WO2018072707A1 - Aromatic ether derivative, preparation method therefor, and medical applications thereof - Google Patents
Aromatic ether derivative, preparation method therefor, and medical applications thereof Download PDFInfo
- Publication number
- WO2018072707A1 WO2018072707A1 PCT/CN2017/106667 CN2017106667W WO2018072707A1 WO 2018072707 A1 WO2018072707 A1 WO 2018072707A1 CN 2017106667 W CN2017106667 W CN 2017106667W WO 2018072707 A1 WO2018072707 A1 WO 2018072707A1
- Authority
- WO
- WIPO (PCT)
- Prior art keywords
- alkyl
- methyl
- compound
- group
- mmol
- Prior art date
- Legal status (The legal status is an assumption and is not a legal conclusion. Google has not performed a legal analysis and makes no representation as to the accuracy of the status listed.)
- Ceased
Links
- 0 CCC1C(*C)OCC1 Chemical compound CCC1C(*C)OCC1 0.000 description 17
- OAVLAXBGPCNNMH-AATRIKPKSA-N CC/C(/Cl)=C\C=C Chemical compound CC/C(/Cl)=C\C=C OAVLAXBGPCNNMH-AATRIKPKSA-N 0.000 description 2
- MRUKIIWRMSYKML-UHFFFAOYSA-N Cc(cc(cc1)C(O)=O)c1Cl Chemical compound Cc(cc(cc1)C(O)=O)c1Cl MRUKIIWRMSYKML-UHFFFAOYSA-N 0.000 description 2
- GKEHBUGIMOAFJC-UHFFFAOYSA-N Cc(cccc1NC(C=C)=O)c1Nc(nc1)ncc1OCc1cc(C(N)=O)ccc1Cl Chemical compound Cc(cccc1NC(C=C)=O)c1Nc(nc1)ncc1OCc1cc(C(N)=O)ccc1Cl GKEHBUGIMOAFJC-UHFFFAOYSA-N 0.000 description 2
- RGVUYALYUWYFIU-UHFFFAOYSA-N CC(C=C(CC1O)C(O)=O)=C1Cl Chemical compound CC(C=C(CC1O)C(O)=O)=C1Cl RGVUYALYUWYFIU-UHFFFAOYSA-N 0.000 description 1
- WLNAYWVYKOJZMT-UHFFFAOYSA-N CC1(C(COc2cnc(Nc3c(C)cccc3[N+]([O-])=O)nc2)=CC(C(OC)=O)=CC1)Cl Chemical compound CC1(C(COc2cnc(Nc3c(C)cccc3[N+]([O-])=O)nc2)=CC(C(OC)=O)=CC1)Cl WLNAYWVYKOJZMT-UHFFFAOYSA-N 0.000 description 1
- NIPZRFZNRFYRKQ-UHFFFAOYSA-N CCC1C(C(C)C)OCC1 Chemical compound CCC1C(C(C)C)OCC1 NIPZRFZNRFYRKQ-UHFFFAOYSA-N 0.000 description 1
- JMADRSJMDLCSQA-UHFFFAOYSA-N CCC1C(C)COCC1 Chemical compound CCC1C(C)COCC1 JMADRSJMDLCSQA-UHFFFAOYSA-N 0.000 description 1
- PCSHAVYVLJKNPQ-UHFFFAOYSA-N CCC1OCCCC1C Chemical compound CCC1OCCCC1C PCSHAVYVLJKNPQ-UHFFFAOYSA-N 0.000 description 1
- OXXGTEJKZZKAJV-UHFFFAOYSA-N COC(c(cc1)cc(CBr)c1Cl)=O Chemical compound COC(c(cc1)cc(CBr)c1Cl)=O OXXGTEJKZZKAJV-UHFFFAOYSA-N 0.000 description 1
- SKWLNDOHNUMSHA-UHFFFAOYSA-N COC(c(cc1COc(cn2)cnc2Cl)cc(OC)c1Cl)=O Chemical compound COC(c(cc1COc(cn2)cnc2Cl)cc(OC)c1Cl)=O SKWLNDOHNUMSHA-UHFFFAOYSA-N 0.000 description 1
- ZJSRQOJRJOYEMO-UHFFFAOYSA-N COC(c(cc1OC)cc(CBr)c1Cl)=O Chemical compound COC(c(cc1OC)cc(CBr)c1Cl)=O ZJSRQOJRJOYEMO-UHFFFAOYSA-N 0.000 description 1
- RSUBGBZOMBTDTI-UHFFFAOYSA-N COc(cn1)cnc1Cl Chemical compound COc(cn1)cnc1Cl RSUBGBZOMBTDTI-UHFFFAOYSA-N 0.000 description 1
- NXSBMPWGBIOPJF-UHFFFAOYSA-N C[n](cc1NC(C=C)=O)nc1Nc(nc1)ncc1OCc1cc(C(NC2CC2)=O)cc(OC)c1Cl Chemical compound C[n](cc1NC(C=C)=O)nc1Nc(nc1)ncc1OCc1cc(C(NC2CC2)=O)cc(OC)c1Cl NXSBMPWGBIOPJF-UHFFFAOYSA-N 0.000 description 1
- QOTGNXMPQNGYDM-UHFFFAOYSA-N Cc(cc(cc1)C(OC)=O)c1Cl Chemical compound Cc(cc(cc1)C(OC)=O)c1Cl QOTGNXMPQNGYDM-UHFFFAOYSA-N 0.000 description 1
- MZQJDEHIRFGRFS-UHFFFAOYSA-N Cc(cc(cc1OC)C(OC)=O)c1Cl Chemical compound Cc(cc(cc1OC)C(OC)=O)c1Cl MZQJDEHIRFGRFS-UHFFFAOYSA-N 0.000 description 1
- VQPAOTFMRXYNDN-UHFFFAOYSA-N Cc(cccc1N)c1Nc(nc1)ncc1OCc1cc(C(N)=O)ccc1Cl Chemical compound Cc(cccc1N)c1Nc(nc1)ncc1OCc1cc(C(N)=O)ccc1Cl VQPAOTFMRXYNDN-UHFFFAOYSA-N 0.000 description 1
- FTTFGGOZGWPMAR-UHFFFAOYSA-N Cc(cccc1NC(C=C)=O)c1Nc(nc1)ncc1OCc1cc(C(NOC)=O)cc(OC)c1Cl Chemical compound Cc(cccc1NC(C=C)=O)c1Nc(nc1)ncc1OCc1cc(C(NOC)=O)cc(OC)c1Cl FTTFGGOZGWPMAR-UHFFFAOYSA-N 0.000 description 1
- XQBKBWLCOXXTJZ-UHFFFAOYSA-N Cc(cccc1[N+]([O-])=O)c1Nc(nc1)ncc1OCc1cc(C(N)=O)ccc1Cl Chemical compound Cc(cccc1[N+]([O-])=O)c1Nc(nc1)ncc1OCc1cc(C(N)=O)ccc1Cl XQBKBWLCOXXTJZ-UHFFFAOYSA-N 0.000 description 1
- KAWGBBNXSSMVRB-UHFFFAOYSA-N Cc(cccc1[N+]([O-])=O)c1Nc(nc1)ncc1OO Chemical compound Cc(cccc1[N+]([O-])=O)c1Nc(nc1)ncc1OO KAWGBBNXSSMVRB-UHFFFAOYSA-N 0.000 description 1
- ZHHGJCFPDAJYTF-UHFFFAOYSA-N Cc1cc(C(O)=O)cc(C)c1Cl Chemical compound Cc1cc(C(O)=O)cc(C)c1Cl ZHHGJCFPDAJYTF-UHFFFAOYSA-N 0.000 description 1
Classifications
-
- A—HUMAN NECESSITIES
- A61—MEDICAL OR VETERINARY SCIENCE; HYGIENE
- A61K—PREPARATIONS FOR MEDICAL, DENTAL OR TOILETRY PURPOSES
- A61K31/00—Medicinal preparations containing organic active ingredients
- A61K31/33—Heterocyclic compounds
- A61K31/395—Heterocyclic compounds having nitrogen as a ring hetero atom, e.g. guanethidine or rifamycins
- A61K31/435—Heterocyclic compounds having nitrogen as a ring hetero atom, e.g. guanethidine or rifamycins having six-membered rings with one nitrogen as the only ring hetero atom
- A61K31/44—Non condensed pyridines; Hydrogenated derivatives thereof
-
- A—HUMAN NECESSITIES
- A61—MEDICAL OR VETERINARY SCIENCE; HYGIENE
- A61K—PREPARATIONS FOR MEDICAL, DENTAL OR TOILETRY PURPOSES
- A61K31/00—Medicinal preparations containing organic active ingredients
- A61K31/33—Heterocyclic compounds
- A61K31/395—Heterocyclic compounds having nitrogen as a ring hetero atom, e.g. guanethidine or rifamycins
- A61K31/495—Heterocyclic compounds having nitrogen as a ring hetero atom, e.g. guanethidine or rifamycins having six-membered rings with two or more nitrogen atoms as the only ring heteroatoms, e.g. piperazine or tetrazines
- A61K31/505—Pyrimidines; Hydrogenated pyrimidines, e.g. trimethoprim
-
- A—HUMAN NECESSITIES
- A61—MEDICAL OR VETERINARY SCIENCE; HYGIENE
- A61P—SPECIFIC THERAPEUTIC ACTIVITY OF CHEMICAL COMPOUNDS OR MEDICINAL PREPARATIONS
- A61P35/00—Antineoplastic agents
-
- C—CHEMISTRY; METALLURGY
- C07—ORGANIC CHEMISTRY
- C07D—HETEROCYCLIC COMPOUNDS
- C07D213/00—Heterocyclic compounds containing six-membered rings, not condensed with other rings, with one nitrogen atom as the only ring hetero atom and three or more double bonds between ring members or between ring members and non-ring members
- C07D213/02—Heterocyclic compounds containing six-membered rings, not condensed with other rings, with one nitrogen atom as the only ring hetero atom and three or more double bonds between ring members or between ring members and non-ring members having three double bonds between ring members or between ring members and non-ring members
- C07D213/04—Heterocyclic compounds containing six-membered rings, not condensed with other rings, with one nitrogen atom as the only ring hetero atom and three or more double bonds between ring members or between ring members and non-ring members having three double bonds between ring members or between ring members and non-ring members having no bond between the ring nitrogen atom and a non-ring member or having only hydrogen or carbon atoms directly attached to the ring nitrogen atom
-
- C—CHEMISTRY; METALLURGY
- C07—ORGANIC CHEMISTRY
- C07D—HETEROCYCLIC COMPOUNDS
- C07D239/00—Heterocyclic compounds containing 1,3-diazine or hydrogenated 1,3-diazine rings
- C07D239/02—Heterocyclic compounds containing 1,3-diazine or hydrogenated 1,3-diazine rings not condensed with other rings
- C07D239/24—Heterocyclic compounds containing 1,3-diazine or hydrogenated 1,3-diazine rings not condensed with other rings having three or more double bonds between ring members or between ring members and non-ring members
Definitions
- the present invention relates to a novel aromatic ether derivative or a pharmaceutically acceptable salt, tautomer, racemate, enantiomer, diastereomer, prodrug, hydrate thereof Or a solvate, and mixtures thereof, or a pharmaceutical composition containing the same, and a process for the preparation thereof.
- the present invention also relates to a method for treating and/or preventing a FGFR4 tyrosine kinase-mediated disease using the aromatic ether derivative, and the preparation of the FGFR4 tyrosine kinase inhibitor and the medicament by the aromatic ether derivative Use in.
- Fibroblast growth factor is a polypeptide secreted by the pituitary and hypothalamus. It promotes mitosis of fibroblasts, growth of mesoderm cells, stimulates angiogenesis, and plays an important role in wound healing and limb regeneration.
- the FGF receptor (FGFR) signaling system is critical for normal development and physiological processes.
- FGFR has four subtypes of FGFR1-4, and the amino acid sequences of these four subtypes are highly conserved.
- FGFR1-4 has different binding forces for different growth factors, and its distribution in tissues is also different.
- a complete FGFR receptor protein includes an extracellular portion, a hydrophobic single-stranded cell membrane portion, and an intracellular tyrosine kinase portion.
- FGFR4 is a protein encoded by the FGFR-4 gene.
- the FGFR4 gene has 18 exons.
- FGF-FGFR signal imbalance is associated with tumorigenesis and evolution. It has been found that in mice, the FGFR4–FGF19 signal axis is closely related to hepatocellular carcinoma (HCCs). In several types of cancers such as liver cancer, FGFR4 expression is significantly increased. At the same time, the occurrence of liver cancer requires FGFR4.
- the progeny of FGF19 transgenic mice can develop into liver cancer, however, the offspring proliferated with FGFR4 knockout mice do not develop into liver cancer.
- FGF19 is neutralized by FGF19-specific antibodies, tumor growth is inhibited.
- FGFR4 overexpression also occurs in other types of tumors, including breast cancer, colorectal cancer, pancreatic cancer, prostate cancer, lung cancer, and thyroid cancer.
- FGFR4 mutations occur in rhabdomyosarcoma. Small score for FGFR4 Sub-targeted inhibition can be used in the treatment of cancer.
- mice were treated with FGFR-1 inhibitors they were found to cause side effects such as calcium phosphate deposition in soft tissues (Brown, AP et al. (2005), Toxicol. Pathol., p. 449-455). These indicate that selective inhibition of the FGFR4 receptor, rather than extensive inhibition of the FGFR1-4 receptor, would avoid such side effects.
- the present invention provides a compound of the formula (I) or a pharmaceutically acceptable salt, tautomer, racemate, enantiomer or diastereomer thereof , prodrugs, hydrates or solvates, and mixtures thereof:
- W is selected from CR 1 or N;
- Ring A is selected from a 6-14 membered arylene group, a 5-10 membered heteroarylene group, a C 3 -C 8 cycloalkylene group or a 3-10 membered heterocyclylene group;
- R 1 and R 2 are independently selected from H, halogen, cyano, NO 2 , C 1 -C 6 alkyl, C 1 -C 6 haloalkyl, C 1 -C 6 haloalkoxy, C 2 -C 6 olefin , C 2 -C 6 alkynyl, C 3 -C 8 cycloalkyl, -OR 8 , -NR 6 R 7 , -C(O)R 8 , -C(O)OR 8 , -C(O) NR 6 R 7 , -NR 6 C(O)R 8 , -NR 6 C(O)OR 8 , -NR 6 C(O)NR 6 R 7 , -OC(O)R 8 , -OC(O) OR 8 , -OC(O)NR 6 R 7 , -S(O) p R 8 , -S(O) p OR 8 , -S(O) p NR 6 R 7 ,
- L is selected from -C 1 -C 6 alkylene-, -C 2 -C 6 alkenylene-, -C 2 -C 6 alkynylene-, -OC 1 -C 6 alkylene-, -C 1 -C 6 alkylene-O-, -NR 6 C(O)-, -C(O)NR 6 -, -OC(O)-, -C(O)O-, -NR 6 -C 1 - C 6 alkylene- or -C 1 -C 6 alkylene-NR 6 -;
- X is selected from -O-, -NH- or -CH 2 -;
- Y is selected from -C(O)-, -S(O) p - or -CH 2 -;
- Y may also be -NH- or -O-;
- R 3 , R 4 and R 5 are each independently selected from H, halogen, cyano, C 1 -C 6 alkyl, C 1 -C 6 haloalkyl, C 1 -C 6 haloalkoxy, C 3 -C 8 a cycloalkyl group or a 3-10 membered heterocyclic group;
- R 3 and R 4 may form a chemical bond
- R 6 , R 7 and R 8 are each independently selected from H, C 1 -C 6 alkyl, C 1 -C 6 heteroalkyl, C 3 -C 8 cycloalkyl, 3-10 membered heterocyclyl, 5 -10 membered heteroaryl or 6-14 membered aryl;
- n 0, 1, 2, 3 or 4;
- n 0, 1, 2, 3, 4 or 5;
- p 1 or 2.
- the present invention provides a pharmaceutical composition
- a pharmaceutical composition comprising a compound of the present invention or a pharmaceutically acceptable salt, tautomer, racemate, enantiomer, diastereomer thereof , prodrugs, hydrates or solvates, and mixtures thereof, and pharmaceutically acceptable excipients.
- a compound of the invention is provided in the pharmaceutical composition in an effective amount.
- the compounds of the invention are provided in a therapeutically effective amount.
- the compounds of the invention are provided in a prophylactically effective amount.
- the pharmaceutical compositions of the invention also contain other therapeutic agents.
- the invention provides a kit comprising: a first container comprising a compound of the invention or a pharmaceutically acceptable salt, tautomer, racemate, enantiomer thereof a diastereomer, a prodrug, a hydrate or a solvate, and mixtures thereof; and, optionally, a second container containing other therapeutic agents; and optionally, a third container containing A pharmaceutically acceptable excipient that dilutes or suspends the compound and/or other therapeutic agent.
- the invention provides a compound of the invention, or a pharmaceutically acceptable salt, tautomer, racemate, enantiomer, diastereomer, prodrug, hydrate thereof, or a pharmaceutically acceptable salt thereof Or a solvate, and mixtures thereof, or the use of a pharmaceutical composition of the invention in the preparation of a FGFR4 tyrosine kinase inhibitor.
- the invention provides a compound of the invention, or a pharmaceutically acceptable salt, tautomer, racemate, enantiomer, diastereomer, prodrug, hydrate thereof, or a pharmaceutically acceptable salt thereof Or a solvate, and mixtures thereof, or a pharmaceutical composition of the invention, for use in the manufacture and/or prevention of FGFR4 tyrosine Use in drugs for kinase-mediated diseases.
- the invention provides a compound of the invention, or a pharmaceutically acceptable salt, tautomer, racemate, enantiomer, diastereomer, prodrug, hydrate thereof, or a pharmaceutically acceptable salt thereof Or a solvate, and mixtures thereof, or a pharmaceutical composition of the invention for use in the treatment and/or prevention of a FGFR4 tyrosine kinase mediated disease.
- the invention provides a method of treating and/or preventing a FGFR4 tyrosine kinase mediated disease in a subject, comprising administering to the subject a compound of the invention or Pharmaceutically acceptable salts, tautomers, racemates, enantiomers, diastereomers, prodrugs, hydrates or solvates, and mixtures thereof, or pharmaceutical compositions of the invention .
- the disease is a tumor, such as gastric cancer, thyroid cancer, prostate cancer, breast cancer, sarcoma (such as rhabdomyosarcoma), skin cancer (such as melanoma), liver cancer (such as hepatocellular carcinoma and bile duct).
- Epithelial cancer eg, pancreatic intraepithelial neoplasia and pancreatic ductal adenocarcinoma
- lung cancer eg, non-small cell lung cancer and lung adenocarcinoma
- renal cancer eg, renal cell carcinoma
- colorectal cancer ovarian cancer.
- C 1 -C 6 alkyl includes C 1 , C 2 , C 3 , C 4 , C 5 , C 6 , C 1 -C 6 , C 1 -C 5 , C 1 -C 4 , C 1 - C 3 , C 1 -C 2 , C 2 -C 6 , C 2 -C 5 , C 2 -C 4 , C 2 -C 3 , C 3 -C 6 , C 3 -C 5 , C 3 -C 4 C 4 -C 6 , C 4 -C 5 and C 5 -C 6 alkyl.
- C 1 -C 6 alkyl group means a straight or branched saturated hydrocarbon group having 1 to 6 carbon atoms, which is also referred to as "lower alkyl group”. In some embodiments, a C 1 -C 4 alkyl group is particularly preferred.
- alkenyl group examples include, but are not limited to, methyl, ethyl, n-propyl, isopropyl, n-butyl, isobutyl, t-butyl, sec-butyl, n-pentyl, 1,1-di Methylpropyl, 1,2-dimethylpropyl, 2,2-dimethylpropyl, 1-ethylpropyl, 2-methylbutyl, 3-methylbutyl, n-hexyl, 1 -ethyl-2-methylpropyl, 1,1,2-trimethylpropyl, 1,1-dimethylbutyl, 1,2-dimethylbutyl, 2,2-dimethyl Butyl, 1,3-dimethylbutyl, 2-ethylbutyl, and various branched isomers thereof.
- the alkyl group can be optionally substituted or unsubstituted.
- C 2 -C 6 alkenyl refers to a straight or branched chain hydrocarbon radical having from 2 to 6 carbon atoms and one or more carbon-carbon double bonds (eg, 1, 2 or 3 carbon-carbon double bonds) group.
- One or more carbon-carbon double bonds may be internal (eg, in 2-butenyl) or end (eg, in 1-butenyl).
- C 2 -C 4 alkenyl is particularly preferred.
- alkenyl group examples include, but are not limited to, ethenyl, 1-propenyl, 2-propenyl, 1-butenyl, 2-butenyl, butadienyl, pentenyl, pentadienyl, Hexenyl, its various branched isomers, and the like.
- the alkenyl group can be optionally substituted or unsubstituted.
- C 2 -C 6 alkynyl means having from 2 to 6 carbon atoms, one or more carbon-carbon triple bonds (eg, 1, 2 or 3 carbon-carbon triple bonds), and optionally one or more A linear or branched hydrocarbon group of a carbon-carbon double bond (for example, 1, 2 or 3 carbon-carbon double bonds).
- a C 2 -C 4 alkynyl group is particularly preferred.
- an alkynyl group does not contain any double bonds.
- the one or more carbon oxime bonds may be internal (eg, in 2-butynyl) or end (eg, in 1-butynyl).
- alkynyl group examples include, but are not limited to, ethynyl, 1-propynyl, 2-propynyl, 1-butynyl, 2-butynyl, pentynyl, hexynyl, and various Branched isomers, etc.
- An alkynyl group can be optionally substituted or unsubstituted.
- C 1 -C 6 heteroalkyl refers to an alkyl group, as defined herein, which further contains one or more (eg, 1, 2, 3 or 4) heteroatoms (eg, oxygen, in the parent chain). Sulfur, nitrogen, boron, silicon, phosphorus), wherein one or more heteroatoms are between adjacent carbon atoms in the parent carbon chain, and/or one or more heteroatoms are in the carbon atom and the parent molecule Between, that is, between the connection points. Heteroalkyl groups can be optionally substituted or unsubstituted.
- the C 1 -C 6 heteroalkyl group includes a C 1 -C 6 alkoxy group, a C 1 -C 6 alkylthio group, a C 1 -C 6 alkylamino group, and the like, which are defined in detail as follows .
- C 1 -C 6 alkoxy refers to the group -OR wherein R is a substituted or unsubstituted C 1 -C 6 alkyl group. In some embodiments, a C 1 -C 4 alkoxy group is particularly preferred. Specific alkoxy groups include, but are not limited to, methoxy, ethoxy, n-propoxy, isopropoxy, n-butoxy, tert-butoxy, sec-butoxy, n-pentyloxy, n-Hexyloxy and 1,2-dimethylbutoxy, and various branched isomers thereof and the like. The alkoxy group can be optionally substituted or unsubstituted.
- C 1 -C 6 alkylthio refers to the group -SR wherein R is optionally substituted C 1 -C 6 alkyl.
- a C 1 -C 4 alkylthio group is particularly preferred.
- the C 1 -C 6 alkylthio group includes, but is not limited to, methylthio, ethylthio, n-propylthio, isopropylthio, n-butylthio, tert-butylthio, sec-butylthio, N-pentylthio, n-hexylthio and 1,2-dimethylbutylthio, and various branched isomers thereof.
- the alkylthio group can be optionally substituted or unsubstituted.
- C 1 -C 6 alkylamino refers to the group -NHR or -NR 2 wherein R is optionally substituted C 1 -C 6 alkyl.
- a C 1 -C 4 alkylamino group is particularly preferred.
- the C 1 -C 6 alkylamino group includes, but is not limited to, methylamino, ethylamino, n-propylamino, isopropylamino, n-butylamino, t-butylamino, dimethylamino, methylethylamino and diethylamino, and Its various branched isomers and the like.
- the alkylamino group can be optionally substituted or unsubstituted.
- Halogen means fluorine (F), chlorine (Cl), bromine (Br) and iodine (I).
- C 1 -C 6 haloalkyl and “C 1 -C 6 haloalkoxy” mean the above-mentioned "C 1 -C 6 alkyl” and "C 1 -C 6 alkoxy", which are one or more Halogen group substitution.
- a C 1 -C 4 haloalkyl group is particularly preferred, more preferably a C 1 -C 2 haloalkyl group.
- a C 1 -C 4 haloalkoxy group is particularly preferred, more preferably a C 1 -C 2 haloalkoxy group.
- haloalkyl groups include, but the are not limited to: -CF 3, -CH 2 F, -CHF 2, -CHFCH 2 F, -CH 2 CHF 2, -CF 2 CF 3, -CCl 3, -CH 2 Cl , -CHCl 2 , 2,2,2-trifluoro-1,1-dimethyl-ethyl, and the like.
- exemplary haloalkoxy groups include, but are not limited to, -OCH 2 F, -OCHF 2 , -OCF 3, and the like.
- the haloalkyl and haloalkoxy groups can be optionally substituted or unsubstituted.
- C 3 -C 8 cycloalkyl refers to a non-aromatic cyclic hydrocarbon group having from 3 to 8 ring carbon atoms and zero heteroatoms. In some embodiments, a C 3 -C 6 cycloalkyl group is particularly preferred, more preferably a C 5 -C 6 cycloalkyl group.
- Cycloalkyl also includes ring systems wherein the cycloalkyl group is fused, bridged or spirocyclic to one or more cycloalkyl, heterocyclyl, aryl or heteroaryl groups, wherein the point of attachment is on the cycloalkyl ring And in such cases, the number of carbons continues to indicate the number of carbons in the cycloalkyl system.
- cycloalkyl groups include, but are not limited to, cyclopropyl, cyclopropenyl, cyclobutyl, cyclobutenyl, cyclopentyl, cyclopentenyl, cyclohexyl, cyclohexenyl, cyclohexane Alkenyl, cycloheptyl, cycloheptenyl, cycloheptadienyl, cycloheptatrienyl, cyclooctyl, cyclooctenyl, bicyclo[2.2.1]heptyl, bicyclo[2.2.2] Octyl, its various branched isomers, and the like.
- the cycloalkyl group can be optionally substituted or unsubstituted.
- heterocyclic group or a group of a 3 to 10 membered non-aromatic ring system having a ring carbon atom and 1 to 4 ring hetero atoms, wherein each hetero atom is independently selected from nitrogen and oxygen. , sulfur, boron, phosphorus and silicon.
- the point of attachment may be a carbon or nitrogen atom as long as the valence permits.
- a 3-8 membered heterocyclyl is preferred, which is a 3 to 8 membered non-aromatic ring system having a ring carbon atom and 1 to 3 ring heteroatoms; in some embodiments, 4-7 A heterocyclic group is particularly preferred, which is a 4- to 7-membered non-aromatic ring system having a ring carbon atom and 1 to 3 ring hetero atoms; more preferably a 5-6 membered heterocyclic group having a ring carbon atom and A 5- to 6-membered non-aromatic ring system of 1 to 3 ring heteroatoms.
- Exemplary 3-membered heterocyclic groups containing one hetero atom include, but are not limited to, aziridine, oxacyclopropane, thicyclopropyl.
- An exemplary 4 element containing a hetero atom Heterocyclyl groups include, but are not limited to, azetidinyl, oxetane and thietane.
- Exemplary 5-membered heterocyclic groups containing one hetero atom include, but are not limited to, tetrahydrofuranyl, dihydrofuranyl, tetrahydrothiophenyl, dihydrothienyl, pyrrolidinyl, dihydropyrrolyl and pyrrolyl-2, 5-dione.
- Exemplary 5-membered heterocyclic groups containing two heteroatoms include, but are not limited to, dioxolyl, oxathiolan, dithiolane, and oxazolidin-2-one .
- Exemplary 5-membered heterocyclic groups containing three heteroatoms include, but are not limited to, triazolinyl, oxadiazolyl, and thiadiazolyl.
- Exemplary 6-membered heterocyclic groups containing one hetero atom include, but are not limited to, piperidinyl, dihydropyranyl, tetrahydropyranyl, dihydropyridyl and thiacyclohexane.
- Exemplary 6-membered heterocyclic groups containing two heteroatoms include, but are not limited to, piperazinyl, morpholinyl, dithianyl, dioxoalkyl.
- Exemplary 6-membered heterocyclic groups containing three heteroatoms include, but are not limited to, hexahydrotriazinyl.
- Exemplary 7-membered heterocyclic groups containing one hetero atom include, but are not limited to, azepanyl, oxaheptyl, and thiaheptanyl.
- Exemplary 8-membered heterocyclic groups containing one hetero atom include, but are not limited to, azacyclooctyl, oxacyclooctyl, and thicyclooctyl.
- Exemplary 5-membered heterocyclic groups (also referred to herein as 5,6-bicyclic heterocyclyl) fused to a 6-membered aryl ring include, but are not limited to, indanyl, isoindoline , dihydrobenzofuranyl, dihydrobenzothiophenyl, benzoxazolinone, and the like.
- Exemplary 6-membered heterocyclic groups fused to a 6-membered aryl ring include, but are not limited to, tetrahydroquinolyl, tetrahydroisoquinolinyl, and many more.
- the heterocyclic group includes a spiro ring, a fused ring, and a heterocyclic group of a bridged ring.
- “Spiroheterocyclyl” means a polycyclic heterocyclic group of 5 to 20 members in which one atom (referred to as a spiro atom) is shared between monocyclic rings, wherein one or more ring atoms are selected from nitrogen, oxygen or S(O) m
- the hetero atom (where m is an integer from 0 to 2) and the remaining ring atoms are carbon. These may contain one or more double bonds, but none of the rings are aromatic. It is preferably 6 to 14 members, more preferably 7 to 10 members.
- the spirocycloalkyl group is classified into a monospiroheterocyclic group, a dispiroheterocyclic group or a polyspirocyclic group according to the number of common spiro atoms between the ring and the ring, and is preferably a monospirocycloalkyl group and a bispirocycloalkyl group. More preferably, it is 4 yuan / 4 yuan, 4 yuan / 5 yuan, 4 yuan / 6 yuan, 5 yuan / 5 yuan or 5 yuan / 6-membered monospirocycloalkyl group.
- Non-limiting examples of spirocycloalkyl groups include:
- “Fused heterocyclyl” refers to 5 to 20 members, each ring of the system sharing an adjacent pair of atoms of a polycyclic heterocyclic group with other rings in the system, and one or more rings may contain one or more A bond, but none of the rings are aromatic in which one or more ring atoms are selected from the group consisting of nitrogen, oxygen or S(O) m (where m is an integer from 0 to 2), and the remaining ring atoms are carbon. It is preferably 6 to 14 members, more preferably 7 to 10 members.
- fused heterocyclic groups include:
- the heterocyclyl ring may be fused to an aryl, heteroaryl or cycloalkyl ring, wherein the ring to which the parent structure is attached is a heterocyclic group, non-limiting examples include:
- the heterocyclic group may be optionally substituted or unsubstituted.
- 6-14 membered aryl refers to a monocyclic or polycyclic (eg, bicyclic or tricyclic) 4n+2 aromatic ring system having 6 to 14 ring carbon atoms and zero heteroatoms (eg, having A group of 6, 10 or 14 ⁇ electrons shared in a ring.
- an aryl group has six ring carbon atoms ("6-membered aryl”; for example, phenyl).
- an aryl group has ten ring carbon atoms ("10 membered aryl”; for example, naphthyl, for example, 1-naphthyl and 2-naphthyl).
- an aryl group has fourteen ring carbon atoms ("14-membered aryl"; for example, fluorenyl).
- 14-membered aryl for example, fluorenyl
- a 6-10 membered aryl group is particularly preferred, more preferably a 6 membered aryl group.
- the aryl group may be fused to a heteroaryl, heterocyclic or cycloalkyl ring, wherein the ring to which the parent structure is attached is an aryl ring, non-limiting examples include:
- the aryl group can be substituted or unsubstituted.
- 5-10 membered heteroaryl means a 5-10 membered monocyclic or bicyclic 4n+2 aromatic ring system having a ring carbon atom and 1-4 ring heteroatoms (eg, having a ring-like arrangement) a group of 6 or 10 ⁇ electrons, wherein each heteroatom is independently selected from the group consisting of nitrogen, oxygen and sulfur.
- a heteroaryl group containing one or more nitrogen atoms the point of attachment may be a carbon or nitrogen atom as long as the valence permits.
- a 5-6 membered heteroaryl group is particularly preferred, which is a 5-6 membered monocyclic 4n+2 aromatic ring system having a ring carbon atom and 1-4 ring heteroatoms.
- Exemplary 5-membered heteroaryl groups containing one hetero atom include, but are not limited to, pyrrolyl, furyl and thienyl.
- Exemplary 5-membered heteroaryl groups containing two heteroatoms include, but are not limited to, imidazolyl, pyrazolyl, oxazolyl, isoxazolyl, thiazolyl, and isothiazolyl.
- Example sexual 5-membered heteroaryl groups containing three heteroatoms include, but are not limited to, triazolyl, oxadiazolyl, and thiadiazolyl.
- Exemplary 5-membered heteroaryl groups containing four heteroatoms include, but are not limited to, tetrazolyl.
- Exemplary 6-membered heteroaryl groups containing one hetero atom include, but are not limited to, pyridyl.
- Exemplary 6-membered heteroaryl groups containing two heteroatoms include, but are not limited to, pyridazinyl, pyrimidinyl, and pyrazinyl.
- Exemplary 6-membered heteroaryl groups containing three or four heteroatoms include, but are not limited to, triazinyl and tetrazinyl, respectively.
- Exemplary 7-membered heteroaryl groups containing one hetero atom include, but are not limited to, azepandinyl, oxepanethylene, and thiephenylene.
- Exemplary 5,6-bicyclic heteroaryl groups include, but are not limited to, mercapto, isodecyl, oxazolyl, benzotriazolyl, benzothienyl, isobenzothienyl, benzofuranyl , benzoisofuranyl, benzimidazolyl, benzoxazolyl, benzoisoxazolyl, benzooxadiazolyl, benzothiazolyl, benzisothiazolyl, benzothiadiazolyl, Pyridazinyl and fluorenyl.
- Exemplary 6,6-bicyclic heteroaryl groups include, but are not limited to, naphthyridinyl, acridinyl, quinolyl, isoquinolinyl, fluorenyl, quinoxalinyl, pyridazinyl and quinazolinyl .
- the heteroaryl ring may be fused to an aryl, heterocyclic or cycloalkyl ring, wherein the ring to which the parent structure is attached is a heteroaryl ring, non-limiting examples include:
- the heteroaryl group can be optionally substituted or unsubstituted.
- alkylene alkenylene, alkynylene, arylene, “heteroarylene”, “cycloalkylene” and “heterocyclylene” refer to It is a divalent group of the above alkyl group, alkenyl group, alkynyl group, aryl group, heteroaryl group, cycloalkyl group and heterocyclic group. The group may be optionally substituted or unsubstituted.
- C 1 -C 6 alkylene group means a divalent alkylene group formed by removing one hydrogen of a C 1 -C 6 alkyl group, and may be a substituted or unsubstituted alkylene group. In some embodiments, a C 1 -C 4 alkylene group is particularly preferred.
- the unsubstituted alkylene group includes, but is not limited to, methylene (-CH 2 -), ethylene (-CH 2 CH 2 -), propylene (-CH 2 CH 2 CH 2 -), arylene (-CH 2 CH 2 CH 2 CH 2 -), pentylene (-CH 2 CH 2 CH 2 CH 2 CH 2 -), hexylene (-CH 2 CH 2 CH 2 CH 2 CH 2 CH 2 -) ,and many more.
- alkylene groups substituted with one or more alkyl groups (methyl groups) include, but are not limited to, substituted methylene groups (-CH(CH 3 )- , -C(CH 3 ) 2 -), substituted ethylene (-CH(CH 3 )CH 2 -, -CH 2 CH(CH 3 )-, -C(CH 3 ) 2 CH 2 -, -CH 2 C(CH 3 ) 2- ), substituted propylene (-CH(CH 3 )CH 2 CH 2 -, -CH 2 CH(CH 3 )CH 2 -, -CH 2 CH 2 CH(CH 3 ) -, -C(CH 3 ) 2 CH 2 CH 2 -, -CH 2 C(CH 3 ) 2 CH 2 -, -CH 2 CH 2 C(CH 3 ) 2 -), and the like.
- substituted methylene groups -CH(CH 3 )- , -C(CH 3 ) 2 -
- substituted ethylene -CH(CH
- C 2 -C 6 alkenylene group means a divalent alkenylene group formed by removing one hydrogen of a C 2 -C 6 alkenyl group, and may be a substituted or unsubstituted alkenylene group. In some embodiments, C 2 -C 4 alkenylene is particularly preferred.
- C 2 -C 6 alkynylene group means a divalent alkynylene group formed by removing one hydrogen of a C 2 -C 6 alkynyl group, and may be a substituted or unsubstituted alkynylene group. In some embodiments, a C 2 -C 4 alkynylene group is particularly preferred. Exemplary such alkynylene groups include, but are not limited to, ethynylene (-C ⁇ C-), substituted or unsubstituted propynylene (-C ⁇ CCH 2 -), and the like.
- 6-14 membered arylene means the removal of the above 6 a divalent group formed by a hydrogen of a 14-membered aryl group, a 5-10 membered heteroaryl group, a C 3 -C 8 cycloalkyl group, and a 3-10 membered heterocyclic group.
- heterocyclic group optionally substituted by an alkyl group means that an alkyl group may be, but not necessarily, present, and the description includes the case where the heterocyclic group is substituted with an alkyl group and the case where the heterocyclic group is not substituted with an alkyl group.
- Substituted refers to one or more hydrogen atoms in the group, preferably up to 5, more preferably 1 to 3, hydrogen atoms, independently of each other, substituted by a corresponding number of substituents. It goes without saying that the substituents are only in their possible chemical positions, and those skilled in the art will be able to determine (by experiment or theory) substitutions that may or may not be possible without undue effort. For example, an amino group or a hydroxyl group having a free hydrogen may be unstable when combined with a carbon atom having an unsaturated (e.g., olefinic) bond.
- Each of R aa is independently selected from alkyl, haloalkyl, alkenyl, alkynyl, cycloalkyl, heterocyclyl, aryl and heteroaryl, or two R aa groups are bonded to form a heterocyclic group or a heteroaryl ring wherein each alkyl, alkenyl, alkynyl, cycloalkyl, heterocyclyl, aryl and heteroaryl group is independently 0, 1, 2, 3, 4 or 5 R dd groups Substitute
- Each of R cc is independently selected from hydrogen, alkyl, haloalkyl, alkenyl, alkynyl, cycloalkyl, heterocyclyl, aryl and heteroaryl, or two R cc groups are bonded to form a heterocyclic ring a hetero or heteroaryl ring wherein each alkyl, alkenyl, alkynyl, cycloalkyl, heterocyclyl, aryl and heteroaryl group is independently 0, 1, 2, 3, 4 or 5 R Substituting dd group;
- Each of R ee is independently selected from the group consisting of alkyl, haloalkyl, alkenyl, alkynyl, cycloalkyl, aryl, heterocyclyl and heteroaryl, wherein each alkyl, alkenyl, alkynyl, ring
- An alkyl group, a heterocyclic group, an aryl group and a heteroaryl group are independently substituted by 0, 1, 2, 3, 4 or 5 R gg groups;
- Each of R ff is independently selected from hydrogen, alkyl, haloalkyl, alkenyl, alkynyl, cycloalkyl, heterocyclyl, aryl and heteroaryl, or two R ff groups are bonded to form a heterocyclic group Or a heteroaryl ring wherein each alkyl, alkenyl, alkynyl, cycloalkyl, heterocyclyl, aryl and heteroaryl group is independently 0, 1, 2, 3, 4 or 5 R gg Group substitution
- pharmaceutically acceptable salt means that, within the scope of sound medical judgment, it is suitable for contact with tissues of humans and lower animals without excessive toxicity, irritation, allergies, etc., and with reasonable benefits/risk ratios. Proportionate of those salts.
- Pharmaceutically acceptable salts are well known in the art. For example, pharmaceutically acceptable salts as described in detail by Berge et al., J. Pharmaceutical Sciences (1977) 66: 1-19.
- Pharmaceutically acceptable salts of the compounds of this invention include those derived from suitable inorganic and organic acids and inorganic and organic bases.
- non-toxic acid addition salts examples include salts with inorganic acids such as hydrochloric acid, hydrobromic acid, phosphoric acid, sulfuric acid and perchloric acid, or salts with organic acids such as acetic acid, oxalic acid, Maleic acid, tartaric acid, citric acid, succinic acid or malonic acid. Also included are salts formed using conventional methods in the art, for example, ion exchange methods.
- adipic acid salts alginate, ascorbate, aspartate, besylate, benzoate, disulfate, borate, butyrate, camphoric acid Salt, camphor sulfonate, citrate, cyclopentanoate, digluconate, lauryl sulfate, ethanesulfonate, formate, fumarate, gluconate, glycerophosphate Salt, gluconate, hemisulfate, heptanoate, hexanoate, hydroiodide, 2-hydroxy-ethanesulfonate, lactobionate, lactate, laurate, lauryl sulfate, Malate, maleate, malonate, methanesulfonate, 2-naphthalenesulfonate, nicotinate, nitrate, oleate, oxalate, palmitate, pamoate , pectic acid ester
- Pharmaceutically acceptable salts derived from suitable bases include the alkali metal, alkaline earth metal, ammonium and N + (C 1-4 alkyl) 4 salts.
- Representative alkali or alkaline earth metal salts include sodium, lithium, potassium, calcium, magnesium salts, and the like.
- other pharmaceutically acceptable salts include non-toxic ammonium salts, quaternary ammonium salts and amine cations formed with counterions, counterions such as halides, hydroxides, carboxylates, sulfates, phosphates, nitric acid Root, lower alkyl sulfonate and aryl sulfonate.
- Subjects for administration include, but are not limited to, humans (ie, males or females of any age group, eg, pediatric subjects (eg, infants, children, adolescents) or adult subjects (eg, young Adults, middle-aged adults or older adults) and/or non-human animals, for example, mammals, for example, primates (eg, cynomolgus monkeys, rhesus monkeys), cattle, pigs, horses, sheep , goats, rodents, cats and/or dogs.
- the subject is a human.
- the subject is a non-human animal.
- treatment includes the effect of a subject having a particular disease, disorder, or condition that reduces the severity of the disease, disorder, or condition, or delays or slows the disease, disorder. Or the development of a condition ("therapeutic treatment"), which also includes the effect that occurs before the subject begins to have a particular disease, disorder or condition (“prophylactic treatment").
- an "effective amount" of a compound refers to an amount sufficient to cause a target biological response.
- an effective amount of a compound of the invention can vary depending on, for example, the biological target, the pharmacokinetics of the compound, the condition being treated, the mode of administration, and the subject's Age health conditions and symptoms. Effective amounts include therapeutically effective amounts and prophylactically effective amounts.
- a "therapeutically effective amount" of a compound as used herein is an amount sufficient to provide a therapeutic benefit in the course of treating a disease, disorder or condition, or one or more symptoms associated with a disease, disorder or condition. The amount of delay or minimization.
- a therapeutically effective amount of a compound refers to the amount of a therapeutic agent that, when used alone or in combination with other therapies, provides a therapeutic benefit in the treatment of a disease, disorder or condition.
- the term "therapeutically effective amount” can include an amount that improves overall treatment, reduces or avoids the symptoms or causes of the disease or condition, or enhances the therapeutic effect of other therapeutic agents.
- a “prophylactically effective amount” of a compound is an amount sufficient to prevent a disease, disorder or condition, or an amount sufficient to prevent one or more symptoms associated with a disease, disorder or condition, or to prevent disease, unless otherwise stated. The amount of recurrence of a disorder or condition.
- a prophylactically effective amount of a compound refers to the amount of a therapeutic agent that, when used alone or in combination with other agents, provides a prophylactic benefit in the prevention of a disease, disorder or condition.
- the term “prophylactically effective amount” can include an amount that improves the overall prevention, or an amount that enhances the prophylactic effect of other prophylactic agents.
- Combination and related terms mean the simultaneous or sequential administration of a compound of the invention and other therapeutic agents.
- a compound of the invention may be administered simultaneously or sequentially with other therapeutic agents in separate unit dosage forms. Or concurrently with other therapeutic agents in a single unit dosage form.
- Prodrug means a compound that is converted in vivo to an active form thereof having a medical effect by, for example, hydrolysis in blood.
- Pharmaceutically acceptable prodrugs are described in T. Higuchi and V. Stella, Prodrugs as Novel Delivery Systems, ACSSymposium Series, Vol. 14, Edward B. Roche, ed., Bioreversible Carriers in Drug Design, American Pharmaceutical Association and Pergamon Press, 1987, and D. Fleisher, S. Ramon, and H. Barbra "Improved oral drug delivery: Solubility limitations overcome by the use of prodrugs", Advanced Drug Delivery Reviews (1996) 19(2) 115-130, each This article is incorporated herein by reference.
- a prodrug is any covalently bonded carrier which, when administered to a patient, releases the compound of the invention in vivo.
- Prodrugs are typically prepared by modifying functional groups that cleave the prodrug in vivo to yield the parent compound.
- Prodrugs include, for example, a compound of the invention wherein a hydroxy, amino or thiol group is bonded to any group which, when administered to a patient, can be cleaved to form a hydroxy, amino or thiol group.
- representative examples of prodrugs include, but are not limited to, covalent derivatives of the compounds of the invention formed by the hydroxyl, amino or thiol functional groups thereof with acetic acid, formic acid or benzoic acid.
- an ester such as a methyl ester, an ethyl ester or the like can be used.
- the ester itself may be active and/or may hydrolyze under conditions in humans.
- Suitable pharmaceutically acceptable in vivo hydrolysable esters include those which readily decompose in the human body to release the parent acid or its salt.
- the compounds of the invention may include one or more asymmetric centers, and thus may exist in a variety of stereoisomeric forms, for example, enantiomers, diastereomers, and racemate forms.
- the compounds of the invention may be in the form of individual enantiomers, diastereomers or geometric isomers (e.g., cis and trans isomers), or may be in the form of a mixture of stereoisomers, A racemic mixture and a mixture rich in one or more stereoisomers are included.
- the isomers can be separated from the mixture by methods known to those skilled in the art, including: chiral high pressure liquid chromatography (HPLC) and the formation and crystallization of a chiral salt; or preferred isomers can be passed Prepared by asymmetric synthesis.
- HPLC high pressure liquid chromatography
- the compounds of the invention may also exist as "tautomers".
- “Tautomer” means that the structure of an organic compound is produced by the phenomenon of equilibrium conversion between two functional groups. Isomers.
- the present invention provides a compound of the formula (I) or a pharmaceutically acceptable salt, tautomer, racemate, enantiomer, diastereomer thereof, or a diastereomer thereof Constructs, prodrugs, hydrates or solvates, and mixtures thereof:
- W is selected from CR 1 or N;
- Ring A is selected from a 6-14 membered arylene group, a 5-10 membered heteroarylene group, a C 3 -C 8 cycloalkylene group or a 3-10 membered heterocyclylene group;
- R 1 and R 2 are independently selected from H, halogen, cyano, NO 2 , C 1 -C 6 alkyl, C 1 -C 6 haloalkyl, C 1 -C 6 haloalkoxy, C 2 -C 6 olefin , C 2 -C 6 alkynyl, C 3 -C 8 cycloalkyl, -OR 8 , -NR 6 R 7 , -C(O)R 8 , -C(O)OR 8 , -C(O) NR 6 R 7 , -NR 6 C(O)R 8 , -NR 6 C(O)OR 8 , -NR 6 C(O)NR 6 R 7 , -OC(O)R 8 , -OC(O) OR 8 , -OC(O)NR 6 R 7 , -S(O) p R 8 , -S(O) p OR 8 , -S(O) p NR 6 R 7 ,
- L is selected from -C 1 -C 6 alkylene-, -C 2 -C 6 alkenylene-, -C 2 -C 6 alkynylene-, -OC 1 -C 6 alkylene-, -C 1 -C 6 alkylene-O-, -NR 6 C(O)-, -C(O)NR 6 -, -OC(O)-, -C(O)O-, -NR 6 -C 1 - C 6 alkylene- or -C 1 -C 6 alkylene-NR 6 -;
- X is selected from -O-, -NH- or -CH 2 -;
- Y is selected from -C(O)-, -S(O) p - or -CH 2 -;
- Y may also be -NH- or -O-;
- R 3 , R 4 and R 5 are each independently selected from H, halogen, cyano, C 1 -C 6 alkyl, C 1 -C 6 haloalkyl, C 1 -C 6 haloalkoxy, C 3 -C 8 a cycloalkyl group or a 3-10 membered heterocyclic group;
- R 3 and R 4 may form a chemical bond
- R 6 , R 7 and R 8 are each independently selected from H, C 1 -C 6 alkyl, C 1 -C 6 heteroalkyl, C 3 -C 8 cycloalkyl, 3-10 membered heterocyclyl, 5 -10 membered heteroaryl or 6-14 membered aryl;
- n 0, 1, 2, 3 or 4;
- n 0, 1, 2, 3, 4 or 5;
- p 1 or 2.
- W is CR 1 ; preferably, W is CH; preferably, W is CF. In another embodiment, W is N.
- Ring A is a 6-14 membered arylene; preferably, Ring A is a 6-10 membered arylene; preferably, Ring A is a phenylene group.
- Ring A is a 5-10 membered heteroarylene; preferably, Ring A is a 5-6 membered heteroarylene; preferably, Ring A is a 6 membered heteroarylene.
- Ring A is a C 3 -C 8 cycloalkylene group; preferably, Ring A is a C 3 -C 6 cycloalkylene group; preferably, Ring A is a C 5 -C 6 hypocycloalkane base.
- Ring A is a 3-10 membered heterocyclylene; preferably, Ring A is a 4-7 membered heterocyclylene; preferably, Ring A is a 5-6 membered heterocyclylene.
- ring A is among them
- E 1 , E 2 , E 3 and E 4 are each independently selected from CR 1 or N;
- E 5 , E 6 , E 7 and E 8 are each independently selected from O, S, C(R 1 ) 2 or NR 1 .
- ring A is selected from the group consisting of
- R 1 is selected from the group consisting of H, halogen, cyano, NO 2 , C 1 -C 6 alkyl, C 1 -C 6 haloalkyl, C 1 -C 6 haloalkoxy or -OR 8 ;
- R 8 is selected from H or C 1 -C 6 alkyl
- n 0, 1, 2 or 3.
- R 1 is independently selected from H, halo, cyano, NO 2 , C 1 -C 6 alkyl, C 1 -C 6 haloalkyl, C 1 -C 6 haloalkoxy, C 2 - C 6 alkenyl, C 2 -C 6 alkynyl, C 3 -C 8 cycloalkyl, -OR 8 , -NR 6 R 7 , -C(O)R 8 , -C(O)OR 8 , -C (O)NR 6 R 7 , -NR 6 C(O)R 8 , -OC(O)R 8 , -S(O) p R 8 , -S(O) p OR 8 , -S(O) p NR 6 R 7 , -OS(O) p R 8 or -NR 6 S(O) p R 8 ; preferably, R 1 is independently selected from H, halogen, cyano, NO 2 , C 1 -C 6
- R 2 is independently selected from H, halo, cyano, NO 2 , C 1 -C 6 alkyl, C 1 -C 6 haloalkyl, C 1 -C 6 haloalkoxy, C 2 - C 6 alkenyl, C 2 -C 6 alkynyl, C 3 -C 8 cycloalkyl, -OR 8 , -NR 6 R 7 , -C(O)R 8 , -C(O)OR 8 , -C (O)NR 6 R 7 , -NR 6 C(O)R 8 , -OC(O)R 8 , -S(O) p R 8 , -S(O) p OR 8 , -S(O) p NR 6 R 7 , -OS(O) p R 8 or -NR 6 S(O) p R 8 ; preferably, R 2 is independently selected from H, halogen, cyano, NO 2 , C 1 -C 6 al
- L is selected from the group consisting of -C 1 -C 6 alkylene-, -C 2 -C 6 alkenylene-, -C 2 -C 6 alkynylene-, -OC 1 -C 6 -alkylene Base-, -C 1 -C 6 alkylene-O-, -NR 6 C(O)-, -C(O)NR 6 -, -OC(O)-, -C(O)O-, - NR 6 -C 1 -C 6 alkylene- or -C 1 -C 6 alkylene-NR 6 -; preferably, L is selected from -C 1 -C 6 alkylene-, -C 2 -C 6 Alkenylene-, -OC 1 -C 6 alkylene-, -C 1 -C 6 alkylene-O-, -NR 6 C(O)-, -C(O)NR 6 -, -OC ( O)-, -C
- X is selected from -O- or -NH-; Y is selected from -C(O)- or -S(O) p- ; preferably, X is -NH- and Y is -C(O )-.
- R 3 , R 4 and R 5 are each independently selected from H, halo, cyano, C 1 -C 6 alkyl, C 1 -C 6 haloalkyl or C 1 -C 6 haloalkoxy Or, R 3 and R 4 may form a chemical bond; preferably, R 3 , R 4 and R 5 are each independently selected from H, halogen, cyano or C 1 -C 6 alkyl; or, R 3 and R 4 A chemical bond may be formed; preferably, R 3 , R 4 and R 5 are each independently selected from H or a C 1 -C 6 alkyl group; or, R 3 and R 4 may form a chemical bond.
- R 6 , R 7 and R 8 are each independently selected from H, C 1 -C 6 alkyl or C 3 -C 8 cycloalkyl; preferably R 6 , R 7 and R 8 are each independently It is selected from H or C 1 -C 6 alkyl.
- the present invention provides a compound of the formula (II) or a pharmaceutically acceptable salt, tautomer, racemate, enantiomer, diastereomer thereof Body, prodrug, hydrate or solvate, and mixtures thereof:
- R a and R c are independently selected from H, halogen, cyano, NO 2 , C 1 -C 6 alkyl or C 1 -C 6 haloalkyl;
- R b is independently selected from H, C 1 -C 6 alkyl or C 1 -C 6 haloalkyl;
- R 3 and R 4 are each independently selected from H, cyano, C 1 -C 6 alkyl or C 1 -C 6 haloalkyl;
- R 3 and R 4 may form a chemical bond
- A, R 1 and m are as defined above.
- the present invention provides a compound of the formula (III) or a pharmaceutically acceptable salt, tautomer, racemate, enantiomer, diastereomer thereof Body, prodrug, hydrate or solvate, and mixtures thereof:
- W is selected from CR 1 or N;
- Ring A-(R 1 )m is selected from
- R 1 is independently selected from H, halogen, cyano, NO 2 , C 1 -C 6 alkyl, C 1 -C 6 haloalkyl, C 1 -C 6 haloalkoxy or -OR 8 ;
- R 2 is independently selected from the group consisting of H, halogen, cyano, NO 2 , C 1 -C 6 alkyl, C 1 -C 6 haloalkyl, C 1 -C 6 haloalkoxy, -OR 8 , -NR 6 R 7 , -C(O)R 8 , -C(O)OR 8 , -C(O)NR 6 R 7 or -NR 6 C(O)R 8 ;
- R 3 , R 4 and R 5 are each independently selected from H, halogen, cyano or C 1 -C 6 alkyl;
- R 3 and R 4 may form a chemical bond
- R 6 , R 7 and R 8 are each independently selected from H, C 1 -C 6 alkyl, C 3 -C 8 cycloalkyl or 3-10 membered heterocyclyl;
- n 0, 1, 2, 3 or 4.
- W is selected from CF or N;
- Ring A-(R 1 )m is selected from
- R 1 is independently selected from H, halogen, C 1 -C 6 alkyl or C 1 -C 6 haloalkyl;
- R 2 is independently selected from H, halogen, -OR 8 , -NR 6 R 7 or -C(O)NR 6 R 7 ;
- R 3 , R 4 and R 5 are each independently selected from H or C 1 -C 6 alkyl
- R 3 and R 4 may form a chemical bond
- R 6 , R 7 and R 8 are each independently selected from H, C 1 -C 6 alkyl or C 3 -C 8 cycloalkyl;
- n 0, 1, 2, 3 or 4.
- the present invention provides a compound of the formula (IV): or a pharmaceutically acceptable salt, tautomer, racemate, enantiomer, diastereomer thereof Body, prodrug, hydrate or solvate, and mixtures thereof:
- Ring A-(R 1 )m is selected from:
- R 1 is independently selected from H, halogen, cyano, NO 2 , C 1 -C 6 alkyl, C 1 -C 6 haloalkyl, C 1 -C 6 haloalkoxy or -OR 8 ;
- R 2 is independently selected from the group consisting of H, halogen, cyano, NO 2 , C 1 -C 6 alkyl, C 1 -C 6 haloalkyl, C 1 -C 6 haloalkoxy, -OR 8 , -NR 6 R 7 , -C(O)R 8 , -C(O)OR 8 , -C(O)NR 6 R 7 or -NR 6 C(O)R 8 ;
- R 3 , R 4 and R 5 are each independently selected from H, halogen, cyano or C 1 -C 6 alkyl;
- R 3 and R 4 may form a chemical bond
- R 6 , R 7 and R 8 are each independently selected from H, C 1 -C 6 alkyl, C 3 -C 8 cycloalkyl or 3-10 membered heterocyclyl;
- n 0, 1, 2, 3 or 4.
- Ring A-(R 1 )m is selected from:
- R 1 is independently selected from H, halogen, C 1 -C 6 alkyl or C 1 -C 6 haloalkyl;
- R 2 is independently selected from H, halogen, -OR 8 , -NR 6 R 7 or -C(O)NR 6 R 7 ;
- R 3 , R 4 and R 5 are each independently selected from H or C 1 -C 6 alkyl
- R 3 and R 4 may form a chemical bond
- R 6 , R 7 and R 8 are each independently selected from H, C 1 -C 6 alkyl or C 3 -C 8 cycloalkyl;
- n 0, 1, 2, 3 or 4.
- the present invention provides a compound of the formula (V) or a pharmaceutically acceptable salt, tautomer, racemate, enantiomer, diastereomer thereof Body, prodrug, hydrate or solvate, and mixtures thereof:
- Ring A-(R 1 )m is selected from:
- R 1 is independently selected from H, halogen, cyano, NO 2 , C 1 -C 6 alkyl, C 1 -C 6 haloalkyl, C 1 -C 6 haloalkoxy or -OR 8 ;
- R 3 , R 4 and R 5 are each independently selected from H, halogen, cyano or C 1 -C 6 alkyl;
- R 3 and R 4 may form a chemical bond
- R 8 is selected from H or C 1 -C 6 alkyl
- n 0, 1, 2 or 3.
- Ring A-(R 1 )m is selected from:
- R 1 is independently selected from H, halogen, C 1 -C 6 alkyl or C 1 -C 6 haloalkyl;
- R 3 , R 4 and R 5 are each independently selected from H or C 1 -C 6 alkyl
- R 3 and R 4 may form a chemical bond
- n 0, 1, 2 or 3.
- the present invention provides a compound of the formula (VII): or a pharmaceutically acceptable salt, tautomer, racemate, enantiomer, diastereomer thereof Body, prodrug, hydrate or solvate, and mixtures thereof:
- Ring A-(R 1 )m is selected from:
- R 1 is independently selected from H or C 1 -C 6 alkyl
- R 2 is independently selected from H, halogen, -OR 8 or -C(O)NR 6 R 7 ;
- R 6 , R 7 and R 8 are each independently selected from H, C 1 -C 6 alkyl or C 3 -C 8 cycloalkyl;
- n 0, 1, or 2.
