WO2018117403A1 - Hybrid supported metallocene catalyst, and method for preparing polyolefin by using same - Google Patents
Hybrid supported metallocene catalyst, and method for preparing polyolefin by using same Download PDFInfo
- Publication number
- WO2018117403A1 WO2018117403A1 PCT/KR2017/012420 KR2017012420W WO2018117403A1 WO 2018117403 A1 WO2018117403 A1 WO 2018117403A1 KR 2017012420 W KR2017012420 W KR 2017012420W WO 2018117403 A1 WO2018117403 A1 WO 2018117403A1
- Authority
- WO
- WIPO (PCT)
- Prior art keywords
- group
- formula
- carbon atoms
- compound
- alkyl group
- Prior art date
- Legal status (The legal status is an assumption and is not a legal conclusion. Google has not performed a legal analysis and makes no representation as to the accuracy of the status listed.)
- Ceased
Links
Classifications
-
- C—CHEMISTRY; METALLURGY
- C08—ORGANIC MACROMOLECULAR COMPOUNDS; THEIR PREPARATION OR CHEMICAL WORKING-UP; COMPOSITIONS BASED THEREON
- C08F—MACROMOLECULAR COMPOUNDS OBTAINED BY REACTIONS ONLY INVOLVING CARBON-TO-CARBON UNSATURATED BONDS
- C08F4/00—Polymerisation catalysts
- C08F4/42—Metals; Metal hydrides; Metallo-organic compounds; Use thereof as catalyst precursors
- C08F4/44—Metals; Metal hydrides; Metallo-organic compounds; Use thereof as catalyst precursors selected from light metals, zinc, cadmium, mercury, copper, silver, gold, boron, gallium, indium, thallium, rare earths or actinides
- C08F4/60—Metals; Metal hydrides; Metallo-organic compounds; Use thereof as catalyst precursors selected from light metals, zinc, cadmium, mercury, copper, silver, gold, boron, gallium, indium, thallium, rare earths or actinides together with refractory metals, iron group metals, platinum group metals, manganese, rhenium technetium or compounds thereof
- C08F4/62—Refractory metals or compounds thereof
- C08F4/64—Titanium, zirconium, hafnium or compounds thereof
- C08F4/659—Component covered by group C08F4/64 containing a transition metal-carbon bond
- C08F4/65904—Component covered by group C08F4/64 containing a transition metal-carbon bond in combination with another component of C08F4/64
-
- C—CHEMISTRY; METALLURGY
- C08—ORGANIC MACROMOLECULAR COMPOUNDS; THEIR PREPARATION OR CHEMICAL WORKING-UP; COMPOSITIONS BASED THEREON
- C08F—MACROMOLECULAR COMPOUNDS OBTAINED BY REACTIONS ONLY INVOLVING CARBON-TO-CARBON UNSATURATED BONDS
- C08F4/00—Polymerisation catalysts
- C08F4/42—Metals; Metal hydrides; Metallo-organic compounds; Use thereof as catalyst precursors
- C08F4/44—Metals; Metal hydrides; Metallo-organic compounds; Use thereof as catalyst precursors selected from light metals, zinc, cadmium, mercury, copper, silver, gold, boron, gallium, indium, thallium, rare earths or actinides
- C08F4/60—Metals; Metal hydrides; Metallo-organic compounds; Use thereof as catalyst precursors selected from light metals, zinc, cadmium, mercury, copper, silver, gold, boron, gallium, indium, thallium, rare earths or actinides together with refractory metals, iron group metals, platinum group metals, manganese, rhenium technetium or compounds thereof
- C08F4/62—Refractory metals or compounds thereof
- C08F4/64—Titanium, zirconium, hafnium or compounds thereof
- C08F4/659—Component covered by group C08F4/64 containing a transition metal-carbon bond
- C08F4/6592—Component covered by group C08F4/64 containing a transition metal-carbon bond containing at least one cyclopentadienyl ring, condensed or not, e.g. an indenyl or a fluorenyl ring
- C08F4/65922—Component covered by group C08F4/64 containing a transition metal-carbon bond containing at least one cyclopentadienyl ring, condensed or not, e.g. an indenyl or a fluorenyl ring containing at least two cyclopentadienyl rings, fused or not
- C08F4/65925—Component covered by group C08F4/64 containing a transition metal-carbon bond containing at least one cyclopentadienyl ring, condensed or not, e.g. an indenyl or a fluorenyl ring containing at least two cyclopentadienyl rings, fused or not two cyclopentadienyl rings being mutually non-bridged
-
- C—CHEMISTRY; METALLURGY
- C08—ORGANIC MACROMOLECULAR COMPOUNDS; THEIR PREPARATION OR CHEMICAL WORKING-UP; COMPOSITIONS BASED THEREON
- C08F—MACROMOLECULAR COMPOUNDS OBTAINED BY REACTIONS ONLY INVOLVING CARBON-TO-CARBON UNSATURATED BONDS
- C08F4/00—Polymerisation catalysts
- C08F4/42—Metals; Metal hydrides; Metallo-organic compounds; Use thereof as catalyst precursors
- C08F4/44—Metals; Metal hydrides; Metallo-organic compounds; Use thereof as catalyst precursors selected from light metals, zinc, cadmium, mercury, copper, silver, gold, boron, gallium, indium, thallium, rare earths or actinides
- C08F4/60—Metals; Metal hydrides; Metallo-organic compounds; Use thereof as catalyst precursors selected from light metals, zinc, cadmium, mercury, copper, silver, gold, boron, gallium, indium, thallium, rare earths or actinides together with refractory metals, iron group metals, platinum group metals, manganese, rhenium technetium or compounds thereof
- C08F4/62—Refractory metals or compounds thereof
- C08F4/64—Titanium, zirconium, hafnium or compounds thereof
- C08F4/659—Component covered by group C08F4/64 containing a transition metal-carbon bond
- C08F4/6592—Component covered by group C08F4/64 containing a transition metal-carbon bond containing at least one cyclopentadienyl ring, condensed or not, e.g. an indenyl or a fluorenyl ring
- C08F4/65922—Component covered by group C08F4/64 containing a transition metal-carbon bond containing at least one cyclopentadienyl ring, condensed or not, e.g. an indenyl or a fluorenyl ring containing at least two cyclopentadienyl rings, fused or not
- C08F4/65927—Component covered by group C08F4/64 containing a transition metal-carbon bond containing at least one cyclopentadienyl ring, condensed or not, e.g. an indenyl or a fluorenyl ring containing at least two cyclopentadienyl rings, fused or not two cyclopentadienyl rings being mutually bridged
-
- C—CHEMISTRY; METALLURGY
- C08—ORGANIC MACROMOLECULAR COMPOUNDS; THEIR PREPARATION OR CHEMICAL WORKING-UP; COMPOSITIONS BASED THEREON
- C08F—MACROMOLECULAR COMPOUNDS OBTAINED BY REACTIONS ONLY INVOLVING CARBON-TO-CARBON UNSATURATED BONDS
- C08F4/00—Polymerisation catalysts
- C08F4/42—Metals; Metal hydrides; Metallo-organic compounds; Use thereof as catalyst precursors
- C08F4/44—Metals; Metal hydrides; Metallo-organic compounds; Use thereof as catalyst precursors selected from light metals, zinc, cadmium, mercury, copper, silver, gold, boron, gallium, indium, thallium, rare earths or actinides
- C08F4/60—Metals; Metal hydrides; Metallo-organic compounds; Use thereof as catalyst precursors selected from light metals, zinc, cadmium, mercury, copper, silver, gold, boron, gallium, indium, thallium, rare earths or actinides together with refractory metals, iron group metals, platinum group metals, manganese, rhenium technetium or compounds thereof
- C08F4/62—Refractory metals or compounds thereof
- C08F4/64—Titanium, zirconium, hafnium or compounds thereof
- C08F4/659—Component covered by group C08F4/64 containing a transition metal-carbon bond
- C08F4/65916—Component covered by group C08F4/64 containing a transition metal-carbon bond supported on a carrier, e.g. silica, MgCl2, polymer
Definitions
- the present invention relates to a common supported metallocene catalyst and a method for preparing polyolefin using the same.
- Olefin polymerization catalyst systems can be classified into Ziegler-Natta and metallocene catalyst systems, and these two highly active catalyst systems have been developed for their respective characteristics.
- Ziegler-Natta catalysts have been widely applied to the existing commercial processes since the invention in the 50s, but since the active site is a multi-site catalyst (mul-si te cata lyst) with multiple active sites, the broad molecular weight distribution of the polymer is Toxing, The composition distribution of comonomer is not uniform ⁇ There is a problem that the limit to secure the desired physical properties.
- the metallocene catalyst is composed of a combination of a main catalyst composed mainly of transition metal compounds and a cocatalyst composed of an organometallic compound composed mainly of aluminum, and such a catalyst is a homogeneous complex catalyst.
- catalyst which has a narrow molecular weight distribution according to the characteristics of a single active site and a homogeneous composition of the comonomer, and a stereoregularity, copolymerization characteristic, and molecular weight of the polymer according to the ligand structure modification and the change of polymerization conditions of the catalyst. , Has the property of changing the crystallinity and the like.
- U. S. Patent No. 5, 032, 562 describes a process for preparing a polymerization catalyst by supporting two different transition metal catalysts on one supported catalyst. This is supported by a single support of a titanium (Ti) -based Ziegler-Natta catalyst that produces high molecular weight and a zirconium (Zr) -based metallocene catalyst that produces low molecular weight. As a method of producing a bimodal di str ibut i on polymer, the supporting process is complicated and the morphology of the polymer is deteriorated due to the promoter.
- Ti titanium
- Zr zirconium
- 5, 525, 678 describes a method of using a catalyst system for olefin polymerization in which a high molecular weight polymer and a low molecular weight polymer can be simultaneously polymerized by simultaneously supporting a metallocene compound and a nonmetallocene compound on a carrier. It is described. This has the disadvantage that the metallocene compound and the non-metallocene compound must be separately supported, and the carrier must be pretreated with various compounds for the supporting reaction.
- U.S. Patent No. 5,914,289 describes a method for controlling the molecular weight and molecular weight distribution of a polymer using a metallocene catalyst supported on each carrier, but the amount and time of preparation of the solvent used in preparing the supported catalyst This takes a lot, and the hassle of having to support the metallocene catalyst to be used on the carrier, respectively.
- Korean Patent Application No. 2003-12308 discloses a method of controlling the molecular weight distribution by supporting a double-nucleated metallocene catalyst and a mononuclear metallocene catalyst on a carrier together with an activator to polymerize by changing a combination of catalysts in a reaction vessel. Doing.
- this method has a limitation in realizing the characteristics of each catalyst at the same time, and also has the disadvantage that the metallocene catalyst portion is released from the carrier component of the finished catalyst, causing fouling. .
- the present invention is to provide a common supported metallocene catalyst capable of producing a polyolefin having excellent processability and showing a mul t imodal molecular weight distribution.
- the first metallocene compound represented by the formula (1) A second metallocene compound represented by Formula 2, wherein one of Formula 2 and C 2 is Formula 3a; To be represented by the formula (2), in the formula (2) one of the C, and C 2 to the metallocene compound of the third metal formula 3b; Cocatalyst compounds; And a common supported metallocene catalyst comprising a carrier.
- the present invention also provides a method for producing polyolefin, comprising the step of polymerizing the olefin monomer in the presence of the common supported metallocene catalyst.
- Common supported metallocene catalysts may be provided comprising a carrier:
- At least one of Ri to R 8 is (CH 2 ) n -0R (wherein R is a straight or branched chain alkyl group having 1 to 6 carbon atoms, n is an integer of 2 to 10), and the others are the same as each other, or Different from each other independently hydrogen, an alkyl group having 1 to 20 carbon atoms, an alkenyl group having 2 to 20 carbon atoms, an aryl group having 6 to 20 carbon atoms, an alkylaryl group having 7 to 20 carbon atoms, or an arylalkyl group having 7 to 20 carbon atoms,
- Xi and 3 ⁇ 4 are the same as or different from each other, and each independently a halogen, or an alkyl group having 1 to 20 carbon atoms,
- M 2 is a Group 4 transition metal
- 3 ⁇ 4 are the same as or different from each other, and are each independently a halogen or an alkyl group having 1 to 20 carbon atoms,
- B is carbon, silicon or germanium
- At least one of Qi and Q 2 is — (C3 ⁇ 4) m — (where R 'is a straight or branched chain alkyl group having 1 to 6 carbon atoms and m is an integer from 2 to 10.), and the remainder is hydrogen A halogen, an alkyl group of 1 to 20 carbon atoms, an alkenyl group of 2 to 20 carbon atoms, an aryl group of 6 to 20 carbon atoms, an alkylaryl group of 7 to 20 carbon atoms, or an arylalkyl group of 7 to 20 carbon atoms,
- C 2 is represented by the following Chemical Formula 3a or 3b, and the other is represented by the following Chemical Formula 3c,
- 3 ⁇ 4 to R 27 are the same as or different from each other, and each independently, hydrogen, an alkyl group of C1 to C20, an alken.yl group of C2 to C20, an alkoxy group of C1 to C20, an alkylsilyl group of C1 to C20, and C1 to C20 A silylalkyl group, a C6 to C20 aryl group, a C7 to C20 alkylaryl group, or a C7 to C20 arylalkyl group.
- the substituents of Chemical Formulas 1, 2, 3a, 3b, and 3c will be described in more detail.
- the alkyl group of ⁇ : ⁇ to C20 includes a linear or branched alkyl group, and specifically, methyl group, ethyl group, propyl group, isopropyl group, n-butyl group, tert-butyl group, pentyl group, nuclear group, hep And the like, but not limited thereto.
- the alkenyl group of C2 to C20 includes a straight or branched alkenyl group, and specifically, may include an allyl group, ethenyl group, propenyl group, butenyl group, pentenyl group, and the like, but is not limited thereto.
- the C6 to C20 aryl group includes a monocyclic or condensed aryl group, and specifically includes a phenyl group, a biphenyl group, a naphthyl group, a phenanthrenyl group, a fluorenyl group, and the like, but is not limited thereto.
- alkoxy group for C 1 to C 20 examples include a hydroxy group, an hydroxy group, a phenyloxy group, a cyclonuxyloxy group, and the like, but are not limited thereto.
- the Group 4 transition metal examples include titanium, zirconium, hafnium, and the like, but are not limited thereto.
- the first metallocene compound represented by Formula 1 is-(C3 ⁇ 4) n-0R in the substituent of cyclopentadiene (Cp), wherein R is a linear or branched alkyl group having 1 to 6 carbon atoms, and n is 2 to
- Cp cyclopentadiene
- J which is an integer of 10
- a low molecular weight polyolefin can be produced when the polyolefin using the comonomer is produced, showing a lower conversion to the comonomer compared to other Cp-based catalysts not containing the substituent.
- The-(CH 2 ) n-0R group in the substituent is stable because it can form a covalent bond through close interaction with the silanol group on the silica surface used as a support. Supported polymerization is possible.
- At least one of Ri and R 5 is preferably-(CH 2 ) n -0R, and more preferably n is 2 to 4.
- alpha -olefin comonomers such that-(CH 2 ) n — OR functionality is 1-butene, or 1-hexene.
- n has a short alkyl chain of 4 or less, the copolymerization with respect to the alpha olepin comonomer is lowered while maintaining the overall polymerization activity, thereby making it possible to prepare a polyolefin having a controlled copolymerization without degrading other physical properties. Because there is.
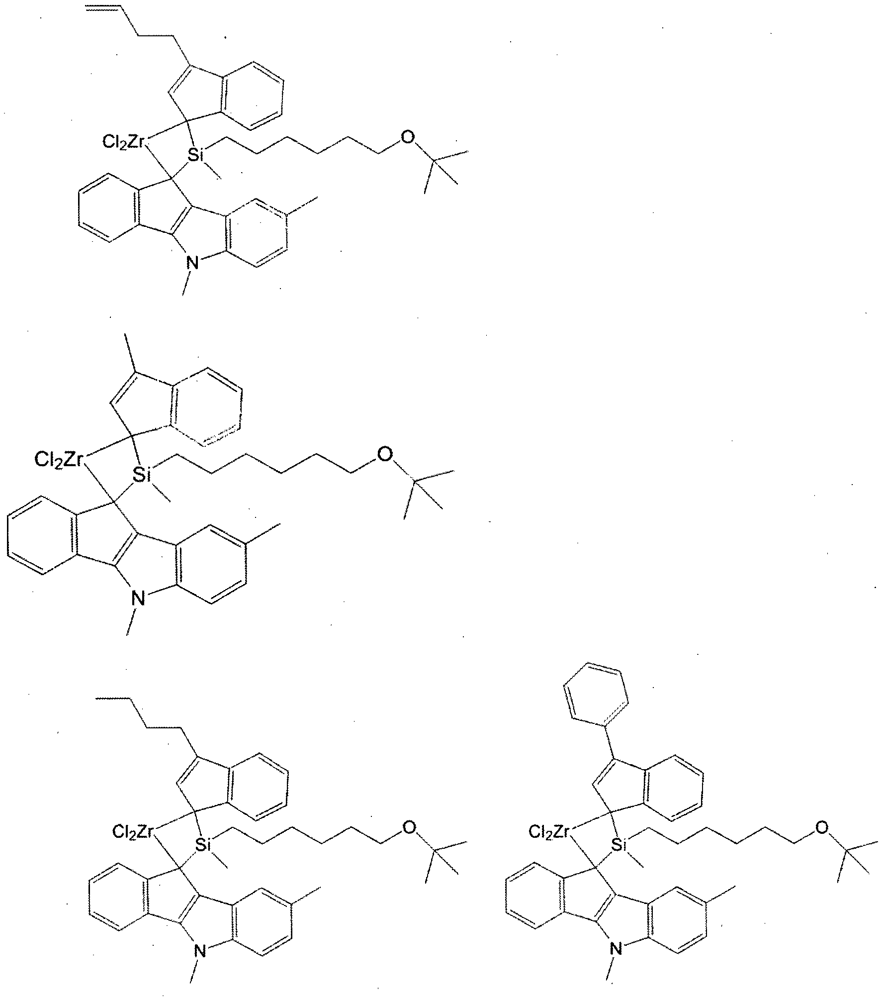
- first metallocene compound represented by Chemical Formula 1 may include a compound represented by the following structural formulas, but the present invention is not limited thereto.
