WO2018103746A1 - Carbazole benzene fused ring derivative, polymer, mixture, composition, organic electronic device and preparation method therefor - Google Patents
Carbazole benzene fused ring derivative, polymer, mixture, composition, organic electronic device and preparation method therefor Download PDFInfo
- Publication number
- WO2018103746A1 WO2018103746A1 PCT/CN2017/115310 CN2017115310W WO2018103746A1 WO 2018103746 A1 WO2018103746 A1 WO 2018103746A1 CN 2017115310 W CN2017115310 W CN 2017115310W WO 2018103746 A1 WO2018103746 A1 WO 2018103746A1
- Authority
- WO
- WIPO (PCT)
- Prior art keywords
- group
- carbon atoms
- aromatic
- fused ring
- organic
- Prior art date
- Legal status (The legal status is an assumption and is not a legal conclusion. Google has not performed a legal analysis and makes no representation as to the accuracy of the status listed.)
- Ceased
Links
- MKBGMTMMBPYEGD-UHFFFAOYSA-N Brc1cc(-[n](c(ccc(-c(cc2)ccc2-c2cccnc2)c2)c2c2c3)c2ccc3-c(cc2)ccc2-c2cccnc2)cc(Br)c1 Chemical compound Brc1cc(-[n](c(ccc(-c(cc2)ccc2-c2cccnc2)c2)c2c2c3)c2ccc3-c(cc2)ccc2-c2cccnc2)cc(Br)c1 MKBGMTMMBPYEGD-UHFFFAOYSA-N 0.000 description 1
- OBXGBKBNLXCLIA-UHFFFAOYSA-N CC1(C)c(cc(c(c2c3cccc2)c2)[n]3-c(cc3)ccc3-c(cc3-c4c5cccc4)ccc3OC5=O)c2-c2ccccc12 Chemical compound CC1(C)c(cc(c(c2c3cccc2)c2)[n]3-c(cc3)ccc3-c(cc3-c4c5cccc4)ccc3OC5=O)c2-c2ccccc12 OBXGBKBNLXCLIA-UHFFFAOYSA-N 0.000 description 1
- XXPJXPFVBCLABX-UHFFFAOYSA-N COc(cc(C1(c(cccc2)c2-c2ccccc12)c(c-1c2)cc(OC)c2OC)c-1c1)c1OC Chemical compound COc(cc(C1(c(cccc2)c2-c2ccccc12)c(c-1c2)cc(OC)c2OC)c-1c1)c1OC XXPJXPFVBCLABX-UHFFFAOYSA-N 0.000 description 1
- LDPCTBXVSGTSNJ-UHFFFAOYSA-N OB(c(cc1)c2c3c1-c(cccc1)c1-c3ccc2)O Chemical compound OB(c(cc1)c2c3c1-c(cccc1)c1-c3ccc2)O LDPCTBXVSGTSNJ-UHFFFAOYSA-N 0.000 description 1
- ZOQSWKYRNWAUDR-UHFFFAOYSA-N c(cc1)ccc1-[n]1c(cc(c(c2c3cccc2)c2)[n]3-c3ccccc3)c2c2c1cccc2 Chemical compound c(cc1)ccc1-[n]1c(cc(c(c2c3cccc2)c2)[n]3-c3ccccc3)c2c2c1cccc2 ZOQSWKYRNWAUDR-UHFFFAOYSA-N 0.000 description 1
- ZFTKYYBLFVKCJZ-UHFFFAOYSA-N c(cc1-2)ccc1-c1ccc(-c3cc(-[n](c(c(c4c5)c6)ccc6-c(cc6)ccc6-c6cnccc6)c4ccc5-c(cc4)ccc4-c4cnccc4)cc(-c4ccc-5c6c4cccc6-c4ccccc-54)c3)c3c1c-2ccc3 Chemical compound c(cc1-2)ccc1-c1ccc(-c3cc(-[n](c(c(c4c5)c6)ccc6-c(cc6)ccc6-c6cnccc6)c4ccc5-c(cc4)ccc4-c4cnccc4)cc(-c4ccc-5c6c4cccc6-c4ccccc-54)c3)c3c1c-2ccc3 ZFTKYYBLFVKCJZ-UHFFFAOYSA-N 0.000 description 1
- VGWBXRXNERKBSJ-UHFFFAOYSA-N c1c[s]c2c1[s]c1c2[s]cc1 Chemical compound c1c[s]c2c1[s]c1c2[s]cc1 VGWBXRXNERKBSJ-UHFFFAOYSA-N 0.000 description 1
- NSNKTSSANPWFJA-UHFFFAOYSA-N c1ccc2[nH]c3c4[nH]c(cccc5)c5c4ccc3c2c1 Chemical compound c1ccc2[nH]c3c4[nH]c(cccc5)c5c4ccc3c2c1 NSNKTSSANPWFJA-UHFFFAOYSA-N 0.000 description 1
Classifications
-
- C—CHEMISTRY; METALLURGY
- C07—ORGANIC CHEMISTRY
- C07D—HETEROCYCLIC COMPOUNDS
- C07D209/00—Heterocyclic compounds containing five-membered rings, condensed with other rings, with one nitrogen atom as the only ring hetero atom
- C07D209/56—Ring systems containing three or more rings
- C07D209/80—[b, c]- or [b, d]-condensed
- C07D209/82—Carbazoles; Hydrogenated carbazoles
-
- C—CHEMISTRY; METALLURGY
- C07—ORGANIC CHEMISTRY
- C07D—HETEROCYCLIC COMPOUNDS
- C07D403/00—Heterocyclic compounds containing two or more hetero rings, having nitrogen atoms as the only ring hetero atoms, not provided for by group C07D401/00
-
- C—CHEMISTRY; METALLURGY
- C09—DYES; PAINTS; POLISHES; NATURAL RESINS; ADHESIVES; COMPOSITIONS NOT OTHERWISE PROVIDED FOR; APPLICATIONS OF MATERIALS NOT OTHERWISE PROVIDED FOR
- C09K—MATERIALS FOR MISCELLANEOUS APPLICATIONS, NOT PROVIDED FOR ELSEWHERE
- C09K11/00—Luminescent, e.g. electroluminescent, chemiluminescent materials
- C09K11/06—Luminescent, e.g. electroluminescent, chemiluminescent materials containing organic luminescent materials
-
- H—ELECTRICITY
- H10—SEMICONDUCTOR DEVICES; ELECTRIC SOLID-STATE DEVICES NOT OTHERWISE PROVIDED FOR
- H10K—ORGANIC ELECTRIC SOLID-STATE DEVICES
- H10K50/00—Organic light-emitting devices
- H10K50/10—OLEDs or polymer light-emitting diodes [PLED]
- H10K50/11—OLEDs or polymer light-emitting diodes [PLED] characterised by the electroluminescent [EL] layers
Definitions
- the invention relates to the field of organic electronic devices, in particular to a carbazole benzene fused ring derivative, a polymer, a mixture, a composition, an organic electronic device and a preparation method thereof.
- organic semiconductor materials Due to the diversity of molecular structure design, relatively low manufacturing cost, and superior optoelectronic performance, organic semiconductor materials have great potential applications in many optoelectronic devices, such as organic light-emitting diodes (OLEDs) and organic photovoltaic cells (OPVs). There are airport effect tubes (OFETs) and so on. Especially since the double-layer OLED structure was reported by Deng Qingyun et al. (C.W. Tang and S.A. Van Slyke, Appl. Phys. Lett., 1987, 51, 913), organic semiconductor materials have been rapidly developed in the field of flat panel display and illumination.
- the organic thin film light-emitting element must satisfy an improvement in luminous efficiency, a reduction in driving voltage, and an improvement in durability.
- an improvement in luminous efficiency a reduction in driving voltage
- an improvement in durability a reduction in durability
- carbazole organic semiconductor materials have a wide range of applications in optoelectronic devices due to their superior optoelectronic properties, redox properties, and stability.
- aromatic group or the aromatic hetero group of the fused ring structure such as fluoranthene, fluorene, fluorene, phenanthrene, phenanthroline, benzofluoranthene, etc., generally has good carrier transport due to the planar structure of the molecule. Performance and photoelectric response.
- the currently reported carbazoles or organic semiconductor materials having a fused ring structure have certain limitations in carrier transport capability, stability, and lifetime of photovoltaic devices.
- CN 104768926 A discloses compounds in which triphenylamine is attached to a fused ring group. Such compounds are used as electron transport layers for blue OLED devices, resulting in a certain improvement in device performance.
- carbazole as a class of transporting materials with a greater conjugate, its effect on the performance and lifetime of the device combined with the design of the fused ring structure has not been further studied.
- CN 102372694 A discloses a class of compounds in which a carbazole benzene unit is attached to an aromatic group containing a pyridine unit. Such compounds are used as electron transport layers for blue OLED devices, which reduce the voltage of the device and increase the efficiency.
- the large planar conjugated fused ring structure with high electron mobility and photoelectric efficiency, combined with the design of carbazole benzene and aromatic groups containing nitrogen atoms, has not been further developed for device performance and lifetime.
- KR 20130059802 discloses a class of compounds in which a carbazole benzene unit is attached to a pyridine, quinoline or isoquinoline. Such compounds employ an aromatic group of a pyridine, quinoline or isoquinoline containing a nitrogen atom, and the number of ring atoms is less than 10.
- the influence of the design of the fused ring structure of the larger conjugate plane and the design of the carbazole benzene unit on the performance and lifetime of the device has not been systematically compared and studied.
- a polymer, a mixture, a composition, an organic electronic device, and a method of preparing the same are also provided.
- a carbazole benzene fused ring derivative having the following formula:
- Ar 1 and Ar 2 are each independently selected from the group consisting of an aromatic group and an aromatic hetero group, and at least one of the Ar 1 and the Ar 2 is selected from a thick group having 13 to 60 ring atoms. a ring aromatic group and one of 13 to 60 fused ring aromatic groups;
- R 1 and R 2 are each independently selected from the group consisting of H, D, F, CN, NO 2 , CF 3 , alkenyl, alkynyl, amine, acyl, amide, cyano, isocyano, alkoxy, hydroxy, a carbonyl group, a sulfone group, an alkyl group having 1 to 60 carbon atoms, a cycloalkyl group having 3 to 60 carbon atoms, an aromatic group having 6 to 60 carbon atoms, and 3 carbon atoms One to 60 heterocyclic aryl groups, one having 7 to 60 fused ring aromatic groups, and one of 4 to 60 fused heterocyclic aryl groups;
- Ar 3 and Ar 4 are each independently selected from an aromatic group having 6 to 60 carbon atoms, a heterocyclic aromatic group having 3 to 60 carbon atoms, and a condensed aromatic ring having 7 to 60 carbon atoms. a group of one or more fused heterocyclic aryl groups having 4 to 60 carbon atoms;
- At least one of Ar 3 and Ar 4 contains an aromatic hetero ring having an N atom
- a polymer comprising repeating structural units of the above formula oxazobenzene fused ring derivatives.
- a mixture comprising the above carbazole benzene fused ring derivative and one of the above polymers and an organic functional material selected from the group consisting of a hole injecting material, a hole transporting material, a hole blocking material, and an electron At least one of an injection material, an electron transport material, an electron blocking material, an organic matrix material, a luminescent material, and an organic dye.
- a composition comprising a main ingredient and an organic solvent, the main material comprising one of the above-mentioned carbazole benzene fused ring derivatives, the above polymer and the above mixture, the organic solvent comprising a first solvent,
- the first solvent is at least one of an aromatic solvent, a heteroaromatic solvent, a ketone solvent, an ether solvent, and an ester solvent.
- An organic electronic device comprising a functional layer, the material of which comprises one of the above carbazole benzene fused ring derivatives, the above polymer, the above mixture, and one of the above compositions.
- a method of producing an organic electronic device comprising the step of forming a functional layer by vapor deposition using one of the above carbazole benzene fused ring derivatives, the above polymer, and the above mixture.
- a method of preparing an organic electronic device comprising the step of forming a functional layer by one of printing and coating using the above composition.
- an aromatic group means a hydrocarbon group containing at least one aromatic ring.
- Heterocyclic aromatic group means an aromatic hydrocarbon group containing at least one hetero atom.
- a fused ring aromatic group means that the ring of the aryl group may have two or more rings in which two carbon atoms are shared by two adjacent rings, that is, a fused ring.
- a fused heterocyclic aryl group refers to a fused ring aromatic hydrocarbon group containing at least one hetero atom.
- the aryl group contains a fused ring aromatic group
- the heterocyclic aryl group contains a fused heterocyclic aryl group.
- the aromatic group and the heterocyclic aromatic group are not limited to a system including an aromatic ring, and a non-aromatic ring system is also included.
- a non-aromatic ring system is also included.
- the system is also considered to be an aromatic or heterocyclic aromatic group as referred to herein.
- the fused ring aromatic group is not limited to a system including an aromatic group
- the fused heterocyclic aryl group is not limited to a system including a heteroaromatic group
- a plurality of aromatic or heterocyclic aromatic groups may also be short non-
- the aromatic unit is interrupted ( ⁇ 10% non-H atoms, further less than 5% non-H atoms, such as C, N or O atoms).
- systems such as 9,9'-spirobifluorene, 9,9-diarylfluorene, triarylamine, diaryl ether, etc., are also considered to be fused ring aromatic groups.
- examples of the aromatic group are: benzene, biphenyl, terphenyl, toluene, chlorobenzene, and derivatives thereof.
- fused ring aromatic group examples include: naphthalene, anthracene, fluoranthene, phenanthrene, triphenylene, perylene, tetracene, anthracene, benzopyrene, anthracene, anthracene, and derivatives thereof.
- heterocyclic aromatic groups are: pyridine, thiophene, pyrrole, pyrazole, triazole, imidazole, oxazole, oxadiazole, thiazole, tetrazole, pyrazine, pyridazine, pyrimidine, triazine, carbene And its derivatives.
- fused heterocyclic aromatic group examples include: benzofuran, benzothiophene, anthracene, oxazole, pyrroloimidazole, pyrrolopyrrol, thienopyrrole, thienothiophene, furopyrrol, furanfuran , thienofuran, benzisoxazole, benzisothiazole, benzimidazole, quinoline, isoquinoline, o-diazepine, quinoxaline, phenanthridine, pyridine, quinazoline, quinazolinone And its derivatives.
- R 1 and R 2 are each independently selected from the group consisting of H, D, F, CN, NO 2 , CF 3 , alkenyl, alkynyl, amine, acyl, amide, cyano, Isocyanato group, alkoxy group, hydroxyl group, carbonyl group, sulfone group, alkyl group having 1 to 60 carbon atoms, cycloalkyl group having 3 to 60 carbon atoms, and 6 to 60 carbon atoms Aromatic group, a heterocyclic aryl group having 3 to 60 carbon atoms, a fused ring aromatic group having 7 to 60 carbon atoms, and a fused heterocyclic aryl group having 4 to 60 carbon atoms One of them.
- n is any integer from 0 to 20; further, n is any integer from 0 to 10; further, n is any integer from 0 to 5; further, n is any of 0 to 3 An integer.
- n is any integer from 0 to 20.
- p is any integer from 0 to 4; further, p is any integer from 0 to 3; further, p is any integer from 0 to 2; further, p is any integer from 0 to 1.
- q is any integer from 0 to 4, and at most one of p and q is 0. Further, q is any integer from 0 to 3; further, q is any integer from 0 to 2; further, q is any integer from 0 to 1.
- Ar 3 and Ar 4 are each independently selected from an aromatic group having 6 to 60 carbon atoms, a heterocyclic aromatic group having 3 to 60 carbon atoms, and 7 carbon atoms. One to 60 fused ring aromatic groups and one of 4 to 60 fused heterocyclic aryl groups. And at least one of Ar 3 and Ar 4 contains an aromatic heterocyclic ring having an N atom.
- the aromatic heterocyclic rings having N atoms are each independently selected from and one of the;
- hydrogen on the ring may be optionally substituted.
- the hydrogen on the ring may be optionally substituted means that the aromatic heterocyclic ring having an N atom may be selected not only from one of the above structures but also one selected from the above structures in which a hydrogen atom is substituted.
- all X in each of the above structures is selected from one of CR 3 , N and C, and at least one X in each structure is N, and in two adjacent X At most one is N.
- one to five X are N; further, in each structure, one to three X are N; further, one to two X are N.
- R 3 , R 4 , R 5 , R 6 , R 7 and R 8 are each independently selected from the group consisting of H, D, F, CN, NO 2 , CF 3 , alkenyl, alkynyl, amine, acyl, amide, cyanide a group, an isocyano group, an alkoxy group, a hydroxyl group, a carbonyl group, a sulfone group, an alkyl group having 1 to 60 carbon atoms, a cycloalkyl group having 3 to 60 carbon atoms, and 6 carbon atoms ⁇ 60 aromatic groups, a heterocyclic aryl group having 3 to 60 carbon atoms, a fused ring aromatic group having 7 to 60 carbon atoms, and a fused heterocyclic ring having 4 to 60 carbon atoms One of the aromatic bases.
- R 3 , R 4 , R 5 , R 6 , R 7 and R 8 are each independently selected from the group consisting of H, D, F, CN, NO 2 , CF 3 , alkenyl, alkynyl, amine, acyl, amide a group, a cyano group, an isocyano group, an alkoxy group, a hydroxyl group, a carbonyl group, a sulfone group, an alkyl group having 1 to 30 carbon atoms, a cycloalkyl group having 3 to 30 carbon atoms, and a carbon number 6 to 30 aromatic groups, 3 to 30 heterocyclic aryl groups, 7 to 30 fused ring aromatic groups, and 4 to 30 carbon atoms One of the fused heterocyclic aryl groups.
- the aromatic heterocyclic ring having an N atom is each selected from the group consisting of and one of the.
- Ar 3 and Ar 4 contain an aromatic heterocyclic ring having an N atom.
- Ar 1 and Ar 2 are each independently selected from one of an aromatic group and an aromatic hetero group, and at least one of Ar 1 and Ar 2 is selected from the group consisting of 13 to 60 ring atoms.
- Ar 1 and Ar 2 are each independently selected from the group consisting of a fused ring aromatic group having 13 to 50 ring atoms and a fused ring aromatic group having 13 to 50 ring atoms; , Ar 1 and Ar 2 are each independently selected from the group consisting of a fused ring aromatic group having 13 to 40 ring atoms and a fused ring aromatic group having 13 to 40 ring atoms; further , Ar 1 and Ar 2 are each independently selected from the group consisting of a fused ring aromatic group having 13 to 30 ring atoms and a fused ring aromatic group having 13 to 30 ring atoms; further, Ar 1 and Ar 2 are each independently selected from the group consisting of a fused ring aromatic group having 13 to 20 ring atoms and a fused ring aromatic group having 13 to 20 ring atoms.
- the hetero atom in the fused ring arehetero group is at least one selected from the group consisting of Si, N, P, O, S, and Ge; further, in Ar 1 and Ar 2 , The hetero atom in the fused ring arehetero group is at least one selected from the group consisting of Si, N, P, O and S; further, in Ar 1 and Ar 2 , the hetero atom in the fused ring aryl group is selected from N, One of O and S.
- Ar 1 and Ar 2 are each independently selected from the group consisting of a fused ring having 3 to 30 ring atoms, wherein the ring is selected from the group consisting of a three-membered ring and a four-membered ring.
- the ring is selected from the group consisting of a three-membered ring and a four-membered ring.
- the number of ring atoms of Ar 1 and Ar 2 is 3 to 20 fused rings; further, the number of ring atoms of Ar 1 and Ar 2 is a fused ring having 3 to 10 ring atoms. Further, the number of ring atoms is from 3 to 5 fused rings.
- Ar 1 and Ar 2 are each independently selected from the group consisting of one of the;
- H may be optionally substituted on the ring means that Ar 1 and Ar 2 may be selected not only from one of the above structures but also one selected from the above structures in which the H atom is substituted.
- X is selected from one of CR 9 and N, and at most one of two adjacent X is N; further, X in each of the above structural formulas is CR 9 .
- R 9 is selected from the group consisting of H, D, F, CN, NO 2 , CF 3 , alkenyl, alkynyl, amine, acyl, amide, cyano, isocyano, alkoxy, hydroxy, carbonyl, sulfone,
- R 9 is a site attached to other groups, or R 9 is selected from the group consisting of H, D, F, CN, NO 2 , CF 3 , alkenyl, alkynyl, amine, acyl, amide, cyanide a group, an isocyano group, an alkoxy group, a hydroxyl group, a carbonyl group, a sulfone group, an alkyl group having 1 to 30 carbon atoms, a cycloalkyl group having 3 to 30 carbon atoms, and 6 carbon atoms ⁇ 30 aromatic groups, a heterocyclic aryl group having 3 to 30 carbon atoms, a fused ring aromatic group having 7 to 30 carbon atoms, and a fused heterocyclic ring having 4 to 30 carbon atoms One of the aromatic bases. Further, R 9 is selected from one of H and D.
- R 10 , R 11 , R 12 , R 13 and R 14 are each independently selected from the group consisting of H, D, F, CN, NO 2 , CF 3 , alkenyl, alkynyl, amine, acyl, amide, cyano, Isocyanato group, alkoxy group, hydroxyl group, carbonyl group, sulfone group, alkyl group having 1 to 60 carbon atoms, cycloalkyl group having 3 to 60 carbon atoms, and 6 to 60 carbon atoms a aryl group, a heterocyclic aryl group having 3 to 60 carbon atoms, a fused ring aromatic group having 7 to 60 carbon atoms, and a fused heterocyclic aryl group having 4 to 60 carbon atoms One of them.
- R 10 , R 11 , R 12 , R 13 and R 14 are each independently selected from the group consisting of H, D, F, CN, NO 2 , CF 3 , alkenyl, alkynyl, amine, acyl, amide, cyanide a group, an isocyano group, an alkoxy group, a hydroxyl group, a carbonyl group, a sulfone group, an alkyl group having 1 to 30 carbon atoms, a cycloalkyl group having 3 to 30 carbon atoms, and 6 carbon atoms ⁇ 30 aromatic groups, a heterocyclic aryl group having 3 to 30 carbon atoms, a fused ring aromatic group having 7 to 30 carbon atoms, and a fused heterocyclic ring having 4 to 30 carbon atoms One of the aromatic bases.
- Ar 1 and Ar 2 are each independently selected from the group consisting of fluorene, fluoranthene, phenanthrene, benzophenanthrene, perylene, tetracene, anthracene, benzopyrene, anthracene, anthracene, oxazole, dibenzofuran and One of the dibenzothiophenes.
- Ar 1 and Ar 2 are each independently selected from the group consisting of and one of the.
- Ar 1 , Ar 2 , Ar 3 and Ar 4 each independently comprise a structural unit At least one of them, wherein s is any integer from 1 to 4.
- the carbazole benzene fused ring derivative has a high electron mobility, and the electron mobility of the above carbazole benzene fused ring derivative is ⁇ 10 -5 cm 2 /Vs; further, the electron mobility is ⁇ 10 -4 cm 2 / Vs; further, the electron mobility is optimal ⁇ 10 -3 cm 2 / Vs.
- the glass transition temperature of the carbazole benzene fused ring derivative is ⁇ 100 ° C; further, the glass transition temperature is ⁇ 110 ° C; further, the glass transition temperature is ⁇ 120 ° C; further, the glass transition temperature is ⁇ 140 ° C.
- the lowest unoccupied orbital energy level LUMO ⁇ -2.7 eV of the carbazole benzene fused ring derivative further, LUMO ⁇ -2.8 eV; further, LUMO ⁇ -2.9 eV; further, LUMO ⁇ -3.0 eV.
- the highest occupied orbital energy level HOMO ⁇ -5.6 eV of the carbazole benzene fused ring derivative further, HOMO ⁇ -5.7 eV; further, HOMO ⁇ -5.8 eV; further, HOMO ⁇ -5.9 eV.
