adding fluorescently labelled modified nucleotides and an altered polymerase to the single molecule array. Complementary nucleotides would base-pair to the first base of each nucleotide fragment and would be added to the primer in a reaction catalysed by the improved polymerase enzyme. Remaining free nucleotides would be removed. Then, laser light of a specific wavelength for each modified nucleotide would excite the appropriate label on the incorporated modified nucleotides, leading to the fluorescence of the label. This fluorescence could be detected by a suitable CCD camera that can scan the entire array to identify the incorporated modified nucleotides on each fragment. Thus millions of sites could
potentially be detected in parallel. Fluorescence could then be removed. The identity of the incorporated modified nucleotide would reveal the identity of the base in the sample sequence to which it is paired. The cycle of incorporation, detection and identification would then be repeated approximately 25 times to determine the first 25 bases in each oligonucleotide fragment attached to the array, which is detectable. Thus, by simultaneously sequencing all molecules on the array, which are detectable, the first 25 bases for the hundreds of millions of oligonucleotide fragments attached in single copy to the array could be determined. Obviously the invention is not limited to sequencing 25 bases. Many more or less bases could be sequenced depending on the level of detail of sequence information required and the complexity of the array. Using a suitable bioinformatics program the generated sequences could be aligned and compared to specific reference sequences. This would allow determination of any number of known and unknown genetic variations such as single nucleotide polymorphisms (SNPs) for example. The utility of the altered polymerases of the invention is not limited to sequencing applications using single-molecule arrays. The polymerases may be used in conjunction with any type of array-based (and particularly any high density array-based) sequencing technology requiring the use of a polymerase to incorporate nucleotides into a polynucleotide chain, and in particular any array-based sequencing technology which relies on the incorporation of modified nucleotides having large 3' substituents (larger than natural hydroxyl group), such as 3' blocking groups. The polymerases of the invention may be used for nucleic acid sequencing on essentially any type of array formed by immobilisation of nucleic acid molecules on a solid support. In addition to single molecule arrays suitable arrays may include, for example, multi-polynucleotide or clustered arrays in which distinct regions on the array comprise multiple copies of one individual polynucleotide molecule or even multiple copies of a small-number of different polynucleotide molecules (e.g. multiple copies of two complementary nucleic acid strands). In particular, the polymerases of the invention may be utilised in the nucleic acid sequencing method described in WO 98/44152, the contents of which are incorporated herein by reference. This International application describes a method of parallel sequencing of multiple templates located at distinct locations on a solid support. The method relies on incorporation of labelled nucleotides into a polynucleotide chain. The polymerases of the invention may be used in the method described in International Application WO 00/18957, the contents of which are incorporated herein by reference. This application describes a method of solid-phase nucleic acid amplification and sequencing in which a large number of distinct nucleic acid molecules are arrayed and amplified simultaneously at high density via
formation of nucleic acid colonies and the nucleic acid colonies are subsequently sequenced. The altered polymerases of the invention may be utilised in the sequencing step of this method. Multi-polynucleotide or clustered arrays of nucleic acid molecules may be produced using techniques generally known in the art. By way of example, WO 98/44151 and WO 00/18957 both describe methods of nucleic acid amplification which allow amplification products to be immobilised on a solid support in order to form arrays comprised of clusters or "colonies" of immobilised nucleic acid molecules. The contents of WO 98/44151 and WO 00/18957 relating to the preparation of clustered arrays and use of such arrays as templates for nucleic acid sequencing are incorporated herein by reference. The nucleic acid molecules present on the clustered arrays prepared according to these methods are suitable templates for sequencing using the polymerases of the invention. However, the invention is not intended to use of the polymerases in sequencing reactions carried out on clustered arrays prepared according to these specific methods. The polymerases of the invention may further be used in methods of fluorescent in situ sequencing, such as that described by Mitra et al. Analytical Biochemistry 320, 55-65, 2003.
Additionally, in another aspect, the invention provides a kit, comprising: (a) the polymerase according to the invention, and optionally, a plurality of different individual nucleotides of the invention and/or packaging materials therefor.
Several Experiments were carried out to show the increased rate of incorporation of nucleotides which have been modified compared to different wildtype polymerases and polymerases of the state of the art. Some of the results are shown in Figures 5 and 8 to 11. Further results with other wildtype polymerases and mutated polymerases from the state of the art also showed an increased rate of incorporation of nucleotides which have been modified as well as an enhanced specificity and sensitivity of the mutated polymerases according to the invention. The polymerases according to the invention show enhanced activity for incorporating bulky nucleotides also when compared to those disclosed in EP 1 664 287 B l .
FIGURE CAPTIONS
Fig. 1 shows labeled analogs of nucleoside triphosphates with 3'-0 methylenedisulfide- containing protecting group, where labels are attached to the nucleobase via cleavable
oxymethylenedisulfide linker (-OCH2-SS-). The analogs are (clockwise from the top left) for deoxyadenosine, thymidine or deoxyuridine, deoxycytidine and deoxyguanosine.
Fig. 2 shows an example of the labeled nucleotides where the spacer of the cleavable linker includes the propargyl ether linker. The analogs are (clockwise from the top left) for deoxyadenosine, thymidine or deoxyuridine, deoxycytidine and deoxyguanosine.
Fig. 3 shows a synthetic route of the labeled nucleotides specific for labeled dT intermediate.
Fig. 4 shows a cleavable linker synthesis starting from an 1,4-butanediol.
Fig. 5 shows the measurement of polymerase performance using extension in solution and capillary electrophoresis. The rate of single base terminating dNTP incorporation is measured. The extended fluorescent primer is detected by capillary electrophoresis (CE). The relative rate dNTP addition is determined by plots of fraction extended primer over time.
Fig. 6 shows generic universal building blocks structures comprising new cleavable linkers usable with the enzymes of the present invention. PG = Protective Group, LI, L2 - linkers (aliphatic, aromatic, mixed polarity straight chain or branched). RG = Reactive Group. In one embodiment of present invention such building blocks carry an Fmoc protective group on one end of the linker and reactive NHS carbonate or carbamate on the other end. This preferred combination is particularly useful in modified nucleotides synthesis comprising new cleavable linkers. A protective group should be removable under conditions compatible with nucleic acid/nucleotides chemistry and the reactive group should be selective. After reaction of the active NHS group on the linker with amine terminating nucleotide, an Fmoc group can be easily removed using base such as piperidine or ammonia, therefore exposing amine group at the terminal end of the linker for the attachment of cleavable marker. A library of compounds comprising variety of markers can be constructed this way very quickly.
Fig. 7 illustrates amino acid alignment generated using BLAST between 9 deg N polymerase and T4 DNA polymerase. Regions with common motifs showing steric gate and A485 (9 deg N) and N555 (T4) positions outlined.