- the second metallocene compound represented by Chemical Formula 2 and one of Chemical Formula 2 and one of C 2 is asymmetrical by the bridge between the indeno indol derivative and the indene derivative. And a non-covalent electron pair that can act as a Lewis base to the ligand structure, thus exhibiting high polymerization activity.
- the electronically rich indenoindole derivatives have a beta-hydrogen of a polymer chain in which nitrogen atoms grow, By stabilizing by inhibiting beta-hydrogen el iminat i on it can polymerize a high molecular weight polyolefin compared to the first metallocene compound.
- the second metallocene compound exhibits high copolymerization activity and low hydrogen reactivity as it contains indene derivatives having relatively little steric hindrance; greater than the molecular weight of polarulepine prepared using the first metallocene compound;
- the high molecular weight polyolefin which is smaller than the molecular weight of the polyolefin manufactured using the 3rd metallocene compound mentioned later can be superposed
- R 10 of Formula 3a is C1 to C20 alkyl group, C2 to C20 alkenyl group, C1 to C20 alkoxy group, C1 to C20 alkylsilyl group, C1 to C20 silyl It is preferable that they are an alkyl group, C6-C20 aryl group, C7-C20 alkylaryl group, or C7-C20 arylalkyl group.
- R 10 substituent
- any one or more of R 24 and 7 in the general formula (3c) is C1 to C20 alkyl group, C2 to C20 alkenyl group, C1 to C20 Alkoxy group, C1 to C20 alkylsilyl group, C1 to C20 silylalkyl group, C6 to C20 aryl group, C7 to C20 It is preferable that it is an alkylaryl group or the C7-C20 arylalkyl group, A methyl group, an ethyl group, a propyl group, an isopropyl group, n-butyl group, tert- butyl group, a pentyl group, a nuclear group, a heptyl group, an octyl group phenyl group More preferably, a halogen group, trimethylsilyl group, triethylsilyl group, tripropy
- the second metallocene compound may include a compound represented by the following structural formulas, but the present invention is not limited thereto.
- the third metallocene compound represented by Chemical Formula 2, and one of Chemical Formula 2 and C 2 is Chemical Formula 3b, wherein the indeno indole derivative and the cyclopentadiene (Cp) derivative are asymmetric by the bridge. It forms a crosslinked structure, and exhibits high polymerization activity by having a lone pair of electrons which can act as a Lewis base in the ligand structure.
- the electronically rich indeno indole derivatives stabilize beta-hydrogen in the polymer chain in which nitrogen atoms are grown by hydrogen bonding, thereby inhibiting beta-hydrogen el iminat i on to polymerize high molecular weight polyolefins compared to the first metallocene compound. can do.
- the third metallocene compound includes cyclopentadiene (Cp) derivative # having less steric hindrance than the indene derivative, the third metallocene compound exhibits high copolymerization activity and low hydrogen reactivity, thereby using the first and second metallocene compounds.
- Higher molecular weight polyolefin can be polymerized with higher activity than the prepared polyolefin.
- the third metallocene compound may include a compound represented by the following structural formula, but the present invention is not limited thereto.
- the common metallocene catalyst of the embodiment includes the first to third metallocene compounds, and exhibits a broad molecular weight distribution of mult imoda l, which is excellent in processability and particularly in physical properties.
- Polyolefin can be produced excellent in environmental stress cracking resistance.
- the mixing molar ratio of the first metallocene compound, the second metallocene compound, and the third metallocene compound may be about 1: 0.1 to 5: 0.1 to 5, more preferably About 1: 0.2-5: 0.5-2.
- the common supported metallocene catalyst of the embodiment as a co-catalyst supported on a carrier for activating the metallocene compound, it is an organometallic compound containing a Group 13 metal, under a general metallocene catalyst It will not be specifically limited if it can be used when superposing
- the promoter compound is an aluminum-containing agent of the formula
- It may include one or more of the cocatalyst, and a second borate-based cocatalyst of the formula (5).
- T + is a +1 polyvalent ion
- B is boron in +3 oxidation state
- G is independently a hydride group, a dialkyl amido group, and a halide group.
- the first cocatalyst of Chemical Formula 4 may be an alkylaluminoxane compound having a repeating unit bonded in a linear, circular, or reticular form.
- Specific examples of the first cocatalyst include methylaluminoxane (MA0) and ethylalumina. Noxic acid, isobutyl aluminoxane, or butyl aluminoxane etc. are mentioned.
- the second cocatalyst of Formula 5 may be a borate-based compound in the form of a trisubstituted ammonium salt, or a dialkyl ammonium salt, a trisubstituted phosphonium salt.
- Such a second cocatalyst include trimetalammonium tetraphenylborate, methyldioctadecylammonium tetraphenylborate, triethylammonium tetraphenylborate, tripropylammonium tetraphenylborate, tri (n-butyl) ammonium tetraphenylborate , Methyltetracyclooctadecylammonium tetraphenylborate, ⁇ , ⁇ —dimethylaninium tetraphenylborate, ⁇ , ⁇ -diethylaninynium tetraphenylborate, ⁇ , ⁇ -dimentyl (2,4,6-trimethylaniyl (Nium) tetraphenylborate, trimethylammonium tetrakis (pentafluorophenyl) borate, Methylditetradec
- Triethylammonium tetrakis (2,3,4,6-tetrafluorophenyl) borate Tripropylammonium tetrakis (2,3,4,6-tetrafluorophenyl) borate, tri ( ⁇ -butyl) ammonium tetrakis (2,3.4,6-, tetrafluorophenyl) borate, dimethyl (t-butyl ) Ammonium Tetrakis (2,3,4,6-Tetrafluorophenyl) borate, N : N dimethyl dimethylaninium tetrakis (2,3,4,6 ⁇ tetrafluorophenyl) borate, ⁇ , ⁇ - ⁇ Diethylaninium tetrakis (2.3,4,6-tetrafluorophenyl) borate or ⁇ , ⁇ -dimethyl— (2,4,6 ⁇ trimethylaninynium) tetrakis- (2,3,4,6-te
- the weight ratio of the total transition metal to the carrier included in the first metallocene compound, a metallocene compound and a metallocene compound with the third metal to second metal is from 1: 10 to 1: Can be 1,000.
- the carrier and the metallocene compound are included in the mass ratio, an optimal shape can be exhibited.
- the mass ratio of the promoter compound to the carrier may be 1: 1 to 1: 100.
- a carrier containing a hydroxy group on the surface may be used, and preferably, a highly reactive hydroxy group and a siloxane group which are dried to remove moisture on the surface
- the carrier which has is used may be used.
- silica, silica-alumina, silica-magnesia, etc., dried at a high temperature may be used, and these are typically oxides, carbonates, such as Na 2 O, K 2 C0 3 , BaS0 4 , and Mg (N0 3 ) 2 . Sulfate, and nitrate components.
- the drying temperature of the carrier is preferably 200 to 800 ° C, more preferably 300 to 600 ° C, most preferably 300 to 40 CTC. Drying Temperature of the Carrier ⁇ If it is less than 200 ° C, the moisture and cocatalyst on the surface will react too much, and if it exceeds 800 ° C, the pores on the surface of the carrier will merge and the surface area will decrease. It is not preferable because many hydroxyl groups are lost and only siloxane groups are left, resulting in a decrease in reaction space with the promoter.
- the amount of hydroxy groups on the surface of the carrier is preferably from 0.1 to 10 mmol / g, more preferably from 0.5 to 5 mmol / g.
- the amount of hydroxyl groups on the surface of the carrier can be controlled by the method and conditions for preparing the carrier or by drying conditions such as temperature, time, vacuum or spray drying.
- the amount of the hydroxy group is less than 0.01 mmol / g, the reaction site with the promoter is small. If the amount of the hydroxyl group is more than 10 ⁇ L / g, the hydroxy group present on the surface of the carrier particle may be due to moisture. It is not desirable because there is.
- the common supported metallocene catalyst of the above embodiment can be used by itself for the polymerization of olefinic monomers.
- the common supported metallocene catalyst may be prepared and used as a prepolymerized catalyst in contact with an olefinic monomer.
- the catalyst may be separately used, such as ethylene, propylene, 1-butene, 1-nuxene, 1-octene, and the like. It can also be prepared and used as a prepolymerized catalyst by contacting with the pin monomer.
- the hybrid supported metallocene catalyst of the embodiment the step of supporting the promoter on the carrier; Supporting the first to third metallocene compounds on the carrier on which the promoter is supported; It may be prepared by a manufacturing method comprising a.
- the first to third metallocene compounds may be supported one by one, or two or three may be supported together.
- the supporting order is not limited, but by first supporting the third metallocene catalyst having a relatively poor morphology, it is possible to improve the shape of the common supported metallocene catalyst, so as to the third metal After supporting the catalyst, the second metallocene catalyst and the first metallocene catalyst may be sequentially supported.
- the supporting conditions are not particularly limited and may be performed in a range well known to those skilled in the art.
- the support temperature is possible in the range of 30 ° C to 150 ° C, preferably from room temperature to 100 ° C, more preferably From room temperature to 80 ° C.
- the supporting time is the metallocene ⁇ to be supported. It may be appropriately adjusted according to the amount of the compound.
- the supported catalyst can be used as it is by removing the solvent by distillation under reduced pressure by filtration or by distillation under reduced pressure.
- Preparation of a supported catalyst can be carried out in a solvent or in the absence of: A.
- available solvents include aliphatic hydrocarbon solvents such as nucleic acids or pentane, aromatic hydrocarbon solvents such as toluene or benzene, and hydrocarbon solvents substituted with chlorine atoms such as dichloromethane.
- organic solvents such as ether solvents such as diethyl ether or THF, acetone, ethyl acetate, and the like, and nucleic acid, heptane, toluene, or dichloromethane are preferred.
- a method for producing a polyolefin including the step of polymerizing the olefin monomer in the presence of the common supported metallocene catalyst.
- the olefin monomer is ethylene, propylene, 1-butene, 1-pentene, 4-methyl-1-pentene, 1-nuxene, 1-heptene, 1-octene, 1-decene, 1-undecene, 1- Dodecene, 1-tetradecene, 1—nuxadecene, 1-aitocene, norbornene, norbonadiene, ethylidene nobodene, phenyl nobodene, vinyl nobodene, dicyclopentadiene, 1, 4-butadiene , 1 , 5-pentadiene. 1,6 ⁇ nucleodiene. Styrene, alpha-methylstyrene,.
- It may be at least one selected from the group consisting of divinylbenzene and 3—chloromethylstyrene.
- a continuous solution polymerization process For the polymerization reaction of the olefin resin, a continuous solution polymerization process, bulk polymerization process, suspension polymerization process.
- Various polymerization processes known as polymerization reaction of olefin monomers such as slurry polymerization process or emulsion polymerization process, may be employed. Such polymerization reaction may be carried out at a temperature of about 25 to 500 ° C, or about 25 to 200 ° C. or about 50 to 150 ° C, and under a pressure of about 1 to 100 bar or about 10 to 80 bar.
- the common supported metallocene catalyst may be used dissolved or diluted in a solvent such as pentane, nucleic acid, heptane, nonane, decane, toluene, benzene, dichloromethane, chlorobenzene, and the like.
- a solvent such as pentane, nucleic acid, heptane, nonane, decane, toluene, benzene, dichloromethane, chlorobenzene, and the like.
- a solvent such as pentane, nucleic acid, heptane, nonane, decane, toluene, benzene, dichloromethane, chlorobenzene, and the like.
- the polyolefin prepared by the above production method may be a polyolefin having a multimodal molecular weight distribution.
- the polyolefin prepared had a weight average molecular weight (Mw) of 100,000. To 300,000 g / mol. More preferably, the increase is. The average molecular weight is.
- the molecular weight distribution (PDI) of the prepared polyolefin may be 5 or more. More preferably, the molecular weight distribution is 8 or more, 9 or more, or 10 or more, 20 or less, 18 or less, or 17 or less.
- the polyolefin may be an ethylene / alpha—lepin copolymer.
- the ethylene / alpha-olefin copolymer has a density of 0.948 to 0.960 g / cm 3 , or 0.950 to 0.955 g / cm 3 . Density of Ethylene / Alpha-Lepin Copolymer
- the integral value of the region where log Mw is 5.0 to 5.5 is 10 to 20% of the total X-axis integral value. , Preferably 10 to 18%, more preferably 10 to 16%.
- Mw means weight average molecular weight
- w means weight fraction.
- a log Mw of 5.0 to 5.5 is a region where physical properties and processability of the product provided by injection of the ethylene / alpha-olefin copolymer are confirmed.
- region whose log Mw is 5.0-5.5 with respect to the X-axis integral value is a numerical value which shows the tie molecular fraction of the high molecular weight in the said ethylene / alpha-olefin copolymer. Accordingly, when the ratio of the integral of the log Mw of 5.0 to 5.5 is less than 10% of the total integral value of the X axis, the ethylene / alpha-olefin copolymer has a relatively low level of environmental stress cracking resistance. (ESCR).
- the ratio of the integral value of the region of the log Mw7 ⁇ 5.0 to 5: 5 is greater than 20% with respect to the total X-axis integral value, the molecular weight distribution of the high molecular weight region according to the molecular weight distribution (MWD) Due to the excessive specific gravity, the processability of the ethylene / alpha-olepin copolymer may be greatly reduced.
- the ethylene / alpha-lefin copolymer may have a spiral flow length (190 ° C, 90 bar) of 13 to 25 cm, more preferably 15 to 20 cm.
- the spiral flow length (190 ° C, 90 bar) indicates the processability of the ethylene / alpha -olefin copolymer, the larger the value means that the processability is excellent.
- a larger spiral flow length is not necessarily preferable, and there may be an appropriate range of spiral flow lengths depending on the application.
- the spiral flow length is applied by applying a specific pressure and temperature to the spiral mold: how polymer is injected and thus melted and injected polymer It can be assessed by measuring if it is pushed out.
- a specific pressure and temperature to the spiral mold: how polymer is injected and thus melted and injected polymer It can be assessed by measuring if it is pushed out.
- an injection temperature of 190 ° C, a mold temperature of 50 ° C and the injection pressure can be measured by setting to 90 bar, the ethylene /
- the spiral flow length of the alpha-olefin co-polymer is 13-25 cm, indicating excellent processability.
- the ethylene / alpha olefin copolymer is characterized by excellent environmental stress cracking resistance (ESCR, ' envi ronmental st ress crack stance) in addition to the mechanical properties and processability as described above.
- the processability and environmental resistance crack resistance is a contrary physical properties, if the melt index is increased to increase the workability, the environmental resistance crack resistance is reduced, but the ethylene / of the above embodiment prepared using a specific hybrid supported metallocene catalyst
- the alpha-olefin copolymer can satisfy both good processability and environmental stress cracking resistance.
- the ethylene / alpha-olefin copolymer may have an environmental stress crack resistance (ESCR) of 130 hours or more, 140 hours or more, or 150 hours or more, as measured according to ASTM D 1693. If the environmental stress cracking resistance (ESCR) is 130 hours or more, the performance can be stably maintained under the condition of the use of the bottle cap. The higher the environmental stress cracking resistance (ESCR) value is, the better, the upper limit is not limited. For example up to 1,000 hours, or up to 800 hours, or up to about 500 hours.
- the ethylene / alpha-olepin copolymer exhibits high performance of environmental stress cracking resistance
- the ethylene / alpha-lepine copolymer can be molded into a food container product such as a borcap to maintain high stability even when used under high temperature and high pressure.
- the ethylene / alpha -olefin copolymer may have a melt index (Ml, 190 ° C, 2. 16 kg) of 0.7 g / 10 m in or less.
- the melt index is at least 0.05 g / 10 m in, at least 0.01 g / 10 m in, or at least 0.1 g / lOmin, at most 0.7 g / 10iiiin, at most 0.6 g / 10 m in, or at most 0.5 g /. It may be less than 10m in.
- the common supported metallocene catalyst according to the present invention When used, it is excellent in workability and has a feature capable of producing a polyolefin having a mult imodal molecular weight distribution. [Specific contents to carry out invention]
- the reaction mixture changed from pale brown suspension to turbid yellow in suspension form when raised to room temperature. After stirring for one day, both the reaction mixture and the solvent were dried, 200 mL of nucleic acid was added thereto, and the sonic cat ion was allowed to settle. The nucleic acid solution in the upper layer was collected by decant at ion with cannula. This process. The nucleic acid solution obtained twice was dried under vacuum reduced pressure to give bis (3- (4— (tert-butoxy) butyl-2,4—dien-yl) zirconium (IV) chloride, a pale yellow solid. Confirmed- ⁇
- toluene or ether in the mixture was removed by vacuum depressurization to about 1/5 volume and the volume of nucleic acid was added about 5 times the volume of the remaining solvent.
- the reason for adding the nucleic acid at this time is to promote crystallization because the synthesized catalyst precursor is insoluble in nucleic acid.
- This hexane slurry was filtered under argon, and after filtration, both the filtered solid and the filtrate were evaporated under vacuum reduced pressure. The remaining filter cake is weighed and sampled in the glove box for synthesis and yield. Purity was confirmed.
- CDCI3 7.89-6.53 (19H, m), 5.82 (4H, s), 3.19 (2H, s), 2.40 (3H, m), 1.35-1.21 (4H, m), 1.14 (9H, s), 0.97 0.9 (4H, m), —0.34 (3H, t)
- the metallocene compound of Preparation Example 2 was added to the reaction vessel at a rate of 0.15 kPa ol / gSi3 ⁇ 4, and then stirred at 40 ° C. at 200 rpm for 2 hours.
- the metallocene metallocene compound of Preparation Example 1 was introduced into the reactor at a ratio of 0.15 kPa ol / gSi0 2 , and then stirred at 40 ° C. at 200 rpm for 2 hours.
- a hybrid supported metallocene catalyst was prepared in the same manner as in Example 1, except that 0.1 mmol / g Si0 2 was added to the metallocene compound prepared in Preparation Example 1.
- Example 3
- Each of the common supported metallocene catalysts prepared in each of the above examples was introduced into a CSTR continuous polymerizer (reactor volume 50 L) to prepare an olefin polymer.