- the triplet level of the carbazole benzene fused ring derivative is T1 ⁇ 1.7 eV; further, T1 ⁇ 1.9 eV; further, T1 ⁇ 2.2 eV; further, T1 ⁇ 2.4 eV.
- the triplet levels E T , HOMO, and LUMO play a key role. The following is an introduction to the determination of these energy levels.
- the HOMO and LUMO levels can be measured by photoelectric effect, for example, XPS (X-ray photoelectron spectroscopy), UPS (UV photoelectron spectroscopy), etc., and can also pass cyclic voltammetry (hereinafter referred to as CV).
- XPS X-ray photoelectron spectroscopy
- UPS UV photoelectron spectroscopy
- CV cyclic voltammetry
- quantum chemical methods such as density functional theory (hereinafter referred to as DFT) have also become effective methods for calculating molecular orbital energy levels.
- the triplet energy level E T of organic materials can be measured by low temperature time-resolved luminescence spectroscopy, or can also be obtained by quantum simulation calculations (eg by Time-dependent DFT), as by the commercial software Gaussian 09W (Gaussian Inc.), specific
- the simulation method can be referred to the method in the patent document WO2011141110, or can also be obtained by the method described later in the embodiment.
- HOMO, LUMO and E T depend on the measurement method or calculation method used. Even for the same method, different evaluation methods may lead to different results, for example, the starting point and the peak point on the CV curve. Different HOMO/LUMO values are given. Therefore, a reasonable and meaningful comparison should use the same measurement method and the same evaluation method.
- the values of HOMO, LUMO, and E T in the present embodiment are obtained based on the simulation of Time-dependent DFT. It should be noted that the acquisition of HOMO, LUMO, and E T is not limited to the method, and they may also pass other measurements. The method or calculation method is obtained, but the energy level values determined by different methods should be mutually calibrated.
- a part of the hydrogen atom of the structural formula of the carbazole benzene fused ring derivative is substituted by hydrazine; further, the structural formula of the carbazole benzene fused ring derivative has a hydrogen atom number of 10% substituted by hydrazine; further The number of hydrogen atoms substituted by deuterium is 20%; further, the number of hydrogen atoms substituted by deuterium is 30%; further, the number of hydrogen atoms substituted by deuterium is 40%.
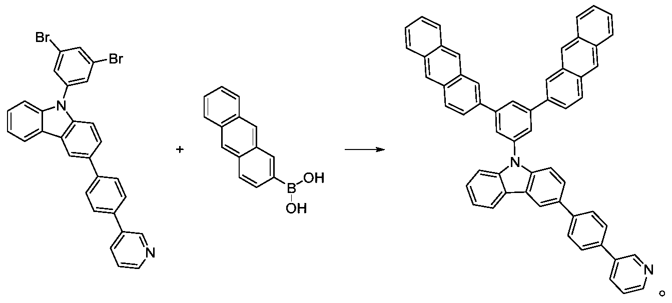
- carbazole benzene fused ring derivative is selected from one of the following compounds, but is not limited to the following compounds:
- the above carbazole benzene fused ring derivative has at least the following advantages: the nitrogen atom on the carbazole of the above carbazole benzene fused ring derivative is linked to a large plane conjugated fused ring aromatic structure, which is advantageous for achieving better current carrying current. Sub-transmission and photoelectric response, better energy level matching, improve the photoelectric performance and stability of such compounds and optoelectronic devices, thereby providing a material solution for a light-emitting device with high manufacturing efficiency and long life.
- the polymer of one embodiment comprises a repeating structural unit of a carbazole benzene fused ring derivative of the formula (1).
- the polymer is a non-conjugated polymer in which a structural unit of a carbazole benzene fused ring derivative represented by the formula (1) is on a side chain.
- the polymer may also be a conjugated polymer.
- the polymer that is, the polymer, includes a homopolymer, a copolymer, and a block copolymer.
- the polymer also includes a dendrimer, wherein the dendrimer can be the literature [Dendrimers and Dendrons, Wiley-VCH Ver lag GmbH & Co. KGaA, 2002, Dendrites disclosed in Ed. George R. Newkome, Charles N. Moorefield, Fritz Vogtle., or synthetically synthesized by the synthetic methods described above.
- a conjugated polymer is a polymer whose backbone backbone is mainly composed of sp 2 hybrid orbitals of C atoms, such as polyacetylene polyacetylene and poly(phenylene vinylene), and C atoms in its main chain. It can also be substituted by other non-C atoms, and is still considered to be a conjugated polymer when the sp 2 hybrid on the backbone is interrupted by some natural defects. And herein, the conjugated polymer also includes an aryl amine, an aryl phosphine and other heteroarmotics, and an organometallic complexes in the main chain. )Wait.
- the carbazole benzene fused ring derivative is a small molecule material.
- the "small molecule” referred to herein it is not a polymer, an oligomer, a dendrimer, and a blend; and the molecular mass is ⁇ 3000 g/mmol; further, a small molecule The molecular mass is ⁇ 2000 g / mmol; further, the molecular mass of the small molecule is ⁇ 1500 g / mmol.
- the polymer herein is a polymer comprising the above-mentioned repeating structural unit of the carbazole benzene fused ring derivative represented by the formula (1).
- the relative molar mass of the carbazole benzene fused ring derivative is 1000 g/mol; further, the relative molar mass of the carbazole benzene fused ring derivative is 900 g/mol; further The relative molar mass of the carbazole benzene fused ring derivative is 850 g/mol; further, the relative molar mass of the carbazole benzene fused ring derivative is 800 g/mol; further, the carbazole benzene fused ring The relative molar mass of the derivatives was 700 g/mol.
- the organic functional material is selected from the group consisting of a hole (also called a hole) injection material (HIM), a hole transport material (HTM), a hole blocking material (HBM), an electron injection material (EIM), an electron transport material (ETM), and an electron.
- a hole also called a hole
- HIM hole injection material
- HTM hole transport material
- HBM hole blocking material
- EIM electron injection material
- ETM electron transport material
- ETM electron transport material
- ETM electron transport material
- ETM electron transport material
- ETM electron transport material
- EBM electron injection material
- ETM electron transport material
- ETM electron transport material
- ETM electron transport material
- ETM electron transport material
- ETM electron transport material
- an electron At least one of a barrier material (EBM), an organic host material (Host), a luminescent material, and an organic dye.
- the luminescent material is selected from at least one of a singlet illuminant (fluorescent illuminant), a triplet
- the organic functional material may be a small molecule material or a high polymer material.
- the organic functional material may be an organic functional material as disclosed in WO2010135519A1, US20090134784A1 and WO2011110277A1.
- the carbazole benzene fused ring derivative or the above polymer is 50% by weight to 99.9% by weight; further, the carbazole benzene fused ring derivative or the above polymer
- the weight percentage of the carbazole benzene fused ring derivative or the above polymer is 60% to 95%; further, the carbazole benzene fused ring derivative Or the above polymer has a weight percentage of 70% to 90%.
- the mixture comprises a carbazole benzene fused ring derivative and one of the above polymers, and further comprises a fluorescent luminescent material (singlet light illuminant).
- the mixture comprises a carbazole benzene fused ring derivative and one of the above polymers, and further comprises a thermally activated delayed fluorescent luminescent material (TADF).
- TADF thermally activated delayed fluorescent luminescent material
- the mixture includes a carbazole benzene fused ring derivative and one of the above polymers, and further includes a fluorescent luminescent material and a TADF material.
- fluorescent luminescent materials single-state illuminants
- phosphorescent luminescent materials single-state illuminants
- TADF materials TADF materials
- Singlet emitters tend to have longer conjugated pi-electron systems.
- styrylamine and its derivatives disclosed in JP 2913116 B and WO 2001021729 A1
- indenoindenes and derivatives thereof disclosed in WO 2008/006449 and WO 2007/140847.
- the singlet emitter is one selected from the group consisting of monostyrylamine, dibasic styrylamine, ternary styrylamine, quaternary styrylamine, styrenephosphine, styrene ether, and aromatic amine.
- the monostyrylamine refers to a compound comprising an unsubstituted or substituted styryl group and at least one amine; wherein the amine is preferably an aromatic amine.
- the dibasic styrylamine is a compound comprising two unsubstituted or substituted styryl groups and at least one amine; wherein the amine is preferably an aromatic amine.
- the ternary styrylamine refers to a compound comprising three unsubstituted or substituted styryl groups and at least one amine; wherein the amine is preferably an aromatic amine.
- the tetrabasic styrene amine refers to a compound comprising four unsubstituted or substituted styryl groups and at least one; wherein the amine is preferably an aromatic amine.
- styrene is stilbene, which may be further substituted.
- styrene phosphine and styrene ether are similar to those of the above amines and will not be described herein.
- An arylamine refers to a compound comprising three unsubstituted or substituted aromatic ring or heterocyclic systems directly bonded to a nitrogen. At least one of these aromatic or heterocyclic ring systems is a fused ring system, and preferably the total number of carbon atoms is greater than or equal to 14.
- the aromatic amine is selected from one of aromatic amide, aromatic guanidine diamine, aromatic guanamine, aromatic guanidine diamine, aromatic thiamine, and aromatic quinone diamine.
- the aromatic decylamine refers to a compound in which one of the diarylamine groups is directly bonded to the oxime; further, the diarylamine group is at the position of 9 of oxime.
- the aromatic oxime diamine refers to a compound in which two diaryl arylamine groups are directly bonded to the oxime; further, the two diaryl arylamine groups are attached to the oxime 9,10, respectively.
- the singlet emitters based on styrylamine and arylamine may be WO2006/000388, WO2006/058737, WO2006/000389, WO2007/065549, WO2007/115610, US7250532B2, DE102005058557A1, CN1583691A, JP 08053397A, US6251531 B1, US2006 Singlet illuminators as disclosed in EP 1 957 606 A1 and US 2008/0113101 A1.
- Singlet emitters based on styrylamine and its derivatives are singlet emitters as disclosed in U.S. Patent 5,212,029.
- the singlet emitter is one selected from the group consisting of an indeno-amine and an indeno-diamine, such as the benzoindole-amine or benzoindole-diamine disclosed in WO2006/122630 , a dibenzoindolo-amine or a dibenzoindeno-diamine as disclosed in WO 2008/006449, and an indeno-amine or an indeno-diamine disclosed in WO2007/140847.
- an indeno-amine and an indeno-diamine such as the benzoindole-amine or benzoindole-diamine disclosed in WO2006/122630 , a dibenzoindolo-amine or a dibenzoindeno-diamine as disclosed in WO 2008/006449, and an indeno-amine or an indeno-diamine disclosed in WO2007/140847.
- the singlet illuminant may also be a polycyclic aromatic hydrocarbon compound, such as the following compounds and derivatives thereof: such as 9,10-bis(2-naphthoquinone), naphthalene, tetraphenyl, xanthene, phenanthrene, anthracene (eg 2,5,8,11-tetra-t-butylindole), indenoindole, phenylene such as (4,4'-bis(9-ethyl-3-carbazolevinyl)-1,1 '-Biphenyl), indenyl hydrazine, decacycloolefin, hexacene benzene, anthracene, spirobifluorene, aryl hydrazine (such as the aryl fluorene disclosed in US20060222886), arylene vinyl (such as US5121029 and US5130603) Disclosed subaromatic vinyl), cyclopenta
- the singlet illuminant is the following compound, but is not limited to the following compounds:
- TDF Thermally activated delayed fluorescent luminescent material
- the thermally activated delayed fluorescent luminescent material is a third generation organic luminescent material developed after organic fluorescent materials and organic phosphorescent materials.
- the TADF material needs to have a small singlet-triplet energy level difference, typically ⁇ E st ⁇ 0.3 eV, further ⁇ E st ⁇ 0.2 eV; further, ⁇ E st ⁇ 0.1 eV; further, ⁇ E st ⁇ 0.05 eV. And TADF materials have better fluorescence quantum efficiency.
- the TADF material may be CN103483332 (A), TW201309696 (A), TW201309778 (A), TW201343874 (A), TW201350558 (A), US20120217869 (A1), WO2013133359 (A1), WO2013154064 (A1), and literature (Adachi, et. Al. Adv.
- the TADF luminescent material is the following compound, but is not limited to the following compounds:
- Triplet emitters are also known as phosphorescent emitters.
- the triplet emitter is a metal complex having the formula M(L)n.
- M is a metal atom; L may be the same or different at each occurrence; L is an organic ligand which is bonded to the metal atom M by one or more positional bonds or coordination; n is a value greater than one. Integer; further, n is 1, 2, 3, 4, 5 or 6.
- the metal complex is attached to the polymer through one or more positions; further, the metal complex is linked to the polymer via an organic ligand.
- the metal atom M is selected from one of a transition metal element, a lanthanoid element, and a lanthanoid element; further, the metal atom M is selected from the group consisting of Ir, Pt, Pd, Au, Rh, Ru, Os, Sm, Eu, One of Gd, Tb, Dy, Re, Cu, and Ag; further, the metal atom M is selected from one of Os, Ir, Ru, Rh, Re, Pd, and Pt.
- L is a chelating ligand, ie, a ligand, coordinated to the metal through at least two binding sites; further, L has two bidentate ligands, three bidentate ligands, and two multidentate Ligand or three multidentate ligands.
- the bidentate ligands may be the same or the same; the multidentate ligands may be the same or different.
- Chelating ligands are beneficial for increasing the stability of metal complexes.
- the organic ligand is selected from the group consisting of a phenylpyridine derivative, a 7,8-benzoquinoline derivative, a 2(2-thienyl)pyridine derivative, a 2(1-naphthyl)pyridine derivative, and a 2 phenyl group.
- a phenylpyridine derivative a 7,8-benzoquinoline derivative
- a 2(2-thienyl)pyridine derivative a 2(1-naphthyl)pyridine derivative
- a 2 phenyl group One of the quinoline derivatives.
- the organic ligand may be substituted, for example by fluorine or trifluoromethyl.
- the ancillary ligand may preferably be derived from acetone acetate or picric acid.
- M is as defined above; each of Ar 1 may be the same or different, Ar 1 is a cyclic group, and each Ar 1 contains at least one donor atom, that is, a lone pair An atom of an electron, such as nitrogen or phosphorus, is coordinated to the metal through its cyclic group; each occurrence of Ar 2 may be the same or different, a cyclic group, and each Ar 2 contains at least one C atom , through which a cyclic group is attached to a metal; Ar 1 and Ar 2 are linked together by a covalent bond, each of which may carry one or more substituent groups, which may also be linked together by a substituent group; When present, may be the same or different, is an ancillary ligand, preferably a bidentate chelate ligand, further a monoanionic bidentate chelate ligand; m is selected from one of 1, 2 and 3, further, m 2 or 3, further, m is 3; n is selected from one of 0, 1, and
- the triplet emitters can be patented WO 200070655, WO 200141512, WO 200202714, WO 200215645, EP 1191613, EP 1191612, EP 1191614, WO 2005033244, WO 2005019373, US 2005/0258742, WO 2009146770, WO 2010015307, WO 2010031485 , US Pat.
- the triplet emitters disclosed in 2012004407A1, WO 2012007088A1, WO2012007087A1, WO 2012007086A1, US 2008027220A1, WO 2011157339A1, CN 102282150A and WO 2009118087A1 may also be in the literature (Baldo, Thompson et al.
- the triplet emitter is the following compound, but is not limited to the following compounds:
- the composition of one embodiment is a solvent-based composition, can be used as a coating or ink, and can be applied to an organic electronic device as a material of a functional layer.
- the organic electronic device is selected from the group consisting of an organic light emitting diode (OLED), an organic photovoltaic cell (OPV), an organic light emitting cell (OLEEC), an organic field effect transistor (OFET), an organic light emitting field effect transistor, an organic laser, and an organic spintronic device. , organic sensors and organic plasmon emission diodes (Organic One of the Plasmon Emitting Diodes.
- the composition may be a solution or a suspension.
- the composition comprises a main ingredient and an organic solvent, and the main ingredient comprises one of the above carbazole benzene fused ring derivatives, the above polymer and the above mixture.
- the polymer herein is a polymer comprising the above-mentioned repeating structural unit of the carbazole benzene fused ring derivative represented by the formula (1).
- the mixture herein is the mixture described above and will not be described again here.
- the molar mass of the carbazole benzene fused ring derivative and the polymer are both ⁇ 700 g/mol, and further, the molar mass of the carbazole benzene fused ring derivative and the polymer are both ⁇ 800 g/mol;
- the molar mass of the oxazobenzene fused ring derivative and the polymer are both ⁇ 900 g/mol;
- the molar mass of the carbazole benzene fused ring derivative and the polymer are both ⁇ 1000 g/mol; further, the carbazole benzene is thick
- the molar mass of the cyclic derivative and the polymer are both ⁇ 1100 g/mol.
- the solubility of the carbazole benzene fused ring derivative and the polymer in toluene is ⁇ 10 mg/ml at 25 ° C; further, the carbazole benzene fused ring derivative and the polymer in toluene Solubility ⁇ 15 mg / ml; further, the solubility of the carbazole benzene fused ring derivative and the polymer in toluene ⁇ 20 mg / ml.
- the composition of the present embodiment has a surface tension of about 19 dyne/cm to 50 dyne/cm at an operating temperature or at 25 ° C; further 22 dyne/cm to 35 dyne/cm; and further 25 dyne/cm to 33 dyne/cm. .
- the composition of the present embodiment has a viscosity at an operating temperature or 25 ° C of about 1 cps to 100 cps; further from 1 cps to 50 cps; further from 1.5 cps to 20 cps; further from 4.0 cps to 20 cps.
- the composition can be used for inkjet printing.
- the viscosity and surface tension of the composition are important parameters. Only compositions with suitable parameters can be adapted to a particular substrate and to a particular printing method. Among them, the viscosity of the composition can be adjusted by different methods, such as by selecting a suitable solvent and the concentration of the main ingredient. The viscosity of the composition is adjusted so as to facilitate printing in accordance with a usual printing method.
- the weight percentage of the main material is 0.3% to 30%; further 0.5% to 20%; further 0.5% to 1%; further 0.5% to 10%; further It is 1% to 5%.
- the organic solvent includes a first solvent.
- the first solvent is at least one selected from the group consisting of an aromatic solvent, a heteroaromatic solvent, a ketone solvent, an ether solvent, and an ester solvent.
- the aromatic solvent is selected from at least one of a chain aliphatic substituted aromatic compound and a cyclic aliphatic substituted aromatic compound.
- the aromatic solvent and the heteroaromatic solvent are selected from the group consisting of p-diisopropylbenzene, pentylbenzene, tetrahydronaphthalene, cyclohexylbenzene, chloronaphthalene, 1,4-dimethylnaphthalene, and 3-isopropylbiphenyl.
- p-Methyl cumene dipentylbenzene, triphenylbenzene, pentyltoluene, o-xylene, m-xylene, p-xylene, o-diethylbenzene, m-diethylbenzene, p-diethylbenzene, 1,2 , 3,4-tetramethylbenzene, 1,2,3,5-tetramethylbenzene, 1,2,4,5-tetramethylbenzene, butylbenzene, dodecylbenzene, dihexylbenzene, dibutylbenzene, p-pair Isopropylbenzene, 1-methoxynaphthalene, cyclohexylbenzene, dimethylnaphthalene, 3-isopropylbiphenyl, p-methylisopropylbenzene, 1-methylnaphthalene, 1,2,4-trichloro Benzene
- the ketone solvent is selected from the group consisting of 1-tetralone, 2-tetralone, 2-(phenyl epoxy)tetralone, 6-(methoxy)tetralone, acetophenone , a derivative of propiophenone, benzophenone, 1-tetralone, a derivative of 2-tetralone, a derivative of 2-(phenyl epoxy)tetralone, 6-(methoxy At least one of a derivative of a tetralone, a derivative of acetophenone, a derivative of propiophenone, and a derivative of benzophenone.
- the derivative, the derivative of acetophenone, the derivative of propiophenone, and the derivative of benzophenone may be 4-methylacetophenone, 3-methylacetophenone, 2-methylacetophenone, 4 -methylpropiophenone, 3-methylpropiophenone, 2-methylpropiophenone, isophorone, 2,6,8-trimethyl-4-indolone, anthrone, 2-nonanone, 3- Anthrone, 5-fluorenone, 2-nonanone, 2,5-hexanedione, phorone, di-n-pentyl ketone, and the like.
- the ether solvent is selected from the group consisting of 3-phenoxytoluene, butoxybenzene, benzylbutylbenzene, p-anisaldehyde dimethyl acetal, tetrahydro-2-phenoxy-2H-pyran, 1,2-dimethoxy-4-(1-propenyl)benzene, 1,4-benzodioxane, 1,3-dipropylbenzene, 2,5-dimethoxytoluene, 4- Ethyl phenethyl ether, 1,2,4-trimethoxybenzene, 4-(1-propenyl)-1,2-dimethoxybenzene, 1,3-dimethoxybenzene, glycidylphenyl Ether, dibenzyl ether, 4-tert-butyl anisole, trans-p-propenyl anisole, 1,2-dimethoxybenzene, 1-methoxynaphthalene, diphenyl ether, 2-
- the ester solvent is selected from the group consisting of alkyl octanoate, alkyl sebacate, alkyl stearate, alkyl benzoate, alkyl phenyl acetate, alkyl cinnamate, alkyl oxalate, alkyl maleate, alkane At least one of a lactone and an alkyl oleate.
- the first solvent is at least one selected from the group consisting of an aliphatic ketone and an aliphatic ether.
- the aliphatic ketone is selected from the group consisting of 2-nonanone, 3-fluorenone, 5-nonanone, 2-nonanone, 2,5-hexanedione, 2,6,8-trimethyl-4-indanone At least one of phorone and di-n-pentyl ketone.
- the aliphatic ether is selected from the group consisting of pentyl ether, hexyl ether, dioctyl ether, ethylene glycol dibutyl ether, diethylene glycol diethyl ether, diethylene glycol butyl methyl ether, diethylene glycol dibutyl ether, and triethylene glycol diethylene glycol. At least one of ether, triethylene glycol ethyl methyl ether, triethylene glycol butyl methyl ether, tripropylene glycol dimethyl ether, and tetraethylene glycol dimethyl ether.
- the organic solvent further includes a second solvent, wherein the second solvent is selected from the group consisting of methanol, ethanol, 2-methoxyethanol, dichloromethane, chloroform, chlorobenzene, o-dichlorobenzene, tetrahydrofuran, anisole , morpholine, toluene, o-xylene, m-xylene, p-xylene, 1,4 dioxane, acetone, methyl ethyl ketone, 1,2 dichloroethane, 3-phenoxytoluene 1,1,1-trichloroethane, 1,1,2,2-tetrachloroethane, ethyl acetate, butyl acetate, dimethylformamide, dimethylacetamide, dimethyl sulfoxide At least one of tetrahydronaphthalene, decalin and hydrazine.
- the second solvent is selected from the group consisting of methanol, ethanol, 2-
- the mixture of the present embodiment is capable of producing an organic electronic device by printing or coating.
- the printing method may be inkjet printing or Nozzle Printing.
- the coating method can be typography, screen printing, dip coating, spin coating, blade coating, roller printing, torsion roll printing, lithography, flexographic printing, rotary printing, spraying, brushing, pad printing, Slit type extrusion coating, etc. Further, the coating method is gravure printing; the printing method is jet printing or inkjet printing.
- the mixture further includes at least one of a surfactant, a lubricant, a wetting agent, a dispersing agent, a hydrophobic agent, and a binder. It is used to adjust the viscosity of the mixture, film forming properties, adhesion, and the like. According to Helmut Kipphan, "Handbook of Print Media: Techno logies and Production Methods", ISBN 3-540-67326-1, for printing techniques and solvents, concentrations, Adjust the viscosity and so on.
- An organic electronic device of an embodiment is an organic light emitting diode comprising a substrate, an anode, a functional layer, and a cathode.
- the functional layer comprises a light-emitting layer
- the material of the light-emitting layer comprises one of the above carbazole benzene fused ring derivatives, the above polymer, the above mixture and the above composition.
