WO2017209265A1 - Bicyclic heterocyclic derivative and pharmaceutical composition containing same - Google Patents
Bicyclic heterocyclic derivative and pharmaceutical composition containing same Download PDFInfo
- Publication number
- WO2017209265A1 WO2017209265A1 PCT/JP2017/020532 JP2017020532W WO2017209265A1 WO 2017209265 A1 WO2017209265 A1 WO 2017209265A1 JP 2017020532 W JP2017020532 W JP 2017020532W WO 2017209265 A1 WO2017209265 A1 WO 2017209265A1
- Authority
- WO
- WIPO (PCT)
- Prior art keywords
- substituted
- unsubstituted
- aromatic
- aromatic heterocyclic
- group
- Prior art date
- Legal status (The legal status is an assumption and is not a legal conclusion. Google has not performed a legal analysis and makes no representation as to the accuracy of the status listed.)
- Ceased
Links
- 0 CC1C(*)CCCC1 Chemical compound CC1C(*)CCCC1 0.000 description 9
- HKSYMTONPKAPOI-UHFFFAOYSA-N CCCC[n]1c(-c(cc2)ccc2Cl)cnc1CN(C1=C2CCC1)C(SCc1ccccc1N=O)=NC2=O Chemical compound CCCC[n]1c(-c(cc2)ccc2Cl)cnc1CN(C1=C2CCC1)C(SCc1ccccc1N=O)=NC2=O HKSYMTONPKAPOI-UHFFFAOYSA-N 0.000 description 1
- VQKZCTNBUKZOAP-UHFFFAOYSA-N CCCN(c(cccc1)c1N1CC(N(CCC2COCCC2)c2c3cccc2)=NC3=O)C1=O Chemical compound CCCN(c(cccc1)c1N1CC(N(CCC2COCCC2)c2c3cccc2)=NC3=O)C1=O VQKZCTNBUKZOAP-UHFFFAOYSA-N 0.000 description 1
- UJBXOPRRSFPPBL-UHFFFAOYSA-N CCOC(N(CC1)CCC1N1C(CN(C2=C3CCC2)C(SCc2cccc(F)c2F)=NC3=O)=NOC1c(cc1)ccc1-c1ccc(C(F)(F)F)cc1)=O Chemical compound CCOC(N(CC1)CCC1N1C(CN(C2=C3CCC2)C(SCc2cccc(F)c2F)=NC3=O)=NOC1c(cc1)ccc1-c1ccc(C(F)(F)F)cc1)=O UJBXOPRRSFPPBL-UHFFFAOYSA-N 0.000 description 1
- YMOFWIXUJOVPBI-UHFFFAOYSA-N CC[n]1c(-c(cc2)ccc2-c2ccc(C(F)(F)F)cc2)nnc1CN(C1=C2CCC1)C(SCc1cccc(F)c1F)=NC2=O Chemical compound CC[n]1c(-c(cc2)ccc2-c2ccc(C(F)(F)F)cc2)nnc1CN(C1=C2CCC1)C(SCc1cccc(F)c1F)=NC2=O YMOFWIXUJOVPBI-UHFFFAOYSA-N 0.000 description 1
- ISBDMMGDLBMNGN-UHFFFAOYSA-N Cc(nc1N(CC2OCCC2)C(SCC([n]2ncc(C#N)c2N2)=CC2=O)=N2)cc(C(OC)=O)c1C2=O Chemical compound Cc(nc1N(CC2OCCC2)C(SCC([n]2ncc(C#N)c2N2)=CC2=O)=N2)cc(C(OC)=O)c1C2=O ISBDMMGDLBMNGN-UHFFFAOYSA-N 0.000 description 1
- XFUQNVMGTFHBPT-UHFFFAOYSA-N Cc1c(C(F)(F)F)cccc1CN(c1c2[s]c(N3CCOCC3)n1)C(CN(C)C(c1ccccc1C=O)=O)=NC2=O Chemical compound Cc1c(C(F)(F)F)cccc1CN(c1c2[s]c(N3CCOCC3)n1)C(CN(C)C(c1ccccc1C=O)=O)=NC2=O XFUQNVMGTFHBPT-UHFFFAOYSA-N 0.000 description 1
- BUEWFFKLMDTXIQ-UHFFFAOYSA-N Cc1n[o]c(C(N2)=O)c1N(Cc(cc1)cc(F)c1F)C2=S Chemical compound Cc1n[o]c(C(N2)=O)c1N(Cc(cc1)cc(F)c1F)C2=S BUEWFFKLMDTXIQ-UHFFFAOYSA-N 0.000 description 1
- CSXOORNBNVEFNG-UHFFFAOYSA-N Cc1n[o]c(C(OC)=O)c1N Chemical compound Cc1n[o]c(C(OC)=O)c1N CSXOORNBNVEFNG-UHFFFAOYSA-N 0.000 description 1
- CRUFOJOFXFRPAQ-UHFFFAOYSA-N Cc1n[o]c(C(OC)=O)c1NCc(cc1F)ccc1F Chemical compound Cc1n[o]c(C(OC)=O)c1NCc(cc1F)ccc1F CRUFOJOFXFRPAQ-UHFFFAOYSA-N 0.000 description 1
- WKLHDAAWEDTBDV-UHFFFAOYSA-N Cc1n[o]c2c1N(Cc(cc1)cc(F)c1F)C(Nc(cc1)c(C)cc1OC)=NC2=O Chemical compound Cc1n[o]c2c1N(Cc(cc1)cc(F)c1F)C(Nc(cc1)c(C)cc1OC)=NC2=O WKLHDAAWEDTBDV-UHFFFAOYSA-N 0.000 description 1
- SNQHPFJHMGKOLI-UHFFFAOYSA-N Cc1n[o]c2c1N(Cc(cc1)cc(F)c1F)C(SC)=NC2=O Chemical compound Cc1n[o]c2c1N(Cc(cc1)cc(F)c1F)C(SC)=NC2=O SNQHPFJHMGKOLI-UHFFFAOYSA-N 0.000 description 1
- VFPMVRIYBHDPQL-UHFFFAOYSA-N O=C(C(CCC1)=C1N1CC2=NOC(c(cc3)ccc3-c3ccc(C(F)(F)F)cc3)N2CCN2CCCCC2)N=C1SCc1cccc(F)c1F Chemical compound O=C(C(CCC1)=C1N1CC2=NOC(c(cc3)ccc3-c3ccc(C(F)(F)F)cc3)N2CCN2CCCCC2)N=C1SCc1cccc(F)c1F VFPMVRIYBHDPQL-UHFFFAOYSA-N 0.000 description 1
- AYAKCUGIOFVBRP-UHFFFAOYSA-N O=C(C(CCC1)=C1N1CC2=NOC(c(cc3)ccc3-c3ccc(C(F)(F)F)cc3)N2CCN2CCOCC2)N=C1SCc1cccc(F)c1F Chemical compound O=C(C(CCC1)=C1N1CC2=NOC(c(cc3)ccc3-c3ccc(C(F)(F)F)cc3)N2CCN2CCOCC2)N=C1SCc1cccc(F)c1F AYAKCUGIOFVBRP-UHFFFAOYSA-N 0.000 description 1
Classifications
-
- A—HUMAN NECESSITIES
- A61—MEDICAL OR VETERINARY SCIENCE; HYGIENE
- A61K—PREPARATIONS FOR MEDICAL, DENTAL OR TOILETRY PURPOSES
- A61K31/00—Medicinal preparations containing organic active ingredients
- A61K31/33—Heterocyclic compounds
- A61K31/395—Heterocyclic compounds having nitrogen as a ring hetero atom, e.g. guanethidine or rifamycins
- A61K31/495—Heterocyclic compounds having nitrogen as a ring hetero atom, e.g. guanethidine or rifamycins having six-membered rings with two or more nitrogen atoms as the only ring heteroatoms, e.g. piperazine or tetrazines
- A61K31/505—Pyrimidines; Hydrogenated pyrimidines, e.g. trimethoprim
- A61K31/517—Pyrimidines; Hydrogenated pyrimidines, e.g. trimethoprim ortho- or peri-condensed with carbocyclic ring systems, e.g. quinazoline, perimidine
-
- A—HUMAN NECESSITIES
- A61—MEDICAL OR VETERINARY SCIENCE; HYGIENE
- A61K—PREPARATIONS FOR MEDICAL, DENTAL OR TOILETRY PURPOSES
- A61K31/00—Medicinal preparations containing organic active ingredients
- A61K31/33—Heterocyclic compounds
- A61K31/395—Heterocyclic compounds having nitrogen as a ring hetero atom, e.g. guanethidine or rifamycins
- A61K31/495—Heterocyclic compounds having nitrogen as a ring hetero atom, e.g. guanethidine or rifamycins having six-membered rings with two or more nitrogen atoms as the only ring heteroatoms, e.g. piperazine or tetrazines
- A61K31/505—Pyrimidines; Hydrogenated pyrimidines, e.g. trimethoprim
- A61K31/519—Pyrimidines; Hydrogenated pyrimidines, e.g. trimethoprim ortho- or peri-condensed with heterocyclic rings
-
- A—HUMAN NECESSITIES
- A61—MEDICAL OR VETERINARY SCIENCE; HYGIENE
- A61K—PREPARATIONS FOR MEDICAL, DENTAL OR TOILETRY PURPOSES
- A61K31/00—Medicinal preparations containing organic active ingredients
- A61K31/33—Heterocyclic compounds
- A61K31/395—Heterocyclic compounds having nitrogen as a ring hetero atom, e.g. guanethidine or rifamycins
- A61K31/495—Heterocyclic compounds having nitrogen as a ring hetero atom, e.g. guanethidine or rifamycins having six-membered rings with two or more nitrogen atoms as the only ring heteroatoms, e.g. piperazine or tetrazines
- A61K31/505—Pyrimidines; Hydrogenated pyrimidines, e.g. trimethoprim
- A61K31/519—Pyrimidines; Hydrogenated pyrimidines, e.g. trimethoprim ortho- or peri-condensed with heterocyclic rings
- A61K31/52—Purines, e.g. adenine
- A61K31/522—Purines, e.g. adenine having oxo groups directly attached to the heterocyclic ring, e.g. hypoxanthine, guanine, acyclovir
-
- A—HUMAN NECESSITIES
- A61—MEDICAL OR VETERINARY SCIENCE; HYGIENE
- A61P—SPECIFIC THERAPEUTIC ACTIVITY OF CHEMICAL COMPOUNDS OR MEDICINAL PREPARATIONS
- A61P19/00—Drugs for skeletal disorders
- A61P19/02—Drugs for skeletal disorders for joint disorders, e.g. arthritis, arthrosis
-
- A—HUMAN NECESSITIES
- A61—MEDICAL OR VETERINARY SCIENCE; HYGIENE
- A61P—SPECIFIC THERAPEUTIC ACTIVITY OF CHEMICAL COMPOUNDS OR MEDICINAL PREPARATIONS
- A61P25/00—Drugs for disorders of the nervous system
- A61P25/04—Centrally acting analgesics, e.g. opioids
-
- A—HUMAN NECESSITIES
- A61—MEDICAL OR VETERINARY SCIENCE; HYGIENE
- A61P—SPECIFIC THERAPEUTIC ACTIVITY OF CHEMICAL COMPOUNDS OR MEDICINAL PREPARATIONS
- A61P25/00—Drugs for disorders of the nervous system
- A61P25/28—Drugs for disorders of the nervous system for treating neurodegenerative disorders of the central nervous system, e.g. nootropic agents, cognition enhancers, drugs for treating Alzheimer's disease or other forms of dementia
-
- A—HUMAN NECESSITIES
- A61—MEDICAL OR VETERINARY SCIENCE; HYGIENE
- A61P—SPECIFIC THERAPEUTIC ACTIVITY OF CHEMICAL COMPOUNDS OR MEDICINAL PREPARATIONS
- A61P29/00—Non-central analgesic, antipyretic or antiinflammatory agents, e.g. antirheumatic agents; Non-steroidal antiinflammatory drugs [NSAID]
-
- A—HUMAN NECESSITIES
- A61—MEDICAL OR VETERINARY SCIENCE; HYGIENE
- A61P—SPECIFIC THERAPEUTIC ACTIVITY OF CHEMICAL COMPOUNDS OR MEDICINAL PREPARATIONS
- A61P37/00—Drugs for immunological or allergic disorders
- A61P37/02—Immunomodulators
-
- A—HUMAN NECESSITIES
- A61—MEDICAL OR VETERINARY SCIENCE; HYGIENE
- A61P—SPECIFIC THERAPEUTIC ACTIVITY OF CHEMICAL COMPOUNDS OR MEDICINAL PREPARATIONS
- A61P43/00—Drugs for specific purposes, not provided for in groups A61P1/00-A61P41/00
-
- C—CHEMISTRY; METALLURGY
- C07—ORGANIC CHEMISTRY
- C07D—HETEROCYCLIC COMPOUNDS
- C07D239/00—Heterocyclic compounds containing 1,3-diazine or hydrogenated 1,3-diazine rings
- C07D239/70—Heterocyclic compounds containing 1,3-diazine or hydrogenated 1,3-diazine rings condensed with carbocyclic rings or ring systems
-
- C—CHEMISTRY; METALLURGY
- C07—ORGANIC CHEMISTRY
- C07D—HETEROCYCLIC COMPOUNDS
- C07D417/00—Heterocyclic compounds containing two or more hetero rings, at least one ring having nitrogen and sulfur atoms as the only ring hetero atoms, not provided for by group C07D415/00
- C07D417/02—Heterocyclic compounds containing two or more hetero rings, at least one ring having nitrogen and sulfur atoms as the only ring hetero atoms, not provided for by group C07D415/00 containing two hetero rings
- C07D417/12—Heterocyclic compounds containing two or more hetero rings, at least one ring having nitrogen and sulfur atoms as the only ring hetero atoms, not provided for by group C07D415/00 containing two hetero rings linked by a chain containing hetero atoms as chain links
-
- C—CHEMISTRY; METALLURGY
- C07—ORGANIC CHEMISTRY
- C07D—HETEROCYCLIC COMPOUNDS
- C07D473/00—Heterocyclic compounds containing purine ring systems
- C07D473/02—Heterocyclic compounds containing purine ring systems with oxygen, sulphur, or nitrogen atoms directly attached in positions 2 and 6
- C07D473/18—Heterocyclic compounds containing purine ring systems with oxygen, sulphur, or nitrogen atoms directly attached in positions 2 and 6 one oxygen and one nitrogen atom, e.g. guanine
-
- C—CHEMISTRY; METALLURGY
- C07—ORGANIC CHEMISTRY
- C07D—HETEROCYCLIC COMPOUNDS
- C07D475/00—Heterocyclic compounds containing pteridine ring systems
- C07D475/02—Heterocyclic compounds containing pteridine ring systems with an oxygen atom directly attached in position 4
- C07D475/04—Heterocyclic compounds containing pteridine ring systems with an oxygen atom directly attached in position 4 with a nitrogen atom directly attached in position 2
-
- C—CHEMISTRY; METALLURGY
- C07—ORGANIC CHEMISTRY
- C07D—HETEROCYCLIC COMPOUNDS
- C07D491/00—Heterocyclic compounds containing in the condensed ring system both one or more rings having oxygen atoms as the only ring hetero atoms and one or more rings having nitrogen atoms as the only ring hetero atoms, not provided for by groups C07D451/00 - C07D459/00, C07D463/00, C07D477/00 or C07D489/00
- C07D491/02—Heterocyclic compounds containing in the condensed ring system both one or more rings having oxygen atoms as the only ring hetero atoms and one or more rings having nitrogen atoms as the only ring hetero atoms, not provided for by groups C07D451/00 - C07D459/00, C07D463/00, C07D477/00 or C07D489/00 in which the condensed system contains two hetero rings
- C07D491/04—Ortho-condensed systems
- C07D491/044—Ortho-condensed systems with only one oxygen atom as ring hetero atom in the oxygen-containing ring
- C07D491/048—Ortho-condensed systems with only one oxygen atom as ring hetero atom in the oxygen-containing ring the oxygen-containing ring being five-membered
Definitions
- Adenosine triphosphate acts as an energy source and phosphorylation substrate inside the cell, while acting as an information transmitter outside the cell. It is known that ATP is released from cells by various stimuli such as cell damage, inflammation, noxious stimuli, reduction of blood oxygen concentration, and is released from nerve endings like other neurotransmitters. (Non-Patent Document 1). ATP released to the outside of the cell is responsible for various extracellular information transmission through the ATP receptor.
- R 9a and R 9b are halogen, substituted or unsubstituted alkyl, substituted or unsubstituted alkenyl, or substituted or unsubstituted alkynyl, the above (1A), (1), (1 ′), and (2 ) To (23), or a pharmaceutically acceptable salt thereof.
- R 9a and R 9b are substituted or unsubstituted alkyl, or a pharmaceutically acceptable salt thereof Acceptable salt.
- R 10a and R 10b are each independently halogen, substituted or unsubstituted alkyl, substituted or unsubstituted alkenyl, substituted or unsubstituted alkynyl, substituted or unsubstituted alkyloxy, substituted or unsubstituted alkenyloxy Substituted or unsubstituted alkynyloxy, substituted or unsubstituted alkylsulfonyl, substituted or unsubstituted alkenylsulfonyl, substituted or unsubstituted alkynylsulfonyl, substituted or unsubstituted aromatic carbocyclic group, substituted or unsubstituted (1A), (1), (1 ′), which is a non-aromatic carbocyclic group, a substituted or unsubstituted aromatic heterocyclic group, or a substituted or unsubstituted non-aromatic heterocyclic group, And the
- Compounds according to the present invention has an inhibitory effect on P2X 7 receptors are useful as therapeutic and / or prophylactic agent for a disease or condition P2X 7 is involved.
- Alkenyl has 2 to 15 carbon atoms, preferably 2 to 10 carbon atoms, more preferably 2 to 6 carbon atoms, and further preferably 2 to 4 carbon atoms, having one or more double bonds at any position. These linear or branched hydrocarbon groups are included.
- non-aromatic carbocycle means a monocyclic ring or two or more cyclic saturated hydrocarbon rings or cyclic non-aromatic unsaturated hydrocarbon rings.
- the two or more non-aromatic carbocycles include those in which the ring in the above “aromatic carbocycle” is condensed with a single ring or two or more non-aromatic carbocycles.
- the “non-aromatic carbocycle” includes a ring that is bridged as follows, or a spiro ring.
- the monocyclic non-aromatic carbocycle preferably has 3 to 16 carbon atoms, more preferably 3 to 12 carbon atoms, and still more preferably 4 to 8 carbon atoms.
- bicyclic aromatic heterocycle examples include indole, isoindole, indazole, indolizine, quinoline, isoquinoline, cinnoline, phthalazine, quinazoline, naphthyridine, quinoxaline, purine, pteridine, benzimidazole, benzisoxazole, benzoxazole, Benzoxadiazole, benzisothiazole, benzothiazole, benzothiadiazole, benzofuran, isobenzofuran, benzothiophene, benzotriazole, imidazopyridine, triazolopyridine, imidazothiazole, pyrazinopyridazine, oxazolopyridine, thiazolopyridine, etc.
- aromatic heterocyclic group means a monocyclic or bicyclic or more aromatic cyclic group having one or more heteroatoms arbitrarily selected from O, S and N in the ring To do.
- aromatic heterocyclic group having two or more rings includes those obtained by condensing a ring in the above “aromatic carbocyclic group” to a monocyclic or two or more aromatic heterocyclic group.
- the monocyclic aromatic heterocyclic group is preferably 5 to 8 members, more preferably 5 or 6 members.
- Examples include pyrrolyl, imidazolyl, pyrazolyl, pyridyl, pyridazinyl, pyrimidinyl, pyrazinyl, triazolyl, triazinyl, tetrazolyl, furyl, thienyl, isoxazolyl, oxazolyl, oxadiazolyl, isothiazolyl, thiazolyl, thiadiazolyl and the like.
- the two or more non-aromatic heterocycles include those in which the ring in the above “non-aromatic carbocycle” is condensed with a single ring or two or more aromatic heterocycles.
- the “non-aromatic heterocyclic ring” includes a ring that is bridged as follows, or a spiro ring.
- the monocyclic non-aromatic heterocyclic ring is preferably 3 to 8 members, more preferably 5 or 6 members.
- Examples include dihydrothiazole, tetrahydrothiazole, tetrahydroisothiazole, dihydrooxazine, hexahydroazepine, tetrahydrodiazepine, tetrahydropyridazine, hexahydropyrimidine, dioxolane, dioxazine, aziridine, dioxoline, oxepane, thio
- Alkylsulfanyl means a group in which the above “alkyl” is replaced with a hydrogen atom bonded to a sulfur atom of a sulfanyl group.
- methylsulfanyl, ethylsulfanyl, n-propylsulfanyl, isopropylsulfanyl and the like can be mentioned.
- Alkynylsulfanyl means a group in which the above “alkynyl” is replaced with a hydrogen atom bonded to a sulfur atom of a sulfanyl group.
- alkynylsulfanyl ethynylsulfanyl, propynylsulfanyl and the like can be mentioned.
- Alkylamino means a group in which the above “alkyl” is replaced with one hydrogen atom bonded to the nitrogen atom of the amino group.
- methylamino, ethylamino, isopropylamino and the like can be mentioned.
- the other hydrogen atom bonded to the nitrogen atom of the amino group may be replaced with the above “alkyl”.
- Preferable embodiments of “alkylamino” include methylamino and ethylamino.
- Alkenylamino means a group in which the above “alkenyl” is replaced with one hydrogen atom bonded to the nitrogen atom of the amino group.
- alkenyl For example, ethylenylamino, propenylamino and the like can be mentioned.
- the other hydrogen atom bonded to the nitrogen atom of the amino group may be replaced with the above “alkyl”.
- Alkynylcarbonyl means a group in which the above “alkynyl” is bonded to a carbonyl group. For example, ethynylcarbonyl, propynylcarbonyl and the like can be mentioned.
- Alkenylcarbonyloxy means a group in which the above “alkenylcarbonyl” is bonded to an oxygen atom.
- alkenylcarbonyl ethylenylcarbonyloxy, propenylcarbonyloxy and the like can be mentioned.
- Alkynylcarbonyloxy means a group in which the above “alkynylcarbonyl” is bonded to an oxygen atom.
- alkynylcarbonyloxy ethynylcarbonyloxy, propynylcarbonyloxy and the like can be mentioned.
- Alkynyloxycarbonyl means a group in which the above “alkynyloxy” is bonded to a carbonyl group. For example, ethynyloxycarbonyl, propynyloxycarbonyl and the like can be mentioned.
- Alkynylcarbamoyl means a group in which the above “alkynyl” is replaced with one hydrogen atom bonded to the nitrogen atom of the carbamoyl group.
- alkynyl ethynylcarbamoyl, propynylcarbamoyl and the like can be mentioned.
- the other hydrogen atom bonded to the nitrogen atom of the carbamoyl group may be replaced with the above “alkyl”.
- Alkynylsulfamoyl means a group in which the above “alkynyl” is replaced with one hydrogen atom bonded to the nitrogen atom of the sulfamoyl group.
- alkynyl ethynyl sulfamoyl, propynyl sulfamoyl, etc. are mentioned.
- the other hydrogen atom bonded to the nitrogen atom of the carbamoyl group may be replaced with the above “alkyl”.
- Alkylcarbonylamino means a group in which the above “alkylcarbonyl” is replaced with one hydrogen atom bonded to the nitrogen atom of the amino group.
- methylcarbonylamino, ethylcarbonylamino, propylcarbonylamino, isopropylcarbonylamino, tert-butylcarbonylamino, isobutylcarbonylamino, sec-butylcarbonylamino and the like can be mentioned.
- the other hydrogen atom bonded to the nitrogen atom of the amino group may be replaced with the above “alkyl”.
- Preferable embodiments of “alkylcarbonylamino” include methylcarbonylamino and ethylcarbonylamino.
- Alkynylcarbonylamino means a group in which the above “alkynylcarbonyl” is replaced with one hydrogen atom bonded to the nitrogen atom of the amino group.
- alkynylcarbonyl For example, ethynylcarbonylamino, propynylcarbonylamino and the like can be mentioned.
- the other hydrogen atom bonded to the nitrogen atom of the amino group may be replaced with the above “alkyl”.
- Alkyloxyimino means a group in which the above “alkyloxy” is replaced with a hydrogen atom bonded to the nitrogen atom of the imino group. Examples thereof include methyloxyimino, ethyloxyimino, n-propyloxyimino, isopropyloxyimino and the like.
- Haloalkylcarbonyl means a group in which the above “haloalkyl” is bonded to a carbonyl group.
- monofluoromethylcarbonyl, monofluoroethylcarbonyl, trifluoromethylcarbonyl, trichloromethylcarbonyl, trifluoroethylcarbonyl, trichloroethylcarbonyl and the like can be mentioned.
- Preferable embodiments of “haloalkylcarbonyl” include trifluoromethylcarbonyl and trichloromethylcarbonyl.
- Haloalkylcarbamoyl means a group in which the above “haloalkyl” is replaced with one hydrogen atom bonded to the nitrogen atom of the carbamoyl group. Examples thereof include monofluoromethylcarbamoyl, monofluoroethylcarbamoyl, trifluoromethylcarbamoyl, trichloromethylcarbamoyl, trifluoroethylcarbamoyl, trichloroethylcarbamoyl and the like. Furthermore, the other hydrogen atom bonded to the nitrogen atom of the carbamoyl group may be replaced with the above “alkyl” or the above “haloalkyl”. Preferable embodiments of “haloalkylcarbamoyl” include trifluoromethylcarbamoyl and trichloromethylcarbamoyl.
- Haloalkylcarbonylamino means a group in which the above “haloalkylcarbonyl” is replaced with one hydrogen atom bonded to the nitrogen atom of the amino group.
- monofluoromethylcarbonylamino, monofluoroethylcarbonylamino, trifluoromethylcarbonylamino, trichloromethylcarbonylamino, trifluoroethylcarbonylamino, trichloroethylcarbonylamino and the like can be mentioned.
- the other hydrogen atom bonded to the nitrogen atom of the amino group may be replaced with the above “alkyl” or the above “haloalkyl”.
- Preferable embodiments of “haloalkylcarbonylamino” include trifluoromethylcarbonylamino and trichloromethylcarbonylamino.
- haloalkylsulfonylamino include trifluoromethylsulfonylamino and trichloromethylsulfonylamino.
- “Aromatic carbocyclic oxy” means a group in which “aromatic carbocycle” is bonded to an oxygen atom.
- “Aromatic carbocyclic amino” means a group in which the “aromatic carbocycle” is replaced with one hydrogen atom bonded to the nitrogen atom of the amino group. Examples thereof include phenylamino and naphthylamino.
- the other hydrogen atom bonded to the nitrogen atom of the amino group may be replaced with the above “alkyl”.
- “Aromatic carbocyclic sulfonyl” means a group in which “aromatic carbocycle” is bonded to a sulfonyl group. For example, phenylsulfonyl, naphthylsulfonyl and the like can be mentioned.
- “Aromatic carbocyclic carbonyloxy” means a group in which the above “aromatic carbocyclic carbonyl” is bonded to an oxygen atom. For example, phenylcarbonyloxy, naphthylcarbonyloxy and the like can be mentioned.
- non-aromatic carbocyclic sulfonyloxy means a group in which the above “non-aromatic carbocyclic sulfonyl” is bonded to an oxygen atom.
- examples include cyclopropylsulfonyloxy, cyclohexylsulfonyloxy, cyclohexenylsulfonyloxy and the like.
- non-aromatic carbocyclic carbamoyl means a group in which the “non-aromatic carbocyclic” is replaced with one hydrogen atom bonded to the nitrogen atom of the carbamoyl group. Examples thereof include cyclopropylcarbamoyl, cyclohexylcarbamoyl, cyclohexenylcarbamoyl and the like.
- pyridyl sulfamoyl, oxazolyl sulfamoyl, etc. are mentioned.
- the other hydrogen atom bonded to the nitrogen atom of the sulfamoyl group may be replaced with the above “alkyl”.
- the “aromatic heterocyclic carbonylamino” means a group in which the above “aromatic heterocyclic carbonyl” is replaced with one hydrogen atom bonded to the nitrogen atom of the amino group.
- pyridylcarbonylamino, oxazolylcarbonylamino and the like can be mentioned.
- the other hydrogen atom bonded to the nitrogen atom of the amino group may be replaced with the above “alkyl”.
- the “aromatic heterocyclic sulfonylamino” means a group in which the above “aromatic heterocyclic sulfonyl” is replaced with one hydrogen atom bonded to the nitrogen atom of the amino group.
- aromatic heterocyclic oxycarbonylamino means a group in which the above “aromatic heterocyclic oxycarbonyl” is replaced with one hydrogen atom bonded to the nitrogen atom of the amino group.
- Non-aromatic heterocyclic oxy means a group in which “non-aromatic heterocyclic” is bonded to an oxygen atom.
- piperidinyloxy, tetrahydrofuryloxy and the like can be mentioned.
- the “non-aromatic heterocyclic amino” means a group in which the “non-aromatic heterocyclic ring” is replaced with one hydrogen atom bonded to the nitrogen atom of the amino group.
- piperidinylamino, tetrahydrofurylamino and the like can be mentioned.
- the other hydrogen atom bonded to the nitrogen atom of the amino group may be replaced with the above “alkyl”.
- Non-aromatic heterocyclic sulfanyl means a group in which a “non-aromatic heterocyclic ring” is replaced with a hydrogen atom bonded to a sulfur atom of a sulfanyl group.
- piperidinylsulfanyl, tetrahydrofurylsulfanyl and the like can be mentioned.
- Non-aromatic heterocyclic carbonyl means a group in which “non-aromatic heterocyclic” is bonded to a carbonyl group.
- piperidinylcarbonyl, tetrahydrofurylcarbonyl and the like can be mentioned.
- non-aromatic heterocyclic oxysulfonyl means a group in which the “non-aromatic heterocyclic oxy” is bonded to a sulfonyl group.
- piperidinyloxysulfonyl, tetrahydrofuryloxysulfonyl and the like can be mentioned.
- the “non-aromatic heterocyclic carbamoyl” means a group in which the “non-aromatic heterocyclic ring” is replaced with one hydrogen atom bonded to the nitrogen atom of the carbamoyl group.
- piperidinylcarbamoyl, tetrahydrofurylcarbamoyl and the like can be mentioned.
- non-aromatic heterocyclic sulfamoyl means a group in which the “non-aromatic heterocyclic ring” is replaced with one hydrogen atom bonded to the nitrogen atom of the sulfamoyl group.
- non-aromatic heterocyclic sulfamoyl means a group in which the “non-aromatic heterocyclic ring” is replaced with one hydrogen atom bonded to the nitrogen atom of the sulfamoyl group.
- piperidinyl sulfamoyl, tetrahydrofuryl sulfamoyl and the like can be mentioned.
- the other hydrogen atom bonded to the nitrogen atom of the sulfamoyl group may be replaced with the above “alkyl”.
- non-aromatic heterocyclic oxycarbonylamino means a group in which the above “non-aromatic heterocyclic oxycarbonyl” is replaced with one hydrogen atom bonded to the nitrogen atom of the amino group.
- piperidinyloxycarbonylamino, tetrahydrofuryloxycarbonylamino and the like can be mentioned.
- the other hydrogen atom bonded to the nitrogen atom of the amino group may be replaced with the above “alkyl”.
- Haloalkylamino means a group in which the above “haloalkyl” is replaced with one hydrogen atom bonded to the nitrogen atom of the amino group. Examples thereof include monofluoromethylamino, monofluoroethylamino, trifluoromethylamino, trichloromethylamino, trifluoroethylamino, trichloroethylamino and the like. Furthermore, the other hydrogen atom bonded to the nitrogen atom of the amino group may be replaced with the above “alkyl” or the above “haloalkyl”. Preferable embodiments of “haloalkylamino” include trifluoromethylamino and trichloromethylamino.
- Haloalkylcarbonyl means a group in which the above “haloalkyl” is bonded to a carbonyl group.
- monofluoromethylcarbonyl, monofluoroethylcarbonyl, trifluoromethylcarbonyl, trichloromethylcarbonyl, trifluoroethylcarbonyl, trichloroethylcarbonyl and the like can be mentioned.
- Preferable embodiments of “haloalkylcarbonyl” include trifluoromethylcarbonyl and trichloromethylcarbonyl.
- Haloalkylsulfonyl means a group in which the above “haloalkyl” is bonded to a sulfonyl group.
- monofluoromethylsulfonyl, monofluoroethylsulfonyl, trifluoromethylsulfonyl, trichloromethylsulfonyl, trifluoroethylsulfonyl, trichloroethylsulfonyl and the like can be mentioned.
- Preferable embodiments of “haloalkylsulfonyl” include trifluoromethylsulfonyl and trichloromethylsulfonyl.
- Haloalkylcarbamoyl means a group in which the above “haloalkyl” is replaced with one hydrogen atom bonded to the nitrogen atom of the carbamoyl group. Examples thereof include monofluoromethylcarbamoyl, monofluoroethylcarbamoyl, trifluoromethylcarbamoyl, trichloromethylcarbamoyl, trifluoroethylcarbamoyl, trichloroethylcarbamoyl and the like. Furthermore, the other hydrogen atom bonded to the nitrogen atom of the carbamoyl group may be replaced with the above “alkyl” or the above “haloalkyl”. Preferable embodiments of “haloalkylcarbamoyl” include trifluoromethylcarbamoyl and trichloromethylcarbamoyl.
- haloalkylsulfamoyl include trifluoromethylsulfamoyl and trichloromethylsulfamoyl.
- Haloalkylcarbonylamino means a group in which the above “haloalkylcarbonyl” is replaced with one hydrogen atom bonded to the nitrogen atom of the amino group.
- monofluoromethylcarbonylamino, monofluoroethylcarbonylamino, trifluoromethylcarbonylamino, trichloromethylcarbonylamino, trifluoroethylcarbonylamino, trichloroethylcarbonylamino and the like can be mentioned.
- the other hydrogen atom bonded to the nitrogen atom of the amino group may be replaced with the above “alkyl” or the above “haloalkyl”.
- Preferable embodiments of “haloalkylcarbonylamino” include trifluoromethylcarbonylamino and trichloromethylcarbonylamino.
- Haloalkylsulfonylamino means a group in which the above “haloalkylsulfonyl” is replaced with one hydrogen atom bonded to the nitrogen atom of the amino group.
- monofluoromethylsulfonylamino, monofluoroethylsulfonylamino, trifluoromethylsulfonylamino, trichloromethylsulfonylamino, trifluoroethylsulfonylamino, trichloroethylsulfonylamino and the like can be mentioned.
- haloalkylsulfonylamino include trifluoromethylsulfonylamino and trichloromethylsulfonylamino.
- alkylsulfonyl alkylcarbonylamino optionally substituted with one or more groups selected from substituent group C2, alkylsulfonylamino optionally substituted with one or more groups selected from substituent group C2 From alkylcarbamoyl optionally substituted with one or more groups selected from group C2, alkylsulfamoyl optionally substituted with one or more groups selected from substituent group C2, from substituent group C2 Alkylcarbonyloxy optionally substituted with one or more selected groups, alkyloxycarbonyl optionally substituted with one or more groups selected from substituent group C2, 1 selected from substituent group C2 Alkylsulfonyloxy optionally substituted with one or more of the above groups, Al optionally substituted with one or more groups selected from Substituent Group C2 Ruoxysulfonyl, an aromatic carbocyclic group which may be substituted with one or more groups selected from substituent group E, and a non-substituted group which is
- the carbon atom at any position may be bonded to one or more groups selected from the substituent group B.
- Substituent group B alkyl optionally substituted by one or more groups selected from halogen, hydroxy, carboxy, amino, carbamoyl, sulfamoyl, sulfo, cyano, formyl, imino, hydroxyimino, cyanoimino, substituent group D Oxy, alkylamino optionally substituted with one or more groups selected from substituent group D, alkylsulfanyl optionally substituted with one or more groups selected from substituent group D, substituent group D 1 selected from alkylimino optionally substituted with one or more groups selected from the above, alkyloxyimino optionally substituted with one or more groups selected from the substituent group D, 1 selected from substituent group D Alkylcarbonyl which may be substituted with the above groups, and alkylsulfonyl which may be substituted with one or more groups selected from Substi
- Aromatic carbocyclic sulfonyloxy optionally substituted with a group
- Non-aromatic carbocyclic sulfonyloxy optionally substituted with one or more groups selected from Substituent Group E, selected from Substituent Group E
- An aromatic heterocyclic sulfonyloxy which may be substituted with one or more groups
- a non-aromatic heterocyclic sulfonyloxy which may be substituted with one or more groups selected from substituent group E.
- substituents of “substituted or unsubstituted alkyl” and “substituted or unsubstituted alkylcarbonyl” in R 7a include, for example, halogen, hydroxy, carboxy, amino, carbamoyl, sulfamoyl, sulfo, cyano, substituent group D Alkyloxy optionally substituted with one or more groups selected from: alkylamino optionally substituted with one or more groups selected from substituent group D, one or more selected from substituent group D An alkylsulfanyl which may be substituted with a group of the above, an alkylcarbonyl which may be substituted with one or more groups selected from the substituent group D, and a substituent which is substituted with one or more groups selected from the substituent group D An alkylsulfonylamino which may be substituted with one or more groups selected from substituent group D, Alkylsulfonylamino optionally substituted with one or
- Substituted or unsubstituted alkyl at R 6, "substituted or unsubstituted alkenyl", “substituted or unsubstituted alkynyl", “substituted or unsubstituted alkyloxy", “substituted or unsubstituted alkenyloxy", And the substituent of “substituted or unsubstituted alkynyloxy” is, for example, substituted with one or more groups selected from halogen, hydroxy, carboxy, amino, carbamoyl, sulfamoyl, sulfo, cyano, and substituent group D Alkyloxy which may be substituted, alkylamino which may be substituted with one or more groups selected from substituent group D, alkylsulfanyl which may be substituted with one or more groups selected from substituent group D, Alkylcarbonyl optionally substituted with one or more groups selected from Substituent Group
- Substituted or unsubstituted alkyl substituted or unsubstituted alkenyl”, “substituted or unsubstituted alkynyl”, “substituted or unsubstituted alkyloxy”, “substituted or unsubstituted alkenyl” in R 9a and R 9b Oxy, substituted or unsubstituted alkynyloxy, substituted or unsubstituted alkylsulfanyl, substituted or unsubstituted alkenylsulfanyl, substituted or unsubstituted alkynylsulfanyl, substituted or unsubstituted alkyl Amino, substituted or unsubstituted alkenylamino, substituted or unsubstituted alkynylamino, substituted or unsubstituted alkylcarbonyl, substituted or unsubstituted alkenylcarbonyl, substituted or un
- substituents of “carbonylamino”, “substituted or unsubstituted alkenyloxycarbonylamino”, and “substituted or unsubstituted alkynyloxycarbonylamino” include, for example, halogen, hydroxy, carboxy, amino, carbamoyl, sulfamoyl, sulfo, Cyano, alkyloxy optionally substituted with one or more groups selected from substituent group D, alkylamino optionally substituted with one or more groups selected from substituent group D, substituent group D An alkylsulfanyl optionally substituted with one or more groups selected from the above, an alkylcarbonyl optionally substituted with one or more groups selected from the substituent group D, one or more selected from the substituent group D An alkylsulfonyl which may be substituted with one or more groups, and one or more groups selected from Substituent Group D Alkylcarbonylamino which may be substituted
- (D) A compound described in the following (d-1) or (d-2) or a pharmaceutically acceptable salt thereof.
- D-1) A compound represented by the formula (I) and any one of the above (a) to (c), wherein n is 1 or 2, or a pharmaceutically acceptable salt thereof.
- D-2) A compound represented by the formula (I) and any one of the above (a) to (c), wherein n is 1, or a pharmaceutically acceptable salt thereof.
- (I) A compound according to any one of the following (i-1) to (i-3) or a pharmaceutically acceptable salt thereof: (I-1) The compound represented by the formula (I) and any one of the above (a) to (h) or a pharmaceutically acceptable salt thereof, wherein R 2d is a hydrogen atom, halogen, or substituted or unsubstituted alkyl. Salt. (I-2) A compound represented by formula (I) and any one of the above (a) to (h) or a pharmaceutically acceptable salt thereof, wherein R 2d is a hydrogen atom or halogen. (I-3) The compound represented by formula (I) and any one of the above (a) to (h) or a pharmaceutically acceptable salt thereof, wherein R 2d is a hydrogen atom.
- (J) A compound according to the following (j-1) or a pharmaceutically acceptable salt thereof.
- (J-1) A compound represented by the formula (I) and any one of the above (a) to (i) or a pharmaceutically acceptable salt thereof, wherein Y 1 is O.
- (M) The compound according to any one of the following (m-1) to (m-17) or a pharmaceutically acceptable salt thereof.
- (M-1) R 1 is a substituted or unsubstituted 6-membered aromatic carbocyclic group, a substituted or unsubstituted 3- to 6-membered non-aromatic carbocyclic group, a substituted or unsubstituted 5- to 6-membered aromatic
- R 1 is Wherein R 12a and R 13a are each independently halogen; R 12b , R 12c , and R 13b are substituted with one or more groups selected from halogen, alkyl optionally substituted with one or more groups selected from substituent group D, or substituent group D A compound represented by formula (I) and any one of the above (a) to (l), or a pharmaceutically acceptable salt thereof.
- R 12b , R 12c and R 13b each independently represent halogen or alkyl optionally substituted with one or more groups selected from substituent group D (m- 12) or a pharmaceutically acceptable salt thereof.
- N The compound according to any one of the following (n-1) to (n-34) or a pharmaceutically acceptable salt thereof.
- N-1 The compound according to formula (I) and any one of the above (a) to (m), wherein Z 1 is N, or a pharmaceutically acceptable salt thereof.
- N-2) The compound according to formula (I) and any one of the above (a) to (m), or a pharmaceutically acceptable salt thereof, wherein Z 1 is C (R 4 ).
- N-3) A compound represented by formula (I), any one of the above (a) to (c), (n-1) and (n-2) or a pharmaceutically acceptable salt thereof.
- N-4) The compound represented by the above (n-3) or a pharmaceutically acceptable salt thereof, wherein the broken line indicates the presence of a bond.
- N-5) The compound represented by the above (n-3) or a pharmaceutically acceptable salt thereof, wherein the broken line indicates the absence of a bond.
- N-6 Shown in any one of (n-1) to (n-5) above, wherein ring Q is a 6-membered aromatic carbocycle, 5-membered aromatic heterocycle, or 6-membered aromatic heterocycle Or a pharmaceutically acceptable salt thereof.
- N-7) The compound represented by any one of the above (n-1) to (n-5), wherein the ring Q is a 5-membered aromatic heterocycle or a 6-membered aromatic heterocycle, or a pharmaceutical thereof Acceptable salt.
- N-8) any one of (n-1) to (n-5) above, wherein ring Q is imidazole, thiazole, oxazole, pyrazole, pyrrole, thiophene, pyridine, pyridazine, pyrimidine, or pyrazine A compound, or a pharmaceutically acceptable salt thereof.
- N-12 The compound represented by any one of the above (n-1) to (n-5), wherein ring Q is thiazole, oxazole, pyrazole, pyrrole, thiophene, pyridine, pyridazine, pyrimidine, or pyrazine, Or a pharmaceutically acceptable salt thereof.
- N-13 The compound represented by any one of the above (n-1) to (n-5), or a pharmaceutically acceptable salt thereof, wherein the ring Q is thiazole, pyrrole, pyridine, or pyrazine.
- N-16 The compound represented by formula (I) and any one of the above (a) to (m), or a pharmaceutically acceptable salt thereof.
- N-17 The compound represented by formula (I) and any one of the above (a) to (m), or a pharmaceutically acceptable salt thereof.
- N-18 The compound represented by formula (I) and any one of the above (a) to (m), or a pharmaceutically acceptable salt thereof.
- N-19 The compound represented by formula (I) and any one of the above (a) to (m), or a pharmaceutically acceptable salt thereof.
- N-26 A compound represented by the formula (I), any of the above (a) to (m), (n-1) and (n-2) or a pharmaceutically acceptable salt thereof.
- N-27 A compound represented by the formula (I), any of the above (a) to (m), (n-1) and (n-2) or a pharmaceutically acceptable salt thereof.
- N-28 A compound represented by the formula (I), any of the above (a) to (m), (n-1) and (n-2) or a pharmaceutically acceptable salt thereof.
- N-29 The compound according to any one of the above (n-26) to (n-28) or a pharmaceutically acceptable salt thereof, wherein ring Q is a 5-membered aromatic heterocycle.
- each R 5 is independently halogen, substituted or unsubstituted alkyl, substituted or unsubstituted alkenyl, substituted or unsubstituted alkynyl, substituted or unsubstituted aromatic carbocyclic group, or A compound represented by formula (I), which is a substituted or unsubstituted aromatic heterocyclic group, and any one of the above (a) to (n) or a pharmaceutically acceptable salt thereof.
- R 5 is each independently halogen, substituted or unsubstituted alkyl, substituted or unsubstituted alkenyl, substituted or unsubstituted alkynyl, or substituted or unsubstituted aromatic carbocyclic group A compound represented by formula (I) and any one of the above (a) to (n) or a pharmaceutically acceptable salt thereof.
- R 5 is each independently halogen; Alkyl substituted with one or more groups selected from halogen, hydroxy, cyano, formyl, alkyloxyimino and aromatic carbocyclic groups; unsubstituted alkyl; An unsubstituted alkenyl; an unsubstituted alkynyl; or an unsubstituted aromatic carbocyclic group, a compound represented by formula (I) and any of the above (a) to (n) or a pharmaceutically acceptable salt thereof Salt.
- R 9a and R 9b are each independently halogen, hydroxy, carboxy, amino, carbamoyl, sulfamoyl, sulfo, cyano, substituted or unsubstituted alkyl, substituted or unsubstituted alkenyl, substituted or unsubstituted Alkynyl, substituted or unsubstituted alkyloxy, substituted or unsubstituted alkenyloxy, substituted or unsubstituted alkynyloxy, substituted or unsubstituted alkylsulfanyl, substituted or unsubstituted alkenylsulfanyl, substituted or unsubstituted alkynylsulfanyl Substituted, unsubstituted alkylamino, substituted or unsubstituted alken
- R 10a and R 10b are each independently halogen, hydroxy, amino, carbamoyl, cyano, substituted or unsubstituted alkyl, substituted or unsubstituted alkenyl, substituted or unsubstituted alkynyl, substituted or Unsubstituted alkyloxy, substituted or unsubstituted alkenyloxy, substituted or unsubstituted alkynyloxy, substituted or unsubstituted alkylsulfanyl, substituted or unsubstituted alkenylsulfanyl, substituted or unsubstituted alkynylsulfanyl, substituted or unsubstituted Alkylamino, substituted or unsubstituted alkenylamino, substituted or unsubstituted alkynylamino, substituted or unsubstituted alkylcarbonyl, substituted or unsubstituted alkenylcarbonyl,
- R 10a and R 10b are each independently halogen, cyano, substituted or unsubstituted alkyl, substituted or unsubstituted alkenyl, substituted or unsubstituted alkynyl, substituted or unsubstituted alkyloxy, Substituted or unsubstituted alkenyloxy, substituted or unsubstituted alkynyloxy, substituted or unsubstituted alkylcarbonyl, substituted or unsubstituted alkenylcarbonyl, substituted or unsubstituted alkynylcarbonyl, substituted or unsubstituted alkylsulfonyl, substituted or Unsubstituted alkenylsulfonyl, substituted or unsubstituted alkynylsulfonyl, substituted or unsubstituted aromatic carbocyclic group, substituted or unsubstituted nonaromatic carbocycl
- R 10a and R 10b are each independently halogen, substituted or unsubstituted alkyl, substituted or unsubstituted alkenyl, substituted or unsubstituted alkynyl, substituted or unsubstituted alkyloxy, substituted or Unsubstituted alkenyloxy, substituted or unsubstituted alkynyloxy, substituted or unsubstituted alkylcarbonyl, substituted or unsubstituted alkenylcarbonyl, substituted or unsubstituted alkynylcarbonyl, substituted or unsubstituted alkylsulfonyl, substituted or unsubstituted Alkenylsulfonyl, substituted or unsubstituted alkynylsulfonyl, substituted or unsubstituted aromatic carbocyclic group, substituted or unsubstituted nonaromatic carbocyclic group, substituted or un
- R 10a and R 10b are each independently halogen, cyano, substituted or unsubstituted alkyl, substituted or unsubstituted alkenyl, substituted or unsubstituted alkynyl, substituted or unsubstituted alkyloxy, Substituted or unsubstituted alkenyloxy, substituted or unsubstituted alkynyloxy, substituted or unsubstituted alkylsulfonyl, substituted or unsubstituted alkenylsulfonyl, substituted or unsubstituted alkynylsulfonyl, substituted or unsubstituted aromatic carbocyclic (Q-1) or a group which is a group, a substituted or unsubstituted non-aromatic carbocyclic group, a substituted or unsubstituted aromatic heterocyclic group, or a substituted or unsubstituted non-aro
- R 10a and R 10b are each independently halogen, substituted or unsubstituted alkyl, substituted or unsubstituted alkenyl, substituted or unsubstituted alkynyl, substituted or unsubstituted alkyloxy, substituted or Unsubstituted alkenyloxy, substituted or unsubstituted alkynyloxy, substituted or unsubstituted alkylsulfonyl, substituted or unsubstituted alkenylsulfonyl, substituted or unsubstituted alkynylsulfonyl, substituted or unsubstituted aromatic carbocyclic group, (Q-1) or (q) which is a substituted or unsubstituted non-aromatic carbocyclic group, a substituted or unsubstituted aromatic heterocyclic group, or a substituted or unsubstituted non-aromatic heterocyclic group -2) or
- R 10a and R 10b are each independently halogen; cyano; unsubstituted alkyl; alkyl substituted with hydroxy; unsubstituted alkyloxy; unsubstituted alkylsulfonyl; unsubstituted non-aromatic
- R 10a and R 10b are each independently halogen; unsubstituted alkyl; unsubstituted alkyloxy; unsubstituted alkylsulfonyl; unsubstituted non-aromatic heterocyclic group; or alkyl
- Q-12 The compound represented by (q-1) or (q-2) above, wherein R 10a and R 10b are each independently halogen; alkyl; haloalkyl; alkyloxy; Pharmaceutically acceptable salt.
- (R) The compound according to any one of the following (r-1) to (r-11) or a pharmaceutically acceptable salt thereof.
- (R-1) R 3 is (In the formula, ring F1 is a substituted or unsubstituted 5-membered non-aromatic carbocyclic ring, a substituted or unsubstituted 5-membered aromatic heterocyclic ring, or a substituted or unsubstituted 5-membered non-aromatic heterocyclic ring; Ring G1 is a substituted or unsubstituted 6-membered aromatic carbocyclic ring, a substituted or unsubstituted 6-membered non-aromatic carbocyclic ring, a substituted or unsubstituted 6-membered aromatic heterocyclic ring, or a substituted or unsubstituted 6-membered non-membered ring.
- R 9a and R 9b are as defined above (q-1); R 10a1, said a group represented by R 10a and are as defined) of (q-1), formula (I), and the (a) ⁇ any compound or a pharmaceutically shown in the (p) Top acceptable salt.
- R 10a1 means a substituent on ring B.
- R-2) R 3 is A compound represented by formula (I) and any one of the above (a) to (p) or a pharmaceutically acceptable salt thereof.
- Ring F1 is substituted or unsubstituted cyclopentene, substituted or unsubstituted furan, substituted or unsubstituted thiophene, substituted or unsubstituted pyrrole, substituted or unsubstituted pyrazole, substituted or unsubstituted imidazole
- R-4 The compound represented by the above (r-1) or (r-2) or a pharmaceutically acceptable salt thereof, wherein Ring F1 is substituted or unsubstituted cyclopentene, or substituted or unsubstituted thiazole.
- R-5 The compound represented by the above (r-1) or (r-2) or a compound thereof, wherein Ring F1 is an unsubstituted cyclopentene; or thiazole substituted with one or more groups selected from alkyl Pharmaceutically acceptable salt.
- Ring G1 is substituted or unsubstituted benzene, substituted or unsubstituted cyclohexane, substituted or unsubstituted pyridine, substituted or unsubstituted pyrazine, substituted or unsubstituted pyrimidine, substituted or unsubstituted pyran Substituted or unsubstituted dihydropyran, substituted or unsubstituted dihydropyridine, substituted or unsubstituted tetrahydropyridine, substituted or unsubstituted dihydropyrazine, substituted or unsubstituted tetrahydropyrazine, substituted or unsubstituted oxazine, substituted or unsubstituted A compound represented by any one of the above (r-1) to (r-5) or a pharmaceutically acceptable salt thereof, which is a substituted dihydrooxazine, a substituted or unsubstitute
- R 10a1 is halogen, hydroxy, amino, carbamoyl, substituted or unsubstituted alkyl, substituted or unsubstituted alkenyl, substituted or unsubstituted alkynyl, substituted or unsubstituted alkyloxy, substituted or unsubstituted Alkenyloxy, substituted or unsubstituted alkynyloxy, substituted or unsubstituted alkylsulfanyl, substituted or unsubstituted alkenylsulfanyl, substituted or unsubstituted alkynylsulfanyl, substituted or unsubstituted alkylamino, substituted or unsubstituted alkenyl A compound represented by any one of the above (r-1) to (r-8), or a pharmaceutically acceptable salt thereof, which is amino, or substituted or unsubstituted alkynylamino.
- R 9a and R 9b are halogen, hydroxy, amino, substituted or unsubstituted alkyl, substituted or unsubstituted alkenyl, substituted or unsubstituted alkynyl, substituted or unsubstituted alkyloxy, substituted or unsubstituted Substituted alkenyloxy, substituted or unsubstituted alkynyloxy, substituted or unsubstituted alkylsulfanyl, substituted or unsubstituted alkenylsulfanyl, substituted or unsubstituted alkynylsulfanyl, substituted or unsubstituted alkylamino, substituted or unsubstituted
- R 9a and R 9b are halogen, substituted or unsubstituted alkyl, substituted or unsubstituted alkyloxy, substituted or unsubstituted alkylsulfanyl, or substituted or unsubstituted alkylamino, I) and the compound according to any one of the above (a) to (r), or a pharmaceutically acceptable salt thereof.
- (T) The compound according to any one of the following (t-1) to (t-10) or a pharmaceutically acceptable salt thereof.
- (T-1) R 3 is (In the formula, ring F3 is a substituted or unsubstituted 5-membered non-aromatic carbocyclic ring, a substituted or unsubstituted 5-membered aromatic heterocyclic ring, or a substituted or unsubstituted 5-membered non-aromatic heterocyclic ring; Ring G3 is a substituted or unsubstituted 6-membered aromatic carbocyclic ring, a substituted or unsubstituted 6-membered non-aromatic carbocyclic ring, a substituted or unsubstituted 6-membered aromatic heterocyclic ring, or a substituted or unsubstituted 6-membered non-membered aromatic ring.
- R 10a1 means a substituent on ring B.
- T-3 The compound represented by the above (t-1) or a pharmaceutically acceptable salt thereof, wherein Ring F3 is a substituted or unsubstituted pyrrole.
- T-4 The compound represented by the above (t-1) or a pharmaceutically acceptable salt thereof, wherein Ring F3 is unsubstituted pyrrole.
- Ring G3 is substituted or unsubstituted benzene, substituted or unsubstituted cyclohexene, substituted or unsubstituted pyridine, substituted or unsubstituted pyrazine, substituted or unsubstituted pyrimidine, substituted or unsubstituted pyran Substituted or unsubstituted dihydropyran, substituted or unsubstituted dihydropyridine, substituted or unsubstituted tetrahydropyridine, substituted or unsubstituted dihydropyrazine, substituted or unsubstituted tetrahydropyrazine, substituted or unsubstituted oxazine, substituted or unsubstituted A compound represented by any one of the above (t-1) to (t-4) or a pharmaceutically acceptable salt thereof, which is a substituted dihydrooxazine, a substituted or unsubstitute
- R 10a2 is halogen, hydroxy, amino, carbamoyl, substituted or unsubstituted alkyl, substituted or unsubstituted alkenyl, substituted or unsubstituted alkynyl, substituted or unsubstituted alkyloxy, substituted or unsubstituted Alkenyloxy, substituted or unsubstituted alkynyloxy, substituted or unsubstituted alkylsulfanyl, substituted or unsubstituted alkenylsulfanyl, substituted or unsubstituted alkynylsulfanyl, substituted or unsubstituted alkylamino, substituted or unsubstituted alkenyl A compound represented by any one of the above (t-1) to (t-7), or a pharmaceutically acceptable salt thereof, which is amino, or substituted or unsubstituted alkynylamino.
- T-9 The compound represented by any one of (t-1) to (t-7) above, wherein R 10a2 is halogen, substituted or unsubstituted alkyl, or substituted or unsubstituted alkyloxy, or a compound thereof Pharmaceutically acceptable salt.
- T-10 The compound or a pharmaceutically acceptable salt thereof according to any one of the above (t-1) to (t-7), wherein R 10a2 is halogen.
- (U) The compound according to any one of the following (u-1) to (u-5) or a pharmaceutically acceptable salt thereof.
- (U-1) The compound represented by the formula (I) and any one of the above (a) to (t), wherein the ring B is benzene, cyclohexene, or a 6-membered aromatic heterocyclic ring, or a pharmaceutically acceptable salt thereof Salt.
- (U-2) The compound represented by formula (I) and any one of the above (a) to (t), or a pharmaceutically acceptable salt thereof, wherein ring B is benzene or a 6-membered aromatic heterocyclic ring .
- (V) The compound according to any one of the following (v-1) to (v-4) or a pharmaceutically acceptable salt thereof.
- (V-1) The compound represented by the formula (I) and any one of the above (a) to (u), or a pharmaceutically acceptable product thereof, wherein the ring C is cyclopentane or a 5-membered aromatic heterocycle salt.
- (V-2) The compound represented by the formula (I) and any one of the above (a) to (u) or a pharmaceutically acceptable salt thereof, wherein Ring C is a 5-membered aromatic heterocyclic ring.
- p1 hydrogen atoms bonded to the ring-constituting atom of ring B can be replaced by R 10a or R 10c .
- p2 hydrogen atoms bonded to the ring constituent atoms of Ring C can be replaced by R 10b or R 10d.
- p3 hydrogen atoms bonded to the ring constituent atoms of Ring D may be replaced by R 10e.
- q1 hydrogen atoms bonded to the ring constituent atoms of Ring E can be replaced by R 12. Further, q2 hydrogen atoms bonded to the ring constituent atoms of Ring E can be replaced by R 13.
- p1b number of hydrogen atoms bonded to the ring constituent atoms of Ring B may be replaced by R 10a1.
- p1d hydrogen atoms bonded to the ring-constituting atoms of ring B can be replaced by R 10a2 .
- One or more hydrogen, carbon and / or other atoms of the compound of formula (I) may be replaced with isotopes of hydrogen, carbon and / or other atoms, respectively.
- isotopes are 2 H, 3 H, 11 C, 13 C, 14 C, 15 N, 18 O, 17 O, 31 P, 32 P, 35 S, 18 F, 123 I and Like 36 Cl, hydrogen, carbon, nitrogen, oxygen, phosphorus, sulfur, fluorine, iodine and chlorine are included.
- the compound represented by the formula (I) also includes a compound substituted with such an isotope.
- the compound substituted with the isotope is also useful as a pharmaceutical, and includes all radiolabeled compounds of the compound represented by the formula (I).
- the radioactive label of the compound represented by the formula (I) can be prepared by a method well known in the art.
- the tritium labeled compound represented by the formula (I) can be prepared by introducing tritium into the specific compound represented by the formula (I) by catalytic dehalogenation reaction using tritium. This method reacts a tritium gas with a precursor in which the compound of formula (I) is appropriately halogen-substituted in the presence of a suitable catalyst such as Pd / C, in the presence or absence of a base. Including that.
- Other suitable methods for preparing tritium labeled compounds can be referred to “Isotopes in the Physical and Biomedical Sciences, Vol. 1, Labeled Compounds (Part A), Chapter 6 (1987)”.
- the 14 C-labeled compound can be prepared by using a raw material having 14 C carbon.
- an alkali metal for example, lithium, sodium, potassium, etc.
- an alkaline earth metal for example, Calcium, barium, etc.
- magnesium transition metals (eg, zinc, iron, etc.), ammonia, organic bases (eg, trimethylamine, triethylamine, dicyclohexylamine, ethanolamine, diethanolamine, triethanolamine, meglumine, diethanolamine, ethylenediamine, pyridine, Picolin, quinoline etc.) and salts with amino acids, or inorganic acids (eg hydrochloric acid, sulfuric acid, nitric acid, carbonic acid, hydrobromic acid, phosphoric acid, hydroiodic acid etc.) and organic acids (eg formic acid, acetic acid, Propionic acid, trifluoroacetic acid, citric acid, lactic acid Tartaric acid, oxalic acid, maleic acid, fum
- the compound represented by the formula (I) of the present invention or a pharmaceutically acceptable salt thereof may form a prodrug, and the present invention includes such various prodrugs.
- a prodrug is a derivative of a compound of the present invention having a group that can be chemically or metabolically degraded, and is a compound that becomes a pharmaceutically active compound of the present invention by solvolysis or under physiological conditions in vivo.
- a prodrug is a compound that is enzymatically oxidized, reduced, hydrolyzed, etc. under physiological conditions in vivo to be converted into a compound represented by formula (I), hydrolyzed by gastric acid, etc. The compound etc. which are converted into the compound shown are included.
- a method for selecting and producing an appropriate prodrug derivative is described in, for example, “Design of Prodrugs, Elsevier, Amsterdam, 1985”. Prodrugs may themselves have activity.
- the compound represented by formula (I) or a pharmaceutically acceptable salt thereof has a hydroxyl group
- prodrugs such as acyloxy derivatives and sulfonyloxy derivatives produced by reacting sulfonyl anhydride and mixed anhydride or reacting with a condensing agent.
- the compound according to the present invention has a P2X 7 receptor antagonistic action, it is useful as a therapeutic and / or prophylactic agent for diseases involving the P2X 7 receptor.
- Diseases P2X 7 receptor is involved, pain, central diseases, such as immune and inflammatory diseases and the like, preferably pain (Non-Patent Documents 7-8 and Patent Document 1, etc.).
- the effect of opioid drugs on analgesic resistance can be expected.
- the pain preferably herpes zoster pain, postherpetic neuralgia, trigeminal neuralgia, thalamic pain, cancer pain, postoperative pain, sciatica, afferent blockage pain, etc .; Strangulated neuropathy, carpal tunnel syndrome, diabetes, Guillain-Barre syndrome, myofascial pain syndrome, fibromyalgia syndrome, complex local pain syndrome, causalgia, spinal cord injury, stroke, multiple sclerosis, Parkinson's disease, intervertebral disc herniation , Arthritis, rheumatoid arthritis, osteoarthritis, cervical spondylosis, spinal stenosis, brachial plexus withdrawal syndrome, shoulder syndrome, cystitis (including acute and interstitial), ulcerative colitis, Crohn's disease Pain associated with diseases such as irritable bowel syndrome, gout, depression; Pain associated with drug therapy and pain associated with radiation
- Central diseases include Alzheimer's dementia (Alzheimer's disease, Alzheimer's senile dementia, etc.), cerebral amyloid angiopathy, Parkinson's disease, Creutzfeldt-Jakob disease, Huntington's chorea, depression, schizophrenia, attention deficit Examples include dyskinetic disorder, sleep disorder, autism, epilepsy, stroke, multiple sclerosis, spinal cord injury, amyotrophic lateral sclerosis, opioid drugs and mental dependence due to cocaine, nicotine, and the like.
- Alzheimer's dementia Alzheimer's senile dementia, etc.
- cerebral amyloid angiopathy Alzheimer's dementia
- Parkinson's disease Creutzfeldt-Jakob disease
- Huntington's chorea depression
- schizophrenia attention deficit
- Examples include dyskinetic disorder, sleep disorder, autism, epilepsy, stroke, multiple sclerosis, spinal cord injury, amyotrophic lateral sclerosis, opioid drugs and mental dependence due to cocaine, nicotine, and the like.
- Alzheimer type dementia Alzheimer type senile dementia etc.
- cerebral amyloid angiopathy Parkinson's disease
- Parkinson's disease depression
- schizophrenia attention deficit hyperactivity disorder
- sleep disorder Examples include autism, epilepsy, stroke, multiple sclerosis, spinal cord injury, amyotrophic lateral sclerosis, opioid drugs and mental dependence due to cocaine, nicotine, and the like.
- Immune / inflammatory diseases include rheumatoid arthritis, osteoarthritis, osteoarthritis, asthma, bronchitis, chronic obstructive pulmonary disease, emphysema, septic shock, hepatitis (including non-alcoholic steatohepatitis), liver fibrosis, Cirrhosis, cholecystitis, glomerulonephritis, nephrotic syndrome, pancreatitis (including acute and chronic), cystitis (including acute and interstitial), urethritis (including acute and chronic), prostatitis, ulcerative colitis , Crohn's disease, irritable bowel syndrome, psoriasis, atopic dermatitis, contact dermatitis, eczema skin disease, delayed hypersensitivity reaction, conjunctivitis, uveitis, malignant cells (prostate cancer, breast cancer, lung cancer, uterine cancer, Pancreatic cancer, colon cancer, etc.) proliferation and met
- cardiovascular diseases such as atherosclerosis, ischemic heart disease and diabetes
- bone diseases such as osteoporosis, bone Paget's disease, osteonecrosis, and temporomandibular disorders.
- Active bladder stress urinary incontinence, prostatic hypertrophy and the like.
- an immune / inflammatory disease preferably rheumatoid arthritis, osteoarthritis, osteoarthritis, asthma, bronchitis, chronic obstructive pulmonary disease, cystitis (including acute and interstitial), ulcerative colitis, clone Diseases and the like.
- the compound represented by the formula (I) according to the present invention can be produced, for example, by the general synthesis method shown below. Any of the starting materials and reaction reagents used in these syntheses are commercially available or can be prepared according to methods well known in the art using commercially available compounds. Extraction, purification, and the like may be performed in a normal organic chemistry experiment. The synthesis of the compound of the present invention can be carried out in consideration of a technique known in the art.
- R A1 is a hydrogen atom or substituted or unsubstituted alkyl
- G 1 is halogen, substituted or unsubstituted alkylsulfanyl, substituted or unsubstituted alkylsulfinyl, or substituted or unsubstituted alkylsulfonyl, etc.
- a leaving group; other symbols have the same meanings as in (1) above.
- Process 1 Compound (A-3) can be obtained by reacting compound (A-1) and compound (A-2) in the presence of a base in an appropriate solvent.
- Examples of the base include metal hydroxides (eg, sodium hydroxide, potassium hydroxide, tripotassium phosphate, etc.), metal hydrides (eg, sodium hydride, lithium hydride, etc.), metal carbonates (eg, Sodium carbonate, potassium carbonate, cesium carbonate, etc.), metal alkoxide (eg, sodium methoxide, sodium ethoxide, potassium tert-butoxide, etc.), metal alkyl (eg, butyllithium, etc.), pyridine, triethylamine, DIEA, etc. It is done.
- 1.0 molar equivalent or more, preferably 1.0 to 2.0 molar equivalents can be used relative to compound (A-2).
- Reaction solvents include aromatic hydrocarbons (eg, toluene, benzene, xylene, etc.), saturated hydrocarbons (eg, cyclohexane, hexane, etc.), ethers (eg, tetrahydrofuran, diethyl ether, dioxane, dimethoxyethane, etc.) , Halogenated hydrocarbons (eg, chloroform, dichloromethane, etc.), DMF, DMSO, NMP, acetonitrile, pyridine and the like, which can be used alone or in combination.
- the reaction temperature is 0 ° C. to 80 ° C., preferably 0 ° C. to 40 ° C.
- the reaction time is 0.5 to 48 hours, preferably 1 to 16 hours.
- the obtained desired compound (A-3) can be purified by conventional methods (eg, column chromatography, recrystallization, etc.) if necessary.
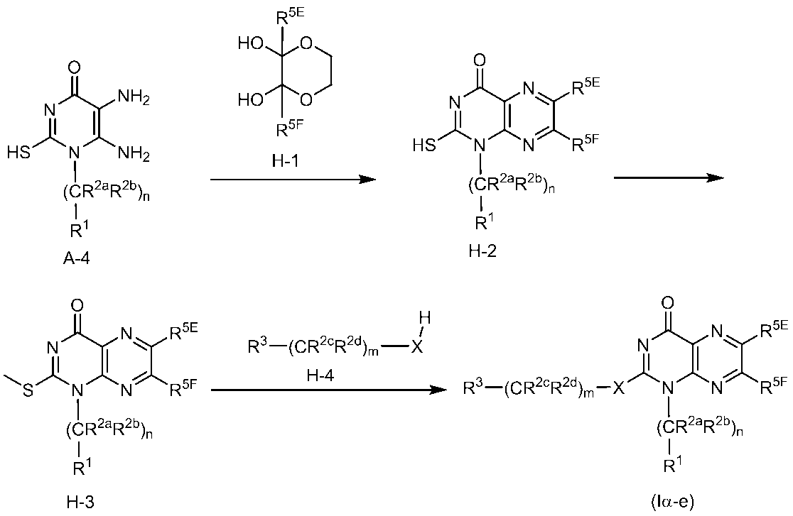
- Process 2 Compound (A-4) can be obtained by reacting compound (A-3) and trimethylsilyl isothiocyanate in a suitable solvent or without solvent. In this reaction, trimethylsilyl isothiocyanate can be used at 1.0 molar equivalent or more, preferably 1.0-10.0 molar equivalent relative to compound (A-3).
- Reaction solvents include alcohols (eg, methanol, ethanol, tert-butanol, isopropanol, etc.), aromatic hydrocarbons (eg, toluene, benzene, xylene, etc.), saturated hydrocarbons (eg, cyclohexane, hexane, etc.) , Ethers (eg, tetrahydrofuran, diethyl ether, dioxane, dimethoxyethane, etc.), DMF, NMP, acetonitrile, DMA and the like can be used alone or in combination.
- the reaction temperature is 40 ° C to 200 ° C, preferably 80 ° C to 150 ° C.
- Reaction solvents include aromatic hydrocarbons (eg, toluene, benzene, xylene, etc.), saturated hydrocarbons (eg, cyclohexane, hexane, etc.), ethers (eg, tetrahydrofuran, diethyl ether, dioxane, dimethoxyethane, etc.) , DMF, NMP, acetonitrile, DMA and the like, and can be used alone or in combination.
- the reaction temperature is 0 ° C. to 100 ° C., preferably 0 ° C. to 40 ° C.
- the reaction time is 0.5 to 48 hours, preferably 1 to 8 hours.
- the obtained desired compound (A-5) can be purified by conventional methods (eg, column chromatography, recrystallization, etc.) if necessary.
- Process 4 Compound (I ⁇ ) can be obtained by reacting compound (A-5) and compound (A-6) in the presence of a base or acid in the absence of a solvent or in a suitable solvent. In this reaction, compound (A-6) can be used at 1.0 molar equivalent or more, preferably 1.0-5.0 molar equivalents, relative to compound (A-5).
- Examples of the base include metal hydroxides (eg, sodium hydroxide, potassium hydroxide, tripotassium phosphate, etc.), metal hydrides (eg, sodium hydride, lithium hydride, etc.), metal carbonates (eg, Sodium carbonate, potassium carbonate, cesium carbonate, etc.), metal alkoxide (eg, sodium methoxide, sodium ethoxide, potassium tert-butoxide, etc.), metal alkyl (eg, butyllithium, etc.), pyridine, triethylamine, DIEA, etc. It is done.
- 1.0 molar equivalent or more, preferably 1.0 to 5.0 molar equivalent can be used with respect to compound (A-5).
- Examples of the acid include acetic acid and propionic acid. 1.0 molar equivalent or more, preferably 1.0 to 5.0 molar equivalent can be used with respect to compound (A-5).
- Reaction solvents include alcohols (eg, tert-butanol, isopropanol, etc.), aromatic hydrocarbons (eg, toluene, benzene, xylene, etc.), saturated hydrocarbons (eg, cyclohexane, hexane, etc.), ethers ( Examples include tetrahydrofuran, diethyl ether, dioxane, dimethoxyethane, etc.), halogenated hydrocarbons (eg, chloroform, dichloromethane, etc.), DMF, DMSO, NMP, acetonitrile, pyridine, water, etc., used alone or in combination.
- Reaction solvents include aromatic hydrocarbons (eg, toluene, benzene, xylene, etc.), saturated hydrocarbons (eg, cyclohexane, hexane, etc.), ethers (eg, tetrahydrofuran, diethyl ether, dioxane, dimethoxyethane, etc.) , Acetonitrile and the like, and can be used alone or in combination.
- the reaction temperature is ⁇ 10 to 110 ° C., preferably 0 to 80 ° C.
- the reaction time is 0.1 to 72 hours, preferably 0.5 to 18 hours.
- the obtained desired compound (I ⁇ ′) can be purified by conventional methods (eg, column chromatography, recrystallization, etc.) if necessary.
- C ⁇ S can be appropriately converted to C ⁇ N (R 6 ) at a desired stage based on the following synthesis method of Ab method.
- This reaction is not limited to the synthesis of the compound represented by the formula (I ⁇ ), but can also be used for the synthesis of other compounds of the present invention.
- [Ab method] In the formula, Y 1a is N (R 6 ); other symbols have the same meanings as in the above (1).
- Compound (I ⁇ ′′) can be obtained by reacting compound (I ⁇ ′) obtained by Method Aa with compound (Ab-1) in the presence of an acid or base in an appropriate solvent.
- compound (Ab-1) can be used at 1.0 molar equivalent or more, preferably 1.0-5.0 molar equivalents, relative to compound (I ⁇ ′).
- the acid include acetic acid, trifluoroacetic acid, p-toluenesulfonic acid, and the like.
- 0.05 mol equivalent or more, preferably 0.1 to 2.0 mol equivalent, can be used with respect to compound (I ⁇ ′).
- the base include pyridine, triethylamine, DIEA and the like.
- 1.0 molar equivalent or more, preferably 1.0 to 20.0 molar equivalent can be used with respect to compound (I ⁇ ′).
- Reaction solvents include alcohols (eg, methanol, ethanol, tert-butanol, isopropanol, etc.), aromatic hydrocarbons (eg, toluene, benzene, xylene, etc.), saturated hydrocarbons (eg, cyclohexane, hexane, etc.) , Ethers (eg, tetrahydrofuran, diethyl ether, dioxane, dimethoxyethane, etc.), DMF, NMP, acetonitrile, DMA and the like can be used alone or in combination.
- the reaction temperature is 0 to 150 ° C., preferably 0 to 80 ° C.
- the reaction time is 0.1 to 72 hours, preferably 0.5 to 18 hours.
- the obtained desired compound (I ⁇ ′′) can be purified by conventional methods (eg, column chromatography, recrystallization, etc.) if necessary.
- Reaction solvents include alcohols (eg, methanol, ethanol, isopropanol, etc.), aromatic hydrocarbons (eg, toluene, benzene, xylene, etc.), saturated hydrocarbons (eg, cyclohexane, hexane, etc.), ethers ( Examples include tetrahydrofuran, diethyl ether, dioxane, dimethoxyethane, etc.), DMF, DMSO, NMP, acetonitrile and the like, which can be used alone or in combination.
- the reaction temperature is 0 ° C. to 80 ° C., preferably 0 ° C. to 40 ° C.
- the reaction time is 0.5 to 48 hours, preferably 1 to 16 hours.
- the obtained desired compound (B-3) can be purified by conventional methods (eg, column chromatography, recrystallization, etc.) if necessary.
- Process 2 The compound (B-4) can be obtained by reacting the compound (B-3) with trimethylsilyl isothiocyanate according to the synthesis method described in Method A Step 2, and the desired compound (B-4) obtained is If necessary, it can be purified by a conventional method (eg, column chromatography, recrystallization, etc.).
- Process 3 The compound (B-5) can be obtained by reacting compound (B-4) with methyl iodide according to the synthesis method described in Method A, Step 3.
- the obtained desired compound (B-5) can be purified by conventional methods (eg, column chromatography, recrystallization, etc.) if necessary.
- Process 4 Compound (I ⁇ -a) can be obtained by reacting compound (B-5) and compound (B-6) according to the synthesis method described in Method A, Step 4.
- the obtained desired compound (I ⁇ -a) can be purified by conventional methods (eg, column chromatography, recrystallization, etc.) if necessary.
- Examples of the base include metal hydroxides (eg, sodium hydroxide, potassium hydroxide, tripotassium phosphate, etc.), metal hydrides (eg, sodium hydride, lithium hydride, etc.), metal carbonates (eg, Sodium carbonate, potassium carbonate, cesium carbonate, etc.), metal alkoxide (eg, sodium methoxide, sodium ethoxide, potassium tert-butoxide, etc.), metal alkyl (eg, butyllithium, etc.), pyridine, triethylamine, DIEA, etc. It is done.
- 1.0 molar equivalent or more, preferably 1.0 to 5.0 molar equivalent can be used relative to compound (C-2).
- Reaction solvents include alcohols (eg, methanol, ethanol, tert-butanol, isopropanol, etc.), aromatic hydrocarbons (eg, toluene, benzene, xylene, etc.), saturated hydrocarbons (eg, cyclohexane, hexane, etc.) , Ethers (eg, tetrahydrofuran, diethyl ether, dioxane, dimethoxyethane, etc.), halogenated hydrocarbons (eg, chloroform, dichloromethane, etc.), DMF, DMSO, NMP, acetonitrile, etc., used alone or in combination. be able to.
- alcohols eg, methanol, ethanol, tert-butanol, isopropanol, etc.
- aromatic hydrocarbons eg, toluene, benzene, xylene, etc.
- saturated hydrocarbons
- the reaction temperature is ⁇ 10 to 80 ° C., preferably 0 to 40 ° C.
- the reaction time is 0.1 to 24 hours, preferably 0.5 to 12 hours.
- the obtained desired compound (C-3) can be purified by conventional methods (eg, column chromatography, recrystallization, etc.) if necessary.
- Process 2 Compound (C-4) can be obtained by reacting compound (C-3) and sodium dithionite in an appropriate solvent in the presence of a base. In this reaction, sodium dithionite can be used in an amount of 1.0 molar equivalent or more, preferably 2.0 to 5.0 molar equivalents, relative to compound (C-3).
- the reaction temperature is 0 to 80 ° C., preferably 20 to 50 ° C.
- the reaction time is 0.1 to 24 hours, preferably 0.5 to 12 hours.
- the obtained desired compound (C-4) can be purified by conventional methods (eg, column chromatography, recrystallization, etc.) if necessary.
- Process 3 Compound (C-6) can be obtained by reacting compound (C-4) and compound (C-5) in a suitable solvent or without solvent. In this reaction, compound (C-5) is The compound (C-4) can be used at 1.0 molar equivalent or more, preferably 3.0 to 20.0 molar equivalent.
- Reaction solvents include alcohols (eg, methanol, ethanol, tert-butanol, isopropanol, etc.), aromatic hydrocarbons (eg, toluene, benzene, xylene, etc.), saturated hydrocarbons (eg, cyclohexane, hexane, etc.) , Ethers (eg, tetrahydrofuran, diethyl ether, dioxane, dimethoxyethane, etc.), DMF, NMP, acetonitrile, DMA and the like can be used alone or in combination.
- the reaction temperature is 40 ° C. to 200 ° C., optionally under microwave irradiation, preferably 80 ° C.
- the reaction time is 0.5 to 48 hours, preferably 1 to 12 hours.
- the obtained desired compound (C-6) can be purified by conventional methods (eg, column chromatography, recrystallization, etc.) if necessary.
- Process 4 Compound (C-7) can be obtained by reacting compound (C-6) and methyl iodide according to the synthesis method described in Method A, Step 3.
- the obtained desired compound (C-7) can be purified by conventional methods (eg, column chromatography, recrystallization, etc.) if necessary.
- Process 5 Compound (I ⁇ -b) can be obtained by reacting compound (C-7) and compound (C-8) according to the synthesis method described in Method A, Step 4.
- the obtained desired compound (I ⁇ -b) can be purified by conventional methods (eg, column chromatography, recrystallization, etc.) if necessary.
- G 2 is a leaving group such as halogen, substituted or unsubstituted alkylsulfanyl, substituted or unsubstituted alkylsulfinyl, or substituted or unsubstituted alkylsulfonyl;
- R 5A and R 5B are each independently And hydrogen or any group shown as R 5 in the above (1); other symbols are the same as those in the above (1).
- Process 1 Compound (D-2) can be obtained by reacting compound (C-6) and compound (D-1) obtained by Method C in a suitable solvent in the presence of a base.
- compound (D-1) can be used at 1.0 molar equivalent or more, preferably 1.0 to 5.0 molar equivalents relative to compound (C-6).
- the base include metal hydroxides (eg, sodium hydroxide, potassium hydroxide, tripotassium phosphate, etc.), metal hydrides (eg, sodium hydride, lithium hydride, etc.), metal carbonates (eg, Sodium carbonate, potassium carbonate, cesium carbonate, etc.), metal alkoxide (eg, sodium methoxide, sodium ethoxide, potassium tert-butoxide, etc.), metal alkyl (eg, butyllithium, etc.), pyridine, triethylamine, DIEA, etc.
- metal hydroxides eg, sodium hydroxide, potassium hydroxide, tripotassium phosphate, etc.
- metal hydrides eg, sodium hydride, lithium hydride, etc.
- metal carbonates eg, Sodium carbonate, potassium carbon
- Reaction solvents include alcohols (eg, tert-butanol, isopropanol, etc.), aromatic hydrocarbons (eg, toluene, benzene, xylene, etc.), saturated hydrocarbons (eg, cyclohexane, hexane, etc.), ethers ( Examples include tetrahydrofuran, diethyl ether, dioxane, dimethoxyethane, etc.), halogenated hydrocarbons (eg, chloroform, dichloromethane, etc.), DMF, DMSO, NMP, acetonitrile, pyridine, water, etc., used alone or in combination.
- alcohols eg, tert-butanol, isopropanol, etc.
- aromatic hydrocarbons eg, toluene, benzene, xylene, etc.
- saturated hydrocarbons eg, cyclohexane, hexane
- the reaction temperature is 0 to 200 ° C., optionally under microwave irradiation, preferably 20 to 100 ° C.
- the reaction time is 0.1 to 72 hours, preferably 0.5 to 18 hours.
- the obtained desired compound (D-2) can be purified by conventional methods (eg, column chromatography, recrystallization, etc.) if necessary.
- Process 2 Compound (I ⁇ -c) can be obtained by reacting compound (D-2) and compound (D-3) according to the synthesis method described in Method A, Step 4.
- the obtained desired compound (I ⁇ -c) can be purified by conventional methods (eg, column chromatography, recrystallization, etc.) if necessary.
- Compound (I ⁇ -c) can also be synthesized by using the following E method instead of D method.
- E method Wherein R C1 and R C2 are each independently hydrogen, or substituted or unsubstituted alkyl, or taken together to form a substituted or unsubstituted non-aromatic heterocycle; R 5A and R 5B has the same meaning as method D; the other symbols have the same meaning as in the above (1).
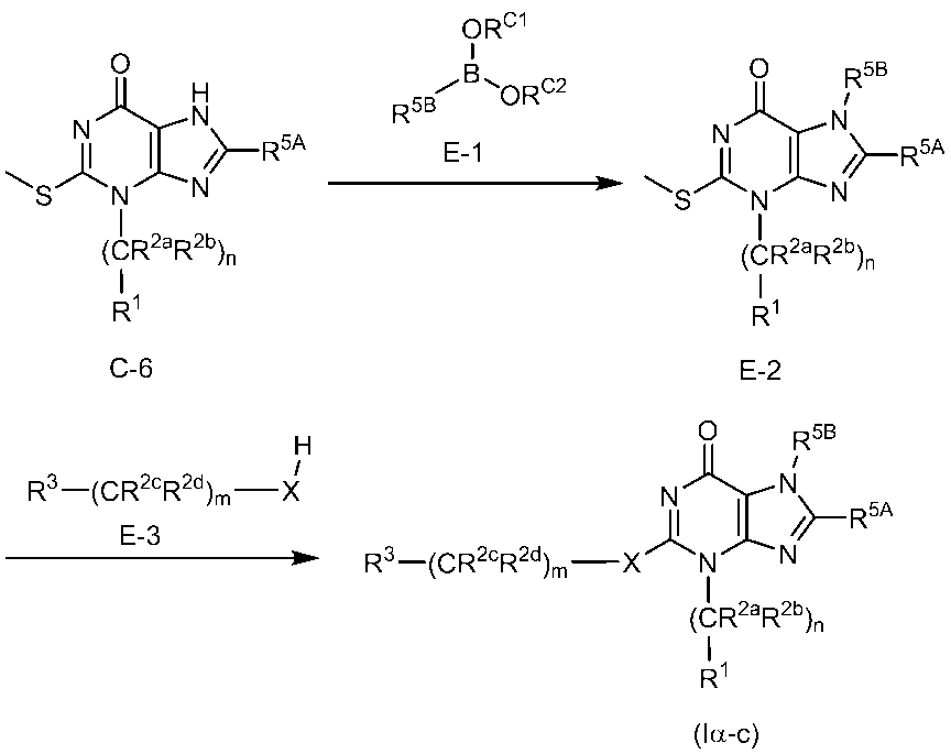
- Process 1 Compound (E-2) is reacted with boronic acid or boronic ester (E-1) obtained by Method C in a suitable solvent in the presence of a metal catalyst and a base. Obtainable.
- boronic acid or boronic acid ester (E-1) is used in an amount of 1.0 molar equivalent or more, preferably 1.0 to 5.0 molar equivalents, relative to compound (C-6). It can.
- the metal catalyst include copper (II) acetate.
- the base can be used at 001 to 0.2 molar equivalent relative to compound (C-6).
- Reaction solvents include aromatic hydrocarbons (eg, toluene, benzene, xylene, etc.), saturated hydrocarbons (eg, cyclohexane, hexane, etc.), ethers (eg, tetrahydrofuran, diethyl ether, dioxane, dimethoxyethane, etc.) , DMF, DMA, NMP, DMSO, and mixed solvents thereof.
- the reaction temperature is 0 to 150 ° C., optionally under microwave irradiation, preferably 20 to 100 ° C.
- the reaction time is 0.1 to 48 hours, preferably 0.5 to 18 hours.
- the obtained desired compound (E-2) can be purified by conventional methods (eg, column chromatography, recrystallization, etc.) if necessary.
- Process 2 Compound (I ⁇ -c) can be obtained by reacting compound (E-2) and compound (E-3) according to the synthesis method described in Method A, Step 4.
- the obtained desired compound (I ⁇ -c) can be purified by conventional methods (eg, column chromatography, recrystallization, etc.) if necessary.
- the halogenating reagent can be used at 1.0 molar equivalent or more, preferably 1.0 to 3.0 molar equivalent, relative to compound (I ⁇ -c1).
- Reaction solvents include aromatic hydrocarbons (eg, toluene, benzene, xylene, etc.), saturated hydrocarbons (eg, cyclohexane, hexane, etc.), ethers (eg, tetrahydrofuran, diethyl ether, dioxane, dimethoxyethane, etc.) , Halogenated hydrocarbons (eg, chloroform, dichloromethane, etc.), DMF, DMSO, NMP, acetonitrile and the like, and can be used alone or in combination.
- aromatic hydrocarbons eg, toluene, benzene, xylene, etc.
- saturated hydrocarbons eg, cyclohexane, hexane, etc.
- ethers
- the reaction temperature is 0 to 120 ° C, preferably 0 to 80 ° C.
- the reaction time is 0.1 to 72 hours, preferably 0.5 to 18 hours.
- the obtained desired compound (I ⁇ -c2) can be purified by conventional methods (eg, column chromatography, recrystallization, etc.) if necessary.
- Examples of the base include metal hydroxides (eg, sodium hydroxide, potassium hydroxide, tripotassium phosphate, etc.), metal hydrides (eg, sodium hydride, lithium hydride, etc.), metal carbonates (eg, Sodium carbonate, potassium carbonate, cesium carbonate, etc.), metal alkoxide (eg, sodium methoxide, sodium ethoxide, potassium tert-butoxide, etc.), metal alkyl (eg, butyllithium, etc.), pyridine, triethylamine, DIEA, etc. It is done.
- 1.0 molar equivalent or more, preferably 1.0 to 5.0 molar equivalent can be used relative to compound (G-2).
- the obtained desired compound (G-4) can be purified by conventional methods (eg, column chromatography, recrystallization, etc.) if necessary.
- Process 3 The compound (G-5) can be obtained by reacting the compound (G-4) and methyl iodide according to the synthesis method described in Method A, Step 3.
- the obtained desired compound (G-5) can be purified by conventional methods (eg, column chromatography, recrystallization, etc.) if necessary.
- Process 4 Compound (I ⁇ -d) can be obtained by reacting compound (G-5) and compound (G-6) according to the synthesis method described in Method A, Step 4.
- the obtained desired compound (I ⁇ -d) can be purified by conventional methods (eg, column chromatography, recrystallization, etc.) if necessary.
- R 5E and R 5F are each independently hydrogen or any group represented as R 5 in (1) above; the symbols in the formula are as defined above in (1).
- Process 1 Compound (H-2) can be obtained by reacting compound (A-4) obtained by Method A with compound (H-1) in a suitable solvent. In this reaction, compound (H-1) can be used at 1.0 molar equivalent or more, preferably 1.0 to 5.0 molar equivalents, relative to compound (A-4).
- the reaction temperature is 0 to 150 ° C., preferably 20 to 80 ° C.
- the reaction time is 0.1 to 24 hours, preferably 1 to 12 hours.
- the desired compound (H-2) obtained can be purified by conventional methods (eg, column chromatography, recrystallization, etc.) if necessary.
- the compound (H-3) can be obtained by reacting the compound (H-2) and methyl iodide according to the synthesis method described in Method A, Step 3.
- the obtained desired compound (H-3) can be purified by conventional methods (eg, column chromatography, recrystallization, etc.) if necessary.
- Process 4 Compound (I ⁇ -e) can be obtained by reacting compound (H-3) and compound (H-4) according to the synthesis method described in Method A, Step 4.
- the obtained desired compound (I ⁇ -e) can be purified by conventional methods (eg, column chromatography, recrystallization, etc.) if necessary.
- Examples of the base include metal hydrides (eg, sodium hydride, lithium hydride, etc.), metal alkoxides (eg, sodium methoxide, sodium ethoxide, potassium tert-butoxide, etc.), metal alkyls (eg, butyl lithium, etc.) ) And the like.
- metal hydrides eg, sodium hydride, lithium hydride, etc.
- metal alkoxides eg, sodium methoxide, sodium ethoxide, potassium tert-butoxide, etc.
- metal alkyls eg, butyl lithium, etc.
- Reaction solvents include aromatic hydrocarbons (eg, toluene, benzene, xylene, etc.), saturated hydrocarbons (eg, cyclohexane, hexane, etc.), ethers (eg, tetrahydrofuran, diethyl ether, dioxane, dimethoxyethane, etc.) , DMF, DMSO, NMP, acetonitrile and the like, and can be used alone or in combination.
- the reaction temperature is -78 to 150 ° C, preferably 0 to 120 ° C.
- the reaction time is 0.1 to 24 hours, preferably 1 to 12 hours.
- the desired compound (I-5) obtained can be purified by conventional methods (eg, column chromatography, recrystallization, etc.) if necessary.
- Compound (I ⁇ ) can be obtained by reacting compound (I-5) and compound (I-6) in an appropriate solvent in the presence of a palladium catalyst and a base, if necessary. In this reaction, compound (I-6) can be used at 1.0 molar equivalent or more, preferably 1.0 to 5.0 molar equivalents relative to compound (I-5).
- Reaction solvents include alcohols (eg, tert-butanol, isopropanol, etc.), aromatic hydrocarbons (eg, toluene, benzene, xylene, etc.), saturated hydrocarbons (eg, cyclohexane, hexane, etc.), ethers ( Examples include tetrahydrofuran, diethyl ether, dioxane, dimethoxyethane, etc.), DMF, DMSO, NMP, acetonitrile and the like, which can be used alone or in combination.
- the reaction temperature is 0 to 200 ° C., optionally under microwave irradiation, preferably 0 to 150 ° C.
- the reaction time is 0.1 to 72 hours, preferably 0.5 to 18 hours.
- the obtained desired compound (I ⁇ ) can be purified by conventional methods (eg, column chromatography, recrystallization, etc.) if necessary.
- the base can be used at 1 to 10 molar equivalents relative to compound (J-1).
- the reducing agent include sodium borohydride, sodium cyanoborohydride, sodium triacetoxyborohydride, borane and its complex, lithium borohydride, potassium borohydride, diisobutylaluminum hydride and the like.
- the base can be used at 1 to 10 molar equivalents relative to compound (J-1).
- Reaction solvents include alcohols (eg, methanol, ethanol, tert-butanol, isopropanol, etc.), aromatic hydrocarbons (eg, toluene, benzene, xylene, etc.), saturated hydrocarbons (eg, cyclohexane, hexane, etc.) , Ethers (eg, tetrahydrofuran, diethyl ether, dioxane, dimethoxyethane, etc.), halogenated hydrocarbons (eg, chloroform, dichloromethane, etc.), DMF, DMSO, NMP, acetonitrile, water, etc. Can be used.
- alcohols eg, methanol, ethanol, tert-butanol, isopropanol, etc.
- aromatic hydrocarbons eg, toluene, benzene, xylene, etc.
- saturated hydrocarbons eg, cyclo
- the reaction temperature is -78 ° C to 150 ° C, preferably 0 to 40 ° C.
- the reaction time is 0.1 to 48 hours, preferably 1 to 6 hours.
- the desired compound (J-3) obtained can be purified by conventional methods (eg, column chromatography, recrystallization, etc.) if necessary.
- Compound (J-4) can be obtained by reacting compound (J-3) with alkoxycarbonylisothiocyanate in the presence or absence of a base in a suitable solvent. In this reaction, alkoxycarbonyl isothiocyanate can be used at 1.0 molar equivalent or more, preferably 1.0-10.0 molar equivalent relative to compound (J-3).
- Examples of the base include metal hydrides (eg, sodium hydride, lithium hydride, etc.), metal alkoxides (eg, sodium methoxide, sodium ethoxide, potassium tert-butoxide, etc.), metal alkyls (eg, butyl lithium, etc.) ), Pyridine, triethylamine, DIEA and the like.
- metal hydrides eg, sodium hydride, lithium hydride, etc.
- metal alkoxides eg, sodium methoxide, sodium ethoxide, potassium tert-butoxide, etc.
- metal alkyls eg, butyl lithium, etc.
- Pyridine triethylamine
- DIEA diethylamine
- Reaction solvents include alcohols (eg, methanol, ethanol, isopropanol, etc.), aromatic hydrocarbons (eg, toluene, benzene, xylene, etc.), saturated hydrocarbons (eg, cyclohexane, hexane, etc.), ethers ( Examples, tetrahydrofuran, diethyl ether, dioxane, dimethoxyethane, etc.), DMF, DMSO, NMP, acetonitrile, DMA and the like can be mentioned, and these can be used alone or in combination.
- the reaction temperature is 0 to 200 ° C, preferably 20 to 150 ° C.
- the reaction time is 0.1 to 72 hours, preferably 0.5 to 18 hours.
- the obtained desired compound (J-4) can be purified by conventional methods (eg, column chromatography, recrystallization, etc.) if necessary.
- Process 3 The compound (J-5) can be obtained by reacting the compound (J-4) and methyl iodide according to the synthesis method described in Method A, Step 3.
- the obtained desired compound (J-5) can be purified by conventional methods (eg, column chromatography, recrystallization, etc.) if necessary.
- Process 4 Compound (I ⁇ ) can be obtained by reacting compound (J-5) and compound (J-6) according to the synthesis method described in Method A, Step 4.
- the obtained desired compound (I ⁇ ) can be purified by conventional methods (eg, column chromatography, recrystallization, etc.) if necessary.
- R E1 , R E2 and R E3 are each independently hydrogen or substituted or unsubstituted alkyl; G 1 has the same meaning as Method A; G 2 has the same meaning as Method I Yes; other symbols have the same meanings as in (1) above.)
- Process 1 Compound (K-2) can be obtained by reacting compound (J-1) with compound (K-1) in a suitable solvent. In this reaction, compound (K-1) can be used at 1.0 molar equivalent or more, preferably 1.0 to 5.0 molar equivalents, relative to compound (J-1).
- Reaction solvents include alcohols (eg, methanol, ethanol, tert-butanol, isopropanol, etc.), aromatic hydrocarbons (eg, toluene, benzene, xylene, etc.), saturated hydrocarbons (eg, cyclohexane, hexane, etc.) , Ethers (eg, tetrahydrofuran, diethyl ether, dioxane, dimethoxyethane, etc.), halogenated hydrocarbons (eg, chloroform, dichloromethane, etc.), DMF, DMSO, NMP, acetonitrile, etc., used alone or in combination. be able to.
- alcohols eg, methanol, ethanol, tert-butanol, isopropanol, etc.
- aromatic hydrocarbons eg, toluene, benzene, xylene, etc.
- saturated hydrocarbons
- the reaction temperature is 0 to 200 ° C., optionally under microwave irradiation, preferably 0 to 150 ° C.
- the reaction time is 0.1 to 24 hours, preferably 1 to 6 hours.
- the desired compound (K-2) obtained can be purified by conventional methods (eg, column chromatography, recrystallization, etc.) if necessary.
- the compound (K-4) can be obtained by reacting the compound (K-2) with the compound (K-3) according to the synthesis method described in Method A, Step 1.
- the desired compound (K-4) obtained ) Can be purified by conventional methods (eg, column chromatography, recrystallization, etc.) if necessary.
- Process 3 Compound (K-5) can be obtained by reacting compound (K-4) with a basic aqueous solution.
- Examples of the base include metal hydroxide (eg, sodium hydroxide, potassium hydroxide, lithium hydroxide, etc.), metal carbonate (eg, sodium carbonate, potassium carbonate, cesium carbonate, etc.) and the like.
- 1.0 molar equivalent or more, preferably 1.0 to 5.0 molar equivalent can be used with respect to compound (K-4).
- Examples of the reaction solvent include ethers (eg, tetrahydrofuran, diethyl ether, dioxane, dimethoxyethane, etc.), DMF, DMSO, NMP, water, and mixed solvents thereof.
- the reaction temperature is 0 ° C to 100 ° C, preferably 0 ° C to 20 ° C.
- the reaction time is 0.5 to 48 hours, preferably 1 to 16 hours.
- the obtained desired compound (K-5) can be purified by conventional methods (eg, column chromatography, recrystallization, etc.) if necessary.
- Process 4 Compound (K-6) can be obtained by reacting compound (K-5) with DPPA in the presence or absence of a base in a suitable solvent.
- DPPA can be used at 1.0 molar equivalent or more, preferably 1.0-10.0 molar equivalent relative to compound (K-5).
- the base include pyridine, triethylamine, DIEA and the like.
- 1.0 molar equivalent or more, preferably 1.0 to 5.0 molar equivalent can be used with respect to compound (K-5).
- Reaction solvents include alcohols (eg, methanol, ethanol, isopropanol, etc.), aromatic hydrocarbons (eg, toluene, benzene, xylene, etc.), saturated hydrocarbons (eg, cyclohexane, hexane, etc.), ethers ( Examples, tetrahydrofuran, diethyl ether, dioxane, dimethoxyethane, etc.), DMF, DMSO, NMP, acetonitrile, DMA and the like can be mentioned, and these can be used alone or in combination.