- comonomer 1-butene was used, and the reactor pressure was maintained at 10 bar and the deposition temperature was maintained at 90 ° C.
- Mn, Mw, PDI, GPC curve Pre-treat the sample by dissolving it for 160 hours in 1,2,4-Trichlorobenzene containing 0.0125% of BHT using PL-SP260 for 10 hours, using PL-GPC220 The number average molecular weight and the weight average molecular weight were measured at a measurement temperature of 160 ° C. PDI was expressed as the ratio (Mw / Mn) of the weight average molecular weight and the number average molecular weight.
- the ethylene / alpha -olefin copolymer of the embodiment exhibits a wide molecular weight distribution, as the ratio of the area of the log Mw of 5.0 to 5.5 meets a specific range, the environmental impact crack resistance 150 hours As described above, it can be seen that it exhibits a relatively high spiral flow length and shows excellent processability and significantly improved environmental stress cracking resistance.
Landscapes
- Chemical & Material Sciences (AREA)
- Crystallography & Structural Chemistry (AREA)
- Engineering & Computer Science (AREA)
- Materials Engineering (AREA)
- Health & Medical Sciences (AREA)
- Chemical Kinetics & Catalysis (AREA)
- Medicinal Chemistry (AREA)
- Polymers & Plastics (AREA)
- Organic Chemistry (AREA)
- Transition And Organic Metals Composition Catalysts For Addition Polymerization (AREA)
Abstract
Description
【발명의 명칭】 [Name of invention]
흔성 담지 메탈로센 촉매 및 이를 이용한 폴리올레'핀의 제조 방법 . 【기술분야】 Metallocene catalyst and the polyolefin, using the same method for manufacturing a pin to heunseong supported metal. Technical Field
관련 출원 (들)과의 상호 인용 Cross Citation with Related Application (s)
본 출원은 2016년 12월 19일자 한국 특허 출원 제 10-2016— 0173802호 및 2017년 11월 02일자 한국 특허 출원 제 10-2017-0145519호에 기초한 우선권의 이익을 주장하며, 해당 한국 특허 출원들의 문헌에 개시된 모든 내용은 본 명세서의 일부로서 포함된다. This application claims the benefit of priority based on Korean Patent Application No. 10-2016—0173802 dated December 19, 2016 and Korean Patent Application No. 10-2017-0145519 dated November 02, 2017. All content disclosed in the literature is included as part of this specification.
본 발명은 흔성 담지 메탈로센 촉매 및 이를 이용한 폴리을레핀의 제조 방법에 관한 것이다. The present invention relates to a common supported metallocene catalyst and a method for preparing polyolefin using the same.
【발명의 배경이 되는 기술】 [Technique to become background of invention]
올레핀 중합 촉매계는 지글러 나타 및 메탈로센 촉매계로 분류할 수 있으며, 이 두 가지의 고활성 촉매계는 각각의 특징에 맞게 발전되어 왔다. 지글러 나타 촉매는 50 년대 발명된 이래 기존의 상업 프로세스에 널리 적용되어 왔으나, 활성점이 여러 개 흔재하는 다활성점 촉매 (mul -s i te cata lyst )이기 때문에, 중합체의 분자량 분포가 넓은 것이 톡징이며, 공단량체의 조성 분포가 균일하지 않이■ 원하는 물성 확보에 한계가 었다는 문제점이 있다. Olefin polymerization catalyst systems can be classified into Ziegler-Natta and metallocene catalyst systems, and these two highly active catalyst systems have been developed for their respective characteristics. Ziegler-Natta catalysts have been widely applied to the existing commercial processes since the invention in the 50s, but since the active site is a multi-site catalyst (mul-si te cata lyst) with multiple active sites, the broad molecular weight distribution of the polymer is Toxing, The composition distribution of comonomer is not uniform ■ There is a problem that the limit to secure the desired physical properties.
한편, 메탈로센 촉매는 전이금속 화합물이 주성분인 주촉매와 알루미늄이 주성분인 유기 금속 화합물인 조촉매의 조합으로 이루어지며, 이와 같은 촉매는 균일계 착체 촉매로 단일 활성점 촉매 (s ingle si te catalyst )이며 단일 활성점 특성에 따라 분자량 분포가 좁으며, 공단량체의 조성 분포가 균일한 고분자가 얻어지며, 촉매의 리간드 구조 변형 및 중합 조건의 변경에 따라 고분자의 입체 규칙도, 공중합 특성, 분자량, 결정화도 등을 변화시킬 수 있는 특성을 가지고 있다. ■ Meanwhile, the metallocene catalyst is composed of a combination of a main catalyst composed mainly of transition metal compounds and a cocatalyst composed of an organometallic compound composed mainly of aluminum, and such a catalyst is a homogeneous complex catalyst. catalyst), which has a narrow molecular weight distribution according to the characteristics of a single active site and a homogeneous composition of the comonomer, and a stereoregularity, copolymerization characteristic, and molecular weight of the polymer according to the ligand structure modification and the change of polymerization conditions of the catalyst. , Has the property of changing the crystallinity and the like. ■
미국 특허 제 5, 032, 562 호에는 두 개의 상이한 전이금속 촉매를 한 개의 담지 촉매 상에 지지시켜 중합 촉매를 제조하는 방법이 기재되어 있다. 이는 고분자량을 생성하는 티타늄 (Ti ) 계열의 지글러 -나타 촉매와 저분자량을 생성하는 지르코늄 (Zr ) 계열의 메탈로센 촉매를 하나의 지지체에 담지시켜 이정 분산 (bimodal d i str ibut i on) 고분자를 생성하는 방법으로써, 담지 과정이 복잡하고, 조촉매로 인해 중합체의 형상 (morphology)이 나빠지는 단점이 있다. 미국 특허 제 5 , 525 , 678호에는 메탈로센 화합물과 비메탈로센 화합물을 담체 위에 동시에 담지시켜 고분자량의 증합체와 저분자량의 중합체가 동시에 중합될 수 있는 올레핀 중합용 촉매계를 사용하는 방법을 기재하고 있다. 이는 메탈로센 화합물과 비메탈로센 화합물들을 각각 따로 담지시켜야 하고, 담지 반응을 위해 담체를 여러 가지 화합물로 전처리해야 하는 단점이 있다. U. S. Patent No. 5, 032, 562 describes a process for preparing a polymerization catalyst by supporting two different transition metal catalysts on one supported catalyst. This is supported by a single support of a titanium (Ti) -based Ziegler-Natta catalyst that produces high molecular weight and a zirconium (Zr) -based metallocene catalyst that produces low molecular weight. As a method of producing a bimodal di str ibut i on polymer, the supporting process is complicated and the morphology of the polymer is deteriorated due to the promoter. US Patent No. 5, 525, 678 describes a method of using a catalyst system for olefin polymerization in which a high molecular weight polymer and a low molecular weight polymer can be simultaneously polymerized by simultaneously supporting a metallocene compound and a nonmetallocene compound on a carrier. It is described. This has the disadvantage that the metallocene compound and the non-metallocene compound must be separately supported, and the carrier must be pretreated with various compounds for the supporting reaction.
미국 특허 제 5,914,289 호에는 각각의 담체에 담지된 메탈로센 촉매를 이용하여 고분자의 분자량 및 분자량 분포를 제어하는 방법이 기재되어 있으나, 담지촉매 제조시 사용된 용매의 양 및 제조시간이 많이 소요되고, 사용되는 메탈로센 촉매를 담체에 각각 담지시켜야 하는 번거로움이 따랐다. U.S. Patent No. 5,914,289 describes a method for controlling the molecular weight and molecular weight distribution of a polymer using a metallocene catalyst supported on each carrier, but the amount and time of preparation of the solvent used in preparing the supported catalyst This takes a lot, and the hassle of having to support the metallocene catalyst to be used on the carrier, respectively.
대한민국 특허 출원 제 2003-12308 호에는 담체에 이중핵 메탈로센 촉매와 단일핵 메탈로센 촉매를 활성화제와 함께 담지하여 반웅기 내 촉매의 조합을 변화시키며 중합함으로써 분자량 분포를 제어하는 방안을 개시하고 있다. 그러나, 이러한 방법은 각각의 촉매의 특성을 동시에 구현하기에 한계가 있으며, 또한 완성된 촉매의 담체 성분에서 메탈로센 촉매 부분이 유리되어 반웅기에 파을링 ( foul ing)을 유발하는 단점이 있다. Korean Patent Application No. 2003-12308 discloses a method of controlling the molecular weight distribution by supporting a double-nucleated metallocene catalyst and a mononuclear metallocene catalyst on a carrier together with an activator to polymerize by changing a combination of catalysts in a reaction vessel. Doing. However, this method has a limitation in realizing the characteristics of each catalyst at the same time, and also has the disadvantage that the metallocene catalyst portion is released from the carrier component of the finished catalyst, causing fouling. .
따라서, 상기한 단점들을 해결히-기 위해서 간편하게 활성이 ^수한 흔성 담지 메탈로센 촉매를 제조하여 원하는 물성의 올레핀계 중합체를 제조하는 방법에 대한 요구가 계속되고 있다. Therefore, in order to solve the above disadvantages, there is a continuing need for a method of preparing an olefin-based polymer having desired physical properties by preparing a commonly supported common supported metallocene catalyst.
그러나, 이러한 모든 시도들 중에서 실제로 상업 공장에 적용되고 있는 촉매들은 몇몇에 불과한 수준으로, 보다 향상된 중합 성능을 나타내는 촉매에 대한 요구가 여전히 지속되고 있는 실정이다. 【발명의 내용】 However, among all these attempts, only a few catalysts are actually applied in commercial plants, and there is still a need for catalysts that exhibit improved polymerization performance. [Content of invention]
【해결하고자 하는 과제】 Problem to be solved
본 발명은 가공성이 우수하며, 다정 (mul t imodal ) 분자량 분포를 나타내는 폴리올레핀의 제조가 가능한 흔성 담지 메탈로센 촉매를 제공하기 위한 것이다. The present invention is to provide a common supported metallocene catalyst capable of producing a polyolefin having excellent processability and showing a mul t imodal molecular weight distribution.
【과제의 해결 수단】 본 발명은, 하기 화학식 1로 표시되는 제 1 메탈로센 화합물; 하기 화학식 2로 표시되고, 화학식 2에서 및 C2 중 하나는 하기 화학식 3a인 제 2 메탈로센 화합물; 하기 화학식 2로 표시되고, 화학식 2에서 C, 및 C2중 하나는 하기 화학식 3b인 제 3 메탈로센 화합물; 조촉매 화합물; 및 담체를 포함하는 흔성 담지 메탈로센 촉매를 제공한다. [Measures of problem] The present invention, the first metallocene compound represented by the formula (1); A second metallocene compound represented by Formula 2, wherein one of Formula 2 and C 2 is Formula 3a; To be represented by the formula (2), in the formula (2) one of the C, and C 2 to the metallocene compound of the third metal formula 3b; Cocatalyst compounds; And a common supported metallocene catalyst comprising a carrier.
또한, 본 발명은 상기 흔성 담지 메탈로센 촉매의 존재 하에 , 올레핀 단량체를 중합 반응시키는 단계를 포함하는 폴리을레핀의 제조 방법을 제공한다. The present invention also provides a method for producing polyolefin, comprising the step of polymerizing the olefin monomer in the presence of the common supported metallocene catalyst.
이하 발명의 구체적인 구현예에 따른 혼성 담지 메탈로센 촉매 및 이를 이용한 폴리올레핀의 제조 방법에 관하여 보다 상세하게 설명하기로 한다. 발명의 일 구현예에 따르면, Hereinafter, a hybrid supported metallocene catalyst and a method for preparing polyolefin using the same according to specific embodiments of the present invention will be described in detail. According to one embodiment of the invention,
하기 화학식 1로 표시되는 제 1 메탈로센 화합물; A first metallocene compound represented by Formula 1 below;
하기 화학식 2로 표시되고, 화학식 2에서 및 C2 중 하나는 하기 화학식 3a인 제 2 메탈로센 화합물; A second metallocene compound represented by Formula 2, wherein one of Formula 2 and C 2 is Formula 3a;
하기 화학식 2로 표시되고, 화학식 2에서 및 C2 중 하나는 하기 화학식 3b인 제 3.메.탈로센 화합물; . A third methetallocene compound represented by Formula 2, wherein one of Formula 2 and C 2 is Formula 3b; .
조촉매 화합물; 및. Cocatalyst compounds; And.
담체를 포함하는 흔성 담지 메탈로센 촉매가 제공될 수 있다: Common supported metallocene catalysts may be provided comprising a carrier:
[화학식 1 ] [Formula 1]
상기 화학식 1에서, Ri 내지 R8 중 어느 하나 이상은 (CH2)n-0R (이때, R 은 탄소수 1 내지 6 의 직쇄 또는 분지쇄 알킬기이고, n 은 2 내지 10 의 정수이다. )이고, 나머지는 서로 동일하거나 상이하고 각각 독립적으로, 수소, 탄소수 1 내지 20 의 알킬기, 탄소수 2 내지 20 의 알케닐기, 탄소수 6 내지 20 의 아릴기, 탄소수 7 내지 20의 알킬아릴기, 또는 탄소수 7 내지 20의 아릴알킬기이고,In Chemical Formula 1, At least one of Ri to R 8 is (CH 2 ) n -0R (wherein R is a straight or branched chain alkyl group having 1 to 6 carbon atoms, n is an integer of 2 to 10), and the others are the same as each other, or Different from each other independently hydrogen, an alkyl group having 1 to 20 carbon atoms, an alkenyl group having 2 to 20 carbon atoms, an aryl group having 6 to 20 carbon atoms, an alkylaryl group having 7 to 20 carbon atoms, or an arylalkyl group having 7 to 20 carbon atoms,
^은 4족 전이금속이고, ^ Is a Group 4 transition metal,
Xi 및 ¾는 서로 동일하거나 상이하고 각각 독립적으로, 할로겐, 또는 탄소수 1 내지 20의 알킬기이고, Xi and ¾ are the same as or different from each other, and each independently a halogen, or an alkyl group having 1 to 20 carbon atoms,
[ [
상기 화학식 2에서 , In Chemical Formula 2,
M2은 4족 전이금속이고, M 2 is a Group 4 transition metal,
¾ 및 는 서로 동일하거나 상이하고 각각 독립적으로, 할로겐, 또는 탄소수 1 내지 20의 알킬기이고, ¾ and are the same as or different from each other, and are each independently a halogen or an alkyl group having 1 to 20 carbon atoms,
B는 탄소, 실리콘 또는 게르마늄이고 B is carbon, silicon or germanium
Qi 및 Q2 중 어느 하나 이상은 -(C¾)m— ( ' (이때, R'은 탄소수 1 내지 6 의 직쇄 또는 분지쇄 알킬기이고, m 은 2 내지 10 의 정수이다. )이고, 나머지는 수소, 할로겐, 탄소수 1 내지 20 의 알킬기, 탄소수 2 내지 20 의 알케닐기, 탄소수 6 내지 20의 아릴기, 탄소수 7 내지 20의 알킬아릴기, 또는 탄소수 7 내지 20의 아릴알킬기이고, At least one of Qi and Q 2 is — (C¾) m — (where R 'is a straight or branched chain alkyl group having 1 to 6 carbon atoms and m is an integer from 2 to 10.), and the remainder is hydrogen A halogen, an alkyl group of 1 to 20 carbon atoms, an alkenyl group of 2 to 20 carbon atoms, an aryl group of 6 to 20 carbon atoms, an alkylaryl group of 7 to 20 carbon atoms, or an arylalkyl group of 7 to 20 carbon atoms,
및 C2 중 하나는 하기 화학식 3a 또는 3b 이고, 다른 하나는 하기 화학식 3c로 표시되며, And one of C 2 is represented by the following Chemical Formula 3a or 3b, and the other is represented by the following Chemical Formula 3c,
[ [
[화학식 3b] [Formula 3b]
[ [
상기 화학식 3a 내지 3c에서, In Chemical Formulas 3a to 3c,
¾ 내지 R27은 서로 동일하거나 상이하고, 각각 독립적으로, 수소, C1 내지 C20 의 알킬기, C2 내지 C20 의 알케.닐기, C1 내지 C20 의 알콕시기, C1 :내지 C20 의 알킬실릴기 , C1 내지 C20 의 실릴알킬기, C6 내지 C20 의 아릴기, C7 내지 C20의 알킬아릴기, 또는 C7 내지 C20의 아릴알킬기이다. 본 발명에 따른 흔성 담지 메탈로센 촉매에 있어서, 상기 화학식 1, 2, 3a , 3b 및 3c 의 치환기들을 보다 구체적으로 설명하면 하기와 같다. ¾ to R 27 are the same as or different from each other, and each independently, hydrogen, an alkyl group of C1 to C20, an alken.yl group of C2 to C20, an alkoxy group of C1 to C20, an alkylsilyl group of C1 to C20, and C1 to C20 A silylalkyl group, a C6 to C20 aryl group, a C7 to C20 alkylaryl group, or a C7 to C20 arylalkyl group. In the common supported metallocene catalyst according to the present invention, the substituents of Chemical Formulas 1, 2, 3a, 3b, and 3c will be described in more detail.
상기 <:Γ 내지 C20 의 알킬기로는 직쇄 또는 분지쇄의 알킬기를 포함하고, 구체적으로 메틸기, 에틸기, 프로필기, 이소프로필기, n—부틸기, tert-부틸기, 펜틸기, 핵실기, 헵틸기, 옥틸기 등을 들 수 있으나, 이에만 한정되는 것은 아니다. The alkyl group of <: Γ to C20 includes a linear or branched alkyl group, and specifically, methyl group, ethyl group, propyl group, isopropyl group, n-butyl group, tert-butyl group, pentyl group, nuclear group, hep And the like, but not limited thereto.