- Ring A-(R 1 )m is
- R 1 is independently selected from C 1 -C 6 alkyl
- R 2 is independently selected from H, halogen, -OR 8 or -C(O)NR 6 R 7 ;
- R 6 , R 7 and R 8 are each independently selected from H, C 1 -C 6 alkyl or C 3 -C 8 cycloalkyl;
- n 0, 1, or 2.
- the present invention provides a compound of the formula (VIII) or a pharmaceutically acceptable salt, tautomer, racemate, enantiomer, diastereomer thereof Body, prodrug, hydrate or solvate, and mixtures thereof:
- W is selected from CR 1 or N;
- Ring A is selected from a 6-14 membered arylene group, a 5-10 membered heteroarylene group, a C 3 -C 8 cycloalkylene group or a 3-10 membered heterocyclylene group;
- R 2a and R 2c are each independently selected from H, halogen, cyano, C 1 -C 6 alkyl, C 1 -C 6 haloalkyl, C 3 -C 8 cycloalkyl or -OR 8 ;
- R 2b is selected from H, halogen, C 1 -C 6 alkyl, C 1 -C 6 haloalkyl, C 3 -C 8 cycloalkyl or -OR 8 ;
- R 6 and R 7 are each independently selected from H, C 1 -C 6 alkyl, -NHR 8 , -OR 8 , C 3 -C 8 cycloalkyl, 3-10 membered heterocyclyl, 5-10 membered hetero Aryl or 6-14 membered aryl;
- R 8 are each independently selected from H or C 1 -C 6 alkyl
- R 9 and R 10 are each independently selected from H or C 1 -C 6 alkyl
- n 0, 1, 2, 3 or 4;
- R 1 is selected from the group consisting of H, halogen, C 1 -C 6 alkyl, C 1 -C 6 haloalkyl, -OR 8 , 3-10 membered heterocyclic group , -O(CH 2 ) n NR 9 R 10 or -NR 8 (CH 2 ) n NR 9 R 10 .
- E 1 , E 2 , E 3 and E 4 are each independently selected from CR 1 or N;
- E 5 , E 6 , E 7 and E 8 are each independently selected from O, S, C(R 1 ) 2 or NR 1 ;
- R 1 is as defined above.
- Ring A-(R 1 )m is selected from:
- R 1 and m are as defined above.
- R 1 is selected from the group consisting of H, halogen, C 1 -C 6 alkyl, C 1 -C 6 haloalkyl, -OR 8 , 5-6 membered heterocyclic group -O(CH 2 ) n NR 9 R 10 , -NR 8 (CH 2 ) n NR 9 R 10 .
- R 1 is selected from the group consisting of H, halogen, C 1 -C 6 alkyl, C 1 -C 6 haloalkyl, -OR 8 , morpholinyl, -O(CH 2 ) n NMe 2 , -NR 8 (CH 2 ) n NMe 2 .
- W is selected from CR 1 or N;
- Ring A-(R 1 )m is selected from:
- R 1 is selected from the group consisting of H, C 1 -C 6 alkyl, -OR 8 , morpholinyl, -O(CH 2 ) n NMe 2 , -NR 8 (CH 2 ) n NMe 2 ;
- R 2a and R 2c are each independently selected from H, halogen, cyano, C 1 -C 6 alkyl, C 3 -C 8 cycloalkyl or -OR 8 ;
- R 2b is selected from H, halogen, C 1 -C 6 alkyl, C 3 -C 8 cycloalkyl or -OR 8 ;
- R 6 and R 7 are each independently selected from H, C 1 -C 6 alkyl, -NHR 8 , -OR 8 , C 3 -C 8 cycloalkyl, 3-8 membered heterocyclic, 5-6 membered hetero Aryl or 6-10 membered aryl;
- R 8 are each independently selected from H or C 1 -C 6 alkyl
- n 0, 1 or 2;
- n 0, 1, 2, 3, 4, 5 or 6.
- W is selected from N;
- Ring A-(R 1 )m is selected from:
- R 1 is selected from the group consisting of H, C 1 -C 6 alkyl, -OR 8 , morpholinyl, -O(CH 2 ) n NMe 2 , -NR 8 (CH 2 ) n NMe 2 ;
- R 2a and R 2c are each independently selected from H or halogen
- R 2b is selected from H, C 1 -C 6 alkyl or -OR 8 ;
- R 6 and R 7 are each independently selected from H, C 1 -C 6 alkyl, -NHR 8 , -OR 8 or C 3 -C 8 cycloalkyl;
- R 8 are each independently selected from H or C 1 -C 6 alkyl
- n 0, 1 or 2;
- n 0, 1, 2, 3 or 4.
- W is selected from N.
- the ring A is selected from a 6-14 membered arylene group, a 5-10 membered heteroarylene group or a 3-10 membered heterocyclic group.
- the ring A is selected from the group consisting of phenyl, pyrazolyl, tetrahydropyranyl or tetrahydrofuranyl.
- R 2a is selected from H or halogen.
- R 2a is selected from halogen.
- R 2a is selected from Cl.
- R 2b is selected from H or -OR 8 .
- R 2b is selected from H or -OCH 3 .
- R 2c is selected from H
- R 6 and R 7 are each independently selected from H, C 1 -C 6 alkyl, -OR 8 or C 3 -C 8 cycloalkyl.
- R 6 and R 7 are each independently selected from the group consisting of H, methyl, methoxy, ethoxy, and cyclopropyl.
- R 8 is independently selected from H or C 1 -C 6 alkyl.
- R 8 is selected from a methyl group or an ethyl group.
- n 1, 2, 3 or 4.
- n 2.
- any one of the above specific embodiments, or any combination thereof, may be combined with any of the other specific embodiments or any combination thereof.
- any of the embodiments of the ring A, or any combination thereof may be combined with any of the technical solutions of W, R 1 to R 8 , m, n, and p, or the like, or any combination thereof.
- the present invention is intended to include a combination of all such technical solutions, which are limited in scope and are not listed one by one.
- compositions, formulations and kits are provided.
- the invention provides a pharmaceutical composition
- a pharmaceutical composition comprising a compound of the invention (also referred to as "active ingredient") and a pharmaceutically acceptable excipient.
- the pharmaceutical composition comprises an effective amount of the active component.
- the pharmaceutical composition comprises a therapeutically effective amount of the active component.
- the pharmaceutical composition comprises a prophylactically effective amount of the active component.
- a pharmaceutically acceptable excipient for use in the present invention refers to a non-toxic carrier, adjuvant or vehicle which does not destroy the pharmacological activity of the compound formulated together.
- Pharmaceutically acceptable carriers, adjuvants, or vehicles that can be used in the compositions of the present invention include, but are not limited to, ion exchangers, alumina, aluminum stearate, lecithin, serum proteins (eg, human serum white) Protein), buffer substances (such as phosphate), glycine, sorbic acid, potassium sorbate, a mixture of partial glycerides of saturated plant fatty acids, water, salt or electrolyte (such as protamine sulfate), disodium hydrogen phosphate, potassium hydrogen phosphate , sodium chloride, zinc salt, silica gel, magnesium trisilicate, polyvinyl pyrrolidone, cellulose-based materials, polyethylene glycol, sodium carboxymethyl cellulose, polyacrylate, wax, polyethylene-polyoxypropylene - Block
- kits e.g., pharmaceutical packs.
- Kits provided may include a compound of the invention, other therapeutic agents, and first and second containers (eg, vials, ampoules, bottles, syringes, and/or dispersible packages or other materials containing the compounds of the invention, other therapeutic agents) Suitable container).
- first and second containers eg, vials, ampoules, bottles, syringes, and/or dispersible packages or other materials containing the compounds of the invention, other therapeutic agents
- kits can also optionally include a third container containing a pharmaceutically acceptable excipient for diluting or suspending a compound of the invention and/or other therapeutic agent.
- a compound of the invention provided in a first container and a second container is combined with other therapeutic agents to form a unit dosage form.
- the pharmaceutical composition provided by the present invention can be administered by a variety of routes including, but not limited to, oral administration, parenteral administration, inhalation administration, topical administration, rectal administration, nasal administration, oral administration, vaginal administration.
- Drug administration by implant or other means of administration.
- parenteral administration as used herein Including subcutaneous administration, intradermal administration, intravenous administration, intramuscular administration, intra-articular administration, intra-arterial administration, intrasynovial administration, intrathoracic administration, intracranial administration, and lesions Internal administration, and intracranial injection or infusion techniques.
- an effective amount of a compound provided herein is administered.
- the amount of compound actually administered can be determined by the physician. .
- the compound provided herein is administered to a subject at risk of developing the condition, typically based on a physician's recommendation and administered under the supervision of a physician, at the dosage level as described above.
- Subjects at risk of developing a particular condition typically include subjects with a family history of the condition, or those subjects that are particularly susceptible to developing the condition by genetic testing or screening.
- long-term administration can also be administered chronically.
- Long-term administration refers to administration of a compound or a pharmaceutical composition thereof for a long period of time, for example, 3 months, 6 months, 1 year, 2 years, 3 years, 5 years, etc., or can be continuously administered indefinitely, For example, the rest of the subject.
- chronic administration is intended to provide a constant level of the compound in the blood over a prolonged period of time, for example, within a therapeutic window.
- a pharmaceutical composition of the present invention can be further delivered using various methods of administration.
- a pharmaceutical composition can be administered by bolus injection, for example, to increase the concentration of the compound in the blood to an effective level.
- the bolus dose depends on the target systemic level of the active ingredient through the body, for example, an intramuscular or subcutaneous bolus dose that causes a slow release of the active ingredient, while a bolus that is delivered directly to the vein (eg, via IV IV drip) ) can be delivered more quickly, so that the concentration of the active ingredient in the blood is rapidly increased to an effective level.
- the pharmaceutical composition can be administered in a continuous infusion form, for example, by IV intravenous drip to provide a steady state concentration of the active ingredient in the subject's body.
- a bolus dose of the pharmaceutical composition can be administered first, followed by continued infusion.
- Oral compositions can be in the form of a bulk liquid solution or suspension or bulk powder. More generally, however, the composition is provided in unit dosage form for ease of precise dosing.
- unit dosage form refers to physically discrete units suitable as unitary dosages for human patients and other mammals, each unit containing a predetermined quantity of active ingredient suitable to produce the desired therapeutic effect with a suitable pharmaceutical excipient.
- Typical unit dosage forms include prefilled, pre-measured ampoules or syringes of the liquid compositions, or pills, tablets, capsules and the like in the case of solid compositions.
- the compound is usually a minor component (about 0.1 to about 50% by weight, or preferably about 1 to about 40% by weight), with the balance being various carriers useful for forming the desired administration form. Or excipients and processing aids.
- a representative regimen is one to five oral doses per day, especially two to four oral doses, typically three oral doses.
- each dose provides from about 0.01 to about 20 mg/kg of a compound of the invention, each preferably providing from about 0.1 to about 10 mg/kg, especially from about 1 to about 5 mg/kg.
- a transdermal dose is generally selected in an amount of from about 0.01 to about 20% by weight, preferably from about 0.1 to about 20% by weight, preferably about 0.1. To about 10% by weight, and more preferably from about 0.5 to about 15% by weight.
- the injection dose level ranges from about 1 mg/kg/hr to at least 10 mg/kg/hr from about 1 to about 120 hours, especially 24 to 96 hours.
- a preload bolus of about 0.1 mg/kg to about 10 mg/kg or more can also be administered.
- the maximum total dose cannot exceed about 2 g/day.
- Liquid forms suitable for oral administration may include suitable aqueous or nonaqueous vehicles as well as buffers, suspending and dispersing agents, coloring agents, flavoring agents, and the like.
- the solid form may include, for example, any of the following components, or a compound having similar properties: a binder, for example, microcrystalline cellulose, tragacanth or gelatin; an excipient such as starch or lactose, a disintegrant, For example, alginic acid, Primogel or corn starch; a lubricant such as magnesium stearate; a glidant such as colloidal silica; a sweetener such as sucrose or saccharin; or a flavoring agent such as mint, water Methyl salicylate or orange flavoring.
- a binder for example, microcrystalline cellulose, tragacanth or gelatin
- an excipient such as starch or lactose, a disintegrant, For example, alginic acid, Primogel or corn star
- Injectable compositions are typically based on injectable sterile saline or phosphate buffered saline, or other injectable excipients known in the art.
- the active compound will typically be a minor component, often from about 0.05 to 10% by weight, with the remainder being injectable excipients and the like.
- transdermal compositions are typically formulated as topical ointments or creams containing the active ingredient.
- the active component When formulated as an ointment, the active component is typically combined with a paraffin or water miscible ointment base.
- the active ingredient can be formulated as a cream with, for example, an oil-in-water cream base.
- Such transdermal formulations are well known in the art and generally include other ingredients for enhancing stable skin penetration of the active ingredient or formulation. All such known transdermal formulations and components are included within the scope of the invention.
- transdermal administration can use a reservoir (reservoir) or porous membrane type, or a variety of solid matrix patch implementation.
- compositions for oral administration, injection or topical administration are merely representative.
- Other materials and processing techniques, etc. are set forth in Remington's Pharmaceutical Sciences, 17th edition, 1985, Mack Publishing Company, Easton, Pennsylvania, part 8 of which is incorporated herein by reference.
- the compounds of the invention may also be administered in sustained release form or from a sustained release delivery system.
- sustained release materials can be found in Remington's Pharmaceutical Sciences.
- the invention further relates to pharmaceutically acceptable formulations of the compounds of the invention.
- the formulation comprises water.
- the formulation comprises a cyclodextrin derivative.
- the most common cyclodextrins are alpha-, beta- and gamma-cyclodextrins consisting of 6, 7 and 8 alpha-1,4-linked glucose units, respectively, optionally including one on the attached sugar moiety. Or a plurality of substituents including, but not limited to, methylated, hydroxyalkylated, acylated, and sulfoalkyl ether substituted.
- the cyclodextrin is a sulfoalkyl ether beta-cyclodextrin, eg, sulfobutylether beta-cyclodextrin, also known as Captisol. See, for example, U.S. 5,376,645.
- the formulation comprises hexapropyl- ⁇ -cyclodextrin (eg, 10-50% in water).
- the compounds of the invention or compositions thereof may be administered in combination with other therapeutic agents to treat the disease.
- therapeutic agents include, but are not limited to, Adriamycin, dexamethasone, vincristine, cyclophosphamide, fluorouracil, topotecan ( Topotecan), taxol, interferon, platinum derivatives, taxanes (eg, paclitaxel), vinca alkaloids (eg, vinblastine), anthracycline ( Anthracycline) (eg, doxorubicin), epipodophyllotoxin (eg, etoposide), cisplatin, mTOR inhibitor (eg, rapamycin), Methotrexate, actinomycin D, dolastatin 10, colchicine, emetine, trimetrexate, chlorobenzene Metoprine, cyclosporine, daunorubicin, teniposide, amphotericin, alkylating agent (eg chlorambucil
- a compound of the invention or a composition thereof can be administered in combination with any one or more anti-proliferative or chemotherapeutic agents selected from the group consisting of: abarelix, aldileukin (aldesleukin), alemtuzumab, alitretinoin, allopurinol, altretamine, amifostine, anastrozole, arsenic trioxide, day Asparaginase, azacitidine, BCG Live, bevacuzimab, fluorouracil, bexarotene, bleomycin, bortezomib, white Busulfan, calbuterone, capecitabine, camptothecin, carboplatin, carmustine, celecoxib, cetuximab Antibiotic (cetuximab), chlorambucil, cladribine, clofarabine, cyclophosphamide, cytarabine, actinomycin D, darbepo
- therapeutic agents to which the compounds of the invention may also be combined include, but are not limited to, therapeutic agents for Alzheimer's Disease, such as donepezil hydrochloride and rivastigmine. ; therapeutic agents for Parkinson's Disease, such as L-DOPA/carbidopa, entacapone, ropinrole, pramipexole ( Pramipexole), bromocriptine, pergolide, trihexephendyl, and amantadine; a therapeutic agent for multiple sclerosis (MS), Such as beta interferon, glatiramer acetate and mitoxantrone; therapeutic agents for asthma, such as albuterol and montelukast; therapeutic agents for schizophrenia, such as Zyprexa, risperdal, seroquel, and haloperidol; anti-inflammatory agents such as corticosteroids, TNF blockers, IL-1RA, azathioprine , cyclophosphamide and sulfasala
- those other active agents can be administered separately from the compositions containing the compounds of the invention as part of a multiple dosing regimen.
- those active agents may be part of a single dosage form, mixed with a compound of the invention in a single composition. If administered as part of a multiple dosing regimen, the two active agents can be provided simultaneously, sequentially, or at intervals from one another (usually within 5 hours of each other).
- FGFR-4 regulates proliferation, survival, and alpha-fetoprotein secretion during progression of hepatocellular carcinoma (HCC); FGFR-4 inhibitors are therefore promising potential therapeutic agents for this unmet medical need (Ho et al., Journal Of Hepatology, 2009, 50: 118-27). HCC afflicts more than 550,000 people worldwide each year and is one of the worst 1-year survival rates of any cancer type.
- FGF19 a member of the fibroblast growth factor (FGF) family, which is composed of hormones
- FGF19 a member of the fibroblast growth factor (FGF) family, which is composed of hormones
- Increased hepatocyte proliferation and liver tumor formation have been observed in FGF19 gene-transferred mice.
- FGF19 activates FGFR-4, its major receptor in the liver, and FGFR-4 activation is thought to be a mechanism by which FGF19 can increase hepatocyte proliferation and induce hepatocellular carcinoma formation (Wu et al., J Biol Chem (2010) 285 ( 8): 5165-5170).
- FGF19 has also been recognized by others as a driver gene in HCC (Sawey et al., Cancer Cell (2011) 19:347-358).
- the compounds disclosed herein which are potential and selective inhibitors of FGFR-4, are believed to be useful in the treatment of HCC and other liver cancers.
- FGFR-4 activated fibroblast growth factor receptor 4
- MDA-MB-453 human breast cancer cell line MDA-MB-453.
- FGFR-4 may be a driver of tumor growth in breast cancer (Roid et al, Oncogene (2010) 29(10): 1543-1552).
- the compounds disclosed herein, which are potent and selective inhibitors of FGFR-4 are believed to be useful in the treatment of FGFR-4 regulated breast cancer.
- FGFR-4 activation/overexpression results in overexpression of FGFR-4.
- FGFR-4 overexpression by the mechanism is associated with rhabdomyosarcoma (RMS) (Cao et al, Cancer Res (2010) 70(16): 6497-6508).
- RMS rhabdomyosarcoma
- Mutations in FGFR-4 itself result in protein overactivation; this mechanism has been associated with the RMS subpopulation (Taylor et al, J Clin Invest (2009) 119: 3395-3407).
- RMS rhabdomyosarcoma
- the compounds disclosed herein, which are potent and selective inhibitors of FGFR-4 are believed to be useful in the treatment of FGFR-4 regulated RMS and other sarcomas.
- FGFR-4 upstream gene Other diseases are associated with changes in the FGFR-4 upstream gene or with mutations in FGFR-4 itself.
- mutations in the kinase domain of FGFR-4 result in overactivation, which is associated with lung adenocarcinoma (Ding et al, Nature (2008) 455 (7216): 1069-1075).
- Amplification of FGFR-4 is associated with conditions such as renal cell carcinoma (TCGA interim data).
- silencing FGFR4 and inhibiting ligand-receptor binding significantly slowed ovarian tumor growth, indicating that inhibitors of FGFR4 can be used to treat ovarian cancer (Zaid et al, Clin. Cancer Res. (2013) 809).
- FGF19 Increased pathogenicity of bile acid levels is associated with changes in FGF19 levels (Vergnes et al, Cell Metabolism (2013) 17, 916-28). Thus, a decrease in the level of FGF19 may be beneficial in promoting the synthesis of bile acids and thus in the treatment of hyperlipidemia.
- the compounds of the invention may be used to treat a variety of FGFR-related diseases, including but not limited to: gastric cancer, thyroid cancer, prostate cancer, breast cancer, sarcoma (eg, rhabdomyosarcoma), skin cancer (eg, melanoma) ), liver cancer (such as hepatocellular carcinoma and cholangiocarcinoma), pancreatic cancer (such as pancreatic intraepithelial neoplasia and pancreatic ductal adenocarcinoma), lung cancer (such as non-small cell lung cancer and lung adenocarcinoma), kidney cancer (such as kidney cells) Cancer), colorectal cancer and ovarian cancer.
- gastric cancer thyroid cancer
- prostate cancer breast cancer
- sarcoma eg, rhabdomyosarcoma
- skin cancer eg, melanoma
- liver cancer such as hepatocellular carcinoma and cholangiocarcinoma
- pancreatic cancer such as pancre
- the structure of the compound is determined by nuclear magnetic resonance (NMR) or mass spectrometry (MS). NMR was measured using a Bruker AVANCE-400 or Varian Oxford-300 nuclear magnetic apparatus, and the solvent was deuterated dimethyl sulfoxide (DMSO-d6), deuterated chloroform (CDC1 3 ), deuterated methanol (CD 3 OD). The internal standard is tetramethylsilane (TMS) and the chemical shift is given in units of 10 -6 (ppm).
- NMR nuclear magnetic resonance
- MS mass spectrometry
- the MS was measured using an Agilent SQD (ESI) mass spectrometer (manufacturer: Agilent, model: 6110) or a Shimadzu SQD (ESI) mass spectrometer (manufacturer: Shimadzu, model: 2020).
- ESI Agilent SQD
- ESI Shimadzu SQD
- the HPLC was measured using an Agilent 1200 DAD high pressure liquid chromatograph (Sunfire C18, 150 x 4.6 mm, 5 ⁇ m, column) and a Waters 2695-2996 high pressure liquid chromatograph (Gimini C18 150 x 4.6 mm, 5 ⁇ m column).
- the thin-layer chromatography silica gel plate uses Qingdao Ocean GF254 silica gel plate, and the silica gel plate used for thin-layer chromatography (TLC) has a specification of 0.15 mm to 0.2 mm.
- the specification for separation and purification of thin layer chromatography is 0.4 mm to 0.5 mm. silicone board.
- the known starting materials of the present invention may be synthesized by or according to methods known in the art, or may be purchased from ABCR GmbH & Co. KG, Acros Organics, Aldrich Chemical Company, Accela ChemBio Inc, Beijing Coupling Companies such as chemicals.
- An argon atmosphere or a nitrogen atmosphere means that the reaction flask is connected to an argon or nitrogen balloon having a volume of about 1 L.
- the hydrogen atmosphere means that the reaction flask is connected to a hydrogen balloon of about 1 L volume.
- the pressurized hydrogenation reaction was carried out using a GCD-500G high purity hydrogen generator and a BLT-2000 medium pressure hydrogenator from Beijing Jiawei Kechuang Technology Co., Ltd.
- the hydrogenation reaction is usually evacuated, charged with hydrogen, and operated three times.
- the microwave reaction used a CEM Discover-SP type microwave reactor.
- the temperature of the reaction is room temperature, and the temperature range is from 20 ° C to 30 ° C.
- reaction progress in the examples was monitored by thin layer chromatography (TLC), and the system used for the reaction was A: dichloromethane and methanol system; B: petroleum ether and ethyl acetate system, the volume ratio of the solvent was based on The polarity of the compound is adjusted to adjust.
- TLC thin layer chromatography
- the system for purifying the compound using the column chromatography eluent and the system for developing the thin layer chromatography include A: dichloromethane and methanol systems; B: petroleum ether and ethyl acetate system, the volume ratio of the solvent according to the compound Adjustments can be made with different polarities and can also be adjusted by adding a small amount of an acidic or alkaline reagent such as triethylamine.
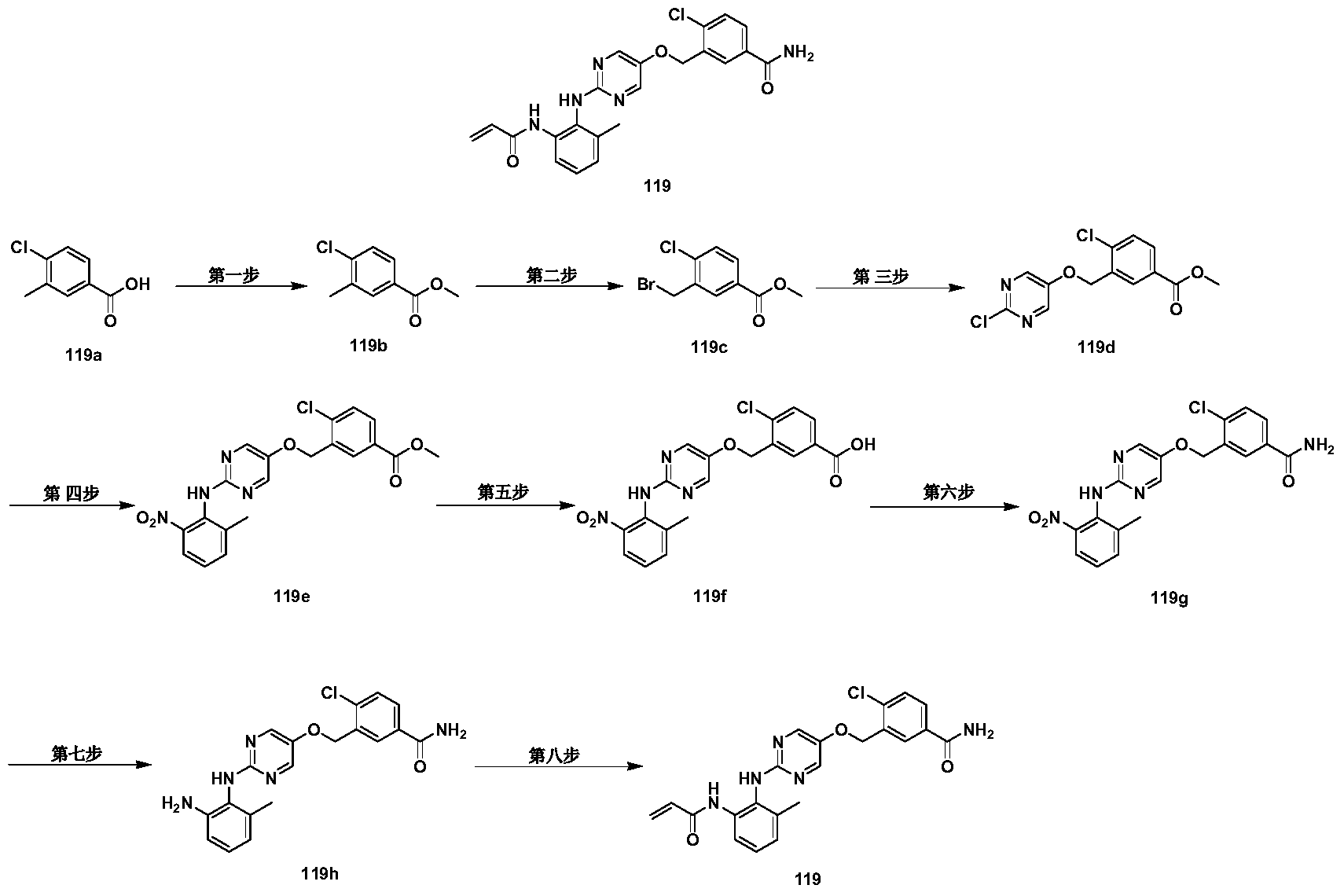
- Example 3 was synthesized by following the procedure of Example 2, but in the sixth step, ammonia was replaced with methylamine hydrochloride, and directly condensed with compound 119f to prepare 4-chloro-N-methyl-3-(((2-(( 2-methyl-6-nitrophenyl)amino)pyrimidin-5-yl)oxy)methyl)benzamide 127 g.
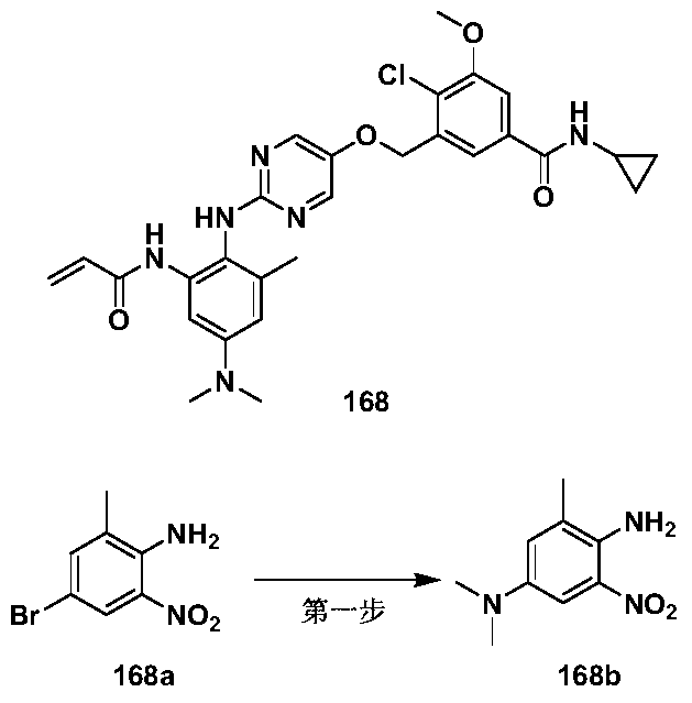
- Example 5 was synthesized by following the procedure of Example 4, but in the seventh step, 4-fluoro-N-cyclopropyl-3-methoxy-5-(((2-(( 2-Methyl-6-nitrophenyl)amino)pyrimidin-5-yl)oxy)methyl)benzamide 139i.
- the desired product is finally obtained 3-(((2-(2-acrylamido-6-methylphenyl)amino)pyrimidin-5-yl)oxy)methyl)-4-fluoro-N-cyclopropyl -5-Methoxybenzamide (Compound 139).
- Example 7 was synthesized by following the procedure of Example 6, but in the seventh step, 4-chloro-N-cyclopropyl-3-methoxy-5-(((2-(( 2-Methyl-6-nitrophenyl)amino)pyrimidin-5-yl)oxy)methyl)benzamide 142i.
- the desired product is finally obtained 3-(((2-(2-acrylamido-6-methylphenyl)amino)pyrimidin-5-yl)oxy)methyl)-4-chloro-N-cyclopropyl -5-Methoxybenzamide (Compound 142).
- Compound 150 was synthesized by reference to compound 141, but in the seventh step, methylamine hydrochloride was substituted for methylamine hydrochloride to prepare 4-chloro-N,3-dimethoxy-5-(((2-((2) -Methyl-6-nitrophenyl)amino)pyrimidin-5-yl)oxy)methyl)benzamide 150i.
- the target product 3-(((2-(2-acrylamido-6-methylphenyl)amino)pyrimidin-5-yl)oxy)methyl)-4-chloro-N,5-di Methoxybenzamide 150.
- Compound 155 was synthesized according to the procedure of Compound 158, but 4-chloro-3-(((2-chloropyrimidin-5-yl)oxy)methyl)-N,5-dimethoxybenzamide was used in the first step. Instead of 4-chloro-3-((2-chloropyrimidin-5-oxy)methyl)-N-cyclopropylbenzamide.
- the target product is obtained 3-((2-((3S,4S)-4-Amino-tetrahydro-2H-pyran-3-ylamino)pyrimidin-5-oxy)methyl)-4-chloro-N-cyclopropane Benz-5-methoxybenzamide 156e (172 mg, brown oil), yield 100%.
- EtOAc EtOAc N-(2-((5-((2-chloro-5-cyanobenzyl)oxy)pyrimidin-2-yl)amino)-3-methylphenyl)-2,2,2-tri Fluoroacetamide 157f (650 mg), yield 88%.
- P1 The short-lived named P1 is reserved on the SFC machine, and the long-lasting named P2 is retained.
- EtOAc EtOAc
- Compound 162 was synthesized by reference to the procedure of Compound 143, but in the eighth step, 1-methyl-4-nitro-1H-pyrazole-5-amine was substituted for 1-methyl-4-nitro-1H-pyrazole- 3-amine.
- Compound 164 was synthesized according to the procedure of Compound 143, but in the eighth step, 1-methyl-4-nitro-1H-pyrazol-3-amine was replaced with 5-methyl-2-nitroaniline.
- Compound 165 was synthesized by reference to the procedure of Compound 143, but in the eighth step, 1-methyl-4-nitro-1H-pyrazol-3-amine was replaced with 5-methyl-2-aminonitrobenzene.
- Example 168 was synthesized by reference to the procedure of Example 143, but in the eighth step, N 1 ,N 1 ,3-trimethyl-5-nitrobenzene-1,4-diamine was substituted for 1-methyl-4-nitro -1H-pyrazol-3-amine.
- the title product 3-(((2-(2-acrylamido-4-(dimethylamino))-6-methylphenyl)amino)pyrimidin-5-yl)oxy)methyl)-4 was finally obtained.
- -Chloro-N-cyclopropyl-5-methoxybenzamide 168 was finally obtained.
- Compound 173 was synthesized by reference to the procedure of Compound 143, but the propylamine was replaced with methoxyamine in the eighth step.
- Compound 176 was synthesized by reference to the compound 158 step.
- Compound 178 was synthesized by reference to the procedure of compound 156, but in the second step, O-ethylhydroxylamine was used in place of cyclopropylamine, and in the third step, (3R,4S)-tetrahydrofuran-3,4-diamine was substituted (3S,4S). tert-Butyl -3-amino-tetrahydro-2H-pyran-4-ylcarbamate.
- Compound 180 was synthesized by the reference compound 179 step, but in the first step, 1-methylpiperazine was substituted with morpholine to finally obtain the target product 3-(((2-((2-acrylamido-6-methyl-4-))). Morpholinophenyl)amino)pyrimidin-5-yl)oxy)methyl)-4-chloro-N,5-dimethoxybenzamide 180.
- Example 183 was synthesized by reference to the procedure of Example 181, but in the eighth step, (N-amino-3-methyl-5-nitrophenyl) dimethylphosphine oxide 183b was substituted for N1,N1,3-trimethyl- 5-nitrobenzene-1,4-diamine. Finally, the target product 3-(((2-(2-acrylamido-4-(dimethylphosphino)-6-methylphenyl)amino)pyrimidin-5-yl)oxy)methyl))) 4-chloro-N,5-dimethoxybenzamide 183.
- Compound 184 was synthesized according to the procedure of Compound 179, but in the first step, 1-ethylpiperazine was substituted for 1-methylpiperazine to finally give 3-(((2-((2-acrylamido-4-)-4-) Ethyl piperazin-1-yl)-6-methylphenyl)amino)pyrimidin-5-yl)oxy)methyl)-4-chloro-N,5-dimethoxybenzamide 184.
- kinase assay kit the kit having a biotin-labeled substrate phosphorylation site-specific Eu-labeled antibody, and XL665 labeled avidin and associated buffers.
- FGFR4 phosphorylates the substrate
- Eu-Ab recognizes the phosphorylated substrate
- XL665-SA binds to biotin on the substrate, resulting in the proximity of Eu to XL665 to produce an HTRF signal.
- the change in activity of the kinase is detected by reading the strength of the HTRF signal.
- the two main reactions are the kinase reaction and the detection reaction.
- the kinase consumes ATP to phosphorylate the substrate while producing a substrate containing a phosphate group.
- a detection reagent is added to terminate the kinase reaction, and at the same time, the specific antibody in the detection reagent and the XL665-labeled avidin are combined with the phosphate group and the biotin on the substrate to generate an HTRF signal, and the intensity of the signal is
- the phosphorylation level of the substrate is proportional to the ability to quantitatively detect the activity of the kinase FGFR4.
- kinase human FGFR4 protein (460-802 amino acids) was purchased from Carna Corporation (Cat. No. 08-136), and the kinase substrates were TK (purchased from Cisbio) and ATP (Sigma) using the enzyme label.
- the TECAN Spark 10M plate reader (TECAN) reads the optical signal.
- the kinase reaction buffer includes 1X Enzymatic buffer (CISBIO) 5 mM MgCl 2 (Sigma), 1 mM DTT (Sigma); the kinase FGFR4 was prepared using a buffer to a concentration of 0.25 ug/mL of the kinase reaction solution; the substrate reaction solution included 0.75 uM. Substrate and 500 ⁇ m ATP.
- the compound IC 50 was calculated from the 10 concentration points by the following formula.
- the compound was first diluted with 100% DMSO in a 96-well plate to dilute 3 concentrations: 4 mM, 40 uM, 0.4 uM, and 8 ul of the compound was transferred to a 384 LDV Echo Source plate, and the compound was transferred to the Assay plate with Echo 550 to obtain 10 concentration points. Two duplicate wells were set at each concentration point (starting point 10 uM, 3 fold dilution).
- the percent inhibition is calculated based on the following formula:
- Inhibition % [1-(RLU compound -RLU min )/(RLU max -RLU min )]X100
- RLU compounds are cold light readings at a given compound concentration
- RLU min is a cold light reading without the addition of a kinase
- RLU max is a cold light reading without the addition of a compound.
- the compounds of the present invention have a significant inhibitory effect on the activity of the tyrosine kinase FGFR4.
Landscapes
- Chemical & Material Sciences (AREA)
- Health & Medical Sciences (AREA)
- Organic Chemistry (AREA)
- Animal Behavior & Ethology (AREA)
- Life Sciences & Earth Sciences (AREA)
- Pharmacology & Pharmacy (AREA)
- General Health & Medical Sciences (AREA)
- Public Health (AREA)
- Veterinary Medicine (AREA)
- Medicinal Chemistry (AREA)
- Epidemiology (AREA)
- Chemical Kinetics & Catalysis (AREA)
- General Chemical & Material Sciences (AREA)
- Nuclear Medicine, Radiotherapy & Molecular Imaging (AREA)
- Pharmaceuticals Containing Other Organic And Inorganic Compounds (AREA)
Abstract
Description
本发明涉及一种新的芳香族醚类衍生物或其可药用的盐、互变异构体、外消旋体、对映异构体、非对映异构体、前药、水合物或溶剂合物,及其混合物,或含有其的药物组合物,及其制备方法。本发明还涉及使用所述芳香族醚类衍生物治疗和/或预防FGFR4酪氨酸激酶介导的疾病的方法,以及所述芳香族醚类衍生物在制备FGFR4酪氨酸激酶抑制剂和药物中的用途。The present invention relates to a novel aromatic ether derivative or a pharmaceutically acceptable salt, tautomer, racemate, enantiomer, diastereomer, prodrug, hydrate thereof Or a solvate, and mixtures thereof, or a pharmaceutical composition containing the same, and a process for the preparation thereof. The present invention also relates to a method for treating and/or preventing a FGFR4 tyrosine kinase-mediated disease using the aromatic ether derivative, and the preparation of the FGFR4 tyrosine kinase inhibitor and the medicament by the aromatic ether derivative Use in.
成纤维细胞生长因子(FGF)是由垂体和下丘脑分泌的多肽,具有促进成纤维细胞有丝分裂、中胚层细胞的生长,刺激血管形成和在创伤愈合及肢体再生中发挥重要作用。FGF受体(FGFR)信号系统对正常的发育及生理过程具有至关重要的作用。FGFR有四种亚型FGFR1-4,这四种亚型的氨基酸序列有着高度的保守性。FGFR1-4对不同的生长因子有着不同的结合力,其在组织的分布也相互不同。一条完整的FGFR受体蛋白包括细胞外部分,疏水单链细胞膜部分和细胞内酪氨酸激酶部分。当FGFR细胞外部分和FGF生长因子相互作用,引发下游链式的信号传导(Ras-MAPK、AKT-PI3K、磷脂酶C),最终影响和调节细胞生长、分裂和分化(Eswarakumar,Cytokine&Growth Factor Reviews,2005)。Fibroblast growth factor (FGF) is a polypeptide secreted by the pituitary and hypothalamus. It promotes mitosis of fibroblasts, growth of mesoderm cells, stimulates angiogenesis, and plays an important role in wound healing and limb regeneration. The FGF receptor (FGFR) signaling system is critical for normal development and physiological processes. FGFR has four subtypes of FGFR1-4, and the amino acid sequences of these four subtypes are highly conserved. FGFR1-4 has different binding forces for different growth factors, and its distribution in tissues is also different. A complete FGFR receptor protein includes an extracellular portion, a hydrophobic single-stranded cell membrane portion, and an intracellular tyrosine kinase portion. When the extracellular portion of FGFR interacts with FGF growth factors, it triggers downstream chain signaling (Ras-MAPK, AKT-PI3K, phospholipase C), which ultimately affects and regulates cell growth, division and differentiation (Eswarakumar, Cytokine & Growth Factor Reviews, 2005).
异常刺激这个信号通路(包括FGF生长因子过度表达、FGFR受体的过度表达和FGFR受体的基因突变)导致肿瘤的生长和对治疗的耐受。对几千种肿瘤样品的DNA测序发现FGFR通路常常发生突变。FGFR4是由FGFR-4基因编码的蛋白。FGFR4基因有着18个外显子。FGF-FGFR信号失调与肿瘤发生及演化相关。已经被发现在老鼠体内,FGFR4–FGF19信号轴与肝细胞癌(HCCs)紧密相关。肝癌等几种类型的癌症中,FGFR4表达被明显提高。同时,肝癌的发生需要FGFR4。FGF19转基因小鼠的后代能够发展为肝癌,然而,与FGFR4敲除的老鼠所繁殖的后代不会发展为肝癌。当FGF19被FGF19特异性抗体中和后,肿瘤的生长受到抑制。另外,FGFR4过度表达还出现在其他种类的肿瘤,包括乳腺癌,结直肠癌,胰腺癌,前列腺癌,肺癌,和甲状腺癌中。FGFR4突变出现在横纹肌肉瘤中。对于FGFR4的小分 子靶向抑制可以被用于癌症的治疗中。当老鼠经过FGFR-1抑制剂治疗后,发现可以导致在软组织里发生磷酸钙沉积等副作用(Brown,AP et al.(2005),Toxicol.Pathol.,p.449-455)。这些表明了对FGFR4受体的选择性抑制,而不是广泛抑制FGFR1-4受体,会避免这样的副作用。Abnormal stimulation of this signaling pathway (including FGF growth factor overexpression, FGFR receptor overexpression and FGFR receptor gene mutations) leads to tumor growth and tolerance to treatment. DNA sequencing of thousands of tumor samples has revealed frequent mutations in the FGFR pathway. FGFR4 is a protein encoded by the FGFR-4 gene. The FGFR4 gene has 18 exons. FGF-FGFR signal imbalance is associated with tumorigenesis and evolution. It has been found that in mice, the FGFR4–FGF19 signal axis is closely related to hepatocellular carcinoma (HCCs). In several types of cancers such as liver cancer, FGFR4 expression is significantly increased. At the same time, the occurrence of liver cancer requires FGFR4. The progeny of FGF19 transgenic mice can develop into liver cancer, however, the offspring proliferated with FGFR4 knockout mice do not develop into liver cancer. When FGF19 is neutralized by FGF19-specific antibodies, tumor growth is inhibited. In addition, FGFR4 overexpression also occurs in other types of tumors, including breast cancer, colorectal cancer, pancreatic cancer, prostate cancer, lung cancer, and thyroid cancer. FGFR4 mutations occur in rhabdomyosarcoma. Small score for FGFR4 Sub-targeted inhibition can be used in the treatment of cancer. When mice were treated with FGFR-1 inhibitors, they were found to cause side effects such as calcium phosphate deposition in soft tissues (Brown, AP et al. (2005), Toxicol. Pathol., p. 449-455). These indicate that selective inhibition of the FGFR4 receptor, rather than extensive inhibition of the FGFR1-4 receptor, would avoid such side effects.
尽管目前已公开了一系列的FGFR4抑制剂的专利申请,其中包括WO2014011900、WO2015061572、WO20150197519、WO2015008844、WO2015057938、WO2015059668、WO2012174476、WO2015057963、WO2016064960、WO2016134294、WO2016134314、和WO2016134320等,但仍需开发新的具有更好药效的化合物。经过不断努力,本发明设计具有通式(I)所示的结构的化合物,并发现具有此类结构的化合物表现出优异的效果和作用。A number of patent applications for FGFR4 inhibitors have been disclosed, including WO2014011900, WO2015061572, WO20150197519, WO2015008844, WO2015057938, WO2015059668, WO2012174476, WO2015057963, WO2016064960, WO2016134294, WO2016134314, and WO2016134320, etc., but still need to develop new ones. A better potent compound. Through continuous efforts, the present invention has designed a compound having a structure represented by the general formula (I), and it has been found that a compound having such a structure exhibits an excellent effect and effect.
发明内容Summary of the invention
本发明涉及以下技术方案:The invention relates to the following technical solutions:
在一方面,本发明提供了一种通式(I)所示的化合物或其可药用的盐、互变异构体、外消旋体、对映异构体、非对映异构体、前药、水合物或溶剂合物,及其混合物:In one aspect, the present invention provides a compound of the formula (I) or a pharmaceutically acceptable salt, tautomer, racemate, enantiomer or diastereomer thereof , prodrugs, hydrates or solvates, and mixtures thereof:
其中:among them:
W选自CR1或N;W is selected from CR 1 or N;
环A选自6-14元亚芳基、5-10元亚杂芳基、C3-C8亚环烷基或3-10元亚杂环基;Ring A is selected from a 6-14 membered arylene group, a 5-10 membered heteroarylene group, a C 3 -C 8 cycloalkylene group or a 3-10 membered heterocyclylene group;
R1和R2独立地选自H、卤素、氰基、NO2、C1-C6烷基、C1-C6卤代烷基、C1-C6卤代烷氧基、C2-C6烯基、C2-C6炔基、C3-C8环烷基、-OR8、-NR6R7、-C(O)R8、-C(O)OR8、-C(O)NR6R7、-NR6C(O)R8、-NR6C(O)OR8、-NR6C(O)NR6R7、-OC(O)R8、-OC(O)OR8、-OC(O)NR6R7、-S(O)pR8、-S(O)pOR8、-S(O)pNR6R7、-OS(O)pR8或-NR6S(O)pR8;R 1 and R 2 are independently selected from H, halogen, cyano, NO 2 , C 1 -C 6 alkyl, C 1 -C 6 haloalkyl, C 1 -C 6 haloalkoxy, C 2 -C 6 olefin , C 2 -C 6 alkynyl, C 3 -C 8 cycloalkyl, -OR 8 , -NR 6 R 7 , -C(O)R 8 , -C(O)OR 8 , -C(O) NR 6 R 7 , -NR 6 C(O)R 8 , -NR 6 C(O)OR 8 , -NR 6 C(O)NR 6 R 7 , -OC(O)R 8 , -OC(O) OR 8 , -OC(O)NR 6 R 7 , -S(O) p R 8 , -S(O) p OR 8 , -S(O) p NR 6 R 7 , -OS(O) p R 8 Or -NR 6 S(O) p R 8 ;
L选自-C1-C6亚烷基-、-C2-C6亚烯基-、-C2-C6亚炔基-、-OC1-C6亚烷基-、 -C1-C6亚烷基-O-、-NR6C(O)-、-C(O)NR6-、-OC(O)-、-C(O)O-、-NR6-C1-C6亚烷基-或-C1-C6亚烷基-NR6-;L is selected from -C 1 -C 6 alkylene-, -C 2 -C 6 alkenylene-, -C 2 -C 6 alkynylene-, -OC 1 -C 6 alkylene-, -C 1 -C 6 alkylene-O-, -NR 6 C(O)-, -C(O)NR 6 -, -OC(O)-, -C(O)O-, -NR 6 -C 1 - C 6 alkylene- or -C 1 -C 6 alkylene-NR 6 -;
X选自-O-、-NH-或-CH2-;X is selected from -O-, -NH- or -CH 2 -;
Y选自-C(O)-、-S(O)p-或-CH2-;Y is selected from -C(O)-, -S(O) p - or -CH 2 -;
或当X为-CH2-时,Y还可为-NH-或-O-;Or when X is -CH 2 -, Y may also be -NH- or -O-;
R3、R4和R5各自独立地选自H、卤素、氰基、C1-C6烷基、C1-C6卤代烷基、C1-C6卤代烷氧基、C3-C8环烷基或3-10元杂环基;R 3 , R 4 and R 5 are each independently selected from H, halogen, cyano, C 1 -C 6 alkyl, C 1 -C 6 haloalkyl, C 1 -C 6 haloalkoxy, C 3 -C 8 a cycloalkyl group or a 3-10 membered heterocyclic group;
或者,R3和R4可形成化学键;Alternatively, R 3 and R 4 may form a chemical bond;
R6、R7和R8各自独立地选自H、C1-C6烷基、C1-C6杂烷基、C3-C8环烷基、3-10元杂环基、5-10元杂芳基或6-14元芳基;R 6 , R 7 and R 8 are each independently selected from H, C 1 -C 6 alkyl, C 1 -C 6 heteroalkyl, C 3 -C 8 cycloalkyl, 3-10 membered heterocyclyl, 5 -10 membered heteroaryl or 6-14 membered aryl;
m为0、1、2、3或4;m is 0, 1, 2, 3 or 4;
n为0、1、2、3、4或5;且n is 0, 1, 2, 3, 4 or 5;
p为1或2。p is 1 or 2.
在另一方面,本发明提供了一种药物组合物,其含有本发明化合物或其可药用的盐、互变异构体、外消旋体、对映异构体、非对映异构体、前药、水合物或溶剂合物,及其混合物,及药学上可接受的赋形剂。在具体实施方案中,本发明化合物以有效量提供在所述药物组合物中。在具体实施方案中,本发明化合物以治疗有效量提供。在具体实施方案中,本发明化合物以预防有效量提供。在另一实施方案中,本发明的药物组合物还含有其它治疗剂。In another aspect, the present invention provides a pharmaceutical composition comprising a compound of the present invention or a pharmaceutically acceptable salt, tautomer, racemate, enantiomer, diastereomer thereof , prodrugs, hydrates or solvates, and mixtures thereof, and pharmaceutically acceptable excipients. In a particular embodiment, a compound of the invention is provided in the pharmaceutical composition in an effective amount. In a specific embodiment, the compounds of the invention are provided in a therapeutically effective amount. In a particular embodiment, the compounds of the invention are provided in a prophylactically effective amount. In another embodiment, the pharmaceutical compositions of the invention also contain other therapeutic agents.
在另一方面,本发明提供了一种试剂盒,其包括:第一容器,其中含有本发明化合物或其可药用的盐、互变异构体、外消旋体、对映异构体、非对映异构体、前药、水合物或溶剂合物,及其混合物;和任选地,第二容器,其中含有其它治疗剂;和任选地,第三容器,其中含有用于稀释或悬浮所述化合物和/或其它治疗剂的药学上可接受的赋形剂。In another aspect, the invention provides a kit comprising: a first container comprising a compound of the invention or a pharmaceutically acceptable salt, tautomer, racemate, enantiomer thereof a diastereomer, a prodrug, a hydrate or a solvate, and mixtures thereof; and, optionally, a second container containing other therapeutic agents; and optionally, a third container containing A pharmaceutically acceptable excipient that dilutes or suspends the compound and/or other therapeutic agent.
在另一方面,本发明还提供了本发明化合物或其可药用的盐、互变异构体、外消旋体、对映异构体、非对映异构体、前药、水合物或溶剂合物,及其混合物,或本发明的药物组合物在制备FGFR4酪氨酸激酶抑制剂中的用途。In another aspect, the invention provides a compound of the invention, or a pharmaceutically acceptable salt, tautomer, racemate, enantiomer, diastereomer, prodrug, hydrate thereof, or a pharmaceutically acceptable salt thereof Or a solvate, and mixtures thereof, or the use of a pharmaceutical composition of the invention in the preparation of a FGFR4 tyrosine kinase inhibitor.
在另一方面,本发明还提供了本发明化合物或其可药用的盐、互变异构体、外消旋体、对映异构体、非对映异构体、前药、水合物或溶剂合物,及其混合物,或本发明的药物组合物在制备用于治疗和/或预防FGFR4酪氨酸 激酶介导的疾病的药物中的用途。In another aspect, the invention provides a compound of the invention, or a pharmaceutically acceptable salt, tautomer, racemate, enantiomer, diastereomer, prodrug, hydrate thereof, or a pharmaceutically acceptable salt thereof Or a solvate, and mixtures thereof, or a pharmaceutical composition of the invention, for use in the manufacture and/or prevention of FGFR4 tyrosine Use in drugs for kinase-mediated diseases.
在另一方面,本发明还提供了本发明化合物或其可药用的盐、互变异构体、外消旋体、对映异构体、非对映异构体、前药、水合物或溶剂合物,及其混合物,或本发明药物组合物,其用于治疗和/或预防FGFR4酪氨酸激酶介导的疾病。In another aspect, the invention provides a compound of the invention, or a pharmaceutically acceptable salt, tautomer, racemate, enantiomer, diastereomer, prodrug, hydrate thereof, or a pharmaceutically acceptable salt thereof Or a solvate, and mixtures thereof, or a pharmaceutical composition of the invention for use in the treatment and/or prevention of a FGFR4 tyrosine kinase mediated disease.
在另一方面,本发明还提供了一种在受试者中治疗和/或预防FGFR4酪氨酸激酶介导的疾病的方法,包括向所述受试者给药本发明的化合物或其可药用的盐、互变异构体、外消旋体、对映异构体、非对映异构体、前药、水合物或溶剂合物,及其混合物,或本发明的药物组合物。In another aspect, the invention provides a method of treating and/or preventing a FGFR4 tyrosine kinase mediated disease in a subject, comprising administering to the subject a compound of the invention or Pharmaceutically acceptable salts, tautomers, racemates, enantiomers, diastereomers, prodrugs, hydrates or solvates, and mixtures thereof, or pharmaceutical compositions of the invention .
在上述方面的具体实施方案中,所述疾病为肿瘤,例如胃癌、甲状腺癌、前列腺癌、乳腺癌、肉瘤(例如横纹肌肉瘤)、皮肤癌(例如黑色素瘤)、肝癌(例如肝细胞癌和胆管上皮癌)、胰腺癌(例如胰腺上皮内瘤样病变和胰腺导管腺癌)、肺癌(例如非小细胞肺癌和肺腺癌)、肾癌(例如肾细胞癌)、结直肠癌和卵巢癌。In a specific embodiment of the above aspect, the disease is a tumor, such as gastric cancer, thyroid cancer, prostate cancer, breast cancer, sarcoma (such as rhabdomyosarcoma), skin cancer (such as melanoma), liver cancer (such as hepatocellular carcinoma and bile duct). Epithelial cancer), pancreatic cancer (eg, pancreatic intraepithelial neoplasia and pancreatic ductal adenocarcinoma), lung cancer (eg, non-small cell lung cancer and lung adenocarcinoma), renal cancer (eg, renal cell carcinoma), colorectal cancer, and ovarian cancer.
定义definition
本发明使用的术语具有本领域技术人员所熟知的含义。当在本发明中进行定义时,优先采用本发明的定义。The terms used in the present invention have the meanings well known to those skilled in the art. When defined in the present invention, the definition of the present invention is preferably employed.
当列出数值范围时,既定包括每个值和在所述范围内的子范围。例如“C1-C6烷基”包括C1、C2、C3、C4、C5、C6、C1-C6、C1-C5、C1-C4、C1-C3、C1-C2、C2-C6、C2-C5、C2-C4、C2-C3、C3-C6、C3-C5、C3-C4、C4-C6、C4-C5和C5-C6烷基。When a range of values is recited, each value and sub-range within the range are intended to be included. For example, "C 1 -C 6 alkyl" includes C 1 , C 2 , C 3 , C 4 , C 5 , C 6 , C 1 -C 6 , C 1 -C 5 , C 1 -C 4 , C 1 - C 3 , C 1 -C 2 , C 2 -C 6 , C 2 -C 5 , C 2 -C 4 , C 2 -C 3 , C 3 -C 6 , C 3 -C 5 , C 3 -C 4 C 4 -C 6 , C 4 -C 5 and C 5 -C 6 alkyl.
“C1-C6烷基”是指具有1至6个碳原子的直链或支链饱和烃基团,也称为“低级烷基”。在一些实施方案中,C1-C4烷基是特别优选的。所述烯基的实例包括但不限于:甲基、乙基、正丙基、异丙基、正丁基、异丁基、叔丁基、仲丁基、正戊基、1,1-二甲基丙基、1,2-二甲基丙基、2,2-二甲基丙基、1-乙基丙基、2-甲基丁基、3-甲基丁基、正己基、1-乙基-2-甲基丙基、1,1,2-三甲基丙基、1,1-二甲基丁基、1,2-二甲基丁基、2,2-二甲基丁基、1,3-二甲基丁基、2-乙基丁基、及其各种支链异构体等。烷基可以是任选取代的或未取代的。 The "C 1 -C 6 alkyl group" means a straight or branched saturated hydrocarbon group having 1 to 6 carbon atoms, which is also referred to as "lower alkyl group". In some embodiments, a C 1 -C 4 alkyl group is particularly preferred. Examples of the alkenyl group include, but are not limited to, methyl, ethyl, n-propyl, isopropyl, n-butyl, isobutyl, t-butyl, sec-butyl, n-pentyl, 1,1-di Methylpropyl, 1,2-dimethylpropyl, 2,2-dimethylpropyl, 1-ethylpropyl, 2-methylbutyl, 3-methylbutyl, n-hexyl, 1 -ethyl-2-methylpropyl, 1,1,2-trimethylpropyl, 1,1-dimethylbutyl, 1,2-dimethylbutyl, 2,2-dimethyl Butyl, 1,3-dimethylbutyl, 2-ethylbutyl, and various branched isomers thereof. The alkyl group can be optionally substituted or unsubstituted.
“C2-C6烯基”是指具有2至6个碳原子和一个或多个碳-碳双键(例如,1、2或3个碳-碳双键)的直链或支链烃基团。一个或多个碳-碳双键可以在内部(例如,在2-丁烯基中)或端部(例如,在1-丁烯基中)。在一些实施方案中,C2-C4烯基是特别优选的。所述烯基的实例包括但不限于:乙烯基、1-丙烯基、2-丙烯基、1-丁烯基、2-丁烯基、丁二烯基、戊烯基、戊二烯基、己烯基、及其各种支链异构体等。烯基可以是任选取代的或未取代的。"C 2 -C 6 alkenyl" refers to a straight or branched chain hydrocarbon radical having from 2 to 6 carbon atoms and one or more carbon-carbon double bonds (eg, 1, 2 or 3 carbon-carbon double bonds) group. One or more carbon-carbon double bonds may be internal (eg, in 2-butenyl) or end (eg, in 1-butenyl). In some embodiments, C 2 -C 4 alkenyl is particularly preferred. Examples of the alkenyl group include, but are not limited to, ethenyl, 1-propenyl, 2-propenyl, 1-butenyl, 2-butenyl, butadienyl, pentenyl, pentadienyl, Hexenyl, its various branched isomers, and the like. The alkenyl group can be optionally substituted or unsubstituted.
“C2-C6炔基”是指具有2至6个碳原子、一个或多个碳-碳叁键(例如,1、2或3个碳-碳叁键)以及任选一个或多个碳-碳双键(例如,1、2或3个碳-碳双键)的直链或支链烃基团。在一些实施方案中,C2-C4炔基是特别优选的。在一些实施方案中,炔基不含有任何双键。一个或多个碳叁键可以在内部(例如,在2-丁炔基中)或端部(例如,在1-丁炔基中)。所述炔基的实例包括但不限于:乙炔基、1-丙炔基、2-丙炔基、1-丁炔基、2-丁炔基、戊炔基、己炔基、及其各种支链异构体等。炔基可以是任选取代的或未取代的。"C 2 -C 6 alkynyl" means having from 2 to 6 carbon atoms, one or more carbon-carbon triple bonds (eg, 1, 2 or 3 carbon-carbon triple bonds), and optionally one or more A linear or branched hydrocarbon group of a carbon-carbon double bond (for example, 1, 2 or 3 carbon-carbon double bonds). In some embodiments, a C 2 -C 4 alkynyl group is particularly preferred. In some embodiments, an alkynyl group does not contain any double bonds. The one or more carbon oxime bonds may be internal (eg, in 2-butynyl) or end (eg, in 1-butynyl). Examples of the alkynyl group include, but are not limited to, ethynyl, 1-propynyl, 2-propynyl, 1-butynyl, 2-butynyl, pentynyl, hexynyl, and various Branched isomers, etc. An alkynyl group can be optionally substituted or unsubstituted.
