WO2018062413A1 - Nucleic-acid-containing lipid nanoparticles - Google Patents
Nucleic-acid-containing lipid nanoparticles Download PDFInfo
- Publication number
- WO2018062413A1 WO2018062413A1 PCT/JP2017/035302 JP2017035302W WO2018062413A1 WO 2018062413 A1 WO2018062413 A1 WO 2018062413A1 JP 2017035302 W JP2017035302 W JP 2017035302W WO 2018062413 A1 WO2018062413 A1 WO 2018062413A1
- Authority
- WO
- WIPO (PCT)
- Prior art keywords
- alkyl
- same
- different
- alkenyl
- lipid
- Prior art date
- Legal status (The legal status is an assumption and is not a legal conclusion. Google has not performed a legal analysis and makes no representation as to the accuracy of the status listed.)
- Ceased
Links
- 0 C*(CC(C)(C)N(C)*)OC1OC1C Chemical compound C*(CC(C)(C)N(C)*)OC1OC1C 0.000 description 11
Classifications
-
- A—HUMAN NECESSITIES
- A61—MEDICAL OR VETERINARY SCIENCE; HYGIENE
- A61K—PREPARATIONS FOR MEDICAL, DENTAL OR TOILETRY PURPOSES
- A61K31/00—Medicinal preparations containing organic active ingredients
- A61K31/70—Carbohydrates; Sugars; Derivatives thereof
- A61K31/7088—Compounds having three or more nucleosides or nucleotides
-
- A—HUMAN NECESSITIES
- A61—MEDICAL OR VETERINARY SCIENCE; HYGIENE
- A61K—PREPARATIONS FOR MEDICAL, DENTAL OR TOILETRY PURPOSES
- A61K47/00—Medicinal preparations characterised by the non-active ingredients used, e.g. carriers or inert additives; Targeting or modifying agents chemically bound to the active ingredient
- A61K47/06—Organic compounds, e.g. natural or synthetic hydrocarbons, polyolefins, mineral oil, petrolatum or ozokerite
- A61K47/08—Organic compounds, e.g. natural or synthetic hydrocarbons, polyolefins, mineral oil, petrolatum or ozokerite containing oxygen, e.g. ethers, acetals, ketones, quinones, aldehydes, peroxides
- A61K47/12—Carboxylic acids; Salts or anhydrides thereof
-
- A—HUMAN NECESSITIES
- A61—MEDICAL OR VETERINARY SCIENCE; HYGIENE
- A61K—PREPARATIONS FOR MEDICAL, DENTAL OR TOILETRY PURPOSES
- A61K47/00—Medicinal preparations characterised by the non-active ingredients used, e.g. carriers or inert additives; Targeting or modifying agents chemically bound to the active ingredient
- A61K47/06—Organic compounds, e.g. natural or synthetic hydrocarbons, polyolefins, mineral oil, petrolatum or ozokerite
- A61K47/16—Organic compounds, e.g. natural or synthetic hydrocarbons, polyolefins, mineral oil, petrolatum or ozokerite containing nitrogen, e.g. nitro-, nitroso-, azo-compounds, nitriles, cyanates
- A61K47/18—Amines; Amides; Ureas; Quaternary ammonium compounds; Amino acids; Oligopeptides having up to five amino acids
-
- A—HUMAN NECESSITIES
- A61—MEDICAL OR VETERINARY SCIENCE; HYGIENE
- A61K—PREPARATIONS FOR MEDICAL, DENTAL OR TOILETRY PURPOSES
- A61K48/00—Medicinal preparations containing genetic material which is inserted into cells of the living body to treat genetic diseases; Gene therapy
-
- A—HUMAN NECESSITIES
- A61—MEDICAL OR VETERINARY SCIENCE; HYGIENE
- A61K—PREPARATIONS FOR MEDICAL, DENTAL OR TOILETRY PURPOSES
- A61K9/00—Medicinal preparations characterised by special physical form
- A61K9/10—Dispersions; Emulsions
- A61K9/127—Synthetic bilayered vehicles, e.g. liposomes or liposomes with cholesterol as the only non-phosphatidyl surfactant
-
- A—HUMAN NECESSITIES
- A61—MEDICAL OR VETERINARY SCIENCE; HYGIENE
- A61P—SPECIFIC THERAPEUTIC ACTIVITY OF CHEMICAL COMPOUNDS OR MEDICINAL PREPARATIONS
- A61P29/00—Non-central analgesic, antipyretic or antiinflammatory agents, e.g. antirheumatic agents; Non-steroidal antiinflammatory drugs [NSAID]
-
- A—HUMAN NECESSITIES
- A61—MEDICAL OR VETERINARY SCIENCE; HYGIENE
- A61P—SPECIFIC THERAPEUTIC ACTIVITY OF CHEMICAL COMPOUNDS OR MEDICINAL PREPARATIONS
- A61P35/00—Antineoplastic agents
-
- C—CHEMISTRY; METALLURGY
- C12—BIOCHEMISTRY; BEER; SPIRITS; WINE; VINEGAR; MICROBIOLOGY; ENZYMOLOGY; MUTATION OR GENETIC ENGINEERING
- C12N—MICROORGANISMS OR ENZYMES; COMPOSITIONS THEREOF; PROPAGATING, PRESERVING, OR MAINTAINING MICROORGANISMS; MUTATION OR GENETIC ENGINEERING; CULTURE MEDIA
- C12N15/00—Mutation or genetic engineering; DNA or RNA concerning genetic engineering, vectors, e.g. plasmids, or their isolation, preparation or purification; Use of hosts therefor
- C12N15/09—Recombinant DNA-technology
- C12N15/11—DNA or RNA fragments; Modified forms thereof; Non-coding nucleic acids having a biological activity
- C12N15/113—Non-coding nucleic acids modulating the expression of genes, e.g. antisense oligonucleotides; Antisense DNA or RNA; Triplex- forming oligonucleotides; Catalytic nucleic acids, e.g. ribozymes; Nucleic acids used in co-suppression or gene silencing
Definitions
- the present invention relates to, for example, nucleic acid-containing lipid nanoparticles useful as a medicament, a method for producing the lipid nanoparticles, and the like.
- the present invention also relates to lipids useful for producing the lipid nanoparticles.
- nucleic acids with cationic lipids and other lipids as a means of efficiently delivering nucleic acids such as plasmid DNA (pDNA), antisense oligodeoxynucleic acid (ODN), and short interfering RNA (siRNA) into cells in vivo Methods for forming a body and administering the complex are known.
- pDNA plasmid DNA
- ODN antisense oligodeoxynucleic acid
- siRNA short interfering RNA
- HBS H-(N- (2-Hydroxyethyl) piperazine-N '-(2-ethanesulfonic acid)] Buffered Saline, hereinafter referred to as “HBS”) and ethanol was added to diethyl ether, and water-in-oil It has been reported that a siRNA-encapsulated liposome is produced by forming a type (W / O) emulsion, mixing the solution, and treating it by a reverse phase evaporation method.
- Patent Document 2 ODN is dissolved in an aqueous citric acid solution at pH 3.8, an ethanol solution of lipid is added, and the ethanol concentration is reduced to 20 v / v% to prepare an ODN-encapsulating liposome, and a sizing membrane After the excess ethanol is removed by dialysis, the sample is further dialyzed at pH 7.5 to remove ODN adhering to the surface of the liposome to produce an ODN-encapsulating liposome.
- Patent Document 3 for example, a solution in which pDNA is dissolved in an aqueous citric acid solution and a solution in which lipids are dissolved in ethanol are mixed with a T-shaped mixer, and the ethanol concentration is lowered to 45 v / v%. Further, add citrate buffer solution to reduce ethanol concentration to 20v / v% to prepare pDNA-encapsulated liposomes, remove excess pDNA with anion exchange resin, and remove excess ethanol by ultrafiltration. A method for producing pDNA-encapsulated liposomes has been reported.
- pDNA-encapsulated liposomes are produced by complexing pDNA with cationic lipids as micelles in an organic solvent containing water, adding lipids, and then removing the organic solvent by dialysis. A method has been reported.
- a pDNA-encapsulated liposome is produced by complexing pDNA as a cationic lipid and micelle in an aqueous solution of the surfactant, adding the lipid, and then removing the surfactant by dialysis. How to do it has been reported.
- the cationic lipid used to form the above complex usually contains a lipophilic region containing one or more hydrocarbon groups and at least one primary amine, secondary amine, tertiary amine or quaternary ammonium group.
- An amphiphilic molecule having a cationic hydrophilic region, but one having two hydrocarbon groups is widely used.
- Patent Document 6 a cationic lipid having three hydrocarbon groups is used instead of a cationic lipid having two hydrocarbon groups, and the particle size is 82-95 nm in the same manner as in Patent Document 3. It is disclosed that lipid particles were obtained.
- a cationic lipid having three hydrocarbon groups specifically, as a cationic lipid having three hydrocarbon groups
- Nucleic acid-encapsulated liposomes produced by these methods have a size of about 50-100 nm.
- Non-Patent Document 2 in a test using polymer micelle encapsulating dichloro (1,2-diaminocyclohexane) platinum (II) having a particle size of 30-100 nm, a polymer micelle having a smaller particle size is more likely to be in tumor. Reported higher dose and stronger anti-tumor effect. Further, in Non-Patent Document 3, it has been reported through a penetrability evaluation experiment using quantum dots that 10 nm quantum dots are more widely distributed in tumors than 100 nm quantum dots. In other words, lipid particles are required to have a smaller particle size for efficient delivery to the tumor, but any of the methods described above can efficiently prepare highly stable lipid particles having a smaller particle size.
- Patent Document 7 and Non-Patent Documents 4 to 7 a solution in which a cationic lipid, a neutral lipid, and a polyethylene glycolated lipid are dissolved in ethanol and siRNA dissolved in an acetate buffer solution are formed in a herridge bone structure. It is reported that siRNA-containing lipid nanoparticles can be obtained by mixing with microfluidics and removing ethanol. In this method, the proportion of the polar organic solvent decreases in parallel with the reverse micelle structure enclosing the nucleic acid by causing the cationic lipid in the polar organic solvent to electrostatically interact with the nucleic acid.
- Lipid nanoparticles in which a reverse micelle structure having a nucleic acid is coated with a lipid membrane are produced. It has been reported that the particle size of the lipid nanoparticles varies depending on the flow rate of the polar organic solvent in which the lipid is dissolved and the aqueous solution in which the nucleic acid is dissolved in the microfluidics and the PEG content. It has been reported that siRNA-encapsulated liposomes obtained by this method have exhibited drug effects in the liver even when administered subcutaneously as well as intravenously.
- An object of the present invention is to provide a nucleic acid-containing lipid nanoparticle that is useful as a medicine and is more stable and smaller than conventional particles, a method for producing the lipid nanoparticle, and the like. Moreover, the objective of this invention is providing the lipid etc. which are useful for manufacture of this lipid nanoparticle.
- the present invention relates to the following (1) to (87).
- a lipid having a hydrophilic part having one quaternary ammonium group and three independent hydrocarbon groups which may be substituted (lipid A), one amino group which may be substituted or one quaternary ammonium group
- Nucleic acid including a lipid (lipid B), a lipid derivative or fatty acid derivative of a water-soluble polymer, and a nucleic acid containing a hydrophilic moiety having a hydrophobic moiety having two independent hydrocarbon groups that may be substituted in the same molecule Contains lipid nanoparticles.
- Lipid A is a lipid represented by Formula (I), Formula (II), Formula (III), Formula (IV), Formula (V ′) or Formula (V ′′), or a combination thereof.
- the lipid nanoparticle according to (1) or (2). (Here, the formula (I), the formula (II), the formula (III), the formula (IV), the formula (V ′), and the formula (V ′′) are described in the embodiments for carrying out the invention described later.
- Lipid A is a lipid represented by the formula (I), and in the formula (I), one of L 1 to L 3 is —CO—O— (CY 1 Y 2 ) p1 — or —O—CO— ( CY 1 Y 2 ) p1- or two or more of L 1 to L 3 are the same or different, and -CO-O- (CY 1 Y 2 ) p1 -or -O-CO- (CY 1 Y 2 ) p1 - a and, R 1 ⁇ R 3 is a linear or branched C15-C20 alkenyl or C9-C18 alkyl, and are the same, (3), wherein the lipid nanoparticles.
- Lipid A is a lipid represented by the formula (II), and in the formula (II), one of L 4 to L 6 is -CO-O- (CY 8 Y 9 ) p4- , -O-CO- ( CY 8 Y 9 ) p4 -or -O-CO- (CY 10 Y 11 ) p5 -O- (CY 12 Y 13 ) p6- or two or more of L 4 to L 6 are the same or different -CO-O- (CY 8 Y 9 ) p4- , -O-CO- (CY 8 Y 9 ) p4- , or -O-CO- (CY 10 Y 11 ) p5 -O- (CY 12 Y 13
- the lipid nanoparticles according to (3), which are p6- and R 4 to R 6 are linear or branched C15-C20 alkenyl or C9-C18 alkyl and are the same.
- Lipid A is a lipid represented by the formula (III), and in the formula (III), one of L 8 to L 10 is -CO-O- (CY 39 Y 40 ) p18 -or -O-CO- ( CY 39 Y 40 ) p18- , or two or more of L 8 to L 10 are the same or different -CO-O- (CY 39 Y 40 ) p18 or -O-CO- (CY 39 Y 40 )
- the lipid nanoparticle according to (3), which is p18- and R 7 to R 9 are linear or branched C15-C20 alkenyl or C9-C18 alkyl.
- Lipid A is a lipid represented by the formula (IV), and in the formula (IV), L 13 is -CO-O- (CY 84 Y 85 ) p38 -or -O-CO- (CY 84 Y 85 ) p38 -Or one of L 14 and L 15 is -CO-O- (CY 91 Y 92 ) p41 -or -O-CO- (CY 91 Y 92 ) p41- , or L 13 is -CO -O- (CY 84 Y 85 ) p38 -or -O-CO- (CY 84 Y 85 ) p38- and one of L 14 and L 15 is -CO-O- (CY 91 Y 92 ) p41 -Or-O-CO- (CY 91 Y 92 ) p41- or L 14 and L 15 are the same or different -CO-O- (CY 91 Y 92 ) p41 -or -CO- (CY
- Lipid A is a lipid represented by the formula (V ′), and in the formula (V ′), one of L 17 to L 19 is —CO—O— or —O—, or L 17 to L 19 Two or more of them are the same or different and are —CO—O— or —O—, and R 13 to R 15 are linear or branched C15-C20 alkenyl or C9-C18 alkyl, (3) The lipid nanoparticles described. (9) 10. The lipid nanoparticle according to any one of (1) to (8), wherein the content of the water-soluble polymer lipid derivative or fatty acid derivative is 0.005 times the molar amount of the total lipid or more.
- (11) The lipid nanoparticles according to any one of (1) to (10), wherein the ratio of the number of moles of total lipid to the number of moles of nucleic acid (number of moles of total lipid / number of moles of nucleic acid) is 50 or more.
- RNA interference RNA interference
- the target gene is a gene associated with tumor or inflammation.
- the content of lipid B is 0.1 times or more by mole of the total number of moles of lipid.
- the number of moles of the amino group or quaternary ammonium group in the hydrophilic part in the lipid B is 0.01 times or more the mole number of the phosphorus atom in the nucleic acid, according to any one of (1) to (14) Lipid nanoparticles.
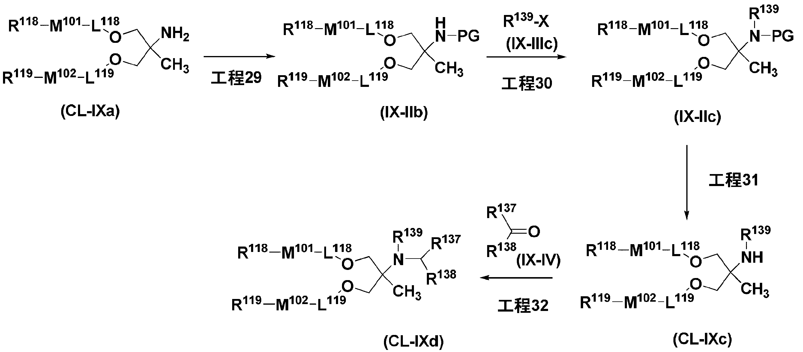
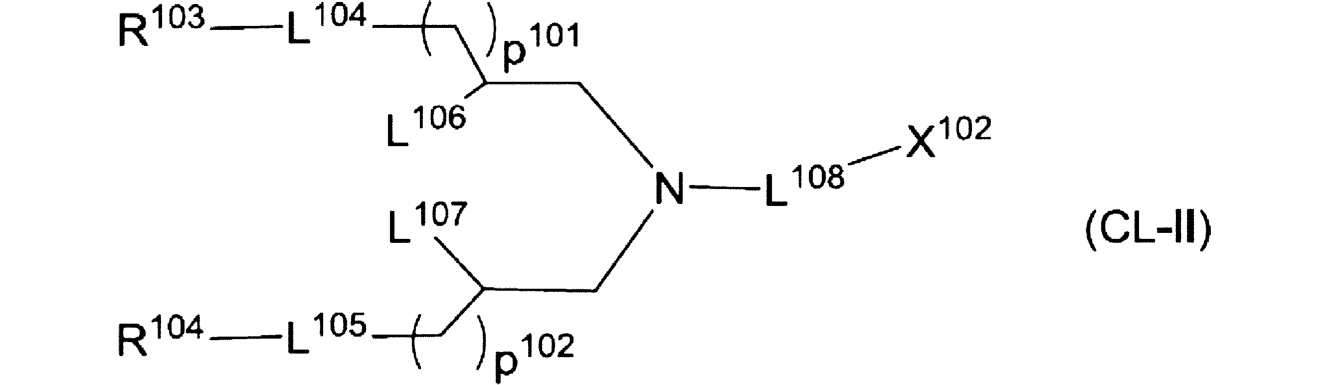
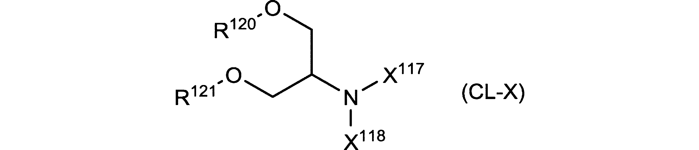
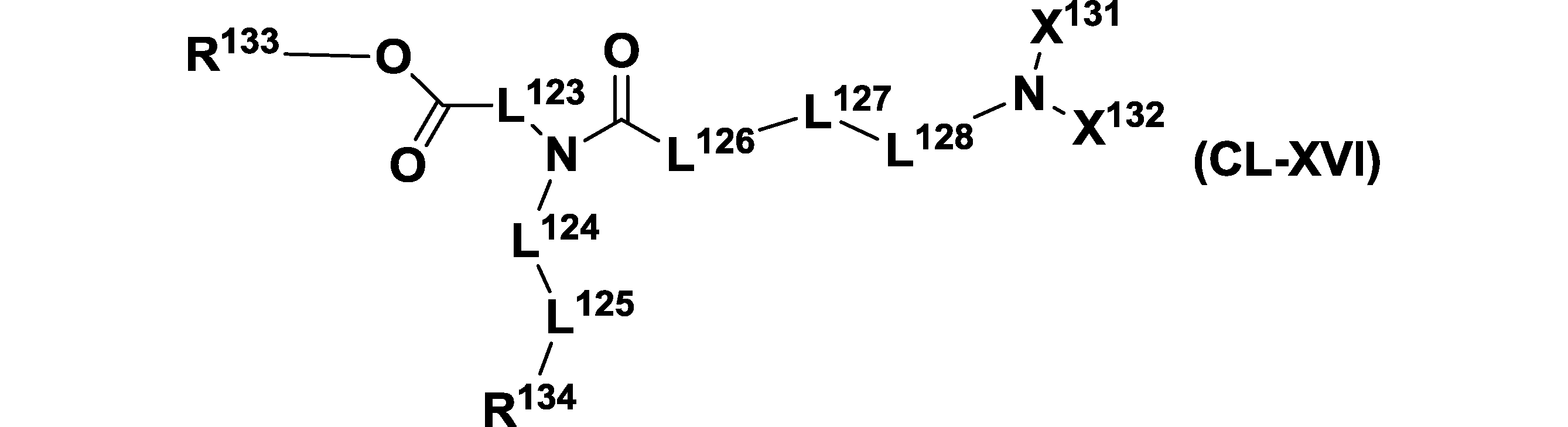
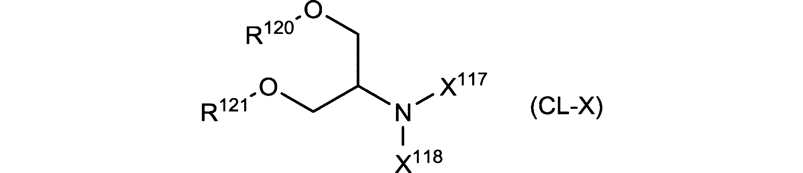
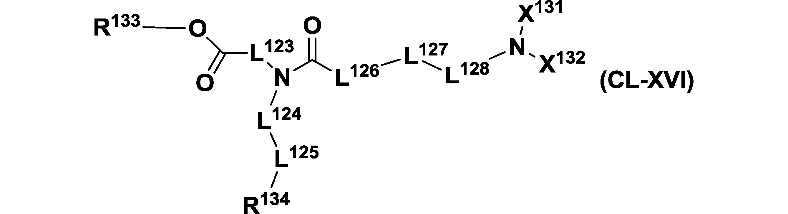
- Lipid B is represented by formula (CL-I), formula (CL-II), formula (CL-III), formula (CL-IV), formula (CL-V), formula (CL-VI), formula (CL- (VII), formula (CL-VIII), formula (CL-IX), formula (CL-X), formula (CL-XI), formula (CL-XIII), formula (CL-XIV ), A formula (CL-XV), a formula (CL-XVI), or a lipid represented by the formula (CL-XVII) or a combination thereof, according to any one of (1) to (15) Lipid nanoparticles.
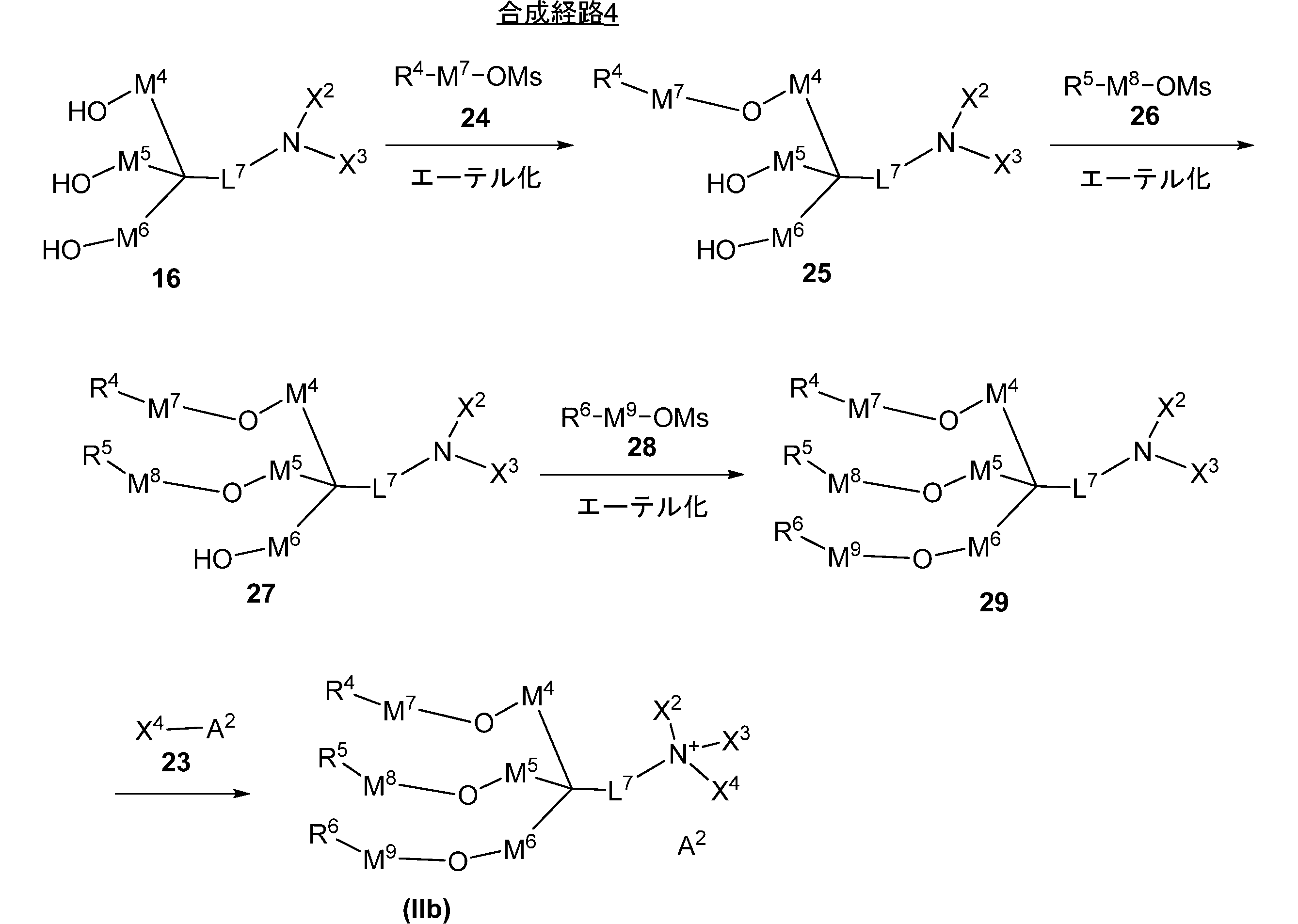
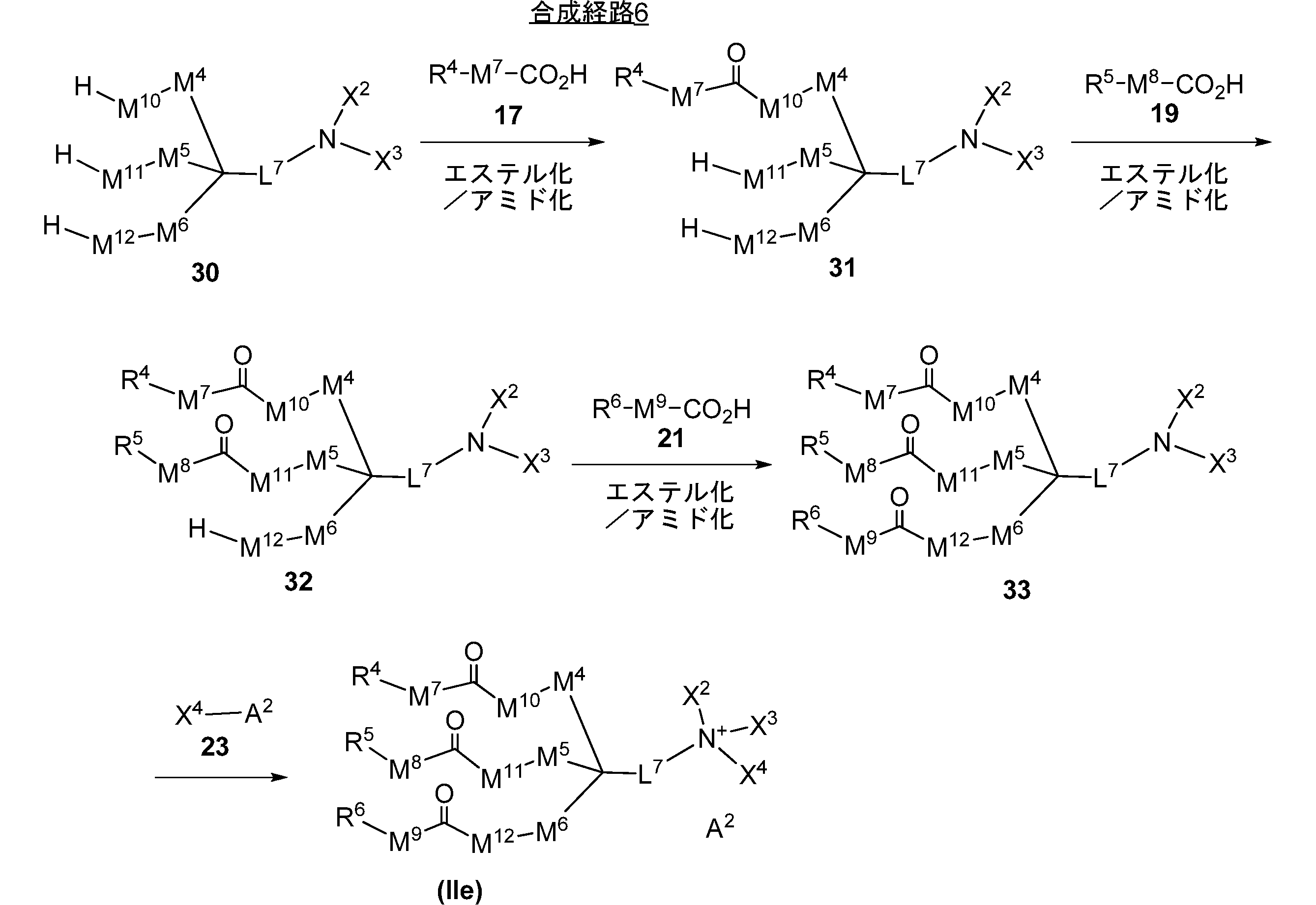
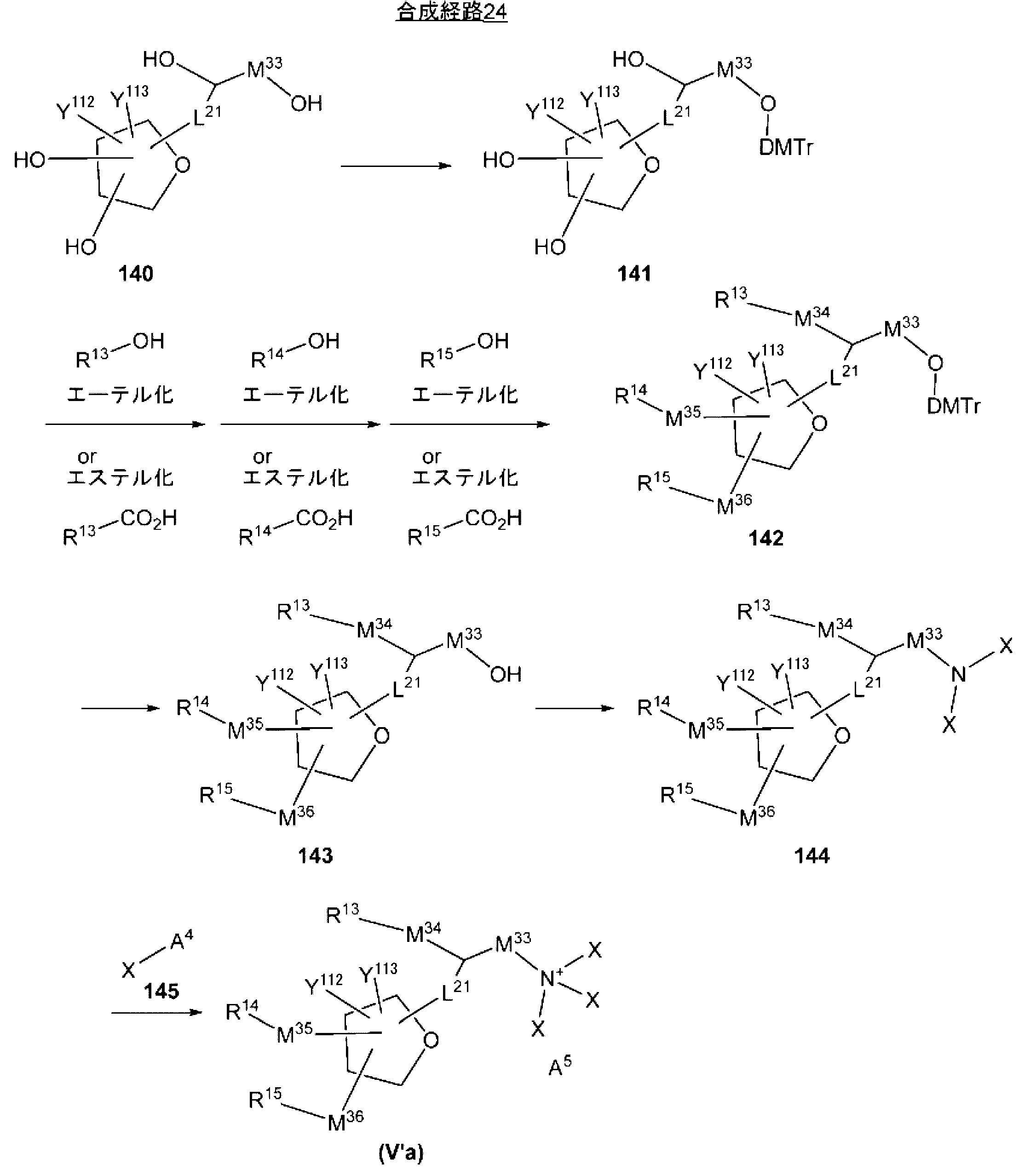
- a method for producing nucleic acid-containing lipid nanoparticles comprising: (a) a lipid having a hydrophilic part having one quaternary ammonium group and three independent hydrocarbon groups optionally substituted in a mixed solvent of water and an organic solvent miscible with water (lipid A) A lipid having a hydrophilic part having one amino group which may be substituted or one quaternary ammonium group and a hydrophobic part having two independent hydrocarbon groups which may be substituted (lipid B) and a nucleic acid to prepare a first lipid solution containing lipid A and nucleic acid, (b) adding a second lipid solution containing a lipid derivative or fatty acid derivative of a water-soluble polymer to the first lipid solution to prepare a third lipid solution; and (c) The production method comprising a step of adding water or an aqueous buffer solution to the third lipid solution.
- the production method according to (21), comprising mixing a lipid derivative or fatty acid derivative of a water-soluble polymer, and a neutral lipid together with lipid A, lipid B, and nucleic acid in step (a).
- the second lipid solution in step (b) is further neutral lipid and / or a hydrophilic part having one amino group or one quaternary ammonium group which may be substituted and an independent which may be substituted
- the production method according to (21) comprising a lipid (lipid B) containing a hydrophobic moiety having two hydrocarbon groups in the same molecule.
- step (b) The content of the organic solvent miscible with water in the third lipid solution obtained in step (b) is 50% (v / v) or more with respect to the solution, (21) to (26) The production method according to any one of the above.
- step (c) the concentration of the organic solvent miscible with water in the third lipid solution obtained in step (b) is reduced to 50% (v / v) or less by adding water or an aqueous buffer solution.
- step (28) The production method according to (28), wherein the concentration of the organic solvent miscible with water in the third lipid solution obtained in the step (b) is 50% (v / v) or less within 1 minute.
- the ratio of the number of moles of total lipid to the number of moles of nucleic acid in the third lipid solution is 50 or more, according to any one of (21) to (32) The manufacturing method as described.
- RNAi RNA interference
- Lipid A is a lipid represented by Formula (I), Formula (II), Formula (III), Formula (IV), Formula (V ′) or Formula (V ′′), or a combination thereof. (21) The production method according to any one of (35). (37) Lipid A is a lipid represented by the formula (I), and in the formula (I), one of L 1 to L 3 is —CO—O— (CY 1 Y 2 ) p1 — or —O—CO— ( CY 1 Y 2 ) p1- or two or more of L 1 to L 3 are the same or different, and -CO-O- (CY 1 Y 2 ) p1 -or -O-CO- (CY 1 Y 2 ) The production method according to (36), wherein p 1- and R 1 to R 3 are linear or branched C15-C20 alkenyl or C9-C18 alkyl, and are the same.
- Lipid A is a lipid represented by the formula (II), and in the formula (II), one of L 4 to L 6 is -CO-O- (CY 8 Y 9 ) p4- , -O-CO- ( CY 8 Y 9 ) p4 -or -O-CO- (CY 10 Y 11 ) p5 -O- (CY 12 Y 13 ) p6- or two or more of L 4 to L 6 are the same or different -CO-O- (CY 8 Y 9 ) p4- , -O-CO- (CY 8 Y 9 ) p4- , or -O-CO- (CY 10 Y 11 ) p5 -O- (CY 12 Y 13 )
- Lipid A is a lipid represented by the formula (III), and in the formula (III), one of L 8 to L 10 is -CO-O- (CY 39 Y 40 ) p18 -or -O-CO- ( CY 39 Y 40 ) p18- , or two or more of L 8 to L 10 are the same or different -CO-O- (CY 39 Y 40 ) p18 or -O-CO- (CY 39 Y 40 ) pi 8 - a and, R 7 ⁇ R 9 is a linear or branched C15-C20 alkenyl or C9-C18 alkyl, (36) the method according.
- Lipid A is a lipid represented by the formula (IV), and in the formula (IV), L 13 is -CO-O- (CY 84 Y 85 ) p38 -or -O-CO- (CY 84 Y 85 ) p38 -Or one of L 14 and L 15 is -CO-O- (CY 91 Y 92 ) p41 -or -O-CO- (CY 91 Y 92 ) p41- , or L 13 is -CO -O- (CY 84 Y 85 ) p38 -or -O-CO- (CY 84 Y 85 ) p38- and one of L 14 and L 15 is -CO-O- (CY 91 Y 92 ) p41 -Or-O-CO- (CY 91 Y 92 ) p41- or L 14 and L 15 are the same or different -CO-O- (CY 91 Y 92 ) p41 -or -CO- (CY
- Lipid A is a lipid represented by the formula (V ′), and in the formula (V ′), one of L 17 to L 19 is —CO—O— or —O—, or L 17 to L 19 Two or more of them are the same or different and are —CO—O— or —O—, and R 13 to R 15 are linear or branched C15-C20 alkenyl or C9-C18 alkyl, (36) The manufacturing method as described.
- Lipid B is represented by formula (CL-I), formula (CL-II), formula (CL-III), formula (CL-IV), formula (CL-V), formula (CL-VI), formula (CL- (VII), formula (CL-VIII), formula (CL-IX), formula (CL-X), formula (CL-XI), formula (CL-XIII), formula (CL-XIV ), A formula (CL-XV), a formula (CL-XVI), or a lipid represented by the formula (CL-XVII) or a combination thereof, the production method according to any one of (21) to (41) .
- a method for producing nucleic acid-containing lipid nanoparticles comprising: (a) a lipid having a hydrophilic part having one quaternary ammonium group and three independent hydrocarbon groups optionally substituted in a mixed solvent of water and an organic solvent miscible with water (lipid A) A lipid having a hydrophilic part having one amino group which may be substituted or one quaternary ammonium group and a hydrophobic part having two independent hydrocarbon groups which may be substituted (lipid A step of mixing B), a nucleic acid, and a lipid derivative or fatty acid derivative of a water-soluble polymer to prepare a first lipid solution containing the lipid and the nucleic acid; and (b) The production method comprising a step of adding water or an aqueous buffer solution to the first lipid solution.
- step (a) it has a neutral lipid, and / or a hydrophilic part having one amino group or one quaternary ammonium group which may be substituted, and two independent hydrocarbon groups which may be substituted
- the production method according to (43), comprising mixing a lipid (lipid B) containing a hydrophobic part in the same molecule.
- step (45) The production method according to (45) or (46), wherein the alcohol is methanol, ethanol, propanol, butanol or a mixture thereof.
- step (48) The content of the water-miscible organic solvent in the first lipid solution obtained in the step (a) is 50% (v / v) or more with respect to the solution (43) to (47) The production method according to any one of the above.
- step (b) by adding water or an aqueous buffer solution, the concentration of the organic solvent miscible with water in the first lipid solution obtained in step (a) is 50% (v / v) or less.
- step (b) by adding water or an aqueous buffer solution, the concentration of the organic solvent miscible with water in the first lipid solution obtained in step (a) is 50% (v / v) or less.
- the ratio of the number of moles of total lipid to the number of moles of nucleic acid used in step (a) is 50 or more, according to any one of (43) to (52) Manufacturing method.
- RNAi RNA interference
- Lipid A is a lipid represented by Formula (I), Formula (II), Formula (III), Formula (IV), Formula (V ′) or Formula (V ′′), or a combination thereof. (43) The production method according to any one of (55).
- (57) Lipid A is a lipid represented by the formula (I), and in the formula (I), one of L 1 to L 3 is —CO—O— (CY 1 Y 2 ) p1 — or —O—CO— ( CY 1 Y 2 ) p1- or two or more of L 1 to L 3 are the same or different, and -CO-O- (CY 1 Y 2 ) p1 -or -O-CO- (CY 1 Y 2 ) The production method according to (56), wherein p 1- and R 1 to R 3 are linear or branched C15-C20 alkenyl or C9-C18 alkyl, and are the same.
- Lipid A is a lipid represented by the formula (II), and in the formula (II), one of L 4 to L 6 is -CO-O- (CY 8 Y 9 ) p4- , -O-CO- ( CY 8 Y 9 ) p4 -or -O-CO- (CY 10 Y 11 ) p5 -O- (CY 12 Y 13 ) p6- or two or more of L 4 to L 6 are the same or different -CO-O- (CY 8 Y 9 ) p4- , -O-CO- (CY 8 Y 9 ) p4- , or -O-CO- (CY 10 Y 11 ) p5 -O- (CY 12 Y 13 ) p6 - a and, R 4 ⁇ R 6 is a linear or branched C15-C20 alkenyl or C9-C18 alkyl, and are the same, (56) the method according.
- Lipid A is a lipid represented by the formula (III), and in the formula (III), one of L 8 to L 10 is -CO-O- (CY 39 Y 40 ) p18 -or -O-CO- ( CY 39 Y 40 ) p18- , or two or more of L 8 to L 10 are the same or different -CO-O- (CY 39 Y 40 ) p18 or -O-CO- (CY 39 Y 40 )
- Lipid A is a lipid represented by the formula (IV), and in the formula (IV), L 13 is -CO-O- (CY 84 Y 85 ) p38 -or -O-CO- (CY 84 Y 85 ) p38 -Or one of L 14 and L 15 is -CO-O- (CY 91 Y 92 ) p41 -or -O-CO- (CY 91 Y 92 ) p41- , or L 13 is -CO -O- (CY 84 Y 85 ) p38 -or -O-CO- (CY 84 Y 85 ) p38- and one of L 14 and L 15 is -CO-O- (CY 91 Y 92 ) p41 -Or-O-CO- (CY 91 Y 92 ) p41- or L 14 and L 15 are the same or different -CO-O- (CY 91 Y 92 ) p41 -or -O-CO
- Lipid A is a lipid represented by the formula (V ′), and in the formula (V ′), one of L 17 to L 19 is —CO—O— or —O—, or L 17 to L 19 Two or more of them are the same or different and are —CO—O— or —O—, and R 13 to R 15 are linear or branched C15-C20 alkenyl or C9-C18 alkyl, (56) The manufacturing method as described.
- Lipid B is represented by formula (CL-I), formula (CL-II), formula (CL-III), formula (CL-IV), formula (CL-V), formula (CL-VI), formula (CL- (VII), formula (CL-VIII), formula (CL-IX), formula (CL-X), formula (CL-XI), formula (CL-XIII), formula (CL-XIV ), A lipid represented by formula (CL-XV), a formula (CL-XVI), or a lipid represented by formula (CL-XVII) or a combination thereof, (43) to (61) The manufacturing method in any one of. (63) (21) A nucleic acid-containing lipid nanoparticle obtained by the production method according to any one of (62).
- lipid A lipid membrane having a hydrophilic part having one quaternary ammonium group and three independent hydrocarbon groups which may be substituted in the lipid membrane constituting the nucleic acid containing lipid nanoparticle A method of stabilizing lipid nanoparticles.
- lipid A lipid membrane having a hydrophilic part having one quaternary ammonium group and three independent hydrocarbon groups which may be substituted in the lipid membrane constituting the nucleic acid containing lipid nanoparticle A method of stabilizing lipid nanoparticles.
- 65) The method according to (64), wherein the number of moles of the quaternary ammonium group in lipid A is 0.01 times or more the mole number of phosphorus atoms in the nucleic acid.
- Lipid A is a lipid represented by Formula (I), Formula (II), Formula (III), Formula (IV), Formula (V ′) or Formula (V ′′), or a combination thereof. (64) or the method according to (65).
- Lipid A is a lipid represented by the formula (I), and in the formula (I), one of L 1 to L 3 is —CO—O— (CY 1 Y 2 ) p1 — or —O—CO— ( CY 1 Y 2 ) p1- or two or more of L 1 to L 3 are the same or different, and -CO-O- (CY 1 Y 2 ) p1 -or -O-CO- (CY 1 Y 2 )
- the method according to (66), wherein p 1- and R 1 to R 3 are linear or branched C15-C20 alkenyl or C9-C18 alkyl, and are the same.
- Lipid A is a lipid represented by the formula (II), and in the formula (II), one of L 4 to L 6 is -CO-O- (CY 8 Y 9 ) p4- , -O-CO- ( CY 8 Y 9 ) p4 -or -O-CO- (CY 10 Y 11 ) p5 -O- (CY 12 Y 13 ) p6- or two or more of L 4 to L 6 are the same or different -CO-O- (CY 8 Y 9 ) p4- , -O-CO- (CY 8 Y 9 ) p4- , or -O-CO- (CY 10 Y 11 ) p5 -O- (CY 12 Y 13 )
- Lipid A is a lipid represented by the formula (III), and in the formula (III), one of L 8 to L 10 is -CO-O- (CY 39 Y 40 ) p18 -or -O-CO- ( CY 39 Y 40 ) p18- , or two or more of L 8 to L 10 are the same or different -CO-O- (CY 39 Y 40 ) p18 or -O-CO- (CY 39 Y 40 )
- Lipid A is a lipid represented by the formula (IV), and in the formula (IV), L 13 is -CO-O- (CY 84 Y 85 ) p38 -or -O-CO- (CY 84 Y 85 ) p38 -Or one of L 14 and L 15 is -CO-O- (CY 91 Y 92 ) p41 -or -O-CO- (CY 91 Y 92 ) p41- , or L 13 is -CO -O- (CY 84 Y 85 ) p38 -or -O-CO- (CY 84 Y 85 ) p38- and one of L 14 and L 15 is -CO-O- (CY 91 Y 92 ) p41 -Or-O-CO- (CY 91 Y 92 ) p41- or L 14 and L 15 are the same or different -CO-O- (CY 91 Y 92 ) p41 -or -CO- (CY
- Lipid A is a lipid represented by the formula (V ′), and in the formula (V ′), one of L 17 to L 19 is —CO—O— or —O—, or L 17 to L 19 Two or more of them are the same or different and are —CO—O— or —O—, and R 13 to R 15 are linear or branched C15-C20 alkenyl or C9-C18 alkyl, (66) The method described.
- One quaternary ammonium selected from the group consisting of lipids of formula (I), formula (II), formula (III), formula (IV), formula (V ′) and formula (V ′′)
- lipid A having a hydrophilic part having a group and three independent hydrocarbon groups which may be substituted
- Lipid A is a lipid represented by the formula (I), and in the formula (I), one of L 1 to L 3 is —CO—O— (CY 1 Y 2 ) p1 — or —O—CO— ( CY 1 Y 2 ) p1- or two or more of L 1 to L 3 are the same or different, and -CO-O- (CY 1 Y 2 ) p1 -or -O-CO- (CY 1 Y 2 ) p1 - a is a R 1 ⁇ R 3 is a linear or branched C15-C20 alkenyl or C9-C18 alkyl, and are the same, (72) a lipid according.
- Lipid A is a lipid represented by the formula (II), and in the formula (II), one of L 4 to L 6 is -CO-O- (CY 8 Y 9 ) p4- , -O-CO- ( CY 8 Y 9 ) p4 -or -O-CO- (CY 10 Y 11 ) p5 -O- (CY 12 Y 13 ) p6- or two or more of L 4 to L 6 are the same or different -CO-O- (CY 8 Y 9 ) p4- , -O-CO- (CY 8 Y 9 ) p4- , or -O-CO- (CY 10 Y 11 ) p5 -O- (CY 12 Y 13
- the lipid according to (72), which is p6- , and R 4 to R 6 are linear or branched C15-C20 alkenyl or C9-C18 alkyl, and are the same.
- Lipid A is a lipid represented by the formula (III), and in the formula (III), one of L 8 to L 10 is -CO-O- (CY 39 Y 40 ) p18 -or -O-CO- ( CY 39 Y 40 ) p18- , or two or more of L 8 to L 10 are the same or different -CO-O- (CY 39 Y 40 ) p18 or -O-CO- (CY 39 Y 40 )
- the lipid according to (72), which is p18- and R 7 to R 9 are linear or branched C15-C20 alkenyl or C9-C18 alkyl.
- Lipid A is a lipid represented by the formula (IV), and in the formula (IV), L 13 is -CO-O- (CY 84 Y 85 ) p38 -or -O-CO- (CY 84 Y 85 ) p38 -Or one of L 14 and L 15 is -CO-O- (CY 91 Y 92 ) p41 -or -O-CO- (CY 91 Y 92 ) p41- , or L 13 is -CO -O- (CY 84 Y 85 ) p38 -or -O-CO- (CY 84 Y 85 ) p38- and one of L 14 and L 15 is -CO-O- (CY 91 Y 92 ) p41 -Or-O-CO- (CY 91 Y 92 ) p41- or L 14 and L 15 are the same or different -CO-O- (CY 91 Y 92 ) p41 -or -CO- (CY
- Lipid A is a lipid represented by the formula (V ′), and in the formula (V ′), one of L 17 to L 19 is —CO—O— or —O—, or L 17 to L 19 Two or more of them are the same or different and are —CO—O— or —O—, and R 13 to R 15 are linear or branched C15-C20 alkenyl or C9-C18 alkyl, (72) The lipids described.
- (78) (1) A method for introducing a nucleic acid into a cell using the nucleic acid-containing lipid nanoparticle according to any one of (20) and (63). (79) The method according to (78), wherein the cell is a cell in a mammalian tumor or inflammation site.
- the method according to any one of (78) to (80), wherein the method of introduction into cells is a method of introduction into cells by intravenous administration or subcutaneous administration.
- (82) (1) A method for treating cancer or inflammatory disease, comprising administering the nucleic acid-containing lipid nanoparticles according to any one of (20) and (63) to a mammal.
- the method according to (82), wherein the method of administration is intravenous administration or subcutaneous administration.
- a pharmaceutical comprising the nucleic acid-containing lipid nanoparticle according to any one of (20) and (63).
- the medicament according to (84), which is for intravenous administration or subcutaneous administration (86) A therapeutic agent for cancer or inflammatory disease comprising the nucleic acid-containing lipid nanoparticles according to any one of (1) to (20) and (63). (87) The therapeutic agent according to (86), which is for intravenous administration or subcutaneous administration.
- lipids and the like useful for the production of the lipid nanoparticles can be provided.
- the nucleic acid-containing lipid nanoparticle of the present invention comprises a lipid having a hydrophilic part having one quaternary ammonium group and three independently substituted hydrocarbon groups (lipid A), a lipid derivative of a water-soluble polymer, or Includes fatty acid derivatives, as well as nucleic acids.
- lipid derivative or fatty acid derivative of a water-soluble polymer using a hydrophilic part having one quaternary ammonium group and a lipid having three independent hydrocarbon groups which may be substituted (lipid A)
- nucleic acid-containing lipid nanoparticles that are more excellent in physicochemical stability and physiological activity can be obtained.
- a lipid having a hydrophilic part having one quaternary ammonium group and three independent hydrocarbon groups which may be substituted includes one quaternary ammonium group as a hydrophilic part in the molecule.
- the molecule is not particularly limited as long as it is a molecule having three independent hydrocarbon groups which may be substituted and may be substituted, for example, represented by the following structural formulas (A) to (C).
- “Hydrophilic unit” represents a hydrophilic unit having one quaternary ammonium group
- three “Hydrophobic units” are substituted. May represent three independent hydrocarbon groups.
- the quaternary ammonium group that constitutes the “hydrophilic part (Hydrophilic Unit)” has 0 to 3 of the four bonds, and any of the hydrocarbon groups that form the “hydrophobic part (Hydrophobic Unit)” 0 to The three bonds are bonded, and the remaining bond is bonded to an optionally substituted chain and / or cyclic hydrocarbon group.
- the optionally substituted chain and / or cyclic hydrocarbon group constituting the “hydrophilic unit” may be any group consisting of a carbon atom and a hydrogen atom. Those having 10 carbon atoms are preferable, those having 1 to 6 carbon atoms are more preferable, and those having 1 to 3 carbon atoms are more preferable.
- hydrophilic unit refers to one or more ethers, esters, amides and the like via carbon atoms in the chain and / or cyclic hydrocarbon group which may be substituted. You may have.
- substituent in the linear and / or cyclic hydrocarbon group which may be substituted include carbamate, amino, monoalkylamino, dialkylamino, pyrrolidin-2-yl, pyrrolidin-3-yl, and piperidine-2.
- the hydrocarbon group forming the “hydrophobic unit” may be any group consisting of 8 to 24 carbon atoms and hydrogen atoms.
- the hydrocarbon group can be classified from the viewpoint of topology, and examples thereof include a linear hydrocarbon group, a branched hydrocarbon group, or a cyclic hydrocarbon group (for example, a cholesteryl group). A branched or branched hydrocarbon group is preferred.
- the hydrocarbon group can be classified by the presence or absence of an unsaturated bond (double bond or triple bond), and the hydrocarbon group having an unsaturated bond can also be classified by the presence or absence of aromaticity.
- hydrocarbon group a hydrocarbon group consisting of only a saturated bond (alkyl) or a hydrocarbon group having an unsaturated bond and having no aromaticity (for example, alkenyl or alkynyl) is preferable.
- the hydrocarbon group in lipid A is preferably linear or branched C8-C24 alkyl, C8-C24 alkenyl, C8-C24 alkynyl.
- the hydrocarbon groups forming the “Hydrophobic Unit” may be directly bonded to the quaternary ammonium group of the “Hydrophilic Unit”, or the bonds such as ether, ester, amide, etc. It may be bonded to a quaternary ammonium group via a chain and / or cyclic hydrocarbon group which may have a substituent constituting “part”.
- two or three hydrocarbon groups forming “Hydrophobic Unit” are bonded via a carbon atom, and the carbon atom Is a chain and / or cyclic carbonization which may have a quaternary ammonium group of “Hydrophilic Unit” directly, or a bond constituting ether, ester, amide, etc. and a substituent constituting “hydrophilic portion” It may be bonded to a quaternary ammonium group through a hydrogen group or the like.
- R 1 to R 3 are the same or different and may be linear or branched C8-C24 alkyl, C8-C24 alkenyl or C8-C24 alkynyl, L 1 to L 3 are the same or different and do not exist, -Z 1- (CY 1 Y 2 ) p1 -or -Z 2- (CY 3 Y 4 ) p2 -Z 3- (CY 5 Y 6 ) p3- (Wherein Y 1 to Y 6 are the same or different hydrogen atoms or optionally substituted C1-C4 alkyl, Z 1 to Z 3 are the same or different, and —O—, —NY 7A —, -CO-O -, - O- CO -, - CO-NY 7B -, - NY 7C -CO- or -NY 7D -CO-0- and is (wherein, Y 7A ⁇ Y 7D are the same or different and A hydrogen atom or an optionally substituted C1-C4
- R 4 to R 6 are the same or different and may be linear or branched C8-C24 alkyl, C8-C24 alkenyl or C8-C24 alkynyl, L 4 ⁇ L 6 is absent the same or different, -Z 4 - (CY 8 Y 9) p4 - or -Z 5 - (CY 10 Y 11 ) p5 -Z 6 - (CY 12 Y 13) p6 - (Wherein Y 8 to Y 13 are the same or different hydrogen atoms or optionally substituted C1-C4 alkyl, Z 4 to Z 6 are the same or different, and —O—, —NY 14A —, -CO-O -, - O- CO -, - CO-NY 14B -, - NY 14C -CO- or -NY 14D -CO-0- and is (wherein, Y 14A ⁇ Y 14D are identical or different A hydrogen atom or an optionally substituted C1-C
- X 4 is an optionally substituted C1-C4 alkyl
- X 5 and X 6 are the same or different optionally substituted C1-C4 alkyl, or together are adjacent
- X 7 is an optionally substituted C1-C4 alkyl
- Y 28 to Y 37 are the same or different and are a hydrogen atom or substituted.
- Z 10 and Z 11 may be the same or different -O-, -NY 38A- , -CO-O-, -O-CO-, -CO -NY 38B- , -NY 38C -CO- or -NY 38D -CO-0- (wherein Y 38A to Y 38D are the same or different and each represents a hydrogen atom or an optionally substituted C1-C4 alkyl).
- P 13 is an integer of 0 to 5
- p 14 to p 17 are the same or different and are integers of 1 to 5
- a 2 is a pharmaceutically acceptable anion
- R 7 ⁇ R 9 Are the same or different, linear or branched optionally substituted C8-C24 alkyl, C8-C24 alkenyl or C8-C24 alkynyl, L 8 ⁇ L Ten Are not the same or different, or -Z 12 -(CY 39 Y 40 ) p18 -Or-Z 13 -(CY 41 Y 42 ) p19 -Z 14 -(CY 43 Y 44 ) p20 -(Where Y 39 ⁇ Y 44 Are the same or different hydrogen atoms or optionally substituted C1-C4 alkyl, and Z 12 ⁇ Z 14 Are the same or different, -O-, -NY 45A -, -CO-O-, -O-CO-, -CO-NY 45B -, -NY 45C -CO-, -NY 45D -CO-0- or -CO- (where Y 45A ⁇ Y 45D Are the same or different hydrogen atoms or optionally substituted
- R 10 to R 12 are the same or different and may be linear or branched C8-C24 alkyl, C8-C24 alkenyl or C8-C24 alkynyl, Or L 13 is absent, -Z 23 - (CY 84 Y 85) p38 - or -Z 24 - (CY 86 Y 87 ) p39 -Z 25 - (CY 88 Y 89) p40 - ( wherein, Y 84 ⁇ Y 89 is the same or different hydrogen atom or C1-C4 alkyl which may be substituted, Z 23 to Z 25 are the same or different, and —O—, —NY 90A —, —CO—O—, — O-CO -, - CO- NY 90B -, - NY 90C -CO- or -NY 90D -CO-0- and is (wherein, Y 90A ⁇ Y 90D being hydrogenated atom or a substituent identical or different P 38 to
- R 13 to R 18 are the same or different and are linear or branched C8-C24 alkyl, C8-C24 alkenyl or C8-C24 alkynyl
- Y 112 to Y 115 are the same or different and each represents a hydrogen atom, hydroxy, or optionally substituted C1-C4 alkyl, Or L 17 ⁇ L 19 and L 22 ⁇ L 24 are not present in the same or different, -Z 32 - (CY 116 Y 117) p51 - or -Z 33 - (CY 118 Y 119 ) p52 -Z 34 - (CY 120 Y 121 ) p53- (wherein Y 116 to Y 121 are the same or different hydrogen atoms or optionally substituted C1-C4 alkyl, Z 32 to Z 34 are the same or different, and —O— , -NY 122A -, - CO- O -, - O-CO -, - CO-NY
- X 18 is an optionally substituted C1-C4 alkyl
- X 19 and X 20 are the same or different optionally substituted C1-C4 alkyl, or together are adjacent
- X 21 is an optionally substituted C1-C4 alkyl
- Y 149 to Y 158 are the same or different and are a hydrogen atom or substituted May be C1-C4 alkyl
- Z 41 and Z 42 may be the same or different, -O-, -NY 159A- , -CO -O-, -O- CO- , -CO -NY 159B- , -NY 159C -CO- or -NY 159D -CO-0- and is (wherein, Y 159A ⁇ Y 159D are the same or different and each a hydrogen atom or an optionally substituted C1-C4 a A kill),
- p 66 represents an integer of
- linear or branched C8-C24 alkyl examples include octyl, nonyl, decyl, undecyl, dodecyl, tridecyl, tetradecyl, 2,6,10-trimethylundecyl, pentadecyl, 3,7,11-trimethyldodecyl, Hexadecyl, heptadecyl, octadecyl, 6,10,14-trimethylpentadecan-2-yl, nonadecyl, 2,6,10,14-tetramethylpentadecyl, icosyl, 3,7,11,15-tetramethylhexadecyl, henicosyl , Docosyl, tricosyl, tetracosyl and the like, preferably nonyl, decyl, undecyl, dodecyl, tride
- linear or branched C9-C18 alkyl examples include nonyl, decyl, undecyl, dodecyl, tridecyl, tetradecyl, 2,6,10-trimethylundecyl, pentadecyl, 3,7,11-trimethyldodecyl, hexadecyl, Heptadecyl, octadecyl, 6,10,14-trimethylpentadecan-2-yl, and the like, preferably nonyl, decyl, undecyl, dodecyl, tridecyl, tetradecyl, pentadecyl, hexadecyl, heptadecyl, octadecyl, and the like, more preferably Examples include undecyl, dodecyl, tridecyl, tetradecyl, pentadecyl, hexadecyl and
- the linear or branched C8-C24 alkenyl may be a linear or branched C8-24 alkenyl containing 1 to 3 double bonds, such as (Z) -tridec-8-enyl, (Z) -tetradec-9-enyl, (Z) -pentadeca-8-enyl, (Z) -hexadeca-9-enyl, (Z) -heptadeca-5-enyl, (Z) -octadeca-6-enyl, (Z) -heptadeca-8-enyl, (Z) -octadeca-9-enyl, (E) -heptadeca-8-enyl, (E) -octadeca-9-enyl, (Z) -heptadeca-10-enyl, (Z) -octadeca-11-enyl, (8Z, 11Z) -heptadeca-8,11-dieny
- Linear or branched C15-C20 alkenyl includes (Z) -pentadeca-8-enyl, (Z) -hexadeca-9-enyl, (Z) -heptadeca-5-enyl, (Z) -octadeca- 6-enyl, (Z) -heptadeca-8-enyl, (Z) -octadeca-9-enyl, (E) -heptadeca-8-enyl, (E) -octadeca-9-enyl, (Z) -heptadeca- 10-enyl, (Z) -octadeca-11-enyl, (8Z, 11Z) -heptadeca-8,11-dienyl, (9Z, 12Z) -octadeca-9,12-dienyl, (8Z, 11Z, 14Z)- Octadeca-8,11,14-trienyl, (9Z, 12
- C8-C24 alkenyl also includes a group having a cyclopropane ring in which a methylene biradical is added formally to a linear bond or branched C8-C24 alkenyl double bond. Is done.
- the linear or branched C8-C24 alkynyl may be a linear or branched C8-24 alkynyl containing 1 to 3 triple bonds, for example, dodeca-11-ynyl, trideca-12- Inyl, pentadec-6-ynyl, hexadec-7-ynyl, pentadec-4,6-diynyl, hexadec-5,7-diynyl, heptadec-8-ynyl, octadec-9-ynyl, etc., preferably pentadec- 6-Inyl, hexadec-7-ynyl, pentadec-4,6-diynyl, hexadec-5,7-diynyl, heptadec-8-ynyl, octadec-9-ynyl, and the like, more preferably heptadeca-8-iny
- C1-C4 alkyl examples include methyl, ethyl, propyl, isopropyl, cyclopropyl, butyl, isobutyl, sec-butyl, tert-butyl, cyclobutyl, cyclopropylmethyl and the like, preferably methyl, ethyl and the like. More preferably, methyl is mentioned.
- the alkyl part of C1-C4 alkoxy which may be substituted has the same meaning as the C1-C4 alkyl.
- Examples of the substituent in linear or branched C8-C24 alkyl, C8-C24 alkenyl or C8-C24 alkynyl which may be substituted include hydroxy, alkoxy, alkoxycarbonyl, nitro, cyano, fluoro, chloro, bromo, etc. Is mentioned.
- the alkyl moiety in alkoxy and alkoxycarbonyl has the same meaning as the C1-C4 alkyl.
- substituent in the optionally substituted C1-C4 alkyl include amino, monoalkylamino, dialkylamino, pyrrolidin-2-yl, pyrrolidin-3-yl, piperidin-2-yl, piperidin-3-yl, and piperidine 4-yl, morpholin-2-yl, morpholin-3-yl, hydroxy, alkoxy, alkoxycarbonyl, hydroxycarbonyl, carbamoyl, monoalkylcarbamoyl, dialkylcarbamoyl, nitro, cyano, fluoro, chloro, bromo and the like.
- alkyl moiety in monoalkylamino, dialkylamino, alkoxy, alkoxycarbonyl, monoalkylcarbamoyl and dialkylcarbamoyl has the same meaning as the C1-C4 alkyl.
- Two alkyls in dialkylamino and dialkylcarbamoyl may be the same or different.
- pyrrolidin-2-yl, pyrrolidin-3-yl, piperidin-2-yl, piperidin-3-yl, piperidin-4-yl, morpholin-2-yl and morpholin-3-yl are each a ring.
- a C1-C3 alkyl group such as methyl or ethyl is bonded to the nitrogen atom.
- Examples of C1-C3 alkyl include methyl, ethyl, propyl, isopropyl, cyclopropyl and the like, preferably methyl, ethyl and the like, more preferably methyl and the like.
- Examples of the C4-C6 heterocycle formed by X 2 and X 3 together with the adjacent nitrogen atom include pyrrolidine, piperidine, morpholine, azepan and the like, preferably pyrrolidine, piperidine and the like.
- Examples of the substituent in the optionally substituted C4-C6 heterocycle formed by X 2 and X 3 together with the adjacent nitrogen atom include optionally substituted C1-C4 alkyl (as defined above), amino Monoalkylamino, dialkylamino, pyrrolidin-2-yl, pyrrolidin-3-yl, piperidin-2-yl, piperidin-3-yl, piperidin-4-yl, morpholin-2-yl, morpholin-3-yl, Examples include hydroxy, alkoxy, alkoxycarbonyl, hydroxycarbonyl, carbamoyl, monoalkylcarbamoyl, dialkylcarbamoyl, nitro, cyano, fluoro, chloro
- alkyl moiety in monoalkylamino, dialkylamino, alkoxy, alkoxycarbonyl, monoalkylcarbamoyl and dialkylcarbamoyl has the same meaning as the C1-C4 alkyl.
- Two alkyls in dialkylamino and dialkylcarbamoyl may be the same or different.
- heterocyclic portion and the substituent portion of the optionally substituted C4-C6 heterocycle formed by X 5 and X 6 together with the adjacent nitrogen atom are as defined above.
- heterocyclic portion and the substituent portion of the optionally substituted C4-C6 heterocycle formed by X 8 and X 9 together with the adjacent nitrogen atom are as defined above.
- heterocyclic portion and the substituent portion of the optionally substituted C4-C6 heterocyclic ring formed by X 11 and X 12 together with the adjacent nitrogen atom are as defined above.
- heterocyclic portion and the substituent portion of the optionally substituted C4-C6 heterocyclic ring formed by X 14 and X 15 together with the adjacent nitrogen atom are as defined above.
- heterocyclic portion and the substituent portion of the optionally substituted C4-C6 heterocycle formed by X 16 and X 17 together with the adjacent nitrogen atom are as defined above.
- heterocyclic portion and the substituent portion of the optionally substituted C4-C6 heterocyclic ring formed by X 19 and X 20 together with the adjacent nitrogen atom are as defined above.
- acyl in C1-C4 acyloxy examples include formyl, acetyl, propanoyl, 2-methylpropanoyl, cyclopropanoyl, butanoyl, and preferably acetyl and the like.
- C1-C4 acyloxy examples include amino, monoalkylamino, dialkylamino, pyrrolidin-2-yl, pyrrolidin-3-yl, piperidin-2-yl, piperidin-3-yl and piperidine 4-yl, morpholin-2-yl, morpholin-3-yl, hydroxy, alkoxy, alkoxycarbonyl, hydroxycarbonyl, carbamoyl, monoalkylcarbamoyl, dialkylcarbamoyl, nitro, cyano, fluoro, chloro, bromo and the like.
- alkyl moiety in monoalkylamino, dialkylamino, alkoxy, alkoxycarbonyl, monoalkylcarbamoyl and dialkylcarbamoyl has the same meaning as the C1-C4 alkyl.
- Two alkyls in dialkylamino and dialkylcarbamoyl may be the same or different.
- the quaternary ammonium group means a group having a nitrogen atom having four covalent bonds with four carbon atoms.
- the quaternary ammonium group is always positively charged regardless of the surrounding pH, unlike a hydrogen atom added to a primary to tertiary amine.
- Examples of pharmaceutically acceptable anions include chloride ions, bromide ions, iodide ions, nitrate ions, sulfate ions, phosphate ions and other inorganic ions, acetate ions, oxalate ions, maleate ions, fumarate.
- examples include, but are not limited to, organic acid ions such as acid ions, citrate ions, benzoate ions, and methanesulfonate ions.
- R 1 to R 3 are preferably the same linear or branched C8-C24 alkyl, C8-C24 alkenyl or C8-C24 alkynyl, and the same linear or branched Are more preferably C8-C24 alkyl or C8-C24 alkenyl, and are the same linear or branched C15-C20 alkenyl, or the same linear or branched C9-C18 alkyl. More preferably, it is the same linear C15-C20 alkenyl, or most preferably the same linear C9-C18 alkyl.
- L 1 to L 3 are the same or different and do not exist, -Z 1- (CY 1 Y 2 ) p1 -or -Z 2- (CY 3 Y 4 ) p2 -Z 3- (CY 5 Y 6 ) p3 -And preferably -Z 1- (CY 1 Y 2 ) p1- .
- Y 1 to Y 6 are the same or different and each represents a hydrogen atom or an optionally substituted C1-C4 alkyl, and Y 1 to Y 6 are preferably a hydrogen atom.
- Z 1 ⁇ Z 3 are the same or different, -O -, - NY 7A - , - CO-O -, - O-CO -, - CO-NY 7B -, - NY 7C -CO- or -NY 7D - CO-0-, -O-, -CO-O-, -O-CO-, -CO-NY 7B- , and -NY 7C -CO- are preferred.
- Y 7A to Y 7D are the same or different and are a hydrogen atom or an optionally substituted C1-C4 alkyl, preferably a hydrogen atom or methyl.
- p 1 to p 3 are the same or different and are integers of 1 to 5, preferably 1 or 2.
- L 1 to L 3 may be the same or different from -O- (CY 1 Y 2 ) p1- , -CO-O- (CY 1 Y 2 ) p1- , -O-CO- (CY 1 Y 2 ) p1 -, -CO-NY 7B- (CY 1 Y 2 ) p1 -or -NY 7C -CO- (CY 1 Y 2 ) p1- , preferably the same or different -CO-O- (CY 1 Y 2 ) p1 -or -O-CO- (CY 1 Y 2 ) p1- is more preferable, and -CO-O- (CH 2 ) 2- is more preferable.
- L 1 to L 3 is the same or different and is —CO—O— (CY 1 Y 2 ) p1 — or —O—CO— (CY 1 Y 2 ) p1 —
- R 1 to R 3 are preferably the same linear C15-C20 alkenyl or the same linear C9-C18 alkyl.
- At least one of L 1 to L 3 does not exist or is -O- (CY 1 Y 2 ) p1- , -O-CO- (CY 1 Y 2 ) p1 -or -NY 7C -CO- (CY 1 Y 2 ) when p1- , a positively charged nitrogen atom (N + ), -O- (CY 1 Y 2 ) p1- , -O-CO- (CY 1 Y 2 ) p1 -or -NR 6 R 1 to R 3 bonded to —CO— (CY 1 Y 2 ) p1 — are the same or different, and octyl, decyl, dodecyl, tetradecyl, hexadecyl, octadecyl, icosyl, docosyl, tetracosyl, (Z) -tetradeca- 9-enyl, (Z) -hexadeca-9-enyl
- L 1 to L 3 When at least one of L 1 to L 3 is -CO-O- (CY 1 Y 2 ) p1 -or -CO-NY 7B- (CY 1 Y 2 ) p1- , -CO-O- ( R 1 to R 3 bonded to CY 1 Y 2 ) p1 -or -CO-NY 7B- (CY 1 Y 2 ) p1- are the same or different and are each nonyl, undecyl, tridecyl, pentadecyl, heptadecyl, nonadecyl, Henicosyl, tricosyl, (Z) -tridec-8-enyl, (Z) -pentadeca-8-enyl, (Z) -heptadeca-5-enyl, (Z) -heptadeca-8-enyl, (E) -heptadeca- 8-enyl, (Z) -heptadeca-10
- X 1 is preferably methyl, hydroxypropyl or hydroxyethyl, more preferably methyl.
- R 4 to R 6 are preferably the same linear or branched C8-C24 alkyl, C8-C24 alkenyl or C8-C24 alkynyl, and the same linear or branched Are more preferably C8-C24 alkyl or C8-C24 alkenyl, and are the same linear or branched C15-C20 alkenyl, or the same linear or branched C9-C18 alkyl. More preferably, it is the same linear C15-C20 alkenyl, or most preferably the same linear C9-C18 alkyl.
- L 4 ⁇ L 6 is absent same or different, -Z 4 - (CY 8 Y 9) p4 - or -Z 5 - (CY 10 Y 11 ) p5 -Z 6 - (CY 12 Y 13) p6 - and, -Z 4 - (CY 8 Y 9) p4 - or -Z 5 - (CY 10 Y 11 ) p5 -Z 6 - (CY 12 Y 13) p6 - is preferably, -Z 4 - More preferably, (CY 8 Y 9 ) p4- .
- Y 8 to Y 13 are the same or different and each represents a hydrogen atom or optionally substituted C1-C4 alkyl, and Y 8 to Y 13 are preferably hydrogen atoms.
- Z 4 to Z 6 may be the same or different, -O-, -NY 14A- , -CO-O-, -O-CO-, -CO -NY 14B- , -NY 14C -CO- or -NY 14D- CO-0-, -O-, -CO-O-, -O-CO-, -CO-NY 14B- , -NY 14C -CO- are preferred.
- Y 27A to Y 27D are the same or different and each represents a hydrogen atom or an optionally substituted C1-C4 alkyl, preferably a hydrogen atom or methyl.
- p 4 is an integer of 0 to 5
- p 5 is an integer of 1 to 5
- p 6 is an integer of 0 to 5, both of which are preferably 1 or 2.
- L 4 to L 6 may be the same or different from -O- (CY 8 Y 9 ) p4- , -CO-O- (CY 8 Y 9 ) p4- , -O-CO- (CY 8 Y 9 ) p4 -, - CO-NY 14B - (CY 8 Y 9) p4 -, - NY 14C -CO- (CY 8 Y 9) p4 -, - NY 14D -CO-O- (CY 8 Y 9) p4 - or - O-CO- (CY 10 Y 11 ) p5 -Z 6- (CY 12 Y 13 ) p6- is preferred, and the same or different -CO-O- (CY 8 Y 9 ) p4- , -O- More preferably, CO- (CY 8 Y 9 ) p4 -or -O-CO- (CY 10 Y 11 ) p5 -O- (CY 12 Y 13 ) p
- L 4 to L 6 are the same or different, and —CO—O— (CY 8 Y 9 ) p4 ⁇ , —O—CO— (CY 8 Y 9 ) p4 —, or -O-CO- (CY 10 Y 11 ) p5 -O- (CY 12 Y 13 ) p6- , and R 4 to R 6 are the same linear C15-C20 alkenyl, or the same linear C9-C18 alkyl is preferable.
- At least one of L 4 to L 6 does not exist or is -O- (CY 8 Y 9 ) p4- , -O-CO- (CY 8 Y 9 ) p4- , -NY 14C -CO- (CY 8 Y 9) p4 -, - NY 14D -CO-0- or -O-CO- (CY 10 Y 11 ) p5 - (CY 12 Y 13) p6 - a if the carbon atom adjacent to L 7, - O- (CY 8 Y 9 ) p4- , -O-CO- (CY 8 Y 9 ) p4- , -NY 14C -CO- (CY 8 Y 9 ) p4- , -NY 14D -CO-0- or- R 7 to R 9 bonded to O-CO- (CY 10 Y 11 ) p5 -Z 6- (CY 12 Y 13 ) p6- are the same or different and are each octyl
- L 4 to L 6 is -CO-O- (CY 8 Y 9 ) p4 -or -CO-NY 14B- (CY 8 Y 9 ) p4-
- -CO-O- ( R 4 to R 6 bonded to CY 8 Y 9 ) p4 -or -CO-NY 14B- (CY 8 Y 9 ) p4- are the same or different and are each nonyl, undecyl, tridecyl, pentadecyl, heptadecyl, nonadecyl, Henicosyl, tricosyl, (Z) -tridec-8-enyl, (Z) -pentadeca-8-enyl, (Z) -heptadeca-5-enyl, (Z) -heptadeca-8-enyl, (E) -heptadeca- 8-enyl, (Z) -heptadeca-10-enyl, (8
- L 7 is not present,-(CY 15 Y 16 ) p7 -,-(CY 17 Y 18 ) p8 -O-CO- (CY 19 Y 20 ) p9-or- (CY 17 Y 18 ) p8 -NY 27C 2 —CO— (CY 19 Y 20 ) p9 — is preferable, and it is not present, or more preferably — (CY 15 Y 16 ) p7 —.
- B 1 is And is more preferably —N + (CH 3 ) 3 .
- L 7 is — (CY 15 Y 16 ) p7 —
- p 7 is preferably 1 to 3, more preferably 1 to 2, still more preferably 1
- Y 15 to Y 16 is preferably each a hydrogen atom.
- B 1 is preferably —N + (CH 3 ) 3 .
- L 7 is- (CY 17 Y 18 ) p8 -O-CO- (CY 19 Y 20 ) p9-or- (CY 17 Y 18 ) p8 -NY 27C -CO- (CY 19 Y 20 ) p9-
- P 8 is 0 to 3
- p 9 is preferably 1 to 3
- p 8 is 0 to 1
- Y 17 to Y 20 are
- Each is a hydrogen atom
- Y 27C is preferably a hydrogen atom or methyl.
- B 1 is preferably —N + (CH 3 ) 3 .
- X 2 and X 3 are preferably the same or different and are each methyl or ethyl, or preferably taken together to form an optionally substituted C4-C6 heterocycle with adjacent nitrogen atoms. More preferably, they together or together with the adjacent nitrogen atom form pyrrolidine or piperidine, more preferably methyl.
- X 4 is preferably methyl, ethyl, hydroxypropyl or hydroxyethyl, and more preferably methyl.
- X 2 and X 3 are the same or different and are each methyl or ethyl, X 4 is preferably methyl, ethyl, hydroxypropyl, hydroxyethyl or the like, and X 2 to X 4 are preferably methyl. preferable.
- B 1 is L 7 is not present or-(CY 15 Y 16 ) p7 -,-(CY 17 Y 18 ) p8 -O-CO- (CY 19 Y 20 ) p9-or- (CY 17 Y 18 ) p8 it is one preferred embodiment of the present invention is a - -NY 27C -CO- (CY 19 Y 20) p9.
- B 1 is L 7 is not present, -NH-CO- (CH 2 ) p9- , -O-CO- (CH 2 ) p9- , -CH 2 -NH-CO- (CH 2 ) p9-or- More preferably, it is CH 2 —O—CO— (CH 2 ) p9 —.
- R 7 is preferably linear or branched C8-C24 alkyl or C8-C24 alkenyl, linear or branched C15-C20 alkenyl, or linear Alternatively, it is more preferably a branched C9-C18 alkyl, and most preferably the same linear C15-C20 alkenyl, or the same linear C9-C18 alkyl.
- R 8 and R 9 are linear or branched C8-C24 alkyl, C8-C24 alkenyl or C8-C24 alkynyl, and are preferably the same, linear or branched C15-C20 alkenyl. Or a linear or branched C9-C18 alkyl and more preferably the same, a linear C15-C20 alkenyl, or a linear C9-C18 alkyl. Most preferably, they are identical.
- L 8 is absent, -Z 12 - (CY 39 Y 40) p18 - or -Z 13 - (CY 41 Y 42 ) p19 -Z 14 - (CY 43 Y 44) p20 - a is absent or -Z 12 - (CY 39 Y 40 ) p18 - is preferably.
- L 9 and L 10 is absent same or different, -Z 12 - (CY 39 Y 40) p18 - or -Z 13 - (CY 41 Y 42 ) p19 -Z 14 - (CY 43 Y 44) p20 - and, the same or different and either missing or -Z 12 - (CY 39 Y 40 ) p18 - is preferably.
- Y 39 to Y 44 are the same or different and each represents a hydrogen atom or optionally substituted C1-C4 alkyl, and Y 39 to Y 44 are preferably hydrogen atoms.
- Z 12 ⁇ Z 14 are the same or different, -O -, - NY 45A - , - CO-O -, - O-CO -, - CO-NY 45B -, - NY 45C -CO -, - NY 45D - CO-0- or a -CO-, -CO-O -, - O-CO -, - CO-NY 45B -, - it is preferable NY 45C -CO- or -CO-.
- Y 45A to Y 45D are the same or different and each represents a hydrogen atom or an optionally substituted C1-C4 alkyl, and preferably a hydrogen atom or methyl.
- p 18 is an integer of 0 to 5, and is preferably 0 or 1.
- p 19 is an integer of 1 to 5, and is preferably 1 or 2.
- p 20 is an integer of 0 to 5, and is preferably 0 or 1.
- L 8 to L 10 is -CO-O- (CY 39 Y 40 ) p18 -or -O-CO- (CY 39 Y 40 ) p18- or two or more of L 8 to L 10 Are the same or different and are -CO-O- (CY 39 Y 40 ) p18 or -O-CO- (CY 39 Y 40 ) p18- , and R 7 to R 9 are linear C15-C20 alkenyl or C9- C18 alkyl is preferred, and R 8 to R 9 are preferably the same.
- L 8 does not exist or is -CO-O- (CY 39 Y 40 ) p18- , -O -CO- (CY 39 Y 40 ) p18- , -CO-NY 45B- (CY 39 Y 40 ) p18 -Or -NY 45C -CO- (CY 39 Y 40 ) p18- is preferred and is absent or -CO-O- (CY 39 Y 40 ) p18- , -O -CO- (CY 39 Y 40 ) p18 -or -CO-NY 45B- (CY 39 Y 40 ) p18- , more preferably absent or -CO-O- (CH 2 ) p18- , -O-CO- (CH 2 ) pi 8 - or -CO-NH- (CH 2) p18 - and still more preferably a.
- L 9 and L 10 are the same or different and do not exist, -CO-O- (CY 39 Y 40 ) p18- , -O -CO- (CY 39 Y 40 ) p18- , -CO-NY 45B- (CY 39 Y 40 ) p18 -or -NY 45C -CO- (CY 39 Y 40 ) p18- is preferred and does not exist the same or different, or -CO-O- (CY 39 Y 40 ) p18- Or -O-CO- (CY 39 Y 40 ) p18- , more preferably the same or different, or more preferably -CO-O- (CH 2 ) p18- , and the same. Or -CO-O- (CH 2 ) p18- is most preferred.
- one of L 8 to L 10 does not exist, or —CO—O— (CY 39 Y 40 ) p18 ⁇ , —O —CO— (CY 39 Y 40 ) p18 —, —CO— NY 45B- (CY 39 Y 40 ) p18 -or -NY 45C -CO- (CY 39 Y 40 ) p18- , or two or more of L 8 to L 10 are not the same or different, or- CO-O- (CY 39 Y 40 ) p18- , -O -CO- (CY 39 Y 40 ) p18- , -CO -NY 45B- (CY 39 Y 40 ) p18 -or -NY 45C -CO- (CY 39 Y 40 ) p18- and R 7 to R 9 are preferably straight-chain C15-C20 alkenyl or C9-C18 alkyl, and R 8 to R 9 are preferably the same.
- At least one of L 8 to L 10 is not present, or -O- (CY 39 Y 40 ) p18- , -O-CO- (CY 39 Y 40 ) p18- , -NY 45C -CO- (CY 39 Y 40 ) p18 -or -NY 45D -CO-0- (CY 39 Y 40 ) If p18- , J 1 or J 2 , -O- (CY 39 Y 40 ) p18- , -O-CO- (CY 39 Y 40) p18 - , - NY 45C -CO- (CY 39 Y 40) p18 - or -NY 45D -CO-0- (CY 39 Y 40) p18 - binding to R 7 ⁇ R 9 is Same or different, octyl, decyl, dodecyl, tetradecyl, hexadecyl, octadecyl, icosyl, docosy
- At least one of L 8 to L 10 is -CO-O- (CY 39 Y 40 ) p18- , -CO-NY 45B- (CY 39 Y 40 ) p18 -or -CO- (CY 39 Y 40 ) p18
- -CO-O- (CY 39 Y 40 ) p18- , -CO-NY 45B- (CY 39 Y 40 ) p18 -or -CO- (CY 39 Y 40 ) R 7 binding to p18 R 9 is the same or different and each represents nonyl, undecyl, tridecyl, pentadecyl, heptadecyl, nonadecyl, henicosyl, tricosyl, (Z) -tridec-8-enyl, (Z) -pentadec-8-enyl, (Z)- Heptadec-5-enyl, (Z) -heptadeca-8-enyl, (E)
- L 11 is absent, - (CY 46 Y 47) p21 -, - (CY 48 Y 49) p22 -Z 15 - (CY 50 Y 51) p23 - or - (CY 52 Y 53) p24 -Z 16 - (CY 54 Y 55) p25 -Z 17 - (CY 56 Y 57) p26 - a is absent, - (CY 46 Y 47) p21 - or - (CY 48 Y 49) p22 -Z 15 - ( CY 50 Y 51 ) p23- is preferred.
- Y 46 to Y 57 are the same or different and each represents a hydrogen atom or an optionally substituted C1-C4 alkyl, and Y 46 to Y 57 are preferably a hydrogen atom.
- Z 15 ⁇ Z 17 are the same or different, -O -, - NY 58A - , - CO-O -, - O-CO -, - CO-NY 58B -, - NY 58C -CO -, - NY 58D - CO-0- or a -CO-, -CO-O -, - O-CO -, - CO-NY 58B -, - NY 58C -CO- or -CO- are preferable, -O-CO- or - NY 58C -CO- is more preferred.
- p 21 is an integer of 1 to 5, preferably 1 to 3.
- p 22 is an integer of 0 to 5, preferably 0 to 3.
- p 23 is an integer of
- L 12 is preferably absent or — (CY 59 Y 60 ) p27 —, preferably absent or — (CH 2 ) p27 —, absent, —CH 2 — or — More preferred is (CH 2 ) 2 —.
- J 1 and J 2 are the same or different and are CY 72 or N, and J 1 and J 2 are the same or different and are preferably CH, C (OH) or N.
- J 1 is preferably CH.
- L 9 and L 10 are not present, L 12 is —CO— (CH 2 ) p29 —, J 1 is CH, and J 2 is N, which is one of the preferred embodiments of the present invention.
- L 8 is preferably —CO—NY 45B — (CH 2 ) p18 —, and L 11 is preferably absent or — (CH 2 ) p21 —.
- L 9 and L 10 are not present, L 12 is —O—CO— (CH 2 ) p29 —, and J 1 and J 2 are CH. At this time, it is preferable that L 8 is —O—CO— (CH 2 ) p18 — and L 11 does not exist.
- B 2 And is more preferably —N + (CH 3 ) 3 .
- X 8 to X 10 have the same meanings as X 2 to X 4 , respectively.
- R 10 is preferably linear or branched C8-C24 alkyl or C8-C24 alkenyl, linear or branched C15-C20 alkenyl, or linear It is more preferably a linear or branched C9-C18 alkyl, most preferably a linear C15-C20 alkenyl, or most preferably a linear C9-C18 alkyl.
- R 11 and R 12 are linear or branched C8-C24 alkyl, C8-C24 alkenyl or C8-C24 alkynyl, and are preferably the same, linear or branched C15-C20 alkenyl. Or a linear or branched C9-C18 alkyl and more preferably the same, a linear C15-C20 alkenyl, or a linear C9-C18 alkyl. Most preferably, they are identical.
- L 13 is absent, -Z 23 - (CY 84 Y 85) p38 - or -Z 24 - (CY 86 Y 87 ) p39 -Z 25 - (CY 88 Y 89) p40 - a is absent , or -Z 23 - (CY 84 Y 85 ) p38 - is preferably.
- Y 84 to Y 89 are the same or different and each represents a hydrogen atom or optionally substituted C1-C4 alkyl, and Y 84 to Y 89 are preferably hydrogen atoms.
- Z 23 ⁇ Z 25 are the same or different, -O -, - NY 90A - , - CO-O -, - O-CO -, - CO-NY 90B -, - NY 90C -CO- or -NY 90D - a CO-0-, -CO-O - , - O-CO -, - CO-NY 90B - or is preferably -NY 90C -CO-, -CO-NY 90B - and more preferably .
- Y 90A to Y 90D are the same or different and each represents a hydrogen atom or an optionally substituted C1-C4 alkyl, preferably a hydrogen atom or methyl.
- p 38 to p 40 are the same or different and are integers of 1 to 5, preferably 1 or 2.
- L 13 does not exist or -CO-O- (CY 84 Y 85 ) p38- , -O -CO- (CY 84 Y 85 ) p38- , -CO-NY 90B- (CY 84 Y 85 ) p38 -, Or -NY 90C -CO- (CY 84 Y 85 ) p38- , preferably absent or -CO-O- (CH 2 ) p38- , -O-CO- (CH 2 ) p38- Alternatively , it is more preferably —CO—NCH 3 — (CH 2 ) p38 —, and it is more preferably absent or —CO—NCH 3 — (CH 2 ) p38 —.
- L 14 and L 15 is absent same or different, -Z 26 - (CY 91 Y 92) p41 - or -Z 27 - (CY 93 Y 94 ) p42 -Z 28 - (CY 95 Y 96) p43 -, and absent or -Z 26 - (CY 91 Y 92 ) p41 - is preferably.
- Y 91 to Y 96 are the same or different and each represents a hydrogen atom or an optionally substituted C1-C4 alkyl, and Y 91 to Y 96 are preferably a hydrogen atom.
- Z 26 ⁇ Z 28 are the same or different, -O -, - NY 97A - , - CO-O -, - O-CO -, - CO-NY 97B -, - NY 97C -CO -, - NY 97D - CO-0- or -CO-, preferably -CO-O-, -O-CO-, -CO-NY 97B- , -NY 97C -CO-, or -CO-.
- Y 97A to Y 97D are the same or different and are a hydrogen atom or an optionally substituted C1-C4 alkyl, preferably a hydrogen atom or methyl.
- p 41 is an integer of 0 to 5, preferably 0 to 2.
- p 42 is an integer of 1 to 5, preferably 1 or 2.
- p 43 is an integer of 0 to 5, preferably 0 to 2.
- L 14 and L 15 are the same or different and do not exist or are -CO-O- (CY 91 Y 92 ) p41- , -O -CO- (CY 91 Y 92 ) p41- , -CO-NY 97B -(CY 91 Y 92 ) p41- , -NY 97C -CO- (CY 91 Y 92 ) p41- , -CO- (CY 91 Y 92 ) p41- , preferably the same or different and not present , -CO-O- (CY 91 Y 92 ) p41- , -O -CO- (CY 91 Y 92 ) p41 -or -CO- (CY 91 Y 92 ) p41- , more preferably the same or different More preferably, it is absent, or —CO—O— (CH 2 ) p41 —, —O—CO— (CH 2 )
- L 13 is -CO-O- (CY 84 Y 85 ) p38- , -O -CO- (CY 84 Y 85 ) p38 -or -CO-NY 90B- (CY 84 Y 85 ) p38 -Or one of L 14 and L 15 is -CO-O- (CY 91 Y 92 ) p41 -or -O-CO- (CY 91 Y 92 ) p41- , or L 13 is -CO -O- (CY 84 Y 85 ) p38- , -O-CO- (CY 84 Y 85 ) p38 -or -CO-NY 89B- (CY 84 Y 85 ) p38- , of L 14 and L 15
- One is -CO-O- (CY 91 Y 92 ) p41 -or -O-CO- (CY 91 Y 92 ) p41- , or L 14 and L 15
- L 13 is absent, -O- (CY 84 Y 85) p38 -, - NY 90A - (CY 84 Y 85) p38 -, - O-CO- (CY 84 Y 85) p38 -, - NY 90C -CO- (CY 84 Y 85) p38 - or -NY 90D -CO-0- (CY 84 Y 85) p38 - if it is in, R 10 is octyl, decyl, dodecyl, tetradecyl, hexadecyl, octadecyl, eicosyl , Docosyl, tetracosyl, (Z) -tetradec-9-enyl, (Z) -hexadeca-9-enyl, (Z) -octadeca-6-enyl, (Z) -octadeca-9-enyl, (E) -oc
- R 10 is nonyl, undecyl, tridecyl, pentadecyl, heptadecyl , Nonadecyl, henicosyl, tricosyl, (Z) -tridec-8-enyl, (Z) -pentadeca-8-enyl, (Z) -heptadeca-5-enyl, (Z) -heptadeca-8-enyl, (E) -Heptadeca-8-enyl, (Z) -heptadeca-10-enyl, (8Z, 11Z) -heptadeca-8,11-dienyl, (8Z, 11Z, 14Z) -octadeca-8,11,14-trienyl, ( Z) -nonadeca
- L 14 and L 15 absent, -O- (CY 91 Y 92) p41 -, - NY 97A - (CY 91 Y 92) p41 -, - O-CO- (CY 91 Y 92 ) p41- , -NY 97C -CO- (CY 91 Y 92 ) p41 -or -NY 97D -CO-0- (CY 91 Y 92 ) p41- , J 3 , -O- (CY 91 Y 92) p41 -, - NY 97A - (CY 91 Y 92) p41 -, - O-CO- (CY 91 Y 92) p41 -, - NY 97C -CO- (CY 91 Y 92) p41 - or - NY 97D -CO-0- (CY 91 Y 92) p41 - R 11 and R 12 bound to the
- L 14 and L 15 is -CO-O- (CY 91 Y 92 ) p41 -or -CO-NY 97B (CY 91 Y 92 ) p41- , -CO-O- (CY 91 Y 92) p41 - or -CO-NY 97B (CY 91 Y 92) p41 - R 11 and R 12 bind to the same or different and nonyl respectively, undecyl, tridecyl, pentadecyl, heptadecyl, nonadecyl, henicosyl, Tricosyl, (Z) -Tridec-8-enyl, (Z) -pentadeca-8-enyl, (Z) -heptadeca-5-enyl, (Z) -heptadeca-8-enyl, (E) -heptadeca-8- Enyl, (Z) -heptadeca-10-eny
- L 16 is absent, - (CY 98 Y 99) p44 -, - (CY 100 Y 101) p45 -Z 29 - (CY 102 Y 103) p46 - or - (CY 104 Y 105) p47 -Z 30 - (CY 106 Y 107) p48 -Z 31 - (CY 108 Y 109) p49 - a is absent, - (CY 98 Y 99) p44 - or - (CY 100 Y 101) p45 -Z 29 - (CY 102 Y 103 ) p46- , preferably absent,-(CY 98 Y 99 ) p44 -,-(CY 100 Y 101 ) p45 -O-CO- (CY 102 Y 103 ) p46 -,-( CY 100 Y 101 ) p45 -NY 109C -CO- (CY 102 Y 103 ) p46 -or -CO-
- J 3 is CY 111 or N, preferably CH or N. Also, when J 3 is N, L 14 is not present, L 15 is -CO-, L 16 is not present, or-(CY 98 Y 99 ) p44- or L 14 More preferably, L 15 is not present, and L 16 is —CO— (CY 102 Y 103 ) p46 —.
- X 14 and X 15 have the same meanings as X 2 and X 3 , respectively.
- R 13 is preferably linear or branched C8-C24 alkyl or C8-C24 alkenyl, linear or branched C15-C20 alkenyl, or linear It is more preferably a linear or branched C9-C18 alkyl, most preferably a linear C15-C20 alkenyl, or most preferably a linear C9-C18 alkyl.
- R 14 and R 15 are linear or branched C8-C24 alkyl, C8-C24 alkenyl or C8-C24 alkynyl, and are preferably the same, linear or branched C15-C20 alkenyl. Or a linear or branched C9-C18 alkyl and more preferably the same, a linear C15-C20 alkenyl, or a linear C9-C18 alkyl. Most preferably, they are identical.
- L 17 ⁇ L 19 is absent same or different, -Z 32 - (CY 116 Y 117) p51 - or -Z 33 - (CY 118 Y 119 ) p52 -Z 34 - (CY 120 Y 121) p53 -Z, -Z 32- (CY 116 Y 117 ) p51- , preferably -O- (CY 116 Y 117 ) p51 -or -CO-O- (CY 116 Y 117 ) p51- Is more preferable, and —O— or —CO—O— is more preferable.
- L 17 to L 19 are the same or different and are —O— or —CO—O—, and R 13 to R 15 are linear C15-C20 alkenyl or C9-C18 alkyl. Is preferred. At this time, it is preferable that L 17 to L 19 are identically —O— or —CO—O—, and R 13 to R 15 are identically linear C15-C20 alkenyl or C9-C18 alkyl.
- At least one of L 17 to L 19 does not exist or is -O- (CY 116 Y 117 ) p51- , -O-CO- (CY 116 Y 117 ) p51- , -NY 122C -CO- (CY 116 Y 117) P518 - or -NY 122D -CO-0- (CY 116 Y 117) p51 - a if the carbon adjacent to the furanose ring or L 20, -O- (CY 116 Y 117) p51 -, - O-CO- (CY 116 Y 117 ) p51 -, - NY 122C -CO- (CY 116 Y 117) p518 - or -NY 122D -CO-0- (CY 116 Y 117) p51 - binding to R 13 ⁇ R 15 is the same or different and is octyl, decyl, dodecyl, tetradecy
- At least one of L 17 to L 19 is -CO-O- (CY 116 Y 117 ) p51- , -CO-NY 122B- (CY 116 Y 117 ) p51 -or -CO- (CY 116 Y 117 ) p51- R is bound to -CO-O- (CY 116 Y 117 ) p51- , -CO-NY 122B- (CY 116 Y 117 ) p51 -or -CO- (CY 116 Y 117 ) p51- 13 to R 15 are the same or different and are each nonyl, undecyl, tridecyl, pentadecyl, heptadecyl, nonadecyl, henicosyl, tricosyl, (Z) -tridec-8-enyl, (Z) -pentadec-8-enyl, (Z ) -Heptadeca-5-enyl, (Z
- L 20 is absent, - (CY 123 Y 124) p54 -, - (CY 125 Y 126) p55 -Z 35 - (CY 127 Y 128) p56 - or - (CY 129 Y 130) p57 -Z 36 - (CY 131 Y 132) p58 -Z 37 - (CY 133 Y 134) p59 - a and, - is preferably, - - (CY 123 Y 124 ) p54 (CH 2) p54 - a is more Preferably, it is —CH 2 —.
- L 21 is absent, - (CY 136 Y 137) p60 -, - (CY 138 Y 139) p61 -Z 38 - (CY 140 Y 141) p62 - or - (CY 142 Y 143) p63 -Z 39 -(CY 144 Y 145 ) p64 -Z 40- (CY 146 Y 147 ) p65- , preferably absent or- (CY 136 Y 137 ) p60- , absent or- (CH 2 ) More preferred is p60 -and even more preferred is absent.
- B 3 And is more preferably —N + (CH 3 ) 3 .
- Y 112 and Y 113 are the same or different and are a hydrogen atom, hydroxy or optionally substituted C1-C4 alkyl, the same or different, preferably a hydrogen atom or hydroxy, and more preferably a hydrogen atom.
- R 16 to R 18 , L 22 to L 26 , B 4 , Y 114 to Y 115 and A 6 are R 13 to R 15 , L 17 to L 21 , B 3 and Y, respectively. 112 to Y 113 and A 5 are synonymous.
- each of the four substituents on the furan ring is substituted on a different carbon atom on the furan ring.
- formula (V '') It is more preferable that At this time, it is more preferable that L 22 to L 24 are the same or different and are —O— or —CO—O—, and R 16 to R 18 are linear C15-C20 alkenyl or C9-C18 alkyl, L 22 to L 24 are the same or different and are —O— or —CO—O—, R 16 to R 18 are linear C15-C20 alkenyl or C9-C18 alkyl, and L 22 and L 26 are present.
- Y 114 is a hydrogen atom or hydroxy.
- the nucleic acid-containing lipid nanoparticles of the present invention include a cationic lipid other than a lipid having a hydrophilic part having one quaternary ammonium group and three independent hydrocarbon groups which may be substituted (lipid A). May be.
- Cationic lipids other than lipid A used in the present invention include a lipophilic region containing one or more optionally substituted hydrocarbon groups, at least one primary amino group, secondary amino group, and tertiary amino group.
- amphiphilic molecule having a cationic hydrophilic region containing a group and / or a quaternary ammonium group except for lipid A), one amino group or one 4 which may be substituted
- lipid (lipid B) containing a hydrophilic part having a quaternary ammonium group and a hydrophobic part having two optionally substituted independent hydrocarbon groups in the same molecule is preferred.
- a lipid having a hydrophilic part having one amino group or one quaternary ammonium group which may be substituted and a hydrophobic part having two independent hydrocarbon groups which may be substituted in the same molecule has one amino group or one quaternary ammonium group that may be substituted as a hydrophilic part in the molecule, and two independent hydrocarbon groups that may be substituted.
- Lipid B has one amino group or one quaternary ammonium group that may be substituted as a hydrophilic part in the molecule, and two independent hydrocarbon groups that may be substituted.
- hydrophilic unit represents a hydrophilic part having one amino group or one quaternary ammonium group which may be substituted
- hydrophobic part represents an independent hydrocarbon group which may be substituted.
- the amino group constituting the “Hydrophilic Unit” has 0 to 2 of the three bonds, and 0 to 2 hydrocarbon groups forming the “Hydrophobic Unit”. And the remaining bonds are bonded to hydrogen or an optionally substituted chain and / or cyclic hydrocarbon group.
- the quaternary ammonium group constituting the “hydrophilic unit” is one of hydrocarbon groups in which 0 to 2 of the four bonds form a “hydrophobic unit”. 0 to 2 bonds are bonded, and the remaining bond is bonded to hydrogen or an optionally substituted chain and / or cyclic hydrocarbon group.
- the optionally substituted chain and / or cyclic hydrocarbon group constituting the “hydrophilic unit” may be any group consisting of a carbon atom and a hydrogen atom. Those having 10 carbon atoms are preferable, those having 1 to 6 carbon atoms are more preferable, and those having 1 to 3 carbon atoms are more preferable.
- hydrophilic unit refers to one or more ethers, esters, amides and the like via carbon atoms in the chain and / or cyclic hydrocarbon group which may be substituted. You may have.
- substituent in the linear and / or cyclic hydrocarbon group which may be substituted include carbamate, amino, monoalkylamino, dialkylamino, pyrrolidin-2-yl, pyrrolidin-3-yl, and piperidine-2.
- the hydrocarbon group forming the “hydrophobic unit” may be any group consisting of 8 to 24 carbon atoms and hydrogen atoms.
- the hydrocarbon group can be classified from the viewpoint of topology, and examples thereof include a linear hydrocarbon group, a branched hydrocarbon group, or a cyclic hydrocarbon group (for example, a cholesteryl group). A branched or branched hydrocarbon group is preferred.
- the hydrocarbon group can be classified by the presence or absence of an unsaturated bond (double bond or triple bond), and the hydrocarbon group having an unsaturated bond can also be classified by the presence or absence of aromaticity.
- hydrocarbon group a hydrocarbon group consisting of only a saturated bond (alkyl) or a hydrocarbon group having an unsaturated bond and having no aromaticity (for example, alkenyl or alkynyl) is preferable.
- the hydrocarbon group in lipid A is preferably linear or branched C8-C24 alkyl, C8-C24 alkenyl, C8-C24 alkynyl.
- the hydrocarbon group forming the “Hydrophobic Unit” may be directly bonded to the amino group or quaternary ammonium group of the “Hydrophilic Unit”, or may be a bond such as ether, ester or amide. And may be bonded to an amino group or a quaternary ammonium group via a chain and / or a cyclic hydrocarbon group which may have a substituent constituting the “hydrophilic part”. Further, as shown in the structural formula (E), hydrocarbon groups forming two “hydrophobic units” are bonded via a carbon atom, and the carbon atom is “hydrophilic unit”.
- amino group or quaternary ammonium group or a chain and / or cyclic hydrocarbon group which may have a substituent such as a bond of ether, ester, amide or the like and a" hydrophilic part " And may be bonded to an amino group or a quaternary ammonium group.
- cationic lipids other than lipid A used in the present invention include, for example, International Publication No. 2013/089151, International Publication No. 2011/136368, International Publication No. 2014/007398, International Publication No. 2010/042877 or International Publication No. And cationic lipids described in JP 2010/054401 A.
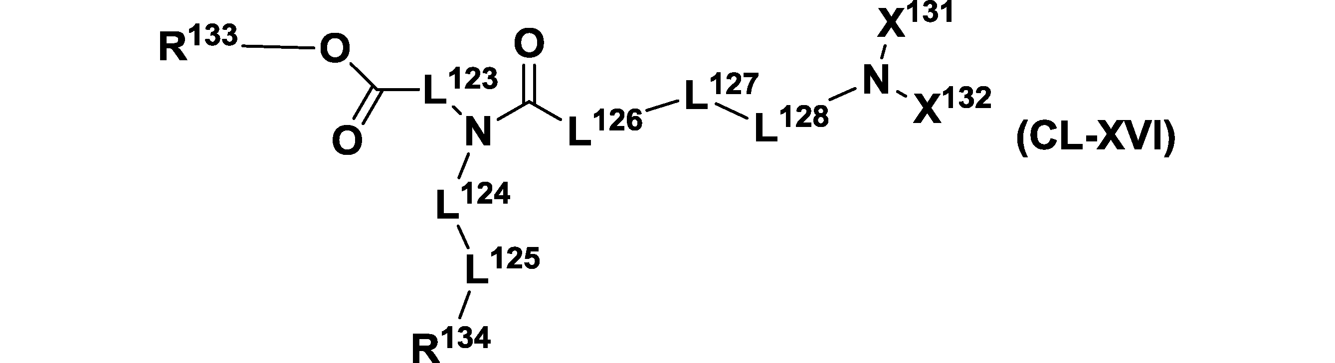
- lipid B used in the present invention for example, Formula (CL-I)
- R 101 and R 102 are the same or different and are linear or branched C10-C24 alkyl, C10-C24 alkenyl or C10-C24 alkynyl, L 101 and L 102 are hydrogen atoms or together form a single bond or C1-C3 alkylene; L 103 is a single bond, -CO- or -CO-O-, When L 103 is a single bond, X 101 is a hydrogen atom, C1-C6 alkyl, C3-C6 alkenyl, pyrrolidin-3-yl, piperidin-3-yl, piperidin-4-yl, or the same or different 1 to 3 amino, monoalkylamino, dialkyl C1-C6 alkyl or C3-C6 alkenyl substituted with amino, trialkylammonio, hydroxy, alkoxy, carbamoyl, monoalkylcarbamoyl, dialkylcarbamoyl, pyrrolidinyl
- R 103 and R 104 are the same or different and are linear or branched C12-C24 alkyl, C12-C24 alkenyl or C12-C24 alkynyl, p 101 and p 102 are the same or different and are integers of 0 to 3, L 106 and L 107 are hydrogen atoms or together form a single bond or C2-C8 alkylene; L 104 and L 105 are the same or different and are -O-, -CO-O- or -O-CO-, L 108 is a single bond, -CO- or -CO-O- When L 108 is a single bond, X 102 is a hydrogen atom, C1-C6 alkyl, C3-C6 alkenyl, pyrrolidin-2-yl, pyrrolidin-3-yl, piperidin-3-yl, piperidin-4-yl, or the same or different 1 to 3 amino acids C1-C6 alkyl or C3-C6 al
- R 105 is linear or branched C8-C24 alkyl, C8-C24 alkenyl or C8-C24 alkynyl
- R 106 is linear or branched C8-C24 alkyl, C8-C24 alkenyl, C8-C24 alkynyl, C8-C24 alkyloxyethyl, C8-C24 alkyloxypropyl, C8-C24 alkenyloxyethyl, C8-C24 alkenyl Oxypropyl, C8-C24 alkynyloxyethyl or C8-C24 alkynyloxypropyl
- X 103 and X 104 are the same or different and are C1-C3 alkyl or taken together to form C2-C8 alkylene, or X 103 is taken together with L 111 to form C2-C8 alkylene.
- L 111 is a hydrogen atom, C1-C6 alkyl, C3-C6 alkenyl, amino, monoalkylamino, hydroxy, alkoxy, carbamoyl, monoalkylcarbamoyl, dialkylcarbamoyl, or the same or different 1 to 3 amino, monoalkylamino, C1-C6 alkyl or C3-C6 alkenyl substituted with hydroxy, alkoxy, carbamoyl, monoalkylcarbamoyl or dialkylcarbamoyl, or together with X 103 to form C2-C8 alkylene;
- L 109 is C1-C6 alkylene
- L 110 is a single bond or C1-C6 alkylene, provided that the sum of the carbon numbers of L 109 and L 110 is 7 or less, and when L 111 is a hydrogen atom, L 110 is a single bond.
- R 107 is linear or branched C8-C24 alkyl, C8-C24 alkenyl or C8-C24 alkynyl
- R 108 is linear or branched C8-C24 alkyl, C8-C24 alkenyl, C8-C24 alkynyl, C8-C24 alkyloxyethyl, C8-C24 alkyloxypropyl, C8-C24 alkenyloxyethyl, C8-C24 alkenyl Oxypropyl, C8-C24 alkynyloxyethyl, C8-C24 alkynyloxypropyl, C8-C24 alkyloxyethoxyethyl, C8-C24 alkenyloxyethoxyethyl or C8-C24 alkynyloxyethyl, X 105 is a hydrogen atom, optionally substituted C1-C4 alkyl or -CO- (CH 2 )
- R 109 is linear or branched C8-C24 alkyl, C8-C24 alkenyl or C8-C24 alkynyl
- R 110 is linear or branched C8-C24 alkyl, C8-C24 alkenyl, C8-C24 alkynyl, C8-C24 alkyloxyethyl, C8-C24 alkyloxypropyl, C8-C24 alkenyloxyethyl, C8-C24 alkenyl Oxypropyl, C8-C24 alkynyloxyethyl or C8-C24 alkynyloxypropyl
- L 112 is C1-C3 alkylene
- X 105 ′ is a hydrogen atom or C1-C3 alkyl
- R 111 and R 112 are the same or different, linear or branched optionally substituted C8-C24 alkyl, C8-C24 alkenyl or C8-C24 alkynyl, X 106 and X 107 are the same or different and are C1-C3 alkyl or taken together to form C2-C8 alkylene; p 103 , p 104 and p 105 are the same or different and are 0 or 1, provided that p 103 , p 104 and p 105 are not 0 at the same time, L 113 and L 114 are the same or different and are O, S or NH), Formula (CL-VII)
- R 113 and R 114 are the same or different, linear or branched optionally substituted C8-C24 alkyl, C8-C24 alkenyl or C8-C24 alkynyl, R 115 is a hydrogen atom, hydroxy, optionally substituted C1-C4 alkyl, C1-C4 alkoxy or C1-C4 acyloxy, X 109 and X 110 are the same or different and are C1-C3 alkyl or taken together to form C2-C8 alkylene; L 115 is -CO-O-, -O-CO-, -NHCO- or -CONH- p 106 is an integer from 0 to 3, p 107 is an integer of 1 to 4), Formula (CL-VIII)
- R 116 and R 117 are the same or different and may be linear or branched substituted C8-C24 alkyl, C8-C24 alkenyl, C8-C24 alkynyl, C7-C20 alkyloxy C1-C3 alkyl, C7- C20 alkenyloxy C1-C3 alkyl or C7-C20 alkynyloxy C1-C3 alkyl, Said C8-C24 alkyl, C8-C24 alkenyl or C8-C24 alkynyl having a biodegradable group incorporated therein, or C8-C24 alkyl group, C8-C24 alkenyl group or C8- A C24 alkynyl group,
- the biodegradable group is incorporated as —C (O) O— or —OC (O) —, and present at the terminal is —C (O) O—C1-C4 alkyl or -OC (O) -C1-C4
- P 110 is an integer from 2 to 6), or formula (B) (Wherein X 113 and X 114 are the same or different and are a hydrogen atom or C1-C3 alkyl, or together with the nitrogen atom to which X 113 and X 114 are bonded form a C2-C6 nitrogen-containing heterocycle
- p 111 is an integer from 1 to 6
- p 108 is an integer from 0 to 4
- p 109 is an integer from 1 to 4 (except when p 108 is 0 and p 109 is 1)
- L 116 is the same or different for each carbon to be bonded and is a hydrogen atom or C1-C3 alkyl
- L 117 is the same or different for each carbon to be bonded and is a hydrogen atom or C1-C3 alkyl).
- X 117 and X 118 are the same or different hydrogen atoms, optionally substituted C1-C6 alkyl, heterocyclyl or polyamine, or X 117 and X 118 together with the nitrogen to which they are attached, In addition to nitrogen, it may form a 4-7 membered monocyclic heterocycle which may contain 1 or 2 additional heteroatoms selected from N, O and S; R 120 and R 121 are the same or different and are linear or branched optionally substituted C4-C24 alkyl or C4-C24 alkenyl), Formula (CL-XI)
- X 119 and X 120 are the same or different and each represents a hydrogen atom, a linear or branched C1-C20 alkyl, C1-C20 alkenyl, C1-C20 alkynyl or C6-C20 acyl, R 122 and R 123 are the same or different, linear or branched optionally substituted C1-C30 alkyl, C2-C30 alkenyl or C2-C30 alkynyl, p 112 , p 113 and p 114 are the same or different and are 0 or any positive integer. ), Formula (CL-XII)
- X 121 and X 122 are the same or different and each is a hydrogen atom, C1-C6 alkyl, cycloalkyl, cycloalkenyl, or X 121 and X 122 together with the nitrogen atom to which they are attached contain C2-C6 nitrogen
- a heterocycle may form, L 120 and L 121 are the same or different and are —O—, —OC (O) — or — (O) CO—, R 124 and R 125 are the same or different and are linear or branched optionally substituted C8-C24 alkyl or C8-C24 alkenyl), Formula (CL-XIII)
- R 126 and R 127 are the same or different and may be linear or branched substituted C8-C24 alkyl, C8-C24 alkenyl, C8-C24 alkynyl, C8-C24 heteroalkyl, C8-C24 heteroalkenyl or C8-C24 heteroalkynyl
- X 123 is a hydrogen atom or an optionally substituted C1-C6 alkyl
- X 124 is C1-C6 alkyl, substituted C1-C6 alkyl substituted with -NR 4a R 4b or optionally substituted C3-C7 heterocyclyl
- X 123 and X 124 together with the nitrogen atom to which they are attached may form an optionally substituted C3-C7 heterocyclyl;
- X 123 and X 124 do not form imidazolyl, benzimidazolyl, or succinimidyl, and only one primary amine can be present on either of X 123 and X 124 , or any primary amines also not present on either one of X 123 and X 124, X 123 and X 124 is not substituted amides
- R 126 and R 127 are C11 alkyl or C15 alkyl
- X 123 is not a hydrogen atom
- R 126 and R 127 are C16 alkyl or C17 alkyl
- R 126 and R 127 are not substituted with OH
- R 126 and R 127 are C17 alkyl
- X 123 and X 124 are not substituted with OH;
- X 125 and X 126 are the same or different hydrogen atoms, optionally substituted C1-C6 alkyl, heterocyclyl or polyamine, or X 125 and X 126 together with the nitrogen to which they are attached, In addition to nitrogen, it may form a 4-7 membered monocyclic heterocycle which may contain 1 or 2 additional heteroatoms selected from N, O and S;
- R 130 is a hydrogen atom or C1-C6 alkyl;
- R 128 and R 129 are the same or different, linear or branched optionally substituted C4-C24 alkyl or C4-C24 alkenyl, Y3 and Y4 represents an oxygen atom or CH 2 identical or different,
- p115 is an integer of 0-2.
- X 127 and X 128 are the same or different and are C1-C6 alkyl, C2-C6 alkenyl, C2-C6 alkynyl, X 127 and X 128 together with the nitrogen atom to which they are attached form a heterocyclic ring having 1 to 2 nitrogen atoms;
- L 122 is -C (O) O-, -OC (O)-, -C (O) N (X 130 )-, -N (X 130 ) C (O)-, -OC (O) O-, -OC (O) N (X 130 )-, -N (X 130 ) C (O) N (X 130 )-, or -N (X 130 ) C (O) O-
- Each occurrence of X 130 is independently a hydrogen atom or C1-C3 alkyl; a is 1, 2, 3, 4, 5, or 6; b is 0, 1, 2, or 3; X 129 is absent or is hydrogen or C1-C3 alkyl
- the biodegradable group is incorporated as —C (O) O—, —OC (O) —, —C (O) N (X 130 ) —, or —N (X 130 ) C ( O)-and present at the terminal are -C (O) O-C1-C4 alkyl, -OC (O) -C1-C4 alkyl, -C (O) N (X 130 ) -C1-C4 Alkyl, or -N (X 130 ) C (O) -C1-C4 alkyl, R 131 and R 132 have at least 4 carbon atoms between the biodegradable group and a tertiary carbon atom marked with an asterisk (*)), Formula (CL-XVI)
- R 133 and R 134 are the same or different and are linear or branched C1-C9 alkyl, C2-C11 alkenyl or C2-C11 alkynyl; L 123 and L 124 are the same or different and are linear C5-C18 alkylene or linear C5-C18 alkenylene, or form a heterocyclic ring with N bonded thereto, L 125 is a single bond or -C (O) -O-; When L 125 is -C (O) O-, -L 124 -CO-OR 134 is formed, L 127 is S or O, L 126 is a single bond, a linear or branched C1-C6 alkylene, or forms a heterocyclic ring with N bonded via -C (O)-, L 128 is a linear or branched C1-C6 alkylene, and X 131 and X 132 are the same or different and each is hydrogen or a linear or branched C1-C9
- L 131 is C2-C4 len or -CH 2 -S-CH 2 CH 2-
- L 129 and L 130 are the same or different and each is C1-C6 alkyl;
- R 135 and R 136 are the same or different and are C10-C30 alkyl, C10-C30 alkenyl,
- X 133 and X 134 are the same or different and are hydrogen, C1-C6 alkyl or —CH 2 CH 2 OH.
- examples of the linear or branched C10-C24 alkyl include decyl, undecyl, dodecyl, tridecyl, 6,10-dimethylundec-2-yl, tetradecyl, Pentadecyl, hexadecyl, heptadecyl, octadecyl, 6,10,14-trimethylpentadecan-2-yl, nonadecyl, icosyl, henicosyl, docosyl, tricosyl, tetracosyl and the like, preferably decyl, undecyl, dodecyl, tridecyl, tetradecyl, Examples include pentadecyl, hexadecyl, heptadecyl, and octadecyl, and more preferable examples include tridecyl, tetradecyl,
- the linear or branched C10-C24 alkenyl may be a linear or branched C10-C24 alkenyl containing 1 to 3 double bonds, such as (Z) -dodec-7-enyl. , (Z) -tetradec-7-enyl, (Z) -tetradec-9-enyl, (Z) -hexadec-4-enyl, (Z) -hexadeca-7-enyl, (E) -hexadeca-7-enyl , (Z) -hexadec-9-enyl, (7Z, 10Z) -hexadec-7,10-dienyl, (7Z, 10Z, 13Z) -hexadec-7,10,13-trienyl, (Z) -octadeca-6 -Enyl, (Z) -octadeca-9-enyl, (E) -octadeca-9-eny
- the linear or branched C10-C24 alkynyl may be a linear or branched C10-C24 alkynyl containing 1 to 3 triple bonds, and examples thereof include deca-9-ynyl and dodeca-4.
- hexadeca-7-ynyl or octadec-9-ynyl Preferably hexadeca-7-ynyl or octadec-9-ynyl, and more preferably octadec-9-ynyl.
- R 101 and R 103 are preferably the same linear or branched C10-C24 alkyl, C10-C24 alkenyl or C10-C24 alkynyl, and the same linear It is more preferably a linear or branched C10-C24 alkyl or C10-C24 alkenyl, and even more preferably the same linear C10-C24 alkenyl.
- C1-C3 alkylene examples include methylene, ethylene, or propylene, preferably methylene or ethylene, and more preferably methylene.
- Examples of the C1-C6 alkyl include methyl, ethyl, propyl, isopropyl, cyclopropyl, butyl, isobutyl, sec-butyl, tert-butyl, cyclobutyl, cyclopropylmethyl, pentyl, isopentyl, sec-pentyl, neopentyl, tert- Examples include pentyl, cyclopentyl, hexyl, cyclohexyl, etc., preferably methyl, ethyl, propyl, isopropyl, butyl, isobutyl, sec-butyl, tert-butyl, pentyl, isopentyl, sec-pentyl, tert-pentyl, neopentyl, hexyl, etc. More preferably, methyl, ethyl, propyl, etc. are mentioned.
- C3-C6 alkenyl examples include allyl, 1-propenyl, butenyl, pentenyl, hexenyl and the like, preferably allyl and the like.
- Monoalkylamino and dialkylamino are each one or two identical or different C1-C6 alkyls (as defined above) or amino, methylamino, ethylamino, dimethylamino, diethylamino, pyrrolidinyl, piperidyl or morpholinyl Any amino substituted with C1-C6 alkyl (as defined above) substituted with, for example, methylamino, ethylamino, propylamino, butylamino, pentylamino, hexylamino, dimethylamino, diethylamino, ethylmethylamino Methylpropylamino, butylmethylamino, methylpentylamino, hexylmethylamino, aminoethylamino, aminopropylamino, (aminoethyl) methylamino, bis (aminoethyl) amino, etc.,
- Trialkylammonio includes the same or different C1-C6 alkyl (as defined above), or C1-C6 substituted with amino, methylamino, ethylamino, dimethylamino, diethylamino, pyrrolidinyl, piperidyl or morpholinyl.
- ammonio substituted with alkyl may be used, for example, trimethylammonio, ethyldimethylammonio, diethylmethylammonio, triethylammonio, tripropylammonio, tributylammonio, tripentylammonio, tripentylammonio, Hexylammonio, tris (aminoethyl) ammonio, (aminoethyl) dimethylammonio, bis (aminoethyl) methylammonio and the like can be mentioned, preferably trimethylammonio, triethylammonio, tris (aminoethyl) ammonio (Aminoethyl) dimethyl ammonio or bis (aminoethyl) methyl ammonio, and the like, or more preferably trimethylammonio like.
- the trialkylammonio may form a salt with a pharmaceutically acceptable anion (as defined above).
- Alkoxy is substituted with C1-C6 alkyl (as defined above) or C1-C6 alkyl (as defined above) substituted with amino, methylamino, ethylamino, dimethylamino, diethylamino, pyrrolidinyl, piperidyl or morpholinyl. It may be hydroxy, for example, methoxy, ethoxy, propyloxy, butyloxy, pentyloxy, hexyloxy, aminoethoxy or methylaminoethoxy, preferably methoxy, ethoxy, aminoethoxy or methylaminoethoxy, More preferably, methoxy etc. are mentioned.
- Monoalkylcarbamoyl and dialkylcarbamoyl are each one or two identical or different C1-C6 alkyls (as defined above) or amino, methylamino, ethylamino, dimethylamino, diethylamino, pyrrolidinyl, piperidyl or morpholinyl Any carbamoyl substituted with C1-C6 alkyl substituted with (as defined above), for example, methylcarbamoyl, ethylcarbamoyl, propylcarbamoyl, butylcarbamoyl, pentylcarbamoyl, hexylcarbamoyl, dimethylcarbamoyl, diethylcarbamoyl, ethyl Methylcarbamoyl, methylpropylcarbamoyl, butylmethylcarbamoyl, methylpentylcarbamoy
- L 101 and L 102 are more preferably hydrogen atoms.
- R 101 and R 102 are the same or different and dodecyl, tetradecyl, (Z) -dodec-7-enyl, (Z) -tetradec-7-enyl, (Z) -hexadec-4-enyl.
- X 101 is a hydrogen atom, methyl, pyrrolidin-3-yl, piperidin-3-yl, piperidin-4-yl, or the same or different from 1 to Must be C1-C6 alkyl or C3-C6 alkenyl substituted with 3 amino, monoalkylamino, dialkylamino, trialkylammonio, hydroxy, alkoxy, carbamoyl, monoalkylcarbamoyl, dialkylcarbamoyl, pyrrolidinyl, piperidyl or morpholinyl Is more preferably a hydrogen atom, methyl, or C1-C6 alkyl or C3-C6 alkenyl substituted with 1 to 3 amino, hydroxy or carbamoyl, which are the same or different, and more preferably a hydrogen atom, methyl, etc. More preferably it is.
- R 101 and R 102 are the same or different and are tetradecyl, hexadecyl, (Z) -tetradec-9-enyl, (Z) -hexadec-9-enyl, (Z) -octadeca-6-enyl, (Z) -octadeca-9-enyl, (E) -octadeca-9-enyl, (Z) -octadeca-11-enyl, (9Z, 12Z) -octadeca-9,12-dienyl, (9Z, 12Z, 15Z) -octadeca-9,12,15-trienyl, (Z) -icosa-11-enyl, or (11Z, 14Z) -icosa -11,14-dienyl, more preferably (Z) -octadec-9
- X 101 is a hydrogen atom, methyl, pyrrolidin-3-yl, piperidin-3-yl, piperidin-4-yl Or C1-C6 alkyl substituted with 1 to 3 amino, monoalkylamino, dialkylamino, trialkylammonio, hydroxy, alkoxy, carbamoyl, monoalkylcarbamoyl, dialkylcarbamoyl, pyrrolidinyl, piperidyl or morpholinyl, the same or different Or a C3-C6 alkenyl, more preferably a hydrogen atom, methyl, or a C1-C6 alkyl or C3-C6 alkenyl substituted with 1 to 3 amino, hydroxy or carbamoyl, which are the same or different. And most preferably a hydrogen atom or methyl.
- L 103 is —CO— or —CO—O—, preferably —CO—.
- X 101 is aminomethyl, 1,2-diaminoethyl, 2-aminoethyl, 1,3-aminopropyl, 1,4-diaminobutyric, 1,5 Jiaminopenchiru, 3-aminopropyl, 4 -Aminobutyl or 5-aminopentyl is preferable, and 1,2-diaminoethyl, 1,3-diaminopropyl, 1,4-diaminobutyl or 1,5-diaminopentyl is more preferable.
- R 101 and R 102 are the same or different and are tetradecyl, hexadecyl, (Z) -tetradec-9-enyl, (Z) -hexadeca-9-enyl, (Z) -octadec-6-enyl, (Z)- Octadeca-9-enyl, (E) -octadeca-9-enyl, (Z) -octadeca-11-enyl, (9Z, 12Z) -octadeca-9,12-dienyl, (9Z, 12Z, 15Z) -octadeca- Preferably it is 9,12,15-trienyl or (Z) -icosa-11-enyl or (11Z, 14Z) -icosa-11,14-dienyl, (Z) -octadeca-9-enyl or (9Z, More preferably, they are 12Z) -octadeca
- L 103 is more preferably a single bond.
- X 101 is a hydrogen atom, methyl, pyrrolidin-3-yl, piperidin-3-yl, piperidin-4-yl, or the same or different 1 to 3 amino, monoalkylamino , Dialkylamino, trialkylammonio, hydroxy, alkoxy, carbamoyl, monoalkylcarbamoyl, dialkylcarbamoyl, pyrrolidinyl, piperidyl or morpholinyl substituted C1-C6 alkyl or C3-C6 alkenyl, etc., more preferably a hydrogen atom , Methyl, hydroxymethyl, 2-hydroxyethyl, 2,3-dihydroxypropyl, 2-hydroxypropyl, 3-hydroxypropyl, 2-hydroxy-3-methoxypropyl, aminomethyl, 2-aminoethyl, 3-aminopropyl, 4-aminobutyl, 5-aminopentyl, 2- (N)
- X 101 is pyrrolidin-3-yl, piperidin-3-yl, piperidin-4-yl, or the same or different one to three amino, mono Alkylamino, dialkylamino, trialkylammonio, hydroxy, alkoxy, carbamoyl, monoalkylcarbamoyl, dialkylcarbamoyl, pyrrolidinyl, piperidyl or morpholinyl substituted C1-C6 alkyl or C3-C6 alkenyl, at least of the substituents More preferably, one is amino, monoalkylamino, dialkylamino, trialkylammonio, pyrrolidinyl, piperidyl, morpholinyl or the like, and R 3 is aminomethyl, 1,2-diaminoethyl, 2-aminoethyl, 1 , 3-Diaminopropyl, 3-aminopropyl, 1,
- L 103 is a single bond and X 101 is a hydrogen atom.
- R 101 and R 102 are the same or different and dodecyl, tetradecyl, (Z) -dodec-7-enyl, (Z) -tetradec-7-enyl, (Z) -hexadec-4-enyl.
- L 103 is a single bond and X 101 is methyl is one of the more preferable embodiments of the present invention.
- R 101 and R 102 are the same or different and dodecyl, tetradecyl, (Z) -dodec-7-enyl, (Z) -tetradec-7-enyl, (Z) -hexadec-4-enyl.
- linear or branched C12-C24 alkyl includes, for example, dodecyl, tridecyl, tetradecyl, 2,6,10-trimethylundecyl, pentadecyl, 3,7, 11-trimethyldodecyl, hexadecyl, heptadecyl, octadecyl, 6,10,14-trimethylpentadecan-2-yl, nonadecyl, 2,6,10,14-tetramethylpentadecyl, icosyl, 3,7,11,15-tetra Examples include methylhexadecyl, henicosyl, docosyl, tricosyl, tetracosyl, etc., preferably dodecyl, tridecyl, tetradecyl, pentadecyl, hexadecyl, heptadecyl,
- the linear or branched C12-C24 alkenyl may be a linear or branched C12-C24 alkenyl containing 1 to 3 double bonds, such as (Z) -tridec-8-enyl. , (Z) -tetradec-9-enyl, (Z) -pentadeca-8-enyl, (Z) -hexadeca-9-enyl, (Z) -heptadeca-5-enyl, (Z) -octadeca-6-enyl , (Z) -heptadeca-8-enyl, (Z) -octadeca-9-enyl, (E) -heptadeca-8-enyl, (E) -octadeca-9-enyl, (Z) -heptadeca-10-enyl , (Z) -octadeca-11-enyl, (8Z, 11Z) -heptadeca-8
- the linear or branched C12-C24 alkynyl may be a linear or branched C12-C24 alkynyl containing 1 to 3 triple bonds, such as dodeca-11-ynyl, tridec-12- Inyl, pentadec-6-ynyl, hexadec-7-ynyl, pentadec-4,6-diynyl, hexadec-5,7-diynyl, heptadec-8-ynyl, octadec-9-ynyl and the like, preferably pentadec-9 6-Inyl, hexadec-7-ynyl, pentadec-4,6-diynyl, hexadec-5,7-diynyl, heptadec-8-ynyl, octadec-9-ynyl, etc., more preferably heptadeca-8-iny
- C1-C3 alkylene, C1-C6 alkyl and C3-C6 alkenyl in the definition of each group of formula (CL-II) are respectively synonymous with those in formula (CL-I).
- Monoalkylamino, dialkylamino, trialkylammonio, alkoxy, monoalkylcarbamoyl and dialkylcarbamoyl have the same meanings as those in formula (CL-I), respectively.
- R 103 and R 104 are preferably the same linear or branched C12-C24 alkyl, C12-C24 alkenyl or C12-C24 alkynyl, and the same linear or branched C12-C24 alkyl or More preferred is C12-C24 alkenyl.
- L 104 and L 105 are the same -O -, - more preferably CO-O- or -O-CO-.
- R 103 and R 104 are the same or different and are dodecyl, tetradecyl, hexadecyl, octadecyl, icosyl, docosyl, tetracosyl, (Z) -tetradec-9-enyl, (Z) -hexadeca-9-enyl, (Z) -octadeca-6-enyl, (Z) -octadeca-9-enyl, (E) -octadeca-9-enyl, (Z) -octadeca-11-enyl, (9Z, 12Z) -octadeca-9,12-dienyl, (9Z, 12Z, 15Z) -octadeca-9,12,15-trienyl, (Z) -icosa-11- Enyl, (11Z
- R 103 and R 104 are each tridecyl, pentadecyl, heptadecyl, nonadecyl, henicosyl, tricosyl, (Z) -tridec-8-enyl, (Z) -pentadeca-8-enyl, (Z) -heptadeca-5-enyl, (Z) -heptadeca-8-enyl, (E) -heptadeca-8-enyl, (Z) -heptadeca-10-enyl, ( 8Z, 11Z) -heptadeca-8,11-dienyl, (8Z, 11Z, 14Z) -octadeca-8,11,14-trienyl, (Z) -nonadec-10-enyl, (10Z, 13Z) -nonadec-10 , 13-dienyl, (
- p 101 and p 102 are 0 or 1 at the same time.
- L 106 and L 107 together form a single bond or C1-C3 alkylene.
- X 102 is a hydrogen atom, methyl, pyrrolidin-2-yl, pyrrolidin-3-yl, piperidin-2-yl , Piperidin-3-yl, piperidin-4-yl, morpholin-2-yl, morpholin-3-yl, or the same or different 1 to 3 amino, monoalkylamino, dialkylamino, trialkylammonio, hydroxy, More preferably it is C1-C6 alkyl or C3-C6 alkenyl substituted with alkoxy, carbamoyl, monoalkylcarbamoyl, dialkylcarbamoyl, pyrrolidinyl, piperidyl or morpholinyl, hydrogen atom, methyl, or the same or different from 1 to 3 C1-C
- propyl 1,4-diaminobutyl, 1,5-diaminopentyl, 3-aminopropyl, 4-aminobutyl, 5-aminopentyl or 2-carbamoylethyl.
- the alkyl moiety in monoalkylamino, dialkylamino, trialkylammonio, alkoxy, monoalkylcarbamoyl and dialkylcarbamoyl has the same meaning as the C1-C4 alkyl.
- Two or three alkyls in dialkylamino, trialkylammonio and dialkylcarbamoyl may be the same or different.
- L 108 is preferably —CO— or —CO—O—, preferably —CO—.
- p 101 and p 102 are preferably the same or different and are 1 to 3.
- X 102 is a hydrogen atom, methyl, pyrrolidin-2-yl, pyrrolidin-3-yl, piperidin-2-yl, piperidin-3-yl, piperidine-4 -Yl, morpholin-2-yl, morpholin-3-yl or the same or different 1 to 3 amino, monoalkylamino, dialkylamino, trialkylammonio, hydroxy, alkoxy, carbamoyl, monoalkylcarbamoyl, dialkylcarbamoyl, C1-C6 alkyl or C3-C6 alkenyl substituted with pyrrolidinyl, piperidyl or morpholinyl, preferably hydrogen atom, methyl or the same or different from 1 to 3 amino, trialkylammonio, hydroxy or carbamoyl More preferred is a substituted C1-C6 alkyl or C3-C6 alkenyl.
- Hydrogen atom methyl, 2,3-dihydroxypropyl, 3-hydroxypropyl, aminomethyl, 1,2-diaminoethyl, 2-aminoethyl, 1,3-diaminopropyl, 1,4-diaminobutyl, 1, More preferred are 5-diaminopentyl, 3-aminopropyl, 4-aminobutyl, 5-aminopentyl, 2-carbamoylethyl and the like.
- alkyl moiety in monoalkylamino, dialkylamino, trialkylammonio, alkoxy, monoalkylcarbamoyl and dialkylcarbamoyl has the same meaning as the C1-C4 alkyl.
- Two or three alkyls in dialkylamino, trialkylammonio, and dialkylcarbamoyl may be the same or different.
- L 108 is preferably a single bond.
- L 104 and L 105 are preferably —O—.
- X 102 is a hydrogen atom, methyl, pyrrolidin-3-yl, piperidin-3-yl, piperidin-4-yl, or the same or different 1 to 3 amino, monoalkylamino, C1-C6 alkyl or C3-C6 alkenyl substituted with dialkylamino, trialkylammonio, hydroxy, alkoxy, carbamoyl, monoalkylcarbamoyl, dialkylcarbamoyl, pyrrolidinyl, piperidyl or morpholinyl is preferred.
- 2-aminoethyl, 3-aminopropyl, 4-aminobutyl, 5-aminopentyl, 2-carbamoylethyl and the like are more preferable.
- the alkyl moiety in monoalkylamino, dialkylamino, trialkylammonio, alkoxy, monoalkylcarbamoyl and dialkylcarbamoyl has the same meaning as the C1-C4 alkyl.
- Two or three alkyls in dialkylamino, trialkylammonio, and dialkylcarbamoyl may be the same or different.
- L 104 and L 105 are —O—.
- L 108 is a single bond and X 102 is a hydrogen atom
- L 104 and L 105 are preferably the same —CO—O— or —O—CO—, and —CO—O— More preferably.
- L 104 and L 105 are preferably the same —CO—O— or —O—CO—, and are —CO—O—. Is more preferable.
- X 102 is pyrrolidin-3-yl, piperidin-3-yl, piperidin-4-yl or the same or different 1 to 3 amino, monoalkyl
- it is C1-C6 alkyl or C3-C6 alkenyl substituted with amino, dialkylamino, trialkylammonio, hydroxy, alkoxy, carbamoyl, monoalkylcarbamoyl, dialkylcarbamoyl, pyrrolidinyl, piperidyl or morpholinyl.
- X 102 is aminomethyl, 1,2-diaminoethyl, 2-aminoethyl, 1 , 3-Diaminopropyl, 3-aminopropyl, 1,4-diaminobutyl, 4-a Nobutyl, 1,5-diaminopentyl, 5-aminopentyl, (N, N-dimethylamino) methyl, 2- (N, N-dimethylamino) ethyl, 3- (N, N-dimethylamino) propyl or 1- More preferred are amino-2-hydroxyethyl and the like, aminomethyl, 1,2-diaminoethyl, 2-aminoethyl, 1,3-diaminopropyl, 3-aminopropyl, 1,4-diaminobutyl,
- alkyl moiety in monoalkylamino, dialkylamino, trialkylammonio, alkoxy, monoalkylcarbamoyl and dialkylcarbamoyl has the same meaning as the C1-C6 alkyl.
- Two or three alkyls in dialkylamino, trialkylammonio and dialkylcarbamoyl may be the same or different.
- L 104 and L 105 are preferably the same —CO—O— or —O—CO—, and more preferably —CO—O—.
- the alkyl moiety in C8-C24 alkyloxyethyl and C8-C24 alkyloxypropyl may be, for example, the linear or Examples thereof include those exemplified for branched C8-C24 alkyl.
- alkynyl moiety in alkynyloxyethyl and alkynyloxypropyl examples include those exemplified for the linear or branched C8-C24 alkynyl.
- R 105 and R 106 are preferably the same or different and are linear or branched C8-C24 alkyl or C8-C24 alkenyl, and are the same or different, linear or branched C8-C24 alkenyl. More preferably, it is more preferably the same or different and linear C8-C24 alkenyl. R 105 and R 106 are more preferably the same, and in that case, linear or branched C12-C24 alkyl, C12-C24 alkenyl, or C12-C24 alkynyl is preferable. More preferably, it is a chain C12-C24 alkenyl. Linear or branched C12-C24 alkyl, C12-C24 alkenyl, and C12-C24 alkynyl have the same meanings as those in formula (CL-II), respectively.
- R 105 and R 106 are preferably the same or different and are linear or branched C8-C24 alkyl or C8-C24 alkenyl, and are the same or different, linear or branched C8-C24 alkenyl. More preferably, it is more preferably the same or different and linear C8-C24 alkenyl. R 105 and R 106 are more preferably the same, and in that case, linear or branched C15-C20 alkyl, C15-C20 alkenyl, or C15-C20 alkynyl is preferable. More preferably, it is a chain C15-C20 alkenyl. Linear or branched C15-C20 alkyl, C15-C20 alkenyl, and C15-C20 alkynyl have the same meanings as those in formulas (I) to (IV), respectively, and the same groups are preferable.
- R 105 and R 106 are different, R 105 is linear or branched C15-C20 alkyl, C15-C20 alkenyl or C15-C20 alkynyl, and R 106 is linear or branched C8.
- -C12 alkyl is preferred.
- examples of the linear or branched C8-C12 alkyl include octyl, nonyl, decyl, undecyl, and dodecyl, and preferably octyl, decyl, and dodecyl.
- R 105 is linear, more preferably R 106 is a straight-chain C8-C12 alkyl, R 105 is (Z) - octadec-9-enyl or (9Z, 12Z) More preferably, it is -octadeca-9,12-dienyl and R 106 is octyl, decyl or dodecyl.
- R 105 and R 106 are different, R 105 is linear or branched C8-C24 alkyl, C8-C24 alkenyl or C8-C24 alkynyl, R 106 is C8-C24 alkyloxyethyl, C8-C24 alkyloxypropyl, C8-C24 alkenyloxyethyl, C8-C24 alkenyloxypropyl, C8-C24 alkynyloxyethyl or C8-C24 alkynyloxypropyl is also preferred.
- R 105 is a straight-chain C8-C24 alkenyl
- R 106 is more preferably a C8-C24 alkenyloxy ethyl
- R 105 is, (Z) - octadec-9-enyl, ( 9Z, 12Z) -octadeca-9,12-dienyl or (11Z, 14Z) -icosa-11,14-dienyl
- R 106 is (Z) -octadec-9-enyloxyethyl, (9Z, 12Z) More preferably, it is -octadeca-9,12-dienyloxyethyl or (11Z, 14Z) -icosa-11,14-dienyloxyethyl
- R 105 is (9Z, 12Z) -octadeca-9,12 Most preferably, it is -dienyl and R 106 is (9Z, 12Z) -octadeca
- R 105 and R 106 are the same or different linear or branched C8-C24 alkyl or C8-C24 alkenyl, the same or different tetradecyl, hexadecyl, (Z) -tetradec-9-enyl , (Z) -hexadeca-9-enyl, (Z) -octadeca-6-enyl, (Z) -octadeca-9-enyl, (E) -octadeca-9-enyl, (Z) -octadeca-11-enyl , (9Z, 12Z) -octadeca-9,12-dienyl, (9Z, 12Z, 15Z) -octadeca-9,12,15-trienyl, (Z) -icosa-11-enyl, (11Z, 14Z) -icosa -11,14-dienyl or (Z) -docosa
- R 107 has the same meaning as the R 105, R 107 is the same group as R 105 is preferred.
- R 108 is linear C8-C24 alkyloxyethyl, C8-C24 alkyloxypropyl, C8-C24 alkenyloxyethyl, C8-C24 alkenyloxypropyl, C8-C24 alkynyloxyethyl, C8-C24 alkynyloxypropyl, C8 -C24 alkyloxyethoxyethyl, C8-C24 alkenyloxyethoxyethyl or C8-C24 alkynyloxyethoxyethyl is preferred, and linear C8-C24 alkyloxyethyl, C8-C24 alkenyloxyethyl, C8-C24 alkynyloxyethyl is preferred. More preferred. Most preferably, R 107 is linear C15-C20 alkenyl and R 108 is C
- R 109 and R 110 are synonymous with R 105 and R 106 , respectively, and the same groups as R 109 and R 110 are preferred. However, R 109 and R 110 are preferably the same linear or branched C15-C20 alkyl, C15-C20 alkenyl or C15-C20 alkynyl, and the same (9Z, 12Z) -octadeca-9, More preferred is 12-dienyl.
- the C1-C3 alkyl in X 103 and X 104 includes, for example, methyl, ethyl, propyl, isopropyl or cyclopropyl, preferably methyl or ethyl, and more preferably methyl.
- Examples of the C2-C8 alkylene formed by combining X 103 and X 104 include ethylene, propylene, butylene, pentylene, hexylene, heptylene, octylene, and the like, preferably butylene, pentylene, hexylene, and the like. More preferred is hexylene.
- Examples of the C2-C8 alkylene formed by X 103 together with L 111 include ethylene, propylene, butylene, pentylene, hexylene, heptylene, octylene, and the like, and preferably propylene, butylene, pentylene, and the like. More preferably, propylene or butylene is used, and propylene is more preferably used.
- X 103 and X 104 are the same or different and are methyl or ethyl, together form butylene, pentylene or hexylene, or X 103 together with L 111 form ethylene, propylene or butylene It is preferable to do.
- X 103 and X 104 are the same or different and are preferably methyl or ethyl, or together, form butylene, pentylene or hexylene, and X 103 together with L 111 is ethylene, propylene or It is also preferred that it forms butylene and X 104 is methyl or ethyl.
- X 103 and X 104 are identically methyl or together form hexylene, X 103 together with L 111 forms propylene or butylene, and X 104 is methyl. It is further more preferable.
- C1-C6 alkyl, C3-C6 alkenyl, monoalkylamino, alkoxy, mono- alkylcarbamoyl and dialkylcarbamoyl have the same meanings as those in each of the formulas (CL-I).
- L 111 is a hydrogen atom, C1-C6 alkyl, amino, monoalkylamino, hydroxy, alkoxy or C1-C6 alkyl substituted with 1 to 3 amino, monoalkylamino, or hydroxy or alkoxy, the same or different.
- X 103 to form C2-C6 alkylene substituted with 1 to 3 amino or hydroxy atoms, hydrogen atom, methyl, amino, methylamino, hydroxy, methoxy, or the same or different More preferably, together with X 103 to form ethylene, propylene or butylene, which is a hydrogen atom, C1-C3 alkyl, or hydroxy, or together with X 103 More preferably it forms propylene or butylene, together with a hydrogen atom or X 103 Most preferably, propylene is formed.
- L 109 and L 110 as the C1-C6 alkylene, such as methylene, ethylene, propylene, butylene, etc. pentylene or hexylene and the like, preferably methylene or ethylene and the like.
- L 109 is preferably methylene, ethylene, propylene, or the like, more preferably methylene, ethylene, or the like.
- L 110 is preferably a single bond, methylene, ethylene, or the like, and is a single bond, methylene, or the like. More preferably.
- the sum of the carbon numbers of L 109 and L 110 is preferably 1 to 3, and more preferably 2.
- X 103 and X 104 are the same or different, such as methyl or ethyl
- L 111 is a hydrogen atom, methyl, amino, methylamino, hydroxy, methoxy, or the same or different 1 ⁇ 3 amino or hydroxy substituted methyls or the like, or X 103 and X 104 together form pentylene, hexylene or heptylene, etc.
- L 111 is a hydrogen atom, methyl, amino, methylamino, X 103 and L 111 together form propylene, butylene, pentylene or the like, such as hydroxy, methoxy or methyl substituted with 1 to 3 amino or hydroxy identically or differently
- X 104 preferably is methyl or ethyl and the like
- X 103 and X 104 is methyl
- L 111 is a hydrogen atom, X 103 and X 104 are together It forms a pentylene or hexylene or
- the C1-C4 alkyl in the X 105 for example methyl, ethyl, propyl, isopropyl, butyl, include cyclobutyl, etc., preferably methyl.
- X 105 is more preferably a hydrogen atom.
- the C1-C3 alkyl in X 105 ′ includes, for example, methyl, ethyl, propyl, isopropyl, cyclopropyl, etc., preferably methyl, ethyl, isopropyl, etc. More preferably, methyl or ethyl is exemplified.
- X 105 ′ is more preferably a hydrogen atom or methyl, and most preferably a hydrogen atom.
- L 112 as the C1-C3 alkylene, e.g., methylene, ethylene or propylene and the like, preferably methylene or ethylene and the like.
- Examples of the C1-C4 alkyl in the optionally substituted C1-C4 alkyl in R 115 of the formula (CL-VII) include, for example, methyl, ethyl, propyl, isopropyl, cyclopropyl, butyl, isobutyl, sec-butyl, tert -Butyl, cyclobutyl, cyclopropylmethyl, etc. are mentioned, Preferably methyl, ethyl etc. are mentioned, More preferably, methyl is mentioned.
- the alkyl part of C1-C4 alkoxy which may be substituted has the same meaning as the C1-C4 alkyl.
- substituent in the optionally substituted C1-C4 alkyl include amino, monoalkylamino, dialkylamino, pyrrolidin-2-yl, pyrrolidin-3-yl, piperidin-2-yl, piperidin-3-yl, and piperidine 4-yl, morpholin-2-yl, morpholin-3-yl, hydroxy, alkoxy, alkoxycarbonyl, hydroxycarbonyl, carbamoyl, monoalkylcarbamoyl, dialkylcarbamoyl, nitro, cyano, fluoro, chloro, bromo and the like.
- alkyl moiety in monoalkylamino, dialkylamino, alkoxy, alkoxycarbonyl, monoalkylcarbamoyl and dialkylcarbamoyl has the same meaning as the C1-C4 alkyl.
- Two alkyls in dialkylamino and dialkylcarbamoyl may be the same or different.
- acyl in the optionally substituted C1-C4 acyloxy examples include formyl, acetyl, propanoyl, 2-methylpropanoyl, cyclopropanoyl, butanoyl, and preferably acetyl and the like.
- C1-C4 acyloxy examples include amino, monoalkylamino, dialkylamino, pyrrolidin-2-yl, pyrrolidin-3-yl, piperidin-2-yl, piperidin-3-yl and piperidine 4-yl, morpholin-2-yl, morpholin-3-yl, hydroxy, alkoxy, alkoxycarbonyl, hydroxycarbonyl, carbamoyl, monoalkylcarbamoyl, dialkylcarbamoyl, nitro, cyano, fluoro, chloro, bromo and the like.
- alkyl moiety in monoalkylamino, dialkylamino, alkoxy, alkoxycarbonyl, monoalkylcarbamoyl and dialkylcarbamoyl has the same meaning as the C1-C4 alkyl.
- Two alkyls in dialkylamino and dialkylcarbamoyl may be the same or different.
- R 111 and R 112 are preferably the same linear or branched C8-C24 alkyl, C8-C24 alkenyl or C8-C24 alkynyl, and the same linear or branched More preferably, it is C8-C24 alkyl or C8-C24 alkenyl.
- R 111 and R 112 are the same or different and are octyl, decyl, dodecyl, tetradecyl, hexadecyl, octadecyl, icosyl, docosyl, tetracosyl, (Z) -tetradec-9-enyl, (Z) -hexadec-9-enyl, (Z) -octadeca-6-enyl, (Z) -octadeca-9-enyl, (E) -octadeca-9-enyl, (Z) -octadeca-11-enyl, (9Z, 12Z) -octadeca-9,12 -Dienyl, (9Z, 12Z, 15Z) -octadeca-9,12,15-trienyl, (Z) -icosa-11-enyl, (11Z, 14Z) -icosa-11,
- X 106 and X 107 are preferably the same or different and are preferably methyl or ethyl, more preferably methyl.
- Examples of the C2-C8 alkylene formed by combining X 106 and X 107 include ethylene, propylene, butylene, pentylene, hexylene, heptylene, octylene, and the like, preferably butylene, pentylene, hexylene, and the like. More preferred is butylene or pentylene.
- X 106 and X 107 are preferably the same methyl or taken together to form butylene, pentylene or hexylene.
- p 103 and 104 are preferably 0 at the same time, and p 105 is preferably 1.
- L 113 and L 114 are preferably O at the same time.
- R 113 and R 114 are preferably the same linear or branched C8-C24 alkyl, C8-C24 alkenyl or C8-C24 alkynyl, and the same linear or More preferred are branched C8-C24 alkyl or C8-C24 alkenyl.
- C1-C3 alkyl and C2-C8 alkylene in X 109 and X 110 are as defined as in each of the formulas (CL-VI).
- R 115 is preferably a hydrogen atom, hydroxy, methyl, methoxy or the like, more preferably a hydrogen atom or hydroxy, and even more preferably a hydrogen atom.
- L 115 is preferably —O—CO— or —NH—CO—.
- p 106 is 0 or 1
- p 107 is preferably an integer of 1 to 3, more preferably p 106 is 0 and p 107 is 1 or 3.
- L 115 is the case of -CO-O-, p 106 is 0, it is preferable that p 107 is an integer of 2 ⁇ 4, p 106 is 0, more that p 107 is 3 preferable.
- L 115 is the case of -CO-NH-, p 106 is 0, it is preferable that p 107 is an integer of 2 ⁇ 4, p 106 is 0, more that p 107 is 3 preferable.
- each group of formula (CL-VIII) to formula (CL-XVII) may be synonymous with that in formulas (I) to (V ′′).
- CL-VII may be synonymous.
- each group in the formula (CL-VIII) is in WO 2016/002753
- each group in the formula (CL-X) is in WO 2009/129385
- each group in the formula (CL-XI) is In International Publication No.2013 / 149140
- each group in formula (CL-XII) is in International Publication No.2009 / 129395
- each group in formula (CL-XIII) is in International Publication No.2013 / 059496
- -XIV) in International Publication No. 2011/149733
- each group in Formula (CL-XV) in International Publication No.2011 / 153493
- Each group in the formula (CL-XVII) in No. 074085 may be a preferred embodiment of each group described correspondingly in International Publication No. 2013/064911.
- L 118 and L 119 in formula (CL-IX) are the same or different and are preferably linear or branched C8-C24 alkylene or C8-C24 alkenylene, more preferably linear or branched C8. -C20 alkylene or C8-C20 alkenylene.
- C1-C6 alkyl (CL-X) in X 117 and X 118, heterocyclyl or polyamines, halogen atom, R ', OR', SR 1 is selected ', CN, CO 2 R' or from CONR '2 It may be substituted with up to 3 substituents.
- X 117 and X 118 in formula (CL-X) contain 1 or 2 additional heteroatoms selected from N, O and S in addition to the nitrogen to which they are attached
- the monocyclic heterocycle is a halogen atom, R ′, OR ′, SR ′, CN, CO 2 R ′ or CONR ′. It may be substituted with 1 to 3 substituents selected from 2 .
- R ′ is a hydrogen atom or C1-C6 alkyl, and the C1-C6 alkyl as R ′ may be substituted with a halogen atom or OH.
- R 120 and R 121 in formula (CL-X) are the same or different and are preferably linear or branched C4-C24 alkyl or C4-C24 alkenyl, more preferably linear or branched C4- C20 alkyl or C4-C20 alkenyl.
- C4-C24 alkyl or C4-C24 alkenyl may be substituted with one or more substituents selected from a halogen atom, R ′, OR ′, SR ′, CN, CO 2 R ′ or CONR ′ 2.
- R ′ is a hydrogen atom or C1-C6 alkyl, and the C1-C6 alkyl as R ′ may be substituted with a halogen atom or OH.
- X 119 and X 120 in formula (CL-XI) are linear or branched optionally substituted C6-C20 acyl
- the structure other than the carbonyl group in C6-C20 acyl is C5-C19 alkyl. , C5-C19 alkenyl or C5-C19 alkynyl.
- R 124 and R 125 in formula (CL-XII) are the same or different and are preferably linear or branched C8-C24 alkyl or C8-C24 alkenyl, more preferably linear or branched C14. -C20 alkyl or C14-C20 alkenyl.
- X 125 and X 126 C1-C6 alkyl, heterocyclyl or polyamine in the formula (CL-XIV) are selected from halogen atoms, R ′, OR ′, SR ′, CN, CO 2 R ′ or CONR ′ 2 It may be substituted with up to 3 substituents.
- X 125 and X 126 in formula (CL-XIV) contain, in addition to the nitrogen to which they are attached, one or two additional heteroatoms selected from N, O and S.
- the monocyclic hetero ring is a halogen atom, R ′, OR ′, SR ′, CN, CO 2 R ′ or CONR ′ 2 It may be substituted with 1 to 3 substituents selected from
- R ′ is a hydrogen atom or C1-C6 alkyl, and the C1-C6 alkyl as R ′ may be substituted with a halogen atom or OH.
- R 128 and R 129 in formula (CL-XIV) are the same or different and are preferably linear or branched C4-C24 alkyl or C4-C24 alkenyl, more preferably linear or branched C4- C20 alkyl or C4-C20 alkenyl.
- C4-C24 alkyl or C4-C24 alkenyl may be substituted with one or more substituents selected from a halogen atom, R ′, OR ′, SR ′, CN, CO 2 R ′ or CONR ′ 2.
- R ′ is a hydrogen atom or C1-C6 alkyl, and the C1-C6 alkyl as R ′ may be substituted with a halogen atom or OH.
- lipid B used in the present invention is shown in Tables 1 to 10 below, but lipid B of the present invention is not limited thereto.
- compound (I) can be obtained by any of the synthetic pathways 1 and 2, or a method according to these methods.
- Compound (I) can be obtained from ammonia according to Synthesis Route 1.
- Ms represents a methanesulfonyl group, and other groups are as defined above.
- Compound 2 can be obtained by reacting ammonia and compound 1 in a solvent (for example, a polar solvent such as tetrahydrofuran or methanol) at a high temperature (for example, 80 ° C. or more).
- a solvent for example, a polar solvent such as tetrahydrofuran or methanol
- a high temperature for example, 80 ° C. or more.
- Compound 4 is obtained by reacting Compound 2 and Compound 3 at a high temperature (for example, 100 ° C. or higher) in the presence of a base (for example, an inorganic base such as sodium hydroxide).
- a base for example, an inorganic base such as sodium hydroxide.
- a solvent is not particularly required, a high boiling point solvent (for example, a polar solvent such as ethylene glycol) may be used in some cases.
- Compound 6 is obtained by reacting Compound 4 and Compound 5 at a high temperature (for example, 100 ° C. or higher) in the presence of a base (for example, an inorganic base such as sodium hydroxide).
- a base for example, an inorganic base such as sodium hydroxide.
- a solvent is not particularly required, a high boiling point solvent (for example, a polar solvent such as ethylene glycol) may be used in some cases.
- a microwave reactor can also be suitably used.
- a corresponding halide such as bromide or iodide can be used.
- Compound 4 in which R 1 -L 1 and R 2 -L 2 are the same can also be obtained by using an excess amount of Compound 1 from ammonia.
- Compound 6 in which R 2 -L 2 and R 3 -L 3 are the same can also be obtained by using an excess amount of compound 3 from compound 2.
- compound 6 in which R 1 -L 2 , R 2 -L 2 and R 3 -L 3 are the same can also be obtained by using an excess amount of compound 1 from ammonia.
- Compound (I) is obtained by reacting Compound 6 and Compound 7 in the presence or absence of a solvent (eg, a halogen-based solvent such as chloroform) at room temperature or high temperature (eg, 100 ° C. or higher). .
- a solvent eg, a halogen-based solvent such as chloroform
- the anion A 1 of the compound (I) can be converted into another anion.
- Compounds used for the reaction such as Compound 1, Compound 3, Compound 5 and Compound 7 are commercially available products, or the methods described in Examples or modifications thereof, or methods known in the literature (for example, “No. 5 Version Experimental Chemistry Lecture 13 “Synthesis of Organic Compounds I”, 5th Edition, p. 374, Maruzen (2005), etc.) or a method similar thereto.
- Compound 1 can also be obtained by treating the corresponding R 1 -L 1 -OH with mesylic anhydride or mesylic chloride.
- L 1 is -Z 1 - (CY 1 Y 2 ) p1 - what is (each group as defined above) is, R 1 -OMs, R 1 -OH , R 1 -NY 7A -H (Y 7A is as defined above) or R 1 -CO 2 H and HO- (CY 1 Y 2 ) p1 -O-PRO 1 , MsO- (CY 1 Y 2 ) p1 -O-PRO 1 , HO 2 C- (CY 1 Y 2 ) p1 -O-PRO 1 or H-NY 7A- (CY 1 Y 2 ) p1 -O-PRO 1 (where PRO 1 is silyl Any one of the protecting groups (for example, triethylsilyl (TES), tert-butyldimethylsilyl (TBS), tert-butyldiphenylsilyl (TBDPS), etc.)) and a strong base
- L 1 is -Z 2- (CY 3 Y 4 ) p2 -Z 3- (CY 5 Y 6 ) p3- (each group is as defined above) Similarly, it can be obtained by applying a known reaction one or more times using a reaction substrate corresponding to the target compound.
- Compound (Ia) can be obtained from Compound 8 according to Synthesis Route 2.
- M 1 to M 3 are the same or different-(CY 1 Y 2 ) p1- or-(CY 3 Y 4 ) p2 -Z 3- (CY 5 Y 6 ) p3- (wherein each group Are as defined above), and the other groups are as defined above.
- Compound 8 and Compound 9 are mixed with a base (for example, an organic base such as triethylamine) and a condensing agent (for example, 1-ethyl-3- (3-dimethylamino) in a solvent (for example, a halogen-based solvent such as chloroform).
- a base for example, an organic base such as triethylamine
- a condensing agent for example, 1-ethyl-3- (3-dimethylamino
- a solvent for example, a halogen-based solvent such as chloroform
- a solvent for example, a halogen-based solvent such as chloroform
- a solvent for example, a halogen-based solvent such as chloroform
- a solvent for example, a halogen-based solvent such as chloroform
- a solvent for example, a halogen-based solvent such as chloroform
- a solvent for example, a halogen-based solvent such as chloroform
- Compound 12 is obtained by esterifying Compound 10 and Compound 11 in the same manner as described above.
- Compound 14 is obtained by esterifying Compound 12 and Compound 13 in the same manner as described above.
- Compound 12 in which R 1 and R 2 are the same can also be obtained by using an excess amount of Compound 9 from Compound 8.
- Compound 14 in which R 2 and R 3 are the same can also be obtained by using an excess amount of compound 11 from compound 10. Further, Compound 14 in which R 1 , R 2 and R 3 are the same can also be obtained by using an excess amount of Compound 9 from Compound 8.
- Compound (Ia) is obtained by reacting Compound 14 and Compound 15 in the presence or absence of a solvent (eg, a halogen-based solvent such as chloroform) at room temperature or high temperature (eg, 100 ° C. or higher). .
- a solvent eg, a halogen-based solvent such as chloroform
- room temperature or high temperature eg, 100 ° C. or higher.
- Compounds used in the reaction such as Compound 8, Compound 9, Compound 11, Compound 14, and Compound 15 are commercially available products, or the methods described in Examples or equivalent methods, or methods known from the literature (for example, "Fifth Edition Experimental Chemistry Course 14, Synthesis of Organic Compounds II", Fifth Edition, p.1, Maruzen (2005), “Fourth Edition Experimental Chemistry Course 22, Organic Compound Synthesis IV", Fourth Edition, p. 1, the method described in Maruzen (1992), etc.) or a method similar thereto.
- the compound (II) can be obtained by any one of the synthesis routes 3 to 16, or a method according to these methods.
- Compound (IIa) can be obtained from Compound 15 according to Synthesis Route 3.
- M 7 is not present and M 4 is-(CY 8 Y 9 ) p4- , or M 7 is not present and M 4 is-(CY 10 Y 11 ) p5 -Z 6- (CY 12 Y 13 ) p6- or M 7 is -Z 5- (CY 10 Y 11 ) p5- and M 4 is- (CY 12 Y 13 ) p6- (wherein each group is as defined above) M 8 is not present and M 5 is-(CY 8 Y 9 ) p4- or M 8 is not present and M 5 is-(CY 10 Y 11 ) p5 -Z 6 -(CY 12 Y 13 ) p6- or M 8 is -Z 5- (CY 10 Y 11 ) p5- and M 5 is- (CY 12 Y 13 ) p6- , and M 9 M 6 is-(CY 8 Y 9 ) p4- or M 9 is not present and M 6 is-(CY 10 Y 11 ) p4- or M
- Compound 22 is obtained by sequentially reacting Compound 16, Compound 17, Compound 19, and Compound 21 under the same reaction conditions as in the esterification reaction of Compound 8 and Compound 9 in Synthesis Route 2.
- Compound (IIa) is reacted with Compound 22 and Compound 23 by applying the same conditions as those for the synthesis of Compound (Ia) by the reaction of Compound 14 and Compound 15 in Synthesis Route 2. can get.
- the anion A 2 of the compound (IIa) can be converted into another anion.
- Compounds used for the reaction such as Compound 16, Compound 17, Compound 19, Compound 21 and Compound 23 are commercially available products, or the methods described in Examples or equivalent methods, or methods known from the literature (for example, "Fifth Edition Experimental Chemistry Course 14, Synthesis of Organic Compounds II", Fifth Edition, p.1, Maruzen (2005), “Fourth Edition Experimental Chemistry Course 22, Organic Compound Synthesis IV", Fourth Edition, p. 1, the method described in Maruzen (1992), etc.) or a method similar thereto.
- Compound 16 can also be obtained by the methods of Synthesis Routes 11 to 15 described later.
- X 4 can also be introduced first. That is, compound (IIa) can also be obtained by first allowing compound 23 to act on compound 16 and then performing esterification sequentially with compounds 17, 19 and 21.
- Compound (IIb) can be obtained from Compound 16 according to Synthesis Route 4.
- Compound 16 and Compound 24 in a solvent eg, an aprotic solvent such as tetrahydrofuran or toluene
- a base eg, an inorganic base such as sodium hydride
- Compound 25 can be obtained by reaction.
- Compound 27 is obtained by etherifying Compound 25 and Compound 26 in the same manner as described above.
- Compound 29 is obtained by etherifying Compound 27 and Compound 28 in the same manner as described above.
- a microwave reactor can also be suitably used. Further, bromide or iodide corresponding to these can be used in place of compound 24, soot compound 26 and compound 28.
- Compound 27 in which R 4 -M 7 and R 5 -M 8 are the same can also be obtained by using an excess amount of compound 24 from compound 16.
- Compound 29 in which R 5 -M 8 and R 6 -M 9 are the same can also be obtained by using an excess amount of compound 26 from compound 25. Further, Compound 29 in which R 4 -M 7 , R 5 -M 8 and R 6 -M 9 are the same can also be obtained by using an excess amount of Compound 24 from Compound 16.
- Compound (IIb) is obtained by reacting Compound 29 and Compound 23 in the presence or absence of a solvent (for example, a halogen-based solvent such as chloroform) at room temperature or high temperature (for example, 100 ° C. or higher). .
- a solvent for example, a halogen-based solvent such as chloroform
- the anion A 2 of the compound (IIb) can be converted to another anion.
- Compounds used for the reaction such as Compound 16, Compound 24, Compound 26, Compound 28, and Compound 23 are commercially available products, or the methods described in Examples or a method analogous thereto, or methods known from the literature (for example, "Fifth Edition Experimental Chemistry Course 14, Synthesis of Organic Compounds II", Fifth Edition, p.1, Maruzen (2005), “Fifth Edition Experimental Chemistry Course 13, Synthesis of Organic Compounds I", Fifth Edition, p. 374, Maruzen (2005), etc.) or a similar method.
- Compound 24 can also be obtained by treating the corresponding R 4 -M 7 -OH with mesylic anhydride or mesylic chloride.
- M 7 is -Z 5 - (CY 10 Y 11 ) p5 - ones (each group is as defined above) in which, R 4 -OMs, R 4 -OH , R 4 -NY 14A -H (Y 14A is as defined above) or R 4 -CO 2 H, HO- (CY 10 Y 11 ) p5 -O-PRO 1 , MsO- (CY 10 Y 11 ) p5 -O-PRO 1 , HO 2 C- (CY 10 Y 11 ) p5 -O-PRO 1 or H-NY 14A- (CY 10 Y 11 ) p5 -O-PRO 1 (each group is as defined above) Any one of these can be obtained by deprotecting after etherification, amination, esterification or amidation reaction.
- Compound (IIc) can be obtained from Compound 25 obtained in Synthesis Route 4 by appropriately combining each reaction such as esterification in Synthesis Route 3. Further, as shown in Synthesis Route 5, Compound (IId) can be obtained from Compound 27 obtained by Synthesis Route 4 by appropriately combining each reaction such as esterification in Synthesis Route 3.
- Compound (IIe) can be obtained from Compound 30 according to Synthesis Route 6.
- M 10 , M 11 and M 12 are each independently O or NY 14A , and the other groups are as defined above)
- Compound 33 is obtained by subjecting compound 30 to compound 17, compound 19, and compound 21 in this order by esterification or amidation.
- Compound (IIe) is reacted with Compound 33 and Compound 23 by applying the same conditions as those for the synthesis of Compound (Ia) by the reaction of Compound 14 and Compound 15 in Synthesis Route 2. can get.
- the anion A 2 of the compound (IIe) can be converted into another anion.
- Compound 30 can also be obtained by the methods of Synthesis Routes 11 to 15 described later.
- Compound (IIf) can be obtained from Compound 34 according to Synthesis Route 7.
- Compound 35 is obtained by protecting compound 34 with an appropriate protecting group.
- Compound 36 is obtained by reacting Compound 35 with Compound 23 under the same conditions as those used in the synthesis of Compound (Ia) by the reaction of Compound 14 and Compound 15 in Synthesis Route 2. Can be obtained by deprotection under appropriate conditions.
- Compound (IIf) is obtained by subjecting compound 36, compound 37, compound 39 and compound 41 to an esterification or amidation reaction in this order.
- the anion A 2 of the compound (IIf) can be converted to another anion by treating the compound (IIf) with an appropriate anion exchange resin.
- Compound (IIg) can be obtained from ethyl cyanoacetate according to synthetic route 9.
- Et represents an ethyl group
- LAH is lithium aluminum hydride, and other groups are as defined above
- ethyl cyanoacetate with compound 24 in a solvent (eg, an aprotic solvent such as tetrahydrofuran), a base (eg, an inorganic base such as sodium hydride), and optionally an additive (eg, tetraiodide).
- a solvent eg, an aprotic solvent such as tetrahydrofuran
- a base eg, an inorganic base such as sodium hydride
- an additive eg, tetraiodide
- Compound 42 and Compound 26 in a solvent eg, an aprotic solvent such as tetrahydrofuran
- a base eg, an inorganic base such as sodium hydride
- an additive eg, tetrabutyl iodide
- a high temperature for example, 60 ° C. or more
- an additive such as ammonium
- Compound 43 in which R 4 and R 5 are the same can also be obtained by using an excess amount of compound 24 from ethyl cyanoacetate.
- Compound 44 can be obtained by reducing compound 43 with an excess amount of lithium aluminum hydride (LAH) in a solvent (for example, an aprotic solvent such as tetrahydrofuran).
- LAH lithium aluminum hydride
- Compound 47 can be obtained by sequentially reacting compound 45, compound 46 and compound 23 with respect to compound 44 in the presence or absence of a solvent (eg, a halogen solvent such as chloroform).
- a solvent eg, a halogen solvent such as chloroform.
- Compound 47 in which X 2 , X 3 and X 4 are the same can also be obtained using 44 to an excess amount of compound 45.
- Compound (IIg) can be obtained by reacting Compound 47 and Compound 21 by applying the same reaction conditions as in the esterification reaction of Compound 8 and Compound 9 in Synthesis Route 2. Incidentally, for example, by treating the (IIg) with a suitable anion exchange resins, it is also possible to convert the anion A 2 of the compound (IIg) into another anion.
- Compound (IIh) can be obtained from dimethyl malonate according to synthesis route 10.
- Me represents a methyl group
- LAH lithium aluminum hydride, and other groups are as defined above
- a dimethyl malonate and a compound 24 are mixed with a base (for example, an inorganic base such as cesium carbonate) and optionally an additive (for example, tetrabutyl iodide) in a solvent (for example, an aprotic solvent such as acetonitrile).
- a base for example, an inorganic base such as cesium carbonate
- an additive for example, tetrabutyl iodide
- a solvent for example, an aprotic solvent such as acetonitrile.
- Compound 48 can be obtained by reaction under heating (for example, 50 ° C.) in the presence of an additive such as ammonium.
- Compound 50 is reacted with Compound 49 in the presence of acetic anhydride and a base (for example, an inorganic base such as sodium hydride) in a solvent (for example, an aprotic solvent such as acetonitrile).
- a base for example, an inorganic base such as sodium hydride
- a solvent for example, an aprotic solvent such as acetonitrile
- Compound 51 can be obtained by reducing compound 50 with an excess amount of lithium aluminum hydride (LAH) in a solvent (for example, an aprotic solvent such as tetrahydrofuran).
- LAH lithium aluminum hydride
- Compound 52 is obtained by reacting Compound 51 with Compound 19 and Compound 21 under the same reaction conditions as in esterification of Compound 8 and Compound 9 in Synthesis Route 2.
- Compound (IIh) is obtained by reacting compound 52 and compound 53 in the presence or absence of a solvent (eg, a halogen-based solvent such as chloroform) at room temperature or high temperature (eg, 100 ° C. or higher). .
- a solvent eg, a halogen-based solvent such as chloroform
- the anion A 2 of the compound (IIh) can be converted into another anion.
- Compound 49 is a commercially available product, or a method described in Examples or a method analogous thereto, or known from the literature (for example, “Helvetica Chimica Acta, Vol. 92, No. 8, 1644-1656”). Page, 2009 "etc.) or a method analogous thereto.
- Compounds 54 and 56 can be obtained according to synthetic route 11.
- Compound 54 can be obtained by protecting the hydroxy of compound 53.
- Compound 53 can be obtained as a commercial product.
- Compound 55 can be obtained by allowing compound 45 and compound 46 to act on compound 54.
- Compound 56 can be obtained by deprotecting compound 55.
- Hal is a halogen atom such as chlorine, bromine, iodine, etc., and other groups are as defined above.
- Compound 58 can be obtained by protecting the hydroxy of compound 57.
- Compound 57 can be obtained as a commercial product.
- Compound 59 can be obtained by reacting Compound 58 with a halogenating reagent (for example, chlorine, bromine, iodine, iodine chloride, etc.).
- a halogenating reagent for example, chlorine, bromine, iodine, iodine chloride, etc.
- Compound 60 is obtained by reacting compound 59 with ammonia.
- Compound 61 is obtained by allowing compound 45 to act on compound 60.
- compound 63 is obtained by allowing compound 46 to act on compound 61.
- Compound 63 can also be obtained by reacting compound 59 with compound 62.
- Compound 63 is obtained by deprotecting compound 62.
- Compound 64 is obtained by oxidizing compound 58 with an appropriate oxidizing agent (for example, potassium permanganate or Jones reagent).
- an appropriate oxidizing agent for example, potassium permanganate or Jones reagent.
- Compound 66 can be obtained by reacting compound 59 with cyanide (for example, sodium cyanide, potassium cyanide, lithium cyanide, etc.).
- cyanide for example, sodium cyanide, potassium cyanide, lithium cyanide, etc.
- Compound 67 is obtained by reducing compound 66 with lithium aluminum hydride or the like.
- Compound 68 is obtained by allowing Compound 45 to act on Compound 67.
- Compound 69 is obtained by allowing compound 46 to act on compound 68.
- Compound 70 is obtained by deprotecting Compound 69.
- Compound 71 is obtained by hydrolyzing compound 66 with a base (for example, sodium hydroxide or the like).
- a base for example, sodium hydroxide or the like.
- Compound 72 is obtained by reducing compound 71 by reduction (for example, borane or the like).
- Compound 73 can be obtained by reacting compound 72 with a halogenating reagent (eg, chlorine, bromine, iodine, iodine chloride, etc.).
- a halogenating reagent eg, chlorine, bromine, iodine, iodine chloride, etc.
- Compound 76 can be synthesized according to Synthesis Route 14.
- M 13 is - (CH 2)
- p201 - a is
- M 15 is - (CH 2)
- p202 - a is (wherein, p 201 ⁇ p 202 is an integer of 1 ⁇ 5)
- PRO 4 is in accordance with M 14 , protecting group PRO 1 for hydroxy, protecting group PRO 2 for carboxylic acid, or amine
- a protective group PRO 3 for example, a carbamate protecting group such as tert-butoxycarbonyl or benzyl
- Compound 74 can be obtained by the method described in Synthesis Routes 11 to 13 or a method analogous thereto.
- Compound 75 can be obtained by appropriately protecting and deprotecting compound 74.
- Compound 76 can be obtained from compound 75 as a raw material by the method described in Synthesis Routes 11 to 13 or a method analogous thereto.
- Compounds 77 to 79 can be obtained by using compound 76 as a raw material, as described in Synthesis Route 15, and sequentially carrying out protection and deprotection, and a method according to Synthesis Route 14.
- M 16 and M 17 are each - (CH 2) p203 - and - (CH 2) p204- a represents (wherein, p 203 ⁇ p 204 is an integer of 1-5), other Each group is as defined above)
- M 18 is - (CY 19 Y 20) p9 - or - (CY 23 Y 24) p11 -Z 9 - (CY 25 Y 26) p12 -.
- b 1 is Ar is a p-nitrophenyl group
- Hal is a halogen atom such as chlorine, bromine, iodine, etc., and other groups are as defined above. Note that when p13 is 0, N is the coupling carbon atom adjacent to the directly Z 10.
- Compound 82 can be obtained by condensing compound 80 and compound 81 by esterification and then deprotecting.
- Compound 84 can be obtained by condensing compound 83 and compound 81 by amidation and then deprotecting.
- Compound 87 is obtained by condensing compound 85 and compound 86 by esterification and then deprotecting.
- Compound 89 can be obtained by condensing compound 85 and compound 88 by amidation and then deprotecting.
- Compound 92 is obtained by deprotecting Compound 90 and Compound 91 after a nucleophilic substitution reaction.
- Compound 95 is obtained by deprotecting Compound 93 and Compound 94 after a transesterification reaction.
- 80, 83, 85, 90 and 93 can be obtained by the synthesis route 12-15 or a method according to these.
- b 1 is For compounds that are (Wherein M 37 is —OH, —CO 2 H or NY 38 (where Y 38 is a hydrogen atom or an optionally substituted C1-C4 alkyl)), respectively.
- Appropriate fragments can be obtained by condensation by etherification, amination, esterification, amidation and the like.
- M 18 is - (CY 23 Y 24) p11 -Z 9 - (CY 25 Y 26) p12 - a is one, the compounds 81,86,88, Of 91 and 94, M 18 is the same as- (CY 19 Y 20 ) p9- , and the appropriate fragment corresponding to each is condensed by etherification, amination, esterification, amidation, etc. Can be obtained.
- the compound (III) can be obtained by the methods of Synthesis Routes 17 to 21 or methods according to these methods.
- Compound (IIIa) can be obtained from Compound 96 according to Synthesis Route 17.
- Compound (IIIa) is obtained by reacting Compound 96 and Compound 97 in the presence or absence of a solvent (eg, a halogen-based solvent such as chloroform) at room temperature or at a high temperature (eg, 100 ° C. or higher). .
- a solvent eg, a halogen-based solvent such as chloroform
- the anion A 3 of the compound (IIIa) can be converted to another anion.
- Compound 96 can be obtained by the method described in Examples or a method analogous thereto, or the method described in the literature (US Patent Application Publication No. 2012/0172411) or a method analogous thereto.
- the compound used for the reaction such as Compound 97 can be obtained as a commercially available product, by the method described in Examples or a method according thereto, or by a method known from the literature or a method according thereto.
- Compound (IIIb) can be obtained from ethyl glyoxylate according to synthetic route 18.
- M 19 is - (CY 50 Y 51) p23 - or - (CY 54 Y 55) p25 -Z 17 - (CY 56 Y 57) p26 - ( wherein each group is respectively as defined above ) And b 2 And the other groups are as defined above. Note that when p33 is 0, N is the coupling carbon atom adjacent to the directly Z 21. )
- Compound 101 is obtained by sequentially reacting ethyl glyoxylate and Grignard reagents 98, 99 and 100 in a solvent (for example, an ether solvent such as tetrahydrofuran).
- a solvent for example, an ether solvent such as tetrahydrofuran.
- the compound 101 having the same R 7 , R 8 and R 9 can also be obtained by reacting an excess amount of the compound 98 with ethyl glyoxylate.
- Compound 101 and Compound 102 in a solvent for example, a halogen-based solvent such as chloroform
- a base for example, an organic base such as triethylamine
- a condensing agent for example, 1-ethyl-3- (3-dimethylaminopropyl
- Compound 103 is obtained by treatment with a condensing agent such as) carbodiimide hydrochloride) and an activator (an activator such as N, N-dimethylaminopyridine).
- Compound (IIIb) is reacted with Compound 103 and Compound 97, 104 or 105 in the presence or absence of a solvent (for example, a halogen-based solvent such as chloroform) at room temperature or high temperature (for example, 100 ° C. or higher). ) Is obtained.
- a solvent for example, a halogen-based solvent such as chloroform
- Compound 98 includes R 7 —OH (commercially available, obtained by the method described in Examples or a method analogous thereto), mesylation reagent (such as mesylic anhydride or mesylic chloride), bromide salt (magnesium bromide or Lithium bromide, etc.) and metal magnesium are obtained in this order.
- mesylation reagent such as mesylic anhydride or mesylic chloride
- bromide salt magnesium bromide or Lithium bromide, etc.
- metal magnesium metal magnesium
- Compounds 104 and 105 are the same as compound 23.
- Compound 102 is the same as compound 54.
- Compounds 108, 109, and 112 can be obtained from ammonia, ethyl formate, and compound 99, respectively, according to synthesis route 19.
- M 21 is —OH and M 22 is HO—CO— and M 25 is —O—CO—, or M 21 is —NY 45C —H and M 22 is HO—CO—.
- M 25 is -NY 45C -CO-
- M 21 is -CO-OH and M 22 is HO- and M 25 is -CO-O-
- M 21 is -CO-OH
- M 22 is H-NY 14B -and M 25 is -CO-NY 14B-
- M 20 is absent and M 23 is-(CY 39 Y 40 ) p18- or M 20 M 23 does not exist is - (CY 41 Y 42) p19 -Z 14 - (CY 43 Y 44) p20 - or where, M 20 is -Z 13 - (CY 41 Y 42 ) p19 - a is M 23 is - (CY 43 Y 44) p20 - a further M 24 is -. (CY 63 Y 64) p29 -, or
- Compound 108 is obtained by reacting ammonia, Compound 106, and Compound 107 under the same reaction conditions as those for synthesizing Compound 4 from ammonia in Synthesis Route 1.
- Compound 109 is obtained by reacting ethyl formate, compound 99, and compound 100 under the same reaction conditions as those for synthesizing compound 101 from ethyl glyoxylate in synthesis route 18.
- Compound 112 can be obtained by condensing compound 110 and compound 111 by esterification or amidation, followed by deprotection.
- Compounds 106 and 107 are the same as compound 1.
- the compound 110 in which M 21 is —OH is the same as R 1 -L 1 -OH described in the synthesis route 1.
- Compound 110 in which M 21 is —NY 45C —H is the same as Compound 37.
- Compound 110 in which M 21 is —CO—OH is the same as Compound 17.
- Compound 111 is a commercially available product, a method described in Examples or a method similar thereto, or a method known from literature (for example, 4th edition, Experimental Chemistry Course 20, Synthesis of Organic Compounds II, 4th edition, p. .187, Maruzen (1992), etc.) or a method similar thereto.
- Compounds (IIIc) and (IIId) can be obtained from compounds 108 and 112, and compounds 109 and 112, respectively, according to synthetic route 20.
- Compound (IIIc) can be obtained by condensing compounds 108 and 112 by amidation and then allowing compound 114, 1115, or 116 to act.
- Compound (IIId) can be obtained by condensing compounds 109 and 112 by esterification and then allowing compound 114, 1115, or 116 to act.
- the anion A 3 of the compound (IIIc) or (IIId) can be converted to another anion by treating the compound (IIIc) or (IIId) with a suitable anion exchange resin.
- the compound (IV) can be obtained by the methods of synthesis routes 11 to 12, or a method according to these methods.
- Compound 127 can be obtained according to synthetic route 21.
- M 26 and M 27 are the same or different-(CY 91 Y 92 ) p41-
- M 28 and M 29 are the same or different -O-CO- (CY 91 Y 92 ) p41 -or -CO-O- (CY 91 Y 92 ) p41- and M 30 and M 31 are not the same or different, or -O-CO- (CY 91 Y 92 ) p41 -or -CO-O- ( CY 91 Y 92 ) p41- and the other groups are as defined above.
- Compound 121 can be obtained by sequentially condensing compound 118, compound 119 and compound 120 by an esterification reaction, or by sequentially condensing compound 122, compound 123 and compound 124 by an esterification reaction.
- Compound 125 is obtained by reacting Compound 121 with a deprotection reagent (for example, a deprotection reagent such as tetra-n-butylammonium fluoride) in a solvent (for example, an ether solvent such as tetrahydrofuran) or reacting with ethyl formate.
- a deprotection reagent for example, a deprotection reagent such as tetra-n-butylammonium fluoride
- a solvent for example, an ether solvent such as tetrahydrofuran
- a solvent for example, an ether solvent such as tetrahydrofuran
- Compound 125 is mixed with an oxidizing agent (for example, an organic oxidizing agent such as Dess-Martin reagent or an inorganic oxidizing agent such as pyridinium chlorochromate) in a solvent (for example, an aprotic solvent such as chloroform). ) To give compound 128.
- an oxidizing agent for example, an organic oxidizing agent such as Dess-Martin reagent or an inorganic oxidizing agent such as pyridinium chlorochromate
- a solvent for example, an aprotic solvent such as chloroform
- Compound (IVa) can be obtained from Compound 128 according to Synthesis Route 22.
- Compound 128 and Compound 129 may be combined with a reducing agent (for example, a hydride compound such as sodium borohydride or triacetoxyborohydride) in a solvent (for example, a halogen-based solvent such as 1,2-dichloroethane) or the like. Can be reacted in the presence of an additive (eg, an acid such as acetic acid) to give compound 130.
- a reducing agent for example, a hydride compound such as sodium borohydride or triacetoxyborohydride
- a solvent for example, a halogen-based solvent such as 1,2-dichloroethane
- an additive eg, an acid such as acetic acid
- Compound 132 is obtained by reacting Compound 130 and Compound 131 in the presence of a base (for example, an inorganic base such as sodium hydroxide) at a high temperature (for example, 100 ° C. or higher).
- a base for example, an inorganic base such as sodium hydroxide
- a solvent is not particularly required, but a solvent such as ethylene glycol may be used in some cases.
- Compound (IVa) is obtained by reacting Compound 132 and Compound 133 in the presence or absence of a solvent (eg, a halogen-based solvent such as chloroform) at room temperature or high temperature (eg, 100 ° C. or higher).
- a solvent eg, a halogen-based solvent such as chloroform
- the anion A 4 of the compound (IVa) can be converted to another anion by treating (IVa) with an appropriate anion exchange resin.
- Compounds used for the reaction such as Compound 129, Compound 131, and Compound 133 are commercially available, or the methods described in Examples or a method analogous thereto, or methods known from the literature (for example, International Publication No. 2010/042877 No., International Publication No. 2010/054401, “Fifth Edition Experimental Chemistry Lecture 13, Synthesis of Organic Compounds I”, Fifth Edition, p.374, Maruzen (2005), etc.) It can be obtained.
- Compound (IVb) can be obtained according to synthesis route 23.
- M 32 does not exist or is —Z 27 — (CY 93 Y 94 ) p42 —, Ns represents an o-nitrobenzenesulfonyl group, and other groups are as defined above)
- thiol eg, dodecane-1-thiol, thiophenol, etc.
- Compound 136 is obtained by amidating compounds 136 and 137.
- Compound (IVb) can be obtained by reacting Compound 138 with 139.
- the anion A 4 of the compound (IVb) can be converted to another anion by treating the compound (IVb) with an appropriate anion exchange resin.
- Compound 134 is obtained by allowing o-nitrobenzenesulfonyl chloride to act on R 11 -L 14 -NH 2 .