- the reaction temperature is 0 to 200 ° C, preferably 20 to 120 ° C.
- the reaction time is 0.1 to 72 hours, preferably 0.5 to 8 hours.
- the obtained desired compound (K-6) can be purified by conventional methods (eg, column chromatography, recrystallization, etc.) if necessary.
- Process 4 Compound (I ⁇ ) can be obtained by reacting compound (K-6) and compound (K-7) according to the synthesis method described in Method I Step 4.
- the obtained desired compound (I ⁇ ) can be purified by conventional methods (eg, column chromatography, recrystallization, etc.) if necessary.
- optically active form of the compound represented by the formula (I) is an optically active starting material, an asymmetric synthesis is carried out at an appropriate stage to obtain an optically active intermediate, or an intermediate or final product that is a racemate. It can be manufactured by optical resolution at an appropriate stage.
- Optical resolution methods include separation of optical isomers using an optically active column, kinetic optical resolution using enzymatic reactions, etc., diastereomers by salt formation using chiral acids and chiral bases. There are crystallization division, preferential crystallization method and the like.
- Preferred compounds of the present invention not only P2X 7 receptor antagonism, has a utility as a pharmaceutical, it has the following one, or all of the outstanding features.
- a) The inhibitory effect on CYP enzymes (for example, CYP1A2, CYP2C9, CYP2C19, CYP2D6, CYP3A4, etc.) is weak.
- d) Does not show irreversible inhibitory action on CYP enzymes (eg CYP3A4) within the concentration range of the measurement conditions described herein.
- h) high P2X 7 receptor selectivity for example, a selectivity, etc.
- to other receptors P2X family has the following one, or all of the outstanding features.
- parenteral administration When administering the pharmaceutical composition of the present invention, it can be administered either orally or parenterally.
- parenteral administration include transdermal, subcutaneous, intravenous, intraarterial, intramuscular, intraperitoneal, transmucosal, inhalation, nasal, eye drop, ear drop, and intravaginal administration.
- Oral administration is in accordance with conventional methods, such as solid preparations for internal use (eg, tablets, powders, granules, capsules, pills, films, etc.), liquids for internal use (eg, suspensions, emulsions, elixirs, syrups, It may be prepared and administered in any commonly used dosage form such as a limonade agent, an alcoholic agent, an aromatic water agent, an extract, a decoction, a tincture and the like.
- solid preparations for internal use eg, tablets, powders, granules, capsules, pills, films, etc.
- liquids for internal use eg, suspensions, emulsions, elixirs, syrups
- It may be prepared and administered in any commonly used dosage form such as a limonade agent, an alcoholic agent, an aromatic water agent, an extract, a decoction, a tincture and the like.
- the tablet may be a sugar-coated tablet, a film-coated tablet, an enteric-coated tablet, a sustained-release tablet, a troche tablet, a sublingual tablet, a buccal tablet, a chewable tablet or an orally disintegrating tablet, and the powder and granules are dry syrup.
- the capsule may be a soft capsule, a microcapsule or a sustained release capsule.
- Various pharmaceutical additives such as excipients, binders, disintegrants, lubricants and the like suitable for the dosage form can be mixed with the effective amount of the compound of the present invention as necessary to obtain a pharmaceutical composition.
- the pharmaceutical composition can be obtained by changing the effective amount, dosage form and / or various pharmaceutical additives of the compound of the present invention as appropriate, so that it can be used for pediatric, elderly, critically ill patients or surgery. You can also The pediatric pharmaceutical composition is preferably administered to a patient under the age of 12 or 15 years.
- the pediatric pharmaceutical composition can also be administered to patients less than 28 days after birth, between 28 and 23 months after birth, between 2 and 11 years, or between 12 and 17 or 18 years.
- the elderly pharmaceutical composition is preferably administered to a patient over 65 years of age.
- the dose of the pharmaceutical composition of the present invention is preferably set in consideration of the patient's age, weight, type and degree of disease, route of administration, etc., but when administered orally, usually 0.05 to 100 mg / kg / day, preferably in the range of 0.1 to 10 mg / kg / day.
- parenteral administration although it varies greatly depending on the administration route, it is usually 0.005 to 10 mg / kg / day, preferably 0.01 to 1 mg / kg / day. This may be administered once to several times a day.
- Process 3 Compound 4 (5.8 g, 23.4 mmol) and formamide (24 mL, 602 mmol) were mixed and stirred at 170 ° C. for 30 minutes. The mixture was cooled to room temperature, and the resulting solid was collected by filtration to give compound 5 (4.9 g, yield: 81%) as a pale yellow solid.
- Process 4 To a mixture of compound 5 (4.9 g, 19.0 mmol) and water (98 mL), a 1 mol / L aqueous sodium hydroxide solution (32.3 mL, 32.3 mmol) and methyl iodide (1.78 mL, 28.5 mmol) were added. And stirred at room temperature for 1 hour.
- the value of the maximum fluorescence intensity when the DMSO solution as the solvent of the compound of the present invention is added is 0% inhibition (negative control), and the value of the maximum fluorescence intensity when the known inhibitor is added is 100% inhibition (positive control).
- the inhibitory activity of the compound of the present invention was evaluated by calculating the concentration (IC 50 ) at which inhibition was 50% by the logistic approximation method.
- DMSO solutions of the compounds of the present invention diluted to different concentrations using a buffer for dilution are dispensed at 15 ⁇ L per well with a built-in automatic dispenser and measurement of fluorescence intensity is continued for 20 minutes.
- the value of the maximum fluorescence intensity when the DMSO solution as the solvent of the compound of the present invention is added is 0% inhibition (negative control), and the value of the maximum fluorescence intensity when the known inhibitor is added is 100% inhibition (positive control).
- the inhibition rate is calculated from the following equation based on the amount of change represented by the difference between the maximum value and the minimum value of the fluorescence intensity immediately before the addition of the compound of the present invention and after 20 minutes.
- Test 3-1 Evaluation of drug efficacy by Seltzer model ⁇ Preparation of rat Partial Scientific Nerve Ligation model (sciatic nerve partial ligation model)> Rats are anesthetized with isoflurane and the left leg is shaved. An incision is made in the upper thigh skin and the muscle is broken to expose the sciatic nerve. About half of the sciatic nerve is tightly ligated with nylon thread and the muscles and skin are sutured. This is the operation side. For the right foot, perform the same procedure except for sciatic nerve ligation, and make it the sham operation side. ⁇ Evaluation (1)> Two weeks after surgery, the effect on mechanical allodynia is assessed by von Frey filaments.
- the compound of the present invention is pulverized using a mortar and pestle, and the suspension or solution is adjusted with a 0.5% methylcellulose solution to 0.03 to 100 mg / 2 mL / kg. Animals are administered orally using an oral sonde. 1 to 5 hours after administration, the pain threshold value of the left and right hind legs is evaluated, and the pain threshold value after the treatment is used. The% reversal value is calculated by the following method and compared as the analgesic effect of the compound.
- % Reversal value (logarithm of pain threshold value after surgical side treatment ⁇ logarithm of pain threshold value before surgical side treatment) / (logarithm of pain threshold value before surgical side treatment ⁇ logarithm of pain threshold value before surgical side treatment) ⁇ 100 ⁇ Evaluation (2)> Analgesiometer (Randall Selitto) evaluates the effect on mechanical hyperalgesia. Two weeks after the operation, the rat hind limb is compressed by an analgesiometer so that the stimulation pressure increases by 16 g per second, and the pressure when the rat exhibits escape behavior is set as a pain threshold. Pain thresholds are evaluated for the left and right hind limbs and set as pre-treatment pain thresholds.
- Animals with a surgical threshold of 60-90 g and a sham surgical threshold of 100-175 g are employed. In order to train the animal, the same operation is performed before measuring the pre-treatment pain threshold.
- the compound of the present invention is administered to the adopted animal.
- the compound of the present invention is crushed using a mortar and pestle, and a suspension or solution is prepared using 0.5% methylcellulose solution to 0.03 to 100 mg / 2 mL / kg, and an oral sonde is used.
- Orally administered to animals. 1 to 5 hours after administration the pain threshold value of the left and right hind limbs is evaluated and set as a post-treatment pain threshold value.
- Test 3-2 Evaluation of drug efficacy using the cauda equina nerve compression model ⁇ Production of model animals>
- the lower back of the rat is incised under anesthesia to expose the fourth, fifth, and sixth lumbar vertebrae. Incisions are made on the 4th-5th and 5th-6th lumbar vertebral joints. Silicon rubber is inserted into the 4th and 6th lumbar spinal canals from the vertebral joint incision and placed, and the incision is sutured.
- the above-described operation is subjected to an operation excluding silicon rubber insertion and indwelling operations.
- Animals with a pain threshold of 8-15 g in the sham-operated group are adopted for drug efficacy evaluation. For animal training, the same operation is performed before measuring the pain threshold before treatment.
- the compound of the present invention is administered to the adopted animal.
- the compound of the present invention is pulverized using a mortar and pestle, and the suspension or solution is adjusted with a 0.5% methylcellulose solution to 0.03 to 100 mg / 2 mL / kg. Animals are administered orally using an oral sonde. 1 to 5 hours after administration, the pain threshold value of the left and right hind legs is evaluated, and the pain threshold value after the treatment is used.
- The% reversal value is calculated by the following method and compared as the analgesic effect of the compound.
- Test 3-3 Efficacy Evaluation by EAE Model ⁇ Production of Rat Experimental Autoimmune Encephalomyelitis Model (Experimental Autoimmune Encephalomyelitis Model)> Rats (Lewis rat females) are anesthetized with isoflurane and the back of the ridge is shaved. Immunization is carried out by preparing a 1 g / L emulsion prepared by mixing 1: 1 CFA (complete Freund's Adjuvant) and MBP (Myelin Basic Protein) saline solution, and administering 100 uL subcutaneously on the back of the rat tail. This is a treatment group.
- 1 CFA complete Freund's Adjuvant
- MBP Myelin Basic Protein
- % Reversal value (logarithm of pain threshold value after treatment group drug administration ⁇ logarithm of pain threshold value before treatment group drug administration) / (logarithm of pain threshold value before sham treatment drug administration ⁇ pain threshold value before treatment group drug administration) Logarithm) x 100
- the inhibitory activity against the P2X7 receptor can also be evaluated by using the evaluation method described in British Journal of Pharmacology (2013) 170 624-640.
- Test Example 4 CYP Inhibition Test O-deethylation of 7-ethoxyresorufin as a typical substrate metabolic reaction of human major CYP5 molecular species (CYP1A2, 2C9, 2C19, 2D6, 3A4) using commercially available pooled human liver microsomes (CYP1A2), methyl-hydroxylation of tolbutamide (CYP2C9), 4′-hydroxylation of mephenytoin (CYP2C19), O-demethylation of dextromethorphan (CYP2D6), and hydroxylation of terfenadine (CYP3A4), respectively.
- the degree to which the amount of metabolite produced is inhibited by the compound of the present invention is evaluated.
- each of 5 types of substrate, human liver microsome, and the compound of the present invention are added in the above composition in a 50 mmol / L Hepes buffer solution, and NADPH, a coenzyme, is added as an indicator for metabolic reaction.
- NADPH a coenzyme
- resorufin CYP1A2 metabolite
- a fluorescent multilabel counter or LC / MS / MS
- tolbutamide hydroxide CYP2C9 metabolite
- mephenytoin 4 ′ hydroxylated The body (CYP2C19 metabolite), dextrorphan (CYP2D6 metabolite), and terfenadine alcohol (CYP3A4 metabolite) are quantified by LC / MS / MS.
- the control (100%) was obtained by adding only DMSO, which is a solvent in which the drug was dissolved, to the reaction system, the residual activity (%) was calculated, and the IC 50 was calculated by inverse estimation using a logistic model using the concentration and the inhibition rate. calculate.
- a control (100%) was obtained by adding only DMSO, which is a solvent in which the compound of the present invention was dissolved, to the reaction system.
- Test Example 5-2 CYP3A4 (MDZ) MBI Test This test evaluates the mechanism based inhibition (MBI) ability from the enhancement by metabolic reaction regarding CYP3A4 inhibition of the compounds of the present invention. Pooled human liver microsomes are used to evaluate CYP3A4 inhibition using midazolam (MDZ) 1-hydroxylation as an indicator.
- MBI mechanism based inhibition
- reaction conditions are as follows: substrate, 10 ⁇ mol / L MDZ; pre-reaction time, 0 or 30 minutes; reaction time, 2 minutes; reaction temperature, 37 ° C .; pooled human liver microsome, pre-reaction 0.5 mg / mL, reaction time 0.05 mg / mL (when diluted 10-fold); concentration at the time of pre-reaction of the compound of the present invention 1, 5, 10, 20 ⁇ mol / L (4 points).
- a control (100%) was obtained by adding only DMSO, which is a solvent in which the compound of the present invention was dissolved, to the reaction system, and the residual activity (%) when the compound of the present invention was added at each concentration was calculated.
- Preincubation 0 min IC / Preincubation 30 min IC is the Shifted IC value, and if the Shifted IC is 1.5 or more, it is “Positive”, and if the Shifted IC is 1.0 or less, it is “Negative”.
- Intravenous administration is performed from the tail vein using a syringe with an injection needle.
- the bioavailability (BA) of the inventive compound is calculated.
- Test Example 7 Fluctuation Ames Test The mutagenicity of the compound of the present invention is evaluated. Twenty microliters of Salmonella typhimurium TA98, TA100) cryopreserved was inoculated into 10 mL liquid nutrient medium (2.5% Oxoid nutritive broth No. 2) and cultured at 37 ° C. for 10 hours before shaking. For the TA98 strain, 7.70 mL of the bacterial solution is centrifuged (2000 ⁇ g, 10 minutes) to remove the culture solution. 7.
- Micro F buffer K 2 HPO 4 : 3.5 g / L, KH 2 PO 4 : 1 g / L, (NH 4 ) 2 SO 4 : 1 g / L, trisodium citrate dihydrate:
- the cells are suspended in 0.25 g / L, MgSO 4 ⁇ 7H 2 0: 0.1 g / L), and 120 mL of Exposure medium (biotin: 8 ⁇ g / mL, histidine: 0.2 ⁇ g / mL, glucose: 8 mg / mL) To the MicroF buffer).
- TA100 strain is added to 130 mL of Exposure medium with respect to 3.42 mL bacterial solution to prepare a test bacterial solution.
- Compound DMSO solution of the present invention (maximum dose of 50 mg / mL to several-fold dilution at 2-3 times common ratio), DMSO as a negative control, and non-metabolic activation conditions as a positive control, 50 ⁇ g / mL 4-TA Nitroquinoline-1-oxide DMSO solution, 0.25 ⁇ g / mL 2- (2-furyl) -3- (5-nitro-2-furyl) acrylamide DMSO solution for TA100 strain, TA98 under metabolic activation conditions 40 ⁇ g / mL 2-aminoanthracene DMSO solution for the strain and 20 ⁇ g / mL 2-aminoanthracene DMSO solution for the TA100 strain, respectively, and 588 ⁇ L of the test bacterial solution (498 ⁇ L of the test bacterial solution and S9 under metabolic activation conditions).
- Test Example 8 hERG Test
- hERG hERG Test
- the cell was held at a membrane potential of ⁇ 80 mV by a whole cell patch clamp method, and after applying a leak potential of ⁇ 50 mV, a depolarization stimulus of +20 mV for 2 seconds, further records the I Kr induced repolarization stimulated when given 2 seconds -50 mV.
- an extracellular solution NaCl: 145 mmol / L, KCl: 4 mmol / L, CaCl 2 : 2 mmol / L, MgCl 2 : 1 mmol
- an extracellular solution NaCl: 145 mmol / L, KCl: 4 mmol / L, CaCl 2 : 2 mmol / L, MgCl 2 : 1 mmol
- SPE solid phase extraction
- the composition of JP-1 solution is as follows. Add water to 2.0 g of sodium chloride and 7.0 mL of hydrochloric acid to make 1000 mL.
- the composition of JP-2 solution is one of the following.
- Composition 1. Dissolve 3.40 g of potassium dihydrogen phosphate and 3.55 g of anhydrous disodium hydrogen phosphate in water to make 1000 mL.
- Composition 2. 1 volume of water is added to 1 volume of 3.40 g of potassium dihydrogen phosphate and 3.55 g of anhydrous disodium hydrogen phosphate dissolved in water to 1000 mL.
- Test Example 10 Metabolic Stability Test A commercially available pooled human liver microsome and the compound of the present invention are reacted for a certain period of time, and the residual rate is calculated by comparing the reaction sample with the unreacted sample to evaluate the degree of metabolism of the compound of the present invention in the liver. To do.
- Test Example 11 Powder Solubility Test An appropriate amount of the compound of the present invention is placed in an appropriate container, and JP-1 solution (2.0 g of sodium chloride, water is added to 7.0 mL of hydrochloric acid to 1000 mL), JP-2 solution (1 volume of water is added to 1 volume of 3.40 g of potassium dihydrogen phosphate and 3.55 g of anhydrous disodium hydrogen phosphate dissolved in water), 20 mmol / L sodium taurocholate (TCA) / JP-2 200 ⁇ L of the solution (JP-2 solution is added to 1.08 g of TCA to make 100 mL) is added. When the entire amount is dissolved after the addition of the test solution, the compound of the present invention is appropriately added.
- JP-1 solution 2.0 g of sodium chloride, water is added to 7.0 mL of hydrochloric acid to 1000 mL
- JP-2 solution (1 volume of water is added to 1 volume of 3.40 g of potassium dihydrogen phosphate and 3.55 g of an
- the mixture is filtered, and 100 ⁇ L of methanol is added to 100 ⁇ L of each filtrate to perform 2-fold dilution. Change the dilution factor as necessary. Check for bubbles and deposits, seal and shake.
- the compound of the present invention is quantified using HPLC by the absolute calibration curve method.
- Test Example 12 Brain transfer test The compound according to the present invention is intravenously administered to rats at a dose of 0.5 mg / mL / kg, and 30 minutes later, the blood is exsanguinated by whole blood collection from the lower aorta under isoflurane anesthesia. Thereafter, the brain is removed and 20-25% homogenate is prepared with distilled water. On the other hand, the obtained blood is made into plasma after centrifugation. Thereafter, control plasma is added to the brain sample and control brain is added to the plasma sample at a ratio of 1: 1, and each sample is measured using LC / MS / MS. The obtained area ratio (brain / plasma) at the time of measurement is defined as the brain Kp value.
- Test Example 13 P-gp Substrate Test A compound according to the present invention is added to one side of a transwell (registered trademark, CORNING), in which human MDR1-expressing cells or parent cells are cultured in a monolayer, and allowed to react for a certain period of time.
- a transwell registered trademark, CORNING
- the membrane permeability coefficient was calculated from the axial side to the basolateral side (A ⁇ B) and from the basolateral side to the apical side (B ⁇ A), and the EFFlux ratio (ER; Calculate the ratio of B ⁇ A and A ⁇ B membrane permeability coefficient).
- the Efflux Ratio (ER value) of the MDR1-expressing cell and the parent cell is compared to determine whether the compound of the present invention is a P-gp substrate.
- Test Example 14 mdr1a ( ⁇ / ⁇ ) B6 mouse P-gp substrate test animals used mdr1a ( ⁇ / ⁇ ) B6 mouse (knockout mouse) or C57BL / 6J mouse (wild mouse) Method 1. Mice have free access to chow and sterile tap water. 2. The compound of the present invention is administered to three animals at each time point, and blood and brain samples are given at predetermined time points after administration (eg, 15 minutes, 30 minutes, 1 hour, 2 hours, 4 hours, 6 hours, 8 hours or 24 hours). Time). Blood (0.3-0.7 mL) is collected with a syringe containing anticoagulants (EDTA and heparin). Blood and brain samples are immediately chilled on ice. 3.
- EDTA anticoagulants
- Plasma and brain concentration values (ng / mL and ng / g) are analyzed with an appropriate method for determining pharmacokinetic parameters, such as the WinNonlin® pharmacokinetic analysis software program.
- Kp Brain / blood concentration ratio
- Formulation Examples are merely illustrative and are not intended to limit the scope of the invention.
- Formulation Example 1 Tablet A compound of the present invention, lactose and calcium stearate are mixed, crushed and granulated, and dried to obtain granules of an appropriate size. Next, calcium stearate is added and compressed to form tablets.
- Formulation Example 2 Capsule The compound of the present invention, lactose and calcium stearate are uniformly mixed to form a powder as a powder or fine granules. It is filled into a capsule container to form a capsule.
- Formulation Example 3 Granules The compound of the present invention, lactose and calcium stearate are uniformly mixed, compression-molded, pulverized, sized and sieved to give granules of an appropriate size.
- Formulation Example 4 Orally disintegrating tablet The compound of the present invention and crystalline cellulose are mixed and tableted after granulation to obtain an orally disintegrating tablet.
- Formulation Example 5 Dry syrup The compound of the present invention and lactose are mixed, pulverized, sized and sieved to obtain a dry syrup of an appropriate size.
- Formulation Example 6 Injection The compound of the present invention and a phosphate buffer are mixed to form an injection.
- Formulation Example 7 Instillation A compound of the present invention and a phosphate buffer are mixed to form an instillation.
- Formulation Example 8 Inhalant The compound of the present invention and lactose are mixed and finely pulverized to make an inhalant.
- Formulation Example 9 Ointment The compound of the present invention and petrolatum are mixed to form an ointment.
- Formulation Example 10 Patch A compound of the present invention and a base such as an adhesive plaster are mixed to obtain a patch.
- Compounds according to the present invention has an inhibitory effect on P2X 7 receptors, believed to be useful as therapeutic and / or prophylactic agent for a disease or condition P2X 7 receptors are involved.
Landscapes
- Health & Medical Sciences (AREA)
- Chemical & Material Sciences (AREA)
- Organic Chemistry (AREA)
- Medicinal Chemistry (AREA)
- Pharmacology & Pharmacy (AREA)
- Life Sciences & Earth Sciences (AREA)
- Animal Behavior & Ethology (AREA)
- General Health & Medical Sciences (AREA)
- Public Health (AREA)
- Veterinary Medicine (AREA)
- General Chemical & Material Sciences (AREA)
- Bioinformatics & Cheminformatics (AREA)
- Nuclear Medicine, Radiotherapy & Molecular Imaging (AREA)
- Engineering & Computer Science (AREA)
- Chemical Kinetics & Catalysis (AREA)
- Neurosurgery (AREA)
- Neurology (AREA)
- Biomedical Technology (AREA)
- Epidemiology (AREA)
- Immunology (AREA)
- Pain & Pain Management (AREA)
- Rheumatology (AREA)
- Psychiatry (AREA)
- Hospice & Palliative Care (AREA)
- Orthopedic Medicine & Surgery (AREA)
- Physical Education & Sports Medicine (AREA)
- Pharmaceuticals Containing Other Organic And Inorganic Compounds (AREA)
Abstract
Description
本発明は、P2X7受容体が関与する疾患または状態を治療するのに有用な化合物、および該化合物を含有する医薬組成物に関する。 The present invention relates to compounds useful for treating diseases or conditions P2X 7 receptor is involved, and to pharmaceutical compositions containing such compounds.
アデノシン三リン酸(ATP)は、細胞内においてエネルギー源やリン酸化基質として働く一方、細胞外において情報伝達物質として働く。ATPは細胞の損傷、炎症、侵害刺激、血中酸素濃度の低下など様々な刺激により細胞外へ放出されるとともに、他の神経伝達物質と同様に神経終末から放出されることが知られている(非特許文献1)。細胞外へ放出されたATPは、ATP受容体を介して各種の細胞外情報伝達を担う。 Adenosine triphosphate (ATP) acts as an energy source and phosphorylation substrate inside the cell, while acting as an information transmitter outside the cell. It is known that ATP is released from cells by various stimuli such as cell damage, inflammation, noxious stimuli, reduction of blood oxygen concentration, and is released from nerve endings like other neurotransmitters. (Non-Patent Document 1). ATP released to the outside of the cell is responsible for various extracellular information transmission through the ATP receptor.
ATP受容体は、イオンチャネル型のP2XファミリーとGタンパク共役型のP2Yファミリーに大別される。P2Xファミリーは7種類のサブタイプが知られており、ホモ3量体もしくは他のP2Xサブタイプとヘテロ3量体を形成しチャネルとして機能する。 ATP receptors are roughly classified into an ion channel type P2X family and a G protein coupled type P2Y family. Seven subtypes are known in the P2X family, and function as channels by forming homotrimers or heterotrimers with other P2X subtypes.
P2X7受容体はP2Xファミリーに属する非選択的な陽イオンチャネルであり、ホモ3量体として機能を発揮する。細胞外のATPにより開口し陽イオンが細胞内に流入する。繰り返し刺激時などには細胞内シグナルを亢進させ、パネキシンなどのヘミチャネルを介し膜状に小孔を形成する(非特許文献2)。これはATPなどの小径分子の細胞外への放出を誘発するとともに、細胞の更なる活性化を誘導する。P2X7受容体の活性化は炎症性サイトカイン、特にインターロイキン1βおよびインターロイキン18の成熟と放出を引き起こし、炎症や免疫反応、疼痛などに関与することが報告されている(非特許文献3)。そのため、P2X7受容体は疼痛、中枢性疾患、免疫性疾患および炎症性疾患等に関与することが考えられている(非特許文献7-8および特許文献1)。 P2X 7 receptors are nonselective cation channel belonging to the P2X family, exhibits a function as a homo trimer. Cations are opened by extracellular ATP and flow into the cell. During repeated stimulation, intracellular signals are enhanced, and small pores are formed in a membrane via hemichannels such as pannexin (Non-patent Document 2). This induces the release of small molecules such as ATP out of the cell and induces further activation of the cell. Activation of P2X 7 receptors inflammatory cytokines, particularly causing maturation and release of interleukin-1β and interleukin 18, inflammation and immune reactions, have been reported to be involved, such as pain (Non-Patent Document 3). Therefore, P2X 7 receptors pain, central diseases, it is considered to be involved in the immune and inflammatory diseases such as (Non-Patent Documents 7-8 and Patent Document 1).
P2X7受容体はマクロファージ、肥満細胞、ミクログリア、アストロサイトなどに発現が認められている。P2X7受容体のノックアウトマウスでは炎症または神経損傷後の疼痛が減弱することが報告されている(非特許文献4)。またマウスでの遺伝子多型解析では、451番目のアミノ酸が受容体活性化後の小孔形成に関与し、神経損傷後の疼痛強度と相関することが明らかとなっている(非特許文献5)。同様の機能欠失型変異は慢性疼痛患者を対象としたヒトの遺伝子多型解析からも報告されており、この受容体の阻害が関節リウマチ、変形性関節炎、神経障害性疼痛などの慢性疼痛の治療薬になりうると考えられている。 P2X 7 receptors are macrophages, mast cells, microglia, and expression was observed like astrocytes. In knockout mice P2X 7 receptors have been reported to pain following inflammation or nerve damage is attenuated (Non-Patent Document 4). In addition, genetic polymorphism analysis in mice reveals that the 451st amino acid is involved in pore formation after receptor activation and correlates with pain intensity after nerve injury (Non-patent Document 5). . Similar loss-of-function mutations have also been reported in human genetic polymorphism analysis in patients with chronic pain, and inhibition of this receptor is associated with chronic pain such as rheumatoid arthritis, osteoarthritis, and neuropathic pain. It is considered to be a therapeutic drug.
また、P2X7受容体の発現解析やノックアウトマウスを用いた解析などから、多発性硬化症、脊髄損傷、脳卒中、アルツハイマー病、うつ病などの中枢性疾患(非特許文献6)へのP2X7受容体の関与が報告されており、その阻害薬が治療薬となりうる可能性がある。 Further, etc. analysis using expression analysis and knockout mice of P2X 7 receptor, multiple sclerosis, spinal cord injury, stroke, Alzheimer's disease, P2X 7 receptors in the central diseases such as depression (Non-Patent Document 6) Involvement of the body has been reported, and its inhibitors may be therapeutic agents.
特許文献2および21には、本発明化合物と類似の構造を有する化合物が鎮痛活性を示すことが記載されているが、P2X7阻害作用に関する記載も示唆もない。
特許文献3~15および非特許文献9には、鎮痛作用を示す化合物が記載されているが、本発明化合物とは構造が異なり、P2X7阻害作用に関する記載も示唆もない。
特許文献16~19には、本発明化合物と類似の構造を有する化合物が記載されているが、鎮痛活性に関する記載も示唆もなく、P2X7阻害作用に関する記載も示唆もない。
特許文献20には、P2X7阻害作用を有する化合物が記載されているが、本発明化合物とは異なる構造を有するものである。
Patent Document 2 and 21, compounds having a similar structure as the present invention compound are described to exhibit analgesic activity, no mention or suggest about P2X 7 inhibiting effect.
Patent Documents 3 to 15 and Non-Patent Document 9, although compounds that exhibit analgesic activity have been described, different structure from the compounds of the present invention, not described or suggested about P2X 7 inhibiting effect.
JP 16-19, are described compounds having the present invention compounds similar structure, not described or suggested regarding analgesic activity, no mention or suggest about P2X 7 inhibiting effect.
Patent Document 20, although compounds having a P2X 7 inhibiting effect have been described, those having a structure that is different from the present compound.
本発明の目的は、P2X7受容体阻害作用を有する新規化合物およびP2X7受容体阻害作用を有する医薬組成物を提供することにある。 An object of the present invention is to provide novel compounds and pharmaceutical compositions having a P2X 7 receptor inhibitory action having P2X 7 receptor inhibitory action.
本発明は、以下の(1A)、(1)、(1’)、(2)~(45)および(1001)~(1007)に関する。
(1A)
式(I):
(式中、
Z1は、C(R4)またはNであり;
R4は、水素原子、ハロゲン、ヒドロキシ、カルボキシ、アミノ、カルバモイル、スルファモイル、スルホ、シアノ、置換若しくは非置換のアルキル、置換若しくは非置換のアルケニル、置換若しくは非置換のアルキニル、置換若しくは非置換のアルキルオキシ、置換若しくは非置換のアルケニルオキシ、置換若しくは非置換のアルキニルオキシ、置換若しくは非置換のアルキルスルファニル、置換若しくは非置換のアルケニルスルファニル、置換若しくは非置換のアルキニルスルファニル、置換若しくは非置換のアルキルアミノ、置換若しくは非置換のアルケニルアミノ、または置換若しくは非置換のアルキニルアミノであり;
Z2およびZ3は、それぞれ独立して、炭素原子または窒素原子であり;
(ただし、Z2およびZ3のいずれか一方が窒素原子であるとき、他方は炭素原子である)
破線は、結合の存在または不存在を示し;
破線が結合の存在を示すとき、Z2およびZ3は共に炭素原子であり;
環Qは、6員芳香族炭素環、5員芳香族複素環、6員芳香族複素環、5員非芳香族炭素環、6員非芳香族炭素環、5員非芳香族複素環、または6員非芳香族複素環であり;
R5は、それぞれ独立して、ハロゲン、ヒドロキシ、カルボキシ、アミノ、カルバモイル、スルファモイル、スルホ、シアノ、置換若しくは非置換のアルキル、置換若しくは非置換のアルケニル、置換若しくは非置換のアルキニル、置換若しくは非置換のアルキルオキシ、置換若しくは非置換のアルケニルオキシ、置換若しくは非置換のアルキニルオキシ、置換若しくは非置換のアルキルスルファニル、置換若しくは非置換のアルケニルスルファニル、置換若しくは非置換のアルキニルスルファニル、置換若しくは非置換のアルキルアミノ、置換若しくは非置換のアルケニルアミノ、置換若しくは非置換のアルキニルアミノ、置換若しくは非置換のアルキルカルボニル、置換若しくは非置換のアルケニルカルボニル、置換若しくは非置換のアルキニルカルボニル、置換若しくは非置換のアルキルスルホニル、置換若しくは非置換のアルケニルスルホニル、置換若しくは非置換のアルキニルスルホニル、置換若しくは非置換のアルキルカルボニルオキシ、置換若しくは非置換のアルケニルカルボニルオキシ、置換若しくは非置換のアルキニルカルボニルオキシ、置換若しくは非置換のアルキルオキシカルボニル、置換若しくは非置換のアルケニルオキシカルボニル、置換若しくは非置換のアルキニルオキシカルボニル、置換若しくは非置換のアルキルスルホニルオキシ、置換若しくは非置換のアルケニルスルホニルオキシ、置換若しくは非置換のアルキニルスルホニルオキシ、置換若しくは非置換のアルキルオキシスルホニル、置換若しくは非置換のアルケニルオキシスルホニル、置換若しくは非置換のアルキニルオキシスルホニル、置換若しくは非置換のアルキルカルバモイル、置換若しくは非置換のアルケニルカルバモイル、置換若しくは非置換のアルキニルカルバモイル、置換若しくは非置換のアルキルスルファモイル、置換若しくは非置換のアルケニルスルファモイル、置換若しくは非置換のアルキニルスルファモイル、置換若しくは非置換のアルキルカルボニルアミノ、置換若しくは非置換のアルケニルカルボニルアミノ、置換若しくは非置換のアルキニルカルボニルアミノ、置換若しくは非置換のアルキルスルホニルアミノ、置換若しくは非置換のアルケニルスルホニルアミノ、置換若しくは非置換のアルキニルスルホニルアミノ、置換若しくは非置換のアルキルオキシカルボニルアミノ、置換若しくは非置換のアルケニルオキシカルボニルアミノ、置換若しくは非置換のアルキニルオキシカルボニルアミノ、置換若しくは非置換の芳香族炭素環式基、置換若しくは非置換の非芳香族炭素環式基、置換若しくは非置換の芳香族複素環式基、置換若しくは非置換の非芳香族複素環式基、置換若しくは非置換の芳香族炭素環オキシ、置換若しくは非置換の非芳香族炭素環オキシ、置換若しくは非置換の芳香族複素環オキシ、置換若しくは非置換の非芳香族複素環オキシ、置換若しくは非置換の芳香族炭素環アミノ、置換若しくは非置換の非芳香族炭素環アミノ、置換若しくは非置換の芳香族複素環アミノ、置換若しくは非置換の非芳香族複素環アミノ、置換若しくは非置換の芳香族炭素環スルファニル、置換若しくは非置換の非芳香族炭素環スルファニル、置換若しくは非置換の芳香族複素環スルファニル、置換若しくは非置換の非芳香族複素環スルファニル、置換若しくは非置換の芳香族炭素環カルボニル、置換若しくは非置換の非芳香族炭素環カルボニル、置換若しくは非置換の芳香族複素環カルボニル、置換若しくは非置換の非芳香族複素環カルボニル、置換若しくは非置換の芳香族炭素環スルホニル、置換若しくは非置換の非芳香族炭素環スルホニル、置換若しくは非置換の芳香族複素環スルホニル、置換若しくは非置換の非芳香族複素環スルホニル、置換若しくは非置換の芳香族炭素環カルボニルオキシ、置換若しくは非置換の非芳香族炭素環カルボニルオキシ、置換若しくは非置換の芳香族複素環カルボニルオキシ、置換若しくは非置換の非芳香族複素環カルボニルオキシ、置換若しくは非置換の芳香族炭素環オキシカルボニル、置換若しくは非置換の非芳香族炭素環オキシカルボニル、置換若しくは非置換の芳香族複素環オキシカルボニル、置換若しくは非置換の非芳香族複素環オキシカルボニル、置換若しくは非置換の芳香族炭素環スルホニルオキシ、置換若しくは非置換の非芳香族炭素環スルホニルオキシ、置換若しくは非置換の芳香族複素環スルホニルオキシ、置換若しくは非置換の非芳香族複素環スルホニルオキシ、置換若しくは非置換の芳香族炭素環オキシスルホニル、置換若しくは非置換の非芳香族炭素環オキシスルホニル、置換若しくは非置換の芳香族複素環オキシスルホニル、置換若しくは非置換の非芳香族複素環オキシスルホニル、置換若しくは非置換の芳香族炭素環カルバモイル、置換若しくは非置換の非芳香族炭素環カルバモイル、置換若しくは非置換の芳香族複素環カルバモイル、置換若しくは非置換の非芳香族複素環カルバモイル、置換若しくは非置換の芳香族炭素環スルファモイル、置換若しくは非置換の非芳香族炭素環スルファモイル、置換若しくは非置換の芳香族複素環スルファモイル、置換若しくは非置換の非芳香族複素環スルファモイル、置換若しくは非置換の芳香族炭素環カルボニルアミノ、置換若しくは非置換の非芳香族炭素環カルボニルアミノ、置換若しくは非置換の芳香族複素環カルボニルアミノ、置換若しくは非置換の非芳香族複素環カルボニルアミノ、置換若しくは非置換の芳香族炭素環スルホニルアミノ、置換若しくは非置換の非芳香族炭素環スルホニルアミノ、置換若しくは非置換の芳香族複素環スルホニルアミノ、置換若しくは非置換の非芳香族複素環スルホニルアミノ、置換若しくは非置換の芳香族炭素環オキシカルボニルアミノ、置換若しくは非置換の非芳香族炭素環オキシカルボニルアミノ、置換若しくは非置換の芳香族複素環オキシカルボニルアミノ、または置換若しくは非置換の非芳香族複素環オキシカルボニルアミノであり;
Y1は、N(R6)、OまたはSであり;
R6は、水素原子、ヒドロキシ、シアノ、カルボキシ、カルバモイル、置換若しくは非置換のアルキル、置換若しくは非置換のアルケニル、置換若しくは非置換のアルキニル、置換若しくは非置換のアルキルオキシ、置換若しくは非置換のアルケニルオキシ、置換若しくは非置換のアルキニルオキシ、置換若しくは非置換の芳香族炭素環式基、置換若しくは非置換の非芳香族炭素環式基、置換若しくは非置換の芳香族複素環式基、または置換若しくは非置換の非芳香族複素環式基であり;
R1は、置換若しくは非置換の芳香族炭素環式基、置換若しくは非置換の非芳香族炭素環式基、置換若しくは非置換の芳香族複素環式基、または置換若しくは非置換の非芳香族複素環式基であり;
R2aは、それぞれ独立して、水素原子、ハロゲン、ヒドロキシ、置換若しくは非置換のアルキル、または置換若しくは非置換のアルキルオキシであり;
R2bは、それぞれ独立して、水素原子、ハロゲン、ヒドロキシ、置換若しくは非置換のアルキル、または置換若しくは非置換のアルキルオキシであり;
同一の炭素原子と結合するR2aおよびR2bは、一緒になって、オキソを形成してもよく;
Xは、N(R7a)、C(R8a)(R8b)、OまたはSであり;
R7aは、水素原子、置換若しくは非置換のアルキル、または置換若しくは非置換のアルキルカルボニルであり;
R8aおよびR8bは、それぞれ独立して、水素原子、ハロゲン、ヒドロキシ、置換若しくは非置換のアルキル、または置換若しくは非置換のアルキルオキシであり;
R2cは、それぞれ独立して、水素原子、ハロゲン、ヒドロキシ、置換若しくは非置換のアルキル、または置換若しくは非置換のアルキルオキシであり;
R2dは、それぞれ独立して、水素原子、ハロゲン、ヒドロキシ、置換若しくは非置換のアルキル、または置換若しくは非置換のアルキルオキシであり;
同一の炭素原子と結合するR2cおよびR2dが、一緒になって、置換若しくは非置換の非芳香族炭素環を形成してもよいか、または2つのR2cが、一緒になって、置換若しくは非置換の非芳香族炭素環を形成してもよく;
R3は、
(式中、環Bは、6員芳香族炭素環、6員非芳香族炭素環、6員芳香族複素環、または6員非芳香族複素環であり;
環Cは、5員非芳香族炭素環、5員芳香族複素環、または5員非芳香族複素環であり;
環Dは、5員非芳香族炭素環、6員非芳香族炭素環または6員芳香族炭素環であり;
R9aおよびR9bは、ハロゲン、ヒドロキシ、カルボキシ、アミノ、カルバモイル、スルファモイル、スルホ、シアノ、置換若しくは非置換のアルキル、置換若しくは非置換のアルケニル、置換若しくは非置換のアルキニル、置換若しくは非置換のアルキルオキシ、置換若しくは非置換のアルケニルオキシ、置換若しくは非置換のアルキニルオキシ、置換若しくは非置換のアルキルスルファニル、置換若しくは非置換のアルケニルスルファニル、置換若しくは非置換のアルキニルスルファニル、置換若しくは非置換のアルキルアミノ、置換若しくは非置換のアルケニルアミノ、置換若しくは非置換のアルキニルアミノ、置換若しくは非置換のアルキルカルボニル、置換若しくは非置換のアルケニルカルボニル、置換若しくは非置換のアルキニルカルボニル、置換若しくは非置換のアルキルスルホニル、置換若しくは非置換のアルケニルスルホニル、置換若しくは非置換のアルキニルスルホニル、置換若しくは非置換のアルキルカルボニルオキシ、置換若しくは非置換のアルケニルカルボニルオキシ、置換若しくは非置換のアルキニルカルボニルオキシ、置換若しくは非置換のアルキルオキシカルボニル、置換若しくは非置換のアルケニルオキシカルボニル、置換若しくは非置換のアルキニルオキシカルボニル、置換若しくは非置換のアルキルスルホニルオキシ、置換若しくは非置換のアルケニルスルホニルオキシ、置換若しくは非置換のアルキニルスルホニルオキシ、置換若しくは非置換のアルキルオキシスルホニル、置換若しくは非置換のアルケニルオキシスルホニル、置換若しくは非置換のアルキニルオキシスルホニル、置換若しくは非置換のアルキルカルバモイル、置換若しくは非置換のアルケニルカルバモイル、置換若しくは非置換のアルキニルカルバモイル、置換若しくは非置換のアルキルスルファモイル、置換若しくは非置換のアルケニルスルファモイル、置換若しくは非置換のアルキニルスルファモイル、置換若しくは非置換のアルキルカルボニルアミノ、置換若しくは非置換のアルケニルカルボニルアミノ、置換若しくは非置換のアルキニルカルボニルアミノ、置換若しくは非置換のアルキルスルホニルアミノ、置換若しくは非置換のアルケニルスルホニルアミノ、置換若しくは非置換の芳香族炭素環式基、置換若しくは非置換の非芳香族炭素環式基、置換若しくは非置換の芳香族複素環式基、置換若しくは非置換の非芳香族複素環式基、置換若しくは非置換の芳香族炭素環オキシ、置換若しくは非置換の非芳香族炭素環オキシ、置換若しくは非置換の芳香族複素環オキシ、置換若しくは非置換の非芳香族複素環オキシ、置換若しくは非置換の芳香族炭素環アミノ、置換若しくは非置換の非芳香族炭素環アミノ、置換若しくは非置換の芳香族複素環アミノ、置換若しくは非置換の非芳香族複素環アミノ、置換若しくは非置換の芳香族炭素環スルファニル、置換若しくは非置換の非芳香族炭素環スルファニル、置換若しくは非置換の芳香族複素環スルファニル、置換若しくは非置換の非芳香族複素環スルファニル、置換若しくは非置換の芳香族炭素環カルボニル、置換若しくは非置換の非芳香族炭素環カルボニル、置換若しくは非置換の芳香族複素環カルボニル、置換若しくは非置換の非芳香族複素環カルボニル、置換若しくは非置換の芳香族炭素環スルホニル、置換若しくは非置換の非芳香族炭素環スルホニル、置換若しくは非置換の芳香族複素環スルホニル、置換若しくは非置換の非芳香族複素環スルホニル、置換若しくは非置換の芳香族炭素環カルボニルオキシ、置換若しくは非置換の非芳香族炭素環カルボニルオキシ、置換若しくは非置換の芳香族複素環カルボニルオキシ、置換若しくは非置換の非芳香族複素環カルボニルオキシ、置換若しくは非置換の芳香族炭素環オキシカルボニル、置換若しくは非置換の非芳香族炭素環オキシカルボニル、置換若しくは非置換の芳香族複素環オキシカルボニル、置換若しくは非置換の非芳香族複素環オキシカルボニル、置換若しくは非置換の芳香族炭素環スルホニルオキシ、置換若しくは非置換の非芳香族炭素環スルホニルオキシ、置換若しくは非置換の芳香族複素環スルホニルオキシ、置換若しくは非置換の非芳香族複素環スルホニルオキシ、置換若しくは非置換の芳香族炭素環オキシスルホニル、置換若しくは非置換の非芳香族炭素環オキシスルホニル、置換若しくは非置換の芳香族複素環オキシスルホニル、置換若しくは非置換の非芳香族複素環オキシスルホニル、置換若しくは非置換の芳香族炭素環カルバモイル、置換若しくは非置換の非芳香族炭素環カルバモイル、置換若しくは非置換の芳香族複素環カルバモイル、置換若しくは非置換の非芳香族複素環カルバモイル、置換若しくは非置換の芳香族炭素環スルファモイル、置換若しくは非置換の非芳香族炭素環スルファモイル、置換若しくは非置換の芳香族複素環スルファモイル、置換若しくは非置換の非芳香族複素環スルファモイル、置換若しくは非置換の芳香族炭素環カルボニルアミノ、置換若しくは非置換の非芳香族炭素環カルボニルアミノ、置換若しくは非置換の芳香族複素環カルボニルアミノ、置換若しくは非置換の非芳香族複素環カルボニルアミノ、置換若しくは非置換の芳香族炭素環スルホニルアミノ、置換若しくは非置換の非芳香族炭素環スルホニルアミノ、置換若しくは非置換の芳香族複素環スルホニルアミノ、置換若しくは非置換の非芳香族複素環スルホニルアミノ、置換若しくは非置換の芳香族炭素環オキシカルボニルアミノ、置換若しくは非置換の非芳香族炭素環オキシカルボニルアミノ、置換若しくは非置換の芳香族複素環オキシカルボニルアミノ、または置換若しくは非置換の非芳香族複素環オキシカルボニルアミノであり;
R10a、R10b、R10cおよびR10dは、それぞれ独立して、ハロゲン、ヒドロキシ、カルボキシ、アミノ、カルバモイル、スルファモイル、スルホ、シアノ、置換若しくは非置換のアルキル、置換若しくは非置換のアルケニル、置換若しくは非置換のアルキニル、置換若しくは非置換のアルキルオキシ、置換若しくは非置換のアルケニルオキシ、置換若しくは非置換のアルキニルオキシ、置換若しくは非置換のアルキルスルファニル、置換若しくは非置換のアルケニルスルファニル、置換若しくは非置換のアルキニルスルファニル、置換若しくは非置換のアルキルアミノ、置換若しくは非置換のアルケニルアミノ、置換若しくは非置換のアルキニルアミノ、置換若しくは非置換のアルキルカルボニル、置換若しくは非置換のアルケニルカルボニル、置換若しくは非置換のアルキニルカルボニル、置換若しくは非置換のアルキルスルホニル、置換若しくは非置換のアルケニルスルホニル、置換若しくは非置換のアルキニルスルホニル、置換若しくは非置換のアルキルカルボニルオキシ、置換若しくは非置換のアルケニルカルボニルオキシ、置換若しくは非置換のアルキニルカルボニルオキシ、置換若しくは非置換のアルキルオキシカルボニル、置換若しくは非置換のアルケニルオキシカルボニル、置換若しくは非置換のアルキニルオキシカルボニル、置換若しくは非置換のアルキルスルホニルオキシ、置換若しくは非置換のアルケニルスルホニルオキシ、置換若しくは非置換のアルキニルスルホニルオキシ、置換若しくは非置換のアルキルオキシスルホニル、置換若しくは非置換のアルケニルオキシスルホニル、置換若しくは非置換のアルキニルオキシスルホニル、置換若しくは非置換のアルキルカルバモイル、置換若しくは非置換のアルケニルカルバモイル、置換若しくは非置換のアルキニルカルバモイル、置換若しくは非置換のアルキルスルファモイル、置換若しくは非置換のアルケニルスルファモイル、置換若しくは非置換のアルキニルスルファモイル、置換若しくは非置換のアルキルカルボニルアミノ、置換若しくは非置換のアルケニルカルボニルアミノ、置換若しくは非置換のアルキニルカルボニルアミノ、置換若しくは非置換のアルキルスルホニルアミノ、置換若しくは非置換のアルケニルスルホニルアミノ、置換若しくは非置換のアルキニルスルホニルアミノ、置換若しくは非置換の芳香族炭素環式基、置換若しくは非置換の非芳香族炭素環式基、置換若しくは非置換の芳香族複素環式基、置換若しくは非置換の非芳香族複素環式基、置換若しくは非置換の芳香族炭素環オキシ、置換若しくは非置換の非芳香族炭素環オキシ、置換若しくは非置換の芳香族複素環オキシ、置換若しくは非置換の非芳香族複素環オキシ、置換若しくは非置換の芳香族炭素環アミノ、置換若しくは非置換の非芳香族炭素環アミノ、置換若しくは非置換の芳香族複素環アミノ、置換若しくは非置換の非芳香族複素環アミノ、置換若しくは非置換の芳香族炭素環スルファニル、置換若しくは非置換の非芳香族炭素環スルファニル、置換若しくは非置換の芳香族複素環スルファニル、置換若しくは非置換の非芳香族複素環スルファニル、置換若しくは非置換の芳香族炭素環カルボニル、置換若しくは非置換の非芳香族炭素環カルボニル、置換若しくは非置換の芳香族複素環カルボニル、置換若しくは非置換の非芳香族複素環カルボニル、置換若しくは非置換の芳香族炭素環スルホニル、置換若しくは非置換の非芳香族炭素環スルホニル、置換若しくは非置換の芳香族複素環スルホニル、置換若しくは非置換の非芳香族複素環スルホニル、置換若しくは非置換の芳香族炭素環カルボニルオキシ、置換若しくは非置換の非芳香族炭素環カルボニルオキシ、置換若しくは非置換の芳香族複素環カルボニルオキシ、置換若しくは非置換の非芳香族複素環カルボニルオキシ、置換若しくは非置換の芳香族炭素環オキシカルボニル、置換若しくは非置換の非芳香族炭素環オキシカルボニル、置換若しくは非置換の芳香族複素環オキシカルボニル、置換若しくは非置換の非芳香族複素環オキシカルボニル、置換若しくは非置換の芳香族炭素環スルホニルオキシ、置換若しくは非置換の非芳香族炭素環スルホニルオキシ、置換若しくは非置換の芳香族複素環スルホニルオキシ、置換若しくは非置換の非芳香族複素環スルホニルオキシ、置換若しくは非置換の芳香族炭素環オキシスルホニル、置換若しくは非置換の非芳香族炭素環オキシスルホニル、置換若しくは非置換の芳香族複素環オキシスルホニル、置換若しくは非置換の非芳香族複素環オキシスルホニル、置換若しくは非置換の芳香族炭素環カルバモイル、置換若しくは非置換の非芳香族炭素環カルバモイル、置換若しくは非置換の芳香族複素環カルバモイル、置換若しくは非置換の非芳香族複素環カルバモイル、置換若しくは非置換の芳香族炭素環スルファモイル、置換若しくは非置換の非芳香族炭素環スルファモイル、置換若しくは非置換の芳香族複素環スルファモイル、置換若しくは非置換の非芳香族複素環スルファモイル、置換若しくは非置換の芳香族炭素環カルボニルアミノ、置換若しくは非置換の非芳香族炭素環カルボニルアミノ、置換若しくは非置換の芳香族複素環カルボニルアミノ、置換若しくは非置換の非芳香族複素環カルボニルアミノ、置換若しくは非置換の芳香族炭素環スルホニルアミノ、置換若しくは非置換の非芳香族炭素環スルホニルアミノ、置換若しくは非置換の芳香族複素環スルホニルアミノ、置換若しくは非置換の非芳香族複素環スルホニルアミノ、置換若しくは非置換の芳香族炭素環オキシカルボニルアミノ、置換若しくは非置換の非芳香族炭素環オキシカルボニルアミノ、置換若しくは非置換の芳香族複素環オキシカルボニルアミノ、または置換若しくは非置換の非芳香族複素環オキシカルボニルアミノであり;
R9a、R9b、R10aおよびR10bは、下記a)~c)のいずれかであってもよく;
a)R9aおよびR10a、またはR9bおよびR10bが、一緒になって、(C1-C3)架橋を形成する;該架橋を構成する炭素原子の1つは酸素原子または窒素原子で置き換えられてもよい;
b)隣接する環構成原子に結合するR9aおよびR10a、または隣接する環構成原子に結合するR9bおよびR10bが、一緒になって、置換若しくは非置換の芳香族炭素環、置換若しくは非置換の非芳香族炭素環、置換若しくは非置換の芳香族複素環、または置換若しくは非置換の非芳香族複素環を形成する;
c)隣接する環構成原子に結合する2つのR10a、または隣接する環構成原子に結合する2つのR10bが、一緒になって、置換若しくは非置換の芳香族炭素環、置換若しくは非置換の非芳香族炭素環、置換若しくは非置換の芳香族複素環、または置換若しくは非置換の非芳香族複素環を形成する;
R10eは、それぞれ独立して、ハロゲン、ヒドロキシ、置換若しくは非置換のアルキル、または置換若しくは非置換のアルキルオキシである)で示される基であり;
nは、1~5の整数であり;
mは、0~4の整数であり;
p1は、0~3の整数であり;
p2は、0~2の整数であり;
p3は、0~2の整数であり;
sは、0~4の整数であり;
ただし、
i)Z1がNであり、環Qがベンゼン環であり、XがCH2であり、かつmおよびsが0であるとき、R3は1-シクロプロピル-ベンゾイミダゾール-2-オン-3-イルではなく;
ii)Z1がNであり、環Qがシクロペンテン環であり、XがSであり、mが1であり、かつsが0であるとき、R1は置換された5員芳香族複素環および5員非芳香族複素環ではない
)で示される化合物(ただし、以下の化合物:
を除く)、またはその製薬上許容される塩。
The present invention relates to the following (1A), (1), (1 ′), (2) to (45) and (1001) to (1007).
(1A)
Formula (I):
(Where
Z 1 is C (R 4 ) or N;
R 4 represents a hydrogen atom, halogen, hydroxy, carboxy, amino, carbamoyl, sulfamoyl, sulfo, cyano, substituted or unsubstituted alkyl, substituted or unsubstituted alkenyl, substituted or unsubstituted alkynyl, substituted or unsubstituted alkyl Oxy, substituted or unsubstituted alkenyloxy, substituted or unsubstituted alkynyloxy, substituted or unsubstituted alkylsulfanyl, substituted or unsubstituted alkenylsulfanyl, substituted or unsubstituted alkynylsulfanyl, substituted or unsubstituted alkylamino, Substituted or unsubstituted alkenylamino, or substituted or unsubstituted alkynylamino;
Z 2 and Z 3 are each independently a carbon atom or a nitrogen atom;
(However, when one of Z 2 and Z 3 is a nitrogen atom, the other is a carbon atom.)
The dashed line indicates the presence or absence of a bond;
Z 2 and Z 3 are both carbon atoms when the dashed line indicates the presence of a bond;
Ring Q is a 6-membered aromatic carbocyclic ring, a 5-membered aromatic heterocyclic ring, a 6-membered aromatic heterocyclic ring, a 5-membered non-aromatic carbocyclic ring, a 6-membered non-aromatic carbocyclic ring, a 5-membered non-aromatic heterocyclic ring, or A 6-membered non-aromatic heterocycle;
Each R 5 is independently halogen, hydroxy, carboxy, amino, carbamoyl, sulfamoyl, sulfo, cyano, substituted or unsubstituted alkyl, substituted or unsubstituted alkenyl, substituted or unsubstituted alkynyl, substituted or unsubstituted Alkyloxy, substituted or unsubstituted alkenyloxy, substituted or unsubstituted alkynyloxy, substituted or unsubstituted alkylsulfanyl, substituted or unsubstituted alkenylsulfanyl, substituted or unsubstituted alkynylsulfanyl, substituted or unsubstituted alkyl Amino, substituted or unsubstituted alkenylamino, substituted or unsubstituted alkynylamino, substituted or unsubstituted alkylcarbonyl, substituted or unsubstituted alkenylcarbonyl, substituted or unsubstituted amino Lucinylcarbonyl, substituted or unsubstituted alkylsulfonyl, substituted or unsubstituted alkenylsulfonyl, substituted or unsubstituted alkynylsulfonyl, substituted or unsubstituted alkylcarbonyloxy, substituted or unsubstituted alkenylcarbonyloxy, substituted or unsubstituted Alkynylcarbonyloxy, substituted or unsubstituted alkyloxycarbonyl, substituted or unsubstituted alkenyloxycarbonyl, substituted or unsubstituted alkynyloxycarbonyl, substituted or unsubstituted alkylsulfonyloxy, substituted or unsubstituted alkenylsulfonyloxy, Substituted or unsubstituted alkynylsulfonyloxy, substituted or unsubstituted alkyloxysulfonyl, substituted or unsubstituted alkenyloxysulfonyl, Or unsubstituted alkynyloxysulfonyl, substituted or unsubstituted alkylcarbamoyl, substituted or unsubstituted alkenylcarbamoyl, substituted or unsubstituted alkynylcarbamoyl, substituted or unsubstituted alkylsulfamoyl, substituted or unsubstituted alkenylsulfamo Moyl, substituted or unsubstituted alkynylsulfamoyl, substituted or unsubstituted alkylcarbonylamino, substituted or unsubstituted alkenylcarbonylamino, substituted or unsubstituted alkynylcarbonylamino, substituted or unsubstituted alkylsulfonylamino, substituted or Unsubstituted alkenylsulfonylamino, substituted or unsubstituted alkynylsulfonylamino, substituted or unsubstituted alkyloxycarbonylamino, substituted or unsubstituted Alkenyloxycarbonylamino, substituted or unsubstituted alkynyloxycarbonylamino, substituted or unsubstituted aromatic carbocyclic group, substituted or unsubstituted nonaromatic carbocyclic group, substituted or unsubstituted aromatic heterocyclic group Group, substituted or unsubstituted non-aromatic heterocyclic group, substituted or unsubstituted aromatic carbocyclic oxy, substituted or unsubstituted non-aromatic carbocyclic oxy, substituted or unsubstituted aromatic heterocyclic oxy, substituted Or unsubstituted non-aromatic heterocyclic oxy, substituted or unsubstituted aromatic carbocyclic amino, substituted or unsubstituted non-aromatic carbocyclic amino, substituted or unsubstituted aromatic heterocyclic amino, substituted or unsubstituted Non-aromatic heterocyclic amino, substituted or unsubstituted aromatic carbocyclic sulfanyl, substituted or unsubstituted non-aromatic carbocyclic sulfanyl, Substituted or unsubstituted aromatic heterocyclic sulfanyl, substituted or unsubstituted non-aromatic heterocyclic sulfanyl, substituted or unsubstituted aromatic carbocyclic carbonyl, substituted or unsubstituted non-aromatic carbocyclic carbonyl, substituted or unsubstituted Aromatic heterocyclic carbonyl, substituted or unsubstituted non-aromatic heterocyclic carbonyl, substituted or unsubstituted aromatic carbocyclic sulfonyl, substituted or unsubstituted non-aromatic carbocyclic sulfonyl, substituted or unsubstituted aromatic heterocyclic Ring sulfonyl, substituted or unsubstituted non-aromatic heterocyclic sulfonyl, substituted or unsubstituted aromatic carbocyclic carbonyloxy, substituted or unsubstituted non-aromatic carbocyclic carbonyloxy, substituted or unsubstituted aromatic heterocyclic carbonyl Oxy, substituted or unsubstituted non-aromatic heterocyclic carbonyloxy, substituted or unsubstituted Is unsubstituted aromatic carbocyclic oxycarbonyl, substituted or unsubstituted non-aromatic carbocyclic oxycarbonyl, substituted or unsubstituted aromatic heterocyclic oxycarbonyl, substituted or unsubstituted non-aromatic heterocyclic oxycarbonyl, substituted Or unsubstituted aromatic carbocyclic sulfonyloxy, substituted or unsubstituted non-aromatic carbocyclic sulfonyloxy, substituted or unsubstituted aromatic heterocyclic sulfonyloxy, substituted or unsubstituted non-aromatic heterocyclic sulfonyloxy, substituted Or unsubstituted aromatic carbocyclic oxysulfonyl, substituted or unsubstituted non-aromatic carbocyclic oxysulfonyl, substituted or unsubstituted aromatic heterocyclic oxysulfonyl, substituted or unsubstituted non-aromatic heterocyclic oxysulfonyl, substituted Or unsubstituted aromatic carbocyclic carbamoyl, substituted or unsubstituted Non-aromatic carbocyclic carbamoyl, substituted or unsubstituted aromatic heterocyclic carbamoyl, substituted or unsubstituted non-aromatic heterocyclic carbamoyl, substituted or unsubstituted aromatic carbocyclic sulfamoyl, substituted or unsubstituted non-aromatic Carbocyclic sulfamoyl, substituted or unsubstituted aromatic heterocyclic sulfamoyl, substituted or unsubstituted non-aromatic heterocyclic sulfamoyl, substituted or unsubstituted aromatic carbocyclic carbonylamino, substituted or unsubstituted non-aromatic carbocyclic carbonyl Amino, substituted or unsubstituted aromatic heterocyclic carbonylamino, substituted or unsubstituted nonaromatic heterocyclic carbonylamino, substituted or unsubstituted aromatic carbocyclic sulfonylamino, substituted or unsubstituted nonaromatic carbocyclic sulfonyl Amino, substituted or unsubstituted aromatic heterocyclic sulfoni Ruamino, substituted or unsubstituted non-aromatic heterocyclic sulfonylamino, substituted or unsubstituted aromatic carbocyclic oxycarbonylamino, substituted or unsubstituted non-aromatic carbocyclic oxycarbonylamino, substituted or unsubstituted aromatic heterocyclic Ring oxycarbonylamino, or substituted or unsubstituted non-aromatic heterocyclic oxycarbonylamino;
Y 1 is N (R 6 ), O or S;
R 6 represents a hydrogen atom, hydroxy, cyano, carboxy, carbamoyl, substituted or unsubstituted alkyl, substituted or unsubstituted alkenyl, substituted or unsubstituted alkynyl, substituted or unsubstituted alkyloxy, substituted or unsubstituted alkenyl Oxy, substituted or unsubstituted alkynyloxy, substituted or unsubstituted aromatic carbocyclic group, substituted or unsubstituted non-aromatic carbocyclic group, substituted or unsubstituted aromatic heterocyclic group, or substituted or An unsubstituted non-aromatic heterocyclic group;
R 1 represents a substituted or unsubstituted aromatic carbocyclic group, a substituted or unsubstituted non-aromatic carbocyclic group, a substituted or unsubstituted aromatic heterocyclic group, or a substituted or unsubstituted non-aromatic group A heterocyclic group;
Each R 2a is independently a hydrogen atom, halogen, hydroxy, substituted or unsubstituted alkyl, or substituted or unsubstituted alkyloxy;
Each R 2b is independently a hydrogen atom, halogen, hydroxy, substituted or unsubstituted alkyl, or substituted or unsubstituted alkyloxy;
R 2a and R 2b bonded to the same carbon atom may be taken together to form an oxo;
X is N (R 7a ), C (R 8a ) (R 8b ), O or S;
R 7a is a hydrogen atom, substituted or unsubstituted alkyl, or substituted or unsubstituted alkylcarbonyl;
R 8a and R 8b are each independently a hydrogen atom, halogen, hydroxy, substituted or unsubstituted alkyl, or substituted or unsubstituted alkyloxy;
Each R 2c is independently a hydrogen atom, halogen, hydroxy, substituted or unsubstituted alkyl, or substituted or unsubstituted alkyloxy;
Each R 2d is independently a hydrogen atom, halogen, hydroxy, substituted or unsubstituted alkyl, or substituted or unsubstituted alkyloxy;
R 2c and R 2d bonded to the same carbon atom may be taken together to form a substituted or unsubstituted non-aromatic carbocycle, or two R 2c taken together are substituted Or may form an unsubstituted non-aromatic carbocycle;
R 3 is
Wherein ring B is a 6-membered aromatic carbocycle, 6-membered non-aromatic carbocycle, 6-membered aromatic heterocycle, or 6-membered non-aromatic heterocycle;
Ring C is a 5-membered non-aromatic carbocycle, 5-membered aromatic heterocycle, or 5-membered non-aromatic heterocycle;
Ring D is a 5-membered non-aromatic carbocycle, 6-membered non-aromatic carbocycle or 6-membered aromatic carbocycle;
R 9a and R 9b are halogen, hydroxy, carboxy, amino, carbamoyl, sulfamoyl, sulfo, cyano, substituted or unsubstituted alkyl, substituted or unsubstituted alkenyl, substituted or unsubstituted alkynyl, substituted or unsubstituted alkyl Oxy, substituted or unsubstituted alkenyloxy, substituted or unsubstituted alkynyloxy, substituted or unsubstituted alkylsulfanyl, substituted or unsubstituted alkenylsulfanyl, substituted or unsubstituted alkynylsulfanyl, substituted or unsubstituted alkylamino, Substituted or unsubstituted alkenylamino, substituted or unsubstituted alkynylamino, substituted or unsubstituted alkylcarbonyl, substituted or unsubstituted alkenylcarbonyl, substituted or unsubstituted al Nylcarbonyl, substituted or unsubstituted alkylsulfonyl, substituted or unsubstituted alkenylsulfonyl, substituted or unsubstituted alkynylsulfonyl, substituted or unsubstituted alkylcarbonyloxy, substituted or unsubstituted alkenylcarbonyloxy, substituted or unsubstituted Alkynylcarbonyloxy, substituted or unsubstituted alkyloxycarbonyl, substituted or unsubstituted alkenyloxycarbonyl, substituted or unsubstituted alkynyloxycarbonyl, substituted or unsubstituted alkylsulfonyloxy, substituted or unsubstituted alkenylsulfonyloxy, substituted Or unsubstituted alkynylsulfonyloxy, substituted or unsubstituted alkyloxysulfonyl, substituted or unsubstituted alkenyloxysulfonyl, substituted Or unsubstituted alkynyloxysulfonyl, substituted or unsubstituted alkylcarbamoyl, substituted or unsubstituted alkenylcarbamoyl, substituted or unsubstituted alkynylcarbamoyl, substituted or unsubstituted alkylsulfamoyl, substituted or unsubstituted alkenylsulfuryl. Famoyl, substituted or unsubstituted alkynylsulfamoyl, substituted or unsubstituted alkylcarbonylamino, substituted or unsubstituted alkenylcarbonylamino, substituted or unsubstituted alkynylcarbonylamino, substituted or unsubstituted alkylsulfonylamino, substituted Or unsubstituted alkenylsulfonylamino, substituted or unsubstituted aromatic carbocyclic group, substituted or unsubstituted non-aromatic carbocyclic group, substituted or unsubstituted aromatic heterocyclic group, substituted Or unsubstituted non-aromatic heterocyclic group, substituted or unsubstituted aromatic carbocyclic oxy, substituted or unsubstituted non-aromatic carbocyclic oxy, substituted or unsubstituted aromatic heterocyclic oxy, substituted or non-substituted Substituted non-aromatic heterocyclic oxy, substituted or unsubstituted aromatic carbocyclic amino, substituted or unsubstituted non-aromatic carbocyclic amino, substituted or unsubstituted aromatic heterocyclic amino, substituted or unsubstituted non-aromatic Aromatic heterocyclic amino, substituted or unsubstituted aromatic carbocyclic sulfanyl, substituted or unsubstituted non-aromatic carbocyclic sulfanyl, substituted or unsubstituted aromatic heterocyclic sulfanyl, substituted or unsubstituted non-aromatic heterocyclic sulfanyl , Substituted or unsubstituted aromatic carbocyclic carbonyl, substituted or unsubstituted non-aromatic carbocyclic carbonyl, substituted or unsubstituted aromatic An aromatic carbonyl, a substituted or unsubstituted non-aromatic heterocyclic carbonyl, a substituted or unsubstituted aromatic carbocyclic sulfonyl, a substituted or unsubstituted non-aromatic carbocyclic sulfonyl, a substituted or unsubstituted aromatic heterocyclic sulfonyl, Substituted or unsubstituted non-aromatic heterocyclic sulfonyl, substituted or unsubstituted aromatic carbocyclic carbonyloxy, substituted or unsubstituted non-aromatic carbocyclic carbonyloxy, substituted or unsubstituted aromatic heterocyclic carbonyloxy, substituted Or unsubstituted non-aromatic heterocyclic carbonyloxy, substituted or unsubstituted aromatic carbocyclic oxycarbonyl, substituted or unsubstituted non-aromatic carbocyclic oxycarbonyl, substituted or unsubstituted aromatic heterocyclic oxycarbonyl, substituted Or unsubstituted non-aromatic heterocyclic oxycarbonyl, substituted or unsubstituted Substituted aromatic carbocyclic sulfonyloxy, substituted or unsubstituted non-aromatic carbocyclic sulfonyloxy, substituted or unsubstituted aromatic heterocyclic sulfonyloxy, substituted or unsubstituted non-aromatic heterocyclic sulfonyloxy, substituted or non-substituted Substituted aromatic carbocyclic oxysulfonyl, substituted or unsubstituted non-aromatic carbocyclic oxysulfonyl, substituted or unsubstituted aromatic heterocyclic oxysulfonyl, substituted or unsubstituted non-aromatic heterocyclic oxysulfonyl, substituted or non-substituted Substituted aromatic carbocyclic carbamoyl, substituted or unsubstituted non-aromatic carbocyclic carbamoyl, substituted or unsubstituted aromatic heterocyclic carbamoyl, substituted or unsubstituted non-aromatic heterocyclic carbamoyl, substituted or unsubstituted aromatic Carbocyclic sulfamoyl, substituted or unsubstituted non-aromatic carbocyclic sulf Amoyl, substituted or unsubstituted aromatic heterocyclic sulfamoyl, substituted or unsubstituted non-aromatic heterocyclic sulfamoyl, substituted or unsubstituted aromatic carbocyclic carbonylamino, substituted or unsubstituted non-aromatic carbocyclic carbonylamino, Substituted or unsubstituted aromatic heterocyclic carbonylamino, substituted or unsubstituted nonaromatic heterocyclic carbonylamino, substituted or unsubstituted aromatic carbocyclic sulfonylamino, substituted or unsubstituted nonaromatic carbocyclic sulfonylamino, Substituted or unsubstituted aromatic heterocyclic sulfonylamino, substituted or unsubstituted nonaromatic heterocyclic sulfonylamino, substituted or unsubstituted aromatic carbocyclic oxycarbonylamino, substituted or unsubstituted nonaromatic carbocyclic oxycarbonyl Amino, substituted or unsubstituted aromatic heterocyclic ring It is aryloxycarbonyl amino or a substituted or unsubstituted non-aromatic heterocyclic oxycarbonyl amino;
R 10a , R 10b , R 10c and R 10d are each independently halogen, hydroxy, carboxy, amino, carbamoyl, sulfamoyl, sulfo, cyano, substituted or unsubstituted alkyl, substituted or unsubstituted alkenyl, substituted or Unsubstituted alkynyl, substituted or unsubstituted alkyloxy, substituted or unsubstituted alkenyloxy, substituted or unsubstituted alkynyloxy, substituted or unsubstituted alkylsulfanyl, substituted or unsubstituted alkenylsulfanyl, substituted or unsubstituted Alkynylsulfanyl, substituted or unsubstituted alkylamino, substituted or unsubstituted alkenylamino, substituted or unsubstituted alkynylamino, substituted or unsubstituted alkylcarbonyl, substituted or unsubstituted amino Kenylcarbonyl, substituted or unsubstituted alkynylcarbonyl, substituted or unsubstituted alkylsulfonyl, substituted or unsubstituted alkenylsulfonyl, substituted or unsubstituted alkynylsulfonyl, substituted or unsubstituted alkylcarbonyloxy, substituted or unsubstituted Alkenylcarbonyloxy, substituted or unsubstituted alkynylcarbonyloxy, substituted or unsubstituted alkyloxycarbonyl, substituted or unsubstituted alkenyloxycarbonyl, substituted or unsubstituted alkynyloxycarbonyl, substituted or unsubstituted alkylsulfonyloxy, substituted Or unsubstituted alkenylsulfonyloxy, substituted or unsubstituted alkynylsulfonyloxy, substituted or unsubstituted alkyloxysulfonyl, substituted or unsubstituted Is unsubstituted alkenyloxysulfonyl, substituted or unsubstituted alkynyloxysulfonyl, substituted or unsubstituted alkylcarbamoyl, substituted or unsubstituted alkenylcarbamoyl, substituted or unsubstituted alkynylcarbamoyl, substituted or unsubstituted alkylsulfamoyl Substituted or unsubstituted alkenylsulfamoyl, substituted or unsubstituted alkynylsulfamoyl, substituted or unsubstituted alkylcarbonylamino, substituted or unsubstituted alkenylcarbonylamino, substituted or unsubstituted alkynylcarbonylamino, substituted or Unsubstituted alkylsulfonylamino, substituted or unsubstituted alkenylsulfonylamino, substituted or unsubstituted alkynylsulfonylamino, substituted or unsubstituted aromatic carbon Cyclic group, substituted or unsubstituted non-aromatic carbocyclic group, substituted or unsubstituted aromatic heterocyclic group, substituted or unsubstituted non-aromatic heterocyclic group, substituted or unsubstituted aromatic carbon Ring oxy, substituted or unsubstituted non-aromatic carbocyclic oxy, substituted or unsubstituted aromatic heterocyclic oxy, substituted or unsubstituted non-aromatic heterocyclic oxy, substituted or unsubstituted aromatic carbocyclic amino, substituted Or unsubstituted non-aromatic carbocyclic amino, substituted or unsubstituted aromatic heterocyclic amino, substituted or unsubstituted non-aromatic heterocyclic amino, substituted or unsubstituted aromatic carbocyclic sulfanyl, substituted or unsubstituted Non-aromatic carbocyclic sulfanyl, substituted or unsubstituted aromatic heterocyclic sulfanyl, substituted or unsubstituted non-aromatic heterocyclic sulfanyl, substituted or unsubstituted aromatic Carbocyclic carbonyl, substituted or unsubstituted non-aromatic carbocyclic carbonyl, substituted or unsubstituted aromatic heterocyclic carbonyl, substituted or unsubstituted non-aromatic heterocyclic carbonyl, substituted or unsubstituted aromatic carbocyclic sulfonyl, Substituted or unsubstituted non-aromatic carbocyclic sulfonyl, substituted or unsubstituted aromatic heterocyclic sulfonyl, substituted or unsubstituted non-aromatic heterocyclic sulfonyl, substituted or unsubstituted aromatic carbocyclic carbonyloxy, substituted or non-substituted Substituted non-aromatic carbocyclic carbonyloxy, substituted or unsubstituted aromatic heterocyclic carbonyloxy, substituted or unsubstituted non-aromatic heterocyclic carbonyloxy, substituted or unsubstituted aromatic carbocyclic oxycarbonyl, substituted or non-substituted Substituted non-aromatic carbocyclic oxycarbonyl, substituted or unsubstituted fragrance Heterocyclic oxycarbonyl, substituted or unsubstituted non-aromatic heterocyclic oxycarbonyl, substituted or unsubstituted aromatic carbocyclic sulfonyloxy, substituted or unsubstituted non-aromatic carbocyclic sulfonyloxy, substituted or unsubstituted aromatic Heterocyclic sulfonyloxy, substituted or unsubstituted non-aromatic heterocyclic sulfonyloxy, substituted or unsubstituted aromatic carbocyclic oxysulfonyl, substituted or unsubstituted non-aromatic carbocyclic oxysulfonyl, substituted or unsubstituted aromatic Heterocyclic oxysulfonyl, substituted or unsubstituted non-aromatic heterocyclic oxysulfonyl, substituted or unsubstituted aromatic carbocyclic carbamoyl, substituted or unsubstituted non-aromatic carbocyclic carbamoyl, substituted or unsubstituted aromatic heterocyclic Carbamoyl, substituted or unsubstituted non-aromatic heterocyclic carbamo , Substituted or unsubstituted aromatic carbocyclic sulfamoyl, substituted or unsubstituted non-aromatic carbocyclic sulfamoyl, substituted or unsubstituted aromatic heterocyclic sulfamoyl, substituted or unsubstituted non-aromatic heterocyclic sulfamoyl, substituted or Unsubstituted aromatic carbocyclic carbonylamino, substituted or unsubstituted non-aromatic carbocyclic carbonylamino, substituted or unsubstituted aromatic heterocyclic carbonylamino, substituted or unsubstituted non-aromatic heterocyclic carbonylamino, substituted or Unsubstituted aromatic carbocyclic sulfonylamino, substituted or unsubstituted non-aromatic carbocyclic sulfonylamino, substituted or unsubstituted aromatic heterocyclic sulfonylamino, substituted or unsubstituted non-aromatic heterocyclic sulfonylamino, substituted or Unsubstituted aromatic carbocyclic oxycarbonylamino, Substituted or unsubstituted non-aromatic carbocyclic oxycarbonyl amino, substituted or unsubstituted aromatic heterocyclic oxycarbonyl amino or a substituted or unsubstituted non-aromatic heterocyclic oxycarbonyl amino;
R 9a , R 9b , R 10a and R 10b may be any of the following a) to c):
a) R 9a and R 10a or R 9b and R 10b together form a (C1-C3) bridge; one of the carbon atoms making up the bridge is replaced by an oxygen or nitrogen atom May be;
b) R 9a and R 10a bonded to adjacent ring member atoms, or R 9b and R 10b bonded to adjacent ring member atoms are taken together to form a substituted or unsubstituted aromatic carbocyclic ring, substituted or non-substituted ring Forming a substituted non-aromatic carbocycle, substituted or unsubstituted aromatic heterocycle, or substituted or unsubstituted non-aromatic heterocycle;
c) Two R 10a bonded to adjacent ring member atoms, or two R 10b bonded to adjacent ring member atoms, together, are substituted or unsubstituted aromatic carbocyclic, substituted or unsubstituted Forming a non-aromatic carbocycle, a substituted or unsubstituted aromatic heterocycle, or a substituted or unsubstituted non-aromatic heterocycle;
Each R 10e is independently a group represented by halogen, hydroxy, substituted or unsubstituted alkyl, or substituted or unsubstituted alkyloxy;
n is an integer from 1 to 5;
m is an integer from 0 to 4;
p1 is an integer from 0 to 3;
p2 is an integer from 0 to 2;
p3 is an integer from 0 to 2;
s is an integer from 0 to 4;
However,
i) when Z 1 is N, ring Q is a benzene ring, X is CH 2 and m and s are 0, R 3 is 1-cyclopropyl-benzimidazol-2-one-3 -Not yl;
ii) when Z 1 is N, ring Q is a cyclopentene ring, X is S, m is 1 and s is 0, R 1 is a substituted 5-membered aromatic heterocycle and A compound represented by a compound that is not a 5-membered non-aromatic heterocycle (provided that
Or a pharmaceutically acceptable salt thereof.
(1)
式(I):
(式中、
Z1は、C(R4)またはNであり;
R4は、水素原子、ハロゲン、ヒドロキシ、カルボキシ、アミノ、カルバモイル、スルファモイル、スルホ、シアノ、置換若しくは非置換のアルキル、置換若しくは非置換のアルケニル、置換若しくは非置換のアルキニル、置換若しくは非置換のアルキルオキシ、置換若しくは非置換のアルケニルオキシ、置換若しくは非置換のアルキニルオキシ、置換若しくは非置換のアルキルスルファニル、置換若しくは非置換のアルケニルスルファニル、置換若しくは非置換のアルキニルスルファニル、置換若しくは非置換のアルキルアミノ、置換若しくは非置換のアルケニルアミノ、または置換若しくは非置換のアルキニルアミノであり;
Z2およびZ3は、それぞれ独立して、炭素原子または窒素原子であり;
(ただし、Z2およびZ3のいずれか一方が窒素原子であるとき、他方は炭素原子である)
破線は、結合の存在または不存在を示し;
破線が結合の存在を示すとき、Z2およびZ3は共に炭素原子であり;
環Qは、6員芳香族炭素環、5員芳香族複素環、6員芳香族複素環、5員非芳香族炭素環、6員非芳香族炭素環、5員非芳香族複素環、または6員非芳香族複素環であり;
R5は、それぞれ独立して、ハロゲン、ヒドロキシ、カルボキシ、アミノ、カルバモイル、スルファモイル、スルホ、シアノ、置換若しくは非置換のアルキル、置換若しくは非置換のアルケニル、置換若しくは非置換のアルキニル、置換若しくは非置換のアルキルオキシ、置換若しくは非置換のアルケニルオキシ、置換若しくは非置換のアルキニルオキシ、置換若しくは非置換のアルキルスルファニル、置換若しくは非置換のアルケニルスルファニル、置換若しくは非置換のアルキニルスルファニル、置換若しくは非置換のアルキルアミノ、置換若しくは非置換のアルケニルアミノ、置換若しくは非置換のアルキニルアミノ、置換若しくは非置換のアルキルカルボニル、置換若しくは非置換のアルケニルカルボニル、置換若しくは非置換のアルキニルカルボニル、置換若しくは非置換のアルキルスルホニル、置換若しくは非置換のアルケニルスルホニル、置換若しくは非置換のアルキニルスルホニル、置換若しくは非置換のアルキルカルボニルオキシ、置換若しくは非置換のアルケニルカルボニルオキシ、置換若しくは非置換のアルキニルカルボニルオキシ、置換若しくは非置換のアルキルオキシカルボニル、置換若しくは非置換のアルケニルオキシカルボニル、置換若しくは非置換のアルキニルオキシカルボニル、置換若しくは非置換のアルキルスルホニルオキシ、置換若しくは非置換のアルケニルスルホニルオキシ、置換若しくは非置換のアルキニルスルホニルオキシ、置換若しくは非置換のアルキルオキシスルホニル、置換若しくは非置換のアルケニルオキシスルホニル、置換若しくは非置換のアルキニルオキシスルホニル、置換若しくは非置換のアルキルカルバモイル、置換若しくは非置換のアルケニルカルバモイル、置換若しくは非置換のアルキニルカルバモイル、置換若しくは非置換のアルキルスルファモイル、置換若しくは非置換のアルケニルスルファモイル、置換若しくは非置換のアルキニルスルファモイル、置換若しくは非置換のアルキルカルボニルアミノ、置換若しくは非置換のアルケニルカルボニルアミノ、置換若しくは非置換のアルキニルカルボニルアミノ、置換若しくは非置換のアルキルスルホニルアミノ、置換若しくは非置換のアルケニルスルホニルアミノ、置換若しくは非置換のアルキニルスルホニルアミノ、置換若しくは非置換のアルキルオキシカルボニルアミノ、置換若しくは非置換のアルケニルオキシカルボニルアミノ、置換若しくは非置換のアルキニルオキシカルボニルアミノ、置換若しくは非置換の芳香族炭素環式基、置換若しくは非置換の非芳香族炭素環式基、置換若しくは非置換の芳香族複素環式基、置換若しくは非置換の非芳香族複素環式基、置換若しくは非置換の芳香族炭素環オキシ、置換若しくは非置換の非芳香族炭素環オキシ、置換若しくは非置換の芳香族複素環オキシ、置換若しくは非置換の非芳香族複素環オキシ、置換若しくは非置換の芳香族炭素環アミノ、置換若しくは非置換の非芳香族炭素環アミノ、置換若しくは非置換の芳香族複素環アミノ、置換若しくは非置換の非芳香族複素環アミノ、置換若しくは非置換の芳香族炭素環スルファニル、置換若しくは非置換の非芳香族炭素環スルファニル、置換若しくは非置換の芳香族複素環スルファニル、置換若しくは非置換の非芳香族複素環スルファニル、置換若しくは非置換の芳香族炭素環カルボニル、置換若しくは非置換の非芳香族炭素環カルボニル、置換若しくは非置換の芳香族複素環カルボニル、置換若しくは非置換の非芳香族複素環カルボニル、置換若しくは非置換の芳香族炭素環スルホニル、置換若しくは非置換の非芳香族炭素環スルホニル、置換若しくは非置換の芳香族複素環スルホニル、置換若しくは非置換の非芳香族複素環スルホニル、置換若しくは非置換の芳香族炭素環カルボニルオキシ、置換若しくは非置換の非芳香族炭素環カルボニルオキシ、置換若しくは非置換の芳香族複素環カルボニルオキシ、置換若しくは非置換の非芳香族複素環カルボニルオキシ、置換若しくは非置換の芳香族炭素環オキシカルボニル、置換若しくは非置換の非芳香族炭素環オキシカルボニル、置換若しくは非置換の芳香族複素環オキシカルボニル、置換若しくは非置換の非芳香族複素環オキシカルボニル、置換若しくは非置換の芳香族炭素環スルホニルオキシ、置換若しくは非置換の非芳香族炭素環スルホニルオキシ、置換若しくは非置換の芳香族複素環スルホニルオキシ、置換若しくは非置換の非芳香族複素環スルホニルオキシ、置換若しくは非置換の芳香族炭素環オキシスルホニル、置換若しくは非置換の非芳香族炭素環オキシスルホニル、置換若しくは非置換の芳香族複素環オキシスルホニル、置換若しくは非置換の非芳香族複素環オキシスルホニル、置換若しくは非置換の芳香族炭素環カルバモイル、置換若しくは非置換の非芳香族炭素環カルバモイル、置換若しくは非置換の芳香族複素環カルバモイル、置換若しくは非置換の非芳香族複素環カルバモイル、置換若しくは非置換の芳香族炭素環スルファモイル、置換若しくは非置換の非芳香族炭素環スルファモイル、置換若しくは非置換の芳香族複素環スルファモイル、置換若しくは非置換の非芳香族複素環スルファモイル、置換若しくは非置換の芳香族炭素環カルボニルアミノ、置換若しくは非置換の非芳香族炭素環カルボニルアミノ、置換若しくは非置換の芳香族複素環カルボニルアミノ、置換若しくは非置換の非芳香族複素環カルボニルアミノ、置換若しくは非置換の芳香族炭素環スルホニルアミノ、置換若しくは非置換の非芳香族炭素環スルホニルアミノ、置換若しくは非置換の芳香族複素環スルホニルアミノ、置換若しくは非置換の非芳香族複素環スルホニルアミノ、置換若しくは非置換の芳香族炭素環オキシカルボニルアミノ、置換若しくは非置換の非芳香族炭素環オキシカルボニルアミノ、置換若しくは非置換の芳香族複素環オキシカルボニルアミノ、または置換若しくは非置換の非芳香族複素環オキシカルボニルアミノであり;
Y1は、N(R6)、OまたはSであり;
R6は、水素原子、ヒドロキシ、シアノ、カルボキシ、カルバモイル、置換若しくは非置換のアルキル、置換若しくは非置換のアルケニル、置換若しくは非置換のアルキニル、置換若しくは非置換のアルキルオキシ、置換若しくは非置換のアルケニルオキシ、置換若しくは非置換のアルキニルオキシ、置換若しくは非置換の芳香族炭素環式基、置換若しくは非置換の非芳香族炭素環式基、置換若しくは非置換の芳香族複素環式基、または置換若しくは非置換の非芳香族複素環式基であり;
R1は、置換若しくは非置換の芳香族炭素環式基、置換若しくは非置換の非芳香族炭素環式基、置換若しくは非置換の芳香族複素環式基、または置換若しくは非置換の非芳香族複素環式基であり;
R2aは、それぞれ独立して、水素原子、ハロゲン、ヒドロキシ、置換若しくは非置換のアルキル、または置換若しくは非置換のアルキルオキシであり;
R2bは、それぞれ独立して、水素原子、ハロゲン、ヒドロキシ、置換若しくは非置換のアルキル、または置換若しくは非置換のアルキルオキシであり;
同一の炭素原子と結合するR2aおよびR2bは、一緒になって、オキソを形成してもよく;
Xは、N(R7a)、C(R8a)(R8b)、OまたはSであり;
R7aは、水素原子、置換若しくは非置換のアルキル、または置換若しくは非置換のアルキルカルボニルであり;
R8aおよびR8bは、それぞれ独立して、水素原子、ハロゲン、ヒドロキシ、置換若しくは非置換のアルキル、または置換若しくは非置換のアルキルオキシであり;
R2cは、それぞれ独立して、水素原子、ハロゲン、ヒドロキシ、置換若しくは非置換のアルキル、または置換若しくは非置換のアルキルオキシであり;
R2dは、それぞれ独立して、水素原子、ハロゲン、ヒドロキシ、置換若しくは非置換のアルキル、または置換若しくは非置換のアルキルオキシであり;
同一の炭素原子と結合するR2cおよびR2dが、一緒になって、置換若しくは非置換の非芳香族炭素環を形成してもよいか、または2つのR2cが、一緒になって、置換若しくは非置換の非芳香族炭素環を形成してもよく;
R3は、
(式中、環Bは、6員芳香族炭素環、6員非芳香族炭素環、6員芳香族複素環、または6員非芳香族複素環であり;
環Cは、5員非芳香族炭素環、5員芳香族複素環、または5員非芳香族複素環であり;
環Dは、5員非芳香族炭素環、または6員非芳香族炭素環であり;
R9aおよびR9bは、ハロゲン、ヒドロキシ、カルボキシ、アミノ、カルバモイル、スルファモイル、スルホ、シアノ、置換若しくは非置換のアルキル、置換若しくは非置換のアルケニル、置換若しくは非置換のアルキニル、置換若しくは非置換のアルキルオキシ、置換若しくは非置換のアルケニルオキシ、置換若しくは非置換のアルキニルオキシ、置換若しくは非置換のアルキルスルファニル、置換若しくは非置換のアルケニルスルファニル、置換若しくは非置換のアルキニルスルファニル、置換若しくは非置換のアルキルアミノ、置換若しくは非置換のアルケニルアミノ、置換若しくは非置換のアルキニルアミノ、置換若しくは非置換のアルキルカルボニル、置換若しくは非置換のアルケニルカルボニル、置換若しくは非置換のアルキニルカルボニル、置換若しくは非置換のアルキルスルホニル、置換若しくは非置換のアルケニルスルホニル、置換若しくは非置換のアルキニルスルホニル、置換若しくは非置換のアルキルカルボニルオキシ、置換若しくは非置換のアルケニルカルボニルオキシ、置換若しくは非置換のアルキニルカルボニルオキシ、置換若しくは非置換のアルキルオキシカルボニル、置換若しくは非置換のアルケニルオキシカルボニル、置換若しくは非置換のアルキニルオキシカルボニル、置換若しくは非置換のアルキルスルホニルオキシ、置換若しくは非置換のアルケニルスルホニルオキシ、置換若しくは非置換のアルキニルスルホニルオキシ、置換若しくは非置換のアルキルオキシスルホニル、置換若しくは非置換のアルケニルオキシスルホニル、置換若しくは非置換のアルキニルオキシスルホニル、置換若しくは非置換のアルキルカルバモイル、置換若しくは非置換のアルケニルカルバモイル、置換若しくは非置換のアルキニルカルバモイル、置換若しくは非置換のアルキルスルファモイル、置換若しくは非置換のアルケニルスルファモイル、置換若しくは非置換のアルキニルスルファモイル、置換若しくは非置換のアルキルカルボニルアミノ、置換若しくは非置換のアルケニルカルボニルアミノ、置換若しくは非置換のアルキニルカルボニルアミノ、置換若しくは非置換のアルキルスルホニルアミノ、置換若しくは非置換のアルケニルスルホニルアミノ、置換若しくは非置換の芳香族炭素環式基、置換若しくは非置換の非芳香族炭素環式基、置換若しくは非置換の芳香族複素環式基、置換若しくは非置換の非芳香族複素環式基、置換若しくは非置換の芳香族炭素環オキシ、置換若しくは非置換の非芳香族炭素環オキシ、置換若しくは非置換の芳香族複素環オキシ、置換若しくは非置換の非芳香族複素環オキシ、置換若しくは非置換の芳香族炭素環アミノ、置換若しくは非置換の非芳香族炭素環アミノ、置換若しくは非置換の芳香族複素環アミノ、置換若しくは非置換の非芳香族複素環アミノ、置換若しくは非置換の芳香族炭素環スルファニル、置換若しくは非置換の非芳香族炭素環スルファニル、置換若しくは非置換の芳香族複素環スルファニル、置換若しくは非置換の非芳香族複素環スルファニル、置換若しくは非置換の芳香族炭素環カルボニル、置換若しくは非置換の非芳香族炭素環カルボニル、置換若しくは非置換の芳香族複素環カルボニル、置換若しくは非置換の非芳香族複素環カルボニル、置換若しくは非置換の芳香族炭素環スルホニル、置換若しくは非置換の非芳香族炭素環スルホニル、置換若しくは非置換の芳香族複素環スルホニル、置換若しくは非置換の非芳香族複素環スルホニル、置換若しくは非置換の芳香族炭素環カルボニルオキシ、置換若しくは非置換の非芳香族炭素環カルボニルオキシ、置換若しくは非置換の芳香族複素環カルボニルオキシ、置換若しくは非置換の非芳香族複素環カルボニルオキシ、置換若しくは非置換の芳香族炭素環オキシカルボニル、置換若しくは非置換の非芳香族炭素環オキシカルボニル、置換若しくは非置換の芳香族複素環オキシカルボニル、置換若しくは非置換の非芳香族複素環オキシカルボニル、置換若しくは非置換の芳香族炭素環スルホニルオキシ、置換若しくは非置換の非芳香族炭素環スルホニルオキシ、置換若しくは非置換の芳香族複素環スルホニルオキシ、置換若しくは非置換の非芳香族複素環スルホニルオキシ、置換若しくは非置換の芳香族炭素環オキシスルホニル、置換若しくは非置換の非芳香族炭素環オキシスルホニル、置換若しくは非置換の芳香族複素環オキシスルホニル、置換若しくは非置換の非芳香族複素環オキシスルホニル、置換若しくは非置換の芳香族炭素環カルバモイル、置換若しくは非置換の非芳香族炭素環カルバモイル、置換若しくは非置換の芳香族複素環カルバモイル、置換若しくは非置換の非芳香族複素環カルバモイル、置換若しくは非置換の芳香族炭素環スルファモイル、置換若しくは非置換の非芳香族炭素環スルファモイル、置換若しくは非置換の芳香族複素環スルファモイル、置換若しくは非置換の非芳香族複素環スルファモイル、置換若しくは非置換の芳香族炭素環カルボニルアミノ、置換若しくは非置換の非芳香族炭素環カルボニルアミノ、置換若しくは非置換の芳香族複素環カルボニルアミノ、置換若しくは非置換の非芳香族複素環カルボニルアミノ、置換若しくは非置換の芳香族炭素環スルホニルアミノ、置換若しくは非置換の非芳香族炭素環スルホニルアミノ、置換若しくは非置換の芳香族複素環スルホニルアミノ、置換若しくは非置換の非芳香族複素環スルホニルアミノ、置換若しくは非置換の芳香族炭素環オキシカルボニルアミノ、置換若しくは非置換の非芳香族炭素環オキシカルボニルアミノ、置換若しくは非置換の芳香族複素環オキシカルボニルアミノ、または置換若しくは非置換の非芳香族複素環オキシカルボニルアミノであり;
R10a、R10b、R10cおよびR10dは、それぞれ独立して、ハロゲン、ヒドロキシ、カルボキシ、アミノ、カルバモイル、スルファモイル、スルホ、シアノ、置換若しくは非置換のアルキル、置換若しくは非置換のアルケニル、置換若しくは非置換のアルキニル、置換若しくは非置換のアルキルオキシ、置換若しくは非置換のアルケニルオキシ、置換若しくは非置換のアルキニルオキシ、置換若しくは非置換のアルキルスルファニル、置換若しくは非置換のアルケニルスルファニル、置換若しくは非置換のアルキニルスルファニル、置換若しくは非置換のアルキルアミノ、置換若しくは非置換のアルケニルアミノ、置換若しくは非置換のアルキニルアミノ、置換若しくは非置換のアルキルカルボニル、置換若しくは非置換のアルケニルカルボニル、置換若しくは非置換のアルキニルカルボニル、置換若しくは非置換のアルキルスルホニル、置換若しくは非置換のアルケニルスルホニル、置換若しくは非置換のアルキニルスルホニル、置換若しくは非置換のアルキルカルボニルオキシ、置換若しくは非置換のアルケニルカルボニルオキシ、置換若しくは非置換のアルキニルカルボニルオキシ、置換若しくは非置換のアルキルオキシカルボニル、置換若しくは非置換のアルケニルオキシカルボニル、置換若しくは非置換のアルキニルオキシカルボニル、置換若しくは非置換のアルキルスルホニルオキシ、置換若しくは非置換のアルケニルスルホニルオキシ、置換若しくは非置換のアルキニルスルホニルオキシ、置換若しくは非置換のアルキルオキシスルホニル、置換若しくは非置換のアルケニルオキシスルホニル、置換若しくは非置換のアルキニルオキシスルホニル、置換若しくは非置換のアルキルカルバモイル、置換若しくは非置換のアルケニルカルバモイル、置換若しくは非置換のアルキニルカルバモイル、置換若しくは非置換のアルキルスルファモイル、置換若しくは非置換のアルケニルスルファモイル、置換若しくは非置換のアルキニルスルファモイル、置換若しくは非置換のアルキルカルボニルアミノ、置換若しくは非置換のアルケニルカルボニルアミノ、置換若しくは非置換のアルキニルカルボニルアミノ、置換若しくは非置換のアルキルスルホニルアミノ、置換若しくは非置換のアルケニルスルホニルアミノ、置換若しくは非置換のアルキニルスルホニルアミノ、置換若しくは非置換の芳香族炭素環式基、置換若しくは非置換の非芳香族炭素環式基、置換若しくは非置換の芳香族複素環式基、置換若しくは非置換の非芳香族複素環式基、置換若しくは非置換の芳香族炭素環オキシ、置換若しくは非置換の非芳香族炭素環オキシ、置換若しくは非置換の芳香族複素環オキシ、置換若しくは非置換の非芳香族複素環オキシ、置換若しくは非置換の芳香族炭素環アミノ、置換若しくは非置換の非芳香族炭素環アミノ、置換若しくは非置換の芳香族複素環アミノ、置換若しくは非置換の非芳香族複素環アミノ、置換若しくは非置換の芳香族炭素環スルファニル、置換若しくは非置換の非芳香族炭素環スルファニル、置換若しくは非置換の芳香族複素環スルファニル、置換若しくは非置換の非芳香族複素環スルファニル、置換若しくは非置換の芳香族炭素環カルボニル、置換若しくは非置換の非芳香族炭素環カルボニル、置換若しくは非置換の芳香族複素環カルボニル、置換若しくは非置換の非芳香族複素環カルボニル、置換若しくは非置換の芳香族炭素環スルホニル、置換若しくは非置換の非芳香族炭素環スルホニル、置換若しくは非置換の芳香族複素環スルホニル、置換若しくは非置換の非芳香族複素環スルホニル、置換若しくは非置換の芳香族炭素環カルボニルオキシ、置換若しくは非置換の非芳香族炭素環カルボニルオキシ、置換若しくは非置換の芳香族複素環カルボニルオキシ、置換若しくは非置換の非芳香族複素環カルボニルオキシ、置換若しくは非置換の芳香族炭素環オキシカルボニル、置換若しくは非置換の非芳香族炭素環オキシカルボニル、置換若しくは非置換の芳香族複素環オキシカルボニル、置換若しくは非置換の非芳香族複素環オキシカルボニル、置換若しくは非置換の芳香族炭素環スルホニルオキシ、置換若しくは非置換の非芳香族炭素環スルホニルオキシ、置換若しくは非置換の芳香族複素環スルホニルオキシ、置換若しくは非置換の非芳香族複素環スルホニルオキシ、置換若しくは非置換の芳香族炭素環オキシスルホニル、置換若しくは非置換の非芳香族炭素環オキシスルホニル、置換若しくは非置換の芳香族複素環オキシスルホニル、置換若しくは非置換の非芳香族複素環オキシスルホニル、置換若しくは非置換の芳香族炭素環カルバモイル、置換若しくは非置換の非芳香族炭素環カルバモイル、置換若しくは非置換の芳香族複素環カルバモイル、置換若しくは非置換の非芳香族複素環カルバモイル、置換若しくは非置換の芳香族炭素環スルファモイル、置換若しくは非置換の非芳香族炭素環スルファモイル、置換若しくは非置換の芳香族複素環スルファモイル、置換若しくは非置換の非芳香族複素環スルファモイル、置換若しくは非置換の芳香族炭素環カルボニルアミノ、置換若しくは非置換の非芳香族炭素環カルボニルアミノ、置換若しくは非置換の芳香族複素環カルボニルアミノ、置換若しくは非置換の非芳香族複素環カルボニルアミノ、置換若しくは非置換の芳香族炭素環スルホニルアミノ、置換若しくは非置換の非芳香族炭素環スルホニルアミノ、置換若しくは非置換の芳香族複素環スルホニルアミノ、置換若しくは非置換の非芳香族複素環スルホニルアミノ、置換若しくは非置換の芳香族炭素環オキシカルボニルアミノ、置換若しくは非置換の非芳香族炭素環オキシカルボニルアミノ、置換若しくは非置換の芳香族複素環オキシカルボニルアミノ、または置換若しくは非置換の非芳香族複素環オキシカルボニルアミノであり;
R9a、R9b、R10aおよびR10bは、下記a)~c)のいずれかであってもよく;
a)R9aおよびR10a、またはR9bおよびR10bが、一緒になって、(C1-C3)架橋を形成する;該架橋を構成する炭素原子の1つは酸素原子または窒素原子で置き換えられてもよい;
b)隣接する環構成原子に結合するR9aおよびR10a、または隣接する環構成原子に結合するR9bおよびR10bが、一緒になって、置換若しくは非置換の芳香族炭素環、置換若しくは非置換の非芳香族炭素環、置換若しくは非置換の芳香族複素環、または置換若しくは非置換の非芳香族複素環を形成する;
c)隣接する環構成原子に結合する2つのR10a、または隣接する環構成原子に結合する2つのR10bが、一緒になって、置換若しくは非置換の芳香族炭素環、置換若しくは非置換の非芳香族炭素環、置換若しくは非置換の芳香族複素環、または置換若しくは非置換の非芳香族複素環を形成する;
R10eは、それぞれ独立して、ハロゲン、ヒドロキシ、置換若しくは非置換のアルキル、または置換若しくは非置換のアルキルオキシである)で示される基であり;
nは、1~5の整数であり;
mは、0~4の整数であり;
p1は、0~3の整数であり;
p2は、0~2の整数であり;
p3は、0~2の整数であり;
sは、0~4の整数であり;
ただし、
i)Z1がNであり、環Qがベンゼン環であり、XがCH2であり、かつmおよびsが0であるとき、R3は1-シクロプロピル-ベンゾイミダゾール-2-オン-3-イルではなく;
ii)Z1がNであり、環Qがシクロペンテン環であり、XがSであり、mが1であり、かつsが0であるとき、R1は置換された
)で示される化合物(ただし、以下の化合物:
を除く)、またはその製薬上許容される塩。
(1)
Formula (I):
(Where
Z 1 is C (R 4 ) or N;
R 4 represents a hydrogen atom, halogen, hydroxy, carboxy, amino, carbamoyl, sulfamoyl, sulfo, cyano, substituted or unsubstituted alkyl, substituted or unsubstituted alkenyl, substituted or unsubstituted alkynyl, substituted or unsubstituted alkyl Oxy, substituted or unsubstituted alkenyloxy, substituted or unsubstituted alkynyloxy, substituted or unsubstituted alkylsulfanyl, substituted or unsubstituted alkenylsulfanyl, substituted or unsubstituted alkynylsulfanyl, substituted or unsubstituted alkylamino, Substituted or unsubstituted alkenylamino, or substituted or unsubstituted alkynylamino;
Z 2 and Z 3 are each independently a carbon atom or a nitrogen atom;
(However, when one of Z 2 and Z 3 is a nitrogen atom, the other is a carbon atom.)