“C1-C6杂烷基”是指本文所定义的烷基,在母体链内,它进一步含有一或多个(例如,1、2、3或4个)杂原子(例如,氧、硫、氮、硼、硅、磷),其中,一个或多个杂原子在所述母体碳链内的相邻碳原子之间,和/或,一个或多个杂原子在碳原子和母体分子之间,即,在连接点之间。杂烷基可以是任选取代的或未取代的。在一些实施方案中,作为具体实例,C1-C6杂烷基包括C1-C6烷氧基、C1-C6烷硫基、C1-C6烷氨基等,其详细定义如下。"C 1 -C 6 heteroalkyl" refers to an alkyl group, as defined herein, which further contains one or more (eg, 1, 2, 3 or 4) heteroatoms (eg, oxygen, in the parent chain). Sulfur, nitrogen, boron, silicon, phosphorus), wherein one or more heteroatoms are between adjacent carbon atoms in the parent carbon chain, and/or one or more heteroatoms are in the carbon atom and the parent molecule Between, that is, between the connection points. Heteroalkyl groups can be optionally substituted or unsubstituted. In some embodiments, as a specific example, the C 1 -C 6 heteroalkyl group includes a C 1 -C 6 alkoxy group, a C 1 -C 6 alkylthio group, a C 1 -C 6 alkylamino group, and the like, which are defined in detail as follows .
“C1-C6烷氧基”是指基团-OR,其中,R为取代或未取代的C1-C6烷基。在一些实施方案中,C1-C4烷氧基是特别优选的。具体的所述烷氧基包括但不限于:甲氧基、乙氧基、正丙氧基、异丙氧基、正丁氧基、叔丁氧基、仲丁氧基、正戊氧基、正己氧基和1,2-二甲基丁氧基、及其各种支链异构体等。烷氧基可以是任选取代的或未取代的。"C 1 -C 6 alkoxy" refers to the group -OR wherein R is a substituted or unsubstituted C 1 -C 6 alkyl group. In some embodiments, a C 1 -C 4 alkoxy group is particularly preferred. Specific alkoxy groups include, but are not limited to, methoxy, ethoxy, n-propoxy, isopropoxy, n-butoxy, tert-butoxy, sec-butoxy, n-pentyloxy, n-Hexyloxy and 1,2-dimethylbutoxy, and various branched isomers thereof and the like. The alkoxy group can be optionally substituted or unsubstituted.
“C1-C6烷硫基”是指基团-SR,其中,R为任选取代的C1-C6烷基。在一些实施方案中,C1-C4烷硫基是特别优选的。具体的所述C1-C6烷硫基包括但不限于:甲硫基、乙硫基、正丙硫基、异丙硫基、正丁硫基、叔丁硫基、仲丁硫基、正戊硫基、正己硫基和1,2-二甲基丁硫基、及其各种支链异构体等。烷硫基可以是任选取代的或未取代的。"C 1 -C 6 alkylthio" refers to the group -SR wherein R is optionally substituted C 1 -C 6 alkyl. In some embodiments, a C 1 -C 4 alkylthio group is particularly preferred. Specifically, the C 1 -C 6 alkylthio group includes, but is not limited to, methylthio, ethylthio, n-propylthio, isopropylthio, n-butylthio, tert-butylthio, sec-butylthio, N-pentylthio, n-hexylthio and 1,2-dimethylbutylthio, and various branched isomers thereof. The alkylthio group can be optionally substituted or unsubstituted.
“C1-C6烷氨基”是指基团-NHR或者-NR2,其中,R为任选取代的C1-C6烷基。在一些实施方案中,C1-C4烷氨基是特别优选的。具体的所述C1-C6 烷氨基包括但不限于:甲氨基、乙氨基、正丙氨基、异丙氨基、正丁氨基、叔丁氨基、二甲氨基、甲乙氨基和二乙氨基、及其各种支链异构体等。烷氨基可以是任选取代的或未取代的。"C 1 -C 6 alkylamino" refers to the group -NHR or -NR 2 wherein R is optionally substituted C 1 -C 6 alkyl. In some embodiments, a C 1 -C 4 alkylamino group is particularly preferred. Specifically, the C 1 -C 6 alkylamino group includes, but is not limited to, methylamino, ethylamino, n-propylamino, isopropylamino, n-butylamino, t-butylamino, dimethylamino, methylethylamino and diethylamino, and Its various branched isomers and the like. The alkylamino group can be optionally substituted or unsubstituted.
“卤素”是指氟(F)、氯(Cl)、溴(Br)和碘(I)。"Halogen" means fluorine (F), chlorine (Cl), bromine (Br) and iodine (I).
“氰基”是指-CN。"Cyano" means -CN.
“C1-C6卤代烷基”和“C1-C6卤代烷氧基”是指上述“C1-C6烷基”和“C1-C6烷氧基”,其被一个或多个卤素基团取代。在一些实施方案中,C1-C4卤代烷基是特别优选的,更优选C1-C2卤代烷基。在一些实施方案中,C1-C4卤代烷氧基是特别优选的,更优选C1-C2卤代烷氧基。示例性的所述卤代烷基包括但不限于:-CF3、-CH2F、-CHF2、-CHFCH2F、-CH2CHF2、-CF2CF3、-CCl3、-CH2Cl、-CHCl2、2,2,2-三氟-1,1-二甲基-乙基等。示例性的所述卤代烷氧基包括但不限于:-OCH2F、-OCHF2、-OCF3等。卤代烷基和卤代烷氧基可以是任选取代的或未取代的。"C 1 -C 6 haloalkyl" and "C 1 -C 6 haloalkoxy" mean the above-mentioned "C 1 -C 6 alkyl" and "C 1 -C 6 alkoxy", which are one or more Halogen group substitution. In some embodiments, a C 1 -C 4 haloalkyl group is particularly preferred, more preferably a C 1 -C 2 haloalkyl group. In some embodiments, a C 1 -C 4 haloalkoxy group is particularly preferred, more preferably a C 1 -C 2 haloalkoxy group. Exemplary haloalkyl groups include, but the are not limited to: -CF 3, -CH 2 F, -CHF 2, -CHFCH 2 F, -CH 2 CHF 2, -CF 2 CF 3, -CCl 3, -CH 2 Cl , -CHCl 2 , 2,2,2-trifluoro-1,1-dimethyl-ethyl, and the like. Exemplary haloalkoxy groups include, but are not limited to, -OCH 2 F, -OCHF 2 , -OCF 3, and the like. The haloalkyl and haloalkoxy groups can be optionally substituted or unsubstituted.
“C3-C8环烷基”是指具有3至8个环碳原子和零个杂原子的非芳香环烃基团。在一些实施方案中,C3-C6环烷基是特别优选的,更优选C5-C6环烷基。环烷基还包括其中上述环烷基与一个或多个环烷基、杂环基、芳基或杂芳基稠合、桥接或成螺环的环体系,其中连接点在环烷基环上,且在这样的情况中,碳的数目继续表示环烷基体系中的碳的数目。示例性的所述环烷基包括但不限于:环丙基、环丙烯基、环丁基、环丁烯基、环戊基、环戊烯基、环己基、环己烯基、环已二烯基、环庚基、环庚烯基、环庚二烯基、环庚三烯基、环辛基、环辛烯基、二环[2.2.1]庚基、二环[2.2.2]辛基、及其各种支链异构体等。环烷基可以是任选取代的或未取代的。"C 3 -C 8 cycloalkyl" refers to a non-aromatic cyclic hydrocarbon group having from 3 to 8 ring carbon atoms and zero heteroatoms. In some embodiments, a C 3 -C 6 cycloalkyl group is particularly preferred, more preferably a C 5 -C 6 cycloalkyl group. Cycloalkyl also includes ring systems wherein the cycloalkyl group is fused, bridged or spirocyclic to one or more cycloalkyl, heterocyclyl, aryl or heteroaryl groups, wherein the point of attachment is on the cycloalkyl ring And in such cases, the number of carbons continues to indicate the number of carbons in the cycloalkyl system. Exemplary cycloalkyl groups include, but are not limited to, cyclopropyl, cyclopropenyl, cyclobutyl, cyclobutenyl, cyclopentyl, cyclopentenyl, cyclohexyl, cyclohexenyl, cyclohexane Alkenyl, cycloheptyl, cycloheptenyl, cycloheptadienyl, cycloheptatrienyl, cyclooctyl, cyclooctenyl, bicyclo[2.2.1]heptyl, bicyclo[2.2.2] Octyl, its various branched isomers, and the like. The cycloalkyl group can be optionally substituted or unsubstituted.
“3-10元杂环基”或是指具有环碳原子和1至4个环杂原子的3至10元非芳香环系的基团,其中,每个杂原子独立地选自氮、氧、硫、硼、磷和硅。在包含一个或多个氮原子的杂环基中,只要化合价允许,连接点可为碳或氮原子。在一些实施方案中,3-8元杂环基是优选的,其为具有环碳原子和1至3个环杂原子的3至8元非芳香环系;在一些实施方案中,4-7元杂环基是特别优选的,其为具有环碳原子和1至3个环杂原子的4至7元非芳香环系;更优选5-6元杂环基,其为具有环碳原子和1至3个环杂原子的5至6元非芳香环系。示例性的包含一个杂原子的3元杂环基包括但不限于:氮杂环丙烷基、氧杂环丙烷基、硫杂环丙烷基。示例性的含有一个杂原子的4元 杂环基包括但不限于:氮杂环丁烷基、氧杂环丁烷基和硫杂环丁烷基。示例性的含有一个杂原子的5元杂环基包括但不限于:四氢呋喃基、二氢呋喃基、四氢噻吩基、二氢噻吩基、吡咯烷基、二氢吡咯基和吡咯基-2,5-二酮。示例性的包含两个杂原子的5元杂环基包括但不限于:二氧杂环戊烷基、氧硫杂环戊烷基、二硫杂环戊烷基和噁唑烷-2-酮。示例性的包含三个杂原子的5元杂环基包括但不限于:三唑啉基、噁二唑啉基和噻二唑啉基。示例性的包含一个杂原子的6元杂环基包括但不限于:哌啶基、二氢吡喃基、四氢吡喃基、二氢吡啶基和硫杂环己烷基。示例性的包含两个杂原子的6元杂环基包括但不限于:哌嗪基、吗啉基、二硫杂环己烷基、二噁烷基。示例性的包含三个杂原子的6元杂环基包括但不限于:六氢三嗪基。示例性的含有一个杂原子的7元杂环基包括但不限于:氮杂环庚烷基、氧杂环庚烷基和硫杂环庚烷基。示例性的包含一个杂原子的8元杂环基包括但不限于:氮杂环辛烷基、氧杂环辛烷基和硫杂环辛烷基。示例性的与6元芳基环稠合的5元杂环基(在本文中也称作5,6-双环杂环基)包括但不限于:二氢吲哚基、异二氢吲哚基、二氢苯并呋喃基、二氢苯并噻吩基、苯并噁唑啉酮基,等等。示例性的与6元芳基环稠合的6元杂环基(本文还指的是6,6-双环杂环基)包括但不限于:四氢喹啉基、四氢异喹啉基,等等。杂环基包括螺环、稠环和桥环的杂环基。"3-10 membered heterocyclic group" or a group of a 3 to 10 membered non-aromatic ring system having a ring carbon atom and 1 to 4 ring hetero atoms, wherein each hetero atom is independently selected from nitrogen and oxygen. , sulfur, boron, phosphorus and silicon. In the heterocyclic group containing one or more nitrogen atoms, the point of attachment may be a carbon or nitrogen atom as long as the valence permits. In some embodiments, a 3-8 membered heterocyclyl is preferred, which is a 3 to 8 membered non-aromatic ring system having a ring carbon atom and 1 to 3 ring heteroatoms; in some embodiments, 4-7 A heterocyclic group is particularly preferred, which is a 4- to 7-membered non-aromatic ring system having a ring carbon atom and 1 to 3 ring hetero atoms; more preferably a 5-6 membered heterocyclic group having a ring carbon atom and A 5- to 6-membered non-aromatic ring system of 1 to 3 ring heteroatoms. Exemplary 3-membered heterocyclic groups containing one hetero atom include, but are not limited to, aziridine, oxacyclopropane, thicyclopropyl. An exemplary 4 element containing a hetero atom Heterocyclyl groups include, but are not limited to, azetidinyl, oxetane and thietane. Exemplary 5-membered heterocyclic groups containing one hetero atom include, but are not limited to, tetrahydrofuranyl, dihydrofuranyl, tetrahydrothiophenyl, dihydrothienyl, pyrrolidinyl, dihydropyrrolyl and pyrrolyl-2, 5-dione. Exemplary 5-membered heterocyclic groups containing two heteroatoms include, but are not limited to, dioxolyl, oxathiolan, dithiolane, and oxazolidin-2-one . Exemplary 5-membered heterocyclic groups containing three heteroatoms include, but are not limited to, triazolinyl, oxadiazolyl, and thiadiazolyl. Exemplary 6-membered heterocyclic groups containing one hetero atom include, but are not limited to, piperidinyl, dihydropyranyl, tetrahydropyranyl, dihydropyridyl and thiacyclohexane. Exemplary 6-membered heterocyclic groups containing two heteroatoms include, but are not limited to, piperazinyl, morpholinyl, dithianyl, dioxoalkyl. Exemplary 6-membered heterocyclic groups containing three heteroatoms include, but are not limited to, hexahydrotriazinyl. Exemplary 7-membered heterocyclic groups containing one hetero atom include, but are not limited to, azepanyl, oxaheptyl, and thiaheptanyl. Exemplary 8-membered heterocyclic groups containing one hetero atom include, but are not limited to, azacyclooctyl, oxacyclooctyl, and thicyclooctyl. Exemplary 5-membered heterocyclic groups (also referred to herein as 5,6-bicyclic heterocyclyl) fused to a 6-membered aryl ring include, but are not limited to, indanyl, isoindoline , dihydrobenzofuranyl, dihydrobenzothiophenyl, benzoxazolinone, and the like. Exemplary 6-membered heterocyclic groups fused to a 6-membered aryl ring (also referred to herein as 6,6-bicyclic heterocyclyl) include, but are not limited to, tetrahydroquinolyl, tetrahydroisoquinolinyl, and many more. The heterocyclic group includes a spiro ring, a fused ring, and a heterocyclic group of a bridged ring.
“螺杂环基”指5至20元,单环之间共用一个原子(称螺原子)的多环杂环基团,其中一个或多个环原子选自氮、氧或S(O)m(其中m是整数0至2)的杂原子,其余环原子为碳。这些可以含有一个或多个双键,但没有一个环具有芳香性。优选为6至14元,更优选为7至10元。根据环与环之间共用螺原子的数目将螺环烷基分为单螺杂环基、双螺杂环基或多螺杂环基,优选为单螺环烷基和双螺环烷基。更优选为4元/4元、4元/5元、4元/6元、5元/5元或5元/6元单螺环烷基。螺环烷基的非限制性实例包括:"Spiroheterocyclyl" means a polycyclic heterocyclic group of 5 to 20 members in which one atom (referred to as a spiro atom) is shared between monocyclic rings, wherein one or more ring atoms are selected from nitrogen, oxygen or S(O) m The hetero atom (where m is an integer from 0 to 2) and the remaining ring atoms are carbon. These may contain one or more double bonds, but none of the rings are aromatic. It is preferably 6 to 14 members, more preferably 7 to 10 members. The spirocycloalkyl group is classified into a monospiroheterocyclic group, a dispiroheterocyclic group or a polyspirocyclic group according to the number of common spiro atoms between the ring and the ring, and is preferably a monospirocycloalkyl group and a bispirocycloalkyl group. More preferably, it is 4 yuan / 4 yuan, 4 yuan / 5 yuan, 4 yuan / 6 yuan, 5 yuan / 5 yuan or 5 yuan / 6-membered monospirocycloalkyl group. Non-limiting examples of spirocycloalkyl groups include:
“稠杂环基”指5至20元,系统中的每个环与体系中的其他环共享毗邻的一对原子的多环杂环基团,一个或多个环可以含有一个或多个双键,但没有一个环具有芳香性,其中一个或多个环原子选自氮、氧或S(O)m(其中m是整数0至2)的杂原子,其余环原子为碳。优选为6至14元,更优选为7至10元。根据组成环的数目可以分为双环、三环、四环或多环稠杂环烷基, 优选为双环或三环,更优选为5元/5元或5元/6元双环稠杂环基。稠杂环基的非限制性实例包括:"Fused heterocyclyl" refers to 5 to 20 members, each ring of the system sharing an adjacent pair of atoms of a polycyclic heterocyclic group with other rings in the system, and one or more rings may contain one or more A bond, but none of the rings are aromatic in which one or more ring atoms are selected from the group consisting of nitrogen, oxygen or S(O) m (where m is an integer from 0 to 2), and the remaining ring atoms are carbon. It is preferably 6 to 14 members, more preferably 7 to 10 members. It may be classified into a bicyclic, tricyclic, tetracyclic or polycyclic fused heterocycloalkyl group according to the number of constituent rings, preferably a bicyclic or tricyclic ring, more preferably a 5-member/5-membered or 5-membered/6-membered bicyclic fused heterocyclic group. . Non-limiting examples of fused heterocyclic groups include:
所述杂环基环可以稠合于芳基、杂芳基或环烷基环上,其中与母体结构连接在一起的环为杂环基,非限制性实例包括:The heterocyclyl ring may be fused to an aryl, heteroaryl or cycloalkyl ring, wherein the ring to which the parent structure is attached is a heterocyclic group, non-limiting examples include:
杂环基可以是任选取代的或未取代的。The heterocyclic group may be optionally substituted or unsubstituted.
“6-14元芳基”是指具有6-14个环碳原子和零个杂原子的单环或多环的(例如,双环或三环)4n+2芳族环体系(例如,具有以环状排列共享的6、10或14个π电子)的基团。在一些实施方案中,芳基具有六个环碳原子(“6元芳基”;例如,苯基)。在一些实施方案中,芳基具有十个环碳原子(“10元芳基”;例如,萘基,例如,1-萘基和2-萘基)。在一些实施方案中,芳基具有十四个环碳原子(“14元芳基”;例如,蒽基)。在一些实施方案中,6-10元芳基是特别优选的,更优选6元芳基。所述芳基可以稠合于杂芳基、杂环基或环烷基环上,其中与母体结构连接在一起的环为芳基环,非限制性实例包括:"6-14 membered aryl" refers to a monocyclic or polycyclic (eg, bicyclic or tricyclic) 4n+2 aromatic ring system having 6 to 14 ring carbon atoms and zero heteroatoms (eg, having A group of 6, 10 or 14 π electrons shared in a ring. In some embodiments, an aryl group has six ring carbon atoms ("6-membered aryl"; for example, phenyl). In some embodiments, an aryl group has ten ring carbon atoms ("10 membered aryl"; for example, naphthyl, for example, 1-naphthyl and 2-naphthyl). In some embodiments, an aryl group has fourteen ring carbon atoms ("14-membered aryl"; for example, fluorenyl). In some embodiments, a 6-10 membered aryl group is particularly preferred, more preferably a 6 membered aryl group. The aryl group may be fused to a heteroaryl, heterocyclic or cycloalkyl ring, wherein the ring to which the parent structure is attached is an aryl ring, non-limiting examples include:
芳基可以是取代的或未取代的。The aryl group can be substituted or unsubstituted.
“5-10元杂芳基”是指具有环碳原子和1-4个环杂原子的5-10元单环或双环的4n+2芳族环体系(例如,具有以环状排列共享的6或10个π电子)的基团,其中每个杂原子独立地选自氮、氧和硫。在含有一个或多个氮原子的杂芳基中,只要化合价允许,连接点可以是碳或氮原子。在一些实施方案中,5-6元杂芳基是特别优选的,其为具有环碳原子和1-4个环杂原子的5-6元单环的4n+2芳族环体系。示例性的含有一个杂原子的5元杂芳基包括但不限于:吡咯基、呋喃基和噻吩基。示例性的含有两个杂原子的5元杂芳基包括但不限于:咪唑基、吡唑基、噁唑基、异噁唑基、噻唑基和异噻唑基。示例 性的含有三个杂原子的5元杂芳基包括但不限于:三唑基、噁二唑基和噻二唑基。示例性的含有四个杂原子的5元杂芳基包括但不限于:四唑基。示例性的含有一个杂原子的6元杂芳基包括但不限于:吡啶基。示例性的含有两个杂原子的6元杂芳基包括但不限于:哒嗪基、嘧啶基和吡嗪基。示例性的含有三个或四个杂原子的6元杂芳基分别包括但不限于:三嗪基和四嗪基。示例性的含有一个杂原子的7元杂芳基包括但不限于:氮杂环庚三烯基、氧杂环庚三烯基和硫杂环庚三烯基。示例性的5,6-双环杂芳基包括但不限于:吲哚基、异吲哚基、吲唑基、苯并三唑基、苯并噻吩基、异苯并噻吩基、苯并呋喃基、苯并异呋喃基、苯并咪唑基、苯并噁唑基、苯并异噁唑基、苯并噁二唑基、苯并噻唑基、苯并异噻唑基、苯并噻二唑基、茚嗪基和嘌呤基。示例性的6,6-双环杂芳基包括但不限于:萘啶基、喋啶基、喹啉基、异喹啉基、噌琳基、喹喔啉基、酞嗪基和喹唑啉基。所述杂芳基环可以稠合于芳基、杂环基或环烷基环上,其中与母体结构连接在一起的环为杂芳基环,非限制性实例包括:"5-10 membered heteroaryl" means a 5-10 membered monocyclic or bicyclic 4n+2 aromatic ring system having a ring carbon atom and 1-4 ring heteroatoms (eg, having a ring-like arrangement) a group of 6 or 10 π electrons, wherein each heteroatom is independently selected from the group consisting of nitrogen, oxygen and sulfur. In a heteroaryl group containing one or more nitrogen atoms, the point of attachment may be a carbon or nitrogen atom as long as the valence permits. In some embodiments, a 5-6 membered heteroaryl group is particularly preferred, which is a 5-6 membered monocyclic 4n+2 aromatic ring system having a ring carbon atom and 1-4 ring heteroatoms. Exemplary 5-membered heteroaryl groups containing one hetero atom include, but are not limited to, pyrrolyl, furyl and thienyl. Exemplary 5-membered heteroaryl groups containing two heteroatoms include, but are not limited to, imidazolyl, pyrazolyl, oxazolyl, isoxazolyl, thiazolyl, and isothiazolyl. Example Sexual 5-membered heteroaryl groups containing three heteroatoms include, but are not limited to, triazolyl, oxadiazolyl, and thiadiazolyl. Exemplary 5-membered heteroaryl groups containing four heteroatoms include, but are not limited to, tetrazolyl. Exemplary 6-membered heteroaryl groups containing one hetero atom include, but are not limited to, pyridyl. Exemplary 6-membered heteroaryl groups containing two heteroatoms include, but are not limited to, pyridazinyl, pyrimidinyl, and pyrazinyl. Exemplary 6-membered heteroaryl groups containing three or four heteroatoms include, but are not limited to, triazinyl and tetrazinyl, respectively. Exemplary 7-membered heteroaryl groups containing one hetero atom include, but are not limited to, azepandinyl, oxepanethylene, and thiephenylene. Exemplary 5,6-bicyclic heteroaryl groups include, but are not limited to, mercapto, isodecyl, oxazolyl, benzotriazolyl, benzothienyl, isobenzothienyl, benzofuranyl , benzoisofuranyl, benzimidazolyl, benzoxazolyl, benzoisoxazolyl, benzooxadiazolyl, benzothiazolyl, benzisothiazolyl, benzothiadiazolyl, Pyridazinyl and fluorenyl. Exemplary 6,6-bicyclic heteroaryl groups include, but are not limited to, naphthyridinyl, acridinyl, quinolyl, isoquinolinyl, fluorenyl, quinoxalinyl, pyridazinyl and quinazolinyl . The heteroaryl ring may be fused to an aryl, heterocyclic or cycloalkyl ring, wherein the ring to which the parent structure is attached is a heteroaryl ring, non-limiting examples include:
杂芳基可以是任选取代的或未取代的。The heteroaryl group can be optionally substituted or unsubstituted.
本文使用的“亚烷基”、“亚烯基”、“亚炔基”、“亚芳基”、“亚杂芳基”、“亚环烷基”和“亚杂环基”分别指的是上述烷基、烯基、炔基、芳基、杂芳基、环烷基和杂环基的二价基团。所述基团可以是任选取代的或未取代的。As used herein, "alkylene", "alkenylene", "alkynylene", "arylene", "heteroarylene", "cycloalkylene" and "heterocyclylene" refer to It is a divalent group of the above alkyl group, alkenyl group, alkynyl group, aryl group, heteroaryl group, cycloalkyl group and heterocyclic group. The group may be optionally substituted or unsubstituted.
“C1-C6亚烷基”是指除去C1-C6烷基的一个氢而形成的二价的亚烷基,并且可以是取代或未取代的亚烷基。在一些实施方案中,C1-C4亚烷基是特别优选的。未取代的所述亚烷基包括但不限于:亚甲基(-CH2-)、亚乙基(-CH2CH2-)、亚丙基(-CH2CH2CH2-)、亚丁基(-CH2CH2CH2CH2-)、亚戊基(-CH2CH2CH2CH2CH2-)、亚己基(-CH2CH2CH2CH2CH2CH2-),等等。示例性的取代的所述亚烷基,例如,被一个或多个烷基(甲基)取代的所述亚烷基,包括但不限于:取代的亚甲基(-CH(CH3)-、-C(CH3)2-)、取代的亚乙基(-CH(CH3)CH2-、-CH2CH(CH3)-、-C(CH3)2CH2-、-CH2C(CH3)2-)、取代的亚丙基(-CH(CH3)CH2CH2-、-CH2CH(CH3)CH2-、-CH2CH2CH(CH3)-、-C(CH3)2CH2CH2-、-CH2C(CH3)2CH2-、-CH2CH2C(CH3)2-),等等。 The "C 1 -C 6 alkylene group" means a divalent alkylene group formed by removing one hydrogen of a C 1 -C 6 alkyl group, and may be a substituted or unsubstituted alkylene group. In some embodiments, a C 1 -C 4 alkylene group is particularly preferred. The unsubstituted alkylene group includes, but is not limited to, methylene (-CH 2 -), ethylene (-CH 2 CH 2 -), propylene (-CH 2 CH 2 CH 2 -), arylene (-CH 2 CH 2 CH 2 CH 2 -), pentylene (-CH 2 CH 2 CH 2 CH 2 CH 2 -), hexylene (-CH 2 CH 2 CH 2 CH 2 CH 2 CH 2 -) ,and many more. Exemplary substituted alkylene groups, for example, the alkylene groups substituted with one or more alkyl groups (methyl groups) include, but are not limited to, substituted methylene groups (-CH(CH 3 )- , -C(CH 3 ) 2 -), substituted ethylene (-CH(CH 3 )CH 2 -, -CH 2 CH(CH 3 )-, -C(CH 3 ) 2 CH 2 -, -CH 2 C(CH 3 ) 2- ), substituted propylene (-CH(CH 3 )CH 2 CH 2 -, -CH 2 CH(CH 3 )CH 2 -, -CH 2 CH 2 CH(CH 3 ) -, -C(CH 3 ) 2 CH 2 CH 2 -, -CH 2 C(CH 3 ) 2 CH 2 -, -CH 2 CH 2 C(CH 3 ) 2 -), and the like.
“C2-C6亚烯基”是指除去C2-C6烯基的一个氢而形成的二价的亚烯基,并且可以是取代或未取代的亚烯基。在一些实施方案中,C2-C4亚烯基是特别优选的。示例性的未取代的所述亚烯基包括但不限于:亚乙烯基(-CH=CH-)和亚丙烯基(例如,-CH=CHCH2-、-CH2-CH=CH-)。示例性的取代的所述亚烯基,例如,被一个或多个烷基(甲基)取代的亚烯基,包括但不限于:取代的亚乙基(-C(CH3)=CH-、-CH=C(CH3)-)、取代的亚丙烯基(-C(CH3)=CHCH2-、-CH=C(CH3)CH2-、-CH=CHCH(CH3)-、-CH=CHC(CH3)2-、-CH(CH3)-CH=CH-、-C(CH3)2-CH=CH-、-CH2-C(CH3)=CH-、-CH2-CH=C(CH3)-),等等。The "C 2 -C 6 alkenylene group" means a divalent alkenylene group formed by removing one hydrogen of a C 2 -C 6 alkenyl group, and may be a substituted or unsubstituted alkenylene group. In some embodiments, C 2 -C 4 alkenylene is particularly preferred. Exemplary unsubstituted alkenyl groups include the alkylene but are not limited to: ethenylene (-CH = CH-) and propenylene (e.g., -CH = CHCH 2 -, - CH 2 -CH = CH-). Exemplary substituted alkenylene groups, for example, alkenylene groups substituted with one or more alkyl (methyl) groups include, but are not limited to, substituted ethylene groups (-C(CH 3 )=CH- , -CH=C(CH 3 )-), substituted propenylene (-C(CH 3 )=CHCH 2 -, -CH=C(CH 3 )CH 2 -, -CH=CHCH(CH 3 )- , -CH=CHC(CH 3 ) 2 -, -CH(CH 3 )-CH=CH-, -C(CH 3 ) 2 -CH=CH-, -CH 2 -C(CH 3 )=CH-, -CH 2 -CH=C(CH 3 )-), and so on.
“C2-C6亚炔基”是指除去C2-C6炔基的一个氢而形成的二价的亚炔基,并且可以是取代或未取代的亚炔基。在一些实施方案中,C2-C4亚炔基是特别优选的。示例性的所述亚炔基包括但不限于:亚乙炔基(-C≡C-)、取代或未取代的亚丙炔基(-C≡CCH2-),等等。The "C 2 -C 6 alkynylene group" means a divalent alkynylene group formed by removing one hydrogen of a C 2 -C 6 alkynyl group, and may be a substituted or unsubstituted alkynylene group. In some embodiments, a C 2 -C 4 alkynylene group is particularly preferred. Exemplary such alkynylene groups include, but are not limited to, ethynylene (-C≡C-), substituted or unsubstituted propynylene (-C≡CCH 2 -), and the like.
“6-14元亚芳基”、“5-10元亚杂芳基”、“C3-C8亚环烷基”和“3-10元亚杂环基”分别指的是除去上述6-14元芳基、5-10元杂芳基、C3-C8环烷基和3-10元杂环基的一个氢而形成的二价基团。"6-14 membered arylene", "5-10 membered heteroarylene", "C 3 -C 8 cycloalkylene" and "3-10 membered heterocyclylene" respectively mean the removal of the above 6 a divalent group formed by a hydrogen of a 14-membered aryl group, a 5-10 membered heteroaryl group, a C 3 -C 8 cycloalkyl group, and a 3-10 membered heterocyclic group.
本发明的所有基团均任选地被取代。“任选”或“任选地”意味着随后所描述地事件或情形可以但不必发生,该说明包括该事件或情形发生或不发生二者。例如,“任选被烷基取代的杂环基团”意味着烷基可以但不必须存在,该说明包括杂环基团被烷基取代的情形和杂环基团不被烷基取代的情形。All groups of the invention are optionally substituted. "Optional" or "optionally" means that the subsequently described event or circumstance may, but need not, occur, the description including whether the event or circumstance occurs or does not occur. For example, "heterocyclic group optionally substituted by an alkyl group" means that an alkyl group may be, but not necessarily, present, and the description includes the case where the heterocyclic group is substituted with an alkyl group and the case where the heterocyclic group is not substituted with an alkyl group. .
“取代的”指基团中的一个或多个氢原子,优选为最多5个,更优选为1~3个氢原子彼此独立地被相应数目的取代基取代。不言而喻,取代基仅处在它们的可能的化学位置,本领域技术人员能够在不付出过多努力的情况下确定(通过实验或理论)可能或不可能的取代。例如,具有游离氢的氨基或羟基与具有不饱和(如烯属)键的碳原子结合时可能是不稳定的。"Substituted" refers to one or more hydrogen atoms in the group, preferably up to 5, more preferably 1 to 3, hydrogen atoms, independently of each other, substituted by a corresponding number of substituents. It goes without saying that the substituents are only in their possible chemical positions, and those skilled in the art will be able to determine (by experiment or theory) substitutions that may or may not be possible without undue effort. For example, an amino group or a hydroxyl group having a free hydrogen may be unstable when combined with a carbon atom having an unsaturated (e.g., olefinic) bond.
示例性的碳原子上的取代基包括但不局限于:卤素、-CN、-NO2、-N3、-SO2H、-SO3H、-OH、-ORaa、-ON(Rbb)2、-N(Rbb)2、-N(Rbb)3 +X-、-N(ORcc)Rbb、-SH、-SRaa、-SSRcc、-C(=O)Raa、-CO2H、-CHO、-C(ORcc)2、-CO2Raa、-OC(=O)Raa、-OCO2Raa、-C(=O)N(Rbb)2、-OC(=O)N(Rbb)2、-NRbbC(=O)Raa、-NRbbCO2Raa、-NRbbC(=O)N(Rbb)2、-C(=NRbb)Raa、-C(=NRbb)ORaa、-OC(=NRbb)Raa、-OC(=NRbb)ORaa、-C(=NRbb)N(Rbb)2、-OC(=NRbb)N(Rbb)2、-NRbbC(=NRbb)N(Rbb)2、-C(=O)NRbbSO2Raa、-NRbbSO2Raa、-SO2N(Rbb)2、 -SO2Raa、-SO2ORaa、-OSO2Raa、-S(=O)Raa、-OS(=O)Raa、-Si(Raa)3、-OSi(Raa)3、-C(=S)N(Rbb)2、-C(=O)SRaa、-C(=S)SRaa、-SC(=S)SRaa、-SC(=O)SRaa、-OC(=O)SRaa、-SC(=O)ORaa、-SC(=O)Raa、-P(=O)2Raa、-OP(=O)2Raa、-P(=O)(Raa)2、-OP(=O)(Raa)2、-OP(=O)(ORcc)2、-P(=O)2N(Rbb)2、-OP(=O)2N(Rbb)2、-P(=O)(NRbb)2、-OP(=O)(NRbb)2、-NRbbP(=O)(ORcc)2、-NRbbP(=O)(NRbb)2、-P(Rcc)2、-P(Rcc)3、-OP(Rcc)2、-OP(Rcc)3、-B(Raa)2、-B(ORcc)2、-BRaa(ORcc)、烷基、卤代烷基、烯基、炔基、环烷基、杂环基、芳基和杂芳基,其中,每个烷基、烯基、炔基、环烷基、杂环基、芳基和杂芳基独立地被0、1、2、3、4或5个Rdd基团取代;Substituents on exemplary carbon atoms include, but are not limited to, halogen, -CN, -NO 2 , -N 3 , -SO 2 H, -SO 3 H, -OH, -OR aa , -ON (R bb 2 , -N(R bb ) 2 , -N(R bb ) 3 + X - , -N(OR cc )R bb , -SH, -SR aa , -SSR cc , -C(=O)R aa , -CO 2 H, -CHO, -C(OR cc ) 2 , -CO 2 R aa , -OC(=O)R aa , -OCO 2 R aa , -C(=O)N(R bb ) 2 , -OC(=O)N(R bb ) 2 , -NR bb C(=O)R aa , -NR bb CO 2 R aa , -NR bb C(=O)N(R bb ) 2 , -C (=NR bb )R aa , -C(=NR bb )OR aa , -OC(=NR bb )R aa , -OC(=NR bb )OR aa , -C(=NR bb )N(R bb ) 2 , -OC(=NR bb )N(R bb ) 2 , -NR bb C(=NR bb )N(R bb ) 2 , -C(=O)NR bb SO 2 R aa , -NR bb SO 2 R aa , -SO 2 N(R bb ) 2 , -SO 2 R aa , -SO 2 OR aa , -OSO 2 R aa , -S(=O)R aa , -OS(=O)R aa ,- Si(R aa ) 3 , -OSi(R aa ) 3 , -C(=S)N(R bb ) 2 , -C(=O)SR aa , -C(=S)SR aa , -SC(= S) SR aa , -SC(=O)SR aa , -OC(=O)SR aa , -SC(=O)OR aa , -SC(=O)R aa , -P(=O) 2 R aa , -OP (= O) 2 R aa, -P (= O) (R aa) 2, -OP ( O) (R aa) 2, -OP (= O) (OR cc) 2, -P (= O) 2 N (R bb) 2, -OP (= O) 2 N (R bb) 2, -P (=O)(NR bb ) 2 , -OP(=O)(NR bb ) 2 , -NR bb P(=O)(OR cc ) 2 , -NR bb P(=O)(NR bb ) 2 , -P(R cc ) 2 , -P(R cc ) 3 , -OP(R cc ) 2 , -OP(R cc ) 3 , -B(R aa ) 2 , -B(OR cc ) 2 , -BR Aa (OR cc ), alkyl, haloalkyl, alkenyl, alkynyl, cycloalkyl, heterocyclyl, aryl and heteroaryl, wherein each alkyl, alkenyl, alkynyl, cycloalkyl, Heterocyclyl, aryl and heteroaryl are independently substituted by 0, 1, 2, 3, 4 or 5 R dd groups;
或者在碳原子上的两个偕氢被基团=O、=S、=NN(Rbb)2、=NNRbbC(=O)Raa、=NNRbbC(=O)ORaa、=NNRbbS(=O)2Raa、=NRbb或=NORcc取代;Or two helium hydrogens on a carbon atom are group =O, =S, =NN(R bb ) 2 , =NNR bb C(=O)R aa , =NNR bb C(=O)OR aa ,= NNR bb S(=O) 2 R aa , =NR bb or =NOR cc substituted;
Raa的每个独立地选自烷基、卤代烷基、烯基、炔基、环烷基、杂环基、芳基和杂芳基,或者两个Raa基团结合以形成杂环基或杂芳基环,其中,每个烷基、烯基、炔基、环烷基、杂环基、芳基和杂芳基独立地被0、1、2、3、4或5个Rdd基团取代;Each of R aa is independently selected from alkyl, haloalkyl, alkenyl, alkynyl, cycloalkyl, heterocyclyl, aryl and heteroaryl, or two R aa groups are bonded to form a heterocyclic group or a heteroaryl ring wherein each alkyl, alkenyl, alkynyl, cycloalkyl, heterocyclyl, aryl and heteroaryl group is independently 0, 1, 2, 3, 4 or 5 R dd groups Substitute
Rbb的每个独立地选自:氢、-OH、-ORaa、-N(Rcc)2、-CN、-C(=O)Raa、-C(=O)N(Rcc)2、-CO2Raa、-SO2Raa、-C(=NRcc)ORaa、-C(=NRcc)N(Rcc)2、-SO2N(Rcc)2、-SO2Rcc、-SO2ORcc、-SORaa、-C(=S)N(Rcc)2、-C(=O)SRcc、-C(=S)SRcc、-P(=O)2Raa、-P(=O)(Raa)2、-P(=O)2N(Rcc)2、-P(=O)(NRcc)2、烷基、卤代烷基、烯基、炔基、环烷基、杂环基、芳基和杂芳基,或者两个Rbb基团结合以形成杂环基或杂芳基环,其中,每个烷基、烯基、炔基、环烷基、杂环基、芳基和杂芳基独立地被0、1、2、3、4或5个Rdd基团取代;Each of R bb is independently selected from the group consisting of: hydrogen, -OH, -OR aa , -N(R cc ) 2 , -CN, -C(=O)R aa , -C(=O)N(R cc ) 2 , -CO 2 R aa , -SO 2 R aa , -C(=NR cc )OR aa , -C(=NR cc )N(R cc ) 2 , -SO 2 N(R cc ) 2 , -SO 2 R cc , -SO 2 OR cc , -SOR aa , -C(=S)N(R cc ) 2 , -C(=O)SR cc , -C(=S)SR cc , -P(=O 2 R aa , -P(=O)(R aa ) 2 , -P(=O) 2 N(R cc ) 2 , -P(=O)(NR cc ) 2 , alkyl, haloalkyl, alkene a base, an alkynyl group, a cycloalkyl group, a heterocyclic group, an aryl group, and a heteroaryl group, or two R bb groups bonded to form a heterocyclic or heteroaryl ring, wherein each alkyl, alkenyl, alkyne a group, a cycloalkyl group, a heterocyclic group, an aryl group and a heteroaryl group are independently substituted by 0, 1, 2, 3, 4 or 5 R dd groups;
Rcc的每个独立地选自氢、烷基、卤代烷基、烯基、炔基、环烷基、杂环基、芳基和杂芳基,或者两个Rcc基团结合以形成杂环基或杂芳基环,其中,每个烷基、烯基、炔基、环烷基、杂环基、芳基和杂芳基独立地被0、1、2、3、4或5个Rdd基团取代;Each of R cc is independently selected from hydrogen, alkyl, haloalkyl, alkenyl, alkynyl, cycloalkyl, heterocyclyl, aryl and heteroaryl, or two R cc groups are bonded to form a heterocyclic ring a hetero or heteroaryl ring wherein each alkyl, alkenyl, alkynyl, cycloalkyl, heterocyclyl, aryl and heteroaryl group is independently 0, 1, 2, 3, 4 or 5 R Substituting dd group;
Rdd的每个独立地选自:卤素、-CN、-NO2、-N3、-SO2H、-SO3H、-OH、-ORee、-ON(Rff)2、-N(Rff)2,、-N(Rff)3 +X-、-N(ORee)Rff、-SH、-SRee、-SSRee、-C(=O)Ree、-CO2H、-CO2Ree、-OC(=O)Ree、-OCO2Ree、-C(=O)N(Rff)2、-OC(=O)N(Rff)2、-NRffC(=O)Ree、-NRffCO2Ree、-NRffC(=O)N(Rff)2、 -C(=NRff)ORee、-OC(=NRff)Ree、-OC(=NRff)ORee、-C(=NRff)N(Rff)2、-OC(=NRff)N(Rff)2、-NRffC(=NRff)N(Rff)2、-NRffSO2Ree、-SO2N(Rff)2、-SO2Ree、-SO2ORee、-OSO2Ree、-S(=O)Ree、-Si(Ree)3、-OSi(Ree)3、-C(=S)N(Rff)2、-C(=O)SRee、-C(=S)SRee、-SC(=S)SRee、-P(=O)2Ree、-P(=O)(Ree)2、-OP(=O)(Ree)2、-OP(=O)(ORee)2、烷基、卤代烷基、烯基、炔基、环烷基、杂环基、芳基、杂芳基,其中,每个烷基、烯基、炔基、环烷基、杂环基、芳基和杂芳基独立地被0、1、2、3、4或5个Rgg基团取代,或者两个偕Rdd取代基可结合以形成=O或=S;Each of R dd is independently selected from: halogen, -CN, -NO 2 , -N 3 , -SO 2 H, -SO 3 H, -OH, -OR ee , -ON(R ff ) 2 , -N (R ff ) 2 , , -N(R ff ) 3 + X - , -N(OR ee )R ff , -SH, -SR ee , -SSR ee , -C(=O)R ee , -CO 2 H, -CO 2 R ee , -OC(=O)R ee , -OCO 2 R ee , -C(=O)N(R ff ) 2 , -OC(=O)N(R ff ) 2 ,- NR ff C(=O)R ee , -NR ff CO 2 R ee , -NR ff C(=O)N(R ff ) 2 , -C(=NR ff )OR ee , -OC(=NR ff ) R ee , -OC(=NR ff )OR ee , -C(=NR ff )N(R ff ) 2 , -OC(=NR ff )N(R ff ) 2 , -NR ff C(=NR ff ) N(R ff ) 2 , -NR ff SO 2 R ee , -SO 2 N(R ff ) 2 , -SO 2 R ee , -SO 2 OR ee , -OSO 2 R ee , -S(=O)R Ee , -Si(R ee ) 3 , -OSi(R ee ) 3 , -C(=S)N(R ff ) 2 , -C(=O)SR ee , -C(=S)SR ee ,- SC(=S)SR ee , -P(=O) 2 R ee , -P(=O)(R ee ) 2 , -OP(=O)(R ee ) 2 , -OP(=O)(OR Ee ) 2 , alkyl, haloalkyl, alkenyl, alkynyl, cycloalkyl, heterocyclyl, aryl, heteroaryl, wherein each alkyl, alkenyl, alkynyl, cycloalkyl, heterocyclic ring Base, aryl and heteroaryl The group is independently substituted by 0, 1, 2, 3, 4 or 5 R gg groups, or the two 偕R dd substituents may be combined to form =0 or =S;
Ree的每个独立地选自烷基、卤代烷基、烯基、炔基、环烷基、芳基、杂环基和杂芳基,其中,每个烷基、烯基、炔基、环烷基、杂环基、芳基和杂芳基独立地被0、1、2、3、4或5个Rgg基团取代;Each of R ee is independently selected from the group consisting of alkyl, haloalkyl, alkenyl, alkynyl, cycloalkyl, aryl, heterocyclyl and heteroaryl, wherein each alkyl, alkenyl, alkynyl, ring An alkyl group, a heterocyclic group, an aryl group and a heteroaryl group are independently substituted by 0, 1, 2, 3, 4 or 5 R gg groups;
Rff的每个独立地选自氢、烷基、卤代烷基、烯基、炔基、环烷基、杂环基、芳基和杂芳基,或者两个Rff基团结合形成杂环基或杂芳基环,其中,每个烷基、烯基、炔基、环烷基、杂环基、芳基和杂芳基独立地被0、1、2、3、4或5个Rgg基团取代;Each of R ff is independently selected from hydrogen, alkyl, haloalkyl, alkenyl, alkynyl, cycloalkyl, heterocyclyl, aryl and heteroaryl, or two R ff groups are bonded to form a heterocyclic group Or a heteroaryl ring wherein each alkyl, alkenyl, alkynyl, cycloalkyl, heterocyclyl, aryl and heteroaryl group is independently 0, 1, 2, 3, 4 or 5 R gg Group substitution
Rgg的每个独立地是:卤素、-CN、-NO2、-N3、-SO2H、-SO3H、-OH、-OC1-6烷基、-ON(C1-6烷基)2、-N(C1-6烷基)2、-N(C1-6烷基)3 +X-、-NH(C1-6烷基)2 +X-、-NH2(C1-6烷基)+X-、-NH3 +X-、-N(OC1-6烷基)(C1-6烷基)、-N(OH)(C1-6烷基)、-NH(OH)、-SH、-SC1-6烷基、-SS(C1-6烷基)、-C(=O)(C1-6烷基)、-CO2H、-CO2(C1-6烷基)、-OC(=O)(C1-6烷基)、-OCO2(C1-6烷基)、-C(=O)NH2、-C(=O)N(C1-6烷基)2、-OC(=O)NH(C1-6烷基)、-NHC(=O)(C1-6烷基)、-N(C1-6烷基)C(=O)(C1-6烷基)、-NHCO2(C1-6烷基)、-NHC(=O)N(C1-6烷基)2、-NHC(=O)NH(C1-6烷基)、-NHC(=O)NH2、-C(=NH)O(C1-6烷基)、-OC(=NH)(C1-6烷基)、-OC(=NH)OC1-6烷基、-C(=NH)N(C1-6烷基)2、-C(=NH)NH(C1-6烷基)、-C(=NH)NH2、-OC(=NH)N(C1-6烷基)2、-OC(NH)NH(C1-6烷基)、-OC(NH)NH2、-NHC(NH)N(C1-6烷基)2、-NHC(=NH)NH2、-NHSO2(C1-6烷基)、-SO2N(C1-6烷基)2、-SO2NH(C1-6烷基)、-SO2NH2、-SO2C1-6烷基、-SO2OC1-6烷基、-OSO2C1-6烷基、-SOC1-6烷基、-Si(C1-6烷基)3、-OSi(C1-6烷基)3、-C(=S)N(C1-6烷基)2、C(=S)NH(C1-6烷基)、C(=S)NH2、-C(=O)S(C1-6烷基)、-C(=S)SC1-6烷基、-SC(=S)SC1-6烷基、-P(=O)2(C1-6烷基)、-P(=O)(C1-6烷基)2、-OP(=O)(C1-6烷基)2、-OP(=O)(OC1-6烷基)2、C1-6烷基、C1-6卤代烷基、C2-C6烯基、C2-C6炔基、 C3-C7环烷基、C6-C10芳基、C3-C7杂环基、C5-C10杂芳基;或者两个偕Rgg取代基可结合形成=O或=S;其中,X-为反离子。Each of R gg is independently: halogen, -CN, -NO 2 , -N 3 , -SO 2 H, -SO 3 H, -OH, -OC 1-6 alkyl, -ON (C 1-6 Alkyl) 2 , -N(C 1-6 alkyl) 2 , -N(C 1-6 alkyl) 3 + X - , -NH(C 1-6 alkyl) 2 + X - , -NH 2 (C 1-6 alkyl) + X - , -NH 3 + X - , -N(OC 1-6 alkyl)(C 1-6 alkyl), -N(OH)(C 1-6 alkyl ), -NH(OH), -SH, -SC 1-6 alkyl, -SS(C 1-6 alkyl), -C(=O)(C 1-6 alkyl), -CO 2 H, -CO 2 (C 1-6 alkyl), -OC(=O)(C 1-6 alkyl), -OCO 2 (C 1-6 alkyl), -C(=O)NH 2 , -C (=O)N(C 1-6 alkyl) 2 , -OC(=O)NH(C 1-6 alkyl), -NHC(=O)(C 1-6 alkyl), -N(C 1-6 alkyl)C(=O)(C 1-6 alkyl), -NHCO 2 (C 1-6 alkyl), -NHC(=O)N(C 1-6 alkyl) 2 ,- NHC(=O)NH(C 1-6 alkyl), -NHC(=O)NH 2 , -C(=NH)O(C 1-6 alkyl), -OC(=NH)(C 1- 6 alkyl), -OC(=NH)OC 1-6 alkyl, -C(=NH)N(C 1-6 alkyl) 2 , -C(=NH)NH(C 1-6 alkyl) , -C(=NH)NH 2 , -OC(=NH)N(C 1-6 alkyl) 2 , -OC(NH)NH(C 1-6 alkyl), -OC(NH)NH 2 , -NHC(NH)N(C 1-6 alkyl) 2 , -NHC(=NH)NH 2 , -NHSO 2 (C 1-6 alkyl), -SO 2 N (C 1-6 alkyl) 2 , -SO 2 NH(C 1-6 alkyl), -SO 2 NH 2 , -SO 2 C 1-6 alkyl, -SO 2 OC 1-6 alkyl, -OSO 2 C 1-6 alkyl , -SOC 1-6 alkyl, -Si(C 1-6 alkyl) 3 , -OSi(C 1-6 alkyl) 3 , -C(=S)N(C 1-6 alkyl) 2 , C(=S)NH(C 1-6 alkyl), C(=S)NH 2 , -C(=O)S(C 1-6 alkyl), -C(=S)SC 1-6 alkane Base, -SC(=S)SC 1-6 alkyl, -P(=O) 2 (C 1-6 alkyl), -P(=O)(C 1-6 alkyl) 2 , -OP( =O)(C 1-6 alkyl) 2 , -OP(=O)(OC 1-6 alkyl) 2 , C 1-6 alkyl, C 1-6 haloalkyl, C 2 -C 6 alkenyl , C 2 -C 6 alkynyl, C 3 -C 7 cycloalkyl, C 6 -C 10 aryl, C 3 -C 7 heterocyclyl, C 5 -C 10 heteroaryl; or two 偕R gg Substituents may be combined to form =O or =S; wherein X - is a counterion.
示例性的氮原子上取代基包括但不局限于:氢、-OH、-ORaa、-N(Rcc)2、-CN、-C(=O)Raa、-C(=O)N(Rcc)2、-CO2Raa、-SO2Raa、-C(=NRbb)Raa、-C(=NRcc)ORaa、-C(=NRcc)N(Rcc)2、-SO2N(Rcc)2、-SO2Rcc、-SO2ORcc、-SORaa、-C(=S)N(Rcc)2、-C(=O)SRcc、-C(=S)SRcc、-P(=O)2Raa、-P(=O)(Raa)2、-P(=O)2N(Rcc)2、-P(=O)(NRcc)2、烷基、卤代烷基、烯基、炔基、环烷基、杂环基、芳基和杂芳基,或者连接至氮原子的两个Rcc基团结合形成杂环基或杂芳基环,其中,每个烷基、烯基、炔基、环烷基、杂环基、芳基和杂芳基独立地被0、1、2、3、4或5个Rdd基团取代,且其中Raa、Rbb、Rcc和Rdd如上所述。Exemplary nitrogen atom substituents include, but are not limited to, hydrogen, -OH, -OR aa , -N(R cc ) 2 , -CN, -C(=O)R aa , -C(=O)N (R cc ) 2 , -CO 2 R aa , -SO 2 R aa , -C(=NR bb )R aa , -C(=NR cc )OR aa , -C(=NR cc )N(R cc ) 2 , -SO 2 N(R cc ) 2 , -SO 2 R cc , -SO 2 OR cc , -SOR aa , -C(=S)N(R cc ) 2 , -C(=O)SR cc , -C(=S)SR cc , -P(=O) 2 R aa , -P(=O)(R aa ) 2 , -P(=O) 2 N(R cc ) 2 , -P(=O (NR cc ) 2 , alkyl, haloalkyl, alkenyl, alkynyl, cycloalkyl, heterocyclyl, aryl and heteroaryl, or two R cc groups attached to a nitrogen atom to form a heterocyclic ring a hetero or heteroaryl ring wherein each alkyl, alkenyl, alkynyl, cycloalkyl, heterocyclyl, aryl and heteroaryl group is independently 0, 1, 2, 3, 4 or 5 R The dd group is substituted, and wherein R aa , R bb , R cc and R dd are as described above.
术语“可药用的盐”是指,在可靠的医学判断范围内,适合与人和低等动物的组织接触而没有过度毒性、刺激性、变态反应等等,并且与合理的益处/危险比例相称的那些盐。可药用的盐在本领域是众所周知的。例如,Berge等人在J.Pharmaceutical Sciences(1977)66:1-19中详细描述的可药用的盐。本发明化合物的可药用的盐包括衍生自合适的无机和有机酸和无机和有机碱的盐。药学上可接受的无毒的酸加成盐的实例是与无机酸形成的盐,例如盐酸、氢溴酸、磷酸、硫酸和高氯酸,或与有机酸形成的盐,例如乙酸、草酸、马来酸、酒石酸、枸橼酸、琥珀酸或丙二酸。也包括使用本领域常规方法形成的盐,例如,离子交换方法。其它可药用的盐包括:已二酸盐、海藻酸盐、抗坏血酸盐、天冬氨酸盐、苯磺酸盐、苯甲酸盐、重硫酸盐、硼酸盐、丁酸盐、樟脑酸盐、樟脑磺酸盐、柠檬酸盐、环戊丙酸盐、二葡糖酸盐、十二烷基硫酸盐、乙磺酸盐、甲酸盐、富马酸盐、葡萄糖酸盐、甘油磷酸盐、葡糖酸盐、半硫酸盐、庚酸盐、己酸盐、氢碘酸盐、2-羟基-乙磺酸盐、乳糖酸盐、乳酸盐、月桂酸盐、月桂基硫酸盐、苹果酸盐、马来酸盐、丙二酸盐、甲磺酸盐、2-萘磺酸盐、烟酸盐、硝酸盐、油酸盐、草酸盐、棕榈酸盐、双羟萘酸盐、果胶酯酸盐、过硫酸盐、3-苯丙酸盐、磷酸盐、苦味酸盐、特戊酸盐、丙酸盐、硬脂酸盐、琥珀酸盐、硫酸盐、酒石酸盐、硫氰酸盐、对甲苯磺酸盐、十一烷酸盐、戊酸盐,等等。衍生自合适的碱的可药用的盐包括碱金属、碱土金属、铵和N+(C1-4烷基)4盐。代表性的碱金属或碱土金属盐包括钠、锂、钾、钙、镁盐,等等。如果合适的话,其它的可药用的盐包括与 反离子形成的无毒的铵盐、季铵盐和胺阳离子,反离子例如卤离子、氢氧根、羧酸根、硫酸根、磷酸根、硝酸根、低级烷基磺酸根和芳基磺酸根。The term "pharmaceutically acceptable salt" means that, within the scope of sound medical judgment, it is suitable for contact with tissues of humans and lower animals without excessive toxicity, irritation, allergies, etc., and with reasonable benefits/risk ratios. Proportionate of those salts. Pharmaceutically acceptable salts are well known in the art. For example, pharmaceutically acceptable salts as described in detail by Berge et al., J. Pharmaceutical Sciences (1977) 66: 1-19. Pharmaceutically acceptable salts of the compounds of this invention include those derived from suitable inorganic and organic acids and inorganic and organic bases. Examples of pharmaceutically acceptable non-toxic acid addition salts are salts with inorganic acids such as hydrochloric acid, hydrobromic acid, phosphoric acid, sulfuric acid and perchloric acid, or salts with organic acids such as acetic acid, oxalic acid, Maleic acid, tartaric acid, citric acid, succinic acid or malonic acid. Also included are salts formed using conventional methods in the art, for example, ion exchange methods. Other pharmaceutically acceptable salts include: adipic acid salts, alginate, ascorbate, aspartate, besylate, benzoate, disulfate, borate, butyrate, camphoric acid Salt, camphor sulfonate, citrate, cyclopentanoate, digluconate, lauryl sulfate, ethanesulfonate, formate, fumarate, gluconate, glycerophosphate Salt, gluconate, hemisulfate, heptanoate, hexanoate, hydroiodide, 2-hydroxy-ethanesulfonate, lactobionate, lactate, laurate, lauryl sulfate, Malate, maleate, malonate, methanesulfonate, 2-naphthalenesulfonate, nicotinate, nitrate, oleate, oxalate, palmitate, pamoate , pectic acid ester, persulfate, 3-phenylpropionate, phosphate, picrate, pivalate, propionate, stearate, succinate, sulfate, tartrate, sulfur Cyanate, p-toluenesulfonate, undecanoate, valerate, and the like. Pharmaceutically acceptable salts derived from suitable bases include the alkali metal, alkaline earth metal, ammonium and N + (C 1-4 alkyl) 4 salts. Representative alkali or alkaline earth metal salts include sodium, lithium, potassium, calcium, magnesium salts, and the like. If applicable, other pharmaceutically acceptable salts include non-toxic ammonium salts, quaternary ammonium salts and amine cations formed with counterions, counterions such as halides, hydroxides, carboxylates, sulfates, phosphates, nitric acid Root, lower alkyl sulfonate and aryl sulfonate.
给药的“受试者”包括但不限于:人(即,任何年龄组的男性或女性,例如,儿科受试者(例如,婴儿、儿童、青少年)或成人受试者(例如,年轻的成人、中年的成人或年长的成人))和/或非人的动物,例如,哺乳动物,例如,灵长类(例如,食蟹猴、恒河猴)、牛、猪、马、绵羊、山羊、啮齿动物、猫和/或狗。在一些实施方案中,受试者是人。在一些实施方案中,受试者是非人动物。"Subjects" for administration include, but are not limited to, humans (ie, males or females of any age group, eg, pediatric subjects (eg, infants, children, adolescents) or adult subjects (eg, young Adults, middle-aged adults or older adults) and/or non-human animals, for example, mammals, for example, primates (eg, cynomolgus monkeys, rhesus monkeys), cattle, pigs, horses, sheep , goats, rodents, cats and/or dogs. In some embodiments, the subject is a human. In some embodiments, the subject is a non-human animal.