- the polymer herein is a polymer comprising the above-mentioned repeating structural unit of the carbazole benzene fused ring derivative represented by the formula (1).
- the organic functional material in the mixture includes the luminescent material, that is, the luminescent material is the self-fluorescent illuminant, phosphorescent illuminant or TADF material described above. Further, the luminescent material is a fluorescent illuminant or a TADF material.
- the functional layer may further include a hole injection layer (HIL), a hole transport layer (HTL), an electron blocking layer (EBL), an electron injection layer (EIL), an electron transport layer (ETL), and a hole blocking layer. At least one of (HBL).
- HIL hole injection layer
- HTL hole transport layer
- EBL electron blocking layer
- EIL electron injection layer
- ETL electron transport layer
- HBL hole blocking layer
- HBL hole blocking layer
- the substrate may be opaque or transparent.
- Transparent substrates can be used to make transparent light-emitting components.
- the transparent substrate may be a substrate disclosed in the literature (Bulovic et al. Nature 1996, 380, p29) and the literature (Gu et al., Appl. Phys. Lett. 1996, 68, p2606).
- the substrate may be a rigid substrate or an elastic substrate.
- the substrate is a plastic, metal, semiconductor wafer or glass. Further, the substrate has a smooth surface. No surface defects are ideal for substrates.
- the substrate is flexible.
- the substrate is a polymer film or plastic; the substrate has a glass transition temperature Tg of 150 ° C or more; further, more than 200 ° C; further, more than 250 ° C; further, more than 300 ° C.
- the substrate is selected from one of poly(ethylene terephthalate) (PET) and polyethylene glycol (2,6-naphthalene) (PEN).
- the material of the anode includes one of a conductive metal, a metal oxide, and a conductive polymer.
- the anode can easily inject holes into the light-emitting layer, the hole injection layer, or the hole transport layer.
- the work function of the anode and the organic functional material (luminescent material) in the light-emitting layer, the p-type semiconductor material of the hole injection layer, the p-type semiconductor material of the hole transport layer, or the p-type semiconductor material of the electron blocking layer is less than 0.5 eV; further, less than 0.3 eV; and further, less than 0.2 eV.
- the anode material is selected from one of Al, Cu, Au, Ag, Mg, Fe, Co, Ni, Mn, Pd, Pt, ITO, and aluminum-doped zinc oxide (AZO).
- the anode material can be obtained by physical vapor deposition.
- the physical vapor deposition method is specifically RF magnetron sputtering, vacuum thermal evaporation or electron beam (e-beam) evaporation.
- anode material is not limited to the above materials, and the anode material may also be patterned ITO.
- the material of the cathode is selected from one of a conductive metal and a metal oxide.
- the material of the cathode is such that electrons can be easily injected into the electron injecting layer, the electron transporting layer or the light emitting layer.
- the work function of the cathode and the LUMO level of the organic functional material (luminescent material) of the light-emitting layer, the n-type semiconductor material of the electron injecting layer, the n-type semiconductor material of the electron transporting layer or the n-type semiconductor material of the hole blocking layer The absolute value of the difference in the (or conduction band) energy level is less than 0.5 eV; further, less than 0.3 eV, and further, less than 0.2 eV.
- all materials which can be used as cathodes of OLEDs are possible as cathode materials for the organic electronic devices of the present embodiment.
- the cathode material is selected from the group consisting of Al, Au, Ag, Ca, Ba, Mg, LiF/Al, MgAg alloy, BaF 2 /Al, Cu, Fe, Co, Ni, Mn, Pd, Pt, and ITO. .
- the cathode material can be obtained by physical vapor deposition.
- the physical vapor deposition method is specifically RF magnetron sputtering, vacuum thermal evaporation or electron beam (e-beam) evaporation.
- the organic electronic device of the present embodiment has an emission wavelength of 300 nm to 1000 nm, further, an emission wavelength of 350 to 900 nm, and further, an emission wavelength of 400 to 800 nm.
- the above organic electronic device can be applied to various electronic devices.
- display devices for example, display devices, lighting devices, light sources or sensors, and the like.
- a method of producing an organic electronic device includes the step of forming a functional layer by vapor deposition using the above carbazole benzene fused ring derivative, the above polymer, and the above mixture.
- the mixture of the present embodiment is a solventless type mixture as described above.
- a method of producing an organic electronic device comprising the step of forming a functional layer by printing or coating using the above composition.
- the composition is a solvent-based composition as described above.
- the printing method may be inkjet printing or Nozzle Printing.
- the coating method can be typography, screen printing, dip coating, spin coating, blade coating, roller printing, torsion roll printing, lithography, flexographic printing, rotary printing, spraying, brushing, pad printing, Slit type extrusion coating, etc.
- the synthetic route is as follows:
- the synthetic route is as follows:
- the synthetic route is as follows:
- the synthetic route is as follows:
- the synthetic route is as follows:
- the synthetic route is as follows:
- the synthetic route is as follows:
- the energy level of the organic material can be obtained by quantum calculation, for example, by using TD-DFT (time-dependent density functional theory) by Gaussian 03W (Gaussian Inc.), and the specific simulation method can be found in WO2011141110.
- TD-DFT time-dependent density functional theory
- Gaussian 03W Gaussian Inc.
- the specific simulation method can be found in WO2011141110.
- the semi-empirical method “Ground State/Semi-empirical/Default Spin/AM1" (Charge 0/Spin Singlet) is used to optimize the molecular geometry, and then the energy structure of the organic molecule is determined by TD-DFT (time-dependent density functional theory) method.
- TD-SCF/DFT/Default Spin/B3PW91 and the base group "6-31G(d)” (Charge 0/Spin Singlet).
- the HOMO and LUMO levels are calculated according to the following calibration formula, and S1 and T1 are used directly.
- HOMO(eV) ((HOMO(G) ⁇ 27.212)-0.9899)/1.1206
- HOMO(G) and LUMO(G) are direct calculation results of Gaussian 03W, and the unit is Hartree.
- the results of the compounds of Examples 1 to 6 and Comparative Example 1 are shown in Table 1:
- the structures of the organic light emitting diodes (OLED devices) of Examples 7 to 12 and Comparative Example 2 were all ITO/HIL (50 nm) / HTL (35 nm) / Host: 5% Dopant (25 nm) / ETL (28 nm) / LiQ (1 nm) ) / Al (150 nm) / cathode. "/" indicates the layer.
- the compound prepared in Example 1 is the material of the electron transport layer (ETL) of Example 7 and the compound prepared in Example 2 is the material of the electron transport layer (ETL) of Example 8, prepared in Example 3.
- the compound was the material of the electron transport layer (ETL) of Example 9
- the compound prepared in Example 4 was the material of the electron transport layer (ETL) of Example 10
- the compound prepared in Example 5 was the electron transport of Example 11.
- the material of the layer (ETL), the compound prepared in Example 6 was the material of the electron transport layer (ETL) of Example 12
- the compound prepared in Comparative Example 1 was the material of the electron transport layer (ETL) of Comparative Example 2.
- the materials of the hole injection layer (HIL), the material of the hole transport layer (HTL), and the material of the host of Examples 7 to 12 and Comparative Example 2 were the same as those of the anthracene derivative and the Dopant.
- the material of the hole injection layer is a triarylamine derivative
- the material of the hole transport layer is a triarylamine derivative
- the material of Host is an anthracene derivative
- the material of Dopant is a triarylamine derivative.
- ITO indium tin oxide
- a conductive glass substrate cleaning using a variety of solvents (such as one or several of chloroform, acetone or isopropanol) cleaning, and then UV ozone treatment;
- HIL 50 nm
- HTL 35 nm
- EML 25 nm
- ETL 28 nm
- cathode LiQ / Al (1nm / 150nm) in a high vacuum (1 ⁇ 10 -6 mbar) in the thermal evaporation;
- the device is encapsulated in a nitrogen glove box with an ultraviolet curable resin.
- the current-voltage (J-V) characteristics of the organic light-emitting diodes of Examples 7 to 12 and Comparative Example 2 were tested using a characterization apparatus, Also record important parameters such as luminous efficiency, lifetime and color coordinates (see Table 2).
- the device X of Comparative Example 2 which was a material of the electron transport layer, was 0.18 and Y was 0.15. Obviously, the color coordinates of the devices of Examples 7 to 12 were more superior than those of Comparative Example 2.
- the luminous efficiency of Examples 7 to 12 using the compounds prepared in Examples 1 to 6 as the material of the electron transporting layer was at least 4.8 cd/A, and the device of Comparative Example 2 was only 3.6 cd/A, that is, the examples were employed.
- the devices of Examples 7 to 12 in which the obtained compound was used as a material of the electron transport layer had more excellent luminous efficiency.
- T 95 1000 nits represents the initial luminance at 1000, and the luminance is attenuated to 95% of the time), and the lifetimes of the organic light-emitting diodes of Examples 7 to 12 recorded in Table 2 are relative to the organic ratio of Comparative Example 2
- the multiple of the light emitting diode for example, the lifetime of the organic light emitting diode of Comparative Example 2 is 1, and the lifetime of Example 7 in Table 2 is 3.7, which is 3.7 times the lifetime of the organic light emitting diode of Embodiment 7, Example 8 The same is true for ⁇ 12, which is not described here.
- the lifetime of the devices of Examples 7 to 12 is more than twice the life of Comparative Example 2, and has a long life.
Landscapes
- Chemical & Material Sciences (AREA)
- Organic Chemistry (AREA)
- Engineering & Computer Science (AREA)
- Materials Engineering (AREA)
- Electroluminescent Light Sources (AREA)
- Indole Compounds (AREA)
Abstract
Description
本发明涉及有机电子器件领域,特别是涉及一种咔唑苯类稠环衍生物、聚合物、混合物、组合物、有机电子器件及其制备方法。The invention relates to the field of organic electronic devices, in particular to a carbazole benzene fused ring derivative, a polymer, a mixture, a composition, an organic electronic device and a preparation method thereof.
由于有机半导体材料具有分子结构设计多样性、制造成本相对较低、光电性能优越等特性,使得其在许多光电装置上具有巨大的应用潜力,如有机发光二极管(OLED)、有机光伏电池(OPV)、有机场效应管(OFET)等。尤其从1987年邓青云等(C.W.Tang and S.A.Van Slyke,Appl.Phys.Lett.,1987,51,913)报道了双层OLED结构以来,有机半导体材料在平板显示和照明领域得到了飞速的发展。Due to the diversity of molecular structure design, relatively low manufacturing cost, and superior optoelectronic performance, organic semiconductor materials have great potential applications in many optoelectronic devices, such as organic light-emitting diodes (OLEDs) and organic photovoltaic cells (OPVs). There are airport effect tubes (OFETs) and so on. Especially since the double-layer OLED structure was reported by Deng Qingyun et al. (C.W. Tang and S.A. Van Slyke, Appl. Phys. Lett., 1987, 51, 913), organic semiconductor materials have been rapidly developed in the field of flat panel display and illumination.
有机薄膜发光元件必须满足发光效率的提升、驱动电压的降低、耐久性的提升等。但是,目前仍有许多技术性课题,其中,元件的高效率与长寿命并存是许多难题之一。The organic thin film light-emitting element must satisfy an improvement in luminous efficiency, a reduction in driving voltage, and an improvement in durability. However, there are still many technical issues, among which the high efficiency and long life of components are one of the many problems.
为了加速推动OLED大范围产业化的进程,提高其光电性能,各种新型有机光电材料体系被广泛地设计开发生产。其中,咔唑类有机半导体材料由于其优越的光电性能、氧化还原性能、稳定性等,使其在光电器件中有着广泛的应用。此外,稠环结构的芳香基团或芳杂基团,如荧蒽、蒽、芘、菲、二氮菲、苯并荧蒽等,由于其分子的平面结构,一般具有好的载流子传输性能和光电响应。然而目前报道的咔唑类或者具有稠环结构的有机半导体材料在光电器件中载流子传输能力、稳定性、寿命等还存在一定的局限性。In order to accelerate the process of OLED's large-scale industrialization and improve its photoelectric performance, various new organic photoelectric material systems have been widely designed and developed. Among them, carbazole organic semiconductor materials have a wide range of applications in optoelectronic devices due to their superior optoelectronic properties, redox properties, and stability. In addition, the aromatic group or the aromatic hetero group of the fused ring structure, such as fluoranthene, fluorene, fluorene, phenanthrene, phenanthroline, benzofluoranthene, etc., generally has good carrier transport due to the planar structure of the molecule. Performance and photoelectric response. However, the currently reported carbazoles or organic semiconductor materials having a fused ring structure have certain limitations in carrier transport capability, stability, and lifetime of photovoltaic devices.
CN 104768926 A公开了三苯胺与稠环基团相连的化合物。这类化合物被用作蓝光OLED器件的电子传输层,使器件的性能得到一定的提高。然而,常与三苯胺类比,咔唑作为一类有着更大共轭的传输材料单元,其与稠环结构的设计结合对器件性能和寿命的影响,还没有得到进一步的研究。CN 104768926 A discloses compounds in which triphenylamine is attached to a fused ring group. Such compounds are used as electron transport layers for blue OLED devices, resulting in a certain improvement in device performance. However, often compared with triphenylamines, carbazole as a class of transporting materials with a greater conjugate, its effect on the performance and lifetime of the device combined with the design of the fused ring structure has not been further studied.
CN 102372694 A公开了一类咔唑苯单元与含吡啶单元的芳香基团连接的化合物。这类化合物被用作蓝光OLED器件的电子传输层,使器件的电压得到了降低,效率得到了提高。然而,有着高电子迁移率和光电效率的大平面共轭的稠环结构,与咔唑苯以及含氮原子的芳香基团的设计结合对器件性能和寿命的影响,还没有得到进一步的开发。CN 102372694 A discloses a class of compounds in which a carbazole benzene unit is attached to an aromatic group containing a pyridine unit. Such compounds are used as electron transport layers for blue OLED devices, which reduce the voltage of the device and increase the efficiency. However, the large planar conjugated fused ring structure with high electron mobility and photoelectric efficiency, combined with the design of carbazole benzene and aromatic groups containing nitrogen atoms, has not been further developed for device performance and lifetime.
KR 20130059802公开了一类咔唑苯单元与吡啶、喹啉或者异喹啉相连接的化合物。这类化合物选用含氮原子的吡啶、喹啉或者异喹啉的芳香基团,且环原子数均小于10。然而,更大共轭平面的稠环结构与咔唑苯单元的设计结合对器件性能和寿命的影响,还没有得到系统的比较和研究。KR 20130059802 discloses a class of compounds in which a carbazole benzene unit is attached to a pyridine, quinoline or isoquinoline. Such compounds employ an aromatic group of a pyridine, quinoline or isoquinoline containing a nitrogen atom, and the number of ring atoms is less than 10. However, the influence of the design of the fused ring structure of the larger conjugate plane and the design of the carbazole benzene unit on the performance and lifetime of the device has not been systematically compared and studied.
为了进一步发掘这类材料的光电性能,新型结构的咔唑稠环相结合的材料仍待设计开发。咔唑与稠环新型的设计结合方式赋予了此类结构优越的光电性能。In order to further explore the photoelectric properties of such materials, the combination of new structural carbazole fused rings is still to be designed and developed. The novel design combination of carbazole and fused ring gives superior optical properties to such structures.
另外,为了降低生产成本,实现大面积的OLED器件,印刷OLED正在成为一个最有希望的技术选项。对此,印刷OLED材料是关键。然而目前开发的基于蒸镀技术的小分子OLED材料,由于其较低的分子量和刚性的芳香性分子结构使得溶解性和成膜性都比较差,特别是难以形成形貌规整的无空洞的非晶薄膜。因此,目前,对印刷OLED尚缺乏相应的材料解决方案,高性能的小分子有机发光二极管仍是通过真空蒸镀的方法制备。因此,设计合成具有好的溶解性和成膜性的有机小分子功能化合物对实现高性能溶液加工有机发光二极管显得尤为重要。In addition, in order to reduce production costs and achieve large-area OLED devices, printed OLEDs are becoming one of the most promising technology options. For this, printing OLED materials is the key. However, the small-molecule OLED materials based on evaporation technology developed at present have poor solubility and film forming properties due to their low molecular weight and rigid aromatic molecular structure, especially difficult to form a void-free non-cavitation. Crystal film. Therefore, at present, there is no corresponding material solution for printing OLED, and high-performance small-molecule organic light-emitting diodes are still prepared by vacuum evaporation. Therefore, designing and synthesizing organic small molecule functional compounds with good solubility and film forming properties is particularly important for achieving high performance solution processing of organic light emitting diodes.
发明内容Summary of the invention
基于此,有必要提供一种兼具较高的效率和较长的寿命的咔唑苯类稠环衍生物。Based on this, it is necessary to provide a carbazole benzene fused ring derivative which has both high efficiency and long life.
此外,还提供一种聚合物、混合物、组合物、有机电子器件及其制备方法。 In addition, a polymer, a mixture, a composition, an organic electronic device, and a method of preparing the same are also provided.
一种咔唑苯类稠环衍生物,具有如下通式:A carbazole benzene fused ring derivative having the following formula:
其中,Ar1和Ar2分别独立选自芳香基及芳杂基中的一种,且所述Ar1和所述Ar2中的至少一个选自成环原子数为13个~60个的稠环芳香基及成环原子数为13个~60个的稠环芳杂基中的一种;Wherein Ar 1 and Ar 2 are each independently selected from the group consisting of an aromatic group and an aromatic hetero group, and at least one of the Ar 1 and the Ar 2 is selected from a thick group having 13 to 60 ring atoms. a ring aromatic group and one of 13 to 60 fused ring aromatic groups;
R1、R2分别独立选自H、D、F、CN、NO2、CF3、烯基、炔基、胺基、酰基、酰胺基、氰基、异氰基、烷氧基、羟基、羰基、砜基、碳原子数为1个~60个的烷基、碳原子数为3个~60个的环烷基、碳原子数为6个~60个的芳香基、碳原子数为3个~60个的杂环芳香基、碳原子数为7个~60个的稠环芳香基及碳原子数为4个~60个的稠杂环芳基中的一种;R 1 and R 2 are each independently selected from the group consisting of H, D, F, CN, NO 2 , CF 3 , alkenyl, alkynyl, amine, acyl, amide, cyano, isocyano, alkoxy, hydroxy, a carbonyl group, a sulfone group, an alkyl group having 1 to 60 carbon atoms, a cycloalkyl group having 3 to 60 carbon atoms, an aromatic group having 6 to 60 carbon atoms, and 3 carbon atoms One to 60 heterocyclic aryl groups, one having 7 to 60 fused ring aromatic groups, and one of 4 to 60 fused heterocyclic aryl groups;
Ar3和Ar4分别独立选自碳原子数为6个~60个的芳香基、碳原子数为3个~60个的杂环芳香基、碳原子数为7个~60个的稠环芳香基及碳原子数为4个~60个的稠杂环芳基中的一种;Ar 3 and Ar 4 are each independently selected from an aromatic group having 6 to 60 carbon atoms, a heterocyclic aromatic group having 3 to 60 carbon atoms, and a condensed aromatic ring having 7 to 60 carbon atoms. a group of one or more fused heterocyclic aryl groups having 4 to 60 carbon atoms;
并且,所述Ar3和Ar4中至少一个包含具有N原子的芳香族杂环;And, at least one of Ar 3 and Ar 4 contains an aromatic hetero ring having an N atom;
n为0~20的任一整数;m为0~20的任一整数;p为0~4的任一整数;q为0~4的任一整数,且所述p及所述q最多一个为0。n is any integer from 0 to 20; m is any integer from 0 to 20; p is any integer from 0 to 4; q is any integer from 0 to 4, and the p and the q are at most one Is 0.
一种聚合物,包含结构式为上述咔唑苯类稠环衍生物的重复结构单元。A polymer comprising repeating structural units of the above formula oxazobenzene fused ring derivatives.
一种混合物,包括上述咔唑苯类稠环衍生物及上述聚合物中的一种和有机功能材料,所述有机功能材料选自空穴注入材料、空穴传输材料、空穴阻挡材料、电子注入材料、电子传输材料、电子阻挡材料、有机基质材料、发光材料及有机染料中的至少一种。A mixture comprising the above carbazole benzene fused ring derivative and one of the above polymers and an organic functional material selected from the group consisting of a hole injecting material, a hole transporting material, a hole blocking material, and an electron At least one of an injection material, an electron transport material, an electron blocking material, an organic matrix material, a luminescent material, and an organic dye.
一种组合物,包括主料和有机溶剂,所述主料包括上述所述咔唑苯类稠环衍生物、上述聚合物及上述混合物中的一种,所述有机溶剂包括第一溶剂,所述第一溶剂为芳族溶剂、杂芳族溶剂、酮类溶剂、醚类溶剂及酯类溶剂中的至少一种。A composition comprising a main ingredient and an organic solvent, the main material comprising one of the above-mentioned carbazole benzene fused ring derivatives, the above polymer and the above mixture, the organic solvent comprising a first solvent, The first solvent is at least one of an aromatic solvent, a heteroaromatic solvent, a ketone solvent, an ether solvent, and an ester solvent.
一种有机电子器件,包括功能层,所述功能层的材料包括上述咔唑苯类稠环衍生物、上述聚合物、上述混合物及上述组合物中的一种。An organic electronic device comprising a functional layer, the material of which comprises one of the above carbazole benzene fused ring derivatives, the above polymer, the above mixture, and one of the above compositions.
一种有机电子器件的制备方法,包括使用上述咔唑苯类稠环衍生物、上述聚合物及上述混合物中的一种蒸镀形成功能层的步骤。A method of producing an organic electronic device comprising the step of forming a functional layer by vapor deposition using one of the above carbazole benzene fused ring derivatives, the above polymer, and the above mixture.
一种有机电子器件的制备方法,包括使用上述的组合物采用印刷及涂布中的一种方式形成功能层的步骤。A method of preparing an organic electronic device comprising the step of forming a functional layer by one of printing and coating using the above composition.
本发明的一个或多个实施例的细节在下面的附图和描述中提出。本发明的其它特征、目的和优点将从说明书、附图以及权利要求书变得明显。Details of one or more embodiments of the invention are set forth in the accompanying drawings and description below. Other features, objects, and advantages of the invention will be apparent from the description and appended claims.
为了便于理解本发明,下面将参照相关附图对本发明进行更全面的描述。In order to facilitate the understanding of the present invention, the present invention will be described more fully hereinafter with reference to the accompanying drawings.
需要说明的是,在本文中,芳香基指至少包含一个芳环的烃基。杂环芳香基指包含至少一个杂原子的芳香烃基。稠环芳香基指芳香基的环可以具有两个或多个环,其中两个碳原子被两个相邻的环共用,即稠环。稠杂环芳香基指包含至少一个杂原子的稠环芳香烃基。It should be noted that, herein, an aromatic group means a hydrocarbon group containing at least one aromatic ring. Heterocyclic aromatic group means an aromatic hydrocarbon group containing at least one hetero atom. A fused ring aromatic group means that the ring of the aryl group may have two or more rings in which two carbon atoms are shared by two adjacent rings, that is, a fused ring. A fused heterocyclic aryl group refers to a fused ring aromatic hydrocarbon group containing at least one hetero atom.
在本文中,芳香基包含了稠环芳香基,杂环芳香基包含了稠杂环芳香基。且芳香基和杂环芳香基均不限于包括芳香环的体系,还包含非芳香族的环系。例如,吡啶、噻吩、吡咯、吡唑、三唑、咪唑、噁唑、噁二唑、噻唑、四唑、吡嗪、哒嗪、嘧啶、三嗪、卡宾等 体系,也同样认为是本文中所指的芳香基或杂环芳香基。Herein, the aryl group contains a fused ring aromatic group, and the heterocyclic aryl group contains a fused heterocyclic aryl group. Further, the aromatic group and the heterocyclic aromatic group are not limited to a system including an aromatic ring, and a non-aromatic ring system is also included. For example, pyridine, thiophene, pyrrole, pyrazole, triazole, imidazole, oxazole, oxadiazole, thiazole, tetrazole, pyrazine, pyridazine, pyrimidine, triazine, carbene, etc. The system is also considered to be an aromatic or heterocyclic aromatic group as referred to herein.