- R 11 -L 14 -NH 2 is a commercially available product, a method described in Examples or a method analogous thereto, or a method known from literature (for example, “4th edition Experimental Chemistry Course 20 Synthesis of Organic Compounds II , 4th edition, p.279, Maruzen (1992), etc.) or a method similar thereto.
- M 33 is, - (CY 123 R 124) p54 -, - (CY 125 Y 126) p55 -Z 35 - (CY 127 R 128 ) p56 - or - (CY 129 R 130) p57 -Z 36 - (CY 131 Y 132) p58 -Z 37 - (CY 133 Y 134) p59 - a Awarashi, M 34, M 35, and M 36 are each Independently -O- or -CO-O-, and other groups are as defined above)
- Compound 141 can be obtained by reacting Compound 140 with 2 ′, 2 ′′ -dimethoxytrityl chloride.
- Compound 142 is obtained by subjecting Compound 141 to three-stage etherification or esterification.
- Compound 143 is obtained by treating compound 142 with an acid.
- Compound 144 is obtained by activating compound 143 with a halogenating reagent and then treating with the corresponding amine compound.
- Compound (V′a) can be obtained by reacting compound 145 with compound 144. Incidentally, for example, by treating the (V'a) in a suitable anion exchange resins, it is also possible to convert the anion A 5 of the compound (V'a) in a different anion.
- Compound 140 is a commercially available product, a natural product, or a method described in Examples or a method analogous thereto, or a method known in the literature (for example, “(The Organic Chemistry of Sugar (The Organic Chemistry Chemistry of Sugars), Daniel E. ⁇ Levy, et al., the method described in Tyler & Francis, 2005, etc.) or a method similar thereto.
- Compound (V ′′ a) can be obtained by the same method as in synthesis route 25 using compound 146 as a raw material.
- Compound 146 can be obtained as a commercially available product, as a natural product, or by a method described in the Examples or a method analogous thereto, or a method known from the literature (for example, “(The Organic Chemistry of Sugar (The Organic Chemistry Chemistry of Sugars), Daniel E. ⁇ Levy, et al., the method described in Tyler & Francis, 2005, etc.) or a method similar thereto.
- Compounds (I) to (V ′′) can be obtained by appropriately combining any one of the above synthesis routes 1 to 25 or a method according to these methods.
- the lipid represented by the compound (CL-I) can be obtained by the method described in International Publication No. 2013/089151, or a method analogous thereto.
- the lipid represented by the compound (CL-II) can be obtained by the method described in International Publication No. 2011/136368 or a method analogous thereto.
- Lipids represented by compound (CL-III), compound (CL-IV) and compound (CL-V) can be obtained by the method described in International Publication No. 2014/007398 or a method analogous thereto.
- the lipid represented by the compound (CL-VI) can be obtained by the method described in International Publication No. 2010/042877 or a method analogous thereto.
- Compound (CL-VII) can be obtained by the method described in International Publication No. 2010/054401, the method described in International Publication No. 2013/059496, or a method analogous thereto.
- Compound (CL-VIII) can be obtained by the method described in International Publication No. 2016/002753 or a method analogous thereto.
- Compound (CL-IX) can be obtained by the method described below or a method analogous thereto.
- R 118 , R 119 , M 101 , M 102 , L 118 and L 119 have the same meanings as defined above, and X in IX-IIIa and IX-IIIb is the same or different, and represents a chlorine atom, bromine atom, Represents a leaving group such as iodine atom, trifluoromethanesulfonyloxy, methanesulfonyloxy, benzenesulfonyloxy, p-toluenesulfonyloxy, R 137 is a hydrogen atom, methyl or ethyl, and R 138 is a hydrogen atom or methyl Or R 137 and R 138 together with adjacent carbons form a cyclopropyl ring (provided that when R 137 is a hydrogen atom or ethyl, R 138 is not methyl))
- Step 26 and Step 27 Compound (IX-IIa) is obtained by reacting 2-amino-2-methyl-1,3-propanediol and compound (IX-IIIa) at room temperature in the presence of 1 to 10 equivalents of a base without solvent or in a solvent. It can be produced by reacting at a temperature between 200 ° C. for 5 minutes to 100 hours. Further, compound (CL-IXa) is obtained by reacting compound (IX-IIa) and compound (IX-IIIb) in the presence of 1 to 10 equivalents of base without solvent or in a solvent at a temperature between room temperature and 200 ° C. Thus, it can be produced by reacting for 5 minutes to 100 hours.
- solvent examples include dichloromethane, 1,2-dichloroethane, toluene, diethyl ether, tetrahydrofuran, 1,2-dimethoxyethane, 1,4-dioxane, pyridine and the like, and these may be used alone or in combination. it can.
- Examples of the base include sodium methoxide, potassium tert-butoxide, sodium hydride, lithium diisopropylamide, hexamethyldisilazane lithium, hexamethyldisilazane sodium, n-butyllithium and the like.
- Compound (IX-IIIa) and Compound (IX-IIIb) are commercially available products or known methods (for example, “5th edition Experimental Chemistry Course 13 Synthesis of Organic Compounds I”, 5th edition, p.374, Maruzen ( 2005)) or a method based thereon.
- 2-Amino-2-methyl-1,3-propanediol can be obtained as a commercial product.
- Step 28 Compound (CL-IXb) is obtained by mixing compound (CL-IXa) with 2 to 20 equivalents of compound (IX-IV), preferably 1 equivalent to a large excess of reducing agent and preferably 1 to 10 equivalents in a solvent. It can be produced by reacting at a temperature between ⁇ 20 ° C. and 150 ° C. for 5 minutes to 72 hours in the presence of an equivalent amount of acid.
- solvent examples include methanol, ethanol, tert-butyl alcohol, dichloromethane, chloroform, 1,2-dichloroethane, toluene, ethyl acetate, acetonitrile, diethyl ether, tetrahydrofuran, 1,2-dimethoxyethane, 1,4-dioxane, N , N-dimethylformamide, N, N-dimethylacetamide, N-methylpyrrolidone, water and the like, and these may be used alone or in combination.
- Examples of the reducing agent include sodium triacetoxyborohydride and sodium cyanoborohydride.
- Examples of the acid include hydrochloric acid and acetic acid.
- Compound (IX-IV) can be obtained as a commercial product.
- R 118 , R 119 , M 101 , M 102 , L 118 , L 119 , R 137 , R 138 and X are as defined above, R 139 is as defined in X 115 , and PG is protected. Represents a group.
- Step 29 Compound (IX-IIb) is compound (CL-IXa) that is commonly used in synthetic organic chemistry (e.g., Protective Groups in Organic Synthesis, third edition, Green (TWGreene ) By John Wiley & Sons Inc. (1999), etc.].
- Process 30 Compound (IX-IIc) is obtained by reacting Compound (IX-IIb) and Compound (IX-IIIc) in the presence of 1 to 10 equivalents of a base without solvent or in a solvent at a temperature between ⁇ 20 ° C. and 150 ° C. Thus, it can be produced by reacting for 5 minutes to 72 hours.
- solvent examples include dichloromethane, 1,2-dichloroethane, toluene, diethyl ether, tetrahydrofuran, 1,2-dimethoxyethane, 1,4-dioxane, pyridine, N, N-dimethylformamide, N, N-dimethylacetamide and the like. These may be used alone or in admixture.
- Examples of the base include sodium methoxide, potassium tert-butoxide, sodium hydride, lithium diisopropylamide, hexamethyldisilazane lithium, hexamethyldisilazane sodium, n-butyllithium, potassium carbonate, cesium carbonate, triethylamine and the like.
- Compound (IX-IIIc) can be obtained as a commercial product.
- Step 31 Compound (CL-IXc) can be obtained by removing protecting group PG of compound (IX-IIc) by an appropriate method.
- Methods for removing protecting groups include those commonly used in organic synthetic chemistry (for example, Protective Groups in Organic Synthesis, third edition, TW Greene, John The removal method described in Wiley & Sons Inc. (1999), etc.] can be used, whereby the target compound can be produced.
- Compound (CL-IXd) is obtained by combining compound (CL-IXc) with 1 to 10 equivalents of compound (IX-IV), preferably 1 equivalent to a large excess of a reducing agent and preferably 1 to 10 equivalents in a solvent. It can be produced by reacting at a temperature between ⁇ 20 ° C. and 150 ° C. for 5 minutes to 72 hours in the presence of an equivalent amount of acid.
- Examples of the solvent, reducing agent, and acid include those exemplified in Step 28.
- R 118 , R 119 , M 101 , M 102 , L 118 , L 119 , R 137 , R 138 , R 139 and PG are as defined above, and B and B ′ are linear or branched C1-C16 alkyl or C2-C16 alkenyl in the form of
- Step 33 Compound (IX-IId) can be produced by reacting compound (IX-IIc ′) and an oxidizing agent in a solvent at a temperature between ⁇ 20 ° C. and 150 ° C. for 5 minutes to 72 hours.
- oxidizing agent examples include ozone, osmium tetroxide / sodium periodate, osmium tetroxide / lead tetraacetate, and the like.
- Examples of the solvent include those exemplified in Step 28.
- Compound (IX-IIc ′) can be produced by the method described in Production Method 2.
- Step 34 Compound (IX-IIe) can be produced by reacting compound (IX-IId) and an oxidizing agent in a solvent at a temperature between ⁇ 20 ° C. and 150 ° C. for 5 minutes to 72 hours.
- oxidizing agent examples include Jones reagent, pyridinium dichromate, ruthenium tetroxide, sodium chlorite and the like.
- Solvents include tert-butyl alcohol, dichloromethane, chloroform, 1,2-dichloroethane, toluene, ethyl acetate, acetone, acetonitrile, diethyl ether, tetrahydrofuran, 1,2-dimethoxyethane, 1,4-dioxane, N, N- Examples thereof include dimethylformamide, N, N-dimethylacetamide, N-methylpyrrolidone, water and the like, and these can be used alone or in combination.
- Step 35 and Step 36 Compound (IX-IIf) is obtained by reacting Compound (IX-IIe) and Compound (IX-Va) at room temperature and in the presence of 1 to 10 equivalents of a condensing agent and 1 to 10 equivalents of a base without solvent or in a solvent. It can be produced by reacting at a temperature between 0 ° C. and 5 minutes to 100 hours. Further, Compound (IX-IIc ′′) is obtained by combining Compound (IX-IIf) and Compound (IX-Vb) in the absence of solvent or in a solvent in the presence of 1 to 10 equivalents of condensing agent and 1 to 10 equivalents of base. The reaction can be carried out at a temperature between room temperature and 200 ° C. for 5 minutes to 100 hours.
- solvent examples include dichloromethane, chloroform, 1,2-dichloroethane, toluene, ethyl acetate, acetonitrile, diethyl ether, tetrahydrofuran, 1,2-dimethoxyethane, dioxane, N, N-dimethylformamide, N, N-dimethylacetamide, N-methylpyrrolidone, pyridine and the like can be mentioned, and these can be used alone or in combination.
- condensing agent examples include 1-ethyl-3- (3-dimethylaminopropyl) carbodiimide hydrochloride, N, N′-dicyclohexylcarbodiimide, 4- (4,6-dimethoxy-1,3,5-triazine-2- ⁇ ⁇ yl). ) -4-Methylmorpholinium chloride n hydrate, 1H-benzotriazol-1-yloxytris (dimethylamino) phosphonium hexafluorophosphate, O- (7-azabenzotriazol-1-yl) -N , N, N ′, N ′,-tetramethyluronium hexafluorophosphate and the like.
- Examples of the base include potassium carbonate, cesium carbonate, triethylamine, N, N-diisopropylethylamine, N-methylmorpholine, pyridine and the like.
- Compound (IX-Va) and compound (IX-Vb) can be obtained as commercial products.
- the compound (IX-IIc ′′) in the case where R 118 and R 119 are the same can be obtained by using 2 equivalents or more of the compound (IX-Va) in Step 35.
- Step 37 Compound (CL-IXc ′) is obtained by removing the protecting group PG of compound (IX-IIc ′′) by an appropriate method.
- Methods for removing protecting groups include those commonly used in organic synthetic chemistry (for example, Protective Groups in Organic Synthesis, third edition, TW Greene, John The removal method described in Wiley & Sons Inc. (1999), etc.] can be used, whereby the target compound can be produced.
- Step 38 Compound (CL-IXd ′) is obtained by combining compound (CL-IXc ′) with 1 to 10 equivalents of compound (IX-IV), preferably 1 equivalent to a large excess of reducing agent in a solvent and preferably 1 It can be produced by reacting at a temperature between ⁇ 20 ° C. and 150 ° C. for 5 minutes to 72 hours in the presence of ⁇ 10 equivalents of acid.
- Examples of the solvent and the acid include those exemplified in Step 28.
- compounds other than the compounds (CL-IXa) to (CL-IXd) can be obtained by adopting materials and reagents suitable for the structure of the target compound. It can be produced according to the production method or by applying a general production method commonly used in organic synthetic chemistry.
- the intermediates and target compounds in each of the above production methods should be isolated and purified by subjecting them to separation and purification methods commonly used in organic synthetic chemistry, such as filtration, extraction, washing, drying, concentration, and various recrystallization chromatography. Can do.
- the intermediate can be subjected to the next reaction without any particular purification.
- R 115 and R 116 are the same or different and are a hydrogen atom or C1-C3 alkyl.
- R 115 and R 116 are the same or different and are preferably a hydrogen atom, methyl, ethyl, or propyl, more preferably a hydrogen atom or methyl.
- the combination of (R 115 , R 116 ) is preferably (hydrogen atom, hydrogen atom), (hydrogen atom, methyl), (methyl, methyl), more preferably (hydrogen atom, methyl), (methyl, Methyl).
- L 118 and L 119 are the same or different and are linear or branched C8-C24 alkylene or C8-C24 alkenylene.
- L 118 and L 119 are the same or different and are alkylene, they are preferably linear C8-C24 alkylene, more preferably linear C8-C20 alkylene, and even more preferably linear C8-C12 alkylene.
- L 118 and L 119 are the same or different and are preferably octylene, nonylene, undecylene, tridecylene, pentadecylene, and more preferably octylene, nonylene, undecylene.
- L 118 and L 119 are the same or different and are alkenylene, they are preferably linear C8-C24 alkenylene, more preferably linear C10-C20 alkenylene, and even more preferably linear C10-C12 alkenylene.
- L 118 and L 119 are the same or different, preferably (Z) -undec-9-enylene, (Z) -tridec-11-enylene, (Z) -tetradec-9-enylene, (Z) -hexadeca-9 -Enylene, (Z) -octadeca-9-enylene, (Z) -octadeca-11-enylene, (9Z, 12Z) -octadeca-9,12-dienylene.
- L 118 and L 119 are preferably the same.
- the bond of each structure of M 101 and M 102 will be described by taking —OC (O) — as an example, which means that the structure is R 118 —OC (O) —L 118 .
- M 101 and M 102 are preferably the same.
- R 'in M 101 and M 102' and R '''the same or different is a hydrogen atom or a C1-C3 alkyl.
- R ′′ and R ′ ′′ are preferably a hydrogen atom, methyl, ethyl or propyl, more preferably a hydrogen atom or methyl, and even more preferably a hydrogen atom.
- R 118 and R 119 are the same or different and are linear or branched C1-C16 alkyl or C2-C16 alkenyl.
- R 118 and R 119 are the same or different and are alkyl, they are preferably linear C1-C16 alkyl, more preferably linear C2-C9 alkyl.
- R 118 and R 119 are the same or different and are preferably pentyl, octyl, nonyl, decyl, dodecyl.
- R 118 and R 119 are the same or different and are alkenyl, they are preferably linear C 2 -C 16 alkenyl, more preferably linear C 3 -C 9 alkenyl.
- R 118 and R 119 are the same or different, preferably (Z) -hept-2-ene, (Z) -oct-2-ene, (Z) -non-2-ene, (Z) -nona-3 -Ene, nona-8-ene, (Z) -dodec-2-ene, (Z) -tridec-2-ene.
- R 118 and R 119 are preferably the same.
- R 118 -M 101 -L 118 and R 119 -M 102 -L 119 are the same or different, and R 118 and R 119 , M 101 and M 102 , and L 118 and L 119 are from the structure described for each group. It may be a combination of R 118 -M 101 -L 118 and R 119 -M 102 -L 119 are preferably the same.
- R 118 -M 101 -L 118 and R 119 -M 102 -L 119 are the same or different, preferably (Z) -tetradec-9-enyl, (Z) -hexadeca-9-enyl, (Z) -octadeca -9-enyl, (E) -octadeca-9-enyl, (Z) -octadeca-11-enyl, (9Z, 12Z) -octadeca-9,12-dienyl, (9Z, 12Z, 15Z) -octadeca-9 , 12,15-trienyl, (Z) -icosa-11-enyl, (11Z, 14Z) -icosa-11,14-dienyl and (Z) -docosa-13-enyl, more preferably The group consisting of (Z) -hexadec-9-enyl, (Z) -octadeca-9
- n is an integer of 1-4
- the lipid represented by the compound (CL-X) can be obtained by the method described in International Publication No. 2009/129385 or a method analogous thereto.
- the lipid represented by the compound (CL-XI) can be obtained by the method described in International Publication No. 2013/1491401, or a method analogous thereto.
- the lipid represented by the compound (CL-XII) can be obtained by the method described in International Publication No. 2009/129395 or a method analogous thereto.
- the lipid represented by the compound (CL-XIII) can be obtained by the method described in International Publication No. 2013/059496 or a method analogous thereto.
- the lipid represented by the compound (CL-XIV) can be obtained by the method described in International Publication No. 2011/149733 or a method analogous thereto.
- the lipid represented by the formula (CL-XV) can be obtained by the method described in International Publication No. 2011/153493 or a method analogous thereto.
- the lipid represented by the formula (CL-XVI) can be obtained by the method described in International Publication No. 2015/074085 or a method analogous thereto.
- the lipid represented by the formula (CL-XVII) can be obtained by the method described in International Publication No. 2012/170952 or a method analogous thereto.
- lipid A in the present invention is not limited thereto.
- Lipid A in the nucleic acid-containing lipid nanoparticles of the present invention is represented by the formula (I), formula (II), formula (III), formula (IV), formula (V ′), and formula (V ′′).
- lipids represented by formula (II), formula (V ′), and formula (V ′′) are preferable, and lipids represented by formula (II) and formula (V ′) are more preferable.
- At least one of R 4 to R 6 in the formula (II) is a linear C8-C24 alkyl lipid, more preferably, Two of R 4 to R 6 in the formula (II) are lipids that are linear C8-C24 alkyl, and more preferably, R 4 to R 6 in the formula (II) are all linear C8 It is a lipid that is -C24 alkyl.
- the lipid B to be combined with a lipid selected from the group consisting of the formula (II), the formula (V ′), and the formula (V ′′) is preferably the formula (CL-I), the formula (CL-II), the formula (CL-III), Formula (CL-IV), Formula (CL-V), Formula (CL-VI), Formula (CL-VII), Formula (CL-VIII), Formula (CL-IX), Formula ( CL-XII) and a lipid represented by the formula (CL-XIV).
- L 106 and L 107 in the formula (CL-II) are combined to form a single bond or C2-C8 alkylene
- p 101 and p 102 are lipids that are integers of 1 to 3, more preferably, L 106 and L 107 in formula (CL-II) together form a single bond
- the nucleic acid used in the present invention may be any molecule as long as it is a molecule obtained by polymerizing nucleotides and / or molecules having functions equivalent to nucleotides, for example, ribonucleic acid that is a polymer of ribonucleotides.
- RNA ribonucleic acid
- DNA deoxyribonucleic acid
- chimeric nucleic acids composed of RNA and DNA chimeric nucleic acids composed of RNA and DNA, and nucleotides in which at least one nucleotide of these nucleic acids is replaced with a molecule having a function equivalent to that nucleotide A polymer etc. are mentioned.
- the nucleic acid of the present invention also includes a derivative containing at least a part of the structure of a molecule obtained by polymerizing nucleotides and / or molecules having functions equivalent to nucleotides.
- uracil U and thymine T can be replaced with each other.
- nucleotide derivatives examples include nucleotide derivatives.
- the nucleotide derivative may be any molecule as long as it is a modified nucleotide, for example, it improves nuclease resistance or stabilizes from other degradation factors compared to RNA or DNA.
- a molecule in which ribonucleotides or deoxyribonucleotides are modified is preferably used.
- nucleotide derivatives include sugar moiety-modified nucleotides, phosphodiester bond-modified nucleotides, base-modified nucleotides, and the like.
- the sugar moiety-modified nucleotide may be any nucleotide as long as it is modified or substituted with an arbitrary substituent on a part or all of the sugar sugar chemical structure, or substituted with an arbitrary atom. 2'-modified nucleotides are preferably used.
- Examples of the modifying group in the sugar moiety-modified nucleotide include 2′-cyano, 2′-alkyl, 2′-substituted alkyl, 2′-alkenyl, 2′-substituted alkenyl, 2′-halogen and 2′-O-cyano.
- sugar-modified nucleotides include, for example, a crosslinked structure-type artificial nucleic acid (BNA) having a structure in which a modification group at the 2 ′ position is crosslinked to a carbon atom at the 4 ′ position, more specifically, the 2 ′ position.
- BNA crosslinked structure-type artificial nucleic acid
- LNA Locked Nucleic Acid
- ENA Ethylene bridged nucleic acid
- PNA Peptide nucleic acid
- OPNA oxypeptide nucleic acid
- PRNA peptide ribonucleic acid
- alkyl 2′-O-alkenyl, 2′-O-substituted alkenyl, 2′-Se-alkyl or 2′-Se-substituted alkyl, 2′-cyano, 2′-fluoro, 2′-chloro, 2'-bromo, 2'-trifluoromethyl, 2'-O-methyl, 2'-O-ethyl, 2'-O-isopropyl, 2'-O-trifluoromethyl, 2'-O- [2- (Methoxy) ethyl], 2'-O- (3-aminopropyl), 2'-O- [2- (N, N-dimethylaminooxy
- the preferred range of the modifying group in the sugar moiety-modified nucleotide can also be defined from its size, preferably from the size of fluoro to the size of -O-butyl, and from the size of -O-methyl- Those corresponding to the size of O-ethyl are more preferred.
- alkyl in the modifying group in the sugar-modified nucleotide examples include C1-C6 alkyl, and more specifically, methyl, ethyl, propyl, isopropyl, butyl, isobutyl, sec-butyl, tert-butyl, pentyl, isopentyl. And C1-C6 alkyl such as neopentyl or hexyl.
- alkenyl in the modifying group in the sugar moiety-modified nucleotide examples include C3-C6 alkenyl, and more specifically, C3-C6 alkenyl such as allyl, 1-propenyl, butenyl, pentenyl, hexenyl and the like.
- halogen in the modifying group in the sugar moiety-modified nucleotide examples include a fluorine atom, a chlorine atom, a bromine atom or an iodine atom.
- amino acids in amino acid residues include aliphatic amino acids (specifically, glycine, alanine, valine, leucine, isoleucine, etc.), hydroxy amino acids (specifically, serine, threonine, etc.), acidic amino acids (specifically, Aspartic acid, glutamic acid, etc.), acidic amino acid amides (specifically, asparagine, glutamine, etc.), basic amino acids (specifically, lysine, hydroxylysine, arginine, ornithine, etc.), sulfur-containing amino acids (specifically, Specifically, cysteine, cystine, methionine and the like) or imino acid (specifically, proline, 4-hydroxyproline and the like) and the like.
- aliphatic amino acids specifically, glycine, alanine, valine, leucine, isoleucine, etc.
- hydroxy amino acids specifically, serine, threonine, etc.
- acidic amino acids specifically, Aspart
- Examples of the substituted alkyl in the modified group in the sugar-modified nucleotide and the substituent in the substituted alkenyl include halogen (as defined above), hydroxy, sulfanyl, amino, oxo, -O-alkyl (the alkyl portion of the -O-alkyl is The same as C1-C6 alkyl in the modifying group), -S-alkyl (the alkyl part of the -S-alkyl is synonymous with C1-C6 alkyl in the modifying group), -NH-alkyl (the alkyl of -NH-alkyl) Part is synonymous with C1-C6 alkyl in the modifying group), dialkylaminooxy (the two alkyl parts of the dialkylaminooxy are the same or different and are synonymous with C1-C6 alkyl in the modifying group), dialkylamino (the dialkylamino The two alkyl moieties are the same or different and have the same meaning
- the phosphodiester bond-modified nucleotide is any nucleotide that has been modified or substituted with an arbitrary substituent for a part or all of the chemical structure of the phosphodiester bond of the nucleotide, or with any atom.
- a nucleotide in which a phosphodiester bond is replaced with a phosphorothioate bond a nucleotide in which a phosphodiester bond is replaced with a phosphorodithioate bond
- Examples include nucleotides in which a diester bond is substituted with a phosphoramidate bond.
- any or all of the nucleotide base chemical structure modified or substituted with an arbitrary substituent or substituted with an arbitrary atom may be used.
- oxygen atom is substituted with sulfur atom
- hydrogen atom is substituted with C1-C6 alkyl group
- methyl group is substituted with hydrogen atom or C2-C6 alkyl group
- amino group is C1-C6 Examples include those protected with a protecting group such as an alkyl group and a C1-C6 alkanoyl group.
- nucleotide derivatives nucleotides or sugar moieties
- nucleotide derivatives modified with at least one of phosphodiester bonds or bases lipids, phospholipids, phenazine, folate, phenanthridine, anthraquinone, acridine, fluorescein, rhodamine, coumarin and Examples include dyes and other chemical substances added.
- 5'-polyamine-added nucleotide derivatives examples include fluorescent dye (Cy3) addition nucleotide derivatives, red fluorescent dye (Cy5) addition nucleotide derivatives, fluorescein (6-FAM) addition nucleotide derivatives, and biotin addition nucleotide derivatives.
- a nucleotide or nucleotide derivative is a structure obtained by combining at least one of these with other nucleotides or nucleotide derivatives in the nucleic acid, an alkylene structure, a peptide structure, a nucleotide structure, an ether structure, an ester structure, or the like.
- a cross-linked structure such as
- the nucleic acid used in the present invention preferably has a molecular weight of 1,000 kDa or less, more preferably 100 kDa or less, and even more preferably 30 kDa or less.
- the nucleic acid used in the present invention preferably includes a nucleic acid that suppresses the expression of the target gene, and more preferably includes a nucleic acid that has an action of suppressing the expression of the target gene using RNA interference (RNAi).
- RNAi RNA interference
- the target gene in the present invention is not particularly limited as long as it is a gene that produces and expresses mRNA, but, for example, a gene related to tumor or inflammation is preferable, for example, vascular endothelial growth factor (hereinafter referred to as VEGF).
- VEGF vascular endothelial growth factor
- Vascular endothelial growth factor receptor vascular endothelial growth factor thereceptor, hereinafter abbreviated as VEGFR
- fibroblast growth factor vascular endothelial growth factor thereceptor
- KLF Kruppel-like factor
- Ets express sequence tag (Ets) transcription factor, nuclear factor, hypoxia-inducible factor, cell cycle-related factor, chromosome Replication-related factor, chromosome repair-related factor, microtubule-related factor, growth signal pathway-related factor, growth-related transcription factor or apoptosis-related factor
- examples include genes encoding proteins, specifically VEGF gene, VEGFR gene, fibroblast growth factor gene, fibroblast growth factor receptor gene, platelet-derived growth factor gene, platelet-derived growth factor receptor gene, Hepatocyte growth factor gene, hepatocyte growth factor receptor gene, KLF gene, Ets transcription factor gene, nuclear factor gene, hypoxia inducible factor gene, cell cycle related
- a gene expressed in the liver, lung, kidney or spleen is preferable, and a gene expressed in the liver is more preferable.
- the above-mentioned gene related to tumor or inflammation hepatitis B virus genome , Hepatitis C virus genome, apolipoprotein (APO), hydroxymethylglutaryl (HMG) CoA reductase, kexin type 9 serine protease (PCSK9), factor 12, glucagon receptor, glucocorticoid receptor, leukotriene receptor, Thromboxane A2 receptor, histamine H1 receptor, carbonic anhydrase, angiotensin converting enzyme, renin, p53, tyrosine phosphatase (PTP), sodium-dependent glucose transporter, tumor necrosis factor, interleukin, hepcidin, transsilence, antithrombin , Protein C or Matriptase enzymes (e.g., hepatitis B virus genome, Hepati
- nucleic acid that suppresses the expression of the target gene examples include, for example, a nucleotide sequence that is complementary to the partial nucleotide sequence of the mRNA of the gene encoding the protein (target gene) and suppresses the expression of the target gene. If it is a nucleic acid, for example, any nucleic acid such as a double-stranded nucleic acid such as siRNA (short (interference RNA) or miRNA (micro RNA), a single-stranded nucleic acid such as shRNA (short hairpin RNA), antisense nucleic acid or ribozyme, etc. Although it may be used, a double-stranded nucleic acid is preferred.
- a nucleic acid containing a base sequence complementary to a part of the base sequence of the target gene mRNA is called an antisense strand nucleic acid
- a nucleic acid containing a base sequence complementary to the base sequence of the antisense strand nucleic acid is a sense strand.
- a sense strand nucleic acid refers to a nucleic acid capable of forming a double strand forming part by pairing with an antisense strand nucleic acid, such as a nucleic acid itself consisting of a partial base sequence of a target gene.
- a double-stranded nucleic acid refers to a nucleic acid in which two strands are paired and have a duplex forming part.
- the double-stranded forming part refers to a part where nucleotides constituting the double-stranded nucleic acid or a derivative thereof constitute a base pair to form a double strand.
- the base pair constituting the duplex forming part is usually 15 to 27 base pairs, preferably 15 to 25 base pairs, more preferably 15 to 23 base pairs, further preferably 15 to 21 base pairs, and 15 to 19 base pairs. Base pairs are particularly preferred.
- the antisense strand nucleic acid of the duplex forming part for example, a nucleic acid comprising a partial sequence of the mRNA of the target gene, or 1 to 3 bases, preferably 1 to 2 bases, more preferably 1 base in the nucleic acid is substituted.
- a nucleic acid that is deleted or added and has the activity of suppressing the expression of the target protein is preferably used.
- the single-stranded nucleic acid constituting the double-stranded nucleic acid usually consists of a series of 15 to 30 bases (nucleosides), preferably 15 to 29 bases, more preferably 15 to 27 bases, and further preferably 15 to 25 bases. 17 to 23 bases are particularly preferred, and 19 to 21 bases are most preferred.
- the antisense strand, the sense strand, or both of the nucleic acids constituting the double-stranded nucleic acid have an additional nucleic acid that does not form a duplex on the 3 ′ side or 5 ′ side following the duplex forming part. May be.
- the part that does not form a double chain is also referred to as a protrusion (overhang).
- the double-stranded nucleic acid having an overhang for example, one having an overhang of 1 to 4 bases, usually 1 to 3 bases at the 3 ′ end or 5 ′ end of at least one strand is used. Those having a protruding portion made of a base are preferably used, and those having a protruding portion made of dTdT or UU are more preferably used.
- the overhang can have only the antisense strand, only the sense strand, and both the antisense strand and the sense strand, but a double-stranded nucleic acid having an overhang on both the antisense strand and the sense strand is preferably used. .
- Sequence that matches part or all of the base sequence of the target gene mRNA following the duplex formation part, or part or all of the base sequence of the complementary strand of the target gene mRNA following the duplex formation part Sequences that match may be used.
- a nucleic acid that suppresses the expression of a target gene for example, a nucleic acid molecule that generates the above double-stranded nucleic acid by the action of a ribonuclease such as Dicer (International Publication No. 2005/089287), a 3 ′ end or a 5 ′
- a double-stranded nucleic acid or the like that does not have a terminal protruding portion can also be used.
- the antisense strand has a sequence of at least the 1st to 17th bases (nucleosides) from the 5 ′ end to the 3 ′ end, and the mRNA of the target gene. It is a sequence of bases complementary to a continuous 17-base sequence, and more preferably, the antisense strand has a sequence of the 1st to 19th bases from the 5 ′ end to the 3 ′ end, and the target gene
- the base sequence is complementary to the 19-base sequence of mRNA, or the base sequence 1 to 21 is the base sequence complementary to the 21-base sequence of the target gene mRNA.
- the sequence of the 1st to 25th bases is a sequence of bases complementary to the sequence of 25 consecutive bases of the mRNA of the target gene.
- nucleic acid used in the present invention is siRNA, preferably 10 to 70%, more preferably 15 to 60%, and still more preferably 20 to 50% of the sugar in the nucleic acid is modified at the 2 ′ position.
- Ribose substituted with ribose substituted with a modifying group at the 2′-position means that the hydroxyl at the 2′-position of ribose is substituted with the modifying group, and the configuration is the same as the hydroxy at the 2′-position of ribose. Although it may be present or different, the configuration is preferably the same as that of the 2′-hydroxy of ribose.
- Examples of the modifying group in ribose substituted with a modifying group at the 2′-position include those exemplified in the definition of the modifying group in the 2′-modified nucleotide in the sugar moiety-modified nucleotide and the hydrogen atom, such as 2′-cyano, 2 ′ -Halogen, 2'-O-cyano, 2'-alkyl, 2'-substituted alkyl, 2'-O-alkyl, 2'-O-substituted alkyl, 2'-O-alkenyl, 2'-O-substituted alkenyl , 2'-Se-alkyl, 2'-Se-substituted alkyl, etc.
- 2'-cyano, 2'-fluoro, 2'-chloro, 2'-bromo, 2'-trifluoromethyl, 2'-O -Methyl, 2'-O-ethyl, 2'-O-isopropyl, 2'-O-trifluoromethyl, 2'-O- [2- (methoxy) ethyl], 2'-O- (3-aminopropyl ), 2'-O- [2- (N, N-dimethyl) aminooxy] ethyl, 2'-O- [3- (N, N-dimethylamino) propyl], 2'-O- ⁇ 2- [ 2- (N, N-dimethylamino) ethoxy] ethyl ⁇ , 2'-O- [2- (methyl Amino) -2-oxoethyl], 2'-Se-methyl, hydrogen atom and the like are more preferable, 2'-O-methyl, 2'-O-ethyl
- the nucleic acid used in the present invention includes a derivative in which an oxygen atom or the like contained in a phosphoric acid part, an ester part or the like in the structure of the nucleic acid is substituted with another atom such as a sulfur atom.
- the sugar that binds to the 5 'terminal base of the antisense strand and the sense strand has a 5'-positioned hydroxy group, either a phosphate group or the above-mentioned modifying group, or an in vivo nucleolytic enzyme, etc. It may be modified by a group that is converted to a modifying group.
- the sugar that binds to the base at the 3 ′ end of the antisense strand and the sense strand is such that the 3′-position hydroxy is a phosphate group or the above-mentioned modifying group, or an in vivo nucleolytic enzyme, etc. It may be modified by a group that is converted to a modifying group.
- the single-stranded nucleic acid for example, 15 to 27 bases (nucleoside) of the target gene, preferably 15 to 25 bases, more preferably 15 to 23 bases, still more preferably 15 to 21 bases, particularly preferably 15 A nucleic acid comprising a sequence complementary to a sequence consisting of ⁇ 19 bases, or 1 to 3 bases, preferably 1 to 2 bases, more preferably 1 base is substituted, deleted or added in the nucleic acid, and the target protein expression inhibitory activity Any nucleic acid may be used as long as it has a nucleic acid.
- the single-stranded nucleic acid is preferably composed of a series of 10 to 30 bases (nucleosides), more preferably 10 to 27 bases, further preferably 10 to 25 bases, particularly preferably 10 to 23 bases. Nucleic acids are preferably used.
- the single-stranded nucleic acid one obtained by linking the antisense strand and the sense strand constituting the double-stranded nucleic acid via a spacer sequence (spacer oligonucleotide) may be used.
- the spacer oligonucleotide is preferably a 6- to 12-base single-stranded nucleic acid molecule, and the sequence at the 5 'end is preferably 2 Us.
- An example of a spacer oligonucleotide is a nucleic acid having the sequence UUCAAGAGA. Either the antisense strand or the sense strand connected by the spacer oligonucleotide may be on the 5 'side.
- the single-stranded nucleic acid is preferably, for example, a single-stranded nucleic acid such as shRNA having a duplex forming part by a stem-loop structure.
- Single-stranded nucleic acids such as shRNA are usually 50 to 70 bases in length.
- a nucleic acid having a length of 70 bases or less, preferably 50 bases or less, more preferably 30 bases or less, designed to produce the above single-stranded nucleic acid or double-stranded nucleic acid by the action of ribonuclease or the like may be used. Good.
- the nucleic acid used in the present invention can be obtained using a known RNA or DNA synthesis method and RNA or DNA modification method.
- the nucleic acid-containing lipid nanoparticles of the present invention are a complex of lipid A and nucleic acid, but lipid A may contain one kind or two or more kinds.
- the nucleic acid-containing lipid nanoparticles of the present invention contain, in addition to lipid A and nucleic acid, one or more lipids B other than lipid A, neutral lipids and / or lipid derivatives or fatty acid derivatives of water-soluble polymers. You may do it.
- the nucleic acid-containing lipid nanoparticles of the present invention may contain one or more lipid B together with lipid A.
- nucleic acid-containing lipid nanoparticles of the present invention can contain not only nucleic acids but also compounds that are chemically similar to nucleic acids (anionic polymers such as anionic peptides).
- the nucleic acid comprises lipid A and, if necessary, other lipids (lipid derivatives or fatty acid derivatives of water-soluble polymers, neutral lipids, and / or one amino group which may be substituted or one It is dissolved in a water-miscible organic solvent together with a hydrophilic part having a quaternary ammonium group and a lipid (lipid B) containing a hydrophobic part having two independent hydrocarbon groups which may be substituted in the same molecule. (First lipid solution).
- other lipids lipid derivatives or fatty acid derivatives of water-soluble polymers, neutral lipids, and / or one amino group which may be substituted or one It is dissolved in a water-miscible organic solvent together with a hydrophilic part having a quaternary ammonium group and a lipid (lipid B) containing a hydrophobic part having two independent hydrocarbon groups which may be substituted in the same molecule.
- the nucleic acid may be dissolved in water or an aqueous buffer solution and added to the lipid organic solvent solution, or the lipid organic solvent solution may be added to the nucleic acid water or buffer solution. Also good. Furthermore, an organic solvent solution of lipid may be added to the lyophilized nucleic acid.
- Nucleic acid, lipid A, and other lipids as necessary lipid derivatives or fatty acid derivatives of water-soluble polymers, neutral lipids, and / or one amino group or one quaternary ammonium group that may be substituted
- An organic solvent solution (first lipid solution) was prepared once with a lipid (lipid B)) containing a hydrophilic part having a hydrophobic part and a hydrophobic part having two independent hydrocarbon groups that may be substituted in the same molecule.
- lipid B lipid
- lipid B lipid
- lipid B lipid
- lipid B lipid B
- lipid B lipid lipid B
- lipid B lipid lipid B
- lipid B lipid lipid B
- lipid B lipid lipid B
- lipid B lipid containing a hydrophilic part having a hydrophobic part and a hydrophobic part having two independent hydrocarbon groups that may be substituted in the same molecule.
- second lipid solution an organic solvent solution
- the first or third lipid solution is mixed with water or an aqueous buffer solution.
- lipid nanoparticles having a small size can be obtained without agglomeration by rapidly reducing the organic solvent concentration.
- the former may be added to the latter, or the latter may be added to the former.
- you may add the former and the latter simultaneously to a container, stirring.
- the former and the latter can be mixed in-line. In this case, for example, a T-connector or the like can be used as the in-line mixing device.
- the average particle size of the nucleic acid-containing lipid nanoparticles of the present invention is the nucleic acid to be used, a lipid having one quaternary ammonium group and a lipid (lipid A) having three independent hydrocarbon groups that may be substituted, and Although it is influenced by other lipids, it can be freely controlled by various parameters in the production process.
- a person skilled in the art prepares a particle sample by appropriately changing various parameters in the production process necessary to control the average particle size of the nucleic acid-containing lipid nanoparticles of the present invention, and the average particle size of the obtained sample Can be determined by measuring.
- Parameters necessary for controlling the average particle diameter include the nucleic acid concentration in the organic solvent solution, the concentration of each lipid, the temperature, the composition of the organic solvent, and the like. Parameters necessary for controlling the average particle size include temperature, the amount of water or aqueous buffer solution, the rate of addition of each solution during the dilution operation of the nucleic acid and lipid organic solvent solution with water or aqueous buffer solution, and the like. .
- lipid A When not containing phosphatidylcholine (PC) and cholesterol (Chol), it has one quaternary ammonium group as a hydrophilic part in the organic solvent solution before being mixed with water or an aqueous buffer solution, and may be substituted
- concentration of the lipid having three independent hydrocarbon groups (lipid A) is not particularly limited, but is preferably 1 to 2000 ⁇ M, more preferably 5 to 400 ⁇ M, still more preferably 10 to 200 ⁇ M, and 20 to 100 ⁇ M. Most preferred.
- the concentration of the nucleic acid in the organic solvent solution before mixing with water or an aqueous buffer solution in the case of not containing PC and Chol is not particularly limited, but is preferably 0.03 to 15 ⁇ M, more preferably 0.15 to 3.0 ⁇ M, and more preferably 0.3 to 1.5 More preferred is ⁇ M.
- the concentration of the lipid or fatty acid derivative of the water-soluble polymer in the organic solvent solution before mixing with water or an aqueous buffer solution in the case of not containing PC and Chol is not particularly limited, but is preferably 0.5 to 200 ⁇ M, 2.5 ⁇ 40 ⁇ M is more preferable, and 5 to 20 ⁇ M is even more preferable.
- the concentration of the cationic lipid in the organic solvent solution before mixing with water or an aqueous buffer solution in the case of not containing PC and Chol is not particularly limited, but is preferably 1 to 2000 ⁇ M, more preferably 5 to 400 ⁇ M, 10 More preferably, ⁇ 200 ⁇ M is most preferable, and 20 to 100 ⁇ M is most preferable.
- the total concentration of all lipids in the organic solvent solution before mixing with water or an aqueous buffer solution when not containing PC and Chol is not particularly limited, but is preferably 5 to 2000 ⁇ M, more preferably 25 to 400 ⁇ M 50 to 200 ⁇ M is more preferable.
- the concentration of the group-containing lipid (lipid A) is preferably 0.2 to 1800 ⁇ M, more preferably 1 to 360 ⁇ M, further preferably 2 to 180 ⁇ M, and most preferably 5 to 100 ⁇ M.
- the concentration of the nucleic acid in the organic solvent solution before being mixed with water or an aqueous buffer solution is preferably 0.02 to 45 ⁇ M, more preferably 0.1 to 10 ⁇ M, further preferably 0.2 to 5 ⁇ M, and 0.3 ⁇ 3 ⁇ M is most preferred.
- the concentration of the water-soluble polymer lipid derivative or fatty acid derivative in the organic solvent solution before being mixed with water or an aqueous buffer solution is preferably 0.3 to 1000 ⁇ M, more preferably 1.5 to 200 ⁇ M. More preferably, 3 to 100 ⁇ M is more preferable, and 5 to 50 ⁇ M is most preferable.
- the concentration of the cationic lipid in the organic solvent solution before being mixed with water or an aqueous buffer solution is preferably 2.5 to 4200 ⁇ M, more preferably 12.5 to 840 ⁇ M, and 25 to 420 ⁇ M. More preferred is 50 to 210 ⁇ M.
- the concentration of neutral lipid in the organic solvent solution before mixing with water or an aqueous buffer solution is preferably 2.5 to 5000 ⁇ M, more preferably 12.5 to 1000 ⁇ M, and further preferably 25 to 500 ⁇ M. 50 to 250 ⁇ M is most preferable.
- the combined concentration of all lipids in the organic solvent solution before being mixed with water or an aqueous buffer solution is preferably 10 to 8000 ⁇ M, more preferably 50 to 1600 ⁇ M, and more preferably 100 to 800 ⁇ M is more preferable, and 150 to 400 ⁇ M is most preferable.
- the temperature at which the organic solvent solution containing the nucleic acid and lipid is prepared is not particularly limited as long as the nucleic acid and lipid are dissolved, but is preferably 10 to 60 ° C, more preferably 20 to 50 ° C, and further preferably 20 to 30 ° C. preferable. In addition, when heating at 30 degreeC or more, the solubility of a nucleic acid and a lipid increases and a lipid nanoparticle can be manufactured with a smaller solvent amount.
- C1-C6 alcohols such as methanol, ethanol, a propanol, a butanol, etc. which contain 0-50% (v / v) water, or these mixtures More preferred is ethanol or propanol containing 0 to 50% (v / v) water, and even more preferred is ethanol containing 0 to 50% (v / v) water.
- % (v / v) indicates the volume percentage of the solute in the total volume of the solution, and so on.
- an inorganic acid such as hydrochloric acid, acetic acid, phosphoric acid, or a salt of these acids can be added to the solvent in the organic solvent solution containing nucleic acid and lipid.
- the pH of the solvent is preferably 1 to 7, more preferably 1 to 5, and further preferably 2 to 4.
- the volume of water or aqueous buffer solution used is not particularly limited, but is 0.5% relative to the volume of the organic solvent solution of nucleic acid and lipid. ⁇ 100 times is preferable, 1.5 to 20 times is more preferable, and 2.0 to 10 times is more preferable.
- the concentration of the organic solvent after adding water or an aqueous buffer solution is not particularly limited, but is preferably 50% (v / v) or less, more preferably 40% (v / v) or less with respect to the obtained solution. Preferably, it is more preferably 30% (v / v) or less, and most preferably 20% / (v / v) or less.
- the aqueous buffer solution is not particularly limited as long as it has a buffering action, and examples thereof include a phosphate buffer aqueous solution, a citrate buffer aqueous solution, and an acetate buffer aqueous solution.
- the temperature at the time of the above addition operation is not particularly limited, but is preferably 10 to 60 ° C, more preferably 20 to 50 ° C, and further preferably 20 to 30 ° C.
- the organic solvent concentration from 70% 70 (v / v) to 50% (v / v) within 1 minute, more preferably within 0.5 minutes, 0.1% More preferably, it is changed within minutes, and most preferably within 0.05 minutes.
- the total number of lipid A molecules is not particularly limited, but the number of moles of the quaternary ammonium group in the lipid A is the phosphorus atom of the nucleic acid constituting the nucleic acid-containing lipid nanoparticle of the present invention.
- the molar amount is preferably 0.01 times the molar amount or more, more preferably 0.1 to 10 times the molar amount, even more preferably 0.1 to 4 times the molar amount, and more preferably 0.1 to 2 times the molar amount. Even more preferably, it is most preferably 0.1 to 1 times the molar amount.
- the total number of lipid B molecules is not particularly limited, but the number of moles of lipid B is equal to the number of moles of phosphorus atoms of the nucleic acid constituting the nucleic acid-containing lipid nanoparticle of the present invention. It is preferably 0.1 to 10 times the molar amount, more preferably 0.5 to 9 times the molar amount, further preferably 1 to 8 times the molar amount, and 1.5 to 6 times the molar amount. Most preferred.
- the ratio of the number of moles of lipid A to the number of moles of lipid B is 0.001 or more.
- it is 0.003 to 10, more preferably 0.005 to 5, still more preferably 0.01 to 3, and most preferably 0.01 to 2.
- the ratio of the total number of moles of lipids to the number of moles of nucleic acids is preferably 50 or more, and preferably 100 to 1000. More preferably, it is more preferably from 120 to 800, even more preferably from 140 to 600, and most preferably from 200 to 500.
- the total number of lipid B molecules in the nucleic acid-containing lipid nanoparticle is not particularly limited, but is 0.1 times the molar amount or more relative to the total number of moles of lipid. Preferably, it is 0.15 times the molar amount or more, more preferably 0.2 times the molar amount or more, and even more preferably 0.25 times the molar amount or more. Further, the total number of lipid B molecules in the nucleic acid-containing lipid nanoparticles is not particularly limited, but is preferably 0.7 times the molar amount or less, more preferably 0.65 times the molar amount or less with respect to the total number of moles of lipid.
- the total number of lipid B molecules in the nucleic acid-containing lipid nanoparticles is more preferably 0.10 to 0.70 times the molar amount of the total lipid in the combination of the above upper and lower limit preferable ranges, 0.15 to The molar amount is more preferably 0.65 times, even more preferably 0.20 to 0.65 times the molar amount, and most preferably 0.25 to 0.60 times the molar amount.
- the neutral lipid may be any of simple lipids, complex lipids or derived lipids, and examples thereof include, but are not limited to, phospholipids, glyceroglycolipids, sphingoglycolipids, sphingoids, and sterols. Further, neutral lipids may be used alone or in combination of two or more.
- the total number of neutral lipid molecules is not particularly limited, but is 0.10 to 0.75 times the molar amount of total lipids.
- the molar amount is preferably 0.20 to 0.70, more preferably 0.20 to 0.65, and most preferably 0.30 to 0.60.
- PC phosphatidylcholine
- EPC egg yolk phosphatidylcholine
- DSPC 1,2-distearoyl-sn-glycero-3-phosphocholine
- glyceroglycolipid in the neutral lipid examples include, but are not limited to, sulfoxyribosyl glyceride, diglycosyl diglyceride, digalactosyl diglyceride, galactosyl diglyceride, glycosyl diglyceride and the like.
- glycosphingolipid in the neutral lipid examples include, but are not limited to, galactosyl cerebroside, lactosyl cerebroside, ganglioside, and the like.
- Examples of the sphingoid in the neutral lipid include, but are not limited to, sphingan, icosasphingan, sphingosine, and derivatives thereof.
- the derivative for example, —NH 2 such as sphingan, icosasphingan or sphingosine —NHCO (CH 2 ) xCH 3 (wherein x is an integer of 0 to 18, among which 6, 12 or 18 is preferable. However, it is not limited to these.
- sterols in neutral lipids include cholesterol (Chol), dihydrocholesterol, lanosterol, ⁇ -sitosterol, campesterol, stigmasterol, brassicasterol, ergocasterol, fucostosterol, or 3 ⁇ - [N- (N ′, N'-dimethylaminoethyl) carbamoyl] cholesterol (DC-Chol) and the like, but are not limited thereto.
- macromolecule examples include protein, albumin, dextran, polyfect, chitosan, dextran sulfate, such as poly-L-lysine, polyethyleneimine, polyaspartic acid, styrene maleic acid copolymer, isopropylacrylamide-acrylpyrrolidone.
- examples include, but are not limited to, a copolymer, a polyethylene glycol-modified dendrimer, polylactic acid, a polymer such as polylactic acid polyglycolic acid or polyethylene glycolated polylactic acid, or micelles composed of one or more salts thereof.
- the polymer salt includes, for example, metal salts, ammonium group salts, acid addition salts, organic amine addition salts, amino acid addition salts, and the like.
- the metal salt include, but are not limited to, alkali metal salts such as lithium salt, sodium salt and potassium salt, alkaline earth metal salts such as magnesium salt and calcium salt, aluminum salt and zinc salt.
- ammonium group salts include, but are not limited to, salts such as ammonium groups or tetramethylammonium groups.
- the acid addition salt include inorganic acid salts such as hydrochloride, sulfate, nitrate or phosphate, and organic acid salts such as acetate, maleate, fumarate or citrate.
- organic amine addition salts include, but are not limited to, addition salts such as morpholine or piperidine.
- amino acid addition salts include, but are not limited to, addition salts such as glycine, phenylalanine, aspartic acid, glutamic acid, or lysine.
- nucleic acid-containing lipid nanoparticles of the present invention may contain, for example, a lipid derivative or fatty acid derivative of one or more substances selected from sugars, peptides, nucleic acids, and water-soluble polymers, or a surfactant.
- a lipid derivative or fatty acid derivative of one or more substances selected from sugars, peptides, nucleic acids, and water-soluble polymers, or a surfactant is a part of the molecule and other components of the composition, such as hydrophobic affinity, static It is a substance with a two-sided property that has the property of binding by electrical interaction, etc., and the other part has the property of binding to the solvent at the time of production of the composition, for example, hydrophilic affinity, electrostatic interaction, etc. Preferably there is.
- lipid derivatives or fatty acid derivatives of sugars, peptides or nucleic acids include sugars such as sucrose, sorbitol, and lactose, such as casein-derived peptides, egg white-derived peptides, soybean-derived peptides, peptides such as glutathione, or, for example, DNA, Nucleic acids such as RNA, plasmid, siRNA, ODN and the like and neutral lipids listed in the definition of the composition or fatty acids such as stearic acid, palmitic acid, myristic acid, lauric acid, etc. Is mentioned.
- sugar lipid derivative or fatty acid derivative examples include glyceroglycolipid and glycosphingolipid mentioned in the definition of the composition.
- water-soluble polymer lipid derivative or fatty acid derivative examples include polyethylene glycol, polyglycerin, polyethyleneimine, polyvinyl alcohol, polyacrylic acid, polyacrylamide, oligosaccharide, dextrin, water-soluble cellulose, dextran, chondroitin sulfate, and polyglycerin. , Chitosan, polyvinylpyrrolidone, polyaspartic acid amide, poly-L-lysine, mannan, pullulan, oligoglycerol etc.
- compositions or eg stearic acid, palmitic Examples include those formed by bonding with fatty acids such as acid, myristic acid or lauric acid, and salts thereof, more preferably lipid derivatives such as polyethylene glycol or polyglycerin or fatty acid derivatives and Include those salts, more preferable example is a lipid derivative or fatty acid derivatives and salts thereof polyethylene glycol.
- polyethylene glycol lipid derivatives or fatty acid derivatives examples include polyethylene glycolated lipids [specifically, polyethylene glycol-phosphatidylethanolamine (more specifically 1,2-distearoyl-sn-glycero-3-phosphoethanolamine).
- lipid derivative or fatty acid derivative of polyglycerin examples include polyglycerinized lipids (specifically polyglycerin-phosphatidylethanolamine) or polyglycerin fatty acid esters, and more preferably, polyglycerinized lipids. Can be mentioned.
- surfactant examples include polyoxyethylene sorbitan monooleate (specifically polysorbate 80 etc.), polyoxyethylene polyoxypropylene glycol (specifically Pluronic F68 etc.), sorbitan fatty acid ester (specifically Sorbitan monolaurate, sorbitan monooleate, etc.), polyoxyethylene derivatives (specifically polyoxyethylene hydrogenated castor oil 60, polyoxyethylene lauryl alcohol, etc.), glycerin fatty acid ester or polyethylene glycol alkyl ether, etc.
- polyoxyethylene polyoxypropylene glycol, glycerin fatty acid ester, polyethylene glycol alkyl ether or the like is used.
- the total number of water-soluble polymer lipid derivatives and fatty acid derivative molecules in the nucleic acid-containing lipid nanoparticles is not particularly limited, but is 0.005 times the molar amount or more of the total lipid moles. Preferably, it is 0.01 to 0.30 times molar amount, more preferably 0.02 to 0.25 times molar amount, still more preferably 0.03 to 0.20 times molar amount, and even more preferably 0.04 to 0.15 times molar amount. Even more preferred is an amount, and most preferred is a 0.04-0.12 molar amount.
- the total lipid includes lipid A and lipid derivatives and fatty acid derivatives of water-soluble polymers, and optionally includes lipid B and neutral lipid. That is, the number of moles of lipid A is a double mole quantity of the lipid derivative and fatty acid derivative of the water-soluble polymer, and sometimes a double mole quantity of lipid B and The total of the double molar amount of neutral lipid is reduced by 1 to the double molar amount.
- nucleic acid-containing lipid nanoparticles of the present invention can be optionally subjected to surface modification with, for example, a water-soluble polymer [Radasic, edited by F. Martin, “Stealth liposomes”. [See Stealth Liposomes ”(USA), CRC Inc, 1995, p.93-102].
- a water-soluble polymer [Radasic, edited by F. Martin, “Stealth liposomes”. [See Stealth Liposomes ”(USA), CRC Inc, 1995, p.93-102].
- examples include glycerin, chitosan, polyvinylpyrrolidone, polyaspartic acid amide, poly-L-lysine, mannan, pullulan, oligoglycerol, etc., preferably polyethylene glycol, polyglycerin, polyethyleneimine, polyvinyl alcohol, polyacrylic acid, polyacrylamide, etc.
- polyethylene glycol, polyglycerin and the like can be mentioned, but not limited thereto.
- a lipid derivative or fatty acid derivative (as defined above) of one or more substances selected from sugars, peptides, nucleic acids, and water-soluble polymers, or a surfactant or the like can be used.
- the surface modification is one of methods in which the lipid derivative or fatty acid derivative of one or more substances selected from sugars, peptides, nucleic acids, and water-soluble polymers, or a surfactant is contained in the nucleic acid-containing lipid nanoparticles of the present invention.
- the targeting ligand can be directly bound to the surface of the nucleic acid-containing lipid nanoparticle of the present invention by covalently binding to the polar head residue of the lipid component of the nucleic acid-containing lipid nanoparticle of the present invention (See International Publication No. 2006/116107).
- the average particle size of the nucleic acid-containing lipid nanoparticles of the present invention can be further adjusted after preparation of the lipid nanoparticles.
- a method for adjusting the average particle size for example, an extrusion method, a method of mechanically pulverizing large multilamellar liposomes (MLV) or the like (specifically using a manton gourin, a microfluidizer, etc.) RHMuller, S. Benita, B. Bohm, “Emulsion and ⁇ Nanosuspensions for the Emulsion and Nanosuspensions for the Formulation of Poorly Soluble Drugs) ”, Scientific Publishers Stuttgart, 1998, p.267-294].
- MLV large multilamellar liposomes
- the average size of the nucleic acid-containing lipid nanoparticles of the present invention is preferably 20 to 65 nm, and more preferably 30 to 60 nm.
- the size of the nucleic acid-containing lipid nanoparticles of the present invention can be measured, for example, by a dynamic light scattering method.
- the nucleic acid-containing lipid nanoparticles of the present invention can be introduced into cells by introducing the nucleic acid-containing lipid nanoparticles of the present invention into mammalian cells.
- nucleic acid-containing lipid nanoparticles of the present invention introduction into mammalian cells may be carried out according to known transfection procedures that can be performed in vivo.
- the nucleic acid-containing lipid nanoparticles of the present invention are intravenously administered to mammals including humans, so that the nucleic acid-containing lipid nanoparticles are delivered to, for example, tumors or inflamed organs or sites.
- Nucleic acids in the nucleic acid-containing lipid nanoparticles can be introduced.
- the organ or site where the tumor or inflammation has occurred is not particularly limited, and examples thereof include stomach, large intestine, liver, lung, spleen, pancreas, kidney, bladder, skin, blood vessel, and eyeball.
- nucleic acid-containing lipid nanoparticles of the present invention intravenously to mammals including human beings, for example, delivered to the liver, stomach, lung, kidney, pancreas and / or spleen, cells of the delivery organ or site
- the nucleic acid in the nucleic acid-containing lipid nanoparticles of the present invention can be introduced into the inside.
- Liver, lung, spleen and / or kidney cells can be normal cells, cells associated with tumors or inflammation or cells associated with other diseases.
- the nucleic acid in the nucleic acid-containing lipid nanoparticles of the present invention is a nucleic acid having a target gene expression inhibitory action utilizing RNA interference (RNAi)
- RNAi RNA interference
- the target gene expression is suppressed in vivo in mammalian cells in vivo.
- Nucleic acid or the like can be introduced, and the expression of the target gene can be suppressed.
- the administration subject is preferably a human.
- the target gene in the nucleic acid-containing lipid nanoparticles of the present invention is, for example, a gene expressed in the liver, stomach, lung, kidney, pancreas and / or spleen, preferably a gene expressed in the liver
- the nucleic acid-containing lipid of the present invention Lipid nanoparticles can be used as a therapeutic or prophylactic agent for diseases associated with the liver, stomach, lung, kidney, pancreas or spleen, preferably as a therapeutic or prophylactic agent for diseases associated with the liver.
- the present invention also provides a method for treating diseases related to liver, stomach, lung, kidney, pancreas or spleen, wherein the nucleic acid-containing lipid nanoparticles of the present invention described above are administered to mammals.
- the administration subject is preferably a person, and more preferably a person suffering from a disease related to the liver, stomach, lung, kidney, pancreas or spleen.
- the nucleic acid-containing lipid nanoparticles of the present invention are effective in suppressing target genes in an in vivo drug efficacy evaluation model for therapeutic or prophylactic agents for diseases such as diseases related to liver, stomach, lung, kidney, pancreas or spleen. It can also be used as a tool for verification.
- the nucleic acid-containing lipid nanoparticles of the present invention are, for example, tissues or organs containing a nucleic acid in a biological component such as a blood component (for example, blood, gastrointestinal tract), stabilizing the nucleic acid, reducing side effects, or expressing a target gene. It can also be used as a preparation for the purpose of increasing drug accumulation.
- a biological component such as a blood component (for example, blood, gastrointestinal tract), stabilizing the nucleic acid, reducing side effects, or expressing a target gene. It can also be used as a preparation for the purpose of increasing drug accumulation.
- the administration route is the most effective route for treatment.
- parenteral administration or oral administration such as buccal, intratracheal, rectal, subcutaneous, intramuscular or intravenous administration can be mentioned, preferably intravenous administration, subcutaneous administration or intramuscular administration. More preferably, intravenous administration is mentioned.
- the dose varies depending on the disease state, age, administration route, etc. of the administration subject, but for example, it may be administered so that the daily dose converted to nucleic acid is about 0.1 ⁇ g to 1000 mg.
- a preparation suitable for intravenous administration or intramuscular administration for example, an injection can be mentioned, and a dispersion of the composition prepared by the above-described method can be used as it is, for example, in the form of an injection or the like.
- the dispersion can be used after removing the solvent, for example, by filtration, centrifugation, etc., or the dispersion can be used after lyophilization, and / or, for example, mannitol, lactose, trehalose, maltose, glycine, etc.
- the dispersion added with the excipient can also be lyophilized for use.
- an injection for example, water, acid, alkali, various buffers, physiological saline or amino acid infusion, etc. are mixed with the dispersion of the composition or the composition after removing or lyophilizing the solvent. It is preferable to prepare an injection. Further, for example, an injection can be prepared by adding an antioxidant such as citric acid, ascorbic acid, cysteine or EDTA or an isotonic agent such as glycerin, glucose or sodium chloride. Further, for example, it can be cryopreserved by adding a cryopreservative such as glycerin.
- an antioxidant such as citric acid, ascorbic acid, cysteine or EDTA
- an isotonic agent such as glycerin, glucose or sodium chloride.
- it can be cryopreserved by adding a cryopreservative such as glycerin.
- Process 2 2,2 ', 2''-Nitrilotris (ethane-2,1-diyl) trioleate (0.439 g, 0.466 mmol) obtained in Step 1 was mixed with methyl iodide (Tokyo Chemical Industry Co., Ltd., 3 mL). The mixture was further stirred at room temperature overnight. The reaction solution was concentrated under reduced pressure. Dissolve the residue in a small amount of methanol-chloroform (1: 1) ion exchange resin (Dow Chemical, Dowex (TM) 1x-2 100 mesh, Cl type, about 20 times the amount, water and methanol And pre-washed with methanol and eluted with methanol-chloroform (1: 1).
- methanol-chloroform 1: 1
- ion exchange resin Dowex (TM) 1x-2 100 mesh, Cl type
- Process 2 (9Z, 9'Z, 12Z, 12'Z) -2- (dimethylamino) -2-(((9Z, 12Z) -octadec-9,12-dienoyloxy) methyl) propane-1 obtained in step 1
- Methyl iodide (0.216 mL) was added to a chloroform (3 mL) solution of 1,3-diyl dioctadec-9,12-dienoate (0.324 g, 0.346 mmol), and the mixture was stirred at room temperature for 5 hours.
- Methyl iodide (0.216 mL) was added to the reaction mixture, and the mixture was stirred at room temperature overnight. The reaction solution was concentrated under reduced pressure.
- Process 2 9-((3- (tert-butoxy) -3-oxopropoxy) methyl) -N, N, N, 2,2,16,16-heptamethyl-4,14-dioxo-3 obtained in step 1 Dissolve 7,11,15-tetraoxaheptadecane-9-aminium chloride (0.350 g, 0.246 mmol) in dichloromethane (2 mL), add trifluoroacetic acid (0.380 mL, 4.92 mmol), and at room temperature for 3 hours. Stir.
- Process 5 (9Z, 12Z)-(11Z, 14Z) -2-((((3- (Dimethylamino) propoxy) carbonyl) amino) methyl) -2-((9Z, 12Z) -octadeca- 9,12-Dien-1-yl) icosa-11,14-dien-1-yloctadeca-9,12-dienoate (0.053 g, 0.055 mmol) was used in the same manner as in Example 1, Step 2 to give the title. The compound (0.025 g, 0.025 mmol, yield 45%) was obtained.
- Process 2 (11Z, 14Z) -2-((Dimethylamino) methyl) -2-((9Z, 12Z) -octadeca-9,12-dien-1-yl) icosa-11,14-diene obtained in Step 1 -1-ol (0.300 g, 0.500 mmol) was dissolved in dichloromethane (3 mL), Dess-Martin reagent (manufactured by Tokyo Chemical Industry Co., Ltd., 0.233 g, 0.550 mmol) was added, and the mixture was stirred at room temperature for 1 hour. Water was added to the reaction mixture, and the mixture was extracted with chloroform.
- dichloromethane 3 mL
- Dess-Martin reagent manufactured by Tokyo Chemical Industry Co., Ltd., 0.233 g, 0.550 mmol
- Process 4 (6Z, 9Z, 29Z, 32Z) -20-((Dimethylamino) methyl) -20-((9Z, 12Z) -octadeca-9,12-dien-1-yl) octatria contour obtained in Step 3 -6,9,29,32-tetraen-19-ol (0.047 g, 0.055 mmol) was used in the same manner as in Example 1, step 2 to give the title compound (0.0012 g, 0.0013 mmol, yield 2%). Obtained.
- Process 5 (9Z, 9′Z, 12Z, 12′Z) -2-((Dimethylamino) methyl) -2-((9Z, 12Z) -octadeca-9,12-dien-1-yl obtained in Step 4 ) Using propane-1,3-diylbis (octadeca-9,12-dienoate (0.017 g, 0.019 mmol) in the same manner as in Example 1, step 2, the title compound (5.5 mg, 0.0058 mmol, Rate 31%).
- Process 2 (9Z, 9'Z, 12Z, 12'Z) -2- (tert-butoxycarbonylamino-2-(((9Z, 12Z) -octadeca-9,12-dienoyloxy) methyl) propane obtained in Step 1
- Process 4 (9Z, 9'Z, 12Z, 12'Z) -2-((4- (dimethylamino) butanoyloxy) methyl) -2- (9Z, 12Z) -octadeca-9,12 obtained in Step 3
- Methyl iodide (0.493 mL) was added to a chloroform (4 mL) solution of -dienamidepropane-1,3-diyl dioctadeca-9,12-dienoate (0.805 g, 0.788 mmol), and the mixture was stirred at room temperature overnight. The reaction solution was concentrated under reduced pressure.
- Process 3 N- (6-((tert-butyldimethylsilyloxy) methyl) -2,2,3,3,9,9,10,10-octamethyl-4,8-dioxa-3,9 obtained in step 2 -Disilaundecan-6-yl) -4- (dimethylamino) butanamide (1.08 g, 1.87 mmol) in tetrahydrofuran (10 mL) in tetrabutylammonium fluoride (Tokyo Chemical Industry Co., Ltd., approx. 1 mol / L tetrahydrofuran solution) , 7.49 mL, 7.49 mmol) was added, and the mixture was stirred at room temperature for 2 hours.
- tetrahydrofuran 10 mL
- tetrabutylammonium fluoride Tokyo Chemical Industry Co., Ltd., approx. 1 mol / L tetrahydrofuran solution
- Process 4 (9Z, 9'Z, 12Z, 12'Z) -2- (4- (dimethylamino) butanamide) -2-(((9Z, 12Z) -octadeca-9,12-dienoyloxy) obtained in Step 3
- Methyl iodide (Tokyo Chemical Industry Co., Ltd., 0.200 mL) was added to a solution of (methyl) propane-1,3-diyldioctadeca-9,12-dienoate (0.335 g, 0.328 mmol) in chloroform (3 mL), and 2 at room temperature. Stir for hours. The reaction solution was concentrated under reduced pressure.
- sodium triacetoxyborohydride (0.117 g, 0.552 mmol) was added, followed by stirring at room temperature for 2 hours.
- Methylamine about 40% methanol solution, 0.110 mL, 1.1 mmol
- acetic acid 0.03 mL, 1.1 mmol
- sodium triacetoxyborohydride (0.117 g, 0.552 mmol) were added to the reaction solution, and the mixture was stirred for 2 hours.
- a saturated aqueous sodium hydrogen carbonate solution was added to the reaction mixture, and the mixture was extracted twice with hexane. The organic layers were combined, dried over anhydrous magnesium sulfate, filtered, and concentrated under reduced pressure.
- Process 2 (9Z, 12Z)-(6Z, 9Z, 28Z, 31Z) -N-methylheptatriconta-6,9,28,31-tetraen-19-amine (0.121 g, 0.223 mmol) obtained in Step 1
- Octadeca-9,12-dienyl methanesulfonate (0.154 g, 0.446 mmol)
- 50% aqueous sodium hydroxide solution (0.107 g, 1.34 mmol) were added, and the mixture was stirred at 135 ° C. for 2 hours in an oil bath.
- the reaction solution was cooled to room temperature, saturated brine was added, and the mixture was washed with hexane.
- Process 3 (6Z, 9Z, 28Z, 31Z) -N-methyl-N-((9Z, 12Z) -octadeca-9,12-dienyl) heptatriconta-6,9,28,31-tetraene obtained in Step 2
- the title compound (0.114 g, 0.135 mmol, yield 77%) was obtained in the same manner as in Example 1, Step 2 using -19-amine (0.139 g, 0.175 mmol).
- diphenylphosphoric acid azide (0.118 mL, 0.549 mmol) was added, and the mixture was stirred with heating at 80 ° C. for 3 hr.
- the reaction mixture was cooled to room temperature, water was added, and the mixture was extracted with ethyl acetate. The organic layer was washed with saturated brine, dried over anhydrous magnesium sulfate, and filtered.
- Process 2 6- (Bromomethyl) -6-((tert-butyldimethylsilyloxy) methyl) -2,2,3,3,9,9,10,10-octamethyl-4,8-dioxa- obtained in Step 1
- sodium cyanide Nacalai Tesque, 0.529 g, 10.8 mmol
- Process 4 4- (tert-Butyldimethylsilyloxy) -3,3-bis ((tert-butyldimethylsilyloxy) methyl) butan-1-amine (0.200 g, 0.407 mmol) of 1,2- To a dichloroethane (3 mL) solution were added 38% aqueous formaldehyde solution (0.295 mL) and sodium triacetoxyborohydride (0.431 g, 2.03 mmol), and the mixture was stirred at room temperature overnight. A saturated aqueous sodium hydrogen carbonate solution was added to the reaction mixture, and the mixture was extracted twice with chloroform. The organic layer was dried over anhydrous magnesium sulfate and concentrated under reduced pressure.
- Tetrahydrofuran (2 mL) and tetrabutylammonium fluoride (manufactured by Tokyo Chemical Industry Co., Ltd., about 1 mol / L tetrahydrofuran solution, 2.06 mL, 2.06 mmol) were added to the resulting crude product, and the mixture was stirred at room temperature for 5 hours, then 60 Stir overnight at ° C. Saturated aqueous sodium hydrogen carbonate solution was added to the reaction mixture, and the mixture was washed twice with chloroform. The aqueous layer was concentrated under reduced pressure.
- Acetone (2 mL), sodium hydroxide (manufactured by Wako Pure Chemical Industries, 2 mol / L aqueous solution, 3 mL, 6 mmol) and oleoyl chloride (0.681 mL, 2.06 mmol) are added to the resulting residue, and the mixture is brought to room temperature. And stirred for 3 hours.
- oleoyl chloride 0.681 mL, 2.06 mmol
- Process 2 (5- (Bromomethyl) -2,2-dimethyl-1,3-dioxane-5-yl) methyl stearate (0.95 g, 1.879 mmol) N, N-dimethylformamide (10 mL) obtained in step 1 )
- dimethylamine 2.0 mol / L tetrahydrofuran solution, 5.64 mL, 11.3 mmol
- Water was added to the reaction mixture, and the mixture was extracted with ethyl acetate. The organic layer was washed with saturated brine, dried over anhydrous magnesium sulfate, and filtered.
- Decanoyloxy) -2-((tetradecanoyloxy) methyl) propan-2-yl) amino) -4-oxobutanoic acid (0.250 g, 0.293 mmol) in dichloromethane (3 mL) in 1-ethyl-3- (3-dimethylaminopropyl) carbodiimide (0.084 g, 0.440 mmol), 2- (dimethylamino) ethane-1-ol (manufactured by Tokyo Chemical Industry Co., Ltd., 0.039 g, 0.440 mmol), 4-dimethylaminopyridine (0.036 g, 0.293 mmol) was added in order and stirred at room temperature overnight.
- N, N-diisopropylethylamine (0.395 mL, 2.26 mmol) and then tetradecanoyl chloride (1.12 g, 4.52 mmol) were added under ice cooling, and the mixture was stirred at room temperature for 2 hours.
Landscapes
- Health & Medical Sciences (AREA)
- Life Sciences & Earth Sciences (AREA)
- Chemical & Material Sciences (AREA)
- General Health & Medical Sciences (AREA)
- Engineering & Computer Science (AREA)
- Pharmacology & Pharmacy (AREA)
- Animal Behavior & Ethology (AREA)
- Medicinal Chemistry (AREA)
- Public Health (AREA)
- Veterinary Medicine (AREA)
- Epidemiology (AREA)
- Genetics & Genomics (AREA)
- General Chemical & Material Sciences (AREA)
- Molecular Biology (AREA)
- Organic Chemistry (AREA)
- Chemical Kinetics & Catalysis (AREA)
- Biomedical Technology (AREA)
- Biotechnology (AREA)
- General Engineering & Computer Science (AREA)
- Nuclear Medicine, Radiotherapy & Molecular Imaging (AREA)
- Bioinformatics & Cheminformatics (AREA)
- Oil, Petroleum & Natural Gas (AREA)
- Wood Science & Technology (AREA)
- Zoology (AREA)
- Biophysics (AREA)
- Biochemistry (AREA)
- Microbiology (AREA)
- Plant Pathology (AREA)
- Physics & Mathematics (AREA)
- Dispersion Chemistry (AREA)
- Pain & Pain Management (AREA)
- Rheumatology (AREA)
- Proteomics, Peptides & Aminoacids (AREA)
- Pharmaceuticals Containing Other Organic And Inorganic Compounds (AREA)
Abstract
Description
本発明は、例えば、医薬として有用な核酸含有脂質ナノ粒子、および該脂質ナノ粒子の製造方法等に関する。また、本発明は、該脂質ナノ粒子の製造に有用な脂質等に関する。 The present invention relates to, for example, nucleic acid-containing lipid nanoparticles useful as a medicament, a method for producing the lipid nanoparticles, and the like. The present invention also relates to lipids useful for producing the lipid nanoparticles.
プラスミドDNA (pDNA)、アンチセンスオリゴデオキシ核酸 (ODN)およびshort interfering RNA (siRNA)等の核酸をin vivoにおいて細胞内へ効率的に送達する手段として、核酸をカチオン性脂質およびその他の脂質と複合体を形成させ、その複合体を投与する方法が知られている。
特許文献1および非特許文献1では、核酸等を含有するリポソームの製造方法として、例えば、乾燥させたカチオン性脂質とsiRNAのクエン酸ナトリウム水溶液および中性脂質とポリエチレングリコール化リン脂質をヘペス緩衝生理食塩水(HEPES [N-(2-Hydroxyethyl)piperazine-N'-(2-ethanesulfonic acid)] Bufferd Saline, 以下、「HBS」)およびエタノールに溶解させた溶液をジエチルエーテルに加えて、油中水型(W/O)エマルジョンを形成させた後、溶液を混和させ、逆相蒸発法で処理してsiRNA内包リポソームを製造する方法が報告されている。
特許文献2および非特許文献2では、ODNを、pH3.8のクエン酸水溶液に溶解し、脂質のエタノール溶液を加え、エタノール濃度を20v/v%まで下げてODN内包リポソームを調製し、サイジング膜でろ過し、透析によって過剰のエタノールを除去した後、試料をさらにpH7.5にて透析してリポソーム表面に付着したODNを除去してODN内包リポソームを製造する方法が報告されている。
また、特許文献3では、例えば、pDNAをクエン酸水溶液に溶解した溶液と、脂質をエタノール中に溶解した溶液とを、T字ミキサーで混和し、エタノール濃度を45v/v%まで下げた後、さらにクエン酸緩衝剤溶液を加えて20v/v%までエタノール濃度を下げることでpDNA内包リポソームを調製し、陰イオン交換樹脂で余ったpDNAを除き、限外ろ過によって、過剰のエタノールを除去してpDNA内包リポソームを製造する方法が報告されている。
さらに、特許文献4では、水を含む有機溶媒中において、pDNAをカチオン性脂質とミセルとして複合体化させ、さらに脂質を追加した後に、透析によって有機溶媒を除去することによってpDNA内包リポソームを製造する方法が報告されている。
特許文献5では、同様に界面活性剤の水溶液中において、pDNAをカチオン性脂質とミセルとして複合体化させ、さらに脂質を追加した後に、透析によって界面活性剤を除去することによってpDNA内包リポソームを製造する方法が報告されている。
上記の複合体形成に用いるカチオン性脂質は、通常1~複数本の炭化水素基を含む脂質親和性領域と、少なくとも一つの1級アミン、2級アミン、3級アミンまたは4級アンモニウム基を含むカチオン性の親水性領域を有する両親媒性分子であるが、2つの炭化水素基を有するものが汎用される。
一方で特許文献6では3つの炭化水素基を有するカチオン性脂質を、2つの炭化水素基を有するカチオン性脂質の代わりに用いて、特許文献3と同様の方法で粒子径が82-95 nmの脂質粒子が得られたと開示されている。この文献中で、3つの炭化水素基を有するカチオン性脂質として具体的には
Complexing nucleic acids with cationic lipids and other lipids as a means of efficiently delivering nucleic acids such as plasmid DNA (pDNA), antisense oligodeoxynucleic acid (ODN), and short interfering RNA (siRNA) into cells in vivo Methods for forming a body and administering the complex are known.
In Patent Document 1 and Non-Patent Document 1, as a method for producing liposomes containing nucleic acids and the like, for example, dried cationic lipid and siRNA aqueous sodium citrate solution and neutral lipid and polyethyleneglycolized phospholipid are converted into hepes buffered physiology. A solution dissolved in saline (HEPES [N- (2-Hydroxyethyl) piperazine-N '-(2-ethanesulfonic acid)] Buffered Saline, hereinafter referred to as “HBS”) and ethanol was added to diethyl ether, and water-in-oil It has been reported that a siRNA-encapsulated liposome is produced by forming a type (W / O) emulsion, mixing the solution, and treating it by a reverse phase evaporation method.
In Patent Document 2 and Non-Patent Document 2, ODN is dissolved in an aqueous citric acid solution at pH 3.8, an ethanol solution of lipid is added, and the ethanol concentration is reduced to 20 v / v% to prepare an ODN-encapsulating liposome, and a sizing membrane After the excess ethanol is removed by dialysis, the sample is further dialyzed at pH 7.5 to remove ODN adhering to the surface of the liposome to produce an ODN-encapsulating liposome.
In Patent Document 3, for example, a solution in which pDNA is dissolved in an aqueous citric acid solution and a solution in which lipids are dissolved in ethanol are mixed with a T-shaped mixer, and the ethanol concentration is lowered to 45 v / v%. Further, add citrate buffer solution to reduce ethanol concentration to 20v / v% to prepare pDNA-encapsulated liposomes, remove excess pDNA with anion exchange resin, and remove excess ethanol by ultrafiltration. A method for producing pDNA-encapsulated liposomes has been reported.
Furthermore, in Patent Document 4, pDNA-encapsulated liposomes are produced by complexing pDNA with cationic lipids as micelles in an organic solvent containing water, adding lipids, and then removing the organic solvent by dialysis. A method has been reported.
Similarly, in Patent Document 5, a pDNA-encapsulated liposome is produced by complexing pDNA as a cationic lipid and micelle in an aqueous solution of the surfactant, adding the lipid, and then removing the surfactant by dialysis. How to do it has been reported.
The cationic lipid used to form the above complex usually contains a lipophilic region containing one or more hydrocarbon groups and at least one primary amine, secondary amine, tertiary amine or quaternary ammonium group. An amphiphilic molecule having a cationic hydrophilic region, but one having two hydrocarbon groups is widely used.
On the other hand, in Patent Document 6, a cationic lipid having three hydrocarbon groups is used instead of a cationic lipid having two hydrocarbon groups, and the particle size is 82-95 nm in the same manner as in Patent Document 3. It is disclosed that lipid particles were obtained. In this document, specifically, as a cationic lipid having three hydrocarbon groups
これらの方法で作製された核酸封入リポソームは約50-100 nmのサイズを有している。
Nucleic acid-encapsulated liposomes produced by these methods have a size of about 50-100 nm.
一方、非特許文献2では、粒子径30-100 nmのジクロロ(1,2‐ジアミノシクロヘキサン)白金(II)を封入したポリマーミセルを用いた試験で、より小さい粒子径を有するポリマーミセルほど腫瘍への送達量がより多く、抗腫瘍効果がより強いことを報告している。また、非特許文献3では量子ドットを用いた浸透性評価実験により、100 nmの量子ドットに比べて10 nmの量子ドットの方が腫瘍内で広く分布することが報告されている。すなわち、脂質粒子においても、腫瘍への効率のよい送達にはより小さい粒子径が求められているが、前述のいずれの方法でもより小さい粒子径を有する安定性の高い脂質粒子を効率的に調製することは困難であった。
このような中で、特許文献7および非特許文献4~7では、エタノール中にカチオン性脂質と中性脂質とポリエチレングリコール化脂質を溶解させた溶液と酢酸緩衝液に溶解させたsiRNAをヘリッジボーン構造であるマイクロフルイディクスにより混合し、エタノールを除去することでsiRNA含有脂質ナノ粒子が得られることを報告している。該方法においては、極性有機溶媒中のカチオン性脂質が核酸と静電的相互作用を起こすことにより核酸を内封した逆ミセル構造を経るのと並行して、極性有機溶媒の割合が減少することで核酸を有する逆ミセル構造が脂質膜で被覆された脂質ナノ粒子が製造されている。該脂質ナノ粒子の粒子径は脂質が溶解した極性有機溶媒と核酸を溶解した水溶液をマイクロフルイディクスに流す速度やPEG含有量によって変動するが、非常に小さいことが報告されている。この方法で得られたsiRNA封入リポソームは、静脈内だけでなく皮下に投与した場合でも肝臓で薬効を発現したと報告されている。
On the other hand, in Non-Patent Document 2, in a test using polymer micelle encapsulating dichloro (1,2-diaminocyclohexane) platinum (II) having a particle size of 30-100 nm, a polymer micelle having a smaller particle size is more likely to be in tumor. Reported higher dose and stronger anti-tumor effect. Further, in Non-Patent Document 3, it has been reported through a penetrability evaluation experiment using quantum dots that 10 nm quantum dots are more widely distributed in tumors than 100 nm quantum dots. In other words, lipid particles are required to have a smaller particle size for efficient delivery to the tumor, but any of the methods described above can efficiently prepare highly stable lipid particles having a smaller particle size. It was difficult to do.
Under these circumstances, in Patent Document 7 and Non-Patent Documents 4 to 7, a solution in which a cationic lipid, a neutral lipid, and a polyethylene glycolated lipid are dissolved in ethanol and siRNA dissolved in an acetate buffer solution are formed in a herridge bone structure. It is reported that siRNA-containing lipid nanoparticles can be obtained by mixing with microfluidics and removing ethanol. In this method, the proportion of the polar organic solvent decreases in parallel with the reverse micelle structure enclosing the nucleic acid by causing the cationic lipid in the polar organic solvent to electrostatically interact with the nucleic acid. Lipid nanoparticles in which a reverse micelle structure having a nucleic acid is coated with a lipid membrane are produced. It has been reported that the particle size of the lipid nanoparticles varies depending on the flow rate of the polar organic solvent in which the lipid is dissolved and the aqueous solution in which the nucleic acid is dissolved in the microfluidics and the PEG content. It has been reported that siRNA-encapsulated liposomes obtained by this method have exhibited drug effects in the liver even when administered subcutaneously as well as intravenously.
本発明の目的は、医薬として有用で、従来の粒子に比して、安定かつ小型化された核酸含有脂質ナノ粒子、および該脂質ナノ粒子の製造方法等を提供することにある。また、本発明の目的は、該脂質ナノ粒子の製造に有用な脂質等を提供することである。 An object of the present invention is to provide a nucleic acid-containing lipid nanoparticle that is useful as a medicine and is more stable and smaller than conventional particles, a method for producing the lipid nanoparticle, and the like. Moreover, the objective of this invention is providing the lipid etc. which are useful for manufacture of this lipid nanoparticle.
本発明は以下の(1)~(87)に関する。
(1)
1つの4級アンモニウム基を有する親水部および置換されていても良い独立した3つの炭化水素基を有する脂質(脂質A)、置換されていても良い1つのアミノ基または1つの4級アンモニウム基を有する親水部および置換されていても良い独立した2つの炭化水素基を有する疎水部を同一分子内に含む脂質(脂質B)、水溶性高分子の脂質誘導体または脂肪酸誘導体、ならびに核酸を含む、核酸含有脂質ナノ粒子。
(2)
脂質A中の4級アンモニウム基のモル数が核酸中のリン原子のモル数に対して0.01倍モル量以上である、(1)記載の脂質ナノ粒子。
(3)
脂質Aが、式(I)、式(II)、式(III)、式(IV)、または、式(V’)もしくは式(V’’)で表される脂質またはそれらの組み合わせである、(1)または(2)記載の脂質ナノ粒子。(ここで、式(I)、式(II)、式(III)、式(IV)、式(V’)および式(V’’)は、後述する発明を実施するための形態に記載された構造で表される。以下、同様である。)
(4)
脂質Aが式(I)で表される脂質であり、式(I)において、L1~L3のうち1つが-CO-O-(CY1Y2)p1-または-O-CO-(CY1Y2)p1-であるか、L1~L3のうち2つ以上が同一または異なって-CO-O-(CY1Y2)p1-または-O-CO-(CY1Y2)p1-であり、R1~R3が直鎖状または分岐状のC15-C20アルケニルもしくはC9-C18アルキルであり、かつ同一である、(3)記載の脂質ナノ粒子。
(5)
脂質Aが式(II)で表される脂質であり、式(II)において、L4~L6のうち1つが-CO-O-(CY8Y9)p4-、-O-CO-(CY8Y9)p4-、または-O-CO-(CY10Y11)p5-O-(CY12Y13)p6-であるか、L4~L6のうち2つ以上が同一または異なって-CO-O-(CY8Y9)p4-、-O-CO-(CY8Y9)p4-、または-O-CO-(CY10Y11)p5-O-(CY12Y13)p6-であり、R4~R6が直鎖状または分岐状のC15-C20アルケニルもしくはC9-C18アルキルであり、かつ同一である、(3)記載の脂質ナノ粒子。
(6)
脂質Aが式(III)で表される脂質であり、式(III)において、L8~L10のうち1つが-CO-O-(CY39Y40)p18-または-O-CO-(CY39Y40)p18-であるか、L8~L10のうち2つ以上が同一または異なって-CO-O-(CY39Y40)p18または-O-CO-(CY39Y40)p18-であり、R7~R9が直鎖状または分岐状のC15-C20アルケニルもしくはC9-C18アルキルである、(3)記載の脂質ナノ粒子。
(7)
脂質Aが式(IV)で表される脂質であり、式(IV)において、L13が-CO-O-(CY84Y85)p38-あるいは-O-CO-(CY84Y85)p38-であるか、L14およびL15のうち1つが-CO-O-(CY91Y92)p41-あるいは-O-CO-(CY91Y92)p41-であるか、L13が-CO-O-(CY84Y85)p38-あるいは-O-CO-(CY84Y85)p38-であり、かつL14およびL15のうち1つが-CO-O-(CY91Y92)p41-あるいは-O-CO-(CY91Y92)p41-であるか、L14およびL15が同一あるいは異なって-CO-O-(CY91Y92)p41-あるいは-O-CO-(CY91Y92)p41-であるか、またはL13が-CO-O-(CY84Y85)p38-あるいは-O-CO-(CY84Y85)p38-であり、かつL14およびL15が同一あるいはは異なって-CO-O-(CY91Y92)p41-または-O-CO-(CY91Y92)p41-であり、R10~R12が直鎖状または分岐状のC15-C20アルケニルもしくはC9-C18アルキルである、(3)記載の脂質ナノ粒子。
(8)
脂質Aが式(V’)で表される脂質であり、式(V’)において、L17~L19のうち1つが-CO-O-または-O-であるか、L17~L19のうち2つ以上が同一または異なって-CO-O-または-O-であり、R13~R15が直鎖状または分岐状のC15-C20アルケニルもしくはC9-C18アルキルである、(3)記載の脂質ナノ粒子。
(9)
水溶性高分子の脂質誘導体または脂肪酸誘導体の含有量が総脂質のモル数に対して0.005倍モル量以上である、(1)~(8)のいずれか1項に記載の脂質ナノ粒子。
(10)
水溶性高分子の脂質誘導体または脂肪酸誘導体の水溶性高分子部分が、ポリエチレングリコール、ポリグリセリン、ポリエチレンイミン、ポリビニルアルコール、ポリアクリル酸およびポリアクリルアミドからなる群より選ばれる、(1)~(9)のいずれか1項に記載の脂質ナノ粒子。
(11)
核酸のモル数に対する総脂質のモル数の比率(総脂質のモル数/核酸のモル数)が50以上である、(1)~(10)のいずれか1項に記載の脂質ナノ粒子。
(12)
核酸がRNA干渉(RNAi)を利用した標的遺伝子の発現抑制作用を有する核酸である、(1)~(11)のいずれか1項に記載の脂質ナノ粒子。
(13)
標的遺伝子が、腫瘍または炎症に関連する遺伝子である、(12)記載の脂質ナノ粒子。
(14)
脂質Bの含有量が総脂質のモル数に対して0.1倍モル量以上である、(1)~(13)のいずれかに記載の脂質ナノ粒子。
(15)
脂質B中の親水部のアミノ基または4級アンモニウム基のモル数が核酸中のリン原子のモル数に対して0.01倍モル量以上である、(1)~(14)のいずれかに記載の脂質ナノ粒子。
(16)
脂質Bが、式(CL-I)、式(CL-II)、式(CL-III)、式(CL-IV)、式(CL-V)、式(CL-VI)、式(CL-VII)、式(CL-VIII)、式(CL-IX)、式(CL-X)、式(CL-XI)、式(CL-XII)、式(CL-XIII)、式(CL-XIV)、式(CL-XV)、式(CL-XVI)、または式(CL-XVII)で表される脂質またはそれらの組み合わせである、(1)~(15)のいずれか1項に記載の脂質ナノ粒子。(ここで、式(CL-I)、式(CL-II)、式(CL-III)、式(CL-IV)、式(CL-V)、式(CL-VI)、式(CL-VII)、式(CL-VIII)、式(CL-IX)、式(CL-X)、式(CL-XI)、式(CL-XII)、式(CL-XIII)、式(CL-XIV)、式(CL-XV)、式(CL-XVI)、および式(CL-XVII)は、後述する発明を実施するための形態に記載された構造で表される。以下、同様である。)
(17)
さらに中性脂質を含む、(1)~(16)のいずれか1項に記載の脂質ナノ粒子。
(18)
中性脂質の含有量が、総脂質のモル数に対して0.05倍モル量以上である、(17)記載の脂質ナノ粒子。
(19)
中性脂質が、リン脂質、ステロール、グリセロ糖脂質、スフィンゴ糖脂質およびスフィンゴイドからなる群より選ばれる、(17)または(18)記載の脂質ナノ粒子。
(20)
平均粒子径が20~65nmである、(1)~(19)のいずれか1項に記載の脂質ナノ粒子。
(21)
核酸含有脂質ナノ粒子の製造方法であって、
(a)水に混和可能な有機溶媒と水との混合溶媒中で、1つの4級アンモニウム基を有する親水部および置換されていても良い独立した3つの炭化水素基を有する脂質(脂質A)と、置換されていても良い1つのアミノ基または1つの4級アンモニウム基を有する親水部および置換されていても良い独立した2つの炭化水素基を有する疎水部を同一分子内に含む脂質(脂質B)と、核酸とを混合して、脂質Aと核酸を含む第1の脂質溶液を調製する工程、
(b)第1の脂質溶液に、水溶性高分子の脂質誘導体または脂肪酸誘導体を含む第2の脂質溶液を加えて、第3の脂質溶液を調製する工程、および
(c)第3の脂質溶液に、水または緩衝剤水溶液を添加する工程
を含む、前記製造方法。
(22)
工程(a)において、脂質A、脂質Bおよび核酸とともに、水溶性高分子の脂質誘導体もしくは脂肪酸誘導体、および中性脂質を混合することを含む、(21)記載の製造方法。
(23)
工程(b)における第2の脂質溶液が、さらに中性脂質、および/または置換されていても良い1つのアミノ基または1つの4級アンモニウム基を有する親水部および置換されていても良い独立した2つの炭化水素基を有する疎水部を同一分子内に含む脂質(脂質B)を含む、(21)記載の製造方法。
(24)
水に混和可能な有機溶媒がアルコール、ジメチルスルホキシド、テトラヒドロフラン、アセトン、アセトニトリルまたはこれらの混合物である、(21)~(23)のいずれか1項に記載の製造方法。
(25)
水に混和可能な有機溶媒がアルコールである、(21)~(23)のいずれか1項に記載の製造方法。
(26)
アルコールがメタノール、エタノール、プロパノール、ブタノールまたはこれらの混合物である、(24)または(25)記載の製造方法。
(27)
工程(b)で得られる第3の脂質溶液中の水に混和可能な有機溶媒の含有量を、該溶液に対して50% (v/v)以上とする、(21)~(26)のいずれか1項に記載の製造方法。
(28)
工程(c)において、水または緩衝剤水溶液を添加することにより、工程(b)で得られる第3の脂質溶液中の水に混和可能な有機溶媒濃度を50%(v/v)以下とする、(21)~(27)のいずれか1項に記載の製造方法。
(29)
工程(b)で得られる第3の脂質溶液中の水に混和可能な有機溶媒濃度を、1分以内で50% (v/v)以下とする、(28)記載の製造方法。
(30)
脂質A中の4級アンモニウム基のモル数が核酸中のリン原子のモル数に対して0.01倍モル量以上である、(21)~(29)のいずれか1項に記載の製造方法。
(31)
工程(a)で得られる第1の脂質溶液中の水に混和可能な有機溶媒の含有量を、該溶液に対して50%(v/v)以上とする、(21)~(30)のいずれか1項に記載の製造方法。
(32)
緩衝剤水溶液がリン酸緩衝水溶液、クエン酸緩衝水溶液または酢酸緩衝水溶液である、(21)~(31)のいずれか1項に記載の製造方法。
(33)
第3の脂質溶液中の核酸のモル数に対する総脂質のモル数の比率(総脂質のモル数/核酸のモル数)が50以上である、(21)~(32)のいずれか1項に記載の製造方法。
(34)
核酸がRNA干渉(RNAi)を利用した標的遺伝子の発現抑制作用を有する核酸である、(21)~(33)のいずれか1項に記載の製造方法。
(35)
標的遺伝子が腫瘍または炎症に関連する遺伝子である、(34)に記載の製造方法。
(36)
脂質Aが、式(I)、式(II)、式(III)、式(IV)、または、式(V’)もしくは式(V’’)で表される脂質またはそれらの組み合わせである、(21)~(35)のいずれか1項に記載の製造方法。
(37)
脂質Aが式(I)で表される脂質であり、式(I)において、L1~L3のうち1つが-CO-O-(CY1Y2)p1-または-O-CO-(CY1Y2)p1-であるか、L1~L3のうち2つ以上が同一または異なって-CO-O-(CY1Y2)p1-または-O-CO-(CY1Y2)p1-であり、R1~R3が直鎖状または分岐状のC15-C20アルケニルもしくはC9-C18アルキルであり、かつ同一である、(36)記載の製造方法。
(38)
脂質Aが式(II)で表される脂質であり、式(II)において、L4~L6のうち1つが-CO-O-(CY8Y9)p4-、-O-CO-(CY8Y9)p4-、または-O-CO-(CY10Y11)p5-O-(CY12Y13)p6-であるか、L4~L6のうち2つ以上が同一または異なって-CO-O-(CY8Y9)p4-、-O-CO-(CY8Y9)p4-、または-O-CO-(CY10Y11)p5-O-(CY12Y13)p6-であり、R4~R6が直鎖状または分岐状のC15-C20アルケニルもしくはC9-C18アルキルであり、かつ同一である、(36)記載の製造方法。
(39)
脂質Aが式(III)で表される脂質であり、式(III)において、L8~L10のうち1つが-CO-O-(CY39Y40)p18-または-O-CO-(CY39Y40)p18-であるか、L8~L10のうち2つ以上が同一または異なって-CO-O-(CY39Y40)p18または-O-CO-(CY39Y40)p18-であり、R7~R9が直鎖状または分岐状のC15-C20アルケニルもしくはC9-C18アルキルである、(36)記載の製造方法。
(40)
脂質Aが式(IV)で表される脂質であり、式(IV)において、L13が-CO-O-(CY84Y85)p38-あるいは-O-CO-(CY84Y85)p38-であるか、L14およびL15のうち1つが-CO-O-(CY91Y92)p41-あるいは-O-CO-(CY91Y92)p41-であるか、L13が-CO-O-(CY84Y85)p38-あるいは-O-CO-(CY84Y85)p38-であり、かつL14およびL15のうち1つが-CO-O-(CY91Y92)p41-あるいは-O-CO-(CY91Y92)p41-であるか、L14およびL15が同一あるいは異なって-CO-O-(CY91Y92)p41-あるいは-O-CO-(CY91Y92)p41-であるか、またはL13が-CO-O-(CY84Y85)p38-あるいは-O-CO-(CY84Y85)p38-であり、かつL14およびL15が同一あるいはは異なって-CO-O-(CY91Y92)p41-または-O-CO-(CY91Y92)p41-であり、R10~R12が直鎖状または分岐状のC15-C20アルケニルもしくはC9-C18アルキルである、(36)記載の製造方法。
(41)
脂質Aが式(V’)で表される脂質であり、式(V’)において、L17~L19のうち1つが-CO-O-または-O-であるか、L17~L19のうち2つ以上が同一または異なって-CO-O-または-O-であり、R13~R15が直鎖状または分岐状のC15-C20アルケニルもしくはC9-C18アルキルである、(36)記載の製造方法。
(42)
脂質Bが、式(CL-I)、式(CL-II)、式(CL-III)、式(CL-IV)、式(CL-V)、式(CL-VI)、式(CL-VII)、式(CL-VIII)、式(CL-IX)、式(CL-X)、式(CL-XI)、式(CL-XII)、式(CL-XIII)、式(CL-XIV)、式(CL-XV)、式(CL-XVI)、または式(CL-XVII)で表される脂質またはそれらの組み合わせである、(21)~(41)のいずれかに記載の製造方法。
(43)
核酸含有脂質ナノ粒子の製造方法であって、
(a)水に混和可能な有機溶媒と水との混合溶媒中で、1つの4級アンモニウム基を有する親水部および置換されていても良い独立した3つの炭化水素基を有する脂質(脂質A)と、置換されていても良い1つのアミノ基または1つの4級アンモニウム基を有する親水部および置換されていても良い独立した2つの炭化水素基を有する疎水部を同一分子内に含む脂質(脂質B)と、核酸と、水溶性高分子の脂質誘導体または脂肪酸誘導体とを混合して、脂質と核酸を含む第1の脂質溶液を調製する工程、および
(b)第1の脂質溶液に、水または緩衝剤水溶液を添加する工程
を含む、前記製造方法。
(44)
工程(a)において、中性脂質、および/または置換されていても良い1つのアミノ基または1つの4級アンモニウム基を有する親水部および置換されていても良い独立した2つの炭化水素基を有する疎水部を同一分子内に含む脂質(脂質B)を混合することを含む、(43)記載の製造方法。
(45)
水に混和可能な有機溶媒がアルコール、ジメチルスルホキシド、テトラヒドロフラン、アセトン、アセトニトリルまたはこれらの混合物である、(43)または(44)記載の製造方法。
(46)
水に混和可能な有機溶媒がアルコールである、(43)または(44)記載の製造方法。
(47)
アルコールがメタノール、エタノール、プロパノール、ブタノールまたはこれらの混合物である、(45)または(46)記載の製造方法。
(48)
工程(a)で得られる第1の脂質溶液中の水に混和可能な有機溶媒の含有量が、該溶液に対して50% (v/v)以上である、(43)~(47)のいずれか1項に記載の製造方法。
(49)
工程(b)において、水または緩衝剤水溶液を添加することにより、工程(a)で得られた第1の脂質溶液中の水に混和可能な有機溶媒濃度を50% (v/v)以下とする、(43)~(48)のいずれか1項に記載の製造方法。
(50)
工程(a)で得られる第1の脂質溶液中の水に混和可能な有機溶媒濃度を、1分以内で50% (v/v)以下とする、(49)記載の製造方法。
(51)
脂質A中の4級アンモニウム基のモル数が核酸中のリン酸原子リン原子のモル数に対して0.01倍モル量以上である、(43)~(50)のいずれか1項に記載の製造方法。
(52)
緩衝剤水溶液がリン酸緩衝水溶液、クエン酸緩衝水溶液または酢酸緩衝水溶液である、(43)~(51)のいずれか1項に記載の製造方法。
(53)
工程(a)で用いる核酸のモル数に対する総脂質のモル数の比率(総脂質のモル数/核酸のモル数)が50以上である、(43)~(52)のいずれか1項に記載の製造方法。
(54)
核酸がRNA干渉(RNAi)を利用した標的遺伝子の発現抑制作用を有する核酸である、(43)~(53)のいずれか1項に記載の製造方法。
(55)
標的遺伝子が腫瘍または炎症に関連する遺伝子である、(54)記載の製造方法。
(56)
脂質Aが、式(I)、式(II)、式(III)、式(IV)、または、式(V’)もしくは式(V’’)で表される脂質またはそれらの組み合わせである、(43)~(55)のいずれか1項に記載の製造方法。
(57)
脂質Aが式(I)で表される脂質であり、式(I)において、L1~L3のうち1つが-CO-O-(CY1Y2)p1-または-O-CO-(CY1Y2)p1-であるか、L1~L3のうち2つ以上が同一または異なって-CO-O-(CY1Y2)p1-または-O-CO-(CY1Y2)p1-であり、R1~R3が直鎖状または分岐状のC15-C20アルケニルもしくはC9-C18アルキルであり、かつ同一である、(56)記載の製造方法。
(58)
脂質Aが式(II)で表される脂質であり、式(II)において、L4~L6のうち1つが-CO-O-(CY8Y9)p4-、-O-CO-(CY8Y9)p4-、または-O-CO-(CY10Y11)p5-O-(CY12Y13)p6-であるか、L4~L6のうち2つ以上が同一または異なって-CO-O-(CY8Y9)p4-、-O-CO-(CY8Y9)p4-、または-O-CO-(CY10Y11)p5-O-(CY12Y13)p6-であり、R4~R6が直鎖状または分岐状のC15-C20アルケニルもしくはC9-C18アルキルであり、かつ同一である、(56)記載の製造方法。
(59)
脂質Aが式(III)で表される脂質であり、式(III)において、L8~L10のうち1つが-CO-O-(CY39Y40)p18-または-O-CO-(CY39Y40)p18-であるか、L8~L10のうち2つ以上が同一または異なって-CO-O-(CY39Y40)p18または-O-CO-(CY39Y40)p18-であり、R7~R9が直鎖状または分岐状のC15-C20アルケニルもしくはC9-C18アルキルである、(56)記載の製造方法。
(60)
脂質Aが式(IV)で表される脂質であり、式(IV)において、L13が-CO-O-(CY84Y85)p38-あるいは-O-CO-(CY84Y85)p38-であるか、L14およびL15のうち1つが-CO-O-(CY91Y92)p41-あるいは-O-CO-(CY91Y92)p41-であるか、L13が-CO-O-(CY84Y85)p38-あるいは-O-CO-(CY84Y85)p38-であり、かつL14およびL15のうち1つが-CO-O-(CY91Y92)p41-あるいは-O-CO-(CY91Y92)p41-であるか、L14およびL15が同一あるいは異なって-CO-O-(CY91Y92)p41-あるいは-O-CO-(CY91Y92)p41-であるか、またはL13が-CO-O-(CY84Y85)p38-あるいは-O-CO-(CY84Y85)p38-であり、かつL14およびL15が同一あるいはは異なって-CO-O-(CY91Y92)p41-または-O-CO-(CY91Y92)p41-であり、R10~R12が直鎖状または分岐状のC15-C20アルケニルもしくはC9-C18アルキルである、(56)記載の製造方法。
(61)
脂質Aが式(V’)で表される脂質であり、式(V’)において、L17~L19のうち1つが-CO-O-または-O-であるか、L17~L19のうち2つ以上が同一または異なって-CO-O-または-O-であり、R13~R15が直鎖状または分岐状のC15-C20アルケニルもしくはC9-C18アルキルである、(56)記載の製造方法。
(62)
脂質Bが、式(CL-I)、式(CL-II)、式(CL-III)、式(CL-IV)、式(CL-V)、式(CL-VI)、式(CL-VII)、式(CL-VIII)、式(CL-IX)、式(CL-X)、式(CL-XI)、式(CL-XII)、式(CL-XIII)、式(CL-XIV)、式(CL-XV)、式(CL-XVI)、または式(CL-XVII)で表される脂質またはそれらの組み合わせである、で表される脂質である、(43)~(61)のいずれかに記載の製造方法。
(63)
(21)~(62)のいずれか1項に記載の製造方法で得られる、核酸含有脂質ナノ粒子。
(64)
核酸含有脂質ナノ粒子を構成する脂質膜に、1つの4級アンモニウム基を有する親水部、および置換されていても良い独立した3つの炭化水素基を有する脂質(脂質A)を使用する、核酸含有脂質ナノ粒子を安定化する方法。
(65)
脂質A中の4級アンモニウム基のモル数が核酸中のリン原子のモル数に対して0.01倍モル量以上である、(64)記載の方法。
(66)
脂質Aが、式(I)、式(II)、式(III)、式(IV)、または、式(V’)もしくは式(V’’)で表される脂質またはそれらの組み合わせである、(64)または(65)記載の方法。
(67)
脂質Aが式(I)で表される脂質であり、式(I)において、L1~L3のうち1つが-CO-O-(CY1Y2)p1-または-O-CO-(CY1Y2)p1-であるか、L1~L3のうち2つ以上が同一または異なって-CO-O-(CY1Y2)p1-または-O-CO-(CY1Y2)p1-であり、R1~R3が直鎖状または分岐状のC15-C20アルケニルもしくはC9-C18アルキルであり、かつ同一である、(66)記載の方法。
(68)
脂質Aが式(II)で表される脂質であり、式(II)において、L4~L6のうち1つが-CO-O-(CY8Y9)p4-、-O-CO-(CY8Y9)p4-、または-O-CO-(CY10Y11)p5-O-(CY12Y13)p6-であるか、L4~L6のうち2つ以上が同一または異なって-CO-O-(CY8Y9)p4-、-O-CO-(CY8Y9)p4-、または-O-CO-(CY10Y11)p5-O-(CY12Y13)p6-であり、R4~R6が直鎖状または分岐状のC15-C20アルケニルもしくはC9-C18アルキルであり、かつ同一である、(66)記載の方法。
(69)
脂質Aが式(III)で表される脂質であり、式(III)において、L8~L10のうち1つが-CO-O-(CY39Y40)p18-または-O-CO-(CY39Y40)p18-であるか、L8~L10のうち2つ以上が同一または異なって-CO-O-(CY39Y40)p18または-O-CO-(CY39Y40)p18-であり、R7~R9が直鎖状または分岐状のC15-C20アルケニルもしくはC9-C18アルキルである、(66)記載の方法。
(70)
脂質Aが式(IV)で表される脂質であり、式(IV)において、L13が-CO-O-(CY84Y85)p38-あるいは-O-CO-(CY84Y85)p38-であるか、L14およびL15のうち1つが-CO-O-(CY91Y92)p41-あるいは-O-CO-(CY91Y92)p41-であるか、L13が-CO-O-(CY84Y85)p38-あるいは-O-CO-(CY84Y85)p38-であり、かつL14およびL15のうち1つが-CO-O-(CY91Y92)p41-あるいは-O-CO-(CY91Y92)p41-であるか、L14およびL15が同一あるいは異なって-CO-O-(CY91Y92)p41-あるいは-O-CO-(CY91Y92)p41-であるか、またはL13が-CO-O-(CY84Y85)p38-あるいは-O-CO-(CY84Y85)p38-であり、かつL14およびL15が同一あるいはは異なって-CO-O-(CY91Y92)p41-または-O-CO-(CY91Y92)p41-であり、R10~R12が直鎖状または分岐状のC15-C20アルケニルもしくはC9-C18アルキルである、(66)記載の方法。
(71)
脂質Aが式(V’)で表される脂質であり、式(V’)において、L17~L19のうち1つが-CO-O-または-O-であるか、L17~L19のうち2つ以上が同一または異なって-CO-O-または-O-であり、R13~R15が直鎖状または分岐状のC15-C20アルケニルもしくはC9-C18アルキルである、(66)記載の方法。
(72)
式(I)、式(II)、式(III)、式(IV)、式(V’)および式(V’’)で表される脂質からなる群より選択される、1つの4級アンモニウム基を有する親水部および置換されていても良い独立した3つの炭化水素基を有する脂質(脂質A)。
(73)
脂質Aが式(I)で表される脂質であり、式(I)において、L1~L3のうち1つが-CO-O-(CY1Y2)p1-または-O-CO-(CY1Y2)p1-であるか、L1~L3のうち2つ以上が同一または異なって-CO-O-(CY1Y2)p1-または-O-CO-(CY1Y2)p1-であり、R1~R3が直鎖状または分岐状のC15-C20アルケニルもしくはC9-C18アルキルであり、かつ同一である、(72)記載の脂質。
(74)
脂質Aが式(II)で表される脂質であり、式(II)において、L4~L6のうち1つが-CO-O-(CY8Y9)p4-、-O-CO-(CY8Y9)p4-、または-O-CO-(CY10Y11)p5-O-(CY12Y13)p6-であるか、L4~L6のうち2つ以上が同一または異なって-CO-O-(CY8Y9)p4-、-O-CO-(CY8Y9)p4-、または-O-CO-(CY10Y11)p5-O-(CY12Y13)p6-であり、R4~R6が直鎖状または分岐状のC15-C20アルケニルもしくはC9-C18アルキルであり、かつ同一である、(72)記載の脂質。
(75)
脂質Aが式(III)で表される脂質であり、式(III)において、L8~L10のうち1つが-CO-O-(CY39Y40)p18-または-O-CO-(CY39Y40)p18-であるか、L8~L10のうち2つ以上が同一または異なって-CO-O-(CY39Y40)p18または-O-CO-(CY39Y40)p18-であり、R7~R9が直鎖状または分岐状のC15-C20アルケニルもしくはC9-C18アルキルである、(72)記載の脂質。
(76)
脂質Aが式(IV)で表される脂質であり、式(IV)において、L13が-CO-O-(CY84Y85)p38-あるいは-O-CO-(CY84Y85)p38-であるか、L14およびL15のうち1つが-CO-O-(CY91Y92)p41-あるいは-O-CO-(CY91Y92)p41-であるか、L13が-CO-O-(CY84Y85)p38-あるいは-O-CO-(CY84Y85)p38-であり、かつL14およびL15のうち1つが-CO-O-(CY91Y92)p41-あるいは-O-CO-(CY91Y92)p41-であるか、L14およびL15が同一あるいは異なって-CO-O-(CY91Y92)p41-あるいは-O-CO-(CY91Y92)p41-であるか、またはL13が-CO-O-(CY84Y85)p38-あるいは-O-CO-(CY84Y85)p38-であり、かつL14およびL15が同一あるいはは異なって-CO-O-(CY91Y92)p41-または-O-CO-(CY91Y92)p41-であり、R10~R12が直鎖状または分岐状のC15-C20アルケニルもしくはC9-C18アルキルである、(72)記載の脂質。
(77)
脂質Aが式(V’)で表される脂質であり、式(V’)において、L17~L19のうち1つが-CO-O-または-O-であるか、L17~L19のうち2つ以上が同一または異なって-CO-O-または-O-であり、R13~R15が直鎖状または分岐状のC15-C20アルケニルもしくはC9-C18アルキルである、(72)記載の脂質。
(78)
(1)~(20)および(63)のいずれか1項に記載の核酸含有脂質ナノ粒子を用いる、核酸を細胞内に導入する方法。
(79)
細胞がほ乳類の腫瘍または炎症部位にある細胞である、(78)記載の方法。
(80)
細胞がほ乳類の肝臓、胃、肺、腎臓、膵臓または脾臓にある細胞である、(78)または(79)記載の方法。
(81)
細胞内に導入する方法が、静脈内投与また皮下投与によって細胞内に導入する方法である、(78)~(80)のいずれか1項に記載の方法。
(82)
(1)~(20)および(63)のいずれか1項に記載の核酸含有脂質ナノ粒子を哺乳動物に投与することを含む、癌または炎症疾患の治療方法。
(83)
投与する方法が、静脈内投与また皮下投与である、(82)記載の方法。
(84)
(1)~(20)および(63)のいずれか1項に記載の核酸含有脂質ナノ粒子を含む、医薬。
(85)
静脈内投与用また皮下投与用である、(84)記載の医薬。
(86)
(1)~(20)および(63)のいずれか1項に記載の核酸含有脂質ナノ粒子を含む、癌または炎症疾患の治療剤。
(87)
静脈内投与用また皮下投与用である、(86)記載の治療剤。
The present invention relates to the following (1) to (87).
(1)
A lipid having a hydrophilic part having one quaternary ammonium group and three independent hydrocarbon groups which may be substituted (lipid A), one amino group which may be substituted or one quaternary ammonium group Nucleic acid, including a lipid (lipid B), a lipid derivative or fatty acid derivative of a water-soluble polymer, and a nucleic acid containing a hydrophilic moiety having a hydrophobic moiety having two independent hydrocarbon groups that may be substituted in the same molecule Contains lipid nanoparticles.
(2)
The lipid nanoparticle according to (1), wherein the number of moles of the quaternary ammonium group in lipid A is 0.01 times or more the number of moles of phosphorus atoms in the nucleic acid.
(3)
Lipid A is a lipid represented by Formula (I), Formula (II), Formula (III), Formula (IV), Formula (V ′) or Formula (V ″), or a combination thereof. The lipid nanoparticle according to (1) or (2). (Here, the formula (I), the formula (II), the formula (III), the formula (IV), the formula (V ′), and the formula (V ″) are described in the embodiments for carrying out the invention described later. The same applies hereinafter.)
(Four)
Lipid A is a lipid represented by the formula (I), and in the formula (I), one of L 1 to L 3 is —CO—O— (CY 1 Y 2 ) p1 — or —O—CO— ( CY 1 Y 2 ) p1- or two or more of L 1 to L 3 are the same or different, and -CO-O- (CY 1 Y 2 ) p1 -or -O-CO- (CY 1 Y 2 ) p1 - a and, R 1 ~ R 3 is a linear or branched C15-C20 alkenyl or C9-C18 alkyl, and are the same, (3), wherein the lipid nanoparticles.
(Five)
Lipid A is a lipid represented by the formula (II), and in the formula (II), one of L 4 to L 6 is -CO-O- (CY 8 Y 9 ) p4- , -O-CO- ( CY 8 Y 9 ) p4 -or -O-CO- (CY 10 Y 11 ) p5 -O- (CY 12 Y 13 ) p6- or two or more of L 4 to L 6 are the same or different -CO-O- (CY 8 Y 9 ) p4- , -O-CO- (CY 8 Y 9 ) p4- , or -O-CO- (CY 10 Y 11 ) p5 -O- (CY 12 Y 13 The lipid nanoparticles according to (3), which are p6- and R 4 to R 6 are linear or branched C15-C20 alkenyl or C9-C18 alkyl and are the same.
(6)
Lipid A is a lipid represented by the formula (III), and in the formula (III), one of L 8 to L 10 is -CO-O- (CY 39 Y 40 ) p18 -or -O-CO- ( CY 39 Y 40 ) p18- , or two or more of L 8 to L 10 are the same or different -CO-O- (CY 39 Y 40 ) p18 or -O-CO- (CY 39 Y 40 ) The lipid nanoparticle according to (3), which is p18- and R 7 to R 9 are linear or branched C15-C20 alkenyl or C9-C18 alkyl.
(7)
Lipid A is a lipid represented by the formula (IV), and in the formula (IV), L 13 is -CO-O- (CY 84 Y 85 ) p38 -or -O-CO- (CY 84 Y 85 ) p38 -Or one of L 14 and L 15 is -CO-O- (CY 91 Y 92 ) p41 -or -O-CO- (CY 91 Y 92 ) p41- , or L 13 is -CO -O- (CY 84 Y 85 ) p38 -or -O-CO- (CY 84 Y 85 ) p38- and one of L 14 and L 15 is -CO-O- (CY 91 Y 92 ) p41 -Or-O-CO- (CY 91 Y 92 ) p41- or L 14 and L 15 are the same or different -CO-O- (CY 91 Y 92 ) p41 -or -O-CO- (CY 91 Y 92 ) p41- or L 13 is -CO-O- (CY 84 Y 85 ) p38 -or -O-CO- (CY 84 Y 85 ) p38- and L 14 and L 15 Are the same or different and are -CO-O- (CY 91 Y 92 ) p41 -or -O-CO- (CY 91 Y 92 ) p41- , and R 10 to R 12 are linear or branched C15 The lipid nanoparticle according to (3), which is -C20 alkenyl or C9-C18 alkyl.
(8)
Lipid A is a lipid represented by the formula (V ′), and in the formula (V ′), one of L 17 to L 19 is —CO—O— or —O—, or L 17 to L 19 Two or more of them are the same or different and are —CO—O— or —O—, and R 13 to R 15 are linear or branched C15-C20 alkenyl or C9-C18 alkyl, (3) The lipid nanoparticles described.
(9)
10. The lipid nanoparticle according to any one of (1) to (8), wherein the content of the water-soluble polymer lipid derivative or fatty acid derivative is 0.005 times the molar amount of the total lipid or more.
(Ten)
(1) to (9), wherein the water-soluble polymer lipid derivative or the fatty acid derivative of the water-soluble polymer is selected from the group consisting of polyethylene glycol, polyglycerin, polyethyleneimine, polyvinyl alcohol, polyacrylic acid and polyacrylamide. The lipid nanoparticle according to any one of the above.
(11)
The lipid nanoparticles according to any one of (1) to (10), wherein the ratio of the number of moles of total lipid to the number of moles of nucleic acid (number of moles of total lipid / number of moles of nucleic acid) is 50 or more.
(12)
The lipid nanoparticle according to any one of (1) to (11), wherein the nucleic acid is a nucleic acid having an action of suppressing the expression of a target gene using RNA interference (RNAi).
(13)
The lipid nanoparticle according to (12), wherein the target gene is a gene associated with tumor or inflammation.
(14)
The lipid nanoparticle according to any one of (1) to (13), wherein the content of lipid B is 0.1 times or more by mole of the total number of moles of lipid.
(15)
The number of moles of the amino group or quaternary ammonium group in the hydrophilic part in the lipid B is 0.01 times or more the mole number of the phosphorus atom in the nucleic acid, according to any one of (1) to (14) Lipid nanoparticles.
(16)
Lipid B is represented by formula (CL-I), formula (CL-II), formula (CL-III), formula (CL-IV), formula (CL-V), formula (CL-VI), formula (CL- (VII), formula (CL-VIII), formula (CL-IX), formula (CL-X), formula (CL-XI), formula (CL-XII), formula (CL-XIII), formula (CL-XIV ), A formula (CL-XV), a formula (CL-XVI), or a lipid represented by the formula (CL-XVII) or a combination thereof, according to any one of (1) to (15) Lipid nanoparticles. (Where, formula (CL-I), formula (CL-II), formula (CL-III), formula (CL-IV), formula (CL-V), formula (CL-VI), formula (CL- (VII), formula (CL-VIII), formula (CL-IX), formula (CL-X), formula (CL-XI), formula (CL-XII), formula (CL-XIII), formula (CL-XIV ), Formula (CL-XV), formula (CL-XVI), and formula (CL-XVII) are represented by the structures described in the modes for carrying out the invention to be described later. )
(17)
The lipid nanoparticle according to any one of (1) to (16), further comprising a neutral lipid.
(18)
The lipid nanoparticle according to (17), wherein the content of neutral lipid is 0.05 times or more by mole of the total number of moles of lipid.
(19)
The lipid nanoparticle according to (17) or (18), wherein the neutral lipid is selected from the group consisting of phospholipid, sterol, glyceroglycolipid, sphingoglycolipid and sphingoid.
(20)
The lipid nanoparticles according to any one of (1) to (19), wherein the average particle size is 20 to 65 nm.
(twenty one)
A method for producing nucleic acid-containing lipid nanoparticles comprising:
(a) a lipid having a hydrophilic part having one quaternary ammonium group and three independent hydrocarbon groups optionally substituted in a mixed solvent of water and an organic solvent miscible with water (lipid A) A lipid having a hydrophilic part having one amino group which may be substituted or one quaternary ammonium group and a hydrophobic part having two independent hydrocarbon groups which may be substituted (lipid B) and a nucleic acid to prepare a first lipid solution containing lipid A and nucleic acid,
(b) adding a second lipid solution containing a lipid derivative or fatty acid derivative of a water-soluble polymer to the first lipid solution to prepare a third lipid solution; and
(c) The production method comprising a step of adding water or an aqueous buffer solution to the third lipid solution.
(twenty two)
The production method according to (21), comprising mixing a lipid derivative or fatty acid derivative of a water-soluble polymer, and a neutral lipid together with lipid A, lipid B, and nucleic acid in step (a).
(twenty three)
The second lipid solution in step (b) is further neutral lipid and / or a hydrophilic part having one amino group or one quaternary ammonium group which may be substituted and an independent which may be substituted The production method according to (21), comprising a lipid (lipid B) containing a hydrophobic moiety having two hydrocarbon groups in the same molecule.
(twenty four)
The production method according to any one of (21) to (23), wherein the organic solvent miscible with water is alcohol, dimethyl sulfoxide, tetrahydrofuran, acetone, acetonitrile, or a mixture thereof.
(twenty five)
The production method according to any one of (21) to (23), wherein the organic solvent miscible with water is an alcohol.
(26)
The production method according to (24) or (25), wherein the alcohol is methanol, ethanol, propanol, butanol or a mixture thereof.
(27)
The content of the organic solvent miscible with water in the third lipid solution obtained in step (b) is 50% (v / v) or more with respect to the solution, (21) to (26) The production method according to any one of the above.
(28)
In step (c), the concentration of the organic solvent miscible with water in the third lipid solution obtained in step (b) is reduced to 50% (v / v) or less by adding water or an aqueous buffer solution. (21) The production method according to any one of (27) to (27).
(29)
The production method according to (28), wherein the concentration of the organic solvent miscible with water in the third lipid solution obtained in the step (b) is 50% (v / v) or less within 1 minute.
(30)
(21) The production method according to any one of (21) to (29), wherein the number of moles of the quaternary ammonium group in lipid A is 0.01 times or more the number of moles of phosphorus atoms in the nucleic acid.
(31)
The content of the organic solvent miscible with water in the first lipid solution obtained in the step (a) is 50% (v / v) or more with respect to the solution, (21) to (30) The production method according to any one of the above.
(32)
The production method according to any one of (21) to (31), wherein the aqueous buffer solution is a phosphate buffer aqueous solution, a citrate buffer aqueous solution, or an acetate buffer aqueous solution.
(33)
The ratio of the number of moles of total lipid to the number of moles of nucleic acid in the third lipid solution (number of moles of total lipid / number of moles of nucleic acid) is 50 or more, according to any one of (21) to (32) The manufacturing method as described.
(34)
The production method according to any one of (21) to (33), wherein the nucleic acid is a nucleic acid having an action of suppressing the expression of a target gene using RNA interference (RNAi).
(35)
The production method according to (34), wherein the target gene is a gene associated with tumor or inflammation.
(36)
Lipid A is a lipid represented by Formula (I), Formula (II), Formula (III), Formula (IV), Formula (V ′) or Formula (V ″), or a combination thereof. (21) The production method according to any one of (35).
(37)
Lipid A is a lipid represented by the formula (I), and in the formula (I), one of L 1 to L 3 is —CO—O— (CY 1 Y 2 ) p1 — or —O—CO— ( CY 1 Y 2 ) p1- or two or more of L 1 to L 3 are the same or different, and -CO-O- (CY 1 Y 2 ) p1 -or -O-CO- (CY 1 Y 2 ) The production method according to (36), wherein p 1- and R 1 to R 3 are linear or branched C15-C20 alkenyl or C9-C18 alkyl, and are the same.
(38)
Lipid A is a lipid represented by the formula (II), and in the formula (II), one of L 4 to L 6 is -CO-O- (CY 8 Y 9 ) p4- , -O-CO- ( CY 8 Y 9 ) p4 -or -O-CO- (CY 10 Y 11 ) p5 -O- (CY 12 Y 13 ) p6- or two or more of L 4 to L 6 are the same or different -CO-O- (CY 8 Y 9 ) p4- , -O-CO- (CY 8 Y 9 ) p4- , or -O-CO- (CY 10 Y 11 ) p5 -O- (CY 12 Y 13 ) The production method according to (36), wherein p 6- and R 4 to R 6 are linear or branched C15-C20 alkenyl or C9-C18 alkyl, and are the same.
(39)
Lipid A is a lipid represented by the formula (III), and in the formula (III), one of L 8 to L 10 is -CO-O- (CY 39 Y 40 ) p18 -or -O-CO- ( CY 39 Y 40 ) p18- , or two or more of L 8 to L 10 are the same or different -CO-O- (CY 39 Y 40 ) p18 or -O-CO- (CY 39 Y 40 ) pi 8 - a and, R 7 ~ R 9 is a linear or branched C15-C20 alkenyl or C9-C18 alkyl, (36) the method according.
(40)
Lipid A is a lipid represented by the formula (IV), and in the formula (IV), L 13 is -CO-O- (CY 84 Y 85 ) p38 -or -O-CO- (CY 84 Y 85 ) p38 -Or one of L 14 and L 15 is -CO-O- (CY 91 Y 92 ) p41 -or -O-CO- (CY 91 Y 92 ) p41- , or L 13 is -CO -O- (CY 84 Y 85 ) p38 -or -O-CO- (CY 84 Y 85 ) p38- and one of L 14 and L 15 is -CO-O- (CY 91 Y 92 ) p41 -Or-O-CO- (CY 91 Y 92 ) p41- or L 14 and L 15 are the same or different -CO-O- (CY 91 Y 92 ) p41 -or -O-CO- (CY 91 Y 92 ) p41- or L 13 is -CO-O- (CY 84 Y 85 ) p38 -or -O-CO- (CY 84 Y 85 ) p38- and L 14 and L 15 Are the same or different and are -CO-O- (CY 91 Y 92 ) p41 -or -O-CO- (CY 91 Y 92 ) p41- , and R 10 to R 12 are linear or branched C15 The production method of (36), which is —C20 alkenyl or C9-C18 alkyl.
(41)
Lipid A is a lipid represented by the formula (V ′), and in the formula (V ′), one of L 17 to L 19 is —CO—O— or —O—, or L 17 to L 19 Two or more of them are the same or different and are —CO—O— or —O—, and R 13 to R 15 are linear or branched C15-C20 alkenyl or C9-C18 alkyl, (36) The manufacturing method as described.
(42)
Lipid B is represented by formula (CL-I), formula (CL-II), formula (CL-III), formula (CL-IV), formula (CL-V), formula (CL-VI), formula (CL- (VII), formula (CL-VIII), formula (CL-IX), formula (CL-X), formula (CL-XI), formula (CL-XII), formula (CL-XIII), formula (CL-XIV ), A formula (CL-XV), a formula (CL-XVI), or a lipid represented by the formula (CL-XVII) or a combination thereof, the production method according to any one of (21) to (41) .
(43)
A method for producing nucleic acid-containing lipid nanoparticles comprising:
(a) a lipid having a hydrophilic part having one quaternary ammonium group and three independent hydrocarbon groups optionally substituted in a mixed solvent of water and an organic solvent miscible with water (lipid A) A lipid having a hydrophilic part having one amino group which may be substituted or one quaternary ammonium group and a hydrophobic part having two independent hydrocarbon groups which may be substituted (lipid A step of mixing B), a nucleic acid, and a lipid derivative or fatty acid derivative of a water-soluble polymer to prepare a first lipid solution containing the lipid and the nucleic acid; and
(b) The production method comprising a step of adding water or an aqueous buffer solution to the first lipid solution.
(44)
In step (a), it has a neutral lipid, and / or a hydrophilic part having one amino group or one quaternary ammonium group which may be substituted, and two independent hydrocarbon groups which may be substituted The production method according to (43), comprising mixing a lipid (lipid B) containing a hydrophobic part in the same molecule.
(45)
The production method according to (43) or (44), wherein the water-miscible organic solvent is alcohol, dimethyl sulfoxide, tetrahydrofuran, acetone, acetonitrile or a mixture thereof.
(46)
The production method according to (43) or (44), wherein the water-miscible organic solvent is an alcohol.
(47)
The production method according to (45) or (46), wherein the alcohol is methanol, ethanol, propanol, butanol or a mixture thereof.
(48)
The content of the water-miscible organic solvent in the first lipid solution obtained in the step (a) is 50% (v / v) or more with respect to the solution (43) to (47) The production method according to any one of the above.
(49)
In step (b), by adding water or an aqueous buffer solution, the concentration of the organic solvent miscible with water in the first lipid solution obtained in step (a) is 50% (v / v) or less. The production method according to any one of (43) to (48).
(50)
The production method according to (49), wherein the concentration of the organic solvent miscible with water in the first lipid solution obtained in the step (a) is 50% (v / v) or less within 1 minute.
(51)
The production according to any one of (43) to (50), wherein the number of moles of the quaternary ammonium group in lipid A is 0.01 times or more the number of moles of phosphate atoms in the nucleic acid Method.
(52)
The production method according to any one of (43) to (51), wherein the aqueous buffer solution is a phosphate buffer aqueous solution, a citrate buffer aqueous solution, or an acetate buffer aqueous solution.
(53)
The ratio of the number of moles of total lipid to the number of moles of nucleic acid used in step (a) (the number of moles of total lipid / the number of moles of nucleic acid) is 50 or more, according to any one of (43) to (52) Manufacturing method.
(54)
The production method according to any one of (43) to (53), wherein the nucleic acid is a nucleic acid having an action of suppressing the expression of a target gene using RNA interference (RNAi).
(55)
(54) The production method according to (54), wherein the target gene is a gene associated with tumor or inflammation.
(56)
Lipid A is a lipid represented by Formula (I), Formula (II), Formula (III), Formula (IV), Formula (V ′) or Formula (V ″), or a combination thereof. (43) The production method according to any one of (55).
(57)
Lipid A is a lipid represented by the formula (I), and in the formula (I), one of L 1 to L 3 is —CO—O— (CY 1 Y 2 ) p1 — or —O—CO— ( CY 1 Y 2 ) p1- or two or more of L 1 to L 3 are the same or different, and -CO-O- (CY 1 Y 2 ) p1 -or -O-CO- (CY 1 Y 2 ) The production method according to (56), wherein p 1- and R 1 to R 3 are linear or branched C15-C20 alkenyl or C9-C18 alkyl, and are the same.
(58)
Lipid A is a lipid represented by the formula (II), and in the formula (II), one of L 4 to L 6 is -CO-O- (CY 8 Y 9 ) p4- , -O-CO- ( CY 8 Y 9 ) p4 -or -O-CO- (CY 10 Y 11 ) p5 -O- (CY 12 Y 13 ) p6- or two or more of L 4 to L 6 are the same or different -CO-O- (CY 8 Y 9 ) p4- , -O-CO- (CY 8 Y 9 ) p4- , or -O-CO- (CY 10 Y 11 ) p5 -O- (CY 12 Y 13 ) p6 - a and, R 4 ~ R 6 is a linear or branched C15-C20 alkenyl or C9-C18 alkyl, and are the same, (56) the method according.
(59)
Lipid A is a lipid represented by the formula (III), and in the formula (III), one of L 8 to L 10 is -CO-O- (CY 39 Y 40 ) p18 -or -O-CO- ( CY 39 Y 40 ) p18- , or two or more of L 8 to L 10 are the same or different -CO-O- (CY 39 Y 40 ) p18 or -O-CO- (CY 39 Y 40 ) The production method according to (56), wherein p18- and R 7 to R 9 are linear or branched C15-C20 alkenyl or C9-C18 alkyl.
(60)
Lipid A is a lipid represented by the formula (IV), and in the formula (IV), L 13 is -CO-O- (CY 84 Y 85 ) p38 -or -O-CO- (CY 84 Y 85 ) p38 -Or one of L 14 and L 15 is -CO-O- (CY 91 Y 92 ) p41 -or -O-CO- (CY 91 Y 92 ) p41- , or L 13 is -CO -O- (CY 84 Y 85 ) p38 -or -O-CO- (CY 84 Y 85 ) p38- and one of L 14 and L 15 is -CO-O- (CY 91 Y 92 ) p41 -Or-O-CO- (CY 91 Y 92 ) p41- or L 14 and L 15 are the same or different -CO-O- (CY 91 Y 92 ) p41 -or -O-CO- (CY 91 Y 92 ) p41- or L 13 is -CO-O- (CY 84 Y 85 ) p38 -or -O-CO- (CY 84 Y 85 ) p38- and L 14 and L 15 Are the same or different and are -CO-O- (CY 91 Y 92 ) p41 -or -O-CO- (CY 91 Y 92 ) p41- , and R 10 to R 12 are linear or branched C15 The production method according to (56), which is -C20 alkenyl or C9-C18 alkyl.
(61)
Lipid A is a lipid represented by the formula (V ′), and in the formula (V ′), one of L 17 to L 19 is —CO—O— or —O—, or L 17 to L 19 Two or more of them are the same or different and are —CO—O— or —O—, and R 13 to R 15 are linear or branched C15-C20 alkenyl or C9-C18 alkyl, (56) The manufacturing method as described.
(62)
Lipid B is represented by formula (CL-I), formula (CL-II), formula (CL-III), formula (CL-IV), formula (CL-V), formula (CL-VI), formula (CL- (VII), formula (CL-VIII), formula (CL-IX), formula (CL-X), formula (CL-XI), formula (CL-XII), formula (CL-XIII), formula (CL-XIV ), A lipid represented by formula (CL-XV), a formula (CL-XVI), or a lipid represented by formula (CL-XVII) or a combination thereof, (43) to (61) The manufacturing method in any one of.
(63)
(21) A nucleic acid-containing lipid nanoparticle obtained by the production method according to any one of (62).
(64)
Nucleic acid containing, using a lipid membrane (lipid A) having a hydrophilic part having one quaternary ammonium group and three independent hydrocarbon groups which may be substituted in the lipid membrane constituting the nucleic acid containing lipid nanoparticle A method of stabilizing lipid nanoparticles.
(65)
The method according to (64), wherein the number of moles of the quaternary ammonium group in lipid A is 0.01 times or more the mole number of phosphorus atoms in the nucleic acid.
(66)
Lipid A is a lipid represented by Formula (I), Formula (II), Formula (III), Formula (IV), Formula (V ′) or Formula (V ″), or a combination thereof. (64) or the method according to (65).
(67)
Lipid A is a lipid represented by the formula (I), and in the formula (I), one of L 1 to L 3 is —CO—O— (CY 1 Y 2 ) p1 — or —O—CO— ( CY 1 Y 2 ) p1- or two or more of L 1 to L 3 are the same or different, and -CO-O- (CY 1 Y 2 ) p1 -or -O-CO- (CY 1 Y 2 ) The method according to (66), wherein p 1- and R 1 to R 3 are linear or branched C15-C20 alkenyl or C9-C18 alkyl, and are the same.
(68)
Lipid A is a lipid represented by the formula (II), and in the formula (II), one of L 4 to L 6 is -CO-O- (CY 8 Y 9 ) p4- , -O-CO- ( CY 8 Y 9 ) p4 -or -O-CO- (CY 10 Y 11 ) p5 -O- (CY 12 Y 13 ) p6- or two or more of L 4 to L 6 are the same or different -CO-O- (CY 8 Y 9 ) p4- , -O-CO- (CY 8 Y 9 ) p4- , or -O-CO- (CY 10 Y 11 ) p5 -O- (CY 12 Y 13 ) The method according to (66), wherein p6- and R 4 to R 6 are linear or branched C15-C20 alkenyl or C9-C18 alkyl, and are the same.
(69)
Lipid A is a lipid represented by the formula (III), and in the formula (III), one of L 8 to L 10 is -CO-O- (CY 39 Y 40 ) p18 -or -O-CO- ( CY 39 Y 40 ) p18- , or two or more of L 8 to L 10 are the same or different -CO-O- (CY 39 Y 40 ) p18 or -O-CO- (CY 39 Y 40 ) The method according to (66), wherein p18— and R 7 to R 9 are linear or branched C15-C20 alkenyl or C9-C18 alkyl.
(70)
Lipid A is a lipid represented by the formula (IV), and in the formula (IV), L 13 is -CO-O- (CY 84 Y 85 ) p38 -or -O-CO- (CY 84 Y 85 ) p38 -Or one of L 14 and L 15 is -CO-O- (CY 91 Y 92 ) p41 -or -O-CO- (CY 91 Y 92 ) p41- , or L 13 is -CO -O- (CY 84 Y 85 ) p38 -or -O-CO- (CY 84 Y 85 ) p38- and one of L 14 and L 15 is -CO-O- (CY 91 Y 92 ) p41 -Or-O-CO- (CY 91 Y 92 ) p41- or L 14 and L 15 are the same or different -CO-O- (CY 91 Y 92 ) p41 -or -O-CO- (CY 91 Y 92 ) p41- or L 13 is -CO-O- (CY 84 Y 85 ) p38 -or -O-CO- (CY 84 Y 85 ) p38- and L 14 and L 15 Are the same or different and are -CO-O- (CY 91 Y 92 ) p41 -or -O-CO- (CY 91 Y 92 ) p41- , and R 10 to R 12 are linear or branched C15 The method according to (66), which is —C20 alkenyl or C9-C18 alkyl.
(71)
Lipid A is a lipid represented by the formula (V ′), and in the formula (V ′), one of L 17 to L 19 is —CO—O— or —O—, or L 17 to L 19 Two or more of them are the same or different and are —CO—O— or —O—, and R 13 to R 15 are linear or branched C15-C20 alkenyl or C9-C18 alkyl, (66) The method described.
(72)
One quaternary ammonium selected from the group consisting of lipids of formula (I), formula (II), formula (III), formula (IV), formula (V ′) and formula (V ″) A lipid having a hydrophilic part having a group and three independent hydrocarbon groups which may be substituted (lipid A).
(73)
Lipid A is a lipid represented by the formula (I), and in the formula (I), one of L 1 to L 3 is —CO—O— (CY 1 Y 2 ) p1 — or —O—CO— ( CY 1 Y 2 ) p1- or two or more of L 1 to L 3 are the same or different, and -CO-O- (CY 1 Y 2 ) p1 -or -O-CO- (CY 1 Y 2 ) p1 - a is a R 1 ~ R 3 is a linear or branched C15-C20 alkenyl or C9-C18 alkyl, and are the same, (72) a lipid according.
(74)
Lipid A is a lipid represented by the formula (II), and in the formula (II), one of L 4 to L 6 is -CO-O- (CY 8 Y 9 ) p4- , -O-CO- ( CY 8 Y 9 ) p4 -or -O-CO- (CY 10 Y 11 ) p5 -O- (CY 12 Y 13 ) p6- or two or more of L 4 to L 6 are the same or different -CO-O- (CY 8 Y 9 ) p4- , -O-CO- (CY 8 Y 9 ) p4- , or -O-CO- (CY 10 Y 11 ) p5 -O- (CY 12 Y 13 The lipid according to (72), which is p6- , and R 4 to R 6 are linear or branched C15-C20 alkenyl or C9-C18 alkyl, and are the same.
(75)
Lipid A is a lipid represented by the formula (III), and in the formula (III), one of L 8 to L 10 is -CO-O- (CY 39 Y 40 ) p18 -or -O-CO- ( CY 39 Y 40 ) p18- , or two or more of L 8 to L 10 are the same or different -CO-O- (CY 39 Y 40 ) p18 or -O-CO- (CY 39 Y 40 ) The lipid according to (72), which is p18- and R 7 to R 9 are linear or branched C15-C20 alkenyl or C9-C18 alkyl.
(76)
Lipid A is a lipid represented by the formula (IV), and in the formula (IV), L 13 is -CO-O- (CY 84 Y 85 ) p38 -or -O-CO- (CY 84 Y 85 ) p38 -Or one of L 14 and L 15 is -CO-O- (CY 91 Y 92 ) p41 -or -O-CO- (CY 91 Y 92 ) p41- , or L 13 is -CO -O- (CY 84 Y 85 ) p38 -or -O-CO- (CY 84 Y 85 ) p38- and one of L 14 and L 15 is -CO-O- (CY 91 Y 92 ) p41 -Or-O-CO- (CY 91 Y 92 ) p41- or L 14 and L 15 are the same or different -CO-O- (CY 91 Y 92 ) p41 -or -O-CO- (CY 91 Y 92 ) p41- or L 13 is -CO-O- (CY 84 Y 85 ) p38 -or -O-CO- (CY 84 Y 85 ) p38- and L 14 and L 15 Are the same or different and are -CO-O- (CY 91 Y 92 ) p41 -or -O-CO- (CY 91 Y 92 ) p41- , and R 10 to R 12 are linear or branched C15 The lipid according to (72), which is -C20 alkenyl or C9-C18 alkyl.
(77)
Lipid A is a lipid represented by the formula (V ′), and in the formula (V ′), one of L 17 to L 19 is —CO—O— or —O—, or L 17 to L 19 Two or more of them are the same or different and are —CO—O— or —O—, and R 13 to R 15 are linear or branched C15-C20 alkenyl or C9-C18 alkyl, (72) The lipids described.
(78)
(1) A method for introducing a nucleic acid into a cell using the nucleic acid-containing lipid nanoparticle according to any one of (20) and (63).
(79)
The method according to (78), wherein the cell is a cell in a mammalian tumor or inflammation site.
(80)
The method according to (78) or (79), wherein the cell is a cell in the liver, stomach, lung, kidney, pancreas or spleen of a mammal.
(81)
The method according to any one of (78) to (80), wherein the method of introduction into cells is a method of introduction into cells by intravenous administration or subcutaneous administration.
(82)
(1) A method for treating cancer or inflammatory disease, comprising administering the nucleic acid-containing lipid nanoparticles according to any one of (20) and (63) to a mammal.
(83)
The method according to (82), wherein the method of administration is intravenous administration or subcutaneous administration.
(84)
(1) A pharmaceutical comprising the nucleic acid-containing lipid nanoparticle according to any one of (20) and (63).
(85)
The medicament according to (84), which is for intravenous administration or subcutaneous administration.
(86)
A therapeutic agent for cancer or inflammatory disease comprising the nucleic acid-containing lipid nanoparticles according to any one of (1) to (20) and (63).
(87)
The therapeutic agent according to (86), which is for intravenous administration or subcutaneous administration.
本発明により、医薬として有用で、従来の粒子に比して、安定かつ小型化された核酸含有脂質ナノ粒子、および該脂質ナノ粒子の製造方法等を提供することができる。また、本発明により、該脂質ナノ粒子の製造に有用な脂質等を提供することができる。 According to the present invention, it is possible to provide a nucleic acid-containing lipid nanoparticle that is useful as a medicine and is more stable and smaller than conventional particles, a method for producing the lipid nanoparticle, and the like. Further, according to the present invention, lipids and the like useful for the production of the lipid nanoparticles can be provided.
以下、本発明を実施する形態について詳細に説明する。なお、以下に説明する実施形態は、本発明を限定するものではない。
本発明の核酸含有脂質ナノ粒子は、1つの4級アンモニウム基を有する親水部および置換されていても良い独立した3つの炭化水素基を有する脂質(脂質A)、水溶性高分子の脂質誘導体または脂肪酸誘導体、ならびに核酸を含む。本発明においては、1つの4級アンモニウム基を有する親水部および置換されていても良い独立した3つの炭化水素基を有する脂質(脂質A)を用いて、水溶性高分子の脂質誘導体または脂肪酸誘導体、および核酸とともに、核酸含有脂質ナノ粒子とすることで、物理化学的安定性および生理活性においてより優れた核酸含有脂質ナノ粒子を得ることができる。
Hereinafter, embodiments for carrying out the present invention will be described in detail. Note that the embodiments described below do not limit the present invention.
The nucleic acid-containing lipid nanoparticle of the present invention comprises a lipid having a hydrophilic part having one quaternary ammonium group and three independently substituted hydrocarbon groups (lipid A), a lipid derivative of a water-soluble polymer, or Includes fatty acid derivatives, as well as nucleic acids. In the present invention, a lipid derivative or fatty acid derivative of a water-soluble polymer using a hydrophilic part having one quaternary ammonium group and a lipid having three independent hydrocarbon groups which may be substituted (lipid A) In addition to nucleic acid-containing lipid nanoparticles together with nucleic acids, nucleic acid-containing lipid nanoparticles that are more excellent in physicochemical stability and physiological activity can be obtained.
本発明における、1つの4級アンモニウム基を有する親水部および置換されていても良い独立した3つの炭化水素基を有する脂質(脂質A)としては、分子内に親水部として1つの4級アンモニウム基を有し、かつ置換されていても良い独立した3つの炭化水素基を有する分子であれば特に制限されないが、例えば、下記構造式(A)~(C)で表される。下記構造式(A)~(C)において、「親水部(Hydrophilic Unit)」は、1つの4級アンモニウム基を有する親水部を表し、3つの「疎水部(Hydrophobic Unit)」は、置換されていても良い独立した3つの炭化水素基を表す。 In the present invention, a lipid having a hydrophilic part having one quaternary ammonium group and three independent hydrocarbon groups which may be substituted (lipid A) includes one quaternary ammonium group as a hydrophilic part in the molecule. The molecule is not particularly limited as long as it is a molecule having three independent hydrocarbon groups which may be substituted and may be substituted, for example, represented by the following structural formulas (A) to (C). In the following structural formulas (A) to (C), “Hydrophilic unit” represents a hydrophilic unit having one quaternary ammonium group, and three “Hydrophobic units” are substituted. May represent three independent hydrocarbon groups.
「親水部(Hydrophilic Unit)」を構成する4級アンモニウム基は、その4つの結合手のうちの0~3個が、「疎水部(Hydrophobic Unit)」を形成する炭化水素基のいずれか0~3個と結合しており、残りの結合手が、置換されていても良い鎖状および/または環状炭化水素基等と結合している。「親水部(Hydrophilic Unit)」を構成する置換されていても良い鎖状および/または環状炭化水素基としては、炭素原子と水素原子とからなる基であればいずれでも良いが、炭素数1~10のものが好ましく、炭素数1~6のものがより好ましく、炭素数1~3のものがさらに好ましい。 The quaternary ammonium group that constitutes the “hydrophilic part (Hydrophilic Unit)” has 0 to 3 of the four bonds, and any of the hydrocarbon groups that form the “hydrophobic part (Hydrophobic Unit)” 0 to The three bonds are bonded, and the remaining bond is bonded to an optionally substituted chain and / or cyclic hydrocarbon group. The optionally substituted chain and / or cyclic hydrocarbon group constituting the “hydrophilic unit” may be any group consisting of a carbon atom and a hydrogen atom. Those having 10 carbon atoms are preferable, those having 1 to 6 carbon atoms are more preferable, and those having 1 to 3 carbon atoms are more preferable.
また、「親水部(Hydrophilic Unit)」は、これを構成する置換されていても良い鎖状および/または環状炭化水素基等中の炭素原子を介して、1以上のエーテル、エステル、アミド等を有していてもよい。さらに、置換されていても良い鎖状および/または環状炭化水素基等における置換基としては、カルバマート、アミノ、モノアルキルアミノ、ジアルキルアミノ、ピロリジン-2-イル、ピロリジン-3-イル、ピペリジン-2-イル、ピペリジン-3-イル、ピペリジン-4-イル、モルホリン-2-イル、モルホリン-3-イル、ヒドロキシ、アルコキシ、アルコキシカルボニル、ヒドロキシカルボニル、カルバモイル、モノアルキルカルバモイル、ジアルキルカルバモイル、ニトロ、シアノ、フルオロ、クロロ、もしくはブロモ等が挙げられる。 In addition, the “hydrophilic unit” refers to one or more ethers, esters, amides and the like via carbon atoms in the chain and / or cyclic hydrocarbon group which may be substituted. You may have. Furthermore, examples of the substituent in the linear and / or cyclic hydrocarbon group which may be substituted include carbamate, amino, monoalkylamino, dialkylamino, pyrrolidin-2-yl, pyrrolidin-3-yl, and piperidine-2. -Yl, piperidin-3-yl, piperidin-4-yl, morpholin-2-yl, morpholin-3-yl, hydroxy, alkoxy, alkoxycarbonyl, hydroxycarbonyl, carbamoyl, monoalkylcarbamoyl, dialkylcarbamoyl, nitro, cyano, Examples include fluoro, chloro, or bromo.
また、「疎水部(Hydrophobic Unit)」を形成する炭化水素基としては、8~24個の炭素原子と水素原子とからなる基であればいずれでも良い。炭化水素基は、トポロジーの観点から分類することができ、例えば、直鎖の炭化水素基、分岐状の炭化水素基または環状の炭化水素基(例えば、コレステリル基等)が挙げられるが、直鎖状または分岐状の炭化水素基が好ましい。また、炭化水素基は、不飽和結合(2重結合または3重結合)の有無で分類することもでき、不飽和結合を有する炭化水素基は、芳香族性の有無で分類することもできる。炭化水素基としては、飽和結合のみからなる炭化水素基(アルキル)または不飽和結合を有しかつ芳香族性の無い炭化水素基(例えば、アルケニルまたはアルキニル等)が好ましい。脂質Aにおける炭化水素基としては、直鎖状または分岐状のC8-C24アルキル、C8-C24アルケニル、C8-C24アルキニルが好ましい。 In addition, the hydrocarbon group forming the “hydrophobic unit” may be any group consisting of 8 to 24 carbon atoms and hydrogen atoms. The hydrocarbon group can be classified from the viewpoint of topology, and examples thereof include a linear hydrocarbon group, a branched hydrocarbon group, or a cyclic hydrocarbon group (for example, a cholesteryl group). A branched or branched hydrocarbon group is preferred. In addition, the hydrocarbon group can be classified by the presence or absence of an unsaturated bond (double bond or triple bond), and the hydrocarbon group having an unsaturated bond can also be classified by the presence or absence of aromaticity. As the hydrocarbon group, a hydrocarbon group consisting of only a saturated bond (alkyl) or a hydrocarbon group having an unsaturated bond and having no aromaticity (for example, alkenyl or alkynyl) is preferable. The hydrocarbon group in lipid A is preferably linear or branched C8-C24 alkyl, C8-C24 alkenyl, C8-C24 alkynyl.
「疎水部(Hydrophobic Unit)」を形成する炭化水素基は、それぞれ「親水部(Hydrophilic Unit)」の4級アンモニウム基と直接結合しても良いし、エーテル、エステル、アミド等の結合および「親水部」を構成する置換基を有していてもよい鎖状ならびに/もしくは環状炭化水素基等を介して4級アンモニウム基と結合しても良い。また、構造式(B)や(C)で示されるように、2個または3個の「疎水部(Hydrophobic Unit)」を形成する炭化水素基が、炭素原子を介して結合し、その炭素原子が「親水部(Hydrophilic Unit)」の4級アンモニウム基と直接または、エーテル、エステル、アミド等の結合および「親水部」を構成する置換基を有していてもよい鎖状ならびに/もしくは環状炭化水素基等を介して4級アンモニウム基と結合しても良い。 The hydrocarbon groups forming the “Hydrophobic Unit” may be directly bonded to the quaternary ammonium group of the “Hydrophilic Unit”, or the bonds such as ether, ester, amide, etc. It may be bonded to a quaternary ammonium group via a chain and / or cyclic hydrocarbon group which may have a substituent constituting “part”. In addition, as shown in structural formulas (B) and (C), two or three hydrocarbon groups forming “Hydrophobic Unit” are bonded via a carbon atom, and the carbon atom Is a chain and / or cyclic carbonization which may have a quaternary ammonium group of “Hydrophilic Unit” directly, or a bond constituting ether, ester, amide, etc. and a substituent constituting “hydrophilic portion” It may be bonded to a quaternary ammonium group through a hydrogen group or the like.
脂質Aとしては、
式(I)
As lipid A,
Formula (I)
R1~R3は同一または異なって直鎖状または分岐状の置換されていても良いC8-C24アルキル、C8-C24アルケニルもしくはC8-C24アルキニルであり、
L1~L3は同一または異なって存在しないか、-Z1-(CY1Y2)p1-または-Z2-(CY3Y4)p2-Z3-(CY5Y6)p3-(式中、Y1~Y6は同一または異なって水素原子または置換されていても良いC1-C4アルキルであり、Z1~Z3は同一または異なって、-O-、-NY7A-、-CO-O-、-O-CO-、-CO-NY7B-、-NY7C-CO-または-NY7D-CO-0-であり(式中、Y7A~Y7Dは同一または異なって水素原子または置換されていても良いC1-C4アルキルである)、p1~p3は同一または異なって1~5の整数である)であり、
X1は置換されていても良いC1-C4アルキルであり、
A1は薬学的に許容される陰イオンである)、
式(II)
R 1 to R 3 are the same or different and may be linear or branched C8-C24 alkyl, C8-C24 alkenyl or C8-C24 alkynyl,
L 1 to L 3 are the same or different and do not exist, -Z 1- (CY 1 Y 2 ) p1 -or -Z 2- (CY 3 Y 4 ) p2 -Z 3- (CY 5 Y 6 ) p3- (Wherein Y 1 to Y 6 are the same or different hydrogen atoms or optionally substituted C1-C4 alkyl, Z 1 to Z 3 are the same or different, and —O—, —NY 7A —, -CO-O -, - O- CO -, - CO-NY 7B -, - NY 7C -CO- or -NY 7D -CO-0- and is (wherein, Y 7A ~ Y 7D are the same or different and A hydrogen atom or an optionally substituted C1-C4 alkyl), p 1 to p 3 are the same or different and are an integer of 1 to 5),
X 1 is an optionally substituted C1-C4 alkyl,
A 1 is a pharmaceutically acceptable anion)
Formula (II)
R4~R6は同一または異なって直鎖状または分岐状の置換されていても良いC8-C24アルキル、C8-C24アルケニルもしくはC8-C24アルキニルであり、
L4~L6は同一または異なって存在しないか、-Z4-(CY8Y9)p4-または-Z5-(CY10Y11)p5-Z6-(CY12Y13)p6-(式中、Y8~Y13は同一または異なって水素原子または置換されていても良いC1-C4アルキルであり、Z4~Z6は同一または異なって、-O-、-NY14A-、-CO-O-、-O-CO-、-CO-NY14B-、-NY14C-CO-または-NY14D-CO-0-であり(式中、Y14A~Y14Dは同一または異なって水素原子または置換されていても良いC1-C4アルキルである)、p4は0~5の整数であり、p5は1~5の整数であり、p6は0~5の整数である)であり、
L7は存在しないか、-(CY15Y16)p7-、-(CY17Y18)p8-Z7-(CY19Y20)p9-または-(CY21Y22)p10-Z8-(CY23Y24)p11-Z9-(CY25Y26)p12-(式中、Y15~Y26は同一または異なって水素原子または置換されていても良いC1-C4アルキルであり、Z7~Z9は同一または異なって、-O-、-NY27A-、-CO-O-、-O-CO-、-CO-NY27B-、-NY27C-CO-または-NY27D-CO-0-であり(式中、Y27A~Y27Dは同一または異なって水素原子または置換されていても良いC1-C4アルキルである)、p7は1~5の整数であり、p8は0~5の整数であり、p9は1~5の整数であり、p10は0~5の整数であり、p11は1~5の整数であり、p12は1~5の整数である)であり、
B1は、
A2は薬学的に許容される陰イオンである)、
式(III)
R 4 to R 6 are the same or different and may be linear or branched C8-C24 alkyl, C8-C24 alkenyl or C8-C24 alkynyl,
L 4 ~ L 6 is absent the same or different, -Z 4 - (CY 8 Y 9) p4 - or -Z 5 - (CY 10 Y 11 ) p5 -Z 6 - (CY 12 Y 13) p6 - (Wherein Y 8 to Y 13 are the same or different hydrogen atoms or optionally substituted C1-C4 alkyl, Z 4 to Z 6 are the same or different, and —O—, —NY 14A —, -CO-O -, - O- CO -, - CO-NY 14B -, - NY 14C -CO- or -NY 14D -CO-0- and is (wherein, Y 14A ~ Y 14D are identical or different A hydrogen atom or an optionally substituted C1-C4 alkyl), p 4 is an integer of 0 to 5, p 5 is an integer of 1 to 5, and p 6 is an integer of 0 to 5) And
Or not L 7 is present, - (CY 15 Y 16) p7 -, - (CY 17 Y 18) p8 -Z 7 - (CY 19 Y 20) p9 - or - (CY 21 Y 22) p10 -Z 8 - (CY 23 Y 24) p11 -Z 9 - (CY 25 Y 26) p12 - ( wherein, Y 15 ~ Y 26 are the same or different and each is a hydrogen atom or an optionally substituted C1-C4 alkyl, Z 7 ~ Z 9 are the same or different, -O -, - NY 27A - , - CO-O -, - O-CO -, - CO-NY 27B -, - NY 27C -CO- or -NY 27D -CO -0- (wherein Y 27A to Y 27D are the same or different hydrogen atom or optionally substituted C1-C4 alkyl), p 7 is an integer of 1 to 5, and p 8 is An integer from 0 to 5, p 9 is an integer from 1 to 5, p 10 is an integer from 0 to 5, p 11 is an integer from 1 to 5, and p 12 is an integer from 1 to 5 Is)
B 1 is
A 2 is a pharmaceutically acceptable anion)
Formula (III)
R7~R9は同一または異なって直鎖状または分岐状の置換されていても良いC8-C24アルキル、C8-C24アルケニルもしくはC8-C24アルキニルであり、
L8~L10は同一または異なって存在しないか、-Z12-(CY39Y40)p18-または-Z13-(CY41Y42)p19-Z14-(CY43Y44)p20-(式中、Y39~Y44は同一または異なって水素原子または置換されていても良いC1-C4アルキルであり、Z12~Z14は同一または異なって、-O-、-NY45A-、-CO-O-、-O-CO-、-CO-NY45B-、-NY45C-CO-、-NY45D-CO-0-または-CO-であり(式中、Y45A~Y45Dは同一または異なって水素原子または置換されていても良いC1-C4アルキルである)、p18は0~5の整数であり、p19は1~5の整数であり、p20は0~5の整数である)であり、
L11は存在しないか、-(CY46Y47)p21-、-(CY48Y49)p22-Z15-(CY50Y51)p23-または-(CY52Y53)p24-Z16-(CY54Y55)p25-Z17-(CY56Y57)p26-(式中、Y46~Y57は同一または異なって水素原子または置換されていても良いC1-C4アルキルであり、Z15~Z17は同一または異なって、-O-、-NY58A-、-CO-O-、-O-CO-、-CO-NY58B-、-NY58C-CO-、-NY58D-CO-0-または-CO-であり(式中、Y58A~Y58Dは同一または異なって水素原子または置換されていても良いC1-C4アルキルである)、p21は1~5の整数であり、p22は0~5の整数であり、p23は1~5の整数であり、p24は0~5の整数であり、p25は1~5の整数であり、p26は1~5の整数である)であり、
L12は存在しないか、-(CY59Y60)p27-、-(CY61Y62)p28-Z18-(CY63Y64)p29-または-(CY65Y66)p30-Z19-(CY67Y68)p31-Z20-(CY69Y70)p32-(式中、Y59~Y70は同一または異なって水素原子または置換されていても良いC1-C4アルキルであり、Z18~Z20は同一または異なって、-O-、-NY71A-、-CO-O-、-O-CO-、-CO-NY71B-、-NY71C-CO-、-NY71D-CO-0-または-CO-であり(式中、Y71A~Y71Dは同一または異なって水素原子または置換されていても良いC1-C4アルキルである)、p27は1~5の整数であり、p28は0~5の整数であり、p29は0~5の整数であり、p30は0~5の整数であり、p31は1~5の整数であり、p32は0~5の整数である)であり、
J1およびJ2は同一または異なってCY72またはN(式中、Y72は水素原子、ヒドロキシ、置換されていても良いC1-C4アルキル、置換されていても良いC1-C4アルコキシ、または置換されていても良いC1-C4アシルオキシである)であり、
B2は、
A3は薬学的に許容される陰イオンである)、
式(IV)
R 7 ~ R 9 Are the same or different, linear or branched optionally substituted C8-C24 alkyl, C8-C24 alkenyl or C8-C24 alkynyl,
L 8 ~ L Ten Are not the same or different, or -Z 12 -(CY 39 Y 40 ) p18 -Or-Z 13 -(CY 41 Y 42 ) p19 -Z 14 -(CY 43 Y 44 ) p20 -(Where Y 39 ~ Y 44 Are the same or different hydrogen atoms or optionally substituted C1-C4 alkyl, and Z 12 ~ Z 14 Are the same or different, -O-, -NY 45A -, -CO-O-, -O-CO-, -CO-NY 45B -, -NY 45C -CO-, -NY 45D -CO-0- or -CO- (where Y 45A ~ Y 45D Are the same or different hydrogen atoms or optionally substituted C1-C4 alkyls), p 18 Is an integer from 0 to 5 and p 19 Is an integer from 1 to 5 and p 20 Is an integer from 0 to 5),
L 11 Does not exist or-(CY 46 Y 47 ) p21 -、-(CY 48 Y 49 ) p22 -Z 15 -(CY 50 Y 51 ) p23 -Or- (CY 52 Y 53 ) p24 -Z 16 -(CY 54 Y 55 ) p25 -Z 17 -(CY 56 Y 57 ) p26 -(Where Y 46 ~ Y 57 Are the same or different hydrogen atoms or optionally substituted C1-C4 alkyl, and Z 15 ~ Z 17 Are the same or different, -O-, -NY 58A -, -CO-O-, -O-CO-, -CO-NY 58B -, -NY 58C -CO-, -NY 58D -CO-0- or -CO- (where Y 58A ~ Y 58D Are the same or different hydrogen atoms or optionally substituted C1-C4 alkyls), p twenty one Is an integer from 1 to 5 and p twenty two Is an integer from 0 to 5 and p twenty three Is an integer from 1 to 5 and p twenty four Is an integer from 0 to 5 and p twenty five Is an integer from 1 to 5 and p 26 Is an integer from 1 to 5),
L 12 Does not exist or-(CY 59 Y 60 ) p27 -、-(CY 61 Y 62 ) p28 -Z 18 -(CY 63 Y 64 ) p29 -Or- (CY 65 Y 66 ) p30 -Z 19 -(CY 67 Y 68 ) p31 -Z 20 -(CY 69 Y 70 ) p32 -(Where Y 59 ~ Y 70 Are the same or different hydrogen atoms or optionally substituted C1-C4 alkyl, and Z 18 ~ Z 20 Are the same or different, -O-, -NY 71A -, -CO-O-, -O-CO-, -CO-NY 71B -, -NY 71C -CO-, -NY 71D -CO-0- or -CO- (where Y 71A ~ Y 71D Are the same or different hydrogen atoms or optionally substituted C1-C4 alkyls), p 27 Is an integer from 1 to 5 and p 28 Is an integer from 0 to 5 and p 29 Is an integer from 0 to 5 and p 30 Is an integer from 0 to 5 and p 31 Is an integer from 1 to 5 and p 32 Is an integer from 0 to 5),
J 1 And J 2 Are the same or different CY 72 Or N (where Y 72 Is a hydrogen atom, hydroxy, optionally substituted C1-C4 alkyl, optionally substituted C1-C4 alkoxy, or optionally substituted C1-C4 acyloxy),
B 2 Is
A Three Is a pharmaceutically acceptable anion),
Formula (IV)
R10~R12は同一または異なって直鎖状または分岐状の置換されていても良いC8-C24アルキル、C8-C24アルケニルもしくはC8-C24アルキニルであり、
L13は存在しないか、-Z23-(CY84Y85)p38-または-Z24-(CY86Y87)p39-Z25-(CY88Y89)p40-(式中、Y84~Y89は同一または異なって水素原子または置換されていても良いC1-C4アルキルであり、Z23~Z25は同一または異なって、-O-、-NY90A-、-CO-O-、-O-CO-、-CO-NY90B-、-NY90C-CO-または-NY90D-CO-0-であり(式中、Y90A~Y90Dは同一または異なって水素原子または置換されていても良いC1-C4アルキルである)、p38~p40は同一または異なって1~5の整数である)であり、
L14およびL15は同一または異なって存在しないか、-Z26-(CY91Y92)p41-または-Z27-(CY93Y94)p42-Z28-(CY95Y96)p43-(式中、Y91~Y96は同一または異なって水素原子または置換されていても良いC1-C4アルキルであり、Z26~Z28は同一または異なって、-O-、-NY97A-、-CO-O-、-O-CO-、-CO-NY97B-、-NY97C-CO-、-NY97D-CO-0-または-CO-であり(式中、Y97A~Y97Dは同一または異なって水素原子または置換されていても良いC1-C4アルキルである)、p41は0~5の整数であり、p42は1~5の整数であり、p43は0~5の整数である)であり、
L16は存在しないか、-(CY98Y99)p44-、-(CY100Y101)p45-Z29-(CY102Y103)p46-または-(CY104Y105)p47-Z30-(CY106Y107)p48-Z31-(CY108Y109)p49-(式中、Y98~Y109は同一または異なって水素原子または置換されていても良いC1-C4アルキルであり、Z29~Z31は同一または異なって、-O-、-NY110A-、-CO-O-、-O-CO-、-CO-NY110B-、-NY110C-CO-、-NY110D-CO-0-または-CO-であり(式中、Y110A~Y110Dは同一または異なって水素原子または置換されていても良いC1-C4アルキルである)、p44は1~5の整数であり、p45は0~5の整数であり、p46は1~5の整数であり、p47は0~5の整数であり、p48は1~5の整数であり、p49は1~5の整数である)であり、
J3はCY111またはN(式中、Y111は水素原子、ヒドロキシ、置換されていても良いC1-C4アルキル、置換されていても良いC1-C4アルコキシ、または置換されていても良いC1-C4アシルオキシである)であり、
X14およびX15は同一または異なって置換されていても良いC1-C4アルキルであるか、または一緒になって隣接する窒素原子とともに置換されていても良いC4-C6ヘテロ環を形成し、
A4は薬学的に許容される陰イオンである)、または
式(V’)もしくは式(V’’)
R 10 to R 12 are the same or different and may be linear or branched C8-C24 alkyl, C8-C24 alkenyl or C8-C24 alkynyl,
Or L 13 is absent, -Z 23 - (CY 84 Y 85) p38 - or -Z 24 - (CY 86 Y 87 ) p39 -Z 25 - (CY 88 Y 89) p40 - ( wherein, Y 84 ~ Y 89 is the same or different hydrogen atom or C1-C4 alkyl which may be substituted, Z 23 to Z 25 are the same or different, and —O—, —NY 90A —, —CO—O—, — O-CO -, - CO- NY 90B -, - NY 90C -CO- or -NY 90D -CO-0- and is (wherein, Y 90A ~ Y 90D being hydrogenated atom or a substituent identical or different P 38 to p 40 are the same or different and are integers of 1 to 5),
L 14 and L 15 is absent the same or different, -Z 26 - (CY 91 Y 92) p41 - or -Z 27 - (CY 93 Y 94 ) p42 -Z 28 - (CY 95 Y 96) p43 - (In the formula, Y 91 to Y 96 are the same or different hydrogen atoms or optionally substituted C1-C4 alkyl, Z 26 to Z 28 are the same or different, and —O—, —NY 97A —, -CO-O -, - O- CO -, - CO-NY 97B -, - NY 97C -CO -, - during NY 97D -CO-0- or a -CO- (wherein, Y 97A ~ Y 97D is P 41 is an integer of 0 to 5, p 42 is an integer of 1 to 5, and p 43 is an integer of 0 to 5 Is an integer)
Or L 16 is absent, - (CY 98 Y 99) p44 -, - (CY 100 Y 101) p45 -Z 29 - (CY 102 Y 103) p46 - or - (CY 104 Y 105) p47 -Z 30 - (CY 106 Y 107) p48 -Z 31 - (CY 108 Y 109) p49 - ( wherein, Y 98 ~ Y 109 are the same or different and each is a hydrogen atom or an optionally substituted C1-C4 alkyl, Z 29 ~ Z 31 are the same or different, -O -, - NY 110A - , - CO-O -, - O-CO -, - CO-NY 110B -, - NY 110C -CO -, - NY 110D -CO -0- or -CO- (wherein Y 110A to Y 110D are the same or different and are a hydrogen atom or an optionally substituted C1-C4 alkyl), and p 44 is an integer of 1 to 5 , P 45 is an integer from 0 to 5, p 46 is an integer from 1 to 5, p 47 is an integer from 0 to 5, p 48 is an integer from 1 to 5, and p 49 is from 1 to Is an integer of 5),
J 3 is CY 111 or N (where Y 111 is a hydrogen atom, hydroxy, an optionally substituted C1-C4 alkyl, an optionally substituted C1-C4 alkoxy, or an optionally substituted C1- C4 acyloxy),
X 14 and X 15 are the same or different optionally substituted C1-C4 alkyl, or together form an optionally substituted C4-C6 heterocycle with an adjacent nitrogen atom;
A 4 is a pharmaceutically acceptable anion), or formula (V ′) or formula (V ″)
R13~R18は同一または異なって直鎖状または分岐状の置換されていても良いC8-C24アルキル、C8-C24アルケニルもしくはC8-C24アルキニルであり、
Y112~Y115は同一または異なって水素原子、ヒドロキシまたは置換されていても良いC1-C4アルキルであり、
L17~L19およびL22~L24は同一または異なって存在しないか、-Z32-(CY116Y117)p51-または-Z33-(CY118Y119)p52-Z34-(CY120Y121)p53-(式中、Y116~Y121は同一または異なって水素原子または置換されていても良いC1-C4アルキルであり、Z32~Z34は同一または異なって、-O-、-NY122A-、-CO-O-、-O-CO-、-CO-NY122B-、-NY122C-CO-、-NY122D-CO-0-または-CO-であり(式中、Y122A~Y122Dは同一または異なって水素原子または置換されていても良いC1-C4アルキルである)、p51は0~5の整数であり、p52は1~5の整数であり、p53は0~5の整数である)であり、
L20およびL25は同一または異なって存在しないか、-(CY123Y124)p54-、-(CY125Y126)p55-Z35-(CY127Y128)p56-または-(CY129Y130)p57-Z36-(CY131Y132)p58-Z37-(CY133Y134)p59-(式中、Y123~Y134は同一または異なって水素原子または置換されていても良いC1-C4アルキルであり、Z35~Z37は同一または異なって、-O-、-NY135A-、-CO-O-、-O-CO-、-CO-NY135B-、-NY135C-CO-、-NY135D-CO-0-または-CO-であり(式中、Y135A~Y135Dは同一または異なって水素原子または置換されていても良いC1-C4アルキルである)、p54は1~5の整数であり、p55は0~5の整数であり、p56は1~5の整数であり、p57は0~5の整数であり、p58は1~5の整数であり、p59は1~5の整数である)であり、
L21およびL26は同一または異なって存在しないか、-(CY136Y137)p60-、-(CY138Y139)p61-Z38-(CY140Y141)p62-または-(CY142Y143)p63-Z39-(CY144Y145)p64-Z40-(CY146Y147)p65-(式中、Y136~Y147は同一または異なって水素原子または置換されていても良いC1-C4アルキルであり、Z38~Z40は同一または異なって、-O-、-NY148A-、-CO-O-、-O-CO-、-CO-NY148B-、-NR148C-CO-、-NY148D-CO-0-または-CO-であり(式中、Y148A~Y148Dは同一または異なって水素原子または置換されていても良いC1-C4アルキルである)、p60は1~5の整数であり、p61は0~5の整数であり、p62は0~5の整数であり、p63は0~5の整数であり、p64は1~5の整数であり、p65は0~5の整数である)であり、
B3およびB4は同一または異なって、
A5およびA6は同一または異なって薬学的に許容される陰イオンである)
で表される化合物が挙げられる。
R 13 to R 18 are the same or different and are linear or branched C8-C24 alkyl, C8-C24 alkenyl or C8-C24 alkynyl,
Y 112 to Y 115 are the same or different and each represents a hydrogen atom, hydroxy, or optionally substituted C1-C4 alkyl,
Or L 17 ~ L 19 and L 22 ~ L 24 are not present in the same or different, -Z 32 - (CY 116 Y 117) p51 - or -Z 33 - (CY 118 Y 119 ) p52 -Z 34 - (CY 120 Y 121 ) p53- (wherein Y 116 to Y 121 are the same or different hydrogen atoms or optionally substituted C1-C4 alkyl, Z 32 to Z 34 are the same or different, and —O— , -NY 122A -, - CO- O -, - O-CO -, - CO-NY 122B -, - NY 122C -CO -, - NY 122D -CO-0- or a -CO- (wherein, Y 122A to Y 122D are the same or different hydrogen atoms or optionally substituted C1-C4 alkyl), p 51 is an integer of 0 to 5, p 52 is an integer of 1 to 5, and p 53 is an integer from 0 to 5),
Or L 20 and L 25 are not present in the same or different, - (CY 123 Y 124) p54 -, - (CY 125 Y 126) p55 -Z 35 - (CY 127 Y 128) p56 - or - (CY 129 Y 130) p57 -Z 36 - (CY 131 Y 132) p58 -Z 37 - (CY 133 Y 134) p59 - ( wherein, Y 123 ~ Y 134 may be a hydrogen atom or a substituent identical or different C1 an -C4 alkyl, Z 35 ~ Z 37 are the same or different and, -O -, - NY 135A - , - CO-O -, - O-CO -, - CO-NY 135B -, - NY 135C -CO -, -NY 135D -CO-0- or -CO- (wherein Y 135A to Y 135D are the same or different and are a hydrogen atom or an optionally substituted C1-C4 alkyl), and p 54 is An integer from 1 to 5, p 55 is an integer from 0 to 5, p 56 is an integer from 1 to 5, p 57 is an integer from 0 to 5, and p 58 is an integer from 1 to 5 And p 59 is an integer from 1 to 5),
Or L 21 and L 26 are not present in the same or different, - (CY 136 Y 137) p60 -, - (CY 138 Y 139) p61 -Z 38 - (CY 140 Y 141) p62 - or - (CY 142 Y 143) p63 -Z 39 - (CY 144 Y 145) p64 -Z 40 - (CY 146 Y 147) p65 - ( wherein, Y 136 ~ Y 147 may be a hydrogen atom or a substituent identical or different C1 an -C4 alkyl, Z 38 ~ Z 40 are the same or different, -O -, - NY 148A - , - CO-O -, - O-CO -, - CO-NY 148B -, - NR 148C -CO -, -NY 148D -CO-0- or -CO- (wherein Y 148A to Y 148D are the same or different hydrogen atom or optionally substituted C1-C4 alkyl), and p 60 is An integer from 1 to 5, p 61 is an integer from 0 to 5, p 62 is an integer from 0 to 5, p 63 is an integer from 0 to 5, and p 64 is an integer from 1 to 5 And p 65 is an integer from 0 to 5),
B 3 and B 4 are the same or different,
A 5 and A 6 are the same or different pharmaceutically acceptable anions)
The compound represented by these is mentioned.
以下、式(I)~(IV)、(V’)および(V’’)で表される化合物をそれぞれ化合物(I)~(IV)、(V’)および(V’’)ということもある。他の式番号の化合物についても同様である。 Hereinafter, the compounds represented by formulas (I) to (IV), (V ′) and (V ″) are also referred to as compounds (I) to (IV), (V ′) and (V ″), respectively. is there. The same applies to the compounds of other formula numbers.
式(I)~(V’’)の各基の定義について、以下、説明する。
直鎖状または分岐状のC8-C24アルキルとしては、例えばオクチル、ノニル、デシル、ウンデシル、ドデシル、トリデシル、テトラデシル、2,6,10-トリメチルウンデシル、ペンタデシル、3,7,11-トリメチルドデシル、ヘキサデシル、ヘプタデシル、オクタデシル、6,10,14-トリメチルペンタデカン-2-イル、ノナデシル、2,6,10,14-テトラメチルペンタデシル、イコシル、3,7,11,15-テトラメチルヘキサデシル、ヘニコシル、ドコシル、トリコシル、テトラコシル等が挙げられ、好ましくはノニル、デシル、ウンデシル、ドデシル、トリデシル、テトラデシル、ペンタデシル、ヘキサデシル、ヘプタデシル、オクタデシル等が挙げられ、より好ましくはウンデシル、ドデシル、トリデシル、テトラデシル、ペンタデシル、ヘキサデシル等が挙げられる。
The definition of each group of formulas (I) to (V ″) will be described below.
Examples of linear or branched C8-C24 alkyl include octyl, nonyl, decyl, undecyl, dodecyl, tridecyl, tetradecyl, 2,6,10-trimethylundecyl, pentadecyl, 3,7,11-trimethyldodecyl, Hexadecyl, heptadecyl, octadecyl, 6,10,14-trimethylpentadecan-2-yl, nonadecyl, 2,6,10,14-tetramethylpentadecyl, icosyl, 3,7,11,15-tetramethylhexadecyl, henicosyl , Docosyl, tricosyl, tetracosyl and the like, preferably nonyl, decyl, undecyl, dodecyl, tridecyl, tetradecyl, pentadecyl, hexadecyl, heptadecyl, octadecyl, etc., more preferably undecyl, dodecyl, tridecyl, tetradecyl, pentadecyl, Hexadecyl etc. are mentioned.
直鎖状または分岐状のC9-C18アルキルとしては、例えばノニル、デシル、ウンデシル、ドデシル、トリデシル、テトラデシル、2,6,10-トリメチルウンデシル、ペンタデシル、3,7,11-トリメチルドデシル、ヘキサデシル、ヘプタデシル、オクタデシル、6,10,14-トリメチルペンタデカン-2-イル等が挙げられ、好ましくはノニル、デシル、ウンデシル、ドデシル、トリデシル、テトラデシル、ペンタデシル、ヘキサデシル、ヘプタデシル、オクタデシル等が挙げられ、より好ましくはウンデシル、ドデシル、トリデシル、テトラデシル、ペンタデシル、ヘキサデシル等が挙げられる。 Examples of linear or branched C9-C18 alkyl include nonyl, decyl, undecyl, dodecyl, tridecyl, tetradecyl, 2,6,10-trimethylundecyl, pentadecyl, 3,7,11-trimethyldodecyl, hexadecyl, Heptadecyl, octadecyl, 6,10,14-trimethylpentadecan-2-yl, and the like, preferably nonyl, decyl, undecyl, dodecyl, tridecyl, tetradecyl, pentadecyl, hexadecyl, heptadecyl, octadecyl, and the like, more preferably Examples include undecyl, dodecyl, tridecyl, tetradecyl, pentadecyl, hexadecyl and the like.
直鎖状または分岐状のC8-C24アルケニルとしては、1~3つの2重結合を含む直鎖状もしくは分岐状のC8-24アルケニルであればよく、例えば(Z)-トリデカ-8-エニル、(Z)-テトラデカ-9-エニル、(Z)-ペンタデカ-8-エニル、(Z)-ヘキサデカ-9-エニル、(Z)-ヘプタデカ-5-エニル、(Z)-オクタデカ-6-エニル、(Z)-ヘプタデカ-8-エニル、(Z)-オクタデカ-9-エニル、(E)-ヘプタデカ-8-エニル、(E)-オクタデカ-9-エニル、(Z)-ヘプタデカ-10-エニル、(Z)-オクタデカ-11-エニル、(8Z,11Z)-ヘプタデカ-8,11-ジエニル、(9Z,12Z)-オクタデカ-9,12-ジエニル、(8Z,11Z,14Z)-オクタデカ-8,11,14-トリエニル、(9Z,12Z,15Z)-オクタデカ-9,12,15-トリエニル、(Z)-ノナデカ-10-エニル、(Z)-イコサ-11-エニル、(10Z,13Z)-ノナデカ-10,13-ジエニル、(11Z,14Z)-イコサ-11,14-ジエニル、2,6,10-トリメチルウンデカ-1,5,9-トリエニル、3,7,11-トリメチルドデカ-2,6,10-トリエニル、2,6,10,14-テトラメチルペンタデカ-1-エニル、3,7,11,15-テトラメチルヘキサデカ-2-エニル等が挙げられ、好ましくは(Z)-ペンタデカ-8-エニル、(Z)-ヘキサデカ-9-エニル、(Z)-ヘプタデカ-5-エニル、(Z)-オクタデカ-6-エニル、(Z)-ヘプタデカ-8-エニル、(Z)-オクタデカ-9-エニル、(8Z,11Z)-ヘプタデカ-8,11-ジエニル、(9Z,12Z)-オクタデカ-9,12-ジエニル等が挙げられ、より好ましくは(Z)-ヘプタデカ-8-エニル、(Z)-オクタデカ-9-エニル、(8Z,11Z)-ヘプタデカ-8,11-ジエニル、(9Z,12Z)-オクタデカ-9,12-ジエニル等が挙げられる。 The linear or branched C8-C24 alkenyl may be a linear or branched C8-24 alkenyl containing 1 to 3 double bonds, such as (Z) -tridec-8-enyl, (Z) -tetradec-9-enyl, (Z) -pentadeca-8-enyl, (Z) -hexadeca-9-enyl, (Z) -heptadeca-5-enyl, (Z) -octadeca-6-enyl, (Z) -heptadeca-8-enyl, (Z) -octadeca-9-enyl, (E) -heptadeca-8-enyl, (E) -octadeca-9-enyl, (Z) -heptadeca-10-enyl, (Z) -octadeca-11-enyl, (8Z, 11Z) -heptadeca-8,11-dienyl, (9Z, 12Z) -octadeca-9,12-dienyl, (8Z, 11Z, 14Z) -octadeca-8, 11,14-trienyl, (9Z, 12Z, 15Z) -octadeca-9,12,15-trienyl, (Z) -nonadec-10-enyl, (Z) -icosa-11-enyl, (10Z, 13Z)- Nonadeca-10,13-dienyl, (11Z, 14Z) -icosa-11,14-dienyl, 2,6,10-trimethylundeca-1,5,9-trienyl, 3,7,11 -Trimethyldodeca-2,6,10-trienyl, 2,6,10,14-tetramethylpentadec-1-enyl, 3,7,11,15-tetramethylhexadec-2-enyl, etc. Preferably (Z) -pentadeca-8-enyl, (Z) -hexadeca-9-enyl, (Z) -heptadeca-5-enyl, (Z) -octadeca-6-enyl, (Z) -heptadeca-8- Enil, (Z) -octadec-9-enyl, (8Z, 11Z) -heptadeca-8,11-dienyl, (9Z, 12Z) -octadeca-9,12-dienyl, and more preferably (Z) -Heptadeca-8-enyl, (Z) -octadeca-9-enyl, (8Z, 11Z) -heptadeca-8,11-dienyl, (9Z, 12Z) -octadeca-9,12-dienyl and the like.
直鎖状または分岐状のC15-C20アルケニルとしては、(Z)-ペンタデカ-8-エニル、(Z)-ヘキサデカ-9-エニル、(Z)-ヘプタデカ-5-エニル、(Z)-オクタデカ-6-エニル、(Z)-ヘプタデカ-8-エニル、(Z)-オクタデカ-9-エニル、(E)-ヘプタデカ-8-エニル、(E)-オクタデカ-9-エニル、(Z)-ヘプタデカ-10-エニル、(Z)-オクタデカ-11-エニル、(8Z,11Z)-ヘプタデカ-8,11-ジエニル、(9Z,12Z)-オクタデカ-9,12-ジエニル、(8Z,11Z,14Z)-オクタデカ-8,11,14-トリエニル、(9Z,12Z,15Z)-オクタデカ-9,12,15-トリエニル、(Z)-ノナデカ-10-エニル、(Z)-イコサ-11-エニル、(10Z,13Z)-ノナデカ-10,13-ジエニル、(11Z,14Z)-イコサ-11,14-ジエニル、3,7,11,15-テトラメチルヘキサデカ-2-エニル等が挙げられ、好ましくは(Z)-ペンタデカ-8-エニル、(Z)-ヘキサデカ-9-エニル、(Z)-ヘプタデカ-5-エニル、(Z)-オクタデカ-6-エニル、(Z)-ヘプタデカ-8-エニル、(Z)-オクタデカ-9-エニル、(8Z,11Z)-ヘプタデカ-8,11-ジエニル、(9Z,12Z)-オクタデカ-9,12-ジエニル等が挙げられ、より好ましくは(Z)-ヘプタデカ-8-エニル、(Z)-オクタデカ-9-エニル、(8Z,11Z)-ヘプタデカ-8,11-ジエニル、(9Z,12Z)-オクタデカ-9,12-ジエニル等が挙げられる。 Linear or branched C15-C20 alkenyl includes (Z) -pentadeca-8-enyl, (Z) -hexadeca-9-enyl, (Z) -heptadeca-5-enyl, (Z) -octadeca- 6-enyl, (Z) -heptadeca-8-enyl, (Z) -octadeca-9-enyl, (E) -heptadeca-8-enyl, (E) -octadeca-9-enyl, (Z) -heptadeca- 10-enyl, (Z) -octadeca-11-enyl, (8Z, 11Z) -heptadeca-8,11-dienyl, (9Z, 12Z) -octadeca-9,12-dienyl, (8Z, 11Z, 14Z)- Octadeca-8,11,14-trienyl, (9Z, 12Z, 15Z) -octadeca-9,12,15-trienyl, (Z) -nonadec-10-enyl, (Z) -icosa-11-enyl, (10Z , 13Z) -nonadeca-10,13-dienyl, (11Z, 14Z) -icosa-11,14-dienyl, 3,7,11,15-tetramethylhexadec-2-enyl, etc., preferably ( Z) -pentadec-8-enyl, (Z) -hexadec-9-enyl, (Z) -heptadeca-5-enyl, (Z) -octadeca-6-enyl, (Z) -hepta And more preferred are -8-enyl, (Z) -octadeca-9-enyl, (8Z, 11Z) -heptadeca-8,11-dienyl, (9Z, 12Z) -octadeca-9,12-dienyl, and the like. (Z) -heptadeca-8-enyl, (Z) -octadeca-9-enyl, (8Z, 11Z) -heptadeca-8,11-dienyl, (9Z, 12Z) -octadeca-9,12-dienyl, etc. Can be mentioned.