“疾病”、“障碍”和“病症”在本文中可互换地使用。"Disease," "disorder," and "disorder" are used interchangeably herein.
除非另作说明,否则,本文使用的术语“治疗”包括受试者患有具体疾病、障碍或病症时所发生的作用,它降低疾病、障碍或病症的严重程度,或延迟或减缓疾病、障碍或病症的发展(“治疗性治疗”),还包括在受试者开始患有具体疾病、障碍或病症之前发生的作用(“预防性治疗”)。The term "treatment" as used herein, unless otherwise indicated, includes the effect of a subject having a particular disease, disorder, or condition that reduces the severity of the disease, disorder, or condition, or delays or slows the disease, disorder. Or the development of a condition ("therapeutic treatment"), which also includes the effect that occurs before the subject begins to have a particular disease, disorder or condition ("prophylactic treatment").
通常,化合物的“有效量”是指足以引起目标生物反应的数量。正如本领域普通技术人员所理解的那样,本发明化合物的有效量可以根据下列因素而改变:例如,生物学目标、化合物的药代动力学、所治疗的疾病、给药模式以及受试者的年龄健康情况和症状。有效量包括治疗有效量和预防有效量。Generally, an "effective amount" of a compound refers to an amount sufficient to cause a target biological response. As will be understood by one of ordinary skill in the art, an effective amount of a compound of the invention can vary depending on, for example, the biological target, the pharmacokinetics of the compound, the condition being treated, the mode of administration, and the subject's Age health conditions and symptoms. Effective amounts include therapeutically effective amounts and prophylactically effective amounts.
除非另作说明,否则,本文使用的化合物的“治疗有效量”是在治疗疾病、障碍或病症的过程中足以提供治疗益处的量,或使与疾病、障碍或病症有关的一或多种症状延迟或最小化的量。化合物的治疗有效量是指单独使用或与其它疗法联用时,治疗剂的量,它在治疗疾病、障碍或病症的过程中提供治疗益处。术语“治疗有效量”可以包括改善总体治疗、降低或避免疾病或病症的症状或病因、或增强其它治疗剂的治疗效果的量。Unless otherwise indicated, a "therapeutically effective amount" of a compound as used herein is an amount sufficient to provide a therapeutic benefit in the course of treating a disease, disorder or condition, or one or more symptoms associated with a disease, disorder or condition. The amount of delay or minimization. A therapeutically effective amount of a compound refers to the amount of a therapeutic agent that, when used alone or in combination with other therapies, provides a therapeutic benefit in the treatment of a disease, disorder or condition. The term "therapeutically effective amount" can include an amount that improves overall treatment, reduces or avoids the symptoms or causes of the disease or condition, or enhances the therapeutic effect of other therapeutic agents.
除非另作说明,否则,本文使用的化合物的“预防有效量”是足以预防疾病、障碍或病症的量,或足以预防与疾病、障碍或病症有关的一或多种症状的量,或防止疾病、障碍或病症复发的量。化合物的预防有效量是指单独使用或与其它药剂联用时,治疗剂的量,它在预防疾病、障碍或病症的过程中提供预防益处。术语“预防有效量”可以包括改善总体预防的量,或增强其它预防药剂的预防效果的量。A "prophylactically effective amount" of a compound, as used herein, is an amount sufficient to prevent a disease, disorder or condition, or an amount sufficient to prevent one or more symptoms associated with a disease, disorder or condition, or to prevent disease, unless otherwise stated. The amount of recurrence of a disorder or condition. A prophylactically effective amount of a compound refers to the amount of a therapeutic agent that, when used alone or in combination with other agents, provides a prophylactic benefit in the prevention of a disease, disorder or condition. The term "prophylactically effective amount" can include an amount that improves the overall prevention, or an amount that enhances the prophylactic effect of other prophylactic agents.
“组合”以及相关术语是指同时或依次给药本发明化合物和其它治疗剂。例如,本发明化合物可以与其它治疗剂以分开的单位剂型同时或依次给药, 或与其它治疗剂一起在单一单位剂型中同时给药。"Combination" and related terms mean the simultaneous or sequential administration of a compound of the invention and other therapeutic agents. For example, a compound of the invention may be administered simultaneously or sequentially with other therapeutic agents in separate unit dosage forms. Or concurrently with other therapeutic agents in a single unit dosage form.
“前药”是指在体内通过例如在血液中水解转变成其具有医学效应的活性形式的化合物。药学上可接受的前药描述于T.Higuchi和V.Stella,Prodrugs as Novel Delivery Systems,A.C.S.Symposium Series,Vol.14,Edward B.Roche,ed.,Bioreversible Carriers in Drug Design,American Pharmaceutical Association and Pergamon Press,1987,以及D.Fleisher、S.Ramon和H.Barbra“Improved oral drug delivery:solubility limitations overcome by the use of prodrugs”,Advanced Drug Delivery Reviews(1996)19(2)115-130,将每篇引入本文作为参考。"Prodrug" means a compound that is converted in vivo to an active form thereof having a medical effect by, for example, hydrolysis in blood. Pharmaceutically acceptable prodrugs are described in T. Higuchi and V. Stella, Prodrugs as Novel Delivery Systems, ACSSymposium Series, Vol. 14, Edward B. Roche, ed., Bioreversible Carriers in Drug Design, American Pharmaceutical Association and Pergamon Press, 1987, and D. Fleisher, S. Ramon, and H. Barbra "Improved oral drug delivery: Solubility limitations overcome by the use of prodrugs", Advanced Drug Delivery Reviews (1996) 19(2) 115-130, each This article is incorporated herein by reference.
前药为任何共价键合的载体,当将这种前药给予患者时,其在体内释放本发明化合物。通常通过修饰官能团来制备前药,该修饰使得前药在体内裂解产生母体化合物。前药包括,例如,其中羟基、氨基或巯基与任意基团键合的本发明化合物,当将其给予患者时,可以裂解形成羟基、氨基或巯基。因此,前药的代表性实例包括但不限于,本发明化合物通过其中的羟基、氨基或巯基官能团与乙酸、甲酸或苯甲酸形成的共价衍生物。另外,在羧酸(-COOH)的情况下,可以使用酯,例如甲酯、乙酯等。酯本身可以是有活性的和/或可以在人体体内条件下水解。合适的药学上可接受的体内可水解的酯包括容易在人体中分解而释放母体酸或其盐的那些。A prodrug is any covalently bonded carrier which, when administered to a patient, releases the compound of the invention in vivo. Prodrugs are typically prepared by modifying functional groups that cleave the prodrug in vivo to yield the parent compound. Prodrugs include, for example, a compound of the invention wherein a hydroxy, amino or thiol group is bonded to any group which, when administered to a patient, can be cleaved to form a hydroxy, amino or thiol group. Thus, representative examples of prodrugs include, but are not limited to, covalent derivatives of the compounds of the invention formed by the hydroxyl, amino or thiol functional groups thereof with acetic acid, formic acid or benzoic acid. Further, in the case of a carboxylic acid (-COOH), an ester such as a methyl ester, an ethyl ester or the like can be used. The ester itself may be active and/or may hydrolyze under conditions in humans. Suitable pharmaceutically acceptable in vivo hydrolysable esters include those which readily decompose in the human body to release the parent acid or its salt.
本领域技术人员将理解,许多有机化合物可以与溶剂形成复合物,其在该溶剂中发生反应或从该溶剂中沉淀或结晶出来。这些复合物称为“溶剂合物”。当溶剂是水时,复合物称为“水合物”。本发明涵盖了本发明化合物的所有溶剂合物。Those skilled in the art will appreciate that many organic compounds can form complexes with solvents in which they react or precipitate or crystallize from the solvent. These complexes are referred to as "solvates." When the solvent is water, the complex is referred to as a "hydrate." The present invention encompasses all solvates of the compounds of the invention.
本发明化合物可包括一个或多个不对称中心,且因此可以存在多种立体异构体形式,例如,对映异构体、非对映异构体和外消旋体形式。例如,本发明化合物可为单独的对映异构体、非对映异构体或几何异构体(例如顺式和反式异构体),或者可为立体异构体的混合物的形式,包括外消旋混合物和富含一种或多种立体异构体的混合物。异构体可通过本领域技术人员已知的方法从混合物中分离,所述方法包括:手性高压液相色谱法(HPLC)以及手性盐的形成和结晶;或者优选的异构体可通过不对称合成来制备。The compounds of the invention may include one or more asymmetric centers, and thus may exist in a variety of stereoisomeric forms, for example, enantiomers, diastereomers, and racemate forms. For example, the compounds of the invention may be in the form of individual enantiomers, diastereomers or geometric isomers (e.g., cis and trans isomers), or may be in the form of a mixture of stereoisomers, A racemic mixture and a mixture rich in one or more stereoisomers are included. The isomers can be separated from the mixture by methods known to those skilled in the art, including: chiral high pressure liquid chromatography (HPLC) and the formation and crystallization of a chiral salt; or preferred isomers can be passed Prepared by asymmetric synthesis.
此外,本发明化合物还可以以“互变异构体”存在。“互变异构体”是指由于有机化合物的结构在两种官能团间产生平衡互相转换的现象而产生 的异构体。Furthermore, the compounds of the invention may also exist as "tautomers". "Tautomer" means that the structure of an organic compound is produced by the phenomenon of equilibrium conversion between two functional groups. Isomers.
化合物Compound
在一个实施方案中,本发明提供了一种通式(I)所示的化合物或其可药用的盐、互变异构体、外消旋体、对映异构体、非对映异构体、前药、水合物或溶剂合物,及其混合物:In one embodiment, the present invention provides a compound of the formula (I) or a pharmaceutically acceptable salt, tautomer, racemate, enantiomer, diastereomer thereof, or a diastereomer thereof Constructs, prodrugs, hydrates or solvates, and mixtures thereof:
其中:among them:
W选自CR1或N;W is selected from CR 1 or N;
环A选自6-14元亚芳基、5-10元亚杂芳基、C3-C8亚环烷基或3-10元亚杂环基;Ring A is selected from a 6-14 membered arylene group, a 5-10 membered heteroarylene group, a C 3 -C 8 cycloalkylene group or a 3-10 membered heterocyclylene group;
R1和R2独立地选自H、卤素、氰基、NO2、C1-C6烷基、C1-C6卤代烷基、C1-C6卤代烷氧基、C2-C6烯基、C2-C6炔基、C3-C8环烷基、-OR8、-NR6R7、-C(O)R8、-C(O)OR8、-C(O)NR6R7、-NR6C(O)R8、-NR6C(O)OR8、-NR6C(O)NR6R7、-OC(O)R8、-OC(O)OR8、-OC(O)NR6R7、-S(O)pR8、-S(O)pOR8、-S(O)pNR6R7、-OS(O)pR8或-NR6S(O)pR8;R 1 and R 2 are independently selected from H, halogen, cyano, NO 2 , C 1 -C 6 alkyl, C 1 -C 6 haloalkyl, C 1 -C 6 haloalkoxy, C 2 -C 6 olefin , C 2 -C 6 alkynyl, C 3 -C 8 cycloalkyl, -OR 8 , -NR 6 R 7 , -C(O)R 8 , -C(O)OR 8 , -C(O) NR 6 R 7 , -NR 6 C(O)R 8 , -NR 6 C(O)OR 8 , -NR 6 C(O)NR 6 R 7 , -OC(O)R 8 , -OC(O) OR 8 , -OC(O)NR 6 R 7 , -S(O) p R 8 , -S(O) p OR 8 , -S(O) p NR 6 R 7 , -OS(O) p R 8 Or -NR 6 S(O) p R 8 ;
L选自-C1-C6亚烷基-、-C2-C6亚烯基-、-C2-C6亚炔基-、-OC1-C6亚烷基-、-C1-C6亚烷基-O-、-NR6C(O)-、-C(O)NR6-、-OC(O)-、-C(O)O-、-NR6-C1-C6亚烷基-或-C1-C6亚烷基-NR6-;L is selected from -C 1 -C 6 alkylene-, -C 2 -C 6 alkenylene-, -C 2 -C 6 alkynylene-, -OC 1 -C 6 alkylene-, -C 1 -C 6 alkylene-O-, -NR 6 C(O)-, -C(O)NR 6 -, -OC(O)-, -C(O)O-, -NR 6 -C 1 - C 6 alkylene- or -C 1 -C 6 alkylene-NR 6 -;
X选自-O-、-NH-或-CH2-;X is selected from -O-, -NH- or -CH 2 -;
Y选自-C(O)-、-S(O)p-或-CH2-;Y is selected from -C(O)-, -S(O) p - or -CH 2 -;
或当X为-CH2-时,Y还可为-NH-或-O-;Or when X is -CH 2 -, Y may also be -NH- or -O-;
R3、R4和R5各自独立地选自H、卤素、氰基、C1-C6烷基、C1-C6卤代烷基、C1-C6卤代烷氧基、C3-C8环烷基或3-10元杂环基;R 3 , R 4 and R 5 are each independently selected from H, halogen, cyano, C 1 -C 6 alkyl, C 1 -C 6 haloalkyl, C 1 -C 6 haloalkoxy, C 3 -C 8 a cycloalkyl group or a 3-10 membered heterocyclic group;
或者,R3和R4可形成化学键;Alternatively, R 3 and R 4 may form a chemical bond;
R6、R7和R8各自独立地选自H、C1-C6烷基、C1-C6杂烷基、C3-C8环烷基、3-10元杂环基、5-10元杂芳基或6-14元芳基;R 6 , R 7 and R 8 are each independently selected from H, C 1 -C 6 alkyl, C 1 -C 6 heteroalkyl, C 3 -C 8 cycloalkyl, 3-10 membered heterocyclyl, 5 -10 membered heteroaryl or 6-14 membered aryl;
m为0、1、2、3或4; m is 0, 1, 2, 3 or 4;
n为0、1、2、3、4或5;且n is 0, 1, 2, 3, 4 or 5;
p为1或2。p is 1 or 2.
在具体实施方案中,W为CR1;优选地,W为CH;优选地,W为CF。在另一具体方案中,W为N。In a particular embodiment, W is CR 1 ; preferably, W is CH; preferably, W is CF. In another embodiment, W is N.
在具体实施方案中,环A为6-14元亚芳基;优选地,环A为6-10元亚芳基;优选地,环A为亚苯基。在另一具体方案中,环A为5-10元亚杂芳基;优选地,环A为5-6元亚杂芳基;优选地,环A为6元亚杂芳基。在另一具体方案中,环A为C3-C8亚环烷基;优选地,环A为C3-C6亚环烷基;优选地,环A为C5-C6亚环烷基。在另一具体方案中,环A为3-10元亚杂环基;优选地,环A为4-7元亚杂环基;优选地,环A为5-6元亚杂环基。In a particular embodiment, Ring A is a 6-14 membered arylene; preferably, Ring A is a 6-10 membered arylene; preferably, Ring A is a phenylene group. In another embodiment, Ring A is a 5-10 membered heteroarylene; preferably, Ring A is a 5-6 membered heteroarylene; preferably, Ring A is a 6 membered heteroarylene. In another embodiment, Ring A is a C 3 -C 8 cycloalkylene group; preferably, Ring A is a C 3 -C 6 cycloalkylene group; preferably, Ring A is a C 5 -C 6 hypocycloalkane base. In another embodiment, Ring A is a 3-10 membered heterocyclylene; preferably, Ring A is a 4-7 membered heterocyclylene; preferably, Ring A is a 5-6 membered heterocyclylene.
在更具体实施方案中,环A为其中In a more specific embodiment, ring A is among them
E1、E2、E3和E4各自独立地选自CR1或N;E 1 , E 2 , E 3 and E 4 are each independently selected from CR 1 or N;
E5、E6、E7和E8各自独立地选自O、S、C(R1)2或NR1。E 5 , E 6 , E 7 and E 8 are each independently selected from O, S, C(R 1 ) 2 or NR 1 .
在更具体实施方案中,环A选自:In a more specific embodiment, ring A is selected from the group consisting of
其中R1选自H、卤素、氰基、NO2、C1-C6烷基、C1-C6卤代烷基、C1-C6卤代烷氧基或-OR8;Wherein R 1 is selected from the group consisting of H, halogen, cyano, NO 2 , C 1 -C 6 alkyl, C 1 -C 6 haloalkyl, C 1 -C 6 haloalkoxy or -OR 8 ;
R8选自H或C1-C6烷基;R 8 is selected from H or C 1 -C 6 alkyl;
m为0、1、2或3。m is 0, 1, 2 or 3.
在具体实施方案中,R1独立地选自H、卤素、氰基、NO2、C1-C6烷基、C1-C6卤代烷基、C1-C6卤代烷氧基、C2-C6烯基、C2-C6炔基、C3-C8环烷基、-OR8、-NR6R7、-C(O)R8、-C(O)OR8、-C(O)NR6R7、-NR6C(O)R8、-OC(O)R8、 -S(O)pR8、-S(O)pOR8、-S(O)pNR6R7、-OS(O)pR8或-NR6S(O)pR8;优选地,R1独立地选自H、卤素、氰基、NO2、C1-C6烷基、C1-C6卤代烷基、C1-C6卤代烷氧基、C2-C6烯基、C2-C6炔基、C3-C8环烷基、-OR8、-NR6R7、-C(O)R8、-C(O)OR8、-C(O)NR6R7、-NR6C(O)R8或-OC(O)R8;优选地,R1独立地选自H、卤素、氰基、NO2、C1-C6烷基、C1-C6卤代烷基、C1-C6卤代烷氧基、C2-C6烯基、C2-C6炔基、C3-C8环烷基、-OR8或-NR6R7;优选地,R1独立地选自H、卤素、氰基、NO2、C1-C6烷基、C1-C6卤代烷基、C1-C6卤代烷氧基、-OR8或-NR6R7;优选地,R1独立地选自H、卤素、氰基、NO2、C1-C6烷基、C1-C6卤代烷基、C1-C6卤代烷氧基、-OR8或-NR6R7。In a particular embodiment, R 1 is independently selected from H, halo, cyano, NO 2 , C 1 -C 6 alkyl, C 1 -C 6 haloalkyl, C 1 -C 6 haloalkoxy, C 2 - C 6 alkenyl, C 2 -C 6 alkynyl, C 3 -C 8 cycloalkyl, -OR 8 , -NR 6 R 7 , -C(O)R 8 , -C(O)OR 8 , -C (O)NR 6 R 7 , -NR 6 C(O)R 8 , -OC(O)R 8 , -S(O) p R 8 , -S(O) p OR 8 , -S(O) p NR 6 R 7 , -OS(O) p R 8 or -NR 6 S(O) p R 8 ; preferably, R 1 is independently selected from H, halogen, cyano, NO 2 , C 1 -C 6 alkane , C 1 -C 6 haloalkyl, C 1 -C 6 haloalkoxy, C 2 -C 6 alkenyl, C 2 -C 6 alkynyl, C 3 -C 8 cycloalkyl, -OR 8 , -NR 6 R 7 , -C(O)R 8 , -C(O)OR 8 , -C(O)NR 6 R 7 , -NR 6 C(O)R 8 or -OC(O)R 8 ; preferably R 1 is independently selected from the group consisting of H, halogen, cyano, NO 2 , C 1 -C 6 alkyl, C 1 -C 6 haloalkyl, C 1 -C 6 haloalkoxy, C 2 -C 6 alkenyl, C 2 -C 6 alkynyl, C 3 -C 8 cycloalkyl, -OR 8 or -NR 6 R 7 ; preferably, R 1 is independently selected from H, halogen, cyano, NO 2 , C 1 -C 6 alkyl, C 1 -C 6 haloalkyl, C 1 -C 6 haloalkoxy, -OR 8 or -NR 6 R 7 ; Optionally, R 1 is independently selected from H, halo, cyano, NO 2 , C 1 -C 6 alkyl, C 1 -C 6 haloalkyl, C 1 -C 6 haloalkoxy, -OR 8 or -NR 6 R 7 .
在具体实施方案中,R2独立地选自H、卤素、氰基、NO2、C1-C6烷基、C1-C6卤代烷基、C1-C6卤代烷氧基、C2-C6烯基、C2-C6炔基、C3-C8环烷基、-OR8、-NR6R7、-C(O)R8、-C(O)OR8、-C(O)NR6R7、-NR6C(O)R8、-OC(O)R8、-S(O)pR8、-S(O)pOR8、-S(O)pNR6R7、-OS(O)pR8或-NR6S(O)pR8;优选地,R2独立地选自H、卤素、氰基、NO2、C1-C6烷基、C1-C6卤代烷基、C1-C6卤代烷氧基、C2-C6烯基、C2-C6炔基、C3-C8环烷基、-OR8、-NR6R7、-C(O)R8、-C(O)OR8、-C(O)NR6R7、-NR6C(O)R8或-OC(O)R8;优选地,R2独立地选自H、卤素、氰基、NO2、C1-C6烷基、C1-C6卤代烷基、C1-C6卤代烷氧基、C2-C6烯基、C2-C6炔基、C3-C8环烷基、-OR8或-NR6R7;优选地,R2独立地选自H、卤素、氰基、NO2、C1-C6烷基、C1-C6卤代烷基、C1-C6卤代烷氧基、-OR8或-NR6R7;优选地,R2独立地选自H、卤素、氰基、NO2、C1-C6烷基、C1-C6卤代烷基、C1-C6卤代烷氧基、-OR8或-NR6R7。In a particular embodiment, R 2 is independently selected from H, halo, cyano, NO 2 , C 1 -C 6 alkyl, C 1 -C 6 haloalkyl, C 1 -C 6 haloalkoxy, C 2 - C 6 alkenyl, C 2 -C 6 alkynyl, C 3 -C 8 cycloalkyl, -OR 8 , -NR 6 R 7 , -C(O)R 8 , -C(O)OR 8 , -C (O)NR 6 R 7 , -NR 6 C(O)R 8 , -OC(O)R 8 , -S(O) p R 8 , -S(O) p OR 8 , -S(O) p NR 6 R 7 , -OS(O) p R 8 or -NR 6 S(O) p R 8 ; preferably, R 2 is independently selected from H, halogen, cyano, NO 2 , C 1 -C 6 alkane , C 1 -C 6 haloalkyl, C 1 -C 6 haloalkoxy, C 2 -C 6 alkenyl, C 2 -C 6 alkynyl, C 3 -C 8 cycloalkyl, -OR 8 , -NR 6 R 7 , -C(O)R 8 , -C(O)OR 8 , -C(O)NR 6 R 7 , -NR 6 C(O)R 8 or -OC(O)R 8 ; preferably R 2 is independently selected from the group consisting of H, halogen, cyano, NO 2 , C 1 -C 6 alkyl, C 1 -C 6 haloalkyl, C 1 -C 6 haloalkoxy, C 2 -C 6 alkenyl, C 2 -C 6 alkynyl, C 3 -C 8 cycloalkyl, -OR 8 or -NR 6 R 7 ; preferably, R 2 is independently selected from H, halogen, cyano, NO 2 , C 1 -C 6 alkyl, C 1 -C 6 haloalkyl, C 1 -C 6 haloalkoxy, -OR 8 or -NR 6 R 7; excellent Manner, R 2 is independently selected from H, halo, cyano, NO 2, C 1 -C 6 alkyl, C 1 -C 6 haloalkyl, C 1 -C 6 haloalkoxy, -OR 8 or -NR 6 R 7 .
在具体实施方案中,L选自-C1-C6亚烷基-、-C2-C6亚烯基-、-C2-C6亚炔基-、-OC1-C6亚烷基-、-C1-C6亚烷基-O-、-NR6C(O)-、-C(O)NR6-、-OC(O)-、-C(O)O-、-NR6-C1-C6亚烷基-或-C1-C6亚烷基-NR6-;优选地,L选自-C1-C6亚烷基-、-C2-C6亚烯基-、-OC1-C6亚烷基-、-C1-C6亚烷基-O-、-NR6C(O)-、-C(O)NR6-、-OC(O)-、-C(O)O-、-NR6-C1-C6亚烷基-或-C1-C6亚烷基-NR6-;优选地,L选自-C1-C6亚烷基-、-C2-C6亚烯基-、-OC1-C6亚烷基-、-C1-C6亚烷基-O-、-NR6C(O)-或-C(O)NR6-;优选地,L为-OC1-C6亚烷基-或-C1-C6亚烷基-O-;优选地,L为-OCH2-或-CH2O-。In a particular embodiment, L is selected from the group consisting of -C 1 -C 6 alkylene-, -C 2 -C 6 alkenylene-, -C 2 -C 6 alkynylene-, -OC 1 -C 6 -alkylene Base-, -C 1 -C 6 alkylene-O-, -NR 6 C(O)-, -C(O)NR 6 -, -OC(O)-, -C(O)O-, - NR 6 -C 1 -C 6 alkylene- or -C 1 -C 6 alkylene-NR 6 -; preferably, L is selected from -C 1 -C 6 alkylene-, -C 2 -C 6 Alkenylene-, -OC 1 -C 6 alkylene-, -C 1 -C 6 alkylene-O-, -NR 6 C(O)-, -C(O)NR 6 -, -OC ( O)-, -C(O)O-, -NR 6 -C 1 -C 6 alkylene- or -C 1 -C 6 alkylene-NR 6 -; preferably, L is selected from -C 1 - C 6 alkylene-, -C 2 -C 6 alkenylene-, -OC 1 -C 6 alkylene-, -C 1 -C 6 alkylene-O-, -NR 6 C(O)- Or -C(O)NR 6 -; preferably, L is -OC 1 -C 6 alkylene- or -C 1 -C 6 alkylene-O-; preferably, L is -OCH 2 - or - CH 2 O-.
在具体实施方案中,X选自-O-或-NH-;Y选自-C(O)-或-S(O)p-;优选地,X为-NH-且Y为-C(O)-。 In a particular embodiment, X is selected from -O- or -NH-; Y is selected from -C(O)- or -S(O) p- ; preferably, X is -NH- and Y is -C(O )-.
在具体实施方案中,R3、R4和R5各自独立地选自H、卤素、氰基、C1-C6烷基、C1-C6卤代烷基或C1-C6卤代烷氧基;或者,R3和R4可形成化学键;优选地,R3、R4和R5各自独立地选自H、卤素、氰基或C1-C6烷基;或者,R3和R4可形成化学键;优选地R3、R4和R5各自独立地选自H或C1-C6烷基;或者,R3和R4可形成化学键。In a particular embodiment, R 3 , R 4 and R 5 are each independently selected from H, halo, cyano, C 1 -C 6 alkyl, C 1 -C 6 haloalkyl or C 1 -C 6 haloalkoxy Or, R 3 and R 4 may form a chemical bond; preferably, R 3 , R 4 and R 5 are each independently selected from H, halogen, cyano or C 1 -C 6 alkyl; or, R 3 and R 4 A chemical bond may be formed; preferably, R 3 , R 4 and R 5 are each independently selected from H or a C 1 -C 6 alkyl group; or, R 3 and R 4 may form a chemical bond.
在具体实施方案中,R6、R7和R8各自独立地选自H、C1-C6烷基或C3-C8环烷基;优选地R6、R7和R8各自独立地选自H或C1-C6烷基。In a particular embodiment, R 6 , R 7 and R 8 are each independently selected from H, C 1 -C 6 alkyl or C 3 -C 8 cycloalkyl; preferably R 6 , R 7 and R 8 are each independently It is selected from H or C 1 -C 6 alkyl.
在另一实施方案中,本发明提供了通式(II)所示的化合物或其可药用的盐、互变异构体、外消旋体、对映异构体、非对映异构体、前药、水合物或溶剂合物,及其混合物:In another embodiment, the present invention provides a compound of the formula (II) or a pharmaceutically acceptable salt, tautomer, racemate, enantiomer, diastereomer thereof Body, prodrug, hydrate or solvate, and mixtures thereof:
其中各基团定义如上所述。Each of the groups is defined as described above.
优选地,在通式(II)所示的化合物中,Preferably, among the compounds represented by the formula (II),
Ra和Rc独立地选自H、卤素、氰基、NO2、C1-C6烷基或C1-C6卤代烷基;R a and R c are independently selected from H, halogen, cyano, NO 2 , C 1 -C 6 alkyl or C 1 -C 6 haloalkyl;
Rb独立地选自H、C1-C6烷基或C1-C6卤代烷基;R b is independently selected from H, C 1 -C 6 alkyl or C 1 -C 6 haloalkyl;
R3和R4各自独立地选自H、氰基、C1-C6烷基或C1-C6卤代烷基;R 3 and R 4 are each independently selected from H, cyano, C 1 -C 6 alkyl or C 1 -C 6 haloalkyl;
或者,R3和R4可形成化学键;Alternatively, R 3 and R 4 may form a chemical bond;
A、R1和m如上文所定义。A, R 1 and m are as defined above.
在另一实施方案中,本发明提供了通式(III)所示的化合物或其可药用的盐、互变异构体、外消旋体、对映异构体、非对映异构体、前药、水合物或溶剂合物,及其混合物: In another embodiment, the present invention provides a compound of the formula (III) or a pharmaceutically acceptable salt, tautomer, racemate, enantiomer, diastereomer thereof Body, prodrug, hydrate or solvate, and mixtures thereof:
其中各基团定义如上所述。Each of the groups is defined as described above.
优选地,在通式(III)所示的化合物中,Preferably, among the compounds represented by the formula (III),
W选自CR1或N;W is selected from CR 1 or N;
环A-(R1)m选自Ring A-(R 1 )m is selected from
R1独立地选自H、卤素、氰基、NO2、C1-C6烷基、C1-C6卤代烷基、C1-C6卤代烷氧基或-OR8;R 1 is independently selected from H, halogen, cyano, NO 2 , C 1 -C 6 alkyl, C 1 -C 6 haloalkyl, C 1 -C 6 haloalkoxy or -OR 8 ;
R2独立地选自H、卤素、氰基、NO2、C1-C6烷基、C1-C6卤代烷基、C1-C6卤代烷氧基、-OR8、-NR6R7、-C(O)R8、-C(O)OR8、-C(O)NR6R7或-NR6C(O)R8;R 2 is independently selected from the group consisting of H, halogen, cyano, NO 2 , C 1 -C 6 alkyl, C 1 -C 6 haloalkyl, C 1 -C 6 haloalkoxy, -OR 8 , -NR 6 R 7 , -C(O)R 8 , -C(O)OR 8 , -C(O)NR 6 R 7 or -NR 6 C(O)R 8 ;
R3、R4和R5各自独立地选自H、卤素、氰基或C1-C6烷基;R 3 , R 4 and R 5 are each independently selected from H, halogen, cyano or C 1 -C 6 alkyl;
或者,R3和R4可形成化学键;Alternatively, R 3 and R 4 may form a chemical bond;
R6、R7和R8各自独立地选自H、C1-C6烷基、C3-C8环烷基或3-10元杂环基;R 6 , R 7 and R 8 are each independently selected from H, C 1 -C 6 alkyl, C 3 -C 8 cycloalkyl or 3-10 membered heterocyclyl;
m为0、1、2、3或4。m is 0, 1, 2, 3 or 4.
更优选地,在通式(III)所示的化合物中,More preferably, among the compounds represented by the formula (III),
W选自CF或N;W is selected from CF or N;
环A-(R1)m选自Ring A-(R 1 )m is selected from
R1独立地选自H、卤素、C1-C6烷基或C1-C6卤代烷基;R 1 is independently selected from H, halogen, C 1 -C 6 alkyl or C 1 -C 6 haloalkyl;
R2独立地选自H、卤素、-OR8、-NR6R7或-C(O)NR6R7;R 2 is independently selected from H, halogen, -OR 8 , -NR 6 R 7 or -C(O)NR 6 R 7 ;
R3、R4和R5各自独立地选自H或C1-C6烷基;R 3 , R 4 and R 5 are each independently selected from H or C 1 -C 6 alkyl;
或者,R3和R4可形成化学键;Alternatively, R 3 and R 4 may form a chemical bond;
R6、R7和R8各自独立地选自H、C1-C6烷基或C3-C8环烷基;R 6 , R 7 and R 8 are each independently selected from H, C 1 -C 6 alkyl or C 3 -C 8 cycloalkyl;
m为0、1、2、3或4。m is 0, 1, 2, 3 or 4.
在另一实施方案中,本发明提供了通式(IV)所示的化合物或其可药用的盐、互变异构体、外消旋体、对映异构体、非对映异构体、前药、水合物或溶剂合物,及其混合物:In another embodiment, the present invention provides a compound of the formula (IV): or a pharmaceutically acceptable salt, tautomer, racemate, enantiomer, diastereomer thereof Body, prodrug, hydrate or solvate, and mixtures thereof:
其中各基团定义如上所述。Each of the groups is defined as described above.
优选地,在通式(IV)所示的化合物中,Preferably, among the compounds represented by the formula (IV),
环A-(R1)m选自:Ring A-(R 1 )m is selected from:
R1独立地选自H、卤素、氰基、NO2、C1-C6烷基、C1-C6卤代烷基、C1-C6 卤代烷氧基或-OR8;R 1 is independently selected from H, halogen, cyano, NO 2 , C 1 -C 6 alkyl, C 1 -C 6 haloalkyl, C 1 -C 6 haloalkoxy or -OR 8 ;
R2独立地选自H、卤素、氰基、NO2、C1-C6烷基、C1-C6卤代烷基、C1-C6卤代烷氧基、-OR8、-NR6R7、-C(O)R8、-C(O)OR8、-C(O)NR6R7或-NR6C(O)R8;R 2 is independently selected from the group consisting of H, halogen, cyano, NO 2 , C 1 -C 6 alkyl, C 1 -C 6 haloalkyl, C 1 -C 6 haloalkoxy, -OR 8 , -NR 6 R 7 , -C(O)R 8 , -C(O)OR 8 , -C(O)NR 6 R 7 or -NR 6 C(O)R 8 ;
R3、R4和R5各自独立地选自H、卤素、氰基或C1-C6烷基;R 3 , R 4 and R 5 are each independently selected from H, halogen, cyano or C 1 -C 6 alkyl;
或者,R3和R4可形成化学键;Alternatively, R 3 and R 4 may form a chemical bond;
R6、R7和R8各自独立地选自H、C1-C6烷基、C3-C8环烷基或3-10元杂环基;R 6 , R 7 and R 8 are each independently selected from H, C 1 -C 6 alkyl, C 3 -C 8 cycloalkyl or 3-10 membered heterocyclyl;
m为0、1、2、3或4。m is 0, 1, 2, 3 or 4.
更优选地,在通式(IV)所示的化合物中,More preferably, among the compounds represented by the formula (IV),
环A-(R1)m选自:Ring A-(R 1 )m is selected from:
R1独立地选自H、卤素、C1-C6烷基或C1-C6卤代烷基;R 1 is independently selected from H, halogen, C 1 -C 6 alkyl or C 1 -C 6 haloalkyl;
R2独立地选自H、卤素、-OR8、-NR6R7或-C(O)NR6R7;R 2 is independently selected from H, halogen, -OR 8 , -NR 6 R 7 or -C(O)NR 6 R 7 ;
R3、R4和R5各自独立地选自H或C1-C6烷基;R 3 , R 4 and R 5 are each independently selected from H or C 1 -C 6 alkyl;
或者,R3和R4可形成化学键;Alternatively, R 3 and R 4 may form a chemical bond;
R6、R7和R8各自独立地选自H、C1-C6烷基或C3-C8环烷基;R 6 , R 7 and R 8 are each independently selected from H, C 1 -C 6 alkyl or C 3 -C 8 cycloalkyl;
m为0、1、2、3或4。m is 0, 1, 2, 3 or 4.
在另一实施方案中,本发明提供了通式(V)所示的化合物或其可药用的盐、互变异构体、外消旋体、对映异构体、非对映异构体、前药、水合物或溶剂合物,及其混合物:In another embodiment, the present invention provides a compound of the formula (V) or a pharmaceutically acceptable salt, tautomer, racemate, enantiomer, diastereomer thereof Body, prodrug, hydrate or solvate, and mixtures thereof:
其中各基团定义如上所述。Each of the groups is defined as described above.
优选地,在通式(V)所示的化合物中,Preferably, among the compounds represented by the formula (V),
环A-(R1)m选自: Ring A-(R 1 )m is selected from:
R1独立地选自H、卤素、氰基、NO2、C1-C6烷基、C1-C6卤代烷基、C1-C6卤代烷氧基或-OR8;R 1 is independently selected from H, halogen, cyano, NO 2 , C 1 -C 6 alkyl, C 1 -C 6 haloalkyl, C 1 -C 6 haloalkoxy or -OR 8 ;
R3、R4和R5各自独立地选自H、卤素、氰基或C1-C6烷基;R 3 , R 4 and R 5 are each independently selected from H, halogen, cyano or C 1 -C 6 alkyl;
或者,R3和R4可形成化学键;Alternatively, R 3 and R 4 may form a chemical bond;
R8选自H或C1-C6烷基;R 8 is selected from H or C 1 -C 6 alkyl;
m为0、1、2或3。m is 0, 1, 2 or 3.
更优选地,在通式(V)所示的化合物中,More preferably, among the compounds represented by the formula (V),
环A-(R1)m选自:Ring A-(R 1 )m is selected from:
R1独立地选自H、卤素、C1-C6烷基或C1-C6卤代烷基;R 1 is independently selected from H, halogen, C 1 -C 6 alkyl or C 1 -C 6 haloalkyl;
R3、R4和R5各自独立地选自H或C1-C6烷基;R 3 , R 4 and R 5 are each independently selected from H or C 1 -C 6 alkyl;
或者,R3和R4可形成化学键;Alternatively, R 3 and R 4 may form a chemical bond;
m为0、1、2或3。m is 0, 1, 2 or 3.
在另一实施方案中,本发明提供了通式(VII)所示的化合物或其可药用的盐、互变异构体、外消旋体、对映异构体、非对映异构体、前药、水合物或溶剂合物,及其混合物:In another embodiment, the present invention provides a compound of the formula (VII): or a pharmaceutically acceptable salt, tautomer, racemate, enantiomer, diastereomer thereof Body, prodrug, hydrate or solvate, and mixtures thereof:
其中各基团定义如上所述。 Each of the groups is defined as described above.
优选地,在通式(VII)所示的化合物中,Preferably, among the compounds represented by the formula (VII),
环A-(R1)m选自:Ring A-(R 1 )m is selected from:
R1独立地选自H或C1-C6烷基;R 1 is independently selected from H or C 1 -C 6 alkyl;
R2独立地选自H、卤素、-OR8或-C(O)NR6R7;R 2 is independently selected from H, halogen, -OR 8 or -C(O)NR 6 R 7 ;
R6、R7和R8各自独立地选自H、C1-C6烷基或C3-C8环烷基;R 6 , R 7 and R 8 are each independently selected from H, C 1 -C 6 alkyl or C 3 -C 8 cycloalkyl;
m为0、1或2。m is 0, 1, or 2.
更优选地,在通式(VII)所示的化合物中,More preferably, among the compounds represented by the formula (VII),
环A-(R1)m为Ring A-(R 1 )m is
R1独立地选自C1-C6烷基;R 1 is independently selected from C 1 -C 6 alkyl;
R2独立地选自H、卤素、-OR8或-C(O)NR6R7;R 2 is independently selected from H, halogen, -OR 8 or -C(O)NR 6 R 7 ;
R6、R7和R8各自独立地选自H、C1-C6烷基或C3-C8环烷基;R 6 , R 7 and R 8 are each independently selected from H, C 1 -C 6 alkyl or C 3 -C 8 cycloalkyl;
m为0、1或2。m is 0, 1, or 2.
在另一实施方案中,本发明提供了通式(VIII)所示的化合物或其可药用的盐、互变异构体、外消旋体、对映异构体、非对映异构体、前药、水合物或溶剂合物,及其混合物:In another embodiment, the present invention provides a compound of the formula (VIII) or a pharmaceutically acceptable salt, tautomer, racemate, enantiomer, diastereomer thereof Body, prodrug, hydrate or solvate, and mixtures thereof:
其中among them
W选自CR1或N;W is selected from CR 1 or N;
环A选自6-14元亚芳基、5-10元亚杂芳基、C3-C8亚环烷基或3-10元亚杂环基;Ring A is selected from a 6-14 membered arylene group, a 5-10 membered heteroarylene group, a C 3 -C 8 cycloalkylene group or a 3-10 membered heterocyclylene group;
R1选自H、卤素、C1-C6烷基、C1-C6卤代烷基、-OR8、3-10元杂环基、-O(CH2)nNR9R10、-NR8(CH2)nNR9R10、-P(=O)(C1-C6烷基)2或-NR9R10; R 1 is selected from the group consisting of H, halogen, C 1 -C 6 alkyl, C 1 -C 6 haloalkyl, -OR 8 , 3-10 membered heterocyclyl, -O(CH 2 ) n NR 9 R 10 , -NR 8 (CH 2 ) n NR 9 R 10 , -P(=O)(C 1 -C 6 alkyl) 2 or -NR 9 R 10 ;
R2a和R2c各自独立地选自H、卤素、氰基、C1-C6烷基、C1-C6卤代烷基、C3-C8环烷基或-OR8;R 2a and R 2c are each independently selected from H, halogen, cyano, C 1 -C 6 alkyl, C 1 -C 6 haloalkyl, C 3 -C 8 cycloalkyl or -OR 8 ;
R2b选自H、卤素、C1-C6烷基、C1-C6卤代烷基、C3-C8环烷基或-OR8;R 2b is selected from H, halogen, C 1 -C 6 alkyl, C 1 -C 6 haloalkyl, C 3 -C 8 cycloalkyl or -OR 8 ;
R6和R7各自独立地选自H、C1-C6烷基、-NHR8、-OR8、C3-C8环烷基、3-10元杂环基、5-10元杂芳基或6-14元芳基;R 6 and R 7 are each independently selected from H, C 1 -C 6 alkyl, -NHR 8 , -OR 8 , C 3 -C 8 cycloalkyl, 3-10 membered heterocyclyl, 5-10 membered hetero Aryl or 6-14 membered aryl;
R8各自独立地选自H或C1-C6烷基;R 8 are each independently selected from H or C 1 -C 6 alkyl;
R9和R10各自独立地选自H或C1-C6烷基;R 9 and R 10 are each independently selected from H or C 1 -C 6 alkyl;
m为0、1、2、3或4;m is 0, 1, 2, 3 or 4;
n为0、1、2、3、4、5、6、7或8。优选地,在通式(VIII)所示的化合物中,R1选自H、卤素、C1-C6烷基、C1-C6卤代烷基、-OR8、3-10元杂环基、-O(CH2)nNR9R10或-NR8(CH2)nNR9R10。n is 0, 1, 2, 3, 4, 5, 6, 7, or 8. Preferably, in the compound of the formula (VIII), R 1 is selected from the group consisting of H, halogen, C 1 -C 6 alkyl, C 1 -C 6 haloalkyl, -OR 8 , 3-10 membered heterocyclic group , -O(CH 2 ) n NR 9 R 10 or -NR 8 (CH 2 ) n NR 9 R 10 .
优选地,在通式(VIII)所示的化合物中,R1选自H、C1-C6烷基、3-10元杂环基、-NR8(CH2)nNR9R10、-P(=O)(C1-C6烷基)2或-NR9R10。Preferably, in the compound of the formula (VIII), R 1 is selected from the group consisting of H, C 1 -C 6 alkyl, 3-10 membered heterocyclic, -NR 8 (CH 2 ) n NR 9 R 10 , -P(=O)(C 1 -C 6 alkyl) 2 or -NR 9 R 10 .
优选地,在通式(VIII)所示的化合物中,Preferably, among the compounds represented by the formula (VIII),
环A为 Ring A is
E1、E2、E3和E4各自独立地选自CR1或N;E 1 , E 2 , E 3 and E 4 are each independently selected from CR 1 or N;
E5、E6、E7和E8各自独立地选自O、S、C(R1)2或NR1;E 5 , E 6 , E 7 and E 8 are each independently selected from O, S, C(R 1 ) 2 or NR 1 ;
R1如上所定义。R 1 is as defined above.
优选地,在通式(VIII)所示的化合物中,Preferably, among the compounds represented by the formula (VIII),
环A-(R1)m选自:Ring A-(R 1 )m is selected from:
其中R1和m如上所定义。Wherein R 1 and m are as defined above.
优选地,在通式(VIII)所示的化合物中,R1选自H、卤素、C1-C6烷基、 C1-C6卤代烷基、-OR8、5-6元杂环基、-O(CH2)nNR9R10、-NR8(CH2)nNR9R10。Preferably, in the compound of the formula (VIII), R 1 is selected from the group consisting of H, halogen, C 1 -C 6 alkyl, C 1 -C 6 haloalkyl, -OR 8 , 5-6 membered heterocyclic group -O(CH 2 ) n NR 9 R 10 , -NR 8 (CH 2 ) n NR 9 R 10 .
优选地,在通式(VIII)所示的化合物中,R1选自H、卤素、C1-C6烷基、C1-C6卤代烷基、-OR8、吗啉基、-O(CH2)nNMe2、-NR8(CH2)nNMe2。Preferably, in the compound of the formula (VIII), R 1 is selected from the group consisting of H, halogen, C 1 -C 6 alkyl, C 1 -C 6 haloalkyl, -OR 8 , morpholinyl, -O(CH 2 ) n NMe 2 , -NR 8 (CH 2 ) n NMe 2 .
优选地,在通式(VIII)所示的化合物中,Preferably, among the compounds represented by the formula (VIII),
W选自CR1或N;W is selected from CR 1 or N;
环A-(R1)m选自:Ring A-(R 1 )m is selected from:
R1选自H、C1-C6烷基、-OR8、吗啉基、-O(CH2)nNMe2、-NR8(CH2)nNMe2;R 1 is selected from the group consisting of H, C 1 -C 6 alkyl, -OR 8 , morpholinyl, -O(CH 2 ) n NMe 2 , -NR 8 (CH 2 ) n NMe 2 ;
R2a和R2c各自独立地选自H、卤素、氰基、C1-C6烷基、C3-C8环烷基或-OR8;R 2a and R 2c are each independently selected from H, halogen, cyano, C 1 -C 6 alkyl, C 3 -C 8 cycloalkyl or -OR 8 ;
R2b选自H、卤素、C1-C6烷基、C3-C8环烷基或-OR8;R 2b is selected from H, halogen, C 1 -C 6 alkyl, C 3 -C 8 cycloalkyl or -OR 8 ;
R6和R7各自独立地选自H、C1-C6烷基、-NHR8、-OR8、C3-C8环烷基、3-8元杂环基、5-6元杂芳基或6-10元芳基;R 6 and R 7 are each independently selected from H, C 1 -C 6 alkyl, -NHR 8 , -OR 8 , C 3 -C 8 cycloalkyl, 3-8 membered heterocyclic, 5-6 membered hetero Aryl or 6-10 membered aryl;
R8各自独立地选自H或C1-C6烷基;R 8 are each independently selected from H or C 1 -C 6 alkyl;
m为0、1或2;m is 0, 1 or 2;
n为0、1、2、3、4、5或6。n is 0, 1, 2, 3, 4, 5 or 6.
优选地,在通式(VIII)所示的化合物中,Preferably, among the compounds represented by the formula (VIII),
W选自N;W is selected from N;
环A-(R1)m选自:Ring A-(R 1 )m is selected from:
R1选自H、C1-C6烷基、-OR8、吗啉基、-O(CH2)nNMe2、-NR8(CH2)nNMe2;R 1 is selected from the group consisting of H, C 1 -C 6 alkyl, -OR 8 , morpholinyl, -O(CH 2 ) n NMe 2 , -NR 8 (CH 2 ) n NMe 2 ;
R2a和R2c各自独立地选自H或卤素;R 2a and R 2c are each independently selected from H or halogen;
R2b选自H、C1-C6烷基或-OR8; R 2b is selected from H, C 1 -C 6 alkyl or -OR 8 ;
R6和R7各自独立地选自H、C1-C6烷基、-NHR8、-OR8或C3-C8环烷基;R 6 and R 7 are each independently selected from H, C 1 -C 6 alkyl, -NHR 8 , -OR 8 or C 3 -C 8 cycloalkyl;
R8各自独立地选自H或C1-C6烷基;R 8 are each independently selected from H or C 1 -C 6 alkyl;
m为0、1或2;m is 0, 1 or 2;
n为0、1、2、3或4。n is 0, 1, 2, 3 or 4.
优选地,在通式(VIII)所示的化合物中,W选自N。Preferably, in the compound of the formula (VIII), W is selected from N.
优选地,在通式(VIII)所示的化合物中,环A选自6-14元亚芳基、5-10元亚杂芳基或3-10元亚杂环基。Preferably, in the compound of the formula (VIII), the ring A is selected from a 6-14 membered arylene group, a 5-10 membered heteroarylene group or a 3-10 membered heterocyclic group.
优选地,在通式(VIII)所示的化合物中,环A选自苯基、吡唑基、四氢吡喃基或四氢呋喃基。Preferably, in the compound of the formula (VIII), the ring A is selected from the group consisting of phenyl, pyrazolyl, tetrahydropyranyl or tetrahydrofuranyl.
优选地,在通式(VIII)所示的化合物中,R1选自甲基、吗啉基、-NR8(CH2)nNMe2、-P(=O)(C1-C6烷基)2或-N(C1-C6烷基)2。Preferably, in the compound of the formula (VIII), R 1 is selected from the group consisting of methyl, morpholinyl, -NR 8 (CH 2 ) n NMe 2 , -P(=O)(C 1 -C 6 alkyl) 2 or -N(C 1 -C 6 alkyl) 2 .
优选地,在通式(VIII)所示的化合物中,R1选自甲基、吗啉基、-NCH3(CH2)2NMe2、-P(=O)(CH3)2或-N(CH3)2。Preferably, in the compound of the formula (VIII), R 1 is selected from the group consisting of methyl, morpholinyl, -NCH 3 (CH 2 ) 2 NMe 2 , -P(=O)(CH 3 ) 2 or -N(CH 3 ) 2 .
优选地,在通式(VIII)所示的化合物中,R2a选自H或卤素。Preferably, in the compound of the formula (VIII), R 2a is selected from H or halogen.
优选地,在通式(VIII)所示的化合物中,R2a选自卤素。Preferably, in the compound of the formula (VIII), R 2a is selected from halogen.
优选地,在通式(VIII)所示的化合物中,R2a选自Cl。Preferably, in the compound of the formula (VIII), R 2a is selected from Cl.
优选地,在通式(VIII)所示的化合物中,R2b选自H或-OR8。Preferably, in the compound of the formula (VIII), R 2b is selected from H or -OR 8 .
优选地,在通式(VIII)所示的化合物中,R2b选自H或-OCH3。Preferably, in the compound of the formula (VIII), R 2b is selected from H or -OCH 3 .
优选地,在通式(VIII)所示的化合物中,R2c选自H;Preferably, in the compound of the formula (VIII), R 2c is selected from H;
优选地,在通式(VIII)所示的化合物中,R6和R7各自独立地选自H、C1-C6烷基、-OR8或C3-C8环烷基。Preferably, in the compound of the formula (VIII), R 6 and R 7 are each independently selected from H, C 1 -C 6 alkyl, -OR 8 or C 3 -C 8 cycloalkyl.
优选地,在通式(VIII)所示的化合物中,R6和R7各自独立地选自H、甲基、甲氧基、乙氧基、环丙基。Preferably, in the compound of the formula (VIII), R 6 and R 7 are each independently selected from the group consisting of H, methyl, methoxy, ethoxy, and cyclopropyl.
优选地,在通式(VIII)所示的化合物中,R8独立地选自H或C1-C6烷基。Preferably, in the compound of the formula (VIII), R 8 is independently selected from H or C 1 -C 6 alkyl.
优选地,在通式(VIII)所示的化合物中,R8选自甲基或乙基。Preferably, in the compound of the formula (VIII), R 8 is selected from a methyl group or an ethyl group.
优选地,在通式(VIII)所示的化合物中,n=1、2、3或4。Preferably, in the compound of the formula (VIII), n = 1, 2, 3 or 4.
优选地,在通式(VIII)所示的化合物中,n=2。Preferably, in the compound of the formula (VIII), n = 2.
以上任一具体实施方案中的任一技术方案或其任意组合,可以与其它具 体实施方案中的任一技术方案或其任意组合进行组合。例如,环A的任一技术方案或其任意组合,可以与W、R1至R8、m、n和p等等的任一技术方案或其任意组合进行组合。本发明旨在包括所有这些技术方案的组合,限于篇幅,不再一一列出。Any one of the above specific embodiments, or any combination thereof, may be combined with any of the other specific embodiments or any combination thereof. For example, any of the embodiments of the ring A, or any combination thereof, may be combined with any of the technical solutions of W, R 1 to R 8 , m, n, and p, or the like, or any combination thereof. The present invention is intended to include a combination of all such technical solutions, which are limited in scope and are not listed one by one.
药物组合物、制剂和试剂盒Pharmaceutical compositions, formulations and kits
在另一方面,本发明提供了药物组合物,其包含本发明化合物(还称为“活性组分”)和药学上可接受的赋形剂。在一些实施方案中,所述药物组合物包含有效量的活性组分。在一些实施方案中,所述药物组合物包含治疗有效量的活性组分。在一些实施方案中,所述药物组合物包含预防有效量的活性组分。In another aspect, the invention provides a pharmaceutical composition comprising a compound of the invention (also referred to as "active ingredient") and a pharmaceutically acceptable excipient. In some embodiments, the pharmaceutical composition comprises an effective amount of the active component. In some embodiments, the pharmaceutical composition comprises a therapeutically effective amount of the active component. In some embodiments, the pharmaceutical composition comprises a prophylactically effective amount of the active component.
用于本发明的药学上可接受的赋形剂是指不会破坏一起调配的化合物的药理学活性的无毒载剂、佐剂或媒剂。可以用于本发明组合物中的药学上可接受的载剂、佐剂或媒剂包括(但不限于)离子交换剂、氧化铝、硬脂酸铝、卵磷脂、血清蛋白(如人类血清白蛋白)、缓冲物质(如磷酸盐)、甘氨酸、山梨酸、山梨酸钾、饱和植物脂肪酸的偏甘油酯混合物、水、盐或电解质(如硫酸鱼精蛋白)、磷酸氢二钠、磷酸氢钾、氯化钠、锌盐、硅胶、三硅酸镁、聚乙烯吡咯烷酮、基于纤维素的物质、聚乙二醇、羧甲基纤维素钠、聚丙烯酸酯、蜡、聚乙烯-聚氧丙烯-嵌段聚合物、聚乙二醇以及羊毛脂。A pharmaceutically acceptable excipient for use in the present invention refers to a non-toxic carrier, adjuvant or vehicle which does not destroy the pharmacological activity of the compound formulated together. Pharmaceutically acceptable carriers, adjuvants, or vehicles that can be used in the compositions of the present invention include, but are not limited to, ion exchangers, alumina, aluminum stearate, lecithin, serum proteins (eg, human serum white) Protein), buffer substances (such as phosphate), glycine, sorbic acid, potassium sorbate, a mixture of partial glycerides of saturated plant fatty acids, water, salt or electrolyte (such as protamine sulfate), disodium hydrogen phosphate, potassium hydrogen phosphate , sodium chloride, zinc salt, silica gel, magnesium trisilicate, polyvinyl pyrrolidone, cellulose-based materials, polyethylene glycol, sodium carboxymethyl cellulose, polyacrylate, wax, polyethylene-polyoxypropylene - Block polymers, polyethylene glycol and lanolin.
本发明还包括试剂盒(例如,药物包装)。所提供的试剂盒可以包括本发明化合物、其它治疗剂,以及含有本发明化合物、其它治疗剂的第一和第二容器(例如,小瓶、安瓿瓶、瓶、注射器和/或可分散包装或其它合适的容器)。在一些实施方案中,提供的试剂盒还可以任选包括第三容器,其含有用于稀释或悬浮本发明化合物和/或其它治疗剂的药用赋形剂。在一些实施方案中,提供在第一容器和第二容器中的本发明化合物和其它治疗剂组合形成一个单位剂型。The invention also includes kits (e.g., pharmaceutical packs). Kits provided may include a compound of the invention, other therapeutic agents, and first and second containers (eg, vials, ampoules, bottles, syringes, and/or dispersible packages or other materials containing the compounds of the invention, other therapeutic agents) Suitable container). In some embodiments, provided kits can also optionally include a third container containing a pharmaceutically acceptable excipient for diluting or suspending a compound of the invention and/or other therapeutic agent. In some embodiments, a compound of the invention provided in a first container and a second container is combined with other therapeutic agents to form a unit dosage form.
给药Administration
本发明提供的药物组合物可以通过许多途径给药,包括但不限于:口服给药、肠胃外给药、吸入给药、局部给药、直肠给药、鼻腔给药、口腔给药、阴道给药、通过植入剂给药或其它给药方式。例如,本文使用的肠胃外给药 包括皮下给药、皮内给药、静脉内给药、肌肉内给药、关节内给药、动脉内给药、滑膜腔内给药、胸骨内给药、脑脊髓膜内给药、病灶内给药、和颅内的注射或输液技术。The pharmaceutical composition provided by the present invention can be administered by a variety of routes including, but not limited to, oral administration, parenteral administration, inhalation administration, topical administration, rectal administration, nasal administration, oral administration, vaginal administration. Drug, administration by implant or other means of administration. For example, parenteral administration as used herein Including subcutaneous administration, intradermal administration, intravenous administration, intramuscular administration, intra-articular administration, intra-arterial administration, intrasynovial administration, intrathoracic administration, intracranial administration, and lesions Internal administration, and intracranial injection or infusion techniques.
通常,给予有效量的本文所提供的化合物。按照有关情况,包括所治疗的病症、选择的给药途径、实际给予的化合物、个体患者的年龄、体重和响应、患者症状的严重程度,等等,可以由医生确定实际上给予的化合物的量。Generally, an effective amount of a compound provided herein is administered. Depending on the circumstances, including the condition being treated, the route of administration selected, the compound actually administered, the age, weight and response of the individual patient, the severity of the patient's symptoms, etc., the amount of compound actually administered can be determined by the physician. .
当用于预防本发明所述病症时,给予处于形成所述病症危险之中的受试者本文所提供的化合物,典型地基于医生的建议并在医生监督下给药,剂量水平如上所述。处于形成具体病症的危险之中的受试者,通常包括具有所述病症的家族史的受试者,或通过遗传试验或筛选确定尤其对形成所述病症敏感的那些受试者。When used to prevent a condition of the invention, the compound provided herein is administered to a subject at risk of developing the condition, typically based on a physician's recommendation and administered under the supervision of a physician, at the dosage level as described above. Subjects at risk of developing a particular condition typically include subjects with a family history of the condition, or those subjects that are particularly susceptible to developing the condition by genetic testing or screening.
还可以长期给予本文所提供的药物组合物(“长期给药”)。长期给药是指在长时间内给予化合物或其药物组合物,例如,3个月、6个月、1年、2年、3年、5年等等,或者可无限期地持续给药,例如,受试者的余生。在一些实施方案中,长期给药意欲在长时间内在血液中提供所述化合物的恒定水平,例如,在治疗窗内。The pharmaceutical compositions provided herein ("long-term administration") can also be administered chronically. Long-term administration refers to administration of a compound or a pharmaceutical composition thereof for a long period of time, for example, 3 months, 6 months, 1 year, 2 years, 3 years, 5 years, etc., or can be continuously administered indefinitely, For example, the rest of the subject. In some embodiments, chronic administration is intended to provide a constant level of the compound in the blood over a prolonged period of time, for example, within a therapeutic window.