Fig. 8 shows incorporation of fluorescently labeled, reversibly terminating nucleotide R6G- dU- 3'-0-CH2SSCH3 as measured by fluorescence plate based assay for polymerases of the
present invention: wild type T4 polymerase (WT, SEQ ID # 1) JPoll30 (SEQ ID #5), JPoll31 (SEQ ID #4), Duplex DNA was immobilized on the plate, a solution of polymerase and nucleotide was added and after incubation plate was washed and read with fluorescence plate reader. Both polymerases JPoll30 (SEQ ID #5) and JPoll31 (SEQ ID #4) show significantly improved incorporation while wild type (WT, SEQ ID # 1) shows signal similar to negative control (No Pol) indicating no incorporation of nucleotide.
Fig. 9 shows incorporation of fluorescently labeled, reversibly terminating nucleotide Cy5- dG- 3'-0-CH2SSCH3 as measured by fluorescence plate based assay for polymerases of the present invention: wild type T4 polymerase (WT, SEQ ID # 1) JPoll30 (SEQ ID #5), JPoll31 (SEQ ID #4), Duplex DNA was immobilized on the plate, a solution of polymerase and nucleotide was added and after incubation plate was washed and read with fluorescence plate reader. Both polymerases JPoll30 (SEQ ID #5) and JPoll31 (SEQ ID #4) show significantly improved incorporation while wild type (WT, SEQ ID # 1) shows signal similar to negative control (No Pol) indicating no incorporation of nucleotide.
Fig. 10 shows incorporation of fluorescently labeled, reversibly terminating nucleotide Alexa488-dC- 3'-0-CH2SSCH3 as measured by fluorescence plate based assay for polymerases of the present invention: wild type T4 polymerase (WT, SEQ ID # 1) JPoll30 (SEQ ID #5), JPoll31 (SEQ ID #4), Duplex DNA was immobilized on the plate, a solution of polymerase and nucleotide was added and after incubation plate was washed and read with fluorescence plate reader. Both polymerases JPoll30 (SEQ ID #5) and JPoll31 (SEQ ID #4) show significantly improved incorporation while wild type (WT, SEQ ID # 1) shows signal similar to negative control (No Pol) indicating no incorporation of nucleotide.
Fig. 11 shows incorporation of fluorescently labeled, reversibly terminating nucleotide ROX- dA- 3'-0-CH2SSCH3 as measured by fluorescence plate based assay for polymerases of the present invention: wild type T4 polymerase (WT, SEQ ID # 1) JPoll30 (SEQ ID #5), JPoll31 (SEQ ID #4), Duplex DNA was immobilized on the plate, a solution of polymerase and nucleotide was added and after incubation plate was washed and read with fluorescence plate reader. Both polymerases JPoll30 (SEQ ID #5) and JPoll31 (SEQ ID #4) show significantly improved incorporation while wild type (WT, SEQ ID # 1) shows signal similar to negative control (No Pol) indicating no incorporation of nucleotide.
Fig.12 Incorporation of fluorescently labeled, reversibly terminating nucleotides R6G-dU- 3'- 0-CH2SSCH3, Alexa488-dC- 3'-0-CH2SSCH3i ROX-dA- 3'-0-CH2SSCH3 or Cy5-dG-3'-0-
CH2SSCH3 as measured by fluorescence plate based assay for polymerases of the present invention with mutations listed in Figure 13. Partial duplex DNA was immobilized on the plate, a solution of polymerase and nucleotide was added and after incubation plate was washed and read with fluorescence plate reader to detect nucleotide incorporation. Incorporation improvement observed for all polymerases containing mutations listed in Figure 13 for at least one of the fluorescently labeled, reversibly terminating nucleotides.
Fig.13 Amino acid positions and mutations that improve incorporation of fluorescently labeled, reversibly terminating nucleotides R6G-dU- 3'-0-CH2SSCH3, Alexa488-dC- 3 -0- CH2SSCH3 ROX-dA- 3'-0-CH2SSCH3 or Cy5-dG-3'-0-CH2SSCH3
Fig.14 Incorporation of fluorescently labeled, reversibly terminating nucleotides R6G-dU- 3'- 0-CH2SSCH3i Alexa488-dC- 3'-0-CH2SSCH3i ROX-dA- 3'-0-CH2SSCH3 or Cy5-dG-3'-0- CH2SSCH3 as measured by fluorescence plate based assay for polymerases of the present invention with preferred combination of mutations as follows:
1. R4 (T4_SGS + I472V + F476D);
2. R40 (T4_SGS + I472V + F476A + E743V + L567M)
3. R45 (T4 SGS + I472V + F476D + E743V + I583V + L567M)
4. R48 (T4 SGS + I472V + F476D + L567M)
5. R56 (T4_SGS + F476A + E743R + L567M)