また、本発明においては、直鎖状または分岐状の置換されていても良いC8-C24アルケニルの二重結合にメチレンビラジカルが形式的に付加したシクロプロパン環を有する基もC8-C24アルケニルに包含される。例えば、(Z)-ヘキサデカ-9-エニル、(9Z,12Z)-オクタデカ-9,12-ジエニル、(8Z,11Z)-ヘプタデカ-8,11-ジエニルに対応する以下のシクロプロパン環を有する基 In the present invention, C8-C24 alkenyl also includes a group having a cyclopropane ring in which a methylene biradical is added formally to a linear bond or branched C8-C24 alkenyl double bond. Is done. For example, a group having the following cyclopropane ring corresponding to (Z) -hexadec-9-enyl, (9Z, 12Z) -octadeca-9,12-dienyl, (8Z, 11Z) -heptadeca-8,11-dienyl
直鎖状または分岐状のC8-C24アルキニルとしては、1~3つの3重結合を含む直鎖状もしくは分岐状のC8-24アルキニルであればよく、例えばドデカ-11-イニル、トリデカ-12-イニル、ペンタデカ-6-イニル、ヘキサデカ-7-イニル、ペンタデカ-4,6-ジイニル、ヘキサデカ-5,7-ジイニル、ヘプタデカ-8-イニル、オクタデカ-9-イニル等が挙げられ、好ましくはペンタデカ-6-イニル、ヘキサデカ-7-イニル、ペンタデカ-4,6-ジイニル、ヘキサデカ-5,7-ジイニル、ヘプタデカ-8-イニル、オクタデカ-9-イニル等が挙げられ、より好ましくはヘプタデカ-8-イニル、オクタデカ-9-イニル等が挙げられる。 The linear or branched C8-C24 alkynyl may be a linear or branched C8-24 alkynyl containing 1 to 3 triple bonds, for example, dodeca-11-ynyl, trideca-12- Inyl, pentadec-6-ynyl, hexadec-7-ynyl, pentadec-4,6-diynyl, hexadec-5,7-diynyl, heptadec-8-ynyl, octadec-9-ynyl, etc., preferably pentadec- 6-Inyl, hexadec-7-ynyl, pentadec-4,6-diynyl, hexadec-5,7-diynyl, heptadec-8-ynyl, octadec-9-ynyl, and the like, more preferably heptadeca-8-inyl And octadec-9-ynyl.
C1-C4アルキルとしては、例えばメチル、エチル、プロピル、イソプロピル、シクロプロピル、ブチル、イソブチル、sec-ブチル、tert-ブチル、シクロブチル、シクロプロピルメチル等が挙げられ、好ましくはメチル、エチル等が挙げられ、より好ましくはメチルが挙げられる。 Examples of C1-C4 alkyl include methyl, ethyl, propyl, isopropyl, cyclopropyl, butyl, isobutyl, sec-butyl, tert-butyl, cyclobutyl, cyclopropylmethyl and the like, preferably methyl, ethyl and the like. More preferably, methyl is mentioned.
置換されていても良いC1-C4アルコキシのアルキル部分は、前記C1-C4アルキルと同義である。 The alkyl part of C1-C4 alkoxy which may be substituted has the same meaning as the C1-C4 alkyl.
直鎖状または分岐状の置換されていても良いC8-C24アルキル、C8-C24アルケニルもしくはC8-C24アルキニルにおける置換基としては、ヒドロキシ、アルコキシ、アルコキシカルボニル、ニトロ、シアノ、フルオロ、クロロ、ブロモ等が挙げられる。これらの置換基のうちアルコキシおよびアルコキシカルボニルにおけるアルキル部分は、前記C1-C4アルキルと同義である。 Examples of the substituent in linear or branched C8-C24 alkyl, C8-C24 alkenyl or C8-C24 alkynyl which may be substituted include hydroxy, alkoxy, alkoxycarbonyl, nitro, cyano, fluoro, chloro, bromo, etc. Is mentioned. Of these substituents, the alkyl moiety in alkoxy and alkoxycarbonyl has the same meaning as the C1-C4 alkyl.
置換されていても良いC1-C4アルキルにおける置換基としては、アミノ、モノアルキルアミノ、ジアルキルアミノ、ピロリジン-2-イル、ピロリジン-3-イル、ピペリジン-2-イル、ピペリジン-3-イル、ピペリジン-4-イル、モルホリン-2-イル、モルホリン-3-イル、ヒドロキシ、アルコキシ、アルコキシカルボニル、ヒドロキシカルボニル、カルバモイル、モノアルキルカルバモイル、ジアルキルカルバモイル、ニトロ、シアノ、フルオロ、クロロ、ブロモ等が挙げられる。これらの置換基のうちモノアルキルアミノ、ジアルキルアミノ、アルコキシ、アルコキシカルボニル、モノアルキルカルバモイルおよびジアルキルカルバモイルにおけるアルキル部分は、前記C1-C4アルキルと同義である。ジアルキルアミノおよびジアルキルカルバモイルにおける2つのアルキルは、それぞれ同一でも異なっていてもよい。 Examples of the substituent in the optionally substituted C1-C4 alkyl include amino, monoalkylamino, dialkylamino, pyrrolidin-2-yl, pyrrolidin-3-yl, piperidin-2-yl, piperidin-3-yl, and piperidine 4-yl, morpholin-2-yl, morpholin-3-yl, hydroxy, alkoxy, alkoxycarbonyl, hydroxycarbonyl, carbamoyl, monoalkylcarbamoyl, dialkylcarbamoyl, nitro, cyano, fluoro, chloro, bromo and the like. Of these substituents, the alkyl moiety in monoalkylamino, dialkylamino, alkoxy, alkoxycarbonyl, monoalkylcarbamoyl and dialkylcarbamoyl has the same meaning as the C1-C4 alkyl. Two alkyls in dialkylamino and dialkylcarbamoyl may be the same or different.
本発明において、ピロリジン-2-イル、ピロリジン-3-イル、ピペリジン-2-イル、ピペリジン-3-イル、ピペリジン-4-イル、モルホリン-2-イルおよびモルホリン-3-イルは、それぞれ、環中の窒素原子にメチルやエチル等のC1-C3アルキルが結合したものを包含する。
C1-C3アルキルとしては、例えばメチル、エチル、プロピル、イソプロピル、シクロプロピル等が挙げられ、好ましくはメチル、エチル等が挙げられ、より好ましくはメチル等が挙げられる。
In the present invention, pyrrolidin-2-yl, pyrrolidin-3-yl, piperidin-2-yl, piperidin-3-yl, piperidin-4-yl, morpholin-2-yl and morpholin-3-yl are each a ring. Includes those in which a C1-C3 alkyl group such as methyl or ethyl is bonded to the nitrogen atom.
Examples of C1-C3 alkyl include methyl, ethyl, propyl, isopropyl, cyclopropyl and the like, preferably methyl, ethyl and the like, more preferably methyl and the like.
X2およびX3が一緒になって隣接する窒素原子とともに形成するC4-C6ヘテロ環としては、例えばピロリジン、ピペリジン、モルホリン、アゼパン等が挙げられ、好ましくはピロリジン、ピペリジン等が挙げられる。X2およびX3が一緒になって隣接する窒素原子とともに形成する置換されても良いC4-C6ヘテロ環における置換基としては、置換されていても良いC1-C4アルキル(前記と同義)、アミノ、モノアルキルアミノ、ジアルキルアミノ、ピロリジン-2-イル、ピロリジン-3-イル、ピペリジン-2-イル、ピペリジン-3-イル、ピペリジン-4-イル、モルホリン-2-イル、モルホリン-3-イル、ヒドロキシ、アルコキシ、アルコキシカルボニル、ヒドロキシカルボニル、カルバモイル、モノアルキルカルバモイル、ジアルキルカルバモイル、ニトロ、シアノ、フルオロ、クロロ、ブロモ等が挙げられる。これらの置換基のうちモノアルキルアミノ、ジアルキルアミノ、アルコキシ、アルコキシカルボニル、モノアルキルカルバモイルおよびジアルキルカルバモイルにおけるアルキル部分は、前記C1-C4アルキルと同義である。ジアルキルアミノおよびジアルキルカルバモイルにおける2つのアルキルは、それぞれ同一でも異なっていてもよい。 Examples of the C4-C6 heterocycle formed by X 2 and X 3 together with the adjacent nitrogen atom include pyrrolidine, piperidine, morpholine, azepan and the like, preferably pyrrolidine, piperidine and the like. Examples of the substituent in the optionally substituted C4-C6 heterocycle formed by X 2 and X 3 together with the adjacent nitrogen atom include optionally substituted C1-C4 alkyl (as defined above), amino Monoalkylamino, dialkylamino, pyrrolidin-2-yl, pyrrolidin-3-yl, piperidin-2-yl, piperidin-3-yl, piperidin-4-yl, morpholin-2-yl, morpholin-3-yl, Examples include hydroxy, alkoxy, alkoxycarbonyl, hydroxycarbonyl, carbamoyl, monoalkylcarbamoyl, dialkylcarbamoyl, nitro, cyano, fluoro, chloro, bromo and the like. Of these substituents, the alkyl moiety in monoalkylamino, dialkylamino, alkoxy, alkoxycarbonyl, monoalkylcarbamoyl and dialkylcarbamoyl has the same meaning as the C1-C4 alkyl. Two alkyls in dialkylamino and dialkylcarbamoyl may be the same or different.
X5およびX6が一緒になって隣接する窒素原子とともに形成する置換されていても良いC4-C6ヘテロ環の、ヘテロ環部分および置換基部分は、それぞれ前記と同義である。 The heterocyclic portion and the substituent portion of the optionally substituted C4-C6 heterocycle formed by X 5 and X 6 together with the adjacent nitrogen atom are as defined above.
X8およびX9が一緒になって隣接する窒素原子とともに形成する置換されていても良いC4-C6ヘテロ環の、ヘテロ環部分および置換基部分は、それぞれ前記と同義である。 The heterocyclic portion and the substituent portion of the optionally substituted C4-C6 heterocycle formed by X 8 and X 9 together with the adjacent nitrogen atom are as defined above.
X11およびX12が一緒になって隣接する窒素原子とともに形成する置換されていても良いC4-C6ヘテロ環の、ヘテロ環部分および置換基部分は、それぞれ前記と同義である。 The heterocyclic portion and the substituent portion of the optionally substituted C4-C6 heterocyclic ring formed by X 11 and X 12 together with the adjacent nitrogen atom are as defined above.
X14およびX15が一緒になって隣接する窒素原子とともに形成する置換されていても良いC4-C6ヘテロ環の、ヘテロ環部分および置換基部分は、それぞれ前記と同義である。 The heterocyclic portion and the substituent portion of the optionally substituted C4-C6 heterocyclic ring formed by X 14 and X 15 together with the adjacent nitrogen atom are as defined above.
X16およびX17が一緒になって隣接する窒素原子とともに形成する置換されていても良いC4-C6ヘテロ環の、ヘテロ環部分および置換基部分は、それぞれ前記と同義である。 The heterocyclic portion and the substituent portion of the optionally substituted C4-C6 heterocycle formed by X 16 and X 17 together with the adjacent nitrogen atom are as defined above.
X19およびX20が一緒になって隣接する窒素原子とともに形成する置換されていても良いC4-C6ヘテロ環の、ヘテロ環部分および置換基部分は、それぞれ前記と同義である。 The heterocyclic portion and the substituent portion of the optionally substituted C4-C6 heterocyclic ring formed by X 19 and X 20 together with the adjacent nitrogen atom are as defined above.
C1-C4アシルオキシにおけるアシルとしては、例えばホルミル、アセチル、プロパノイル、2-メチルプロパノイル、シクロプロパノイル、ブタノイル等が挙げられ、好ましくはアセチル等が挙げられる。 Examples of the acyl in C1-C4 acyloxy include formyl, acetyl, propanoyl, 2-methylpropanoyl, cyclopropanoyl, butanoyl, and preferably acetyl and the like.
置換されていても良いC1-C4アシルオキシにおける置換基としては、アミノ、モノアルキルアミノ、ジアルキルアミノ、ピロリジン-2-イル、ピロリジン-3-イル、ピペリジン-2-イル、ピペリジン-3-イル、ピペリジン-4-イル、モルホリン-2-イル、モルホリン-3-イル、ヒドロキシ、アルコキシ、アルコキシカルボニル、ヒドロキシカルボニル、カルバモイル、モノアルキルカルバモイル、ジアルキルカルバモイル、ニトロ、シアノ、フルオロ、クロロ、ブロモ等が挙げられる。これらの置換基のうちモノアルキルアミノ、ジアルキルアミノ、アルコキシ、アルコキシカルボニル、モノアルキルカルバモイルおよびジアルキルカルバモイルにおけるアルキル部分は、前記C1-C4アルキルと同義である。ジアルキルアミノおよびジアルキルカルバモイルにおける2つのアルキルは、それぞれ同一でも異なっていてもよい。 Examples of the substituent in C1-C4 acyloxy which may be substituted include amino, monoalkylamino, dialkylamino, pyrrolidin-2-yl, pyrrolidin-3-yl, piperidin-2-yl, piperidin-3-yl and piperidine 4-yl, morpholin-2-yl, morpholin-3-yl, hydroxy, alkoxy, alkoxycarbonyl, hydroxycarbonyl, carbamoyl, monoalkylcarbamoyl, dialkylcarbamoyl, nitro, cyano, fluoro, chloro, bromo and the like. Of these substituents, the alkyl moiety in monoalkylamino, dialkylamino, alkoxy, alkoxycarbonyl, monoalkylcarbamoyl and dialkylcarbamoyl has the same meaning as the C1-C4 alkyl. Two alkyls in dialkylamino and dialkylcarbamoyl may be the same or different.
4級アンモニウム基とは、4つの炭素原子との間で4本の共有結合を有する窒素原子を有する基を意味する。4級アンモニウム基は、1~3級アミンに水素原子が付加したものとは異なり、周囲のpHに関わらず常に正の電荷を有している。 The quaternary ammonium group means a group having a nitrogen atom having four covalent bonds with four carbon atoms. The quaternary ammonium group is always positively charged regardless of the surrounding pH, unlike a hydrogen atom added to a primary to tertiary amine.
薬学的に許容される陰イオンとしては、例えば、塩化物イオン、臭化物イオン、ヨウ化物イオン、硝酸イオン、硫酸イオン、リン酸イオン等の無機イオン、酢酸イオン、シュウ酸イオン、マレイン酸イオン、フマル酸イオン、クエン酸イオン、安息香酸イオン、メタンスルホン酸イオン等の有機酸イオン等が挙げられるがこれらに限定されない。 Examples of pharmaceutically acceptable anions include chloride ions, bromide ions, iodide ions, nitrate ions, sulfate ions, phosphate ions and other inorganic ions, acetate ions, oxalate ions, maleate ions, fumarate. Examples include, but are not limited to, organic acid ions such as acid ions, citrate ions, benzoate ions, and methanesulfonate ions.
式(I)において、R1~R3は、同一の直鎖状または分岐状のC8-C24アルキル、C8-C24アルケニルもしくはC8-C24アルキニルであることが好ましく、同一の直鎖状または分岐状のC8-C24アルキルもしくはC8-C24アルケニルであることがより好ましく、同一に直鎖状もしくは分岐状のC15-C20アルケニルであるか、または同一に直鎖状もしくは分岐状のC9-C18アルキルであることがさらに好ましく、同一に直鎖状のC15-C20アルケニルであるか、または同一に直鎖状のC9-C18アルキルであることが最も好ましい。 In the formula (I), R 1 to R 3 are preferably the same linear or branched C8-C24 alkyl, C8-C24 alkenyl or C8-C24 alkynyl, and the same linear or branched Are more preferably C8-C24 alkyl or C8-C24 alkenyl, and are the same linear or branched C15-C20 alkenyl, or the same linear or branched C9-C18 alkyl. More preferably, it is the same linear C15-C20 alkenyl, or most preferably the same linear C9-C18 alkyl.
L1~L3は、同一または異なって存在しないか、-Z1-(CY1Y2)p1-または-Z2-(CY3Y4)p2-Z3-(CY5Y6)p3-であり、-Z1-(CY1Y2)p1-であることが好ましい。Y1~Y6は同一または異なって水素原子または置換されていても良いC1-C4アルキルであり、Y1~Y6としては水素原子であることが好ましい。Z1~Z3は同一または異なって、-O-、-NY7A-、-CO-O-、-O-CO-、-CO-NY7B-、-NY7C-CO-または-NY7D-CO-0-であり、-O-、-CO-O-、-O-CO-、-CO-NY7B-、-NY7C-CO-が好ましい。Y7A~Y7Dは同一または異なって水素原子または置換されていても良いC1-C4アルキルであり、水素原子またはメチルであることが好ましい。p1~p3は同一または異なって1~5の整数であり、1または2であることが好ましい。 L 1 to L 3 are the same or different and do not exist, -Z 1- (CY 1 Y 2 ) p1 -or -Z 2- (CY 3 Y 4 ) p2 -Z 3- (CY 5 Y 6 ) p3 -And preferably -Z 1- (CY 1 Y 2 ) p1- . Y 1 to Y 6 are the same or different and each represents a hydrogen atom or an optionally substituted C1-C4 alkyl, and Y 1 to Y 6 are preferably a hydrogen atom. Z 1 ~ Z 3 are the same or different, -O -, - NY 7A - , - CO-O -, - O-CO -, - CO-NY 7B -, - NY 7C -CO- or -NY 7D - CO-0-, -O-, -CO-O-, -O-CO-, -CO-NY 7B- , and -NY 7C -CO- are preferred. Y 7A to Y 7D are the same or different and are a hydrogen atom or an optionally substituted C1-C4 alkyl, preferably a hydrogen atom or methyl. p 1 to p 3 are the same or different and are integers of 1 to 5, preferably 1 or 2.
L1~L3としては、同一または異なって-O-(CY1Y2)p1-、-CO-O-(CY1Y2)p1-、-O-CO-(CY1Y2)p1-、-CO-NY7B-(CY1Y2)p1-または-NY7C-CO-(CY1Y2)p1-であることが好ましく、同一または異なって-CO-O-(CY1Y2)p1-または-O-CO-(CY1Y2)p1-であることがより好ましく、同一に-CO-O-(CH2)2-であることがさらに好ましい。 L 1 to L 3 may be the same or different from -O- (CY 1 Y 2 ) p1- , -CO-O- (CY 1 Y 2 ) p1- , -O-CO- (CY 1 Y 2 ) p1 -, -CO-NY 7B- (CY 1 Y 2 ) p1 -or -NY 7C -CO- (CY 1 Y 2 ) p1- , preferably the same or different -CO-O- (CY 1 Y 2 ) p1 -or -O-CO- (CY 1 Y 2 ) p1- is more preferable, and -CO-O- (CH 2 ) 2- is more preferable.
式(I)において、L1~L3のうち1つ以上が同一または異なって-CO-O-(CY1Y2)p1-もしくは-O-CO-(CY1Y2)p1-であり、R1~R3が同一に直鎖のC15-C20アルケニルであるか、または同一に直鎖のC9-C18アルキルであることが好ましい。 In formula (I), at least one of L 1 to L 3 is the same or different and is —CO—O— (CY 1 Y 2 ) p1 — or —O—CO— (CY 1 Y 2 ) p1 — R 1 to R 3 are preferably the same linear C15-C20 alkenyl or the same linear C9-C18 alkyl.
L1~L3の少なくとも1つが、存在しないか、-O-(CY1Y2)p1-、-O-CO-(CY1Y2)p1-または-NY7C-CO-(CY1Y2)p1-である場合には、正電荷を有する窒素原子(N+)、-O-(CY1Y2)p1-、-O-CO-(CY1Y2)p1-または-NR6-CO-(CY1Y2)p1-に結合するR1~R3は同一または異なって、それぞれオクチル、デシル、ドデシル、テトラデシル、ヘキサデシル、オクタデシル、イコシル、ドコシル、テトラコシル、(Z)-テトラデカ-9-エニル、(Z)-ヘキサデカ-9-エニル、(Z)-オクタデカ-6-エニル、(Z)-オクタデカ-9-エニル、(E)-オクタデカ-9-エニル、(Z)-オクタデカ-11-エニル、(9Z,12Z)-オクタデカ-9,12-ジエニル、(9Z,12Z,15Z)-オクタデカ-9,12,15-トリエニル、(Z)-イコサ-11-エニル、(11Z,14Z)-イコサ-11,14-ジエニル、3,7,11-トリメチルドデカ-2,6,10-トリエニル、3,7,11,15-テトラメチルヘキサデカ-2-エニル等であることがより好ましく、ドデシル、テトラデシル、ヘキサデシル、(Z)-ヘキサデカ-9-エニル、(Z)-オクタデカ-6-エニル、(Z)-オクタデカ-9-エニル、(9Z,12Z)-オクタデカ-9,12-ジエニル等であることがさらに好ましい。 At least one of L 1 to L 3 does not exist or is -O- (CY 1 Y 2 ) p1- , -O-CO- (CY 1 Y 2 ) p1 -or -NY 7C -CO- (CY 1 Y 2 ) when p1- , a positively charged nitrogen atom (N + ), -O- (CY 1 Y 2 ) p1- , -O-CO- (CY 1 Y 2 ) p1 -or -NR 6 R 1 to R 3 bonded to —CO— (CY 1 Y 2 ) p1 — are the same or different, and octyl, decyl, dodecyl, tetradecyl, hexadecyl, octadecyl, icosyl, docosyl, tetracosyl, (Z) -tetradeca- 9-enyl, (Z) -hexadeca-9-enyl, (Z) -octadeca-6-enyl, (Z) -octadeca-9-enyl, (E) -octadec-9-enyl, (Z) -octadeca- 11-enyl, (9Z, 12Z) -octadeca-9,12-dienyl, (9Z, 12Z, 15Z) -octadeca-9,12,15-trienyl, (Z) -icosa-11-enyl, (11Z, 14Z ) -Icosa-11,14-dienyl, 3,7,11-trimethyldodeca-2,6,10-trienyl, 3,7,11,15-tetramethylhexadec-2-enyl, etc. And more preferably, dodecyl, tetradecyl, hexadecyl, (Z) -hexadec-9-enyl, (Z) -octadec-6-enyl, (Z) -octadec-9-enyl, (9Z, 12Z) -octadeca More preferred is -9,12-dienyl.
L1~L3の少なくとも1つが、-CO-O-(CY1Y2)p1-または-CO-NY7B-(CY1Y2)p1-である場合には、-CO-O-(CY1Y2)p1-または-CO-NY7B-(CY1Y2)p1-に結合するR1~R3は、同一または異なって、それぞれノニル、ウンデシル、トリデシル、ペンタデシル、ヘプタデシル、ノナデシル、ヘニコシル、トリコシル、(Z)-トリデカ-8-エニル、(Z)-ペンタデカ-8-エニル、(Z)-ヘプタデカ-5-エニル、(Z)-ヘプタデカ-8-エニル、(E)-ヘプタデカ-8-エニル、(Z)-ヘプタデカ-10-エニル、(8Z,11Z)-ヘプタデカ-8,11-ジエニル、(8Z,11Z,14Z)-オクタデカ-8,11,14-トリエニル、(Z)-ノナデカ-10-エニル、(10Z,13Z)-ノナデカ-10,13-ジエニル、(11Z,14Z)-イコサ-11,14-ジエニル、2,6,10-トリメチルウンデカ-1,5,9-トリエニル、2,6,10,14-テトラメチルペンタデカ-1-エニル等であることがより好ましく、ウンデシル、トリデシル、ペンタデシル、 (Z)-ペンタデカ-8-エニル、(Z)-ヘプタデカ-5-エニル、(Z)-ヘプタデカ-8-エニル、(8Z,11Z)-ヘプタデカ-8,11-ジエニル等であることがさらに好ましい。 When at least one of L 1 to L 3 is -CO-O- (CY 1 Y 2 ) p1 -or -CO-NY 7B- (CY 1 Y 2 ) p1- , -CO-O- ( R 1 to R 3 bonded to CY 1 Y 2 ) p1 -or -CO-NY 7B- (CY 1 Y 2 ) p1- are the same or different and are each nonyl, undecyl, tridecyl, pentadecyl, heptadecyl, nonadecyl, Henicosyl, tricosyl, (Z) -tridec-8-enyl, (Z) -pentadeca-8-enyl, (Z) -heptadeca-5-enyl, (Z) -heptadeca-8-enyl, (E) -heptadeca- 8-enyl, (Z) -heptadeca-10-enyl, (8Z, 11Z) -heptadeca-8,11-dienyl, (8Z, 11Z, 14Z) -octadeca-8,11,14-trienyl, (Z)- Nonadeca-10-enyl, (10Z, 13Z) -Nonadeca-10,13-dienyl, (11Z, 14Z) -icosa-11,14-dienyl, 2,6,10-trimethylundeca-1,5,9- More preferred are trienyl, 2,6,10,14-tetramethylpentadec-1-enyl and the like, undecyl, tridecyl , Pentadecyl, (Z) -pentadeca-8-enyl, (Z) -heptadeca-5-enyl, (Z) -heptadeca-8-enyl, (8Z, 11Z) -heptadeca-8,11-dienyl, etc. More preferably.
X1は、メチル、ヒドロキシプロピルまたはヒドロキシエチルであることが好ましく、メチルであることがより好ましい。 X 1 is preferably methyl, hydroxypropyl or hydroxyethyl, more preferably methyl.
式(II)において、R4~R6は、同一の直鎖状または分岐状のC8-C24アルキル、C8-C24アルケニルもしくはC8-C24アルキニルであることが好ましく、同一の直鎖状または分岐状のC8-C24アルキルもしくはC8-C24アルケニルであることがより好ましく、同一に直鎖状もしくは分岐状のC15-C20アルケニルであるか、または同一に直鎖状もしくは分岐状のC9-C18アルキルであることがさらに好ましく、同一に直鎖状のC15-C20アルケニルであるか、または同一に直鎖状のC9-C18アルキルであることが最も好ましい。 In the formula (II), R 4 to R 6 are preferably the same linear or branched C8-C24 alkyl, C8-C24 alkenyl or C8-C24 alkynyl, and the same linear or branched Are more preferably C8-C24 alkyl or C8-C24 alkenyl, and are the same linear or branched C15-C20 alkenyl, or the same linear or branched C9-C18 alkyl. More preferably, it is the same linear C15-C20 alkenyl, or most preferably the same linear C9-C18 alkyl.
L4~L6は、同一または異なって存在しないか、-Z4-(CY8Y9)p4-または-Z5-(CY10Y11)p5-Z6-(CY12Y13)p6-であり、-Z4-(CY8Y9)p4-または-Z5-(CY10Y11)p5-Z6-(CY12Y13)p6-であることが好ましく、-Z4-(CY8Y9)p4-であることがより好ましい。Y8~Y13は同一または異なって水素原子または置換されていても良いC1-C4アルキルであり、Y8~Y13としては水素原子であることが好ましい。Z4~Z6は同一または異なって、-O-、-NY14A-、-CO-O-、-O-CO-、-CO-NY14B-、-NY14C-CO-または-NY14D-CO-0-であり、-O-、-CO-O-、-O-CO-、-CO-NY14B-、-NY14C-CO-が好ましい。Y27A~Y27Dは同一または異なって水素原子または置換されていても良いC1-C4アルキルであり、水素原子またはメチルであることが好ましい。p4は0~5の整数であり、p5は1~5の整数であり、p6は0~5の整数であり、いずれも1または2であることが好ましい。 L 4 ~ L 6 is absent same or different, -Z 4 - (CY 8 Y 9) p4 - or -Z 5 - (CY 10 Y 11 ) p5 -Z 6 - (CY 12 Y 13) p6 - and, -Z 4 - (CY 8 Y 9) p4 - or -Z 5 - (CY 10 Y 11 ) p5 -Z 6 - (CY 12 Y 13) p6 - is preferably, -Z 4 - More preferably, (CY 8 Y 9 ) p4- . Y 8 to Y 13 are the same or different and each represents a hydrogen atom or optionally substituted C1-C4 alkyl, and Y 8 to Y 13 are preferably hydrogen atoms. Z 4 to Z 6 may be the same or different, -O-, -NY 14A- , -CO-O-, -O-CO-, -CO -NY 14B- , -NY 14C -CO- or -NY 14D- CO-0-, -O-, -CO-O-, -O-CO-, -CO-NY 14B- , -NY 14C -CO- are preferred. Y 27A to Y 27D are the same or different and each represents a hydrogen atom or an optionally substituted C1-C4 alkyl, preferably a hydrogen atom or methyl. p 4 is an integer of 0 to 5, p 5 is an integer of 1 to 5, and p 6 is an integer of 0 to 5, both of which are preferably 1 or 2.
L4~L6としては、同一または異なって-O-(CY8Y9)p4-、-CO-O-(CY8Y9)p4-、-O-CO-(CY8Y9)p4-、-CO-NY14B-(CY8Y9)p4-、-NY14C-CO-(CY8Y9)p4-、-NY14D-CO-O-(CY8Y9)p4-または-O-CO-(CY10Y11)p5-Z6-(CY12Y13)p6-であることが好ましく、同一または異なって-CO-O-(CY8Y9)p4-、-O-CO-(CY8Y9)p4-または-O-CO-(CY10Y11)p5-O-(CY12Y13)p6-であることがより好ましく、同一に-CO-O-CH2-であることがさらに好ましい。 L 4 to L 6 may be the same or different from -O- (CY 8 Y 9 ) p4- , -CO-O- (CY 8 Y 9 ) p4- , -O-CO- (CY 8 Y 9 ) p4 -, - CO-NY 14B - (CY 8 Y 9) p4 -, - NY 14C -CO- (CY 8 Y 9) p4 -, - NY 14D -CO-O- (CY 8 Y 9) p4 - or - O-CO- (CY 10 Y 11 ) p5 -Z 6- (CY 12 Y 13 ) p6- is preferred, and the same or different -CO-O- (CY 8 Y 9 ) p4- , -O- More preferably, CO- (CY 8 Y 9 ) p4 -or -O-CO- (CY 10 Y 11 ) p5 -O- (CY 12 Y 13 ) p6- , identically -CO-O-CH 2 -Is more preferable.
式(II)において、L4~L6のうち1つ以上が同一または異なって-CO-O-(CY8Y9)p4-、-O-CO-(CY8Y9)p4-、または-O-CO-(CY10Y11)p5-O-(CY12Y13)p6-であり、R4~R6が同一に直鎖のC15-C20アルケニルであるか、または同一に直鎖のC9-C18アルキルであることが好ましい。 In the formula (II), one or more of L 4 to L 6 are the same or different, and —CO—O— (CY 8 Y 9 ) p4 −, —O—CO— (CY 8 Y 9 ) p4 —, or -O-CO- (CY 10 Y 11 ) p5 -O- (CY 12 Y 13 ) p6- , and R 4 to R 6 are the same linear C15-C20 alkenyl, or the same linear C9-C18 alkyl is preferable.
L4~L6の少なくとも1つが、存在しないか、-O-(CY8Y9)p4-、-O-CO-(CY8Y9)p4-、-NY14C-CO-(CY8Y9)p4-、-NY14D-CO-0-または-O-CO-(CY10Y11)p5-(CY12Y13)p6-である場合には、L7に隣接する炭素原子、-O-(CY8Y9)p4-、-O-CO-(CY8Y9)p4-、-NY14C-CO-(CY8Y9)p4-、-NY14D-CO-0-または-O-CO-(CY10Y11)p5-Z6-(CY12Y13)p6-に結合するR7~R9は、同一または異なって、それぞれオクチル、デシル、ドデシル、テトラデシル、ヘキサデシル、オクタデシル、イコシル、ドコシル、テトラコシル、(Z)-テトラデカ-9-エニル、(Z)-ヘキサデカ-9-エニル、(Z)-オクタデカ-6-エニル、(Z)-オクタデカ-9-エニル、(E)-オクタデカ-9-エニル、(Z)-オクタデカ-11-エニル、(9Z,12Z)-オクタデカ-9,12-ジエニル、(9Z,12Z,15Z)-オクタデカ-9,12,15-トリエニル、(Z)-イコサ-11-エニル、(11Z,14Z)-イコサ-11,14-ジエニル、3,7,11-トリメチルドデカ-2,6,10-トリエニル、3,7,11,15-テトラメチルヘキサデカ-2-エニル等であることが好ましく、ドデシル、テトラデシル、ヘキサデシル、(Z)-ヘキサデカ-9-エニル、(Z)-オクタデカ-6-エニル、(Z)-オクタデカ-9-エニル、(9Z,12Z)-オクタデカ-9,12-ジエニル等であることがさらに好ましい。 At least one of L 4 to L 6 does not exist or is -O- (CY 8 Y 9 ) p4- , -O-CO- (CY 8 Y 9 ) p4- , -NY 14C -CO- (CY 8 Y 9) p4 -, - NY 14D -CO-0- or -O-CO- (CY 10 Y 11 ) p5 - (CY 12 Y 13) p6 - a if the carbon atom adjacent to L 7, - O- (CY 8 Y 9 ) p4- , -O-CO- (CY 8 Y 9 ) p4- , -NY 14C -CO- (CY 8 Y 9 ) p4- , -NY 14D -CO-0- or- R 7 to R 9 bonded to O-CO- (CY 10 Y 11 ) p5 -Z 6- (CY 12 Y 13 ) p6- are the same or different and are each octyl, decyl, dodecyl, tetradecyl, hexadecyl, octadecyl , Icosyl, docosyl, tetracosyl, (Z) -tetradec-9-enyl, (Z) -hexadeca-9-enyl, (Z) -octadeca-6-enyl, (Z) -octadeca-9-enyl, (E) -Octadeca-9-enyl, (Z) -octadeca-11-enyl, (9Z, 12Z) -octadeca-9,12-dienyl, (9Z, 12Z, 15Z) -octadeca-9,12,15-trienyl, ( Z) -icosa-11-enyl, (11Z, 14Z) -icosa-11,14-di Nyl, 3,7,11-trimethyldodeca-2,6,10-trienyl, 3,7,11,15-tetramethylhexadec-2-enyl and the like, dodecyl, tetradecyl, hexadecyl, (Z More preferred are) -hexadeca-9-enyl, (Z) -octadeca-6-enyl, (Z) -octadeca-9-enyl, (9Z, 12Z) -octadeca-9,12-dienyl, and the like.
L4~L6の少なくとも1つが、-CO-O-(CY8Y9)p4-または-CO-NY14B-(CY8Y9)p4-である場合には、-CO-O-(CY8Y9)p4-または-CO-NY14B-(CY8Y9)p4-に結合するR4~R6は、同一または異なって、それぞれノニル、ウンデシル、トリデシル、ペンタデシル、ヘプタデシル、ノナデシル、ヘニコシル、トリコシル、(Z)-トリデカ-8-エニル、(Z)-ペンタデカ-8-エニル、(Z)-ヘプタデカ-5-エニル、(Z)-ヘプタデカ-8-エニル、(E)-ヘプタデカ-8-エニル、(Z)-ヘプタデカ-10-エニル、(8Z,11Z)-ヘプタデカ-8,11-ジエニル、(8Z,11Z,14Z)-オクタデカ-8,11,14-トリエニル、(Z)-ノナデカ-10-エニル、(10Z,13Z)-ノナデカ-10,13-ジエニル、(11Z,14Z)-イコサ-11,14-ジエニル、2,6,10-トリメチルウンデカ-1,5,9-トリエニル、2,6,10,14-テトラメチルペンタデカ-1-エニル等であることが好ましく、ウンデシル、トリデシル、ペンタデシル、(Z)-ペンタデカ-8-エニル、(Z)-ヘプタデカ-5-エニル、(Z)-ヘプタデカ-8-エニル、(8Z,11Z)-ヘプタデカ-8,11-ジエニル等であることがさらに好ましい。 When at least one of L 4 to L 6 is -CO-O- (CY 8 Y 9 ) p4 -or -CO-NY 14B- (CY 8 Y 9 ) p4- , -CO-O- ( R 4 to R 6 bonded to CY 8 Y 9 ) p4 -or -CO-NY 14B- (CY 8 Y 9 ) p4- are the same or different and are each nonyl, undecyl, tridecyl, pentadecyl, heptadecyl, nonadecyl, Henicosyl, tricosyl, (Z) -tridec-8-enyl, (Z) -pentadeca-8-enyl, (Z) -heptadeca-5-enyl, (Z) -heptadeca-8-enyl, (E) -heptadeca- 8-enyl, (Z) -heptadeca-10-enyl, (8Z, 11Z) -heptadeca-8,11-dienyl, (8Z, 11Z, 14Z) -octadeca-8,11,14-trienyl, (Z)- Nonadeca-10-enyl, (10Z, 13Z) -Nonadeca-10,13-dienyl, (11Z, 14Z) -icosa-11,14-dienyl, 2,6,10-trimethylundeca-1,5,9- Preferably, trienyl, 2,6,10,14-tetramethylpentadec-1-enyl, etc., undecyl, tridecyl It may be pentadecyl, (Z) -pentadec-8-enyl, (Z) -heptadeca-5-enyl, (Z) -heptadeca-8-enyl, (8Z, 11Z) -heptadeca-8,11-dienyl, etc. Further preferred.
L7は、存在しないか、-(CY15Y16)p7-、-(CY17Y18)p8-O-CO-(CY19Y20)p9-または-(CY17Y18)p8-NY27C-CO-(CY19Y20)p9-であることが好ましく、存在しないか、-(CY15Y16)p7-であることがより好ましい。この場合、B1は、
L7が-(CY15Y16)p7-である場合、p7は1~3であることが好ましく、1~2であることがより好ましく、1であることがさらに好ましく、またY15~Y16はそれぞれ水素原子であることが好ましい。B1としては、-N+(CH3)3であることが好ましい。 When L 7 is — (CY 15 Y 16 ) p7 —, p 7 is preferably 1 to 3, more preferably 1 to 2, still more preferably 1, and Y 15 to Y 16 is preferably each a hydrogen atom. B 1 is preferably —N + (CH 3 ) 3 .
L7が-(CY17Y18)p8-O-CO-(CY19Y20)p9-または-(CY17Y18)p8-NY27C-CO-(CY19Y20)p9-である場合、p8は0~3であり、p9が1~3であることが好ましく、p8が0~1であり、p9が1~3であることがより好ましくまたY17~Y20はそれぞれ水素原子であり、Y27Cは水素原子またはメチルであることが好ましい。B1としては、-N+(CH3)3であることが好ましい。 When L 7 is- (CY 17 Y 18 ) p8 -O-CO- (CY 19 Y 20 ) p9-or- (CY 17 Y 18 ) p8 -NY 27C -CO- (CY 19 Y 20 ) p9- , P 8 is 0 to 3, p 9 is preferably 1 to 3, p 8 is 0 to 1, more preferably p 9 is 1 to 3, and Y 17 to Y 20 are Each is a hydrogen atom, and Y 27C is preferably a hydrogen atom or methyl. B 1 is preferably —N + (CH 3 ) 3 .
X2およびX3は、同一または異なってメチルもしくはエチルであるか、または一緒になって隣接する窒素原子とともに置換されていても良いC4-C6ヘテロ環を形成することが好ましく、同一にメチルであるか、または一緒になって隣接する窒素原子とともにピロリジンもしくはピペリジンを形成することがより好ましく、同一にメチルであることがさらに好ましい。 X 2 and X 3 are preferably the same or different and are each methyl or ethyl, or preferably taken together to form an optionally substituted C4-C6 heterocycle with adjacent nitrogen atoms. More preferably, they together or together with the adjacent nitrogen atom form pyrrolidine or piperidine, more preferably methyl.
X4は、メチル、エチル、ヒドロキシプロピルまたはヒドロキシエチル等であることが好ましく、メチルであることがさらに好ましい。
X2およびX3は、同一または異なってメチルもしくはエチルであり、X4は、メチル、エチル、ヒドロキシプロピルまたはヒドロキシエチル等であることが好ましく、X2~X4は、メチルであることがさらに好ましい。
X 4 is preferably methyl, ethyl, hydroxypropyl or hydroxyethyl, and more preferably methyl.
X 2 and X 3 are the same or different and are each methyl or ethyl, X 4 is preferably methyl, ethyl, hydroxypropyl, hydroxyethyl or the like, and X 2 to X 4 are preferably methyl. preferable.
B1が、
式(III)において、R7は直鎖状または分岐状のC8-C24アルキルもしくはC8-C24アルケニルであることが好ましく、直鎖状もしくは分岐状のC15-C20アルケニルであるか、または直鎖状もしくは分岐状のC9-C18アルキルであることがより好ましく、同一に直鎖状のC15-C20アルケニルであるか、または同一に直鎖状のC9-C18アルキルであることが最も好ましい。R8およびR9は、直鎖状または分岐状のC8-C24アルキル、C8-C24アルケニルもしくはC8-C24アルキニルであり、かつ同一であることが好ましく、直鎖状もしくは分岐状のC15-C20アルケニルであるか、または直鎖状もしくは分岐状のC9-C18アルキルであり、かつ同一であることがより好ましく、直鎖状のC15-C20アルケニルであるか、または直鎖状のC9-C18アルキルであり、かつ同一であることが最も好ましい。 In the formula (III), R 7 is preferably linear or branched C8-C24 alkyl or C8-C24 alkenyl, linear or branched C15-C20 alkenyl, or linear Alternatively, it is more preferably a branched C9-C18 alkyl, and most preferably the same linear C15-C20 alkenyl, or the same linear C9-C18 alkyl. R 8 and R 9 are linear or branched C8-C24 alkyl, C8-C24 alkenyl or C8-C24 alkynyl, and are preferably the same, linear or branched C15-C20 alkenyl. Or a linear or branched C9-C18 alkyl and more preferably the same, a linear C15-C20 alkenyl, or a linear C9-C18 alkyl. Most preferably, they are identical.
L8は、存在しないか、-Z12-(CY39Y40)p18-または-Z13-(CY41Y42)p19-Z14-(CY43Y44)p20-であり、存在しないかまたは-Z12-(CY39Y40)p18-であることが好ましい。L9およびL10は、同一または異なって存在しないか、-Z12-(CY39Y40)p18-または-Z13-(CY41Y42)p19-Z14-(CY43Y44)p20-であり、同一または異なって存在しないかまたは-Z12-(CY39Y40)p18-であることが好ましい。Y39~Y44は同一または異なって水素原子または置換されていても良いC1-C4アルキルであり、Y39~Y44としては水素原子であることが好ましい。Z12~Z14は同一または異なって、-O-、-NY45A-、-CO-O-、-O-CO-、-CO-NY45B-、-NY45C-CO-、-NY45D-CO-0-または-CO-であり、-CO-O-、-O-CO-、-CO-NY45B-、-NY45C-CO-または-CO-であることが好ましい。Y45A~Y45Dは同一または異なって水素原子または置換されていても良いC1-C4アルキルであり、水素原子またはメチルであることが好ましい。p18は0~5の整数であり、0または1であることが好ましい。p19は1~5の整数であり、1または2であることが好ましい。p20は0~5の整数であり、0または1であることが好ましい。 L 8 is absent, -Z 12 - (CY 39 Y 40) p18 - or -Z 13 - (CY 41 Y 42 ) p19 -Z 14 - (CY 43 Y 44) p20 - a is absent or -Z 12 - (CY 39 Y 40 ) p18 - is preferably. L 9 and L 10 is absent same or different, -Z 12 - (CY 39 Y 40) p18 - or -Z 13 - (CY 41 Y 42 ) p19 -Z 14 - (CY 43 Y 44) p20 - and, the same or different and either missing or -Z 12 - (CY 39 Y 40 ) p18 - is preferably. Y 39 to Y 44 are the same or different and each represents a hydrogen atom or optionally substituted C1-C4 alkyl, and Y 39 to Y 44 are preferably hydrogen atoms. Z 12 ~ Z 14 are the same or different, -O -, - NY 45A - , - CO-O -, - O-CO -, - CO-NY 45B -, - NY 45C -CO -, - NY 45D - CO-0- or a -CO-, -CO-O -, - O-CO -, - CO-NY 45B -, - it is preferable NY 45C -CO- or -CO-. Y 45A to Y 45D are the same or different and each represents a hydrogen atom or an optionally substituted C1-C4 alkyl, and preferably a hydrogen atom or methyl. p 18 is an integer of 0 to 5, and is preferably 0 or 1. p 19 is an integer of 1 to 5, and is preferably 1 or 2. p 20 is an integer of 0 to 5, and is preferably 0 or 1.
L8~L10のうち1つが-CO-O-(CY39Y40)p18-または-O-CO-(CY39Y40)p18-であるか、L8~L10のうち2つ以上が同一または異なって-CO-O-(CY39Y40)p18または-O-CO-(CY39Y40)p18-であり、R7~R9が直鎖のC15-C20アルケニルまたはC9-C18アルキルであることが好ましく、R8~R9が同一であることが好ましい。 One of L 8 to L 10 is -CO-O- (CY 39 Y 40 ) p18 -or -O-CO- (CY 39 Y 40 ) p18- or two or more of L 8 to L 10 Are the same or different and are -CO-O- (CY 39 Y 40 ) p18 or -O-CO- (CY 39 Y 40 ) p18- , and R 7 to R 9 are linear C15-C20 alkenyl or C9- C18 alkyl is preferred, and R 8 to R 9 are preferably the same.
L8としては、存在しないか、-CO-O-(CY39Y40)p18-、-O-CO-(CY39Y40)p18-、-CO-NY45B-(CY39Y40)p18-または-NY45C-CO-(CY39Y40)p18-であることが好ましく、存在しないか、-CO-O-(CY39Y40)p18-、-O-CO-(CY39Y40)p18-または-CO-NY45B-(CY39Y40)p18-であることがより好ましく、存在しないか、-CO-O-(CH2)p18-、-O-CO-(CH2)p18-または-CO-NH-(CH2)p18-であることがさらに好ましい。
L9およびL10としては、同一または異なって存在しないか、-CO-O-(CY39Y40)p18-、-O-CO-(CY39Y40)p18-、-CO-NY45B-(CY39Y40)p18-または-NY45C-CO-(CY39Y40)p18-であることが好ましく、同一または異なって存在しないか、-CO-O-(CY39Y40)p18-または-O-CO-(CY39Y40)p18-であることがより好ましく、同一または異なって存在しないかまたは-CO-O-(CH2)p18-であることがさらに好ましく、同一に存在しないかまたは-CO-O-(CH2)p18-であることが最も好ましい。
L 8 does not exist or is -CO-O- (CY 39 Y 40 ) p18- , -O -CO- (CY 39 Y 40 ) p18- , -CO-NY 45B- (CY 39 Y 40 ) p18 -Or -NY 45C -CO- (CY 39 Y 40 ) p18- is preferred and is absent or -CO-O- (CY 39 Y 40 ) p18- , -O -CO- (CY 39 Y 40 ) p18 -or -CO-NY 45B- (CY 39 Y 40 ) p18- , more preferably absent or -CO-O- (CH 2 ) p18- , -O-CO- (CH 2 ) pi 8 - or -CO-NH- (CH 2) p18 - and still more preferably a.
L 9 and L 10 are the same or different and do not exist, -CO-O- (CY 39 Y 40 ) p18- , -O -CO- (CY 39 Y 40 ) p18- , -CO-NY 45B- (CY 39 Y 40 ) p18 -or -NY 45C -CO- (CY 39 Y 40 ) p18- is preferred and does not exist the same or different, or -CO-O- (CY 39 Y 40 ) p18- Or -O-CO- (CY 39 Y 40 ) p18- , more preferably the same or different, or more preferably -CO-O- (CH 2 ) p18- , and the same. Or -CO-O- (CH 2 ) p18- is most preferred.
式(III)において、L8~L10のうち1つが存在しないか、-CO-O-(CY39Y40)p18-、-O-CO-(CY39Y40)p18-、-CO-NY45B-(CY39Y40)p18-または-NY45C-CO-(CY39Y40)p18-であるか、L8~L10のうち2つ以上が同一または異なって存在しないか、-CO-O-(CY39Y40)p18-、-O-CO-(CY39Y40)p18-、-CO-NY45B-(CY39Y40)p18-または-NY45C-CO-(CY39Y40)p18-であり、R7~R9が直鎖のC15-C20アルケニルまたはC9-C18アルキルであることが好ましく、R8~R9が同一であることが好ましい。 In Formula (III), one of L 8 to L 10 does not exist, or —CO—O— (CY 39 Y 40 ) p18 −, —O —CO— (CY 39 Y 40 ) p18 —, —CO— NY 45B- (CY 39 Y 40 ) p18 -or -NY 45C -CO- (CY 39 Y 40 ) p18- , or two or more of L 8 to L 10 are not the same or different, or- CO-O- (CY 39 Y 40 ) p18- , -O -CO- (CY 39 Y 40 ) p18- , -CO -NY 45B- (CY 39 Y 40 ) p18 -or -NY 45C -CO- (CY 39 Y 40 ) p18- and R 7 to R 9 are preferably straight-chain C15-C20 alkenyl or C9-C18 alkyl, and R 8 to R 9 are preferably the same.
L8~L10の少なくとも1つが、存在しないか、-O-(CY39Y40)p18-、-O-CO-(CY39Y40)p18-、-NY45C-CO-(CY39Y40)p18-または-NY45D-CO-0-(CY39Y40)p18-である場合には、J1もしくはJ2、-O-(CY39Y40)p18-、-O-CO-(CY39Y40)p18-、-NY45C-CO-(CY39Y40)p18-または-NY45D-CO-0-(CY39Y40)p18-に結合するR7~R9は、同一または異なって、それぞれオクチル、デシル、ドデシル、テトラデシル、ヘキサデシル、オクタデシル、イコシル、ドコシル、テトラコシル、(Z)-テトラデカ-9-エニル、(Z)-ヘキサデカ-9-エニル、(Z)-オクタデカ-6-エニル、(Z)-オクタデカ-9-エニル、(E)-オクタデカ-9-エニル、(Z)-オクタデカ-11-エニル、(9Z,12Z)-オクタデカ-9,12-ジエニル、(9Z,12Z,15Z)-オクタデカ-9,12,15-トリエニル、(Z)-イコサ-11-エニル、(11Z,14Z)-イコサ-11,14-ジエニル、3,7,11-トリメチルドデカ-2,6,10-トリエニル、3,7,11,15-テトラメチルヘキサデカ-2-エニル等であることが好ましく、ドデシル、テトラデシル、ヘキサデシル、(Z)-ヘキサデカ-9-エニル、(Z)-オクタデカ-6-エニル、(Z)-オクタデカ-9-エニル、(9Z,12Z)-オクタデカ-9,12-ジエニル等であることがさらに好ましい。 At least one of L 8 to L 10 is not present, or -O- (CY 39 Y 40 ) p18- , -O-CO- (CY 39 Y 40 ) p18- , -NY 45C -CO- (CY 39 Y 40 ) p18 -or -NY 45D -CO-0- (CY 39 Y 40 ) If p18- , J 1 or J 2 , -O- (CY 39 Y 40 ) p18- , -O-CO- (CY 39 Y 40) p18 - , - NY 45C -CO- (CY 39 Y 40) p18 - or -NY 45D -CO-0- (CY 39 Y 40) p18 - binding to R 7 ~ R 9 is Same or different, octyl, decyl, dodecyl, tetradecyl, hexadecyl, octadecyl, icosyl, docosyl, tetracosyl, (Z) -tetradec-9-enyl, (Z) -hexadec-9-enyl, (Z) -octadeca- 6-enyl, (Z) -octadeca-9-enyl, (E) -octadeca-9-enyl, (Z) -octadeca-11-enyl, (9Z, 12Z) -octadec-9,12-dienyl, (9Z , 12Z, 15Z) -Octadeca-9,12,15-trienyl, (Z) -icosa-11-enyl, (11Z, 14Z) -icosa-11,14-dienyl, 3,7,11-trimethyldodeca-2 , 6,10 -Trienyl, 3,7,11,15-tetramethylhexadec-2-enyl and the like, dodecyl, tetradecyl, hexadecyl, (Z) -hexadec-9-enyl, (Z) -octadec-6- More preferred are enyl, (Z) -octadeca-9-enyl, (9Z, 12Z) -octadeca-9,12-dienyl, and the like.
L8~L10の少なくとも1つが、-CO-O-(CY39Y40)p18-、-CO-NY45B-(CY39Y40)p18-または-CO-(CY39Y40)p18である場合には、-CO-O-(CY39Y40)p18-、-CO-NY45B-(CY39Y40)p18-または-CO-(CY39Y40)p18に結合するR7~R9は、同一または異なって、それぞれノニル、ウンデシル、トリデシル、ペンタデシル、ヘプタデシル、ノナデシル、ヘニコシル、トリコシル、(Z)-トリデカ-8-エニル、(Z)-ペンタデカ-8-エニル、(Z)-ヘプタデカ-5-エニル、(Z)-ヘプタデカ-8-エニル、(E)-ヘプタデカ-8-エニル、(Z)-ヘプタデカ-10-エニル、(8Z,11Z)-ヘプタデカ-8,11-ジエニル、(8Z,11Z,14Z)-オクタデカ-8,11,14-トリエニル、(Z)-ノナデカ-10-エニル、(10Z,13Z)-ノナデカ-10,13-ジエニル、(11Z,14Z)-イコサ-11,14-ジエニル、2,6,10-トリメチルウンデカ-1,5,9-トリエニル、2,6,10,14-テトラメチルペンタデカ-1-エニルであることが好ましく、ウンデシル、トリデシル、ペンタデシル、(Z)-ペンタデカ-8-エニル、(Z)-ヘプタデカ-5-エニル、(Z)-ヘプタデカ-8-エニル、(8Z,11Z)-ヘプタデカ-8,11-ジエニル等であることがさらに好ましい。 At least one of L 8 to L 10 is -CO-O- (CY 39 Y 40 ) p18- , -CO-NY 45B- (CY 39 Y 40 ) p18 -or -CO- (CY 39 Y 40 ) p18 In some cases, -CO-O- (CY 39 Y 40 ) p18- , -CO-NY 45B- (CY 39 Y 40 ) p18 -or -CO- (CY 39 Y 40 ) R 7 binding to p18 R 9 is the same or different and each represents nonyl, undecyl, tridecyl, pentadecyl, heptadecyl, nonadecyl, henicosyl, tricosyl, (Z) -tridec-8-enyl, (Z) -pentadec-8-enyl, (Z)- Heptadec-5-enyl, (Z) -heptadeca-8-enyl, (E) -heptadeca-8-enyl, (Z) -heptadeca-10-enyl, (8Z, 11Z) -heptadeca-8,11-dienyl, (8Z, 11Z, 14Z) -octadeca-8,11,14-trienyl, (Z) -nonadec-10-enyl, (10Z, 13Z) -nonadec-10,13-dienyl, (11Z, 14Z) -icosa- 11,14-dienyl, 2,6,10-trimethylundeca-1,5,9-trienyl, 2,6,10,14-tetramethylpentadec-1-enyl Preferably, undecyl, tridecyl, pentadecyl, (Z) -pentadec-8-enyl, (Z) -heptadeca-5-enyl, (Z) -heptadeca-8-enyl, (8Z, 11Z) -heptadeca-8, More preferred is 11-dienyl or the like.
L11は、存在しないか、-(CY46Y47)p21-、-(CY48Y49)p22-Z15-(CY50Y51)p23-または-(CY52Y53)p24-Z16-(CY54Y55)p25-Z17-(CY56Y57)p26-であり、存在しないか、-(CY46Y47)p21-または-(CY48Y49)p22-Z15-(CY50Y51)p23-であることが好ましい。Y46~Y57は同一または異なって水素原子または置換されていても良いC1-C4アルキルであり、Y46~Y57としては水素原子であることが好ましい。Z15~Z17は同一または異なって、-O-、-NY58A-、-CO-O-、-O-CO-、-CO-NY58B-、-NY58C-CO-、-NY58D-CO-0-または-CO-であり、-CO-O-、-O-CO-、-CO-NY58B-、-NY58C-CO-または-CO-が好ましく、-O-CO-または-NY58C-CO-がより好ましい。p21は1~5の整数であり、1~3であることが好ましい。p22は0~5の整数であり、0~3であることが好ましい。p23は1~5の整数であり、1または2であることが好ましい。 L 11 is absent, - (CY 46 Y 47) p21 -, - (CY 48 Y 49) p22 -Z 15 - (CY 50 Y 51) p23 - or - (CY 52 Y 53) p24 -Z 16 - (CY 54 Y 55) p25 -Z 17 - (CY 56 Y 57) p26 - a is absent, - (CY 46 Y 47) p21 - or - (CY 48 Y 49) p22 -Z 15 - ( CY 50 Y 51 ) p23- is preferred. Y 46 to Y 57 are the same or different and each represents a hydrogen atom or an optionally substituted C1-C4 alkyl, and Y 46 to Y 57 are preferably a hydrogen atom. Z 15 ~ Z 17 are the same or different, -O -, - NY 58A - , - CO-O -, - O-CO -, - CO-NY 58B -, - NY 58C -CO -, - NY 58D - CO-0- or a -CO-, -CO-O -, - O-CO -, - CO-NY 58B -, - NY 58C -CO- or -CO- are preferable, -O-CO- or - NY 58C -CO- is more preferred. p 21 is an integer of 1 to 5, preferably 1 to 3. p 22 is an integer of 0 to 5, preferably 0 to 3. p 23 is an integer of 1 to 5, and is preferably 1 or 2.
L11としては存在しないか、-(CY46Y47)p21-、-(CY48Y49)p22-O-CO-(CY50Y51)p23-、または-(CY48Y49)p22-NY58C-CO-(CY50Y51)p23-であることが好ましく、存在しないかまたは-(CY46Y47)p21-であることがより好ましく、存在しないかまたは-(CH2)p2-であることがさらに好ましい。 Do not present as L 11, - (CY 46 Y 47) p21 -, - (CY 48 Y 49) p22 -O-CO- (CY 50 Y 51) p23 -, or - (CY 48 Y 49) p22 - NY 58C -CO- (CY 50 Y 51 ) p23- is preferably absent, more preferably-(CY 46 Y 47 ) p21- , absent or- (CH 2 ) p2- More preferably.
L12は、存在しないかまたは-(CY59Y60)p27-であることが好ましく、存在しないかまたは-(CH2)p27-であることが好ましく、存在しないか、-CH2-または-(CH2)2-であることがより好ましい。 L 12 is preferably absent or — (CY 59 Y 60 ) p27 —, preferably absent or — (CH 2 ) p27 —, absent, —CH 2 — or — More preferred is (CH 2 ) 2 —.
J1およびJ2は同一または異なってCY72またはNであり、J1およびJ2は同一または異なってCH、C(OH)またはNが好ましい。 J 1 and J 2 are the same or different and are CY 72 or N, and J 1 and J 2 are the same or different and are preferably CH, C (OH) or N.
L11が存在しないとき、J1はCHが好ましい。 When L 11 is not present, J 1 is preferably CH.
L9およびL10は存在せず、L12が-CO-(CH2)p29-であり、J1がCHであり、J2がNであることも本発明の好ましい形態のひとつである。このとき、L8が-CO-NY45B-(CH2)p18-であり、L11が存在しないかまたは-(CH2)p21-であることが好ましい。 L 9 and L 10 are not present, L 12 is —CO— (CH 2 ) p29 —, J 1 is CH, and J 2 is N, which is one of the preferred embodiments of the present invention. At this time, L 8 is preferably —CO—NY 45B — (CH 2 ) p18 —, and L 11 is preferably absent or — (CH 2 ) p21 —.
L9およびL10は存在せず、L12が-O-CO-(CH2)p29-であり、J1およびJ2がCHであることも本発明の好ましい形態のひとつである。このとき、L8が-O-CO-(CH2)p18-であり、L11が存在しないことが好ましい。 L 9 and L 10 are not present, L 12 is —O—CO— (CH 2 ) p29 —, and J 1 and J 2 are CH. At this time, it is preferable that L 8 is —O—CO— (CH 2 ) p18 — and L 11 does not exist.
B2は、
X8~X10は、それぞれ前記X2~X4と同義である。 X 8 to X 10 have the same meanings as X 2 to X 4 , respectively.
式(IV)において、R10は、直鎖状または分岐状のC8-C24アルキルもしくはC8-C24アルケニルであることが好ましく、直鎖状もしくは分岐状のC15-C20アルケニルであるか、または直鎖状もしくは分岐状のC9-C18アルキルであることがより好ましく、直鎖状のC15-C20アルケニルであるか、または直鎖状のC9-C18アルキルであることが最も好ましい。R11およびR12は、直鎖状または分岐状のC8-C24アルキル、C8-C24アルケニルもしくはC8-C24アルキニルであり、かつ同一であることが好ましく、直鎖状もしくは分岐状のC15-C20アルケニルであるか、または直鎖状もしくは分岐状のC9-C18アルキルであり、かつ同一であることがより好ましく、直鎖状のC15-C20アルケニルであるか、または直鎖状のC9-C18アルキルであり、かつ同一であることが最も好ましい。 In the formula (IV), R 10 is preferably linear or branched C8-C24 alkyl or C8-C24 alkenyl, linear or branched C15-C20 alkenyl, or linear It is more preferably a linear or branched C9-C18 alkyl, most preferably a linear C15-C20 alkenyl, or most preferably a linear C9-C18 alkyl. R 11 and R 12 are linear or branched C8-C24 alkyl, C8-C24 alkenyl or C8-C24 alkynyl, and are preferably the same, linear or branched C15-C20 alkenyl. Or a linear or branched C9-C18 alkyl and more preferably the same, a linear C15-C20 alkenyl, or a linear C9-C18 alkyl. Most preferably, they are identical.
L13は、存在しないか、-Z23-(CY84Y85)p38-または-Z24-(CY86Y87)p39-Z25-(CY88Y89)p40-であり、存在しないか、または-Z23-(CY84Y85)p38-であることが好ましい。Y84~Y89は同一または異なって水素原子または置換されていても良いC1-C4アルキルであり、Y84~Y89としては水素原子であることが好ましい。Z23~Z25は同一または異なって、-O-、-NY90A-、-CO-O-、-O-CO-、-CO-NY90B-、-NY90C-CO-または-NY90D-CO-0-であり、-CO-O-、-O-CO-、-CO-NY90B-または-NY90C-CO-であることが好ましく、-CO-NY90B-であることがより好ましい。Y90A~Y90Dは同一または異なって水素原子または置換されていても良いC1-C4アルキルであり、水素原子またはメチルであることが好ましい。p38~p40は同一または異なって1~5の整数であり、1または2であることが好ましい。 L 13 is absent, -Z 23 - (CY 84 Y 85) p38 - or -Z 24 - (CY 86 Y 87 ) p39 -Z 25 - (CY 88 Y 89) p40 - a is absent , or -Z 23 - (CY 84 Y 85 ) p38 - is preferably. Y 84 to Y 89 are the same or different and each represents a hydrogen atom or optionally substituted C1-C4 alkyl, and Y 84 to Y 89 are preferably hydrogen atoms. Z 23 ~ Z 25 are the same or different, -O -, - NY 90A - , - CO-O -, - O-CO -, - CO-NY 90B -, - NY 90C -CO- or -NY 90D - a CO-0-, -CO-O - , - O-CO -, - CO-NY 90B - or is preferably -NY 90C -CO-, -CO-NY 90B - and more preferably . Y 90A to Y 90D are the same or different and each represents a hydrogen atom or an optionally substituted C1-C4 alkyl, preferably a hydrogen atom or methyl. p 38 to p 40 are the same or different and are integers of 1 to 5, preferably 1 or 2.
L13としては、存在しないか、-CO-O-(CY84Y85)p38-、-O-CO-(CY84Y85)p38-、-CO-NY90B-(CY84Y85)p38-、または-NY90C-CO-(CY84Y85)p38-であることが好ましく、存在しないか、-CO-O-(CH2)p38-、-O-CO-(CH2)p38-または-CO-NCH3-(CH2)p38-であることがより好ましく、存在しないか、-CO-NCH3-(CH2)p38-であることがさらに好ましい。 L 13 does not exist or -CO-O- (CY 84 Y 85 ) p38- , -O -CO- (CY 84 Y 85 ) p38- , -CO-NY 90B- (CY 84 Y 85 ) p38 -, Or -NY 90C -CO- (CY 84 Y 85 ) p38- , preferably absent or -CO-O- (CH 2 ) p38- , -O-CO- (CH 2 ) p38- Alternatively , it is more preferably —CO—NCH 3 — (CH 2 ) p38 —, and it is more preferably absent or —CO—NCH 3 — (CH 2 ) p38 —.
L14およびL15は、同一または異なって存在しないか、-Z26-(CY91Y92)p41-または-Z27-(CY93Y94)p42-Z28-(CY95Y96)p43-であり、存在しないか、または-Z26-(CY91Y92)p41-であることが好ましい。Y91~Y96は同一または異なって水素原子または置換されていても良いC1-C4アルキルであり、Y91~Y96としては水素原子であることが好ましい。Z26~Z28は同一または異なって、-O-、-NY97A-、-CO-O-、-O-CO-、-CO-NY97B-、-NY97C-CO-、-NY97D-CO-0-または-CO-であり、-CO-O-、-O-CO-、-CO-NY97B-、-NY97C-CO-、または-CO-であることが好ましい。Y97A~Y97Dは同一または異なって水素原子または置換されていても良いC1-C4アルキルであり、水素原子またはメチルであることが好ましい。p41は0~5の整数であり、0~2が好ましい。p42は1~5の整数であり、1または2が好ましい。p43は0~5の整数であり、0~2が好ましい。 L 14 and L 15 is absent same or different, -Z 26 - (CY 91 Y 92) p41 - or -Z 27 - (CY 93 Y 94 ) p42 -Z 28 - (CY 95 Y 96) p43 -, and absent or -Z 26 - (CY 91 Y 92 ) p41 - is preferably. Y 91 to Y 96 are the same or different and each represents a hydrogen atom or an optionally substituted C1-C4 alkyl, and Y 91 to Y 96 are preferably a hydrogen atom. Z 26 ~ Z 28 are the same or different, -O -, - NY 97A - , - CO-O -, - O-CO -, - CO-NY 97B -, - NY 97C -CO -, - NY 97D - CO-0- or -CO-, preferably -CO-O-, -O-CO-, -CO-NY 97B- , -NY 97C -CO-, or -CO-. Y 97A to Y 97D are the same or different and are a hydrogen atom or an optionally substituted C1-C4 alkyl, preferably a hydrogen atom or methyl. p 41 is an integer of 0 to 5, preferably 0 to 2. p 42 is an integer of 1 to 5, preferably 1 or 2. p 43 is an integer of 0 to 5, preferably 0 to 2.
L14およびL15としては、同一または異なって、存在しないか、-CO-O-(CY91Y92)p41-、-O-CO-(CY91Y92)p41-、-CO-NY97B-(CY91Y92)p41-、-NY97C-CO-(CY91Y92)p41-、-CO-(CY91Y92)p41-であることが好ましく、同一または異なって、存在しないか、-CO-O-(CY91Y92)p41-、-O-CO-(CY91Y92)p41-または-CO-(CY91Y92)p41-であることがより好ましく、同一または異なって、存在しないか、-CO-O-(CH2)p41-、-O-CO-(CH2)p41-または-CO-であることがさらに好ましい。 L 14 and L 15 are the same or different and do not exist or are -CO-O- (CY 91 Y 92 ) p41- , -O -CO- (CY 91 Y 92 ) p41- , -CO-NY 97B -(CY 91 Y 92 ) p41- , -NY 97C -CO- (CY 91 Y 92 ) p41- , -CO- (CY 91 Y 92 ) p41- , preferably the same or different and not present , -CO-O- (CY 91 Y 92 ) p41- , -O -CO- (CY 91 Y 92 ) p41 -or -CO- (CY 91 Y 92 ) p41- , more preferably the same or different More preferably, it is absent, or —CO—O— (CH 2 ) p41 —, —O—CO— (CH 2 ) p41 — or —CO—.
式(IV)において、L13が-CO-O-(CY84Y85)p38-、-O-CO-(CY84Y85)p38-または-CO-NY90B-(CY84Y85)p38-であるか、L14およびL15のうち1つが-CO-O-(CY91Y92)p41-または-O-CO-(CY91Y92)p41-であるか、L13が-CO-O-(CY84Y85)p38-、-O-CO-(CY84Y85)p38-または-CO-NY89B-(CY84Y85)p38-であり、L14およびL15のうち1つが-CO-O-(CY91Y92)p41-または-O-CO-(CY91Y92)p41-であるか、L14およびL15が同一または異なって-CO-O-(CY91Y92)p41-または-O-CO-(CY91Y92)p41-であるか、L13が-CO-O-(CY84Y85)p38-、-O-CO-(CY84Y85)p38-または-CO-NY89B-(CY84Y85)p38-であり、L14およびL15が同一または異なって-CO-O-(CY91Y92)p41-または-O-CO-(CY91Y92)p41-であり、R10~R12が直鎖状または分岐状のC15-C20アルケニルもしくはC9-C18アルキルであることがより好ましい。R11およびR12は同一であることが好ましい。 In the formula (IV), L 13 is -CO-O- (CY 84 Y 85 ) p38- , -O -CO- (CY 84 Y 85 ) p38 -or -CO-NY 90B- (CY 84 Y 85 ) p38 -Or one of L 14 and L 15 is -CO-O- (CY 91 Y 92 ) p41 -or -O-CO- (CY 91 Y 92 ) p41- , or L 13 is -CO -O- (CY 84 Y 85 ) p38- , -O-CO- (CY 84 Y 85 ) p38 -or -CO-NY 89B- (CY 84 Y 85 ) p38- , of L 14 and L 15 One is -CO-O- (CY 91 Y 92 ) p41 -or -O-CO- (CY 91 Y 92 ) p41- , or L 14 and L 15 are the same or different and -CO-O- (CY 91 Y 92 ) p41 -or -O-CO- (CY 91 Y 92 ) p41- or L 13 is -CO-O- (CY 84 Y 85 ) p38- , -O-CO- (CY 84 Y 85 ) p38 -or -CO-NY 89B- (CY 84 Y 85 ) p38- , and L 14 and L 15 are the same or different -CO-O- (CY 91 Y 92 ) p41 -or -O-CO More preferably,-(CY 91 Y 92 ) p41- and R 10 to R 12 are linear or branched C15-C20 alkenyl or C9-C18 alkyl. R 11 and R 12 are preferably the same.
L13が、存在しないか、-O-(CY84Y85)p38-、-NY90A-(CY84Y85)p38-、-O-CO-(CY84Y85)p38-、-NY90C-CO-(CY84Y85)p38-または-NY90D-CO-0-(CY84Y85)p38-である場合には、R10はオクチル、デシル、ドデシル、テトラデシル、ヘキサデシル、オクタデシル、イコシル、ドコシル、テトラコシル、(Z)-テトラデカ-9-エニル、(Z)-ヘキサデカ-9-エニル、(Z)-オクタデカ-6-エニル、(Z)-オクタデカ-9-エニル、(E)-オクタデカ-9-エニル、(Z)-オクタデカ-11-エニル、(9Z,12Z)-オクタデカ-9,12-ジエニル、(9Z,12Z,15Z)-オクタデカ-9,12,15-トリエニル、(Z)-イコサ-11-エニル、(11Z,14Z)-イコサ-11,14-ジエニル、3,7,11-トリメチルドデカ-2,6,10-トリエニルまたは3,7,11,15-テトラメチルヘキサデカ-2-エニルであることが好ましく、ドデシル、テトラデシル、ヘキサデシル、(Z)-ヘキサデカ-9-エニル、(Z)-オクタデカ-6-エニル、(Z)-オクタデカ-9-エニルまたは(9Z,12Z)-オクタデカ-9,12-ジエニルであることがより好ましい。 L 13 is absent, -O- (CY 84 Y 85) p38 -, - NY 90A - (CY 84 Y 85) p38 -, - O-CO- (CY 84 Y 85) p38 -, - NY 90C -CO- (CY 84 Y 85) p38 - or -NY 90D -CO-0- (CY 84 Y 85) p38 - if it is in, R 10 is octyl, decyl, dodecyl, tetradecyl, hexadecyl, octadecyl, eicosyl , Docosyl, tetracosyl, (Z) -tetradec-9-enyl, (Z) -hexadeca-9-enyl, (Z) -octadeca-6-enyl, (Z) -octadeca-9-enyl, (E) -octadeca -9-enyl, (Z) -octadeca-11-enyl, (9Z, 12Z) -octadeca-9,12-dienyl, (9Z, 12Z, 15Z) -octadeca-9,12,15-trienyl, (Z) -Icosa-11-enyl, (11Z, 14Z) -icosa-11,14-dienyl, 3,7,11-trimethyldodeca-2,6,10-trienyl or 3,7,11,15-tetramethylhexadeca -2-enyl is preferred, dodecyl, tetradecyl, hexadecyl, (Z) -hexadec-9-enyl, (Z) -o Tateshina 6-enyl, (Z) - octadec-9-enyl or (9Z, 12Z) - and more preferably octadeca-9,12-dienyl.
L13が、-CO-O-(CY84Y85)p38-または-CO-NY90B-(CY84Y85)p38-である場合には、R10はノニル、ウンデシル、トリデシル、ペンタデシル、ヘプタデシル、ノナデシル、ヘニコシル、トリコシル、(Z)-トリデカ-8-エニル、(Z)-ペンタデカ-8-エニル、(Z)-ヘプタデカ-5-エニル、(Z)-ヘプタデカ-8-エニル、(E)-ヘプタデカ-8-エニル、(Z)-ヘプタデカ-10-エニル、(8Z,11Z)-ヘプタデカ-8,11-ジエニル、(8Z,11Z,14Z)-オクタデカ-8,11,14-トリエニル、(Z)-ノナデカ-10-エニル、(10Z,13Z)-ノナデカ-10,13-ジエニル、(11Z,14Z)-イコサ-11,14-ジエニル、2,6,10-トリメチルウンデカ-1,5,9-トリエニルまたは2,6,10,14-テトラメチルペンタデカ-1-エニルであることがより好ましく、ウンデシル、トリデシル、ペンタデシル、(Z)-ペンタデカ-8-エニル、(Z)-ヘプタデカ-5-エニル、(Z)-ヘプタデカ-8-エニルまたは(8Z,11Z)-ヘプタデカ-8,11-ジエニルであることがさらに好ましい。 When L 13 is -CO-O- (CY 84 Y 85 ) p38 -or -CO-NY 90B- (CY 84 Y 85 ) p38- , R 10 is nonyl, undecyl, tridecyl, pentadecyl, heptadecyl , Nonadecyl, henicosyl, tricosyl, (Z) -tridec-8-enyl, (Z) -pentadeca-8-enyl, (Z) -heptadeca-5-enyl, (Z) -heptadeca-8-enyl, (E) -Heptadeca-8-enyl, (Z) -heptadeca-10-enyl, (8Z, 11Z) -heptadeca-8,11-dienyl, (8Z, 11Z, 14Z) -octadeca-8,11,14-trienyl, ( Z) -nonadeca-10-enyl, (10Z, 13Z) -nonadeca-10,13-dienyl, (11Z, 14Z) -icosa-11,14-dienyl, 2,6,10-trimethylundeca-1,5 , 9-trienyl or 2,6,10,14-tetramethylpentadec-1-enyl, undecyl, tridecyl, pentadecyl, (Z) -pentadec-8-enyl, (Z) -heptadeca- 5-enyl, (Z) -heptadeca-8-enyl or (8Z, 11Z More preferred is) -heptadeca-8,11-dienyl.
また、L14およびL15の少なくとも1つが、存在しないか、-O-(CY91Y92)p41-、-NY97A-(CY91Y92)p41-、-O-CO-(CY91Y92)p41-、-NY97C-CO-(CY91Y92)p41-または-NY97D-CO-0-(CY91Y92)p41-である場合には、J3、-O-(CY91Y92)p41-、-NY97A-(CY91Y92)p41-、-O-CO-(CY91Y92)p41-、-NY97C-CO-(CY91Y92)p41-または-NY97D-CO-0-(CY91Y92)p41-に結合するR11およびR12は、同一または異なって、それぞれオクチル、デシル、ドデシル、テトラデシル、ヘキサデシル、オクタデシル、イコシル、ドコシル、テトラコシル、(Z)-テトラデカ-9-エニル、(Z)-ヘキサデカ-9-エニル、(Z)-オクタデカ-6-エニル、(Z)-オクタデカ-9-エニル、(E)-オクタデカ-9-エニル、(Z)-オクタデカ-11-エニル、(9Z,12Z)-オクタデカ-9,12-ジエニル、(9Z,12Z,15Z)-オクタデカ-9,12,15-トリエニル、(Z)-イコサ-11-エニル、(11Z,14Z)-イコサ-11,14-ジエニル、3,7,11-トリメチルドデカ-2,6,10-トリエニルまたは3,7,11,15-テトラメチルヘキサデカ-2-エニルであることがより好ましく、ドデシル、テトラデシル、ヘキサデシル、(Z)-ヘキサデカ-9-エニル、(Z)-オクタデカ-6-エニル、(Z)-オクタデカ-9-エニルまたは(9Z,12Z)-オクタデカ-9,12-ジエニルであることがさらに好ましい。 Further, at least one of L 14 and L 15, absent, -O- (CY 91 Y 92) p41 -, - NY 97A - (CY 91 Y 92) p41 -, - O-CO- (CY 91 Y 92 ) p41- , -NY 97C -CO- (CY 91 Y 92 ) p41 -or -NY 97D -CO-0- (CY 91 Y 92 ) p41- , J 3 , -O- (CY 91 Y 92) p41 -, - NY 97A - (CY 91 Y 92) p41 -, - O-CO- (CY 91 Y 92) p41 -, - NY 97C -CO- (CY 91 Y 92) p41 - or - NY 97D -CO-0- (CY 91 Y 92) p41 - R 11 and R 12 bound to the same or different, octyl respectively, decyl, dodecyl, tetradecyl, hexadecyl, octadecyl, eicosyl, docosyl, tetracosyl, ( (Z) -tetradec-9-enyl, (Z) -hexadeca-9-enyl, (Z) -octadeca-6-enyl, (Z) -octadeca-9-enyl, (E) -octadeca-9-enyl, ( Z) -octadeca-11-enyl, (9Z, 12Z) -octadeca-9,12-dienyl, (9Z, 12Z, 15Z) -octadeca-9,12,15-trienyl, (Z) -icosa-11-enyl , (11Z, 14Z)- More preferred is icosa-11,14-dienyl, 3,7,11-trimethyldodeca-2,6,10-trienyl or 3,7,11,15-tetramethylhexadec-2-enyl, dodecyl, Tetradecyl, hexadecyl, (Z) -hexadec-9-enyl, (Z) -octadeca-6-enyl, (Z) -octadeca-9-enyl or (9Z, 12Z) -octadec-9,12-dienyl Is more preferable.
L14およびL15の少なくとも1つが、-CO-O-(CY91Y92)p41-または-CO-NY97B(CY91Y92)p41-である場合には、-CO-O-(CY91Y92)p41-または-CO-NY97B(CY91Y92)p41-に結合するR11およびR12は、同一または異なって、それぞれノニル、ウンデシル、トリデシル、ペンタデシル、ヘプタデシル、ノナデシル、ヘニコシル、トリコシル、(Z)-トリデカ-8-エニル、(Z)-ペンタデカ-8-エニル、(Z)-ヘプタデカ-5-エニル、(Z)-ヘプタデカ-8-エニル、(E)-ヘプタデカ-8-エニル、(Z)-ヘプタデカ-10-エニル、(8Z,11Z)-ヘプタデカ-8,11-ジエニル、(8Z,11Z,14Z)-オクタデカ-8,11,14-トリエニル、(Z)-ノナデカ-10-エニル、(10Z,13Z)-ノナデカ-10,13-ジエニル、(11Z,14Z)-イコサ-11,14-ジエニル、2,6,10-トリメチルウンデカ-1,5,9-トリエニルまたは2,6,10,14-テトラメチルペンタデカ-1-エニルであることがより好ましく、ウンデシル、トリデシル、ペンタデシル、(Z)-ペンタデカ-8-エニル、(Z)-ヘプタデカ-5-エニル、(Z)-ヘプタデカ-8-エニルまたは(8Z,11Z)-ヘプタデカ-8,11-ジエニルであることがさらに好ましい。 If at least one of L 14 and L 15 is -CO-O- (CY 91 Y 92 ) p41 -or -CO-NY 97B (CY 91 Y 92 ) p41- , -CO-O- (CY 91 Y 92) p41 - or -CO-NY 97B (CY 91 Y 92) p41 - R 11 and R 12 bind to the same or different and nonyl respectively, undecyl, tridecyl, pentadecyl, heptadecyl, nonadecyl, henicosyl, Tricosyl, (Z) -Tridec-8-enyl, (Z) -pentadeca-8-enyl, (Z) -heptadeca-5-enyl, (Z) -heptadeca-8-enyl, (E) -heptadeca-8- Enyl, (Z) -heptadeca-10-enyl, (8Z, 11Z) -heptadeca-8,11-dienyl, (8Z, 11Z, 14Z) -octadeca-8,11,14-trienyl, (Z) -nonadeca- 10-enyl, (10Z, 13Z) -nonadeca-10,13-dienyl, (11Z, 14Z) -icosa-11,14-dienyl, 2,6,10-trimethylundeca-1,5,9-trienyl or More preferably 2,6,10,14-tetramethylpentadec-1-enyl, Ndecyl, tridecyl, pentadecyl, (Z) -pentadec-8-enyl, (Z) -heptadec-5-enyl, (Z) -heptadec-8-enyl or (8Z, 11Z) -heptadec-8,11-dienyl More preferably it is.
L16は存在しないか、-(CY98Y99)p44-、-(CY100Y101)p45-Z29-(CY102Y103)p46-または-(CY104Y105)p47-Z30-(CY106Y107)p48-Z31-(CY108Y109)p49-であり、存在しないか、-(CY98Y99)p44-または-(CY100Y101)p45-Z29-(CY102Y103)p46-であることが好ましく、存在しないか、-(CY98Y99)p44-、-(CY100Y101)p45-O-CO-(CY102Y103)p46-、-(CY100Y101)p45-NY109C-CO-(CY102Y103)p46-または-CO-(CY102Y103)p46-であることがより好ましく、存在しないか、-(CH2)p44-または-CO-(CH2)p46-であることがさらに好ましい。 Or L 16 is absent, - (CY 98 Y 99) p44 -, - (CY 100 Y 101) p45 -Z 29 - (CY 102 Y 103) p46 - or - (CY 104 Y 105) p47 -Z 30 - (CY 106 Y 107) p48 -Z 31 - (CY 108 Y 109) p49 - a is absent, - (CY 98 Y 99) p44 - or - (CY 100 Y 101) p45 -Z 29 - (CY 102 Y 103 ) p46- , preferably absent,-(CY 98 Y 99 ) p44 -,-(CY 100 Y 101 ) p45 -O-CO- (CY 102 Y 103 ) p46 -,-( CY 100 Y 101 ) p45 -NY 109C -CO- (CY 102 Y 103 ) p46 -or -CO- (CY 102 Y 103 ) p46- is more preferable and absent or- (CH 2 ) p44- or -CO- (CH 2) p46 - it is more preferable.
J3はCY111またはNであり、CHまたはNが好ましい。また、J3がNであるとき、L14が存在せず、L15が-CO-であり、L16は存在しないか、もしくは-(CY98Y99)p44-であるか、またはL14が存在せず、L15が存在せず、L16は-CO-(CY102Y103)p46-であることがより好ましい。 J 3 is CY 111 or N, preferably CH or N. Also, when J 3 is N, L 14 is not present, L 15 is -CO-, L 16 is not present, or-(CY 98 Y 99 ) p44- or L 14 More preferably, L 15 is not present, and L 16 is —CO— (CY 102 Y 103 ) p46 —.
X14およびX15は、それぞれ前記X2およびX3と同義である。 X 14 and X 15 have the same meanings as X 2 and X 3 , respectively.
式(V’)において、R13は直鎖状または分岐状のC8-C24アルキルもしくはC8-C24アルケニルであることが好ましく、直鎖状もしくは分岐状のC15-C20アルケニルであるか、または直鎖状もしくは分岐状のC9-C18アルキルであることがより好ましく、直鎖状のC15-C20アルケニルであるか、または直鎖状のC9-C18アルキルであることが最も好ましい。R14およびR15は、直鎖状または分岐状のC8-C24アルキル、C8-C24アルケニルもしくはC8-C24アルキニルであり、かつ同一であることが好ましく、直鎖状もしくは分岐状のC15-C20アルケニルであるか、または直鎖状もしくは分岐状のC9-C18アルキルであり、かつ同一であることがより好ましく、直鎖状のC15-C20アルケニルであるか、または直鎖状のC9-C18アルキルであり、かつ同一であることが最も好ましい。 In the formula (V ′), R 13 is preferably linear or branched C8-C24 alkyl or C8-C24 alkenyl, linear or branched C15-C20 alkenyl, or linear It is more preferably a linear or branched C9-C18 alkyl, most preferably a linear C15-C20 alkenyl, or most preferably a linear C9-C18 alkyl. R 14 and R 15 are linear or branched C8-C24 alkyl, C8-C24 alkenyl or C8-C24 alkynyl, and are preferably the same, linear or branched C15-C20 alkenyl. Or a linear or branched C9-C18 alkyl and more preferably the same, a linear C15-C20 alkenyl, or a linear C9-C18 alkyl. Most preferably, they are identical.
L17~L19は、同一または異なって存在しないか、-Z32-(CY116Y117)p51-または-Z33-(CY118Y119)p52-Z34-(CY120Y121)p53-であり、-Z32-(CY116Y117)p51-であることが好ましく、-O-(CY116Y117)p51-または-CO-O-(CY116Y117)p51-であることがより好ましく、-O-または-CO-O-であることがさらに好ましい。 L 17 ~ L 19 is absent same or different, -Z 32 - (CY 116 Y 117) p51 - or -Z 33 - (CY 118 Y 119 ) p52 -Z 34 - (CY 120 Y 121) p53 -Z, -Z 32- (CY 116 Y 117 ) p51- , preferably -O- (CY 116 Y 117 ) p51 -or -CO-O- (CY 116 Y 117 ) p51- Is more preferable, and —O— or —CO—O— is more preferable.
式(V’)において、L17~L19が同一または異なって-O-または-CO-O-であり、R13~R15が直鎖のC15-C20アルケニルまたはC9-C18アルキルであることが好ましい。この時、L17~L19が同一に-O-または-CO-O-であり、R13~R15が同一に直鎖のC15-C20アルケニルまたはC9-C18アルキルであることが好ましい。 In Formula (V ′), L 17 to L 19 are the same or different and are —O— or —CO—O—, and R 13 to R 15 are linear C15-C20 alkenyl or C9-C18 alkyl. Is preferred. At this time, it is preferable that L 17 to L 19 are identically —O— or —CO—O—, and R 13 to R 15 are identically linear C15-C20 alkenyl or C9-C18 alkyl.
L17~L19の少なくとも1つが、存在しないか、-O-(CY116Y117)p51-、-O-CO-(CY116Y117)p51-、-NY122C-CO-(CY116Y117)p518-または-NY122D-CO-0-(CY116Y117)p51-である場合には、フラノース環もしくはL20に隣接する炭素、-O-(CY116Y117)p51-、-O-CO-(CY116Y117)p51-、-NY122C-CO-(CY116Y117)p518-または-NY122D-CO-0-(CY116Y117)p51-に結合するR13~R15は、同一または異なって、それぞれオクチル、デシル、ドデシル、テトラデシル、ヘキサデシル、オクタデシル、イコシル、ドコシル、テトラコシル、(Z)-テトラデカ-9-エニル、(Z)-ヘキサデカ-9-エニル、(Z)-オクタデカ-6-エニル、(Z)-オクタデカ-9-エニル、(E)-オクタデカ-9-エニル、(Z)-オクタデカ-11-エニル、(9Z,12Z)-オクタデカ-9,12-ジエニル、(9Z,12Z,15Z)-オクタデカ-9,12,15-トリエニル、(Z)-イコサ-11-エニル、(11Z,14Z)-イコサ-11,14-ジエニル、3,7,11-トリメチルドデカ-2,6,10-トリエニル、3,7,11,15-テトラメチルヘキサデカ-2-エニル等であることが好ましく、ドデシル、テトラデシル、ヘキサデシル、(Z)-ヘキサデカ-9-エニル、(Z)-オクタデカ-6-エニル、(Z)-オクタデカ-9-エニル、(9Z,12Z)-オクタデカ-9,12-ジエニル等であることがさらに好ましい。 At least one of L 17 to L 19 does not exist or is -O- (CY 116 Y 117 ) p51- , -O-CO- (CY 116 Y 117 ) p51- , -NY 122C -CO- (CY 116 Y 117) P518 - or -NY 122D -CO-0- (CY 116 Y 117) p51 - a if the carbon adjacent to the furanose ring or L 20, -O- (CY 116 Y 117) p51 -, - O-CO- (CY 116 Y 117 ) p51 -, - NY 122C -CO- (CY 116 Y 117) p518 - or -NY 122D -CO-0- (CY 116 Y 117) p51 - binding to R 13 ~ R 15 is the same or different and is octyl, decyl, dodecyl, tetradecyl, hexadecyl, octadecyl, icosyl, docosyl, tetracosyl, (Z) -tetradec-9-enyl, (Z) -hexadec-9-enyl, (Z ) -Octadeca-6-enyl, (Z) -octadeca-9-enyl, (E) -octadeca-9-enyl, (Z) -octadeca-11-enyl, (9Z, 12Z) -octadeca-9,12- Dienyl, (9Z, 12Z, 15Z) -octadeca-9,12,15-trienyl, (Z) -icosa-11-enyl, (11Z, 14Z) -ico -11,14-dienyl, 3,7,11-trimethyldodeca-2,6,10-trienyl, 3,7,11,15-tetramethylhexadec-2-enyl, etc., preferably dodecyl, tetradecyl , Hexadecyl, (Z) -hexadec-9-enyl, (Z) -octadeca-6-enyl, (Z) -octadeca-9-enyl, (9Z, 12Z) -octadec-9,12-dienyl, etc. Is more preferable.
L17~L19の少なくとも1つが、-CO-O-(CY116Y117)p51-、-CO-NY122B-(CY116Y117)p51-または-CO-(CY116Y117)p51-である場合には、-CO-O-(CY116Y117)p51-、-CO-NY122B-(CY116Y117)p51-または-CO-(CY116Y117)p51-に結合するR13~R15は、同一または異なって、それぞれノニル、ウンデシル、トリデシル、ペンタデシル、ヘプタデシル、ノナデシル、ヘニコシル、トリコシル、(Z)-トリデカ-8-エニル、(Z)-ペンタデカ-8-エニル、(Z)-ヘプタデカ-5-エニル、(Z)-ヘプタデカ-8-エニル、(E)-ヘプタデカ-8-エニル、(Z)-ヘプタデカ-10-エニル、(8Z,11Z)-ヘプタデカ-8,11-ジエニル、(8Z,11Z,14Z)-オクタデカ-8,11,14-トリエニル、(Z)-ノナデカ-10-エニル、(10Z,13Z)-ノナデカ-10,13-ジエニル、(11Z,14Z)-イコサ-11,14-ジエニル、2,6,10-トリメチルウンデカ-1,5,9-トリエニル、2,6,10,14-テトラメチルペンタデカ-1-エニルであることが好ましく、ウンデシル、トリデシル、ペンタデシル、(Z)-ペンタデカ-8-エニル、(Z)-ヘプタデカ-5-エニル、(Z)-ヘプタデカ-8-エニル、(8Z,11Z)-ヘプタデカ-8,11-ジエニル等であることがさらに好ましい。 At least one of L 17 to L 19 is -CO-O- (CY 116 Y 117 ) p51- , -CO-NY 122B- (CY 116 Y 117 ) p51 -or -CO- (CY 116 Y 117 ) p51- R is bound to -CO-O- (CY 116 Y 117 ) p51- , -CO-NY 122B- (CY 116 Y 117 ) p51 -or -CO- (CY 116 Y 117 ) p51- 13 to R 15 are the same or different and are each nonyl, undecyl, tridecyl, pentadecyl, heptadecyl, nonadecyl, henicosyl, tricosyl, (Z) -tridec-8-enyl, (Z) -pentadec-8-enyl, (Z ) -Heptadeca-5-enyl, (Z) -heptadeca-8-enyl, (E) -heptadeca-8-enyl, (Z) -heptadeca-10-enyl, (8Z, 11Z) -heptadeca-8,11- Dienyl, (8Z, 11Z, 14Z) -octadeca-8,11,14-trienyl, (Z) -nonadec-10-enyl, (10Z, 13Z) -nonadec-10,13-dienyl, (11Z, 14Z)- Icosa-11,14-dienyl, 2,6,10-trimethylundeca-1,5,9-trienyl, 2,6,10,14-tetramethylpentadeca 1-enyl is preferred, undecyl, tridecyl, pentadecyl, (Z) -pentadec-8-enyl, (Z) -heptadeca-5-enyl, (Z) -heptadeca-8-enyl, (8Z, 11Z More preferred is) -heptadeca-8,11-dienyl.
L20は、存在しないか、-(CY123Y124)p54-、-(CY125Y126)p55-Z35-(CY127Y128)p56-または-(CY129Y130)p57-Z36-(CY131Y132)p58-Z37-(CY133Y134)p59-であり、-(CY123Y124)p54-であることが好ましく、-(CH2)p54-であることがより好ましく、-CH2-であることがさらに好ましい。 L 20 is absent, - (CY 123 Y 124) p54 -, - (CY 125 Y 126) p55 -Z 35 - (CY 127 Y 128) p56 - or - (CY 129 Y 130) p57 -Z 36 - (CY 131 Y 132) p58 -Z 37 - (CY 133 Y 134) p59 - a and, - is preferably, - - (CY 123 Y 124 ) p54 (CH 2) p54 - a is more Preferably, it is —CH 2 —.
L21は、存在しないか、-(CY136Y137)p60-、-(CY138Y139)p61-Z38-(CY140Y141)p62-または-(CY142Y143)p63-Z39-(CY144Y145)p64-Z40-(CY146Y147)p65-であり、存在しないかまたは-(CY136Y137)p60-であること好ましく、存在しないかまたは-(CH2)p60-であることがより好ましく、存在しないことがさらに好ましい。 L 21 is absent, - (CY 136 Y 137) p60 -, - (CY 138 Y 139) p61 -Z 38 - (CY 140 Y 141) p62 - or - (CY 142 Y 143) p63 -Z 39 -(CY 144 Y 145 ) p64 -Z 40- (CY 146 Y 147 ) p65- , preferably absent or- (CY 136 Y 137 ) p60- , absent or- (CH 2 ) More preferred is p60 -and even more preferred is absent.
B3は、
Y112およびY113は、同一または異なって水素原子、ヒドロキシまたは置換されていても良いC1-C4アルキルであり、同一または異なって水素原子またはヒドロキシが好ましく、同一に水素原子がさらに好ましい。 Y 112 and Y 113 are the same or different and are a hydrogen atom, hydroxy or optionally substituted C1-C4 alkyl, the same or different, preferably a hydrogen atom or hydroxy, and more preferably a hydrogen atom.
式(V’’)において、R16~R18、L22~L26、B4、Y114~Y115およびA6は、それぞれR13~R15、L17~L21、B3、Y112~Y113およびA5と同義である。 In the formula (V ''), R 16 to R 18 , L 22 to L 26 , B 4 , Y 114 to Y 115 and A 6 are R 13 to R 15 , L 17 to L 21 , B 3 and Y, respectively. 112 to Y 113 and A 5 are synonymous.
式(V’)において、Y112が水素原子であるとき、ピラン環上の4つの置換基はそれぞれピラン環上の異なる炭素原子上で置換していることが好ましい。そして、式(V’)としては、
式(V’’)において、フラン環上の4つの置換基はそれぞれフラン環上の異なる炭素原子上で置換していることが好ましい。そして、式(V’’)としては、
なお、式B1、B2、B3およびB4の定義における、
本発明の核酸含有脂質ナノ粒子には、1つの4級アンモニウム基を有する親水部および置換されていても良い独立した3つの炭化水素基を有する脂質(脂質A)以外のカチオン性脂質が含まれていても良い。本発明で用いられる脂質A以外のカチオン性脂質は、1以上の置換されていても良い炭化水素基を含む脂質親和性領域と、少なくとも1つの1級アミノ基、2級アミノ基、3級アミノ基および/または4級アンモニウム基を含むカチオン性の親水性領域を有する両親媒性分子であれば特に限定されないが(脂質Aを除く)、置換されていても良い1つのアミノ基または1つの4級アンモニウム基を有する親水部および置換されていても良い独立した2つの炭化水素基を有する疎水部を同一分子内に含む脂質(脂質B)が好ましい。 The nucleic acid-containing lipid nanoparticles of the present invention include a cationic lipid other than a lipid having a hydrophilic part having one quaternary ammonium group and three independent hydrocarbon groups which may be substituted (lipid A). May be. Cationic lipids other than lipid A used in the present invention include a lipophilic region containing one or more optionally substituted hydrocarbon groups, at least one primary amino group, secondary amino group, and tertiary amino group. Any amphiphilic molecule having a cationic hydrophilic region containing a group and / or a quaternary ammonium group (except for lipid A), one amino group or one 4 which may be substituted A lipid (lipid B) containing a hydrophilic part having a quaternary ammonium group and a hydrophobic part having two optionally substituted independent hydrocarbon groups in the same molecule is preferred.
本発明における、置換されていても良い1つのアミノ基または1つの4級アンモニウム基を有する親水部および置換されていても良い独立した2つの炭化水素基を有する疎水部を同一分子内に含む脂質(脂質B)としては、分子内に親水部として置換されていても良い1つのアミノ基または1つの4級アンモニウム基を有し、かつ置換されていても良い独立した2つの炭化水素基を有する分子であれば特に制限されないが、例えば、下記構造式(D)および(E)で表される。
下記構造式(D)および(E)において、「親水部(Hydrophilic Unit)」は、置換されていても良い1つのアミノ基または1つの4級アンモニウム基を有する親水部を表し、「疎水部(Hydrophobic Unit)」は、置換されていても良い独立した炭化水素基を表す。
In the present invention, a lipid having a hydrophilic part having one amino group or one quaternary ammonium group which may be substituted and a hydrophobic part having two independent hydrocarbon groups which may be substituted in the same molecule (Lipid B) has one amino group or one quaternary ammonium group that may be substituted as a hydrophilic part in the molecule, and two independent hydrocarbon groups that may be substituted. Although it will not be restrict | limited especially if it is a molecule | numerator, For example, it represents with following Structural formula (D) and (E).
In the following structural formulas (D) and (E), “hydrophilic unit” represents a hydrophilic part having one amino group or one quaternary ammonium group which may be substituted, and “hydrophobic part ( Hydrophobic Unit) "represents an independent hydrocarbon group which may be substituted.
「親水部(Hydrophilic Unit)」を構成するアミノ基は、その3つの結合手のうちの0~2個が、「疎水部(Hydrophobic Unit)」を形成する炭化水素基のいずれか0~2個と結合しており、残りの結合手が、水素、もしくは、置換されていても良い鎖状および/または環状炭化水素基等と結合している。
また、「親水部(Hydrophilic Unit)」を構成する4級アンモニウム基は、その4つの結合手のうちの0~2個が、「疎水部(Hydrophobic Unit)」を形成する炭化水素基のいずれか0~2個と結合しており、残りの結合手が、水素、もしくは、置換されていても良い鎖状および/または環状炭化水素基等と結合している。
「親水部(Hydrophilic Unit)」を構成する置換されていても良い鎖状および/または環状炭化水素基としては、炭素原子と水素原子とからなる基であればいずれでも良いが、炭素数1~10のものが好ましく、炭素数1~6のものがより好ましく、炭素数1~3のものがさらに好ましい。
The amino group constituting the “Hydrophilic Unit” has 0 to 2 of the three bonds, and 0 to 2 hydrocarbon groups forming the “Hydrophobic Unit”. And the remaining bonds are bonded to hydrogen or an optionally substituted chain and / or cyclic hydrocarbon group.
In addition, the quaternary ammonium group constituting the “hydrophilic unit” is one of hydrocarbon groups in which 0 to 2 of the four bonds form a “hydrophobic unit”. 0 to 2 bonds are bonded, and the remaining bond is bonded to hydrogen or an optionally substituted chain and / or cyclic hydrocarbon group.
The optionally substituted chain and / or cyclic hydrocarbon group constituting the “hydrophilic unit” may be any group consisting of a carbon atom and a hydrogen atom. Those having 10 carbon atoms are preferable, those having 1 to 6 carbon atoms are more preferable, and those having 1 to 3 carbon atoms are more preferable.
また、「親水部(Hydrophilic Unit)」は、これを構成する置換されていても良い鎖状および/または環状炭化水素基等中の炭素原子を介して、1以上のエーテル、エステル、アミド等を有していてもよい。さらに、置換されていても良い鎖状および/または環状炭化水素基等における置換基としては、カルバマート、アミノ、モノアルキルアミノ、ジアルキルアミノ、ピロリジン-2-イル、ピロリジン-3-イル、ピペリジン-2-イル、ピペリジン-3-イル、ピペリジン-4-イル、モルホリン-2-イル、モルホリン-3-イル、ヒドロキシ、アルコキシ、アルコキシカルボニル、ヒドロキシカルボニル、カルバモイル、モノアルキルカルバモイル、ジアルキルカルバモイル、ニトロ、シアノ、フルオロ、クロロ、もしくはブロモ等が挙げられる。 In addition, the “hydrophilic unit” refers to one or more ethers, esters, amides and the like via carbon atoms in the chain and / or cyclic hydrocarbon group which may be substituted. You may have. Furthermore, examples of the substituent in the linear and / or cyclic hydrocarbon group which may be substituted include carbamate, amino, monoalkylamino, dialkylamino, pyrrolidin-2-yl, pyrrolidin-3-yl, and piperidine-2. -Yl, piperidin-3-yl, piperidin-4-yl, morpholin-2-yl, morpholin-3-yl, hydroxy, alkoxy, alkoxycarbonyl, hydroxycarbonyl, carbamoyl, monoalkylcarbamoyl, dialkylcarbamoyl, nitro, cyano, Examples include fluoro, chloro, or bromo.
また、「疎水部(Hydrophobic Unit)」を形成する炭化水素基としては、8~24個の炭素原子と水素原子とからなる基であればいずれでも良い。炭化水素基は、トポロジーの観点から分類することができ、例えば、直鎖の炭化水素基、分岐状の炭化水素基または環状の炭化水素基(例えば、コレステリル基等)が挙げられるが、直鎖状または分岐状の炭化水素基が好ましい。また、炭化水素基は、不飽和結合(2重結合または3重結合)の有無で分類することもでき、不飽和結合を有する炭化水素基は、芳香族性の有無で分類することもできる。炭化水素基としては、飽和結合のみからなる炭化水素基(アルキル)または不飽和結合を有しかつ芳香族性の無い炭化水素基(例えば、アルケニルまたはアルキニル等)が好ましい。脂質Aにおける炭化水素基としては、直鎖状または分岐状のC8-C24アルキル、C8-C24アルケニル、C8-C24アルキニルが好ましい。 In addition, the hydrocarbon group forming the “hydrophobic unit” may be any group consisting of 8 to 24 carbon atoms and hydrogen atoms. The hydrocarbon group can be classified from the viewpoint of topology, and examples thereof include a linear hydrocarbon group, a branched hydrocarbon group, or a cyclic hydrocarbon group (for example, a cholesteryl group). A branched or branched hydrocarbon group is preferred. In addition, the hydrocarbon group can be classified by the presence or absence of an unsaturated bond (double bond or triple bond), and the hydrocarbon group having an unsaturated bond can also be classified by the presence or absence of aromaticity. As the hydrocarbon group, a hydrocarbon group consisting of only a saturated bond (alkyl) or a hydrocarbon group having an unsaturated bond and having no aromaticity (for example, alkenyl or alkynyl) is preferable. The hydrocarbon group in lipid A is preferably linear or branched C8-C24 alkyl, C8-C24 alkenyl, C8-C24 alkynyl.
「疎水部(Hydrophobic Unit)」を形成する炭化水素基は、それぞれ「親水部(Hydrophilic Unit)」のアミノ基または4級アンモニウム基と直接結合しても良いし、エーテル、エステル、アミド等の結合および「親水部」を構成する置換基を有していてもよい鎖状ならびに/もしくは環状炭化水素基等を介してアミノ基または4級アンモニウム基と結合しても良い。また、構造式(E)で示されるように、2個の「疎水部(Hydrophobic Unit)」を形成する炭化水素基が、炭素原子を介して結合し、その炭素原子が「親水部(Hydrophilic Unit)」のアミノ基または4級アンモニウム基と直接または、エーテル、エステル、アミド等の結合および「親水部」を構成する置換基を有していてもよい鎖状ならびに/もしくは環状炭化水素基等を介してアミノ基または4級アンモニウム基と結合しても良い。 The hydrocarbon group forming the “Hydrophobic Unit” may be directly bonded to the amino group or quaternary ammonium group of the “Hydrophilic Unit”, or may be a bond such as ether, ester or amide. And may be bonded to an amino group or a quaternary ammonium group via a chain and / or a cyclic hydrocarbon group which may have a substituent constituting the “hydrophilic part”. Further, as shown in the structural formula (E), hydrocarbon groups forming two “hydrophobic units” are bonded via a carbon atom, and the carbon atom is “hydrophilic unit”. ) "Amino group or quaternary ammonium group, or a chain and / or cyclic hydrocarbon group which may have a substituent such as a bond of ether, ester, amide or the like and a" hydrophilic part " And may be bonded to an amino group or a quaternary ammonium group.
本発明で用いられる脂質A以外のカチオン性脂質としては、例えば、国際公開第2013/089151号、国際公開第2011/136368号、国際公開第2014/007398号、国際公開第2010/042877号または国際公開第2010/054401号に記載のカチオン性脂質等が挙げられる。 Examples of cationic lipids other than lipid A used in the present invention include, for example, International Publication No. 2013/089151, International Publication No. 2011/136368, International Publication No. 2014/007398, International Publication No. 2010/042877 or International Publication No. And cationic lipids described in JP 2010/054401 A.
本発明で用いられる脂質Bとしては、例えば、
式(CL-I)
As lipid B used in the present invention, for example,
Formula (CL-I)
R101およびR102は同一または異なって直鎖状または分岐状のC10-C24アルキル、C10-C24アルケニルもしくはC10-C24アルキニルであり、
L101およびL102は水素原子であるか、または一緒になって単結合もしくはC1-C3アルキレンを形成し、
L103は単結合、-CO-または-CO-O-であり、
L103が単結合である場合には、
X101は水素原子、C1-C6アルキル、C3-C6アルケニル、ピロリジン-3-イル、ピペリジン-3-イル、ピペリジン-4-イル、または同一もしくは異なって1~3つのアミノ、モノアルキルアミノ、ジアルキルアミノ、トリアルキルアンモニオ、ヒドロキシ、アルコキシ、カルバモイル、モノアルキルカルバモイル、ジアルキルカルバモイル、ピロリジニル、ピペリジルもしくはモルホリニルで置換されたC1-C6アルキルもしくはC3-C6アルケニルであり、
L103が-CO-または-CO-O-である場合には、
X101はピロリジン-2-イル、ピロリジン-3-イル、ピペリジン-2-イル、ピペリジン-3-イル、ピペリジン-4-イル、モルホリン-2-イル、モルホリン-3-イル、または同一もしくは異なって1~3つのアミノ、モノアルキルアミノ、ジアルキルアミノ、トリアルキルアンモニオ、ヒドロキシ、アルコキシ、カルバモイル、モノアルキルカルバモイル、ジアルキルカルバモイル、ピロリジニル、ピペリジルもしくはモルホリニルで置換されたC1-C6アルキルもしくはC3-C6アルケニルであり、該置換基の少なくとも1つは、アミノ、モノアルキルアミノ、ジアルキルアミノ、トリアルキルアンモニオ、ピロリジニル、ピペリジルまたはモルホリニルである)、
式(CL-II)
R 101 and R 102 are the same or different and are linear or branched C10-C24 alkyl, C10-C24 alkenyl or C10-C24 alkynyl,
L 101 and L 102 are hydrogen atoms or together form a single bond or C1-C3 alkylene;
L 103 is a single bond, -CO- or -CO-O-,
When L 103 is a single bond,
X 101 is a hydrogen atom, C1-C6 alkyl, C3-C6 alkenyl, pyrrolidin-3-yl, piperidin-3-yl, piperidin-4-yl, or the same or different 1 to 3 amino, monoalkylamino, dialkyl C1-C6 alkyl or C3-C6 alkenyl substituted with amino, trialkylammonio, hydroxy, alkoxy, carbamoyl, monoalkylcarbamoyl, dialkylcarbamoyl, pyrrolidinyl, piperidyl or morpholinyl,
When L 103 is -CO- or -CO-O-
X 101 is pyrrolidin-2-yl, pyrrolidin-3-yl, piperidin-2-yl, piperidin-3-yl, piperidin-4-yl, morpholin-2-yl, morpholin-3-yl, or the same or different With 1 to 3 amino, monoalkylamino, dialkylamino, trialkylammonio, hydroxy, alkoxy, carbamoyl, monoalkylcarbamoyl, dialkylcarbamoyl, pyrrolidinyl, piperidyl or morpholinyl substituted C1-C6 alkyl or C3-C6 alkenyl And at least one of the substituents is amino, monoalkylamino, dialkylamino, trialkylammonio, pyrrolidinyl, piperidyl or morpholinyl),
Formula (CL-II)
R103およびR104は同一または異なって直鎖状または分岐状のC12-C24アルキル、C12-C24アルケニルもしくはC12-C24アルキニルであり、
p101およびp102は同一または異なって0~3の整数であり、
L106およびL107は水素原子であるか、または一緒になって単結合もしくはC2-C8アルキレンを形成し、
L104およびL105は同一または異なって-O-、-CO-O-または-O-CO-であり、
L108は単結合、-CO-または-CO-O-であり、
L108が単結合である場合には、
X102は水素原子、C1-C6アルキル、C3-C6アルケニル、ピロリジン-2-イル、ピロリジン-3-イル、ピペリジン-3-イル、ピペリジン-4-イル、または同一もしくは異なって1~3つのアミノ、モノアルキルアミノ、ジアルキルアミノ、トリアルキルアンモニオ、ヒドロキシ、アルコキシ、カルバモイル、モノアルキルカルバモイル、ジアルキルカルバモイル、ピロリジニル、ピペリジルもしくはモルホリニルで置換されたC1-C6アルキルもしくはC3-C6アルケニルであり、
L108が-CO-または-CO-O-である場合には、
X102はピロリジン-2-イル、ピロリジン-3-イル、ピペリジン-2-イル、ピペリジン-3-イル、ピペリジン-4-イル、モルホリン-2-イル、モルホリン-3-イル、または同一もしくは異なって1~3つのアミノ、モノアルキルアミノ、ジアルキルアミノ、トリアルキルアンモニオ、ヒドロキシ、アルコキシ、カルバモイル、モノアルキルカルバモイル、ジアルキルカルバモイル、ピロリジニル、ピペリジルもしくはモルホリニルで置換されたC1-C6アルキルもしくはC3-C6アルケニルであり、該置換基の少なくとも1つは、アミノ、モノアルキルアミノ、ジアルキルアミノ、トリアルキルアンモニオ、ピロリジニル、ピペリジルまたはモルホリニルである)、
式(CL-III)
R 103 and R 104 are the same or different and are linear or branched C12-C24 alkyl, C12-C24 alkenyl or C12-C24 alkynyl,
p 101 and p 102 are the same or different and are integers of 0 to 3,
L 106 and L 107 are hydrogen atoms or together form a single bond or C2-C8 alkylene;
L 104 and L 105 are the same or different and are -O-, -CO-O- or -O-CO-,
L 108 is a single bond, -CO- or -CO-O-
When L 108 is a single bond,
X 102 is a hydrogen atom, C1-C6 alkyl, C3-C6 alkenyl, pyrrolidin-2-yl, pyrrolidin-3-yl, piperidin-3-yl, piperidin-4-yl, or the same or different 1 to 3 amino acids C1-C6 alkyl or C3-C6 alkenyl substituted with monoalkylamino, dialkylamino, trialkylammonio, hydroxy, alkoxy, carbamoyl, monoalkylcarbamoyl, dialkylcarbamoyl, pyrrolidinyl, piperidyl or morpholinyl,
When L 108 is -CO- or -CO-O-
X 102 is pyrrolidin-2-yl, pyrrolidin-3-yl, piperidin-2-yl, piperidin-3-yl, piperidin-4-yl, morpholin-2-yl, morpholin-3-yl, or the same or different With 1 to 3 amino, monoalkylamino, dialkylamino, trialkylammonio, hydroxy, alkoxy, carbamoyl, monoalkylcarbamoyl, dialkylcarbamoyl, pyrrolidinyl, piperidyl or morpholinyl substituted C1-C6 alkyl or C3-C6 alkenyl And at least one of the substituents is amino, monoalkylamino, dialkylamino, trialkylammonio, pyrrolidinyl, piperidyl or morpholinyl),
Formula (CL-III)
R105は直鎖状または分岐状のC8-C24アルキル、C8-C24アルケニルもしくはC8-C24アルキニルであり、
R106は直鎖状または分岐状のC8-C24アルキル、C8-C24アルケニル、C8-C24アルキニル、C8-C24アルキルオキシエチル、C8-C24アルキルオキシプロピル、C8-C24アルケニルオキシエチル、C8-C24アルケニルオキシプロピル、C8-C24アルキニルオキシエチルもしくはC8-C24アルキニルオキシプロピルであり、
X103およびX104は同一または異なってC1-C3アルキルであるか、または一緒になってC2-C8アルキレンを形成するか、またはX103はL111と一緒になってC2-C8アルキレンを形成し、
L111は水素原子、C1-C6アルキル、C3-C6アルケニル、アミノ、モノアルキルアミノ、ヒドロキシ、アルコキシ、カルバモイル、モノアルキルカルバモイル、ジアルキルカルバモイル、または同一もしくは異なって1~3つのアミノ、モノアルキルアミノ、ヒドロキシ、アルコキシ、カルバモイル、モノアルキルカルバモイルもしくはジアルキルカルバモイルで置換されたC1-C6アルキルもしくはC3-C6アルケニルであるか、またはX103と一緒になってC2-C8アルキレンを形成し、
L109はC1-C6アルキレンであり、
L110は単結合であるか、またはC1-C6アルキレンであり、ただし、L109とL110の炭素数の和は7以下であり、L111が、水素原子の場合、L110は単結合であり、L111がX103と一緒になってC2-C6アルキレンを形成する場合、L110は単結合であるか、またはメチレンもしくはエチレンである)、
式(CL-IV)
R 105 is linear or branched C8-C24 alkyl, C8-C24 alkenyl or C8-C24 alkynyl,
R 106 is linear or branched C8-C24 alkyl, C8-C24 alkenyl, C8-C24 alkynyl, C8-C24 alkyloxyethyl, C8-C24 alkyloxypropyl, C8-C24 alkenyloxyethyl, C8-C24 alkenyl Oxypropyl, C8-C24 alkynyloxyethyl or C8-C24 alkynyloxypropyl,
X 103 and X 104 are the same or different and are C1-C3 alkyl or taken together to form C2-C8 alkylene, or X 103 is taken together with L 111 to form C2-C8 alkylene. ,
L 111 is a hydrogen atom, C1-C6 alkyl, C3-C6 alkenyl, amino, monoalkylamino, hydroxy, alkoxy, carbamoyl, monoalkylcarbamoyl, dialkylcarbamoyl, or the same or different 1 to 3 amino, monoalkylamino, C1-C6 alkyl or C3-C6 alkenyl substituted with hydroxy, alkoxy, carbamoyl, monoalkylcarbamoyl or dialkylcarbamoyl, or together with X 103 to form C2-C8 alkylene;
L 109 is C1-C6 alkylene,
L 110 is a single bond or C1-C6 alkylene, provided that the sum of the carbon numbers of L 109 and L 110 is 7 or less, and when L 111 is a hydrogen atom, L 110 is a single bond. And when L 111 together with X 103 forms C2-C6 alkylene, L 110 is a single bond or is methylene or ethylene),
Formula (CL-IV)
R107は直鎖状または分岐状のC8-C24アルキル、C8-C24アルケニルもしくはC8-C24アルキニルであり、
R108は直鎖状または分岐状のC8-C24アルキル、C8-C24アルケニル、C8-C24アルキニル、C8-C24アルキルオキシエチル、C8-C24アルキルオキシプロピル、C8-C24アルケニルオキシエチル、C8-C24アルケニルオキシプロピル、C8-C24アルキニルオキシエチル、C8-C24アルキニルオキシプロピル、C8-C24アルキルオキシエトキシエチル、C8-C24アルケニルオキシエトキシエチルもしくはC8-C24アルキニルオキシエトキシエチルであり、
X105は水素原子、置換されていても良いC1-C4アルキルまたは-CO-(CH2)n-NY1Y2であり、
nは1~4の整数を表し、
Y1およびY2は同一または異なってC1-C3アルキルであるか、または一緒になってC2-C8アルキレンを形成する)、
式(CL-V)
R 107 is linear or branched C8-C24 alkyl, C8-C24 alkenyl or C8-C24 alkynyl,
R 108 is linear or branched C8-C24 alkyl, C8-C24 alkenyl, C8-C24 alkynyl, C8-C24 alkyloxyethyl, C8-C24 alkyloxypropyl, C8-C24 alkenyloxyethyl, C8-C24 alkenyl Oxypropyl, C8-C24 alkynyloxyethyl, C8-C24 alkynyloxypropyl, C8-C24 alkyloxyethoxyethyl, C8-C24 alkenyloxyethoxyethyl or C8-C24 alkynyloxyethoxyethyl,
X 105 is a hydrogen atom, optionally substituted C1-C4 alkyl or -CO- (CH 2 ) n -NY1Y2,
n represents an integer of 1 to 4,
Y1 and Y2 are the same or different and are C1-C3 alkyl or together form C2-C8 alkylene)
Formula (CL-V)
R109は直鎖状または分岐状のC8-C24アルキル、C8-C24アルケニルもしくはC8-C24アルキニルであり、
R110は直鎖状または分岐状のC8-C24アルキル、C8-C24アルケニル、C8-C24アルキニル、C8-C24アルキルオキシエチル、C8-C24アルキルオキシプロピル、C8-C24アルケニルオキシエチル、C8-C24アルケニルオキシプロピル、C8-C24アルキニルオキシエチルもしくはC8-C24アルキニルオキシプロピルであり、
L112はC1-C3アルキレンであり、
X105’は水素原子またはC1-C3アルキルである)、
式(CL-VI)
R 109 is linear or branched C8-C24 alkyl, C8-C24 alkenyl or C8-C24 alkynyl,
R 110 is linear or branched C8-C24 alkyl, C8-C24 alkenyl, C8-C24 alkynyl, C8-C24 alkyloxyethyl, C8-C24 alkyloxypropyl, C8-C24 alkenyloxyethyl, C8-C24 alkenyl Oxypropyl, C8-C24 alkynyloxyethyl or C8-C24 alkynyloxypropyl,
L 112 is C1-C3 alkylene;
X 105 ′ is a hydrogen atom or C1-C3 alkyl),
Formula (CL-VI)
R111およびR112は同一または異なって直鎖状または分岐状の置換されていても良いC8-C24アルキル、C8-C24アルケニルもしくはC8-C24アルキニルであり、
X106およびX107は同一または異なってC1-C3アルキルであるか、または一緒になってC2-C8アルキレンを形成し、
p103、p104およびp105は同一または異なって0または1であり、ただしp103, p104およびp105は同時には0ではなく、
L113およびL114は同一または異なってO、SまたはNHである)、
式(CL-VII)
R 111 and R 112 are the same or different, linear or branched optionally substituted C8-C24 alkyl, C8-C24 alkenyl or C8-C24 alkynyl,
X 106 and X 107 are the same or different and are C1-C3 alkyl or taken together to form C2-C8 alkylene;
p 103 , p 104 and p 105 are the same or different and are 0 or 1, provided that p 103 , p 104 and p 105 are not 0 at the same time,
L 113 and L 114 are the same or different and are O, S or NH),
Formula (CL-VII)
R113およびR114は同一または異なって直鎖状または分岐状の置換されていても良いC8-C24アルキル、C8-C24アルケニルもしくはC8-C24アルキニルであり、
R115は水素原子、ヒドロキシ、置換されていても良いC1-C4アルキル、C1-C4アルコキシまたはC1-C4アシルオキシであり、
X109およびX110は同一または異なってC1-C3アルキルであるか、または一緒になってC2-C8アルキレンを形成し、
L115は-CO-O-、-O-CO-、-NHCO-または-CONH-であり、
p106は0~3の整数であり、
p107は1~4の整数である)、
式(CL-VIII)
R 113 and R 114 are the same or different, linear or branched optionally substituted C8-C24 alkyl, C8-C24 alkenyl or C8-C24 alkynyl,
R 115 is a hydrogen atom, hydroxy, optionally substituted C1-C4 alkyl, C1-C4 alkoxy or C1-C4 acyloxy,
X 109 and X 110 are the same or different and are C1-C3 alkyl or taken together to form C2-C8 alkylene;
L 115 is -CO-O-, -O-CO-, -NHCO- or -CONH-
p 106 is an integer from 0 to 3,
p 107 is an integer of 1 to 4),
Formula (CL-VIII)
R116およびR117は同一または異なって直鎖状または分岐状の置換されていても良いC8-C24アルキル、C8-C24アルケニル、C8-C24アルキニル、C7-C20アルキルオキシC1-C3アルキル、C7-C20アルケニルオキシC1-C3アルキルまたはC7-C20アルキニルオキシC1-C3アルキルであるか、
生分解性基が組み込まれている前記C8-C24アルキル、C8-C24アルケニルもしくはC8-C24アルキニル、または、生分解性基が末端に存在するC8-C24アルキル基、C8-C24アルケニル基もしくはC8-C24アルキニル基であり、
前記生分解性基は、組み込まれているものは、-C(O)O-または‐OC(O)-であり、末端に存在するものは、-C(O)O-C1-C4アルキルまたは-OC(O)-C1-C4アルキルであり、
B100は、水素原子、C1-C3アルキル、ヒドロキシC2-C4アルキル、C1-C3ジアルキルアミノC2-C4アルキル、式(A)
p108は0~4の整数であり、p109は1~4の整数であり(但し、p108が0であり、p109が1である場合を除く)、
L116は結合する炭素ごとに同一または異なって水素原子またはC1-C3アルキルであり、
L117は結合する炭素ごとに同一または異なって水素原子またはC1-C3アルキルである)、
式(CL-IX)
R 116 and R 117 are the same or different and may be linear or branched substituted C8-C24 alkyl, C8-C24 alkenyl, C8-C24 alkynyl, C7-C20 alkyloxy C1-C3 alkyl, C7- C20 alkenyloxy C1-C3 alkyl or C7-C20 alkynyloxy C1-C3 alkyl,
Said C8-C24 alkyl, C8-C24 alkenyl or C8-C24 alkynyl having a biodegradable group incorporated therein, or C8-C24 alkyl group, C8-C24 alkenyl group or C8- A C24 alkynyl group,
The biodegradable group is incorporated as —C (O) O— or —OC (O) —, and present at the terminal is —C (O) O—C1-C4 alkyl or -OC (O) -C1-C4 alkyl,
B 100 is a hydrogen atom, C1-C3 alkyl, hydroxy C2-C4 alkyl, C1-C3 dialkylamino C2-C4 alkyl, formula (A)
p 108 is an integer from 0 to 4, p 109 is an integer from 1 to 4 (except when p 108 is 0 and p 109 is 1),
L 116 is the same or different for each carbon to be bonded and is a hydrogen atom or C1-C3 alkyl;
L 117 is the same or different for each carbon to be bonded and is a hydrogen atom or C1-C3 alkyl).
Formula (CL-IX)
X115およびX116は同一または異なって水素原子またはC1-C3アルキルであり、
L118およびL119は同一または異なって直鎖状または分岐状の置換されていても良いC8-C24アルキレンもしくはC8-C24アルケニレンであり、
M101およびM102は同一または異なって-C=C-、-OC(O)-、-C(O)O-、-SC(O)-、-C(O)S-、-OC(S)-、-C(S)O-、-SS-、-C(R’’)=N-、-N=C(R’’)-、-C(R’’)=N-O-、-O-N=C(R’’)-、-N(R’’)C(O)-、-C(O)N(R’’)-、-N(R’’)C(S)-、-C(S)N(R’’)-、-N(R’’)C(O)N(R’’’)-、-N(R’’)C(O)O-、-OC(O)N(R’’)-および-OC(O)O-からなる群から選ばれ、
R’’およびR’’’は、同一または異なって、水素原子またはC1-C3アルキルであり、
R118およびR119は同一または異なって直鎖状または分岐状の置換されていても良いC1-C16アルキルもしくはC2-C16アルケニルである)、
式(CL-X)
X 115 and X 116 are the same or different and are a hydrogen atom or C1-C3 alkyl,
L 118 and L 119 are the same or different and are linear or branched C8-C24 alkylene or C8-C24 alkenylene,
M 101 and M 102 are the same or different, and -C = C-, -OC (O)-, -C (O) O-, -SC (O)-, -C (O) S-, -OC (S )-, -C (S) O-, -SS-, -C (R '' ) = N-, -N = C (R '' )-, -C (R '' ) = NO-, -ON = C (R '' )-, -N (R '' ) C (O)-, -C (O) N (R '' )-, -N (R '' ) C (S)-, -C (S) N (R '' )-, -N (R '' ) C (O) N (R ''' )-, -N (R '' ) C (O) O-, -OC (O) Selected from the group consisting of N (R '' )-and -OC (O) O-
R '' and R ''' are the same or different and are a hydrogen atom or C1-C3 alkyl;
R 118 and R 119 are the same or different and are linear or branched optionally substituted C1-C16 alkyl or C2-C16 alkenyl),
Formula (CL-X)
X117およびX118は同一または異なって水素原子、置換されていても良いC1-C6アルキル、ヘテロシクリルまたはポリアミンであるか、またはX117およびX118はそれらが結合している窒素と一緒に、該窒素に加えて、N、OおよびSから選択される1または2個のさらなるヘテロ原子を含有していてもよい4~7員の単環式ヘテロ環を形成してもよく、
R120およびR121は同一または異なって直鎖状または分岐状の置換されていても良いC4-C24アルキルもしくはC4-C24アルケニルである)、
式(CL-XI)
X 117 and X 118 are the same or different hydrogen atoms, optionally substituted C1-C6 alkyl, heterocyclyl or polyamine, or X 117 and X 118 together with the nitrogen to which they are attached, In addition to nitrogen, it may form a 4-7 membered monocyclic heterocycle which may contain 1 or 2 additional heteroatoms selected from N, O and S;
R 120 and R 121 are the same or different and are linear or branched optionally substituted C4-C24 alkyl or C4-C24 alkenyl),
Formula (CL-XI)
X119およびX120は同一または異なって水素原子、直鎖状または分岐状の置換されていても良いC1-C20アルキル、C1-C20アルケニル、C1-C20アルキニルもしくはC6-C20アシルであり、
R122およびR123は同一または異なって直鎖状または分岐状の置換されていても良いC1-C30アルキル、C2-C30アルケニルもしくはC2-C30アルキニルであり、
p112、p113およびp114は同一または異なって0であるか、任意の正の整数である。)、
式(CL-XII)
X 119 and X 120 are the same or different and each represents a hydrogen atom, a linear or branched C1-C20 alkyl, C1-C20 alkenyl, C1-C20 alkynyl or C6-C20 acyl,
R 122 and R 123 are the same or different, linear or branched optionally substituted C1-C30 alkyl, C2-C30 alkenyl or C2-C30 alkynyl,
p 112 , p 113 and p 114 are the same or different and are 0 or any positive integer. ),
Formula (CL-XII)
X121およびX122は同一または異なって水素原子、C1-C6アルキル、シクロアルキル、シクロアルケニルであるか、またはX121およびX122はそれらが結合する窒素原子と一緒になってC2-C6含窒素ヘテロ環を形成してもよく、
L120およびL121は同一または異なって-O-、-OC(O)-または-(O)CO-であり、
R124およびR125は同一または異なって直鎖状または分岐状の置換されていても良いC8-C24アルキルもしくはC8-C24アルケニルである)、
式(CL-XIII)
X 121 and X 122 are the same or different and each is a hydrogen atom, C1-C6 alkyl, cycloalkyl, cycloalkenyl, or X 121 and X 122 together with the nitrogen atom to which they are attached contain C2-C6 nitrogen A heterocycle may form,
L 120 and L 121 are the same or different and are —O—, —OC (O) — or — (O) CO—,
R 124 and R 125 are the same or different and are linear or branched optionally substituted C8-C24 alkyl or C8-C24 alkenyl),
Formula (CL-XIII)
R126およびR127は同一または異なって直鎖状または分岐状の置換されていても良いC8-C24アルキル、C8-C24アルケニル、C8-C24アルキニル、C8-C24ヘテロアルキル、C8-C24ヘテロアルケニルもしくはC8-C24ヘテロアルキニルであり、
X123は水素原子または置換されていても良いC1-C6アルキルであり、
X124は、C1-C6アルキル、-NR4aR4bで置換される置換C1-C6アルキルまたは置換されていても良いC3-C7ヘテロシクリルであり、
R4aおよびR4bは同一または異なって水素原子、-C(=NH)NH2または置換されていても良いC1-C6アルキルであるか、またはR4aおよびR4bは、それらが結合する窒素原子と一緒になって置換されていても良いC3-C7ヘテロシクリルを形成してもよく、
X123およびX124はそれらが結合する窒素原子と一緒になって置換されていても良いC3-C7ヘテロシクリルを形成してもよく、
ただし、X123およびX124はイミダゾリル、ベンズイミダゾリル、またはたスクシンイミジルを形成せず、および1つだけの1級アミンがX123およびX124のいずれか一方の上に存在することができ、またはいかなる1級アミンもX123およびX124のいずれか一方の上に存在せず、X123およびX124は置換されたアミドではなく、
R126およびR127がC11アルキルまたはC15アルキルであるとき、X123は水素原子ではなく、
R126およびR127がC16アルキルまたはC17アルキルであるとき、R126およびR127はOHと置換されず、
R126およびR127がC17アルキルであるとき、X123およびX124はOHと置換されず、
R126およびR127がC18アルキルであるとき、X124は置換されていても良いイミダゾリルと置換されない)
式(CL-XIV)
R 126 and R 127 are the same or different and may be linear or branched substituted C8-C24 alkyl, C8-C24 alkenyl, C8-C24 alkynyl, C8-C24 heteroalkyl, C8-C24 heteroalkenyl or C8-C24 heteroalkynyl,
X 123 is a hydrogen atom or an optionally substituted C1-C6 alkyl,
X 124 is C1-C6 alkyl, substituted C1-C6 alkyl substituted with -NR 4a R 4b or optionally substituted C3-C7 heterocyclyl;
R 4a and R 4b are the same or different and are a hydrogen atom, -C (= NH) NH 2 or an optionally substituted C1-C6 alkyl, or R 4a and R 4b are nitrogen atoms to which they are bonded. Together with C3-C7 heterocyclyl, which may be substituted,
X 123 and X 124 together with the nitrogen atom to which they are attached may form an optionally substituted C3-C7 heterocyclyl;
However, X 123 and X 124 do not form imidazolyl, benzimidazolyl, or succinimidyl, and only one primary amine can be present on either of X 123 and X 124 , or any primary amines also not present on either one of X 123 and X 124, X 123 and X 124 is not substituted amides,
When R 126 and R 127 are C11 alkyl or C15 alkyl, X 123 is not a hydrogen atom,
When R 126 and R 127 are C16 alkyl or C17 alkyl, R 126 and R 127 are not substituted with OH;
When R 126 and R 127 are C17 alkyl, X 123 and X 124 are not substituted with OH;
When R 126 and R 127 are C18 alkyl, X 124 is not substituted with an optionally substituted imidazolyl)
Formula (CL-XIV)
X125およびX126は同一または異なって水素原子、置換されていても良いC1-C6アルキル、ヘテロシクリルまたはポリアミンであるか、またはX125およびX126はそれらが結合している窒素と一緒に、該窒素に加えて、N、OおよびSから選択される1または2個のさらなるヘテロ原子を含有していてもよい4~7員の単環式ヘテロ環を形成してもよく、
R130は水素原子またはC1-C6アルキルであり、
R128およびR129は同一または異なって直鎖状または分岐状の置換されていても良いC4-C24アルキルもしくはC4-C24アルケニルであり、
Y3およびY4は同一または異なって酸素原子またはCH2であり、
p115は0~2の整数である。)、
式(CL-XV)
X 125 and X 126 are the same or different hydrogen atoms, optionally substituted C1-C6 alkyl, heterocyclyl or polyamine, or X 125 and X 126 together with the nitrogen to which they are attached, In addition to nitrogen, it may form a 4-7 membered monocyclic heterocycle which may contain 1 or 2 additional heteroatoms selected from N, O and S;
R 130 is a hydrogen atom or C1-C6 alkyl;
R 128 and R 129 are the same or different, linear or branched optionally substituted C4-C24 alkyl or C4-C24 alkenyl,
Y3 and Y4 represents an oxygen atom or CH 2 identical or different,
p115 is an integer of 0-2. ),
Formula (CL-XV)
X127およびX128は同一または異なってC1-C6アルキル、C2-C6アルケニル、C2-C6アルキニルであるか、
X127およびX128は、それらが結合している窒素原子と一体になって、1から2個の窒素原子を有する複素環を形成し、
L122は-C(O)O-、-OC(O)-、-C(O)N(X130)-、-N(X130)C(O)-、-OC(O)O-、-OC(O)N(X130)-、-N(X130)C(O)N(X130)-、または-N(X130)C(O)O-であり、
X130の各存在は独立して、水素原子またはC1-C3アルキルであり、
aは1、2、3、4、5、または6であり、
bは0、1、2、または3であり、
X129は存在しないか、水素またはC1-C3アルキルであり、
R131およびR132は同一または異なって、1つ以上の生分解性基を有する炭素数12~24のアルキル、炭素数12~24のアルケニル、または炭素数12~24のアルコキシであり、前記生分解性基は独立して、前記炭素数12~24のアルキル基、炭素数12~24のアルケニル基、または炭素数12~24のアルコキシ基に組み込まれているか、炭素数12~24のアルキル基、炭素数12~24のアルケニル基、または炭素数12~24のアルコキシ基の末端に存在しており、
前記生分解性基は、組み込まれているものは、-C(O)O-、-OC(O)-、-C(O)N(X130)-、または-N(X130)C(O)-であり、末端に存在するものは、-C(O)O‐C1-C4アルキル、-OC(O)-C1-C4アルキル、-C(O)N(X130)-C1-C4アルキル、または-N(X130)C(O)-C1-C4アルキルであり、
R131およびR132は、上記生分解性基とアスタリスク(*)の付された第3級炭素原子との間に少なくとも4つの炭素原子を有する)、
式(CL-XVI)
X 127 and X 128 are the same or different and are C1-C6 alkyl, C2-C6 alkenyl, C2-C6 alkynyl,
X 127 and X 128 together with the nitrogen atom to which they are attached form a heterocyclic ring having 1 to 2 nitrogen atoms;
L 122 is -C (O) O-, -OC (O)-, -C (O) N (X 130 )-, -N (X 130 ) C (O)-, -OC (O) O-, -OC (O) N (X 130 )-, -N (X 130 ) C (O) N (X 130 )-, or -N (X 130 ) C (O) O-
Each occurrence of X 130 is independently a hydrogen atom or C1-C3 alkyl;
a is 1, 2, 3, 4, 5, or 6;
b is 0, 1, 2, or 3;
X 129 is absent or is hydrogen or C1-C3 alkyl;
R 131 and R 132 are the same or different and are alkyl having 12 to 24 carbon atoms, alkenyl having 12 to 24 carbon atoms, or alkoxy having 12 to 24 carbon atoms having one or more biodegradable groups, The decomposable group is independently incorporated into the alkyl group having 12 to 24 carbon atoms, the alkenyl group having 12 to 24 carbon atoms, or the alkoxy group having 12 to 24 carbon atoms, or an alkyl group having 12 to 24 carbon atoms. , At the end of an alkenyl group having 12 to 24 carbon atoms or an alkoxy group having 12 to 24 carbon atoms,
The biodegradable group is incorporated as —C (O) O—, —OC (O) —, —C (O) N (X 130 ) —, or —N (X 130 ) C ( O)-and present at the terminal are -C (O) O-C1-C4 alkyl, -OC (O) -C1-C4 alkyl, -C (O) N (X 130 ) -C1-C4 Alkyl, or -N (X 130 ) C (O) -C1-C4 alkyl,
R 131 and R 132 have at least 4 carbon atoms between the biodegradable group and a tertiary carbon atom marked with an asterisk (*)),
Formula (CL-XVI)
R133およびR134は同一または異なって、直鎖状または分岐状のC1-C9アルキル、C2-C11アルケニルもしくはC2-C11アルキニルであり、
L123およびL124は同一または異なって、直鎖状のC5-C18アルキレンもしくは直鎖状のC5-C18アルケニレンであるか、または結合しているNと複素環を形成しており、
L125は、単結合であるか、または-C(O)-O-であり、
L125が-C(O)O-であるとき、-L124-CO-OR134が形成されており、
L127はSまたはOであり、
L126は単結合であるか、または直鎖状もしくは分岐状のC1-C6アルキレンであるか、または-C(O)-を介して結合しているNと複素環を形成しており、
L128は直鎖状または分岐状のC1-C6アルキレンであり、そして
X131およびX132は同一または異なって、それぞれ水素または直鎖状もしくは分岐状のC1-C6アルキルである)、または
式(CL-XVII)
R 133 and R 134 are the same or different and are linear or branched C1-C9 alkyl, C2-C11 alkenyl or C2-C11 alkynyl;
L 123 and L 124 are the same or different and are linear C5-C18 alkylene or linear C5-C18 alkenylene, or form a heterocyclic ring with N bonded thereto,
L 125 is a single bond or -C (O) -O-;
When L 125 is -C (O) O-, -L 124 -CO-OR 134 is formed,
L 127 is S or O,
L 126 is a single bond, a linear or branched C1-C6 alkylene, or forms a heterocyclic ring with N bonded via -C (O)-,
L 128 is a linear or branched C1-C6 alkylene, and X 131 and X 132 are the same or different and each is hydrogen or a linear or branched C1-C6 alkyl) or formula ( CL-XVII)
L131はC2-C4レンまたは-CH2-S-CH2CH2-であり、
L129およびL130は同一または異なって、それぞれC1-C6アルキルであり、
R135およびR136は同一または異なって、C10-C30アルキル、C10-C30アルケニルであり、
X133およびX134は同一または異なって、水素、C1-C6アルキルまたは-CH2CH2OHである。)で表される脂質等が挙げられる。
L 131 is C2-C4 len or -CH 2 -S-CH 2 CH 2-
L 129 and L 130 are the same or different and each is C1-C6 alkyl;
R 135 and R 136 are the same or different and are C10-C30 alkyl, C10-C30 alkenyl,
X 133 and X 134 are the same or different and are hydrogen, C1-C6 alkyl or —CH 2 CH 2 OH. ) And the like.
式(CL-I)の各基の定義において、直鎖状または分岐状のC10-C24アルキルとしては、例えばデシル、ウンデシル、ドデシル、トリデシル、6,10-ジメチルウンデカ-2-イル、テトラデシル、ペンタデシル、ヘキサデシル、ヘプタデシル、オクタデシル、6,10,14-トリメチルペンタデカン-2-イル、ノナデシル、イコシル、ヘニコシル、ドコシル、トリコシル、またはテトラコシル等が挙げられ、好ましくはデシル、ウンデシル、ドデシル、トリデシル、テトラデシル、ペンタデシル、ヘキサデシル、ヘプタデシル、またはオクタデシル等が挙げられ、より好ましくはトリデシル、テトラデシル、ペンタデシル、ヘキサデシル、ヘプタデシルまたはオクタデシル等が挙げられる。 In the definition of each group of the formula (CL-I), examples of the linear or branched C10-C24 alkyl include decyl, undecyl, dodecyl, tridecyl, 6,10-dimethylundec-2-yl, tetradecyl, Pentadecyl, hexadecyl, heptadecyl, octadecyl, 6,10,14-trimethylpentadecan-2-yl, nonadecyl, icosyl, henicosyl, docosyl, tricosyl, tetracosyl and the like, preferably decyl, undecyl, dodecyl, tridecyl, tetradecyl, Examples include pentadecyl, hexadecyl, heptadecyl, and octadecyl, and more preferable examples include tridecyl, tetradecyl, pentadecyl, hexadecyl, heptadecyl, and octadecyl.
直鎖状または分岐状のC10-C24アルケニルとしては、1~3つの2重結合を含む直鎖状または分岐状のC10-C24アルケニルであればよく、例えば、(Z)-ドデカ-7-エニル、(Z)-テトラデカ-7-エニル、(Z)-テトラデカ-9-エニル、(Z)-ヘキサデカ-4-エニル、(Z)-ヘキサデカ-7-エニル、(E)-ヘキサデカ-7-エニル、(Z)-ヘキサデカ-9-エニル、(7Z,10Z)-ヘキサデカ-7,10-ジエニル、(7Z,10Z,13Z)-ヘキサデカ-7,10,13-トリエニル、(Z)-オクタデカ-6-エニル、(Z)-オクタデカ-9-エニル、(E)-オクタデカ-9-エニル、(9Z,12Z)-オクタデカ-9,12-ジエニル、(Z)-オクタデカ-11-エニル、(9Z,12Z,15Z)-オクタデカ-9,12,15-トリエニル、(Z)-イコサ-11-エニル、(11Z,14Z)-イコサ-11,14-ジエニル等が挙げられ、好ましくは(Z)-ドデカ-7-エニル、(Z)-テトラデカ-7-エニル、(Z)-ヘキサデカ-4-エニル、(Z)-ヘキサデカ-7-エニル、(E)-ヘキサデカ-7-エニル、(Z)-ヘキサデカ-9-エニル、(7Z,10Z)-ヘキサデカ-7,10-ジエニル、(7Z,10Z,13Z)-ヘキサデカ-7,10,13-トリエニル、(Z)-オクタデカ-9-エニル、(9Z,12Z)-オクタデカ-9,12-ジエニル、(11Z,14Z)-イコサ-11,14-ジエニル等が挙げられ、より好ましくは(7Z,10Z)-ヘキサデカ-7,10-ジエニルまたは(9Z,12Z)-オクタデカ-9,12-ジエニル等が挙げられる。 The linear or branched C10-C24 alkenyl may be a linear or branched C10-C24 alkenyl containing 1 to 3 double bonds, such as (Z) -dodec-7-enyl. , (Z) -tetradec-7-enyl, (Z) -tetradec-9-enyl, (Z) -hexadec-4-enyl, (Z) -hexadeca-7-enyl, (E) -hexadeca-7-enyl , (Z) -hexadec-9-enyl, (7Z, 10Z) -hexadec-7,10-dienyl, (7Z, 10Z, 13Z) -hexadec-7,10,13-trienyl, (Z) -octadeca-6 -Enyl, (Z) -octadeca-9-enyl, (E) -octadeca-9-enyl, (9Z, 12Z) -octadeca-9,12-dienyl, (Z) -octadeca-11-enyl, (9Z, 12Z, 15Z) -octadeca-9,12,15-trienyl, (Z) -icosa-11-enyl, (11Z, 14Z) -icosa-11,14-dienyl, etc., preferably (Z) -dodeca -7-enyl, (Z) -tetradec-7-enyl, (Z) -hexadec-4-enyl, (Z) -hexadec-7-enyl, (E) -hexa Deca-7-enyl, (Z) -hexadec-9-enyl, (7Z, 10Z) -hexadec-7,10-dienyl, (7Z, 10Z, 13Z) -hexadec-7,10,13-trienyl, (Z ) -Octadeca-9-enyl, (9Z, 12Z) -octadeca-9,12-dienyl, (11Z, 14Z) -icosa-11,14-dienyl, and more preferably (7Z, 10Z) -hexadeca -7,10-dienyl or (9Z, 12Z) -octadeca-9,12-dienyl.
直鎖状または分岐状のC10-C24アルキニルとしては、1~3つの3重結合を含む直鎖状または分岐状のC10-C24アルキニルであればよく、例えば、デカ-9-イニル、ドデカ-4-イニル、ドデカ-11-イニル、テトラデカ-5-イニル、テトラデカ-6-イニル、ヘキサデカ-7-イニル、ヘキサデカ-3,5-ジイニル、ヘキサデカ-5,7-ジイニルまたはオクタデカ-9-イニル等が挙げられ、好ましくはヘキサデカ-7-イニルまたはオクタデカ-9-イニル等が挙げられ、より好ましくはオクタデカ-9-イニル等が挙げられる。 The linear or branched C10-C24 alkynyl may be a linear or branched C10-C24 alkynyl containing 1 to 3 triple bonds, and examples thereof include deca-9-ynyl and dodeca-4. -Inyl, dodec-11-ynyl, tetradec-5-ynyl, tetradec-6-ynyl, hexadec-7-ynyl, hexadec-3,5-diynyl, hexadec-5,7-diynyl or octadec-9-ynyl Preferably hexadeca-7-ynyl or octadec-9-ynyl, and more preferably octadec-9-ynyl.
なお、式(CL-I)において、R101およびR103は、同一の直鎖状または分岐状のC10-C24アルキル、C10-C24アルケニルもしくはC10-C24アルキニルであることが好ましく、同一に直鎖状または分岐状のC10-C24アルキルまたはC10-C24アルケニルであることがより好ましく、同一に直鎖状のC10-C24アルケニルであることがさらに好ましい。 In the formula (CL-I), R 101 and R 103 are preferably the same linear or branched C10-C24 alkyl, C10-C24 alkenyl or C10-C24 alkynyl, and the same linear It is more preferably a linear or branched C10-C24 alkyl or C10-C24 alkenyl, and even more preferably the same linear C10-C24 alkenyl.
C1-C3アルキレンとしては、例えばメチレン、エチレン、またはプロピレン等が挙げられ、好ましくはメチレンまたはエチレンが挙げられ、より好ましくはメチレンが挙げられる。 Examples of C1-C3 alkylene include methylene, ethylene, or propylene, preferably methylene or ethylene, and more preferably methylene.
C1-C6アルキルとしては、例えば、メチル、エチル、プロピル、イソプロピル、シクロプロピル、ブチル、イソブチル、sec-ブチル、tert-ブチル、シクロブチル、シクロプロピルメチル、ペンチル、イソペンチル、sec-ペンチル、ネオペンチル、tert-ペンチル、シクロペンチル、ヘキシルまたはシクロヘキシル等が挙げられ、好ましくはメチル、エチル、プロピル、イソプロピル、ブチル、イソブチル、sec-ブチル、tert-ブチル、ペンチル、イソペンチル、sec-ペンチル、tert-ペンチル、ネオペンチルまたはヘキシル等が挙げられ、より好ましくはメチル、エチルまたはプロピル等が挙げられる。 Examples of the C1-C6 alkyl include methyl, ethyl, propyl, isopropyl, cyclopropyl, butyl, isobutyl, sec-butyl, tert-butyl, cyclobutyl, cyclopropylmethyl, pentyl, isopentyl, sec-pentyl, neopentyl, tert- Examples include pentyl, cyclopentyl, hexyl, cyclohexyl, etc., preferably methyl, ethyl, propyl, isopropyl, butyl, isobutyl, sec-butyl, tert-butyl, pentyl, isopentyl, sec-pentyl, tert-pentyl, neopentyl, hexyl, etc. More preferably, methyl, ethyl, propyl, etc. are mentioned.
C3-C6アルケニルとしては、例えば、アリル、1-プロペニル、ブテニル、ペンテニルまたはヘキセニル等が挙げられ、好ましくはアリル等が挙げられる。 Examples of C3-C6 alkenyl include allyl, 1-propenyl, butenyl, pentenyl, hexenyl and the like, preferably allyl and the like.
モノアルキルアミノおよびジアルキルアミノとしては、それぞれ1つ、または同一もしく異なる2つの、C1-C6アルキル(前記と同義)、またはアミノ、メチルアミノ、エチルアミノ、ジメチルアミノ、ジエチルアミノ、ピロリジニル、ピペリジルもしくはモルホリニルで置換されたC1-C6アルキル(前記と同義)で置換されたアミノであればよく、例えばメチルアミノ、エチルアミノ、プロピルアミノ、ブチルアミノ、ペンチルアミノ、ヘキシルアミノ、ジメチルアミノ、ジエチルアミノ、エチルメチルアミノ、メチルプロピルアミノ、ブチルメチルアミノ、メチルペンチルアミノ、ヘキシルメチルアミノ、アミノエチルアミノ、アミノプロピルアミノ、(アミノエチル)メチルアミノまたはビス(アミノエチル)アミノ等が挙げられ、好ましくはメチルアミノ、エチルアミノ、ジメチルアミノ、ジエチルアミノ、アミノプロピルアミノまたはビス(アミノエチル)アミノ等が挙げられ、より好ましくはメチルアミノまたはジメチルアミノ等が挙げられる。 Monoalkylamino and dialkylamino are each one or two identical or different C1-C6 alkyls (as defined above) or amino, methylamino, ethylamino, dimethylamino, diethylamino, pyrrolidinyl, piperidyl or morpholinyl Any amino substituted with C1-C6 alkyl (as defined above) substituted with, for example, methylamino, ethylamino, propylamino, butylamino, pentylamino, hexylamino, dimethylamino, diethylamino, ethylmethylamino Methylpropylamino, butylmethylamino, methylpentylamino, hexylmethylamino, aminoethylamino, aminopropylamino, (aminoethyl) methylamino, bis (aminoethyl) amino, etc., preferably methylamino Bruno, ethylamino, dimethylamino, diethylamino, aminopropyl amino or bis (aminoethyl) amino and the like, more preferably methyl or dimethylamino and the like.
トリアルキルアンモニオとしては、同一または異なって3つの、C1-C6アルキル(前記と同義)、またはアミノ、メチルアミノ、エチルアミノ、ジメチルアミノ、ジエチルアミノ、ピロリジニル、ピペリジルもしくはモルホリニルで置換されたC1-C6アルキル(前記と同義)で置換されたアンモニオであればよく、例えばトリメチルアンモニオ、エチルジメチルアンモニオ、ジエチルメチルアンモニオ、トリエチルアンモニオ、トリプロピルアンモニオ、トリブチルアンモニオ、トリペンチルアンモニオ、トリヘキシルアンモニオ、トリス(アミノエチル)アンモニオ、(アミノエチル)ジメチルアンモニオまたはビス(アミノエチル)メチルアンモニオ等が挙げられ、好ましくはトリメチルアンモニオ、トリエチルアンモニオ、トリス(アミノエチル)アンモニオ、(アミノエチル)ジメチルアンモニオまたはビス(アミノエチル)メチルアンモニオ等が挙げられ、より好ましくはトリメチルアンモニオ等が挙げられる。 Trialkylammonio includes the same or different C1-C6 alkyl (as defined above), or C1-C6 substituted with amino, methylamino, ethylamino, dimethylamino, diethylamino, pyrrolidinyl, piperidyl or morpholinyl. Any ammonio substituted with alkyl (as defined above) may be used, for example, trimethylammonio, ethyldimethylammonio, diethylmethylammonio, triethylammonio, tripropylammonio, tributylammonio, tripentylammonio, tripentylammonio, Hexylammonio, tris (aminoethyl) ammonio, (aminoethyl) dimethylammonio, bis (aminoethyl) methylammonio and the like can be mentioned, preferably trimethylammonio, triethylammonio, tris (aminoethyl) ammonio (Aminoethyl) dimethyl ammonio or bis (aminoethyl) methyl ammonio, and the like, or more preferably trimethylammonio like.
化合物(CL-I)において、トリアルキルアンモニオは、薬学的に許容される陰イオン(前記と同義)と塩を形成していてもよい。 In the compound (CL-I), the trialkylammonio may form a salt with a pharmaceutically acceptable anion (as defined above).
アルコキシとしては、C1-C6アルキル(前記と同義)または、アミノ、メチルアミノ、エチルアミノ、ジメチルアミノ、ジエチルアミノ、ピロリジニル、ピペリジルもしくはモルホリニルで置換されたC1-C6アルキル(前記と同義)で置換されたヒドロキシであればよく、例えばメトキシ、エトキシ、プロピルオキシ、ブチルオキシ、ペンチルオキシ、ヘキシルオキシ、アミノエトキシまたはメチルアミノエトキシ等が挙げられ、好ましくはメトキシ、エトキシ、アミノエトキシまたはメチルアミノエトキシ等が挙げられ、より好ましくはメトキシ等が挙げられる。 Alkoxy is substituted with C1-C6 alkyl (as defined above) or C1-C6 alkyl (as defined above) substituted with amino, methylamino, ethylamino, dimethylamino, diethylamino, pyrrolidinyl, piperidyl or morpholinyl. It may be hydroxy, for example, methoxy, ethoxy, propyloxy, butyloxy, pentyloxy, hexyloxy, aminoethoxy or methylaminoethoxy, preferably methoxy, ethoxy, aminoethoxy or methylaminoethoxy, More preferably, methoxy etc. are mentioned.
モノアルキルカルバモイルおよびジアルキルカルバモイルとしては、それぞれ1つ、または同一もしく異なる2つの、C1-C6アルキル(前記と同義)、またはアミノ、メチルアミノ、エチルアミノ、ジメチルアミノ、ジエチルアミノ、ピロリジニル、ピペリジルもしくはモルホリニルで置換されたC1-C6アルキル(前記と同義)で置換されたカルバモイルであればよく、例えば、メチルカルバモイル、エチルカルバモイル、プロピルカルバモイル、ブチルカルバモイル、ペンチルカルバモイル、ヘキシルカルバモイル、ジメチルカルバモイル、ジエチルカルバモイル、エチルメチルカルバモイル、メチルプロピルカルバモイル、ブチルメチルカルバモイル、メチルペンチルカルバモイル、ヘキシルメチルカルバモイル、アミノエチルカルバモイル、アミノプロピルカルバモイル、(アミノエチル)メチルカルバモイル、またはビス(アミノエチル)カルバモイル等が挙げられ、好ましくはメチルカルバモイル、エチルカルバモイルまたはジメチルカルバモイル等が挙げられ、より好ましくはメチルカルバモイル、またはジメチルカルバモイル等が挙げられる。 Monoalkylcarbamoyl and dialkylcarbamoyl are each one or two identical or different C1-C6 alkyls (as defined above) or amino, methylamino, ethylamino, dimethylamino, diethylamino, pyrrolidinyl, piperidyl or morpholinyl Any carbamoyl substituted with C1-C6 alkyl substituted with (as defined above), for example, methylcarbamoyl, ethylcarbamoyl, propylcarbamoyl, butylcarbamoyl, pentylcarbamoyl, hexylcarbamoyl, dimethylcarbamoyl, diethylcarbamoyl, ethyl Methylcarbamoyl, methylpropylcarbamoyl, butylmethylcarbamoyl, methylpentylcarbamoyl, hexylmethylcarbamoyl, aminoethylcarbamoyl, amino Examples include propylcarbamoyl, (aminoethyl) methylcarbamoyl, or bis (aminoethyl) carbamoyl, preferably methylcarbamoyl, ethylcarbamoyl, dimethylcarbamoyl, and the like, more preferably methylcarbamoyl, dimethylcarbamoyl, and the like. .
L101およびL102は、水素原子であることがより好ましい。この場合には、R101およびR102は、同一または異なって、ドデシル、テトラデシル、(Z)-ドデカ-7-エニル、(Z)-テトラデカ-7-エニル、(Z)-ヘキサデカ-4-エニル、(Z)-ヘキサデカ-7-エニル、(E)-ヘキサデカ-7-エニル、(Z)-ヘキサデカ-9-エニル、(7Z,10Z)-ヘキサデカ-7,10-ジエニル、(7Z,10Z,13Z)-ヘキサデカ-7,10,13-トリエニル、(Z)-オクタデカ-9-エニルまたは(9Z,12Z)-オクタデカ-9,12-ジエニルであることが好ましく、(Z)-テトラデカ-7-エニル、(Z)-ヘキサデカ-7-エニル、(7Z,10Z)-ヘキサデカ-7,10-ジエニル、または(9Z,12Z)-オクタデカ-9,12-ジエニルであることがより好ましく、同一に(Z)-テトラデカ-7-エニル、(Z)-ヘキサデカ-7-エニルまたは(7Z,10Z)-ヘキサデカ-7,10-ジエニルまたは(9Z,12Z)-オクタデカ-9,12-ジエニルであることがさらに好ましい。
なお、L101およびL102が、水素原子である場合には、X101が水素原子、メチル、ピロリジン-3-イル、ピペリジン-3-イル、ピペリジン-4-イル、または同一もしくは異なって1~3つのアミノ、モノアルキルアミノ、ジアルキルアミノ、トリアルキルアンモニオ、ヒドロキシ、アルコキシ、カルバモイル、モノアルキルカルバモイル、ジアルキルカルバモイル、ピロリジニル、ピペリジルもしくはモルホリニルで置換されたC1-C6アルキルもしくはC3-C6アルケニルであることがより好ましく、水素原子、メチル、または同一もしくは異なって1~3つのアミノ、ヒドロキシもしくはカルバモイルで置換されたC1-C6アルキルもしくはC3-C6アルケニルであることがさらに好ましく、水素原子、またはメチル等であることがさらに好ましい。
L 101 and L 102 are more preferably hydrogen atoms. In this case, R 101 and R 102 are the same or different and dodecyl, tetradecyl, (Z) -dodec-7-enyl, (Z) -tetradec-7-enyl, (Z) -hexadec-4-enyl. (Z) -hexadec-7-enyl, (E) -hexadeca-7-enyl, (Z) -hexadec-9-enyl, (7Z, 10Z) -hexadec-7,10-dienyl, (7Z, 10Z, 13Z) -hexadeca-7,10,13-trienyl, preferably (Z) -octadeca-9-enyl or (9Z, 12Z) -octadeca-9,12-dienyl, (Z) -tetradec-7- More preferably, they are enyl, (Z) -hexadec-7-enyl, (7Z, 10Z) -hexadeca-7,10-dienyl, or (9Z, 12Z) -octadec-9,12-dienyl. Z) -tetradec-7-enyl, (Z) -hexadeca-7-enyl or (7Z, 10Z) -hexadeca-7,10-dienyl or (9Z, 12Z) -octadeca-9,12-dienyl Further preferred.
In the case where L 101 and L 102 are hydrogen atoms, X 101 is a hydrogen atom, methyl, pyrrolidin-3-yl, piperidin-3-yl, piperidin-4-yl, or the same or different from 1 to Must be C1-C6 alkyl or C3-C6 alkenyl substituted with 3 amino, monoalkylamino, dialkylamino, trialkylammonio, hydroxy, alkoxy, carbamoyl, monoalkylcarbamoyl, dialkylcarbamoyl, pyrrolidinyl, piperidyl or morpholinyl Is more preferably a hydrogen atom, methyl, or C1-C6 alkyl or C3-C6 alkenyl substituted with 1 to 3 amino, hydroxy or carbamoyl, which are the same or different, and more preferably a hydrogen atom, methyl, etc. More preferably it is.
L101およびL102が、一緒になって単結合またはC1-C3アルキレンを形成する場合には、R101およびR102は、同一または異なってテトラデシル、ヘキサデシル、(Z)-テトラデカ-9-エニル、(Z)-ヘキサデカ-9-エニル、(Z)-オクタデカ-6-エニル、(Z)-オクタデカ-9-エニル、(E)-オクタデカ-9-エニル、(Z)-オクタデカ-11-エニル、(9Z,12Z)-オクタデカ-9,12-ジエニル、(9Z,12Z,15Z)-オクタデカ-9,12,15-トリエニル、(Z)-イコサ-11-エニル、または(11Z,14Z)-イコサ-11,14-ジエニルであることが好ましく、(Z)-オクタデカ-9-エニル、または(9Z,12Z)-オクタデカ-9,12-ジエニルであることがより好ましく、同一に(Z)-オクタデカ-9-エニルまたは(9Z,12Z)-オクタデカ-9,12-ジエニルであることがさらに好ましい。 When L 101 and L 102 together form a single bond or C1-C3 alkylene, R 101 and R 102 are the same or different and are tetradecyl, hexadecyl, (Z) -tetradec-9-enyl, (Z) -hexadec-9-enyl, (Z) -octadeca-6-enyl, (Z) -octadeca-9-enyl, (E) -octadeca-9-enyl, (Z) -octadeca-11-enyl, (9Z, 12Z) -octadeca-9,12-dienyl, (9Z, 12Z, 15Z) -octadeca-9,12,15-trienyl, (Z) -icosa-11-enyl, or (11Z, 14Z) -icosa -11,14-dienyl, more preferably (Z) -octadec-9-enyl, or (9Z, 12Z) -octadec-9,12-dienyl, and identically (Z) -octadeca More preferred is -9-enyl or (9Z, 12Z) -octadeca-9,12-dienyl.
L101およびL102が、一緒になって単結合またはC1-C3アルキレンを形成する場合には、X101が水素原子、メチル、ピロリジン-3-イル、ピペリジン-3-イル、ピペリジン-4-イル、または同一もしくは異なって1~3つのアミノ、モノアルキルアミノ、ジアルキルアミノ、トリアルキルアンモニオ、ヒドロキシ、アルコキシ、カルバモイル、モノアルキルカルバモイル、ジアルキルカルバモイル、ピロリジニル、ピペリジルもしくはモルホリニルで置換されたC1-C6アルキルもしくはC3-C6アルケニルであることがより好ましく、水素原子、メチル、または同一もしくは異なって1~3つのアミノ、ヒドロキシもしくはカルバモイルで置換されたC1-C6アルキルもしくはC3-C6アルケニルであることがさらに好ましく、水素原子またはメチル等であることが最も好ましい。 When L 101 and L 102 together form a single bond or C1-C3 alkylene, X 101 is a hydrogen atom, methyl, pyrrolidin-3-yl, piperidin-3-yl, piperidin-4-yl Or C1-C6 alkyl substituted with 1 to 3 amino, monoalkylamino, dialkylamino, trialkylammonio, hydroxy, alkoxy, carbamoyl, monoalkylcarbamoyl, dialkylcarbamoyl, pyrrolidinyl, piperidyl or morpholinyl, the same or different Or a C3-C6 alkenyl, more preferably a hydrogen atom, methyl, or a C1-C6 alkyl or C3-C6 alkenyl substituted with 1 to 3 amino, hydroxy or carbamoyl, which are the same or different. And most preferably a hydrogen atom or methyl.
L101およびL102が、一緒になって単結合を形成する場合に、L103が-CO-または-CO-O-、好ましくは-CO-であることも、本発明のより好ましい形態の1つである。この場合には、X101がアミノメチル、1,2-ジアミノエチル、2-アミノエチル、1,3-ジアミノプロピル、1,4-ジアミノブチル、1,5-ジアミノペンチル、3-アミノプロピル、4-アミノブチルまたは5-アミノペンチル等がであることが好ましく、1,2-ジアミノエチル、1,3-ジアミノプロピル、1,4-ジアミノブチルまたは1,5-ジアミノペンチルであることがさらに好ましい。R101およびR102は、同一または異なって、テトラデシル、ヘキサデシル、(Z)-テトラデカ-9-エニル、(Z)-ヘキサデカ-9-エニル、(Z)-オクタデカ-6-エニル、(Z)-オクタデカ-9-エニル、(E)-オクタデカ-9-エニル、(Z)-オクタデカ-11-エニル、(9Z,12Z)-オクタデカ-9,12-ジエニル、(9Z,12Z,15Z)-オクタデカ-9,12,15-トリエニルまたは(Z)-イコサ-11-エニルまたは(11Z,14Z)-イコサ-11,14-ジエニルであることが好ましく、(Z)-オクタデカ-9-エニルまたは(9Z,12Z)-オクタデカ-9,12-ジエニルであることがより好ましく、同一に(Z)-オクタデカ-9-エニルまたは(9Z,12Z)-オクタデカ-9,12-ジエニルであることがさらに好ましい。 When L 101 and L 102 together form a single bond, L 103 is —CO— or —CO—O—, preferably —CO—. One. In this case, X 101 is aminomethyl, 1,2-diaminoethyl, 2-aminoethyl, 1,3-aminopropyl, 1,4-diaminobutyric, 1,5 Jiaminopenchiru, 3-aminopropyl, 4 -Aminobutyl or 5-aminopentyl is preferable, and 1,2-diaminoethyl, 1,3-diaminopropyl, 1,4-diaminobutyl or 1,5-diaminopentyl is more preferable. R 101 and R 102 are the same or different and are tetradecyl, hexadecyl, (Z) -tetradec-9-enyl, (Z) -hexadeca-9-enyl, (Z) -octadec-6-enyl, (Z)- Octadeca-9-enyl, (E) -octadeca-9-enyl, (Z) -octadeca-11-enyl, (9Z, 12Z) -octadeca-9,12-dienyl, (9Z, 12Z, 15Z) -octadeca- Preferably it is 9,12,15-trienyl or (Z) -icosa-11-enyl or (11Z, 14Z) -icosa-11,14-dienyl, (Z) -octadeca-9-enyl or (9Z, More preferably, they are 12Z) -octadeca-9,12-dienyl, and more preferably (Z) -octadeca-9-enyl or (9Z, 12Z) -octadeca-9,12-dienyl.
L103は単結合であることがより好ましい。 L 103 is more preferably a single bond.
L103が単結合の場合には、X101は水素原子、メチル、ピロリジン-3-イル、ピペリジン-3-イル、ピペリジン-4-イル、または同一もしくは異なって1~3つのアミノ、モノアルキルアミノ、ジアルキルアミノ、トリアルキルアンモニオ、ヒドロキシ、アルコキシ、カルバモイル、モノアルキルカルバモイル、ジアルキルカルバモイル、ピロリジニル、ピペリジルもしくはモルホリニルで置換されたC1-C6アルキルもしくはC3-C6アルケニル等であることがより好ましく、水素原子、メチル、ヒドロキシメチル、2-ヒドロキシエチル、2,3-ジヒドロキシプロピル、2-ヒドロキシプロピル、3-ヒドロキシプロピル、2-ヒドロキシ-3-メトキシプロピル、アミノメチル、2-アミノエチル、3-アミノプロピル、4-アミノブチル、5-アミノペンチル、2-(N,N-ジメチルアミノ)エチル、3-(N,N-ジメチルアミノ)プロピル、2-カルバモイルエチル、2-ジメチルカルバモイルエチル、または1-メチルピペリジン-4-イル等であることがさらに好ましく、水素原子またはメチルであることが最も好ましい。 When L 103 is a single bond, X 101 is a hydrogen atom, methyl, pyrrolidin-3-yl, piperidin-3-yl, piperidin-4-yl, or the same or different 1 to 3 amino, monoalkylamino , Dialkylamino, trialkylammonio, hydroxy, alkoxy, carbamoyl, monoalkylcarbamoyl, dialkylcarbamoyl, pyrrolidinyl, piperidyl or morpholinyl substituted C1-C6 alkyl or C3-C6 alkenyl, etc., more preferably a hydrogen atom , Methyl, hydroxymethyl, 2-hydroxyethyl, 2,3-dihydroxypropyl, 2-hydroxypropyl, 3-hydroxypropyl, 2-hydroxy-3-methoxypropyl, aminomethyl, 2-aminoethyl, 3-aminopropyl, 4-aminobutyl, 5-aminopentyl, 2- (N, N-dimethylamino) ethyl 3- (N, N-dimethylamino) propyl, 2-carbamoylethyl, 2-dimethylcarbamoylethyl, 1-methylpiperidin-4-yl, and the like, more preferably a hydrogen atom or methyl. preferable.
L103が-CO-または-CO-O-の場合には、X101はピロリジン-3-イル、ピペリジン-3-イル、ピペリジン-4-イル、または同一もしくは異なって1~3つのアミノ、モノアルキルアミノ、ジアルキルアミノ、トリアルキルアンモニオ、ヒドロキシ、アルコキシ、カルバモイル、モノアルキルカルバモイル、ジアルキルカルバモイル、ピロリジニル、ピペリジルもしくはモルホリニルで置換されたC1-C6アルキルもしくはC3-C6アルケニルであり、該置換基の少なくとも1つは、アミノ、モノアルキルアミノ、ジアルキルアミノ、トリアルキルアンモニオ、ピロリジニル、ピペリジルまたはモルホリニル等であることがより好ましく、R3はアミノメチル、1,2-ジアミノエチル、2-アミノエチル、1,3-ジアミノプロピル、3-アミノプロピル、1,4-ジアミノブチル、4-アミノブチル、1,5-ジアミノペンチル、5-アミノペンチル、(N,N-ジメチルアミノ)メチル、2-(N,N-ジメチルアミノ)エチル、3-(N,N-ジメチルアミノ)プロピル、1-ヒドロキシ-2-アミノエチルまたは1-アミノ-2-ヒドロキシエチル等であることがさらに好ましく、1,2-ジアミノエチル、2-アミノエチル、1,3-ジアミノプロピル、3-アミノプロピル、1,4-ジアミノブチル、4-アミノブチル、1,5-ジアミノペンチルまたは5-アミノペンチル等であることが最も好ましい。 When L 103 is —CO— or —CO—O—, X 101 is pyrrolidin-3-yl, piperidin-3-yl, piperidin-4-yl, or the same or different one to three amino, mono Alkylamino, dialkylamino, trialkylammonio, hydroxy, alkoxy, carbamoyl, monoalkylcarbamoyl, dialkylcarbamoyl, pyrrolidinyl, piperidyl or morpholinyl substituted C1-C6 alkyl or C3-C6 alkenyl, at least of the substituents More preferably, one is amino, monoalkylamino, dialkylamino, trialkylammonio, pyrrolidinyl, piperidyl, morpholinyl or the like, and R 3 is aminomethyl, 1,2-diaminoethyl, 2-aminoethyl, 1 , 3-Diaminopropyl, 3-aminopropyl, 1,4-diaminobutyl, 4-aminobutyl 1,5-diaminopentyl, 5-aminopentyl, (N, N-dimethylamino) methyl, 2- (N, N-dimethylamino) ethyl, 3- (N, N-dimethylamino) propyl, 1-hydroxy- 2-aminoethyl or 1-amino-2-hydroxyethyl is more preferable, such as 1,2-diaminoethyl, 2-aminoethyl, 1,3-diaminopropyl, 3-aminopropyl, 1,4-diamino. Most preferred is butyl, 4-aminobutyl, 1,5-diaminopentyl or 5-aminopentyl.
L103が単結合で、X101が水素原子であることも、本発明のより好ましい形態の1つである。この場合には、R101およびR102は、同一または異なって、ドデシル、テトラデシル、(Z)-ドデカ-7-エニル、(Z)-テトラデカ-7-エニル、(Z)-ヘキサデカ-4-エニル、(Z)-ヘキサデカ-7-エニル、(E)-ヘキサデカ-7-エニル、(Z)-ヘキサデカ-9-エニル、(7Z,10Z)-ヘキサデカ-7,10-ジエニル、(7Z,10Z,13Z)-ヘキサデカ-7,10,13-トリエニル、(Z)-オクタデカ-9-エニルまたは(9Z,12Z)-オクタデカ-9,12-ジエニルであることが好ましく、同一または異なって、(Z)-テトラデカ-7-エニルまたは(7Z,10Z)-ヘキサデカ-7,10-ジエニルであることがより好ましく、同一に(Z)-テトラデカ-7-エニル、(Z)-ヘキサデカ-7-エニルまたは(7Z,10Z)-ヘキサデカ-7,10-ジエニルであることがさらに好ましい。 One of the more preferred embodiments of the present invention is that L 103 is a single bond and X 101 is a hydrogen atom. In this case, R 101 and R 102 are the same or different and dodecyl, tetradecyl, (Z) -dodec-7-enyl, (Z) -tetradec-7-enyl, (Z) -hexadec-4-enyl. (Z) -hexadec-7-enyl, (E) -hexadeca-7-enyl, (Z) -hexadec-9-enyl, (7Z, 10Z) -hexadec-7,10-dienyl, (7Z, 10Z, 13Z) -hexadeca-7,10,13-trienyl, (Z) -octadeca-9-enyl or (9Z, 12Z) -octadeca-9,12-dienyl, preferably the same or different, (Z) More preferred are -tetradec-7-enyl or (7Z, 10Z) -hexadec-7,10-dienyl, and (Z) -tetradec-7-enyl, (Z) -hexadeca-7-enyl or ( 7Z, 10Z) -hexadec-7,10-dienyl is more preferable.
L103が単結合で、X101がメチルであることも、本発明のより好ましい形態の1つである。この場合には、R101およびR102は、同一または異なって、ドデシル、テトラデシル、(Z)-ドデカ-7-エニル、(Z)-テトラデカ-7-エニル、(Z)-ヘキサデカ-4-エニル、(Z)-ヘキサデカ-7-エニル、(E)-ヘキサデカ-7-エニル、(Z)-ヘキサデカ-9-エニル、(7Z,10Z)-ヘキサデカ-7,10-ジエニル、(7Z,10Z,13Z)-ヘキサデカ-7,10,13-トリエニル、(Z)-オクタデカ-9-エニルまたは(9Z,12Z)-オクタデカ-9,12-ジエニルであることが好ましく、同一または異なって、(Z)-テトラデカ-7-エニル、(7Z,10Z)-ヘキサデカ-7,10-ジエニルまたは(9Z,12Z)-オクタデカ-9,12-ジエニルであることがより好ましく、同一に(Z)-テトラデカ-7-エニル、(7Z,10Z)-ヘキサデカ-7,10-ジエニルまたは(9Z,12Z)-オクタデカ-9,12-ジエニルであることがさらに好ましい。 L 103 is a single bond and X 101 is methyl is one of the more preferable embodiments of the present invention. In this case, R 101 and R 102 are the same or different and dodecyl, tetradecyl, (Z) -dodec-7-enyl, (Z) -tetradec-7-enyl, (Z) -hexadec-4-enyl. (Z) -hexadec-7-enyl, (E) -hexadeca-7-enyl, (Z) -hexadec-9-enyl, (7Z, 10Z) -hexadec-7,10-dienyl, (7Z, 10Z, 13Z) -hexadeca-7,10,13-trienyl, (Z) -octadeca-9-enyl or (9Z, 12Z) -octadeca-9,12-dienyl, preferably the same or different, (Z) More preferred are tetradeca-7-enyl, (7Z, 10Z) -hexadec-7,10-dienyl or (9Z, 12Z) -octadeca-9,12-dienyl, and identically (Z) -tetradec-7 More preferred is -enyl, (7Z, 10Z) -hexadec-7,10-dienyl or (9Z, 12Z) -octadeca-9,12-dienyl.
式(CL-II)の各基の定義において、直鎖状または分岐状のC12-C24アルキルとしては、例えばドデシル、トリデシル、テトラデシル、2,6,10-トリメチルウンデシル、ペンタデシル、3,7,11-トリメチルドデシル、ヘキサデシル、ヘプタデシル、オクタデシル、6,10,14-トリメチルペンタデカン-2-イル、ノナデシル、2,6,10,14-テトラメチルペンタデシル、イコシル、3,7,11,15-テトラメチルヘキサデシル、ヘニコシル、ドコシル、トリコシルまたはテトラコシル等が挙げられ、好ましくはドデシル、トリデシル、テトラデシル、ペンタデシル、ヘキサデシル、ヘプタデシル、オクタデシル、ノナデシルまたはイコシル等が挙げられ、より好ましくはドデシル、トリデシル、テトラデシル、ペンタデシル、ヘキサデシル、ヘプタデシルまたはオクタデシル等が挙げられる。 In the definition of each group of formula (CL-II), linear or branched C12-C24 alkyl includes, for example, dodecyl, tridecyl, tetradecyl, 2,6,10-trimethylundecyl, pentadecyl, 3,7, 11-trimethyldodecyl, hexadecyl, heptadecyl, octadecyl, 6,10,14-trimethylpentadecan-2-yl, nonadecyl, 2,6,10,14-tetramethylpentadecyl, icosyl, 3,7,11,15-tetra Examples include methylhexadecyl, henicosyl, docosyl, tricosyl, tetracosyl, etc., preferably dodecyl, tridecyl, tetradecyl, pentadecyl, hexadecyl, heptadecyl, octadecyl, nonadecyl, icosyl, etc., more preferably dodecyl, tridecyl, tetradecyl, pentadecyl , Hexadecyl, heptadecyl, octadecyl, etc. It is.
直鎖状または分岐状のC12-C24アルケニルとしては、1~3つの2重結合を含む直鎖状または分岐状のC12-C24アルケニルであればよく、例えば、(Z)-トリデカ-8-エニル、(Z)-テトラデカ-9-エニル、(Z)-ペンタデカ-8-エニル、(Z)-ヘキサデカ-9-エニル、(Z)-ヘプタデカ-5-エニル、(Z)-オクタデカ-6-エニル、(Z)-ヘプタデカ-8-エニル、(Z)-オクタデカ-9-エニル、(E)-ヘプタデカ-8-エニル、(E)-オクタデカ-9-エニル、(Z)-ヘプタデカ-10-エニル、(Z)-オクタデカ-11-エニル、(8Z,11Z)-ヘプタデカ-8,11-ジエニル、(9Z,12Z)-オクタデカ-9,12-ジエニル、(8Z,11Z,14Z)-オクタデカ-8,11,14-トリエニル、(9Z,12Z,15Z)-オクタデカ-9,12,15-トリエニル、(Z)-ノナデカ-10-エニル、(Z)-イコサ-11-エニル、(10Z,13Z)-ノナデカ-10,13-ジエニル、(11Z,14Z)-イコサ-11,14-ジエニル、2,6,10-トリメチルウンデカ-1,5,9-トリエニル、3,7,11-トリメチルドデカ-2,6,10-トリエニル、2,6,10,14-テトラメチルペンタデカ-1-エニルまたは3,7,11,15-テトラメチルヘキサデカ-2-エニル等が挙げられ、好ましくは(Z)-ペンタデカ-8-エニル、(Z)-ヘキサデカ-9-エニル、(Z)-ヘプタデカ-5-エニル、(Z)-オクタデカ-6-エニル、(Z)-ヘプタデカ-8-エニル、(Z)-オクタデカ-9-エニル、(8Z,11Z)-ヘプタデカ-8,11-ジエニルまたは(9Z,12Z)-オクタデカ-9,12-ジエニル等が挙げられ、より好ましくは(Z)-ヘプタデカ-8-エニル、(Z)-オクタデカ-9-エニル、(8Z,11Z)-ヘプタデカ-8,11-ジエニルまたは(9Z,12Z)-オクタデカ-9,12-ジエニル等が挙げられる。 The linear or branched C12-C24 alkenyl may be a linear or branched C12-C24 alkenyl containing 1 to 3 double bonds, such as (Z) -tridec-8-enyl. , (Z) -tetradec-9-enyl, (Z) -pentadeca-8-enyl, (Z) -hexadeca-9-enyl, (Z) -heptadeca-5-enyl, (Z) -octadeca-6-enyl , (Z) -heptadeca-8-enyl, (Z) -octadeca-9-enyl, (E) -heptadeca-8-enyl, (E) -octadeca-9-enyl, (Z) -heptadeca-10-enyl , (Z) -octadeca-11-enyl, (8Z, 11Z) -heptadeca-8,11-dienyl, (9Z, 12Z) -octadeca-9,12-dienyl, (8Z, 11Z, 14Z) -octadeca-8 , 11,14-trienyl, (9Z, 12Z, 15Z) -octadeca-9,12,15-trienyl, (Z) -nonadec-10-enyl, (Z) -icosa-11-enyl, (10Z, 13Z) -Nonadeca-10,13-dienyl, (11Z, 14Z) -icosa-11,14-dienyl, 2,6,10-trimethylundeca-1,5,9-trienyl, 3,7 , 11-trimethyldodeca-2,6,10-trienyl, 2,6,10,14-tetramethylpentadec-1-enyl or 3,7,11,15-tetramethylhexadec-2-enyl (Z) -pentadec-8-enyl, (Z) -hexadeca-9-enyl, (Z) -heptadeca-5-enyl, (Z) -octadeca-6-enyl, (Z) -heptadeca- 8-enyl, (Z) -octadec-9-enyl, (8Z, 11Z) -heptadeca-8,11-dienyl, (9Z, 12Z) -octadeca-9,12-dienyl, and the like, more preferably ( Z) -heptadeca-8-enyl, (Z) -octadeca-9-enyl, (8Z, 11Z) -heptadeca-8,11-dienyl or (9Z, 12Z) -octadeca-9,12-dienyl .
直鎖状または分岐状のC12-C24アルキニルとしては、1~3つの3重結合を含む直鎖状または分岐状のC12-C24アルキニルであればよく、例えばドデカ-11-イニル、トリデカ-12-イニル、ペンタデカ-6-イニル、ヘキサデカ-7-イニル、ペンタデカ-4,6-ジイニル、ヘキサデカ-5,7-ジイニル、ヘプタデカ-8-イニルまたはオクタデカ-9-イニル等が挙げられ、好ましくはペンタデカ-6-イニル、ヘキサデカ-7-イニル、ペンタデカ-4,6-ジイニル、ヘキサデカ-5,7-ジイニル、ヘプタデカ-8-イニルまたはオクタデカ-9-イニル等が挙げられ、より好ましくはヘプタデカ-8-イニルまたはオクタデカ-9-イニル等が挙げられる。 The linear or branched C12-C24 alkynyl may be a linear or branched C12-C24 alkynyl containing 1 to 3 triple bonds, such as dodeca-11-ynyl, tridec-12- Inyl, pentadec-6-ynyl, hexadec-7-ynyl, pentadec-4,6-diynyl, hexadec-5,7-diynyl, heptadec-8-ynyl, octadec-9-ynyl and the like, preferably pentadec-9 6-Inyl, hexadec-7-ynyl, pentadec-4,6-diynyl, hexadec-5,7-diynyl, heptadec-8-ynyl, octadec-9-ynyl, etc., more preferably heptadeca-8-inyl Or octadec-9-inyl etc. are mentioned.
式(CL-II)の各基の定義におけるC1-C3アルキレン、C1-C6アルキルおよびC3-C6アルケニルは、それぞれ前記式(CL-I)におけるものと同義である。 C1-C3 alkylene, C1-C6 alkyl and C3-C6 alkenyl in the definition of each group of formula (CL-II) are respectively synonymous with those in formula (CL-I).
モノアルキルアミノ、ジアルキルアミノ、トリアルキルアンモニオ、アルコキシ、モノアルキルカルバモイルおよびジアルキルカルバモイルは、それぞれ前記式(CL-I)におけるものと同義である。 Monoalkylamino, dialkylamino, trialkylammonio, alkoxy, monoalkylcarbamoyl and dialkylcarbamoyl have the same meanings as those in formula (CL-I), respectively.
R103およびR104は、同一の直鎖状または分岐状のC12-C24アルキル、C12-C24アルケニルもしくはC12-C24アルキニルであることが好ましく、同一の直鎖状または分岐状のC12-C24アルキルもしくはC12-C24アルケニルであることがより好ましい。 R 103 and R 104 are preferably the same linear or branched C12-C24 alkyl, C12-C24 alkenyl or C12-C24 alkynyl, and the same linear or branched C12-C24 alkyl or More preferred is C12-C24 alkenyl.
L104およびL105は、同一の-O-、-CO-O-または-O-CO-であることがより好ましい。 L 104 and L 105 are the same -O -, - more preferably CO-O- or -O-CO-.
L104およびL105の少なくとも1つが-O-または-O-CO-である場合には、R103およびR104は、同一または異なって、ドデシル、テトラデシル、ヘキサデシル、オクタデシル、イコシル、ドコシル、テトラコシル、(Z)-テトラデカ-9-エニル、(Z)-ヘキサデカ-9-エニル、(Z)-オクタデカ-6-エニル、(Z)-オクタデカ-9-エニル、(E)-オクタデカ-9-エニル、(Z)-オクタデカ-11-エニル、(9Z,12Z)-オクタデカ-9,12-ジエニル、(9Z,12Z,15Z)-オクタデカ-9,12,15-トリエニル、(Z)-イコサ-11-エニル、(11Z,14Z)-イコサ-11,14-ジエニル、3,7,11-トリメチルドデカ-2,6,10-トリエニルまたは3,7,11,15-テトラメチルヘキサデカ-2-エニルであることがより好ましく、テトラデシル、ヘキサデシル、オクタデシル、(Z)-ヘキサデカ-9-エニル、(Z)-オクタデカ-6-エニル、(Z)-オクタデカ-9-エニルまたは(9Z,12Z)-オクタデカ-9,12-ジエニルであることがさらに好ましい。 When at least one of L 104 and L 105 is —O— or —O—CO—, R 103 and R 104 are the same or different and are dodecyl, tetradecyl, hexadecyl, octadecyl, icosyl, docosyl, tetracosyl, (Z) -tetradec-9-enyl, (Z) -hexadeca-9-enyl, (Z) -octadeca-6-enyl, (Z) -octadeca-9-enyl, (E) -octadeca-9-enyl, (Z) -octadeca-11-enyl, (9Z, 12Z) -octadeca-9,12-dienyl, (9Z, 12Z, 15Z) -octadeca-9,12,15-trienyl, (Z) -icosa-11- Enyl, (11Z, 14Z) -icosa-11,14-dienyl, 3,7,11-trimethyldodeca-2,6,10-trienyl or 3,7,11,15-tetramethylhexadec-2-enyl More preferably, tetradecyl, hexadecyl, octadecyl, (Z) -hexadec-9-enyl, (Z) -octadec-6-enyl, (Z) -octadec-9-enyl or (9Z, 12Z) -octadec- 9, More preferred is 12-dienyl.
L104およびL105の少なくとも1つが-CO-O-である場合には、R103およびR104はそれぞれトリデシル、ペンタデシル、ヘプタデシル、ノナデシル、ヘニコシル、トリコシル、(Z)-トリデカ-8-エニル、(Z)-ペンタデカ-8-エニル、(Z)-ヘプタデカ-5-エニル、(Z)-ヘプタデカ-8-エニル、(E)-ヘプタデカ-8-エニル、(Z)-ヘプタデカ-10-エニル、(8Z,11Z)-ヘプタデカ-8,11-ジエニル、(8Z,11Z,14Z)-オクタデカ-8,11,14-トリエニル、(Z)-ノナデカ-10-エニル、(10Z,13Z)-ノナデカ-10,13-ジエニル、(11Z,14Z)-イコサ-11,14-ジエニル、2,6,10-トリメチルウンデカ-1,5,9-トリエニルまたは2,6,10,14-テトラメチルペンタデカ-1-エニルであることがより好ましく、トリデシル、ペンタデシル、ヘプタデシル、(Z)-ペンタデカ-8-エニル、(Z)-ヘプタデカ-5-エニル、(Z)-ヘプタデカ-8-エニルまたは(8Z,11Z)-ヘプタデカ-8,11-ジエニルであることがさらに好ましい。 When at least one of L 104 and L 105 is -CO-O-, R 103 and R 104 are each tridecyl, pentadecyl, heptadecyl, nonadecyl, henicosyl, tricosyl, (Z) -tridec-8-enyl, ( (Z) -pentadeca-8-enyl, (Z) -heptadeca-5-enyl, (Z) -heptadeca-8-enyl, (E) -heptadeca-8-enyl, (Z) -heptadeca-10-enyl, ( 8Z, 11Z) -heptadeca-8,11-dienyl, (8Z, 11Z, 14Z) -octadeca-8,11,14-trienyl, (Z) -nonadec-10-enyl, (10Z, 13Z) -nonadec-10 , 13-dienyl, (11Z, 14Z) -icosa-11,14-dienyl, 2,6,10-trimethylundeca-1,5,9-trienyl or 2,6,10,14-tetramethylpentadeca- More preferred is 1-enyl, tridecyl, pentadecyl, heptadecyl, (Z) -pentadec-8-enyl, (Z) -heptadeca-5-enyl, (Z) -heptadeca-8-enyl or (8Z, 11Z ) -Heptadeca-8,11- Further preferably enyl.
p101およびp102は、同時に0または1であることがより好ましい。 More preferably, p 101 and p 102 are 0 or 1 at the same time.