The dashed line indicates the presence or absence of a bond;
Z 2 and Z 3 are both carbon atoms when the dashed line indicates the presence of a bond;
Ring Q is a 6-membered aromatic carbocyclic ring, a 5-membered aromatic heterocyclic ring, a 6-membered aromatic heterocyclic ring, a 5-membered non-aromatic carbocyclic ring, a 6-membered non-aromatic carbocyclic ring, a 5-membered non-aromatic heterocyclic ring, or A 6-membered non-aromatic heterocycle;
Each R 5 is independently halogen, hydroxy, carboxy, amino, carbamoyl, sulfamoyl, sulfo, cyano, substituted or unsubstituted alkyl, substituted or unsubstituted alkenyl, substituted or unsubstituted alkynyl, substituted or unsubstituted Alkyloxy, substituted or unsubstituted alkenyloxy, substituted or unsubstituted alkynyloxy, substituted or unsubstituted alkylsulfanyl, substituted or unsubstituted alkenylsulfanyl, substituted or unsubstituted alkynylsulfanyl, substituted or unsubstituted alkyl Amino, substituted or unsubstituted alkenylamino, substituted or unsubstituted alkynylamino, substituted or unsubstituted alkylcarbonyl, substituted or unsubstituted alkenylcarbonyl, substituted or unsubstituted amino Lucinylcarbonyl, substituted or unsubstituted alkylsulfonyl, substituted or unsubstituted alkenylsulfonyl, substituted or unsubstituted alkynylsulfonyl, substituted or unsubstituted alkylcarbonyloxy, substituted or unsubstituted alkenylcarbonyloxy, substituted or unsubstituted Alkynylcarbonyloxy, substituted or unsubstituted alkyloxycarbonyl, substituted or unsubstituted alkenyloxycarbonyl, substituted or unsubstituted alkynyloxycarbonyl, substituted or unsubstituted alkylsulfonyloxy, substituted or unsubstituted alkenylsulfonyloxy, Substituted or unsubstituted alkynylsulfonyloxy, substituted or unsubstituted alkyloxysulfonyl, substituted or unsubstituted alkenyloxysulfonyl, Or unsubstituted alkynyloxysulfonyl, substituted or unsubstituted alkylcarbamoyl, substituted or unsubstituted alkenylcarbamoyl, substituted or unsubstituted alkynylcarbamoyl, substituted or unsubstituted alkylsulfamoyl, substituted or unsubstituted alkenylsulfamo Moyl, substituted or unsubstituted alkynylsulfamoyl, substituted or unsubstituted alkylcarbonylamino, substituted or unsubstituted alkenylcarbonylamino, substituted or unsubstituted alkynylcarbonylamino, substituted or unsubstituted alkylsulfonylamino, substituted or Unsubstituted alkenylsulfonylamino, substituted or unsubstituted alkynylsulfonylamino, substituted or unsubstituted alkyloxycarbonylamino, substituted or unsubstituted Alkenyloxycarbonylamino, substituted or unsubstituted alkynyloxycarbonylamino, substituted or unsubstituted aromatic carbocyclic group, substituted or unsubstituted nonaromatic carbocyclic group, substituted or unsubstituted aromatic heterocyclic group Group, substituted or unsubstituted non-aromatic heterocyclic group, substituted or unsubstituted aromatic carbocyclic oxy, substituted or unsubstituted non-aromatic carbocyclic oxy, substituted or unsubstituted aromatic heterocyclic oxy, substituted Or unsubstituted non-aromatic heterocyclic oxy, substituted or unsubstituted aromatic carbocyclic amino, substituted or unsubstituted non-aromatic carbocyclic amino, substituted or unsubstituted aromatic heterocyclic amino, substituted or unsubstituted Non-aromatic heterocyclic amino, substituted or unsubstituted aromatic carbocyclic sulfanyl, substituted or unsubstituted non-aromatic carbocyclic sulfanyl, Substituted or unsubstituted aromatic heterocyclic sulfanyl, substituted or unsubstituted non-aromatic heterocyclic sulfanyl, substituted or unsubstituted aromatic carbocyclic carbonyl, substituted or unsubstituted non-aromatic carbocyclic carbonyl, substituted or unsubstituted Aromatic heterocyclic carbonyl, substituted or unsubstituted non-aromatic heterocyclic carbonyl, substituted or unsubstituted aromatic carbocyclic sulfonyl, substituted or unsubstituted non-aromatic carbocyclic sulfonyl, substituted or unsubstituted aromatic heterocyclic Ring sulfonyl, substituted or unsubstituted non-aromatic heterocyclic sulfonyl, substituted or unsubstituted aromatic carbocyclic carbonyloxy, substituted or unsubstituted non-aromatic carbocyclic carbonyloxy, substituted or unsubstituted aromatic heterocyclic carbonyl Oxy, substituted or unsubstituted non-aromatic heterocyclic carbonyloxy, substituted or unsubstituted Is unsubstituted aromatic carbocyclic oxycarbonyl, substituted or unsubstituted non-aromatic carbocyclic oxycarbonyl, substituted or unsubstituted aromatic heterocyclic oxycarbonyl, substituted or unsubstituted non-aromatic heterocyclic oxycarbonyl, substituted Or unsubstituted aromatic carbocyclic sulfonyloxy, substituted or unsubstituted non-aromatic carbocyclic sulfonyloxy, substituted or unsubstituted aromatic heterocyclic sulfonyloxy, substituted or unsubstituted non-aromatic heterocyclic sulfonyloxy, substituted Or unsubstituted aromatic carbocyclic oxysulfonyl, substituted or unsubstituted non-aromatic carbocyclic oxysulfonyl, substituted or unsubstituted aromatic heterocyclic oxysulfonyl, substituted or unsubstituted non-aromatic heterocyclic oxysulfonyl, substituted Or unsubstituted aromatic carbocyclic carbamoyl, substituted or unsubstituted Non-aromatic carbocyclic carbamoyl, substituted or unsubstituted aromatic heterocyclic carbamoyl, substituted or unsubstituted non-aromatic heterocyclic carbamoyl, substituted or unsubstituted aromatic carbocyclic sulfamoyl, substituted or unsubstituted non-aromatic Carbocyclic sulfamoyl, substituted or unsubstituted aromatic heterocyclic sulfamoyl, substituted or unsubstituted non-aromatic heterocyclic sulfamoyl, substituted or unsubstituted aromatic carbocyclic carbonylamino, substituted or unsubstituted non-aromatic carbocyclic carbonyl Amino, substituted or unsubstituted aromatic heterocyclic carbonylamino, substituted or unsubstituted nonaromatic heterocyclic carbonylamino, substituted or unsubstituted aromatic carbocyclic sulfonylamino, substituted or unsubstituted nonaromatic carbocyclic sulfonyl Amino, substituted or unsubstituted aromatic heterocyclic sulfoni Ruamino, substituted or unsubstituted non-aromatic heterocyclic sulfonylamino, substituted or unsubstituted aromatic carbocyclic oxycarbonylamino, substituted or unsubstituted non-aromatic carbocyclic oxycarbonylamino, substituted or unsubstituted aromatic heterocyclic Ring oxycarbonylamino, or substituted or unsubstituted non-aromatic heterocyclic oxycarbonylamino;
Y 1 is N (R 6 ), O or S;
R 6 represents a hydrogen atom, hydroxy, cyano, carboxy, carbamoyl, substituted or unsubstituted alkyl, substituted or unsubstituted alkenyl, substituted or unsubstituted alkynyl, substituted or unsubstituted alkyloxy, substituted or unsubstituted alkenyl Oxy, substituted or unsubstituted alkynyloxy, substituted or unsubstituted aromatic carbocyclic group, substituted or unsubstituted non-aromatic carbocyclic group, substituted or unsubstituted aromatic heterocyclic group, or substituted or An unsubstituted non-aromatic heterocyclic group;
R 1 represents a substituted or unsubstituted aromatic carbocyclic group, a substituted or unsubstituted non-aromatic carbocyclic group, a substituted or unsubstituted aromatic heterocyclic group, or a substituted or unsubstituted non-aromatic group A heterocyclic group;
Each R 2a is independently a hydrogen atom, halogen, hydroxy, substituted or unsubstituted alkyl, or substituted or unsubstituted alkyloxy;
Each R 2b is independently a hydrogen atom, halogen, hydroxy, substituted or unsubstituted alkyl, or substituted or unsubstituted alkyloxy;
R 2a and R 2b bonded to the same carbon atom may be taken together to form an oxo;
X is N (R 7a ), C (R 8a ) (R 8b ), O or S;
R 7a is a hydrogen atom, substituted or unsubstituted alkyl, or substituted or unsubstituted alkylcarbonyl;
R 8a and R 8b are each independently a hydrogen atom, halogen, hydroxy, substituted or unsubstituted alkyl, or substituted or unsubstituted alkyloxy;
Each R 2c is independently a hydrogen atom, halogen, hydroxy, substituted or unsubstituted alkyl, or substituted or unsubstituted alkyloxy;
Each R 2d is independently a hydrogen atom, halogen, hydroxy, substituted or unsubstituted alkyl, or substituted or unsubstituted alkyloxy;
R 2c and R 2d bonded to the same carbon atom may be taken together to form a substituted or unsubstituted non-aromatic carbocycle, or two R 2c taken together are substituted Or may form an unsubstituted non-aromatic carbocycle;
R 3 is
Wherein ring B is a 6-membered aromatic carbocycle, 6-membered non-aromatic carbocycle, 6-membered aromatic heterocycle, or 6-membered non-aromatic heterocycle;
Ring C is a 5-membered non-aromatic carbocycle, 5-membered aromatic heterocycle, or 5-membered non-aromatic heterocycle;
Ring D is a 5-membered non-aromatic carbocycle or a 6-membered non-aromatic carbocycle;
R 9a and R 9b are halogen, hydroxy, carboxy, amino, carbamoyl, sulfamoyl, sulfo, cyano, substituted or unsubstituted alkyl, substituted or unsubstituted alkenyl, substituted or unsubstituted alkynyl, substituted or unsubstituted alkyl Oxy, substituted or unsubstituted alkenyloxy, substituted or unsubstituted alkynyloxy, substituted or unsubstituted alkylsulfanyl, substituted or unsubstituted alkenylsulfanyl, substituted or unsubstituted alkynylsulfanyl, substituted or unsubstituted alkylamino, Substituted or unsubstituted alkenylamino, substituted or unsubstituted alkynylamino, substituted or unsubstituted alkylcarbonyl, substituted or unsubstituted alkenylcarbonyl, substituted or unsubstituted al Nylcarbonyl, substituted or unsubstituted alkylsulfonyl, substituted or unsubstituted alkenylsulfonyl, substituted or unsubstituted alkynylsulfonyl, substituted or unsubstituted alkylcarbonyloxy, substituted or unsubstituted alkenylcarbonyloxy, substituted or unsubstituted Alkynylcarbonyloxy, substituted or unsubstituted alkyloxycarbonyl, substituted or unsubstituted alkenyloxycarbonyl, substituted or unsubstituted alkynyloxycarbonyl, substituted or unsubstituted alkylsulfonyloxy, substituted or unsubstituted alkenylsulfonyloxy, substituted Or unsubstituted alkynylsulfonyloxy, substituted or unsubstituted alkyloxysulfonyl, substituted or unsubstituted alkenyloxysulfonyl, substituted Or unsubstituted alkynyloxysulfonyl, substituted or unsubstituted alkylcarbamoyl, substituted or unsubstituted alkenylcarbamoyl, substituted or unsubstituted alkynylcarbamoyl, substituted or unsubstituted alkylsulfamoyl, substituted or unsubstituted alkenylsulfuryl. Famoyl, substituted or unsubstituted alkynylsulfamoyl, substituted or unsubstituted alkylcarbonylamino, substituted or unsubstituted alkenylcarbonylamino, substituted or unsubstituted alkynylcarbonylamino, substituted or unsubstituted alkylsulfonylamino, substituted Or unsubstituted alkenylsulfonylamino, substituted or unsubstituted aromatic carbocyclic group, substituted or unsubstituted non-aromatic carbocyclic group, substituted or unsubstituted aromatic heterocyclic group, substituted Or unsubstituted non-aromatic heterocyclic group, substituted or unsubstituted aromatic carbocyclic oxy, substituted or unsubstituted non-aromatic carbocyclic oxy, substituted or unsubstituted aromatic heterocyclic oxy, substituted or non-substituted Substituted non-aromatic heterocyclic oxy, substituted or unsubstituted aromatic carbocyclic amino, substituted or unsubstituted non-aromatic carbocyclic amino, substituted or unsubstituted aromatic heterocyclic amino, substituted or unsubstituted non-aromatic Aromatic heterocyclic amino, substituted or unsubstituted aromatic carbocyclic sulfanyl, substituted or unsubstituted non-aromatic carbocyclic sulfanyl, substituted or unsubstituted aromatic heterocyclic sulfanyl, substituted or unsubstituted non-aromatic heterocyclic sulfanyl , Substituted or unsubstituted aromatic carbocyclic carbonyl, substituted or unsubstituted non-aromatic carbocyclic carbonyl, substituted or unsubstituted aromatic An aromatic carbonyl, a substituted or unsubstituted non-aromatic heterocyclic carbonyl, a substituted or unsubstituted aromatic carbocyclic sulfonyl, a substituted or unsubstituted non-aromatic carbocyclic sulfonyl, a substituted or unsubstituted aromatic heterocyclic sulfonyl, Substituted or unsubstituted non-aromatic heterocyclic sulfonyl, substituted or unsubstituted aromatic carbocyclic carbonyloxy, substituted or unsubstituted non-aromatic carbocyclic carbonyloxy, substituted or unsubstituted aromatic heterocyclic carbonyloxy, substituted Or unsubstituted non-aromatic heterocyclic carbonyloxy, substituted or unsubstituted aromatic carbocyclic oxycarbonyl, substituted or unsubstituted non-aromatic carbocyclic oxycarbonyl, substituted or unsubstituted aromatic heterocyclic oxycarbonyl, substituted Or unsubstituted non-aromatic heterocyclic oxycarbonyl, substituted or unsubstituted Substituted aromatic carbocyclic sulfonyloxy, substituted or unsubstituted non-aromatic carbocyclic sulfonyloxy, substituted or unsubstituted aromatic heterocyclic sulfonyloxy, substituted or unsubstituted non-aromatic heterocyclic sulfonyloxy, substituted or non-substituted Substituted aromatic carbocyclic oxysulfonyl, substituted or unsubstituted non-aromatic carbocyclic oxysulfonyl, substituted or unsubstituted aromatic heterocyclic oxysulfonyl, substituted or unsubstituted non-aromatic heterocyclic oxysulfonyl, substituted or non-substituted Substituted aromatic carbocyclic carbamoyl, substituted or unsubstituted non-aromatic carbocyclic carbamoyl, substituted or unsubstituted aromatic heterocyclic carbamoyl, substituted or unsubstituted non-aromatic heterocyclic carbamoyl, substituted or unsubstituted aromatic Carbocyclic sulfamoyl, substituted or unsubstituted non-aromatic carbocyclic sulf Amoyl, substituted or unsubstituted aromatic heterocyclic sulfamoyl, substituted or unsubstituted non-aromatic heterocyclic sulfamoyl, substituted or unsubstituted aromatic carbocyclic carbonylamino, substituted or unsubstituted non-aromatic carbocyclic carbonylamino, Substituted or unsubstituted aromatic heterocyclic carbonylamino, substituted or unsubstituted nonaromatic heterocyclic carbonylamino, substituted or unsubstituted aromatic carbocyclic sulfonylamino, substituted or unsubstituted nonaromatic carbocyclic sulfonylamino, Substituted or unsubstituted aromatic heterocyclic sulfonylamino, substituted or unsubstituted nonaromatic heterocyclic sulfonylamino, substituted or unsubstituted aromatic carbocyclic oxycarbonylamino, substituted or unsubstituted nonaromatic carbocyclic oxycarbonyl Amino, substituted or unsubstituted aromatic heterocyclic ring It is aryloxycarbonyl amino or a substituted or unsubstituted non-aromatic heterocyclic oxycarbonyl amino;
R 10a , R 10b , R 10c and R 10d are each independently halogen, hydroxy, carboxy, amino, carbamoyl, sulfamoyl, sulfo, cyano, substituted or unsubstituted alkyl, substituted or unsubstituted alkenyl, substituted or Unsubstituted alkynyl, substituted or unsubstituted alkyloxy, substituted or unsubstituted alkenyloxy, substituted or unsubstituted alkynyloxy, substituted or unsubstituted alkylsulfanyl, substituted or unsubstituted alkenylsulfanyl, substituted or unsubstituted Alkynylsulfanyl, substituted or unsubstituted alkylamino, substituted or unsubstituted alkenylamino, substituted or unsubstituted alkynylamino, substituted or unsubstituted alkylcarbonyl, substituted or unsubstituted amino Kenylcarbonyl, substituted or unsubstituted alkynylcarbonyl, substituted or unsubstituted alkylsulfonyl, substituted or unsubstituted alkenylsulfonyl, substituted or unsubstituted alkynylsulfonyl, substituted or unsubstituted alkylcarbonyloxy, substituted or unsubstituted Alkenylcarbonyloxy, substituted or unsubstituted alkynylcarbonyloxy, substituted or unsubstituted alkyloxycarbonyl, substituted or unsubstituted alkenyloxycarbonyl, substituted or unsubstituted alkynyloxycarbonyl, substituted or unsubstituted alkylsulfonyloxy, substituted Or unsubstituted alkenylsulfonyloxy, substituted or unsubstituted alkynylsulfonyloxy, substituted or unsubstituted alkyloxysulfonyl, substituted or unsubstituted Is unsubstituted alkenyloxysulfonyl, substituted or unsubstituted alkynyloxysulfonyl, substituted or unsubstituted alkylcarbamoyl, substituted or unsubstituted alkenylcarbamoyl, substituted or unsubstituted alkynylcarbamoyl, substituted or unsubstituted alkylsulfamoyl Substituted or unsubstituted alkenylsulfamoyl, substituted or unsubstituted alkynylsulfamoyl, substituted or unsubstituted alkylcarbonylamino, substituted or unsubstituted alkenylcarbonylamino, substituted or unsubstituted alkynylcarbonylamino, substituted or Unsubstituted alkylsulfonylamino, substituted or unsubstituted alkenylsulfonylamino, substituted or unsubstituted alkynylsulfonylamino, substituted or unsubstituted aromatic carbon Cyclic group, substituted or unsubstituted non-aromatic carbocyclic group, substituted or unsubstituted aromatic heterocyclic group, substituted or unsubstituted non-aromatic heterocyclic group, substituted or unsubstituted aromatic carbon Ring oxy, substituted or unsubstituted non-aromatic carbocyclic oxy, substituted or unsubstituted aromatic heterocyclic oxy, substituted or unsubstituted non-aromatic heterocyclic oxy, substituted or unsubstituted aromatic carbocyclic amino, substituted Or unsubstituted non-aromatic carbocyclic amino, substituted or unsubstituted aromatic heterocyclic amino, substituted or unsubstituted non-aromatic heterocyclic amino, substituted or unsubstituted aromatic carbocyclic sulfanyl, substituted or unsubstituted Non-aromatic carbocyclic sulfanyl, substituted or unsubstituted aromatic heterocyclic sulfanyl, substituted or unsubstituted non-aromatic heterocyclic sulfanyl, substituted or unsubstituted aromatic Carbocyclic carbonyl, substituted or unsubstituted non-aromatic carbocyclic carbonyl, substituted or unsubstituted aromatic heterocyclic carbonyl, substituted or unsubstituted non-aromatic heterocyclic carbonyl, substituted or unsubstituted aromatic carbocyclic sulfonyl, Substituted or unsubstituted non-aromatic carbocyclic sulfonyl, substituted or unsubstituted aromatic heterocyclic sulfonyl, substituted or unsubstituted non-aromatic heterocyclic sulfonyl, substituted or unsubstituted aromatic carbocyclic carbonyloxy, substituted or non-substituted Substituted non-aromatic carbocyclic carbonyloxy, substituted or unsubstituted aromatic heterocyclic carbonyloxy, substituted or unsubstituted non-aromatic heterocyclic carbonyloxy, substituted or unsubstituted aromatic carbocyclic oxycarbonyl, substituted or non-substituted Substituted non-aromatic carbocyclic oxycarbonyl, substituted or unsubstituted fragrance Heterocyclic oxycarbonyl, substituted or unsubstituted non-aromatic heterocyclic oxycarbonyl, substituted or unsubstituted aromatic carbocyclic sulfonyloxy, substituted or unsubstituted non-aromatic carbocyclic sulfonyloxy, substituted or unsubstituted aromatic Heterocyclic sulfonyloxy, substituted or unsubstituted non-aromatic heterocyclic sulfonyloxy, substituted or unsubstituted aromatic carbocyclic oxysulfonyl, substituted or unsubstituted non-aromatic carbocyclic oxysulfonyl, substituted or unsubstituted aromatic Heterocyclic oxysulfonyl, substituted or unsubstituted non-aromatic heterocyclic oxysulfonyl, substituted or unsubstituted aromatic carbocyclic carbamoyl, substituted or unsubstituted non-aromatic carbocyclic carbamoyl, substituted or unsubstituted aromatic heterocyclic Carbamoyl, substituted or unsubstituted non-aromatic heterocyclic carbamo , Substituted or unsubstituted aromatic carbocyclic sulfamoyl, substituted or unsubstituted non-aromatic carbocyclic sulfamoyl, substituted or unsubstituted aromatic heterocyclic sulfamoyl, substituted or unsubstituted non-aromatic heterocyclic sulfamoyl, substituted or Unsubstituted aromatic carbocyclic carbonylamino, substituted or unsubstituted non-aromatic carbocyclic carbonylamino, substituted or unsubstituted aromatic heterocyclic carbonylamino, substituted or unsubstituted non-aromatic heterocyclic carbonylamino, substituted or Unsubstituted aromatic carbocyclic sulfonylamino, substituted or unsubstituted non-aromatic carbocyclic sulfonylamino, substituted or unsubstituted aromatic heterocyclic sulfonylamino, substituted or unsubstituted non-aromatic heterocyclic sulfonylamino, substituted or Unsubstituted aromatic carbocyclic oxycarbonylamino, Substituted or unsubstituted non-aromatic carbocyclic oxycarbonyl amino, substituted or unsubstituted aromatic heterocyclic oxycarbonyl amino or a substituted or unsubstituted non-aromatic heterocyclic oxycarbonyl amino;
R 9a , R 9b , R 10a and R 10b may be any of the following a) to c):
a) R 9a and R 10a or R 9b and R 10b together form a (C1-C3) bridge; one of the carbon atoms making up the bridge is replaced by an oxygen or nitrogen atom May be;
b) R 9a and R 10a bonded to adjacent ring member atoms, or R 9b and R 10b bonded to adjacent ring member atoms are taken together to form a substituted or unsubstituted aromatic carbocyclic ring, substituted or non-substituted ring Forming a substituted non-aromatic carbocycle, substituted or unsubstituted aromatic heterocycle, or substituted or unsubstituted non-aromatic heterocycle;
c) Two R 10a bonded to adjacent ring member atoms, or two R 10b bonded to adjacent ring member atoms, together, are substituted or unsubstituted aromatic carbocyclic, substituted or unsubstituted Forming a non-aromatic carbocycle, a substituted or unsubstituted aromatic heterocycle, or a substituted or unsubstituted non-aromatic heterocycle;
Each R 10e is independently a group represented by halogen, hydroxy, substituted or unsubstituted alkyl, or substituted or unsubstituted alkyloxy;
n is an integer from 1 to 5;
m is an integer from 0 to 4;
p1 is an integer from 0 to 3;
p2 is an integer from 0 to 2;
p3 is an integer from 0 to 2;
s is an integer from 0 to 4;
However,
i) when Z 1 is N, ring Q is a benzene ring, X is CH 2 and m and s are 0, R 3 is 1-cyclopropyl-benzimidazol-2-one-3 -Not yl;
ii) a compound represented by: R 1 is substituted when Z 1 is N, ring Q is a cyclopentene ring, X is S, m is 1 and s is 0 The following compounds:
Or a pharmaceutically acceptable salt thereof.
(1’)
式(I):
(式中、
Z1は、C(R4)またはNであり;
R4は、水素原子、ハロゲン、ヒドロキシ、カルボキシ、アミノ、カルバモイル、スルファモイル、スルホ、シアノ、置換若しくは非置換のアルキル、置換若しくは非置換のアルケニル、置換若しくは非置換のアルキニル、置換若しくは非置換のアルキルオキシ、置換若しくは非置換のアルケニルオキシ、置換若しくは非置換のアルキニルオキシ、置換若しくは非置換のアルキルスルファニル、置換若しくは非置換のアルケニルスルファニル、置換若しくは非置換のアルキニルスルファニル、置換若しくは非置換のアルキルアミノ、置換若しくは非置換のアルケニルアミノ、または置換若しくは非置換のアルキニルアミノであり;
Z2およびZ3は、それぞれ独立して、炭素原子または窒素原子であり;
(ただし、Z2およびZ3のいずれか一方が窒素原子であるとき、他方は炭素原子である)
破線は、結合の存在または不存在を示し;
破線が結合の存在を示すとき、Z2およびZ3は共に炭素原子であり;
環Qは、6員芳香族炭素環、5員芳香族複素環、6員芳香族複素環、5員非芳香族炭素環、6員非芳香族炭素環、5員非芳香族複素環、または6員非芳香族複素環であり;
R5は、それぞれ独立して、ハロゲン、ヒドロキシ、カルボキシ、アミノ、カルバモイル、スルファモイル、スルホ、シアノ、置換若しくは非置換のアルキル、置換若しくは非置換のアルケニル、置換若しくは非置換のアルキニル、置換若しくは非置換のアルキルオキシ、置換若しくは非置換のアルケニルオキシ、置換若しくは非置換のアルキニルオキシ、置換若しくは非置換のアルキルスルファニル、置換若しくは非置換のアルケニルスルファニル、置換若しくは非置換のアルキニルスルファニル、置換若しくは非置換のアルキルアミノ、置換若しくは非置換のアルケニルアミノ、置換若しくは非置換のアルキニルアミノ、置換若しくは非置換のアルキルカルボニル、置換若しくは非置換のアルケニルカルボニル、置換若しくは非置換のアルキニルカルボニル、置換若しくは非置換のアルキルスルホニル、置換若しくは非置換のアルケニルスルホニル、置換若しくは非置換のアルキニルスルホニル、置換若しくは非置換のアルキルカルボニルオキシ、置換若しくは非置換のアルケニルカルボニルオキシ、置換若しくは非置換のアルキニルカルボニルオキシ、置換若しくは非置換のアルキルオキシカルボニル、置換若しくは非置換のアルケニルオキシカルボニル、置換若しくは非置換のアルキニルオキシカルボニル、置換若しくは非置換のアルキルスルホニルオキシ、置換若しくは非置換のアルケニルスルホニルオキシ、置換若しくは非置換のアルキニルスルホニルオキシ、置換若しくは非置換のアルキルオキシスルホニル、置換若しくは非置換のアルケニルオキシスルホニル、置換若しくは非置換のアルキニルオキシスルホニル、置換若しくは非置換のアルキルカルバモイル、置換若しくは非置換のアルケニルカルバモイル、置換若しくは非置換のアルキニルカルバモイル、置換若しくは非置換のアルキルスルファモイル、置換若しくは非置換のアルケニルスルファモイル、置換若しくは非置換のアルキニルスルファモイル、置換若しくは非置換のアルキルカルボニルアミノ、置換若しくは非置換のアルケニルカルボニルアミノ、置換若しくは非置換のアルキニルカルボニルアミノ、置換若しくは非置換のアルキルスルホニルアミノ、置換若しくは非置換のアルケニルスルホニルアミノ、置換若しくは非置換のアルキニルスルホニルアミノ、置換若しくは非置換のアルキルオキシカルボニルアミノ、置換若しくは非置換のアルケニルオキシカルボニルアミノ、置換若しくは非置換のアルキニルオキシカルボニルアミノ、置換若しくは非置換の芳香族炭素環式基、置換若しくは非置換の非芳香族炭素環式基、置換若しくは非置換の芳香族複素環式基、置換若しくは非置換の非芳香族複素環式基、置換若しくは非置換の芳香族炭素環オキシ、置換若しくは非置換の非芳香族炭素環オキシ、置換若しくは非置換の芳香族複素環オキシ、置換若しくは非置換の非芳香族複素環オキシ、置換若しくは非置換の芳香族炭素環アミノ、置換若しくは非置換の非芳香族炭素環アミノ、置換若しくは非置換の芳香族複素環アミノ、置換若しくは非置換の非芳香族複素環アミノ、置換若しくは非置換の芳香族炭素環スルファニル、置換若しくは非置換の非芳香族炭素環スルファニル、置換若しくは非置換の芳香族複素環スルファニル、置換若しくは非置換の非芳香族複素環スルファニル、置換若しくは非置換の芳香族炭素環カルボニル、置換若しくは非置換の非芳香族炭素環カルボニル、置換若しくは非置換の芳香族複素環カルボニル、置換若しくは非置換の非芳香族複素環カルボニル、置換若しくは非置換の芳香族炭素環スルホニル、置換若しくは非置換の非芳香族炭素環スルホニル、置換若しくは非置換の芳香族複素環スルホニル、置換若しくは非置換の非芳香族複素環スルホニル、置換若しくは非置換の芳香族炭素環カルボニルオキシ、置換若しくは非置換の非芳香族炭素環カルボニルオキシ、置換若しくは非置換の芳香族複素環カルボニルオキシ、置換若しくは非置換の非芳香族複素環カルボニルオキシ、置換若しくは非置換の芳香族炭素環オキシカルボニル、置換若しくは非置換の非芳香族炭素環オキシカルボニル、置換若しくは非置換の芳香族複素環オキシカルボニル、置換若しくは非置換の非芳香族複素環オキシカルボニル、置換若しくは非置換の芳香族炭素環スルホニルオキシ、置換若しくは非置換の非芳香族炭素環スルホニルオキシ、置換若しくは非置換の芳香族複素環スルホニルオキシ、置換若しくは非置換の非芳香族複素環スルホニルオキシ、置換若しくは非置換の芳香族炭素環オキシスルホニル、置換若しくは非置換の非芳香族炭素環オキシスルホニル、置換若しくは非置換の芳香族複素環オキシスルホニル、置換若しくは非置換の非芳香族複素環オキシスルホニル、置換若しくは非置換の芳香族炭素環カルバモイル、置換若しくは非置換の非芳香族炭素環カルバモイル、置換若しくは非置換の芳香族複素環カルバモイル、置換若しくは非置換の非芳香族複素環カルバモイル、置換若しくは非置換の芳香族炭素環スルファモイル、置換若しくは非置換の非芳香族炭素環スルファモイル、置換若しくは非置換の芳香族複素環スルファモイル、置換若しくは非置換の非芳香族複素環スルファモイル、置換若しくは非置換の芳香族炭素環カルボニルアミノ、置換若しくは非置換の非芳香族炭素環カルボニルアミノ、置換若しくは非置換の芳香族複素環カルボニルアミノ、置換若しくは非置換の非芳香族複素環カルボニルアミノ、置換若しくは非置換の芳香族炭素環スルホニルアミノ、置換若しくは非置換の非芳香族炭素環スルホニルアミノ、置換若しくは非置換の芳香族複素環スルホニルアミノ、置換若しくは非置換の非芳香族複素環スルホニルアミノ、置換若しくは非置換の芳香族炭素環オキシカルボニルアミノ、置換若しくは非置換の非芳香族炭素環オキシカルボニルアミノ、置換若しくは非置換の芳香族複素環オキシカルボニルアミノ、または置換若しくは非置換の非芳香族複素環オキシカルボニルアミノであり;
Y1は、N(R6)、OまたはSであり;
R6は、水素原子、ヒドロキシ、シアノ、カルボキシ、カルバモイル、置換若しくは非置換のアルキル、置換若しくは非置換のアルケニル、置換若しくは非置換のアルキニル、置換若しくは非置換のアルキルオキシ、置換若しくは非置換のアルケニルオキシ、置換若しくは非置換のアルキニルオキシ、置換若しくは非置換の芳香族炭素環式基、置換若しくは非置換の非芳香族炭素環式基、置換若しくは非置換の芳香族複素環式基、または置換若しくは非置換の非芳香族複素環式基であり;
R1は、置換若しくは非置換の芳香族炭素環式基、置換若しくは非置換の非芳香族炭素環式基、置換若しくは非置換の芳香族複素環式基、または置換若しくは非置換の非芳香族複素環式基であり;
R2aは、それぞれ独立して、水素原子、ハロゲン、ヒドロキシ、置換若しくは非置換のアルキル、または置換若しくは非置換のアルキルオキシであり;
R2bは、それぞれ独立して、水素原子、ハロゲン、ヒドロキシ、置換若しくは非置換のアルキル、または置換若しくは非置換のアルキルオキシであり;
同一の炭素原子と結合するR2aおよびR2bは、一緒になって、オキソを形成してもよく;
Xは、N(R7a)、C(R8a)(R8b)、OまたはSであり;
R7aは、水素原子、置換若しくは非置換のアルキル、または置換若しくは非置換のアルキルカルボニルであり;
R8aおよびR8bは、それぞれ独立して、水素原子、ハロゲン、ヒドロキシ、置換若しくは非置換のアルキル、または置換若しくは非置換のアルキルオキシであり;
R2cは、それぞれ独立して、水素原子、ハロゲン、ヒドロキシ、置換若しくは非置換のアルキル、または置換若しくは非置換のアルキルオキシであり;
R2dは、それぞれ独立して、水素原子、ハロゲン、ヒドロキシ、置換若しくは非置換のアルキル、または置換若しくは非置換のアルキルオキシであり;
同一の炭素原子と結合するR2cおよびR2dが、一緒になって、置換若しくは非置換の非芳香族炭素環を形成してもよいか、または2つのR2cが、一緒になって、置換若しくは非置換の非芳香族炭素環を形成してもよく;
R3は、
(式中、環Bは、6員芳香族炭素環、6員非芳香族炭素環、6員芳香族複素環、または6員非芳香族複素環であり;
環Cは、5員非芳香族炭素環、5員芳香族複素環、または5員非芳香族複素環であり;
環Dは、5員非芳香族炭素環、または6員非芳香族炭素環であり;
R9aおよびR9bは、ハロゲン、ヒドロキシ、カルボキシ、アミノ、カルバモイル、スルファモイル、スルホ、シアノ、置換若しくは非置換のアルキル、置換若しくは非置換のアルケニル、置換若しくは非置換のアルキニル、置換若しくは非置換のアルキルオキシ、置換若しくは非置換のアルケニルオキシ、置換若しくは非置換のアルキニルオキシ、置換若しくは非置換のアルキルスルファニル、置換若しくは非置換のアルケニルスルファニル、置換若しくは非置換のアルキニルスルファニル、置換若しくは非置換のアルキルアミノ、置換若しくは非置換のアルケニルアミノ、置換若しくは非置換のアルキニルアミノ、置換若しくは非置換のアルキルカルボニル、置換若しくは非置換のアルケニルカルボニル、置換若しくは非置換のアルキニルカルボニル、置換若しくは非置換のアルキルスルホニル、置換若しくは非置換のアルケニルスルホニル、置換若しくは非置換のアルキニルスルホニル、置換若しくは非置換のアルキルカルボニルオキシ、置換若しくは非置換のアルケニルカルボニルオキシ、置換若しくは非置換のアルキニルカルボニルオキシ、置換若しくは非置換のアルキルオキシカルボニル、置換若しくは非置換のアルケニルオキシカルボニル、置換若しくは非置換のアルキニルオキシカルボニル、置換若しくは非置換のアルキルスルホニルオキシ、置換若しくは非置換のアルケニルスルホニルオキシ、置換若しくは非置換のアルキニルスルホニルオキシ、置換若しくは非置換のアルキルオキシスルホニル、置換若しくは非置換のアルケニルオキシスルホニル、置換若しくは非置換のアルキニルオキシスルホニル、置換若しくは非置換のアルキルカルバモイル、置換若しくは非置換のアルケニルカルバモイル、置換若しくは非置換のアルキニルカルバモイル、置換若しくは非置換のアルキルスルファモイル、置換若しくは非置換のアルケニルスルファモイル、置換若しくは非置換のアルキニルスルファモイル、置換若しくは非置換のアルキルカルボニルアミノ、置換若しくは非置換のアルケニルカルボニルアミノ、置換若しくは非置換のアルキニルカルボニルアミノ、置換若しくは非置換のアルキルスルホニルアミノ、置換若しくは非置換のアルケニルスルホニルアミノ、置換若しくは非置換の芳香族炭素環式基、置換若しくは非置換の非芳香族炭素環式基、置換若しくは非置換の芳香族複素環式基、置換若しくは非置換の非芳香族複素環式基、置換若しくは非置換の芳香族炭素環オキシ、置換若しくは非置換の非芳香族炭素環オキシ、置換若しくは非置換の芳香族複素環オキシ、置換若しくは非置換の非芳香族複素環オキシ、置換若しくは非置換の芳香族炭素環アミノ、置換若しくは非置換の非芳香族炭素環アミノ、置換若しくは非置換の芳香族複素環アミノ、置換若しくは非置換の非芳香族複素環アミノ、置換若しくは非置換の芳香族炭素環スルファニル、置換若しくは非置換の非芳香族炭素環スルファニル、置換若しくは非置換の芳香族複素環スルファニル、置換若しくは非置換の非芳香族複素環スルファニル、置換若しくは非置換の芳香族炭素環カルボニル、置換若しくは非置換の非芳香族炭素環カルボニル、置換若しくは非置換の芳香族複素環カルボニル、置換若しくは非置換の非芳香族複素環カルボニル、置換若しくは非置換の芳香族炭素環スルホニル、置換若しくは非置換の非芳香族炭素環スルホニル、置換若しくは非置換の芳香族複素環スルホニル、置換若しくは非置換の非芳香族複素環スルホニル、置換若しくは非置換の芳香族炭素環カルボニルオキシ、置換若しくは非置換の非芳香族炭素環カルボニルオキシ、置換若しくは非置換の芳香族複素環カルボニルオキシ、置換若しくは非置換の非芳香族複素環カルボニルオキシ、置換若しくは非置換の芳香族炭素環オキシカルボニル、置換若しくは非置換の非芳香族炭素環オキシカルボニル、置換若しくは非置換の芳香族複素環オキシカルボニル、置換若しくは非置換の非芳香族複素環オキシカルボニル、置換若しくは非置換の芳香族炭素環スルホニルオキシ、置換若しくは非置換の非芳香族炭素環スルホニルオキシ、置換若しくは非置換の芳香族複素環スルホニルオキシ、置換若しくは非置換の非芳香族複素環スルホニルオキシ、置換若しくは非置換の芳香族炭素環オキシスルホニル、置換若しくは非置換の非芳香族炭素環オキシスルホニル、置換若しくは非置換の芳香族複素環オキシスルホニル、置換若しくは非置換の非芳香族複素環オキシスルホニル、置換若しくは非置換の芳香族炭素環カルバモイル、置換若しくは非置換の非芳香族炭素環カルバモイル、置換若しくは非置換の芳香族複素環カルバモイル、置換若しくは非置換の非芳香族複素環カルバモイル、置換若しくは非置換の芳香族炭素環スルファモイル、置換若しくは非置換の非芳香族炭素環スルファモイル、置換若しくは非置換の芳香族複素環スルファモイル、置換若しくは非置換の非芳香族複素環スルファモイル、置換若しくは非置換の芳香族炭素環カルボニルアミノ、置換若しくは非置換の非芳香族炭素環カルボニルアミノ、置換若しくは非置換の芳香族複素環カルボニルアミノ、置換若しくは非置換の非芳香族複素環カルボニルアミノ、置換若しくは非置換の芳香族炭素環スルホニルアミノ、置換若しくは非置換の非芳香族炭素環スルホニルアミノ、置換若しくは非置換の芳香族複素環スルホニルアミノ、置換若しくは非置換の非芳香族複素環スルホニルアミノ、置換若しくは非置換の芳香族炭素環オキシカルボニルアミノ、置換若しくは非置換の非芳香族炭素環オキシカルボニルアミノ、置換若しくは非置換の芳香族複素環オキシカルボニルアミノ、または置換若しくは非置換の非芳香族複素環オキシカルボニルアミノであり;
R10a、R10b、R10cおよびR10dは、それぞれ独立して、ハロゲン、ヒドロキシ、カルボキシ、アミノ、カルバモイル、スルファモイル、スルホ、シアノ、置換若しくは非置換のアルキル、置換若しくは非置換のアルケニル、置換若しくは非置換のアルキニル、置換若しくは非置換のアルキルオキシ、置換若しくは非置換のアルケニルオキシ、置換若しくは非置換のアルキニルオキシ、置換若しくは非置換のアルキルスルファニル、置換若しくは非置換のアルケニルスルファニル、置換若しくは非置換のアルキニルスルファニル、置換若しくは非置換のアルキルアミノ、置換若しくは非置換のアルケニルアミノ、置換若しくは非置換のアルキニルアミノ、置換若しくは非置換のアルキルカルボニル、置換若しくは非置換のアルケニルカルボニル、置換若しくは非置換のアルキニルカルボニル、置換若しくは非置換のアルキルスルホニル、置換若しくは非置換のアルケニルスルホニル、置換若しくは非置換のアルキニルスルホニル、置換若しくは非置換のアルキルカルボニルオキシ、置換若しくは非置換のアルケニルカルボニルオキシ、置換若しくは非置換のアルキニルカルボニルオキシ、置換若しくは非置換のアルキルオキシカルボニル、置換若しくは非置換のアルケニルオキシカルボニル、置換若しくは非置換のアルキニルオキシカルボニル、置換若しくは非置換のアルキルスルホニルオキシ、置換若しくは非置換のアルケニルスルホニルオキシ、置換若しくは非置換のアルキニルスルホニルオキシ、置換若しくは非置換のアルキルオキシスルホニル、置換若しくは非置換のアルケニルオキシスルホニル、置換若しくは非置換のアルキニルオキシスルホニル、置換若しくは非置換のアルキルカルバモイル、置換若しくは非置換のアルケニルカルバモイル、置換若しくは非置換のアルキニルカルバモイル、置換若しくは非置換のアルキルスルファモイル、置換若しくは非置換のアルケニルスルファモイル、置換若しくは非置換のアルキニルスルファモイル、置換若しくは非置換のアルキルカルボニルアミノ、置換若しくは非置換のアルケニルカルボニルアミノ、置換若しくは非置換のアルキニルカルボニルアミノ、置換若しくは非置換のアルキルスルホニルアミノ、置換若しくは非置換のアルケニルスルホニルアミノ、置換若しくは非置換のアルキニルスルホニルアミノ、置換若しくは非置換の芳香族炭素環式基、置換若しくは非置換の非芳香族炭素環式基、置換若しくは非置換の芳香族複素環式基、置換若しくは非置換の非芳香族複素環式基、置換若しくは非置換の芳香族炭素環オキシ、置換若しくは非置換の非芳香族炭素環オキシ、置換若しくは非置換の芳香族複素環オキシ、置換若しくは非置換の非芳香族複素環オキシ、置換若しくは非置換の芳香族炭素環アミノ、置換若しくは非置換の非芳香族炭素環アミノ、置換若しくは非置換の芳香族複素環アミノ、置換若しくは非置換の非芳香族複素環アミノ、置換若しくは非置換の芳香族炭素環スルファニル、置換若しくは非置換の非芳香族炭素環スルファニル、置換若しくは非置換の芳香族複素環スルファニル、置換若しくは非置換の非芳香族複素環スルファニル、置換若しくは非置換の芳香族炭素環カルボニル、置換若しくは非置換の非芳香族炭素環カルボニル、置換若しくは非置換の芳香族複素環カルボニル、置換若しくは非置換の非芳香族複素環カルボニル、置換若しくは非置換の芳香族炭素環スルホニル、置換若しくは非置換の非芳香族炭素環スルホニル、置換若しくは非置換の芳香族複素環スルホニル、置換若しくは非置換の非芳香族複素環スルホニル、置換若しくは非置換の芳香族炭素環カルボニルオキシ、置換若しくは非置換の非芳香族炭素環カルボニルオキシ、置換若しくは非置換の芳香族複素環カルボニルオキシ、置換若しくは非置換の非芳香族複素環カルボニルオキシ、置換若しくは非置換の芳香族炭素環オキシカルボニル、置換若しくは非置換の非芳香族炭素環オキシカルボニル、置換若しくは非置換の芳香族複素環オキシカルボニル、置換若しくは非置換の非芳香族複素環オキシカルボニル、置換若しくは非置換の芳香族炭素環スルホニルオキシ、置換若しくは非置換の非芳香族炭素環スルホニルオキシ、置換若しくは非置換の芳香族複素環スルホニルオキシ、置換若しくは非置換の非芳香族複素環スルホニルオキシ、置換若しくは非置換の芳香族炭素環オキシスルホニル、置換若しくは非置換の非芳香族炭素環オキシスルホニル、置換若しくは非置換の芳香族複素環オキシスルホニル、置換若しくは非置換の非芳香族複素環オキシスルホニル、置換若しくは非置換の芳香族炭素環カルバモイル、置換若しくは非置換の非芳香族炭素環カルバモイル、置換若しくは非置換の芳香族複素環カルバモイル、置換若しくは非置換の非芳香族複素環カルバモイル、置換若しくは非置換の芳香族炭素環スルファモイル、置換若しくは非置換の非芳香族炭素環スルファモイル、置換若しくは非置換の芳香族複素環スルファモイル、置換若しくは非置換の非芳香族複素環スルファモイル、置換若しくは非置換の芳香族炭素環カルボニルアミノ、置換若しくは非置換の非芳香族炭素環カルボニルアミノ、置換若しくは非置換の芳香族複素環カルボニルアミノ、置換若しくは非置換の非芳香族複素環カルボニルアミノ、置換若しくは非置換の芳香族炭素環スルホニルアミノ、置換若しくは非置換の非芳香族炭素環スルホニルアミノ、置換若しくは非置換の芳香族複素環スルホニルアミノ、置換若しくは非置換の非芳香族複素環スルホニルアミノ、置換若しくは非置換の芳香族炭素環オキシカルボニルアミノ、置換若しくは非置換の非芳香族炭素環オキシカルボニルアミノ、置換若しくは非置換の芳香族複素環オキシカルボニルアミノ、または置換若しくは非置換の非芳香族複素環オキシカルボニルアミノであり(ここで、p1、p2またはp3が2以上である場合は、環に置換する複数のR10c、R10dおよびR10eは、それぞれ異なっていてもよい);
R9a、R9b、R10aおよびR10bは、下記a)~c)のいずれかであってもよく;
a)R9aおよびR10a、またはR9bおよびR10bが、一緒になって、(C1-C3)架橋を形成する;該架橋を構成する炭素原子の1つは酸素原子または窒素原子で置き換えられてもよい;
b)隣接する環構成原子に結合するR9aおよびR10a、または隣接する環構成原子に結合するR9bおよびR10bが、一緒になって、置換若しくは非置換の芳香族炭素環、置換若しくは非置換の非芳香族炭素環、置換若しくは非置換の芳香族複素環、または置換若しくは非置換の非芳香族複素環を形成する;
c)隣接する環構成原子に結合する2つのR10a、または隣接する環構成原子に結合する2つのR10bが、一緒になって、置換若しくは非置換の芳香族炭素環、置換若しくは非置換の非芳香族炭素環、置換若しくは非置換の芳香族複素環、または置換若しくは非置換の非芳香族複素環を形成する;
R10eは、それぞれ独立して、ハロゲン、ヒドロキシ、置換若しくは非置換のアルキル、または置換若しくは非置換のアルキルオキシである)で示される基であり;
nは、1~5の整数であり;
mは、0~4の整数であり;
p1は、0~3の整数であり;
p2は、0~2の整数であり;
p3は、0~2の整数であり;
sは、0~4の整数であり;
ただし、
i)Z1がNであり、環Qがベンゼン環であり、XがCH2であり、かつmおよびsが0であるとき、R3は1-シクロプロピル-ベンゾイミダゾール-2-オン-3-イルではなく;
ii)Z1がNであり、環Qがシクロペンテン環であり、XがSであり、mが1であり、かつsが0であるとき、R1は置換された
)で示される化合物(ただし、以下の化合物:
を除く)、またはその製薬上許容される塩。
(1 ')
Formula (I):
(Where
Z 1 is C (R 4 ) or N;
R 4 represents a hydrogen atom, halogen, hydroxy, carboxy, amino, carbamoyl, sulfamoyl, sulfo, cyano, substituted or unsubstituted alkyl, substituted or unsubstituted alkenyl, substituted or unsubstituted alkynyl, substituted or unsubstituted alkyl Oxy, substituted or unsubstituted alkenyloxy, substituted or unsubstituted alkynyloxy, substituted or unsubstituted alkylsulfanyl, substituted or unsubstituted alkenylsulfanyl, substituted or unsubstituted alkynylsulfanyl, substituted or unsubstituted alkylamino, Substituted or unsubstituted alkenylamino, or substituted or unsubstituted alkynylamino;
Z 2 and Z 3 are each independently a carbon atom or a nitrogen atom;
(However, when one of Z 2 and Z 3 is a nitrogen atom, the other is a carbon atom.)
The dashed line indicates the presence or absence of a bond;
Z 2 and Z 3 are both carbon atoms when the dashed line indicates the presence of a bond;
Ring Q is a 6-membered aromatic carbocyclic ring, a 5-membered aromatic heterocyclic ring, a 6-membered aromatic heterocyclic ring, a 5-membered non-aromatic carbocyclic ring, a 6-membered non-aromatic carbocyclic ring, a 5-membered non-aromatic heterocyclic ring, or A 6-membered non-aromatic heterocycle;
Each R 5 is independently halogen, hydroxy, carboxy, amino, carbamoyl, sulfamoyl, sulfo, cyano, substituted or unsubstituted alkyl, substituted or unsubstituted alkenyl, substituted or unsubstituted alkynyl, substituted or unsubstituted Alkyloxy, substituted or unsubstituted alkenyloxy, substituted or unsubstituted alkynyloxy, substituted or unsubstituted alkylsulfanyl, substituted or unsubstituted alkenylsulfanyl, substituted or unsubstituted alkynylsulfanyl, substituted or unsubstituted alkyl Amino, substituted or unsubstituted alkenylamino, substituted or unsubstituted alkynylamino, substituted or unsubstituted alkylcarbonyl, substituted or unsubstituted alkenylcarbonyl, substituted or unsubstituted amino Lucinylcarbonyl, substituted or unsubstituted alkylsulfonyl, substituted or unsubstituted alkenylsulfonyl, substituted or unsubstituted alkynylsulfonyl, substituted or unsubstituted alkylcarbonyloxy, substituted or unsubstituted alkenylcarbonyloxy, substituted or unsubstituted Alkynylcarbonyloxy, substituted or unsubstituted alkyloxycarbonyl, substituted or unsubstituted alkenyloxycarbonyl, substituted or unsubstituted alkynyloxycarbonyl, substituted or unsubstituted alkylsulfonyloxy, substituted or unsubstituted alkenylsulfonyloxy, Substituted or unsubstituted alkynylsulfonyloxy, substituted or unsubstituted alkyloxysulfonyl, substituted or unsubstituted alkenyloxysulfonyl, Or unsubstituted alkynyloxysulfonyl, substituted or unsubstituted alkylcarbamoyl, substituted or unsubstituted alkenylcarbamoyl, substituted or unsubstituted alkynylcarbamoyl, substituted or unsubstituted alkylsulfamoyl, substituted or unsubstituted alkenylsulfamo Moyl, substituted or unsubstituted alkynylsulfamoyl, substituted or unsubstituted alkylcarbonylamino, substituted or unsubstituted alkenylcarbonylamino, substituted or unsubstituted alkynylcarbonylamino, substituted or unsubstituted alkylsulfonylamino, substituted or Unsubstituted alkenylsulfonylamino, substituted or unsubstituted alkynylsulfonylamino, substituted or unsubstituted alkyloxycarbonylamino, substituted or unsubstituted Alkenyloxycarbonylamino, substituted or unsubstituted alkynyloxycarbonylamino, substituted or unsubstituted aromatic carbocyclic group, substituted or unsubstituted nonaromatic carbocyclic group, substituted or unsubstituted aromatic heterocyclic group Group, substituted or unsubstituted non-aromatic heterocyclic group, substituted or unsubstituted aromatic carbocyclic oxy, substituted or unsubstituted non-aromatic carbocyclic oxy, substituted or unsubstituted aromatic heterocyclic oxy, substituted Or unsubstituted non-aromatic heterocyclic oxy, substituted or unsubstituted aromatic carbocyclic amino, substituted or unsubstituted non-aromatic carbocyclic amino, substituted or unsubstituted aromatic heterocyclic amino, substituted or unsubstituted Non-aromatic heterocyclic amino, substituted or unsubstituted aromatic carbocyclic sulfanyl, substituted or unsubstituted non-aromatic carbocyclic sulfanyl, Substituted or unsubstituted aromatic heterocyclic sulfanyl, substituted or unsubstituted non-aromatic heterocyclic sulfanyl, substituted or unsubstituted aromatic carbocyclic carbonyl, substituted or unsubstituted non-aromatic carbocyclic carbonyl, substituted or unsubstituted Aromatic heterocyclic carbonyl, substituted or unsubstituted non-aromatic heterocyclic carbonyl, substituted or unsubstituted aromatic carbocyclic sulfonyl, substituted or unsubstituted non-aromatic carbocyclic sulfonyl, substituted or unsubstituted aromatic heterocyclic Ring sulfonyl, substituted or unsubstituted non-aromatic heterocyclic sulfonyl, substituted or unsubstituted aromatic carbocyclic carbonyloxy, substituted or unsubstituted non-aromatic carbocyclic carbonyloxy, substituted or unsubstituted aromatic heterocyclic carbonyl Oxy, substituted or unsubstituted non-aromatic heterocyclic carbonyloxy, substituted or unsubstituted Is unsubstituted aromatic carbocyclic oxycarbonyl, substituted or unsubstituted non-aromatic carbocyclic oxycarbonyl, substituted or unsubstituted aromatic heterocyclic oxycarbonyl, substituted or unsubstituted non-aromatic heterocyclic oxycarbonyl, substituted Or unsubstituted aromatic carbocyclic sulfonyloxy, substituted or unsubstituted non-aromatic carbocyclic sulfonyloxy, substituted or unsubstituted aromatic heterocyclic sulfonyloxy, substituted or unsubstituted non-aromatic heterocyclic sulfonyloxy, substituted Or unsubstituted aromatic carbocyclic oxysulfonyl, substituted or unsubstituted non-aromatic carbocyclic oxysulfonyl, substituted or unsubstituted aromatic heterocyclic oxysulfonyl, substituted or unsubstituted non-aromatic heterocyclic oxysulfonyl, substituted Or unsubstituted aromatic carbocyclic carbamoyl, substituted or unsubstituted Non-aromatic carbocyclic carbamoyl, substituted or unsubstituted aromatic heterocyclic carbamoyl, substituted or unsubstituted non-aromatic heterocyclic carbamoyl, substituted or unsubstituted aromatic carbocyclic sulfamoyl, substituted or unsubstituted non-aromatic Carbocyclic sulfamoyl, substituted or unsubstituted aromatic heterocyclic sulfamoyl, substituted or unsubstituted non-aromatic heterocyclic sulfamoyl, substituted or unsubstituted aromatic carbocyclic carbonylamino, substituted or unsubstituted non-aromatic carbocyclic carbonyl Amino, substituted or unsubstituted aromatic heterocyclic carbonylamino, substituted or unsubstituted nonaromatic heterocyclic carbonylamino, substituted or unsubstituted aromatic carbocyclic sulfonylamino, substituted or unsubstituted nonaromatic carbocyclic sulfonyl Amino, substituted or unsubstituted aromatic heterocyclic sulfoni Ruamino, substituted or unsubstituted non-aromatic heterocyclic sulfonylamino, substituted or unsubstituted aromatic carbocyclic oxycarbonylamino, substituted or unsubstituted non-aromatic carbocyclic oxycarbonylamino, substituted or unsubstituted aromatic heterocyclic Ring oxycarbonylamino, or substituted or unsubstituted non-aromatic heterocyclic oxycarbonylamino;
Y 1 is N (R 6 ), O or S;
R 6 represents a hydrogen atom, hydroxy, cyano, carboxy, carbamoyl, substituted or unsubstituted alkyl, substituted or unsubstituted alkenyl, substituted or unsubstituted alkynyl, substituted or unsubstituted alkyloxy, substituted or unsubstituted alkenyl Oxy, substituted or unsubstituted alkynyloxy, substituted or unsubstituted aromatic carbocyclic group, substituted or unsubstituted non-aromatic carbocyclic group, substituted or unsubstituted aromatic heterocyclic group, or substituted or An unsubstituted non-aromatic heterocyclic group;
R 1 represents a substituted or unsubstituted aromatic carbocyclic group, a substituted or unsubstituted non-aromatic carbocyclic group, a substituted or unsubstituted aromatic heterocyclic group, or a substituted or unsubstituted non-aromatic group A heterocyclic group;
Each R 2a is independently a hydrogen atom, halogen, hydroxy, substituted or unsubstituted alkyl, or substituted or unsubstituted alkyloxy;
Each R 2b is independently a hydrogen atom, halogen, hydroxy, substituted or unsubstituted alkyl, or substituted or unsubstituted alkyloxy;
R 2a and R 2b bonded to the same carbon atom may be taken together to form an oxo;
X is N (R 7a ), C (R 8a ) (R 8b ), O or S;
R 7a is a hydrogen atom, substituted or unsubstituted alkyl, or substituted or unsubstituted alkylcarbonyl;
R 8a and R 8b are each independently a hydrogen atom, halogen, hydroxy, substituted or unsubstituted alkyl, or substituted or unsubstituted alkyloxy;
Each R 2c is independently a hydrogen atom, halogen, hydroxy, substituted or unsubstituted alkyl, or substituted or unsubstituted alkyloxy;
Each R 2d is independently a hydrogen atom, halogen, hydroxy, substituted or unsubstituted alkyl, or substituted or unsubstituted alkyloxy;
R 2c and R 2d bonded to the same carbon atom may be taken together to form a substituted or unsubstituted non-aromatic carbocycle, or two R 2c taken together are substituted Or may form an unsubstituted non-aromatic carbocycle;
R 3 is
Wherein ring B is a 6-membered aromatic carbocycle, 6-membered non-aromatic carbocycle, 6-membered aromatic heterocycle, or 6-membered non-aromatic heterocycle;
Ring C is a 5-membered non-aromatic carbocycle, 5-membered aromatic heterocycle, or 5-membered non-aromatic heterocycle;
Ring D is a 5-membered non-aromatic carbocycle or a 6-membered non-aromatic carbocycle;
R 9a and R 9b are halogen, hydroxy, carboxy, amino, carbamoyl, sulfamoyl, sulfo, cyano, substituted or unsubstituted alkyl, substituted or unsubstituted alkenyl, substituted or unsubstituted alkynyl, substituted or unsubstituted alkyl Oxy, substituted or unsubstituted alkenyloxy, substituted or unsubstituted alkynyloxy, substituted or unsubstituted alkylsulfanyl, substituted or unsubstituted alkenylsulfanyl, substituted or unsubstituted alkynylsulfanyl, substituted or unsubstituted alkylamino, Substituted or unsubstituted alkenylamino, substituted or unsubstituted alkynylamino, substituted or unsubstituted alkylcarbonyl, substituted or unsubstituted alkenylcarbonyl, substituted or unsubstituted al Nylcarbonyl, substituted or unsubstituted alkylsulfonyl, substituted or unsubstituted alkenylsulfonyl, substituted or unsubstituted alkynylsulfonyl, substituted or unsubstituted alkylcarbonyloxy, substituted or unsubstituted alkenylcarbonyloxy, substituted or unsubstituted Alkynylcarbonyloxy, substituted or unsubstituted alkyloxycarbonyl, substituted or unsubstituted alkenyloxycarbonyl, substituted or unsubstituted alkynyloxycarbonyl, substituted or unsubstituted alkylsulfonyloxy, substituted or unsubstituted alkenylsulfonyloxy, substituted Or unsubstituted alkynylsulfonyloxy, substituted or unsubstituted alkyloxysulfonyl, substituted or unsubstituted alkenyloxysulfonyl, substituted Or unsubstituted alkynyloxysulfonyl, substituted or unsubstituted alkylcarbamoyl, substituted or unsubstituted alkenylcarbamoyl, substituted or unsubstituted alkynylcarbamoyl, substituted or unsubstituted alkylsulfamoyl, substituted or unsubstituted alkenylsulfuryl. Famoyl, substituted or unsubstituted alkynylsulfamoyl, substituted or unsubstituted alkylcarbonylamino, substituted or unsubstituted alkenylcarbonylamino, substituted or unsubstituted alkynylcarbonylamino, substituted or unsubstituted alkylsulfonylamino, substituted Or unsubstituted alkenylsulfonylamino, substituted or unsubstituted aromatic carbocyclic group, substituted or unsubstituted non-aromatic carbocyclic group, substituted or unsubstituted aromatic heterocyclic group, substituted Or unsubstituted non-aromatic heterocyclic group, substituted or unsubstituted aromatic carbocyclic oxy, substituted or unsubstituted non-aromatic carbocyclic oxy, substituted or unsubstituted aromatic heterocyclic oxy, substituted or non-substituted Substituted non-aromatic heterocyclic oxy, substituted or unsubstituted aromatic carbocyclic amino, substituted or unsubstituted non-aromatic carbocyclic amino, substituted or unsubstituted aromatic heterocyclic amino, substituted or unsubstituted non-aromatic Aromatic heterocyclic amino, substituted or unsubstituted aromatic carbocyclic sulfanyl, substituted or unsubstituted non-aromatic carbocyclic sulfanyl, substituted or unsubstituted aromatic heterocyclic sulfanyl, substituted or unsubstituted non-aromatic heterocyclic sulfanyl , Substituted or unsubstituted aromatic carbocyclic carbonyl, substituted or unsubstituted non-aromatic carbocyclic carbonyl, substituted or unsubstituted aromatic An aromatic carbonyl, a substituted or unsubstituted non-aromatic heterocyclic carbonyl, a substituted or unsubstituted aromatic carbocyclic sulfonyl, a substituted or unsubstituted non-aromatic carbocyclic sulfonyl, a substituted or unsubstituted aromatic heterocyclic sulfonyl, Substituted or unsubstituted non-aromatic heterocyclic sulfonyl, substituted or unsubstituted aromatic carbocyclic carbonyloxy, substituted or unsubstituted non-aromatic carbocyclic carbonyloxy, substituted or unsubstituted aromatic heterocyclic carbonyloxy, substituted Or unsubstituted non-aromatic heterocyclic carbonyloxy, substituted or unsubstituted aromatic carbocyclic oxycarbonyl, substituted or unsubstituted non-aromatic carbocyclic oxycarbonyl, substituted or unsubstituted aromatic heterocyclic oxycarbonyl, substituted Or unsubstituted non-aromatic heterocyclic oxycarbonyl, substituted or unsubstituted Substituted aromatic carbocyclic sulfonyloxy, substituted or unsubstituted non-aromatic carbocyclic sulfonyloxy, substituted or unsubstituted aromatic heterocyclic sulfonyloxy, substituted or unsubstituted non-aromatic heterocyclic sulfonyloxy, substituted or non-substituted Substituted aromatic carbocyclic oxysulfonyl, substituted or unsubstituted non-aromatic carbocyclic oxysulfonyl, substituted or unsubstituted aromatic heterocyclic oxysulfonyl, substituted or unsubstituted non-aromatic heterocyclic oxysulfonyl, substituted or non-substituted Substituted aromatic carbocyclic carbamoyl, substituted or unsubstituted non-aromatic carbocyclic carbamoyl, substituted or unsubstituted aromatic heterocyclic carbamoyl, substituted or unsubstituted non-aromatic heterocyclic carbamoyl, substituted or unsubstituted aromatic Carbocyclic sulfamoyl, substituted or unsubstituted non-aromatic carbocyclic sulf Amoyl, substituted or unsubstituted aromatic heterocyclic sulfamoyl, substituted or unsubstituted non-aromatic heterocyclic sulfamoyl, substituted or unsubstituted aromatic carbocyclic carbonylamino, substituted or unsubstituted non-aromatic carbocyclic carbonylamino, Substituted or unsubstituted aromatic heterocyclic carbonylamino, substituted or unsubstituted nonaromatic heterocyclic carbonylamino, substituted or unsubstituted aromatic carbocyclic sulfonylamino, substituted or unsubstituted nonaromatic carbocyclic sulfonylamino, Substituted or unsubstituted aromatic heterocyclic sulfonylamino, substituted or unsubstituted nonaromatic heterocyclic sulfonylamino, substituted or unsubstituted aromatic carbocyclic oxycarbonylamino, substituted or unsubstituted nonaromatic carbocyclic oxycarbonyl Amino, substituted or unsubstituted aromatic heterocyclic ring It is aryloxycarbonyl amino or a substituted or unsubstituted non-aromatic heterocyclic oxycarbonyl amino;
R 10a , R 10b , R 10c and R 10d are each independently halogen, hydroxy, carboxy, amino, carbamoyl, sulfamoyl, sulfo, cyano, substituted or unsubstituted alkyl, substituted or unsubstituted alkenyl, substituted or Unsubstituted alkynyl, substituted or unsubstituted alkyloxy, substituted or unsubstituted alkenyloxy, substituted or unsubstituted alkynyloxy, substituted or unsubstituted alkylsulfanyl, substituted or unsubstituted alkenylsulfanyl, substituted or unsubstituted Alkynylsulfanyl, substituted or unsubstituted alkylamino, substituted or unsubstituted alkenylamino, substituted or unsubstituted alkynylamino, substituted or unsubstituted alkylcarbonyl, substituted or unsubstituted amino Kenylcarbonyl, substituted or unsubstituted alkynylcarbonyl, substituted or unsubstituted alkylsulfonyl, substituted or unsubstituted alkenylsulfonyl, substituted or unsubstituted alkynylsulfonyl, substituted or unsubstituted alkylcarbonyloxy, substituted or unsubstituted Alkenylcarbonyloxy, substituted or unsubstituted alkynylcarbonyloxy, substituted or unsubstituted alkyloxycarbonyl, substituted or unsubstituted alkenyloxycarbonyl, substituted or unsubstituted alkynyloxycarbonyl, substituted or unsubstituted alkylsulfonyloxy, substituted Or unsubstituted alkenylsulfonyloxy, substituted or unsubstituted alkynylsulfonyloxy, substituted or unsubstituted alkyloxysulfonyl, substituted or unsubstituted Is unsubstituted alkenyloxysulfonyl, substituted or unsubstituted alkynyloxysulfonyl, substituted or unsubstituted alkylcarbamoyl, substituted or unsubstituted alkenylcarbamoyl, substituted or unsubstituted alkynylcarbamoyl, substituted or unsubstituted alkylsulfamoyl Substituted or unsubstituted alkenylsulfamoyl, substituted or unsubstituted alkynylsulfamoyl, substituted or unsubstituted alkylcarbonylamino, substituted or unsubstituted alkenylcarbonylamino, substituted or unsubstituted alkynylcarbonylamino, substituted or Unsubstituted alkylsulfonylamino, substituted or unsubstituted alkenylsulfonylamino, substituted or unsubstituted alkynylsulfonylamino, substituted or unsubstituted aromatic carbon Cyclic group, substituted or unsubstituted non-aromatic carbocyclic group, substituted or unsubstituted aromatic heterocyclic group, substituted or unsubstituted non-aromatic heterocyclic group, substituted or unsubstituted aromatic carbon Ring oxy, substituted or unsubstituted non-aromatic carbocyclic oxy, substituted or unsubstituted aromatic heterocyclic oxy, substituted or unsubstituted non-aromatic heterocyclic oxy, substituted or unsubstituted aromatic carbocyclic amino, substituted Or unsubstituted non-aromatic carbocyclic amino, substituted or unsubstituted aromatic heterocyclic amino, substituted or unsubstituted non-aromatic heterocyclic amino, substituted or unsubstituted aromatic carbocyclic sulfanyl, substituted or unsubstituted Non-aromatic carbocyclic sulfanyl, substituted or unsubstituted aromatic heterocyclic sulfanyl, substituted or unsubstituted non-aromatic heterocyclic sulfanyl, substituted or unsubstituted aromatic Carbocyclic carbonyl, substituted or unsubstituted non-aromatic carbocyclic carbonyl, substituted or unsubstituted aromatic heterocyclic carbonyl, substituted or unsubstituted non-aromatic heterocyclic carbonyl, substituted or unsubstituted aromatic carbocyclic sulfonyl, Substituted or unsubstituted non-aromatic carbocyclic sulfonyl, substituted or unsubstituted aromatic heterocyclic sulfonyl, substituted or unsubstituted non-aromatic heterocyclic sulfonyl, substituted or unsubstituted aromatic carbocyclic carbonyloxy, substituted or non-substituted Substituted non-aromatic carbocyclic carbonyloxy, substituted or unsubstituted aromatic heterocyclic carbonyloxy, substituted or unsubstituted non-aromatic heterocyclic carbonyloxy, substituted or unsubstituted aromatic carbocyclic oxycarbonyl, substituted or non-substituted Substituted non-aromatic carbocyclic oxycarbonyl, substituted or unsubstituted fragrance Heterocyclic oxycarbonyl, substituted or unsubstituted non-aromatic heterocyclic oxycarbonyl, substituted or unsubstituted aromatic carbocyclic sulfonyloxy, substituted or unsubstituted non-aromatic carbocyclic sulfonyloxy, substituted or unsubstituted aromatic Heterocyclic sulfonyloxy, substituted or unsubstituted non-aromatic heterocyclic sulfonyloxy, substituted or unsubstituted aromatic carbocyclic oxysulfonyl, substituted or unsubstituted non-aromatic carbocyclic oxysulfonyl, substituted or unsubstituted aromatic Heterocyclic oxysulfonyl, substituted or unsubstituted non-aromatic heterocyclic oxysulfonyl, substituted or unsubstituted aromatic carbocyclic carbamoyl, substituted or unsubstituted non-aromatic carbocyclic carbamoyl, substituted or unsubstituted aromatic heterocyclic Carbamoyl, substituted or unsubstituted non-aromatic heterocyclic carbamo , Substituted or unsubstituted aromatic carbocyclic sulfamoyl, substituted or unsubstituted non-aromatic carbocyclic sulfamoyl, substituted or unsubstituted aromatic heterocyclic sulfamoyl, substituted or unsubstituted non-aromatic heterocyclic sulfamoyl, substituted or Unsubstituted aromatic carbocyclic carbonylamino, substituted or unsubstituted non-aromatic carbocyclic carbonylamino, substituted or unsubstituted aromatic heterocyclic carbonylamino, substituted or unsubstituted non-aromatic heterocyclic carbonylamino, substituted or Unsubstituted aromatic carbocyclic sulfonylamino, substituted or unsubstituted non-aromatic carbocyclic sulfonylamino, substituted or unsubstituted aromatic heterocyclic sulfonylamino, substituted or unsubstituted non-aromatic heterocyclic sulfonylamino, substituted or Unsubstituted aromatic carbocyclic oxycarbonylamino, Substituted or unsubstituted non-aromatic carbocarbonyloxycarbonylamino, substituted or unsubstituted aromatic heterocyclic oxycarbonylamino, or substituted or unsubstituted non-aromatic heterocyclic oxycarbonylamino (where p1, p2 Or when p3 is 2 or more, the plurality of R 10c , R 10d and R 10e substituted on the ring may be different from each other);
R 9a , R 9b , R 10a and R 10b may be any of the following a) to c):
a) R 9a and R 10a or R 9b and R 10b together form a (C1-C3) bridge; one of the carbon atoms making up the bridge is replaced by an oxygen or nitrogen atom May be;
b) R 9a and R 10a bonded to adjacent ring member atoms, or R 9b and R 10b bonded to adjacent ring member atoms are taken together to form a substituted or unsubstituted aromatic carbocyclic ring, substituted or non-substituted ring Forming a substituted non-aromatic carbocycle, substituted or unsubstituted aromatic heterocycle, or substituted or unsubstituted non-aromatic heterocycle;
c) Two R 10a bonded to adjacent ring member atoms, or two R 10b bonded to adjacent ring member atoms, together, are substituted or unsubstituted aromatic carbocyclic, substituted or unsubstituted Forming a non-aromatic carbocycle, a substituted or unsubstituted aromatic heterocycle, or a substituted or unsubstituted non-aromatic heterocycle;
Each R 10e is independently a group represented by halogen, hydroxy, substituted or unsubstituted alkyl, or substituted or unsubstituted alkyloxy;
n is an integer from 1 to 5;
m is an integer from 0 to 4;
p1 is an integer from 0 to 3;
p2 is an integer from 0 to 2;
p3 is an integer from 0 to 2;
s is an integer from 0 to 4;
However,
i) when Z 1 is N, ring Q is a benzene ring, X is CH 2 and m and s are 0, R 3 is 1-cyclopropyl-benzimidazol-2-one-3 -Not yl;
ii) a compound represented by: R 1 is substituted when Z 1 is N, ring Q is a cyclopentene ring, X is S, m is 1 and s is 0 The following compounds:
Or a pharmaceutically acceptable salt thereof.
(2)
である、上記(1A)、(1)または(1’)記載の化合物、またはその製薬上許容される塩。
(3)
破線が、結合の存在を示す、上記(2)記載の化合物、またはその製薬上許容される塩。
(4)
環Qが、6員芳香族炭素環、5員芳香族複素環、または6員芳香族複素環である、上記(2)または(3)に記載の化合物、またはその製薬上許容される塩。
(5)
環Qが、5員芳香族複素環、または6員芳香族複素環である、上記(2)または(3)に記載の化合物、またはその製薬上許容される塩。
(6)
環Qが、5員非芳香族炭素環、6員非芳香族炭素環、5員非芳香族複素環、または6員非芳香族複素環である、上記(2)または(3)に記載の化合物、またはその製薬上許容される塩。
(7)
環Qが、5員非芳香族炭素環、または5員非芳香族複素環である、上記(2)または(3)に記載の化合物、またはその製薬上許容される塩。
(8)
である、上記(1A)、(1)または(1’)記載の化合物、またはその製薬上許容される塩。
(9)
環Qが、5員芳香族複素環である、上記(8)記載の化合物、またはその製薬上許容される塩。
(10)
Z1が、Nである、上記(1A)、(1)、(1’)、および(2)~(9)のいずれかに記載の化合物、またはその製薬上許容される塩。
(2)
The compound according to (1A), (1) or (1 ′) above, or a pharmaceutically acceptable salt thereof.
(3)
The compound of the above (2), or a pharmaceutically acceptable salt thereof, wherein the broken line indicates the presence of a bond.
(4)
The compound according to (2) or (3) above, or a pharmaceutically acceptable salt thereof, wherein ring Q is a 6-membered aromatic carbocycle, a 5-membered aromatic heterocycle, or a 6-membered aromatic heterocycle.
(5)
The compound according to (2) or (3) above, or a pharmaceutically acceptable salt thereof, wherein ring Q is a 5-membered aromatic heterocycle or a 6-membered aromatic heterocycle.
(6)
The ring Q is a 5-membered non-aromatic carbocycle, a 6-membered non-aromatic carbocycle, a 5-membered non-aromatic heterocycle, or a 6-membered non-aromatic heterocycle according to (2) or (3) above A compound, or a pharmaceutically acceptable salt thereof.
(7)
The compound according to the above (2) or (3), or a pharmaceutically acceptable salt thereof, wherein the ring Q is a 5-membered non-aromatic carbocyclic ring or a 5-membered non-aromatic heterocyclic ring.
(8)
The compound according to (1A), (1) or (1 ′) above, or a pharmaceutically acceptable salt thereof.
(9)
The compound according to (8) above, or a pharmaceutically acceptable salt thereof, wherein ring Q is a 5-membered aromatic heterocycle.
(10)
The compound according to any one of (1A), (1), (1 ′) and (2) to (9) above, wherein Z 1 is N, or a pharmaceutically acceptable salt thereof.
(11)
R5が、それぞれ独立して、ハロゲン、置換若しくは非置換のアルキル、置換若しくは非置換のアルケニル、置換若しくは非置換のアルキニル、置換若しくは非置換の芳香族炭素環式基、または置換若しくは非置換の芳香族複素環式基である、上記(1A)、(1)、(1’)、および(2)~(10)のいずれかに記載の化合物、またはその製薬上許容される塩。
(12)
Y1が、Oである、上記(1A)、(1)、(1’)、および(2)~(11)のいずれかに記載の化合物、またはその製薬上許容される塩。
(13)
Xが、N(R7a)である、上記(1A)、(1)、(1’)、および(2)~(12)のいずれかに記載の化合物、またはその製薬上許容される塩。
(14)
R7aが、水素原子または置換若しくは非置換のアルキルである、上記(1A)、(1)、(1’)、および(2)~(13)のいずれかに記載の化合物、またはその製薬上許容される塩。
(15)
R7aが、水素原子である、上記(1A)、(1)、(1’)、および(2)~(13)のいずれかに記載の化合物、またはその製薬上許容される塩。
(11)
Each R 5 is independently halogen, substituted or unsubstituted alkyl, substituted or unsubstituted alkenyl, substituted or unsubstituted alkynyl, substituted or unsubstituted aromatic carbocyclic group, or substituted or unsubstituted The compound according to any one of (1A), (1), (1 ′), and (2) to (10), or a pharmaceutically acceptable salt thereof, which is an aromatic heterocyclic group.
(12)
The compound according to any one of the above (1A), (1), (1 ′) and (2) to (11), wherein Y 1 is O, or a pharmaceutically acceptable salt thereof.
(13)
The compound according to any one of the above (1A), (1), (1 ′), and (2) to (12), or a pharmaceutically acceptable salt thereof, wherein X is N (R 7a ).
(14)
The compound according to any one of (1A), (1), (1 ′), and (2) to (13) above, wherein R 7a is a hydrogen atom or substituted or unsubstituted alkyl, or a pharmaceutically acceptable salt thereof Acceptable salt.
(15)
The compound according to any one of (1A), (1), (1 ′) and (2) to (13) above, or a pharmaceutically acceptable salt thereof, wherein R 7a is a hydrogen atom.
(16)
R1が、置換若しくは非置換の6員芳香族炭素環式基、または置換若しくは非置換の5~6員芳香族複素環式基である、上記(1A)、(1)、(1’)、および(2)~(15)のいずれかに記載の化合物、またはその製薬上許容される塩。
(17)
R1が、置換若しくは非置換の6員芳香族炭素環式基である、上記(1A)、(1)、(1’)、および(2)~(15)のいずれかに記載の化合物、またはその製薬上許容される塩。
(18)
R1が、1以上のハロゲンで置換され、さらに1以上の同一または異なる置換基で置換されていてもよい6員芳香族炭素環式基、または、1以上のハロゲンで置換され、さらに1以上の同一または異なる置換基で置換されていてもよい5~6員芳香族複素環式基である、上記(1A)、(1)、(1’)、および(2)~(15)のいずれかに記載の化合物、またはその製薬上許容される塩。
(19)
R1が、1以上のハロゲンで置換され、さらに1以上の同一または異なる置換基で置換されていてもよい6員芳香族炭素環式基である、上記(1A)、(1)、(1’)、および(2)~(15)のいずれかに記載の化合物、またはその製薬上許容される塩。
(20)
R3が、
である、上記(1A)、(1)、(1’)、および(2)~(19)のいずれかに記載の化合物、またはその製薬上許容される塩。
(21)
R3が、
である、上記(1A)、(1)、(1’)、および(2)~(19)のいずれかに記載の化合物、またはその製薬上許容される塩。
(22)
環Bが、6員芳香族炭素環または6員芳香族複素環である、上記(1A)、(1)、(1’)、および(2)~(21)のいずれかに記載の化合物、またはその製薬上許容される塩。
(23)
環Cが、5員芳香族複素環である、上記(1A)、(1)、(1’)、および(2)~(22)のいずれかに記載の化合物、またはその製薬上許容される塩。
(16)
(1A), (1), (1 ′) above, wherein R 1 is a substituted or unsubstituted 6-membered aromatic carbocyclic group or a substituted or unsubstituted 5- to 6-membered aromatic heterocyclic group And the compound according to any one of (2) to (15), or a pharmaceutically acceptable salt thereof.
(17)
The compound according to any one of (1A), (1), (1 ′), and (2) to (15) above, wherein R 1 is a substituted or unsubstituted 6-membered aromatic carbocyclic group, Or a pharmaceutically acceptable salt thereof.
(18)
R 1 is substituted with one or more halogens, and further substituted with one or more identical or different substituents and optionally substituted with a six-membered aromatic carbocyclic group, or one or more halogens, and further one or more Any one of the above (1A), (1), (1 ′), and (2) to (15), which is a 5- to 6-membered aromatic heterocyclic group optionally substituted with the same or different substituent Or a pharmaceutically acceptable salt thereof.
(19)
(1A), (1), (1) wherein R 1 is a 6-membered aromatic carbocyclic group substituted with one or more halogens, and further substituted with one or more same or different substituents ') And the compound according to any one of (2) to (15), or a pharmaceutically acceptable salt thereof.
(20)
R 3 is
The compound according to any one of (1A), (1), (1 ′) and (2) to (19), or a pharmaceutically acceptable salt thereof.
(21)
R 3 is
The compound according to any one of (1A), (1), (1 ′) and (2) to (19), or a pharmaceutically acceptable salt thereof.
(22)
The compound according to any one of (1A), (1), (1 ′), and (2) to (21) above, wherein ring B is a 6-membered aromatic carbocycle or a 6-membered aromatic heterocycle, Or a pharmaceutically acceptable salt thereof.
(23)
The compound according to any one of the above (1A), (1), (1 ′), and (2) to (22), or a pharmaceutically acceptable product thereof, wherein ring C is a 5-membered aromatic heterocycle salt.
(24)
R9aおよびR9bが、ハロゲン、置換若しくは非置換のアルキル、置換若しくは非置換のアルケニル、または置換若しくは非置換のアルキニルである、上記(1A)、(1)、(1’)、および(2)~(23)のいずれかに記載の化合物、またはその製薬上許容される塩。
(25)
R9aおよびR9bが、置換若しくは非置換のアルキルである、上記(1A)、(1)、(1’)、および(2)~(23)のいずれかに記載の化合物、またはその製薬上許容される塩。
(26)
R10aおよびR10bが、それぞれ独立して、ハロゲン、ヒドロキシ、アミノ、カルバモイル、シアノ、置換若しくは非置換のアルキル、置換若しくは非置換のアルケニル、置換若しくは非置換のアルキニル、置換若しくは非置換のアルキルオキシ、置換若しくは非置換のアルケニルオキシ、置換若しくは非置換のアルキニルオキシ、置換若しくは非置換のアルキルスルファニル、置換若しくは非置換のアルケニルスルファニル、置換若しくは非置換のアルキニルスルファニル、置換若しくは非置換のアルキルアミノ、置換若しくは非置換のアルケニルアミノ、置換若しくは非置換のアルキニルアミノ、置換若しくは非置換のアルキルカルボニル、置換若しくは非置換のアルケニルカルボニル、置換若しくは非置換のアルキニルカルボニル、置換若しくは非置換のアルキルスルホニル、置換若しくは非置換のアルケニルスルホニル、置換若しくは非置換のアルキニルスルホニル、置換若しくは非置換のアルキルオキシカルボニル、置換若しくは非置換のアルケニルオキシカルボニル、置換若しくは非置換のアルキニルオキシカルボニル、置換若しくは非置換の芳香族炭素環式基、置換若しくは非置換の非芳香族炭素環式基、置換若しくは非置換の芳香族複素環式基、置換若しくは非置換の非芳香族複素環式基、置換若しくは非置換の芳香族炭素環オキシ、置換若しくは非置換の非芳香族炭素環オキシ、置換若しくは非置換の芳香族複素環オキシ、置換若しくは非置換の非芳香族複素環オキシ、置換若しくは非置換の芳香族炭素環スルファモイル、置換若しくは非置換の非芳香族炭素環スルファモイル、置換若しくは非置換の芳香族複素環スルファモイル、または置換若しくは非置換の非芳香族複素環スルファモイルである、上記(1A)、(1)、(1’)、および(2)~(25)のいずれかに記載の化合物、またはその製薬上許容される塩。
(27)
R10aおよびR10bが、それぞれ独立して、ハロゲン、置換若しくは非置換のアルキル、置換若しくは非置換のアルケニル、置換若しくは非置換のアルキニル、置換若しくは非置換のアルキルオキシ、置換若しくは非置換のアルケニルオキシ、置換若しくは非置換のアルキニルオキシ、置換若しくは非置換のアルキルカルボニル、置換若しくは非置換のアルケニルカルボニル、置換若しくは非置換のアルキニルカルボニル、置換若しくは非置換のアルキルスルホニル、置換若しくは非置換のアルケニルスルホニル、置換若しくは非置換のアルキニルスルホニル、置換若しくは非置換の芳香族炭素環式基、置換若しくは非置換の非芳香族炭素環式基、置換若しくは非置換の芳香族複素環式基、置換若しくは非置換の非芳香族複素環式基、置換若しくは非置換の芳香族炭素環オキシ、置換若しくは非置換の非芳香族炭素環オキシ、置換若しくは非置換の芳香族複素環オキシ、または置換若しくは非置換の非芳香族複素環オキシである、上記(1A)、(1)、(1’)、および(2)~(25)のいずれかに記載の化合物、またはその製薬上許容される塩。
(28)
R10aおよびR10bが、それぞれ独立して、ハロゲン、置換若しくは非置換のアルキル、置換若しくは非置換のアルケニル、置換若しくは非置換のアルキニル、置換若しくは非置換のアルキルオキシ、置換若しくは非置換のアルケニルオキシ、置換若しくは非置換のアルキニルオキシ、置換若しくは非置換のアルキルスルホニル、置換若しくは非置換のアルケニルスルホニル、置換若しくは非置換のアルキニルスルホニル、置換若しくは非置換の芳香族炭素環式基、置換若しくは非置換の非芳香族炭素環式基、置換若しくは非置換の芳香族複素環式基、または置換若しくは非置換の非芳香族複素環式基である、上記(1A)、(1)、(1’)、および(2)~(25)のいずれかに記載の化合物、またはその製薬上許容される塩。
(29)
R10aおよびR10bが、それぞれ独立して、ハロゲン、置換若しくは非置換のアルキル、置換若しくは非置換のアルキルオキシ、置換若しくは非置換のアルキルスルホニル、または置換若しくは非置換の非芳香族複素環式基である、上記(1A)、(1)、(1’)、および(2)~(25)のいずれかに記載の化合物、またはその製薬上許容される塩。
(30)
隣接する環構成原子に結合するR9aおよびR10a、または隣接する環構成原子に結合するR9bおよびR10bが、一緒になって、置換若しくは非置換の芳香族炭素環、置換若しくは非置換の非芳香族炭素環、置換若しくは非置換の芳香族複素環、または置換若しくは非置換の非芳香族複素環を形成するか、
隣接する環構成原子に結合する2つのR10a、または隣接する環構成原子に結合する2つのR10bが、一緒になって、置換若しくは非置換の芳香族炭素環、置換若しくは非置換の非芳香族炭素環、置換若しくは非置換の芳香族複素環、または置換若しくは非置換の非芳香族複素環を形成する、上記(1A)、(1)、(1’)、および(2)~(29)のいずれかに記載の化合物、またはその製薬上許容される塩。
(31)
隣接する環構成原子に結合するR9aおよびR10a、または隣接する環構成原子に結合するR9bおよびR10bが、一緒になって、置換若しくは非置換の芳香族複素環、または置換若しくは非置換の非芳香族複素環を形成するか、
隣接する環構成原子に結合する2つのR10a、または隣接する環構成原子に結合する2つのR10bが、一緒になって、置換若しくは非置換の芳香族複素環、または置換若しくは非置換の非芳香族複素環を形成する、上記(1A)、(1)、(1’)、および(2)~(29)のいずれかに記載の化合物、またはその製薬上許容される塩。
(24)
R 9a and R 9b are halogen, substituted or unsubstituted alkyl, substituted or unsubstituted alkenyl, or substituted or unsubstituted alkynyl, the above (1A), (1), (1 ′), and (2 ) To (23), or a pharmaceutically acceptable salt thereof.
(25)
The compound according to any one of (1A), (1), (1 ′), and (2) to (23) above, wherein R 9a and R 9b are substituted or unsubstituted alkyl, or a pharmaceutically acceptable salt thereof Acceptable salt.
(26)
R 10a and R 10b are each independently halogen, hydroxy, amino, carbamoyl, cyano, substituted or unsubstituted alkyl, substituted or unsubstituted alkenyl, substituted or unsubstituted alkynyl, substituted or unsubstituted alkyloxy Substituted or unsubstituted alkenyloxy, substituted or unsubstituted alkynyloxy, substituted or unsubstituted alkylsulfanyl, substituted or unsubstituted alkenylsulfanyl, substituted or unsubstituted alkynylsulfanyl, substituted or unsubstituted alkylamino, substituted Or unsubstituted alkenylamino, substituted or unsubstituted alkynylamino, substituted or unsubstituted alkylcarbonyl, substituted or unsubstituted alkenylcarbonyl, substituted or unsubstituted alkynylcarbony Substituted or unsubstituted alkylsulfonyl, substituted or unsubstituted alkenylsulfonyl, substituted or unsubstituted alkynylsulfonyl, substituted or unsubstituted alkyloxycarbonyl, substituted or unsubstituted alkenyloxycarbonyl, substituted or unsubstituted alkynyloxy Carbonyl, substituted or unsubstituted aromatic carbocyclic group, substituted or unsubstituted non-aromatic carbocyclic group, substituted or unsubstituted aromatic heterocyclic group, substituted or unsubstituted non-aromatic heterocyclic group Group, substituted or unsubstituted aromatic carbocyclic oxy, substituted or unsubstituted non-aromatic carbocyclic oxy, substituted or unsubstituted aromatic heterocyclic oxy, substituted or unsubstituted non-aromatic heterocyclic oxy, substituted or Unsubstituted aromatic carbocyclic sulfamoyl, substituted or unsubstituted non-aromatic charcoal (1A), (1), (1 ′), and (2) to (2) above, which are an aromatic sulfamoyl, a substituted or unsubstituted aromatic heterocyclic sulfamoyl, or a substituted or unsubstituted non-aromatic heterocyclic sulfamoyl. 25) or a pharmaceutically acceptable salt thereof.
(27)
R 10a and R 10b are each independently halogen, substituted or unsubstituted alkyl, substituted or unsubstituted alkenyl, substituted or unsubstituted alkynyl, substituted or unsubstituted alkyloxy, substituted or unsubstituted alkenyloxy Substituted or unsubstituted alkynyloxy, substituted or unsubstituted alkylcarbonyl, substituted or unsubstituted alkenylcarbonyl, substituted or unsubstituted alkynylcarbonyl, substituted or unsubstituted alkylsulfonyl, substituted or unsubstituted alkenylsulfonyl, substituted Or unsubstituted alkynylsulfonyl, substituted or unsubstituted aromatic carbocyclic group, substituted or unsubstituted non-aromatic carbocyclic group, substituted or unsubstituted aromatic heterocyclic group, substituted or unsubstituted non-substituted An aromatic heterocyclic group, The substituted or unsubstituted aromatic carbocyclic oxy, substituted or unsubstituted non-aromatic carbocyclic oxy, substituted or unsubstituted aromatic heterocyclic oxy, or substituted or unsubstituted non-aromatic heterocyclic oxy, the above (1A), (1), (1 ′) and the compound according to any one of (2) to (25), or a pharmaceutically acceptable salt thereof.
(28)
R 10a and R 10b are each independently halogen, substituted or unsubstituted alkyl, substituted or unsubstituted alkenyl, substituted or unsubstituted alkynyl, substituted or unsubstituted alkyloxy, substituted or unsubstituted alkenyloxy Substituted or unsubstituted alkynyloxy, substituted or unsubstituted alkylsulfonyl, substituted or unsubstituted alkenylsulfonyl, substituted or unsubstituted alkynylsulfonyl, substituted or unsubstituted aromatic carbocyclic group, substituted or unsubstituted (1A), (1), (1 ′), which is a non-aromatic carbocyclic group, a substituted or unsubstituted aromatic heterocyclic group, or a substituted or unsubstituted non-aromatic heterocyclic group, And the compound according to any one of (2) to (25), or a pharmaceutically acceptable salt thereof.
(29)
R 10a and R 10b are each independently halogen, substituted or unsubstituted alkyl, substituted or unsubstituted alkyloxy, substituted or unsubstituted alkylsulfonyl, or substituted or unsubstituted non-aromatic heterocyclic group The compound according to any one of the above (1A), (1), (1 ′) and (2) to (25), or a pharmaceutically acceptable salt thereof.
(30)
R 9a and R 10a bonded to adjacent ring member atoms, or R 9b and R 10b bonded to adjacent ring member atoms are taken together to form a substituted or unsubstituted aromatic carbocycle, substituted or unsubstituted Forming a non-aromatic carbocycle, a substituted or unsubstituted aromatic heterocycle, or a substituted or unsubstituted non-aromatic heterocycle;
Two R 10a bonded to adjacent ring member atoms or two R 10b bonded to adjacent ring member atoms together form a substituted or unsubstituted aromatic carbocycle, substituted or unsubstituted non-aromatic (1A), (1), (1 ′) and (2) to (29) forming a carbocyclic ring, a substituted or unsubstituted aromatic heterocyclic ring, or a substituted or unsubstituted nonaromatic heterocyclic ring ) Or a pharmaceutically acceptable salt thereof.
(31)
R 9a and R 10a bonded to adjacent ring member atoms, or R 9b and R 10b bonded to adjacent ring member atoms, together, are substituted or unsubstituted aromatic heterocycles, or substituted or unsubstituted A non-aromatic heterocycle of
Two R 10a bonded to adjacent ring member atoms, or two R 10b bonded to adjacent ring member atoms, together are a substituted or unsubstituted aromatic heterocyclic ring, or a substituted or unsubstituted non-substituted ring. The compound according to any one of (1A), (1), (1 ′) and (2) to (29), or a pharmaceutically acceptable salt thereof, which forms an aromatic heterocycle.