6. R64 (T4 SGS + F476D + E743V + L567M)
7. PC = Positive Control (T4 SGS only)
8. NC = Negative Control (WT T4)
EXAMPLES
TCAGTTCAAGCAATCGATAAAATTCGTGGGTTTATCGATCT
AGTTTTAAGTATGTCTTATTACGCTAAAATGCCTTTTTCTGG
TGTAATGAGTCCTATTAAAACTTGGGATGCTATTATTTTTA
ACTCATTGAAAGGTGAACATAAGGTTATTCCTCAACAAGG
TTCGCACGTTAAACAGAGTTTTCCGGGTGCATTTGTGTTTG
AACCTAAACCAATTGCACGTCGATACATTATGAGTTTTGAC
TTGACGTCTCTGTATCCGAGCATTATTCGCCAGGTTAACAT
TAGTCCTGAAACTATTCGTGGTCAGTTTAAAGTTCATCCAA
TTCATGAATATATCGCAGGAACAGCTCCTAAACCGAGTGA
TGAATATTCTTGTTCTCCGAATGGATGGATGTATGATAAAC
ATCAAGAAGGTATCATTCCAAAGGAAATCGCTAAAGTATT
TTTCCAGCGTAAAGACTGGAAAAAGAAAATGTTCGCTGAA
GAAATGAATGCCGAAGCTATTAAAAAGATTATTATGAAAG
GCGCAGGGTCTTGTTCAACTAAACCAGAAGTTGAACGATA
TGTTAAGTTCAGTGATGATTTCTTAAATGAACTATCGAATT
ACACCGAATCTGTTCTCAATAGTCTGATTGAAGAATGTGAA
AAAGCAGCTACACTTGCTAATACAAATCAGCTGAACCGTA
AAATTCTCATTAACAGTCTTTATGGTGCTCTTGGTAATATT
CATTTCCGTTACTATGATTTGCGAAATGCTACTGCTATCAC
AATTTTCGGCCAAGTCGGTATTCAGTGGATTGCTCGTAAAA
TTAATGAATATCTGAATAAAGTATGCGGAACTAATGATGA
AGATTTCATTGCAGCAGGTGATACTGATTCGGTATATGTTT
GCGTAGATAAAGTTATTGAAAAAGTTGGTCTTGACCGATTC
AAAGAGCAGAACGATTTGGTTGAATTCATGAATCAGTTCG
GTAAGAAAAAGATGGAACCTATGATTGATGTTGCATATCG
TGAGTTATGTGATTATATGAATAACCGCGAGCATCTGATGC
ATATGGACCGTGAAGCTATTTCTTGCCCTCCGCTTGGTTCA
AAGGGCGTTGGTGGATTTTGGAAAGCGAAAAAGCGTTATG
CTCTGAACGTTTATGATATGGAAGATAAGCGATTTGCTGAA
CCGCATCTAAAAATCATGGGTATGGAAACTCAGCAGAGTT
CAACACCAAAAGCAGTGCAAGAAGCTCTCGAAGAAAGTAT
TCGTCGTATTCTTCAGGAAGGTGAAGAGTCTGTCCAAGAAT
ACTACAAGAACTTCGAGAAAGAATATCGTCAACTTGACTA
TAAAGTTATTGCTGAAGTAAAAACTGCGAACGATATAGCG
AAATATGATGATAAAGGTTGGCCAGGATTTAAATGCCCGT
TCCATATTCGTGGTGTGCTAACTTATCGTCGAGCTGTTAGC
GGTTTAGGTGTAGCTCCAATTTTGGATGGAAATAAAGTAAT
GGTTCTTCCATTACGTGAAGGAAATCCATTTGGTGACAAGT
GCATTGCTTGGCCATCGGGTACAGAACTTCCAAAAGAAAT
TCGTTCTGATGTGCTATCTTGGATTGACCACTCAACTTTGTT
CCAAAAATCGTTTGTTAAACCGCTTGCGGGTATGTGTGAAT
CGGCTGGCATGGACTATGAAGAAAAAGCTTCGTTAGACTT
CCTGTTTGGCTGA
SEQ ID NO.3 MKEFYISIETVGNNIVERYIDENGKERTREVEYLPTMFRHCKE T4_Exo(D219A) ESKYKDIYGKNCAPQKFPSMKDARDWMKRMEDIGLEALGM
NDFKLAYISDTYGSEIVYDRKFVRVANCDIEVTGDKFPDPMK
AEYEIDAITHYDSIDDRFYVFDLLNSMYGSVSKWDAKLAAKL
DCEGGDEVPQEILDRVIYMPFDNERDMLMEYINLWEQKRPAI
FTGWNIEGFAVPYIMNRVKMILGERSMKRFSPIGRVKSKLIQN
MYGSKEIYSIDGVSILDYLDLYKKFAFTNLPSFSLESVAQHET
KKGKLPYDGPINKLRETNHQRYISYNIIDVESVQAIDKIRGFID
LVLSMSYYAKMPFSGVMSPIKTWDAIIFNSLKGEHKVIPQQGS
HVKQSFPGAFVFEPKPIARRYIMSFDLTSLYPSIIRQVNISPETIR
GQFKVHPIHEYIAGTAPKPSDEYSCSPNGWMYDKHQEGIIPKE
I AKVFF QRKDWIQ j MF AEEMN AE AIKKIIMKGAGS C S TKPEV
ERYVKFSDDFLNELSNYTESVLNSLIEECEKAATLANTNQLNR
KILINSLYGALGNIHFRYYDLRNATAITIFGQVGIQWIARKINE
YLNKVCGTNDEDFIAAGDTDSVYVCVDKVIEKVGLDRFKEQ
NDLVEFMNQFGKKKMEPMIDVAYRELCDYMNNREHLMHM
DREAISCPPLGSKGVGGFWKAKKRYALNVYDMEDKRFAEPH
LKIMGMETQQSSTPKAVQEALEESIRRILQEGEESVQEYYKNF
EKEYRQLDYKVIAEVKTANDIAKYDDKGWPGFKCPFHIRGVL
TYRRAVSGLGVAPILDGNKVMVLPLREGNPFGDKCIAWPSGT
ELPKEIRSDVLSWIDHSTLFQKSFVKPLAGMCESAGMDYEEK
ASLDFLFG
SEQ ID N0.4 MKEFYISIETVGNNIVERYIDENGKERTREVEYLPTMFRHCKE T4 Exo(D219A) ESKYKDIYGKNCAPQKFPSMKDARDWMKRMEDIGLEALGM SGS (JPoll31) NDFKLAYISDTYGSEIVYDRKFVRVANCDIEVTGDKFPDPMK
AEYEIDAITHYDSIDDRFYVFDLLNSMYGSVSKWDAKLAAKL
DCEGGDEVPQEILDRVIYMPFDNERDMLMEYINLWEQKRPAI
FTGWNIEGFAVPYIMNRVKMILGERSMKRFSPIGRVKSKLIQN
MYGSKEIYSIDGVSILDYLDLYKKFAFTNLPSFSLESVAQHET
KKGKLPYDGPINKLRETNHQRYISYNIIDVESVQAIDKIRGFID
LVLSMSYYAKMPFSGVMSPIKTWDAIIFNSLKGEHKVIPQQGS
HVKQSFPGAFVFEPKPIARRYIMSFDLTSSGSSIIRQVNISPETIR
GQFKVHPIHEYIAGTAPKPSDEYSCSPNGWMYDKHQEGIIPKE
IAKVFFQRKDWKKKMF AEEMN AE AIKKIIMKGAGS CS TKPEV
ERYVKFSDDFLNELSNYTESVLNSLIEECEKAATLANTNQLNR
KILINSLYGALGNIHFRYYDLRNATAITIFGQVGIQWIARKINE
YLNKVCGTNDEDFIAAGDTDSVYVCVDKVIEKVGLDRFKEQ
NDLVEFMNQFGKKKMEPMIDVAYRELCDYMNNREHLMHM
DREAISCPPLGSKGVGGFWKAKKRYALNVYDMEDKRFAEPH
LKIMGMETQQSSTPKAVQEALEESIRRILQEGEESVQEYYKNF
EKEYRQLDYKVIAEVKTANDIAKYDDKGWPGFKCPFHIRGVL
TYRRAVSGLGVAPILDGNKVMVLPLREGNPFGDKCIAWPSGT
ELPKEIRSDVLSWIDHSTLFQKSFVKPLAGMCESAGMDYEEK
ASLDFLFG
SEQ ID NO.5 MKEFYISIETVGNNIVERYIDENGKERTREVEYLPTMFRHCKE T4 Exo(D219A) ESKYKDIYGKNCAPQKFPSMKDARDWMKRMEDIGLEALGM SAV (JPoll30) NDFKLAYISDTYGSEIVYDRKFVRVANCDIEVTGDKFPDPMK
AEYEIDAITHYDSIDDRFYVFDLLNSMYGSVSKWDAKLAAKL
DCEGGDEVPQEILDRVIYMPFDNERDMLMEYINLWEQKRPAI
FTGWNIEGFAVPYIMNRVKMILGERSMKRFSPIGRVKSKLIQN
MYGSKEIYSIDGVSILDYLDLYKKFAFTNLPSFSLESVAQHET
KKGKLPYDGPINKLRETNHQRYISYNIIDVESVQAIDKIRGFID
LVLSMSYYAKMPFSGVMSPIKTWDAIIFNSLKGEHKVIPQQGS