상기 C2 내지 C20 의 알케닐기로는 직쇄 또는 분지쇄의 알케닐기를 포함하고, 구체적으로 알릴기, 에테닐기, 프로페닐기, 부테닐기, 펜테닐기 등을 들 수 있으나, 이에만 한정되는 것은 아니다. 상기 C6 내지 C20 의 아릴기로는 단환 또는 축합환의 아릴기를 포함하고, 구체적으로 페닐기, 비페닐기, 나프틸기, 페난트레닐기, 플루오레닐기 등을 들 수 있으나, 이에만 한정되는 것은 아니다. The alkenyl group of C2 to C20 includes a straight or branched alkenyl group, and specifically, may include an allyl group, ethenyl group, propenyl group, butenyl group, pentenyl group, and the like, but is not limited thereto. The C6 to C20 aryl group includes a monocyclic or condensed aryl group, and specifically includes a phenyl group, a biphenyl group, a naphthyl group, a phenanthrenyl group, a fluorenyl group, and the like, but is not limited thereto.
상기 C1 내지 C20 의 알콕시기로는 메록시기, 에록시기, 페닐옥시기, 시클로핵실옥시기 등을 들 수 있으나, 이에만 한정되는 것은 아니다. Examples of the alkoxy group for C 1 to C 20 include a hydroxy group, an hydroxy group, a phenyloxy group, a cyclonuxyloxy group, and the like, but are not limited thereto.
상기 4 족 전이금속으로는 티타늄, 지르코늄, 하프늄 등을 들 수 있으나, 이에만 한정되는 것은 아니다. 상기 화학식 1 로 표시되는 제 1 메탈로센 화합물은 사이클로펜타디엔 (Cp)의 치환기에 -(C¾)n-0R (이때 , R 은 탄소수 1 내지 6 의 직쇄 또는 분지쇄 알킬기이고, n 은 2 내지 10 의 정수이다 J의 치환기를 도입함으로써, 공단량체를 이용한 폴리올레핀 제조시 상기 치환기를 포함하지 않는 다른 Cp 계 촉매에 비하여 공단량체에 대한 낮은 전환율을 나타내 저분자량의 폴리올레핀을 제조할 수 있다. Examples of the Group 4 transition metal include titanium, zirconium, hafnium, and the like, but are not limited thereto. The first metallocene compound represented by Formula 1 is-(C¾) n-0R in the substituent of cyclopentadiene (Cp), wherein R is a linear or branched alkyl group having 1 to 6 carbon atoms, and n is 2 to By introducing a substituent of J which is an integer of 10, a low molecular weight polyolefin can be produced when the polyolefin using the comonomer is produced, showing a lower conversion to the comonomer compared to other Cp-based catalysts not containing the substituent.
이와 같은 구조의 제 1 메탈로센 화합물은 담체에 담지되었을 때. 치환기 중 -(CH2)n-0R 기가 담지체로 사용되는 실리카 표면의 실라놀기와 밀접한 상호작용을 통해 공유결합을 형성할 수 있어 안정적인. 담지 중합이 가능하다. When the first metallocene compound of such a structure is supported on a carrier. The-(CH 2 ) n-0R group in the substituent is stable because it can form a covalent bond through close interaction with the silanol group on the silica surface used as a support. Supported polymerization is possible.
그리고, 상기 화학식 1 에서ᅳ Ri 및 R5 중 어느 하나 이상은 -(CH2)n-0R 인 것이 바람직하고, n은 2 내지 4인 것이 더욱 바람직하다. In Formula 1, at least one of Ri and R 5 is preferably-(CH 2 ) n -0R, and more preferably n is 2 to 4.
이는 상기 -(CH2)n— OR 작용기가 1—부텐 ( 1-butene) , 또는 1—핵센 ( 1- hexene)과 같은 알파 올레핀 공단량체의 공증합성에 영향을 미칠 수 있는데. n 이 4 이하의 짧은 알킬 체인을 갖는 경우, 전체 중합 활성은 유지하면서 알파 을레핀 공단량체에 대한 공중합성 ( conionomer incorporat i on)이 낮아져 다른 물성의 저하 없이 공중합도가 조절된 폴리올레핀을 제조할 수 있기 때문이다. This may affect the co-synthesis of alpha -olefin comonomers such that-(CH 2 ) n — OR functionality is 1-butene, or 1-hexene. When n has a short alkyl chain of 4 or less, the copolymerization with respect to the alpha olepin comonomer is lowered while maintaining the overall polymerization activity, thereby making it possible to prepare a polyolefin having a controlled copolymerization without degrading other physical properties. Because there is.
한편, 상기 화학식 1 로 표시되는 제 1 메탈로센 화합물의 구체적인 예로, 하기 구조식들로 표시되는 화합물을 들 수 있으나, 본 발명이 이에 제한되는 것은 아니다: Meanwhile, specific examples of the first metallocene compound represented by Chemical Formula 1 may include a compound represented by the following structural formulas, but the present invention is not limited thereto.
그리고, 상기 화학식 2 로 표시되고ᅳ 화학식 2 에서 및 C2증 하나는 상기 화학식 3a 인 제 2 메탈로센 화합물은 인데노 인돌 ( indeno indol e) 유도체와 인덴 ( indene) 유도체가 브릿지에 의해 비대칭적으로 가교된 구조를 형성하며, 리간드 구조에 루이스 염기로 작용할 수 있는 비공유 전자쌍을 가짐으로써 높은 중합 활성을 나타낸다ᅳ 또한 전자적으로 풍부한 인데노인돌 유도체는 질소 원자가 자라나는 고분자 사슬의 beta-hydrogen 을 수소결합에 의해 안정화시켜 beta-hydrogen el iminat i on 을 억제하여 상기 제 1 메탈로센 화합물에 비하여 고분자량의 폴리올레핀을 중합할 수 있다. In addition, the second metallocene compound represented by Chemical Formula 2 and one of Chemical Formula 2 and one of C 2 is asymmetrical by the bridge between the indeno indol derivative and the indene derivative. And a non-covalent electron pair that can act as a Lewis base to the ligand structure, thus exhibiting high polymerization activity. Also, the electronically rich indenoindole derivatives have a beta-hydrogen of a polymer chain in which nitrogen atoms grow, By stabilizing by inhibiting beta-hydrogen el iminat i on it can polymerize a high molecular weight polyolefin compared to the first metallocene compound.
또한, 상기 제 2 메탈로센 화합물은 상대적으로 입체 장애가 적은 인덴 유도체를 포함함에 따라 높은 공중합 활성과 낮은 수소 반응성을 나타내어 ; 상기 제 1 메탈로센 화합물을 이용하여 제조한 폴라을레핀의 분자량보다 크고, 후술할 제 3 메탈로센 화합물을 이용하여 제조한 폴리올레핀의 분자량보다 적은, 중분자량의 폴리올레핀을 고활성으로 중합할 수 있다. In addition, the second metallocene compound exhibits high copolymerization activity and low hydrogen reactivity as it contains indene derivatives having relatively little steric hindrance; greater than the molecular weight of polarulepine prepared using the first metallocene compound; The high molecular weight polyolefin which is smaller than the molecular weight of the polyolefin manufactured using the 3rd metallocene compound mentioned later can be superposed | polymerized.
그리고, 상기 제 2 메탈로센 화합물에서, 화학식 3a 의 R10은 C1 내지 C20 의 알킬기, C2 내지 C20 의 알케닐기, C1 내지 C20 의 알콕시기, C1 내지 C20 의 알킬실릴기, C1 내지 C20 의 실릴알킬기, C6 내지 C20 의 아릴기, C7 내지 C20의 알킬아릴기, 또는 C7 내지 C20의 아릴알킬기인 것이 바람직하다. 이와 같이 , 화학식 3a 인덴 유도체의 특정한 위치에 치환기 (R10)를 도입함으로써, 비치환된 인덴 화합물이나, 다른 위치에 치환된 인덴 화합물을 포함하는 메탈로센 화합물에 비하여, 중합 활성이 높은 특성을 가질 수 있다. 또한, 상기 제 2 메탈로센 화합물 및 후술할 제 3 메탈로센 화합물에서, 상기 화학식 3c 의 R24 및 7 증 어느 하나 이상은 C1 내지 C20 의 알킬기, C2 내지 C20 의 알케닐기, C1 내지 C20 의 알콕시기, C1 내지 C20 의 알킬실릴기, C1 내지 C20 의 실릴알킬기, C6 내지 C20 의 아릴기, C7 내지 C20 의 알킬아릴기, 또는 C7 내지 C20 의 아릴알킬기인 것이 바람직하고, 메틸기, 에틸기, 프로필기, 이소프로필기, n-부틸기, tert-부틸기, 펜틸기, 핵실기, 헵틸기, 옥틸기ᅳ 페닐기, 할로겐기, 트리메틸실릴기, 트리에틸실릴기, 트리프로필실릴기, 트리부틸실릴기, 트리이소프로필실릴기, 트리메틸실릴메틸기, 메톡시기, 또는 에특시기인 것이 더욱 바람직하다. ' 그리고, 상기 화학식 3c 로 표시되는 화합물의 구체적인 예로는 하기 구조식들 중 하나로 표시되는 화합물을 들 수 있으나, 본 발명이 이에만 한정되는 것은 아니다: And, in the second metallocene compound, R 10 of Formula 3a is C1 to C20 alkyl group, C2 to C20 alkenyl group, C1 to C20 alkoxy group, C1 to C20 alkylsilyl group, C1 to C20 silyl It is preferable that they are an alkyl group, C6-C20 aryl group, C7-C20 alkylaryl group, or C7-C20 arylalkyl group. As such, by introducing a substituent (R 10 ) at a specific position of the indene derivative of formula (3a), the polymerization activity is higher than that of an unsubstituted indene compound or a metallocene compound containing an indene compound substituted at another position. Can have. In addition, in the second metallocene compound and the third metallocene compound to be described later, any one or more of R 24 and 7 in the general formula (3c) is C1 to C20 alkyl group, C2 to C20 alkenyl group, C1 to C20 Alkoxy group, C1 to C20 alkylsilyl group, C1 to C20 silylalkyl group, C6 to C20 aryl group, C7 to C20 It is preferable that it is an alkylaryl group or the C7-C20 arylalkyl group, A methyl group, an ethyl group, a propyl group, an isopropyl group, n-butyl group, tert- butyl group, a pentyl group, a nuclear group, a heptyl group, an octyl group phenyl group More preferably, a halogen group, trimethylsilyl group, triethylsilyl group, tripropylsilyl group, tributylsilyl group, triisopropylsilyl group, trimethylsilylmethyl group, methoxy group, or a special group. "Further, specific examples of the compound represented by Formula 3c, but a compound which is represented by one of the following structural formulas, but the invention is not limited thereto:
한편, 상기 제 2 메탈로센 화합물의 구체적인 예로, 하기 구조식들로 표시되는 화합물을 들 수 있으나, 본 발명이 이에 제한되는 것은 아니다: Meanwhile, specific examples of the second metallocene compound may include a compound represented by the following structural formulas, but the present invention is not limited thereto.
또한, 상기 화학식 2 로 표시되고, 화학식 2 에서 및 C2중 하나는 상기 화학식 3b 인 제 3 메탈로센 화합물은 인데노 인돌 ( indeno indole) 유도체와 사이클로펜타디엔 (Cp) 유도체가 브릿지에 의해 비대칭적으로 가교된 구조를 형성하며, 리간드 구조에 루이스 염기로 작용할 수 있는 비공유 전자쌍을 가짐으로써 높은 중합 활성을 나타낸다. 또한 전자적으로 풍부한 인데노인돌 유도체는 질소 원자가 자라나는 고분자 사슬의 beta-hydrogen 을 수소결합에 의해 안정화시켜 beta-hydrogen el iminat i on 을 억제하여 상기 제 1 메탈로센 화합물에 비하여 고분자량의 폴리올레핀을 중합할 수 있다. In addition, the third metallocene compound represented by Chemical Formula 2, and one of Chemical Formula 2 and C 2 is Chemical Formula 3b, wherein the indeno indole derivative and the cyclopentadiene (Cp) derivative are asymmetric by the bridge. It forms a crosslinked structure, and exhibits high polymerization activity by having a lone pair of electrons which can act as a Lewis base in the ligand structure. In addition, the electronically rich indeno indole derivatives stabilize beta-hydrogen in the polymer chain in which nitrogen atoms are grown by hydrogen bonding, thereby inhibiting beta-hydrogen el iminat i on to polymerize high molecular weight polyolefins compared to the first metallocene compound. can do.
또한, 상기 제 3 메탈로센 화합물은 인덴 유도체에 비해서 입체 장애가 적은 사이클로펜타디엔 (Cp) 유도체 # 포함함에 따라 높은 공중합 활성과 낮은 수소 반응성을 나타내어 상기 제 1 및 제 2 메탈로센 화합물을 이용하여 제조한 폴리을레핀 보다 높은 고분자량의 폴리을레핀을 고활성으로 중합할 수 있다. In addition, since the third metallocene compound includes cyclopentadiene (Cp) derivative # having less steric hindrance than the indene derivative, the third metallocene compound exhibits high copolymerization activity and low hydrogen reactivity, thereby using the first and second metallocene compounds. Higher molecular weight polyolefin can be polymerized with higher activity than the prepared polyolefin.
한편, 상기 제 3 메탈로센 화합물의 구체적인 예로, 하기 구조식으로 표시되는 화합물을 들 수 있으나, 본 발명이 이에 제한되는 것은 아니다: Meanwhile, specific examples of the third metallocene compound may include a compound represented by the following structural formula, but the present invention is not limited thereto.
이와 같이, 상기 일 구현예의 흔성 맘지 메탈로센 촉매는 상기 제 1 내지 제 3 메탈로센 화합물을 포함하여, 다정 (mul t imoda l )의 넓은 분자량 분포를 나타내어 가공성이 우수할 뿐만 아니라 물성, 특히 내환경 응력 균열성이 우수한 폴리을레핀을 제조할 수 있다. As such, the common metallocene catalyst of the embodiment includes the first to third metallocene compounds, and exhibits a broad molecular weight distribution of mult imoda l, which is excellent in processability and particularly in physical properties. Polyolefin can be produced excellent in environmental stress cracking resistance.
특히, 상기 제 1 메탈로센 화합물, 제 2 메탈로센 화합물 및 제 3 메탈로센 화합물의 흔합 몰 비는 약 1 : 0. 1 내지 5 : 0. 1 내지 5일 수 있고, 더욱 바람직하게는 약 1 : 0.2 내지 5 : 0.5 내지 2일 수 있다. 또한, 상기 일 구현예의 흔성 담지 메탈로센 촉매에 있어서 , 상기 메탈로센 화합물을 활성화하기 위하여 담체에 함께 담지되는 조촉매로는 13족 금속을 포함하는 유기 금속 화합물로서, 일반적인 메탈로센 촉매 하에 올레핀을 중합할 때 사용될 수 있는 것이라면 특별히 한정되는 것은 아니다. 구체적으로 , 상기 조촉매 화합물은 하기 화학식 4의 알루미늄 함유 제In particular, the mixing molar ratio of the first metallocene compound, the second metallocene compound, and the third metallocene compound may be about 1: 0.1 to 5: 0.1 to 5, more preferably About 1: 0.2-5: 0.5-2. In addition, in the common supported metallocene catalyst of the embodiment, as a co-catalyst supported on a carrier for activating the metallocene compound, it is an organometallic compound containing a Group 13 metal, under a general metallocene catalyst It will not be specifically limited if it can be used when superposing | polymerizing an olefin. Specifically, the promoter compound is an aluminum-containing agent of the formula
1 조촉매, 및 하기 화학식 5의 보레이트계 제 2 조촉매 중 하나 이상을 포함할 수 있다. It may include one or more of the cocatalyst, and a second borate-based cocatalyst of the formula (5).
[화학식 4] [Formula 4]
- [Al (R28)-0-]k- . 화학식 4 에서, 8 은 각각 독립적으로 할로겐, 할로겐 치환 또는 비치환된 탄소수 1 내지 20의 하이드로카빌기이고, k는 2 이상의 정수이고, [화학식 5] [Al (R 28 ) -0-] k- . In Formula 4, 8 is a halogen, halogen substituted or unsubstituted hydrocarbyl group having 1 to 20 carbon atoms, k is an integer of 2 or more, [Formula 5]
T+[BG4]" T + [BG 4 ] "
화학식 5 에서, T+은 +1 가의 다원자 이온이고, B 는 +3 산화 상태의 붕소이고, G 는 각각 독립적으로 하이드라이드기, 디알킬아미도기, 할라이드기. 알콕사이드기, 아릴옥사이드기, 하이드로카빌기. 할로카빌기 및 할로—치환된 하이드로카빌기로 이루어진 군에서 선택되고, 상기 G 는 20 개 이하의 탄소를 가지나, 단 하니 이하의 위치에서 G는 할라어드기이다. In formula (5), T + is a +1 polyvalent ion, B is boron in +3 oxidation state, G is independently a hydride group, a dialkyl amido group, and a halide group. Alkoxide group, aryl oxide group, hydrocarbyl group. It is selected from the group consisting of halocarbyl group and halo-substituted hydrocarbyl group, wherein G has 20 carbons or less, provided that G is a halaad group at a position below honey.
상기 화학식 4의 제 1 조촉매는 선형, 원형 또는 망상형으로 반복단위가 결합된 알킬알루미녹산계 화합물로 될 수 있고, 이러한 제 1 조촉매의 구체적인 예로는, 메틸알루미녹산 (MA0) , 에틸알루미녹산, 이소부틸알루미녹산 또는 부틸알루미녹산 등을 들 수 있다. The first cocatalyst of Chemical Formula 4 may be an alkylaluminoxane compound having a repeating unit bonded in a linear, circular, or reticular form. Specific examples of the first cocatalyst include methylaluminoxane (MA0) and ethylalumina. Noxic acid, isobutyl aluminoxane, or butyl aluminoxane etc. are mentioned.