L106およびL107は、一緒になって単結合またはC1-C3アルキレンを形成することがより好ましい。L106およびL107が、一緒になって単結合またはC1-C3アルキレンを形成する場合には、X102が水素原子、メチル、ピロリジン-2-イル、ピロリジン-3-イル、ピペリジン-2-イル、ピペリジン-3-イル、ピペリジン-4-イル、モルホリン-2-イル、モルホリン-3-イル、または同一もしくは異なって1~3つのアミノ、モノアルキルアミノ、ジアルキルアミノ、トリアルキルアンモニオ、ヒドロキシ、アルコキシ、カルバモイル、モノアルキルカルバモイル、ジアルキルカルバモイル、ピロリジニル、ピペリジルもしくはモルホリニルで置換されたC1-C6アルキルもしくはC3-C6アルケニルであることがより好ましく、水素原子、メチル、または同一もしくは異なって1~3つのアミノ、トリアルキルアンモニオ、ヒドロキシもしくはカルバモイルで置換されたC1-C6アルキルもしくはC3-C6アルケニルであることがさらに好ましく、水素原子、メチル、2,3-ジヒドロキシプロピル、3-ヒドロキシプロピル、アミノメチル、1,2-ジアミノエチル、2-アミノエチル、1,3-ジアミノプロピル、1,4-ジアミノブチル、1,5-ジアミノペンチル、3-アミノプロピル、4-アミノブチル、5-アミノペンチルまたは2-カルバモイルエチルであることが最も好ましい。これらの置換基のうちモノアルキルアミノ、ジアルキルアミノ、トリアルキルアンモニオ、アルコキシ、モノアルキルカルバモイルおよびジアルキルカルバモイルにおけるアルキル部分は、前記C1-C4アルキルと同義である。ジアルキルアミノ、トリアルキルアンモニオおよびジアルキルカルバモイルにおける2または3つのアルキルは、それぞれ同一でも異なっていてもよい。 More preferably, L 106 and L 107 together form a single bond or C1-C3 alkylene. When L 106 and L 107 together form a single bond or C1-C3 alkylene, X 102 is a hydrogen atom, methyl, pyrrolidin-2-yl, pyrrolidin-3-yl, piperidin-2-yl , Piperidin-3-yl, piperidin-4-yl, morpholin-2-yl, morpholin-3-yl, or the same or different 1 to 3 amino, monoalkylamino, dialkylamino, trialkylammonio, hydroxy, More preferably it is C1-C6 alkyl or C3-C6 alkenyl substituted with alkoxy, carbamoyl, monoalkylcarbamoyl, dialkylcarbamoyl, pyrrolidinyl, piperidyl or morpholinyl, hydrogen atom, methyl, or the same or different from 1 to 3 C1-C6 alkyl substituted with amino, trialkylammonio, hydroxy or carbamoyl Or more preferably a C3-C6 alkenyl, a hydrogen atom, methyl, 2,3-dihydroxypropyl, 3-hydroxypropyl, aminomethyl, 1,2-diaminoethyl, 2-aminoethyl, 1,3-diamino. Most preferred is propyl, 1,4-diaminobutyl, 1,5-diaminopentyl, 3-aminopropyl, 4-aminobutyl, 5-aminopentyl or 2-carbamoylethyl. Of these substituents, the alkyl moiety in monoalkylamino, dialkylamino, trialkylammonio, alkoxy, monoalkylcarbamoyl and dialkylcarbamoyl has the same meaning as the C1-C4 alkyl. Two or three alkyls in dialkylamino, trialkylammonio and dialkylcarbamoyl may be the same or different.
L106およびL107が、一緒になって単結合を形成する場合に、L108が-CO-または-CO-O-、好ましくは-CO-であることが好ましい。 When L 106 and L 107 together form a single bond, L 108 is preferably —CO— or —CO—O—, preferably —CO—.
L106およびL107が、一緒になって単結合を形成する場合に、p101およびp102は、同一または異なって1~3であることが好ましい。 When L 106 and L 107 together form a single bond, p 101 and p 102 are preferably the same or different and are 1 to 3.
L106およびL107が、水素原子である場合には、X102は水素原子、メチル、ピロリジン-2-イル、ピロリジン-3-イル、ピペリジン-2-イル、ピペリジン-3-イル、ピペリジン-4-イル、モルホリン-2-イル、モルホリン-3-イルまたは同一もしくは異なって1~3つのアミノ、モノアルキルアミノ、ジアルキルアミノ、トリアルキルアンモニオ、ヒドロキシ、アルコキシ、カルバモイル、モノアルキルカルバモイル、ジアルキルカルバモイル、ピロリジニル、ピペリジルもしくはモルホリニルで置換されたC1-C6アルキルもしくはC3-C6のアルケニルであることが好ましく、水素原子、メチルまたは同一もしくは異なって1~3つのアミノ、トリアルキルアンモニオ、ヒドロキシもしくはカルバモイルで置換されたC1-C6アルキルもしくはC3-C6アルケニルであることがより好ましく、水素原子、メチル、2,3-ジヒドロキシプロピル、3-ヒドロキシプロピル、アミノメチル、1,2-ジアミノエチル、2-アミノエチル、1,3-ジアミノプロピル、1,4-ジアミノブチル、1,5-ジアミノペンチル、3-アミノプロピル、4-アミノブチル、5-アミノペンチルまたは2-カルバモイルエチル等であることがさらに好ましい。これらの置換基のうちモノアルキルアミノ、ジアルキルアミノ、トリアルキルアンモニオ、アルコキシ、モノアルキルカルバモイルおよびジアルキルカルバモイルにおけるアルキル部分は、前記C1-C4アルキルと同義である。ジアルキルアミノ、トリアルキルアンモニオ、およびジアルキルカルバモイルにおける2または3つのアルキルは、それぞれ同一でも異なっていてもよい。 When L 106 and L 107 are hydrogen atoms, X 102 is a hydrogen atom, methyl, pyrrolidin-2-yl, pyrrolidin-3-yl, piperidin-2-yl, piperidin-3-yl, piperidine-4 -Yl, morpholin-2-yl, morpholin-3-yl or the same or different 1 to 3 amino, monoalkylamino, dialkylamino, trialkylammonio, hydroxy, alkoxy, carbamoyl, monoalkylcarbamoyl, dialkylcarbamoyl, C1-C6 alkyl or C3-C6 alkenyl substituted with pyrrolidinyl, piperidyl or morpholinyl, preferably hydrogen atom, methyl or the same or different from 1 to 3 amino, trialkylammonio, hydroxy or carbamoyl More preferred is a substituted C1-C6 alkyl or C3-C6 alkenyl. Hydrogen atom, methyl, 2,3-dihydroxypropyl, 3-hydroxypropyl, aminomethyl, 1,2-diaminoethyl, 2-aminoethyl, 1,3-diaminopropyl, 1,4-diaminobutyl, 1, More preferred are 5-diaminopentyl, 3-aminopropyl, 4-aminobutyl, 5-aminopentyl, 2-carbamoylethyl and the like. Of these substituents, the alkyl moiety in monoalkylamino, dialkylamino, trialkylammonio, alkoxy, monoalkylcarbamoyl and dialkylcarbamoyl has the same meaning as the C1-C4 alkyl. Two or three alkyls in dialkylamino, trialkylammonio, and dialkylcarbamoyl may be the same or different.
L108は単結合であることが好ましい。なお、L108が単結合の場合には、L104およびL105は-O-であることが好ましい。 L 108 is preferably a single bond. When L 108 is a single bond, L 104 and L 105 are preferably —O—.
L108が単結合の場合には、X102は水素原子、メチル、ピロリジン-3-イル、ピペリジン-3-イル、ピペリジン-4-イルまたは同一もしくは異なって1~3つのアミノ、モノアルキルアミノ、ジアルキルアミノ、トリアルキルアンモニオ、ヒドロキシ、アルコキシ、カルバモイル、モノアルキルカルバモイル、ジアルキルカルバモイル、ピロリジニル、ピペリジルもしくはモルホリニルで置換されたC1-C6アルキルもしくはC3-C6アルケニル等であることが好ましく、水素原子、メチル、ヒドロキシメチル、2-ヒドロキシエチル、2,3-ジヒドロキシプロピル、2-ヒドロキシプロピル、3-ヒドロキシプロピル、2-ヒドロキシ-3-メトキシプロピル、アミノメチル、2-アミノエチル、3-アミノプロピル、4-アミノブチル、5-アミノペンチル、2-(N,N-ジメチルアミノ)エチル、3-(N,N-ジメチルアミノ)プロピル、2-カルバモイルエチル、2-ジメチルカルバモイルエチルまたは1-メチルピペリジン-4-イル等であることがより好ましく、水素原子、メチル、2,3-ジヒドロキシプロピル、3-ヒドロキシプロピル、2-アミノエチル、3-アミノプロピル、4-アミノブチル、5-アミノペンチルまたは2-カルバモイルエチル等であることがさらに好ましい。これらの置換基のうちモノアルキルアミノ、ジアルキルアミノ、トリアルキルアンモニオ、アルコキシ、モノアルキルカルバモイルおよびジアルキルカルバモイルにおけるアルキル部分は、前記C1-C4アルキルと同義である。ジアルキルアミノ、トリアルキルアンモニオ、およびジアルキルカルバモイルにおける2または3つのアルキルは、それぞれ同一でも異なっていてもよい。 When L 108 is a single bond, X 102 is a hydrogen atom, methyl, pyrrolidin-3-yl, piperidin-3-yl, piperidin-4-yl, or the same or different 1 to 3 amino, monoalkylamino, C1-C6 alkyl or C3-C6 alkenyl substituted with dialkylamino, trialkylammonio, hydroxy, alkoxy, carbamoyl, monoalkylcarbamoyl, dialkylcarbamoyl, pyrrolidinyl, piperidyl or morpholinyl is preferred. , Hydroxymethyl, 2-hydroxyethyl, 2,3-dihydroxypropyl, 2-hydroxypropyl, 3-hydroxypropyl, 2-hydroxy-3-methoxypropyl, aminomethyl, 2-aminoethyl, 3-aminopropyl, 4- Aminobutyl, 5-aminopentyl, 2- (N, N-dimethylamino) ethyl, 3- (N, N-dimethylamino) propyl, 2-carbamoylethyl, 2-dimethylcarbamoylethyl, 1-methylpiperidin-4-yl and the like are more preferable, such as a hydrogen atom, methyl, 2,3-dihydroxypropyl, 3-hydroxypropyl. 2-aminoethyl, 3-aminopropyl, 4-aminobutyl, 5-aminopentyl, 2-carbamoylethyl and the like are more preferable. Of these substituents, the alkyl moiety in monoalkylamino, dialkylamino, trialkylammonio, alkoxy, monoalkylcarbamoyl and dialkylcarbamoyl has the same meaning as the C1-C4 alkyl. Two or three alkyls in dialkylamino, trialkylammonio, and dialkylcarbamoyl may be the same or different.
L104およびL105は-O-であることがより好ましい。ただし、L108が単結合で、X102が水素原子の場合には、L104およびL105が同一の-CO-O-または-O-CO-であることが好ましく、-CO-O-であることがより好ましい。 More preferably, L 104 and L 105 are —O—. However, when L 108 is a single bond and X 102 is a hydrogen atom, L 104 and L 105 are preferably the same —CO—O— or —O—CO—, and —CO—O— More preferably.
L108が-CO-または-CO-O-の場合には、L104およびL105は同一の-CO-O-または-O-CO-であることが好ましく、-CO-O-であることがより好ましい。 When L 108 is —CO— or —CO—O—, L 104 and L 105 are preferably the same —CO—O— or —O—CO—, and are —CO—O—. Is more preferable.
L108が-CO-または-CO-O-の場合には、X102はピロリジン-3-イル、ピペリジン-3-イル、ピペリジン-4-イルまたは同一もしくは異なって1~3つのアミノ、モノアルキルアミノ、ジアルキルアミノ、トリアルキルアンモニオ、ヒドロキシ、アルコキシ、カルバモイル、モノアルキルカルバモイル、ジアルキルカルバモイル、ピロリジニル、ピペリジルもしくはモルホリニルで置換されたC1-C6アルキルもしくはC3-C6アルケニルであることが好ましく、該置換基の少なくとも1つは、アミノ、モノアルキルアミノ、ジアルキルアミノ、トリアルキルアンモニオ、ピロリジニル、ピペリジルもしくはモルホリニルであることが好ましく、X102はアミノメチル、1,2-ジアミノエチル、2-アミノエチル、1,3-ジアミノプロピル、3-アミノプロピル、1,4-ジアミノブチル、4-アミノブチル、1,5-ジアミノペンチル、5-アミノペンチル、(N,N-ジメチルアミノ)メチル、2-(N,N-ジメチルアミノ)エチル、3-(N,N-ジメチルアミノ)プロピルまたは1-アミノ-2-ヒドロキシエチル等であることがより好ましく、アミノメチル、1,2-ジアミノエチル、2-アミノエチル、1,3-ジアミノプロピル、3-アミノプロピル、1,4-ジアミノブチル、4-アミノブチル、1,5-ジアミノペンチルまたは5-アミノペンチル等であることがさらに好ましい。これらの置換基のうちモノアルキルアミノ、ジアルキルアミノ、トリアルキルアンモニオ、アルコキシ、モノアルキルカルバモイルおよびジアルキルカルバモイルにおけるアルキル部分は、前記C1-C6アルキルと同義である。ジアルキルアミノ、トリアルキルアンモニオおよびジアルキルカルバモイルにおける2または3つのアルキルは、それぞれ同一でも異なっていてもよい。 When L 108 is —CO— or —CO—O—, X 102 is pyrrolidin-3-yl, piperidin-3-yl, piperidin-4-yl or the same or different 1 to 3 amino, monoalkyl Preferably it is C1-C6 alkyl or C3-C6 alkenyl substituted with amino, dialkylamino, trialkylammonio, hydroxy, alkoxy, carbamoyl, monoalkylcarbamoyl, dialkylcarbamoyl, pyrrolidinyl, piperidyl or morpholinyl. Is preferably amino, monoalkylamino, dialkylamino, trialkylammonio, pyrrolidinyl, piperidyl or morpholinyl, and X 102 is aminomethyl, 1,2-diaminoethyl, 2-aminoethyl, 1 , 3-Diaminopropyl, 3-aminopropyl, 1,4-diaminobutyl, 4-a Nobutyl, 1,5-diaminopentyl, 5-aminopentyl, (N, N-dimethylamino) methyl, 2- (N, N-dimethylamino) ethyl, 3- (N, N-dimethylamino) propyl or 1- More preferred are amino-2-hydroxyethyl and the like, aminomethyl, 1,2-diaminoethyl, 2-aminoethyl, 1,3-diaminopropyl, 3-aminopropyl, 1,4-diaminobutyl, 4- More preferred are aminobutyl, 1,5-diaminopentyl, 5-aminopentyl and the like. Of these substituents, the alkyl moiety in monoalkylamino, dialkylamino, trialkylammonio, alkoxy, monoalkylcarbamoyl and dialkylcarbamoyl has the same meaning as the C1-C6 alkyl. Two or three alkyls in dialkylamino, trialkylammonio and dialkylcarbamoyl may be the same or different.
L104およびL105は同一の-CO-O-または-O-CO-であることが好ましく、-CO-O-であることがより好ましい。 L 104 and L 105 are preferably the same —CO—O— or —O—CO—, and more preferably —CO—O—.
式(CL-III)、(CL-IV)および(CL-V)の各基の定義において、直鎖状または分岐状のC8-C24アルキル、C8-C24アルケニルおよびC8-C24アルキニルは、それぞれ前記式(I)~(IV)におけるものと同義であり、同様の基が好ましい。 In the definitions of the groups of formulas (CL-III), (CL-IV) and (CL-V), linear or branched C8-C24 alkyl, C8-C24 alkenyl and C8-C24 alkynyl are the same as defined above. As defined in formulas (I) to (IV), the same groups are preferred.
式(CL-III)、(CL-IV)および(CL-V)の各基の定義において、C8-C24アルキルオキシエチルおよびC8-C24アルキルオキシプロピルにおけるアルキル部分としては、例えば前記直鎖状または分岐状のC8-C24アルキルで例示したもの等が挙げられる。 In the definition of each group of the formulas (CL-III), (CL-IV) and (CL-V), the alkyl moiety in C8-C24 alkyloxyethyl and C8-C24 alkyloxypropyl may be, for example, the linear or Examples thereof include those exemplified for branched C8-C24 alkyl.
アルキニルオキシエチルおよびアルキニルオキシプロピルにおけるアルキニル部分としては、例えば、前記直鎖状または分岐状のC8-C24アルキニルの例示したももの等が挙げられる。 Examples of the alkynyl moiety in alkynyloxyethyl and alkynyloxypropyl include those exemplified for the linear or branched C8-C24 alkynyl.
R105およびR106は、同一または異なって直鎖状または分岐状のC8-C24アルキルもしくはC8-C24アルケニルであることが好ましく、同一または異なって直鎖状または分岐状のC8-C24アルケニルであることがより好ましく、同一または異なって直鎖状のC8-C24アルケニルであることがさらに好ましい。また、R105およびR106は、同一であることがより好ましく、その場合には、直鎖状または分岐状のC12-C24アルキル、C12-C24アルケニルもしくはC12-C24アルキニルであることが好ましく、直鎖状のC12-C24アルケニルであることがより好ましい。直鎖状または分岐状のC12-C24アルキル、C12-C24アルケニル、およびC12-C24アルキニルは、それぞれ前記式(CL-II)におけるものと同義である。 R 105 and R 106 are preferably the same or different and are linear or branched C8-C24 alkyl or C8-C24 alkenyl, and are the same or different, linear or branched C8-C24 alkenyl. More preferably, it is more preferably the same or different and linear C8-C24 alkenyl. R 105 and R 106 are more preferably the same, and in that case, linear or branched C12-C24 alkyl, C12-C24 alkenyl, or C12-C24 alkynyl is preferable. More preferably, it is a chain C12-C24 alkenyl. Linear or branched C12-C24 alkyl, C12-C24 alkenyl, and C12-C24 alkynyl have the same meanings as those in formula (CL-II), respectively.
R105およびR106は、同一または異なって直鎖状または分岐状のC8-C24アルキルもしくはC8-C24アルケニルであることが好ましく、同一または異なって直鎖状または分岐状のC8-C24アルケニルであることがより好ましく、同一または異なって直鎖状のC8-C24アルケニルであることがさらに好ましい。また、R105およびR106は、同一であることがより好ましく、その場合には、直鎖状または分岐状のC15-C20アルキル、C15-C20アルケニルもしくはC15-C20アルキニルであることが好ましく、直鎖状のC15-C20アルケニルであることがより好ましい。直鎖状または分岐状のC15-C20アルキル、C15-C20アルケニル、およびC15-C20アルキニルは、それぞれ前記式(I)~(IV)におけるものと同義であり、同様の基が好ましい。 R 105 and R 106 are preferably the same or different and are linear or branched C8-C24 alkyl or C8-C24 alkenyl, and are the same or different, linear or branched C8-C24 alkenyl. More preferably, it is more preferably the same or different and linear C8-C24 alkenyl. R 105 and R 106 are more preferably the same, and in that case, linear or branched C15-C20 alkyl, C15-C20 alkenyl, or C15-C20 alkynyl is preferable. More preferably, it is a chain C15-C20 alkenyl. Linear or branched C15-C20 alkyl, C15-C20 alkenyl, and C15-C20 alkynyl have the same meanings as those in formulas (I) to (IV), respectively, and the same groups are preferable.
R105およびR106が、異なる場合には、R105が直鎖状または分岐状のC15-C20アルキル、C15-C20アルケニルもしくはC15-C20アルキニルであり、R106が直鎖状または分岐状のC8-C12アルキルであることが好ましい。ここで、直鎖状または分岐状のC8-C12アルキルとしては、例えばオクチル、ノニル、デシル、ウンデシル、またはドデシルが挙げられ、好ましくはオクチル、デシルまたはドデシルが挙げられる。 When R 105 and R 106 are different, R 105 is linear or branched C15-C20 alkyl, C15-C20 alkenyl or C15-C20 alkynyl, and R 106 is linear or branched C8. -C12 alkyl is preferred. Here, examples of the linear or branched C8-C12 alkyl include octyl, nonyl, decyl, undecyl, and dodecyl, and preferably octyl, decyl, and dodecyl.
R105が直鎖状のC15-C20アルケニルであり、R106が直鎖状のC8-C12アルキルであることがより好ましく、R105が(Z)-オクタデカ-9-エニルまたは(9Z,12Z)-オクタデカ-9,12-ジエニルであり、R106がオクチル、デシルまたはドデシルであることがさらに好ましい。 A C15-C20 alkenyl R 105 is linear, more preferably R 106 is a straight-chain C8-C12 alkyl, R 105 is (Z) - octadec-9-enyl or (9Z, 12Z) More preferably, it is -octadeca-9,12-dienyl and R 106 is octyl, decyl or dodecyl.
R105およびR106が、異なる場合には、R105が、直鎖状または分岐状のC8-C24アルキル、C8-C24アルケニルもしくはC8-C24アルキニルであり、R106がC8-C24アルキルオキシエチル、C8-C24アルキルオキシプロピル、C8-C24アルケニルオキシエチル、C8-C24アルケニルオキシプロピル、C8-C24アルキニルオキシエチルまたはC8-C24アルキニルオキシプロピルであることも好ましい。この場合、R105が、直鎖状のC8-C24アルケニルであり、R106が、C8-C24アルケニルオキシエチルであることがより好ましく、R105が、(Z)-オクタデカ-9-エニル、(9Z,12Z)-オクタデカ-9,12-ジエニルまたは(11Z,14Z)-イコサ-11,14-ジエニルであり、R106が、(Z)-オクタデカ-9-エニルオキシエチル、(9Z,12Z)-オクタデカ-9,12-ジエニルオキシエチルまたは(11Z,14Z)-イコサ-11,14-ジエニルオキシエチルであることがさらに好ましく、R105が、(9Z,12Z)-オクタデカ-9,12-ジエニルであり、R106が、(9Z,12Z)-オクタデカ-9,12-ジエニルオキシエチルであることが最も好ましい。 When R 105 and R 106 are different, R 105 is linear or branched C8-C24 alkyl, C8-C24 alkenyl or C8-C24 alkynyl, R 106 is C8-C24 alkyloxyethyl, C8-C24 alkyloxypropyl, C8-C24 alkenyloxyethyl, C8-C24 alkenyloxypropyl, C8-C24 alkynyloxyethyl or C8-C24 alkynyloxypropyl is also preferred. In this case, R 105 is a straight-chain C8-C24 alkenyl, R 106 is more preferably a C8-C24 alkenyloxy ethyl, R 105 is, (Z) - octadec-9-enyl, ( 9Z, 12Z) -octadeca-9,12-dienyl or (11Z, 14Z) -icosa-11,14-dienyl, R 106 is (Z) -octadec-9-enyloxyethyl, (9Z, 12Z) More preferably, it is -octadeca-9,12-dienyloxyethyl or (11Z, 14Z) -icosa-11,14-dienyloxyethyl, and R 105 is (9Z, 12Z) -octadeca-9,12 Most preferably, it is -dienyl and R 106 is (9Z, 12Z) -octadeca-9,12-dienyloxyethyl.
R105およびR106が、同一または異なって直鎖状または分岐状のC8-C24アルキルもしくはC8-C24アルケニルである場合には、同一または異なってテトラデシル、ヘキサデシル、(Z)-テトラデカ-9-エニル、(Z)-ヘキサデカ-9-エニル、(Z)-オクタデカ-6-エニル、(Z)-オクタデカ-9-エニル、(E)-オクタデカ-9-エニル、(Z)-オクタデカ-11-エニル、(9Z,12Z)-オクタデカ-9,12-ジエニル、(9Z,12Z,15Z)-オクタデカ-9,12,15-トリエニル、(Z)-イコサ-11-エニル、(11Z,14Z)-イコサ-11,14-ジエニルまたは(Z)-ドコサ-13-エニルであることが好ましく、同一または異なってヘキサデシル、(Z)-ヘキサデカ-9-エニル、(Z)-オクタデカ-6-エニル、(Z)-オクタデカ-9-エニル、(9Z,12Z)-オクタデカ-9,12-ジエニル、(Z)-イコサ-11-エニルまたは(11Z,14Z)-イコサ-11,14-ジエニルであることがより好ましく、同一または異なって(Z)-オクタデカ-9-エニル、(9Z,12Z)-オクタデカ-9,12-ジエニルまたは(11Z,14Z)-イコサ-11,14-ジエニルであることがさらに好ましく、同一に(9Z,12Z)-オクタデカ-9,12-ジエニルであることが最も好ましい。 When R 105 and R 106 are the same or different linear or branched C8-C24 alkyl or C8-C24 alkenyl, the same or different tetradecyl, hexadecyl, (Z) -tetradec-9-enyl , (Z) -hexadeca-9-enyl, (Z) -octadeca-6-enyl, (Z) -octadeca-9-enyl, (E) -octadeca-9-enyl, (Z) -octadeca-11-enyl , (9Z, 12Z) -octadeca-9,12-dienyl, (9Z, 12Z, 15Z) -octadeca-9,12,15-trienyl, (Z) -icosa-11-enyl, (11Z, 14Z) -icosa -11,14-dienyl or (Z) -docosa-13-enyl, the same or different hexadecyl, (Z) -hexadec-9-enyl, (Z) -octadec-6-enyl, (Z ) -Octadeca-9-enyl, (9Z, 12Z) -octadeca-9,12-dienyl, (Z) -icosa-11-enyl or (11Z, 14Z) -icosa-11,14-dienyl Preferably the same or different More preferred are (Z) -octadeca-9-enyl, (9Z, 12Z) -octadeca-9,12-dienyl or (11Z, 14Z) -icosa-11,14-dienyl, identically (9Z, 12Z Most preferred is) -octadeca-9,12-dienyl.
R107は、前記R105と同義であり、R107はR105と同様の基が好ましい。R108は直鎖状のC8-C24アルキルオキシエチル、C8-C24アルキルオキシプロピル、C8-C24アルケニルオキシエチル、C8-C24アルケニルオキシプロピル、C8-C24アルキニルオキシエチル、C8-C24アルキニルオキシプロピル、C8-C24アルキルオキシエトキシエチル、C8-C24アルケニルオキシエトキシエチルまたはC8-C24アルキニルオキシエトキシエチルが好ましく、直鎖状のC8-C24アルキルオキシエチル、C8-C24アルケニルオキシエチル、C8-C24アルキニルオキシエチルがより好ましい。R107が直鎖状のC15-C20アルケニルであり、R108がC8-C24アルケニルオキシエチルであることが最も好ましい。 R 107 has the same meaning as the R 105, R 107 is the same group as R 105 is preferred. R 108 is linear C8-C24 alkyloxyethyl, C8-C24 alkyloxypropyl, C8-C24 alkenyloxyethyl, C8-C24 alkenyloxypropyl, C8-C24 alkynyloxyethyl, C8-C24 alkynyloxypropyl, C8 -C24 alkyloxyethoxyethyl, C8-C24 alkenyloxyethoxyethyl or C8-C24 alkynyloxyethoxyethyl is preferred, and linear C8-C24 alkyloxyethyl, C8-C24 alkenyloxyethyl, C8-C24 alkynyloxyethyl is preferred. More preferred. Most preferably, R 107 is linear C15-C20 alkenyl and R 108 is C8-C24 alkenyloxyethyl.
R109およびR110は、それぞれ前記R105およびR106と同義であり、前記R109およびR110と同様の基が好ましい。ただし、R109およびR110は、同一に直鎖状または分岐状のC15-C20アルキル、C15-C20アルケニルもしくはC15-C20アルキニルであることが好ましく、同一に(9Z,12Z)-オクタデカ-9,12-ジエニルであることがより好ましい。 R 109 and R 110 are synonymous with R 105 and R 106 , respectively, and the same groups as R 109 and R 110 are preferred. However, R 109 and R 110 are preferably the same linear or branched C15-C20 alkyl, C15-C20 alkenyl or C15-C20 alkynyl, and the same (9Z, 12Z) -octadeca-9, More preferred is 12-dienyl.
X103およびX104における、C1-C3アルキルとしては、例えばメチル、エチル、プロピル、イソプロピルまたはシクロプロピルが挙げられ、好ましくはメチルまたはエチルが挙げられ、さらに好ましくはメチルが挙げられる。 The C1-C3 alkyl in X 103 and X 104 includes, for example, methyl, ethyl, propyl, isopropyl or cyclopropyl, preferably methyl or ethyl, and more preferably methyl.
X103とX104が一緒になって形成する、C2-C8アルキレンとしては、例えばエチレン、プロピレン、ブチレン、ペンチレン、ヘキシレン、ヘプチレンまたはオクチレン等が挙げられ、好ましくはブチレン、ペンチレンまたはヘキシレン等が挙げられ、より好ましくはヘキシレン等が挙げられる。 Examples of the C2-C8 alkylene formed by combining X 103 and X 104 include ethylene, propylene, butylene, pentylene, hexylene, heptylene, octylene, and the like, preferably butylene, pentylene, hexylene, and the like. More preferred is hexylene.
X103がL111と一緒になって形成する、C2-C8アルキレンとしては、例えばエチレン、プロピレン、ブチレン、ペンチレン、ヘキシレン、ヘプチレンまたはオクチレン等が挙げられ、好ましくはプロピレン、ブチレンまたはペンチレン等が挙げられ、より好ましくはプロピレンまたはブチレン等が挙げられ、さらに好ましくはプロピレンが挙げられる。 Examples of the C2-C8 alkylene formed by X 103 together with L 111 include ethylene, propylene, butylene, pentylene, hexylene, heptylene, octylene, and the like, and preferably propylene, butylene, pentylene, and the like. More preferably, propylene or butylene is used, and propylene is more preferably used.
X103およびX104は、同一または異なってメチルもしくはエチルであるか、一緒になってブチレン、ペンチレンもしくはヘキシレンを形成するか、またはX103がL111と一緒になってエチレン、プロピレンもしくはブチレンを形成することが好ましい。またX103およびX104は、同一または異なってメチルもしくはエチルであるか、または一緒になってブチレン、ペンチレンもしくはヘキシレンを形成することが好ましく、X103がL111と一緒になってエチレン、プロピレンもしくはブチレンを形成し、X104はメチルまたはエチルであることも好ましい。そしてX103およびX104は、同一にメチルであるか、または一緒になってヘキシレンを形成することがさらに好ましく、X103がL111と一緒になってプロピレンまたはブチレンを形成し、X104はメチルであることもさらに好ましい。 X 103 and X 104 are the same or different and are methyl or ethyl, together form butylene, pentylene or hexylene, or X 103 together with L 111 form ethylene, propylene or butylene It is preferable to do. X 103 and X 104 are the same or different and are preferably methyl or ethyl, or together, form butylene, pentylene or hexylene, and X 103 together with L 111 is ethylene, propylene or It is also preferred that it forms butylene and X 104 is methyl or ethyl. And it is more preferred that X 103 and X 104 are identically methyl or together form hexylene, X 103 together with L 111 forms propylene or butylene, and X 104 is methyl. It is further more preferable.
L111における、C1-C6アルキル、C3-C6アルケニル、モノアルキルアミノ、アルコキシ、モノアルキルカルバモイルおよびジアルキルカルバモイルは、それぞれ前記式(CL-I)におけるものと同義である。 In L 111, C1-C6 alkyl, C3-C6 alkenyl, monoalkylamino, alkoxy, mono- alkylcarbamoyl and dialkylcarbamoyl have the same meanings as those in each of the formulas (CL-I).
L111は、水素原子、C1-C6アルキル、アミノ、モノアルキルアミノ、ヒドロキシ、アルコキシまたは同一もしくは異なって1~3つのアミノ、モノアルキルアミノ、またはヒドロキシもしくはアルコキシで置換されたC1-C6アルキルであるか、またはX103と一緒になってC2-C6アルキレンを形成することが好ましく、水素原子、メチル、アミノ、メチルアミノ、ヒドロキシ、メ卜キシまたは同一もしくは異なって1~3つのアミノもしくはヒドロキシで置換されたメチルであるか、またはX103と一緒になってエチレン、プロピレンもしくはブチレンを形成することがより好ましく、水素原子、C1-C3アルキル、またはヒドロキシであるか、またはX103と一緒になってプロピレンまたはブチレンを形成することがさらに好ましく、水素原子またはX103と一緒になってプロピレンを形成することが最も好ましい。 L 111 is a hydrogen atom, C1-C6 alkyl, amino, monoalkylamino, hydroxy, alkoxy or C1-C6 alkyl substituted with 1 to 3 amino, monoalkylamino, or hydroxy or alkoxy, the same or different. Or preferably together with X 103 to form C2-C6 alkylene, substituted with 1 to 3 amino or hydroxy atoms, hydrogen atom, methyl, amino, methylamino, hydroxy, methoxy, or the same or different More preferably, together with X 103 to form ethylene, propylene or butylene, which is a hydrogen atom, C1-C3 alkyl, or hydroxy, or together with X 103 More preferably it forms propylene or butylene, together with a hydrogen atom or X 103 Most preferably, propylene is formed.
L109およびL110における、C1-C6アルキレンとしては、例えばメチレン、エチレン、プロピレン、ブチレン、ペンチレンまたはヘキシレン等が挙げられ、好ましくはメチレンまたはエチレン等が挙げられる。 In L 109 and L 110, as the C1-C6 alkylene, such as methylene, ethylene, propylene, butylene, etc. pentylene or hexylene and the like, preferably methylene or ethylene and the like.
L109は、メチレン、エチレンまたはプロピレン等であることが好ましく、メチレンまたはエチレン等であることがより好ましく、L110は、単結合、メチレンまたはエチレン等であることが好ましく、単結合またはメチレン等であることがより好ましい。L109とL110の炭素数の和は、1~3が好ましく、2がさらに好ましい。これらいずれの場合にも、X103およびX104は、同一または異なってメチルもしくはエチル等であり、L111は、水素原子、メチル、アミノ、メチルアミノ、ヒドロキシ、メ卜キシまたは同一もしくは異なって1~3つのアミノもしくはヒドロキシで置換されたメチル等であるか、X103とX104は一緒になってペンチレン、ヘキシレンもしくはヘプチレン等を形成し、L111は、水素原子、メチル、アミノ、メチルアミノ、ヒドロキシ、メ卜キシまたは同一もしくは異なって1~3つのアミノもしくはヒドロキシで置換されたメチル等であるか、またはX103とL111は一緒になってプロピレン、ブチレンもしくはペンチレン等を形成し、X104はメチルまたはエチル等であることが好ましく、X103およびX104はメチルであり、L111は水素原子であるか、X103とX104は一緒になってペンチレンまたはヘキシレンを形成し、L111は水素原子であるか、またはX103とL111は一緒になってプロピレンを形成し、X104はメチル等であることがより好ましい。
X105におけるC1-C4アルキルとしては、例えばメチル、エチル、プロピル、イソプロピル、ブチル、シクロブチル等が挙げられ、好ましくはメチルが挙げられる。なお、X105としては水素原子がさらに好ましい。
L 109 is preferably methylene, ethylene, propylene, or the like, more preferably methylene, ethylene, or the like. L 110 is preferably a single bond, methylene, ethylene, or the like, and is a single bond, methylene, or the like. More preferably. The sum of the carbon numbers of L 109 and L 110 is preferably 1 to 3, and more preferably 2. In any of these cases, X 103 and X 104 are the same or different, such as methyl or ethyl, and L 111 is a hydrogen atom, methyl, amino, methylamino, hydroxy, methoxy, or the same or different 1 ˜3 amino or hydroxy substituted methyls or the like, or X 103 and X 104 together form pentylene, hexylene or heptylene, etc., and L 111 is a hydrogen atom, methyl, amino, methylamino, X 103 and L 111 together form propylene, butylene, pentylene or the like, such as hydroxy, methoxy or methyl substituted with 1 to 3 amino or hydroxy identically or differently, or X 104 preferably is methyl or ethyl and the like, X 103 and X 104 is methyl, or L 111 is a hydrogen atom, X 103 and X 104 are together It forms a pentylene or hexylene, L 111 is hydrogen atom or X 103 and L 111, form a propylene together, X 104 is more preferably methyl and the like.
The C1-C4 alkyl in the X 105, for example methyl, ethyl, propyl, isopropyl, butyl, include cyclobutyl, etc., preferably methyl. X 105 is more preferably a hydrogen atom.
式(CL-V)の各基の定義において、X105’における、C1-C3アルキルとしては、例えばメチル、エチル、プロピル、イソプロピルまたはシクロプロピル等が挙げられ、好ましくはメチル、エチルまたはイソプロピル等が挙げられ、より好ましくはメチルまたはエチル等が挙げられる。なお、X105’としては、水素原子またはメチル等がさらに好ましく、水素原子が最も好ましい。 In the definition of each group of the formula (CL-V), the C1-C3 alkyl in X 105 ′ includes, for example, methyl, ethyl, propyl, isopropyl, cyclopropyl, etc., preferably methyl, ethyl, isopropyl, etc. More preferably, methyl or ethyl is exemplified. X 105 ′ is more preferably a hydrogen atom or methyl, and most preferably a hydrogen atom.
L112における、C1-C3アルキレンとしては、例えば、メチレン、エチレンまたはプロピレン等が挙げられ、好ましくはメチレンまたはエチレン等が挙げられる。 In L 112, as the C1-C3 alkylene, e.g., methylene, ethylene or propylene and the like, preferably methylene or ethylene and the like.
式(CL-VI)および式(CL-VII)の各基の定義において、直鎖状または分岐状の置換されていても良いC8-C24アルキル、C8-C24アルケニルおよびC8-C24アルキニルは、それぞれ前記式(I)~(V‘’)におけるものと同義である。 In the definition of each group of formula (CL-VI) and formula (CL-VII), linear or branched optionally substituted C8-C24 alkyl, C8-C24 alkenyl and C8-C24 alkynyl are respectively It has the same meaning as in the above formulas (I) to (V ″).
式(CL-VII)のR115における、置換されていても良いC1-C4アルキルにおけるC1-C4アルキルとしては、例えばメチル、エチル、プロピル、イソプロピル、シクロプロピル、ブチル、イソブチル、sec-ブチル、tert-ブチル、シクロブチル、シクロプロピルメチル等が挙げられ、好ましくはメチル、エチル等が挙げられ、より好ましくはメチルが挙げられる。
置換されていても良いC1-C4アルコキシのアルキル部分は、前記C1-C4アルキルと同義である。
置換されていても良いC1-C4アルキルにおける置換基としては、アミノ、モノアルキルアミノ、ジアルキルアミノ、ピロリジン-2-イル、ピロリジン-3-イル、ピペリジン-2-イル、ピペリジン-3-イル、ピペリジン-4-イル、モルホリン-2-イル、モルホリン-3-イル、ヒドロキシ、アルコキシ、アルコキシカルボニル、ヒドロキシカルボニル、カルバモイル、モノアルキルカルバモイル、ジアルキルカルバモイル、ニトロ、シアノ、フルオロ、クロロ、ブロモ等が挙げられる。これらの置換基のうちモノアルキルアミノ、ジアルキルアミノ、アルコキシ、アルコキシカルボニル、モノアルキルカルバモイルおよびジアルキルカルバモイルにおけるアルキル部分は、前記C1-C4アルキルと同義である。ジアルキルアミノおよびジアルキルカルバモイルにおける2つのアルキルは、それぞれ同一でも異なっていてもよい。
Examples of the C1-C4 alkyl in the optionally substituted C1-C4 alkyl in R 115 of the formula (CL-VII) include, for example, methyl, ethyl, propyl, isopropyl, cyclopropyl, butyl, isobutyl, sec-butyl, tert -Butyl, cyclobutyl, cyclopropylmethyl, etc. are mentioned, Preferably methyl, ethyl etc. are mentioned, More preferably, methyl is mentioned.
The alkyl part of C1-C4 alkoxy which may be substituted has the same meaning as the C1-C4 alkyl.
Examples of the substituent in the optionally substituted C1-C4 alkyl include amino, monoalkylamino, dialkylamino, pyrrolidin-2-yl, pyrrolidin-3-yl, piperidin-2-yl, piperidin-3-yl, and piperidine 4-yl, morpholin-2-yl, morpholin-3-yl, hydroxy, alkoxy, alkoxycarbonyl, hydroxycarbonyl, carbamoyl, monoalkylcarbamoyl, dialkylcarbamoyl, nitro, cyano, fluoro, chloro, bromo and the like. Of these substituents, the alkyl moiety in monoalkylamino, dialkylamino, alkoxy, alkoxycarbonyl, monoalkylcarbamoyl and dialkylcarbamoyl has the same meaning as the C1-C4 alkyl. Two alkyls in dialkylamino and dialkylcarbamoyl may be the same or different.
置換されていても良いC1-C4アシルオキシにおけるアシルとしては、例えば、ホルミル、アセチル、プロパノイル、2-メチルプロパノイル、シクロプロパノイル、ブタノイル等が挙げられ、好ましくはアセチル等が挙げられる。
置換されていても良いC1-C4アシルオキシにおける置換基としては、アミノ、モノアルキルアミノ、ジアルキルアミノ、ピロリジン-2-イル、ピロリジン-3-イル、ピペリジン-2-イル、ピペリジン-3-イル、ピペリジン-4-イル、モルホリン-2-イル、モルホリン-3-イル、ヒドロキシ、アルコキシ、アルコキシカルボニル、ヒドロキシカルボニル、カルバモイル、モノアルキルカルバモイル、ジアルキルカルバモイル、ニトロ、シアノ、フルオロ、クロロ、ブロモ等が挙げられる。これらの置換基のうちモノアルキルアミノ、ジアルキルアミノ、アルコキシ、アルコキシカルボニル、モノアルキルカルバモイルおよびジアルキルカルバモイルにおけるアルキル部分は、前記C1-C4アルキルと同義である。ジアルキルアミノおよびジアルキルカルバモイルにおける2つのアルキルは、それぞれ同一でも異なっていてもよい。
Examples of the acyl in the optionally substituted C1-C4 acyloxy include formyl, acetyl, propanoyl, 2-methylpropanoyl, cyclopropanoyl, butanoyl, and preferably acetyl and the like.
Examples of the substituent in C1-C4 acyloxy which may be substituted include amino, monoalkylamino, dialkylamino, pyrrolidin-2-yl, pyrrolidin-3-yl, piperidin-2-yl, piperidin-3-yl and piperidine 4-yl, morpholin-2-yl, morpholin-3-yl, hydroxy, alkoxy, alkoxycarbonyl, hydroxycarbonyl, carbamoyl, monoalkylcarbamoyl, dialkylcarbamoyl, nitro, cyano, fluoro, chloro, bromo and the like. Of these substituents, the alkyl moiety in monoalkylamino, dialkylamino, alkoxy, alkoxycarbonyl, monoalkylcarbamoyl and dialkylcarbamoyl has the same meaning as the C1-C4 alkyl. Two alkyls in dialkylamino and dialkylcarbamoyl may be the same or different.
式(CL-VI)において、R111およびR112は同一の直鎖状または分岐状のC8-C24アルキル、C8-C24アルケニルもしくはC8-C24アルキニルであることが好ましく、同一の直鎖状または分岐状のC8-C24アルキルもしくはC8-C24アルケニルであることがより好ましい。 In the formula (CL-VI), R 111 and R 112 are preferably the same linear or branched C8-C24 alkyl, C8-C24 alkenyl or C8-C24 alkynyl, and the same linear or branched More preferably, it is C8-C24 alkyl or C8-C24 alkenyl.
R111およびR112は、同一または異なってオクチル、デシル、ドデシル、テトラデシル、ヘキサデシル、オクタデシル、イコシル、ドコシル、テトラコシル、(Z)-テトラデカ-9-エニル、(Z)-ヘキサデカ-9-エニル、(Z)-オクタデカ-6-エニル、(Z)-オクタデカ-9-エニル、(E)-オクタデカ-9-エニル、(Z)-オクタデカ-11-エニル、(9Z,12Z)-オクタデカ-9,12-ジエニル、(9Z,12Z,15Z)-オクタデカ-9,12,15-トリエニル、(Z)-イコサ-11-エニル、(11Z,14Z)-イコサ-11,14-ジエニル、3,7,11-トリメチルドデカ-2,6,10-トリエニルまたは3,7,11,15-テトラメチルヘキサデカ-2-エニル等であることが好ましく、同一または異なってドデシル、テトラデシル、(Z)-ヘキサデカ-9-エニル、(Z)-オクタデカ-6-エニル、(Z)-オクタデカ-9-エニルまたは(9Z,12Z)-オクタデカ-9,12-ジエニル等であることがより好ましく、同一に(Z)-ヘキサデカ-9-エニル、(Z)-オクタデカ-6-エニル、(Z)-オクタデカ-9-エニルまたは(9Z,12Z)-オクタデカ-9,12-ジエニル等であることがさらに好ましい。 R 111 and R 112 are the same or different and are octyl, decyl, dodecyl, tetradecyl, hexadecyl, octadecyl, icosyl, docosyl, tetracosyl, (Z) -tetradec-9-enyl, (Z) -hexadec-9-enyl, ( (Z) -octadeca-6-enyl, (Z) -octadeca-9-enyl, (E) -octadeca-9-enyl, (Z) -octadeca-11-enyl, (9Z, 12Z) -octadeca-9,12 -Dienyl, (9Z, 12Z, 15Z) -octadeca-9,12,15-trienyl, (Z) -icosa-11-enyl, (11Z, 14Z) -icosa-11,14-dienyl, 3,7,11 -Trimethyldodeca-2,6,10-trienyl or 3,7,11,15-tetramethylhexadec-2-enyl or the like, and the same or different, dodecyl, tetradecyl, (Z) -hexadec-9 -Enyl, (Z) -octadeca-6-enyl, (Z) -octadeca-9-enyl or (9Z, 12Z) -octadeca-9,12-dienyl are more preferred and identical. More preferred are (Z) -hexadec-9-enyl, (Z) -octadeca-6-enyl, (Z) -octadeca-9-enyl, (9Z, 12Z) -octadeca-9,12-dienyl, and the like. .
X106とX107は、同一または異なってメチルまたはエチルであることが好ましく、同一にメチルであることがより好ましい。 X 106 and X 107 are preferably the same or different and are preferably methyl or ethyl, more preferably methyl.
X106とX107が一緒になって形成する、C2-C8アルキレンとしては、例えばエチレン、プロピレン、ブチレン、ペンチレン、ヘキシレン、ヘプチレンまたはオクチレン等が挙げられ、好ましくはブチレン、ペンチレンまたはヘキシレン等が挙げられ、より好ましくはブチレンまたはペンチレン等が挙げられる。 Examples of the C2-C8 alkylene formed by combining X 106 and X 107 include ethylene, propylene, butylene, pentylene, hexylene, heptylene, octylene, and the like, preferably butylene, pentylene, hexylene, and the like. More preferred is butylene or pentylene.
X106およびX107は、同一にメチルであるか、または一緒になってブチレン、ペンチレンまたはヘキシレンを形成することが好ましい。 X 106 and X 107 are preferably the same methyl or taken together to form butylene, pentylene or hexylene.
p103および104は同時に0であることが好ましく、p105は1であることが好ましい。 p 103 and 104 are preferably 0 at the same time, and p 105 is preferably 1.
L113およびL114は同時にOであることが好ましい。 L 113 and L 114 are preferably O at the same time.
式(CL-VII)において、R113およびR114は、同一の直鎖状または分岐状のC8-C24アルキル、C8-C24アルケニルもしくはC8-C24アルキニルであることが好ましく、同一の直鎖状または分岐状のC8-C24アルキルもしくはC8-C24アルケニルであることがより好ましい。 In the formula (CL-VII), R 113 and R 114 are preferably the same linear or branched C8-C24 alkyl, C8-C24 alkenyl or C8-C24 alkynyl, and the same linear or More preferred are branched C8-C24 alkyl or C8-C24 alkenyl.
X109およびX110におけるC1-C3アルキルおよびC2-C8アルキレンは、それぞれ前記式(CL-VI)におけるものとと同義である。 C1-C3 alkyl and C2-C8 alkylene in X 109 and X 110 are as defined as in each of the formulas (CL-VI).
R115は、水素原子、ヒドロキシ、メチルまたはメトキシ等であることが好ましく、水素原子またはヒドロキシ等であることがより好ましく、水素原子であることがさらに好ましい。 R 115 is preferably a hydrogen atom, hydroxy, methyl, methoxy or the like, more preferably a hydrogen atom or hydroxy, and even more preferably a hydrogen atom.
L115は、-O-CO-または-NH-CO-であることが好ましい。この場合、p106が0または1であり、p107が1~3の整数であることが好ましく、p106が0であり、p107が1または3であることがより好ましい。 L 115 is preferably —O—CO— or —NH—CO—. In this case, p 106 is 0 or 1, and p 107 is preferably an integer of 1 to 3, more preferably p 106 is 0 and p 107 is 1 or 3.
L115が、-CO-O-である場合、p106が0であり、p107が2~4の整数であることが好ましく、p106が0であり、p107が3であることがより好ましい。 L 115 is the case of -CO-O-, p 106 is 0, it is preferable that p 107 is an integer of 2 ~ 4, p 106 is 0, more that p 107 is 3 preferable.
L115が、-CO-NH-である場合、p106が0であり、p107が2~4の整数であることが好ましく、p106が0であり、p107が3であることがより好ましい。 L 115 is the case of -CO-NH-, p 106 is 0, it is preferable that p 107 is an integer of 2 ~ 4, p 106 is 0, more that p 107 is 3 preferable.
式(CL-VIII)~式(CL-XVII)の各基の定義においては、式(I)~(V’’)におけるものと同義であってもよく、式(CL-I)~式(CL-VII)におけるものと同義であってもよい。 The definition of each group of formula (CL-VIII) to formula (CL-XVII) may be synonymous with that in formulas (I) to (V ″). CL-VII) may be synonymous.
また、式(CL-VIII)における各基は国際公開第2016/002753号に、式(CL-X)における各基は国際公開第2009/129385号に、式(CL-XI)における各基は国際公開第2013/149140号に、式(CL-XII)における各基は国際公開第2009/129395号に、式(CL-XIII)における各基は国際公開第2013/059496号に、式(CL-XIV)における各基は国際公開第2011/149733号に、式(CL-XV)における各基は国際公開第2011/153493号に、式(CL-XVI)における各基は国際公開第2015/074085号に、式(CL-XVII)における各基は国際公開第2013/064911おいて、それぞれ対応して記載される各基における好ましい態様であってもよい。 In addition, each group in the formula (CL-VIII) is in WO 2016/002753, each group in the formula (CL-X) is in WO 2009/129385, each group in the formula (CL-XI) is In International Publication No.2013 / 149140, each group in formula (CL-XII) is in International Publication No.2009 / 129395, each group in formula (CL-XIII) is in International Publication No.2013 / 059496, -XIV) in International Publication No. 2011/149733, each group in Formula (CL-XV) in International Publication No.2011 / 153493, each group in Formula (CL-XVI) in International Publication No. Each group in the formula (CL-XVII) in No. 074085 may be a preferred embodiment of each group described correspondingly in International Publication No. 2013/064911.
式(CL-IX)におけるL118およびL119は同一または異なって、好ましくは直鎖状または分岐状のC8-C24アルキレンもしくはC8-C24アルケニレンであり、より好ましくは直鎖状または分岐状のC8-C20アルキレンもしくはC8-C20アルケニレンである。 L 118 and L 119 in formula (CL-IX) are the same or different and are preferably linear or branched C8-C24 alkylene or C8-C24 alkenylene, more preferably linear or branched C8. -C20 alkylene or C8-C20 alkenylene.
式(CL-X)におけるX117およびX118のC1-C6アルキル、ヘテロシクリルまたはポリアミンは、ハロゲン原子、R’、OR’、SR’、CN、CO2R’またはCONR’2から選択される1~3個の置換基で置換されていてもよい。
式(CL-X)におけるX117およびX118が、それらが結合している窒素と一緒に、該窒素に加えて、N、OおよびSから選択される1または2個のさらなるヘテロ原子を含有していてもよい4~7員の単環式ヘテロ環を形成する場合には、該単環式ヘテロ環はハロゲン原子、R’、OR’、SR’、CN、CO2R’またはCONR’2から選択される1~3個の置換基で置換されていてもよい。
ここで、R’は水素原子またはC1-C6アルキルであり、R’としてのC1-C6アルキルは、ハロゲン原子またはOHで置換されていてもよい。
Wherein C1-C6 alkyl (CL-X) in X 117 and X 118, heterocyclyl or polyamines, halogen atom, R ', OR', SR 1 is selected ', CN, CO 2 R' or from CONR '2 It may be substituted with up to 3 substituents.
X 117 and X 118 in formula (CL-X) contain 1 or 2 additional heteroatoms selected from N, O and S in addition to the nitrogen to which they are attached The monocyclic heterocycle is a halogen atom, R ′, OR ′, SR ′, CN, CO 2 R ′ or CONR ′. It may be substituted with 1 to 3 substituents selected from 2 .
Here, R ′ is a hydrogen atom or C1-C6 alkyl, and the C1-C6 alkyl as R ′ may be substituted with a halogen atom or OH.
式(CL-X)におけるR120およびR121は同一または異なって好ましくは直鎖状または分岐状のC4-C24アルキルもしくはC4-C24アルケニルであり、より好ましくは直鎖状または分岐状のC4-C20アルキルもしくはC4-C20アルケニルである。
C4-C24アルキルまたはC4-C24アルケニルは、ハロゲン原子、R’、OR’、SR’、CN、CO2R’またはCONR’2から選択される1個以上の置換基で置換されていてもよい。
ここで、R’は水素原子またはC1-C6アルキルであり、R’としてのC1-C6アルキルは、ハロゲン原子またはOHで置換されていてもよい。
R 120 and R 121 in formula (CL-X) are the same or different and are preferably linear or branched C4-C24 alkyl or C4-C24 alkenyl, more preferably linear or branched C4- C20 alkyl or C4-C20 alkenyl.
C4-C24 alkyl or C4-C24 alkenyl may be substituted with one or more substituents selected from a halogen atom, R ′, OR ′, SR ′, CN, CO 2 R ′ or CONR ′ 2. .
Here, R ′ is a hydrogen atom or C1-C6 alkyl, and the C1-C6 alkyl as R ′ may be substituted with a halogen atom or OH.
式(CL-XI)におけるX119およびX120が直鎖状または分岐状の置換されていてもよいC6-C20アシルである場合、C6-C20アシルにおけるカルボニル基以外の構造として、C5-C19アルキル、C5-C19アルケニルまたはC5-C19アルキニルであり得る。 When X 119 and X 120 in formula (CL-XI) are linear or branched optionally substituted C6-C20 acyl, the structure other than the carbonyl group in C6-C20 acyl is C5-C19 alkyl. , C5-C19 alkenyl or C5-C19 alkynyl.
式(CL-XII)におけるR124およびR125は同一または異なって、好ましくは直鎖状または分岐状のC8-C24アルキルもしくはC8-C24アルケニルであり、より好ましくは直鎖状または分岐状のC14-C20アルキルもしくはC14-C20アルケニルである。 R 124 and R 125 in formula (CL-XII) are the same or different and are preferably linear or branched C8-C24 alkyl or C8-C24 alkenyl, more preferably linear or branched C14. -C20 alkyl or C14-C20 alkenyl.
式(CL-XIV)におけるX125およびX126のC1-C6アルキル、ヘテロシクリルまたはポリアミンは、ハロゲン原子、R’、OR’、SR’、CN、CO2R’またはCONR’2から選択される1~3個の置換基で置換されていてもよい。
式(CL-XIV)におけるX125およびX126がそれらが結合している窒素と一緒に、該窒素に加えて、N、OおよびSから選択される1または2個のさらなるヘテロ原子を含有していてもよい4~7員の単環式ヘテロ環を形成する場合には、該単環式ヘテロ環はハロゲン原子、R’、OR’、SR’、CN、CO2R’またはCONR’2から選択される1~3個の置換基で置換されていてもよい。
ここで、R’は水素原子またはC1-C6アルキルであり、R’としてのC1-C6アルキルは、ハロゲン原子またはOHで置換されていてもよい。
X 125 and X 126 C1-C6 alkyl, heterocyclyl or polyamine in the formula (CL-XIV) are selected from halogen atoms, R ′, OR ′, SR ′, CN, CO 2 R ′ or CONR ′ 2 It may be substituted with up to 3 substituents.
X 125 and X 126 in formula (CL-XIV) contain, in addition to the nitrogen to which they are attached, one or two additional heteroatoms selected from N, O and S. In the case of forming a 4 to 7-membered monocyclic hetero ring which may be optionally substituted, the monocyclic hetero ring is a halogen atom, R ′, OR ′, SR ′, CN, CO 2 R ′ or CONR ′ 2 It may be substituted with 1 to 3 substituents selected from
Here, R ′ is a hydrogen atom or C1-C6 alkyl, and the C1-C6 alkyl as R ′ may be substituted with a halogen atom or OH.
式(CL-XIV)におけるR128およびR129は同一または異なって好ましくは直鎖状または分岐状のC4-C24アルキルもしくはC4-C24アルケニルであり、より好ましくは直鎖状または分岐状のC4-C20アルキルもしくはC4-C20アルケニルである。
C4-C24アルキルまたはC4-C24アルケニルは、ハロゲン原子、R’、OR’、SR’、CN、CO2R’またはCONR’2から選択される1個以上の置換基で置換されていてもよい。
ここで、R’は水素原子またはC1-C6アルキルであり、R’としてのC1-C6アルキルは、ハロゲン原子またはOHで置換されていてもよい。
R 128 and R 129 in formula (CL-XIV) are the same or different and are preferably linear or branched C4-C24 alkyl or C4-C24 alkenyl, more preferably linear or branched C4- C20 alkyl or C4-C20 alkenyl.
C4-C24 alkyl or C4-C24 alkenyl may be substituted with one or more substituents selected from a halogen atom, R ′, OR ′, SR ′, CN, CO 2 R ′ or CONR ′ 2. .
Here, R ′ is a hydrogen atom or C1-C6 alkyl, and the C1-C6 alkyl as R ′ may be substituted with a halogen atom or OH.
本発明で用いられる脂質Bの具体例を以下の表1~10に示すが、本発明の脂質Bはこれらに限定されるものではない。 Specific examples of lipid B used in the present invention are shown in Tables 1 to 10 below, but lipid B of the present invention is not limited thereto.
次に本発明の脂質Aの製造方法について説明する。なお、以下に示す製造法において、定義した基が該製造法の条件下で変化するかまたは該製造法を実施するのに不適切な場合、有機合成化学で常用される保護基の導入および除去方法[例えば、プロテクティブ・グループス・イン・オーガニック・シンセシス第3版(Protective Groups in Organic Synthesis, third edition)、グリーン(T.W.Greene)著、John Wiley&Sons Inc.(1999年)等に記載の方法]等を用いることにより、目的化合物を得ることができる。また、必要に応じて置換基導入等の反応工程の順序を変えることもできる。 Next, the method for producing lipid A of the present invention will be described. In addition, in the production method shown below, when a defined group changes under the conditions of the production method or is inappropriate for carrying out the production method, introduction and removal of a protective group commonly used in organic synthetic chemistry Methods [e.g., Methods described in Protective Groups in Organic Synthesis, third edition, by TWGreene, John Wiley & Sons Inc. (1999)], etc. Can be used to obtain the target compound. Further, the order of reaction steps such as introduction of substituents can be changed as necessary.
また、以下に示す製造法において記載されているエーテル化(第4版実験化学講座20 有機化合物の合成II」、第4版、p.187、丸善(1992年)等)、アミノ化(第4版実験化学講座20 有機化合物の合成II」、第4版、p.279、丸善(1992年)等)、エステル化(第4版実験化学講座22 有機化合物の合成IV」、第4版、p.43、丸善(1992年)等)、アミド化(第4版実験化学講座22 有機化合物の合成IV」、第4版、p.137、丸善(1992年)等)等の一般的な単位反応は、それぞれ既存の文献に記載されている一般的な反応条件を用いても行うことができる。 In addition, etherification (4th edition, Experimental Chemistry Course 20, Synthesis of Organic Compounds II, 4th edition, p.187, Maruzen (1992), etc.), amination (4th edition) Edition Experimental Chemistry Lecture 20 “Synthesis of Organic Compounds II”, 4th Edition, p.279, Maruzen (1992), etc., Esterification (4th Edition Experimental Chemistry Course 22 “Synthesis of Organic Compounds IV”, 4th Edition, p. .43, Maruzen (1992), etc.), amidation (4th edition, Experimental Chemistry Lecture 22, Synthesis of Organic Compounds IV, 4th edition, p.137, Maruzen (1992), etc.) Can also be carried out using general reaction conditions described in the existing literature.
以下、合成経路1または2のいずれかの方法、あるいはこれらの方法に準じた方法等で化合物(I)を得ることができる。 Hereinafter, compound (I) can be obtained by any of the synthetic pathways 1 and 2, or a method according to these methods.
化合物(I)は、アンモニアから合成経路1に従い得ることができる。 Compound (I) can be obtained from ammonia according to Synthesis Route 1.
アンモニアと化合物1とを溶媒(例えば、テトラヒドロフランやメタノール等の極性溶媒等)中、高温(例えば、80℃以上)で反応させることにより化合物2を得ることができる。 Compound 2 can be obtained by reacting ammonia and compound 1 in a solvent (for example, a polar solvent such as tetrahydrofuran or methanol) at a high temperature (for example, 80 ° C. or more).
化合物2と化合物3とを、塩基(例えば、水酸化ナトリウム等の無機塩基等)の存在下、高温(例えば、100℃以上)で反応させることにより化合物4が得られる。溶媒は特に必要無いが、場合により高沸点の溶媒(例えば、エチレングリコール等の極性溶媒等)を用いることもできる。 Compound 4 is obtained by reacting Compound 2 and Compound 3 at a high temperature (for example, 100 ° C. or higher) in the presence of a base (for example, an inorganic base such as sodium hydroxide). Although a solvent is not particularly required, a high boiling point solvent (for example, a polar solvent such as ethylene glycol) may be used in some cases.
化合物4と化合物5とを塩基(例えば、水酸化ナトリウム等の無機塩基等)の存在下、高温(例えば、100℃以上)で反応させることにより化合物6が得られる。溶媒は特に必要無いが、場合により高沸点の溶媒(例えば、エチレングリコール等の極性溶媒等)を用いることもできる。 Compound 6 is obtained by reacting Compound 4 and Compound 5 at a high temperature (for example, 100 ° C. or higher) in the presence of a base (for example, an inorganic base such as sodium hydroxide). Although a solvent is not particularly required, a high boiling point solvent (for example, a polar solvent such as ethylene glycol) may be used in some cases.
上記3つの各加熱反応ではマイクロ波反応装置を好適に用いることも出来る。また、化合物1, 化合物3および化合物5の代わりにこれらに対応する臭化物またはヨウ化物等のハロゲン化物を用いることもできる。 In each of the above three heating reactions, a microwave reactor can also be suitably used. Further, instead of Compound 1, Compound 3 and Compound 5, a corresponding halide such as bromide or iodide can be used.
R1-L1とR2-L2とが同じである化合物4は、アンモニアから過剰量の化合物1を用いることでも得られる。また、R2-L2とR3-L3とが同じである化合物6は、化合物2から過剰量の化合物3を用いることでも得られる。さらにR1-L2、R2-L2およびR3-L3が同じである化合物6は、アンモニアからさらに過剰量の化合物1を用いることでも得られる。 Compound 4 in which R 1 -L 1 and R 2 -L 2 are the same can also be obtained by using an excess amount of Compound 1 from ammonia. Compound 6 in which R 2 -L 2 and R 3 -L 3 are the same can also be obtained by using an excess amount of compound 3 from compound 2. Furthermore, compound 6 in which R 1 -L 2 , R 2 -L 2 and R 3 -L 3 are the same can also be obtained by using an excess amount of compound 1 from ammonia.
化合物6と化合物7とを、溶媒(例えば、クロロホルム等のハロゲン系溶媒等)の存在下または非存在下、室温または高温(例えば、100℃以上)で反応させることにより化合物(I)が得られる。なお、例えば、適切な陰イオン交換樹脂で(I)を処理することにより、化合物(I)の陰イオンA1を別の陰イオンに変換することもできる。 Compound (I) is obtained by reacting Compound 6 and Compound 7 in the presence or absence of a solvent (eg, a halogen-based solvent such as chloroform) at room temperature or high temperature (eg, 100 ° C. or higher). . In addition, for example, by treating (I) with an appropriate anion exchange resin, the anion A 1 of the compound (I) can be converted into another anion.
化合物1, 化合物3, 化合物5および化合物7等の反応に使用する化合物は、市販品として、または実施例に記載の方法もしくはそれに準じた方法で、もしくは文献により既知の方法(例えば、「第5版実験化学講座13 有機化合物の合成I」、第5版、p.374、丸善(2005年)等に記載の方法)もしくはそれに準じた方法で入手することができる。 Compounds used for the reaction such as Compound 1, Compound 3, Compound 5 and Compound 7 are commercially available products, or the methods described in Examples or modifications thereof, or methods known in the literature (for example, “No. 5 Version Experimental Chemistry Lecture 13 “Synthesis of Organic Compounds I”, 5th Edition, p. 374, Maruzen (2005), etc.) or a method similar thereto.
また化合物1は、対応するR1-L1-OHを無水メシル酸またはメシル酸クロリドで処理することによっても得ることができる。 Compound 1 can also be obtained by treating the corresponding R 1 -L 1 -OH with mesylic anhydride or mesylic chloride.
さらに化合物R1-L1-OHのうち、L1が-Z1-(CY1Y2)p1- (各基は前記と同義)であるものは、R1-OMs、R1-OH、R1-NY7A-H (Y7Aは前記と同義)またはR1-CO2Hのいずれかひとつと、HO-(CY1Y2)p1-O-PRO1、MsO-(CY1Y2)p1-O-PRO1、HO2C-(CY1Y2)p1-O-PRO1またはH-NY7A-(CY1Y2)p1-O-PRO1(式中、PRO1はシリル系保護基(例えば、トリエチルシリル(TES)、tert-ブチルジメチルシリル(TBS)、tert-ブチルジフェニルシリル(TBDPS)等))のいずれかひとつとを、(例えば水素化ナトリウム等の強塩基を用いた)エーテル化、(例えば置換反応等の)アミノ化、(例えば、1-エチル-3-(3-ジメチルアミノプロピル)カルボジイミド塩酸塩または等の縮合剤を用いた)エステル化、または(例えば、同様の縮合剤を用いた)アミド化のいずれかの反応を行った後に、脱保護することにより得ることができる。
また、化合物R1-L1-OHのうち、L1が-Z2-(CY3Y4)p2-Z3-(CY5Y6)p3- (各基は前記と同義)であるものも、同様に目的とする化合物に対応した反応基質を用い、公知の反応を1~複数回適用することにより得ることができる。
Further among the compound R 1 -L 1 -OH, L 1 is -Z 1 - (CY 1 Y 2 ) p1 - what is (each group as defined above) is, R 1 -OMs, R 1 -OH , R 1 -NY 7A -H (Y 7A is as defined above) or R 1 -CO 2 H and HO- (CY 1 Y 2 ) p1 -O-PRO 1 , MsO- (CY 1 Y 2 ) p1 -O-PRO 1 , HO 2 C- (CY 1 Y 2 ) p1 -O-PRO 1 or H-NY 7A- (CY 1 Y 2 ) p1 -O-PRO 1 (where PRO 1 is silyl Any one of the protecting groups (for example, triethylsilyl (TES), tert-butyldimethylsilyl (TBS), tert-butyldiphenylsilyl (TBDPS), etc.)) and a strong base such as sodium hydride Etherification, amination (eg, substitution reaction), esterification (eg, using a condensing agent such as 1-ethyl-3- (3-dimethylaminopropyl) carbodiimide hydrochloride or the like), or (eg, By performing any of the reactions of amidation (using a similar condensing agent) followed by deprotection Rukoto can.
Also, among compounds R 1 -L 1 -OH, L 1 is -Z 2- (CY 3 Y 4 ) p2 -Z 3- (CY 5 Y 6 ) p3- (each group is as defined above) Similarly, it can be obtained by applying a known reaction one or more times using a reaction substrate corresponding to the target compound.
化合物3および5は、化合物1と同様の手法により調製することができる。 Compounds 3 and 5 can be prepared in the same manner as Compound 1.
化合物(Ia)は、化合物8から合成経路2に従い得ることができる。 Compound (Ia) can be obtained from Compound 8 according to Synthesis Route 2.
化合物8と化合物9とを、溶媒(例えば、クロロホルム等のハロゲン系溶媒等)中、塩基(例えば、トリエチルアミン等の有機塩基等)、縮合剤(例えば、1-エチル-3-(3-ジメチルアミノプロピル)カルボジイミド塩酸塩またはO-(7-アザ-1H-ベンゾトリアゾール-1-イル)-N,N,N',N'-テトラメチルウロニウム ヘキサフルオロフォスフェート等の縮合剤)および活性化剤(N,N-ジメチルアミノピリジン等の活性化剤)で処理することにより化合物10が得られる。 Compound 8 and Compound 9 are mixed with a base (for example, an organic base such as triethylamine) and a condensing agent (for example, 1-ethyl-3- (3-dimethylamino) in a solvent (for example, a halogen-based solvent such as chloroform). Propyl) carbodiimide hydrochloride or O- (7-aza-1H-benzotriazol-1-yl) -N, N, N ', N'-tetramethyluronium hexafluorophosphate etc.) and activators Treatment with (an activator such as N, N-dimethylaminopyridine) gives compound 10.
化合物10と化合物11とを上記と同様の方法でエステル化することにより化合物12が得られる。 Compound 12 is obtained by esterifying Compound 10 and Compound 11 in the same manner as described above.
さらに、化合物12と化合物13とを上記と同様の方法でエステル化することにより化合物14が得られる。 Further, Compound 14 is obtained by esterifying Compound 12 and Compound 13 in the same manner as described above.
R1とR2とが同じである化合物12は、化合物8から過剰量の化合物9を用いることでも得られる。また、R2とR3とが同じである化合物14は、化合物10から過剰量の化合物11を用いることでも得られる。さらにR1、R2およびR3とが同じである化合物14は、化合物8からさらに過剰量の化合物9を用いることでも得られる。 Compound 12 in which R 1 and R 2 are the same can also be obtained by using an excess amount of Compound 9 from Compound 8. Compound 14 in which R 2 and R 3 are the same can also be obtained by using an excess amount of compound 11 from compound 10. Further, Compound 14 in which R 1 , R 2 and R 3 are the same can also be obtained by using an excess amount of Compound 9 from Compound 8.
化合物14と化合物15とを、溶媒(例えば、クロロホルム等のハロゲン系溶媒等)の存在下または非存在下、室温または高温(例えば、100℃以上)で反応させることにより化合物(Ia)が得られる。なお、例えば、適切な陰イオン交換樹脂で(Ia)を処理することにより、化合物(Ia)の陰イオンA1を別の陰イオンに変換することもできる。 Compound (Ia) is obtained by reacting Compound 14 and Compound 15 in the presence or absence of a solvent (eg, a halogen-based solvent such as chloroform) at room temperature or high temperature (eg, 100 ° C. or higher). . For example, by treating (Ia) with an appropriate anion exchange resin, the anion A 1 of the compound (Ia) can be converted to another anion.
化合物8, 化合物9, 化合物11, 化合物14および化合物15等の反応に使用する化合物は、市販品として、または実施例に記載の方法もしくはそれに準じた方法で、もしくは文献により既知の方法(例えば、「第5版実験化学講座14 有機化合物の合成II」、第5版、p.1、丸善(2005年)、「第4版実験化学講座22 有機化合物の合成IV」、第4版、p.1、丸善(1992年)等に記載の方法)もしくはそれに準じた方法で入手することができる。 Compounds used in the reaction such as Compound 8, Compound 9, Compound 11, Compound 14, and Compound 15 are commercially available products, or the methods described in Examples or equivalent methods, or methods known from the literature (for example, "Fifth Edition Experimental Chemistry Course 14, Synthesis of Organic Compounds II", Fifth Edition, p.1, Maruzen (2005), "Fourth Edition Experimental Chemistry Course 22, Organic Compound Synthesis IV", Fourth Edition, p. 1, the method described in Maruzen (1992), etc.) or a method similar thereto.
以下、合成経路3~16のいずれかの方法、あるいはこれらの方法に準じた方法等で化合物(II)を得ることができる。 Hereinafter, the compound (II) can be obtained by any one of the synthesis routes 3 to 16, or a method according to these methods.
化合物(IIa)は、化合物15から合成経路3に従い得ることができる。 Compound (IIa) can be obtained from Compound 15 according to Synthesis Route 3.
化合物22は、化合物16と、化合物17, 化合物19および化合物21とを、合成経路2における化合物8と化合物9とのエステル化反応と同様の反応条件を適用して順に反応させることにより得られる。 Compound 22 is obtained by sequentially reacting Compound 16, Compound 17, Compound 19, and Compound 21 under the same reaction conditions as in the esterification reaction of Compound 8 and Compound 9 in Synthesis Route 2.
化合物(IIa)は化合物22と化合物23とから、合成経路2における化合物14と化合物15との反応により化合物(Ia)を合成する際の反応条件と同様の条件を適用して反応させるすることにより得られる。なお、例えば、適切な陰イオン交換樹脂で(IIa)を処理することにより、化合物(IIa)の陰イオンA2を別の陰イオンに変換することもできる。 Compound (IIa) is reacted with Compound 22 and Compound 23 by applying the same conditions as those for the synthesis of Compound (Ia) by the reaction of Compound 14 and Compound 15 in Synthesis Route 2. can get. In addition, for example, by treating (IIa) with a suitable anion exchange resin, the anion A 2 of the compound (IIa) can be converted into another anion.
化合物16, 化合物17, 化合物19, 化合物21および化合物23等の反応に使用する化合物は、市販品として、または実施例に記載の方法もしくはそれに準じた方法で、もしくは文献により既知の方法(例えば、「第5版実験化学講座14 有機化合物の合成II」、第5版、p.1、丸善(2005年)、「第4版実験化学講座22 有機化合物の合成IV」、第4版、p.1、丸善(1992年)等に記載の方法)もしくはそれに準じた方法で入手することができる。 Compounds used for the reaction such as Compound 16, Compound 17, Compound 19, Compound 21 and Compound 23 are commercially available products, or the methods described in Examples or equivalent methods, or methods known from the literature (for example, "Fifth Edition Experimental Chemistry Course 14, Synthesis of Organic Compounds II", Fifth Edition, p.1, Maruzen (2005), "Fourth Edition Experimental Chemistry Course 22, Organic Compound Synthesis IV", Fourth Edition, p. 1, the method described in Maruzen (1992), etc.) or a method similar thereto.
化合物16は後述の合成経路11~15の方法でも得ることができる。 Compound 16 can also be obtained by the methods of Synthesis Routes 11 to 15 described later.
化合物17のうち、M7が-Z5-(CY10Y11)p5-であるものは、R4-OMs、R4-OH、R4-NY14A-H (Y14Aは前記と同義)またはR4-CO2Hのいずれかひとつと、HO-(CY10Y11)p5-CO-O-PRO2、MsO-(CY10Y11)p5-CO-O-PRO2、HO2C-(CY10Y11)p5-CO-O-PRO2またはH-NY14A-(CY10Y11)p5-CO-O-PRO2(式中、PRO2はカルボン酸のための保護基(例えば、メチル、tert-ブチル、ベンジル等))のいずれかひとつとを、(例えば水素化ナトリウム等の強塩基を用いた)エーテル化、(例えば置換反応等の)アミノ化、(例えば、1-エチル-3-(3-ジメチルアミノプロピル)カルボジイミド塩酸塩等の縮合剤を用いた)エステル化、または(例えば、同様の縮合剤を用いた)アミド化のいずれかの反応を行った後に、脱保護することにより得ることができる。 Among compounds 17, those in which M 7 is -Z 5- (CY 10 Y 11 ) p5- are R 4 -OMs, R 4 -OH, R 4 -NY 14A -H (Y 14A is as defined above) Or any one of R 4 -CO 2 H and HO- (CY 10 Y 11 ) p5 -CO-O-PRO 2 , MsO- (CY 10 Y 11 ) p5 -CO-O-PRO 2 , HO 2 C -(CY 10 Y 11 ) p5 -CO-O-PRO 2 or H-NY 14A- (CY 10 Y 11 ) p5 -CO-O-PRO 2 (where PRO 2 is a protecting group for the carboxylic acid ( (Eg, methyl, tert-butyl, benzyl, etc.)) and etherification (eg, using a strong base such as sodium hydride), amination (eg, substitution reaction), (eg, 1- After the reaction, either esterification (using a condensing agent such as ethyl-3- (3-dimethylaminopropyl) carbodiimide hydrochloride) or amidation (eg using a similar condensing agent) is performed. It can be obtained by protecting.
化合物19および21は、化合物17と同様の手法により調製することができる。 Compounds 19 and 21 can be prepared in the same manner as Compound 17.
合成経路3中、X4の導入を最初に行うこともできる。すなわち、まず化合物16に化合物23を作用させた後に、次いで化合物17, 19および21と順にエステル化を行うことでも化合物(IIa)を得ることができる。 In the synthesis route 3, X 4 can also be introduced first. That is, compound (IIa) can also be obtained by first allowing compound 23 to act on compound 16 and then performing esterification sequentially with compounds 17, 19 and 21.
化合物(IIb)は、化合物16から合成経路4に従い得ることができる。 Compound (IIb) can be obtained from Compound 16 according to Synthesis Route 4.
化合物16と化合物24とを溶媒(例えば、テトラヒドロフランまたはトルエン等の非プロトン性溶媒等)中、塩基(例えば、水素化ナトリウム等の無機塩基等)の存在下、高温(例えば、100℃以上)で反応させることにより化合物25を得ることができる。 Compound 16 and Compound 24 in a solvent (eg, an aprotic solvent such as tetrahydrofuran or toluene) in the presence of a base (eg, an inorganic base such as sodium hydride) at a high temperature (eg, 100 ° C. or higher) Compound 25 can be obtained by reaction.
化合物25と化合物26とを、上記と同様の方法でエーテル化すると、化合物27が得られる。 Compound 27 is obtained by etherifying Compound 25 and Compound 26 in the same manner as described above.
化合物27と化合物28とを、上記と同様の方法でエーテル化すると、化合物29が得られる。 Compound 29 is obtained by etherifying Compound 27 and Compound 28 in the same manner as described above.
上記3つの各加熱反応ではマイクロ波反応装置を好適に用いることも出来る。また、化合物24, 化合物26および化合物28の代わりにこれらに対応する臭化物またはヨウ化物等を用いることもできる。 In each of the above three heating reactions, a microwave reactor can also be suitably used. Further, bromide or iodide corresponding to these can be used in place of compound 24, soot compound 26 and compound 28.
R4-M7とR5-M8とが同じである化合物27は、化合物16から過剰量の化合物24を用いることでも得られる。また、R5-M8とR6-M9とが同じである化合物29は、化合物25から過剰量の化合物26を用いることでも得られる。さらにR4-M7、R5-M8およびR6-M9とが同じである化合物29は、化合物16からさらに過剰量の化合物24を用いることでも得られる。 Compound 27 in which R 4 -M 7 and R 5 -M 8 are the same can also be obtained by using an excess amount of compound 24 from compound 16. Compound 29 in which R 5 -M 8 and R 6 -M 9 are the same can also be obtained by using an excess amount of compound 26 from compound 25. Further, Compound 29 in which R 4 -M 7 , R 5 -M 8 and R 6 -M 9 are the same can also be obtained by using an excess amount of Compound 24 from Compound 16.
化合物29と化合物23とを、溶媒(例えば、クロロホルム等のハロゲン系溶媒等)の存在下または非存在下、室温または高温(例えば、100℃以上)で反応させることにより化合物(IIb)が得られる。なお、例えば、適切な陰イオン交換樹脂で(IIb)を処理することにより、化合物(IIb)の陰イオンA2を別の陰イオンに変換することもできる。 Compound (IIb) is obtained by reacting Compound 29 and Compound 23 in the presence or absence of a solvent (for example, a halogen-based solvent such as chloroform) at room temperature or high temperature (for example, 100 ° C. or higher). . In addition, for example, by treating (IIb) with an appropriate anion exchange resin, the anion A 2 of the compound (IIb) can be converted to another anion.
化合物16, 化合物24, 化合物26, 化合物28および化合物23等の反応に使用する化合物は、市販品として、または実施例に記載の方法もしくはそれに準じた方法で、もしくは文献により既知の方法(例えば、「第5版実験化学講座14 有機化合物の合成II」、第5版、p.1、丸善(2005年)、「第5版実験化学講座13 有機化合物の合成I」、第5版、p.374、丸善(2005年)等に記載の方法)もしくはそれに準じた方法で入手することができる。 Compounds used for the reaction such as Compound 16, Compound 24, Compound 26, Compound 28, and Compound 23 are commercially available products, or the methods described in Examples or a method analogous thereto, or methods known from the literature (for example, "Fifth Edition Experimental Chemistry Course 14, Synthesis of Organic Compounds II", Fifth Edition, p.1, Maruzen (2005), "Fifth Edition Experimental Chemistry Course 13, Synthesis of Organic Compounds I", Fifth Edition, p. 374, Maruzen (2005), etc.) or a similar method.
また化合物24は、対応するR4-M7-OHを無水メシル酸またはメシル酸クロリドで処理することによっても得ることができる。 Compound 24 can also be obtained by treating the corresponding R 4 -M 7 -OH with mesylic anhydride or mesylic chloride.
さらに化合物R4-M7-OHのうち、M7が-Z5-(CY10Y11)p5- (各基は前記と同義)であるものは、R4-OMs、R4-OH、R4-NY14A-H (Y14Aは前記と同義)またはR4-CO2Hのいずれかひとつと、HO-(CY10Y11)p5-O-PRO1、MsO-(CY10Y11)p5-O-PRO1、HO2C-(CY10Y11)p5-O-PRO1またはH-NY14A-(CY10Y11)p5-O-PRO1(各基は前記と同義)のいずれかひとつとを、エーテル化、アミノ化、エステル化、またはアミド化のいずれかの反応を行った後に、脱保護することにより得ることができる。 Further among the compound R 4 -M 7 -OH, M 7 is -Z 5 - (CY 10 Y 11 ) p5 - ones (each group is as defined above) in which, R 4 -OMs, R 4 -OH , R 4 -NY 14A -H (Y 14A is as defined above) or R 4 -CO 2 H, HO- (CY 10 Y 11 ) p5 -O-PRO 1 , MsO- (CY 10 Y 11 ) p5 -O-PRO 1 , HO 2 C- (CY 10 Y 11 ) p5 -O-PRO 1 or H-NY 14A- (CY 10 Y 11 ) p5 -O-PRO 1 (each group is as defined above) Any one of these can be obtained by deprotecting after etherification, amination, esterification or amidation reaction.
化合物26および28は、化合物24と同様の手法により調製することができる Compounds 26 and 28 can be prepared in the same manner as Compound 24
合成経路5に示すように、化合物(IIc)は、合成経路4で得られる化合物25から、合成経路3におけるエステル化等の各反応を適宜組み合わせることで得ることができる。さらに合成経路5に示すように、化合物(IId)は、合成経路4で得られる化合物27から、合成経路3におけるエステル化等の各反応を適宜組み合わせることで得ることができる。 As shown in Synthesis Route 5, Compound (IIc) can be obtained from Compound 25 obtained in Synthesis Route 4 by appropriately combining each reaction such as esterification in Synthesis Route 3. Further, as shown in Synthesis Route 5, Compound (IId) can be obtained from Compound 27 obtained by Synthesis Route 4 by appropriately combining each reaction such as esterification in Synthesis Route 3.
化合物(IIe)は、化合物30から合成経路6に従い得ることができる。 Compound (IIe) can be obtained from Compound 30 according to Synthesis Route 6.
化合物33は、化合物30と、化合物17, 化合物19および化合物21とを、順にエステル化またはアミド化反応させることにより得られる。 Compound 33 is obtained by subjecting compound 30 to compound 17, compound 19, and compound 21 in this order by esterification or amidation.
化合物(IIe)は化合物33と化合物23とから、合成経路2における化合物14と化合物15との反応により化合物(Ia)を合成する際の反応条件と同様の条件を適用して反応させるすることにより得られる。なお、例えば、適切な陰イオン交換樹脂で(IIe)を処理することにより、化合物(IIe)の陰イオンA2を別の陰イオンに変換することもできる。 Compound (IIe) is reacted with Compound 33 and Compound 23 by applying the same conditions as those for the synthesis of Compound (Ia) by the reaction of Compound 14 and Compound 15 in Synthesis Route 2. can get. In addition, for example, by treating (IIe) with an appropriate anion exchange resin, the anion A 2 of the compound (IIe) can be converted into another anion.
化合物30は後述の合成経路11~15の方法でも得ることができる。 Compound 30 can also be obtained by the methods of Synthesis Routes 11 to 15 described later.
化合物(IIf)は、化合物34から合成経路7に従い得ることができる。 Compound (IIf) can be obtained from Compound 34 according to Synthesis Route 7.
化合物35は、化合物34を適切な保護基で保護することにより得られる。 Compound 35 is obtained by protecting compound 34 with an appropriate protecting group.
化合物36は、化合物35と、化合物23とを、合成経路2における化合物14と化合物15との反応により化合物(Ia)を合成する際の反応条件と同様の条件を適用して反応させたのちに、適切な条件で脱保護することにより得られる。 Compound 36 is obtained by reacting Compound 35 with Compound 23 under the same conditions as those used in the synthesis of Compound (Ia) by the reaction of Compound 14 and Compound 15 in Synthesis Route 2. Can be obtained by deprotection under appropriate conditions.
化合物(IIf)は、化合物36と、化合物37, 化合物39および化合物41とを、順にエステル化またはアミド化反応させることにより得られる。なお、例えば、適切な陰イオン交換樹脂で化合物(IIf)を処理することにより、化合物(IIf)の陰イオンA2を別の陰イオンに変換することもできる。 Compound (IIf) is obtained by subjecting compound 36, compound 37, compound 39 and compound 41 to an esterification or amidation reaction in this order. In addition, for example, the anion A 2 of the compound (IIf) can be converted to another anion by treating the compound (IIf) with an appropriate anion exchange resin.
化合物34、35および36は、市販品として、または実施例に記載の方法もしくはそれに準じた方法で入手することができる。 Compounds 34, 35 and 36 can be obtained as commercial products, or by the method described in the examples or a method analogous thereto.
化合物37のうち、M10がNY14Aであるものは、R4-M7-OMs (化合物24)とY14ANH2とを反応させることでも得ることができる。
化合物37および39は、化合物35と同様の手法により調製することができる。
Among compounds 37, those in which M 10 is NY 14A can also be obtained by reacting R 4 -M 7 -OMs (compound 24) with Y 14A NH 2 .
Compounds 37 and 39 can be prepared in the same manner as compound 35.
なお、化合物(IIf)は、合成経路8に記載のように、化合物24と、化合物37, 39および41とで順にエステル化/アミド化を行い、最後に化合物23を作用させてX4を導入することでも得ることができる。 Compound (IIf) was esterified / amidated in turn with Compound 24 and Compounds 37, 39 and 41 as described in Synthesis Route 8, and finally Compound 23 was allowed to act to introduce X 4 You can also get it.
化合物(IIg)は、シアノ酢酸エチルから合成経路9に従い得ることができる。 Compound (IIg) can be obtained from ethyl cyanoacetate according to synthetic route 9.
シアノ酢酸エチルと化合物24とを、溶媒(例えば、テトラヒドロフラン等の非プロトン性溶媒等)中、塩基(例えば、水素化ナトリウム等の無機塩基等)および、場合によっては添加剤(例えば、ヨウ化テトラブチルアンモニウム等の添加剤)の存在下、高温(例えば、60℃以上)で反応させることにより化合物42を得ることができる。 Combine ethyl cyanoacetate with compound 24 in a solvent (eg, an aprotic solvent such as tetrahydrofuran), a base (eg, an inorganic base such as sodium hydride), and optionally an additive (eg, tetraiodide). Compound 42 can be obtained by reacting at an elevated temperature (for example, 60 ° C. or higher) in the presence of an additive such as butylammonium.
化合物42と化合物26とを、溶媒(例えば、テトラヒドロフラン等の非プロトン性溶媒等)中、塩基(例えば、水素化ナトリウム等の無機塩基等)および、場合によっては添加剤(例えば、ヨウ化テトラブチルアンモニウム等の添加剤)の存在下、高温(例えば、60℃以上)で反応させることにより43を得ることができる。 Compound 42 and Compound 26 in a solvent (eg, an aprotic solvent such as tetrahydrofuran), a base (eg, an inorganic base such as sodium hydride), and optionally an additive (eg, tetrabutyl iodide) 43 can be obtained by reacting at a high temperature (for example, 60 ° C. or more) in the presence of an additive such as ammonium.
R4とR5とが同じである化合物43は、シアノ酢酸エチルから過剰量の化合物24を用いることでも得ることができる。 Compound 43 in which R 4 and R 5 are the same can also be obtained by using an excess amount of compound 24 from ethyl cyanoacetate.
化合物43を溶媒(例えば、テトラヒドロフラン等の非プロトン性溶媒等)中、過剰量の水素化アルミニウムリチウム(LAH)で還元することにより化合物44を得ることができる。 Compound 44 can be obtained by reducing compound 43 with an excess amount of lithium aluminum hydride (LAH) in a solvent (for example, an aprotic solvent such as tetrahydrofuran).
溶媒(例えば、クロロホルム等のハロゲン系溶媒等)の存在下または非存在下、化合物44に対して化合物45, 化合物46および化合物23を順次作用させることにより、化合物47を得ることができる。X2、X3およびX4が同一である化合物47は、44から過剰量の化合物45を用いることでも得ることができる。 Compound 47 can be obtained by sequentially reacting compound 45, compound 46 and compound 23 with respect to compound 44 in the presence or absence of a solvent (eg, a halogen solvent such as chloroform). Compound 47 in which X 2 , X 3 and X 4 are the same can also be obtained using 44 to an excess amount of compound 45.
化合物(IIg)は、化合物47と化合物21とから、合成経路2における化合物8と化合物9とのエステル化反応と同様の反応条件を適用して反応させることにより得られる。なお、例えば、適切な陰イオン交換樹脂で(IIg)を処理することにより、化合物(IIg)の陰イオンA2を別の陰イオンに変換することもできる。 Compound (IIg) can be obtained by reacting Compound 47 and Compound 21 by applying the same reaction conditions as in the esterification reaction of Compound 8 and Compound 9 in Synthesis Route 2. Incidentally, for example, by treating the (IIg) with a suitable anion exchange resins, it is also possible to convert the anion A 2 of the compound (IIg) into another anion.
化合物45および46は、化合物23と同様である。 Compounds 45 and 46 are the same as compound 23.
化合物(IIh)は、マロン酸ジメチルから合成経路10に従い得ることができる。 Compound (IIh) can be obtained from dimethyl malonate according to synthesis route 10.
マロン酸ジメチルと化合物24とを、溶媒(例えば、アセトニトリル等の非プロトン性溶媒等)中、塩基(例えば、炭酸セシウム等の無機塩基等)および、場合によっては添加剤(例えば、ヨウ化テトラブチルアンモニウム等の添加剤)の存在下、加温(例えば、50℃)下で反応させることにより化合物48を得ることができる。 A dimethyl malonate and a compound 24 are mixed with a base (for example, an inorganic base such as cesium carbonate) and optionally an additive (for example, tetrabutyl iodide) in a solvent (for example, an aprotic solvent such as acetonitrile). Compound 48 can be obtained by reaction under heating (for example, 50 ° C.) in the presence of an additive such as ammonium.
化合物48と化合物49とを、溶媒(例えば、アセトニトリル等の非プロトン性溶媒等)中、無水酢酸および塩基(例えば、水素化ナトリウム等の無機塩基等)の存在下で反応させることにより化合物50を得ることができる。 Compound 50 is reacted with Compound 49 in the presence of acetic anhydride and a base (for example, an inorganic base such as sodium hydride) in a solvent (for example, an aprotic solvent such as acetonitrile). Obtainable.
化合物50を溶媒(例えば、テトラヒドロフラン等の非プロトン性溶媒等)中、過剰量の水素化アルミニウムリチウム(LAH)で還元することにより化合物51を得ることができる。 Compound 51 can be obtained by reducing compound 50 with an excess amount of lithium aluminum hydride (LAH) in a solvent (for example, an aprotic solvent such as tetrahydrofuran).
化合物52は、化合物51と、化合物19および化合物21とを、合成経路2における化合物8と化合物9とのエステル化と同様の反応条件を適用して反応させることにより得られる。 Compound 52 is obtained by reacting Compound 51 with Compound 19 and Compound 21 under the same reaction conditions as in esterification of Compound 8 and Compound 9 in Synthesis Route 2.
化合物52と化合物53とを、溶媒(例えば、クロロホルム等のハロゲン系溶媒等)の存在下または非存在下、室温または高温(例えば、100℃以上)で反応させることにより化合物(IIh)が得られる。なお、例えば、適切な陰イオン交換樹脂で(IIh)を処理することにより、化合物(IIh)の陰イオンA2を別の陰イオンに変換することもできる。 Compound (IIh) is obtained by reacting compound 52 and compound 53 in the presence or absence of a solvent (eg, a halogen-based solvent such as chloroform) at room temperature or high temperature (eg, 100 ° C. or higher). . In addition, for example, by treating (IIh) with a suitable anion exchange resin, the anion A 2 of the compound (IIh) can be converted into another anion.
化合物49は、市販品として、または実施例に記載の方法もしくはそれに準じた方法で、もしくは文献により既知(例えば、「ヘルベティカ・キミカ・アクタ(Helvetica Chimica Acta)、92巻、8号、1644-1656頁、2009年」等に記載の方法)の方法もしくはそれに準じた方法で入手することができる。 Compound 49 is a commercially available product, or a method described in Examples or a method analogous thereto, or known from the literature (for example, “Helvetica Chimica Acta, Vol. 92, No. 8, 1644-1656”). Page, 2009 "etc.) or a method analogous thereto.
化合物54および56は、合成経路11に従い得ることができる。 Compounds 54 and 56 can be obtained according to synthetic route 11.
化合物54は、化合物53のヒドロキシを保護することにより得ることができる。
また、化合物53は市販品として得ることができる。
Compound 54 can be obtained by protecting the hydroxy of compound 53.
Compound 53 can be obtained as a commercial product.
化合物55は、化合物54に、化合物45および化合物46を作用させることにより得ることができる。 Compound 55 can be obtained by allowing compound 45 and compound 46 to act on compound 54.
化合物56は、化合物55を脱保護することにより得ることができる。 Compound 56 can be obtained by deprotecting compound 55.
化合物58~65は、合成経路12に従い得ることができる。 Compounds 58 to 65 can be obtained according to synthesis route 12.
化合物58は、化合物57のヒドロキシを保護することにより得ることができる。
また、化合物57は市販品として得ることができる。
Compound 58 can be obtained by protecting the hydroxy of compound 57.
Compound 57 can be obtained as a commercial product.
化合物59は、化合物58に、ハロゲン化試薬(例えば、塩素、臭素、ヨウ素、塩化ヨウ素等)を作用させることにより得ることができる。 Compound 59 can be obtained by reacting Compound 58 with a halogenating reagent (for example, chlorine, bromine, iodine, iodine chloride, etc.).
化合物60は、化合物59とアンモニアを反応させることにより得られる。また、化合物61は、化合物60に化合物45を作用させることにより得られる。さらに、化合物63は、化合物61に化合物46を作用させることにより得られる。
また、化合物63は、化合物59と化合物62を反応させることによっても得られる。
Compound 60 is obtained by reacting compound 59 with ammonia. Compound 61 is obtained by allowing compound 45 to act on compound 60. Further, compound 63 is obtained by allowing compound 46 to act on compound 61.
Compound 63 can also be obtained by reacting compound 59 with compound 62.
化合物63は、化合物62を脱保護することにより得られる。 Compound 63 is obtained by deprotecting compound 62.
化合物64は、化合物58を適切な酸化剤(例えば過マンガン酸カリウムや、ジョーンズ試薬等)で酸化することにより得られる。 Compound 64 is obtained by oxidizing compound 58 with an appropriate oxidizing agent (for example, potassium permanganate or Jones reagent).
化合物67~73は、合成経路13に従い得ることができる。 Compounds 67 to 73 can be obtained according to synthesis route 13.
化合物66は、化合物59にシアン化物(例えば、シアン化ナトリウム、シアン化カリウム、シアン化リチウム等)を作用させることにより得られる。 Compound 66 can be obtained by reacting compound 59 with cyanide (for example, sodium cyanide, potassium cyanide, lithium cyanide, etc.).
化合物67は、化合物66を水素化アルミニウムリチウム等で還元することにより得られる。 Compound 67 is obtained by reducing compound 66 with lithium aluminum hydride or the like.
化合物68は、化合物67に化合物45を作用させることにより得られる。また、化合物69は、化合物68に化合物46を作用させることにより得られる。 Compound 68 is obtained by allowing Compound 45 to act on Compound 67. Compound 69 is obtained by allowing compound 46 to act on compound 68.
化合物70は、化合物69を脱保護することにより得られる。 Compound 70 is obtained by deprotecting Compound 69.
化合物71は、化合物66を塩基(例えば水酸化ナトリウム等)で加水分解することにより得られる。 Compound 71 is obtained by hydrolyzing compound 66 with a base (for example, sodium hydroxide or the like).
化合物72は、化合物71を還元(例えばボラン等)で還元することにより得られる。 Compound 72 is obtained by reducing compound 71 by reduction (for example, borane or the like).
化合物73は、化合物72に、ハロゲン化試薬(例えば、塩素、臭素、ヨウ素、塩化ヨウ素等)を作用させることにより得ることができる。 Compound 73 can be obtained by reacting compound 72 with a halogenating reagent (eg, chlorine, bromine, iodine, iodine chloride, etc.).
化合物73に対して、合成経路13における化合物59からの各反応を順次行うことにより、化合物67、68、69、71、72および73の、各官能基(アミノ基、モノアルキルアミノ基、ジアルキルアミノ基、カルボン酸、ヒドロキシおよびハロゲン)と4級炭素との間のアルキレン鎖がさらに延長した化合物を得ることができる。またこれを繰り返すことにより各官能基と4級炭素との間のアルキレン鎖は自由に延長することができる。 Compound 73, 68, 69, 71, 72, and 73 are subjected to the respective reactions from compound 59 in synthesis route 13 in order for compound 73, whereby each functional group (amino group, monoalkylamino group, dialkylamino group) is obtained. Groups, carboxylic acids, hydroxy and halogen) and quaternary carbons can be obtained in further extended compounds. By repeating this, the alkylene chain between each functional group and the quaternary carbon can be freely extended.
化合物76は、合成経路14に従い合成できる。 Compound 76 can be synthesized according to Synthesis Route 14.
化合物74は、合成経路11~13に記載の方法、またはそれらに準じた方法により得られる。 Compound 74 can be obtained by the method described in Synthesis Routes 11 to 13 or a method analogous thereto.
化合物75は、化合物74を適切に保護・脱保護することにより得られる。 Compound 75 can be obtained by appropriately protecting and deprotecting compound 74.
化合物76は、化合物75を原料として、合成経路11~13に記載の方法、またはそれらに準じた方法により得られる。 Compound 76 can be obtained from compound 75 as a raw material by the method described in Synthesis Routes 11 to 13 or a method analogous thereto.
化合物77~79は、合成経路15に記載のように、化合物76を原料とし、保護ならびに脱保護、および合成経路14に準じた方法を順次行うことにより得ることができる。 Compounds 77 to 79 can be obtained by using compound 76 as a raw material, as described in Synthesis Route 15, and sequentially carrying out protection and deprotection, and a method according to Synthesis Route 14.
化合物82、84、87、89、92および95は、合成経路16に従い合成できる。 Compounds 82, 84, 87, 89, 92 and 95 can be synthesized according to synthesis route 16.
化合物82は、化合物80と化合物81とをエステル化で縮合した後に、脱保護することにより得られる。 Compound 82 can be obtained by condensing compound 80 and compound 81 by esterification and then deprotecting.
化合物84は、化合物83と化合物81とをアミド化で縮合した後に、脱保護することにより得られる。 Compound 84 can be obtained by condensing compound 83 and compound 81 by amidation and then deprotecting.
化合物87は、化合物85と化合物86とをエステル化で縮合した後に、脱保護することにより得られる。 Compound 87 is obtained by condensing compound 85 and compound 86 by esterification and then deprotecting.
化合物89は、化合物85と化合物88とをアミド化で縮合した後に、脱保護することにより得られる。 Compound 89 can be obtained by condensing compound 85 and compound 88 by amidation and then deprotecting.
化合物92は、化合物90と化合物91とを求核置換反応後に、脱保護することにより得られる。 Compound 92 is obtained by deprotecting Compound 90 and Compound 91 after a nucleophilic substitution reaction.
化合物95は、化合物93と化合物94とをエステル交換反応後に、脱保護することにより得られる。 Compound 95 is obtained by deprotecting Compound 93 and Compound 94 after a transesterification reaction.
80、83、85、90および93は、合成経路12~15またはこれらに準じた方法により得ることができる。 80, 83, 85, 90 and 93 can be obtained by the synthesis route 12-15 or a method according to these.
化合物81、86、88、91および94のうち、M18が-(CY19Y20)p9-であるものは、市販品として、または実施例に記載の方法もしくはそれに準じた方法で、もしくは市販品の官能基を定法に従って変換することで得ることできる。
この場合、b1が
In this case, b 1 is
また、化合物81、86、88、91および94のうち、M18が-(CY23Y24)p11-Z9-(CY25Y26)p12-であるものは、化合物81、86、88、91および94のうち、M18が-(CY19Y20)p9-であるものと同様の化合物に、それぞれに対応する適切なフラグメントをエーテル化、アミノ化、エステル化、アミド化等で縮合することにより得ることができる。 Further, among the compounds 81,86,88,91 and 94, M 18 is - (CY 23 Y 24) p11 -Z 9 - (CY 25 Y 26) p12 - a is one, the compounds 81,86,88, Of 91 and 94, M 18 is the same as- (CY 19 Y 20 ) p9- , and the appropriate fragment corresponding to each is condensed by etherification, amination, esterification, amidation, etc. Can be obtained.
以下、合成経路17~21の方法、あるいはこれらの方法に準じた方法等で化合物(III)を得ることができる。 Hereinafter, the compound (III) can be obtained by the methods of Synthesis Routes 17 to 21 or methods according to these methods.
化合物(IIIa)は、化合物96から合成経路17に従い得ることができる。 Compound (IIIa) can be obtained from Compound 96 according to Synthesis Route 17.
化合物96と化合物97とを、溶媒(例えば、クロロホルム等のハロゲン系溶媒等)の存在下または非存在下、室温または高温(例えば、100℃以上)で反応させることにより化合物(IIIa)が得られる。なお、例えば、適切な陰イオン交換樹脂で(IIIa)を処理することにより、化合物(IIIa)の陰イオンA3を別の陰イオンに変換することもできる。 Compound (IIIa) is obtained by reacting Compound 96 and Compound 97 in the presence or absence of a solvent (eg, a halogen-based solvent such as chloroform) at room temperature or at a high temperature (eg, 100 ° C. or higher). . In addition, for example, by treating (IIIa) with an appropriate anion exchange resin, the anion A 3 of the compound (IIIa) can be converted to another anion.
化合物96は、実施例に記載の方法もしくはそれに準じた方法で、または文献(米国特許出願公開第2012/0172411号明細書)記載の方法もしくはそれに準じた方法で入手することができる。 Compound 96 can be obtained by the method described in Examples or a method analogous thereto, or the method described in the literature (US Patent Application Publication No. 2012/0172411) or a method analogous thereto.
化合物97等の反応に使用する化合物は、市販品として、または実施例に記載の方法もしくはそれに準じた方法で、もしくは文献により既知の方法もしくはそれに準じた方法で入手することができる。 The compound used for the reaction such as Compound 97 can be obtained as a commercially available product, by the method described in Examples or a method according thereto, or by a method known from the literature or a method according thereto.
化合物(IIIb)は、グリオキシル酸エチルから合成経路18に従い得ることができる。 Compound (IIIb) can be obtained from ethyl glyoxylate according to synthetic route 18.
溶媒(例えば、テトラヒドロフラン等のエーテル系溶媒等)中、グリオキシル酸エチルと、グリニャール試薬98、99および100とを順次反応させることにより、化合物101が得られる。なお、R7、R8およびR9が同一の化合物101は、グリオキシル酸エチルに過剰量の化合物98を作用させることによっても得られる。 Compound 101 is obtained by sequentially reacting ethyl glyoxylate and Grignard reagents 98, 99 and 100 in a solvent (for example, an ether solvent such as tetrahydrofuran). The compound 101 having the same R 7 , R 8 and R 9 can also be obtained by reacting an excess amount of the compound 98 with ethyl glyoxylate.
化合物101と化合物102とを溶媒(例えば、クロロホルム等のハロゲン系溶媒等)中、塩基(例えば、トリエチルアミン等の有機塩基等)、縮合剤(例えば、1-エチル-3-(3-ジメチルアミノプロピル)カルボジイミド塩酸塩等の縮合剤)および活性化剤(N,N-ジメチルアミノピリジン等の活性化剤)で処理することにより化合物103が得られる。 Compound 101 and Compound 102 in a solvent (for example, a halogen-based solvent such as chloroform), a base (for example, an organic base such as triethylamine), a condensing agent (for example, 1-ethyl-3- (3-dimethylaminopropyl) Compound 103 is obtained by treatment with a condensing agent such as) carbodiimide hydrochloride) and an activator (an activator such as N, N-dimethylaminopyridine).
化合物103と化合物97、104または105とを、溶媒(例えば、クロロホルム等のハロゲン系溶媒等)の存在下または非存在下、室温または高温(例えば、100℃以上)で反応させることにより化合物(IIIb)が得られる。なお、例えば、適切な陰イオン交換樹脂で化合物(IIIb)を処理することにより、化合物(IIIb)の陰イオンA3を別の陰イオンに変換することもできる。 Compound (IIIb) is reacted with Compound 103 and Compound 97, 104 or 105 in the presence or absence of a solvent (for example, a halogen-based solvent such as chloroform) at room temperature or high temperature (for example, 100 ° C. or higher). ) Is obtained. Incidentally, for example, by treating the compound (IIIb) with a suitable anion exchange resins, it is also possible to convert the anion A 3 of the compound (IIIb) to another anion.
化合物98は、R7-OH(市販品、実施例に記載の方法もしくはそれに準じた方法で得られる)にメシル化試薬(メシル酸無水物またはメシル酸クロリド等)、臭化物塩(臭化マグネシウムまたは臭化リチウム等)、および金属マグネシウムを順次作用させることにより得られる。化合物99および100は化合物98と同様である。 Compound 98 includes R 7 —OH (commercially available, obtained by the method described in Examples or a method analogous thereto), mesylation reagent (such as mesylic anhydride or mesylic chloride), bromide salt (magnesium bromide or Lithium bromide, etc.) and metal magnesium are obtained in this order. Compounds 99 and 100 are similar to compound 98.
化合物104および105は、化合物23と同様である。
化合物102は、化合物54と同様である。
Compounds 104 and 105 are the same as compound 23.
Compound 102 is the same as compound 54.
化合物108、109、および112は、それぞれアンモニア、蟻酸エチル、および化合物99から合成経路19に従い得ることができる。 Compounds 108, 109, and 112 can be obtained from ammonia, ethyl formate, and compound 99, respectively, according to synthesis route 19.
化合物108は、アンモニア、化合物106および化合物107とを、合成経路1におけるアンモニアから化合物4を合成するのと同様の反応条件を適用して反応させることにより得られる。 Compound 108 is obtained by reacting ammonia, Compound 106, and Compound 107 under the same reaction conditions as those for synthesizing Compound 4 from ammonia in Synthesis Route 1.
化合物109は、蟻酸エチル、化合物99および化合物100とを、合成経路18におけるグリオキシル酸エチルから化合物101を合成するのと同様の反応条件を適用して反応させることにより得られる。 Compound 109 is obtained by reacting ethyl formate, compound 99, and compound 100 under the same reaction conditions as those for synthesizing compound 101 from ethyl glyoxylate in synthesis route 18.
化合物112は、化合物110と化合物111とをエステル化またはアミド化で縮合させた後に、脱保護することにより得ることができる。 Compound 112 can be obtained by condensing compound 110 and compound 111 by esterification or amidation, followed by deprotection.
化合物106および107は、化合物1と同様である。
化合物110のうちM21が-OHであるものは、合成経路1記載のR1-L1-OHと同様である。また、化合物110のうちM21が-NY45C-Hであるものは、化合物37と同様である。さらに、化合物110のうちM21が-CO-OHであるものは、化合物17と同様である。
Compounds 106 and 107 are the same as compound 1.
The compound 110 in which M 21 is —OH is the same as R 1 -L 1 -OH described in the synthesis route 1. In addition, Compound 110 in which M 21 is —NY 45C —H is the same as Compound 37. Further, Compound 110 in which M 21 is —CO—OH is the same as Compound 17.
化合物111は、市販品として、または実施例に記載の方法もしくはそれに準じた方法で、もしくは文献により既知の方法(例えば、第4版実験化学講座20 有機化合物の合成II」、第4版、p.187、丸善(1992年)等に記載の方法)もしくはそれに準じた方法で入手することができる。 Compound 111 is a commercially available product, a method described in Examples or a method similar thereto, or a method known from literature (for example, 4th edition, Experimental Chemistry Course 20, Synthesis of Organic Compounds II, 4th edition, p. .187, Maruzen (1992), etc.) or a method similar thereto.
化合物(IIIc)および(IIId)は、それぞれ化合物108および112、ならびに化合物109および112から合成経路20に従い得ることができる。 Compounds (IIIc) and (IIId) can be obtained from compounds 108 and 112, and compounds 109 and 112, respectively, according to synthetic route 20.
化合物(IIIc)は、化合物108と112とをアミド化で縮合した後、化合物114、1115、または116を作用させることにより得られる。 Compound (IIIc) can be obtained by condensing compounds 108 and 112 by amidation and then allowing compound 114, 1115, or 116 to act.
化合物(IIId)は、化合物109と112とをエステル化で縮合した後、化合物114、1115、または116を作用させることにより得られる。 Compound (IIId) can be obtained by condensing compounds 109 and 112 by esterification and then allowing compound 114, 1115, or 116 to act.
なお、例えば、適切な陰イオン交換樹脂で化合物(IIIc)または(IIId)を処理することにより、化合物(IIIc)または(IIId)の陰イオンA3を別の陰イオンに変換することもできる。 For example, the anion A 3 of the compound (IIIc) or (IIId) can be converted to another anion by treating the compound (IIIc) or (IIId) with a suitable anion exchange resin.
反応に用いる各化合物は前述のとおりである。 Each compound used in the reaction is as described above.
以下、合成経路11~12の方法、あるいはこれらの方法に準じた方法等で化合物(IV)を得ることができる。 Hereinafter, the compound (IV) can be obtained by the methods of synthesis routes 11 to 12, or a method according to these methods.
化合物127は、合成経路21に従い得ることができる。 Compound 127 can be obtained according to synthetic route 21.
化合物118と、化合物119および化合物120とをエステル化反応で順次縮合させるか、または化合物122と、化合物123および化合物124とエステル化反応で順次縮合させることにより化合物121を得ることができる。 Compound 121 can be obtained by sequentially condensing compound 118, compound 119 and compound 120 by an esterification reaction, or by sequentially condensing compound 122, compound 123 and compound 124 by an esterification reaction.
化合物125は、化合物121に、溶媒(例えば、テトラヒドロフラン等のエーテル系溶媒等)中、脱保護試薬(例えば、フッ化テトラn-ブチルアンモニウム等の脱保護試薬)を作用させるか、または蟻酸エチルに、溶媒(例えば、テトラヒドロフラン等のエーテル系溶媒等)中、化合物126および化合物127を順次付加反応させることにより得ることができる。 Compound 125 is obtained by reacting Compound 121 with a deprotection reagent (for example, a deprotection reagent such as tetra-n-butylammonium fluoride) in a solvent (for example, an ether solvent such as tetrahydrofuran) or reacting with ethyl formate. In addition, it can be obtained by subjecting compound 126 and compound 127 to sequential addition reaction in a solvent (for example, an ether solvent such as tetrahydrofuran).
化合物125に、溶媒(例えば、クロロホルム等の非プロトン性溶媒等)中、酸化剤(例えば、デス-マーチン(Dess-Martin)試薬等の有機系酸化剤またはクロロクロム酸ピリジニウム等の無機系酸化剤)を作用させることにより化合物128を得ることができる。 Compound 125 is mixed with an oxidizing agent (for example, an organic oxidizing agent such as Dess-Martin reagent or an inorganic oxidizing agent such as pyridinium chlorochromate) in a solvent (for example, an aprotic solvent such as chloroform). ) To give compound 128.
化合物118、化合物119、化合物120、化合物122、化合物123、化合物124、化合物126および化合物127等の反応に使用する化合物は、市販品として、または実施例に記載の方法もしくはそれに準じた方法で、もしくは文献により既知の方法(「第4版実験化学講座22 有機化合物の合成IV」、第4版、p.1、丸善(1992年)、「第4版実験化学講座20 有機化合物の合成II」、第4版、p.1、丸善(1992年)、および「第4版実験化学講座25 有機化合物の合成VII」、第4版、p.59、丸善(1991年)等)もしくはそれに準じた方法で入手することができる。 Compounds used for the reaction such as Compound 118, Compound 119, Compound 120, Compound 122, Compound 123, Compound 124, Compound 126 and Compound 127 are commercially available products, or the methods described in the Examples or a method analogous thereto, Alternatively, a method known from literature ("4th edition, Experimental Chemistry Course 22, Synthesis of Organic Compounds IV", 4th Edition, p.1, Maruzen (1992), "4th Edition, Experimental Chemistry Course 20, Synthesis of Organic Compounds II") , 4th edition, p.1, Maruzen (1992), and "4th edition experimental chemistry course 25: Synthesis of organic compounds VII", 4th edition, p.59, Maruzen (1991) etc.) or equivalent Can be obtained by the method.
化合物(IVa)は、化合物128から、合成経路22に従い得ることができる。 Compound (IVa) can be obtained from Compound 128 according to Synthesis Route 22.
化合物128と化合物129とを、溶媒(例えば、1,2-ジククロエタン等のハロゲン系溶媒等)中、還元剤(例えば、水素化ホウ素ナトリウム、トリアセトキシボロヒドリド等のヒドリド化合物等)と、場合によっては添加剤(例えば、酢酸等の酸)の存在下で反応させることにより、化合物130を得ることができる。 Compound 128 and Compound 129 may be combined with a reducing agent (for example, a hydride compound such as sodium borohydride or triacetoxyborohydride) in a solvent (for example, a halogen-based solvent such as 1,2-dichloroethane) or the like. Can be reacted in the presence of an additive (eg, an acid such as acetic acid) to give compound 130.
化合物130と化合物131とを、塩基(例えば、水酸化ナトリウム等の無機塩基等)の存在下、高温(例えば、100℃以上)で反応させることにより化合物132が得られる。溶媒は特に必要無いが、場合により例えば、エチレングリコール等の溶媒を用いることもできる。 Compound 132 is obtained by reacting Compound 130 and Compound 131 in the presence of a base (for example, an inorganic base such as sodium hydroxide) at a high temperature (for example, 100 ° C. or higher). A solvent is not particularly required, but a solvent such as ethylene glycol may be used in some cases.
化合物132と化合物133とを、溶媒(例えば、クロロホルム等のハロゲン系溶媒等)の存在下または非存在下、室温または高温(例えば、100℃以上)で反応させることにより化合物(IVa)が得られる。なお、例えば、適切な陰イオン交換樹脂で(IVa)を処理することにより、化合物(IVa)の陰イオンA4を別の陰イオンに変換することもできる。 Compound (IVa) is obtained by reacting Compound 132 and Compound 133 in the presence or absence of a solvent (eg, a halogen-based solvent such as chloroform) at room temperature or high temperature (eg, 100 ° C. or higher). . For example, the anion A 4 of the compound (IVa) can be converted to another anion by treating (IVa) with an appropriate anion exchange resin.
化合物129、化合物131および化合物133等の反応に使用する化合物は、市販品として、または実施例に記載の方法もしくはそれに準じた方法で、もしくは文献により既知の方法(例えば、国際公開第2010/042877号、国際公開第2010/054401号、「第5版実験化学講座13 有機化合物の合成I」、第5版、p.374、丸善(2005年)等に記載の方法)もしくはそれに準じた方法で入手することができる。 Compounds used for the reaction such as Compound 129, Compound 131, and Compound 133 are commercially available, or the methods described in Examples or a method analogous thereto, or methods known from the literature (for example, International Publication No. 2010/042877 No., International Publication No. 2010/054401, “Fifth Edition Experimental Chemistry Lecture 13, Synthesis of Organic Compounds I”, Fifth Edition, p.374, Maruzen (2005), etc.) It can be obtained.
化合物(IVb)は、合成経路23に従い得ることができる。 Compound (IVb) can be obtained according to synthesis route 23.
化合物134、化合物135、トリフェニルホスフィン、およびアゾジカルボン酸ジエチルを反応させたのち、得られた縮合物にチオール(例えば、ドデカン-1-チオールやチオフェノール等)を作用させて脱Ns化することで化合物136が得られる。 After reacting compound 134, compound 135, triphenylphosphine, and diethyl azodicarboxylate, thiol (eg, dodecane-1-thiol, thiophenol, etc.) is allowed to act on the resulting condensate to remove Ns. Gives compound 136.
化合物136と137をアミド化すると化合物138が得られる。 Compound 136 is obtained by amidating compounds 136 and 137.
化合物(IVb)は、化合物138に139を作用させると得られる。なお、例えば、適切な陰イオン交換樹脂で化合物(IVb)を処理することにより、化合物(IVb)の陰イオンA4を別の陰イオンに変換することもできる。 Compound (IVb) can be obtained by reacting Compound 138 with 139. For example, the anion A 4 of the compound (IVb) can be converted to another anion by treating the compound (IVb) with an appropriate anion exchange resin.
化合物134はR11-L14-NH2に塩化o-ニトロベンゼンスルホニルを作用させることにより得られる。R11-L14-NH2は、市販品として、または実施例に記載の方法もしくはそれに準じた方法で、もしくは文献により既知の方法(例えば、「第4版実験化学講座20 有機化合物の合成II」、第4版、p.279、丸善(1992年)等に記載の方法)もしくはそれに準じた方法で入手することができる。 Compound 134 is obtained by allowing o-nitrobenzenesulfonyl chloride to act on R 11 -L 14 -NH 2 . R 11 -L 14 -NH 2 is a commercially available product, a method described in Examples or a method analogous thereto, or a method known from literature (for example, “4th edition Experimental Chemistry Course 20 Synthesis of Organic Compounds II , 4th edition, p.279, Maruzen (1992), etc.) or a method similar thereto.
化合物135、137および139等の反応に使用する化合物は、前述のいずれかの方法により得られる。 Compounds used for the reaction such as compounds 135, 137 and 139 can be obtained by any of the methods described above.
化合物(V’a)は、合成経路24に従い得ることができる Compound (V′a) can be obtained according to synthesis route 24
化合物141は、化合物140に塩化2’,2’’-ジメトキシトリチルを作用させることにより得られる。 Compound 141 can be obtained by reacting Compound 140 with 2 ′, 2 ″ -dimethoxytrityl chloride.
化合物142は、化合物141に3段階のエーテル化、またはエステル化を行うことにより得られる。 Compound 142 is obtained by subjecting Compound 141 to three-stage etherification or esterification.
化合物143は、化合物142を酸で処理することにより得られる。 Compound 143 is obtained by treating compound 142 with an acid.
化合物144は、化合物143をハロゲン化試薬で活性化したのちに、対応するアミン化合物で処理することにより得られる。 Compound 144 is obtained by activating compound 143 with a halogenating reagent and then treating with the corresponding amine compound.
化合物(V’a)は、化合物144に化合物145を作用させることにより得られる。なお、例えば、適切な陰イオン交換樹脂で(V’a)を処理することにより、化合物(V’a)の陰イオンA5を別の陰イオンに変換することもできる。 Compound (V′a) can be obtained by reacting compound 145 with compound 144. Incidentally, for example, by treating the (V'a) in a suitable anion exchange resins, it is also possible to convert the anion A 5 of the compound (V'a) in a different anion.
化合物140は、市販品として、天然物として、または実施例に記載の方法もしくはそれに準じた方法で、もしくは文献により既知の方法(例えば、「(ジ・オーガニック・ケミストリー・オブ・シュガー(The Organic Chemistry of Sugars)、ダニエル・E・レビー(Daniel E. Levy)他編、タイラー&フランシス(Taylor & Francis)社、2005年等に記載の方法)もしくはそれに準じた方法で入手することができる。 Compound 140 is a commercially available product, a natural product, or a method described in Examples or a method analogous thereto, or a method known in the literature (for example, “(The Organic Chemistry of Sugar (The Organic Chemistry Chemistry of Sugars), Daniel E. 他 Levy, et al., the method described in Tyler & Francis, 2005, etc.) or a method similar thereto.
化合物(V’’a)は、化合物146を原料として、合成経路25と同様の方法により得ることができる。 Compound (V ″ a) can be obtained by the same method as in synthesis route 25 using compound 146 as a raw material.
化合物146は、市販品として、天然物として、または実施例に記載の方法もしくはそれに準じた方法で、もしくは文献により既知の方法(例えば、「(ジ・オーガニック・ケミストリー・オブ・シュガー(The Organic Chemistry of Sugars)、ダニエル・E・レビー(Daniel E. Levy)他編、タイラー&フランシス(Taylor & Francis)社、2005年等に記載の方法)もしくはそれに準じた方法で入手することができる。 Compound 146 can be obtained as a commercially available product, as a natural product, or by a method described in the Examples or a method analogous thereto, or a method known from the literature (for example, “(The Organic Chemistry of Sugar (The Organic Chemistry Chemistry of Sugars), Daniel E. 他 Levy, et al., the method described in Tyler & Francis, 2005, etc.) or a method similar thereto.
以上の合成経路1~25のいずれかの方法、あるいはこれらの方法に準じた方法等を適宜組み合わせることにより、化合物(I)~(V’’)を得ることができる。 Compounds (I) to (V ″) can be obtained by appropriately combining any one of the above synthesis routes 1 to 25 or a method according to these methods.
化合物(CL-I)で表される脂質は国際公開第2013/089151号に記載の方法、またはそれに準じた方法で得ることができる。 The lipid represented by the compound (CL-I) can be obtained by the method described in International Publication No. 2013/089151, or a method analogous thereto.
化合物(CL-II)で表される脂質は国際公開第2011/136368号に記載の方法、またはそれに準じた方法で得ることができる。 The lipid represented by the compound (CL-II) can be obtained by the method described in International Publication No. 2011/136368 or a method analogous thereto.
化合物(CL-III)、化合物(CL-IV)および化合物(CL-V)で表される脂質は国際公開第2014/007398号に記載の方法、またはそれに準じた方法で得ることができる。 Lipids represented by compound (CL-III), compound (CL-IV) and compound (CL-V) can be obtained by the method described in International Publication No. 2014/007398 or a method analogous thereto.
化合物(CL-VI)で表される脂質は国際公開第2010/042877号に記載の方法、またはそれに準じた方法で得ることができる。 The lipid represented by the compound (CL-VI) can be obtained by the method described in International Publication No. 2010/042877 or a method analogous thereto.
化合物(CL-VII)は国際公開第2010/054401号に記載の方法、国際公開第2013/059496号に記載の方法、またはそれに準じた方法で得ることができる。 Compound (CL-VII) can be obtained by the method described in International Publication No. 2010/054401, the method described in International Publication No. 2013/059496, or a method analogous thereto.
化合物(CL-VIII)は国際公開第2016/002753号に記載の方法、またはそれに準じた方法で得ることができる。 Compound (CL-VIII) can be obtained by the method described in International Publication No. 2016/002753 or a method analogous thereto.
化合物(CL-IX)は以下に記載の方法、またはそれに準じた方法で得ることができる。 Compound (CL-IX) can be obtained by the method described below or a method analogous thereto.
本発明の化合物の製造法について説明する。なお、以下に示す製造法において、定義した基が該製造法の条件下で変化するかまたは該製造法を実施するのに不適切な場合、有機合成化学で常用される保護基の導入および除去方法[例えば、プロテクティブ・グループス・イン・オーガニック・シンセシス第3版(Protective Groups in Organic Synthesis, third edition)、グリーン(T.W.Greene)著、John Wiley&Sons Inc.(1999年)等に記載の方法]等を用いることにより、目的化合物を製造することができる。また、必要に応じて置換基導入等の反応工程の順序を変えることもできる。 The production method of the compound of the present invention will be described. In addition, in the production method shown below, when a defined group changes under the conditions of the production method or is inappropriate for carrying out the production method, introduction and removal of a protective group commonly used in organic synthetic chemistry Methods [e.g., Methods described in Protective Groups in Organic Synthesis, third edition, by TWGreene, John Wiley & Sons Inc. (1999)], etc. Can be used to produce the target compound. Further, the order of reaction steps such as introduction of substituents can be changed as necessary.
製造法1
化合物(CL-IX)のうち、X115およびX116が共に水素原子である化合物(CL-IXa)、およびX115およびX116が同一である化合物(CL-IXb)は以下の方法によって製造することができる。
Production method 1
Among compounds (CL-IX), compound (CL-IXa) in which X 115 and X 116 are both hydrogen atoms and compound (CL-IXb) in which X 115 and X 116 are the same are produced by the following method. be able to.
(式中、R118、R119、M101、M102、L118およびL119はそれぞれ前記と同義であり、IX-IIIaおよびIX-IIIbにおけるXは同一または異なって、塩素原子、臭素原子、ヨウ素原子、トリフルオロメタンスルホニルオキシ、メタンスルホニルオキシ、ベンゼンスルホニルオキシ、p-トルエンスルホニルオキシ等の脱離基を表し、R137は水素原子、メチルまたはエチルであり、R138は水素原子またはメチルであるか、またはR137とR138は隣接する炭素と一緒になってシクロプロピル環を形成する(ただし、R137が水素原子またはエチルであるとき、R138はメチルでない)) (Wherein R 118 , R 119 , M 101 , M 102 , L 118 and L 119 have the same meanings as defined above, and X in IX-IIIa and IX-IIIb is the same or different, and represents a chlorine atom, bromine atom, Represents a leaving group such as iodine atom, trifluoromethanesulfonyloxy, methanesulfonyloxy, benzenesulfonyloxy, p-toluenesulfonyloxy, R 137 is a hydrogen atom, methyl or ethyl, and R 138 is a hydrogen atom or methyl Or R 137 and R 138 together with adjacent carbons form a cyclopropyl ring (provided that when R 137 is a hydrogen atom or ethyl, R 138 is not methyl))
工程26および工程27
化合物(IX-IIa)は、2-アミノ-2-メチル-1,3-プロパンジオールと化合物(IX-IIIa)を、無溶媒でまたは溶媒中、1~10当量の塩基の存在下、室温と200℃の間の温度で、5分間~100時間反応させることにより製造することができる。さらに、化合物(CL-IXa)は、化合物(IX-IIa)と化合物(IX-IIIb)を、無溶媒でまたは溶媒中、1~10当量の塩基の存在下、室温と200℃の間の温度で、5分間~100時間反応させることにより製造することができる。
Step 26 and Step 27
Compound (IX-IIa) is obtained by reacting 2-amino-2-methyl-1,3-propanediol and compound (IX-IIIa) at room temperature in the presence of 1 to 10 equivalents of a base without solvent or in a solvent. It can be produced by reacting at a temperature between 200 ° C. for 5 minutes to 100 hours. Further, compound (CL-IXa) is obtained by reacting compound (IX-IIa) and compound (IX-IIIb) in the presence of 1 to 10 equivalents of base without solvent or in a solvent at a temperature between room temperature and 200 ° C. Thus, it can be produced by reacting for 5 minutes to 100 hours.
溶媒としては、例えばジクロロメタン、1,2-ジクロロエタン、トルエン、ジエチルエーテル、テトラヒドロフラン、1,2-ジメトキシエタン、1,4-ジオキサン、ピリジン等が挙げられ、これらは単独でまたは混合して用いることができる。 Examples of the solvent include dichloromethane, 1,2-dichloroethane, toluene, diethyl ether, tetrahydrofuran, 1,2-dimethoxyethane, 1,4-dioxane, pyridine and the like, and these may be used alone or in combination. it can.
塩基としては、例えばナトリウムメトキシド、カリウム tert-ブトキシド、水素化ナトリウム、リチウムジイソプロピルアミド、ヘキサメチルジシラザンリチウム、ヘキサメチルジシラザンナトリウム、n-ブチルリチウム等が挙げられる。 Examples of the base include sodium methoxide, potassium tert-butoxide, sodium hydride, lithium diisopropylamide, hexamethyldisilazane lithium, hexamethyldisilazane sodium, n-butyllithium and the like.
化合物(IX-IIIa)および化合物(IX-IIIb)は、市販品としてまたは公知の方法(例えば、「第5版実験化学講座13 有機化合物の合成I」、第5版、p.374、丸善(2005年))もしくはそれに準じた方法で得ることもできる。 Compound (IX-IIIa) and Compound (IX-IIIb) are commercially available products or known methods (for example, “5th edition Experimental Chemistry Course 13 Synthesis of Organic Compounds I”, 5th edition, p.374, Maruzen ( 2005)) or a method based thereon.
R118-M101-L118およびR119-M102-L119が同一の場合の化合物(CL-IXa)は、工程26において、2当量以上の化合物(IX-IIIa)を用いることで得ることができる。 Compound (CL-IXa) when R 118 -M 101 -L 118 and R 119 -M 102 -L 119 are the same can be obtained by using 2 equivalents or more of compound (IX-IIIa) in Step 26 Can do.
2-アミノ-2-メチル-1,3-プロパンジオールは市販品として得ることができる。 2-Amino-2-methyl-1,3-propanediol can be obtained as a commercial product.
工程28
化合物(CL-IXb)は、化合物(CL-IXa)を2~20当量の化合物(IX-IV)と、溶媒中、好ましくは1当量~大過剰量の還元剤および必要により好ましくは1~10当量の酸の存在下、-20℃と150℃の間の温度で、5分間~72時間反応させることにより製造することができる。
Step 28
Compound (CL-IXb) is obtained by mixing compound (CL-IXa) with 2 to 20 equivalents of compound (IX-IV), preferably 1 equivalent to a large excess of reducing agent and preferably 1 to 10 equivalents in a solvent. It can be produced by reacting at a temperature between −20 ° C. and 150 ° C. for 5 minutes to 72 hours in the presence of an equivalent amount of acid.
溶媒としては、例えばメタノール、エタノール、tert-ブチルアルコール、ジクロロメタン、クロロホルム、1,2-ジクロロエタン、トルエン、酢酸エチル、アセトニトリル、ジエチルエーテル、テトラヒドロフラン、1,2-ジメトキシエタン、1,4-ジオキサン、N,N-ジメチルホルムアミド、N,N-ジメチルアセトアミド、N-メチルピロリドン、水等が挙げられ、これらは単独でまたは混合して用いられる。 Examples of the solvent include methanol, ethanol, tert-butyl alcohol, dichloromethane, chloroform, 1,2-dichloroethane, toluene, ethyl acetate, acetonitrile, diethyl ether, tetrahydrofuran, 1,2-dimethoxyethane, 1,4-dioxane, N , N-dimethylformamide, N, N-dimethylacetamide, N-methylpyrrolidone, water and the like, and these may be used alone or in combination.
還元剤としては、例えばトリアセトキシ水素化ホウ素ナトリウム、シアノ水素化ホウ素ナトリウム等が挙げられる。 Examples of the reducing agent include sodium triacetoxyborohydride and sodium cyanoborohydride.
酸としては、例えば塩酸、酢酸等が挙げられる。 Examples of the acid include hydrochloric acid and acetic acid.
化合物(IX-IV)は、市販品として得ることができる。 Compound (IX-IV) can be obtained as a commercial product.
製造法2
化合物(CL-IX)のうち、X115およびX116が異なる化合物(CL-IXc)および(CL-IXd)は以下の方法によって製造することができる。
Production method 2
Of the compounds (CL-IX), compound X 115 and X 116 are different (CL-IXc) and (CL-IXd) can be prepared by the following method.
(式中、R118、R119、M101、M102、L118、L119、R137、R138およびXはそれぞれ前記と同義であり、R139はX115と同義であり、PGは保護基を表わす。) (Wherein R 118 , R 119 , M 101 , M 102 , L 118 , L 119 , R 137 , R 138 and X are as defined above, R 139 is as defined in X 115 , and PG is protected. Represents a group.)
工程29
化合物(IX-IIb)は、化合物(CL-IXa)を有機合成化学で常用される保護基[例えば、プロテクティブ グループス イン オーガニック シンセシス第3版(Protective Groups in Organic Synthesis, third edition)、グリーン(T.W.Greene)著、John Wiley&Sons Inc.(1999年)等に記載の保護基]で保護することで製造することができる。
Step 29
Compound (IX-IIb) is compound (CL-IXa) that is commonly used in synthetic organic chemistry (e.g., Protective Groups in Organic Synthesis, third edition, Green (TWGreene ) By John Wiley & Sons Inc. (1999), etc.].
工程30
化合物(IX-IIc)は、化合物(IX-IIb)と化合物(IX-IIIc)を、無溶媒でまたは溶媒中、1~10当量の塩基の存在下、-20℃と150℃の間の温度で、5分間~72時間反応させることにより製造することができる。
Process 30
Compound (IX-IIc) is obtained by reacting Compound (IX-IIb) and Compound (IX-IIIc) in the presence of 1 to 10 equivalents of a base without solvent or in a solvent at a temperature between −20 ° C. and 150 ° C. Thus, it can be produced by reacting for 5 minutes to 72 hours.
溶媒としては、例えばジクロロメタン、1,2-ジクロロエタン、トルエン、ジエチルエーテル、テトラヒドロフラン、1,2-ジメトキシエタン、1,4-ジオキサン、ピリジン、N,N-ジメチルホルムアミド、N,N-ジメチルアセトアミド等が挙げられ、これらは単独でまたは混合して用いることができる。 Examples of the solvent include dichloromethane, 1,2-dichloroethane, toluene, diethyl ether, tetrahydrofuran, 1,2-dimethoxyethane, 1,4-dioxane, pyridine, N, N-dimethylformamide, N, N-dimethylacetamide and the like. These may be used alone or in admixture.
塩基としては、例えばナトリウムメトキシド、カリウム tert-ブトキシド、水素化ナトリウム、リチウムジイソプロピルアミド、ヘキサメチルジシラザンリチウム、ヘキサメチルジシラザンナトリウム、n-ブチルリチウム、炭酸カリウム、炭酸セシウウ、トリエチルアミン等が挙げられる。 Examples of the base include sodium methoxide, potassium tert-butoxide, sodium hydride, lithium diisopropylamide, hexamethyldisilazane lithium, hexamethyldisilazane sodium, n-butyllithium, potassium carbonate, cesium carbonate, triethylamine and the like. .
化合物(IX-IIIc)は、市販品として得ることができる。 Compound (IX-IIIc) can be obtained as a commercial product.
工程31
化合物(CL-IXc)は、化合物(IX-IIc)の保護基PGを適切な方法で除去することによって得られる。保護基の除去方法としては、有機合成化学で常用される保護基の除去方法[例えば、プロテクティブ グループス イン オーガニック シンセシス第3版(Protective Groups in Organic Synthesis, third edition)、グリーン(T.W.Greene)著、John Wiley&Sons Inc.(1999年)等に記載の除去方法]を用いることができ、これにより目的とする化合物を製造することができる。
Step 31
Compound (CL-IXc) can be obtained by removing protecting group PG of compound (IX-IIc) by an appropriate method. Methods for removing protecting groups include those commonly used in organic synthetic chemistry (for example, Protective Groups in Organic Synthesis, third edition, TW Greene, John The removal method described in Wiley & Sons Inc. (1999), etc.] can be used, whereby the target compound can be produced.
工程32
化合物(CL-IXd)は、化合物(CL-IXc)を1~10当量の化合物(IX-IV)と、溶媒中、好ましくは1当量~大過剰量の還元剤および必要により好ましくは1~10当量の酸の存在下、-20℃と150℃の間の温度で、5分間~72時間反応させることにより製造することができる。
Process 32
Compound (CL-IXd) is obtained by combining compound (CL-IXc) with 1 to 10 equivalents of compound (IX-IV), preferably 1 equivalent to a large excess of a reducing agent and preferably 1 to 10 equivalents in a solvent. It can be produced by reacting at a temperature between −20 ° C. and 150 ° C. for 5 minutes to 72 hours in the presence of an equivalent amount of acid.
溶媒、還元剤、酸としては、それぞれ工程28で例示したものが挙げられる。 Examples of the solvent, reducing agent, and acid include those exemplified in Step 28.
製造法3
化合物(CL-IX)のうち、M101およびM102がそれぞれ-OC(O)-である化合物(CL-IXc’)および(CL-IXd’)は以下の方法によっても製造することができる。
Production method 3
Among the compounds (CL-IX), compounds (CL-IXc ′) and (CL-IXd ′) in which M 101 and M 102 are —OC (O) — can also be produced by the following method.
(式中、R118、R119、M101、M102、L118、L119、R137、R138、R139およびPGはそれぞれ前記と同義であり、BおよびB’は直鎖状または分岐状のC1-C16アルキルまたはC2-C16アルケニルである。) Wherein R 118 , R 119 , M 101 , M 102 , L 118 , L 119 , R 137 , R 138 , R 139 and PG are as defined above, and B and B ′ are linear or branched C1-C16 alkyl or C2-C16 alkenyl in the form of
工程33
化合物(IX-IId)は、化合物(IX-IIc’)と酸化剤を溶媒中、-20℃と150℃の間の温度で、5分間~72時間反応させることにより製造することができる。
Step 33
Compound (IX-IId) can be produced by reacting compound (IX-IIc ′) and an oxidizing agent in a solvent at a temperature between −20 ° C. and 150 ° C. for 5 minutes to 72 hours.
酸化剤としては、オゾン、四酸化オスミウム/過ヨウ素酸ナトリウム、四酸化オスミウム/四酢酸鉛等が挙げられる。 Examples of the oxidizing agent include ozone, osmium tetroxide / sodium periodate, osmium tetroxide / lead tetraacetate, and the like.
溶媒としては、工程28で例示したものが挙げられる。 Examples of the solvent include those exemplified in Step 28.
化合物(IX-IIc’)は製造法2に記載の方法で製造することができる。 Compound (IX-IIc ′) can be produced by the method described in Production Method 2.
工程34
化合物(IX-IIe)は、化合物(IX-IId)と酸化剤を、溶媒中-20℃と150℃の間の温度で、5分間~72時間反応させることにより製造することができる。
Step 34
Compound (IX-IIe) can be produced by reacting compound (IX-IId) and an oxidizing agent in a solvent at a temperature between −20 ° C. and 150 ° C. for 5 minutes to 72 hours.
酸化剤としては、ジョーンズ試薬、二クロム酸ピリジニウム、四酸化ルテニウム、亜塩素酸ナトリウム等が挙げられる。 Examples of the oxidizing agent include Jones reagent, pyridinium dichromate, ruthenium tetroxide, sodium chlorite and the like.
溶媒としては、tert-ブチルアルコール、ジクロロメタン、クロロホルム、1,2-ジクロロエタン、トルエン、酢酸エチル、アセトン、アセトニトリル、ジエチルエーテル、テトラヒドロフラン、1,2-ジメトキシエタン、1,4-ジオキサン、N,N-ジメチルホルムアミド、N,N-ジメチルアセトアミド、N-メチルピロリドン、水等が挙げられ、これらは単独でまたは混合して用いることができる。 Solvents include tert-butyl alcohol, dichloromethane, chloroform, 1,2-dichloroethane, toluene, ethyl acetate, acetone, acetonitrile, diethyl ether, tetrahydrofuran, 1,2-dimethoxyethane, 1,4-dioxane, N, N- Examples thereof include dimethylformamide, N, N-dimethylacetamide, N-methylpyrrolidone, water and the like, and these can be used alone or in combination.
工程35および工程36
化合物(IX-IIf)は化合物(IX-IIe)と化合物(IX-Va)を、無溶媒でまたは溶媒中、1~10当量の縮合剤と1~10当量の塩基の存在下、室温と200℃の間の温度で、5分間~100時間反応させることにより製造することができる。さらに、化合物(IX-IIc’’)は、化合物(IX-IIf)と化合物(IX-Vb)を、無溶媒でまたは溶媒中、1~10当量の縮合剤と1~10当量の塩基の存在下、室温と200℃の間の温度で、5分間~100時間反応させることにより製造することができる。
Step 35 and Step 36
Compound (IX-IIf) is obtained by reacting Compound (IX-IIe) and Compound (IX-Va) at room temperature and in the presence of 1 to 10 equivalents of a condensing agent and 1 to 10 equivalents of a base without solvent or in a solvent. It can be produced by reacting at a temperature between 0 ° C. and 5 minutes to 100 hours. Further, Compound (IX-IIc ″) is obtained by combining Compound (IX-IIf) and Compound (IX-Vb) in the absence of solvent or in a solvent in the presence of 1 to 10 equivalents of condensing agent and 1 to 10 equivalents of base. The reaction can be carried out at a temperature between room temperature and 200 ° C. for 5 minutes to 100 hours.
溶媒としては、例えばジクロロメタン、クロロホルム、1,2-ジクロロエタン、トルエン、酢酸エチル、アセトニトリル、ジエチルエーテル、テトラヒドロフラン、1,2-ジメトキシエタン、ジオキサン、N,N-ジメチルホルムアミド、N,N-ジメチルアセトアミド、N-メチルピロリドン、ピリジン等が挙げられ、これらは単独でまたは混合して用いることができる。 Examples of the solvent include dichloromethane, chloroform, 1,2-dichloroethane, toluene, ethyl acetate, acetonitrile, diethyl ether, tetrahydrofuran, 1,2-dimethoxyethane, dioxane, N, N-dimethylformamide, N, N-dimethylacetamide, N-methylpyrrolidone, pyridine and the like can be mentioned, and these can be used alone or in combination.
縮合剤としては、例えば塩酸1-エチル-3-(3-ジメチルアミノプロピル)カルボジイミド、N,N'-ジシクロヘキシルカルボジイミド、4-(4,6-ジメトキシ-1,3,5-トリアジン-2- イル)-4-メチルモルホリニウムクロリドn水和物、1H-ベンゾトリアゾール-1-イルオキシトリス(ジメチルアミノ)ホスホニウムヘキサフルオロりん酸塩、O-(7-アザベンゾトリアゾール-1-イル)-N,N,N',N',-テトラメチルウロニウムヘキサフルオロりん酸塩等が挙げられる。 Examples of the condensing agent include 1-ethyl-3- (3-dimethylaminopropyl) carbodiimide hydrochloride, N, N′-dicyclohexylcarbodiimide, 4- (4,6-dimethoxy-1,3,5-triazine-2- ジ ン yl). ) -4-Methylmorpholinium chloride n hydrate, 1H-benzotriazol-1-yloxytris (dimethylamino) phosphonium hexafluorophosphate, O- (7-azabenzotriazol-1-yl) -N , N, N ′, N ′,-tetramethyluronium hexafluorophosphate and the like.
塩基としては例えば炭酸カリウム、炭酸セシウム、トリエチルアミン、N,N-ジイソプロピルエチルアミン、N-メチルモルホリン、ピリジン等が挙げられる。 Examples of the base include potassium carbonate, cesium carbonate, triethylamine, N, N-diisopropylethylamine, N-methylmorpholine, pyridine and the like.
化合物(IX-Va)および化合物(IX-Vb)は市販品として得ることができる。 Compound (IX-Va) and compound (IX-Vb) can be obtained as commercial products.
R118およびR119が同一の場合の化合物(IX-IIc’’)は、工程35において、2当量以上の化合物(IX-Va)を用いることで得ることができる。 The compound (IX-IIc ″) in the case where R 118 and R 119 are the same can be obtained by using 2 equivalents or more of the compound (IX-Va) in Step 35.
工程37
化合物(CL-IXc’)は、化合物(IX-IIc’’)の保護基PGを適切な方法で除去することによって得られる。保護基の除去方法としては、有機合成化学で常用される保護基の除去方法[例えば、プロテクティブ グループス イン オーガニック シンセシス第3版(Protective Groups in Organic Synthesis, third edition)、グリーン(T.W.Greene)著、John Wiley&Sons Inc.(1999年)等に記載の除去方法]を用いることができ、これにより目的とする化合物を製造することができる。
Step 37
Compound (CL-IXc ′) is obtained by removing the protecting group PG of compound (IX-IIc ″) by an appropriate method. Methods for removing protecting groups include those commonly used in organic synthetic chemistry (for example, Protective Groups in Organic Synthesis, third edition, TW Greene, John The removal method described in Wiley & Sons Inc. (1999), etc.] can be used, whereby the target compound can be produced.
工程38
化合物(CL-IXd’)は、化合物(CL-IXc’)を1~10当量の化合物(IX-IV)と、溶媒中、好ましくは1当量~大過剰量の還元剤および必要により好ましくは1~10当量の酸の存在下、-20℃と150℃の間の温度で、5分間~72時間反応させることにより製造することができる。
Step 38
Compound (CL-IXd ′) is obtained by combining compound (CL-IXc ′) with 1 to 10 equivalents of compound (IX-IV), preferably 1 equivalent to a large excess of reducing agent in a solvent and preferably 1 It can be produced by reacting at a temperature between −20 ° C. and 150 ° C. for 5 minutes to 72 hours in the presence of ˜10 equivalents of acid.
溶媒、酸としては、それぞれ工程28で例示したものが挙げられる。 Examples of the solvent and the acid include those exemplified in Step 28.
なお、化合物(CL-IX)のうち、前記化合物(CL-IXa)~(CL-IXd)以外の化合物は、目的とする化合物の構造に適した原料や試薬等を採用することにより、上記の製造法に準じて、あるいは有機合成化学で常用される一般的な製造方法を適用することによって製造することができる。 Of the compounds (CL-IX), compounds other than the compounds (CL-IXa) to (CL-IXd) can be obtained by adopting materials and reagents suitable for the structure of the target compound. It can be produced according to the production method or by applying a general production method commonly used in organic synthetic chemistry.
上記各製造法における中間体および目的化合物は、有機合成化学で常用される分離精製法、例えば、ろ過、抽出、洗浄、乾燥、濃縮、再結晶各種クロマトグラフィー等に付して単離精製することができる。また、中間体においては特に精製することなく次の反応に供することも可能である。 The intermediates and target compounds in each of the above production methods should be isolated and purified by subjecting them to separation and purification methods commonly used in organic synthetic chemistry, such as filtration, extraction, washing, drying, concentration, and various recrystallization chromatography. Can do. The intermediate can be subjected to the next reaction without any particular purification.
R115およびR116は同一または異なって、水素原子またはC1-C3アルキルである。
R115およびR116は同一または異なって、好ましくは水素原子、メチル、エチル、プロピルであり、より好ましくは水素原子、メチルである。
(R115,R116)の組み合わせとしては、好ましくは(水素原子,水素原子)、(水素原子,メチル)、(メチル,メチル)であり、より好ましくは(水素原子,メチル)、(メチル,メチル)である。
R 115 and R 116 are the same or different and are a hydrogen atom or C1-C3 alkyl.
R 115 and R 116 are the same or different and are preferably a hydrogen atom, methyl, ethyl, or propyl, more preferably a hydrogen atom or methyl.
The combination of (R 115 , R 116 ) is preferably (hydrogen atom, hydrogen atom), (hydrogen atom, methyl), (methyl, methyl), more preferably (hydrogen atom, methyl), (methyl, Methyl).
L118およびL119は同一または異なって、直鎖状または分岐状のC8-C24アルキレンもしくはC8-C24アルケニレンである。
L118およびL119は同一または異なって、アルキレンである場合、好ましくは直鎖状のC8-C24アルキレンであり、より好ましくは直鎖状のC8-C20アルキレンであり、さらに好ましくは直鎖状のC8-C12アルキレンである。
L118およびL119は同一または異なって、好ましくはオクチレン、ノニレン、ウンデシレン、トリデシレン、ペンタデシレンであり、より好ましくはオクチレン、ノニレン、ウンデシレンである。
L118およびL119は同一または異なって、アルケニレンである場合、好ましくは直鎖状のC8-C24アルケニレンであり、より好ましくは直鎖状のC10-C20アルケニレンであり、さらに好ましくは直鎖状のC10-C12アルケニレンである。
L118およびL119は同一または異なって、好ましくは(Z)-ウンデカ-9-エニレン、(Z)-トリデカ-11-エニレン、(Z)-テトラデカ-9-エニレン、(Z)-ヘキサデカ-9-エニレン、(Z)-オクタデカ-9-エニレン、(Z)-オクタデカ-11-エニレン、(9Z,12Z)-オクタデカ-9,12-ジエニレンである。
L118およびL119は同一であることが好ましい。
L 118 and L 119 are the same or different and are linear or branched C8-C24 alkylene or C8-C24 alkenylene.
When L 118 and L 119 are the same or different and are alkylene, they are preferably linear C8-C24 alkylene, more preferably linear C8-C20 alkylene, and even more preferably linear C8-C12 alkylene.
L 118 and L 119 are the same or different and are preferably octylene, nonylene, undecylene, tridecylene, pentadecylene, and more preferably octylene, nonylene, undecylene.
When L 118 and L 119 are the same or different and are alkenylene, they are preferably linear C8-C24 alkenylene, more preferably linear C10-C20 alkenylene, and even more preferably linear C10-C12 alkenylene.
L 118 and L 119 are the same or different, preferably (Z) -undec-9-enylene, (Z) -tridec-11-enylene, (Z) -tetradec-9-enylene, (Z) -hexadeca-9 -Enylene, (Z) -octadeca-9-enylene, (Z) -octadeca-11-enylene, (9Z, 12Z) -octadeca-9,12-dienylene.
L 118 and L 119 are preferably the same.
M101およびM102は同一または異なって、-C=C-、-OC(O)-、-C(O)O-、-SC(O)-、-C(O)S-、-OC(S)-、-C(S)O-、-SS-、-C(R’’)=N-、-N=C(R’’)-、-C(R’’)=N-O-、-O-N=C(R’’)-、-N(R’’)C(O)-、-C(O)N(R’’)-、-N(R’’)C(S)-、-C(S)N(R’’)-、-N(R’’)C(O)N(R’’’)-、-N(R3)C(O)O-、-OC(O)N(R’’)-および-OC(O)O-である。
M101およびM102は同一または異なって、好ましくは-C=C-、-OC(O)-、-C(O)O-、-C(O)(NR’’)-、-N(R’’)C(O)-、-N(R’’)C(O)-、-N(R’’)C(O)N(R’’’)-、-N(R’’)C(O)O-、-OC(O)N(R’’)-、-OC(O)O-であり、より好ましくは-C=C-、-OC(O)-、-C(O)O-である。
M101およびM102の各構造の結合については、-OC(O)-を例にして説明すると、R118-OC(O)-L118という構造であることを意味する。
M101およびM102は同一であることが好ましい。
M 101 and M 102 are the same or different, and -C = C-, -OC (O)-, -C (O) O-, -SC (O)-, -C (O) S-, -OC ( S)-, -C (S) O-, -SS-, -C (R '' ) = N-, -N = C (R '' )-, -C (R '' ) = NO-,- ON = C (R '' )-, -N (R '' ) C (O)-, -C (O) N (R '' )-, -N (R '' ) C (S)-,- C (S) N (R ' ') -, - N (R '') C (O) N (R ''') -, - N (R 3) C (O) O -, - OC (O) N (R '' )-and -OC (O) O-.
M 101 and M 102 are the same or different and are preferably -C = C-, -OC (O)-, -C (O) O-, -C (O) (NR '' )-, -N (R '' ) C (O)-, -N (R '' ) C (O)-, -N (R '' ) C (O) N (R ''' )-, -N (R '' ) C (O) O-, -OC (O) N (R '' )-, -OC (O) O-, more preferably -C = C-, -OC (O)-, -C (O) O-.
The bond of each structure of M 101 and M 102 will be described by taking —OC (O) — as an example, which means that the structure is R 118 —OC (O) —L 118 .
M 101 and M 102 are preferably the same.
M101およびM102におけるR’’およびR’’’は、同一または異なって、水素原子またはC1-C3アルキルである。
R’’およびR’’’は、好ましくは水素原子、メチル、エチル、プロピルであり、より好ましくは水素原子、メチルであり、さらに好ましくは水素原子である。
R 'in M 101 and M 102' and R '''the same or different, is a hydrogen atom or a C1-C3 alkyl.
R ″ and R ′ ″ are preferably a hydrogen atom, methyl, ethyl or propyl, more preferably a hydrogen atom or methyl, and even more preferably a hydrogen atom.
R118およびR119は同一または異なって、直鎖状または分岐状のC1-C16アルキルまたはC2-C16アルケニルである。
R118およびR119は同一または異なって、アルキルである場合、好ましくは直鎖状のC1-C16アルキルであり、より好ましくは直鎖状のC2-C9アルキルである。
R118およびR119は同一または異なって、好ましくはペンチル、オクチル、ノニル、デシル、ドデシルである。
R118およびR119は同一または異なって、アルケニルである場合、好ましくは直鎖状のC2-C16アルケニルであり、より好ましくは直鎖状のC3-C9アルケニルである。
R118およびR119は同一または異なって、好ましくは(Z)-ヘプタ-2-エン、(Z)-オクタ-2-エン、(Z)-ノナ-2-エン、(Z)-ノナ-3-エン、ノナ-8-エン、(Z)-ドデカ-2-エン、(Z)-トリデカ-2-エンである。
R118およびR119は同一であることが好ましい。
R 118 and R 119 are the same or different and are linear or branched C1-C16 alkyl or C2-C16 alkenyl.
When R 118 and R 119 are the same or different and are alkyl, they are preferably linear C1-C16 alkyl, more preferably linear C2-C9 alkyl.
R 118 and R 119 are the same or different and are preferably pentyl, octyl, nonyl, decyl, dodecyl.
When R 118 and R 119 are the same or different and are alkenyl, they are preferably linear C 2 -C 16 alkenyl, more preferably linear C 3 -C 9 alkenyl.
R 118 and R 119 are the same or different, preferably (Z) -hept-2-ene, (Z) -oct-2-ene, (Z) -non-2-ene, (Z) -nona-3 -Ene, nona-8-ene, (Z) -dodec-2-ene, (Z) -tridec-2-ene.
R 118 and R 119 are preferably the same.
R118-M101-L118およびR119-M102-L119は同一または異なって、R118およびR119、M101およびM102、L118およびL119としては、各基について説明した構造からの組み合わせであってよい。
R118-M101-L118およびR119-M102-L119は同一であることが好ましい。
R118-M101-L118およびR119-M102-L119は同一または異なって、好ましくは(Z)-テトラデカ-9-エニル、(Z)-ヘキサデカ-9-エニル、(Z)-オクタデカ-9-エニル、(E)-オクタデカ-9-エニル、(Z)-オクタデカ-11-エニル、(9Z,12Z)-オクタデカ-9,12-ジエニル、(9Z,12Z,15Z)-オクタデカ-9,12,15-トリエニル、(Z)-イコサ-11-エニル、(11Z,14Z)-イコサ-11,14-ジエニルおよび(Z)-ドコサ-13-エニルからなる群から選ばれ、より好ましくは(Z)-ヘキサデカ-9-エニル、(Z)-オクタデカ-9-エニル、(9Z,12Z)-オクタデカ-9,12-ジエニルおよび(11Z,14Z)-イコサ-11,14-ジエニルからなる群から選ばれる。
R118-M101-L118およびR119-M102-L119は同一または異なって、好ましくは以下の構造(1)~(5)であり、より好ましくは同一に以下の構造(1)~(5)である。
R 118 -M 101 -L 118 and R 119 -M 102 -L 119 are the same or different, and R 118 and R 119 , M 101 and M 102 , and L 118 and L 119 are from the structure described for each group. It may be a combination of
R 118 -M 101 -L 118 and R 119 -M 102 -L 119 are preferably the same.
R 118 -M 101 -L 118 and R 119 -M 102 -L 119 are the same or different, preferably (Z) -tetradec-9-enyl, (Z) -hexadeca-9-enyl, (Z) -octadeca -9-enyl, (E) -octadeca-9-enyl, (Z) -octadeca-11-enyl, (9Z, 12Z) -octadeca-9,12-dienyl, (9Z, 12Z, 15Z) -octadeca-9 , 12,15-trienyl, (Z) -icosa-11-enyl, (11Z, 14Z) -icosa-11,14-dienyl and (Z) -docosa-13-enyl, more preferably The group consisting of (Z) -hexadec-9-enyl, (Z) -octadeca-9-enyl, (9Z, 12Z) -octadeca-9,12-dienyl and (11Z, 14Z) -icosa-11,14-dienyl Chosen from.
R 118 -M 101 -L 118 and R 119 -M 102 -L 119 are the same or different and are preferably the following structures (1) to (5), more preferably the following structures (1) to (5): (5).
化合物(CL-X)で表される脂質は国際公開第2009/129385号に記載の方法、またはそれに準じた方法で得ることができる。 The lipid represented by the compound (CL-X) can be obtained by the method described in International Publication No. 2009/129385 or a method analogous thereto.
化合物(CL-XI)で表される脂質は国際公開第2013/1491401号に記載の方法、またはそれに準じた方法で得ることができる。 The lipid represented by the compound (CL-XI) can be obtained by the method described in International Publication No. 2013/1491401, or a method analogous thereto.
化合物(CL-XII)で表される脂質は国際公開第2009/129395号に記載の方法、またはそれに準じた方法で得ることができる。 The lipid represented by the compound (CL-XII) can be obtained by the method described in International Publication No. 2009/129395 or a method analogous thereto.
化合物(CL-XIII)で表される脂質は国際公開第2013/059496号に記載の方法、またはそれに準じた方法で得ることができる。 The lipid represented by the compound (CL-XIII) can be obtained by the method described in International Publication No. 2013/059496 or a method analogous thereto.
化合物(CL-XIV)で表される脂質は国際公開第2011/149733号に記載の方法、またはそれに準じた方法で得ることができる。 The lipid represented by the compound (CL-XIV) can be obtained by the method described in International Publication No. 2011/149733 or a method analogous thereto.
式(CL-XV)で表される脂質は国際公開第2011/153493号に記載の方法、またはそれに準じた方法で得ることができる。 The lipid represented by the formula (CL-XV) can be obtained by the method described in International Publication No. 2011/153493 or a method analogous thereto.
式(CL-XVI)で表される脂質は国際公開第2015/074085号に記載の方法、またはそれに準じた方法で得ることができる。 The lipid represented by the formula (CL-XVI) can be obtained by the method described in International Publication No. 2015/074085 or a method analogous thereto.
式(CL-XVII)で表される脂質は国際公開第2012/170952号に記載の方法、またはそれに準じた方法で得ることができる。 The lipid represented by the formula (CL-XVII) can be obtained by the method described in International Publication No. 2012/170952 or a method analogous thereto.
本発明における脂質Aの具体例を表11~表26に示すが、脂質Aはこれらに限定されるものではない。 Specific examples of lipid A in the present invention are shown in Tables 11 to 26, but lipid A is not limited thereto.
本発明の核酸含有脂質ナノ粒子における脂質Aは、式(I)、式(II)、式(III)、式(IV)、式(V’)、および式(V”)で表されるの中でも、好ましくは式(II)、式(V’)、および式(V”)で表される脂質であり、より好ましくは式(II)および式(V’)で表される脂質である。
また、式(II)で表される脂質の中でも、好ましくは、式(II)中のR4~R6の少なくとも一つが直鎖状のC8-C24アルキルである脂質であり、より好ましくは、式(II)中のR4~R6の2つが直鎖状のC8-C24アルキルである脂質であり、さらに好ましくは、式(II)中のR4~R6がすべて直鎖状のC8-C24アルキルである脂質である。
式(II)、式(V’)、および式(V”)からなる群より選択される脂質と組み合わせる脂質Bとしては、好ましくは、式(CL-I)、式(CL-II)、式(CL-III)、式(CL-IV)、式(CL-V)、式(CL-VI)、式(CL-VII)、式(CL-VIII)、式(CL-IX)、式(CL-XII)および式(CL-XIV)で表される脂質である。
また、式(CL-II)で表される脂質の中でも、好ましくは、式(CL-II)中のL106およびL107が一緒になって単結合またはC2-C8アルキレンを形成し、かつp101およびp102が1~3の整数である脂質であり、より好ましくは、式(CL-II)中のL106およびL107が一緒になって単結合を形成し、かつp101およびp102が1である脂質である。
Lipid A in the nucleic acid-containing lipid nanoparticles of the present invention is represented by the formula (I), formula (II), formula (III), formula (IV), formula (V ′), and formula (V ″). Among these, lipids represented by formula (II), formula (V ′), and formula (V ″) are preferable, and lipids represented by formula (II) and formula (V ′) are more preferable.
Among the lipids represented by the formula (II), preferably, at least one of R 4 to R 6 in the formula (II) is a linear C8-C24 alkyl lipid, more preferably, Two of R 4 to R 6 in the formula (II) are lipids that are linear C8-C24 alkyl, and more preferably, R 4 to R 6 in the formula (II) are all linear C8 It is a lipid that is -C24 alkyl.
The lipid B to be combined with a lipid selected from the group consisting of the formula (II), the formula (V ′), and the formula (V ″) is preferably the formula (CL-I), the formula (CL-II), the formula (CL-III), Formula (CL-IV), Formula (CL-V), Formula (CL-VI), Formula (CL-VII), Formula (CL-VIII), Formula (CL-IX), Formula ( CL-XII) and a lipid represented by the formula (CL-XIV).
Among the lipids represented by the formula (CL-II), preferably, L 106 and L 107 in the formula (CL-II) are combined to form a single bond or C2-C8 alkylene, and p 101 and p 102 are lipids that are integers of 1 to 3, more preferably, L 106 and L 107 in formula (CL-II) together form a single bond, and p 101 and p 102 Is a lipid that is 1.
本発明で用いられる核酸としては、例えば、ヌクレオチドおよび/またはヌクレオチドと同等の機能を有する分子が重合した分子であれば、いかなる分子であってもよく、例えば、リボヌクレオチドの重合体であるリボ核酸(RNA)、デオキシリボヌクレオチドの重合体であるデオキシリボ核酸(DNA)、RNAとDNAとからなるキメラ核酸、およびこれらの核酸の少なくとも一つのヌクレオチドが該ヌクレオチドと同等の機能を有する分子で置換されたヌクレオチド重合体等が挙げられる。また、ヌクレオチドおよび/またはヌクレオチドと同等の機能を有する分子が重合した分子の構造を少なくとも一部に含む誘導体も、本発明の核酸に含まれる。なお、本発明において、ウラシルUと、チミンTとは、それぞれ読み替えることができる。 The nucleic acid used in the present invention may be any molecule as long as it is a molecule obtained by polymerizing nucleotides and / or molecules having functions equivalent to nucleotides, for example, ribonucleic acid that is a polymer of ribonucleotides. (RNA), deoxyribonucleic acid (DNA) which is a polymer of deoxyribonucleotides, chimeric nucleic acids composed of RNA and DNA, and nucleotides in which at least one nucleotide of these nucleic acids is replaced with a molecule having a function equivalent to that nucleotide A polymer etc. are mentioned. In addition, the nucleic acid of the present invention also includes a derivative containing at least a part of the structure of a molecule obtained by polymerizing nucleotides and / or molecules having functions equivalent to nucleotides. In the present invention, uracil U and thymine T can be replaced with each other.
ヌクレオチドと同等の機能を有する分子としては、例えば、ヌクレオチド誘導体等が挙げられる。 Examples of molecules having a function equivalent to nucleotides include nucleotide derivatives.
ヌクレオチド誘導体としては、例えば、ヌクレオチドに修飾を施した分子であればいかなる分子であってもよいが、例えば、RNAまたはDNAと比較して、ヌクレアーゼ耐性を向上させるかもしくはその他の分解因子から安定化させるため、相補鎖核酸とのアフィニティーをあげるため、細胞透過性をあげるため、または可視化させるために、リボヌクレオチドまたはデオキシリボヌクレオチドに修飾を施した分子等が好適に用いられる。 The nucleotide derivative may be any molecule as long as it is a modified nucleotide, for example, it improves nuclease resistance or stabilizes from other degradation factors compared to RNA or DNA. In order to increase the affinity with the complementary strand nucleic acid, to increase cell permeability, or to visualize the molecule, a molecule in which ribonucleotides or deoxyribonucleotides are modified is preferably used.
ヌクレオチド誘導体としては、例えば、糖部修飾ヌクレオチド、リン酸ジエステル結合修飾ヌクレオチド、塩基修飾ヌクレオチド等が挙げられる。 Examples of nucleotide derivatives include sugar moiety-modified nucleotides, phosphodiester bond-modified nucleotides, base-modified nucleotides, and the like.
糖部修飾ヌクレオチドとしては、例えば、ヌクレオチドの糖の化学構造の一部あるいは全てに対し、任意の置換基で修飾もしくは置換したもの、または任意の原子で置換したものであればいかなるものでもよいが、2’-修飾ヌクレオチドが好ましく用いられる。 The sugar moiety-modified nucleotide may be any nucleotide as long as it is modified or substituted with an arbitrary substituent on a part or all of the sugar sugar chemical structure, or substituted with an arbitrary atom. 2'-modified nucleotides are preferably used.
糖部修飾ヌクレオチドにおける修飾基としては、例えば、2’-シアノ、2’-アルキル、2’-置換アルキル、2’-アルケニル、2’-置換アルケニル、2’-ハロゲン、2’-O-シアノ、2’-O-アルキル、2’-O-置換アルキル、2’-O-アルケニル、2’-O-置換アルケニル、2’-S-アルキル、2’-S-置換アルキル、2’-S-アルケニル、2’-S-置換アルケニル、2’-アミノ、2’-NH-アルキル、2’-NH-置換アルキル、2’-NH-アルケニル、2’-NH-置換アルケニル、2’-SO-アルキル、2’-SO-置換アルキル、2’-カルボキシ、2’-CO-アルキル、2’-CO-置換アルキル、2’-Se-アルキル、2’-Se-置換アルキル、2’-SiH2-アルキル、2’-SiH2-置換アルキル、2’-ONO2、2’-NO2、2’-N3、2’-アミノ酸残基(アミノ酸のカルボン酸からヒドロキシが除去されたもの)、2’-O-アミノ酸残基(前記アミノ酸残基と同義)等が挙げられる。 Examples of the modifying group in the sugar moiety-modified nucleotide include 2′-cyano, 2′-alkyl, 2′-substituted alkyl, 2′-alkenyl, 2′-substituted alkenyl, 2′-halogen and 2′-O-cyano. 2'-O-alkyl, 2'-O-substituted alkyl, 2'-O-alkenyl, 2'-O-substituted alkenyl, 2'-S-alkyl, 2'-S-substituted alkyl, 2'-S -Alkenyl, 2'-S-substituted alkenyl, 2'-amino, 2'-NH-alkyl, 2'-NH-substituted alkyl, 2'-NH-alkenyl, 2'-NH-substituted alkenyl, 2'-SO -Alkyl, 2'-SO-substituted alkyl, 2'-carboxy, 2'-CO-alkyl, 2'-CO-substituted alkyl, 2'-Se-alkyl, 2'-Se-substituted alkyl, 2'-SiH 2 -alkyl, 2'-SiH 2 -substituted alkyl, 2'-ONO 2 , 2'-NO 2 , 2'-N 3 , 2'-amino acid residues (hydroxys removed from the carboxylic acid of the amino acid) 2'-O-amino acid residues (synonymous with the above amino acid residues) and the like.
糖部修飾ヌクレオチドとして、例えば、2’位の修飾基が4’位の炭素原子に架橋した構造を有する架橋構造型人工核酸(Bridged Nucleic Acid)(BNA)、より具体的には、2’位の酸素原子と4’位の炭素原子がメチレンを介して架橋したロックト人工核酸(Locked Nucleic Acid)(LNA)、およびエチレン架橋構造型人工核酸(Ethylene bridged nucleic acid)(ENA)[Nucleic Acid Research, 32, e175(2004)]等も挙げられ、これらは2’-修飾ヌクレオチドに含まれる。 Examples of sugar-modified nucleotides include, for example, a crosslinked structure-type artificial nucleic acid (BNA) having a structure in which a modification group at the 2 ′ position is crosslinked to a carbon atom at the 4 ′ position, more specifically, the 2 ′ position. Locked Nucleic Acid (LNA) in which the oxygen atom and 4'-position carbon atom are bridged via methylene, and Ethylene bridged nucleic acid (ENA) [Nucleic Acid Research, 32, e175 (2004)] and the like, and these are included in 2′-modified nucleotides.
糖部修飾ヌクレオチドとして、ペプチド核酸(PNA)[Acc. Chem. Res., 32, 624(1999)]、オキシペプチド核酸(OPNA)[J. Am. Chem. Soc., 123, 4653(2001)]、ペプチドリボ核酸(PRNA)[J. Am. Chem. Soc., 122, 6900(2000)]等も挙げられる。 Peptide nucleic acid (PNA) [Acc. Chem. Res., 32, 624 (1999)], oxypeptide nucleic acid (OPNA) [J. Am. Chem. Soc., 123, 4653 (2001)] And peptide ribonucleic acid (PRNA) [J. Am. Chem. Soc., 122, 6900 (2000)].
糖部修飾ヌクレオチドにおける修飾基として、2’-シアノ、2’-ハロゲン、2’-O-シアノ、2’-アルキル、2’-置換アルキル、2’-O-アルキル、2’-O-置換アルキル、2’-O-アルケニル、2’-O-置換アルケニル、2’-Se-アルキルまたは2’-Se-置換アルキル等が好ましく、2’-シアノ、2’-フルオロ、2’-クロロ、2’-ブロモ、2’-トリフルオロメチル、2’-O-メチル、2’-O-エチル、2’-O-イソプロピル、2’-O-トリフルオロメチル、2'-O-[2-(メトキシ)エチル]、2'-O-(3-アミノプロピル)、2'-O-[2-(N,N-ジメチルアミノオキシ)エチル]、2'-O-[3-(N,N-ジメチルアミノ)プロピル]、2'-O-{2-[2-(N,N-ジメチルアミノ)エトキシ]エチル}、2'-O-[2-(メチルアミノ)-2-オキソエチル]または2’-Se-メチル等がより好ましく、2’-O-メチル、2’-O-エチル、2’-フルオロ等がさらに好ましく、2’-O-メチルまたは2’-O-エチルが最も好ましい。 2'-cyano, 2'-halogen, 2'-O-cyano, 2'-alkyl, 2'-substituted alkyl, 2'-O-alkyl, 2'-O-substituted as a modifying group in sugar modified nucleotide Preferred are alkyl, 2′-O-alkenyl, 2′-O-substituted alkenyl, 2′-Se-alkyl or 2′-Se-substituted alkyl, 2′-cyano, 2′-fluoro, 2′-chloro, 2'-bromo, 2'-trifluoromethyl, 2'-O-methyl, 2'-O-ethyl, 2'-O-isopropyl, 2'-O-trifluoromethyl, 2'-O- [2- (Methoxy) ethyl], 2'-O- (3-aminopropyl), 2'-O- [2- (N, N-dimethylaminooxy) ethyl], 2'-O- [3- (N, N -Dimethylamino) propyl], 2'-O- {2- [2- (N, N-dimethylamino) ethoxy] ethyl}, 2'-O- [2- (methylamino) -2-oxoethyl] or 2 '-Se-methyl and the like are more preferable, 2'-O-methyl, 2'-O-ethyl, 2'-fluoro and the like are more preferable, and 2'-O-methyl Or 2'-O-ethyl is most preferred.
糖部修飾ヌクレオチドにおける修飾基は、その大きさから好ましい範囲を定義することもでき、フルオロの大きさから-O-ブチルの大きさに相当するものが好ましく、-O-メチルの大きさから-O-エチルの大きさに相当するものがより好ましい。 The preferred range of the modifying group in the sugar moiety-modified nucleotide can also be defined from its size, preferably from the size of fluoro to the size of -O-butyl, and from the size of -O-methyl- Those corresponding to the size of O-ethyl are more preferred.
糖部修飾ヌクレオチドにおける修飾基におけるアルキルとしては、例えば、C1-C6アルキルが挙げられ、より具体的にはメチル、エチル、プロピル、イソプロピル、ブチル、イソブチル、sec-ブチル、tert-ブチル、ペンチル、イソペンチル、ネオペンチルまたはヘキシル等のC1-C6アルキルが挙げられる。 Examples of the alkyl in the modifying group in the sugar-modified nucleotide include C1-C6 alkyl, and more specifically, methyl, ethyl, propyl, isopropyl, butyl, isobutyl, sec-butyl, tert-butyl, pentyl, isopentyl. And C1-C6 alkyl such as neopentyl or hexyl.
糖部修飾ヌクレオチドにおける修飾基におけるアルケニルとしては、例えば、C3-C6アルケニルが挙げられ、より具体的にはアリル、1-プロペニル、ブテニル、ペンテニルまたはヘキセニル等のC3-C6アルケニルが挙げられる。 Examples of the alkenyl in the modifying group in the sugar moiety-modified nucleotide include C3-C6 alkenyl, and more specifically, C3-C6 alkenyl such as allyl, 1-propenyl, butenyl, pentenyl, hexenyl and the like.
糖部修飾ヌクレオチドにおける修飾基におけるハロゲンとしては、例えば、フッ素原子、塩素原子、臭素原子またはヨウ素原子等が挙げられる。 Examples of the halogen in the modifying group in the sugar moiety-modified nucleotide include a fluorine atom, a chlorine atom, a bromine atom or an iodine atom.
アミノ酸残基におけるアミノ酸としては、例えば、脂肪族アミノ酸(具体的には、グリシン、アラニン、バリン、ロイシン、イソロイシン等)、ヒドロキシアミノ酸(具体的には、セリン、トレオニン等)、酸性アミノ酸(具体的には、アスパラギン酸、グルタミン酸等)、酸性アミノ酸アミド(具体的には、アスパラギン、グルタミン等)、塩基性アミノ酸(具体的には、リジン、ヒドロキシリジン、アルギニン、オルニチン等)、含硫アミノ酸(具体的には、システイン、シスチン、メチオニン等)またはイミノ酸(具体的には、プロリン、4-ヒドロキシプロリン等)等が挙げられる。 Examples of amino acids in amino acid residues include aliphatic amino acids (specifically, glycine, alanine, valine, leucine, isoleucine, etc.), hydroxy amino acids (specifically, serine, threonine, etc.), acidic amino acids (specifically, Aspartic acid, glutamic acid, etc.), acidic amino acid amides (specifically, asparagine, glutamine, etc.), basic amino acids (specifically, lysine, hydroxylysine, arginine, ornithine, etc.), sulfur-containing amino acids (specifically, Specifically, cysteine, cystine, methionine and the like) or imino acid (specifically, proline, 4-hydroxyproline and the like) and the like.
糖部修飾ヌクレオチドにおける修飾基における置換アルキルおよび置換アルケニルにおける置換基としては、例えば、ハロゲン(前記と同義)、ヒドロキシ、スルファニル、アミノ、オキソ、-O-アルキル(該-O-アルキルのアルキル部分は前記修飾基におけるC1-C6アルキルと同義)、-S-アルキル(該-S-アルキルのアルキル部分は前記修飾基におけるC1-C6アルキルと同義)、-NH-アルキル(該-NH-アルキルのアルキル部分は前記修飾基におけるC1-C6アルキルと同義)、ジアルキルアミノオキシ(該ジアルキルアミノオキシの2つのアルキル部分は同一または異なって前記修飾基におけるC1-C6アルキルと同義)、ジアルキルアミノ(該ジアルキルアミノの2つのアルキル部分は同一または異なって前記修飾基におけるC1-C6アルキルと同義)またはジアルキルアミノアルキルオキシ(該ジアルキルアミノアルキルオキシの2つのアルキル部分は同一または異なって前記修飾基におけるC1-C6アルキルと同義であり、アルキレン部分は前記修飾基におけるC1-C6アルキルから水素原子が1つ除かれたものを意味する)等が挙げられ、置換数は好ましくは1~3である。 Examples of the substituted alkyl in the modified group in the sugar-modified nucleotide and the substituent in the substituted alkenyl include halogen (as defined above), hydroxy, sulfanyl, amino, oxo, -O-alkyl (the alkyl portion of the -O-alkyl is The same as C1-C6 alkyl in the modifying group), -S-alkyl (the alkyl part of the -S-alkyl is synonymous with C1-C6 alkyl in the modifying group), -NH-alkyl (the alkyl of -NH-alkyl) Part is synonymous with C1-C6 alkyl in the modifying group), dialkylaminooxy (the two alkyl parts of the dialkylaminooxy are the same or different and are synonymous with C1-C6 alkyl in the modifying group), dialkylamino (the dialkylamino The two alkyl moieties are the same or different and have the same meaning as C1-C6 alkyl in the above-mentioned modifying group) or dialkylaminoalkyl Xi (the two alkyl moieties of the dialkylaminoalkyloxy are the same or different and have the same meaning as the C1-C6 alkyl in the modifying group, and the alkylene moiety has one hydrogen atom removed from the C1-C6 alkyl in the modifying group. The number of substitutions is preferably 1 to 3.
リン酸ジエステル結合修飾ヌクレオチドとしては、ヌクレオチドのリン酸ジエステル結合の化学構造の一部あるいは全てに対し、任意の置換基で修飾もしくは置換したもの、または任意の原子で置換したものであればいかなるものでもよく、例えば、リン酸ジエステル結合がホスホロチオエート結合に置換されたヌクレオチド、リン酸ジエステル結合がホスホロジチオエート結合に置換されたヌクレオチド、リン酸ジエステル結合がアルキルホスホネート結合に置換されたヌクレオチドまたはリン酸ジエステル結合がホスホロアミデート結合に置換されたヌクレオチド等が挙げられる。 The phosphodiester bond-modified nucleotide is any nucleotide that has been modified or substituted with an arbitrary substituent for a part or all of the chemical structure of the phosphodiester bond of the nucleotide, or with any atom. For example, a nucleotide in which a phosphodiester bond is replaced with a phosphorothioate bond, a nucleotide in which a phosphodiester bond is replaced with a phosphorodithioate bond, a nucleotide in which a phosphodiester bond is replaced with an alkylphosphonate bond, or a phosphate Examples include nucleotides in which a diester bond is substituted with a phosphoramidate bond.
塩基修飾ヌクレオチドとしては、ヌクレオチドの塩基の化学構造の一部あるいは全てに対し、任意の置換基で修飾もしくは置換したもの、または任意の原子で置換したものであればいかなるものでもよく、例えば、塩基内の酸素原子が硫黄原子で置換されたもの、水素原子がC1-C6アルキル基で置換されたもの、メチル基が水素原子もしくはC2-C6アルキル基で置換されたもの、アミノ基がC1-C6アルキル基、C1-C6アルカノイル基等の保護基で保護されたもの等が挙げられる。 As the base-modified nucleotide, any or all of the nucleotide base chemical structure modified or substituted with an arbitrary substituent or substituted with an arbitrary atom may be used. In which oxygen atom is substituted with sulfur atom, hydrogen atom is substituted with C1-C6 alkyl group, methyl group is substituted with hydrogen atom or C2-C6 alkyl group, amino group is C1-C6 Examples include those protected with a protecting group such as an alkyl group and a C1-C6 alkanoyl group.
さらに、ヌクレオチド誘導体として、ヌクレオチドまたは糖部、リン酸ジエステル結合もしくは塩基の少なくとも一つが修飾されたヌクレオチド誘導体に脂質、リン脂質、フェナジン、フォレート、フェナントリジン、アントラキノン、アクリジン、フルオレセイン、ローダミン、クマリンおよび色素等、別の化学物質を付加したものも挙げられ、具体的には、5’-ポリアミン付加ヌクレオチド誘導体、コレステロール付加ヌクレオチド誘導体、ステロイド付加ヌクレオチド誘導体、胆汁酸付加ヌクレオチド誘導体、ビタミン付加ヌクレオチド誘導体、緑色蛍光色素(Cy3)付加ヌクレオチド誘導体、赤色蛍光色素(Cy5)付加ヌクレオチド誘導体、フルオロセイン(6-FAM)付加ヌクレオチド誘導体、およびビオチン付加ヌクレオチド誘導体等が挙げられる。 Further, as nucleotide derivatives, nucleotides or sugar moieties, nucleotide derivatives modified with at least one of phosphodiester bonds or bases, lipids, phospholipids, phenazine, folate, phenanthridine, anthraquinone, acridine, fluorescein, rhodamine, coumarin and Examples include dyes and other chemical substances added. Specifically, 5'-polyamine-added nucleotide derivatives, cholesterol-added nucleotide derivatives, steroid-added nucleotide derivatives, bile acid-added nucleotide derivatives, vitamin-added nucleotide derivatives, green Examples include fluorescent dye (Cy3) addition nucleotide derivatives, red fluorescent dye (Cy5) addition nucleotide derivatives, fluorescein (6-FAM) addition nucleotide derivatives, and biotin addition nucleotide derivatives. The
本発明で用いられる核酸においては、ヌクレオチドまたはヌクレオチド誘導体が、該核酸内の他のヌクレオチドまたはヌクレオチド誘導体とアルキレン構造、ペプチド構造、ヌクレオチド構造、エーテル構造、エステル構造およびこれらの少なくとも一つを組み合わせた構造等の架橋構造を形成してもよい。 In the nucleic acid used in the present invention, a nucleotide or nucleotide derivative is a structure obtained by combining at least one of these with other nucleotides or nucleotide derivatives in the nucleic acid, an alkylene structure, a peptide structure, a nucleotide structure, an ether structure, an ester structure, or the like. A cross-linked structure such as
本発明で用いられる核酸としては、分子量が1,000 kDa以下のものが好ましく、100 kDa以下のものがより好ましく、30 kDa以下のものがさらに好ましい。また、本発明で用いられる核酸としては、好ましくは標的遺伝子の発現を抑制する核酸が挙げられ、より好ましくはRNA干渉(RNAi)を利用した標的遺伝子の発現抑制作用を有する核酸が挙げられる。 The nucleic acid used in the present invention preferably has a molecular weight of 1,000 kDa or less, more preferably 100 kDa or less, and even more preferably 30 kDa or less. The nucleic acid used in the present invention preferably includes a nucleic acid that suppresses the expression of the target gene, and more preferably includes a nucleic acid that has an action of suppressing the expression of the target gene using RNA interference (RNAi).
本発明における標的遺伝子としては、mRNAを産生して発現する遺伝子であれば特に限定されないが、例えば、腫瘍または炎症に関連する遺伝子が好ましく、例えば、血管内皮増殖因子(vascular endothelial growth factor、以下VEGFと略す)、血管内皮増殖因子受容体(vascular endothelial growth factor receptor、以下VEGFRと略す)、線維芽細胞増殖因子、線維芽細胞増殖因子受容体、血小板由来増殖因子、血小板由来増殖因子受容体、肝細胞増殖因子、肝細胞増殖因子受容体、クルッペル様因子(Kruppel-like factor、以下KLFと略す)、エクスプレスドシーケンスタグ(Ets)転写因子、核因子、低酸素誘導因子、細胞周期関連因子、染色体複製関連因子、染色体修復関連因子、微小管関連因子、増殖シグナル経路関連因子、増殖関連転写因子またはアポトーシス関連因子等のタンパク質をコードする遺伝子等が挙げられ、具体的にはVEGF遺伝子、VEGFR遺伝子、線維芽細胞増殖因子遺伝子、線維芽細胞増殖因子受容体遺伝子、血小板由来増殖因子遺伝子、血小板由来増殖因子受容体遺伝子、肝細胞増殖因子遺伝子、肝細胞増殖因子受容体遺伝子、KLF遺伝子、Ets転写因子遺伝子、核因子遺伝子、低酸素誘導因子遺伝子、細胞周期関連因子遺伝子、染色体複製関連因子遺伝子、染色体修復関連因子遺伝子、微小管関連因子遺伝子(例えば、CKAP5遺伝子等)、増殖シグナル経路関連因子遺伝子(例えば、KRAS遺伝子等)、増殖関連転写因子遺伝子またはアポトーシス関連因子(例えば、BCL-2遺伝子等)等が挙げられる。 The target gene in the present invention is not particularly limited as long as it is a gene that produces and expresses mRNA, but, for example, a gene related to tumor or inflammation is preferable, for example, vascular endothelial growth factor (hereinafter referred to as VEGF). Vascular endothelial growth factor receptor (vascular endothelial growth factor thereceptor, hereinafter abbreviated as VEGFR), fibroblast growth factor, fibroblast growth factor receptor, platelet-derived growth factor, platelet-derived growth factor receptor, liver Cell growth factor, hepatocyte growth factor receptor, Kruppel-like factor (KLF), express sequence tag (Ets) transcription factor, nuclear factor, hypoxia-inducible factor, cell cycle-related factor, chromosome Replication-related factor, chromosome repair-related factor, microtubule-related factor, growth signal pathway-related factor, growth-related transcription factor or apoptosis-related factor Examples include genes encoding proteins, specifically VEGF gene, VEGFR gene, fibroblast growth factor gene, fibroblast growth factor receptor gene, platelet-derived growth factor gene, platelet-derived growth factor receptor gene, Hepatocyte growth factor gene, hepatocyte growth factor receptor gene, KLF gene, Ets transcription factor gene, nuclear factor gene, hypoxia inducible factor gene, cell cycle related factor gene, chromosome replication related factor gene, chromosome repair related factor gene, Examples include a microtubule-related factor gene (for example, CKAP5 gene), a growth signal pathway-related factor gene (for example, KRAS gene), a growth-related transcription factor gene, or an apoptosis-related factor (for example, BCL-2 gene).