HVKQSFPGAFVFEPKPIARRYIMSFDLTSSAVSIIRQVNISPETI
RGQFKVHPIHEYIAGTAPKPSDEYSCSPNGWMYDKHQEGIIPK
EIAKVFFQRKDWKKKMF AEEMN AEAIKKIIMKGAGSCSTKPE
VERYVKFSDDFLNELSNYTESVLNSLIEECEKAATLANTNQLN
RKILINSLYGALGNIHFRYYDLRNATAITIFGQVGIQWIARKIN
EYLNKVCGTNDEDFIAAGDTDSVYVCVDKVIEKVGLDRFKE
QNDLVEFMNQFGKKKMEPMIDVAYRELCDYMNNREHLMH
MDREAISCPPLGSKGVGGFWKAKKRYALNVYDMEDKRFAEP
HLKIMGMETQQSSTPKAVQEALEESIRRILQEGEESVQEYYKN
FEKEYRQLDYKVIAEVKTANDIAKYDDKGWPGFKCPFHIRGV
LTYRRAVSGLGVAPILDGNKVMVLPLREGNPFGDKCIAWPSG
TELPKEIRSDVLSWIDHSTLFQKSFVKPLAGMCESAGMDYEE
KASLDFLFG
SEQ ID NO.6 MKEFYISIETVGNNIVERYIDENGKERTREVEYLPTMFRHCKE T4 Exo(D219A) ESKYKDIYGKNCAPQKFPSMKDARDWMKRMEDIGLEALGM QAI NDFKLAYISDTYGSEIVYDRKFVRVANCDIEVTGDKFPDPMK
AEYEIDAITHYDSIDDRFYVFDLLNSMYGSVSKWDAKLAAKL
DCEGGDEVPQEILDRVIYMPFDNERDMLMEYINLWEQKRPAI
FTGXVNIEGFAVPYIMNRVKMILGERSMKRFSPIGRVKSKLIQN
MYGSKEIYSIDGVSILDYLDLYKKFAFTNLPSFSLESVAQHET
KKGKLPYDGPINKLRETNHQRYISYNIIDVESVQAIDKIRGFID
LVLSMSYYAKMPFSGVMSPIKTWDAIIFNSLKGEHKVIPQQGS
HVKQSFPGAFVFEPKPIARRYIMSFDLTSQAISIIRQVNISPETIR
GQFKVHPIHEYIAGTAPKPSDEYSCSPNGWMYDKHQEGIIPKE
I AKVFF QRKD WIG J MF AEEMN AE AIKKIIMKGAGS C S TKPEV
ERYVKFSDDFLNELSNYTESVLNSLIEECEKAATLANTNQLNR
KILINSLYGALGNIHFRYYDLRNATAITIFGQVGIQWIARKINE
YLNKVCGTNDEDFIAAGDTDSVYVCVDKVIEKVGLDRFKEQ
NDLVEFMNQFGKKKMEPMIDVAYRELCDYMNNREHLMHM
DREAISCPPLGSKGVGGFWKAKKRYALNVYDMEDKRFAEPH
LKIMGMETQQSSTPKAVQEALEESIRRILQEGEESVQEYYKNF
EKEYRQLDYKVIAEVKTANDIAKYDDKGWPGFKCPFHIRGVL
TYRRAVSGLGVAPILDGNKVMVLPLREGNPFGDKCIAWPSGT
ELPKEIRSDVLSWIDHSTLFQKSFVKPLAGMCESAGMDYEEK
ASLDFLFG
SEQ ID NO.7 MKEFYISIETVGNNIVERYIDENGKERTREVEYLPTMFRHCKE T4 Exo(D219A) ESKYKDIYGKNCAPQKFPSMKDARDWMKRMEDIGLEALGM YSC NDFKLAYISDTYGSEIVYDRKFVRVANCDIEVTGDKFPDPMK
AEYEIDAITHYDSIDDRFYVFDLLNSMYGSVSKWDAKLAAKL
DCEGGDEVPQEILDRVIYMPFDNERDMLMEYINLWEQKRPAI
FTGXVNIEGFAVPYIMNRVKMILGERSMKRFSPIGRVKSKLIQN
MYGSKEIYSIDGVSILDYLDLYKKFAFTNLPSFSLESVAQHET
KKGKLPYDGPINKLRETNHQRYISYNIIDVESVQAIDKIRGFID
LVLSMSYYAKMPFSGVMSPIKTWDAIIFNSLKGEHKVIPQQGS
HVKQSFPGAFVFEPKPIARRYIMSFDLTSYSCSIIRQVNISPETI
RGQFKVHPIHEYIAGTAPKPSDEYSCSPNGWMYDKHQEGIIPK
EIAKVFFQRKDWKKKMF AEEMN AEAIKKIIMKGAGSCSTKPE
VERYVKFSDDFLNELSNYTESVLNSLIEECEKAATLANTNQLN
RKILINSLYGALGNIHFRYYDLRNATAITIFGQVGIQWIARKIN
EYLNKVCGTNDEDFIAAGDTDSVYVCVDKVIEKVGLDRFKE
QNDLVEFMNQFGKKKMEPMIDVAYRELCDYMNNREHLMH
MDREAISCPPLGSKGVGGFWKAKKRYALNVYDMEDKRFAEP
HLKIMGMETQQSSTPKAVQEALEESIRRILQEGEESVQEYYKN
FEKEYRQLDYKVIAEVKTANDIAKYDDKGWPGFKCPFHIRGV LTYRRAVSGLGVAPILDGNKVMVLPLREGNPFGDKCIAWPSG TELPKEIRSDVLSWIDHSTLFQKSFVKPLAGMCESAGMDYEE KASLDFLFG
SEQ ID NO.8 MKEFYISIETVGNNIVERYIDENGKERTREVEYLPTMFRHCKE T4 Exo(D219A) ESKYKDIYGKNCAPQKFPSMKDARDWMKRMEDIGLEALGM FSA NDFKLAYISDTYGSEIVYDRKFVRVANCDIEVTGDKFPDPMK
AEYEIDAITHYDSIDDRFYVFDLLNSMYGSVSKWDAKLAAKL
DCEGGDEVPQEILDRVIYMPFDNERDMLMEYINLWEQKRPAI
FTGWNIEGFAVPYIMNRVKMILGERSMKRFSPIGRVKSKLIQN
MYGSKEIYSIDGVSILDYLDLYKKFAFTNLPSFSLESVAQHET
KKGKLPYDGPINKLRETNHQRYISYNIIDVESVQAIDKIRGFID
LVLSMSYYAKMPFSGVMSPIKTWDAIIFNSLKGEHKVIPQQGS
HVKQSFPGAFVFEPKPIARRYIMSFDLTSFSASIIRQVNISPETIR
GQFKVHPIHEYIAGTAPKPSDEYSCSPNGWMYDKHQEGIIPKE
IAKVFFQRKDWKKKMFAEEMNAEAIKKIIMKGAGSCSTKPEV
ERYVKFSDDFLNELSNYTESVLNSLIEECEKAATLANTNQLNR
KILINSLYGALGNIHFRYYDLRNATAITIFGQVGIQWIARKINE
YLNKVCGTNDEDFIAAGDTDSVYVCVDKVIEKVGLDRFKEQ
NDLVEFMNQFGKKKMEPMIDVAYRELCDYMNNREHLMHM
DREAISCPPLGSKGVGGFWKAKKRYALNVYDMEDKRFAEPH
LKIMGMETQQSSTPKAVQEALEESIRRILQEGEESVQEYYKNF
EKEYRQLDYKVIAEVKTANDIAKYDDKGWPGFKCPFHIRGVL
TYRRAVSGLGVAPILDGNKVMVLPLREGNPFGDKCIAWPSGT
ELPKEIRSDVLSWIDHSTLFQKSFVKPLAGMCESAGMDYEEK
ASLDFLFG
EXAMPLE 1
Synthesis of 3'-0-(methylthiomethyl)-5'-0-(tert-butyldimethylsilyl)-2'-deoxythymidine (2)
5'-0-(tert-butyldimethylsilyl)-2'-deoxythymidine (1) (2.0g, 5.6 mmol) was dissolved in a mixture consisting of DMSO (10.5 mL), acetic acid (4.8 mL), and acetic anhydride (15.4 mL) in a 250 mL round bottom flask, and stirred for 48 hours at room temperature. The mixture was then quenched by adding saturated K2CO3 solution until evolution of gaseous CO2 was stopped. The mixture was then extracted with EtOAc (3X100 mL) using a separating funnel. The combined organic extract was then washed with a saturated solution of NaHC03 (2X150 mL) in a partitioning funnel, and the organic layer was dried over Na2S04. The organic part was concentrated by rotary evaporation. The reaction mixture was finally purified by silica gel column chromatography.