可以使用各种给药方法,进一步递送本发明的药物组合物。例如,在一些实施方案中,可以推注给药药物组合物,例如,为了使化合物在血液中的浓度提高至有效水平。推注剂量取决于通过身体的活性组分的目标全身性水平,例如,肌内或皮下的推注剂量使活性组分缓慢释放,而直接递送至静脉的推注(例如,通过IV静脉滴注)能够更加快速地递送,使得活性组分在血液中的浓度快速升高至有效水平。在其它实施方案中,可以以持续输液形式给予药物组合物,例如,通过IV静脉滴注,从而在受试者身体中提供稳态浓度的活性组分。此外,在其它实施方案中,可以首先给予推注剂量的药物组合物,而后持续输液。The pharmaceutical composition of the present invention can be further delivered using various methods of administration. For example, in some embodiments, a pharmaceutical composition can be administered by bolus injection, for example, to increase the concentration of the compound in the blood to an effective level. The bolus dose depends on the target systemic level of the active ingredient through the body, for example, an intramuscular or subcutaneous bolus dose that causes a slow release of the active ingredient, while a bolus that is delivered directly to the vein (eg, via IV IV drip) ) can be delivered more quickly, so that the concentration of the active ingredient in the blood is rapidly increased to an effective level. In other embodiments, the pharmaceutical composition can be administered in a continuous infusion form, for example, by IV intravenous drip to provide a steady state concentration of the active ingredient in the subject's body. Moreover, in other embodiments, a bolus dose of the pharmaceutical composition can be administered first, followed by continued infusion.
口服组合物可以采用散装液体溶液或混悬剂或散装粉剂形式。然而,更通常,为了便于精确地剂量给药,以单位剂量形式提供所述组合物。术语“单位剂型”是指适合作为人类患者及其它哺乳动物的单元剂量的物理离散单位,每个单位包含预定数量的、适于产生所需要的治疗效果的活性物质与合适药学赋形剂。典型的单位剂量形式包括液体组合物的预装填的、预先测量的安瓿或注射器,或者在固体组合物情况下的丸剂、片剂、胶囊剂等。在这 种组合物中,所述化合物通常为较少的组分(约0.1至约50重量%,或优选约1至约40重量%),剩余部分为对于形成所需给药形式有用的各种载体或赋形剂以及加工助剂。Oral compositions can be in the form of a bulk liquid solution or suspension or bulk powder. More generally, however, the composition is provided in unit dosage form for ease of precise dosing. The term "unit dosage form" refers to physically discrete units suitable as unitary dosages for human patients and other mammals, each unit containing a predetermined quantity of active ingredient suitable to produce the desired therapeutic effect with a suitable pharmaceutical excipient. Typical unit dosage forms include prefilled, pre-measured ampoules or syringes of the liquid compositions, or pills, tablets, capsules and the like in the case of solid compositions. At this In the composition, the compound is usually a minor component (about 0.1 to about 50% by weight, or preferably about 1 to about 40% by weight), with the balance being various carriers useful for forming the desired administration form. Or excipients and processing aids.
对于口服剂量,代表性的方案是,每天一个至五个口服剂量,尤其是两个至四个口服剂量,典型地是三个口服剂量。使用这些剂量给药模式,每个剂量提供大约0.01至大约20mg/kg的本发明化合物,优选的剂量各自提供大约0.1至大约10mg/kg,尤其是大约1至大约5mg/kg。For oral doses, a representative regimen is one to five oral doses per day, especially two to four oral doses, typically three oral doses. Using these dosing modes, each dose provides from about 0.01 to about 20 mg/kg of a compound of the invention, each preferably providing from about 0.1 to about 10 mg/kg, especially from about 1 to about 5 mg/kg.
为了提供与使用注射剂量类似的血液水平,或比使用注射剂量更低的血液水平,通常选择透皮剂量,数量为大约0.01至大约20%重量,优选大约0.1至大约20%重量,优选大约0.1至大约10%重量,且更优选大约0.5至大约15%重量。In order to provide a blood level similar to the use of an injectable dose, or a lower blood level than the injectable dose, a transdermal dose is generally selected in an amount of from about 0.01 to about 20% by weight, preferably from about 0.1 to about 20% by weight, preferably about 0.1. To about 10% by weight, and more preferably from about 0.5 to about 15% by weight.
从大约1至大约120小时,尤其是24至96小时,注射剂量水平在大约0.1mg/kg/小时至至少10mg/kg/小时的范围。为了获得足够的稳定状态水平,还可以给予大约0.1mg/kg至大约10mg/kg或更多的预载推注。对于40至80kg的人类患者来说,最大总剂量不能超过大约2g/天。The injection dose level ranges from about 1 mg/kg/hr to at least 10 mg/kg/hr from about 1 to about 120 hours, especially 24 to 96 hours. In order to obtain a sufficient level of steady state, a preload bolus of about 0.1 mg/kg to about 10 mg/kg or more can also be administered. For a human patient of 40 to 80 kg, the maximum total dose cannot exceed about 2 g/day.
适于口服给药的液体形式可包括合适的水性或非水载体以及缓冲剂、悬浮剂和分散剂、着色剂、调味剂,等等。固体形式可包括,例如,任何下列组份,或具有类似性质的化合物:粘合剂,例如,微晶纤维素、黄蓍胶或明胶;赋形剂,例如,淀粉或乳糖,崩解剂,例如,褐藻酸、Primogel或玉米淀粉;润滑剂,例如,硬脂酸镁;助流剂,例如,胶体二氧化硅;甜味剂,例如,蔗糖或糖精;或调味剂,例如,薄荷、水杨酸甲酯或橙味调味剂。Liquid forms suitable for oral administration may include suitable aqueous or nonaqueous vehicles as well as buffers, suspending and dispersing agents, coloring agents, flavoring agents, and the like. The solid form may include, for example, any of the following components, or a compound having similar properties: a binder, for example, microcrystalline cellulose, tragacanth or gelatin; an excipient such as starch or lactose, a disintegrant, For example, alginic acid, Primogel or corn starch; a lubricant such as magnesium stearate; a glidant such as colloidal silica; a sweetener such as sucrose or saccharin; or a flavoring agent such as mint, water Methyl salicylate or orange flavoring.
可注射的组合物典型地基于可注射用的无菌盐水或磷酸盐缓冲盐水,或本领域中已知的其它可注射的赋形剂。如前所述,在这种组合物中,活性化合物典型地为较少的组分,经常为约0.05至10%重量,剩余部分为可注射的赋形剂等。Injectable compositions are typically based on injectable sterile saline or phosphate buffered saline, or other injectable excipients known in the art. As previously mentioned, in such compositions, the active compound will typically be a minor component, often from about 0.05 to 10% by weight, with the remainder being injectable excipients and the like.
典型地将透皮组合物配制为含有活性组分的局部软膏剂或乳膏剂。当配制为软膏剂时,活性组分典型地与石蜡或可与水混溶的软膏基质组合。或者,活性组分可与例如水包油型乳膏基质一起配制为乳膏剂。这种透皮制剂是本领域中公知的,且通常包括用于提升活性组分或制剂的稳定的皮肤渗透的其它组份。所有这种已知的透皮制剂和组份包括在本发明提供的范围内。The transdermal compositions are typically formulated as topical ointments or creams containing the active ingredient. When formulated as an ointment, the active component is typically combined with a paraffin or water miscible ointment base. Alternatively, the active ingredient can be formulated as a cream with, for example, an oil-in-water cream base. Such transdermal formulations are well known in the art and generally include other ingredients for enhancing stable skin penetration of the active ingredient or formulation. All such known transdermal formulations and components are included within the scope of the invention.
本发明化合物还可通过经皮装置给予。因此,经皮给药可使用贮存器 (reservoir)或多孔膜类型、或者多种固体基质的贴剂实现。The compounds of the invention may also be administered by transdermal means. Therefore, transdermal administration can use a reservoir (reservoir) or porous membrane type, or a variety of solid matrix patch implementation.
用于口服给予、注射或局部给予的组合物的上述组份仅仅是代表性的。其它材料以及加工技术等阐述于Remington's Pharmaceutical Sciences,17th edition,1985,Mack Publishing Company,Easton,Pennsylvania的第8部分中,本文以引用的方式引入该文献。The above components of the composition for oral administration, injection or topical administration are merely representative. Other materials and processing techniques, etc., are set forth in Remington's Pharmaceutical Sciences, 17th edition, 1985, Mack Publishing Company, Easton, Pennsylvania, part 8 of which is incorporated herein by reference.
本发明化合物还可以以持续释放形式给予,或从持续释放给药系统中给予。代表性的持续释放材料的描述可在Remington's Pharmaceutical Sciences中找到。The compounds of the invention may also be administered in sustained release form or from a sustained release delivery system. A description of representative sustained release materials can be found in Remington's Pharmaceutical Sciences.
本发明还涉及本发明化合物的药学上可接受的制剂。在一个实施方案中,所述制剂包含水。在另一个实施方案中,所述制剂包含环糊精衍生物。最常见的环糊精为分别由6、7和8个α-1,4-连接的葡萄糖单元组成的α-、β-和γ-环糊精,其在连接的糖部分上任选包括一个或多个取代基,其包括但不限于:甲基化的、羟基烷基化的、酰化的和磺烷基醚取代。在一些实施方案中,所述环糊精为磺烷基醚β-环糊精,例如,磺丁基醚β-环糊精,也称作Captisol。参见,例如,U.S.5,376,645。在一些实施方案中,所述制剂包括六丙基-β-环糊精(例如,在水中,10-50%)。The invention further relates to pharmaceutically acceptable formulations of the compounds of the invention. In one embodiment, the formulation comprises water. In another embodiment, the formulation comprises a cyclodextrin derivative. The most common cyclodextrins are alpha-, beta- and gamma-cyclodextrins consisting of 6, 7 and 8 alpha-1,4-linked glucose units, respectively, optionally including one on the attached sugar moiety. Or a plurality of substituents including, but not limited to, methylated, hydroxyalkylated, acylated, and sulfoalkyl ether substituted. In some embodiments, the cyclodextrin is a sulfoalkyl ether beta-cyclodextrin, eg, sulfobutylether beta-cyclodextrin, also known as Captisol. See, for example, U.S. 5,376,645. In some embodiments, the formulation comprises hexapropyl-β-cyclodextrin (eg, 10-50% in water).
组合combination
本发明化合物或其组合物可以与其它治疗剂组合给药,以治疗所述疾病。已知治疗剂的实例包括但不限于阿德力霉素(Adriamycin)、地塞米松(dexamethasone)、长春新碱(vincristine)、环磷酰胺(cyclophosphamide)、氟尿嘧啶(fluorouracil)、拓朴替康(topotecan)、紫杉酚(taxol)、干扰素、铂衍生物、紫杉烷(taxane)(例如太平洋紫杉醇(paclitaxel))、长春花生物碱(例如长春碱(vinblastine))、蒽环霉素(anthracycline)(例如多柔比星(doxorubicin))、表鬼臼毒素(epipodophyllotoxin)(例如依托泊苷(etoposide))、顺铂(cisplatin)、mTOR抑制剂(例如雷帕霉素(rapamycin))、甲氨蝶呤(methotrexate)、放线菌素D(actinomycin D)、海兔毒素10(dolastatin 10)、秋水仙碱(colchicine)、吐根素(emetine)、三甲曲沙(trimetrexate)、氯苯氨啶(metoprine)、环孢霉素(cyclosporine)、道诺霉素(daunorubicin)、替尼泊苷(teniposide)、两性霉素(amphotericin)、烷化剂(例如苯丁酸氮芥(chlorambucil))、5-氟尿嘧啶、喜树碱(camptothecin)、顺铂、甲硝哒唑(metronidazole)以及GleevecTM。在其它实 施例中,本发明化合物与如阿瓦斯汀(Avastin)或维克替比(VECTIBIX)等生物剂组合给药。The compounds of the invention or compositions thereof may be administered in combination with other therapeutic agents to treat the disease. Examples of known therapeutic agents include, but are not limited to, Adriamycin, dexamethasone, vincristine, cyclophosphamide, fluorouracil, topotecan ( Topotecan), taxol, interferon, platinum derivatives, taxanes (eg, paclitaxel), vinca alkaloids (eg, vinblastine), anthracycline ( Anthracycline) (eg, doxorubicin), epipodophyllotoxin (eg, etoposide), cisplatin, mTOR inhibitor (eg, rapamycin), Methotrexate, actinomycin D, dolastatin 10, colchicine, emetine, trimetrexate, chlorobenzene Metoprine, cyclosporine, daunorubicin, teniposide, amphotericin, alkylating agent (eg chlorambucil) ), 5-fluorouracil, camptothecin, cisplatin, metronidazole (metro) nidazole) and Gleevec TM. In other embodiments, the compounds of the invention are administered in combination with a biological agent such as Avastin or VECTIBIX.
在一些实施方案中,本发明化合物或其组合物可以与选自以下中的任一种或一种以上的抗增殖剂或化学治疗剂组合给药:阿巴瑞克(abarelix)、阿地白介素(aldesleukin)、阿仑单抗(alemtuzumab)、阿利维甲酸(alitretinoin)、别嘌呤醇(allopurinol)、六甲蜜胺(altretamine)、氨磷汀(amifostine)、阿那曲唑(anastrozole)、三氧化二砷、天冬酰胺酶、阿扎胞苷(azacitidine)、BCG Live、贝伐单抗(bevacuzimab)、氟尿嘧啶、贝瑟罗汀(bexarotene)、博莱霉素(bleomycin)、硼替佐米(bortezomib)、白消安(busulfan)、二甲睾酮(calusterone)、卡培他滨(capecitabine)、喜树碱、卡铂(carboplatin)、卡莫司汀(carmustine)、塞内昔布(celecoxib)、西妥昔单抗(cetuximab)、苯丁酸氮芥(chlorambucil)、克拉屈滨(cladribine)、氯法拉滨(clofarabine)、环磷酰胺、阿糖胞苷(cytarabine)、放线菌素D、达贝泊汀α(darbepoetin alfa)、道诺霉素、地尼白介素(denileukin)、右雷佐生(dexrazoxane)、多烯紫杉醇(docetaxel)、多柔比星、盐酸多柔比星、丙酸屈他雄酮(dromostanolone propionate)、表柔比星(epirubicin)、依伯汀α(epoetin alfa)、埃罗替尼(erlotinib)、雌莫司汀(estramustine)、磷酸依托泊苷、依托泊苷、依西美坦(exemestane)、非格司亭(filgrastim)、氟尿苷(floxuridine)、氟达拉宾(fludarabine)、氟维司群(fulvestrant)、吉非替尼、吉西他滨(gemcitabine)、吉妥珠单抗(gemtuzumab)、乙酸戈舍瑞林(goserelin acetate)、乙酸组氨瑞林(histrelin acetate)、羟基脲(hydroxyurea)、替伊莫单抗(ibritumomab)、艾达霉素(idarubicin)、异环磷酰胺(ifosfamide)、甲磺酸伊马替尼(imatinib mesylate)、干扰素α-2a、干扰素α-2b、伊立替康(irinotecan)、来那度胺(lenalidomide)、来曲唑(letrozole)、甲酰四氢叶酸(leucovorin)、乙酸亮丙立德(leuprolide acetate)、左旋咪唑(levamisole)、洛莫司汀(lomustine)、乙酸甲地孕酮(megestrol acetate)、美法仑(melphalan)、巯嘌呤(mercaptopurine)、6-MP、巯乙磺酸钠(mesna)、甲氨蝶呤、补骨脂素(methoxsalen)、丝裂霉素C(mitomycin C)、米托坦(mitotane)、米托蒽醌(mitoxantrone)、诺龙(nandrolone)、奈拉滨(nelarabine)、诺非单抗(nofetumomab)、奥普瑞白介素(oprelvekin)、奥沙利铂(oxaliplatin)、太平洋紫杉醇、帕利夫明(palifermin)、帕米膦酸盐(pamidronate)、培加酶(pegademase)、培门冬酶(pegaspargase)、乙二醇化非格司亭(pegfilgrastim)、培美曲塞二钠 (pemetrexed disodium)、喷司他汀(pentostatin)、哌泊溴烷(pipobroman)、普卡霉素(plicamycin)、卟吩姆钠(porfimer sodium)、丙卡巴肼(procarbazine)、奎纳克林(quinacrine)、拉布立酶(rasburicase)、利妥昔单抗(rituximab)、沙格司亭(sargramostim)、索拉非尼(sorafenib)、链脲霉素(streptozocin)、顺丁烯二酸舒尼替尼(sunitinib maleate)、滑石、他莫西芬(tamoxifen)、替莫唑胺(temozolomide)、替尼泊苷、VM-26、睾内酯(testolactone)、硫鸟嘌呤(thioguanine)、6-TG、噻替派(thiotepa)、拓朴替康、托瑞米芬(toremifene)、托西莫单抗(tositumomab)、曲妥珠单抗(trastuzumab)、维甲酸(tretinoin)、ATRA、尿嘧啶氮芥(uracil mustard)、伐柔比星(valrubicin)、长春碱、长春新碱(vincristine)、长春瑞滨(vinorelbine)、唑来膦酸盐(zoledronate)或唑来膦酸(zoledronic acid)。In some embodiments, a compound of the invention or a composition thereof can be administered in combination with any one or more anti-proliferative or chemotherapeutic agents selected from the group consisting of: abarelix, aldileukin (aldesleukin), alemtuzumab, alitretinoin, allopurinol, altretamine, amifostine, anastrozole, arsenic trioxide, day Asparaginase, azacitidine, BCG Live, bevacuzimab, fluorouracil, bexarotene, bleomycin, bortezomib, white Busulfan, calbuterone, capecitabine, camptothecin, carboplatin, carmustine, celecoxib, cetuximab Antibiotic (cetuximab), chlorambucil, cladribine, clofarabine, cyclophosphamide, cytarabine, actinomycin D, darbepoetin ( (darbepoetin alfa), daunorubicin, denilukin , dexrazoxane, docetaxel, doxorubicin, doxorubicin hydrochloride, dromostanolone propionate, epirubicin, ebertin alpha Epoetin alfa), erlotinib, estramustine, etoposide phosphate, etoposide, exemestane, filgrastim, fluururidine ), fludarabine, fulvestrant, gefitinib, gemcitabine, gemtuzumab, goserelin acetate, acetic acid ammonia Histrelin acetate, hydroxyurea, ibritumomab, idarubicin, ifosfamide, imatinib mesylate, Interferon alpha-2a, interferon alpha-2b, irinotecan, lenalidomide, letrozole, leucovorin, leuprolide Acetate), levamisole, lomustine, megestrol acetate (m Esestrol acetate), melphalan, mercaptopurine, 6-MP, mesone, methotrexate, methoxsalen, mitomycin C), mitotane, mitoxantrone, nandrolone, nelarabine, nofetumomab, oprelvekin, oxali Platinum (oxaliplatin), paclitaxel, palifermin, pamidronate, pegademase, pegaspargase, pegfilgrastim, Pemetrexed disodium (pemetrexed disodium), pentostatin, pipobroman, plicamycin, porfimer sodium, procarbazine, quinacrine ), rasburicase, rituximab, sargramostim, sorafenib, streptozocin, succinimide Sunitinib maleate, talc, tamoxifen, temozolomide, teniposide, VM-26, testolactone, thioguanine, 6-TG, thiophene Thietepa, topotecan, toremifene, tositumomab, trastuzumab, tretinoin, ATRA, uracil mustard ( Uracil mustard), valrubicin, vinblastine, vincristine, vinorelbine, zoledronate or zoledronic acid.
本发明化合物还可以组合的治疗剂的其它实例包括但不限于:用于阿尔茨海默氏病(Alzheimer′s Disease)的治疗剂,如盐酸多奈哌齐(donepezil hydrochloride)和雷斯替明(rivastigmine);用于帕金森氏病(Parkinson′s Disease)的治疗剂,如L-DOPA/卡比多巴(carbidopa)、恩他卡朋(entacapone)、罗匹尼洛(ropinrole)、普拉克索(pramipexole)、溴麦角环肽(bromocriptine)、培高利特(pergolide)、三己芬迪(trihexephendyl)以及三环癸胺(amantadine);用于多发性硬化症(Multiple Sclerosis;MS)的治疗剂,如β干扰素、乙酸格拉默(glatiramer acetate)和米托蒽醌;用于哮喘的治疗剂,如舒喘宁(albuterol)和孟鲁司特;用于精神分裂症的治疗剂,如再普乐(zyprexa)、理斯必妥(risperdal)、思瑞康(seroquel)以及氟哌啶醇(haloperidol);消炎剂,如皮质类固醇、TNF阻断剂、IL-1RA、硫唑嘌呤(azathioprine)、环磷酰胺以及柳氮磺胺吡啶(sulfasalazine);免疫调节剂和免疫抑制剂,如环孢素(cyclosporin)、他克莫司(tacrolimus)、雷帕霉素、霉酚酸吗啉乙酯(mycophenolate mofetil)、干扰素、皮质类固醇、环磷酰胺、硫唑嘌呤以及柳氮磺胺吡啶;神经营养因子,如乙酰胆碱酯酶抑制剂、MAO抑制剂、干扰素、抗惊厥剂、离子通道阻断剂、利鲁唑(riluzole)以及抗帕金森氏病剂;用于心血管疾病的治疗剂,如β阻断剂、ACE抑制剂、利尿剂、硝酸盐、钙离子通道阻断剂以及他汀类(statin);用于肝病的治疗剂,如皮质类固醇、消胆胺(cholestyramine)、干扰素以及抗病毒剂;用于血液病症的治疗剂,如皮质类固醇、抗白血病剂以及生长因子;以及用于免疫缺陷病症的治疗剂,如γ球蛋白。 Other examples of therapeutic agents to which the compounds of the invention may also be combined include, but are not limited to, therapeutic agents for Alzheimer's Disease, such as donepezil hydrochloride and rivastigmine. ; therapeutic agents for Parkinson's Disease, such as L-DOPA/carbidopa, entacapone, ropinrole, pramipexole ( Pramipexole), bromocriptine, pergolide, trihexephendyl, and amantadine; a therapeutic agent for multiple sclerosis (MS), Such as beta interferon, glatiramer acetate and mitoxantrone; therapeutic agents for asthma, such as albuterol and montelukast; therapeutic agents for schizophrenia, such as Zyprexa, risperdal, seroquel, and haloperidol; anti-inflammatory agents such as corticosteroids, TNF blockers, IL-1RA, azathioprine , cyclophosphamide and sulfasalazine (sulfasalazi) Ne); immunomodulators and immunosuppressive agents, such as cyclosporin, tacrolimus, rapamycin, mycophenolate mofetil, interferon, corticosteroids, Cyclophosphamide, azathioprine, and sulfasalazine; neurotrophic factors such as acetylcholinesterase inhibitors, MAO inhibitors, interferons, anticonvulsants, ion channel blockers, riluzole, and anti-par a drug for the treatment of cardiovascular diseases, such as a beta blocker, an ACE inhibitor, a diuretic, a nitrate, a calcium channel blocker, and a statin; a therapeutic agent for liver diseases, Such as corticosteroids, cholestyramine, interferon and antiviral agents; therapeutic agents for blood disorders such as corticosteroids, anti-leukemia agents and growth factors; and therapeutic agents for immunodeficiency disorders, such as gamma spheres protein.
那些其它活性剂可以与含有本发明化合物的组合物分开给药,作为多次给药方案的一部分。或者,那些活性剂可以是单一剂型的一部分,与本发明化合物一起混合在单一组合物中。如果作为多次给药方案的一部分给药,那么两种活性剂可以同时、依次或彼此间隔一段时间(通常彼此间隔在5小时以内)提供。Those other active agents can be administered separately from the compositions containing the compounds of the invention as part of a multiple dosing regimen. Alternatively, those active agents may be part of a single dosage form, mixed with a compound of the invention in a single composition. If administered as part of a multiple dosing regimen, the two active agents can be provided simultaneously, sequentially, or at intervals from one another (usually within 5 hours of each other).
适应症和疾病Indications and diseases
FGFR-4在肝细胞癌(HCC)进展期间调控增殖、存活和α-胎蛋白分泌;FGFR-4抑制剂因此是用于此未满足医疗需要的有希望的潜在治疗剂(Ho等人,Journal of Hepatology,2009,50:118-27)。HCC每年折磨全世界超过550,000人且是任何癌症类型中1年存活率最差者之一。FGFR-4 regulates proliferation, survival, and alpha-fetoprotein secretion during progression of hepatocellular carcinoma (HCC); FGFR-4 inhibitors are therefore promising potential therapeutic agents for this unmet medical need (Ho et al., Journal Of Hepatology, 2009, 50: 118-27). HCC afflicts more than 550,000 people worldwide each year and is one of the worst 1-year survival rates of any cancer type.
经由FGF19(纤维母细胞生长因子(FGF)家族成员,其由激素组成)参与调控血糖、血脂和能量稳态显示了FGFR-4与HCC间的联系的其它证据。已在FGF19基因转殖小鼠中观察到增加的肝细胞增殖和肝肿瘤形成。FGF19活化FGFR-4(其在肝中的主要受体),且认为FGFR-4活化是FGF19能够增加肝细胞增殖并诱导肝细胞癌形成的机制(Wu等人,J Biol Chem(2010)285(8):5165-5170)。FGF19还已被他人识别为HCC中的驱动基因(Sawey等人,Cancer Cell(2011)19:347-358)。因此,认为本文所公开化合物(其是FGFR-4的潜在和选择性抑制剂)可用于治疗HCC和其它肝癌。Participation in the regulation of blood glucose, blood lipids, and energy homeostasis via FGF19 (a member of the fibroblast growth factor (FGF) family, which is composed of hormones) shows additional evidence for a link between FGFR-4 and HCC. Increased hepatocyte proliferation and liver tumor formation have been observed in FGF19 gene-transferred mice. FGF19 activates FGFR-4, its major receptor in the liver, and FGFR-4 activation is thought to be a mechanism by which FGF19 can increase hepatocyte proliferation and induce hepatocellular carcinoma formation (Wu et al., J Biol Chem (2010) 285 ( 8): 5165-5170). FGF19 has also been recognized by others as a driver gene in HCC (Sawey et al., Cancer Cell (2011) 19:347-358). Thus, the compounds disclosed herein, which are potential and selective inhibitors of FGFR-4, are believed to be useful in the treatment of HCC and other liver cancers.
肿瘤基因组筛查已在人类乳腺癌细胞系MDA-MB-453中鉴定出活化纤维母细胞生长因子受体4(FGFR-4)Y367C突变。因此,其已表明FGFR-4可能为乳腺癌中肿瘤生长的驱动物(Roidl等人,Oncogene(2010)29(10):1543-1552)。因此,认为本文所公开化合物(其为FGFR-4的强效选择性抑制剂)可用于治疗FGFR-4调节的乳腺癌。Tumor Genome Screening The activated fibroblast growth factor receptor 4 (FGFR-4) Y367C mutation has been identified in the human breast cancer cell line MDA-MB-453. Thus, it has been shown that FGFR-4 may be a driver of tumor growth in breast cancer (Roid et al, Oncogene (2010) 29(10): 1543-1552). Thus, the compounds disclosed herein, which are potent and selective inhibitors of FGFR-4, are believed to be useful in the treatment of FGFR-4 regulated breast cancer.
FGFR-4上游基因的分子变化(例如,易位)会导致FGFR-4活化/过表达。例如,PAX3-FKHR易位/基因融合会导致FGFR-4过表达。因此机制所致的FGFR-4过表达与横纹肌肉瘤(RMS)相关联(Cao等人,Cancer Res(2010)70(16):6497-6508)。FGFR-4自身中的突变(例如,激酶结构域突变)会导致蛋白质过活化;此机制已与RMS亚族群相关(Taylor等人,J Clin Invest(2009)119:3395-3407)。因此,认为本文所公开化合物(其为FGFR-4的强效选择性抑制剂)可用于治疗FGFR-4调节的RMS和其它肉瘤。 Molecular changes (eg, translocations) of genes upstream of FGFR-4 result in FGFR-4 activation/overexpression. For example, PAX3-FKHR translocation/gene fusion results in overexpression of FGFR-4. Thus, FGFR-4 overexpression by the mechanism is associated with rhabdomyosarcoma (RMS) (Cao et al, Cancer Res (2010) 70(16): 6497-6508). Mutations in FGFR-4 itself (eg, kinase domain mutations) result in protein overactivation; this mechanism has been associated with the RMS subpopulation (Taylor et al, J Clin Invest (2009) 119: 3395-3407). Thus, the compounds disclosed herein, which are potent and selective inhibitors of FGFR-4, are believed to be useful in the treatment of FGFR-4 regulated RMS and other sarcomas.
其它疾病与FGFR-4上游基因的变化或与FGFR-4自身中的突变相关联。例如,FGFR-4的激酶结构域中的突变导致过活化,其与肺腺癌相关(Ding等人,Nature(2008)455(7216):1069-1075)。FGFR-4的扩增与诸如肾细胞癌的病状相关(TCGA暂行资料)。另外,使FGFR4沉默且抑制配体-受体结合显著减慢卵巢肿瘤生长,从而表明FGFR4的抑制剂可用于治疗卵巢癌(Zaid等人,Clin.Cancer Res.(2013)809)。Other diseases are associated with changes in the FGFR-4 upstream gene or with mutations in FGFR-4 itself. For example, mutations in the kinase domain of FGFR-4 result in overactivation, which is associated with lung adenocarcinoma (Ding et al, Nature (2008) 455 (7216): 1069-1075). Amplification of FGFR-4 is associated with conditions such as renal cell carcinoma (TCGA interim data). In addition, silencing FGFR4 and inhibiting ligand-receptor binding significantly slowed ovarian tumor growth, indicating that inhibitors of FGFR4 can be used to treat ovarian cancer (Zaid et al, Clin. Cancer Res. (2013) 809).
胆汁酸水平的致病性升高与FGF19水平变化相关(Vergnes等人,Cell Metabolism(2013)17,916-28)。因此,FGF19的水平降低在促进胆汁酸的合成中且因此在高脂血症的治疗中可具有益处。Increased pathogenicity of bile acid levels is associated with changes in FGF19 levels (Vergnes et al, Cell Metabolism (2013) 17, 916-28). Thus, a decrease in the level of FGF19 may be beneficial in promoting the synthesis of bile acids and thus in the treatment of hyperlipidemia.
因此,本发明化合物可以用于治疗多种与FGFR有关的疾病,其中所述疾病包括但不限于:胃癌、甲状腺癌、前列腺癌、乳腺癌、肉瘤(例如横纹肌肉瘤)、皮肤癌(例如黑色素瘤)、肝癌(例如肝细胞癌和胆管上皮癌)、胰腺癌(例如胰腺上皮内瘤样病变和胰腺导管腺癌)、肺癌(例如非小细胞肺癌和肺腺癌)、肾癌(例如肾细胞癌)、结直肠癌和卵巢癌。Thus, the compounds of the invention may be used to treat a variety of FGFR-related diseases, including but not limited to: gastric cancer, thyroid cancer, prostate cancer, breast cancer, sarcoma (eg, rhabdomyosarcoma), skin cancer (eg, melanoma) ), liver cancer (such as hepatocellular carcinoma and cholangiocarcinoma), pancreatic cancer (such as pancreatic intraepithelial neoplasia and pancreatic ductal adenocarcinoma), lung cancer (such as non-small cell lung cancer and lung adenocarcinoma), kidney cancer (such as kidney cells) Cancer), colorectal cancer and ovarian cancer.
实施例Example
本发明通式(I)所述的化合物或其可药用的盐的制备,可通过以下实施例中所述的示例性方法以及本领域技术人员所用的相关公开文献操作完成,但这些实施例并非限制着本发明的范围。The preparation of the compound of the formula (I) of the present invention or a pharmaceutically acceptable salt thereof can be carried out by the exemplary methods described in the following examples and related publications used by those skilled in the art, but these examples It is not intended to limit the scope of the invention.
化合物的结构是通过核磁共振(NMR)或质谱(MS)来确定的。NMR的测定是用Bruker AVANCE-400或Varian Oxford-300核磁仪,测定溶剂为氘代二甲基亚砜(DMSO-d6)、氘代氯仿(CDC13)、氘代甲醇(CD3OD),内标为四甲基硅烷(TMS),化学位移是以10-6(ppm)作为单位给出。The structure of the compound is determined by nuclear magnetic resonance (NMR) or mass spectrometry (MS). NMR was measured using a Bruker AVANCE-400 or Varian Oxford-300 nuclear magnetic apparatus, and the solvent was deuterated dimethyl sulfoxide (DMSO-d6), deuterated chloroform (CDC1 3 ), deuterated methanol (CD 3 OD). The internal standard is tetramethylsilane (TMS) and the chemical shift is given in units of 10 -6 (ppm).
MS的测定用Agilent SQD(ESI)质谱仪(生产商:Agilent,型号:6110)或Shimadzu SQD(ESI)质谱仪(生产商:Shimadzu,型号:2020)。The MS was measured using an Agilent SQD (ESI) mass spectrometer (manufacturer: Agilent, model: 6110) or a Shimadzu SQD (ESI) mass spectrometer (manufacturer: Shimadzu, model: 2020).
HPLC的测定使用安捷伦1200DAD高压液相色谱仪(Sunfire C18,150×4.6mm,5μm,色谱柱)和Waters 2695-2996高压液相色谱仪(Gimini C18150×4.6mm,5μm色谱柱)。The HPLC was measured using an Agilent 1200 DAD high pressure liquid chromatograph (Sunfire C18, 150 x 4.6 mm, 5 μm, column) and a Waters 2695-2996 high pressure liquid chromatograph (Gimini C18 150 x 4.6 mm, 5 μm column).
薄层层析硅胶板使用青岛海洋GF254硅胶板,薄层色谱法(TLC)使用的硅胶板采用的规格是0.15mm~0.2mm,薄层层析分离纯化产品采用的规格是0.4mm~0.5mm硅胶板。 The thin-layer chromatography silica gel plate uses Qingdao Ocean GF254 silica gel plate, and the silica gel plate used for thin-layer chromatography (TLC) has a specification of 0.15 mm to 0.2 mm. The specification for separation and purification of thin layer chromatography is 0.4 mm to 0.5 mm. silicone board.
柱层析一般使用青岛海洋200~300目硅胶为载体。Column chromatography generally uses Qingdao Ocean 200-300 mesh silica gel as a carrier.
本发明的已知的起始原料可以采用或按照本领域已知的方法来合成,或可购买自ABCR GmbH&Co.KG,Acros Organics,Aldrich Chemical Company,韶远化学科技(Accela ChemBio Inc)、北京耦合化学品等公司。The known starting materials of the present invention may be synthesized by or according to methods known in the art, or may be purchased from ABCR GmbH & Co. KG, Acros Organics, Aldrich Chemical Company, Accela ChemBio Inc, Beijing Coupling Companies such as chemicals.
实施例中如无特殊说明,反应均在氩气氛或氮气氛下进行。In the examples, unless otherwise specified, the reactions were all carried out under an argon atmosphere or a nitrogen atmosphere.
氩气氛或氮气氛是指反应瓶连接一个约1L容积的氩气或氮气气球。An argon atmosphere or a nitrogen atmosphere means that the reaction flask is connected to an argon or nitrogen balloon having a volume of about 1 L.
氢气氛是指反应瓶连接一个约1L容积的氢气气球。The hydrogen atmosphere means that the reaction flask is connected to a hydrogen balloon of about 1 L volume.
加压氢化反应使用北京佳维科创科技有限公司GCD-500G高纯氢气发生器和BLT-2000中压氢化仪。The pressurized hydrogenation reaction was carried out using a GCD-500G high purity hydrogen generator and a BLT-2000 medium pressure hydrogenator from Beijing Jiawei Kechuang Technology Co., Ltd.
氢化反应通常抽真空,充入氢气,反复操作3次。The hydrogenation reaction is usually evacuated, charged with hydrogen, and operated three times.
微波反应使用CEM Discover-SP型微波反应器。The microwave reaction used a CEM Discover-SP type microwave reactor.
实施例中如无特殊说明,反应的温度为室温,温度范围是20℃-30℃。In the examples, unless otherwise specified, the temperature of the reaction is room temperature, and the temperature range is from 20 ° C to 30 ° C.
实施例中的反应进程的监测采用薄层色谱法(TLC),反应所使用的展开剂的体系有A:二氯甲烷和甲醇体系;B:石油醚和乙酸乙酯体系,溶剂的体积比根据化合物的极性不同而进行调节。The reaction progress in the examples was monitored by thin layer chromatography (TLC), and the system used for the reaction was A: dichloromethane and methanol system; B: petroleum ether and ethyl acetate system, the volume ratio of the solvent was based on The polarity of the compound is adjusted to adjust.
纯化化合物采用的柱层析的洗脱剂的体系和薄层色谱法的展开剂的体系包括A:二氯甲烷和甲醇体系;B:石油醚和乙酸乙酯体系,溶剂的体积比根据化合物的极性不同而进行调节,也可以加入少量的酸性或碱性试剂(如三乙胺)进行调节。The system for purifying the compound using the column chromatography eluent and the system for developing the thin layer chromatography include A: dichloromethane and methanol systems; B: petroleum ether and ethyl acetate system, the volume ratio of the solvent according to the compound Adjustments can be made with different polarities and can also be adjusted by adding a small amount of an acidic or alkaline reagent such as triethylamine.
实施例1Example 1
(E)-N-(2-(5-(2,6-二氯-3,5-二甲氧基苯乙烯基)嘧啶-2-基氨基)-3-甲基苯基)丙烯酰胺(化合物6) (E)-N-(2-(5-(2,6-Dichloro-3,5-dimethoxystyryl)pyrimidin-2-ylamino)-3-methylphenyl)acrylamide ( Compound 6)
第一步first step
2,4-二氯-1,5-二甲氧基-3-乙烯基苯2,4-dichloro-1,5-dimethoxy-3-vinylbenzene
将化合物2,6-二氯-3,5-二甲氧基苯(500mg,2.13mmol),三苯基溴化磷(763mg,2.13mmol),碳酸钾(369mg,1.25mmol)和1,4-二氧六环(5mL)混合,加热到120℃,搅拌过夜。冷却至室温,减压脱溶,残余物用硅胶柱层析纯化(石油醚/乙酸乙酯=10:1),得到目标产物2,4-二氯-1,5-二甲氧基-3-乙烯基苯6b(300mg,白色固体),产率66%。Compound 2,6-Dichloro-3,5-dimethoxybenzene (500 mg, 2.13 mmol), triphenylphosphonium bromide (763 mg, 2.13 mmol), potassium carbonate (369 mg, 1.25 mmol) and 1,4 - Dioxane (5 mL) was mixed, heated to 120 ° C and stirred overnight. The mixture was cooled to room temperature, and then evaporated to dryness. -Vinylbenzene 6b (300 mg, white solid), yield 66%.
第二步Second step
5-(2,6-二氯-3,5-甲氧基苯乙烯基)-N-(2-甲基-6-硝基苯基)嘧啶-2-胺5-(2,6-Dichloro-3,5-methoxystyryl)-N-(2-methyl-6-nitrophenyl)pyrimidin-2-amine
将化合物2,4-二氯-1,5-二甲氧基-3-乙烯基苯(100mg,0.42mmol),5-碘-N-(2-甲基-6-硝基苯基)嘧啶-2-胺(152mg,0.42),醋酸钯(40mg,0.08mmol),三乙胺(173mg,0.16mmol)和N,N-二甲基甲酰胺(5mL)混合,加热到120℃,搅拌过夜。冷却至室温,减压脱溶,残余物用硅胶柱层析纯化(石油醚/乙酸乙酯=1:10),得到目标产物5-(2,6-二氯-3,5-甲氧基苯乙烯基)-N-(2-甲基-6-硝基苯基)嘧啶-2-胺6d(60mg,黄色固体),产率30%。The compound 2,4-dichloro-1,5-dimethoxy-3-vinylbenzene (100 mg, 0.42 mmol), 5-iodo-N-(2-methyl-6-nitrophenyl)pyrimidine 2-Amine (152 mg, 0.42), palladium acetate (40 mg, 0.08 mmol), triethylamine (173 mg, 0.16 mmol) and N,N-dimethylformamide (5 mL). . The mixture was cooled to room temperature, and then evaporated to dryness. Styryl)-N-(2-methyl-6-nitrophenyl)pyrimidin-2-amine 6d (60 mg, yellow solid), yield 30%.
MS m/z(ESI):461[M+1]MS m/z (ESI): 461 [M+1]
第三步third step
5-(2,6-二氯-3,5-甲氧基苯乙烯基)-N-(2-甲基-6-氨基苯基)嘧啶-2-胺5-(2,6-Dichloro-3,5-methoxystyryl)-N-(2-methyl-6-aminophenyl)pyrimidin-2-amine
将化合物5-(2,6-二氯-3,5-甲氧基苯乙烯基)-N-(2-甲基-6-硝基苯基)嘧啶 -2-胺(60mg,0.13mmol),锌粉(84.5mg,1.3mmol),氯化铵(33.2mg,0.65mmol)和无水乙醇(3mL)混合,加热到60℃,搅拌三小时。冷却至室温,过滤,滤液减压脱溶,得到目标产物5-(2,6-二氯-3,5-甲氧基苯乙烯基)-N-(2-甲基-6-氨基苯基)嘧啶-2-胺6e(50mg,黄色固体),产率89%。The compound 5-(2,6-dichloro-3,5-methoxystyryl)-N-(2-methyl-6-nitrophenyl)pyrimidine 2-Amine (60 mg, 0.13 mmol), zinc powder (84.5 mg, 1.3 mmol), ammonium chloride (33.2 mg, 0.65 mmol) and anhydrous ethanol (3 mL) were mixed, heated to 60 ° C, and stirred for three hours. After cooling to room temperature, filtration, the filtrate was desolvated under reduced pressure to give the desired product 5-(2,6-dichloro-3,5-methoxystyryl)-N-(2-methyl-6-aminophenyl) Pyrimidine-2-amine 6e (50 mg, yellow solid), yield 89%.
MS m/z(ESI):431[M+1]MS m/z (ESI): 431 [M+1]
第四步the fourth step
(E)-N-(2-(5-(2,6-二氯-3,5-二甲氧基苯乙烯基)嘧啶-2-基氨基)-3-甲基苯基)丙烯酰胺(E)-N-(2-(5-(2,6-Dichloro-3,5-dimethoxystyryl)pyrimidin-2-ylamino)-3-methylphenyl)acrylamide
将化合物5-(2,6-二氯-3,5-甲氧基苯乙烯基)-N-(2-甲基-6-氨基苯基)嘧啶-2-胺(50mg,0.11mmol),N,N-二异丙基乙胺(22.5mg,0.17mmol)和二氯甲烷(5mL)混合,0℃搅拌下缓慢滴加丙烯酰氯(11.7mg,0.12mmol),继续搅拌30分钟。向此混合物加10mL水,再用二氯甲烷(10mL×3)萃取,有机相合并后减压脱溶,残余物用硅胶柱层析纯化(石油醚/乙酸乙酯=1:10),得到目标产物(E)-N-(2-(5-(2,6-二氯-3,5-二甲氧基苯乙烯基)嘧啶-2-基氨基)-3-甲基苯基)丙烯酰胺6(10mg,黄色固体),产率22%。The compound 5-(2,6-dichloro-3,5-methoxystyryl)-N-(2-methyl-6-aminophenyl)pyrimidin-2-amine (50 mg, 0.11 mmol), The mixture was mixed with EtOAc (2. After adding 10 mL of water to the mixture, the mixture was combined with methylene chloride (10 mL × 3). Target product (E)-N-(2-(5-(2,6-dichloro-3,5-dimethoxystyryl)pyrimidin-2-ylamino)-3-methylphenyl)propene Amide 6 (10 mg, yellow solid), yield 22%.
MS m/z(ESI):486[M+1];1H NMR(400MHz,CDCl3)δ8.62(s,2H),8.18(s,1H),8.04(s,1H),7.32(d,J=7.8Hz,1H),7.17–7.09(m,2H),7.04(d,J=17.3Hz,1H),6.94(d,J=16.8Hz,1H),6.58(s,1H),6.41(d,J=16.6Hz,1H),6.29(dd,J=16.8,9.9Hz,1H),5.74(d,J=10.2Hz,1H),3.97(s,6H),2.30(s,3H)。MS m/z (ESI): 486 [M + 1]; 1 H NMR (400 MHz, CDCl3) δ 8.62 (s, 2H), 8.18 (s, 1H), 8.04 (s, 1H), 7.32 (d, J = 7.8 Hz, 1H), 7.17 - 7.09 (m, 2H), 7.04 (d, J = 17.3 Hz, 1H), 6.94 (d, J = 16.8 Hz, 1H), 6.58 (s, 1H), 6.41 ( d, J = 16.6 Hz, 1H), 6.29 (dd, J = 16.8, 9.9 Hz, 1H), 5.74 (d, J = 10.2 Hz, 1H), 3.97 (s, 6H), 2.30 (s, 3H).
实施例2Example 2
3-(((2-((2-丙烯酰氨基-6-甲基苯基)氨基)嘧啶-5-基)氧基)甲基)-4-氯苯甲酰胺(化合物119) 3-(((2-(2-acrylamido-6-methylphenyl)amino)pyrimidin-5-yl)oxy)methyl)-4-chlorobenzamide (Compound 119)
第一步first step
4-氯-3-甲基苯甲酸甲酯Methyl 4-chloro-3-methylbenzoate
将二氯亚砜滴加到4-氯-3-甲基苯甲酸119a(18g,110mmol,1eq)的甲醇溶液中,回流反应2h,冷却。后处理:减压脱溶,残余物用碳酸氢钠的水溶液稀释,用乙酸乙酯萃取两次,合并有机相旋干,用硅胶柱层析纯化(石油醚/乙酸乙酯=20:1),得到15克目标产物4-氯-3-甲基苯甲酸甲酯,产率:75%。The thionyl chloride was added dropwise to a solution of 4-chloro-3-methylbenzoic acid 119a (18 g, 110 mmol, 1 eq) in methanol. After work-up: the residue was diluted with EtOAc (EtOAc)EtOAc. 15 g of the objective product 4-chloro-3-methylbenzoic acid methyl ester was obtained in a yield: 75%.
第二步Second step
3-(溴甲基)-4-氯苯甲酸甲酯Methyl 3-(bromomethyl)-4-chlorobenzoate
将化合物4-氯-3-甲基苯甲酸甲酯119b(4g,22mmol,1eq)溶于50mL四氯化碳中,将NBS(3.8g,22mmol,1eq)和AIBN(360mg,0.22mmol,0.1eq)加到反应体系回流反应过夜。后处理:减压脱溶,剩余物通过柱层析纯化(石油醚/乙酸乙酯=20:1)得到5.0g3-(溴甲基)-4-氯苯甲酸甲酯,产率:88%。The compound 4-chloro-3-methylbenzoic acid methyl ester 119b (4 g, 22 mmol, 1 eq) was dissolved in 50 mL of carbon tetrachloride, NBS (3.8 g, 22 mmol, 1 eq) and AIBN (360 mg, 0.22 mmol, 0.1 Eq) was added to the reaction system for reflux overnight. Post-treatment: desolvation under reduced pressure, and the residue was purified by column chromatography ( petroleum ether / ethyl acetate = 20:1) to give 5.0 g of ethyl 3-(bromomethyl)-4-chlorobenzoate, yield: 88% .
第三步third step
4-氯-3-(((2-氯嘧啶-5-基)氧基)甲基)苯甲酸甲酯Methyl 4-chloro-3-(((2-chloropyrimidin-5-yl)oxy)methyl)benzoate
将化合物3-(溴甲基)-4-氯苯甲酸甲酯119c(5.0g,19.2mmol,1eq)和2-氯嘧啶-5-酚(2.5g,19.2mmol,1eq)溶于30毫升DMF中,加入碳酸钾(5.3g,38.4mmol,2eq)于75度加热反应3h,冷却至室温。后处理:加入冰水,析出固体过滤,滤饼干燥得到4.2g4-氯-3-(((2-氯嘧啶-5-基)氧基)甲基)苯甲酸甲酯,产率:70%。 The compound 3-(bromomethyl)-4-chlorobenzoic acid methyl ester 119c (5.0 g, 19.2 mmol, 1 eq) and 2-chloropyrimidin-5-phenol (2.5 g, 19.2 mmol, 1 eq) was dissolved in 30 ml DMF Potassium carbonate (5.3 g, 38.4 mmol, 2 eq) was added and heated at 75 °C for 3 h and cooled to room temperature. Post-treatment: adding ice water, separating solids for filtration, and drying the filter cake to obtain 4.2 g of methyl 4-chloro-3-(((2-chloropyrimidin-5-yl)oxy)methyl)benzoate, yield: 70% .
MS m/z(ESI):314[M+1]MS m/z (ESI): 314 [M+1]
第四步the fourth step
4-氯-3-(((2-((2-甲基-6-硝基苯基)氨基)嘧啶-5-基)氧基)甲基)苯甲酸甲酯Methyl 4-chloro-3-(((2-((2-methyl-6-nitrophenyl)amino)pyrimidin-5-yl)oxy)methyl)benzoate
将化合物4-氯-3-(((2-氯嘧啶-5-基)氧基)甲基)苯甲酸甲酯119d(312mg,1mmol,1eq)、2-甲基-6-硝基苯胺(182mg,1.2mmol,1.2eq)、X-phos(95mg,0.2mmol,0.2eq)、Pd2(dba)3(92mg,0.1mmol,0.1eq)和碳酸铯(652mg,2mmol,2eq)溶到15mL无水N,N-二甲基甲酰胺,于95℃条件系反应三个小时。后处理:冷却到室温,水和乙酸乙酯体系水洗萃取,减压脱溶,残余物用硅胶柱层析纯化(石油醚/乙酸乙酯=5:1),得到1.3g目标产物4-氯-3-(((2-((2-甲基-6-硝基苯基)氨基)嘧啶-5-基)氧基)甲基)苯甲酸甲酯,产率:35%。The compound 4-chloro-3-(((2-chloropyrimidin-5-yl)oxy)methyl)benzoic acid methyl ester 119d (312 mg, 1 mmol, 1 eq), 2-methyl-6-nitroaniline 182 mg, 1.2 mmol, 1.2 eq), X-phos (95 mg, 0.2 mmol, 0.2 eq), Pd 2 (dba) 3 (92 mg, 0.1 mmol, 0.1 eq) and cesium carbonate (652 mg, 2 mmol, 2 eq) dissolved in 15 mL Anhydrous N,N-dimethylformamide was reacted at 95 ° C for three hours. Work-up: After cooling to room temperature, water and ethyl acetate were washed with water and evaporated to dryness. The residue was purified by silica gel column chromatography ( petroleum ether / ethyl acetate = 5:1) Methyl 3-((2-((2-methyl-6-nitrophenyl)amino)pyrimidin-5-yl)oxy)methyl)benzoate, yield: 35%.
MS m/z(ESI):429[M+1]MS m/z (ESI): 429 [M+1]
第五步the fifth step
4-氯-3-(((2-((2-甲基-6-硝基苯基)氨基)嘧啶-5-基)氧基)甲基)苯甲酸4-Chloro-3-(((2-((2-methyl-6-nitrophenyl)amino)pyrimidin-5-yl)oxy)methyl)benzoic acid
将化合物4-氯-3-(((2-((2-甲基-6-硝基苯基)氨基)嘧啶-5-基)氧基)甲基)苯甲酸甲酯119e(1.3g,3mmol,1eq)溶到10mL甲醇,10毫升四氢呋喃,2毫升水的混和溶剂中,加入氢氧化钠(243mg,6mmol,2eq),室温搅拌过夜。减压脱溶,用20毫升1M的稀盐酸稀释,用乙酸乙酯萃取,蒸干有机溶剂得到850mg目标产物4-氯-3-(((2-((2-甲基-6-硝基苯基)氨基)嘧啶-5-基)氧基)甲基)苯甲酸119f,产率:67%。The compound 4-chloro-3-((2-((2-methyl-6-nitrophenyl)amino)pyrimidin-5-yl)oxy)methyl)benzoate methyl ester 119e (1.3 g, 3 mmol, 1 eq) was dissolved in 10 mL of methanol, 10 ml of tetrahydrofuran, 2 ml of water, and then sodium hydroxide (243 mg, 6 mmol, 2 eq). The solution was de-dissolved under reduced pressure, diluted with 20 mL of 1M EtOAc EtOAc. EtOAc. Phenyl)amino)pyrimidin-5-yl)oxy)methyl)benzoic acid 119f, Yield: 67%.
MS m/z(ESI):415[M+1]MS m/z (ESI): 415 [M+1]
第六步Step 6
4-氯-3-(((2-((2-甲基-6-硝基苯基)氨基)嘧啶-5-基)氧基)甲基)苯甲酰胺4-Chloro-3-(((2-((2-methyl-6-nitrophenyl)amino)pyrimidin-5-yl)oxy)methyl)benzamide
将化合物4-氯-3-(((2-((2-甲基-6-硝基苯基)氨基)嘧啶-5-基)氧基)甲基)苯甲酸119f(100mg,0.24mmol,1eq)溶于10mL二氯甲烷中,加入草酰氯(46mg,0.36mmol,1eq),滴加一滴DMF,于室温搅拌2h。然后向体系中通30分钟氨气。后处理:减压脱溶,剩余物通过硅胶柱层析纯化(石油醚/乙酸乙酯=2:1)得到610mg目标产物4-氯-3-(((2-((2-甲基-6-硝基苯基)氨基)嘧啶-5-基)氧基)甲基)苯甲酰胺119g,产率72%。The compound 4-chloro-3-(((2-((2-methyl-6-nitrophenyl)amino)pyrimidin-5-yl)oxy)methyl)benzoic acid 119f (100 mg, 0.24 mmol, 1 eq) was dissolved in 10 mL of dichloromethane, oxalyl chloride (46 mg, 0.36 mmol, 1 eq) was added, and a drop of DMF was added dropwise and stirred at room temperature for 2 h. Then pass ammonia to the system for 30 minutes. Post-treatment: de-solubilization under reduced pressure, the residue was purified by silica gel column chromatography (ethyl ether / ethyl acetate = 2:1) to afford 610 mg of the desired product 4-chloro-3-(((2-((2-methyl-) 6-Nitrophenyl)amino)pyrimidin-5-yl)oxy)methyl)benzamide 119 g, yield 72%.
MS m/z(ESI):414[M+1]MS m/z (ESI): 414 [M+1]
第七步Seventh step
3-(((2-((2-氨基-6-甲基苯基)氨基)嘧啶-5-基)氧基)甲基)-4-氯苯甲酰胺 3-(((2-(2-Amino-6-methylphenyl)amino)pyrimidin-5-yl)oxy)methyl)-4-chlorobenzamide
将化合物4-氯-3-(((2-((2-甲基-6-硝基苯基)氨基)嘧啶-5-基)氧基)甲基)苯甲酰胺119g(600mg,1.1mmol,1eq)溶于10mL乙醇-水体系(5:1),加入锌粉(715mg,11mmol,10eq),氯化铵(1265mg,11mmol,10eq),于50℃搅拌1h。后处理:旋干乙醇,用水-乙酸乙酯体系萃取,减压脱溶得到320mg目标产物3-(((2-((2-氨基-6-甲基苯基)氨基)嘧啶-5-基)氧基)甲基)-4-氯苯甲酰胺119h,产率60%。The compound 4-chloro-3-(((2-((2-methyl-6-nitrophenyl)amino)pyrimidin-5-yl)oxy)methyl)benzamide 119 g (600 mg, 1.1 mmol , 1 eq) was dissolved in 10 mL of ethanol-water system (5:1), zinc powder (715 mg, 11 mmol, 10 eq), ammonium chloride (1265 mg, 11 mmol, 10 eq) was added and stirred at 50 ° C for 1 h. Post-treatment: Ethanol was spin-dried, extracted with water-ethyl acetate system, and evaporated to dryness to give 320 mg of the desired product 3-(((2-(2-amino-6-methylphenyl)amino)pyrimidin-5-yl) Oxy)methyl)-4-chlorobenzamide 119h, yield 60%.
MS m/z(ESI):384[M+1]MS m/z (ESI): 384 [M+1]
第八步Eighth step
3-(((2-((2-丙烯酰氨基-6-甲基苯基)氨基)嘧啶-5-基)氧基)甲基)-4-氯苯甲酰胺3-(((2-(2-acrylamido-6-methylphenyl)amino)pyrimidin-5-yl)oxy)methyl)-4-chlorobenzamide
将化合物3-(((2-((2-氨基-6-甲基苯基)氨基)嘧啶-5-基)氧基)甲基)-4-氯苯甲酰胺119h(150mg,0.39mmol,1eq)溶于10mL二氯甲烷,加入DIPEA(101mg,0.78mmol,2eq),降温至-40℃,逐滴加入丙烯酰氯(35mg,0.39mmol,1eq),搅拌30min。后处理:用水-乙酸乙酯体系萃取,减压脱溶得到目标产物3-(((2-((2-丙烯酰氨基-6-甲基苯基)氨基)嘧啶-5-基)氧基)甲基)-4-氯苯甲酰胺粗品,经制备可得到25mg纯品。产率:15%。The compound 3-(((2-((2-amino-6-methylphenyl)amino)pyrimidin-5-yl)oxy)methyl)-4-chlorobenzamide 119h (150 mg, 0.39 mmol, 1 eq) was dissolved in 10 mL of dichloromethane, DIPEA (101 mg, 0.78 mmol, 2 eq) was added, and then cooled to -40 ° C, acryloyl chloride (35 mg, 0.39 mmol, 1 eq) was added dropwise and stirred for 30 min. Post-treatment: extraction with water-ethyl acetate system, and desolvation under reduced pressure to give the desired product, 3-(((2-((2-)-2- </RTI> </RTI> </RTI> <RTIgt; The crude product of methyl)-4-chlorobenzamide was prepared to give 25 mg of pure product. Yield: 15%.
MS m/z(ESI):438[M+1];1H NMR(400MHz,DMSO)δ9.51(s,1H),8.24(s,2H),8.17–8.06(m,3H),7.89(dd,J=8.3,2.0Hz,1H),7.64(dd,J=19.8,8.1Hz,2H),7.51(s,1H),7.15(t,J=7.8Hz,1H),7.07(d,J=7.4Hz,1H),6.51(dd,J=17.0,10.2Hz,1H),6.22(dd,J=17.0,1.6Hz,1H),5.74–5.66(m,1H),5.17(s,2H),2.11(s,3H)。MS m/z (ESI): 436 [M + 1]; 1 H NMR (400 MHz, DMSO) δ 9.51 (s, 1H), 8.24 (s, 2H), 8.17 - 8.06 (m, 3H), 7.89 ( Dd, J = 8.3, 2.0 Hz, 1H), 7.64 (dd, J = 19.8, 8.1 Hz, 2H), 7.51 (s, 1H), 7.15 (t, J = 7.8 Hz, 1H), 7.07 (d, J) = 7.4 Hz, 1H), 6.51 (dd, J = 17.0, 10.2 Hz, 1H), 6.22 (dd, J = 17.0, 1.6 Hz, 1H), 5.74 - 5.66 (m, 1H), 5.17 (s, 2H) , 2.11 (s, 3H).