또한, 상기 화학식 5의 제 2 조촉매는 삼치환된 암모늄염 , 또는 디알킬 암모늄염, 삼치환된 포스포늄염 형태의 보레이트계 화합물로 될 수 있다. 이러한 제 2 조촉매의 구체적인 예로는, 트리메탈암모늄 테트라페닐보레이트, 메틸디옥타데실암모늄 테트라페닐보레이트, 트리에틸암모늄 테트라페닐보레이트, 트리프로필암모늄 테트라페닐보레이트, 트리 (n- 부틸)암모늄 테트라페닐보레이트, 메틸테트라데사이클로옥타데실암모늄 테트라페닐보레이트, Ν , Ν—디메틸아닐늄 테트라페닐보레이트, Ν , Ν-디에틸아닐늄 테트라페닐보레이트, Ν , Ν—디쩨틸 (2,4,6-트리메틸아닐늄)테트라페닐보레이트, 트리메틸암모늄 테트라키스 (펜타플로오로페닐)보레이트, 메틸디테트라데실암모늄 테트라키스 (펜타페닐)보레이트, 메틸디옥타데실암모늄 테트라키스 (펜타플루오로페닐)보레이트, 트리에틸암모늄, 테트라키스 (펜타플루오로쩨닐 )보레이트, In addition, the second cocatalyst of Formula 5 may be a borate-based compound in the form of a trisubstituted ammonium salt, or a dialkyl ammonium salt, a trisubstituted phosphonium salt. Specific examples of such a second cocatalyst include trimetalammonium tetraphenylborate, methyldioctadecylammonium tetraphenylborate, triethylammonium tetraphenylborate, tripropylammonium tetraphenylborate, tri (n-butyl) ammonium tetraphenylborate , Methyltetracyclooctadecylammonium tetraphenylborate, Ν, Ν—dimethylaninium tetraphenylborate, Ν, Ν-diethylaninynium tetraphenylborate, Ν, Ν-dimentyl (2,4,6-trimethylaniyl (Nium) tetraphenylborate, trimethylammonium tetrakis (pentafluorophenyl) borate, Methylditetradecylammonium tetrakis (pentaphenyl) borate, methyldioctadecylammonium tetrakis (pentafluorophenyl) borate, triethylammonium, tetrakis (pentafluorofonyl) borate,
트리프로필암모늄테트라키스 (펜타프루오로페닐)보레이트, 트리 (n-부틸)암모늄 테트라키스 (펜타플루오로페닐)보레이트, 트리 (2급- 부틸 )암모늄테트라키스 (펜타플루오로페닐)보레이트, N, N-디메틸아닐늄 테트라키스 (펜타플루오로페닐)보레이트, Ν,Ν- 디에틸아닐늄테트라키스 (펜타플루오로페닐)보레이트, ^ 디메틸(2,4,6- 트리메틸아닐늄)테트라키스 (펜타풀루오로페닐)보레이트. Tripropylammonium tetrakis (pentafluorophenyl) borate, tri (n-butyl) ammonium tetrakis (pentafluorophenyl) borate, tri (secondary-butyl) ammonium tetrakis (pentafluorophenyl) borate, N , N-dimethylaninium tetrakis (pentafluorophenyl) borate , Ν, Ν-diethylaninium tetrakis (pentafluorophenyl) borate , ^ dimethyl (2,4,6-trimethylaninynium) tetrakis ( Pentafulophenyl) borate.
트리메틸암모늄테트라키스 (2, 3, 4, 6-테트라플루오로페닐)보레이트, Trimethylammonium tetrakis (2, 3, 4, 6-tetrafluorophenyl) borate,
트리에틸암모늄 테트라키스 (2 , 3,4, 6-테트라플루오로페닐)보레이트. 트리프로필암모늄 테트라키스 (2, 3,4,6-테트라플루오로페닐)보레이트, 트리 (η- 부틸)암모늄 테트라키스 (2,3.4,6-,테트라플루오로페닐)보레이트, 디메틸 (t- 부틸)암모늄 테트라키스 (2,3,4,6-테트라플루오로페닐)보레이트, N:N一 디메틸아닐늄 테트라키스 (2,3,4,6ᅳ테트라플루오로페닐)보레이트, Ν,Ν- ■ 디에틸아닐늄 테트라키스 (2.3,4,6-테트라플루오로페닐)보레이트 또는 Ν,Ν- 디메틸— (2,4,6ᅳ트리메틸아닐늄)테트라키스 -(2,3,4,6- 테트라플루오로페닐)보레이트 등의 삼치환된 암모늄염 형태의 보레이트계 화합물; 디옥타데실암모늄 테트라키스 (펜타플루오로페닐)보레이트, 디테트라데실암모늄 테트라키스 (펜타플루오로페닐)보레이트 또는 디사이클로핵실암모늄 테트라키스 (펜타플루오로페닐)보레이트 등의 디알킬암모늄염 형태의 보레이트계 화합물; 또는 트리페닐포스포늄 테트라키스 (펜타플루오로페닐)보레이트, 메틸디옥타데실포스포늄 테트라키스 (펜타플루오로페닐)보레이트 또는 트리 (2,6-, 디메틸페닐)포스포늄 테트라키스 (펜타플루오로페닐)보레이트 등의 삼치환된 포스포늄염 형태의 보레이트계 화합물 등을 들 수 있다. Triethylammonium tetrakis (2,3,4,6-tetrafluorophenyl) borate. Tripropylammonium tetrakis (2,3,4,6-tetrafluorophenyl) borate, tri (η-butyl) ammonium tetrakis (2,3.4,6-, tetrafluorophenyl) borate, dimethyl (t-butyl ) Ammonium Tetrakis (2,3,4,6-Tetrafluorophenyl) borate, N : N dimethyl dimethylaninium tetrakis (2,3,4,6 ᅳ tetrafluorophenyl) borate, Ν, Ν- ■ Diethylaninium tetrakis (2.3,4,6-tetrafluorophenyl) borate or Ν, Ν-dimethyl— (2,4,6 ᅳ trimethylaninynium) tetrakis- (2,3,4,6-tetra Borate compounds in the form of trisubstituted ammonium salts such as fluorophenyl) borate; dioctadecylammonium tetrakis (pentafluorophenyl) borate, ditetradecylammonium tetrakis (pentafluorophenyl) borate or dicyclonucleoammonium tetra Beams in the form of dialkylammonium salts such as kiss (pentafluorophenyl) borate Latex compounds; Or triphenylphosphonium tetrakis (pentafluorophenyl) borate, methyldioctadecylphosphonium tetrakis (pentafluorophenyl) borate or tri (2,6-, dimethylphenyl) phosphonium tetrakis (pentafluorophenyl And a borate compound in the form of a trisubstituted phosphonium salt such as) borate.
상기 일 구현예의 혼성 담지 메탈로센 촉매에 있어서, 제 1 메탈로센 화합물, 제 2 메탈로센 화합물 및 제 3 메탈로센 화합물에 포함되는 전체 전이금속 대 담체의 질량비는 1 : 10 내지 1 : 1,000 일 수 있다. 상기 질량비로 담체 및 메탈로센 화합물을 포함할 때, 최적의 형상을 나타낼 수 있다. 또한, 조촉매 화합물 대 담체의 질량비는 1 : 1 내지 1 : 100 일 수 있다. 상기 질량비로 조촉매 및 담체를 포함할 때, 활성 및 고분자 미세구조를 최적화할 수 있다. 상기 일 구현예의 혼성 담지 메탈로센 촉매에 있어서, 상기 담체로는 표면에 하이드록시기를 함유하는 담체를 사용할 수 있으며, 바람직하게는 건조되어 표면에 수분이 제거된, 반응성이 큰 하이드록시기와 실록산기를 가지고 있는 담체를 사용할 수 있다. In the metallocene catalyst to the one embodiment the hybrid supported metal, the weight ratio of the total transition metal to the carrier included in the first metallocene compound, a metallocene compound and a metallocene compound with the third metal to second metal is from 1: 10 to 1: Can be 1,000. When the carrier and the metallocene compound are included in the mass ratio, an optimal shape can be exhibited. In addition, the mass ratio of the promoter compound to the carrier may be 1: 1 to 1: 100. When including the promoter and the carrier in the mass ratio, it is possible to optimize the active and polymer microstructure. In the mixed-supported metallocene catalyst of the embodiment, a carrier containing a hydroxy group on the surface may be used, and preferably, a highly reactive hydroxy group and a siloxane group which are dried to remove moisture on the surface The carrier which has is used.
예컨대, 고온에서 건조된 실리카, 실리카 -알루미나, 및 실리카- 마그네시아 등이 사용될 수 있고, 이들은 통상적으로 Na20, K2C03 , BaS04 , 및 Mg(N03)2 등의 산화물, 탄산염, 황산염, 및 질산염 성분을 함유할 수 있다. 상기 담체의 건조 온도는 200 내지 800°C가 바람직하고, 300 내지 600 °C가 더욱 바람직하며 , 300 내지 40CTC가 가장 바람직하다. 상기 담체의 건조 온도기■ 200 °C 미만안 경우 수분이 너무 많아서 표면의 수분과 조촉매가 반웅하게 되고, 800°C를 초과하는 경우에는 담체 표면의 기공들이 합쳐지면서 표면적이 줄어들며, 또한 표면에 하이드록시기가 많이 없어지고 실록산기만 남게 되어 조촉매와의 반웅자리가 감소하기 때문에 바람직하지 않다. For example, silica, silica-alumina, silica-magnesia, etc., dried at a high temperature may be used, and these are typically oxides, carbonates, such as Na 2 O, K 2 C0 3 , BaS0 4 , and Mg (N0 3 ) 2 . Sulfate, and nitrate components. The drying temperature of the carrier is preferably 200 to 800 ° C, more preferably 300 to 600 ° C, most preferably 300 to 40 CTC. Drying Temperature of the Carrier ■ If it is less than 200 ° C, the moisture and cocatalyst on the surface will react too much, and if it exceeds 800 ° C, the pores on the surface of the carrier will merge and the surface area will decrease. It is not preferable because many hydroxyl groups are lost and only siloxane groups are left, resulting in a decrease in reaction space with the promoter.
상기 담체 표면의 하이드록시기 양은 0. 1 내지 10 mmol /g 이 바람직하며, 0.5 내지 5 mmol /g 일 때 더욱 바람직하다. 상기 담체 표면애 있는 하이드록시기의 양은 담체의 제조방법 및 조건 또는 건조 조건, 예컨대 온도, 시간, 진공 또는 스프레이 건조 등에 의해 조절할 수 있다. The amount of hydroxy groups on the surface of the carrier is preferably from 0.1 to 10 mmol / g, more preferably from 0.5 to 5 mmol / g. The amount of hydroxyl groups on the surface of the carrier can be controlled by the method and conditions for preparing the carrier or by drying conditions such as temperature, time, vacuum or spray drying.
상기 하이드록시기의 양이 0. 1 mmol /g 미만이면 조촉매와의 반응자리가 적고, 10隱 ol /g 을 초과하면 담체 입자 표면에 존재하는 하이드특시기—이외에 수분에서 기인한 것일 가능성이 있기 때문에 바람직하지 않다. If the amount of the hydroxy group is less than 0.01 mmol / g, the reaction site with the promoter is small. If the amount of the hydroxyl group is more than 10 μL / g, the hydroxy group present on the surface of the carrier particle may be due to moisture. It is not desirable because there is.
상기 일 구현예의 흔성 담지 메탈로센 촉매는 그 자체로서 올레핀계 단량체의 중합에 사용될 수 있다. 또한, 상기 흔성 담지 메탈로센 촉매는 올레핀계 단량체와 접촉 반웅되어 예비 중합된 촉매로 제조하여 사용할 수도 있으며, 예컨대 촉매를 별도로 에틸렌, 프로필렌, 1-부텐, 1-핵센, 1—옥텐 등과 같은 을래핀계 단량체와 접촉시켜 예비 중합된 촉매로 제조하여 사용할 수도 있다. 한편, 상기 일 구현예의 혼성 담지 메탈로센 촉매는, 담체에 조촉매를 담지시키는 단계 ; 상기 조촉매가 담지된 담체에 제 1 내지 제 3 메탈로센 화합물을 담지시키는 단계; 를 포함하는 제조 방법에 의해 제조될 수 있다. 이 때, 상기 제 1 내지 제 3 메탈로센 화합물은 1종씩 순차적으로 담지시킬 수도 있고, 2종 또는 3종을 함께 담지시킬 수도 있다. 이 때, 담지 순서에는 제한이 없으나, 형상 (morphology)이 상대적으로 좋지 못한 제 3메탈로센 촉매를 우선 담지함으로서 상기 흔성 담지 메탈로센 촉매의 형상을 개선할 수 있으며, 이에 따라 제 3메탈로센 촉매올 담지한 이후에 제 2메탈로센 촉매 및 제 1메탈로센 촉매를 순서대로 담지할 수 있다. The common supported metallocene catalyst of the above embodiment can be used by itself for the polymerization of olefinic monomers. In addition, the common supported metallocene catalyst may be prepared and used as a prepolymerized catalyst in contact with an olefinic monomer. For example, the catalyst may be separately used, such as ethylene, propylene, 1-butene, 1-nuxene, 1-octene, and the like. It can also be prepared and used as a prepolymerized catalyst by contacting with the pin monomer. On the other hand, the hybrid supported metallocene catalyst of the embodiment, the step of supporting the promoter on the carrier; Supporting the first to third metallocene compounds on the carrier on which the promoter is supported; It may be prepared by a manufacturing method comprising a. In this case, the first to third metallocene compounds may be supported one by one, or two or three may be supported together. At this time, the supporting order is not limited, but by first supporting the third metallocene catalyst having a relatively poor morphology, it is possible to improve the shape of the common supported metallocene catalyst, so as to the third metal After supporting the catalyst, the second metallocene catalyst and the first metallocene catalyst may be sequentially supported.
상기 방법에서, 담지 조건은 특별히 한정되지 않고 이 분야의 당업자들에게 잘 알려진 범위에서 수행할 수 있다. 예를 들면, 고온 담지 및 저온 담지를 적절히 이용하여 진행할 수 있고, 예를 들어 , 담지 온도는 30°C 내지 150°C의 범위에서 가능하고, 바람직하게는 상온 내지 100 °C , 더욱 바람직하게는 상온 내지 80°C 이다. 담지 시간은 담지하고자 하는 메탈로센ᅳ. 화합물의 양에 따라 적절하게 조절될 수 있다. 반웅시킨 담지 촉매는 반웅 용매를 여과하거나 감압 증류시켜 제거하여 그대로 사용할 수 있고, 필요하면 를루엔과 같은 방향족 탄화수소로 속실렛 필터하여 사용할 수 있다. In the above method, the supporting conditions are not particularly limited and may be performed in a range well known to those skilled in the art. For example, it is possible to proceed by using a high temperature support and a low temperature support as appropriate, for example, the support temperature is possible in the range of 30 ° C to 150 ° C, preferably from room temperature to 100 ° C, more preferably From room temperature to 80 ° C. The supporting time is the metallocene 하고자 to be supported. It may be appropriately adjusted according to the amount of the compound. The supported catalyst can be used as it is by removing the solvent by distillation under reduced pressure by filtration or by distillation under reduced pressure.
그리고 ; 상기 담지 촉매의 제조는 용매 또는 무용매 하에 수행될 수 : 있다. 용매가 사용될 경우, 사용 가능한 용매로는 핵산 또는 펜탄과 같은 지방족 탄화 수소 용매, 를루엔 또는 벤젠과 같은 방향족 탄화 수소 용매, 디클로로메탄과 같은 염소 원자로 치환된 탄화수소 용매 . 디에틸에테르 또는 THF와 같은 에테르계 용매, 아세톤, 에틸아세테이트 등의 대부분 유기 용매를 들 수 있고, 핵산, 헵탄, 를루엔, 또는 디클로로메탄이 바람직하다. 한편, 발명의 다른 구현예에 따르면, 상기 흔성 담지 메탈로센 촉매의 존재 하에, 올레핀 단량체를 중합 반웅시키는 단계를 포함하는 폴리을레핀의 제조 방법이 제공될 수 있다. And ; Preparation of a supported catalyst can be carried out in a solvent or in the absence of: A. When a solvent is used, available solvents include aliphatic hydrocarbon solvents such as nucleic acids or pentane, aromatic hydrocarbon solvents such as toluene or benzene, and hydrocarbon solvents substituted with chlorine atoms such as dichloromethane. And most organic solvents such as ether solvents such as diethyl ether or THF, acetone, ethyl acetate, and the like, and nucleic acid, heptane, toluene, or dichloromethane are preferred. On the other hand, according to another embodiment of the present invention, there may be provided a method for producing a polyolefin, including the step of polymerizing the olefin monomer in the presence of the common supported metallocene catalyst.
그회고, 상기 올레핀 단량체는 에틸렌 , 프로필렌, 1-부텐, 1-펜텐, 4- 메틸 -1—펜텐, 1-핵센, 1-헵텐, 1-옥텐, 1-데센, 1-운데센, 1-도데센, 1- 테트라데센, 1—핵사데센, 1-아이토센, 노보넨, 노보나디엔, 에틸리덴노보덴, 페닐노보덴, 비닐노보덴, 디사이클로펜타디엔, 1, 4-부타디엔, 1 , 5-펜타디엔. 1,6ᅳ핵사디엔. 스티렌, 알파-메틸스티렌, . 디비닐벤젠 및 3— 클로로메틸스티렌으로 이루어진 군으로부터 선택되는 1종 이상 일 수 있다. 상기 을레핀 단량체의 중합 반응을 위하여, 연속식 용액 중합 공정, 벌크 중합 공정, 현탁 중합 공정 . 슬러리 중합 공정 또는 유화 중합 공정 등 올레핀 단량체의 중합 반응으로 알려진 다양한 중합 공정이 채용될 수 있다. 이러한 중합 반웅은 약 25 내지 500°C, 또는 약 25 내지 200°C. 또는 약 50 내지 150°C의 온도와, 약 1 내지 100 bar 또는 약 10 내지 80 bar 의 압력 하에서 수행될 수 있다. In turn, the olefin monomer is ethylene, propylene, 1-butene, 1-pentene, 4-methyl-1-pentene, 1-nuxene, 1-heptene, 1-octene, 1-decene, 1-undecene, 1- Dodecene, 1-tetradecene, 1—nuxadecene, 1-aitocene, norbornene, norbonadiene, ethylidene nobodene, phenyl nobodene, vinyl nobodene, dicyclopentadiene, 1, 4-butadiene , 1 , 5-pentadiene. 1,6 ᅳ nucleodiene. Styrene, alpha-methylstyrene,. It may be at least one selected from the group consisting of divinylbenzene and 3—chloromethylstyrene. For the polymerization reaction of the olefin resin, a continuous solution polymerization process, bulk polymerization process, suspension polymerization process. Various polymerization processes known as polymerization reaction of olefin monomers, such as slurry polymerization process or emulsion polymerization process, may be employed. Such polymerization reaction may be carried out at a temperature of about 25 to 500 ° C, or about 25 to 200 ° C. or about 50 to 150 ° C, and under a pressure of about 1 to 100 bar or about 10 to 80 bar.