且在本文中,稠环芳香基不限于包括芳香基团的体系,稠杂环芳香基也不限于包括杂芳香基团的体系,其中多个芳香基或杂环芳香基也可以被短的非芳族单元间断(<10%的非H原子,进一步为小于5%的非H原子,比如C、N或O原子)。因此,比如9,9'-螺二芴,9,9-二芳基芴,三芳胺,二芳基醚等体系,同样认为是稠环芳香基。And herein, the fused ring aromatic group is not limited to a system including an aromatic group, and the fused heterocyclic aryl group is not limited to a system including a heteroaromatic group, and a plurality of aromatic or heterocyclic aromatic groups may also be short non- The aromatic unit is interrupted (<10% non-H atoms, further less than 5% non-H atoms, such as C, N or O atoms). Thus, systems such as 9,9'-spirobifluorene, 9,9-diarylfluorene, triarylamine, diaryl ether, etc., are also considered to be fused ring aromatic groups.
具体地,芳香基团的例子有:苯、二联苯、三联苯、甲苯、氯苯、及其衍生物。Specifically, examples of the aromatic group are: benzene, biphenyl, terphenyl, toluene, chlorobenzene, and derivatives thereof.
具体地,稠环芳香基团的例子有:萘、蒽、荧蒽、菲、苯并菲、二萘嵌苯、并四苯、芘、苯并芘、苊、芴、及其衍生物。Specifically, examples of the fused ring aromatic group are: naphthalene, anthracene, fluoranthene, phenanthrene, triphenylene, perylene, tetracene, anthracene, benzopyrene, anthracene, anthracene, and derivatives thereof.
具体地,杂环芳香基团的例子有:吡啶、噻吩、吡咯、吡唑、三唑、咪唑、噁唑、噁二唑、噻唑、四唑、吡嗪、哒嗪、嘧啶、三嗪、卡宾、及其衍生物。Specifically, examples of heterocyclic aromatic groups are: pyridine, thiophene, pyrrole, pyrazole, triazole, imidazole, oxazole, oxadiazole, thiazole, tetrazole, pyrazine, pyridazine, pyrimidine, triazine, carbene And its derivatives.
具体地,稠杂环芳香基团的例子有:苯并呋喃、苯并噻吩、吲哚、咔唑、吡咯并咪唑、吡咯并吡咯、噻吩并吡咯、噻吩并噻吩、呋喃并吡咯、呋喃并呋喃、噻吩并呋喃、苯并异噁唑、苯并异噻唑、苯并咪唑、喹啉、异喹啉、邻二氮萘、喹喔啉、菲啶、伯啶、喹唑啉、喹唑啉酮、及其衍生物。Specifically, examples of the fused heterocyclic aromatic group are: benzofuran, benzothiophene, anthracene, oxazole, pyrroloimidazole, pyrrolopyrrol, thienopyrrole, thienothiophene, furopyrrol, furanfuran , thienofuran, benzisoxazole, benzisothiazole, benzimidazole, quinoline, isoquinoline, o-diazepine, quinoxaline, phenanthridine, pyridine, quinazoline, quinazolinone And its derivatives.
一实施方式的咔唑苯类稠环衍生物,具有如下结构式:A carbazole benzene fused ring derivative of one embodiment has the following structural formula:
通式(1) General formula (1)
其中,在通式(1)中,R1和R2分别独立选自H、D、F、CN、NO2、CF3、烯基、炔基、胺基、酰基、酰胺基、氰基、异氰基、烷氧基、羟基、羰基、砜基、碳原子数为1个~60个的烷基、碳原子数为3个~60个的环烷基、碳原子数为6个~60个的芳香基、碳原子数为3个~60个的杂环芳香基、碳原子数为7个~60个的稠环芳香基及碳原子数为4个~60个的稠杂环芳基中的一种。Wherein, in the formula (1), R 1 and R 2 are each independently selected from the group consisting of H, D, F, CN, NO 2 , CF 3 , alkenyl, alkynyl, amine, acyl, amide, cyano, Isocyanato group, alkoxy group, hydroxyl group, carbonyl group, sulfone group, alkyl group having 1 to 60 carbon atoms, cycloalkyl group having 3 to 60 carbon atoms, and 6 to 60 carbon atoms Aromatic group, a heterocyclic aryl group having 3 to 60 carbon atoms, a fused ring aromatic group having 7 to 60 carbon atoms, and a fused heterocyclic aryl group having 4 to 60 carbon atoms One of them.
n为0~20中的任一整数;进一步地,n为0~10中的任一整数;进一步地,n为0~5中的任一整数;进一步地,n为0~3中的任一整数。n is any integer from 0 to 20; further, n is any integer from 0 to 10; further, n is any integer from 0 to 5; further, n is any of 0 to 3 An integer.
m为0~20中的任一整数。m is any integer from 0 to 20.
p为0~4的任一整数;进一步地,p为0~3的任一整数;进一步地,p为0~2的任一整数;进一步地,p为0~1的任一整数。p is any integer from 0 to 4; further, p is any integer from 0 to 3; further, p is any integer from 0 to 2; further, p is any integer from 0 to 1.
q为0~4的任一整数,且p及q中最多一个为0。进一步地,q为0~3的任一整数;进一步地,q为0~2的任一整数;进一步地,q为0~1的任一整数。q is any integer from 0 to 4, and at most one of p and q is 0. Further, q is any integer from 0 to 3; further, q is any integer from 0 to 2; further, q is any integer from 0 to 1.
在通式(1)中,Ar3和Ar4分别独立选自碳原子数为6个~60个的芳香基、碳原子数为3个~60个的杂环芳香基、碳原子数为7个~60个的稠环芳香基及碳原子数为4个~60个的稠杂环芳基中的一种。并且Ar3和Ar4中的至少一个包含具有N原子的芳香杂环。In the formula (1), Ar 3 and Ar 4 are each independently selected from an aromatic group having 6 to 60 carbon atoms, a heterocyclic aromatic group having 3 to 60 carbon atoms, and 7 carbon atoms. One to 60 fused ring aromatic groups and one of 4 to 60 fused heterocyclic aryl groups. And at least one of Ar 3 and Ar 4 contains an aromatic heterocyclic ring having an N atom.
具体地,在Ar3和Ar4中,具有N原子的芳香杂环分别独立选自 及 中的一个;Specifically, in Ar 3 and Ar 4 , the aromatic heterocyclic rings having N atoms are each independently selected from and one of the;
其中,在上述具有N原子的芳香杂环中,环上的氢可以被任意取代。且环上的氢可以被任意取代是指具有N原子的芳香杂环不仅可以选自上述结构中的一个,还可以选自氢原子被取代的上述结构中的一个。Among them, in the above aromatic heterocyclic ring having an N atom, hydrogen on the ring may be optionally substituted. And the hydrogen on the ring may be optionally substituted means that the aromatic heterocyclic ring having an N atom may be selected not only from one of the above structures but also one selected from the above structures in which a hydrogen atom is substituted.
在上述具有N原子的芳香杂环中,上述每个结构中的所有X选自CR3、N及C中的一个,每个结构中的至少一个X为N,且两个相邻X中的最多一个为N。每个结构中,1个~5个X为N;进一步地,每个结构中,1个~3个X为N;更进一步地,1个~2个X为N。In the above aromatic heterocyclic ring having N atom, all X in each of the above structures is selected from one of CR 3 , N and C, and at least one X in each structure is N, and in two adjacent X At most one is N. In each structure, one to five X are N; further, in each structure, one to three X are N; further, one to two X are N.
Y选自CR4R5、SiR6R7、NR8、C(=O)、S(=O)2、O及S中一个。Y is selected from one of CR 4 R 5 , SiR 6 R 7 , NR 8 , C(=O), S(=O) 2 , O and S.
R3、R4、R5、R6、R7及R8分别独立选自H、D、F、CN、NO2、CF3、烯基、炔基、胺基、酰基、酰胺基、氰基、异氰基、烷氧基、羟基、羰基、砜基、碳原子数为1个~60个的烷基、碳原子数为3个~60个的环烷基、碳原子数为6个~60个的芳香基、碳原子数为3个~60个的杂环芳香基、碳原子数为7个~60个的稠环芳香基及碳原子数为4个~60个的稠杂环芳香基中的一个。R 3 , R 4 , R 5 , R 6 , R 7 and R 8 are each independently selected from the group consisting of H, D, F, CN, NO 2 , CF 3 , alkenyl, alkynyl, amine, acyl, amide, cyanide a group, an isocyano group, an alkoxy group, a hydroxyl group, a carbonyl group, a sulfone group, an alkyl group having 1 to 60 carbon atoms, a cycloalkyl group having 3 to 60 carbon atoms, and 6 carbon atoms ~60 aromatic groups, a heterocyclic aryl group having 3 to 60 carbon atoms, a fused ring aromatic group having 7 to 60 carbon atoms, and a fused heterocyclic ring having 4 to 60 carbon atoms One of the aromatic bases.
进一步地,R3、R4、R5、R6、R7及R8分别独立选自H、D、F、CN、NO2、CF3、烯基、炔基、胺基、酰基、酰胺基、氰基、异氰基、烷氧基、羟基、羰基、砜基、碳原子数为1个~30个的烷基、碳原子数为3个~30个的环烷基、碳原子数为6个~30个的芳香基、碳原子数为3个~30个的杂环芳香基、碳原子数为7个~30个的稠环芳香基及碳原子数为4个~30个的稠杂环芳香基中的一个。Further, R 3 , R 4 , R 5 , R 6 , R 7 and R 8 are each independently selected from the group consisting of H, D, F, CN, NO 2 , CF 3 , alkenyl, alkynyl, amine, acyl, amide a group, a cyano group, an isocyano group, an alkoxy group, a hydroxyl group, a carbonyl group, a sulfone group, an alkyl group having 1 to 30 carbon atoms, a cycloalkyl group having 3 to 30 carbon atoms, and a carbon number 6 to 30 aromatic groups, 3 to 30 heterocyclic aryl groups, 7 to 30 fused ring aromatic groups, and 4 to 30 carbon atoms One of the fused heterocyclic aryl groups.
进一步地,在Ar3和Ar4中,具有N原子的芳香杂环分别选自 及中的一个。Further, in Ar 3 and Ar 4 , the aromatic heterocyclic ring having an N atom is each selected from the group consisting of and one of the.
进一步地,Ar3和Ar4均包含具有N原子的芳香杂环。Further, both Ar 3 and Ar 4 contain an aromatic heterocyclic ring having an N atom.
在通式(1)中,Ar1和Ar2分别独立选自芳香基及芳杂基中的一种,且Ar1和Ar2中的至少一个选自成环原子数为13个~60个的稠环芳香基及成环原子数为13个~60个的稠环芳杂基中的一种。In the general formula (1), Ar 1 and Ar 2 are each independently selected from one of an aromatic group and an aromatic hetero group, and at least one of Ar 1 and Ar 2 is selected from the group consisting of 13 to 60 ring atoms. The fused ring aromatic group and one of the fused ring aromatic groups having 13 to 60 ring atoms.
进一步地,Ar1和Ar2分别独立选自成环原子数为13个~50个的稠环芳香基及成环原子数为13个~50个的稠环芳杂基中的一种;进一步地,Ar1和Ar2分别独立选自成环原子数为13个~40个的稠环芳香基及成环原子数为13个~40个的稠环芳杂基中的一种;进一步地,Ar1和Ar2分别独立选自成环原子数为13个~30个的稠环芳香基及成环原子数为13个~30个的稠环芳杂基中的一种;进一步地,Ar1和Ar2分别独立选自成环原子数为13个~20个的稠环芳香基及成环原子数为13个~20个的稠环芳杂基中的一种。Further, Ar 1 and Ar 2 are each independently selected from the group consisting of a fused ring aromatic group having 13 to 50 ring atoms and a fused ring aromatic group having 13 to 50 ring atoms; , Ar 1 and Ar 2 are each independently selected from the group consisting of a fused ring aromatic group having 13 to 40 ring atoms and a fused ring aromatic group having 13 to 40 ring atoms; further , Ar 1 and Ar 2 are each independently selected from the group consisting of a fused ring aromatic group having 13 to 30 ring atoms and a fused ring aromatic group having 13 to 30 ring atoms; further, Ar 1 and Ar 2 are each independently selected from the group consisting of a fused ring aromatic group having 13 to 20 ring atoms and a fused ring aromatic group having 13 to 20 ring atoms.
具体地,在Ar1和Ar2中,稠环芳杂基中的杂原子选自Si、N、P、O、S及Ge中的至少一种;进一步地,在Ar1和Ar2中,稠环芳杂基中的杂原子选自Si、N、P、O及S中的至少一种;进一步地,在Ar1和Ar2中,稠环芳杂基中的杂原子选自N、O及S中的一种。Specifically, in Ar 1 and Ar 2 , the hetero atom in the fused ring arehetero group is at least one selected from the group consisting of Si, N, P, O, S, and Ge; further, in Ar 1 and Ar 2 , The hetero atom in the fused ring arehetero group is at least one selected from the group consisting of Si, N, P, O and S; further, in Ar 1 and Ar 2 , the hetero atom in the fused ring aryl group is selected from N, One of O and S.
进一步地,通式(1)中,Ar1和Ar2分别独立的选自成环原子数为3个~30个的稠环中一种,其中的环选自三元环、四元环、五元环及六元环中的一种;进一步,环为五元环及六元环中的一种。进一步地,Ar1和Ar2的成环原子数为3个~20个的稠环;进一步地,Ar1和Ar2的成环原子数为成环原子数为3个~10个的稠环;进一步地,成环原子数为3个 ~5个的稠环。Further, in the formula (1), Ar 1 and Ar 2 are each independently selected from the group consisting of a fused ring having 3 to 30 ring atoms, wherein the ring is selected from the group consisting of a three-membered ring and a four-membered ring. One of a five-membered ring and a six-membered ring; further, the ring is one of a five-membered ring and a six-membered ring. Further, the number of ring atoms of Ar 1 and Ar 2 is 3 to 20 fused rings; further, the number of ring atoms of Ar 1 and Ar 2 is a fused ring having 3 to 10 ring atoms. Further, the number of ring atoms is from 3 to 5 fused rings.
具体地,Ar1和Ar2分别独立选自 中的一个;Specifically, Ar 1 and Ar 2 are each independently selected from the group consisting of one of the;
其中,在上述Ar1和Ar2的结构式中,环上的氢可以被任意取代。且环上的H可以被任意取代是指Ar1和Ar2不仅可以选自上述结构中的一个,还可以选自H原子被取代的上述结构中的一个。Among them, in the above structural formula of Ar 1 and Ar 2 , hydrogen on the ring may be optionally substituted. And H may be optionally substituted on the ring means that Ar 1 and Ar 2 may be selected not only from one of the above structures but also one selected from the above structures in which the H atom is substituted.
在上述Ar1和Ar2的结构式中,X选自CR9及N中一个,两个相邻的X中最多一个为N;进一步地,上述每个结构式中的X均为CR9。In the above structural formula of Ar 1 and Ar 2 , X is selected from one of CR 9 and N, and at most one of two adjacent X is N; further, X in each of the above structural formulas is CR 9 .
R9选自H、D、F、CN、NO2、CF3、烯基、炔基、胺基、酰基、酰胺基、氰基、异氰基、烷氧基、羟基、羰基、砜基、碳原子数为1个~60个的烷基、碳原子数为3个~60个的环烷基、碳原子数为6个~60个的芳香基、碳原子数为3个~60个的杂环芳香基、碳原子数为7个~60个的稠环芳香基及碳原子数为4个~60个的稠杂环芳香基中一个。进一步地,R9为与其它基团连接的位点,或者,R9选自H、D、F、CN、NO2、CF3、烯基、炔基、胺基、酰基、酰胺基、氰基、异氰基、烷氧基、羟基、羰基、砜基、碳原子数为1个~30个的烷基、碳原子数为3个~30个的环烷基、碳原子数为6个~30个的芳香基、碳原子数为3个~30个的杂环芳香基、碳原子数为7个~30个的稠环芳香基及碳原子数为4个~30个的稠杂环芳香基中一个。更进一步地,R9选自H及D中的一个。R 9 is selected from the group consisting of H, D, F, CN, NO 2 , CF 3 , alkenyl, alkynyl, amine, acyl, amide, cyano, isocyano, alkoxy, hydroxy, carbonyl, sulfone, An alkyl group having 1 to 60 carbon atoms, a cycloalkyl group having 3 to 60 carbon atoms, an aromatic group having 6 to 60 carbon atoms, and 3 to 60 carbon atoms. A heterocyclic aromatic group, a fused aromatic group having 7 to 60 carbon atoms, and a fused heterocyclic aromatic group having 4 to 60 carbon atoms. Further, R 9 is a site attached to other groups, or R 9 is selected from the group consisting of H, D, F, CN, NO 2 , CF 3 , alkenyl, alkynyl, amine, acyl, amide, cyanide a group, an isocyano group, an alkoxy group, a hydroxyl group, a carbonyl group, a sulfone group, an alkyl group having 1 to 30 carbon atoms, a cycloalkyl group having 3 to 30 carbon atoms, and 6 carbon atoms ~30 aromatic groups, a heterocyclic aryl group having 3 to 30 carbon atoms, a fused ring aromatic group having 7 to 30 carbon atoms, and a fused heterocyclic ring having 4 to 30 carbon atoms One of the aromatic bases. Further, R 9 is selected from one of H and D.
Y选自CR10R11、SiR12R13、NR14、C(=O)、S(=O)2、O及S中一个;Y is selected from one of CR 10 R 11 , SiR 12 R 13 , NR 14 , C(=O), S(=O) 2 , O and S;
R10、R11、R12、R13及R14分别分别独立选自H、D、F、CN、NO2、CF3、烯基、炔基、胺基、酰基、酰胺基、氰基、异氰基、烷氧基、羟基、羰基、砜基、碳原子数为1个~60个的烷基、碳原子数为3个~60个的环烷基、碳原子数为6个~60个的芳香基、碳原子数为3个 ~60个的杂环芳香基、碳原子数为7个~60个的稠环芳香基及碳原子数为4个~60个的稠杂环芳香基中一个。R 10 , R 11 , R 12 , R 13 and R 14 are each independently selected from the group consisting of H, D, F, CN, NO 2 , CF 3 , alkenyl, alkynyl, amine, acyl, amide, cyano, Isocyanato group, alkoxy group, hydroxyl group, carbonyl group, sulfone group, alkyl group having 1 to 60 carbon atoms, cycloalkyl group having 3 to 60 carbon atoms, and 6 to 60 carbon atoms a aryl group, a heterocyclic aryl group having 3 to 60 carbon atoms, a fused ring aromatic group having 7 to 60 carbon atoms, and a fused heterocyclic aryl group having 4 to 60 carbon atoms One of them.
进一步地,R10、R11、R12、R13及R14分别独立选自H、D、F、CN、NO2、CF3、烯基、炔基、胺基、酰基、酰胺基、氰基、异氰基、烷氧基、羟基、羰基、砜基、碳原子数为1个~30个的烷基、碳原子数为3个~30个的环烷基、碳原子数为6个~30个的芳香基、碳原子数为3个~30个的杂环芳香基、碳原子数为7个~30个的稠环芳香基及碳原子数为4个~30个的稠杂环芳香基中一个。Further, R 10 , R 11 , R 12 , R 13 and R 14 are each independently selected from the group consisting of H, D, F, CN, NO 2 , CF 3 , alkenyl, alkynyl, amine, acyl, amide, cyanide a group, an isocyano group, an alkoxy group, a hydroxyl group, a carbonyl group, a sulfone group, an alkyl group having 1 to 30 carbon atoms, a cycloalkyl group having 3 to 30 carbon atoms, and 6 carbon atoms ~30 aromatic groups, a heterocyclic aryl group having 3 to 30 carbon atoms, a fused ring aromatic group having 7 to 30 carbon atoms, and a fused heterocyclic ring having 4 to 30 carbon atoms One of the aromatic bases.
进一步地,Ar1和Ar2分别独立选自蒽、荧蒽、菲、苯并菲、二萘嵌苯、并四苯、芘、苯并芘、苊、芴、咔唑、二苯并呋喃及二苯并噻吩中的一个。Further, Ar 1 and Ar 2 are each independently selected from the group consisting of fluorene, fluoranthene, phenanthrene, benzophenanthrene, perylene, tetracene, anthracene, benzopyrene, anthracene, anthracene, oxazole, dibenzofuran and One of the dibenzothiophenes.
进一步地,在通式(1)中,Ar1和Ar2分别独立选自 及中的一个。Further, in the general formula (1), Ar 1 and Ar 2 are each independently selected from the group consisting of and one of the.
或者,在其它实施例中,在通式(1)中,Ar1、Ar2、Ar3和Ar4分别独立地包含结构单元 中的至少一个,其中,s为1~4的任一整数。Alternatively, in other embodiments, in the formula (1), Ar 1 , Ar 2 , Ar 3 and Ar 4 each independently comprise a structural unit At least one of them, wherein s is any integer from 1 to 4.
具体地,咔唑苯类稠环衍生物具有较高的电子迁移率,且上述咔唑苯类稠环衍生物的电子迁移率≥10-5cm2/V.s;进一步地,电子迁移率≥10-4cm2/V.s;进一步地,电子迁移率最优≥10-3cm2/V.s。Specifically, the carbazole benzene fused ring derivative has a high electron mobility, and the electron mobility of the above carbazole benzene fused ring derivative is ≥10 -5 cm 2 /Vs; further, the electron mobility is ≥10 -4 cm 2 / Vs; further, the electron mobility is optimal ≥10 -3 cm 2 / Vs.
具体地,咔唑苯类稠环衍生物的玻璃化温度≥100℃;进一步地,玻璃化温度≥110℃;进一步地,玻璃化温度≥120℃;进一步地,玻璃化温度≥140℃。Specifically, the glass transition temperature of the carbazole benzene fused ring derivative is ≥100 ° C; further, the glass transition temperature is ≥110 ° C; further, the glass transition temperature is ≥120 ° C; further, the glass transition temperature is ≥140 ° C.
具体地,咔唑苯类稠环衍生物的最低未占有轨道的能级LUMO≤-2.7eV;进一步地,LUMO≤-2.8eV;进一步地,LUMO≤-2.9eV;进一步地,LUMO≤-3.0eV。Specifically, the lowest unoccupied orbital energy level LUMO ≤ -2.7 eV of the carbazole benzene fused ring derivative; further, LUMO ≤ -2.8 eV; further, LUMO ≤ -2.9 eV; further, LUMO ≤ -3.0 eV.
具体地,咔唑苯类稠环衍生物的最高被占有轨道的能级HOMO≤-5.6eV;进一步地,HOMO≤-5.7eV;进一步地,HOMO≤-5.8eV;进一步地,HOMO≤-5.9eV。Specifically, the highest occupied orbital energy level HOMO ≤ -5.6 eV of the carbazole benzene fused ring derivative; further, HOMO ≤ -5.7 eV; further, HOMO ≤ -5.8 eV; further, HOMO ≤ -5.9 eV.
具体地,咔唑苯类稠环衍生物的三线态能级T1≥1.7eV;进一步地,T1≥1.9eV;进一步地,T1≥2.2eV;进一步地,T1≥2.4eV。Specifically, the triplet level of the carbazole benzene fused ring derivative is T1 ≥ 1.7 eV; further, T1 ≥ 1.9 eV; further, T1 ≥ 2.2 eV; further, T1 ≥ 2.4 eV.
有机材料的能级结构中,三线态能级ET、HOMO、LUMO起着关键的作用。以下对这些能级的确定做一介绍。Among the energy level structures of organic materials, the triplet levels E T , HOMO, and LUMO play a key role. The following is an introduction to the determination of these energy levels.