(32)
R2aおよびR2bが、それぞれ独立して、水素原子、またはハロゲンである、上記(1A)、(1)、(1’)、および(2)~(31)のいずれかに記載の化合物、またはその製薬上許容される塩。
(33)
R2aおよびR2bが、水素原子である、上記(1A)、(1)、(1’)、および(2)~(31)のいずれかに記載の化合物、またはその製薬上許容される塩。
(34)
nが、1である、上記(1A)、(1)、(1’)、および(2)~(33)のいずれかに記載の化合物、またはその製薬上許容される塩。
(35)
mが、0である、上記(1A)、(1)、(1’)、および(2)~(34)のいずれかに記載の化合物、またはその製薬上許容される塩。
(36)
sが、0~2の整数である、上記(1A)、(1)、(1’)、および(2)~(35)のいずれかに記載の化合物、またはその製薬上許容される塩。
(37)
R2cおよびR2dが、それぞれ独立して、水素原子、またはハロゲンである、上記(1A)、(1)、(1’)、および(2)~(36)のいずれかに記載の化合物、またはその製薬上許容される塩。
(38)
R2cおよびR2dが、水素原子である、上記(1A)、(1)、(1’)、および(2)~(36)のいずれかに記載の化合物、またはその製薬上許容される塩。
(39)
R4が、水素原子、ハロゲン、または置換若しくは非置換のアルキルである、上記(1A)、(1)、(1’)、および(2)~(38)のいずれかに記載の化合物、またはその製薬上許容される塩。
(40)
R4が、水素原子である、上記(1A)、(1)、(1’)、および(2)~(38)のいずれかに記載の化合物、またはその製薬上許容される塩。
(41)
R6が、水素原子、ヒドロキシ、シアノ、置換若しくは非置換のアルキル、または置換若しくは非置換のアルキルオキシである、上記(1A)、(1)、(1’)、および(2)~(40)のいずれかに記載の化合物、またはその製薬上許容される塩。
(42)
p1が、1または2である、上記(1A)、(1)、(1’)、および(2)~(41)のいずれかに記載の化合物、またはその製薬上許容される塩。
(43)
p2が、1または2である、上記(1A)、(1)、(1’)、および(2)~(42)のいずれかに記載の化合物、またはその製薬上許容される塩。
(44)実施例I-0046、I-0055、I-0057、I-0076、I-0083、I-0117、I-0129、I-0130、I-0136、I-0138、I-0139、I-0157、I-0166、I-0176、I-0178、I-0182、I-0184およびI-0185からなる群から選択される、上記(1A)、(1)および(1’)のいずれかに記載の化合物またはその製薬上許容される塩。
(45)
上記(1A)、(1)、(1’)、および(2)~(44)のいずれかに記載の化合物またはその製薬上許容される塩を含有する、医薬組成物。
(46)
P2X7受容体阻害作用を有する、上記(45)記載の医薬組成物。
(47)疼痛、中枢性疾患、免疫性疾患および炎症性疾患の治療および/または予防作用を有する、上記(45)または(46)記載の医薬組成物。
(48)P2X7受容体が関与する疾患の治療および/または予防に使用するための、上記(1)、(1’)、および(2)~(44)のいずれかに記載の化合物またはその製薬上許容される塩。
(49)疼痛、中枢性疾患、免疫性疾患および炎症性疾患の治療および/または予防に使用するための、上記(48)記載の化合物またはその製薬上許容される塩。
(50)神経障害性疼痛または炎症性疼痛の治療および/または予防に使用するための、上記(48)記載の化合物またはその製薬上許容される塩。
(51)上記(1A)、(1)、(1’)、および(2)~(44)のいずれかに記載の化合物またはその製薬上許容される塩を投与することを特徴とする、P2X7受容体が関与する疾患の治療および/または予防方法。
(52)疼痛、中枢性疾患、免疫性疾患および炎症性疾患に対する、上記(51)記載の治療および/または予防方法。
(53)神経障害性疼痛または炎症性疼痛に対する、上記(51)記載の治療および/または予防方法。
(54)P2X7受容体が関与する疾患の治療剤および/または予防剤の製造のための、上記(1A)、(1)、(1’)、および(2)~(44)のいずれかに記載の化合物またはその製薬上許容される塩の使用。
(55)疼痛、中枢性疾患、免疫性疾患および炎症性疾患の治療剤および/または予防剤の製造のための、上記(54)記載の使用。
(56)神経障害性疼痛または炎症性疼痛治療剤および/または予防剤の製造のための、上記(54)記載の使用。
(32)
The compound according to any one of (1A), (1), (1 ′), and (2) to (31) above, wherein R 2a and R 2b are each independently a hydrogen atom or halogen, Or a pharmaceutically acceptable salt thereof.
(33)
The compound according to any one of (1A), (1), (1 ′) and (2) to (31) above, wherein R 2a and R 2b are a hydrogen atom, or a pharmaceutically acceptable salt thereof .
(34)
The compound according to any one of (1A), (1), (1 ′), and (2) to (33), wherein n is 1, or a pharmaceutically acceptable salt thereof.
(35)
The compound according to any one of (1A), (1), (1 ′), and (2) to (34), or a pharmaceutically acceptable salt thereof, wherein m is 0.
(36)
The compound according to any one of the above (1A), (1), (1 ′) and (2) to (35), or a pharmaceutically acceptable salt thereof, wherein s is an integer of 0 to 2.
(37)
The compound according to any one of (1A), (1), (1 ′), and (2) to (36), wherein R 2c and R 2d are each independently a hydrogen atom or halogen, Or a pharmaceutically acceptable salt thereof.
(38)
The compound according to any one of the above (1A), (1), (1 ′), and (2) to (36), or a pharmaceutically acceptable salt thereof, wherein R 2c and R 2d are hydrogen atoms .
(39)
The compound according to any one of (1A), (1), (1 ′), and (2) to (38) above, wherein R 4 is a hydrogen atom, halogen, or substituted or unsubstituted alkyl, or Its pharmaceutically acceptable salt.
(40)
The compound according to any one of the above (1A), (1), (1 ′), and (2) to (38), or a pharmaceutically acceptable salt thereof, wherein R 4 is a hydrogen atom.
(41)
(1A), (1), (1 ′), and (2) to (40), wherein R 6 is a hydrogen atom, hydroxy, cyano, substituted or unsubstituted alkyl, or substituted or unsubstituted alkyloxy. ) Or a pharmaceutically acceptable salt thereof.
(42)
The compound according to any one of the above (1A), (1), (1 ′) and (2) to (41), or a pharmaceutically acceptable salt thereof, wherein p1 is 1 or 2.
(43)
The compound according to any one of the above (1A), (1), (1 ′) and (2) to (42), or a pharmaceutically acceptable salt thereof, wherein p2 is 1 or 2.
(44) Examples I-0046, I-0055, I-0057, I-0076, I-0083, I-0117, I-0129, I-0130, I-0136, I-0138, I-0139, I Any one of (1A), (1) and (1 ′) above selected from the group consisting of −0157, I-0166, I-0176, I-0178, I-0182, I-0184 and I-0185 Or a pharmaceutically acceptable salt thereof.
(45)
A pharmaceutical composition comprising the compound according to any one of (1A), (1), (1 ′) and (2) to (44) or a pharmaceutically acceptable salt thereof.
(46)
The pharmaceutical composition according to the above (45), which has a P2X 7 receptor inhibitory action.
(47) The pharmaceutical composition according to the above (45) or (46), which has a therapeutic and / or preventive action against pain, central diseases, immune diseases and inflammatory diseases.
(48) The compound according to any one of (1), (1 ′), and (2) to (44) above or a compound thereof for use in the treatment and / or prevention of a disease involving a P2X 7 receptor Pharmaceutically acceptable salt.
(49) The compound according to the above (48) or a pharmaceutically acceptable salt thereof for use in the treatment and / or prevention of pain, central diseases, immune diseases and inflammatory diseases.
(50) The compound according to the above (48) or a pharmaceutically acceptable salt thereof for use in the treatment and / or prevention of neuropathic pain or inflammatory pain.
(51) A P2X comprising administering the compound according to any one of (1A), (1), (1 ′) and (2) to (44) or a pharmaceutically acceptable salt thereof. A method for treating and / or preventing a disease involving 7 receptors.
(52) The treatment and / or prevention method according to the above (51) for pain, central disease, immune disease and inflammatory disease.
(53) The treatment and / or prevention method according to the above (51) for neuropathic pain or inflammatory pain.
(54) Any of the above (1A), (1), (1 ′), and (2) to (44) for the manufacture of a therapeutic and / or prophylactic agent for a disease involving a P2X 7 receptor Or a pharmaceutically acceptable salt thereof.
(55) Use of the above (54) for the manufacture of a therapeutic and / or prophylactic agent for pain, central diseases, immune diseases and inflammatory diseases.
(56) Use of the above (54) for the manufacture of a therapeutic and / or preventive for neuropathic pain or inflammatory pain.
(1001)上記(1A)、(1)、(1’)、および(2)~(44)のいずれかに記載の化合物、またはその製薬上許容される塩を含有する、経口投与のための医薬組成物。
(1002)錠剤、散剤、顆粒剤、カプセル剤、丸剤、フィルム剤、懸濁剤、乳剤、エリキシル剤、シロップ剤、リモナーデ剤、酒精剤、芳香水剤、エキス剤、煎剤またはチンキ剤である、上記(1001)記載の医薬組成物。
(1003)糖衣錠、フィルムコーティング錠、腸溶性コーティング錠、徐放錠、トローチ錠、舌下錠、バッカル錠、チュアブル錠、口腔内崩壊錠、ドライシロップ、ソフトカプセル剤、マイクロカプセル剤または徐放性カプセル剤である、上記(1002)記載の医薬組成物。
(1004)上記(1A)、(1)、(1’)、および(2)~(44)のいずれかに記載の化合物、またはその製薬上許容される塩を含有する、非経口投与のための医薬組成物。
(1005)経皮、皮下、静脈内、動脈内、筋肉内、腹腔内、経粘膜、吸入、経鼻、点眼、点耳または膣内投与のための、上記(1004)記載の医薬組成物。
(1006)注射剤、点滴剤、点眼剤、点鼻剤、点耳剤、エアゾール剤、吸入剤、ローション剤、注入剤、塗布剤、含嗽剤、浣腸剤、軟膏剤、硬膏剤、ゼリー剤、クリーム剤、貼付剤、パップ剤、外用散剤または坐剤である、上記(1004)または(1005)記載の医薬組成物。
(1007)上記(1A)、(1)、(1’)、および(2)~(44)のいずれかに記載の化合物、またはその製薬上許容される塩を含有する、小児用または高齢者用の医薬組成物。
(1001) For oral administration comprising the compound according to any one of (1A), (1), (1 ′) and (2) to (44) above, or a pharmaceutically acceptable salt thereof Pharmaceutical composition.
(1002) Tablets, powders, granules, capsules, pills, films, suspensions, emulsions, elixirs, syrups, limonades, spirits, aromatic liquids, extracts, decoctions or tinctures The pharmaceutical composition according to (1001) above.
(1003) Sugar-coated tablets, film-coated tablets, enteric-coated tablets, sustained-release tablets, troche tablets, sublingual tablets, buccal tablets, chewable tablets, orally disintegrating tablets, dry syrups, soft capsules, microcapsules or sustained-release capsules The pharmaceutical composition as described in (1002) above.
(1004) For parenteral administration containing the compound according to any one of (1A), (1), (1 ′) and (2) to (44) above, or a pharmaceutically acceptable salt thereof Pharmaceutical composition.
(1005) The pharmaceutical composition according to (1004) above, for transdermal, subcutaneous, intravenous, intraarterial, intramuscular, intraperitoneal, transmucosal, inhalation, nasal, eye drop, ear drop or intravaginal administration.
(1006) Injections, drops, eye drops, nasal drops, ear drops, aerosols, inhalants, lotions, injections, coatings, gargles, enemas, ointments, plasters, jellys, The pharmaceutical composition according to the above (1004) or (1005), which is a cream, a patch, a poultice, a powder for external use or a suppository.
(1007) Pediatric or elderly patients containing the compound according to any one of (1A), (1), (1 ′) and (2) to (44) above, or a pharmaceutically acceptable salt thereof Pharmaceutical composition for use.
本発明に係る化合物は、P2X7受容体に対する阻害作用を有し、P2X7が関与する疾患または状態の治療剤および/または予防剤として有用である。 Compounds according to the present invention has an inhibitory effect on P2X 7 receptors are useful as therapeutic and / or prophylactic agent for a disease or condition P2X 7 is involved.
以下に本明細書において用いられる各用語の意味を説明する。各用語は特に断りのない限り、単独で用いられる場合も、または他の用語と組み合わせて用いられる場合も、同一の意味で用いられる。
「からなる」という用語は、構成要件のみを有することを意味する。
「含む」という用語は、構成要件に限定されず、記載されていない要素を排除しないことを意味する。
The meaning of each term used in this specification will be described below. Unless otherwise specified, each term is used in the same meaning when used alone or in combination with other terms.
The term “consisting of” means having only the configuration requirements.
The term “comprising” is not limited to the constituent elements and means that elements not described are not excluded.
「ハロゲン」とは、フッ素原子、塩素原子、臭素原子、およびヨウ素原子を包含する。特にフッ素原子、および塩素原子が好ましい。 “Halogen” includes fluorine atom, chlorine atom, bromine atom, and iodine atom. In particular, a fluorine atom and a chlorine atom are preferable.
「アルキル」とは、炭素数1~15、好ましくは炭素数1~10、より好ましくは炭素数1~6、さらに好ましくは炭素数1~4の直鎖又は分枝状の炭化水素基を包含する。例えば、メチル、エチル、n-プロピル、イソプロピル、n-ブチル、イソブチル、sec-ブチル、tert-ブチル、n-ペンチル、イソペンチル、ネオペンチル、n-ヘキシル、イソヘキシル、n-へプチル、イソヘプチル、n-オクチル、イソオクチル、n-ノニル、n-デシル等が挙げられる。
「アルキル」の好ましい態様として、メチル、エチル、n-プロピル、イソプロピル、n-ブチル、イソブチル、sec-ブチル、tert-ブチル、n-ペンチルが挙げられる。さらに好ましい態様として、メチル、エチル、n-プロピル、イソプロピル、tert-ブチルが挙げられる。
“Alkyl” includes linear or branched hydrocarbon groups having 1 to 15 carbon atoms, preferably 1 to 10 carbon atoms, more preferably 1 to 6 carbon atoms, and still more preferably 1 to 4 carbon atoms. To do. For example, methyl, ethyl, n-propyl, isopropyl, n-butyl, isobutyl, sec-butyl, tert-butyl, n-pentyl, isopentyl, neopentyl, n-hexyl, isohexyl, n-heptyl, isoheptyl, n-octyl , Isooctyl, n-nonyl, n-decyl and the like.
Preferred embodiments of “alkyl” include methyl, ethyl, n-propyl, isopropyl, n-butyl, isobutyl, sec-butyl, tert-butyl and n-pentyl. Further preferred examples include methyl, ethyl, n-propyl, isopropyl and tert-butyl.
「アルケニル」とは、任意の位置に1以上の二重結合を有する、炭素数2~15、好ましくは炭素数2~10、より好ましくは炭素数2~6、さらに好ましくは炭素数2~4の直鎖又は分枝状の炭化水素基を包含する。例えば、ビニル、アリル、プロペニル、イソプロペニル、ブテニル、イソブテニル、プレニル、ブタジエニル、ペンテニル、イソペンテニル、ペンタジエニル、ヘキセニル、イソヘキセニル、ヘキサジエニル、ヘプテニル、オクテニル、ノネニル、デセニル、ウンデセニル、ドデセニル、トリデセニル、テトラデセニル、ペンタデセニル等が挙げられる。
「アルケニル」の好ましい態様として、ビニル、アリル、プロペニル、イソプロペニル、ブテニルが挙げられる。
“Alkenyl” has 2 to 15 carbon atoms, preferably 2 to 10 carbon atoms, more preferably 2 to 6 carbon atoms, and further preferably 2 to 4 carbon atoms, having one or more double bonds at any position. These linear or branched hydrocarbon groups are included. For example, vinyl, allyl, propenyl, isopropenyl, butenyl, isobutenyl, prenyl, butadienyl, pentenyl, isopentenyl, pentadienyl, hexenyl, isohexenyl, hexadienyl, heptenyl, octenyl, nonenyl, decenyl, undecenyl, dodecenyl, tridecenyl, decenyl, tridecenyl, decenyl Etc.
Preferred embodiments of “alkenyl” include vinyl, allyl, propenyl, isopropenyl and butenyl.
「アルキニル」とは、任意の位置に1以上の三重結合を有する、炭素数2~10、好ましくは炭素数2~8、さらに好ましくは炭素数2~6、さらに好ましくは炭素数2~4の直鎖又は分枝状の炭化水素基を包含する。例えば、エチニル、プロピニル、ブチニル、ペンチニル、ヘキシニル、ヘプチニル、オクチニル、ノニニル、デシニル等を包含する。これらはさらに任意の位置に二重結合を有していてもよい。
「アルキニル」の好ましい態様として、エチニル、プロピニル、ブチニル、ペンチニルが挙げられる。
“Alkynyl” has 2 to 10 carbon atoms, preferably 2 to 8 carbon atoms, more preferably 2 to 6 carbon atoms, and more preferably 2 to 4 carbon atoms, having one or more triple bonds at any position. Includes straight chain or branched hydrocarbon groups. Examples include ethynyl, propynyl, butynyl, pentynyl, hexynyl, heptynyl, octynyl, nonynyl, decynyl and the like. These may further have a double bond at an arbitrary position.
Preferred embodiments of “alkynyl” include ethynyl, propynyl, butynyl and pentynyl.
「芳香族炭素環」とは、単環または2環以上の、環状芳香族炭化水素環を意味する。例えば、ベンゼン環、ナフタレン環、アントラセン環、フェナントレン環等が挙げられる。
「芳香族炭素環」の好ましい態様として、ベンゼン環が挙げられる。
「芳香族炭素環式基」とは、単環または2環以上の、環状芳香族炭化水素基を意味する。例えば、フェニル、ナフチル、アントリル、フェナントリル等が挙げられる。
「芳香族炭素環式基」の好ましい態様として、フェニルが挙げられる。
“Aromatic carbocycle” means a monocyclic or two or more cyclic aromatic hydrocarbon rings. For example, a benzene ring, a naphthalene ring, an anthracene ring, a phenanthrene ring, etc. are mentioned.
A preferred embodiment of the “aromatic carbocycle” includes a benzene ring.
The “aromatic carbocyclic group” means a cyclic aromatic hydrocarbon group having one or more rings. For example, phenyl, naphthyl, anthryl, phenanthryl and the like can be mentioned.
A preferred embodiment of the “aromatic carbocyclic group” includes phenyl.
「非芳香族炭素環」とは、単環または2環以上の、環状飽和炭化水素環または環状非芳香族不飽和炭化水素環を意味する。2環以上の非芳香族炭素環は、単環または2環以上の非芳香族炭素環に、上記「芳香族炭素環」における環が縮合したものも包含する。
さらに、「非芳香族炭素環」は、以下のように架橋している環、またはスピロ環も包含する。
単環の非芳香族炭素環としては、炭素数3~16が好ましく、より好ましくは炭素数3~12、さらに好ましくは炭素数4~8である。例えば、シクロプロパン、シクロブタン、シクロペンタン、シクロヘキサン、シクロヘプタン、シクロオクタン、シクロノナン、シクロデカン、シクロプロペン、シクロブテン、シクロペンテン、シクロヘキセン、シクロヘプテン、シクロヘキサジエン等が挙げられる。
2環以上の非芳香族炭素環としては、例えば、インダン、インデン、アセナフタレン、テトラヒドロナフタレン、フルオレン等が挙げられる。
「非芳香族炭素環式基」とは、単環または2環以上の、環状飽和炭化水素基または環状非芳香族不飽和炭化水素基を意味する。2環以上の非芳香族炭素環式基は、単環または2環以上の非芳香族炭素環式基に、上記「芳香族炭素環式基」における環が縮合したものも包含する。
さらに、「非芳香族炭素環式基」は、以下のように架橋している基、またはスピロ環を形成する基も包含する。
単環の非芳香族炭素環式基としては、炭素数3~16が好ましく、より好ましくは炭素数3~12、さらに好ましくは炭素数4~8である。例えば、シクロプロピル、シクロブチル、シクロペンチル、シクロヘキシル、シクロヘプチル、シクロオクチル、シクロノニル、シクロデシル、シクロプロペニル、シクロブテニル、シクロペンテニル、シクロヘキセニル、シクロヘプテニル、シクロヘキサジエニル等が挙げられる。
2環以上の非芳香族炭素環式基としては、例えば、インダニル、インデニル、アセナフチル、テトラヒドロナフチル、フルオレニル等が挙げられる。
The “non-aromatic carbocycle” means a monocyclic ring or two or more cyclic saturated hydrocarbon rings or cyclic non-aromatic unsaturated hydrocarbon rings. The two or more non-aromatic carbocycles include those in which the ring in the above “aromatic carbocycle” is condensed with a single ring or two or more non-aromatic carbocycles.
Furthermore, the “non-aromatic carbocycle” includes a ring that is bridged as follows, or a spiro ring.
The monocyclic non-aromatic carbocycle preferably has 3 to 16 carbon atoms, more preferably 3 to 12 carbon atoms, and still more preferably 4 to 8 carbon atoms. Examples include cyclopropane, cyclobutane, cyclopentane, cyclohexane, cycloheptane, cyclooctane, cyclononane, cyclodecane, cyclopropene, cyclobutene, cyclopentene, cyclohexene, cycloheptene, cyclohexadiene, and the like.
Examples of the two or more non-aromatic carbocycles include indane, indene, acenaphthalene, tetrahydronaphthalene, and fluorene.
The “non-aromatic carbocyclic group” means a cyclic saturated hydrocarbon group or a cyclic non-aromatic unsaturated hydrocarbon group having one or more rings. The non-aromatic carbocyclic group having 2 or more rings also includes those in which the ring in the above “aromatic carbocyclic group” is condensed with a monocyclic or 2 or more non-aromatic carbocyclic groups.
Furthermore, the “non-aromatic carbocyclic group” includes a group that forms a bridge or a spiro ring as described below.
The monocyclic non-aromatic carbocyclic group preferably has 3 to 16 carbon atoms, more preferably 3 to 12 carbon atoms, and still more preferably 4 to 8 carbon atoms. Examples include cyclopropyl, cyclobutyl, cyclopentyl, cyclohexyl, cycloheptyl, cyclooctyl, cyclononyl, cyclodecyl, cyclopropenyl, cyclobutenyl, cyclopentenyl, cyclohexenyl, cycloheptenyl, cyclohexadienyl, and the like.
Examples of the two or more non-aromatic carbocyclic groups include indanyl, indenyl, acenaphthyl, tetrahydronaphthyl, fluorenyl and the like.
「芳香族複素環」とは、O、SおよびNから任意に選択される同一または異なるヘテロ原子を環内に1以上有する、単環または2環以上の、芳香族環を意味する。
2環以上の芳香族複素環は、単環または2環以上の芳香族複素環に、上記「芳香族炭素環」における環が縮合したものも包含する。
単環の芳香族複素環としては、5~8員が好ましく、より好ましくは5員または6員である。例えば、ピロール、イミダゾール、ピラゾール、ピリジン、ピリダジン、ピリミジン、ピラジン、トリアゾール、トリアジン、テトラゾール、フラン、チオフェン、イソオキサゾール、オキサゾール、オキサジアゾール、イソチアゾール、チアゾール、チアジアゾール等が挙げられる。
2環の芳香族複素環としては、例えば、インドール、イソインドール、インダゾール、インドリジン、キノリン、イソキノリン、シンノリン、フタラジン、キナゾリン、ナフチリジン、キノキサリン、プリン、プテリジン、ベンズイミダゾール、ベンズイソオキサゾール、ベンズオキサゾール、ベンズオキサジアゾール、ベンズイソチアゾール、ベンゾチアゾール、ベンゾチアジアゾール、ベンゾフラン、イソベンゾフラン、ベンゾチフォフェン、ベンゾトリアゾール、イミダゾピリジン、トリアゾロピリジン、イミダゾチアゾール、ピラジノピリダジン、オキサゾロピリジン、チアゾロピリジン等が挙げられる。
3環以上の芳香族複素環としては、例えば、カルバゾール、アクリジン、キサンテン、フェノチアジン、フェノキサチイン、フェノキサジン、ジベンゾフラン等が挙げられる。
「芳香族複素環式基」とは、O、SおよびNから任意に選択される同一または異なるヘテロ原子を環内に1以上有する、単環または2環以上の、芳香族環式基を意味する。
2環以上の芳香族複素環式基は、単環または2環以上の芳香族複素環式基に、上記「芳香族炭素環式基」における環が縮合したものも包含する。
単環の芳香族複素環式基としては、5~8員が好ましく、より好ましくは5員または6員である。例えば、ピロリル、イミダゾリル、ピラゾリル、ピリジル、ピリダジニル、ピリミジニル、ピラジニル、トリアゾリル、トリアジニル、テトラゾリル、フリル、チエニル、イソオキサゾリル、オキサゾリル、オキサジアゾリル、イソチアゾリル、チアゾリル、チアジアゾリル等が挙げられる。
2環の芳香族複素環式基としては、例えば、インドリル、イソインドリル、インダゾリル、インドリジニル、キノリニル、イソキノリニル、シンノリニル、フタラジニル、キナゾリニル、ナフチリジニル、キノキサリニル、プリニル、プテリジニル、ベンズイミダゾリル、ベンズイソオキサゾリル、ベンズオキサゾリル、ベンズオキサジアゾリル、ベンズイソチアゾリル、ベンゾチアゾリル、ベンゾチアジアゾリル、ベンゾフリル、イソベンゾフリル、ベンゾチエニル、ベンゾトリアゾリル、イミダゾピリジル、トリアゾロピリジル、イミダゾチアゾリル、ピラジノピリダジニル、オキサゾロピリジル、チアゾロピリジル等が挙げられる。
3環以上の芳香族複素環式基としては、例えば、カルバゾリル、アクリジニル、キサンテニル、フェノチアジニル、フェノキサチイニル、フェノキサジニル、ジベンゾフリル等が挙げられる。
“Aromatic heterocycle” means a single ring or two or more aromatic rings having one or more of the same or different heteroatoms arbitrarily selected from O, S and N in the ring.
Two or more aromatic heterocycles include those in which the ring in the above “aromatic carbocycle” is condensed with a single ring or two or more aromatic heterocycles.
The monocyclic aromatic heterocycle is preferably 5 to 8 members, more preferably 5 or 6 members. Examples thereof include pyrrole, imidazole, pyrazole, pyridine, pyridazine, pyrimidine, pyrazine, triazole, triazine, tetrazole, furan, thiophene, isoxazole, oxazole, oxadiazole, isothiazole, thiazole, thiadiazole and the like.
Examples of the bicyclic aromatic heterocycle include indole, isoindole, indazole, indolizine, quinoline, isoquinoline, cinnoline, phthalazine, quinazoline, naphthyridine, quinoxaline, purine, pteridine, benzimidazole, benzisoxazole, benzoxazole, Benzoxadiazole, benzisothiazole, benzothiazole, benzothiadiazole, benzofuran, isobenzofuran, benzothiophene, benzotriazole, imidazopyridine, triazolopyridine, imidazothiazole, pyrazinopyridazine, oxazolopyridine, thiazolopyridine, etc. Is mentioned.
Examples of the three or more aromatic heterocycles include carbazole, acridine, xanthene, phenothiazine, phenoxathiin, phenoxazine, and dibenzofuran.
“Aromatic heterocyclic group” means a monocyclic or bicyclic or more aromatic cyclic group having one or more heteroatoms arbitrarily selected from O, S and N in the ring To do.
The aromatic heterocyclic group having two or more rings includes those obtained by condensing a ring in the above “aromatic carbocyclic group” to a monocyclic or two or more aromatic heterocyclic group.
The monocyclic aromatic heterocyclic group is preferably 5 to 8 members, more preferably 5 or 6 members. Examples include pyrrolyl, imidazolyl, pyrazolyl, pyridyl, pyridazinyl, pyrimidinyl, pyrazinyl, triazolyl, triazinyl, tetrazolyl, furyl, thienyl, isoxazolyl, oxazolyl, oxadiazolyl, isothiazolyl, thiazolyl, thiadiazolyl and the like.
Examples of the bicyclic aromatic heterocyclic group include indolyl, isoindolyl, indazolyl, indolizinyl, quinolinyl, isoquinolinyl, cinnolinyl, phthalazinyl, quinazolinyl, naphthyridinyl, quinoxalinyl, purinyl, pteridinyl, benzimidazolyl, benzisoxazolyl, benzisoxazolyl, Oxazolyl, benzoxiadiazolyl, benzisothiazolyl, benzothiazolyl, benzothiadiazolyl, benzofuryl, isobenzofuryl, benzothienyl, benzotriazolyl, imidazopyridyl, triazolopyridyl, imidazothiazolyl, pyrazinopyr Dazinyl, oxazolopyridyl, thiazolopyridyl and the like can be mentioned.
Examples of the aromatic heterocyclic group having 3 or more rings include carbazolyl, acridinyl, xanthenyl, phenothiazinyl, phenoxathinyl, phenoxazinyl, dibenzofuryl and the like.
「非芳香族複素環」とは、O、SおよびNから任意に選択される同一または異なるヘテロ原子を環内に1以上有する、単環または2環以上の、環状非芳香族環を意味する。
2環以上の非芳香族複素環は、単環または2環以上の非芳香族複素環に、上記「芳香族炭素環」、「非芳香族炭素環」、および/または「芳香族複素環」におけるそれぞれの環が縮合したものも包含する。さらには、2環以上の非芳香族複素環は、単環または2環以上の芳香族複素環に、上記「非芳香族炭素環」における環が縮合したものも包含する。
さらに、「非芳香族複素環」は、以下のように架橋している環、またはスピロ環も包含する。
単環の非芳香族複素環としては、3~8員が好ましく、より好ましくは5員または6員である。例えば、ジオキサン、チイラン、オキシラン、オキセタン、オキサチオラン、アゼチジン、チアン、チアゾリジン、ピロリジン、ピロリン、イミダゾリジン、イミダゾリン、ピラゾリジン、ピラゾリン、ピペリジン、ピペラジン、モルホリン、チオモルホリン、ジヒドロピリジン、テトラヒドロピリジン、テトラヒドロフラン、テトラヒドロピラン、ジヒドロチアゾール、テトラヒドロチアゾール、テトラヒドロイソチアゾール、ジヒドロオキサジン、ヘキサヒドロアゼピン、テトラヒドロジアゼピン、テトラヒドロピリダジン、ヘキサヒドロピリミジン、ジオキソラン、ジオキサジン、アジリジン、ジオキソリン、オキセパン、チオラン、チイン、チアジン等が挙げられる。
2環以上の非芳香族複素環としては、例えば、インドリン、イソインドリン、クロマン、イソクロマン等が挙げられる。
「非芳香族複素環式基」とは、O、SおよびNから任意に選択される同一または異なるヘテロ原子を環内に1以上有する、単環または2環以上の、環状非芳香族環式基を意味する。
2環以上の非芳香族複素環式基は、単環または2環以上の非芳香族複素環式基に、上記「芳香族炭素環式基」、「非芳香族炭素環式基」、および/または「芳香族複素環式基」におけるそれぞれの環が縮合したものも包含する。さらには、2環以上の非芳香族複素環式基は、単環または2環以上の芳香族複素環式基に、上記「非芳香族炭素環式基」における環が縮合したものも包含する。
さらに、「非芳香族複素環式基」は、以下のように架橋している基、またはスピロ環を形成する基も包含する。
単環の非芳香族複素環式基としては、3~8員が好ましく、より好ましくは5員または6員である。例えば、ジオキサニル、チイラニル、オキシラニル、オキセタニル、オキサチオラニル、アゼチジニル、チアニル、チアゾリジニル、ピロリジニル、ピロリニル、イミダゾリジニル、イミダゾリニル、ピラゾリジニル、ピラゾリニル、ピペリジル、ピペラジニル、モルホリニル、モルホリノ、チオモルホリニル、チオモルホリノ、ジヒドロピリジル、テトラヒドロピリジル、テトラヒドロフリル、テトラヒドロピラニル、ジヒドロチアゾリル、テトラヒドロチアゾリル、テトラヒドロイソチアゾリル、ジヒドロオキサジニル、ヘキサヒドロアゼピニル、テトラヒドロジアゼピニル、テトラヒドロピリダジニル、ヘキサヒドロピリミジニル、ジオキソラニル、ジオキサジニル、アジリジニル、ジオキソリニル、オキセパニル、チオラニル、チイニル、チアジニル等が挙げられる。
2環以上の非芳香族複素環式基としては、例えば、インドリニル、イソインドリニル、クロマニル、イソクロマニル等が挙げられる。
"Non-aromatic heterocycle" means a monocyclic or bicyclic or more cyclic non-aromatic ring having one or more of the same or different heteroatoms arbitrarily selected from O, S and N in the ring .
The non-aromatic heterocyclic ring having two or more rings is the above-mentioned “aromatic carbocycle”, “non-aromatic carbocycle”, and / or “aromatic heterocycle” in addition to a single ring or two or more non-aromatic heterocyclic rings. Also included are those in which each ring is condensed. Further, the two or more non-aromatic heterocycles include those in which the ring in the above “non-aromatic carbocycle” is condensed with a single ring or two or more aromatic heterocycles.
Furthermore, the “non-aromatic heterocyclic ring” includes a ring that is bridged as follows, or a spiro ring.
The monocyclic non-aromatic heterocyclic ring is preferably 3 to 8 members, more preferably 5 or 6 members. For example, dioxane, thiirane, oxirane, oxetane, oxathiolane, azetidine, thiane, thiazolidine, pyrrolidine, pyrroline, imidazolidine, imidazoline, pyrazolidine, pyrazoline, piperidine, piperazine, morpholine, thiomorpholine, dihydropyridine, tetrahydropyridine, tetrahydrofuran, tetrahydropyran, Examples include dihydrothiazole, tetrahydrothiazole, tetrahydroisothiazole, dihydrooxazine, hexahydroazepine, tetrahydrodiazepine, tetrahydropyridazine, hexahydropyrimidine, dioxolane, dioxazine, aziridine, dioxoline, oxepane, thiolane, thiyne, thiazine and the like.
Examples of the two or more non-aromatic heterocycles include indoline, isoindoline, chroman, isochroman and the like.
“Non-aromatic heterocyclic group” means a monocyclic or bicyclic or more cyclic non-aromatic cyclic group having at least one hetero atom selected from O, S and N in the ring. Means group.
The non-aromatic heterocyclic group having 2 or more rings is a monocyclic or 2 or more non-aromatic heterocyclic group, the above “aromatic carbocyclic group”, “non-aromatic carbocyclic group”, and Also included are those in which each ring in the “aromatic heterocyclic group” is condensed. Further, the non-aromatic heterocyclic group having two or more rings includes those in which the ring in the above-mentioned “non-aromatic carbocyclic group” is condensed to a monocyclic or two or more aromatic heterocyclic group. .
Furthermore, the “non-aromatic heterocyclic group” includes a group that forms a bridge or a spiro ring as described below.
The monocyclic non-aromatic heterocyclic group is preferably 3 to 8 members, more preferably 5 or 6 members. For example, dioxanyl, thiranyl, oxiranyl, oxetanyl, oxathiolanyl, azetidinyl, thianyl, thiazolidinyl, pyrrolidinyl, pyrrolinyl, imidazolidinyl, imidazolinyl, pyrazolidinyl, pyrazolinyl, piperidyl, piperazinyl, morpholinyl, morpholino, thiomorpholinyl, morpholino, thiomorpholinyl, morpholino, thiomorpholinyl Furyl, tetrahydropyranyl, dihydrothiazolyl, tetrahydrothiazolyl, tetrahydroisothiazolyl, dihydrooxazinyl, hexahydroazepinyl, tetrahydrodiazepinyl, tetrahydropyridazinyl, hexahydropyrimidinyl, dioxolanyl, dioxazinyl Aziridinyl, dioxolinyl, oxepanyl, thiolanyl, thii Le, triazinyl, and the like.
Examples of the non-aromatic heterocyclic group having two or more rings include indolinyl, isoindolinyl, chromanyl, isochromanyl and the like.
「アルキルオキシ」とは、上記「アルキル」が酸素原子に結合した基を意味する。例えば、メトキシ、エトキシ、n-プロピルオキシ、イソプロピルオキシ、n-ブチルオキシ、tert-ブチルオキシ、イソブチルオキシ、sec-ブチルオキシ、ペンチルオキシ、イソペンチルオキシ、へキシルオキシ等が挙げられる。
「アルキルオキシ」の好ましい態様として、メトキシ、エトキシ、n-プロピルオキシ、イソプロピルオキシ、tert-ブチルオキシが挙げられる。
“Alkyloxy” means a group in which the above “alkyl” is bonded to an oxygen atom. Examples thereof include methoxy, ethoxy, n-propyloxy, isopropyloxy, n-butyloxy, tert-butyloxy, isobutyloxy, sec-butyloxy, pentyloxy, isopentyloxy, hexyloxy and the like.
Preferable embodiments of “alkyloxy” include methoxy, ethoxy, n-propyloxy, isopropyloxy, tert-butyloxy.
「アルケニルオキシ」とは、上記「アルケニル」が酸素原子に結合した基を意味する。
例えば、ビニルオキシ、アリルオキシ、1-プロペニルオキシ、2-ブテニルオキシ、2-ペンテニルオキシ、2-ヘキセニルオキシ、2-ヘプテニルオキシ、2-オクテニルオキシ等が挙げられる。
“Alkenyloxy” means a group in which the above “alkenyl” is bonded to an oxygen atom.
Examples thereof include vinyloxy, allyloxy, 1-propenyloxy, 2-butenyloxy, 2-pentenyloxy, 2-hexenyloxy, 2-heptenyloxy, 2-octenyloxy and the like.
「アルキニルオキシ」とは、上記「アルキニル」が酸素原子に結合した基を意味する。
例えば、エチニルオキシ、1-プロピニルオキシ、2-プロピニルオキシ、2-ブチニルオキシ、2-ペンチニルオキシ、2-ヘキシニルオキシ、2-ヘプチニルオキシ、2-オクチニルオキシ等が挙げられる。
“Alkynyloxy” means a group in which the above “alkynyl” is bonded to an oxygen atom.
Examples include ethynyloxy, 1-propynyloxy, 2-propynyloxy, 2-butynyloxy, 2-pentynyloxy, 2-hexynyloxy, 2-heptynyloxy, 2-octynyloxy and the like.
「アルキルスルファニル」とは、上記「アルキル」がスルファニル基の硫黄原子と結合している水素原子と置き換わった基を意味する。例えば、メチルスルファニル、エチルスルファニル、n-プロピルスルファニル、イソプロピルスルファニル等が挙げられる。 “Alkylsulfanyl” means a group in which the above “alkyl” is replaced with a hydrogen atom bonded to a sulfur atom of a sulfanyl group. For example, methylsulfanyl, ethylsulfanyl, n-propylsulfanyl, isopropylsulfanyl and the like can be mentioned.
「アルケニルスルファニル」とは、上記「アルケニル」がスルファニル基の硫黄原子と結合している水素原子と置き換わった基を意味する。例えば、エチレニルスルファニル、プロペニルスルファニル等が挙げられる。 “Alkenylsulfanyl” means a group in which the above “alkenyl” is replaced with a hydrogen atom bonded to a sulfur atom of a sulfanyl group. For example, ethylenylsulfanyl, propenylsulfanyl and the like can be mentioned.
「アルキニルスルファニル」とは、上記「アルキニル」がスルファニル基の硫黄原子と結合している水素原子と置き換わった基を意味する。例えば、エチニルスルファニル、プロピニルスルファニル等が挙げられる。 “Alkynylsulfanyl” means a group in which the above “alkynyl” is replaced with a hydrogen atom bonded to a sulfur atom of a sulfanyl group. For example, ethynylsulfanyl, propynylsulfanyl and the like can be mentioned.
「アルキルアミノ」とは、上記「アルキル」がアミノ基の窒素原子と結合している水素原子1個と置き換わった基を意味する。例えば、メチルアミノ、エチルアミノ、イソプロピルアミノ等が挙げられる。さらに、アミノ基の窒素原子と結合しているもう一方の水素原子は、上記「アルキル」と置き換わっていてもよい。
「アルキルアミノ」の好ましい態様として、メチルアミノ、エチルアミノが挙げられる。
“Alkylamino” means a group in which the above “alkyl” is replaced with one hydrogen atom bonded to the nitrogen atom of the amino group. For example, methylamino, ethylamino, isopropylamino and the like can be mentioned. Furthermore, the other hydrogen atom bonded to the nitrogen atom of the amino group may be replaced with the above “alkyl”.
Preferable embodiments of “alkylamino” include methylamino and ethylamino.
「アルケニルアミノ」とは、上記「アルケニル」がアミノ基の窒素原子と結合している水素原子1個と置き換わった基を意味する。例えば、エチレニルアミノ、プロペニルアミノ等が挙げられる。さらに、アミノ基の窒素原子と結合しているもう一方の水素原子は、上記「アルキル」と置き換わっていてもよい。 “Alkenylamino” means a group in which the above “alkenyl” is replaced with one hydrogen atom bonded to the nitrogen atom of the amino group. For example, ethylenylamino, propenylamino and the like can be mentioned. Furthermore, the other hydrogen atom bonded to the nitrogen atom of the amino group may be replaced with the above “alkyl”.
「アルキニルアミノ」とは、上記「アルキニル」がアミノ基の窒素原子と結合している水素原子1個と置き換わった基を意味する。例えば、エチニルアミノ、プロピニルアミノ等が挙げられる。さらに、アミノ基の窒素原子と結合しているもう一方の水素原子は、上記「アルキル」と置き換わっていてもよい。 “Alkynylamino” means a group in which the above “alkynyl” is replaced with one hydrogen atom bonded to the nitrogen atom of the amino group. For example, ethynylamino, propynylamino and the like can be mentioned. Furthermore, the other hydrogen atom bonded to the nitrogen atom of the amino group may be replaced with the above “alkyl”.
「アルキルカルボニル」とは、上記「アルキル」がカルボニル基に結合した基を意味する。例えば、メチルカルボニル、エチルカルボニル、プロピルカルボニル、イソプロピルカルボニル、tert-ブチルカルボニル、イソブチルカルボニル、sec-ブチルカルボニル、ペンチルカルボニル、イソペンチルカルボニル、へキシルカルボニル等が挙げられる。
「アルキルカルボニル」の好ましい態様として、メチルカルボニル、エチルカルボニル、n-プロピルカルボニルが挙げられる。
“Alkylcarbonyl” means a group in which the above “alkyl” is bonded to a carbonyl group. Examples thereof include methylcarbonyl, ethylcarbonyl, propylcarbonyl, isopropylcarbonyl, tert-butylcarbonyl, isobutylcarbonyl, sec-butylcarbonyl, pentylcarbonyl, isopentylcarbonyl, hexylcarbonyl and the like.
Preferable embodiments of “alkylcarbonyl” include methylcarbonyl, ethylcarbonyl, and n-propylcarbonyl.
「アルケニルカルボニル」とは、上記「アルケニル」がカルボニル基に結合した基を意味する。例えば、エチレニルカルボニル、プロペニルカルボニル等が挙げられる。 “Alkenylcarbonyl” means a group in which the above “alkenyl” is bonded to a carbonyl group. For example, ethylenylcarbonyl, propenylcarbonyl and the like can be mentioned.
「アルキニルカルボニル」とは、上記「アルキニル」がカルボニル基に結合した基を意味する。例えば、エチニルカルボニル、プロピニルカルボニル等が挙げられる。 “Alkynylcarbonyl” means a group in which the above “alkynyl” is bonded to a carbonyl group. For example, ethynylcarbonyl, propynylcarbonyl and the like can be mentioned.
「アルキルスルホニル」とは、上記「アルキル」がスルホニル基に結合した基を意味する。例えば、メチルスルホニル、エチルスルホニル、プロピルスルホニル、イソプロピルスルホニル、tert-ブチルスルホニル、イソブチルスルホニル、sec-ブチルスルホニル等が挙げられる。
「アルキルスルホニル」の好ましい態様として、メチルスルホニル、エチルスルホニルが挙げられる。
“Alkylsulfonyl” means a group in which the above “alkyl” is bonded to a sulfonyl group. For example, methylsulfonyl, ethylsulfonyl, propylsulfonyl, isopropylsulfonyl, tert-butylsulfonyl, isobutylsulfonyl, sec-butylsulfonyl and the like can be mentioned.
Preferable embodiments of “alkylsulfonyl” include methylsulfonyl and ethylsulfonyl.
「アルケニルスルホニル」とは、上記「アルケニル」がスルホニル基に結合した基を意味する。例えば、エチレニルスルホニル、プロペニルスルホニル等が挙げられる。 “Alkenylsulfonyl” means a group in which the above “alkenyl” is bonded to a sulfonyl group. For example, ethylenylsulfonyl, propenylsulfonyl and the like can be mentioned.
「アルキニルスルホニル」とは、上記「アルキニル」がスルホニル基に結合した基を意味する。例えば、エチニルスルホニル、プロピニルスルホニル等が挙げられる。 “Alkynylsulfonyl” means a group in which the above “alkynyl” is bonded to a sulfonyl group. For example, ethynylsulfonyl, propynylsulfonyl and the like can be mentioned.
「アルキルカルボニルオキシ」とは、上記「アルキルカルボニル」が酸素原子に結合した基を意味する。例えば、メチルカルボニルオキシ、エチルカルボニルオキシ、プロピルカルボニルオキシ、イソプロピルカルボニルオキシ、tert-ブチルカルボニルオキシ、イソブチルカルボニルオキシ、sec-ブチルカルボニルオキシ等が挙げられる。
「アルキルカルボニルオキシ」の好ましい態様としては、メチルカルボニルオキシ、エチルカルボニルオキシが挙げられる。
“Alkylcarbonyloxy” means a group in which the above “alkylcarbonyl” is bonded to an oxygen atom. Examples thereof include methylcarbonyloxy, ethylcarbonyloxy, propylcarbonyloxy, isopropylcarbonyloxy, tert-butylcarbonyloxy, isobutylcarbonyloxy, sec-butylcarbonyloxy and the like.
Preferable embodiments of “alkylcarbonyloxy” include methylcarbonyloxy and ethylcarbonyloxy.
「アルケニルカルボニルオキシ」とは、上記「アルケニルカルボニル」が酸素原子に結合した基を意味する。例えば、エチレニルカルボニルオキシ、プロペニルカルボニルオキシ等が挙げられる。 “Alkenylcarbonyloxy” means a group in which the above “alkenylcarbonyl” is bonded to an oxygen atom. For example, ethylenylcarbonyloxy, propenylcarbonyloxy and the like can be mentioned.
「アルキニルカルボニルオキシ」とは、上記「アルキニルカルボニル」が酸素原子に結合した基を意味する。例えば、エチニルカルボニルオキシ、プロピニルカルボニルオキシ等が挙げられる。 “Alkynylcarbonyloxy” means a group in which the above “alkynylcarbonyl” is bonded to an oxygen atom. For example, ethynylcarbonyloxy, propynylcarbonyloxy and the like can be mentioned.
「アルキルオキシカルボニル」とは、上記「アルキルオキシ」がカルボニル基に結合した基を意味する。例えば、メチルオキシカルボニル、エチルオキシカルボニル、プロピルオキシカルボニル、イソプロピルオキシカルボニル、tert-ブチルオキシカルボニル、イソブチルオキシカルボニル、sec-ブチルオキシカルボニル、ペンチルオキシカルボニル、イソペンチルオキシカルボニル、へキシルオキシカルボニル等が挙げられる。
「アルキルオキシカルボニル」の好ましい態様としては、メチルオキシカルボニル、エチルオキシカルボニル、プロピルオキシカルボニルが挙げられる。
“Alkyloxycarbonyl” means a group in which the above “alkyloxy” is bonded to a carbonyl group. For example, methyloxycarbonyl, ethyloxycarbonyl, propyloxycarbonyl, isopropyloxycarbonyl, tert-butyloxycarbonyl, isobutyloxycarbonyl, sec-butyloxycarbonyl, pentyloxycarbonyl, isopentyloxycarbonyl, hexyloxycarbonyl, etc. It is done.
Preferable embodiments of “alkyloxycarbonyl” include methyloxycarbonyl, ethyloxycarbonyl, propyloxycarbonyl.
「アルケニルオキシカルボニル」とは、上記「アルケニルオキシ」がカルボニル基に結合した基を意味する。例えば、エチレニルオキシカルボニル、プロペニルオキシカルボニル等が挙げられる。 “Alkenyloxycarbonyl” means a group in which the above “alkenyloxy” is bonded to a carbonyl group. For example, ethylenyloxycarbonyl, propenyloxycarbonyl and the like can be mentioned.
「アルキニルオキシカルボニル」とは、上記「アルキニルオキシ」がカルボニル基に結合した基を意味する。例えば、エチニルオキシカルボニル、プロピニルオキシカルボニル等が挙げられる。 “Alkynyloxycarbonyl” means a group in which the above “alkynyloxy” is bonded to a carbonyl group. For example, ethynyloxycarbonyl, propynyloxycarbonyl and the like can be mentioned.
「アルキルスルホニルオキシ」とは、上記「アルキルスルホニル」が酸素原子に結合した基を意味する。例えば、メチルスルホニルオキシ、エチルスルホニルオキシ、プロピルスルホニルオキシ、イソプロピルスルホニルオキシ、tert-ブチルスルホニルオキシ、イソブチルスルホニルオキシ、sec-ブチルスルホニルオキシ等が挙げられる。
「アルキルスルホニルオキシ」の好ましい態様としては、メチルスルホニルオキシ、エチルスルホニルオキシが挙げられる。
“Alkylsulfonyloxy” means a group in which the above “alkylsulfonyl” is bonded to an oxygen atom. For example, methylsulfonyloxy, ethylsulfonyloxy, propylsulfonyloxy, isopropylsulfonyloxy, tert-butylsulfonyloxy, isobutylsulfonyloxy, sec-butylsulfonyloxy and the like can be mentioned.
Preferable embodiments of “alkylsulfonyloxy” include methylsulfonyloxy and ethylsulfonyloxy.
「アルケニルスルホニルオキシ」とは、上記「アルケニルスルホニル」が酸素原子に結合した基を意味する。例えば、エチレニルスルホニルオキシ、プロペニルスルホニルオキシ等が挙げられる。 “Alkenylsulfonyloxy” means a group in which the above “alkenylsulfonyl” is bonded to an oxygen atom. For example, ethylenylsulfonyloxy, propenylsulfonyloxy and the like can be mentioned.
「アルキニルスルホニルオキシ」とは、上記「アルキニルスルホニル」が酸素原子に結合した基を意味する。例えば、エチニルスルホニルオキシ、プロピニルスルホニルオキシ等が挙げられる。 “Alkynylsulfonyloxy” means a group in which the above “alkynylsulfonyl” is bonded to an oxygen atom. For example, ethynylsulfonyloxy, propynylsulfonyloxy and the like can be mentioned.
「アルキルオキシスルホニル」とは、上記「アルキルオキシ」がスルホニル基に結合した基を意味する。例えば、メチルオキシスルホニル、エチルオキシスルホニル、プロピルオキシスルホニル、イソプロピルオキシスルホニル、tert-ブチルオキシスルホニル、イソブチルオキシスルホニル、sec-ブチルオキシスルホニル、ペンチルオキシスルホニル、イソペンチルオキシスルホニル、へキシルオキシスルホニル等が挙げられる。
「アルキルオキシスルホニル」の好ましい態様としては、メチルオキシスルホニル、エチルオキシスルホニル、プロピルオキシスルホニルが挙げられる。
“Alkyloxysulfonyl” means a group in which the above “alkyloxy” is bonded to a sulfonyl group. Examples include methyloxysulfonyl, ethyloxysulfonyl, propyloxysulfonyl, isopropyloxysulfonyl, tert-butyloxysulfonyl, isobutyloxysulfonyl, sec-butyloxysulfonyl, pentyloxysulfonyl, isopentyloxysulfonyl, hexyloxysulfonyl and the like. It is done.
Preferable embodiments of “alkyloxysulfonyl” include methyloxysulfonyl, ethyloxysulfonyl, propyloxysulfonyl.
「アルケニルオキシスルホニル」とは、上記「アルケニルオキシ」がスルホニル基に結合した基を意味する。例えば、エチレニルオキシスルホニル、プロペニルオキシスルホニル等が挙げられる。 “Alkenyloxysulfonyl” means a group in which the above “alkenyloxy” is bonded to a sulfonyl group. For example, ethylenyloxysulfonyl, propenyloxysulfonyl and the like can be mentioned.
「アルキニルオキシスルホニル」とは、上記「アルキニルオキシ」がスルホニル基に結合した基を意味する。例えば、エチニルオキシスルホニル、プロピニルオキシスルホニル等が挙げられる。 “Alkynyloxysulfonyl” means a group in which the above “alkynyloxy” is bonded to a sulfonyl group. For example, ethynyloxysulfonyl, propynyloxysulfonyl and the like can be mentioned.
「アルキルカルバモイル」とは、上記「アルキル」がカルバモイル基の窒素原子と結合している水素原子1個と置き換わった基を意味する。例えば、メチルカルバモイル、エチルカルバモイル等が挙げられる。さらに、カルバモイル基の窒素原子と結合しているもう一方の水素原子は、上記「アルキル」と置き換わっていてもよい。 “Alkylcarbamoyl” means a group in which the above “alkyl” is replaced with one hydrogen atom bonded to the nitrogen atom of the carbamoyl group. Examples thereof include methylcarbamoyl and ethylcarbamoyl. Further, the other hydrogen atom bonded to the nitrogen atom of the carbamoyl group may be replaced with the above “alkyl”.
「アルケニルカルバモイル」とは、上記「アルケニル」がカルバモイル基の窒素原子と結合している水素原子1個と置き換わった基を意味する。例えば、エチレニルカルバモイル、プロペニルカルバモイル等が挙げられる。さらに、カルバモイル基の窒素原子と結合しているもう一方の水素原子は、上記「アルキル」と置き換わっていてもよい。 “Alkenylcarbamoyl” means a group in which the above “alkenyl” is replaced with one hydrogen atom bonded to the nitrogen atom of the carbamoyl group. For example, ethylenylcarbamoyl, propenylcarbamoyl and the like can be mentioned. Further, the other hydrogen atom bonded to the nitrogen atom of the carbamoyl group may be replaced with the above “alkyl”.
「アルキニルカルバモイル」とは、上記「アルキニル」がカルバモイル基の窒素原子と結合している水素原子1個と置き換わった基を意味する。例えば、エチニルカルバモイル、プロピニルカルバモイル等が挙げられる。さらに、カルバモイル基の窒素原子と結合しているもう一方の水素原子は、上記「アルキル」と置き換わっていてもよい。 “Alkynylcarbamoyl” means a group in which the above “alkynyl” is replaced with one hydrogen atom bonded to the nitrogen atom of the carbamoyl group. For example, ethynylcarbamoyl, propynylcarbamoyl and the like can be mentioned. Further, the other hydrogen atom bonded to the nitrogen atom of the carbamoyl group may be replaced with the above “alkyl”.
「アルキルスルファモイル」とは、上記「アルキル」がスルファモイル基の窒素原子と結合している水素原子1個と置き換わった基を意味する。例えば、メチルスルファモイル、ジメチルスルファモイル等が挙げられる。さらに、スルファモイル基の窒素原子と結合しているもう一方の水素原子は、上記「アルキル」と置き換わっていてもよい。 “Alkylsulfamoyl” means a group in which the above “alkyl” is replaced with one hydrogen atom bonded to the nitrogen atom of the sulfamoyl group. For example, methylsulfamoyl, dimethylsulfamoyl, etc. are mentioned. Further, the other hydrogen atom bonded to the nitrogen atom of the sulfamoyl group may be replaced with the above “alkyl”.
「アルケニルスルファモイル」とは、上記「アルケニル」がスルファモイル基の窒素原子と結合している水素原子1個と置き換わった基を意味する。例えば、エチレニルスルファモイル、プロペニルスルファモイル等が挙げられる。さらに、カルバモイル基の窒素原子と結合しているもう一方の水素原子は、上記「アルキル」と置き換わっていてもよい。 “Alkenylsulfamoyl” means a group in which the above “alkenyl” is replaced with one hydrogen atom bonded to the nitrogen atom of the sulfamoyl group. For example, ethylenyl sulfamoyl, propenyl sulfamoyl and the like can be mentioned. Further, the other hydrogen atom bonded to the nitrogen atom of the carbamoyl group may be replaced with the above “alkyl”.
「アルキニルスルファモイル」とは、上記「アルキニル」がスルファモイル基の窒素原子と結合している水素原子1個と置き換わった基を意味する。例えば、エチニルスルファモイル、プロピニルスルファモイル等が挙げられる。さらに、カルバモイル基の窒素原子と結合しているもう一方の水素原子は、上記「アルキル」と置き換わっていてもよい。 “Alkynylsulfamoyl” means a group in which the above “alkynyl” is replaced with one hydrogen atom bonded to the nitrogen atom of the sulfamoyl group. For example, ethynyl sulfamoyl, propynyl sulfamoyl, etc. are mentioned. Further, the other hydrogen atom bonded to the nitrogen atom of the carbamoyl group may be replaced with the above “alkyl”.
「アルキルカルボニルアミノ」とは、上記「アルキルカルボニル」がアミノ基の窒素原子と結合している水素原子1個と置き換わった基を意味する。例えば、メチルカルボニルアミノ、エチルカルボニルアミノ、プロピルカルボニルアミノ、イソプロピルカルボニルアミノ、tert-ブチルカルボニルアミノ、イソブチルカルボニルアミノ、sec-ブチルカルボニルアミノ等が挙げられる。さらに、アミノ基の窒素原子と結合しているもう一方の水素原子は、上記「アルキル」と置き換わっていてもよい。
「アルキルカルボニルアミノ」の好ましい態様としては、メチルカルボニルアミノ、エチルカルボニルアミノが挙げられる。
“Alkylcarbonylamino” means a group in which the above “alkylcarbonyl” is replaced with one hydrogen atom bonded to the nitrogen atom of the amino group. For example, methylcarbonylamino, ethylcarbonylamino, propylcarbonylamino, isopropylcarbonylamino, tert-butylcarbonylamino, isobutylcarbonylamino, sec-butylcarbonylamino and the like can be mentioned. Furthermore, the other hydrogen atom bonded to the nitrogen atom of the amino group may be replaced with the above “alkyl”.
Preferable embodiments of “alkylcarbonylamino” include methylcarbonylamino and ethylcarbonylamino.
「アルケニルカルボニルアミノ」とは、上記「アルケニルカルボニル」がアミノ基の窒素原子と結合している水素原子1個と置き換わった基を意味する。例えば、エチレニルカルボニルアミノ、プロペニルカルボニルアミノ等が挙げられる。さらに、アミノ基の窒素原子と結合しているもう一方の水素原子は、上記「アルキル」と置き換わっていてもよい。 “Alkenylcarbonylamino” means a group in which the above “alkenylcarbonyl” is replaced with one hydrogen atom bonded to the nitrogen atom of the amino group. For example, ethylenylcarbonylamino, propenylcarbonylamino and the like can be mentioned. Furthermore, the other hydrogen atom bonded to the nitrogen atom of the amino group may be replaced with the above “alkyl”.
「アルキニルカルボニルアミノ」とは、上記「アルキニルカルボニル」がアミノ基の窒素原子と結合している水素原子1個と置き換わった基を意味する。例えば、エチニルカルボニルアミノ、プロピニルカルボニルアミノ等が挙げられる。さらに、アミノ基の窒素原子と結合しているもう一方の水素原子は、上記「アルキル」と置き換わっていてもよい。 “Alkynylcarbonylamino” means a group in which the above “alkynylcarbonyl” is replaced with one hydrogen atom bonded to the nitrogen atom of the amino group. For example, ethynylcarbonylamino, propynylcarbonylamino and the like can be mentioned. Furthermore, the other hydrogen atom bonded to the nitrogen atom of the amino group may be replaced with the above “alkyl”.
「アルキルスルホニルアミノ」とは、上記「アルキルスルホニル」がアミノ基の窒素原子と結合している水素原子1個と置き換わった基を意味する。例えば、メチルスルホニルアミノ、エチルスルホニルアミノ、プロピルスルホニルアミノ、イソプロピルスルホニルアミノ、tert-ブチルスルホニルアミノ、イソブチルスルホニルアミノ、sec-ブチルスルホニルアミノ等が挙げられる。さらに、アミノ基の窒素原子と結合しているもう一方の水素原子は、上記「アルキル」と置き換わっていてもよい。
「アルキルスルホニルアミノ」の好ましい態様としては、メチルスルホニルアミノ、エチルスルホニルアミノが挙げられる。
“Alkylsulfonylamino” means a group in which the above “alkylsulfonyl” is replaced with one hydrogen atom bonded to the nitrogen atom of the amino group. For example, methylsulfonylamino, ethylsulfonylamino, propylsulfonylamino, isopropylsulfonylamino, tert-butylsulfonylamino, isobutylsulfonylamino, sec-butylsulfonylamino and the like can be mentioned. Furthermore, the other hydrogen atom bonded to the nitrogen atom of the amino group may be replaced with the above “alkyl”.
Preferable embodiments of “alkylsulfonylamino” include methylsulfonylamino and ethylsulfonylamino.
「アルケニルスルホニルアミノ」とは、上記「アルケニルスルホニル」がアミノ基の窒素原子と結合している水素原子1個と置き換わった基を意味する。例えば、エチレニルスルホニルアミノ、プロペニルスルホニルアミノ等が挙げられる。さらに、アミノ基の窒素原子と結合しているもう一方の水素原子は、上記「アルキル」と置き換わっていてもよい。 “Alkenylsulfonylamino” means a group in which the above “alkenylsulfonyl” is replaced with one hydrogen atom bonded to the nitrogen atom of the amino group. For example, ethylenylsulfonylamino, propenylsulfonylamino and the like can be mentioned. Furthermore, the other hydrogen atom bonded to the nitrogen atom of the amino group may be replaced with the above “alkyl”.
「アルキニルスルホニルアミノ」とは、上記「アルキニルスルホニル」がアミノ基の窒素原子と結合している水素原子1個と置き換わった基を意味する。例えば、エチニルスルホニルアミノ、プロピニルスルホニルアミノ等が挙げられる。さらに、アミノ基の窒素原子と結合しているもう一方の水素原子は、上記「アルキル」と置き換わっていてもよい。 “Alkynylsulfonylamino” means a group in which the above “alkynylsulfonyl” is replaced with one hydrogen atom bonded to the nitrogen atom of the amino group. For example, ethynylsulfonylamino, propynylsulfonylamino and the like can be mentioned. Furthermore, the other hydrogen atom bonded to the nitrogen atom of the amino group may be replaced with the above “alkyl”.
「アルキルオキシカルボニルアミノ」とは、上記「アルキルオキシカルボニル」がアミノ基の窒素原子と結合している水素原子1個と置き換わった基を意味する。例えば、メチルオキシカルボニルアミノ、エチルオキシカルボニルアミノ、プロピルオキシカルボニルアミノ、イソプロピルオキシカルボニルアミノ、tert-ブチルオキシカルボニルアミノ、イソブチルオキシカルボニルアミノ、sec-ブチルオキシカルボニルアミノ、ペンチルオキシカルボニルアミノ、イソペンチルオキシカルボニルアミノ、へキシルオキシカルボニルアミノ等が挙げられる。さらに、アミノ基の窒素原子と結合しているもう一方の水素原子は、上記「アルキル」と置き換わっていてもよい。
「アルキルオキシカルボニル」の好ましい態様としては、メチルオキシカルボニルアミノ、エチルオキシカルボニルアミノ、プロピルオキシカルボニルアミノが挙げられる。
“Alkyloxycarbonylamino” means a group in which the above “alkyloxycarbonyl” is replaced with one hydrogen atom bonded to the nitrogen atom of the amino group. For example, methyloxycarbonylamino, ethyloxycarbonylamino, propyloxycarbonylamino, isopropyloxycarbonylamino, tert-butyloxycarbonylamino, isobutyloxycarbonylamino, sec-butyloxycarbonylamino, pentyloxycarbonylamino, isopentyloxycarbonyl Amino, hexyloxycarbonylamino, etc. are mentioned. Furthermore, the other hydrogen atom bonded to the nitrogen atom of the amino group may be replaced with the above “alkyl”.
Preferable embodiments of “alkyloxycarbonyl” include methyloxycarbonylamino, ethyloxycarbonylamino, propyloxycarbonylamino.
「アルケニルオキシカルボニルアミノ」とは、上記「アルケニルオキシカルボニル」がアミノ基の窒素原子と結合している水素原子1個と置き換わった基を意味する。例えば、エチレニルオキシカルボニルアミノ、プロペニルオキシカルボニルアミノ等が挙げられる。さらに、アミノ基の窒素原子と結合しているもう一方の水素原子は、上記「アルキル」と置き換わっていてもよい。 “Alkenyloxycarbonylamino” means a group in which the above “alkenyloxycarbonyl” is replaced with one hydrogen atom bonded to the nitrogen atom of the amino group. For example, ethylenyloxycarbonylamino, propenyloxycarbonylamino and the like can be mentioned. Furthermore, the other hydrogen atom bonded to the nitrogen atom of the amino group may be replaced with the above “alkyl”.
「アルキニルオキシカルボニルアミノ」とは、上記「アルキニルオキシカルボニル」がアミノ基の窒素原子と結合している水素原子1個と置き換わった基を意味する。例えば、エチニルオキシカルボニルアミノ、プロピニルオキシカルボニルアミノ等が挙げられる。さらに、アミノ基の窒素原子と結合しているもう一方の水素原子は、上記「アルキル」と置き換わっていてもよい。 “Alkynyloxycarbonylamino” means a group in which the above “alkynyloxycarbonyl” is replaced with one hydrogen atom bonded to the nitrogen atom of the amino group. For example, ethynyloxycarbonylamino, propynyloxycarbonylamino and the like can be mentioned. Furthermore, the other hydrogen atom bonded to the nitrogen atom of the amino group may be replaced with the above “alkyl”.
「アルキルイミノ」とは、上記「アルキル」がイミノ基の窒素原子と結合している水素原子と置き換わった基を意味する。例えば、メチルイミノ、エチルイミノ、n-プロピルイミノ、イソプロピルイミノ等が挙げられる。 “Alkylimino” means a group in which the above “alkyl” is replaced with a hydrogen atom bonded to the nitrogen atom of the imino group. For example, methylimino, ethylimino, n-propylimino, isopropylimino and the like can be mentioned.
「アルキルオキシイミノ」とは、上記「アルキルオキシ」がイミノ基の窒素原子と結合している水素原子と置き換わった基を意味する。例えば、メチルオキシイミノ、エチルオキシイミノ、n-プロピルオキシイミノ、イソプロピルオキシイミノ等が挙げられる。 “Alkyloxyimino” means a group in which the above “alkyloxy” is replaced with a hydrogen atom bonded to the nitrogen atom of the imino group. Examples thereof include methyloxyimino, ethyloxyimino, n-propyloxyimino, isopropyloxyimino and the like.
「ハロアルキル」とは、1以上の上記「ハロゲン」が上記「アルキル」に結合した基を意味する。例えば、モノフルオロメチル、モノフルオロエチル、モノフルオロプロピル、2,2,3,3,3-ペンタフルオロプロピル、モノクロロメチル、トリフルオロメチル、トリクロロメチル、2,2,2-トリフルオロエチル、2,2,2-トリクロロエチル、1,2-ジブロモエチル、1,1,1-トリフルオロプロパン-2-イル等が挙げられる。
「ハロアルキル」の好ましい態様として、トリフルオロメチル、トリクロロメチルが挙げられる。
“Haloalkyl” means a group in which one or more of the “halogen” is bonded to the “alkyl”. For example, monofluoromethyl, monofluoroethyl, monofluoropropyl, 2,2,3,3,3-pentafluoropropyl, monochloromethyl, trifluoromethyl, trichloromethyl, 2,2,2-trifluoroethyl, 2, Examples include 2,2-trichloroethyl, 1,2-dibromoethyl, 1,1,1-trifluoropropan-2-yl and the like.
Preferable embodiments of “haloalkyl” include trifluoromethyl and trichloromethyl.
「ハロアルキルオキシ」とは、上記「ハロアルキル」が酸素原子に結合した基を意味する。例えば、モノフルオロメトキシ、モノフルオロエトキシ、トリフルオロメトキシ、トリクロロメトキシ、トリフルオロエトキシ、トリクロロエトキシ等が挙げられる。
「ハロアルキルオキシ」の好ましい態様として、トリフルオロメトキシ、トリクロロメトキシが挙げられる。
“Haloalkyloxy” means a group in which the above “haloalkyl” is bonded to an oxygen atom. Examples thereof include monofluoromethoxy, monofluoroethoxy, trifluoromethoxy, trichloromethoxy, trifluoroethoxy, trichloroethoxy and the like.
Preferable embodiments of “haloalkyloxy” include trifluoromethoxy and trichloromethoxy.
「ハロアルキルアミノ」とは、上記「ハロアルキル」がアミノ基の窒素原子と結合している水素原子1個と置き換わった基を意味する。例えば、モノフルオロメチルアミノ、モノフルオロエチルアミノ、トリフルオロメチルアミノ、トリクロロメチルアミノ、トリフルオロエチルアミノ、トリクロロエチルアミノ等が挙げられる。さらに、アミノ基の窒素原子と結合しているもう一方の水素原子は、上記「アルキル」または上記「ハロアルキル」と置き換わっていてもよい。
「ハロアルキルアミノ」の好ましい態様として、トリフルオロメチルアミノ、トリクロロメチルアミノが挙げられる。
“Haloalkylamino” means a group in which the above “haloalkyl” is replaced with one hydrogen atom bonded to the nitrogen atom of the amino group. Examples thereof include monofluoromethylamino, monofluoroethylamino, trifluoromethylamino, trichloromethylamino, trifluoroethylamino, trichloroethylamino and the like. Furthermore, the other hydrogen atom bonded to the nitrogen atom of the amino group may be replaced with the above “alkyl” or the above “haloalkyl”.
Preferable embodiments of “haloalkylamino” include trifluoromethylamino and trichloromethylamino.
「ハロアルキルスルファニル」とは、上記「ハロアルキル」がスルファニル基に結合した基を意味する。例えば、モノフルオロメチルスルファニル、モノフルオロエチルスルファニル、トリフルオロメチルスルファニル、トリクロロメチルスルファニル、トリフルオロエチルスルファニル、トリクロロエチルスルファニル等が挙げられる。
「ハロアルキルスルファニル」の好ましい態様として、トリフルオロメチルスルファニル、トリクロロメチルススルファニルが挙げられる。
“Haloalkylsulfanyl” means a group in which the above “haloalkyl” is bonded to a sulfanyl group. Examples thereof include monofluoromethylsulfanyl, monofluoroethylsulfanyl, trifluoromethylsulfanyl, trichloromethylsulfanyl, trifluoroethylsulfanyl, trichloroethylsulfanyl and the like.
Preferable embodiments of “haloalkylsulfanyl” include trifluoromethylsulfanyl and trichloromethylsulfanyl.
「ハロアルキルカルボニル」とは、上記「ハロアルキル」がカルボニル基に結合した基を意味する。例えば、モノフルオロメチルカルボニル、モノフルオロエチルカルボニル、トリフルオロメチルカルボニル、トリクロロメチルカルボニル、トリフルオロエチルカルボニル、トリクロロエチルカルボニル等が挙げられる。
「ハロアルキルカルボニル」の好ましい態様として、トリフルオロメチルカルボニル、トリクロロメチルカルボニルが挙げられる。
“Haloalkylcarbonyl” means a group in which the above “haloalkyl” is bonded to a carbonyl group. For example, monofluoromethylcarbonyl, monofluoroethylcarbonyl, trifluoromethylcarbonyl, trichloromethylcarbonyl, trifluoroethylcarbonyl, trichloroethylcarbonyl and the like can be mentioned.
Preferable embodiments of “haloalkylcarbonyl” include trifluoromethylcarbonyl and trichloromethylcarbonyl.
「ハロアルキルスルホニル」とは、上記「ハロアルキル」がスルホニル基に結合した基を意味する。例えば、モノフルオロメチルスルホニル、モノフルオロエチルスルホニル、トリフルオロメチルスルホニル、トリクロロメチルスルホニル、トリフルオロエチルスルホニル、トリクロロエチルスルホニル等が挙げられる。
「ハロアルキルスルホニル」の好ましい態様として、トリフルオロメチルスルホニル、トリクロロメチルスルホニルが挙げられる。
“Haloalkylsulfonyl” means a group in which the above “haloalkyl” is bonded to a sulfonyl group. For example, monofluoromethylsulfonyl, monofluoroethylsulfonyl, trifluoromethylsulfonyl, trichloromethylsulfonyl, trifluoroethylsulfonyl, trichloroethylsulfonyl and the like can be mentioned.
Preferable embodiments of “haloalkylsulfonyl” include trifluoromethylsulfonyl and trichloromethylsulfonyl.
「ハロアルキルカルバモイル」とは、上記「ハロアルキル」がカルバモイル基の窒素原子と結合している水素原子1個と置き換わった基を意味する。例えば、モノフルオロメチルカルバモイル、モノフルオロエチルカルバモイル、トリフルオロメチルカルバモイル、トリクロロメチルカルバモイル、トリフルオロエチルカルバモイル、トリクロロエチルカルバモイル等が挙げられる。さらに、カルバモイル基の窒素原子と結合しているもう一方の水素原子は、上記「アルキル」または上記「ハロアルキル」と置き換わっていてもよい。
「ハロアルキルカルバモイル」の好ましい態様として、トリフルオロメチルカルバモイル、トリクロロメチルカルバモイルが挙げられる。
“Haloalkylcarbamoyl” means a group in which the above “haloalkyl” is replaced with one hydrogen atom bonded to the nitrogen atom of the carbamoyl group. Examples thereof include monofluoromethylcarbamoyl, monofluoroethylcarbamoyl, trifluoromethylcarbamoyl, trichloromethylcarbamoyl, trifluoroethylcarbamoyl, trichloroethylcarbamoyl and the like. Furthermore, the other hydrogen atom bonded to the nitrogen atom of the carbamoyl group may be replaced with the above “alkyl” or the above “haloalkyl”.
Preferable embodiments of “haloalkylcarbamoyl” include trifluoromethylcarbamoyl and trichloromethylcarbamoyl.
「ハロアルキルスルファモイル」とは、上記「ハロアルキル」がスルファモイル基の窒素原子と結合している水素原子1個と置き換わった基を意味する。例えば、モノフルオロメチルスルファモイル、モノフルオロエチルスルファモイル、トリフルオロメチルスルファモイル、トリクロロメチルスルファモイル、トリフルオロエチルスルファモイル、トリクロロエチルスルファモイル等が挙げられる。さらに、スルファモイル基の窒素原子と結合しているもう一方の水素原子は、上記「アルキル」または上記「ハロアルキル」と置き換わっていてもよい。
「ハロアルキルスルファモイル」の好ましい態様として、トリフルオロメチルスルファモイル、トリクロロメチルスルファモイルが挙げられる。
“Haloalkylsulfamoyl” means a group in which the above “haloalkyl” is replaced with one hydrogen atom bonded to the nitrogen atom of the sulfamoyl group. Examples thereof include monofluoromethylsulfamoyl, monofluoroethylsulfamoyl, trifluoromethylsulfamoyl, trichloromethylsulfamoyl, trifluoroethylsulfamoyl, trichloroethylsulfamoyl and the like. Furthermore, the other hydrogen atom bonded to the nitrogen atom of the sulfamoyl group may be replaced with the “alkyl” or the “haloalkyl”.
Preferable embodiments of “haloalkylsulfamoyl” include trifluoromethylsulfamoyl and trichloromethylsulfamoyl.
「ハロアルキルカルボニルアミノ」とは、上記「ハロアルキルカルボニル」がアミノ基の窒素原子と結合している水素原子1個と置き換わった基を意味する。例えば、モノフルオロメチルカルボニルアミノ、モノフルオロエチルカルボニルアミノ、トリフルオロメチルカルボニルアミノ、トリクロロメチルカルボニルアミノ、トリフルオロエチルカルボニルアミノ、トリクロロエチルカルボニルアミノ等が挙げられる。さらに、アミノ基の窒素原子と結合しているもう一方の水素原子は、上記「アルキル」または上記「ハロアルキル」と置き換わっていてもよい。
「ハロアルキルカルボニルアミノ」の好ましい態様としては、トリフルオロメチルカルボニルアミノ、トリクロロメチルカルボニルアミノが挙げられる。
“Haloalkylcarbonylamino” means a group in which the above “haloalkylcarbonyl” is replaced with one hydrogen atom bonded to the nitrogen atom of the amino group. For example, monofluoromethylcarbonylamino, monofluoroethylcarbonylamino, trifluoromethylcarbonylamino, trichloromethylcarbonylamino, trifluoroethylcarbonylamino, trichloroethylcarbonylamino and the like can be mentioned. Furthermore, the other hydrogen atom bonded to the nitrogen atom of the amino group may be replaced with the above “alkyl” or the above “haloalkyl”.
Preferable embodiments of “haloalkylcarbonylamino” include trifluoromethylcarbonylamino and trichloromethylcarbonylamino.
「ハロアルキルスルホニルアミノ」とは、上記「ハロアルキルスルホニル」がアミノ基の窒素原子と結合している水素原子1個と置き換わった基を意味する。例えば、モノフルオロメチルスルホニルアミノ、モノフルオロエチルスルホニルアミノ、トリフルオロメチルスルホニルアミノ、トリクロロメチルスルホニルアミノ、トリフルオロエチルスルホニルアミノ、トリクロロエチルスルホニルアミノ等が挙げられる。さらに、アミノ基の窒素原子と結合しているもう一方の水素原子は、上記「アルキル」または上記「ハロアルキル」と置き換わっていてもよい。
「ハロアルキルスルホニルアミノ」の好ましい態様としては、トリフルオロメチルスルホニルアミノ、トリクロロメチルスルホニルアミノが挙げられる。
“Haloalkylsulfonylamino” means a group in which the above “haloalkylsulfonyl” is replaced with one hydrogen atom bonded to the nitrogen atom of the amino group. For example, monofluoromethylsulfonylamino, monofluoroethylsulfonylamino, trifluoromethylsulfonylamino, trichloromethylsulfonylamino, trifluoroethylsulfonylamino, trichloroethylsulfonylamino and the like can be mentioned. Furthermore, the other hydrogen atom bonded to the nitrogen atom of the amino group may be replaced with the above “alkyl” or the above “haloalkyl”.
Preferable embodiments of “haloalkylsulfonylamino” include trifluoromethylsulfonylamino and trichloromethylsulfonylamino.
「芳香族炭素環オキシ」、「芳香族炭素環アミノ」、「芳香族炭素環スルファニル」、「芳香族炭素環カルボニル」、「芳香族炭素環スルホニル」、「芳香族炭素環カルボニルオキシ」、「芳香族炭素環スルホニルオキシ」、「芳香族炭素環オキシカルボニル」、「芳香族炭素環オキシスルホニル」、「芳香族炭素環カルバモイル」、「芳香族炭素環スルファモイル」、「芳香族炭素環カルボニルアミノ」、「芳香族炭素環スルホニルアミノ」、および「芳香族炭素環オキシカルボニルアミノ」の「芳香族炭素環」部分も、上記「芳香族炭素環式基」と同様である。
「芳香族炭素環オキシ」とは、「芳香族炭素環」が酸素原子に結合した基を意味する。例えば、フェニルオキシ、ナフチルオキシ等が挙げられる。
「芳香族炭素環アミノ」とは、「芳香族炭素環」がアミノ基の窒素原子と結合している水素原子1個と置き換わった基を意味する。例えば、フェニルアミノ、ナフチルアミノ等が挙げられる。さらに、アミノ基の窒素原子と結合しているもう一方の水素原子は、上記「アルキル」と置き換わっていてもよい。
「芳香族炭素環スルファニル」とは、「芳香族炭素環」がスルファニル基の硫黄原子と結合している水素原子と置き換わった基を意味する。例えば、フェニルスルファニル、ナフチルスルファニル等が挙げられる。
「芳香族炭素環カルボニル」とは、「芳香族炭素環」がカルボニル基に結合した基を意味する。例えば、フェニルカルボニル、ナフチルカルボニル等が挙げられる。
「芳香族炭素環スルホニル」とは、「芳香族炭素環」がスルホニル基に結合した基を意味する。例えば、フェニルスルホニル、ナフチルスルホニル等が挙げられる。
「芳香族炭素環カルボニルオキシ」とは、上記「芳香族炭素環カルボニル」が酸素原子に結合した基を意味する。例えば、フェニルカルボニルオキシ、ナフチルカルボニルオキシ等が挙げられる。
「芳香族炭素環スルホニルオキシ」とは、上記「芳香族炭素環スルホニル」が酸素原子に結合した基を意味する。例えば、フェニルスルホニルオキシ、ナフチルスルホニルオキシ等が挙げられる。
「芳香族炭素環オキシカルボニル」とは、上記「芳香族炭素環オキシ」がカルボニル基に結合した基を意味する。例えば、フェニルオキシカルボニル、ナフチルオキシカルボニル等が挙げられる。
「芳香族炭素環オキシスルホニル」とは、上記「芳香族炭素環オキシ」がスルホニル基に結合した基を意味する。例えば、フェニルオキシスルホニル、ナフチルオキシスルホニル等が挙げられる。
「芳香族炭素環カルバモイル」とは、「芳香族炭素環」がカルバモイル基の窒素原子と結合している水素原子1個と置き換わった基を意味する。例えば、フェニルカルバモイル、ナフチルカルバモイル等が挙げられる。さらに、カルバモイル基の窒素原子と結合しているもう一方の水素原子は、上記「アルキル」と置き換わっていてもよい。
「芳香族炭素環スルファモイル」とは、「芳香族炭素環」がスルファモイル基の窒素原子と結合している水素原子1個と置き換わった基を意味する。例えば、フェニルスルファモイル、ナフチルスルファモイル等が挙げられる。さらに、スルファモイル基の窒素原子と結合しているもう一方の水素原子は、上記「アルキル」と置き換わっていてもよい。
「芳香族炭素環カルボニルアミノ」とは、上記「芳香族炭素環カルボニル」がアミノ基の窒素原子と結合している水素原子1個と置き換わった基を意味する。例えば、フェニルカルボニルアミノ、ナフチルカルボニルアミノ等が挙げられる。さらに、アミノ基の窒素原子と結合しているもう一方の水素原子は、上記「アルキル」と置き換わっていてもよい。
「芳香族炭素環スルホニルアミノ」とは、上記「芳香族炭素環スルホニル」がアミノ基の窒素原子と結合している水素原子1個と置き換わった基を意味する。例えば、フェニルスルホニルアミノ、ナフチルスルホニルアミノ等が挙げられる。さらに、アミノ基の窒素原子と結合しているもう一方の水素原子は、上記「アルキル」と置き換わっていてもよい。
「芳香族炭素環オキシカルボニルアミノ」とは、上記「芳香族炭素環オキシカルボニル」がアミノ基の窒素原子と結合している水素原子1個と置き換わった基を意味する。例えば、フェニルオキシカルボニルアミノ、ナフチルオキシカルボニルアミノ等が挙げられる。さらに、アミノ基の窒素原子と結合しているもう一方の水素原子は、上記「アルキル」と置き換わっていてもよい。
“Aromatic carbocyclic oxy”, “Aromatic carbocyclic amino”, “Aromatic carbocyclic sulfanyl”, “Aromatic carbocyclic carbonyl”, “Aromatic carbocyclic sulfonyl”, “Aromatic carbocyclic carbonyloxy”, “ "Aromatic carbocyclic sulfonyloxy", "Aromatic carbocyclic oxycarbonyl", "Aromatic carbocyclic oxysulfonyl", "Aromatic carbocyclic carbamoyl", "Aromatic carbocyclic sulfamoyl", "Aromatic carbocyclic carbonylamino" The “aromatic carbocyclic group” of “aromatic carbocyclic sulfonylamino” and “aromatic carbocyclic oxycarbonylamino” is the same as the above “aromatic carbocyclic group”.
“Aromatic carbocyclic oxy” means a group in which “aromatic carbocycle” is bonded to an oxygen atom. For example, phenyloxy, naphthyloxy and the like can be mentioned.
“Aromatic carbocyclic amino” means a group in which the “aromatic carbocycle” is replaced with one hydrogen atom bonded to the nitrogen atom of the amino group. Examples thereof include phenylamino and naphthylamino. Furthermore, the other hydrogen atom bonded to the nitrogen atom of the amino group may be replaced with the above “alkyl”.
“Aromatic carbocyclic sulfanyl” means a group in which an “aromatic carbocyclic ring” is replaced with a hydrogen atom bonded to a sulfur atom of a sulfanyl group. Examples thereof include phenylsulfanyl and naphthylsulfanyl.
“Aromatic carbocyclic carbonyl” means a group in which an “aromatic carbocycle” is bonded to a carbonyl group. For example, phenylcarbonyl, naphthylcarbonyl and the like can be mentioned.
“Aromatic carbocyclic sulfonyl” means a group in which “aromatic carbocycle” is bonded to a sulfonyl group. For example, phenylsulfonyl, naphthylsulfonyl and the like can be mentioned.
“Aromatic carbocyclic carbonyloxy” means a group in which the above “aromatic carbocyclic carbonyl” is bonded to an oxygen atom. For example, phenylcarbonyloxy, naphthylcarbonyloxy and the like can be mentioned.
“Aromatic carbocyclic sulfonyloxy” means a group in which the above “aromatic carbocyclic sulfonyl” is bonded to an oxygen atom. For example, phenylsulfonyloxy, naphthylsulfonyloxy and the like can be mentioned.
“Aromatic carbocyclic oxycarbonyl” means a group in which the above “aromatic carbocyclic oxy” is bonded to a carbonyl group. For example, phenyloxycarbonyl, naphthyloxycarbonyl and the like can be mentioned.
“Aromatic carbocyclic oxysulfonyl” means a group in which the above “aromatic carbocyclic oxy” is bonded to a sulfonyl group. For example, phenyloxysulfonyl, naphthyloxysulfonyl and the like can be mentioned.
The “aromatic carbocyclic carbamoyl” means a group in which the “aromatic carbocyclic” is replaced with one hydrogen atom bonded to the nitrogen atom of the carbamoyl group. For example, phenylcarbamoyl, naphthylcarbamoyl and the like can be mentioned. Further, the other hydrogen atom bonded to the nitrogen atom of the carbamoyl group may be replaced with the above “alkyl”.
The “aromatic carbocyclic sulfamoyl” means a group in which the “aromatic carbocyclic ring” is replaced with one hydrogen atom bonded to the nitrogen atom of the sulfamoyl group. Examples thereof include phenylsulfamoyl and naphthylsulfamoyl. Further, the other hydrogen atom bonded to the nitrogen atom of the sulfamoyl group may be replaced with the above “alkyl”.
“Aromatic carbocyclic carbonylamino” means a group in which the above “aromatic carbocyclic carbonyl” is replaced with one hydrogen atom bonded to the nitrogen atom of the amino group. For example, phenylcarbonylamino, naphthylcarbonylamino and the like can be mentioned. Furthermore, the other hydrogen atom bonded to the nitrogen atom of the amino group may be replaced with the above “alkyl”.
“Aromatic carbocyclic sulfonylamino” means a group in which the above “aromatic carbocyclic sulfonyl” is replaced with one hydrogen atom bonded to the nitrogen atom of the amino group. For example, phenylsulfonylamino, naphthylsulfonylamino and the like can be mentioned. Furthermore, the other hydrogen atom bonded to the nitrogen atom of the amino group may be replaced with the above “alkyl”.
“Aromatic carbocyclic oxycarbonylamino” means a group in which the above “aromatic carbocyclic oxycarbonyl” is replaced with one hydrogen atom bonded to the nitrogen atom of the amino group. For example, phenyloxycarbonylamino, naphthyloxycarbonylamino and the like can be mentioned. Furthermore, the other hydrogen atom bonded to the nitrogen atom of the amino group may be replaced with the above “alkyl”.
「非芳香族炭素環オキシ」、「非芳香族炭素環アミノ」、「非芳香族炭素環スルファニル」、「非芳香族炭素環カルボニル」、「非芳香族炭素環スルホニル」、「非芳香族炭素環カルボニルオキシ」、「非芳香族炭素環スルホニルオキシ」、「非芳香族炭素環オキシカルボニル」、「非芳香族炭素環オキシスルホニル」、「非芳香族炭素環カルバモイル」、「非芳香族炭素環スルファモイル」、「非芳香族炭素環カルボニルアミノ」、「非芳香族炭素環スルホニルアミノ」、および「非芳香族炭素環オキシカルボニルアミノ」の「非芳香族炭素環」部分も、上記「非芳香族炭素環式基」と同様である。
「非芳香族炭素環オキシ」とは、「非芳香族炭素環」が酸素原子に結合した基を意味する。例えば、シクロプロピルオキシ、シクロヘキシルオキシ、シクロへキセニルオキシ等が挙げられる。
「非芳香族炭素環アミノ」とは、「非芳香族炭素環」がアミノ基の窒素原子と結合している水素原子1個と置き換わった基を意味する。例えば、シクロプロピルアミノ、シクロヘキシルアミノ、シクロへキセニルアミノ等が挙げられる。さらに、アミノ基の窒素原子と結合しているもう一方の水素原子は、上記「アルキル」と置き換わっていてもよい。
「非芳香族炭素環スルファニル」とは、「非芳香族炭素環」がスルファニル基の硫黄原子と結合している水素原子と置き換わった基を意味する。例えば、シクロプロピルスルファニル、シクロヘキシルスルファニル、シクロヘキセニルスルファニル等が挙げられる。
「非芳香族炭素環カルボニル」とは、「非芳香族炭素環」がカルボニル基に結合した基を意味する。例えば、シクロプロピルカルボニル、シクロヘキシルカルボニル、シクロへキセニルカルボニル等が挙げられる。
「非芳香族炭素環スルホニル」とは、「非芳香族炭素環」がスルホニル基に結合した基を意味する。例えば、シクロプロピルスルホニル、シクロヘキシルスルホニル、シクロヘキセニルスルホニル等が挙げられる。
「非芳香族炭素環カルボニルオキシ」とは、上記「非芳香族炭素環カルボニル」が酸素原子に結合した基を意味する。例えば、シクロプロピルカルボニルオキシ、シクロヘキシルカルボニルオキシ、シクロへキセニルカルボニルオキシ等が挙げられる。
「非芳香族炭素環スルホニルオキシ」とは、上記「非芳香族炭素環スルホニル」が酸素原子に結合した基を意味する。例えば、シクロプロピルスルホニルオキシ、シクロヘキシルスルホニルオキシ、シクロヘキセニルスルホニルオキシ等が挙げられる。
「非芳香族炭素環オキシカルボニル」とは、上記「非芳香族炭素環オキシ」がカルボニル基に結合した基を意味する。例えば、シクロプロピルオキシカルボニル、シクロヘキシルオキシカルボニル、シクロへキセニルオキシカルボニル等が挙げられる。
「非芳香族炭素環オキシスルホニル」とは、上記「非芳香族炭素環オキシ」がスルホニル基に結合した基を意味する。例えば、シクロプロピルオキシスルホニル、シクロヘキシルオキシスルホニル、シクロヘキセニルオキシスルホニル等が挙げられる。
「非芳香族炭素環カルバモイル」とは、「非芳香族炭素環」がカルバモイル基の窒素原子と結合している水素原子1個と置き換わった基を意味する。例えば、シクロプロピルカルバモイル、シクロヘキシルカルバモイル、シクロへキセニルカルバモイル等が挙げられる。さらに、カルバモイル基の窒素原子と結合しているもう一方の水素原子は、上記「アルキル」と置き換わっていてもよい。
「非芳香族炭素環スルファモイル」とは、「非芳香族炭素環」がスルファモイル基の窒素原子と結合している水素原子1個と置き換わった基を意味する。例えば、シクロプロピルスルファモイル、シクロヘキシルスルファモイル、シクロへキセニルスルファモイル等が挙げられる。さらに、スルファモイル基の窒素原子と結合しているもう一方の水素原子は、上記「アルキル」と置き換わっていてもよい。
「非芳香族炭素環カルボニルアミノ」とは、上記「非芳香族炭素環カルボニル」がアミノ基の窒素原子と結合している水素原子1個と置き換わった基を意味する。例えば、シクロプロピルカルボニルアミノ、シクロヘキシルカルボニルアミノ、シクロへキセニルカルボニルアミノ等が挙げられる。さらに、アミノ基の窒素原子と結合しているもう一方の水素原子は、上記「アルキル」と置き換わっていてもよい。
「非芳香族炭素環スルホニルアミノ」とは、上記「非芳香族炭素環スルホニル」がアミノ基の窒素原子と結合している水素原子1個と置き換わった基を意味する。例えば、シクロプロピルスルホニルアミノ、シクロヘキシルスルホニルアミノ、シクロへキセニルスルホニルアミノ等が挙げられる。さらに、アミノ基の窒素原子と結合しているもう一方の水素原子は、上記「アルキル」と置き換わっていてもよい。
「非芳香族炭素環オキシカルボニルアミノ」とは、上記「非芳香族炭素環オキシカルボニル」がアミノ基の窒素原子と結合している水素原子1個と置き換わった基を意味する。例えば、シクロプロピルオキシカルボニルアミノ、シクロヘキシルオキシカルボニルアミノ、シクロへキセニルオキシカルボニルアミノ等が挙げられる。さらに、アミノ基の窒素原子と結合しているもう一方の水素原子は、上記「アルキル」と置き換わっていてもよい。
“Non-aromatic carbocyclic oxy”, “non-aromatic carbocyclic amino”, “non-aromatic carbocyclic sulfanyl”, “non-aromatic carbocyclic carbonyl”, “non-aromatic carbocyclic sulfonyl”, “non-aromatic carbon” "Ring carbonyloxy", "Non-aromatic carbocyclic sulfonyloxy", "Non-aromatic carbocyclic oxycarbonyl", "Non-aromatic carbocyclic oxysulfonyl", "Non-aromatic carbocyclic carbamoyl", "Non-aromatic carbocycle" The “non-aromatic carbocyclic” moiety of “sulfamoyl”, “non-aromatic carbocyclic carbonylamino”, “non-aromatic carbocyclic sulfonylamino”, and “non-aromatic carbocyclic oxycarbonylamino” is also referred to as “non-aromatic”. It is the same as “carbocyclic group”.
“Non-aromatic carbocyclic oxy” means a group in which “non-aromatic carbocycle” is bonded to an oxygen atom. For example, cyclopropyloxy, cyclohexyloxy, cyclohexenyloxy and the like can be mentioned.
“Non-aromatic carbocyclic amino” means a group in which “non-aromatic carbocycle” is replaced with one hydrogen atom bonded to the nitrogen atom of the amino group. For example, cyclopropylamino, cyclohexylamino, cyclohexenylamino and the like can be mentioned. Furthermore, the other hydrogen atom bonded to the nitrogen atom of the amino group may be replaced with the above “alkyl”.
“Non-aromatic carbocyclic sulfanyl” means a group in which a “non-aromatic carbocyclic ring” is replaced with a hydrogen atom bonded to a sulfur atom of a sulfanyl group. Examples include cyclopropylsulfanyl, cyclohexylsulfanyl, cyclohexenylsulfanyl and the like.
“Non-aromatic carbocycle carbonyl” means a group in which “non-aromatic carbocycle” is bonded to a carbonyl group. For example, cyclopropylcarbonyl, cyclohexylcarbonyl, cyclohexenylcarbonyl and the like can be mentioned.
“Non-aromatic carbocycle sulfonyl” means a group in which “non-aromatic carbocycle” is bonded to a sulfonyl group. For example, cyclopropylsulfonyl, cyclohexylsulfonyl, cyclohexenylsulfonyl and the like can be mentioned.
“Non-aromatic carbocyclic carbonyloxy” means a group in which the above “non-aromatic carbocyclic carbonyl” is bonded to an oxygen atom. For example, cyclopropylcarbonyloxy, cyclohexylcarbonyloxy, cyclohexenylcarbonyloxy and the like can be mentioned.
The “non-aromatic carbocyclic sulfonyloxy” means a group in which the above “non-aromatic carbocyclic sulfonyl” is bonded to an oxygen atom. Examples include cyclopropylsulfonyloxy, cyclohexylsulfonyloxy, cyclohexenylsulfonyloxy and the like.
The “non-aromatic carbocyclic oxycarbonyl” means a group in which the above “non-aromatic carbocyclic oxy” is bonded to a carbonyl group. For example, cyclopropyloxycarbonyl, cyclohexyloxycarbonyl, cyclohexenyloxycarbonyl and the like can be mentioned.
The “non-aromatic carbocyclic oxysulfonyl” means a group in which the “non-aromatic carbocyclic oxy” is bonded to a sulfonyl group. For example, cyclopropyloxysulfonyl, cyclohexyloxysulfonyl, cyclohexenyloxysulfonyl and the like can be mentioned.
The “non-aromatic carbocyclic carbamoyl” means a group in which the “non-aromatic carbocyclic” is replaced with one hydrogen atom bonded to the nitrogen atom of the carbamoyl group. Examples thereof include cyclopropylcarbamoyl, cyclohexylcarbamoyl, cyclohexenylcarbamoyl and the like. Further, the other hydrogen atom bonded to the nitrogen atom of the carbamoyl group may be replaced with the above “alkyl”.
The “non-aromatic carbocyclic sulfamoyl” means a group in which the “non-aromatic carbocyclic ring” is replaced with one hydrogen atom bonded to the nitrogen atom of the sulfamoyl group. Examples include cyclopropylsulfamoyl, cyclohexylsulfamoyl, cyclohexenylsulfamoyl and the like. Further, the other hydrogen atom bonded to the nitrogen atom of the sulfamoyl group may be replaced with the above “alkyl”.
The “non-aromatic carbocyclic carbonylamino” means a group in which the above “non-aromatic carbocyclic carbonyl” is replaced with one hydrogen atom bonded to the nitrogen atom of the amino group. For example, cyclopropylcarbonylamino, cyclohexylcarbonylamino, cyclohexenylcarbonylamino and the like can be mentioned. Furthermore, the other hydrogen atom bonded to the nitrogen atom of the amino group may be replaced with the above “alkyl”.
The “non-aromatic carbocyclic sulfonylamino” means a group in which the above “non-aromatic carbocyclic sulfonyl” is replaced with one hydrogen atom bonded to the nitrogen atom of the amino group. Examples thereof include cyclopropylsulfonylamino, cyclohexylsulfonylamino, cyclohexenylsulfonylamino and the like. Furthermore, the other hydrogen atom bonded to the nitrogen atom of the amino group may be replaced with the above “alkyl”.
“Non-aromatic carbocyclic oxycarbonylamino” means a group in which the above “non-aromatic carbocyclic oxycarbonyl” is replaced with one hydrogen atom bonded to the nitrogen atom of the amino group. Examples include cyclopropyloxycarbonylamino, cyclohexyloxycarbonylamino, cyclohexenyloxycarbonylamino and the like. Furthermore, the other hydrogen atom bonded to the nitrogen atom of the amino group may be replaced with the above “alkyl”.