EXAMPLE 2
Synthesis of 3'-0-(ethyldithiomethyl)-2'-deoxythymidine (4)
Compound 2 (1.75g, 4.08 mmol), dried overnight under high vacuum, dissolved in 20 mL dry CH2CI2 was added with EtsN (0.54 mL, 3.87 mmol) and 5.0g molecular sieve-3A, and stirred for 30 min under Ar atmosphere. The reaction flask was then placed on an ice-bath to bring the temperature to sub-zero, and slowly added with 1.8 eq 1M SO2CI2 in CH2CI2 (1.8 mL) and stirred at the same temperature for 1.0 hour. Then the ice-bath was removed to bring the flask to room temperature, and added with a solution of potassium thiotosylate (1.5 g) in 4 mL dry DMF and stirred for 0.5 hour at room temperature.
Then 2 eq EtSH (0.6 mL) was added and stirred additional 40 min. The mixture was then diluted with 50 mL CH2CI2 and filtered through celite-S in a funnel. The sample was washed with adequate amount of CH2CI2 to make sure that the product was filtered out. The CH2CI2 extract was then concentrated and purified by chromatography on a silica gel column (Hex: EtO AC/1 : 1 to 1 :3, Rf =0.3 in Hex:EtOAc/l : l). The resulting crude product was then treated with 2.2g of NH4F in 20 mL MeOH. After 36 hours, the reaction was quenched with 20 mL saturated NaHC03 and extracted with CH2CI2 by partitioning. The CH2CI2 part was dried over Na2S04 and purified by chromatography (Hex:EtOAc/l:l to 1 :2).
EXAMPLE 3
Synthesis of the triphosphate of 3'-0-(ethyldithiomethyl)-2'-deoxythymidine (5)
In a 25 mL flask, compound 4 (0.268g, 0.769 mmol) was added with proton sponge (210 mg), equipped with rubber septum. The sample was dried under high vacuum for overnight. The material was then dissolved in 2.6 mL (MeO)3PO under argon atmosphere. The flask, equipped with Ar-gas supply, was then placed on an ice-bath, stirred to bring the temperature to sub-zero. Then 1.5 equivalents of POCL was added at once by a syringe and stirred at the same temperature for 2 hours under Argon atmosphere. Then the ice-bath was removed and a mixture consisting of tributylammonium-pyrophosphate (1.6g) and Β¾Ν (1.45 mL) in dry DMF (6 mL) was prepared. The entire mixture was added at once and stirred for 10 min. The
reaction mixture was then diluted with TEAB buffer (30 mL, 100 mM) and stirred for additional 3 hours at room temperature. The crude product was concentrated by rotary evaporation, and purified by CI 8 Prep HPLC (method: 0 to 5min 100%A followed by gradient up to 50%B over 72min, A = 50 mM TEAB and B = acetonitrile). After freeze drying of the target fractions, the semi-pure product was further purified by ion exchange HPLC using PL-SAX Prep column (Method: 0 to 5min 100%A, then gradient up to 70%B over 70min, where A = 15% acetonitrile in water, B = 0.85M TEAB buffer in 15% acetonitrile). Final purification was carried out by CI8 Prep HPLC as described above resulting in ~ 25% yield of compound 5.
EXAMPLE 4
Synthesis of N -Benzoyl-5'-0-(tert-butyldimethylsilyl)-3'-0-(methylthiomethyl)- 2'
deoxycytidine (7)
N4-benzoyl-5'-0-(teri-butyldimethylsilyl)-2'-deoxycytidine (6) (50 g, 112.2 mmol) was dissolved in DMSO (210mL) in a 2L round bottom flask. It was added sequentially with acetic acid (210 mL) and acetic anhydride (96 mL), and stirred for 48 h at room temperature. During this period of time, a complete conversion to product was observed by TLC (Rf = 0.6, EtOAc:hex/10: 1 for the product).
The mixture was separated into two equal fractions, and each was transferred to a 2000mL beaker and neutralized by slowly adding saturated K2CO3 solution until CO2 gas evolution was stopped (pH 8). The mixture was then extracted with EtOAc in a separating funnel. The organic part was then washed with saturated solution of NaHC03 (2X1L) followed by with distilled water (2X1L), then the organic part was dried over Na2SC>4.
The organic part was then concentrated by rotary evaporation. The product was then purified by silica gel flash-column chromatography using puriflash column (Hex:EtOAc/l:4 to 1 :9, 3 column runs, on 15um, HC 300g puriflash column) to obtain N4-benzoyl-5'-0-(tert- butyldimethylsilyl)-3'-0-(methylthiomethyl)-2'-deoxycytidine (7) as grey powder in 60% yield.