HOMO和LUMO能级能够通过光电效应进行测量,例如,XPS(X射线光电子光谱法)、UPS(紫外光电子能谱)等,还能够通过循环伏安法(以下简称CV)。最近,量子化学方法,例如密度泛函理论(以下简称DFT),也成为行之有效的计算分子轨道能级的方法。The HOMO and LUMO levels can be measured by photoelectric effect, for example, XPS (X-ray photoelectron spectroscopy), UPS (UV photoelectron spectroscopy), etc., and can also pass cyclic voltammetry (hereinafter referred to as CV). Recently, quantum chemical methods, such as density functional theory (hereinafter referred to as DFT), have also become effective methods for calculating molecular orbital energy levels.
有机材料的三线态能级ET能够通过低温时间分辨发光光谱来测量,或者,还能够通过量子模拟计算(如通过Time-dependent DFT)得到,如通过商业软件Gaussian09W(Gaussian Inc.),具体的模拟方法可以参考专利文件WO2011141110中的方法,或者也可以本实施方式后面介绍的方法获得。The triplet energy level E T of organic materials can be measured by low temperature time-resolved luminescence spectroscopy, or can also be obtained by quantum simulation calculations (eg by Time-dependent DFT), as by the commercial software Gaussian 09W (Gaussian Inc.), specific The simulation method can be referred to the method in the patent document WO2011141110, or can also be obtained by the method described later in the embodiment.
应该注意,HOMO、LUMO和ET的绝对值取决于所用的测量方法或计算方法,甚至对于相同的方法,不同的评价方法也会导致结果的不同,例如在CV曲线上起始点和峰点会给出不同的HOMO/LUMO值。因此,合理有意义的比较应该用相同的测量方法和相同的评价方法。本实施方式中的HOMO、LUMO、ET的值是基于Time-dependent DFT的模拟获得的,需要说明的是,HOMO、LUMO、ET的获得也不限于采用该方法,它们也可以通过其它测量方法或计算方法获得,然而不同方法确定的能级值应进行相互标定。It should be noted that the absolute values of HOMO, LUMO and E T depend on the measurement method or calculation method used. Even for the same method, different evaluation methods may lead to different results, for example, the starting point and the peak point on the CV curve. Different HOMO/LUMO values are given. Therefore, a reasonable and meaningful comparison should use the same measurement method and the same evaluation method. The values of HOMO, LUMO, and E T in the present embodiment are obtained based on the simulation of Time-dependent DFT. It should be noted that the acquisition of HOMO, LUMO, and E T is not limited to the method, and they may also pass other measurements. The method or calculation method is obtained, but the energy level values determined by different methods should be mutually calibrated.
进一步地,咔唑苯类稠环衍生物的结构式上的部分氢原子被氘取代;进一步地,咔唑苯类稠环衍生物的结构式上,被氘取代的氢原子数为10%;进一步地,被氘取代的氢原子数为20%;进一步地,被氘取代的氢原子数为30%;进一步地,被氘取代的氢原子数为40%。Further, a part of the hydrogen atom of the structural formula of the carbazole benzene fused ring derivative is substituted by hydrazine; further, the structural formula of the carbazole benzene fused ring derivative has a hydrogen atom number of 10% substituted by hydrazine; further The number of hydrogen atoms substituted by deuterium is 20%; further, the number of hydrogen atoms substituted by deuterium is 30%; further, the number of hydrogen atoms substituted by deuterium is 40%.
具体地,咔唑苯类稠环衍生物选自如下化合物中的一种,但不限于为如下化合物: Specifically, the carbazole benzene fused ring derivative is selected from one of the following compounds, but is not limited to the following compounds:
上述咔唑苯类稠环衍生物至少有以下优点:上述咔唑苯类稠环衍生物的咔唑上的氮原子与大平面共轭的稠环芳香结构相连,有利于实现更好的载流子传输和光电响应,更好的能级匹配,提高了该类化合物及光电器件的光电性能及稳定性,从而提供了一种制造效率高、寿命长的发光器件的材料解决方案。The above carbazole benzene fused ring derivative has at least the following advantages: the nitrogen atom on the carbazole of the above carbazole benzene fused ring derivative is linked to a large plane conjugated fused ring aromatic structure, which is advantageous for achieving better current carrying current. Sub-transmission and photoelectric response, better energy level matching, improve the photoelectric performance and stability of such compounds and optoelectronic devices, thereby providing a material solution for a light-emitting device with high manufacturing efficiency and long life.
一实施方式的聚合物,包含结构式为通式(1)所示的咔唑苯类稠环衍生物的重复结构单元。其中,该聚合物是非共轭聚合物,其中,如通式(1)所示的咔唑苯类稠环衍生物的结构单元在侧链上。或者,该聚合物也可以是共轭聚合物。The polymer of one embodiment comprises a repeating structural unit of a carbazole benzene fused ring derivative of the formula (1). Here, the polymer is a non-conjugated polymer in which a structural unit of a carbazole benzene fused ring derivative represented by the formula (1) is on a side chain. Alternatively, the polymer may also be a conjugated polymer.
在本文中,聚合物即Polymer,包括均聚物(homopolymer)、共聚物(copolymer)及镶嵌共聚物(block copolymer)。在本实施方式中,聚合物也包括树状物(dendrimer),其中,树状物可以为文献[Dendrimers and Dendrons,Wiley-VCH Ver lag GmbH&Co.KGaA,2002, Ed.George R.Newkome,Charles N.Moorefield,Fritz Vogtle.]中公开的树状物,或者通过上述文献中的合成方法合成树状物。Herein, the polymer, that is, the polymer, includes a homopolymer, a copolymer, and a block copolymer. In this embodiment, the polymer also includes a dendrimer, wherein the dendrimer can be the literature [Dendrimers and Dendrons, Wiley-VCH Ver lag GmbH & Co. KGaA, 2002, Dendrites disclosed in Ed. George R. Newkome, Charles N. Moorefield, Fritz Vogtle., or synthetically synthesized by the synthetic methods described above.
共轭聚合物(conjugated polymer)是一聚合物,它的主链backbone主要是由C原子的sp2杂化轨道构成,例如:聚乙炔polyacetylene和poly(phenylene vinylene),其主链上的C原子的也可以被其它非C原子取代,而且当主链上的sp2杂化被一些自然的缺陷打断时,仍然被认为是共轭聚合物。且在本文中,共轭聚合物也包括主链上包含有芳基胺(aryl amine)、芳基磷化氢(aryl phosphine)及其他杂环芳烃(heteroarmotics)、有机金属络合物(organometallic complexes)等。A conjugated polymer is a polymer whose backbone backbone is mainly composed of sp 2 hybrid orbitals of C atoms, such as polyacetylene polyacetylene and poly(phenylene vinylene), and C atoms in its main chain. It can also be substituted by other non-C atoms, and is still considered to be a conjugated polymer when the sp 2 hybrid on the backbone is interrupted by some natural defects. And herein, the conjugated polymer also includes an aryl amine, an aryl phosphine and other heteroarmotics, and an organometallic complexes in the main chain. )Wait.
进一步地,咔唑苯类稠环衍生物为小分子材料。其中,本文中所指的“小分子”中没有重复结构,且不是聚合物、低聚物、树枝状聚合物、以及共混物;且分子质量≤3000克/毫摩;进一步地,小分子的分子质量≤2000克/毫摩;更进一步地,小分子的分子质量≤1500克/毫摩。Further, the carbazole benzene fused ring derivative is a small molecule material. Wherein, there is no repeating structure in the "small molecule" referred to herein, and it is not a polymer, an oligomer, a dendrimer, and a blend; and the molecular mass is ≤3000 g/mmol; further, a small molecule The molecular mass is ≤ 2000 g / mmol; further, the molecular mass of the small molecule is ≤ 1500 g / mmol.
一实施方式的混合物,为无溶剂型的混合物,能够用于蒸镀制备OLED器件。本实施方式的混合物包括上述咔唑苯类稠环衍生物及上述聚合物中的一种和有机功能材料。The mixture of one embodiment, which is a solventless type, can be used for vapor deposition to prepare OLED devices. The mixture of the present embodiment includes the above carbazole benzene fused ring derivative and one of the above polymers and an organic functional material.
其中,此处的聚合物为上述所指的包含结构式为通式(1)所示的咔唑苯类稠环衍生物的重复结构单元的聚合物。Here, the polymer herein is a polymer comprising the above-mentioned repeating structural unit of the carbazole benzene fused ring derivative represented by the formula (1).
具体地,在本实施例方式中,咔唑苯类稠环衍生物的相对摩尔质量均为1000g/mol;进一步地,咔唑苯类稠环衍生物的相对摩尔质量均为900g/mol;进一步地,咔唑苯类稠环衍生物的相对摩尔质量均为850g/mol;进一步地,咔唑苯类稠环衍生物的相对摩尔质量均为800g/mol;进一步地,咔唑苯类稠环衍生物的相对摩尔质量均为700g/mol。Specifically, in the embodiment, the relative molar mass of the carbazole benzene fused ring derivative is 1000 g/mol; further, the relative molar mass of the carbazole benzene fused ring derivative is 900 g/mol; further The relative molar mass of the carbazole benzene fused ring derivative is 850 g/mol; further, the relative molar mass of the carbazole benzene fused ring derivative is 800 g/mol; further, the carbazole benzene fused ring The relative molar mass of the derivatives was 700 g/mol.
有机功能材料选自空穴(也称电洞)注入材料(HIM)、空穴传输材料(HTM)、空穴阻挡材料(HBM)、电子注入材料(EIM)、电子传输材料(ETM)、电子阻挡材料(EBM)、有机基质材料(Host)、发光材料及有机染料中的至少一种。其中,发光材料选自单重态发光体(荧光发光体)、三重态发光体(磷光发光体)及有机热激发延迟荧光材料(TADF材料)中的至少一种。在本文中所指的有机基质材料是已经明确地能够作为有机基质材料。The organic functional material is selected from the group consisting of a hole (also called a hole) injection material (HIM), a hole transport material (HTM), a hole blocking material (HBM), an electron injection material (EIM), an electron transport material (ETM), and an electron. At least one of a barrier material (EBM), an organic host material (Host), a luminescent material, and an organic dye. The luminescent material is selected from at least one of a singlet illuminant (fluorescent illuminant), a triplet illuminant (phosphorescent illuminant), and an organic thermal excitation delayed fluorescent material (TADF material). The organic matrix material referred to herein is already clearly capable of functioning as an organic matrix material.
具体地,有机功能材料可以是小分子材料或高聚物材料。有机功能材料可以为WO2010135519A1、US20090134784A1和WO2011110277A1中公开的有机功能材料。Specifically, the organic functional material may be a small molecule material or a high polymer material. The organic functional material may be an organic functional material as disclosed in WO2010135519A1, US20090134784A1 and WO2011110277A1.
在本实施方式中,在上述混合物中,咔唑苯类稠环衍生物或上述聚合物的重量百分含量为50%~99.9%;进一步地,咔唑苯类稠环衍生物或上述聚合物的重量百分含量为60%~97%;进一步地,咔唑苯类稠环衍生物或上述聚合物的重量百分含量为60%~95%;进一步地,咔唑苯类稠环衍生物或上述聚合物的重量百分含量为70%~90%。In the present embodiment, in the above mixture, the carbazole benzene fused ring derivative or the above polymer is 50% by weight to 99.9% by weight; further, the carbazole benzene fused ring derivative or the above polymer The weight percentage of the carbazole benzene fused ring derivative or the above polymer is 60% to 95%; further, the carbazole benzene fused ring derivative Or the above polymer has a weight percentage of 70% to 90%.
在其中一个实施例中,混合物包括咔唑苯类稠环衍生物及上述聚合物中的一种,还包括荧光发光材料(单重态发光体)。In one embodiment, the mixture comprises a carbazole benzene fused ring derivative and one of the above polymers, and further comprises a fluorescent luminescent material (singlet light illuminant).
在另一个实施例中,混合物包括咔唑苯类稠环衍生物及上述聚合物中的一种,还包括热激活延迟荧光发光材料(TADF)。In another embodiment, the mixture comprises a carbazole benzene fused ring derivative and one of the above polymers, and further comprises a thermally activated delayed fluorescent luminescent material (TADF).
在另一个实施例中,混合物包括咔唑苯类稠环衍生物及上述聚合物中的一种,还包括荧光发光材料和TADF材料。In another embodiment, the mixture includes a carbazole benzene fused ring derivative and one of the above polymers, and further includes a fluorescent luminescent material and a TADF material.
下面对荧光发光材料(单重态发光体)、磷光发光材料(重态发光体)和TADF材料作一些较详细的描述(但不限于此):The following is a detailed description of (but not limited to) fluorescent luminescent materials (single-state illuminants), phosphorescent luminescent materials (heavy illuminants) and TADF materials:
(1)单重态发光体(Singlet Emitter)(1) Singlet emitter (Singlet Emitter)
单重态发光体往往有较长的共轭π电子系统。迄今,已有许多例子,例如在JP2913116B和WO2001021729A1中公开的苯乙烯胺及其衍生物,和在WO2008/006449和WO2007/140847中公开的茚并芴及其衍生物。Singlet emitters tend to have longer conjugated pi-electron systems. To date, there have been many examples, such as styrylamine and its derivatives disclosed in JP 2913116 B and WO 2001021729 A1, and indenoindenes and derivatives thereof disclosed in WO 2008/006449 and WO 2007/140847.
具体地,单重态发光体选自一元苯乙烯胺、二元苯乙烯胺、三元苯乙烯胺、四元苯乙烯胺、苯乙烯膦、苯乙烯醚及芳胺中的一种。 Specifically, the singlet emitter is one selected from the group consisting of monostyrylamine, dibasic styrylamine, ternary styrylamine, quaternary styrylamine, styrenephosphine, styrene ether, and aromatic amine.
其中,一元苯乙烯胺是指包含一个无取代或取代的苯乙烯基组和至少一个胺的化合物;其中,胺优选为芳香胺。二元苯乙烯胺是包含两个无取代或取代的苯乙烯基组和至少一个胺的化合物;其中,胺优选为芳香胺。三元苯乙烯胺是指包含三个无取代或取代的苯乙烯基组和至少一个胺的化合物;其中,胺优选为芳香胺。四元苯乙烯胺是指包含四个无取代或取代的苯乙烯基组和至少一个的化合物;其中,胺优选为芳香胺。其中,在本段中,苯乙烯是二苯乙烯,其可能会进一步被取代。Wherein, the monostyrylamine refers to a compound comprising an unsubstituted or substituted styryl group and at least one amine; wherein the amine is preferably an aromatic amine. The dibasic styrylamine is a compound comprising two unsubstituted or substituted styryl groups and at least one amine; wherein the amine is preferably an aromatic amine. The ternary styrylamine refers to a compound comprising three unsubstituted or substituted styryl groups and at least one amine; wherein the amine is preferably an aromatic amine. The tetrabasic styrene amine refers to a compound comprising four unsubstituted or substituted styryl groups and at least one; wherein the amine is preferably an aromatic amine. Among them, in this paragraph, styrene is stilbene, which may be further substituted.
苯乙烯膦、苯乙烯醚的定义与上述胺类相似,在此不再赘述。The definitions of styrene phosphine and styrene ether are similar to those of the above amines and will not be described herein.
芳基胺(芳香胺)是指包含三个直接联接氮的无取代或取代的芳香环或杂环系统的化合物。这些芳香族或杂环的环系统中至少有一个为稠环系统,并最好总碳原子数大于或等于14个。An arylamine (aromatic amine) refers to a compound comprising three unsubstituted or substituted aromatic ring or heterocyclic systems directly bonded to a nitrogen. At least one of these aromatic or heterocyclic ring systems is a fused ring system, and preferably the total number of carbon atoms is greater than or equal to 14.
具体地,芳胺选自芳香蒽胺、芳香蒽二胺、芳香芘胺、芳香芘二胺、芳香屈胺及芳香屈二胺中的一个。芳香蒽胺是指其中一个二元芳基胺基团直接联到蒽上的化合物;进一步地,该二元芳基胺基团是在蒽的9的位置上。芳香蒽二胺是指其中两个二元芳基胺基团直接联到蒽上的化合物;进一步地,该两个二元芳基胺基团分别连接在蒽9,10的位置上。其中,芳香芘胺、芳香芘二胺、芳香屈胺和芳香屈二胺的定义与芳香蒽胺类似。其中,芳香芘胺和芳香芘二胺的二元芳基胺基团最好均连到芘的1位置上,或者,芳香芘胺和芳香芘二胺的二元芳基胺基团分别连接到芘的1和6位置上。Specifically, the aromatic amine is selected from one of aromatic amide, aromatic guanidine diamine, aromatic guanamine, aromatic guanidine diamine, aromatic thiamine, and aromatic quinone diamine. The aromatic decylamine refers to a compound in which one of the diarylamine groups is directly bonded to the oxime; further, the diarylamine group is at the position of 9 of oxime. The aromatic oxime diamine refers to a compound in which two diaryl arylamine groups are directly bonded to the oxime; further, the two diaryl arylamine groups are attached to the oxime 9,10, respectively. Among them, the definitions of aromatic decylamine, aromatic guanidine diamine, aromatic thiamine and aromatic quinone diamine are similar to aromatic decylamine. Wherein, the diarylamine groups of the aromatic decylamine and the aromatic quinone diamine are preferably both attached to the 1 position of the oxime, or the diarylamine groups of the aromatic decylamine and the aromatic oxime diamine are respectively linked to芘 1 and 6 positions.
其中,基于苯乙烯胺及芳胺的单重态发光体可以为WO2006/000388、WO2006/058737、WO2006/000389、WO2007/065549、WO2007/115610、US7250532B2、DE102005058557A1、CN1583691A、JP 08053397A、US6251531 B1、US2006/210830 A、EP1957606 A1及US2008/0113101 A1中公开的单重态发光体。Among them, the singlet emitters based on styrylamine and arylamine may be WO2006/000388, WO2006/058737, WO2006/000389, WO2007/065549, WO2007/115610, US7250532B2, DE102005058557A1, CN1583691A, JP 08053397A, US6251531 B1, US2006 Singlet illuminators as disclosed in EP 1 957 606 A1 and US 2008/0113101 A1.
基于苯乙烯胺及其衍生物的单重态发光体为US5121029中公开的单重态发光体。Singlet emitters based on styrylamine and its derivatives are singlet emitters as disclosed in U.S. Patent 5,212,029.
进一步地,单重态发光体选自茚并芴-胺及茚并芴-二胺中的一种,如WO2006/122630所公开的苯并茚并芴-胺或苯并茚并芴-二胺,WO 2008/006449所公开的二苯并茚并芴-胺或二苯并茚并芴-二胺,以及WO2007/140847中公开的茚并芴-胺或茚并芴-二胺。Further, the singlet emitter is one selected from the group consisting of an indeno-amine and an indeno-diamine, such as the benzoindole-amine or benzoindole-diamine disclosed in WO2006/122630 , a dibenzoindolo-amine or a dibenzoindeno-diamine as disclosed in WO 2008/006449, and an indeno-amine or an indeno-diamine disclosed in WO2007/140847.
其中,单重态发光体还可以为多环芳烃化合物,例如以下化合物及其衍生物:蒽如9,10-二(2-萘并蒽)、萘、四苯、氧杂蒽、菲、芘(如2,5,8,11-四-t-丁基苝)、茚并芘、苯撑如(4,4’-双(9-乙基-3-咔唑乙烯基)-1、1’-联苯)、二茚并芘、十环烯、六苯并苯、芴、螺二芴、芳基芘(如US20060222886中公开的芳基芘)、亚芳香基乙烯(如US5121029和US5130603中公开的亚芳香基乙烯)、环戊二烯如四苯基环戊二烯、红荧烯、香豆素、若丹明、喹吖啶酮、吡喃(如4(二氰基亚甲基)-6-(4-对二甲氨基苯乙烯基-2-甲基)-4H-吡喃(DCM))、噻喃、双(吖嗪基)亚胺硼化合物(如US2007/0092753A1中公开的亚胺硼化合物)、双(吖嗪基)亚甲基化合物、carbostyryl化合物、噁嗪酮、苯并恶唑、苯并噻唑、苯并咪唑及吡咯并吡咯二酮。单重态发光体还可以为US20070252517 A1、US4769292、US6020078、US2007/0252517 A1及US2007/0252517 A1中公开的单重态发光体。The singlet illuminant may also be a polycyclic aromatic hydrocarbon compound, such as the following compounds and derivatives thereof: such as 9,10-bis(2-naphthoquinone), naphthalene, tetraphenyl, xanthene, phenanthrene, anthracene (eg 2,5,8,11-tetra-t-butylindole), indenoindole, phenylene such as (4,4'-bis(9-ethyl-3-carbazolevinyl)-1,1 '-Biphenyl), indenyl hydrazine, decacycloolefin, hexacene benzene, anthracene, spirobifluorene, aryl hydrazine (such as the aryl fluorene disclosed in US20060222886), arylene vinyl (such as US5121029 and US5130603) Disclosed subaromatic vinyl), cyclopentadiene such as tetraphenylcyclopentadiene, rubrene, coumarin, rhodamine, quinacridone, pyran (eg 4 (dicyanomethylidene) - 6-(4-p-Dimethylaminostyryl-2-methyl)-4H-pyran (DCM)), thiopyran, bis(pyridazinyl)imide boron compound (as disclosed in US 2007/0092753 A1) Imine boron compound), bis(pyridazinyl)methylene compound, carbostyryl compound, oxazinone, benzoxazole, benzothiazole, benzimidazole and pyrrolopyrroledione. The singlet emitters can also be singlet emitters as disclosed in US20070252517 A1, US4769292, US6020078, US2007/0252517 A1 and US2007/0252517 A1.
在本实施方式中,单重态发光体为以下化合物,但并不限于为以下化合物:In the present embodiment, the singlet illuminant is the following compound, but is not limited to the following compounds:
(2)热激活延迟荧光发光材料(TADF):(2) Thermally activated delayed fluorescent luminescent material (TADF):
传统有机荧光材料只能利用电激发形成的25%单线态激子发光,器件的内量子效率较低(最高为25%)。尽管磷光材料由于重原子中心强的自旋-轨道耦合增强了系间穿越,可以有效利用电激发形成的单线态激子和三线态激子发光,使器件的内量子效率达到100%。但磷光材料昂贵,材料稳定性差,器件效率滚降严重等问题限制了其在OLED中的应用。热激活延迟荧光发光材料是继有机荧光材料和有机磷光材料之后发展的第三代有机发光材料。该类材料一般具有小的单线态-三线态能级差(ΔEst),三线态激子可以通过反系间穿越转变成单线态激子发光。这可以充分利用电激发下形成的单线态激子和三线态激子,器件内量子效率可达到100%。Traditional organic fluorescent materials can only use 25% singlet excitons formed by electrical excitation, and the internal quantum efficiency of the device is low (up to 25%). Although the phosphorescent material enhances the inter-system traversal due to the strong spin-orbit coupling of the center of the heavy atom, it can effectively utilize the singlet excitons and triplet exciton luminescence formed by electrical excitation, so that the internal quantum efficiency of the device reaches 100%. However, the problems of expensive phosphorescent materials, poor material stability, and severe roll-off of device efficiency limit their application in OLEDs. The thermally activated delayed fluorescent luminescent material is a third generation organic luminescent material developed after organic fluorescent materials and organic phosphorescent materials. Such materials generally have a small singlet-triplet energy level difference (ΔE st ), and triplet excitons can be converted into singlet exciton luminescence by inter-system crossing. This can make full use of the singlet excitons and triplet excitons formed under electrical excitation, and the quantum efficiency in the device can reach 100%.