또한, 상기 중합 반응에서, 상기 흔성 담지 메탈로센 촉매는 펜탄, 핵산, 헵탄, 노난, 데칸, 를루엔, 벤젠, 디클로로메탄, 클로로벤젠 등과 같은 용매에 용해 또는 희석된 상태로 이용될 수 있다. 이때, 상기 용매를 소량의 알킬알루미늄 등으로 처리함으로써, 촉매에 악영향을 줄 수 있는 소량의 물 또는 공기 등을 미리 제거할 수 있다. 그리고, 상기 제조 방법을 통해 제조된 폴리올레핀은 다정 (multimodal) 분자량 분포를 나타내는 폴리올레핀일 수 있다. In addition, in the polymerization reaction, the common supported metallocene catalyst may be used dissolved or diluted in a solvent such as pentane, nucleic acid, heptane, nonane, decane, toluene, benzene, dichloromethane, chlorobenzene, and the like. At this time, by treating the solvent with a small amount of alkylaluminum or the like, a small amount of water or air which may adversely affect the catalyst can be removed in advance. In addition, the polyolefin prepared by the above production method may be a polyolefin having a multimodal molecular weight distribution.
그리고, .상기. 제조된 폴리올레핀은 중량평균 분자량 (Mw)이 100,000. 내지 300,000 g/mol 일 수 있다.. 보다 바람직하게 상기 증량 .평균 분자량은. And. The polyolefin prepared had a weight average molecular weight (Mw) of 100,000. To 300,000 g / mol. More preferably, the increase is. The average molecular weight is.
120 , 000 g/mol 이상 , 130 , 000 g/mo 1 이상, 또는. 140, 000 g/mo I 이상이고 , 250,000 g/mol 이하, 또는 220,000 g/mol 이하, 또는 200,000 g/mol 이하일 수 있다. At least 120, 000 g / mol, at least 130, 000 g / mo 1, or. 140, 000 g / mo I or more, 250,000 g / mol or less, or 220,000 g / mol or less, or 200,000 g / mol or less.
또한, 상기 제조된 폴리올레핀의 분자량 분포 (PDI)가 5 이상일 수 있다. 보다 바람직하게 상기 분자량 분포는, 8 이상, 9 이상, 또는 10 이상이고, 20 이하, 18 이하, 또는 17 이하일 수 있다. In addition, the molecular weight distribution (PDI) of the prepared polyolefin may be 5 or more. More preferably, the molecular weight distribution is 8 or more, 9 or more, or 10 or more, 20 or less, 18 or less, or 17 or less.
상기 폴리올레핀은 에틸렌 /알파—을레핀 공중합체일 수 있다. The polyolefin may be an ethylene / alpha—lepin copolymer.
상기 에틸렌 /알파-올레핀 공증합체는 밀도가 0.948 내지 0.960 g/cm3, 또는 0.950 내지 0.955 g/cm3이다. 에틸렌 /알파-을레핀 공증합체의 밀도가The ethylene / alpha-olefin copolymer has a density of 0.948 to 0.960 g / cm 3 , or 0.950 to 0.955 g / cm 3 . Density of Ethylene / Alpha-Lepin Copolymer
0.948 g/cm3보다 낮을 경우. 탄산음료 용기의 보를캡 (bottle .cap)으로 사용하였을 때. 탄산음료의 압력으로 인해 swelling 현상이 일어날 수 있고, 밀도를 증가시키기 위해 알파-을레핀의 함량을 감소시킬 경우 ESCR 특성이 저하될 수 있다. 그러나, 상기 에틸렌 /알파-올레핀 공중합체는, 상기 적절한 범위의 고밀도를 나타내면서도 ESCR 우수한 특성을 갖는다. Lower than 0.948 g / cm 3 . When the bottle of carbonated beverage container is used as a bottle (cap.cap). Due to the pressure of the carbonated beverage, swelling may occur, and the ESCR characteristics may be deteriorated when the alpha-lefin content is decreased to increase the density. However, the ethylene / alpha -olefin copolymer is the appropriate While exhibiting high density in the range, ESCR has excellent properties.
상기 에틸렌 /알파-올레핀 공중합체는, X 축이 log Mw이고 y 축이 dw/dlogMw인 GPC 커브 그래프에서, log Mw가 5.0 내지 5.5인 영역의 적분 값이 X축 전체 적분 값의 10 내지 20%, 바람직하게는 10 내지 18%, 보다 바람직하게는 10 내지 16%를 나타낼 수 있다. 상기에서 Mw는 중량 평균 분자량 (weight一 average molecular weight)을 의미하고, w는 질량 분율 (weight fraction)을 의미한다. In the ethylene / alpha-olefin copolymer, in the GPC curve graph in which the X axis is log Mw and the y axis is dw / dlogMw, the integral value of the region where log Mw is 5.0 to 5.5 is 10 to 20% of the total X-axis integral value. , Preferably 10 to 18%, more preferably 10 to 16%. In the above, Mw means weight average molecular weight, and w means weight fraction.
상기 GPC 커브 그래프에서 log Mw가 5.0 내지 5.5인 영역은 상기 에틸텐 /알파-올레핀 공중합체를 사출하여 제공되는 제품의 물성 및 가공성이 확인되는 .영역이다. In the GPC curve graph, a log Mw of 5.0 to 5.5 is a region where physical properties and processability of the product provided by injection of the ethylene / alpha-olefin copolymer are confirmed.
그리고, 상기 log Mw가 5.0 내지 5.5인 영역의 적분 값이 X축 전체 적분 값에 대해서 갖는 비율은 상기 에틸렌 /알파-올레핀 공중합체 중 고분자량의 Tie molecular fraction을 나타내는 수치이다. 이에 따리, 상기 log Mw가 5.0 내지 5.5인 영역의 적분 값이 X축 전체 적분 값에 대해서 갖는 비율이 10% 미만인 경우, 상기 에틸렌 /알파-올레핀 공중합체가 상대적으로 낮은 수준의 내환경 웅력 균열성 (ESCR)을 가질 수 있다. 또한, 상기 log Mw7} 5.0 내지 5 :5인.영역의 적분 값이 X축 전체 적분 값에 대해서 갖는 비율이 20% 초과인 경우, 분자량 분포 (MWD)에 따른 Tie molecular fraction 분포도에서 고분자량 영역의 비중이 과다해서 상기 에틸렌 /알파-을레핀 공중합체의 가공성이 크게 저하될 수 있다. In addition, the ratio which the integral value of the area | region whose log Mw is 5.0-5.5 with respect to the X-axis integral value is a numerical value which shows the tie molecular fraction of the high molecular weight in the said ethylene / alpha-olefin copolymer. Accordingly, when the ratio of the integral of the log Mw of 5.0 to 5.5 is less than 10% of the total integral value of the X axis, the ethylene / alpha-olefin copolymer has a relatively low level of environmental stress cracking resistance. (ESCR). In addition, when the ratio of the integral value of the region of the log Mw7} 5.0 to 5: 5 is greater than 20% with respect to the total X-axis integral value, the molecular weight distribution of the high molecular weight region according to the molecular weight distribution (MWD) Due to the excessive specific gravity, the processability of the ethylene / alpha-olepin copolymer may be greatly reduced.
그리고, 상기 에틸렌 /알파-을레핀 공중합체는 스파이럴 플로우 길이 (spiral flow length, 190 °C, 90 bar)가 13 내지 25 cm, 보다 바람직하게는 15 내지 20 cm일 수 있다. In addition, the ethylene / alpha-lefin copolymer may have a spiral flow length (190 ° C, 90 bar) of 13 to 25 cm, more preferably 15 to 20 cm.
상기 스파이럴 플로우 길이 (spiral flow length, 190 °C , 90 bar)는 에틸렌 /알파-올레핀 공중합체의 가공성을 나타내는 것으로, 이의 값이 클수록 가공성이 우수함을 의미한다. 그러나, 가공성과 더불어 다른 기계적 물성 및 안정성의 조화 관점에서 스파이럴 플로우 길이가 클수록 반드시 바람직하다고는 볼 수 없으며, 용도에 따라 적절한,스파이럴 플로우 길이 범위가 존재할 수 있다. The spiral flow length (190 ° C, 90 bar) indicates the processability of the ethylene / alpha -olefin copolymer, the larger the value means that the processability is excellent. However, from the viewpoint of harmonization of mechanical properties and stability in addition to workability, a larger spiral flow length is not necessarily preferable, and there may be an appropriate range of spiral flow lengths depending on the application.
상기 스파이럴 플로우 길이는, 나선형의 금형에 특정 압력 및 온도를 적용하여: 고분자를 사출하고 이에 따라 용융되어 사출된 고분자가 얼마나 밀려나는지를 측정하는 방식으로 평가할 수 있다. 후술할 실시예와 같이, 본 발명에서는 두께 1.5隱의 금형을 사용하고, 사출 온도 190°C , 금형 온도 50°C 및 사출 압력을 90 bar로 설정하여 측정할 수 있으며, 본 발명에 따른 에틸렌 /알파-올레핀 공증합체의 스파이럴 플로우 길이는 13 내지 25 cm로 우수한 가공성을 나타낸다. The spiral flow length is applied by applying a specific pressure and temperature to the spiral mold: how polymer is injected and thus melted and injected polymer It can be assessed by measuring if it is pushed out. As in the embodiment to be described later, in the present invention, using a mold having a thickness of 1.5 隱, an injection temperature of 190 ° C, a mold temperature of 50 ° C and the injection pressure can be measured by setting to 90 bar, the ethylene / The spiral flow length of the alpha-olefin co-polymer is 13-25 cm, indicating excellent processability.
또한, 상기 에틸렌 /알파ᅳ올레핀 공중합체는 상기와 같은 기계적 물성 및 가공성 외에도 내환경 응력 균열성 (ESCR,' envi ronmental st ress crack res i stance) 또한 우수하다는 특징이 있다. In addition, the ethylene / alpha olefin copolymer is characterized by excellent environmental stress cracking resistance (ESCR, ' envi ronmental st ress crack stance) in addition to the mechanical properties and processability as described above.
일반적으로, 가공성과 내환경 웅력 균열성은 상반되는 물성으로, 가공성을 높이기 위해 용융 지수를 높이면 내환경 웅력 균열성이 떨어지게 되나, 특정 혼성 담지 메탈로센 촉매를 이용하여 제조한 상기 일 구현예의 에틸렌 /알파-올레핀 공중합체는 양호한 가공성 및 내환경 응력 균열성을 모두 만족시킬 수 있다. In general, the processability and environmental resistance crack resistance is a contrary physical properties, if the melt index is increased to increase the workability, the environmental resistance crack resistance is reduced, but the ethylene / of the above embodiment prepared using a specific hybrid supported metallocene catalyst The alpha-olefin copolymer can satisfy both good processability and environmental stress cracking resistance.
상기 에틸렌 /알파-올레핀 공중합체는 ASTM D 1693에 따 측정한, 내환경 웅력 균열성 (ESCR)이 130 시간 이상, 140 시간 이상, 또는 150 시간 이상일 수 있다. 내환경 웅력 균열성 (ESCR)이 130 시간 이상이면 보틀캡 용도의 사용 상태에서 안정적으로 성능 유지가 가능하며, 이러한 내환경 웅력 균열성 (ESCR) 값은 높을수록 우수한 것이어서 그 상한에 제한은 없으나, 일례로 1 , 000 시간 이하, 또는 800 시간 이하, 또는 약 500 시간 이하일 수 있다. 상기 에틸렌 /알파-을레핀 공중합체는 이와 같이 고성능의 내환경 응력 균열성을 나타내므로, 보를캡 등의 식품 용기 제품으로 성형하여 고온 고압의 조건에서 사용하였을 때에도 안정성이 높아 지속적인 성능을 유지할 수 있다. 또한, 상기 에틸렌 /알파-올레핀 공중합체는 용융 지수 (Ml , 190 °C , 2. 16kg)가 0.7 g/ 10m in 이하일 수 있다. 보다 바람직하게 상기 용융 지수는 0.05 g/ 10m in 아상, 0. 1 g/ 10m in 이상, 또는 0. 15 g/lOmin 이상이고, 0.7 g/10iiiin 이하, 0.6 g/ 10m in 이하, 또는 0.5 g/ 10m in 이하일 수 있다. The ethylene / alpha-olefin copolymer may have an environmental stress crack resistance (ESCR) of 130 hours or more, 140 hours or more, or 150 hours or more, as measured according to ASTM D 1693. If the environmental stress cracking resistance (ESCR) is 130 hours or more, the performance can be stably maintained under the condition of the use of the bottle cap.The higher the environmental stress cracking resistance (ESCR) value is, the better, the upper limit is not limited. For example up to 1,000 hours, or up to 800 hours, or up to about 500 hours. Since the ethylene / alpha-olepin copolymer exhibits high performance of environmental stress cracking resistance, the ethylene / alpha-lepine copolymer can be molded into a food container product such as a borcap to maintain high stability even when used under high temperature and high pressure. . In addition, the ethylene / alpha -olefin copolymer may have a melt index (Ml, 190 ° C, 2. 16 kg) of 0.7 g / 10 m in or less. More preferably the melt index is at least 0.05 g / 10 m in, at least 0.01 g / 10 m in, or at least 0.1 g / lOmin, at most 0.7 g / 10iiiin, at most 0.6 g / 10 m in, or at most 0.5 g /. It may be less than 10m in.
[발명의 효과】 [Effects of the Invention】
본 발명에 따른 흔성 담지 메탈로센 촉매를 사용하는 경우, 가공성이 우수하며, 다정 (mul t imodal ) 분자량 분포를 나타내는 폴리올레핀의 제조가 가능한 특징이 있다. 【발명을 실시하기 위한 구체적인 내용】 When the common supported metallocene catalyst according to the present invention is used, it is excellent in workability and has a feature capable of producing a polyolefin having a mult imodal molecular weight distribution. [Specific contents to carry out invention]
발명을 하기의 실시예에서 보다 상세하게 설명한다. 단, 하기의 실시예는 본 발명을 예시하는 것일 뿐, 본 발명의 내용이 하기의 실시예에 와하여 한정되는 것은 아니다. 제조예 1 : 제 1 메탈로센 화합물의 제조 The invention is explained in more detail in the following examples. However, the following examples are merely to illustrate the present invention, the content of the present invention is not limited to the following examples. Preparation Example 1 Preparation of First Metallocene Compound
1-1 리간드 화합물의 제조 Preparation of 1-1 Ligand Compound
건조된 250 mL Schlenk flask에 10.8 g (100 mmol)의 chlorobutan이을 넣은 후 10 g의 molecular sieve와 100 mL의 MTBE를 가한 다음 20 g의 황산을 30분에 걸쳐 천천히 가하였다. 반응 흔합물은 시간이 지나며 천천히 분홍색으로 변하며, 16시간 이후 얼음으로 차^게 식힌 포화 sodium bicarbonate 용액에 부었다. 이 흔합물에 ether (100 mL x 4)를 가해 여러 번 추출해내고, 모인 유기층은 MgS04로 건조하고 여과를 거친 다음 진공 감압 하에서 용매를 제거하여 노란색의 액체 형태의 l-(tert butoxy)-4-chlorobutane 10 g (60% 수율)을 얻었다. 10.8 g (100 mmol) of chlorobutan was added to the dried 250 mL Schlenk flask, 10 g of molecular sieve and 100 mL of MTBE were added, and 20 g of sulfuric acid was added slowly over 30 minutes. The reaction mixture slowly turned pink over time and poured into saturated sodium bicarbonate solution cooled with ice after 16 hours. The mixture was extracted several times by adding ether (100 mL x 4), and the combined organic layers were dried over MgS0 4 , filtered, and the solvent was removed under vacuum pressure to give l- (tert butoxy) -4 as a yellow liquid. 10 g (60% yield) of -chlorobutane was obtained.
1 H NMR (500MHz, CDC13): 1.16 (9H, s), 1.67 ~ 1.76 (2H, m), 1.86〜 1.90 (2H, m), 1.94 (1 H, m), 3.36 (2H, m), 3.44 (1 H, m), 3.57 (3H, m) 1 H NMR (500 MHz, CDC1 3 ): 1.16 (9H, s), 1.67-1.76 (2H, m), 1.86-1.90 (2H, m), 1.94 (1 H, m), 3.36 (2H, m), 3.44 (1 H, m), 3.57 (3H, m)
건조된 250 mL Schlenk flask에 4.5 g (25 mmol)의 상기에서 합성합 l-(tert butoxy)-4-chlorobutane을 넣고 40 mL의 THF에 녹였다. 여기에 20 mL의 sodium cyclopentadienylide THF 용액을 천천히 가한 후 하룻동안 교반시켰다. 이 반웅 흔합물에 50 mL의 물을 가해 뭔칭 (quenching)시키고, ether로 추출 (50 mL x 3)한 다음 모인 유기층을 brine으로 충분히 씻어주었다. MgS04로 남은 수분을 건조하고 여과한 다음, 진공 감압 하에 용매를 제거함으로써 어두운 갈색의 점성이 있는 형태의 생성물인 2-(4-(tert-butoxy)butyl) cyclopenta-l ,3-diene을 정량 수율로 수득하였다. 4.5 g (25 mmol) of the synthetic l- (tert butoxy) -4-chlorobutane was added to the dried 250 mL Schlenk flask and dissolved in 40 mL of THF. 20 mL of sodium cyclopentadienylide THF solution was slowly added thereto, followed by stirring for one day. 50 mL of water was added to the reaction mixture, quenched, extracted with ether (50 mL x 3), and the combined organic layers were sufficiently washed with brine. Dry the remaining moisture with MgS0 4 , filter, and remove the solvent under reduced pressure under vacuum to quantify 2- (4- (tert-butoxy) butyl) cyclopenta-l, 3-diene as a dark brown viscous form. Obtained in yield.