EXAMPLE 5
N -Benzoyl-3 '-0-(ethyldithiomethyl)-5'-0-(tert-butyldimethylsilyl)-2'-deoxycytidine (8)
N4-Benzoyl-5'-0-(tert-butyldimethylsilyl)-3'-0-(methylthiomethyl)-2'-deoxycytidine (7) (2.526g, 5.0 mmol) dissolved in dry CH2CI2 (35 mL) was added with molecular sieve-3A (lOg). The mixture was stirred for 30 minutes. It was then added with Et3N (5.5 mmol), and stirred for 20 minutes on an ice-salt-water bath. It was then added slowly with 1M SO2CI2 in CH2CI2 (7.5 mL, 7.5 mmol) using a syringe and stirred at the same temperature for 2 hours under N2-atmosphere. Then benzenethiosulfonic acid sodium salt (1.6g, 8.0 mmol) in 8 mL dry DMF was added and stirred for 30 minutes at room temperature. Finally, EtSH was added (0.74 mL) and stirred additional 50 minutes at room temperature. The reaction mixture was filtered through celite-S, and washed the product out with CH2CI2. After concentrating the resulting CH2CI2 part, it was purified by flash chromatography using a silica gel column (1: 1 to 3:7/Hex:EtOAc) to obtain compound 8 in 54.4% yield.
EXAMPLE 6
N4-Benzoyl-3'-0-(ethyldithiomethyl)-2'-deoxycytidine (9)
N4-Benzoyl-3'-0-(ethyldithiomethyl)-5'-0-(tert-butyldimethylsilyl)-2'-deoxycytidine (8, 1.50g, 2.72 mmol) was dissolved in 50 mL THF. Then 1M TBAF in THF (3.3 mL) was added at ice-cold temperature under nitrogen atmosphere. The mixture was stirred for 1 hour at room temperature. Then the reaction was quenched by adding 1 mL MeOH, and solvent was removed after 10 minutes by rotary evaporation. The product was purified by silica gel flash chromatography using gradient 1 : 1 to l :9/Hex:EtOAc to result in compound 9. Finally, the synthesis of compound 10 was achieved from compound 9 following the standard synthetic protocol described in the synthesis of compound 5.
The synthesis of the labeled nucleotides can be achieved following the synthetic routes shown in Figure 3 and Figure 4. Figure 3 is specific for the synthesis of labeled dT intermediate, and other analogs could be synthesized similarly.
Claims
1. Polymerase enzyme according to SEQ ID NO. 1 or any polymerase that shares at least 70%, 80%, 90%, 95% or, 98% amino acid sequence identity thereto, comprising the following mutation(s):
i. at position 412 of SEQ ID NO. 1 : serine (S), glutamine (Q), tyrosine (Y) or phenylalanine (F) and/or (L412S, L412Q, L412Y, L412F)
ii. at position 413 of SEQ ID NO. 1 : glycine (G), alanine (A), serine (S) and/or (Y413G, Y413A, Y413S),
iii. at position 414 of SEQ ID NO. 1 : serine (S), valine (V), isoleucine (I), cysteine (C), alanine (A) (P414S, P414I, P414V, P414C, P414A)
wherein the enzyme has little or no 3'-5' exonuclease activity.
2. The polymerase of claim 1 wherein the polymerase is from an organism belonging to the family of T4 phage DNA polymerases.
3. Polymerase according to any of the preceding claims, wherein the enzyme shares 95%, preferably even 98% sequence identity with SEQ ID NO. 1 and additionally has the following set of mutations, (i) L412S, Y413G, P414S and comprising mutations selected from the following group: I472V, F476D, G743R, I583V, L567M, G719K, F487D, N555Y.
4. Polymerase according to claims 1 or 2, wherein the polymerase comprises all of the following mutations, L412S, Y413G and P414S and optionally additionally, comprises one or more of the following additional mutations D219A, N555L.
5. Polymerase according to any of the preceding claims, wherein the enzyme shares 95%, preferably even 98% sequence identity with SEQ ID NO. 1 and additionally has the following set of mutations, (i) L412S, Y413G, P414S and (ii) N555L.
6. Polymerase according to any of the preceding claims, wherein the enzyme shares 95%, preferably 98% sequence identity with SEQ ID NO. 1 and additionally has the following set of mutations,
L412S,
Y413G,
P414S and
I472V
7. Polymerase according to any of the preceding claims, wherein the enzyme shares 95%, preferably even 98% sequence identity with SEQ ID NO. 1 and additionally has the following set of mutations, (i) L412S, Y413G, P414S and (ii) I472V, F476D
8. Polymerase according to any of the preceding claims, wherein the enzyme has an amino acid sequence according to SEQ ID NO. 4-8
9. The polymerase according to any preceding claim which exhibits an increased rate of incorporation of nucleotides which have been modified at the 3' sugar hydroxyl such that the substituent is larger in size than the naturally occurring 3' hydroxyl group, compared to the control polymerase.
10. The polymerase according to any of the preceding claims, wherein some or all cysteine residues are substitute by other amino acids, preferably serine, alanine, threonine or valine.
11. A nucleic acid molecule encoding a polymerase according to claims 1 to 10, with a sequence according to SEQ ID NO. 4-8
12. An expression vector comprising the nucleic acid encoding any of the molecules of claim 11.
13. A method for incorporating nucleotides which have been modified at the 3' sugar hydroxyl such that the substituent is larger in size than the naturally occurring 3' hydroxyl group into DNA comprising the following substances (i) a polymerase according to any one of claims 1 to 8, (ii) template DNA, (iii) one or more nucleotides,
which have been modified at the 3' sugar hydroxyl such that the substituent is larger in size than the naturally occurring 3' hydroxyl group.
14. Use of a polymerase according to any of the claims 1 to 10 for DNA sequencing, DNA labeling, primer extension, amplification or the like.
Kit comprising a polymerase according to any of the claims 1 to 10.