「芳香族複素環オキシ」、「芳香族複素環アミノ」、「芳香族複素環スルファニル」、「芳香族複素環カルボニル」、「芳香族複素環スルホニル」、「芳香族複素環カルボニルオキシ」、「芳香族複素環スルホニルオキシ」、「芳香族複素環オキシカルボニル」、「芳香族複素環オキシスルホニル」、「芳香族複素環カルバモイル」、「芳香族複素環スルファモイル」、「芳香族複素環カルボニルアミノ」、「芳香族複素環スルホニルアミノ」、および「芳香族複素環オキシカルボニルアミノ」の「芳香族複素環」部分も、上記「芳香族複素環式基」と同様である。
「芳香族複素環オキシ」とは、「芳香族複素環」が酸素原子に結合した基を意味する。例えば、ピリジルオキシ、オキサゾリルオキシ等が挙げられる。
「芳香族複素環アミノ」とは、「芳香族複素環」がアミノ基の窒素原子と結合している水素原子1個と置き換わった基を意味する。例えば、ピリジルアミノ、オキサゾリルアミノ等が挙げられる。さらに、アミノ基の窒素原子と結合しているもう一方の水素原子は、上記「アルキル」と置き換わっていてもよい。
「芳香族複素環スルファニル」とは、「芳香族複素環」がスルファニル基の硫黄原子と結合している水素原子と置き換わった基を意味する。例えば、ピリジルスルファニル、オキサゾリルスルファニル等が挙げられる。
「芳香族複素環カルボニル」とは、「芳香族複素環」がカルボニル基に結合した基を意味する。例えば、ピリジルカルボニル、オキサゾリルカルボニル等が挙げられる。
「芳香族複素環スルホニル」とは、「芳香族複素環」がスルホニル基に結合した基を意味する。例えば、ピリジルスルホニル、オキサゾリルスルホニル等が挙げられる。
「芳香族複素環カルボニルオキシ」とは、上記「芳香族複素環カルボニル」が酸素原子に結合した基を意味する。例えば、ピリジルカルボニルオキシ、オキサゾリルカルボニルオキシ等が挙げられる。
「芳香族複素環スルホニルオキシ」とは、上記「芳香族複素環スルホニル」が酸素原子に結合した基を意味する。例えば、ピリジルスルホニルオキシ、オキサゾリルスルホニルオキシ等が挙げられる。
「芳香族複素環オキシカルボニル」とは、上記「芳香族複素環オキシ」がカルボニル基に結合した基を意味する。例えば、ピリジルオキシカルボニル、オキサゾリルオキシカルボニル等が挙げられる。
「芳香族複素環オキシスルホニル」とは、上記「芳香族複素環オキシ」がスルホニル基に結合した基を意味する。例えば、ピリジルオキシスルホニル、オキサゾリルオキシスルホニル等が挙げられる。
「芳香族複素環カルバモイル」とは、「芳香族複素環」がカルバモイル基の窒素原子と結合している水素原子1個と置き換わった基を意味する。例えば、ピリジルカルバモイル、オキサゾリルカルバモイル等が挙げられる。さらに、カルバモイル基の窒素原子と結合しているもう一方の水素原子は、上記「アルキル」と置き換わっていてもよい。
「芳香族複素環スルファモイル」とは、「芳香族複素環」がスルファモイル基の窒素原子と結合している水素原子1個と置き換わった基を意味する。例えば、ピリジルスルファモイル、オキサゾリルスルファモイル等が挙げられる。さらに、スルファモイル基の窒素原子と結合しているもう一方の水素原子は、上記「アルキル」と置き換わっていてもよい。
「芳香族複素環カルボニルアミノ」とは、上記「芳香族複素環カルボニル」がアミノ基の窒素原子と結合している水素原子1個と置き換わった基を意味する。例えば、ピリジルカルボニルアミノ、オキサゾリルカルボニルアミノ等が挙げられる。さらに、アミノ基の窒素原子と結合しているもう一方の水素原子は、上記「アルキル」と置き換わっていてもよい。
「芳香族複素環スルホニルアミノ」とは、上記「芳香族複素環スルホニル」がアミノ基の窒素原子と結合している水素原子1個と置き換わった基を意味する。例えば、ピリジルスルホニルアミノ、オキサゾリルスルホニルアミノ等が挙げられる。さらに、アミノ基の窒素原子と結合しているもう一方の水素原子は、上記「アルキル」と置き換わっていてもよい。
「芳香族複素環オキシカルボニルアミノ」とは、上記「芳香族複素環オキシカルボニル」がアミノ基の窒素原子と結合している水素原子1個と置き換わった基を意味する。例えば、ピリジルオキシカルボニルアミノ、オキサゾリルオキシカルボニルアミノ等が挙げられる。さらに、アミノ基の窒素原子と結合しているもう一方の水素原子は、上記「アルキル」と置き換わっていてもよい。
“Aromatic heterocyclic oxy”, “Aromatic heterocyclic amino”, “Aromatic heterocyclic sulfanyl”, “Aromatic heterocyclic carbonyl”, “Aromatic heterocyclic sulfonyl”, “Aromatic heterocyclic carbonyloxy”, “ "Aromatic heterocyclic sulfonyloxy", "aromatic heterocyclic oxycarbonyl", "aromatic heterocyclic oxysulfonyl", "aromatic heterocyclic carbamoyl", "aromatic heterocyclic sulfamoyl", "aromatic heterocyclic carbonylamino" , “Aromatic heterocyclic sulfonylamino” and “aromatic heterocyclic oxycarbonylamino” are also the same as the “aromatic heterocyclic group” described above.
“Aromatic heterocycle oxy” means a group in which “aromatic heterocycle” is bonded to an oxygen atom. For example, pyridyloxy, oxazolyloxy and the like can be mentioned.
The “aromatic heterocyclic amino” means a group in which the “aromatic heterocyclic ring” is replaced with one hydrogen atom bonded to the nitrogen atom of the amino group. For example, pyridylamino, oxazolylamino and the like can be mentioned. Furthermore, the other hydrogen atom bonded to the nitrogen atom of the amino group may be replaced with the above “alkyl”.
“Aromatic heterocycle sulfanyl” means a group in which an “aromatic heterocycle” is replaced with a hydrogen atom bonded to a sulfur atom of a sulfanyl group. For example, pyridylsulfanyl, oxazolylsulfanyl and the like can be mentioned.
“Aromatic heterocycle carbonyl” means a group in which “aromatic heterocycle” is bonded to a carbonyl group. For example, pyridylcarbonyl, oxazolylcarbonyl, etc. are mentioned.
“Aromatic heterocycle sulfonyl” means a group in which “aromatic heterocycle” is bonded to a sulfonyl group. For example, pyridylsulfonyl, oxazolylsulfonyl and the like can be mentioned.
“Aromatic heterocyclic carbonyloxy” means a group in which the above “aromatic heterocyclic carbonyl” is bonded to an oxygen atom. For example, pyridylcarbonyloxy, oxazolylcarbonyloxy and the like can be mentioned.
The “aromatic heterocyclic sulfonyloxy” means a group in which the above “aromatic heterocyclic sulfonyl” is bonded to an oxygen atom. For example, pyridylsulfonyloxy, oxazolylsulfonyloxy and the like can be mentioned.
“Aromatic heterocyclic oxycarbonyl” means a group in which the above “aromatic heterocyclic oxy” is bonded to a carbonyl group. For example, pyridyloxycarbonyl, oxazolyloxycarbonyl and the like can be mentioned.
The “aromatic heterocyclic oxysulfonyl” means a group in which the above “aromatic heterocyclic oxy” is bonded to a sulfonyl group. For example, pyridyloxysulfonyl, oxazolyloxysulfonyl and the like can be mentioned.
“Aromatic heterocycle carbamoyl” means a group in which “aromatic heterocycle” is replaced with one hydrogen atom bonded to a nitrogen atom of a carbamoyl group. For example, pyridylcarbamoyl, oxazolylcarbamoyl and the like can be mentioned. Further, the other hydrogen atom bonded to the nitrogen atom of the carbamoyl group may be replaced with the above “alkyl”.
The “aromatic heterocyclic sulfamoyl” means a group in which the “aromatic heterocyclic ring” is replaced with one hydrogen atom bonded to the nitrogen atom of the sulfamoyl group. For example, pyridyl sulfamoyl, oxazolyl sulfamoyl, etc. are mentioned. Further, the other hydrogen atom bonded to the nitrogen atom of the sulfamoyl group may be replaced with the above “alkyl”.
The “aromatic heterocyclic carbonylamino” means a group in which the above “aromatic heterocyclic carbonyl” is replaced with one hydrogen atom bonded to the nitrogen atom of the amino group. For example, pyridylcarbonylamino, oxazolylcarbonylamino and the like can be mentioned. Furthermore, the other hydrogen atom bonded to the nitrogen atom of the amino group may be replaced with the above “alkyl”.
The “aromatic heterocyclic sulfonylamino” means a group in which the above “aromatic heterocyclic sulfonyl” is replaced with one hydrogen atom bonded to the nitrogen atom of the amino group. For example, pyridylsulfonylamino, oxazolylsulfonylamino and the like can be mentioned. Furthermore, the other hydrogen atom bonded to the nitrogen atom of the amino group may be replaced with the above “alkyl”.
The “aromatic heterocyclic oxycarbonylamino” means a group in which the above “aromatic heterocyclic oxycarbonyl” is replaced with one hydrogen atom bonded to the nitrogen atom of the amino group. For example, pyridyloxycarbonylamino, oxazolyloxycarbonylamino and the like can be mentioned. Furthermore, the other hydrogen atom bonded to the nitrogen atom of the amino group may be replaced with the above “alkyl”.
「非芳香族複素環オキシ」、「非芳香族複素環アミノ」、「非芳香族複素環スルファニル」、「非芳香族複素環カルボニル」、「非芳香族複素環スルホニル」、「非芳香族複素環カルボニルオキシ」、「非芳香族複素環スルホニルオキシ」、「非芳香族複素環オキシカルボニル」、「非芳香族複素環オキシスルホニル」、「非芳香族複素環カルバモイル」、「非芳香族複素環スルファモイル」、「非芳香族複素環カルボニルアミノ」、「非芳香族複素環スルホニルアミノ」、および「非芳香族複素環オキシカルボニルアミノ」の「非芳香族複素環」部分も、上記「非芳香族複素環式基」と同様である。
「非芳香族複素環オキシ」とは、「非芳香族複素環」が酸素原子に結合した基を意味する。例えば、ピペリジニルオキシ、テトラヒドロフリルオキシ等が挙げられる。
「非芳香族複素環アミノ」とは、「非芳香族複素環」がアミノ基の窒素原子と結合している水素原子1個と置き換わった基を意味する。例えば、ピペリジニルアミノ、テトラヒドロフリルアミノ等が挙げられる。さらに、アミノ基の窒素原子と結合しているもう一方の水素原子は、上記「アルキル」と置き換わっていてもよい。
「非芳香族複素環スルファニル」とは、「非芳香族複素環」がスルファニル基の硫黄原子と結合している水素原子と置き換わった基を意味する。例えば、ピペリジニルスルファニル、テトラヒドロフリルスルファニル等が挙げられる。
「非芳香族複素環カルボニル」とは、「非芳香族複素環」がカルボニル基に結合した基を意味する。例えば、ピペリジニルカルボニル、テトラヒドロフリルカルボニル等が挙げられる。
「非芳香族複素環スルホニル」とは、「非芳香族複素環」がスルホニル基に結合した基を意味する。例えば、ピペリジニルスルホニル、テトラヒドロフリルスルホニル等が挙げられる。
「非芳香族複素環カルボニルオキシ」とは、上記「非芳香族複素環カルボニル」が酸素原子に結合した基を意味する。例えば、ピペリジニルカルボニルオキシ、テトラヒドロフリルカルボニルオキシ等が挙げられる。
「非芳香族複素環スルホニルオキシ」とは、上記「非芳香族複素環スルホニル」が酸素原子に結合した基を意味する。例えば、ピペリジニルスルホニルオキシ、テトラヒドロフリルスルホニルオキシ等が挙げられる。
「非芳香族複素環オキシカルボニル」とは、上記「非芳香族複素環オキシ」がカルボニル基に結合した基を意味する。例えば、ピペリジニルオキシカルボニル、テトラヒドロフリルオキシカルボニル等が挙げられる。
「非芳香族複素環オキシスルホニル」とは、上記「非芳香族複素環オキシ」がスルホニル基に結合した基を意味する。例えば、ピペリジニルオキシスルホニル、テトラヒドロフリルオキシスルホニル等が挙げられる。
「非芳香族複素環カルバモイル」とは、「非芳香族複素環」がカルバモイル基の窒素原子と結合している水素原子1個と置き換わった基を意味する。例えば、ピペリジニルカルバモイル、テトラヒドロフリルカルバモイル等が挙げられる。さらに、カルバモイル基の窒素原子と結合しているもう一方の水素原子は、上記「アルキル」と置き換わっていてもよい。
「非芳香族複素環スルファモイル」とは、「非芳香族複素環」がスルファモイル基の窒素原子と結合している水素原子1個と置き換わった基を意味する。例えば、ピペリジニルスルファモイル、テトラヒドロフリルスルファモイル等が挙げられる。さらに、スルファモイル基の窒素原子と結合しているもう一方の水素原子は、上記「アルキル」と置き換わっていてもよい。
「非芳香族複素環カルボニルアミノ」とは、上記「非芳香族複素環カルボニル」がアミノ基の窒素原子と結合している水素原子1個と置き換わった基を意味する。例えば、ピペリジニルカルボニルアミノ、テトラヒドロフリルカルボニルアミノ等が挙げられる。さらに、アミノ基の窒素原子と結合しているもう一方の水素原子は、上記「アルキル」と置き換わっていてもよい。
「非芳香族複素環スルホニルアミノ」とは、上記「非芳香族複素環スルホニル」がアミノ基の窒素原子と結合している水素原子1個と置き換わった基を意味する。例えば、ピペリジニルスルホニルアミノ、テトラヒドロフリルスルホニルアミノ等が挙げられる。さらに、アミノ基の窒素原子と結合しているもう一方の水素原子は、上記「アルキル」と置き換わっていてもよい。
「非芳香族複素環オキシカルボニルアミノ」とは、上記「非芳香族複素環オキシカルボニル」がアミノ基の窒素原子と結合している水素原子1個と置き換わった基を意味する。例えば、ピペリジニルオキシカルボニルアミノ、テトラヒドロフリルオキシカルボニルアミノ等が挙げられる。さらに、アミノ基の窒素原子と結合しているもう一方の水素原子は、上記「アルキル」と置き換わっていてもよい。
“Non-aromatic heterocyclic oxy”, “Non-aromatic heterocyclic amino”, “Non-aromatic heterocyclic sulfanyl”, “Non-aromatic heterocyclic carbonyl”, “Non-aromatic heterocyclic sulfonyl”, “Non-aromatic heterocyclic” Ring carbonyloxy, non-aromatic heterocyclic sulfonyloxy, non-aromatic heterocyclic oxycarbonyl, non-aromatic heterocyclic oxysulfonyl, non-aromatic heterocyclic carbamoyl, non-aromatic heterocyclic The “non-aromatic heterocycle” moiety of “sulfamoyl”, “non-aromatic heterocycle carbonylamino”, “non-aromatic heterocycle sulfonylamino”, and “non-aromatic heterocycle oxycarbonylamino” is also the above “non-aromatic” The same as “heterocyclic group”.
“Non-aromatic heterocyclic oxy” means a group in which “non-aromatic heterocyclic” is bonded to an oxygen atom. For example, piperidinyloxy, tetrahydrofuryloxy and the like can be mentioned.
The “non-aromatic heterocyclic amino” means a group in which the “non-aromatic heterocyclic ring” is replaced with one hydrogen atom bonded to the nitrogen atom of the amino group. For example, piperidinylamino, tetrahydrofurylamino and the like can be mentioned. Furthermore, the other hydrogen atom bonded to the nitrogen atom of the amino group may be replaced with the above “alkyl”.
“Non-aromatic heterocyclic sulfanyl” means a group in which a “non-aromatic heterocyclic ring” is replaced with a hydrogen atom bonded to a sulfur atom of a sulfanyl group. For example, piperidinylsulfanyl, tetrahydrofurylsulfanyl and the like can be mentioned.
“Non-aromatic heterocyclic carbonyl” means a group in which “non-aromatic heterocyclic” is bonded to a carbonyl group. For example, piperidinylcarbonyl, tetrahydrofurylcarbonyl and the like can be mentioned.
“Non-aromatic heterocyclic sulfonyl” means a group in which “non-aromatic heterocyclic” is bonded to a sulfonyl group. For example, piperidinylsulfonyl, tetrahydrofurylsulfonyl and the like can be mentioned.
“Non-aromatic heterocyclic carbonyloxy” means a group in which the above “non-aromatic heterocyclic carbonyl” is bonded to an oxygen atom. For example, piperidinylcarbonyloxy, tetrahydrofurylcarbonyloxy and the like can be mentioned.
The “non-aromatic heterocyclic sulfonyloxy” means a group in which the above “non-aromatic heterocyclic sulfonyl” is bonded to an oxygen atom. For example, piperidinylsulfonyloxy, tetrahydrofurylsulfonyloxy and the like can be mentioned.
The “non-aromatic heterocyclic oxycarbonyl” means a group in which the “non-aromatic heterocyclic oxy” is bonded to a carbonyl group. For example, piperidinyloxycarbonyl, tetrahydrofuryloxycarbonyl and the like can be mentioned.
The “non-aromatic heterocyclic oxysulfonyl” means a group in which the “non-aromatic heterocyclic oxy” is bonded to a sulfonyl group. For example, piperidinyloxysulfonyl, tetrahydrofuryloxysulfonyl and the like can be mentioned.
The “non-aromatic heterocyclic carbamoyl” means a group in which the “non-aromatic heterocyclic ring” is replaced with one hydrogen atom bonded to the nitrogen atom of the carbamoyl group. For example, piperidinylcarbamoyl, tetrahydrofurylcarbamoyl and the like can be mentioned. Further, the other hydrogen atom bonded to the nitrogen atom of the carbamoyl group may be replaced with the above “alkyl”.
The “non-aromatic heterocyclic sulfamoyl” means a group in which the “non-aromatic heterocyclic ring” is replaced with one hydrogen atom bonded to the nitrogen atom of the sulfamoyl group. For example, piperidinyl sulfamoyl, tetrahydrofuryl sulfamoyl and the like can be mentioned. Further, the other hydrogen atom bonded to the nitrogen atom of the sulfamoyl group may be replaced with the above “alkyl”.
The “non-aromatic heterocyclic carbonylamino” means a group in which the above “non-aromatic heterocyclic carbonyl” is replaced with one hydrogen atom bonded to the nitrogen atom of the amino group. For example, piperidinylcarbonylamino, tetrahydrofurylcarbonylamino and the like can be mentioned. Furthermore, the other hydrogen atom bonded to the nitrogen atom of the amino group may be replaced with the above “alkyl”.
The “non-aromatic heterocyclic sulfonylamino” means a group in which the above “non-aromatic heterocyclic sulfonyl” is replaced with one hydrogen atom bonded to the nitrogen atom of the amino group. For example, piperidinylsulfonylamino, tetrahydrofurylsulfonylamino and the like can be mentioned. Furthermore, the other hydrogen atom bonded to the nitrogen atom of the amino group may be replaced with the above “alkyl”.
The “non-aromatic heterocyclic oxycarbonylamino” means a group in which the above “non-aromatic heterocyclic oxycarbonyl” is replaced with one hydrogen atom bonded to the nitrogen atom of the amino group. For example, piperidinyloxycarbonylamino, tetrahydrofuryloxycarbonylamino and the like can be mentioned. Furthermore, the other hydrogen atom bonded to the nitrogen atom of the amino group may be replaced with the above “alkyl”.
「ハロアルキル」とは、1以上の上記「ハロゲン」が上記「アルキル」に結合した基を意味する。例えば、モノフルオロメチル、モノフルオロエチル、モノフルオロプロピル、2,2,3,3,3-ペンタフルオロプロピル、モノクロロメチル、トリフルオロメチル、トリクロロメチル、2,2,2-トリフルオロエチル、2,2,2-トリクロロエチル、1,2-ジブロモエチル、1,1,1-トリフルオロプロパン-2-イル等が挙げられる。
「ハロアルキル」の好ましい態様として、トリフルオロメチル、トリクロロメチルが挙げられる。
“Haloalkyl” means a group in which one or more of the “halogen” is bonded to the “alkyl”. For example, monofluoromethyl, monofluoroethyl, monofluoropropyl, 2,2,3,3,3-pentafluoropropyl, monochloromethyl, trifluoromethyl, trichloromethyl, 2,2,2-trifluoroethyl, 2, Examples include 2,2-trichloroethyl, 1,2-dibromoethyl, 1,1,1-trifluoropropan-2-yl and the like.
Preferable embodiments of “haloalkyl” include trifluoromethyl and trichloromethyl.
「ハロアルキルオキシ」とは、上記「ハロアルキル」が酸素原子に結合した基を意味する。例えば、モノフルオロメトキシ、モノフルオロエトキシ、トリフルオロメトキシ、トリクロロメトキシ、トリフルオロエトキシ、トリクロロエトキシ等が挙げられる。
「ハロアルキルオキシ」の好ましい態様として、トリフルオロメトキシ、トリクロロメトキシが挙げられる。
“Haloalkyloxy” means a group in which the above “haloalkyl” is bonded to an oxygen atom. Examples thereof include monofluoromethoxy, monofluoroethoxy, trifluoromethoxy, trichloromethoxy, trifluoroethoxy, trichloroethoxy and the like.
Preferable embodiments of “haloalkyloxy” include trifluoromethoxy and trichloromethoxy.
「ハロアルキルアミノ」とは、上記「ハロアルキル」がアミノ基の窒素原子と結合している水素原子1個と置き換わった基を意味する。例えば、モノフルオロメチルアミノ、モノフルオロエチルアミノ、トリフルオロメチルアミノ、トリクロロメチルアミノ、トリフルオロエチルアミノ、トリクロロエチルアミノ等が挙げられる。さらに、アミノ基の窒素原子と結合しているもう一方の水素原子は、上記「アルキル」または上記「ハロアルキル」と置き換わっていてもよい。
「ハロアルキルアミノ」の好ましい態様として、トリフルオロメチルアミノ、トリクロロメチルアミノが挙げられる。
“Haloalkylamino” means a group in which the above “haloalkyl” is replaced with one hydrogen atom bonded to the nitrogen atom of the amino group. Examples thereof include monofluoromethylamino, monofluoroethylamino, trifluoromethylamino, trichloromethylamino, trifluoroethylamino, trichloroethylamino and the like. Furthermore, the other hydrogen atom bonded to the nitrogen atom of the amino group may be replaced with the above “alkyl” or the above “haloalkyl”.
Preferable embodiments of “haloalkylamino” include trifluoromethylamino and trichloromethylamino.
「ハロアルキルスルファニル」とは、上記「ハロアルキル」がスルファニル基に結合した基を意味する。例えば、モノフルオロメチルスルファニル、モノフルオロエチルスルファニル、トリフルオロメチルスルファニル、トリクロロメチルスルファニル、トリフルオロエチルスルファニル、トリクロロエチルスルファニル等が挙げられる。
「ハロアルキルスルファニル」の好ましい態様として、トリフルオロメチルスルファニル、トリクロロメチルススルファニルが挙げられる。
“Haloalkylsulfanyl” means a group in which the above “haloalkyl” is bonded to a sulfanyl group. Examples thereof include monofluoromethylsulfanyl, monofluoroethylsulfanyl, trifluoromethylsulfanyl, trichloromethylsulfanyl, trifluoroethylsulfanyl, trichloroethylsulfanyl and the like.
Preferable embodiments of “haloalkylsulfanyl” include trifluoromethylsulfanyl and trichloromethylsulfanyl.
「ハロアルキルカルボニル」とは、上記「ハロアルキル」がカルボニル基に結合した基を意味する。例えば、モノフルオロメチルカルボニル、モノフルオロエチルカルボニル、トリフルオロメチルカルボニル、トリクロロメチルカルボニル、トリフルオロエチルカルボニル、トリクロロエチルカルボニル等が挙げられる。
「ハロアルキルカルボニル」の好ましい態様として、トリフルオロメチルカルボニル、トリクロロメチルカルボニルが挙げられる。
“Haloalkylcarbonyl” means a group in which the above “haloalkyl” is bonded to a carbonyl group. For example, monofluoromethylcarbonyl, monofluoroethylcarbonyl, trifluoromethylcarbonyl, trichloromethylcarbonyl, trifluoroethylcarbonyl, trichloroethylcarbonyl and the like can be mentioned.
Preferable embodiments of “haloalkylcarbonyl” include trifluoromethylcarbonyl and trichloromethylcarbonyl.
「ハロアルキルスルホニル」とは、上記「ハロアルキル」がスルホニル基に結合した基を意味する。例えば、モノフルオロメチルスルホニル、モノフルオロエチルスルホニル、トリフルオロメチルスルホニル、トリクロロメチルスルホニル、トリフルオロエチルスルホニル、トリクロロエチルスルホニル等が挙げられる。
「ハロアルキルスルホニル」の好ましい態様として、トリフルオロメチルスルホニル、トリクロロメチルスルホニルが挙げられる。
“Haloalkylsulfonyl” means a group in which the above “haloalkyl” is bonded to a sulfonyl group. For example, monofluoromethylsulfonyl, monofluoroethylsulfonyl, trifluoromethylsulfonyl, trichloromethylsulfonyl, trifluoroethylsulfonyl, trichloroethylsulfonyl and the like can be mentioned.
Preferable embodiments of “haloalkylsulfonyl” include trifluoromethylsulfonyl and trichloromethylsulfonyl.
「ハロアルキルカルバモイル」とは、上記「ハロアルキル」がカルバモイル基の窒素原子と結合している水素原子1個と置き換わった基を意味する。例えば、モノフルオロメチルカルバモイル、モノフルオロエチルカルバモイル、トリフルオロメチルカルバモイル、トリクロロメチルカルバモイル、トリフルオロエチルカルバモイル、トリクロロエチルカルバモイル等が挙げられる。さらに、カルバモイル基の窒素原子と結合しているもう一方の水素原子は、上記「アルキル」または上記「ハロアルキル」と置き換わっていてもよい。
「ハロアルキルカルバモイル」の好ましい態様として、トリフルオロメチルカルバモイル、トリクロロメチルカルバモイルが挙げられる。
“Haloalkylcarbamoyl” means a group in which the above “haloalkyl” is replaced with one hydrogen atom bonded to the nitrogen atom of the carbamoyl group. Examples thereof include monofluoromethylcarbamoyl, monofluoroethylcarbamoyl, trifluoromethylcarbamoyl, trichloromethylcarbamoyl, trifluoroethylcarbamoyl, trichloroethylcarbamoyl and the like. Furthermore, the other hydrogen atom bonded to the nitrogen atom of the carbamoyl group may be replaced with the above “alkyl” or the above “haloalkyl”.
Preferable embodiments of “haloalkylcarbamoyl” include trifluoromethylcarbamoyl and trichloromethylcarbamoyl.
「ハロアルキルスルファモイル」とは、上記「ハロアルキル」がスルファモイル基の窒素原子と結合している水素原子1個と置き換わった基を意味する。例えば、モノフルオロメチルスルファモイル、モノフルオロエチルスルファモイル、トリフルオロメチルスルファモイル、トリクロロメチルスルファモイル、トリフルオロエチルスルファモイル、トリクロロエチルスルファモイル等が挙げられる。さらに、スルファモイル基の窒素原子と結合しているもう一方の水素原子は、上記「アルキル」または上記「ハロアルキル」と置き換わっていてもよい。
「ハロアルキルスルファモイル」の好ましい態様として、トリフルオロメチルスルファモイル、トリクロロメチルスルファモイルが挙げられる。
“Haloalkylsulfamoyl” means a group in which the above “haloalkyl” is replaced with one hydrogen atom bonded to the nitrogen atom of the sulfamoyl group. Examples thereof include monofluoromethylsulfamoyl, monofluoroethylsulfamoyl, trifluoromethylsulfamoyl, trichloromethylsulfamoyl, trifluoroethylsulfamoyl, trichloroethylsulfamoyl and the like. Furthermore, the other hydrogen atom bonded to the nitrogen atom of the sulfamoyl group may be replaced with the “alkyl” or the “haloalkyl”.
Preferable embodiments of “haloalkylsulfamoyl” include trifluoromethylsulfamoyl and trichloromethylsulfamoyl.
「ハロアルキルカルボニルアミノ」とは、上記「ハロアルキルカルボニル」がアミノ基の窒素原子と結合している水素原子1個と置き換わった基を意味する。例えば、モノフルオロメチルカルボニルアミノ、モノフルオロエチルカルボニルアミノ、トリフルオロメチルカルボニルアミノ、トリクロロメチルカルボニルアミノ、トリフルオロエチルカルボニルアミノ、トリクロロエチルカルボニルアミノ等が挙げられる。さらに、アミノ基の窒素原子と結合しているもう一方の水素原子は、上記「アルキル」または上記「ハロアルキル」と置き換わっていてもよい。
「ハロアルキルカルボニルアミノ」の好ましい態様としては、トリフルオロメチルカルボニルアミノ、トリクロロメチルカルボニルアミノが挙げられる。
“Haloalkylcarbonylamino” means a group in which the above “haloalkylcarbonyl” is replaced with one hydrogen atom bonded to the nitrogen atom of the amino group. For example, monofluoromethylcarbonylamino, monofluoroethylcarbonylamino, trifluoromethylcarbonylamino, trichloromethylcarbonylamino, trifluoroethylcarbonylamino, trichloroethylcarbonylamino and the like can be mentioned. Furthermore, the other hydrogen atom bonded to the nitrogen atom of the amino group may be replaced with the above “alkyl” or the above “haloalkyl”.
Preferable embodiments of “haloalkylcarbonylamino” include trifluoromethylcarbonylamino and trichloromethylcarbonylamino.
「ハロアルキルスルホニルアミノ」とは、上記「ハロアルキルスルホニル」がアミノ基の窒素原子と結合している水素原子1個と置き換わった基を意味する。例えば、モノフルオロメチルスルホニルアミノ、モノフルオロエチルスルホニルアミノ、トリフルオロメチルスルホニルアミノ、トリクロロメチルスルホニルアミノ、トリフルオロエチルスルホニルアミノ、トリクロロエチルスルホニルアミノ等が挙げられる。さらに、アミノ基の窒素原子と結合しているもう一方の水素原子は、上記「アルキル」または上記「ハロアルキル」と置き換わっていてもよい。
「ハロアルキルスルホニルアミノ」の好ましい態様としては、トリフルオロメチルスルホニルアミノ、トリクロロメチルスルホニルアミノが挙げられる。
“Haloalkylsulfonylamino” means a group in which the above “haloalkylsulfonyl” is replaced with one hydrogen atom bonded to the nitrogen atom of the amino group. For example, monofluoromethylsulfonylamino, monofluoroethylsulfonylamino, trifluoromethylsulfonylamino, trichloromethylsulfonylamino, trifluoroethylsulfonylamino, trichloroethylsulfonylamino and the like can be mentioned. Furthermore, the other hydrogen atom bonded to the nitrogen atom of the amino group may be replaced with the above “alkyl” or the above “haloalkyl”.
Preferable embodiments of “haloalkylsulfonylamino” include trifluoromethylsulfonylamino and trichloromethylsulfonylamino.
「ハロアルキルカルボニルオキシ」とは、上記「ハロアルキルカルボニル」が酸素原子に結合した基を意味する。例えば、モノフルオロメチルカルボニルオキシ、モノフルオロエチルカルボニルオキシ、トリフルオロメチルカルボニルオキシ、トリクロロメチルカルボニルオキシ、トリフルオロエチルカルボニルオキシ、トリクロロエチルカルボニルオキシ等が挙げられる。
「ハロアルキルカルボニルオキシ」の好ましい態様としては、トリフルオロメチルカルボニルオキシ、トリクロロメチルカルボニルオキシが挙げられる。
“Haloalkylcarbonyloxy” means a group in which the above “haloalkylcarbonyl” is bonded to an oxygen atom. For example, monofluoromethylcarbonyloxy, monofluoroethylcarbonyloxy, trifluoromethylcarbonyloxy, trichloromethylcarbonyloxy, trifluoroethylcarbonyloxy, trichloroethylcarbonyloxy and the like can be mentioned.
Preferable embodiments of “haloalkylcarbonyloxy” include trifluoromethylcarbonyloxy and trichloromethylcarbonyloxy.
「ハロアルキルスルホニルオキシ」とは、上記「ハロアルキルスルホニル」が酸素原子に結合した基を意味する。例えば、モノフルオロメチルスルホニルオキシ、モノフルオロエチルスルホニルオキシ、トリフルオロメチルスルホニルオキシ、トリクロロメチルスルホニルオキシ、トリフルオロエチルスルホニルオキシ、トリクロロエチルスルホニルオキシ等が挙げられる。
「ハロアルキルスルホニルオキシ」の好ましい態様としては、トリフルオロメチルスルホニルオキシ、トリクロロメチルスルホニルオキシが挙げられる。
“Haloalkylsulfonyloxy” means a group in which the above “haloalkylsulfonyl” is bonded to an oxygen atom. For example, monofluoromethylsulfonyloxy, monofluoroethylsulfonyloxy, trifluoromethylsulfonyloxy, trichloromethylsulfonyloxy, trifluoroethylsulfonyloxy, trichloroethylsulfonyloxy and the like can be mentioned.
Preferable embodiments of “haloalkylsulfonyloxy” include trifluoromethylsulfonyloxy and trichloromethylsulfonyloxy.
「ハロアルキルオキシカルボニル」とは、上記「ハロアルキルオキシ」がカルボニル基に結合した基を意味する。例えば、モノフルオロメチルオキシカルボニル、モノフルオロエチルオキシカルボニル、トリフルオロメチルオキシカルボニル、トリクロロメチルオキシカルボニル、トリフルオロエチルオキシカルボニル、トリクロロエチルオキシカルボニル等が挙げられる。
「ハロアルキルオキシカルボニル」の好ましい態様として、トリフルオロメチルオキシカルボニル、トリクロロメチルオキシカルボニルが挙げられる。
“Haloalkyloxycarbonyl” means a group in which the above “haloalkyloxy” is bonded to a carbonyl group. For example, monofluoromethyloxycarbonyl, monofluoroethyloxycarbonyl, trifluoromethyloxycarbonyl, trichloromethyloxycarbonyl, trifluoroethyloxycarbonyl, trichloroethyloxycarbonyl and the like can be mentioned.
Preferable embodiments of “haloalkyloxycarbonyl” include trifluoromethyloxycarbonyl and trichloromethyloxycarbonyl.
「ハロアルキルオキシスルホニル」とは、上記「ハロアルキルオキシ」がスルホニル基に結合した基を意味する。例えば、モノフルオロメチルオキシスルホニル、モノフルオロエチルオキシスルホニル、トリフルオロメチルオキシスルホニル、トリクロロメチルオキシスルホニル、トリフルオロエチルオキシスルホニル、トリクロロエチルオキシスルホニル等が挙げられる。
「ハロアルキルオキシスルホニル」の好ましい態様として、トリフルオロメチルオキシスルホニル、トリクロロメチルオキシスルホニルが挙げられる。
“Haloalkyloxysulfonyl” means a group in which the above “haloalkyloxy” is bonded to a sulfonyl group. For example, monofluoromethyloxysulfonyl, monofluoroethyloxysulfonyl, trifluoromethyloxysulfonyl, trichloromethyloxysulfonyl, trifluoroethyloxysulfonyl, trichloroethyloxysulfonyl and the like can be mentioned.
Preferable embodiments of “haloalkyloxysulfonyl” include trifluoromethyloxysulfonyl and trichloromethyloxysulfonyl.
「置換若しくは非置換のアルキル」の置換基としては、置換基群Aが挙げられる。任意の位置の炭素原子が置換基群Aから選択される1以上の基と結合していてもよい。
置換基群A:ハロゲン、ヒドロキシ、カルボキシ、アミノ、カルバモイル、スルファモイル、スルホ、シアノ、ホルミル、イミノ、ヒドロキシイミノ、シアノイミノ、置換基群C2から選択される1以上の基で置換されていてもよいアルキルオキシ、置換基群C2から選択される1以上の基で置換されていてもよいアルキルアミノ、置換基群C2から選択される1以上の基で置換されていてもよいアルキルスルファニル、置換基群C2から選択される1以上の基で置換されていてもよいアルキルイミノ、置換基群C2から選択される1以上の基で置換されていてもよいアルキルオキシイミノ、置換基群C2から選択される1以上の基で置換されていてもよいアルキルカルボニル、置換基群C2から選択される1以上の基で置換されていてもよいアルキルスルホニル、置換基群C2から選択される1以上の基で置換されていてもよいアルキルカルボニルアミノ、置換基群C2から選択される1以上の基で置換されていてもよいアルキルスルホニルアミノ、置換基群C2から選択される1以上の基で置換されていてもよいアルキルカルバモイル、置換基群C2から選択される1以上の基で置換されていてもよいアルキルスルファモイル、置換基群C2から選択される1以上の基で置換されていてもよいアルキルカルボニルオキシ、置換基群C2から選択される1以上の基で置換されていてもよいアルキルオキシカルボニル、置換基群C2から選択される1以上の基で置換されていてもよいアルキルスルホニルオキシ、置換基群C2から選択される1以上の基で置換されていてもよいアルキルオキシスルホニル、置換基群Eから選択される1以上の基で置換されていてもよい芳香族炭素環式基、置換基群Eから選択される1以上の基で置換されていてもよい非芳香族炭素環式基、置換基群Eから選択される1以上の基で置換されていてもよい芳香族複素環式基、置換基群Eから選択される1以上の基で置換されていてもよい非芳香族複素環式基、置換基群Eから選択される1以上の基で置換されていてもよい芳香族炭素環オキシ、置換基群Eから選択される1以上の基で置換されていてもよい非芳香族炭素環オキシ、置換基群Eから選択される1以上の基で置換されていてもよい芳香族複素環オキシ、置換基群Eから選択される1以上の基で置換されていてもよい非芳香族複素環オキシ、置換基群Eから選択される1以上の基で置換されていてもよい芳香族炭素環スルファニル、置換基群Eから選択される1以上の基で置換されていてもよい非芳香族炭素環スルファニル、置換基群Eから選択される1以上の基で置換されていてもよい芳香族複素環スルファニル、置換基群Eから選択される1以上の基で置換されていてもよい非芳香族複素環スルファニル、置換基群Eから選択される1以上の基で置換されていてもよい芳香族炭素環アミノ、置換基群Eから選択される1以上の基で置換されていてもよい非芳香族炭素環アミノ、置換基群Eから選択される1以上の基で置換されていてもよい芳香族複素環アミノ、置換基群Eから選択される1以上の基で置換されていてもよい非芳香族複素環アミノ、置換基群Eから選択される1以上の基で置換されていてもよい芳香族炭素環カルボニル、置換基群Eから選択される1以上の基で置換されていてもよい非芳香族炭素環カルボニル、置換基群Eから選択される1以上の基で置換されていてもよい芳香族複素環カルボニル、置換基群Eから選択される1以上の基で置換されていてもよい非芳香族複素環カルボニル、置換基群Eから選択される1以上の基で置換されていてもよい芳香族炭素環スルホニル、置換基群Eから選択される1以上の基で置換されていてもよい非芳香族炭素環スルホニル、置換基群Eから選択される1以上の基で置換されていてもよい芳香族複素環スルホニル、置換基群Eから選択される1以上の基で置換されていてもよい非芳香族複素環スルホニル、置換基群Eから選択される1以上の基で置換されていてもよい芳香族炭素環カルボニルアミノ、置換基群Eから選択される1以上の基で置換されていてもよい非芳香族炭素環カルボニルアミノ、置換基群Eから選択される1以上の基で置換されていてもよい芳香族複素環カルボニルアミノ、置換基群Eから選択される1以上の基で置換されていてもよい非芳香族複素環カルボニルアミノ、置換基群Eから選択される1以上の基で置換されていてもよい芳香族炭素環スルホニルアミノ、置換基群Eから選択される1以上の基で置換されていてもよい非芳香族炭素環スルホニルアミノ、置換基群Eから選択される1以上の基で置換されていてもよい芳香族複素環スルホニルアミノ、置換基群Eから選択される1以上の基で置換されていてもよい非芳香族複素環スルホニルアミノ、置換基群Eから選択される1以上の基で置換されていてもよい芳香族炭素環カルバモイル、置換基群Eから選択される1以上の基で置換されていてもよい非芳香族炭素環カルバモイル、置換基群Eから選択される1以上の基で置換されていてもよい芳香族複素環カルバモイル、置換基群Eから選択される1以上の基で置換されていてもよい非芳香族複素環カルバモイル、置換基群Eから選択される1以上の基で置換されていてもよい芳香族炭素環スルファモイル、置換基群Eから選択される1以上の基で置換されていてもよい非芳香族炭素環スルファモイル、置換基群Eから選択される1以上の基で置換されていてもよい芳香族複素環スルファモイル、置換基群Eから選択される1以上の基で置換されていてもよい非芳香族複素環スルファモイル、置換基群Eから選択される1以上の基で置換されていてもよい芳香族炭素環オキシカルボニル、置換基群Eから選択される1以上の基で置換されていてもよい非芳香族炭素環オキシカルボニル、置換基群Eから選択される1以上の基で置換されていてもよい芳香族複素環オキシカルボニル、置換基群Eから選択される1以上の基で置換されていてもよい非芳香族複素環オキシカルボニル、置換基群Eから選択される1以上の基で置換されていてもよい芳香族炭素環オキシスルホニル、置換基群Eから選択される1以上の基で置換されていてもよい非芳香族炭素環オキシスルホニル、置換基群Eから選択される1以上の基で置換されていてもよい芳香族複素環オキシスルホニル、置換基群Eから選択される1以上の基で置換されていてもよい非芳香族複素環オキシスルホニル、置換基群Eから選択される1以上の基で置換されていてもよい芳香族炭素環カルボニルオキシ、置換基群Eから選択される1以上の基で置換されていてもよい非芳香族炭素環カルボニルオキシ、置換基群Eから選択される1以上の基で置換されていてもよい芳香族複素環カルボニルオキシ、置換基群Eから選択される1以上の基で置換されていてもよい非芳香族複素環カルボニルオキシ、置換基群Eから選択される1以上の基で置換されていてもよい芳香族炭素環スルホニルオキシ、置換基群Eから選択される1以上の基で置換されていてもよい非芳香族炭素環スルホニルオキシ、置換基群Eから選択される1以上の基で置換されていてもよい芳香族複素環スルホニルオキシ、および置換基群Eから選択される1以上の基で置換されていてもよい非芳香族複素環スルホニルオキシ。
Examples of the substituent of “substituted or unsubstituted alkyl” include substituent group A. The carbon atom at any position may be bonded to one or more groups selected from the substituent group A.
Substituent group A: halogen, hydroxy, carboxy, amino, carbamoyl, sulfamoyl, sulfo, cyano, formyl, imino, hydroxyimino, cyanoimino, alkyl optionally substituted by one or more groups selected from substituent group C2 Oxy, alkylamino optionally substituted with one or more groups selected from substituent group C2, alkylsulfanyl optionally substituted with one or more groups selected from substituent group C2, substituent group C2 1 selected from alkylimino optionally substituted with one or more groups selected from the above, alkyloxyimino optionally substituted with one or more groups selected from the substituent group C2, 1 selected from substituent group C2 Alkylcarbonyl which may be substituted with the above groups, or may be substituted with one or more groups selected from substituent group C2. Alkylsulfonyl, alkylcarbonylamino optionally substituted with one or more groups selected from substituent group C2, alkylsulfonylamino optionally substituted with one or more groups selected from substituent group C2 From alkylcarbamoyl optionally substituted with one or more groups selected from group C2, alkylsulfamoyl optionally substituted with one or more groups selected from substituent group C2, from substituent group C2 Alkylcarbonyloxy optionally substituted with one or more selected groups, alkyloxycarbonyl optionally substituted with one or more groups selected from substituent group C2, 1 selected from substituent group C2 Alkylsulfonyloxy optionally substituted with one or more of the above groups, Al optionally substituted with one or more groups selected from Substituent Group C2 Ruoxysulfonyl, an aromatic carbocyclic group which may be substituted with one or more groups selected from substituent group E, and a non-substituted group which is substituted with one or more groups selected from substituent group E An aromatic carbocyclic group, an aromatic heterocyclic group which may be substituted with one or more groups selected from substituent group E, and one or more groups selected from substituent group E A non-aromatic heterocyclic group which may be substituted with one or more groups selected from substituent group E, an aromatic carbocyclic oxy which may be substituted with one or more groups selected from substituent group E, and one or more groups selected from substituent group E Optionally substituted non-aromatic carbocyclic oxy, optionally substituted with one or more groups selected from substituent group E, substituted aromatic heterocyclic oxy, one or more groups selected from substituent group E A non-aromatic heterocyclic oxy which may be substituted with one or more groups selected from substituent group E Aromatic carbocyclic sulfanyl optionally substituted, one or more groups selected from non-aromatic carbocyclic sulfanyl optionally substituted with one or more groups selected from substituent group E An aromatic heterocyclic sulfanyl optionally substituted with one or more non-aromatic heterocyclic sulfanyl optionally substituted with one or more groups selected from Substituent Group E, one or more selected from Substituent Group E Aromatic carbocyclic amino optionally substituted with a group, non-aromatic carbocyclic amino optionally substituted with one or more groups selected from substituent group E, one or more selected from substituent group E Aromatic heterocyclic amino optionally substituted with a group of the above, non-aromatic heterocyclic amino optionally substituted with one or more groups selected from the substituent group E, 1 selected from substituent group E Aromatic charcoal optionally substituted with the above groups Ring carbonyl, non-aromatic carbocyclic carbonyl optionally substituted with one or more groups selected from substituent group E, aromatic optionally substituted with one or more groups selected from substituent group E Heterocyclic carbonyl, non-aromatic heterocyclic carbonyl optionally substituted with one or more groups selected from substituent group E, aromatic optionally substituted with one or more groups selected from substituent group E Aromatic carbocyclic sulfonyl, optionally substituted with one or more groups selected from Substituent Group E Non-aromatic carbocyclic sulfonyl, optionally substituted with one or more groups selected from Substituent Group E Aromatic heterocyclic sulfonyl, optionally substituted with one or more groups selected from substituent group E Non-aromatic heterocyclic sulfonyl, optionally substituted with one or more groups selected from substituent group E Good aromatic carbocyclic carbonyl amino , A non-aromatic carbocyclic carbonylamino which may be substituted with one or more groups selected from substituent group E, and an aromatic complex which may be substituted with one or more groups selected from substituent group E Ring carbonylamino, optionally substituted with one or more groups selected from substituent group E, may be substituted with one or more groups selected from non-aromatic heterocyclic carbonylamino, substituent group E Aromatic carbocyclic sulfonylamino, non-aromatic carbocyclic sulfonylamino optionally substituted with one or more groups selected from substituent group E, substituted with one or more groups selected from substituent group E Aromatic heterocyclic sulfonylamino, which may be optionally substituted with one or more groups selected from substituent group E, Non-aromatic heterocyclic sulfonylamino, which may be substituted with one or more groups selected from substituent group E May be replaced Aromatic carbocyclic carbamoyl, substituted with one or more groups selected from Substituent Group E, optionally substituted with one or more groups selected from Substituent Group E Aromatic heterocyclic carbamoyl, which may be substituted with one or more groups selected from substituent group E, which may be substituted with one or more groups selected from non-aromatic heterocyclic carbamoyl, substituent group E Aromatic carbocyclic sulfamoyl which may be substituted with one or more groups selected from substituent group E, which may be substituted with one or more groups selected from non-aromatic carbocyclic sulfamoyl, substituent group E Aromatic heterocyclic sulfamoyl optionally substituted with one or more groups selected from substituent group E Non-aromatic heterocyclic sulfamoyl optionally substituted with one or more groups selected from substituent group E Has been Aromatic carbocyclic oxycarbonyl, which may be substituted with one or more groups selected from substituent group E, which may be substituted with one or more groups selected from non-aromatic carbocyclic oxycarbonyl, substituent group E One or more non-aromatic heterocyclic oxycarbonyls optionally substituted with one or more groups selected from the substituent group E, an aromatic heterocyclic oxycarbonyl which may be substituted Aromatic carbocyclic oxysulfonyl which may be substituted with a group, Non-aromatic carbocyclic oxysulfonyl which may be substituted with one or more groups selected from substituent group E, selected from substituent group E From aromatic heterocyclic oxysulfonyl optionally substituted with one or more groups, non-aromatic heterocyclic oxysulfonyl optionally substituted with one or more groups selected from substituent group E, from substituent group E Choice Aromatic carbocyclic carbonyloxy optionally substituted with one or more groups selected, Non-aromatic carbocyclic carbonyloxy optionally substituted with one or more groups selected from Substituent Group E, Substituent Group E Aromatic heterocyclic carbonyloxy optionally substituted with one or more groups selected from: Non-aromatic heterocyclic carbonyloxy optionally substituted with one or more groups selected from substituent group E Aromatic carbocyclic sulfonyloxy optionally substituted with one or more groups selected from group E, Non-aromatic carbocyclic sulfonyl optionally substituted with one or more groups selected from substituent group E Oxy, an aromatic heterocyclic sulfonyloxy which may be substituted with one or more groups selected from substituent group E, and a non-aromatic which may be substituted with one or more groups selected from substituent group E Family heterocycle Luphonyloxy.
「置換若しくは非置換のアルケニル」、「置換若しくは非置換のアルキニル」、「置換若しくは非置換のアルキルオキシ」、「置換若しくは非置換のアルケニルオキシ」、「置換若しくは非置換のアルキニルオキシ」、「置換若しくは非置換のアルキルスルファニル」、「置換若しくは非置換のアルケニルスルファニル」、「置換若しくは非置換のアルキニルスルファニル」、「置換若しくは非置換のアルキルアミノ」、「置換若しくは非置換のアルケニルアミノ」、「置換若しくは非置換のアルキニルアミノ」、「置換若しくは非置換のアルキルカルボニル」、「置換若しくは非置換のアルケニルカルボニル」、「置換若しくは非置換のアルキニルカルボニル」、「置換若しくは非置換のアルキルスルホニル」、「置換若しくは非置換のアルケニルスルホニル」、「置換若しくは非置換のアルキニルスルホニル」、「置換若しくは非置換のアルキルカルボニルオキシ」、「置換若しくは非置換のアルケニルカルボニルオキシ」、「置換若しくは非置換のアルキニルカルボニルオキシ」、「置換若しくは非置換のアルキルオキシカルボニル」、「置換若しくは非置換のアルケニルオキシカルボニル」、「置換若しくは非置換のアルキニルオキシカルボニル」、「置換若しくは非置換のアルキルスルホニルオキシ」、「置換若しくは非置換のアルケニルスルホニルオキシ」、「置換若しくは非置換のアルキニルスルホニルオキシ」、「置換若しくは非置換のアルキルオキシスルホニル」、「置換若しくは非置換のアルケニルオキシスルホニル」、「置換若しくは非置換のアルキニルオキシスルホニル」、「置換若しくは非置換のアルキルカルバモイル」、「置換若しくは非置換のアルケニルカルバモイル」、「置換若しくは非置換のアルキニルカルバモイル」、「置換若しくは非置換のアルキルスルファモイル」、「置換若しくは非置換のアルケニルスルファモイル」、「置換若しくは非置換のアルキニルスルファモイル」、「置換若しくは非置換のアルキルカルボニルアミノ」、「置換若しくは非置換のアルケニルカルボニルアミノ」、「置換若しくは非置換のアルキニルカルボニルアミノ」、「置換若しくは非置換のアルキルスルホニルアミノ」、「置換若しくは非置換のアルケニルスルホニルアミノ」、「置換若しくは非置換のアルキルオキシカルボニルアミノ」、「置換若しくは非置換のアルケニルオキシカルボニルアミノ」、および「置換若しくは非置換のアルキニルオキシカルボニルアミノ」の置換基としては、置換基群Bが挙げられる。任意の位置の炭素原子が置換基群Bから選択される1以上の基と結合していてもよい。
置換基群B:ハロゲン、ヒドロキシ、カルボキシ、アミノ、カルバモイル、スルファモイル、スルホ、シアノ、ホルミル、イミノ、ヒドロキシイミノ、シアノイミノ、置換基群Dから選択される1以上の基で置換されていてもよいアルキルオキシ、置換基群Dから選択される1以上の基で置換されていてもよいアルキルアミノ、置換基群Dから選択される1以上の基で置換されていてもよいアルキルスルファニル、置換基群Dから選択される1以上の基で置換されていてもよいアルキルイミノ、置換基群Dから選択される1以上の基で置換されていてもよいアルキルオキシイミノ、置換基群Dから選択される1以上の基で置換されていてもよいアルキルカルボニル、置換基群Dから選択される1以上の基で置換されていてもよいアルキルスルホニル、置換基群Dから選択される1以上の基で置換されていてもよいアルキルカルボニルアミノ、置換基群Dから選択される1以上の基で置換されていてもよいアルキルスルホニルアミノ、置換基群Dから選択される1以上の基で置換されていてもよいアルキルカルバモイル、置換基群Dから選択される1以上の基で置換されていてもよいアルキルスルファモイル、置換基群Dから選択される1以上の基で置換されていてもよいアルキルカルボニルオキシ、置換基群Dから選択される1以上の基で置換されていてもよいアルキルオキシカルボニル、置換基群Dから選択される1以上の基で置換されていてもよいアルキルスルホニルオキシ、置換基群Dから選択される1以上の基で置換されていてもよいアルキルオキシスルホニル、置換基群Eから選択される1以上の基で置換されていてもよい芳香族炭素環式基、置換基群Eから選択される1以上の基で置換されていてもよい非芳香族炭素環式基、置換基群Eから選択される1以上の基で置換されていてもよい芳香族複素環式基、置換基群Eから選択される1以上の基で置換されていてもよい非芳香族複素環式基、置換基群Eから選択される1以上の基で置換されていてもよい芳香族炭素環オキシ、置換基群Eから選択される1以上の基で置換されていてもよい非芳香族炭素環オキシ、置換基群Eから選択される1以上の基で置換されていてもよい芳香族複素環オキシ、置換基群Eから選択される1以上の基で置換されていてもよい非芳香族複素環オキシ、置換基群Eから選択される1以上の基で置換されていてもよい芳香族炭素環スルファニル、置換基群Eから選択される1以上の基で置換されていてもよい非芳香族炭素環スルファニル、置換基群Eから選択される1以上の基で置換されていてもよい芳香族複素環スルファニル、置換基群Eから選択される1以上の基で置換されていてもよい非芳香族複素環スルファニル、置換基群Eから選択される1以上の基で置換されていてもよい芳香族炭素環アミノ、置換基群Eから選択される1以上の基で置換されていてもよい非芳香族炭素環アミノ、置換基群Eから選択される1以上の基で置換されていてもよい芳香族複素環アミノ、置換基群Eから選択される1以上の基で置換されていてもよい非芳香族複素環アミノ、置換基群Eから選択される1以上の基で置換されていてもよい芳香族炭素環カルボニル、置換基群Eから選択される1以上の基で置換されていてもよい非芳香族炭素環カルボニル、置換基群Eから選択される1以上の基で置換されていてもよい芳香族複素環カルボニル、置換基群Eから選択される1以上の基で置換されていてもよい非芳香族複素環カルボニル、置換基群Eから選択される1以上の基で置換されていてもよい芳香族炭素環スルホニル、置換基群Eから選択される1以上の基で置換されていてもよい非芳香族炭素環スルホニル、置換基群Eから選択される1以上の基で置換されていてもよい芳香族複素環スルホニル、置換基群Eから選択される1以上の基で置換されていてもよい非芳香族複素環スルホニル、置換基群Eから選択される1以上の基で置換されていてもよい芳香族炭素環カルボニルアミノ、置換基群Eから選択される1以上の基で置換されていてもよい非芳香族炭素環カルボニルアミノ、置換基群Eから選択される1以上の基で置換されていてもよい芳香族複素環カルボニルアミノ、置換基群Eから選択される1以上の基で置換されていてもよい非芳香族複素環カルボニルアミノ、置換基群Eから選択される1以上の基で置換されていてもよい芳香族炭素環スルホニルアミノ、置換基群Eから選択される1以上の基で置換されていてもよい非芳香族炭素環スルホニルアミノ、置換基群Eから選択される1以上の基で置換されていてもよい芳香族複素環スルホニルアミノ、置換基群Eから選択される1以上の基で置換されていてもよい非芳香族複素環スルホニルアミノ、置換基群Eから選択される1以上の基で置換されていてもよい芳香族炭素環カルバモイル、置換基群Eから選択される1以上の基で置換されていてもよい非芳香族炭素環カルバモイル、置換基群Eから選択される1以上の基で置換されていてもよい芳香族複素環カルバモイル、置換基群Eから選択される1以上の基で置換されていてもよい非芳香族複素環カルバモイル、置換基群Eから選択される1以上の基で置換されていてもよい芳香族炭素環スルファモイル、置換基群Eから選択される1以上の基で置換されていてもよい非芳香族炭素環スルファモイル、置換基群Eから選択される1以上の基で置換されていてもよい芳香族複素環スルファモイル、置換基群Eから選択される1以上の基で置換されていてもよい非芳香族複素環スルファモイル、置換基群Eから選択される1以上の基で置換されていてもよい芳香族炭素環オキシカルボニル、置換基群Eから選択される1以上の基で置換されていてもよい非芳香族炭素環オキシカルボニル、置換基群Eから選択される1以上の基で置換されていてもよい芳香族複素環オキシカルボニル、置換基群Eから選択される1以上の基で置換されていてもよい非芳香族複素環オキシカルボニル、置換基群Eから選択される1以上の基で置換されていてもよい芳香族炭素環オキシスルホニル、置換基群Eから選択される1以上の基で置換されていてもよい非芳香族炭素環オキシスルホニル、置換基群Eから選択される1以上の基で置換されていてもよい芳香族複素環オキシスルホニル、置換基群Eから選択される1以上の基で置換されていてもよい非芳香族複素環オキシスルホニル、置換基群Eから選択される1以上の基で置換されていてもよい芳香族炭素環カルボニルオキシ、置換基群Eから選択される1以上の基で置換されていてもよい非芳香族炭素環カルボニルオキシ、置換基群Eから選択される1以上の基で置換されていてもよい芳香族複素環カルボニルオキシ、置換基群Eから選択される1以上の基で置換されていてもよい非芳香族複素環カルボニルオキシ、置換基群Eから選択される1以上の基で置換されていてもよい芳香族炭素環スルホニルオキシ、置換基群Eから選択される1以上の基で置換されていてもよい非芳香族炭素環スルホニルオキシ、置換基群Eから選択される1以上の基で置換されていてもよい芳香族複素環スルホニルオキシ、および置換基群Eから選択される1以上の基で置換されていてもよい非芳香族複素環スルホニルオキシ。
“Substituted or unsubstituted alkenyloxy”, “substituted or unsubstituted alkynyl”, “substituted or unsubstituted alkyloxy”, “substituted or unsubstituted alkenyloxy”, “substituted or unsubstituted alkynyloxy”, “substituted” Or “unsubstituted alkylsulfanyl”, “substituted or unsubstituted alkenylsulfanyl”, “substituted or unsubstituted alkynylsulfanyl”, “substituted or unsubstituted alkylamino”, “substituted or unsubstituted alkenylamino”, “substituted” Or “unsubstituted alkynylamino”, “substituted or unsubstituted alkylcarbonyl”, “substituted or unsubstituted alkenylcarbonyl”, “substituted or unsubstituted alkynylcarbonyl”, “substituted or unsubstituted alkylsulfonyl”, “substituted” Or an unsubstituted a “Kenylsulfonyl”, “substituted or unsubstituted alkynylsulfonyl”, “substituted or unsubstituted alkylcarbonyloxy”, “substituted or unsubstituted alkenylcarbonyloxy”, “substituted or unsubstituted alkynylcarbonyloxy”, “substituted” Or “unsubstituted alkyloxycarbonyl”, “substituted or unsubstituted alkenyloxycarbonyl”, “substituted or unsubstituted alkynyloxycarbonyl”, “substituted or unsubstituted alkylsulfonyloxy”, “substituted or unsubstituted alkenylsulfonyl” Oxy ”,“ substituted or unsubstituted alkynylsulfonyloxy ”,“ substituted or unsubstituted alkyloxysulfonyl ”,“ substituted or unsubstituted alkenyloxysulfonyl ”,“ substituted or unsubstituted alkynyloxy ” "Cisulfonyl", "substituted or unsubstituted alkylcarbamoyl", "substituted or unsubstituted alkenylcarbamoyl", "substituted or unsubstituted alkynylcarbamoyl", "substituted or unsubstituted alkylsulfamoyl", "substituted or unsubstituted "Substituted alkenylsulfamoyl", "substituted or unsubstituted alkynylsulfamoyl", "substituted or unsubstituted alkylcarbonylamino", "substituted or unsubstituted alkenylcarbonylamino", "substituted or unsubstituted alkynylcarbonyl" “Amino”, “substituted or unsubstituted alkylsulfonylamino”, “substituted or unsubstituted alkenylsulfonylamino”, “substituted or unsubstituted alkyloxycarbonylamino”, “substituted or unsubstituted alkenyloxycarbonyl” Examples of the substituent of “amino” and “substituted or unsubstituted alkynyloxycarbonylamino” include substituent group B. The carbon atom at any position may be bonded to one or more groups selected from the substituent group B.
Substituent group B: alkyl optionally substituted by one or more groups selected from halogen, hydroxy, carboxy, amino, carbamoyl, sulfamoyl, sulfo, cyano, formyl, imino, hydroxyimino, cyanoimino, substituent group D Oxy, alkylamino optionally substituted with one or more groups selected from substituent group D, alkylsulfanyl optionally substituted with one or more groups selected from substituent group D, substituent group D 1 selected from alkylimino optionally substituted with one or more groups selected from the above, alkyloxyimino optionally substituted with one or more groups selected from the substituent group D, 1 selected from substituent group D Alkylcarbonyl which may be substituted with the above groups, and alkylsulfonyl which may be substituted with one or more groups selected from Substituent Group D Nyl, alkylcarbonylamino optionally substituted with one or more groups selected from substituent group D, alkylsulfonylamino optionally substituted with one or more groups selected from substituent group D, substituent Alkylcarbamoyl optionally substituted with one or more groups selected from Group D, Alkylsulfamoyl optionally substituted with one or more groups selected from Substituent Group D, Selected from Substituent Group D Alkylcarbonyloxy optionally substituted with one or more groups selected from the above, alkyloxycarbonyl optionally substituted with one or more groups selected from the substituent group D, one or more selected from substituent group D Alkylsulfonyloxy which may be substituted with a group of the above, alkyloxysulfonyl which may be substituted with one or more groups selected from the substituent group D, substituent group An aromatic carbocyclic group which may be substituted with one or more groups selected from: a non-aromatic carbocyclic group which may be substituted with one or more groups selected from substituent group E, substituted Aromatic heterocyclic group optionally substituted with one or more groups selected from group E, Non-aromatic heterocyclic group optionally substituted with one or more groups selected from substituent group E Group, aromatic carbocyclic oxy optionally substituted with one or more groups selected from substituent group E, non-aromatic carbon optionally substituted with one or more groups selected from substituent group E Ring Oxy, Aromatic heterocyclic oxy optionally substituted with one or more groups selected from Substituent Group E, Non-aromatic optionally substituted with one or more groups selected from Substituent Group E Heterocyclic oxy, aromatic carbocyclic ring optionally substituted with one or more groups selected from substituent group E Sulfanyl, a non-aromatic carbocyclic ring optionally substituted with one or more groups selected from Substituent Group E, an aromatic complex optionally substituted with one or more groups selected from Substituent Group E Ring sulfanyl, non-aromatic heterocyclic sulfanyl optionally substituted with one or more groups selected from substituent group E, aromatic optionally substituted with one or more groups selected from substituent group E Carbocyclic amino, non-aromatic carbocyclic amino optionally substituted with one or more groups selected from substituent group E, aromatic optionally substituted with one or more groups selected from substituent group E Aromatic heterocyclic amino, optionally substituted with one or more groups selected from substituent group E Non-aromatic heterocyclic amino, optionally substituted with one or more groups selected from substituent group E Aromatic carbocyclic carbonyl, from substituent group E A non-aromatic carbocyclic carbonyl optionally substituted with one or more selected groups, an aromatic heterocyclic carbonyl optionally substituted with one or more groups selected from substituent group E, substituent group E A non-aromatic heterocyclic carbonyl optionally substituted with one or more groups selected from: an aromatic carbocyclic sulfonyl optionally substituted with one or more groups selected from substituent group E, a substituent group A non-aromatic carbocyclic sulfonyl which may be substituted with one or more groups selected from E, an aromatic heterocyclic sulfonyl which may be substituted with one or more groups selected from substituent group E, a substituent A non-aromatic heterocyclic sulfonyl optionally substituted with one or more groups selected from group E, an aromatic carbocyclic carbonylamino optionally substituted with one or more groups selected from substituent group E, 1 selected from substituent group E Non-aromatic carbocyclic amino optionally substituted with the above group, selected from aromatic heterocyclic carbonylamino optionally substituted with one or more groups selected from Substituent Group E, Substituent Group E Non-aromatic heterocyclic carbonylamino which may be substituted with one or more groups selected from the above, aromatic carbocyclic sulfonylamino which may be substituted with one or more groups selected from substituent group E, substituent group A non-aromatic carbocyclic sulfonylamino optionally substituted with one or more groups selected from E, an aromatic heterocyclic sulfonylamino optionally substituted with one or more groups selected from substituent group E, Non-aromatic heterocyclic sulfonylamino optionally substituted with one or more groups selected from substituent group E, Aromatic carbocyclic ring optionally substituted with one or more groups selected from substituent group E Carbamoyl, table A non-aromatic carbocyclic carbamoyl optionally substituted with one or more groups selected from substituent group E, an aromatic heterocyclic carbamoyl optionally substituted with one or more groups selected from substituent group E A non-aromatic heterocyclic carbamoyl group that may be substituted with one or more groups selected from substituent group E, and an aromatic carbocycle group that may be substituted with one or more groups selected from substituent group E Sulfamoyl, a non-aromatic carbocyclic ring optionally substituted with one or more groups selected from Substituent Group E, Aromatic heterocycle optionally substituted with one or more groups selected from Substituent Group E Ring sulfamoyl, non-aromatic heterocyclic sulfamoyl optionally substituted with one or more groups selected from substituent group E, aromatic optionally substituted with one or more groups selected from substituent group E Carbocyclic oxycal Nyl, a non-aromatic carbocyclic oxycarbonyl which may be substituted with one or more groups selected from substituent group E, an aromatic which may be substituted with one or more groups selected from substituent group E Heterocyclic oxycarbonyl, may be substituted with one or more groups selected from substituent group E, may be substituted with one or more groups selected from non-aromatic heterocyclic oxycarbonyl, substituent group E Good aromatic carbocyclic oxysulfonyl, substituted with one or more groups selected from substituent group E, non-aromatic carbocyclic oxysulfonyl optionally substituted with one or more groups selected from substituent group E One or more groups selected from the non-aromatic heterocyclic oxysulfonyl, which may be substituted with one or more groups selected from the substituent group E Is replaced with Aromatic carbocyclic carbonyloxy, which may be substituted with one or more groups selected from Substituent Group E, Non-aromatic carbocyclic carbonyloxy, which may be substituted with one or more groups selected from Substituent Group E One or more non-aromatic heterocyclic carbonyloxy groups optionally substituted with one or more groups selected from the substituent group E. Aromatic carbocyclic sulfonyloxy optionally substituted with a group, Non-aromatic carbocyclic sulfonyloxy optionally substituted with one or more groups selected from Substituent Group E, selected from Substituent Group E An aromatic heterocyclic sulfonyloxy which may be substituted with one or more groups, and a non-aromatic heterocyclic sulfonyloxy which may be substituted with one or more groups selected from substituent group E.
「置換若しくは非置換の芳香族炭素環」、「置換若しくは非置換の非芳香族炭素環」、「置換若しくは非置換の芳香族複素環」、および「置換若しくは非置換の非芳香族複素環」、
「置換若しくは非置換の6員芳香族炭素環」、「置換若しくは非置換の5~6員非芳香族炭素環」「置換若しくは非置換の5~6員芳香族複素環」、および「置換若しくは非置換の5~6員非芳香族複素環」、
「置換若しくは非置換の芳香族炭素環式基」、「置換若しくは非置換の非芳香族炭素環式基」、「置換若しくは非置換の芳香族複素環式基」、および「置換若しくは非置換の非芳香族複素環式基」、
「置換若しくは非置換の6員芳香族炭素環式基」、「置換若しくは非置換の3~6員非芳香族炭素環式基」、「置換若しくは非置換の5~6員芳香族複素環式基」、および「置換若しくは非置換の5~6員非芳香族複素環式基」、
「置換若しくは非置換の芳香族炭素環式基」、「置換若しくは非置換の非芳香族炭素環式基」、「置換若しくは非置換の芳香族複素環式基」、および「置換若しくは非置換の非芳香族複素環式基」、
「置換若しくは非置換の芳香族炭素環オキシ」、「置換若しくは非置換の非芳香族炭素環オキシ」、「置換若しくは非置換の芳香族複素環オキシ」、および「置換若しくは非置換の非芳香族複素環オキシ」、
「置換若しくは非置換の芳香族炭素環アミノ」、「置換若しくは非置換の非芳香族炭素環アミノ」、「置換若しくは非置換の芳香族複素環アミノ」、および「置換若しくは非置換の非芳香族複素環アミノ」、
「置換若しくは非置換の芳香族炭素環スルファニル」、「置換若しくは非置換の非芳香族炭素環スルファニル」、「置換若しくは非置換の芳香族複素環スルファニル」、および「置換若しくは非置換の非芳香族複素環スルファニル」、
「置換若しくは非置換の芳香族炭素環カルボニル」、「置換若しくは非置換の非芳香族炭素環カルボニル」、「置換若しくは非置換の芳香族複素環カルボニル」、および「置換若しくは非置換の非芳香族複素環カルボニル」、
「置換若しくは非置換の芳香族炭素環スルホニル」、「置換若しくは非置換の非芳香族炭素環スルホニル」、「置換若しくは非置換の芳香族複素環スルホニル」、および「置換若しくは非置換の非芳香族複素環スルホニル」、
「置換若しくは非置換の芳香族炭素環カルボニルオキシ」、「置換若しくは非置換の非芳香族炭素環カルボニルオキシ」、「置換若しくは非置換の芳香族複素環カルボニルオキシ」、および「置換若しくは非置換の非芳香族複素環カルボニルオキシ」、
「置換若しくは非置換の芳香族炭素環オキシカルボニル」、「置換若しくは非置換の非芳香族炭素環オキシカルボニル」、「置換若しくは非置換の芳香族複素環オキシカルボニル」、および「置換若しくは非置換の非芳香族複素環オキシカルボニル」、
「置換若しくは非置換の芳香族炭素環スルホニルオキシ」、「置換若しくは非置換の非芳香族炭素環スルホニルオキシ」、「置換若しくは非置換の芳香族複素環スルホニルオキシ」、および「置換若しくは非置換の非芳香族複素環スルホニルオキシ」、
「置換若しくは非置換の芳香族炭素環オキシスルホニル」、「置換若しくは非置換の非芳香族炭素環オキシスルホニル」、「置換若しくは非置換の芳香族複素環オキシスルホニル」、および「置換若しくは非置換の非芳香族複素環オキシスルホニル」、
「置換若しくは非置換の芳香族炭素環カルバモイル」、「置換若しくは非置換の非芳香族炭素環カルバモイル」、「置換若しくは非置換の芳香族複素環カルバモイル」、および「置換若しくは非置換の非芳香族複素環カルバモイル」、
「置換若しくは非置換の芳香族炭素環スルファモイル」、「置換若しくは非置換の非芳香族炭素環スルファモイル」、「置換若しくは非置換の芳香族複素環スルファモイル」、および「置換若しくは非置換の非芳香族複素環スルファモイル」、
「置換若しくは非置換の芳香族炭素環カルボニルアミノ」、「置換若しくは非置換の非芳香族炭素環カルボニルアミノ」、「置換若しくは非置換の芳香族複素環カルボニルアミノ」、および「置換若しくは非置換の非芳香族複素環カルボニルアミノ」、
「置換若しくは非置換の芳香族炭素環スルホニルアミノ」、「置換若しくは非置換の非芳香族炭素環スルホニルアミノ」、「置換若しくは非置換の芳香族複素環スルホニルアミノ」、および「置換若しくは非置換の非芳香族複素環スルホニルアミノ」、ならびに
「置換若しくは非置換の芳香族炭素環オキシカルボニルアミノ」、「置換若しくは非置換の非芳香族炭素環オキシカルボニルアミノ」、「置換若しくは非置換の芳香族複素環オキシカルボニルアミノ」、および「置換若しくは非置換の非芳香族複素環オキシカルボニルアミノ」の「芳香族炭素環」、「非芳香族炭素環」、「芳香族複素環」、および「非芳香族複素環」の環上の置換基としては、置換基群C1が挙げられる。環上の任意の位置の原子が置換基群C1から選択される1以上の基と結合していてもよい。
置換基群C1:ハロゲン、ヒドロキシ、カルボキシ、アミノ、カルバモイル、スルファモイル、スルホ、シアノ、置換基群Dから選択される1以上の基で置換されていてもよいアルキル、置換基群Dから選択される1以上の基で置換されていてもよいアルケニル、置換基群Dから選択される1以上の基で置換されていてもよいアルキニル、置換基群Dから選択される1以上の基で置換されていてもよいアルキルオキシ、置換基群Dから選択される1以上の基で置換されていてもよいアルケニルオキシ、置換基群Dから選択される1以上の基で置換されていてもよいアルキニルオキシ、置換基群Dから選択される1以上の基で置換されていてもよいアルキルアミノ、置換基群Dから選択される1以上の基で置換されていてもよいアルケニルアミノ、置換基群Dから選択される1以上の基で置換されていてもよいアルキニルアミノ、置換基群Dから選択される1以上の基で置換されていてもよいアルキルスルファニル、置換基群Dから選択される1以上の基で置換されていてもよいアルケニルスルファニル、置換基群Dから選択される1以上の基で置換されていてもよいアルキニルスルファニル、置換基群Dから選択される1以上の基で置換されていてもよいアルキルカルボニル、置換基群Dから選択される1以上の基で置換されていてもよいアルキルスルホニル、置換基群Dから選択される1以上の基で置換されていてもよいアルキルカルボニルアミノ、置換基群Dから選択される1以上の基で置換されていてもよいアルキルスルホニルアミノ、置換基群Dから選択される1以上の基で置換されていてもよいアルキルカルバモイル、置換基群Dから選択される1以上の基で置換されていてもよいアルキルスルファモイル、置換基群Dから選択される1以上の基で置換されていてもよいアルキルカルボニルオキシ、置換基群Dから選択される1以上の基で置換されていてもよいアルキルオキシカルボニル、置換基群Dから選択される1以上の基で置換されていてもよいアルキルスルホニルオキシ、置換基群Dから選択される1以上の基で置換されていてもよいアルキルオキシスルホニル、置換基群Eから選択される1以上の基で置換されていてもよい芳香族炭素環式基、置換基群Eから選択される1以上の基で置換されていてもよい非芳香族炭素環式基、置換基群Eから選択される1以上の基で置換されていてもよい芳香族複素環式基、置換基群Eから選択される1以上の基で置換されていてもよい非芳香族複素環式基、置換基群Eから選択される1以上の基で置換されていてもよい芳香族炭素環オキシ、置換基群Eから選択される1以上の基で置換されていてもよい非芳香族炭素環オキシ、置換基群Eから選択される1以上の基で置換されていてもよい芳香族複素環オキシ、置換基群Eから選択される1以上の基で置換されていてもよい非芳香族複素環オキシ、置換基群Eから選択される1以上の基で置換されていてもよい芳香族炭素環スルファニル、置換基群Eから選択される1以上の基で置換されていてもよい非芳香族炭素環スルファニル、置換基群Eから選択される1以上の基で置換されていてもよい芳香族複素環スルファニル、置換基群Eから選択される1以上の基で置換されていてもよい非芳香族複素環スルファニル、置換基群Eから選択される1以上の基で置換されていてもよい芳香族炭素環アミノ、置換基群Eから選択される1以上の基で置換されていてもよい非芳香族炭素環アミノ、置換基群Eから選択される1以上の基で置換されていてもよい芳香族複素環アミノ、置換基群Eから選択される1以上の基で置換されていてもよい非芳香族複素環アミノ、置換基群Eから選択される1以上の基で置換されていてもよい芳香族炭素環カルボニル、置換基群Eから選択される1以上の基で置換されていてもよい非芳香族炭素環カルボニル、置換基群Eから選択される1以上の基で置換されていてもよい芳香族複素環カルボニル、置換基群Eから選択される1以上の基で置換されていてもよい非芳香族複素環カルボニル、置換基群Eから選択される1以上の基で置換されていてもよい芳香族炭素環スルホニル、置換基群Eから選択される1以上の基で置換されていてもよい非芳香族炭素環スルホニル、置換基群Eから選択される1以上の基で置換されていてもよい芳香族複素環スルホニル、置換基群Eから選択される1以上の基で置換されていてもよい非芳香族複素環スルホニル、置換基群Eから選択される1以上の基で置換されていてもよい芳香族炭素環カルボニルアミノ、置換基群Eから選択される1以上の基で置換されていてもよい非芳香族炭素環カルボニルアミノ、置換基群Eから選択される1以上の基で置換されていてもよい芳香族複素環カルボニルアミノ、置換基群Eから選択される1以上の基で置換されていてもよい非芳香族複素環カルボニルアミノ、置換基群Eから選択される1以上の基で置換されていてもよい芳香族炭素環スルホニルアミノ、置換基群Eから選択される1以上の基で置換されていてもよい非芳香族炭素環スルホニルアミノ、置換基群Eから選択される1以上の基で置換されていてもよい芳香族複素環スルホニルアミノ、置換基群Eから選択される1以上の基で置換されていてもよい非芳香族複素環スルホニルアミノ、置換基群Eから選択される1以上の基で置換されていてもよい芳香族炭素環カルバモイル、置換基群Eから選択される1以上の基で置換されていてもよい非芳香族炭素環カルバモイル、置換基群Eから選択される1以上の基で置換されていてもよい芳香族複素環カルバモイル、置換基群Eから選択される1以上の基で置換されていてもよい非芳香族複素環カルバモイル、置換基群Eから選択される1以上の基で置換されていてもよい芳香族炭素環スルファモイル、置換基群Eから選択される1以上の基で置換されていてもよい非芳香族炭素環スルファモイル、置換基群Eから選択される1以上の基で置換されていてもよい芳香族複素環スルファモイル、置換基群Eから選択される1以上の基で置換されていてもよい非芳香族複素環スルファモイル、置換基群Eから選択される1以上の基で置換されていてもよい芳香族炭素環オキシカルボニル、置換基群Eから選択される1以上の基で置換されていてもよい非芳香族炭素環オキシカルボニル、置換基群Eから選択される1以上の基で置換されていてもよい芳香族複素環オキシカルボニル、置換基群Eから選択される1以上の基で置換されていてもよい非芳香族複素環オキシカルボニル、置換基群Eから選択される1以上の基で置換されていてもよい芳香族炭素環オキシスルホニル、置換基群Eから選択される1以上の基で置換されていてもよい非芳香族炭素環オキシスルホニル、置換基群Eから選択される1以上の基で置換されていてもよい芳香族複素環オキシスルホニル、置換基群Eから選択される1以上の基で置換されていてもよい非芳香族複素環オキシスルホニル、置換基群Eから選択される1以上の基で置換されていてもよい芳香族炭素環カルボニルオキシ、置換基群Eから選択される1以上の基で置換されていてもよい非芳香族炭素環カルボニルオキシ、置換基群Eから選択される1以上の基で置換されていてもよい芳香族複素環カルボニルオキシ、置換基群Eから選択される1以上の基で置換されていてもよい非芳香族複素環カルボニルオキシ、置換基群Eから選択される1以上の基で置換されていてもよい芳香族炭素環スルホニルオキシ、置換基群Eから選択される1以上の基で置換されていてもよい非芳香族炭素環スルホニルオキシ、置換基群Eから選択される1以上の基で置換されていてもよい芳香族複素環スルホニルオキシ、および置換基群Eから選択される1以上の基で置換されていてもよい非芳香族複素環スルホニルオキシ。
“Substituted or unsubstituted aromatic carbocycle”, “Substituted or unsubstituted nonaromatic carbocycle”, “Substituted or unsubstituted aromatic heterocycle”, and “Substituted or unsubstituted nonaromatic heterocycle” ,
“Substituted or unsubstituted 6-membered aromatic carbocycle”, “substituted or unsubstituted 5- to 6-membered non-aromatic carbocycle”, “substituted or unsubstituted 5- to 6-membered aromatic heterocycle”, and “substituted or Unsubstituted 5-6 membered non-aromatic heterocycle ",
“Substituted or unsubstituted aromatic carbocyclic group”, “Substituted or unsubstituted nonaromatic carbocyclic group”, “Substituted or unsubstituted aromatic heterocyclic group”, and “Substituted or unsubstituted aromatic carbocyclic group” Non-aromatic heterocyclic group ",
“Substituted or unsubstituted 6-membered aromatic carbocyclic group”, “Substituted or unsubstituted 3- to 6-membered non-aromatic carbocyclic group”, “Substituted or unsubstituted 5- to 6-membered aromatic heterocyclic group” Group ", and" substituted or unsubstituted 5- to 6-membered non-aromatic heterocyclic group ",
“Substituted or unsubstituted aromatic carbocyclic group”, “Substituted or unsubstituted nonaromatic carbocyclic group”, “Substituted or unsubstituted aromatic heterocyclic group”, and “Substituted or unsubstituted aromatic carbocyclic group” Non-aromatic heterocyclic group ",
"Substituted or unsubstituted aromatic carbocyclic oxy", "Substituted or unsubstituted non-aromatic carbocyclic oxy", "Substituted or unsubstituted aromatic heterocyclic oxy", and "Substituted or unsubstituted non-aromatic Heterocyclic oxy ",
"Substituted or unsubstituted aromatic carbocyclic amino", "Substituted or unsubstituted non-aromatic carbocyclic amino", "Substituted or unsubstituted aromatic heterocyclic amino", and "Substituted or unsubstituted non-aromatic Heterocyclic amino ",
"Substituted or unsubstituted aromatic carbocyclic sulfanyl", "Substituted or unsubstituted non-aromatic carbocyclic sulfanyl", "Substituted or unsubstituted aromatic heterocyclic sulfanyl", and "Substituted or unsubstituted non-aromatic Heterocyclic sulfanyl ",
"Substituted or unsubstituted aromatic carbocyclic carbonyl", "Substituted or unsubstituted non-aromatic carbocyclic carbonyl", "Substituted or unsubstituted aromatic heterocyclic carbonyl", and "Substituted or unsubstituted non-aromatic Heterocyclic carbonyl ",
"Substituted or unsubstituted aromatic carbocyclic sulfonyl", "Substituted or unsubstituted non-aromatic carbocyclic sulfonyl", "Substituted or unsubstituted aromatic heterocyclic sulfonyl", and "Substituted or unsubstituted non-aromatic Heterocyclic sulfonyl ",
“Substituted or unsubstituted aromatic carbocyclic oxy”, “Substituted or unsubstituted non-aromatic carbocyclic oxy”, “Substituted or unsubstituted aromatic heterocyclic carbonyloxy”, and “Substituted or unsubstituted carbocyclic oxy” Non-aromatic heterocyclic carbonyloxy ",
“Substituted or unsubstituted aromatic carbocyclic oxycarbonyl”, “substituted or unsubstituted nonaromatic carbocyclic oxycarbonyl”, “substituted or unsubstituted aromatic heterocyclic oxycarbonyl”, and “substituted or unsubstituted Non-aromatic heterocyclic oxycarbonyl ",
"Substituted or unsubstituted aromatic carbocyclic sulfonyloxy", "substituted or unsubstituted non-aromatic carbocyclic sulfonyloxy", "substituted or unsubstituted aromatic heterocyclic sulfonyloxy", and "substituted or unsubstituted Non-aromatic heterocyclic sulfonyloxy ",
“Substituted or unsubstituted aromatic carbocyclic oxysulfonyl”, “substituted or unsubstituted nonaromatic carbocyclic oxysulfonyl”, “substituted or unsubstituted aromatic heterocyclic oxysulfonyl”, and “substituted or unsubstituted Non-aromatic heterocyclic oxysulfonyl ",
"Substituted or unsubstituted aromatic carbocyclic carbamoyl", "Substituted or unsubstituted non-aromatic carbocyclic carbamoyl", "Substituted or unsubstituted aromatic heterocyclic carbamoyl", and "Substituted or unsubstituted non-aromatic `` Heterocyclic carbamoyl '',
"Substituted or unsubstituted aromatic carbocyclic sulfamoyl", "Substituted or unsubstituted non-aromatic carbocyclic sulfamoyl", "Substituted or unsubstituted aromatic heterocyclic sulfamoyl", and "Substituted or unsubstituted non-aromatic Heterocyclic sulfamoyl ",
“Substituted or unsubstituted aromatic carbocyclic carbonylamino”, “substituted or unsubstituted nonaromatic carbocyclic carbonylamino”, “substituted or unsubstituted aromatic heterocyclic carbonylamino”, and “substituted or unsubstituted Non-aromatic heterocyclic carbonylamino ",
“Substituted or unsubstituted aromatic carbocyclic sulfonylamino”, “Substituted or unsubstituted nonaromatic carbocyclic sulfonylamino”, “Substituted or unsubstituted aromatic heterocyclic sulfonylamino”, and “Substituted or unsubstituted aromatic carbocyclic sulfonylamino” Non-aromatic heterocyclic sulfonylamino ”, and“ substituted or unsubstituted aromatic carbocyclic oxycarbonylamino ”,“ substituted or unsubstituted non-aromatic carbocyclic oxycarbonylamino ”,“ substituted or unsubstituted aromatic heterocyclic ” "Aromatic carbocycle", "non-aromatic carbocycle", "aromatic heterocycle", and "non-aromatic" of "ring oxycarbonylamino" and "substituted or unsubstituted non-aromatic heterocyclic oxycarbonylamino" Examples of the substituent on the ring of “heterocycle” include the substituent group C1. The atom at any position on the ring may be bonded to one or more groups selected from the substituent group C1.
Substituent group C1: selected from halogen, hydroxy, carboxy, amino, carbamoyl, sulfamoyl, sulfo, cyano, alkyl optionally substituted with one or more groups selected from substituent group D, and substituent group D Alkenyl optionally substituted with one or more groups, alkynyl optionally substituted with one or more groups selected from substituent group D, substituted with one or more groups selected from substituent group D Alkyloxy which may be substituted, alkenyloxy which may be substituted with one or more groups selected from substituent group D, alkynyloxy which may be substituted with one or more groups selected from substituent group D, Alkylamino optionally substituted with one or more groups selected from Substituent Group D, Alkenylamino optionally substituted with one or more groups selected from Substituent Group D , Alkynylamino optionally substituted with one or more groups selected from substituent group D, alkylsulfanyl optionally substituted with one or more groups selected from substituent group D, from substituent group D One or more alkenylsulfanyl optionally substituted with one or more groups selected, one or more alkynylsulfanyl optionally substituted with one or more groups selected from substituent group D, one or more selected from substituent group D An alkylcarbonyl which may be substituted with a group, an alkylsulfonyl which may be substituted with one or more groups selected from Substituent Group D, and one or more groups selected from Substituent Group D Alkylcarbonylamino which may be substituted, alkylsulfonylamino which may be substituted with one or more groups selected from substituent group D, one or more groups selected from substituent group D Alkylcarbamoyl which may be substituted, alkylsulfamoyl which may be substituted with one or more groups selected from substituent group D, and one or more groups selected from substituent group D Alkylcarbonyloxy which may be substituted, alkyloxycarbonyl which may be substituted with one or more groups selected from substituent group D, alkylsulfonyl which may be substituted with one or more groups selected from substituent group D Oxy, an alkyloxysulfonyl which may be substituted with one or more groups selected from substituent group D, and an aromatic carbocyclic group which may be substituted with one or more groups selected from substituent group E A non-aromatic carbocyclic group which may be substituted with one or more groups selected from substituent group E, an aromatic complex which may be substituted with one or more groups selected from substituent group E A non-aromatic heterocyclic group that may be substituted with one or more groups selected from a cyclic group and substituent group E, and one or more groups selected from substituent group E Aromatic carbocyclic oxy, optionally substituted with one or more groups selected from substituent group E Non-aromatic carbocyclic oxy, optionally substituted with one or more groups selected from substituent group E Good aromatic heterocyclic oxy, non-aromatic heterocyclic oxy optionally substituted with one or more groups selected from substituent group E, substituted with one or more groups selected from substituent group E Aromatic carbocyclic sulfanyl, which may be substituted with one or more groups selected from substituent group E, which may be substituted with one or more groups selected from non-aromatic carbocyclic sulfanyl, substituent group E Aromatic heterocyclic sulfanyl which may be 1 selected from substituent group E A non-aromatic heterocyclic sulfanyl optionally substituted with the above group, an aromatic carbocyclic amino optionally substituted with one or more groups selected from substituent group E, selected from substituent group E Selected from non-aromatic carbocyclic amino optionally substituted with one or more groups, aromatic heterocyclic amino optionally substituted with one or more groups selected from substituent group E, selected from substituent group E Non-aromatic heterocyclic amino optionally substituted with one or more groups selected from aromatic carbocyclic carbonyl optionally substituted with one or more groups selected from substituent group E, selected from substituent group E From the non-aromatic carbocyclic carbonyl optionally substituted with one or more groups selected from the aromatic heterocyclic carbonyl optionally substituted with one or more groups selected from the substituent group E Optionally substituted with one or more selected groups Aromatic heterocyclic carbonyl, aromatic carbocyclic sulfonyl optionally substituted with one or more groups selected from substituent group E, optionally substituted with one or more groups selected from substituent group E Non-aromatic carbocyclic sulfonyl, optionally substituted with one or more groups selected from substituent group E, optionally substituted with aromatic heterocyclic sulfonyl, one or more groups selected from substituent group E A good non-aromatic heterocyclic sulfonyl, an aromatic carbocyclic carbonylamino optionally substituted with one or more groups selected from substituent group E, substituted with one or more groups selected from substituent group E A non-aromatic carbocyclic amino which may be optionally substituted with one or more groups selected from substituent group E, an aromatic heterocyclic carbonylamino which may be substituted with one or more groups selected from substituent group E, The non-poor may be replaced Aromatic heterocyclic carbonylamino, optionally substituted with one or more groups selected from substituent group E, substituted with one or more groups selected from aromatic carbocyclic sulfonylamino, substituent group E A non-aromatic carbocyclic sulfonylamino which may be substituted with one or more groups selected from the substituent group E, an aromatic heterocyclic sulfonylamino which may be substituted with one or more groups selected from the substituent group E Non-aromatic heterocyclic sulfonylamino which may be substituted, aromatic carbocyclic carbamoyl which may be substituted with one or more groups selected from substituent group E, one or more groups selected from substituent group E A non-aromatic carbocyclic carbamoyl optionally substituted with one or more aromatic heterocyclic carbamoyl optionally substituted with one or more groups selected from Substituent Group E, one or more selected from Substituent Group E Substituted with group Optionally substituted non-aromatic heterocyclic carbamoyl, optionally substituted with one or more groups selected from substituent group E, substituted with one or more groups selected from aromatic carbocyclic sulfamoyl, optionally substituted group E A non-aromatic carbocyclic sulfamoyl which may be substituted with one or more groups selected from the substituent group E, an aromatic heterocyclic sulfamoyl which may be substituted with one or more groups selected from the substituent group E Non-aromatic heterocyclic sulfamoyl which may be substituted, aromatic carbocyclic oxycarbonyl which may be substituted with one or more groups selected from substituent group E, one or more selected from substituent group E A non-aromatic carbocyclic oxycarbonyl optionally substituted with a group, an aromatic heterocyclic oxycarbonyl optionally substituted with one or more groups selected from substituent group E, and a group selected from substituent group E Non-aromatic heterocyclic oxycarbonyl optionally substituted with the above groups, selected from aromatic carbocyclic oxysulfonyl optionally substituted with one or more groups selected from Substituent Group E, Substituent Group E A non-aromatic carbocyclic oxysulfonyl which may be substituted with one or more groups selected from the above, an aromatic heterocyclic oxysulfonyl which may be substituted with one or more groups selected from the substituent group E, a substituent group A non-aromatic heterocyclic oxysulfonyl which may be substituted with one or more groups selected from E, an aromatic carbocyclic carbonyloxy which may be substituted with one or more groups selected from substituent group E, Non-aromatic carbocyclic carbonyloxy which may be substituted with one or more groups selected from substituent group E, Aromatic heterocycle which may be substituted with one or more groups selected from substituent group E Carbonyloxy A non-aromatic heterocyclic carbonyloxy which may be substituted with one or more groups selected from substituent group E, an aromatic which may be substituted with one or more groups selected from substituent group E Carbocycle sulfonyloxy, non-aromatic carbocyclic sulfonyloxy optionally substituted with one or more groups selected from substituent group E, or substituted with one or more groups selected from substituent group E Good aromatic heterocyclic sulfonyloxy, and non-aromatic heterocyclic sulfonyloxy optionally substituted with one or more groups selected from Substituent Group E.
置換基群C2:ハロゲン、ヒドロキシ、カルボキシ、アミノ、カルバモイル、スルファモイル、スルホ、シアノ、アルキルオキシ、ハロアルキルオキシ、アルキルアミノ、ハロアルキルアミノ、アルキルスルファニル、ハロアルキルスルファニル、ならびに、
置換基群Fから選択される1以上の基で置換されていてもよい芳香族炭素環式基、置換基群Fから選択される1以上の基で置換されていてもよい非芳香族炭素環式基、置換基群Fから選択される1以上の基で置換されていてもよい芳香族複素環式基、および置換基群Fから選択される1以上の基で置換されていてもよい非芳香族複素環式基。
置換基群D:ハロゲン、ヒドロキシ、カルボキシ、アミノ、カルバモイル、スルファモイル、スルホ、およびシアノ。
置換基群E:ハロゲン、ヒドロキシ、カルボキシ、アミノ、カルバモイル、スルファモイル、スルホ、およびシアノ、ならびに、
置換基群Dから選択される1以上の基で置換されていてもよいアルキル、置換基群Dから選択される1以上の基で置換されていてもよいアルキルオキシ、置換基群Dから選択される1以上の基で置換されていてもよいアルキルアミノ、置換基群Dから選択される1以上の基で置換されていてもよいアルキルスルファニル、置換基群Dから選択される1以上の基で置換されていてもよいアルキルカルボニル、置換基群Dから選択される1以上の基で置換されていてもよいアルキルスルホニル、置換基群Dから選択される1以上の基で置換されていてもよいアルキルカルボニルアミノ、置換基群Dから選択される1以上の基で置換されていてもよいアルキルスルホニルアミノ、置換基群Dから選択される1以上の基で置換されていてもよいアルキルカルバモイル、置換基群Dから選択される1以上の基で置換されていてもよいアルキルスルファモイル、置換基群Dから選択される1以上の基で置換されていてもよいアルキルカルボニルオキシ、置換基群Dから選択される1以上の基で置換されていてもよいアルキルオキシカルボニル、置換基群Dから選択される1以上の基で置換されていてもよいアルキルスルホニルオキシ、および置換基群Dから選択される1以上の基で置換されていてもよいアルキルオキシスルホニル。
置換基群F:ハロゲン、ヒドロキシ、カルボキシ、アミノ、カルバモイル、スルファモイル、スルホ、シアノ、アルキル、ハロアルキル、アルキルオキシ、ハロアルキルオキシ、アルキルアミノ、ハロアルキルアミノ、アルキルスルファニル、ハロアルキルスルファニル、アルキルカルボニル、ハロアルキルカルボニル、アルキルスルホニル、ハロアルキルスルホニル、アルキルカルボニルアミノ、ハロアルキルカルボニルアミノ、アルキルスルホニルアミノ、ハロアルキルスルホニルアミノ、アルキルカルバモイル、ハロアルキルカルバモイル、アルキルスルファモイル、およびハロアルキルスルファモイル。
Substituent group C2: halogen, hydroxy, carboxy, amino, carbamoyl, sulfamoyl, sulfo, cyano, alkyloxy, haloalkyloxy, alkylamino, haloalkylamino, alkylsulfanyl, haloalkylsulfanyl, and
Aromatic carbocyclic group optionally substituted with one or more groups selected from substituent group F, Non-aromatic carbocycle optionally substituted with one or more groups selected from substituent group F An aromatic heterocyclic group optionally substituted with one or more groups selected from the formula group, substituent group F, and non-substituted optionally substituted with one or more groups selected from substituent group F Aromatic heterocyclic group.
Substituent group D: halogen, hydroxy, carboxy, amino, carbamoyl, sulfamoyl, sulfo, and cyano.
Substituent group E: halogen, hydroxy, carboxy, amino, carbamoyl, sulfamoyl, sulfo, and cyano, and
Selected from alkyl optionally substituted with one or more groups selected from substituent group D, alkyloxy optionally substituted with one or more groups selected from substituent group D, selected from substituent group D An alkylamino optionally substituted with one or more groups, an alkylsulfanyl optionally substituted with one or more groups selected from substituent group D, and one or more groups selected from substituent group D Optionally substituted alkylcarbonyl, optionally substituted with one or more groups selected from substituent group D, optionally substituted with one or more groups selected from substituent group D Alkylcarbonylamino, alkylsulfonylamino which may be substituted with one or more groups selected from substituent group D, and alkyl which may be substituted with one or more groups selected from substituent group D Carbamoyl, alkylsulfamoyl optionally substituted with one or more groups selected from substituent group D, alkylcarbonyloxy optionally substituted with one or more groups selected from substituent group D, substituted Alkyloxycarbonyl optionally substituted with one or more groups selected from group D, alkylsulfonyloxy optionally substituted with one or more groups selected from substituent group D, and substituent group D Alkyloxysulfonyl which may be substituted with one or more groups selected from:
Substituent group F: halogen, hydroxy, carboxy, amino, carbamoyl, sulfamoyl, sulfo, cyano, alkyl, haloalkyl, alkyloxy, haloalkyloxy, alkylamino, haloalkylamino, alkylsulfanyl, haloalkylsulfanyl, alkylcarbonyl, haloalkylcarbonyl, alkyl Sulfonyl, haloalkylsulfonyl, alkylcarbonylamino, haloalkylcarbonylamino, alkylsulfonylamino, haloalkylsulfonylamino, alkylcarbamoyl, haloalkylcarbamoyl, alkylsulfamoyl, and haloalkylsulfamoyl.