1 H NMR (500MHz, CDC13): 1.16 (9H, s), 1.54〜 1.60 (4H, m), 1.65 (1H, m), 1.82 (1H, m), 2.37 ~ 2.42 (2H, m), 2.87, 2.92 (2H, s), 3.36 (2H, m), 5.99 (0.5H, s), 6.17 (0.5H, s), 6.25 (0.5H, s), 6.34 (0.5H, s), 6.42 (1H, s) 1 H NMR (500MHz, CDC1 3 ): 1.16 (9H, s), 1.54-1.60 (4H, m), 1.65 (1H, m), 1.82 (1H, m), 2.37-2.42 (2H, m), 2.87 , 2.92 (2H, s), 3.36 (2H, m), 5.99 (0.5H, s), 6.17 (0.5H, s), 6.25 (0.5H, s), 6.34 (0.5H, s), 6.42 (1H , s)
1-2 메탈로센 화합물의 제조 Preparation of 1-2 metallocene compound
건조된 250 mL Schlenk flask 에 1—1 에서 합성한 리간드 화합물 4.3 g(23 隱 ol)을 넣고 60 mL 의 THF 에 녹였다. 여기에 11 mL 의 n-BuLi 2.0M hexane solution (28 mmol)을 가하고 하룻동안 교반시킨 다음, 이 용액을 ZrCl4(THF)2 3.83 g(10.3 誦 ol)을 50 mL 의 ether 에 분산시킨 플라스크에 - 78°C에서 천천히 가하였다. 4.3 g (23 μL) of the ligand compound synthesized in 1-1 was added to a dried 250 mL Schlenk flask and dissolved in 60 mL of THF. 11 mL of n-BuLi 2.0M hexane solution (28 mmol) was added thereto, and the mixture was stirred for one day. The solution was then added to a flask in which 3.83 g (10.3 μl) of ZrCl 4 (THF) 2 was dispersed in 50 mL of ether. Slowly added at 78 ° C.
이 반웅 흔합물은 상온까지 올리면 옅은 갈색의 서스펜션에서 탁한 노란색이 서스펜션 형태로 변하였다. 하룻동안 교반시킨 후 반웅 흔합물와 용매를 모두 건조시키고 200 mL 의 핵산을 넣어 son i cat ion 을 하여 기라앉한 다음, 위층에 뜬 핵산 용액을 cannula 로 decant at ion 하여 모았다. 이 과정을. 2 회 반복하여 얻은 핵산 용액을 진공 감압하에서 건조하여 옅은 노란색 고체 형태의 화합물인 bis(3-(4— (tert-butoxy)butyl-2,4— dien-yl) zirconium(IV) chloride가 생성되었음을 확인하였다-ᅳ The reaction mixture changed from pale brown suspension to turbid yellow in suspension form when raised to room temperature. After stirring for one day, both the reaction mixture and the solvent were dried, 200 mL of nucleic acid was added thereto, and the sonic cat ion was allowed to settle. The nucleic acid solution in the upper layer was collected by decant at ion with cannula. This process. The nucleic acid solution obtained twice was dried under vacuum reduced pressure to give bis (3- (4— (tert-butoxy) butyl-2,4—dien-yl) zirconium (IV) chloride, a pale yellow solid. Confirmed- ᅳ
1 H NMR (500MHz, CDC13): 0.84 (6H, m), 1.14 (18H, s), 1.55 - 1:61 (8H, m), 2.61 (4H. ni), 3.38 (4H, m), 6.22 (3H, s). 6.28 (3H. s) 1 H NMR (500MHz, CDC1 3 ): 0.84 (6H, m), 1.14 (18H, s), 1.55-1: 61 (8H, m), 2.61 (4H.ni), 3.38 (4H, m), 6.22 (3H, s). 6.28 (3H. S)
2-1 리간드 화합물의 제조 ndole 을 넣고 아르곤 하에서 40 niL 의 에테르를 주입하였다. 에테르 용액을 0°C까지 넁각한 후, 4.8 mL (12 瞧 ol)의 2.5 M nBuLi hexane solution 을 천천히 적가하였다. 반응 흔합물은 천천히 상온으로 올린 후 다음날까지 교반하였다. 다른 250 mL schlenk flask 에 에테르 20 mL 를 채운 후 3.6 mL (30 mmol)의 d i ch 1 or ome t hy 1 ( t er t bu t oxyhexy 1 ) s i 1 ane 을 주입하였다. 이 flask 를 -78°C까지 냉각한 뒤, 여기에 Indenoindole 의 lithiated solution 을 cannula 를 통해 주입하였다. 주입이 끝난 혼합물은 상온으로 천천히 올린 후 약 5 시간 동안 교반시킨 후, 하루동안 교반한 후, Flask 내에 50 ml 의 물을 넣어 퀀칭하고 유기층을 분리하여 MgS04 로 건조하였다. 감압하에서 용매로 사용된 에테르를 제거하였다. 이를 NMR 로 확인하여 약 95% 이상 순도의 10-((6-(tert-butoxy)hexyl)ehloro(methyl)silyl)-5,8-dimethyl- 5 , 10-d i hydr o i ndeno [ 1 , 2-b ] i ndo 1 e 을 얻었다. Preparation of 2-1 Ligand Compound ndole was added and 40 niL of ether was injected under argon. After the ether solution was cooled to 0 ° C., 4.8 mL (12 mmol) of 2.5 M nBuLi hexane solution was slowly added dropwise. The reaction mixture was slowly raised to room temperature and stirred until the next day. Another 250 mL schlenk flask was charged with 20 mL of ether, and then 3.6 mL (30 mmol) of di ch 1 or ome t hy 1 (t er t bu t oxyhexy 1) si 1 ane were injected. After cooling the flask to -78 ° C, a lithiated solution of Indenoindole was injected through cannula. After the injection, the mixture was slowly raised to room temperature, stirred for about 5 hours, stirred for one day, quenched with 50 ml of water in the Flask, and the organic layer was separated and dried over MgS0 4 . The ether used as solvent was removed under reduced pressure. This was confirmed by NMR and 10-((6- (tert-butoxy) hexyl) ehloro (methyl) silyl) -5,8-dimethyl-5, 10-di hydr oi ndeno [1, 2- with a purity of about 95% or more. b] i ndo 1 e was obtained.
Indenoindole part 의 합성이 확인된 후. 건조된 100 mL schlenk flask 에 1.7 g (10 画 ol)의 3-(but-3-en-l-yl.)-lH-indene 을 주입하고' 40 mL 의 에테르에 용해시켰다. 이후 -78°C에서 4.8 ml (12 隱 ol)의 2.5 M nBuLi hexane solution 을 천천히 적가하고 하루 동안 교반하였다. 앞서 합성한 10- ((6-(tert-butoxy)hexyl)chloro(methyl )si lyl )-5,8-dimethyl-5.10- d i hydr o i ndeno [1, 2-b] indole 를 40 mL 의 에테르에 녹인 후, ᅳ 78°C에서 buthylindene 의 lithiated solution 을 적가하였다. 약 20 시간 후, flask 내에 50 mL 의 물을 넣어 퀀칭하고 유기층을 분리하여 MgS04로 건조하였다. Filtration 을 통해 얻어진 흔합물은 진공 감압 조건에서 용매를 증발시켰다. 그 결과, 5.8 g (9.7 隱 ol, 97. )의 10-( (3-(but-3_en-l-yl )— lH—inden-1— yl )(6-(tert-butoxy)hexyl ) (methyl )si lyl )-5,8-dimethyl-5, 10- d i hydr oi ndeno [1, 2-b] indole 얻었다 . After the synthesis of the indenoindole part is confirmed. 1.7 g (10 μl) of 3- (but-3-en-l-yl.)-LH-indene was injected into a dried 100 mL schlenk flask and dissolved in 40 mL of ether. Then 4.8 ml (12 隱 ol) of 2.5 M nBuLi hexane solution was slowly added dropwise at -78 ° C and stirred for one day. 10-((6- (tert-butoxy) hexyl) chloro (methyl) si lyl) -5,8-dimethyl-5.10-di hydr oi ndeno [1, 2-b] indole synthesized previously in 40 mL of ether After melting, lithiated solution of buthylindene was added dropwise at ᅳ 78 ° C. After about 20 hours, 50 mL of water was added to the flask, quenched, and the organic layer was separated and dried over MgS0 4 . The mixture obtained through filtration evaporated the solvent under vacuum reduced pressure conditions. As a result, 10- ((3- (but-3_en-l-yl) — lH—inden-1—yl) (6- (tert-butoxy) hexyl) (methyl) of 5.8 g (9.7 隱 ol, 97.) ) si lyl) -5,8-dimethyl-5,10-dihydroi ndeno [1,2-b] indole was obtained.
¾ 匪 R (500 MHz, CDC13): -0.71, -0.23 (3H, d) , 0.82 (2H, s), 1.17 ¾ 匪 R (500 MHz, CDC13): -0.71, -0.23 (3H, d), 0.82 (2H, s), 1.17
(9H, s), 1.23 1.39 (7H, m) , 1.51 (1H, s), 2.26 (2H, m) , 2.48 (2H, i ), 2.61 (2H, m), 3.25 (2H. m) , 3.50 (1H, s), 3.82 (1H, s), 4.09 (3H, m) , 5.03 (2H, m), 5.89 (1H, m) , 7.08 (1H, s), 7.15 - 7.75 (11H, m) (9H, s), 1.23 1.39 (7H, m), 1.51 (1H, s), 2.26 (2H, m), 2.48 (2H, i), 2.61 (2H, m), 3.25 (2H. M), 3.50 (1H, s), 3.82 (1H, s), 4.09 (3H, m), 5.03 (2H, m), 5.89 (1H, m), 7.08 (1H, s), 7.15-7.75 (11H, m)
2-2 메탈로센 화합물의 제조 2-2 Preparation of Metallocene Compound
오본에 건조한 250 mL schlenk flask 에 리간드를 넣고 에테르에 녹인 다음. 2.1 당량의 nBuLi solution 을 가해 다음날까지 lithiation 을 시켰다. 글러브 박스 내에서 1 당량의 ZrCl4(THF)2 를 취해 250 ml schlenk flask 에 담고 에테르 또는 를루엔을 넣은 suspension 을 준비하였다. 위 두 개의 flask 모두 ᅳ 78°C까지 넁각시킨 후 ligand anion 을 천천히 Zr suspension 에 가하였다. 주입이 끝난 후, 반응 흔합물은 천천히 상온까지 올렸다. 이 과정에서 메탈레이션이 성공적으로 진행되고 있는 경우, 촉매 전구체 특유의 색인 자주색이 나타나는 것이 확인되었다. 이를 하루동안 교반한 후, 혼합물 내의 를루엔 또는 에테르를 약 1/5 volume 까지 진공 감압을 통해 제거하고 남아있는 용매의 5 배 정도 volume 의 핵산을 가하였다. 이 때 핵산을 가하는 이유는 합성된 촉매 전구체가 핵산에 대한 용해도가 떨어지기 때문에 결정화를 촉진시키기 위해서이다. 이 hexane slurry 를 아르곤 하에서 필터하고 여과 후 필터된 고체와 여과액을 모두 진공 감압하에서 증발시켰다. 위에 남은 filter cake 을 글러브 박스 내에서 계량하고 샘플링하여 합성 여부와 수율. 순도를 확인하였다. 메탈레이션의 용매로는 에테르를 사용하였으며 5,8 g (9.7. 隱 ol)의 리간드로부터 2.5 g (30.5%)의 자주색 고체가 얻어졌다 (NMR 기준 purity (wt%) = 90%. Mw = 762.06). Place ligand in a dry 250 mL schlenk flask in Aubonn and dissolve in ether. 2.1 equivalents of nBuLi solution was added and lithiation was performed until the next day. One equivalent of ZrCl 4 (THF) 2 was taken in a glove box and placed in a 250 ml schlenk flask to prepare a suspension containing ether or leuene. After the two flasks were cooled down to ᅳ 78 ° C, ligand anion was slowly added to the Zr suspension. After the injection was over, the reaction mixture was slowly raised to room temperature. In this process, when the metallization was successful, it was confirmed that the index purple peculiar to the catalyst precursor appeared. After stirring for one day, toluene or ether in the mixture was removed by vacuum depressurization to about 1/5 volume and the volume of nucleic acid was added about 5 times the volume of the remaining solvent. The reason for adding the nucleic acid at this time is to promote crystallization because the synthesized catalyst precursor is insoluble in nucleic acid. This hexane slurry was filtered under argon, and after filtration, both the filtered solid and the filtrate were evaporated under vacuum reduced pressure. The remaining filter cake is weighed and sampled in the glove box for synthesis and yield. Purity was confirmed. Ether was used as the solvent for metallization, and 2.5 g (30.5%) of a purple solid was obtained from 5,8 g (9.7.% Ol) of ligand (purity (wt%) = 90% based on NMR. Mw = 762.06) ).
¾ NM (500 MHz. CDCI3): 0.81 (3H, m), 1.19 (10H, m), 1.55 1.78 (10H, m), 1.97 (2H, m) , 2.26 (2H, m) , 2.54 (3H. s.) 3.36 (2H, m) , 3.94 (3H, s), 4.16 (1H, d), 4.85 (1H, ni) , 5.64 (1H, s), 6.53 (IH, s), 6.97 (2H, m), 7.10 ~ 7.45 (5H, m), 7.52 ~ 7.87 (4H, m) ¾ NM (500 MHz.CDCI 3 ): 0.81 (3H, m), 1.19 (10H, m), 1.55 1.78 (10H, m), 1.97 (2H, m), 2.26 (2H, m), 2.54 (3H. s.) 3.36 (2H, m), 3.94 (3H, s), 4.16 (1H, d), 4.85 (1H, ni), 5.64 (1H, s), 6.53 (IH, s), 6.97 (2H, m ), 7.10 to 7.45 (5H, m), 7.52 to 7.87 (4H, m)
3-1 리간드 화합물의 제조 Preparation of 3-1 Ligand Compound
I ndeno indole 유도체 3 g(10 隱 ol)을 100 mL의 Hexane에 녹여 2.5M n- BuLi Hexane solution 4.4 mL(ll 隱 ol)을 적가하여 상온에서 밤새 교반하였다. 다른 250 niL schlenk flask를 준비해서 glove box안에 넣고 glove box 안에서 (6-tert-butoxyhexy l )dichloro(methyl)si lane 2.7 g(10 mmol)의 무게를 재서 밖으로 꺼내 hexane 50 mL 에 녹인 후, lithiated slurry 를 적가하였다. 주입이 끝난 흔합물은 상온으로 천천히 올린 후 밤새 교반한 반응 흔합물에 sodium Cp salt 10 mmol 을 THF 100 mL 에 녹여 적가하여 상온에서 밤새 교반하였다. 반웅 후 extraction하여 유기층의 잔류 수분을 MgS04로 제거 후, 진공 감압 조건에서 용매를 제거하여 oilic 한 상태로 리간드 화합물을 얻었으며, ¾ NMR 로 이를 확인하였다. 3 g (10 μl) of I ndeno indole derivative was dissolved in 100 mL of Hexane, and 4.4 mL (ll μl) of 2.5M n-BuLi Hexane solution was added dropwise and stirred overnight at room temperature. Prepare another 250 niL schlenk flask, place it in a glove box, weigh 2.7 g (10 mmol) of (6-tert-butoxyhexy l) dichloro (methyl) si lane in the glove box, take it out, and dissolve in 50 mL of hexane. Was added dropwise. After completion of the injection, the mixture was slowly raised to room temperature, and then stirred overnight at 10 ° C by adding 10 mmol of sodium Cp salt in 100 mL of THF to the reaction mixture, which was stirred overnight. After removal of the residual moisture of the organic layer after extraction with banung MgS0 4, the solvent was removed in vacuo to a reduced pressure condition was obtained as a ligand compound oilic a state, it was confirmed by NMR ¾.
' ¾ NMR (500 MHz, CDC13): 7.74 ~ 6.49 (7H, m), 5.87 (6H, s), 3.32 (2H, m), 3.49 (3H, s), 1.50 ~ 1.25 (8H, m), 1.15 (9H, s), 0.50 (2H, m), 0.17 (3H, d) '¾ NMR (500 MHz, CDC1 3): 7.74 ~ 6.49 (7H, m), 5.87 (6H, s), 3.32 (2H, m), 3.49 (3H, s), 1.50 ~ 1.25 (8H, m), 1.15 (9H, s), 0.50 (2H, m), 0.17 (3H, d)
3-2메탈로센 화합물의 제조 Preparation of 3-2 Metallocene Compound
3-1 에서 합성한 리간드 화합물 7.9 mmol 을 를루엔 80 ml 에 녹여 2.5M nBuLi hexane solution 6.6 mL(16.6 隱 ol)을 적가하여 상은에서 밤새 교반하였다. 그 9 mmol 의 ZrCl4(THF)2을 를루엔 80 mL 에 슬러리로 준비하여 Ligand-Li solution을 transfer하여 교반하였다. 7.9 mmol of the ligand compound synthesized in 3-1 was dissolved in 80 ml of toluene, and 6.6 mL (16.6 隱 ol) of 2.5M nBuLi hexane solution was added dropwise, followed by stirring at room temperature overnight. The 9 mmol of ZrCl 4 (THF) 2 was prepared as a slurry in 80 mL toluene was stirred to transfer the Ligand-Li solution.
반웅 흔합물을 filter 하여 LiCl 을 제거한 뒤, filtrate 의 를루엔을 진공 건조한 후 액체 상태의 촉매 1.5 g 을 얻었으며, yield 23 mol%를 얻을 수 있었다. After the reaction mixture was filtered to remove LiCl, filtrate was vacuum dried toluene to obtain 1.5 g of a liquid catalyst, yielding 23 mol%.