Priority Applications (3)
| Application Number | Priority Date | Filing Date | Title |
|---|---|---|---|
| EP18706947.1A EP3580334A1 (en) | 2017-02-13 | 2018-02-13 | Polymerase enzyme from phage t4 |
| US16/485,277 US20220177859A1 (en) | 2017-02-13 | 2018-02-13 | Polymerase enzyme from phage t4 |
| US18/416,306 US20240158767A1 (en) | 2017-02-13 | 2024-01-18 | Polymerase enzyme from phage t4 |
Applications Claiming Priority (4)
| Application Number | Priority Date | Filing Date | Title |
|---|---|---|---|
| US201762458417P | 2017-02-13 | 2017-02-13 | |
| US62/458,417 | 2017-02-13 | ||
| EP17160399 | 2017-03-10 | ||
| EP17160399.6 | 2017-03-10 |
Related Child Applications (2)
| Application Number | Title | Priority Date | Filing Date |
|---|---|---|---|
| US16/485,277 A-371-Of-International US20220177859A1 (en) | 2017-02-13 | 2018-02-13 | Polymerase enzyme from phage t4 |
| US18/416,306 Continuation US20240158767A1 (en) | 2017-02-13 | 2024-01-18 | Polymerase enzyme from phage t4 |
Publications (1)
| Publication Number | Publication Date |
|---|---|
| WO2018148726A1 true WO2018148726A1 (en) | 2018-08-16 |
Family
ID=58266978
Family Applications (1)
| Application Number | Title | Priority Date | Filing Date |
|---|---|---|---|
| PCT/US2018/018002 Ceased WO2018148726A1 (en) | 2017-02-13 | 2018-02-13 | Polymerase enzyme from phage t4 |
Country Status (1)
| Country | Link |
|---|---|
| WO (1) | WO2018148726A1 (en) |
Cited By (6)
| Publication number | Priority date | Publication date | Assignee | Title |
|---|---|---|---|---|
| US11001816B2 (en) | 2018-12-05 | 2021-05-11 | Illumina, Inc. | Polymerases, compositions, and methods of use |
| US11104888B2 (en) | 2018-10-31 | 2021-08-31 | Illumina, Inc. | Polymerases, compositions, and methods of use |
| US11866741B2 (en) | 2017-02-13 | 2024-01-09 | IsoPlexis Corporation | Polymerase enzyme from 9°N |
| US12077789B2 (en) | 2021-08-14 | 2024-09-03 | Illumina, Inc. | Polymerases, compositions, and methods of use |
| CN118879648A (en) * | 2024-07-31 | 2024-11-01 | 翌圣生物科技(上海)股份有限公司 | T4 DNA ligase variants, applications and kits thereof |
| EP4240426A4 (en) * | 2020-11-05 | 2024-11-06 | New York University | ENHANCED PREDICTABLE, TEMPLATE-FREE GENE EDITING BY COMBINING CAS WITH DNA POLYMERASE |
Citations (13)
| Publication number | Priority date | Publication date | Assignee | Title |
|---|---|---|---|---|
| US5756334A (en) | 1990-04-26 | 1998-05-26 | New England Biolabs, Inc. | Thermostable DNA polymerase from 9°N-7 and methods for producing the same |
| WO1998044151A1 (en) | 1997-04-01 | 1998-10-08 | Glaxo Group Limited | Method of nucleic acid amplification |
| WO1998044152A1 (en) | 1997-04-01 | 1998-10-08 | Glaxo Group Limited | Method of nucleic acid sequencing |
| WO2000006770A1 (en) | 1998-07-30 | 2000-02-10 | Solexa Ltd. | Arrayed biomolecules and their use in sequencing |
| WO2000018957A1 (en) | 1998-09-30 | 2000-04-06 | Applied Research Systems Ars Holding N.V. | Methods of nucleic acid amplification and sequencing |
| WO2001023411A2 (en) | 1999-09-30 | 2001-04-05 | New England Biolabs, Inc. | Incorporation of modified nucleotides by archaeon dna polymerases and related methods |
| WO2001038546A1 (en) | 1999-11-23 | 2001-05-31 | Amersham Biosciences Corp | Improving dideoxynucleotide-triphosphate utilization by the hyper-thermophilic dna polymerase from the archaeon pyrococcus furiosus |
| WO2001057248A2 (en) | 2000-02-01 | 2001-08-09 | Solexa Ltd. | Polynucleotide arrays and their use in sequencing |
| EP1350841A2 (en) * | 2002-04-02 | 2003-10-08 | Roche Diagnostics GmbH | Thermostable or thermoactive DNA polymerase with attenuated 3'-5' exonuclease activity |
| WO2004018497A2 (en) | 2002-08-23 | 2004-03-04 | Solexa Limited | Modified nucleotides for polynucleotide sequencing |
| WO2005024010A1 (en) | 2003-09-11 | 2005-03-17 | Solexa Limited | Modified polymerases for improved incorporation of nucleotide analogues |
| WO2010141390A2 (en) * | 2009-06-05 | 2010-12-09 | Life Technologies Corporation | Nucleotide transient binding for sequencing methods |
| US9322050B2 (en) | 2009-04-23 | 2016-04-26 | Intelligent Bio-Systems, Inc. | Hydroxymethyl linkers for labeling nucleotides |
-
2018
- 2018-02-13 WO PCT/US2018/018002 patent/WO2018148726A1/en not_active Ceased
Patent Citations (14)
| Publication number | Priority date | Publication date | Assignee | Title |
|---|---|---|---|---|
| US5756334A (en) | 1990-04-26 | 1998-05-26 | New England Biolabs, Inc. | Thermostable DNA polymerase from 9°N-7 and methods for producing the same |
| WO1998044151A1 (en) | 1997-04-01 | 1998-10-08 | Glaxo Group Limited | Method of nucleic acid amplification |
| WO1998044152A1 (en) | 1997-04-01 | 1998-10-08 | Glaxo Group Limited | Method of nucleic acid sequencing |
| WO2000006770A1 (en) | 1998-07-30 | 2000-02-10 | Solexa Ltd. | Arrayed biomolecules and their use in sequencing |
| WO2000018957A1 (en) | 1998-09-30 | 2000-04-06 | Applied Research Systems Ars Holding N.V. | Methods of nucleic acid amplification and sequencing |
| WO2001023411A2 (en) | 1999-09-30 | 2001-04-05 | New England Biolabs, Inc. | Incorporation of modified nucleotides by archaeon dna polymerases and related methods |
| WO2001038546A1 (en) | 1999-11-23 | 2001-05-31 | Amersham Biosciences Corp | Improving dideoxynucleotide-triphosphate utilization by the hyper-thermophilic dna polymerase from the archaeon pyrococcus furiosus |
| WO2001057248A2 (en) | 2000-02-01 | 2001-08-09 | Solexa Ltd. | Polynucleotide arrays and their use in sequencing |
| EP1350841A2 (en) * | 2002-04-02 | 2003-10-08 | Roche Diagnostics GmbH | Thermostable or thermoactive DNA polymerase with attenuated 3'-5' exonuclease activity |
| WO2004018497A2 (en) | 2002-08-23 | 2004-03-04 | Solexa Limited | Modified nucleotides for polynucleotide sequencing |