TADF材料需要具有较小的单线态-三线态能级差,一般是ΔEst<0.3eV,进一步地ΔEst<0.2eV;进一步地,ΔEst<0.1eV;进一步地,ΔEst<0.05eV。且TADF材料具有有较好的荧光量子效率。TADF材料可以为CN103483332(A)、TW201309696(A)、TW201309778(A)、TW201343874(A)、TW201350558(A)、US20120217869(A1)、WO2013133359(A1)、WO2013154064(A1)、文献(Adachi,et.al.Adv.Mater.,21,2009,4802)、文献(Adachi,et.al.Appl.Phys.Lett.,98,2011,083302)、文献(Adachi,et.al.Appl.Phys.Lett.,101,2012,093306)、文献(Adachi,et.al.Chem.Commun.,48,2012,11392)、文献(Adachi,et.al.Nat.Photon.,6,2012,253)、文献(Adachi,et.al.Nature,492,2012,234)、文献(Adachi,et.al.J.Am.Chem.Soc,134,2012,14706)、文献(Adachi,et.al.Angew.Chem.Int.Ed,51,2012,11311)、文献(Adachi,et.al.Chem.Commun.,48,2012,9580)、文献(Adachi,et.al.Chem.Commun.,48,2013,10385)、文献(Adachi,et.al.Adv.Mater.,25,2013,3319)、文献(Adachi,et.al.Adv.Mater.,25,2013,3707)、文献(Adachi,et.al.Chem.Mater.,25,2013,3038)、文献(Adachi,et.al.Chem.Mater.,25,2013,3766)、文献(Adachi,et.al.J.Mater.Chem.C.,1,2013,4599)、文献(Adachi,et.al.J.Phys.Chem.A.,117,2013,5607)中公开的TADF材料。The TADF material needs to have a small singlet-triplet energy level difference, typically ΔE st <0.3 eV, further ΔE st <0.2 eV; further, ΔE st <0.1 eV; further, ΔE st <0.05 eV. And TADF materials have better fluorescence quantum efficiency. The TADF material may be CN103483332 (A), TW201309696 (A), TW201309778 (A), TW201343874 (A), TW201350558 (A), US20120217869 (A1), WO2013133359 (A1), WO2013154064 (A1), and literature (Adachi, et. Al. Adv. Mater., 21, 2009, 4802), literature (Adachi, et. al. Appl. Phys. Lett., 98, 2011, 083302), literature (Adachi, et. al. Appl. Phys. Lett. , 101, 2012, 093306), literature (Adachi, et. al. Chem. Commun., 48, 2012, 11392), literature (Adachi, et. al. Nat. Photon., 6, 2012, 253), literature ( Adachi, et. al. Nature, 492, 2012, 234), literature (Adachi, et. al. J. Am. Chem. Soc, 134, 2012, 14706), literature (Adachi, et. al. Angew. Chem. Int. Ed, 51, 2012, 11311), literature (Adachi, et. al. Chem. Commun., 48, 2012, 9580), literature (Adachi, et. al. Chem. Commun., 48, 2013, 10385) , literature (Adachi, et.al. Adv. Mater., 25, 2013, 3319), literature (Adachi, et. al. Adv. Mater., 25, 2013, 3707), literature (Adachi, et.al.Chem .Mater., 25, 2013, 3038), literature (Adachi, et. al. Chem. Mater., 25, 2013, 3766), literature (Adachi, et. al. J. Mater. Chem. C., 1, 2013, 4599), TADF material disclosed in the literature (Adachi, et. al. J. Phys. Chem. A., 117, 2013, 5607).
在本实施方式中,TADF发光材料为以下化合物,但并不限于为以下化合物: In the present embodiment, the TADF luminescent material is the following compound, but is not limited to the following compounds:
(3)三重态发光体(Triplet Emitter)(3) Triplet illuminator (Triplet Emitter)
三重态发光体也称磷光发光体。具体地,三重态发光体是有通式M(L)n的金属络合物。其中,M是一金属原子;L每次出现时可以是相同或不同;L是一有机配体,它通过一个或多个位置键或配位连接到金属原子M上;n是一个大于1的整数;进一步地,n为1、2、3、4、5或6。进一步地,金属络合物通过一个或多个位置与聚合物连接;进一步地,金属络合物与聚合物通过有机配体连接。Triplet emitters are also known as phosphorescent emitters. Specifically, the triplet emitter is a metal complex having the formula M(L)n. Wherein M is a metal atom; L may be the same or different at each occurrence; L is an organic ligand which is bonded to the metal atom M by one or more positional bonds or coordination; n is a value greater than one. Integer; further, n is 1, 2, 3, 4, 5 or 6. Further, the metal complex is attached to the polymer through one or more positions; further, the metal complex is linked to the polymer via an organic ligand.
进一步地,金属原子M选自过渡金属元素、镧系元素及锕系元素中的一种;进一步地,金属原子M选自Ir、Pt、Pd、Au、Rh、Ru、Os、Sm、Eu、Gd、Tb、Dy、Re、Cu及Ag中的一种;更进一步地,金属原子M选自Os、Ir、Ru、Rh、Re、Pd及Pt中的一种。Further, the metal atom M is selected from one of a transition metal element, a lanthanoid element, and a lanthanoid element; further, the metal atom M is selected from the group consisting of Ir, Pt, Pd, Au, Rh, Ru, Os, Sm, Eu, One of Gd, Tb, Dy, Re, Cu, and Ag; further, the metal atom M is selected from one of Os, Ir, Ru, Rh, Re, Pd, and Pt.
进一步地,L为有螯合配体,即配体,通过至少两个结合点与金属配位;更进一步地,L具有两个双齿配体、三个双齿配体、两个多齿配体或三个多齿配体。其中,双齿配体可以相同也可以相同;多齿配体可以相同也可以不相同。螯合配体有利于提高金属络合物的稳定性。 Further, L is a chelating ligand, ie, a ligand, coordinated to the metal through at least two binding sites; further, L has two bidentate ligands, three bidentate ligands, and two multidentate Ligand or three multidentate ligands. Wherein, the bidentate ligands may be the same or the same; the multidentate ligands may be the same or different. Chelating ligands are beneficial for increasing the stability of metal complexes.
具体地,有机配体选自苯基吡啶衍生物、7,8-苯并喹啉衍生物、2(2-噻吩基)吡啶衍生物、2(1-萘基)吡啶衍生物及2苯基喹啉衍生物中的一种。进一步地,有机配体可以被取代,例如被含氟或三氟甲基取代。辅助配体可优选自乙酸丙酮或苦味酸。Specifically, the organic ligand is selected from the group consisting of a phenylpyridine derivative, a 7,8-benzoquinoline derivative, a 2(2-thienyl)pyridine derivative, a 2(1-naphthyl)pyridine derivative, and a 2 phenyl group. One of the quinoline derivatives. Further, the organic ligand may be substituted, for example by fluorine or trifluoromethyl. The ancillary ligand may preferably be derived from acetone acetate or picric acid.
进一步地,三重态发光体的金属络合物的结构式如下:Further, the structural formula of the metal complex of the triplet emitter is as follows:
通式(6) General formula (6)
在通式(6)中,M如前所述;Ar1每次出现时可以是相同或不同,Ar1是一个环状基团,每个Ar1至少包含有一个施主原子,即有一孤对电子的原子,如氮或磷,通过它环状基团与金属配位连接;Ar2每次出现时可以是相同或不同,是一个环状基团,每个Ar2至少包含有一个C原子,通过它环状基团与金属连接;Ar1和Ar2由共价键联接在一起,可各自携带一个或多个取代基团,它们也可再通过取代基团联接在一起;L每次出现时可以是相同或不同,是一个辅助配体,优选于双齿螯合配体,进一步是单阴离子双齿螯合配体;m选自1、2及3中的一个,进一步地,m为2或3,更进一步地,m为3;n选自0、1及2中的一个,进一步地,n为0或1,更进一步地,n为0。In the general formula (6), M is as defined above; each of Ar 1 may be the same or different, Ar 1 is a cyclic group, and each Ar 1 contains at least one donor atom, that is, a lone pair An atom of an electron, such as nitrogen or phosphorus, is coordinated to the metal through its cyclic group; each occurrence of Ar 2 may be the same or different, a cyclic group, and each Ar 2 contains at least one C atom , through which a cyclic group is attached to a metal; Ar 1 and Ar 2 are linked together by a covalent bond, each of which may carry one or more substituent groups, which may also be linked together by a substituent group; When present, may be the same or different, is an ancillary ligand, preferably a bidentate chelate ligand, further a monoanionic bidentate chelate ligand; m is selected from one of 1, 2 and 3, further, m 2 or 3, further, m is 3; n is selected from one of 0, 1, and 2, further, n is 0 or 1, and further, n is 0.
具体地,三重态发光体可以为专利WO 200070655、WO 200141512、WO 200202714、WO 200215645、EP 1191613、EP 1191612、EP 1191614、WO 2005033244、WO 2005019373、US 2005/0258742、WO 2009146770、WO 2010015307、WO 2010031485、WO 2010054731、WO 2010054728、WO 2010086089、WO 2010099852、WO 2010102709、US 20070087219A1、US 20090061681A1、US 20010053462A1、US 2007/0252517A1、US 6824895、US 7029766、US 6835469,、US 6830828、US 20010053462A1、WO 2007095118A1、US 2012004407A1、WO 2012007088A1、WO2012007087A1、WO 2012007086A1、US 2008027220A1、WO 2011157339A1、CN 102282150A及WO 2009118087A1中公开的三重态发光体,也可以是文献(Baldo,Thompson et al.Nature 403,(2000),750-753)、文献(Adachi et al.Appl.Phys.Lett.78(2001),1622-1624)、文献(J.Kido et al.Appl.Phys.Lett.65(1994),2124)、文献(Kido et al.Chem.Lett.657,1990)、文献(Johnson et al.,JACS 105,1983,1795)、文献(Wrighton,JACS 96,1974,998)以及文献(Ma et al.,Synth.Metals94,1998,245)中公开的三重态发光体。In particular, the triplet emitters can be patented WO 200070655, WO 200141512, WO 200202714, WO 200215645, EP 1191613, EP 1191612, EP 1191614, WO 2005033244, WO 2005019373, US 2005/0258742, WO 2009146770, WO 2010015307, WO 2010031485 , US Pat. The triplet emitters disclosed in 2012004407A1, WO 2012007088A1, WO2012007087A1, WO 2012007086A1, US 2008027220A1, WO 2011157339A1, CN 102282150A and WO 2009118087A1 may also be in the literature (Baldo, Thompson et al. Nature 403, (2000), 750-753). ), literature (Adachi et al. Appl. Phys. Lett. 78 (2001), 1622-1624), literature (J. Kido et al. Appl. Phys. Lett. 65 (1994), 2124), literature (Kido et Al. Chem. Lett. 657, 1990), literature (Johnson et al., JACS 105, 1983, 1795), literature (Wrig The triplet emitters disclosed in hton, JACS 96, 1974, 998) and in the literature (Ma et al., Synth. Metals 94, 1998, 245).
在本实施方式中,三重态发光体为以下化合物,但并不限于为以下化合物:In the present embodiment, the triplet emitter is the following compound, but is not limited to the following compounds:
一实施方式的组合物,为有溶剂型的组合物,能够作为涂料或油墨,并且能够应用在有机电子器件中,作为功能层的材料。其中,有机电子器件选自有机发光二极管(OLED)、有机光伏电池(OPV)、有机发光电池(OLEEC)、有机场效应管(OFET)、有机发光场效应管、有机激光器、有机自旋电子器件、有机传感器及有机等离激元发射二极管(Organic Plasmon Emitting Diode)中的一种。该组合物可以为溶液,也可以为悬浮液。The composition of one embodiment is a solvent-based composition, can be used as a coating or ink, and can be applied to an organic electronic device as a material of a functional layer. The organic electronic device is selected from the group consisting of an organic light emitting diode (OLED), an organic photovoltaic cell (OPV), an organic light emitting cell (OLEEC), an organic field effect transistor (OFET), an organic light emitting field effect transistor, an organic laser, and an organic spintronic device. , organic sensors and organic plasmon emission diodes (Organic One of the Plasmon Emitting Diodes. The composition may be a solution or a suspension.
其中,该组合物包括主料和有机溶剂,主料包括上述咔唑苯类稠环衍生物、上述聚合物及上述混合物中的一种。其中,此处的聚合物为上述所指的包含结构式为通式(1)所示的咔唑苯类稠环衍生物的重复结构单元的聚合物。此处的混合物即为前文所述的混合物,此处不再赘述。Wherein, the composition comprises a main ingredient and an organic solvent, and the main ingredient comprises one of the above carbazole benzene fused ring derivatives, the above polymer and the above mixture. Here, the polymer herein is a polymer comprising the above-mentioned repeating structural unit of the carbazole benzene fused ring derivative represented by the formula (1). The mixture herein is the mixture described above and will not be described again here.
在本实施方式中,咔唑苯类稠环衍生物及聚合物的摩尔质量均≥700g/mol,进一步地,咔唑苯类稠环衍生物及聚合物的摩尔质量均≥800g/mol;咔唑苯类稠环衍生物及聚合物的摩尔质量均≥900g/mol;进一步地,咔唑苯类稠环衍生物及聚合物的摩尔质量均≥1000g/mol;进一步地,咔唑苯类稠环衍生物及聚合物的摩尔质量均≥1100g/mol。In the present embodiment, the molar mass of the carbazole benzene fused ring derivative and the polymer are both ≥700 g/mol, and further, the molar mass of the carbazole benzene fused ring derivative and the polymer are both ≥800 g/mol; The molar mass of the oxazobenzene fused ring derivative and the polymer are both ≥900 g/mol; further, the molar mass of the carbazole benzene fused ring derivative and the polymer are both ≥1000 g/mol; further, the carbazole benzene is thick The molar mass of the cyclic derivative and the polymer are both ≥1100 g/mol.
在本实施方式中,在25℃时,咔唑苯类稠环衍生物及聚合物在甲苯中的溶解度≥10mg/ml;进一步地,咔唑苯类稠环衍生物及聚合物在甲苯中的溶解度≥15mg/ml;更进一步地,咔唑苯类稠环衍生物及聚合物在甲苯中的溶解度≥20mg/ml。In the present embodiment, the solubility of the carbazole benzene fused ring derivative and the polymer in toluene is ≥10 mg/ml at 25 ° C; further, the carbazole benzene fused ring derivative and the polymer in toluene Solubility ≥ 15 mg / ml; further, the solubility of the carbazole benzene fused ring derivative and the polymer in toluene ≥ 20 mg / ml.
具体地,本实施方式的组合物在工作温度或在25℃下的表面张力约为19dyne/cm~50dyne/cm;进一步为22dyne/cm~35dyne/cm;更进一步为25dyne/cm~33dyne/cm。Specifically, the composition of the present embodiment has a surface tension of about 19 dyne/cm to 50 dyne/cm at an operating temperature or at 25 ° C; further 22 dyne/cm to 35 dyne/cm; and further 25 dyne/cm to 33 dyne/cm. .
具体地,本实施方式的组合物在工作温度或25℃下的粘度约为1cps~100cps范围;进一步为1cps~50cps;进一步为1.5cps~20cps;进一步为4.0cps~20cps范围。此时,该组合物能够用于喷墨印刷。Specifically, the composition of the present embodiment has a viscosity at an operating temperature or 25 ° C of about 1 cps to 100 cps; further from 1 cps to 50 cps; further from 1.5 cps to 20 cps; further from 4.0 cps to 20 cps. At this time, the composition can be used for inkjet printing.
由于本实施方式的组合物用作印刷材料,因此,组合物的粘度、表面张力是重要的参数。只有合适的参数的组合物才能适合于特定的基板和特定的印刷方法。其中,组合物的粘度可以通过不同的方法调节,如通过选取合适的溶剂和主料的浓度。通过组合物的粘度的调整,以便于按照通常的印刷方法进行印刷。Since the composition of the present embodiment is used as a printing material, the viscosity and surface tension of the composition are important parameters. Only compositions with suitable parameters can be adapted to a particular substrate and to a particular printing method. Among them, the viscosity of the composition can be adjusted by different methods, such as by selecting a suitable solvent and the concentration of the main ingredient. The viscosity of the composition is adjusted so as to facilitate printing in accordance with a usual printing method.
具体地,本实施方式的组合物中,主料的重量百分含量为0.3%~30%;进一步为0.5%~20%;进一步为0.5%~1%;进一步为0.5%~10%;进一步为1%~5%。Specifically, in the composition of the present embodiment, the weight percentage of the main material is 0.3% to 30%; further 0.5% to 20%; further 0.5% to 1%; further 0.5% to 10%; further It is 1% to 5%.
具体地,有机溶剂包括第一溶剂。其中,第一溶剂选自芳族溶剂、杂芳族溶剂、酮类溶剂、醚类溶剂及酯类溶剂中的至少一种。Specifically, the organic solvent includes a first solvent. The first solvent is at least one selected from the group consisting of an aromatic solvent, a heteroaromatic solvent, a ketone solvent, an ether solvent, and an ester solvent.
进一步地,芳族溶剂选自链式脂肪族取代的芳族化合物及环式脂肪族取代的芳族化合物中的至少一种。Further, the aromatic solvent is selected from at least one of a chain aliphatic substituted aromatic compound and a cyclic aliphatic substituted aromatic compound.
具体地,芳族溶剂及杂芳族溶剂选自对二异丙基苯、戊苯、四氢萘、环己基苯、氯萘、1,4-二甲基萘、3-异丙基联苯、对甲基异丙苯、二戊苯、三戊苯、戊基甲苯、邻二甲苯、间二甲苯、对二甲苯、邻二乙苯、间二乙苯、对二乙苯、1,2,3,4-四甲苯、1,2,3,5-四甲苯、1,2,4,5-四甲苯、丁苯、十二烷基苯、二己基苯、二丁基苯、对二异丙基苯、1-甲氧基萘、环己基苯、二甲基萘、3-异丙基联苯、对甲基异丙苯、1-甲基萘、1,2,4-三氯苯、1,3-二丙氧基苯、4,4-二氟二苯甲烷、1,2-二甲氧基-4-(1-丙烯基)苯、二苯甲烷、2-苯基吡啶、3-苯基吡啶、N-甲基二苯胺、4-异丙基联苯、α,α-二氯二苯甲烷、4-(3-苯基丙基)吡啶、苯甲酸苄酯、1,1-双(3,4-二甲基苯基)乙烷、2-异丙基萘及二苄醚中的至少一种。Specifically, the aromatic solvent and the heteroaromatic solvent are selected from the group consisting of p-diisopropylbenzene, pentylbenzene, tetrahydronaphthalene, cyclohexylbenzene, chloronaphthalene, 1,4-dimethylnaphthalene, and 3-isopropylbiphenyl. , p-Methyl cumene, dipentylbenzene, triphenylbenzene, pentyltoluene, o-xylene, m-xylene, p-xylene, o-diethylbenzene, m-diethylbenzene, p-diethylbenzene, 1,2 , 3,4-tetramethylbenzene, 1,2,3,5-tetramethylbenzene, 1,2,4,5-tetramethylbenzene, butylbenzene, dodecylbenzene, dihexylbenzene, dibutylbenzene, p-pair Isopropylbenzene, 1-methoxynaphthalene, cyclohexylbenzene, dimethylnaphthalene, 3-isopropylbiphenyl, p-methylisopropylbenzene, 1-methylnaphthalene, 1,2,4-trichloro Benzene, 1,3-dipropoxybenzene, 4,4-difluorodiphenylmethane, 1,2-dimethoxy-4-(1-propenyl)benzene, diphenylmethane, 2-phenylpyridine , 3-phenylpyridine, N-methyldiphenylamine, 4-isopropylbiphenyl, α,α-dichlorodiphenylmethane, 4-(3-phenylpropyl)pyridine, benzyl benzoate, 1 At least one of 1-bis(3,4-dimethylphenyl)ethane, 2-isopropylnaphthalene, and dibenzyl ether.
具体地,酮类溶剂选自1-四氢萘酮、2-四氢萘酮、2-(苯基环氧)四氢萘酮、6-(甲氧基)四氢萘酮、苯乙酮、苯丙酮、二苯甲酮、1-四氢萘酮的衍生物、2-四氢萘酮的衍生物、2-(苯基环氧)四氢萘酮的衍生物、6-(甲氧基)四氢萘酮的衍生物、苯乙酮的衍生物、苯丙酮的衍生物及二苯甲酮的衍生物中的至少一种。其中,1-四氢萘酮的衍生物、2-四氢萘酮的衍生物、2-(苯基环氧)四氢萘酮的衍生物、6-(甲氧基)四氢萘酮的衍生物、苯乙酮的衍生物、苯丙酮的衍生物及二苯甲酮的衍生物可以为4-甲基苯乙酮、3-甲基苯乙酮、2-甲基苯乙酮、4-甲基苯丙酮、3-甲基苯丙酮、2-甲基苯丙酮,异佛尔酮、2,6,8-三甲基-4-壬酮、葑酮、2-壬酮、3-壬酮、5-壬酮、2-癸酮、2,5-己二酮、佛尔酮、二正戊基酮等。 Specifically, the ketone solvent is selected from the group consisting of 1-tetralone, 2-tetralone, 2-(phenyl epoxy)tetralone, 6-(methoxy)tetralone, acetophenone , a derivative of propiophenone, benzophenone, 1-tetralone, a derivative of 2-tetralone, a derivative of 2-(phenyl epoxy)tetralone, 6-(methoxy At least one of a derivative of a tetralone, a derivative of acetophenone, a derivative of propiophenone, and a derivative of benzophenone. Among them, a derivative of 1-tetralone, a derivative of 2-tetralone, a derivative of 2-(phenyl epoxy)tetralone, and a 6-(methoxy)tetralone The derivative, the derivative of acetophenone, the derivative of propiophenone, and the derivative of benzophenone may be 4-methylacetophenone, 3-methylacetophenone, 2-methylacetophenone, 4 -methylpropiophenone, 3-methylpropiophenone, 2-methylpropiophenone, isophorone, 2,6,8-trimethyl-4-indolone, anthrone, 2-nonanone, 3- Anthrone, 5-fluorenone, 2-nonanone, 2,5-hexanedione, phorone, di-n-pentyl ketone, and the like.
具体地,醚类溶剂选自3-苯氧基甲苯、丁氧基苯、苄基丁基苯、对茴香醛二甲基乙缩醛、四氢-2-苯氧基-2H-吡喃、1,2-二甲氧基-4-(1-丙烯基)苯、1,4-苯并二噁烷、1,3-二丙基苯、2,5-二甲氧基甲苯、4-乙基苯乙醚、1,2,4-三甲氧基苯、4-(1-丙烯基)-1,2-二甲氧基苯、1,3-二甲氧基苯、缩水甘油基苯基醚、二苄基醚、4-叔丁基茴香醚、反式-对丙烯基茴香醚、1,2-二甲氧基苯、1-甲氧基萘、二苯醚、2-苯氧基甲醚、2-苯氧基四氢呋喃、乙基-2-萘基醚、戊醚c己醚、二辛醚、乙二醇二丁醚、二乙二醇二乙醚、二乙二醇丁基甲醚、二乙二醇二丁醚、三乙二醇二甲醚、三乙二醇乙基甲醚、三乙二醇丁基甲醚、三丙二醇二甲醚及四乙二醇二甲醚中的至少一种。Specifically, the ether solvent is selected from the group consisting of 3-phenoxytoluene, butoxybenzene, benzylbutylbenzene, p-anisaldehyde dimethyl acetal, tetrahydro-2-phenoxy-2H-pyran, 1,2-dimethoxy-4-(1-propenyl)benzene, 1,4-benzodioxane, 1,3-dipropylbenzene, 2,5-dimethoxytoluene, 4- Ethyl phenethyl ether, 1,2,4-trimethoxybenzene, 4-(1-propenyl)-1,2-dimethoxybenzene, 1,3-dimethoxybenzene, glycidylphenyl Ether, dibenzyl ether, 4-tert-butyl anisole, trans-p-propenyl anisole, 1,2-dimethoxybenzene, 1-methoxynaphthalene, diphenyl ether, 2-phenoxy Methyl ether, 2-phenoxytetrahydrofuran, ethyl-2-naphthyl ether, pentyl ether c-hexyl ether, dioctyl ether, ethylene glycol dibutyl ether, diethylene glycol diethyl ether, diethylene glycol butyl methyl ether, At least one of diethylene glycol dibutyl ether, triethylene glycol dimethyl ether, triethylene glycol ethyl methyl ether, triethylene glycol butyl methyl ether, tripropylene glycol dimethyl ether, and tetraethylene glycol dimethyl ether .