本発明における標的遺伝子としては、例えば、肝臓、肺、腎臓または脾臓において発現する遺伝子が好ましく、肝臓において発現する遺伝子がより好ましく、例えば、前記の腫瘍または炎症に関連する遺伝子、B型肝炎ウイルスゲノム、C型肝炎ウイルスゲノム、アポリポタンパク質(APO)、ヒドロキシメチルグルタリル(HMG)CoA還元酵素、ケキシン 9 型セリンプロテアーゼ(PCSK9)、第12因子、グルカゴン受容体、グルココルチコイド受容体、ロイコトリエン受容体、トロンボキサンA2受容体、ヒスタミンH1受容体、炭酸脱水酵素、アンギオテンシン変換酵素、レニン、p53、チロシンホスファターゼ(PTP)、ナトリウム依存性グルコース輸送担体、腫瘍壊死因子、インターロイキン、ヘプシジン、トランスサイレン、アンチトロンビン、プロテインCまたはマトリプターゼ酵素(例えば、TMPRSS6遺伝子等)等のタンパク質をコードする遺伝子等が挙げられる。 As the target gene in the present invention, for example, a gene expressed in the liver, lung, kidney or spleen is preferable, and a gene expressed in the liver is more preferable. For example, the above-mentioned gene related to tumor or inflammation, hepatitis B virus genome , Hepatitis C virus genome, apolipoprotein (APO), hydroxymethylglutaryl (HMG) CoA reductase, kexin type 9 serine protease (PCSK9), factor 12, glucagon receptor, glucocorticoid receptor, leukotriene receptor, Thromboxane A2 receptor, histamine H1 receptor, carbonic anhydrase, angiotensin converting enzyme, renin, p53, tyrosine phosphatase (PTP), sodium-dependent glucose transporter, tumor necrosis factor, interleukin, hepcidin, transsilence, antithrombin , Protein C or Matriptase enzymes (e.g., TMPRSS6 gene, etc.) and the gene and the like which encodes a protein, such as.
標的遺伝子の発現を抑制する核酸としては、例えば、蛋白質等をコードする遺伝子(標的遺伝子)のmRNAの一部の塩基配列に対して相補的な塩基配列を含み、かつ標的遺伝子の発現を抑制する核酸であれば、例えば、siRNA(short interference RNA)、miRNA(micro RNA)等の二本鎖核酸、shRNA(short hairpin RNA)、アンチセンス核酸、リボザイム等の一本鎖核酸等、いずれの核酸を用いてもよいが、二本鎖核酸が好ましい。 Examples of the nucleic acid that suppresses the expression of the target gene include, for example, a nucleotide sequence that is complementary to the partial nucleotide sequence of the mRNA of the gene encoding the protein (target gene) and suppresses the expression of the target gene. If it is a nucleic acid, for example, any nucleic acid such as a double-stranded nucleic acid such as siRNA (short (interference RNA) or miRNA (micro RNA), a single-stranded nucleic acid such as shRNA (short hairpin RNA), antisense nucleic acid or ribozyme, etc. Although it may be used, a double-stranded nucleic acid is preferred.
標的遺伝子のmRNAの一部の塩基配列に対して相補的な塩基配列を含む核酸をアンチセンス鎖核酸といい、アンチセンス鎖核酸の塩基配列に対して相補的な塩基配列を含む核酸をセンス鎖核酸ともいう。センス鎖核酸は、標的遺伝子の一部の塩基配列からなる核酸そのもの等、アンチセンス鎖核酸と対合して二重鎖形成部ができる核酸をいう。 A nucleic acid containing a base sequence complementary to a part of the base sequence of the target gene mRNA is called an antisense strand nucleic acid, and a nucleic acid containing a base sequence complementary to the base sequence of the antisense strand nucleic acid is a sense strand. Also called nucleic acid. A sense strand nucleic acid refers to a nucleic acid capable of forming a double strand forming part by pairing with an antisense strand nucleic acid, such as a nucleic acid itself consisting of a partial base sequence of a target gene.
二本鎖核酸とは、二本の鎖が対合し二重鎖形成部を有する核酸をいう。二重鎖形成部とは、二本鎖核酸を構成するヌクレオチドまたはその誘導体が塩基対を構成して二重鎖を形成している部分をいう。二重鎖形成部を構成する塩基対は、通常15~27塩基対であり、15~25塩基対が好ましく、15~23塩基対がより好ましく、15~21塩基対がさらに好ましく、15~19塩基対が特に好ましい。 A double-stranded nucleic acid refers to a nucleic acid in which two strands are paired and have a duplex forming part. The double-stranded forming part refers to a part where nucleotides constituting the double-stranded nucleic acid or a derivative thereof constitute a base pair to form a double strand. The base pair constituting the duplex forming part is usually 15 to 27 base pairs, preferably 15 to 25 base pairs, more preferably 15 to 23 base pairs, further preferably 15 to 21 base pairs, and 15 to 19 base pairs. Base pairs are particularly preferred.
二重鎖形成部のアンチセンス鎖核酸としては、例えば、標的遺伝子のmRNAの一部配列からなる核酸、または該核酸において1~3塩基、好ましくは1~2塩基、より好ましくは1塩基が置換、欠失もしくは付加され、かつ標的蛋白質の発現抑制活性を有する核酸が好適に用いられる。二本鎖核酸を構成する一本鎖の核酸は、通常15~30塩基(ヌクレオシド)の連なりからなるが、15~29塩基が好ましく、15~27塩基がより好ましく、15~25塩基がさらに好ましく、17~23塩基が特に好ましく、19~21塩基が最も好ましい。 As the antisense strand nucleic acid of the duplex forming part, for example, a nucleic acid comprising a partial sequence of the mRNA of the target gene, or 1 to 3 bases, preferably 1 to 2 bases, more preferably 1 base in the nucleic acid is substituted. A nucleic acid that is deleted or added and has the activity of suppressing the expression of the target protein is preferably used. The single-stranded nucleic acid constituting the double-stranded nucleic acid usually consists of a series of 15 to 30 bases (nucleosides), preferably 15 to 29 bases, more preferably 15 to 27 bases, and further preferably 15 to 25 bases. 17 to 23 bases are particularly preferred, and 19 to 21 bases are most preferred.
二本鎖核酸を構成するアンチセンス鎖、センス鎖のいずれか一方、または両方の核酸は、二重鎖形成部に続く3’側または5’側に二重鎖を形成しない追加の核酸を有してもよい。この二重鎖を形成しない部分を突出部(オーバーハング)ともいう。 The antisense strand, the sense strand, or both of the nucleic acids constituting the double-stranded nucleic acid have an additional nucleic acid that does not form a duplex on the 3 ′ side or 5 ′ side following the duplex forming part. May be. The part that does not form a double chain is also referred to as a protrusion (overhang).
突出部を有する二本鎖核酸としては、例えば、少なくとも一方の鎖の3’末端または5’末端に1~4塩基、通常は1~3塩基からなる突出部を有するものが用いられるが、2塩基からなる突出部を有するものが好ましく用いられ、dTdTまたはUUからなる突出部を有するものがより好ましく用いられる。突出部は、アンチセンス鎖のみ、センス鎖のみ、およびアンチセンス鎖とセンス鎖の両方に有することができるが、アンチセンス鎖とセンス鎖の両方に突出部を有する二本鎖核酸が好ましく用いられる。 As the double-stranded nucleic acid having an overhang, for example, one having an overhang of 1 to 4 bases, usually 1 to 3 bases at the 3 ′ end or 5 ′ end of at least one strand is used. Those having a protruding portion made of a base are preferably used, and those having a protruding portion made of dTdT or UU are more preferably used. The overhang can have only the antisense strand, only the sense strand, and both the antisense strand and the sense strand, but a double-stranded nucleic acid having an overhang on both the antisense strand and the sense strand is preferably used. .
二重鎖形成部に続いて標的遺伝子のmRNAの塩基配列と一部または全てが一致する配列、または、二重鎖形成部に続いて標的遺伝子のmRNAの相補鎖の塩基配列と一部または全てが一致する配列を用いてもよい。さらに、標的遺伝子の発現を抑制する核酸としては、例えば、Dicer等のリボヌクレアーゼの作用により前記の二本鎖核酸を生成する核酸分子(国際公開第2005/089287号)や、3’末端や5’末端の突出部を有していない二本鎖核酸等を用いることもできる。 Sequence that matches part or all of the base sequence of the target gene mRNA following the duplex formation part, or part or all of the base sequence of the complementary strand of the target gene mRNA following the duplex formation part Sequences that match may be used. Furthermore, as a nucleic acid that suppresses the expression of a target gene, for example, a nucleic acid molecule that generates the above double-stranded nucleic acid by the action of a ribonuclease such as Dicer (International Publication No. 2005/089287), a 3 ′ end or a 5 ′ A double-stranded nucleic acid or the like that does not have a terminal protruding portion can also be used.
前記の二本鎖核酸がsiRNAである場合、好ましくはアンチセンス鎖は、5’末端側から3’末端側に向って少なくとも1~17番目の塩基(ヌクレオシド)の配列が、標的遺伝子のmRNAの連続する17塩基の配列と相補的な塩基の配列であり、より好ましくは、該アンチセンス鎖は、5’末端側から3’末端側に向って1~19番目の塩基の配列が、標的遺伝子のmRNAの連続する19塩基の配列と相補的な塩基の配列であるか、1~21番目の塩基の配列が、標的遺伝子のmRNAの連続する21塩基の配列と相補的な塩基の配列であるか、1~25番目の塩基の配列が、標的遺伝子のmRNAの連続する25塩基の配列と相補的な塩基の配列である。 When the double-stranded nucleic acid is siRNA, preferably the antisense strand has a sequence of at least the 1st to 17th bases (nucleosides) from the 5 ′ end to the 3 ′ end, and the mRNA of the target gene. It is a sequence of bases complementary to a continuous 17-base sequence, and more preferably, the antisense strand has a sequence of the 1st to 19th bases from the 5 ′ end to the 3 ′ end, and the target gene The base sequence is complementary to the 19-base sequence of mRNA, or the base sequence 1 to 21 is the base sequence complementary to the 21-base sequence of the target gene mRNA. Alternatively, the sequence of the 1st to 25th bases is a sequence of bases complementary to the sequence of 25 consecutive bases of the mRNA of the target gene.
さらに、本発明で用いられる核酸がsiRNAである場合、好ましくは該核酸中の糖の10~70%、より好ましくは15~60%、さらに好ましくは20~50%が、2’位において修飾基で置換されたリボースである。本発明における2’位において修飾基で置換されたリボースとは、リボースの2’位のヒドロキシが修飾基に置換されているものを意味し、リボースの2’位のヒドロキシと立体配置が同じであっても異なっていてもよいが、好ましくはリボースの2’位のヒドロキシと立体配置が同じである。2’位において修飾基で置換されたリボースにおける修飾基としては、糖部修飾ヌクレオチドにおける2’-修飾ヌクレオチドにおける修飾基の定義で例示したものおよび水素原子が挙げられ、2’-シアノ、2’-ハロゲン、2’-O-シアノ、2’-アルキル、2’-置換アルキル、2’-O-アルキル、2’-O-置換アルキル、2’-O-アルケニル、2’-O-置換アルケニル、2’-Se-アルキル、2’-Se-置換アルキル等が好ましく、2’-シアノ、2’-フルオロ、2’-クロロ、2’-ブロモ、2’-トリフルオロメチル、2’-O-メチル、2’-O-エチル、2’-O-イソプロピル、2’-O-トリフルオロメチル、2'-O-[2-(メトキシ)エチル]、2'-O-(3-アミノプロピル)、2'-O-[2-(N,N-ジメチル)アミノオキシ]エチル、2'-O-[3-(N,N-ジメチルアミノ)プロピル]、2'-O-{2-[2-(N,N-ジメチルアミノ)エトキシ]エチル}、2'-O-[2-(メチルアミノ)-2-オキソエチル]、2’-Se-メチル、水素原子等がより好ましく、2’-O-メチル、2’-O-エチル、2’-フルオロ、水素原子等がさらに好ましく、2’-O-メチル、2’-O-フルオロが最も好ましい。 Furthermore, when the nucleic acid used in the present invention is siRNA, preferably 10 to 70%, more preferably 15 to 60%, and still more preferably 20 to 50% of the sugar in the nucleic acid is modified at the 2 ′ position. Ribose substituted with In the present invention, ribose substituted with a modifying group at the 2′-position means that the hydroxyl at the 2′-position of ribose is substituted with the modifying group, and the configuration is the same as the hydroxy at the 2′-position of ribose. Although it may be present or different, the configuration is preferably the same as that of the 2′-hydroxy of ribose. Examples of the modifying group in ribose substituted with a modifying group at the 2′-position include those exemplified in the definition of the modifying group in the 2′-modified nucleotide in the sugar moiety-modified nucleotide and the hydrogen atom, such as 2′-cyano, 2 ′ -Halogen, 2'-O-cyano, 2'-alkyl, 2'-substituted alkyl, 2'-O-alkyl, 2'-O-substituted alkyl, 2'-O-alkenyl, 2'-O-substituted alkenyl , 2'-Se-alkyl, 2'-Se-substituted alkyl, etc. are preferred, 2'-cyano, 2'-fluoro, 2'-chloro, 2'-bromo, 2'-trifluoromethyl, 2'-O -Methyl, 2'-O-ethyl, 2'-O-isopropyl, 2'-O-trifluoromethyl, 2'-O- [2- (methoxy) ethyl], 2'-O- (3-aminopropyl ), 2'-O- [2- (N, N-dimethyl) aminooxy] ethyl, 2'-O- [3- (N, N-dimethylamino) propyl], 2'-O- {2- [ 2- (N, N-dimethylamino) ethoxy] ethyl}, 2'-O- [2- (methyl Amino) -2-oxoethyl], 2'-Se-methyl, hydrogen atom and the like are more preferable, 2'-O-methyl, 2'-O-ethyl, 2'-fluoro, hydrogen atom and the like are more preferable, and 2'- -O-methyl, 2'-O-fluoro is most preferred.
本発明で用いられる核酸は、核酸の構造中のリン酸部、エステル部等に含まれる酸素原子等が、例えば、硫黄原子等の他の原子に置換された誘導体を包含する。 The nucleic acid used in the present invention includes a derivative in which an oxygen atom or the like contained in a phosphoric acid part, an ester part or the like in the structure of the nucleic acid is substituted with another atom such as a sulfur atom.
アンチセンス鎖およびセンス鎖の5’末端の塩基に結合する糖は、それぞれ5’位のヒドロキシが、リン酸基もしくは前記の修飾基、または生体内の核酸分解酵素等でリン酸基もしくは前記の修飾基に変換される基によって修飾されていてもよい。 The sugar that binds to the 5 'terminal base of the antisense strand and the sense strand has a 5'-positioned hydroxy group, either a phosphate group or the above-mentioned modifying group, or an in vivo nucleolytic enzyme, etc. It may be modified by a group that is converted to a modifying group.
アンチセンス鎖およびセンス鎖の3’末端の塩基に結合する糖は、それぞれ3’位のヒドロキシが、リン酸基もしくは前記の修飾基、または生体内の核酸分解酵素等でリン酸基もしくは前記の修飾基に変換される基によって修飾されていてもよい。 The sugar that binds to the base at the 3 ′ end of the antisense strand and the sense strand is such that the 3′-position hydroxy is a phosphate group or the above-mentioned modifying group, or an in vivo nucleolytic enzyme, etc. It may be modified by a group that is converted to a modifying group.
一本鎖の核酸としては、例えば、標的遺伝子の連続する15~27塩基(ヌクレオシド)、好ましくは15~25塩基、より好ましくは15~23塩基、さらに好ましくは15~21塩基、特に好ましくは15~19塩基からなる配列の相補配列からなる核酸、または該核酸において1~3塩基、好ましくは1~2塩基、より好ましくは1塩基が置換、欠失もしくは付加され、かつ標的蛋白質の発現抑制活性を有する核酸であればいずれでもよい。該一本鎖の核酸は、10~30塩基(ヌクレオシド)の連なりからなることが好ましく、より好ましくは10~27塩基、さらに好ましくは10~25塩基、特に好ましくは10~23塩基の一本鎖核酸が好適に用いられる。 As the single-stranded nucleic acid, for example, 15 to 27 bases (nucleoside) of the target gene, preferably 15 to 25 bases, more preferably 15 to 23 bases, still more preferably 15 to 21 bases, particularly preferably 15 A nucleic acid comprising a sequence complementary to a sequence consisting of ˜19 bases, or 1 to 3 bases, preferably 1 to 2 bases, more preferably 1 base is substituted, deleted or added in the nucleic acid, and the target protein expression inhibitory activity Any nucleic acid may be used as long as it has a nucleic acid. The single-stranded nucleic acid is preferably composed of a series of 10 to 30 bases (nucleosides), more preferably 10 to 27 bases, further preferably 10 to 25 bases, particularly preferably 10 to 23 bases. Nucleic acids are preferably used.
一本鎖核酸として、上記の二本鎖核酸を構成するアンチセンス鎖およびセンス鎖を、スペーサー配列(スペーサーオリゴヌクレオチド)を介して連結したものを用いてもよい。スペーサーオリゴヌクレオチドとしては6~12塩基の一本鎖核酸分子が好ましく、その5’末端側の配列は2個のUであるのが好ましい。スペーサーオリゴヌクレオチドの例として、UUCAAGAGAの配列からなる核酸が挙げられる。スペーサーオリゴヌクレオチドによってつながれるアンチセンス鎖およびセンス鎖の順番はどちらが5’側になってもよい。該一本鎖核酸としては、例えば、ステムループ構造によって二重鎖形成部を有するshRNA等の一本鎖核酸であることが好ましい。shRNA等の一本鎖核酸は、通常50~70塩基長である。 As the single-stranded nucleic acid, one obtained by linking the antisense strand and the sense strand constituting the double-stranded nucleic acid via a spacer sequence (spacer oligonucleotide) may be used. The spacer oligonucleotide is preferably a 6- to 12-base single-stranded nucleic acid molecule, and the sequence at the 5 'end is preferably 2 Us. An example of a spacer oligonucleotide is a nucleic acid having the sequence UUCAAGAGA. Either the antisense strand or the sense strand connected by the spacer oligonucleotide may be on the 5 'side. The single-stranded nucleic acid is preferably, for example, a single-stranded nucleic acid such as shRNA having a duplex forming part by a stem-loop structure. Single-stranded nucleic acids such as shRNA are usually 50 to 70 bases in length.
リボヌクレアーゼ等の作用により、上記の一本鎖核酸または二本鎖核酸を生成するように設計した、70塩基長以下、好ましくは50塩基長以下、さらに好ましくは30塩基長以下の核酸を用いてもよい。 A nucleic acid having a length of 70 bases or less, preferably 50 bases or less, more preferably 30 bases or less, designed to produce the above single-stranded nucleic acid or double-stranded nucleic acid by the action of ribonuclease or the like may be used. Good.
なお、本発明で用いられる核酸は、既知のRNAまたはDNA合成法、およびRNAまたはDNA修飾法を用いて得ることができる。 The nucleic acid used in the present invention can be obtained using a known RNA or DNA synthesis method and RNA or DNA modification method.
本発明の核酸含有脂質ナノ粒子は、脂質Aと核酸との複合体であるが、脂質Aは1種または2種以上を含有していてもよい。
本発明の核酸含有脂質ナノ粒子は、脂質Aと核酸に加えて、脂質A以外の1種または2種以上の脂質B、中性脂質および/または水溶性高分子の脂質誘導体もしくは脂肪酸誘導体を含有していてもよい。
The nucleic acid-containing lipid nanoparticles of the present invention are a complex of lipid A and nucleic acid, but lipid A may contain one kind or two or more kinds.
The nucleic acid-containing lipid nanoparticles of the present invention contain, in addition to lipid A and nucleic acid, one or more lipids B other than lipid A, neutral lipids and / or lipid derivatives or fatty acid derivatives of water-soluble polymers. You may do it.
本発明の核酸含有脂質ナノ粒子は、脂質Aとともに、脂質Bを1種または2種以上含有していてもよい。 The nucleic acid-containing lipid nanoparticles of the present invention may contain one or more lipid B together with lipid A.
なお、本発明の核酸含有脂質ナノ粒子は、核酸だけでなく、核酸と化学的に近似した化合物(アニオン性ペプチド等のアニオン性高分子等)も含有することもできる。 The nucleic acid-containing lipid nanoparticles of the present invention can contain not only nucleic acids but also compounds that are chemically similar to nucleic acids (anionic polymers such as anionic peptides).
本発明において、核酸は、脂質Aと、必要に応じてその他の脂質(水溶性高分子の脂質誘導体もしくは脂肪酸誘導体、中性脂質、および/または置換されていても良い1つのアミノ基または1つの4級アンモニウム基を有する親水部および置換されていても良い独立した2つの炭化水素基を有する疎水部を同一分子内に含む脂質(脂質B))とともに、水に混和可能な有機溶媒に溶解される(第1の脂質溶液)。第1の脂質溶液の調製においては、核酸を水または緩衝剤水溶液に溶解し、脂質の有機溶媒溶液に加えても良く、また、核酸の水または緩衝剤水溶液に脂質の有機溶媒溶液を加えてもよい。さらに、凍結乾燥された核酸に、脂質の有機溶媒溶液を加えてもよい。 In the present invention, the nucleic acid comprises lipid A and, if necessary, other lipids (lipid derivatives or fatty acid derivatives of water-soluble polymers, neutral lipids, and / or one amino group which may be substituted or one It is dissolved in a water-miscible organic solvent together with a hydrophilic part having a quaternary ammonium group and a lipid (lipid B) containing a hydrophobic part having two independent hydrocarbon groups which may be substituted in the same molecule. (First lipid solution). In the preparation of the first lipid solution, the nucleic acid may be dissolved in water or an aqueous buffer solution and added to the lipid organic solvent solution, or the lipid organic solvent solution may be added to the nucleic acid water or buffer solution. Also good. Furthermore, an organic solvent solution of lipid may be added to the lyophilized nucleic acid.
核酸と、脂質Aと、必要に応じてその他の脂質(水溶性高分子の脂質誘導体もしくは脂肪酸誘導体、中性脂質、および/または置換されていても良い1つのアミノ基または1つの4級アンモニウム基を有する親水部および置換されていても良い独立した2つの炭化水素基を有する疎水部を同一分子内に含む脂質(脂質B))とで一度有機溶媒溶液(第1の脂質溶液)を作製した後に、水溶性高分子の脂質誘導体または脂肪酸誘導体を含む有機溶媒溶液(第2の脂質溶液)を加えて第3の脂質溶液を調製してもよい。 Nucleic acid, lipid A, and other lipids as necessary (lipid derivatives or fatty acid derivatives of water-soluble polymers, neutral lipids, and / or one amino group or one quaternary ammonium group that may be substituted) An organic solvent solution (first lipid solution) was prepared once with a lipid (lipid B)) containing a hydrophilic part having a hydrophobic part and a hydrophobic part having two independent hydrocarbon groups that may be substituted in the same molecule. Later, a third lipid solution may be prepared by adding an organic solvent solution (second lipid solution) containing a lipid derivative or fatty acid derivative of a water-soluble polymer.
本発明において、第1または第3の脂質溶液は、水または緩衝剤水溶液と混合される。この際、有機溶媒濃度を速やかに低下させることで、凝集することなく、サイズの小さい脂質ナノ粒子が得られる。
第1または第3の脂質溶液と水または緩衝剤水溶液の混合においては、前者を後者に加えても良く、後者を前者に加えてもよい。また、撹拌しながら容器に同時に前者と後者を加えてもよい。さらに、インラインにおいて前者と後者を混合することもできる。この場合、インライン混合デバイスとしては、例えば、T-コネクタ等を用いることができる。
In the present invention, the first or third lipid solution is mixed with water or an aqueous buffer solution. At this time, lipid nanoparticles having a small size can be obtained without agglomeration by rapidly reducing the organic solvent concentration.
In mixing the first or third lipid solution with water or an aqueous buffer solution, the former may be added to the latter, or the latter may be added to the former. Moreover, you may add the former and the latter simultaneously to a container, stirring. Furthermore, the former and the latter can be mixed in-line. In this case, for example, a T-connector or the like can be used as the in-line mixing device.
本発明の核酸含有脂質ナノ粒子の平均粒子径は、用いる核酸、ならびに1つの4級アンモニウム基を有する親水部および置換されていても良い独立した3つの炭化水素基を有する脂質(脂質A)およびその他の脂質によっても影響されるが、製造プロセスにおける各種のパラメーターにより自由に制御可能である。当業者であれば、本発明の核酸含有脂質ナノ粒子の平均粒子径を制御するのに必要な製造プロセスにおける各種のパラメーターを適宜変更して粒子サンプルを調製し、得られたサンプルの平均粒子径を測定することで決定することができる。平均粒子径の制御に必要なパラメーターとして、有機溶媒溶液における核酸濃度、各脂質の濃度、温度、有機溶媒の組成等が挙げられる。また、平均粒子径の制御に必要なパラメーターとして、核酸および脂質有機溶媒溶液の水または緩衝剤水溶液による希釈操作時における、温度、水または緩衝剤水溶液の量、各液の添加速度等も挙げられる。 The average particle size of the nucleic acid-containing lipid nanoparticles of the present invention is the nucleic acid to be used, a lipid having one quaternary ammonium group and a lipid (lipid A) having three independent hydrocarbon groups that may be substituted, and Although it is influenced by other lipids, it can be freely controlled by various parameters in the production process. A person skilled in the art prepares a particle sample by appropriately changing various parameters in the production process necessary to control the average particle size of the nucleic acid-containing lipid nanoparticles of the present invention, and the average particle size of the obtained sample Can be determined by measuring. Parameters necessary for controlling the average particle diameter include the nucleic acid concentration in the organic solvent solution, the concentration of each lipid, the temperature, the composition of the organic solvent, and the like. Parameters necessary for controlling the average particle size include temperature, the amount of water or aqueous buffer solution, the rate of addition of each solution during the dilution operation of the nucleic acid and lipid organic solvent solution with water or aqueous buffer solution, and the like. .
ホスファチジルコリン(PC)およびコレステロール(Chol)を含有しない場合における水または緩衝剤水溶液と混合される前の有機溶媒溶液中の親水部として1つの4級アンモニウム基を有し、かつ置換されていても良い独立した3つの炭化水素基を有する脂質(脂質A)の濃度は特に限定されないが、1~2000 μMが好ましく、5~400 μMがより好ましく、10~200 μMがさらに好ましく、20~100 μMが最も好ましい。 When not containing phosphatidylcholine (PC) and cholesterol (Chol), it has one quaternary ammonium group as a hydrophilic part in the organic solvent solution before being mixed with water or an aqueous buffer solution, and may be substituted The concentration of the lipid having three independent hydrocarbon groups (lipid A) is not particularly limited, but is preferably 1 to 2000 μM, more preferably 5 to 400 μM, still more preferably 10 to 200 μM, and 20 to 100 μM. Most preferred.
PCおよびCholを含有しない場合における水または緩衝剤水溶液と混合される前の有機溶媒溶液中の核酸の濃度は特に限定されないが、0.03~15μMが好ましく、0.15~3.0μMがより好ましく、0.3~1.5μMがさらに好ましい。 The concentration of the nucleic acid in the organic solvent solution before mixing with water or an aqueous buffer solution in the case of not containing PC and Chol is not particularly limited, but is preferably 0.03 to 15 μM, more preferably 0.15 to 3.0 μM, and more preferably 0.3 to 1.5 More preferred is μM.
PCおよびCholを含有しない場合における水または緩衝剤水溶液と混合される前の有機溶媒溶液中の水溶性高分子の脂質誘導体または脂肪酸誘導体の濃度は特に限定されないが、0.5~200 μMが好ましく、2.5~40 μMがより好ましく、5~20 μMがさらに好ましい。 The concentration of the lipid or fatty acid derivative of the water-soluble polymer in the organic solvent solution before mixing with water or an aqueous buffer solution in the case of not containing PC and Chol is not particularly limited, but is preferably 0.5 to 200 μM, 2.5 ˜40 μM is more preferable, and 5 to 20 μM is even more preferable.
PCおよびCholを含有しない場合における水または緩衝剤水溶液と混合される前の有機溶媒溶液中のカチオン性脂質の濃度は特に限定されないが1~2000 μMが好ましく、5~400 μMがより好ましく、10~200 μMがさらに好ましく、20~100 μMが最も好ましい。 The concentration of the cationic lipid in the organic solvent solution before mixing with water or an aqueous buffer solution in the case of not containing PC and Chol is not particularly limited, but is preferably 1 to 2000 μM, more preferably 5 to 400 μM, 10 More preferably, ˜200 μM is most preferable, and 20 to 100 μM is most preferable.
PCおよびCholを含有しない場合における水または緩衝剤水溶液と混合される前の有機溶媒溶液中のすべての脂質を合わせた濃度は特に限定されないが、5~2000 μMが好ましく、25~400 μMがより好ましく、50~200 μMがさらに好ましい。 The total concentration of all lipids in the organic solvent solution before mixing with water or an aqueous buffer solution when not containing PC and Chol is not particularly limited, but is preferably 5 to 2000 μM, more preferably 25 to 400 μM 50 to 200 μM is more preferable.
PCおよびCholを含有する場合における水または緩衝剤水溶液と混合される前の有機溶媒溶液中の親水部として1つの4級アンモニウム基を有し、かつ置換されていても良い独立した3つの炭化水素基を有する脂質(脂質A)の濃度は、0.2~1800μMが好ましく、1~360μMがより好ましく、2~180μMがさらに好ましく、5~100 μMが最も好ましい。 Independent three hydrocarbons that have one quaternary ammonium group as the hydrophilic part in the organic solvent solution before mixing with water or buffer solution in the case of containing PC and Chol, and may be substituted The concentration of the group-containing lipid (lipid A) is preferably 0.2 to 1800 μM, more preferably 1 to 360 μM, further preferably 2 to 180 μM, and most preferably 5 to 100 μM.
PCおよびCholを含有する場合における水または緩衝剤水溶液と混合される前の有機溶媒溶液中の核酸の濃度は、0.02~45μMが好ましく、0.1~10μMがより好ましく、0.2~5μMがさらに好ましく、0.3~3 μMが最も好ましい。 In the case of containing PC and Chol, the concentration of the nucleic acid in the organic solvent solution before being mixed with water or an aqueous buffer solution is preferably 0.02 to 45 μM, more preferably 0.1 to 10 μM, further preferably 0.2 to 5 μM, and 0.3 ˜3 μM is most preferred.
PCおよびCholを含有する場合における水または緩衝剤水溶液と混合される前の有機溶媒溶液中の水溶性高分子の脂質誘導体または脂肪酸誘導体の濃度は、0.3~1000 μMが好ましく、1.5~200 μMがより好ましく、3~100 μMがさらに好ましく、5~50 μMが最も好ましい。 In the case of containing PC and Chol, the concentration of the water-soluble polymer lipid derivative or fatty acid derivative in the organic solvent solution before being mixed with water or an aqueous buffer solution is preferably 0.3 to 1000 μM, more preferably 1.5 to 200 μM. More preferably, 3 to 100 μM is more preferable, and 5 to 50 μM is most preferable.
PCおよびCholを含有する場合における水または緩衝剤水溶液と混合される前の有機溶媒溶液中のカチオン性脂質の濃度は、2.5~4200 μMが好ましく、12.5~840 μMがより好ましく、25~420μMがさらに好ましく、50~210 μMが最も好ましい。 In the case of containing PC and Chol, the concentration of the cationic lipid in the organic solvent solution before being mixed with water or an aqueous buffer solution is preferably 2.5 to 4200 μM, more preferably 12.5 to 840 μM, and 25 to 420 μM. More preferred is 50 to 210 μM.
PCおよびCholを含有する場合における水または緩衝剤水溶液と混合される前の有機溶媒溶液中の中性脂質の濃度は、2.5~5000μMが好ましく、12.5~1000μMがより好ましく、25~500μMがさらに好ましく、50~250 μMが最も好ましい。 In the case of containing PC and Chol, the concentration of neutral lipid in the organic solvent solution before mixing with water or an aqueous buffer solution is preferably 2.5 to 5000 μM, more preferably 12.5 to 1000 μM, and further preferably 25 to 500 μM. 50 to 250 μM is most preferable.
PCおよびCholを含有する場合における水または緩衝剤水溶液と混合される前の有機溶媒溶液中のすべての脂質を合わせた濃度は、10~8000μMが好ましく、50~1600 μMがより好ましく、100~800 μMがさらに好ましく、150~400 μMが最も好ましい。 In the case of containing PC and Chol, the combined concentration of all lipids in the organic solvent solution before being mixed with water or an aqueous buffer solution is preferably 10 to 8000 μM, more preferably 50 to 1600 μM, and more preferably 100 to 800 μM is more preferable, and 150 to 400 μM is most preferable.
核酸および脂質を含有する有機溶媒溶液を調製する際の温度は核酸および脂質が溶解する限りにおいて特に限定されないが、10~60℃が好ましく、20~50℃がより好ましく、20~30℃がさらに好ましい。なお、30℃以上に加温する場合は、核酸および脂質の溶解度が増し、より少ない溶媒量で脂質ナノ粒子の製造を行うことができる。 The temperature at which the organic solvent solution containing the nucleic acid and lipid is prepared is not particularly limited as long as the nucleic acid and lipid are dissolved, but is preferably 10 to 60 ° C, more preferably 20 to 50 ° C, and further preferably 20 to 30 ° C. preferable. In addition, when heating at 30 degreeC or more, the solubility of a nucleic acid and a lipid increases and a lipid nanoparticle can be manufactured with a smaller solvent amount.
核酸および脂質を含有する有機溶媒溶液における有機溶媒としては特に限定されないが、0~50%(v/v)の水を含むメタノール、エタノール、プロパノール、ブタノール等のC1-C6アルコール類またはこれらの混合物が好ましく、0~50%(v/v)の水を含むエタノールまたはプロパノールがより好ましく、0~50%(v/v)の水を含むエタノールがさらに好ましい。ここで「% (v/v)」とは、溶液全体の体積に占める溶質の体積百分率を示し、以下同様である。 Although it does not specifically limit as an organic solvent in the organic solvent solution containing a nucleic acid and a lipid, C1-C6 alcohols, such as methanol, ethanol, a propanol, a butanol, etc. which contain 0-50% (v / v) water, or these mixtures More preferred is ethanol or propanol containing 0 to 50% (v / v) water, and even more preferred is ethanol containing 0 to 50% (v / v) water. Here, “% (v / v)” indicates the volume percentage of the solute in the total volume of the solution, and so on.
核酸および脂質を含有する有機溶媒溶液における溶媒に、塩酸、酢酸、リン酸等の無機酸、またはこれらの酸の塩等を加えることもできる。この場合の溶媒のpHは、1~7とするのが好ましく、1~5とするのがより好ましく、2~4とするのがさらに好ましい。 An inorganic acid such as hydrochloric acid, acetic acid, phosphoric acid, or a salt of these acids can be added to the solvent in the organic solvent solution containing nucleic acid and lipid. In this case, the pH of the solvent is preferably 1 to 7, more preferably 1 to 5, and further preferably 2 to 4.
核酸および脂質を含有する有機溶媒溶液に、水または緩衝剤水溶液を添加する操作において、用いる水または緩衝剤水溶液の容量は特に限定されないが、核酸および脂質の有機溶媒溶液の容量に対して、0.5~100倍が好ましく、1.5~20倍がより好ましく、2.0~10倍がさらに好ましい。 In the operation of adding water or an aqueous buffer solution to an organic solvent solution containing nucleic acid and lipid, the volume of water or aqueous buffer solution used is not particularly limited, but is 0.5% relative to the volume of the organic solvent solution of nucleic acid and lipid. ~ 100 times is preferable, 1.5 to 20 times is more preferable, and 2.0 to 10 times is more preferable.
この場合、水または緩衝剤水溶液を添加した後の有機溶媒濃度は特に限定されないが、得られた溶液に対して50% (v/v)以下が好ましく、40% (v/v)以下がより好ましく、30% (v/v)以下がさらに好ましく、20% (v/v)以下が最も好ましい。また、緩衝剤水溶液としては、緩衝作用を有するものであれば特に限定されるものではないが、例えば、リン酸緩衝水溶液、クエン酸緩衝水溶液、酢酸緩衝水溶液等が挙げられる。 In this case, the concentration of the organic solvent after adding water or an aqueous buffer solution is not particularly limited, but is preferably 50% (v / v) or less, more preferably 40% (v / v) or less with respect to the obtained solution. Preferably, it is more preferably 30% (v / v) or less, and most preferably 20% / (v / v) or less. The aqueous buffer solution is not particularly limited as long as it has a buffering action, and examples thereof include a phosphate buffer aqueous solution, a citrate buffer aqueous solution, and an acetate buffer aqueous solution.
上記添加操作を行う際の温度は特に限定されないが、10~60℃が好ましく、20~50℃がより好ましく、20~30℃がさらに好ましい。 The temperature at the time of the above addition operation is not particularly limited, but is preferably 10 to 60 ° C, more preferably 20 to 50 ° C, and further preferably 20 to 30 ° C.
上記添加操作において、有機溶媒溶液を速やかに低下させることが重要である。具体的には、有機溶媒濃度を70% (v/v)以上から50% (v/v)以下まで、1分以内に変化させることが好ましく、0.5分以内に変化させることがより好ましく、0.1分以内に変化させることがさらに好ましく、0.05分以内に変化させるのが最も好ましい。 In the above addition operation, it is important to quickly lower the organic solvent solution. Specifically, it is preferable to change the organic solvent concentration from 70% 70 (v / v) to 50% (v / v) within 1 minute, more preferably within 0.5 minutes, 0.1% More preferably, it is changed within minutes, and most preferably within 0.05 minutes.
本発明の核酸含有脂質ナノ粒子において、脂質Aの分子の総数は特に限定されないが、脂質A中の4級アンモニウム基のモル数が、本発明の核酸含有脂質ナノ粒子を構成する核酸のリン原子のモル数に対して0.01倍モル量以上であるのが好ましく、0.1~10倍モル量であるのがより好ましく、0.1~4倍モル量であるのがさらに好ましく、0.1~2倍モル量であるのがさらにより好ましく、0.1~1倍モル量であるのが最も好ましい。核酸含有脂質ナノ粒子が脂質Bを含む場合、脂質Bの分子の総数は特に限定されないが、脂質Bのモル数が、本発明の核酸含有脂質ナノ粒子を構成する核酸のリン原子のモル数に対して0.1~10倍モル量であるのが好ましく、0.5~9倍モル量であるのがより好ましく、1~8倍モル量であるのがさらに好ましく、1.5~6倍モル量であるのが最も好ましい。 In the nucleic acid-containing lipid nanoparticle of the present invention, the total number of lipid A molecules is not particularly limited, but the number of moles of the quaternary ammonium group in the lipid A is the phosphorus atom of the nucleic acid constituting the nucleic acid-containing lipid nanoparticle of the present invention. The molar amount is preferably 0.01 times the molar amount or more, more preferably 0.1 to 10 times the molar amount, even more preferably 0.1 to 4 times the molar amount, and more preferably 0.1 to 2 times the molar amount. Even more preferably, it is most preferably 0.1 to 1 times the molar amount. When the nucleic acid-containing lipid nanoparticle contains lipid B, the total number of lipid B molecules is not particularly limited, but the number of moles of lipid B is equal to the number of moles of phosphorus atoms of the nucleic acid constituting the nucleic acid-containing lipid nanoparticle of the present invention. It is preferably 0.1 to 10 times the molar amount, more preferably 0.5 to 9 times the molar amount, further preferably 1 to 8 times the molar amount, and 1.5 to 6 times the molar amount. Most preferred.
本発明の核酸含有脂質ナノ粒子において脂質Bを含有する場合、脂質Aのモル数と脂質Bのモル数の比率(脂質Aのモル数/脂質Bのモル数)は、0.001以上であるのが好ましく、0.003~10であるのがより好ましく、0.005~5であるのがさらに好ましく、0.01~3であるのがさらにより好ましく、0.01~2であるのが最も好ましい。 When lipid B is contained in the nucleic acid-containing lipid nanoparticles of the present invention, the ratio of the number of moles of lipid A to the number of moles of lipid B (number of moles of lipid A / number of moles of lipid B) is 0.001 or more. Preferably, it is 0.003 to 10, more preferably 0.005 to 5, still more preferably 0.01 to 3, and most preferably 0.01 to 2.
本発明の核酸含有脂質ナノ粒子において、総脂質のモル数と核酸のモル数の比率 (総脂質のモル数/核酸のモル数)が50以上であるのが好ましく、100~1000であるのがより好ましく、120~800であるのがさらに好ましく、140~600であるのがよりさらに好ましく、200~500であるのが最も好ましい。 In the nucleic acid-containing lipid nanoparticles of the present invention, the ratio of the total number of moles of lipids to the number of moles of nucleic acids (the total number of moles of lipids / number of moles of nucleic acids) is preferably 50 or more, and preferably 100 to 1000. More preferably, it is more preferably from 120 to 800, even more preferably from 140 to 600, and most preferably from 200 to 500.
本発明の核酸含有脂質ナノ粒子が、脂質Bを含有する場合には、核酸含有脂質ナノ粒子における脂質Bの分子の総数は特に限定されないが、総脂質のモル数に対して0.1倍モル量以上であるのが好ましく、0.15倍モル量以上であるのがより好ましく、0.2倍モル量以上であるのがさらに好ましく、0.25倍モル量以上であるのがさらにより好ましい。また、核酸含有脂質ナノ粒子における脂質Bの分子の総数は特に限定されないが、総脂質のモル数に対して0.7倍モル量以下であるのが好ましく、0.65倍モル量以下であるのがより好ましく、0.6倍モル量以下であるのがさらに好ましい。
核酸含有脂質ナノ粒子における脂質Bの分子の総数は、上記の上限下限の好ましい範囲の組合せの中で、総脂質のモル数に対して0.10~0.70倍モル量であるのがより好ましく、0.15~0.65倍モル量であるのがさらに好ましく、0.20~0.65倍モル量であるのがさらにより好ましく、0.25~0.60倍モル量であるのが最も好ましい。
When the nucleic acid-containing lipid nanoparticle of the present invention contains lipid B, the total number of lipid B molecules in the nucleic acid-containing lipid nanoparticle is not particularly limited, but is 0.1 times the molar amount or more relative to the total number of moles of lipid. Preferably, it is 0.15 times the molar amount or more, more preferably 0.2 times the molar amount or more, and even more preferably 0.25 times the molar amount or more. Further, the total number of lipid B molecules in the nucleic acid-containing lipid nanoparticles is not particularly limited, but is preferably 0.7 times the molar amount or less, more preferably 0.65 times the molar amount or less with respect to the total number of moles of lipid. More preferably, it is 0.6 times the molar amount or less.
The total number of lipid B molecules in the nucleic acid-containing lipid nanoparticles is more preferably 0.10 to 0.70 times the molar amount of the total lipid in the combination of the above upper and lower limit preferable ranges, 0.15 to The molar amount is more preferably 0.65 times, even more preferably 0.20 to 0.65 times the molar amount, and most preferably 0.25 to 0.60 times the molar amount.
中性脂質としては、単純脂質、複合脂質または誘導脂質のいかなるものであってもよく、例えば、リン脂質、グリセロ糖脂質、スフィンゴ糖脂質、スフィンゴイドまたはステロール等が挙げられるがこれらに限定されない。また、中性脂質は1種また2種以上を組み合わせて使用してもよい。 The neutral lipid may be any of simple lipids, complex lipids or derived lipids, and examples thereof include, but are not limited to, phospholipids, glyceroglycolipids, sphingoglycolipids, sphingoids, and sterols. Further, neutral lipids may be used alone or in combination of two or more.
本発明の核酸含有脂質ナノ粒子において中性脂質を含有する場合には、中性脂質の分子の総数は特に限定されないが、総脂質のモル数に対して0.10~0.75倍モル量であるのが好ましく、0.20~0.70倍モル量であるのがより好ましく、0.20~0.65倍モル量であるのがさらに好ましく、0.30~0.60倍モル量であるのが最も好ましい。 When the nucleic acid-containing lipid nanoparticles of the present invention contain neutral lipids, the total number of neutral lipid molecules is not particularly limited, but is 0.10 to 0.75 times the molar amount of total lipids. The molar amount is preferably 0.20 to 0.70, more preferably 0.20 to 0.65, and most preferably 0.30 to 0.60.
中性脂質におけるリン脂質としては、例えば、ホスファチジルコリン(PC)(具体的には大豆ホスファチジルコリン、卵黄ホスファチジルコリン(EPC)、ジステアロイルホスファチジルコリン、1,2-ジステアロイル-sn-グリセロ-3-ホスホコリン(DSPC)、ジパルミトイルホスファチジルコリン、1,2-ジパルミトイル-sn-グリセロ-3-ホスホコリン(DPPC)、パルミトイルオレオイルホスファチジルコリン(POPC)、ジミリストイルホスファチジルコリン(DMPC)、ジオレオイルホスファチジルコリン(DOPC)等)、ホスファチジルエタノールアミン(具体的にはジステアロイルホスファチジルエタノールアミン(DSPE)、ジパルミトイルホスファチジルエタノールアミン(DPPE)、ジオレオイルホスファチジルエタノールアミン(DOPE)、ジミリストイルホスホエタノールアミン(DMPE)、16-0-モノメチルPE、16-0-ジメチルPE、18-1-トランスPE、パルミトイルオレオイル-ホスファチジルエタノールアミン(POPE)、1 -ステアロイル-2-オレオイル-ホスファチジルエタノールアミン(SOPE)等)、グリセロリン脂質(具体的にはホスファチジルセリン、ホスファチジン酸、ホスファチジルグリセロール、ホスファチジルイノシトール、パルミトイルオレオイルホスファチジルグリセロール(POPG)、リゾホスファチジルコリン等)、スフィンゴリン脂質(具体的にはスフィンゴミエリン、セラミドホスホエタノールアミン、セラミドホスホグリセロール、セラミドホスホグリセロリン酸等)、グリセロホスホノ脂質、スフィンゴホスホノ脂質、天然レシチン(具体的には卵黄レシチン、大豆レシチン等)または水素添加リン脂質(具体的には水素添加大豆ホスファチジルコリン等)等の天然または合成のリン脂質が挙げられるがこれらに限定されない。 Examples of the phospholipid in the neutral lipid include phosphatidylcholine (PC) (specifically soybean phosphatidylcholine, egg yolk phosphatidylcholine (EPC), distearoylphosphatidylcholine, 1,2-distearoyl-sn-glycero-3-phosphocholine (DSPC)). , Dipalmitoyl phosphatidylcholine, 1,2-dipalmitoyl-sn-glycero-3-phosphocholine (DPPC), palmitoyl oleoyl phosphatidylcholine (POPC), dimyristoyl phosphatidylcholine (DMPC), dioleoylphosphatidylcholine (DOPC), etc.), phosphatidylethanol Amines (specifically distearoylphosphatidylethanolamine (DSPE), dipalmitoylphosphatidylethanolamine (DPPE), dioleoylphosphatidylethanolamine (DOPE), dimyristoyl phosphoethanolamine (DMPE), 16-0-mono Chill PE, 16-0-dimethyl PE, 18-1-trans PE, palmitoyl oleoyl-phosphatidylethanolamine (POPE), 1 -stearoyl-2-oleoyl-phosphatidylethanolamine (SOPE), etc.), glycerophospholipid (specific) Phosphatidylserine, phosphatidic acid, phosphatidylglycerol, phosphatidylinositol, palmitoyloleoylphosphatidylglycerol (POPG), lysophosphatidylcholine, etc.), sphingophospholipids (specifically sphingomyelin, ceramide phosphoethanolamine, ceramide phosphoglycerol, ceramide) Phosphoglycerophosphate, etc.), glycerophosphonolipid, sphingophosphonolipid, natural lecithin (specifically egg yolk lecithin, soybean lecithin, etc.) or hydrogenated phospholipid (specifically hydrogenated soybean phosphatidyl). While natural phospholipids or synthetic phosphorus and the like), and the like without limitation.
中性脂質におけるグリセロ糖脂質としては、例えば、スルホキシリボシルグリセリド、ジグリコシルジグリセリド、ジガラクトシルジグリセリド、ガラクトシルジグリセリドまたはグリコシルジグリセリド等が挙げられるがこれらに限定されない。 Examples of the glyceroglycolipid in the neutral lipid include, but are not limited to, sulfoxyribosyl glyceride, diglycosyl diglyceride, digalactosyl diglyceride, galactosyl diglyceride, glycosyl diglyceride and the like.
中性脂質におけるスフィンゴ糖脂質としては、例えば、ガラクトシルセレブロシド、ラクトシルセレブロシドまたはガングリオシド等が挙げられるがこれらに限定されない。 Examples of the glycosphingolipid in the neutral lipid include, but are not limited to, galactosyl cerebroside, lactosyl cerebroside, ganglioside, and the like.
中性脂質におけるスフィンゴイドとしては、例えば、スフィンガン、イコサスフィンガン、スフィンゴシンまたはそれらの誘導体等が挙げられるがこれらに限定されない。。誘導体としては、例えば、スフィンガン、イコサスフィンガンまたはスフィンゴシン等の-NH2を-NHCO(CH2)xCH3(式中、xは0~18の整数であり、中でも6、12または18が好ましい)に変換したもの等が挙げられるがこれらに限定されない。 Examples of the sphingoid in the neutral lipid include, but are not limited to, sphingan, icosasphingan, sphingosine, and derivatives thereof. . As the derivative, for example, —NH 2 such as sphingan, icosasphingan or sphingosine —NHCO (CH 2 ) xCH 3 (wherein x is an integer of 0 to 18, among which 6, 12 or 18 is preferable. However, it is not limited to these.
中性脂質におけるステロールとしては、例えば、コレステロール(Chol)、ジヒドロコレステロール、ラノステロール、β-シトステロール、カンペステロール、スチグマステロール、ブラシカステロール、エルゴカステロール、フコステロールまたは3β-[N-(N',N'-ジメチルアミノエチル)カルバモイル]コレステロール(DC-Chol)等が挙げられるがこれらに限定されない。 Examples of sterols in neutral lipids include cholesterol (Chol), dihydrocholesterol, lanosterol, β-sitosterol, campesterol, stigmasterol, brassicasterol, ergocasterol, fucostosterol, or 3β- [N- (N ′, N'-dimethylaminoethyl) carbamoyl] cholesterol (DC-Chol) and the like, but are not limited thereto.
高分子としては、例えば、タンパク質、アルブミン、デキストラン、ポリフェクト(polyfect)、キトサン、デキストラン硫酸、例えば、ポリ-L-リジン、ポリエチレンイミン、ポリアスパラギン酸、スチレンマレイン酸共重合体、イソプロピルアクリルアミド-アクリルピロリドン共重合体、ポリエチレングリコール修飾デンドリマー、ポリ乳酸、ポリ乳酸ポリグリコール酸またはポリエチレングリコール化ポリ乳酸等の高分子またはそれらの塩の1以上からなるミセル等が挙げられるがこれらに限定されない。 Examples of the macromolecule include protein, albumin, dextran, polyfect, chitosan, dextran sulfate, such as poly-L-lysine, polyethyleneimine, polyaspartic acid, styrene maleic acid copolymer, isopropylacrylamide-acrylpyrrolidone. Examples include, but are not limited to, a copolymer, a polyethylene glycol-modified dendrimer, polylactic acid, a polymer such as polylactic acid polyglycolic acid or polyethylene glycolated polylactic acid, or micelles composed of one or more salts thereof.
ここで、高分子の塩は、例えば、金属塩、アンモニウム基塩、酸付加塩、有機アミン付加塩、アミノ酸付加塩等を包含する。金属塩としては、例えば、リチウム塩、ナトリウム塩、カリウム塩等のアルカリ金属塩、マグネシウム塩、カルシウム塩等のアルカリ土類金属塩、アルミニウム塩または亜鉛塩等が挙げられるがこれらに限定されない。。アンモニウム基塩としては、例えば、アンモニウム基またはテトラメチルアンモニウム基等の塩が挙げられるがこれらに限定されない。。酸付加塩としては、例えば、塩酸塩、硫酸塩、硝酸塩またはリン酸塩等の無機酸塩、および酢酸塩、マレイン酸塩、フマル酸塩またはクエン酸塩等の有機酸塩が挙げられるがこれらに限定されない。。有機アミン付加塩としては、例えば、モルホリンまたはピペリジン等の付加塩が挙げられるがこれらに限定されない。。アミノ酸付加塩としては、例えば、グリシン、フェニルアラニン、アスパラギン酸、グルタミン酸またはリジン等の付加塩が挙げられるがこれらに限定されない。 Here, the polymer salt includes, for example, metal salts, ammonium group salts, acid addition salts, organic amine addition salts, amino acid addition salts, and the like. Examples of the metal salt include, but are not limited to, alkali metal salts such as lithium salt, sodium salt and potassium salt, alkaline earth metal salts such as magnesium salt and calcium salt, aluminum salt and zinc salt. . Examples of ammonium group salts include, but are not limited to, salts such as ammonium groups or tetramethylammonium groups. . Examples of the acid addition salt include inorganic acid salts such as hydrochloride, sulfate, nitrate or phosphate, and organic acid salts such as acetate, maleate, fumarate or citrate. It is not limited to. . Examples of organic amine addition salts include, but are not limited to, addition salts such as morpholine or piperidine. . Examples of amino acid addition salts include, but are not limited to, addition salts such as glycine, phenylalanine, aspartic acid, glutamic acid, or lysine.
本発明の核酸含有脂質ナノ粒子はいずれも、例えば、糖、ペプチド、核酸および水溶性高分子から選ばれる1以上の物質の脂質誘導体もしくは脂肪酸誘導体、または界面活性剤等を含有しても良い。 Any of the nucleic acid-containing lipid nanoparticles of the present invention may contain, for example, a lipid derivative or fatty acid derivative of one or more substances selected from sugars, peptides, nucleic acids, and water-soluble polymers, or a surfactant.
糖、ペプチド、核酸および水溶性高分子から選ばれる1以上の物質の脂質誘導体もしくは脂肪酸誘導体、または界面活性剤としては、好ましくは、糖脂質、または水溶性高分子の脂質誘導体もしくは脂肪酸誘導体が挙げられ、より好ましくは、水溶性高分子の脂質誘導体または脂肪酸誘導体が挙げられる。糖、ペプチド、核酸および水溶性高分子から選ばれる1以上の物質の脂質誘導体もしくは脂肪酸誘導体、または界面活性剤は、分子の一部が組成物の他の構成成分と例えば、疎水性親和力、静電的相互作用等で結合する性質をもち、他の部分が組成物の製造時の溶媒と例えば、親水性親和力、静電的相互作用等で結合する性質をもつ、2面性をもつ物質であるのが好ましい。 The lipid derivative or fatty acid derivative of one or more substances selected from sugars, peptides, nucleic acids, and water-soluble polymers, or the surfactant, preferably a lipid or fatty acid derivative of a glycolipid or a water-soluble polymer. More preferred are lipid derivatives or fatty acid derivatives of water-soluble polymers. A lipid derivative or fatty acid derivative of one or more substances selected from sugars, peptides, nucleic acids, and water-soluble polymers, or a surfactant is a part of the molecule and other components of the composition, such as hydrophobic affinity, static It is a substance with a two-sided property that has the property of binding by electrical interaction, etc., and the other part has the property of binding to the solvent at the time of production of the composition, for example, hydrophilic affinity, electrostatic interaction, etc. Preferably there is.
糖、ペプチドまたは核酸の脂質誘導体または脂肪酸誘導体としては、例えば、ショ糖、ソルビトール、乳糖等の糖、例えば、カゼイン由来ペプチド、卵白由来ペプチド、大豆由来ペプチド、グルタチオン等のペプチド、または例えば、DNA、RNA、プラスミド、siRNA、ODN等の核酸と、前記組成物の定義の中で挙げた中性脂質または例えば、ステアリン酸、パルミチン酸、ミリスチン酸、ラウリン酸等の脂肪酸とが結合してなるもの等が挙げられる。 Examples of lipid derivatives or fatty acid derivatives of sugars, peptides or nucleic acids include sugars such as sucrose, sorbitol, and lactose, such as casein-derived peptides, egg white-derived peptides, soybean-derived peptides, peptides such as glutathione, or, for example, DNA, Nucleic acids such as RNA, plasmid, siRNA, ODN and the like and neutral lipids listed in the definition of the composition or fatty acids such as stearic acid, palmitic acid, myristic acid, lauric acid, etc. Is mentioned.
糖の脂質誘導体または脂肪酸誘導体としては、例えば、前記組成物の定義の中で挙げたグリセロ糖脂質またはスフィンゴ糖脂質等も含まれる。 Examples of the sugar lipid derivative or fatty acid derivative include glyceroglycolipid and glycosphingolipid mentioned in the definition of the composition.
水溶性高分子の脂質誘導体または脂肪酸誘導体としては、例えば、ポリエチレングリコール、ポリグリセリン、ポリエチレンイミン、ポリビニルアルコール、ポリアクリル酸、ポリアクリルアミド、オリゴ糖、デキストリン、水溶性セルロース、デキストラン、コンドロイチン硫酸、ポリグリセリン、キトサン、ポリビニルピロリドン、ポリアスパラギン酸アミド、ポリ-L-リジン、マンナン、プルラン、オリゴグリセロール等またはそれらの誘導体と、前記組成物の定義の中で挙げた中性脂質または例えば、ステアリン酸、パルミチン酸、ミリスチン酸またはラウリン酸等の脂肪酸とが結合してなるもの、それらの塩等が挙げられ、より好ましくは、ポリエチレングリコールまたはポリグリセリン等の脂質誘導体または脂肪酸誘導体およびそれらの塩が挙げられ、さらに好ましくは、ポリエチレングリコールの脂質誘導体または脂肪酸誘導体およびそれらの塩が挙げられる。 Examples of the water-soluble polymer lipid derivative or fatty acid derivative include polyethylene glycol, polyglycerin, polyethyleneimine, polyvinyl alcohol, polyacrylic acid, polyacrylamide, oligosaccharide, dextrin, water-soluble cellulose, dextran, chondroitin sulfate, and polyglycerin. , Chitosan, polyvinylpyrrolidone, polyaspartic acid amide, poly-L-lysine, mannan, pullulan, oligoglycerol etc. or their derivatives and neutral lipids mentioned in the above definition of the composition or eg stearic acid, palmitic Examples include those formed by bonding with fatty acids such as acid, myristic acid or lauric acid, and salts thereof, more preferably lipid derivatives such as polyethylene glycol or polyglycerin or fatty acid derivatives and Include those salts, more preferable example is a lipid derivative or fatty acid derivatives and salts thereof polyethylene glycol.
ポリエチレングリコールの脂質誘導体または脂肪酸誘導体としては、例えば、ポリエチレングリコール化脂質[具体的にはポリエチレングリコール-ホスファチジルエタノールアミン(より具体的には1,2-ジステアロイル-sn-グリセロ-3-ホスホエタノールアミン-N-[メトキシ(ポリエチレングリコール)-2000](PEG-DSPE)、1,2-ジパルミトイル-sn-グリセロ-3-ホスホエタノールアミン-N-[メトキシ(ポリエチレングリコール)-2000](PEG-DPPE)、1,2-ジミリストイル-sn-グリセロ-3-ホスホエタノールアミン-N-[メトキシ(ポリエチレングリコール)-2000](PEG-DMPE)等)、ポリオキシエチレン硬化ヒマシ油60、クレモフォアイーエル(CREMOPHOR EL)等]、ポリエチレングリコールソルビタン脂肪酸エステル類(具体的にはモノオレイン酸ポリオキシエチレンソルビタン等)またはポリエチレングリコール脂肪酸エステル類等が挙げられ、より好ましくは、ポリエチレングリコール化脂質が挙げられる。 Examples of polyethylene glycol lipid derivatives or fatty acid derivatives include polyethylene glycolated lipids [specifically, polyethylene glycol-phosphatidylethanolamine (more specifically 1,2-distearoyl-sn-glycero-3-phosphoethanolamine). -N- [methoxy (polyethylene glycol) -2000] (PEG-DSPE), 1,2-dipalmitoyl-sn-glycero-3-phosphoethanolamine-N- [methoxy (polyethylene glycol) -2000] (PEG-DPPE ), 1,2-dimyristoyl-sn-glycero-3-phosphoethanolamine-N- [methoxy (polyethylene glycol) -2000] (PEG-DMPE), etc.), polyoxyethylene hydrogenated castor oil 60, Cremofoyer ( CREMOPHOR EL), polyethylene glycol sorbitan fatty acid esters (specifically polyoxyethylene sorbitan monooleate, etc.) or polyethylene glycol Call fatty acid esters and the like, and more preferably, polyethylene glycolated lipid.
ポリグリセリンの脂質誘導体または脂肪酸誘導体としては、例えば、ポリグリセリン化脂質(具体的にはポリグリセリン-ホスファチジルエタノールアミン等)またはポリグリセリン脂肪酸エステル類等が挙げられ、より好ましくは、ポリグリセリン化脂質が挙げられる。 Examples of the lipid derivative or fatty acid derivative of polyglycerin include polyglycerinized lipids (specifically polyglycerin-phosphatidylethanolamine) or polyglycerin fatty acid esters, and more preferably, polyglycerinized lipids. Can be mentioned.
界面活性剤としては、例えば、モノオレイン酸ポリオキシエチレンソルビタン(具体的にはポリソルベート80等)、ポリオキシエチレンポリオキシプロピレングリコール(具体的にはプルロニックF68等)、ソルビタン脂肪酸エステル(具体的にはソルビタンモノラウレート、ソルビタンモノオレエート等)、ポリオキシエチレン誘導体(具体的にはポリオキシエチレン硬化ヒマシ油60、ポリオキシエチレンラウリルアルコール等)、グリセリン脂肪酸エステルまたはポリエチレングリコールアルキルエーテル等が挙げられ、好ましくは、ポリオキシエチレンポリオキシプロピレングリコール、グリセリン脂肪酸エステルまたはポリエチレングリコールアルキルエーテル等が挙げられる。 Examples of the surfactant include polyoxyethylene sorbitan monooleate (specifically polysorbate 80 etc.), polyoxyethylene polyoxypropylene glycol (specifically Pluronic F68 etc.), sorbitan fatty acid ester (specifically Sorbitan monolaurate, sorbitan monooleate, etc.), polyoxyethylene derivatives (specifically polyoxyethylene hydrogenated castor oil 60, polyoxyethylene lauryl alcohol, etc.), glycerin fatty acid ester or polyethylene glycol alkyl ether, etc. Preferably, polyoxyethylene polyoxypropylene glycol, glycerin fatty acid ester, polyethylene glycol alkyl ether or the like is used.
本発明の核酸含有脂質ナノ粒子において、核酸含有脂質ナノ粒子における水溶性高分子の脂質誘導体および脂肪酸誘導体の分子の総数は特に限定されないが、総脂質のモル数に対して0.005倍モル量以上であるのが好ましく、0.01~0.30倍モル量であるのがより好ましく、0.02~0.25倍モル量であるのがさらに好ましく、0.03~0.20倍モル量であるのがさらにより好ましく、0.04~0.15倍モル量であるのがさらにより好ましく、0.04~0.12倍モル量であるのが最も好ましい。
本発明においては、総脂質とは、脂質Aおよび水溶性高分子の脂質誘導体および脂肪酸誘導体を含み、場合により、脂質Bおよび中性脂質を含む。すなわち、脂質Aのモル数は、総脂質のモル数を1とした場合の倍モル量として、水溶性高分子の脂質誘導体および脂肪酸誘導体の倍モル量、場合により、脂質Bの倍モル量および中性脂質の倍モル量の総和を1から減じた倍モル量となる。
In the nucleic acid-containing lipid nanoparticles of the present invention, the total number of water-soluble polymer lipid derivatives and fatty acid derivative molecules in the nucleic acid-containing lipid nanoparticles is not particularly limited, but is 0.005 times the molar amount or more of the total lipid moles. Preferably, it is 0.01 to 0.30 times molar amount, more preferably 0.02 to 0.25 times molar amount, still more preferably 0.03 to 0.20 times molar amount, and even more preferably 0.04 to 0.15 times molar amount. Even more preferred is an amount, and most preferred is a 0.04-0.12 molar amount.
In the present invention, the total lipid includes lipid A and lipid derivatives and fatty acid derivatives of water-soluble polymers, and optionally includes lipid B and neutral lipid. That is, the number of moles of lipid A is a double mole quantity of the lipid derivative and fatty acid derivative of the water-soluble polymer, and sometimes a double mole quantity of lipid B and The total of the double molar amount of neutral lipid is reduced by 1 to the double molar amount.
また、本発明の核酸含有脂質ナノ粒子には、例えば、水溶性高分子等による表面改質も任意に行うことができる[ラジック(D.D.Lasic)、マーティン(F.Martin)編,“ステルス・リポソームズ(Stealth Liposomes)”(米国),シーアールシー・プレス・インク(CRC Press Inc),1995年,p.93-102参照]。表面改質に使用し得る水溶性高分子としては、例えば、ポリエチレングリコール、ポリグリセリン、ポリエチレンイミン、ポリビニルアルコール、ポリアクリル酸、ポリアクリルアミド、オリゴ糖、デキストリン、水溶性セルロース、デキストラン、コンドロイチン硫酸、ポリグリセリン、キトサン、ポリビニルピロリドン、ポリアスパラギン酸アミド、ポリ-L-リジン、マンナン、プルラン、オリゴグリセロール等が挙げられ、好ましくはポリエチレングリコール、ポリグリセリン、ポリエチレンイミン、ポリビニルアルコール、ポリアクリル酸およびポリアクリルアミド等が挙げられ、より好ましくはポリエチレングリコールおよびポリグリセリン等が挙げられるがこれらに限定されない。また、表面改質には、糖、ペプチド、核酸および水溶性高分子から選ばれる1以上の物質の脂質誘導体もしくは脂肪酸誘導体(前記と同義)、または界面活性剤等を用いることができる。該表面改質は、本発明の核酸含有脂質ナノ粒子中に糖、ペプチド、核酸および水溶性高分子から選ばれる1以上の物質の脂質誘導体もしくは脂肪酸誘導体、または界面活性剤を含有させる方法の1つである。 In addition, the nucleic acid-containing lipid nanoparticles of the present invention can be optionally subjected to surface modification with, for example, a water-soluble polymer [Radasic, edited by F. Martin, “Stealth liposomes”. [See Stealth Liposomes ”(USA), CRC Inc, 1995, p.93-102]. Examples of water-soluble polymers that can be used for surface modification include polyethylene glycol, polyglycerin, polyethyleneimine, polyvinyl alcohol, polyacrylic acid, polyacrylamide, oligosaccharide, dextrin, water-soluble cellulose, dextran, chondroitin sulfate, poly Examples include glycerin, chitosan, polyvinylpyrrolidone, polyaspartic acid amide, poly-L-lysine, mannan, pullulan, oligoglycerol, etc., preferably polyethylene glycol, polyglycerin, polyethyleneimine, polyvinyl alcohol, polyacrylic acid, polyacrylamide, etc. More preferably, polyethylene glycol, polyglycerin and the like can be mentioned, but not limited thereto. For the surface modification, a lipid derivative or fatty acid derivative (as defined above) of one or more substances selected from sugars, peptides, nucleic acids, and water-soluble polymers, or a surfactant or the like can be used. The surface modification is one of methods in which the lipid derivative or fatty acid derivative of one or more substances selected from sugars, peptides, nucleic acids, and water-soluble polymers, or a surfactant is contained in the nucleic acid-containing lipid nanoparticles of the present invention. One.
標的化リガンドを、本発明の核酸含有脂質ナノ粒子の脂質成分の極性ヘッド残基に共有結合することにより本発明の核酸含有脂質ナノ粒子の表面に直接結合させることも任意に行うことができる(国際公開第2006/116107号参照)。 Optionally, the targeting ligand can be directly bound to the surface of the nucleic acid-containing lipid nanoparticle of the present invention by covalently binding to the polar head residue of the lipid component of the nucleic acid-containing lipid nanoparticle of the present invention ( (See International Publication No. 2006/116107).
本発明の核酸含有脂質ナノ粒子の平均粒子径は、脂質ナノ粒子の調製後にさらに調節することもできる。平均粒子径を調節する方法としては、例えば、エクストルージョン法、大きな多重膜リポソーム(MLV)等を機械的に粉砕(具体的にはマントンゴウリン、マイクロフルイダイザー等を使用)する方法[ミュラー(R.H.Muller)、ベニタ(S.Benita)、ボーム(B.Bohm)編著,“エマルジョン・アンド・ナノサスペンジョンズ・フォー・ザ・フォーミュレーション・オブ・ポアリー・ソラブル・ドラッグズ(Emulsion and Nanosuspensions for the Formulation of Poorly Soluble Drugs)”,ドイツ,サイエンティフィック・パブリッシャーズ・スチュットガルト(Scientific Publishers Stuttgart),1998年,p.267-294参照]等が挙げられる。 The average particle size of the nucleic acid-containing lipid nanoparticles of the present invention can be further adjusted after preparation of the lipid nanoparticles. As a method for adjusting the average particle size, for example, an extrusion method, a method of mechanically pulverizing large multilamellar liposomes (MLV) or the like (specifically using a manton gourin, a microfluidizer, etc.) RHMuller, S. Benita, B. Bohm, “Emulsion and サ Nanosuspensions for the Emulsion and Nanosuspensions for the Formulation of Poorly Soluble Drugs) ”, Scientific Publishers Stuttgart, 1998, p.267-294].
本発明の核酸含有脂質ナノ粒子の大きさは、平均粒子径が20~65 nmであるのが好ましく、30~60 nmであるのがより好ましい。 The average size of the nucleic acid-containing lipid nanoparticles of the present invention is preferably 20 to 65 nm, and more preferably 30 to 60 nm.
本発明の核酸含有脂質ナノ粒子の大きさは、例えば、動的光散乱法で測定することができる。 The size of the nucleic acid-containing lipid nanoparticles of the present invention can be measured, for example, by a dynamic light scattering method.
本発明の核酸含有脂質ナノ粒子を、ほ乳類の細胞に導入することで、本発明の核酸含有脂質ナノ粒子中の核酸を細胞内に導入することができる。 The nucleic acid-containing lipid nanoparticles of the present invention can be introduced into cells by introducing the nucleic acid-containing lipid nanoparticles of the present invention into mammalian cells.
インビボにおける本発明の核酸含有脂質ナノ粒子のほ乳類の細胞への導入は、インビボにおいて行うことのできる公知のトランスフェクションの手順に従って行えばよい。例えば、本発明の核酸含有脂質ナノ粒子を、人を含む哺乳動物に静脈内投与することで、例えば、腫瘍または炎症の生じた臓器または部位へ送達され、送達臓器または部位の細胞内に本発明の核酸含有脂質ナノ粒子中の核酸を導入することができる。腫瘍または炎症の生じた臓器または部位としては、特に限定されないが、例えば、胃、大腸、肝臓、肺、脾臓、膵臓、腎臓、膀胱、皮膚、血管、眼球等が挙げられる。また、本発明の核酸含有脂質ナノ粒子を、人を含む哺乳動物に静脈内投与することで、例えば、肝臓、胃、肺、腎臓、膵臓および/または脾臓へ送達され、送達臓器または部位の細胞内に本発明の核酸含有脂質ナノ粒子中の核酸を導入することができる。肝臓、肺、脾臓および/または腎臓の細胞は、正常細胞、腫瘍もしくは炎症に関連した細胞またはその他の疾患に関連した細胞のいずれでもよい。 In vivo introduction of the nucleic acid-containing lipid nanoparticles of the present invention into mammalian cells may be carried out according to known transfection procedures that can be performed in vivo. For example, the nucleic acid-containing lipid nanoparticles of the present invention are intravenously administered to mammals including humans, so that the nucleic acid-containing lipid nanoparticles are delivered to, for example, tumors or inflamed organs or sites. Nucleic acids in the nucleic acid-containing lipid nanoparticles can be introduced. The organ or site where the tumor or inflammation has occurred is not particularly limited, and examples thereof include stomach, large intestine, liver, lung, spleen, pancreas, kidney, bladder, skin, blood vessel, and eyeball. In addition, by administering the nucleic acid-containing lipid nanoparticles of the present invention intravenously to mammals including human beings, for example, delivered to the liver, stomach, lung, kidney, pancreas and / or spleen, cells of the delivery organ or site The nucleic acid in the nucleic acid-containing lipid nanoparticles of the present invention can be introduced into the inside. Liver, lung, spleen and / or kidney cells can be normal cells, cells associated with tumors or inflammation or cells associated with other diseases.
本発明の核酸含有脂質ナノ粒子中の核酸が、RNA干渉(RNAi)を利用した標的遺伝子の発現抑制作用を有する核酸であれば、インビボでほ乳類の細胞内に、標的遺伝子の発現を抑制する該核酸等を導入することができ、標的遺伝子の発現の抑制ができる。投与対象は、人であることが好ましい。 If the nucleic acid in the nucleic acid-containing lipid nanoparticles of the present invention is a nucleic acid having a target gene expression inhibitory action utilizing RNA interference (RNAi), the target gene expression is suppressed in vivo in mammalian cells in vivo. Nucleic acid or the like can be introduced, and the expression of the target gene can be suppressed. The administration subject is preferably a human.
本発明の核酸含有脂質ナノ粒子中の標的遺伝子が、例えば、肝臓、胃、肺、腎臓、膵臓および/または脾臓において発現する遺伝子、好ましくは肝臓において発現する遺伝子であれば、本発明の核酸含有脂質ナノ粒子を、肝臓、胃、肺、腎臓、膵臓または脾臓に関連する疾患の治療剤または予防剤、好ましくは肝臓に関連する疾患の治療剤または予防剤として使用することができる。即ち、本発明は、上記説明した本発明の核酸含有脂質ナノ粒子を哺乳動物に投与する肝臓、胃、肺、腎臓、膵臓または脾臓に関連する疾患等の治療方法も提供する。投与対象は、人であることが好ましく、肝臓、胃、肺、腎臓、膵臓または脾臓に関連する疾患等に罹患している人がより好ましい。 If the target gene in the nucleic acid-containing lipid nanoparticles of the present invention is, for example, a gene expressed in the liver, stomach, lung, kidney, pancreas and / or spleen, preferably a gene expressed in the liver, the nucleic acid-containing lipid of the present invention Lipid nanoparticles can be used as a therapeutic or prophylactic agent for diseases associated with the liver, stomach, lung, kidney, pancreas or spleen, preferably as a therapeutic or prophylactic agent for diseases associated with the liver. That is, the present invention also provides a method for treating diseases related to liver, stomach, lung, kidney, pancreas or spleen, wherein the nucleic acid-containing lipid nanoparticles of the present invention described above are administered to mammals. The administration subject is preferably a person, and more preferably a person suffering from a disease related to the liver, stomach, lung, kidney, pancreas or spleen.
本発明の核酸含有脂質ナノ粒子は、肝臓、胃、肺、腎臓、膵臓または脾臓に関連する疾患等の治療剤または予防剤に関するインビボの薬効評価モデルにおいて、標的遺伝子を抑制することの有効性を検証するためのツールとして使用することもできる。 The nucleic acid-containing lipid nanoparticles of the present invention are effective in suppressing target genes in an in vivo drug efficacy evaluation model for therapeutic or prophylactic agents for diseases such as diseases related to liver, stomach, lung, kidney, pancreas or spleen. It can also be used as a tool for verification.
本発明の核酸含有脂質ナノ粒子は、例えば、血液成分等の生体成分(例えば、血液、消化管等)中での前記核酸の安定化、副作用の低減または標的遺伝子の発現部位を含む組織または臓器への薬剤集積性の増大等を目的とする製剤としても使用できる。 The nucleic acid-containing lipid nanoparticles of the present invention are, for example, tissues or organs containing a nucleic acid in a biological component such as a blood component (for example, blood, gastrointestinal tract), stabilizing the nucleic acid, reducing side effects, or expressing a target gene. It can also be used as a preparation for the purpose of increasing drug accumulation.
本発明の核酸含有脂質ナノ粒子を、医薬品の肝臓、肺、腎臓または脾臓に関連する疾患等の治療剤または予防剤として使用する場合、投与経路としては、治療に際し最も効果的な投与経路を使用するのが望ましく、例えば、口腔内、気道内、直腸内、皮下、筋肉内または静脈内等の非経口投与または経口投与を挙げることができ、好ましくは静脈内投与、皮下投与または筋肉内投与を挙げることができ、より好ましくは静脈内投与が挙げられる。 When the nucleic acid-containing lipid nanoparticles of the present invention are used as a therapeutic or prophylactic agent for diseases related to the liver, lung, kidney or spleen of pharmaceuticals, the administration route is the most effective route for treatment. For example, parenteral administration or oral administration such as buccal, intratracheal, rectal, subcutaneous, intramuscular or intravenous administration can be mentioned, preferably intravenous administration, subcutaneous administration or intramuscular administration. More preferably, intravenous administration is mentioned.
投与量は、投与対象の病状や年齢、投与経路等によって異なるが、例えば、核酸に換算した1日投与量が約0.1μg~1000mgとなるように投与すればよい。 The dose varies depending on the disease state, age, administration route, etc. of the administration subject, but for example, it may be administered so that the daily dose converted to nucleic acid is about 0.1 μg to 1000 mg.
静脈内投与または筋肉内投与に適当な製剤としては、例えば、注射剤が挙げられ、上述の方法により調製した組成物の分散液をそのまま例えば、注射剤等の形態として用いることも可能であるが、該分散液から例えば、濾過、遠心分離等によって溶媒を除去して使用することも、該分散液を凍結乾燥して使用する、および/または例えば、マンニトール、ラクトース、トレハロース、マルトースもしくはグリシン等の賦形剤を加えた分散液を凍結乾燥して使用することもできる。 As a preparation suitable for intravenous administration or intramuscular administration, for example, an injection can be mentioned, and a dispersion of the composition prepared by the above-described method can be used as it is, for example, in the form of an injection or the like. The dispersion can be used after removing the solvent, for example, by filtration, centrifugation, etc., or the dispersion can be used after lyophilization, and / or, for example, mannitol, lactose, trehalose, maltose, glycine, etc. The dispersion added with the excipient can also be lyophilized for use.
注射剤の場合、前記の組成物の分散液または前記の溶媒を除去または凍結乾燥した組成物に、例えば、水、酸、アルカリ、種々の緩衝液、生理食塩水またはアミノ酸輸液等を混合して注射剤を調製することが好ましい。また、例えば、クエン酸、アスコルビン酸、システインもしくはEDTA等の抗酸化剤またはグリセリン、ブドウ糖もしくは塩化ナトリウム等の等張化剤等を添加して注射剤を調製することも可能である。また、例えば、グリセリン等の凍結保存剤を加えて凍結保存することもできる。 In the case of injections, for example, water, acid, alkali, various buffers, physiological saline or amino acid infusion, etc. are mixed with the dispersion of the composition or the composition after removing or lyophilizing the solvent. It is preferable to prepare an injection. Further, for example, an injection can be prepared by adding an antioxidant such as citric acid, ascorbic acid, cysteine or EDTA or an isotonic agent such as glycerin, glucose or sodium chloride. Further, for example, it can be cryopreserved by adding a cryopreservative such as glycerin.
[実施例]
次に、実施例、参考例、比較例および試験例により、本発明を具体的に説明する。ただし、本発明はこれら実施例、参考例、比較例および試験例に限定されるものではない。
なお、実施例および参考例に示されたプロトン核磁気共鳴スペクトル(1H NMR)は、270MHz、300MHzまたは400MHzで測定されたものであり、化合物および測定条件によっては交換性プロトンが明瞭には観測されないことがある。なお、シグナルの多重度の表記としては通常用いられるものを用いているが、brとは見かけ上幅広いシグナルであることを表す。
[Example]
Next, the present invention will be specifically described with reference to Examples, Reference Examples, Comparative Examples, and Test Examples. However, the present invention is not limited to these examples, reference examples, comparative examples, and test examples.
The proton nuclear magnetic resonance spectra ( 1 H NMR) shown in the Examples and Reference Examples were measured at 270 MHz, 300 MHz, or 400 MHz, and exchangeable protons were clearly observed depending on the compound and measurement conditions. It may not be done. In addition, although what is used normally is used as the notation of the multiplicity of signals, br represents an apparently wide signal.
N-メチル-2-(オレオイルオキシ)-N,N-ビス(2-(オレオイルオキシ)エチル)エタンアミニウム クロリド (化合物I-1)
工程1
トリエタノールアミン (シグマアルドリッチ(Sigma-Aldrich)社製, 0.115 g, 0.771 mmol)のクロロホルム (5 mL)溶液にオレイン酸 (東京化成工業社製, 0.784 g, 2.78 mmol)、1-エチル-3-(3-ジメチルアミノプロピル)カルボジイミド塩酸塩 (東京化成工業社製, 0.591 g, 3.08 mmol)、トリエチルアミン (0.430 mL, 3.08 mmol)およびN,N-ジメチルアミノピリジン (ナカライテスク社製, 0.024 g, 0.19 mmol)を加えて室温で終夜攪拌した。反応液に水を加えてクロロホルムで抽出した。有機層を飽和炭酸水素ナトリウム水溶液ついで飽和食塩水で洗浄し、無水硫酸マグネシウムで乾燥し、ろ過し、減圧下濃縮した。得られた残渣をシリカゲルカラムクロマトグラフィー(クロロホルム/ヘキサン = 50/50~100/0)で精製して2,2’,2’’-ニトリロトリス(エタン-2,1-ジイル) トリオレアート (0.439 g, 0.466 mmol, 収率60%)を得た。
ESI-MS m/z: 943 (M + H)+; 1H-NMR (CDCl3) δ: 0.88 (t, J = 6.9 Hz, 9H), 1.23-1.36 (m, 60H), 1.58-1.63 (m, 6H), 1.98-2.04 (m, 12H), 2.29 (t, J= 7.6 Hz, 6H), 2.83 (t, J = 6.1 Hz, 6H), 4.11 (t, J = 6.1 Hz, 6H), 5.31-5.38 (m, 6H).
工程2
工程1で得られた2,2’,2’’-ニトリロトリス(エタン-2,1-ジイル) トリオレアート (0.439 g, 0.466 mmol)にヨウ化メチル (東京化成工業社製, 3 mL)を加え、室温で終夜撹拌した。反応液を減圧下濃縮した。残渣を少量のメタノール-クロロホルム (1:1)に溶解してイオン交換樹脂 (ダウ・ケミカル(Dow Chemical)製, Dowex(TM) 1x-2 100 mesh, Cl型, 約20倍量, 水およびメタノールでプレ洗浄)にロードし、メタノール-クロロホルム (1:1)で溶出した。溶出液を減圧下濃縮し、得られた残渣をシリカゲルカラムクロマトグラフィー(クロロホルム/メタノール = 100/0~88/12)で精製して標記の化合物 (0.342 g, 0.344 mmol, 収率74%)を得た。
ESI-MS m/z: 957 (M)+; 1H-NMR (CDCl3) δ: 0.88 (t, J = 6.9 Hz, 9H), 1.25-1.35 (m, 60H), 1.59-1.63 (m, 6H), 1.99-2.03 (m, 12H), 2.35 (t, J= 7.6 Hz, 6H), 3.56 (s, 3H), 4.21 (t, J= 4.9 Hz, 6H), 4.61 (t, J = 4.9 Hz, 6H), 5.30-5.38 (m, 6H).
N-methyl-2- (oleoyloxy) -N, N-bis (2- (oleoyloxy) ethyl) ethanaminium chloride (Compound I-1)
Process 1
To a solution of triethanolamine (Sigma-Aldrich, 0.115 g, 0.771 mmol) in chloroform (5 mL), oleic acid (Tokyo Chemical Industry, 0.784 g, 2.78 mmol), 1-ethyl-3- (3-Dimethylaminopropyl) carbodiimide hydrochloride (Tokyo Chemical Industry, 0.591 g, 3.08 mmol), Triethylamine (0.430 mL, 3.08 mmol) and N, N-dimethylaminopyridine (Nacalai Tesque, 0.024 g, 0.19) mmol) was added and stirred at room temperature overnight. Water was added to the reaction solution and extracted with chloroform. The organic layer was washed with a saturated aqueous sodium hydrogen carbonate solution and then with saturated brine, dried over anhydrous magnesium sulfate, filtered, and concentrated under reduced pressure. The obtained residue was purified by silica gel column chromatography (chloroform / hexane = 50/50 to 100/0) to give 2,2 ′, 2 ″ -nitrilotris (ethane-2,1-diyl) trioleate (0.439 g, 0.466 mmol, yield 60%).
ESI-MS m / z: 943 (M + H) + ; 1 H-NMR (CDCl 3 ) δ: 0.88 (t, J = 6.9 Hz, 9H), 1.23-1.36 (m, 60H), 1.58-1.63 ( m, 6H), 1.98-2.04 (m, 12H), 2.29 (t, J = 7.6 Hz, 6H), 2.83 (t, J = 6.1 Hz, 6H), 4.11 (t, J = 6.1 Hz, 6H), 5.31-5.38 (m, 6H).
Process 2
2,2 ', 2''-Nitrilotris (ethane-2,1-diyl) trioleate (0.439 g, 0.466 mmol) obtained in Step 1 was mixed with methyl iodide (Tokyo Chemical Industry Co., Ltd., 3 mL). The mixture was further stirred at room temperature overnight. The reaction solution was concentrated under reduced pressure. Dissolve the residue in a small amount of methanol-chloroform (1: 1) ion exchange resin (Dow Chemical, Dowex (TM) 1x-2 100 mesh, Cl type, about 20 times the amount, water and methanol And pre-washed with methanol and eluted with methanol-chloroform (1: 1). The eluate was concentrated under reduced pressure, and the resulting residue was purified by silica gel column chromatography (chloroform / methanol = 100/0 to 88/12) to give the title compound (0.342 g, 0.344 mmol, 74% yield). Obtained.
ESI-MS m / z: 957 (M) + ; 1 H-NMR (CDCl 3 ) δ: 0.88 (t, J = 6.9 Hz, 9H), 1.25-1.35 (m, 60H), 1.59-1.63 (m, 6H), 1.99-2.03 (m, 12H), 2.35 (t, J = 7.6 Hz, 6H), 3.56 (s, 3H), 4.21 (t, J = 4.9 Hz, 6H), 4.61 (t, J = 4.9 Hz, 6H), 5.30-5.38 (m, 6H).
N-メチル-2-((9Z,12Z)-オクタデカ-9,12-ジエノイルオキシ)-N,N-ビス(2-((9Z,12Z)-オクタデカ-9,12-ジエノイルオキシ)エチル)エタンアミニウム クロリド (化合物I-2)
実施例1と同様の方法で、オレイン酸の代わりに(9Z, 12Z)-オクタデカ-9,12-ジエン酸 (Sigma-Aldrich社製, 0.704 g, 2.51 mmol)を用い、標記の化合物(0.100 g、通し収率22%)を得た。
ESI-MS m/z: 950 (M)+; 1H-NMR (CDCl3) 0.89 (t, J = 7.0 Hz, 9H), 1.25-1.40 (m,42H), 1.55-1.66 (m, 6H), 2.05 (q, J = 6.9 Hz, 12H), 2.35 (t, J = 7.6 Hz, 6H), 2.77 (t, J = 6.3 Hz, 6H), 3.54 (s, 3H), 4.21 (t, J = 5.1 Hz, 6H), 4.59 (br s, 6H), 5.28-5.43 (m, 12H).
N-methyl-2-((9Z, 12Z) -octadeca-9,12-dienoyloxy) -N, N-bis (2-((9Z, 12Z) -octadeca-9,12-dienoyloxy) ethyl) ethaneaminium Chloride (Compound I-2)
In the same manner as in Example 1, using (9Z, 12Z) -octadeca-9,12-dienoic acid (Sigma-Aldrich, 0.704 g, 2.51 mmol) instead of oleic acid, the title compound (0.100 g Through yield 22%).
ESI-MS m / z: 950 (M) + ; 1 H-NMR (CDCl 3 ) 0.89 (t, J = 7.0 Hz, 9H), 1.25-1.40 (m, 42H), 1.55-1.66 (m, 6H) , 2.05 (q, J = 6.9 Hz, 12H), 2.35 (t, J = 7.6 Hz, 6H), 2.77 (t, J = 6.3 Hz, 6H), 3.54 (s, 3H), 4.21 (t, J = 5.1 Hz, 6H), 4.59 (br s, 6H), 5.28-5.43 (m, 12H).
(9Z,12Z)-N-メチル-N,N-ジ((9Z,12Z)-オクタデカ-9,12-ジエニル)オクタデカ-9,12-ジエン-1-アミニウム クロリド (化合物I-3)
工程1
アンモニア (東京化成工業社製, 約7 mol/Lメタノール溶液、8.00 mL、56.0 mmol)に (9Z,12Z)-オクタデカ-9,12-ジエニル メタンスルホナート (ニューチェック・プレップ・インク (Nu-Chek Prep,Inc)社製, 3.55 g, 10.1 mmol) を加え、マイクロ波反応装置を用いて130℃で3時間攪拌した。反応液に飽和炭酸水素ナトリウム水溶液を加えてクロロホルムで5回抽出した。有機層を合わせて飽和食塩水で洗浄し、無水硫酸マグネシウムで乾燥後ろ過し、減圧濃縮することで (9Z,12Z)-オクタデカ-9,12-ジエン-1-アミンの粗生成物を得た。
得られた粗生成物に(9Z,12Z)-オクタデカ-9,12-ジエニル メタンスルホナート (2.78 g, 8.07 mmol) および50%水酸化ナトリウム水溶液 (2.00 mL, 50.0 mmol) を加え、油浴上110℃で60分間攪拌した。室温まで冷却後、反応液を酢酸エチルで希釈し、水、ついで飽和食塩水で洗浄し、無水硫酸マグネシウムで乾燥後ろ過し、減圧濃縮した。得られた残渣をシリカゲルカラムクロマトグラフィー (ヘキサン/酢酸エチル = 100/0~90/10)で精製することにより、(9Z,12Z)-トリ(9Z,12Z)-オクタデカ-9,12-ジエニルアミン (1.09 g, 1.43 mmol, 収率18%)を得た。
ESI-MS m/z: 763 (M + H)+.
工程2
実施例1工程2と同様の方法で、2,2’,2’’-ニトリロトリス(エタン-2,1-ジイル)トリオレアートの代わりに工程1で得られた(9Z,12Z)-トリ(9Z,12Z)-オクタデカ-9,12-ジエニルアミン (1.05 g, 1.38 mol)を用い、標記の化合物 (1.06 g, 1.30 mol, 収率94%)を得た。
ESI-MS m/z: 777 (M)+; 1H-NMR (CDCl3) δ: 0.89 (t, J = 7.1 Hz, 9H), 1.22-1.45 (m, 48H), 1.61-1.69 (m, 6H), 2.05 (q, J = 6.8 Hz, 12H), 2.77 (t, J = 6.5 Hz, 6H), 3.35 (s, 3H), 3.44-3.50 (m, 6H), 5.29-5.42 (m, 12H).
(9Z, 12Z) -N-Methyl-N, N-di ((9Z, 12Z) -octadeca-9,12-dienyl) octadeca-9,12-dien-1-aminium chloride (Compound I-3)
Process 1
Ammonia (Tokyo Chemical Industry Co., Ltd., approx. 7 mol / L methanol solution, 8.00 mL, 56.0 mmol) to (9Z, 12Z) -octadeca-9,12-dienyl methanesulfonate (Nu-Chek Ink (Nu-Chek Prep, Inc), 3.55 g, 10.1 mmol) was added, and the mixture was stirred at 130 ° C. for 3 hours using a microwave reactor. A saturated aqueous sodium hydrogen carbonate solution was added to the reaction mixture, and the mixture was extracted 5 times with chloroform. The organic layers were combined, washed with saturated brine, dried over anhydrous magnesium sulfate, filtered, and concentrated under reduced pressure to obtain a crude product of (9Z, 12Z) -octadeca-9,12-dien-1-amine. .
(9Z, 12Z) -octadeca-9,12-dienyl methanesulfonate (2.78 g, 8.07 mmol) and 50% aqueous sodium hydroxide solution (2.00 mL, 50.0 mmol) were added to the resulting crude product on an oil bath. The mixture was stirred at 110 ° C for 60 minutes. After cooling to room temperature, the reaction mixture was diluted with ethyl acetate, washed with water and then with saturated brine, dried over anhydrous magnesium sulfate, filtered, and concentrated under reduced pressure. The obtained residue was purified by silica gel column chromatography (hexane / ethyl acetate = 100/0 to 90/10) to give (9Z, 12Z) -tri (9Z, 12Z) -octadeca-9,12-dienylamine ( 1.09 g, 1.43 mmol, 18% yield).
ESI-MS m / z: 763 (M + H) + .
Process 2
Example 1 In the same manner as in Step 2, (9Z, 12Z) -tri (2) obtained in Step 1 instead of 2,2 ', 2''-nitrilotris (ethane-2,1-diyl) trioleate The title compound (1.06 g, 1.30 mol, 94% yield) was obtained using 9Z, 12Z) -octadeca-9,12-dienylamine (1.05 g, 1.38 mol).
ESI-MS m / z: 777 (M) + ; 1 H-NMR (CDCl 3 ) δ: 0.89 (t, J = 7.1 Hz, 9H), 1.22-1.45 (m, 48H), 1.61-1.69 (m, 6H), 2.05 (q, J = 6.8 Hz, 12H), 2.77 (t, J = 6.5 Hz, 6H), 3.35 (s, 3H), 3.44-3.50 (m, 6H), 5.29-5.42 (m, 12H ).
(Z)-N-メチル-N,N-ジ((Z)-オクタデカ-9-エニル)オクタデカ-9-エン-1-アミニウム クロリド (化合物I-4)
実施例3と同様の方法で、(9Z,12Z)-オクタデカ-9,12-ジエニル メタンスルホナートの代わりに (Z)-オクタデカ-9-エニル メタンスルホナート (Nu-Chek Prep,Inc.製) を用い、標記の化合物 (0.410 g, 0.501 mmol, 通し収率24%) を得た。
ESI-MS m/z: 783 (M)+; 1H-NMR (CDCl3) δ: 0.88 (t, J = 6.9 Hz, 9H), 1.22-1.44 (m, 66H), 1.62-1.69 (m, 6H), 1.98-2.04 (m, 12H), 3.35 (s, 3H), 3.45-3.51 (m, 6H), 5.30-5.39 (m, 6H).
(Z) -N-Methyl-N, N-di ((Z) -octadeca-9-enyl) octadeca-9-en-1-aminium chloride (Compound I-4)
In the same manner as in Example 3, instead of (9Z, 12Z) -octadeca-9,12-dienyl methanesulfonate, (Z) -octadeca-9-enyl methanesulfonate (manufactured by Nu-Chek Prep, Inc.) To give the title compound (0.410 g, 0.501 mmol, overall yield 24%).
ESI-MS m / z: 783 (M) + ; 1 H-NMR (CDCl 3 ) δ: 0.88 (t, J = 6.9 Hz, 9H), 1.22-1.44 (m, 66H), 1.62-1.69 (m, 6H), 1.98-2.04 (m, 12H), 3.35 (s, 3H), 3.45-3.51 (m, 6H), 5.30-5.39 (m, 6H).
(11Z,14Z)-N,N-ジ((11Z,14Z)-イコサ-11,14-ジエニル)-N-メチルイコサ-11,14-ジエン-1-アミニウム クロリド (化合物I-5)
実施例3と同様の方法で、(9Z,12Z)-オクタデカ-9,12-ジエニル メタンスルホナートの代わりに (11Z,14Z)-イコサ-11,14-ジエニル メタンスルホナート (Nu-Chek Prep,Inc.製) を用い、標記の化合物 (0.323 g, 0.360 mmol, 通し収率25%) を得た。
1H-NMR (CDCl3) δ: 0.89 (t, J = 6.9 Hz, 9H), 1.24-1.43 (m, 63H), 1.61-1.69 (m, 6H), 2.05 (q, J = 6.8 Hz, 12H), 2.77 (t, J = 6.6 Hz, 6H), 3.35 (s, 3H), 3.45-3.50 (m, 6H), 5.30-5.42 (m, 12H).
(11Z, 14Z) -N, N-di ((11Z, 14Z) -icosa-11,14-dienyl) -N-methylicosa-11,14-dien-1-aminium chloride (Compound I-5)
In the same manner as in Example 3, instead of (9Z, 12Z) -octadeca-9,12-dienyl methanesulfonate, (11Z, 14Z) -icosa-11,14-dienyl methanesulfonate (Nu-Chek Prep, Inc.) to give the title compound (0.323 g, 0.360 mmol, overall yield 25%).
1 H-NMR (CDCl 3 ) δ: 0.89 (t, J = 6.9 Hz, 9H), 1.24-1.43 (m, 63H), 1.61-1.69 (m, 6H), 2.05 (q, J = 6.8 Hz, 12H ), 2.77 (t, J = 6.6 Hz, 6H), 3.35 (s, 3H), 3.45-3.50 (m, 6H), 5.30-5.42 (m, 12H).
(9Z,12Z)-N-(3-ヒドロキシプロピル)-N,N-ジ((9Z,12Z)-オクタデカ-9,12-ジエニル)オクタデカ-9,12-ジエン-1-アミニウム クロリド (化合物I-6)
実施例3の工程1で得られるトリ((9Z,12Z)-オクタデカ-9,12-ジエニル)アミン(0.199 g, 0.261 mmol)のクロロホルム (0.3 mL)溶液に3-ヨードプロパン-1-オール (和光純薬工業社製, 0.194 g, 1.04 mmol)を加え、マイクロ波反応装置で130℃、40分間反応させた。反応液を少量のエタノールに溶解してイオン交換樹脂(Sigma-Aldirch社製, Amberlite(R) IRA-400, Cl型, 約20倍量, 水およびエタノールでプレ洗浄)にロードし、エタノールで溶出した。溶出液を減圧下濃縮し、得られた残渣をシリカゲルカラムクロマトグラフィー(クロロホルム/メタノール = 100/0~88/12)で精製して標記の化合物 (0.146 g, 0.170 mmol, 収率65%)を得た。
ESI-MS m/z: 821 (M)+; 1H-NMR (CDCl3) δ: 0.89 (t, J = 7.0 Hz, 9H), 1.27-1.39 (m, 49H), 1.67-1.74 (m, 6H), 1.93-1.99 (m, 2H), 2.05 (q, J = 6.9 Hz, 12H), 2.77 (t, J = 6.2 Hz, 6H), 3.14-3.19 (m, 6H), 3.70-3.74 (m, 2H), 3.79 (t, J = 5.1 Hz, 2H), 5.29-5.42 (m, 12H).
(9Z, 12Z) -N- (3-Hydroxypropyl) -N, N-di ((9Z, 12Z) -octadeca-9,12-dienyl) octadeca-9,12-dien-1-aminium chloride (Compound I -6)
To a solution of tri ((9Z, 12Z) -octadeca-9,12-dienyl) amine (0.199 g, 0.261 mmol) obtained in Step 1 of Example 3 in chloroform (0.3 mL), 3-iodopropan-1-ol ( Wako Pure Chemical Industries, Ltd., 0.194 g, 1.04 mmol) was added, and the mixture was reacted at 130 ° C. for 40 minutes in a microwave reactor. Dissolve the reaction solution in a small amount of ethanol and load it onto an ion exchange resin (Sigma-Aldirch, Amberlite® IRA-400, Cl type, approximately 20 times volume, pre-washed with water and ethanol) and elute with ethanol. did. The eluate was concentrated under reduced pressure, and the resulting residue was purified by silica gel column chromatography (chloroform / methanol = 100/0 to 88/12) to give the title compound (0.146 g, 0.170 mmol, yield 65%). Obtained.
ESI-MS m / z: 821 (M) + ; 1 H-NMR (CDCl 3 ) δ: 0.89 (t, J = 7.0 Hz, 9H), 1.27-1.39 (m, 49H), 1.67-1.74 (m, 6H), 1.93-1.99 (m, 2H), 2.05 (q, J = 6.9 Hz, 12H), 2.77 (t, J = 6.2 Hz, 6H), 3.14-3.19 (m, 6H), 3.70-3.74 (m , 2H), 3.79 (t, J = 5.1 Hz, 2H), 5.29-5.42 (m, 12H).
(9Z,12Z)-N-(2-ヒドロキシエチル)-N,N-ジ((9Z,12Z)-オクタデカ-9,12-ジエニル)オクタデカ-9,12-ジエン-1-アミニウム クロリド (化合物I-7)
実施例6と同様の方法で、3-ヨードプロパン-1-オールの代わりに2-ヨードエタン-1-オール (東京化成工業社製)を用い、標記の化合物(0.211 g, 0.250 mmol, 収率85%)を得た。
ESI-MS m/z: 807 (M)+; 1H-NMR (CDCl3) δ: 0.89 (t, J = 7.0 Hz, 9H), 1.27-1.40 (m, 49H), 1.64-1.71 (m, 6H), 2.05 (q, J = 6.8 Hz, 12H), 2.77 (t, J = 6.3 Hz, 6H), 3.36-3.41 (m, 6H), 3.53-3.56 (m, 2H), 4.08-4.12 (m, 2H), 5.29-5.42 (m, 12H).
(9Z, 12Z) -N- (2-hydroxyethyl) -N, N-di ((9Z, 12Z) -octadeca-9,12-dienyl) octadeca-9,12-dien-1-aminium chloride (Compound I -7)
In the same manner as in Example 6, using 2-iodoethane-1-ol (manufactured by Tokyo Chemical Industry Co., Ltd.) instead of 3-iodopropan-1-ol, the title compound (0.211 g, 0.250 mmol, yield 85) %).
ESI-MS m / z: 807 (M) + ; 1 H-NMR (CDCl 3 ) δ: 0.89 (t, J = 7.0 Hz, 9H), 1.27-1.40 (m, 49H), 1.64-1.71 (m, 6H), 2.05 (q, J = 6.8 Hz, 12H), 2.77 (t, J = 6.3 Hz, 6H), 3.36-3.41 (m, 6H), 3.53-3.56 (m, 2H), 4.08-4.12 (m , 2H), 5.29-5.42 (m, 12H).
N,N,N-トリメチル-1,3-ビス((9Z,12Z)-オクタデカ-9,12-ジエノイルオキシ)-2-(((9Z,12Z)-オクタデカ-9,12-ジエノイルオキシ)メチル)プロパン-2-アミニウム クロリド (化合物II-1)
工程1
2-(ジメチルアミノ)-2-(ヒドロキシメチル)プロパン-1,3-ジオール (ザイレクサファーマ (Zylexa Pharma)社製, 0.252 g, 1.69 mmol) のクロロホルム (10 mL)溶液に(9Z, 12Z)-オクタデカ-9,12-ジエン酸 (2.37 g, 8.45 mmol)、1-エチル-3-(3-ジメチルアミノプロピル)カルボジイミド塩酸塩 (1.62 g, 8.45 mmol)および N,N-ジメチルアミノピリジン(0.206 g, 1.69 mmol)を加えて60℃で終夜攪拌した。室温まで冷却後、減圧下濃縮した。得られた残渣をシリカゲルカラムクロマトグラフィー (クロロホルム/メタノール = 100/0) で精製して(9Z,9'Z,12Z,12'Z)-2-(ジメチルアミノ)-2-(((9Z,12Z)-オクタデカ-9,12-ジエノイルオキシ)メチル)プロパン-1,3-ジイル ジオクタデカ-9,12-ジエノアート (0.334 g, 0.356 mmol, 収率21%)を得た。
ESI-MS m/z: 937 (M + H)+.
工程2
工程1で得られた(9Z,9'Z,12Z,12'Z)-2-(ジメチルアミノ)-2-(((9Z,12Z)-オクタデク-9,12-ジエノイルオキシ)メチル)プロパン-1,3-ジイル ジオクタデク-9,12-ジエノアート (0.324 g, 0.346 mmol)のクロロホルム (3 mL)溶液にヨウ化メチル (0.216 mL)を加え、室温で5時間撹拌した。反応液にヨウ化メチル (0.216 mL)を加え、室温で終夜撹拌した。反応液を減圧下濃縮した。残渣を少量のメタノール-クロロホルム(1:1)に溶解してイオン交換樹脂 (Dow Chemical製, Dowex(TM) 1x-2 100 mesh, Cl型, 約20倍量, 水およびメタノールでプレ洗浄)にロードし、メタノール-クロロホルム(1:1)で溶出した。溶出液を減圧下濃縮し、得られた残渣をシリカゲルカラムクロマトグラフィー (クロロホルム/メタノール=100/0~90/10)で精製して標記の化合物 (0.161 g, 0.164 mmol, 収率47%)を得た。
ESI-MS m/z: 951 (M)+; 1H-NMR (CDCl3) δ: 0.86 (t, J = 6.9 Hz, 9H), 1.22-1.36 (m, 42H), 1.54-1.61 (m, 6H), 2.02 (q, J = 6.8 Hz, 12H), 2.34 (t, J = 7.7 Hz, 6H), 2.74 (t, J = 6.8 Hz, 6H), 3.69 (s, 9H), 4.57 (s, 6H), 5.26-5.39 (m, 12H).
N, N, N-trimethyl-1,3-bis ((9Z, 12Z) -octadeca-9,12-dienoyloxy) -2-(((9Z, 12Z) -octadeca-9,12-dienoyloxy) methyl) propane -2-Aminium chloride (Compound II-1)
Process 1
To a solution of 2- (dimethylamino) -2- (hydroxymethyl) propane-1,3-diol (Zylexa Pharma, 0.252 g, 1.69 mmol) in chloroform (10 mL) (9Z, 12Z) -Octadeca-9,12-dienoic acid (2.37 g, 8.45 mmol), 1-ethyl-3- (3-dimethylaminopropyl) carbodiimide hydrochloride (1.62 g, 8.45 mmol) and N, N-dimethylaminopyridine (0.206 g, 1.69 mmol) was added and stirred at 60 ° C. overnight. After cooling to room temperature, the mixture was concentrated under reduced pressure. The obtained residue was purified by silica gel column chromatography (chloroform / methanol = 100/0) to obtain (9Z, 9'Z, 12Z, 12'Z) -2- (dimethylamino) -2-(((9Z, 12Z) -Octadeca-9,12-dienoyloxy) methyl) propane-1,3-diyl dioctadeca-9,12-dienoate (0.334 g, 0.356 mmol, 21% yield) was obtained.
ESI-MS m / z: 937 (M + H) + .
Process 2
(9Z, 9'Z, 12Z, 12'Z) -2- (dimethylamino) -2-(((9Z, 12Z) -octadec-9,12-dienoyloxy) methyl) propane-1 obtained in step 1 Methyl iodide (0.216 mL) was added to a chloroform (3 mL) solution of 1,3-diyl dioctadec-9,12-dienoate (0.324 g, 0.346 mmol), and the mixture was stirred at room temperature for 5 hours. Methyl iodide (0.216 mL) was added to the reaction mixture, and the mixture was stirred at room temperature overnight. The reaction solution was concentrated under reduced pressure. Dissolve the residue in a small amount of methanol-chloroform (1: 1) to ion exchange resin (Dow Chemical, Dowex (TM) 1x-2 100 mesh, Cl type, approx. Loaded and eluted with methanol-chloroform (1: 1). The eluate was concentrated under reduced pressure, and the resulting residue was purified by silica gel column chromatography (chloroform / methanol = 100/0 to 90/10) to give the title compound (0.161 g, 0.164 mmol, 47% yield). Obtained.
ESI-MS m / z: 951 (M) + ; 1 H-NMR (CDCl 3 ) δ: 0.86 (t, J = 6.9 Hz, 9H), 1.22-1.36 (m, 42H), 1.54-1.61 (m, 6H), 2.02 (q, J = 6.8 Hz, 12H), 2.34 (t, J = 7.7 Hz, 6H), 2.74 (t, J = 6.8 Hz, 6H), 3.69 (s, 9H), 4.57 (s, 6H), 5.26-5.39 (m, 12H).
N,N,N-トリメチル-1,3-ビス((Z)-テトラデカ-9-エノイルオキシ)-2-(((Z)-テトラデカ-9-エノイルオキシ)メチル)プロパン-2-アミニウム クロリド (化合物II-2)
実施例8と同様の方法で、(9Z, 12Z)-オクタデカ-9,12-ジエン酸の代わりにcis-9-テトラデセン酸 (Nu-Chek Prep,Inc社製) を用い、標記の化合物 (0.0854 g, 0.104 mmol, 通し収率16%)を得た。
ESI-MS m/z: 789 (M)+; 1H-NMR (CDCl3) δ: 0.89 (t, J = 7.1 Hz, 9H), 1.27-1.36 (m, 36H), 1.58-1.64 (m, 6H), 2.02 (q, J = 6.5 Hz, 12H), 2.37 (t, J = 7.6 Hz, 6H), 3.72 (s, 9H), 4.55 (s, 6H), 5.30-5.38 (m, 6H).
N, N, N-trimethyl-1,3-bis ((Z) -tetradec-9-enoyloxy) -2-(((Z) -tetradec-9-enoyloxy) methyl) propane-2-aminium chloride (Compound II -2)
In the same manner as in Example 8, using cis-9-tetradecenoic acid (Nu-Chek Prep, Inc.) instead of (9Z, 12Z) -octadeca-9,12-dienoic acid, the title compound (0.0854 g, 0.104 mmol, through yield 16%).
ESI-MS m / z: 789 (M) + ; 1 H-NMR (CDCl 3 ) δ: 0.89 (t, J = 7.1 Hz, 9H), 1.27-1.36 (m, 36H), 1.58-1.64 (m, 6H), 2.02 (q, J = 6.5 Hz, 12H), 2.37 (t, J = 7.6 Hz, 6H), 3.72 (s, 9H), 4.55 (s, 6H), 5.30-5.38 (m, 6H).
N,N,N-トリメチル-1,3-ビス(オレオイルオキシ)-2-(オレオイルオキシメチル)プロパン-2-アミニウム クロリド (化合物II-3)
実施例8と同様の方法で、(9Z, 12Z)-オクタデカ-9,12-ジエン酸の代わりにオレイン酸を用い、標記の化合物 (1.14 g, 1.15 mmol, 通し収率34%)を得た。
ESI-MS m/z: 957 (M)+; 1H-NMR (CDCl3) δ: 0.83 (t, J = 6.9 Hz, 9H), 1.17-1.32 (m, 60H), 1.51-1.59 (m, 6H), 1.96 (t, J = 5.5 Hz, 12H), 2.32 (t, J = 7.6 Hz, 6H), 3.70 (s, 9H), 4.56 (s, 6H), 5.25-5.34 (m, 6H).
N, N, N-trimethyl-1,3-bis (oleoyloxy) -2- (oleoyloxymethyl) propane-2-aminium chloride (Compound II-3)
In the same manner as in Example 8, using oleic acid instead of (9Z, 12Z) -octadeca-9,12-dienoic acid, the title compound (1.14 g, 1.15 mmol, overall yield 34%) was obtained. .
ESI-MS m / z: 957 (M) + ; 1 H-NMR (CDCl 3 ) δ: 0.83 (t, J = 6.9 Hz, 9H), 1.17-1.32 (m, 60H), 1.51-1.59 (m, 6H), 1.96 (t, J = 5.5 Hz, 12H), 2.32 (t, J = 7.6 Hz, 6H), 3.70 (s, 9H), 4.56 (s, 6H), 5.25-5.34 (m, 6H).
N,N,N-トリメチル-1,3-ビス(ステアロイルオキシ)-2-(ステアロイルオキシメチル)プロパン-2-アミニウム クロリド (化合物II-4)
工程1
2-(ジメチルアミノ)-2-(ヒドロキシメチル)プロパン-1,3-ジオール (0.100g, 0.670 mmol)にトルエン (10 mL)、ステアリン酸 (東京化成工業社製, 0.763 g, 2.68 mmol)、p-トルエンスルホン酸一水和物 (0.191 g, 1.01 mmol)を順に加え、加熱還流条件下で終夜攪拌した。反応液を減圧下濃縮し、得られた残渣をアミノシリカゲルカラムクロマトグラフィー(クロロホルム)で精製して、2-(ジメチルアミノ)-2-((ステアロイルオキシ)メチル)プロパン-1,3-ジイル ジステアラート (0.120 g, 0.127 mmol, 収率19%)を得た。
ESI-MS m/z: 948 (M + H)+
工程2
工程1で得られた、2-(ジメチルアミノ)-2-((ステアロイルオキシ)メチル)プロパン-1,3-ジイル ジステアラート(0.120 g, 0.127 mmol)を用いて、実施例1工程2と同様にして、標記化合物(0.0260 g, 0.0260 mmol, 収率21%)を得た。
ESI-MS m/z: 963 (M)+; 1H-NMR (CDCl3) δ: 0.88 (t, J = 7.0 Hz, 9H), 1.22-1.36 (m, 84H), 1.56-1.65 (m, 6H), 2.37 (t, J = 7.6 Hz, 6H), 3.72 (s, 9H), 4.56 (s, 6H).
N, N, N-Trimethyl-1,3-bis (stearoyloxy) -2- (stearoyloxymethyl) propane-2-aminium chloride (Compound II-4)
Process 1
2- (dimethylamino) -2- (hydroxymethyl) propane-1,3-diol (0.100 g, 0.670 mmol) to toluene (10 mL), stearic acid (manufactured by Tokyo Chemical Industry Co., Ltd., 0.763 g, 2.68 mmol), p-Toluenesulfonic acid monohydrate (0.191 g, 1.01 mmol) was added in order, and the mixture was stirred overnight under heating under reflux. The reaction mixture was concentrated under reduced pressure, and the resulting residue was purified by amino silica gel column chromatography (chloroform) to give 2- (dimethylamino) -2-((stearoyloxy) methyl) propane-1,3-diyl distearate. (0.120 g, 0.127 mmol, 19% yield) was obtained.
ESI-MS m / z: 948 (M + H) +
Process 2
Using 2- (dimethylamino) -2-((stearoyloxy) methyl) propane-1,3-diyl distearate (0.120 g, 0.127 mmol) obtained in Step 1, as in Step 1 of Example 1. The title compound (0.0260 g, 0.0260 mmol, yield 21%) was obtained.
ESI-MS m / z: 963 (M) + ; 1 H-NMR (CDCl 3 ) δ: 0.88 (t, J = 7.0 Hz, 9H), 1.22-1.36 (m, 84H), 1.56-1.65 (m, 6H), 2.37 (t, J = 7.6 Hz, 6H), 3.72 (s, 9H), 4.56 (s, 6H).
1,3-ビス((Z)-ヘキサデカ-9-エノイルオキシ)-2-(((Z)-ヘキサデカ-9-エノイルオキシ)メチル)-N,N,N-トリメチルプロパン-2-アミニウム クロリド (化合物II-5)
実施例8と同様の方法で、(9Z, 12Z)-オクタデカ-9,12-ジエン酸の代わりにcis-9-ヘキサデセン酸を用い、標記の化合物 (0.680 g, 0.748 mmol, 通し収率63%)を得た。
ESI-MS m/z: 873 (M)+; 1H-NMR (CDCl3) δ: 0.88 (t, J = 7.0 Hz, 9H), 1.24-1.36 (m, 48H), 1.56-1.67 (m, 13H), 1.98-2.05 (m, 12H), 2.37 (t, J= 7.6 Hz, 6H), 3.75 (s, 9H), 4.53 (s, 6H), 5.29-5.40 (m, 6H).
1,3-bis ((Z) -hexadec-9-enoyloxy) -2-(((Z) -hexadec-9-enoyloxy) methyl) -N, N, N-trimethylpropane-2-aminium chloride (compound II -Five)
In the same manner as in Example 8, using cis-9-hexadecenoic acid instead of (9Z, 12Z) -octadeca-9,12-dienoic acid, the title compound (0.680 g, 0.748 mmol, overall yield 63% )
ESI-MS m / z: 873 (M) + ; 1 H-NMR (CDCl 3 ) δ: 0.88 (t, J = 7.0 Hz, 9H), 1.24-1.36 (m, 48H), 1.56-1.67 (m, 13H), 1.98-2.05 (m, 12H), 2.37 (t, J = 7.6 Hz, 6H), 3.75 (s, 9H), 4.53 (s, 6H), 5.29-5.40 (m, 6H).
N,N,N-トリメチル-1,3-ビス((9Z,12Z)-オクタデカ-9,12-ジエニルオキシ)-2-(((9Z,12Z)-オクタデカ-9,12-ジエニルオキシ)メチル)プロパン-2-アミニウム クロリド (化合物II-6)
工程1
2-ジメチルアミノ-2-ヒドロキシメチルプロパン-1,3-ジオール (Zylexa Pharma 社製, 0.115 g, 0.768 mmol) のトルエン (5 mL) 溶液に水素化ナトリウム (ナカライテスク社製, 油性, 60%, 0.154 g, 3.84 mmol) および (9Z,12Z)-オクタデカ-9,12-ジエニル メタンスルホナート (1.32 g, 3.84 mmol) を加えて加熱還流下で終夜攪拌した。室温まで冷却後、反応液に飽和炭酸水素ナトリウム水溶液を加えてヘキサンで抽出した。有機層を無水硫酸マグネシウムで乾燥し、ろ過し、減圧下濃縮した。得られた残渣をアミノシリカゲルカラムクロマトグラフィー (ヘキサン/酢酸エチル = 100/0~95/5) で精製して N,N-ジメチル-1,3-ビス((9Z,12Z)-オクタデカ-9,12-ジエニルオキシ)-2-(((9Z,12Z)-オクタデカ-9,12-ジエニルオキシ)メチル)プロパン-2-アミン (0.195 g, 0.217 mmol, 収率28%) を得た。
ESI-MS m/z: 895 (M + H)+.
工程2
工程1で得られた N,N-ジメチル-1,3-ビス((9Z,12Z)-オクタデカ-9,12-ジエニルオキシ)-2-(((9Z,12Z)-オクタデカ-9,12-ジエニルオキシ)メチル)プロパン-2-アミン (0.0849 g, 0.0949 mmol) のクロロホルム (1 mL)溶液にヨウ化メチル (0.119 mL)を加え、室温で終夜撹拌した。反応液を減圧下濃縮した。残渣を少量のメタノール-クロロホルム (1:1)に溶解してイオン交換樹脂 (Dow Chemical製, Dowex(TM) 1x-2 100 mesh, Cl型, 約20倍量, 水およびメタノールでプレ洗浄)にロードし、メタノール-クロロホルム(1:1)で溶出した。溶出液を減圧下濃縮し、得られた残渣をシリカゲルカラムクロマトグラフィー (クロロホルム/メタノール = 100/0~90/10)で精製して標記の化合物 (0.0646 g, 0.0684 mmol, 収率72%)を得た。
ESI-MS m/z: 909 (M)+; 1H-NMR (CDCl3) δ: 0.89 (t, J = 6.9 Hz, 9H), 1.25-1.40 (m, 48H), 1.55-1.63 (m, 6H), 2.02-2.09 (m, 12H), 2.77 (t, J= 6.8 Hz, 6H), 3.44 (t, J = 6.6 Hz, 6H), 3.62 (s, 9H), 3.82 (s, 6H), 5.29-5.42 (m, 12H).
N, N, N-trimethyl-1,3-bis ((9Z, 12Z) -octadeca-9,12-dienyloxy) -2-(((9Z, 12Z) -octadeca-9,12-dienyloxy) methyl) propane -2-Aminium chloride (Compound II-6)
Process 1
Sodium hydride (Nacalai Tesque, oily, 60%) in a solution of 2-dimethylamino-2-hydroxymethylpropane-1,3-diol (Zylexa Pharma, 0.115 g, 0.768 mmol) in toluene (5 mL) 0.154 g, 3.84 mmol) and (9Z, 12Z) -octadeca-9,12-dienyl methanesulfonate (1.32 g, 3.84 mmol) were added, and the mixture was stirred overnight with heating under reflux. After cooling to room temperature, saturated aqueous sodium hydrogen carbonate solution was added to the reaction mixture, and the mixture was extracted with hexane. The organic layer was dried over anhydrous magnesium sulfate, filtered and concentrated under reduced pressure. The resulting residue was purified by amino silica gel column chromatography (hexane / ethyl acetate = 100/0 to 95/5) to give N, N-dimethyl-1,3-bis ((9Z, 12Z) -octadeca-9, 12-dienyloxy) -2-(((9Z, 12Z) -octadeca-9,12-dienyloxy) methyl) propan-2-amine (0.195 g, 0.217 mmol, 28% yield) was obtained.
ESI-MS m / z: 895 (M + H) + .
Process 2
N, N-dimethyl-1,3-bis ((9Z, 12Z) -octadeca-9,12-dienyloxy) -2-(((9Z, 12Z) -octadeca-9,12-dienyloxy) obtained in step 1 Methyl iodide (0.119 mL) was added to a solution of) methyl) propan-2-amine (0.0849 g, 0.0949 mmol) in chloroform (1 mL), and the mixture was stirred at room temperature overnight. The reaction solution was concentrated under reduced pressure. Dissolve the residue in a small amount of methanol-chloroform (1: 1) to ion exchange resin (Dow Chemical, Dowex (TM) 1x-2 100 mesh, Cl type, approx. Loaded and eluted with methanol-chloroform (1: 1). The eluate was concentrated under reduced pressure, and the resulting residue was purified by silica gel column chromatography (chloroform / methanol = 100/0 to 90/10) to give the title compound (0.0646 g, 0.0684 mmol, 72% yield). Obtained.
ESI-MS m / z: 909 (M) + ; 1 H-NMR (CDCl 3 ) δ: 0.89 (t, J = 6.9 Hz, 9H), 1.25-1.40 (m, 48H), 1.55-1.63 (m, 6H), 2.02-2.09 (m, 12H), 2.77 (t, J = 6.8 Hz, 6H), 3.44 (t, J = 6.6 Hz, 6H), 3.62 (s, 9H), 3.82 (s, 6H), 5.29-5.42 (m, 12H).
N,N,N-トリメチル-1,3-ビス((Z)-テトラデカ-9-エニルオキシ)-2-(((Z)-テトラデカ-9-エニルオキシ)メチル)プロパン-2-アミニウム クロリド (化合物II-7)
実施例13と同様の方法で、(9Z,12Z)-オクタデカ-9,12-ジエニル メタンスルホナートの代わりにミリストレイル メタンスルホナート(Nu-Chek Prep,Inc製) を用い、標記の化合物(0.0729 g, 0.0931 mmol, 通し収率12%)を得た。
ESI-MS m/z: 747 (M)+; 1H-NMR (CDCl3) δ: 0.90 (t, J = 7.1 Hz, 9H), 1.27-1.37 (m, 42H), 1.54-1.61 (m, 6H), 2.02 (q, J = 6.5 Hz, 12H), 3.43 (t, J = 6.6 Hz, 6H), 3.64 (s, 8H), 3.81 (s, 6H), 5.31-5.39 (m, 6H).
N, N, N-trimethyl-1,3-bis ((Z) -tetradec-9-enyloxy) -2-(((Z) -tetradec-9-enyloxy) methyl) propane-2-aminium chloride (compound II -7)
In the same manner as in Example 13, using myristoyl methanesulfonate (manufactured by Nu-Chek Prep, Inc) instead of (9Z, 12Z) -octadeca-9,12-dienyl methanesulfonate, the title compound (0.0729 g, 0.0931 mmol, through yield 12%).
ESI-MS m / z: 747 (M) + ; 1 H-NMR (CDCl 3 ) δ: 0.90 (t, J = 7.1 Hz, 9H), 1.27-1.37 (m, 42H), 1.54-1.61 (m, 6H), 2.02 (q, J = 6.5 Hz, 12H), 3.43 (t, J = 6.6 Hz, 6H), 3.64 (s, 8H), 3.81 (s, 6H), 5.31-5.39 (m, 6H).
1,3-ビス((Z)-ヘキサデカ-9-エニルオキシ)-2-(((Z)-ヘキサデカ-9-エニルオキシ)メチル)-N,N,N-トリメチルプロパンー2-アミニウム クロリド (化合物II-8)
実施例13と同様の方法で、(9Z,12Z)-オクタデカ-9,12-ジエニル メタンスルホナートの代わりにパルミトレイル メタンスルホナート(Nu-Chek Prep,Inc製)を用い、標記の化合物(0.466 g, 0.538 mmol, 通し収率71%)を得た。
ESI-MS m/z: 831 (M)+; 1H-NMR (CDCl3) δ: 0.88 (t, J = 6.8 Hz, 9H), 1.23-1.37 (m, 54H), 1.53-1.61 (m, 14H), 2.02 (q, J = 5.8 Hz, 12H), 3.43 (t, J = 6.5 Hz, 6H), 3.65 (s, 9H), 3.81 (s, 6H), 5.30-5.40 (m, 6H).
1,3-bis ((Z) -hexadec-9-enyloxy) -2-(((Z) -hexadeca-9-enyloxy) methyl) -N, N, N-trimethylpropane-2-aminium chloride (compound II -8)
In the same manner as in Example 13, instead of (9Z, 12Z) -octadeca-9,12-dienyl methanesulfonate, palmitoleyl methanesulfonate (manufactured by Nu-Chek Prep, Inc.) was used, and g, 0.538 mmol, yield 71%).
ESI-MS m / z: 831 (M) + ; 1 H-NMR (CDCl 3 ) δ: 0.88 (t, J = 6.8 Hz, 9H), 1.23-1.37 (m, 54H), 1.53-1.61 (m, 14H), 2.02 (q, J = 5.8 Hz, 12H), 3.43 (t, J = 6.5 Hz, 6H), 3.65 (s, 9H), 3.81 (s, 6H), 5.30-5.40 (m, 6H).
(6Z,9Z,40Z,43Z)-N,N,N-トリメチル-25-((3-((9Z,12Z)-オクタデカ-9,12-ジエニルオキシ)-3-オキソプロポキシ)メチル)-20,30-ジオキソ-19,23,27,31-テトラオキサノナテトラコンタ-6,9,40,43-テトラエン-25-アミニウム クロリド (化合物II-9)
工程1
“ジャーナル・オブ・オーガニック・ケミストリー(J.Org.Chem.)”,2002年, 第67巻, p.1411-1413に記載の方法に準じた方法で合成したジ-tert-ブチル 3,3'-((2-アミノ-2-((3-(tert-ブトキシ)-3-オキソプロポキシ)メチル)プロパン-1,3-ジイル)ビス(オキシ))ジプロパノエート (0.500 g, 0.989 mmol)をジクロロメタン(5 mL)に溶解させ、ヨウ化メチル(1.40 g, 9.89 mmol)を加えて、室温で終夜攪拌した。反応液を減圧下濃縮した。残渣を少量のメタノール-クロロホルム (1:1)に溶解してイオン交換樹脂 (Dowex(TM) 1x-2 100 mesh, Cl型, 約20倍量, 水およびメタノールでプレ洗浄)にロードし、メタノールで溶出した。溶出液を減圧下濃縮し、得られた残渣をシリカゲルカラムクロマトグラフィー(クロロホルム/メタノール = 97/3~80/20)で精製して9-((3-(tert-ブトキシ)-3-オキソプロポキシ)メチル)-N,N,N,2,2,16,16-ヘプタメチル-4,14-ジオキソ-3,7,11,15-テトラオキサヘプタデカン-9-アミニウム クロリド (0.144 g, 0.246 mmol, 収率25%)を得た。
ESI-MS m/z: 548 (M + H)+.
工程2
工程1で得られた9-((3-(tert-ブトキシ)-3-オキソプロポキシ)メチル)-N,N,N,2,2,16,16-ヘプタメチル-4,14-ジオキソ-3,7,11,15-テトラオキサヘプタデカン-9-アミニウム クロリド (0.350 g, 0.246 mmol)をジクロロメタン (2 mL)に溶解させ、トリフルオロ酢酸 (0.380 mL, 4.92 mmol)を加えて、室温で3時間攪拌した。反応液にトルエンを加えて、減圧下濃縮することで、1,3-ビス(2-カルボキシエトキシ)-2-((2-カルボキシエトキシ)メチル)-N,N,N-トリメチルプロパン-2-アミニウム クロリド トリフルオロ酢酸塩の粗生成物 (0.102 g, 0.246 mmol, 粗収率100%)を得た。
ESI-MS m/z: 422 (M + H)+
工程3
工程2で得られた1,3-ビス(2-カルボキシエトキシ)-2-((2-カルボキシエトキシ)メチル)-N,N,N-トリメチルプロパン-2-アミニウム クロリド トリフルオロ酢酸塩の粗生成物 (0.055 g, 0.13 mmol)をジクロロメタン (2 mL)に溶解させ、O-(7-アザ-1H-ベンゾトリアゾール-1-イル)-N,N,N',N'-テトラメチルウロニウム ヘキサフルオロフォスフェート (和光純薬工業社製, 0.20 g, 0.53 mmol)、N,N-ジイソプロピルエチルアミン (0.23 mL, 1.3 mmol)、および(9Z,12Z)-オクタデカ-9,12-ジエン-1-オール(東京化成工業社製, 0.141 g, 0.53 mmol)を加え、室温で終夜攪拌した。反応液に水を加えて、クロロホルムで抽出した。有機層を飽和食塩水で洗浄し、無水硫酸マグネシウムで乾燥し、ろ過し、減圧下濃縮した。得られた残渣をシリカゲルカラムクロマトグラフィー(クロロホルム/メタノール = 90/10~80/20)で精製して標記の化合物 (8.0 mg, 6.9 mmol, 収率5%)を得た。
ESI-MS m/z: 1125 (MH)+; 1H-NMR (CDCl3) δ: 0.89 (t, J = 7.0 Hz, 9H), 1.25-1.39 (m, 48H), 1.58-1.66 (m, 6H), 2.05 (q, J = 6.9 Hz, 12H), 2.59 (t, J = 5.7 Hz, 6H), 2.77 (t, J = 6.7 Hz, 6H), 3.42 (s, 9H), 3.74 (t, J = 5.7 Hz, 6H), 4.00 (s, 6H), 4.07 (t, J = 6.8 Hz, 6H), 5.29-5.40 (m, 12H).
(6Z, 9Z, 40Z, 43Z) -N, N, N-trimethyl-25-((3-((9Z, 12Z) -octadeca-9,12-dienyloxy) -3-oxopropoxy) methyl) -20, 30-dioxo-19,23,27,31-tetraoxanonatetraconta-6,9,40,43-tetraene-25-aminium chloride (compound II-9)
Process 1
Di-tert-butyl 3,3 ′ synthesized by a method according to the method described in “Journal of Organic Chemistry”, 2002, Vol. 67, p.1411-1413 -((2-amino-2-((3- (tert-butoxy) -3-oxopropoxy) methyl) propane-1,3-diyl) bis (oxy)) dipropanoate (0.500 g, 0.989 mmol) in dichloromethane ( 5 mL), methyl iodide (1.40 g, 9.89 mmol) was added, and the mixture was stirred at room temperature overnight. The reaction solution was concentrated under reduced pressure. Dissolve the residue in a small amount of methanol-chloroform (1: 1) and load it onto an ion exchange resin (Dowex (TM) 1x-2 100 mesh, Cl type, approx. 20 times volume, pre-washed with water and methanol). Eluted with. The eluate was concentrated under reduced pressure, and the resulting residue was purified by silica gel column chromatography (chloroform / methanol = 97 / 3-80 / 20) to give 9-((3- (tert-butoxy) -3-oxopropoxy. ) Methyl) -N, N, N, 2,2,16,16-heptamethyl-4,14-dioxo-3,7,11,15-tetraoxaheptadecan-9-aminium chloride (0.144 g, 0.246 mmol, Yield 25%).
ESI-MS m / z: 548 (M + H) + .
Process 2
9-((3- (tert-butoxy) -3-oxopropoxy) methyl) -N, N, N, 2,2,16,16-heptamethyl-4,14-dioxo-3 obtained in step 1 Dissolve 7,11,15-tetraoxaheptadecane-9-aminium chloride (0.350 g, 0.246 mmol) in dichloromethane (2 mL), add trifluoroacetic acid (0.380 mL, 4.92 mmol), and at room temperature for 3 hours. Stir. Toluene was added to the reaction solution and concentrated under reduced pressure to obtain 1,3-bis (2-carboxyethoxy) -2-((2-carboxyethoxy) methyl) -N, N, N-trimethylpropane-2- A crude product of aminium chloride trifluoroacetate (0.102 g, 0.246 mmol, crude yield 100%) was obtained.
ESI-MS m / z: 422 (M + H) +
Process 3
Crude formation of 1,3-bis (2-carboxyethoxy) -2-((2-carboxyethoxy) methyl) -N, N, N-trimethylpropane-2-aminium chloride trifluoroacetate obtained in step 2 (0.055 g, 0.13 mmol) was dissolved in dichloromethane (2 mL) and O- (7-aza-1H-benzotriazol-1-yl) -N, N, N ', N'-tetramethyluronium hexa Fluorophosphate (Wako Pure Chemical Industries, 0.20 g, 0.53 mmol), N, N-diisopropylethylamine (0.23 mL, 1.3 mmol), and (9Z, 12Z) -octadeca-9,12-dien-1-ol (Tokyo Chemical Industry Co., Ltd., 0.141 g, 0.53 mmol) was added, and the mixture was stirred overnight at room temperature. Water was added to the reaction solution and extracted with chloroform. The organic layer was washed with saturated brine, dried over anhydrous magnesium sulfate, filtered, and concentrated under reduced pressure. The obtained residue was purified by silica gel column chromatography (chloroform / methanol = 90 / 10-80 / 20) to obtain the title compound (8.0 mg, 6.9 mmol, yield 5%).
ESI-MS m / z: 1125 (MH) + ; 1 H-NMR (CDCl 3 ) δ: 0.89 (t, J = 7.0 Hz, 9H), 1.25-1.39 (m, 48H), 1.58-1.66 (m, 6H), 2.05 (q, J = 6.9 Hz, 12H), 2.59 (t, J = 5.7 Hz, 6H), 2.77 (t, J = 6.7 Hz, 6H), 3.42 (s, 9H), 3.74 (t, J = 5.7 Hz, 6H), 4.00 (s, 6H), 4.07 (t, J = 6.8 Hz, 6H), 5.29-5.40 (m, 12H).
(7Z,38Z)-23-((3-((Z)-ヘキサデカ-9-エニルオキシ)-3-オキソプロポキシ)メチル)-N,N,N-トリメチル-18,28-ジオキソ-17,21,25,29-テトラオキサペンタテトラコンタ-7,38-ジエン-23-アミニウム クロリド (化合物II-10)
実施例16と同様の方法で、(9Z,12Z)-オクタデカ-9,12-ジエン-1-オールの代わりに(Z)-ヘキサデカ-9-エン-1-オール (Nu-Chek Prep,Inc社製)を用い、標記の化合物(0.145 g, 0.134 mmol, 通し収率17%)を得た。
ESI-MS m/z: 1047 (M)+; 1H-NMR (CDCl3) δ: 0.88 (t, J = 7.0 Hz, 9H), 1.24-1.38 (m, 54H), 1.58-1.66 (m, 6H), 1.98-2.05 (m, 12H), 2.58 (t, J = 5.7 Hz, 6H), 3.47 (s, 9H), 3.74 (t, J = 5.7 Hz, 6H), 4.02 (s, 6H), 4.07 (t, J = 6.8 Hz, 6H), 5.30-5.40 (m, 6H).
(7Z, 38Z) -23-((3-((Z) -Hexadeca-9-enyloxy) -3-oxopropoxy) methyl) -N, N, N-trimethyl-18,28-dioxo-17,21, 25,29-Tetraoxapentatetraconta-7,38-diene-23-aminium chloride (Compound II-10)
In the same manner as in Example 16, instead of (9Z, 12Z) -octadeca-9,12-dien-1-ol, (Z) -hexadeca-9-en-1-ol (Nu-Chek Prep, Inc. The title compound (0.145 g, 0.134 mmol, overall yield 17%) was obtained.
ESI-MS m / z: 1047 (M) + ; 1 H-NMR (CDCl 3 ) δ: 0.88 (t, J = 7.0 Hz, 9H), 1.24-1.38 (m, 54H), 1.58-1.66 (m, 6H), 1.98-2.05 (m, 12H), 2.58 (t, J = 5.7 Hz, 6H), 3.47 (s, 9H), 3.74 (t, J = 5.7 Hz, 6H), 4.02 (s, 6H), 4.07 (t, J = 6.8 Hz, 6H), 5.30-5.40 (m, 6H).
(5Z,36Z)-N,N,N-トリメチル-16,26-ジオキソ-21-((3-オキソ-3-((Z)-テトラデカ-9-エニルオキシ)プロポキシ)メチル)-15,19,23,27-テトラオキサヘンテトラコンタ-5,36-ジエン-21-アミニウム クロリド (化合物II-11)
実施例16と同様の方法で、(9Z,12Z)-オクタデカ-9,12-ジエン-1-オールの代わりに(Z)-テトラデカ-9-エン-1-オール (Nu-Chek Prep,Inc社製)を用い、標記の化合物(0.189 g, 0.189 mmol, 通し収率24%)を得た。
ESI-MS m/z: 963 (M)+;1H-NMR (CDCl3) δ: 0.87-0.92 (m, 9H), 1.25-1.38 (m, 42H), 1.55-1.66 (m, 6H), 1.98-2.05 (m, 12H), 2.58 (t, J = 5.7 Hz, 6H), 3.47 (s, 9H), 3.75 (t, J = 5.7 Hz, 6H), 4.01 (s, 6H), 4.07 (t, J= 6.8 Hz, 6H), 5.30-5.41 (m, 6H).
(5Z, 36Z) -N, N, N-trimethyl-16,26-dioxo-21-((3-oxo-3-((Z) -tetradec-9-enyloxy) propoxy) methyl) -15,19, 23,27-Tetraoxachentetraconta-5,36-diene-21-aminium chloride (Compound II-11)
In the same manner as in Example 16, instead of (9Z, 12Z) -octadeca-9,12-dien-1-ol, (Z) -tetradec-9-en-1-ol (Nu-Chek Prep, Inc. The title compound (0.189 g, 0.189 mmol, overall yield 24%) was obtained.
ESI-MS m / z: 963 (M) + ; 1 H-NMR (CDCl 3 ) δ: 0.87-0.92 (m, 9H), 1.25-1.38 (m, 42H), 1.55-1.66 (m, 6H), 1.98-2.05 (m, 12H), 2.58 (t, J = 5.7 Hz, 6H), 3.47 (s, 9H), 3.75 (t, J = 5.7 Hz, 6H), 4.01 (s, 6H), 4.07 (t , J = 6.8 Hz, 6H), 5.30-5.41 (m, 6H).
(11Z,14Z)-N,N,N-トリメチル-2-(((9Z,12Z)-オクタデカ-9,12-ジエノイルオキシ)メチル)-2-((9Z,12Z)-オクタデカ-9,12-ジエニル)イコサ-11,14-ジエン-1-アミニウム クロリド (化合物II-12)
工程1
シアノ酢酸エチル (東京化成工業社製, 1.00 g, 8,84 mmol)と(9Z,12Z)-オクタデカ-9,12-ジエニル メタンスルホナート (7.62 g, 22.1 mmol) をテトラヒドロフラン (30 mL)に溶解させ、氷冷下水素化ナトリウム (油性, 60%, 1.06 g, 26.5 mmol)、およびヨウ化テトラ-n-ブチルアンモニウム (ナカライテスク社製, 3.27 g, 8.84 mmol)を加えた。発泡が収まった後、60℃で3時間攪拌した。反応液に水を加えて、ヘキサンで抽出した。有機層を飽和食塩水で洗浄し、無水硫酸マグネシウムで乾燥し、ろ過した。減圧下濃縮することで、(11Z,14Z)-エチル 2-シアノ-2-((9Z,12Z)-オクタデカ-9,12-ジエン-1-イル)イコサ-11,14-ジエノエートの粗生成物 (3.50 g, 5.74 mmol, 粗収率65%)を得た。
工程2
工程1で得られた(11Z,14Z)-エチル 2-シアノ-2-((9Z,12Z)-オクタデカ-9,12-ジエン-1-イル)イコサ-11,14-ジエノエートの粗生成物 1.50 g, 2.46 mmol)をテトラヒドロフラン(10 mL)に溶解し、氷冷下水素化アルミニウムリチウム (純正化学社製, 0.467 g, 12.3 mmol)を加え、30分間攪拌した。反応液に水 (0.5 mL), 15%水酸化ナトリウム水溶液 (0.5 mL), 水 (1.5 mL)、硫酸マグネシウムを順に加え、しばらく攪拌した後ろ過した。減圧下濃縮し、得られた残渣をシリカゲルカラムクロマトグラフィー(クロロホルム/メタノール = 99/1~85/15)で精製して(11Z,14Z)-2-(アミノエチル)-2-((9Z,12Z)-オクタデカ-9,12-ジエン-1-イル)イコサ-11,14-ジエン-1-オール (1.00 g, 2.46 mmol, 収率71%)を得た。
ESI-MS m/z: 573 (M + H)+.
工程3
工程2で得られた(11Z,14Z)-2-(アミノエチル)-2-((9Z,12Z)-オクタデカ-9,12-ジエン-1-イル)イコサ-11,14-ジエン-1-オール (0.350 g, 0.612 mmol)をアセトニトリル (2 mL)とテトラヒドロフラン (2 mL)に溶解し、 38%ホルムアルデヒド水溶液 (和光純薬工業社製, 0.145 mL, 1.84 mmol)、酢酸 (0.035 mL, 0.612 mmol)、およびナトリウムトリアセトキシボロヒドリド (Acros Organics(アクロスオーガニクス)社製, 0.389 g, 1.84 mmol) を加えて、室温で終夜攪拌した。反応液に水を加えて、クロロホルムで抽出した。有機層を飽和食塩水で洗浄し、無水硫酸マグネシウムで乾燥し、ろ過した。得られた残渣をシリカゲルカラムクロマトグラフィー(クロロホルム/メタノール = 99/1~85/15)で精製して(11Z,14Z)-2-((ジメチルアミノ)メチル)-2-((9Z,12Z)-オクタデカ-9,12-ジエン-1-イル)イコサ-11,14-ジエン-1-オール(0.252 g, 0.420 mmol, 収率69 %)を得た。
ESI-MS m/z: 600 (M + H)+
工程4
工程3で得られた(11Z,14Z)-2-((ジメチルアミノ)メチル)-2-((9Z,12Z)-オクタデカ-9,12-ジエン-1-イル)イコサ-11,14-ジエン-1-オール(0.252 g, 0.420 mmol)のジクロロメタン (4 mL)溶液に、(9Z,12Z)-オクタデカ-9,12-ジエン酸 (0.141 g, 0.504 mmol)、 O-(7-アザ-1H-ベンゾトリアゾール-1-イル)-N,N,N',N'-テトラメチルウロニウム ヘキサフルオロフォスフェート (0.192 mmol, 0.504 mmol)、N,N-ジイソプロピルエチルアミン(0.147 mL, 0.840 mmol)を順に加えて、室温で4時間攪拌した。反応液に水を加えてヘキサンで抽出した。有機層を水で洗浄し、無水硫酸マグネシウムで乾燥し、ろ過し、減圧下濃縮した。得られた残渣をシリカゲルカラムクロマトグラフィー(ヘキサン/酢酸エチル= 95/5~85/15)で精製することで、(9Z,12Z)-(11Z,14Z)-2-((ジメチルアミノ)メチル)-2-((9Z,12Z)- オクタデカ-9,12-ジエン-1-イル) イコサ-11,14-ジエン-1-イル オクタデカ-9,12-ジエノアート (0.307 g, 0.356 mmol, 収率85 %)を得た。
ESI-MS m/z: 863 (M + H)+
工程5
工程4で得られた(9Z,12Z)-(11Z,14Z)-2-((ジメチルアミノ)メチル)-2-((9Z,12Z)- オクタデカ-9,12-ジエン-1-イル) イコサ-11,14-ジエン-1-イル オクタデカ-9,12-ジエノアート (0.307 g, 0.356 mmol)を用いて、実施例1工程2と同様にして標記化合物 (0.260 g, 0.285 mmol, 収率80%)を得た。
ESI-MS m/z: 877 (M)+; 1H-NMR (CDCl3) δ:0.89 (t, J = 7.0 Hz, 9H), 1.22-1.48 (m, 54H), 1.60-1.66 (m, 2H), 2.05 (q, J = 6.8 Hz, 12H), 2.38 (t, J = 7.6 Hz, 2H), 2.77 (t, J= 6.3 Hz, 6H), 3.50 (s, 2H), 3.60 (s, 9H), 4.13 (s, 2H), 5.27-5.44 (m, 12H).
(11Z, 14Z) -N, N, N-trimethyl-2-(((9Z, 12Z) -octadeca-9,12-dienoyloxy) methyl) -2-((9Z, 12Z) -octadeca-9,12- Dienyl) icosa-11,14-dien-1-aminium chloride (compound II-12)
Process 1
Dissolve ethyl cyanoacetate (Tokyo Chemical Industry, 1.00 g, 8,84 mmol) and (9Z, 12Z) -octadeca-9,12-dienyl methanesulfonate (7.62 g, 22.1 mmol) in tetrahydrofuran (30 mL) Under ice-cooling, sodium hydride (oil, 60%, 1.06 g, 26.5 mmol) and tetra-n-butylammonium iodide (Nacalai Tesque, 3.27 g, 8.84 mmol) were added. After foaming subsided, the mixture was stirred at 60 ° C. for 3 hours. Water was added to the reaction solution and extracted with hexane. The organic layer was washed with saturated brine, dried over anhydrous magnesium sulfate, and filtered. By concentrating under reduced pressure, a crude product of (11Z, 14Z) -ethyl 2-cyano-2-((9Z, 12Z) -octadeca-9,12-dien-1-yl) icosa-11,14-dienoate (3.50 g, 5.74 mmol, crude yield 65%) was obtained.
Process 2
Crude product of (11Z, 14Z) -ethyl 2-cyano-2-((9Z, 12Z) -octadeca-9,12-dien-1-yl) icosa-11,14-dienoate obtained in Step 1 1.50 g, 2.46 mmol) was dissolved in tetrahydrofuran (10 mL), and lithium aluminum hydride (manufactured by Junsei Chemical Co., Ltd., 0.467 g, 12.3 mmol) was added under ice cooling, followed by stirring for 30 minutes. Water (0.5 mL), 15% aqueous sodium hydroxide solution (0.5 mL), water (1.5 mL) and magnesium sulfate were sequentially added to the reaction mixture, and the mixture was stirred for a while and then filtered. The residue obtained by concentration under reduced pressure was purified by silica gel column chromatography (chloroform / methanol = 99/1 to 85/15) to obtain (11Z, 14Z) -2- (aminoethyl) -2-((9Z, 12Z) -octadeca-9,12-dien-1-yl) icosa-11,14-dien-1-ol (1.00 g, 2.46 mmol, 71% yield) was obtained.
ESI-MS m / z: 573 (M + H) + .
Process 3
(11Z, 14Z) -2- (Aminoethyl) -2-((9Z, 12Z) -octadeca-9,12-dien-1-yl) icosa-11,14-diene-1- obtained in Step 2 All (0.350 g, 0.612 mmol) dissolved in acetonitrile (2 mL) and tetrahydrofuran (2 mL), 38% aqueous formaldehyde solution (Wako Pure Chemical Industries, 0.145 mL, 1.84 mmol), acetic acid (0.035 mL, 0.612 mmol) ) And sodium triacetoxyborohydride (Acros Organics, 0.389 g, 1.84 mmol) were added, and the mixture was stirred at room temperature overnight. Water was added to the reaction solution and extracted with chloroform. The organic layer was washed with saturated brine, dried over anhydrous magnesium sulfate, and filtered. The obtained residue was purified by silica gel column chromatography (chloroform / methanol = 99/1 to 85/15) to obtain (11Z, 14Z) -2-((dimethylamino) methyl) -2-((9Z, 12Z) -Octadeca-9,12-dien-1-yl) icosa-11,14-dien-1-ol (0.252 g, 0.420 mmol, yield 69%) was obtained.
ESI-MS m / z: 600 (M + H) +
Process 4
(11Z, 14Z) -2-((Dimethylamino) methyl) -2-((9Z, 12Z) -octadeca-9,12-dien-1-yl) icosa-11,14-diene obtained in Step 3 To a solution of 1-ol (0.252 g, 0.420 mmol) in dichloromethane (4 mL), (9Z, 12Z) -octadeca-9,12-dienoic acid (0.141 g, 0.504 mmol), O- (7-aza-1H -Benzotriazol-1-yl) -N, N, N ', N'-tetramethyluronium hexafluorophosphate (0.192 mmol, 0.504 mmol), N, N-diisopropylethylamine (0.147 mL, 0.840 mmol) in this order In addition, the mixture was stirred at room temperature for 4 hours. Water was added to the reaction solution and the mixture was extracted with hexane. The organic layer was washed with water, dried over anhydrous magnesium sulfate, filtered and concentrated under reduced pressure. The obtained residue was purified by silica gel column chromatography (hexane / ethyl acetate = 95/5 to 85/15) to obtain (9Z, 12Z)-(11Z, 14Z) -2-((dimethylamino) methyl) -2-((9Z, 12Z) -octadeca-9,12-dien-1-yl) icosa-11,14-dien-1-yl octadec-9,12-dienoate (0.307 g, 0.356 mmol, yield 85 %).
ESI-MS m / z: 863 (M + H) +
Process 5
(9Z, 12Z)-(11Z, 14Z) -2-((Dimethylamino) methyl) -2-((9Z, 12Z) -octadeca-9,12-dien-1-yl) icosa obtained in step 4 -11,14-Dien-1-yl octadeca-9,12-dienoate (0.307 g, 0.356 mmol) was used in the same manner as in Example 1, step 2 to give the title compound (0.260 g, 0.285 mmol, 80% yield). )
ESI-MS m / z: 877 (M) + ; 1 H-NMR (CDCl 3 ) δ: 0.89 (t, J = 7.0 Hz, 9H), 1.22-1.48 (m, 54H), 1.60-1.66 (m, 2H), 2.05 (q, J = 6.8 Hz, 12H), 2.38 (t, J = 7.6 Hz, 2H), 2.77 (t, J = 6.3 Hz, 6H), 3.50 (s, 2H), 3.60 (s, 9H), 4.13 (s, 2H), 5.27-5.44 (m, 12H).
N,N,N-トリメチル-3-((11Z,14Z)-2-(((9Z,12Z)-オクタデカ-9,12-ジエノイルオキシ)メチル)-2-((9Z,12Z)-オクタデカ-9,12-ジエニル)イコサ-11,14-ジエニルカルバモイルオキシ)プロパン-1-アミニウム クロリド(化合物II-13)
工程1
実施例19工程2で得られた(11Z,14Z)-2-(アミノエチル)-2-((9Z,12Z)-オクタデカ-9,12-ジエン-1-イル)イコサ-11,14-ジエン-1-オール (0.918 g, 1.61 mmol)をテトラヒドロフラン(20 mL)に溶解させ、トリエチルアミン (0.671 mL, 4.81 mmol)、および二炭酸 ジ-tert-ブチル (国産化学社製, 0.373 mL, 1.61 mmol)を加えて、室温で終夜攪拌した。反応液を減圧下濃縮し、得られた残渣をシリカゲルカラムクロマトグラフィー(ヘキサン/酢酸エチル = 95/5~50/50)で精製することで、tert-ブチル ((11Z,14Z)-2-(ヒドロキシメチル)-2-((9Z,12Z)-オクタデカ-9,12-ジエン-1-イル)イコサ-11,14-ジエン-1-イル)カルバマート (0.918 g, 1.37 mmol, 収率85%)を得た。
ESI-MS m/z: 672 (M + H)+.
工程2
工程1で得られたtert-ブチル ((11Z,14Z)-2-(ヒドロキシメチル)-2-((9Z,12Z)-オクタデカ-9,12-ジエン-1-イル)イコサ-11,14-ジエン-1-イル)カルバマート (0.357 g, 0.531 mmol)をジクロロメタン (5 mL)に溶解させ、(9Z,12Z)-オクタデカ-9,12-ジエン酸 (0.223 g, 0.797 mmol)、O-(7-アザ-1H-ベンゾトリアゾール-1-イル)-N,N,N',N'-テトラメチルウロニウム ヘキサフルオロフォスフェート (0.303 mmol, 0.797 mmol)、N,N-ジイソプロピルエチルアミン (0.186 mL, 1.06 mmol)、およびN,N-ジメチルアミノピリジン (0.0650 g, 0.531 mmol)を加えて、室温で終夜攪拌した。反応液に水を加えてクロロホルムで抽出した。有機層を飽和食塩水で洗浄し、無水硫酸マグネシウムで乾燥し、ろ過し、減圧下濃縮した。得られた残渣をシリカゲルカラムクロマトグラフィー(ヘキサン/酢酸エチル = 99/1~90/10)で精製することで、(9Z,12Z)-(11Z,14Z)-2-(((tert-ブトキシカルボニルアミノ)メチル)-2-((9Z,12Z)-オクタデカ-9,12-ジエン-1-イル)イコサ-11,14-ジエン-1-イル オクタデカ-9,12-ジエノアート(0.395 g, 0.423 mmol, 収率80%)を得た。
ESI-MS m/z: 935(M + H)+.
工程3
工程2で得られた(9Z,12Z)-(11Z,14Z)-2-(((tert-ブトキシカルボニルアミノ)メチル)-2-((9Z,12Z)-オクタデカ-9,12-ジエン-1-イル)イコサ-11,14-ジエン-1-イル オクタデカ-9,12-ジエノアート (0.395 g, 0.423 mmol)をジクロロメタン(3 mL)に溶解させ、氷冷下トリフルオロ酢酸 (1.00 mL, 4.92 mmol)を加えて、0℃で2時間攪拌した。反応液に1,2-ジクロロエタンを加えて、減圧下濃縮することで、(9Z,12Z)-(11Z,14Z)-2-(アミノエチル)-2-((9Z,12Z)-オクタデカ-9,12-ジエン-1-イル)イコサ-11,14-ジエン-1-イル オクタデカ-9,12-ジエノアート トリフルオロ酢酸塩の粗生成物 (0.394 g, 0.423 mmol, 粗収率100%)を得た。
ESI-MS m/z: 834 (M + H)+.
工程4
工程3で得られた(9Z,12Z)-(11Z,14Z)-2-(アミノエチル)-2-((9Z,12Z)-オクタデカ-9,12-ジエン-1-イル)イコサ-11,14-ジエン-1-イル オクタデカ-9,12-ジエノアート トリフルオロ酢酸塩の粗生成物 (0.200 g, 0.215 mmol)をアセトニトリル(2 mL)に溶解させ、“ジャーナル・オブ・アメリカン・ケミカル・ソサイエティー(J.Am.Chem.Soc.)”,1981年,第103巻,p.4194-4199記載の方法に準じた方法で合成した3-(ジメチルアミノ)プロピル 4-ニトロフェニル カルボナート塩酸塩 (0.279 g、1.07 mmol)、トリエチルアミン (0.299 mL, 2.15 mmol)、およびN,N-ジメチルアミノピリジン (0.0520 g, 0.429 mmol)を加え、60℃で2時間攪拌した。反応液に飽和炭酸水素ナトリウム水溶液を加え、クロロホルムで抽出した。有機層を飽和食塩水で洗浄し、無水硫酸マグネシウムで乾燥し、ろ過し、減圧下濃縮した。得られた残渣をシリカゲルカラムクロマトグラフィー(ヘキサン/酢酸エチル = 99/1~60/40)で精製することで、 (9Z,12Z)-(11Z,14Z)-2-((((3-(ジメチルアミノ)プロポキシ)カルボニル)アミノ)メチル)-2-((9Z,12Z)-オクタデカ-9,12-dien-1-yl)イコサ-11,14-ジエン-1-イル オクタデカ-9,12-ジエノアート (0.0800 g, 0.0830 mmol, 収率39%)を得た。
ESI-MS m/z: 964 (M + H)+.
工程5
工程4で得られた(9Z,12Z)-(11Z,14Z)-2-((((3-(ジメチルアミノ)プロポキシ)カルボニル)アミノ)メチル)-2-((9Z,12Z)-オクタデカ-9,12-ジエン-1-イル)イコサ-11,14-ジエン-1-イル オクタデカ-9,12-ジエノアート (0.053 g, 0.055 mmol)を用いて、実施例1工程2と同様にして、標記化合物 (0.025 g, 0.025 mmol, 収率45%)を得た。
ESI-MS m/z: 978 (M)+; 1H-NMR (CDCl3) δ: 0.89 (t, J = 7.0 Hz, 9H), 1.17-1.40 (m, 54H), 1.56-1.66 (m, 2H), 2.05 (q, J = 6.8 Hz, 12H), 2.09-2.17 (m, 2H), 2.33 (t, J = 7.6 Hz, 2H), 2.77 (t, J = 6.2 Hz, 6H), 3.05 (d, J = 6.6 Hz, 2H), 3.44 (s, 9H), 3.73-3.79 (m, 2H), 3.85 (s, 2H), 4.16 (t, J = 5.7 Hz, 2H), 5.27-5.44 (m, 12H), 5.72 (t, J = 6.5 Hz, 1H).
N, N, N-trimethyl-3-((11Z, 14Z) -2-(((9Z, 12Z) -octadeca-9,12-dienoyloxy) methyl) -2-((9Z, 12Z) -octadeca-9 , 12-Dienyl) icosa-11,14-dienylcarbamoyloxy) propane-1-aminium chloride (Compound II-13)
Process 1
Example 19 (11Z, 14Z) -2- (Aminoethyl) -2-((9Z, 12Z) -octadeca-9,12-dien-1-yl) icosa-11,14-diene obtained in Step 2 -1-ol (0.918 g, 1.61 mmol) is dissolved in tetrahydrofuran (20 mL), triethylamine (0.671 mL, 4.81 mmol), and di-tert-butyl dicarbonate (manufactured by Kokusan Chemical Co., Ltd., 0.373 mL, 1.61 mmol) And stirred at room temperature overnight. The reaction mixture was concentrated under reduced pressure, and the obtained residue was purified by silica gel column chromatography (hexane / ethyl acetate = 95 / 5-50 / 50) to give tert-butyl ((11Z, 14Z) -2- ( Hydroxymethyl) -2-((9Z, 12Z) -octadeca-9,12-dien-1-yl) icosa-11,14-dien-1-yl) carbamate (0.918 g, 1.37 mmol, 85% yield) Got.
ESI-MS m / z: 672 (M + H) + .
Process 2
Tert-butyl ((11Z, 14Z) -2- (hydroxymethyl) -2-((9Z, 12Z) -octadeca-9,12-dien-1-yl) icosa-11,14- Dien-1-yl) carbamate (0.357 g, 0.531 mmol) was dissolved in dichloromethane (5 mL) and (9Z, 12Z) -octadeca-9,12-dienoic acid (0.223 g, 0.797 mmol), O- (7 -Aza-1H-benzotriazol-1-yl) -N, N, N ', N'-tetramethyluronium hexafluorophosphate (0.303 mmol, 0.797 mmol), N, N-diisopropylethylamine (0.186 mL, 1.06 mmol) and N, N-dimethylaminopyridine (0.0650 g, 0.531 mmol) were added, and the mixture was stirred overnight at room temperature. Water was added to the reaction solution and extracted with chloroform. The organic layer was washed with saturated brine, dried over anhydrous magnesium sulfate, filtered, and concentrated under reduced pressure. The obtained residue was purified by silica gel column chromatography (hexane / ethyl acetate = 99 / 1-90 / 10) to give (9Z, 12Z)-(11Z, 14Z) -2-(((tert-butoxycarbonyl Amino) methyl) -2-((9Z, 12Z) -octadeca-9,12-dien-1-yl) icosa-11,14-dien-1-yl octadec-9,12-dienoate (0.395 g, 0.423 mmol Yield 80%).
ESI-MS m / z: 935 (M + H) + .
Process 3
(9Z, 12Z)-(11Z, 14Z) -2-(((tert-butoxycarbonylamino) methyl) -2-((9Z, 12Z) -octadeca-9,12-diene-1 obtained in Step 2 -Il) icosa-11,14-dien-1-yl octadeca-9,12-dienoate (0.395 g, 0.423 mmol) was dissolved in dichloromethane (3 mL) and trifluoroacetic acid (1.00 mL, 4.92 mmol) under ice-cooling. ) Was added and stirred for 2 hours at 0 ° C. 1,2-dichloroethane was added to the reaction solution and concentrated under reduced pressure to obtain (9Z, 12Z)-(11Z, 14Z) -2- (aminoethyl) -2-((9Z, 12Z) -octadeca-9,12-dien-1-yl) icosa-11,14-dien-1-yl octadec-9,12-dienoate trifluoroacetate crude product (0.394 g, 0.423 mmol, crude yield 100%).
ESI-MS m / z: 834 (M + H) + .
Process 4
(9Z, 12Z)-(11Z, 14Z) -2- (aminoethyl) -2-((9Z, 12Z) -octadeca-9,12-dien-1-yl) icosa-11 obtained in Step 3 14-Dien-1-yl octadeca-9,12-dienoate Trifluoroacetate crude product (0.200 g, 0.215 mmol) was dissolved in acetonitrile (2 mL) and “Journal of American Chemical Society ( J. Am. Chem. Soc.), 1981, Vol. 103, p. 4194-4199, synthesized by a method according to the method described in 3- (dimethylamino) propyl 4-nitrophenyl carbonate hydrochloride (0.279 g 1.07 mmol), triethylamine (0.299 mL, 2.15 mmol), and N, N-dimethylaminopyridine (0.0520 g, 0.429 mmol) were added, and the mixture was stirred at 60 ° C. for 2 hours. Saturated aqueous sodium hydrogen carbonate solution was added to the reaction mixture, and the mixture was extracted with chloroform. The organic layer was washed with saturated brine, dried over anhydrous magnesium sulfate, filtered, and concentrated under reduced pressure. The obtained residue was purified by silica gel column chromatography (hexane / ethyl acetate = 99 / 1-60 / 40) to obtain (9Z, 12Z)-(11Z, 14Z) -2-((((3- ( Dimethylamino) propoxy) carbonyl) amino) methyl) -2-((9Z, 12Z) -octadeca-9,12-dien-1-yl) icosa-11,14-dien-1-yl octadec-9,12- Dienoate (0.0800 g, 0.0830 mmol, 39% yield) was obtained.
ESI-MS m / z: 964 (M + H) + .
Process 5
(9Z, 12Z)-(11Z, 14Z) -2-((((3- (Dimethylamino) propoxy) carbonyl) amino) methyl) -2-((9Z, 12Z) -octadeca- 9,12-Dien-1-yl) icosa-11,14-dien-1-yloctadeca-9,12-dienoate (0.053 g, 0.055 mmol) was used in the same manner as in Example 1, Step 2 to give the title. The compound (0.025 g, 0.025 mmol, yield 45%) was obtained.
ESI-MS m / z: 978 (M) + ; 1 H-NMR (CDCl 3 ) δ: 0.89 (t, J = 7.0 Hz, 9H), 1.17-1.40 (m, 54H), 1.56-1.66 (m, 2H), 2.05 (q, J = 6.8 Hz, 12H), 2.09-2.17 (m, 2H), 2.33 (t, J = 7.6 Hz, 2H), 2.77 (t, J = 6.2 Hz, 6H), 3.05 ( d, J = 6.6 Hz, 2H), 3.44 (s, 9H), 3.73-3.79 (m, 2H), 3.85 (s, 2H), 4.16 (t, J = 5.7 Hz, 2H), 5.27-5.44 (m , 12H), 5.72 (t, J = 6.5 Hz, 1H).
(12Z,15Z)-3-ヒドロキシ-N,N,N-トリメチル-2,2-ジ((9Z,12Z)- オクタデカ-9,12-ジエン-1-イル)ヘニコサ-12,15-ジエン-1-アミニウム クロリド (化合物II-14)
工程1
実施例19工程2で得られた(11Z,14Z)-2-(アミノエチル)-2-((9Z,12Z)-オクタデカ-9,12-ジエン-1-イル)イコサ-11,14-ジエン-1-オール(1.35 g, 2.36 mmol)をテトラヒドロフラン(10 mL)に溶解させ、38%ホルムアルデヒド水溶液 (和光純薬工業社製0.559 mL, 7.08 mmol)、酢酸 (0.135 mL, 2.36 mmol)、およびナトリウムトリアセトキシボロヒドリド (1.50 g, 7.08 mmol)を加え、室温で1時間攪拌した。反応液に水を加え、クロロホルムで抽出した。有機層を飽和食塩水で洗浄し、無水硫酸マグネシウムで乾燥し、ろ過し、減圧下濃縮した。得られた残渣をシリカゲルカラムクロマトグラフィー(クロロホルム/メタノール = 99/1~85/15)で精製することで、 (11Z,14Z)-2-((ジメチルアミノ)メチル)-2-((9Z,12Z)- オクタデカ-9,12-ジエン-1-イル) イコサ-11,14-ジエン-1-オール (0.610 g, 1.02 mmol, 収率43%)を得た。
ESI-MS m/z: 600 (M + H)+.
工程2
工程1で得られた(11Z,14Z)-2-((ジメチルアミノ)メチル)-2-((9Z,12Z)- オクタデカ-9,12-ジエン-1-イル) イコサ-11,14-ジエン-1-オール (0.300 g, 0.500 mmol)をジクロロメタン (3 mL)に溶解させ、デス-マーチン試薬 (東京化成工業社製、0.233 g, 0.550 mmol)を加えて、室温で1時間攪拌した。反応液に水を加え、クロロホルムで抽出した。有機層を飽和食塩水で洗浄し、無水硫酸マグネシウムで乾燥し、ろ過し、減圧下濃縮した。得られた残渣をシリカゲルカラムクロマトグラフィー(ヘキサン/酢酸エチル = 95/5~70/30)で精製することで、(11Z,14Z)-2-((ジメチルアミノ)メチル)-2-((9Z,12Z)- オクタデカ-9,12-ジエン-1-イル) イコサ-11,14-ジエナール(0.160 g, 0.268 mmol, 収率54%)を得た。
ESI-MS m/z: 598 (M + H)+.
工程3
マグネシウム (Sigma-Ardrich社製, 0.0140 g, 0.562 mmol)にジエチルエーテル (1 mL)、およびヨウ素(ひとかけら)を加え、室温で5分間攪拌した。そこに、国際公開第2010/42877号に記載の方法に準じた方法で合成した(6Z,9Z)-18-ブロモオクタデカ-6,9-ジエン (0.176 g, 0.535 mmol)のジエチルエーテル溶液 (1 mL)を加え、加熱還流下攪拌した。ヨウ素の色が消えたことを確認した後、工程2で得られた(11Z,14Z)-2-((ジメチルアミノ)メチル)-2-((9Z,12Z)-オクタデカ-9,12-ジエン-1-イル) イコサ-11,14-ジエナール (0.160 g, 0.268 mmol)のジエチルエーテル溶液 (1 mL)を加え、室温で1時間攪拌した。反応液に水を加え、ヘキサンで抽出した。有機層を飽和食塩水で洗浄し、無水硫酸マグネシウムで乾燥し、ろ過し、減圧下濃縮した。得られた残渣をシリカゲルカラムクロマトグラフィー(ヘキサン/酢酸エチル = 99/1~85/15)で精製することで、(6Z,9Z,29Z,32Z)-20-((ジメチルアミノ)メチル)-20-((9Z,12Z)-オクタデカ-9,12-ジエン-1-イル)オクタトリアコンタ-6,9,29,32-テトラエン-19-オール (0.0470 g, 0.0550 mmol, 収率21%)を得た。
ESI-MS m/z: 848 (M + H)+.
工程4
工程3で得られた(6Z,9Z,29Z,32Z)-20-((ジメチルアミノ)メチル)-20-((9Z,12Z)-オクタデカ-9,12-ジエン-1-イル)オクタトリアコンタ-6,9,29,32-テトラエン-19-オール (0.047 g, 0.055 mmol)を用いて、実施例1工程2と同様にして、標記化合物 (0.0012 g, 0.0013 mmol, 収率2%)を得た。
ESI-MS m/z: 863 (M)+; 1H-NMR (CDCl3) δ:0.89 (t, J = 7.0 Hz, 9H), 1.17-1.40 (m, 58H), 1.54-1.65 (m, 2H), 2.05 (q, J = 6.8 Hz, 12H), 2.77 (t, J = 6.5 Hz, 6H), 3.29 (d, J= 14.4 Hz, 1H), 3.51 (s, 9H), 3.56 (d, J= 14.2 Hz, 1H), 3.62-3.70 (m, 1H), 5.29-5.42 (m, 12H).
(12Z, 15Z) -3-Hydroxy-N, N, N-trimethyl-2,2-di ((9Z, 12Z) -octadeca-9,12-dien-1-yl) henikosa-12,15-diene- 1-Aminium chloride (Compound II-14)
Process 1
Example 19 (11Z, 14Z) -2- (Aminoethyl) -2-((9Z, 12Z) -octadeca-9,12-dien-1-yl) icosa-11,14-diene obtained in Step 2 1-ol (1.35 g, 2.36 mmol) dissolved in tetrahydrofuran (10 mL), 38% formaldehyde aqueous solution (0.559 mL, 7.08 mmol, Wako Pure Chemical Industries, Ltd.), acetic acid (0.135 mL, 2.36 mmol), and sodium Triacetoxyborohydride (1.50 g, 7.08 mmol) was added, and the mixture was stirred at room temperature for 1 hour. Water was added to the reaction mixture, and the mixture was extracted with chloroform. The organic layer was washed with saturated brine, dried over anhydrous magnesium sulfate, filtered, and concentrated under reduced pressure. The obtained residue was purified by silica gel column chromatography (chloroform / methanol = 99/1 to 85/15) to give (11Z, 14Z) -2-((dimethylamino) methyl) -2-((9Z, 12Z) -octadeca-9,12-dien-1-yl) icosa-11,14-dien-1-ol (0.610 g, 1.02 mmol, 43% yield) was obtained.
ESI-MS m / z: 600 (M + H) + .
Process 2
(11Z, 14Z) -2-((Dimethylamino) methyl) -2-((9Z, 12Z) -octadeca-9,12-dien-1-yl) icosa-11,14-diene obtained in Step 1 -1-ol (0.300 g, 0.500 mmol) was dissolved in dichloromethane (3 mL), Dess-Martin reagent (manufactured by Tokyo Chemical Industry Co., Ltd., 0.233 g, 0.550 mmol) was added, and the mixture was stirred at room temperature for 1 hour. Water was added to the reaction mixture, and the mixture was extracted with chloroform. The organic layer was washed with saturated brine, dried over anhydrous magnesium sulfate, filtered, and concentrated under reduced pressure. The obtained residue was purified by silica gel column chromatography (hexane / ethyl acetate = 95/5 to 70/30) to give (11Z, 14Z) -2-((dimethylamino) methyl) -2-((9Z , 12Z) -octadeca-9,12-dien-1-yl) icosa-11,14-dienal (0.160 g, 0.268 mmol, 54% yield) was obtained.
ESI-MS m / z: 598 (M + H) + .
Process 3
Diethyl ether (1 mL) and iodine (one piece) were added to magnesium (Sigma-Ardrich, 0.0140 g, 0.562 mmol), and the mixture was stirred at room temperature for 5 minutes. There, a diethyl ether solution of (6Z, 9Z) -18-bromooctadeca-6,9-diene (0.176 g, 0.535 mmol) synthesized by a method according to the method described in International Publication No. 2010/42877 ( 1 mL) was added, and the mixture was stirred with heating under reflux. After confirming that the color of iodine disappeared, (11Z, 14Z) -2-((dimethylamino) methyl) -2-((9Z, 12Z) -octadeca-9,12-diene obtained in Step 2 was obtained. A solution of 1-yl) icosa-11,14-dienal (0.160 g, 0.268 mmol) in diethyl ether (1 mL) was added, and the mixture was stirred at room temperature for 1 hour. Water was added to the reaction mixture, and the mixture was extracted with hexane. The organic layer was washed with saturated brine, dried over anhydrous magnesium sulfate, filtered, and concentrated under reduced pressure. The obtained residue was purified by silica gel column chromatography (hexane / ethyl acetate = 99/1 to 85/15) to give (6Z, 9Z, 29Z, 32Z) -20-((dimethylamino) methyl) -20 -((9Z, 12Z) -octadeca-9,12-dien-1-yl) octatriconta-6,9,29,32-tetraen-19-ol (0.0470 g, 0.0550 mmol, 21% yield) Obtained.
ESI-MS m / z: 848 (M + H) + .
Process 4
(6Z, 9Z, 29Z, 32Z) -20-((Dimethylamino) methyl) -20-((9Z, 12Z) -octadeca-9,12-dien-1-yl) octatria contour obtained in Step 3 -6,9,29,32-tetraen-19-ol (0.047 g, 0.055 mmol) was used in the same manner as in Example 1, step 2 to give the title compound (0.0012 g, 0.0013 mmol, yield 2%). Obtained.
ESI-MS m / z: 863 (M) + ; 1 H-NMR (CDCl 3 ) δ: 0.89 (t, J = 7.0 Hz, 9H), 1.17-1.40 (m, 58H), 1.54-1.65 (m, 2H), 2.05 (q, J = 6.8 Hz, 12H), 2.77 (t, J = 6.5 Hz, 6H), 3.29 (d, J = 14.4 Hz, 1H), 3.51 (s, 9H), 3.56 (d, J = 14.2 Hz, 1H), 3.62-3.70 (m, 1H), 5.29-5.42 (m, 12H).
(11Z,14Z)-N,N,N-トリメチル-2-((9Z,12Z)- オクタデカ-9,12-ジエン-1-イル)-2-(((9Z,12Z)- オクタデカ-9,12-ジエニルオキシ)カルボニル)イコサ-11,14-ジエン-1-アミニウム クロリド (化合物II-15)
工程1
実施例20の工程1で得られたるtert-ブチル ((11Z,14Z)-2-(ヒドロキシメチル)-2-((9Z,12Z)-オクタデカ-9,12-ジエン-1-イル)イコサ-11,14-ジエン-1-イル)カルバマート (0.300 g, 0.448 mmol)をアセトン (2 mL)に溶解させ、氷冷下ジョーンズ試薬 (Sigma-Ardrich社製, 2 mol/L, 0.224 mL, 0.448 mmol)を加えた後、室温で1時間攪拌した。反応液に水を加え、酢酸エチルで抽出した。有機層を飽和食塩水で洗浄し、無水硫酸マグネシウムで乾燥し、ろ過し、減圧下濃縮した。得られた残渣をシリカゲルカラムクロマトグラフィー(ヘキサン/酢酸エチル = 95/5~50/50)で精製することで、(11Z,14Z)-2-(((tert-ブトキシカルボニル)アミノ)メチル)-2-((9Z,12Z)-オクタデカ-9,12-ジエン-1-イル) イコサ-11,14-ジエン酸 (0.136 g, 0.198 mmol, 収率44%)を得た。
ESI-MS m/z: 684 (M - H)-.
工程2
工程1で得られた(11Z,14Z)-2-(((tert-ブトキシカルボニル)アミノ)メチル)-2-((9Z,12Z)-オクタデカ-9,12-ジエン-1-イル) イコサ-11,14-ジエン酸 (0.120 g, 0.175 mmol)と(9Z,12Z)-オクタデカ-9,12-ジエン-1-オール (Nu-Chek Prep,Inc社製, 0.0930 g, 0.350 mmol)を用いて、実施例20の工程2と同様の方法で(11Z,14Z)-(9Z,12Z)- オクタデカ-9,12-ジエン-1-イル 2-((( tert-ブトキシカルボニル)アミノ)メチル)-2-((9Z,12Z)-オクタデカ-9,12-ジエン-1-イル)イコサ-11,14-ジエノアート (0.123 g, 0.132 mmol, 収率75%)を得た。
ESI-MS m/z: 935 (M + H)+.
工程3
工程2で得られた(11Z,14Z)-(9Z,12Z)-オクタデカ-9,12-ジエン-1-イル 2-((( tert-ブトキシカルボニル)アミノ)メチル)-2-((9Z,12Z)-オクタデカ-9,12-ジエン-1-イル)イコサ-11,14-ジエノアート (0.123 g, 0.132 mmol)をジクロロメタン(1 mL)に溶解させ、氷冷下トリフルオロ酢酸 (0.300 mL, 3.89 mmol)を加え、1時間攪拌した。反応液に飽和炭酸水素ナトリウム水溶液を加え、ヘキサンで抽出した。有機層を飽和食塩水で洗浄し、無水硫酸マグネシウムで乾燥し、ろ過し、減圧下濃縮した。得られた残渣をシリカゲルカラムクロマトグラフィー (ヘキサン/酢酸エチル = 99/1~80/20)で精製することで、(11Z,14Z)-(9Z,12Z)- オクタデカ-9,12-ジエン-1-イル 2-(アミノメチル)-2-((9Z,12Z)- オクタデカ-9,12-ジエン-1-イル)イコサ-11,14-ジエノアート (0.110 g, 0.132 mmol, 収率100%)を得た。
ESI-MS m/z: 835 (M + H)+.
工程4
工程3で得られた(11Z,14Z)-(9Z,12Z)-オクタデカ-9,12-ジエン-1-イル 2-(アミノメチル)-2-((9Z,12Z)- オクタデカ-9,12-ジエン-1-イル)イコサ-11,14-ジエノアート (0.110 g, 0.132 mmol)を用いて、実施例21工程1と同様の方法で(11Z,14Z)-(9Z,12Z)-オクタデカ-9,12-ジエン-1-イル2-((ジメチルアミノメチル)-2-((9Z,12Z)- オクタデカ-9,12-ジエン-1-イル)イコサ-11,14-ジエノアート (0.0720 g, 0.0830 mmol, 収率63%)を得た。
ESI-MS m/z: 862 (M + H)+.
工程5
工程4で得られた(11Z,14Z)-(9Z,12Z)-オクタデカ-9,12-ジエン-1-イル2-((ジメチルアミノメチル)-2-((9Z,12Z)- オクタデカ-9,12-ジエン-1-イル)イコサ-11,14-ジエノアート (0.072 g, 0.083 mmol)を用いて、実施例1工程2と同様にして、標記化合物 (0.052 g, 0.057 mmol, 収率68%)を得た。
ESI-MS m/z: 877 (M)+; 1H-NMR (CDCl3) δ:0.89 (t, J = 7.0 Hz, 9H), 1.09-1.42 (m, 52H), 1.52-1.81 (m, 6H), 2.05 (q, J = 6.8 Hz, 12H), 2.77 (t, J = 6.6 Hz, 6H), 3.46 (s, 9H), 3.79 (s, 2H), 4.14 (t, J = 6.8 Hz, 2H), 5.28-5.43 (m, 12H).
(11Z, 14Z) -N, N, N-trimethyl-2-((9Z, 12Z) -octadeca-9,12-dien-1-yl) -2-(((9Z, 12Z) -octadeca-9, 12-Dienyloxy) carbonyl) icosa-11,14-dien-1-aminium chloride (Compound II-15)
Process 1
Tert-Butyl ((11Z, 14Z) -2- (hydroxymethyl) -2-((9Z, 12Z) -octadeca-9,12-dien-1-yl) icosa- obtained in Step 1 of Example 20 11,14-Dien-1-yl) carbamate (0.300 g, 0.448 mmol) was dissolved in acetone (2 mL) and Jones reagent (Sigma-Ardrich, 2 mol / L, 0.224 mL, 0.448 mmol) was cooled with ice. ) And then stirred at room temperature for 1 hour. Water was added to the reaction mixture, and the mixture was extracted with ethyl acetate. The organic layer was washed with saturated brine, dried over anhydrous magnesium sulfate, filtered, and concentrated under reduced pressure. The obtained residue was purified by silica gel column chromatography (hexane / ethyl acetate = 95 / 5-50 / 50) to give (11Z, 14Z) -2-(((tert-butoxycarbonyl) amino) methyl)- 2-((9Z, 12Z) -octadeca-9,12-dien-1-yl) icosa-11,14-dienoic acid (0.136 g, 0.198 mmol, 44% yield) was obtained.
ESI-MS m / z: 684 (M-H) - .
Process 2
(11Z, 14Z) -2-(((tert-butoxycarbonyl) amino) methyl) -2-((9Z, 12Z) -octadeca-9,12-dien-1-yl) icosa- obtained in step 1 Using 11,14-dienoic acid (0.120 g, 0.175 mmol) and (9Z, 12Z) -octadeca-9,12-dien-1-ol (Nu-Chek Prep, Inc., 0.0930 g, 0.350 mmol) In the same manner as in Step 2 of Example 20, (11Z, 14Z)-(9Z, 12Z) -octadeca-9,12-dien-1-yl 2-((((tert-butoxycarbonyl) amino) methyl)- 2-((9Z, 12Z) -octadeca-9,12-dien-1-yl) icosa-11,14-dienoate (0.123 g, 0.132 mmol, 75% yield) was obtained.
ESI-MS m / z: 935 (M + H) + .
Process 3
(11Z, 14Z)-(9Z, 12Z) -Octadeca-9,12-dien-1-yl 2-((((tert-butoxycarbonyl) amino) methyl) -2-((9Z, (12Z) -octadeca-9,12-dien-1-yl) icosa-11,14-dienoate (0.123 g, 0.132 mmol) was dissolved in dichloromethane (1 mL) and trifluoroacetic acid (0.300 mL, 3.89 under ice-cooling). mmol) was added and stirred for 1 hour. Saturated aqueous sodium hydrogen carbonate solution was added to the reaction mixture, and the mixture was extracted with hexane. The organic layer was washed with saturated brine, dried over anhydrous magnesium sulfate, filtered, and concentrated under reduced pressure. The resulting residue was purified by silica gel column chromatography (hexane / ethyl acetate = 99 / 1-80 / 20) to give (11Z, 14Z)-(9Z, 12Z) -octadeca-9,12-diene-1 2-yl 2- (aminomethyl) -2-((9Z, 12Z) -octadeca-9,12-dien-1-yl) icosa-11,14-dienoate (0.110 g, 0.132 mmol, 100% yield) Obtained.
ESI-MS m / z: 835 (M + H) + .
Process 4
(11Z, 14Z)-(9Z, 12Z) -Octadeca-9,12-dien-1-yl 2- (aminomethyl) -2-((9Z, 12Z) -octadeca-9,12 obtained in Step 3 (11Z, 14Z)-(9Z, 12Z) -octadeca-9 in the same manner as in Example 21, step 1 using -dien-1-yl) icosa-11,14-dienoate (0.110 g, 0.132 mmol) , 12-Dien-1-yl 2-((dimethylaminomethyl) -2-((9Z, 12Z) -octadeca-9,12-dien-1-yl) icosa-11,14-dienoate (0.0720 g, 0.0830 mmol, yield 63%).
ESI-MS m / z: 862 (M + H) + .
Process 5
(11Z, 14Z)-(9Z, 12Z) -Octadeca-9,12-dien-1-yl 2-((dimethylaminomethyl) -2-((9Z, 12Z) -octadeca-9 obtained in Step 4 , 12-Dien-1-yl) icosa-11,14-dienoate (0.072 g, 0.083 mmol) in the same manner as in Example 1, Step 2, the title compound (0.052 g, 0.057 mmol, yield 68%). )
ESI-MS m / z: 877 (M) + ; 1 H-NMR (CDCl 3 ) δ: 0.89 (t, J = 7.0 Hz, 9H), 1.09-1.42 (m, 52H), 1.52-1.81 (m, 6H), 2.05 (q, J = 6.8 Hz, 12H), 2.77 (t, J = 6.6 Hz, 6H), 3.46 (s, 9H), 3.79 (s, 2H), 4.14 (t, J = 6.8 Hz, 2H), 5.28-5.43 (m, 12H).
(11Z,14Z)-N,N,N-トリメチル-2,2-ビス(((9Z,12Z)- オクタデカ-9,12-ジエノイルオキシ)メチル)イコサ-11,14-ジエン-1-アミニウム クロリド (化合物II-16)
工程1
マロン酸ジメチル (東京化成工業社製,1.00 g, 7.57 mmol)をアセトニトリル (20 mL)に溶解させ、(9Z,12Z)-オクタデカ-9,12-ジエニル メタンスルホナート (2.61g,7.57 mmol)、炭酸セシウム (和光純薬工業社製, 4.93 g, 15.1 mmol)およびヨウ化テトラ-n-ブチルアンモニウム (2.80 g, 7.57 mmol)を加え、50℃で終夜攪拌した。反応液に水を加え、ヘキサンで抽出した。有機層を飽和食塩水で洗浄し、無水硫酸マグネシウムで乾燥し、ろ過し、減圧下濃縮した。得られた残渣をシリカゲルカラムクロマトグラフィー(ヘキサン/酢酸エチル = 90/10~70/30)で精製することで、ジメチル 2-((9Z,12Z)-オクタデカ-9,12-ジエン-1-イル)マロナート (1.22 g, 3.21 mmol, 収率42%)を得た。
ESI-MS m/z: 381 (M + H)+.
工程2
工程1で得られたジメチル 2-((9Z,12Z)-オクタデカ-9,12-ジエン-1-イル)マロナート (0.200 g, 0.526 mmol)をアセトニトリル(3 mL)に溶解させ、N,N,N',N'-テトラメチルジアミノメタン (東京化成工業社製, 0.0860 mL, 0.631 mmol)および無水酢酸 (0.0600 mL, 0.631 mmol)を加えた。その後、氷冷下水素化ナトリウム (油性, 60%, 0.0320 g, 0.788 mmol)を加え、室温で3時間攪拌した。反応液に飽和塩化アンモニウム水溶液を加え、酢酸エチルで抽出した。有機層を飽和食塩水で洗浄し、無水硫酸マグネシウムで乾燥し、ろ過し、減圧下濃縮した。得られた残渣をシリカゲルカラムクロマトグラフィー(ヘキサン/酢酸エチル = 100/0~60/40)で精製することで、ジメチル 2-((ジメチルアミノ)メチル)-2-((9Z,12Z)-オクタデカ-9,12-ジエン-1-イル)マロナート (0.0660 g, 0.151 mmol, 収率29%)を得た。
ESI-MS m/z: 438 (M + H)+.
工程3
工程2で得られたジメチル 2-((ジメチルアミノ)メチル)-2-((9Z,12Z)-オクタデカ-9,12-ジエン-1-イル)マロナート (0.066 g, 0.15 mmol)を用いて、実施例19工程2と同様の方法にて、2-((ジメチルアミノ)メチル)-2-((9Z,12Z)-オクタデカ-9,12-ジエン-1-イル)プロパン-1,3-ジオール (0.013 g, 0.034 mmol, 収率23%)を得た。
ESI-MS m/z: 382 (M + H)+.
工程4
工程3で得られた2-((ジメチルアミノ)メチル)-2-((9Z,12Z)-オクタデカ-9,12-ジエン-1-イル)プロパン-1,3-ジオール (0.013 g, 0.034 mmol)を用いて、実施例20工程2と同様の方法にて、(9Z,9'Z,12Z,12')-2-((ジメチルアミノ)メチル)-2-((9Z,12Z)-オクタデカ-9,12-ジエン-1-イル)プロパン-1,3-ジイル ビス(オクタデカ-9,12-ジエノアート (0.017 g, 0.019 mmol, 収率56%)を得た。
ESI-MS m/z: 906 (M + H)+.
工程5
工程4で得られた(9Z,9'Z,12Z,12'Z)-2-((ジメチルアミノ)メチル)-2-((9Z,12Z)- オクタデカ-9,12-ジエン-1-イル) プロパン-1,3-ジイル ビス(オクタデカ-9,12-ジエノアート (0.017 g, 0.019 mmol)を用いて、実施例1工程2と同様の方法にて、標記化合物 (5.5 mg, 0.0058 mmol, 収率31%)を得た。
ESI-MS m/z: 921 (M)+.1H-NMR (CDCl3) δ: 0.89 (t, J = 7.0 Hz, 9H), 1.23-1.40 (m, 48H), 1.53-1.65 (m, 4H), 2.05 (q, J = 6.9 Hz, 12H), 2.38 (t, J = 7.6 Hz, 4H), 2.77 (t, J= 6.6 Hz, 6H), 3.59 (s, 9H), 3.72 (s, 2H), 4.20 (dd, J = 22.1, 12.2 Hz, 4H), 5.28-5.44 (m, 12H).