また、「置換若しくは非置換の非芳香族炭素環式基」および「置換若しくは非置換の非芳香族複素環式基」は「オキソ」から選択される1以上の基で置換されていてもよい。この場合、以下のように炭素原子上の2個の水素原子が置換されている基を意味する。
上記、「非芳香族炭素環オキシ」、「非芳香族炭素環アミノ」、「非芳香族炭素環スルファニル」、「非芳香族炭素環カルボニル」、「非芳香族炭素環スルホニル」、「非芳香族炭素環カルボニルオキシ」、「非芳香族炭素環スルホニルオキシ」、「非芳香族炭素環オキシカルボニル」、「非芳香族炭素環オキシスルホニル」、「非芳香族炭素環カルバモイル」、「非芳香族炭素環スルファモイル」、「非芳香族炭素環カルボニルアミノ」、「非芳香族炭素環スルホニルアミノ」、「非芳香族炭素環オキシカルボニルアミノ」、「非芳香族複素環オキシ」、「非芳香族複素環アミノ」、「非芳香族複素環スルファニル」、「非芳香族複素環カルボニル」、「非芳香族複素環スルホニル」、「非芳香族複素環カルボニルオキシ」、「非芳香族複素環スルホニルオキシ」、「非芳香族複素環オキシカルボニル」、「非芳香族複素環オキシスルホニル」、「非芳香族複素環カルバモイル」、「非芳香族複素環スルファモイル」、「非芳香族複素環カルボニルアミノ」、「非芳香族複素環スルホニルアミノ」、および「非芳香族複素環オキシカルボニルアミノ」の非芳香族炭素環、および非芳香族複素環部分も上記と同様に「オキソ」から選択される1以上の基で置換されていてもよい。 “Non-aromatic carbocyclic oxy”, “non-aromatic carbocyclic amino”, “non-aromatic carbocyclic sulfanyl”, “non-aromatic carbocyclic carbonyl”, “non-aromatic carbocyclic sulfonyl”, “non-aromatic” Aromatic carbocyclic carbonyloxy "," Non-aromatic carbocyclic sulfonyloxy "," Non-aromatic carbocyclic oxycarbonyl "," Non-aromatic carbocyclic oxysulfonyl "," Non-aromatic carbocyclic carbamoyl "," Non-aromatic Carbocyclic sulfamoyl, non-aromatic carbocyclic carbonylamino, non-aromatic carbocyclic sulfonylamino, non-aromatic carbocyclic oxycarbonylamino, non-aromatic heterocyclic oxy, non-aromatic hetero "Amino ring", "Non-aromatic heterocyclic sulfanyl", "Non-aromatic heterocyclic carbonyl", "Non-aromatic heterocyclic sulfonyl", "Non-aromatic heterocyclic carbonyloxy", "Non-aromatic" "Cyclic sulfonyloxy", "non-aromatic heterocyclic oxycarbonyl", "non-aromatic heterocyclic oxysulfonyl", "non-aromatic heterocyclic carbamoyl", "non-aromatic heterocyclic sulfamoyl", "non-aromatic heterocyclic" The non-aromatic carbocyclic ring and the non-aromatic heterocyclic part of “carbonylamino”, “non-aromatic heterocyclic sulfonylamino” and “non-aromatic heterocyclic oxycarbonylamino” are also selected from “oxo” in the same manner as described above. May be substituted with one or more groups.
R1における「置換若しくは非置換の芳香族炭素環式基」、「置換若しくは非置換の非芳香族炭素環式基」、「置換若しくは非置換の芳香族複素環式基」、「置換若しくは非置換の非芳香族複素環式基」、「置換若しくは非置換の6員芳香族炭素環式基」、「置換若しくは非置換の3~6員非芳香族炭素環式基」、「置換若しくは非置換の5~6員芳香族複素環式基」、および「置換若しくは非置換の5~6員非芳香族複素環式基」の環上の置換基としては、例えば、ハロゲン、ヒドロキシ、カルボキシ、アミノ、カルバモイル、スルファモイル、スルホ、シアノ、置換基群Dから選択される1以上の基で置換されていてもよいアルキル、置換基群Dから選択される1以上の基で置換されていてもよいアルキルオキシ、置換基群Dから選択される1以上の基で置換されていてもよいアルキルアミノ、置換基群Dから選択される1以上の基で置換されていてもよいアルキルスルファニル、置換基群Dから選択される1以上の基で置換されていてもよいアルキルカルボニル、置換基群Dから選択される1以上の基で置換されていてもよいアルキルスルホニル、置換基群Dから選択される1以上の基で置換されていてもよいアルキルカルボニルアミノ、置換基群Dから選択される1以上の基で置換されていてもよいアルキルスルホニルアミノ、置換基群Dから選択される1以上の基で置換されていてもよいアルキルカルバモイル、置換基群Dから選択される1以上の基で置換されていてもよいアルキルスルファモイル等が挙げられる。
一態様として、例えば、ハロゲン、ヒドロキシ、シアノ、置換基群Dから選択される1以上の基で置換されていてもよいアルキル、置換基群Dから選択される1以上の基で置換されていてもよいアルキルオキシ、置換基群Dから選択される1以上の基で置換されていてもよいアルキルアミノ、置換基群Dから選択される1以上の基で置換されていてもよいアルキルスルファニル等が挙げられる。
一態様として、例えば、ハロゲン、または置換基群Dから選択される1以上の基で置換されていてもよいアルキル等が挙げられる。
一態様として、例えば、ハロゲン、アルキル、ハロアルキル等が挙げられる。
一態様として、例えば、ハロゲン、アルキルが挙げられる。
一態様として、例えば、ハロゲンが挙げられる。
"Substituted or unsubstituted aromatic carbocyclic group" in R 1, "substituted or unsubstituted non-aromatic carbocyclic group", "substituted or unsubstituted aromatic heterocyclic group", "substituted or unsubstituted "Substituted non-aromatic heterocyclic group", "Substituted or unsubstituted 6-membered aromatic carbocyclic group", "Substituted or unsubstituted 3- to 6-membered non-aromatic carbocyclic group", "Substituted or non-substituted Examples of the substituent on the ring of “substituted 5- to 6-membered aromatic heterocyclic group” and “substituted or unsubstituted 5- to 6-membered non-aromatic heterocyclic group” include, for example, halogen, hydroxy, carboxy, Amino, carbamoyl, sulfamoyl, sulfo, cyano, alkyl optionally substituted with one or more groups selected from Substituent Group D, optionally substituted with one or more groups selected from Substituent Group D Selected from alkyloxy and substituent group D An alkylamino optionally substituted with one or more groups selected from the above, an alkylsulfanyl optionally substituted with one or more groups selected from the substituent group D, one or more groups selected from the substituent group D selected from Optionally substituted alkylcarbonyl, optionally substituted with one or more groups selected from substituent group D, optionally substituted with one or more groups selected from substituent group D Alkylcarbonylamino, alkylsulfonylamino optionally substituted with one or more groups selected from substituent group D, alkylcarbamoyl optionally substituted with one or more groups selected from substituent group D, substituted And alkylsulfamoyl optionally substituted with one or more groups selected from group D.
As one embodiment, for example, halogen, hydroxy, cyano, alkyl optionally substituted with one or more groups selected from Substituent Group D, substituted with one or more groups selected from Substituent Group D Alkyloxy which may be substituted, alkylamino which may be substituted with one or more groups selected from substituent group D, alkylsulfanyl which may be substituted with one or more groups selected from substituent group D, etc. Can be mentioned.
As one embodiment, for example, halogen or alkyl optionally substituted with one or more groups selected from substituent group D can be mentioned.
As one aspect, for example, halogen, alkyl, haloalkyl and the like can be mentioned.
As one aspect | mode, a halogen and alkyl are mentioned, for example.
As one aspect, for example, halogen is mentioned.
R2a、R2b、R2c、R2d、R8aおよびR8bにおける「置換若しくは非置換のアルキル」、および「置換若しくは非置換のアルキルオキシ」の置換基としては、例えば、ハロゲン、ヒドロキシ、カルボキシ、アミノ、カルバモイル、スルファモイル、スルホ、シアノ、置換基群Dから選択される1以上の基で置換されていてもよいアルキルオキシ、置換基群Dから選択される1以上の基で置換されていてもよいアルキルアミノ、置換基群Dから選択される1以上の基で置換されていてもよいアルキルスルファニル、置換基群Dから選択される1以上の基で置換されていてもよいアルキルカルボニル、置換基群Dから選択される1以上の基で置換されていてもよいアルキルスルホニル、置換基群Dから選択される1以上の基で置換されていてもよいアルキルカルボニルアミノ、置換基群Dから選択される1以上の基で置換されていてもよいアルキルスルホニルアミノ、置換基群Fから選択される1以上の基で置換されていてもよい芳香族炭素環式基、置換基群Fから選択される1以上の基で置換されていてもよい非芳香族炭素環式基、置換基群Fから選択される1以上の基で置換されていてもよい芳香族複素環式基、置換基群Fから選択される1以上の基で置換されていてもよい非芳香族複素環式基等が挙げられる。
一態様として、例えば、ハロゲン、ヒドロキシ、シアノ等が挙げられる。
一態様として、例えば、ハロゲン等が挙げられる。
Examples of the substituent of “substituted or unsubstituted alkyl” and “substituted or unsubstituted alkyloxy” in R 2a , R 2b , R 2c , R 2d , R 8a and R 8b include, for example, halogen, hydroxy, carboxy , Amino, carbamoyl, sulfamoyl, sulfo, cyano, alkyloxy optionally substituted with one or more groups selected from substituent group D, substituted with one or more groups selected from substituent group D May be alkylamino, alkylsulfanyl optionally substituted with one or more groups selected from substituent group D, alkylcarbonyl optionally substituted with one or more groups selected from substituent group D, substituted Alkylsulfonyl which may be substituted with one or more groups selected from group D, one or more groups selected from substituent group D An alkylcarbonylamino which may be substituted, an alkylsulfonylamino which may be substituted with one or more groups selected from substituent group D, and a substituent which is substituted with one or more groups selected from substituent group F; Substituted with one or more groups selected from the non-aromatic carbocyclic group optionally substituted with one or more groups selected from the substituent group F An aromatic heterocyclic group which may be substituted, a non-aromatic heterocyclic group which may be substituted with one or more groups selected from substituent group F, and the like.
As one aspect, for example, halogen, hydroxy, cyano and the like can be mentioned.
As one aspect, for example, halogen and the like can be mentioned.
R7aにおける「置換若しくは非置換のアルキル」、および「置換若しくは非置換のアルキルカルボニル」の置換基としては、例えば、ハロゲン、ヒドロキシ、カルボキシ、アミノ、カルバモイル、スルファモイル、スルホ、シアノ、置換基群Dから選択される1以上の基で置換されていてもよいアルキルオキシ、置換基群Dから選択される1以上の基で置換されていてもよいアルキルアミノ、置換基群Dから選択される1以上の基で置換されていてもよいアルキルスルファニル、置換基群Dから選択される1以上の基で置換されていてもよいアルキルカルボニル、置換基群Dから選択される1以上の基で置換されていてもよいアルキルスルホニル、置換基群Dから選択される1以上の基で置換されていてもよいアルキルカルボニルアミノ、置換基群Dから選択される1以上の基で置換されていてもよいアルキルスルホニルアミノ、置換基群Fから選択される1以上の基で置換されていてもよい芳香族炭素環式基、置換基群Fから選択される1以上の基で置換されていてもよい非芳香族炭素環式基、置換基群Fから選択される1以上の基で置換されていてもよい芳香族複素環式基、置換基群Fから選択される1以上の基で置換されていてもよい非芳香族複素環式基等が挙げられる。
一態様として、例えば、ハロゲン、ヒドロキシ、シアノ等が挙げられる。
一態様として、例えば、ハロゲン等が挙げられる。
Examples of the substituent of “substituted or unsubstituted alkyl” and “substituted or unsubstituted alkylcarbonyl” in R 7a include, for example, halogen, hydroxy, carboxy, amino, carbamoyl, sulfamoyl, sulfo, cyano, substituent group D Alkyloxy optionally substituted with one or more groups selected from: alkylamino optionally substituted with one or more groups selected from substituent group D, one or more selected from substituent group D An alkylsulfanyl which may be substituted with a group of the above, an alkylcarbonyl which may be substituted with one or more groups selected from the substituent group D, and a substituent which is substituted with one or more groups selected from the substituent group D An alkylsulfonylamino which may be substituted with one or more groups selected from substituent group D, Alkylsulfonylamino optionally substituted with one or more groups selected from substituent group D, aromatic carbocyclic group optionally substituted with one or more groups selected from substituent group F, substituted A non-aromatic carbocyclic group which may be substituted with one or more groups selected from group F, and an aromatic heterocyclic group which may be substituted with one or more groups selected from substituent group F And a non-aromatic heterocyclic group which may be substituted with one or more groups selected from the group and substituent group F.
As one aspect, for example, halogen, hydroxy, cyano and the like can be mentioned.
As one aspect, for example, halogen and the like can be mentioned.
R4における「置換若しくは非置換のアルキル」、「置換若しくは非置換のアルケニル」、「置換若しくは非置換のアルキニル」、「置換若しくは非置換のアルキルオキシ」、「置換若しくは非置換のアルケニルオキシ」、「置換若しくは非置換のアルキニルオキシ」、「置換若しくは非置換のアルキルスルファニル」、「置換若しくは非置換のアルケニルスルファニル」、「置換若しくは非置換のアルキニルスルファニル」、「置換若しくは非置換のアルキルアミノ」、「置換若しくは非置換のアルケニルアミノ」、および「置換若しくは非置換のアルキニルアミノ」の置換基としては、例えば、ハロゲン、ヒドロキシ、カルボキシ、アミノ、カルバモイル、スルファモイル、スルホ、シアノ、置換基群Dから選択される1以上の基で置換されていてもよいアルキルオキシ、置換基群Dから選択される1以上の基で置換されていてもよいアルキルアミノ、置換基群Dから選択される1以上の基で置換されていてもよいアルキルスルファニル、置換基群Dから選択される1以上の基で置換されていてもよいアルキルカルボニル、置換基群Dから選択される1以上の基で置換されていてもよいアルキルスルホニル、置換基群Dから選択される1以上の基で置換されていてもよいアルキルカルボニルアミノ、置換基群Dから選択される1以上の基で置換されていてもよいアルキルスルホニルアミノ、置換基群Fから選択される1以上の基で置換されていてもよい芳香族炭素環式基、置換基群Fから選択される1以上の基で置換されていてもよい非芳香族炭素環式基、置換基群Fから選択される1以上の基で置換されていてもよい芳香族複素環式基、置換基群Fから選択される1以上の基で置換されていてもよい非芳香族複素環式基等が挙げられる。
一態様として、例えば、ハロゲン、ヒドロキシ、シアノ等が挙げられる。
一態様として、例えば、ハロゲンが挙げられる。
"Substituted or unsubstituted alkyl" at R 4, "substituted or unsubstituted alkenyl", "substituted or unsubstituted alkynyl", "substituted or unsubstituted alkyloxy", "substituted or unsubstituted alkenyloxy", “Substituted or unsubstituted alkynyloxy”, “substituted or unsubstituted alkylsulfanyl”, “substituted or unsubstituted alkenylsulfanyl”, “substituted or unsubstituted alkynylsulfanyl”, “substituted or unsubstituted alkylamino”, The substituent of “substituted or unsubstituted alkenylamino” and “substituted or unsubstituted alkynylamino” is selected from, for example, halogen, hydroxy, carboxy, amino, carbamoyl, sulfamoyl, sulfo, cyano, and substituent group D Substituted with one or more groups Alkyloxy which may be substituted, alkylamino which may be substituted with one or more groups selected from substituent group D, and alkyl which may be substituted with one or more groups selected from substituent group D Sulfanyl, alkylcarbonyl optionally substituted with one or more groups selected from substituent group D, alkylsulfonyl optionally substituted with one or more groups selected from substituent group D, substituent group D Selected from alkylcarbonylamino optionally substituted with one or more groups selected from: alkylsulfonylamino optionally substituted with one or more groups selected from Substituent Group D, and substituent F From an aromatic carbocyclic group that may be substituted with one or more groups, a non-aromatic carbocyclic group that may be substituted with one or more groups selected from Substituent Group F, and Substituent Group F Choice Is one or more groups which may be substituted aromatic heterocyclic group, such as 1 or more non-aromatic may be substituted with a group heterocyclic group selected from substituent group F, and the like.
As one aspect, for example, halogen, hydroxy, cyano and the like can be mentioned.
As one aspect, for example, halogen is mentioned.
R6における「置換若しくは非置換のアルキル」、「置換若しくは非置換のアルケニル」、「置換若しくは非置換のアルキニル」、「置換若しくは非置換のアルキルオキシ」、「置換若しくは非置換のアルケニルオキシ」、および「置換若しくは非置換のアルキニルオキシ」の置換基としては、例えば、ハロゲン、ヒドロキシ、カルボキシ、アミノ、カルバモイル、スルファモイル、スルホ、シアノ、置換基群Dから選択される1以上の基で置換されていてもよいアルキルオキシ、置換基群Dから選択される1以上の基で置換されていてもよいアルキルアミノ、置換基群Dから選択される1以上の基で置換されていてもよいアルキルスルファニル、置換基群Dから選択される1以上の基で置換されていてもよいアルキルカルボニル、置換基群Dから選択される1以上の基で置換されていてもよいアルキルスルホニル、置換基群Dから選択される1以上の基で置換されていてもよいアルキルカルボニルアミノ、置換基群Dから選択される1以上の基で置換されていてもよいアルキルスルホニルアミノ、置換基群Fから選択される1以上の基で置換されていてもよい芳香族炭素環式基、置換基群Fから選択される1以上の基で置換されていてもよい非芳香族炭素環式基、置換基群Fから選択される1以上の基で置換されていてもよい芳香族複素環式基、置換基群Fから選択される1以上の基で置換されていてもよい非芳香族複素環式基等が挙げられる。
一態様として、例えば、ハロゲン、ヒドロキシ、シアノ等が挙げられる。
一態様として、例えば、ハロゲンが挙げられる。
R6における「置換若しくは非置換の芳香族炭素環式基」、「置換若しくは非置換の非芳香族炭素環式基」、「置換若しくは非置換の芳香族複素環式基」、および「置換若しくは非置換の非芳香族複素環式基」の環上の置換基としては、例えば、ハロゲン、ヒドロキシ、カルボキシ、アミノ、カルバモイル、スルファモイル、スルホ、シアノ、置換基群Dから選択される1以上の基で置換されていてもよいアルキル、置換基群Dから選択される1以上の基で置換されていてもよいアルキルオキシ、置換基群Dから選択される1以上の基で置換されていてもよいアルキルアミノ、置換基群Dから選択される1以上の基で置換されていてもよいアルキルスルファニル、置換基群Dから選択される1以上の基で置換されていてもよいアルキルカルボニル、置換基群Dから選択される1以上の基で置換されていてもよいアルキルスルホニル、置換基群Dから選択される1以上の基で置換されていてもよいアルキルカルボニルアミノ、置換基群Dから選択される1以上の基で置換されていてもよいアルキルスルホニルアミノ、置換基群Dから選択される1以上の基で置換されていてもよいアルキルカルバモイル、置換基群Dから選択される1以上の基で置換されていてもよいアルキルスルファモイル等が挙げられる。
一態様として、例えば、ハロゲン、ヒドロキシ、カルボキシ、アミノ、カルバモイル、スルファモイル、スルホ、シアノ、置換基群Dから選択される1以上の基で置換されていてもよいアルキル、置換基群Dから選択される1以上の基で置換されていてもよいアルキルオキシ、置換基群Dから選択される1以上の基で置換されていてもよいアルキルアミノ、置換基群Dから選択される1以上の基で置換されていてもよいアルキルスルファニル等が挙げられる。
一態様として、例えば、ハロゲン、置換基群Dから選択される1以上の基で置換されていてもよいアルキル、置換基群Dから選択される1以上の基で置換されていてもよいアルキルオキシ等が挙げられる。
"Substituted or unsubstituted alkyl" at R 6, "substituted or unsubstituted alkenyl", "substituted or unsubstituted alkynyl", "substituted or unsubstituted alkyloxy", "substituted or unsubstituted alkenyloxy", And the substituent of “substituted or unsubstituted alkynyloxy” is, for example, substituted with one or more groups selected from halogen, hydroxy, carboxy, amino, carbamoyl, sulfamoyl, sulfo, cyano, and substituent group D Alkyloxy which may be substituted, alkylamino which may be substituted with one or more groups selected from substituent group D, alkylsulfanyl which may be substituted with one or more groups selected from substituent group D, Alkylcarbonyl optionally substituted with one or more groups selected from Substituent Group D, Substituent Group Alkylsulfonyl optionally substituted with one or more groups selected from D, alkylcarbonylamino optionally substituted with one or more groups selected from substituent group D, selected from substituent group D 1 selected from alkylsulfonylamino optionally substituted with one or more groups, an aromatic carbocyclic group optionally substituted with one or more groups selected from substituent group F, and substituent group F Non-aromatic carbocyclic group optionally substituted with the above groups, selected from aromatic heterocyclic group optionally substituted with one or more groups selected from Substituent Group F, Substituent Group F And non-aromatic heterocyclic groups which may be substituted with one or more groups.
As one aspect, for example, halogen, hydroxy, cyano and the like can be mentioned.
As one aspect, for example, halogen is mentioned.
"Substituted or unsubstituted aromatic carbocyclic group" in R 6, "substituted or unsubstituted non-aromatic carbocyclic group", "substituted or unsubstituted aromatic heterocyclic group", and "substituted or Examples of the substituent on the ring of the “unsubstituted non-aromatic heterocyclic group” include one or more groups selected from halogen, hydroxy, carboxy, amino, carbamoyl, sulfamoyl, sulfo, cyano, and substituent group D. May be substituted with alkyl, optionally substituted with one or more groups selected from substituent group D, optionally substituted with one or more groups selected from substituent group D Alkylamino, an alkylsulfanyl optionally substituted with one or more groups selected from substituent group D, an alkylcarbo optionally substituted with one or more groups selected from substituent group D Nyl, alkylsulfonyl optionally substituted with one or more groups selected from substituent group D, alkylcarbonylamino optionally substituted with one or more groups selected from substituent group D, substituent group Selected from alkylsulfonylamino optionally substituted with one or more groups selected from D, alkylcarbamoyl optionally substituted with one or more groups selected from substituent group D, substituent group D And alkylsulfamoyl optionally substituted with one or more groups.
In one embodiment, for example, selected from halogen, hydroxy, carboxy, amino, carbamoyl, sulfamoyl, sulfo, cyano, alkyl optionally substituted with one or more groups selected from substituent group D, and substituent group D An alkyloxy optionally substituted with one or more groups, an alkylamino optionally substituted with one or more groups selected from substituent group D, and one or more groups selected from substituent group D Alkylsulfanyl etc. which may be substituted are mentioned.
As one embodiment, for example, halogen, alkyl optionally substituted with one or more groups selected from substituent group D, alkyloxy optionally substituted with one or more groups selected from substituent group D Etc.
R5における「置換若しくは非置換のアルキル」、「置換若しくは非置換のアルケニル」、「置換若しくは非置換のアルキニル」、「置換若しくは非置換のアルキルオキシ」、「置換若しくは非置換のアルケニルオキシ」、「置換若しくは非置換のアルキニルオキシ」、「置換若しくは非置換のアルキルスルファニル」、「置換若しくは非置換のアルケニルスルファニル」、「置換若しくは非置換のアルキニルスルファニル」、「置換若しくは非置換のアルキルアミノ」、「置換若しくは非置換のアルケニルアミノ」、「置換若しくは非置換のアルキニルアミノ」、「置換若しくは非置換のアルキルカルボニル」、「置換若しくは非置換のアルケニルカルボニル」、「置換若しくは非置換のアルキニルカルボニル」、「置換若しくは非置換のアルキルスルホニル」、「置換若しくは非置換のアルケニルスルホニル」、「置換若しくは非置換のアルキニルスルホニル」、「置換若しくは非置換のアルキルカルボニルオキシ」、「置換若しくは非置換のアルケニルカルボニルオキシ」、「置換若しくは非置換のアルキニルカルボニルオキシ」、「置換若しくは非置換のアルキルオキシカルボニル」、「置換若しくは非置換のアルケニルオキシカルボニル」、「置換若しくは非置換のアルキニルオキシカルボニル」、「置換若しくは非置換のアルキルスルホニルオキシ」、「置換若しくは非置換のアルケニルスルホニルオキシ」、「置換若しくは非置換のアルキニルスルホニルオキシ」、「置換若しくは非置換のアルキルオキシスルホニル」、「置換若しくは非置換のアルケニルオキシスルホニル」、「置換若しくは非置換のアルキニルオキシスルホニル」、「置換若しくは非置換のアルキルカルバモイル」、「置換若しくは非置換のアルケニルカルバモイル」、「置換若しくは非置換のアルキニルカルバモイル」、「置換若しくは非置換のアルキルスルファモイル」、「置換若しくは非置換のアルケニルスルファモイル」、「置換若しくは非置換のアルキニルスルファモイル」、「置換若しくは非置換のアルキルカルボニルアミノ」、「置換若しくは非置換のアルケニルカルボニルアミノ」、「置換若しくは非置換のアルキニルカルボニルアミノ」、「置換若しくは非置換のアルキルスルホニルアミノ」、「置換若しくは非置換のアルケニルスルホニルアミノ」、「置換若しくは非置換のアルキルオキシカルボニルアミノ」、「置換若しくは非置換のアルケニルオキシカルボニルアミノ」、および「置換若しくは非置換のアルキニルオキシカルボニルアミノ」の置換基としては、ハロゲン、ヒドロキシ、カルボキシ、アミノ、カルバモイル、スルファモイル、スルホ、シアノ、ホルミル、イミノ、ヒドロキシイミノ、シアノイミノ、置換基群Dから選択される1以上の基で置換されていてもよいアルキルオキシ、置換基群Dから選択される1以上の基で置換されていてもよいアルキルアミノ、置換基群Dから選択される1以上の基で置換されていてもよいアルキルスルファニル、置換基群Dから選択される1以上の基で置換されていてもよいアルキルイミノ、置換基群Dから選択される1以上の基で置換されていてもよいアルキルオキシイミノ、置換基群Dから選択される1以上の基で置換されていてもよいアルキルカルボニル、置換基群Dから選択される1以上の基で置換されていてもよいアルキルスルホニル、置換基群Dから選択される1以上の基で置換されていてもよいアルキルカルボニルアミノ、置換基群Dから選択される1以上の基で置換されていてもよいアルキルスルホニルアミノ、置換基群Dから選択される1以上の基で置換されていてもよいアルキルカルバモイル、置換基群Dから選択される1以上の基で置換されていてもよいアルキルスルファモイル、置換基群Fから選択される1以上の基で置換されていてもよい芳香族炭素環式基、置換基群Fから選択される1以上の基で置換されていてもよい非芳香族炭素環式基、置換基群Fから選択される1以上の基で置換されていてもよい芳香族複素環式基、置換基群Fから選択される1以上の基で置換されていてもよい非芳香族複素環式基、置換基群Fから選択される1以上の基で置換されていてもよい芳香族炭素環オキシ、置換基群Fから選択される1以上の基で置換されていてもよい非芳香族炭素環オキシ、置換基群Fから選択される1以上の基で置換されていてもよい芳香族複素環オキシ、置換基群Fから選択される1以上の基で置換されていてもよい非芳香族複素環オキシ、置換基群Fから選択される1以上の基で置換されていてもよい芳香族炭素環スルファニル、置換基群Fから選択される1以上の基で置換されていてもよい非芳香族炭素環スルファニル、置換基群Fから選択される1以上の基で置換されていてもよい芳香族複素環スルファニル、置換基群Fから選択される1以上の基で置換されていてもよい非芳香族複素環スルファニル、置換基群Fから選択される1以上の基で置換されていてもよい芳香族炭素環アミノ、置換基群Fから選択される1以上の基で置換されていてもよい非芳香族炭素環アミノ、置換基群Fから選択される1以上の基で置換されていてもよい芳香族複素環アミノ、および置換基群Fから選択される1以上の基で置換されていてもよい非芳香族複素環アミノ等が挙げられる。
一態様として、例えば、ハロゲン、ヒドロキシ、カルボキシ、アミノ、カルバモイル、スルファモイル、スルホ、シアノ、置換基群Dから選択される1以上の基で置換されていてもよいアルキルオキシ、置換基群Dから選択される1以上の基で置換されていてもよいアルキルアミノ、置換基群Dから選択される1以上の基で置換されていてもよいアルキルスルファニル、置換基群Dから選択される1以上の基で置換されていてもよいアルキルイミノ、置換基群Dから選択される1以上の基で置換されていてもよいアルキルオキシイミノ、置換基群Dから選択される1以上の基で置換されていてもよいアルキルカルボニル、置換基群Dから選択される1以上の基で置換されていてもよいアルキルスルホニル、置換基群Dから選択される1以上の基で置換されていてもよいアルキルカルボニルアミノ、置換基群Dから選択される1以上の基で置換されていてもよいアルキルスルホニルアミノ、置換基群Fから選択される1以上の基で置換されていてもよい芳香族炭素環式基、置換基群Fから選択される1以上の基で置換されていてもよい非芳香族炭素環式基、置換基群Fから選択される1以上の基で置換されていてもよい芳香族複素環式基、置換基群Fから選択される1以上の基で置換されていてもよい非芳香族複素環式基等が挙げられる。
一態様として、例えば、ハロゲン、ヒドロキシ、シアノ、ホルミル、置換基群Dから選択される1以上の基で置換されていてもよいアルキルイミノ、置換基群Dから選択される1以上の基で置換されていてもよいアルキルオキシイミノ、置換基群Fから選択される1以上の基で置換されていてもよい芳香族炭素環式基、置換基群Fから選択される1以上の基で置換されていてもよい非芳香族炭素環式基、置換基群Fから選択される1以上の基で置換されていてもよい芳香族複素環式基、置換基群Fから選択される1以上の基で置換されていてもよい非芳香族複素環式基等が挙げられる。
一態様として、例えば、ハロゲン、ヒドロキシ、シアノ、ホルミル、アルキルオキシイミノ、芳香族炭素環式基等が挙げられる。
一態様として、例えば、ハロゲン等が挙げられる。
"Substituted or unsubstituted alkyl" at R 5, "substituted or unsubstituted alkenyl", "substituted or unsubstituted alkynyl", "substituted or unsubstituted alkyloxy", "substituted or unsubstituted alkenyloxy", “Substituted or unsubstituted alkynyloxy”, “substituted or unsubstituted alkylsulfanyl”, “substituted or unsubstituted alkenylsulfanyl”, “substituted or unsubstituted alkynylsulfanyl”, “substituted or unsubstituted alkylamino”, “Substituted or unsubstituted alkenylamino”, “substituted or unsubstituted alkynylamino”, “substituted or unsubstituted alkylcarbonyl”, “substituted or unsubstituted alkenylcarbonyl”, “substituted or unsubstituted alkynylcarbonyl”, “Substituted or unsubstituted Alkylsulfonyl, substituted or unsubstituted alkenylsulfonyl, substituted or unsubstituted alkynylsulfonyl, substituted or unsubstituted alkylcarbonyloxy, substituted or unsubstituted alkenylcarbonyloxy, substituted or unsubstituted "Substituted alkynylcarbonyloxy", "substituted or unsubstituted alkyloxycarbonyl", "substituted or unsubstituted alkenyloxycarbonyl", "substituted or unsubstituted alkynyloxycarbonyl", "substituted or unsubstituted alkylsulfonyloxy" , “Substituted or unsubstituted alkenylsulfonyloxy”, “substituted or unsubstituted alkynylsulfonyloxy”, “substituted or unsubstituted alkyloxysulfonyl”, “substituted or unsubstituted alkenyloxys” Phonyl, substituted or unsubstituted alkynyloxysulfonyl, substituted or unsubstituted alkylcarbamoyl, substituted or unsubstituted alkenylcarbamoyl, substituted or unsubstituted alkynylcarbamoyl, substituted or unsubstituted Alkylsulfamoyl, substituted or unsubstituted alkenylsulfamoyl, substituted or unsubstituted alkynylsulfamoyl, substituted or unsubstituted alkylcarbonylamino, substituted or unsubstituted alkenylcarbonylamino ”,“ Substituted or unsubstituted alkynylcarbonylamino ”,“ substituted or unsubstituted alkylsulfonylamino ”,“ substituted or unsubstituted alkenylsulfonylamino ”,“ substituted or unsubstituted alkyloxycarbonylamino ”, Substituents of “substituted or unsubstituted alkenyloxycarbonylamino” and “substituted or unsubstituted alkynyloxycarbonylamino” include halogen, hydroxy, carboxy, amino, carbamoyl, sulfamoyl, sulfo, cyano, formyl, imino, hydroxy Imino, cyanoimino, alkyloxy optionally substituted with one or more groups selected from substituent group D, alkylamino optionally substituted with one or more groups selected from substituent group D, substituents An alkylsulfanyl optionally substituted with one or more groups selected from group D, an alkylimino optionally substituted with one or more groups selected from substituent group D, or a substituent group D Selected from alkyloxyimino optionally substituted with one or more groups, substituent group D Alkylcarbonyl optionally substituted with one or more groups selected from the above, alkylsulfonyl optionally substituted with one or more groups selected from substituent group D, one or more groups selected from substituent group D selected from An optionally substituted alkylcarbonylamino, optionally substituted with one or more groups selected from Substituent Group D, optionally substituted with one or more groups selected from Substituent Group D An alkylcarbamoyl which may be substituted, an alkylsulfamoyl which may be substituted with one or more groups selected from substituent group D, and an aromatic which may be substituted with one or more groups selected from substituent group F A non-aromatic carbocyclic group that may be substituted with one or more groups selected from a carbocyclic group or substituent group F, or a substituent that is substituted with one or more groups selected from substituent group F Good aromatic It may be substituted with one or more groups selected from a non-aromatic heterocyclic group and substituent group F which may be substituted with one or more groups selected from a cyclic group and substituent group F Good aromatic carbocyclic oxy, non-aromatic carbocyclic oxy optionally substituted with one or more groups selected from substituent group F, substituted with one or more groups selected from substituent group F Aromatic heterocyclic oxy, which may be substituted with one or more groups selected from substituent group F, which may be substituted with one or more groups selected from non-aromatic heterocyclic oxy, substituent group F Aromatic carbocyclic sulfanyl optionally substituted with one or more groups selected from Substituent Group F Non-aromatic carbocyclic sulfanyl optionally substituted with one or more groups selected from Substituent Group F An aromatic heterocyclic sulfanyl optionally selected from substituent group F Selected from non-aromatic heterocyclic sulfanyl optionally substituted with one or more groups, aromatic carbocyclic amino optionally substituted with one or more groups selected from substituent group F, substituent group F From the non-aromatic carbocyclic amino optionally substituted with one or more groups, the aromatic heterocyclic amino optionally substituted with one or more groups selected from the substituent group F, and the substituent group F And non-aromatic heterocyclic amino optionally substituted with one or more selected groups.
As one embodiment, for example, selected from halogen, hydroxy, carboxy, amino, carbamoyl, sulfamoyl, sulfo, cyano, alkyloxy optionally substituted with one or more groups selected from substituent group D, and substituent group D Alkylamino optionally substituted with one or more groups selected, alkylsulfanyl optionally substituted with one or more groups selected from substituent group D, one or more groups selected from substituent group D An alkylimino optionally substituted with one or more groups selected from an alkyloxyimino optionally substituted with one or more groups selected from Substituent Group D and substituted with one or more groups selected from Substituent Group D Alkylcarbonyl which may be substituted, alkylsulfonyl which may be substituted with one or more groups selected from substituent group D, one or more selected from substituent group D Substituted with one or more groups selected from substituent group F, optionally substituted with one or more groups selected from substituent group D. A non-aromatic carbocyclic group optionally substituted with one or more groups selected from the substituent group F, and one or more groups selected from the substituent group F. An aromatic heterocyclic group which may be substituted, a non-aromatic heterocyclic group which may be substituted with one or more groups selected from Substituent Group F, and the like.
As one aspect, for example, halogen, hydroxy, cyano, formyl, alkylimino optionally substituted with one or more groups selected from substituent group D, substituted with one or more groups selected from substituent group D Alkyloxyimino which may be substituted, aromatic carbocyclic group which may be substituted with one or more groups selected from substituent group F, and one or more groups selected from substituent group F One or more groups selected from the optionally substituted non-aromatic carbocyclic group, one or more aromatic heterocyclic groups optionally substituted by one or more groups selected from the substituent group F A non-aromatic heterocyclic group which may be substituted with, and the like.
As one aspect, for example, halogen, hydroxy, cyano, formyl, alkyloxyimino, aromatic carbocyclic group and the like can be mentioned.
As one aspect, for example, halogen and the like can be mentioned.
R5における「置換若しくは非置換の芳香族炭素環式基」、「置換若しくは非置換の非芳香族炭素環式基」、「置換若しくは非置換の芳香族複素環式基」、「置換若しくは非置換の非芳香族複素環式基」、
「置換若しくは非置換の芳香族炭素環オキシ」、「置換若しくは非置換の非芳香族炭素環オキシ」、「置換若しくは非置換の芳香族複素環オキシ」、「置換若しくは非置換の非芳香族複素環オキシ」、
「置換若しくは非置換の芳香族炭素環アミノ」、「置換若しくは非置換の非芳香族炭素環アミノ」、「置換若しくは非置換の芳香族複素環アミノ」、「置換若しくは非置換の非芳香族複素環アミノ」、
「置換若しくは非置換の芳香族炭素環スルファニル」、「置換若しくは非置換の非芳香族炭素環スルファニル」、「置換若しくは非置換の芳香族複素環スルファニル」、「置換若しくは非置換の非芳香族複素環スルファニル」、
「置換若しくは非置換の芳香族炭素環カルボニル」、「置換若しくは非置換の非芳香族炭素環カルボニル」、「置換若しくは非置換の芳香族複素環カルボニル」、「置換若しくは非置換の非芳香族複素環カルボニル」、
「置換若しくは非置換の芳香族炭素環スルホニル」、「置換若しくは非置換の非芳香族炭素環スルホニル」、「置換若しくは非置換の芳香族複素環スルホニル」、「置換若しくは非置換の非芳香族複素環スルホニル」、
「置換若しくは非置換の芳香族炭素環カルボニルオキシ」、「置換若しくは非置換の非芳香族炭素環カルボニルオキシ」、「置換若しくは非置換の芳香族複素環カルボニルオキシ」、「置換若しくは非置換の非芳香族複素環カルボニルオキシ」、
「置換若しくは非置換の芳香族炭素環オキシカルボニル」、「置換若しくは非置換の非芳香族炭素環オキシカルボニル」、「置換若しくは非置換の芳香族複素環オキシカルボニル」、「置換若しくは非置換の非芳香族複素環オキシカルボニル」、
「置換若しくは非置換の芳香族炭素環スルホニルオキシ」、「置換若しくは非置換の非芳香族炭素環スルホニルオキシ」、「置換若しくは非置換の芳香族複素環スルホニルオキシ」、「置換若しくは非置換の非芳香族複素環スルホニルオキシ」、「置換若しくは非置換の芳香族炭素環オキシスルホニル」、「置換若しくは非置換の非芳香族炭素環オキシスルホニル」、「置換若しくは非置換の芳香族複素環オキシスルホニル」、「置換若しくは非置換の非芳香族複素環オキシスルホニル」、
「置換若しくは非置換の芳香族炭素環カルバモイル」、「置換若しくは非置換の非芳香族炭素環カルバモイル」、「置換若しくは非置換の芳香族複素環カルバモイル」、「置換若しくは非置換の非芳香族複素環カルバモイル」、
「置換若しくは非置換の芳香族炭素環スルファモイル」、「置換若しくは非置換の非芳香族炭素環スルファモイル」、「置換若しくは非置換の芳香族複素環スルファモイル」、「置換若しくは非置換の非芳香族複素環スルファモイル」、
「置換若しくは非置換の芳香族炭素環カルボニルアミノ」、「置換若しくは非置換の非芳香族炭素環カルボニルアミノ」、「置換若しくは非置換の芳香族複素環カルボニルアミノ」、「置換若しくは非置換の非芳香族複素環カルボニルアミノ」、
「置換若しくは非置換の芳香族炭素環スルホニルアミノ」、「置換若しくは非置換の非芳香族炭素環スルホニルアミノ」、「置換若しくは非置換の芳香族複素環スルホニルアミノ」、「置換若しくは非置換の非芳香族複素環スルホニルアミノ」、
「置換若しくは非置換の芳香族炭素環オキシカルボニルアミノ」、「置換若しくは非置換の非芳香族炭素環オキシカルボニルアミノ」、「置換若しくは非置換の芳香族複素環オキシカルボニルアミノ」、および「置換若しくは非置換の非芳香族複素環オキシカルボニルアミノ」の「芳香族炭素環」、「非芳香族炭素環」、「芳香族複素環」、および「非芳香族複素環」の環上の置換基としては、例えば、ハロゲン、ヒドロキシ、カルボキシ、アミノ、カルバモイル、スルファモイル、スルホ、シアノ、置換基群Dから選択される1以上の基で置換されていてもよいアルキル、置換基群Dから選択される1以上の基で置換されていてもよいアルキルオキシ、置換基群Dから選択される1以上の基で置換されていてもよいアルキルアミノ、置換基群Dから選択される1以上の基で置換されていてもよいアルキルスルファニル、置換基群Dから選択される1以上の基で置換されていてもよいアルキルカルボニル、置換基群Dから選択される1以上の基で置換されていてもよいアルキルスルホニル、置換基群Dから選択される1以上の基で置換されていてもよいアルキルカルボニルアミノ、置換基群Dから選択される1以上の基で置換されていてもよいアルキルスルホニルアミノ、置換基群Dから選択される1以上の基で置換されていてもよいアルキルカルバモイル、置換基群Dから選択される1以上の基で置換されていてもよいアルキルスルファモイル等が挙げられる。
一態様として、例えば、ハロゲン、ヒドロキシ、カルボキシ、アミノ、カルバモイル、スルファモイル、スルホ、シアノ、置換基群Dから選択される1以上の基で置換されていてもよいアルキル、置換基群Dから選択される1以上の基で置換されていてもよいアルキルオキシ、置換基群Dから選択される1以上の基で置換されていてもよいアルキルアミノ、置換基群Dから選択される1以上の基で置換されていてもよいアルキルスルファニル等が挙げられる。
一態様として、例えば、ハロゲン、置換基群Dから選択される1以上の基で置換されていてもよいアルキル、置換基群Dから選択される1以上の基で置換されていてもよいアルキルオキシ等が挙げられる。
In R 5 , “substituted or unsubstituted aromatic carbocyclic group”, “substituted or unsubstituted nonaromatic carbocyclic group”, “substituted or unsubstituted aromatic heterocyclic group”, “substituted or unsubstituted Substituted non-aromatic heterocyclic groups ",
“Substituted or unsubstituted aromatic carbocyclic oxy”, “Substituted or unsubstituted non-aromatic carbocyclic oxy”, “Substituted or unsubstituted aromatic heterocyclic oxy”, “Substituted or unsubstituted non-aromatic heterocyclic” Ring oxy ",
“Substituted or unsubstituted aromatic carbocyclic amino”, “Substituted or unsubstituted nonaromatic carbocyclic amino”, “Substituted or unsubstituted aromatic heterocyclic amino”, “Substituted or unsubstituted nonaromatic heterocyclic” Ring amino ",
"Substituted or unsubstituted aromatic carbocyclic sulfanyl", "Substituted or unsubstituted non-aromatic carbocyclic sulfanyl", "Substituted or unsubstituted aromatic heterocyclic sulfanyl", "Substituted or unsubstituted non-aromatic heterocyclic Ring sulfanyl ",
“Substituted or unsubstituted aromatic carbocyclic carbonyl”, “Substituted or unsubstituted non-aromatic carbocyclic carbonyl”, “Substituted or unsubstituted aromatic heterocyclic carbonyl”, “Substituted or unsubstituted non-aromatic heterocyclic” Ring carbonyl ",
“Substituted or unsubstituted aromatic carbocyclic sulfonyl”, “Substituted or unsubstituted non-aromatic carbocyclic sulfonyl”, “Substituted or unsubstituted aromatic heterocyclic sulfonyl”, “Substituted or unsubstituted non-aromatic heterocyclic” Ring sulfonyl ",
“Substituted or unsubstituted aromatic carbocyclic oxy”, “Substituted or unsubstituted non-aromatic carbocyclic oxy”, “Substituted or unsubstituted aromatic carbonyloxy”, “Substituted or unsubstituted non-substituted carbocyclic oxy” Aromatic heterocyclic carbonyloxy ",
“Substituted or unsubstituted aromatic carbocyclic oxycarbonyl”, “Substituted or unsubstituted nonaromatic carbocyclic oxycarbonyl”, “Substituted or unsubstituted aromatic heterocyclic oxycarbonyl”, “Substituted or unsubstituted non-substituted carbocyclic oxycarbonyl” Aromatic heterocyclic oxycarbonyl ",
"Substituted or unsubstituted aromatic carbocyclic sulfonyloxy", "Substituted or unsubstituted non-aromatic carbocyclic sulfonyloxy", "Substituted or unsubstituted aromatic heterocyclic sulfonyloxy", "Substituted or unsubstituted non-substituted carbocyclic sulfonyloxy""Aromatic heterocyclic sulfonyloxy", "substituted or unsubstituted aromatic carbocyclic oxysulfonyl", "substituted or unsubstituted non-aromatic carbocyclic oxysulfonyl", "substituted or unsubstituted aromatic heterocyclic oxysulfonyl" , "Substituted or unsubstituted non-aromatic heterocyclic oxysulfonyl",
"Substituted or unsubstituted aromatic carbocyclic carbamoyl", "Substituted or unsubstituted non-aromatic carbocyclic carbamoyl", "Substituted or unsubstituted aromatic heterocyclic carbamoyl", "Substituted or unsubstituted non-aromatic heterocyclic Ring carbamoyl ",
"Substituted or unsubstituted aromatic carbocyclic sulfamoyl", "Substituted or unsubstituted non-aromatic carbocyclic sulfamoyl", "Substituted or unsubstituted aromatic heterocyclic sulfamoyl", "Substituted or unsubstituted non-aromatic heterocyclic Ring sulfamoyl ",
"Substituted or unsubstituted aromatic carbocyclic carbonylamino", "Substituted or unsubstituted non-aromatic carbocyclic carbonylamino", "Substituted or unsubstituted aromatic heterocyclic carbonylamino", "Substituted or unsubstituted non-substituted carbocyclic amino" Aromatic heterocyclic carbonylamino ",
"Substituted or unsubstituted aromatic carbocyclic sulfonylamino", "Substituted or unsubstituted nonaromatic carbocyclic sulfonylamino", "Substituted or unsubstituted aromatic heterocyclic sulfonylamino", "Substituted or unsubstituted non-substituted carbocyclic sulfonylamino" Aromatic heterocyclic sulfonylamino ",
“Substituted or unsubstituted aromatic carbocyclic oxycarbonylamino”, “substituted or unsubstituted nonaromatic carbocyclic oxycarbonylamino”, “substituted or unsubstituted aromatic heterocyclic oxycarbonylamino”, and “substituted or As a substituent on the ring of “aromatic carbocycle”, “non-aromatic carbocycle”, “aromatic heterocycle”, and “non-aromatic heterocycle” of “unsubstituted non-aromatic heterocycle oxycarbonylamino” Is, for example, halogen, hydroxy, carboxy, amino, carbamoyl, sulfamoyl, sulfo, cyano, alkyl optionally substituted with one or more groups selected from substituent group D, 1 selected from substituent group D Alkyloxy optionally substituted with the above groups, alkylamino optionally substituted with one or more groups selected from substituent group D, substituents Alkylsulfanyl optionally substituted with one or more groups selected from D, Alkylcarbonyl optionally substituted with one or more groups selected from Substituent Group D, 1 selected from Substituent Group D Alkylsulfonyl which may be substituted with the above groups, alkylcarbonylamino which may be substituted with one or more groups selected from Substituent Group D, substituted with one or more groups selected from Substituent Group D Alkylsulfonylamino which may be substituted, alkylcarbamoyl which may be substituted with one or more groups selected from substituent group D, and optionally substituted with one or more groups selected from substituent group D Alkylsulfamoyl etc. are mentioned.
In one embodiment, for example, selected from halogen, hydroxy, carboxy, amino, carbamoyl, sulfamoyl, sulfo, cyano, alkyl optionally substituted with one or more groups selected from substituent group D, and substituent group D An alkyloxy optionally substituted with one or more groups, an alkylamino optionally substituted with one or more groups selected from substituent group D, and one or more groups selected from substituent group D Alkylsulfanyl etc. which may be substituted are mentioned.
As one embodiment, for example, halogen, alkyl optionally substituted with one or more groups selected from substituent group D, alkyloxy optionally substituted with one or more groups selected from substituent group D Etc.
R9aおよびR9bにおける「置換若しくは非置換のアルキル」、「置換若しくは非置換のアルケニル」、「置換若しくは非置換のアルキニル」、「置換若しくは非置換のアルキルオキシ」、「置換若しくは非置換のアルケニルオキシ」、「置換若しくは非置換のアルキニルオキシ」、「置換若しくは非置換のアルキルスルファニル」、「置換若しくは非置換のアルケニルスルファニル」、「置換若しくは非置換のアルキニルスルファニル」、「置換若しくは非置換のアルキルアミノ」、「置換若しくは非置換のアルケニルアミノ」、「置換若しくは非置換のアルキニルアミノ」、「置換若しくは非置換のアルキルカルボニル」、「置換若しくは非置換のアルケニルカルボニル」、「置換若しくは非置換のアルキニルカルボニル」、「置換若しくは非置換のアルキルスルホニル」、「置換若しくは非置換のアルケニルスルホニル」、「置換若しくは非置換のアルキニルスルホニル」、「置換若しくは非置換のアルキルカルボニルオキシ」、「置換若しくは非置換のアルケニルカルボニルオキシ」、「置換若しくは非置換のアルキニルカルボニルオキシ」、「置換若しくは非置換のアルキルオキシカルボニル」、「置換若しくは非置換のアルケニルオキシカルボニル」、「置換若しくは非置換のアルキニルオキシカルボニル」、「置換若しくは非置換のアルキルスルホニルオキシ」、「置換若しくは非置換のアルケニルスルホニルオキシ」、「置換若しくは非置換のアルキニルスルホニルオキシ」、「置換若しくは非置換のアルキルオキシスルホニル」、「置換若しくは非置換のアルケニルオキシスルホニル」、「置換若しくは非置換のアルキニルオキシスルホニル」、「置換若しくは非置換のアルキルカルバモイル」、「置換若しくは非置換のアルケニルカルバモイル」、「置換若しくは非置換のアルキニルカルバモイル」、「置換若しくは非置換のアルキルスルファモイル」、「置換若しくは非置換のアルケニルスルファモイル」、「置換若しくは非置換のアルキニルスルファモイル」、「置換若しくは非置換のアルキルカルボニルアミノ」、「置換若しくは非置換のアルケニルカルボニルアミノ」、「置換若しくは非置換のアルキニルカルボニルアミノ」、「置換若しくは非置換のアルキルスルホニルアミノ」、「置換若しくは非置換のアルケニルスルホニルアミノ」、「置換若しくは非置換のアルキルオキシカルボニルアミノ」、「置換若しくは非置換のアルケニルオキシカルボニルアミノ」、および「置換若しくは非置換のアルキニルオキシカルボニルアミノ」の置換基としては、例えば、例えば、ハロゲン、ヒドロキシ、カルボキシ、アミノ、カルバモイル、スルファモイル、スルホ、シアノ、置換基群Dから選択される1以上の基で置換されていてもよいアルキルオキシ、置換基群Dから選択される1以上の基で置換されていてもよいアルキルアミノ、置換基群Dから選択される1以上の基で置換されていてもよいアルキルスルファニル、置換基群Dから選択される1以上の基で置換されていてもよいアルキルカルボニル、置換基群Dから選択される1以上の基で置換されていてもよいアルキルスルホニル、置換基群Dから選択される1以上の基で置換されていてもよいアルキルカルボニルアミノ、置換基群Dから選択される1以上の基で置換されていてもよいアルキルスルホニルアミノ、置換基群Fから選択される1以上の基で置換されていてもよい芳香族炭素環式基、置換基群Fから選択される1以上の基で置換されていてもよい非芳香族炭素環式基、置換基群Fから選択される1以上の基で置換されていてもよい芳香族複素環式基、置換基群Fから選択される1以上の基で置換されていてもよい非芳香族複素環式基等が挙げられる。
一態様として、例えば、ハロゲン、ヒドロキシ、カルボキシ、アミノ、カルバモイル、スルファモイル、スルホ、シアノ、置換基群Dから選択される1以上の基で置換されていてもよいアルキルオキシ、置換基群Dから選択される1以上の基で置換されていてもよいアルキルアミノ、置換基群Dから選択される1以上の基で置換されていてもよいアルキルスルファニル、置換基群Fから選択される1以上の基で置換されていてもよい芳香族炭素環式基、置換基群Fから選択される1以上の基で置換されていてもよい非芳香族炭素環式基、置換基群Fから選択される1以上の基で置換されていてもよい芳香族複素環式基、置換基群Fから選択される1以上の基で置換されていてもよい非芳香族複素環式基等が挙げられる。
一態様として、例えば、ハロゲン、置換基群Fから選択される1以上の基で置換されていてもよい芳香族炭素環式基、置換基群Fから選択される1以上の基で置換されていてもよい非芳香族炭素環式基、置換基群Fから選択される1以上の基で置換されていてもよい芳香族複素環式基、置換基群Fから選択される1以上の基で置換されていてもよい非芳香族複素環式基等が挙げられる。
一態様として、例えば、ハロゲン等が挙げられる。
“Substituted or unsubstituted alkyl”, “substituted or unsubstituted alkenyl”, “substituted or unsubstituted alkynyl”, “substituted or unsubstituted alkyloxy”, “substituted or unsubstituted alkenyl” in R 9a and R 9b Oxy, substituted or unsubstituted alkynyloxy, substituted or unsubstituted alkylsulfanyl, substituted or unsubstituted alkenylsulfanyl, substituted or unsubstituted alkynylsulfanyl, substituted or unsubstituted alkyl Amino, substituted or unsubstituted alkenylamino, substituted or unsubstituted alkynylamino, substituted or unsubstituted alkylcarbonyl, substituted or unsubstituted alkenylcarbonyl, substituted or unsubstituted alkynyl Carbonyl "," Substitution Or substituted or unsubstituted alkenylsulfonyl, substituted or unsubstituted alkynylsulfonyl, substituted or unsubstituted alkylcarbonyloxy, substituted or unsubstituted alkenylcarbonyloxy. , “Substituted or unsubstituted alkynylcarbonyloxy”, “substituted or unsubstituted alkyloxycarbonyl”, “substituted or unsubstituted alkenyloxycarbonyl”, “substituted or unsubstituted alkynyloxycarbonyl”, “substituted or unsubstituted Alkylsulfonylsulfonyl "," substituted or unsubstituted alkenylsulfonyloxy "," substituted or unsubstituted alkynylsulfonyloxy "," substituted or unsubstituted alkyloxysulfonyl "," substituted or unsubstituted alky "Kenyloxysulfonyl", "substituted or unsubstituted alkynyloxysulfonyl", "substituted or unsubstituted alkylcarbamoyl", "substituted or unsubstituted alkenylcarbamoyl", "substituted or unsubstituted alkynylcarbamoyl", "substituted or "Unsubstituted alkylsulfamoyl", "substituted or unsubstituted alkenylsulfamoyl", "substituted or unsubstituted alkynylsulfamoyl", "substituted or unsubstituted alkylcarbonylamino", "substituted or unsubstituted “Alkenylcarbonylamino”, “substituted or unsubstituted alkynylcarbonylamino”, “substituted or unsubstituted alkylsulfonylamino”, “substituted or unsubstituted alkenylsulfonylamino”, “substituted or unsubstituted alkyloxycarbo” Examples of the substituent of “ruamino”, “substituted or unsubstituted alkenyloxycarbonylamino”, and “substituted or unsubstituted alkynyloxycarbonylamino” include, for example, halogen, hydroxy, carboxy, amino, carbamoyl, sulfamoyl, sulfo , Cyano, alkyloxy optionally substituted with one or more groups selected from substituent group D, alkylamino optionally substituted with one or more groups selected from substituent group D, substituent groups Alkylsulfanyl optionally substituted with one or more groups selected from D, Alkylcarbonyl optionally substituted with one or more groups selected from Substituent Group D, 1 selected from Substituent Group D Alkylsulfonyl which may be substituted with the above groups, and one or more groups selected from substituent group D Alkylcarbonylamino which may be substituted, alkylsulfonylamino which may be substituted with one or more groups selected from substituent group D, and one or more groups selected from substituent group F; Substituted with one or more groups selected from the non-aromatic carbocyclic group optionally substituted with one or more groups selected from the substituent group F An aromatic heterocyclic group which may be substituted, a non-aromatic heterocyclic group which may be substituted with one or more groups selected from substituent group F, and the like.
As one embodiment, for example, selected from halogen, hydroxy, carboxy, amino, carbamoyl, sulfamoyl, sulfo, cyano, alkyloxy optionally substituted with one or more groups selected from substituent group D, and substituent group D Alkylamino optionally substituted with one or more groups selected from the above, alkylsulfanyl optionally substituted with one or more groups selected from substituent group D, one or more groups selected from substituent group F 1 selected from a non-aromatic carbocyclic group optionally substituted with one or more groups selected from the substituent group F and a substituent group F optionally substituted with an aromatic carbocyclic group optionally substituted with Examples thereof include an aromatic heterocyclic group which may be substituted with the above group, a non-aromatic heterocyclic group which may be substituted with one or more groups selected from Substituent Group F, and the like.
As one aspect, for example, substituted with one or more groups selected from halogen, an aromatic carbocyclic group optionally substituted with one or more groups selected from Substituent Group F, and Substituent Group F A non-aromatic carbocyclic group which may be substituted, an aromatic heterocyclic group which may be substituted with one or more groups selected from substituent group F, and one or more groups selected from substituent group F Non-aromatic heterocyclic group etc. which may be substituted are mentioned.
As one aspect, for example, halogen and the like can be mentioned.
R9aおよびR9bにおける「置換若しくは非置換の芳香族炭素環式基」、「置換若しくは非置換の非芳香族炭素環式基」、「置換若しくは非置換の芳香族複素環式基」、および「置換若しくは非置換の非芳香族複素環式基」、
「置換若しくは非置換の芳香族炭素環オキシ」、「置換若しくは非置換の非芳香族炭素環オキシ」、「置換若しくは非置換の芳香族複素環オキシ」、および「置換若しくは非置換の非芳香族複素環オキシ」、
「置換若しくは非置換の芳香族炭素環アミノ」、「置換若しくは非置換の非芳香族炭素環アミノ」、「置換若しくは非置換の芳香族複素環アミノ」、および「置換若しくは非置換の非芳香族複素環アミノ」、
「置換若しくは非置換の芳香族炭素環スルファニル」、「置換若しくは非置換の非芳香族炭素環スルファニル」、「置換若しくは非置換の芳香族複素環スルファニル」、および「置換若しくは非置換の非芳香族複素環スルファニル」、
「置換若しくは非置換の芳香族炭素環カルボニル」、「置換若しくは非置換の非芳香族炭素環カルボニル」、「置換若しくは非置換の芳香族複素環カルボニル」、および「置換若しくは非置換の非芳香族複素環カルボニル」、
「置換若しくは非置換の芳香族炭素環スルホニル」、「置換若しくは非置換の非芳香族炭素環スルホニル」、「置換若しくは非置換の芳香族複素環スルホニル」、および「置換若しくは非置換の非芳香族複素環スルホニル」、
「置換若しくは非置換の芳香族炭素環カルボニルオキシ」、「置換若しくは非置換の非芳香族炭素環カルボニルオキシ」、「置換若しくは非置換の芳香族複素環カルボニルオキシ」、および「置換若しくは非置換の非芳香族複素環カルボニルオキシ」、
「置換若しくは非置換の芳香族炭素環オキシカルボニル」、「置換若しくは非置換の非芳香族炭素環オキシカルボニル」、「置換若しくは非置換の芳香族複素環オキシカルボニル」、および「置換若しくは非置換の非芳香族複素環オキシカルボニル」、
「置換若しくは非置換の芳香族炭素環スルホニルオキシ」、「置換若しくは非置換の非芳香族炭素環スルホニルオキシ」、「置換若しくは非置換の芳香族複素環スルホニルオキシ」、および「置換若しくは非置換の非芳香族複素環スルホニルオキシ」、
「置換若しくは非置換の芳香族炭素環オキシスルホニル」、「置換若しくは非置換の非芳香族炭素環オキシスルホニル」、「置換若しくは非置換の芳香族複素環オキシスルホニル」、および「置換若しくは非置換の非芳香族複素環オキシスルホニル」、
「置換若しくは非置換の芳香族炭素環カルバモイル」、「置換若しくは非置換の非芳香族炭素環カルバモイル」、「置換若しくは非置換の芳香族複素環カルバモイル」、および「置換若しくは非置換の非芳香族複素環カルバモイル」、
「置換若しくは非置換の芳香族炭素環スルファモイル」、「置換若しくは非置換の非芳香族炭素環スルファモイル」、「置換若しくは非置換の芳香族複素環スルファモイル」、および「置換若しくは非置換の非芳香族複素環スルファモイル」、
「置換若しくは非置換の芳香族炭素環カルボニルアミノ」、「置換若しくは非置換の非芳香族炭素環カルボニルアミノ」、「置換若しくは非置換の芳香族複素環カルボニルアミノ」、および「置換若しくは非置換の非芳香族複素環カルボニルアミノ」、
「置換若しくは非置換の芳香族炭素環スルホニルアミノ」、「置換若しくは非置換の非芳香族炭素環スルホニルアミノ」、「置換若しくは非置換の芳香族複素環スルホニルアミノ」、および「置換若しくは非置換の非芳香族複素環スルホニルアミノ」、ならびに
「置換若しくは非置換の芳香族炭素環オキシカルボニルアミノ」、「置換若しくは非置換の非芳香族炭素環オキシカルボニルアミノ」、「置換若しくは非置換の芳香族複素環オキシカルボニルアミノ」、および「置換若しくは非置換の非芳香族複素環オキシカルボニルアミノ」の「芳香族炭素環」、「非芳香族炭素環」、「芳香族複素環」、および「非芳香族複素環」の環上の置換基としては、例えば、ハロゲン、ヒドロキシ、カルボキシ、アミノ、カルバモイル、スルファモイル、スルホ、シアノ、置換基群Dから選択される1以上の基で置換されていてもよいアルキル、置換基群Dから選択される1以上の基で置換されていてもよいアルキルオキシ、置換基群Dから選択される1以上の基で置換されていてもよいアルキルアミノ、置換基群Dから選択される1以上の基で置換されていてもよいアルキルスルファニル、置換基群Dから選択される1以上の基で置換されていてもよいアルキルカルボニル、置換基群Dから選択される1以上の基で置換されていてもよいアルキルスルホニル、置換基群Dから選択される1以上の基で置換されていてもよいアルキルカルボニルアミノ、置換基群Dから選択される1以上の基で置換されていてもよいアルキルスルホニルアミノ、置換基群Dから選択される1以上の基で置換されていてもよいアルキルカルバモイル、置換基群Dから選択される1以上の基で置換されていてもよいアルキルスルファモイル等が挙げられる。
一態様として、例えば、ハロゲン、ヒドロキシ、シアノ、置換基群Dから選択される1以上の基で置換されていてもよいアルキル、置換基群Dから選択される1以上の基で置換されていてもよいアルキルオキシ、置換基群Dから選択される1以上の基で置換されていてもよいアルキルアミノ、置換基群Dから選択される1以上の基で置換されていてもよいアルキルスルファニル等が挙げられる。
一態様として、例えば、ハロゲン、置換基群Dから選択される1以上の基で置換されていてもよいアルキル、置換基群Dから選択される1以上の基で置換されていてもよいアルキルオキシ等が挙げられる。
“Substituted or unsubstituted aromatic carbocyclic group”, “substituted or unsubstituted nonaromatic carbocyclic group”, “substituted or unsubstituted aromatic heterocyclic group” in R 9a and R 9b , and "Substituted or unsubstituted non-aromatic heterocyclic group",
"Substituted or unsubstituted aromatic carbocyclic oxy", "Substituted or unsubstituted non-aromatic carbocyclic oxy", "Substituted or unsubstituted aromatic heterocyclic oxy", and "Substituted or unsubstituted non-aromatic Heterocyclic oxy ",
"Substituted or unsubstituted aromatic carbocyclic amino", "Substituted or unsubstituted non-aromatic carbocyclic amino", "Substituted or unsubstituted aromatic heterocyclic amino", and "Substituted or unsubstituted non-aromatic Heterocyclic amino ",
"Substituted or unsubstituted aromatic carbocyclic sulfanyl", "Substituted or unsubstituted non-aromatic carbocyclic sulfanyl", "Substituted or unsubstituted aromatic heterocyclic sulfanyl", and "Substituted or unsubstituted non-aromatic Heterocyclic sulfanyl ",
"Substituted or unsubstituted aromatic carbocyclic carbonyl", "Substituted or unsubstituted non-aromatic carbocyclic carbonyl", "Substituted or unsubstituted aromatic heterocyclic carbonyl", and "Substituted or unsubstituted non-aromatic Heterocyclic carbonyl ",
"Substituted or unsubstituted aromatic carbocyclic sulfonyl", "Substituted or unsubstituted non-aromatic carbocyclic sulfonyl", "Substituted or unsubstituted aromatic heterocyclic sulfonyl", and "Substituted or unsubstituted non-aromatic Heterocyclic sulfonyl ",
“Substituted or unsubstituted aromatic carbocyclic oxy”, “Substituted or unsubstituted non-aromatic carbocyclic oxy”, “Substituted or unsubstituted aromatic heterocyclic carbonyloxy”, and “Substituted or unsubstituted carbocyclic oxy” Non-aromatic heterocyclic carbonyloxy ",
“Substituted or unsubstituted aromatic carbocyclic oxycarbonyl”, “substituted or unsubstituted nonaromatic carbocyclic oxycarbonyl”, “substituted or unsubstituted aromatic heterocyclic oxycarbonyl”, and “substituted or unsubstituted Non-aromatic heterocyclic oxycarbonyl ",
"Substituted or unsubstituted aromatic carbocyclic sulfonyloxy", "substituted or unsubstituted non-aromatic carbocyclic sulfonyloxy", "substituted or unsubstituted aromatic heterocyclic sulfonyloxy", and "substituted or unsubstituted Non-aromatic heterocyclic sulfonyloxy ",
“Substituted or unsubstituted aromatic carbocyclic oxysulfonyl”, “substituted or unsubstituted nonaromatic carbocyclic oxysulfonyl”, “substituted or unsubstituted aromatic heterocyclic oxysulfonyl”, and “substituted or unsubstituted Non-aromatic heterocyclic oxysulfonyl ",
"Substituted or unsubstituted aromatic carbocyclic carbamoyl", "Substituted or unsubstituted non-aromatic carbocyclic carbamoyl", "Substituted or unsubstituted aromatic heterocyclic carbamoyl", and "Substituted or unsubstituted non-aromatic `` Heterocyclic carbamoyl '',
"Substituted or unsubstituted aromatic carbocyclic sulfamoyl", "Substituted or unsubstituted non-aromatic carbocyclic sulfamoyl", "Substituted or unsubstituted aromatic heterocyclic sulfamoyl", and "Substituted or unsubstituted non-aromatic Heterocyclic sulfamoyl ",
“Substituted or unsubstituted aromatic carbocyclic carbonylamino”, “substituted or unsubstituted nonaromatic carbocyclic carbonylamino”, “substituted or unsubstituted aromatic heterocyclic carbonylamino”, and “substituted or unsubstituted Non-aromatic heterocyclic carbonylamino ",
“Substituted or unsubstituted aromatic carbocyclic sulfonylamino”, “Substituted or unsubstituted nonaromatic carbocyclic sulfonylamino”, “Substituted or unsubstituted aromatic heterocyclic sulfonylamino”, and “Substituted or unsubstituted aromatic carbocyclic sulfonylamino” Non-aromatic heterocyclic sulfonylamino ”, and“ substituted or unsubstituted aromatic carbocyclic oxycarbonylamino ”,“ substituted or unsubstituted non-aromatic carbocyclic oxycarbonylamino ”,“ substituted or unsubstituted aromatic heterocyclic ” "Aromatic carbocycle", "non-aromatic carbocycle", "aromatic heterocycle", and "non-aromatic" of "ring oxycarbonylamino" and "substituted or unsubstituted non-aromatic heterocyclic oxycarbonylamino" Examples of the substituent on the ring of “heterocycle” include halogen, hydroxy, carboxy, amino, carbamoyl, sulfamoyl. Sulfo, cyano, alkyl optionally substituted with one or more groups selected from substituent group D, alkyloxy optionally substituted with one or more groups selected from substituent group D, substituent groups Alkylamino optionally substituted with one or more groups selected from D, alkylsulfanyl optionally substituted with one or more groups selected from substituent group D, 1 selected from substituent group D Alkylcarbonyl optionally substituted with one or more groups, Alkylsulfonyl optionally substituted with one or more groups selected from Substituent Group D, Substituted with one or more groups selected from Substituent Group D Optionally substituted with one or more groups selected from substituent group D, optionally substituted with one or more groups selected from substituent group D. Some have good alkylcarbamoyl, such as one or more groups alkyl sulfamoyl optionally substituted with selected from substituent group D, and the like.
As one embodiment, for example, halogen, hydroxy, cyano, alkyl optionally substituted with one or more groups selected from Substituent Group D, substituted with one or more groups selected from Substituent Group D Alkyloxy which may be substituted, alkylamino which may be substituted with one or more groups selected from substituent group D, alkylsulfanyl which may be substituted with one or more groups selected from substituent group D, etc. Can be mentioned.
As one embodiment, for example, halogen, alkyl optionally substituted with one or more groups selected from substituent group D, alkyloxy optionally substituted with one or more groups selected from substituent group D Etc.
R10a、R10aa、R10ab、R10ac、R10b、R10cおよびR10dにおける「置換若しくは非置換のアルキル」、「置換若しくは非置換のアルケニル」、「置換若しくは非置換のアルキニル」、「置換若しくは非置換のアルキルオキシ」、「置換若しくは非置換のアルケニルオキシ」、「置換若しくは非置換のアルキニルオキシ」、「置換若しくは非置換のアルキルスルファニル」、「置換若しくは非置換のアルケニルスルファニル」、「置換若しくは非置換のアルキニルスルファニル」、「置換若しくは非置換のアルキルアミノ」、「置換若しくは非置換のアルケニルアミノ」、「置換若しくは非置換のアルキニルアミノ」、「置換若しくは非置換のアルキルカルボニル」、「置換若しくは非置換のアルケニルカルボニル」、「置換若しくは非置換のアルキニルカルボニル」、「置換若しくは非置換のアルキルスルホニル」、「置換若しくは非置換のアルケニルスルホニル」、「置換若しくは非置換のアルキニルスルホニル」、「置換若しくは非置換のアルキルカルボニルオキシ」、「置換若しくは非置換のアルケニルカルボニルオキシ」、「置換若しくは非置換のアルキニルカルボニルオキシ」、「置換若しくは非置換のアルキルオキシカルボニル」、「置換若しくは非置換のアルケニルオキシカルボニル」、「置換若しくは非置換のアルキニルオキシカルボニル」、「置換若しくは非置換のアルキルスルホニルオキシ」、「置換若しくは非置換のアルケニルスルホニルオキシ」、「置換若しくは非置換のアルキニルスルホニルオキシ」、「置換若しくは非置換のアルキルオキシスルホニル」、「置換若しくは非置換のアルケニルオキシスルホニル」、「置換若しくは非置換のアルキニルオキシスルホニル」、「置換若しくは非置換のアルキルカルバモイル」、「置換若しくは非置換のアルケニルカルバモイル」、「置換若しくは非置換のアルキニルカルバモイル」、「置換若しくは非置換のアルキルスルファモイル」、「置換若しくは非置換のアルケニルスルファモイル」、「置換若しくは非置換のアルキニルスルファモイル」、「置換若しくは非置換のアルキルカルボニルアミノ」、「置換若しくは非置換のアルケニルカルボニルアミノ」、「置換若しくは非置換のアルキニルカルボニルアミノ」、「置換若しくは非置換のアルキルスルホニルアミノ」、「置換若しくは非置換のアルケニルスルホニルアミノ」、「置換若しくは非置換のアルキルオキシカルボニルアミノ」、「置換若しくは非置換のアルケニルオキシカルボニルアミノ」、および「置換若しくは非置換のアルキニルオキシカルボニルアミノ」の置換基としては、例えば、ハロゲン、ヒドロキシ、カルボキシ、アミノ、カルバモイル、スルファモイル、スルホ、シアノ、置換基群Dから選択される1以上の基で置換されていてもよいアルキルオキシ、置換基群Dから選択される1以上の基で置換されていてもよいアルキルアミノ、置換基群Dから選択される1以上の基で置換されていてもよいアルキルスルファニル、置換基群Dから選択される1以上の基で置換されていてもよいアルキルカルボニル、置換基群Dから選択される1以上の基で置換されていてもよいアルキルスルホニル、置換基群Dから選択される1以上の基で置換されていてもよいアルキルカルボニルアミノ、置換基群Dから選択される1以上の基で置換されていてもよいアルキルスルホニルアミノ、置換基群Dから選択される1以上の基で置換されていてもよいアルキルカルバモイル、置換基群Dから選択される1以上の基で置換されていてもよいアルキルスルファモイル、置換基群Fから選択される1以上の基で置換されていてもよい芳香族炭素環式基、置換基群Fから選択される1以上の基で置換されていてもよい非芳香族炭素環式基、置換基群Fから選択される1以上の基で置換されていてもよい芳香族複素環式基、置換基群Fから選択される1以上の基で置換されていてもよい非芳香族複素環式基、置換基群Fから選択される1以上の基で置換されていてもよい芳香族炭素環オキシ、置換基群Fから選択される1以上の基で置換されていてもよい非芳香族炭素環オキシ、置換基群Fから選択される1以上の基で置換されていてもよい芳香族複素環オキシ、置換基群Fから選択される1以上の基で置換されていてもよい非芳香族複素環オキシ、置換基群Fから選択される1以上の基で置換されていてもよい芳香族炭素環スルファニル、置換基群Fから選択される1以上の基で置換されていてもよい非芳香族炭素環スルファニル、置換基群Fから選択される1以上の基で置換されていてもよい芳香族複素環スルファニル、置換基群Fから選択される1以上の基で置換されていてもよい非芳香族複素環スルファニル、置換基群Fから選択される1以上の基で置換されていてもよい芳香族炭素環アミノ、置換基群Fから選択される1以上の基で置換されていてもよい非芳香族炭素環アミノ、置換基群Fから選択される1以上の基で置換されていてもよい芳香族複素環アミノ、および置換基群Fから選択される1以上の基で置換されていてもよい非芳香族複素環アミノ等が挙げられる。
一態様として、例えば、ハロゲン、ヒドロキシ、カルボキシ、アミノ、カルバモイル、スルファモイル、スルホ、シアノ、置換基群Dから選択される1以上の基で置換されていてもよいアルキルオキシ、置換基群Dから選択される1以上の基で置換されていてもよいアルキルアミノ、置換基群Dから選択される1以上の基で置換されていてもよいアルキルスルファニル、置換基群Fから選択される1以上の基で置換されていてもよい芳香族炭素環式基、置換基群Fから選択される1以上の基で置換されていてもよい非芳香族炭素環式基、置換基群Fから選択される1以上の基で置換されていてもよい芳香族複素環式基、置換基群Fから選択される1以上の基で置換されていてもよい非芳香族複素環式基等が挙げられる。
一態様として、例えば、ハロゲン、ヒドロキシ、シアノ、置換基群Dから選択される1以上の基で置換されていてもよいアルキルオキシ、置換基群Fから選択される1以上の基で置換されていてもよい芳香族炭素環式基、置換基群Fから選択される1以上の基で置換されていてもよい非芳香族炭素環式基、置換基群Fから選択される1以上の基で置換されていてもよい芳香族複素環式基、置換基群Fから選択される1以上の基で置換されていてもよい非芳香族複素環式基等が挙げられる。
一態様として、例えば、ハロゲン、ヒドロキシ、シアノ等が挙げられる。
一態様として、例えば、ハロゲン等が挙げられる。
R 10a, R 10aa, R 10ab , R 10ac, R 10b, "alkyl substituted or unsubstituted" of R 10c and R 10d, "substituted or unsubstituted alkenyl", "substituted or unsubstituted alkynyl", "substituted Or “unsubstituted alkyloxy”, “substituted or unsubstituted alkenyloxy”, “substituted or unsubstituted alkynyloxy”, “substituted or unsubstituted alkylsulfanyl”, “substituted or unsubstituted alkenylsulfanyl”, “substituted” Or “unsubstituted alkynylsulfanyl”, “substituted or unsubstituted alkylamino”, “substituted or unsubstituted alkenylamino”, “substituted or unsubstituted alkynylamino”, “substituted or unsubstituted alkylcarbonyl”, “substituted” Or unsubstituted alkenyl "Rubonyl", "substituted or unsubstituted alkynylcarbonyl", "substituted or unsubstituted alkylsulfonyl", "substituted or unsubstituted alkenylsulfonyl", "substituted or unsubstituted alkynylsulfonyl", "substituted or unsubstituted alkyl" “Carbonyloxy”, “substituted or unsubstituted alkenylcarbonyloxy”, “substituted or unsubstituted alkynylcarbonyloxy”, “substituted or unsubstituted alkyloxycarbonyl”, “substituted or unsubstituted alkenyloxycarbonyl”, “substituted” Or “substituted alkynyloxycarbonyl”, “substituted or unsubstituted alkylsulfonyloxy”, “substituted or unsubstituted alkenylsulfonyloxy”, “substituted or unsubstituted alkynylsulfonyloxy”, “substituted Or “unsubstituted alkyloxysulfonyl”, “substituted or unsubstituted alkenyloxysulfonyl”, “substituted or unsubstituted alkynyloxysulfonyl”, “substituted or unsubstituted alkylcarbamoyl”, “substituted or unsubstituted alkenylcarbamoyl” ”,“ Substituted or unsubstituted alkynylcarbamoyl ”,“ substituted or unsubstituted alkylsulfamoyl ”,“ substituted or unsubstituted alkenylsulfamoyl ”,“ substituted or unsubstituted alkynylsulfamoyl ”,“ substituted ” Or “unsubstituted alkylcarbonylamino”, “substituted or unsubstituted alkenylcarbonylamino”, “substituted or unsubstituted alkynylcarbonylamino”, “substituted or unsubstituted alkylsulfonylamino”, “substituted or unsubstituted alkenyl” Examples of the substituent of “nylsulfonylamino”, “substituted or unsubstituted alkyloxycarbonylamino”, “substituted or unsubstituted alkenyloxycarbonylamino”, and “substituted or unsubstituted alkynyloxycarbonylamino” include, for example, halogen , Hydroxy, carboxy, amino, carbamoyl, sulfamoyl, sulfo, cyano, alkyloxy optionally substituted with one or more groups selected from substituent group D, one or more groups selected from substituent group D Alkylamino which may be substituted, alkylsulfanyl which may be substituted with one or more groups selected from substituent group D, and one or more groups selected from substituent group D May be substituted with one or more groups selected from alkylcarbonyl and substituent group D Alkylsulfonyl, alkylcarbonylamino optionally substituted with one or more groups selected from substituent group D, alkylsulfonylamino optionally substituted with one or more groups selected from substituent group D, substituted From alkylcarbamoyl which may be substituted with one or more groups selected from group D, alkylsulfamoyl which may be substituted with one or more groups selected from substituent group D, from substituent group F Aromatic carbocyclic group optionally substituted with one or more selected groups, Non-aromatic carbocyclic group optionally substituted with one or more groups selected from Substituent Group F, Substituent Aromatic heterocyclic group optionally substituted with one or more groups selected from group F, Non-aromatic heterocyclic group optionally substituted with one or more groups selected from substituent group F And selected from substituent group F Selected from aromatic carbocyclic oxy optionally substituted with one or more groups, non-aromatic carbocyclic oxy optionally substituted with one or more groups selected from substituent group F, selected from substituent group F Aromatic heterocyclic oxy optionally substituted with one or more groups selected from non-aromatic heterocyclic oxy optionally substituted with one or more groups selected from substituent group F An aromatic carbocyclic sulfanyl optionally substituted with one or more groups selected from the non-aromatic carbocyclic sulfanyl optionally substituted with one or more groups selected from the substituent group F Aromatic heterocyclic sulfanyl optionally substituted with one or more selected groups, non-aromatic heterocyclic sulfanyl optionally substituted with one or more selected from substituent group F, Substituent group F Substituted with one or more groups selected from Aromatic carbocyclic amino which may be substituted with one or more groups selected from substituent group F Non-aromatic carbocyclic amino which may be substituted with one or more groups selected from substituent group F An aromatic heterocyclic amino that may be substituted, and a non-aromatic heterocyclic amino that may be substituted with one or more groups selected from the substituent group F.
As one embodiment, for example, selected from halogen, hydroxy, carboxy, amino, carbamoyl, sulfamoyl, sulfo, cyano, alkyloxy optionally substituted with one or more groups selected from substituent group D, and substituent group D Alkylamino optionally substituted with one or more groups selected from the above, alkylsulfanyl optionally substituted with one or more groups selected from substituent group D, one or more groups selected from substituent group F 1 selected from a non-aromatic carbocyclic group optionally substituted with one or more groups selected from the substituent group F and a substituent group F optionally substituted with an aromatic carbocyclic group optionally substituted with Examples thereof include an aromatic heterocyclic group which may be substituted with the above group, a non-aromatic heterocyclic group which may be substituted with one or more groups selected from Substituent Group F, and the like.
In one embodiment, for example, halogen, hydroxy, cyano, alkyloxy optionally substituted with one or more groups selected from Substituent Group D, substituted with one or more groups selected from Substituent Group F A non-aromatic carbocyclic group optionally substituted with one or more groups selected from the substituent group F, and one or more groups selected from the substituent group F. An aromatic heterocyclic group which may be substituted, a non-aromatic heterocyclic group which may be substituted with one or more groups selected from Substituent Group F, and the like.
As one aspect, for example, halogen, hydroxy, cyano and the like can be mentioned.
As one aspect, for example, halogen and the like can be mentioned.
R10a、R10b、R10cおよびR10dにおける「置換若しくは非置換の芳香族炭素環式基」、「置換若しくは非置換の非芳香族炭素環式基」、「置換若しくは非置換の芳香族複素環式基」、および「置換若しくは非置換の非芳香族複素環式基」、
「置換若しくは非置換の芳香族炭素環オキシ」、「置換若しくは非置換の非芳香族炭素環オキシ」、「置換若しくは非置換の芳香族複素環オキシ」、および「置換若しくは非置換の非芳香族複素環オキシ」、
「置換若しくは非置換の芳香族炭素環アミノ」、「置換若しくは非置換の非芳香族炭素環アミノ」、「置換若しくは非置換の芳香族複素環アミノ」、および「置換若しくは非置換の非芳香族複素環アミノ」、
「置換若しくは非置換の芳香族炭素環スルファニル」、「置換若しくは非置換の非芳香族炭素環スルファニル」、「置換若しくは非置換の芳香族複素環スルファニル」、および「置換若しくは非置換の非芳香族複素環スルファニル」、
「置換若しくは非置換の芳香族炭素環カルボニル」、「置換若しくは非置換の非芳香族炭素環カルボニル」、「置換若しくは非置換の芳香族複素環カルボニル」、および「置換若しくは非置換の非芳香族複素環カルボニル」、
「置換若しくは非置換の芳香族炭素環スルホニル」、「置換若しくは非置換の非芳香族炭素環スルホニル」、「置換若しくは非置換の芳香族複素環スルホニル」、および「置換若しくは非置換の非芳香族複素環スルホニル」、
「置換若しくは非置換の芳香族炭素環カルボニルオキシ」、「置換若しくは非置換の非芳香族炭素環カルボニルオキシ」、「置換若しくは非置換の芳香族複素環カルボニルオキシ」、および「置換若しくは非置換の非芳香族複素環カルボニルオキシ」、
「置換若しくは非置換の芳香族炭素環オキシカルボニル」、「置換若しくは非置換の非芳香族炭素環オキシカルボニル」、「置換若しくは非置換の芳香族複素環オキシカルボニル」、および「置換若しくは非置換の非芳香族複素環オキシカルボニル」、
「置換若しくは非置換の芳香族炭素環スルホニルオキシ」、「置換若しくは非置換の非芳香族炭素環スルホニルオキシ」、「置換若しくは非置換の芳香族複素環スルホニルオキシ」、および「置換若しくは非置換の非芳香族複素環スルホニルオキシ」、
「置換若しくは非置換の芳香族炭素環オキシスルホニル」、「置換若しくは非置換の非芳香族炭素環オキシスルホニル」、「置換若しくは非置換の芳香族複素環オキシスルホニル」、および「置換若しくは非置換の非芳香族複素環オキシスルホニル」、
「置換若しくは非置換の芳香族炭素環カルバモイル」、「置換若しくは非置換の非芳香族炭素環カルバモイル」、「置換若しくは非置換の芳香族複素環カルバモイル」、および「置換若しくは非置換の非芳香族複素環カルバモイル」、
「置換若しくは非置換の芳香族炭素環スルファモイル」、「置換若しくは非置換の非芳香族炭素環スルファモイル」、「置換若しくは非置換の芳香族複素環スルファモイル」、および「置換若しくは非置換の非芳香族複素環スルファモイル」、
「置換若しくは非置換の芳香族炭素環カルボニルアミノ」、「置換若しくは非置換の非芳香族炭素環カルボニルアミノ」、「置換若しくは非置換の芳香族複素環カルボニルアミノ」、および「置換若しくは非置換の非芳香族複素環カルボニルアミノ」、
「置換若しくは非置換の芳香族炭素環スルホニルアミノ」、「置換若しくは非置換の非芳香族炭素環スルホニルアミノ」、「置換若しくは非置換の芳香族複素環スルホニルアミノ」、および「置換若しくは非置換の非芳香族複素環スルホニルアミノ」、ならびに
「置換若しくは非置換の芳香族炭素環オキシカルボニルアミノ」、「置換若しくは非置換の非芳香族炭素環オキシカルボニルアミノ」、「置換若しくは非置換の芳香族複素環オキシカルボニルアミノ」、および「置換若しくは非置換の非芳香族複素環オキシカルボニルアミノ」の「芳香族炭素環」、「非芳香族炭素環」、「芳香族複素環」、および「非芳香族複素環」の環上の置換基としては、例えば、ハロゲン、ヒドロキシ、カルボキシ、アミノ、カルバモイル、スルファモイル、スルホ、シアノ、置換基群Dから選択される1以上の基で置換されていてもよいアルキル、置換基群Dから選択される1以上の基で置換されていてもよいアルキルオキシ、置換基群Dから選択される1以上の基で置換されていてもよいアルキルアミノ、置換基群Dから選択される1以上の基で置換されていてもよいアルキルスルファニル、置換基群Dから選択される1以上の基で置換されていてもよいアルキルカルボニル、置換基群Dから選択される1以上の基で置換されていてもよいアルキルスルホニル、置換基群Dから選択される1以上の基で置換されていてもよいアルキルカルボニルアミノ、置換基群Dから選択される1以上の基で置換されていてもよいアルキルスルホニルアミノ、置換基群Dから選択される1以上の基で置換されていてもよいアルキルカルバモイル、置換基群Dから選択される1以上の基で置換されていてもよいアルキルスルファモイル等が挙げられる。
一態様として、例えば、ハロゲン、ヒドロキシ、カルボキシ、アミノ、カルバモイル、スルファモイル、スルホ、シアノ、置換基群Dから選択される1以上の基で置換されていてもよいアルキル、置換基群Dから選択される1以上の基で置換されていてもよいアルキルオキシ、置換基群Dから選択される1以上の基で置換されていてもよいアルキルアミノ、置換基群Dから選択される1以上の基で置換されていてもよいアルキルスルファニル等が挙げられる。
一態様として、例えば、ハロゲン、置換基群Dから選択される1以上の基で置換されていてもよいアルキル、置換基群Dから選択される1以上の基で置換されていてもよいアルキルオキシ等が挙げられる。
“Substituted or unsubstituted aromatic carbocyclic group”, “substituted or unsubstituted nonaromatic carbocyclic group”, “substituted or unsubstituted aromatic heterocycle” in R 10a , R 10b , R 10c and R 10d Cyclic group ", and" substituted or unsubstituted non-aromatic heterocyclic group ",
"Substituted or unsubstituted aromatic carbocyclic oxy", "Substituted or unsubstituted non-aromatic carbocyclic oxy", "Substituted or unsubstituted aromatic heterocyclic oxy", and "Substituted or unsubstituted non-aromatic Heterocyclic oxy ",
"Substituted or unsubstituted aromatic carbocyclic amino", "Substituted or unsubstituted non-aromatic carbocyclic amino", "Substituted or unsubstituted aromatic heterocyclic amino", and "Substituted or unsubstituted non-aromatic Heterocyclic amino ",
"Substituted or unsubstituted aromatic carbocyclic sulfanyl", "Substituted or unsubstituted non-aromatic carbocyclic sulfanyl", "Substituted or unsubstituted aromatic heterocyclic sulfanyl", and "Substituted or unsubstituted non-aromatic Heterocyclic sulfanyl ",
"Substituted or unsubstituted aromatic carbocyclic carbonyl", "Substituted or unsubstituted non-aromatic carbocyclic carbonyl", "Substituted or unsubstituted aromatic heterocyclic carbonyl", and "Substituted or unsubstituted non-aromatic Heterocyclic carbonyl ",
"Substituted or unsubstituted aromatic carbocyclic sulfonyl", "Substituted or unsubstituted non-aromatic carbocyclic sulfonyl", "Substituted or unsubstituted aromatic heterocyclic sulfonyl", and "Substituted or unsubstituted non-aromatic Heterocyclic sulfonyl ",
“Substituted or unsubstituted aromatic carbocyclic oxy”, “Substituted or unsubstituted non-aromatic carbocyclic oxy”, “Substituted or unsubstituted aromatic heterocyclic carbonyloxy”, and “Substituted or unsubstituted carbocyclic oxy” Non-aromatic heterocyclic carbonyloxy ",
“Substituted or unsubstituted aromatic carbocyclic oxycarbonyl”, “substituted or unsubstituted nonaromatic carbocyclic oxycarbonyl”, “substituted or unsubstituted aromatic heterocyclic oxycarbonyl”, and “substituted or unsubstituted Non-aromatic heterocyclic oxycarbonyl ",
"Substituted or unsubstituted aromatic carbocyclic sulfonyloxy", "substituted or unsubstituted non-aromatic carbocyclic sulfonyloxy", "substituted or unsubstituted aromatic heterocyclic sulfonyloxy", and "substituted or unsubstituted Non-aromatic heterocyclic sulfonyloxy ",
“Substituted or unsubstituted aromatic carbocyclic oxysulfonyl”, “substituted or unsubstituted nonaromatic carbocyclic oxysulfonyl”, “substituted or unsubstituted aromatic heterocyclic oxysulfonyl”, and “substituted or unsubstituted Non-aromatic heterocyclic oxysulfonyl ",
"Substituted or unsubstituted aromatic carbocyclic carbamoyl", "Substituted or unsubstituted non-aromatic carbocyclic carbamoyl", "Substituted or unsubstituted aromatic heterocyclic carbamoyl", and "Substituted or unsubstituted non-aromatic `` Heterocyclic carbamoyl '',
"Substituted or unsubstituted aromatic carbocyclic sulfamoyl", "Substituted or unsubstituted non-aromatic carbocyclic sulfamoyl", "Substituted or unsubstituted aromatic heterocyclic sulfamoyl", and "Substituted or unsubstituted non-aromatic Heterocyclic sulfamoyl ",
“Substituted or unsubstituted aromatic carbocyclic carbonylamino”, “substituted or unsubstituted nonaromatic carbocyclic carbonylamino”, “substituted or unsubstituted aromatic heterocyclic carbonylamino”, and “substituted or unsubstituted Non-aromatic heterocyclic carbonylamino ",
“Substituted or unsubstituted aromatic carbocyclic sulfonylamino”, “Substituted or unsubstituted nonaromatic carbocyclic sulfonylamino”, “Substituted or unsubstituted aromatic heterocyclic sulfonylamino”, and “Substituted or unsubstituted aromatic carbocyclic sulfonylamino” Non-aromatic heterocyclic sulfonylamino ”, and“ substituted or unsubstituted aromatic carbocyclic oxycarbonylamino ”,“ substituted or unsubstituted non-aromatic carbocyclic oxycarbonylamino ”,“ substituted or unsubstituted aromatic heterocyclic ” "Aromatic carbocycle", "non-aromatic carbocycle", "aromatic heterocycle", and "non-aromatic" of "ring oxycarbonylamino" and "substituted or unsubstituted non-aromatic heterocyclic oxycarbonylamino" Examples of the substituent on the ring of “heterocycle” include halogen, hydroxy, carboxy, amino, carbamoyl, sulfamoyl. Sulfo, cyano, alkyl optionally substituted with one or more groups selected from substituent group D, alkyloxy optionally substituted with one or more groups selected from substituent group D, substituent groups Alkylamino optionally substituted with one or more groups selected from D, alkylsulfanyl optionally substituted with one or more groups selected from substituent group D, 1 selected from substituent group D Alkylcarbonyl optionally substituted with one or more groups, Alkylsulfonyl optionally substituted with one or more groups selected from Substituent Group D, Substituted with one or more groups selected from Substituent Group D Optionally substituted with one or more groups selected from substituent group D, optionally substituted with one or more groups selected from substituent group D. Some have good alkylcarbamoyl, such as one or more groups alkyl sulfamoyl optionally substituted with selected from substituent group D, and the like.
In one embodiment, for example, selected from halogen, hydroxy, carboxy, amino, carbamoyl, sulfamoyl, sulfo, cyano, alkyl optionally substituted with one or more groups selected from substituent group D, and substituent group D An alkyloxy optionally substituted with one or more groups, an alkylamino optionally substituted with one or more groups selected from substituent group D, and one or more groups selected from substituent group D Alkylsulfanyl etc. which may be substituted are mentioned.
As one embodiment, for example, halogen, alkyl optionally substituted with one or more groups selected from substituent group D, alkyloxy optionally substituted with one or more groups selected from substituent group D Etc.
「隣接する環構成原子に結合するR9aおよびR10a、または隣接する環構成原子に結合するR9bおよびR10bが、一緒になって、置換若しくは非置換の芳香族炭素環、置換若しくは非置換の非芳香族炭素環、置換若しくは非置換の芳香族複素環、または置換若しくは非置換の非芳香族複素環を形成する」場合の、
「置換若しくは非置換の芳香族炭素環」、「置換若しくは非置換の非芳香族炭素環」、「置換若しくは非置換の芳香族複素環」、および「置換若しくは非置換の非芳香族複素環」の置換基、ならびに、
環F3、および環G3における「置換若しくは非置換の5員非芳香族炭素環」、「置換若しくは非置換の5員芳香族複素環」、「置換若しくは非置換の5員非芳香族複素環」、「置換若しくは非置換の6員芳香族炭素環」、「置換若しくは非置換の6員非芳香族炭素環」、「置換若しくは非置換の6員芳香族複素環」および「置換若しくは非置換の6員非芳香族複素環」の環上の置換基としては、
例えば、ハロゲン、ヒドロキシ、カルボキシ、アミノ、カルバモイル、スルファモイル、スルホ、シアノ、置換基群Dから選択される1以上の基で置換されていてもよいアルキル、置換基群Dから選択される1以上の基で置換されていてもよいアルキルオキシ、置換基群Dから選択される1以上の基で置換されていてもよいアルキルアミノ、置換基群Dから選択される1以上の基で置換されていてもよいアルキルスルファニル、置換基群Dから選択される1以上の基で置換されていてもよいアルキルカルボニル、置換基群Dから選択される1以上の基で置換されていてもよいアルキルスルホニル、置換基群Dから選択される1以上の基で置換されていてもよいアルキルカルボニルアミノ、置換基群Dから選択される1以上の基で置換されていてもよいアルキルスルホニルアミノ、置換基群Dから選択される1以上の基で置換されていてもよいアルキルカルバモイル、置換基群Dから選択される1以上の基で置換されていてもよいアルキルスルファモイル、等が挙げられる。
一態様として、例えば、ハロゲン、ヒドロキシ、カルボキシ、アミノ、カルバモイル、スルファモイル、スルホ、シアノ、置換基群Dから選択される1以上の基で置換されていてもよいアルキル、置換基群Dから選択される1以上の基で置換されていてもよいアルキルオキシ、置換基群Dから選択される1以上の基で置換されていてもよいアルキルアミノ、置換基群Dから選択される1以上の基で置換されていてもよいアルキルスルファニル等が挙げられる。
一態様として、例えば、ハロゲン、置換基群Dから選択される1以上の基で置換されていてもよいアルキル、置換基群Dから選択される1以上の基で置換されていてもよいアルキルオキシ等が挙げられる。
“R 9a and R 10a bonded to adjacent ring member atoms, or R 9b and R 10b bonded to adjacent ring member atoms, together, are substituted or unsubstituted aromatic carbocycles, substituted or unsubstituted A non-aromatic carbocyclic ring, a substituted or unsubstituted aromatic heterocyclic ring, or a substituted or unsubstituted non-aromatic heterocyclic ring "
“Substituted or unsubstituted aromatic carbocycle”, “Substituted or unsubstituted nonaromatic carbocycle”, “Substituted or unsubstituted aromatic heterocycle”, and “Substituted or unsubstituted nonaromatic heterocycle” A substituent of
"Substituted or unsubstituted 5-membered non-aromatic carbocycle", "Substituted or unsubstituted 5-membered aromatic heterocycle", "Substituted or unsubstituted 5-membered non-aromatic heterocycle" in Ring F3 and Ring G3 , "Substituted or unsubstituted 6-membered aromatic carbocycle", "substituted or unsubstituted 6-membered non-aromatic carbocycle", "substituted or unsubstituted 6-membered aromatic heterocycle" and "substituted or unsubstituted As a substituent on the ring of “6-membered non-aromatic heterocycle”,
For example, halogen, hydroxy, carboxy, amino, carbamoyl, sulfamoyl, sulfo, cyano, alkyl optionally substituted with one or more groups selected from substituent group D, one or more selected from substituent group D Alkyloxy optionally substituted with a group, alkylamino optionally substituted with one or more groups selected from substituent group D, substituted with one or more groups selected from substituent group D Alkylsulfanyl which may be substituted, alkylcarbonyl which may be substituted with one or more groups selected from substituent group D, alkylsulfonyl which may be substituted with one or more groups selected from substituent group D, substituted Alkylcarbonylamino optionally substituted with one or more groups selected from group D, substituted with one or more groups selected from substituent group D An alkylsulfonylamino which may be substituted with one or more groups selected from the substituent group D, an alkylsulfamo which may be substituted with one or more groups selected from the substituent group D And moyl.
In one embodiment, for example, selected from halogen, hydroxy, carboxy, amino, carbamoyl, sulfamoyl, sulfo, cyano, alkyl optionally substituted with one or more groups selected from substituent group D, and substituent group D An alkyloxy optionally substituted with one or more groups, an alkylamino optionally substituted with one or more groups selected from substituent group D, and one or more groups selected from substituent group D Alkylsulfanyl etc. which may be substituted are mentioned.
As one embodiment, for example, halogen, alkyl optionally substituted with one or more groups selected from substituent group D, alkyloxy optionally substituted with one or more groups selected from substituent group D Etc.