具体地,酯类溶剂选自辛酸烷酯、癸二酸烷酯、硬脂酸烷酯、苯甲酸烷酯、苯乙酸烷酯、肉桂酸烷酯、草酸烷酯、马来酸烷酯、烷内酯及油酸烷酯中的至少一种。Specifically, the ester solvent is selected from the group consisting of alkyl octanoate, alkyl sebacate, alkyl stearate, alkyl benzoate, alkyl phenyl acetate, alkyl cinnamate, alkyl oxalate, alkyl maleate, alkane At least one of a lactone and an alkyl oleate.
进一步,第一溶剂选自脂肪族酮及脂肪族醚中的至少一种。具体地,脂肪族酮选自2-壬酮、3-壬酮、5-壬酮、2-癸酮、2,5-己二酮、2,6,8-三甲基-4-壬酮、佛尔酮及二正戊基酮中的至少一种。脂肪族醚选自戊醚、己醚、二辛醚、乙二醇二丁醚、二乙二醇二乙醚、二乙二醇丁基甲醚、二乙二醇二丁醚、三乙二醇二甲醚、三乙二醇乙基甲醚、三乙二醇丁基甲醚、三丙二醇二甲醚及四乙二醇二甲醚中的至少一种。Further, the first solvent is at least one selected from the group consisting of an aliphatic ketone and an aliphatic ether. Specifically, the aliphatic ketone is selected from the group consisting of 2-nonanone, 3-fluorenone, 5-nonanone, 2-nonanone, 2,5-hexanedione, 2,6,8-trimethyl-4-indanone At least one of phorone and di-n-pentyl ketone. The aliphatic ether is selected from the group consisting of pentyl ether, hexyl ether, dioctyl ether, ethylene glycol dibutyl ether, diethylene glycol diethyl ether, diethylene glycol butyl methyl ether, diethylene glycol dibutyl ether, and triethylene glycol diethylene glycol. At least one of ether, triethylene glycol ethyl methyl ether, triethylene glycol butyl methyl ether, tripropylene glycol dimethyl ether, and tetraethylene glycol dimethyl ether.
进一步地,有机溶剂还包括第二溶剂,其中,第二溶剂选自甲醇、乙醇、2-甲氧基乙醇、二氯甲烷、三氯甲烷、氯苯、邻二氯苯、四氢呋喃、苯甲醚、吗啉、甲苯、邻二甲苯、间二甲苯、对二甲苯、1,4二氧杂环己烷、丙酮、甲基乙基酮、1,2二氯乙烷、3-苯氧基甲苯、1,1,1-三氯乙烷、1,1,2,2-四氯乙烷、醋酸乙酯、醋酸丁酯、二甲基甲酰胺、二甲基乙酰胺、二甲基亚砜、四氢萘、萘烷及茚中的至少一种。Further, the organic solvent further includes a second solvent, wherein the second solvent is selected from the group consisting of methanol, ethanol, 2-methoxyethanol, dichloromethane, chloroform, chlorobenzene, o-dichlorobenzene, tetrahydrofuran, anisole , morpholine, toluene, o-xylene, m-xylene, p-xylene, 1,4 dioxane, acetone, methyl ethyl ketone, 1,2 dichloroethane, 3-phenoxytoluene 1,1,1-trichloroethane, 1,1,2,2-tetrachloroethane, ethyl acetate, butyl acetate, dimethylformamide, dimethylacetamide, dimethyl sulfoxide At least one of tetrahydronaphthalene, decalin and hydrazine.
本实施方式的混合物能够通过印刷或涂布的方式制备有机电子器件。The mixture of the present embodiment is capable of producing an organic electronic device by printing or coating.
其中,印刷方法可以为喷墨打印或喷印(Nozzle Printing)。涂布的方法可以为活版印刷、丝网印刷、浸涂、旋转涂布、刮刀涂布、辊筒印花、扭转辊印刷、平版印刷、柔版印刷、轮转印刷、喷涂、刷涂、移印、狭缝型挤压式涂布等。进一步地,涂布的方法凹版印刷;打印方法为喷印或喷墨印刷。Among them, the printing method may be inkjet printing or Nozzle Printing. The coating method can be typography, screen printing, dip coating, spin coating, blade coating, roller printing, torsion roll printing, lithography, flexographic printing, rotary printing, spraying, brushing, pad printing, Slit type extrusion coating, etc. Further, the coating method is gravure printing; the printing method is jet printing or inkjet printing.
进一步地,混合物还包括表面活性剂、润滑剂、润湿剂、分散剂、疏水剂及粘接剂中的至少一种。以用于调节混合物的粘度、成膜性能、提高附着性等。可以根据Helmut Kipphan主编的《印刷媒体手册:技术和生产方法》(Handbook of Print Media:Techno logies and Production Methods),ISBN 3-540-67326-1对打印技术及对混合物的中的溶剂、浓度、粘度等进行调整。Further, the mixture further includes at least one of a surfactant, a lubricant, a wetting agent, a dispersing agent, a hydrophobic agent, and a binder. It is used to adjust the viscosity of the mixture, film forming properties, adhesion, and the like. According to Helmut Kipphan, "Handbook of Print Media: Techno logies and Production Methods", ISBN 3-540-67326-1, for printing techniques and solvents, concentrations, Adjust the viscosity and so on.
一实施方式的有机电子器件,为有机发光二极管,该有机电子器件包含基片、阳极、功能层和阴极。An organic electronic device of an embodiment is an organic light emitting diode comprising a substrate, an anode, a functional layer, and a cathode.
其中,功能层包括发光层,发光层的材料包含上述咔唑苯类稠环衍生物、上述聚合物、上述混合物及上述组合物中的一种。其中,此处的聚合物为上述所指的包含结构式为通式(1)所示的咔唑苯类稠环衍生物的重复结构单元的聚合物。此时,混合物中的有机功能材料包括发光材料,即发光材料为前面所述的自荧光发光体、磷光发光体或TADF材料。进一步地,发光材料为荧光发光体或TADF材料。Wherein, the functional layer comprises a light-emitting layer, and the material of the light-emitting layer comprises one of the above carbazole benzene fused ring derivatives, the above polymer, the above mixture and the above composition. Here, the polymer herein is a polymer comprising the above-mentioned repeating structural unit of the carbazole benzene fused ring derivative represented by the formula (1). At this time, the organic functional material in the mixture includes the luminescent material, that is, the luminescent material is the self-fluorescent illuminant, phosphorescent illuminant or TADF material described above. Further, the luminescent material is a fluorescent illuminant or a TADF material.
进一步地,功能层还可以包含空穴注入层(HIL))、空穴传输层(HTL)、电子阻挡层(EBL)、电子注入层(EIL)、电子传输层(ETL)及空穴阻挡层(HBL)中的至少一种。这些功能层的材料包括前面所述的咔唑苯类稠环衍生物、聚合物及混合物中的一种,当功能层的材料包括混合物时,混合物中的有机功能材料为前面所述的具有对应功能的材料,例如,空穴传输层的材料中的有机功能材料即为前面所述的空穴传输材料,电子传输层的材料中的有机功能层为前面所述的电子传输材料,电子注入层的材料为前面所述的电子注入材料。或者,上述功能层的材料可以为本领域常用的材料。 Further, the functional layer may further include a hole injection layer (HIL), a hole transport layer (HTL), an electron blocking layer (EBL), an electron injection layer (EIL), an electron transport layer (ETL), and a hole blocking layer. At least one of (HBL). The material of these functional layers includes one of the above-mentioned carbazole benzene fused ring derivatives, polymers and mixtures. When the material of the functional layer includes a mixture, the organic functional materials in the mixture have the corresponding ones as described above. The functional material, for example, the organic functional material in the material of the hole transport layer is the hole transport material described above, and the organic functional layer in the material of the electron transport layer is the electron transport material described above, the electron injection layer The material is the electron injecting material described above. Alternatively, the material of the above functional layer may be a material commonly used in the art.
具体地,基片可以是不透明或透明。透明的基板可以用来制造透明的发光元器件。例如透明的基片可以为文献(Bulovic等Nature 1996,380,p29)和文献(Gu等,Appl.Phys.Lett.1996,68,p2606)中公开的基片。基片可以是刚性基片或弹性基片。In particular, the substrate may be opaque or transparent. Transparent substrates can be used to make transparent light-emitting components. For example, the transparent substrate may be a substrate disclosed in the literature (Bulovic et al. Nature 1996, 380, p29) and the literature (Gu et al., Appl. Phys. Lett. 1996, 68, p2606). The substrate may be a rigid substrate or an elastic substrate.
具体地,基片为塑料、金属、半导体晶片或玻璃。进一步地,基片具有有一个平滑的表面。无表面缺陷是基片的理想选择。Specifically, the substrate is a plastic, metal, semiconductor wafer or glass. Further, the substrate has a smooth surface. No surface defects are ideal for substrates.
进一步地,基片是柔性的。基片为聚合物薄膜或塑料;基片的玻璃化温度Tg为150℃以上;进一步地,超过200℃;进一步地,超过250℃;进一步地,超过300℃。具体地,基片选自聚(对苯二甲酸乙二醇酯)(PET)及聚乙二醇(2,6-萘)(PEN)中的一种。Further, the substrate is flexible. The substrate is a polymer film or plastic; the substrate has a glass transition temperature Tg of 150 ° C or more; further, more than 200 ° C; further, more than 250 ° C; further, more than 300 ° C. Specifically, the substrate is selected from one of poly(ethylene terephthalate) (PET) and polyethylene glycol (2,6-naphthalene) (PEN).
阳极的材料包括导电金属、金属氧化物及导电聚合物中的一种。阳极能够很容易地将空穴注入到发光层、空穴注入层或空穴传输层中。The material of the anode includes one of a conductive metal, a metal oxide, and a conductive polymer. The anode can easily inject holes into the light-emitting layer, the hole injection layer, or the hole transport layer.
具体地,阳极的功函数和发光层中的有机功能材料(发光材料)、空穴注入层的p型半导体材料、空穴传输层的p型半导体材料、或电子阻挡层的p型半导体材料的HOMO能级(或价带)能级的差的绝对值小于0.5eV;进一步地,小于0.3eV;更进一步地,小于0.2eV。Specifically, the work function of the anode and the organic functional material (luminescent material) in the light-emitting layer, the p-type semiconductor material of the hole injection layer, the p-type semiconductor material of the hole transport layer, or the p-type semiconductor material of the electron blocking layer The absolute value of the difference in the HOMO level (or valence band) level is less than 0.5 eV; further, less than 0.3 eV; and further, less than 0.2 eV.
具体地,阳极材料选自Al、Cu、Au、Ag、Mg、Fe、Co、Ni、Mn、Pd、Pt、ITO及铝掺杂氧化锌(AZO)中的一种。阳极材料可以采用物理气相沉积法制备获得。其中,物理气相沉积法具体为射频磁控溅射、真空热蒸发或电子束(e-beam)蒸发等。Specifically, the anode material is selected from one of Al, Cu, Au, Ag, Mg, Fe, Co, Ni, Mn, Pd, Pt, ITO, and aluminum-doped zinc oxide (AZO). The anode material can be obtained by physical vapor deposition. The physical vapor deposition method is specifically RF magnetron sputtering, vacuum thermal evaporation or electron beam (e-beam) evaporation.
需要说明的是,阳极材料不限于于为上述材料,阳极材料还可以为图案化的ITO。It should be noted that the anode material is not limited to the above materials, and the anode material may also be patterned ITO.
阴极的材料选自导电金属及金属氧化物中的一种。阴极的材料为能够容易地将电子注入到电子注入层、电子传输层或发光层中。The material of the cathode is selected from one of a conductive metal and a metal oxide. The material of the cathode is such that electrons can be easily injected into the electron injecting layer, the electron transporting layer or the light emitting layer.
进一步地,阴极的功函数和发光层的有机功能材料(发光材料)、电子注入层的n型半导体材料、电子传输层的n型半导体材料或空穴阻挡层的n型半导体材料的LUMO能级(或导带)能级的差的绝对值小于0.5eV;进一步地,小于0.3eV,更进一步地,小于0.2eV。原则上,所有能够用作OLED的阴极的材料都可能作为本实施方式的有机电子器件的阴极材料。Further, the work function of the cathode and the LUMO level of the organic functional material (luminescent material) of the light-emitting layer, the n-type semiconductor material of the electron injecting layer, the n-type semiconductor material of the electron transporting layer or the n-type semiconductor material of the hole blocking layer The absolute value of the difference in the (or conduction band) energy level is less than 0.5 eV; further, less than 0.3 eV, and further, less than 0.2 eV. In principle, all materials which can be used as cathodes of OLEDs are possible as cathode materials for the organic electronic devices of the present embodiment.
进一步地,阴极材料选自Al、Au、Ag、Ca、Ba、Mg、LiF/Al、MgAg合金、BaF2/Al、Cu、Fe、Co、Ni、Mn、Pd、Pt及ITO中的一种。阴极材料可以采用物理气相沉积法制备获得。其中,物理气相沉积法具体为射频磁控溅射、真空热蒸发或电子束(e-beam)蒸发等。Further, the cathode material is selected from the group consisting of Al, Au, Ag, Ca, Ba, Mg, LiF/Al, MgAg alloy, BaF 2 /Al, Cu, Fe, Co, Ni, Mn, Pd, Pt, and ITO. . The cathode material can be obtained by physical vapor deposition. The physical vapor deposition method is specifically RF magnetron sputtering, vacuum thermal evaporation or electron beam (e-beam) evaporation.
其中,本实施方式的有机电子器件的发光波长为300nm~1000nm;进一步地,发光波长为350~900nm;进一步地,发光波长为400~800nm。The organic electronic device of the present embodiment has an emission wavelength of 300 nm to 1000 nm, further, an emission wavelength of 350 to 900 nm, and further, an emission wavelength of 400 to 800 nm.
上述有机电子器件能够在各种电子设备中的应用。例如,显示设备、照明设备、光源或传感器等等。The above organic electronic device can be applied to various electronic devices. For example, display devices, lighting devices, light sources or sensors, and the like.
一实施方式的有机电子器件的制备方法,包括使用上述咔唑苯类稠环衍生物、上述聚合物及上述混合物蒸镀形成功能层的步骤。本实施方式的混合物为上述所述的无溶剂型的混合物。A method of producing an organic electronic device according to an embodiment includes the step of forming a functional layer by vapor deposition using the above carbazole benzene fused ring derivative, the above polymer, and the above mixture. The mixture of the present embodiment is a solventless type mixture as described above.
另一实施方式的有机电子器件的制备方法,包括使用上述组合物印刷或涂布形成功能层的步骤。此时,该组合物为前文所述的有溶剂型的组合物。其中,印刷方法可以为喷墨打印或喷印(Nozzle Printing)。涂布的方法可以为活版印刷、丝网印刷、浸涂、旋转涂布、刮刀涂布、辊筒印花、扭转辊印刷、平版印刷、柔版印刷、轮转印刷、喷涂、刷涂、移印、狭缝型挤压式涂布等。A method of producing an organic electronic device according to another embodiment, comprising the step of forming a functional layer by printing or coating using the above composition. At this time, the composition is a solvent-based composition as described above. Among them, the printing method may be inkjet printing or Nozzle Printing. The coating method can be typography, screen printing, dip coating, spin coating, blade coating, roller printing, torsion roll printing, lithography, flexographic printing, rotary printing, spraying, brushing, pad printing, Slit type extrusion coating, etc.
以下为实施例部分:The following is part of the example:
实施例1 Example 1
本实施例的咔唑苯类稠环衍生物9-(3,5-二(3-荧蒽))-3,6-二(4-(3-吡啶)苯基)-9H-咔唑的合成过程如下:The carbazole benzene fused ring derivative 9-(3,5-bis(3-fluoranthene)-3,6-bis(4-(3-pyridyl)phenyl)-9H-carbazole of this example The synthesis process is as follows:
将9-(3,5-二溴苯)-3,6-二(4-(3-吡啶)苯基)-9H-咔唑(35g,0.05mol)、荧蒽-3-硼酸(24.6g,0.1mol)、Pd(PPh3)4(2.9g.0.0025mol)、碳酸钾(11.4g,0.1mol)、水100mL和1.4-二氧六环500mL在氮气保护的条件下,加热至100℃,并保温反应12小时,再经冷却、萃取、干燥、浓缩和纯化,得到9-(3,5-二(3-荧蒽))-3,6-二(4-(3-吡啶)苯基)-9H-咔唑,收率75%。9-(3,5-Dibromophenyl)-3,6-bis(4-(3-pyridyl)phenyl)-9H-indazole (35 g, 0.05 mol), fluoranthene-3-boronic acid (24.6 g) , 0.1 mol), Pd(PPh 3 ) 4 (2.9 g. 0.0025 mol), potassium carbonate (11.4 g, 0.1 mol), water 100 mL and 1.4-dioxane 500 mL, heated to 100 ° C under nitrogen atmosphere And the reaction is kept for 12 hours, and then cooled, extracted, dried, concentrated and purified to obtain 9-(3,5-bis(3-fluoranthene)-3,6-bis(4-(3-pyridine)benzene. Base)-9H-carbazole, yield 75%.
合成路线如下:The synthetic route is as follows:
实施例2Example 2
本实施例的咔唑苯类稠环衍生物9-(3,5-二(3-荧蒽))-3-(4-(3-吡啶)苯基)-9H-咔唑的合成过程如下:The synthesis process of the carbazole benzene fused ring derivative 9-(3,5-bis(3-fluoranthene))-3-(4-(3-pyridyl)phenyl)-9H-carbazole of this example is as follows :
将9-(3,5-二溴苯)-3-(4-(3-吡啶)苯基)-9H-咔唑(27.7g,0.05mol)、荧蒽-3-硼酸(24.6g,0.1mol)、Pd(PPh3)4(2.9g,0.0025mol)、碳酸钾(11.4g,0.1mol),水100mL及1.4-二氧六环500mL在氮气保护的条件下,加热至100℃,并保温反应12小时,再经冷却、萃取、干燥、浓缩和纯化,得到9-(3,5-二(3-荧蒽))-3-(4-(3-吡啶)苯基)-9H-咔唑,收率76%。9-(3,5-Dibromophenyl)-3-(4-(3-pyridyl)phenyl)-9H-indazole (27.7 g, 0.05 mol), fluoranthene-3-boronic acid (24.6 g, 0.1) Mol), Pd(PPh 3 ) 4 (2.9g, 0.0025mol), potassium carbonate (11.4g, 0.1mol), water 100mL and 1.4-dioxane 500mL under nitrogen protection, heated to 100 ° C, and The reaction was incubated for 12 hours, cooled, extracted, dried, concentrated and purified to give 9-(3,5-bis(3-fluoranthene)-3-(4-(3-pyridyl)phenyl)-9H- Carbazole, yield 76%.
合成路线如下:The synthetic route is as follows:
实施例3Example 3
本实施例的咔唑苯类稠环衍生物9-(3,5-二(2-蒽))-3-(4-(3-吡啶)苯基)-9H-咔唑的合成过程如下:The synthesis process of the carbazole benzene fused ring derivative 9-(3,5-bis(2-indolyl)-3-(4-(3-pyridyl)phenyl)-9H-carbazole of this example is as follows:
将9-(3,5-二溴苯)-3-(4-(3-吡啶)苯基)-9H-咔唑(27.6g,0.05mol)、蒽-2-硼酸(22.2g,0.1mol)、Pd(PPh3)4(2.9g,0.0025mol)、碳酸钾(11.4g,0.1mol)、水100mL和1.4-二氧六环500mL,氮气保护,在氮气保护的条件下,加热至100℃,并保温反应12小时,再经冷却、萃取、干燥、浓缩和纯化,得到9-(3,5-二(2-蒽))-3-(4-(3-吡啶)苯基)-9H-咔唑,收率80%。9-(3,5-Dibromophenyl)-3-(4-(3-pyridyl)phenyl)-9H-indazole (27.6 g, 0.05 mol), hydrazine-2-boronic acid (22.2 g, 0.1 mol) ), Pd(PPh 3 ) 4 (2.9g, 0.0025mol), potassium carbonate (11.4g, 0.1mol), water 100mL and 1.4-dioxane 500mL, nitrogen protection, heated to 100 under nitrogen protection conditions °C, and the reaction was incubated for 12 hours, then cooled, extracted, dried, concentrated and purified to give 9-(3,5-bis(2-indol))-3-(4-(3-pyridyl)phenyl)- 9H-carbazole, yield 80%.
合成路线如下: The synthetic route is as follows:
实施例4Example 4
本实施例的咔唑苯类稠环衍生物9-(3,5-二(2-蒽))-3,6-二(4-(3-吡啶)苯基)-9H-咔唑的合成过程如下:Synthesis of 9-(3,5-bis(2-indenyl)-3,6-bis(4-(3-pyridyl)phenyl)-9H-carbazole as a carbazole benzene fused ring derivative of this example The process is as follows:
将9-(3,5-二溴苯)-3,6-二(4-(3-吡啶)苯基)-9H-咔唑(35.3g,0.05mol)、蒽-2-硼酸(22.2g,0.1mol)、Pd(PPh3)4(2.9g,0.0025mol)、碳酸钾(11.4g,0.1mol)、水100mL和1.4-二氧六环500mL在氮气保护的条件下,加热至100℃,并保温反应12小时,再经冷却、萃取、干燥、浓缩和纯化,得到9-(3,5-二(2-蒽))-3,6-二(4-(3-吡啶)苯基)-9H-咔唑,收率71%。9-(3,5-Dibromophenyl)-3,6-bis(4-(3-pyridyl)phenyl)-9H-indazole (35.3 g, 0.05 mol), hydrazine-2-boronic acid (22.2 g) , 0.1 mol), Pd(PPh 3 ) 4 (2.9 g, 0.0025 mol), potassium carbonate (11.4 g, 0.1 mol), water 100 mL and 1.4-dioxane 500 mL, heated to 100 ° C under nitrogen protection And the reaction is kept for 12 hours, and then cooled, extracted, dried, concentrated and purified to obtain 9-(3,5-bis(2-indene)-3,6-bis(4-(3-pyridine)phenyl )-9H-carbazole, yield 71%.
合成路线如下:The synthetic route is as follows:
实施例5Example 5
本实施例的咔唑苯类稠环衍生物9-(3,5-二(3-荧蒽))-3-(3-吡啶)-9H-咔唑的合成过程如下:The synthesis process of the carbazole benzene fused ring derivative 9-(3,5-bis(3-fluoranthene)-3-(3-pyridine)-9H-carbazole of this example is as follows:
将9-(3,5-二溴苯)-3-(3-吡啶)-9H-咔唑(23.8g,0.05mol)、荧蒽-3-硼酸(24.6g,0.1mol)、Pd(PPh3)4(2.9g.0.0025mol)、碳酸钾(11.4g。0.1mol)、水100mL和1.4-二氧六环500mL在氮气保护的条件下,加热至100℃,并保温反应12小时,再经冷却、萃取、干燥、浓缩和纯化,得到9-(3,5-二(3-荧蒽))-3-(3-吡啶)-9H-咔唑,收率72%。9-(3,5-Dibromophenyl)-3-(3-pyridine)-9H-indazole (23.8 g, 0.05 mol), fluoranthene-3-boronic acid (24.6 g, 0.1 mol), Pd (PPh) 3 ) 4 (2.9g.0.0025mol), potassium carbonate (11.4g. 0.1mol), water 100mL and 1.4-dioxane 500mL under nitrogen protection, heated to 100 ° C, and kept warm for 12 hours, and then After cooling, extraction, drying, concentration and purification, 9-(3,5-bis(3-fluoranthene)-3-(3-pyridine)-9H-carbazole was obtained in a yield of 72%.