(11Z, 14Z) -N, N, N-trimethyl-2,2-bis (((9Z, 12Z) -octadeca-9,12-dienoyloxy) methyl) icosa-11,14-dien-1-aminium chloride ( Compound II-16)
Process 1
Dimethyl malonate (Tokyo Chemical Industry Co., Ltd., 1.00 g, 7.57 mmol) was dissolved in acetonitrile (20 mL), (9Z, 12Z) -octadeca-9,12-dienyl methanesulfonate (2.61 g, 7.57 mmol), Cesium carbonate (Wako Pure Chemical Industries, 4.93 g, 15.1 mmol) and tetra-n-butylammonium iodide (2.80 g, 7.57 mmol) were added, and the mixture was stirred at 50 ° C. overnight. Water was added to the reaction mixture, and the mixture was extracted with hexane. The organic layer was washed with saturated brine, dried over anhydrous magnesium sulfate, filtered, and concentrated under reduced pressure. The resulting residue was purified by silica gel column chromatography (hexane / ethyl acetate = 90/10 to 70/30) to give dimethyl 2-((9Z, 12Z) -octadeca-9,12-dien-1-yl ) Malonate (1.22 g, 3.21 mmol, 42% yield) was obtained.
ESI-MS m / z: 381 (M + H) + .
Process 2
Dimethyl 2-((9Z, 12Z) -octadeca-9,12-dien-1-yl) malonate (0.200 g, 0.526 mmol) obtained in step 1 was dissolved in acetonitrile (3 mL), and N, N, N ′, N′-tetramethyldiaminomethane (manufactured by Tokyo Chemical Industry Co., Ltd., 0.0860 mL, 0.631 mmol) and acetic anhydride (0.0600 mL, 0.631 mmol) were added. Thereafter, sodium hydride (oil, 60%, 0.0320 g, 0.788 mmol) was added under ice cooling, and the mixture was stirred at room temperature for 3 hours. A saturated aqueous ammonium chloride solution was added to the reaction mixture, and the mixture was extracted with ethyl acetate. The organic layer was washed with saturated brine, dried over anhydrous magnesium sulfate, filtered, and concentrated under reduced pressure. The resulting residue was purified by silica gel column chromatography (hexane / ethyl acetate = 100/0 to 60/40) to give dimethyl 2-((dimethylamino) methyl) -2-((9Z, 12Z) -octadeca -9,12-dien-1-yl) malonate (0.0660 g, 0.151 mmol, 29% yield) was obtained.
ESI-MS m / z: 438 (M + H) + .
Process 3
Using the dimethyl 2-((dimethylamino) methyl) -2-((9Z, 12Z) -octadeca-9,12-dien-1-yl) malonate (0.066 g, 0.15 mmol) obtained in step 2, Example 19 In the same manner as in Step 2, 2-((dimethylamino) methyl) -2-((9Z, 12Z) -octadeca-9,12-dien-1-yl) propane-1,3-diol (0.013 g, 0.034 mmol, yield 23%) was obtained.
ESI-MS m / z: 382 (M + H) + .
Process 4
2-((Dimethylamino) methyl) -2-((9Z, 12Z) -octadeca-9,12-dien-1-yl) propane-1,3-diol obtained in Step 3 (0.013 g, 0.034 mmol ) And (9Z, 9'Z, 12Z, 12 ')-2-((dimethylamino) methyl) -2-((9Z, 12Z) -octadeca -9,12-dien-1-yl) propane-1,3-diylbis (octadeca-9,12-dienoate (0.017 g, 0.019 mmol, yield 56%) was obtained.
ESI-MS m / z: 906 (M + H) + .
Process 5
(9Z, 9′Z, 12Z, 12′Z) -2-((Dimethylamino) methyl) -2-((9Z, 12Z) -octadeca-9,12-dien-1-yl obtained in Step 4 ) Using propane-1,3-diylbis (octadeca-9,12-dienoate (0.017 g, 0.019 mmol) in the same manner as in Example 1, step 2, the title compound (5.5 mg, 0.0058 mmol, Rate 31%).
ESI-MS m / z: 921 (M) + . 1 H-NMR (CDCl 3 ) δ: 0.89 (t, J = 7.0 Hz, 9H), 1.23-1.40 (m, 48H), 1.53-1.65 (m, 4H), 2.05 (q, J = 6.9 Hz, 12H), 2.38 (t, J = 7.6 Hz, 4H), 2.77 (t, J = 6.6 Hz, 6H), 3.59 (s, 9H), 3.72 (s, 2H), 4.20 (dd, J = 22.1, 12.2 Hz, 4H), 5.28-5.44 (m, 12H).
N,N,N-トリメチル-3-((9Z,12Z)-オクタデカ-9,12-ジエノイルオキシ)-2,2-ビス(((9Z,12Z)-オクタデカ-9,12-ジエノイルオキシ)メチル)プロパン-1-アミニウム クロリド(化合物II-17)
工程1
2-(ブロモメチル)-2-(ヒドロキシメチル)プロパン-1,3-ジオール(0.200 g, 1.01 mmol)にジメチルアミン (Sigma-Aldrich社製, 2.0 mol/L テトラヒドロフラン溶液, 5.02 mL, 10.1 mmol)を加え、マイクロウェーブ照射下で120℃で15時間攪拌した。反応液に水酸化リチウム一水和物 (0.0290 g, 1.21 mmol)を加え、生じた沈殿をろ別した。ろ液を減圧下濃縮することで、2-((ジメチルアミノ)メチル)-2-(ヒドロキシメチル)プロパン-1,3-ジオールの粗生成物(0.200g, 1.23 mmol, 定量的)を得た。
ESI-MS m/z: 164 (M + H)+.
工程2
工程1で得られた2-((ジメチルアミノ)メチル)-2-(ヒドロキシメチル)プロパン-1,3-ジオールの粗生成物 (0.200 g, 1.23 mmol)を用い、実施例8と同様の方法にて、標題の化合物 (0.0470 g, 0.047 mmol 通し収率4.4%)を得た。
ESI-MS m/z: 965 (M)+; 1H-NMR (CDCl3) δ:0.85-0.94 (m, 9H), 1.24-1.40 (m, 42H), 1.53-1.63 (m, 6H), 2.00-2.10 (m, 12H), 2.38 (t, J = 6.9 Hz, 6H), 2.77 (t, J = 6.5 Hz, 6H), 3.64 (s, 9H), 3.95 (s, 2H), 4.30 (s, 6H), 5.27-5.43 (m, 12H).
N, N, N-trimethyl-3-((9Z, 12Z) -octadeca-9,12-dienoyloxy) -2,2-bis (((9Z, 12Z) -octadeca-9,12-dienoyloxy) methyl) propane -1-Aminium chloride (Compound II-17)
Process 1
2- (Bromomethyl) -2- (hydroxymethyl) propane-1,3-diol (0.200 g, 1.01 mmol) was mixed with dimethylamine (Sigma-Aldrich, 2.0 mol / L tetrahydrofuran solution, 5.02 mL, 10.1 mmol). In addition, the mixture was stirred at 120 ° C. for 15 hours under microwave irradiation. Lithium hydroxide monohydrate (0.0290 g, 1.21 mmol) was added to the reaction solution, and the resulting precipitate was filtered off. The filtrate was concentrated under reduced pressure to obtain a crude product of 2-((dimethylamino) methyl) -2- (hydroxymethyl) propane-1,3-diol (0.200 g, 1.23 mmol, quantitative). .
ESI-MS m / z: 164 (M + H) + .
Process 2
Using the crude product (0.200 g, 1.23 mmol) of 2-((dimethylamino) methyl) -2- (hydroxymethyl) propane-1,3-diol obtained in Step 1, the same method as in Example 8 Gave the title compound (0.0470 g, 0.047 mmol overall yield 4.4%).
ESI-MS m / z: 965 (M) + ; 1 H-NMR (CDCl 3 ) δ: 0.85-0.94 (m, 9H), 1.24-1.40 (m, 42H), 1.53-1.63 (m, 6H), 2.00-2.10 (m, 12H), 2.38 (t, J = 6.9 Hz, 6H), 2.77 (t, J = 6.5 Hz, 6H), 3.64 (s, 9H), 3.95 (s, 2H), 4.30 (s , 6H), 5.27-5.43 (m, 12H).
N,N,N-トリメチル-3-(オレオイルオキシ)-2,2-ビス(オレオイルオキシメチル)プロパン-1-アミニウム クロリド (化合物II-18)
実施例8の工程1における(9Z,12Z)-オクタデカ-9,12-ジエン酸の代わりにオレイン酸を用い、実施例8と同様の方法により標記の化合物 (0.663 g, 0.658 mmol, 通し収率28%) を得た。
ESI-MS m/z: 971 (M)+; 1H-NMR (CDCl3) δ: 0.88 (t, J = 6.8 Hz, 9H), 1.22-1.38 (m, 60H), 1.55-1.65 (m, 6H), 2.01 (q, J = 5.9 Hz, 12H), 2.38 (t, J = 7.6 Hz, 6H), 3.64 (s, 9H), 3.98 (s, 2H), 4.29 (s, 6H), 5.29-5.39 (m, 6H).
N, N, N-trimethyl-3- (oleoyloxy) -2,2-bis (oleoyloxymethyl) propane-1-aminium chloride (Compound II-18)
Using oleic acid in place of (9Z, 12Z) -octadeca-9,12-dienoic acid in Step 1 of Example 8, the title compound (0.663 g, 0.658 mmol, overall yield) was obtained in the same manner as in Example 8. 28%).
ESI-MS m / z: 971 (M) + ; 1 H-NMR (CDCl 3 ) δ: 0.88 (t, J = 6.8 Hz, 9H), 1.22-1.38 (m, 60H), 1.55-1.65 (m, 6H), 2.01 (q, J = 5.9 Hz, 12H), 2.38 (t, J = 7.6 Hz, 6H), 3.64 (s, 9H), 3.98 (s, 2H), 4.29 (s, 6H), 5.29- 5.39 (m, 6H).
N,N,N-トリメチル-3-((9Z,12Z)-オクタデカ-9,12-ジエニルオキシ)-2,2-ビス(((9Z,12Z)-オクタデカ-9,12-ジエニルオキシ)メチル)プロパン-1-アミニウム クロリド (化合物II-19)
工程1
ジメチルアミン (約2 mol/Lテトラヒドロフラン溶液、15.0 mL、30.0 mmol) に2-(ブロモメチル)-2-(ヒドロキシメチル)プロパン-1,3-ジオール (1.52 g, 7.56 mmol) を加え、マイクロ波反応装置を用いて120℃で15時間加熱撹拌した。室温まで冷却後、反応液に水酸化リチウム (0.217 g, 9.07 mmol) を加え、ろ過し、減圧下濃縮することで2-((ジメチルアミノ)メチル)-2-(ヒドロキシメチル)プロパン-1,3-ジオールの粗生成物を得た。
得られた粗生成物に トルエン (30 mL)、(9Z,12Z)-オクタデカ-9,12-ジエニル メタンスルホナート (6.51 g, 18.9 mmol)および水素化ナトリウム (油性, 60%, 0.756 g, 18.9 mmol) を加え、加熱還流下で終夜撹拌した。室温まで冷却後、反応液に飽和炭酸水素ナトリウム水溶液を加えてヘキサンで抽出した。有機層を無水硫酸マグネシウムで乾燥し、ろ過し、減圧下濃縮した。得られた残渣をアミノシリカゲルカラムクロマトグラフィー (ヘキサン/酢酸エチル = 100/0~90/10) で精製して、N,N-ジメチル-3-((9Z,12Z)-オクタデカ-9,12-ジエニルオキシ)-2,2-ビス(((9Z,12Z)-オクタデカ-9,12-ジエニルオキシ)メチル)プロパン-1-アミン (0.196 g, 0.216 mmol, 3%) と 3-(ジメチルアミノ)-2,2-ビス(((9Z,12Z)-オクタデカ-9,12-ジエニルオキシ)メチル)プロパン-1-オール (1.80 g, 2.73 mmol, 収率36%) を得た。
N,N-ジメチル-3-((9Z,12Z)-オクタデカ-9,12-ジエニルオキシ)-2,2-ビス(((9Z,12Z)-オクタデカ-9,12-ジエニルオキシ)メチル)プロパン-1-アミン
ESI-MS m/z: 909 (M + H)+.
3-(ジメチルアミノ)-2,2-ビス(((9Z,12Z)-オクタデカ-9,12-ジエニルオキシ)メチル)プロパン-1-オール
ESI-MS m/z: 661 (M + H)+.
工程2
工程1で得られた N,N-ジメチル-3-((9Z,12Z)-オクタデカ-9,12-ジエニルオキシ)-2,2-ビス(((9Z,12Z)-オクタデカ-9,12-ジエニルオキシ)メチル)プロパン-1-アミン (0.120 g, 0.132 mmol) のクロロホルム (1 mL) 溶液にヨウ化メチル (0.500 mL) を加え、室温で3時間撹拌した。反応液を減圧下濃縮した。残渣を少量のメタノール-クロロホルム (1:1) に溶解してイオン交換樹脂 (Amberlite(R) IRA-400, Cl型, 約20倍量, 水およびエタノールでプレ洗浄)にロードし、メタノール-クロロホルム (1:1) で溶出した。溶出液を減圧下濃縮し、得られた残渣をシリカゲルカラムクロマトグラフィー (クロロホルム/メタノール = 100/0~90/10)で精製して標記の化合物 (0.0654 g, 0.0682 mmol, 収率57%) を得た。
ESI-MS m/z: 923 (M)+; 1H-NMR (CDCl3) δ: 0.89 (t, J = 6.8 Hz, 9H), 1.22-1.40 (m, 1H), 1.49-1.59 (m, 6H), 2.05 (q, J = 6.9 Hz, 12H), 2.77 (t, J = 6.7 Hz, 6H), 3.37 (t, J= 6.6 Hz, 6H), 3.45 (s, 6H), 3.55 (s, 9H), 3.58 (s, 2H), 5.28-5.42 (m, 12H).
N, N, N-trimethyl-3-((9Z, 12Z) -octadeca-9,12-dienyloxy) -2,2-bis (((9Z, 12Z) -octadeca-9,12-dienyloxy) methyl) propane -1-Aminium chloride (Compound II-19)
Process 1
Add 2- (bromomethyl) -2- (hydroxymethyl) propane-1,3-diol (1.52 g, 7.56 mmol) to dimethylamine (about 2 mol / L tetrahydrofuran solution, 15.0 mL, 30.0 mmol), and microwave reaction The mixture was stirred with heating at 120 ° C. for 15 hours. After cooling to room temperature, lithium hydroxide (0.217 g, 9.07 mmol) was added to the reaction mixture, filtered, and concentrated under reduced pressure to give 2-((dimethylamino) methyl) -2- (hydroxymethyl) propane-1, A crude product of 3-diol was obtained.
To the crude product obtained, toluene (30 mL), (9Z, 12Z) -octadeca-9,12-dienyl methanesulfonate (6.51 g, 18.9 mmol) and sodium hydride (oil, 60%, 0.756 g, 18.9 mmol) was added and stirred overnight under reflux with heating. After cooling to room temperature, saturated aqueous sodium hydrogen carbonate solution was added to the reaction mixture, and the mixture was extracted with hexane. The organic layer was dried over anhydrous magnesium sulfate, filtered and concentrated under reduced pressure. The obtained residue was purified by amino silica gel column chromatography (hexane / ethyl acetate = 100/0 to 90/10) to give N, N-dimethyl-3-((9Z, 12Z) -octadeca-9,12- Dienyloxy) -2,2-bis (((9Z, 12Z) -octadeca-9,12-dienyloxy) methyl) propan-1-amine (0.196 g, 0.216 mmol, 3%) and 3- (dimethylamino) -2 , 2-bis (((9Z, 12Z) -octadeca-9,12-dienyloxy) methyl) propan-1-ol (1.80 g, 2.73 mmol, yield 36%) was obtained.
N, N-dimethyl-3-((9Z, 12Z) -octadeca-9,12-dienyloxy) -2,2-bis (((9Z, 12Z) -octadeca-9,12-dienyloxy) methyl) propane-1 -Amine
ESI-MS m / z: 909 (M + H) + .
3- (Dimethylamino) -2,2-bis (((9Z, 12Z) -octadeca-9,12-dienyloxy) methyl) propan-1-ol
ESI-MS m / z: 661 (M + H) + .
Process 2
N, N-dimethyl-3-((9Z, 12Z) -octadeca-9,12-dienyloxy) -2,2-bis (((9Z, 12Z) -octadeca-9,12-dienyloxy) obtained in step 1 Methyl iodide (0.500 mL) was added to a solution of) methyl) propan-1-amine (0.120 g, 0.132 mmol) in chloroform (1 mL), and the mixture was stirred at room temperature for 3 hours. The reaction solution was concentrated under reduced pressure. Dissolve the residue in a small amount of methanol-chloroform (1: 1) and load it onto an ion exchange resin (Amberlite® IRA-400, Cl type, approximately 20 times volume, pre-washed with water and ethanol). Elute with (1: 1). The eluate was concentrated under reduced pressure, and the resulting residue was purified by silica gel column chromatography (chloroform / methanol = 100/0 to 90/10) to give the title compound (0.0654 g, 0.0682 mmol, 57% yield). Obtained.
ESI-MS m / z: 923 (M) + ; 1 H-NMR (CDCl 3 ) δ: 0.89 (t, J = 6.8 Hz, 9H), 1.22-1.40 (m, 1H), 1.49-1.59 (m, 6H), 2.05 (q, J = 6.9 Hz, 12H), 2.77 (t, J = 6.7 Hz, 6H), 3.37 (t, J = 6.6 Hz, 6H), 3.45 (s, 6H), 3.55 (s, 9H), 3.58 (s, 2H), 5.28-5.42 (m, 12H).
N,N,N-トリメチル-3-((9Z,12Z)-オクタデカ-9,12-ジエノイルオキシ)-2,2-ビス(((9Z,12Z)-オクタデカ-9,12-ジエニルオキシ)メチル)プロパン-1-アミニウム クロリド (化合物II-20)
実施例26工程1で得られた 3-(ジメチルアミノ)-2,2-ビス(((9Z,12Z)-オクタデカ-9,12-ジエニルオキシ)メチル)プロパン-1-オール (0.265 g, 0.401mmol) の1,2-ジロロエタン (4 mL) 溶液に (9Z, 12Z)-オクタデカ-9,12-ジエン酸 (0.169 g, 0.602 mmol)、1-エチル-3-(3-ジメチルアミノプロピル)カルボジイミド塩酸塩 (0.154 g, 0.802 mmol) および N,N-ジメチルアミノピリジン (0.0250 g, 0.201 mmol) を加えて室温で終夜攪拌した。減圧下濃縮した。得られた残渣をシリカゲルカラムクロマトグラフィー (ヘキサン/酢酸エチル = 95/5~90/10)で精製して (9Z,12Z)-3-(ジメチルアミノ)-2,2-ビス(((9Z,12Z)-オクタデカ-9,12-ジエニルオキシ)メチル)プロピル オクタデカ-9,12-ジエノアートの粗生成物を得た。
得られた粗生成物にクロロホルム (2 mL) およびヨウ化メチル (東京化成工業社製, 1.00 mL) を加え、室温で5時間撹拌した。反応液を減圧下濃縮した。残渣を少量のメタノール-クロロホルム (1:1) に溶解してイオン交換樹脂 (Sigma-Aldirch社製, Amberlite(R) IRA-400, Cl型, 約20倍量, 水およびエタノールでプレ洗浄) にロードし、メタノール-クロロホルム (1:1) で溶出した。溶出液を減圧下濃縮し、得られた残渣をシリカゲルカラムクロマトグラフィー (クロロホルム/メタノール = 100/0~90/10)で精製して標記の化合物 (0.220 g, 0.226 mmol, 収率56%) を得た。
ESI-MS m/z: 937 (M)+; 1H-NMR (CDCl3) δ: 0.89 (t, J = 7.0 Hz, 9H), 1.22-1.41 (m, 51H), 1.50-1.66 (m, 6H), 2.05 (q, J = 6.9 Hz, 12H), 2.38 (t, J = 7.5 Hz, 2H), 2.77 (t, J = 6.1 Hz, 6H), 3.39 (t, J = 6.6 Hz, 4H), 3.44-3.48 (m, 2H), 3.54-3.58 (m, 11H), 3.73 (s, 2H), 4.18 (s, 2H), 5.28-5.43 (m, 11H).
N, N, N-trimethyl-3-((9Z, 12Z) -octadeca-9,12-dienoyloxy) -2,2-bis (((9Z, 12Z) -octadeca-9,12-dienyloxy) methyl) propane -1-Aminium chloride (Compound II-20)
Example 26 3- (Dimethylamino) -2,2-bis (((9Z, 12Z) -octadeca-9,12-dienyloxy) methyl) propan-1-ol obtained in Step 1 (0.265 g, 0.401 mmol ) In 1,2-dichloroethane (4 mL) solution in (9Z, 12Z) -octadeca-9,12-dienoic acid (0.169 g, 0.602 mmol), 1-ethyl-3- (3-dimethylaminopropyl) carbodiimide hydrochloride Salt (0.154 g, 0.802 mmol) and N, N-dimethylaminopyridine (0.0250 g, 0.201 mmol) were added and stirred at room temperature overnight. Concentrated under reduced pressure. The obtained residue was purified by silica gel column chromatography (hexane / ethyl acetate = 95/5 to 90/10) to obtain (9Z, 12Z) -3- (dimethylamino) -2,2-bis (((9Z, A crude product of 12Z) -octadeca-9,12-dienyloxy) methyl) propyl octadeca-9,12-dienoate was obtained.
Chloroform (2 mL) and methyl iodide (manufactured by Tokyo Chemical Industry Co., Ltd., 1.00 mL) were added to the obtained crude product, and the mixture was stirred at room temperature for 5 hours. The reaction solution was concentrated under reduced pressure. Dissolve the residue in a small amount of methanol-chloroform (1: 1) and ion exchange resin (Sigma-Aldirch, Amberlite (R) IRA-400, Cl type, approximately 20 times volume, pre-washed with water and ethanol) Loaded and eluted with methanol-chloroform (1: 1). The eluate was concentrated under reduced pressure, and the resulting residue was purified by silica gel column chromatography (chloroform / methanol = 100/0 to 90/10) to give the title compound (0.220 g, 0.226 mmol, yield 56%). Obtained.
ESI-MS m / z: 937 (M) + ; 1 H-NMR (CDCl 3 ) δ: 0.89 (t, J = 7.0 Hz, 9H), 1.22-1.41 (m, 51H), 1.50-1.66 (m, 6H), 2.05 (q, J = 6.9 Hz, 12H), 2.38 (t, J = 7.5 Hz, 2H), 2.77 (t, J = 6.1 Hz, 6H), 3.39 (t, J = 6.6 Hz, 4H) , 3.44-3.48 (m, 2H), 3.54-3.58 (m, 11H), 3.73 (s, 2H), 4.18 (s, 2H), 5.28-5.43 (m, 11H).
N,N,N-トリメチル-4-(2-(9Z,12Z)-オクタデカ-9,12-ジエンアミド-3-((9Z,12Z)-オクタデカ-9,12-ジエノイルオキシ)-2-(((9Z,12Z)-オクタデカ-9,12-ジエノイルオキシ)メチル)プロポキシ)-4-オキシブタン-1-アミニウム クロリド (化合物II-21)
工程1
tert-ブチル (1,3-ジヒドロキシ-2-(ヒドロキシメチル)プロパン-2-イル)カルバマート (キーオーガニクス (Key Organics) 社製, 0.505 g, 2.28 mmol) のジクロロメタン (15 mL) 溶液に (9Z, 12Z)-オクタデカ-9,12-ジエン酸 (3.23 g, 11.4 mmol)、1-エチル-3-(3-ジメチルアミノプロピル)カルボジイミド塩酸塩 (2.19 g, 11.4 mmol) および N,N-ジメチルアミノピリジン (0.279 g, 2.28 mmol) を加えて室温で1時間攪拌した。反応液に飽和炭酸水素ナトリウム水溶液を加えてクロロホルムで抽出した。有機層を無水硫酸マグネシウムで乾燥し、ろ過し、減圧下濃縮した。得られた残渣をシリカゲルカラムクロマトグラフィー (ヘキサン/クロロホルム = 100/0~95/5) で精製して(9Z,9'Z,12Z,12'Z)-2-(tert-ブトキシカルボニルアミノ-2-(((9Z,12Z)-オクタデカ-9,12-ジエノイルオキシ)メチル)プロパン-1,3-ジイル ジオクタデカ-9,12-ジエノアート (2.08 g, 2.06 mmol, 収率90%) を得た。
1H-NMR (CDCl3) δ: 0.89 (t, J = 6.7 Hz, 9H), 1.23-1.40 (m, 9H), 1.43 (s, 9H), 1.57-1.66 (m, 14H), 2.05 (q, J = 6.8 Hz, 12H), 2.32 (t, J = 7.6 Hz, 6H), 2.77 (t, J = 6.5 Hz, 6H), 4.34 (s, 6H), 4.81 (br s, 1H), 5.28-5.43 (m, 12H).
工程2
工程1で得られた (9Z,9'Z,12Z,12'Z)-2-(tert-ブトキシカルボニルアミノ-2-(((9Z,12Z)-オクタデカ-9,12-ジエノイルオキシ)メチル)プロパン-1,3-ジイル ジオクタデカ-9,12-ジエノアート (2.05 g, 2.03 mmol, 90%) のジクロロメタン (10 mL) 溶液にトリフルオロ酢酸 (2 mL, 26.0 mmol) を加えて室温で1時間攪拌した。反応液に飽和炭酸水素ナトリウム水溶液を加えてクロロホルムで抽出した。有機層を無水硫酸マグネシウムで乾燥し、ろ過し、減圧下濃縮した。得られた残渣をアミノシリカゲルカラムクロマトグラフィー (ヘキサン/酢酸エチル = 100/0~95/5)で精製して (9Z,9'Z,12Z,12'Z)-2-(ヒドロキシメチル)-2-(9Z,12Z)-オクタデカ-9,12-ジエンアミドプロパン-1,3-ジイル ジオクタデカ-9,12-ジエノアート (1.70 g, 1.84 mmol, 収率91%) を得た。
ESI-MS m/z: 909 (M + H)+.
工程3
工程2で得られた (9Z,9'Z,12Z,12'Z)-2-(ヒドロキシメチル)-2-(9Z,12Z)-オクタデカ-9,12-ジエンアミドプロパン-1,3-ジイル ジオクタデカ-9,12-ジエノアート (0.8933 g, 0.983 mmol) のジクロロメタン (9 mL) 溶液に (9Z, 12Z)-オクタデカ-9,12-ジエン酸 (Sigma-Aldrich社製, 2.37 g, 8.45 mmol)、1-エチル-3-(3-ジメチルアミノプロピル)カルボジイミド塩酸塩 (1.62 g, 8.45 mmol) および N,N-ジメチルアミノピリジン(0.206 g, 1.69 mmol) を加えて室温で2時間攪拌した。減圧下濃縮した。得られた残渣をアミノシリカゲルカラムクロマトグラフィー (ヘキサン/酢酸エチル = 90/10~75/25) で精製して (9Z,9'Z,12Z,12'Z)-2-((4-(ジメチルアミノ)ブタノイルオキシ)メチル)-2-(9Z,12Z)-オクタデカ-9,12-ジエンアミドプロパン-1,3-ジイル ジオクタデカ-9,12-ジエノアート (0.900 g, 0.881 mmol, 収率90%) を得た。
ESI-MS m/z: 1022 (M + H)+.
工程4
工程3で得られた (9Z,9'Z,12Z,12'Z)-2-((4-(ジメチルアミノ)ブタノイルオキシ)メチル)-2-(9Z,12Z)-オクタデカ-9,12-ジエンアミドプロパン-1,3-ジイル ジオクタデカ-9,12-ジエノアート (0.805 g, 0.788 mmol) のクロロホルム (4 mL) 溶液にヨウ化メチル (0.493 mL) を加え、室温で終夜撹拌した。反応液を減圧下濃縮した。残渣を少量のメタノール-クロロホルム (1:1) に溶解してイオン交換樹脂 (Dowex(TM) 1x-2 100 mesh, Cl型, 約20倍量, 水およびメタノールでプレ洗浄) にロードし、メタノール-クロロホルム (1:1) で溶出した。溶出液を減圧下濃縮し、得られた残渣をシリカゲルカラムクロマトグラフィー (クロロホルム/メタノール = 90/10~80/20)で精製して標記の化合物 (0.740 g, 0.690 mmol, 収率88%)を得た。
ESI-MS m/z: 1036 (M)+; 1H-NMR (CDCl3) δ: 0.88 (t, J = 6.4 Hz, 9H), 1.21-1.40 (m, 45H), 1.54-1.65 (m, 6H), 2.01-2.08 (m, 12H), 2.09-2.19 (m, 2H), 2.24 (t, J = 7.4 Hz, 2H), 2.32 (t, J= 7.5 Hz, 4H), 2.57 (t, J = 6.2 Hz, 2H), 2.77 (t, J = 6.3 Hz, 6H), 3.41 (s, 9H), 3.84 (t, J = 8.3 Hz, 2H), 4.37-4.50 (m, 6H), 5.28-5.43 (m, 12H), 6.72 (br s, 1H).
N, N, N-trimethyl-4- (2- (9Z, 12Z) -octadeca-9,12-dienamido-3-((9Z, 12Z) -octadeca-9,12-dienoyloxy) -2-((( 9Z, 12Z) -Octadeca-9,12-dienoyloxy) methyl) propoxy) -4-oxybutane-1-aminium chloride (Compound II-21)
Process 1
To a solution of tert-butyl (1,3-dihydroxy-2- (hydroxymethyl) propan-2-yl) carbamate (Key Organics, 0.505 g, 2.28 mmol) in dichloromethane (15 mL) (9Z, 12Z) -Octadeca-9,12-dienoic acid (3.23 g, 11.4 mmol), 1-ethyl-3- (3-dimethylaminopropyl) carbodiimide hydrochloride (2.19 g, 11.4 mmol) and N, N-dimethylaminopyridine (0.279 g, 2.28 mmol) was added and stirred at room temperature for 1 hour. A saturated aqueous sodium hydrogen carbonate solution was added to the reaction solution, and the mixture was extracted with chloroform. The organic layer was dried over anhydrous magnesium sulfate, filtered and concentrated under reduced pressure. The resulting residue was purified by silica gel column chromatography (hexane / chloroform = 100/0 to 95/5) to give (9Z, 9'Z, 12Z, 12'Z) -2- (tert-butoxycarbonylamino-2 -((((9Z, 12Z) -octadeca-9,12-dienoyloxy) methyl) propane-1,3-diyl dioctadeca-9,12-dienoate (2.08 g, 2.06 mmol, yield 90%) was obtained.
1 H-NMR (CDCl 3 ) δ: 0.89 (t, J = 6.7 Hz, 9H), 1.23-1.40 (m, 9H), 1.43 (s, 9H), 1.57-1.66 (m, 14H), 2.05 (q , J = 6.8 Hz, 12H), 2.32 (t, J = 7.6 Hz, 6H), 2.77 (t, J = 6.5 Hz, 6H), 4.34 (s, 6H), 4.81 (br s, 1H), 5.28- 5.43 (m, 12H).
Process 2
(9Z, 9'Z, 12Z, 12'Z) -2- (tert-butoxycarbonylamino-2-(((9Z, 12Z) -octadeca-9,12-dienoyloxy) methyl) propane obtained in Step 1 To a solution of -1,3-diyldioctadeca-9,12-dienoate (2.05 g, 2.03 mmol, 90%) in dichloromethane (10 mL) was added trifluoroacetic acid (2 mL, 26.0 mmol) and stirred at room temperature for 1 hour. Saturated aqueous sodium hydrogen carbonate solution was added to the reaction mixture, and the mixture was extracted with chloroform.The organic layer was dried over anhydrous magnesium sulfate, filtered and concentrated under reduced pressure, and the resulting residue was subjected to amino silica gel column chromatography (hexane / ethyl acetate). = 100/0 to 95/5) and purified by (9Z, 9'Z, 12Z, 12'Z) -2- (hydroxymethyl) -2- (9Z, 12Z) -octadeca-9,12-dienamide Propane-1,3-diyl dioctadeca-9,12-dienoate (1.70 g, 1.84 mmol, 91% yield) was obtained.
ESI-MS m / z: 909 (M + H) + .
Process 3
(9Z, 9'Z, 12Z, 12'Z) -2- (hydroxymethyl) -2- (9Z, 12Z) -octadeca-9,12-dienamidopropane-1,3-diyl obtained in Step 2 To a solution of dioctadeca-9,12-dienoate (0.8933 g, 0.983 mmol) in dichloromethane (9 mL) (9Z, 12Z) -octadeca-9,12-dienoic acid (Sigma-Aldrich, 2.37 g, 8.45 mmol), 1-Ethyl-3- (3-dimethylaminopropyl) carbodiimide hydrochloride (1.62 g, 8.45 mmol) and N, N-dimethylaminopyridine (0.206 g, 1.69 mmol) were added and stirred at room temperature for 2 hours. Concentrated under reduced pressure. The resulting residue was purified by amino silica gel column chromatography (hexane / ethyl acetate = 90 / 10-75 / 25) to obtain (9Z, 9'Z, 12Z, 12'Z) -2-((4- (dimethyl Amino) butanoyloxy) methyl) -2- (9Z, 12Z) -octadeca-9,12-dienamidopropane-1,3-diyl dioctadeca-9,12-dienoate (0.900 g, 0.881 mmol, 90% yield) )
ESI-MS m / z: 1022 (M + H) + .
Process 4
(9Z, 9'Z, 12Z, 12'Z) -2-((4- (dimethylamino) butanoyloxy) methyl) -2- (9Z, 12Z) -octadeca-9,12 obtained in Step 3 Methyl iodide (0.493 mL) was added to a chloroform (4 mL) solution of -dienamidepropane-1,3-diyl dioctadeca-9,12-dienoate (0.805 g, 0.788 mmol), and the mixture was stirred at room temperature overnight. The reaction solution was concentrated under reduced pressure. Dissolve the residue in a small amount of methanol-chloroform (1: 1) and load it onto an ion exchange resin (Dowex (TM) 1x-2 100 mesh, Cl type, approx. 20 times volume, pre-washed with water and methanol). -Eluted with chloroform (1: 1). The eluate was concentrated under reduced pressure, and the resulting residue was purified by silica gel column chromatography (chloroform / methanol = 90 / 10-80 / 20) to give the title compound (0.740 g, 0.690 mmol, yield 88%). Obtained.
ESI-MS m / z: 1036 (M) + ; 1 H-NMR (CDCl 3 ) δ: 0.88 (t, J = 6.4 Hz, 9H), 1.21-1.40 (m, 45H), 1.54-1.65 (m, 6H), 2.01-2.08 (m, 12H), 2.09-2.19 (m, 2H), 2.24 (t, J = 7.4 Hz, 2H), 2.32 (t, J = 7.5 Hz, 4H), 2.57 (t, J = 6.2 Hz, 2H), 2.77 (t, J = 6.3 Hz, 6H), 3.41 (s, 9H), 3.84 (t, J = 8.3 Hz, 2H), 4.37-4.50 (m, 6H), 5.28-5.43 (m, 12H), 6.72 (br s, 1H).
4-(1,3-ビス((9Z,12Z)-オクタデカ-9,12-ジエノイルオキシ)-2-(((9Z,12Z)-オクタデカ-9,12-ジエノイルオキシ)メチル)プロパン-2-イルアミノ)-N,N,N-トリメチル-4-オキソブタン-1-アミニウム クロリド (化合物II-22)
工程1
2-アミノ-2-(ヒロドキシメチル)-1,3-プロパンジオール (和光純薬工業社製, 7.41 g, 61.2 mmol) のジクロロメタン (60 mL) 溶液にtert-ブチルジメチルシリル クロリド (Sigma-Aldrich社製, 9.43 g, 60.7 mmol) およびイミダゾール (ナカライテスク社製, 5.51 g, 80.9 mmol) を加え、室温で終夜撹拌した。反応液に飽和食塩水を加えてクロロホルムで抽出した。有機層を無水硫酸マグネシウムで乾燥し、ろ過し、減圧下濃縮した。得られた残渣をアミノシリカゲルカラムクロマトグラフィー (ヘキサン/酢酸エチル = 100/0~95/5) で精製して 6-((tert-ブチルジメチルシリルオキシ)メチル)-2,2,3,3,9,9,10,10-オクタメチル-4,8-ジオキサ-3,9-ジシラウンデカン-6-アミン (3.80 g, 8.19 mmol, 収率40%) を得た。
ESI-MS m/z: 464 (M + H)+.
工程2
工程1で得られた 6-((tert-ブチルジメチルシリルオキシ)メチル)-2,2,3,3,9,9,10,10-オクタメチル-4,8-ジオキサ-3,9-ジシラウンデカン-6-アミン(1.28 g, 2.76 mmol) のジクロロメタン (10 mL) 溶液に 4-(ジメチルアミノ)酪酸塩酸塩 (Sigma-Aldrich社製, 0.708 g, 4.14 mmol)、1-エチル-3-(3-ジメチルアミノプロピル)カルボジイミド塩酸塩 (0.810 g, 4.14 mmol)、N,N-ジメチルアミノピリジン (0.0170 g, 0.138 mmol) および N,N‐ジイソプロピルエチルアミン (1.45 mL, 8.31 mmol) を加えて室温で終夜攪拌した。減圧下濃縮した。得られた残渣をアミノシリカゲルカラムクロマトグラフィー (ヘキサン/酢酸エチル = 95/5~90/10) で精製して N-(6-((tert-ブチルジメチルシリルオキシ)メチル)-2,2,3,3,9,9,10,10-オクタメチル-4,8-ジオキサ-3,9-ジシラウンデカン-6-イル)-4-(ジメチルアミノ)ブタンアミド (1.22 g, 2.11 mmol, 収率76%) を得た。
ESI-MS m/z: 578 (M + H)+.
工程3
工程2で得られた N-(6-((tert-ブチルジメチルシリルオキシ)メチル)-2,2,3,3,9,9,10,10-オクタメチル-4,8-ジオキサ-3,9-ジシラウンデカン-6-イル)-4-(ジメチルアミノ)ブタンアミド (1.08 g, 1.87 mmol) のテトラヒドロフラン (10 mL) 溶液にテトラブチルアンモニウム フルオリド (東京化成工業社製, 約 1 mol/L テトラヒドロフラン溶液、7.49 mL、7.49 mmol) を加え、室温で2時間攪拌した。反応液に (9Z, 12Z)-オクタデカ-9,12-ジエン酸 (2.05 g, 7.31 mmol)、1-エチル-3-(3-ジメチルアミノプロピル)カルボジイミド塩酸塩 (1.44 g, 7.51 mmol) および N,N-ジメチルアミノピリジン (0.0340 g, 0.278 mmol) を加えて室温で終夜攪拌した。減圧下濃縮した。得られた残渣をアミノシリカゲルカラムクロマトグラフィー (ヘキサン/酢酸エチル = 60/40~50/50) で精製して (9Z,9'Z,12Z,12'Z)-2-(4-(ジメチルアミノ)ブタンアミド)-2-(((9Z,12Z)-オクタデカ-9,12-ジエノイルオキシ)メチル)プロパン-1,3-ジイル ジオクタデカ-9,12-ジエノアート (0.405 g, 0.396 mmol, 収率21%) を得た。
ESI-MS m/z: 1022 (M + H)+.
工程4
工程3で得られた (9Z,9'Z,12Z,12'Z)-2-(4-(ジメチルアミノ)ブタンアミド)-2-(((9Z,12Z)-オクタデカ-9,12-ジエノイルオキシ)メチル)プロパン-1,3-ジイル ジオクタデカ-9,12-ジエノアート (0.335 g, 0.328 mmol) の クロロホルム (3 mL) 溶液にヨウ化メチル (東京化成工業社製, 0.200 mL) を加え、室温で2時間撹拌した。反応液を減圧下濃縮した。残渣を少量のメタノール-クロロホルム (1:1) に溶解してイオン交換樹脂 (Dowex(TM) 1x-2 100 mesh, Cl型, 約20倍量, 水およびメタノールでプレ洗浄) にロードし、メタノール-クロロホルム (1:1) で溶出した。溶出液を減圧下濃縮し、得られた残渣をシリカゲルカラムクロマトグラフィー (クロロホルム/メタノール = 90/10~80/20) で精製して標記の化合物 (0.324 g, 0.302 mmol, 収率92%)を得た。
ESI-MS m/z: 1036 (M)+; 1H-NMR (CDCl3) δ: 0.89 (t, J = 7.0 Hz, 9H), 1.23-1.40 (m, 45H), 1.55-1.64 (m, 6H), 2.01-2.12 (m, 14H), 2.34 (t, J = 7.6 Hz, 6H), 2.43 (t, J = 6.3 Hz, 2H), 2.77 (t, J = 6.6 Hz, 6H), 3.37 (s, 9H), 3.77-3.83 (m, 2H), 4.43 (s, 6H), 5.28-5.42 (m, 12H), 6.62 (br s, 1H).
4- (1,3-Bis ((9Z, 12Z) -octadeca-9,12-dienoyloxy) -2-(((9Z, 12Z) -octadeca-9,12-dienoyloxy) methyl) propan-2-ylamino) -N, N, N-Trimethyl-4-oxobutane-1-aminium chloride (Compound II-22)
Process 1
Tert-Butyldimethylsilyl chloride (Sigma-Aldrich) in a solution of 2-amino-2- (hydroxymethyl) -1,3-propanediol (Wako Pure Chemical Industries, 7.41 g, 61.2 mmol) in dichloromethane (60 mL) , 9.43 g, 60.7 mmol) and imidazole (Nacalai Tesque, 5.51 g, 80.9 mmol) were added and stirred at room temperature overnight. Saturated saline was added to the reaction solution, and the mixture was extracted with chloroform. The organic layer was dried over anhydrous magnesium sulfate, filtered and concentrated under reduced pressure. The resulting residue was purified by amino silica gel column chromatography (hexane / ethyl acetate = 100/0 to 95/5) to give 6-((tert-butyldimethylsilyloxy) methyl) -2,2,3,3, 9,9,10,10-octamethyl-4,8-dioxa-3,9-disilaundecan-6-amine (3.80 g, 8.19 mmol, 40% yield) was obtained.
ESI-MS m / z: 464 (M + H) + .
Process 2
6-((tert-butyldimethylsilyloxy) methyl) -2,2,3,3,9,9,10,10-octamethyl-4,8-dioxa-3,9-disila obtained in step 1 To a solution of undecan-6-amine (1.28 g, 2.76 mmol) in dichloromethane (10 mL) was added 4- (dimethylamino) butyric acid hydrochloride (Sigma-Aldrich, 0.708 g, 4.14 mmol), 1-ethyl-3- ( Add 3-dimethylaminopropyl) carbodiimide hydrochloride (0.810 g, 4.14 mmol), N, N-dimethylaminopyridine (0.0170 g, 0.138 mmol) and N, N-diisopropylethylamine (1.45 mL, 8.31 mmol) at room temperature. Stir overnight. Concentrated under reduced pressure. The resulting residue was purified by amino silica gel column chromatography (hexane / ethyl acetate = 95/5 to 90/10) to give N- (6-((tert-butyldimethylsilyloxy) methyl) -2,2,3 , 3,9,9,10,10-Octamethyl-4,8-dioxa-3,9-disilaundecan-6-yl) -4- (dimethylamino) butanamide (1.22 g, 2.11 mmol, 76% yield) )
ESI-MS m / z: 578 (M + H) + .
Process 3
N- (6-((tert-butyldimethylsilyloxy) methyl) -2,2,3,3,9,9,10,10-octamethyl-4,8-dioxa-3,9 obtained in step 2 -Disilaundecan-6-yl) -4- (dimethylamino) butanamide (1.08 g, 1.87 mmol) in tetrahydrofuran (10 mL) in tetrabutylammonium fluoride (Tokyo Chemical Industry Co., Ltd., approx. 1 mol / L tetrahydrofuran solution) , 7.49 mL, 7.49 mmol) was added, and the mixture was stirred at room temperature for 2 hours. (9Z, 12Z) -octadeca-9,12-dienoic acid (2.05 g, 7.31 mmol), 1-ethyl-3- (3-dimethylaminopropyl) carbodiimide hydrochloride (1.44 g, 7.51 mmol) N, N-dimethylaminopyridine (0.0340 g, 0.278 mmol) was added, and the mixture was stirred overnight at room temperature. Concentrated under reduced pressure. The resulting residue was purified by amino silica gel column chromatography (hexane / ethyl acetate = 60 / 40-50 / 50) to obtain (9Z, 9'Z, 12Z, 12'Z) -2- (4- (dimethylamino ) Butanamide) -2-(((9Z, 12Z) -octadeca-9,12-dienoyloxy) methyl) propane-1,3-diyl dioctadeca-9,12-dienoate (0.405 g, 0.396 mmol, 21% yield) Got.
ESI-MS m / z: 1022 (M + H) + .
Process 4
(9Z, 9'Z, 12Z, 12'Z) -2- (4- (dimethylamino) butanamide) -2-(((9Z, 12Z) -octadeca-9,12-dienoyloxy) obtained in Step 3 Methyl iodide (Tokyo Chemical Industry Co., Ltd., 0.200 mL) was added to a solution of (methyl) propane-1,3-diyldioctadeca-9,12-dienoate (0.335 g, 0.328 mmol) in chloroform (3 mL), and 2 at room temperature. Stir for hours. The reaction solution was concentrated under reduced pressure. Dissolve the residue in a small amount of methanol-chloroform (1: 1) and load it onto an ion exchange resin (Dowex (TM) 1x-2 100 mesh, Cl type, approx. 20 times volume, pre-washed with water and methanol). -Eluted with chloroform (1: 1). The eluate was concentrated under reduced pressure, and the resulting residue was purified by silica gel column chromatography (chloroform / methanol = 90 / 10-80 / 20) to give the title compound (0.324 g, 0.302 mmol, 92% yield). Obtained.
ESI-MS m / z: 1036 (M) + ; 1 H-NMR (CDCl 3 ) δ: 0.89 (t, J = 7.0 Hz, 9H), 1.23-1.40 (m, 45H), 1.55-1.64 (m, 6H), 2.01-2.12 (m, 14H), 2.34 (t, J = 7.6 Hz, 6H), 2.43 (t, J = 6.3 Hz, 2H), 2.77 (t, J = 6.6 Hz, 6H), 3.37 ( s, 9H), 3.77-3.83 (m, 2H), 4.43 (s, 6H), 5.28-5.42 (m, 12H), 6.62 (br s, 1H).
2-(1,3-ビス((9Z,12Z)-オクタデカ-9,12-ジエノイルオキシ)-2-(((9Z,12Z)-オクタデカ-9,12-ジエノイルオキシ)メチル)プロパン-2-イルアミノ)-N,N,N-トリメチル-2-オキソエタンアミニウム クロリド (化合物II-23)
実施例29と同様の方法で、4-(ジメチルアミノ)酪酸 塩酸塩の代わりに N,N-ジメチルグリシン (東京化成工業社製) を用い、標記の化合物 (0.356 g, 0.341 mmol, 通し収率17%)を得た。
ESI-MS m/z: 1008 (M)+; 1H-NMR (CDCl3) δ: 0.89 (t, J = 7.0 Hz, 9H), 1.23-1.40 (m, 44H), 1.54-1.64 (m, 26H), 2.01-2.08 (m, 12H), 2.35 (t, J= 7.6 Hz, 6H), 2.77 (t, J = 6.8 Hz, 6H), 3.40 (s, 9H), 4.46 (s, 6H), 4.70 (s, 2H), 5.28-5.42 (m, 12H), 9.54 (br s, 1H).
2- (1,3-bis ((9Z, 12Z) -octadeca-9,12-dienoyloxy) -2-(((9Z, 12Z) -octadeca-9,12-dienoyloxy) methyl) propan-2-ylamino) -N, N, N-Trimethyl-2-oxoethanaminium chloride (Compound II-23)
In the same manner as in Example 29, N, N-dimethylglycine (manufactured by Tokyo Chemical Industry Co., Ltd.) was used instead of 4- (dimethylamino) butyric acid hydrochloride, and the title compound (0.356 g, 0.341 mmol, overall yield) 17%) was obtained.
ESI-MS m / z: 1008 (M) + ; 1 H-NMR (CDCl 3 ) δ: 0.89 (t, J = 7.0 Hz, 9H), 1.23-1.40 (m, 44H), 1.54-1.64 (m, 26H), 2.01-2.08 (m, 12H), 2.35 (t, J = 7.6 Hz, 6H), 2.77 (t, J = 6.8 Hz, 6H), 3.40 (s, 9H), 4.46 (s, 6H), 4.70 (s, 2H), 5.28-5.42 (m, 12H), 9.54 (br s, 1H).
4-((6Z,9Z,29Z,32Z)-20-ヒドロキシ-20-((9Z,12Z)-オクタデカ-9,12-ジエニル)オクタトリアコンタ-6,9,29,32-テトラエン-19-イルオキシ)-N,N,N-トリメチル-4-オキソブタン-1-アミニウム クロリド (化合物III-1)
米国特許出願公開第2012/0172411号明細書に記載の方法に準じた方法で得られた(6Z,9Z,29Z,32Z)-20-ヒドロキシ-20-((9Z,12Z)-オクタデカ-9,12-ジエニル)オクタトリアコンタ-6,9,29,32-テトラエン-19-イル 4-(ジメチルアミノ)ブタノアート (0.144 g, 0.156 mmol)を用いて、実施例1の工程2と同様の方法で標記の化合物 (0.146 g, 0.150 mmol, 収率96%) を得た。
ESI-MS m/z: 935 (M)+; 1H-NMR (CDCl3) δ: 0.89 (t, J = 6.9 Hz, 9H), 1.16-1.79 (m, 60H), 1.98-2.17 (m, 15H), 2.52-2.59 (m, 2H), 2.77 (t, J = 6.6 Hz, 6H), 3.44 (s, 9H), 3.69-3.81 (m, 2H), 4.94-4.98 (m, 1H), 5.29-5.42 (m, 12H).
4-((6Z, 9Z, 29Z, 32Z) -20-hydroxy-20-((9Z, 12Z) -octadeca-9,12-dienyl) octatriconta-6,9,29,32-tetraene-19- (Iloxy) -N, N, N-trimethyl-4-oxobutane-1-aminium chloride (Compound III-1)
(6Z, 9Z, 29Z, 32Z) -20-hydroxy-20-((9Z, 12Z) -octadeca-9, obtained by a method according to the method described in U.S. Patent Application Publication No. 2012/0172411 12-Dienyl) octatriconta-6,9,29,32-tetraen-19-yl 4- (dimethylamino) butanoate (0.144 g, 0.156 mmol) was used in the same manner as in Step 2 of Example 1. The title compound (0.146 g, 0.150 mmol, yield 96%) was obtained.
ESI-MS m / z: 935 (M) + ; 1 H-NMR (CDCl 3 ) δ: 0.89 (t, J = 6.9 Hz, 9H), 1.16-1.79 (m, 60H), 1.98-2.17 (m, 15H), 2.52-2.59 (m, 2H), 2.77 (t, J = 6.6 Hz, 6H), 3.44 (s, 9H), 3.69-3.81 (m, 2H), 4.94-4.98 (m, 1H), 5.29 -5.42 (m, 12H).
(6Z,9Z,28Z,31Z)-N,N-ジメチル-N-((9Z,12Z)-オクタデカ-9,12-ジエニル)ヘプタトリアコンタ-6,9,28,31-テトラエン-19-アミニウム クロリド (化合物IV-1)
工程1
国際公開第2010/042877号に記載の方法に準じた方法で得られた(6Z,9Z,28Z,31Z)-ヘプタトリアコンタ-6,9,28,31-テトラエン-19-オン (0.194 g, 0.368 mmol)の1,2-ジクロロエタン (2 mL)溶液にメチルアミン (東京化成工業社製, 約40%メタノール溶液, 0.110 mL, 1.1 mmol)と酢酸 (0.063 mL, 1.1 mmol)を加えた。さらにナトリウムトリアセトキシボロヒドリド (0.117 g, 0.552 mmol)を添加した後、室温で2時間撹拌した。反応液にメチルアミン (約40%メタノール溶液, 0.110 mL, 1.1 mmol)、酢酸 (0.063 mL, 1.1 mmol)、およびナトリウムトリアセトキシボロヒドリド (0.117 g, 0.552 mmol)を加え、2時間撹拌した。反応液に飽和炭酸水素ナトリウム水溶液を加えてヘキサンで2回抽出した。有機層を合わせ、無水硫酸マグネシウムで乾燥し、ろ過し、減圧下濃縮した。得られた残渣をカラムクロマトグラフィー (クロロホルム/メタノール = 100/0~90/10) で精製して(6Z,9Z,28Z,31Z)-N-メチルヘプタトリアコンタ-6,9,28,31-テトラエン-19-アミン (0.121 g, 0.223 mmol, 収率61%)を得た。
ESI-MS m/z: 543 (M + H)+.
工程2
工程1で得られた(6Z,9Z,28Z,31Z)-N-メチルヘプタトリアコンタ-6,9,28,31-テトラエン-19-アミン (0.121 g, 0.223 mmol)に(9Z,12Z)-オクタデカ-9,12-ジエニル メタンスルホナート (0.154 g, 0.446 mmol) および50%水酸化ナトリウム水溶液 (0.107 g, 1.34 mmol) を加え、油浴上135℃で2時間攪拌した。反応液を室温まで冷却し、飽和食塩水を加え、ヘキサンで洗浄した。有機層を無水硫酸マグネシウムで乾燥し、ろ過し、減圧下濃縮した。得られた残渣をシリカゲルカラムクロマトグラフィー (ヘキサン/酢酸エチル = 100/0~85/15)で精製することにより、(6Z,9Z,28Z,31Z)-N-メチル-N-((9Z,12Z)-オクタデカ-9,12-ジエニル)ヘプタトリアコンタ-6,9,28,31-テトラエン-19-アミン (0.139 g, 0.175 mmol, 収率79%)を得た。
ESI-MS m/z: 792 (M + H)+.
工程3
工程2で得られた(6Z,9Z,28Z,31Z)-N-メチル-N-((9Z,12Z)-オクタデカ-9,12-ジエニル)ヘプタトリアコンタ-6,9,28,31-テトラエン-19-アミン (0.139 g, 0.175 mmol)を用い、実施例1工程2と同様にして、標記化合物 (0.114 g, 0.135 mmol, 収率77%)を得た。
ESI-MS m/z: 806 (M)+; 1H-NMR (CDCl3) δ: 0.89 (t, J = 7.0 Hz, 9H), 1.26-1.56 (m, 54H), 1.65-1.73 (m, 2H), 1.80-1.88 (m, 2H), 2.05 (q, J = 7.0 Hz, 12H), 2.77 (t, J = 6.3 Hz, 6H), 3.22-3.27 (m, 1H), 3.31 (s, 6H), 3.58-3.62 (m, 2H), 5.29-5.42 (m, 12H).
(6Z, 9Z, 28Z, 31Z) -N, N-dimethyl-N-((9Z, 12Z) -octadeca-9,12-dienyl) heptatriconta-6,9,28,31-tetraene-19-aminium Chloride (Compound IV-1)
Process 1
(6Z, 9Z, 28Z, 31Z) -heptatriconta-6,9,28,31-tetraen-19-one (0.194 g, obtained by a method according to the method described in WO2010 / 042877 Methylamine (manufactured by Tokyo Chemical Industry Co., Ltd., about 40% methanol solution, 0.110 mL, 1.1 mmol) and acetic acid (0.063 mL, 1.1 mmol) were added to a solution of 0.368 mmol) in 1,2-dichloroethane (2 mL). Further, sodium triacetoxyborohydride (0.117 g, 0.552 mmol) was added, followed by stirring at room temperature for 2 hours. Methylamine (about 40% methanol solution, 0.110 mL, 1.1 mmol), acetic acid (0.063 mL, 1.1 mmol), and sodium triacetoxyborohydride (0.117 g, 0.552 mmol) were added to the reaction solution, and the mixture was stirred for 2 hours. A saturated aqueous sodium hydrogen carbonate solution was added to the reaction mixture, and the mixture was extracted twice with hexane. The organic layers were combined, dried over anhydrous magnesium sulfate, filtered, and concentrated under reduced pressure. The obtained residue was purified by column chromatography (chloroform / methanol = 100/0 to 90/10) and (6Z, 9Z, 28Z, 31Z) -N-methylheptatria contour-6,9,28,31- Tetraene-19-amine (0.121 g, 0.223 mmol, 61% yield) was obtained.
ESI-MS m / z: 543 (M + H) + .
Process 2
(9Z, 12Z)-(6Z, 9Z, 28Z, 31Z) -N-methylheptatriconta-6,9,28,31-tetraen-19-amine (0.121 g, 0.223 mmol) obtained in Step 1 Octadeca-9,12-dienyl methanesulfonate (0.154 g, 0.446 mmol) and 50% aqueous sodium hydroxide solution (0.107 g, 1.34 mmol) were added, and the mixture was stirred at 135 ° C. for 2 hours in an oil bath. The reaction solution was cooled to room temperature, saturated brine was added, and the mixture was washed with hexane. The organic layer was dried over anhydrous magnesium sulfate, filtered and concentrated under reduced pressure. The obtained residue was purified by silica gel column chromatography (hexane / ethyl acetate = 100/0 to 85/15) to give (6Z, 9Z, 28Z, 31Z) -N-methyl-N-((9Z, 12Z ) -Octadeca-9,12-dienyl) heptatriconta-6,9,28,31-tetraen-19-amine (0.139 g, 0.175 mmol, yield 79%) was obtained.
ESI-MS m / z: 792 (M + H) + .
Process 3
(6Z, 9Z, 28Z, 31Z) -N-methyl-N-((9Z, 12Z) -octadeca-9,12-dienyl) heptatriconta-6,9,28,31-tetraene obtained in Step 2 The title compound (0.114 g, 0.135 mmol, yield 77%) was obtained in the same manner as in Example 1, Step 2 using -19-amine (0.139 g, 0.175 mmol).
ESI-MS m / z: 806 (M) + ; 1 H-NMR (CDCl 3 ) δ: 0.89 (t, J = 7.0 Hz, 9H), 1.26-1.56 (m, 54H), 1.65-1.73 (m, 2H), 1.80-1.88 (m, 2H), 2.05 (q, J = 7.0 Hz, 12H), 2.77 (t, J = 6.3 Hz, 6H), 3.22-3.27 (m, 1H), 3.31 (s, 6H ), 3.58-3.62 (m, 2H), 5.29-5.42 (m, 12H).
N,N,N-トリメチル-3-(パルミトイルオキシ)-2,2-ビス((パルミトイルオキシ)メチル)プロパン-1-アミニウム クロリド(化合物II-24)
工程1
実施例24の工程1で得られた2-((ジメチルアミノ)メチル)-2-(ヒドロキシメチル)プロパン-1,3-ジオール (0.420 g,2.57 mmol)の1,2-ジクロロエタン (5 mL)溶液に、ピリジン (3.12 mL, 38.6 mmol)を加えた後、室温にてパルミトイル クロリド (東京化成工業社製, 6.22 mL, 20.6 mmol)を加え、70℃で2時間攪拌した。反応液を室温まで冷却し、水を加え、酢酸エチルで抽出した。有機層を飽和食塩水で洗浄し、無水硫酸マグネシウムで乾燥し、ろ過した。減圧下濃縮し、得られた残渣をシリカゲルカラムクロマトグラフィー (クロロホルム)で精製することにより、2-((ジメチルアミノ)メチル)-2-((パルミトイルオキシ)メチル)プロパン-1,3-ジイル ジパルミタート (0.650 g, 0.740 mmol, 収率29%)を得た。
ESI-MS m/z: 879 (M + H)+
工程2
工程1で得られた2-((ジメチルアミノ)メチル)-2-((パルミトイルオキシ)メチル)プロパン-1,3-ジイル ジパルミタート (0.65 g, 0.74 mmol)を用い、実施例1工程2と同様にして、標記化合物 (0.056 g, 0.060 mmol, 収率8%)を得た。
ESI-MS m/z: 893 (M)+; 1H-NMR (CDCl3) δ: 0.88 (t, J= 7.0 Hz, 9H), 1.21-1.34 (m, 72H), 1.54-1.64 (m, 6H), 2.38 (t, J = 7.6 Hz, 6H), 3.62 (s, 9H), 3.95 (s, 2H), 4.29 (s, 6H).
N, N, N-trimethyl-3- (palmitoyloxy) -2,2-bis ((palmitoyloxy) methyl) propane-1-aminium chloride (Compound II-24)
Process 1
2-((Dimethylamino) methyl) -2- (hydroxymethyl) propane-1,3-diol (0.420 g, 2.57 mmol) of 1,2-dichloroethane (5 mL) obtained in Step 1 of Example 24 After adding pyridine (3.12 mL, 38.6 mmol) to the solution, palmitoyl chloride (manufactured by Tokyo Chemical Industry Co., Ltd., 6.22 mL, 20.6 mmol) was added at room temperature, and the mixture was stirred at 70 ° C. for 2 hours. The reaction mixture was cooled to room temperature, water was added, and the mixture was extracted with ethyl acetate. The organic layer was washed with saturated brine, dried over anhydrous magnesium sulfate, and filtered. After concentration under reduced pressure, the resulting residue was purified by silica gel column chromatography (chloroform) to give 2-((dimethylamino) methyl) -2-((palmitoyloxy) methyl) propane-1,3-diyl dipalmitate. (0.650 g, 0.740 mmol, 29% yield) was obtained.
ESI-MS m / z: 879 (M + H) +
Process 2
Using 2-((dimethylamino) methyl) -2-((palmitoyloxy) methyl) propane-1,3-diyl dipalmitate (0.65 g, 0.74 mmol) obtained in Step 1, as in Step 1 of Example 1. To give the title compound (0.056 g, 0.060 mmol, 8% yield).
ESI-MS m / z: 893 (M) + ; 1 H-NMR (CDCl 3 ) δ: 0.88 (t, J = 7.0 Hz, 9H), 1.21-1.34 (m, 72H), 1.54-1.64 (m, 6H), 2.38 (t, J = 7.6 Hz, 6H), 3.62 (s, 9H), 3.95 (s, 2H), 4.29 (s, 6H).
N,N,N-トリメチル-3-(テトラデカノイルオキシ)-2,2-ビス((テトラデカノイルオキシ)メチル)プロパン-1-アミニウム クロリド(化合物II-25)
実施例33と同様の方法で、パルミトイル クロリドの代わりにミリストイル クロリド (和光純薬工業) を用い、標記の化合物 (0.045 g, 0.053 mmol, 通し収率4%)を得た。
ESI-MS m/z: 809 (M)+; 1H-NMR (CDCl3) δ: 0.88 (t, J= 6.8 Hz, 9H), 1.21-1.34 (m, 60H), 1.54-1.64 (m, 6H), 2.38 (t, J = 7.6 Hz, 6H), 3.64 (s, 9H), 3.96 (s, 2H), 4.29 (s, 6H).
N, N, N-trimethyl-3- (tetradecanoyloxy) -2,2-bis ((tetradecanoyloxy) methyl) propane-1-aminium chloride (compound II-25)
In the same manner as in Example 33, myristoyl chloride (Wako Pure Chemical Industries) was used in place of palmitoyl chloride to obtain the title compound (0.045 g, 0.053 mmol, overall yield 4%).
ESI-MS m / z: 809 (M) + ; 1 H-NMR (CDCl 3 ) δ: 0.88 (t, J = 6.8 Hz, 9H), 1.21-1.34 (m, 60H), 1.54-1.64 (m, 6H), 2.38 (t, J = 7.6 Hz, 6H), 3.64 (s, 9H), 3.96 (s, 2H), 4.29 (s, 6H).
3-(ドデカノイルオキシ)-2,2-ビス((ドデカノイルオキシ)メチル)-N,N,N-トリメチルプロパン-1-アミニウム クロリド(化合物II-26)
実施例33と同様の方法で、パルミトイル クロリドの代わりにラウロイル クロリド(東京化成工業社製) を用い、標記の化合物 (0.085 g, 0.112 mmol, 通し収率9%) を得た。
ESI-MS m/z: 725 (M)+; 1H-NMR (CDCl3) δ: 0.88 (t, J= 6.8 Hz, 9H), 1.19-1.34 (m, 48H), 1.54-1.64 (m, 6H), 2.38 (t, J = 7.6 Hz, 6H), 3.66 (s, 9H), 3.97 (s, 2H), 4.30 (s, 6H).
3- (Dodecanoyloxy) -2,2-bis ((dodecanoyloxy) methyl) -N, N, N-trimethylpropane-1-aminium chloride (Compound II-26)
In the same manner as in Example 33, lauroyl chloride (manufactured by Tokyo Chemical Industry Co., Ltd.) was used instead of palmitoyl chloride to obtain the title compound (0.085 g, 0.112 mmol, overall yield 9%).
ESI-MS m / z: 725 (M) + ; 1 H-NMR (CDCl 3 ) δ: 0.88 (t, J = 6.8 Hz, 9H), 1.19-1.34 (m, 48H), 1.54-1.64 (m, 6H), 2.38 (t, J = 7.6 Hz, 6H), 3.66 (s, 9H), 3.97 (s, 2H), 4.30 (s, 6H).
(Z)-N,N,N-トリメチル-3,3-ビス((オレオイロキシ)メチル)ヘニコサ-12-エン-1-アミニウム クロリド(化合物II-27)
工程1
マロン酸ジメチル (1.00 g, 7.57 mmol)をアセトニトリル (25 mL)に溶解させ、(Z)-オクタ-9-エン-1-イル メタンスルホナート(3.15g, 9.08 mmol)、炭酸セシウム (4.93 g, 15.1 mmol)およびヨウ化テトラブチルアンモニウム (3.35 g, 9.08 mmol)を加え、60℃で1時間攪拌した。反応液に水を加え、ヘキサンで抽出した。有機層を飽和食塩水で洗浄し、無水硫酸マグネシウムで乾燥し、ろ過し、減圧下濃縮した。得られた残渣をシリカゲルカラムクロマトグラフィー (ヘキサン/酢酸エチル = 90/10~70/30)で精製することで、(Z)-ジメチル 2-(オクタデカ-9-エン-1-イル)マロナート (2.54 g, 6.64 mmol, 収率88%)を得た。
ESI-MS m/z: 383 (M + H)+
工程2
工程1で得られた(Z)-ジメチル 2-(オクタデカ-9-エン-1-イル)マロナート (0.500 g, 1.31 mmol)をトルエン (6 mL)に溶解させ、氷冷下水素化ナトリウム (油性, 60%, 0.209 g, 5.23 mmol)を加え、発泡が無くなるまで撹拌した。次いで2-クロロ-N,N-ジメチルエタンアミン 塩酸塩 (東京化成工業社製, 0.377 g, 2.61 mmol)を加え、100℃で2時間攪拌した。氷冷下反応液に水を加え、クロロホルムで抽出した。有機層を飽和食塩水で洗浄し、無水硫酸マグネシウムで乾燥し、ろ過し、減圧下濃縮した。得られた残渣をシリカゲルカラムクロマトグラフィー(クロロホルム/メタノール = 99/1~90/10)で精製することで、(Z)-ジメチル 2-(2-(ジメチルアミノ)エチル)-2-(オクタデカ-9-エン-1-イル)マロナート (0.258 g, 0.569 mmol, 収率44%)を得た。
ESI-MS m/z: 454 (M + H)+
工程3
実施例19の工程2と同様の方法で、工程2で得られた(Z)-ジメチル 2-(2-(ジメチルアミノ)エチル)-2-(オクタデカ-9-エン-1-イル)マロナート (0.250 g, 0.551 mmol)を用い、(Z)-2-(2-(ジメチルアミノ)エチル)-2-(オクタデカ-9-エン-1-イル)プロパン-1,3-ジオール (0.220 g, 0.553mmol, 定量的)を得た。
ESI-MS m/z: 398 (M + H)+
工程4
工程3で得られた(Z)-2-(2-(ジメチルアミノ)エチル)-2-(オクタデカ-9-エン-1-イル)プロパン-1,3-ジオール (0.220 g, 0.553mmol)をジクロロメタン(2 mL)に溶解し、N,N-ジイソプロピルエチルアミン(0.386 mL, 2.21 mmol)を加え、氷冷下オレオイルクロリド (Sigma-aldrich社製, 0.457 mL, 1.38 mmol)を加え、室温で10分間撹拌した。反応液に水を加え、ヘキサンで抽出した。有機層を飽和食塩水で洗浄し、無水硫酸マグネシウムで乾燥し、ろ過し、減圧下濃縮した。得られた残渣をシリカゲルカラムクロマトグラフィー(ヘキサン/酢酸エチル = 90/10~50/50)で精製することで、(Z)-2-(2-(ジメチルアミノ)エチル)-2-((Z)-オクタデカ-9-エン-1-イル)プロパン-1,3-ジイル ジオレアート (0.280 g, 0.302 mmol, 収率55%)を得た。
ESI-MS m/z: 927 (M + H)+
工程5
工程4で得られた(Z)-2-(2-(ジメチルアミノ)エチル)-2-((Z)-オクタデカ-9-エン-1-イル)プロパン-1,3-ジイル ジオレアート (0.280 g, 0.302 mmol)を用い、実施例1工程2と同様にして、標記化合物 (0.199 g, 0.204 mmol, 収率67%)を得た。
ESI-MS m/z: 941 (M)+; 1H-NMR (CDCl3) δ: 0.88 (t, J = 7.0 Hz, 9H), 1.22-1.39 (m, 66H), 1.55-1.65 (m, 4H), 1.70-1.78 (m, 2H), 1.98-2.06 (m, 12H), 2.33 (t, J= 7.6 Hz, 4H), 3.46 (s, 9H), 3.58-3.65 (m, 2H), 3.93-4.03 (m, 4H), 5.29-5.39 (m, 6H).
(Z) -N, N, N-Trimethyl-3,3-bis ((oleoyloxy) methyl) henicosa-12-en-1-aminium chloride (Compound II-27)
Process 1
Dimethyl malonate (1.00 g, 7.57 mmol) was dissolved in acetonitrile (25 mL) and (Z) -oct-9-en-1-yl methanesulfonate (3.15 g, 9.08 mmol), cesium carbonate (4.93 g, 15.1 mmol) and tetrabutylammonium iodide (3.35 g, 9.08 mmol) were added, and the mixture was stirred at 60 ° C. for 1 hour. Water was added to the reaction mixture, and the mixture was extracted with hexane. The organic layer was washed with saturated brine, dried over anhydrous magnesium sulfate, filtered, and concentrated under reduced pressure. The resulting residue was purified by silica gel column chromatography (hexane / ethyl acetate = 90/10 to 70/30) to give (Z) -dimethyl 2- (octadeca-9-en-1-yl) malonate (2.54 g, 6.64 mmol, yield 88%).
ESI-MS m / z: 383 (M + H) +
Process 2
(Z) -dimethyl 2- (octadeca-9-en-1-yl) malonate (0.500 g, 1.31 mmol) obtained in step 1 was dissolved in toluene (6 mL), and sodium hydride (oil-based oil was added under ice cooling. , 60%, 0.209 g, 5.23 mmol) and stirred until no foaming occurred. Subsequently, 2-chloro-N, N-dimethylethanamine hydrochloride (manufactured by Tokyo Chemical Industry Co., Ltd., 0.377 g, 2.61 mmol) was added, and the mixture was stirred at 100 ° C. for 2 hours. Water was added to the reaction mixture under ice cooling, and the mixture was extracted with chloroform. The organic layer was washed with saturated brine, dried over anhydrous magnesium sulfate, filtered, and concentrated under reduced pressure. The obtained residue was purified by silica gel column chromatography (chloroform / methanol = 99/1 to 90/10) to give (Z) -dimethyl 2- (2- (dimethylamino) ethyl) -2- (octadeca- 9-en-1-yl) malonate (0.258 g, 0.569 mmol, 44% yield) was obtained.
ESI-MS m / z: 454 (M + H) +
Process 3
(Z) -Dimethyl 2- (2- (dimethylamino) ethyl) -2- (octadeca-9-en-1-yl) malonate obtained in Step 2 in the same manner as in Step 2 of Example 19. 0.250 g, 0.551 mmol) and (Z) -2- (2- (dimethylamino) ethyl) -2- (octadeca-9-en-1-yl) propane-1,3-diol (0.220 g, 0.553 mmol, quantitative).
ESI-MS m / z: 398 (M + H) +
Process 4
(Z) -2- (2- (dimethylamino) ethyl) -2- (octadeca-9-en-1-yl) propane-1,3-diol (0.220 g, 0.553 mmol) obtained in Step 3 was Dissolve in dichloromethane (2 mL), add N, N-diisopropylethylamine (0.386 mL, 2.21 mmol), add oleoyl chloride (Sigma-aldrich, 0.457 mL, 1.38 mmol) under ice-cooling, and add 10 at room temperature. Stir for minutes. Water was added to the reaction mixture, and the mixture was extracted with hexane. The organic layer was washed with saturated brine, dried over anhydrous magnesium sulfate, filtered, and concentrated under reduced pressure. The obtained residue was purified by silica gel column chromatography (hexane / ethyl acetate = 90 / 10-50 / 50) to give (Z) -2- (2- (dimethylamino) ethyl) -2-((Z ) -Octadeca-9-en-1-yl) propane-1,3-diyl dioleate (0.280 g, 0.302 mmol, yield 55%) was obtained.
ESI-MS m / z: 927 (M + H) +
Process 5
(Z) -2- (2- (Dimethylamino) ethyl) -2-((Z) -octadeca-9-en-1-yl) propane-1,3-diyl dioleate obtained in Step 4 (0.280 g , 0.302 mmol), and the title compound (0.199 g, 0.204 mmol, yield 67%) was obtained in the same manner as in Step 1 of Example 1.
ESI-MS m / z: 941 (M) + ; 1 H-NMR (CDCl 3 ) δ: 0.88 (t, J = 7.0 Hz, 9H), 1.22-1.39 (m, 66H), 1.55-1.65 (m, 4H), 1.70-1.78 (m, 2H), 1.98-2.06 (m, 12H), 2.33 (t, J = 7.6 Hz, 4H), 3.46 (s, 9H), 3.58-3.65 (m, 2H), 3.93 -4.03 (m, 4H), 5.29-5.39 (m, 6H).
(Z)-N,N,N-トリメチル-4,4-ビス((オレオイルオキシ)メチル)ドコサ-13-エン-1-アミニウム クロリド(化合物II-28)
工程1
実施例36の工程2と同様の方法で、2-クロロ-N,N-ジメチルエタンアミン 塩酸塩の代わりに3-クロロ-N,N-ジメチルプロパン-1-アミン 塩酸塩(東京化成工業社製)を
用い、(Z)-ジメチル 2-(3-(ジメチルアミノ)プロピル)-2-(オクタデカ-9-エン-1-イル)マロナート (0.210 g, 0.449 mmol, 収率34%)を得た。
ESI-MS m/z: 468 (M + H)+
工程2
実施例36の工程3、4、5と同様の方法で、(Z)-ジメチル 2-(2-(ジメチルアミノ)エチル)-2-(オクタデカ-9-エン-1-イル)マロナートの代わりに工程1で得られた(Z)-ジメチル2-(3-(ジメチルアミノ)プロピル)-2-(オクタデカ-9-エン-1-イル)マロナート (0.210 g, 0.449 mmol)を用い、標記化合物 (0.042 g, 0.042 mmol, 通し収率9%)を得た。
ESI-MS m/z: 955 (M)+; 1H-NMR (CDCl3) δ: 0.88 (t, J = 6.8 Hz, 9H), 1.22-1.36 (m, 68H), 1.56-1.64 (m, 4H), 1.72-1.82 (m, 2H),1.96-2.07 (m, 12H), 2.32 (t, J= 7.5 Hz, 4H), 3.38 (s, 9H), 3.39-3.46 (m, 2H), 3.93 (d, J = 11.2 Hz, 2H), 3.99 (d, J = 11.2 Hz, 2H), 5.28-5.40 (m, 6H).
(Z) -N, N, N-Trimethyl-4,4-bis ((oleoyloxy) methyl) docosa-13-en-1-aminium chloride (Compound II-28)
Process 1
In the same manner as in Step 2 of Example 36, instead of 2-chloro-N, N-dimethylethanamine hydrochloride, 3-chloro-N, N-dimethylpropan-1-amine hydrochloride (manufactured by Tokyo Chemical Industry Co., Ltd.) ) To give (Z) -dimethyl 2- (3- (dimethylamino) propyl) -2- (octadeca-9-en-1-yl) malonate (0.210 g, 0.449 mmol, 34% yield) .
ESI-MS m / z: 468 (M + H) +
Process 2
In the same manner as in Steps 3, 4, and 5 of Example 36, instead of (Z) -dimethyl 2- (2- (dimethylamino) ethyl) -2- (octadeca-9-en-1-yl) malonate Using (Z) -dimethyl 2- (3- (dimethylamino) propyl) -2- (octadeca-9-en-1-yl) malonate (0.210 g, 0.449 mmol) obtained in Step 1, the title compound ( 0.042 g, 0.042 mmol, 9% yield).
ESI-MS m / z: 955 (M) + ; 1 H-NMR (CDCl 3 ) δ: 0.88 (t, J = 6.8 Hz, 9H), 1.22-1.36 (m, 68H), 1.56-1.64 (m, 4H), 1.72-1.82 (m, 2H), 1.96-2.07 (m, 12H), 2.32 (t, J = 7.5 Hz, 4H), 3.38 (s, 9H), 3.39-3.46 (m, 2H), 3.93 (d, J = 11.2 Hz, 2H), 3.99 (d, J = 11.2 Hz, 2H), 5.28-5.40 (m, 6H).
N,N,N-トリメチル-3-(ステアロイルオキシ)-2,2-ビス((ステアロイルオキシ)メチル)プロパン-1-アミニウム クロリド(化合物II-29)
実施例33と同様の方法で、パルミトイル クロリドの代わりにステアロイル クロリド(東京化成工業社製) を用い、標記の化合物 (0.085 g, 0.112 mmol, 通し収率6%) を得た。
ESI-MS m/z: 977 (M)+; 1H-NMR (CDCl3) δ: 0.88 (t, J= 6.8 Hz, 9H), 1.21-1.37 (m, 84H), 1.54-1.64 (m, 6H), 2.38 (t, J = 7.6 Hz, 6H), 3.65 (s, 9H), 3.96 (s, 2H), 4.30 (s, 6H).
N, N, N-trimethyl-3- (stearoyloxy) -2,2-bis ((stearoyloxy) methyl) propane-1-aminium chloride (compound II-29)
In the same manner as in Example 33, stearoyl chloride (manufactured by Tokyo Chemical Industry Co., Ltd.) was used instead of palmitoyl chloride to obtain the title compound (0.085 g, 0.112 mmol, overall yield 6%).
ESI-MS m / z: 977 (M) + ; 1 H-NMR (CDCl 3 ) δ: 0.88 (t, J = 6.8 Hz, 9H), 1.21-1.37 (m, 84H), 1.54-1.64 (m, 6H), 2.38 (t, J = 7.6 Hz, 6H), 3.65 (s, 9H), 3.96 (s, 2H), 4.30 (s, 6H).
N,N,N-トリメチル-3-オレアミド-2,2-ビス((オレオイルオキシ)メチル)プロパン-1-アミニウム クロリド(化合物II-30)
工程1
実施例24の工程1で得られた2-((ジメチルアミノ)メチル)-2-(ヒドロキシメチル)プロパン-1,3-ジオール (0.410 g,2.51 mmol)をジクロロメタン (5 mL)、ピリジン (5.08 mL, 62.8 mmol)の混合溶媒に溶解した。氷冷下、オレオイル クロリド (1.25 mL, 3.77 mmol)を加えた。反応液に水を加え、クロロホルムで抽出した。有機層を飽和食塩水で洗浄し、無水硫酸マグネシウムで乾燥し、ろ過した。減圧下濃縮し、得られた残渣をシリカゲルカラムクロマトグラフィー (クロロホルム/メタノール=99/1~90/10)で精製することにより、(Z)-2-((ジメチルアミノ)メチル)-2-(ヒドロキシメチル)プロパン-1,3-ジイル ジオレアート (0.190 g, 0.275 mmol, 収率11%)を得た。
ESI-MS m/z: 693 (M + H)+
工程2
工程1で得られた(Z)-2-((ジメチルアミノ)メチル)-2-(ヒドロキシメチル)プロパン-1,3-ジイル ジオレアート (0.190 g,2.51 mmol)をトルエン (2 mL)に溶解し、室温でジフェニルリン酸アジド (東京化成工業社製, 0.118 mL, 0.549 mmol)と1,8-ジアザビシクロ[5.4.0]-7-ウンデセン(0.0830 mL,0.549 mmol)を加え、1時間撹拌した。反応の進行が不十分であったので、ジフェニルリン酸アジド (0.118 mL, 0.549 mmol)を追加し、80℃で3時間加熱撹拌した。反応液を室温まで冷却し、水を加え、酢酸エチルで抽出した。有機層を飽和食塩水で洗浄し、無水硫酸マグネシウムで乾燥し、ろ過した。減圧下濃縮し、得られた残渣をシリカゲルカラムクロマトグラフィー (ヘキサン/酢酸エチル=95/5~60/40)で精製することにより、(Z)-2-(アジドメチル)-2-((ジメチルアミノ)メチル)プロパン-1,3-ジイル ジオレアート (0.135 g, 0.188 mmol, 収率69%)を得た。
ESI-MS m/z: 718 (M + H)+
工程3
工程2で得られた(Z)-2-(アジドメチル)-2-((ジメチルアミノ)メチル)プロパン-1,3-ジイル ジオレアート (0.135 g,2.51 mmol)をテトラヒドロフラン (1 mL)と水(0.1 mL)の混合溶液に溶解し、トリフェニルホスフィン (純正化学工業社製, 0.0740 g, 0.282 mmol)を加え、3時間撹拌した。反応液に水を加え、酢酸エチルで抽出した。有機層を飽和食塩水で洗浄し、無水硫酸マグネシウムで乾燥し、ろ過した。減圧下濃縮することにより、(Z)-2-(アミノエチル)-2-((ジメチルアミノ)メチル)プロパン-1,3-ジイル ジオレアートの粗生成物 (0.130 g, 0.188 mmol, 収率100%)を得た。
ESI-MS m/z: 691 (M + H)+
工程4
工程3で得られた(Z)-2-(アミノエチル)-2-((ジメチルアミノ)メチル)プロパン-1,3-ジイル ジオレアート (0.130 g,0.188 mmol)のジクロロメタン (2 mL)溶液に、N,N-ジイソプロピルエチルアミン (0.0990 mL, 0.564 mmol)を加え、氷冷下オレオイルクロリド (0.0850 g, 0.282 mmol)を加えて、室温で1時間撹拌した。反応液に水を加え、ヘキサンで抽出した。有機層を飽和食塩水で洗浄し、無水硫酸マグネシウムで乾燥し、ろ過した。減圧下濃縮し、得られた残渣をシリカゲルカラムクロマトグラフィー (ヘキサン/酢酸エチル=97/3~60/40)で精製することにより、(Z)-2-((ジメチルアミノ)メチル)-2-(オレアミドメチル)プロパン-1,3-ジイル ジオレアート (0.105 g, 0.110 mmol, 収率58%)を得た。
ESI-MS m/z: 956 (M + H)+
工程5
工程4で得られた(Z)-2-((ジメチルアミノ)メチル)-2-(オレアミドメチル)プロパン-1,3-ジイル ジオレアート (0.105 g, 0.110 mmol)を用い、実施例1工程2と同様にして、標記化合物(0.0480 g, 0.0480 mmol, 収率43%)を得た。
ESI-MS m/z: 970 (M)+;1H-NMR (CDCl3) δ: 0.88 (t, J = 6.8 Hz, 9H), 1.21-1.37 (m, 60H), 1.56-1.65 (m, 6H), 1.96-2.05 (m, 12H), 2.36 (t, J= 7.6 Hz, 6H), 3.51 (s, 9H), 3.51-3.56 (m, 2H), 4.02 (s, 2H), 4.20 (d, J= 12.2 Hz, 2H), 4.30 (d, J = 12.2 Hz, 2H), 5.27-5.40 (m, 6H), 8.11-8.20 (m, 1H).
N, N, N-trimethyl-3-oleamide-2,2-bis ((oleoyloxy) methyl) propane-1-aminium chloride (Compound II-30)
Process 1
2-((Dimethylamino) methyl) -2- (hydroxymethyl) propane-1,3-diol (0.410 g, 2.51 mmol) obtained in Step 1 of Example 24 was added to dichloromethane (5 mL), pyridine (5.08). (mL, 62.8 mmol). Under ice-cooling, oleoyl chloride (1.25 mL, 3.77 mmol) was added. Water was added to the reaction mixture, and the mixture was extracted with chloroform. The organic layer was washed with saturated brine, dried over anhydrous magnesium sulfate, and filtered. The residue obtained by concentration under reduced pressure was purified by silica gel column chromatography (chloroform / methanol = 99/1 to 90/10) to give (Z) -2-((dimethylamino) methyl) -2- ( Hydroxymethyl) propane-1,3-diyl dioleate (0.190 g, 0.275 mmol, yield 11%) was obtained.
ESI-MS m / z: 693 (M + H) +
Process 2
(Z) -2-((Dimethylamino) methyl) -2- (hydroxymethyl) propane-1,3-diyldiolate (0.190 g, 2.51 mmol) obtained in step 1 was dissolved in toluene (2 mL). Then, diphenylphosphoric acid azide (manufactured by Tokyo Chemical Industry Co., Ltd., 0.118 mL, 0.549 mmol) and 1,8-diazabicyclo [5.4.0] -7-undecene (0.0830 mL, 0.549 mmol) were added at room temperature, and the mixture was stirred for 1 hour. Since the progress of the reaction was insufficient, diphenylphosphoric acid azide (0.118 mL, 0.549 mmol) was added, and the mixture was stirred with heating at 80 ° C. for 3 hr. The reaction mixture was cooled to room temperature, water was added, and the mixture was extracted with ethyl acetate. The organic layer was washed with saturated brine, dried over anhydrous magnesium sulfate, and filtered. Concentration under reduced pressure, and the resulting residue was purified by silica gel column chromatography (hexane / ethyl acetate = 95 / 5-60 / 40) to give (Z) -2- (azidomethyl) -2-((dimethylamino ) Methyl) propane-1,3-diyl dioleate (0.135 g, 0.188 mmol, 69% yield) was obtained.
ESI-MS m / z: 718 (M + H) +
Process 3
(Z) -2- (azidomethyl) -2-((dimethylamino) methyl) propane-1,3-diyldiolate (0.135 g, 2.51 mmol) obtained in step 2 was added to tetrahydrofuran (1 mL) and water (0.1 In a mixed solution, triphenylphosphine (manufactured by Junsei Chemical Co., Ltd., 0.0740 g, 0.282 mmol) was added and stirred for 3 hours. Water was added to the reaction mixture, and the mixture was extracted with ethyl acetate. The organic layer was washed with saturated brine, dried over anhydrous magnesium sulfate, and filtered. Concentration under reduced pressure gave a crude product of (Z) -2- (aminoethyl) -2-((dimethylamino) methyl) propane-1,3-diyldiolate (0.130 g, 0.188 mmol, 100% yield) )
ESI-MS m / z: 691 (M + H) +
Process 4
To a solution of (Z) -2- (aminoethyl) -2-((dimethylamino) methyl) propane-1,3-diyl dioleate (0.130 g, 0.188 mmol) obtained in step 3 in dichloromethane (2 mL), N, N-diisopropylethylamine (0.0990 mL, 0.564 mmol) was added, oleoyl chloride (0.0850 g, 0.282 mmol) was added under ice cooling, and the mixture was stirred at room temperature for 1 hr. Water was added to the reaction mixture, and the mixture was extracted with hexane. The organic layer was washed with saturated brine, dried over anhydrous magnesium sulfate, and filtered. Concentration under reduced pressure, and the resulting residue was purified by silica gel column chromatography (hexane / ethyl acetate = 97 / 3-60 / 40) to give (Z) -2-((dimethylamino) methyl) -2- (Oleamidomethyl) propane-1,3-diyl dioleate (0.105 g, 0.110 mmol, yield 58%) was obtained.
ESI-MS m / z: 956 (M + H) +
Process 5
Using (Z) -2-((dimethylamino) methyl) -2- (oleamidomethyl) propane-1,3-diyldiolate (0.105 g, 0.110 mmol) obtained in step 4, Example 1 step 2 In the same manner as described above, the title compound (0.0480 g, 0.0480 mmol, yield 43%) was obtained.
ESI-MS m / z: 970 (M) + ; 1 H-NMR (CDCl 3 ) δ: 0.88 (t, J = 6.8 Hz, 9H), 1.21-1.37 (m, 60H), 1.56-1.65 (m, 6H), 1.96-2.05 (m, 12H), 2.36 (t, J = 7.6 Hz, 6H), 3.51 (s, 9H), 3.51-3.56 (m, 2H), 4.02 (s, 2H), 4.20 (d , J = 12.2 Hz, 2H), 4.30 (d, J = 12.2 Hz, 2H), 5.27-5.40 (m, 6H), 8.11-8.20 (m, 1H).
N,N,N-トリメチル-4-(オレオイルオキシ)-3,3-ビス(オレオイルオキシメチル)ブタン-1-アミニウム クロリド (化合物II-31)
工程1
2-(ブロモメチル)-2-(ヒドロキシメチル)プロパン-1,3-ジオール (東京化成工業社製, 1.00 g, 5.02 mmol) のテトラヒドロフラン (10 mL) 溶液に、tert -ブチルジメチルクロロシラン (東京化成工業社製, 3.79 g, 25.1 mmol)、イミダゾール (ナカライテスク社製, 3.42 g, 50.2 mmol)、N,N-ジメチルアミノピリジン (0.061 g, 0.502 mmol) を加えて、室温にて終夜攪拌した。反応液に飽和炭酸水素ナトリウム水溶液を加えてヘキサンで2回抽出した。有機層を、無水硫酸マグネシウムで乾燥後、減圧下濃縮した。残渣をシリカゲルカラムクロマトグラフィー (ヘキサン) で精製することにより6-(ブロモメチル)-6-((tert-ブチルジメチルシリルオキシ)メチル)-2,2,3,3,9,9,10,10-オクタメチル-4,8-ジオキサ-3,9-ジシラウンデカン (2.50 g, 4.61 mmol, 92%)を得た。
1H-NMR (CDCl3) δ: 0.04 (s, 18H), 0.89 (s, 27H), 3.41 (s, 2H), 3.49 (s, 6H).
工程2
工程1で得られた6-(ブロモメチル)-6-((tert-ブチルジメチルシリルオキシ)メチル)-2,2,3,3,9,9,10,10-オクタメチル-4,8-ジオキサ-3,9-ジシラウンデカン (1.849 g, 3.41 mmol) のジメチルスルホキシド (10 mL) 溶液に、シアン化ナトリウム (ナカライテスク社製, 0.529 g, 10.8 mmol) を加えて、85℃にて3日間攪拌した。室温まで冷却後、反応液をヘキサンで希釈し、水、ついで飽和食塩水で洗浄し、無水硫酸マグネシウムで乾燥後ろ過し、減圧濃縮した。得られた残渣をシリカゲルカラムクロマトグラフィー (ヘキサン/酢酸エチル = 90/10)で精製することにより、4-(tert-ブチルジメチルシリルオキシ)-3,3-ビス((tert-ブチルジメチルシリルオキシ)メチル)ブタンニトリル (1.35 g, 2.77 mmol, 収率81%)を得た。
ESI-MS m/z: 489 (M + H)+; 1H-NMR (CDCl3) δ: 0.05 (s, 18H), 0.89 (s, 27H), 2.34 (s, 2H), 3.51 (s, 6H).
工程3
工程2で得られた 4-(tert-ブチルジメチルシリルオキシ)-3,3-ビス((tert-ブチルジメチルシリルオキシ)メチル)ブタンニトリル (1.34 g, 2.75 mmol) のテトラヒドロフラン (10 mL) 溶液に、氷冷下、水素化アルミニウムリチウム (0.104 g, 2.75 mmol) を加え、室温にて2時間攪拌した。反応液に水 (0.495 mL, 27.5 mmol) とフッ化ナトリウム (3.46 g, 82.0 mmol) を加え、室温にて終夜攪拌した。不溶物をセライト濾過にて除去し、濾液を濃縮した。得られた残渣をアミノシリカゲルカラムクロマトグラフィー (酢酸エチル) で精製することにより、4-(tert-ブチルジメチルシリルオキシ)-3,3-ビス((tert-ブチルジメチルシリルオキシ)メチル)ブタン-1-アミン (0.435 g, 0.884 mmol, 収率32%) を得た。
ESI-MS m/z: 493 (M + H)+; 1H-NMR (CDCl3) δ: 0.02 (s, 18H), 0.88 (s, 27H), 1.38-1.43 (m, 2H), 2.71-2.75 (m, 2H), 3.40 (s, 6H).
工程4
工程3で得られた 4-(tert-ブチルジメチルシリルオキシ)-3,3-ビス((tert-ブチルジメチルシリルオキシ)メチル)ブタン-1-アミン (0.200 g, 0.407 mmol) の 1,2-ジクロロエタン (3 mL) 溶液に、38%ホルムアルデヒド水溶液 (0.295 mL)、ナトリウムトリアセトキシボロヒドリド (0.431 g, 2.03 mmol)を加え、室温で終夜攪拌した。反応液に飽和炭酸水素ナトリウム水溶液を加えて、クロロホルムで2回抽出した。有機層を、無水硫酸マグネシウムで乾燥後、減圧下濃縮した。残渣をシリカゲルカラムクロマトグラフィー (クロロホルム/メタノール = 90/10) で精製することで、4-(tert-ブチルジメチルシリルオキシ)-3,3-ビス((tert-ブチルジメチルシリルオキシ)メチル)-N,N-ジメチルブタン-1-アミンの粗生成物を得た。
得られた粗生成物にテトラヒドロフラン (2 mL) および テトラブチルアンモニウム フルオリド (東京化成工業社製, 約 1 mol/L テトラヒドロフラン溶液, 2.06 mL, 2.06 mmol) を加え、室温で5時間攪拌した後、60℃て終夜攪拌した。反応液に飽和炭酸水素ナトリウム水溶液を加えて、クロロホルムで2回洗浄した。水層を減圧下濃縮した。得られた残渣にアセトン (2 mL)、水酸化ナトリウム (和光純薬工業社製, 2 mol/L 水溶液, 3 mL, 6 mmol)、オレオイル クロリド ( 0.681 mL, 2.06 mmol) を加え、室温にて3時間攪拌した。反応液にオレオイル クロリド (0.681 mL, 2.06 mmol) を加え、60℃にて終夜攪拌した。室温まで冷却後、反応液に水を加え、クロロホルムで2回抽出した。有機層を無水硫酸マグネシウムで乾燥後ろ過し、減圧濃縮した。得られた残渣をシリカゲルカラムクロマトグラフィー (クロロホルム/メタノール = 90/10)で精製することで、(Z)-2-(2-(ジメチルアミノ)エチル)-2-(オレイルオキシメチル)プロパン-1,3-ジイルジオレートの粗生成物を得た。得られた粗生成物を少量のメタノール-クロロホルム (9:1) に溶解してイオン交換樹脂 (ウォーターズ (Waters) 製, PoraPack Rxn CX, メタノールでプレ洗浄) にロードし、アンモニア (Sigma-Aldirch社製, 2 mol/L メタノール溶液) で溶出した。溶出液を減圧下濃縮し、(Z)-2-(2-(ジメチルアミノ)エチル)-2-(オレイルオキシメチル)プロパン-1,3-ジイルジオレート (0.387 g, 0.399 mmol, 収率98%) を得た。
ESI-MS m/z: 971 (M + H)+; 1H-NMR (CDCl3) δ: 0.88 (t, J = 7.0 Hz, 9H), 1.21-1.38 (m, 62H), 1.54-1.65 (m, 6H), 1.97-2.04 (m, 12H), 2.20 (s, 6H), 2.25-2.32 (m, 8H), 4.04 (s, 6H), 5.29-5.39 (m, 6H).
工程5
実施例1工程2と同様な方法により、2,2’,2’’-ニトリロトリス(エタン-2,1-ジイル) トリオレアートの代わりに工程4で得られた (Z)-2-(2-(ジメチルアミノ)エチル)-2-(オレイルオキシメチル)プロパン-1,3-ジイルジオレート(0.109 g, 0.112 mol)を用い、標記の化合物 (0.0642 g, 0.0630 mol, 収率56%)を得た。
ESI-MS m/z: 986 (M)+; 1H-NMR (CDCl3) δ: 0.88 (t, J = 6.8 Hz, 9H), 1.23-1.37 (m, 74H), 1.55-1.64 (m, 65H), 1.78-1.84 (m, 2H), 1.95-2.06 (m, 13H), 2.35 (t, J = 7.6 Hz, 6H), 3.42 (s, 8H), 3.70-3.77 (m, 2H), 4.08 (s, 6H), 5.29-5.39 (m, 6H).
N, N, N-trimethyl-4- (oleoyloxy) -3,3-bis (oleoyloxymethyl) butane-1-aminium chloride (Compound II-31)
Process 1
To a solution of 2- (bromomethyl) -2- (hydroxymethyl) propane-1,3-diol (Tokyo Chemical Industry Co., Ltd., 1.00 g, 5.02 mmol) in tetrahydrofuran (10 mL) was added tert-butyldimethylchlorosilane (Tokyo Chemical Industry Co., Ltd.). (3,79 g, 25.1 mmol), imidazole (manufactured by Nacalai Tesque, 3.42 g, 50.2 mmol) and N, N-dimethylaminopyridine (0.061 g, 0.502 mmol) were added, and the mixture was stirred at room temperature overnight. A saturated aqueous sodium hydrogen carbonate solution was added to the reaction mixture, and the mixture was extracted twice with hexane. The organic layer was dried over anhydrous magnesium sulfate and concentrated under reduced pressure. The residue was purified by silica gel column chromatography (hexane) to give 6- (bromomethyl) -6-((tert-butyldimethylsilyloxy) methyl) -2,2,3,3,9,9,10,10- Octamethyl-4,8-dioxa-3,9-disilaundecane (2.50 g, 4.61 mmol, 92%) was obtained.
1 H-NMR (CDCl3) δ: 0.04 (s, 18H), 0.89 (s, 27H), 3.41 (s, 2H), 3.49 (s, 6H).
Process 2
6- (Bromomethyl) -6-((tert-butyldimethylsilyloxy) methyl) -2,2,3,3,9,9,10,10-octamethyl-4,8-dioxa- obtained in Step 1 To a solution of 3,9-disilaundecane (1.849 g, 3.41 mmol) in dimethyl sulfoxide (10 mL) was added sodium cyanide (Nacalai Tesque, 0.529 g, 10.8 mmol) and stirred at 85 ° C for 3 days. did. After cooling to room temperature, the reaction mixture was diluted with hexane, washed with water and then with saturated brine, dried over anhydrous magnesium sulfate, filtered, and concentrated under reduced pressure. The obtained residue was purified by silica gel column chromatography (hexane / ethyl acetate = 90/10) to give 4- (tert-butyldimethylsilyloxy) -3,3-bis ((tert-butyldimethylsilyloxy) Methyl) butanenitrile (1.35 g, 2.77 mmol, 81% yield) was obtained.
ESI-MS m / z: 489 (M + H) + ; 1 H-NMR (CDCl 3 ) δ: 0.05 (s, 18H), 0.89 (s, 27H), 2.34 (s, 2H), 3.51 (s, 6H).
Process 3
To a solution of 4- (tert-butyldimethylsilyloxy) -3,3-bis ((tert-butyldimethylsilyloxy) methyl) butanenitrile (1.34 g, 2.75 mmol) obtained in step 2 in tetrahydrofuran (10 mL) Then, lithium aluminum hydride (0.104 g, 2.75 mmol) was added under ice cooling, and the mixture was stirred at room temperature for 2 hr. Water (0.495 mL, 27.5 mmol) and sodium fluoride (3.46 g, 82.0 mmol) were added to the reaction solution, and the mixture was stirred at room temperature overnight. Insoluble materials were removed by Celite filtration, and the filtrate was concentrated. The obtained residue was purified by amino silica gel column chromatography (ethyl acetate) to give 4- (tert-butyldimethylsilyloxy) -3,3-bis ((tert-butyldimethylsilyloxy) methyl) butane-1 -Amine (0.435 g, 0.884 mmol, Yield 32%) was obtained.
ESI-MS m / z: 493 (M + H) + ; 1 H-NMR (CDCl 3 ) δ: 0.02 (s, 18H), 0.88 (s, 27H), 1.38-1.43 (m, 2H), 2.71- 2.75 (m, 2H), 3.40 (s, 6H).
Process 4
4- (tert-Butyldimethylsilyloxy) -3,3-bis ((tert-butyldimethylsilyloxy) methyl) butan-1-amine (0.200 g, 0.407 mmol) of 1,2- To a dichloroethane (3 mL) solution were added 38% aqueous formaldehyde solution (0.295 mL) and sodium triacetoxyborohydride (0.431 g, 2.03 mmol), and the mixture was stirred at room temperature overnight. A saturated aqueous sodium hydrogen carbonate solution was added to the reaction mixture, and the mixture was extracted twice with chloroform. The organic layer was dried over anhydrous magnesium sulfate and concentrated under reduced pressure. The residue was purified by silica gel column chromatography (chloroform / methanol = 90/10) to give 4- (tert-butyldimethylsilyloxy) -3,3-bis ((tert-butyldimethylsilyloxy) methyl) -N Thus, a crude product of N-dimethylbutan-1-amine was obtained.
Tetrahydrofuran (2 mL) and tetrabutylammonium fluoride (manufactured by Tokyo Chemical Industry Co., Ltd., about 1 mol / L tetrahydrofuran solution, 2.06 mL, 2.06 mmol) were added to the resulting crude product, and the mixture was stirred at room temperature for 5 hours, then 60 Stir overnight at ° C. Saturated aqueous sodium hydrogen carbonate solution was added to the reaction mixture, and the mixture was washed twice with chloroform. The aqueous layer was concentrated under reduced pressure. Acetone (2 mL), sodium hydroxide (manufactured by Wako Pure Chemical Industries, 2 mol / L aqueous solution, 3 mL, 6 mmol) and oleoyl chloride (0.681 mL, 2.06 mmol) are added to the resulting residue, and the mixture is brought to room temperature. And stirred for 3 hours. To the reaction solution was added oleoyl chloride (0.681 mL, 2.06 mmol), and the mixture was stirred at 60 ° C. overnight. After cooling to room temperature, water was added to the reaction mixture, and the mixture was extracted twice with chloroform. The organic layer was dried over anhydrous magnesium sulfate, filtered and concentrated under reduced pressure. The obtained residue was purified by silica gel column chromatography (chloroform / methanol = 90/10) to obtain (Z) -2- (2- (dimethylamino) ethyl) -2- (oleyloxymethyl) propane-1 Thus, a crude product of 3-diyldiolate was obtained. The resulting crude product was dissolved in a small amount of methanol-chloroform (9: 1) and loaded onto an ion exchange resin (Waters, PoraPack Rxn CX, pre-washed with methanol) and ammonia (Sigma-Aldirch). And 2 mol / L methanol solution). The eluate was concentrated under reduced pressure, and (Z) -2- (2- (dimethylamino) ethyl) -2- (oleyloxymethyl) propane-1,3-diyldiolate (0.387 g, 0.399 mmol, yield 98). %).
ESI-MS m / z: 971 (M + H) + ; 1 H-NMR (CDCl 3 ) δ: 0.88 (t, J = 7.0 Hz, 9H), 1.21-1.38 (m, 62H), 1.54-1.65 ( m, 6H), 1.97-2.04 (m, 12H), 2.20 (s, 6H), 2.25-2.32 (m, 8H), 4.04 (s, 6H), 5.29-5.39 (m, 6H).
Process 5
In the same manner as in Example 1, Step 2, 2, Z'-2- (2) was obtained in Step 4 instead of 2,2 ′, 2 ''-nitrilotris (ethane-2,1-diyl) trioleate. -(Dimethylamino) ethyl) -2- (oleyloxymethyl) propane-1,3-diyldiolate (0.109 g, 0.112 mol) and the title compound (0.0642 g, 0.0630 mol, yield 56%) Obtained.
ESI-MS m / z: 986 (M) + ; 1 H-NMR (CDCl 3 ) δ: 0.88 (t, J = 6.8 Hz, 9H), 1.23-1.37 (m, 74H), 1.55-1.64 (m, 65H), 1.78-1.84 (m, 2H), 1.95-2.06 (m, 13H), 2.35 (t, J = 7.6 Hz, 6H), 3.42 (s, 8H), 3.70-3.77 (m, 2H), 4.08 (s, 6H), 5.29-5.39 (m, 6H).
N,N,N-トリメチル-2-(3-(オレオイルオキシ)-2,2-ビス((オレオイルオキシ)メチル)プロポキシ)-2-オキシエタン-1-アミニウム クロリド(化合物II-32)
工程1
米国登録特許8816099号明細書に記載の方法で合成した2,2-(ジメチル-1,3-ジオキサン-5,5-ジイル)ジメタノール (0.200 g, 1.14 mmol)のテトラヒドロフラン (5 mL)溶液にトリエチルアミン (0.475 mL, 3.40 mmol)を加えた後、氷冷下にてオレオイル クロリド(0.854 g, 2.84 mmol)を加え、そのまま氷冷下にて1時間撹拌した。反応液に水を加え、ヘキサンで抽出した。有機層を飽和食塩水で洗浄し、無水硫酸マグネシウムで乾燥し、ろ過した。減圧下濃縮し、得られた残渣をシリカゲルカラムクロマトグラフィー (ヘキサン/酢酸エチル=95/5)で精製することにより、(2,2-ジメチル-1,3-ジオキサン-5,5-ジイル)ビス(メチレン) ジオレアート (0.500 g, 0.709 mmol, 収率63%)を得た。
ESI-MS m/z: 705 (M + H)+
工程2
工程1で得られた(2,2-ジメチル-1,3-ジオキサン-5,5-ジイル)ビス(メチレン) ジオレアート(0.500 g, 0.709 mmol)のジクロロメタン (5 mL)溶液に、氷冷下トリフルオロ酢酸 (2.00 mL, 26.0 mmol)を2回に分けて加え、そのまま氷冷下にて1時間撹拌した。反応液に飽和炭酸水素ナトリウム水溶液を加え、酢酸エチルで抽出した。有機層を飽和食塩水で洗浄し、無水硫酸マグネシウムで乾燥し、ろ過した。得られた残渣をシリカゲルカラムクロマトグラフィー (ヘキサン/酢酸エチル=90/10~50/50)で精製することにより、2,2-ビス(ヒドロキシメチル)プロパン-1,3-ジイル ジオレアート (0.207 g, 0.311 mmol, 収率44%)を得た。
ESI-MS m/z: 665 (M + H)+
工程3
N,N-ジメチルグリシン (東京化成工業社製, 0.049 g, 0.474 mmol)に塩化チオニル (1 mL, 13.7 mmol)を加え、70℃で30分加熱撹拌した。反応液を室温まで冷却した後、減圧下で濃縮することでN,N-ジメチルグリシノイルクロリドの粗生成物を得た。工程2で得られた2,2-ビス(ヒドロキシメチル)プロパン-1,3-ジイル ジオレアート (0.207 g, 0.311 mmol)のジクロロメタン (5 mL)溶液に、氷冷下N,N-ジイソプロピルエチルアミン (0.110 mL, 0.632 mmol)、上記N,N-ジメチルグリシノイルクロリドの粗生成物を加え、室温で1時間撹拌した。反応液に水を加え、酢酸エチルで抽出した。有機層を飽和食塩水で洗浄し、無水硫酸マグネシウムで乾燥し、ろ過した。得られた残渣をシリカゲルカラムクロマトグラフィー (ヘキサン/酢酸エチル=90/10~40/60)で精製することにより、2-(((ジメチルグリシル)オキシ)メチル)-2-(ヒドロキシメチル)プロパン-1,3-ジイル ジオレアート (0.077 g, 0.103 mmol, 収率33%)を得た。
ESI-MS m/z: 751 (M + H)+
工程4
工程3で得られた2-(((ジメチルグリシル)オキシ)メチル)-2-(ヒドロキシメチル)プロパン-1,3-ジイル ジオレアート (0.0770 g, 0.103 mmol)のジクロロメタン (3 mL)溶液にピリジン (0.0330 mL, 0.411 mmol)を加えた後、氷冷下オレオイル クロリド (0.0620 g, 0.205 mmol)を加え、室温で30分撹拌した。反応液に水を加え、ヘキサン/酢酸エチル=1/1の混合溶媒で抽出した。有機層を飽和食塩水で洗浄し、無水硫酸マグネシウムで乾燥し、ろ過した。得られた残渣をシリカゲルカラムクロマトグラフィー (ヘキサン/酢酸エチル=95/5)で精製することにより、2-(((ジメチルグリシル)オキシ)メチル)-2-((オレオイル)メチル)プロパン-1,3-ジイル ジオレアート (0.122 g, 0.0600 mmol, 収率59%)を得た。
ESI-MS m/z: 1015 (M + H)+
工程5
工程4で得られた2-(((ジメチルグリシル)オキシ)メチル)-2-((オレオイル)メチル)プロパン-1,3-ジイル ジオレアート (0.122 g, 0.060 mmol)を用い、実施例1工程2と同様にして、標記化合物 (0.017 g, 0.016 mmol, 収率27%)を得た。
ESI-MS m/z: 1029 (M)+; 1H-NMR (CDCl3) δ: 0.88 (t, J = 6.8 Hz, 9H), 1.19-1.38 (m, 58H), 1.54-1.66 (m, 6H), 1.98-2.04 (m, 12H), 2.28-2.35 (m, 6H), 3.60 (s, 9H), 4.11 (d, J = 1.8 Hz, 6H), 4.20 (s, 2H), 5.08 (s, 2H), 5.29-5.41 (m, 6H).
N, N, N-trimethyl-2- (3- (oleoyloxy) -2,2-bis ((oleoyloxy) methyl) propoxy) -2-oxyethane-1-aminium chloride (Compound II-32)
Process 1
To a solution of 2,2- (dimethyl-1,3-dioxane-5,5-diyl) dimethanol (0.200 g, 1.14 mmol) synthesized in the method described in US Patent No. 8816099 in tetrahydrofuran (5 mL) Triethylamine (0.475 mL, 3.40 mmol) was added, oleoyl chloride (0.854 g, 2.84 mmol) was added under ice cooling, and the mixture was stirred as it was under ice cooling for 1 hour. Water was added to the reaction mixture, and the mixture was extracted with hexane. The organic layer was washed with saturated brine, dried over anhydrous magnesium sulfate, and filtered. Concentration under reduced pressure, and the resulting residue was purified by silica gel column chromatography (hexane / ethyl acetate = 95/5) to give (2,2-dimethyl-1,3-dioxane-5,5-diyl) bis (Methylene) dioleate (0.500 g, 0.709 mmol, 63% yield) was obtained.
ESI-MS m / z: 705 (M + H) +
Process 2
To a solution of (2,2-dimethyl-1,3-dioxane-5,5-diyl) bis (methylene) dioleate (0.500 g, 0.709 mmol) obtained in step 1 in dichloromethane (5 mL), Fluoroacetic acid (2.00 mL, 26.0 mmol) was added in two portions, followed by stirring for 1 hour under ice cooling. A saturated aqueous sodium hydrogen carbonate solution was added to the reaction mixture, and the mixture was extracted with ethyl acetate. The organic layer was washed with saturated brine, dried over anhydrous magnesium sulfate, and filtered. The obtained residue was purified by silica gel column chromatography (hexane / ethyl acetate = 90 / 10-50 / 50) to give 2,2-bis (hydroxymethyl) propane-1,3-diyl dioleate (0.207 g, 0.311 mmol, yield 44%).
ESI-MS m / z: 665 (M + H) +
Process 3
Thionyl chloride (1 mL, 13.7 mmol) was added to N, N-dimethylglycine (manufactured by Tokyo Chemical Industry Co., Ltd., 0.049 g, 0.474 mmol), and the mixture was heated and stirred at 70 ° C. for 30 minutes. The reaction solution was cooled to room temperature and then concentrated under reduced pressure to obtain a crude product of N, N-dimethylglycinoyl chloride. To a solution of 2,2-bis (hydroxymethyl) propane-1,3-diyldioleate (0.207 g, 0.311 mmol) obtained in step 2 in dichloromethane (5 mL), N, N-diisopropylethylamine (0.110 mL, 0.632 mmol) and the above N, N-dimethylglycinoyl chloride crude product were added and stirred at room temperature for 1 hour. Water was added to the reaction mixture, and the mixture was extracted with ethyl acetate. The organic layer was washed with saturated brine, dried over anhydrous magnesium sulfate, and filtered. The obtained residue was purified by silica gel column chromatography (hexane / ethyl acetate = 90 / 10-40 / 60) to give 2-(((dimethylglycyl) oxy) methyl) -2- (hydroxymethyl) propane. -1,3-Diyl dioleate (0.077 g, 0.103 mmol, 33% yield) was obtained.
ESI-MS m / z: 751 (M + H) +
Process 4
To a solution of 2-(((dimethylglycyl) oxy) methyl) -2- (hydroxymethyl) propane-1,3-diyldiolate (0.0770 g, 0.103 mmol) obtained in step 3 in dichloromethane (3 mL), pyridine was added. (0.0330 mL, 0.411 mmol) was added, oleoyl chloride (0.0620 g, 0.205 mmol) was added under ice cooling, and the mixture was stirred at room temperature for 30 min. Water was added to the reaction mixture, and the mixture was extracted with a mixed solvent of hexane / ethyl acetate = 1/1. The organic layer was washed with saturated brine, dried over anhydrous magnesium sulfate, and filtered. The obtained residue was purified by silica gel column chromatography (hexane / ethyl acetate = 95/5) to give 2-(((dimethylglycyl) oxy) methyl) -2-((oleoyl) methyl) propane- 1,3-diyl dioleate (0.122 g, 0.0600 mmol, yield 59%) was obtained.
ESI-MS m / z: 1015 (M + H) +
Process 5
Using 2-((((dimethylglycyl) oxy) methyl) -2-((oleoyl) methyl) propane-1,3-diyldiolate (0.122 g, 0.060 mmol) obtained in step 4, Example 1 In the same manner as in Step 2, the title compound (0.017 g, 0.016 mmol, yield 27%) was obtained.
ESI-MS m / z: 1029 (M) + ; 1 H-NMR (CDCl 3 ) δ: 0.88 (t, J = 6.8 Hz, 9H), 1.19-1.38 (m, 58H), 1.54-1.66 (m, 6H), 1.98-2.04 (m, 12H), 2.28-2.35 (m, 6H), 3.60 (s, 9H), 4.11 (d, J = 1.8 Hz, 6H), 4.20 (s, 2H), 5.08 (s , 2H), 5.29-5.41 (m, 6H).
N,N,N-トリメチル-1,3-ビス(テトラデカノイルオキシ)-2-((テトラデカノイルオキシ)メチル)プロパン-2-アミニウム クロリド(化合物II-33)
工程1
2-(ジメチルアミノ)-2-(ヒドロキシメチル)プロパン-1,3-ジオール (1.50 g,10.1 mmol)をテトラヒドロフラン (10 mL)にピリジン (4.07 mL, 50.3 mmol)、次いでテトラデカノイルクロリド (4.09 mL, 15.1 mmol)を加え、60℃で2時間加熱撹拌した。反応液に水を加え、酢酸エチルで抽出した。有機層を飽和食塩水で洗浄し、無水硫酸マグネシウムで乾燥し、ろ過した。減圧下濃縮し、得られた残渣をシリカゲルカラムクロマトグラフィー (クロロホルム/メタノール=99/1~90/10)で精製することにより、2-(ジメチルアミノ)-2-((テトラデカノイルオキシ)メチル)プロパン-1,3-ジイル ジテトラデカノアート (1.50 g, 1.92 mmol, 収率19%)、2-(ジメチルアミノ)-2-(ヒドロキシメチル)プロパン-1,3-ジイル ジテトラデカノアート (0.750 g, 1.32 mmol, 収率13%)、および2-(ジメチルアミノ)-3-ヒドロキシ-2-(ミドロキシメチル)プロピル テトラデカノアート (0.220 g, 0.612 mmol, 収率6%)をそれぞれ得た。
ESI-MS m/z: 781 (M + H)+
ESI-MS m/z: 570 (M + H)+
ESI-MS m/z: 360 (M + H)+
工程2
工程1で得られた2-(ジメチルアミノ)-2-((テトラデカノイルオキシ)メチル)プロパン-1,3-ジイル ジテトラデカノアート (1.50 g, 1.92 mmol)を用い、実施例1工程2と同様にして、標記化合物(0.530 g, 0.638 mmol, 収率33%)を得た。
ESI-MS m/z: 795 (M)+; 1H-NMR (CDCl3) δ: 0.88 (t, J = 6.8 Hz, 9H), 1.21-1.33 (m, 60H), 1.55-1.65 (m, 6H), 2.37 (t, J = 7.6 Hz, 6H), 3.71 (s, 9H), 4.59 (s, 6H).
N, N, N-trimethyl-1,3-bis (tetradecanoyloxy) -2-((tetradecanoyloxy) methyl) propane-2-aminium chloride (compound II-33)
Process 1
2- (Dimethylamino) -2- (hydroxymethyl) propane-1,3-diol (1.50 g, 10.1 mmol) was added to tetrahydrofuran (10 mL) with pyridine (4.07 mL, 50.3 mmol) and then tetradecanoyl chloride (4.09 mL, 15.1 mmol) was added, and the mixture was heated and stirred at 60 ° C. for 2 hours. Water was added to the reaction mixture, and the mixture was extracted with ethyl acetate. The organic layer was washed with saturated brine, dried over anhydrous magnesium sulfate, and filtered. Concentrated under reduced pressure, and the resulting residue was purified by silica gel column chromatography (chloroform / methanol = 99/1 to 90/10) to give 2- (dimethylamino) -2-((tetradecanoyloxy) methyl. ) Propane-1,3-diyl ditetradecanoate (1.50 g, 1.92 mmol, 19% yield), 2- (dimethylamino) -2- (hydroxymethyl) propane-1,3-diyl ditetradecano Art (0.750 g, 1.32 mmol, 13% yield), and 2- (dimethylamino) -3-hydroxy-2- (midyloxymethyl) propyl tetradecanoate (0.220 g, 0.612 mmol, 6 yield) %) Respectively.
ESI-MS m / z: 781 (M + H) +
ESI-MS m / z: 570 (M + H) +
ESI-MS m / z: 360 (M + H) +
Process 2
Using 2- (dimethylamino) -2-((tetradecanoyloxy) methyl) propane-1,3-diyl ditetradecanoate (1.50 g, 1.92 mmol) obtained in Step 1, Example 1 Step In the same manner as in 2, the title compound (0.530 g, 0.638 mmol, yield 33%) was obtained.
ESI-MS m / z: 795 (M) + ; 1 H-NMR (CDCl 3 ) δ: 0.88 (t, J = 6.8 Hz, 9H), 1.21-1.33 (m, 60H), 1.55-1.65 (m, 6H), 2.37 (t, J = 7.6 Hz, 6H), 3.71 (s, 9H), 4.59 (s, 6H).
N,N,N-トリメチル-1,3-ビス(オレオイルオキシ)-2-((テトラデカノイルオキシ)メチル)プロパン-2-アミニウム クロリド(化合物II-34)
工程1
実施例42の工程1で得られた2-(ジメチルアミノ)-3-ヒドロキシ-2-(ミドロキシメチル)プロピル テトラデカノアート (0.220 g, 0.612 mmol)の1,2-ジクロロエタン (3 mL)溶液にピリジン (0.297 mL, 3.67 mmol)、次いでオレオイル クロリド (0.552 g, 1.84 mmol)を加え、60℃で1時間加熱撹拌した。反応液に水を加え、酢酸エチルで抽出した。有機層を飽和食塩水で洗浄し、無水硫酸マグネシウムで乾燥し、ろ過した。得られた残渣をシリカゲルカラムクロマトグラフィー (ヘキサン/酢酸エチル=98/2~85/15)で精製することにより、2-(ジメチルアミノ)-2-((テトラデカノイルオキシ)メチル)プロパン-1,3-ジイル ジオレアート (0.250 g, 0.281 mmol, 収率46%)を得た。
ESI-MS m/z: 889 (M + H)+
工程2
工程1で得られた2-(ジメチルアミノ)-2-((テトラデカノイルオキシ)メチル)プロパン-1,3-ジイル ジオレアート (0.250 g, 0.281 mmol)を用い、実施例1工程2と同様にして、標記化合物 (0.065 g, 0.069 mmol, 収率25%)を得た。
ESI-MS m/z: 903 (M)+; 1H-NMR (CDCl3) δ: 0.88 (t, J = 7.0 Hz, 9H), 1.22-1.38 (m, 60H), 1.56-1.66 (m, 6H), 1.97-2.05 (m, 8H), 2.39 (t, J= 7.6 Hz, 6H), 3.72 (s, 9H), 4.58 (s, 6H), 5.28-5.40 (m, 4H).
N, N, N-trimethyl-1,3-bis (oleoyloxy) -2-((tetradecanoyloxy) methyl) propane-2-aminium chloride (Compound II-34)
Process 1
2- (Dimethylamino) -3-hydroxy-2- (midoxymethyl) propyl tetradecanoate (0.220 g, 0.612 mmol) of 1,2-dichloroethane (3 mL) obtained in Step 1 of Example 42 Pyridine (0.297 mL, 3.67 mmol) was added to the solution, followed by oleoyl chloride (0.552 g, 1.84 mmol), and the mixture was stirred with heating at 60 ° C. for 1 hr. Water was added to the reaction mixture, and the mixture was extracted with ethyl acetate. The organic layer was washed with saturated brine, dried over anhydrous magnesium sulfate, and filtered. The obtained residue was purified by silica gel column chromatography (hexane / ethyl acetate = 98/2 to 85/15) to give 2- (dimethylamino) -2-((tetradecanoyloxy) methyl) propane-1 , 3-Diyl dioleate (0.250 g, 0.281 mmol, 46% yield) was obtained.
ESI-MS m / z: 889 (M + H) +
Process 2
Using 2- (dimethylamino) -2-((tetradecanoyloxy) methyl) propane-1,3-diyldiolate (0.250 g, 0.281 mmol) obtained in Step 1, as in Step 1 of Example 1. The title compound (0.065 g, 0.069 mmol, yield 25%) was obtained.
ESI-MS m / z: 903 (M) + ; 1 H-NMR (CDCl 3 ) δ: 0.88 (t, J = 7.0 Hz, 9H), 1.22-1.38 (m, 60H), 1.56-1.66 (m, 6H), 1.97-2.05 (m, 8H), 2.39 (t, J = 7.6 Hz, 6H), 3.72 (s, 9H), 4.58 (s, 6H), 5.28-5.40 (m, 4H).
N,N,N-トリメチル-1-(オレイルオキシ)-3-(テトラデカノイルオキシ)-2-((テトラデカノイルオキシ)メチル)プロパン-2-アミニウム クロリド(化合物II-35)
工程1
実施例42の工程1で得られた2-(ジメチルアミノ)-2-(ヒドロキシメチル)プロパン-1,3-ジイル ジテトラデカノアート(0.750 g, 1.32 mmol)の1,2-ジクロロエタン (3 mL)溶液にピリジン (0.532 mL, 6.58 mmol)、次いでオレオイル クロリド (0.792 g, 1.84 mmol)を加え、60℃で1時間加熱撹拌した。反応液に水を加え、酢酸エチルで抽出した。有機層を飽和食塩水で洗浄し、無水硫酸マグネシウムで乾燥し、ろ過した。得られた残渣をシリカゲルカラムクロマトグラフィー (ヘキサン/酢酸エチル=95/5)で精製することにより、2-(ジメチルアミノ)-2-((オレイルオキシ)メチル)プロパン-1,3-ジイル ジテトラデカノアート (0.750 g, 0.899 mmol, 収率68%)を得た。
ESI-MS m/z: 835 (M + H)+
工程2
工程1で得られた2-(ジメチルアミノ)-2-((オレイルオキシ)メチル)プロパン-1,3-ジイル ジテトラデカノアート (0.750 g, 0.899 mmol)を用い、実施例1工程2と同様にして、標記化合物 (0.092 g, 0.104 mmol, 収率12%)を得た。
ESI-MS m/z: 849 (M)+; 1H-NMR (CDCl3) δ: 0.88 (t, J = 6.8 Hz, 9H), 1.19-1.38 (m, 60H), 1.56-1.65 (m, 6H), 1.98-2.06 (m, 4H), 2.39 (t, J= 7.6 Hz, 6H), 3.72 (s, 9H), 4.59 (s, 6H), 5.30-5.39 (m, 2H).
N, N, N-trimethyl-1- (oleyloxy) -3- (tetradecanoyloxy) -2-((tetradecanoyloxy) methyl) propane-2-aminium chloride (Compound II-35)
Process 1
2- (Dimethylamino) -2- (hydroxymethyl) propane-1,3-diyl ditetradecanoate (0.750 g, 1.32 mmol) of 1,2-dichloroethane obtained in Step 1 of Example 42 Pyridine (0.532 mL, 6.58 mmol) and then oleoyl chloride (0.792 g, 1.84 mmol) were added to the (3 mL) solution, and the mixture was stirred with heating at 60 ° C. for 1 hr. Water was added to the reaction mixture, and the mixture was extracted with ethyl acetate. The organic layer was washed with saturated brine, dried over anhydrous magnesium sulfate, and filtered. The obtained residue was purified by silica gel column chromatography (hexane / ethyl acetate = 95/5) to give 2- (dimethylamino) -2-((oleyloxy) methyl) propane-1,3-diyl ditetra Decanoate (0.750 g, 0.899 mmol, 68% yield) was obtained.
ESI-MS m / z: 835 (M + H) +
Process 2
Using 2- (dimethylamino) -2-((oleyloxy) methyl) propane-1,3-diyl ditetradecanoate (0.750 g, 0.899 mmol) obtained in Step 1, Example 1 Step 2 and Similarly, the title compound (0.092 g, 0.104 mmol, 12% yield) was obtained.
ESI-MS m / z: 849 (M) + ; 1 H-NMR (CDCl3) δ: 0.88 (t, J = 6.8 Hz, 9H), 1.19-1.38 (m, 60H), 1.56-1.65 (m, 6H ), 1.98-2.06 (m, 4H), 2.39 (t, J = 7.6 Hz, 6H), 3.72 (s, 9H), 4.59 (s, 6H), 5.30-5.39 (m, 2H).
N,N,N-トリメチル-3-(テトラデカノイルオキシ)-2-((テトラデカオイルオキシ)メチル)-2-(((テトラデシルカルバモイル)オキシ)メチル)プロパン-1-アミニウム クロリド(化合物II-36)
工程1
実施例24の工程1で得られた2-((ジメチルアミノ)メチル)-2-(ヒドロキシメチル)プロパン-1,3-ジオール (0.820 g, 5.02 mmol)のテトラヒドロフラン (7 mL)溶液に、ピリジン (2.03 mL, 38.6 mmol)を加えた後、氷冷下にてテトラデカノイル クロリド (0.930 mL, 3.77 mmol)を加え、60℃で2時間攪拌した。反応液を室温まで冷却し、水を加え、酢酸エチルで抽出した。有機層を飽和食塩水で洗浄し、無水硫酸マグネシウムで乾燥し、ろ過した。減圧下濃縮し、得られた残渣をシリカゲルカラムクロマトグラフィー (ヘキサン/酢酸エチル=95/5~70/30)で精製することにより、2-((ジメチルアミノ)メチル)-2-(ヒドロキシメチル)プロパン-1,3-ジイル ジテトラデカノアート (0.150 g, 0.257 mmol, 収率5%)を得た。
ESI-MS m/z: 584 (M + H)+
工程2
工程1で得られた2-((ジメチルアミノ)メチル)-2-(ヒドロキシメチル)プロパン-1,3-ジイル ジテトラデカノアート (0.060 g, 0.103 mmol)のジクロロメタン (3 mL)溶液にトリエチルアミン (0.017 mL, 0.123 mmol)を加え、氷冷下にて4-ニトロフェニルクロロフォルメート (東京化成工業社製, 0.025 g, 0.123 mmol)、次いでテトラデシルアミン (東京化成工業社製, 0.022 g, 0.103 mmol)を加えて、室温で一晩撹拌した。反応液に水を加え、酢酸エチルで抽出した。有機層を飽和食塩水で洗浄し、無水硫酸マグネシウムで乾燥し、ろ過した。得られた残渣をシリカゲルカラムクロマトグラフィー (ヘキサン/酢酸エチル=95/5~70/30)で精製することにより、2-((ジメチルアミノ)メチル)-2-(((テトラデシルカルバモイル)オキシ)メチル)プロパン-1,3-ジイル ジテトラデカノアート (0.052 g, 0.063 mmol, 収率62%)を得た。
ESI-MS m/z: 824 (M + H)+
工程3
工程2で得られた2-((ジメチルアミノ)メチル)-2-(((テトラデシルカルバモイル)オキシ)メチル)プロパン-1,3-ジイル ジテトラデカノアート (0.052 g, 0.063 mmol)を用い、実施例1工程2と同様にして、標記化合物 (0.012 g, 0.014 mmol, 収率21%)を得た。
ESI-MS m/z: 838 (M)+; 1H-NMR (CDCl3) δ: 0.88 (t, J = 7.0 Hz, 9H), 1.22-1.33 (m, 62H), 1.51-1.61 (m, 6H), 2.38 (t, J = 7.6 Hz, 4H), 3.13 (dd, J = 14.2, 5.8 Hz, 2H), 3.59 (s, 9H), 4.12 (s, 2H), 4.19 (s, 2H), 4.21 (d, J = 12.0 Hz, 2H), 4.25 (d, J = 12.0 Hz, 2H), 6.72 (t, J = 5.8 Hz, 1H).
N, N, N-trimethyl-3- (tetradecanoyloxy) -2-((tetradecanoyloxy) methyl) -2-(((tetradecylcarbamoyl) oxy) methyl) propane-1-aminium chloride (compound II-36)
Process 1
To a solution of 2-((dimethylamino) methyl) -2- (hydroxymethyl) propane-1,3-diol (0.820 g, 5.02 mmol) obtained in Step 1 of Example 24 in tetrahydrofuran (7 mL) was added pyridine. (2.03 mL, 38.6 mmol) was added, tetradecanoyl chloride (0.930 mL, 3.77 mmol) was added under ice cooling, and the mixture was stirred at 60 ° C. for 2 hr. The reaction mixture was cooled to room temperature, water was added, and the mixture was extracted with ethyl acetate. The organic layer was washed with saturated brine, dried over anhydrous magnesium sulfate, and filtered. Concentration under reduced pressure, and the resulting residue was purified by silica gel column chromatography (hexane / ethyl acetate = 95/5 to 70/30) to give 2-((dimethylamino) methyl) -2- (hydroxymethyl) Propane-1,3-diyl ditetradecanoate (0.150 g, 0.257 mmol, yield 5%) was obtained.
ESI-MS m / z: 584 (M + H) +
Process 2
Triethylamine was added to a solution of 2-((dimethylamino) methyl) -2- (hydroxymethyl) propane-1,3-diyl ditetradecanoate (0.060 g, 0.103 mmol) obtained in step 1 in dichloromethane (3 mL). (0.017 mL, 0.123 mmol) was added, and 4-nitrophenyl chloroformate (manufactured by Tokyo Chemical Industry Co., Ltd., 0.025 g, 0.123 mmol) and then tetradecylamine (manufactured by Tokyo Chemical Industry Co., Ltd., 0.022 g, 0.103 mmol) was added and stirred at room temperature overnight. Water was added to the reaction mixture, and the mixture was extracted with ethyl acetate. The organic layer was washed with saturated brine, dried over anhydrous magnesium sulfate, and filtered. The obtained residue was purified by silica gel column chromatography (hexane / ethyl acetate = 95/5 to 70/30) to give 2-((dimethylamino) methyl) -2-(((tetradecylcarbamoyl) oxy) Methyl) propane-1,3-diyl ditetradecanoate (0.052 g, 0.063 mmol, yield 62%) was obtained.
ESI-MS m / z: 824 (M + H) +
Process 3
Using 2-((dimethylamino) methyl) -2-(((tetradecylcarbamoyl) oxy) methyl) propane-1,3-diyl ditetradecanoate (0.052 g, 0.063 mmol) obtained in Step 2 In the same manner as in Example 1, Step 2, the title compound (0.012 g, 0.014 mmol, yield 21%) was obtained.
ESI-MS m / z: 838 (M) + ; 1 H-NMR (CDCl 3 ) δ: 0.88 (t, J = 7.0 Hz, 9H), 1.22-1.33 (m, 62H), 1.51-1.61 (m, 6H), 2.38 (t, J = 7.6 Hz, 4H), 3.13 (dd, J = 14.2, 5.8 Hz, 2H), 3.59 (s, 9H), 4.12 (s, 2H), 4.19 (s, 2H), 4.21 (d, J = 12.0 Hz, 2H), 4.25 (d, J = 12.0 Hz, 2H), 6.72 (t, J = 5.8 Hz, 1H).
N,N,N-トリメチル-3-((オクタデシルカルバモイル)オキシ)-2,2-ビス((テトラデカノイルオキシ)メチル)プロパン-1-アミニウム クロリド(化合物II-37)
工程1
実施例45と同様の方法で、テトラデシルアミンの代わりにステアリルアミン (東京化成工業社製) を用い、標記の化合物 (0.015 g, 0.016 mmol, 通し収率0.5%) を得た。
ESI-MS m/z: 894 (M)+;1H-NMR (CDCl3) δ: 0.88 (t, J = 6.8 Hz, 9H), 1.21-1.34 (m, 70H), 1.51-1.62 (m, 6H), 2.38 (t, J = 7.6 Hz, 4H), 3.13 (dd, J = 14.3, 5.8 Hz, 2H), 3.60 (s, 9H), 4.12 (s, 2H), 4.19 (s, 2H), 4.21 (d, J = 12.2 Hz, 2H), 4.25 (d, J = 12.2 Hz, 2H), 6.69 (t, J = 5.8 Hz, 1H).
N, N, N-trimethyl-3-((octadecylcarbamoyl) oxy) -2,2-bis ((tetradecanoyloxy) methyl) propane-1-aminium chloride (Compound II-37)
Process 1
In the same manner as in Example 45, stearylamine (manufactured by Tokyo Chemical Industry Co., Ltd.) was used in place of tetradecylamine to give the title compound (0.015 g, 0.016 mmol, overall yield 0.5%).
ESI-MS m / z: 894 (M) +; 1 H-NMR (CDCl 3) δ: 0.88 (t, J = 6.8 Hz, 9H), 1.21-1.34 (m, 70H), 1.51-1.62 (m, 6H), 2.38 (t, J = 7.6 Hz, 4H), 3.13 (dd, J = 14.3, 5.8 Hz, 2H), 3.60 (s, 9H), 4.12 (s, 2H), 4.19 (s, 2H), 4.21 (d, J = 12.2 Hz, 2H), 4.25 (d, J = 12.2 Hz, 2H), 6.69 (t, J = 5.8 Hz, 1H).
N,N,N-トリメチル-3-(ステアロイルオキシ)-2,2-ビス((テトラデカノイルオキシ)メチル)プロパン-1-アミニウム クロリド (化合物II-37)
工程1
“アンゲバンテ・ケミー・インターナショナルエディション (Angewandte Chemie International Edition) ”, 2009年, 第48巻, p.2126 - 2130記載の方法で合成した(5-(ブロモメチル)-2,2-ジメチル-1,3-ジオキサン-5-イル)メタノール (1.00 g, 4.18mmol)のピリジン (10 mL)溶液に、ステアロイルクロリド (2.53 g, 8.36 mmol)を加え、室温で30分撹拌した。反応液に水を加え、酢酸エチルで抽出した。有機層を飽和食塩水で洗浄し、無水硫酸マグネシウムで乾燥し、ろ過した。得られた残渣をシリカゲルカラムクロマトグラフィー (ヘキサン/酢酸エチル=90/10)で精製することにより、(5-(ブロモメチル)-2,2-ジメチル-1,3-ジオキサン-5-イル)メチル ステアラート(0.95 g, 1.879 mmol, 収率45 %)を得た。
1H-NMR (CDCl3) δ: 0.89 (t, J = 7.0 Hz, 9H), 1.23-1.40 (m, 44H), 1.54-1.64 (m, 26H), 2.01-2.08 (m, 12H), 2.35 (t, J = 7.6 Hz, 6H), 2.77 (t, J = 6.8 Hz, 6H), 3.40 (s, 9H), 4.46 (s, 6H), 4.70 (s, 2H), 28-5.42 (m, 12H), 9.54 (br s, 1H).
工程2
工程1で得られた(5-(ブロモメチル)-2,2-ジメチル-1,3-ジオキサン-5-イル)メチル ステアラート (0.95 g, 1.879 mmol)のN,N-ジメチルアホルムアミド (10 mL)溶液に、ジメチルアミン (2.0 mol/L テトラヒドロフラン溶液, 5.64 mL, 11.3 mmol)を加え、マイクロウェーブ照射下、120℃で13時間攪拌した。反応液に水を加え、酢酸エチルで抽出した。有機層を飽和食塩水で洗浄し、無水硫酸マグネシウムで乾燥し、ろ過した。得られた残渣をシリカゲルカラムクロマトグラフィー (クロロホルム/メタノール=99/1~90/10)で精製することにより、(5-((ジメチルアミノ)メチル)-2,2-ジメチル-1,3-ジオキサン-5-イル)メチル ステアラート(0.14 g, 0.298 mmol, 収率16 %) を得た。
ESI-MS m/z: 470 (M + H)+
工程3
実施例41の工程2と同様の方法で、工程1で得られた(5-((ジメチルアミノ)メチル)-2,2-ジメチル-1,3-ジオキサン-5-イル)メチル ステアラート (0.140 g, 0.298 mmol)を用い、3-(ジメチアミノ)-2,2-ビス(ヒドロキシメチル)プロピル ステアラート (0.12g, 0.279 mmol, 収率94 %)を得た。
ESI-MS m/z: 430 (M + H)+
工程4
工程3で得られた3-(ジメチアミノ)-2,2-ビス(ヒドロキシメチル)プロピル ステアラート (0.12 g, 0.279 mmol)のジクロロメタン (2 mL)溶液に、ピリジン (0.122 mL, 1.51 mmol)を加えた後、氷冷下にてテトラデカノイルクロリド (0.224 g, 0.98 mmol)を加え、室温で1時間攪拌した。反応液に水を加え、酢酸エチルで抽出した。有機層を飽和食塩水で洗浄し、無水硫酸マグネシウムで乾燥し、ろ過した。減圧下濃縮し、得られた残渣をシリカゲルカラムクロマトグラフィー (ヘキサン/酢酸エチル=95/5)で精製することにより、2-((ジメチルアミノ)メチル)-2-((ステアロイルオキシ)メチル)プロパン-1,3-ジイル ジテトラデカノアート (0.150 g, 0.176 mmol, 収率63%)を得た。
ESI-MS m/z: 851 (M + H)+
工程5
工程4で得られた-((ジメチルアミノ)メチル)-2-((ステアロイルオキシ)メチル)プロパン-1,3-ジイル ジテトラデカノアート (0.150 g, 0.176 mmol)を用い、実施例1工程2と同様にして、標記化合物(0.032 g, 0.056 mmol, 収率32%)を得た。
ESI-MS m/z: 865 (M)+; 1H-NMR (CDCl3) δ: 0.88 (t, J = 6.8 Hz, 9H), 1.19-1.33 (m, 68H), 1.54-1.65 (m, 6H), 2.38 (t, J = 7.6 Hz, 6H), 3.63 (s, 9H), 3.95 (s, 2H), 4.29 (s, 6H).
N, N, N-trimethyl-3- (stearoyloxy) -2,2-bis ((tetradecanoyloxy) methyl) propane-1-aminium chloride (Compound II-37)
Process 1
(Angewandte Chemie International Edition), 2009, Vol. 48, p.2126-2130 (5- (Bromomethyl) -2,2-dimethyl-1,3- Stearoyl chloride (2.53 g, 8.36 mmol) was added to a solution of dioxane-5-yl) methanol (1.00 g, 4.18 mmol) in pyridine (10 mL), and the mixture was stirred at room temperature for 30 minutes. Water was added to the reaction mixture, and the mixture was extracted with ethyl acetate. The organic layer was washed with saturated brine, dried over anhydrous magnesium sulfate, and filtered. The obtained residue was purified by silica gel column chromatography (hexane / ethyl acetate = 90/10) to give (5- (bromomethyl) -2,2-dimethyl-1,3-dioxane-5-yl) methyl ester. An alert (0.95 g, 1.879 mmol, 45% yield) was obtained.
1 H-NMR (CDCl 3 ) δ: 0.89 (t, J = 7.0 Hz, 9H), 1.23-1.40 (m, 44H), 1.54-1.64 (m, 26H), 2.01-2.08 (m, 12H), 2.35 (t, J = 7.6 Hz, 6H), 2.77 (t, J = 6.8 Hz, 6H), 3.40 (s, 9H), 4.46 (s, 6H), 4.70 (s, 2H), 28-5.42 (m, 12H), 9.54 (br s, 1H).
Process 2
(5- (Bromomethyl) -2,2-dimethyl-1,3-dioxane-5-yl) methyl stearate (0.95 g, 1.879 mmol) N, N-dimethylformamide (10 mL) obtained in step 1 ) To the solution was added dimethylamine (2.0 mol / L tetrahydrofuran solution, 5.64 mL, 11.3 mmol), and the mixture was stirred at 120 ° C. for 13 hours under microwave irradiation. Water was added to the reaction mixture, and the mixture was extracted with ethyl acetate. The organic layer was washed with saturated brine, dried over anhydrous magnesium sulfate, and filtered. The obtained residue was purified by silica gel column chromatography (chloroform / methanol = 99/1 to 90/10) to give (5-((dimethylamino) methyl) -2,2-dimethyl-1,3-dioxane. -5-yl) methyl stearate (0.14 g, 0.298 mmol, 16% yield) was obtained.
ESI-MS m / z: 470 (M + H) +
Process 3
(5-((Dimethylamino) methyl) -2,2-dimethyl-1,3-dioxane-5-yl) methyl stearate (0.140) obtained in Step 1 in the same manner as in Step 2 of Example 41. g, 0.298 mmol) was used to obtain 3- (dimethylamino) -2,2-bis (hydroxymethyl) propyl stearate (0.12 g, 0.279 mmol, yield 94%).
ESI-MS m / z: 430 (M + H) +
Process 4
To a solution of 3- (dimethylamino) -2,2-bis (hydroxymethyl) propyl stearate (0.12 g, 0.279 mmol) obtained in step 3 in dichloromethane (2 mL), add pyridine (0.122 mL, 1.51 mmol). After that, tetradecanoyl chloride (0.224 g, 0.98 mmol) was added under ice cooling, and the mixture was stirred at room temperature for 1 hour. Water was added to the reaction mixture, and the mixture was extracted with ethyl acetate. The organic layer was washed with saturated brine, dried over anhydrous magnesium sulfate, and filtered. Concentrated under reduced pressure, and the resulting residue was purified by silica gel column chromatography (hexane / ethyl acetate = 95/5) to give 2-((dimethylamino) methyl) -2-((stearoyloxy) methyl) propane. -1,3-Diyl ditetradecanoate (0.150 g, 0.176 mmol, yield 63%) was obtained.
ESI-MS m / z: 851 (M + H) +
Process 5
Using-((dimethylamino) methyl) -2-((stearoyloxy) methyl) propane-1,3-diyl ditetradecanoate (0.150 g, 0.176 mmol) obtained in step 4, Example 1 step In the same manner as in 2, the title compound (0.032 g, 0.056 mmol, yield 32%) was obtained.
ESI-MS m / z: 865 (M) + ; 1 H-NMR (CDCl 3 ) δ: 0.88 (t, J = 6.8 Hz, 9H), 1.19-1.33 (m, 68H), 1.54-1.65 (m, 6H), 2.38 (t, J = 7.6 Hz, 6H), 3.63 (s, 9H), 3.95 (s, 2H), 4.29 (s, 6H).
N,N,N-トリメチル-3-(((Z)-テトラデカ-9-エンオイル)オキシ)-2,2-ビス((((Z)-テトラデカ-9-エンオイル)オキシ)メチル)プロパン-1-アミニウム クロリド(化合物II-39)
工程1
ミリストレイン酸 (Nu-Chek Prep,Inc社製, 2.50 g, 11.0 mmol)のジクロロメタン(20 mL)溶液に塩化チオニル (1.61 mL, 22.1 mmol)とN,N-ジメチルホルムアミド (8.55 mL, 0.110 mmol)を加えて、室温で1時間撹拌した。反応液を減圧下濃縮することで、ミリストレイル クロリドの粗生成物(2.70 g, 11.04 mmol, 収率100%)を得た。
工程2
実施例33と同様の方法で、パルミトイルクロリドの代わりに工程1で得られたミリストレイル クロリド (1.88 g, 7.66 mmol) を用い、標記の化合物 (0.350 g, 0.417 mmol, 通し収率27%) を得た。
ESI-MS m/z:803 (M)+; 1H-NMR (CDCl3) δ: 0.86-0.94 (m, 9H), 1.26-1.39 (m, 36H), 1.53-1.64 (m, 6H), 1.97-2.07 (m, 12H), 2.38 (t, J = 7.6 Hz, 6H), 3.67 (s, 9H), 3.99 (s, 2H), 4.30 (s, 6H), 5.29-5.39 (m, 6H).
N, N, N-trimethyl-3-(((Z) -tetradec-9-enoyl) oxy) -2,2-bis ((((Z) -tetradec-9-enoyl) oxy) methyl) propane-1 -Aminium chloride (Compound II-39)
Process 1
To a solution of myristoleic acid (Nu-Chek Prep, Inc, 2.50 g, 11.0 mmol) in dichloromethane (20 mL) in thionyl chloride (1.61 mL, 22.1 mmol) and N, N-dimethylformamide (8.55 mL, 0.110 mmol) And stirred at room temperature for 1 hour. The reaction mixture was concentrated under reduced pressure to obtain a crude product of myristol chloride (2.70 g, 11.04 mmol, yield 100%).
Process 2
In the same manner as in Example 33, using myristolyl chloride (1.88 g, 7.66 mmol) obtained in Step 1 instead of palmitoyl chloride, the title compound (0.350 g, 0.417 mmol, overall yield 27%) was obtained. Obtained.
ESI-MS m / z: 803 (M) + ; 1 H-NMR (CDCl 3 ) δ: 0.86-0.94 (m, 9H), 1.26-1.39 (m, 36H), 1.53-1.64 (m, 6H), 1.97-2.07 (m, 12H), 2.38 (t, J = 7.6 Hz, 6H), 3.67 (s, 9H), 3.99 (s, 2H), 4.30 (s, 6H), 5.29-5.39 (m, 6H) .
2-((4-((1,3-ビス(テトラデカノイルオキシ)-2-((テトラデカノイルオキシ)メチル)プロパン-2-イル)アミノ)-4-オキソブタノイル)オキシ)-N,N,N-トリメチルエタン-1-アミニウム クロリド(化合物II-40)
工程1
“オーストラリアン・ジャーナル・オブ・ケミストリー(Australian Journal of Chemistry) ”, 2013年, 第66巻, p.23 - 29記載の方法に準じた方法で合成した4-((1,3-ビス(テトラデカノイルオキシ)-2-((テトラデカノイルオキシ)メチル)プロパン-2-イル)アミノ)-4-オキソブタン酸 (0.250 g, 0.293 mmol)のジクロロメタン (3 mL)溶液に1-エチル-3-(3-ジメチルアミノプロピル)カルボジイミド (0.084 g, 0.440 mmol)、2-(ジメチルアミノ)エタン-1-オール (東京化成工業社製, 0.039 g, 0.440 mmol), 4-ジメチルアミノピリジン (0.036 g, 0.293 mmol)を順番に加えて、室温で終夜撹拌した。反応液に水を加え、酢酸エチルで抽出した。有機層を飽和食塩水で洗浄し、無水硫酸マグネシウムで乾燥し、ろ過した。減圧下濃縮し、得られた残渣をシリカゲルカラムクロマトグラフィー (クロロホルム/メタノール=99/1~90/10)で精製することにより、2-(4-(2-(ジメチルアミノ)エトキシ)-4-オキソブタンアミド)-2-((テトラデカノイルオキシ)メチル)プロパン-1,3-ジイル ジテトラデカノアート (0.200 g, 0.217 mmol, 収率74%)を得た。
ESI-MS m/z: 924 (M + H)+
工程2
工程1で得られた2-(4-(2-(ジメチルアミノ)エトキシ)-4-オキソブタンアミド)-2-((テトラデカノイルオキシ)メチル)プロパン-1,3-ジイル ジテトラデカノアート (0.200 g, 0.217 mmol)を用い、実施例1工程2と同様にして、標記化合物 (0.150 g, 0.154 mmol, 収率71%)を得た。
ESI-MS m/z: 938 (M)+; 1H-NMR (CDCl3) δ: 0.88 (t, J = 6.8 Hz, 9H), 1.20-1.34 (m, 60H), 1.56-1.65 (m, 6H), 2.34 (t, J = 7.6 Hz, 6H), 2.54 (br s, 4H), 3.48 (s, 9H), 4.13-4.21 (m, 2H), 4.40 (s, 6H), 4.57-4.65 (m, 2H), 6.22 (s, 1H).
2-((4-((1,3-bis (tetradecanoyloxy) -2-((tetradecanoyloxy) methyl) propan-2-yl) amino) -4-oxobutanoyl) oxy) -N , N, N-Trimethylethane-1-aminium chloride (Compound II-40)
Process 1
4-((1,3-Bis (tetra (tetrahydrochloride)) synthesized according to the method described in “Australian Journal of Chemistry”, 2013, Vol. 66, p.23-29. Decanoyloxy) -2-((tetradecanoyloxy) methyl) propan-2-yl) amino) -4-oxobutanoic acid (0.250 g, 0.293 mmol) in dichloromethane (3 mL) in 1-ethyl-3- (3-dimethylaminopropyl) carbodiimide (0.084 g, 0.440 mmol), 2- (dimethylamino) ethane-1-ol (manufactured by Tokyo Chemical Industry Co., Ltd., 0.039 g, 0.440 mmol), 4-dimethylaminopyridine (0.036 g, 0.293 mmol) was added in order and stirred at room temperature overnight. Water was added to the reaction mixture, and the mixture was extracted with ethyl acetate. The organic layer was washed with saturated brine, dried over anhydrous magnesium sulfate, and filtered. The residue obtained by concentration under reduced pressure was purified by silica gel column chromatography (chloroform / methanol = 99/1 to 90/10) to give 2- (4- (2- (dimethylamino) ethoxy) -4- Oxobutanamide) -2-((tetradecanoyloxy) methyl) propane-1,3-diyl ditetradecanoate (0.200 g, 0.217 mmol, 74% yield) was obtained.
ESI-MS m / z: 924 (M + H) +
Process 2
2- (4- (2- (dimethylamino) ethoxy) -4-oxobutanamide) -2-((tetradecanoyloxy) methyl) propane-1,3-diyl ditetradecano obtained in step 1 The title compound (0.150 g, 0.154 mmol, 71% yield) was obtained in the same manner as in Example 1, Step 2 using art (0.200 g, 0.217 mmol).
ESI-MS m / z: 938 (M) + ; 1 H-NMR (CDCl 3 ) δ: 0.88 (t, J = 6.8 Hz, 9H), 1.20-1.34 (m, 60H), 1.56-1.65 (m, 6H), 2.34 (t, J = 7.6 Hz, 6H), 2.54 (br s, 4H), 3.48 (s, 9H), 4.13-4.21 (m, 2H), 4.40 (s, 6H), 4.57-4.65 ( m, 2H), 6.22 (s, 1H).
3-((4-((1,3-ビス(テトラデカノイルオキシ)-2-((テトラデカノイルオキシ)メチル)プロパン-2-イル)アミノ)-4-オキソブタノイル)オキシ)-1-メチルキヌクリジン-1-ニウム クロリド(化合物II-41)
実施例49と同様の方法で、2-(ジメチルアミノ)エタン-1-オールの代わりにクヌクリジン-3-オール (東京化成工業社製)を用い、標記の化合物 (0.350 g, 0.417 mmol, 通し収率46%) を得た。
ESI-MS m/z: 976 (M)+; 1H-NMR (CDCl3) δ: 0.88 (t, J = 7.0 Hz, 9H), 1.18-1.35 (m, 66H), 1.55-1.66 (m, 6H), 1.97-2.10 (m, 1H), 2.14-2.26 (m, 2H), 2.45-2.70 (m, 6H), 3.34 (s, 3H), 3.61-4.07 (m, 6H), 4.41 (s, 6H), 5.03-5.10 (m, 1H), 6.50 (s, 1H).
3-((4-((1,3-bis (tetradecanoyloxy) -2-((tetradecanoyloxy) methyl) propan-2-yl) amino) -4-oxobutanoyl) oxy) -1 -Methylquinuclidin-1-nium chloride (Compound II-41)
In the same manner as in Example 49, using kunuclidin-3-ol (manufactured by Tokyo Chemical Industry Co., Ltd.) instead of 2- (dimethylamino) ethane-1-ol, the title compound (0.350 g, 0.417 mmol, Rate 46%).
ESI-MS m / z: 976 (M) + ; 1 H-NMR (CDCl 3 ) δ: 0.88 (t, J = 7.0 Hz, 9H), 1.18-1.35 (m, 66H), 1.55-1.66 (m, 6H), 1.97-2.10 (m, 1H), 2.14-2.26 (m, 2H), 2.45-2.70 (m, 6H), 3.34 (s, 3H), 3.61-4.07 (m, 6H), 4.41 (s, 6H), 5.03-5.10 (m, 1H), 6.50 (s, 1H).
N,N,N-トリメチル-16,22-ジオキソ-19-(((テトラデシルカルバモイル)オキシ)メチル)-17,21-ジオキサ-15,23-ジアザヘプタトリアコンタン-19-アミニウム クロリド (化合物II-42)
工程1
2-(ジメチルアミノ)-2-(ヒドロキシメチル)プロパン-1,3-ジオール (0.15 g,1.01 mmol)にトルエン (4 mL)、トリエチルアミン (0.280 mL, 2.01 mmol)、1-テトラデカンイソシアナート (1.66 mL, 6.03 mmol)を順に加え、マイクロ波反応装置で100℃、 4時間反応させた。反応液に水を加え、クロロホルムで抽出した。有機層を飽和食塩水で洗浄し、無水硫酸マグネシウムで乾燥し、ろ過した。減圧下濃縮し、得られた残渣をシリカゲルカラムクロマトグラフィー (クロロホルム/メタノール=99/1~90/10)で精製することにより、2-(ジメチルアミノ)-2-(((テトラデシルカルバモイル)オキシ)メチル)プロパン-1,3-ジイル ビス(テトラデシルカルバマート) (0.872 g, 1.01 mmol, 収率100%)を得た。
ESI-MS m/z: 868 (M + H)+
工程2
工程1で得られた2-(ジメチルアミノ)-2-(((テトラデシルカルバモイル)オキシ)メチル)プロパン-1,3-ジイル ビス(テトラデシルカルバマート) (0.872 g, 1.01 mmol)を用い、実施例1工程2と同様にして、標記化合物 (0.761 g, 0.829 mmol, 収率82%)を得た。
ESI-MS m/z: 882 (M)+; 1H-NMR (CDCl3) δ: 0.88 (t, J = 7.0 Hz, 9H), 1.22-1.32 (m, 66H), 1.47-1.56 (m, 6H), 3.13 (td, J = 14.3, 6.0 Hz, 6H), 3.58 (s, 9H), 4.52 (s, 6H), 6.69 (t, J = 6.0 Hz, 3H).
N, N, N-trimethyl-16,22-dioxo-19-(((tetradecylcarbamoyl) oxy) methyl) -17,21-dioxa-15,23-diazaheptatricontane-19-aminium chloride (compound II-42)
Process 1
2- (Dimethylamino) -2- (hydroxymethyl) propane-1,3-diol (0.15 g, 1.01 mmol) to toluene (4 mL), triethylamine (0.280 mL, 2.01 mmol), 1-tetradecane isocyanate (1.66 mL, 6.03 mmol) was added in order, and the mixture was reacted at 100 ° C. for 4 hours in a microwave reactor. Water was added to the reaction mixture, and the mixture was extracted with chloroform. The organic layer was washed with saturated brine, dried over anhydrous magnesium sulfate, and filtered. Concentration under reduced pressure, and the resulting residue was purified by silica gel column chromatography (chloroform / methanol = 99/1 to 90/10) to give 2- (dimethylamino) -2-(((tetradecylcarbamoyl) oxy ) Methyl) propane-1,3-diyl bis (tetradecylcarbamate) (0.872 g, 1.01 mmol, 100% yield).
ESI-MS m / z: 868 (M + H) +
Process 2
Using 2- (dimethylamino) -2-(((tetradecylcarbamoyl) oxy) methyl) propane-1,3-diylbis (tetradecylcarbamate) (0.872 g, 1.01 mmol) obtained in step 1, In the same manner as in Example 1, step 2, the title compound (0.761 g, 0.829 mmol, yield 82%) was obtained.
ESI-MS m / z: 882 (M) + ; 1 H-NMR (CDCl 3 ) δ: 0.88 (t, J = 7.0 Hz, 9H), 1.22-1.32 (m, 66H), 1.47-1.56 (m, 6H), 3.13 (td, J = 14.3, 6.0 Hz, 6H), 3.58 (s, 9H), 4.52 (s, 6H), 6.69 (t, J = 6.0 Hz, 3H).
N,N,N-トリメチル-1,3-ビス(3,7,11,15-テトラメチルヘキサデカノイルオキシ)-2-((3,7,11,15-テトラメチルヘキサデカノイル)メチル)プロパン-2-アミニウム クロリド (化合物II-43)
2-ジメチルアミノ-2-ヒドロキシメチルプロパン-1,3-ジオール (0.0170 g, 0.112 mmol) の 1,2-ジクロロエタン (1 mL) 溶液に3,7,11,15-テトラメチルヘキサデカン酸 (0.1826 g, 0.561 mmol)、((((1-シアノ-2-エトキシ-2-オキソエチリデン)アミノ)オキシ) -4-モルホリノメチレン)ジメチルアンモニウムヘキサフルオロりん酸塩 (Sigma-Aldirch社製, 0.240 g, 0.561 mmol)、N,N-ジイソプロピルエチルアミン (0.098 mL, 0.561 mmol)を加えて、60℃で終夜攪拌した。室温まで冷却後、減圧下濃縮した。得られた残渣をアミノシリカゲルカラムクロマトグラフィー (ヘキサン/酢酸エチル = 95/5) で精製して2-(ジメチルアミノ)-2-((3,7,11,15-テトラメチルヘキサデカノイルオキシ)メチル)プロパン-1,3-ジイルジイル ビス(3,7,11,15-テトラメチルヘキサデカノアート)の粗生成物を得た。得られた粗生成物にヨウ化メチル (1.00 mL, 16.0 mmol) を加え、室温で終夜撹拌した。反応液を減圧下濃縮した。残渣を少量のメタノール-クロロホルム (1:1)に溶解してイオン交換樹脂 (Dow Chemical製, Dowex(TM) 1x-2 100 mesh, Cl型, 約20倍量, 水およびメタノールでプレ洗浄) にロードし、メタノール-クロロホルム(1:1)で溶出した。溶出液を減圧下濃縮し、得られた残渣をシリカゲルカラムクロマトグラフィー (クロロホルム/メタノール = 90/10) で精製して標記の化合物 (0.0766 g, 0.071 mmol, 収率63%)を得た。
ESI-MS m/z: 1043 (M)+; 1H-NMR (CDCl3) δ: 0.81-0.87 (m, 36H), 0.92 (d, J = 6.7 Hz, 9H), 0.97-1.42 (m, 60H), 1.51 (tt, J= 19.8, 6.7 Hz, 3H), 1.84-1.97 (m, 3H), 2.16 (ddd, J = 15.5, 8.4, 2.3 Hz, 3H), 2.38 (ddd, J = 15.5, 5.6, 1.6 Hz, 3H), 3.72 (s, 9H), 4.55 (s, 6H).
N, N, N-trimethyl-1,3-bis (3,7,11,15-tetramethylhexadecanoyloxy) -2-((3,7,11,15-tetramethylhexadecanoyl) methyl) Propan-2-aminium chloride (Compound II-43)
3,7,11,15-Tetramethylhexadecanoic acid (0.1826 g) in a solution of 2-dimethylamino-2-hydroxymethylpropane-1,3-diol (0.0170 g, 0.112 mmol) in 1,2-dichloroethane (1 mL) , 0.561 mmol), ((((1-cyano-2-ethoxy-2-oxoethylidene) amino) oxy) -4-morpholinomethylene) dimethylammonium hexafluorophosphate (Sigma-Aldirch, 0.240 g, 0.561 mmol), N, N-diisopropylethylamine (0.098 mL, 0.561 mmol) was added, and the mixture was stirred at 60 ° C. overnight. After cooling to room temperature, the mixture was concentrated under reduced pressure. The resulting residue was purified by amino silica gel column chromatography (hexane / ethyl acetate = 95/5) to give 2- (dimethylamino) -2-((3,7,11,15-tetramethylhexadecanoyloxy) A crude product of methyl) propane-1,3-diyldiyl bis (3,7,11,15-tetramethylhexadecanoate) was obtained. Methyl iodide (1.00 mL, 16.0 mmol) was added to the obtained crude product, and the mixture was stirred overnight at room temperature. The reaction solution was concentrated under reduced pressure. Dissolve the residue in a small amount of methanol-chloroform (1: 1) and ion exchange resin (Dow Chemical, Dowex (TM) 1x-2 100 mesh, Cl type, approx. Loaded and eluted with methanol-chloroform (1: 1). The eluate was concentrated under reduced pressure, and the resulting residue was purified by silica gel column chromatography (chloroform / methanol = 90/10) to obtain the title compound (0.0766 g, 0.071 mmol, yield 63%).
ESI-MS m / z: 1043 (M) + ; 1 H-NMR (CDCl 3 ) δ: 0.81-0.87 (m, 36H), 0.92 (d, J = 6.7 Hz, 9H), 0.97-1.42 (m, 60H), 1.51 (tt, J = 19.8, 6.7 Hz, 3H), 1.84-1.97 (m, 3H), 2.16 (ddd, J = 15.5, 8.4, 2.3 Hz, 3H), 2.38 (ddd, J = 15.5, 5.6, 1.6 Hz, 3H), 3.72 (s, 9H), 4.55 (s, 6H).
N,N,N-トリメチル-2-((テトラデカノイルオキシ)メチル)-2-テトラデシルヘキサデカン-1-アミニウム クロリド(化合物II-44)
実施例19と同様の方法で、実施例19工程1で用いる(9Z,12Z)-オクタデカ-9,12-ジエニル メタンスルホナートと工程4で用いる(9Z,12Z)-オクタデカ-9,12-ジエン酸の代わりにそれぞれ1-ブロモテトラデカン(東京化成工業社製)、ミリスチン酸(東京化成工業社製)を用い、標記の化合物 (0.292 g, 0.39 mmol, 通し収率22%)を得た。
ESI-MS m/z: 721 (M)+; 1H-NMR (CD3OD) δ: 0.90 (t, J = 6.8 Hz, 9H), 1.28-1.32 (m, 70H), 1.49 (br s, 2H), 1.63-1.66 (m, 2H), 2.42 (t, J= 7.2 Hz, 2H), 3.26 (s, 9H), 3.43 (s, 2H), 4.18 (s, 2H).
N, N, N-trimethyl-2-((tetradecanoyloxy) methyl) -2-tetradecylhexadecane-1-aminium chloride (Compound II-44)
(9Z, 12Z) -octadeca-9,12-dienyl methanesulfonate used in Step 1 of Example 19 and (9Z, 12Z) -octadeca-9,12-diene used in Step 4 in the same manner as Example 19. Instead of the acid, 1-bromotetradecane (manufactured by Tokyo Chemical Industry Co., Ltd.) and myristic acid (manufactured by Tokyo Chemical Industry Co., Ltd.) were used to obtain the title compound (0.292 g, 0.39 mmol, overall yield 22%).
ESI-MS m / z: 721 (M) + ; 1 H-NMR (CD 3 OD) δ: 0.90 (t, J = 6.8 Hz, 9H), 1.28-1.32 (m, 70H), 1.49 (br s, 2H), 1.63-1.66 (m, 2H), 2.42 (t, J = 7.2 Hz, 2H), 3.26 (s, 9H), 3.43 (s, 2H), 4.18 (s, 2H).
2-ヘキサデシル-N,N,N-トリメチル-2-((パルミトイルオキシ)メチル)オクタデカン-1-アミニウム クロリド (化合物II-45)
実施例19と同様の方法で、実施例19工程1で用いる(9Z,12Z)-オクタデカ-9,12-ジエニル メタンスルホナートと工程4で用いる(9Z,12Z)-オクタデカ-9,12-ジエン酸の代わりに、それぞれ1-ブロモヘキサデカン (東京化成工業社製)、パルミチン酸 (東京化成工業社製)を用い、標記の化合物 (0.195 g, 0.23 mmol, 通し収率5%)を得た。
ESI-MS m/z: 805 (M)+; 1H-NMR (CD3OD) δ: 0.90 (t, J = 6.8 Hz, 9H), 1.28-1.33 (m, 82H), 1.49 (br s, 2H), 1.63-1.67 (m, 2H), 2.43 (t, J= 7.2 Hz, 2H), 3.26 (s, 9H), 3.43 (s, 2H), 4.18 (s, 2H).
2-Hexadecyl-N, N, N-trimethyl-2-((palmitoyloxy) methyl) octadecane-1-aminium chloride (Compound II-45)
(9Z, 12Z) -octadeca-9,12-dienyl methanesulfonate used in Step 1 of Example 19 and (9Z, 12Z) -octadeca-9,12-diene used in Step 4 in the same manner as Example 19. Instead of the acid, 1-bromohexadecane (manufactured by Tokyo Chemical Industry Co., Ltd.) and palmitic acid (manufactured by Tokyo Chemical Industry Co., Ltd.) were used to obtain the title compound (0.195 g, 0.23 mmol, overall yield 5%).
ESI-MS m / z: 805 (M) + ; 1 H-NMR (CD 3 OD) δ: 0.90 (t, J = 6.8 Hz, 9H), 1.28-1.33 (m, 82H), 1.49 (br s, 2H), 1.63-1.67 (m, 2H), 2.43 (t, J = 7.2 Hz, 2H), 3.26 (s, 9H), 3.43 (s, 2H), 4.18 (s, 2H).
N,N,N-トリメチル-2-((ステアロイルオキシ)メチル)-2-テトラデシルヘキサデカ-1-アミニウム クロリド (化合物II-46)
実施例19と同様の方法で、実施例19工程1で用いる(9Z,12Z)-オクタデカ-9,12-ジエニル メタンスルホナートと工程4で用いる(9Z,12Z)-オクタデカ-9,12-ジエン酸の代わりに、それぞれ1-ブロモテトラデカン (東京化成工業社製)、ステアリン酸 (東京化成工業社製)を用い、標記の化合物 (0.421 g, 0.52 mmol, 通し収率20%)を得た。
ESI-MS m/z: 777 (M)+; 1H-NMR (CD3OD) δ: 0.90 (t, J = 6.8 Hz, 9H), 1.29-1.33 (m, 78H), 1.49 (br s, 2H),1.63-1.67 (m, 2H), 2.43 (t, J= 7.2 Hz, 2H), 3.27(s, 9H), 3.44 (s, 2H), 4.18 (s, 2H).
N, N, N-trimethyl-2-((stearoyloxy) methyl) -2-tetradecylhexadec-1-aminium chloride (Compound II-46)
(9Z, 12Z) -octadeca-9,12-dienyl methanesulfonate used in Step 1 of Example 19 and (9Z, 12Z) -octadeca-9,12-diene used in Step 4 in the same manner as Example 19. Instead of the acid, 1-bromotetradecane (manufactured by Tokyo Chemical Industry Co., Ltd.) and stearic acid (manufactured by Tokyo Chemical Industry Co., Ltd.) were used to obtain the title compound (0.421 g, 0.52 mmol, overall yield 20%).
ESI-MS m / z: 777 (M) + ; 1 H-NMR (CD 3 OD) δ: 0.90 (t, J = 6.8 Hz, 9H), 1.29-1.33 (m, 78H), 1.49 (br s, 2H), 1.63-1.67 (m, 2H), 2.43 (t, J = 7.2 Hz, 2H), 3.27 (s, 9H), 3.44 (s, 2H), 4.18 (s, 2H).
3-(ドデカノイルオキシ)-N,N,N-トリメチル-2,2-ビス((ステアロイルオキシ)メチル)プロパン-1-アミニウム クロリド (化合物II-47)
実施例46と同様の方法で、実施例46工程1で用いるステアロイルクロリドと工程4で用いるテトラデカノイルクロリドの代わりに、それぞれラウロイルクロリド (東京化成工業社製)、ステアロイルクロリド (東京化成工業社製)を用い、標記の化合物 (0.200 g, 0.417 mmol, 通し収率0.3%)を得た。
ESI-MS m/z: 893 (M)+; 1H-NMR (CDCl3) δ: 0.88 (t, J = 6.9 Hz, 9H), 1.21-1.32(m, 72H), 1.57-1.64 (m, 6H), 2.38 (t, J = 7.6 Hz, 6H), 3.63 (s, 9H), 3.99 (s, 2H), 4.29 (s, 6H).
3- (Dodecanoyloxy) -N, N, N-trimethyl-2,2-bis ((stearoyloxy) methyl) propane-1-aminium chloride (Compound II-47)
In the same manner as in Example 46, instead of stearoyl chloride used in Step 46 of Example 46 and tetradecanoyl chloride used in Step 4, lauroyl chloride (manufactured by Tokyo Chemical Industry Co., Ltd.) and stearoyl chloride (manufactured by Tokyo Chemical Industry Co., Ltd.) were used. ) To give the title compound (0.200 g, 0.417 mmol, overall yield 0.3%).
ESI-MS m / z: 893 (M) + ; 1 H-NMR (CDCl 3 ) δ: 0.88 (t, J = 6.9 Hz, 9H), 1.21-1.32 (m, 72H), 1.57-1.64 (m, 6H), 2.38 (t, J = 7.6 Hz, 6H), 3.63 (s, 9H), 3.99 (s, 2H), 4.29 (s, 6H).
3-(ドデカノイルオキシ)-N,N,N-トリメチル-2,2-ビス((パルミトイルオキシ)メチル)プロパン-1-アミニウム クロリド(化合物II-48)
実施例47と同様の方法で、実施例47工程1で用いるステアロイルクロリドと工程4で用いるテトラデカノイルクロリドの代わりに、それぞれラウロイルクロリド (東京化成工業社製)、パルミトイルクロリド (和光純薬工業社製)を用い、標記の化合物 (0.350 g, 0.40 mmol, 通し収率0.6%)を得た。
ESI-MS m/z: 837 (M)+; 1H-NMR (CDCl3) δ: 0.88 (t, J = 6.9 Hz, 9H), 1.21-1.33(m, 64H), 1.56-1.64 (m, 6H), 2.38 (t, J = 7.6 Hz, 6H), 3.66 (s, 9H), 3.98 (s, 2H), 4.29 (s, 6H).
3- (Dodecanoyloxy) -N, N, N-trimethyl-2,2-bis ((palmitoyloxy) methyl) propane-1-aminium chloride (Compound II-48)
In the same manner as in Example 47, instead of stearoyl chloride used in Step 47 of Example 47 and tetradecanoyl chloride used in Step 4, lauroyl chloride (manufactured by Tokyo Chemical Industry Co., Ltd.) and palmitoyl chloride (Wako Pure Chemical Industries, Ltd.) were used. The title compound (0.350 g, 0.40 mmol, overall yield 0.6%) was obtained.
ESI-MS m / z: 837 (M) + ; 1 H-NMR (CDCl 3 ) δ: 0.88 (t, J = 6.9 Hz, 9H), 1.21-1.33 (m, 64H), 1.56-1.64 (m, 6H), 2.38 (t, J = 7.6 Hz, 6H), 3.66 (s, 9H), 3.98 (s, 2H), 4.29 (s, 6H).
3-(ドデカノイルオキシ)-2-((ドデカノイルオキシ)メチル)-N,N,N-トリメチル-2-((ステアロイルオキシ)メチル)プロパン-1-アミニウム クロリド(化合物II-49)
実施例47と同様の方法で、実施例47工程4で用いるテトラデカノイルクロリドの代わりにラウロイルクロリド (東京化成工業社製)を用い、標記の化合物 (0.210 g, 0.249 mmol, 通し収率0.3%)を得た。
ESI-MS m/z: 809 (M)+; 1H-NMR (CDCl3) δ: 0.88 (t, J = 6.9 Hz, 9H), 1.23-1.34(m, 60H), 1.53-1.65 (m, 6H), 2.38 (t, J = 7.6 Hz, 6H), 3.63 (s, 9H), 3.97 (s, 2H), 4.29 (s, 6H).
3- (Dodecanoyloxy) -2-((dodecanoyloxy) methyl) -N, N, N-trimethyl-2-((stearoyloxy) methyl) propane-1-aminium chloride (Compound II-49)
In the same manner as in Example 47, substituting lauroyl chloride (manufactured by Tokyo Chemical Industry Co., Ltd.) for the tetradecanoyl chloride used in Step 47 of Example 47, the title compound (0.210 g, 0.249 mmol, overall yield 0.3%) )
ESI-MS m / z: 809 (M) + ; 1 H-NMR (CDCl 3 ) δ: 0.88 (t, J = 6.9 Hz, 9H), 1.23-1.34 (m, 60H), 1.53-1.65 (m, 6H), 2.38 (t, J = 7.6 Hz, 6H), 3.63 (s, 9H), 3.97 (s, 2H), 4.29 (s, 6H).
N,N,N-トリメチル-3-(パルミトイルオキシ)-2-((パルミトイルオキシ)メチル)-2-((ステアロイルオキシ)メチル)プロパン-1-アミニウム クロリド(化合物II-50)
実施例47と同様の方法で、実施例47工程4で用いるテトラデカノイルクロリドの代わりに、パルミトイルクロリド (東京化成工業社製)を用い、標記の化合物 (0.420 g, 0.44 mmol, 通し収率0.5%)を得た。
ESI-MS m/z: 921 (M)+; 1H-NMR (CDCl3) δ: 0.88 (t, J = 6.9 Hz, 9H), 1.21-1.32(m, 76H), 1.55-1.65 (m, 6H), 2.38 (t, J = 7.6 Hz, 6H), 3.67 (s, 9H), 399 (s, 2H), 4.29 (s, 6H).
N, N, N-trimethyl-3- (palmitoyloxy) -2-((palmitoyloxy) methyl) -2-((stearoyloxy) methyl) propane-1-aminium chloride (compound II-50)
In the same manner as in Example 47, instead of tetradecanoyl chloride used in Step 4 of Example 47, palmitoyl chloride (manufactured by Tokyo Chemical Industry Co., Ltd.) was used, and the title compound (0.420 g, 0.44 mmol, overall yield 0.5) %).
ESI-MS m / z: 921 (M) + ; 1 H-NMR (CDCl 3 ) δ: 0.88 (t, J = 6.9 Hz, 9H), 1.21-1.32 (m, 76H), 1.55-1.65 (m, 6H), 2.38 (t, J = 7.6 Hz, 6H), 3.67 (s, 9H), 399 (s, 2H), 4.29 (s, 6H).
3-(イコサノイルオキシ)-N,N,N-トリメチル-2,2-ビス((テトラデカノイルオキシ)メチル)プロパン-1-アミニウム クロリド(化合物II-51)
実施例47と同様の方法で、実施例47工程1で用いるステアロイルクロリドの代わりに、エイコサノイル クロリド (Nu-Chek Prep,Inc.社製)を用い、標記の化合物を得る。
3- (Icosanoyloxy) -N, N, N-trimethyl-2,2-bis ((tetradecanoyloxy) methyl) propane-1-aminium chloride (Compound II-51)
In the same manner as in Example 47, using eicosanoyl chloride (Nu-Chek Prep, Inc.) instead of stearoyl chloride used in Step 47 of Example 47, the title compound is obtained.
3-(ドデカノイルオキシ)-2-((ドデカノイルオキシ)メチル)-2-((イコサノイルオキシ)メチル)-N,N,N-トリメチルプロパン-1-アミニウム クロリド(化合物II-52)
実施例47と同様の方法で、実施例47工程1で用いるステアロイル クロリドと工程4で用いるテトラデカノイル クロリドの代わりに、それぞれエイコサノイル クロリド (Nu-Chek Prep,Inc.社製)、ラウロイル クロリド (和光純薬工業社製)を用い、標記の化合物を得る。
3- (Dodecanoyloxy) -2-((dodecanoyloxy) methyl) -2-((icosanoyloxy) methyl) -N, N, N-trimethylpropane-1-aminium chloride (Compound II-52)
In the same manner as in Example 47, instead of stearoyl chloride used in Step 47 of Example 47 and tetradecanoyl chloride used in Step 4, eicosanoyl chloride (manufactured by Nu-Chek Prep, Inc.) and lauroyl chloride (Japanese The title compound is obtained using Kogaku Pharmaceutical Co., Ltd.
N,N,N-トリメチル-3-(メチル(3-(テトラデカノイルオキシ)-2,2-ビス((テトラデカノイルオキシ)メチル)プロピル)アミノ)プロパン-1-アミニウム クロリド(化合物II-53)
工程1
2-(ブロモメチル)-2-(ヒドロキシメチル)プロパン-1,3-ジオール (0.15 g, 0.754 mmol)のN,N-ジメチルアセトアミド(1 mL)溶液に、N,N,N’-トリメチルプロパン-1,3-ジアミン (0.263 g, 2.26 mmol)を加え、マイクロ波反応装置で100℃、 2時間反応させた。その後、氷冷下でN,N-ジイソプロピルエチルアミン (0.395 mL, 2.26 mmol)、次いでテトラデカノイル クロリド(1.12 g, 4.52 mmol)を加え、室温で2時間撹拌した。反応液に水を加え、酢酸エチルで抽出した。有機層を飽和炭酸水素ナトリウム水溶液、飽和食塩水で洗浄し、無水硫酸マグネシウムで乾燥し、ろ過した。減圧下濃縮し、得られた残渣をシリカゲルカラムクロマトグラフィー (クロロホルム/メタノール=99/1~90/10)で精製することにより、2-(((3-(ジメチルアミノ)プロピル)(メチル)アミノ)メチル)-2-((テトラデカノイルオキシ)メチル)プロパン-1,3-ジイル ジテトラデカノアート (0.040 g, 0.046 mmol, 収率6%)を得た。
ESI-MS m/z: 866 (M + H)+
工程2
工程1で得られた2-(((3-(ジメチルアミノ)プロピル)(メチル)アミノ)メチル)-2-((テトラデカノイルオキシ)メチル)プロパン-1,3-ジイル ジテトラデカノアート (0.040 g, 0.046 mmol)を用い、実施例1工程2と同様にして、標記化合物 (0.015 g, 0.016 mmol, 収率35%)を得た。
ESI-MS m/z: 880 (M)+; 1H-NMR (CDCl3) δ: 0.88 (t, J = 6.8 Hz, 9H), 1.20-1.35 (m, 62H), 1.54-1.65 (m, 6H), 1.87-2.03 (m, 2H), 2.21-2.31 (m, 2H), 2.31 (t, J = 7.6 Hz, 6H), 2.49 (br s, 3H), 3.40 (s, 9H), 3.52-3.63 (m, 2H), 4.05 (s, 6H).
N, N, N-trimethyl-3- (methyl (3- (tetradecanoyloxy) -2,2-bis ((tetradecanoyloxy) methyl) propyl) amino) propane-1-aminium chloride (compound II- 53)
Process 1
To a solution of 2- (bromomethyl) -2- (hydroxymethyl) propane-1,3-diol (0.15 g, 0.754 mmol) in N, N-dimethylacetamide (1 mL), N, N, N'-trimethylpropane- 1,3-diamine (0.263 g, 2.26 mmol) was added, and the mixture was reacted at 100 ° C. for 2 hours in a microwave reactor. Then, N, N-diisopropylethylamine (0.395 mL, 2.26 mmol) and then tetradecanoyl chloride (1.12 g, 4.52 mmol) were added under ice cooling, and the mixture was stirred at room temperature for 2 hours. Water was added to the reaction mixture, and the mixture was extracted with ethyl acetate. The organic layer was washed with saturated aqueous sodium hydrogen carbonate solution and saturated brine, dried over anhydrous magnesium sulfate, and filtered. Concentration under reduced pressure, and the resulting residue was purified by silica gel column chromatography (chloroform / methanol = 99/1 to 90/10) to give 2-((((3- (dimethylamino) propyl) (methyl) amino. ) Methyl) -2-((tetradecanoyloxy) methyl) propane-1,3-diyl ditetradecanoate (0.040 g, 0.046 mmol, 6% yield) was obtained.
ESI-MS m / z: 866 (M + H) +
Process 2
2-((((3- (dimethylamino) propyl) (methyl) amino) methyl) -2-((tetradecanoyloxy) methyl) propane-1,3-diyl ditetradecanoate obtained in step 1 (0.040 g, 0.046 mmol) was used in the same manner as in Step 1 of Example 1 to obtain the title compound (0.015 g, 0.016 mmol, yield 35%).
ESI-MS m / z: 880 (M) + ; 1 H-NMR (CDCl 3 ) δ: 0.88 (t, J = 6.8 Hz, 9H), 1.20-1.35 (m, 62H), 1.54-1.65 (m, 6H), 1.87-2.03 (m, 2H), 2.21-2.31 (m, 2H), 2.31 (t, J = 7.6 Hz, 6H), 2.49 (br s, 3H), 3.40 (s, 9H), 3.52- 3.63 (m, 2H), 4.05 (s, 6H).
(S)-6-(ジ(9Z,12Z)-オクタデカ-9,12-ジエニルアミノ)-N,N,N-トリメチル-5-オレアミド-6-オキソヘキサン-1-アミニウム クロリド (化合物III-2)
工程1
アンモニア (約2 mol/Lメタノール溶液、18.0 mL、36.0 mmol)に、(9Z,12Z)-オクタデカ-9,12-ジエニル メタンスルホナート (1.55 g, 4.50 mmol) を加え、マイクロ波反応装置を用いて130℃で3時間攪拌した。反応液に飽和炭酸水素ナトリウム水溶液を加えてクロロホルムで5回抽出した。有機層を合わせて飽和食塩水で洗浄し、無水硫酸マグネシウムで乾燥後ろ過し、減圧濃縮することで(Z)-オクタデカ-9-エニルアミンの粗生成物を得た。
得られた粗生成物に(9Z,12Z)-オクタデカ-9,12-ジエニル メタンスルホナート (1.24 g, 3.60 mmol) および50%水酸化ナトリウム水溶液 (1.44 g、18.0 mmol)を加え、油浴上110℃で60分間攪拌した。室温まで冷却後、反応液を酢酸エチルで希釈し、水、ついで飽和食塩水で洗浄し、無水硫酸マグネシウムで乾燥後ろ過し、減圧濃縮した。得られた残渣をシリカゲルカラムクロマトグラフィー (クロロホルム/メタノール=100/0~95/5)で精製することにより、(9Z,12Z)-ジ(9Z,12Z)-オクタデカ-9,12-ジエニルアミン (0.838 g, 1.631 mmol, 収率36%)を得た。
ESI-MS m/z: 515 (M + H)+; 1H-NMR(CDCl3) δ: 0.89 (t, J = 6.8 Hz, 6H), 1.26-1.38 (m, 32H), 1.45-1.54 (m, 4H), 2.05 (q, J = 6.6 Hz, 8H), 2.60 (t, J = 7.1 Hz, 4H), 2.77 (t, J = 5.9 Hz, 4H), 5.29-5.43 (m, 8H).
工程2
(S)-2-アミノ-6-(tert-ブトキシカルボニルアミノ)ヘキサン酸 (1.94 g, 7.88 mmol) のアセトン(5 mL) 溶液に、水酸化ナトリウム (2 mol/L 水溶液, 5 mL)、オレオイル クロリド (2.09 g, 6.89 mmol) を加え、室温にて終夜攪拌した。反応液に塩酸水溶液 (6 mol/L) を加えてクロロホルムで2回抽出した。有機層を、無水硫酸マグネシウムで乾燥後、減圧下濃縮した。残渣をシリカゲルカラムクロマトグラフィー (クロロホルム/メタノール= 90/10~80/20) で精製することにより (S)-6-(tert-ブトキシカルボニルアミノ)-2-オレアミドヘキサン酸 (2.50 g, 4.89 mmol, 収率71%) を得た。
ESI-MS m/z: 510 (M - H)-; 1H-NMR (CDCl3) δ: 0.87 (t, J = 7.0 Hz, 3H), 1.20-1.54 (m, 33H), 1.57-1.68 (m, 2H), 1.71-1.93 (m, 2H), 1.96-2.05 (m, 4H), 2.18-2.29 (m, 2H), 3.07-3.16 (m, 2H), 4.50-4.60 (m, 1H), 4.63-4.76 (m, 1H), 5.28-5.39 (m, 2H), 6.49-6.57 (m, 1H).
工程3
工程2で得られた (S)-6-(tert-ブトキシカルボニルアミノ)-2-オレアミドヘキサン酸 (0.291 g, 0.570 mmol) の 1,2-ジクロロエタン (4 mL) 溶液に、O-(7-アザ-1H-ベンゾトリアゾール-1-イル)-N,N,N',N'-テトラメチルウロニウム ヘキサフルオロフォスフェート ( 0.433 g, 1.14 mmol)、N,N-ジイソプロピルエチルアミン(0.498 mL, 2.85 mmol)、工程1で得られた (9Z,12Z)-ジ(9Z,12Z)-オクタデカ-9,12-ジエニルアミン (0.293 g, 0.570 mmol) を加え、室温にて4時間攪拌した。反応液に飽和炭酸水素ナトリウム水溶液を加えてクロロホルムで2回抽出した。有機層を無水硫酸マグネシウムで乾燥後ろ過し、減圧濃縮した。残渣をシリカゲルカラムクロマトグラフィー (ヘキサン/酢酸エチル = 80/20) で精製することにより tert-ブチル (S)-6-(ジ(9Z,12Z)-オクタデカ-9,12-ジエニルアミノ)-5-オレアミド-6-オキソヘキシルカルバマート (0.489 g, 0.486 mmol, 収率85%) を得た。
ESI-MS m/z: 1008 (M + H)+; 1H-NMR (CDCl3) δ: 0.85-0.92 (m, 9H), 1.20-1.72 (m, 73H), 1.97-2.08 (m, 12H), 2.18 (t, J = 7.6 Hz, 2H), 2.74-2.80 (m, 4H), 3.02-3.34 (m, 5H), 3.44-3.53 (m, 1H), 4.55-4.63 (m, 1H), 4.88 (td, J = 8.2, 4.6 Hz, 1H), 5.28-5.43 (m, 10H), 6.30 (d, J = 8.4 Hz, 1H).