「隣接する環構成原子に結合する2つのR10a、または隣接する環構成原子に結合する2つのR10bが、一緒になって、置換若しくは非置換の芳香族炭素環、置換若しくは非置換の非芳香族炭素環、置換若しくは非置換の芳香族複素環、または置換若しくは非置換の非芳香族複素環を形成する」場合の、
「置換若しくは非置換の芳香族炭素環」、「置換若しくは非置換の非芳香族炭素環」、「置換若しくは非置換の芳香族複素環」、および「置換若しくは非置換の非芳香族複素環」、ならびに
環F1、および環G1における「置換若しくは非置換の5員非芳香族炭素環」、「置換若しくは非置換の5員芳香族複素環」、「置換若しくは非置換の5員非芳香族複素環」、「置換若しくは非置換の6員芳香族炭素環」、「置換若しくは非置換の6員非芳香族炭素環」、「置換若しくは非置換の6員芳香族複素環」および「置換若しくは非置換の6員非芳香族複素環」の環上の置換基としては、
例えば、ハロゲン、ヒドロキシ、カルボキシ、アミノ、カルバモイル、スルファモイル、スルホ、シアノ、置換基群Dから選択される1以上の基で置換されていてもよいアルキル、置換基群Dから選択される1以上の基で置換されていてもよいアルキルオキシ、置換基群Dから選択される1以上の基で置換されていてもよいアルキルアミノ、置換基群Dから選択される1以上の基で置換されていてもよいアルキルスルファニル、置換基群Dから選択される1以上の基で置換されていてもよいアルキルカルボニル、置換基群Dから選択される1以上の基で置換されていてもよいアルキルスルホニル、置換基群Dから選択される1以上の基で置換されていてもよいアルキルカルボニルアミノ、置換基群Dから選択される1以上の基で置換されていてもよいアルキルスルホニルアミノ、置換基群Dから選択される1以上の基で置換されていてもよいアルキルカルバモイル、置換基群Dから選択される1以上の基で置換されていてもよいアルキルスルファモイル等が挙げられる。
一態様として、例えば、ハロゲン、ヒドロキシ、カルボキシ、アミノ、カルバモイル、スルファモイル、スルホ、シアノ、置換基群Dから選択される1以上の基で置換されていてもよいアルキル、置換基群Dから選択される1以上の基で置換されていてもよいアルキルオキシ、置換基群Dから選択される1以上の基で置換されていてもよいアルキルアミノ、置換基群Dから選択される1以上の基で置換されていてもよいアルキルスルファニル等が挙げられる。
一態様として、例えば、ハロゲン、置換基群Dから選択される1以上の基で置換されていてもよいアルキル、置換基群Dから選択される1以上の基で置換されていてもよいアルキルオキシ等が挙げられる。
一態様として、例えば、アルキル等が挙げられる。
“Two R 10a bonded to adjacent ring member atoms or two R 10b bonded to adjacent ring member atoms together form a substituted or unsubstituted aromatic carbocyclic ring, substituted or unsubstituted non-substituted ring When forming an aromatic carbocycle, substituted or unsubstituted aromatic heterocycle, or substituted or unsubstituted non-aromatic heterocycle "
“Substituted or unsubstituted aromatic carbocycle”, “Substituted or unsubstituted nonaromatic carbocycle”, “Substituted or unsubstituted aromatic heterocycle”, and “Substituted or unsubstituted nonaromatic heterocycle” , And ring F1 and ring G1, "substituted or unsubstituted 5-membered non-aromatic carbocycle", "substituted or unsubstituted 5-membered aromatic heterocycle", "substituted or unsubstituted 5-membered non-aromatic heterocycle" Ring "," substituted or unsubstituted 6-membered aromatic carbocycle "," substituted or unsubstituted 6-membered non-aromatic carbocycle "," substituted or unsubstituted 6-membered aromatic heterocycle "and" substituted or unsubstituted As a substituent on the ring of the “substituted 6-membered non-aromatic heterocycle”,
For example, halogen, hydroxy, carboxy, amino, carbamoyl, sulfamoyl, sulfo, cyano, alkyl optionally substituted with one or more groups selected from substituent group D, one or more selected from substituent group D Alkyloxy optionally substituted with a group, alkylamino optionally substituted with one or more groups selected from substituent group D, substituted with one or more groups selected from substituent group D Alkylsulfanyl which may be substituted, alkylcarbonyl which may be substituted with one or more groups selected from substituent group D, alkylsulfonyl which may be substituted with one or more groups selected from substituent group D, substituted Alkylcarbonylamino optionally substituted with one or more groups selected from group D, substituted with one or more groups selected from substituent group D An alkylsulfonylamino which may be substituted with one or more groups selected from the substituent group D, an alkylsulfamo which may be substituted with one or more groups selected from the substituent group D Moyl etc. are mentioned.
In one embodiment, for example, selected from halogen, hydroxy, carboxy, amino, carbamoyl, sulfamoyl, sulfo, cyano, alkyl optionally substituted with one or more groups selected from substituent group D, and substituent group D An alkyloxy optionally substituted with one or more groups, an alkylamino optionally substituted with one or more groups selected from substituent group D, and one or more groups selected from substituent group D Alkylsulfanyl etc. which may be substituted are mentioned.
As one embodiment, for example, halogen, alkyl optionally substituted with one or more groups selected from substituent group D, alkyloxy optionally substituted with one or more groups selected from substituent group D Etc.
As one aspect, for example, alkyl and the like can be mentioned.
R10a1およびR10a2における「置換若しくは非置換のアルキル」、「置換若しくは非置換のアルケニル」、「置換若しくは非置換のアルキニル」、「置換若しくは非置換のアルキルオキシ」、「置換若しくは非置換のアルケニルオキシ」、「置換若しくは非置換のアルキニルオキシ」、「置換若しくは非置換のアルキルスルファニル」、「置換若しくは非置換のアルケニルスルファニル」、「置換若しくは非置換のアルキニルスルファニル」、「置換若しくは非置換のアルキルアミノ」、「置換若しくは非置換のアルケニルアミノ」、「置換若しくは非置換のアルキニルアミノ」、「置換若しくは非置換のアルキルカルボニル」、「置換若しくは非置換のアルケニルカルボニル」、「置換若しくは非置換のアルキニルカルボニル」、「置換若しくは非置換のアルキルスルホニル」、「置換若しくは非置換のアルケニルスルホニル」、「置換若しくは非置換のアルキニルスルホニル」、「置換若しくは非置換のアルキルカルボニルオキシ」、「置換若しくは非置換のアルケニルカルボニルオキシ」、「置換若しくは非置換のアルキニルカルボニルオキシ」、「置換若しくは非置換のアルキルオキシカルボニル」、「置換若しくは非置換のアルケニルオキシカルボニル」、「置換若しくは非置換のアルキニルオキシカルボニル」、「置換若しくは非置換のアルキルスルホニルオキシ」、「置換若しくは非置換のアルケニルスルホニルオキシ」、「置換若しくは非置換のアルキニルスルホニルオキシ」、「置換若しくは非置換のアルキルオキシスルホニル」、「置換若しくは非置換のアルケニルオキシスルホニル」、「置換若しくは非置換のアルキニルオキシスルホニル」、「置換若しくは非置換のアルキルカルバモイル」、「置換若しくは非置換のアルケニルカルバモイル」、「置換若しくは非置換のアルキニルカルバモイル」、「置換若しくは非置換のアルキルスルファモイル」、「置換若しくは非置換のアルケニルスルファモイル」、「置換若しくは非置換のアルキニルスルファモイル」、「置換若しくは非置換のアルキルカルボニルアミノ」、「置換若しくは非置換のアルケニルカルボニルアミノ」、「置換若しくは非置換のアルキニルカルボニルアミノ」、「置換若しくは非置換のアルキルスルホニルアミノ」、「置換若しくは非置換のアルケニルスルホニルアミノ」、「置換若しくは非置換のアルキルオキシカルボニルアミノ」、「置換若しくは非置換のアルケニルオキシカルボニルアミノ」、および「置換若しくは非置換のアルキニルオキシカルボニルアミノ」の置換基としては、例えば、ハロゲン、ヒドロキシ、カルボキシ、アミノ、カルバモイル、スルファモイル、スルホ、シアノ、置換基群Dから選択される1以上の基で置換されていてもよいアルキルオキシ、置換基群Dから選択される1以上の基で置換されていてもよいアルキルアミノ、置換基群Dから選択される1以上の基で置換されていてもよいアルキルスルファニル、置換基群Dから選択される1以上の基で置換されていてもよいアルキルカルボニル、置換基群Dから選択される1以上の基で置換されていてもよいアルキルスルホニル、置換基群Dから選択される1以上の基で置換されていてもよいアルキルカルボニルアミノ、置換基群Dから選択される1以上の基で置換されていてもよいアルキルスルホニルアミノ、置換基群Fから選択される1以上の基で置換されていてもよい芳香族炭素環式基、置換基群Fから選択される1以上の基で置換されていてもよい非芳香族炭素環式基、置換基群Fから選択される1以上の基で置換されていてもよい芳香族複素環式基、置換基群Fから選択される1以上の基で置換されていてもよい非芳香族複素環式基等が挙げられる。
一態様として、例えば、ハロゲン、ヒドロキシ、シアノ等が挙げられる。
一態様として、例えば、ハロゲン等が挙げられる。
“Substituted or unsubstituted alkyl”, “substituted or unsubstituted alkenyl”, “substituted or unsubstituted alkynyl”, “substituted or unsubstituted alkyloxy”, “substituted or unsubstituted alkenyl” in R 10a1 and R 10a2 Oxy, substituted or unsubstituted alkynyloxy, substituted or unsubstituted alkylsulfanyl, substituted or unsubstituted alkenylsulfanyl, substituted or unsubstituted alkynylsulfanyl, substituted or unsubstituted alkyl Amino, substituted or unsubstituted alkenylamino, substituted or unsubstituted alkynylamino, substituted or unsubstituted alkylcarbonyl, substituted or unsubstituted alkenylcarbonyl, substituted or unsubstituted alkynyl Carbonyl " “Substituted or unsubstituted alkylsulfonyl”, “substituted or unsubstituted alkenylsulfonyl”, “substituted or unsubstituted alkynylsulfonyl”, “substituted or unsubstituted alkylcarbonyloxy”, “substituted or unsubstituted alkenylcarbonyloxy” ”,“ Substituted or unsubstituted alkynylcarbonyloxy ”,“ substituted or unsubstituted alkyloxycarbonyl ”,“ substituted or unsubstituted alkenyloxycarbonyl ”,“ substituted or unsubstituted alkynyloxycarbonyl ”,“ substituted or unsubstituted ” “Substituted alkylsulfonyloxy”, “substituted or unsubstituted alkenylsulfonyloxy”, “substituted or unsubstituted alkynylsulfonyloxy”, “substituted or unsubstituted alkyloxysulfonyl”, “substituted or unsubstituted” Substituted alkenyloxysulfonyl "," substituted or unsubstituted alkynyloxysulfonyl "," substituted or unsubstituted alkylcarbamoyl "," substituted or unsubstituted alkenylcarbamoyl "," substituted or unsubstituted alkynylcarbamoyl "," substituted Or “unsubstituted alkylsulfamoyl”, “substituted or unsubstituted alkenylsulfamoyl”, “substituted or unsubstituted alkynylsulfamoyl”, “substituted or unsubstituted alkylcarbonylamino”, “substituted or unsubstituted Alkenylcarbonylamino, substituted or unsubstituted alkynylcarbonylamino, substituted or unsubstituted alkylsulfonylamino, substituted or unsubstituted alkenylsulfonylamino, substituted or unsubstituted alkyloxy. Examples of the substituent of “carbonylamino”, “substituted or unsubstituted alkenyloxycarbonylamino”, and “substituted or unsubstituted alkynyloxycarbonylamino” include, for example, halogen, hydroxy, carboxy, amino, carbamoyl, sulfamoyl, sulfo, Cyano, alkyloxy optionally substituted with one or more groups selected from substituent group D, alkylamino optionally substituted with one or more groups selected from substituent group D, substituent group D An alkylsulfanyl optionally substituted with one or more groups selected from the above, an alkylcarbonyl optionally substituted with one or more groups selected from the substituent group D, one or more selected from the substituent group D An alkylsulfonyl which may be substituted with one or more groups, and one or more groups selected from Substituent Group D Alkylcarbonylamino which may be substituted, alkylsulfonylamino which may be substituted with one or more groups selected from substituent group D, and one or more groups selected from substituent group F; Substituted with one or more groups selected from the non-aromatic carbocyclic group optionally substituted with one or more groups selected from the substituent group F An aromatic heterocyclic group which may be substituted, a non-aromatic heterocyclic group which may be substituted with one or more groups selected from substituent group F, and the like.
As one aspect, for example, halogen, hydroxy, cyano and the like can be mentioned.
As one aspect, for example, halogen and the like can be mentioned.
R10a1およびR10a2における「置換若しくは非置換の芳香族炭素環式基」、「置換若しくは非置換の非芳香族炭素環式基」、「置換若しくは非置換の芳香族複素環式基」、および「置換若しくは非置換の非芳香族複素環式基」、
「置換若しくは非置換の芳香族炭素環オキシ」、「置換若しくは非置換の非芳香族炭素環オキシ」、「置換若しくは非置換の芳香族複素環オキシ」、および「置換若しくは非置換の非芳香族複素環オキシ」、
「置換若しくは非置換の芳香族炭素環アミノ」、「置換若しくは非置換の非芳香族炭素環アミノ」、「置換若しくは非置換の芳香族複素環アミノ」、および「置換若しくは非置換の非芳香族複素環アミノ」、
「置換若しくは非置換の芳香族炭素環スルファニル」、「置換若しくは非置換の非芳香族炭素環スルファニル」、「置換若しくは非置換の芳香族複素環スルファニル」、および「置換若しくは非置換の非芳香族複素環スルファニル」、
「置換若しくは非置換の芳香族炭素環カルボニル」、「置換若しくは非置換の非芳香族炭素環カルボニル」、「置換若しくは非置換の芳香族複素環カルボニル」、および「置換若しくは非置換の非芳香族複素環カルボニル」、
「置換若しくは非置換の芳香族炭素環スルホニル」、「置換若しくは非置換の非芳香族炭素環スルホニル」、「置換若しくは非置換の芳香族複素環スルホニル」、および「置換若しくは非置換の非芳香族複素環スルホニル」、
「置換若しくは非置換の芳香族炭素環カルボニルオキシ」、「置換若しくは非置換の非芳香族炭素環カルボニルオキシ」、「置換若しくは非置換の芳香族複素環カルボニルオキシ」、および「置換若しくは非置換の非芳香族複素環カルボニルオキシ」、
「置換若しくは非置換の芳香族炭素環オキシカルボニル」、「置換若しくは非置換の非芳香族炭素環オキシカルボニル」、「置換若しくは非置換の芳香族複素環オキシカルボニル」、および「置換若しくは非置換の非芳香族複素環オキシカルボニル」、
「置換若しくは非置換の芳香族炭素環スルホニルオキシ」、「置換若しくは非置換の非芳香族炭素環スルホニルオキシ」、「置換若しくは非置換の芳香族複素環スルホニルオキシ」、および「置換若しくは非置換の非芳香族複素環スルホニルオキシ」、
「置換若しくは非置換の芳香族炭素環オキシスルホニル」、「置換若しくは非置換の非芳香族炭素環オキシスルホニル」、「置換若しくは非置換の芳香族複素環オキシスルホニル」、および「置換若しくは非置換の非芳香族複素環オキシスルホニル」、
「置換若しくは非置換の芳香族炭素環カルバモイル」、「置換若しくは非置換の非芳香族炭素環カルバモイル」、「置換若しくは非置換の芳香族複素環カルバモイル」、および「置換若しくは非置換の非芳香族複素環カルバモイル」、
「置換若しくは非置換の芳香族炭素環スルファモイル」、「置換若しくは非置換の非芳香族炭素環スルファモイル」、「置換若しくは非置換の芳香族複素環スルファモイル」、および「置換若しくは非置換の非芳香族複素環スルファモイル」、
「置換若しくは非置換の芳香族炭素環カルボニルアミノ」、「置換若しくは非置換の非芳香族炭素環カルボニルアミノ」、「置換若しくは非置換の芳香族複素環カルボニルアミノ」、および「置換若しくは非置換の非芳香族複素環カルボニルアミノ」、
「置換若しくは非置換の芳香族炭素環スルホニルアミノ」、「置換若しくは非置換の非芳香族炭素環スルホニルアミノ」、「置換若しくは非置換の芳香族複素環スルホニルアミノ」、および「置換若しくは非置換の非芳香族複素環スルホニルアミノ」、ならびに
「置換若しくは非置換の芳香族炭素環オキシカルボニルアミノ」、「置換若しくは非置換の非芳香族炭素環オキシカルボニルアミノ」、「置換若しくは非置換の芳香族複素環オキシカルボニルアミノ」、および「置換若しくは非置換の非芳香族複素環オキシカルボニルアミノ」の「芳香族炭素環」、「非芳香族炭素環」、「芳香族複素環」、および「非芳香族複素環」の環上の置換基としては、例えば、ハロゲン、ヒドロキシ、カルボキシ、アミノ、カルバモイル、スルファモイル、スルホ、シアノ、置換基群Dから選択される1以上の基で置換されていてもよいアルキル、置換基群Dから選択される1以上の基で置換されていてもよいアルキルオキシ、置換基群Dから選択される1以上の基で置換されていてもよいアルキルアミノ、置換基群Dから選択される1以上の基で置換されていてもよいアルキルスルファニル、置換基群Dから選択される1以上の基で置換されていてもよいアルキルカルボニル、置換基群Dから選択される1以上の基で置換されていてもよいアルキルスルホニル、置換基群Dから選択される1以上の基で置換されていてもよいアルキルカルボニルアミノ、置換基群Dから選択される1以上の基で置換されていてもよいアルキルスルホニルアミノ、置換基群Dから選択される1以上の基で置換されていてもよいアルキルカルバモイル、置換基群Dから選択される1以上の基で置換されていてもよいアルキルスルファモイル等が挙げられる。
一態様として、例えば、ハロゲン、ヒドロキシ、カルボキシ、アミノ、カルバモイル、スルファモイル、スルホ、シアノ、置換基群Dから選択される1以上の基で置換されていてもよいアルキル、置換基群Dから選択される1以上の基で置換されていてもよいアルキルオキシ、置換基群Dから選択される1以上の基で置換されていてもよいアルキルアミノ、置換基群Dから選択される1以上の基で置換されていてもよいアルキルスルファニル等が挙げられる。
一態様として、例えば、ハロゲン、置換基群Dから選択される1以上の基で置換されていてもよいアルキル、置換基群Dから選択される1以上の基で置換されていてもよいアルキルオキシ等が挙げられる。
“Substituted or unsubstituted aromatic carbocyclic group”, “substituted or unsubstituted nonaromatic carbocyclic group”, “substituted or unsubstituted aromatic heterocyclic group” in R 10a1 and R 10a2 , and "Substituted or unsubstituted non-aromatic heterocyclic group",
"Substituted or unsubstituted aromatic carbocyclic oxy", "Substituted or unsubstituted non-aromatic carbocyclic oxy", "Substituted or unsubstituted aromatic heterocyclic oxy", and "Substituted or unsubstituted non-aromatic Heterocyclic oxy ",
"Substituted or unsubstituted aromatic carbocyclic amino", "Substituted or unsubstituted non-aromatic carbocyclic amino", "Substituted or unsubstituted aromatic heterocyclic amino", and "Substituted or unsubstituted non-aromatic Heterocyclic amino ",
"Substituted or unsubstituted aromatic carbocyclic sulfanyl", "Substituted or unsubstituted non-aromatic carbocyclic sulfanyl", "Substituted or unsubstituted aromatic heterocyclic sulfanyl", and "Substituted or unsubstituted non-aromatic Heterocyclic sulfanyl ",
"Substituted or unsubstituted aromatic carbocyclic carbonyl", "Substituted or unsubstituted non-aromatic carbocyclic carbonyl", "Substituted or unsubstituted aromatic heterocyclic carbonyl", and "Substituted or unsubstituted non-aromatic Heterocyclic carbonyl ",
"Substituted or unsubstituted aromatic carbocyclic sulfonyl", "Substituted or unsubstituted non-aromatic carbocyclic sulfonyl", "Substituted or unsubstituted aromatic heterocyclic sulfonyl", and "Substituted or unsubstituted non-aromatic Heterocyclic sulfonyl ",
“Substituted or unsubstituted aromatic carbocyclic oxy”, “Substituted or unsubstituted non-aromatic carbocyclic oxy”, “Substituted or unsubstituted aromatic heterocyclic carbonyloxy”, and “Substituted or unsubstituted carbocyclic oxy” Non-aromatic heterocyclic carbonyloxy ",
“Substituted or unsubstituted aromatic carbocyclic oxycarbonyl”, “substituted or unsubstituted nonaromatic carbocyclic oxycarbonyl”, “substituted or unsubstituted aromatic heterocyclic oxycarbonyl”, and “substituted or unsubstituted Non-aromatic heterocyclic oxycarbonyl ",
"Substituted or unsubstituted aromatic carbocyclic sulfonyloxy", "substituted or unsubstituted non-aromatic carbocyclic sulfonyloxy", "substituted or unsubstituted aromatic heterocyclic sulfonyloxy", and "substituted or unsubstituted Non-aromatic heterocyclic sulfonyloxy ",
“Substituted or unsubstituted aromatic carbocyclic oxysulfonyl”, “substituted or unsubstituted nonaromatic carbocyclic oxysulfonyl”, “substituted or unsubstituted aromatic heterocyclic oxysulfonyl”, and “substituted or unsubstituted Non-aromatic heterocyclic oxysulfonyl ",
"Substituted or unsubstituted aromatic carbocyclic carbamoyl", "Substituted or unsubstituted non-aromatic carbocyclic carbamoyl", "Substituted or unsubstituted aromatic heterocyclic carbamoyl", and "Substituted or unsubstituted non-aromatic `` Heterocyclic carbamoyl '',
"Substituted or unsubstituted aromatic carbocyclic sulfamoyl", "Substituted or unsubstituted non-aromatic carbocyclic sulfamoyl", "Substituted or unsubstituted aromatic heterocyclic sulfamoyl", and "Substituted or unsubstituted non-aromatic Heterocyclic sulfamoyl ",
“Substituted or unsubstituted aromatic carbocyclic carbonylamino”, “substituted or unsubstituted nonaromatic carbocyclic carbonylamino”, “substituted or unsubstituted aromatic heterocyclic carbonylamino”, and “substituted or unsubstituted Non-aromatic heterocyclic carbonylamino ",
“Substituted or unsubstituted aromatic carbocyclic sulfonylamino”, “Substituted or unsubstituted nonaromatic carbocyclic sulfonylamino”, “Substituted or unsubstituted aromatic heterocyclic sulfonylamino”, and “Substituted or unsubstituted aromatic carbocyclic sulfonylamino” Non-aromatic heterocyclic sulfonylamino ”, and“ substituted or unsubstituted aromatic carbocyclic oxycarbonylamino ”,“ substituted or unsubstituted non-aromatic carbocyclic oxycarbonylamino ”,“ substituted or unsubstituted aromatic heterocyclic ” "Aromatic carbocycle", "non-aromatic carbocycle", "aromatic heterocycle", and "non-aromatic" of "ring oxycarbonylamino" and "substituted or unsubstituted non-aromatic heterocyclic oxycarbonylamino" Examples of the substituent on the ring of “heterocycle” include halogen, hydroxy, carboxy, amino, carbamoyl, sulfamoyl. Sulfo, cyano, alkyl optionally substituted with one or more groups selected from substituent group D, alkyloxy optionally substituted with one or more groups selected from substituent group D, substituent groups Alkylamino optionally substituted with one or more groups selected from D, alkylsulfanyl optionally substituted with one or more groups selected from substituent group D, 1 selected from substituent group D Alkylcarbonyl optionally substituted with one or more groups, Alkylsulfonyl optionally substituted with one or more groups selected from Substituent Group D, Substituted with one or more groups selected from Substituent Group D Optionally substituted with one or more groups selected from substituent group D, optionally substituted with one or more groups selected from substituent group D. Some have good alkylcarbamoyl, such as one or more groups alkyl sulfamoyl optionally substituted with selected from substituent group D, and the like.
In one embodiment, for example, selected from halogen, hydroxy, carboxy, amino, carbamoyl, sulfamoyl, sulfo, cyano, alkyl optionally substituted with one or more groups selected from substituent group D, and substituent group D An alkyloxy optionally substituted with one or more groups, an alkylamino optionally substituted with one or more groups selected from substituent group D, and one or more groups selected from substituent group D Alkylsulfanyl etc. which may be substituted are mentioned.
As one embodiment, for example, halogen, alkyl optionally substituted with one or more groups selected from substituent group D, alkyloxy optionally substituted with one or more groups selected from substituent group D Etc.
本発明の一態様を、以下に例示する。
式(I)で示される化合物またはその製薬上許容される塩において、各置換基の具体例を以下に示す。式(I)で示される化合物としては、これら具体例の全ての組合せが例示される。
One embodiment of the present invention is exemplified below.
Specific examples of each substituent in the compound represented by the formula (I) or a pharmaceutically acceptable salt thereof are shown below. Examples of the compound represented by the formula (I) include all combinations of these specific examples.
(a) 以下の(a-1)に記載の化合物またはその製薬上許容される塩。
(a-1) Xが、N(R7a)である、式(I)で示される化合物またはその製薬上許容される塩。
(A) A compound described in the following (a-1) or a pharmaceutically acceptable salt thereof.
(A-1) X is, N is (R 7a), a compound or a pharmaceutically acceptable salt represented by the formula (I).
(b) 以下の(b-1)または(b-2)のいずれかに記載の化合物またはその製薬上許容される塩。
(b-1) R7aが、水素原子、または置換若しくは非置換のアルキルである、式(I)または上記(a)で示される化合物またはその製薬上許容される塩。
(b-2) R7aが、水素原子である、式(I)または上記(a)で示される化合物またはその製薬上許容される塩。
(B) A compound or a pharmaceutically acceptable salt thereof according to any of the following (b-1) or (b-2).
(B-1) The compound represented by the formula (I) or the above (a) or a pharmaceutically acceptable salt thereof, wherein R 7a is a hydrogen atom, or substituted or unsubstituted alkyl.
(B-2) The compound represented by formula (I) or the above (a) or a pharmaceutically acceptable salt thereof, wherein R 7a is a hydrogen atom.
(c) 以下の(c-1)~(c-3)のいずれかに記載の化合物またはその製薬上許容される塩。
(c-1) R8aおよびR8bが、それぞれ独立して、水素原子、ハロゲンまたは置換若しくは非置換のアルキルである、式(I)、上記(a)または(b)で示される化合物またはその製薬上許容される塩。
(c-2) R8aおよびR8bが、それぞれ独立して、水素原子、またはハロゲンである、式(I)、上記(a)または(b)で示される化合物またはその製薬上許容される塩。
(c-3) R8aおよびR8bが、水素原子である、式(I)、上記(a)または(b)で示される化合物またはその製薬上許容される塩。
(C) The compound according to any one of the following (c-1) to (c-3) or a pharmaceutically acceptable salt thereof.
(C-1) A compound represented by the formula (I), the above (a) or (b), wherein R 8a and R 8b are each independently a hydrogen atom, halogen or substituted or unsubstituted alkyl, or a compound thereof Pharmaceutically acceptable salt.
(C-2) The compound represented by the formula (I), the above (a) or (b), or a pharmaceutically acceptable salt thereof, wherein R 8a and R 8b are each independently a hydrogen atom or halogen. .
(C-3) The compound represented by the formula (I), the above (a) or (b) or a pharmaceutically acceptable salt thereof, wherein R 8a and R 8b are hydrogen atoms.
(d) 以下の(d-1)または(d-2)に記載の化合物またはその製薬上許容される塩。
(d-1) nが、1または2である、式(I)、および上記(a)~(c)のいずれかに示される化合物またはその製薬上許容される塩。
(d-2) nが、1である、式(I)、および上記(a)~(c)のいずれかに示される化合物またはその製薬上許容される塩。
(D) A compound described in the following (d-1) or (d-2) or a pharmaceutically acceptable salt thereof.
(D-1) A compound represented by the formula (I) and any one of the above (a) to (c), wherein n is 1 or 2, or a pharmaceutically acceptable salt thereof.
(D-2) A compound represented by the formula (I) and any one of the above (a) to (c), wherein n is 1, or a pharmaceutically acceptable salt thereof.
(e) 以下の(e-1)~(e-3)のいずれかに記載の化合物またはその製薬上許容される塩。
(e-1) R2aが、水素原子、ハロゲン、または置換若しくは非置換のアルキルであるか、同一の炭素原子と結合するR2aおよびR2bが、一緒になって、オキソを形成する、式(I)、および上記(a)~(d)のいずれかに示される化合物またはその製薬上許容される塩。
(e-2) R2aが、水素原子、またはハロゲンである、式(I)、および上記(a)~(d)のいずれかに示される化合物またはその製薬上許容される塩。
(e-3) R2aが、水素原子である、式(I)、および上記(a)~(d)のいずれかに示される化合物またはその製薬上許容される塩。
(E) The compound according to any one of the following (e-1) to (e-3) or a pharmaceutically acceptable salt thereof.
(E-1) a compound wherein R 2a is a hydrogen atom, halogen, or substituted or unsubstituted alkyl, or R 2a and R 2b bonded to the same carbon atom are taken together to form oxo (I) and a compound represented by any one of the above (a) to (d) or a pharmaceutically acceptable salt thereof.
(E-2) A compound represented by the formula (I) and any one of the above (a) to (d) or a pharmaceutically acceptable salt thereof, wherein R 2a is a hydrogen atom or halogen.
(E-3) A compound represented by the formula (I) and any one of the above (a) to (d) or a pharmaceutically acceptable salt thereof, wherein R 2a is a hydrogen atom.
(f) 以下の(f-1)~(f-3)のいずれかに記載の化合物またはその製薬上許容される塩。
(f-1) R2bが、水素原子、ハロゲン、または置換若しくは非置換のアルキルであるか、同一の炭素原子と結合するR2aおよびR2bが、一緒になって、オキソを形成する、式(I)、および上記(a)~(e)のいずれかに示される化合物またはその製薬上許容される塩。
(f-2) R2bが、水素原子、またはハロゲンである、式(I)、および上記(a)~(e)のいずれかに示される化合物またはその製薬上許容される塩。
(f-3) R2bが、水素原子である、式(I)、および上記(a)~(e)のいずれかに示される化合物またはその製薬上許容される塩。
(F) The compound according to any one of the following (f-1) to (f-3) or a pharmaceutically acceptable salt thereof.
(F-1) R 2b is a hydrogen atom, halogen, or substituted or unsubstituted alkyl, or R 2a and R 2b bonded to the same carbon atom are taken together to form oxo (I) and a compound represented by any one of the above (a) to (e) or a pharmaceutically acceptable salt thereof.
(F-2) A compound represented by the formula (I) and any one of the above (a) to (e) or a pharmaceutically acceptable salt thereof, wherein R 2b is a hydrogen atom or halogen.
(F-3) The compound represented by formula (I) and any one of the above (a) to (e) or a pharmaceutically acceptable salt thereof, wherein R 2b is a hydrogen atom.
(g) 以下の(g-1)または(g-2)に記載の化合物またはその製薬上許容される塩。
(g-1) mが、0または1である、式(I)、および上記(a)~(f)のいずれかに示される化合物またはその製薬上許容される塩。
(g-2) mが、0である、式(I)、および上記(a)~(f)のいずれかに示される化合物またはその製薬上許容される塩。
(G) A compound described in the following (g-1) or (g-2) or a pharmaceutically acceptable salt thereof.
(G-1) A compound represented by the formula (I) and any one of the above (a) to (f), wherein m is 0 or 1, or a pharmaceutically acceptable salt thereof.
(G-2) The compound represented by the formula (I) and any one of the above (a) to (f), wherein m is 0, or a pharmaceutically acceptable salt thereof.
(h) 以下の(h-1)~(h-3)のいずれかに記載の化合物またはその製薬上許容される塩。
(h-1) R2cが、水素原子、ハロゲン、または置換若しくは非置換のアルキルである、式(I)、および上記(a)~(g)のいずれかに示される化合物またはその製薬上許容される塩。
(h-2) R2cが、水素原子、またはハロゲンである、式(I)、および上記(a)~(g)のいずれかに示される化合物またはその製薬上許容される塩。
(h-3) R2cが、水素原子である、式(I)、および上記(a)~(g)のいずれかに示される化合物またはその製薬上許容される塩。
(H) The compound according to any one of the following (h-1) to (h-3) or a pharmaceutically acceptable salt thereof.
(H-1) The compound represented by the formula (I) and any one of the above (a) to (g), wherein R 2c is a hydrogen atom, halogen, or substituted or unsubstituted alkyl, or a pharmaceutically acceptable salt thereof Salt.
(H-2) The compound represented by the formula (I) and any one of the above (a) to (g) or a pharmaceutically acceptable salt thereof, wherein R 2c is a hydrogen atom or halogen.
(H-3) The compound represented by formula (I) and any one of the above (a) to (g) or a pharmaceutically acceptable salt thereof, wherein R 2c is a hydrogen atom.
(i) 以下の(i-1)~(i-3)のいずれかに記載の化合物またはその製薬上許容される塩。
(i-1) R2dが、水素原子、ハロゲン、または置換若しくは非置換のアルキルである、式(I)、および上記(a)~(h)のいずれかに示される化合物またはその製薬上許容される塩。
(i-2) R2dが、水素原子、またはハロゲンである、式(I)、および上記(a)~(h)のいずれかに示される化合物またはその製薬上許容される塩。
(i-3) R2dが、水素原子である、式(I)、および上記(a)~(h)のいずれかに示される化合物またはその製薬上許容される塩。
(I) A compound according to any one of the following (i-1) to (i-3) or a pharmaceutically acceptable salt thereof:
(I-1) The compound represented by the formula (I) and any one of the above (a) to (h) or a pharmaceutically acceptable salt thereof, wherein R 2d is a hydrogen atom, halogen, or substituted or unsubstituted alkyl. Salt.
(I-2) A compound represented by formula (I) and any one of the above (a) to (h) or a pharmaceutically acceptable salt thereof, wherein R 2d is a hydrogen atom or halogen.
(I-3) The compound represented by formula (I) and any one of the above (a) to (h) or a pharmaceutically acceptable salt thereof, wherein R 2d is a hydrogen atom.
(j) 以下の(j-1)に記載の化合物またはその製薬上許容される塩。
(j-1) Y1が、Oである、式(I)、および上記(a)~(i)のいずれかに示される化合物またはその製薬上許容される塩。
(J) A compound according to the following (j-1) or a pharmaceutically acceptable salt thereof.
(J-1) A compound represented by the formula (I) and any one of the above (a) to (i) or a pharmaceutically acceptable salt thereof, wherein Y 1 is O.
(k) 以下の(k-1)~(k-3)のいずれかに記載の化合物またはその製薬上許容される塩。
(k-1) R4が、水素原子、ハロゲン、または置換若しくは非置換のアルキルである、式(I)、および上記(a)~(j)のいずれかに示される化合物またはその製薬上許容される塩。
(k-2) R4が、水素原子、またはハロゲンである、式(I)、および上記(a)~(j)のいずれかに示される化合物またはその製薬上許容される塩。
(k-3) R4が、水素原子である、式(I)、および上記(a)~(j)のいずれかに示される化合物またはその製薬上許容される塩。
(K) The compound according to any one of the following (k-1) to (k-3) or a pharmaceutically acceptable salt thereof.
(K-1) A compound represented by the formula (I) and any one of the above (a) to (j) or a pharmaceutically acceptable salt thereof, wherein R 4 is a hydrogen atom, halogen, or substituted or unsubstituted alkyl Salt.
(K-2) The compound represented by the formula (I) and any one of the above (a) to (j) or a pharmaceutically acceptable salt thereof, wherein R 4 is a hydrogen atom or halogen.
(K-3) The compound represented by formula (I) and any one of the above (a) to (j) or a pharmaceutically acceptable salt thereof, wherein R 4 is a hydrogen atom.
(l) 以下の(l-1)または(l-2)に記載の化合物またはその製薬上許容される塩。
(l-1) R6が、水素原子、ヒドロキシ、シアノ、置換若しくは非置換のアルキル、または置換若しくは非置換のアルキルオキシである、式(I)、および上記(a)~(k)のいずれかに示される化合物またはその製薬上許容される塩。
(l-2) R6が、水素原子である、式(I)、および上記(a)~(k)のいずれかに示される化合物またはその製薬上許容される塩。
(L) A compound or a pharmaceutically acceptable salt thereof described in (l-1) or (l-2) below:
(L-1) R 6 is a hydrogen atom, hydroxy, cyano, substituted or unsubstituted alkyl, or substituted or unsubstituted alkyloxy, and any of the above (a) to (k) Or a pharmaceutically acceptable salt thereof.
(L-2) The compound represented by the formula (I) and any one of the above (a) to (k) or a pharmaceutically acceptable salt thereof, wherein R 6 is a hydrogen atom.
(m) 以下の(m-1)~(m-17)のいずれかに記載の化合物またはその製薬上許容される塩。
(m-1) R1が、置換若しくは非置換の6員芳香族炭素環式基、置換若しくは非置換の3~6員非芳香族炭素環式基、置換若しくは非置換の5~6員芳香族複素環式基、または置換若しくは非置換の5~6員非芳香族複素環式基である、式(I)、および上記(a)~(l)のいずれかに示される化合物またはその製薬上許容される塩。
(m-2) R1が、置換若しくは非置換の6員芳香族炭素環式基、または置換若しくは非置換の5~6員芳香族複素環式基である、式(I)、および上記(a)~(l)のいずれかに示される化合物またはその製薬上許容される塩。
(m-3) R1が、置換若しくは非置換のフェニルである、式(I)、および上記(a)~(l)のいずれかに示される化合物またはその製薬上許容される塩。
(m-4) R1が、ハロゲンおよびアルキルから選択される1以上の基で置換されたフェニル;または非置換のフェニルである、式(I)、および上記(a)~(l)のいずれかに示される化合物またはその製薬上許容される塩。
(m-5) R1が、1以上のハロゲンで置換され、さらに1以上の同一または異なる置換基で置換されていてもよい6員芳香族炭素環式基、または、1以上のハロゲンで置換され、さらに1以上の同一または異なる置換基で置換されていてもよい5~6員芳香族複素環式基である、式(I)、および上記(a)~(l)のいずれかに示される化合物またはその製薬上許容される塩。
(m-6) R1が、1以上のハロゲンで置換され、さらに1以上の同一または異なる置換基で置換されていてもよいフェニルである、式(I)、および上記(a)~(l)のいずれかに示される化合物またはその製薬上許容される塩。
(m-7) R1が、1以上のハロゲンで置換されたフェニルである、式(I)、および上記(a)~(l)のいずれかに示される化合物またはその製薬上許容される塩。
(M) The compound according to any one of the following (m-1) to (m-17) or a pharmaceutically acceptable salt thereof.
(M-1) R 1 is a substituted or unsubstituted 6-membered aromatic carbocyclic group, a substituted or unsubstituted 3- to 6-membered non-aromatic carbocyclic group, a substituted or unsubstituted 5- to 6-membered aromatic A compound represented by the formula (I) and any one of the above (a) to (l), which is an aromatic heterocyclic group, or a substituted or unsubstituted 5- to 6-membered non-aromatic heterocyclic group, or a pharmaceutical thereof Top acceptable salt.
(M-2) Formula (I), wherein R 1 is a substituted or unsubstituted 6-membered aromatic carbocyclic group, or a substituted or unsubstituted 5- to 6-membered aromatic heterocyclic group, and ( A compound represented by any one of a) to (l) or a pharmaceutically acceptable salt thereof.
(M-3) The compound represented by the formula (I) and any one of the above (a) to (l) or a pharmaceutically acceptable salt thereof, wherein R 1 is substituted or unsubstituted phenyl.
(M-4) R 1 is phenyl substituted with one or more groups selected from halogen and alkyl; or any one of formulas (I) and (a) to (l) above, which is unsubstituted phenyl Or a pharmaceutically acceptable salt thereof.
(M-5) R 1 is substituted with one or more halogens, and further substituted with one or more same or different substituents and optionally substituted with a six-membered aromatic carbocyclic group or one or more halogens In addition, it is a 5- to 6-membered aromatic heterocyclic group which may be further substituted with one or more of the same or different substituents, and is shown in any of the above (a) to (l) Or a pharmaceutically acceptable salt thereof.
(M-6) Formula (I), wherein R 1 is phenyl substituted with one or more halogens and further substituted with one or more identical or different substituents, and (a)-(l ) Or a pharmaceutically acceptable salt thereof.
(M-7) The compound represented by formula (I) and any one of the above (a) to (l), or a pharmaceutically acceptable salt thereof, wherein R 1 is phenyl substituted with one or more halogens .
(m-8) R1が、
(式中、環Eは、6員芳香族炭素環、6員非芳香族炭素環、6員芳香族複素環、または6員非芳香族複素環であり;
R12aおよびR13aは、それぞれ独立して、ハロゲンであり;
R12およびR13は、それぞれ独立して、置換基群C1から選択される基であり;
q1は、0~2の整数であり;
q2は、0~2の整数である)で示される基である、式(I)、および上記(a)~(l)のいずれかに示される化合物またはその製薬上許容される塩。
(m-9) R12およびR13が、それぞれ独立して、ハロゲン、置換基群Dから選択される1以上の基で置換されていてもよいアルキル、または置換基群Dから選択される1以上の基で置換されていてもよいアルキルオキシである、上記(m-8)に示される化合物またはその製薬上許容される塩。
(m-10) R12およびR13が、それぞれ独立して、ハロゲン、アルキル、またはハロアルキルである、上記(m-8)に示される化合物またはその製薬上許容される塩。
(m-11) R12およびR13が、それぞれ独立して、ハロゲンである、上記(m-8)に示される化合物またはその製薬上許容される塩。
(m-12) R1が、
(式中、R12aおよびR13aは、それぞれ独立して、ハロゲンであり;
R12b、R12c、およびR13bは、ハロゲン、置換基群Dから選択される1以上の基で置換されていてもよいアルキル、または置換基群Dから選択される1以上の基で置換されていてもよいアルキルオキシである)で示される基である、式(I)、および上記(a)~(l)のいずれかに示される化合物またはその製薬上許容される塩。
(m-13) R12b、R12cおよびR13bが、それぞれ独立して、ハロゲン、または置換基群Dから選択される1以上の基で置換されていてもよいアルキルである、上記(m-12)に示される化合物またはその製薬上許容される塩。
(m-14) R12b、R12cおよびR13bが、それぞれ独立して、ハロゲン、アルキル、またはハロアルキルである、上記(m-12)に示される化合物またはその製薬上許容される塩。
(m-15) R12b、R12cおよびR13bが、それぞれ独立して、ハロゲンである、上記(m-12)に示される化合物またはその製薬上許容される塩。
(m-16) 環Eが、ベンゼン、または6員芳香族複素環である、上記(m-7)~(m-15)のいずれかに示される化合物またはその製薬上許容される塩。
(m-17) 環Eが、ベンゼンである、上記(m-7)~(m-15)のいずれかに示される化合物またはその製薬上許容される塩。
(M-8) R 1 is
Wherein ring E is a 6-membered aromatic carbocycle, 6-membered non-aromatic carbocycle, 6-membered aromatic heterocycle, or 6-membered non-aromatic heterocycle;
R 12a and R 13a are each independently halogen;
R 12 and R 13 are each independently a group selected from Substituent Group C1;
q1 is an integer from 0 to 2;
q2 is a group represented by formula (I), and a compound represented by any one of the above (a) to (l) or a pharmaceutically acceptable salt thereof.
(M-9) R 12 and R 13 are each independently halogen, alkyl optionally substituted with one or more groups selected from substituent group D, or 1 selected from substituent group D The compound represented by the above (m-8) or a pharmaceutically acceptable salt thereof, which is alkyloxy optionally substituted with the above groups.
(M-10) The compound represented by the above (m-8) or a pharmaceutically acceptable salt thereof, wherein R 12 and R 13 are each independently halogen, alkyl, or haloalkyl.
(M-11) The compound represented by the above (m-8) or a pharmaceutically acceptable salt thereof, wherein R 12 and R 13 are each independently halogen.
(M-12) R 1 is
Wherein R 12a and R 13a are each independently halogen;
R 12b , R 12c , and R 13b are substituted with one or more groups selected from halogen, alkyl optionally substituted with one or more groups selected from substituent group D, or substituent group D A compound represented by formula (I) and any one of the above (a) to (l), or a pharmaceutically acceptable salt thereof.
(M-13) R 12b , R 12c and R 13b each independently represent halogen or alkyl optionally substituted with one or more groups selected from substituent group D (m- 12) or a pharmaceutically acceptable salt thereof.
(M-14) The compound or a pharmaceutically acceptable salt thereof shown in the above (m-12), wherein R 12b , R 12c and R 13b are each independently halogen, alkyl or haloalkyl.
(M-15) The compound shown in the above (m-12) or a pharmaceutically acceptable salt thereof, wherein R 12b , R 12c and R 13b are each independently halogen.
(M-16) The compound or a pharmaceutically acceptable salt thereof according to any one of the above (m-7) to (m-15), wherein Ring E is benzene or a 6-membered aromatic heterocyclic ring.
(M-17) The compound or a pharmaceutically acceptable salt thereof according to any one of the above (m-7) to (m-15), wherein Ring E is benzene.
(n) 以下の(n-1)~(n-34)のいずれかに記載の化合物またはその製薬上許容される塩。
(n-1) Z1が、Nである、式(I)、および上記(a)~(m)のいずれかに記載の化合物、またはその製薬上許容される塩。
(n-2) Z1が、C(R4)である、式(I)、および上記(a)~(m)のいずれかに記載の化合物、またはその製薬上許容される塩。
(n-3)
である、式(I)、上記(a)~(c)、(n-1)および(n-2)のいずれかに示される化合物またはその製薬上許容される塩。
(n-4) 破線が、結合の存在を示す、上記(n-3)に示される化合物、またはその製薬上許容される塩。
(n-5) 破線が、結合の不存在を示す、上記(n-3)に示される化合物、またはその製薬上許容される塩。
(n-6) 環Qが、6員芳香族炭素環、5員芳香族複素環、または6員芳香族複素環である、上記(n-1)~(n-5)のいずれかに示される化合物、またはその製薬上許容される塩。
(n-7) 環Qが、5員芳香族複素環、または6員芳香族複素環である、上記(n-1)~(n-5)のいずれかに示される化合物、またはその製薬上許容される塩。
(n-8) 環Qが、イミダゾール、チアゾール、オキサゾール、ピラゾール、ピロール、チオフェン、ピリジン、ピリダジン、ピリミジン、またはピラジンである、上記(n-1)~(n-5)のいずれかに示される化合物、またはその製薬上許容される塩。
(n-9) 環Qが、イミダゾール、チアゾール、ピロール、ピリジン、またはピラジンである、上記(n-1)~(n-5)のいずれかに示される化合物、またはその製薬上許容される塩。
(n-10) 環Qが、イミダゾール、ピロール、またはピラジンである、上記(n-1)~(n-5)のいずれかに示される化合物、またはその製薬上許容される塩。
(n-11) 環Qが、イミダゾールである、上記(n-1)~(n-5)のいずれかに示される化合物、またはその製薬上許容される塩。
(n-12) 環Qが、チアゾール、オキサゾール、ピラゾール、ピロール、チオフェン、ピリジン、ピリダジン、ピリミジン、またはピラジンである、上記(n-1)~(n-5)のいずれかに示される化合物、またはその製薬上許容される塩。
(n-13) 環Qが、チアゾール、ピロール、ピリジン、またはピラジンである、上記(n-1)~(n-5)のいずれかに示される化合物、またはその製薬上許容される塩。
(n-14) 環Qが、ピロール、またはピラジンである、上記(n-1)~(n-5)のいずれかに示される化合物、またはその製薬上許容される塩。
(n-15) 環Qが、イソキサゾール、またはピラゾールである、上記(n-1)~(n-5)のいずれかに示される化合物、またはその製薬上許容される塩。
(N) The compound according to any one of the following (n-1) to (n-34) or a pharmaceutically acceptable salt thereof.
(N-1) The compound according to formula (I) and any one of the above (a) to (m), wherein Z 1 is N, or a pharmaceutically acceptable salt thereof.
(N-2) The compound according to formula (I) and any one of the above (a) to (m), or a pharmaceutically acceptable salt thereof, wherein Z 1 is C (R 4 ).
(N-3)
A compound represented by formula (I), any one of the above (a) to (c), (n-1) and (n-2) or a pharmaceutically acceptable salt thereof.
(N-4) The compound represented by the above (n-3) or a pharmaceutically acceptable salt thereof, wherein the broken line indicates the presence of a bond.
(N-5) The compound represented by the above (n-3) or a pharmaceutically acceptable salt thereof, wherein the broken line indicates the absence of a bond.
(N-6) Shown in any one of (n-1) to (n-5) above, wherein ring Q is a 6-membered aromatic carbocycle, 5-membered aromatic heterocycle, or 6-membered aromatic heterocycle Or a pharmaceutically acceptable salt thereof.
(N-7) The compound represented by any one of the above (n-1) to (n-5), wherein the ring Q is a 5-membered aromatic heterocycle or a 6-membered aromatic heterocycle, or a pharmaceutical thereof Acceptable salt.
(N-8) any one of (n-1) to (n-5) above, wherein ring Q is imidazole, thiazole, oxazole, pyrazole, pyrrole, thiophene, pyridine, pyridazine, pyrimidine, or pyrazine A compound, or a pharmaceutically acceptable salt thereof.
(N-9) The compound represented by any one of (n-1) to (n-5) above, wherein the ring Q is imidazole, thiazole, pyrrole, pyridine, or pyrazine, or a pharmaceutically acceptable salt thereof .
(N-10) The compound represented by any one of (n-1) to (n-5) above, wherein the ring Q is imidazole, pyrrole or pyrazine, or a pharmaceutically acceptable salt thereof.
(N-11) The compound shown in any one of the above (n-1) to (n-5), or a pharmaceutically acceptable salt thereof, wherein ring Q is imidazole.
(N-12) The compound represented by any one of the above (n-1) to (n-5), wherein ring Q is thiazole, oxazole, pyrazole, pyrrole, thiophene, pyridine, pyridazine, pyrimidine, or pyrazine, Or a pharmaceutically acceptable salt thereof.
(N-13) The compound represented by any one of the above (n-1) to (n-5), or a pharmaceutically acceptable salt thereof, wherein the ring Q is thiazole, pyrrole, pyridine, or pyrazine.
(N-14) The compound represented by any one of the above (n-1) to (n-5), or a pharmaceutically acceptable salt thereof, wherein ring Q is pyrrole or pyrazine.
(N-15) The compound represented by any one of the above (n-1) to (n-5), or a pharmaceutically acceptable salt thereof, wherein ring Q is isoxazole or pyrazole.
(n-16)
である、式(I)、および上記(a)~(m)のいずれかに示される化合物、またはその製薬上許容される塩。
(n-17)
である、式(I)、および上記(a)~(m)のいずれかに示される化合物、またはその製薬上許容される塩。
(n-18)
である、式(I)、および上記(a)~(m)のいずれかに示される化合物、またはその製薬上許容される塩。
(n-19)
である、式(I)、および上記(a)~(m)のいずれかに示される化合物、またはその製薬上許容される塩。
(N-16)
The compound represented by formula (I) and any one of the above (a) to (m), or a pharmaceutically acceptable salt thereof.
(N-17)
The compound represented by formula (I) and any one of the above (a) to (m), or a pharmaceutically acceptable salt thereof.
(N-18)
The compound represented by formula (I) and any one of the above (a) to (m), or a pharmaceutically acceptable salt thereof.
(N-19)
The compound represented by formula (I) and any one of the above (a) to (m), or a pharmaceutically acceptable salt thereof.
(n-20) 環Qが、5員非芳香族炭素環、6員非芳香族炭素環、5員非芳香族複素環、または6員非芳香族複素環である、上記(n-1)~(n-5)のいずれかに記載の化合物、またはその製薬上許容される塩。
(n-21) 環Qが、5員非芳香族炭素環、または5員非芳香族複素環である、上記(n-1)~(n-5)のいずれかに記載の化合物、またはその製薬上許容される塩。
(n-22) 環Qが、シクロペンテン、ジヒドロフラン、ジヒドロピロール、シクロヘキサン、ジヒドロピラン、またはテトラヒドロピリジンである、上記(n-1)~(n-5)のいずれかに記載の化合物、またはその製薬上許容される塩。
(n-23) 環Qが、シクロペンテン、ジヒドロフラン、またはジヒドロピロールである、上記(n-1)~(n-5)のいずれかに記載の化合物、またはその製薬上許容される塩。
(n-24) 環Qが、シクロペンテン、またはジヒドロフランである、上記(n-1)~(n-5)のいずれかに記載の化合物、またはその製薬上許容される塩。
(n-25)
である、式(I)、および上記(a)~(m)のいずれかに記載の化合物、またはその製薬上許容される塩。
(N-20) The above (n-1), wherein the ring Q is a 5-membered non-aromatic carbocycle, a 6-membered non-aromatic carbocycle, a 5-membered non-aromatic heterocycle, or a 6-membered non-aromatic heterocycle -The compound according to any one of (n-5), or a pharmaceutically acceptable salt thereof.
(N-21) The compound according to any one of (n-1) to (n-5) above, wherein ring Q is a 5-membered non-aromatic carbocycle or 5-membered non-aromatic heterocycle, or a compound thereof Pharmaceutically acceptable salt.
(N-22) The compound according to any one of (n-1) to (n-5) above, wherein ring Q is cyclopentene, dihydrofuran, dihydropyrrole, cyclohexane, dihydropyran, or tetrahydropyridine, or a compound thereof Pharmaceutically acceptable salt.
(N-23) The compound according to any one of (n-1) to (n-5) above, or a pharmaceutically acceptable salt thereof, wherein ring Q is cyclopentene, dihydrofuran, or dihydropyrrole.
(N-24) The compound according to any one of the above (n-1) to (n-5), or a pharmaceutically acceptable salt thereof, wherein ring Q is cyclopentene or dihydrofuran.
(N-25)
The compound according to formula (I) and any one of the above (a) to (m), or a pharmaceutically acceptable salt thereof.
(n-26)
である、式(I)、上記(a)~(m)、(n-1)および(n-2)のいずれかに示される化合物またはその製薬上許容される塩。
(n-27)
である、式(I)、上記(a)~(m)、(n-1)および(n-2)のいずれかに示される化合物またはその製薬上許容される塩。
(n-28)
である、式(I)、上記(a)~(m)、(n-1)および(n-2)のいずれかに示される化合物またはその製薬上許容される塩。
(n-29) 環Qが、5員芳香族複素環である、上記(n-26)~(n-28)のいずれかに記載の化合物、またはその製薬上許容される塩。
(n-30) 環Qが、ピロール、ピラゾール、イミダゾール、またはトリアゾールである、上記(n-26)~(n-28)のいずれかに記載の化合物、またはその製薬上許容される塩。
(n-31) 環Qが、ピロール、ピラゾール、またはイミダゾールである、上記(n-26)~(n-28)のいずれかに記載の化合物、またはその製薬上許容される塩。
(n-32) 環Qが、ピラゾールである、上記(n-26)~(n-28)のいずれかに記載の化合物、またはその製薬上許容される塩。
(n-33)
である、式(I)、および上記(a)~(m)のいずれかに記載の化合物、またはその製薬上許容される塩。
(n-34)
である、式(I)、および上記(a)~(m)のいずれかに記載の化合物、またはその製薬上許容される塩。
(N-26)
A compound represented by the formula (I), any of the above (a) to (m), (n-1) and (n-2) or a pharmaceutically acceptable salt thereof.
(N-27)
A compound represented by the formula (I), any of the above (a) to (m), (n-1) and (n-2) or a pharmaceutically acceptable salt thereof.
(N-28)
A compound represented by the formula (I), any of the above (a) to (m), (n-1) and (n-2) or a pharmaceutically acceptable salt thereof.
(N-29) The compound according to any one of the above (n-26) to (n-28) or a pharmaceutically acceptable salt thereof, wherein ring Q is a 5-membered aromatic heterocycle.
(N-30) The compound according to any one of the above (n-26) to (n-28), or a pharmaceutically acceptable salt thereof, wherein ring Q is pyrrole, pyrazole, imidazole, or triazole.
(N-31) The compound according to any one of the above (n-26) to (n-28), or a pharmaceutically acceptable salt thereof, wherein ring Q is pyrrole, pyrazole or imidazole.
(N-32) The compound according to any one of the above (n-26) to (n-28), or a pharmaceutically acceptable salt thereof, wherein ring Q is pyrazole.
(N-33)
The compound according to formula (I) and any one of the above (a) to (m), or a pharmaceutically acceptable salt thereof.
(N-34)
The compound according to formula (I) and any one of the above (a) to (m), or a pharmaceutically acceptable salt thereof.
(o) 以下の(o-1)~(o-5)のいずれかに記載の化合物またはその製薬上許容される塩。
(o-1) R5が、それぞれ独立して、ハロゲン、置換若しくは非置換のアルキル、置換若しくは非置換のアルケニル、置換若しくは非置換のアルキニル、置換若しくは非置換の芳香族炭素環式基、置換若しくは非置換の非芳香族炭素環式基、置換若しくは非置換の芳香族複素環式基、または置換若しくは非置換の非芳香族複素環式基である、式(I)、および上記(a)~(n)のいずれかに示される化合物またはその製薬上許容される塩。
(o-2) R5が、それぞれ独立して、ハロゲン、置換若しくは非置換のアルキル、置換若しくは非置換のアルケニル、置換若しくは非置換のアルキニル、置換若しくは非置換の芳香族炭素環式基、または置換若しくは非置換の芳香族複素環式基である、式(I)、および上記(a)~(n)のいずれかに示される化合物またはその製薬上許容される塩。
(o-3) R5が、それぞれ独立して、ハロゲン、置換若しくは非置換のアルキル、置換若しくは非置換のアルケニル、置換若しくは非置換のアルキニル、または置換若しくは非置換の芳香族炭素環式基である、式(I)、および上記(a)~(n)のいずれかに示される化合物またはその製薬上許容される塩。
(o-4) R5が、それぞれ独立して、ハロゲン、置換若しくは非置換のアルキル、非置換のアルケニル、非置換のアルキニル、または非置換の芳香族炭素環式基である、式(I)、および上記(a)~(n)のいずれかに示される化合物またはその製薬上許容される塩。
(o-5) R5が、それぞれ独立して、ハロゲン;
ハロゲン、ヒドロキシ、シアノ、ホルミル、アルキルオキシイミノおよび芳香族炭素環式基から選択される1以上の基で置換されたアルキル;非置換のアルキル;
非置換のアルケニル;非置換のアルキニル;または非置換の芳香族炭素環式基である、式(I)、および上記(a)~(n)のいずれかに示される化合物またはその製薬上許容される塩。
(O) The compound according to any one of the following (o-1) to (o-5) or a pharmaceutically acceptable salt thereof.
(O-1) R 5 is each independently halogen, substituted or unsubstituted alkyl, substituted or unsubstituted alkenyl, substituted or unsubstituted alkynyl, substituted or unsubstituted aromatic carbocyclic group, substituted Or an unsubstituted non-aromatic carbocyclic group, a substituted or unsubstituted aromatic heterocyclic group, or a substituted or unsubstituted non-aromatic heterocyclic group, formula (I), and (a) above A compound represented by any one of (n) or a pharmaceutically acceptable salt thereof.
(O-2) each R 5 is independently halogen, substituted or unsubstituted alkyl, substituted or unsubstituted alkenyl, substituted or unsubstituted alkynyl, substituted or unsubstituted aromatic carbocyclic group, or A compound represented by formula (I), which is a substituted or unsubstituted aromatic heterocyclic group, and any one of the above (a) to (n) or a pharmaceutically acceptable salt thereof.
(O-3) R 5 is each independently halogen, substituted or unsubstituted alkyl, substituted or unsubstituted alkenyl, substituted or unsubstituted alkynyl, or substituted or unsubstituted aromatic carbocyclic group A compound represented by formula (I) and any one of the above (a) to (n) or a pharmaceutically acceptable salt thereof.
(O-4) Formula (I) wherein each R 5 is independently halogen, substituted or unsubstituted alkyl, unsubstituted alkenyl, unsubstituted alkynyl, or unsubstituted aromatic carbocyclic group And a compound represented by any one of the above (a) to (n) or a pharmaceutically acceptable salt thereof.
(O-5) R 5 is each independently halogen;
Alkyl substituted with one or more groups selected from halogen, hydroxy, cyano, formyl, alkyloxyimino and aromatic carbocyclic groups; unsubstituted alkyl;
An unsubstituted alkenyl; an unsubstituted alkynyl; or an unsubstituted aromatic carbocyclic group, a compound represented by formula (I) and any of the above (a) to (n) or a pharmaceutically acceptable salt thereof Salt.
(p) 以下の(p-1)~(p-3)のいずれかに記載の化合物またはその製薬上許容される塩。
(p-1) sが、0~3の整数である、式(I)、および上記(a)~(o)のいずれかに示される化合物またはその製薬上許容される塩。
(p-2) sが、0~2の整数である、式(I)、および上記(a)~(o)のいずれかに示される化合物またはその製薬上許容される塩。
(p-3) sが、0または1である、式(I)、および上記(a)~(o)のいずれかに示される化合物またはその製薬上許容される塩。
(P) The compound according to any one of the following (p-1) to (p-3) or a pharmaceutically acceptable salt thereof.
(P-1) A compound represented by formula (I) and any one of the above (a) to (o) or a pharmaceutically acceptable salt thereof, wherein s is an integer of 0 to 3.
(P-2) A compound represented by the formula (I) and any one of the above (a) to (o) or a pharmaceutically acceptable salt thereof, wherein s is an integer of 0 to 2.
(P-3) A compound represented by formula (I) and any one of the above (a) to (o) or a pharmaceutically acceptable salt thereof, wherein s is 0 or 1.
(q) 以下の(q-1)~(q-18)に記載の化合物またはその製薬上許容される塩。
(q-1) R3が、
(式中、R9aおよびR9bは、それぞれ独立して、ハロゲン、ヒドロキシ、カルボキシ、アミノ、カルバモイル、スルファモイル、スルホ、シアノ、置換若しくは非置換のアルキル、置換若しくは非置換のアルケニル、置換若しくは非置換のアルキニル、置換若しくは非置換のアルキルオキシ、置換若しくは非置換のアルケニルオキシ、置換若しくは非置換のアルキニルオキシ、置換若しくは非置換のアルキルスルファニル、置換若しくは非置換のアルケニルスルファニル、置換若しくは非置換のアルキニルスルファニル、置換若しくは非置換のアルキルアミノ、置換若しくは非置換のアルケニルアミノ、置換若しくは非置換のアルキニルアミノ、置換若しくは非置換のアルキルカルボニル、置換若しくは非置換のアルケニルカルボニル、置換若しくは非置換のアルキニルカルボニル、置換若しくは非置換のアルキルスルホニル、置換若しくは非置換のアルケニルスルホニル、置換若しくは非置換のアルキニルスルホニル、置換若しくは非置換のアルキルカルボニルオキシ、置換若しくは非置換のアルケニルカルボニルオキシ、置換若しくは非置換のアルキニルカルボニルオキシ、置換若しくは非置換のアルキルオキシカルボニル、置換若しくは非置換のアルケニルオキシカルボニル、置換若しくは非置換のアルキニルオキシカルボニル、置換若しくは非置換のアルキルスルホニルオキシ、置換若しくは非置換のアルケニルスルホニルオキシ、置換若しくは非置換のアルキニルスルホニルオキシ、置換若しくは非置換のアルキルオキシスルホニル、置換若しくは非置換のアルケニルオキシスルホニル、置換若しくは非置換のアルキニルオキシスルホニル、置換若しくは非置換のアルキルカルバモイル、置換若しくは非置換のアルケニルカルバモイル、置換若しくは非置換のアルキニルカルバモイル、置換若しくは非置換のアルキルスルファモイル、置換若しくは非置換のアルケニルスルファモイル、置換若しくは非置換のアルキニルスルファモイル、置換若しくは非置換のアルキルカルボニルアミノ、置換若しくは非置換のアルケニルカルボニルアミノ、置換若しくは非置換のアルキニルカルボニルアミノ、置換若しくは非置換のアルキルスルホニルアミノ、置換若しくは非置換のアルケニルスルホニルアミノ、置換若しくは非置換の芳香族炭素環式基、置換若しくは非置換の非芳香族炭素環式基、置換若しくは非置換の芳香族複素環式基、置換若しくは非置換の非芳香族複素環式基、置換若しくは非置換の芳香族炭素環オキシ、置換若しくは非置換の非芳香族炭素環オキシ、置換若しくは非置換の芳香族複素環オキシ、置換若しくは非置換の非芳香族複素環オキシ、置換若しくは非置換の芳香族炭素環アミノ、置換若しくは非置換の非芳香族炭素環アミノ、置換若しくは非置換の芳香族複素環アミノ、置換若しくは非置換の非芳香族複素環アミノ、置換若しくは非置換の芳香族炭素環スルファニル、置換若しくは非置換の非芳香族炭素環スルファニル、置換若しくは非置換の芳香族複素環スルファニル、置換若しくは非置換の非芳香族複素環スルファニル、置換若しくは非置換の芳香族炭素環カルボニル、置換若しくは非置換の非芳香族炭素環カルボニル、置換若しくは非置換の芳香族複素環カルボニル、置換若しくは非置換の非芳香族複素環カルボニル、置換若しくは非置換の芳香族炭素環スルホニル、置換若しくは非置換の非芳香族炭素環スルホニル、置換若しくは非置換の芳香族複素環スルホニル、置換若しくは非置換の非芳香族複素環スルホニル、置換若しくは非置換の芳香族炭素環カルボニルオキシ、置換若しくは非置換の非芳香族炭素環カルボニルオキシ、置換若しくは非置換の芳香族複素環カルボニルオキシ、置換若しくは非置換の非芳香族複素環カルボニルオキシ、置換若しくは非置換の芳香族炭素環オキシカルボニル、置換若しくは非置換の非芳香族炭素環オキシカルボニル、置換若しくは非置換の芳香族複素環オキシカルボニル、置換若しくは非置換の非芳香族複素環オキシカルボニル、置換若しくは非置換の芳香族炭素環スルホニルオキシ、置換若しくは非置換の非芳香族炭素環スルホニルオキシ、置換若しくは非置換の芳香族複素環スルホニルオキシ、置換若しくは非置換の非芳香族複素環スルホニルオキシ、置換若しくは非置換の芳香族炭素環オキシスルホニル、置換若しくは非置換の非芳香族炭素環オキシスルホニル、置換若しくは非置換の芳香族複素環オキシスルホニル、置換若しくは非置換の非芳香族複素環オキシスルホニル、置換若しくは非置換の芳香族炭素環カルバモイル、置換若しくは非置換の非芳香族炭素環カルバモイル、置換若しくは非置換の芳香族複素環カルバモイル、置換若しくは非置換の非芳香族複素環カルバモイル、置換若しくは非置換の芳香族炭素環スルファモイル、置換若しくは非置換の非芳香族炭素環スルファモイル、置換若しくは非置換の芳香族複素環スルファモイル、置換若しくは非置換の非芳香族複素環スルファモイル、置換若しくは非置換の芳香族炭素環カルボニルアミノ、置換若しくは非置換の非芳香族炭素環カルボニルアミノ、置換若しくは非置換の芳香族複素環カルボニルアミノ、置換若しくは非置換の非芳香族複素環カルボニルアミノ、置換若しくは非置換の芳香族炭素環スルホニルアミノ、置換若しくは非置換の非芳香族炭素環スルホニルアミノ、置換若しくは非置換の芳香族複素環スルホニルアミノ、置換若しくは非置換の非芳香族複素環スルホニルアミノ、置換若しくは非置換の芳香族炭素環オキシカルボニルアミノ、置換若しくは非置換の非芳香族炭素環オキシカルボニルアミノ、置換若しくは非置換の芳香族複素環オキシカルボニルアミノ、または置換若しくは非置換の非芳香族複素環オキシカルボニルアミノであり;
R10aおよびR10bは、それぞれ独立して、ハロゲン、ヒドロキシ、カルボキシ、アミノ、カルバモイル、スルファモイル、スルホ、シアノ、置換若しくは非置換のアルキル、置換若しくは非置換のアルケニル、置換若しくは非置換のアルキニル、置換若しくは非置換のアルキルオキシ、置換若しくは非置換のアルケニルオキシ、置換若しくは非置換のアルキニルオキシ、置換若しくは非置換のアルキルスルファニル、置換若しくは非置換のアルケニルスルファニル、置換若しくは非置換のアルキニルスルファニル、置換若しくは非置換のアルキルアミノ、置換若しくは非置換のアルケニルアミノ、置換若しくは非置換のアルキニルアミノ、置換若しくは非置換のアルキルカルボニル、置換若しくは非置換のアルケニルカルボニル、置換若しくは非置換のアルキニルカルボニル、置換若しくは非置換のアルキルスルホニル、置換若しくは非置換のアルケニルスルホニル、置換若しくは非置換のアルキニルスルホニル、置換若しくは非置換のアルキルカルボニルオキシ、置換若しくは非置換のアルケニルカルボニルオキシ、置換若しくは非置換のアルキニルカルボニルオキシ、置換若しくは非置換のアルキルオキシカルボニル、置換若しくは非置換のアルケニルオキシカルボニル、置換若しくは非置換のアルキニルオキシカルボニル、置換若しくは非置換のアルキルスルホニルオキシ、置換若しくは非置換のアルケニルスルホニルオキシ、置換若しくは非置換のアルキニルスルホニルオキシ、置換若しくは非置換のアルキルオキシスルホニル、置換若しくは非置換のアルケニルオキシスルホニル、置換若しくは非置換のアルキニルオキシスルホニル、置換若しくは非置換のアルキルカルバモイル、置換若しくは非置換のアルケニルカルバモイル、置換若しくは非置換のアルキニルカルバモイル、置換若しくは非置換のアルキルスルファモイル、置換若しくは非置換のアルケニルスルファモイル、置換若しくは非置換のアルキニルスルファモイル、置換若しくは非置換のアルキルカルボニルアミノ、置換若しくは非置換のアルケニルカルボニルアミノ、置換若しくは非置換のアルキニルカルボニルアミノ、置換若しくは非置換のアルキルスルホニルアミノ、置換若しくは非置換のアルケニルスルホニルアミノ、置換若しくは非置換のアルキニルスルホニルアミノ、置換若しくは非置換の芳香族炭素環式基、置換若しくは非置換の非芳香族炭素環式基、置換若しくは非置換の芳香族複素環式基、置換若しくは非置換の非芳香族複素環式基、置換若しくは非置換の芳香族炭素環オキシ、置換若しくは非置換の非芳香族炭素環オキシ、置換若しくは非置換の芳香族複素環オキシ、置換若しくは非置換の非芳香族複素環オキシ、置換若しくは非置換の芳香族炭素環アミノ、置換若しくは非置換の非芳香族炭素環アミノ、置換若しくは非置換の芳香族複素環アミノ、置換若しくは非置換の非芳香族複素環アミノ、置換若しくは非置換の芳香族炭素環スルファニル、置換若しくは非置換の非芳香族炭素環スルファニル、置換若しくは非置換の芳香族複素環スルファニル、置換若しくは非置換の非芳香族複素環スルファニル、置換若しくは非置換の芳香族炭素環カルボニル、置換若しくは非置換の非芳香族炭素環カルボニル、置換若しくは非置換の芳香族複素環カルボニル、置換若しくは非置換の非芳香族複素環カルボニル、置換若しくは非置換の芳香族炭素環スルホニル、置換若しくは非置換の非芳香族炭素環スルホニル、置換若しくは非置換の芳香族複素環スルホニル、置換若しくは非置換の非芳香族複素環スルホニル、置換若しくは非置換の芳香族炭素環カルボニルオキシ、置換若しくは非置換の非芳香族炭素環カルボニルオキシ、置換若しくは非置換の芳香族複素環カルボニルオキシ、置換若しくは非置換の非芳香族複素環カルボニルオキシ、置換若しくは非置換の芳香族炭素環オキシカルボニル、置換若しくは非置換の非芳香族炭素環オキシカルボニル、置換若しくは非置換の芳香族複素環オキシカルボニル、置換若しくは非置換の非芳香族複素環オキシカルボニル、置換若しくは非置換の芳香族炭素環スルホニルオキシ、置換若しくは非置換の非芳香族炭素環スルホニルオキシ、置換若しくは非置換の芳香族複素環スルホニルオキシ、置換若しくは非置換の非芳香族複素環スルホニルオキシ、置換若しくは非置換の芳香族炭素環オキシスルホニル、置換若しくは非置換の非芳香族炭素環オキシスルホニル、置換若しくは非置換の芳香族複素環オキシスルホニル、置換若しくは非置換の非芳香族複素環オキシスルホニル、置換若しくは非置換の芳香族炭素環カルバモイル、置換若しくは非置換の非芳香族炭素環カルバモイル、置換若しくは非置換の芳香族複素環カルバモイル、置換若しくは非置換の非芳香族複素環カルバモイル、置換若しくは非置換の芳香族炭素環スルファモイル、置換若しくは非置換の非芳香族炭素環スルファモイル、置換若しくは非置換の芳香族複素環スルファモイル、置換若しくは非置換の非芳香族複素環スルファモイル、置換若しくは非置換の芳香族炭素環カルボニルアミノ、置換若しくは非置換の非芳香族炭素環カルボニルアミノ、置換若しくは非置換の芳香族複素環カルボニルアミノ、置換若しくは非置換の非芳香族複素環カルボニルアミノ、置換若しくは非置換の芳香族炭素環スルホニルアミノ、置換若しくは非置換の非芳香族炭素環スルホニルアミノ、置換若しくは非置換の芳香族複素環スルホニルアミノ、置換若しくは非置換の非芳香族複素環スルホニルアミノ、置換若しくは非置換の芳香族炭素環オキシカルボニルアミノ、置換若しくは非置換の非芳香族炭素環オキシカルボニルアミノ、置換若しくは非置換の芳香族複素環オキシカルボニルアミノ、または置換若しくは非置換の非芳香族複素環オキシカルボニルアミノであり;
p1は、0~3の整数であり;
p2は、0~2の整数である)で示される基である、式(I)、および上記(a)~(p)のいずれかに示される化合物またはその製薬上許容される塩。
(q-2) R3が、
である、上記(q-1)に示される化合物またはその製薬上許容される塩。
(Q) A compound described in the following (q-1) to (q-18) or a pharmaceutically acceptable salt thereof.
(Q-1) R 3 is
Wherein R 9a and R 9b are each independently halogen, hydroxy, carboxy, amino, carbamoyl, sulfamoyl, sulfo, cyano, substituted or unsubstituted alkyl, substituted or unsubstituted alkenyl, substituted or unsubstituted Alkynyl, substituted or unsubstituted alkyloxy, substituted or unsubstituted alkenyloxy, substituted or unsubstituted alkynyloxy, substituted or unsubstituted alkylsulfanyl, substituted or unsubstituted alkenylsulfanyl, substituted or unsubstituted alkynylsulfanyl Substituted, unsubstituted alkylamino, substituted or unsubstituted alkenylamino, substituted or unsubstituted alkynylamino, substituted or unsubstituted alkylcarbonyl, substituted or unsubstituted alkenylcarbonyl Substituted or unsubstituted alkynylcarbonyl, substituted or unsubstituted alkylsulfonyl, substituted or unsubstituted alkenylsulfonyl, substituted or unsubstituted alkynylsulfonyl, substituted or unsubstituted alkylcarbonyloxy, substituted or unsubstituted alkenylcarbonyloxy, Substituted or unsubstituted alkynylcarbonyloxy, substituted or unsubstituted alkyloxycarbonyl, substituted or unsubstituted alkenyloxycarbonyl, substituted or unsubstituted alkynyloxycarbonyl, substituted or unsubstituted alkylsulfonyloxy, substituted or unsubstituted Alkenylsulfonyloxy, substituted or unsubstituted alkynylsulfonyloxy, substituted or unsubstituted alkyloxysulfonyl, substituted or unsubstituted alkenyl Ruoxysulfonyl, substituted or unsubstituted alkynyloxysulfonyl, substituted or unsubstituted alkylcarbamoyl, substituted or unsubstituted alkenylcarbamoyl, substituted or unsubstituted alkynylcarbamoyl, substituted or unsubstituted alkylsulfamoyl, substituted or unsubstituted Substituted alkenylsulfamoyl, substituted or unsubstituted alkynylsulfamoyl, substituted or unsubstituted alkylcarbonylamino, substituted or unsubstituted alkenylcarbonylamino, substituted or unsubstituted alkynylcarbonylamino, substituted or unsubstituted alkyl Sulfonylamino, substituted or unsubstituted alkenylsulfonylamino, substituted or unsubstituted aromatic carbocyclic group, substituted or unsubstituted non-aromatic carbocyclic group, substituted or unsubstituted Aromatic heterocyclic group, substituted or unsubstituted non-aromatic heterocyclic group, substituted or unsubstituted aromatic carbocyclic oxy, substituted or unsubstituted non-aromatic carbocyclic oxy, substituted or unsubstituted aromatic Heterocyclic oxy, substituted or unsubstituted non-aromatic heterocyclic oxy, substituted or unsubstituted aromatic carbocyclic amino, substituted or unsubstituted non-aromatic carbocyclic amino, substituted or unsubstituted aromatic heterocyclic amino, Substituted or unsubstituted non-aromatic heterocyclic amino, substituted or unsubstituted aromatic carbocyclic sulfanyl, substituted or unsubstituted non-aromatic carbocyclic sulfanyl, substituted or unsubstituted aromatic heterocyclic sulfanyl, substituted or unsubstituted A non-aromatic heterocyclic sulfanyl, a substituted or unsubstituted aromatic carbocyclic carbonyl, a substituted or unsubstituted non-aromatic carbocyclic carbonyl, Substituted or unsubstituted aromatic heterocyclic carbonyl, substituted or unsubstituted non-aromatic heterocyclic carbonyl, substituted or unsubstituted aromatic carbocyclic sulfonyl, substituted or unsubstituted non-aromatic carbocyclic sulfonyl, substituted or unsubstituted Aromatic heterocyclic sulfonyl, substituted or unsubstituted non-aromatic heterocyclic sulfonyl, substituted or unsubstituted aromatic carbocyclic carbonyloxy, substituted or unsubstituted non-aromatic carbocyclic carbonyloxy, substituted or unsubstituted fragrance Aromatic heterocyclic carbonyloxy, substituted or unsubstituted non-aromatic heterocyclic carbonyloxy, substituted or unsubstituted aromatic carbocyclic oxycarbonyl, substituted or unsubstituted non-aromatic carbocyclic oxycarbonyl, substituted or unsubstituted aromatic Heterocyclic oxycarbonyl, substituted or unsubstituted non-aromatic heterocyclic oxycarbonyl Rubonyl, substituted or unsubstituted aromatic carbocyclic sulfonyloxy, substituted or unsubstituted non-aromatic carbocyclic sulfonyloxy, substituted or unsubstituted aromatic heterocyclic sulfonyloxy, substituted or unsubstituted non-aromatic heterocyclic sulfonyl Oxy, substituted or unsubstituted aromatic carbocyclic oxysulfonyl, substituted or unsubstituted non-aromatic carbocyclic oxysulfonyl, substituted or unsubstituted aromatic heterocyclic oxysulfonyl, substituted or unsubstituted non-aromatic heterocyclic oxy Sulfonyl, substituted or unsubstituted aromatic carbocyclic carbamoyl, substituted or unsubstituted non-aromatic carbocyclic carbamoyl, substituted or unsubstituted aromatic heterocyclic carbamoyl, substituted or unsubstituted non-aromatic heterocyclic carbamoyl, substituted or Unsubstituted aromatic carbocyclic sulfamoyl, substituted or Substituted non-aromatic carbocyclic sulfamoyl, substituted or unsubstituted aromatic heterocyclic sulfamoyl, substituted or unsubstituted non-aromatic heterocyclic sulfamoyl, substituted or unsubstituted aromatic carbocyclic carbonylamino, substituted or unsubstituted non-substituted Aromatic carbocyclic carbonylamino, substituted or unsubstituted aromatic heterocyclic carbonylamino, substituted or unsubstituted non-aromatic heterocyclic carbonylamino, substituted or unsubstituted aromatic carbocyclic sulfonylamino, substituted or unsubstituted non-substituted Aromatic carbocyclic sulfonylamino, substituted or unsubstituted aromatic heterocyclic sulfonylamino, substituted or unsubstituted nonaromatic heterocyclic sulfonylamino, substituted or unsubstituted aromatic carbocyclic oxycarbonylamino, substituted or unsubstituted Non-aromatic carbocyclic oxycarbonylamino, substituted It is unsubstituted aromatic heterocyclic oxycarbonyl amino or a substituted or unsubstituted non-aromatic heterocyclic oxycarbonyl amino;
R 10a and R 10b are each independently halogen, hydroxy, carboxy, amino, carbamoyl, sulfamoyl, sulfo, cyano, substituted or unsubstituted alkyl, substituted or unsubstituted alkenyl, substituted or unsubstituted alkynyl, substituted Or unsubstituted alkyloxy, substituted or unsubstituted alkenyloxy, substituted or unsubstituted alkynyloxy, substituted or unsubstituted alkylsulfanyl, substituted or unsubstituted alkenylsulfanyl, substituted or unsubstituted alkynylsulfanyl, substituted or unsubstituted Substituted alkylamino, substituted or unsubstituted alkenylamino, substituted or unsubstituted alkynylamino, substituted or unsubstituted alkylcarbonyl, substituted or unsubstituted alkenylcarbonyl, Or unsubstituted alkynylcarbonyl, substituted or unsubstituted alkylsulfonyl, substituted or unsubstituted alkenylsulfonyl, substituted or unsubstituted alkynylsulfonyl, substituted or unsubstituted alkylcarbonyloxy, substituted or unsubstituted alkenylcarbonyloxy, substituted Or unsubstituted alkynylcarbonyloxy, substituted or unsubstituted alkyloxycarbonyl, substituted or unsubstituted alkenyloxycarbonyl, substituted or unsubstituted alkynyloxycarbonyl, substituted or unsubstituted alkylsulfonyloxy, substituted or unsubstituted alkenyl Sulfonyloxy, substituted or unsubstituted alkynylsulfonyloxy, substituted or unsubstituted alkyloxysulfonyl, substituted or unsubstituted alkenyloxy Xylsulfonyl, substituted or unsubstituted alkynyloxysulfonyl, substituted or unsubstituted alkylcarbamoyl, substituted or unsubstituted alkenylcarbamoyl, substituted or unsubstituted alkynylcarbamoyl, substituted or unsubstituted alkylsulfamoyl, substituted or unsubstituted Alkenylsulfamoyl, substituted or unsubstituted alkynylsulfamoyl, substituted or unsubstituted alkylcarbonylamino, substituted or unsubstituted alkenylcarbonylamino, substituted or unsubstituted alkynylcarbonylamino, substituted or unsubstituted alkylsulfonyl Amino, substituted or unsubstituted alkenylsulfonylamino, substituted or unsubstituted alkynylsulfonylamino, substituted or unsubstituted aromatic carbocyclic group, substituted or unsubstituted Substituted non-aromatic carbocyclic group, substituted or unsubstituted aromatic heterocyclic group, substituted or unsubstituted non-aromatic heterocyclic group, substituted or unsubstituted aromatic carbocyclic oxy, substituted or unsubstituted Non-aromatic carbocyclic oxy, substituted or unsubstituted aromatic heterocyclic oxy, substituted or unsubstituted non-aromatic heterocyclic oxy, substituted or unsubstituted aromatic carbocyclic amino, substituted or unsubstituted non-aromatic Carbocyclic amino, substituted or unsubstituted aromatic heterocyclic amino, substituted or unsubstituted non-aromatic heterocyclic amino, substituted or unsubstituted aromatic carbocyclic sulfanyl, substituted or unsubstituted non-aromatic carbocyclic sulfanyl, Substituted or unsubstituted aromatic heterocyclic sulfanyl, substituted or unsubstituted non-aromatic heterocyclic sulfanyl, substituted or unsubstituted aromatic carbocyclic carbonyl, substituted Or unsubstituted non-aromatic carbocyclic carbonyl, substituted or unsubstituted aromatic heterocyclic carbonyl, substituted or unsubstituted non-aromatic heterocyclic carbonyl, substituted or unsubstituted aromatic carbocyclic sulfonyl, substituted or unsubstituted Non-aromatic carbocyclic sulfonyl, substituted or unsubstituted aromatic heterocyclic sulfonyl, substituted or unsubstituted non-aromatic heterocyclic sulfonyl, substituted or unsubstituted aromatic carbocyclic carbonyloxy, substituted or unsubstituted non-aromatic Carbocyclic carbonyloxy, substituted or unsubstituted aromatic heterocyclic carbonyloxy, substituted or unsubstituted non-aromatic heterocyclic carbonyloxy, substituted or unsubstituted aromatic carbocyclic oxycarbonyl, substituted or unsubstituted non-aromatic Carbocyclic oxycarbonyl, substituted or unsubstituted aromatic heterocyclic oxycarbonyl Substituted or unsubstituted non-aromatic heterocyclic oxycarbonyl, substituted or unsubstituted aromatic carbocyclic sulfonyloxy, substituted or unsubstituted non-aromatic carbocyclic sulfonyloxy, substituted or unsubstituted aromatic heterocyclic sulfonyloxy Substituted or unsubstituted non-aromatic heterocyclic sulfonyloxy, substituted or unsubstituted aromatic carbocyclic oxysulfonyl, substituted or unsubstituted non-aromatic carbocyclic oxysulfonyl, substituted or unsubstituted aromatic heterocyclic oxysulfonyl Substituted or unsubstituted non-aromatic heterocyclic oxysulfonyl, substituted or unsubstituted aromatic carbocyclic carbamoyl, substituted or unsubstituted non-aromatic carbocyclic carbamoyl, substituted or unsubstituted aromatic heterocyclic carbamoyl, substituted or Unsubstituted non-aromatic heterocyclic carbamoyl, substituted or unsubstituted Aromatic carbocyclic sulfamoyl, substituted or unsubstituted non-aromatic carbocyclic sulfamoyl, substituted or unsubstituted aromatic heterocyclic sulfamoyl, substituted or unsubstituted non-aromatic heterocyclic sulfamoyl, substituted or unsubstituted aromatic carbon Ring carbonylamino, substituted or unsubstituted non-aromatic carbocyclic amino, substituted or unsubstituted aromatic heterocyclic carbonylamino, substituted or unsubstituted non-aromatic heterocyclic carbonylamino, substituted or unsubstituted aromatic carbon Ring sulfonylamino, substituted or unsubstituted non-aromatic carbocyclic sulfonylamino, substituted or unsubstituted aromatic heterocyclic sulfonylamino, substituted or unsubstituted non-aromatic heterocyclic sulfonylamino, substituted or unsubstituted aromatic carbon Ring oxycarbonylamino, substituted or unsubstituted Aromatic carbon ring-oxy carbonylamino, substituted or unsubstituted aromatic heterocyclic oxycarbonyl amino or a substituted or unsubstituted non-aromatic heterocyclic oxycarbonyl amino;
p1 is an integer from 0 to 3;
p2 is a group represented by formula (I), and a compound represented by any one of the above (a) to (p) or a pharmaceutically acceptable salt thereof.
(Q-2) R 3 is
The compound represented by (q-1) above or a pharmaceutically acceptable salt thereof.
(q-3) R10aおよびR10bが、それぞれ独立して、ハロゲン、ヒドロキシ、アミノ、カルバモイル、シアノ、置換若しくは非置換のアルキル、置換若しくは非置換のアルケニル、置換若しくは非置換のアルキニル、置換若しくは非置換のアルキルオキシ、置換若しくは非置換のアルケニルオキシ、置換若しくは非置換のアルキニルオキシ、置換若しくは非置換のアルキルスルファニル、置換若しくは非置換のアルケニルスルファニル、置換若しくは非置換のアルキニルスルファニル、置換若しくは非置換のアルキルアミノ、置換若しくは非置換のアルケニルアミノ、置換若しくは非置換のアルキニルアミノ、置換若しくは非置換のアルキルカルボニル、置換若しくは非置換のアルケニルカルボニル、置換若しくは非置換のアルキニルカルボニル、置換若しくは非置換のアルキルスルホニル、置換若しくは非置換のアルケニルスルホニル、置換若しくは非置換のアルキニルスルホニル、置換若しくは非置換のアルキルオキシカルボニル、置換若しくは非置換のアルケニルオキシカルボニル、置換若しくは非置換のアルキニルオキシカルボニル、置換若しくは非置換のアルキルオキシスルホニル、置換若しくは非置換のアルケニルオキシスルホニル、置換若しくは非置換のアルキニルオキシスルホニル、置換若しくは非置換の芳香族炭素環式基、置換若しくは非置換の非芳香族炭素環式基、置換若しくは非置換の芳香族複素環式基、置換若しくは非置換の非芳香族複素環式基、置換若しくは非置換の芳香族炭素環オキシ、置換若しくは非置換の非芳香族炭素環オキシ、置換若しくは非置換の芳香族複素環オキシ、置換若しくは非置換の非芳香族複素環オキシ、置換若しくは非置換の芳香族炭素環アミノ、置換若しくは非置換の非芳香族炭素環アミノ、置換若しくは非置換の芳香族複素環アミノ、置換若しくは非置換の非芳香族複素環アミノ、置換若しくは非置換の芳香族炭素環スルファニル、置換若しくは非置換の非芳香族炭素環スルファニル、置換若しくは非置換の芳香族複素環スルファニル、または置換若しくは非置換の非芳香族複素環スルファニルである、上記(q-1)または(q-2)に示される化合物またはその製薬上許容される塩。
(q-4) R10aおよびR10bが、それぞれ独立して、ハロゲン、シアノ、置換若しくは非置換のアルキル、置換若しくは非置換のアルケニル、置換若しくは非置換のアルキニル、置換若しくは非置換のアルキルオキシ、置換若しくは非置換のアルケニルオキシ、置換若しくは非置換のアルキニルオキシ、置換若しくは非置換のアルキルカルボニル、置換若しくは非置換のアルケニルカルボニル、置換若しくは非置換のアルキニルカルボニル、置換若しくは非置換のアルキルスルホニル、置換若しくは非置換のアルケニルスルホニル、置換若しくは非置換のアルキニルスルホニル、置換若しくは非置換の芳香族炭素環式基、置換若しくは非置換の非芳香族炭素環式基、置換若しくは非置換の芳香族複素環式基、置換若しくは非置換の非芳香族複素環式基、置換若しくは非置換の芳香族炭素環オキシ、置換若しくは非置換の非芳香族炭素環オキシ、置換若しくは非置換の芳香族複素環オキシ、または置換若しくは非置換の非芳香族複素環オキシである、上記(q-1)または(q-2)に示される化合物またはその製薬上許容される塩。
(q-5) R10aおよびR10bが、それぞれ独立して、ハロゲン、置換若しくは非置換のアルキル、置換若しくは非置換のアルケニル、置換若しくは非置換のアルキニル、置換若しくは非置換のアルキルオキシ、置換若しくは非置換のアルケニルオキシ、置換若しくは非置換のアルキニルオキシ、置換若しくは非置換のアルキルカルボニル、置換若しくは非置換のアルケニルカルボニル、置換若しくは非置換のアルキニルカルボニル、置換若しくは非置換のアルキルスルホニル、置換若しくは非置換のアルケニルスルホニル、置換若しくは非置換のアルキニルスルホニル、置換若しくは非置換の芳香族炭素環式基、置換若しくは非置換の非芳香族炭素環式基、置換若しくは非置換の芳香族複素環式基、置換若しくは非置換の非芳香族複素環式基、置換若しくは非置換の芳香族炭素環オキシ、置換若しくは非置換の非芳香族炭素環オキシ、置換若しくは非置換の芳香族複素環オキシ、または置換若しくは非置換の非芳香族複素環オキシである、上記(q-1)または(q-2)に示される化合物またはその製薬上許容される塩。
(Q-3) R 10a and R 10b are each independently halogen, hydroxy, amino, carbamoyl, cyano, substituted or unsubstituted alkyl, substituted or unsubstituted alkenyl, substituted or unsubstituted alkynyl, substituted or Unsubstituted alkyloxy, substituted or unsubstituted alkenyloxy, substituted or unsubstituted alkynyloxy, substituted or unsubstituted alkylsulfanyl, substituted or unsubstituted alkenylsulfanyl, substituted or unsubstituted alkynylsulfanyl, substituted or unsubstituted Alkylamino, substituted or unsubstituted alkenylamino, substituted or unsubstituted alkynylamino, substituted or unsubstituted alkylcarbonyl, substituted or unsubstituted alkenylcarbonyl, substituted or unsubstituted alkynyl Carbonyl, substituted or unsubstituted alkylsulfonyl, substituted or unsubstituted alkenylsulfonyl, substituted or unsubstituted alkynylsulfonyl, substituted or unsubstituted alkyloxycarbonyl, substituted or unsubstituted alkenyloxycarbonyl, substituted or unsubstituted alkynyl Oxycarbonyl, substituted or unsubstituted alkyloxysulfonyl, substituted or unsubstituted alkenyloxysulfonyl, substituted or unsubstituted alkynyloxysulfonyl, substituted or unsubstituted aromatic carbocyclic group, substituted or unsubstituted non-aromatic Carbocyclic group, substituted or unsubstituted aromatic heterocyclic group, substituted or unsubstituted non-aromatic heterocyclic group, substituted or unsubstituted aromatic carbocyclic oxy, substituted or unsubstituted non-aromatic carbon Ring oxy, substituted Or unsubstituted aromatic heterocyclic oxy, substituted or unsubstituted non-aromatic heterocyclic oxy, substituted or unsubstituted aromatic carbocyclic amino, substituted or unsubstituted non-aromatic carbocyclic amino, substituted or unsubstituted Aromatic heterocyclic amino, substituted or unsubstituted non-aromatic heterocyclic amino, substituted or unsubstituted aromatic carbocyclic sulfanyl, substituted or unsubstituted non-aromatic carbocyclic sulfanyl, substituted or unsubstituted aromatic heterocyclic A compound represented by the above (q-1) or (q-2) or a pharmaceutically acceptable salt thereof, which is a ring sulfanyl, or a substituted or unsubstituted non-aromatic heterocyclic sulfanyl.
(Q-4) R 10a and R 10b are each independently halogen, cyano, substituted or unsubstituted alkyl, substituted or unsubstituted alkenyl, substituted or unsubstituted alkynyl, substituted or unsubstituted alkyloxy, Substituted or unsubstituted alkenyloxy, substituted or unsubstituted alkynyloxy, substituted or unsubstituted alkylcarbonyl, substituted or unsubstituted alkenylcarbonyl, substituted or unsubstituted alkynylcarbonyl, substituted or unsubstituted alkylsulfonyl, substituted or Unsubstituted alkenylsulfonyl, substituted or unsubstituted alkynylsulfonyl, substituted or unsubstituted aromatic carbocyclic group, substituted or unsubstituted nonaromatic carbocyclic group, substituted or unsubstituted aromatic heterocyclic group , Substituted or unsubstituted Aromatic heterocyclic group, substituted or unsubstituted aromatic carbocyclic oxy, substituted or unsubstituted non-aromatic carbocyclic oxy, substituted or unsubstituted aromatic heterocyclic oxy, or substituted or unsubstituted non-aromatic The compound represented by the above (q-1) or (q-2) or a pharmaceutically acceptable salt thereof which is heterocyclic oxy.
(Q-5) R 10a and R 10b are each independently halogen, substituted or unsubstituted alkyl, substituted or unsubstituted alkenyl, substituted or unsubstituted alkynyl, substituted or unsubstituted alkyloxy, substituted or Unsubstituted alkenyloxy, substituted or unsubstituted alkynyloxy, substituted or unsubstituted alkylcarbonyl, substituted or unsubstituted alkenylcarbonyl, substituted or unsubstituted alkynylcarbonyl, substituted or unsubstituted alkylsulfonyl, substituted or unsubstituted Alkenylsulfonyl, substituted or unsubstituted alkynylsulfonyl, substituted or unsubstituted aromatic carbocyclic group, substituted or unsubstituted nonaromatic carbocyclic group, substituted or unsubstituted aromatic heterocyclic group, substituted Or unsubstituted non-aromatic compounds Cyclic group, substituted or unsubstituted aromatic carbocyclic oxy, substituted or unsubstituted non-aromatic carbocyclic oxy, substituted or unsubstituted aromatic heterocyclic oxy, or substituted or unsubstituted non-aromatic heterocyclic oxy The compound represented by the above (q-1) or (q-2) or a pharmaceutically acceptable salt thereof.
(q-6) R10aおよびR10bが、それぞれ独立して、ハロゲン、シアノ、置換若しくは非置換のアルキル、置換若しくは非置換のアルケニル、置換若しくは非置換のアルキニル、置換若しくは非置換のアルキルオキシ、置換若しくは非置換のアルケニルオキシ、置換若しくは非置換のアルキニルオキシ、置換若しくは非置換のアルキルスルホニル、置換若しくは非置換のアルケニルスルホニル、置換若しくは非置換のアルキニルスルホニル、置換若しくは非置換の芳香族炭素環式基、置換若しくは非置換の非芳香族炭素環式基、置換若しくは非置換の芳香族複素環式基、または置換若しくは非置換の非芳香族複素環式基である、上記(q-1)または(q-2)に示される化合物またはその製薬上許容される塩。
(q-7) R10aおよびR10bが、それぞれ独立して、ハロゲン、置換若しくは非置換のアルキル、置換若しくは非置換のアルケニル、置換若しくは非置換のアルキニル、置換若しくは非置換のアルキルオキシ、置換若しくは非置換のアルケニルオキシ、置換若しくは非置換のアルキニルオキシ、置換若しくは非置換のアルキルスルホニル、置換若しくは非置換のアルケニルスルホニル、置換若しくは非置換のアルキニルスルホニル、置換若しくは非置換の芳香族炭素環式基、置換若しくは非置換の非芳香族炭素環式基、置換若しくは非置換の芳香族複素環式基、または置換若しくは非置換の非芳香族複素環式基である、上記(q-1)または(q-2)に示される化合物またはその製薬上許容される塩。
(q-8) R10aおよびR10bが、それぞれ独立して、ハロゲン、シアノ、置換若しくは非置換のアルキル、置換若しくは非置換のアルキルオキシ、置換若しくは非置換のアルキルスルホニル、または置換若しくは非置換の非芳香族複素環式基である、上記(q-1)または(q-2)に示される化合物またはその製薬上許容される塩。
(q-9) R10aおよびR10bが、それぞれ独立して、ハロゲン、置換若しくは非置換のアルキル、置換若しくは非置換のアルキルオキシ、置換若しくは非置換のアルキルスルホニル、または置換若しくは非置換の非芳香族複素環式基である、上記(q-1)または(q-2)に示される化合物またはその製薬上許容される塩。
(q-10) R10aおよびR10bが、それぞれ独立して、ハロゲン;シアノ;非置換のアルキル;ヒドロキシで置換されたアルキル;非置換のアルキルオキシ;非置換のアルキルスルホニル;非置換の非芳香族複素環式基;またはアルキルから選択される1以上の基で置換された非芳香族複素環式基である、上記(q-1)または(q-2)に示される化合物またはその製薬上許容される塩。
(q-11) R10aおよびR10bが、それぞれ独立して、ハロゲン;非置換のアルキル;非置換のアルキルオキシ;非置換のアルキルスルホニル;非置換の非芳香族複素環式基;またはアルキルから選択される1以上の基で置換された非芳香族複素環式基である、上記(q-1)または(q-2)に示される化合物またはその製薬上許容される塩。
(q-12) R10aおよびR10bが、それぞれ独立して、ハロゲン;アルキル;ハロアルキル;アルキルオキシ;またはハロアルキルオキシである、上記(q-1)または(q-2)に示される化合物またはその製薬上許容される塩。
(Q-6) R 10a and R 10b are each independently halogen, cyano, substituted or unsubstituted alkyl, substituted or unsubstituted alkenyl, substituted or unsubstituted alkynyl, substituted or unsubstituted alkyloxy, Substituted or unsubstituted alkenyloxy, substituted or unsubstituted alkynyloxy, substituted or unsubstituted alkylsulfonyl, substituted or unsubstituted alkenylsulfonyl, substituted or unsubstituted alkynylsulfonyl, substituted or unsubstituted aromatic carbocyclic (Q-1) or a group which is a group, a substituted or unsubstituted non-aromatic carbocyclic group, a substituted or unsubstituted aromatic heterocyclic group, or a substituted or unsubstituted non-aromatic heterocyclic group A compound represented by (q-2) or a pharmaceutically acceptable salt thereof.