实施例3Example 3
3-(((2-((2-丙烯酰氨基-6-甲基苯基)氨基)嘧啶-5-基)氧基)甲基)-4-氯-N-甲基苯甲酰胺(化合物127)3-(((2-(2-acrylamido-6-methylphenyl)amino)pyrimidin-5-yl)oxy)methyl)-4-chloro-N-methylbenzamide (compound) 127)
参照实施例2步骤合成实施例3,但在第六步用甲胺盐酸盐取代氨气,并与化合物119f直接缩合制备4-氯-N-甲基-3-(((2-((2-甲基-6-硝基苯基)氨基)嘧啶-5-基)氧基)甲基)苯甲酰胺127g。将化合物4-氯-3-(((2-((2-甲基-6-硝基苯 基)氨基)嘧啶-5-基)氧基)甲基)苯甲酸119f(250mg,0.6mmol,1eq)、甲胺盐酸盐(61mg,0.9mmol,1.5eq)、HATU(343mg,0.9mmol,1.5eq)溶到5mL无水N,N-二甲基甲酰胺,加入DIPEA(233mg,1.8mmol,3eq),室温下搅拌反应1小时。后处理:水和乙酸乙酯体系水洗萃取,减压脱溶得到258mg目标产物4-氯-N-甲基-3-(((2-((2-甲基-6-硝基苯基)氨基)嘧啶-5-基)氧基)甲基)苯甲酰胺127g,产率:100%。最终得到目标产物3-(((2-((2-丙烯酰氨基-6-甲基苯基)氨基)嘧啶-5-基)氧基)甲基)-4-氯-N-甲基苯甲酰胺(化合物127)。Example 3 was synthesized by following the procedure of Example 2, but in the sixth step, ammonia was replaced with methylamine hydrochloride, and directly condensed with compound 119f to prepare 4-chloro-N-methyl-3-(((2-(( 2-methyl-6-nitrophenyl)amino)pyrimidin-5-yl)oxy)methyl)benzamide 127 g. The compound 4-chloro-3-(((2-((2-methyl-6-nitrobenzene)) Amino)pyrimidin-5-yl)oxy)methyl)benzoic acid 119f (250 mg, 0.6 mmol, 1 eq), methylamine hydrochloride (61 mg, 0.9 mmol, 1.5 eq), HATU (343 mg, 0.9 mmol, 1.5 eq) was dissolved in 5 mL of anhydrous N,N-dimethylformamide, and DIPEA (233 mg, 1.8 mmol, 3 eq) was added, and the reaction was stirred at room temperature for 1 hour. Post-treatment: water and ethyl acetate system were washed with water and decomposed under reduced pressure to give 258 mg of the desired product 4-chloro-N-methyl-3-(((2-((2-methyl-6-nitrophenyl))) Amino)pyrimidin-5-yl)oxy)methyl)benzamide 127 g, Yield: 100%. The title product 3-(((2-(2-acrylamido-6-methylphenyl)amino)pyrimidin-5-yl)oxy)methyl)-4-chloro-N-methylbenzene was finally obtained. Formamide (Compound 127).
MS m/z(ESI):452[M+1];1H NMR(400MHz,DMSO)δ9.50(s,1H),8.57(d,J=4.3Hz,1H),8.24(s,2H),8.09(d,J=20.2Hz,2H),7.84(dd,J=8.3,1.7Hz,1H),7.64(dd,J=16.5,8.1Hz,2H),7.15(t,J=7.8Hz,1H),7.07(d,J=7.4Hz,1H),6.50(dd,J=17.0,10.2Hz,1H),6.21(d,J=16.8Hz,1H),5.71(d,J=10.9Hz,1H),5.18(s,2H),2.79(d,J=4.4Hz,3H),2.11(s,3H)。MS m/z (ESI): 452 [M + 1]; 1 H NMR (400 MHz, DMSO) δ 9.50 (s, 1H), 8.57 (d, J = 4.3 Hz, 1H), 8.24 (s, 2H) , 8.09 (d, J = 20.2 Hz, 2H), 7.84 (dd, J = 8.3, 1.7 Hz, 1H), 7.64 (dd, J = 16.5, 8.1 Hz, 2H), 7.15 (t, J = 7.8 Hz, 1H), 7.07 (d, J = 7.4 Hz, 1H), 6.50 (dd, J = 17.0, 10.2 Hz, 1H), 6.21 (d, J = 16.8 Hz, 1H), 5.71 (d, J = 10.9 Hz, 1H), 5.18 (s, 2H), 2.79 (d, J = 4.4 Hz, 3H), 2.11 (s, 3H).
实施例4Example 4
3-(((2-((2-丙烯酰氨基-6-甲基苯基)氨基)嘧啶-5-基)氧基)甲基)-4-氟-5-甲氧基-N-甲基苯甲酰胺(化合物138)3-(((2-(Acylamino)-6-methylphenyl)amino)pyrimidin-5-yl)oxy)methyl)-4-fluoro-5-methoxy-N-A Benzoylamide (Compound 138)
第一步 First step
4-氟-3-碘-5-甲基苯甲酸4-fluoro-3-iodo-5-methylbenzoic acid
将4-氟-3-甲基苯甲酸138a(20.0g,120mmol,1eq)溶于100mL浓硫酸(97%)中,控温0℃将NIS(26.5g,120mmol,1eq)分批加到反应体系后,于室温搅拌反应2小时。后处理:加入冰水,析出固体过滤,滤饼干燥得到26.0g目标产物4-氟-3-碘-5-甲基苯甲酸138b,产率:75%。4-Fluoro-3-methylbenzoic acid 138a (20.0 g, 120 mmol, 1 eq) was dissolved in 100 mL of concentrated sulfuric acid (97%), and NIS (26.5 g, 120 mmol, 1 eq) was added portionwise to the reaction at 0 °C. After the system, the reaction was stirred at room temperature for 2 hours. Post-treatment: ice water was added, the solid was filtered out, and the cake was dried to give 26.0 g of the desired product 4-fluoro-3-iodo-5-methylbenzoic acid 138b, yield: 75%.
第二步Second step
4-氟-3-羟基-5-甲基苯甲酸4-fluoro-3-hydroxy-5-methylbenzoic acid
将化合物4-氟-3-碘-5-甲基苯甲酸138b(26.0g,88mmol,1eq),氧化亚铜(1.4g,10mmol,0.1eq)和氢氧化钠(17.6g,439mmol,5eq)溶于300mL水中,回流反应过夜,冷却至室温。后处理:过滤,滤液用盐酸溶液调节pH值到5,用乙酸乙酯萃取,蒸干有机溶剂得到13.4g目标产物4-氟-3-羟基-5-甲基苯甲酸138c,产率:82%。Compound 4-Fluoro-3-iodo-5-methylbenzoic acid 138b (26.0 g, 88 mmol, 1 eq), cuprous oxide (1.4 g, 10 mmol, 0.1 eq) and sodium hydroxide (17.6 g, 439 mmol, 5 eq) Dissolved in 300 mL of water, refluxed overnight, cooled to room temperature. After-treatment: filtration, the filtrate was adjusted to pH 5 with a hydrochloric acid solution, extracted with ethyl acetate, and evaporated to dryness to give 13.4 g of the desired product 4-fluoro-3-hydroxy-5-methylbenzoic acid 138c, yield: 82 %.
第三步third step
4-氟-3-甲氧基-5-甲基苯甲酸甲酯Methyl 4-fluoro-3-methoxy-5-methylbenzoate
将化合物4-氟-3-羟基-5-甲基苯甲酸138c(13.4g,71.7mmol,1eq)和碘甲烷(22.4g,157.6mmol,2.2eq)溶于250毫升无水N,N-二甲基甲酰胺中,加入碳酸钾(29.7g,215.0mmol,3eq)于80℃加热反应4小时,冷却至室温。后处理:水和乙酸乙酯体系水洗萃取,减压脱溶,残余物用硅胶柱层析纯化(石油醚/乙酸乙酯=50:1),得到15.0g目标产物4-氟-3-甲氧基-5-甲基苯甲酸甲酯138d,产率:97%。The compound 4-fluoro-3-hydroxy-5-methylbenzoic acid 138c (13.4 g, 71.7 mmol, 1 eq) and iodomethane (22.4 g, 157.6 mmol, 2.2 eq) were dissolved in 250 mL anhydrous N, N- To the methylformamide, potassium carbonate (29.7 g, 215.0 mmol, 3 eq) was added and the mixture was heated at 80 ° C for 4 hours, and cooled to room temperature. After-treatment: water and ethyl acetate were washed with water, and the residue was purified by silica gel column chromatography ( petroleum ether / ethyl acetate = 50:1). Methyl oxy-5-methylbenzoate 138d, yield: 97%.
后面的化合物合成参照实施例38步骤合成,但在第五步用Xantphos取代Xphos,并延长反应时间到8小时制备4-氟-3-甲氧基-5-(((2-((2-甲基-6-硝基苯基)氨基)嘧啶-5-基)氧基)甲基)苯甲酸甲酯138g。最终得到目标产物3-(((2-((2-丙烯酰氨基-6-甲基苯基)氨基)嘧啶-5-基)氧基)甲基)-4-氟-5-甲氧基-N-甲基苯甲酰胺(化合物138)。The latter compound was synthesized by the procedure of Example 38, but in the fifth step, Xphos was substituted for Xphos, and the reaction time was extended to 8 hours to prepare 4-fluoro-3-methoxy-5-(((2-((2- Methyl-6-nitrophenyl)amino)pyrimidin-5-yl)oxy)methyl)benzoate 138 g. Finally, the desired product 3-(((2-(2-acrylamido-6-methylphenyl)amino)pyrimidin-5-yl)oxy)methyl)-4-fluoro-5-methoxy -N-methylbenzamide (Compound 138).
MS m/z(ESI):466[M+1]MS m/z (ESI): 466 [M+1]
实施例5Example 5
3-(((2-((2-丙烯酰氨基-6-甲基苯基)氨基)嘧啶-5-基)氧基)甲基)-4-氟-N-环丙基-5-甲氧基苯甲酰胺(化合物139) 3-(((2-(2-acrylamido-6-methylphenyl)amino)pyrimidin-5-yl)oxy)methyl)-4-fluoro-N-cyclopropyl-5-A Oxybenzamide (Compound 139)
参照实施例4步骤合成实施例5,但在第七步用环丙胺取代甲胺盐酸盐制备4-氟-N-环丙基-3-甲氧基-5-(((2-((2-甲基-6-硝基苯基)氨基)嘧啶-5-基)氧基)甲基)苯甲酰胺139i。最终得到目标产物3-(((2-((2-丙烯酰氨基-6-甲基苯基)氨基)嘧啶-5-基)氧基)甲基)-4-氟-N-环丙基-5-甲氧基苯甲酰胺(化合物139)。Example 5 was synthesized by following the procedure of Example 4, but in the seventh step, 4-fluoro-N-cyclopropyl-3-methoxy-5-(((2-(( 2-Methyl-6-nitrophenyl)amino)pyrimidin-5-yl)oxy)methyl)benzamide 139i. The desired product is finally obtained 3-(((2-(2-acrylamido-6-methylphenyl)amino)pyrimidin-5-yl)oxy)methyl)-4-fluoro-N-cyclopropyl -5-Methoxybenzamide (Compound 139).
MS m/z(ESI):492[M+1];1H NMR(400MHz,DMSO)δ9.50(s,1H),8.50(d,J=3.7Hz,1H),8.20(s,2H),8.09(s,1H),7.66(d,J=8.0Hz,1H),7.59(d,J=6.0Hz,2H),7.14(t,J=7.8Hz,1H),7.06(d,J=7.8Hz,1H),6.50(dd,J=17.1,10.2Hz,1H),6.21(d,J=17.6Hz,1H),5.70(d,J=11.4Hz,1H),5.13(s,2H),3.90(s,3H),2.83(dd,J=7.2,3.5Hz,1H),2.10(s,3H),0.71(d,J=5.1Hz,2H),0.57(d,J=3.4Hz,2H)。MS m/z (ESI): 492 [M + 1]; 1 H NMR (400 MHz, DMSO) δ 9.50 (s, 1H), 8.50 (d, J = 3.7 Hz, 1H), 8.20 (s, 2H) , 8.09 (s, 1H), 7.66 (d, J = 8.0 Hz, 1H), 7.59 (d, J = 6.0 Hz, 2H), 7.14 (t, J = 7.8 Hz, 1H), 7.06 (d, J = 7.8 Hz, 1H), 6.50 (dd, J = 17.1, 10.2 Hz, 1H), 6.21 (d, J = 17.6 Hz, 1H), 5.70 (d, J = 11.4 Hz, 1H), 5.13 (s, 2H) , 3.90 (s, 3H), 2.83 (dd, J = 7.2, 3.5 Hz, 1H), 2.10 (s, 3H), 0.71 (d, J = 5.1 Hz, 2H), 0.57 (d, J = 3.4 Hz, 2H).
实施例6Example 6
3-(((2-((2-丙烯酰氨基-6-甲基苯基)氨基)嘧啶-5-基)氧基)甲基)-4-氯-5-甲氧基-N-甲基苯甲酰胺(化合物141)3-(((2-(2-acrylamido-6-methylphenyl)amino)pyrimidin-5-yl)oxy)methyl)-4-chloro-5-methoxy-N-A Benzoylamide (Compound 141)
第一步first step
4-氯-3-碘-5-甲基苯甲酸4-chloro-3-iodo-5-methylbenzoic acid
将4-氯-3-甲基苯甲酸141a(20.0g,120mmol,1eq)溶于100mL浓硫酸(97%)中,控温0℃将NIS(26.5g,120mmol,1eq)分批加到反应体系后,于室温搅拌反应2小时。后处理:加入冰水,析出固体过滤,滤饼干燥得到26.0g目标产物4-氯-3-碘-5-甲基苯甲酸141b,产率:75%。4-Chloro-3-methylbenzoic acid 141a (20.0 g, 120 mmol, 1 eq) was dissolved in 100 mL of concentrated sulfuric acid (97%), and NIS (26.5 g, 120 mmol, 1 eq) was added portionwise to the reaction at 0 °C. After the system, the reaction was stirred at room temperature for 2 hours. Post-treatment: ice water was added, and the solid was filtered out, and the cake was dried to obtain 26.0 g of the desired product 4-chloro-3-iodo-5-methylbenzoic acid 141b, yield: 75%.
第二步Second step
4-氯-3-羟基-5-甲基苯甲酸4-chloro-3-hydroxy-5-methylbenzoic acid
将化合物4-氯-3-碘-5-甲基苯甲酸141b(26.0g,88mmol,1eq),氧化亚铜(1.4g,10mmol,0.1eq)和氢氧化钠(17.6g,439mmol,5eq)溶于300mL水中,回流反应过夜,冷却至室温。后处理:过滤,滤液用盐酸溶液调节pH值到5,用乙酸乙酯萃取,蒸干有机溶剂得到13.4g目标产物4-氯-3-羟基-5-甲基苯甲酸141c,产率:82%。Compound 4-Chloro-3-iodo-5-methylbenzoic acid 141b (26.0 g, 88 mmol, 1 eq), cuprous oxide (1.4 g, 10 mmol, 0.1 eq) and sodium hydroxide (17.6 g, 439 mmol, 5 eq) Dissolved in 300 mL of water, refluxed overnight, cooled to room temperature. After-treatment: filtration, the filtrate was adjusted to pH 5 with a hydrochloric acid solution, extracted with ethyl acetate, and evaporated to dryness to give 13.4 g of the desired product 4-chloro-3-hydroxy-5-methylbenzoic acid 141c, yield: 82 %.
第三步third step
4-氯-3-甲氧基-5-甲基苯甲酸甲酯Methyl 4-chloro-3-methoxy-5-methylbenzoate
将化合物4-氯-3-羟基-5-甲基苯甲酸141c(13.4g,71.7mmol,1eq)和碘甲烷(22.4g,157.6mmol,2.2eq)溶于250毫升无水N,N-二甲基甲酰胺中,加入碳酸钾(29.7g,215.0mmol,3eq)于80℃加热反应4小时,冷却至室温。后处理:水和乙酸乙酯体系水洗萃取,减压脱溶,残余物用硅胶柱层析纯化(石油醚/乙酸乙酯=50:1),得到15.0g目标产物甲基4-氯-3-甲氧基-5-甲基苯甲酸酯141d,产率:97%。The compound 4-chloro-3-hydroxy-5-methylbenzoic acid 141c (13.4 g, 71.7 mmol, 1 eq) and iodomethane (22.4 g, 157.6 mmol, 2.2 eq) were dissolved in 250 mL anhydrous N, N- To the methylformamide, potassium carbonate (29.7 g, 215.0 mmol, 3 eq) was added and the mixture was heated at 80 ° C for 4 hours, and cooled to room temperature. After work-up: water and ethyl acetate were washed with water and evaporated to dryness. The residue was purified by silica gel column chromatography (ethyl ether / ethyl acetate = 50:1) -Methoxy-5-methylbenzoate 141d, Yield: 97%.
MS m/z(ESI):215[M+1]MS m/z (ESI): 215 [M+1]
后面的化合物合成参照实施例38步骤合成,但在第五步用Xantphos取代Xphos,并延长反应时间到8小时制备4-氯-3-甲氧基-5-(((2-((2-甲基-6-硝基苯基)氨基)嘧啶-5-基)氧基)甲基)苯甲酸甲酯141g。最终得到目标产物3-(((2-((2-丙烯酰氨基-6-甲基苯基)氨基)嘧啶-5-基)氧基)甲基)-4-氯-5-甲氧基-N-甲基苯甲酰胺(化合物141)。The latter compound was synthesized by the procedure of Example 38, but in the fifth step, Xphos was substituted for Xphos, and the reaction time was extended to 8 hours to prepare 4-chloro-3-methoxy-5-(((2-((2- Methyl -6-nitrophenyl)amino)pyrimidin-5-yl)oxy)methyl)benzoate 141 g. The desired product is finally obtained 3-(((2-(2-acrylamido-6-methylphenyl)amino)pyrimidin-5-yl)oxy)methyl)-4-chloro-5-methoxy -N-methylbenzamide (Compound 141).
MS m/z(ESI):482[M+1];1H NMR(400MHz,DMSO)δ9.51(s,1H),8.59(s,1H),8.22(s,2H),8.11(s,1H),7.66(d,J=7.2Hz,2H),7.58(s,1H),7.15(t,J=7.8Hz,1H),7.07(d,J=7.3Hz,1H),6.50(dd,J=16.9,10.2Hz,1H),6.21(d, J=16.8Hz,1H),5.71(d,J=10.1Hz,1H),5.17(s,2H),3.94(s,3H),2.80(d,J=4.4Hz,3H),2.11(s,3H)。MS m/z (ESI): 482 [M + 1]; 1 H NMR (400 MHz, DMSO) δ 9.51 (s, 1H), 8.59 (s, 1H), 8.22 (s, 2H), 8.11 (s, 1H), 7.66 (d, J = 7.2 Hz, 2H), 7.58 (s, 1H), 7.15 (t, J = 7.8 Hz, 1H), 7.07 (d, J = 7.3 Hz, 1H), 6.50 (dd, J=16.9, 10.2 Hz, 1H), 6.21 (d, J = 16.8 Hz, 1H), 5.71 (d, J = 10.1 Hz, 1H), 5.17 (s, 2H), 3.94 (s, 3H), 2.80 ( d, J = 4.4 Hz, 3H), 2.11 (s, 3H).
实施例7Example 7
3-(((2-((2-丙烯酰氨基-6-甲基苯基)氨基)嘧啶-5-基)氧基)甲基)-4-氯-N-环丙基-5-甲氧基苯甲酰胺(化合物142)3-(((2-(Acylamino)-6-methylphenyl)amino)pyrimidin-5-yl)oxy)methyl)-4-chloro-N-cyclopropyl-5-A Oxybenzamide (Compound 142)
参照实施例6步骤合成实施例7,但在第七步用环丙胺取代甲胺盐酸盐制备4-氯-N-环丙基-3-甲氧基-5-(((2-((2-甲基-6-硝基苯基)氨基)嘧啶-5-基)氧基)甲基)苯甲酰胺142i。最终得到目标产物3-(((2-((2-丙烯酰氨基-6-甲基苯基)氨基)嘧啶-5-基)氧基)甲基)-4-氯-N-环丙基-5-甲氧基苯甲酰胺(化合物142)。Example 7 was synthesized by following the procedure of Example 6, but in the seventh step, 4-chloro-N-cyclopropyl-3-methoxy-5-(((2-(( 2-Methyl-6-nitrophenyl)amino)pyrimidin-5-yl)oxy)methyl)benzamide 142i. The desired product is finally obtained 3-(((2-(2-acrylamido-6-methylphenyl)amino)pyrimidin-5-yl)oxy)methyl)-4-chloro-N-cyclopropyl -5-Methoxybenzamide (Compound 142).
MS m/z(ESI):508[M+1];1H NMR(400MHz,DMSO)δ9.51(s,1H),8.58(d,J=3.7Hz,1H),8.22(s,2H),8.11(s,1H),7.66(d,J=7.4Hz,2H),7.54(s,1H),7.15(t,J=7.8Hz,1H),7.07(d,J=7.4Hz,1H),6.50(dd,J=16.9,10.2Hz,1H),6.21(d,J=15.6Hz,1H),5.71(d,J=11.4Hz,1H),5.15(s,2H),3.94(s,3H),2.84(dt,J=11.1,3.7Hz,1H),2.11(s,3H),0.78-0.64(m,2H),0.64-0.46(m,2H)。MS m/z (ESI): 508 [M + 1]; 1 H NMR (400 MHz, DMSO) δ 9.51 (s, 1H), 8.58 (d, J = 3.7 Hz, 1H), 8.22 (s, 2H) , 8.11 (s, 1H), 7.66 (d, J = 7.4 Hz, 2H), 7.54 (s, 1H), 7.15 (t, J = 7.8 Hz, 1H), 7.07 (d, J = 7.4 Hz, 1H) , 6.50 (dd, J = 16.9, 10.2 Hz, 1H), 6.21 (d, J = 15.6 Hz, 1H), 5.71 (d, J = 11.4 Hz, 1H), 5.15 (s, 2H), 3.94 (s, 3H), 2.84 (dt, J = 11.1, 3.7 Hz, 1H), 2.11 (s, 3H), 0.78-0.64 (m, 2H), 0.64-0.46 (m, 2H).
实施例8Example 8
3-(((2-((2-丙烯酰氨基-6-甲基苯基)氨基)嘧啶-5-基)氧基)甲基)-4-氯-N-甲氧基苯甲酰胺3-(((2-(2-acrylamido-6-methylphenyl)amino)pyrimidin-5-yl)oxy)methyl)-4-chloro-N-methoxybenzamide
参照化合物119与127步骤合成化合物128,但在第六步用甲氧胺盐酸盐取代甲胺盐酸盐。最终得到目标产物3-(((2-((2-丙烯酰氨基-6-甲基苯基)氨基)嘧啶-5-基)氧基)甲基)-4-氯-N-甲氧基苯甲酰胺128。Compound 128 was synthesized by reference to compounds 119 and 127, but in the sixth step, methylamine hydrochloride was substituted with methoxyamine hydrochloride. The desired product is finally obtained 3-(((2-(2-acrylamido-6-methylphenyl)amino)pyrimidin-5-yl)oxy)methyl)-4-chloro-N-methoxy Benzoylamide 128.
MS m/z(ESI):468[M+1];1H NMR(400MHz,DMSO)δ11.91(s,1H),9.51(s,1H),8.24(s,2H),8.12(s,1H),7.99(s,1H),7.75(dd,J=8.3,1.7Hz, 1H),7.65(t,J=8.4Hz,2H),7.15(t,J=7.8Hz,1H),7.07(d,J=7.3Hz,1H),6.50(dd,J=17.0,10.2Hz,1H),6.22(dd,J=17.0,1.5Hz,1H),5.77-5.65(m,1H),5.18(s,2H),3.71(s,3H),2.11(s,3H)。MS m/z (ESI): 468 [M + 1]; 1 H NMR (400 MHz, DMSO) δ 11.91 (s, 1H), 9.51 (s, 1H), 8.24 (s, 2H), 8.12 (s, 1H), 7.99 (s, 1H), 7.75 (dd, J = 8.3, 1.7 Hz, 1H), 7.65 (t, J = 8.4 Hz, 2H), 7.15 (t, J = 7.8 Hz, 1H), 7.07 ( d, J = 7.3 Hz, 1H), 6.50 (dd, J = 17.0, 10.2 Hz, 1H), 6.22 (dd, J = 17.0, 1.5 Hz, 1H), 5.77-5.65 (m, 1H), 5.18 (s) , 2H), 3.71 (s, 3H), 2.11 (s, 3H).
实施例9Example 9
3-(((2-((4-丙烯酰氨基-1-甲基-1H-吡唑-3-基)氨基)嘧啶-5-基)氧基)甲基)-4-氯-N-环丙基-5-甲氧基苯甲酰胺3-(((2-(acryloylamino-1-methyl-1H-pyrazol-3-yl)amino)pyrimidin-5-yl)oxy)methyl)-4-chloro-N- Cyclopropyl-5-methoxybenzamide
第一步first step
4-氯-3-碘-5-甲基苯甲酸143b4-chloro-3-iodo-5-methylbenzoic acid 143b
将化合物4-氯-5-甲基苯甲酸(5g,29.4mmol),浓硫酸(25mL)混合,降温至0℃,N-碘代丁二酰亚胺(6.6g,29.4mmol)将入其中,搅拌2小时。混合液加入冰水中,然后加入饱和亚硫酸氢钠溶液洗涤,过滤,所得固体即目标产物4-氯-3-碘-5-甲基苯甲酸143b(6g,白色固体),产率69%。The compound 4-chloro-5-methylbenzoic acid (5 g, 29.4 mmol), concentrated sulfuric acid (25 mL) was mixed and cooled to 0 ° C, and N-iodosuccinimide (6.6 g, 29.4 mmol) was placed therein. Stir for 2 hours. The mixed liquid was added to ice water, and then washed with a saturated sodium hydrogensulfite solution, and filtered, and the obtained solid was the title product 4-chloro-3-iodo-5-methylbenzoic acid 143b (6 g, white solid), yield 69%.
MS m/z(ESI):296[M+1]MS m/z (ESI): 296 [M+1]
第二步Second step
4-氯-3-羟基-5-甲基苯甲酸143c4-chloro-3-hydroxy-5-methylbenzoic acid 143c
将化合物4-氯-3-碘-5-甲基苯甲酸(6g,20.2mmol),氧化亚铜(0.32g,2.22mmol),氢氧化钠(4.04g,101mmol)与水(100mL)混合,常温搅拌6小 时。混合液用1N盐酸将PH值调为5,过滤,所得固体即目标产物4-氯-3-羟基-5-甲基苯甲酸143c(3g,白色固体),产率81%。The compound 4-chloro-3-iodo-5-methylbenzoic acid (6 g, 20.2 mmol), cuprous oxide (0.32 g, 2.22 mmol), sodium hydroxide (4.04 g, 101 mmol) Stirring at room temperature for 6 hours Time. The mixture was adjusted to pH 5 with 1N aqueous hydrochloric acid and filtered to give the desired product, 4-chloro-3-hydroxy-5-methylbenzoic acid 143c (3 g, white solid).
MS m/z(ESI):186[M+1]MS m/z (ESI): 186 [M+1]
第三步third step
4-氯-3-甲氧基-5-甲基苯甲酸甲酯143d4-chloro-3-methoxy-5-methylbenzoic acid methyl ester 143d
将化合物4-氯-3-羟基-5-甲基苯甲酸(3g,16.1mmol),碘甲烷(2.2g,16.1mmol),N,N-二甲基甲酰胺(30mL)混合,升温至70℃,搅拌三小时。冷却至室温,减压脱溶,残余物用硅胶柱层析纯化(石油醚/乙酸乙酯=1:10),得到目标产物4-氯-3-甲氧基-5-甲基苯甲酸甲酯143d(2.5g,白色固体),产率75%。The compound 4-chloro-3-hydroxy-5-methylbenzoic acid (3 g, 16.1 mmol), iodomethane (2.2 g, 16.1 mmol), N,N-dimethylformamide (30 mL) Stir for three hours at °C. The mixture was cooled to room temperature, and then evaporated to dryness. EtOAcjjjjjjj Ester 143d (2.5 g, white solid), yield 75%.
MS m/z(ESI):214[M+1]MS m/z (ESI): 214 [M+1]
第四步the fourth step
甲基3-(溴甲基)-4-氯-5-甲氧基苯酸酯143eMethyl 3-(bromomethyl)-4-chloro-5-methoxybenzoate 143e
将化合物4-氯-3-甲氧基-5-甲基苯甲酸甲酯(2.5g,12.1mmol),偶氮二异丁腈(217mg,13.2mmol),N-溴代琥珀酰亚胺(2.1g,12.1mmol),四氯化碳(50mL)混合,升温至70℃,搅拌4小时。冷却至室温,减压脱溶,残余物用硅胶柱层析纯化(石油醚/乙酸乙酯=1:10),得到目标产物甲基3-(溴甲基)-4-氯-5-甲氧基苯酸酯143e(3.1g,白色固体),产率88%。The compound 4-chloro-3-methoxy-5-methylbenzoic acid methyl ester (2.5 g, 12.1 mmol), azobisisobutyronitrile (217 mg, 13.2 mmol), N-bromosuccinimide ( 2.1 g, 12.1 mmol), carbon tetrachloride (50 mL) was mixed, warmed to 70 ° C, and stirred for 4 hours. The mixture was cooled to room temperature, and then evaporated to dryness. EtOAcjjjjjjjjjjj Oxybenzoate 143e (3.1 g, white solid), yield 88%.
MS m/z(ESI):292[M+1]MS m/z (ESI): 292 [M+1]
第五步the fifth step
4-氯-3-(((2-氯嘧啶-5-基)氧基)甲基)-5-甲氧基苯酸甲酯143f4-chloro-3-(((2-chloropyrimidin-5-yl)oxy)methyl)-5-methoxybenzoic acid methyl ester 143f
将化合物3-(溴甲基)-4-氯-5-甲氧基苯酸甲酯(3.1g,10.6mmol),2-氯-5-羟基嘧啶(1.3g,10.6mmol),碳酸钾(2.9g,21.2mmol),N,N-二甲基甲酰胺(30mL)混合,升温至60℃,搅拌4小时。冷却至室温,减压脱溶,残余物用硅胶柱层析纯化(石油醚/乙酸乙酯=1:10),得到目标产物4-氯-3-(((2-氯嘧啶-5-基)氧基)甲基)-5-甲氧基苯酸甲酯143f(2.5g,白色固体),产率70%。The compound 3-(bromomethyl)-4-chloro-5-methoxybenzoic acid methyl ester (3.1 g, 10.6 mmol), 2-chloro-5-hydroxypyrimidine (1.3 g, 10.6 mmol), potassium carbonate ( 2.9 g, 21.2 mmol), N,N-dimethylformamide (30 mL) was mixed, warmed to 60 ° C, and stirred for 4 hours. The mixture was cooled to room temperature, and then evaporated to dryness. Ethoxy)methyl)methyl 5-methoxybenzoate 143f (2.5 g, white solid), yield 70%.
MS m/z(ESI):342[M+1]MS m/z (ESI): 342 [M+1]
第六步Step 6
4-氯-3-(((2-氯嘧啶-5-基)氧基)甲基)-5-甲氧基苯甲酸143g4-chloro-3-(((2-chloropyrimidin-5-yl)oxy)methyl)-5-methoxybenzoic acid 143g
将化合物4-氯-3-(((2-氯嘧啶-5-基)氧基)甲基)-5-甲氧基苯酸甲酯(2g,5.8mmol),氢氧化锂(269mg,11.6mmol),四氢呋喃(20mL)混合,升温至50℃。 冷却至室温,混合液加入20mL水稀释,过滤,所得固体即目标产物4-氯-3-(((2-氯嘧啶-5-基)氧基)甲基)-5-甲氧基苯甲酸143g(1.8g,白色固体),产率94%。The compound 4-chloro-3-(((2-chloropyrimidin-5-yl)oxy)methyl)-5-methoxybenzoic acid methyl ester (2 g, 5.8 mmol), lithium hydroxide (269 mg, 11.6 Methyl), tetrahydrofuran (20 mL) was mixed and warmed to 50 °C. After cooling to room temperature, the mixture was diluted with 20 mL of water and filtered to give the desired product, 4-chloro-3-(((2-chloropyrimidin-5-yl)oxy)methyl)-5-methoxybenzoic acid. 143 g (1.8 g, white solid), yield 94%.
MS m/z(ESI):429[M+1]MS m/z (ESI): 429 [M+1]
第七步Seventh step
4-氯-3-(((2-氯嘧啶-5-基)氧基)甲基)-N-环丙基-5-甲氧基苯甲酰胺143h4-Chloro-3-(((2-chloropyrimidin-5-yl)oxy)methyl)-N-cyclopropyl-5-methoxybenzamide 143h
将化合物4-氯-3-(((2-氯嘧啶-5-基)氧基)甲基)-5-甲氧基苯甲酸(2g,6.0mmol),环丙胺(410mg,7.2mmol),二异丙基乙基胺(2.3g,18mmol),2-(7-氧化苯并三氮唑)-N,N,N',N'-四甲基脲六氟磷酸酯(2.7g,7.2mmol),N,N-二甲基甲酰胺(30mL),常温搅拌2小时。混合液加入30mL水稀释,过滤,所得固体即目标产物4-氯-3-(((2-氯嘧啶-5-基)氧基)甲基)-N-环丙基-5-甲氧基苯甲酰胺143h(1.8g,白色固体),产率82%。4-Chloro-3-(((2-chloropyrimidin-5-yl)oxy)methyl)-5-methoxybenzoic acid (2 g, 6.0 mmol), mp mp (410 mg, 7.2 mmol) Diisopropylethylamine (2.3 g, 18 mmol), 2-(7-oxobenzotriazole)-N,N,N',N'-tetramethyluronium hexafluorophosphate (2.7 g, 7.2 Methyl), N,N-dimethylformamide (30 mL), stirred at room temperature for 2 h. The mixture was diluted with 30 mL of water and filtered to give the title compound 4-chloro-3-(((2-chloropyrimidin-5-yl)oxy)methyl)-N-cyclopropyl-5-methoxy. Benzoylamide 143h (1.8g, white solid), yield 82%.
MS m/z(ESI):368[M+1]MS m/z (ESI): 368 [M+1]
第八步Eighth step
4-氯-N-环丙基-3-甲氧基-5-(((2-((1-甲基-4-硝基-1H-吡唑-3-基)氨基)嘧啶-5-基)氧基)甲基)苯甲酰胺143i4-Chloro-N-cyclopropyl-3-methoxy-5-(((2-((1-methyl-4-nitro-1H-pyrazol-3-yl)amino)pyrimidine-5- Ethyl)methyl)benzamide 143i
将化合物4-氯-3-(((2-氯嘧啶-5-基)氧基)甲基)-N-环丙基-5-甲氧基苯甲酰胺(775mg,2.1mmol),1-甲基-4-硝基-1H-吡唑-3-胺(300mg,2.1mmol),三(二亚苄基丙酮)二钯(384mg,0.42mmol),2-二环己基磷-2,4,6-三异丙基联苯(399mg,0.84mmol),碳酸铯(1g,3.1mmol),溶到10mL无水N,N-二甲基甲酰胺中,氮气保护条件下加热到95℃反应三个小时。冷却到室温,加入20mL冰水稀释,然后用20mL乙酸乙酯萃取三次,有机相旋干,残余物用硅胶柱层析纯化(石油醚/乙酸乙酯=1:1),得到目标产物4-氯-N-环丙基-3-甲氧基-5-(((2-((1-甲基-4-硝基-1H-吡唑-3-基)氨基)嘧啶-5-基)氧基)甲基)苯甲酰胺143i(330mg,黄色固体),产率85%。The compound 4-chloro-3-(((2-chloropyrimidin-5-yl)oxy)methyl)-N-cyclopropyl-5-methoxybenzamide (775 mg, 2.1 mmol), 1- Methyl-4-nitro-1H-pyrazol-3-amine (300 mg, 2.1 mmol), tris(dibenzylideneacetone)dipalladium (384 mg, 0.42 mmol), 2-dicyclohexylphosphine-2,4 , 6-triisopropylbiphenyl (399 mg, 0.84 mmol), cesium carbonate (1 g, 3.1 mmol), dissolved in 10 mL of anhydrous N,N-dimethylformamide, heated to 95 ° C under nitrogen atmosphere Three hours. After cooling to room temperature, it was diluted with 20 mL of ice water, and then extracted with EtOAc (EtOAc) (EtOAc) Chloro-N-cyclopropyl-3-methoxy-5-(((2-((1-methyl-4-nitro-1H-pyrazol-3-yl)amino)pyrimidin-5-yl)) Oxy)methyl)benzamide 143i (330 mg, yellow solid), yield 85%.
MS m/z(ESI):474[M+1]MS m/z (ESI): 474 [M+1]
第九步Step 9
4-氯-N-环丙基-3-甲氧基-5-(((2-((1-甲基-4-氨基-1H-吡唑-3-基)氨基)嘧啶-5-基)氧基)甲基)苯甲酰胺143j4-Chloro-N-cyclopropyl-3-methoxy-5-(((2-((1-methyl-4-amino-1H-pyrazol-3-yl)amino)pyrimidin-5-yl) )oxy)methyl)benzamide 143j
将化合物4-氯-N-环丙基-3-甲氧基-5-(((2-((1-甲基-4-硝基-1H-吡唑-3-基)氨基)嘧啶-5-基)氧基)甲基)苯甲酰胺(280mg,0.59mmol),锌粉(384mg, 5.9mmol),氯化铵(312mg,5.9mmol)和无水乙醇(10mL)混合,加热到60℃,搅拌一个小时。冷却至室温,过滤,滤液减压脱溶,剩余物加入10毫升水和20毫升乙酸乙酯,乙酸乙酯层干燥旋干得到目标产物4-氯-N-环丙基-3-甲氧基-5-(((2-((1-甲基-4-氨基-1H-吡唑-3-基)氨基)嘧啶-5-基)氧基)甲基)苯甲酰胺143j(200mg,黄色固体),产率76%。The compound 4-chloro-N-cyclopropyl-3-methoxy-5-(((2-((1-methyl-4-nitro-1H-pyrazol-3-yl)amino)pyrimidine- 5-yl)oxy)methyl)benzamide (280 mg, 0.59 mmol), zinc powder (384 mg, 5.9 mmol), ammonium chloride (312 mg, 5.9 mmol) and absolute ethanol (10 mL) were mixed, heated to 60 ° C and stirred for one hour. The mixture was cooled to room temperature, filtered, and the filtrate was evaporated to dryness. -5-((2-((1-methyl-4-amino-1H-pyrazol-3-yl)amino)pyrimidin-5-yl)oxy)methyl)benzamide 143j (200 mg, yellow Solid), yield 76%.
MS m/z(ESI):444[M+1]MS m/z (ESI): 444 [M+1]
第十步Step 10
3-(((2-((4-丙烯酰氨基-1-甲基-1H-吡唑-3-基)氨基)嘧啶-5-基)氧基)甲基)-4-氯-N-环丙基-5-甲氧基苯甲酰胺1433-(((2-(acryloylamino-1-methyl-1H-pyrazol-3-yl)amino)pyrimidin-5-yl)oxy)methyl)-4-chloro-N- Cyclopropyl-5-methoxybenzamide 143
将化合物4-氯-N-环丙基-3-甲氧基-5-(((2-((1-甲基-4-氨基-1H-吡唑-3-基)氨基)嘧啶-5-基)氧基)甲基)苯甲酰胺(100mg,0.22mmol),二异丙基乙基胺(85mg,0.66mmol)溶解到二氯甲烷中(10mL),降温至-40℃,搅拌下缓慢滴加丙烯酰氯(20mg,0.22mmol),搅拌30分钟。向此混合物加入10mL饱和食盐水,有机相减压脱溶,残余物用高效液相色谱纯化,得到目标产物3-(((2-((4-丙烯酰氨基-1-甲基-1H-吡唑-3-基)氨基)嘧啶-5-基)氧基)甲基)-4-氯-N-环丙基-5-甲氧基苯甲酰胺(10mg,白色固体),产率9%The compound 4-chloro-N-cyclopropyl-3-methoxy-5-(((2-((1-methyl-4-amino-1H-pyrazol-3-yl)amino)pyrimidine-5) -yl)oxy)methyl)benzamide (100 mg, 0.22 mmol), diisopropylethylamine (85 mg, 0.66 mmol) dissolved in dichloromethane (10 mL), cooled to -40 ° C, stirring Acryloyl chloride (20 mg, 0.22 mmol) was slowly added dropwise and stirred for 30 minutes. To the mixture was added 10 mL of a saturated aqueous solution of sodium chloride, and the organic phase was evaporated to dryness, and the residue was purified by high-purity liquid chromatography to give the desired product 3-(((((2-(4-)))) Pyrazol-3-yl)amino)pyrimidin-5-yl)oxy)methyl)-4-chloro-N-cyclopropyl-5-methoxybenzamide (10 mg, white solid), yield 9 %
MS m/z(ESI):498[M+1];1H NMR(400MHz,DMSO)δ10.59(s,1H),9.65(s,2H),8.76(s,1H),8.26(s,1H),8.06(s,2H),7.69(s,1H),7.61(s,1H),6.48(dd,J=16.9,10.2Hz,1H),6.16(d,J=16.8Hz,1H),5.64(d,J=10.2Hz,1H),5.18(s,2H),3.94(s,3H),3.74(s,3H),0.70(m,2H),0.62(m,2H)。MS m/z (ESI): 495 [M+1]; 1 H NMR (400 MHz, DMSO) δ 10.59 (s, 1H), 9.65 (s, 2H), 8.76 (s, 1H), 8.26 (s, 1H), 8.06 (s, 2H), 7.69 (s, 1H), 7.61 (s, 1H), 6.48 (dd, J = 16.9, 10.2 Hz, 1H), 6.16 (d, J = 16.8 Hz, 1H), 5.64 (d, J = 10.2 Hz, 1H), 5.18 (s, 2H), 3.94 (s, 3H), 3.74 (s, 3H), 0.70 (m, 2H), 0.62 (m, 2H).
实施例10Example 10
3-((6-(2-丙烯酰氨基-6-甲基苯基氨基)吡啶-3-氧基)甲基)-4-氯-N-甲基苯甲酰胺 3-((6-(2-acrylamido-6-methylphenylamino)pyridin-3-yloxy)methyl)-4-chloro-N-methylbenzamide
第一步first step
4-氯-3-((6-氯吡啶-3-氧基)甲基)苯甲酸4-chloro-3-((6-chloropyridin-3-yloxy)methyl)benzoic acid
将化合物4-氯-3-((6-氯吡啶-3-氧基)甲基)苯酸甲酯(740mg,2.37mmol),氢氧化钠(380mg,9.48mmol),水(1mL)和甲醇(30mL)混合,加热到50℃,搅拌2小时。冷却至室温,调pH至5-6,析出固体,过滤,滤饼干燥得到目标产物4-氯-3-((6-氯吡啶-3-氧基)甲基)苯甲酸144b(680mg,白色固体),产率96%The compound 4-chloro-3-((6-chloropyridin-3-yloxy)methyl)benzoic acid methyl ester (740 mg, 2.37 mmol), sodium hydroxide (380 mg, 9.48 mmol), water (1 mL) and methanol (30 mL) was mixed, heated to 50 ° C, and stirred for 2 hours. After cooling to room temperature, the pH was adjusted to 5-6, the solid was precipitated, filtered, and the filter cake was dried to give the desired product 4-chloro-3-((6-chloropyridin-3-oxy)methyl)benzoic acid 144b (680 mg, white Solid), yield 96%
MS m/z(ESI):298,300[M+1]MS m/z (ESI): 298,300 [M+1]
第二步Second step
4-氯-3-((6-氯吡啶-3-氧基)甲基)-N-甲基苯甲酰胺4-chloro-3-((6-chloropyridin-3-yloxy)methyl)-N-methylbenzamide
将化合物4-氯-3-((6-氯吡啶-3-氧基)甲基)苯甲酸(680mg,2.28mmol),甲胺(四氢呋喃的2M溶液,2.3mL,4.56mmol),N,N-二异丙基乙基胺(588mg,4.56mmol),O-(7-氮杂苯并三唑-1-YL)-N,六氟磷酸N,N',N'-四甲基糖醛正离子(866mg,3.28mmol)和N,N-二甲基甲酰胺(2mL)混合,室温搅拌6小时。向此混合物加10mL水,再用乙酸乙酯(20mL×2)萃取,有机相合并后减压脱溶,残余物用硅胶柱层析纯化(甲醇/二氯甲烷=1:20),得到目标产物4-氯-3-((6-氯吡啶-3-氧基)甲基)-N-甲基苯甲酰胺144c(220mg,白色固体),产率31%。4-Chloro-3-((6-chloropyridin-3-yloxy)methyl)benzoic acid (680 mg, 2.28 mmol), methyleneamine (2M in THF, -diisopropylethylamine (588 mg, 4.56 mmol), O-(7-azabenzotriazol-1-YL)-N, hexafluorophosphate N,N',N'-tetramethyl aldehyde The positive ions (866 mg, 3.28 mmol) were mixed with N,N-dimethylformamide (2 mL) and stirred at room temperature for 6 hours. To the mixture, 10 mL of water was added, and the mixture was extracted with ethyl acetate (20 mL × 2). The product 4-chloro-3-((6-chloropyridin-3-yloxy)methyl)-N-methylbenzamide 144c (220 mg, white solid)
MS m/z(ESI):311,313[M+1]MS m/z (ESI): 311, 313 [M+1]
第三步third step
4-氯-N-甲基-3-((6-(2-甲基-6-硝基苯基氨基)吡啶-3-氧基)甲基)苯甲酰胺4-Chloro-N-methyl-3-((6-(2-methyl-6-nitrophenylamino)pyridin-3-yloxy)methyl)benzamide
将化合物4-氯-3-((6-氯吡啶-3-氧基)甲基)-N-甲基苯甲酰胺(220mg,0.7mmol),2-甲基-6-硝基苯胺(128mg,0.84mmol),Brettphos(38mg,0.07mmol), Brettpos precatalyst(62mg,0.07mmol),碳酸铯(460mg,1.4mmol)和N,N-二甲基甲酰胺(3mL)混合,加热至100℃,搅拌16小时。冷却至室温,向此混合物加10mL水,再用乙酸乙酯(20mL×2)萃取,有机相合并后减压脱溶,残余物用硅胶柱层析纯化(甲醇/二氯甲烷=1:20),得到目标产物4-氯-N-甲基-3-((6-(2-甲基-6-硝基苯基氨基)吡啶-3-氧基)甲基)苯甲酰胺144d(70mg,黄色固体),产率23%。4-Chloro-3-((6-chloropyridin-3-yloxy)methyl)-N-methylbenzamide (220 mg, 0.7 mmol), 2-methyl-6-nitroaniline (128 mg) , 0.84 mmol), Brettphos (38 mg, 0.07 mmol), Brettpos precatalyst (62 mg, 0.07 mmol), cesium carbonate (460 mg, 1.4 mmol) and N,N-dimethylformamide (3 mL) were combined and then warmed to 100 ° C and stirred for 16 hours. After cooling to room temperature, 10 mL of water was added to the mixture, and then ethyl acetate (20 mL × 2) was evaporated. The target product 4-chloro-N-methyl-3-((6-(2-methyl-6-nitrophenylamino)pyridin-3-oxy)methyl)benzamide 144d (70 mg) , yellow solid), yield 23%.
MS m/z(ESI):427[M+1]MS m/z (ESI): 427 [M+1]
第四步the fourth step
3-((6-(2-氨基-6-甲基苯基氨基)吡啶-3-氧基)甲基)-4-氯-N-甲基苯甲酰胺3-((6-(2-Amino-6-methylphenylamino)pyridin-3-yloxy)methyl)-4-chloro-N-methylbenzamide
将化合物4-氯-N-甲基-3-((6-(2-甲基-6-硝基苯基氨基)吡啶-3-氧基)甲基)苯甲酰胺(70mg,0.164mmol),10%钯碳(20mg)和甲醇(5mL)混合,氢气保护下室温搅拌2小时。过滤,滤液减压脱溶,残余物用硅胶柱层析纯化(甲醇/二氯甲烷=1:20),得到目标产物3-((6-(2-氨基-6-甲基苯基氨基)吡啶-3-氧基)甲基)-4-氯-N-甲基苯甲酰胺144e(30mg,黄色固体),产率46%。4-Chloro-N-methyl-3-((6-(2-methyl-6-nitrophenylamino)pyridin-3-yloxy)methyl)benzamide (70 mg, 0.164 mmol) 10% palladium on carbon (20 mg) and methanol (5 mL) were mixed and stirred under a hydrogen atmosphere for 2 hours at room temperature. Filtration, the filtrate was evaporated under reduced pressure, and the residue was purified mjjjjjjjjjjjj Pyridin-3-yloxy)methyl)-4-chloro-N-methylbenzamide 144e (30 mg, yellow solid), yield 46%.
MS m/z(ESI):397[M+1]MS m/z (ESI): 397 [M+1]
第五步the fifth step
3-((6-(2-丙烯酰氨基-6-甲基苯基氨基)吡啶-3-氧基)甲基)-4-氯-N-甲基苯甲酰胺3-((6-(2-acrylamido-6-methylphenylamino)pyridin-3-yloxy)methyl)-4-chloro-N-methylbenzamide
将化合物3-((6-(2-氨基-6-甲基苯基氨基)吡啶-3-氧基)甲基)-4-氯-N-甲基苯甲酰胺(30mg,0.075mmol),N,N-二异丙基乙基胺(20mg,0.15mmol)和二氯甲烷(20mL)混合,-40℃搅拌下缓慢滴加丙烯酰氯(7mg,0.075mmol),搅拌15分钟。向此混合物加入10mL水,再用二氯甲烷(20mL×2)萃取,有机相合并后减压脱溶,残余物用硅胶柱层析纯化(甲醇/二氯甲烷=1:20),得到目标产物3-((6-(2-丙烯酰氨基-6-甲基苯基氨基)吡啶-3-氧基)甲基)-4-氯-N-甲基苯甲酰胺144(5mg,白色固体),产率15%。The compound 3-((6-(2-amino-6-methylphenylamino)pyridin-3-yloxy)methyl)-4-chloro-N-methylbenzamide (30 mg, 0.075 mmol), N,N-Diisopropylethylamine (20 mg, 0.15 mmol) and dichloromethane (20 mL) were combined, and acryloyl chloride (7 mg, 0.075 mmol) was slowly added dropwise with stirring at -40 ° C, and stirred for 15 minutes. To the mixture, 10 mL of water was added, and the mixture was extracted with dichloromethane (20 mL×2). The product 3-((6-(2-acrylamido-6-methylphenylamino)pyridin-3-yloxy)methyl)-4-chloro-N-methylbenzamide 144 (5 mg, white solid ), the yield is 15%.
MS m/z(ESI):451[M+1];1H NMR(400MHz,DMSO)δ9.47(s,1H),8.57(d,J=4.3Hz,1H),8.05(d,J=1.4Hz,1H),7.82(dd,J=8.5,2.1Hz,2H),7.71(d,J=7.8Hz,1H),7.64-7.54(m,2H),7.31(dd,J=8.9,2.9Hz,1H),7.18-7.01(m,2H),6.51-6.31(m,2H),6.22-6.10(m,1H),5.68(d,J=11.4Hz,1H),5.10(s,2H),2.78(d,J=4.4Hz,3H),2.11(s,3H)。 MS m/z (ESI): 451 [M + 1]; 1 H NMR (400 MHz, DMSO) δ 9.47 (s, 1H), 8.57 (d, J = 4.3 Hz, 1H), 8.05 (d, J = 1.4 Hz, 1H), 7.82 (dd, J = 8.5, 2.1 Hz, 2H), 7.71 (d, J = 7.8 Hz, 1H), 7.64 - 7.54 (m, 2H), 7.31 (dd, J = 8.9, 2.9 Hz, 1H), 7.18-7.01 (m, 2H), 6.51-6.31 (m, 2H), 6.22-6.10 (m, 1H), 5.68 (d, J = 11.4 Hz, 1H), 5.10 (s, 2H) , 2.78 (d, J = 4.4 Hz, 3H), 2.11 (s, 3H).
实施例11Example 11
3-(((2-((2-丙烯酰氨基-6-甲基苯基)氨基)嘧啶-5-基)氧基)甲基)-4-氯-N,5-二甲氧基苯甲酰胺3-(((2-(Acylamino)-6-methylphenyl)amino)pyrimidin-5-yl)oxy)methyl)-4-chloro-N,5-dimethoxybenzene Formamide
参照化合物141步骤合成化合物150,但在第七步用甲氧胺盐酸盐取代甲胺盐酸盐制备4-氯-N,3-二甲氧基-5-(((2-((2-甲基-6-硝基苯基)氨基)嘧啶-5-基)氧基)甲基)苯甲酰胺150i。最终得到目标产物3-(((2-((2-丙烯酰氨基-6-甲基苯基)氨基)嘧啶-5-基)氧基)甲基)-4-氯-N,5-二甲氧基苯甲酰胺150。Compound 150 was synthesized by reference to compound 141, but in the seventh step, methylamine hydrochloride was substituted for methylamine hydrochloride to prepare 4-chloro-N,3-dimethoxy-5-(((2-((2) -Methyl-6-nitrophenyl)amino)pyrimidin-5-yl)oxy)methyl)benzamide 150i. The target product 3-(((2-(2-acrylamido-6-methylphenyl)amino)pyrimidin-5-yl)oxy)methyl)-4-chloro-N,5-di Methoxybenzamide 150.
MS m/z(ESI):498[M+1];1H NMR(400MHz,DMSO)δ11.91(s,1H),9.50(s,1H),8.22(s,2H),8.10(s,1H),7.65(d,J=7.2Hz,1H),7.59(s,1H),7.48(s,1H),7.15(t,J=7.8Hz,1H),7.06(d,J=7.3Hz,1H),6.50(dd,J=16.9,10.3Hz,1H),6.21(d,J=15.9Hz,1H),5.71(d,J=11.2Hz,1H),5.17(s,2H),3.94(s,3H),3.73(s,3H),2.11(s,3H)。MS m/z (ESI): 495 [M + 1]; 1 H NMR (400 MHz, DMSO) δ 11.91 (s, 1H), 9.50 (s, 1H), 8.22 (s, 2H), 8.10 (s, 1H), 7.65 (d, J = 7.2 Hz, 1H), 7.59 (s, 1H), 7.48 (s, 1H), 7.15 (t, J = 7.8 Hz, 1H), 7.06 (d, J = 7.3 Hz, 1H), 6.50 (dd, J = 16.9, 10.3 Hz, 1H), 6.21 (d, J = 15.9 Hz, 1H), 5.71 (d, J = 11.2 Hz, 1H), 5.17 (s, 2H), 3.94 ( s, 3H), 3.73 (s, 3H), 2.11 (s, 3H).
实施例12Example 12
3-(((2-((4-丙烯酰氨基四氢呋喃-3-基)氨基)嘧啶-5-基)氧基)甲基)-4-氯-N,5-二甲氧基苯甲酰胺3-(((2-(4-acrylamidotetrahydrofuran-3-yl)amino)pyrimidin-5-yl)oxy)methyl)-4-chloro-N,5-dimethoxybenzamide
参照化合物158步骤合成化合物155,但在第一步用4-氯-3-(((2-氯嘧啶-5-基)氧基)甲基)-N,5-二甲氧基苯甲酰胺代替4-氯-3-((2-氯嘧啶-5-氧基)甲基)-N-环丙基苯甲酰胺。Compound 155 was synthesized according to the procedure of Compound 158, but 4-chloro-3-(((2-chloropyrimidin-5-yl)oxy)methyl)-N,5-dimethoxybenzamide was used in the first step. Instead of 4-chloro-3-((2-chloropyrimidin-5-oxy)methyl)-N-cyclopropylbenzamide.
最终产物(消旋体)分离条件:设备Gilson prep-HPLC-2;色谱柱:-Gemini-C18150x 21.2mm,5um,流动项:ACN--H2O(0.1%FA),梯度:10-60。Final product (racemic) separation conditions: equipment Gilson prep-HPLC-2; column: -Gemini-C18150x 21.2 mm, 5 um, flow term: ACN--H2O (0.1% FA), gradient: 10-60.
手性拆分条件:设备SFC,色谱柱:chiralpak-IC,流动项:CO2-ETOH(DEA)。在SFC机器上保留时间短的命名P1,保留时间长的命名P2。 Chiral separation conditions: equipment SFC, column: chiralpak-IC, flow term: CO2-ETOH (DEA). The short-lived named P1 is reserved on the SFC machine, and the long-lasting named P2 is retained.
MS m/z(ESI):468[M+1];MS m/z (ESI): 468 [M + 1];
P1:1H NMR(400MHz,DMSO)δ8.22(s,2H),8.02(d,J=7.6Hz,1H),7.59(s,1H),7.48(s,1H),6.56(d,J=7.3Hz,1H),6.22(dd,J=16.9,10.1Hz,1H),6.04(d,J=16.4Hz,1H),5.58(d,J=10.2Hz,1H),5.15(s,2H),4.54(d,J=6.0Hz,2H),4.05-3.96(m,2H),3.94(s,3H),3.73(s,3H),3.66-3.56(m,2H)。 P1: 1 H NMR (400MHz, DMSO) δ8.22 (s, 2H), 8.02 (d, J = 7.6Hz, 1H), 7.59 (s, 1H), 7.48 (s, 1H), 6.56 (d, J = 7.3 Hz, 1H), 6.22 (dd, J = 16.9, 10.1 Hz, 1H), 6.04 (d, J = 16.4 Hz, 1H), 5.58 (d, J = 10.2 Hz, 1H), 5.15 (s, 2H) ), 4.54 (d, J = 6.0 Hz, 2H), 4.05-3.96 (m, 2H), 3.94 (s, 3H), 3.73 (s, 3H), 3.66-3.56 (m, 2H).
P2:1H NMR(400MHz,DMSO)δ11.92(s,1H),8.22(s,2H),8.01(d,J=7.3Hz,1H),7.59(s,1H),7.49(s,1H),6.55(d,J=7.1Hz,1H),6.22(dd,J=17.1,10.1Hz,1H),6.04(dd,J=17.0,1.9Hz,1H),5.58(dd,J=10.1,1.9Hz,1H),5.15(s,2H),4.59-4.50(m,1H),4.09-3.96(m,2H),3.94(s,3H),3.73(s,3H),3.66-3.56(m,2H)。 P2: 1 H NMR (400MHz, DMSO) δ11.92 (s, 1H), 8.22 (s, 2H), 8.01 (d, J = 7.3Hz, 1H), 7.59 (s, 1H), 7.49 (s, 1H ), 6.55 (d, J = 7.1 Hz, 1H), 6.22 (dd, J = 17.1, 10.1 Hz, 1H), 6.04 (dd, J = 17.0, 1.9 Hz, 1H), 5.58 (dd, J = 10.1, 1.9 Hz, 1H), 5.15 (s, 2H), 4.59-4.50 (m, 1H), 4.09-3.96 (m, 2H), 3.94 (s, 3H), 3.73 (s, 3H), 3.66-3.56 (m) , 2H).