工程4
工程3で得られた tert-ブチル (S)-6-(ジ(9Z,12Z)-オクタデカ-9,12-ジエニルアミノ)-5-オレアミド-6-オキソヘキシルカルバマート (0.459 g, 0.456 mmol) の 1,2-ジクロロエタン (2 mL) 溶液にトリフルオロ酢酸 (0.500 mL, 6.49 mmol) を加え、室温にて1時間攪拌した。反応液を減圧濃縮した後、残渣にクロロホルムと飽和炭酸水素ナトリウム水溶液を加えてクロロホルムで2回抽出した。有機層を無水硫酸マグネシウムで乾燥後ろ過し、減圧濃縮した。残渣をシリカゲルカラムクロマトグラフィー (ヘキサン/酢酸エチル = 90/10~80/20) で精製することにより N-((S)-6-アミノ-1-(ジ ((9Z,12Z)-オクタデカ-9,12-ジエン-1-イル)アミノ)-1-オキソヘキサン-2-イル)オレアミド (0.259 g, 0.286 mmol, 収率63%) を得た。
ESI-MS m/z: 907 (M + H)+; 1H-NMR (CDCl3) δ: 0.86-0.91 (m, 9H), 1.20-1.71 (m, 64H), 1.96-2.09 (m, 12H), 2.21 (t, J = 7.5 Hz, 2H), 2.73-2.88 (m, 6H), 3.08-3.47 (m, 4H), 4.81-4.88 (m, 1H), 5.28-5.43 (m, 10H), 6.67 (br s, 1H).
工程5
工程4で得られた N-((S)-6-アミノ-1-(ジ ((9Z,12Z)-オクタデカ-9,12-ジエン-1-イル)アミノ)-1-オキソヘキサン-2-イル)オレアミド (0.137 g, 0.151 mmol) の 1,2-ジクロロエタン (1 mL) 溶液に、38%ホルムアルデヒド水溶液 (0.300 mL)、ナトリウムトリアセトキシボロヒドリド (0.096 g, 0.453 mmol)を加え、室温で終夜攪拌した。反応液に飽和炭酸水素ナトリウム水溶液を加えて、クロロホルムで2回抽出した。有機層を無水硫酸マグネシウムで乾燥後、減圧下濃縮した。残渣をアミノシリカゲルカラムクロマトグラフィー (ヘキサン/酢酸エチル = 50/50) で精製することで、N-((S)-1-(ジ(9Z,12Z)-オクタデカ-9,12-ジエニルアミノ)-6-(ジメチルアミノ)-1-オキソヘキサン-2-イル)オレアミド (0.122 g, 0.130 mmol, 収率86%) を得た。
ESI-MS m/z: 936 (M + H)+; 1H-NMR (CDCl3) δ: 0.83-0.93 (m, 9H), 1.12-1.77 (m, 64H), 1.95-2.25 (m, 22H), 2.73-2.80 (m, 4H), 3.04-3.15 (m, 1H), 3.20-3.34 (m, 2H), 3.44-3.54 (m, 1H), 4.85-4.91 (m, 1H), 5.28-5.43 (m, 10H), 6.28 (d, J= 8.6 Hz, 1H).
工程6
実施例8工程2と同様な方法で、(9Z,9'Z,12Z,12'Z)-2-(ジメチルアミノ)-2-(((9Z,12Z)-オクタデク-9,12-ジエノイルオキシ)メチル)プロパン-1,3-ジイル ジオクタデク-9,12-ジエノアートの代わりに工程5で得られた N-((S)-1-(ジ(9Z,12Z)-オクタデカ-9,12-ジエニルアミノ)-6-(ジメチルアミノ)-1-オキソヘキサン-2-イル)オレアミド (0.104 g, 0.111 mol)を用いて標記の化合物 (0.0707 g, 0.0718 mol, 65%)を得た。
ESI-MS m/z: 950 (M)+; 1H-NMR (CDCl3) δ: 0.85-0.91 (m, 9H), 1.21-1.83 (m, 64H), 1.97-2.08 (m, 12H), 2.19 (t, J= 7.7 Hz, 2H), 2.74-2.80 (m, 4H), 3.05-3.84 (m, 15H), 4.82-4.90 (m, 1H), 5.28-5.43 (m, 10H), 6.41-6.46 (m, 1H).
(S) -6- (Di (9Z, 12Z) -octadeca-9,12-dienylamino) -N, N, N-trimethyl-5-oleamido-6-oxohexane-1-aminium chloride (Compound III-2)
Process 1
Add (9Z, 12Z) -octadeca-9,12-dienyl methanesulfonate (1.55 g, 4.50 mmol) to ammonia (approximately 2 mol / L methanol solution, 18.0 mL, 36.0 mmol) and use a microwave reactor. And stirred at 130 ° C. for 3 hours. A saturated aqueous sodium hydrogen carbonate solution was added to the reaction mixture, and the mixture was extracted 5 times with chloroform. The organic layers were combined, washed with saturated brine, dried over anhydrous magnesium sulfate, filtered, and concentrated under reduced pressure to obtain a crude product of (Z) -octadeca-9-enylamine.
Add (9Z, 12Z) -octadeca-9,12-dienyl methanesulfonate (1.24 g, 3.60 mmol) and 50% aqueous sodium hydroxide (1.44 g, 18.0 mmol) to the resulting crude product, and add to the oil bath. The mixture was stirred at 110 ° C. for 60 minutes. After cooling to room temperature, the reaction mixture was diluted with ethyl acetate, washed with water and then with saturated brine, dried over anhydrous magnesium sulfate, filtered, and concentrated under reduced pressure. The obtained residue was purified by silica gel column chromatography (chloroform / methanol = 100/0 to 95/5) to give (9Z, 12Z) -di (9Z, 12Z) -octadeca-9,12-dienylamine (0.838 g, 1.631 mmol, yield 36%).
ESI-MS m / z: 515 (M + H) +; 1H-NMR (CDCl3) δ: 0.89 (t, J = 6.8 Hz, 6H), 1.26-1.38 (m, 32H), 1.45-1.54 (m, 4H), 2.05 (q, J = 6.6 Hz, 8H), 2.60 (t, J = 7.1 Hz, 4H), 2.77 (t, J = 5.9 Hz, 4H), 5.29-5.43 (m, 8H).
Process 2
To a solution of (S) -2-amino-6- (tert-butoxycarbonylamino) hexanoic acid (1.94 g, 7.88 mmol) in acetone (5 mL), sodium hydroxide (2 mol / L aqueous solution, 5 mL), Oil chloride (2.09 g, 6.89 mmol) was added, and the mixture was stirred at room temperature overnight. A hydrochloric acid aqueous solution (6 mol / L) was added to the reaction solution, and the mixture was extracted twice with chloroform. The organic layer was dried over anhydrous magnesium sulfate and concentrated under reduced pressure. The residue was purified by silica gel column chromatography (chloroform / methanol = 90 / 10-80 / 20) to give (S) -6- (tert-butoxycarbonylamino) -2-oleamidohexanoic acid (2.50 g, 4.89 mmol Yield 71%).
ESI-MS m / z: 510 (M-H) - ; 1 H-NMR (CDCl3) δ: 0.87 (t, J = 7.0 Hz, 3H), 1.20-1.54 (m, 33H), 1.57-1.68 (m , 2H), 1.71-1.93 (m, 2H), 1.96-2.05 (m, 4H), 2.18-2.29 (m, 2H), 3.07-3.16 (m, 2H), 4.50-4.60 (m, 1H), 4.63 -4.76 (m, 1H), 5.28-5.39 (m, 2H), 6.49-6.57 (m, 1H).
Process 3
To a solution of (S) -6- (tert-butoxycarbonylamino) -2-oleamidohexanoic acid (0.291 g, 0.570 mmol) obtained in step 2 in 1,2-dichloroethane (4 mL), O- (7 -Aza-1H-benzotriazol-1-yl) -N, N, N ', N'-tetramethyluronium hexafluorophosphate (0.433 g, 1.14 mmol), N, N-diisopropylethylamine (0.498 mL, 2.85 mmol), (9Z, 12Z) -di (9Z, 12Z) -octadeca-9,12-dienylamine (0.293 g, 0.570 mmol) obtained in Step 1 was added and stirred at room temperature for 4 hours. A saturated aqueous sodium hydrogen carbonate solution was added to the reaction mixture, and the mixture was extracted twice with chloroform. The organic layer was dried over anhydrous magnesium sulfate, filtered and concentrated under reduced pressure. The residue was purified by silica gel column chromatography (hexane / ethyl acetate = 80/20) to give tert-butyl (S) -6- (di (9Z, 12Z) -octadeca-9,12-dienylamino) -5-oleamide -6-oxohexyl carbamate (0.489 g, 0.486 mmol, 85% yield) was obtained.
ESI-MS m / z: 1008 (M + H) + ; 1 H-NMR (CDCl3) δ: 0.85-0.92 (m, 9H), 1.20-1.72 (m, 73H), 1.97-2.08 (m, 12H) , 2.18 (t, J = 7.6 Hz, 2H), 2.74-2.80 (m, 4H), 3.02-3.34 (m, 5H), 3.44-3.53 (m, 1H), 4.55-4.63 (m, 1H), 4.88 (td, J = 8.2, 4.6 Hz, 1H), 5.28-5.43 (m, 10H), 6.30 (d, J = 8.4 Hz, 1H).
Process 4
Of tert-butyl (S) -6- (di (9Z, 12Z) -octadeca-9,12-dienylamino) -5-oleamido-6-oxohexylcarbamate (0.459 g, 0.456 mmol) obtained in step 3 Trifluoroacetic acid (0.500 mL, 6.49 mmol) was added to the 1,2-dichloroethane (2 mL) solution, and the mixture was stirred at room temperature for 1 hour. The reaction mixture was concentrated under reduced pressure, chloroform and saturated aqueous sodium hydrogen carbonate solution were added to the residue, and the mixture was extracted twice with chloroform. The organic layer was dried over anhydrous magnesium sulfate, filtered and concentrated under reduced pressure. The residue was purified by silica gel column chromatography (hexane / ethyl acetate = 90 / 10-80 / 20) to give N-((S) -6-amino-1- (di ((9Z, 12Z) -octadeca-9 , 12-Dien-1-yl) amino) -1-oxohexane-2-yl) oleamide (0.259 g, 0.286 mmol, yield 63%) was obtained.
ESI-MS m / z: 907 (M + H) + ; 1 H-NMR (CDCl3) δ: 0.86-0.91 (m, 9H), 1.20-1.71 (m, 64H), 1.96-2.09 (m, 12H) , 2.21 (t, J = 7.5 Hz, 2H), 2.73-2.88 (m, 6H), 3.08-3.47 (m, 4H), 4.81-4.88 (m, 1H), 5.28-5.43 (m, 10H), 6.67 (br s, 1H).
Process 5
N-((S) -6-amino-1- (di ((9Z, 12Z) -octadec-9,12-dien-1-yl) amino) -1-oxohexane-2-obtained in step 4 Yl) oleamide (0.137 g, 0.151 mmol) in 1,2-dichloroethane (1 mL) was added 38% aqueous formaldehyde solution (0.300 mL) and sodium triacetoxyborohydride (0.096 g, 0.453 mmol), and at room temperature overnight. Stir. A saturated aqueous sodium hydrogen carbonate solution was added to the reaction mixture, and the mixture was extracted twice with chloroform. The organic layer was dried over anhydrous magnesium sulfate and concentrated under reduced pressure. The residue was purified by amino silica gel column chromatography (hexane / ethyl acetate = 50/50) to give N-((S) -1- (di (9Z, 12Z) -octadeca-9,12-dienylamino) -6. -(Dimethylamino) -1-oxohexane-2-yl) oleamide (0.122 g, 0.130 mmol, yield 86%) was obtained.
ESI-MS m / z: 936 (M + H) + ; 1 H-NMR (CDCl 3 ) δ: 0.83-0.93 (m, 9H), 1.12-1.77 (m, 64H), 1.95-2.25 (m, 22H ), 2.73-2.80 (m, 4H), 3.04-3.15 (m, 1H), 3.20-3.34 (m, 2H), 3.44-3.54 (m, 1H), 4.85-4.91 (m, 1H), 5.28-5.43 (m, 10H), 6.28 (d, J = 8.6 Hz, 1H).
Process 6
Example 8 In the same manner as in Step 2, (9Z, 9'Z, 12Z, 12'Z) -2- (dimethylamino) -2-(((9Z, 12Z) -octadec-9,12-dienoyloxy) N-((S) -1- (di (9Z, 12Z) -octadeca-9,12-dienylamino) obtained in step 5 instead of (methyl) propane-1,3-diyl dioctadec-9,12-dienoate The title compound (0.0707 g, 0.0718 mol, 65%) was obtained using -6- (dimethylamino) -1-oxohexane-2-yl) oleamide (0.104 g, 0.111 mol).
ESI-MS m / z: 950 (M) + ; 1 H-NMR (CDCl 3 ) δ: 0.85-0.91 (m, 9H), 1.21-1.83 (m, 64H), 1.97-2.08 (m, 12H), 2.19 (t, J = 7.7 Hz, 2H), 2.74-2.80 (m, 4H), 3.05-3.84 (m, 15H), 4.82-4.90 (m, 1H), 5.28-5.43 (m, 10H), 6.41- 6.46 (m, 1H).
(S)-N,N,N-トリメチル-5-(ノナコサン-15-イルオキシ)-1,5-ジオキソ-1-(テトラデシロキシ)ペンタン-2-アミニウム クロリド (化合物III-3)
工程1
ぎ酸エチル (ナカライテスク社製, 2.4 mL, 29.7 mmol) のテトラヒドロフラン (9 mL) 溶液にテトラデシルマグネシウム クロリド (Sigma-Aldrich社製, 1.0 mol/L テトラヒドロフラン溶液, 59.4 mL, 59.4 mmol) を加え、60℃で2時間攪拌した。反応液を氷冷し、水と硫酸 (ナカライテスク社製, 2.0 mol/L水溶液) を加えた。沈殿物を濾取し、ノナコサン-15-オール (6.90 g, 16.2 mmol, 収率55%) を得た。
1H-NMR (CDCl3) δ: 0.88 (t, J = 6.8 Hz, 6H), 1.22-1.34 (m, 48H), 1.37-1.49 (m, 2H), 3.54-3.64 (m, 1H).
工程2
1-tert-ブチル 2-アミノペンタンジオアート 塩酸塩 (渡辺化学工業社製, 10.0 g, 30.3 mmol) のエタノール (150 mL) 溶液にパラホルムアルデヒド (Sigma-Aldrich社製, 5.50 g, 183 mmol)、シアノ水素化ホウ素ナトリウム (5.70 g, 90.7 mmol) を加え、室温で終夜攪拌した。反応液に飽和炭酸水素ナトリウム水溶液を加え、クロロホルムで2回抽出した。有機層を飽和食塩水で洗浄し、無水硫酸マグネシウムで乾燥し、ろ過し、減圧下濃縮した。残渣をシリカゲルカラムクロマトグラフィー (ヘキサン/酢酸エチル = 35/65) で精製することで、(S)-5-ベンジル 1-tert-ブチル2-(ジメチルアミノ)ペンタンジオアート(8.20 g, 25.5 mmol, 収率84%) を得た。
1H-NMR (CDCl3) δ: 1.48 (s, 9H), 1.95-2.00 (m, 2H), 2.32 (s, 6H), 2.43 (t, J = 7.8 Hz, 2H), 3.04 (t, J = 7.5 Hz, 1H), 5.12 (s, 6H), 7.29-7.40 (m, 5H).
工程3
(S)-5-ベンジル 1-tert-ブチル2-(ジメチルアミノ)ペンタンジオアート(8.20 g, 25.5 mmol) のエタノール (200 mL) 溶液に、パラジウム-炭素 (東京化成工業社製, パラジウム10%, 約55%水湿潤品, 820 mg)を加え、水素雰囲気下、室温で7時間攪拌した。不溶物をセライトろ過にて除去し、ろ液を濃縮した。得られた残渣をシリカゲルカラムクロマトグラフィー (ジクロロメタン/メタノール = 85/15) で精製することで、(S)-5-tert-ブトキシ-4-(ジメチルアミノ)-5-オキソペンタン酸の粗生成物を得た。 (4.83 g, 20.9 mmol, 粗収率82%) を得た。
得られた(S)-5-tert-ブトキシ-4-(ジメチルアミノ)-5-オキソペンタン酸 (4.83 g, 20.9 mmol) の粗生成物に、1.2-ジクロロエタン (200 mL)、工程1で得られたノナコサン-15-オール (9.75 g, 23.0 mmol)、1-エチル-3-(3-ジメチルアミノプロピル)カルボジイミド塩酸塩 (8.01 g, 41.8 mmol)、N,N-ジメチルアミノピリジン (255 mg, 2.09 mmol) を加え、50 ℃で3時間攪拌した。反応液に水を加え、ジクロロメタンで2回抽出した。有機層を飽和食塩水で洗浄し、無水硫酸マグネシウムで乾燥後、ろ過し、減圧下濃縮した。得られた残渣をシリカゲルカラムクロマトグラフィー (ヘキサン/酢酸エチル = 85/15) で精製することで、(S)-1-tert-ブチル5-ノナコサン-15-イル 2-(ジメチルアミノ)ペンタンジオアート (8.13 g, 12.7 mmol, 収率61%) を得た。
1H-NMR (CDCl3) δ: 0.88 (t, J = 6.8 Hz, 6H), 1.20-1.38 (m, 48H), 1.46-1.57 (m, 4H), 1.91-2.00 (m, 2H), 2.33-2.41 (m, 8H), 3.05 (t, J= 7.6 Hz, 1H), 4.82-4.93 (m, 1H).
工程4
工程3で得られた(S)-1-tert-ブチル5-ノナコサン-15-イル 2-(ジメチルアミノ)ペンタンジオアート (8.13 g, 12.7 mmol) のジクロロメタン (40 mL) 溶液に、トリフルオロ酢酸 (20 mL) を加え、40℃で終夜攪拌した。反応液を減圧下濃縮した。得られた残渣をシリカゲルカラムクロマトグラフィー (ジクロロメタン/メタノール = 85/15) で精製することで、(S)-2-(ジメチルアミノ)-5-(ノナコサン-15-イルオキシ)-5-オキソペンタン酸 (6.70 g, 11.5 mmol, 収率90%) を得た。
1H-NMR (CDCl3) δ: 0.89 (t, J = 7.0 Hz, 6H), 1.18-1.37 (m, 48H), 1.44-1.60 (m, 4H), 2.00-2.13 (m, 2H), 2.52-2.74 (m, 2H), 2.87 (s, 6H), 3.62-3.73 (m, 1H), 4.80-4.89 (m, 1H).
工程5
工程4で得られた(S)-2-(ジメチルアミノ)-5-(ノナコサン-15-イルオキシ)-5-オキソペンタン酸 (100 mg, 0.172 mmol) の1,2-ジクロロエタン溶液 (2.0 mL) に、(1-シアノ-2-エトキシ-2-オキソエチリデンアミノオキシ)ジメチルアミノ-モルホリノ-カルベニウムヘキサフルオロリン酸塩 (96.0 mg, 0.224 mmol)、N,N-ジイソプロピルエチルアミン(0.060 mL, 0.344 mmol)をテトラデカン-1-オール () を加え、室温で終夜攪拌した。反応液に水を加えてジクロロメタンで抽出した。有機層を水で洗浄し、無水硫酸マグネシウムで乾燥し、ろ過し、減圧下濃縮した。得られた残渣をシリカゲルカラムクロマトグラフィー(ヘキサン/酢酸エチル= 95/5~85/15)で精製することで、(S)-5-ノナコサン-15-イル 1-テトラデシル 2-(ジメチルアミノ)ペンタンジオアート (64.0 mg, 0.0822 mmol, 収率48%) を得た。1H-NMR (CDCl3) δ: 0.88 (t, J = 6.8 Hz, 9H), 1.12-1.39 (m, 70H), 1.45-1.69 (m, 6H), 1.93-2.03 (m, 2H), 2.29-2.38 (m, 8H), 3.16 (t, J = 7.4 Hz, 1H), 4.03-4.17 (m, 2H), 4.80-4.91 (m, 1H).
工程6
実施例8工程2と同様な方法で、(9Z,9'Z,12Z,12'Z)-2-(ジメチルアミノ)-2-(((9Z,12Z)-オクタデク-9,12-ジエノイルオキシ)メチル)プロパン-1,3-ジイル ジオクタデク-9,12-ジエノアートの代わりに工程5で得られる (S)-5-ノナコサン-15-イル 1-テトラデシル 2-(ジメチルアミノ)ペンタンジオアートを用いて標記化合物を得る。
(S) -N, N, N-Trimethyl-5- (nonacosan-15-yloxy) -1,5-dioxo-1- (tetradecyloxy) pentane-2-aminium chloride (Compound III-3)
Process 1
Tetradecylmagnesium chloride (Sigma-Aldrich, 1.0 mol / L tetrahydrofuran solution, 59.4 mL, 59.4 mmol) was added to a solution of ethyl formate (Nacalai Tesque, 2.4 mL, 29.7 mmol) in tetrahydrofuran (9 mL). The mixture was stirred at 60 ° C. for 2 hours. The reaction solution was ice-cooled, and water and sulfuric acid (Nacalai Tesque, 2.0 mol / L aqueous solution) were added. The precipitate was collected by filtration to obtain nonacosan-15-ol (6.90 g, 16.2 mmol, yield 55%).
1 H-NMR (CDCl 3 ) δ: 0.88 (t, J = 6.8 Hz, 6H), 1.22-1.34 (m, 48H), 1.37-1.49 (m, 2H), 3.54-3.64 (m, 1H).
Process 2
Paraformaldehyde (Sigma-Aldrich, 5.50 g, 183 mmol) in a solution of 1-tert-butyl 2-aminopentanedioate hydrochloride (Watanabe Chemical Co., Ltd., 10.0 g, 30.3 mmol) in ethanol (150 mL), Sodium cyanoborohydride (5.70 g, 90.7 mmol) was added, and the mixture was stirred overnight at room temperature. A saturated aqueous sodium hydrogen carbonate solution was added to the reaction mixture, and the mixture was extracted twice with chloroform. The organic layer was washed with saturated brine, dried over anhydrous magnesium sulfate, filtered, and concentrated under reduced pressure. The residue was purified by silica gel column chromatography (hexane / ethyl acetate = 35/65) to give (S) -5-benzyl 1-tert-butyl 2- (dimethylamino) pentanedioate (8.20 g, 25.5 mmol, Yield 84%) was obtained.
1 H-NMR (CDCl 3 ) δ: 1.48 (s, 9H), 1.95-2.00 (m, 2H), 2.32 (s, 6H), 2.43 (t, J = 7.8 Hz, 2H), 3.04 (t, J = 7.5 Hz, 1H), 5.12 (s, 6H), 7.29-7.40 (m, 5H).
Process 3
To a solution of (S) -5-benzyl 1-tert-butyl 2- (dimethylamino) pentanedioate (8.20 g, 25.5 mmol) in ethanol (200 mL), palladium-carbon (Tokyo Chemical Industry Co., Ltd., 10% palladium) , About 55% wet water product, 820 mg), and stirred for 7 hours at room temperature under hydrogen atmosphere. Insolubles were removed by celite filtration, and the filtrate was concentrated. The resulting residue was purified by silica gel column chromatography (dichloromethane / methanol = 85/15) to give a crude product of (S) -5-tert-butoxy-4- (dimethylamino) -5-oxopentanoic acid Got. (4.83 g, 20.9 mmol, crude yield 82%) was obtained.
To the obtained crude product of (S) -5-tert-butoxy-4- (dimethylamino) -5-oxopentanoic acid (4.83 g, 20.9 mmol), 1.2-dichloroethane (200 mL) was obtained in Step 1. Nonacosan-15-ol (9.75 g, 23.0 mmol), 1-ethyl-3- (3-dimethylaminopropyl) carbodiimide hydrochloride (8.01 g, 41.8 mmol), N, N-dimethylaminopyridine (255 mg, 2.09 mmol) was added and the mixture was stirred at 50 ° C. for 3 hours. Water was added to the reaction mixture, and the mixture was extracted twice with dichloromethane. The organic layer was washed with saturated brine, dried over anhydrous magnesium sulfate, filtered, and concentrated under reduced pressure. The resulting residue was purified by silica gel column chromatography (hexane / ethyl acetate = 85/15) to give (S) -1-tert-butyl 5-nonacosan-15-yl 2- (dimethylamino) pentanedioate (8.13 g, 12.7 mmol, 61% yield) was obtained.
1 H-NMR (CDCl 3 ) δ: 0.88 (t, J = 6.8 Hz, 6H), 1.20-1.38 (m, 48H), 1.46-1.57 (m, 4H), 1.91-2.00 (m, 2H), 2.33 -2.41 (m, 8H), 3.05 (t, J = 7.6 Hz, 1H), 4.82-4.93 (m, 1H).
Process 4
To a solution of (S) -1-tert-butyl 5-nonacosan-15-yl 2- (dimethylamino) pentanedioate (8.13 g, 12.7 mmol) obtained in step 3 in dichloromethane (40 mL), trifluoroacetic acid was added. (20 mL) was added, and the mixture was stirred at 40 ° C. overnight. The reaction solution was concentrated under reduced pressure. The resulting residue was purified by silica gel column chromatography (dichloromethane / methanol = 85/15) to obtain (S) -2- (dimethylamino) -5- (nonacosan-15-yloxy) -5-oxopentanoic acid (6.70 g, 11.5 mmol, 90% yield) was obtained.
1 H-NMR (CDCl 3 ) δ: 0.89 (t, J = 7.0 Hz, 6H), 1.18-1.37 (m, 48H), 1.44-1.60 (m, 4H), 2.00-2.13 (m, 2H), 2.52 -2.74 (m, 2H), 2.87 (s, 6H), 3.62-3.73 (m, 1H), 4.80-4.89 (m, 1H).
Process 5
1,2-Dichloroethane solution (2.0 mL) of (S) -2- (dimethylamino) -5- (nonacosan-15-yloxy) -5-oxopentanoic acid (100 mg, 0.172 mmol) obtained in step 4 (1-cyano-2-ethoxy-2-oxoethylideneaminooxy) dimethylamino-morpholino-carbenium hexafluorophosphate (96.0 mg, 0.224 mmol), N, N-diisopropylethylamine (0.060 mL, 0.344 mmol) ) Was added tetradecan-1-ol () and stirred at room temperature overnight. Water was added to the reaction mixture, and the mixture was extracted with dichloromethane. The organic layer was washed with water, dried over anhydrous magnesium sulfate, filtered and concentrated under reduced pressure. The resulting residue was purified by silica gel column chromatography (hexane / ethyl acetate = 95/5 to 85/15) to give (S) -5-nonacosan-15-yl 1-tetradecyl 2- (dimethylamino) pentane Geoart (64.0 mg, 0.0822 mmol, 48% yield) was obtained. 1 H-NMR (CDCl 3 ) δ: 0.88 (t, J = 6.8 Hz, 9H), 1.12-1.39 (m, 70H), 1.45-1.69 (m, 6H), 1.93-2.03 (m, 2H), 2.29 -2.38 (m, 8H), 3.16 (t, J = 7.4 Hz, 1H), 4.03-4.17 (m, 2H), 4.80-4.91 (m, 1H).
Process 6
Example 8 In the same manner as in Step 2, (9Z, 9'Z, 12Z, 12'Z) -2- (dimethylamino) -2-(((9Z, 12Z) -octadec-9,12-dienoyloxy) (S) -5-Nonacosan-15-yl 1-tetradecyl 2- (dimethylamino) pentanedioate obtained in step 5 instead of methyl) propane-1,3-diyl dioctadec-9,12-dienoate The title compound is obtained.
(S)-1-(ドデシルオキシ)-N,N,N-トリメチル-5-(ノナコサン-15-イルオキシ)-1,5-ジオキソペンタン-2-アミニウム クロリド (化合物III-4)
実施例64と同様な方法で、実施例64工程5のテトラデカン-1-オールの代わりにドデカン-1-オールを用いて標記の化合物を得る。
(S) -1- (Dodecyloxy) -N, N, N-trimethyl-5- (nonacosan-15-yloxy) -1,5-dioxopentane-2-aminium chloride (Compound III-4)
In a manner similar to Example 64, substituting dodecan-1-ol for tetradecan-1-ol in Example 64, step 5, to give the title compound.
(S)-1-(ヘキサデシルオキシ)-N,N,N-トリメチル-5-(ノナコサン-15-イルオキシ)-1,5-ジオキソペンタン-2-アミニウム クロリド (化合物III-5)
実施例64と同様な方法で、実施例64工程5のテトラデカン-1-オールの代わりにヘキサデカン-1-オールを用いて標記の化合物を得る。
(S) -1- (Hexadecyloxy) -N, N, N-trimethyl-5- (nonacosan-15-yloxy) -1,5-dioxopentane-2-aminium chloride (Compound III-5)
In the same manner as in Example 64, substituting hexadecan-1-ol for tetradecan-1-ol in Step 64 of Example 64 to give the title compound.
(S)-N,N,N-トリメチル-5-(ノナコサン-15-イルオキシ)-1-(オクタデシルオキシ)-1,5-ジオキソペンタン-2-アミニウム クロリド (化合物III-6)
実施例64と同様な方法で、実施例64工程5のテトラデカン-1-オールの代わりにオクタデカン-1-オールを用いて標記の化合物を得る。
(S) -N, N, N-Trimethyl-5- (nonacosan-15-yloxy) -1- (octadecyloxy) -1,5-dioxopentane-2-aminium chloride (Compound III-6)
In a manner similar to Example 64, substituting octadecan-1-ol for tetradecan-1-ol in Step 5 of Example 64 to give the title compound.
(S,Z)-N,N,N-トリエチル-5-(ノナコサン-15-イルオキシ)-1-(オクタデカ-9-エニルオキシ)-1,5-ジオキソペンタン-2-アミニウム クロリド (化合物III-7)
実施例64と同様な方法で、実施例64工程5のテトラデカン-1-オールの代わりに(Z)-オクタデカ-9-エン-1-オールを用いて標記の化合物を得る。
(S, Z) -N, N, N-Triethyl-5- (nonacosan-15-yloxy) -1- (octadeca-9-enyloxy) -1,5-dioxopentane-2-aminium chloride (Compound III- 7)
In the same manner as in Example 64, substituting (Z) -octadec-9-en-1-ol for tetradecan-1-ol in Step 5 of Example 64 to give the title compound.
(6Z,9Z,28Z,31Z)-N,N-ジメチル-N-(2-(N-メチルステアルアミド)エチル)ヘプタトリアコンタ-6,9,28,31-テトラエン-19-アミニウム クロリド (化合物IV-2)
工程1
国際公開第2010/042877号に記載の方法に準じた方法で得られた(6Z,9Z,28Z,31Z)-ヘプタトリアコンタ-6,9,28,31-テトラエン-19-オン (0.50 g, 0.256 mmol)の1,2-ジクロロエタン (2 mL)溶液に、メタノール (2 mL)、N1,N2-ジメチルエタン-1,2-ジアミン (東京化成工業社製, 0.085 mL, 0.767 mmol)、ナトリウムトリアセトキシボロヒドリド (0.325 g, 1.53 mmol) を加え、50℃で5時間攪拌した。反応液に飽和炭酸水素ナトリウム水溶液を加えてクロロホルムで2回抽出した。有機層を無水硫酸マグネシウムで乾燥し、ろ過し、減圧下濃縮した。得られた残渣をアミノシリカカラムクロマトグラフィー (ヘキサン/酢酸エチル = 90/10~80/20) で精製して N1-((6Z,9Z,28Z,31Z)-ヘプタトリアコンタ-6,9,28,31-テトラエン-19-イル)-N1,N2-ジメチルエタン-1,2-ジアミン (0.0303 g, 0.0506 mmol, 収率20%) を得た。
ESI-MS m/z: 600 (M + H)+; 1H-NMR (CDCl3) δ: 0.89 (t, J = 6.8 Hz, 6H), 1.13-1.45 (m, 40H), 2.01-2.09 (m, 8H), 2.14 (s, 3H), 2.28-2.40 (m, 1H), 2.43 (s, 3H), 2.52-2.60 (m, 4H), 2.75-2.80 (m, 4H), 5.29-5.42 (m, 8H).
工程2
工程1で得られた N1-((6Z,9Z,28Z,31Z)-ヘプタトリアコンタ-6,9,28,31-テトラエン-19-イル)-N1,N2-ジメチルエタン-1,2-ジアミン (0.0258 g, 0.0431 mmol) の1,2-ジクロロエタン (1 mL) 溶液に、ステアロイル クロリド (0.039 0g, 0.129 mmol)、N,N-ジイソプロピルエチルアミン (0.038 mL, 0.215 mmol)を加えて、室温で1時間攪拌した。反応液に飽和炭酸水素ナトリウム水溶液を加えてクロロホルムで2回抽出した。有機層を無水硫酸マグネシウムで乾燥し、ろ過し、減圧下濃縮した。得られた残渣をアミノシリカカラムクロマトグラフィー (ヘキサン/酢酸エチル = 90/10) で精製して N-(2-((6Z,9Z,28Z,31Z)-ヘプタトリアコンタ-6,9,28,31-テトラエン-19-イル(メチル)アミノ)エチル)-N-メチルステアルアミドの粗生成物を得た。
得られた粗生成物にヨウ化メチル (1.00 mL, 16.0 mmol) を加え、50℃で1時間撹拌した。反応液を減圧下濃縮した。残渣を少量のメタノール-クロロホルム (1:1) に溶解してイオン交換樹脂 (Dow Chemical製, Dowex(TM) 1x-2 100 mesh, Cl型, 約20倍量, 水およびメタノールでプレ洗浄) にロードし、メタノール-クロロホルム (1:1) で溶出した。溶出液を減圧下濃縮し、得られた残渣をシリカゲルカラムクロマトグラフィー (クロロホルム/メタノール = 80/20) で精製して標記の化合物 (0.0149 g, 0.0163 mmol, 収率38%)を得た。
ESI-MS m/z: 881 (M)+; 1H-NMR (CDCl3) δ: 0.84-0.92 (m, 9H), 1.20-2.09 (m, 78H), 2.27-2.38 (m, 2H), 2.74-2.80 (m, 4H), 3.14-3.45 (m, 9H), 3.77-4.09 (m, 5H), 5.28-5.43 (m, 8H).
(6Z, 9Z, 28Z, 31Z) -N, N-Dimethyl-N- (2- (N-methylstearamido) ethyl) heptatriconta-6,9,28,31-tetraene-19-aminium chloride ( Compound IV-2)
Process 1
(6Z, 9Z, 28Z, 31Z) -heptatriconta-6,9,28,31-tetraen-19-one (0.50 g, obtained by a method according to the method described in WO2010 / 042877 0.256 mmol) in 1,2-dichloroethane (2 mL), methanol (2 mL), N1, N2-dimethylethane-1,2-diamine (manufactured by Tokyo Chemical Industry Co., Ltd., 0.085 mL, 0.767 mmol), Acetoxyborohydride (0.325 g, 1.53 mmol) was added and stirred at 50 ° C. for 5 hours. A saturated aqueous sodium hydrogen carbonate solution was added to the reaction mixture, and the mixture was extracted twice with chloroform. The organic layer was dried over anhydrous magnesium sulfate, filtered and concentrated under reduced pressure. The resulting residue was purified by amino silica column chromatography (hexane / ethyl acetate = 90 / 10-80 / 20) to give N1-((6Z, 9Z, 28Z, 31Z) -heptatria contour-6,9,28 , 31-tetraen-19-yl) -N1, N2-dimethylethane-1,2-diamine (0.0303 g, 0.0506 mmol, yield 20%) was obtained.
ESI-MS m / z: 600 (M + H) + ; 1 H-NMR (CDCl 3 ) δ: 0.89 (t, J = 6.8 Hz, 6H), 1.13-1.45 (m, 40H), 2.01-2.09 ( m, 8H), 2.14 (s, 3H), 2.28-2.40 (m, 1H), 2.43 (s, 3H), 2.52-2.60 (m, 4H), 2.75-2.80 (m, 4H), 5.29-5.42 ( m, 8H).
Process 2
N1-((6Z, 9Z, 28Z, 31Z) -heptatriconta-6,9,28,31-tetraen-19-yl) -N1, N2-dimethylethane-1,2-diamine obtained in Step 1 To a solution of (0.0258 g, 0.0431 mmol) in 1,2-dichloroethane (1 mL), stearoyl chloride (0.039 0 g, 0.129 mmol) and N, N-diisopropylethylamine (0.038 mL, 0.215 mmol) were added, and 1 at room temperature. Stir for hours. A saturated aqueous sodium hydrogen carbonate solution was added to the reaction mixture, and the mixture was extracted twice with chloroform. The organic layer was dried over anhydrous magnesium sulfate, filtered and concentrated under reduced pressure. The obtained residue was purified by aminosilica column chromatography (hexane / ethyl acetate = 90/10) A crude product of 31-tetraen-19-yl (methyl) amino) ethyl) -N-methylstearamide was obtained.
Methyl iodide (1.00 mL, 16.0 mmol) was added to the obtained crude product, and the mixture was stirred at 50 ° C. for 1 hour. The reaction solution was concentrated under reduced pressure. Dissolve the residue in a small amount of methanol-chloroform (1: 1) and use it as an ion exchange resin (Dow Chemical, Dowex (TM) 1x-2 100 mesh, Cl type, approximately 20 times the volume, pre-washed with water and methanol). Loaded and eluted with methanol-chloroform (1: 1). The eluate was concentrated under reduced pressure, and the resulting residue was purified by silica gel column chromatography (chloroform / methanol = 80/20) to obtain the title compound (0.0149 g, 0.0163 mmol, yield 38%).
ESI-MS m / z: 881 (M) + ; 1 H-NMR (CDCl 3 ) δ: 0.84-0.92 (m, 9H), 1.20-2.09 (m, 78H), 2.27-2.38 (m, 2H), 2.74-2.80 (m, 4H), 3.14-3.45 (m, 9H), 3.77-4.09 (m, 5H), 5.28-5.43 (m, 8H).
(9Z,12Z)-N,N-ジメチル-N-(3-((9Z,12Z)-N-((9Z,12Z)-オクタデカ-9,12-ジエニル)オクタデカ-9,12-ジエンアミド)プロピル)オクタデカ-9,12-ジエン-1-アミニウム クロリド (化合物IV-3)
工程1
(9Z,12Z)-オクタデカ-9,12-ジエニル メタンスルホナート (0.838 g, 2.43 mmol) に3-アミノプロパン-1-オール (1.66 g, 21.9 mmol) を加えて、90℃にて3時間攪拌した。反応液を減圧下濃縮し、得られた残渣をアミノシリカゲルクロマトグラフィー (ヘキサン/酢酸エチル) で精製して 3-((9Z,12Z)-オクタデカ-9,12-ジエニルアミノ)プロパン-1-オール (0.722 g, 2.23 mmol, 収率92%) を得た。
ESI-MS m/z: 325 (M + H)+; 1H-NMR (CDCl3) δ: 0.89 (t, J = 6.9 Hz, 3H), 1.26-1.39 (m, 17H), 1.46 (tt, J = 7.1, 6.9 Hz, 3H), 1.69 (tt, J = 5.7, 5.4 Hz, 2H), 2.02-2.08 (m, 4H), 2.60 (t, J = 7.1 Hz, 2H), 2.75-2.80 (m, 2H), 2.88 (t, J = 5.7 Hz, 2H), 3.81 (t, J = 5.4 Hz, 2H), 5.30-5.42 (m, 4H).
工程2
実施例63工程5と同様な方法により、N-((S)-6-アミノ-1-(ジ ((9Z,12Z)-オクタデカ-9,12-ジエン-1-イル)アミノ)-1-オキソヘキサン-2-イル)オレアミドの代わりに工程1で得られた 3-((9Z,12Z)-オクタデカ-9,12-ジエニルアミノ)プロパン-1-オール (0.233 g, 0.722 mol) を用い、3-(メチル((9Z,12Z)-オクタデカ-9,12-ジエニル)アミノ)プロパン-1-オール (0.220 g, 0.652 mol, 収率90%)を得た。
ESI-MS m/z: 338 (M + H)+; 1H-NMR (CDCl3) δ: 1H-NMR (CDCl3) δ: 0.89 (t, J = 7.0 Hz, 3H), 1.24-1.40 (m, 16H), 1.47 (tt, J = 7.6, 7.0 Hz, 2H), 1.69 (tt, J = 5.7, 5.2 Hz, 2H), 2.01-2.08 (m, 4H), 2.23 (s, 3H), 2.34 (t, J = 7.6 Hz, 2H), 2.59 (t, J = 5.7 Hz, 2H), 2.75-2.80 (m, 2H), 3.80 (t, J = 5.2 Hz, 2H), 5.29-5.42 (m, 4H).
工程3
(9Z,12Z)-オクタデカ-9,12-ジエニル メタンスルホナート (2.85 g, 8.27 mmol) のアセトニトリル(30 mL) 溶液に、炭酸セシウム (6.74 g, 20.7 mmol)、よう化テトラ‐n‐ブチルアンモニウム (3.05 g, 8.27 mmol)および N-(tert-ブトキシカルボニル)-2-ニトロベンゼンスルホンアミド (2.50 g, 8.27 mmol) を加えて、加熱還流下3時間攪拌した。反応液を室温まで冷却し、水を加えて酢酸エチルで抽出した。有機層を無水硫酸マグネシウムで乾燥し、ろ過し、減圧下濃縮した。得られた残渣をシリカゲルカラムクロマトグラフィー (ヘキサン/酢酸エチル = 70/30) で精製して tert-ブチル 2-ニトロフェニルスルホニル((9Z,12Z)-オクタデカ-9,12-ジエニル)カルバマート (3.21 g, 5.83 mmol) を得た。
得られた tert-ブチル 2-ニトロフェニルスルホニル((9Z,12Z)-オクタデカ-9,12-ジエニル)カルバマート (3.21 g, 5.83 mmol) のジクロロメタン (23 mL) 溶液にトリフルオロ酢酸 (9.63 mL, 126 mmol) を加えて、室温で0.5時間攪拌した。反応液をジクロロメタンで希釈し、水酸化ナトリウム水溶液 (1 mol/L) と飽和炭酸水素ナトリウム水溶液を加えた。有機層を飽和食塩水で洗浄し、無水硫酸マグネシウムで乾燥し、ろ過し、減圧下濃縮した。得られた残渣をシリカゲルカラムクロマトグラフィー (ヘキサン/酢酸エチル = 95/5) で精製して2-ニトロ-N-((9Z,12Z)-オクタデカ-9,12-ジエニル)ベンゼンスルホンアミド (2.48 g, 5.50 mmol, 収率67 %) を得た。
ESI-MS m/z: 338 (M + H)+; 1H-NMR (CDCl3) δ: 0.89 (t, J = 7.0 Hz, 3H), 1.22-1.39 (m, 16H), 1.52 (m, 2H), 2.01-2.05 (m, 4H), 2.77 (t, J = 6.6 Hz, 2H), 3.09 (q, J = 6.7 Hz, 2H), 5.23 (m, 1H), 5.31-5.42 (m, 4H), 7.71-7.76 (m, 2H), 7.78-7.87 (1H), 813-8.15 (m, 1H).
工程4
工程2で得られた 3-(メチル((9Z,12Z)-オクタデカ-9,12-ジエニル)アミノ)プロパン-1-オール (0.220 g, 0.652 mol) のテトラヒドロフラン (4 mL) 溶液に、工程3で得られた 2-ニトロ-N-((9Z,12Z)-オクタデカ-9,12-ジエニル)ベンゼンスルホンアミド (0.441 g, 0.978 mmol)、トリフェニルホスフィン (0.257 g, 0.978 mmol)、アゾジカルボン酸ジエチル (ナカライテスク社製、40%トルエン溶液, 0.387 mL, 0.851 mmol) を加えて、50℃にて2時間攪拌した。反応液を室温まで冷却し、飽和食塩水を加えてヘキサンで2回抽出した。有機層を無水硫酸マグネシウムで乾燥し、ろ過し、減圧下濃縮した。得られた残渣をアミノシリカゲルカラムクロマトグラフィー (ヘキサン/酢酸エチル = 80/20) で精製してN-(3-(メチル((9Z,12Z)-オクタデカ-9,12-ジエニル)アミノ)プロピル)-2-ニトロ-N-((9Z,12Z)-オクタデカ-9,12-ジエニル)ベンゼンスルホンアミドの粗生成物を得た。
得られたN-(3-(メチル((9Z,12Z)-オクタデカ-9,12-ジエニル)アミノ)プロピル)-2-ニトロ-N-((9Z,12Z)-オクタデカ-9,12-ジエニル)ベンゼンスルホンアミドの粗生成物のアセトニトリル (5 mL) 溶液に、ドデカン-1-チオール (0.409 mL, 1.63 mmol) と 1,8-ジアザビシクロ [5.4.0]-7-ウンデセン (0.246 mL, 1.630 mmol) を加えて、60℃で2時間攪拌した。反応液に水を加えてヘキサンで2回抽出した。有機層を飽和食塩水で洗浄し、無水硫酸マグネシウムで乾燥し、ろ過し、減圧下濃縮した。得られた残渣をアミノシリカゲルカラムクロマトグラフィー (ヘキサン/酢酸エチル = 75/25) で精製して N1-メチル-N1,N3-ジ ((9Z,12Z)-オクタデカ-9,12-ジエニル)プロパン-1,3-ジアミン(0.212 g, 0.363 mmol, 収率56%) を得た。
ESI-MS m/z: 586 (M + H)+; 1H-NMR (CDCl3) δ: 0.89 (t, J = 7.0 Hz, 6H), 1.22-1.51 (m, 36H), 1.66 (tt, J = 7.2, 7.1 Hz, 2H), 2.01-2.08 (m, 8H), 2.20 (s, 3H), 2.29 (t, J = 7.6 Hz, 2H), 2.36 (t, J = 7.2 Hz, 2H), 2.58 (t, J = 7.4 Hz, 2H), 2.62 (t, J = 7.1 Hz, 2H), 2.75-2.80 (m, 4H), 5.29-5.43 (m, 8H).
工程5
工程4で得られた N1-メチル-N1,N3-ジ((9Z,12Z)-オクタデカ-9,12-ジエニル)プロパン-1,3-ジアミン (0.108 g, 0.185 mmol) の 1,2-ジクロロエタン (1 mL) 溶液に、(9Z, 12Z)-オクタデカ-9,12-ジエン酸 (0.104 g, 0.370 mmol)、1-エチル-3-(3-ジメチルアミノプロピル)カルボジイミド塩酸塩 (0.106 g, 0.555 mmol)、N,N-ジメチルアミノピリジン (0.0023 g, 0.0188 mmol)を加えて室温で1時間攪拌した。反応液を減圧下濃縮した。得られた残渣をアミノシリカゲルカラムクロマトグラフィー (ヘキサン/酢酸エチル = 85/15) で精製して (9Z,12Z)-N-(3-(メチル((9Z,12Z)-オクタデカ-9,12-ジエニル)アミノ)プロピル)-N-((9Z,12Z)-オクタデカ-9,12-ジエニル)オクタデカ-9,12-ジエナミド(0.146 g, 0.172 mmol, 収率93%) を得た。
ESI-MS m/z: 848 (M + H)+; 1H-NMR (CDCl3) δ: 0.89 (t, J = 7.0 Hz, 9H), 1.21-1.74 (m, 54H), 2.01-2.08 (m, 12H), 2.18 (s, 3H), 2.24-2.33 (m, 6H), 2.74-2.80 (m, 6H), 3.18-3.35 (m, 4H), 5.29-5.42 (m, 12H).
工程6
実施例8工程2と同様な方法で、(9Z,9'Z,12Z,12'Z)-2-(ジメチルアミノ)-2-(((9Z,12Z)-オクタデク-9,12-ジエノイルオキシ)メチル)プロパン-1,3-ジイル ジオクタデク-9,12-ジエノアートの代わりに工程5で得られた (9Z,12Z)-N-(3-(メチル((9Z,12Z)-オクタデカ-9,12-ジエニル)アミノ)プロピル)-N-((9Z,12Z)-オクタデカ-9,12-ジエニル)オクタデカ-9,12-ジエナミド (0.100 g, 0.118 mmol)を用いて標記の化合物 (0.0804 g, 0.0895 mol, 収率76%)を得た。
ESI-MS m/z: 862 (M)+; 1H-NMR (CDCl3) δ: 1H-NMR (CDCl3) δ: 0.88 (t, J = 7.0 Hz, 9H), 1.22-1.41 (m, 46H), 1.49-1.78 (m, 6H), 1.93-2.10 (m, 14H), 2.30 (t, J = 7.6 Hz, 2H), 2.74-2.79 (m, 6H), 3.24-3.35 (m, 8H), 3.36-3.47 (m, 4H), 3.59-3.67 (m, 2H), 5.28-5.42 (m, 12H).
(9Z, 12Z) -N, N-Dimethyl-N- (3-((9Z, 12Z) -N-((9Z, 12Z) -octadeca-9,12-dienyl) octadeca-9,12-dienamido) propyl ) Octadeca-9,12-diene-1-aminium chloride (Compound IV-3)
Process 1
Add 3-aminopropan-1-ol (1.66 g, 21.9 mmol) to (9Z, 12Z) -octadeca-9,12-dienyl methanesulfonate (0.838 g, 2.43 mmol) and stir at 90 ° C for 3 hours did. The reaction mixture was concentrated under reduced pressure, and the resulting residue was purified by amino silica gel chromatography (hexane / ethyl acetate) to give 3-((9Z, 12Z) -octadeca-9,12-dienylamino) propan-1-ol ( 0.722 g, 2.23 mmol, 92% yield).
ESI-MS m / z: 325 (M + H) + ; 1 H-NMR (CDCl 3 ) δ: 0.89 (t, J = 6.9 Hz, 3H), 1.26-1.39 (m, 17H), 1.46 (tt, J = 7.1, 6.9 Hz, 3H), 1.69 (tt, J = 5.7, 5.4 Hz, 2H), 2.02-2.08 (m, 4H), 2.60 (t, J = 7.1 Hz, 2H), 2.75-2.80 (m , 2H), 2.88 (t, J = 5.7 Hz, 2H), 3.81 (t, J = 5.4 Hz, 2H), 5.30-5.42 (m, 4H).
Process 2
Example 63 N-((S) -6-amino-1- (di ((9Z, 12Z) -octadec-9,12-dien-1-yl) amino) -1- Instead of oxohexane-2-yl) oleamide, 3-((9Z, 12Z) -octadeca-9,12-dienylamino) propan-1-ol (0.233 g, 0.722 mol) obtained in Step 1 was used. -(Methyl ((9Z, 12Z) -octadeca-9,12-dienyl) amino) propan-1-ol (0.220 g, 0.652 mol, yield 90%) was obtained.
ESI-MS m / z: 338 (M + H) + ; 1 H-NMR (CDCl 3 ) δ: 1 H-NMR (CDCl 3 ) δ: 0.89 (t, J = 7.0 Hz, 3H), 1.24-1.40 (m, 16H), 1.47 (tt, J = 7.6, 7.0 Hz, 2H), 1.69 (tt, J = 5.7, 5.2 Hz, 2H), 2.01-2.08 (m, 4H), 2.23 (s, 3H), 2.34 (t, J = 7.6 Hz, 2H), 2.59 (t, J = 5.7 Hz, 2H), 2.75-2.80 (m, 2H), 3.80 (t, J = 5.2 Hz, 2H), 5.29-5.42 (m , 4H).
Process 3
To a solution of (9Z, 12Z) -octadeca-9,12-dienyl methanesulfonate (2.85 g, 8.27 mmol) in acetonitrile (30 mL), cesium carbonate (6.74 g, 20.7 mmol), tetra-n-butylammonium iodide (3.05 g, 8.27 mmol) and N- (tert-butoxycarbonyl) -2-nitrobenzenesulfonamide (2.50 g, 8.27 mmol) were added, and the mixture was stirred for 3 hours with heating under reflux. The reaction mixture was cooled to room temperature, water was added, and the mixture was extracted with ethyl acetate. The organic layer was dried over anhydrous magnesium sulfate, filtered and concentrated under reduced pressure. The resulting residue was purified by silica gel column chromatography (hexane / ethyl acetate = 70/30) to give tert-butyl 2-nitrophenylsulfonyl ((9Z, 12Z) -octadeca-9,12-dienyl) carbamate (3.21 g , 5.83 mmol).
To a solution of tert-butyl 2-nitrophenylsulfonyl ((9Z, 12Z) -octadeca-9,12-dienyl) carbamate (3.21 g, 5.83 mmol) in dichloromethane (23 mL), trifluoroacetic acid (9.63 mL, 126 mmol) was added and stirred at room temperature for 0.5 hour. The reaction solution was diluted with dichloromethane, and an aqueous sodium hydroxide solution (1 mol / L) and a saturated aqueous sodium hydrogen carbonate solution were added. The organic layer was washed with saturated brine, dried over anhydrous magnesium sulfate, filtered, and concentrated under reduced pressure. The obtained residue was purified by silica gel column chromatography (hexane / ethyl acetate = 95/5) to give 2-nitro-N-((9Z, 12Z) -octadeca-9,12-dienyl) benzenesulfonamide (2.48 g , 5.50 mmol, 67% yield).
ESI-MS m / z: 338 (M + H) + ; 1 H-NMR (CDCl 3 ) δ: 0.89 (t, J = 7.0 Hz, 3H), 1.22-1.39 (m, 16H), 1.52 (m, 2H), 2.01-2.05 (m, 4H), 2.77 (t, J = 6.6 Hz, 2H), 3.09 (q, J = 6.7 Hz, 2H), 5.23 (m, 1H), 5.31-5.42 (m, 4H ), 7.71-7.76 (m, 2H), 7.78-7.87 (1H), 813-8.15 (m, 1H).
Process 4
To a solution of 3- (methyl ((9Z, 12Z) -octadeca-9,12-dienyl) amino) propan-1-ol (0.220 g, 0.652 mol) obtained in step 2 in tetrahydrofuran (4 mL), add step 3 2-Nitro-N-((9Z, 12Z) -octadeca-9,12-dienyl) benzenesulfonamide (0.441 g, 0.978 mmol), triphenylphosphine (0.257 g, 0.978 mmol), azodicarboxylic acid Diethyl (Nacalai Tesque, 40% toluene solution, 0.387 mL, 0.851 mmol) was added, and the mixture was stirred at 50 ° C. for 2 hr. The reaction mixture was cooled to room temperature, saturated brine was added, and the mixture was extracted twice with hexane. The organic layer was dried over anhydrous magnesium sulfate, filtered and concentrated under reduced pressure. The resulting residue was purified by amino silica gel column chromatography (hexane / ethyl acetate = 80/20) to give N- (3- (methyl ((9Z, 12Z) -octadeca-9,12-dienyl) amino) propyl) A crude product of -2-nitro-N-((9Z, 12Z) -octadeca-9,12-dienyl) benzenesulfonamide was obtained.
N- (3- (methyl ((9Z, 12Z) -octadeca-9,12-dienyl) amino) propyl) -2-nitro-N-((9Z, 12Z) -octadeca-9,12-dienyl obtained ) To a solution of the crude product of benzenesulfonamide in acetonitrile (5 mL), dodecane-1-thiol (0.409 mL, 1.63 mmol) and 1,8-diazabicyclo [5.4.0] -7-undecene (0.246 mL, 1.630 mmol) ) Was added and stirred at 60 ° C. for 2 hours. Water was added to the reaction mixture, and the mixture was extracted twice with hexane. The organic layer was washed with saturated brine, dried over anhydrous magnesium sulfate, filtered, and concentrated under reduced pressure. The resulting residue was purified by amino silica gel column chromatography (hexane / ethyl acetate = 75/25) to give N1-methyl-N1, N3-di ((9Z, 12Z) -octadeca-9,12-dienyl) propane- 1,3-diamine (0.212 g, 0.363 mmol, yield 56%) was obtained.
ESI-MS m / z: 586 (M + H) + ; 1 H-NMR (CDCl 3 ) δ: 0.89 (t, J = 7.0 Hz, 6H), 1.22-1.51 (m, 36H), 1.66 (tt, J = 7.2, 7.1 Hz, 2H), 2.01-2.08 (m, 8H), 2.20 (s, 3H), 2.29 (t, J = 7.6 Hz, 2H), 2.36 (t, J = 7.2 Hz, 2H), 2.58 (t, J = 7.4 Hz, 2H), 2.62 (t, J = 7.1 Hz, 2H), 2.75-2.80 (m, 4H), 5.29-5.43 (m, 8H).
Process 5
N1-methyl-N1, N3-di ((9Z, 12Z) -octadeca-9,12-dienyl) propane-1,3-diamine (0.108 g, 0.185 mmol) of 1,2-dichloroethane obtained in step 4 (1 mL) To the solution, add (9Z, 12Z) -octadeca-9,12-dienoic acid (0.104 g, 0.370 mmol), 1-ethyl-3- (3-dimethylaminopropyl) carbodiimide hydrochloride (0.106 g, 0.555 mmol) and N, N-dimethylaminopyridine (0.0023 g, 0.0188 mmol) were added, and the mixture was stirred at room temperature for 1 hour. The reaction solution was concentrated under reduced pressure. The resulting residue was purified by amino silica gel column chromatography (hexane / ethyl acetate = 85/15) to give (9Z, 12Z) -N- (3- (methyl ((9Z, 12Z) -octadeca-9,12- Dienyl) amino) propyl) -N-((9Z, 12Z) -octadeca-9,12-dienyl) octadeca-9,12-dienamide (0.146 g, 0.172 mmol, 93% yield) was obtained.
ESI-MS m / z: 848 (M + H) + ; 1 H-NMR (CDCl 3 ) δ: 0.89 (t, J = 7.0 Hz, 9H), 1.21-1.74 (m, 54H), 2.01-2.08 ( m, 12H), 2.18 (s, 3H), 2.24-2.33 (m, 6H), 2.74-2.80 (m, 6H), 3.18-3.35 (m, 4H), 5.29-5.42 (m, 12H).
Process 6
Example 8 In the same manner as in Step 2, (9Z, 9'Z, 12Z, 12'Z) -2- (dimethylamino) -2-(((9Z, 12Z) -octadec-9,12-dienoyloxy) (9Z, 12Z) -N- (3- (methyl ((9Z, 12Z) -octadeca-9,12) obtained in step 5 instead of methyl) propane-1,3-diyl dioctadec-9,12-dienoate -Dienyl) amino) propyl) -N-((9Z, 12Z) -octadeca-9,12-dienyl) octadeca-9,12-dienamide (0.100 g, 0.118 mmol) to give the title compound (0.0804 g, 0.0895 mol, yield 76%).
ESI-MS m / z: 862 (M) + ; 1 H-NMR (CDCl 3 ) δ: 1 H-NMR (CDCl 3 ) δ: 0.88 (t, J = 7.0 Hz, 9H), 1.22-1.41 (m , 46H), 1.49-1.78 (m, 6H), 1.93-2.10 (m, 14H), 2.30 (t, J = 7.6 Hz, 2H), 2.74-2.79 (m, 6H), 3.24-3.35 (m, 8H ), 3.36-3.47 (m, 4H), 3.59-3.67 (m, 2H), 5.28-5.42 (m, 12H).
(R)-2-((2R,3R,4S)-3,4-ビス((9Z,12Z)-オクタデカ-9,12-ジエニルオキシ)テトラヒドロフラン-2-イル)-N,N,N-トリメチル-2-((9Z,12Z)-オクタデカ-9,12-ジエニルオキシ)エタンアミニウム クロリド (化合物V’-1)
工程1
(2R,3R,4S)-2-((R)-1,2-ジヒドロキシエチル)テトラヒドロフラン-3,4-ジオール(Sigma-Aldrich社製, 0.315 g, 1.92 mmol) のピリジン (和光純薬工業社製, 10 mL) 溶液に、4,4'-ジメトキシトリチル クロリド (0.704 g, 2.02 mmol)、N,N-ジメチルアミノピリジン(0.047 g, 0.384 mmol) を加えて50℃で終夜攪拌した。室温まで冷却後、減圧下濃縮した。得られた残渣をアミノシリカゲルカラムクロマトグラフィー (クロロホルム/メタノール = 90/10) で精製して (2R,3R,4S)-2-((R)-2-(ビス(4-メトキシフェニル)フェニル)メトキシ)-1-ヒドロキシエチル)テトラヒドロフラン-3,4-ジオール(0.465 g, 0.997 mmol, 収率52%) を得た。
1H-NMR (CDCl3) δ: 1.67-1.74 (m, 1H), 2.73-2.77 (m, 1H), 3.31 (dd, J = 9.8, 6.2 Hz, 1H), 3.41-3.50 (m, 2H), 3.70 (dd, J = 9.6, 1.3 Hz, 1H), 3.79 (s, 6H), 3.94 (dd, J = 6.2, 3.5 Hz, 1H), 4.10-4.24 (m, 3H), 4.26-4.30 (m, 1H), 6.81-6.86 (m, 4H), 7.20-7.36 (m, 7H), 7.41-7.45 (m, 2H).
工程2
工程1で得られた (2R,3R,4S)-2-((R)-2-(ビス(4-メトキシフェニル)フェニル)メトキシ)-1-ヒドロキシエチル)テトラヒドロフラン-3,4-ジオール(0.0669 g, 0.143 mmol) のテトラヒドロフラン (1 mL) 溶液に、(9Z,12Z)-オクタデカ-9,12-ジエニル メタンスルホナート (0.247 g, 0.717 mmol)、水素化ナトリウム (油性, 60%, 0.0459 g, 1.15 mmol) を加え、加熱還流下で終夜撹拌した。室温まで冷却後、反応液に飽和食塩水を加えてヘキサンで抽出した。有機層を飽和食塩水で洗浄し、無水硫酸マグネシウムで乾燥し、ろ過し、減圧下濃縮した。得られた残渣をアミノシリカゲルカラムクロマトグラフィー (ヘキサン/酢酸エチル = 90/10) で精製して(2R,3R,4S)-2-((R)-2-(ビス(4-メトキシフェニル)(フェニル)メトキシ)-1-((9Z,12Z)-オクタデカ-9,12-ジエニルオキシ)エチル)-3,4-ビス((9Z,12Z)-オクタデカ-9,12-ジエニルオキシ)テトラヒドロフランの粗生成物を得た。
得られた(2R,3R,4S)-2-((R)-2-(ビス(4-メトキシフェニル)(フェニル)メトキシ)-1-((9Z,12Z)-オクタデカ-9,12-ジエニルオキシ)エチル)-3,4-ビス((9Z,12Z)-オクタデカ-9,12-ジエニルオキシ)テトラヒドロフランの粗生成物に、ジクロロメタン (1 mL)、トリフルオロ酢酸 (0.0500 mL, 0.649 mmol) を加え、室温で5分攪拌した。反応液を減圧下濃縮し、得られた残渣をシリカゲルクロマトグラフィー (ヘキサン/酢酸エチル = 70/30) で精製して(R)-2-((2R,3R,4S)-3,4-ビス((9Z,12Z)-オクタデカ-9,12-ジエニルオキシ)テトラヒドロフラン-2-イル)-2-((9Z,12Z)-オクタデカ-9,12-ジエニルオキシ)エタノール(0.0531 g, 0.0584 mmol, 収率41%) を得た。
1H-NMR (CDCl3) δ: 0.89 (t, J = 7.0 Hz, 9H), 1.23-1.43 (m, 48H), 1.50-1.62 (m, 6H), 2.01-2.09 (m, 12H), 2.32 (dd, J = 8.2, 4.2 Hz, 1H), 2.74-2.80 (m, 6H), 3.37-3.50 (m, 4H), 3.54-3.69 (m, 3H), 3.69-3.77 (m, 2H), 3.80-3.87 (m, 2H), 3.88-3.95 (m, 2H), 4.06 (dd, J = 9.8, 4.7 Hz, 1H), 5.28-5.42 (m, 12H).
工程3
工程2で得られた (R)-2-((2R,3R,4S)-3,4-ビス((9Z,12Z)-オクタデカ-9,12-ジエニルオキシ)テトラヒドロフラン-2-イル)-2-((9Z,12Z)-オクタデカ-9,12-ジエニルオキシ)エタノール(0.0491 g, 0.0540 mmol) のジクロロメタン (1 mL) 溶液に、メタンスルホニルクロリド (純正化学社製, 0.0500 mL, 0.642 mmol)、トリエチルアミン (0.150 mL, 1.08 mmol) を加えて、室温で1時間攪拌した。反応液にメタンスルホニルクロリド (0.0500 mL, 0.642 mmol)、トリエチルアミン (0.150 mL, 1.08 mmol) を加えて、室温で1時間攪拌した。反応液にクロロホルム (1 mL) を加えて、室温にて1時間攪拌した。反応液にメタンスルホニルクロリド (0.0500 mL, 0.642 mmol)、トリエチルアミン (0.150 mL, 1.08 mmol) を加えて、40℃で2時間攪拌した後、加熱還流下2時間攪拌した。反応液に飽和食塩水を加えてクロロホルムで抽出した。有機層を無水硫酸マグネシウムで乾燥し、ろ過し、減圧下濃縮した。得られた残渣に、テトラヒドロフラン (1 mL)、ジメチルアミン (2.0 mol/L テトラヒドロフラン溶液, 2 mL, 2.00 mmol) を加え、マイクロ波反応装置を用いて130℃で5時間攪拌した。反応液を減圧下濃縮した。得られた残渣をアミノシリカゲルカラムクロマトグラフィー (ヘキサン/酢酸エチル = 95/5) で精製して (R)-2-((2R,3R,4S)-3,4-ビス((9Z,12Z)-オクタデカ-9,12-ジエニルオキシ)テトラヒドロフラン-2-イル)-N,N-ジメチル-2-((9Z,12Z)-オクタデカ-9,12-ジエニルオキシ)エタンアミンの粗生成物を得た。得られた(R)-2-((2R,3R,4S)-3,4-ビス((9Z,12Z)-オクタデカ-9,12-ジエニルオキシ)テトラヒドロフラン-2-イル)-N,N-ジメチル-2-((9Z,12Z)-オクタデカ-9,12-ジエニルオキシ)エタンアミンの粗生成物にクロロホルム (0.5 mL)、ヨウ化メチル (1.00 mL, 16.0 mmol) を加え、室温で2時間撹拌した。反応液を減圧下濃縮した。残渣を少量のメタノール-クロロホルム (1:1) に溶解してイオン交換樹脂 (Dow Chemical製, Dowex(TM) 1x-2 100 mesh, Cl型, 約20倍量, 水およびメタノールでプレ洗浄) にロードし、メタノール-クロロホルム (1:1) で溶出した。溶出液を減圧下濃縮し、得られた残渣をシリカゲルカラムクロマトグラフィー (クロロホルム/メタノール= 90/10) で精製して標記の化合物 (0.0130 g, 0.0132 mmol, 収率24%)を得た。
ESI-MS m/z: 951 (M)+; 1H-NMR (CDCl3) δ: 0.89 (t, J= 7.0 Hz, 9H), 1.23-1.40 (m, 48H), 1.51-1.61 (m, 6H), 2.01-2.09 (m, 12H), 2.74-2.80 (m, 6H), 3.34-3.68 (m, 17H), 3.70-3.74 (m, 1H), 3.81-3.84 (m, 1H), 3.93-4.02 (m, 3H), 4.07-4.12 (m, 1H), 5.28-5.43 (m, 12H).
(R) -2-((2R, 3R, 4S) -3,4-bis ((9Z, 12Z) -octadeca-9,12-dienyloxy) tetrahydrofuran-2-yl) -N, N, N-trimethyl- 2-((9Z, 12Z) -octadeca-9,12-dienyloxy) ethaneaminium chloride (compound V'-1)
Process 1
Pyridine of (2R, 3R, 4S) -2-((R) -1,2-dihydroxyethyl) tetrahydrofuran-3,4-diol (Sigma-Aldrich, 0.315 g, 1.92 mmol) (Wako Pure Chemical Industries, Ltd.) 4,4'-dimethoxytrityl chloride (0.704 g, 2.02 mmol) and N, N-dimethylaminopyridine (0.047 g, 0.384 mmol) were added to the solution, and the mixture was stirred at 50 ° C overnight. After cooling to room temperature, the mixture was concentrated under reduced pressure. The resulting residue was purified by amino silica gel column chromatography (chloroform / methanol = 90/10) to obtain (2R, 3R, 4S) -2-((R) -2- (bis (4-methoxyphenyl) phenyl) Methoxy) -1-hydroxyethyl) tetrahydrofuran-3,4-diol (0.465 g, 0.997 mmol, yield 52%) was obtained.
1 H-NMR (CDCl 3 ) δ: 1.67-1.74 (m, 1H), 2.73-2.77 (m, 1H), 3.31 (dd, J = 9.8, 6.2 Hz, 1H), 3.41-3.50 (m, 2H) , 3.70 (dd, J = 9.6, 1.3 Hz, 1H), 3.79 (s, 6H), 3.94 (dd, J = 6.2, 3.5 Hz, 1H), 4.10-4.24 (m, 3H), 4.26-4.30 (m , 1H), 6.81-6.86 (m, 4H), 7.20-7.36 (m, 7H), 7.41-7.45 (m, 2H).
Process 2
(2R, 3R, 4S) -2-((R) -2- (bis (4-methoxyphenyl) phenyl) methoxy) -1-hydroxyethyl) tetrahydrofuran-3,4-diol (0.0669) obtained in Step 1. g, 0.143 mmol) in tetrahydrofuran (1 mL), (9Z, 12Z) -octadeca-9,12-dienyl methanesulfonate (0.247 g, 0.717 mmol), sodium hydride (oil, 60%, 0.0459 g, 1.15 mmol) was added, and the mixture was stirred overnight with heating under reflux. After cooling to room temperature, saturated brine was added to the reaction solution, and the mixture was extracted with hexane. The organic layer was washed with saturated brine, dried over anhydrous magnesium sulfate, filtered, and concentrated under reduced pressure. The obtained residue was purified by amino silica gel column chromatography (hexane / ethyl acetate = 90/10) to give (2R, 3R, 4S) -2-((R) -2- (bis (4-methoxyphenyl) ( (Phenyl) methoxy) -1-((9Z, 12Z) -octadeca-9,12-dienyloxy) ethyl) -3,4-bis ((9Z, 12Z) -octadeca-9,12-dienyloxy) tetrahydrofuran Got.
Obtained (2R, 3R, 4S) -2-((R) -2- (bis (4-methoxyphenyl) (phenyl) methoxy) -1-((9Z, 12Z) -octadeca-9,12-dienyloxy ) Ethyl) -3,4-bis ((9Z, 12Z) -octadeca-9,12-dienyloxy) tetrahydrofuran, add dichloromethane (1 mL), trifluoroacetic acid (0.0500 mL, 0.649 mmol), Stir at room temperature for 5 minutes. The reaction mixture was concentrated under reduced pressure, and the resulting residue was purified by silica gel chromatography (hexane / ethyl acetate = 70/30) to give (R) -2-((2R, 3R, 4S) -3,4-bis. ((9Z, 12Z) -octadeca-9,12-dienyloxy) tetrahydrofuran-2-yl) -2-((9Z, 12Z) -octadeca-9,12-dienyloxy) ethanol (0.0531 g, 0.0584 mmol, yield 41 %).
1 H-NMR (CDCl 3 ) δ: 0.89 (t, J = 7.0 Hz, 9H), 1.23-1.43 (m, 48H), 1.50-1.62 (m, 6H), 2.01-2.09 (m, 12H), 2.32 (dd, J = 8.2, 4.2 Hz, 1H), 2.74-2.80 (m, 6H), 3.37-3.50 (m, 4H), 3.54-3.69 (m, 3H), 3.69-3.77 (m, 2H), 3.80 -3.87 (m, 2H), 3.88-3.95 (m, 2H), 4.06 (dd, J = 9.8, 4.7 Hz, 1H), 5.28-5.42 (m, 12H).
Process 3
(R) -2-((2R, 3R, 4S) -3,4-bis ((9Z, 12Z) -octadeca-9,12-dienyloxy) tetrahydrofuran-2-yl) -2-obtained in step 2 To a solution of ((9Z, 12Z) -octadeca-9,12-dienyloxy) ethanol (0.0491 g, 0.0540 mmol) in dichloromethane (1 mL), methanesulfonyl chloride (manufactured by Junsei Co., Ltd., 0.0500 mL, 0.642 mmol), triethylamine ( 0.150 mL, 1.08 mmol) was added, and the mixture was stirred at room temperature for 1 hour. Methanesulfonyl chloride (0.0500 mL, 0.642 mmol) and triethylamine (0.150 mL, 1.08 mmol) were added to the reaction solution, and the mixture was stirred at room temperature for 1 hour. Chloroform (1 mL) was added to the reaction solution, and the mixture was stirred at room temperature for 1 hour. Methanesulfonyl chloride (0.0500 mL, 0.642 mmol) and triethylamine (0.150 mL, 1.08 mmol) were added to the reaction solution, and the mixture was stirred at 40 ° C. for 2 hours, and then stirred for 2 hours with heating under reflux. Saturated saline was added to the reaction solution, and the mixture was extracted with chloroform. The organic layer was dried over anhydrous magnesium sulfate, filtered and concentrated under reduced pressure. Tetrahydrofuran (1 mL) and dimethylamine (2.0 mol / L tetrahydrofuran solution, 2 mL, 2.00 mmol) were added to the obtained residue, and the mixture was stirred at 130 ° C. for 5 hours using a microwave reactor. The reaction solution was concentrated under reduced pressure. The resulting residue was purified by amino silica gel column chromatography (hexane / ethyl acetate = 95/5) to give (R) -2-((2R, 3R, 4S) -3,4-bis ((9Z, 12Z) A crude product of -octadeca-9,12-dienyloxy) tetrahydrofuran-2-yl) -N, N-dimethyl-2-((9Z, 12Z) -octadeca-9,12-dienyloxy) ethanamine was obtained. Obtained (R) -2-((2R, 3R, 4S) -3,4-bis ((9Z, 12Z) -octadeca-9,12-dienyloxy) tetrahydrofuran-2-yl) -N, N-dimethyl Chloroform (0.5 mL) and methyl iodide (1.00 mL, 16.0 mmol) were added to the crude product of -2-((9Z, 12Z) -octadeca-9,12-dienyloxy) ethanamine, and the mixture was stirred at room temperature for 2 hours. The reaction solution was concentrated under reduced pressure. Dissolve the residue in a small amount of methanol-chloroform (1: 1) and use it as an ion exchange resin (Dow Chemical, Dowex (TM) 1x-2 100 mesh, Cl type, approximately 20 times the volume, pre-washed with water and methanol). Loaded and eluted with methanol-chloroform (1: 1). The eluate was concentrated under reduced pressure, and the resulting residue was purified by silica gel column chromatography (chloroform / methanol = 90/10) to obtain the title compound (0.0130 g, 0.0132 mmol, yield 24%).
ESI-MS m / z: 951 (M) + ; 1 H-NMR (CDCl 3 ) δ: 0.89 (t, J = 7.0 Hz, 9H), 1.23-1.40 (m, 48H), 1.51-1.61 (m, 6H), 2.01-2.09 (m, 12H), 2.74-2.80 (m, 6H), 3.34-3.68 (m, 17H), 3.70-3.74 (m, 1H), 3.81-3.84 (m, 1H), 3.93- 4.02 (m, 3H), 4.07-4.12 (m, 1H), 5.28-5.43 (m, 12H).
参考例1
N,N-ジメチル-2,3-ビス(((9Z,12Z)-オクタデカ-9,12-ジエン-1-イル)オキシ)プロパン-1-アミン(化合物CL-1)
CL-1は、“ジャ-ナル オプ コントロールド リリース(J. Control. Release.)”,2005年,第107巻,p.276-287に記載の方法で合成した。
Reference example 1
N, N-dimethyl-2,3-bis (((9Z, 12Z) -octadeca-9,12-dien-1-yl) oxy) propan-1-amine (compound CL-1)
CL-1 was synthesized by the method described in “Junal Controlled Release (J. Control. Release.)”, 2005, Vol. 107, p.276-287.
参考例2
N-メチル-N,N-ビス(2-((Z)-ヘキサデカ-9-エニルオキシ)エチル)アミン(化合物CL-2)
水素化ナトリウム(油性, 60%, 222 mg, 5.55 mmol)のトルエン(2 mL)懸濁液に、N-メチルジエタノールアミン(東京化成工業社製、82.6 mg, 0.693 mmol)のトルエン (2 mL)溶液を撹拌しながら添加した後、(Z)-ヘキサデカ-9-エニル メタンスルホナート(530 mg, 1.66 mmol)のトルエン(2 mL)溶液を滴下した。得られた混合物を加熱還流下2時間撹拌した。室温まで冷却後、反応を水で停止させた。得られた混合物に飽和食塩水を加え、酢酸エチルで抽出した。有機層を、無水硫酸マグネシウムで乾燥後、減圧下濃縮した。残渣をシリカゲルカラムクロマトグラフィー(クロロホルム/メタノール=100/0~98/2)で精製することにより標記の化合物 (199 mg, 0.353 mmol, 収率51%)を得た。
ESI-MS m/z: 565 (M + H)+;
Reference example 2
N-methyl-N, N-bis (2-((Z) -hexadec-9-enyloxy) ethyl) amine (compound CL-2)
To a toluene (2 mL) suspension of sodium hydride (oil, 60%, 222 mg, 5.55 mmol) in a toluene (2 mL) solution of N-methyldiethanolamine (Tokyo Chemical Industry Co., Ltd., 82.6 mg, 0.693 mmol) Was added with stirring, and a solution of (Z) -hexadeca-9-enyl methanesulfonate (530 mg, 1.66 mmol) in toluene (2 mL) was added dropwise. The resulting mixture was stirred for 2 hours under heating to reflux. After cooling to room temperature, the reaction was quenched with water. To the obtained mixture was added saturated brine, and the mixture was extracted with ethyl acetate. The organic layer was dried over anhydrous magnesium sulfate and concentrated under reduced pressure. The residue was purified by silica gel column chromatography (chloroform / methanol = 100/0 to 98/2) to give the title compound (199 mg, 0.353 mmol, yield 51%).
ESI-MS m / z: 565 (M + H) + ;
参考例3
trans-1-メチル-3,4-ビス((((Z)-オクタデカ-9-エン-1-イル)オキシ)メチル)ピロリジン (化合物CL-3)
CL-3は、国際公開第2011/136368号に記載の方法で合成した。
Reference Example 3
trans-1-Methyl-3,4-bis ((((Z) -octadec-9-en-1-yl) oxy) methyl) pyrrolidine (Compound CL-3)
CL-3 was synthesized by the method described in International Publication No. 2011/136368.
参考例4
trans-1-メチルピロリジン-3,4-ジイル)ビス(メチレン) (9Z,9'Z,12Z,12'Z)-ビス(オクタデカ-9,12-ジエノアート)(化合物CL-4)
CL-4は、国際公開第2011/136368号に記載の方法で合成した。
Reference example 4
trans-1-methylpyrrolidine-3,4-diyl) bis (methylene) (9Z, 9'Z, 12Z, 12'Z) -bis (octadeca-9,12-dienoate) (compound CL-4)
CL-4 was synthesized by the method described in International Publication No. 2011/136368.
参考例5
(6Z,9Z,28Z,31Z)-ヘプタトリアコンタ-6,9,28,31-テトラエン-19-イル 4-(ジメチルアミノ)ブタノアート (化合物CL-5)
CL-5は、国際公開第2010/054401号に記載の方法に準ずる方法で合成した。
ESI-MS m/z: 642
Reference Example 5
(6Z, 9Z, 28Z, 31Z) -Heptatriaconta-6,9,28,31-tetraen-19-yl 4- (dimethylamino) butanoate (Compound CL-5)
CL-5 was synthesized by a method according to the method described in International Publication No. 2010/054401.
ESI-MS m / z: 642
参考例6
3-(ジ((9Z,12Z)-オクタデカ-9,12-ジエン-1-イル)アミノ)プロパン-1-オール(化合物CL-6)
CL-6は、国際公開第2014/007398号に記載の方法で合成した。
Reference Example 6
3- (Di ((9Z, 12Z) -octadeca-9,12-dien-1-yl) amino) propan-1-ol (Compound CL-6)
CL-6 was synthesized by the method described in International Publication No. 2014/007398.
参考例7
(9Z,12Z)-N-(2-(((Z)-オクタデカ-9-エン-1-イル)オキシ)エチル)オクタデカ-9,12-ジエン-1-アミン (化合物CL-7)
CL-7は、国際公開第2014/007398号に記載の方法で合成した。
Reference Example 7
(9Z, 12Z) -N- (2-(((Z) -Octadeca-9-en-1-yl) oxy) ethyl) octadeca-9,12-dien-1-amine (Compound CL-7)
CL-7 was synthesized by the method described in International Publication No. 2014/007398.
参考例8
1-メチル-3,3-ジ((9Z,12Z)-オクタデカ-9,12-ジエン-1-イル)アゼチジン (化合物CL-8)
CL-8は、国際公開第2016/002753号に記載の方法で合成した。
Reference Example 8
1-Methyl-3,3-di ((9Z, 12Z) -octadeca-9,12-dien-1-yl) azetidine (Compound CL-8)
CL-8 was synthesized by the method described in International Publication No. 2016/002753.
参考例9
N,2-ジメチル-1,3-ビス(((9Z,12Z)-オクタデカ-9,12-ジエン-1-イル)オキシ)プロパン-2-アミン (化合物CL-9)
工程1
2-アミノ-2-メチルプロパン-1,3-ジオール (東京化成工業社製, 0.300 g, 4.76 mmol)をテトラヒドロフラン (3 mL)に溶解させ、水素化ナトリウム (油性60%, 0.171 g, 7.13 mmol)を室温で加えた。発泡が収まった後、(9Z,12Z)-オクタデカ-9,12-ジエニル メタンスルホナート (Nu-Chek Prep,Inc社製, 2.458 g, 7.13 mmol)を加え、加熱環流下2時間撹拌した。反応混合物に飽和塩化アンモニウム水溶液を加え、酢酸エチルで抽出した。有機層を飽和食塩水で洗浄し、無水硫酸マグネシウムで乾燥し、ろ過した。ろ液を減圧濃縮し、得られた残渣をシリカゲルカラムクロマトグラフィー(クロロホルム/メタノール=100/0~90/10)で精製することで、2-メチル-1,3-ビス((9Z,12Z)-オクタデカ-9,12-ジエン-1-イルオキシ)プロパン-2-アミン (0.280 g, 収率16%)を得た。
ESI-MS m/z: 602 (M + H)+
工程2
工程1で得られる2-メチル-1,3-ビス((9Z,12Z)-オクタデカ-9,12-ジエン-1-イルオキシ)プロパン-2-アミン (0.500 g, 0.831 mmol)をジクロロメタン (3 mL)に溶解させ、氷冷下トリエチルアミン (和光純薬工業社製, 2.55 mL, 18.3 mmol)および2-ニトロベンゼン-1-スルホニル クロリド (Sigma-Aldrich社製, 0.368 g, 1.66 mmol)加え、室温に戻した後1時間撹拌した。反応混合物に水を加え、ヘキサンで抽出した。有機層を飽和食塩水で洗浄し、無水硫酸マグネシウムで乾燥し、ろ過した。ろ液を減圧濃縮し、得られた残渣をシリカゲルカラムクロマトグラフィー(ヘキサン/酢酸エチル=99/1~85/15)で精製することで、N-(2-メチル-1,3-ビス((9Z,12Z)-オクタデカ-9,12-ジエン-1-イルオキシ)プロパン-2-イル)-2-ニトロベンゼンスルホンアミド (0.400 g, 収率61%)を得た。
ESI-MS m/z: 787(M + H)+
工程3
工程2で得られたN-(2-メチル-1,3-ビス((9Z,12Z)-オクタデカ-9,12-ジエン-1-イルオキシ)プロパン-2-イル)-2-ニトロベンゼンスルホンアミド (0.200 g, 0.274 mmol)をテトラヒドロフラン (3 mL)に溶解させ、炭酸セシウム (和光純薬工業社製, 0.248 g, 0.726 mmol)およびヨウ化メチル (東京化成工業社製, 0.048 mL, 0.762 mmol)を加え、マイクロ波反応装置を用いて70℃で1時間攪拌した。反応混合物に水を加え、ヘキサンで抽出した。有機層を飽和食塩水で洗浄し、無水硫酸マグネシウムで乾燥し、ろ過した。ろ液を減圧濃縮し、粗生成物としてN-メチル-N-(2-メチル-1,3-ビス(((9Z,12Z)-オクタデカ-9,12-ジエン-1-イル)オキシ)プロパン-2-イル)-2-ニトロベンゼンスルホンアミド (0.200 g, 収率91%)を得た。
ESI-MS m/z: 801(M + H)+
工程4
工程3で得られたN-メチル- N-(2-メチル-1,3-ビス((9Z,12Z)-オクタデカ-9,12-ジエン-1-イルオキシ)プロパン-2-イル)-2-ニトロベンゼンスルホンアミド (0.200 g, 0.250 mmol)をアセトニトリル (2 mL)に溶解させ、1-ドデカンチオール (東京化成工業社製, 0.149 mL, 0.624 mmol)、1,8-ジアザビシクロ[5.4.0]-7-ウンデセン (ナカライテスク社製, 0.0940 mL, 0.624 mmol)を加え、80℃で1時間撹拌した。反応混合物に水を加え、水層を酢酸エチルで抽出した。有機層を飽和食塩水で洗浄し、無水硫酸マグネシウムで乾燥後ろ過し、減圧濃縮した。得られた残渣をNHシリカゲルカラムクロマトグラフィー(ヘキサン/酢酸エチル=90/10~75/25)で精製することにより、化合物CL-9 (0.070 g, 収率46%)を得た。
ESI-MS m/z: 616(M + H)+; 1H-NMR (CDCl3) δ: 0.89 (t, J = 6.8 Hz, 6H), 1.02 (s, 3H), 1.25-1.40 (m, 32H), 1.50-1.59 (m, 4H), 2.05 (q, J= 6.8 Hz, 8H), 2.32 (s, 3H), 2.77 (t, J = 6.3 Hz, 4H), 3.26 (s, 4H), 3.40 (t, J = 6.6 Hz, 4H), 5.28-5.43 (m, 8H).
Reference Example 9
N, 2-Dimethyl-1,3-bis (((9Z, 12Z) -octadeca-9,12-dien-1-yl) oxy) propan-2-amine (Compound CL-9)
Process 1
2-Amino-2-methylpropane-1,3-diol (Tokyo Chemical Industry Co., Ltd., 0.300 g, 4.76 mmol) was dissolved in tetrahydrofuran (3 mL) and sodium hydride (oil 60%, 0.171 g, 7.13 mmol) ) Was added at room temperature. After the foaming stopped, (9Z, 12Z) -octadeca-9,12-dienyl methanesulfonate (manufactured by Nu-Chek Prep, Inc., 2.458 g, 7.13 mmol) was added, and the mixture was stirred for 2 hours under heating reflux. A saturated aqueous ammonium chloride solution was added to the reaction mixture, and the mixture was extracted with ethyl acetate. The organic layer was washed with saturated brine, dried over anhydrous magnesium sulfate, and filtered. The filtrate was concentrated under reduced pressure, and the resulting residue was purified by silica gel column chromatography (chloroform / methanol = 100/0 to 90/10) to give 2-methyl-1,3-bis ((9Z, 12Z) -Octadeca-9,12-dien-1-yloxy) propan-2-amine (0.280 g, yield 16%) was obtained.
ESI-MS m / z: 602 (M + H) +
Process 2
2-Methyl-1,3-bis ((9Z, 12Z) -octadeca-9,12-dien-1-yloxy) propan-2-amine (0.500 g, 0.831 mmol) obtained in Step 1 was added to dichloromethane (3 mL ), Triethylamine (Wako Pure Chemical Industries, 2.55 mL, 18.3 mmol) and 2-nitrobenzene-1-sulfonyl chloride (Sigma-Aldrich, 0.368 g, 1.66 mmol) were added under ice-cooling, and the mixture was returned to room temperature. After that, the mixture was stirred for 1 hour. Water was added to the reaction mixture, and the mixture was extracted with hexane. The organic layer was washed with saturated brine, dried over anhydrous magnesium sulfate, and filtered. The filtrate was concentrated under reduced pressure, and the obtained residue was purified by silica gel column chromatography (hexane / ethyl acetate = 99/1 to 85/15) to give N- (2-methyl-1,3-bis (( 9Z, 12Z) -octadeca-9,12-dien-1-yloxy) propan-2-yl) -2-nitrobenzenesulfonamide (0.400 g, 61% yield) was obtained.
ESI-MS m / z: 787 (M + H) +
Process 3
N- (2-Methyl-1,3-bis ((9Z, 12Z) -octadeca-9,12-dien-1-yloxy) propan-2-yl) -2-nitrobenzenesulfonamide obtained in Step 2 ( 0.200 g, 0.274 mmol) was dissolved in tetrahydrofuran (3 mL), and cesium carbonate (Wako Pure Chemical Industries, 0.248 g, 0.726 mmol) and methyl iodide (Tokyo Chemical Industry, 0.048 mL, 0.762 mmol) were added. In addition, the mixture was stirred at 70 ° C. for 1 hour using a microwave reactor. Water was added to the reaction mixture, and the mixture was extracted with hexane. The organic layer was washed with saturated brine, dried over anhydrous magnesium sulfate, and filtered. The filtrate was concentrated under reduced pressure, and N-methyl-N- (2-methyl-1,3-bis (((9Z, 12Z) -octadeca-9,12-dien-1-yl) oxy) propane as a crude product -2-yl) -2-nitrobenzenesulfonamide (0.200 g, 91% yield) was obtained.
ESI-MS m / z: 801 (M + H) +
Process 4
N-methyl-N- (2-methyl-1,3-bis ((9Z, 12Z) -octadeca-9,12-dien-1-yloxy) propan-2-yl) -2-obtained in step 3 Nitrobenzenesulfonamide (0.200 g, 0.250 mmol) is dissolved in acetonitrile (2 mL), 1-dodecanethiol (Tokyo Chemical Industry Co., Ltd., 0.149 mL, 0.624 mmol), 1,8-diazabicyclo [5.4.0] -7 -Undecene (manufactured by Nacalai Tesque, 0.0940 mL, 0.624 mmol) was added and stirred at 80 ° C. for 1 hour. Water was added to the reaction mixture, and the aqueous layer was extracted with ethyl acetate. The organic layer was washed with saturated brine, dried over anhydrous magnesium sulfate, filtered, and concentrated under reduced pressure. The obtained residue was purified by NH silica gel column chromatography (hexane / ethyl acetate = 90/10 to 75/25) to give compound CL-9 (0.070 g, yield 46%).
ESI-MS m / z: 616 (M + H) + ; 1 H-NMR (CDCl 3 ) δ: 0.89 (t, J = 6.8 Hz, 6H), 1.02 (s, 3H), 1.25-1.40 (m, 32H), 1.50-1.59 (m, 4H), 2.05 (q, J = 6.8 Hz, 8H), 2.32 (s, 3H), 2.77 (t, J = 6.3 Hz, 4H), 3.26 (s, 4H), 3.40 (t, J = 6.6 Hz, 4H), 5.28-5.43 (m, 8H).
参考例10
メチルジ((9Z,12Z)-オクタデカ-9,12-ジエニル)アミン(化合物CL-10)
メチルアミン(Sigma-Aldrich社製, 約2 mol/Lテトラヒドロフラン溶液、10.5 mL、21.0 mmol)に(9Z,12Z)-オクタデカ-9,12-ジエニル メタンスルホナート(1.03 g, 3.00 mmol)を加え、マイクロ波反応装置を用いて150℃で90分間加熱撹拌した。反応液を酢酸エチルで希釈し、2 mol/L水酸化ナトリウム水溶液、ついで飽和食塩水で洗浄し、無水硫酸マグネシウムで乾燥後ろ過し、減圧下濃縮することでメチル((9Z,12Z)-オクタデカ-9,12-ジエニル)アミンの粗生成物を得た。
得られた粗生成物に(9Z,12Z)-オクタデカ-9,12-ジエニル メタンスルホナート(0.93 g, 2.70 mmol)および50%水酸化ナトリウム水溶液(0.960 g, 12.0 mmol)を加え、油浴上135℃で60分間加熱撹拌した。室温まで冷却後、反応液を酢酸エチルで希釈し、水、ついで飽和食塩水で洗浄し、無水硫酸マグネシウムで乾燥後ろ過し、減圧下濃縮した。得られた残渣をシリカゲルカラムクロマトグラフィー(クロロホルム/メタノール = 100/0~97/3)で精製することにより化合物CL-10 (1.07 g, 2.03 mmol, 通し収率67 %)を得た。
ESI-MS m/z: 529 (M + H)+; 1H-NMR (CDCl3) δ: 0.89 (t, J = 6.7 Hz, 6H), 1.29 (br s, 32H), 1.40-1.51 (m, 4H), 1.97-2.06 (m, 8H), 2.20 (s, 3H), 2.30 (t, J = 7.6 Hz, 4H), 2.77 (t, J = 5.8 Hz, 4H), 5.28-5.43 (m, 8H).
Reference Example 10
Methyldi ((9Z, 12Z) -octadeca-9,12-dienyl) amine (Compound CL-10)
(9Z, 12Z) -octadeca-9,12-dienyl methanesulfonate (1.03 g, 3.00 mmol) was added to methylamine (Sigma-Aldrich, approximately 2 mol / L tetrahydrofuran solution, 10.5 mL, 21.0 mmol), The mixture was heated and stirred at 150 ° C. for 90 minutes using a microwave reactor. The reaction solution is diluted with ethyl acetate, washed with 2 mol / L aqueous sodium hydroxide solution and then with saturated brine, dried over anhydrous magnesium sulfate, filtered, and concentrated under reduced pressure to give methyl ((9Z, 12Z) -octadeca A crude product of -9,12-dienyl) amine was obtained.
To the obtained crude product, add (9Z, 12Z) -octadeca-9,12-dienyl methanesulfonate (0.93 g, 2.70 mmol) and 50% aqueous sodium hydroxide solution (0.960 g, 12.0 mmol). The mixture was heated and stirred at 135 ° C. for 60 minutes. After cooling to room temperature, the reaction mixture was diluted with ethyl acetate, washed with water and then with saturated brine, dried over anhydrous magnesium sulfate, filtered, and concentrated under reduced pressure. The obtained residue was purified by silica gel column chromatography (chloroform / methanol = 100/0 to 97/3) to obtain Compound CL-10 (1.07 g, 2.03 mmol, overall yield 67%).
ESI-MS m / z: 529 (M + H) + ; 1 H-NMR (CDCl 3 ) δ: 0.89 (t, J = 6.7 Hz, 6H), 1.29 (br s, 32H), 1.40-1.51 (m , 4H), 1.97-2.06 (m, 8H), 2.20 (s, 3H), 2.30 (t, J = 7.6 Hz, 4H), 2.77 (t, J = 5.8 Hz, 4H), 5.28-5.43 (m, 8H).
参考例11
N-メチル-2-(((9Z,12Z)-オクタデカ-9,12-ジエン-1-イル)オキシ)-N-(2-(((9Z,12Z)-オクタデカ-9,12-ジエン-1-イル)オキシ)エチル)エタン-1-アミン (化合物CL-11)
CL-11は、国際公開第2011/136368号に記載の方法で合成した。
Reference Example 11
N-methyl-2-(((9Z, 12Z) -octadeca-9,12-dien-1-yl) oxy) -N- (2-((((9Z, 12Z) -octadeca-9,12-diene- 1-yl) oxy) ethyl) ethan-1-amine (compound CL-11)
CL-11 was synthesized by the method described in International Publication No. 2011/136368.
参考例12
(3R,4R)-3,4-ビス(((Z)-ヘキサデカ-9-エン-1-イル)オキシ)-1-メチルピロリジン (化合物CL-12)
CL-12は、国際公開第2011/136368号に記載の方法で合成した。
Reference Example 12
(3R, 4R) -3,4-bis (((Z) -hexadec-9-en-1-yl) oxy) -1-methylpyrrolidine (Compound CL-12)
CL-12 was synthesized by the method described in International Publication No. 2011/136368.
参考例13
2-(ジメチルアミノ)-N-((6Z,9Z,28Z,31Z)-ヘプタトリアコンタ-6,9,28,31-テトラエン-19-イル)アセトアミド (化合物CL-13)
CL-13は、国際公開第2013/059496号に記載の方法で合成した。
Reference Example 13
2- (Dimethylamino) -N-((6Z, 9Z, 28Z, 31Z) -Heptatriconta-6,9,28,31-tetraen-19-yl) acetamide (Compound CL-13)
CL-13 was synthesized by the method described in International Publication No. 2013/059496.
参考例14
3-(ジメチルアミノ)プロパン-1,2-ジイル (9Z,9'Z,12Z,12'Z)-ビス(オクタデカ-9,12-ジエノアート) (化合物CL-14)
CL-14は、“バイオケミストリー(BioChemistry)”,1994年,第33巻,p.12573-12580に記載の方法で合成した。
Reference Example 14
3- (Dimethylamino) propane-1,2-diyl (9Z, 9'Z, 12Z, 12'Z) -bis (octadeca-9,12-dienoate) (Compound CL-14)
CL-14 was synthesized by the method described in “BioChemistry”, 1994, Vol. 33, p.12573-12580.
参考例15
(9Z,12Z)-ジ((9Z,12Z)-オクタデカ-9,12-ジエン-1-イル)アミン (化合物CL-15)
CL-15は、国際公開第2014/007398号に記載の方法で合成した。
Reference Example 15
(9Z, 12Z) -di ((9Z, 12Z) -octadeca-9,12-dien-1-yl) amine (Compound CL-15)
CL-15 was synthesized by the method described in International Publication No. 2014/007398.
参考例16
ビス(2-(((9Z,12Z)-オクタデカ-9,12-ジエン-1-イル)オキシ)エチル)アミン (化合物CL-16)
CL-16は、国際公開第2011/136368号に記載の方法で合成した。
Reference Example 16
Bis (2-(((9Z, 12Z) -octadeca-9,12-dien-1-yl) oxy) ethyl) amine (Compound CL-16)
CL-16 was synthesized by the method described in International Publication No. 2011/136368.
参考例17
(9Z,12Z)-N-メチル-N-(2-(((9Z,12Z)-オクタデカ-9,12-ジエン-1-イル)オキシ)エチル)オクタデカ-9,12-ジエン-1-アミン (化合物CL-17)
2-(メチルアミノ)エタノール (東京化成工業社製, 0.125 g, 1.66 mmol )をトルエン (2.5 mL)に溶解させ、水素化ナトリウム(油性, 60%, 0.333 g, 8.32 mmol)、(9Z,12Z)-オクタデカ-9,12-ジエン-1-イル メタンスルホナート (Nu-Chek Prep,Inc製, 1.32 g, 3.83 mmol)のトルエン (2.5 mL)溶液を順に加え、加熱環流下2時間撹拌した。反応混合物を室温まで冷却した後、エタノール、水を加え、水層を酢酸エチルで抽出した。有機層を無水硫酸マグネシウムで乾燥後ろ過した。ろ液を減圧濃縮し、得られた残渣をシリカゲルカラムクロマトグラフィー(クロロホルム/メタノール=100/0~97/3)で精製することにより、化合物CL-17 (0.211 g, 収率22%)を得た。
ESI-MS m/z: 572(M + H)+; 1H-NMR (CDCl3) δ: 0.89 (t, J = 6.9 Hz, 6H), 1.24-1.38 (m, 32H), 1.43-1.49 (m, 2H), 1.53-1.59 (m, 2H), 2.05 (q, J = 7.2 Hz, 8H), 2.27 (s, 3H), 2.37 (t, J = 7.7 Hz, 2H), 2.57 (t, J = 6.2 Hz, 2H), 2.78 (t, J = 6.8 Hz, 4H), 3.42 (t, J = 6.8 Hz, 2H), 3.52 (t, J = 6.2 Hz, 2H), 5.30-5.41 (m, 8H).
Reference Example 17
(9Z, 12Z) -N-Methyl-N- (2-(((9Z, 12Z) -octadeca-9,12-dien-1-yl) oxy) ethyl) octadeca-9,12-dien-1-amine (Compound CL-17)
2- (Methylamino) ethanol (Tokyo Chemical Industry Co., Ltd., 0.125 g, 1.66 mmol) was dissolved in toluene (2.5 mL) and sodium hydride (oil, 60%, 0.333 g, 8.32 mmol), (9Z, 12Z ) -Octadeca-9,12-dien-1-yl methanesulfonate (manufactured by Nu-Chek Prep, Inc., 1.32 g, 3.83 mmol) in toluene (2.5 mL) was added in order, and the mixture was stirred for 2 hours under reflux with heating. The reaction mixture was cooled to room temperature, ethanol and water were added, and the aqueous layer was extracted with ethyl acetate. The organic layer was dried over anhydrous magnesium sulfate and filtered. The filtrate was concentrated under reduced pressure, and the resulting residue was purified by silica gel column chromatography (chloroform / methanol = 100/0 to 97/3) to give compound CL-17 (0.211 g, yield 22%). It was.
ESI-MS m / z: 572 (M + H) + ; 1 H-NMR (CDCl 3 ) δ: 0.89 (t, J = 6.9 Hz, 6H), 1.24-1.38 (m, 32H), 1.43-1.49 ( m, 2H), 1.53-1.59 (m, 2H), 2.05 (q, J = 7.2 Hz, 8H), 2.27 (s, 3H), 2.37 (t, J = 7.7 Hz, 2H), 2.57 (t, J = 6.2 Hz, 2H), 2.78 (t, J = 6.8 Hz, 4H), 3.42 (t, J = 6.8 Hz, 2H), 3.52 (t, J = 6.2 Hz, 2H), 5.30-5.41 (m, 8H ).
参考例18
(9Z,12Z)-N-(3-(((9Z,12Z)-オクタデカ-9,12-ジエン-1-イル)オキシ)プロピル)オクタデカ-9,12-ジエン-1-アミン (化合物CL-18)
CL-18は、国際公開第2014/007398号に記載の方法に準ずる方法で合成した。
ESI-MS m/z: 572
Reference Example 18
(9Z, 12Z) -N- (3-(((9Z, 12Z) -octadeca-9,12-dien-1-yl) oxy) propyl) octadeca-9,12-dien-1-amine (Compound CL- 18)
CL-18 was synthesized by a method according to the method described in International Publication No. 2014/007398.
ESI-MS m / z: 572
参考例19
(1-メチルピペリジン-3-イル)メチル ジ((11Z,14Z)-イコサ-11,14-ジエン-1-イル)カルバマート (化合物CL-19)
CL-19は、国際公開第2014/007398号に記載の方法で合成した。
Reference Example 19
(1-Methylpiperidin-3-yl) methyl di ((11Z, 14Z) -icosa-11,14-dien-1-yl) carbamate (Compound CL-19)
CL-19 was synthesized by the method described in International Publication No. 2014/007398.
参考例20
(13Z,16Z)-N,N-ジメチル-4-((9Z,12Z)-オクタデカ-9,12-ジエン-1-イル)ドコサ-3,13,16-トリエン-1-アミン (化合物CL-20)
工程1
国際公開第2009/132131に記載の方法で合成したヘプタトリアコンタ-6,9,28,31-テトラエン-19-オン (0.353 g, 0.186 mmol)のテトラヒドロフラン (0.882 mL)溶液に、アルゴン雰囲気下、無水セリウム(III)クロリド (東京化成工業社製, 0.174 g, 0.706 mmol)を加えた。その後、氷冷下にてシクロプロピルマグネシウム ブロミド(Sigma-Aldrich社製, 0.5 mmol/L. 1.06 mL, 0.529 mmol)を加え、5分撹拌した後、室温で1時間撹拌した。反応混合物に飽和塩化アンモニウム水溶液を加え、水層を酢酸エチルで抽出した。有機層を無水硫酸マグネシウムで乾燥後ろ過した。ろ液を減圧濃縮し、得られた残渣をシリカゲルカラムクロマトグラフィー(ヘキサン/酢酸エチル=97/3~94/6)で精製することにより、(6Z,9Z,28Z,31Z)-19-シクロプロピルヘプタトリアコンタ-6,9,28,31-テトラエン-19-オール (0.141 g, 収率70%)を得た。
ESI-MS m/z: 569
工程2
工程1で得られた(6Z,9Z,28Z,31Z)-19-シクロプロピルヘプタトリアコンタ-6,9,28,31-テトラエン-19-オール (0.141 g, 0.248 mmol)のジクロロメタン (2 mL)溶液に 室温にて臭化リチウム (Sigma-Aldrich社製, 0.108 g, 1.24 mmol)とクロロトリメチルシラン (東京化成工業社製, 0.135 g, 1.24 mmol)を加えて1時間撹拌した。その後、臭化リチウム (Sigma-Aldrich社製, 0.108 g, 1.24 mmol)とクロロトリメチルシラン (東京化成工業社製, 0.135 g, 1.24 mmol)を追加で加えて1時間撹拌した。
反応混合物に飽和炭酸水素ナトリウム水溶液を加え、水層をヘキサンで抽出した。有機層を無水硫酸マグネシウムで乾燥後ろ過した。ろ液を減圧濃縮し、得られた残渣をシリカゲルカラムクロマトグラフィー(ヘキサン/酢酸エチル=100/0~90/10で精製することにより、(6Z,9Z,28Z,31Z)-19-(3-ブロモプロピリデン)ヘプタトリアコンタ-6,9,28,31-テトラエン (0.074 g, 収率47%)を得た。
ESI-MS m/z: 632
工程3
工程2で得られた(6Z,9Z,28Z,31Z)-19-(3-ブロモプロピリデン)ヘプタトリアコンタ-6,9,28,31-テトラエン (0.074 g, 0.117 mmol)にジメチルアミン (Sigma-Aldrich社製, 2.0 mmol/L テトラヒドロフラン溶液, 1.5 mL,3.0 mmol)を加え、マイクロウェーブ照射下にて90分130℃で加熱撹拌した。反応混合物に飽和炭酸水素ナトリウム水溶液を加え、水層をヘキサンで抽出した。有機層を飽和食塩水にて洗浄し、無水硫酸マグネシウムで乾燥後ろ過した。ろ液を減圧濃縮し、得られた残渣をNHシリカゲルカラムクロマトグラフィー(ヘキサン/酢酸エチル=97/3~88/12で精製することにより、CL-20 (0.062 g, 収率69%)を得た。
ESI-MS m/z: 596
Reference Example 20
(13Z, 16Z) -N, N-Dimethyl-4-((9Z, 12Z) -octadeca-9,12-dien-1-yl) docosa-3,13,16-trien-1-amine (Compound CL- 20)
Process 1
To a solution of heptatriaconta-6,9,28,31-tetraen-19-one (0.353 g, 0.186 mmol) synthesized in the method described in WO2009 / 132131 in tetrahydrofuran (0.882 mL) under an argon atmosphere, Anhydrous cerium (III) chloride (manufactured by Tokyo Chemical Industry Co., Ltd., 0.174 g, 0.706 mmol) was added. Thereafter, cyclopropylmagnesium bromide (manufactured by Sigma-Aldrich, 0.5 mmol / L. 1.06 mL, 0.529 mmol) was added under ice cooling, and the mixture was stirred for 5 minutes and then stirred at room temperature for 1 hour. A saturated aqueous ammonium chloride solution was added to the reaction mixture, and the aqueous layer was extracted with ethyl acetate. The organic layer was dried over anhydrous magnesium sulfate and filtered. The filtrate was concentrated under reduced pressure, and the resulting residue was purified by silica gel column chromatography (hexane / ethyl acetate = 97 / 3-94 / 6) to give (6Z, 9Z, 28Z, 31Z) -19-cyclopropyl. Heptatriaconta-6,9,28,31-tetraen-19-ol (0.141 g, yield 70%) was obtained.
ESI-MS m / z: 569
Process 2
Dichloromethane (2 mL) of (6Z, 9Z, 28Z, 31Z) -19-cyclopropylheptatrita-6,9,28,31-tetraen-19-ol (0.141 g, 0.248 mmol) obtained in step 1 Lithium bromide (Sigma-Aldrich, 0.108 g, 1.24 mmol) and chlorotrimethylsilane (Tokyo Kasei Kogyo, 0.135 g, 1.24 mmol) were added to the solution at room temperature, and the mixture was stirred for 1 hour. Thereafter, lithium bromide (Sigma-Aldrich, 0.108 g, 1.24 mmol) and chlorotrimethylsilane (Tokyo Kasei Kogyo, 0.135 g, 1.24 mmol) were additionally added, and the mixture was stirred for 1 hour.
A saturated aqueous sodium hydrogen carbonate solution was added to the reaction mixture, and the aqueous layer was extracted with hexane. The organic layer was dried over anhydrous magnesium sulfate and filtered. The filtrate was concentrated under reduced pressure, and the obtained residue was purified by silica gel column chromatography (hexane / ethyl acetate = 100/0 to 90/10 to give (6Z, 9Z, 28Z, 31Z) -19- (3- Bromopropylidene) heptatriaconta-6,9,28,31-tetraene (0.074 g, 47% yield) was obtained.
ESI-MS m / z: 632
Process 3
The (6Z, 9Z, 28Z, 31Z) -19- (3-bromopropylidene) heptatriconta-6,9,28,31-tetraene (0.074 g, 0.117 mmol) obtained in Step 2 was added to dimethylamine (Sigma -Aldrich, 2.0 mmol / L tetrahydrofuran solution, 1.5 mL, 3.0 mmol) was added, and the mixture was heated and stirred at 130 ° C. for 90 minutes under microwave irradiation. A saturated aqueous sodium hydrogen carbonate solution was added to the reaction mixture, and the aqueous layer was extracted with hexane. The organic layer was washed with saturated brine, dried over anhydrous magnesium sulfate and filtered. The filtrate was concentrated under reduced pressure, and the obtained residue was purified by NH silica gel column chromatography (hexane / ethyl acetate = 97 / 3-88 / 12) to obtain CL-20 (0.062 g, yield 69%). It was.
ESI-MS m / z: 596
参考例21
(S)-2-アミノ-3-ヒドロキシ-N,N-ビス(2-(((Z)-オクタデカ-9-エン-1-イル)オキシ)エチル)プロパンアミド (化合物CL-21)
CL-21は、国際公開第2011/136368号に記載の方法で合成した。
Reference Example 21
(S) -2-Amino-3-hydroxy-N, N-bis (2-(((Z) -octadeca-9-en-1-yl) oxy) ethyl) propanamide (Compound CL-21)
CL-21 was synthesized by the method described in International Publication No. 2011/136368.
参考例22
(3R,4R)-3,4-ビス(((11Z,14Z)-イコサ-11,14-ジエン-1-イル)オキシ)ピロリジン (化合物CL-22)
CL-22は、国際公開第2011/136368号に記載の方法で合成した。
Reference Example 22
(3R, 4R) -3,4-bis (((11Z, 14Z) -icosa-11,14-dien-1-yl) oxy) pyrrolidine (Compound CL-22)
CL-22 was synthesized by the method described in International Publication No. 2011/136368.
参考例23
trans-3,4-ビス((((11Z,14Z)-イコサ-11,14-ジエン-1-イル)オキシ)メチル)-1-メチルピロリジン (化合物CL-23)
CL-23は、国際公開第2011/136368号に記載の方法で合成した。
Reference Example 23
trans-3,4-bis ((((11Z, 14Z) -icosa-11,14-dien-1-yl) oxy) methyl) -1-methylpyrrolidine (Compound CL-23)
CL-23 was synthesized by the method described in International Publication No. 2011/136368.
参考例24
1-((S)-2,3-ビス(((9Z,12Z)-オクタデカ-9,12-ジエン-1-イル)オキシ)プロピル)ピロリジン (化合物CL-24)
CL-24は、国際公開第2009/129395号に記載の方法で合成した。
Reference Example 24
1-((S) -2,3-bis (((9Z, 12Z) -octadeca-9,12-dien-1-yl) oxy) propyl) pyrrolidine (Compound CL-24)
CL-24 was synthesized by the method described in International Publication No. 2009/129395.
参考例25
2-(2,2-ジ((9Z,12Z)-オクタエカ-9,12-ジエン-1-イル)-1,3-ジオキソラン-4-イル)-N,N-ジメチルエタン-1-アミン (化合物CL-25)
CL-25は、国際公開第2010/042877号に記載の方法で合成した。
Reference Example 25
2- (2,2-di ((9Z, 12Z) -octaeca-9,12-dien-1-yl) -1,3-dioxolan-4-yl) -N, N-dimethylethan-1-amine ( Compound CL-25)
CL-25 was synthesized by the method described in International Publication No. 2010/042877.
参考例26
3-(ジメチルアミノ)プロピル ジ((9Z,12Z)-オキサデカ-9,12-ジエン-1-イル)カルバマート (化合物CL-26)
CL-26は、国際公開第2014/007398号に記載の方法で合成した。
Reference Example 26
3- (Dimethylamino) propyl di ((9Z, 12Z) -oxadec-9,12-dien-1-yl) carbamate (Compound CL-26)
CL-26 was synthesized by the method described in International Publication No. 2014/007398.
参考例27
4-(ジメチルアミノ)ブチル ジ((9Z,12Z)-オキサデカ-9,12-ジエン-1-イル)カルバマート (化合物CL-27)
CL-27は、国際公開第2014/007398号に記載の方法で合成した。
Reference Example 27
4- (Dimethylamino) butyl di ((9Z, 12Z) -oxadec-9,12-dien-1-yl) carbamate (Compound CL-27)
CL-27 was synthesized by the method described in International Publication No. 2014/007398.
参考例28
2-(ジ((9Z,12Z)-オクタデカ-9,12-ジエン-1-イル)アミノ)エタン-1-オール (化合物CL-28)
CL-28は、国際公開第2014/007398号に記載の方法で合成した。
Reference Example 28
2- (Di ((9Z, 12Z) -octadeca-9,12-dien-1-yl) amino) ethane-1-ol (Compound CL-28)
CL-28 was synthesized by the method described in International Publication No. 2014/007398.
参考例29
2-(ジメチルアミノ)-3-(((9Z,12Z)-オクタデカ-9,12-ジエン-1-イル)オキシ)-2-((((9Z,12Z)-オクタデカ-9,12-ジエン-1-イル)オキシ)メチル)プロパン-1-オール (化合物CL-29)
CL-29は、国際公開第2011/149733号に記載の方法で合成した。
Reference Example 29
2- (Dimethylamino) -3-(((9Z, 12Z) -octadeca-9,12-dien-1-yl) oxy) -2-(((((9Z, 12Z) -octadeca-9,12-diene -1-yl) oxy) methyl) propan-1-ol (compound CL-29)
CL-29 was synthesized by the method described in International Publication No. 2011/149733.
参考例30
(6Z,9Z,28Z,31Z)-N,N-ジメチルヘプタトリアコンタ-6,9,28,31-テトラエン-19-アミン (化合物CL-30)
CL-30は、国際公開第2010/054405号に記載の方法で合成した。
Reference Example 30
(6Z, 9Z, 28Z, 31Z) -N, N-Dimethylheptatriaconta-6,9,28,31-tetraene-19-amine (Compound CL-30)
CL-30 was synthesized by the method described in International Publication No. 2010/054405.
参考例31
N,N,2-トリメチル-1,3-ビス(((9Z,12Z)-オクタデカ-9,12-ジエン-1-イル)オキシ)プロパン-2-アミン (化合物CL-31)
参考例9の工程1で得られた2-メチル-1,3-ビス((9Z,12Z)-オクタデカ-9,12-ジエン-1-イルオキシ)プロパン-2-アミン (0.240 g, 0.399 mmol)を1,2-ジクロロエタン (1 mL)とメタノール (1 mL)の混合溶媒に溶解させ、ホルムアルデヒド (和光純薬工業社製, 37%水溶液, 0.144 mL, 1.99 mmol)、ナトリウムトリアセトキシボロヒドリド (東京化成工業社製, 0.211 g, 0.997 mmol)を加え、室温で一晩撹拌した。反応混合物に水を加え、水層を酢酸エチルで抽出した。有機層を飽和炭酸水素ナトリウムで洗浄した後、無水硫酸マグネシウムで乾燥後ろ過した。ろ液を減圧濃縮し、得られた残渣をNHシリカゲルカラムクロマトグラフィー(ヘキサン/酢酸エチル=99/1~80/20)で精製することにより、化合物2 (0.191 g, 収率76%)を得た。
ESI-MS m/z: 630(M + H)+; 1H-NMR (CDCl3) δ: 0.89 (t, J = 7.0 Hz, 6H), 0.95 (s, 3H), 1.26-1.39 (m, 32H), 1.53-1.58 (m, 4H), 2.05 (q, J= 6.9 Hz, 8H), 2.31 (s, 6H), 2.77 (t, J = 6.3 Hz, 4H), 3.33-3.42 (m, 8H), 5.27-5.43 (m, 8H).
Reference Example 31
N, N, 2-trimethyl-1,3-bis (((9Z, 12Z) -octadeca-9,12-dien-1-yl) oxy) propan-2-amine (Compound CL-31)
2-Methyl-1,3-bis ((9Z, 12Z) -octadeca-9,12-dien-1-yloxy) propan-2-amine (0.240 g, 0.399 mmol) obtained in Step 1 of Reference Example 9 Is dissolved in a mixed solvent of 1,2-dichloroethane (1 mL) and methanol (1 mL), and formaldehyde (Wako Pure Chemical Industries, 37% aqueous solution, 0.144 mL, 1.99 mmol), sodium triacetoxyborohydride (Tokyo) Kasei Kogyo Co., Ltd., 0.211 g, 0.997 mmol) was added, and the mixture was stirred overnight at room temperature. Water was added to the reaction mixture, and the aqueous layer was extracted with ethyl acetate. The organic layer was washed with saturated sodium bicarbonate, dried over anhydrous magnesium sulfate and filtered. The filtrate was concentrated under reduced pressure, and the obtained residue was purified by NH silica gel column chromatography (hexane / ethyl acetate = 99 / 1-80 / 20) to give compound 2 (0.191 g, yield 76%). It was.
ESI-MS m / z: 630 (M + H) + ; 1 H-NMR (CDCl 3 ) δ: 0.89 (t, J = 7.0 Hz, 6H), 0.95 (s, 3H), 1.26-1.39 (m, 32H), 1.53-1.58 (m, 4H), 2.05 (q, J = 6.9 Hz, 8H), 2.31 (s, 6H), 2.77 (t, J = 6.3 Hz, 4H), 3.33-3.42 (m, 8H ), 5.27-5.43 (m, 8H).
参考例32
N-メチル-2-(((Z)-オクタデカ-6-エン-1-イル)オキシ)-N-(2-(((Z)-オクタデカ-6-エン-1-イル)オキシ)エチル)エタン-1-アミン (化合物CL-32)
CL-32は、国際公開第2011/136368号に記載の方法で合成した。
Reference Example 32
N-methyl-2-(((Z) -octadeca-6-en-1-yl) oxy) -N- (2-(((Z) -octadeca-6-en-1-yl) oxy) ethyl) Ethan-1-amine (Compound CL-32)
CL-32 was synthesized by the method described in International Publication No. 2011/136368.
参考例33
(3R,4R)-3-(ジメチルアミノ)プロピル 3,4-ビス((9Z,12Z)-オクタデカ-9,12-ジエニルオキシ)ピロリジン-1-カルボキシラート (化合物CL-33)
工程1
水素化ナトリウム(油性, 60%, 5.80 g, 145 mmol)のトルエン(100 mL)懸濁液に、(3R,4R)-1-ベンジルピロリジン-3,4-ジオール(Diverchim S.A.社製、3.50 g, 18.1 mmol)のトルエン (70 mL)溶液を撹拌しながら添加した後、(9Z,12Z)-オクタデカ-9,12-ジエニル メタンスルホナート(15.6 g, 45.3 mmol)のトルエン(30 mL)溶液を滴下した。得られた混合物を加熱還流下終夜撹拌した。室温まで冷却後、反応を飽和塩化アンモニウム基水溶液で停止した。得られた混合物に飽和食塩水を加え、酢酸エチルで2回抽出した。有機層を合わせ、無水硫酸マグネシウムで乾燥後、減圧下濃縮した。残渣をシリカゲルカラムクロマトグラフィー(メタノール/クロロホルム=0/100~2/98)で精製することにより(3R,4R)-1-ベンジル-3,4-ビス((9Z,12Z)-オクタデカ-9,12-ジエニルオキシ)ピロリジン(6.96 g, 10.1 mmol, 収率56%)を得た。
ESI-MS m/z: 691 (M + H)+; 1H-NMR (CDCl3) δ: 0.89 (t, J = 6.9 Hz, 6H), 1.26-1.38 (m, 30H), 1.52-1.62 (m, 6H), 2.05 (q, J = 6.3 Hz, 8H), 2.50 (dd, J = 9.9, 4.3 Hz, 2H), 2.77 (t, J = 5.8 Hz, 4H), 2.85 (dd, J = 9.6, 5.9 Hz, 2H), 3.37-3.45 (m, 4H), 3.52-3.66 (m, 2H), 3.83 (t, J = 4.6 Hz, 2H), 5.28-5.43 (m, 8H), 7.23-7.33 (m, 5H).
工程2
工程1で得られた(3R,4R)-1-ベンジル-3,4-ビス((9Z,12Z)-オクタデカ-9,12-ジエニルオキシ)ピロリジン (6.96 g, 10.1 mmol))を1,2-ジクロロエタン (100mL)に溶解させ、クロロぎ酸1-クロロエチル(3.30 ml, 30.3 mmol)を加え130℃で1時間撹拌した。反応溶液にメタノール(100 mL)を加え、130℃でさらに1時間撹拌した。室温まで冷却後、減圧下濃縮し、得られた残渣をシリカゲルカラムクロマトグラフィー(クロロホルム/メタノール=100/0~92/8)で精製した。得られた有機層を飽和炭酸水素ナトリウム水溶液、次いで飽和塩化ナトリウム水溶液で洗浄し、無水硫酸マグネシウムで乾燥後ろ過し、減圧下濃縮することで(3R,4R)-3,4-ビス((9Z,12Z)-オクタデカ-9,12-ジエニルオキシ)ピロリジン(5.56 g, 9.27 mmol, 収率92%)を得た。
ESI-MS m/z: 601 (M + H)+; 1H-NMR (CDCl3) δ: 0.89 (t, J = 6.9 Hz, 6H), 1.29-1.41 (m, 30H), 1.49-1.60 (m, 4H), 1.67 (br s, 3H), 2.05 (q, J = 6.5 Hz, 8H), 2.75-2.85 (m, 6H), 3.09 (dd, J = 12.4, 5.1 Hz, 2H), 3.37-3.49 (m, 4H), 3.76 (dd, J= 5.0, 3.3 Hz, 2H), 5.28-5.43 (m, 8H).
工程3
参考例4の工程2と同様の方法で、ジ((Z)-オクタデカ-9-エニル)アミンの代わりに工程2で得られた(3R,4R)-3,4-ビス((9Z,12Z)-オクタデカ-9,12-ジエニルオキシ)ピロリジン(0.111 g, 0.185 mmol)を用いて、標記の化合物 (0.101 g, 0.139 mmol, 75%) を得た。
ESI-MS m/z: 730 (M + H)+; 1H-NMR (CDCl3) δ: 0.89 (t, J = 6.9 Hz, 6H), 1.24-1.40 (m, 32H), 1.50-1.57 (m, 4H), 1.77-1.83 (m, 2H), 2.02-2.08 (m, 8H), 2.23 (s, 6H), 2.34 (t, J = 7.4 Hz, 2H), 2.77 (t, J = 6.8 Hz, 4H), 3.38-3.56 (m, 8H), 3.83-3.86 (m, 2H), 4.11 (t, J = 6.5 Hz, 2H), 5.30-5.42 (m, 8H).
Reference Example 33
(3R, 4R) -3- (Dimethylamino) propyl 3,4-bis ((9Z, 12Z) -octadeca-9,12-dienyloxy) pyrrolidine-1-carboxylate (Compound CL-33)
Process 1
To a suspension of sodium hydride (oil, 60%, 5.80 g, 145 mmol) in toluene (100 mL), (3R, 4R) -1-benzylpyrrolidine-3,4-diol (Diverchim SA, 3.50 g , 18.1 mmol) in toluene (70 mL) was added with stirring, and (9Z, 12Z) -octadeca-9,12-dienyl methanesulfonate (15.6 g, 45.3 mmol) in toluene (30 mL) was added. It was dripped. The resulting mixture was stirred overnight with heating under reflux. After cooling to room temperature, the reaction was quenched with a saturated aqueous ammonium chloride group solution. Saturated brine was added to the resulting mixture, and the mixture was extracted twice with ethyl acetate. The organic layers were combined, dried over anhydrous magnesium sulfate, and concentrated under reduced pressure. The residue was purified by silica gel column chromatography (methanol / chloroform = 0/100 to 2/98) to give (3R, 4R) -1-benzyl-3,4-bis ((9Z, 12Z) -octadeca-9, 12-Dienyloxy) pyrrolidine (6.96 g, 10.1 mmol, yield 56%) was obtained.
ESI-MS m / z: 691 (M + H) + ; 1 H-NMR (CDCl 3 ) δ: 0.89 (t, J = 6.9 Hz, 6H), 1.26-1.38 (m, 30H), 1.52-1.62 ( m, 6H), 2.05 (q, J = 6.3 Hz, 8H), 2.50 (dd, J = 9.9, 4.3 Hz, 2H), 2.77 (t, J = 5.8 Hz, 4H), 2.85 (dd, J = 9.6 , 5.9 Hz, 2H), 3.37-3.45 (m, 4H), 3.52-3.66 (m, 2H), 3.83 (t, J = 4.6 Hz, 2H), 5.28-5.43 (m, 8H), 7.23-7.33 ( m, 5H).
Process 2
The (3R, 4R) -1-benzyl-3,4-bis ((9Z, 12Z) -octadeca-9,12-dienyloxy) pyrrolidine (6.96 g, 10.1 mmol)) obtained in Step 1 was replaced with 1,2- It was dissolved in dichloroethane (100 mL), 1-chloroethyl chloroformate (3.30 ml, 30.3 mmol) was added, and the mixture was stirred at 130 ° C. for 1 hr. Methanol (100 mL) was added to the reaction solution, and the mixture was further stirred at 130 ° C. for 1 hour. After cooling to room temperature, the mixture was concentrated under reduced pressure, and the resulting residue was purified by silica gel column chromatography (chloroform / methanol = 100/0 to 92/8). The obtained organic layer was washed with a saturated aqueous sodium hydrogen carbonate solution and then with a saturated aqueous sodium chloride solution, dried over anhydrous magnesium sulfate, filtered, and concentrated under reduced pressure to give (3R, 4R) -3,4-bis ((9Z , 12Z) -octadeca-9,12-dienyloxy) pyrrolidine (5.56 g, 9.27 mmol, 92% yield).
ESI-MS m / z: 601 (M + H) + ; 1 H-NMR (CDCl 3 ) δ: 0.89 (t, J = 6.9 Hz, 6H), 1.29-1.41 (m, 30H), 1.49-1.60 ( m, 4H), 1.67 (br s, 3H), 2.05 (q, J = 6.5 Hz, 8H), 2.75-2.85 (m, 6H), 3.09 (dd, J = 12.4, 5.1 Hz, 2H), 3.37- 3.49 (m, 4H), 3.76 (dd, J = 5.0, 3.3 Hz, 2H), 5.28-5.43 (m, 8H).
Process 3
In the same manner as in Step 2 of Reference Example 4, instead of di ((Z) -octadeca-9-enyl) amine, (3R, 4R) -3,4-bis ((9Z, 12Z) obtained in Step 2 was used. ) -Octadeca-9,12-dienyloxy) pyrrolidine (0.111 g, 0.185 mmol) was used to obtain the title compound (0.101 g, 0.139 mmol, 75%).
ESI-MS m / z: 730 (M + H) + ; 1 H-NMR (CDCl 3 ) δ: 0.89 (t, J = 6.9 Hz, 6H), 1.24-1.40 (m, 32H), 1.50-1.57 ( m, 4H), 1.77-1.83 (m, 2H), 2.02-2.08 (m, 8H), 2.23 (s, 6H), 2.34 (t, J = 7.4 Hz, 2H), 2.77 (t, J = 6.8 Hz , 4H), 3.38-3.56 (m, 8H), 3.83-3.86 (m, 2H), 4.11 (t, J = 6.5 Hz, 2H), 5.30-5.42 (m, 8H).
参考例34
(9Z,12Z)-N-(2-(((9Z,12Z)-オクタデカ-9,12-ジエン-1-イル)オキシ)エチル)オクタデカ-9,12-ジエン-1-アミン(化合物CL-34)
CL-34は、国際公開第2014/007398号に記載の方法で合成した。
Reference Example 34
(9Z, 12Z) -N- (2-(((9Z, 12Z) -octadeca-9,12-dien-1-yl) oxy) ethyl) octadeca-9,12-dien-1-amine (compound CL- 34)
CL-34 was synthesized by the method described in International Publication No. 2014/007398.
参考例35
(9Z,12Z)-N-(2-(((Z)-ヘキサデカ-9-エン-1-イル) オキシ)エチル)オクタデカ-9,12-ジエン-1-アミン (化合物CL-35)
CL-35は、国際公開第2014/007398号に記載の方法で合成した。
Reference Example 35
(9Z, 12Z) -N- (2-((((Z) -Hexadeca-9-en-1-yl) oxy) ethyl) octadeca-9,12-dien-1-amine (Compound CL-35)
CL-35 was synthesized by the method described in International Publication No. 2014/007398.
参考例36
N,N-ジメチル-1,3-ビス(((9Z,12Z)-オクタデカ-9,12-ジエン-1-イル)オキシ)プロパン-2-アミン (化合物CL-36)
CL-36は、国際公開第2009/129385号に記載の方法で合成した。
Reference Example 36
N, N-dimethyl-1,3-bis (((9Z, 12Z) -octadeca-9,12-dien-1-yl) oxy) propan-2-amine (Compound CL-36)
CL-36 was synthesized by the method described in International Publication No. 2009/129385.
参考例37
3-(ジメチルミノ)プロピル ジ((Z)-オクタデカ-9-エニル)カルバマート(化合物CL-37)
工程1
アンモニア(東京化成工業社製, 約2 mol/Lメタノール溶液、12.0 mL、24.0 mmol)に、(Z)-オクタデカ-9-エニル メタンスルホナート(1.04 g, 3.00 mmol)を加え、マイクロ波反応装置を用いて130℃で3時間攪拌した。反応液に飽和炭酸水素ナトリウム水溶液を加えてクロロホルムで5回抽出した。有機層を合わせて飽和食塩水で洗浄し、無水硫酸マグネシウムで乾燥後ろ過し、減圧濃縮することで(Z)-オクタデカ-9-エニルアミンの粗生成物を得た。
得られた粗生成物に(Z)-オクタデカ-9-エニル メタンスルホナート(0.832 g, 2.40 mmol)および50%水酸化ナトリウム水溶液(0.960 g、12.0 mmol)を加え、油浴上110℃で60分間攪拌した。室温まで冷却後、反応液を酢酸エチルで希釈し、水、ついで飽和食塩水で洗浄し、無水硫酸マグネシウムで乾燥後ろ過し、減圧濃縮した。得られた残渣をシリカゲルカラムクロマトグラフィー(クロロホルム/メタノール=100/0~95/5)で精製することにより、ジ((Z)-オクタデカ-9-エニル)アミン (0.562 g, 1.085 mmol, 収率36%)を得た。
ESI-MS m/z: 519(M + H)+; 1H-NMR(CDCl3) δ: 0.88(t, J = 6.7 Hz, 6H), 1.29(br s, 45H), 1.41-1.52(m, 4H), 1.97-2.05(m, 8H), 2.58(t, J = 7.2 Hz, 4H), 5.28-5.40(m, 4H).
工程2
工程1で得られるジ((Z)-オクタデカ-9-エニル)アミン (0.156 g、0.301 mmol)をクロロホルム(3 mL)に溶解させ、“ジャーナル・オブ・アメリカン・ケミカル・ソサイエティー(J.Am.Chem.Soc.)”,1981年,第103巻,p.4194-4199記載の方法に準じた方法で合成した3-(ジメチルアミノ)プロピル 4-ニトロフェニル カルボナート塩酸塩 (0.138 g、0.452 mmol)およびトリエチルアミン(0.168 mL, 1.21 mmol)を加え、マイクロ波反応装置を用いて110℃で60分間攪拌した。反応液に3-(ジメチルアミノ)プロピル 4-ニトロフェニル カルボナート塩酸塩 (22.9 mg、0.0753 mmol)を加え、マイクロ波反応装置を用いて110℃で20分間攪拌した。反応液に3-(ジメチルアミノ)プロピル 4-ニトロフェニル カルボナート塩酸塩 (22.9 mg、0.0753 mmol)を加え、マイクロ波反応装置を用いて110℃で20分間攪拌した。反応液に3-(ジメチルアミノ)プロピル 4-ニトロフェニル カルボナート塩酸塩 (22.9 mg、0.0753 mmol)を加え、マイクロ波反応装置を用いて110℃で20分間攪拌した。反応液をクロロホルムで希釈し、飽和炭酸水素ナトリウム水溶液で洗浄し、ついで飽和食塩水で洗浄し、無水硫酸マグネシウムで乾燥後ろ過し、減圧濃縮した。得られた残渣を少量のn-ヘキサン/酢酸エチル(1/4)に溶解してアミノ修飾シリカゲルのパッドに吸着させ、n-ヘキサン/酢酸エチル(1/4)で溶出し、減圧濃縮した。得られた残渣をシリカゲルカラムクロマトグラフィー(クロロホルム/メタノール=100/0~95/5)で精製することで標記の化合物 (0.173 g, 0.267 mmol, 収率89%)を得た。
ESI-MS m/z: 648(M + H)+; 1H-NMR(CDCl3) δ: 0.88(t, J= 6.6 Hz, 6H), 1.28(br s, 44H), 1.45-1.55(m, 4H), 1.75-1.85(m, 2H), 1.97-2.04(m, 8H), 2.23(s, 6H), 2.34(t, J= 7.6 Hz, 2H), 3.13-3.24(m, 4H), 4.10(t, J=6.4 Hz, 2H), 5.28-5.40(m, 4H).
Reference Example 37
3- (Dimethylmino) propyl di ((Z) -octadeca-9-enyl) carbamate (Compound CL-37)
Process 1
Add (Z) -octadeca-9-enyl methanesulfonate (1.04 g, 3.00 mmol) to ammonia (Tokyo Chemical Industry Co., Ltd., approx. 2 mol / L methanol solution, 12.0 mL, 24.0 mmol) And stirred at 130 ° C. for 3 hours. A saturated aqueous sodium hydrogen carbonate solution was added to the reaction mixture, and the mixture was extracted 5 times with chloroform. The organic layers were combined, washed with saturated brine, dried over anhydrous magnesium sulfate, filtered, and concentrated under reduced pressure to obtain a crude product of (Z) -octadeca-9-enylamine.
(Z) -octadeca-9-enyl methanesulfonate (0.832 g, 2.40 mmol) and 50% aqueous sodium hydroxide solution (0.960 g, 12.0 mmol) were added to the resulting crude product, and the mixture was heated at 110 ° C. on an oil bath at 60 ° C. Stir for minutes. After cooling to room temperature, the reaction mixture was diluted with ethyl acetate, washed with water and then with saturated brine, dried over anhydrous magnesium sulfate, filtered, and concentrated under reduced pressure. The obtained residue was purified by silica gel column chromatography (chloroform / methanol = 100/0 to 95/5) to give di ((Z) -octadeca-9-enyl) amine (0.562 g, 1.085 mmol, yield) 36%) was obtained.
ESI-MS m / z: 519 (M + H) + ; 1 H-NMR (CDCl 3 ) δ: 0.88 (t, J = 6.7 Hz, 6H), 1.29 (br s, 45H), 1.41-1.52 (m , 4H), 1.97-2.05 (m, 8H), 2.58 (t, J = 7.2 Hz, 4H), 5.28-5.40 (m, 4H).
Process 2
Di ((Z) -octadeca-9-enyl) amine (0.156 g, 0.301 mmol) obtained in Step 1 was dissolved in chloroform (3 mL), and “Journal of American Chemical Society (J. Am. Chem. Soc.) ”, 1981, Vol. 103, p. 4194-4199, 3- (dimethylamino) propyl 4-nitrophenyl carbonate hydrochloride (0.138 g, 0.452 mmol) And triethylamine (0.168 mL, 1.21 mmol) were added, and the mixture was stirred at 110 ° C. for 60 minutes using a microwave reactor. 3- (Dimethylamino) propyl 4-nitrophenyl carbonate hydrochloride (22.9 mg, 0.0753 mmol) was added to the reaction solution, and the mixture was stirred at 110 ° C. for 20 minutes using a microwave reactor. 3- (Dimethylamino) propyl 4-nitrophenyl carbonate hydrochloride (22.9 mg, 0.0753 mmol) was added to the reaction solution, and the mixture was stirred at 110 ° C. for 20 minutes using a microwave reactor. 3- (Dimethylamino) propyl 4-nitrophenyl carbonate hydrochloride (22.9 mg, 0.0753 mmol) was added to the reaction solution, and the mixture was stirred at 110 ° C. for 20 minutes using a microwave reactor. The reaction mixture was diluted with chloroform, washed with saturated aqueous sodium hydrogen carbonate solution, then washed with saturated brine, dried over anhydrous magnesium sulfate, filtered, and concentrated under reduced pressure. The obtained residue was dissolved in a small amount of n-hexane / ethyl acetate (1/4), adsorbed on a pad of amino-modified silica gel, eluted with n-hexane / ethyl acetate (1/4), and concentrated under reduced pressure. The obtained residue was purified by silica gel column chromatography (chloroform / methanol = 100/0 to 95/5) to give the title compound (0.173 g, 0.267 mmol, yield 89%).
ESI-MS m / z: 648 (M + H) + ; 1 H-NMR (CDCl 3 ) δ: 0.88 (t, J = 6.6 Hz, 6H), 1.28 (br s, 44H), 1.45-1.55 (m , 4H), 1.75-1.85 (m, 2H), 1.97-2.04 (m, 8H), 2.23 (s, 6H), 2.34 (t, J = 7.6 Hz, 2H), 3.13-3.24 (m, 4H), 4.10 (t, J = 6.4 Hz, 2H), 5.28-5.40 (m, 4H).
参考例38
(11Z,14Z)-N-(2-(((Z)-オクタデカ-9-エン-1-イル)オキシ)エチル)イコサ-11,14-ジエン-1-アミン (化合物CL-38)
CL-38は、国際公開第2014/007398号に記載の方法に準ずる方法で合成した。
ESI-MS m/z: 588
Reference Example 38
(11Z, 14Z) -N- (2-(((Z) -Octadeca-9-en-1-yl) oxy) ethyl) icosa-11,14-dien-1-amine (Compound CL-38)
CL-38 was synthesized by a method according to the method described in International Publication No. 2014/007398.
ESI-MS m / z: 588
参考例39
(9Z,12Z)-N-(2-(((Z)-イコサ-11-エン-1-イル)オキシ)エチル)オクタデカ-9,12-ジエン-1-アミン (化合物CL-39)
CL-39は、国際公開第2014/007398号に記載の方法に準ずる方法で合成した。
ESI-MS m/z: 588
Reference Example 39
(9Z, 12Z) -N- (2-(((Z) -Icosa-11-en-1-yl) oxy) ethyl) octadeca-9,12-dien-1-amine (Compound CL-39)
CL-39 was synthesized by a method according to the method described in International Publication No. 2014/007398.
ESI-MS m / z: 588
参考例40
(11Z,14Z)-N-(2-(((Z)-イコサ-11-エン-1-イル)オキシ)エチルイコサ-11,14-ジエン-1-アミン (化合物CL-40)
CL-40は、国際公開第2014/007398号に記載の方法に準ずる方法で合成した。
ESI-MS m/z: 616
Reference Example 40
(11Z, 14Z) -N- (2-(((Z) -Icosa-11-en-1-yl) oxy) ethyl icosa-11,14-dien-1-amine (Compound CL-40)
CL-40 was synthesized by a method according to the method described in International Publication No. 2014/007398.
ESI-MS m / z: 616
参考例41
(Z)-N-(2-(((Z)-オクタデカ-9-エン-1-イル)オキシ)エチル)オクタデカ-9-エン-1-アミン (化合物CL-41)
CL-41は、国際公開第2014/007398号に記載の方法に準ずる方法で合成した。
ESI-MS m/z: 562
Reference Example 41
(Z) -N- (2-(((Z) -octadeca-9-en-1-yl) oxy) ethyl) octadeca-9-en-1-amine (Compound CL-41)
CL-41 was synthesized by a method according to the method described in International Publication No. 2014/007398.
ESI-MS m / z: 562
参考例42
ビス(2-(((11Z,14Z)-イコサ-11,14-ジエン-1-イル)オキシ)エチル)アミン (化合物CL-42)
CL-42は、国際公開第2011/136368号に記載の方法に準ずる方法で合成した。
ESI-MS m/z: 658
Reference Example 42
Bis (2-(((11Z, 14Z) -icosa-11,14-dien-1-yl) oxy) ethyl) amine (Compound CL-42)
CL-42 was synthesized by a method according to the method described in International Publication No. 2011/136368.
ESI-MS m / z: 658
参考例43
(Z)-N-(2-(((Z)-オクタデカ-9-エン-1-イル)オキシ)エチル)ヘキサデカ-9-エン-1-アミン (化合物CL-43)
CL-43は、国際公開第2014/007398号に記載の方法に準ずる方法で合成した。
ESI-MS m/z:534
Reference Example 43
(Z) -N- (2-(((Z) -octadeca-9-en-1-yl) oxy) ethyl) hexadeca-9-en-1-amine (Compound CL-43)
CL-43 was synthesized by a method according to the method described in International Publication No. 2014/007398.
ESI-MS m / z: 534
参考例44
(Z)-N-(2-(オクタデカ-9-エン-1-イルオキシ)エチル)オクタデカン-1-アミン (化合物CL-44)
CL-44は、国際公開第2014/007398号に記載の方法に準ずる方法で合成した。
ESI-MS m/z: 564
Reference Example 44
(Z) -N- (2- (Octadec-9-en-1-yloxy) ethyl) octadecan-1-amine (Compound CL-44)
CL-44 was synthesized by a method according to the method described in International Publication No. 2014/007398.
ESI-MS m / z: 564
参考例45
(Z)-N-(2-(オクタデカ-9-エン-1-イルオキシ)エチル)テトラデカン-1-アミン (化合物CL-45)
CL-45は、国際公開第2014/007398号に記載の方法に準ずる方法で合成した。
ESI-MS m/z: 508
Reference Example 45
(Z) -N- (2- (Octadec-9-en-1-yloxy) ethyl) tetradecan-1-amine (Compound CL-45)
CL-45 was synthesized by a method according to the method described in International Publication No. 2014/007398.
ESI-MS m / z: 508
参考例46
3-((3R,4R)-3,4-ビス(((9Z,12Z)-オクタデカ-9,12-ジエン-1-イル)オキシ)ピロリジン-1-イル)プロパン-1,2-ジオール (化合物CL-46)
CL-46は、国際公開第2011/136368号に記載の方法で合成した。
Reference Example 46
3-((3R, 4R) -3,4-bis (((9Z, 12Z) -octadeca-9,12-dien-1-yl) oxy) pyrrolidin-1-yl) propane-1,2-diol ( Compound CL-46)
CL-46 was synthesized by the method described in International Publication No. 2011/136368.
参考例47
ビス(2-(((Z)-オクタデカ-9-エン-1-イル)オキシ)エチル)アミン (化合物CL-47)
CL-47は、国際公開第2011/136368号に記載の方法で合成した。
Reference Example 47
Bis (2-((((Z) -octadeca-9-en-1-yl) oxy) ethyl) amine (Compound CL-47)
CL-47 was synthesized by the method described in International Publication No. 2011/136368.
参考例48
3-(ビス(2-(((Z)-オクタデカ-9-エン-1-イル)オキシ)エチル)アミノ)プロパン-1,2-ジオール (化合物CL-48)
CL-48は、国際公開第2011/136368号に記載の方法で合成した。
Reference Example 48
3- (Bis (2-(((Z) -octadeca-9-en-1-yl) oxy) ethyl) amino) propane-1,2-diol (Compound CL-48)
CL-48 was synthesized by the method described in International Publication No. 2011/136368.
参考例49
3-(ビス(2-(((Z)-オクタデカ-9-エン-1-イル)オキシ)エチル)アミノ)プロパンアミド(化合物CL-49)
CL-49は、国際公開第2011/136368号に記載の方法で合成した。
Reference Example 49
3- (Bis (2-(((Z) -octadeca-9-en-1-yl) oxy) ethyl) amino) propanamide (Compound CL-49)
CL-49 was synthesized by the method described in International Publication No. 2011/136368.
参考例50
(9Z,12Z)-N-(2-(2-(((Z)-オクタデカ-9-エン-1-イル)オキシ)エトキシ)エチル)オクタデカ-9,12-ジエン-1-アミン (化合物CL-50)
CL-50は、国際公開第2014/007398号に記載の方法に準ずる方法で合成した。
ESI-MS m/z: 604
Reference Example 50
(9Z, 12Z) -N- (2- (2-(((Z) -Octadeca-9-en-1-yl) oxy) ethoxy) ethyl) octadeca-9,12-dien-1-amine (Compound CL -50)
CL-50 was synthesized by a method according to the method described in International Publication No. 2014/007398.
ESI-MS m / z: 604
参考例51
ジ((Z)-ノナ-2-エン-1-イル) 9-((4-(ジメチルアミノ)ブタノイル)オキシ)ヘプタデカンジオアート(化合物CL-51)
CL-51は、国際公開第2011/153493に記載の方法で合成した。
Reference Example 51
Di ((Z) -non-2-en-1-yl) 9-((4- (dimethylamino) butanoyl) oxy) heptadecandioate (Compound CL-51)
CL-51 was synthesized by the method described in International Publication No. 2011/153493.
参考例52
ジ((Z)-ノナ-2-エン-1-イル) 8,8'-((((2-(ジメチルアミノ)エチル)チオ)カルボニル)アザンジイル)ジオクタノアート(化合物CL-52)
CL-52は、国際公開第2017/023817に記載の方法で合成した。
Reference Example 52
Di ((Z) -non-2-en-1-yl) 8,8 '-((((2- (dimethylamino) ethyl) thio) carbonyl) azanediyl) dioctanoate (Compound CL-52)
CL-52 was synthesized by the method described in International Publication No. 2017/023817.
参考例53
2-(ジメチルアミノ)-N-(2-(((Z)-オクタデカ-9-エン-1-イル)オキシ)エチル)-N-((9Z,12Z)-オクタデカ-9,12-ジエン-1-イル)アセトアミド(化合物CL-53)
CL-53は、国際公開第2014/007398に記載の方法に準ずる方法で合成した。
Reference Example 53
2- (Dimethylamino) -N- (2-(((Z) -octadeca-9-en-1-yl) oxy) ethyl) -N-((9Z, 12Z) -octadeca-9,12-diene- 1-yl) acetamide (Compound CL-53)
CL-53 was synthesized by a method according to the method described in International Publication No. 2014/007398.
参考例54
3-((2-(((Z)-オクタデカ-9-エン-1-イル)オキシ)エチル)((9Z,12Z)-オクタデカ-9,12-ジエン-1-イル)アミノ)プロパン-1-オール(化合物CL-54)
CL-54は、国際公開第2014/007398に記載の方法に準ずる方法で合成した。
Reference Example 54
3-((2-(((Z) -octadeca-9-en-1-yl) oxy) ethyl) ((9Z, 12Z) -octadeca-9,12-dien-1-yl) amino) propane-1 -All (compound CL-54)
CL-54 was synthesized by a method according to the method described in International Publication No. 2014/007398.
参考例55
1-メチル-3,3-ビス((((9Z,12Z)-オクタデカ-9,12-ジエン-1-イル)オキシ)メチル)アゼチジン(化合物CL-55)
CL-55は、国際公開第2012/108397に記載の方法で合成した。
Reference Example 55
1-Methyl-3,3-bis ((((9Z, 12Z) -octadeca-9,12-dien-1-yl) oxy) methyl) azetidine (Compound CL-55)
CL-55 was synthesized by the method described in International Publication No. 2012/108397.
参考例56
1-メチル-3,3-ビス(2-(((9Z,12Z)-オクタデカ-9,12-ジエン-1-イル)オキシ)エチル)アゼチジン (化合物CL-56)
CL-56は、国際公開第2016/002753に記載の方法で合成した。
Reference Example 56
1-Methyl-3,3-bis (2-(((9Z, 12Z) -octadeca-9,12-dien-1-yl) oxy) ethyl) azetidine (Compound CL-56)
CL-56 was synthesized by the method described in International Publication No. 2016/002753.
参考例57
1-メチル-3,3-ビス(2-(((9Z,12Z)-オクタデカ-9,12-ジエン-1-イル)オキシ)プロピル)アゼチジン (化合物CL-57)
CL-57は、国際公開第2016/002753に記載の方法で合成した。
Reference Example 57
1-Methyl-3,3-bis (2-(((9Z, 12Z) -octadeca-9,12-dien-1-yl) oxy) propyl) azetidine (Compound CL-57)
CL-57 was synthesized by the method described in International Publication No. 2016/002753.
参考例58
2-(3,3-ジ((9Z,12Z)-オクタデカ-9,12-ジエン-1-イル)アゼチジン-1-イル)エタン-1-オール (化合物CL-58)
CL-58は、国際公開第2016/002753に記載の方法で合成した。
Reference Example 58
2- (3,3-di ((9Z, 12Z) -octadeca-9,12-dien-1-yl) azetidin-1-yl) ethan-1-ol (Compound CL-58)
CL-58 was synthesized by the method described in International Publication No. 2016/002753.
参考例59
2-(3,3-ジ((9Z,12Z)-オクタデカ-9,12-ジエン-1-イル)アゼチジン-1-イル)プロパン-1-オール(化合物CL-59)
CL-59は、国際公開第2016/002753に記載の方法で合成した。
Reference Example 59
2- (3,3-di ((9Z, 12Z) -octadeca-9,12-dien-1-yl) azetidin-1-yl) propan-1-ol (compound CL-59)
CL-59 was synthesized by the method described in International Publication No. 2016/002753.
参考例60
3-(ジメチルアミノ)プロピル 3,3-ジ((9Z,12Z)-オクタデカ-9,12-ジエン-1-イル)アゼチジン-1-カルボキシラート(化合物CL-60)
CL-60は、国際公開第2016/002753に記載の方法で合成した。
Reference Example 60
3- (Dimethylamino) propyl 3,3-di ((9Z, 12Z) -octadeca-9,12-dien-1-yl) azetidine-1-carboxylate (Compound CL-60)
CL-60 was synthesized by the method described in International Publication No. 2016/002753.
参考例61
2-(ジ((Z)-オクタデカ-9-エン-1-イル)アミノ)エタン-1-オール(化合物CL-61)
CL-61は、国際公開第2014/007398に記載の方法で合成した。
Reference Example 61
2- (Di ((Z) -octadeca-9-en-1-yl) amino) ethane-1-ol (Compound CL-61)
CL-61 was synthesized by the method described in International Publication No. 2014/007398.
参考例62
3-(ジ((Z)-オクタデカ-9-エン-1-イル)アミノ)プロパン-1-オール(化合物CL-62)
CL-62は、国際公開第2014/007398に記載の方法で合成した。
Reference Example 62
3- (Di ((Z) -octadeca-9-en-1-yl) amino) propan-1-ol (Compound CL-62)
CL-62 was synthesized by the method described in International Publication No. 2014/007398.
参考例63
(11Z,14Z)-2-((ジメチルアミノ)メチル)-2-((9Z,12Z)-オクタデカ-9,12-ジエン-1-イル)イコサ-11,14-ジエン-1-オール(化合物CL-63)
工程1
(9Z,12Z)-オクタデカ-9,12-ジエン-1-イルメタンスルホネート(7.62 g, 22.1 mmol)のテトラヒドロフラン(30.0 mL) 溶液に、エチル2-シアノアセテート(0.943 mL, 8.84 mmol)、水素化ナトリウム(1.06 g, 26.5 mmol)、テトラブチルアンモニウムヨージド(3.27 g, 8.84 mmol)を加え、60℃で2時間攪拌した。反応液に水を加え、ヘプタンで抽出した。有機層を無水硫酸マグネシウムで乾燥し、ろ過し、減圧下濃縮した。得られた残渣をシリカゲルカラムクロマトグラフィー(ヘプタン/酢酸エチル = 99/1~85/15)で精製してエチル(11Z,14Z)-2-シアノ-2-((9Z,12Z)-オクタデカ-9,12-ジエン-1-イル)イコサ-11,14-ジエノエイト (3.50 g, 5.74 mmol, 収率64.9%)を得た。
エチル(11Z,14Z)-2-シアノ-2-((9Z,12Z)-オクタデカ-9,12-ジエン-1-イル)イコサ-11,14-ジエノエイト(1.50 g, 2.46 mmol)のテトラヒドロフラン(10.0 mL) 溶液に水素化アルミニウムリチウム(0.467 g, 12.3 mmol)を加え、氷冷下で30分間撹拌した。反応液に水、水酸化ナトリウム、水を1:1:3の割合で加え、無水硫酸マグネシウムで乾燥し、ろ過し、減圧下濃縮した。得られた残渣をシリカゲルカラムクロマトグラフィー(クロロホルム/メタノール = 90/10)で精製して(11Z,14Z)-2-(アミノメチル)-2-((9Z,12Z)-オクタデカ-9,12-ジエン-1-イル)イコサ-11,14-ジエン-1-オール (1.00 g, 1.75 mmol, 収率71.1%)を得た。
ESI-MS m/z: 573 (M + H)+.
工程2
(11Z,14Z)-2-(アミノメチル)-2-((9Z,12Z)-オクタデカ-9,12-ジエン-1-イル)イコサ-11,14-ジエン-1-オール(0.200 g, 0.350 mmol)のジクロロエタン(2.00 mL) 溶液にパラホルムアルデヒド溶液(0.276 g, 3.50 mmol, 37%メタノール溶液)、水素化トリアセトキシホウ素ナトリウム(1.48 g, 6.99 mmol)を加え、室温で3時間撹拌した。反応液に水を加え、クロロホルムを用いて抽出した。有機層を無水硫酸マグネシウムで乾燥し、ろ過し、減圧下濃縮した。得られた残渣をシリカゲルカラムクロマトグラフィー(クロロホルム/メタノール = 99/1~85/15)で精製して標記化合物(0.0280 g, 0.0470 mmol, 収率13.3%)を得た。
ESI-MS m/z: 601 (M)+; 1H-NMR (CDCl3) δ: 0.89 (t, J = 6.8 Hz, 6H), 1.23-1.29 (m, 40H), 2.05 (q, J= 6.8 Hz, 8H), 2.32 (s, 6H), 2.40 (s, 2H), 2.77 (dd, J = 9.8, 3.4 Hz, 4H), 3.53 (s, 2H), 5.29-5.42 (m, 8H).
Reference Example 63
(11Z, 14Z) -2-((Dimethylamino) methyl) -2-((9Z, 12Z) -octadeca-9,12-dien-1-yl) icosa-11,14-dien-1-ol (compound CL-63)
Process 1
Ethyl 2-cyanoacetate (0.943 mL, 8.84 mmol), hydrogenated to a solution of (9Z, 12Z) -octadeca-9,12-dien-1-ylmethanesulfonate (7.62 g, 22.1 mmol) in tetrahydrofuran (30.0 mL) Sodium (1.06 g, 26.5 mmol) and tetrabutylammonium iodide (3.27 g, 8.84 mmol) were added, and the mixture was stirred at 60 ° C. for 2 hours. Water was added to the reaction solution and extracted with heptane. The organic layer was dried over anhydrous magnesium sulfate, filtered and concentrated under reduced pressure. The obtained residue was purified by silica gel column chromatography (heptane / ethyl acetate = 99/1 to 85/15) to obtain ethyl (11Z, 14Z) -2-cyano-2-((9Z, 12Z) -octadeca-9 , 12-Dien-1-yl) icosa-11,14-dienoate (3.50 g, 5.74 mmol, yield 64.9%).
Ethyl (11Z, 14Z) -2-cyano-2-((9Z, 12Z) -octadeca-9,12-dien-1-yl) icosa-11,14-dienoate (1.50 g, 2.46 mmol) in tetrahydrofuran (10.0 mL) Lithium aluminum hydride (0.467 g, 12.3 mmol) was added to the solution, and the mixture was stirred for 30 minutes under ice cooling. Water, sodium hydroxide, and water were added to the reaction solution at a ratio of 1: 1: 3, dried over anhydrous magnesium sulfate, filtered, and concentrated under reduced pressure. The obtained residue was purified by silica gel column chromatography (chloroform / methanol = 90/10) to obtain (11Z, 14Z) -2- (aminomethyl) -2-((9Z, 12Z) -octadeca-9,12- Dien-1-yl) icosa-11,14-dien-1-ol (1.00 g, 1.75 mmol, yield 71.1%) was obtained.
ESI-MS m / z: 573 (M + H) + .
Process 2
(11Z, 14Z) -2- (Aminomethyl) -2-((9Z, 12Z) -octadeca-9,12-dien-1-yl) icosa-11,14-dien-1-ol (0.200 g, 0.350 mmol) in dichloroethane (2.00 mL) were added a paraformaldehyde solution (0.276 g, 3.50 mmol, 37% methanol solution) and sodium triacetoxyborohydride (1.48 g, 6.99 mmol), and the mixture was stirred at room temperature for 3 hours. Water was added to the reaction solution, and the mixture was extracted with chloroform. The organic layer was dried over anhydrous magnesium sulfate, filtered and concentrated under reduced pressure. The obtained residue was purified by silica gel column chromatography (chloroform / methanol = 99/1 to 85/15) to obtain the title compound (0.0280 g, 0.0470 mmol, yield 13.3%).
ESI-MS m / z: 601 (M) + ; 1 H-NMR (CDCl 3 ) δ: 0.89 (t, J = 6.8 Hz, 6H), 1.23-1.29 (m, 40H), 2.05 (q, J = 6.8 Hz, 8H), 2.32 (s, 6H), 2.40 (s, 2H), 2.77 (dd, J = 9.8, 3.4 Hz, 4H), 3.53 (s, 2H), 5.29-5.42 (m, 8H).
参考例64
(11Z,14Z)-2-(ジメチルアミノ)-2-((9Z,12Z)-オクタデカ-9,12-ジエン-1-yl)イコサ-11,14-ジエン-1-オール(化合物CL-64)
工程1
水素化ナトリウム (1.21 g, 30.3 mmol) の THF (30.0 mL) 溶液にマロン酸 tert-ブチルエチル (東京化成工業社製, 2.00 mL, 10.1 mmol)、よう化テトラ‐n‐ブチルアンモニウム (ナカライテスク社製, 0.746 g, 2.02 mmol)、(9Z,12Z)-オクタデカ-9,12-ジエニル メタンスルホナート (ニューチェック・プレップ・インク(Nu-Chek Prep,Inc)社製, 8.70 g, 25.2 mmol) を加えて、加熱還流下、2時間攪拌した。反応液に飽和食塩水を加えて、酢酸エチルで抽出した。有機層を無水硫酸マグネシウムで乾燥し、ろ過し、減圧下溶媒を留去した。得られた残渣をシリカゲルカラムクロマトグラフィー (ヘキサン/酢酸エチル = 95/5) で精製して、1-tert-ブチル 3-エチル 2,2-ジ((9Z,12Z)-オクタデカ-9,12-ジエン-1-イル)マロン酸 (5.52 g, 80.0%) を得た。
工程2
1-tert-ブチル 3-エチル 2,2-ジ((9Z,12Z)-オクタデカ-9,12-ジエン-1-イル)マロン酸 (5.52 g, 8.06 mmol) のジクロロメタン (30.0 mL) 溶液にトリフルオロ酢酸 (5.00 mL, 64.9 mmol) を加えて、室温にて30分攪拌した。反応液を減圧下濃縮した。残渣をクロロホルムと飽和重曹水で分液した。有機層を飽和食塩水で洗浄し、無水硫酸マグネシウムで乾燥し、ろ過し、減圧下溶媒を留去した。得られた残渣をシリカゲルカラムクロマトグラフィー (クロロホルム/メタノール = 95/5) で精製して (11Z,14Z)-2-(エトキシカルボニル)-2-((9Z,12Z)-オクタデカ-9,12-ジエン-1-イル)イコサ-11,14-ジエン酸 (4.04 g, 6.42 mmol, 80.0%) を得た。
工程3
(11Z,14Z)-2-(エトキシカルボニル)-2-((9Z,12Z)-オクタデカ-9,12-ジエン-1-イル)イコサ-11,14-ジエン酸 (0.284 g, 0.452 mmol) のトルエン (3.00 mL) 溶液に、トリエチルアミン (0.315 mL, 2.26 mmol)、ジフェニルホスホリルアジド (東京化成工業社製, 0.121 mL, 0.542 mmol) を加えて、室温にて1時間攪拌した。反応液に水 (0.0200 mL, 1.11 mmol) を加えて、加熱還流下5時間攪拌した。反応液に水を加えて、酢酸エチルで抽出した。有機層を無水硫酸マグネシウムで乾燥し、ろ過し、減圧下溶媒を留去した。得られた残渣をシリカゲルカラムクロマトグラフィー (ヘキサン/酢酸エチル = 80/20) で精製して、 (11Z,14Z)-2-アミノ-2-((9Z,12Z)-オクタデカ-9,12-ジエン-1-イル)イコサ-11,14-ジエン酸エチル (0.0457 g, 0.0762 mmol, 17.0%) を得た。
ESI-MS m/z: 601 (M + H)+.
工程4
(11Z,14Z)-2-アミノ-2-((9Z,12Z)-オクタデカ-9,12-ジエン-1-イル)イコサ-11,14-ジエン酸エチル (0.299 g, 0.498 mmol) のTHF (3.00 mL) 溶液に、水素化リチウムアルミニウム (純正化学社製, 0.0190 g, 0.498 mmol) を加えて、室温で30分攪拌した。反応液に水、水酸化ナトリウム水溶液を加えて、不溶物をセライト濾過で除き、濾液を減圧濃縮した。得られた残渣をアミノシリカゲルカラムクロマトグラフィー (ヘキサン/酢酸エチル = 50/50) で精製して (11Z,14Z)-2-アミノ-2-((9Z,12Z)-オクタデカ-9,12-ジエン-1-イル)イコサ-11,14-ジエン-1-オール(0.0667 g, 0.120 mmol, 24.0%) を得た。
ESI-MS m/z: 559 (M + H)+ .
工程5
(11Z,14Z)-2-アミノ-2-((9Z,12Z)-オクタデカ-9,12-ジエン-1-イル)イコサ-11,14-ジエン-1-オール (0.0664 g, 0.119 mmol) のジクロロエタン (1.00 mL) 溶液に、ホルムアルデヒド (0.500 mL, 6.72 mmol)、ナトリウムトリアセトキシボロヒドリド (東京化成工業社製, 0.101 g, 0.476 mmol) を加えて、室温にて終夜撹拌した。反応溶液に飽和炭酸水素ナトリウム水溶液を加え、酢酸エチルで抽出した。有機層を飽和塩化ナトリウム水溶液で洗浄し、無水硫酸マグネシウムで乾燥後ろ過し、減圧下濃縮した。得られた残渣をシリカゲルカラムクロマトグラフィー (クロロホルム/メタノール = 80/20) で精製して標記化合物 (0.0474 g, 0.0809 mmol, 68.0%)を得た。
ESI-MS m/z: 587 (M + H)+; 1H-NMR (CDCl3) δ: 0.89 (t, J = 7.0 Hz, 6H), 1.24-1.39 (m, 40H), 2.05 (q, J= 6.8 Hz, 8H), 2.38 (s, 6H), 2.77 (t, J= 6.7 Hz, 4H), 5.29-5.42 (m, 8H).
Reference Example 64
(11Z, 14Z) -2- (Dimethylamino) -2-((9Z, 12Z) -octadeca-9,12-dien-1-yl) icosa-11,14-dien-1-ol (Compound CL-64 )
Process 1
Sodium hydride (1.21 g, 30.3 mmol) in THF (30.0 mL) was added to tert-butylethyl malonate (Tokyo Chemical Industry, 2.00 mL, 10.1 mmol), tetra-n-butylammonium iodide (Nacalai Tesque) , 0.746 g, 2.02 mmol), (9Z, 12Z) -octadeca-9,12-dienyl methanesulfonate (manufactured by Nu-Chek Prep, Inc., 8.70 g, 25.2 mmol) And stirred for 2 hours under reflux. Saturated brine was added to the reaction mixture, and the mixture was extracted with ethyl acetate. The organic layer was dried over anhydrous magnesium sulfate, filtered, and the solvent was removed under reduced pressure. The obtained residue was purified by silica gel column chromatography (hexane / ethyl acetate = 95/5) to give 1-tert-butyl 3-ethyl 2,2-di ((9Z, 12Z) -octadeca-9,12- Dien-1-yl) malonic acid (5.52 g, 80.0%) was obtained.
Process 2
1-tert-butyl 3-ethyl 2,2-di ((9Z, 12Z) -octadeca-9,12-dien-1-yl) malonic acid (5.52 g, 8.06 mmol) in dichloromethane (30.0 mL) Fluoroacetic acid (5.00 mL, 64.9 mmol) was added, and the mixture was stirred at room temperature for 30 minutes. The reaction solution was concentrated under reduced pressure. The residue was partitioned between chloroform and saturated aqueous sodium bicarbonate. The organic layer was washed with saturated brine, dried over anhydrous magnesium sulfate, filtered, and the solvent was evaporated under reduced pressure. The obtained residue was purified by silica gel column chromatography (chloroform / methanol = 95/5) to give (11Z, 14Z) -2- (ethoxycarbonyl) -2-((9Z, 12Z) -octadeca-9,12- Dien-1-yl) icosa-11,14-dienoic acid (4.04 g, 6.42 mmol, 80.0%) was obtained.
Process 3
Of (11Z, 14Z) -2- (ethoxycarbonyl) -2-((9Z, 12Z) -octadeca-9,12-dien-1-yl) icosa-11,14-dienoic acid (0.284 g, 0.452 mmol) Triethylamine (0.315 mL, 2.26 mmol) and diphenylphosphoryl azide (manufactured by Tokyo Chemical Industry Co., Ltd., 0.121 mL, 0.542 mmol) were added to a toluene (3.00 mL) solution, and the mixture was stirred at room temperature for 1 hour. Water (0.0200 mL, 1.11 mmol) was added to the reaction solution, and the mixture was stirred for 5 hours with heating under reflux. Water was added to the reaction mixture, and the mixture was extracted with ethyl acetate. The organic layer was dried over anhydrous magnesium sulfate, filtered, and the solvent was removed under reduced pressure. The obtained residue was purified by silica gel column chromatography (hexane / ethyl acetate = 80/20) to obtain (11Z, 14Z) -2-amino-2-((9Z, 12Z) -octadeca-9,12-diene. Ethyl-1-yl) icosa-11,14-dienoate (0.0457 g, 0.0762 mmol, 17.0%) was obtained.
ESI-MS m / z: 601 (M + H) + .
Process 4
(11Z, 14Z) -2-Amino-2-((9Z, 12Z) -octadeca-9,12-dien-1-yl) icosa-11,14-dienoic acid ethyl ester (0.299 g, 0.498 mmol) in THF ( 3.00 mL) Lithium aluminum hydride (Pure Chemical Co., Ltd., 0.0190 g, 0.498 mmol) was added to the solution, and the mixture was stirred at room temperature for 30 minutes. Water and an aqueous sodium hydroxide solution were added to the reaction solution, insoluble matters were removed by Celite filtration, and the filtrate was concentrated under reduced pressure. The resulting residue was purified by amino silica gel column chromatography (hexane / ethyl acetate = 50/50) to give (11Z, 14Z) -2-amino-2-((9Z, 12Z) -octadeca-9,12-diene. -1-yl) icosa-11,14-dien-1-ol (0.0667 g, 0.120 mmol, 24.0%) was obtained.
ESI-MS m / z: 559 (M + H) + .
Process 5
Of (11Z, 14Z) -2-amino-2-((9Z, 12Z) -octadeca-9,12-dien-1-yl) icosa-11,14-dien-1-ol (0.0664 g, 0.119 mmol) To a dichloroethane (1.00 mL) solution, formaldehyde (0.500 mL, 6.72 mmol) and sodium triacetoxyborohydride (manufactured by Tokyo Chemical Industry Co., Ltd., 0.101 g, 0.476 mmol) were added and stirred overnight at room temperature. A saturated aqueous sodium hydrogen carbonate solution was added to the reaction solution, and the mixture was extracted with ethyl acetate. The organic layer was washed with a saturated aqueous sodium chloride solution, dried over anhydrous magnesium sulfate, filtered, and concentrated under reduced pressure. The obtained residue was purified by silica gel column chromatography (chloroform / methanol = 80/20) to obtain the title compound (0.0474 g, 0.0809 mmol, 68.0%).
ESI-MS m / z: 587 (M + H) + ; 1 H-NMR (CDCl 3 ) δ: 0.89 (t, J = 7.0 Hz, 6H), 1.24-1.39 (m, 40H), 2.05 (q, J = 6.8 Hz, 8H), 2.38 (s, 6H), 2.77 (t, J = 6.7 Hz, 4H), 5.29-5.42 (m, 8H).
参考例65
3-(ジメチルアミノ)-2,2-ビス((((9Z,12Z)-オクタデカ-9,12-ジエン-1-イル)オキシ)メチル)プロパン-1-オール(化合物CL-65)
2-(ブロモメチル)-2-(ヒドロキシメチル)プロパン-1,3-ジオール(1.52 g, 7.56 mmol)にジメチルアミン溶液(15.0 mL, 30.0 mmol, 2M in THF)を加え、マイクロウェーブ照射下で120℃、15時間攪拌した。反応液に水酸化リチウムを加え、ろ過した。ろ液を減圧下濃縮し、2-((ジメチルアミノ)メチル)-2-(ヒドロキシメチル)プロパン-1,3-ジオール (1.23 g, 定量的)を得た。
2-((ジメチルアミノ)メチル)-2-(ヒドロキシメチル)プロパン-1,3-ジオール(1.23 g, 7.56 mmol)のトルエン(30.0 mL) 溶液に水素化ナトリウム(0.756 g, 18.9 mmol)、(9Z,12Z)-オクタデカ-9,12-ジエン-1-イルメタンスルホネート(6.51 g, 18.9 mmol)を加え、加熱還流下で終夜撹拌した。反応液に飽和食塩水を加え、ヘキサンを用いて抽出した。有機層を無水硫酸マグネシウムで乾燥し、ろ過し、減圧下濃縮した。得られた残渣をシリカゲルカラムクロマトグラフィー(クロロホルム/メタノール = 90/10)、アミノシリカゲルカラムクロマトグラフィー(ヘキサン/酢酸エチル = 90/10)で精製して標記化合物(1.80 g, 2.73 mmol, 収率36.1%)を得た。
ESI-MS m/z: 661 (M)+; 1H-NMR (CDCl3) δ: 0.89 (t, J = 7.0 Hz, 6H), 1.24-1.39 (m, 32H), 1.50-1.56 (m, 4H), 2.05 (q, J = 6.8 Hz, 8H), 2.30 (s, 6H), 2.53 (s, 2H), 2.77 (t, J = 6.3 Hz, 4H), 3.30-3.41 (m, 8H), 3.71 (s, 2H), 5.29-5.42 (m, 8H).
Reference Example 65
3- (Dimethylamino) -2,2-bis ((((9Z, 12Z) -octadeca-9,12-dien-1-yl) oxy) methyl) propan-1-ol (Compound CL-65)
Dimethylamine solution (15.0 mL, 30.0 mmol, 2M in THF) was added to 2- (bromomethyl) -2- (hydroxymethyl) propane-1,3-diol (1.52 g, 7.56 mmol), and 120 μm under microwave irradiation. Stir at 15 ° C. for 15 hours. Lithium hydroxide was added to the reaction solution and filtered. The filtrate was concentrated under reduced pressure to obtain 2-((dimethylamino) methyl) -2- (hydroxymethyl) propane-1,3-diol (1.23 g, quantitative).
To a solution of 2-((dimethylamino) methyl) -2- (hydroxymethyl) propane-1,3-diol (1.23 g, 7.56 mmol) in toluene (30.0 mL), sodium hydride (0.756 g, 18.9 mmol), ( 9Z, 12Z) -Octadeca-9,12-dien-1-ylmethanesulfonate (6.51 g, 18.9 mmol) was added, and the mixture was stirred overnight with heating under reflux. Saturated saline was added to the reaction solution, and the mixture was extracted with hexane. The organic layer was dried over anhydrous magnesium sulfate, filtered and concentrated under reduced pressure. The obtained residue was purified by silica gel column chromatography (chloroform / methanol = 90/10) and amino silica gel column chromatography (hexane / ethyl acetate = 90/10) to give the title compound (1.80 g, 2.73 mmol, yield 36.1). %).
ESI-MS m / z: 661 (M) + ; 1 H-NMR (CDCl 3 ) δ: 0.89 (t, J = 7.0 Hz, 6H), 1.24-1.39 (m, 32H), 1.50-1.56 (m, 4H), 2.05 (q, J = 6.8 Hz, 8H), 2.30 (s, 6H), 2.53 (s, 2H), 2.77 (t, J = 6.3 Hz, 4H), 3.30-3.41 (m, 8H), 3.71 (s, 2H), 5.29-5.42 (m, 8H).
参考例66
((2-((2-(ジメチルアミノ)エチル)チオ)アセチル)アザンジイル)ビス(エタン-2,1-ジイル) ジテトラデカノアート(化合物CL-66)
CL-62は、国際公開第2012/170952に記載の方法で合成した。
Reference Example 66
((2-((2- (Dimethylamino) ethyl) thio) acetyl) azanediyl) bis (ethane-2,1-diyl) ditetradecanoate (compound CL-66)
CL-62 was synthesized by the method described in International Publication No. 2012/170952.
実施例34で得られたII-25、参考例1で得られたCL-1および1,2-ジミリストイル-sn-グリセロ-3-ホスホエタノールアミン-N-[メトキシ(ポリエチレングリコール)-2000] (PEG-DMPE)、1,2-ジステアロイル-sn-グリセロ-3-ホスホコリン(DSPC)、コレステロールを用いて、以下のように核酸含有脂質ナノ粒子を含有する製剤1を製造した。
用いた核酸はセンス鎖(5‘―CCGUCGUAUUCGUGAGCAAGA―3’)と、アンチセンス鎖(5‘―UUGCUCACGAAUACGACGGUG―3’)の塩基配列からなる、ルシフェラーゼ(以下Lucと表す) 遺伝子の発現を抑制するsiRNAであり、ジーンデザイン社(GeneDesign社)から入手した(以下、「Luc siRNA」)。PEG-DMPE、DSPC、コレステロールは日油から入手した。
II-25は5 mg/mLとなるように100%エタノールに溶解し、脂質ストック溶液とした。CL-1、PEG-DMPE、DSPC、コレステロールは各々20 mg/mLとなるように100%エタノールに溶解し、脂質ストック溶液とした。各脂質ストック溶液は、-20℃で保管し、製剤調製の直前に60℃に加温して脂質を溶解してから室温に戻して用いた。
Luc siRNAは1 mg/mLとなるように注射用水に溶解し、Luc siRNA溶液とした。
20 mLの80%エタノール水溶液に前記脂質ストック溶液としたII-25を0.313 μmolとなるように添加した。続いて、前記Luc siRNA溶液を200 μL添加し1分間攪拌後、本溶液に前記脂質ストック溶液としたCL-1/PEG-DMPE/DSPC/Cholを1.88 μmol/0.145 μmol/0.515 μmol/1.07 μmolとなるように添加した。その後、20%以下エタノール水溶液となるよう注射用水を62 mL/秒以上の流速で添加し粗製剤を形成した。得られた粗製剤はアミコンウルトラ(Millipore社製)を用いて濃縮し、さらに溶媒を生理食塩水に置換し、0.2 μmのフィルター(東洋濾紙社製)を用いてクリーンベンチ内でろ過した。さらに得られた製剤のsiRNA濃度を測定し、siRNA濃度で0.1 mg/mLとなるように生理食塩水を用いて希釈することで、製剤1を得た。
II-25 obtained in Example 34, CL-1 obtained in Reference Example 1 and 1,2-dimyristoyl-sn-glycero-3-phosphoethanolamine-N- [methoxy (polyethylene glycol) -2000] Formulation 1 containing nucleic acid-containing lipid nanoparticles was produced using (PEG-DMPE), 1,2-distearoyl-sn-glycero-3-phosphocholine (DSPC), and cholesterol as follows.
The nucleic acid used is a siRNA that suppresses the expression of a luciferase (hereinafter referred to as Luc) gene consisting of a base sequence of a sense strand (5′-CCGUCGUAAUUCGUGACACAGA-3 ′) and an antisense strand (5′-UUGCUCACGAAUACGACGGUG-3 ′). Yes, obtained from GeneDesign (hereinafter "Luc siRNA"). PEG-DMPE, DSPC, and cholesterol were obtained from NOF.
II-25 was dissolved in 100% ethanol to give 5 mg / mL to obtain a lipid stock solution. CL-1, PEG-DMPE, DSPC, and cholesterol were dissolved in 100% ethanol so that each would be 20 mg / mL to obtain a lipid stock solution. Each lipid stock solution was stored at −20 ° C. and heated to 60 ° C. immediately before preparation preparation to dissolve the lipid and then returned to room temperature before use.
Luc siRNA was dissolved in water for injection at 1 mg / mL to give a Luc siRNA solution.
II-25 used as the lipid stock solution was added to 20 mL of an 80% aqueous ethanol solution to a concentration of 0.313 μmol. Subsequently, 200 μL of the Luc siRNA solution was added and stirred for 1 minute, and then CL-1 / PEG-DMPE / DSPC / Chol as the lipid stock solution was added to the solution as 1.88 μmol / 0.145 μmol / 0.515 μmol / 1.07 μmol. It added so that it might become. Thereafter, water for injection was added at a flow rate of 62 mL / second or more to form a 20% or less aqueous ethanol solution to form a crude preparation. The obtained crude preparation was concentrated using Amicon Ultra (manufactured by Millipore), further replacing the solvent with physiological saline, and filtered in a clean bench using a 0.2 μm filter (manufactured by Toyo Roshi Kaisha, Ltd.). Further, the siRNA concentration of the obtained preparation was measured, and diluted with physiological saline so that the siRNA concentration was 0.1 mg / mL, whereby preparation 1 was obtained.
製剤1のCL-1を参考例2で得られたCL-2にした以外、実施例72と同様にして製剤2を得た。 Preparation 2 was obtained in the same manner as in Example 72 except that CL-1 of preparation 1 was changed to CL-2 obtained in Reference Example 2.
製剤1のCL-1を参考例3で得られたCL-3にした以外、実施例72と同様にして製剤3を得た。 Preparation 3 was obtained in the same manner as in Example 72 except that CL-1 of preparation 1 was changed to CL-3 obtained in Reference Example 3.
製剤1のCL-1を参考例4で得られたCL-4にした以外、実施例72と同様にして製剤4を得た。 Formulation 4 was obtained in the same manner as in Example 72 except that CL-1 of formulation 1 was changed to CL-4 obtained in Reference Example 4.
製剤1のCL-1を参考例5で得られたCL-5にした以外、実施例72と同様にして製剤5を得た。 Formulation 5 was obtained in the same manner as in Example 72 except that CL-1 of formulation 1 was changed to CL-5 obtained in Reference Example 5.
製剤1のCL-1を参考例6で得られたCL-6にした以外、実施例72と同様にして製剤6を得た。 Preparation 6 was obtained in the same manner as in Example 72 except that CL-1 of preparation 1 was changed to CL-6 obtained in Reference Example 6.
製剤1のCL-1を参考例7で得られたCL-7にした以外、実施例72と同様にして製剤7を得た。 Preparation 7 was obtained in the same manner as in Example 72 except that CL-1 of preparation 1 was changed to CL-7 obtained in Reference Example 7.
製剤1のCL-1を参考例8で得られたCL-8にした以外、実施例72と同様にして製剤8を得た。 Preparation 8 was obtained in the same manner as in Example 72 except that CL-1 of preparation 1 was changed to CL-8 obtained in Reference Example 8.
製剤1のCL-1を参考例9で得られたCL-9にした以外、実施例72と同様にして製剤9を得た。 Preparation 9 was obtained in the same manner as in Example 72 except that CL-1 of preparation 1 was changed to CL-9 obtained in Reference Example 9.
製剤1のCL-1を参考例10で得られたCL-10にした以外、実施例72と同様にして製剤10を得た。 Preparation 10 was obtained in the same manner as in Example 72 except that CL-1 of preparation 1 was changed to CL-10 obtained in Reference Example 10.
製剤1のCL-1を参考例11で得られたCL-11にした以外、実施例72と同様にして製剤11を得た。 Preparation 11 was obtained in the same manner as in Example 72 except that CL-1 of preparation 1 was changed to CL-11 obtained in Reference Example 11.
製剤1のCL-1を参考例12で得られたCL-12にした以外、実施例72と同様にして製剤12を得た。 Formulation 12 was obtained in the same manner as in Example 72 except that CL-1 of formulation 1 was changed to CL-12 obtained in Reference Example 12.
製剤1のCL-1を参考例13で得られたCL-13にした以外、実施例72と同様にして製剤13を得た。 Preparation 13 was obtained in the same manner as in Example 72 except that CL-1 of preparation 1 was changed to CL-13 obtained in Reference Example 13.
製剤1のCL-1を参考例14で得られたCL-14にした以外、実施例72と同様にして製剤14を得た。 Preparation 14 was obtained in the same manner as in Example 72 except that CL-1 of preparation 1 was changed to CL-14 obtained in Reference Example 14.
製剤1のCL-1を参考例15で得られたCL-15にした以外、実施例72と同様にして製剤15を得た。 Preparation 15 was obtained in the same manner as in Example 72 except that CL-1 of preparation 1 was changed to CL-15 obtained in Reference Example 15.
製剤1のCL-1を参考例16で得られたCL-16にした以外、実施例72と同様にして製剤16を得た。 Preparation 16 was obtained in the same manner as in Example 72 except that CL-1 of preparation 1 was changed to CL-16 obtained in Reference Example 16.
製剤1のCL-1を参考例17で得られたCL-17にした以外、実施例72と同様にして製剤17を得た。 Preparation 17 was obtained in the same manner as in Example 72 except that CL-1 of preparation 1 was changed to CL-17 obtained in Reference Example 17.
製剤1のCL-1を参考例18で得られたCL-18にした以外、実施例72と同様にして製剤18を得た。 Preparation 18 was obtained in the same manner as in Example 72, except that CL-1 of Preparation 1 was changed to CL-18 obtained in Reference Example 18.
製剤1のCL-1を参考例19で得られたCL-19にした以外、実施例72と同様にして製剤19を得た。 Preparation 19 was obtained in the same manner as in Example 72, except that CL-1 of Preparation 1 was changed to CL-19 obtained in Reference Example 19.
製剤1のCL-1を参考例20で得られたCL-20にした以外、実施例72と同様にして製剤20を得た。 Preparation 20 was obtained in the same manner as in Example 72 except that CL-1 of preparation 1 was changed to CL-20 obtained in Reference Example 20.
製剤1のCL-1を参考例21で得られたCL-21にした以外、実施例72と同様にして製剤21を得た。 Preparation 21 was obtained in the same manner as in Example 72, except that CL-1 of preparation 1 was changed to CL-21 obtained in Reference Example 21.
[比較例1]
参考例1で得られたCL-1および1,2-ジミリストイル-sn-グリセロ-3-ホスホエタノールアミン-N-[メトキシ(ポリエチレングリコール)-2000] (PEG-DMPE)、1,2-ジステアロイル-sn-グリセロ-3-ホスホコリン(DSPC)、コレステロールを用いて、以下のように核酸含有脂質ナノ粒子を含有する製剤22を製造した。
用いた核酸はセンス鎖(5‘―CCGUCGUAUUCGUGAGCAAGA―3’)と、アンチセンス鎖(5‘―UUGCUCACGAAUACGACGGUG―3’)の塩基配列からなる、ルシフェラーゼ(以下Lucと表す) 遺伝子の発現を抑制するsiRNAであり、ジーンデザイン社(GeneDesign社)から入手した(以下、「Luc siRNA」)。PEG-DMPE、DSPC、コレステロールは日油から入手した。
CL-1、PEG-DMPE、DSPC、コレステロールは各々20 mg/mLとなるように100%エタノールに溶解し、脂質ストック溶液とした。各脂質ストック溶液は、-20℃で保管し、製剤調製の直前に60℃に加温して脂質を溶解してから室温に戻して用いた。
Luc siRNAは1 mg/mLとなるように注射用水に溶解し、Luc siRNA溶液とした。
20 mLの80%エタノール水溶液に前記Luc siRNA溶液を200 μL添加し1分間攪拌後、本溶液に前記脂質ストック溶液としたCL-1/PEG-DMPE/DSPC/Cholを1.88 μmol/0.145 μmol/0.617 μmol/1.28 μmolとなるように添加した。その後、20%以下エタノール水溶液となるよう注射用水を62 mL/秒以上の流速で添加し粗製剤を形成した。得られた粗製剤はアミコンウルトラ(Millipore社製)を用いて濃縮し、さらに溶媒を生理食塩水に置換し、0.2 μmのフィルター(東洋濾紙社製)を用いてクリーンベンチ内でろ過した。さらに得られた製剤のsiRNA濃度を測定し、siRNA濃度で0.1 mg/mLとなるように生理食塩水を用いて希釈することで、製剤22を得た。
[Comparative Example 1]
CL-1 and 1,2-dimyristoyl-sn-glycero-3-phosphoethanolamine-N- [methoxy (polyethylene glycol) -2000] (PEG-DMPE) obtained in Reference Example 1, Preparation 22 containing nucleic acid-containing lipid nanoparticles was prepared using stearoyl-sn-glycero-3-phosphocholine (DSPC) and cholesterol as follows.
The nucleic acid used is a siRNA that suppresses the expression of a luciferase (hereinafter referred to as Luc) gene consisting of a base sequence of a sense strand (5′-CCGUCGUAAUUCGUGACACAGA-3 ′) and an antisense strand (5′-UUGCUCACGAAUACGACGGUG-3 ′). Yes, obtained from GeneDesign (hereinafter "Luc siRNA"). PEG-DMPE, DSPC, and cholesterol were obtained from NOF.