| WO2005024010A1 (en) | 2003-09-11 | 2005-03-17 | Solexa Limited | Modified polymerases for improved incorporation of nucleotide analogues |
| EP1664287A1 (en) | 2003-09-11 | 2006-06-07 | Solexa Limited | Modified polymerases for improved incorporation of nucleotide analogues |
| US9322050B2 (en) | 2009-04-23 | 2016-04-26 | Intelligent Bio-Systems, Inc. | Hydroxymethyl linkers for labeling nucleotides |
| WO2010141390A2 (en) * | 2009-06-05 | 2010-12-09 | Life Technologies Corporation | Nucleotide transient binding for sequencing methods |
Non-Patent Citations (12)
| Title |
|---|
| AREZI ET AL., J. MOL. BIOL., vol. 322, 2002, pages 719 |
| DAN K. BRAITHWAITE; JUNETSU ITO, NUCLEIC ACIDS RES., vol. 21, no. 4, 1993, pages 787 - 802 |
| ELEANOR K SPICERSG ET AL: "THE JOURNAL OF BIOLOGICAL CHEMISTRY 0 1988 by The American Society for Biochemistry and Molecular Biology Primary Structure of T4 DNA Polymerase EVOLUTIONARY RELATEDNESS TO EUCARYOTIC AND OTHER PROCARYOTIC DNA POLYMERASES*", 5 June 1988 (1988-06-05), pages 7478 - 7486, XP055392217, Retrieved from the Internet <URL:http://www.jbc.org/content/263/16/7478.full.pdf> * |
| ELEANOR K. SPICER; JOHN RUSH; CLAIRE FUNG; LINDA J. REHA-KRANTZ; JIM D. KARAM; WILLIAM H. KONIGSBERG, J. BIOL. CHEM., vol. 263, no. 16, 1988, pages 7478 - 7486 |
| EVANS ET AL., NUCL. ACIDS. RES., vol. 28, 2000, pages 1059 |
| FENG ET AL., CHEM COMMUN (CAMB, vol. 51, no. 48, 18 June 2015 (2015-06-18), pages 9760 - 9772 |
| GARDNER A.F.; JACK W.E.: "Determinants of nucleotide sugar recognition in an archaeon DNA polymerase", NUCL. ACIDS RES., vol. 27, 1999, pages 2545, XP002328832, DOI: doi:10.1093/nar/27.12.2545 |
| GARDNER; JACK, NUCL. ACIDS RES., vol. 30, 2002, pages 605 |
| MICHELLE WEST FREY; NANCY G. NOSSAL; TODD L. CAPSON; STEPHEN J. BENKOVIC, PROC. NATL. ACAD. SCI. USA, vol. 90, 1993, pages 2579 - 2583 |
| MITRA ET AL., ANALYTICAL BIOCHEMISTRY, vol. 320, 2003, pages 55 - 65 |
| SOUTHWORTH ET AL., PROC. NATL ACAD. SCI USA, vol. 93, 1996, pages 5281 |
| TABOR, S.; RICHARDSON, C.C., PROC. NATL. ACAD. SCI (USA, vol. 92, 1995, pages 6339 |
Cited By (10)
| Publication number | Priority date | Publication date | Assignee | Title |
|---|---|---|---|---|
| US11866741B2 (en) | 2017-02-13 | 2024-01-09 | IsoPlexis Corporation | Polymerase enzyme from 9°N |
| US11104888B2 (en) | 2018-10-31 | 2021-08-31 | Illumina, Inc. | Polymerases, compositions, and methods of use |
| US11560552B2 (en) | 2018-10-31 | 2023-01-24 | Illumina, Inc. | Polymerases, compositions, and methods of use |
| US11001816B2 (en) | 2018-12-05 | 2021-05-11 | Illumina, Inc. | Polymerases, compositions, and methods of use |
| US11634697B2 (en) | 2018-12-05 | 2023-04-25 | Illumina, Inc. | Polymerases, compositions, and methods of use |
| US12104182B2 (en) | 2018-12-05 | 2024-10-01 | Illumina, Inc. | Polymerases, compositions, and methods of use |
| EP4240426A4 (en) * | 2020-11-05 | 2024-11-06 | New York University | ENHANCED PREDICTABLE, TEMPLATE-FREE GENE EDITING BY COMBINING CAS WITH DNA POLYMERASE |
| US12077789B2 (en) | 2021-08-14 | 2024-09-03 | Illumina, Inc. | Polymerases, compositions, and methods of use |
| CN118879648A (en) * | 2024-07-31 | 2024-11-01 | 翌圣生物科技(上海)股份有限公司 | T4 DNA ligase variants, applications and kits thereof |
| CN118879648B (en) * | 2024-07-31 | 2025-06-24 | 翌圣生物科技(上海)股份有限公司 | T4 DNA ligase variants, uses thereof and kits |
Similar Documents
| Publication | Publication Date | Title |
|---|---|---|
| WO2018148723A1 (en) | Polymerase enzyme from pyrococcus abyssi | |
| WO2018148727A1 (en) | Polymerase enzyme from 9°n | |
| WO2018148726A1 (en) | Polymerase enzyme from phage t4 | |
| US20240093164A1 (en) | Polymerase enzyme from 9°n | |
| EP3091026B1 (en) | Disulfide-linked reversible terminators | |
| EP3036359B1 (en) | Next-generation sequencing libraries | |
| JP2024109858A (en) | Nucleic Acid Synthesis and Sequencing Using Tethered Nucleoside Triphosphates | |
| US8034923B1 (en) | Reagents for reversibly terminating primer extension | |
| US20210254032A1 (en) | Polymerase enzyme | |
| EP2940029A1 (en) | Design and synthesis of cleavable fluorescent nucleotides as reversible terminators for dna sequencing by synthesis | |
| WO2018148724A1 (en) | Polymerase enzyme from pyrococcus furiosus | |
| JP2003507024A (en) | Polymerase extension at the 3 'end of the PNA-DNA chimera | |
| CN112840035B (en) | Method for sequencing polynucleotides | |
| EP3580350B1 (en) | Polymerase enzyme from pyrococcus furiosus | |
| US20240158767A1 (en) | Polymerase enzyme from phage t4 | |
| EP3580352A1 (en) | Polymerase enzyme from pyrococcus abyssi | |
| WO2016077324A1 (en) | Thiolated nucleotide analogues for nucleic acid synthesis | |
| JP2003502013A (en) | Process for the preparation of morpholino-nucleotides and its use for the analysis and labeling of nucleic acid sequences | |
| KR20240024924A (en) | Use with polymerase mutants and 3'-OH non-blocking reversible terminators | |
| CN117083392A (en) | Polymerase for efficient incorporation of nucleotides with 3’-phosphates and other 3’-terminators | |
| US9428737B1 (en) | Taq polymerase sequences useful for incorporating analogs of nucleoside triphosphates | |
| JP4119976B2 (en) | 5-substituted pyrimidine deoxynucleotide derivative and method for synthesizing nucleic acid using the same |
Legal Events
| Date | Code | Title | Description |
|---|---|---|---|
| 121 | Ep: the epo has been informed by wipo that ep was designated in this application |
Ref document number: 18706947 Country of ref document: EP Kind code of ref document: A1 |
|
| NENP | Non-entry into the national phase |
Ref country code: DE |
|
| ENP | Entry into the national phase |
Ref document number: 2018706947 Country of ref document: EP Effective date: 20190913 |
|
| WWW | Wipo information: withdrawn in national office |
Ref document number: 2018706947 Country of ref document: EP |

