¾ NMR (500 MHz, CDC13): 7.66 ~ 7.20. (17HT m) , JH NMR (500 MHz,¾ NMR (500 MHz, CDC1 3 ): 7.66-7.20. (17 H T m), J H NMR (500 MHz,
CDCI3): 7.89 ~ 6.53 (19H, m), 5.82 (4H, s), 3.19 (2H, s), 2.40 (3H, m), 1.35 ~ 1.21 (4H, m), 1.14 (9H, s), 0.97 - 0.9 (4H, m), —0.34 (3H, t) CDCI3): 7.89-6.53 (19H, m), 5.82 (4H, s), 3.19 (2H, s), 2.40 (3H, m), 1.35-1.21 (4H, m), 1.14 (9H, s), 0.97 0.9 (4H, m), —0.34 (3H, t)
<흔성 담지 촉매의 제조 실시예 > <Example of preparing a supported catalyst>
실시예 1 Example 1
20L SUS 반웅기에 틀루엔 용액 3 kg 을 넣고 반웅기 온도를 40 °C로 유지하였다. 600 °C의 온도에서 12 시간 동안 진공을 가해 탈수시킨 실리카 (Grace davison 사 제조, Sylopol 948) 1 kg 을 반웅기에 투입하고 실리키를 충분히 분산시킨 후, ΐα wt 메틸알루미녹산 (MA0)/를루엔 용액 3 kg을 투입한 후, 40 °C에서 200 rpm으로 12시간 동안 교반하였다. 그리고, 제조예 3 의 메탈로센 화합물을 0.1 mmol/gSi02 비율로 를루엔에 녹여 투입하고 40 °C에서 2시간 동안 교반하여 반웅시켰다. 3 kg of toluene solution was added to a 20 L SUS reaction vessel, and the reaction temperature was maintained at 40 ° C. 600 ° silica was dehydrated by applying vacuum for 12 hours at a temperature of C (Grace davison manufactured, Sylopol 948) In 1 kg of the anti-unggi and then sufficiently dispersed silica key, ΐα wt methylaluminoxane (MA0) / a 3 kg of the luene solution was added thereto, followed by stirring at 40 ° C. at 200 rpm for 12 hours. In addition, the metallocene compound of Preparation Example 3 was dissolved in toluene at a ratio of 0.1 mmol / gSi0 2 , and stirred and reacted at 40 ° C. for 2 hours.
다음으로, 제조예 2 의 메탈로센 화합물을 0.15 隱 ol/gSi¾ 비율로 반웅기에 투입한 후, 40 °C에서 200 rpm 으로 2 시간 동안 교반하였다. 제조예 1의 메탈로센 메탈로센 화합물을 0.15麵 ol/gSi02 비율로 반응기에 투입한 후, 40 °C에서 200 rpm으로 2시간 동안 교반하였다. Next, the metallocene compound of Preparation Example 2 was added to the reaction vessel at a rate of 0.15 kPa ol / gSi¾, and then stirred at 40 ° C. at 200 rpm for 2 hours. The metallocene metallocene compound of Preparation Example 1 was introduced into the reactor at a ratio of 0.15 kPa ol / gSi0 2 , and then stirred at 40 ° C. at 200 rpm for 2 hours.
핵산 슬러리를 filter 로 이송하고 핵산 용액을 필터하였다. 40°C에서 4시간 동안 감압 하에 건조하여 1 kg 흔성 담지 촉매를 제조하였다. 실시예 2 The nucleic acid slurry was transferred to a filter and the nucleic acid solution was filtered. 1 kg of the supported catalyst was prepared by drying under reduced pressure at 40 ° C. for 4 hours. Example 2
상기 제조예 1 에서 제조한 메탈로센 화합물을 0.1 mmol/g Si02 투입한 것을 제외하고는 상기 실시예 1 과 동일한 방법을 사용하여, 혼성 담지 메탈로센 촉매를 제조하였다. 실시예 3 A hybrid supported metallocene catalyst was prepared in the same manner as in Example 1, except that 0.1 mmol / g Si0 2 was added to the metallocene compound prepared in Preparation Example 1. Example 3
' 상기 제조예 1 에서 제조한 메탈로센 화합물을 0.1 mmol/g Si02 투입하고, 상기 제조예 2 에서 제조한 메탈로센 화합물을 0.1 mmol/g Si02 투입한 것을 제외하고는 상기 실시예 1 과 동일한 방법을 사용하여, 흔성 담자 메탈로센 촉매를 제조하였다. 비교예 1 'The metallocene compound as a metal prepared in Preparation Example 1, 0.1 mmol / g Si0 2 inputs, and a metallocene compound a metal prepared in Preparation Example 2, 0.1 mmol / g Si0 and is described in Example 1 except that the second input Using the same method as in the above, the common immersion metallocene catalyst was prepared. Comparative Example 1
지글러 나타 촉매로 제조한 폴리에틸렌 공중합체 (ME1000, LG 화학 제품)를 비교예 1로 하였다. 비교예 2 Polyethylene copolymer (ME1000, LG Chemical) made with Ziegler-Natta catalyst was used as Comparative Example 1. Comparative Example 2
상기 제조예 1 에서 제조한 메탈로센 화합물을 0.1 mmol/g Si02 투입하고, 상기 제조예 2 에서 제조한 메탈로센 화합물을 0.2 mmol/g Si02 투입하고, 상기 제조예 3 에서 제조한 메탈로센 화합물을 투입하지 않은 것을 제외하고는 상기 실시예 1 과 동일한 방법을 사용하여, 흔성 담지 메탈로센 촉매를 제조하였다. 시험예: 에틸렌 /1-부텐 공중합체의 제조 0.1 mmol / g Si0 2 was added to the metallocene compound prepared in Preparation Example 1, 0.2 mmol / g Si0 2 was added to the metallocene compound prepared in Preparation Example 2, and the metal prepared in Preparation Example 3 was added. A common supported metallocene catalyst was prepared in the same manner as in Example 1 except that no rosene compound was added. Test Example: Preparation of Ethylene / 1-Butene Copolymer
상기 실시예에 각각에서 제조한 각각의 흔성 담지 메탈로센 촉매를 CSTR 연속 중합기 (반응기 부피 50 L)에 투입하여 올레핀 중합체를 제조하였다. 공단량체로는 1-부텐을 사용하였고, 반응기 압력은 10 bar로 증합 온도는 90°C로 유지하였다. Each of the common supported metallocene catalysts prepared in each of the above examples was introduced into a CSTR continuous polymerizer (reactor volume 50 L) to prepare an olefin polymer. As comonomer, 1-butene was used, and the reactor pressure was maintained at 10 bar and the deposition temperature was maintained at 90 ° C.
상기 실시예 1 내지 비교예 1 및 2의 각각의 흔성 담지 메탈로센 촉매를 이용한 중합 조건을 하기 표 1에 정리하여 나타내었다. The polymerization conditions using the common supported metallocene catalysts of Examples 1 to 2 and Comparative Examples 1 and 2 are collectively shown in Table 1 below.
【표 1】 Table 1
상기 실시예 1 내지 3, 비교예 1 및 2에서 제조된 폴리올레핀의 물성을 하기 방법으로 측정하여 표 2에 나타내었다. The physical properties of the polyolefins prepared in Examples 1 to 3 and Comparative Examples 1 and 2 were measured by the following methods, and are shown in Table 2.
(1) Mn, Mw, PDI, GPC 커브: 샘풀을 PL-SP260을 이용하여 BHT 0.0125% 포함된 1,2,4-Trichlorobenzene 에서 160°C, 10 시간 동안 녹여 전처리하고, PL-GPC220 을 이용하여 측정 온도 160°C에서 수평균 분자량, 중량평균 분자량을 측정하였다. PDI 는 중량평균 분자량과 수평균 분자량의 비 (Mw/Mn)로 나타내었다. 그리고, X 축이 log Mw 이고 y 축이 dw/dlogMw 인 GPC 커브 그래프에서, log Mw 가 4.5 - 5.0, 5.0 ~ 5.5, 또는 5.5 ~ 6.0 안 영역의 적분 값이 X 축 전체 적분 값에 대한 비율을 계산하여 표 2에 기재하였다. (1) Mn, Mw, PDI, GPC curve: Pre-treat the sample by dissolving it for 160 hours in 1,2,4-Trichlorobenzene containing 0.0125% of BHT using PL-SP260 for 10 hours, using PL-GPC220 The number average molecular weight and the weight average molecular weight were measured at a measurement temperature of 160 ° C. PDI was expressed as the ratio (Mw / Mn) of the weight average molecular weight and the number average molecular weight. Then, in a GPC curve graph where the X axis is log Mw and the y axis is dw / dlogMw, the integral value in the area where log Mw is 4.5-5.0, 5.0-5.5, or 5.5-6.0 is the ratio of the integral value of the X axis. The calculation is shown in Table 2.
(32) 밀도 (Density, g/cm3): ASTM 1505에 따라 측정하였다. (32) Density (g / cm 3 ): Measured according to ASTM 1505.
(3) 용융지수 (Ml, 2.16 kg): ASTM 1238 에 따라 측정 온도 190°C에서 측정하였다. (3) Melt index (Ml, 2.16 kg): measured at a measurement temperature of 190 ° C according to ASTM 1238.
(4) ESCR: ASTM D 1693 에 따라 10% Igepal CO-630 Solution 을 사용하여 은도 50°C 조건하에서 F50 (50% 파괴)까지의 시간을 측정하였다. (4) ESCR: According to ASTM D 1693, using a 10% Igepal CO-630 Solution to measure the time to F50 (50% fracture) under 50 ° C silver.
(5) . 스파이럴 플로우 길이 (Spiral flow length): ENGEL 150톤 사출기를 사용하였으며, 금형 두께는 1.5 mm, 사출 온도는 190°C , 금형 온도는 50°C . 사출 압력을 90 bar로 하여 측정하였다. (5). Spiral flow length: ENGEL 150 ton injection machine was used, mold thickness is 1.5 mm, injection temperature is 190 ° C, mold temperature is 50 ° C. The injection pressure was measured at 90 bar.
【표 2】 Table 2
상기 표 2 에 나타난 바와 같이, 실시예의 에틸렌 /알파-올레핀 공중합체는 넓은 분자량 분포를나타내면서, log Mw가 5.0 내지 5.5인 영역의 비율이 특정 범위를 만족함에 따라, 내환경 웅력 균열성이 150 시간 이상이며 상대적으로 높은 스파이럴 플로우 길이를 나타내어, 우수한 가공성 및 현저히 개선된 내환경 웅력 균열성을 나타냄을 확인할 수 있다. As shown in Table 2, the ethylene / alpha -olefin copolymer of the embodiment exhibits a wide molecular weight distribution, as the ratio of the area of the log Mw of 5.0 to 5.5 meets a specific range, the environmental impact crack resistance 150 hours As described above, it can be seen that it exhibits a relatively high spiral flow length and shows excellent processability and significantly improved environmental stress cracking resistance.
Claims
Priority Applications (3)
| Application Number | Priority Date | Filing Date | Title |
|---|---|---|---|
| EP17861201.6A EP3363820B1 (en) | 2016-12-19 | 2017-11-03 | Hybrid supported metallocene catalyst, and method for preparing polyolefin by using same |
| US15/773,748 US10544247B2 (en) | 2016-12-19 | 2017-11-03 | Supported hybrid metallocene catalyst, and method for preparing polyolefin using the same |
| CN201780004061.7A CN108473613B (en) | 2016-12-19 | 2017-11-03 | Supported hybrid metallocene catalyst and method for preparing polyolefin using the same |
Applications Claiming Priority (4)
| Application Number | Priority Date | Filing Date | Title |
|---|---|---|---|
| KR10-2016-0173802 | 2016-12-19 | ||
| KR20160173802 | 2016-12-19 | ||
| KR10-2017-0145519 | 2017-11-02 | ||
| KR1020170145519A KR102073253B1 (en) | 2016-12-19 | 2017-11-02 | Supported hybrid metallocene catalyst and method for preparing polyolefin using the same |
Publications (1)
| Publication Number | Publication Date |
|---|---|
| WO2018117403A1 true WO2018117403A1 (en) | 2018-06-28 |
Family
ID=62626709
Family Applications (1)
| Application Number | Title | Priority Date | Filing Date |
|---|---|---|---|
| PCT/KR2017/012420 Ceased WO2018117403A1 (en) | 2016-12-19 | 2017-11-03 | Hybrid supported metallocene catalyst, and method for preparing polyolefin by using same |
Country Status (1)
| Country | Link |
|---|---|
| WO (1) | WO2018117403A1 (en) |
Citations (10)
| Publication number | Priority date | Publication date | Assignee | Title |
|---|---|---|---|---|
| US5032562A (en) | 1989-12-27 | 1991-07-16 | Mobil Oil Corporation | Catalyst composition and process for polymerizing polymers having multimodal molecular weight distribution |
| US5525678A (en) | 1994-09-22 | 1996-06-11 | Mobil Oil Corporation | Process for controlling the MWD of a broad/bimodal resin produced in a single reactor |
| US5914289A (en) | 1996-02-19 | 1999-06-22 | Fina Research, S.A. | Supported metallocene-alumoxane catalysts for the preparation of polyethylene having a broad monomodal molecular weight distribution |
| KR20030012308A (en) | 2001-07-31 | 2003-02-12 | 주식회사 예스아이비 | Batting-type lottery system and batting method |
| KR20150058054A (en) * | 2013-11-18 | 2015-05-28 | 주식회사 엘지화학 | Metallocene supported catalyst and method for preparing polyolefin using the same |
| KR20150057964A (en) * | 2013-11-18 | 2015-05-28 | 주식회사 엘지화학 | Metallocene compound, catalyst composition comprising the same, and method for preparation of olefin-based polymer using the same |
| KR20150139462A (en) * | 2014-06-03 | 2015-12-11 | 주식회사 엘지화학 | Method for preparing polyolefin and polyolefin prepared therefrom |
| KR20160019875A (en) * | 2014-08-12 | 2016-02-22 | 주식회사 엘지화학 | Metallocene compounds, catalyst compositions comprising the same, and method for preparing olefin polymers using the same |
| WO2016122018A1 (en) * | 2015-01-28 | 2016-08-04 | 주식회사 엘지화학 | Metallocene compound, catalyst composition containing same, and method for preparing polyolefin using same |
| KR20160123123A (en) * | 2015-04-15 | 2016-10-25 | 주식회사 엘지화학 | Ethylene/alpha-olefin copolymer having excellent processibility |
-
2017
- 2017-11-03 WO PCT/KR2017/012420 patent/WO2018117403A1/en not_active Ceased
Patent Citations (10)
| Publication number | Priority date | Publication date | Assignee | Title |
|---|---|---|---|---|
| US5032562A (en) | 1989-12-27 | 1991-07-16 | Mobil Oil Corporation | Catalyst composition and process for polymerizing polymers having multimodal molecular weight distribution |
| US5525678A (en) | 1994-09-22 | 1996-06-11 | Mobil Oil Corporation | Process for controlling the MWD of a broad/bimodal resin produced in a single reactor |
| US5914289A (en) | 1996-02-19 | 1999-06-22 | Fina Research, S.A. | Supported metallocene-alumoxane catalysts for the preparation of polyethylene having a broad monomodal molecular weight distribution |
| KR20030012308A (en) | 2001-07-31 | 2003-02-12 | 주식회사 예스아이비 | Batting-type lottery system and batting method |
| KR20150058054A (en) * | 2013-11-18 | 2015-05-28 | 주식회사 엘지화학 | Metallocene supported catalyst and method for preparing polyolefin using the same |
| KR20150057964A (en) * | 2013-11-18 | 2015-05-28 | 주식회사 엘지화학 | Metallocene compound, catalyst composition comprising the same, and method for preparation of olefin-based polymer using the same |
| KR20150139462A (en) * | 2014-06-03 | 2015-12-11 | 주식회사 엘지화학 | Method for preparing polyolefin and polyolefin prepared therefrom |
| KR20160019875A (en) * | 2014-08-12 | 2016-02-22 | 주식회사 엘지화학 | Metallocene compounds, catalyst compositions comprising the same, and method for preparing olefin polymers using the same |
| WO2016122018A1 (en) * | 2015-01-28 | 2016-08-04 | 주식회사 엘지화학 | Metallocene compound, catalyst composition containing same, and method for preparing polyolefin using same |
| KR20160123123A (en) * | 2015-04-15 | 2016-10-25 | 주식회사 엘지화학 | Ethylene/alpha-olefin copolymer having excellent processibility |
Similar Documents
| Publication | Publication Date | Title |
|---|---|---|
| CN108401432B (en) | Catalyst composition for synthesizing olefin copolymer and method for producing olefin copolymer | |
| KR102285480B1 (en) | Polyethylene copolymer and method for preparing the same | |
| KR102234944B1 (en) | Olefin copolymer | |
| KR102073253B1 (en) | Supported hybrid metallocene catalyst and method for preparing polyolefin using the same | |
| KR102260362B1 (en) | Olefin copolymer | |
| WO2016167547A1 (en) | Ethylene/alpha-olefin copolymer having excellent environmental stress cracking resistance | |
| KR101831418B1 (en) | Ethylene/alpha-olefin copolymer having excellent processibility and surface characteristic | |
| CN106232638A (en) | Polyolefins with Excellent Environmental Stress Cracking Resistance | |
| JP6896303B2 (en) | Ethylene / alpha-olefin copolymer | |
| WO2017146375A1 (en) | Supported hybrid metallocene catalyst and polyolefin preparation method using same | |
| WO2016167568A1 (en) | Ethylene/α-olefin copolymer having excellent processability | |
| WO2017131490A2 (en) | Hybrid supported catalyst and method for preparing olefin polymer by using same | |
| KR102229002B1 (en) | Ethylene/alpha-olefin copolymer having excellent processibility and environmental stress crack resistance | |
| KR20180083247A (en) | Olefin polymer and preparation method thereof | |
| KR102048521B1 (en) | Ethylene/alpha-olefin copolymer having excellent environmental stress crack resistance | |
| KR102228533B1 (en) | Ethylene/alpha-olefin copolymer having excellent processibility | |
| KR102724460B1 (en) | Supported hybrid metallocene catalyst, and preparation method of polyolefin using the same | |
| WO2016163810A1 (en) | High-density polyethylene copolymer for blow moulding | |
| KR102174389B1 (en) | Ethylene/alpha-olefin copolymer having excellent environmental stress crack resistance | |
| WO2018117403A1 (en) | Hybrid supported metallocene catalyst, and method for preparing polyolefin by using same | |
| KR20180055558A (en) | Ethylene/alpha-olefin copolymer having excellent mechanical properties and formability | |
| WO2017155211A1 (en) | Supported hybrid catalyst system for slurry polymerization of ethylene, and method for preparing ethylene polymer by using same | |
| WO2016167548A1 (en) | Ethylene/α-olefin copolymer having excellent processability and surface characteristics |
Legal Events
| Date | Code | Title | Description |
|---|---|---|---|
| NENP | Non-entry into the national phase |
Ref country code: DE |






