实施例13Example 13
3-((2-((3S,4S)-4-丙烯酰氨基-四氢-2H-吡喃-3-基氨基)嘧啶-5-氧基)甲基)-4-氯-N-环丙基-5-甲氧基苯甲酰胺3-((2-((3S,4S)-4-acrylamido-tetrahydro-2H-pyran-3-ylamino)pyrimidin-5-oxy)methyl)-4-chloro-N-cyclo Propyl-5-methoxybenzamide
第一步first step
4-氯-3-((2-氯嘧啶-5-氧基)甲基)-5-甲氧基苯甲酸4-chloro-3-((2-chloropyrimidin-5-oxy)methyl)-5-methoxybenzoic acid
将化合物4-氯-3-((2-氯嘧啶-5-氧基)甲基)-5-甲氧基苯酸甲酯(500mg,1.46mmol),氢氧化锂(307mg,7.3mmol),水(2mL)和四氢呋喃(20mL)混合,加热到50℃,搅拌6小时。冷却至室温,调pH至4-5,析出固体,过滤,滤饼干燥得到目标产物4-氯-3-((2-氯嘧啶-5-氧基)甲基)-5-甲氧基苯甲酸 156b(450mg,白色固体),产率94%The compound 4-chloro-3-((2-chloropyrimidin-5-oxy)methyl)-5-methoxybenzoic acid methyl ester (500 mg, 1.46 mmol), lithium hydroxide (307 mg, 7.3 mmol) Water (2 mL) and tetrahydrofuran (20 mL) were combined, heated to 50 ° C and stirred for 6 hours. After cooling to room temperature, the pH was adjusted to 4-5, the solid was precipitated, filtered, and the filter cake was dried to give the desired product 4-chloro-3-((2-chloropyrimidin-5-oxy)methyl)-5-methoxybenzene. Formic acid 156b (450 mg, white solid), yield 94%
MS m/z(ESI):329,331[M+1]MS m/z (ESI): 329, 331 [M+1]
第二步Second step
4-氯-3-((2-氯嘧啶-5-氧基)甲基)-N-环丙基-5-甲氧基苯甲酰胺4-chloro-3-((2-chloropyrimidin-5-oxy)methyl)-N-cyclopropyl-5-methoxybenzamide
将化合物4-氯-3-((2-氯嘧啶-5-氧基)甲基)-5-甲氧基苯甲酸(450mg,1.37mmol),环丙胺(117mg,2.05mmol),N,N-二异丙基乙基胺(354mg,2.74mmol),O-(7-氮杂苯并三唑-1-YL)-N,六氟磷酸N,N',N'-四甲基糖醛正离子(625mg,1.64mmol)和N,N-二甲基甲酰胺(4mL)混合,室温搅拌4小时。向此混合物加10mL水,再用乙酸乙酯(20mL×2)萃取,有机相合并后减压脱溶,残余物用硅胶柱层析纯化(甲醇/二氯甲烷=1:20),得到目标产物4-氯-3-((2-氯嘧啶-5-氧基)甲基)-N-环丙基-5-甲氧基苯甲酰胺156c(360mg,白色固体),产率71%。4-Chloro-3-((2-chloropyrimidin-5-oxy)methyl)-5-methoxybenzoic acid (450 mg, 1.37 mmol), EtOAc (EtOAc, EtOAc, -diisopropylethylamine (354 mg, 2.74 mmol), O-(7-azabenzotriazol-1-YL)-N, hexafluorophosphate N,N',N'-tetramethyl aldehyde The positive ions (625 mg, 1.64 mmol) were mixed with N,N-dimethylformamide (4 mL) and stirred at room temperature for 4 hours. To the mixture, 10 mL of water was added, and the mixture was extracted with ethyl acetate (20 mL × 2). The product 4-chloro-3-((2-chloropyrimidin-5-oxy)methyl)-N-cyclopropyl-5-methoxybenzamide 156c (360 mg, white solid)
MS m/z(ESI):368,370[M+1]MS m/z (ESI): 368, 370 [M+1]
第三步third step
(3S,4S)-3-(5-(2-氯-5-(环丙基氨基甲酰)-3-甲氧基苄氧基)嘧啶-2-基氨基)-四氢-2H-吡喃-4-基氨基甲酸叔-丁基酯(3S,4S)-3-(5-(2-chloro-5-(cyclopropylcarbamoyl)-3-methoxybenzyloxy)pyrimidin-2-ylamino)-tetrahydro-2H-pyridyl Tert-butyl ester of -4-aminocarbamic acid
将化合物4-氯-3-((2-氯嘧啶-5-氧基)甲基)-N-环丙基-5-甲氧基苯甲酰胺(360mg,0.98mmol),(3S,4S)-3-氨基-四氢-2H-吡喃-4-基氨基甲酸叔-丁基酯(635mg,2.94mmol),N,N-二异丙基乙基胺(379mg,2.94mmol)和无水二甲基亚砜(2mL)混合,封管加热到130℃,搅拌10小时。冷却至室温,向此混合物加10mL水,再用乙酸乙酯(20mL×2)萃取,有机相合并后减压脱溶,残余物用硅胶柱层析纯化(甲醇/二氯甲烷=1:20),得到目标产物(3S,4S)-3-(5-(2-氯-5-(环丙基氨基甲酰)-3-甲氧基苄氧基)嘧啶-2-基氨基)-四氢-2H-吡喃-4-基氨基甲酸叔-丁基酯156d(210mg,黄色油状物),产率39%。The compound 4-chloro-3-((2-chloropyrimidin-5-oxy)methyl)-N-cyclopropyl-5-methoxybenzamide (360 mg, 0.98 mmol), (3S, 4S) tert-Butyl 3-amino-tetrahydro-2H-pyran-4-ylcarbamate (635 mg, 2.94 mmol), N,N-diisopropylethylamine (379 mg, 2.94 mmol) Dimethyl sulfoxide (2 mL) was mixed, and the tube was heated to 130 ° C and stirred for 10 hours. After cooling to room temperature, 10 mL of water was added to the mixture, and then ethyl acetate (20 mL × 2) was evaporated. The target product (3S,4S)-3-(5-(2-chloro-5-(cyclopropylcarbamoyl)-3-methoxybenzyloxy)pyrimidin-2-ylamino)-tetra Hydrogen-2H-pyran-4-ylcarbamic acid tert-butyl ester 156d (210 mg, yellow oil), yield 39%.
MS m/z(ESI):548[M+1]MS m/z (ESI): 548 [M+1]
第四步the fourth step
3-((2-((3S,4S)-4-氨基-四氢-2H-吡喃-3-基氨基)嘧啶-5-氧基)甲基)-4-氯-N-环丙基-5-甲氧基苯甲酰胺3-((2-((3S,4S)-4-Amino-tetrahydro-2H-pyran-3-ylamino)pyrimidine-5-oxy)methyl)-4-chloro-N-cyclopropyl -5-methoxybenzamide
将化合物(3S,4S)-3-(5-(2-氯-5-(环丙基氨基甲酰)-3-甲氧基苄氧基)嘧啶-2-基氨基)-四氢-2H-吡喃-4-基氨基甲酸叔-丁基酯(210mg,0.383mmol),三氟乙酸(1mL)和二氯甲烷(4mL)混合,室温搅拌2小时。减压脱溶,得到目标产 物3-((2-((3S,4S)-4-氨基-四氢-2H-吡喃-3-基氨基)嘧啶-5-氧基)甲基)-4-氯-N-环丙基-5-甲氧基苯甲酰胺156e(172mg,棕色油状物),产率100%。Compound (3S,4S)-3-(5-(2-chloro-5-(cyclopropylcarbamoyl)-3-methoxybenzyloxy)pyrimidin-2-ylamino)-tetrahydro-2H - tert-butyl pyran-4-ylcarbamate (210 mg, 0.383 mmol), trifluoroacetic acid (1 mL) and dichloromethane (4 mL). Decomposition under reduced pressure, the target product is obtained 3-((2-((3S,4S)-4-Amino-tetrahydro-2H-pyran-3-ylamino)pyrimidin-5-oxy)methyl)-4-chloro-N-cyclopropane Benz-5-methoxybenzamide 156e (172 mg, brown oil), yield 100%.
MS m/z(ESI):448[M+1]MS m/z (ESI): 448 [M+1]
第五步the fifth step
3-((2-((3S,4S)-4-丙烯酰氨基-四氢-2H-吡喃-3-基氨基)嘧啶-5-氧基)甲基)-4-氯-N-环丙基-5-甲氧基苯甲酰胺3-((2-((3S,4S)-4-acrylamido-tetrahydro-2H-pyran-3-ylamino)pyrimidin-5-oxy)methyl)-4-chloro-N-cyclo Propyl-5-methoxybenzamide
将化合物3-((2-((3S,4S)-4-氨基-四氢-2H-吡喃-3-基氨基)嘧啶-5-氧基)甲基)-4-氯-N-环丙基-5-甲氧基苯甲酰胺(172mg,0.383mmol),N,N-二异丙基乙基胺(148mg,1.15mmol)和二氯甲烷(30mL)混合,-40℃搅拌下缓慢滴加丙烯酰氯(35mg,0.383mmol),搅拌15分钟。向此混合物加入10mL水,再用二氯甲烷(20mL×2)萃取,有机相合并后减压脱溶,残余物用硅胶柱层析纯化(甲醇/二氯甲烷=1:20),得到目标产物3-((2-((3S,4S)-4-丙烯酰氨基-四氢-2H-吡喃-3-基氨基)嘧啶-5-氧基)甲基)-4-氯-N-环丙基-5-甲氧基苯甲酰胺156(64mg,白色固体),产率33%。The compound 3-((2-((3S,4S)-4-amino-tetrahydro-2H-pyran-3-ylamino)pyrimidin-5-oxy)methyl)-4-chloro-N-cyclo Propyl-5-methoxybenzamide (172 mg, 0.383 mmol), N,N-diisopropylethylamine (148 mg, 1.15 mmol) and dichloromethane (30 mL) were mixed and slowly stirred at -40 °C Acryloyl chloride (35 mg, 0.383 mmol) was added dropwise and stirred for 15 minutes. To the mixture, 10 mL of water was added, and the mixture was extracted with dichloromethane (20 mL×2). The product 3-((2-((3S,4S)-4-acrylamido-tetrahydro-2H-pyran-3-ylamino)pyrimidin-5-oxy)methyl)-4-chloro-N- Cyclopropyl-5-methoxybenzamide 156 (64 mg, white solid).
MS m/z(ESI):502[M+1];1H NMR(400MHz,DMSO)δ8.58(d,J=3.8Hz,1H),8.19(s,2H),7.95(d,J=7.8Hz,1H),7.64(s,1H),7.53(s,1H),6.37(d,J=7.5Hz,1H),6.24(dd,J=17.1,10.1Hz,1H),6.05(dd,J=17.0,2.1Hz,1H),5.56(dd,J=10.1,2.0Hz,1H),5.13(s,2H),4.26–4.17(m,1H),4.09(s,1H),3.93(s,3H),3.75(ddd,J=16.5,11.6,5.7Hz,2H),3.58-3.50(m,2H),2.83(dt,J=11.0,3.6Hz,1H),1.87(dd,J=8.9,4.3Hz,1H),1.66-1.55(m,1H),0.76-0.65(m,2H),0.62-0.53(m,2H)。MS m/z (ESI): 520 [M + 1]; 1 H NMR (400 MHz, DMSO) δ 8.58 (d, J = 3.8 Hz, 1H), 8.19 (s, 2H), 7.95 (d, J = 7.8 Hz, 1H), 7.64 (s, 1H), 7.53 (s, 1H), 6.37 (d, J = 7.5 Hz, 1H), 6.24 (dd, J = 17.1, 10.1 Hz, 1H), 6.05 (dd, J = 17.0, 2.1 Hz, 1H), 5.56 (dd, J = 10.1, 2.0 Hz, 1H), 5.13 (s, 2H), 4.26 - 4.17 (m, 1H), 4.09 (s, 1H), 3.93 (s , 3H), 3.75 (ddd, J = 16.5, 11.6, 5.7 Hz, 2H), 3.58-3.50 (m, 2H), 2.83 (dt, J = 11.0, 3.6 Hz, 1H), 1.87 (dd, J = 8.9 , 4.3 Hz, 1H), 1.66-1.55 (m, 1H), 0.76-0.65 (m, 2H), 0.62-0.53 (m, 2H).
实施例14Example 14
N-(2-((5-((5-(氨基甲基)-2-氯苯甲基)氧代)嘧啶-2-基)氨基)-3-甲基苯基)丙烯酰基酰胺 N-(2-((5-((5-(aminomethyl))-2-chlorobenzyl)oxy)pyrimidin-2-yl)amino)-3-methylphenyl)acrylamide
第一步first step
3-(溴甲基)-4-氯苯甲腈3-(bromomethyl)-4-chlorobenzonitrile
将化合物4-氯-3-甲基苯甲腈(6g,39.7mmol),N-溴代琥珀酰亚胺(8.4g,47.64mmol),偶氮二异丁腈(13g,80mmol),溶30mL四氯化碳中,加热到76℃反应三个小时。冷却到室温,加入20mL冰水稀释,然后用20mL乙酸乙酯萃取三次,有机相旋干,残余物用硅胶柱层析纯化(石油醚/乙酸乙酯=10:1),得到目标产物3-(溴甲基)-4-氯苯甲腈157b(8.2g),产率90%。The compound 4-chloro-3-methylbenzonitrile (6 g, 39.7 mmol), N-bromosuccinimide (8.4 g, 47.64 mmol), azobisisobutyronitrile (13 g, 80 mmol), 30 mL In carbon tetrachloride, the mixture was heated to 76 ° C for three hours. After cooling to room temperature, it was diluted with 20 mL of ice water, and then extracted with EtOAc (EtOAc) (EtOAc) (Bromomethyl)-4-chlorobenzonitrile 157b (8.2 g), yield 90%.
MS m/z(ESI):231.2[M+1]MS m/z (ESI): 231.2 [M+1]
第二步Second step
4-氯-3-(((2-氯嘧啶-5-基)氧基)甲基)苯甲腈4-chloro-3-(((2-chloropyrimidin-5-yl)oxy)methyl)benzonitrile
将化合物3-(溴甲基)-4-氯苯甲腈(8.2g,35.6mmol),碳酸钾(9.7g,70.2mmol),2-氯嘧啶-5-酚(5.5g,42.7mmol)加入到N,N-二甲基甲酰胺(20mL)中,加热到75℃,搅拌3小时。冷却至室温,过滤,滤液减压脱溶,剩余物加入水30毫升,用60mL乙酸乙酯萃取。乙酸乙酯层干燥旋干得到目标产物4-氯-3-(((2-氯嘧啶-5-基)氧基)甲基)苯甲腈157c(4g),产率40%。Add the compound 3-(bromomethyl)-4-chlorobenzonitrile (8.2 g, 35.6 mmol), potassium carbonate (9.7 g, 70.2 mmol), 2-chloropyrimidin-5-phenol (5.5 g, 42.7 mmol) It was heated to 75 ° C in N,N-dimethylformamide (20 mL) and stirred for 3 hours. The mixture was cooled to room temperature, filtered, and the filtrate was evaporated to dryness. The ethyl acetate layer was dried and dried to give 4-chloro-3-(((2-chloropyrimidin-5-yl)oxy)methyl)benzonitrile 157c (4 g).
MS m/z(ESI):281.1[M+1]MS m/z (ESI): 281.1 [M+1]
第三步third step
4-氯-3-(((2-((2-甲基-6-硝基苯基)氨基)嘧啶-5-基)氧基)甲基)苯甲腈4-Chloro-3-(((2-((2-methyl-6-nitrophenyl)amino)pyrimidin-5-yl)oxy)methyl)benzonitrile
将化合物4-氯-3-(((2-氯嘧啶-5-基)氧基)甲基)苯甲腈(4g,14.2mmol),三(二亚苄基丙酮)二钯(2.6g,2.8mmol),4,5-双二苯基膦-9,9-二甲基氧杂蒽 (825mg,1.4mmol),碳酸铯(9.2g,24.4mmol)溶解到N,N-二甲基甲酰胺(35mL)中,加热到100℃,搅拌10小时。冷却到室温,加入20mL水稀释,然后用20mL乙酸乙酯萃取三次,有机相旋干,残余物用硅胶柱层析纯化(石油醚/乙酸乙酯=5:1),得到目标产物4-氯-3-(((2-((2-甲基-6-硝基苯基)氨基)嘧啶-5-基)氧基)甲基)苯甲腈157d(2g),产率35.7%。4-Chloro-3-(((2-chloropyrimidin-5-yl)oxy)methyl)benzonitrile (4 g, 14.2 mmol), tris(dibenzylideneacetone) dipalladium (2.6 g, 2.8 mmol), 4,5-bisdiphenylphosphino-9,9-dimethyloxaxime (825 mg, 1.4 mmol), cesium carbonate (9.2 g, 24.4 mmol) was dissolved in N,N-dimethylformamide (35 mL), heated to 100 ° C, and stirred for 10 hours. After cooling to room temperature, it was diluted with 20 mL of water, and then extracted with EtOAc (EtOAc) (EtOAc (EtOAc) 3-((2-((2-methyl-6-nitrophenyl)amino)pyrimidin-5-yl)oxy)methyl)benzonitrile 157d (2 g), mp.
MS m/z(ESI):396.8[M+1]MS m/z (ESI): 396.8 [M+1]
第四步the fourth step
3-(((2-((2-氨基-6-甲基苯基)氨基)嘧啶-5-基)氧基)甲基)-4-氯苯甲腈3-(((2-(2-amino-6-methylphenyl)amino)pyrimidin-5-yl)oxy)methyl)-4-chlorobenzonitrile
将化合物4-氯-3-(((2-((2-甲基-6-硝基苯基)氨基)嘧啶-5-基)氧基)甲基)苯甲腈(750mg,1.8mmol),铁粉(1g,18mmol),氯化铵(477mg,9mmol)乙醇:水=10:1(11mL)中,加热到50℃,搅拌3小时。冷却到室温,抽滤,滤液加入20mL水,然后用20mL乙酸乙酯萃取三次,有机相旋干,残余物用硅胶柱层析纯化(石油醚/乙酸乙酯=1:1),得到目标产物3-(((2-((2-氨基-6-甲基苯基)氨基)嘧啶-5-基)氧基)甲基)-4-氯苯甲腈157e(590mg),产率85%。4-Chloro-3-(((2-((2-methyl-6-nitrophenyl)amino)pyrimidin-5-yl)oxy)methyl)benzonitrile (750 mg, 1.8 mmol) Iron powder (1 g, 18 mmol), ammonium chloride (477 mg, 9 mmol) in ethanol: water = 10:1 (11 mL), heated to 50 ° C, and stirred for 3 hours. The mixture was cooled to room temperature, filtered, and filtered, and then filtered, and then filtered, and then evaporated to silica. 3-((2-((2-amino-6-methylphenyl)amino)pyrimidin-5-yl)oxy)methyl)-4-chlorobenzonitrile 157e (590 mg), yield 85% .
MS m/z(ESI):366.8[M+1]MS m/z (ESI): 366.8 [M+1]
第五步the fifth step
N-(2-((5-((2-氯-5-氰基苯甲基)氧基)嘧啶-2-基)氨基)-3-甲基苯基)-2,2,2-三氟乙酰胺N-(2-((5-((2-chloro-5-cyanobenzyl)oxy)pyrimidin-2-yl)amino)-3-methylphenyl)-2,2,2-tri Fluoroacetamide
将化合物3-(((2-((2-氨基-6-甲基苯基)氨基)嘧啶-5-基)氧基)甲基)-4-氯苯甲腈(590mg,1.8mmol),三氟乙酸酐(407mg,1.9mmol),N,N-二异丙基乙胺(630mg,5.4mmol)溶解到二氯甲烷(10mL)中,降温到0℃,搅拌30分钟。升温到室温,加入20mL碳酸氢钠饱和水溶液,然后用20mL乙酸乙酯萃取三次,有机相旋干,残余物用硅胶柱层析纯化(石油醚/乙酸乙酯=5:1),得到目标产物N-(2-((5-((2-氯-5-氰基苯甲基)氧基)嘧啶-2-基)氨基)-3-甲基苯基)-2,2,2-三氟乙酰胺157f(650mg),产率88%。The compound 3-(((2-((2-amino-6-methylphenyl)amino)pyrimidin-5-yl)oxy)methyl)-4-chlorobenzonitrile (590 mg, 1.8 mmol) Trifluoroacetic anhydride (407 mg, 1.9 mmol), N,N-diisopropylethylamine (630 mg, 5.4 mmol) was dissolved in dichloromethane (10 mL), cooled to 0 ° C and stirred for 30 min. The mixture was warmed to room temperature, and then added with aq. EtOAc EtOAc (EtOAc (EtOAc) N-(2-((5-((2-chloro-5-cyanobenzyl)oxy)pyrimidin-2-yl)amino)-3-methylphenyl)-2,2,2-tri Fluoroacetamide 157f (650 mg), yield 88%.
MS m/z(ESI):462.8[M+1]MS m/z (ESI): 462.8 [M+1]
第六步Step 6
(4-氯-3-(((2-((2-甲基-6-(2,2,2-三氟乙酰氨基)苯基)氨基)嘧啶-5-基)氧基)甲基)苯甲基)氨基甲酸叔丁基酯(4-Chloro-3-((2-((2-methyl-6-(2,2,2-trifluoroacetamido)phenyl)amino)pyrimidin-5-yl)oxy)methyl) Tert-butyl benzyl)carbamate
将化合物N-(2-((5-((2-氯-5-氰基苯甲基)氧基)嘧啶-2-基)氨基)-3-甲基苯基)-2,2,2-三氟乙酰胺(650mg,1.4mmol),雷尼镍(100mg)加入到(20mL) 甲醇中,室温搅拌3小时。抽滤,溶剂减压旋干,加入BOC酸酐(366mg,1.6mmol),N,N-二异丙基乙胺(546mg,4.2mmol),到(10mL)二氯甲烷中,室温搅拌3小时,溶液减压脱溶,残余物用硅胶柱层析纯化(石油醚/乙酸乙酯=10:1),得到目标产物(4-氯-3-(((2-((2-甲基-6-(2,2,2-三氟乙酰氨基)苯基)氨基)嘧啶-5-基)氧基)甲基)苯甲基)氨基甲酸叔丁基酯157g(400mg),产率50%。The compound N-(2-((5-((2-chloro-5-cyanobenzyl)oxy)pyrimidin-2-yl)amino)-3-methylphenyl)-2,2,2 -Trifluoroacetamide (650 mg, 1.4 mmol), Raney nickel (100 mg) added to (20 mL) The mixture was stirred at room temperature for 3 hours in methanol. The mixture was filtered with EtOAc EtOAc m. The solution was dissolved under reduced pressure, and the residue was purifiedjjjjjjjjjjj -(2,2,2-Trifluoroacetamido)phenyl)amino)pyrimidin-5-yl)oxy)methyl)benzyl)carbamic acid tert-butyl ester 157 g (400 mg), yield 50%.
MS m/z(ESI):566.9[M+1]MS m/z (ESI): 566.9 [M+1]
第七步Seventh step
(3-(((2-((2-氨基-6-甲基苯基)氨基)嘧啶-5-基)氧基)甲基)-4-氯苯甲基)氨基甲酸叔丁基酯(3-((2-((2-amino-6-methylphenyl)amino)pyrimidin-5-yl)oxy)methyl)-4-chlorobenzyl)carbamic acid tert-butyl ester
将化合物(4-氯-3-(((2-((2-甲基-6-(2,2,2-三氟乙酰氨基)苯基)氨基)嘧啶-5-基)氧基)甲基)苯甲基)氨基甲酸叔丁基酯(400mg,0.7mmol)溶解到(10mL)甲醇中,加入(28mg,0.7mmol)氢氧化钠,加热到65℃,搅拌24小时。冷却至室温,过滤,滤液减压脱溶,剩余物加入水20ml毫升,用30mL乙酸乙酯萃取。乙酸乙酯层干燥旋干得到目标产物(3-(((2-((2-氨基-6-甲基苯基)氨基)嘧啶-5-基)氧基)甲基)-4-氯苯甲基)氨基甲酸叔丁基酯157h(150mg),产率45%。The compound (4-chloro-3-(((2-((2-(2-)))))))) The tert-butyl benzyl) carbamic acid ester (400 mg, 0.7 mmol) was dissolved in (10 mL) methanol, and then added (28 mg, 0.7 mmol) sodium hydroxide, heated to 65 ° C, and stirred for 24 hours. The mixture was cooled to room temperature, filtered, and the filtrate was evaporated to dryness. The ethyl acetate layer was dried to dryness to give the desired product (3-(((2-(2-amino-6-methylphenyl)amino)pyrimidin-5-yl)oxy)methyl)-4-chlorobenzene Methyl)-tert-butyl carboxylate 157 h (150 mg), yield 45%.
MS m/z(ESI):470.9[M+1]MS m/z (ESI): 470.9 [M+1]
第八步Eighth step
(3-(((2-((2-丙烯酰氨基-6-甲基苯基)氨基)嘧啶-5-基)氧基)甲基)-4-氯苯甲基)氨基甲酸叔丁基酯(3-((2-(2-acrylamido-6-methylphenyl)amino)pyrimidin-5-yl)oxy)methyl)-4-chlorobenzyl)carbamic acid tert-butyl ester
将化合物叔丁基(3-(((2-((2-氨基-6-甲基苯基)氨基)嘧啶-5-基)氧基)甲基)-4-氯苯甲基)氨基甲酸酯(150mg,0.3mmol),二异丙基乙基胺(78mg,0.6mmol)溶解到二氯甲烷中(6mL),降温至-40℃,搅拌下缓慢滴加丙烯酰氯(27mg,0.3mmol),搅拌30分钟。向此混合物加入10mL饱和食盐水,有机相减压脱溶,残余物用硅胶柱层析纯化(石油醚/乙酸乙酯=2:1),得到目标产物(3-(((2-((2-丙烯酰氨基-6-甲基苯基)氨基)嘧啶-5-基)氧基)甲基)-4-氯苯甲基)氨基甲酸叔丁基酯157i(60mg),产率57.6%.The compound tert-butyl(3-(((2-(2-amino-6-methylphenyl)amino)pyrimidin-5-yl)oxy)methyl)-4-chlorobenzyl)aminomethyl The acid ester (150 mg, 0.3 mmol), diisopropylethylamine (78 mg, 0.6 mmol) was dissolved in dichloromethane (6 mL), cooled to -40 ° C, and slowly added acryloyl chloride (27 mg, 0.3 mmol) with stirring. ), stirring for 30 minutes. To the mixture, 10 mL of a saturated aqueous solution of sodium chloride was added, and the organic phase was evaporated to dryness. 2-acrylamido-6-methylphenyl)amino)pyrimidin-5-yl)oxy)methyl)-4-chlorobenzyl)carbamic acid tert-butyl ester 157i (60 mg), yield 57.6% .
MS m/z(ESI):525.3.9[M+1]MS m/z (ESI): 525.3.9 [M+1]
第九步Step 9
N-(2-((5-((5-(氨基甲基)-2-氯苯甲基)氧基)嘧啶-2-基)氨基)-3-甲基苯基) 丙烯酰胺N-(2-((5-(5-(Aminomethyl)-2-chlorobenzyl)oxy)pyrimidin-2-yl)amino)-3-methylphenyl) Acrylamide
将化合物(3-(((2-((2-丙烯酰氨基-6-甲基苯基)氨基)嘧啶-5-基)氧基)甲基)-4-氯苯甲基)氨基甲酸叔丁基酯(60mg,0.11mmol)溶解到二氯甲烷中(6mL),加入三氟乙酸(1mL),室温搅拌3小时,向此混合物加入10mL饱和碳酸氢钠水溶液,乙酸乙酯萃取,有机相减压脱溶,残余物用高效液相色谱纯化,得到最终目标产物N-(2-((5-((5-(氨基甲基)-2-氯苯甲基)氧基)嘧啶-2-基)氨基)-3-甲基苯基)丙烯酰胺157(23mg,白色固体),产率47.9%。The compound (3-(((2-(2-acrylamido-6-methylphenyl)amino)pyrimidin-5-yl)oxy)methyl)-4-chlorobenzyl)carbamic acid The butyl ester (60 mg, 0.11 mmol) was dissolved in dichloromethane (6 mL), trifluoroacetic acid (1 mL) was added, and the mixture was stirred at room temperature for 3 hr. The solution was decomposed under reduced pressure, and the residue was purified by high-purity liquid chromatography to give the desired product N-(2-((5-(amino)methyl))) -Amino)-3-methylphenyl)acrylamide 157 (23 mg, white solid), yield 47.9%.
MS m/z(ESI):424.9[M+1];1H NMR(400MHz,DMSO)δ9.53(s,5H),8.24(s,6H),8.12(s,6H),7.88-7.79(m,1H),7.88-7.56(m,10H),7.48(d,J=8.4Hz,3H),7.16(d,J=7.7Hz,3H),7.11(d,J=20.3Hz,3H),7.07-6.38(m,9H),6.22(d,J=17.0Hz,4H),5.72(d,J=10.4Hz,4H),5.15(s,5H),4.07(d,J=5.3Hz,14H),2.51(s,82H),2.12(s,7H),0.01(s,2H)。MS m/z (ESI): 424.9 [M + 1]; 1 H NMR (400 MHz, DMSO) δ 9.53 (s, 5H), 8.24 (s, 6H), 8.12 (s, 6H), 7.88-7. m,1H), 7.88-7.56 (m, 10H), 7.48 (d, J = 8.4 Hz, 3H), 7.16 (d, J = 7.7 Hz, 3H), 7.11 (d, J = 20.3 Hz, 3H), 7.07-6.38 (m, 9H), 6.22 (d, J = 17.0 Hz, 4H), 5.72 (d, J = 10.4 Hz, 4H), 5.15 (s, 5H), 4.07 (d, J = 5.3 Hz, 14H) ), 2.51 (s, 82H), 2.12 (s, 7H), 0.01 (s, 2H).
实施例15Example 15
3-(((2-((4-丙烯酰氨基四氢呋喃-3-基)氨基)嘧啶-5-基)氧基)甲基)-4-氯-N-环丙基苯甲酰胺3-(((2-(4-acrylamidotetrahydrofuran-3-yl)amino)pyrimidin-5-yl)oxy)methyl)-4-chloro-N-cyclopropylbenzamide
第一步first step
3-(((2-((4-氨基四氢呋喃-3-基)氨基)嘧啶-5-基)氧基)甲基)-4-氯-N-环丙基苯甲酰胺3-(((2-(4-Aminotetrahydrofuran-3-yl)amino)pyrimidin-5-yl)oxy)methyl)-4-chloro-N-cyclopropylbenzamide
将化合物4-氯-3-((2-氯嘧啶-5-氧基)甲基)-N-环丙基苯甲酰胺(500g,1.5mmol),(3R,4S)-四氢呋喃-3,4-二胺(774mg,4.5mmol),N,N-二异丙基乙基胺(580mg,4.5mmol)和无水二甲基亚砜(5mL)混合,封管加热到130℃,搅拌3小时。冷却至室温,减压脱溶,残余物用硅胶柱层析纯化(甲醇/二氯甲烷=1:10),得到目标产物3-(((2-((4-氨基四氢呋喃-3-基)氨基)嘧啶-5-基)氧 基)甲基)-4-氯-N-环丙基苯甲酰胺158b(120mg,黄色油状物),产率20%。4-Chloro-3-((2-chloropyrimidin-5-oxy)methyl)-N-cyclopropylbenzamide (500 g, 1.5 mmol), (3R,4S)-tetrahydrofuran-3,4 - Diamine (774 mg, 4.5 mmol), N,N-diisopropylethylamine (580 mg, 4.5 mmol) and anhydrous dimethyl sulfoxide (5 mL), and the mixture was heated to 130 ° C and stirred for 3 hours. . The mixture was cooled to room temperature, and then evaporated to dryness. Amino)pyrimidin-5-yl)oxy Methyl)-4-chloro-N-cyclopropylbenzamide 158b (120 mg, yellow oil), yield 20%.
MS m/z(ESI):404[M+1]MS m/z (ESI): 404 [M+1]
第二步Second step
3-(((2-((4-丙烯酰氨基四氢呋喃-3-基)氨基)嘧啶-5-基)氧基)甲基)-4-氯-N-环丙基苯甲酰胺3-(((2-(4-acrylamidotetrahydrofuran-3-yl)amino)pyrimidin-5-yl)oxy)methyl)-4-chloro-N-cyclopropylbenzamide
将化合物3-(((2-((4-氨基四氢呋喃-3-基)氨基)嘧啶-5-基)氧基)甲基)-4-氯-N-环丙基苯甲酰胺(120mg,0.30mmol),N,N-二异丙基乙基胺(77mg,0.60mmol)和二氯甲烷(15mL)混合,-40℃搅拌下缓慢滴加丙烯酰氯(27mg,0.31mmol),搅拌15分钟。向此混合物加入10mL水,再用二氯甲烷(20mL×2)萃取,有机相合并后减压脱溶,残余物用硅胶柱层析纯化(甲醇/二氯甲烷=1:20),得到目标产物3-(((2-((4-丙烯酰氨基四氢呋喃-3-基)氨基)嘧啶-5-基)氧基)甲基)-4-氯-N-环丙基苯甲酰胺158(45mg,白色固体)。通过手性拆分得到两个异构体P1(15mg),P2(18mg)。The compound 3-(((2-((4-aminotetrahydrofuran-3-yl)amino)pyrimidin-5-yl)oxy)methyl)-4-chloro-N-cyclopropylbenzamide (120 mg, 0.30 mmol), N,N-diisopropylethylamine (77 mg, 0.60 mmol) and dichloromethane (15 mL) were mixed, and acryloyl chloride (27 mg, 0.31 mmol) was slowly added dropwise with stirring at -40 ° C, and stirred for 15 minutes. . To the mixture, 10 mL of water was added, and the mixture was extracted with dichloromethane (20 mL×2). The product 3-(((2-(4-acrylamidotetrahydrofuran-3-yl)amino)pyrimidin-5-yl)oxy)methyl)-4-chloro-N-cyclopropylbenzamide 158 ( 45 mg, white solid). Two isomers P1 (15 mg), P2 (18 mg) were obtained by chiral resolution.
手性拆分条件:设备SFC,色谱柱:chiralpak-OD,流动项:CO2-ETOH(DEA)。Chiral separation conditions: equipment SFC, column: chiralpak-OD, flow term: CO2-ETOH (DEA).
在SFC机器上保留时间短的命名P1,保留时间长的命名P2。The short-lived named P1 is reserved on the SFC machine, and the long-lasting named P2 is retained.
MS m/z(ESI):478[M+1];MS m/z (ESI): 478 [M + 1];
P1:1H NMR(400MHz,DMSO)δ8.57(m,1H),8.23(m,2H),8.03(m,2H),7.83(m,1H),7.60(m,1H),6.55(m,1H),6.22(m,1H),6.04(m,1H),5.58(m,1H),5.15(m,2H),4.54(m,2H),3.99(m,2H),3.62(m,2H),2.85(m,1H),0.70(m,2H),0.58(m,2H)。 P1: 1 H NMR (400MHz, DMSO) δ8.57 (m, 1H), 8.23 (m, 2H), 8.03 (m, 2H), 7.83 (m, 1H), 7.60 (m, 1H), 6.55 (m , 1H), 6.22 (m, 1H), 6.04 (m, 1H), 5.58 (m, 1H), 5.15 (m, 2H), 4.54 (m, 2H), 3.99 (m, 2H), 3.62 (m, 2H), 2.85 (m, 1H), 0.70 (m, 2H), 0.58 (m, 2H).
P2:1H NMR(400MHz,DMSO)δ8.57(d,J=3.8Hz,1H),8.23(s,2H),8.02(m,2H),7.83(dd,J=8.3,1.5Hz,1H),7.60(d,J=8.3Hz,1H),6.55(d,J=7.1Hz,1H),6.22(dd,J=17.1,10.1Hz,1H),6.04(dd,J=17.0,1.6Hz,1H),5.58(dd,J=10.1,1.6Hz,1H),5.15(s,2H),4.54(m,2H),3.99(m,2H),3.62(dd,J=8.8,5.0Hz,2H),2.85(dt,J=11.0,3.7Hz,1H),0.70(m,2H),0.58(m,2H)。 P2: 1 H NMR (400MHz, DMSO) δ8.57 (d, J = 3.8Hz, 1H), 8.23 (s, 2H), 8.02 (m, 2H), 7.83 (dd, J = 8.3,1.5Hz, 1H ), 7.60 (d, J = 8.3 Hz, 1H), 6.55 (d, J = 7.1 Hz, 1H), 6.22 (dd, J = 17.1, 10.1 Hz, 1H), 6.04 (dd, J = 17.0, 1.6 Hz) , 1H), 5.58 (dd, J = 10.1, 1.6 Hz, 1H), 5.15 (s, 2H), 4.54 (m, 2H), 3.99 (m, 2H), 3.62 (dd, J = 8.8, 5.0 Hz, 2H), 2.85 (dt, J = 11.0, 3.7 Hz, 1H), 0.70 (m, 2H), 0.58 (m, 2H).
实施例16Example 16
N-(2-((5-((2-氯-5-(二甲基磷基)苯甲基)氧基)嘧啶-2-基)氨基)-3-甲基苯基)丙烯酰胺 N-(2-((5-((2-Chloro-5-(dimethylphosphino)benzyl)oxy)pyrimidin-2-yl)amino)-3-methylphenyl)acrylamide
第一步first step
4-氯-3-甲基苯基二甲基氧化膦159b4-chloro-3-methylphenyldimethylphosphine oxide 159b
将化合物4-溴-2-甲基氯苯(4g,19mmol),二甲基氧化磷(1.5g,19mmol),醋酸钯(851mg,3.8mmol),2-二环己基磷-2,4,6-三异丙基联苯(3.6g,7.6mmol),磷酸钾(6g,28.5mmol),溶到100mL无水N,N-二甲基甲酰胺中,氮气保护条件下加热到95℃反应三个小时。冷却到室温,加入100mL冰水稀释,然后用100mL乙酸乙酯萃取三次,有机相旋干,残余物用硅胶柱层析纯化(石油醚/乙酸乙酯=1:1),得到目标产物4-氯-3-甲基苯基二甲基氧化膦159b(1.1g,白色固体),产率28%。Compound 4-bromo-2-methylchlorobenzene (4 g, 19 mmol), dimethylphosphonium oxide (1.5 g, 19 mmol), palladium acetate (851 mg, 3.8 mmol), 2-dicyclohexylphosphorane-2,4, 6-Triisopropylbiphenyl (3.6 g, 7.6 mmol), potassium phosphate (6 g, 28.5 mmol), dissolved in 100 mL of anhydrous N,N-dimethylformamide, heated to 95 ° C under nitrogen atmosphere Three hours. After cooling to room temperature, it was diluted with 100 mL of ice water, and then extracted three times with 100 mL of ethyl acetate. The organic phase was evaporated to dryness. Chloro-3-methylphenyldimethylphosphine oxide 159b (1.1 g, white solid), yield 28%.
MS m/z(ESI):202[M+1]MS m/z (ESI): 202 [M+1]
第二步Second step
(3-(溴甲基)-4-氯苯基)二甲基氧化膦159c(3-(bromomethyl)-4-chlorophenyl)dimethylphosphine oxide 159c
将化合物4-氯-3-甲基苯基二甲基氧化膦(1g,4.9mmol),偶氮二异丁腈(70mg,0.49mmol),N-溴代琥珀酰亚胺(720mg,4.9mmol),四氯化碳(50mL)混合,升温至70℃,搅拌4小时。冷却至室温,减压脱溶,残余物用硅胶柱层析纯化(石油醚/乙酸乙酯=1:10),得到目标产物(3-(溴甲基)-4-氯苯基)二甲基氧化膦159c(750mg,白色固体),产率55%。4-Chloro-3-methylphenyldimethylphosphine oxide (1 g, 4.9 mmol), azobisisobutyronitrile (70 mg, 0.49 mmol), N-bromosuccinimide (720 mg, 4.9 mmol) The mixture was mixed with carbon tetrachloride (50 mL), heated to 70 ° C, and stirred for 4 hours. The mixture was cooled to room temperature, and then evaporated to dryness. Phosphine oxide 159c (750 mg, white solid), yield 55%.
MS m/z(ESI):280[M+1]MS m/z (ESI): 280 [M+1]
第三步third step
(4-氯-3-(((2-氯嘧啶-5-基)氧基)甲基)苯基)二甲基氧化膦159d(4-Chloro-3-(((2-chloropyrimidin-5-yl)oxy)methyl)phenyl) dimethylphosphine oxide 159d
将化合物(3-(溴甲基)-4-氯苯基)二甲基氧化膦(750mg,2.6mmol),2-氯-5- 羟基嘧啶(240mg,2.6mmol),碳酸钾(722mg,5.2mmol),N,N-二甲基甲酰胺(30mL)混合,升温至60℃,搅拌4小时。冷却至室温,减压脱溶,残余物用硅胶柱层析纯化(石油醚/乙酸乙酯=1:10),得到目标产物(4-氯-3-(((2-氯嘧啶-5-基)氧基)甲基)苯基)二甲基氧化膦159d(650mg,白色固体),产率76%。The compound (3-(bromomethyl)-4-chlorophenyl)dimethylphosphine oxide (750 mg, 2.6 mmol), 2-chloro-5- Hydroxypyrimidine (240 mg, 2.6 mmol), potassium carbonate (722 mg, 5.2 mmol), and N,N-dimethylformamide (30 mL) were mixed, warmed to 60 ° C and stirred for 4 hours. The mixture was cooled to room temperature, and then evaporated to dryness. Alkyloxy)methyl)phenyl)dimethylphosphine oxide 159d (650 mg, white solid), yield 76%.
MS m/z(ESI):331[M+1]MS m/z (ESI): 331 [M+1]
第四步the fourth step
(4-氯-3-(((2-((2-甲基-6-硝基苯基)氨基)嘧啶-5-基)氧基)甲基)苯基)二甲基氧化膦159e(4-Chloro-3-((2-(2-methyl-6-nitrophenyl)amino)pyrimidin-5-yl)oxy)methyl)phenyl)dimethylphosphine oxide 159e
将化合物(4-氯-3-(((2-氯嘧啶-5-基)氧基)甲基)苯基)二甲基氧化膦(650mg,1.96mmol),3-甲基-2氨基硝基苯(298mg,1.96mmol),三(二亚苄基丙酮)二钯(384mg,0.42mmol),2-二环己基磷-2,4,6-三异丙基联苯(399mg,0.84mmol),碳酸铯(1g,3.1mmol),溶到10mL无水N,N-二甲基甲酰胺中,氮气保护条件下加热到95℃反应三个小时。冷却到室温,加入20mL冰水稀释,然后用20mL乙酸乙酯萃取三次,有机相旋干,残余物用硅胶柱层析纯化(石油醚/乙酸乙酯=1:1),得到目标产物(4-氯-3-(((2-((2-甲基-6-硝基苯基)氨基)嘧啶-5-基)氧基)甲基)苯基)二甲基氧化膦159e(400mg,黄色固体),产率42%。The compound (4-chloro-3-(((2-chloropyrimidin-5-yl)oxy)methyl)phenyl) dimethylphosphine oxide (650 mg, 1.96 mmol), 3-methyl-2amino nitrate Base benzene (298 mg, 1.96 mmol), tris(dibenzylideneacetone)dipalladium (384 mg, 0.42 mmol), 2-dicyclohexylphosphino-2,4,6-triisopropylbiphenyl (399 mg, 0.84 mmol) ), cesium carbonate (1 g, 3.1 mmol), dissolved in 10 mL of anhydrous N,N-dimethylformamide, and heated to 95 ° C for three hours under nitrogen atmosphere. After cooling to room temperature, it was diluted with 20 mL of ice water, and then extracted with EtOAc EtOAc (EtOAc) -Chloro-3-((2-((2-methyl-6-nitrophenyl)amino)pyrimidin-5-yl)oxy)methyl)phenyl) dimethylphosphine oxide 159e (400 mg, Yellow solid), yield 42%.
MS m/z(ESI):447[M+1]MS m/z (ESI): 447 [M+1]
第五步the fifth step
(3-(((2-((2-氨基-6-甲基苯基)氨基)嘧啶-5-基)氧基)甲基)-4-氯苯基)二甲基氧化膦159f(3-((2-((2-amino-6-methylphenyl)amino)pyrimidin-5-yl)oxy)methyl)-4-chlorophenyl) dimethylphosphine oxide 159f
将化合物(4-氯-3-(((2-((2-甲基-6-硝基苯基)氨基)嘧啶-5-基)氧基)甲基)苯基)二甲基氧化膦(200mg,0.44mmol),锌粉(286mg,4.4mmol),氯化铵(506mg,4.4mmol)和无水乙醇(10mL)混合,加热到60℃,搅拌一个小时。冷却至室温,过滤,滤液减压脱溶,剩余物加入10毫升水和20毫升乙酸乙酯,乙酸乙酯层干燥旋干得到目标产物(3-(((2-((2-氨基-6-甲基苯基)氨基)嘧啶-5-基)氧基)甲基)-4-氯苯基)二甲基氧化膦159f(120mg,黄色固体),产率64%。The compound (4-chloro-3-(((2-(2-methyl-6-nitrophenyl)amino)pyrimidin-5-yl)oxy)methyl)phenyl) dimethylphosphine oxide (200 mg, 0.44 mmol), zinc powder (286 mg, 4.4 mmol), ammonium chloride (506 mg, 4.4 mmol) and absolute ethanol (10 mL) were mixed and heated to 60 ° C and stirred for one hour. The mixture was cooled to room temperature, filtered, and the filtrate was evaporated to dryness. The residue was evaporated to dryness. Methylphenyl)amino)pyrimidin-5-yl)oxy)methyl)-4-chlorophenyl)dimethylphosphine oxide 159f (120 mg, yellow solid).
MS m/z(ESI):417[M+1]MS m/z (ESI): 417 [M+1]
第六步Step 6
N-(2-((5-((2-氯-5-(二甲基磷基)苯甲基)氧基)嘧啶-2-基)氨基)-3-甲基苯基)丙烯酰胺159 N-(2-((5-((2-Chloro-5-(dimethylphosphino)benzyl)oxy)pyrimidin-2-yl)amino)-3-methylphenyl)acrylamide 159
将化合物(3-(((2-((2-氨基-6-甲基苯基)氨基)嘧啶-5-基)氧基)甲基)-4-氯苯基)二甲基氧化膦(100mg,0.24mmol),二异丙基乙基胺(85mg,0.66mmol)溶解到二氯甲烷中(10mL),降温至-40℃,搅拌下缓慢滴加丙烯酰氯(20mg,0.22mmol),搅拌30分钟。向此混合物加入10mL饱和食盐水,有机相减压脱溶,残余物用高效液相色谱纯化,得到目标产物N-(2-((5-((2-氯-5-(二甲基磷基)苯甲基)氧基)嘧啶-2-基)氨基)-3-甲基苯基)丙烯酰胺159(10mg,白色固体),产率9%The compound (3-(((2-((2-amino-6-methylphenyl)amino)pyrimidin-5-yl)oxy)methyl)-4-chlorophenyl) dimethylphosphine oxide 100 mg, 0.24 mmol), diisopropylethylamine (85 mg, 0.66 mmol) dissolved in dichloromethane (10 mL), cooled to -40 ° C, and slowly added acryloyl chloride (20 mg, 0.22 mmol) dropwise with stirring. 30 minutes. To the mixture was added 10 mL of a saturated aqueous sodium chloride solution, and the organic phase was evaporated to dryness, and the residue was purified by high-purity liquid chromatography to give the desired product N-(2-((5-((2-))) Benzyl)oxy)pyrimidin-2-yl)amino)-3-methylphenyl)acrylamide 159 (10 mg, white solid), yield 9%
MS m/z(ESI):471[M+1];1H NMR(400MHz,DMSO)δ9.52(s,1H),8.24(s,2H),8.10(s,1H),7.99(d,J=11.2Hz,1H),7.79(t,J=9.4Hz,1H),7.67(m,2H),7.15(t,J=7.8Hz,1H),7.07(d,J=7.4Hz,1H),6.50(dd,J=16.9,10.2Hz,1H),6.22(m,1H),5.71(m,1H),5.19(s,2H),2.11(s,3H),1.67(d,J=13.4Hz,6H)。MS m/z (ESI): 471 [M + 1]; 1 H NMR (400 MHz, DMSO) δ 9.52 (s, 1H), 8.24 (s, 2H), 8.10 (s, 1H), 7.99 (d, J = 11.2 Hz, 1H), 7.79 (t, J = 9.4 Hz, 1H), 7.67 (m, 2H), 7.15 (t, J = 7.8 Hz, 1H), 7.07 (d, J = 7.4 Hz, 1H) , 6.50 (dd, J = 16.9, 10.2 Hz, 1H), 6.22 (m, 1H), 5.71 (m, 1H), 5.19 (s, 2H), 2.11 (s, 3H), 1.67 (d, J = 13.4) Hz, 6H).
实施例17Example 17
3-((2-((3S,4S)-4-丙烯酰氨基-四氢-2H-吡喃-3-基氨基)嘧啶-5-氧基)甲基)-4-氯-N-环丙基苯甲酰胺3-((2-((3S,4S)-4-acrylamido-tetrahydro-2H-pyran-3-ylamino)pyrimidin-5-oxy)methyl)-4-chloro-N-cyclo Propylbenzamide
第一步first step
(3S,4S)-3-(5-(2-氯-5-(环丙基氨基甲酰)苄氧基)嘧啶-2-基氨基)-四氢-2H-吡喃-4-基氨基甲酸叔-丁基酯(3S,4S)-3-(5-(2-chloro-5-(cyclopropylcarbamoyl)benzyloxy)pyrimidin-2-ylamino)-tetrahydro-2H-pyran-4-ylamino Tert-butyl formate
将化合物4-氯-3-((2-氯嘧啶-5-氧基)甲基)-N-环丙基苯甲酰胺(203mg, 0.6mmol),(3S,4S)-3-氨基-四氢-2H-吡喃-4-基氨基甲酸叔-丁基酯(389mg,1.8mmol),N,N-二异丙基乙基胺(232mg,1.8mmol)和无水二甲基亚砜(2mL)混合,封管加热到130℃,搅拌15小时。冷却至室温,向此混合物加10mL水,再用乙酸乙酯(20mL×2)萃取,有机相合并后减压脱溶,残余物用硅胶柱层析纯化(甲醇/二氯甲烷=1:20),得到目标产物(3S,4S)-3-(5-(2-氯-5-(环丙基氨基甲酰)苄氧基)嘧啶-2-基氨基)-四氢-2H-吡喃-4-基氨基甲酸叔-丁基酯161b(160mg,黄色油状物),产率51%。The compound 4-chloro-3-((2-chloropyrimidin-5-oxy)methyl)-N-cyclopropylbenzamide (203 mg, 0.6 mmol), (3S,4S)-3-Amino-tetrahydro-2H-pyran-4-ylcarbamic acid tert-butyl ester (389 mg, 1.8 mmol), N,N-diisopropylethylamine (232 mg, 1.8 mmol) was mixed with anhydrous dimethyl sulfoxide (2 mL), and the mixture was heated to 130 ° C and stirred for 15 hours. After cooling to room temperature, 10 mL of water was added to the mixture, and then ethyl acetate (20 mL × 2) was evaporated. The desired product (3S,4S)-3-(5-(2-chloro-5-(cyclopropylcarbamoyl)benzyloxy)pyrimidin-2-ylamino)-tetrahydro-2H-pyran Tert-butyl ester -4-ylcarbamate 161b (160 mg, yellow oil), yield 51%.
MS m/z(ESI):518[M+1]MS m/z (ESI): 518 [M+1]
第二步Second step
3-((2-((3S,4S)-4-氨基-四氢-2H-吡喃-3-基氨基)嘧啶-5-氧基)甲基)-4-氯-N-环丙基苯甲酰胺3-((2-((3S,4S)-4-Amino-tetrahydro-2H-pyran-3-ylamino)pyrimidine-5-oxy)methyl)-4-chloro-N-cyclopropyl Benzoylamide
将化合物(3S,4S)-3-(5-(2-氯-5-(环丙基氨基甲酰)苄氧基)嘧啶-2-基氨基)-四氢-2H-吡喃-4-基氨基甲酸叔-丁基酯(160mg,0.31mmol),三氟乙酸(1mL)和二氯甲烷(4mL)混合,室温搅拌2小时。减压脱溶,得到目标产物3-((2-((3S,4S)-4-氨基-四氢-2H-吡喃-3-基氨基)嘧啶-5-氧基)甲基)-4-氯-N-环丙基苯甲酰胺161c(130mg,黄色油状物),产率100%。Compound (3S,4S)-3-(5-(2-chloro-5-(cyclopropylcarbamoyl)benzyloxy)pyrimidin-2-ylamino)-tetrahydro-2H-pyran-4- tert-Butyl carbamic acid (160 mg, 0.31 mmol), trifluoroacetic acid (1 mL) and dichloromethane (4 mL). Desolvation under reduced pressure gave the title product 3-((2-((3S,4S)-4-amino-tetrahydro-2H-pyran-3-ylamino)pyrimidin-5-oxy)methyl)-4 -Chloro-N-cyclopropylbenzamide 161c (130 mg, yellow oil), yield 100%.
MS m/z(ESI):418[M+1]MS m/z (ESI): 418 [M+1]
第三步third step
3-((2-((3S,4S)-4-丙烯酰氨基-四氢-2H-吡喃-3-基氨基)嘧啶-5-氧基)甲基)-4-氯-N-环丙基苯甲酰胺3-((2-((3S,4S)-4-acrylamido-tetrahydro-2H-pyran-3-ylamino)pyrimidin-5-oxy)methyl)-4-chloro-N-cyclo Propylbenzamide
将化合物3-((2-((3S,4S)-4-氨基-四氢-2H-吡喃-3-基氨基)嘧啶-5-氧基)甲基)-4-氯-N-环丙基苯甲酰胺(130mg,0.31mmol),N,N-二异丙基乙基胺(120mg,0.93mmol)和二氯甲烷(30mL)混合,-40℃搅拌下缓慢滴加丙烯酰氯(28mg,0.31mmol),搅拌15分钟。向此混合物加入10mL水,再用二氯甲烷(20mL×2)萃取,有机相合并后减压脱溶,残余物用硅胶柱层析纯化(甲醇/二氯甲烷=1:20),得到目标产物3-((2-((3S,4S)-4-丙烯酰氨基-四氢-2H-吡喃-3-基氨基)嘧啶-5-氧基)甲基)-4-氯-N-环丙基苯甲酰胺161(20mg,白色固体),产率13%。The compound 3-((2-((3S,4S)-4-amino-tetrahydro-2H-pyran-3-ylamino)pyrimidin-5-oxy)methyl)-4-chloro-N-cyclo Propylbenzamide (130 mg, 0.31 mmol), N,N-diisopropylethylamine (120 mg, 0.93 mmol) and dichloromethane (30 mL) were mixed, and acryloyl chloride (28 mg) was slowly added dropwise with stirring at -40 °C. , 0.31 mmol), stirred for 15 minutes. To the mixture, 10 mL of water was added, and the mixture was extracted with dichloromethane (20 mL×2). The product 3-((2-((3S,4S)-4-acrylamido-tetrahydro-2H-pyran-3-ylamino)pyrimidin-5-oxy)methyl)-4-chloro-N- Cyclopropylbenzamide 161 (20 mg, white solid), yield 13%.
MS m/z(ESI):472[M+1];1H NMR(400MHz,DMSO)δ8.56(d,J=3.7Hz,1H),8.21(s,2H),8.03(s,1H),7.95(d,J=7.8Hz,1H),7.82(d,J=8.3Hz,1H),7.59(d,J=8.3Hz,1H),6.37(d,J=7.5Hz,1H),6.24(dd,J=17.1,10.1Hz, 1H),6.05(dd,J=17.0,1.7Hz,1H),5.56(dd,J=10.1,1.7Hz,1H),5.14(s,2H),4.28-4.16(m,1H),4.09(s,1H),3.85-3.66(m,2H),3.53(dd,J=15.8,10.3Hz,2H),2.84(dd,J=7.3,3.5Hz,1H),1.88(d,J=9.3Hz,1H),1.70-1.56(m,1H),0.70(q,J=6.7Hz,2H),0.61–0.51(m,2H)。MS m/z (ESI): 472 [M + 1]; 1 H NMR (400 MHz, DMSO) δ 8.56 (d, J = 3.7 Hz, 1H), 8.21 (s, 2H), 8.03 (s, 1H) , 7.95 (d, J = 7.8 Hz, 1H), 7.82 (d, J = 8.3 Hz, 1H), 7.59 (d, J = 8.3 Hz, 1H), 6.37 (d, J = 7.5 Hz, 1H), 6.24 (dd, J = 17.1, 10.1 Hz, 1H), 6.05 (dd, J = 17.0, 1.7 Hz, 1H), 5.56 (dd, J = 10.1, 1.7 Hz, 1H), 5.14 (s, 2H), 4.28- 4.16 (m, 1H), 4.09 (s, 1H), 3.85-3.66 (m, 2H), 3.53 (dd, J = 15.8, 10.3 Hz, 2H), 2.84 (dd, J = 7.3, 3.5 Hz, 1H) , 1.88 (d, J = 9.3 Hz, 1H), 1.70-1.56 (m, 1H), 0.70 (q, J = 6.7 Hz, 2H), 0.61 - 0.51 (m, 2H).
实施例18Example 18
3-(((2-((4-丙烯酰氨基-1-甲基-1H-吡唑-5-基)氨基)嘧啶-5-基)氧基)甲基)-4-氯-N-环丙基-5-甲氧基苯甲酰胺3-(((2-(4-acrylamido-1-methyl-1H-pyrazol-5-yl)amino)pyrimidin-5-yl)oxy)methyl)-4-chloro-N- Cyclopropyl-5-methoxybenzamide
参照化合物143的操作步骤合成化合物162,但在第八步用1-甲基-4-硝基-1H-吡唑-5-胺取代1-甲基-4-硝基-1H-吡唑-3-胺。Compound 162 was synthesized by reference to the procedure of Compound 143, but in the eighth step, 1-methyl-4-nitro-1H-pyrazole-5-amine was substituted for 1-methyl-4-nitro-1H-pyrazole- 3-amine.
MS m/z(ESI):498[M+1];1H NMR(400MHz,DMSO)δ9.57(s,1H),8.74(s,1H),8.60(d,J=3.7Hz,1H),8.27(s,2H),8.07(s,1H),7.67(s,1H),7.55(s,1H),6.48(dd,J=17.0,10.2Hz,1H),6.16(d,J=16.9Hz,1H),5.64(d,J=11.0Hz,1H),5.18(s,2H),3.94(s,3H),3.75(s,3H),1.17(d,J=6.7Hz,2H),0.72(m,2H),0.60(m,2H)。MS m/z (ESI): 495 [M+1]; 1 H NMR (400 MHz, DMSO) δ 9.57 (s, 1H), 8.74 (s, 1H), 8.60 (d, J = 3.7 Hz, 1H) , 8.27 (s, 2H), 8.07 (s, 1H), 7.67 (s, 1H), 7.55 (s, 1H), 6.48 (dd, J = 17.0, 10.2 Hz, 1H), 6.16 (d, J = 16.9) Hz, 1H), 5.64 (d, J = 11.0 Hz, 1H), 5.18 (s, 2H), 3.94 (s, 3H), 3.75 (s, 3H), 1.17 (d, J = 6.7 Hz, 2H), 0.72 (m, 2H), 0.60 (m, 2H).
实施例19Example 19
3-(((2-((2-丙烯酰氨基-5-甲基苯基)氨基)嘧啶-5-基)氧基)甲基)-4-氯-N-环丙基-5-甲氧基苯甲酰胺3-(((2-(2-acrylamido-5-methylphenyl)amino)pyrimidin-5-yl)oxy)methyl)-4-chloro-N-cyclopropyl-5-A Oxybenzamide
参照化合物143的操作步骤合成化合物164,但在第八步用5-甲基-2-硝基苯胺取代1-甲基-4-硝基-1H-吡唑-3-胺。Compound 164 was synthesized according to the procedure of Compound 143, but in the eighth step, 1-methyl-4-nitro-1H-pyrazol-3-amine was replaced with 5-methyl-2-nitroaniline.