合成路线如下: The synthetic route is as follows:
实施例6Example 6
本实施例的咔唑苯类稠环衍生物9-(3,5-二(3-荧蒽))-3,6-二(3-吡啶)-9H-咔唑的合成过程如下:The synthesis process of the carbazole benzene fused ring derivative 9-(3,5-bis(3-fluoranthene)-3,6-bis(3-pyridine)-9H-carbazole of this example is as follows:
将9-(3,5-二溴苯)-3,6-二(3-吡啶)-9H-咔唑(27.7g,0.05mol)、荧蒽-3-硼酸(24.6g,0.1mol)、Pd(PPh3)4(2.9g.0.0025mol)、碳酸钾(11.4g,0.1mol)、水100mL和1.4-二氧六环500mL在氮气保护的条件下,加热至100℃,并保温反应12小时,再经冷却、萃取、干燥、浓缩和纯化,得到9-(3,5-二(3-荧蒽))-3,6-二(3-吡啶)-9H-咔唑,收率81%。9-(3,5-Dibromophenyl)-3,6-bis(3-pyridine)-9H-indazole (27.7 g, 0.05 mol), fluoranthene-3-boronic acid (24.6 g, 0.1 mol), Pd(PPh 3 ) 4 (2.9g.0.0025mol), potassium carbonate (11.4g, 0.1mol), water 100mL and 1.4-dioxane 500mL were heated to 100 ° C under nitrogen protection, and the reaction was kept 12 After cooling, extraction, drying, concentration and purification, 9-(3,5-bis(3-fluoranthene)-3,6-bis(3-pyridine)-9H-carbazole was obtained in a yield of 81. %.
合成路线如下:The synthetic route is as follows:
对比例1Comparative example 1
对比例1的化合物2-(4-(9,10-二(2-萘)蒽-2-)苯基)-1-苯基-1-H-苯并咪唑的合成过程如下:The synthesis of the compound 2-(4-(9,10-bis(2-naphthalene)indole-2-)phenyl)-1-phenyl-1-H-benzimidazole of Comparative Example 1 was as follows:
取9,10-二(2-萘)蒽-2-硼酸(47.4g,0.1mol)和2-(4-溴苯)-1-苯基-1-H-苯并咪唑(34.9g,0.1mol)置于1L的双口圆底烧瓶中,加入500ml甲苯为溶剂,安装装置,然后取碳酸钾(20.7g,0.15mol)用100ml水使其完全溶解,再加入圆底烧瓶,最后取Pd(PPh3)4(3.4g,0.003mol)于烧瓶中,用油泵抽去瓶中空气,通入氮气,恒温加热回流12小时,冷却。将反应液转移到旋蒸瓶中,旋转蒸发干大部分溶剂,用二氯甲烷萃取、水洗三次,再依次经无水硫酸镁干燥、过滤旋干和纯化,得到2-(4-(9,10-二(2-萘)蒽-2-)苯基)-1-苯基-1-H-苯并咪唑,产率74%。Take 9,10-bis(2-naphthalene)indole-2-boronic acid (47.4 g, 0.1 mol) and 2-(4-bromophenyl)-1-phenyl-1-H-benzimidazole (34.9 g, 0.1 Mol) was placed in a 1 L double-necked round bottom flask, 500 ml of toluene was added as a solvent, and the apparatus was installed. Then, potassium carbonate (20.7 g, 0.15 mol) was completely dissolved in 100 ml of water, and then a round bottom flask was added, and finally Pd was taken. (PPh 3 ) 4 (3.4 g, 0.003 mol) was placed in a flask, and the air in the bottle was evacuated with an oil pump, and nitrogen gas was introduced thereto, and the mixture was heated under reflux for 12 hours, and cooled. The reaction solution was transferred to a rotary flask, and most of the solvent was evaporated to dryness, extracted with dichloromethane, washed three times with water, then dried over anhydrous magnesium sulfate, filtered, dried and purified to afford 2-(4-(9, 10-bis(2-naphthalene)indole-2-)phenyl)-1-phenyl-1-H-benzimidazole, yield 74%.
合成路线如下:The synthetic route is as follows:
测试: Test:
实施例1~6和对比例1制备得到的化合物的能级测试:Energy levels of the compounds prepared in Examples 1 to 6 and Comparative Example 1 were tested:
有机材料的能级可通过量子计算得到,比如利用利用TD-DFT(含时密度泛函理论)通过Gaussian03W(Gaussian Inc.),具体的模拟方法可参见WO2011141110。首先用半经验方法“Ground State/Semi-empirical/Default Spin/AM1”(Charge 0/Spin Singlet)来优化分子几何结构,然后有机分子的能量结构由TD-DFT(含时密度泛函理论)方法算得“TD-SCF/DFT/Default Spin/B3PW91”与基组“6-31G(d)”(Charge 0/Spin Singlet)。HOMO和LUMO能级按照下面的校准公式计算,S1和T1直接使用。The energy level of the organic material can be obtained by quantum calculation, for example, by using TD-DFT (time-dependent density functional theory) by Gaussian 03W (Gaussian Inc.), and the specific simulation method can be found in WO2011141110. First, the semi-empirical method "Ground State/Semi-empirical/Default Spin/AM1" (Charge 0/Spin Singlet) is used to optimize the molecular geometry, and then the energy structure of the organic molecule is determined by TD-DFT (time-dependent density functional theory) method. Calculated "TD-SCF/DFT/Default Spin/B3PW91" and the base group "6-31G(d)" (Charge 0/Spin Singlet). The HOMO and LUMO levels are calculated according to the following calibration formula, and S1 and T1 are used directly.
HOMO(eV)=((HOMO(G)×27.212)-0.9899)/1.1206HOMO(eV)=((HOMO(G)×27.212)-0.9899)/1.1206
LUMO(eV)=((LUMO(G)×27.212)-2.0041)/1.385LUMO(eV)=((LUMO(G)×27.212)-2.0041)/1.385
其中HOMO(G)和LUMO(G)是Gaussian 03W的直接计算结果,单位为Hartree。实施例1~实施例6和对比例1的化合物的结果如表1所示:Among them, HOMO(G) and LUMO(G) are direct calculation results of Gaussian 03W, and the unit is Hartree. The results of the compounds of Examples 1 to 6 and Comparative Example 1 are shown in Table 1:
表1Table 1
实施例7~12和对比例2Examples 7 to 12 and Comparative Example 2
实施例7~12和对比例2的有机发光二极管(OLED器件)的结构均为ITO/HIL(50nm)/HTL(35nm)/Host:5%Dopant(25nm)/ETL(28nm)/LiQ(1nm)/Al(150nm)/阴极。“/”表示层。The structures of the organic light emitting diodes (OLED devices) of Examples 7 to 12 and Comparative Example 2 were all ITO/HIL (50 nm) / HTL (35 nm) / Host: 5% Dopant (25 nm) / ETL (28 nm) / LiQ (1 nm) ) / Al (150 nm) / cathode. "/" indicates the layer.
其中,实施例1制备得到的化合物为实施例7的电子传输层(ETL)的材料,实施例2制备得到的化合物为实施例8的电子传输层(ETL)的材料,实施例3制备得到的化合物为实施例9的电子传输层(ETL)的材料,实施例4制备得到的化合物为实施例10的电子传输层(ETL)的材料,实施例5制备得到的化合物为实施例11的电子传输层(ETL)的材料,实施例6制备得到的化合物为实施例12的电子传输层(ETL)的材料,对比例1制备得到的化合物为对比例2的电子传输层(ETL)的材料。The compound prepared in Example 1 is the material of the electron transport layer (ETL) of Example 7, and the compound prepared in Example 2 is the material of the electron transport layer (ETL) of Example 8, prepared in Example 3. The compound was the material of the electron transport layer (ETL) of Example 9, the compound prepared in Example 4 was the material of the electron transport layer (ETL) of Example 10, and the compound prepared in Example 5 was the electron transport of Example 11. The material of the layer (ETL), the compound prepared in Example 6 was the material of the electron transport layer (ETL) of Example 12, and the compound prepared in Comparative Example 1 was the material of the electron transport layer (ETL) of Comparative Example 2.
实施例7~12和对比例2的空穴注入层(HIL)的材料、空穴传输层(HTL)的材料、Host的材料为蒽衍生物和Dopant的材料均相同。The materials of the hole injection layer (HIL), the material of the hole transport layer (HTL), and the material of the host of Examples 7 to 12 and Comparative Example 2 were the same as those of the anthracene derivative and the Dopant.
其中,空穴注入层(HIL)的材料为三芳胺衍生物;空穴传输层(HTL)的材料为三芳胺衍生物;Host的材料为蒽衍生物,Dopant的材料为三芳胺衍生物。The material of the hole injection layer (HIL) is a triarylamine derivative; the material of the hole transport layer (HTL) is a triarylamine derivative; the material of Host is an anthracene derivative, and the material of Dopant is a triarylamine derivative.
其中,实施例7~12和对比例1的有机发光二极管的具体制备过程如下:The specific preparation process of the organic light emitting diodes of Examples 7 to 12 and Comparative Example 1 is as follows:
a、ITO(铟锡氧化物)导电玻璃基片的清洗:使用各种溶剂(例如氯仿、丙酮或异丙醇中的一种或几种)清洗,然后进行紫外臭氧处理;a, ITO (indium tin oxide) conductive glass substrate cleaning: using a variety of solvents (such as one or several of chloroform, acetone or isopropanol) cleaning, and then UV ozone treatment;
b、HIL(50nm),HTL(35nm),EML(25nm)、ETL(28nm):在高真空(1×10-6毫巴,mbar)中热蒸镀而成。b, HIL (50 nm), HTL (35 nm), EML (25 nm), ETL (28 nm): thermally evaporated in a high vacuum (1 x 10 -6 mbar, mbar).
c、阴极:LiQ/Al(1nm/150nm)在高真空(1×10-6毫巴)中热蒸镀而成;c, cathode: LiQ / Al (1nm / 150nm) in a high vacuum (1 × 10 -6 mbar) in the thermal evaporation;
d、封装:器件在氮气手套箱中用紫外线硬化树脂封装。d. Package: The device is encapsulated in a nitrogen glove box with an ultraviolet curable resin.
测试:test:
采用表征设备测试实施例7~12和对比例2的有机发光二极管的电流电压(J-V)特性, 同时记录重要的参数如发光效率、寿命及色坐标(见表2)。经检测,分别采用实施例1~6制备得到的化合物作为电子传输层的材料的实施例7~12的器件(蓝光器件)的色坐标X≤0.14,Y≤0.0.09,而采用对比例1制备的化合物作为电子传输层的材料的对比例2的器件X为0.18,Y为0.15,显然,实施例7~12的器件的色坐标更加优于对比例2的器件。The current-voltage (J-V) characteristics of the organic light-emitting diodes of Examples 7 to 12 and Comparative Example 2 were tested using a characterization apparatus, Also record important parameters such as luminous efficiency, lifetime and color coordinates (see Table 2). The color coordinates X ≤ 0.14, Y ≤ 0.0.09 of the devices of Examples 7 to 12 using the compounds prepared in Examples 1 to 6 as the materials of the electron transport layer, respectively, were examined, and Comparative Example 1 was used. The device X of Comparative Example 2, which was a material of the electron transport layer, was 0.18 and Y was 0.15. Obviously, the color coordinates of the devices of Examples 7 to 12 were more superior than those of Comparative Example 2.
且采用实施例1~6制备得到的化合物作为电子传输层的材料的实施例7~12的发光效率至少为4.8cd/A,而对比例2的器件仅为3.6cd/A,即采用实施例1~6制备得到的化合物作为电子传输层的材料的实施例7~12的器件具有更加优异的发光效率。Further, the luminous efficiency of Examples 7 to 12 using the compounds prepared in Examples 1 to 6 as the material of the electron transporting layer was at least 4.8 cd/A, and the device of Comparative Example 2 was only 3.6 cd/A, that is, the examples were employed. The devices of Examples 7 to 12 in which the obtained compound was used as a material of the electron transport layer had more excellent luminous efficiency.
表2中,T95,1000nits表示起始亮度在1000下,亮度衰减到95%的时间),且表2中记录的实施例7~12的有机发光二极管的寿命都是相对对比例2的有机发光二极管的倍数,例如,对比例2的有机发光二极管的寿命为1,表2中实施例7的寿命3.7,表示的即为是实施例7的有机发光二极管的寿命的3.7倍,实施例8~12也是如此,在此不在赘述。从表2中可以看出,实施例7~实施例12的器件的寿命是对比例2的寿命的两倍以上,具有较长的寿命。这是因为上述咔唑苯类稠环衍生物上的氮原子与大平面共轭的稠环芳香结构的相连,实现了更好的载流子传输和光电响应,更好的能级匹配,从而实现了更高效率、更长寿命以及更蓝色坐标。In Table 2, T 95 , 1000 nits represents the initial luminance at 1000, and the luminance is attenuated to 95% of the time), and the lifetimes of the organic light-emitting diodes of Examples 7 to 12 recorded in Table 2 are relative to the organic ratio of Comparative Example 2 The multiple of the light emitting diode, for example, the lifetime of the organic light emitting diode of Comparative Example 2 is 1, and the lifetime of Example 7 in Table 2 is 3.7, which is 3.7 times the lifetime of the organic light emitting diode of Embodiment 7, Example 8 The same is true for ~12, which is not described here. As can be seen from Table 2, the lifetime of the devices of Examples 7 to 12 is more than twice the life of Comparative Example 2, and has a long life. This is because the nitrogen atom on the above carbazole benzene fused ring derivative is linked to a large plane conjugated fused ring aromatic structure, achieving better carrier transport and photoelectric response, and better energy level matching, thereby Achieve higher efficiency, longer life and more blue coordinates.
表2 Table 2
以上所述实施例的各技术特征可以进行任意的组合,为使描述简洁,未对上述实施例中的各个技术特征所有可能的组合都进行描述,然而,只要这些技术特征的组合不存在矛盾,都应当认为是本说明书记载的范围。The technical features of the above-described embodiments may be arbitrarily combined. For the sake of brevity of description, all possible combinations of the technical features in the above embodiments are not described. However, as long as there is no contradiction between the combinations of these technical features, All should be considered as the scope of this manual.
以上所述实施例仅表达了本发明的几种实施方式,其描述较为具体和详细,但并不能因此而理解为对发明专利范围的限制。应当指出的是,对于本领域的普通技术人员来说,在不脱离本发明构思的前提下,还可以做出若干变形和改进,这些都属于本发明的保护范围。因此,本发明专利的保护范围应以所附权利要求为准。 The above-described embodiments are merely illustrative of several embodiments of the present invention, and the description thereof is more specific and detailed, but is not to be construed as limiting the scope of the invention. It should be noted that a number of variations and modifications may be made by those skilled in the art without departing from the spirit and scope of the invention. Therefore, the scope of the invention should be determined by the appended claims.
Claims (15)
Priority Applications (1)
| Application Number | Priority Date | Filing Date | Title |
|---|---|---|---|
| CN201780059472.6A CN109790117A (en) | 2016-12-08 | 2017-12-08 | Carbazole benzene fused ring derivatives, polymers, mixtures, compositions, organic electronic devices and preparation methods thereof |
Applications Claiming Priority (2)
| Application Number | Priority Date | Filing Date | Title |
|---|---|---|---|
| CN201611123300.4 | 2016-12-08 | ||
| CN201611123300 | 2016-12-08 |
Publications (1)
| Publication Number | Publication Date |
|---|---|
| WO2018103746A1 true WO2018103746A1 (en) | 2018-06-14 |
Family
ID=62491495
Family Applications (1)
| Application Number | Title | Priority Date | Filing Date |
|---|---|---|---|
| PCT/CN2017/115310 Ceased WO2018103746A1 (en) | 2016-12-08 | 2017-12-08 | Carbazole benzene fused ring derivative, polymer, mixture, composition, organic electronic device and preparation method therefor |
Country Status (2)
| Country | Link |
|---|---|
| CN (1) | CN109790117A (en) |
| WO (1) | WO2018103746A1 (en) |
Cited By (2)
| Publication number | Priority date | Publication date | Assignee | Title |
|---|---|---|---|---|
| CN112479978A (en) * | 2019-09-11 | 2021-03-12 | 江苏三月光电科技有限公司 | Organic compound with carbazole derivative as core and application thereof |
| CN114716295A (en) * | 2021-01-04 | 2022-07-08 | 浙江光昊光电科技有限公司 | Fused ring compound and application thereof in organic electronic device |
Citations (7)
| Publication number | Priority date | Publication date | Assignee | Title |
|---|---|---|---|---|
| JP2010215759A (en) * | 2009-03-16 | 2010-09-30 | Konica Minolta Holdings Inc | Organic electroluminescent element, display, lighting device, and material for organic electroluminescent element |
| TW201114743A (en) * | 2009-10-21 | 2011-05-01 | Cheil Ind Inc | Novel compound for organic photoelectric device and organic photoelectric device including the same |
| KR20130067177A (en) * | 2011-12-13 | 2013-06-21 | 엘지디스플레이 주식회사 | Compound and organic light emitting diode device using the same |
| KR20150022615A (en) * | 2013-08-22 | 2015-03-04 | (주)피엔에이치테크 | Novel compound for organic electroluminescent device and organic electroluminescent device comprising the same |
| KR20150105201A (en) * | 2014-03-05 | 2015-09-16 | 주식회사 엠비케이 | New organic electroluminescent compounds and organic electroluminescent device comprising the same |
| KR20150121626A (en) * | 2014-04-21 | 2015-10-29 | (주)피엔에이치테크 | Novel compound for organic electroluminescent device and organic electroluminescent device comprising the same |
| CN106866709A (en) * | 2017-03-04 | 2017-06-20 | 长春海谱润斯科技有限公司 | A kind of carbazole meta connects benzothiophene derivative and its organic luminescent device |
-
2017
- 2017-12-08 WO PCT/CN2017/115310 patent/WO2018103746A1/en not_active Ceased
- 2017-12-08 CN CN201780059472.6A patent/CN109790117A/en active Pending
Patent Citations (7)
| Publication number | Priority date | Publication date | Assignee | Title |
|---|---|---|---|---|
| JP2010215759A (en) * | 2009-03-16 | 2010-09-30 | Konica Minolta Holdings Inc | Organic electroluminescent element, display, lighting device, and material for organic electroluminescent element |
| TW201114743A (en) * | 2009-10-21 | 2011-05-01 | Cheil Ind Inc | Novel compound for organic photoelectric device and organic photoelectric device including the same |
| KR20130067177A (en) * | 2011-12-13 | 2013-06-21 | 엘지디스플레이 주식회사 | Compound and organic light emitting diode device using the same |
| KR20150022615A (en) * | 2013-08-22 | 2015-03-04 | (주)피엔에이치테크 | Novel compound for organic electroluminescent device and organic electroluminescent device comprising the same |
| KR20150105201A (en) * | 2014-03-05 | 2015-09-16 | 주식회사 엠비케이 | New organic electroluminescent compounds and organic electroluminescent device comprising the same |
| KR20150121626A (en) * | 2014-04-21 | 2015-10-29 | (주)피엔에이치테크 | Novel compound for organic electroluminescent device and organic electroluminescent device comprising the same |
| CN106866709A (en) * | 2017-03-04 | 2017-06-20 | 长春海谱润斯科技有限公司 | A kind of carbazole meta connects benzothiophene derivative and its organic luminescent device |
Non-Patent Citations (2)
| Title |
|---|
| JIANG, WEI ET AL.: "Star-Shaped Dendritic Hosts Based on Carbazole Moieties for Highly Efficient Blue Phosphorescent OLEDs", JOURNAL OF MATERIALS CHEMISTRY, vol. 22, 20 April 2012 (2012-04-20), pages 12016 - 12022, XP055491754 * |
| ZHU, ZHIBO ET AL.: "Synthesis and Optical and Electrochemical Properties of Symmetrically Arranged Carbazole Dendrimers", CHEMICAL RESEARCH, vol. 21, no. 2, 31 March 2010 (2010-03-31), pages 38 - 41 * |
Cited By (3)
| Publication number | Priority date | Publication date | Assignee | Title |
|---|---|---|---|---|
| CN112479978A (en) * | 2019-09-11 | 2021-03-12 | 江苏三月光电科技有限公司 | Organic compound with carbazole derivative as core and application thereof |
| CN112479978B (en) * | 2019-09-11 | 2023-11-28 | 江苏三月科技股份有限公司 | Organic compound with carbazole derivative as core and application thereof |
| CN114716295A (en) * | 2021-01-04 | 2022-07-08 | 浙江光昊光电科技有限公司 | Fused ring compound and application thereof in organic electronic device |
Also Published As
| Publication number | Publication date |
|---|---|
| CN109790117A (en) | 2019-05-21 |
Similar Documents
| Publication | Publication Date | Title |
|---|---|---|
| CN111278838B (en) | Boron-containing heterocyclic compounds, polymers, mixtures, compositions and uses thereof | |
| CN108137618B (en) | D-A type compound and its application | |
| CN109803957B (en) | Triazine Fused Ring Derivatives and Their Applications in Organic Electronic Devices | |
| CN108003365B (en) | Organic compound film and its application in organic electronic device | |
| CN111278795B (en) | Organic mixtures and their use in organic electronic devices | |
| WO2018095394A1 (en) | Organic mixture, composition, organic electronic device and application | |
| WO2018095390A1 (en) | Organic compound, applications thereof, organic mixture, and organic electronic device | |
| WO2018095392A1 (en) | Organic mixture, composition, and organic electronic component | |
| CN108137604B (en) | Azole derivatives and their use in organic electronic devices | |
| CN111848590B (en) | Compound, high polymer, mixture, composition and organic electronic device | |
| CN109790163B (en) | Carbazole compounds and their applications | |
| CN109790087B (en) | Deuterated fused-ring compounds, polymers, mixtures, compositions, and organic electronic devices | |
| WO2018103744A1 (en) | Mixture, composition and organic electronic device | |
| WO2019120177A1 (en) | Compound for manufacturing organic display device, organic display device and application thereof | |
| CN110746405B (en) | Pyrrole group-containing compound and application thereof in organic electronic device | |
| CN109792001B (en) | Organic compounds, organic mixtures, organic electronics | |
| WO2017118252A1 (en) | Sulfone-containing fused heterocyclic compound and application thereof | |
| CN110760164A (en) | Organic mixture, composition containing organic mixture, organic electronic device and application | |
| WO2019128762A1 (en) | Polymer containing amide bond group, mixture, composition and use thereof | |
| WO2019128599A1 (en) | Nitrogen-containing heterocyclic compound, high polymer, mixture, composition, and use thereof | |
| WO2018103746A1 (en) | Carbazole benzene fused ring derivative, polymer, mixture, composition, organic electronic device and preparation method therefor | |
| CN109790129B (en) | Pyrenetriazine Derivatives and Their Applications in Organic Electronic Devices | |
| CN110698475A (en) | Condensed ring organic compounds and their applications | |
| WO2022152215A1 (en) | Organic compound, mixture and use thereof | |
| CN109791982B (en) | Organic mixtures, organic compositions, organic electronic devices and preparation methods thereof |
Legal Events
| Date | Code | Title | Description |
|---|---|---|---|
| 121 | Ep: the epo has been informed by wipo that ep was designated in this application |
Ref document number: 17877427 Country of ref document: EP Kind code of ref document: A1 |
|
| NENP | Non-entry into the national phase |
Ref country code: DE |
|
| 122 | Ep: pct application non-entry in european phase |
Ref document number: 17877427 Country of ref document: EP Kind code of ref document: A1 |





























