CL-1, PEG-DMPE, DSPC, and cholesterol were dissolved in 100% ethanol so that each would be 20 mg / mL to obtain a lipid stock solution. Each lipid stock solution was stored at −20 ° C. and heated to 60 ° C. immediately before preparation preparation to dissolve the lipid and then returned to room temperature before use.
Luc siRNA was dissolved in water for injection at 1 mg / mL to give a Luc siRNA solution.
Add 200 μL of the above Luc siRNA solution to 20 mL of 80% ethanol aqueous solution and stir for 1 minute. It added so that it might become micromol / 1.28 micromol. Thereafter, water for injection was added at a flow rate of 62 mL / second or more to form a 20% or less aqueous ethanol solution to form a crude preparation. The obtained crude preparation was concentrated using Amicon Ultra (manufactured by Millipore), further replacing the solvent with physiological saline, and filtered in a clean bench using a 0.2 μm filter (manufactured by Toyo Roshi Kaisha, Ltd.). Further, the siRNA concentration of the obtained preparation was measured, and diluted with physiological saline so that the siRNA concentration was 0.1 mg / mL, whereby preparation 22 was obtained.
[比較例2]
製剤22のCL-1を参考例2で得られたCL-2にした以外、比較例1と同様にして製剤23を得た。
[Comparative Example 2]
A preparation 23 was obtained in the same manner as in Comparative Example 1, except that CL-1 of the preparation 22 was changed to CL-2 obtained in Reference Example 2.
[比較例3]
製剤22のCL-1を参考例3で得られたCL-3にした以外、比較例1と同様にして製剤24を得た。
[Comparative Example 3]
A preparation 24 was obtained in the same manner as in Comparative Example 1, except that CL-1 of the preparation 22 was changed to CL-3 obtained in Reference Example 3.
[比較例4]
製剤22のCL-1を参考例4で得られたCL-4にした以外、比較例1と同様にして製剤25を得た。
[Comparative Example 4]
Formulation 25 was obtained in the same manner as in Comparative Example 1, except that CL-1 in Formulation 22 was changed to CL-4 obtained in Reference Example 4.
[比較例5]
製剤22のCL-1を参考例5で得られたCL-5にした以外、比較例1と同様にして製剤26を得た。
[Comparative Example 5]
Formulation 26 was obtained in the same manner as in Comparative Example 1, except that CL-1 in Formulation 22 was changed to CL-5 obtained in Reference Example 5.
[比較例6]
製剤22のCL-1を参考例6で得られたCL-6にした以外、比較例1と同様にして製剤27を得た。
[Comparative Example 6]
Formulation 27 was obtained in the same manner as in Comparative Example 1, except that CL-1 in Formulation 22 was changed to CL-6 obtained in Reference Example 6.
[比較例7]
製剤22のCL-1を参考例7で得られたCL-7にした以外、比較例1と同様にして製剤28を得た。
[Comparative Example 7]
A preparation 28 was obtained in the same manner as in Comparative Example 1, except that CL-1 in the preparation 22 was changed to CL-7 obtained in Reference Example 7.
[比較例8]
製剤22のCL-1を参考例8で得られたCL-8にした以外、比較例1と同様にして製剤29を得た。
[Comparative Example 8]
A preparation 29 was obtained in the same manner as in Comparative Example 1, except that CL-1 of the preparation 22 was changed to CL-8 obtained in Reference Example 8.
[比較例9]
製剤22のCL-1を参考例9で得られたCL-9にした以外、比較例1と同様にして製剤30を得た。
[Comparative Example 9]
A preparation 30 was obtained in the same manner as in Comparative Example 1, except that CL-1 of the preparation 22 was changed to CL-9 obtained in Reference Example 9.
[比較例10]
製剤22のCL-1を参考例10で得られたCL-10にした以外、比較例1と同様にして製剤31を得た。
[Comparative Example 10]
Formulation 31 was obtained in the same manner as in Comparative Example 1, except that CL-1 in Formulation 22 was changed to CL-10 obtained in Reference Example 10.
[比較例11]
製剤22のCL-1を参考例11で得られたCL-11にした以外、比較例1と同様にして製剤32を得た。
[Comparative Example 11]
A preparation 32 was obtained in the same manner as in Comparative Example 1, except that CL-1 of the preparation 22 was changed to CL-11 obtained in Reference Example 11.
[比較例12]
製剤22のCL-1を参考例12で得られたCL-12にした以外、比較例1と同様にして製剤33を得た。
[Comparative Example 12]
A preparation 33 was obtained in the same manner as in Comparative Example 1, except that CL-1 of the preparation 22 was changed to CL-12 obtained in Reference Example 12.
[比較例13]
製剤22のCL-1を参考例13で得られたCL-13にした以外、比較例1と同様にして製剤34を得た。
[Comparative Example 13]
A preparation 34 was obtained in the same manner as in Comparative Example 1, except that CL-1 of the preparation 22 was changed to CL-13 obtained in Reference Example 13.
[比較例14]
製剤22のCL-1を参考例14で得られたCL-14にした以外、比較例1と同様にして製剤35を得た。
[Comparative Example 14]
A preparation 35 was obtained in the same manner as in Comparative Example 1, except that CL-1 of the preparation 22 was changed to CL-14 obtained in Reference Example 14.
[比較例15]
製剤22のCL-1を参考例15で得られたCL-15にした以外、比較例1と同様にして製剤36を得た。
[Comparative Example 15]
Formulation 36 was obtained in the same manner as in Comparative Example 1, except that CL-1 in Formulation 22 was changed to CL-15 obtained in Reference Example 15.
[比較例16]
製剤22のCL-1を参考例16で得られたCL-16にした以外、比較例1と同様にして製剤37を得た。
[Comparative Example 16]
Formulation 37 was obtained in the same manner as in Comparative Example 1, except that CL-1 in Formulation 22 was changed to CL-16 obtained in Reference Example 16.
[比較例17]
製剤22のCL-1を参考例17で得られたCL-17にした以外、比較例1と同様にして製剤38を得た。
[Comparative Example 17]
Formulation 38 was obtained in the same manner as in Comparative Example 1, except that CL-1 in Formulation 22 was changed to CL-17 obtained in Reference Example 17.
[比較例18]
製剤22のCL-1を参考例18で得られたCL-18にした以外、比較例1と同様にして製剤39を得た。
[Comparative Example 18]
Formulation 39 was obtained in the same manner as in Comparative Example 1, except that CL-1 in Formulation 22 was changed to CL-18 obtained in Reference Example 18.
[比較例19]
製剤22のCL-1を参考例19で得られたCL-19にした以外、比較例1と同様にして製剤40を得た。
[Comparative Example 19]
A preparation 40 was obtained in the same manner as in Comparative Example 1, except that CL-1 of the preparation 22 was changed to CL-19 obtained in Reference Example 19.
[比較例20]
製剤22のCL-1を参考例20で得られたCL-20にした以外、比較例1と同様にして製剤41を得た。
[Comparative Example 20]
Formulation 41 was obtained in the same manner as in Comparative Example 1, except that CL-1 in Formulation 22 was changed to CL-20 obtained in Reference Example 20.
[比較例21]
製剤22のCL-1を参考例21で得られたCL-21にした以外、比較例1と同様にして製剤42を得た。
[Comparative Example 21]
A preparation 42 was obtained in the same manner as in Comparative Example 1, except that CL-1 of the preparation 22 was changed to CL-21 obtained in Reference Example 21.
試験例1
核酸含有脂質ナノ粒子の平均粒子径測定
粒子径測定装置(Zetasizer Nano ZS, マルバーン(Malvern)社製)で製剤中の核酸含有脂質ナノ粒子の平均粒子径を測定した(表27)。なお表中のPDIは多分散指数(Polydispersity Index)を表す。
Test example 1
Measurement of average particle size of nucleic acid-containing lipid nanoparticles The average particle size of nucleic acid-containing lipid nanoparticles in the preparation was measured with a particle size measurement device (Zetasizer Nano ZS, manufactured by Malvern) (Table 27). PDI in the table represents a polydispersity index.
その結果、脂質A(II-25)および脂質B(CL-1~21)、PEG-DMPE 、DSPC、コレステロールと核酸との複合体をエタノールに分散させ、その分散液に急速に水を加えて形成させた実施例72~92に記載する製剤1~21および脂質Aが含まれない比較例1~21に記載する製剤22~42は、脂質A(II-25)の含有または非含有に関わらず、平均粒子径が小さく、50 nm以下であった。 As a result, lipid A (II-25) and lipid B (CL-1 to 21), PEG-DMPE®, DSPC, a complex of cholesterol and nucleic acid was dispersed in ethanol, and water was rapidly added to the dispersion. Formulations 1 to 21 described in Examples 72 to 92 and Formulations 22 to 42 described in Comparative Examples 1 to 21 that do not contain lipid A were used regardless of whether lipid A (II-25) was contained or not. The average particle size was small and was 50 nm or less.
試験例2
核酸含有脂質ナノ粒子のインビトロ活性評価試験
実施例72~92に記載する製剤1~21および比較例1~21に記載する製剤22~42を、それぞれ以下の方法により、ルシフェラーゼを強制発現させたヒト子宮頸癌由来細胞株HeLa細胞(Luc2CP-HeLa)に導入した。
核酸の最終濃度が0.3~10 nMとなるように、オプティメム(Opti-MEM、Gibco社)で希釈した各製剤を、96ウェルの培養プレートに、20 μLずつ分注した後、10%ウシ胎仔血清(FBS、SAFCバイオサイエンス(SAFC Biosciences社)を含む最小必須培地(MEM)に懸濁させたLuc2CP-HeLa細胞を、細胞数7500/80 μL/ウェルとなるように播種し、37℃、5%CO2条件下で培養することで、各製剤をLuc2CP-HeLa細胞内に導入した。また陰性対照の群として何も処理しない細胞を播種した。
各製剤を導入した細胞を37℃の5%CO2インキュベーター内で24時間培養し、細胞増殖試験アッセイ(CellTiter-Fluor Cell Viability Assay、プロメガ社、G6080 )を用いて、製品に添付された説明書に記載された方法に従い処理、蛍光強度をプレートリーダーで測定した後、ルシフェラーゼ定量システム(Steady-Glo Luciferase Assay System 、プロメガ社、E2520)を用いて、製品に添付された説明書に記載された方法に従い処理、発光強度をプレートリーダーで測定した。得られたルシフェリン発光量を細胞増殖試験アッセイで得られた蛍光量で補正した。各製剤処理群の発光量は、陰性対照群の補正後発光量を1としたときの相対的な割合として算出した。
表28から明らかなように、脂質AとしてII-25を含有する製剤1~21をヒト子宮頸癌由来細胞株Luc2CP-HeLa細胞内に導入後のLucの発現率は、II-25非含有の製剤22~42と比較して抑制率が高い結果であった。また、ある特定の脂質Bに限られず、脂質AとしてII-25を含む製剤は抑制率が高い結果であった。
よって、本発明の脂質Aを含有する脂質ナノ粒子は核酸を細胞内等に導入することができ、インビトロで細胞内に薬物送達することを容易にする製剤であることが明らかとなった。
Test example 2
In vitro activity evaluation test of nucleic acid-containing lipid nanoparticles Preparations 1 to 21 described in Examples 72 to 92 and preparations 22 to 42 described in Comparative Examples 1 to 21 were forcibly expressed by the following methods, respectively. It was introduced into a cervical cancer-derived cell line HeLa cell (Luc2CP-HeLa).
Each formulation diluted with Optimem (Opti-MEM, Gibco) to a final nucleic acid concentration of 0.3 to 10 nM is dispensed into a 96-well culture plate by 20 μL, and then 10% fetal bovine serum (Luc2CP-HeLa cells suspended in a minimum essential medium (MEM) containing FBS and SAFC Biosciences (SAFC Biosciences) were seeded at a cell number of 7500/80 μL / well, 37 ° C, 5% Each formulation was introduced into Luc2CP-HeLa cells by culturing under CO 2 conditions, and cells that were not treated as a negative control group were seeded.
Cells introduced with each preparation are cultured in a 5% CO 2 incubator at 37 ° C for 24 hours, and a cell proliferation test assay (CellTiter-Fluor Cell Viability Assay, Promega, G6080) is used. After processing according to the method described in, and measuring the fluorescence intensity with a plate reader, using the luciferase quantification system (Steady-Glo Luciferase Assay System, Promega, E2520), the method described in the instructions attached to the product Then, the luminescence intensity was measured with a plate reader. The amount of luciferin luminescence obtained was corrected with the amount of fluorescence obtained in the cell proliferation test assay. The amount of luminescence of each preparation-treated group was calculated as a relative ratio when the corrected luminescence amount of the negative control group was 1.
As is apparent from Table 28, the expression rate of Luc after introducing Formulations 1 to 21 containing II-25 as lipid A into the human cervical cancer-derived cell line Luc2CP-HeLa cells is II-25-free. As a result, the inhibition rate was higher than those of preparations 22 to 42. In addition, the preparation containing II-25 as lipid A was not limited to a specific lipid B, and the inhibition rate was high.
Therefore, it has been clarified that the lipid nanoparticles containing lipid A of the present invention can introduce nucleic acid into cells and the like, and are preparations that facilitate drug delivery into cells in vitro.
実施例44で得られたII-35、参考例1で得られたCL-1および1,2-ジミリストイル-sn-グリセロ-3-ホスホエタノールアミン-N-[メトキシ(ポリエチレングリコール)-2000] (PEG-DMPE)、1,2-ジステアロイル-sn-グリセロ-3-ホスホコリン(DSPC)、コレステロールを用いて、以下のように核酸含有脂質ナノ粒子を含有する製剤43を製造した。
用いた核酸はセンス鎖(5‘―CCGUCGUAUUCGUGAGCAAGA―3’)と、アンチセンス鎖(5‘―UUGCUCACGAAUACGACGGUG―3’)の塩基配列からなる、ルシフェラーゼ(以下Lucと表す) 遺伝子の発現を抑制するsiRNAであり、ジーンデザイン社(GeneDesign社)から入手した(以下、「Luc siRNA」)。PEG-DMPE、DSPC、コレステロールは日油から入手した。
II-35は5 mg/mLとなるように100%エタノールに溶解し、脂質ストック溶液とした。CL-1、PEG-DMPE、DSPC、コレステロールは各々20 mg/mLとなるように100%エタノールに溶解し、脂質ストック溶液とした。各脂質ストック溶液は、-20℃で保管し、製剤調製の直前に60℃に加温して脂質を溶解してから室温に戻して用いた。
Luc siRNAは1 mg/mLとなるように注射用水に溶解し、Luc siRNA溶液とした。
20 mLの80%エタノール水溶液に前記脂質ストック溶液としたII-35を0.313 μmolとなるように添加した。続いて、前記Luc siRNA溶液を200 μL添加し1分間攪拌後、本溶液に前記脂質ストック溶液としたCL-1/PEG-DMPE/DSPC/Cholを1.88 μmol/0.145 μmol/0.515 μmol/1.07 μmolとなるように添加した。その後、20%以下エタノール水溶液となるよう注射用水を62 mL/秒以上の流速で添加し粗製剤を形成した。得られた粗製剤はアミコンウルトラ(Millipore社製)を用いて濃縮し、さらに溶媒を生理食塩水に置換し、0.2 μmのフィルター(東洋濾紙社製)を用いてクリーンベンチ内でろ過した。さらに得られた製剤のsiRNA濃度を測定し、siRNA濃度で0.1 mg/mLとなるように生理食塩水を用いて希釈することで、製剤43を得た。
II-35 obtained in Example 44, CL-1 obtained in Reference Example 1 and 1,2-dimyristoyl-sn-glycero-3-phosphoethanolamine-N- [methoxy (polyethylene glycol) -2000] Using (PEG-DMPE), 1,2-distearoyl-sn-glycero-3-phosphocholine (DSPC) and cholesterol, a preparation 43 containing nucleic acid-containing lipid nanoparticles was produced as follows.
The nucleic acid used is a siRNA that suppresses the expression of a luciferase (hereinafter referred to as Luc) gene consisting of a base sequence of a sense strand (5′-CCGUCGUAAUUCGUGACACAGA-3 ′) and an antisense strand (5′-UUGCUCACGAAUACGACGGUG-3 ′). Yes, obtained from GeneDesign (hereinafter "Luc siRNA"). PEG-DMPE, DSPC, and cholesterol were obtained from NOF.
II-35 was dissolved in 100% ethanol to give 5 mg / mL to obtain a lipid stock solution. CL-1, PEG-DMPE, DSPC, and cholesterol were dissolved in 100% ethanol so that each would be 20 mg / mL to obtain a lipid stock solution. Each lipid stock solution was stored at −20 ° C. and heated to 60 ° C. immediately before preparation preparation to dissolve the lipid and then returned to room temperature before use.
Luc siRNA was dissolved in water for injection at 1 mg / mL to give a Luc siRNA solution.
II-35 as the lipid stock solution was added to 20 mL of 80% ethanol aqueous solution so as to be 0.313 μmol. Subsequently, 200 μL of the Luc siRNA solution was added and stirred for 1 minute, and then CL-1 / PEG-DMPE / DSPC / Chol as the lipid stock solution was added to the solution as 1.88 μmol / 0.145 μmol / 0.515 μmol / 1.07 μmol. It added so that it might become. Thereafter, water for injection was added at a flow rate of 62 mL / second or more to form a 20% or less aqueous ethanol solution to form a crude preparation. The obtained crude preparation was concentrated using Amicon Ultra (manufactured by Millipore), further replacing the solvent with physiological saline, and filtered in a clean bench using a 0.2 μm filter (manufactured by Toyo Roshi Kaisha, Ltd.). Further, the siRNA concentration of the obtained preparation was measured, and diluted with physiological saline so that the siRNA concentration was 0.1 mg / mL, whereby preparation 43 was obtained.
製剤43のCL-1を参考例2で得られたCL-2にした以外、実施例93と同様にして製剤44を得た。 Preparation 44 was obtained in the same manner as in Example 93 except that CL-1 of preparation 43 was changed to CL-2 obtained in Reference Example 2.
製剤43のCL-1を参考例3で得られたCL-3にした以外、実施例93と同様にして製剤45を得た。 Preparation 45 was obtained in the same manner as in Example 93 except that CL-1 in preparation 43 was changed to CL-3 obtained in Reference Example 3.
製剤43のCL-1を参考例4で得られたCL-4にした以外、実施例93と同様にして製剤46を得た。 Preparation 46 was obtained in the same manner as in Example 93 except that CL-1 of preparation 43 was changed to CL-4 obtained in Reference Example 4.
製剤43のCL-1を参考例5で得られたCL-5にした以外、実施例93と同様にして製剤47を得た。 Preparation 47 was obtained in the same manner as in Example 93 except that CL-1 of preparation 43 was changed to CL-5 obtained in Reference Example 5.
製剤43のCL-1を参考例6で得られたCL-6にした以外、実施例93と同様にして製剤48を得た。 Preparation 48 was obtained in the same manner as in Example 93 except that CL-1 of preparation 43 was changed to CL-6 obtained in Reference Example 6.
製剤43のCL-1を参考例7で得られたCL-7にした以外、実施例93と同様にして製剤49を得た。 Preparation 49 was obtained in the same manner as in Example 93 except that CL-1 of preparation 43 was changed to CL-7 obtained in Reference Example 7.
製剤43のCL-1を参考例8で得られたCL-8にした以外、実施例93と同様にして製剤50を得た。 Preparation 50 was obtained in the same manner as in Example 93 except that CL-1 of preparation 43 was changed to CL-8 obtained in Reference Example 8.
製剤43のCL-1を参考例9で得られたCL-9にした以外、実施例93と同様にして製剤51を得た。 Preparation 51 was obtained in the same manner as in Example 93 except that CL-1 of preparation 43 was changed to CL-9 obtained in Reference Example 9.
製剤43のCL-1を参考例10で得られたCL-10にした以外、実施例93と同様にして製剤52を得た。 Preparation 52 was obtained in the same manner as in Example 93 except that CL-1 of preparation 43 was changed to CL-10 obtained in Reference Example 10.
製剤43のCL-1を参考例11で得られたCL-11にした以外、実施例93と同様にして製剤53を得た。 Preparation 53 was obtained in the same manner as in Example 93, except that CL-1 of preparation 43 was changed to CL-11 obtained in Reference Example 11.
製剤43のCL-1を参考例12で得られたCL-12にした以外、実施例93と同様にして製剤54を得た。 Preparation 54 was obtained in the same manner as in Example 93 except that CL-1 of preparation 43 was changed to CL-12 obtained in Reference Example 12.
製剤43のCL-1を参考例13で得られたCL-13にした以外、実施例93と同様にして製剤55を得た。 Preparation 55 was obtained in the same manner as in Example 93 except that CL-1 of preparation 43 was changed to CL-13 obtained in Reference Example 13.
試験例3
核酸含有脂質ナノ粒子の平均粒子径測定
粒子径測定装置(Zetasizer Nano ZS, マルバーン(Malvern)社製)で製剤中の核酸含有脂質ナノ粒子の平均粒子径を測定した(表29)。なお表中のPDIは多分散指数(Polydispersity Index)を表す。
Test example 3
Measurement of average particle size of nucleic acid-containing lipid nanoparticles The average particle size of nucleic acid-containing lipid nanoparticles in the preparation was measured with a particle size measuring device (Zetasizer Nano ZS, manufactured by Malvern) (Table 29). PDI in the table represents a polydispersity index.
その結果、脂質A(II-35)および脂質B(CL-1~13)、PEG-DMPE 、DSPC、コレステロールと核酸との複合体をエタノールに分散させ、その分散液に急速に水を加えて形成させた実施例93~105に記載する製剤43~55は平均粒子径が小さく、50 nm以下であった。 As a result, lipid A (II-35) and lipid B (CL-1-13), PEG-DMPE®, DSPC, a complex of cholesterol and nucleic acid was dispersed in ethanol, and water was rapidly added to the dispersion. Formulations 43 to 55 described in Examples 93 to 105 were formed with a small average particle size of 50 nm or less.
試験例4
核酸含有脂質ナノ粒子のインビトロ活性評価試験
実施例93~105に記載する製剤43~55および比較例1~21に記載する製剤22~42を、それぞれ以下の方法により、ルシフェラーゼを強制発現させたヒト子宮頸癌由来細胞株HeLa細胞(Luc2CP-HeLa)に導入した。
核酸の最終濃度が0.3~10 nMとなるように、オプティメム(Opti-MEM、Gibco社)で希釈した各製剤を、96ウェルの培養プレートに、20 μLずつ分注した後、10%ウシ胎仔血清(FBS、SAFCバイオサイエンス(SAFC Biosciences社)を含む最小必須培地(MEM)に懸濁させたLuc2CP-HeLa細胞を、細胞数7500/80 μL/ウェルとなるように播種し、37℃、5%CO2条件下で培養することで、各製剤をLuc2CP-HeLa細胞内に導入した。また陰性対照の群として何も処理しない細胞を播種した。
各製剤を導入した細胞を37℃の5%CO2インキュベーター内で24時間培養し、細胞増殖試験アッセイ(CellTiter-Fluor Cell Viability Assay、プロメガ社、G6080 )を用いて、製品に添付された説明書に記載された方法に従い処理、蛍光強度をプレートリーダーで測定した後、ルシフェラーゼ定量システム(Steady-Glo Luciferase Assay System 、プロメガ社、E2520)を用いて、製品に添付された説明書に記載された方法に従い処理、発光強度をプレートリーダーで測定した。得られたルシフェリン発光量を細胞増殖試験アッセイで得られた蛍光量で補正した。各製剤処理群の発光量は、陰性対照群の補正後発光量を1としたときの相対的な割合として算出した。
表30から明らかなように、脂質AとしてII-35を含有する製剤43~55をヒト子宮頸癌由来細胞株Luc2CP-HeLa細胞内に導入後のLucの発現率は、II-35非含有の製剤22~42と比較して抑制率が高い結果であった。また、ある特定の脂質Bに限られず、脂質AとしてII-35を含む製剤は抑制率が高い結果であった。
よって、本発明の脂質Aを含有する脂質ナノ粒子は核酸を細胞内等に導入することができ、インビトロで細胞内に薬物送達することを容易にする製剤であることが明らかとなった。
Test example 4
In vitro activity evaluation test of nucleic acid-containing lipid nanoparticles Formulations 43 to 55 described in Examples 93 to 105 and formulations 22 to 42 described in Comparative Examples 1 to 21 were forcibly expressed by the following methods, respectively. It was introduced into a cervical cancer-derived cell line HeLa cell (Luc2CP-HeLa).
Each formulation diluted with Optimem (Opti-MEM, Gibco) to a final nucleic acid concentration of 0.3 to 10 nM is dispensed into a 96-well culture plate by 20 μL, and then 10% fetal bovine serum (Luc2CP-HeLa cells suspended in a minimum essential medium (MEM) containing FBS and SAFC Biosciences (SAFC Biosciences) were seeded at a cell number of 7500/80 μL / well, 37 ° C, 5% Each formulation was introduced into Luc2CP-HeLa cells by culturing under CO 2 conditions, and cells that were not treated as a negative control group were seeded.
Cells introduced with each preparation are cultured in a 5% CO 2 incubator at 37 ° C for 24 hours, and a cell proliferation test assay (CellTiter-Fluor Cell Viability Assay, Promega, G6080) is used. After processing according to the method described in, and measuring the fluorescence intensity with a plate reader, using the luciferase quantification system (Steady-Glo Luciferase Assay System, Promega, E2520), the method described in the instructions attached to the product Then, the luminescence intensity was measured with a plate reader. The amount of luciferin luminescence obtained was corrected with the amount of fluorescence obtained in the cell proliferation test assay. The amount of luminescence of each preparation-treated group was calculated as a relative ratio when the corrected luminescence amount of the negative control group was 1.
As is apparent from Table 30, the expression rate of Luc after introducing preparations 43 to 55 containing II-35 as lipid A into human cervical cancer-derived cell line Luc2CP-HeLa cells is II-35-free. As a result, the inhibition rate was higher than those of preparations 22 to 42. Further, the preparation containing II-35 as lipid A was not limited to a specific lipid B, and the inhibition rate was high.
Therefore, it has been clarified that the lipid nanoparticles containing lipid A of the present invention can introduce nucleic acid into cells and the like, and are preparations that facilitate drug delivery into cells in vitro.
実施例34で得られたII-25、参考例22で得られたCL-22および1,2-ジミリストイル-sn-グリセロ-3-ホスホエタノールアミン-N-[メトキシ(ポリエチレングリコール)-2000] (PEG-DMPE)、1,2-ジステアロイル-sn-グリセロ-3-ホスホコリン(DSPC)、コレステロールを用いて、以下のように核酸含有脂質ナノ粒子を含有する製剤56を製造した。
用いた核酸はセンス鎖(5‘―CCGUCGUAUUCGUGAGCAAGA―3’)と、アンチセンス鎖(5‘―UUGCUCACGAAUACGACGGUG―3’)の塩基配列からなる、ルシフェラーゼ(以下Lucと表す) 遺伝子の発現を抑制するsiRNAであり、ジーンデザイン社(GeneDesign社)から入手した(以下、「Luc siRNA」)。PEG-DMPE、DSPC、コレステロールは日油から入手した。
II-25は各々5 mg/mLとなるように100%エタノールに溶解し、脂質ストック溶液とした。CL-22、PEG-DMPE、DSPC、コレステロールは各々20 mg/mLとなるように100%エタノールに溶解し、脂質ストック溶液とした。各脂質ストック溶液は、-20℃で保管し、製剤調製の直前に60℃に加温して脂質を溶解してから室温に戻して用いた。
Luc siRNAは1 mg/mLとなるように注射用水に溶解し、Luc siRNA溶液とした。
20 mLの80%エタノール水溶液に前記脂質ストック溶液としたII-25を0.313 μmolとなるように添加した。続いて、前記Luc siRNA溶液を200 μL添加し1分間攪拌後、本溶液に前記脂質ストック溶液としたCL-22/PEG-DMPE/DSPC/Cholを1.88 μmol/0.145 μmol/0.515 μmol/1.07 μmolとなるように添加した。その後、20%以下エタノール水溶液となるよう注射用水を62 mL/秒以上の流速で添加し粗製剤を形成した。得られた粗製剤はアミコンウルトラ(Millipore社製)を用いて濃縮し、さらに溶媒を生理食塩水に置換し、0.2 μmのフィルター(東洋濾紙社製)を用いてクリーンベンチ内でろ過した。さらに得られた製剤のsiRNA濃度を測定し、siRNA濃度で0.1 mg/mLとなるように生理食塩水を用いて希釈することで、製剤56を得た。
II-25 obtained in Example 34, CL-22 obtained in Reference Example 22 and 1,2-dimyristoyl-sn-glycero-3-phosphoethanolamine-N- [methoxy (polyethylene glycol) -2000] Formulation 56 containing nucleic acid-containing lipid nanoparticles was produced using (PEG-DMPE), 1,2-distearoyl-sn-glycero-3-phosphocholine (DSPC), and cholesterol as follows.
The nucleic acid used is a siRNA that suppresses the expression of a luciferase (hereinafter referred to as Luc) gene consisting of a base sequence of a sense strand (5′-CCGUCGUAAUUCGUGACACAGA-3 ′) and an antisense strand (5′-UUGCUCACGAAUACGACGGUG-3 ′). Yes, obtained from GeneDesign (hereinafter "Luc siRNA"). PEG-DMPE, DSPC, and cholesterol were obtained from NOF.
II-25 was dissolved in 100% ethanol so as to be 5 mg / mL each to prepare a lipid stock solution. CL-22, PEG-DMPE, DSPC, and cholesterol were dissolved in 100% ethanol so that each would be 20 mg / mL to obtain a lipid stock solution. Each lipid stock solution was stored at −20 ° C. and heated to 60 ° C. immediately before preparation preparation to dissolve the lipid and then returned to room temperature before use.
Luc siRNA was dissolved in water for injection at 1 mg / mL to give a Luc siRNA solution.
II-25 used as the lipid stock solution was added to 20 mL of an 80% aqueous ethanol solution to a concentration of 0.313 μmol. Subsequently, after adding 200 μL of the Luc siRNA solution and stirring for 1 minute, CL-22 / PEG-DMPE / DSPC / Chol as the lipid stock solution was added to this solution as 1.88 μmol / 0.145 μmol / 0.515 μmol / 1.07 μmol. It added so that it might become. Thereafter, water for injection was added at a flow rate of 62 mL / second or more to form a 20% or less aqueous ethanol solution to form a crude preparation. The obtained crude preparation was concentrated using Amicon Ultra (manufactured by Millipore), further replacing the solvent with physiological saline, and filtered in a clean bench using a 0.2 μm filter (manufactured by Toyo Roshi Kaisha, Ltd.). Further, the siRNA concentration of the obtained preparation was measured, and diluted with physiological saline so that the siRNA concentration was 0.1 mg / mL, whereby preparation 56 was obtained.
製剤56のCL-22を参考例23で得られたCL-23にした以外、実施例106と同様にして製剤57を得た。 Preparation 57 was obtained in the same manner as in Example 106, except that CL-22 of preparation 56 was changed to CL-23 obtained in Reference Example 23.
製剤56のCL-22を参考例24で得られたCL-24にした以外、実施例106と同様にして製剤58を得た。 Preparation 58 was obtained in the same manner as in Example 106 except that CL-22 of preparation 56 was changed to CL-24 obtained in Reference Example 24.
製剤56のCL-22を参考例25で得られたCL-25にした以外、実施例106と同様にして製剤59を得た。 Preparation 59 was obtained in the same manner as in Example 106, except that CL-22 of preparation 56 was changed to CL-25 obtained in Reference Example 25.
製剤56のCL-22を参考例26で得られたCL-26にした以外、実施例106と同様にして製剤60を得た。 Preparation 60 was obtained in the same manner as in Example 106, except that CL-22 of preparation 56 was changed to CL-26 obtained in Reference Example 26.
製剤56のCL-22を参考例27で得られたCL-27にした以外、実施例106と同様にして製剤61を得た。 Preparation 61 was obtained in the same manner as in Example 106, except that CL-22 of Preparation 56 was changed to CL-27 obtained in Reference Example 27.
製剤56のCL-22を参考例28で得られたCL-28にした以外、実施例106と同様にして製剤62を得た。 Preparation 62 was obtained in the same manner as in Example 106, except that CL-22 of Preparation 56 was changed to CL-28 obtained in Reference Example 28.
製剤56のCL-22を参考例29で得られたCL-29にした以外、実施例106と同様にして製剤63を得た。 Preparation 63 was obtained in the same manner as in Example 106, except that CL-22 of Preparation 56 was changed to CL-29 obtained in Reference Example 29.
製剤56のCL-22を参考例30で得られたCL-30にした以外、実施例106と同様にして製剤64を得た。 Preparation 64 was obtained in the same manner as in Example 106, except that CL-22 of preparation 56 was changed to CL-30 obtained in Reference Example 30.
製剤56のCL-22を参考例31で得られたCL-31にした以外、実施例106と同様にして製剤65を得た。 Preparation 65 was obtained in the same manner as in Example 106, except that CL-22 of Preparation 56 was changed to CL-31 obtained in Reference Example 31.
製剤56のCL-22を参考例32で得られたCL-32にした以外、実施例106と同様にして製剤66を得た。 Preparation 66 was obtained in the same manner as in Example 106, except that CL-22 of preparation 56 was changed to CL-32 obtained in Reference Example 32.
製剤56のCL-22を参考例33で得られたCL-33にした以外、実施例106と同様にして製剤67を得た。 Preparation 67 was obtained in the same manner as Example 106, except that CL-22 of preparation 56 was changed to CL-33 obtained in Reference Example 33.
製剤56のCL-22を参考例34で得られたCL-34にした以外、実施例106と同様にして製剤68を得た。 Preparation 68 was obtained in the same manner as in Example 106 except that CL-22 of preparation 56 was changed to CL-34 obtained in Reference Example 34.
製剤56のCL-22を参考例35で得られたCL-35にした以外、実施例106と同様にして製剤69を得た。 Preparation 69 was obtained in the same manner as in Example 106 except that CL-22 of preparation 56 was changed to CL-35 obtained in Reference Example 35.
製剤56のCL-22を参考例36で得られたCL-36にした以外、実施例106と同様にして製剤70を得た。 Preparation 70 was obtained in the same manner as in Example 106, except that CL-22 of Preparation 56 was changed to CL-36 obtained in Reference Example 36.
製剤56のCL-22を参考例37で得られたCL-37にした以外、実施例106と同様にして製剤71を得た。 Preparation 71 was obtained in the same manner as in Example 106, except that CL-22 of Preparation 56 was changed to CL-37 obtained in Reference Example 37.
製剤56のCL-22を参考例38で得られたCL-38にした以外、実施例106と同様にして製剤72を得た。 Preparation 72 was obtained in the same manner as in Example 106, except that CL-22 of Preparation 56 was changed to CL-38 obtained in Reference Example 38.
製剤56のCL-22を参考例39で得られたCL-39にした以外、実施例106と同様にして製剤73を得た。 Preparation 73 was obtained in the same manner as in Example 106, except that CL-22 of Preparation 56 was changed to CL-39 obtained in Reference Example 39.
製剤56のCL-22を参考例40で得られたCL-40にした以外、実施例106と同様にして製剤74を得た。 Preparation 74 was obtained in the same manner as in Example 106 except that CL-22 of preparation 56 was changed to CL-40 obtained in Reference Example 40.
製剤56のCL-22を参考例41で得られたCL-41にした以外、実施例106と同様にして製剤75を得た。 Preparation 75 was obtained in the same manner as in Example 106, except that CL-22 of Preparation 56 was changed to CL-41 obtained in Reference Example 41.
製剤56のCL-22を参考例42で得られたCL-42にした以外、実施例106と同様にして製剤76を得た。 Preparation 76 was obtained in the same manner as in Example 106, except that CL-22 of preparation 56 was changed to CL-42 obtained in Reference Example 42.
製剤56のCL-22を参考例43で得られたCL-43にした以外、実施例106と同様にして製剤77を得た。 Preparation 77 was obtained in the same manner as in Example 106 except that CL-22 of preparation 56 was changed to CL-43 obtained in Reference Example 43.
製剤56のCL-22を参考例44で得られたCL-44にした以外、実施例106と同様にして製剤78を得た。 Preparation 78 was obtained in the same manner as in Example 106, except that CL-22 of Preparation 56 was changed to CL-44 obtained in Reference Example 44.
製剤56のCL-22を参考例45で得られたCL-45にした以外、実施例106と同様にして製剤79を得た。 Preparation 79 was obtained in the same manner as in Example 106, except that CL-22 of Preparation 56 was changed to CL-45 obtained in Reference Example 45.
実施例44で得られたII-35、参考例22で得られたCL-22および1,2-ジミリストイル-sn-グリセロ-3-ホスホエタノールアミン-N-[メトキシ(ポリエチレングリコール)-2000] (PEG-DMPE)、1,2-ジステアロイル-sn-グリセロ-3-ホスホコリン(DSPC)、コレステロールを用いて、以下のように核酸含有脂質ナノ粒子を含有する製剤80を製造した。
用いた核酸はセンス鎖(5‘―CCGUCGUAUUCGUGAGCAAGA―3’)と、アンチセンス鎖(5‘―UUGCUCACGAAUACGACGGUG―3’)の塩基配列からなる、ルシフェラーゼ(以下Lucと表す) 遺伝子の発現を抑制するsiRNAであり、ジーンデザイン社(GeneDesign社)から入手した(以下、「Luc siRNA」)。PEG-DMPE、DSPC、コレステロールは日油から入手した。
II-35は各々5 mg/mLとなるように100%エタノールに溶解し、脂質ストック溶液とした。CL-22、PEG-DMPE、DSPC、コレステロールは各々20 mg/mLとなるように100%エタノールに溶解し、脂質ストック溶液とした。各脂質ストック溶液は、-20℃で保管し、製剤調製の直前に60℃に加温して脂質を溶解してから室温に戻して用いた。
Luc siRNAは1 mg/mLとなるように注射用水に溶解し、Luc siRNA溶液とした。
20 mLの80%エタノール水溶液に前記脂質ストック溶液としたII-35を0.313 μmolとなるように添加した。続いて、前記Luc siRNA溶液を200 μL添加し1分間攪拌後、本溶液に前記脂質ストック溶液としたCL-22/PEG-DMPE/DSPC/Cholを1.88 μmol/0.145 μmol/0.515 μmol/1.07 μmolとなるように添加した。その後、20%以下エタノール水溶液となるよう注射用水を62 mL/秒以上の流速で添加し粗製剤を形成した。得られた粗製剤はアミコンウルトラ(Millipore社製)を用いて濃縮し、さらに溶媒を生理食塩水に置換し、0.2 μmのフィルター(東洋濾紙社製)を用いてクリーンベンチ内でろ過した。さらに得られた製剤のsiRNA濃度を測定し、siRNA濃度で0.1 mg/mLとなるように生理食塩水を用いて希釈することで、製剤80を得た。
II-35 obtained in Example 44, CL-22 obtained in Reference Example 22, and 1,2-dimyristoyl-sn-glycero-3-phosphoethanolamine-N- [methoxy (polyethylene glycol) -2000] Using 80 (PEG-DMPE), 1,2-distearoyl-sn-glycero-3-phosphocholine (DSPC) and cholesterol, a preparation 80 containing nucleic acid-containing lipid nanoparticles was produced as follows.
The nucleic acid used is a siRNA that suppresses the expression of a luciferase (hereinafter referred to as Luc) gene consisting of a base sequence of a sense strand (5′-CCGUCGUAAUUCGUGACACAGA-3 ′) and an antisense strand (5′-UUGCUCACGAAUACGACGGUG-3 ′). Yes, obtained from GeneDesign (hereinafter "Luc siRNA"). PEG-DMPE, DSPC, and cholesterol were obtained from NOF.
II-35 was dissolved in 100% ethanol so as to be 5 mg / mL each to prepare a lipid stock solution. CL-22, PEG-DMPE, DSPC, and cholesterol were dissolved in 100% ethanol so that each would be 20 mg / mL to obtain a lipid stock solution. Each lipid stock solution was stored at −20 ° C. and heated to 60 ° C. immediately before preparation preparation to dissolve the lipid and then returned to room temperature before use.
Luc siRNA was dissolved in water for injection at 1 mg / mL to give a Luc siRNA solution.
II-35 as the lipid stock solution was added to 20 mL of 80% ethanol aqueous solution so as to be 0.313 μmol. Subsequently, after adding 200 μL of the Luc siRNA solution and stirring for 1 minute, CL-22 / PEG-DMPE / DSPC / Chol as the lipid stock solution was added to this solution as 1.88 μmol / 0.145 μmol / 0.515 μmol / 1.07 μmol. It added so that it might become. Thereafter, water for injection was added at a flow rate of 62 mL / second or more to form a 20% or less aqueous ethanol solution to form a crude preparation. The obtained crude preparation was concentrated using Amicon Ultra (manufactured by Millipore), further replacing the solvent with physiological saline, and filtered in a clean bench using a 0.2 μm filter (manufactured by Toyo Roshi Kaisha, Ltd.). Further, the siRNA concentration of the obtained preparation was measured, and diluted with physiological saline so that the siRNA concentration was 0.1 mg / mL, whereby preparation 80 was obtained.
製剤80のCL-22を参考例23で得られたCL-23にした以外、実施例130と同様にして製剤81を得た。 Preparation 81 was obtained in the same manner as Example 130, except that CL-22 of preparation 80 was changed to CL-23 obtained in Reference Example 23.
試験例5
核酸含有脂質ナノ粒子の平均粒子径測定
粒子径測定装置(Zetasizer Nano ZS, マルバーン(Malvern)社製)で製剤中の核酸含有脂質ナノ粒子の平均粒子径を測定した(表31)。なお表中のPDIは多分散指数(Polydispersity Index)を表す。
Test Example 5
Measurement of average particle size of nucleic acid-containing lipid nanoparticles The average particle size of nucleic acid-containing lipid nanoparticles in the preparation was measured with a particle size measurement device (Zetasizer Nano ZS, manufactured by Malvern) (Table 31). PDI in the table represents a polydispersity index.
その結果、脂質A(II-25, II-35)および脂質B(CL-22~45)、PEG-DMPE 、DSPC、コレステロールと核酸との複合体をエタノールに分散させ、その分散液に急速に水を加えて形成させた実施例106~131に記載する製剤56~81は平均粒子径が小さく、50 nm以下であった。 As a result, lipid A (II-25, II-35) and lipid B (CL-22-45), PEG-DMPE, DSPC, and a complex of cholesterol and nucleic acid are dispersed in ethanol and rapidly dispersed into the dispersion. Formulations 56 to 81 described in Examples 106 to 131 formed by adding water had a small average particle size and was 50 nm or less.
試験例6
核酸含有脂質ナノ粒子のインビトロ活性評価試験
実施例106~131に記載する製剤56~81を、それぞれ以下の方法により、ルシフェラーゼを強制発現させたヒト子宮頸癌由来細胞株HeLa細胞(Luc2CP-HeLa)に導入した。
核酸の最終濃度が0.3~10 nMとなるように、オプティメム(Opti-MEM、Gibco社)で希釈した各製剤を、96ウェルの培養プレートに、20 μLずつ分注した後、10%ウシ胎仔血清(FBS、SAFCバイオサイエンス(SAFC Biosciences社)を含む最小必須培地(MEM)に懸濁させたLuc2CP-HeLa細胞を、細胞数7500/80 μL/ウェルとなるように播種し、37℃、5%CO2条件下で培養することで、各製剤をLuc2CP-HeLa細胞内に導入した。また陰性対照の群として何も処理しない細胞を播種した。
各製剤を導入した細胞を37℃の5%CO2インキュベーター内で24時間培養し、細胞増殖試験アッセイ(CellTiter-Fluor Cell Viability Assay、プロメガ社、G6080 )を用いて、製品に添付された説明書に記載された方法に従い処理、蛍光強度をプレートリーダーで測定した後、ルシフェラーゼ定量システム(Steady-Glo Luciferase Assay System 、プロメガ社、E2520)を用いて、製品に添付された説明書に記載された方法に従い処理、発光強度をプレートリーダーで測定した。得られたルシフェリン発光量を細胞増殖試験アッセイで得られた蛍光量で補正した。各製剤処理群の発光量は、陰性対照群の補正後発光量を1としたときの相対的な割合として算出した。
表32から明らかなように、脂質Aを含む製剤(製剤56~81)は脂質Bによらず、Lucの発現を抑制した。
よって、本発明の脂質Aを含有する脂質ナノ粒子は核酸を細胞内等に導入することができ、インビトロで細胞内に薬物送達することを容易にする製剤であることが明らかとなった。
Test Example 6
In Vitro Activity Evaluation Test of Nucleic Acid-Containing Lipid Nanoparticles Human Cervical Cancer-Derived Cell Line HeLa Cells (Luc2CP-HeLa) Introduced.
Each formulation diluted with Optimem (Opti-MEM, Gibco) to a final nucleic acid concentration of 0.3 to 10 nM is dispensed into a 96-well culture plate by 20 μL, and then 10% fetal bovine serum (Luc2CP-HeLa cells suspended in a minimum essential medium (MEM) containing FBS and SAFC Biosciences (SAFC Biosciences) were seeded at a cell number of 7500/80 μL / well, 37 ° C, 5% Each formulation was introduced into Luc2CP-HeLa cells by culturing under CO 2 conditions, and cells that were not treated as a negative control group were seeded.
Cells introduced with each preparation are cultured in a 5% CO 2 incubator at 37 ° C for 24 hours, and a cell proliferation test assay (CellTiter-Fluor Cell Viability Assay, Promega, G6080) is used. After processing according to the method described in, and measuring the fluorescence intensity with a plate reader, using the luciferase quantification system (Steady-Glo Luciferase Assay System, Promega, E2520), the method described in the instructions attached to the product Then, the luminescence intensity was measured with a plate reader. The amount of luciferin luminescence obtained was corrected with the amount of fluorescence obtained in the cell proliferation test assay. The amount of luminescence of each preparation-treated group was calculated as a relative ratio when the corrected luminescence amount of the negative control group was 1.
As is clear from Table 32, preparations containing lipid A (formulations 56 to 81) suppressed the expression of Luc regardless of lipid B.
Therefore, it has been clarified that the lipid nanoparticles containing lipid A of the present invention can introduce nucleic acid into cells and the like, and are preparations that facilitate drug delivery into cells in vitro.
実施例34で得られたII-25、参考例46で得られたCL-46および1,2-ジミリストイル-sn-グリセロ-3-ホスホエタノールアミン-N-[メトキシ(ポリエチレングリコール)-2000] (PEG-DMPE)、1,2-ジステアロイル-sn-グリセロ-3-ホスホコリン(DSPC)、コレステロールを用いて、以下のように核酸含有脂質ナノ粒子を含有する製剤82を製造した。
用いた核酸はセンス鎖(5‘―CCGUCGUAUUCGUGAGCAAGA―3’)と、アンチセンス鎖(5‘―UUGCUCACGAAUACGACGGUG―3’)の塩基配列からなる、ルシフェラーゼ(以下Lucと表す) 遺伝子の発現を抑制するsiRNAであり、ジーンデザイン社(GeneDesign社)から入手した(以下、「Luc siRNA」)。PEG-DMPE、DSPC、コレステロールは日油から入手した。
II-25は各々5 mg/mLとなるように100%エタノールに溶解し、脂質ストック溶液とした。CL-46、PEG-DMPE、DSPC、コレステロールは各々20 mg/mLとなるように100%エタノールに溶解し、脂質ストック溶液とした。各脂質ストック溶液は、-20℃で保管し、製剤調製の直前に60℃に加温して脂質を溶解してから室温に戻して用いた。
Luc siRNAは1 mg/mLとなるように注射用水に溶解し、Luc siRNA溶液とした。
20 mLの80%エタノール水溶液に前記脂質ストック溶液としたII-25を0.313 μmolとなるように添加した。続いて、前記Luc siRNA溶液を200 μL添加し1分間攪拌後、本溶液に前記脂質ストック溶液としたCL-46/PEG-DMPE/DSPC/Cholを1.88 μmol/0.145 μmol/0.515 μmol/1.07 μmolとなるように添加した。その後、20%以下エタノール水溶液となるよう注射用水を62 mL/秒以上の流速で添加し粗製剤を形成した。得られた粗製剤はアミコンウルトラ(Millipore社製)を用いて濃縮し、さらに溶媒を生理食塩水に置換し、0.2 μmのフィルター(東洋濾紙社製)を用いてクリーンベンチ内でろ過した。さらに得られた製剤のsiRNA濃度を測定し、siRNA濃度で0.1 mg/mLとなるように生理食塩水を用いて希釈することで、製剤82を得た。
II-25 obtained in Example 34, CL-46 obtained in Reference Example 46 and 1,2-dimyristoyl-sn-glycero-3-phosphoethanolamine-N- [methoxy (polyethylene glycol) -2000] A preparation 82 containing nucleic acid-containing lipid nanoparticles was produced using (PEG-DMPE), 1,2-distearoyl-sn-glycero-3-phosphocholine (DSPC), and cholesterol as follows.
The nucleic acid used is a siRNA that suppresses the expression of a luciferase (hereinafter referred to as Luc) gene consisting of a base sequence of a sense strand (5′-CCGUCGUAAUUCGUGACACAGA-3 ′) and an antisense strand (5′-UUGCUCACGAAUACGACGGUG-3 ′). Yes, obtained from GeneDesign (hereinafter "Luc siRNA"). PEG-DMPE, DSPC, and cholesterol were obtained from NOF.
II-25 was dissolved in 100% ethanol so as to be 5 mg / mL each to prepare a lipid stock solution. CL-46, PEG-DMPE, DSPC, and cholesterol were dissolved in 100% ethanol so as to be 20 mg / mL, respectively, to obtain a lipid stock solution. Each lipid stock solution was stored at −20 ° C. and heated to 60 ° C. immediately before preparation preparation to dissolve the lipid and then returned to room temperature before use.
Luc siRNA was dissolved in water for injection at 1 mg / mL to give a Luc siRNA solution.
II-25 used as the lipid stock solution was added to 20 mL of an 80% aqueous ethanol solution to a concentration of 0.313 μmol. Subsequently, after adding 200 μL of the Luc siRNA solution and stirring for 1 minute, CL-46 / PEG-DMPE / DSPC / Chol as the lipid stock solution was added to the solution as 1.88 μmol / 0.145 μmol / 0.515 μmol / 1.07 μmol. It added so that it might become. Thereafter, water for injection was added at a flow rate of 62 mL / second or more to form a 20% or less aqueous ethanol solution to form a crude preparation. The obtained crude preparation was concentrated using Amicon Ultra (manufactured by Millipore), further replacing the solvent with physiological saline, and filtered in a clean bench using a 0.2 μm filter (manufactured by Toyo Roshi Kaisha, Ltd.). Further, the siRNA concentration of the obtained preparation was measured, and diluted with physiological saline so that the siRNA concentration was 0.1 mg / mL, whereby preparation 82 was obtained.
製剤82のCL-46を参考例47で得られたCL-47にした以外、実施例132と同様にして製剤83を得た。 Preparation 83 was obtained in the same manner as in Example 132, except that CL-46 of preparation 82 was changed to CL-47 obtained in Reference Example 47.
製剤82のCL-46を参考例48で得られたCL-48にした以外、実施例132と同様にして製剤84を得た。 Preparation 84 was obtained in the same manner as in Example 132, except that CL-46 of preparation 82 was changed to CL-48 obtained in Reference Example 48.
製剤82のCL-46を参考例49で得られたCL-49にした以外、実施例132と同様にして製剤85を得た。 Preparation 85 was obtained in the same manner as Example 132, except that CL-46 of preparation 82 was changed to CL-49 obtained in Reference Example 49.
製剤82のCL-46を参考例50で得られたCL-50にした以外、実施例132と同様にして製剤86を得た。 Preparation 86 was obtained in the same manner as in Example 132, except that CL-46 of preparation 82 was changed to CL-50 obtained in Reference Example 50.
実施例44で得られたII-35、参考例21で得られたCL-21および1,2-ジミリストイル-sn-グリセロ-3-ホスホエタノールアミン-N-[メトキシ(ポリエチレングリコール)-2000] (PEG-DMPE)、1,2-ジステアロイル-sn-グリセロ-3-ホスホコリン(DSPC)、コレステロールを用いて、以下のように核酸含有脂質ナノ粒子を含有する製剤87を製造した。
用いた核酸はセンス鎖(5‘―CCGUCGUAUUCGUGAGCAAGA―3’)と、アンチセンス鎖(5‘―UUGCUCACGAAUACGACGGUG―3’)の塩基配列からなる、ルシフェラーゼ(以下Lucと表す) 遺伝子の発現を抑制するsiRNAであり、ジーンデザイン社(GeneDesign社)から入手した(以下、「Luc siRNA」)。PEG-DMPE、DSPC、コレステロールは日油から入手した。
II-35は各々5 mg/mLとなるように100%エタノールに溶解し、脂質ストック溶液とした。CL-21、PEG-DMPE、DSPC、コレステロールは各々20 mg/mLとなるように100%エタノールに溶解し、脂質ストック溶液とした。各脂質ストック溶液は、-20℃で保管し、製剤調製の直前に60℃に加温して脂質を溶解してから室温に戻して用いた。
Luc siRNAは1 mg/mLとなるように注射用水に溶解し、Luc siRNA溶液とした。
20 mLの80%エタノール水溶液に前記脂質ストック溶液としたII-35を0.313 μmolとなるように添加した。続いて、前記Luc siRNA溶液を200 μL添加し1分間攪拌後、本溶液に前記脂質ストック溶液としたCL-21/PEG-DMPE/DSPC/Cholを1.88 μmol/0.145 μmol/0.515 μmol/1.07 μmolとなるように添加した。その後、20%以下エタノール水溶液となるよう注射用水を62 mL/秒以上の流速で添加し粗製剤を形成した。得られた粗製剤はアミコンウルトラ(Millipore社製)を用いて濃縮し、さらに溶媒を生理食塩水に置換し、0.2 μmのフィルター(東洋濾紙社製)を用いてクリーンベンチ内でろ過した。さらに得られた製剤のsiRNA濃度を測定し、siRNA濃度で0.1 mg/mLとなるように生理食塩水を用いて希釈することで、製剤87を得た。
II-35 obtained in Example 44, CL-21 obtained in Reference Example 21 and 1,2-dimyristoyl-sn-glycero-3-phosphoethanolamine-N- [methoxy (polyethylene glycol) -2000] Using (PEG-DMPE), 1,2-distearoyl-sn-glycero-3-phosphocholine (DSPC) and cholesterol, a preparation 87 containing nucleic acid-containing lipid nanoparticles was produced as follows.
The nucleic acid used is a siRNA that suppresses the expression of a luciferase (hereinafter referred to as Luc) gene consisting of a base sequence of a sense strand (5′-CCGUCGUAAUUCGUGACACAGA-3 ′) and an antisense strand (5′-UUGCUCACGAAUACGACGGUG-3 ′). Yes, obtained from GeneDesign (hereinafter "Luc siRNA"). PEG-DMPE, DSPC, and cholesterol were obtained from NOF.
II-35 was dissolved in 100% ethanol so as to be 5 mg / mL each to prepare a lipid stock solution. CL-21, PEG-DMPE, DSPC, and cholesterol were dissolved in 100% ethanol so that each would be 20 mg / mL to obtain a lipid stock solution. Each lipid stock solution was stored at −20 ° C. and heated to 60 ° C. immediately before preparation preparation to dissolve the lipid and then returned to room temperature before use.
Luc siRNA was dissolved in water for injection at 1 mg / mL to give a Luc siRNA solution.
II-35 as the lipid stock solution was added to 20 mL of 80% ethanol aqueous solution so as to be 0.313 μmol. Subsequently, after adding 200 μL of the Luc siRNA solution and stirring for 1 minute, CL-21 / PEG-DMPE / DSPC / Chol as the lipid stock solution was added to this solution as 1.88 μmol / 0.145 μmol / 0.515 μmol / 1.07 μmol. It added so that it might become. Thereafter, water for injection was added at a flow rate of 62 mL / second or more to form a 20% or less aqueous ethanol solution to form a crude preparation. The obtained crude preparation was concentrated using Amicon Ultra (manufactured by Millipore), further replacing the solvent with physiological saline, and filtered in a clean bench using a 0.2 μm filter (manufactured by Toyo Roshi Kaisha, Ltd.). Further, the siRNA concentration of the obtained preparation was measured, and diluted with physiological saline so that the siRNA concentration was 0.1 mg / mL, whereby preparation 87 was obtained.
製剤87のCL-21を参考例47で得られたCL-47にした以外、実施例137と同様にして製剤88を得た。 Preparation 88 was obtained in the same manner as in Example 137, except that CL-21 of preparation 87 was changed to CL-47 obtained in Reference Example 47.
製剤87のCL-21を参考例48で得られたCL-48にした以外、実施例137と同様にして製剤89を得た。 Formulation 89 was obtained in the same manner as in Example 137, except that CL-21 of formulation 87 was changed to CL-48 obtained in Reference Example 48.
製剤87のCL-21を参考例49で得られたCL-49にした以外、実施例137と同様にして製剤90を得た。 Preparation 90 was obtained in the same manner as in Example 137 except that CL-21 of preparation 87 was changed to CL-49 obtained in Reference Example 49.
実施例10で得られたII-3、参考例13で得られたCL-13および1,2-ジミリストイル-sn-グリセロ-3-ホスホエタノールアミン-N-[メトキシ(ポリエチレングリコール)-2000] (PEG-DMPE)、1,2-ジステアロイル-sn-グリセロ-3-ホスホコリン(DSPC)、コレステロールを用いて、以下のように核酸含有脂質ナノ粒子を含有する製剤91を製造した。
用いた核酸はセンス鎖(5‘―CCGUCGUAUUCGUGAGCAAGA―3’)と、アンチセンス鎖(5‘―UUGCUCACGAAUACGACGGUG―3’)の塩基配列からなる、ルシフェラーゼ(以下Lucと表す) 遺伝子の発現を抑制するsiRNAであり、ジーンデザイン社(GeneDesign社)から入手した(以下、「Luc siRNA」)。PEG-DMPE、DSPC、コレステロールは日油から入手した。
II-3は各々5 mg/mLとなるように100%エタノールに溶解し、脂質ストック溶液とした。CL-13、PEG-DMPE、DSPC、コレステロールは各々20 mg/mLとなるように100%エタノールに溶解し、脂質ストック溶液とした。各脂質ストック溶液は、-20℃で保管し、製剤調製の直前に60℃に加温して脂質を溶解してから室温に戻して用いた。
Luc siRNAは1 mg/mLとなるように注射用水に溶解し、Luc siRNA溶液を調製した。
20 mLの80%エタノール水溶液に前記脂質ストック溶液としたII-3を0.313 μmolとなるように添加した。続いて、前記Luc siRNA溶液を200 μL添加し1分間攪拌後、本溶液に前記脂質ストック溶液としたCL-13/PEG-DMPE/DSPC/Cholを1.88 μmol/0.145 μmol/0.515 μmol/1.07 μmolとなるように添加した。その後、20%以下エタノール水溶液となるよう注射用水を62 mL/秒以上の流速で添加し粗製剤を形成した。得られた粗製剤はアミコンウルトラ(Millipore社製)を用いて濃縮し、さらに溶媒を生理食塩水に置換し、0.2 μmのフィルター(東洋濾紙社製)を用いてクリーンベンチ内でろ過した。さらに得られた製剤のsiRNA濃度を測定し、siRNA濃度で0.1 mg/mLとなるように生理食塩水を用いて希釈することで、製剤91を得た。
II-3 obtained in Example 10, CL-13 obtained in Reference Example 13 and 1,2-dimyristoyl-sn-glycero-3-phosphoethanolamine-N- [methoxy (polyethylene glycol) -2000] Formulation 91 containing nucleic acid-containing lipid nanoparticles was produced using (PEG-DMPE), 1,2-distearoyl-sn-glycero-3-phosphocholine (DSPC), and cholesterol as follows.
The nucleic acid used is a siRNA that suppresses the expression of a luciferase (hereinafter referred to as Luc) gene consisting of a base sequence of a sense strand (5′-CCGUCGUAAUUCGUGACACAGA-3 ′) and an antisense strand (5′-UUGCUCACGAAUACGACGGUG-3 ′). Yes, obtained from GeneDesign (hereinafter "Luc siRNA"). PEG-DMPE, DSPC, and cholesterol were obtained from NOF.
II-3 was dissolved in 100% ethanol so as to be 5 mg / mL each to prepare a lipid stock solution. CL-13, PEG-DMPE, DSPC, and cholesterol were dissolved in 100% ethanol so as to be 20 mg / mL, respectively, to obtain a lipid stock solution. Each lipid stock solution was stored at −20 ° C. and heated to 60 ° C. immediately before preparation preparation to dissolve the lipid and then returned to room temperature before use.
Luc siRNA was dissolved in water for injection at 1 mg / mL to prepare a Luc siRNA solution.
II-3 used as the lipid stock solution was added to 20 mL of 80% ethanol aqueous solution to a concentration of 0.313 μmol. Subsequently, after adding 200 μL of the Luc siRNA solution and stirring for 1 minute, CL-13 / PEG-DMPE / DSPC / Chol as the lipid stock solution was added to the solution as 1.88 μmol / 0.145 μmol / 0.515 μmol / 1.07 μmol. It added so that it might become. Thereafter, water for injection was added at a flow rate of 62 mL / second or more to form a 20% or less aqueous ethanol solution to form a crude preparation. The obtained crude preparation was concentrated using Amicon Ultra (manufactured by Millipore), further replacing the solvent with physiological saline, and filtered in a clean bench using a 0.2 μm filter (manufactured by Toyo Roshi Kaisha, Ltd.). Furthermore, the siRNA concentration of the obtained preparation was measured, and diluted with physiological saline so that the siRNA concentration was 0.1 mg / mL, to obtain a preparation 91.
製剤91のCL-13を参考例50で得られたCL-50にした以外、実施例141と同様にして製剤92を得た。 Preparation 92 was obtained in the same manner as in Example 141 except that CL-13 in Preparation 91 was changed to CL-50 obtained in Reference Example 50.
試験例7
核酸含有脂質ナノ粒子の平均粒子径測定
粒子径測定装置(Zetasizer Nano ZS, マルバーン(Malvern)社製)で製剤中の核酸含有脂質ナノ粒子の平均粒子径を測定した(表33)。なお表中のPDIは多分散指数(Polydispersity Index)を表す。
Test Example 7
Measurement of average particle size of nucleic acid-containing lipid nanoparticles The average particle size of nucleic acid-containing lipid nanoparticles in the preparation was measured with a particle size measurement device (Zetasizer Nano ZS, manufactured by Malvern) (Table 33). PDI in the table represents a polydispersity index.
その結果、脂質A(II-25, II-35, II-3)および各種の脂質B(CL-21, 46~50)、PEG-DMPE 、DSPC、コレステロールと核酸との複合体をエタノールに分散させ、その分散液に急速に水を加えて形成させた実施例132~142に記載する製剤82~92は平均粒子径が小さく、50 nm以下であった。 As a result, lipid A (II-25, II-35, II-3) and various lipid B (CL-21, 46-50), PEG-DMPE, DSPC, and a complex of cholesterol and nucleic acid are dispersed in ethanol. The formulations 82 to 92 described in Examples 132 to 142, which were formed by rapidly adding water to the dispersion, had a small average particle size of 50 nm or less.
(R)-2-((2R,3R,4S)-3,4-ビス(ドデカノイルオキシ)テトラヒドロフラン-2-イル)-2-(ドデカノイルオキシ)-N,N,N-トリメチルエタン-1-アミニウムクロリド(化合物V'-2)
工程1
“ヨーロピアンジャーナル・オブ・オーガニック・ケミストリー(Eur.J.Org.Chem.)”,2013年, 第3巻, p.566-577に記載の方法に準じた方法で合成した(2R,3R,4S)-3,4-ビス(ベンジルオキシ)-2-((R)-1-(ベンジルオキシ)-2-(トリチルオキシ)エチル)テトラヒドロフラン(5.97 g, 8.82 mmol)をメタノール(150 mL)に溶解させ、パラトルエンスルホン酸1水和物(4.19 g, 22.1 mmol)を加えて、室温で3.5時間攪拌した。反応液を一定量減圧下濃縮した後、残渣に飽和重層水を加えて、ジクロロメタンで抽出した。有機層を無水硫酸ナトリウムで乾燥し、ろ過し、減圧下濃縮した。得られた残渣をシリカゲルカラムクロマトグラフィー(ヘプタン/酢酸エチル = 95/5~60/40)で精製して(R)-2-(ベンジルオキシ)-2-((2R,3R,4S)-3,4-ビス(ベンジルオキシ)テトラヒドロフラン-2-イル)エタン-1-オール(3.56 g, 8.19 mmol, 収率93.0%)を得た。
ESI-MS m/z: 435 (M + H)+.
工程2
工程1で得られた (R)-2-(ベンジルオキシ)-2-((2R,3R,4S)-3,4-ビス(ベンジルオキシ)テトラヒドロフラン-2-イル)エタン-1-オール(1.53 g, 3.52 mmol)をジクロロメタン(65.0 mL)に溶解させ、トリエチルアミン(1.24 mL, 8.87 mmol)、メタンスルホニルクロリド(0.550 mL, 7.04 mmol)を氷冷下で加え、同温で2.5時間撹拌した。反応液に水を加え、ジクロロメタンで抽出した。有機層を無水硫酸ナトリウムで乾燥後、ろ過し、減圧下濃縮して(R)-2-(ベンジルオキシ)-2-((2R,3R,4S)-3,4-ビス(ベンジルオキシ)テトラヒドロフラン-2-イル)エチルメタンスルフォネート(1.91 g)を得た。
ESI-MS m/z: 513 (M + H)+.
(R)-2-(ベンジルオキシ)-2-((2R,3R,4S)-3,4-ビス(ベンジルオキシ)テトラヒドロフラン-2-イル)エチルメタンスルフォネート(0.805 g, 1.57 mmol)をクロロホルム(4.00 mL)に溶解させ、ジメチルアミン溶液(15.6 mL, 31.2 mmol, 2M in THF)を加え、マイクロウェーブ照射下で130℃、7.5時間攪拌した。反応液を減圧下濃縮し、得られた残渣をシリカゲルカラムクロマトグラフィー(クロロホルム/メタノール = 100/0~90/10)で精製して(R)-2-(ベンジルオキシ)-2-((2R,3R,4S)-3,4-ビス(ベンジルオキシ)テトラヒドロフラン-2-イル)-N,N-ジメチルエタン-1-アミン(0.555 g, 1.20 mmol, 収率77.0%)を得た。
ESI-MS m/z: 462 (M + H)+.
工程3
工程2で得られた (R)-2-(ベンジルオキシ)-2-((2R,3R,4S)-3,4-ビス(ベンジルオキシ)テトラヒドロフラン-2-イル)-N,N-ジメチルエタン-1-アミン(0.774 g, 1.68 mmol)をエタノール(34.0 mL)に溶解させ、炭素担持水酸化パラジウム(1.56 g, 20 wt% dry basis, <50% water)、酢酸(0.590 mL) を加え、水素置換し、終夜撹拌した。反応液をエタノールで洗いこみながらセライトろ過し、ろ液を減圧下濃縮し、 (2R,3R,4S)-2-((R)-2-(ジメチルアミノ)-1-ヒドロキシエチル)テトラヒドロフラン-3,4-ジオール(0.407 g, 1.62 mmol, 収率97.0%)を得た。
ESI-MS m/z: 192 (M + H)+.
工程4
工程3で得られた (2R,3R,4S)-2-((R)-2-(ジメチルアミノ)-1-ヒドロキシエチル)テトラヒドロフラン-3,4-ジオール(0.141 g, 0.560 mmol)をジメチルホルムアミド(6.00 mL)に溶解させ、トリエチルアミン(0.660 mL, 4.75 mmol)、ラウロイルクロリド(0.900 mL, 3.80 mmol) を加え、室温で終夜撹拌した。トリエチルアミン(0.250 mL, 1.80 mmol)、ラウロイルクロリド(0.150 mL, 0.634 mmol) を加え、室温で2時間撹拌した。反応液に飽和重曹水を加え、酢酸エチルで抽出した。有機層を無水硫酸ナトリウムで乾燥後、ろ過し、減圧下濃縮した。得られた残渣をシリカゲルカラムクロマトグラフィー(ヘプタン/酢酸エチル = 100/0~80/20)で精製して(2R,3R,4S)-2-((R)-2-(ジメチルアミノ)-1-(ドデカノイルオキシ)エチル)テトラヒドロフラン-3,4-ジイルジドデカノエイト (0.215 g, 0.291 mmol, 収率52.0%)を得た。
ESI-MS m/z: 739 (M + H)+.
工程5
工程4で得られた (2R,3R,4S)-2-((R)-2-(ジメチルアミノ)-1-(ドデカノイルオキシ)エチル)テトラヒドロフラン-3,4-ジイルジドデカノエイト(0.203 g, 0.276 mmol)を用いて、実施例8の工程2と同様にして、標記化合物(0.0855 g, 0.108 mmol, 収率40.3%)を得た。
ESI-MS m/z: 753 (M)+; 1H-NMR (CDCl3) δ: 0.88 (t, J = 6.8 Hz, 9H), 1.21-1.37 (m, 48H), 1.49-1.67 (m, 6H), 2.29-2.37 (m, 6H), 3.49 (s, 9H), 3.71-3.80 (m, 2H), 4.12 (dd, J = 9.0, 3.3 Hz, 1H), 4.25 (dd, J = 10.6, 4.6 Hz, 1H), 4.51 (dd, J = 14.7, 9.0 Hz, 1H), 5.04 (d, J = 4.6 Hz, 1H), 5.30 (d, J = 3.3 Hz, 1H), 5.50 (t, J = 9.0 Hz, 1H).
(R) -2-((2R, 3R, 4S) -3,4-bis (dodecanoyloxy) tetrahydrofuran-2-yl) -2- (dodecanoyloxy) -N, N, N-trimethylethane-1 -Aminium chloride (compound V'-2)
Process 1
It was synthesized by the method according to the method described in “European Journal of Organic Chemistry (Eur.J.Org.Chem.)”, 2013, Vol. 3, p.566-577 (2R, 3R, 4S ) -3,4-bis (benzyloxy) -2-((R) -1- (benzyloxy) -2- (trityloxy) ethyl) tetrahydrofuran (5.97 g, 8.82 mmol) dissolved in methanol (150 mL) Then, paratoluenesulfonic acid monohydrate (4.19 g, 22.1 mmol) was added, and the mixture was stirred at room temperature for 3.5 hours. The reaction solution was concentrated under reduced pressure, and saturated multistory water was added to the residue, followed by extraction with dichloromethane. The organic layer was dried over anhydrous sodium sulfate, filtered and concentrated under reduced pressure. The obtained residue was purified by silica gel column chromatography (heptane / ethyl acetate = 95 / 5-60 / 40) to give (R) -2- (benzyloxy) -2-((2R, 3R, 4S) -3 , 4-bis (benzyloxy) tetrahydrofuran-2-yl) ethan-1-ol (3.56 g, 8.19 mmol, 93.0% yield) was obtained.
ESI-MS m / z: 435 (M + H) + .
Process 2
(R) -2- (benzyloxy) -2-((2R, 3R, 4S) -3,4-bis (benzyloxy) tetrahydrofuran-2-yl) ethan-1-ol (1.53) obtained in step 1 g, 3.52 mmol) was dissolved in dichloromethane (65.0 mL), triethylamine (1.24 mL, 8.87 mmol) and methanesulfonyl chloride (0.550 mL, 7.04 mmol) were added under ice-cooling, and the mixture was stirred at the same temperature for 2.5 hours. Water was added to the reaction mixture, and the mixture was extracted with dichloromethane. The organic layer was dried over anhydrous sodium sulfate, filtered, concentrated under reduced pressure, and (R) -2- (benzyloxy) -2-((2R, 3R, 4S) -3,4-bis (benzyloxy) tetrahydrofuran. -2-yl) ethyl methanesulfonate (1.91 g) was obtained.
ESI-MS m / z: 513 (M + H) + .
(R) -2- (Benzyloxy) -2-((2R, 3R, 4S) -3,4-bis (benzyloxy) tetrahydrofuran-2-yl) ethyl methanesulfonate (0.805 g, 1.57 mmol) It was dissolved in chloroform (4.00 mL), a dimethylamine solution (15.6 mL, 31.2 mmol, 2M in THF) was added, and the mixture was stirred at 130 ° C. for 7.5 hours under microwave irradiation. The reaction mixture was concentrated under reduced pressure, and the resulting residue was purified by silica gel column chromatography (chloroform / methanol = 100/0 to 90/10) to give (R) -2- (benzyloxy) -2-((2R , 3R, 4S) -3,4-bis (benzyloxy) tetrahydrofuran-2-yl) -N, N-dimethylethan-1-amine (0.555 g, 1.20 mmol, yield 77.0%) was obtained.
ESI-MS m / z: 462 (M + H) + .
Process 3
(R) -2- (Benzyloxy) -2-((2R, 3R, 4S) -3,4-bis (benzyloxy) tetrahydrofuran-2-yl) -N, N-dimethylethane obtained in Step 2 -1-amine (0.774 g, 1.68 mmol) was dissolved in ethanol (34.0 mL), carbon-supported palladium hydroxide (1.56 g, 20 wt% dry basis, <50% water), acetic acid (0.590 mL) were added, After purging with hydrogen, the mixture was stirred overnight. The reaction solution was filtered through Celite while washing with ethanol, and the filtrate was concentrated under reduced pressure to obtain (2R, 3R, 4S) -2-((R) -2- (dimethylamino) -1-hydroxyethyl) tetrahydrofuran-3. , 4-diol (0.407 g, 1.62 mmol, 97.0% yield) was obtained.
ESI-MS m / z: 192 (M + H) + .
Process 4
The (2R, 3R, 4S) -2-((R) -2- (dimethylamino) -1-hydroxyethyl) tetrahydrofuran-3,4-diol (0.141 g, 0.560 mmol) obtained in Step 3 was converted to dimethylformamide. (6.00 mL), triethylamine (0.660 mL, 4.75 mmol) and lauroyl chloride (0.900 mL, 3.80 mmol) were added, and the mixture was stirred at room temperature overnight. Triethylamine (0.250 mL, 1.80 mmol) and lauroyl chloride (0.150 mL, 0.634 mmol) were added, and the mixture was stirred at room temperature for 2 hours. Saturated aqueous sodium hydrogen carbonate was added to the reaction mixture, and the mixture was extracted with ethyl acetate. The organic layer was dried over anhydrous sodium sulfate, filtered and concentrated under reduced pressure. The obtained residue was purified by silica gel column chromatography (heptane / ethyl acetate = 100 / 0-80 / 20) to give (2R, 3R, 4S) -2-((R) -2- (dimethylamino) -1 -(Dodecanoyloxy) ethyl) tetrahydrofuran-3,4-diyldidodecanoate (0.215 g, 0.291 mmol, yield 52.0%) was obtained.
ESI-MS m / z: 739 (M + H) + .
Process 5
(2R, 3R, 4S) -2-((R) -2- (dimethylamino) -1- (dodecanoyloxy) ethyl) tetrahydrofuran-3,4-diyldidodecanoate (0.203 g, 0.276 mmol) was used in the same manner as in Step 2 of Example 8 to obtain the title compound (0.0855 g, 0.108 mmol, yield 40.3%).
ESI-MS m / z: 753 (M) + ; 1 H-NMR (CDCl 3 ) δ: 0.88 (t, J = 6.8 Hz, 9H), 1.21-1.37 (m, 48H), 1.49-1.67 (m, 6H), 2.29-2.37 (m, 6H), 3.49 (s, 9H), 3.71-3.80 (m, 2H), 4.12 (dd, J = 9.0, 3.3 Hz, 1H), 4.25 (dd, J = 10.6, 4.6 Hz, 1H), 4.51 (dd, J = 14.7, 9.0 Hz, 1H), 5.04 (d, J = 4.6 Hz, 1H), 5.30 (d, J = 3.3 Hz, 1H), 5.50 (t, J = 9.0 Hz, 1H).
(R)-2-((2R,3R,4S)-3,4-ビス(テトラデカノイルオキシ)テトラヒドロフラン-2-イル)-N,N,N-トリメチル-2-(テトラデカノイルオキシ)エタン-1-アミニウムクロリド (化合物V'-3)
工程1
実施例143工程3で得られた(2R,3R,4S)-2-((R)-2-(ジメチルアミノ)-1-ヒドロキシエチル)テトラヒドロフラン-3,4-ジオールを、実施例143工程4と同様の手法で、ラウロイルクロリドの代わりにミリストイルクロリドを用い、(2R,3R,4S)-2-((R)-2-(ジメチルアミノ)-1-(テトラデカノイルオキシ)エチル)テトラヒドロフラン-3,4-ジイルジテトラデカノエイト (0.164 g, 0.200 mmol, 55.0%) を得た。
ESI-MS m/z: 823 (M + H)+.
工程2
工程1で得られた (2R,3R,4S)-2-((R)-2-(ジメチルアミノ)-1-(テトラデカノイルオキシ)エチル)テトラヒドロフラン-3,4-ジイルジテトラデカノエイト(0.109 g, 0.132 mmol)を用いて、実施例8の工程2と同様にして、標記化合物(0.0701 g, 0.0800 mmol, 収率60.9%)を得た。
ESI-MS m/z: 837 (M)+; 1H-NMR (CDCl3) δ: 0.88 (t, J = 6.8 Hz, 9H), 1.20-1.35 (m, 60H), 1.49-1.67 (m, 6H), 2.29-2.37 (m, 6H), 3.44 (s, 9H), 3.73-3.81 (m, 2H), 4.11 (dd, J = 9.3, 2.9 Hz, 1H), 4.25 (dd, J = 10.5, 4.4 Hz, 1H), 4.31-4.33 (m, 1H), 5.04 (d, J = 4.4 Hz, 1H), 5.29 (d, J = 2.9 Hz, 1H), 5.49 (t, J = 9.3 Hz, 1H).
(R) -2-((2R, 3R, 4S) -3,4-bis (tetradecanoyloxy) tetrahydrofuran-2-yl) -N, N, N-trimethyl-2- (tetradecanoyloxy) ethane -1-Aminium chloride (Compound V'-3)
Process 1
Example 143 Step 4 of (2R, 3R, 4S) -2-((R) -2- (dimethylamino) -1-hydroxyethyl) tetrahydrofuran-3,4-diol obtained in Step 3 In the same manner, using myristoyl chloride instead of lauroyl chloride, (2R, 3R, 4S) -2-((R) -2- (dimethylamino) -1- (tetradecanoyloxy) ethyl) tetrahydrofuran- 3,4-Diylditetradecanoate (0.164 g, 0.200 mmol, 55.0%) was obtained.
ESI-MS m / z: 823 (M + H) + .
Process 2
(2R, 3R, 4S) -2-((R) -2- (dimethylamino) -1- (tetradecanoyloxy) ethyl) tetrahydrofuran-3,4-diylditetradecanoate obtained in step 1 (0.109 g, 0.132 mmol) was used in the same manner as in Step 2 of Example 8 to obtain the title compound (0.0701 g, 0.0800 mmol, yield 60.9%).
ESI-MS m / z: 837 (M) + ; 1 H-NMR (CDCl 3 ) δ: 0.88 (t, J = 6.8 Hz, 9H), 1.20-1.35 (m, 60H), 1.49-1.67 (m, 6H), 2.29-2.37 (m, 6H), 3.44 (s, 9H), 3.73-3.81 (m, 2H), 4.11 (dd, J = 9.3, 2.9 Hz, 1H), 4.25 (dd, J = 10.5, 4.4 Hz, 1H), 4.31-4.33 (m, 1H), 5.04 (d, J = 4.4 Hz, 1H), 5.29 (d, J = 2.9 Hz, 1H), 5.49 (t, J = 9.3 Hz, 1H) .
(R)-2-((2R,3R,4S)-3,4-ビス(パルミトイルオキシ)テトラヒドロフラン-2-イル)-N,N,N-トリメチル-2-(パルミトイルオキシ)エタン-1-アミニウムクロリド (化合物V'-4)
工程1
実施例143工程3で得られた(2R,3R,4S)-2-((R)-2-(ジメチルアミノ)-1-ヒドロキシエチル)テトラヒドロフラン-3,4-ジオールを、実施例143工程4と同様の手法で、ラウロイルクロリドの代わりにパルミトイルクロリドを用い、(2R,3R,4S)-2-((R)-2-(ジメチルアミノ)-1-(パルミトイルオキシ)エチル)テトラヒドロフラン-3,4-ジイルジパルミテイト(0.0527 g, 0.0581 mmol, 11.7%) を得た。
ESI-MS m/z: 907 (M + H)+.
工程2
工程1で得られた (2R,3R,4S)-2-((R)-2-(ジメチルアミノ)-1-(パルミトイルオキシ)エチル)テトラヒドロフラン-3,4-ジイルジパルミテイト(0.216 g, 0.238 mmol)を用いて、実施例8の工程2と同様にして、標記化合物(0.0751 g, 0.0785 mmol, 収率33.0%)を得た。
ESI-MS m/z: 921 (M)+; 1H-NMR (CDCl3) δ: 0.88 (t, J = 6.8 Hz, 9H), 1.22-1.35 (m, 72H), 1.49-1.66 (m, 6H), 2.29-2.37 (m, 6H), 3.42 (s, 9H), 3.74-3.80 (m, 2H), 4.11 (dd, J = 9.3, 3.5 Hz, 1H), 4.26 (dd, J = 10.9, 4.3 Hz, 1H), 4.35 (dd, J = 14.6, 8.0 Hz, 1H), 5.04 (d, J = 4.3 Hz, 1H), 5.30 (d, J = 3.5 Hz, 1H), 5.49 (t, J = 8.0, 1H).
(R) -2-((2R, 3R, 4S) -3,4-bis (palmitoyloxy) tetrahydrofuran-2-yl) -N, N, N-trimethyl-2- (palmitoyloxy) ethane-1-amino Nitric chloride (Compound V'-4)
Process 1
Example 143 Step 4 of (2R, 3R, 4S) -2-((R) -2- (dimethylamino) -1-hydroxyethyl) tetrahydrofuran-3,4-diol obtained in Step 3 In the same manner, using palmitoyl chloride instead of lauroyl chloride, (2R, 3R, 4S) -2-((R) -2- (dimethylamino) -1- (palmitoyloxy) ethyl) tetrahydrofuran-3, 4-Diyldipalmitate (0.0527 g, 0.0581 mmol, 11.7%) was obtained.
ESI-MS m / z: 907 (M + H) + .
Process 2
(2R, 3R, 4S) -2-((R) -2- (dimethylamino) -1- (palmitoyloxy) ethyl) tetrahydrofuran-3,4-diyldipalmitate (0.216 g, obtained in step 1) The title compound (0.0751 g, 0.0785 mmol, yield 33.0%) was obtained in the same manner as in Step 2 of Example 8 using 0.238 mmol).
ESI-MS m / z: 921 (M) + ; 1 H-NMR (CDCl 3 ) δ: 0.88 (t, J = 6.8 Hz, 9H), 1.22-1.35 (m, 72H), 1.49-1.66 (m, 6H), 2.29-2.37 (m, 6H), 3.42 (s, 9H), 3.74-3.80 (m, 2H), 4.11 (dd, J = 9.3, 3.5 Hz, 1H), 4.26 (dd, J = 10.9, 4.3 Hz, 1H), 4.35 (dd, J = 14.6, 8.0 Hz, 1H), 5.04 (d, J = 4.3 Hz, 1H), 5.30 (d, J = 3.5 Hz, 1H), 5.49 (t, J = 8.0, 1H).
(R)-2-((2R,3R,4S)-3,4-ビス(ステアロイルオキシ)テトラヒドロフラン-2-イル)-N,N,N-トリメチル-2-(ステアロイルオキシ)エタン-1-アミニウムクロリド (化合物V'-5)
工程1
実施例143工程3で得られた(2R,3R,4S)-2-((R)-2-(ジメチルアミノ)-1-ヒドロキシエチル)テトラヒドロフラン-3,4-ジオールを、実施例143工程4と同様の手法で、ラウロイルクロリドの代わりにステアリルクロリドを用い、(2R,3R,4S)-2-((R)-2-(ジメチルアミノ)-1-(ステアロイルオキシ)エチル)テトラヒドロフラン-3,4-ジイルジステアレイト (0.261 g, 0.263 mmol, 50.0%) を得た。
ESI-MS m/z: 991 (M + H)+.
工程2
工程1で得られた (2R,3R,4S)-2-((R)-2-(ジメチルアミノ)-1-(ステアロイルオキシ)エチル)テトラヒドロフラン-3,4-ジイルジステアレイト(0.149 g, 0.150 mmol)を用いて、実施例8の工程2と同様にして、標記化合物(0.144 g, 0.138 mmol, 収率92.0%)を得た。
ESI-MS m/z: 1005 (M)+; 1H-NMR (CDCl3) δ: 0.87 (t, J = 6.8 Hz, 9H), 1.16-1.37 (m, 84H), 1.47-1.66 (m, 6H), 2.24-2.38 (m, 6H), 3.33 (s, 9H), 3.73-3.81 (m, 2H), 4.00-4.10 (m, 2H), 4.25 (dd, J = 10.8, 4.3 Hz, 1H), 5.03 (d, J = 4.3 Hz, 1H), 5.28 (d, J = 3.0 Hz, 1H), 5.47 (t, J = 8.4 Hz, 1H).
(R) -2-((2R, 3R, 4S) -3,4-bis (stearoyloxy) tetrahydrofuran-2-yl) -N, N, N-trimethyl-2- (stearoyloxy) ethane-1-amino Nitric chloride (Compound V'-5)
Process 1
Example 143 Step 4 of (2R, 3R, 4S) -2-((R) -2- (dimethylamino) -1-hydroxyethyl) tetrahydrofuran-3,4-diol obtained in Step 3 In the same manner, using stearyl chloride instead of lauroyl chloride, (2R, 3R, 4S) -2-((R) -2- (dimethylamino) -1- (stearoyloxy) ethyl) tetrahydrofuran-3, 4-Diyl distearate (0.261 g, 0.263 mmol, 50.0%) was obtained.
ESI-MS m / z: 991 (M + H) + .
Process 2
(2R, 3R, 4S) -2-((R) -2- (Dimethylamino) -1- (stearoyloxy) ethyl) tetrahydrofuran-3,4-diyl distearate obtained in Step 1 (0.149 g, The title compound (0.144 g, 0.138 mmol, yield 92.0%) was obtained in the same manner as in Step 2 of Example 8 using 0.150 mmol).
ESI-MS m / z: 1005 (M) + ; 1 H-NMR (CDCl 3 ) δ: 0.87 (t, J = 6.8 Hz, 9H), 1.16-1.37 (m, 84H), 1.47-1.66 (m, 6H), 2.24-2.38 (m, 6H), 3.33 (s, 9H), 3.73-3.81 (m, 2H), 4.00-4.10 (m, 2H), 4.25 (dd, J = 10.8, 4.3 Hz, 1H) , 5.03 (d, J = 4.3 Hz, 1H), 5.28 (d, J = 3.0 Hz, 1H), 5.47 (t, J = 8.4 Hz, 1H).
実施例144で得られたV’-3、参考例2で得られたCL-2および1,2-ジミリストイル-sn-グリセロ-3-ホスホエタノールアミン-N-[メトキシ(ポリエチレングリコール)-2000] (PEG-DMPE)、1,2-ジステアロイル-sn-グリセロ-3-ホスホコリン(DSPC)、コレステロールを用いて、以下のように核酸含有脂質ナノ粒子を含有する製剤93を製造した。
用いた核酸はセンス鎖(5‘―CCGUCGUAUUCGUGAGCAAGA―3’)と、アンチセンス鎖(5‘―UUGCUCACGAAUACGACGGUG―3’)の塩基配列からなる、ルシフェラーゼ(以下Lucと表す) 遺伝子の発現を抑制するsiRNAであり、ジーンデザイン社(GeneDesign社)から入手した(以下、「Luc siRNA」)。PEG-DMPE、DSPC、コレステロールは日油から入手した。
V’-3は5 mg/mLとなるように100%エタノールに溶解し、脂質ストック溶液とした。CL-2、PEG-DMPE、DSPC、コレステロールは各々20 mg/mLとなるように100%エタノールに溶解し、脂質ストック溶液とした。各脂質ストック溶液は、-20℃で保管し、製剤調製の直前に60℃に加温して脂質を溶解してから室温に戻して用いた。
Luc siRNAは1 mg/mLとなるように注射用水に溶解し、Luc siRNA溶液とした。
20 mLの80%エタノール水溶液に前記脂質ストック溶液としたV’-3を0.313 μmolとなるように添加した。続いて、前記Luc siRNA溶液を200 μL添加し1分間攪拌後、本溶液に前記脂質ストック溶液としたCL-2/PEG-DMPE/DSPC/Cholを1.88 μmol/0.145 μmol/0.515 μmol/1.07 μmolとなるように添加した。その後、20%以下エタノール水溶液となるよう注射用水を62 mL/秒以上の流速で添加し粗製剤を形成した。得られた粗製剤はアミコンウルトラ(Millipore社製)を用いて濃縮し、さらに溶媒を生理食塩水に置換し、0.2 μmのフィルター(東洋濾紙社製)を用いてクリーンベンチ内でろ過した。さらに得られた製剤のsiRNA濃度を測定し、siRNA濃度で0.1 mg/mLとなるように生理食塩水を用いて希釈することで、製剤93を得た。
V′-3 obtained in Example 144, CL-2 obtained in Reference Example 2 and 1,2-dimyristoyl-sn-glycero-3-phosphoethanolamine-N- [methoxy (polyethylene glycol) -2000 ] (PEG-DMPE), 1,2-distearoyl-sn-glycero-3-phosphocholine (DSPC), and cholesterol were used to produce Formulation 93 containing nucleic acid-containing lipid nanoparticles as follows.
The nucleic acid used is a siRNA that suppresses the expression of a luciferase (hereinafter referred to as Luc) gene consisting of a base sequence of a sense strand (5′-CCGUCGUAAUUCGUGACACAGA-3 ′) and an antisense strand (5′-UUGCUCACGAAUACGACGGUG-3 ′). Yes, obtained from GeneDesign (hereinafter "Luc siRNA"). PEG-DMPE, DSPC, and cholesterol were obtained from NOF.
V′-3 was dissolved in 100% ethanol so as to be 5 mg / mL to obtain a lipid stock solution. CL-2, PEG-DMPE, DSPC, and cholesterol were dissolved in 100% ethanol so that each would be 20 mg / mL to obtain a lipid stock solution. Each lipid stock solution was stored at −20 ° C. and heated to 60 ° C. immediately before preparation preparation to dissolve the lipid and then returned to room temperature before use.
Luc siRNA was dissolved in water for injection at 1 mg / mL to give a Luc siRNA solution.
V'-3 serving as the lipid stock solution was added to 20 mL of 80% ethanol aqueous solution so as to be 0.313 μmol. Subsequently, after adding 200 μL of the Luc siRNA solution and stirring for 1 minute, CL-2 / PEG-DMPE / DSPC / Chol as the lipid stock solution was added to this solution as 1.88 μmol / 0.145 μmol / 0.515 μmol / 1.07 μmol. It added so that it might become. Thereafter, water for injection was added at a flow rate of 62 mL / second or more to form a 20% or less aqueous ethanol solution to form a crude preparation. The obtained crude preparation was concentrated using Amicon Ultra (manufactured by Millipore), further replacing the solvent with physiological saline, and filtered in a clean bench using a 0.2 μm filter (manufactured by Toyo Roshi Kaisha, Ltd.). Further, the siRNA concentration of the obtained preparation was measured, and diluted with physiological saline so that the siRNA concentration was 0.1 mg / mL, whereby preparation 93 was obtained.
製剤93のCL-2を参考例8で得られたCL-8にした以外、実施例147と同様にして製剤94を得た。 Preparation 94 was obtained in the same manner as in Example 147, except that CL-2 of preparation 93 was changed to CL-8 obtained in Reference Example 8.
製剤93のV’-3を実施例146で得られたV’-5にした以外、実施例147と同様にして製剤95を得た。 Preparation 95 was obtained in the same manner as in Example 147, except that V′-3 of preparation 93 was changed to V′-5 obtained in Example 146.
製剤94のV’-3を実施例146で得られたV’-5にした以外、実施例149と同様にして製剤96を得た。 A preparation 96 was obtained in the same manner as in Example 149, except that V′-3 of the preparation 94 was changed to V′-5 obtained in Example 146.
製剤93のV’-3を実施例143で得られたV’-2にした以外、実施例147と同様にして製剤97を得た。 Preparation 97 was obtained in the same manner as in Example 147, except that V′-3 of Preparation 93 was changed to V′-2 obtained in Example 143.
製剤94のV’-3を実施例143で得られたV’-2にした以外、実施例149と同様にして製剤98を得た。 A preparation 98 was obtained in the same manner as in Example 149, except that V′-3 of the preparation 94 was changed to V′-2 obtained in Example 143.
製剤93のV’-3を実施例145で得られたV’-4にした以外、実施例147と同様にして製剤99を得た。 Preparation 99 was obtained in the same manner as in Example 147, except that V′-3 of Preparation 93 was changed to V′-4 obtained in Example 145.
製剤94のV’-3を実施例145で得られたV’-4にした以外、実施例149と同様にして製剤100を得た。 Formulation 100 was obtained in the same manner as in Example 149, except that V′-3 of Formulation 94 was changed to V′-4 obtained in Example 145.
製剤1のCL-1を参考例53で得られたCL-53にした以外、実施例72と同様にして製剤101を得た。 Formulation 101 was obtained in the same manner as in Example 72 except that CL-1 of Formulation 1 was changed to CL-53 obtained in Reference Example 53.
製剤1のCL-1を参考例54で得られたCL-54にした以外、実施例72と同様にして製剤102を得た。 Preparation 102 was obtained in the same manner as in Example 72 except that CL-1 in preparation 1 was changed to CL-54 obtained in Reference Example 54.
製剤1のCL-1を参考例55で得られたCL-55にした以外、実施例72と同様にして製剤103を得た。 Preparation 103 was obtained in the same manner as in Example 72, except that CL-1 of preparation 1 was changed to CL-55 obtained in Reference Example 55.
製剤1のCL-1を参考例56で得られたCL-56にした以外、実施例72と同様にして製剤104を得た。 Formulation 104 was obtained in the same manner as in Example 72, except that CL-1 of Formulation 1 was changed to CL-56 obtained in Reference Example 56.
製剤1のCL-1を参考例57で得られたCL-57にした以外、実施例72と同様にして製剤105を得た。 Formulation 105 was obtained in the same manner as in Example 72 except that CL-1 of Formulation 1 was changed to CL-57 obtained in Reference Example 57.
製剤1のCL-1を参考例58で得られたCL-58にした以外、実施例72と同様にして製剤106を得た。 Preparation 106 was obtained in the same manner as in Example 72 except that CL-1 in preparation 1 was changed to CL-58 obtained in Reference Example 58.
製剤1のCL-1を参考例59で得られたCL-59にした以外、実施例72と同様にして製剤107を得た。 Preparation 107 was obtained in the same manner as in Example 72 except that CL-1 in preparation 1 was changed to CL-59 obtained in Reference Example 59.
製剤1のCL-1を参考例60で得られたCL-60にした以外、実施例72と同様にして製剤108を得た。 Preparation 108 was obtained in the same manner as in Example 72 except that CL-1 of preparation 1 was changed to CL-60 obtained in Reference Example 60.
製剤1のCL-1を参考例61で得られたCL-61にした以外、実施例72と同様にして製剤109を得た。 Preparation 109 was obtained in the same manner as in Example 72, except that CL-1 in Preparation 1 was changed to CL-61 obtained in Reference Example 61.
製剤1のCL-1を参考例62で得られたCL-62にした以外、実施例72と同様にして製剤110を得た。 Preparation 110 was obtained in the same manner as in Example 72 except that CL-1 of preparation 1 was changed to CL-62 obtained in Reference Example 62.
製剤1のCL-1を参考例63で得られたCL-63にした以外、実施例72と同様にして製剤111を得た。 Formulation 111 was obtained in the same manner as in Example 72 except that CL-1 of formulation 1 was changed to CL-63 obtained in Reference Example 63.
製剤1のCL-1を参考例64で得られたCL-64にした以外、実施例72と同様にして製剤112を得た。 Formulation 112 was obtained in the same manner as in Example 72 except that CL-1 of Formulation 1 was changed to CL-64 obtained in Reference Example 64.
製剤1のCL-1を参考例65で得られたCL-65にした以外、実施例72と同様にして製剤113を得た。 Preparation 113 was obtained in the same manner as in Example 72 except that CL-1 in preparation 1 was changed to CL-65 obtained in Reference Example 65.
製剤91のCL-13を参考例54で得られたCL-54にした以外、実施例141と同様にして製剤114を得た。 Preparation 114 was obtained in the same manner as in Example 141, except that CL-13 in Preparation 91 was changed to CL-54 obtained in Reference Example 54.
製剤91のCL-13を参考例54で得られたCL-55にした以外、実施例141と同様にして製剤115を得た。 Preparation 115 was obtained in the same manner as in Example 141, except that CL-13 in Preparation 91 was changed to CL-55 obtained in Reference Example 54.
試験例8
核酸含有脂質ナノ粒子の平均粒子径測定
粒子径測定装置(Zetasizer Nano ZS, マルバーン(Malvern)社製)で製剤中の核酸含有脂質ナノ粒子の平均粒子径を測定した(表34)。なお表中のPDIは多分散指数(Polydispersity Index)を表す。
Test Example 8
Measurement of average particle size of nucleic acid-containing lipid nanoparticles The average particle size of nucleic acid-containing lipid nanoparticles in the preparation was measured with a particle size measurement device (Zetasizer Nano ZS, manufactured by Malvern) (Table 34). PDI in the table represents a polydispersity index.
その結果、脂質A(V'-2, V'-3, V'-4, V'-5, II-25, II-3)および各種の脂質B(CL-2, 8, 53~65)、PEG-DMPE 、DSPC、コレステロールと核酸との複合体をエタノールに分散させ、その分散液に急速に水を加えて形成させた実施例147~169に記載する製剤93~115は平均粒子径が小さく、50 nm以下であった。 As a result, lipid A (V'-2, V'-3, V'-4, V'-5, II-25, II-3) and various lipid B (CL-2, 8, 53-65) Formulations 93 to 115 described in Examples 147 to 169 formed by dispersing a complex of PEG-DMPE®, DSPC, cholesterol and nucleic acid in ethanol and rapidly adding water to the dispersion have an average particle size. Small, 50 nm or less.
試験例9
核酸含有脂質ナノ粒子のインビトロ活性評価試験
実施例147~169に記載する製剤93~115を、それぞれ以下の方法により、ルシフェラーゼを強制発現させたヒト子宮頸癌由来細胞株HeLa細胞(Luc2CP-HeLa)に導入した。
核酸の最終濃度が0.3~10 nMとなるように、オプティメム(Opti-MEM、Gibco社)で希釈した各製剤を、96ウェルの培養プレートに、20 μLずつ分注した後、10%ウシ胎仔血清(FBS、SAFCバイオサイエンス(SAFC Biosciences社)を含む最小必須培地(MEM)に懸濁させたLuc2CP-HeLa細胞を、細胞数7500/80 μL/ウェルとなるように播種し、37℃、5%CO2条件下で培養することで、各製剤をLuc2CP-HeLa細胞内に導入した。また陰性対照の群として何も処理しない細胞を播種した。
各製剤を導入した細胞を37℃の5%CO2インキュベーター内で24時間培養し、細胞増殖試験アッセイ(CellTiter-Fluor Cell Viability Assay、プロメガ社、G6080 )を用いて、製品に添付された説明書に記載された方法に従い処理、蛍光強度をプレートリーダーで測定した後、ルシフェラーゼ定量システム(Steady-Glo Luciferase Assay System 、プロメガ社、E2520)を用いて、製品に添付された説明書に記載された方法に従い処理、発光強度をプレートリーダーで測定した。得られたルシフェリン発光量を細胞増殖試験アッセイで得られた蛍光量で補正した。各製剤処理群の発光量は、陰性対照群の補正後発光量を1としたときの相対的な割合として算出した。
表35から明らかなように、脂質Aを含む製剤(製剤93~115)は脂質Bによらず、Lucの発現を抑制した。
よって、本発明の脂質Aを含有する脂質ナノ粒子は核酸を細胞内等に導入することができ、インビトロで細胞内に薬物送達することを容易にする製剤であることが明らかとなった。
Test Example 9
In Vitro Activity Evaluation Test of Nucleic Acid-Containing Lipid Nanoparticles Human cervical cancer-derived cell line HeLa cells (Luc2CP-HeLa) in which the preparations 93 to 115 described in Examples 147 to 169 were forcibly expressed by the following methods, respectively Introduced.
Each formulation diluted with Optimem (Opti-MEM, Gibco) to a final nucleic acid concentration of 0.3 to 10 nM is dispensed into a 96-well culture plate by 20 μL, and then 10% fetal bovine serum (Luc2CP-HeLa cells suspended in a minimum essential medium (MEM) containing FBS and SAFC Biosciences (SAFC Biosciences) were seeded at a cell number of 7500/80 μL / well, 37 ° C, 5% Each formulation was introduced into Luc2CP-HeLa cells by culturing under CO 2 conditions, and cells that were not treated as a negative control group were seeded.
Cells introduced with each preparation are cultured in a 5% CO 2 incubator at 37 ° C for 24 hours, and a cell proliferation test assay (CellTiter-Fluor Cell Viability Assay, Promega, G6080) is used. After processing according to the method described in, and measuring the fluorescence intensity with a plate reader, using the luciferase quantification system (Steady-Glo Luciferase Assay System, Promega, E2520), the method described in the instructions attached to the product Then, the luminescence intensity was measured with a plate reader. The amount of luciferin luminescence obtained was corrected with the amount of fluorescence obtained in the cell proliferation test assay. The amount of luminescence of each preparation-treated group was calculated as a relative ratio when the corrected luminescence amount of the negative control group was 1.
As is clear from Table 35, preparations containing lipid A (formulations 93 to 115) suppressed the expression of Luc regardless of lipid B.
Therefore, it has been clarified that the lipid nanoparticles containing lipid A of the present invention can introduce nucleic acid into cells and the like, and are preparations that facilitate drug delivery into cells in vitro.
配列番号1は、Luc siRNA センス鎖の塩基配列を示す。
配列番号2は、Luc siRNA アンチセンス鎖の塩基配列を示す。
SEQ ID NO: 1 shows the base sequence of the Luc siRNA sense strand.
SEQ ID NO: 2 shows the nucleotide sequence of the Luc siRNA antisense strand.
Claims (19)
式(CL-I)
R101およびR102は同一または異なって直鎖状または分岐状のC10-C24アルキル、C10-C24アルケニルもしくはC10-C24アルキニルであり、
L101およびL102は水素原子であるか、または一緒になって単結合もしくはC1-C3アルキレンを形成し、
L103は単結合、-CO-または-CO-O-であり、
L103が単結合である場合には、
X101は水素原子、C1-C6アルキル、C3-C6アルケニル、ピロリジン-3-イル、ピペリジン-3-イル、ピペリジン-4-イル、または同一もしくは異なって1~3つのアミノ、モノアルキルアミノ、ジアルキルアミノ、トリアルキルアンモニオ、ヒドロキシ、アルコキシ、カルバモイル、モノアルキルカルバモイル、ジアルキルカルバモイル、ピロリジニル、ピペリジルもしくはモルホリニルで置換されたC1-C6アルキルもしくはC3-C6アルケニルであり、
L103が-CO-または-CO-O-である場合には、
X101はピロリジン-2-イル、ピロリジン-3-イル、ピペリジン-2-イル、ピペリジン-3-イル、ピペリジン-4-イル、モルホリン-2-イル、モルホリン-3-イル、または同一もしくは異なって1~3つのアミノ、モノアルキルアミノ、ジアルキルアミノ、トリアルキルアンモニオ、ヒドロキシ、アルコキシ、カルバモイル、モノアルキルカルバモイル、ジアルキルカルバモイル、ピロリジニル、ピペリジルもしくはモルホリニルで置換されたC1-C6アルキルもしくはC3-C6アルケニルであり、該置換基の少なくとも1つは、アミノ、モノアルキルアミノ、ジアルキルアミノ、トリアルキルアンモニオ、ピロリジニル、ピペリジルまたはモルホリニルである)、
式(CL-II)
R103およびR104は同一または異なって直鎖状または分岐状のC12-C24アルキル、C12-C24アルケニルもしくはC12-C24アルキニルであり、
p101およびp102は同一または異なって0~3の整数であり、
L106およびL107は水素原子であるか、または一緒になって単結合もしくはC2-C8アルキレンを形成し、
L104およびL105は同一または異なって-O-、-CO-O-または-O-CO-であり、
L108は単結合、-CO-または-CO-O-であり、
L108が単結合である場合には、
X102は水素原子、C1-C6アルキル、C3-C6アルケニル、ピロリジン-2-イル、ピロリジン-3-イル、ピペリジン-3-イル、ピペリジン-4-イル、または同一もしくは異なって1~3つのアミノ、モノアルキルアミノ、ジアルキルアミノ、トリアルキルアンモニオ、ヒドロキシ、アルコキシ、カルバモイル、モノアルキルカルバモイル、ジアルキルカルバモイル、ピロリジニル、ピペリジルもしくはモルホリニルで置換されたC1-C6アルキルもしくはC3-C6アルケニルであり、
L108が-CO-または-CO-O-である場合には、
X102はピロリジン-2-イル、ピロリジン-3-イル、ピペリジン-2-イル、ピペリジン-3-イル、ピペリジン-4-イル、モルホリン-2-イル、モルホリン-3-イル、または同一もしくは異なって1~3つのアミノ、モノアルキルアミノ、ジアルキルアミノ、トリアルキルアンモニオ、ヒドロキシ、アルコキシ、カルバモイル、モノアルキルカルバモイル、ジアルキルカルバモイル、ピロリジニル、ピペリジルもしくはモルホリニルで置換されたC1-C6アルキルもしくはC3-C6アルケニルであり、該置換基の少なくとも1つは、アミノ、モノアルキルアミノ、ジアルキルアミノ、トリアルキルアンモニオ、ピロリジニル、ピペリジルまたはモルホリニルである)、
式(CL-III)
R105は直鎖状または分岐状のC8-C24アルキル、C8-C24アルケニルもしくはC8-C24アルキニルであり、
R106は直鎖状または分岐状のC8-C24アルキル、C8-C24アルケニル、C8-C24アルキニル、C8-C24アルキルオキシエチル、C8-C24アルキルオキシプロピル、C8-C24アルケニルオキシエチル、C8-C24アルケニルオキシプロピル、C8-C24アルキニルオキシエチルもしくはC8-C24アルキニルオキシプロピルであり、
X103およびX104は同一または異なってC1-C3アルキルであるか、または一緒になってC2-C8アルキレンを形成するか、またはX103はL111と一緒になってC2-C8アルキレンを形成し、
L111は水素原子、C1-C6アルキル、C3-C6アルケニル、アミノ、モノアルキルアミノ、ヒドロキシ、アルコキシ、カルバモイル、モノアルキルカルバモイル、ジアルキルカルバモイル、または同一もしくは異なって1~3つのアミノ、モノアルキルアミノ、ヒドロキシ、アルコキシ、カルバモイル、モノアルキルカルバモイルもしくはジアルキルカルバモイルで置換されたC1-C6アルキルもしくはC3-C6アルケニルであるか、またはX103と一緒になってC2-C8アルキレンを形成し、
L109はC1-C6アルキレンであり、
L110は単結合であるか、またはC1-C6アルキレンであり、ただし、L109とL110の炭素数の和は7以下であり、L111が、水素原子の場合、L110は単結合であり、L111がX103と一緒になってC2-C6アルキレンを形成する場合、L110は単結合であるか、またはメチレンもしくはエチレンである)、
式(CL-IV)
R107は直鎖状または分岐状のC8-C24アルキル、C8-C24アルケニルもしくはC8-C24アルキニルであり、
R108は直鎖状または分岐状のC8-C24アルキル、C8-C24アルケニル、C8-C24アルキニル、C8-C24アルキルオキシエチル、C8-C24アルキルオキシプロピル、C8-C24アルケニルオキシエチル、C8-C24アルケニルオキシプロピル、C8-C24アルキニルオキシエチル、C8-C24アルキニルオキシプロピル、C8-C24アルキルオキシエトキシエチル、C8-C24アルケニルオキシエトキシエチルもしくはC8-C24アルキニルオキシエトキシエチルであり、
X105は水素原子、置換されていても良いC1-C4アルキルまたは-CO-(CH2)n-NY1Y2であり、
nは1~4の整数を表し、
Y1およびY2は同一または異なってC1-C3アルキルであるか、または一緒になってC2-C8アルキレンを形成する)、
式(CL-V)
R109は直鎖状または分岐状のC8-C24アルキル、C8-C24アルケニルもしくはC8-C24アルキニルであり、
R110は直鎖状または分岐状のC8-C24アルキル、C8-C24アルケニル、C8-C24アルキニル、C8-C24アルキルオキシエチル、C8-C24アルキルオキシプロピル、C8-C24アルケニルオキシエチル、C8-C24アルケニルオキシプロピル、C8-C24アルキニルオキシエチルもしくはC8-C24アルキニルオキシプロピルであり、
L112はC1-C3アルキレンであり、
X105’は水素原子またはC1-C3アルキルである)、
式(CL-VI)
R111およびR112は同一または異なって直鎖状または分岐状の置換されていても良いC8-C24アルキル、C8-C24アルケニルもしくはC8-C24アルキニルであり、
X106およびX107は同一または異なってC1-C3アルキルであるか、または一緒になってC2-C8アルキレンを形成し、
p103、p104およびp105は同一または異なって0または1であり、ただしp103, p104およびp105は同時には0ではなく、
L113およびL114は同一または異なってO、SまたはNHである)、
式(CL-VII)
R113およびR114は同一または異なって直鎖状または分岐状の置換されていても良いC8-C24アルキル、C8-C24アルケニルもしくはC8-C24アルキニルであり、
R115は水素原子、ヒドロキシ、置換されていても良いC1-C4アルキル、C1-C4アルコキシまたはC1-C4アシルオキシであり、
X109およびX110は同一または異なってC1-C3アルキルであるか、または一緒になってC2-C8アルキレンを形成し、
L115は-CO-O-、-O-CO-、-NHCO-または-CONH-であり、
p106は0~3の整数であり、
p107は1~4の整数である)
式(CL-VIII)
R116およびR117は同一または異なって直鎖状または分岐状の置換されていても良いC8-C24アルキル、C8-C24アルケニル、C8-C24アルキニル、C7-C20アルキルオキシC1-C3アルキル、C7-C20アルケニルオキシC1-C3アルキルまたはC7-C20アルキニルオキシC1-C3アルキルであるか、
生分解性基が組み込まれている前記C8-C24アルキル、C8-C24アルケニルもしくはC8-C24アルキニル、または、生分解性基が末端に存在するC8-C24アルキル基、C8-C24アルケニル基もしくはC8-C24アルキニル基であり、
前記生分解性基は、組み込まれているものは、-C(O)O-または‐OC(O)-であり、末端に存在するものは、-C(O)O-C1-C4アルキルまたは-OC(O)-C1-C4アルキルであり、
B100は、水素原子、C1-C3アルキル、ヒドロキシC2-C4アルキル、C1-C3ジアルキルアミノC2-C4アルキル、式(A)
p108は0~4の整数であり、p109は1~4の整数であり(但し、p108が0であり、p109が1である場合を除く)、
L116は結合する炭素ごとに同一または異なって水素原子またはC1-C3アルキルであり、
L117は結合する炭素ごとに同一または異なって水素原子またはC1-C3アルキルである)、
式(CL-IX)
X115およびX116は同一または異なって水素原子またはC1-C3アルキルであり、
L118およびL119は同一または異なって直鎖状または分岐状の置換されていても良いC8-C24アルキレンもしくはC8-C24アルケニレンであり、
M101およびM102は同一または異なって-C=C-、-OC(O)-、-C(O)O-、-SC(O)-、-C(O)S-、-OC(S)-、-C(S)O-、-SS-、-C(R’’)=N-、-N=C(R’’)-、-C(R’’)=N-O-、-O-N=C(R’’)-、-N(R’’)C(O)-、-C(O)N(R’’)-、-N(R’’)C(S)-、-C(S)N(R’’)-、-N(R’’)C(O)N(R’’’)-、-N(R’’)C(O)O-、-OC(O)N(R’’)-および-OC(O)O-からなる群から選ばれ、
R’’およびR’’’は、同一または異なって、水素原子またはC1-C3アルキルであり、
R118およびR119は同一または異なって直鎖状または分岐状の置換されていても良いC1-C16アルキルもしくはC2-C16アルケニルである)、
式(CL-X)
X117およびX118は同一または異なって水素原子、置換されていても良いC1-C6アルキル、ヘテロシクリルまたはポリアミンであるか、またはX117およびX118はそれらが結合している窒素と一緒に、該窒素に加えて、N、OおよびSから選択される1または2個のさらなるヘテロ原子を含有していてもよい4~7員の単環式ヘテロ環を形成してもよく、
R120およびR121は同一または異なって直鎖状または分岐状の置換されていても良いC4-C24アルキルもしくはC4-C24アルケニルである)、
式(CL-XI)
X119およびX120は同一または異なって水素原子、直鎖状または分岐状の置換されていても良いC1-C20アルキル、C1-C20アルケニル、C1-C20アルキニルもしくはC6-C20アシルであり、
R122およびR123は同一または異なって直鎖状または分岐状の置換されていても良いC1-C30アルキル、C2-C30アルケニルもしくはC2-C30アルキニルであり、
p112、p113およびp114は同一または異なって0であるか、任意の正の整数である)、
式(CL-XII)
X121およびX122は同一または異なって水素原子、C1-C6アルキル、シクロアルキル、シクロアルケニルであるか、またはX121およびX122はそれらが結合する窒素原子と一緒になってC2-C6含窒素ヘテロ環を形成してもよく、
L120およびL121は同一または異なって-O-、-OC(O)-または-(O)CO-であり、
R124およびR125は同一または異なって直鎖状または分岐状の置換されていても良いC8-C24アルキルもしくはC8-C24アルケニルである)、
式(CL-XIII)
R126およびR127は同一または異なって直鎖状または分岐状の置換されていても良いC8-C24アルキル、C8-C24アルケニル、C8-C24アルキニル、C8-C24ヘテロアルキル、C8-C24ヘテロアルケニルもしくはC8-C24ヘテロアルキニルであり、
X123は水素原子または置換されていても良いC1-C6アルキルであり、
X124は、C1-C6アルキル、-NR4aR4bで置換される置換C1-C6アルキルまたは置換されていても良いC3-C7ヘテロシクリルであり、
R4aおよびR4bは同一または異なって水素原子、-C(=NH)NH2または置換されていても良いC1-C6アルキルであるか、またはR4aおよびR4bはそれらが結合する窒素原子と一緒になって置換されていても良いC3-C7ヘテロシクリルを形成してもよく、
X123およびX124はそれらが結合する窒素原子と一緒になって置換されていても良いC3-C7ヘテロシクリルを形成してもよく、
ただし、X123およびX124はイミダゾリル、ベンズイミダゾリル、またはたスクシンイミジルを形成せず、および1つだけの1級アミンがX123およびX124のいずれか一方の上に存在することができ、またはいかなる1級アミンもX123およびX124のいずれか一方の上に存在せず、X123およびX124は置換されたアミドではなく、
R126およびR127がC11アルキルまたはC15アルキルであるとき、X123は水素原子ではなく、
R126およびR127がC16アルキルまたはC17アルキルであるとき、R126およびR127はOHと置換されず、
R126およびR127がC17アルキルであるとき、X123およびX124はOHと置換されず、
R126およびR127がC18アルキルであるとき、X124は置換されていても良いイミダゾリルと置換されない)
式(CL-XIV)
X125およびX126は同一または異なって水素原子、置換されていても良いC1-C6アルキル、ヘテロシクリルまたはポリアミンであるか、またはX125およびX126はそれらが結合している窒素と一緒に、該窒素に加えて、N、OおよびSから選択される1または2個のさらなるヘテロ原子を含有していてもよい4~7員の単環式ヘテロ環を形成してもよく、
R130は水素原子またはC1-C6アルキルであり、
R128およびR129は同一または異なって直鎖状または分岐状の置換されていても良いC4-C24アルキルもしくはC4-C24アルケニルであり、
Y3およびY4は同一または異なって酸素原子またはCH2であり、
p115は0~2の整数である)、
式(CL-XV)
X127およびX128は同一または異なってC1-C6アルキル、C2-C6アルケニル、C2-C6アルキニルであるか、
X127およびX128は、それらが結合している窒素原子と一体になって、1から2個の窒素原子を有する複素環を形成し、
L122は-C(O)O-、-OC(O)-、-C(O)N(X130)-、-N(X130)C(O)-、-OC(O)O-、-OC(O)N(X130)-、-N(X130)C(O)N(X130)-、または-N(X130)C(O)O-であり、
X130の各存在は独立して、水素原子またはC1-C3アルキルであり、
aは1、2、3、4、5、または6であり、
bは0、1、2、または3であり、
X129は存在しないか、水素またはC1-C3アルキルであり、
R131およびR132は同一または異なって、1つ以上の生分解性基を有する炭素数12~24のアルキル、炭素数12~24のアルケニル、または炭素数12~24のアルコキシであり、前記生分解性基は独立して、前記炭素数12~24のアルキル基、炭素数12~24のアルケニル基、または炭素数12~24のアルコキシ基に組み込まれているか、炭素数12~24のアルキル基、炭素数12~24のアルケニル基、または炭素数12~24のアルコキシ基の末端に存在しており、
前記生分解性基は、組み込まれているものは、-C(O)O-、-OC(O)-、-C(O)N(X130)-、または-N(X130)C(O)-であり、末端に存在するものは、-C(O)O-C1-C4アルキル、-OC(O)-C1-C4アルキル、-C(O)N(X130)-C1-C4アルキル、または-N(X130)C(O)-C1-C4アルキルであり、
R131およびR132は、上記生分解性基とアスタリスク(*)の付された第3級炭素原子との間に少なくとも4つの炭素原子を有する)、
式(CL-XVI)
R133およびR134は同一または異なって、直鎖状または分岐状のC1-C9アルキル、C2-C11アルケニルもしくはC2-C11アルキニルであり、
L123およびL124は同一または異なって、直鎖状のC5-C18アルキレンもしくは直鎖状のC5-C18アルケニレンであるか、または結合しているNと複素環を形成しており、
L125は、単結合であるか、または-C(O)O-であり、
L125が-C(O)O-であるとき、-L124-CO-OR134が形成されており、
L127はSまたはOであり、
L126は単結合であるか、または直鎖状もしくは分岐状のC1-C6アルキレンであるか、または-C(O)-を介して結合しているNと複素環を形成しており、
L128は直鎖状または分岐状のC1-C6アルキレンであり、
X131およびX132は同一または異なって、水素または直鎖状もしくは分岐状のC1-C6アルキルである)、または
式(CL-XVII)
L131はC2-C4アルキレンまたは-CH2-S-CH2CH2-であり、
L129およびL130は同一または異なって、C1-C6アルキルであり、
R135およびR136は同一または異なって、C10-C30アルキル、C10-C30アルケニルであり、
X133およびX134は同一または異なって、水素、C1-C6アルキルまたは-CH2CH2OHである。)で表される脂質またはそれらの組み合わせである、請求項1~4のいずれか1項に記載の脂質ナノ粒子。 Lipid B
Formula (CL-I)
R 101 and R 102 are the same or different and are linear or branched C10-C24 alkyl, C10-C24 alkenyl or C10-C24 alkynyl,
L 101 and L 102 are hydrogen atoms or together form a single bond or C1-C3 alkylene;
L 103 is a single bond, -CO- or -CO-O-,
When L 103 is a single bond,
X 101 is a hydrogen atom, C1-C6 alkyl, C3-C6 alkenyl, pyrrolidin-3-yl, piperidin-3-yl, piperidin-4-yl, or the same or different 1 to 3 amino, monoalkylamino, dialkyl C1-C6 alkyl or C3-C6 alkenyl substituted with amino, trialkylammonio, hydroxy, alkoxy, carbamoyl, monoalkylcarbamoyl, dialkylcarbamoyl, pyrrolidinyl, piperidyl or morpholinyl,
When L 103 is -CO- or -CO-O-
X 101 is pyrrolidin-2-yl, pyrrolidin-3-yl, piperidin-2-yl, piperidin-3-yl, piperidin-4-yl, morpholin-2-yl, morpholin-3-yl, or the same or different With 1 to 3 amino, monoalkylamino, dialkylamino, trialkylammonio, hydroxy, alkoxy, carbamoyl, monoalkylcarbamoyl, dialkylcarbamoyl, pyrrolidinyl, piperidyl or morpholinyl substituted C1-C6 alkyl or C3-C6 alkenyl And at least one of the substituents is amino, monoalkylamino, dialkylamino, trialkylammonio, pyrrolidinyl, piperidyl or morpholinyl),
Formula (CL-II)
R 103 and R 104 are the same or different and are linear or branched C12-C24 alkyl, C12-C24 alkenyl or C12-C24 alkynyl,
p 101 and p 102 are the same or different and are integers of 0 to 3,
L 106 and L 107 are hydrogen atoms or together form a single bond or C2-C8 alkylene;
L 104 and L 105 are the same or different and are -O-, -CO-O- or -O-CO-,
L 108 is a single bond, -CO- or -CO-O-
When L 108 is a single bond,
X 102 is a hydrogen atom, C1-C6 alkyl, C3-C6 alkenyl, pyrrolidin-2-yl, pyrrolidin-3-yl, piperidin-3-yl, piperidin-4-yl, or the same or different 1 to 3 amino acids C1-C6 alkyl or C3-C6 alkenyl substituted with monoalkylamino, dialkylamino, trialkylammonio, hydroxy, alkoxy, carbamoyl, monoalkylcarbamoyl, dialkylcarbamoyl, pyrrolidinyl, piperidyl or morpholinyl,
When L 108 is -CO- or -CO-O-
X 102 is pyrrolidin-2-yl, pyrrolidin-3-yl, piperidin-2-yl, piperidin-3-yl, piperidin-4-yl, morpholin-2-yl, morpholin-3-yl, or the same or different With 1 to 3 amino, monoalkylamino, dialkylamino, trialkylammonio, hydroxy, alkoxy, carbamoyl, monoalkylcarbamoyl, dialkylcarbamoyl, pyrrolidinyl, piperidyl or morpholinyl substituted C1-C6 alkyl or C3-C6 alkenyl And at least one of the substituents is amino, monoalkylamino, dialkylamino, trialkylammonio, pyrrolidinyl, piperidyl or morpholinyl),
Formula (CL-III)
R 105 is linear or branched C8-C24 alkyl, C8-C24 alkenyl or C8-C24 alkynyl,
R 106 is linear or branched C8-C24 alkyl, C8-C24 alkenyl, C8-C24 alkynyl, C8-C24 alkyloxyethyl, C8-C24 alkyloxypropyl, C8-C24 alkenyloxyethyl, C8-C24 alkenyl Oxypropyl, C8-C24 alkynyloxyethyl or C8-C24 alkynyloxypropyl,
X 103 and X 104 are the same or different and are C1-C3 alkyl or taken together to form C2-C8 alkylene, or X 103 is taken together with L 111 to form C2-C8 alkylene. ,
L 111 is a hydrogen atom, C1-C6 alkyl, C3-C6 alkenyl, amino, monoalkylamino, hydroxy, alkoxy, carbamoyl, monoalkylcarbamoyl, dialkylcarbamoyl, or the same or different 1 to 3 amino, monoalkylamino, C1-C6 alkyl or C3-C6 alkenyl substituted with hydroxy, alkoxy, carbamoyl, monoalkylcarbamoyl or dialkylcarbamoyl, or together with X 103 to form C2-C8 alkylene;
L 109 is C1-C6 alkylene,
L 110 is a single bond or C1-C6 alkylene, provided that the sum of the carbon numbers of L 109 and L 110 is 7 or less, and when L 111 is a hydrogen atom, L 110 is a single bond. And when L 111 together with X 103 forms C2-C6 alkylene, L 110 is a single bond or is methylene or ethylene),
Formula (CL-IV)
R 107 is linear or branched C8-C24 alkyl, C8-C24 alkenyl or C8-C24 alkynyl,
R 108 is linear or branched C8-C24 alkyl, C8-C24 alkenyl, C8-C24 alkynyl, C8-C24 alkyloxyethyl, C8-C24 alkyloxypropyl, C8-C24 alkenyloxyethyl, C8-C24 alkenyl Oxypropyl, C8-C24 alkynyloxyethyl, C8-C24 alkynyloxypropyl, C8-C24 alkyloxyethoxyethyl, C8-C24 alkenyloxyethoxyethyl or C8-C24 alkynyloxyethoxyethyl,
X 105 is a hydrogen atom, optionally substituted C1-C4 alkyl or -CO- (CH 2 ) n -NY1Y2,
n represents an integer of 1 to 4,
Y1 and Y2 are the same or different and are C1-C3 alkyl or together form C2-C8 alkylene)
Formula (CL-V)
R 109 is linear or branched C8-C24 alkyl, C8-C24 alkenyl or C8-C24 alkynyl,
R 110 is linear or branched C8-C24 alkyl, C8-C24 alkenyl, C8-C24 alkynyl, C8-C24 alkyloxyethyl, C8-C24 alkyloxypropyl, C8-C24 alkenyloxyethyl, C8-C24 alkenyl Oxypropyl, C8-C24 alkynyloxyethyl or C8-C24 alkynyloxypropyl,
L 112 is C1-C3 alkylene;
X 105 ′ is a hydrogen atom or C1-C3 alkyl),
Formula (CL-VI)
R 111 and R 112 are the same or different, linear or branched optionally substituted C8-C24 alkyl, C8-C24 alkenyl or C8-C24 alkynyl,
X 106 and X 107 are the same or different and are C1-C3 alkyl or taken together to form C2-C8 alkylene;
p 103 , p 104 and p 105 are the same or different and are 0 or 1, provided that p 103 , p 104 and p 105 are not 0 at the same time,
L 113 and L 114 are the same or different and are O, S or NH),
Formula (CL-VII)
R 113 and R 114 are the same or different, linear or branched optionally substituted C8-C24 alkyl, C8-C24 alkenyl or C8-C24 alkynyl,
R 115 is a hydrogen atom, hydroxy, optionally substituted C1-C4 alkyl, C1-C4 alkoxy or C1-C4 acyloxy,
X 109 and X 110 are the same or different and are C1-C3 alkyl or taken together to form C2-C8 alkylene;
L 115 is -CO-O-, -O-CO-, -NHCO- or -CONH-
p 106 is an integer from 0 to 3,
p 107 is an integer from 1 to 4)
Formula (CL-VIII)
R 116 and R 117 are the same or different and may be linear or branched substituted C8-C24 alkyl, C8-C24 alkenyl, C8-C24 alkynyl, C7-C20 alkyloxy C1-C3 alkyl, C7- C20 alkenyloxy C1-C3 alkyl or C7-C20 alkynyloxy C1-C3 alkyl,
Said C8-C24 alkyl, C8-C24 alkenyl or C8-C24 alkynyl having a biodegradable group incorporated therein, or C8-C24 alkyl group, C8-C24 alkenyl group or C8- A C24 alkynyl group,
The biodegradable group is incorporated as —C (O) O— or —OC (O) —, and present at the terminal is —C (O) O—C1-C4 alkyl or -OC (O) -C1-C4 alkyl,
B 100 is a hydrogen atom, C1-C3 alkyl, hydroxy C2-C4 alkyl, C1-C3 dialkylamino C2-C4 alkyl, formula (A)
p 108 is an integer from 0 to 4, p 109 is an integer from 1 to 4 (except when p 108 is 0 and p 109 is 1),
L 116 is the same or different for each carbon to be bonded and is a hydrogen atom or C1-C3 alkyl;
L 117 is the same or different for each carbon to be bonded and is a hydrogen atom or C1-C3 alkyl).
Formula (CL-IX)
X 115 and X 116 are the same or different and are a hydrogen atom or C1-C3 alkyl,
L 118 and L 119 are the same or different and may be linear or branched C8-C24 alkylene or C8-C24 alkenylene,
M 101 and M 102 are the same or different, and -C = C-, -OC (O)-, -C (O) O-, -SC (O)-, -C (O) S-, -OC (S )-, -C (S) O-, -SS-, -C (R '' ) = N-, -N = C (R '' )-, -C (R '' ) = NO-, -ON = C (R '' )-, -N (R '' ) C (O)-, -C (O) N (R '' )-, -N (R '' ) C (S)-, -C (S) N (R '' )-, -N (R '' ) C (O) N (R ''' )-, -N (R '' ) C (O) O-, -OC (O) Selected from the group consisting of N (R '' )-and -OC (O) O-
R '' and R ''' are the same or different and are a hydrogen atom or C1-C3 alkyl;
R 118 and R 119 are the same or different and are linear or branched optionally substituted C1-C16 alkyl or C2-C16 alkenyl),
Formula (CL-X)
X 117 and X 118 are the same or different hydrogen atoms, optionally substituted C1-C6 alkyl, heterocyclyl or polyamine, or X 117 and X 118 together with the nitrogen to which they are attached, In addition to nitrogen, it may form a 4-7 membered monocyclic heterocycle which may contain 1 or 2 additional heteroatoms selected from N, O and S;
R 120 and R 121 are the same or different and are linear or branched optionally substituted C4-C24 alkyl or C4-C24 alkenyl),
Formula (CL-XI)
X 119 and X 120 are the same or different and each represents a hydrogen atom, a linear or branched C1-C20 alkyl, C1-C20 alkenyl, C1-C20 alkynyl or C6-C20 acyl,
R 122 and R 123 are the same or different, linear or branched optionally substituted C1-C30 alkyl, C2-C30 alkenyl or C2-C30 alkynyl,
p 112 , p 113 and p 114 are the same or different and are 0 or any positive integer),
Formula (CL-XII)
X 121 and X 122 are the same or different and each is a hydrogen atom, C1-C6 alkyl, cycloalkyl, cycloalkenyl, or X 121 and X 122 together with the nitrogen atom to which they are attached contain C2-C6 nitrogen A heterocycle may form,
L 120 and L 121 are the same or different and are —O—, —OC (O) — or — (O) CO—,
R 124 and R 125 are the same or different and are linear or branched optionally substituted C8-C24 alkyl or C8-C24 alkenyl),
Formula (CL-XIII)
R 126 and R 127 are the same or different and may be linear or branched substituted C8-C24 alkyl, C8-C24 alkenyl, C8-C24 alkynyl, C8-C24 heteroalkyl, C8-C24 heteroalkenyl or C8-C24 heteroalkynyl,
X 123 is a hydrogen atom or an optionally substituted C1-C6 alkyl,
X 124 is C1-C6 alkyl, substituted C1-C6 alkyl substituted with -NR 4a R 4b or optionally substituted C3-C7 heterocyclyl;
R 4a and R 4b are the same or different and are a hydrogen atom, -C (= NH) NH 2 or an optionally substituted C1-C6 alkyl, or R 4a and R 4b are a nitrogen atom to which they are bonded. Taken together to form an optionally substituted C3-C7 heterocyclyl,
X 123 and X 124 together with the nitrogen atom to which they are attached may form an optionally substituted C3-C7 heterocyclyl;
However, X 123 and X 124 do not form imidazolyl, benzimidazolyl, or succinimidyl, and only one primary amine can be present on either of X 123 and X 124 , or any primary amines also not present on either one of X 123 and X 124, X 123 and X 124 is not substituted amides,
When R 126 and R 127 are C11 alkyl or C15 alkyl, X 123 is not a hydrogen atom,
When R 126 and R 127 are C16 alkyl or C17 alkyl, R 126 and R 127 are not substituted with OH;
When R 126 and R 127 are C17 alkyl, X 123 and X 124 are not substituted with OH;
When R 126 and R 127 are C18 alkyl, X 124 is not substituted with an optionally substituted imidazolyl)
Formula (CL-XIV)
X 125 and X 126 are the same or different hydrogen atoms, optionally substituted C1-C6 alkyl, heterocyclyl or polyamine, or X 125 and X 126 together with the nitrogen to which they are attached, In addition to nitrogen, it may form a 4-7 membered monocyclic heterocycle which may contain 1 or 2 additional heteroatoms selected from N, O and S;
R 130 is a hydrogen atom or C1-C6 alkyl;
R 128 and R 129 are the same or different, linear or branched optionally substituted C4-C24 alkyl or C4-C24 alkenyl,
Y3 and Y4 represents an oxygen atom or CH 2 identical or different,
p115 is an integer from 0 to 2),
Formula (CL-XV)
X 127 and X 128 are the same or different and are C1-C6 alkyl, C2-C6 alkenyl, C2-C6 alkynyl,
X 127 and X 128 together with the nitrogen atom to which they are attached form a heterocyclic ring having 1 to 2 nitrogen atoms;
L 122 is -C (O) O-, -OC (O)-, -C (O) N (X 130 )-, -N (X 130 ) C (O)-, -OC (O) O-, -OC (O) N (X 130 )-, -N (X 130 ) C (O) N (X 130 )-, or -N (X 130 ) C (O) O-
Each occurrence of X 130 is independently a hydrogen atom or C1-C3 alkyl;
a is 1, 2, 3, 4, 5, or 6;
b is 0, 1, 2, or 3;
X 129 is absent or is hydrogen or C1-C3 alkyl;
R 131 and R 132 are the same or different and are alkyl having 12 to 24 carbon atoms, alkenyl having 12 to 24 carbon atoms, or alkoxy having 12 to 24 carbon atoms having one or more biodegradable groups, The decomposable group is independently incorporated into the alkyl group having 12 to 24 carbon atoms, the alkenyl group having 12 to 24 carbon atoms, or the alkoxy group having 12 to 24 carbon atoms, or an alkyl group having 12 to 24 carbon atoms. , At the end of an alkenyl group having 12 to 24 carbon atoms or an alkoxy group having 12 to 24 carbon atoms,
The biodegradable group is incorporated as —C (O) O—, —OC (O) —, —C (O) N (X 130 ) —, or —N (X 130 ) C ( O)-, which is present at the terminal, is -C (O) O-C1-C4 alkyl, -OC (O) -C1-C4 alkyl, -C (O) N (X 130 ) -C1-C4 Alkyl, or -N (X 130 ) C (O) -C1-C4 alkyl,
R 131 and R 132 have at least 4 carbon atoms between the biodegradable group and a tertiary carbon atom marked with an asterisk (*)),
Formula (CL-XVI)
R 133 and R 134 are the same or different and are linear or branched C1-C9 alkyl, C2-C11 alkenyl or C2-C11 alkynyl;
L 123 and L 124 are the same or different and are linear C5-C18 alkylene or linear C5-C18 alkenylene, or form a heterocyclic ring with N bonded thereto,
L 125 is a single bond or -C (O) O-
When L 125 is -C (O) O-, -L 124 -CO-OR 134 is formed,
L 127 is S or O,
L 126 is a single bond, a linear or branched C1-C6 alkylene, or forms a heterocyclic ring with N bonded via -C (O)-,
L 128 is a linear or branched C1-C6 alkylene,
X 131 and X 132 are the same or different and are hydrogen or linear or branched C1-C6 alkyl), or formula (CL-XVII)
L 131 is C2-C4 alkylene or —CH 2 —S—CH 2 CH 2 —,
L 129 and L 130 are the same or different and are C1-C6 alkyl;
R 135 and R 136 are the same or different and are C10-C30 alkyl, C10-C30 alkenyl,
X 133 and X 134 are the same or different and are hydrogen, C1-C6 alkyl or —CH 2 CH 2 OH. The lipid nanoparticle according to any one of claims 1 to 4, which is a lipid represented by the following formula or a combination thereof.
(a)水に混和可能な有機溶媒と水との混合溶媒中で、1つの4級アンモニウム基を有する親水部および置換されていても良い独立した3つの炭化水素基を有する脂質(脂質A)と、置換されていても良い1つのアミノ基または1つの4級アンモニウム基を有する親水部および置換されていても良い独立した2つの炭化水素基を有する疎水部を同一分子内に含む脂質(脂質B)と、核酸とを混合して、脂質Aと核酸を含む第1の脂質溶液を調製する工程、
(b)第1の脂質溶液に、水溶性高分子の脂質誘導体または脂肪酸誘導体を含む第2の脂質溶液を加えて、第3の脂質溶液を調製する工程、および
(c)第3の脂質溶液に、水または緩衝剤水溶液を添加する工程
を含む、前記製造方法。 A method for producing nucleic acid-containing lipid nanoparticles comprising:
(a) a lipid having a hydrophilic part having one quaternary ammonium group and three independent hydrocarbon groups optionally substituted in a mixed solvent of water and an organic solvent miscible with water (lipid A) A lipid having a hydrophilic part having one amino group which may be substituted or one quaternary ammonium group and a hydrophobic part having two independent hydrocarbon groups which may be substituted (lipid B) and a nucleic acid to prepare a first lipid solution containing lipid A and nucleic acid,
(b) adding a second lipid solution containing a lipid derivative or fatty acid derivative of a water-soluble polymer to the first lipid solution to prepare a third lipid solution; and
(c) The production method comprising a step of adding water or an aqueous buffer solution to the third lipid solution.
(a)水に混和可能な有機溶媒と水との混合溶媒中で、1つの4級アンモニウム基を有する親水部および置換されていても良い独立した3つの炭化水素基を有する脂質(脂質A)と、置換されていても良い1つのアミノ基または1つの4級アンモニウム基を有する親水部および置換されていても良い独立した2つの炭化水素基を有する疎水部を同一分子内に含む脂質(脂質B)と、核酸と、水溶性高分子の脂質誘導体または脂肪酸誘導体とを混合して、脂質と核酸を含む第1の脂質溶液を調製する工程、および
(b)第1の脂質溶液に、水または緩衝剤水溶液を添加する工程
を含む、前記製造方法。 A method for producing nucleic acid-containing lipid nanoparticles comprising:
(a) a lipid having a hydrophilic part having one quaternary ammonium group and three independent hydrocarbon groups optionally substituted in a mixed solvent of water and an organic solvent miscible with water (lipid A) A lipid having a hydrophilic part having one amino group which may be substituted or one quaternary ammonium group and a hydrophobic part having two independent hydrocarbon groups which may be substituted (lipid A step of mixing B), a nucleic acid, and a lipid derivative or fatty acid derivative of a water-soluble polymer to prepare a first lipid solution containing the lipid and the nucleic acid; and
(b) The production method comprising a step of adding water or an aqueous buffer solution to the first lipid solution.
R101およびR102は同一または異なって直鎖状または分岐状のC10-C24アルキル、C10-C24アルケニルもしくはC10-C24アルキニルであり、
L101およびL102は水素原子であるか、または一緒になって単結合もしくはC1-C3アルキレンを形成し、
L103は単結合、-CO-または-CO-O-であり、
L103が単結合である場合には、
X101は水素原子、C1-C6アルキル、C3-C6アルケニル、ピロリジン-3-イル、ピペリジン-3-イル、ピペリジン-4-イル、または同一もしくは異なって1~3つのアミノ、モノアルキルアミノ、ジアルキルアミノ、トリアルキルアンモニオ、ヒドロキシ、アルコキシ、カルバモイル、モノアルキルカルバモイル、ジアルキルカルバモイル、ピロリジニル、ピペリジルもしくはモルホリニルで置換されたC1-C6アルキルもしくはC3-C6アルケニルであり、
L103が-CO-または-CO-O-である場合には、
X101はピロリジン-2-イル、ピロリジン-3-イル、ピペリジン-2-イル、ピペリジン-3-イル、ピペリジン-4-イル、モルホリン-2-イル、モルホリン-3-イル、または同一もしくは異なって1~3つのアミノ、モノアルキルアミノ、ジアルキルアミノ、トリアルキルアンモニオ、ヒドロキシ、アルコキシ、カルバモイル、モノアルキルカルバモイル、ジアルキルカルバモイル、ピロリジニル、ピペリジルもしくはモルホリニルで置換されたC1-C6アルキルもしくはC3-C6アルケニルであり、該置換基の少なくとも1つは、アミノ、モノアルキルアミノ、ジアルキルアミノ、トリアルキルアンモニオ、ピロリジニル、ピペリジルまたはモルホリニルである)、
式(CL-II)
R103およびR104は同一または異なって直鎖状または分岐状のC12-C24アルキル、C12-C24アルケニルもしくはC12-C24アルキニルであり、
p101およびp102は同一または異なって0~3の整数であり、
L106およびL107は水素原子であるか、または一緒になって単結合もしくはC2-C8アルキレンを形成し、
L104およびL105は同一または異なって-O-、-CO-O-または-O-CO-であり、
L108は単結合、-CO-または-CO-O-であり、
L108が単結合である場合には、
X102は水素原子、C1-C6アルキル、C3-C6アルケニル、ピロリジン-2-イル、ピロリジン-3-イル、ピペリジン-3-イル、ピペリジン-4-イル、または同一もしくは異なって1~3つのアミノ、モノアルキルアミノ、ジアルキルアミノ、トリアルキルアンモニオ、ヒドロキシ、アルコキシ、カルバモイル、モノアルキルカルバモイル、ジアルキルカルバモイル、ピロリジニル、ピペリジルもしくはモルホリニルで置換されたC1-C6アルキルもしくはC3-C6アルケニルであり、
L108が-CO-または-CO-O-である場合には、
X102はピロリジン-2-イル、ピロリジン-3-イル、ピペリジン-2-イル、ピペリジン-3-イル、ピペリジン-4-イル、モルホリン-2-イル、モルホリン-3-イル、または同一もしくは異なって1~3つのアミノ、モノアルキルアミノ、ジアルキルアミノ、トリアルキルアンモニオ、ヒドロキシ、アルコキシ、カルバモイル、モノアルキルカルバモイル、ジアルキルカルバモイル、ピロリジニル、ピペリジルもしくはモルホリニルで置換されたC1-C6アルキルもしくはC3-C6アルケニルであり、該置換基の少なくとも1つは、アミノ、モノアルキルアミノ、ジアルキルアミノ、トリアルキルアンモニオ、ピロリジニル、ピペリジルまたはモルホリニルである)、
式(CL-III)
R105は直鎖状または分岐状のC8-C24アルキル、C8-C24アルケニルもしくはC8-C24アルキニルであり、
R106は直鎖状または分岐状のC8-C24アルキル、C8-C24アルケニル、C8-C24アルキニル、C8-C24アルキルオキシエチル、C8-C24アルキルオキシプロピル、C8-C24アルケニルオキシエチル、C8-C24アルケニルオキシプロピル、C8-C24アルキニルオキシエチルもしくはC8-C24アルキニルオキシプロピルであり、
X103およびX104は同一または異なってC1-C3アルキルであるか、または一緒になってC2-C8アルキレンを形成するか、またはX103はL111と一緒になってC2-C8アルキレンを形成し、
L111は水素原子、C1-C6アルキル、C3-C6アルケニル、アミノ、モノアルキルアミノ、ヒドロキシ、アルコキシ、カルバモイル、モノアルキルカルバモイル、ジアルキルカルバモイル、または同一もしくは異なって1~3つのアミノ、モノアルキルアミノ、ヒドロキシ、アルコキシ、カルバモイル、モノアルキルカルバモイルもしくはジアルキルカルバモイルで置換されたC1-C6アルキルもしくはC3-C6アルケニルであるか、またはX103と一緒になってC2-C8アルキレンを形成し、
L109はC1-C6アルキレンであり、
L110は単結合であるか、またはC1-C6アルキレンであり、ただし、L109とL110の炭素数の和は7以下であり、L111が、水素原子の場合、L110は単結合であり、L111がX103と一緒になってC2-C6アルキレンを形成する場合、L110は単結合であるか、またはメチレンもしくはエチレンである)、
式(CL-IV)
R107は直鎖状または分岐状のC8-C24アルキル、C8-C24アルケニルもしくはC8-C24アルキニルであり、
R108は直鎖状または分岐状のC8-C24アルキル、C8-C24アルケニル、C8-C24アルキニル、C8-C24アルキルオキシエチル、C8-C24アルキルオキシプロピル、C8-C24アルケニルオキシエチル、C8-C24アルケニルオキシプロピル、C8-C24アルキニルオキシエチル、C8-C24アルキニルオキシプロピル、C8-C24アルキルオキシエトキシエチル、C8-C24アルケニルオキシエトキシエチルもしくはC8-C24アルキニルオキシエトキシエチルであり、
X105は水素原子、置換されていても良いC1-C4アルキルまたは-CO-(CH2)n-NY1Y2であり、
nは1~4の整数を表し、
Y1およびY2は同一または異なってC1-C3アルキルであるか、または一緒になってC2-C8アルキレンを形成する)、
式(CL-V)
R109は直鎖状または分岐状のC8-C24アルキル、C8-C24アルケニルもしくはC8-C24アルキニルであり、
R110は直鎖状または分岐状のC8-C24アルキル、C8-C24アルケニル、C8-C24アルキニル、C8-C24アルキルオキシエチル、C8-C24アルキルオキシプロピル、C8-C24アルケニルオキシエチル、C8-C24アルケニルオキシプロピル、C8-C24アルキニルオキシエチルもしくはC8-C24アルキニルオキシプロピルであり、
L112はC1-C3アルキレンであり、
X105’は水素原子またはC1-C3アルキルである)、
式(CL-VI)
R111およびR112は同一または異なって直鎖状または分岐状の置換されていても良いC8-C24アルキル、C8-C24アルケニルもしくはC8-C24アルキニルであり、
X106およびX107は同一または異なってC1-C3アルキルであるか、または一緒になってC2-C8アルキレンを形成し、
p103、p104およびp105は同一または異なって0または1であり、ただしp103, p104およびp105は同時には0ではなく、
L113およびL114は同一または異なってO、SまたはNHである)、
式(CL-VII)
R113およびR114は同一または異なって直鎖状または分岐状の置換されていても良いC8-C24アルキル、C8-C24アルケニルもしくはC8-C24アルキニルであり、
R115は水素原子、ヒドロキシ、置換されていても良いC1-C4アルキル、C1-C4アルコキシまたはC1-C4アシルオキシであり、
X109およびX110は同一または異なってC1-C3アルキルであるか、または一緒になってC2-C8アルキレンを形成し、
L115は-CO-O-、-O-CO-、-NHCO-または-CONH-であり、
p106は0~3の整数であり、
p107は1~4の整数である)
式(CL-VIII)
R116およびR117は同一または異なって直鎖状または分岐状の置換されていても良いC8-C24アルキル、C8-C24アルケニル、C8-C24アルキニル、C7-C20アルキルオキシC1-C3アルキル、C7-C20アルケニルオキシC1-C3アルキルまたはC7-C20アルキニルオキシC1-C3アルキルであるか、
生分解性基が組み込まれている前記C8-C24アルキル、C8-C24アルケニルもしくはC8-C24アルキニル、または、生分解性基が末端に存在するC8-C24アルキル基、C8-C24アルケニル基もしくはC8-C24アルキニル基であり、
前記生分解性基は、組み込まれているものは、-C(O)O-または‐OC(O)-であり、末端に存在するものは、-C(O)O-C1-C4アルキルまたは-OC(O)-C1-C4アルキルであり、
B100は、水素原子、C1-C3アルキル、ヒドロキシC2-C4アルキル、C1-C3ジアルキルアミノC2-C4アルキル、式(A)
p108は0~4の整数であり、p109は1~4の整数であり(但し、p108が0であり、p109が1である場合を除く)、
L116は結合する炭素ごとに同一または異なって水素原子またはC1-C3アルキルであり、
L117は結合する炭素ごとに同一または異なって水素原子またはC1-C3アルキルである)、
式(CL-IX)
X115およびX116は同一または異なって水素原子またはC1-C3アルキルであり、
L118およびL119は同一または異なって直鎖状または分岐状の置換されていても良いC8-C24アルキレンもしくはC8-C24アルケニレンであり、
M101およびM102は同一または異なって-C=C-、-OC(O)-、-C(O)O-、-SC(O)-、-C(O)S-、-OC(S)-、-C(S)O-、-SS-、-C(R’’)=N-、-N=C(R’’)-、-C(R’’)=N-O-、-O-N=C(R’’)-、-N(R’’)C(O)-、-C(O)N(R’’)-、-N(R’’)C(S)-、-C(S)N(R’’)-、-N(R’’)C(O)N(R’’’)-、-N(R’’)C(O)O-、-OC(O)N(R’’)-および-OC(O)O-からなる群から選ばれ、
R’’およびR’’’は、同一または異なって、水素原子またはC1-C3アルキルであり、
R118およびR119は同一または異なって直鎖状または分岐状の置換されていても良いC1-C16アルキルもしくはC2-C16アルケニルである)、
式(CL-X)
X117およびX118は同一または異なって水素原子、置換されていても良いC1-C6アルキル、ヘテロシクリルまたはポリアミンであるか、またはX117およびX118はそれらが結合している窒素と一緒に、該窒素に加えて、N、OおよびSから選択される1または2個のさらなるヘテロ原子を含有していてもよい4~7員の単環式ヘテロ環を形成してもよく、
R120およびR121は同一または異なって直鎖状または分岐状の置換されていても良いC4-C24アルキルもしくはC4-C24アルケニルである)、
式(CL-XI)
X119およびX120は同一または異なって水素原子、直鎖状または分岐状の置換されていても良いC1-C20アルキル、C1-C20アルケニル、C1-C20アルキニルもしくはC6-C20アシルであり、
R122およびR123は同一または異なって直鎖状または分岐状の置換されていても良いC1-C30アルキル、C2-C30アルケニルもしくはC2-C30アルキニルであり、
p112、p113およびp114は同一または異なって0であるか、任意の正の整数である)、
式(CL-XII)
X121およびX122は同一または異なって水素原子、C1-C6アルキル、シクロアルキル、シクロアルケニルであるか、またはX121およびX122はそれらが結合する窒素原子と一緒になってC2-C6含窒素ヘテロ環を形成してもよく、
L120およびL121は同一または異なって-O-、-OC(O)-または-(O)CO-であり、
R124およびR125は同一または異なって直鎖状または分岐状の置換されていても良いC8-C24アルキルもしくはC8-C24アルケニルである)、
式(CL-XIII)
R126およびR127は同一または異なって直鎖状または分岐状の置換されていても良いC8-C24アルキル、C8-C24アルケニル、C8-C24アルキニル、C8-C24ヘテロアルキル、C8-C24ヘテロアルケニルもしくはC8-C24ヘテロアルキニルであり、
X123は水素原子または置換されていても良いC1-C6アルキルであり、
X124は、C1-C6アルキル、-NR4aR4bで置換される置換C1-C6アルキルまたは置換されていても良いC3-C7ヘテロシクリルであり、
R4aおよびR4bは同一または異なって水素原子、-C(=NH)NH2または置換されていても良いC1-C6アルキルであるか、またはR4aおよびR4bはそれらが結合する窒素原子と一緒になって置換されていても良いC3-C7ヘテロシクリルを形成してもよく、
X123およびX124はそれらが結合する窒素原子と一緒になって置換されていても良いC3-C7ヘテロシクリルを形成してもよく、
ただし、X123およびX124はイミダゾリル、ベンズイミダゾリル、またはたスクシンイミジルを形成せず、および1つだけの1級アミンがX123およびX124のいずれか一方の上に存在することができ、またはいかなる1級アミンもX123およびX124のいずれか一方の上に存在せず、X123およびX124は置換されたアミドではなく、
R126およびR127がC11アルキルまたはC15アルキルであるとき、X123は水素原子ではなく、
R126およびR127がC16アルキルまたはC17アルキルであるとき、R126およびR127はOHと置換されず、
R126およびR127がC17アルキルであるとき、X123およびX124はOHと置換されず、
R126およびR127がC18アルキルであるとき、X124は置換されていても良いイミダゾリルと置換されない)
式(CL-XIV)
X125およびX126は同一または異なって水素原子、置換されていても良いC1-C6アルキル、ヘテロシクリルまたはポリアミンであるか、またはX125およびX126はそれらが結合している窒素と一緒に、該窒素に加えて、N、OおよびSから選択される1または2個のさらなるヘテロ原子を含有していてもよい4~7員の単環式ヘテロ環を形成してもよく、
R130は水素原子またはC1-C6アルキルであり、
R128およびR129は同一または異なって直鎖状または分岐状の置換されていても良いC4-C24アルキルもしくはC4-C24アルケニルであり、
Y3およびY4は同一または異なって酸素原子またはCH2であり、
p115は0~2の整数である)、
式(CL-XV)
X127およびX128は同一または異なってC1-C6アルキル、C2-C6アルケニル、C2-C6アルキニルであるか、
X127およびX128は、それらが結合している窒素原子と一体になって、1から2個の窒素原子を有する複素環を形成し、
L122は-C(O)O-、-OC(O)-、-C(O)N(X130)-、-N(X130)C(O)-、-OC(O)O-、-OC(O)N(X130)-、-N(X130)C(O)N(X130)-、または-N(X130)C(O)O-であり、
X130の各存在は独立して、水素原子またはC1-C3アルキルであり、
aは1、2、3、4、5、または6であり、
bは0、1、2、または3であり、
X129は存在しないか、水素またはC1-C3アルキルであり、
R131およびR132は同一または異なって、1つ以上の生分解性基を有する炭素数12~24のアルキル、炭素数12~24のアルケニル、または炭素数12~24のアルコキシであり、前記生分解性基は独立して、前記炭素数12~24のアルキル基、炭素数12~24のアルケニル基、または炭素数12~24のアルコキシ基に組み込まれているか、炭素数12~24のアルキル基、炭素数12~24のアルケニル基、または炭素数12~24のアルコキシ基の末端に存在しており、
前記生分解性基は、組み込まれているものは、-C(O)O-、-OC(O)-、-C(O)N(X130)-、または-N(X130)C(O)-であり、末端に存在するものは、-C(O)O‐C1-C4アルキル、-OC(O)-C1-C4アルキル、-C(O)N(X130)-C1-C4アルキル、または-N(X130)C(O)-C1-C4アルキルであり、
R131およびR132は、上記生分解性基とアスタリスク(*)の付された第3級炭素原子との間に少なくとも4つの炭素原子を有する)、
式(CL-XVI)
R133およびR134は同一または異なって、直鎖状または分岐状のC1-C9アルキル、C2-C11アルケニルもしくはC2-C11アルキニルであり、
L123およびL124は同一または異なって、直鎖状のC5-C18アルキレンもしくは直鎖状のC5-C18アルケニレンであるか、または結合しているNと複素環を形成しており、
L125は、単結合であるか、または-C(O)O-であり、
L125が-C(O)O-であるとき、-L124-CO-OR134が形成されており、
L127はSまたはOであり、
L126は単結合であるか、または直鎖状もしくは分岐状のC1-C6アルキレンであるか、または-C(O)-を介して結合しているNと複素環を形成しており、
L128は直鎖状または分岐状のC1-C6アルキレンであり、
X131およびX132は同一または異なって、水素または直鎖状もしくは分岐状のC1-C6アルキルである)、または
式(CL-XVII)
L131はC2-C4アルキレンまたは-CH2-S-CH2CH2-であり、
L129およびL130は同一または異なって、C1-C6アルキルであり、
R135およびR136は同一または異なって、C10-C30アルキル、C10-C30アルケニルであり、
X133およびX134は同一または異なって、水素、C1-C6アルキルまたは-CH2CH2OHである。)で表される脂質である、請求項7または8に記載の製造方法。 Lipid B has the formula (CL-I)
R 101 and R 102 are the same or different and are linear or branched C10-C24 alkyl, C10-C24 alkenyl or C10-C24 alkynyl,
L 101 and L 102 are hydrogen atoms or together form a single bond or C1-C3 alkylene;
L 103 is a single bond, -CO- or -CO-O-,
When L 103 is a single bond,
X 101 is a hydrogen atom, C1-C6 alkyl, C3-C6 alkenyl, pyrrolidin-3-yl, piperidin-3-yl, piperidin-4-yl, or the same or different 1 to 3 amino, monoalkylamino, dialkyl C1-C6 alkyl or C3-C6 alkenyl substituted with amino, trialkylammonio, hydroxy, alkoxy, carbamoyl, monoalkylcarbamoyl, dialkylcarbamoyl, pyrrolidinyl, piperidyl or morpholinyl,
When L 103 is -CO- or -CO-O-
X 101 is pyrrolidin-2-yl, pyrrolidin-3-yl, piperidin-2-yl, piperidin-3-yl, piperidin-4-yl, morpholin-2-yl, morpholin-3-yl, or the same or different With 1 to 3 amino, monoalkylamino, dialkylamino, trialkylammonio, hydroxy, alkoxy, carbamoyl, monoalkylcarbamoyl, dialkylcarbamoyl, pyrrolidinyl, piperidyl or morpholinyl substituted C1-C6 alkyl or C3-C6 alkenyl And at least one of the substituents is amino, monoalkylamino, dialkylamino, trialkylammonio, pyrrolidinyl, piperidyl or morpholinyl),
Formula (CL-II)
R 103 and R 104 are the same or different and are linear or branched C12-C24 alkyl, C12-C24 alkenyl or C12-C24 alkynyl,
p 101 and p 102 are the same or different and are integers of 0 to 3,
L 106 and L 107 are hydrogen atoms or together form a single bond or C2-C8 alkylene;
L 104 and L 105 are the same or different and are -O-, -CO-O- or -O-CO-,
L 108 is a single bond, -CO- or -CO-O-
When L 108 is a single bond,
X 102 is a hydrogen atom, C1-C6 alkyl, C3-C6 alkenyl, pyrrolidin-2-yl, pyrrolidin-3-yl, piperidin-3-yl, piperidin-4-yl, or the same or different 1 to 3 amino acids C1-C6 alkyl or C3-C6 alkenyl substituted with monoalkylamino, dialkylamino, trialkylammonio, hydroxy, alkoxy, carbamoyl, monoalkylcarbamoyl, dialkylcarbamoyl, pyrrolidinyl, piperidyl or morpholinyl,
When L 108 is -CO- or -CO-O-
X 102 is pyrrolidin-2-yl, pyrrolidin-3-yl, piperidin-2-yl, piperidin-3-yl, piperidin-4-yl, morpholin-2-yl, morpholin-3-yl, or the same or different With 1 to 3 amino, monoalkylamino, dialkylamino, trialkylammonio, hydroxy, alkoxy, carbamoyl, monoalkylcarbamoyl, dialkylcarbamoyl, pyrrolidinyl, piperidyl or morpholinyl substituted C1-C6 alkyl or C3-C6 alkenyl And at least one of the substituents is amino, monoalkylamino, dialkylamino, trialkylammonio, pyrrolidinyl, piperidyl or morpholinyl),
Formula (CL-III)
R 105 is linear or branched C8-C24 alkyl, C8-C24 alkenyl or C8-C24 alkynyl,
R 106 is linear or branched C8-C24 alkyl, C8-C24 alkenyl, C8-C24 alkynyl, C8-C24 alkyloxyethyl, C8-C24 alkyloxypropyl, C8-C24 alkenyloxyethyl, C8-C24 alkenyl Oxypropyl, C8-C24 alkynyloxyethyl or C8-C24 alkynyloxypropyl,
X 103 and X 104 are the same or different and are C1-C3 alkyl or taken together to form C2-C8 alkylene, or X 103 is taken together with L 111 to form C2-C8 alkylene. ,
L 111 is a hydrogen atom, C1-C6 alkyl, C3-C6 alkenyl, amino, monoalkylamino, hydroxy, alkoxy, carbamoyl, monoalkylcarbamoyl, dialkylcarbamoyl, or the same or different 1 to 3 amino, monoalkylamino, C1-C6 alkyl or C3-C6 alkenyl substituted with hydroxy, alkoxy, carbamoyl, monoalkylcarbamoyl or dialkylcarbamoyl, or together with X 103 to form C2-C8 alkylene;
L 109 is C1-C6 alkylene,
L 110 is a single bond or C1-C6 alkylene, provided that the sum of the carbon numbers of L 109 and L 110 is 7 or less, and when L 111 is a hydrogen atom, L 110 is a single bond. And when L 111 together with X 103 forms C2-C6 alkylene, L 110 is a single bond or is methylene or ethylene),
Formula (CL-IV)
R 107 is linear or branched C8-C24 alkyl, C8-C24 alkenyl or C8-C24 alkynyl,
R 108 is linear or branched C8-C24 alkyl, C8-C24 alkenyl, C8-C24 alkynyl, C8-C24 alkyloxyethyl, C8-C24 alkyloxypropyl, C8-C24 alkenyloxyethyl, C8-C24 alkenyl Oxypropyl, C8-C24 alkynyloxyethyl, C8-C24 alkynyloxypropyl, C8-C24 alkyloxyethoxyethyl, C8-C24 alkenyloxyethoxyethyl or C8-C24 alkynyloxyethoxyethyl,
X 105 is a hydrogen atom, optionally substituted C1-C4 alkyl or -CO- (CH 2 ) n -NY1Y2,
n represents an integer of 1 to 4,
Y1 and Y2 are the same or different and are C1-C3 alkyl or together form C2-C8 alkylene)
Formula (CL-V)
R 109 is linear or branched C8-C24 alkyl, C8-C24 alkenyl or C8-C24 alkynyl,
R 110 is linear or branched C8-C24 alkyl, C8-C24 alkenyl, C8-C24 alkynyl, C8-C24 alkyloxyethyl, C8-C24 alkyloxypropyl, C8-C24 alkenyloxyethyl, C8-C24 alkenyl Oxypropyl, C8-C24 alkynyloxyethyl or C8-C24 alkynyloxypropyl,
L 112 is C1-C3 alkylene;
X 105 ′ is a hydrogen atom or C1-C3 alkyl),
Formula (CL-VI)
R 111 and R 112 are the same or different, linear or branched optionally substituted C8-C24 alkyl, C8-C24 alkenyl or C8-C24 alkynyl,
X 106 and X 107 are the same or different and are C1-C3 alkyl or taken together to form C2-C8 alkylene;
p 103 , p 104 and p 105 are the same or different and are 0 or 1, provided that p 103 , p 104 and p 105 are not 0 at the same time,
L 113 and L 114 are the same or different and are O, S or NH),
Formula (CL-VII)
R 113 and R 114 are the same or different, linear or branched optionally substituted C8-C24 alkyl, C8-C24 alkenyl or C8-C24 alkynyl,
R 115 is a hydrogen atom, hydroxy, optionally substituted C1-C4 alkyl, C1-C4 alkoxy or C1-C4 acyloxy,
X 109 and X 110 are the same or different and are C1-C3 alkyl or taken together to form C2-C8 alkylene;
L 115 is -CO-O-, -O-CO-, -NHCO- or -CONH-
p 106 is an integer from 0 to 3,
p 107 is an integer from 1 to 4)
Formula (CL-VIII)
R 116 and R 117 are the same or different and may be linear or branched substituted C8-C24 alkyl, C8-C24 alkenyl, C8-C24 alkynyl, C7-C20 alkyloxy C1-C3 alkyl, C7- C20 alkenyloxy C1-C3 alkyl or C7-C20 alkynyloxy C1-C3 alkyl,
Said C8-C24 alkyl, C8-C24 alkenyl or C8-C24 alkynyl having a biodegradable group incorporated therein, or C8-C24 alkyl group, C8-C24 alkenyl group or C8- A C24 alkynyl group,
The biodegradable group is incorporated as —C (O) O— or —OC (O) —, and present at the terminal is —C (O) O—C1-C4 alkyl or -OC (O) -C1-C4 alkyl,
B 100 is a hydrogen atom, C1-C3 alkyl, hydroxy C2-C4 alkyl, C1-C3 dialkylamino C2-C4 alkyl, formula (A)
p 108 is an integer from 0 to 4, p 109 is an integer from 1 to 4 (except when p 108 is 0 and p 109 is 1),
L 116 is the same or different for each carbon to be bonded and is a hydrogen atom or C1-C3 alkyl;
L 117 is the same or different for each carbon to be bonded and is a hydrogen atom or C1-C3 alkyl).
Formula (CL-IX)
X 115 and X 116 are the same or different and are a hydrogen atom or C1-C3 alkyl,
L 118 and L 119 are the same or different and may be linear or branched C8-C24 alkylene or C8-C24 alkenylene,
M 101 and M 102 are the same or different, and -C = C-, -OC (O)-, -C (O) O-, -SC (O)-, -C (O) S-, -OC (S )-, -C (S) O-, -SS-, -C (R '' ) = N-, -N = C (R '' )-, -C (R '' ) = NO-, -ON = C (R '' )-, -N (R '' ) C (O)-, -C (O) N (R '' )-, -N (R '' ) C (S)-, -C (S) N (R '' )-, -N (R '' ) C (O) N (R ''' )-, -N (R '' ) C (O) O-, -OC (O) Selected from the group consisting of N (R '' )-and -OC (O) O-
R '' and R ''' are the same or different and are a hydrogen atom or C1-C3 alkyl;
R 118 and R 119 are the same or different and are linear or branched optionally substituted C1-C16 alkyl or C2-C16 alkenyl),
Formula (CL-X)
X 117 and X 118 are the same or different hydrogen atoms, optionally substituted C1-C6 alkyl, heterocyclyl or polyamine, or X 117 and X 118 together with the nitrogen to which they are attached, In addition to nitrogen, it may form a 4-7 membered monocyclic heterocycle which may contain 1 or 2 additional heteroatoms selected from N, O and S;
R 120 and R 121 are the same or different and are linear or branched optionally substituted C4-C24 alkyl or C4-C24 alkenyl),
Formula (CL-XI)
X 119 and X 120 are the same or different and each represents a hydrogen atom, a linear or branched C1-C20 alkyl, C1-C20 alkenyl, C1-C20 alkynyl or C6-C20 acyl,
R 122 and R 123 are the same or different, linear or branched optionally substituted C1-C30 alkyl, C2-C30 alkenyl or C2-C30 alkynyl,
p 112 , p 113 and p 114 are the same or different and are 0 or any positive integer),
Formula (CL-XII)
X 121 and X 122 are the same or different and each is a hydrogen atom, C1-C6 alkyl, cycloalkyl, cycloalkenyl, or X 121 and X 122 together with the nitrogen atom to which they are attached contain C2-C6 nitrogen A heterocycle may form,
L 120 and L 121 are the same or different and are —O—, —OC (O) — or — (O) CO—,
R 124 and R 125 are the same or different and are linear or branched optionally substituted C8-C24 alkyl or C8-C24 alkenyl),
Formula (CL-XIII)
R 126 and R 127 are the same or different and may be linear or branched substituted C8-C24 alkyl, C8-C24 alkenyl, C8-C24 alkynyl, C8-C24 heteroalkyl, C8-C24 heteroalkenyl or C8-C24 heteroalkynyl,
X 123 is a hydrogen atom or an optionally substituted C1-C6 alkyl,
X 124 is C1-C6 alkyl, substituted C1-C6 alkyl substituted with -NR 4a R 4b or optionally substituted C3-C7 heterocyclyl;
R 4a and R 4b are the same or different and are a hydrogen atom, -C (= NH) NH 2 or an optionally substituted C1-C6 alkyl, or R 4a and R 4b are a nitrogen atom to which they are bonded. Taken together to form an optionally substituted C3-C7 heterocyclyl,
X 123 and X 124 together with the nitrogen atom to which they are attached may form an optionally substituted C3-C7 heterocyclyl;
However, X 123 and X 124 do not form imidazolyl, benzimidazolyl, or succinimidyl, and only one primary amine can be present on either of X 123 and X 124 , or any primary amines also not present on either one of X 123 and X 124, X 123 and X 124 is not substituted amides,
When R 126 and R 127 are C11 alkyl or C15 alkyl, X 123 is not a hydrogen atom,
When R 126 and R 127 are C16 alkyl or C17 alkyl, R 126 and R 127 are not substituted with OH;
When R 126 and R 127 are C17 alkyl, X 123 and X 124 are not substituted with OH;
When R 126 and R 127 are C18 alkyl, X 124 is not substituted with an optionally substituted imidazolyl)
Formula (CL-XIV)
X 125 and X 126 are the same or different hydrogen atoms, optionally substituted C1-C6 alkyl, heterocyclyl or polyamine, or X 125 and X 126 together with the nitrogen to which they are attached, In addition to nitrogen, it may form a 4-7 membered monocyclic heterocycle which may contain 1 or 2 additional heteroatoms selected from N, O and S;
R 130 is a hydrogen atom or C1-C6 alkyl;
R 128 and R 129 are the same or different, linear or branched optionally substituted C4-C24 alkyl or C4-C24 alkenyl,
Y3 and Y4 represents an oxygen atom or CH 2 identical or different,
p115 is an integer from 0 to 2),
Formula (CL-XV)
X 127 and X 128 are the same or different and are C1-C6 alkyl, C2-C6 alkenyl, C2-C6 alkynyl,
X 127 and X 128 together with the nitrogen atom to which they are attached form a heterocyclic ring having 1 to 2 nitrogen atoms;
L 122 is -C (O) O-, -OC (O)-, -C (O) N (X 130 )-, -N (X 130 ) C (O)-, -OC (O) O-, -OC (O) N (X 130 )-, -N (X 130 ) C (O) N (X 130 )-, or -N (X 130 ) C (O) O-
Each occurrence of X 130 is independently a hydrogen atom or C1-C3 alkyl;
a is 1, 2, 3, 4, 5, or 6;
b is 0, 1, 2, or 3;
X 129 is absent or is hydrogen or C1-C3 alkyl;
R 131 and R 132 are the same or different and are alkyl having 12 to 24 carbon atoms, alkenyl having 12 to 24 carbon atoms, or alkoxy having 12 to 24 carbon atoms having one or more biodegradable groups, The decomposable group is independently incorporated into the alkyl group having 12 to 24 carbon atoms, the alkenyl group having 12 to 24 carbon atoms, or the alkoxy group having 12 to 24 carbon atoms, or an alkyl group having 12 to 24 carbon atoms. , At the end of an alkenyl group having 12 to 24 carbon atoms or an alkoxy group having 12 to 24 carbon atoms,
The biodegradable group is incorporated as —C (O) O—, —OC (O) —, —C (O) N (X 130 ) —, or —N (X 130 ) C ( O)-and present at the terminal are -C (O) O-C1-C4 alkyl, -OC (O) -C1-C4 alkyl, -C (O) N (X 130 ) -C1-C4 Alkyl, or -N (X 130 ) C (O) -C1-C4 alkyl,
R 131 and R 132 have at least 4 carbon atoms between the biodegradable group and a tertiary carbon atom marked with an asterisk (*)),
Formula (CL-XVI)
R 133 and R 134 are the same or different and are linear or branched C1-C9 alkyl, C2-C11 alkenyl or C2-C11 alkynyl;
L 123 and L 124 are the same or different and are linear C5-C18 alkylene or linear C5-C18 alkenylene, or form a heterocyclic ring with N bonded thereto,
L 125 is a single bond or -C (O) O-
When L 125 is -C (O) O-, -L 124 -CO-OR 134 is formed,
L 127 is S or O,
L 126 is a single bond, a linear or branched C1-C6 alkylene, or forms a heterocyclic ring with N bonded via -C (O)-,
L 128 is a linear or branched C1-C6 alkylene,
X 131 and X 132 are the same or different and are hydrogen or linear or branched C1-C6 alkyl), or formula (CL-XVII)
L 131 is C2-C4 alkylene or —CH 2 —S—CH 2 CH 2 —,
L 129 and L 130 are the same or different and are C1-C6 alkyl;
R 135 and R 136 are the same or different and are C10-C30 alkyl, C10-C30 alkenyl,
X 133 and X 134 are the same or different and are hydrogen, C1-C6 alkyl or —CH 2 CH 2 OH. 9. The production method according to claim 7 or 8, which is a lipid represented by
Applications Claiming Priority (2)
| Application Number | Priority Date | Filing Date | Title |
|---|---|---|---|
| JP2016190459 | 2016-09-28 | ||
| JP2016-190459 | 2016-09-28 |
Publications (1)
| Publication Number | Publication Date |
|---|---|
| WO2018062413A1 true WO2018062413A1 (en) | 2018-04-05 |
Family
ID=61760816
Family Applications (1)
| Application Number | Title | Priority Date | Filing Date |
|---|---|---|---|
| PCT/JP2017/035302 Ceased WO2018062413A1 (en) | 2016-09-28 | 2017-09-28 | Nucleic-acid-containing lipid nanoparticles |
Country Status (2)
| Country | Link |
|---|---|
| TW (1) | TW201813632A (en) |
| WO (1) | WO2018062413A1 (en) |
Cited By (15)
| Publication number | Priority date | Publication date | Assignee | Title |
|---|---|---|---|---|
| WO2019027055A1 (en) * | 2017-08-04 | 2019-02-07 | 協和発酵キリン株式会社 | Nucleic acid-containing lipid nanoparticles |
| WO2020032185A1 (en) * | 2018-08-10 | 2020-02-13 | 国立大学法人京都大学 | Method for transfection into cardiomyocytes using cationic lipid |
| WO2020032184A1 (en) * | 2018-08-10 | 2020-02-13 | 武田薬品工業株式会社 | Cationic lipid |
| CN114391008A (en) * | 2020-08-20 | 2022-04-22 | 苏州艾博生物科技有限公司 | Lipid compounds and lipid nanoparticle compositions |
| RU2784335C2 (en) * | 2018-08-10 | 2022-11-23 | Такеда Фармасьютикал Компани Лимитед | Cationic lipid |
| WO2022247801A1 (en) * | 2021-05-28 | 2022-12-01 | 北京启辰生生物科技有限公司 | Lipid compound and use thereof in delivery of nucleic acid |
| US20220378917A1 (en) * | 2019-06-29 | 2022-12-01 | Precision NanoSystems ULC | Ionizable lipids for nucleic acid delivery |
| WO2023232148A1 (en) * | 2022-06-02 | 2023-12-07 | 厦门赛诺邦格生物科技股份有限公司 | Amino acid-based cationic lipid containing unsaturated bonds |
| WO2024018762A1 (en) * | 2022-07-19 | 2024-01-25 | 国立大学法人北海道大学 | Ph-sensitive cationic lipid and lipid nanoparticle |
| JP2024507482A (en) * | 2021-02-05 | 2024-02-20 | イモーナ(ハンチョウ)バイオテクノロジー カンパニー リミテッド | Ionizable lipid molecules, their production methods and applications in the production of lipid nanoparticles |
| US11964052B2 (en) | 2021-05-24 | 2024-04-23 | Suzhou Abogen Biosciences Co., Ltd. | Lipid compounds and lipid nanoparticle compositions |
| US12024484B2 (en) | 2020-09-15 | 2024-07-02 | Verve Therapeutics, Inc. | Lipid formulations for gene editing |
| EP4491615A1 (en) * | 2023-07-10 | 2025-01-15 | Taiwan Bio-Manufacturing Corporation | Lipids for active agent delivery |
| WO2025011532A1 (en) * | 2023-07-07 | 2025-01-16 | Yoltech Therapeutics Co.,Ltd | Lipid compounds for delivery of therapeutic agents and preparation method and its use thereof |
| WO2025076625A1 (en) * | 2023-10-11 | 2025-04-17 | Providence Therapeutics Holdings Inc. | Glutamic acid-based lipids, lipid nanoparticle containing glutamic acid-based lipids, and formulations thereof |
Families Citing this family (3)
| Publication number | Priority date | Publication date | Assignee | Title |
|---|---|---|---|---|
| KR102591743B1 (en) | 2018-06-08 | 2023-10-19 | 후지필름 가부시키가이샤 | Compound or its salt and lipid particles |
| CA3143865A1 (en) | 2019-06-07 | 2020-12-10 | Fujifilm Corporation | Lipid composition |
| WO2020254337A1 (en) * | 2019-06-19 | 2020-12-24 | Rhodia Operations | New quaternary ammonium compounds |
Citations (7)
| Publication number | Priority date | Publication date | Assignee | Title |
|---|---|---|---|---|
| JP2012505250A (en) * | 2008-10-09 | 2012-03-01 | テクミラ ファーマシューティカルズ コーポレイション | Improved aminolipid and nucleic acid delivery methods |
| JP2012508261A (en) * | 2008-11-10 | 2012-04-05 | アルニラム・ファーマシューティカルズ・インコーポレーテッド | Novel lipids and compositions for delivering therapeutic agents |
| US20120172411A1 (en) * | 2010-09-17 | 2012-07-05 | Protiva Biotherapeutics, Inc. | Novel trialkyl cationic lipids and methods of use thereof |
| WO2013089151A1 (en) * | 2011-12-12 | 2013-06-20 | 協和発酵キリン株式会社 | Lipid nanoparticles for drug delivery system containing cationic lipids |
| WO2013089152A1 (en) * | 2011-12-12 | 2013-06-20 | 協和発酵キリン株式会社 | Lipid nanoparticles containing combinations of cationic lipids |
| WO2014007398A1 (en) * | 2012-07-06 | 2014-01-09 | 協和発酵キリン株式会社 | Cationic lipid |
| WO2016002753A1 (en) * | 2014-06-30 | 2016-01-07 | 協和発酵キリン株式会社 | Cationic lipid |
-
2017
- 2017-09-28 WO PCT/JP2017/035302 patent/WO2018062413A1/en not_active Ceased
- 2017-09-28 TW TW106133477A patent/TW201813632A/en unknown
Patent Citations (7)
| Publication number | Priority date | Publication date | Assignee | Title |
|---|---|---|---|---|
| JP2012505250A (en) * | 2008-10-09 | 2012-03-01 | テクミラ ファーマシューティカルズ コーポレイション | Improved aminolipid and nucleic acid delivery methods |
| JP2012508261A (en) * | 2008-11-10 | 2012-04-05 | アルニラム・ファーマシューティカルズ・インコーポレーテッド | Novel lipids and compositions for delivering therapeutic agents |
| US20120172411A1 (en) * | 2010-09-17 | 2012-07-05 | Protiva Biotherapeutics, Inc. | Novel trialkyl cationic lipids and methods of use thereof |
| WO2013089151A1 (en) * | 2011-12-12 | 2013-06-20 | 協和発酵キリン株式会社 | Lipid nanoparticles for drug delivery system containing cationic lipids |
| WO2013089152A1 (en) * | 2011-12-12 | 2013-06-20 | 協和発酵キリン株式会社 | Lipid nanoparticles containing combinations of cationic lipids |
| WO2014007398A1 (en) * | 2012-07-06 | 2014-01-09 | 協和発酵キリン株式会社 | Cationic lipid |
| WO2016002753A1 (en) * | 2014-06-30 | 2016-01-07 | 協和発酵キリン株式会社 | Cationic lipid |
Cited By (42)
| Publication number | Priority date | Publication date | Assignee | Title |
|---|---|---|---|---|
| US11633365B2 (en) | 2017-08-04 | 2023-04-25 | Kyowa Kirin Co., Ltd. | Nucleic acid-containing lipid nanoparticle |
| WO2019027055A1 (en) * | 2017-08-04 | 2019-02-07 | 協和発酵キリン株式会社 | Nucleic acid-containing lipid nanoparticles |
| JP7429536B2 (en) | 2017-08-04 | 2024-02-08 | 協和キリン株式会社 | Nucleic acid-containing lipid nanoparticles |
| JPWO2019027055A1 (en) * | 2017-08-04 | 2020-08-20 | 協和キリン株式会社 | Nucleic acid-containing lipid nanoparticles |
| IL280620B2 (en) * | 2018-08-10 | 2024-06-01 | Takeda Pharmaceuticals Co | cationic fat |
| KR102689017B1 (en) | 2018-08-10 | 2024-07-26 | 다케다 야쿠힝 고교 가부시키가이샤 | cationic lipids |
| KR20210042089A (en) * | 2018-08-10 | 2021-04-16 | 다케다 야쿠힝 고교 가부시키가이샤 | Cationic lipid |
| JPWO2020032185A1 (en) * | 2018-08-10 | 2021-08-26 | 国立大学法人京都大学 | Transfection method for cardiomyocytes using cationic lipid |
| JPWO2020032184A1 (en) * | 2018-08-10 | 2021-08-26 | 武田薬品工業株式会社 | Cationic lipid |
| US20220098142A1 (en) * | 2018-08-10 | 2022-03-31 | Takeda Pharmaceutical Company Limited | Cationic lipid |
| US12545931B2 (en) | 2018-08-10 | 2026-02-10 | Takeda Pharmaceutical Company Limited | Method for transfection into cardiomyocytes using cationic lipid |
| EP3835287A4 (en) * | 2018-08-10 | 2022-06-08 | Takeda Pharmaceutical Company Limited | Cationic lipid |
| RU2784335C2 (en) * | 2018-08-10 | 2022-11-23 | Такеда Фармасьютикал Компани Лимитед | Cationic lipid |
| WO2020032184A1 (en) * | 2018-08-10 | 2020-02-13 | 武田薬品工業株式会社 | Cationic lipid |
| US12479791B2 (en) | 2018-08-10 | 2025-11-25 | Takeda Pharmaceutical Company Limited | Cationic lipid |
| CN112533893A (en) * | 2018-08-10 | 2021-03-19 | 武田药品工业株式会社 | Cationic lipid |
| CN112639111B (en) * | 2018-08-10 | 2023-07-21 | 国立大学法人京都大学 | Method for transfecting cardiomyocytes using cationic lipids |
| JP7350749B2 (en) | 2018-08-10 | 2023-09-26 | 武田薬品工業株式会社 | cationic lipid |
| WO2020032185A1 (en) * | 2018-08-10 | 2020-02-13 | 国立大学法人京都大学 | Method for transfection into cardiomyocytes using cationic lipid |
| CN112533893B (en) * | 2018-08-10 | 2023-12-22 | 武田药品工业株式会社 | cationic lipids |
| CN117304048A (en) * | 2018-08-10 | 2023-12-29 | 武田药品工业株式会社 | cationic lipids |
| AU2019317095B2 (en) * | 2018-08-10 | 2024-05-02 | Takeda Pharmaceutical Company Limited | Cationic lipid |
| CN112639111A (en) * | 2018-08-10 | 2021-04-09 | 国立大学法人京都大学 | Method for transfecting cardiomyocytes using cationic lipids |
| IL280620B1 (en) * | 2018-08-10 | 2024-02-01 | Takeda Pharmaceuticals Co | Cationic lipid |
| JP7436990B2 (en) | 2018-08-10 | 2024-02-22 | 国立大学法人京都大学 | Transfection method for cardiomyocytes using cationic lipids |
| US20220378917A1 (en) * | 2019-06-29 | 2022-12-01 | Precision NanoSystems ULC | Ionizable lipids for nucleic acid delivery |
| CN114391008A (en) * | 2020-08-20 | 2022-04-22 | 苏州艾博生物科技有限公司 | Lipid compounds and lipid nanoparticle compositions |
| CN114391008B (en) * | 2020-08-20 | 2024-05-03 | 苏州艾博生物科技有限公司 | Lipid compounds and lipid nanoparticle compositions |
| US12024484B2 (en) | 2020-09-15 | 2024-07-02 | Verve Therapeutics, Inc. | Lipid formulations for gene editing |
| US12410122B2 (en) | 2020-09-15 | 2025-09-09 | Verve Therapeutics, Inc. | Lipid formulations for gene editing |
| JP7683017B2 (en) | 2021-02-05 | 2025-05-26 | イモーナ(ハンチョウ)バイオテクノロジー カンパニー リミテッド | Ionizable lipid molecules, their preparation and application in the preparation of lipid nanoparticles |
| JP2024507482A (en) * | 2021-02-05 | 2024-02-20 | イモーナ(ハンチョウ)バイオテクノロジー カンパニー リミテッド | Ionizable lipid molecules, their production methods and applications in the production of lipid nanoparticles |
| US11964052B2 (en) | 2021-05-24 | 2024-04-23 | Suzhou Abogen Biosciences Co., Ltd. | Lipid compounds and lipid nanoparticle compositions |
| US12508225B2 (en) | 2021-05-28 | 2025-12-30 | Beijing Tricisionbio Therapeutics Inc. | Lipid compound and use thereof in delivery of nucleic acid |
| WO2022247801A1 (en) * | 2021-05-28 | 2022-12-01 | 北京启辰生生物科技有限公司 | Lipid compound and use thereof in delivery of nucleic acid |
| WO2023232148A1 (en) * | 2022-06-02 | 2023-12-07 | 厦门赛诺邦格生物科技股份有限公司 | Amino acid-based cationic lipid containing unsaturated bonds |
| CN117460711A (en) * | 2022-06-02 | 2024-01-26 | 厦门赛诺邦格生物科技股份有限公司 | An amino acid cationic lipid containing unsaturated bonds |
| WO2024018762A1 (en) * | 2022-07-19 | 2024-01-25 | 国立大学法人北海道大学 | Ph-sensitive cationic lipid and lipid nanoparticle |
| WO2025011532A1 (en) * | 2023-07-07 | 2025-01-16 | Yoltech Therapeutics Co.,Ltd | Lipid compounds for delivery of therapeutic agents and preparation method and its use thereof |
| WO2025010554A1 (en) * | 2023-07-07 | 2025-01-16 | Yoltech Therapeutics Co., Ltd. | Lipid compounds for delivery of therapeutic agents and preparation method and its use thereof |
| EP4491615A1 (en) * | 2023-07-10 | 2025-01-15 | Taiwan Bio-Manufacturing Corporation | Lipids for active agent delivery |
| WO2025076625A1 (en) * | 2023-10-11 | 2025-04-17 | Providence Therapeutics Holdings Inc. | Glutamic acid-based lipids, lipid nanoparticle containing glutamic acid-based lipids, and formulations thereof |
Also Published As
| Publication number | Publication date |
|---|---|
| TW201813632A (en) | 2018-04-16 |
Similar Documents
| Publication | Publication Date | Title |
|---|---|---|
| JP7754908B2 (en) | Nucleic acid-containing lipid nanoparticles | |
| JP6910947B2 (en) | Nucleic acid-containing lipid nanoparticles | |
| WO2018062413A1 (en) | Nucleic-acid-containing lipid nanoparticles | |
| CN104159615B (en) | The lipid nanoparticle of combination containing cationic lipid | |
| AU2013285842B2 (en) | Cationic lipid | |
| EP2792367A1 (en) | Lipid nanoparticles for drug delivery system containing cationic lipids | |
| JP2013095755A (en) | Cationic lipid | |
| JP6774965B2 (en) | Compounds as cationic lipids | |
| JP2018065789A (en) | Cationic lipid | |
| US20140294978A1 (en) | Cationic lipid | |
| WO2018225873A1 (en) | Nucleic-acid-containing nanoparticles |
Legal Events
| Date | Code | Title | Description |
|---|---|---|---|
| 121 | Ep: the epo has been informed by wipo that ep was designated in this application |
Ref document number: 17856362 Country of ref document: EP Kind code of ref document: A1 |
|
| NENP | Non-entry into the national phase |
Ref country code: DE |
|
| 122 | Ep: pct application non-entry in european phase |
Ref document number: 17856362 Country of ref document: EP Kind code of ref document: A1 |
|
| NENP | Non-entry into the national phase |
Ref country code: JP |



















































































































