MS m/z(ESI):508[M+1];1H NMR(400MHz,DMSO)δ9.79(s,1H),8.60(d,J=3.8Hz,1H),8.35(d,J=14.1Hz,3H),7.65(d,J=13.6Hz,2H),7.55(s, 1H),7.36(d,J=8.1Hz,1H),6.88(d,J=8.3Hz,1H),6.48(dd,J=17.0,10.2Hz,1H),6.26(d,J=15.5Hz,1H),5.76(d,J=11.5Hz,1H),5.21(s,2H),3.94(s,3H),2.84(m,1H),2.29(s,3H),0.72(m,2H),0.59(m,2H)。MS m/z (ESI): 508 [M + 1]; 1 H NMR (400 MHz, DMSO) δ 9.79 (s, 1H), 8.60 (d, J = 3.8 Hz, 1H), 8.35 (d, J = 14.1 Hz, 3H), 7.65 (d, J = 13.6 Hz, 2H), 7.55 (s, 1H), 7.36 (d, J = 8.1 Hz, 1H), 6.88 (d, J = 8.3 Hz, 1H), 6.48 (dd, J=17.0, 10.2 Hz, 1H), 6.26 (d, J = 15.5 Hz, 1H), 5.76 (d, J = 11.5 Hz, 1H), 5.21 (s, 2H), 3.94 (s, 3H) , 2.84 (m, 1H), 2.29 (s, 3H), 0.72 (m, 2H), 0.59 (m, 2H).
实施例20Example 20
3-(((2-((2-丙烯酰氨基-4-甲基苯基)氨基)嘧啶-5-基)氧基)甲基)-4-氯-N-环丙基-5-甲氧基苯甲酰胺3-(((2-(2-acrylamido-4-methylphenyl)amino)pyrimidin-5-yl)oxy)methyl)-4-chloro-N-cyclopropyl-5-A Oxybenzamide
参照化合物143的操作步骤合成化合物165,但在第八步用5-甲基-2-氨基硝基苯取代1-甲基-4-硝基-1H-吡唑-3-胺。Compound 165 was synthesized by reference to the procedure of Compound 143, but in the eighth step, 1-methyl-4-nitro-1H-pyrazol-3-amine was replaced with 5-methyl-2-aminonitrobenzene.
MS m/z(ESI):508[M+1];1H NMR(400MHz,DMSO)δ9.79(s,1H),8.60(s,1H),8.32(d,J=17.7Hz,3H),7.64(m,2H),7.55(s,1H),7.35(s,1H),6.99(d,J=8.3Hz,1H),6.50(dd,J=17.0,10.2Hz,1H),6.26(d,J=16.9Hz,1H),5.77(d,J=9.9Hz,1H),5.20(s,2H),3.94(s,3H),2.84(d,J=3.4Hz,1H),2.27(d,J=12.9Hz,2H),0.73(t,J=6.4Hz,2H),0.59(s,2H)。MS m/z (ESI): 508 [M + 1]; 1 H NMR (400 MHz, DMSO) δ 9.79 (s, 1H), 8.60 (s, 1H), 8.32 (d, J = 17.7 Hz, 3H) , 7.64 (m, 2H), 7.55 (s, 1H), 7.35 (s, 1H), 6.99 (d, J = 8.3 Hz, 1H), 6.50 (dd, J = 17.0, 10.2 Hz, 1H), 6.26 ( d, J = 16.9 Hz, 1H), 5.77 (d, J = 9.9 Hz, 1H), 5.20 (s, 2H), 3.94 (s, 3H), 2.84 (d, J = 3.4 Hz, 1H), 2.27 ( d, J = 12.9 Hz, 2H), 0.73 (t, J = 6.4 Hz, 2H), 0.59 (s, 2H).
实施例21Example 21
3-(((2-((6-丙烯酰氨基-2-甲基-3-(4-甲基哌嗪-1-基)苯基)氨基)嘧啶-5-基)氧基)甲基)-4-氯-N-环丙基-5-甲氧基苯甲酰胺3-(((2-(6-acrylamido-2-methyl-3-(4-methylpiperazin-1-yl)phenyl)amino)pyrimidin-5-yl)oxy)methyl )-4-chloro-N-cyclopropyl-5-methoxybenzamide
第二步Second step
4-氯-N-环丙基-3-甲氧基-5-(((2-((2-甲基-3-(4-甲基哌嗪-1-基)-6-硝基苯基)氨基)嘧啶-5-基)氧基)甲基)苯甲酰胺4-Chloro-N-cyclopropyl-3-methoxy-5-(((2-((2-methyl-3-(4-methylpiperazin-1-yl)-6-nitrobenzene) Amino)pyrimidin-5-yl)oxy)methyl)benzamide
将化合物4-氯-N-环丙基-3-(((2-((3-氟-2-甲基-6-硝基苯基)氨基)嘧啶-5-基)氧基)甲基)-5-甲氧基苯甲酰胺166b(200mg,0.40mmol,1eq)、1-甲基哌嗪(80mg,0.80mmol,2eq)和N,N-二异丙基乙胺(103mg,0.80mmol,2eq)溶到5mL无水二甲亚砜,于120℃封管反应三个小时。后处理:冷却到室温,水和乙酸乙酯体系水洗萃取,减压脱溶,残余物用硅胶柱层析纯化(二氯甲烷/甲醇=20:1),得到232mg目标产物4-氯-N-环丙基-3-甲氧基-5-(((2-((2-甲基-3-(4-甲基哌嗪-1-基)-6-硝基苯基)氨基)嘧啶-5-基)氧基)甲基)苯甲酰胺166c,产率:82%。The compound 4-chloro-N-cyclopropyl-3-(((2-((3-fluoro-2-methyl-6-nitrophenyl)amino)pyrimidin-5-yl)oxy)methyl) -5-methoxybenzamide 166b (200 mg, 0.40 mmol, 1 eq), 1-methylpiperazine (80 mg, 0.80 mmol, 2 eq) and N,N-diisopropylethylamine (103 mg, 0.80 mmol) 2 eq) was dissolved in 5 mL of anhydrous dimethyl sulfoxide and the tube was sealed at 120 ° C for three hours. Work-up: After cooling to room temperature, water and ethyl acetate were washed with water and evaporated to dryness. The residue was purified by silica gel column chromatography (dichloromethane/methanol = 20:1) -cyclopropyl-3-methoxy-5-(((2-((2-methyl-3-(4-methylpiperazin-1-yl)-6-nitrophenyl)amino)pyrimidine) -5-yl)oxy)methyl)benzamide 166c, Yield: 82%.
MS m/z(ESI):582.1[M+1]MS m/z (ESI): 582.1 [M+1]
其余参照实例143的操作步骤合成实例166。最终得到目标产物3-(((2-((6-丙烯酰氨基-2-甲基-3-(4-甲基哌嗪-1-基)苯基)氨基)嘧啶-5-基)氧基)甲基)-4-氯-N-环丙基-5-甲氧基苯甲酰胺。The remaining steps 166 are synthesized by reference to the operational steps of the example 143. Finally, the desired product 3-(((2-(6-acrylamido-2-methyl-3-(4-methylpiperazin-1-yl)phenyl)amino)pyrimidin-5-yl)oxy) is obtained. Methyl)-4-chloro-N-cyclopropyl-5-methoxybenzamide.
MS m/z(ESI):606.1[M+1];1H NMR(400MHz,DMSO)δ9.45(s,1H),8.58(d,J=3.8Hz,1H),8.19(d,J=15.8Hz,2H),8.11(s,1H),7.64(s,1H),7.53(d,J=8.5Hz,2H),6.95(d,J=8.7Hz,1H),6.47(dd,J=17.0,10.2Hz,1H),6.22(d,J=15.7Hz,1H),5.69(d,J=11.0Hz,1H),5.15(s,2H),3.94(s,3H),3.41(s,4H),2.83(d,J=3.9Hz,5H),2.25(s,3H),2.05(s,3H),0.78-0.67(m,2H),0.64-0.52(m,2H)。MS m/z (ESI): 606.1 [M + 1]; 1 H NMR (400 MHz, DMSO) δ 9.45 (s, 1H), 8.58 (d, J = 3.8 Hz, 1H), 8.19 (d, J = 15.8 Hz, 2H), 8.11 (s, 1H), 7.64 (s, 1H), 7.53 (d, J = 8.5 Hz, 2H), 6.95 (d, J = 8.7 Hz, 1H), 6.47 (dd, J = 17.0, 10.2 Hz, 1H), 6.22 (d, J = 15.7 Hz, 1H), 5.69 (d, J = 11.0 Hz, 1H), 5.15 (s, 2H), 3.94 (s, 3H), 3.41 (s, 4H), 2.83 (d, J = 3.9 Hz, 5H), 2.25 (s, 3H), 2.05 (s, 3H), 0.78-0.67 (m, 2H), 0.64-0.52 (m, 2H).
实施例22 Example 22
3-(((2-((2-丙烯酰氨基-6-甲基-4-(4-甲基哌嗪-1-基)苯基)氨基)嘧啶-5-基)氧基)甲基)-4-氯-N-环丙基-5-甲氧基苯甲酰胺3-(((2-(2-acrylamido-6-methyl-4-(4-methylpiperazin-1-yl)phenyl)amino)pyrimidin-5-yl)oxy)methyl )-4-chloro-N-cyclopropyl-5-methoxybenzamide
第一步first step
4-(4-乙基哌嗪-1-基)-2-甲基-6-硝基苯胺167b4-(4-ethylpiperazin-1-yl)-2-methyl-6-nitroaniline 167b
将化合物5-溴-3-甲基-2-氨基硝基苯(300mg,1.3mmol),N-甲基哌嗪(221mg,1.96mmol),三(二亚苄基丙酮)二钯(384mg,0.42mmol),2-二环己基磷-2,4,6-三异丙基联苯(399mg,0.84mmol),碳酸铯(1g,3.1mmol),溶到10mL无水N,N-二甲基甲酰胺中,氮气保护条件下加热到95℃反应三个小时。冷却到室温,加入20mL冰水稀释,然后用20mL乙酸乙酯萃取三次,有机相旋干,残余物用硅胶柱层析纯化(石油醚/乙酸乙酯=1:1),得到目标产物4-(4-乙基哌嗪-1-基)-2-甲基-6-硝基苯胺167b(400mg,黄色固体),产率42%。Compound 5-bromo-3-methyl-2-aminonitrobenzene (300 mg, 1.3 mmol), N-methylpiperazine (221 mg, 1.96 mmol), tris(dibenzylideneacetone) dipalladium (384 mg, 0.42 mmol), 2-dicyclohexylphosphine-2,4,6-triisopropylbiphenyl (399 mg, 0.84 mmol), cesium carbonate (1 g, 3.1 mmol), dissolved in 10 mL anhydrous N,N-dimethyl The carboxamide was heated to 95 ° C for three hours under nitrogen protection. After cooling to room temperature, it was diluted with 20 mL of ice water, and then extracted with EtOAc (EtOAc) (EtOAc) (4-Ethylpiperazin-1-yl)-2-methyl-6-nitroaniline 167b (400 mg, yellow solid), yield 42%.
MS m/z(ESI):265[M+1]。MS m/z (ESI): 265 [M + 1].
其余参照化合物143的操作步骤合成化合物167,但在第八步用4-(4-乙基哌嗪-1-基)-2-甲基-6-硝基苯胺取代1-甲基-4-硝基-1H-吡唑-3-胺。最终得到目标产物3-(((2-((2-丙烯酰氨基-6-甲基-4-(4-甲基哌嗪-1-基)苯基)氨基)嘧啶-5-基)氧基)甲基)-4-氯-N-环丙基-5-甲氧基苯甲酰胺。The remainder of the reference compound 143 was synthesized to synthesize compound 167, but in the eighth step, 4-(4-ethylpiperazin-1-yl)-2-methyl-6-nitroaniline was substituted for 1-methyl-4- Nitro-1H-pyrazol-3-amine. Finally, the target product 3-(((2-(2-acrylamido-6-methyl-4-(4-methylpiperazin-1-yl)phenyl)amino)pyrimidin-5-yl)oxy) is obtained. Methyl)-4-chloro-N-cyclopropyl-5-methoxybenzamide.
MS m/z(ESI):606[M+1]。MS m/z (ESI): 564 [M + 1].
实施例23 Example 23
3-(((2-((2-丙烯酰氨基-4-(二甲氨基)-6-甲基苯基)氨基)嘧啶-5-基)氧基)甲基)-4-氯-N-环丙基-5-甲氧基苯甲酰胺3-(((2-(2-acrylamido-4-(dimethylamino)-6-methylphenyl)amino)pyrimidin-5-yl)oxy)methyl)-4-chloro-N -cyclopropyl-5-methoxybenzamide
第一步first step
N1,N1,3-三甲基-5-硝基苯-1,4-二胺N 1 ,N 1 ,3-trimethyl-5-nitrobenzene-1,4-diamine
将化合物4-溴-2-甲基-6-硝基苯胺(1g,4.3mmol),二甲氧胺盐酸盐(425mg,5.2mmol),三(二亚苄基丙酮)二钯(800mg,0.9mmol),2-二环己基磷-2,4,6-三异丙基联苯(2g,0.8mmol),碳酸铯(2.2g,6.8mmol),溶到50mL无水N,N-二甲基甲酰胺中,氮气保护条件下加热到120℃反应三个小时。冷却到室温,加入200mL冰水稀释,然后用100mL乙酸乙酯萃取三次,有机相旋干,残余物用硅胶柱层析纯化(石油醚/乙酸乙酯=1:1),得到目标产物N1,N1,3-三甲基-5-硝基苯-1,4-二胺(500mg,黄色固体),产率58%。The compound 4-bromo-2-methyl-6-nitroaniline (1 g, 4.3 mmol), dimethoxyamine hydrochloride (425 mg, 5.2 mmol), tris(dibenzylideneacetone) dipalladium (800 mg, 0.9 mmol), 2-dicyclohexylphosphine-2,4,6-triisopropylbiphenyl (2 g, 0.8 mmol), cesium carbonate (2.2 g, 6.8 mmol), dissolved in 50 mL anhydrous N, N- In methylformamide, the reaction was heated to 120 ° C for three hours under nitrogen atmosphere. Cooled to room temperature, diluted with 200mL of ice water was added, and then extracted three times with 100mL of ethyl acetate, the organic phase by rotary evaporation, and the residue was purified by silica gel column chromatography (petroleum ether / ethyl acetate = 1: 1) to give the desired product N 1 , N 1 ,3-trimethyl-5-nitrobenzene-1,4-diamine (500 mg, yellow solid), yield 58%.
MS m/z(ESI):196[M+1]MS m/z (ESI): 196 [M+1]
参照实例143的操作步骤合成实例168,但在第八步用N1,N1,3-三甲基-5-硝基苯-1,4-二胺取代1-甲基-4-硝基-1H-吡唑-3-胺。最终得到目标产物3-(((2-((2-丙烯酰氨基-4-(二甲氨基)-6-甲基苯基)氨基)嘧啶-5-基)氧基)甲基)-4-氯-N-环丙基-5-甲氧基苯甲酰胺168。Example 168 was synthesized by reference to the procedure of Example 143, but in the eighth step, N 1 ,N 1 ,3-trimethyl-5-nitrobenzene-1,4-diamine was substituted for 1-methyl-4-nitro -1H-pyrazol-3-amine. The title product 3-(((2-(2-acrylamido-4-(dimethylamino))-6-methylphenyl)amino)pyrimidin-5-yl)oxy)methyl)-4 was finally obtained. -Chloro-N-cyclopropyl-5-methoxybenzamide 168.
MS m/z(ESI):550.9[M+1];1H NMR(400MHz,DMSO)δ9.39(s,1H),8.58(d,J=6.0Hz,1H),8.18(s,2H),7.78(s,1H),7.68(s,1H),7.55(s,1H),7.16(s,1H),6.49(dd,J=16.8Hz,10.0Hz,1H),6.20(d,J=16.8Hz,1H),5.69(d,J=10.1Hz,1H),5.14(s,2H),3.94(s,3H),3.37(s,13H),2.91(s,6H),2.85(hept,1H),2.06(s,3H),0.72(td,J=6.9Hz,4.8Hz,2H),0.58(dd,J=6.9Hz,4.8Hz,2H)。MS m/z (ESI): 550.9 [M+1]; 1 H NMR (400 MHz, DMSO) δ 9.39 (s, 1H), 8.58 (d, J = 6.0 Hz, 1H), 8.18 (s, 2H) , 7.78 (s, 1H), 7.68 (s, 1H), 7.55 (s, 1H), 7.16 (s, 1H), 6.49 (dd, J = 16.8 Hz, 10.0 Hz, 1H), 6.20 (d, J = 16.8 Hz, 1H), 5.69 (d, J = 10.1 Hz, 1H), 5.14 (s, 2H), 3.94 (s, 3H), 3.37 (s, 13H), 2.91 (s, 6H), 2.85 (hept, 1H), 2.06 (s, 3H), 0.72 (td, J = 6.9 Hz, 4.8 Hz, 2H), 0.58 (dd, J = 6.9 Hz, 4.8 Hz, 2H).
实施例24Example 24
3-(((2-((6-丙烯酰氨基-3-(二甲氨基)-2-甲基苯基)氨基)嘧啶-5-基)氧基)甲 基)-4-氯-N-环丙基-5-甲氧基苯甲酰胺3-(((2-(6-acrylamido-3-(dimethylamino)-2-methylphenyl)amino)pyrimidin-5-yl)oxy)) 4-chloro-N-cyclopropyl-5-methoxybenzamide
参照化合物166步骤合成化合物169,但在第二步用二甲胺盐酸盐取代1-甲基哌嗪。最终得到目标产物3-(((2-((6-丙烯酰氨基-3-(二甲氨基)-2-甲基苯基)氨基)嘧啶-5-基)氧基)甲基)-4-氯-N-环丙基-5-甲氧基苯甲酰胺。Compound 169 was synthesized by reference to compound 166, but in the second step, 1-methylpiperazine was replaced with dimethylamine hydrochloride. The title product 3-(((2-(6-acrylamido-3-(dimethylamino))-2-methylphenyl)amino)pyrimidin-5-yl)oxy)methyl)-4 was finally obtained. -Chloro-N-cyclopropyl-5-methoxybenzamide.
MS m/z(ESI):551.0[M+1];1H NMR(400MHz,DMSO)δ9.43(s,1H),8.58(d,J=3.8Hz,1H),8.21(s,2H),8.10(s,1H),7.65(s,1H),7.54(s,1H),7.52(d,J=8.8Hz,1H),6.97(d,J=8.7Hz,1H),6.46(dd,J=16.8,10.2Hz,1H),6.19(d,J=16.9Hz,1H),5.69(d,J=10.2Hz,1H),5.15(s,2H),3.94(s,3H),2.83(ddd,J=18.0,10.8,7.2Hz,1H),2.63(s,6H),2.06(s,3H),0.77-0.61(m,2H),0.61-0.43(m,2H)。MS m / z (ESI): 551.0 [M + 1]; 1 H NMR (400MHz, DMSO) δ9.43 (s, 1H), 8.58 (d, J = 3.8Hz, 1H), 8.21 (s, 2H) , 8.10 (s, 1H), 7.65 (s, 1H), 7.54 (s, 1H), 7.52 (d, J = 8.8 Hz, 1H), 6.97 (d, J = 8.7 Hz, 1H), 6.46 (dd, J=16.8, 10.2 Hz, 1H), 6.19 (d, J = 16.9 Hz, 1H), 5.69 (d, J = 10.2 Hz, 1H), 5.15 (s, 2H), 3.94 (s, 3H), 2.83 ( Ddd, J = 18.0, 10.8, 7.2 Hz, 1H), 2.63 (s, 6H), 2.06 (s, 3H), 0.77-0.61 (m, 2H), 0.61 - 0.43 (m, 2H).
实施例25Example 25
3-(((2-((4-丙烯酰氨基-1-甲基-1H-吡唑-5-基)氨基)嘧啶-5-基)氧基)甲基)-4-氯-N,5-二甲氧基苯甲酰胺3-((2-((4-acrylamido-1-methyl-1H-pyrazol-5-yl)amino)pyrimidin-5-yl)oxy)methyl)-4-chloro-N, 5-dimethoxybenzamide
参照化合物143的操作步骤合成化合物173,但在第八步用甲氧胺取代环丙胺。Compound 173 was synthesized by reference to the procedure of Compound 143, but the propylamine was replaced with methoxyamine in the eighth step.
MS m/z(ESI):488[M+1];1H NMR(400MHz,DMSO)δ11.95(s,1H),9.57(s,1H),8.64(s,1H),8.32(s,2H),7.78(s,1H),7.61(s,1H),7.50(s,1H),6.44(dd,J=17.0,10.2Hz,1H),6.17(dd,J=17.0,1.6Hz,1H),5.65(m,1H),5.21(s,2H),3.94(s,3H),3.73(s,3H),3.57(s,3H)。MS m/z (ESI): 488 [M + 1]; 1 H NMR (400 MHz, DMSO) δ 11.95 (s, 1H), 9.57 (s, 1H), 8.64 (s, 1H), 8.32 (s, 2H), 7.78 (s, 1H), 7.61 (s, 1H), 7.50 (s, 1H), 6.44 (dd, J = 17.0, 10.2 Hz, 1H), 6.17 (dd, J = 17.0, 1.6 Hz, 1H) ), 5.65 (m, 1H), 5.21 (s, 2H), 3.94 (s, 3H), 3.73 (s, 3H), 3.57 (s, 3H).
实施例26 Example 26
3-(((2-((4-丙烯酰氨基四氢呋喃-3-基)氨基)嘧啶-5-基)氧基)甲基)-4-氯-N-甲氧基苯甲酰胺3-(((2-(4-acrylamidotetrahydrofuran-3-yl)amino)pyrimidin-5-yl)oxy)methyl)-4-chloro-N-methoxybenzamide
参照化合物158步骤合成化合物176。Compound 176 was synthesized by reference to the compound 158 step.
最终产物(消旋体)分离条件:设备Gilson prep-HPLC-1;色谱柱:-Gemini-C18 150x 21.2mm,5um,流动项:ACN--H2O(0.1%FA),梯度:10-60。Final product (racemic) separation conditions: equipment Gilson prep-HPLC-1; column: -Gemini-C18 150 x 21.2 mm, 5 um, flow term: ACN--H2O (0.1% FA), gradient: 10-60.
MS m/z(ESI):448[M+1];1H NMR(400MHz,DMSO)δ11.91(s,1H),8.23(s,2H),8.03(d,J=7.4Hz,1H),7.99(s,1H),7.83-7.72(m,1H),7.63(d,J=8.3Hz,1H),6.57(d,J=7.1Hz,1H),6.22(dd,J=17.1,10.2Hz,1H),6.04(dd,J=17.1,1.9Hz,1H),5.58(dd,J=10.1,1.9Hz,1H),5.16(s,2H),4.53(dd,J=13.0,6.4Hz,2H),4.05-3.93(m,2H),3.71(s,3H),3.65-3.59(m,2H)。MS m/z (ESI): 448 [M + 1]; 1 H NMR (400 MHz, DMSO) δ 11.91 (s, 1H), 8.23 (s, 2H), 8.03 (d, J = 7.4 Hz, 1H) , 7.99 (s, 1H), 7.83-7.72 (m, 1H), 7.63 (d, J = 8.3 Hz, 1H), 6.57 (d, J = 7.1 Hz, 1H), 6.22 (dd, J = 17.1, 10.2 Hz, 1H), 6.04 (dd, J = 17.1, 1.9 Hz, 1H), 5.58 (dd, J = 10.1, 1.9 Hz, 1H), 5.16 (s, 2H), 4.53 (dd, J = 13.0, 6.4 Hz) , 2H), 4.05-3.93 (m, 2H), 3.71 (s, 3H), 3.65-3.59 (m, 2H).
实施例27Example 27
3-(((2-((4-丙烯酰氨基四氢呋喃-3-基)氨基)嘧啶-5-基)氧基)甲基)-4-氯-N-乙氧基-5-甲氧基苯甲酰胺3-(((2-(4-acrylamidotetrahydrofuran-3-yl)amino)pyrimidin-5-yl)oxy)methyl)-4-chloro-N-ethoxy-5-methoxy Benzoylamide
参照化合物156的操作步骤合成化合物178,但在第二步用O-乙基羟胺代替环丙胺,在第三步用(3R,4S)-四氢呋喃-3,4-二胺代替(3S,4S)-3-氨基-四氢-2H-吡喃-4-基氨基甲酸叔-丁基酯。Compound 178 was synthesized by reference to the procedure of compound 156, but in the second step, O-ethylhydroxylamine was used in place of cyclopropylamine, and in the third step, (3R,4S)-tetrahydrofuran-3,4-diamine was substituted (3S,4S). tert-Butyl -3-amino-tetrahydro-2H-pyran-4-ylcarbamate.
最终产物(消旋体)分离条件:设备Gilson prep-HPLC-1;色谱柱:-Gemini-C18 150x 21.2mm,5um,流动项:ACN--H2O(0.1%FA),梯度:50-55。Final product (racemic) separation conditions: equipment Gilson prep-HPLC-1; column: -Gemini-C18 150 x 21.2 mm, 5 um, flow term: ACN--H2O (0.1% FA), gradient: 50-55.
手性拆分条件:设备SFC,色谱柱:chiralpak-OD,流动项:CO2-ETOH(DEA)。在SFC机器上保留时间短的命名P1,保留时间长的命名P2。Chiral separation conditions: equipment SFC, column: chiralpak-OD, flow term: CO2-ETOH (DEA). The short-lived named P1 is reserved on the SFC machine, and the long-lasting named P2 is retained.
MS m/z(ESI):492[M+1]; MS m/z (ESI): 492 [M + 1];
P1:1H NMR(400MHz,DMSO)δ11.80(s,1H),8.21(s,2H),8.01(d,J=7.3Hz,1H),7.59(s,1H),7.49(s,1H),6.55(d,J=7.1Hz,1H),6.22(dd,J=17.2,10.2Hz,1H),6.04(d,J=16.6Hz,1H),5.58(d,J=10.2Hz,1H),5.15(s,2H),4.60-4.49(m,2H),4.12-3.81(m,7H),3.67-3.58(m,2H),1.22(t,J=7.1Hz,3H)。 P1: 1 H NMR (400MHz, DMSO) δ11.80 (s, 1H), 8.21 (s, 2H), 8.01 (d, J = 7.3Hz, 1H), 7.59 (s, 1H), 7.49 (s, 1H ), 6.55 (d, J = 7.1 Hz, 1H), 6.22 (dd, J = 17.2, 10.2 Hz, 1H), 6.04 (d, J = 16.6 Hz, 1H), 5.58 (d, J = 10.2 Hz, 1H) ), 5.15 (s, 2H), 4.60-4.49 (m, 2H), 4.12-3.81 (m, 7H), 3.67-3.58 (m, 2H), 1.22 (t, J = 7.1 Hz, 3H).
P2:1H NMR(400MHz,DMSO)δ11.80(s,1H),8.21(s,2H),8.01(d,J=7.1Hz,1H),7.59(s,1H),7.49(s,1H),6.55(d,J=7.2Hz,1H),6.22(dd,J=17.1,10.4Hz,1H),6.04(d,J=17.1Hz,1H),5.58(d,J=10.2Hz,1H),5.15(s,2H),4.57-4.46(m,2H),4.10-3.78(m,7H),3.65-3.59(m,2H),1.22(t,J=7.1Hz,3H)。 P2: 1 H NMR (400MHz, DMSO) δ11.80 (s, 1H), 8.21 (s, 2H), 8.01 (d, J = 7.1Hz, 1H), 7.59 (s, 1H), 7.49 (s, 1H ), 6.55 (d, J = 7.2 Hz, 1H), 6.22 (dd, J = 17.1, 10.4 Hz, 1H), 6.04 (d, J = 17.1 Hz, 1H), 5.58 (d, J = 10.2 Hz, 1H) ), 5.15 (s, 2H), 4.57-4.46 (m, 2H), 4.10-3.78 (m, 7H), 3.65-3.59 (m, 2H), 1.22 (t, J = 7.1 Hz, 3H).
实施例28Example 28
3-(((2-((2-丙烯酰氨基-6-甲基-4-(4-甲基哌嗪-1-基)苯基)氨基)嘧啶-5-基)氧基)甲基)-4-氯-N,5-二甲氧基苯甲酰胺3-(((2-(2-acrylamido-6-methyl-4-(4-methylpiperazin-1-yl)phenyl)amino)pyrimidin-5-yl)oxy)methyl )-4-chloro-N,5-dimethoxybenzamide
参照化合物143和167步骤合成化合物179,但在第七步用甲氧胺盐酸盐取代环丙胺。最终得到目标产物3-(((2-((2-丙烯酰氨基-6-甲基-4-(4-甲基哌嗪-1-基)苯基)氨基)嘧啶-5-基)氧基)甲基)-4-氯-N,5-二甲氧基苯甲酰胺。Compound 179 was synthesized by the reference of steps 143 and 167, but the propylamine was replaced with methoxyamine hydrochloride in the seventh step. Finally, the target product 3-(((2-(2-acrylamido-6-methyl-4-(4-methylpiperazin-1-yl)phenyl)amino)pyrimidin-5-yl)oxy) is obtained. Methyl)-4-chloro-N,5-dimethoxybenzamide.
MS m/z(ESI):596.1[M+1];1H NMR(400MHz,DMSO)δ11.95(s,1H),9.40(s,1H),8.20(s,2H),7.89(s,1H),7.60(s,1H),7.50(s,1H),7.38(s,1H),6.72(s,1H),6.51(dd,J=16.9,10.3Hz,1H),6.20(d,J=17.0Hz,1H),5.70(d,J=10.0Hz,1H),5.16(s,2H),3.94(s,3H),3.73(s,3H),3.08(dd,J=14.6,7.4Hz,4H),2.64-2.52(m,7H),2.06(s,3H)。MS m/z (ESI): 596.1 [M + 1]; 1 H NMR (400 MHz, DMSO) δ 11.95 (s, 1H), 9.40 (s, 1H), 8.20 (s, 2H), 7.89 (s, 1H), 7.60 (s, 1H), 7.50 (s, 1H), 7.38 (s, 1H), 6.72 (s, 1H), 6.51 (dd, J = 16.9, 10.3 Hz, 1H), 6.20 (d, J) = 17.0 Hz, 1H), 5.70 (d, J = 10.0 Hz, 1H), 5.16 (s, 2H), 3.94 (s, 3H), 3.73 (s, 3H), 3.08 (dd, J = 14.6, 7.4 Hz) , 4H), 2.64-2.52 (m, 7H), 2.06 (s, 3H).
实施例29Example 29
3-(((2-((2-丙烯酰氨基-6-甲基-4-吗啉代苯基)氨基)嘧啶-5-基)氧基)甲基)-4-氯-N,5-二甲氧基苯甲酰胺 3-(((2-(2-acrylamido-6-methyl-4-morpholinophenyl)amino)pyrimidin-5-yl)oxy)methyl)-4-chloro-N,5 -dimethoxybenzamide
参照化合物179步骤合成化合物180,但在第一步用吗啉取代1-甲基哌嗪,最终得到目标产物3-(((2-((2-丙烯酰氨基-6-甲基-4-吗啉代苯基)氨基)嘧啶-5-基)氧基)甲基)-4-氯-N,5-二甲氧基苯甲酰胺180。Compound 180 was synthesized by the reference compound 179 step, but in the first step, 1-methylpiperazine was substituted with morpholine to finally obtain the target product 3-(((2-((2-acrylamido-6-methyl-4-))). Morpholinophenyl)amino)pyrimidin-5-yl)oxy)methyl)-4-chloro-N,5-dimethoxybenzamide 180.
MS m/z(ESI):583[M+1];1H NMR(400MHz,DMSO)δ11.93(s,0H),9.39(s,0H),8.20(s,1H),7.85(s,0H),7.59(s,0H),7.49(s,0H),7.33(s,0H),6.69(s,0H),6.54-6.46(m,1H),6.20(d,J=17.2Hz,0H),5.70(d,J=9.9Hz,0H),5.16(s,1H),3.94(s,3H),3.73(s,2H),3.08(s,1H),2.06(s,1H)。MS m/z (ESI): 583 [M + 1]; 1 H NMR (400 MHz, DMSO) δ 11.93 (s, 0H), 9.39 (s, 0H), 8.20 (s, 1H), 7.85 (s, 0H), 7.59 (s, 0H), 7.49 (s, 0H), 7.33 (s, 0H), 6.69 (s, 0H), 6.54-6.46 (m, 1H), 6.20 (d, J = 17.2 Hz, 0H ), 5.70 (d, J = 9.9 Hz, 0H), 5.16 (s, 1H), 3.94 (s, 3H), 3.73 (s, 2H), 3.08 (s, 1H), 2.06 (s, 1H).
实施例30Example 30
3-(((2-((2-丙烯酰氨基-4-(二甲氨基)-6-甲基苯基)氨基)嘧啶-5-基)氧基)甲基)-4-氯-N,5-二甲氧基苯甲酰胺3-(((2-(2-acrylamido-4-(dimethylamino)-6-methylphenyl)amino)pyrimidin-5-yl)oxy)methyl)-4-chloro-N 5-dimethoxybenzamide
参照化合物168的操作步骤合成化合物181,但在第七步用甲氧胺盐酸盐取代环丙胺。最终得到目标产物3-(((2-((2-丙烯酰氨基-4-(二甲氨基)-6-甲基苯基)氨基)嘧啶-5-基)氧基)甲基)-4-氯-N,5-二甲氧基苯甲酰胺181。Compound 181 was synthesized following the procedure of Compound 168, but in the seventh step, propylamine was replaced with methoxyamine hydrochloride. The title product 3-(((2-(2-acrylamido-4-(dimethylamino))-6-methylphenyl)amino)pyrimidin-5-yl)oxy)methyl)-4 was finally obtained. -Chloro-N,5-dimethoxybenzamide 181.
MS m/z(ESI):541.0[M+1];1H NMR(400MHz,MeOD)δ8.49(s,2H),7.60(s,1H),7.48(d,J=1.6Hz,1H),7.14(s,1H),6.60(d,J=2.4Hz,1H)),6.27-6.37(m,3H),5.72(dd,J1=9.9,J2=2.0Hz,1H),5.20(s,2H),3.99(s,3H),3.83(s,3H),2.96(s,6H),2.17(s,3H)。MS m/z (ESI): 541.0 [M + 1]; 1 H NMR (400 MHz,MeOD) δ 8.49 (s, 2H), 7.60 (s, 1H), 7.48 (d, J = 1.6 Hz, 1H) , 7.14 (s, 1H), 6.60 (d, J = 2.4 Hz, 1H)), 6.27-6.37 (m, 3H), 5.72 (dd, J1 = 9.9, J2 = 2.0 Hz, 1H), 5.20 (s, 2H), 3.99 (s, 3H), 3.83 (s, 3H), 2.96 (s, 6H), 2.17 (s, 3H).
实施例31Example 31
3-(((2-((2-丙烯酰氨基-4-((2-(二甲氨基)乙基)(甲基)氨基)-6-甲基苯基)氨基)嘧啶-5-基)氧基)甲基)-4-氯-N,5-二甲氧基苯甲酰胺 3-(((2-(2-acrylamido-4-((2-(dimethylamino)ethyl))methyl)amino)-6-methylphenyl)amino)pyrimidin-5-yl )oxy)methyl)-4-chloro-N,5-dimethoxybenzamide
参照化合物179步骤合成化合物182,但在第一步用N1,N1,N2-三甲基乙烷-1,2-二胺取代1-甲基哌嗪。最终得到目标产物3-(((2-((2-丙烯酰氨基-4-((2-(二甲氨基)乙基)(甲基)氨基)-6-甲基苯基)氨基)嘧啶-5-基)氧基)甲基)-4-氯-N,5-二甲氧基苯甲酰胺。Compound 182 was synthesized following the procedure of Compound 179, but in the first step, 1-methylpiperazine was replaced with N1,N1,N2-trimethylethane-1,2-diamine. Finally, the target product 3-(((2-((2-(dimethylamino)ethyl)))methyl)amino)-6-methylphenyl)amino)pyrimidine is obtained. -5-yl)oxy)methyl)-4-chloro-N,5-dimethoxybenzamide.
MS m/z(ESI):597.2[M+1];1H NMR(400MHz,MeOD)δ8.17(s,2H),7.60(s,1H),7.48(s,1H),7.42(s,1H),6.68(d,J=2.7Hz,1H),6.43(dd,J=16.9,10.0Hz,1H),6.37-6.26(m,1H),5.74(d,J=11.6Hz,1H),5.22(s,2H),3.99(s,3H),3.84(s,3H),3.71(t,J=6.6Hz,2H),3.41(t,J=6.8Hz,2H),3.02(s,3H),3.00(s,6H),2.19(s,3H)。MS m/z (ESI): 597.2 [M + 1]; 1 H NMR (400 MHz,MeOD) δ 8.17 (s, 2H), 7.60 (s, 1H), 7.48 (s, 1H), 7.42 (s, 1H), 6.68 (d, J = 2.7 Hz, 1H), 6.43 (dd, J = 16.9, 10.0 Hz, 1H), 6.37-6.26 (m, 1H), 5.74 (d, J = 11.6 Hz, 1H), 5.22 (s, 2H), 3.99 (s, 3H), 3.84 (s, 3H), 3.71 (t, J = 6.6 Hz, 2H), 3.41 (t, J = 6.8 Hz, 2H), 3.02 (s, 3H) ), 3.00 (s, 6H), 2.19 (s, 3H).
实施例32Example 32
3-(((2-((2-丙烯酰氨基-4-(二甲基磷基)-6-甲基苯基)氨基)嘧啶-5-基)氧基)甲基)-4-氯-N,5-二甲氧基苯甲酰胺3-(((2-(2-acrylamido-4-(dimethylphosphino)-6-methylphenyl)amino)pyrimidin-5-yl)oxy)methyl)-4-chloro -N,5-dimethoxybenzamide
第一步first step
(4-氨基-3-甲基-5-硝基苯基)二甲基氧化膦(4-amino-3-methyl-5-nitrophenyl)dimethylphosphine oxide
将化合物4-溴-2-甲基-6-硝基苯胺(1.5g,6mmol),二甲基氧化磷(450mg,6mmol),醋酸钯(300mg,1.3mmol),2-二环己基磷-2,4,6-三异丙基联苯(1.2g,2.5mmol),磷酸钾(1.1g,5mmol),溶到50mL无水N,N-二甲基甲酰胺中,氮气保护条件下加热到95℃反应三个小时。冷却到室温,加入200mL冰水稀释,然后用100mL乙酸乙酯萃取三次,有机相旋干,残余物用硅胶柱层 析纯化(石油醚/乙酸乙酯=1:1),得到目标产物(4-氨基-3-甲基-5-硝基苯基)二甲基氧化膦(1g,红色油状固体),产率65%。The compound 4-bromo-2-methyl-6-nitroaniline (1.5 g, 6 mmol), dimethylphosphonium oxide (450 mg, 6 mmol), palladium acetate (300 mg, 1.3 mmol), 2-dicyclohexylphosphine- 2,4,6-Triisopropylbiphenyl (1.2 g, 2.5 mmol), potassium phosphate (1.1 g, 5 mmol), dissolved in 50 mL of anhydrous N,N-dimethylformamide, heated under nitrogen atmosphere The reaction was carried out at 95 ° C for three hours. Cool to room temperature, dilute with 200 mL of ice water, extract three times with 100 mL of ethyl acetate, spin the organic phase, and use a silica gel column. Purification (petroleum ether / ethyl acetate = 1:1) gave the desired product (4-amino-3-methyl-5-nitrophenyl) dimethylphosphine oxide (1 g, red oily solid) 65%.
MS m/z(ESI):228.9[M+1]MS m/z (ESI): 228.9 [M+1]
参照实例181的操作步骤合成实例183,但在第八步用(4-氨基-3-甲基-5-硝基苯基)二甲基氧化膦183b取代N1,N1,3-三甲基-5-硝基苯-1,4-二胺。最终得到目标产物3-(((2-((2-丙烯酰氨基-4-(二甲基磷基)-6-甲基苯基)氨基)嘧啶-5-基)氧基)甲基)-4-氯-N,5-二甲氧基苯甲酰胺183。Example 183 was synthesized by reference to the procedure of Example 181, but in the eighth step, (N-amino-3-methyl-5-nitrophenyl) dimethylphosphine oxide 183b was substituted for N1,N1,3-trimethyl- 5-nitrobenzene-1,4-diamine. Finally, the target product 3-(((2-(2-acrylamido-4-(dimethylphosphino)-6-methylphenyl)amino)pyrimidin-5-yl)oxy)methyl)) 4-chloro-N,5-dimethoxybenzamide 183.
MS m/z(ESI):573.9[M+1];1H NMR(400MHz,DMSO)δ11.92(s,1H),9.69(s,1H),8.30(s,1H),8.25(s,1H),8.01(d,J=12.1Hz,1H),7.59(s,1H),7.50-7.43(m,2H),6.52-6.47(m,1H),6.24(d,J=16.3Hz,1H),5.74(d,J=12.4Hz,1H),5.18(s,2H),3.94(s,3H),3.73(s,3H),2.16(s,3H),1.66(d,J=13.2Hz,6H)。MS m/z (ESI): 573.9 [M + 1]; 1 H NMR (400 MHz, DMSO) δ 11.92 (s, 1H), 9.69 (s, 1H), 8.30 (s, 1H), 8.25 (s, 1H), 8.01 (d, J = 12.1 Hz, 1H), 7.59 (s, 1H), 7.50-7.43 (m, 2H), 6.52-6.47 (m, 1H), 6.24 (d, J = 16.3 Hz, 1H) ), 5.74 (d, J = 12.4 Hz, 1H), 5.18 (s, 2H), 3.94 (s, 3H), 3.73 (s, 3H), 2.16 (s, 3H), 1.66 (d, J = 13.2 Hz) , 6H).
实施例33Example 33
3-(((2-((2-丙烯酰氨基-4-(4-乙基哌嗪-1-基)-6-甲基苯基)氨基)嘧啶-5-基)氧基)甲基)-4-氯-N,5-二甲氧基苯甲酰胺3-(((2-(2-acrylamido-4-(4-ethylpiperazin-1-yl)-6-methylphenyl)amino)pyrimidin-5-yl)oxy)methyl )-4-chloro-N,5-dimethoxybenzamide
参照化合物179步骤合成化合物184,但在第一步用1-乙基哌嗪取代1-甲基哌嗪,最终得到3-(((2-((2-丙烯酰氨基-4-(4-乙基哌嗪-1-基)-6-甲基苯基)氨基)嘧啶-5-基)氧基)甲基)-4-氯-N,5-二甲氧基苯甲酰胺184。Compound 184 was synthesized according to the procedure of Compound 179, but in the first step, 1-ethylpiperazine was substituted for 1-methylpiperazine to finally give 3-(((2-((2-acrylamido-4-)-4-) Ethyl piperazin-1-yl)-6-methylphenyl)amino)pyrimidin-5-yl)oxy)methyl)-4-chloro-N,5-dimethoxybenzamide 184.
MS m/z(ESI):610.7[M+1];1H NMR(400MHz,MeOD)δ8.17(s,1H),7.60(s,0H),7.46(d,J=15.2Hz,1H),6.83(d,J=2.2Hz,0H),6.39(d,J=9.9Hz,0H),6.33-6.28(m,0H),5.74(d,J=9.8Hz,0H),5.22(d,J=4.7Hz,2H),3.98(d,J=7.9Hz,3H),3.84(s,3H),3.40(s,1H),3.14(s,1H),2.98(d,J=7.3Hz,1H),2.19(s,3H),1.32(t,J=7.3Hz,3H)。MS m/z (ESI): 610.7 [M + 1]; 1 H NMR (400 MHz,MeOD) δ 8.17 (s, 1H), 7.60 (s, 0H), 7.46 (d, J = 15.2 Hz, 1H) , 6.83 (d, J = 2.2 Hz, 0H), 6.39 (d, J = 9.9 Hz, 0H), 6.33 - 6.28 (m, 0H), 5.74 (d, J = 9.8 Hz, 0H), 5.22 (d, J = 4.7 Hz, 2H), 3.98 (d, J = 7.9 Hz, 3H), 3.84 (s, 3H), 3.40 (s, 1H), 3.14 (s, 1H), 2.98 (d, J = 7.3 Hz, 1H), 2.19 (s, 3H), 1.32 (t, J = 7.3 Hz, 3H).
类似地,还制备了下列化合物:Similarly, the following compounds were also prepared:
FGFR4的活性抑制测试FGFR4 activity inhibition test
使用体外激酶检测实验评估本发明的化合物对酪氨酸激酶FGFR4活性的影响Evaluation of the effect of the compounds of the invention on the activity of tyrosine kinase FGFR4 using an in vitro kinase assay
实验方法概述如下:The experimental methods are summarized as follows:
使用CISBIO公司的KinEASETM-TK 20000tests激酶检测试剂盒,试剂盒提供具有生物素标记的底物,Eu标记的磷酸化位点特异性抗体,及XL665标记的亲和素和相关缓冲液。FGFR4将底物磷酸化,Eu-Ab识别磷酸化底物,XL665-SA与底物上的生物素结合,导致Eu与XL665接近从而产生HTRF信号。通过读取HTRF信号的强弱来检测激酶的活性变化。在激酶检测实验中,主要包括两步反应,分别是激酶反应和检测反应。在激酶反应中,激酶消耗ATP将底物磷酸化,同时产成含有磷酸基团的底物。在检 测反应中,加入检测试剂终止激酶反应,同时,检测试剂中的特异性抗体和XL665标记的亲和素分别与底物上的磷酸基团及生物素相结合产生HTRF信号,信号的强度与底物的磷酸化水平成正比,从而能够定量检测激酶FGFR4的活性。Using CISBIO KinEASE TM -TK 20000tests kinase assay kit, the kit having a biotin-labeled substrate phosphorylation site-specific Eu-labeled antibody, and XL665 labeled avidin and associated buffers. FGFR4 phosphorylates the substrate, Eu-Ab recognizes the phosphorylated substrate, and XL665-SA binds to biotin on the substrate, resulting in the proximity of Eu to XL665 to produce an HTRF signal. The change in activity of the kinase is detected by reading the strength of the HTRF signal. In the kinase assay, the two main reactions are the kinase reaction and the detection reaction. In the kinase reaction, the kinase consumes ATP to phosphorylate the substrate while producing a substrate containing a phosphate group. In the detection reaction, a detection reagent is added to terminate the kinase reaction, and at the same time, the specific antibody in the detection reagent and the XL665-labeled avidin are combined with the phosphate group and the biotin on the substrate to generate an HTRF signal, and the intensity of the signal is The phosphorylation level of the substrate is proportional to the ability to quantitatively detect the activity of the kinase FGFR4.
检测过程中,化合物与酶的结合孵育在室温下进行,时间为60min。而激酶反应在37℃恒温进行,时间为40min。使用Corning 3674黑色384孔检测板,激酶人的FGFR4蛋白(460-802氨基酸)购自Carna公司(货号08-136),激酶底物为TK(购自Cisbio)和ATP(Sigma),使用酶标仪TECAN Spark 10M plate reader(TECAN)读取光信号。激酶反应缓冲液包括1X Enzymatic buffer(CISBIO)5mM MgCl2(Sigma)、1mM DTT(Sigma);将激酶FGFR4使用缓冲液配制为0.25ug/mL浓度的激酶反应溶液;底物反应溶液包括0.75uM的底物和500μm的ATP。During the assay, the binding of the compound to the enzyme was carried out at room temperature for 60 min. The kinase reaction was carried out at 37 ° C with a constant temperature of 40 min. Using the Corning 3674 black 384-well assay plate, kinase human FGFR4 protein (460-802 amino acids) was purchased from Carna Corporation (Cat. No. 08-136), and the kinase substrates were TK (purchased from Cisbio) and ATP (Sigma) using the enzyme label. The TECAN Spark 10M plate reader (TECAN) reads the optical signal. The kinase reaction buffer includes 1X Enzymatic buffer (CISBIO) 5 mM MgCl 2 (Sigma), 1 mM DTT (Sigma); the kinase FGFR4 was prepared using a buffer to a concentration of 0.25 ug/mL of the kinase reaction solution; the substrate reaction solution included 0.75 uM. Substrate and 500 μm ATP.
化合物IC50由10个浓度点通过以下公式计算。先用100%DMSO将化合物在96孔板中溶解稀释3个浓度:4mM,40uM,0.4uM,并转8ul化合物到384LDV Echo Source板,用Echo550转移化合物到Assay板,得到10个浓度点,每个浓度点设置两个复孔(起始点10uM,3倍稀释)。向384孔检测板中先添加6uL激酶溶液,混合均匀后室温孵育60分钟;随后加入4uL底物反应溶液,反应总体积为10uL,将反应混合物在37℃恒温反应40分钟;随后加入10uL激酶检测试剂并终止反应,然后在TECAN plate reader上读取数值。The compound IC 50 was calculated from the 10 concentration points by the following formula. The compound was first diluted with 100% DMSO in a 96-well plate to dilute 3 concentrations: 4 mM, 40 uM, 0.4 uM, and 8 ul of the compound was transferred to a 384 LDV Echo Source plate, and the compound was transferred to the Assay plate with Echo 550 to obtain 10 concentration points. Two duplicate wells were set at each concentration point (starting point 10 uM, 3 fold dilution). Add 6uL of kinase solution to the 384-well assay plate, mix well and incubate for 60 minutes at room temperature; then add 4uL of substrate reaction solution to the total volume of 10uL, and react the reaction mixture at 37 °C for 40 minutes; then add 10uL of kinase assay. The reagent was terminated and the value was read on the TECAN plate reader.
抑制百分率基于以下公式计算:The percent inhibition is calculated based on the following formula:
抑制%=[1-(RLU化合物-RLUmin)/(RLUmax-RLUmin)]X100Inhibition %=[1-(RLU compound -RLU min )/(RLU max -RLU min )]X100
其中RLU化合物为给定化合物浓度下的冷光读数,RLUmin为不加入激酶的情况下的冷光读数,RLUmax为不加入化合物的情况下的冷光读数。通过使用Excel中XLfit程序来计算化合物的IC50。Where RLU compounds are cold light readings at a given compound concentration, RLU min is a cold light reading without the addition of a kinase, and RLU max is a cold light reading without the addition of a compound. By using Excel XLfit program to calculate the IC 50 of the compound.
A﹤10nM;B=10至100nM;C=100至500nM;D>500nMA<10nM; B=10 to 100nM; C=100 to 500nM; D>500nM
E=1至100nM;F=100至10000nME=1 to 100nM; F=100 to 10000nM
结论:本发明的化合物对酪氨酸激酶FGFR4的活性具有明显的抑制效应。 Conclusion: The compounds of the present invention have a significant inhibitory effect on the activity of the tyrosine kinase FGFR4.
Claims (15)
Applications Claiming Priority (4)
| Application Number | Priority Date | Filing Date | Title |
|---|---|---|---|
| CN201610907334 | 2016-10-18 | ||
| CN201610907334.6 | 2016-10-18 | ||
| CN201710357720 | 2017-05-19 | ||
| CN201710357720.7 | 2017-05-19 |
Publications (1)
| Publication Number | Publication Date |
|---|---|
| WO2018072707A1 true WO2018072707A1 (en) | 2018-04-26 |
Family
ID=62018233
Family Applications (1)
| Application Number | Title | Priority Date | Filing Date |
|---|---|---|---|
| PCT/CN2017/106667 Ceased WO2018072707A1 (en) | 2016-10-18 | 2017-10-18 | Aromatic ether derivative, preparation method therefor, and medical applications thereof |
Country Status (1)
| Country | Link |
|---|---|
| WO (1) | WO2018072707A1 (en) |
Cited By (5)
| Publication number | Priority date | Publication date | Assignee | Title |
|---|---|---|---|---|
| WO2019242689A1 (en) * | 2018-06-22 | 2019-12-26 | 北京赛特明强医药科技有限公司 | Cyano-substituted pyridine and cyano-substituted pyrimidine compound, and preparation method and application thereof |
| WO2020140054A1 (en) | 2018-12-28 | 2020-07-02 | Spv Therapeutics Inc. | Cyclin-dependent kinase inhibitors |
| WO2021129561A1 (en) * | 2019-12-23 | 2021-07-01 | 北京赛特明强医药科技有限公司 | Cyano-substituted pyridine and cyano-substituted pyrimidine compound and preparation method therefor and application thereof |
| CN114835729A (en) * | 2018-05-30 | 2022-08-02 | 江苏豪森药业集团有限公司 | Tricyclic derivative inhibitor, preparation method and application thereof |
| CN116438177A (en) * | 2021-01-28 | 2023-07-14 | 江苏亚虹医药科技股份有限公司 | Targeted chimeric compound, pharmaceutical composition containing same, preparation method and use thereof |
Citations (3)
| Publication number | Priority date | Publication date | Assignee | Title |
|---|---|---|---|---|
| US20080027070A1 (en) * | 2006-07-07 | 2008-01-31 | Targegen, Inc. | 2-amino--5-substituted pyrimidine inhibitors |
| CN104540809A (en) * | 2012-07-11 | 2015-04-22 | 蓝印药品公司 | Inhibitors of fibroblast growth factor receptor |
| CN105143185A (en) * | 2013-03-15 | 2015-12-09 | 和记黄埔医药(上海)有限公司 | New pyrimidine and pyridine compounds and their uses |
-
2017
- 2017-10-18 WO PCT/CN2017/106667 patent/WO2018072707A1/en not_active Ceased
Patent Citations (3)
| Publication number | Priority date | Publication date | Assignee | Title |
|---|---|---|---|---|
| US20080027070A1 (en) * | 2006-07-07 | 2008-01-31 | Targegen, Inc. | 2-amino--5-substituted pyrimidine inhibitors |
| CN104540809A (en) * | 2012-07-11 | 2015-04-22 | 蓝印药品公司 | Inhibitors of fibroblast growth factor receptor |
| CN105143185A (en) * | 2013-03-15 | 2015-12-09 | 和记黄埔医药(上海)有限公司 | New pyrimidine and pyridine compounds and their uses |
Cited By (10)
| Publication number | Priority date | Publication date | Assignee | Title |
|---|---|---|---|---|
| CN114835729A (en) * | 2018-05-30 | 2022-08-02 | 江苏豪森药业集团有限公司 | Tricyclic derivative inhibitor, preparation method and application thereof |
| CN114835729B (en) * | 2018-05-30 | 2024-05-31 | 江苏豪森药业集团有限公司 | Inhibitor containing tricyclic derivatives, preparation method and application thereof |
| WO2019242689A1 (en) * | 2018-06-22 | 2019-12-26 | 北京赛特明强医药科技有限公司 | Cyano-substituted pyridine and cyano-substituted pyrimidine compound, and preparation method and application thereof |
| CN112313207A (en) * | 2018-06-22 | 2021-02-02 | 北京赛特明强医药科技有限公司 | A kind of cyano-substituted pyridine and cyano-substituted pyrimidine compounds, preparation method and application thereof |
| CN112313207B (en) * | 2018-06-22 | 2023-02-14 | 北京赛特明强医药科技有限公司 | Cyano-substituted pyridine and cyano-substituted pyrimidine compounds, and preparation methods and applications thereof |
| WO2020140054A1 (en) | 2018-12-28 | 2020-07-02 | Spv Therapeutics Inc. | Cyclin-dependent kinase inhibitors |
| WO2021129561A1 (en) * | 2019-12-23 | 2021-07-01 | 北京赛特明强医药科技有限公司 | Cyano-substituted pyridine and cyano-substituted pyrimidine compound and preparation method therefor and application thereof |
| JP2023508376A (en) * | 2019-12-23 | 2023-03-02 | 北京賽特明強医薬科技有限公司 | Cyano-substituted pyridines and cyano-substituted pyrimidine-based compounds, methods of preparation and uses thereof |
| JP7491612B2 (en) | 2019-12-23 | 2024-05-28 | 北京賽特明強医薬科技有限公司 | Cyano-substituted pyridine and pyrimidine compounds, methods of preparation and uses thereof |
| CN116438177A (en) * | 2021-01-28 | 2023-07-14 | 江苏亚虹医药科技股份有限公司 | Targeted chimeric compound, pharmaceutical composition containing same, preparation method and use thereof |
Similar Documents
| Publication | Publication Date | Title |
|---|---|---|
| WO2024140714A1 (en) | Wrn inhibitor | |
| WO2018072707A1 (en) | Aromatic ether derivative, preparation method therefor, and medical applications thereof | |
| WO2018019204A1 (en) | Amino pyrimidine compound for inhibiting protein tyrosine kinase activity | |
| CN105452237A (en) | Heteroaryl substituted pyrazoles | |
| DE102008052943A1 (en) | azaindole derivatives | |
| CN105246887B (en) | Coumarin derivative and the method for treating hyperproliferative disease | |
| TW201728579A (en) | 3,5-disubstituted pyrazoles useful as checkpoint kinase 1 (CHK1) inhibitors, and their preparations and applications | |
| CN105473570A (en) | Diaminoheteroaryl substituted pyrazoles | |
| CN112047938B (en) | 2,4, 6-trisubstituted pyrimidine compounds as ATR kinase inhibitors | |
| DE102008028905A1 (en) | 3- (3-pyrimidin-2-yl-benzyl) - [1,2,4] triazolo [4,3-b] pyridazine derivatives | |
| WO2023134266A1 (en) | 2-piperidyl or 2-pyrazolyl substituted pyrimidine compound serving as egfr inhibitor | |
| WO2022012484A1 (en) | Pyrazolopyrimidine compound used as atr kinase inhibitor | |
| TW201917129A (en) | Triacyclic derivatives containing pyrazole, their preparation methods and applications thereof | |
| ES2709003T3 (en) | 5- (pyridin-2-yl-amino) -pyrazine-2-carbonitrile compounds and their therapeutic use | |
| WO2024083211A1 (en) | Heterocyclic deuterated compound and use thereof | |
| WO2019154091A1 (en) | Substituted diaminopyrimidine compound | |
| JP2023158113A (en) | Aromatic derivative, preparation method for the same, and medical applications thereof | |
| WO2018121774A1 (en) | Compound for selectively inhibiting kinase and use thereof | |
| CN108473473A (en) | Fused pyrimidines for inhibiting protein tyrosine kinase activity | |
| JP2020528922A (en) | Thiazolopyridine derivative as an adenosine receptor antagonist | |
| WO2020259703A1 (en) | Pyrazolopyrimidine compound, preparation method for same, and applications thereof | |
| WO2023109751A1 (en) | Pyrimidine or pyridine derivative and medicinal use thereof | |
| WO2020168963A1 (en) | Substituted fused aromatic ring derivative, composition and use thereof | |
| WO2019120094A1 (en) | Arylphosphine oxides for inhibiting kinase activity | |
| WO2017097113A1 (en) | Aminopyrimidine compounds for inhibiting acitivity of protein tyrosine kinase |
Legal Events
| Date | Code | Title | Description |
|---|---|---|---|
| 121 | Ep: the epo has been informed by wipo that ep was designated in this application |
Ref document number: 17861389 Country of ref document: EP Kind code of ref document: A1 |
|
| NENP | Non-entry into the national phase |
Ref country code: DE |
|
| 122 | Ep: pct application non-entry in european phase |
Ref document number: 17861389 Country of ref document: EP Kind code of ref document: A1 |

































































