(Q-7) R 10a and R 10b are each independently halogen, substituted or unsubstituted alkyl, substituted or unsubstituted alkenyl, substituted or unsubstituted alkynyl, substituted or unsubstituted alkyloxy, substituted or Unsubstituted alkenyloxy, substituted or unsubstituted alkynyloxy, substituted or unsubstituted alkylsulfonyl, substituted or unsubstituted alkenylsulfonyl, substituted or unsubstituted alkynylsulfonyl, substituted or unsubstituted aromatic carbocyclic group, (Q-1) or (q) which is a substituted or unsubstituted non-aromatic carbocyclic group, a substituted or unsubstituted aromatic heterocyclic group, or a substituted or unsubstituted non-aromatic heterocyclic group -2) or a pharmaceutically acceptable salt thereof.
(Q-8) R 10a and R 10b are each independently halogen, cyano, substituted or unsubstituted alkyl, substituted or unsubstituted alkyloxy, substituted or unsubstituted alkylsulfonyl, or substituted or unsubstituted A compound represented by the above (q-1) or (q-2) which is a non-aromatic heterocyclic group, or a pharmaceutically acceptable salt thereof.
(Q-9) R 10a and R 10b are each independently halogen, substituted or unsubstituted alkyl, substituted or unsubstituted alkyloxy, substituted or unsubstituted alkylsulfonyl, or substituted or unsubstituted non-aromatic Or a pharmaceutically acceptable salt thereof, which is a heterocyclic group, or a compound represented by the above (q-1) or (q-2).
(Q-10) R 10a and R 10b are each independently halogen; cyano; unsubstituted alkyl; alkyl substituted with hydroxy; unsubstituted alkyloxy; unsubstituted alkylsulfonyl; unsubstituted non-aromatic A compound represented by the above (q-1) or (q-2) or a pharmaceutically acceptable salt thereof, which is a non-aromatic heterocyclic group substituted with one or more groups selected from an alkyl group; Acceptable salt.
(Q-11) R 10a and R 10b are each independently halogen; unsubstituted alkyl; unsubstituted alkyloxy; unsubstituted alkylsulfonyl; unsubstituted non-aromatic heterocyclic group; or alkyl The compound represented by the above (q-1) or (q-2) or a pharmaceutically acceptable salt thereof, which is a non-aromatic heterocyclic group substituted with one or more selected groups.
(Q-12) The compound represented by (q-1) or (q-2) above, wherein R 10a and R 10b are each independently halogen; alkyl; haloalkyl; alkyloxy; Pharmaceutically acceptable salt.
(q-13) p1が1または2である、上記(q-1)~(q-12)のいずれかに示される化合物またはその製薬上許容される塩。
(q-14) p1が2である、上記(q-1)~(q-12)のいずれかに示される化合物またはその製薬上許容される塩。
(q-15) p1が1である、上記(q-1)~(q-12)のいずれかに示される化合物またはその製薬上許容される塩。
(q-16) p1が0である、上記(q-1)~(q-12)のいずれかに示される化合物またはその製薬上許容される塩。
(q-17) p2が1である、上記(q-1)~(q-15)のいずれかに示される化合物またはその製薬上許容される塩。
(q-18) p2が0である、上記(q-1)~(q-15)のいずれかに示される化合物またはその製薬上許容される塩。
(Q-13) The compound or a pharmaceutically acceptable salt thereof according to any one of (q-1) to (q-12) above, wherein p1 is 1 or 2.
(Q-14) The compound represented by any one of the above (q-1) to (q-12) or a pharmaceutically acceptable salt thereof, wherein p1 is 2.
(Q-15) The compound represented by any one of the above (q-1) to (q-12) or a pharmaceutically acceptable salt thereof, wherein p1 is 1.
(Q-16) The compound or a pharmaceutically acceptable salt thereof according to any one of (q-1) to (q-12) above, wherein p1 is 0.
(Q-17) The compound represented by any one of the above (q-1) to (q-15) or a pharmaceutically acceptable salt thereof, wherein p2 is 1.
(Q-18) The compound or a pharmaceutically acceptable salt thereof according to any one of (q-1) to (q-15) above, wherein p2 is 0.
(r) 以下の(r-1)~(r-11)のいずれかに記載の化合物またはその製薬上許容される塩。
(r-1) R3が、
(式中、環F1は、置換若しくは非置換の5員非芳香族炭素環、置換若しくは非置換の5員芳香族複素環、または置換若しくは非置換の5員非芳香族複素環であり、
環G1は、置換若しくは非置換の6員芳香族炭素環、置換若しくは非置換の6員非芳香族炭素環、置換若しくは非置換の6員芳香族複素環、または置換若しくは非置換の6員非芳香族複素環であり、
p1bは、0または1であり、
R9aおよびR9bは、上記(q-1)と同意義であり;
R10a1は、上記(q-1)のR10aと同意義である)で示される基である、式(I)、および上記(a)~(p)のいずれかに示される化合物またはその製薬上許容される塩。
上記のR3における定義において、R10a1は環B上の置換基であることを意味する。
(r-2) R3が、
である、式(I)、および上記(a)~(p)のいずれかに示される化合物またはその製薬上許容される塩。
(R) The compound according to any one of the following (r-1) to (r-11) or a pharmaceutically acceptable salt thereof.
(R-1) R 3 is
(In the formula, ring F1 is a substituted or unsubstituted 5-membered non-aromatic carbocyclic ring, a substituted or unsubstituted 5-membered aromatic heterocyclic ring, or a substituted or unsubstituted 5-membered non-aromatic heterocyclic ring;
Ring G1 is a substituted or unsubstituted 6-membered aromatic carbocyclic ring, a substituted or unsubstituted 6-membered non-aromatic carbocyclic ring, a substituted or unsubstituted 6-membered aromatic heterocyclic ring, or a substituted or unsubstituted 6-membered non-membered ring. An aromatic heterocycle,
p1b is 0 or 1,
R 9a and R 9b are as defined above (q-1);
R 10a1, said a group represented by R 10a and are as defined) of (q-1), formula (I), and the (a) ~ any compound or a pharmaceutically shown in the (p) Top acceptable salt.
In the definition of R 3 above, R 10a1 means a substituent on ring B.
(R-2) R 3 is
A compound represented by formula (I) and any one of the above (a) to (p) or a pharmaceutically acceptable salt thereof.
(r-3) 環F1が、置換若しくは非置換のシクロペンテン、置換若しくは非置換のフラン、置換若しくは非置換のチオフェン、置換若しくは非置換のピロール、置換若しくは非置換のピラゾール、置換若しくは非置換のイミダゾール、置換若しくは非置換のチアゾール、置換若しくは非置換のオキサゾール、置換若しくは非置換のジヒドロフラン、置換若しくは非置換のジヒドロチオフェン、置換若しくは非置換のジヒドロピロール、または置換若しくは非置換のジオキソールである、上記(r-1)または(r-2)に示される化合物またはその製薬上許容される塩。
(r-4) 環F1が、置換若しくは非置換のシクロペンテン、または置換若しくは非置換のチアゾールである、上記(r-1)または(r-2)に示される化合物またはその製薬上許容される塩。
(r-5) 環F1が、非置換のシクロペンテン;またはアルキルから選択される1以上の基で置換されたチアゾールである、上記(r-1)または(r-2)に示される化合物またはその製薬上許容される塩。
(r-6) 環G1が、置換若しくは非置換のベンゼン、置換若しくは非置換のシクロヘキサン、置換若しくは非置換のピリジン、置換若しくは非置換のピラジン、置換若しくは非置換のピリミジン、置換若しくは非置換のピラン、置換若しくは非置換のジヒドロピラン、置換若しくは非置換のジヒドロピリジン、置換若しくは非置換のテトラヒドロピリジン、置換若しくは非置換のジヒドロピラジン、置換若しくは非置換のテトラヒドロピラジン、置換若しくは非置換のオキサジン、置換若しくは非置換のジヒドロオキサジン、置換若しくは非置換のジオキシン、または置換若しくは非置換のジヒドロジオキシンである、上記(r-1)~(r-5)のいずれかに示される化合物またはその製薬上許容される塩。
(r-7) p1bが0である、上記(r-1)~(r-6)のいずれかに示される化合物またはその製薬上許容される塩。
(r-8) p1bが1である、上記(r-1)~(r-6)のいずれかに示される化合物またはその製薬上許容される塩。
(R-3) Ring F1 is substituted or unsubstituted cyclopentene, substituted or unsubstituted furan, substituted or unsubstituted thiophene, substituted or unsubstituted pyrrole, substituted or unsubstituted pyrazole, substituted or unsubstituted imidazole A substituted or unsubstituted thiazole, a substituted or unsubstituted oxazole, a substituted or unsubstituted dihydrofuran, a substituted or unsubstituted dihydrothiophene, a substituted or unsubstituted dihydropyrrole, or a substituted or unsubstituted dioxole; A compound represented by (r-1) or (r-2) or a pharmaceutically acceptable salt thereof.
(R-4) The compound represented by the above (r-1) or (r-2) or a pharmaceutically acceptable salt thereof, wherein Ring F1 is substituted or unsubstituted cyclopentene, or substituted or unsubstituted thiazole. .
(R-5) The compound represented by the above (r-1) or (r-2) or a compound thereof, wherein Ring F1 is an unsubstituted cyclopentene; or thiazole substituted with one or more groups selected from alkyl Pharmaceutically acceptable salt.
(R-6) Ring G1 is substituted or unsubstituted benzene, substituted or unsubstituted cyclohexane, substituted or unsubstituted pyridine, substituted or unsubstituted pyrazine, substituted or unsubstituted pyrimidine, substituted or unsubstituted pyran Substituted or unsubstituted dihydropyran, substituted or unsubstituted dihydropyridine, substituted or unsubstituted tetrahydropyridine, substituted or unsubstituted dihydropyrazine, substituted or unsubstituted tetrahydropyrazine, substituted or unsubstituted oxazine, substituted or unsubstituted A compound represented by any one of the above (r-1) to (r-5) or a pharmaceutically acceptable salt thereof, which is a substituted dihydrooxazine, a substituted or unsubstituted dioxin, or a substituted or unsubstituted dihydrodioxin .
(R-7) The compound represented by any one of the above (r-1) to (r-6) or a pharmaceutically acceptable salt thereof, wherein p1b is 0.
(R-8) The compound or a pharmaceutically acceptable salt thereof according to any one of (r-1) to (r-6) above, wherein p1b is 1.
(r-9) R10a1が、ハロゲン、ヒドロキシ、アミノ、カルバモイル、置換若しくは非置換のアルキル、置換若しくは非置換のアルケニル、置換若しくは非置換のアルキニル、置換若しくは非置換のアルキルオキシ、置換若しくは非置換のアルケニルオキシ、置換若しくは非置換のアルキニルオキシ、置換若しくは非置換のアルキルスルファニル、置換若しくは非置換のアルケニルスルファニル、置換若しくは非置換のアルキニルスルファニル、置換若しくは非置換のアルキルアミノ、置換若しくは非置換のアルケニルアミノ、または置換若しくは非置換のアルキニルアミノである、上記(r-1)~(r-8)のいずれかに示される化合物またはその製薬上許容される塩。
(r-10) R10a1が、ハロゲン、置換若しくは非置換のアルキル、または置換若しくは非置換のアルキルオキシである、上記(r-1)~(r-8)のいずれかに示される化合物またはその製薬上許容される塩。
(r-11) R10a1が、ハロゲンである、上記(r-1)~(r-8)のいずれかに示される化合物またはその製薬上許容される塩。
(R-9) R 10a1 is halogen, hydroxy, amino, carbamoyl, substituted or unsubstituted alkyl, substituted or unsubstituted alkenyl, substituted or unsubstituted alkynyl, substituted or unsubstituted alkyloxy, substituted or unsubstituted Alkenyloxy, substituted or unsubstituted alkynyloxy, substituted or unsubstituted alkylsulfanyl, substituted or unsubstituted alkenylsulfanyl, substituted or unsubstituted alkynylsulfanyl, substituted or unsubstituted alkylamino, substituted or unsubstituted alkenyl A compound represented by any one of the above (r-1) to (r-8), or a pharmaceutically acceptable salt thereof, which is amino, or substituted or unsubstituted alkynylamino.
(R-10) The compound represented by any one of (r-1) to (r-8) above, wherein R 10a1 is halogen, substituted or unsubstituted alkyl, or substituted or unsubstituted alkyloxy, or a compound thereof Pharmaceutically acceptable salt.
(R-11) The compound or a pharmaceutically acceptable salt thereof according to any one of (r-1) to (r-8) above, wherein R 10a1 is halogen.
(s) 以下の(s-1)~(s-7)のいずれかに記載の化合物またはその製薬上許容される塩。
(s-1) R9aおよびR9bが、ハロゲン、ヒドロキシ、アミノ、置換若しくは非置換のアルキル、置換若しくは非置換のアルケニル、置換若しくは非置換のアルキニル、置換若しくは非置換のアルキルオキシ、置換若しくは非置換のアルケニルオキシ、置換若しくは非置換のアルキニルオキシ、置換若しくは非置換のアルキルスルファニル、置換若しくは非置換のアルケニルスルファニル、置換若しくは非置換のアルキニルスルファニル、置換若しくは非置換のアルキルアミノ、置換若しくは非置換のアルケニルアミノ、または置換若しくは非置換のアルキニルアミノである、式(I)、および上記(a)~(r)のいずれかに記載の化合物、またはその製薬上許容される塩。
(s-2) R9aおよびR9bが、ハロゲン、置換若しくは非置換のアルキル、置換若しくは非置換のアルキルオキシ、置換若しくは非置換のアルキルスルファニル、または置換若しくは非置換のアルキルアミノである、式(I)、および上記(a)~(r)のいずれかに記載の化合物、またはその製薬上許容される塩。
(s-3) R9aおよびR9bが、ハロゲン、置換若しくは非置換のアルキル、置換若しくは非置換のアルケニル、または置換若しくは非置換のアルキニルである、式(I)、および上記(a)~(r)のいずれかに記載の化合物、またはその製薬上許容される塩。
(s-4) R9aおよびR9bが、ハロゲン、または置換若しくは非置換のアルキルである、式(I)、および上記(a)~(r)のいずれかに記載の化合物、またはその製薬上許容される塩。
(s-5) R9aおよびR9bが、ハロゲン、または非置換のアルキルである、式(I)、および上記(a)~(r)のいずれかに記載の化合物、またはその製薬上許容される塩。
(s-6) R9aおよびR9bが、ハロゲン、アルキル、またはハロアルキルである、式(I)、および上記(a)~(r)のいずれかに記載の化合物、またはその製薬上許容される塩。
(s-7) R9aおよびR9bが、非置換のメチルまたは非置換のエチルである、式(I)、および上記(a)~(r)のいずれかに記載の化合物、またはその製薬上許容される塩。
(S) The compound according to any one of the following (s-1) to (s-7) or a pharmaceutically acceptable salt thereof.
(S-1) R 9a and R 9b are halogen, hydroxy, amino, substituted or unsubstituted alkyl, substituted or unsubstituted alkenyl, substituted or unsubstituted alkynyl, substituted or unsubstituted alkyloxy, substituted or unsubstituted Substituted alkenyloxy, substituted or unsubstituted alkynyloxy, substituted or unsubstituted alkylsulfanyl, substituted or unsubstituted alkenylsulfanyl, substituted or unsubstituted alkynylsulfanyl, substituted or unsubstituted alkylamino, substituted or unsubstituted The compound according to formula (I) and any one of the above (a) to (r), which is alkenylamino, or substituted or unsubstituted alkynylamino, or a pharmaceutically acceptable salt thereof.
(S-2) wherein R 9a and R 9b are halogen, substituted or unsubstituted alkyl, substituted or unsubstituted alkyloxy, substituted or unsubstituted alkylsulfanyl, or substituted or unsubstituted alkylamino, I) and the compound according to any one of the above (a) to (r), or a pharmaceutically acceptable salt thereof.
(S-3) Formula (I), wherein R 9a and R 9b are halogen, substituted or unsubstituted alkyl, substituted or unsubstituted alkenyl, or substituted or unsubstituted alkynyl, and (a) to ( The compound according to any one of r) or a pharmaceutically acceptable salt thereof.
(S-4) The compound according to formula (I) and any one of the above (a) to (r), wherein R 9a and R 9b are halogen, or substituted or unsubstituted alkyl, or a pharmaceutically acceptable salt thereof Acceptable salt.
(S-5) The compound according to formula (I) and any one of the above (a) to (r), wherein R 9a and R 9b are halogen or unsubstituted alkyl, or a pharmaceutically acceptable salt thereof Salt.
(S-6) The compound according to formula (I) and any one of the above (a) to (r), wherein R 9a and R 9b are halogen, alkyl, or haloalkyl, or a pharmaceutically acceptable salt thereof salt.
(S-7) The compound according to formula (I) and any one of the above (a) to (r), wherein R 9a and R 9b are unsubstituted methyl or unsubstituted ethyl, or a pharmaceutically acceptable salt thereof Acceptable salt.
(t) 以下の(t-1)~(t-10)のいずれかに記載の化合物またはその製薬上許容される塩。
(t-1) R3が、
(式中、環F3は、置換若しくは非置換の5員非芳香族炭素環、置換若しくは非置換の5員芳香族複素環、または置換若しくは非置換の5員非芳香族複素環であり、
環G3は、置換若しくは非置換の6員芳香族炭素環、置換若しくは非置換の6員非芳香族炭素環、置換若しくは非置換の6員芳香族複素環、または置換若しくは非置換の6員非芳香族複素環であり、
p1dは、0または1であり、
R10a2は、上記(q-1)のR10aと同意義である)で示される基である、式(I)、および上記(a)~(p)のいずれかに示される化合物またはその製薬上許容される塩。
上記のR3における定義において、R10a1は環B上の置換基であることを意味する。
(t-2) 環F3が、置換若しくは非置換のシクロペンテン、置換若しくは非置換のフラン、置換若しくは非置換のチオフェン、置換若しくは非置換のピロール、置換若しくは非置換のピラゾール、置換若しくは非置換のイミダゾール、置換若しくは非置換のチアゾール、置換若しくは非置換のオキサゾール、置換若しくは非置換のジヒドロフラン、置換若しくは非置換のジヒドロチオフェン、置換若しくは非置換のジヒドロピロール、または置換若しくは非置換のジオキソールである、上記(t-1)に示される化合物またはその製薬上許容される塩。
(t-3) 環F3が、置換若しくは非置換のピロールである、上記(t-1)に示される化合物またはその製薬上許容される塩。
(t-4) 環F3が、非置換のピロールである、上記(t-1)に示される化合物またはその製薬上許容される塩。
(t-5) 環G3が、置換若しくは非置換のベンゼン、置換若しくは非置換のシクロヘキセン、置換若しくは非置換のピリジン、置換若しくは非置換のピラジン、置換若しくは非置換のピリミジン、置換若しくは非置換のピラン、置換若しくは非置換のジヒドロピラン、置換若しくは非置換のジヒドロピリジン、置換若しくは非置換のテトラヒドロピリジン、置換若しくは非置換のジヒドロピラジン、置換若しくは非置換のテトラヒドロピラジン、置換若しくは非置換のオキサジン、置換若しくは非置換のジヒドロオキサジン、置換若しくは非置換のジオキシン、または置換若しくは非置換のジヒドロジオキシンである、上記(t-1)~(t-4)のいずれかに示される化合物またはその製薬上許容される塩。
(t-6) p1dが0である、上記(t-1)~(t-5)のいずれかに示される化合物またはその製薬上許容される塩。
(t-7) p1dが1である、上記(t-1)~(t-5)のいずれかに示される化合物またはその製薬上許容される塩。
(T) The compound according to any one of the following (t-1) to (t-10) or a pharmaceutically acceptable salt thereof.
(T-1) R 3 is
(In the formula, ring F3 is a substituted or unsubstituted 5-membered non-aromatic carbocyclic ring, a substituted or unsubstituted 5-membered aromatic heterocyclic ring, or a substituted or unsubstituted 5-membered non-aromatic heterocyclic ring;
Ring G3 is a substituted or unsubstituted 6-membered aromatic carbocyclic ring, a substituted or unsubstituted 6-membered non-aromatic carbocyclic ring, a substituted or unsubstituted 6-membered aromatic heterocyclic ring, or a substituted or unsubstituted 6-membered non-membered aromatic ring. An aromatic heterocycle,
p1d is 0 or 1,
R 10a2, said a group represented by R 10a and are as defined) of (q-1), formula (I), and the (a) ~ any compound or a pharmaceutically shown in the (p) Top acceptable salt.
In the definition of R 3 above, R 10a1 means a substituent on ring B.
(T-2) Ring F3 is substituted or unsubstituted cyclopentene, substituted or unsubstituted furan, substituted or unsubstituted thiophene, substituted or unsubstituted pyrrole, substituted or unsubstituted pyrazole, substituted or unsubstituted imidazole A substituted or unsubstituted thiazole, a substituted or unsubstituted oxazole, a substituted or unsubstituted dihydrofuran, a substituted or unsubstituted dihydrothiophene, a substituted or unsubstituted dihydropyrrole, or a substituted or unsubstituted dioxole; A compound represented by (t-1) or a pharmaceutically acceptable salt thereof.
(T-3) The compound represented by the above (t-1) or a pharmaceutically acceptable salt thereof, wherein Ring F3 is a substituted or unsubstituted pyrrole.
(T-4) The compound represented by the above (t-1) or a pharmaceutically acceptable salt thereof, wherein Ring F3 is unsubstituted pyrrole.
(T-5) Ring G3 is substituted or unsubstituted benzene, substituted or unsubstituted cyclohexene, substituted or unsubstituted pyridine, substituted or unsubstituted pyrazine, substituted or unsubstituted pyrimidine, substituted or unsubstituted pyran Substituted or unsubstituted dihydropyran, substituted or unsubstituted dihydropyridine, substituted or unsubstituted tetrahydropyridine, substituted or unsubstituted dihydropyrazine, substituted or unsubstituted tetrahydropyrazine, substituted or unsubstituted oxazine, substituted or unsubstituted A compound represented by any one of the above (t-1) to (t-4) or a pharmaceutically acceptable salt thereof, which is a substituted dihydrooxazine, a substituted or unsubstituted dioxin, or a substituted or unsubstituted dihydrodioxin .
(T-6) The compound or a pharmaceutically acceptable salt thereof according to any one of (t-1) to (t-5) above, wherein p1d is 0.
(T-7) The compound represented by any one of the above (t-1) to (t-5) or a pharmaceutically acceptable salt thereof, wherein p1d is 1.
(t-8) R10a2が、ハロゲン、ヒドロキシ、アミノ、カルバモイル、置換若しくは非置換のアルキル、置換若しくは非置換のアルケニル、置換若しくは非置換のアルキニル、置換若しくは非置換のアルキルオキシ、置換若しくは非置換のアルケニルオキシ、置換若しくは非置換のアルキニルオキシ、置換若しくは非置換のアルキルスルファニル、置換若しくは非置換のアルケニルスルファニル、置換若しくは非置換のアルキニルスルファニル、置換若しくは非置換のアルキルアミノ、置換若しくは非置換のアルケニルアミノ、または置換若しくは非置換のアルキニルアミノである、上記(t-1)~(t-7)のいずれかに示される化合物またはその製薬上許容される塩。
(t-9) R10a2が、ハロゲン、置換若しくは非置換のアルキル、または置換若しくは非置換のアルキルオキシである、上記(t-1)~(t-7)のいずれかに示される化合物またはその製薬上許容される塩。
(t-10) R10a2が、ハロゲンである、上記(t-1)~(t-7)のいずれかに示される化合物またはその製薬上許容される塩。
(T-8) R 10a2 is halogen, hydroxy, amino, carbamoyl, substituted or unsubstituted alkyl, substituted or unsubstituted alkenyl, substituted or unsubstituted alkynyl, substituted or unsubstituted alkyloxy, substituted or unsubstituted Alkenyloxy, substituted or unsubstituted alkynyloxy, substituted or unsubstituted alkylsulfanyl, substituted or unsubstituted alkenylsulfanyl, substituted or unsubstituted alkynylsulfanyl, substituted or unsubstituted alkylamino, substituted or unsubstituted alkenyl A compound represented by any one of the above (t-1) to (t-7), or a pharmaceutically acceptable salt thereof, which is amino, or substituted or unsubstituted alkynylamino.
(T-9) The compound represented by any one of (t-1) to (t-7) above, wherein R 10a2 is halogen, substituted or unsubstituted alkyl, or substituted or unsubstituted alkyloxy, or a compound thereof Pharmaceutically acceptable salt.
(T-10) The compound or a pharmaceutically acceptable salt thereof according to any one of the above (t-1) to (t-7), wherein R 10a2 is halogen.
(u) 以下の(u-1)~(u-5)のいずれかに記載の化合物またはその製薬上許容される塩。
(u-1) 環Bが、ベンゼン、シクロヘキセン、または6員芳香族複素環である、式(I)、および上記(a)~(t)のいずれかに示される化合物またはその製薬上許容される塩。
(u-2) 環Bが、ベンゼン、または6員芳香族複素環である、式(I)、および上記(a)~(t)のいずれかに示される化合物またはその製薬上許容される塩。
(u-3) 環Bが、ベンゼン、ピリジン、ピリミジン、またはピラジンである、式(I)、および上記(a)~(t)のいずれかに示される化合物またはその製薬上許容される塩。
(u-4) 環Bが、ベンゼン、またはピリジンである、式(I)、および上記(a)~(t)のいずれかに示される化合物またはその製薬上許容される塩。
(u-5) 環Bが、ベンゼンである、式(I)、および上記(a)~(t)のいずれかに示される化合物またはその製薬上許容される塩。
(U) The compound according to any one of the following (u-1) to (u-5) or a pharmaceutically acceptable salt thereof.
(U-1) The compound represented by the formula (I) and any one of the above (a) to (t), wherein the ring B is benzene, cyclohexene, or a 6-membered aromatic heterocyclic ring, or a pharmaceutically acceptable salt thereof Salt.
(U-2) The compound represented by formula (I) and any one of the above (a) to (t), or a pharmaceutically acceptable salt thereof, wherein ring B is benzene or a 6-membered aromatic heterocyclic ring .
(U-3) The compound represented by the formula (I) and any one of the above (a) to (t) or a pharmaceutically acceptable salt thereof, wherein the ring B is benzene, pyridine, pyrimidine, or pyrazine.
(U-4) A compound represented by the formula (I) and any one of the above (a) to (t) or a pharmaceutically acceptable salt thereof, wherein Ring B is benzene or pyridine.
(U-5) A compound represented by the formula (I) and any one of the above (a) to (t) or a pharmaceutically acceptable salt thereof, wherein Ring B is benzene.
(v) 以下の(v-1)~(v-4)のいずれかに記載の化合物またはその製薬上許容される塩。
(v-1) 環Cが、シクロペンタン、または5員芳香族複素環である、式(I)、および上記(a)~(u)のいずれかに示される化合物またはその製薬上許容される塩。
(v-2) 環Cが、5員芳香族複素環である、式(I)、および上記(a)~(u)のいずれかに示される化合物またはその製薬上許容される塩。
(v-3) 環Cが、ピロール、ピラゾール、またはイミダゾールである、式(I)、および上記(a)~(u)のいずれかに示される化合物またはその製薬上許容される塩。
(v-4) 環Cが、ピラゾールである、式(I)、および上記(a)~(u)のいずれかに示される化合物またはその製薬上許容される塩。
(V) The compound according to any one of the following (v-1) to (v-4) or a pharmaceutically acceptable salt thereof.
(V-1) The compound represented by the formula (I) and any one of the above (a) to (u), or a pharmaceutically acceptable product thereof, wherein the ring C is cyclopentane or a 5-membered aromatic heterocycle salt.
(V-2) The compound represented by the formula (I) and any one of the above (a) to (u) or a pharmaceutically acceptable salt thereof, wherein Ring C is a 5-membered aromatic heterocyclic ring.
(V-3) The compound represented by the formula (I) and any one of the above (a) to (u) or a pharmaceutically acceptable salt thereof, wherein Ring C is pyrrole, pyrazole, or imidazole.
(V-4) A compound represented by the formula (I) and any one of the above (a) to (u) or a pharmaceutically acceptable salt thereof, wherein Ring C is pyrazole.
式(I)で示される化合物は、特定の異性体に限定するものではなく、全ての可能な異性体(例えば、ケト-エノール異性体、イミン-エナミン異性体、ジアステレオ異性体、光学異性体、回転異性体等)、ラセミ体またはそれらの混合物を含む。
例えば、式(I)においてR7aが水素原子である化合物は、以下のような互変異性体を包含する。
For example, the compound in which R 7a is a hydrogen atom in formula (I) includes the following tautomers.
式(I)で示される化合物において、Z2が炭素原子であり、かつ破線が結合の不存在を示す場合には、該炭素原子とZ2が隣接する環Qの環構成原子との間に二重結合が形成される。
同様に、式(I)で示される化合物において、Z3が炭素原子であり、かつ破線が結合の不存在を示す場合には、該炭素原子とZ3が隣接する環Qの環構成原子との間に二重結合が形成される。
In the compound represented by the formula (I), when Z 2 is a carbon atom and the broken line indicates the absence of a bond, between the carbon atom and the ring-constituting atom of ring Q adjacent to Z 2 A double bond is formed.
Similarly, in the compound represented by the formula (I), when Z 3 is a carbon atom and the broken line indicates the absence of a bond, the carbon atom and Z 3 are the ring atoms of the adjacent ring Q and A double bond is formed between the two.
本明細書中、式(I):
で示される化合物において、環Qの環構成原子に結合するs個の水素原子が、R5によって置き換わることができる。
本明細書中、
で示される基において、環Bの環構成原子に結合するp1個の水素原子が、R10aまたはR10cによって置き換わることができる。
本明細書中、
で示される基において、環Cの環構成原子に結合するp2個の水素原子が、R10bまたはR10dによって置き換わることができる。
本明細書中、
で示される基において、環Dの環構成原子に結合するp3個の水素原子が、R10eによって置き換わることができる。
本明細書中、
で示される基において、環Eの環構成原子に結合するq1個の水素原子が、R12によって置き換わることができる。また、環Eの環構成原子に結合するq2個の水素原子が、R13によって置き換わることができる。
本明細書中、
で示される基において、環Bの環構成原子に結合するp1b個の水素原子が、R10a1によって置き換わることができる。
本明細書中、
で示される基において、環Bの環構成原子に結合するp1d個の水素原子が、R10a2によって置き換わることができる。
In the present specification, the formula (I):
In the compound represented by s, s hydrogen atoms bonded to the ring-constituting atom of ring Q can be replaced by R 5 .
In this specification,
In the group represented by the above formula, p1 hydrogen atoms bonded to the ring-constituting atom of ring B can be replaced by R 10a or R 10c .
In this specification,
In the group represented, p2 hydrogen atoms bonded to the ring constituent atoms of Ring C, can be replaced by R 10b or R 10d.
In this specification,
In the group represented, p3 hydrogen atoms bonded to the ring constituent atoms of Ring D may be replaced by R 10e.
In this specification,
In the group represented, q1 hydrogen atoms bonded to the ring constituent atoms of Ring E can be replaced by R 12. Further, q2 hydrogen atoms bonded to the ring constituent atoms of Ring E can be replaced by R 13.
In this specification,
In the group represented, p1b number of hydrogen atoms bonded to the ring constituent atoms of Ring B may be replaced by R 10a1.
In this specification,
In the group represented by the above formula , p1d hydrogen atoms bonded to the ring-constituting atoms of ring B can be replaced by R 10a2 .
式(I)で示される化合物の一つ以上の水素、炭素および/または他の原子は、それぞれ水素、炭素および/または他の原子の同位体で置換され得る。そのような同位体の例としては、それぞれ2H、3H、11C、13C、14C、15N、18O、17O、31P、32P、35S、18F、123Iおよび36Clのように、水素、炭素、窒素、酸素、リン、硫黄、フッ素、ヨウ素および塩素が包含される。式(I)で示される化合物は、そのような同位体で置換された化合物も包含する。該同位体で置換された化合物は、医薬品としても有用であり、式(I)で示される化合物のすべての放射性標識体を包含する。また該「放射性標識体」を製造するための「放射性標識化方法」も本発明に包含され、該「放射性標識体」は、代謝薬物動態研究、結合アッセイにおける研究および/または診断のツールとして有用である。 One or more hydrogen, carbon and / or other atoms of the compound of formula (I) may be replaced with isotopes of hydrogen, carbon and / or other atoms, respectively. Examples of such isotopes are 2 H, 3 H, 11 C, 13 C, 14 C, 15 N, 18 O, 17 O, 31 P, 32 P, 35 S, 18 F, 123 I and Like 36 Cl, hydrogen, carbon, nitrogen, oxygen, phosphorus, sulfur, fluorine, iodine and chlorine are included. The compound represented by the formula (I) also includes a compound substituted with such an isotope. The compound substituted with the isotope is also useful as a pharmaceutical, and includes all radiolabeled compounds of the compound represented by the formula (I). In addition, a “radiolabeling method” for producing the “radiolabeled substance” is also encompassed in the present invention, and the “radiolabeled substance” is useful as a metabolic pharmacokinetic study, a research in a binding assay, and / or a diagnostic tool. It is.
式(I)で示される化合物の放射性標識体は、当該技術分野で周知の方法で調製できる。例えば、式(I)で示されるトリチウム標識化合物は、トリチウムを用いた触媒的脱ハロゲン化反応によって、式(I)で示される特定の化合物にトリチウムを導入することで調製できる。この方法は、適切な触媒、例えばPd/Cの存在下、塩基の存在下または非存在下で、式(I)で示される化合物が適切にハロゲン置換された前駆体とトリチウムガスとを反応させることを包含する。トリチウム標識化合物を調製するための他の適切な方法は、“Isotopes in the Physical and Biomedical Sciences,Vol.1,Labeled Compounds (Part A),Chapter 6 (1987年)”を参照することができる。14C-標識化合物は、14C炭素を有する原料を用いることによって調製できる。 The radioactive label of the compound represented by the formula (I) can be prepared by a method well known in the art. For example, the tritium labeled compound represented by the formula (I) can be prepared by introducing tritium into the specific compound represented by the formula (I) by catalytic dehalogenation reaction using tritium. This method reacts a tritium gas with a precursor in which the compound of formula (I) is appropriately halogen-substituted in the presence of a suitable catalyst such as Pd / C, in the presence or absence of a base. Including that. Other suitable methods for preparing tritium labeled compounds can be referred to “Isotopes in the Physical and Biomedical Sciences, Vol. 1, Labeled Compounds (Part A), Chapter 6 (1987)”. The 14 C-labeled compound can be prepared by using a raw material having 14 C carbon.
式(I)で示される化合物の製薬上許容される塩としては、例えば、式(I)で示される化合物と、アルカリ金属(例えば、リチウム、ナトリウム、カリウム等)、アルカリ土類金属(例えば、カルシウム、バリウム等)、マグネシウム、遷移金属(例えば、亜鉛、鉄等)、アンモニア、有機塩基(例えば、トリメチルアミン、トリエチルアミン、ジシクロヘキシルアミン、エタノールアミン、ジエタノールアミン、トリエタノールアミン、メグルミン、ジエタノールアミン、エチレンジアミン、ピリジン、ピコリン、キノリン等)およびアミノ酸との塩、または無機酸(例えば、塩酸、硫酸、硝酸、炭酸、臭化水素酸、リン酸、ヨウ化水素酸等)、および有機酸(例えば、ギ酸、酢酸、プロピオン酸、トリフルオロ酢酸、クエン酸、乳酸、酒石酸、シュウ酸、マレイン酸、フマル酸、マンデル酸、グルタル酸、リンゴ酸、安息香酸、フタル酸、アスコルビン酸、ベンゼンスルホン酸、p-トルエンスルホン酸、メタンスルホン酸、エタンスルホン酸等)との塩が挙げられる。特に塩酸、硫酸、リン酸、酒石酸、メタンスルホン酸との塩等が挙げられる。これらの塩は、通常行われる方法によって形成させることができる。 As the pharmaceutically acceptable salt of the compound represented by the formula (I), for example, a compound represented by the formula (I), an alkali metal (for example, lithium, sodium, potassium, etc.), an alkaline earth metal (for example, Calcium, barium, etc.), magnesium, transition metals (eg, zinc, iron, etc.), ammonia, organic bases (eg, trimethylamine, triethylamine, dicyclohexylamine, ethanolamine, diethanolamine, triethanolamine, meglumine, diethanolamine, ethylenediamine, pyridine, Picolin, quinoline etc.) and salts with amino acids, or inorganic acids (eg hydrochloric acid, sulfuric acid, nitric acid, carbonic acid, hydrobromic acid, phosphoric acid, hydroiodic acid etc.) and organic acids (eg formic acid, acetic acid, Propionic acid, trifluoroacetic acid, citric acid, lactic acid Tartaric acid, oxalic acid, maleic acid, fumaric acid, mandelic acid, glutaric acid, malic acid, benzoic acid, phthalic acid, ascorbic acid, benzenesulfonic acid, p-toluenesulfonic acid, methanesulfonic acid, ethanesulfonic acid, etc.) Salt. Particularly, salts with hydrochloric acid, sulfuric acid, phosphoric acid, tartaric acid, methanesulfonic acid and the like can be mentioned. These salts can be formed by a commonly performed method.
本発明の式(I)で示される化合物またはその製薬上許容される塩は、溶媒和物(例えば、水和物等)および/または結晶多形を形成する場合があり、本発明はそのような各種の溶媒和物および結晶多形も包含する。「溶媒和物」は、式(I)で示される化合物に対し、任意の数の溶媒分子(例えば、水分子等)と配位していてもよい。式(I)で示される化合物またはその製薬上許容される塩を、大気中に放置することにより、水分を吸収し、吸着水が付着する場合や、水和物を形成する場合がある。また、式(I)で示される化合物またはその製薬上許容される塩を、再結晶することで結晶多形を形成する場合がある。 The compound represented by the formula (I) of the present invention or a pharmaceutically acceptable salt thereof may form a solvate (for example, a hydrate etc.) and / or a crystalline polymorph. Various solvates and crystalline polymorphs. The “solvate” may be coordinated with an arbitrary number of solvent molecules (for example, water molecules) with respect to the compound represented by the formula (I). When the compound represented by the formula (I) or a pharmaceutically acceptable salt thereof is left in the air, it may absorb moisture and adsorbed water may adhere or form a hydrate. In addition, a crystal polymorph may be formed by recrystallizing the compound represented by the formula (I) or a pharmaceutically acceptable salt thereof.
本発明の式(I)で示される化合物またはその製薬上許容される塩は、プロドラッグを形成する場合があり、本発明はそのような各種のプロドラッグも包含する。プロドラッグは、化学的又は代謝的に分解できる基を有する本発明化合物の誘導体であり、加溶媒分解により又は生理学的条件下でインビボにおいて薬学的に活性な本発明化合物となる化合物である。プロドラッグは、生体内における生理条件下で酵素的に酸化、還元、加水分解等を受けて式(I)で示される化合物に変換される化合物、胃酸等により加水分解されて式(I)で示される化合物に変換される化合物等を包含する。適当なプロドラッグ誘導体を選択する方法および製造する方法は、例えば “Design of Prodrugs, Elsevier, Amsterdam, 1985”に記載されている。プロドラッグは、それ自身が活性を有する場合がある。 The compound represented by the formula (I) of the present invention or a pharmaceutically acceptable salt thereof may form a prodrug, and the present invention includes such various prodrugs. A prodrug is a derivative of a compound of the present invention having a group that can be chemically or metabolically degraded, and is a compound that becomes a pharmaceutically active compound of the present invention by solvolysis or under physiological conditions in vivo. A prodrug is a compound that is enzymatically oxidized, reduced, hydrolyzed, etc. under physiological conditions in vivo to be converted into a compound represented by formula (I), hydrolyzed by gastric acid, etc. The compound etc. which are converted into the compound shown are included. A method for selecting and producing an appropriate prodrug derivative is described in, for example, “Design of Prodrugs, Elsevier, Amsterdam, 1985”. Prodrugs may themselves have activity.
式(I)で示される化合物またはその製薬上許容される塩がヒドロキシル基を有する場合は、例えば、ヒドロキシル基を有する化合物と適当なアシルハライド、適当な酸無水物、適当なスルホニルクロライド、適当なスルホニルアンハイドライド及びミックスドアンハイドライドとを反応させることにより或いは縮合剤を用いて反応させることにより製造されるアシルオキシ誘導体やスルホニルオキシ誘導体のようなプロドラッグが例示される。例えば、CH3COO-、C2H5COO-、tert-BuCOO-、C15H31COO-、PhCOO-、(m-NaOOCPh)COO-、NaOOCCH2CH2COO-、CH3CH(NH2)COO-、CH2N(CH3)2COO-、CH3SO3-、CH3CH2SO3-、CF3SO3-、CH2FSO3-、CF3CH2SO3-、p-CH3O-PhSO3-、PhSO3-、p-CH3PhSO3-が挙げられる。 When the compound represented by formula (I) or a pharmaceutically acceptable salt thereof has a hydroxyl group, for example, the compound having a hydroxyl group and a suitable acyl halide, a suitable acid anhydride, a suitable sulfonyl chloride, a suitable Examples thereof include prodrugs such as acyloxy derivatives and sulfonyloxy derivatives produced by reacting sulfonyl anhydride and mixed anhydride or reacting with a condensing agent. For example, CH 3 COO—, C 2 H 5 COO—, tert-BuCOO—, C 15 H 31 COO—, PhCOO—, (m-NaOOCPh) COO—, NaOOCCH 2 CH 2 COO—, CH 3 CH (NH 2 ) COO—, CH 2 N (CH 3 ) 2 COO—, CH 3 SO 3 —, CH 3 CH 2 SO 3 —, CF 3 SO 3 —, CH 2 FSO 3 —, CF 3 CH 2 SO 3 —, p -CH 3 O-PhSO 3- , PhSO 3- , p-CH 3 PhSO 3 -can be mentioned.
本発明に係る化合物は、P2X7受容体拮抗作用を有するため、P2X7受容体が関与する疾患の治療剤及び/又は予防剤として有用である。P2X7受容体が関与する疾患としては、疼痛、中枢性疾患、免疫性疾患および炎症性疾患等が挙げられ、好ましくは疼痛が挙げられる(非特許文献7-8および特許文献1等)。 Since the compound according to the present invention has a P2X 7 receptor antagonistic action, it is useful as a therapeutic and / or prophylactic agent for diseases involving the P2X 7 receptor. Diseases P2X 7 receptor is involved, pain, central diseases, such as immune and inflammatory diseases and the like, preferably pain (Non-Patent Documents 7-8 and Patent Document 1, etc.).
疼痛としては、帯状疱疹痛、帯状疱疹後神経痛、三叉神経痛、視床痛、癌性疼痛、術後痛、生理痛、陣痛、胸痛、腹痛、疝痛、腰背部痛、頭痛、偏頭痛、坐骨神経痛、筋肉痛、口腔顔面痛、歯痛、舌痛症、肩痛、侵害受容性疼痛、求心路遮断痛、心因性疼痛等;
絞扼性神経障害、手根管症候群、糖尿病、ギランバレー症候群、筋筋膜痛症候群、線維筋痛症候群、複合性局所疼痛症候群、カウザルギー、ハンセン病、脊髄損傷、脳卒中、多発性硬化症、パーキンソン病、子宮内膜症、椎間板ヘルニア、関節炎、関節リウマチ、変形性関節症、変形性頚椎症、脊柱管狭窄症、胸郭出口症候群、腕神経叢引き抜き症候群、肩手症候群、むち打ち症、胆石症、膵炎(急性と慢性を含む)、膀胱炎(急性と間質性を含む)、尿道炎(急性と慢性を含む)、尿路結石症、前立腺炎、潰瘍性大腸炎、クローン病、過敏性腸症候群、骨折、骨粗鬆症、痛風、馬尾症候群、強直性脊椎炎症、有痛性痙攣、ABC症候群、皮膚疾患、閉塞性動脈硬化症、バージャー病、レイノー現象、壊疽、顎関節症、身体表現性障害、身体化障害、うつ病等の疾患に伴った疼痛;
薬物療法に伴う痛み、放射線療法に伴う痛みが挙げられる。また、オピオイド薬の鎮痛耐性への効果が期待できる。
疼痛としては、好ましくは、帯状疱疹痛、帯状疱疹後神経痛、三叉神経痛、視床痛、癌性疼痛、術後痛、坐骨神経痛、求心路遮断痛等;
絞扼性神経障害、手根管症候群、糖尿病、ギランバレー症候群、筋筋膜痛症候群、線維筋痛症候群、複合性局所疼痛症候群、カウザルギー、脊髄損傷、脳卒中、多発性硬化症、パーキンソン病、椎間板ヘルニア、関節炎、関節リウマチ、変形性関節症、変形性頚椎症、脊柱管狭窄症、腕神経叢引き抜き症候群、肩手症候群、膀胱炎(急性と間質性を含む)、潰瘍性大腸炎、クローン病、過敏性腸症候群、痛風、うつ病等の疾患に伴った疼痛;
薬物療法に伴う痛み、放射線療法に伴う痛みが挙げられる。また、オピオイド薬の鎮痛耐性への効果が期待できる。
As pain, herpes zoster pain, postherpetic neuralgia, trigeminal neuralgia, thalamic pain, cancer pain, postoperative pain, menstrual pain, labor pain, chest pain, abdominal pain, back pain, headache, migraine, sciatica, Muscle pain, oral and facial pain, toothache, glossodynia, shoulder pain, nociceptive pain, afferent blockage pain, psychogenic pain, etc .;
Strangulated neuropathy, carpal tunnel syndrome, diabetes, Guillain-Barre syndrome, myofascial pain syndrome, fibromyalgia syndrome, complex local pain syndrome, causalgia, leprosy, spinal cord injury, stroke, multiple sclerosis, Parkinson's disease, Endometriosis, disc herniation, arthritis, rheumatoid arthritis, osteoarthritis, cervical spondylosis, spinal canal stenosis, thoracic outlet syndrome, brachial plexus withdrawal syndrome, shoulder-hand syndrome, whiplash, cholelithiasis, pancreatitis ( Acute and chronic), cystitis (including acute and interstitial), urethritis (including acute and chronic), urolithiasis, prostatitis, ulcerative colitis, Crohn's disease, irritable bowel syndrome, Fracture, osteoporosis, gout, cauda equina syndrome, ankylosing spinal inflammation, painful spasm, ABC syndrome, skin disease, obstructive arteriosclerosis, Buerger's disease, Raynaud's phenomenon, gangrene, temporomandibular disorder, physical expression disorder, body Disorders, pain accompanying the diseases of depression and the like;
Pain associated with drug therapy and pain associated with radiation therapy. In addition, the effect of opioid drugs on analgesic resistance can be expected.
As the pain, preferably herpes zoster pain, postherpetic neuralgia, trigeminal neuralgia, thalamic pain, cancer pain, postoperative pain, sciatica, afferent blockage pain, etc .;
Strangulated neuropathy, carpal tunnel syndrome, diabetes, Guillain-Barre syndrome, myofascial pain syndrome, fibromyalgia syndrome, complex local pain syndrome, causalgia, spinal cord injury, stroke, multiple sclerosis, Parkinson's disease, intervertebral disc herniation , Arthritis, rheumatoid arthritis, osteoarthritis, cervical spondylosis, spinal stenosis, brachial plexus withdrawal syndrome, shoulder syndrome, cystitis (including acute and interstitial), ulcerative colitis, Crohn's disease Pain associated with diseases such as irritable bowel syndrome, gout, depression;
Pain associated with drug therapy and pain associated with radiation therapy. In addition, the effect of opioid drugs on analgesic resistance can be expected.
中枢性疾患としては、アルツハイマー型認知症(アルツハイマー症、アルツハイマー型老年認知症等)、脳アミロイド血管障害、パーキンソン病、クロイツフェルト・ヤコブ病、ハンチントン舞踏病、うつ病、統合失調症、注意欠陥多動性障害、睡眠障害、自閉症、てんかん、脳卒中、多発性硬化症、脊髄損傷、筋委縮性側索硬化症、オピオイド薬およびコカイン、ニコチン等による精神依存等が挙げられる。
中枢性疾患としては、好ましくは、アルツハイマー型認知症(アルツハイマー症、アルツハイマー型老年認知症等)、脳アミロイド血管障害、パーキンソン病、うつ病、統合失調症、注意欠陥多動性障害、睡眠障害、自閉症、てんかん、脳卒中、多発性硬化症、脊髄損傷、筋委縮性側索硬化症、オピオイド薬およびコカイン、ニコチン等による精神依存等が挙げられる。
Central diseases include Alzheimer's dementia (Alzheimer's disease, Alzheimer's senile dementia, etc.), cerebral amyloid angiopathy, Parkinson's disease, Creutzfeldt-Jakob disease, Huntington's chorea, depression, schizophrenia, attention deficit Examples include dyskinetic disorder, sleep disorder, autism, epilepsy, stroke, multiple sclerosis, spinal cord injury, amyotrophic lateral sclerosis, opioid drugs and mental dependence due to cocaine, nicotine, and the like.
As the central disease, preferably, Alzheimer type dementia (Alzheimer's disease, Alzheimer type senile dementia etc.), cerebral amyloid angiopathy, Parkinson's disease, depression, schizophrenia, attention deficit hyperactivity disorder, sleep disorder, Examples include autism, epilepsy, stroke, multiple sclerosis, spinal cord injury, amyotrophic lateral sclerosis, opioid drugs and mental dependence due to cocaine, nicotine, and the like.
免疫・炎症性疾患としては、関節リウマチ、骨関節炎、変形性関節炎、喘息、気管支炎、慢性閉塞性肺疾患、肺気腫、敗血症性ショック、肝炎(非アルコール性脂肪肝炎を含む)、肝線維症、肝硬変、胆嚢炎、糸球体腎炎、ネフローゼ症候群、膵炎(急性と慢性を含む)、膀胱炎(急性と間質性を含む)、尿道炎(急性と慢性を含む)、前立腺炎、潰瘍性大腸炎、クローン病、過敏性腸症候群、乾癬、アトピー性皮膚炎、接触性皮膚炎、湿疹性皮膚疾患、遅延性過敏反応、結膜炎、ブドウ膜炎、悪性細胞(前立腺癌、乳癌、肺癌、子宮癌、膵癌、大腸癌等)の増殖および転移、白血病、髄膜炎、熱傷傷害、舌炎、歯肉炎、歯周病、逆流性を含む食道炎等が挙げられる。また同種移植または輸血に伴う拒絶反応にも関与する可能性がある。その他関与を示す疾患としては、循環器疾患としてアテローム性動脈硬化症、虚血性心疾患、糖尿病等、骨疾患として骨祖鬆症、骨パジェット病、骨壊死、顎関節症等、泌尿器疾患として過活動膀胱、腹圧性尿失禁、前立腺肥大等が挙げられる。
免疫・炎症性疾患としては、好ましくは、関節リウマチ、骨関節炎、変形性関節炎、喘息、気管支炎、慢性閉塞性肺疾患、膀胱炎(急性と間質性を含む)、潰瘍性大腸炎、クローン病等が挙げられる。
Immune / inflammatory diseases include rheumatoid arthritis, osteoarthritis, osteoarthritis, asthma, bronchitis, chronic obstructive pulmonary disease, emphysema, septic shock, hepatitis (including non-alcoholic steatohepatitis), liver fibrosis, Cirrhosis, cholecystitis, glomerulonephritis, nephrotic syndrome, pancreatitis (including acute and chronic), cystitis (including acute and interstitial), urethritis (including acute and chronic), prostatitis, ulcerative colitis , Crohn's disease, irritable bowel syndrome, psoriasis, atopic dermatitis, contact dermatitis, eczema skin disease, delayed hypersensitivity reaction, conjunctivitis, uveitis, malignant cells (prostate cancer, breast cancer, lung cancer, uterine cancer, Pancreatic cancer, colon cancer, etc.) proliferation and metastasis, leukemia, meningitis, burn injury, glossitis, gingivitis, periodontal disease, esophagitis including reflux, and the like. It may also be involved in rejection associated with allogeneic transplantation or blood transfusion. Other diseases that are involved include cardiovascular diseases such as atherosclerosis, ischemic heart disease and diabetes, bone diseases such as osteoporosis, bone Paget's disease, osteonecrosis, and temporomandibular disorders. Active bladder, stress urinary incontinence, prostatic hypertrophy and the like.
As an immune / inflammatory disease, preferably rheumatoid arthritis, osteoarthritis, osteoarthritis, asthma, bronchitis, chronic obstructive pulmonary disease, cystitis (including acute and interstitial), ulcerative colitis, clone Diseases and the like.
(本発明化合物の製造法)
本発明に係る式(I)で示される化合物は、例えば、下記に示す一般的合成法によって製造することができる。これら合成に用いる出発物質および反応試薬はいずれも、商業的に入手可能であるか、または商業的に入手可能な化合物を用いて当分野で周知の方法にしたがって製造することができる。また、抽出、精製等は、通常の有機化学の実験で行う処理を行えばよい。
本発明化合物の合成は、当該分野において公知の手法を参酌しながら実施することができる。
下記すべての工程において、反応の障害となる置換基(例えば、ヒドロキシ、メルカプト、アミノ、ホルミル、カルボニル、カルボキシル等)を有する場合には、Protective Groups in Organic Synthesis, Theodora W Greene(John Wiley & Sons)等に記載の方法で予め保護し、望ましい段階でその保護基を除去すればよい。
また、下記すべての工程について、実施する工程の順序を適宜変更することができ、各中間体を単離して次の工程に用いてもよい。
(Method for producing the compound of the present invention)
The compound represented by the formula (I) according to the present invention can be produced, for example, by the general synthesis method shown below. Any of the starting materials and reaction reagents used in these syntheses are commercially available or can be prepared according to methods well known in the art using commercially available compounds. Extraction, purification, and the like may be performed in a normal organic chemistry experiment.
The synthesis of the compound of the present invention can be carried out in consideration of a technique known in the art.
In all of the following steps, when there are substituents that interfere with the reaction (for example, hydroxy, mercapto, amino, formyl, carbonyl, carboxyl, etc.), Protective Groups in Organic Synthesis, Theodora W Greene (John Wiley & Sons) Or the like, and the protecting group may be removed at a desired stage.
Moreover, about all the following processes, the order of the process to implement can be changed suitably, and each intermediate body may be isolated and used for the following process.
また、本明細書中で用いる略語は以下の意味を表す。
DIEA:N,N-ジイソプロピルエチルアミン
DMF:N,N-ジメチルホルムアミド
DMSO:ジメチルスルホキシド
DPPA:ジフェニルリン酸アジド
Et:エチル
NBS:N-ブロモスクシンイミド
NCS:N-クロロスクシンイミド
NIS:N-ヨードスクシンイミド
NMP:N-メチルピロリドン
PdCl2(dppf):[1,1’-ビス(ジフェニルホスフィノ)フェロセン]パラジウム(II)ジクロリド
Xantphos:4,5’-ビス(ジフェニルホスフィノ)-9,9’-ジメチルキサンテン
PPTS:p-トルエンスルホン酸ピリジニウム
Moreover, the abbreviation used in this specification represents the following meaning.
DIEA: N, N-diisopropylethylamine DMF: N, N-dimethylformamide DMSO: dimethyl sulfoxide DPPA: diphenyl phosphate azide Et: ethyl NBS: N-bromosuccinimide NCS: N-chlorosuccinimide NIS: N-iodosuccinimide NMP: N Methylpyrrolidone PdCl 2 (dppf): [1,1′-bis (diphenylphosphino) ferrocene] palladium (II) dichloride Xanthphos: 4,5′-bis (diphenylphosphino) -9,9′-dimethylxanthene PPTS : Pyridinium p-toluenesulfonate
[A法]
(式中、RA1は水素原子または置換若しくは非置換のアルキルであり;G1はハロゲン、置換もしくは非置換のアルキルスルファニル、置換もしくは非置換のアルキルスルフィニル、または置換もしくは非置換のアルキルスルホニル等の脱離基であり;その他の記号は前記(1)と同意義である。)
工程1
化合物(A-1)および化合物(A-2)を塩基存在下、適当な溶媒中で反応させることにより化合物(A-3)を得ることができる。
塩基としては、例えば、金属水酸化物(例、水酸化ナトリウム、水酸化カリウム、リン酸三カリウムなど)、金属水素化物(例、水素化ナトリウム、水素化リチウムなど)、金属炭酸塩(例、炭酸ナトリウム、炭酸カリウム、炭酸セシウムなど)、金属アルコキシド(例、ナトリウムメトキシド、ナトリウムエトキシド、カリウムtert-ブトキシドなど)、金属アルキル(例、ブチルリチウムなど)、ピリジン、トリエチルアミン、DIEA等などが挙げられる。化合物(A-2)に対して1.0モル当量またはそれ以上、好ましくは1.0~2.0モル当量使用することができる。
反応溶媒としては、芳香族炭化水素類(例、トルエン、ベンゼン、キシレンなど)、飽和炭化水素類(例、シクロヘキサン、ヘキサンなど)、エーテル類(例、テトラヒドロフラン、ジエチルエーテル、ジオキサン、ジメトキシエタンなど)、ハロゲン化炭化水素類(例、クロロホルム、ジクロロメタンなど)、DMF、DMSO、NMP、アセトニトリル、ピリジン等が挙げられ、単独または混合して用いることができる。
反応温度は、0℃~80℃、好ましくは0℃~40℃である。
反応時間は、0.5時間~48時間、好ましくは1時間~16時間である。
得られた所望の化合物(A-3)は、要すれば常法(例、カラムクロマトグラフィー、再結晶など)により精製することができる。
工程2
化合物(A-3)およびトリメチルシリルイソチオシアナートを適当な溶媒中、または無溶媒中反応させることにより化合物(A-4)を得ることができる。
本反応において、トリメチルシリルイソチオシアナートは、化合物(A-3)に対して1.0モル当量またはそれ以上、好ましくは1.0~10.0モル当量使用することができる。
反応溶媒としては、アルコール類(例、メタノール、エタノール、tert-ブタノール、イソプロパノールなど)、芳香族炭化水素類(例、トルエン、ベンゼン、キシレンなど)、飽和炭化水素類(例、シクロヘキサン、ヘキサンなど)、エーテル類(例、テトラヒドロフラン、ジエチルエーテル、ジオキサン、ジメトキシエタンなど)、DMF、NMP、アセトニトリル、DMA等が挙げられ、単独または混合して用いることができる。
反応温度は、40℃~200℃、好ましくは80℃~150℃である。
反応時間は、0.5時間~48時間、好ましくは1時間~12時間である。
得られた所望の化合物(A-4)は、要すれば常法(例、カラムクロマトグラフィー、再結晶など)により精製することができる。
工程3
化合物(A-4)およびヨウ化メチルを塩基存在下、適当な溶媒中で反応させることにより化合物(A-5)を得ることができる。
本反応において、ヨウ化メチルは、化合物(A-4)に対して1.0モル当量またはそれ以上、好ましくは1.0~5.0モル当量使用することができる。
塩基としては、例えば、金属水酸化物(例、水酸化ナトリウム、水酸化カリウム、リン酸三カリウムなど)、金属水素化物(例、水素化ナトリウム、水素化リチウムなど)、金属炭酸塩(例、炭酸ナトリウム、炭酸カリウム、炭酸セシウムなど)、金属アルコキシド(例、ナトリウムメトキシド、ナトリウムエトキシド、カリウムtert-ブトキシドなど)、金属アルキル(例、ブチルリチウムなど)、ピリジン、トリエチルアミン、DIEA等が挙げられる。化合物(A-4)に対して1.0モル当量またはそれ以上、好ましくは1.0~5.0モル当量使用することができる。
反応溶媒としては、芳香族炭化水素類(例、トルエン、ベンゼン、キシレンなど)、飽和炭化水素類(例、シクロヘキサン、ヘキサンなど)、エーテル類(例、テトラヒドロフラン、ジエチルエーテル、ジオキサン、ジメトキシエタンなど)、DMF、NMP、アセトニトリル、DMA等が挙げられ、単独または混合して用いることができる。
反応温度は、0℃~100℃、好ましくは0℃~40℃である。
反応時間は、0.5時間~48時間、好ましくは1時間~8時間である。
得られた所望の化合物(A-5)は、要すれば常法(例、カラムクロマトグラフィー、再結晶など)により精製することができる。
工程4
化合物(A-5)および化合物(A-6)を塩基または酸存在下、無溶媒または適当な溶媒中で反応させることにより化合物(Iα)を得ることができる。
本反応において、化合物(A-6)は、化合物(A-5)に対して1.0モル当量またはそれ以上、好ましくは1.0~5.0モル当量使用することができる。
塩基としては、例えば、金属水酸化物(例、水酸化ナトリウム、水酸化カリウム、リン酸三カリウムなど)、金属水素化物(例、水素化ナトリウム、水素化リチウムなど)、金属炭酸塩(例、炭酸ナトリウム、炭酸カリウム、炭酸セシウムなど)、金属アルコキシド(例、ナトリウムメトキシド、ナトリウムエトキシド、カリウムtert-ブトキシドなど)、金属アルキル(例、ブチルリチウムなど)、ピリジン、トリエチルアミン、DIEA等などが挙げられる。化合物(A-5)に対して1.0モル当量またはそれ以上、好ましくは1.0~5.0モル当量使用することができる。
酸としては、例えば、酢酸、プロピオン酸などが挙げられる。化合物(A-5)に対して1.0モル当量またはそれ以上、好ましくは1.0~5.0モル当量使用することができる。
反応溶媒としては、アルコール類(例、tert-ブタノール、イソプロパノールなど)、芳香族炭化水素類(例、トルエン、ベンゼン、キシレンなど)、飽和炭化水素類(例、シクロヘキサン、ヘキサンなど)、エーテル類(例、テトラヒドロフラン、ジエチルエーテル、ジオキサン、ジメトキシエタンなど)、ハロゲン化炭化水素類(例、クロロホルム、ジクロロメタンなど)、DMF、DMSO、NMP、アセトニトリル、ピリジン、水等が挙げられ、単独または混合して用いることができる。
反応温度は0~200℃、場合によってはマイクロウェーブ照射下、好ましくは0~150℃である。
反応時間は、0.1~72時間、好ましくは0.5時間~18時間である。
得られた所望の化合物(Iα)は、要すれば常法(例、カラムクロマトグラフィー、再結晶など)により精製することができる。
[Method A]
Wherein R A1 is a hydrogen atom or substituted or unsubstituted alkyl; G 1 is halogen, substituted or unsubstituted alkylsulfanyl, substituted or unsubstituted alkylsulfinyl, or substituted or unsubstituted alkylsulfonyl, etc. A leaving group; other symbols have the same meanings as in (1) above.)
Process 1
Compound (A-3) can be obtained by reacting compound (A-1) and compound (A-2) in the presence of a base in an appropriate solvent.
Examples of the base include metal hydroxides (eg, sodium hydroxide, potassium hydroxide, tripotassium phosphate, etc.), metal hydrides (eg, sodium hydride, lithium hydride, etc.), metal carbonates (eg, Sodium carbonate, potassium carbonate, cesium carbonate, etc.), metal alkoxide (eg, sodium methoxide, sodium ethoxide, potassium tert-butoxide, etc.), metal alkyl (eg, butyllithium, etc.), pyridine, triethylamine, DIEA, etc. It is done. 1.0 molar equivalent or more, preferably 1.0 to 2.0 molar equivalents can be used relative to compound (A-2).
Reaction solvents include aromatic hydrocarbons (eg, toluene, benzene, xylene, etc.), saturated hydrocarbons (eg, cyclohexane, hexane, etc.), ethers (eg, tetrahydrofuran, diethyl ether, dioxane, dimethoxyethane, etc.) , Halogenated hydrocarbons (eg, chloroform, dichloromethane, etc.), DMF, DMSO, NMP, acetonitrile, pyridine and the like, which can be used alone or in combination.
The reaction temperature is 0 ° C. to 80 ° C., preferably 0 ° C. to 40 ° C.
The reaction time is 0.5 to 48 hours, preferably 1 to 16 hours.
The obtained desired compound (A-3) can be purified by conventional methods (eg, column chromatography, recrystallization, etc.) if necessary.
Process 2
Compound (A-4) can be obtained by reacting compound (A-3) and trimethylsilyl isothiocyanate in a suitable solvent or without solvent.
In this reaction, trimethylsilyl isothiocyanate can be used at 1.0 molar equivalent or more, preferably 1.0-10.0 molar equivalent relative to compound (A-3).
Reaction solvents include alcohols (eg, methanol, ethanol, tert-butanol, isopropanol, etc.), aromatic hydrocarbons (eg, toluene, benzene, xylene, etc.), saturated hydrocarbons (eg, cyclohexane, hexane, etc.) , Ethers (eg, tetrahydrofuran, diethyl ether, dioxane, dimethoxyethane, etc.), DMF, NMP, acetonitrile, DMA and the like can be used alone or in combination.
The reaction temperature is 40 ° C to 200 ° C, preferably 80 ° C to 150 ° C.
The reaction time is 0.5 to 48 hours, preferably 1 to 12 hours.
The obtained desired compound (A-4) can be purified by conventional methods (eg, column chromatography, recrystallization, etc.) if necessary.
Process 3
Compound (A-5) can be obtained by reacting compound (A-4) and methyl iodide in the presence of a base in an appropriate solvent.
In this reaction, methyl iodide can be used in an amount of 1.0 molar equivalent or more, preferably 1.0 to 5.0 molar equivalent based on compound (A-4).
Examples of the base include metal hydroxides (eg, sodium hydroxide, potassium hydroxide, tripotassium phosphate, etc.), metal hydrides (eg, sodium hydride, lithium hydride, etc.), metal carbonates (eg, Sodium carbonate, potassium carbonate, cesium carbonate, etc.), metal alkoxide (eg, sodium methoxide, sodium ethoxide, potassium tert-butoxide, etc.), metal alkyl (eg, butyllithium, etc.), pyridine, triethylamine, DIEA, etc. . 1.0 molar equivalent or more, preferably 1.0 to 5.0 molar equivalent can be used with respect to compound (A-4).
Reaction solvents include aromatic hydrocarbons (eg, toluene, benzene, xylene, etc.), saturated hydrocarbons (eg, cyclohexane, hexane, etc.), ethers (eg, tetrahydrofuran, diethyl ether, dioxane, dimethoxyethane, etc.) , DMF, NMP, acetonitrile, DMA and the like, and can be used alone or in combination.
The reaction temperature is 0 ° C. to 100 ° C., preferably 0 ° C. to 40 ° C.
The reaction time is 0.5 to 48 hours, preferably 1 to 8 hours.
The obtained desired compound (A-5) can be purified by conventional methods (eg, column chromatography, recrystallization, etc.) if necessary.
Process 4
Compound (Iα) can be obtained by reacting compound (A-5) and compound (A-6) in the presence of a base or acid in the absence of a solvent or in a suitable solvent.
In this reaction, compound (A-6) can be used at 1.0 molar equivalent or more, preferably 1.0-5.0 molar equivalents, relative to compound (A-5).
Examples of the base include metal hydroxides (eg, sodium hydroxide, potassium hydroxide, tripotassium phosphate, etc.), metal hydrides (eg, sodium hydride, lithium hydride, etc.), metal carbonates (eg, Sodium carbonate, potassium carbonate, cesium carbonate, etc.), metal alkoxide (eg, sodium methoxide, sodium ethoxide, potassium tert-butoxide, etc.), metal alkyl (eg, butyllithium, etc.), pyridine, triethylamine, DIEA, etc. It is done. 1.0 molar equivalent or more, preferably 1.0 to 5.0 molar equivalent can be used with respect to compound (A-5).
Examples of the acid include acetic acid and propionic acid. 1.0 molar equivalent or more, preferably 1.0 to 5.0 molar equivalent can be used with respect to compound (A-5).
Reaction solvents include alcohols (eg, tert-butanol, isopropanol, etc.), aromatic hydrocarbons (eg, toluene, benzene, xylene, etc.), saturated hydrocarbons (eg, cyclohexane, hexane, etc.), ethers ( Examples include tetrahydrofuran, diethyl ether, dioxane, dimethoxyethane, etc.), halogenated hydrocarbons (eg, chloroform, dichloromethane, etc.), DMF, DMSO, NMP, acetonitrile, pyridine, water, etc., used alone or in combination. be able to.
The reaction temperature is 0 to 200 ° C., optionally under microwave irradiation, preferably 0 to 150 ° C.
The reaction time is 0.1 to 72 hours, preferably 0.5 to 18 hours.
The obtained desired compound (Iα) can be purified by conventional methods (eg, column chromatography, recrystallization, etc.) if necessary.
本発明化合物の合成においては、以下に示すAa法の合成法に基づいて、望ましい段階でC=OをC=Sに適宜、変換することができる。本反応は、式(Iα)で示される化合物の合成に限らず、その他の本発明化合物の合成の際にも利用することができる。
[Aa法]
(式中、各記号は前記(1)と同意義である。)
A法で得られた化合物(Iα)と2,4-ビス(4-メトキシフェニル)-1,3,2,4-ジチアジホスフェタン-2,4-ジスルフィドを適当な溶媒中で反応させることにより、化合物(Iα’)を得ることができる。
反応溶媒としては、芳香族炭化水素類(例、トルエン、ベンゼン、キシレンなど)、飽和炭化水素類(例、シクロヘキサン、ヘキサンなど)、エーテル類(例、テトラヒドロフラン、ジエチルエーテル、ジオキサン、ジメトキシエタンなど)、アセトニトリル等が挙げられ、単独または混合して用いることができる。
反応温度は-10~110℃、好ましくは0~80℃である。
反応時間は、0.1~72時間、好ましくは0.5時間~18時間である。
得られた所望の化合物(Iα’)は、要すれば常法(例、カラムクロマトグラフィー、再結晶など)により精製することができる。
In the synthesis of the compound of the present invention, C═O can be appropriately converted to C═S at a desired stage based on the synthesis method of the Aa method shown below. This reaction is not limited to the synthesis of the compound represented by the formula (Iα), but can also be used for the synthesis of other compounds of the present invention.
[Aa method]
(In the formula, each symbol has the same meaning as in the above (1).)
The compound (Iα) obtained by Method A is reacted with 2,4-bis (4-methoxyphenyl) -1,3,2,4-dithiadiphosphetan-2,4-disulfide in an appropriate solvent. Thus, compound (Iα ′) can be obtained.
Reaction solvents include aromatic hydrocarbons (eg, toluene, benzene, xylene, etc.), saturated hydrocarbons (eg, cyclohexane, hexane, etc.), ethers (eg, tetrahydrofuran, diethyl ether, dioxane, dimethoxyethane, etc.) , Acetonitrile and the like, and can be used alone or in combination.
The reaction temperature is −10 to 110 ° C., preferably 0 to 80 ° C.
The reaction time is 0.1 to 72 hours, preferably 0.5 to 18 hours.
The obtained desired compound (Iα ′) can be purified by conventional methods (eg, column chromatography, recrystallization, etc.) if necessary.
本発明化合物の合成においては、以下に示すAb法の合成法に基づいて、望ましい段階でC=SをC=N(R6)に適宜、変換することができる。本反応は、式(Iα)で示される化合物の合成に限らず、その他の本発明化合物の合成の際にも利用することができる。
[Ab法]
(式中、Y1aはN(R6)であり;その他の記号は前記(1)と同意義である。)
Aa法で得られた化合物(Iα’)を酸または塩基存在下、化合物(Ab-1)と適当な溶媒中で反応させることにより、化合物(Iα’’)を得ることができる。
本反応において、化合物(Ab-1)は、化合物(Iα’)に対して1.0モル当量またはそれ以上、好ましくは1.0~5.0モル当量使用することができる。
酸としては、例えば、酢酸、トリフルオロ酢酸、パラトルエンスルホン酸などが挙げられる。化合物(Iα’)に対して0.05モル当量またはそれ以上、好ましくは0.1~2.0モル当量使用することができる。
塩基としては、例えば、ピリジン、トリエチルアミン、DIEA等が挙げられる。化合物(Iα’)に対して1.0モル当量またはそれ以上、好ましくは1.0~20.0モル当量使用することができる。
反応溶媒としては、アルコール類(例、メタノール、エタノール、tert-ブタノール、イソプロパノールなど)、芳香族炭化水素類(例、トルエン、ベンゼン、キシレンなど)、飽和炭化水素類(例、シクロヘキサン、ヘキサンなど)、エーテル類(例、テトラヒドロフラン、ジエチルエーテル、ジオキサン、ジメトキシエタンなど)、DMF、NMP、アセトニトリル、DMA等が挙げられ、単独または混合して用いることができる。
反応温度は、0~150℃、好ましくは0~80℃である。
反応時間は、0.1~72時間、好ましくは0.5時間~18時間である。
得られた所望の化合物(Iα’’)は、要すれば常法(例、カラムクロマトグラフィー、再結晶など)により精製することができる。
In the synthesis of the compound of the present invention, C═S can be appropriately converted to C═N (R 6 ) at a desired stage based on the following synthesis method of Ab method. This reaction is not limited to the synthesis of the compound represented by the formula (Iα), but can also be used for the synthesis of other compounds of the present invention.
[Ab method]
(In the formula, Y 1a is N (R 6 ); other symbols have the same meanings as in the above (1).)
Compound (Iα ″) can be obtained by reacting compound (Iα ′) obtained by Method Aa with compound (Ab-1) in the presence of an acid or base in an appropriate solvent.
In this reaction, compound (Ab-1) can be used at 1.0 molar equivalent or more, preferably 1.0-5.0 molar equivalents, relative to compound (Iα ′).
Examples of the acid include acetic acid, trifluoroacetic acid, p-toluenesulfonic acid, and the like. 0.05 mol equivalent or more, preferably 0.1 to 2.0 mol equivalent, can be used with respect to compound (Iα ′).
Examples of the base include pyridine, triethylamine, DIEA and the like. 1.0 molar equivalent or more, preferably 1.0 to 20.0 molar equivalent can be used with respect to compound (Iα ′).
Reaction solvents include alcohols (eg, methanol, ethanol, tert-butanol, isopropanol, etc.), aromatic hydrocarbons (eg, toluene, benzene, xylene, etc.), saturated hydrocarbons (eg, cyclohexane, hexane, etc.) , Ethers (eg, tetrahydrofuran, diethyl ether, dioxane, dimethoxyethane, etc.), DMF, NMP, acetonitrile, DMA and the like can be used alone or in combination.
The reaction temperature is 0 to 150 ° C., preferably 0 to 80 ° C.
The reaction time is 0.1 to 72 hours, preferably 0.5 to 18 hours.
The obtained desired compound (Iα ″) can be purified by conventional methods (eg, column chromatography, recrystallization, etc.) if necessary.
[B法]
(式中、Qaは、5員非芳香族炭素環、6員非芳香族炭素環、5員非芳香族複素環、または6員非芳香族複素環であり;RA1およびG1はA法と同意義であり;その他の記号は前記(1)と同義である。)
工程1
化合物(B-1)および化合物(B-2)を酸存在下、適当な溶媒中で反応させることにより化合物(B-3)を得ることができる。
酸としては、例えば、p-トルエンスルホン酸、トリフルオロ酢酸などが挙げられる。化合物(B-1)に対して0.05モル当量またはそれ以上、好ましくは0.1~0.5モル当量使用することができる。
反応溶媒としては、アルコール類(例、メタノール、エタノール、イソプロパノールなど)、芳香族炭化水素類(例、トルエン、ベンゼン、キシレンなど)、飽和炭化水素類(例、シクロヘキサン、ヘキサンなど)、エーテル類(例、テトラヒドロフラン、ジエチルエーテル、ジオキサン、ジメトキシエタンなど)、DMF、DMSO、NMP、アセトニトリル等が挙げられ、単独または混合して用いることができる。
反応温度は、0℃~80℃、好ましくは0℃~40℃である。
反応時間は、0.5時間~48時間、好ましくは1時間~16時間である。
得られた所望の化合物(B-3)は、要すれば常法(例、カラムクロマトグラフィー、再結晶など)により精製することができる。
工程2
A法工程2に記載の合成方法に従って、化合物(B-3)とトリメチルシリルイソチオシアナートを反応させることにより化合物(B-4)を得ることができる
得られた所望の化合物(B-4)は、要すれば常法(例、カラムクロマトグラフィー、再結晶など)により精製することができる。
工程3
A法工程3に記載の合成方法に従って、化合物(B-4)とヨウ化メチルを反応させることにより化合物(B-5)を得ることができる。
得られた所望の化合物(B-5)は、要すれば常法(例、カラムクロマトグラフィー、再結晶など)により精製することができる。
工程4
A法工程4に記載の合成方法に従って、化合物(B-5)および化合物(B-6)を反応させることにより化合物(Iα-a)を得ることができる。
得られた所望の化合物(Iα-a)は、要すれば常法(例、カラムクロマトグラフィー、再結晶など)により精製することができる。
[Method B]
Wherein Qa is a 5-membered non-aromatic carbocycle, 6-membered non-aromatic carbocycle, 5-membered non-aromatic heterocycle, or 6-membered non-aromatic heterocycle; R A1 and G 1 are A methods And other symbols have the same meanings as in (1) above.)
Process 1
Compound (B-3) can be obtained by reacting compound (B-1) and compound (B-2) in the presence of an acid in an appropriate solvent.
Examples of the acid include p-toluenesulfonic acid and trifluoroacetic acid. 0.05 molar equivalent or more, preferably 0.1 to 0.5 molar equivalent can be used with respect to compound (B-1).
Reaction solvents include alcohols (eg, methanol, ethanol, isopropanol, etc.), aromatic hydrocarbons (eg, toluene, benzene, xylene, etc.), saturated hydrocarbons (eg, cyclohexane, hexane, etc.), ethers ( Examples include tetrahydrofuran, diethyl ether, dioxane, dimethoxyethane, etc.), DMF, DMSO, NMP, acetonitrile and the like, which can be used alone or in combination.
The reaction temperature is 0 ° C. to 80 ° C., preferably 0 ° C. to 40 ° C.
The reaction time is 0.5 to 48 hours, preferably 1 to 16 hours.
The obtained desired compound (B-3) can be purified by conventional methods (eg, column chromatography, recrystallization, etc.) if necessary.
Process 2
The compound (B-4) can be obtained by reacting the compound (B-3) with trimethylsilyl isothiocyanate according to the synthesis method described in Method A Step 2, and the desired compound (B-4) obtained is If necessary, it can be purified by a conventional method (eg, column chromatography, recrystallization, etc.).
Process 3
The compound (B-5) can be obtained by reacting compound (B-4) with methyl iodide according to the synthesis method described in Method A, Step 3.
The obtained desired compound (B-5) can be purified by conventional methods (eg, column chromatography, recrystallization, etc.) if necessary.
Process 4
Compound (Iα-a) can be obtained by reacting compound (B-5) and compound (B-6) according to the synthesis method described in Method A, Step 4.
The obtained desired compound (Iα-a) can be purified by conventional methods (eg, column chromatography, recrystallization, etc.) if necessary.
[C法]
(RA2は置換若しくは非置換のアルキルであり;RB1はハロゲンまたはヒドロキシであり;R5Aは、水素または前記(1)のR5として示されるいずれかの基であり;その他の記号は前記(1)と同意義である。)
工程1
化合物(C-1)および化合物(C-2)を塩基存在下、適当な溶媒中で反応させることにより化合物(C-3)を得ることができる。
本反応において、化合物(C-1)は、化合物(C-2)に対して1.0モル当量またはそれ以上、好ましくは1.0~2.0モル当量使用することができる。
塩基としては、例えば、金属水酸化物(例、水酸化ナトリウム、水酸化カリウム、リン酸三カリウムなど)、金属水素化物(例、水素化ナトリウム、水素化リチウムなど)、金属炭酸塩(例、炭酸ナトリウム、炭酸カリウム、炭酸セシウムなど)、金属アルコキシド(例、ナトリウムメトキシド、ナトリウムエトキシド、カリウムtert-ブトキシドなど)、金属アルキル(例、ブチルリチウムなど)、ピリジン、トリエチルアミン、DIEA等などが挙げられる。化合物(C-2)に対して1.0モル当量またはそれ以上、好ましくは1.0~5.0モル当量使用することができる。
反応溶媒としては、アルコール類(例、メタノール、エタノール、tert-ブタノール、イソプロパノールなど)、芳香族炭化水素類(例、トルエン、ベンゼン、キシレンなど)、飽和炭化水素類(例、シクロヘキサン、ヘキサンなど)、エーテル類(例、テトラヒドロフラン、ジエチルエーテル、ジオキサン、ジメトキシエタンなど)、ハロゲン化炭化水素類(例、クロロホルム、ジクロロメタンなど)、DMF、DMSO、NMP、アセトニトリル等が挙げられ、単独または混合して用いることができる。
反応温度は-10~80℃、好ましくは0~40℃である。
反応時間は、0.1~24時間、好ましくは0.5時間~12時間である。
得られた所望の化合物(C-3)は、要すれば常法(例、カラムクロマトグラフィー、再結晶など)により精製することができる。
工程2
化合物(C-3)および亜ジチオン酸ナトリウムを塩基存在下、適当な溶媒中で反応させることにより化合物(C-4)を得ることができる。
本反応において、亜ジチオン酸ナトリウムは、化合物(C-3)に対して1.0モル当量またはそれ以上、好ましくは2.0~5.0モル当量使用することができる。
塩基としては、例えば、金属水酸化物(例、水酸化ナトリウム、水酸化カリウム、リン酸三カリウムなど)、金属炭酸塩(例、炭酸ナトリウム、炭酸カリウム、炭酸セシウムなど)等などが挙げられる。化合物(C-3)に対して1.0モル当量またはそれ以上、好ましくは2.0~5.0モル当量使用することができる。
反応溶媒としては、アルコール類(例、メタノール、エタノール、tert-ブタノール、イソプロパノールなど)、エーテル類(例、テトラヒドロフラン、ジオキサン、ジメトキシエタンなど))、DMF、DMSO、NMP、アセトニトリル、水等が挙げられ、単独または混合して用いることができる。
反応温度は0~80℃、好ましくは20~50℃である。
反応時間は、0.1~24時間、好ましくは0.5時間~12時間である。
得られた所望の化合物(C-4)は、要すれば常法(例、カラムクロマトグラフィー、再結晶など)により精製することができる。
工程3
化合物(C-4)および化合物(C-5)を、適当な溶媒中、または無溶媒中反応させることにより化合物(C-6)を得ることができる
本反応において、化合物(C-5)は、化合物(C-4)に対して1.0モル当量またはそれ以上、好ましくは3.0~20.0モル当量使用することができる。
反応溶媒としては、アルコール類(例、メタノール、エタノール、tert-ブタノール、イソプロパノールなど)、芳香族炭化水素類(例、トルエン、ベンゼン、キシレンなど)、飽和炭化水素類(例、シクロヘキサン、ヘキサンなど)、エーテル類(例、テトラヒドロフラン、ジエチルエーテル、ジオキサン、ジメトキシエタンなど)、DMF、NMP、アセトニトリル、DMA等が挙げられ、単独または混合して用いることができる。
反応温度は、40℃~200℃、場合によってはマイクロウェーブ照射下、好ましくは80℃~150℃である。
反応時間は、0.5時間~48時間、好ましくは1時間~12時間である。
得られた所望の化合物(C-6)は、要すれば常法(例、カラムクロマトグラフィー、再結晶など)により精製することができる。
工程4
A法工程3に記載の合成方法に従って、化合物(C-6)およびヨウ化メチルを反応させることにより化合物(C-7)を得ることができる。
得られた所望の化合物(C-7)は、要すれば常法(例、カラムクロマトグラフィー、再結晶など)により精製することができる。
工程5
A法工程4に記載の合成方法に従って、化合物(C-7)および化合物(C-8)を反応させることにより化合物(Iα-b)を得ることができる。
得られた所望の化合物(Iα-b)は、要すれば常法(例、カラムクロマトグラフィー、再結晶など)により精製することができる。
[Method C]
(R A2 is substituted or unsubstituted alkyl; R B1 is halogen or hydroxy; R 5A is hydrogen or any group shown as R 5 in (1) above; (It has the same meaning as (1).)
Process 1
Compound (C-3) can be obtained by reacting compound (C-1) and compound (C-2) in the presence of a base in an appropriate solvent.
In this reaction, compound (C-1) can be used at 1.0 molar equivalent or more, preferably 1.0 to 2.0 molar equivalents, relative to compound (C-2).
Examples of the base include metal hydroxides (eg, sodium hydroxide, potassium hydroxide, tripotassium phosphate, etc.), metal hydrides (eg, sodium hydride, lithium hydride, etc.), metal carbonates (eg, Sodium carbonate, potassium carbonate, cesium carbonate, etc.), metal alkoxide (eg, sodium methoxide, sodium ethoxide, potassium tert-butoxide, etc.), metal alkyl (eg, butyllithium, etc.), pyridine, triethylamine, DIEA, etc. It is done. 1.0 molar equivalent or more, preferably 1.0 to 5.0 molar equivalent can be used relative to compound (C-2).
Reaction solvents include alcohols (eg, methanol, ethanol, tert-butanol, isopropanol, etc.), aromatic hydrocarbons (eg, toluene, benzene, xylene, etc.), saturated hydrocarbons (eg, cyclohexane, hexane, etc.) , Ethers (eg, tetrahydrofuran, diethyl ether, dioxane, dimethoxyethane, etc.), halogenated hydrocarbons (eg, chloroform, dichloromethane, etc.), DMF, DMSO, NMP, acetonitrile, etc., used alone or in combination. be able to.
The reaction temperature is −10 to 80 ° C., preferably 0 to 40 ° C.
The reaction time is 0.1 to 24 hours, preferably 0.5 to 12 hours.
The obtained desired compound (C-3) can be purified by conventional methods (eg, column chromatography, recrystallization, etc.) if necessary.
Process 2
Compound (C-4) can be obtained by reacting compound (C-3) and sodium dithionite in an appropriate solvent in the presence of a base.
In this reaction, sodium dithionite can be used in an amount of 1.0 molar equivalent or more, preferably 2.0 to 5.0 molar equivalents, relative to compound (C-3).
Examples of the base include metal hydroxide (eg, sodium hydroxide, potassium hydroxide, tripotassium phosphate, etc.), metal carbonate (eg, sodium carbonate, potassium carbonate, cesium carbonate, etc.) and the like. 1.0 molar equivalent or more, preferably 2.0 to 5.0 molar equivalents can be used relative to compound (C-3).
Examples of the reaction solvent include alcohols (eg, methanol, ethanol, tert-butanol, isopropanol, etc.), ethers (eg, tetrahydrofuran, dioxane, dimethoxyethane, etc.), DMF, DMSO, NMP, acetonitrile, water and the like. These can be used alone or in combination.
The reaction temperature is 0 to 80 ° C., preferably 20 to 50 ° C.
The reaction time is 0.1 to 24 hours, preferably 0.5 to 12 hours.
The obtained desired compound (C-4) can be purified by conventional methods (eg, column chromatography, recrystallization, etc.) if necessary.
Process 3
Compound (C-6) can be obtained by reacting compound (C-4) and compound (C-5) in a suitable solvent or without solvent. In this reaction, compound (C-5) is The compound (C-4) can be used at 1.0 molar equivalent or more, preferably 3.0 to 20.0 molar equivalent.
Reaction solvents include alcohols (eg, methanol, ethanol, tert-butanol, isopropanol, etc.), aromatic hydrocarbons (eg, toluene, benzene, xylene, etc.), saturated hydrocarbons (eg, cyclohexane, hexane, etc.) , Ethers (eg, tetrahydrofuran, diethyl ether, dioxane, dimethoxyethane, etc.), DMF, NMP, acetonitrile, DMA and the like can be used alone or in combination.
The reaction temperature is 40 ° C. to 200 ° C., optionally under microwave irradiation, preferably 80 ° C. to 150 ° C.
The reaction time is 0.5 to 48 hours, preferably 1 to 12 hours.
The obtained desired compound (C-6) can be purified by conventional methods (eg, column chromatography, recrystallization, etc.) if necessary.
Process 4
Compound (C-7) can be obtained by reacting compound (C-6) and methyl iodide according to the synthesis method described in Method A, Step 3.
The obtained desired compound (C-7) can be purified by conventional methods (eg, column chromatography, recrystallization, etc.) if necessary.
Process 5
Compound (Iα-b) can be obtained by reacting compound (C-7) and compound (C-8) according to the synthesis method described in Method A, Step 4.
The obtained desired compound (Iα-b) can be purified by conventional methods (eg, column chromatography, recrystallization, etc.) if necessary.
[D法]
(式中、G2はハロゲン、置換もしくは非置換のアルキルスルファニル、置換もしくは非置換のアルキルスルフィニル、または置換もしくは非置換のアルキルスルホニル等の脱離基であり;R5AおよびR5Bは、それぞれ独立して、水素または前記(1)のR5として示されるいずれかの基であり;その他の記号は前記(1)と同意義である。)
工程1
C法で得られた化合物(C-6)および化合物(D-1)を塩基存在下、適当な溶媒中で反応させることにより、化合物(D-2)を得ることができる。
本反応において、化合物(D-1)は、化合物(C-6)に対して1.0モル当量またはそれ以上、好ましくは1.0~5.0モル当量使用することができる。
塩基としては、例えば、金属水酸化物(例、水酸化ナトリウム、水酸化カリウム、リン酸三カリウムなど)、金属水素化物(例、水素化ナトリウム、水素化リチウムなど)、金属炭酸塩(例、炭酸ナトリウム、炭酸カリウム、炭酸セシウムなど)、金属アルコキシド(例、ナトリウムメトキシド、ナトリウムエトキシド、カリウムtert-ブトキシドなど)、金属アルキル(例、ブチルリチウムなど)、ピリジン、トリエチルアミン、DIEA等などが挙げられる。化合物(C-6)に対して1.0モル当量またはそれ以上、好ましくは1.0~5.0モル当量使用することができる。
反応溶媒としては、アルコール類(例、tert-ブタノール、イソプロパノールなど)、芳香族炭化水素類(例、トルエン、ベンゼン、キシレンなど)、飽和炭化水素類(例、シクロヘキサン、ヘキサンなど)、エーテル類(例、テトラヒドロフラン、ジエチルエーテル、ジオキサン、ジメトキシエタンなど)、ハロゲン化炭化水素類(例、クロロホルム、ジクロロメタンなど)、DMF、DMSO、NMP、アセトニトリル、ピリジン、水等が挙げられ、単独または混合して用いることができる。
反応温度は0~200℃、場合によってはマイクロウェーブ照射下、好ましくは20~100℃である。
反応時間は、0.1~72時間、好ましくは0.5時間~18時間である。
得られた所望の化合物(D-2)は、要すれば常法(例、カラムクロマトグラフィー、再結晶など)により精製することができる。
工程2
A法工程4に記載の合成方法に従って、化合物(D-2)および化合物(D-3)を反応させることにより化合物(Iα-c)を得ることができる。
得られた所望の化合物(Iα-c)は、要すれば常法(例、カラムクロマトグラフィー、再結晶など)により精製することができる。
[Method D]
Wherein G 2 is a leaving group such as halogen, substituted or unsubstituted alkylsulfanyl, substituted or unsubstituted alkylsulfinyl, or substituted or unsubstituted alkylsulfonyl; R 5A and R 5B are each independently And hydrogen or any group shown as R 5 in the above (1); other symbols are the same as those in the above (1).)
Process 1
Compound (D-2) can be obtained by reacting compound (C-6) and compound (D-1) obtained by Method C in a suitable solvent in the presence of a base.
In this reaction, compound (D-1) can be used at 1.0 molar equivalent or more, preferably 1.0 to 5.0 molar equivalents relative to compound (C-6).
Examples of the base include metal hydroxides (eg, sodium hydroxide, potassium hydroxide, tripotassium phosphate, etc.), metal hydrides (eg, sodium hydride, lithium hydride, etc.), metal carbonates (eg, Sodium carbonate, potassium carbonate, cesium carbonate, etc.), metal alkoxide (eg, sodium methoxide, sodium ethoxide, potassium tert-butoxide, etc.), metal alkyl (eg, butyllithium, etc.), pyridine, triethylamine, DIEA, etc. It is done. 1.0 molar equivalent or more, preferably 1.0 to 5.0 molar equivalent can be used with respect to compound (C-6).
Reaction solvents include alcohols (eg, tert-butanol, isopropanol, etc.), aromatic hydrocarbons (eg, toluene, benzene, xylene, etc.), saturated hydrocarbons (eg, cyclohexane, hexane, etc.), ethers ( Examples include tetrahydrofuran, diethyl ether, dioxane, dimethoxyethane, etc.), halogenated hydrocarbons (eg, chloroform, dichloromethane, etc.), DMF, DMSO, NMP, acetonitrile, pyridine, water, etc., used alone or in combination. be able to.
The reaction temperature is 0 to 200 ° C., optionally under microwave irradiation, preferably 20 to 100 ° C.
The reaction time is 0.1 to 72 hours, preferably 0.5 to 18 hours.
The obtained desired compound (D-2) can be purified by conventional methods (eg, column chromatography, recrystallization, etc.) if necessary.
Process 2
Compound (Iα-c) can be obtained by reacting compound (D-2) and compound (D-3) according to the synthesis method described in Method A, Step 4.
The obtained desired compound (Iα-c) can be purified by conventional methods (eg, column chromatography, recrystallization, etc.) if necessary.
化合物(Iα-c)は、D法の代わりに以下に示すE法を用いて合成することも可能である。
[E法]
(式中、RC1およびRC2は、それぞれ独立して水素、もしくは置換若しくは非置換のアルキルであるか、または一緒になって置換若しくは非置換の非芳香族複素環を形成し;R5AおよびR5Bは、D法と同意義であり;その他の記号は前記(1)と同意義である。)
工程1
C法で得られた化合物(C-6)とボロン酸またはボロン酸エステル(E-1)を金属触媒、および塩基存在下、適当な溶媒中で反応させることにより、化合物(E-2)を得ることができる。
本反応において、ボロン酸またはボロン酸エステル(E-1)は、化合物(C-6)に対して1.0モル当量またはそれ以上、好ましくは1.0~5.0モル当量使用することができる。
金属触媒としては、酢酸銅(II)などが挙げられる。化合物(C-6)に対して、001~0.2モル当量用いることができる。
反応溶媒としては、芳香族炭化水素類(例、トルエン、ベンゼン、キシレンなど)、飽和炭化水素類(例、シクロヘキサン、ヘキサンなど)、エーテル類(例、テトラヒドロフラン、ジエチルエーテル、ジオキサン、ジメトキシエタンなど)、DMF、DMA、NMP、DMSOおよびそれらの混合溶媒などが挙げられる。
反応温度は0~150℃、場合によってはマイクロウェーブ照射下、好ましくは20~100℃である。
反応時間は、0.1~48時間、好ましくは0.5時間~18時間である。
得られた所望の化合物(E-2)は、要すれば常法(例、カラムクロマトグラフィー、再結晶など)により精製することができる。
工程2
A法工程4に記載の合成方法に従って、化合物(E-2)および化合物(E-3)を反応させることにより化合物(Iα-c)を得ることができる。
得られた所望の化合物(Iα-c)は、要すれば常法(例、カラムクロマトグラフィー、再結晶など)により精製することができる。
Compound (Iα-c) can also be synthesized by using the following E method instead of D method.
[E method]
Wherein R C1 and R C2 are each independently hydrogen, or substituted or unsubstituted alkyl, or taken together to form a substituted or unsubstituted non-aromatic heterocycle; R 5A and R 5B has the same meaning as method D; the other symbols have the same meaning as in the above (1).)
Process 1
Compound (E-2) is reacted with boronic acid or boronic ester (E-1) obtained by Method C in a suitable solvent in the presence of a metal catalyst and a base. Obtainable.
In this reaction, boronic acid or boronic acid ester (E-1) is used in an amount of 1.0 molar equivalent or more, preferably 1.0 to 5.0 molar equivalents, relative to compound (C-6). it can.
Examples of the metal catalyst include copper (II) acetate. The base can be used at 001 to 0.2 molar equivalent relative to compound (C-6).
Reaction solvents include aromatic hydrocarbons (eg, toluene, benzene, xylene, etc.), saturated hydrocarbons (eg, cyclohexane, hexane, etc.), ethers (eg, tetrahydrofuran, diethyl ether, dioxane, dimethoxyethane, etc.) , DMF, DMA, NMP, DMSO, and mixed solvents thereof.
The reaction temperature is 0 to 150 ° C., optionally under microwave irradiation, preferably 20 to 100 ° C.
The reaction time is 0.1 to 48 hours, preferably 0.5 to 18 hours.
The obtained desired compound (E-2) can be purified by conventional methods (eg, column chromatography, recrystallization, etc.) if necessary.
Process 2
Compound (Iα-c) can be obtained by reacting compound (E-2) and compound (E-3) according to the synthesis method described in Method A, Step 4.
The obtained desired compound (Iα-c) can be purified by conventional methods (eg, column chromatography, recrystallization, etc.) if necessary.
化合物(Iα-c)において、R5Aが水素である場合には、更に次のような反応に付すことができる。また、得られた化合物(Iα-c2)を用いて、更にカップリング反応等の公知の反応に付すことも可能である。
[F法]
(式中、Halは、ハロゲンであり;R5bは、D法と同意義であり;その他の記号は前記(1)と同意義である。)
工程1
D法またはE法で得られた化合物(Iα-c1)にハロゲン化試薬を適当な溶媒中で反応させることにより化合物(Iα-c2)を得ることができる。
ハロゲン化試薬としては、NCS、NBS、NIS及び臭素等が挙げられる。
本反応において、ハロゲン化試薬は、化合物(Iα-c1)に対して1.0モル当量またはそれ以上、好ましくは1.0~3.0モル当量使用することができる。
反応溶媒としては、芳香族炭化水素類(例、トルエン、ベンゼン、キシレンなど)、飽和炭化水素類(例、シクロヘキサン、ヘキサンなど)、エーテル類(例、テトラヒドロフラン、ジエチルエーテル、ジオキサン、ジメトキシエタンなど)、ハロゲン化炭化水素類(例、クロロホルム、ジクロロメタンなど)、DMF、DMSO、NMP、アセトニトリル等が挙げられ、単独または混合して用いることができる。
反応温度は0~120℃、好ましくは0~80℃である。
反応時間は、0.1~72時間、好ましくは0.5時間~18時間である。
得られた所望の化合物(Iα-c2)は、要すれば常法(例、カラムクロマトグラフィー、再結晶など)により精製することができる。
In the compound (Iα-c), when R 5A is hydrogen, it can be further subjected to the following reaction. The obtained compound (Iα-c2) can be further subjected to a known reaction such as a coupling reaction.
[F method]
(In the formula, Hal is halogen; R 5b is as defined in Method D; other symbols are as defined in (1) above).
Process 1
Compound (Iα-c2) can be obtained by reacting compound (Iα-c1) obtained by Method D or E with a halogenating reagent in an appropriate solvent.
Examples of the halogenating reagent include NCS, NBS, NIS and bromine.
In this reaction, the halogenating reagent can be used at 1.0 molar equivalent or more, preferably 1.0 to 3.0 molar equivalent, relative to compound (Iα-c1).
Reaction solvents include aromatic hydrocarbons (eg, toluene, benzene, xylene, etc.), saturated hydrocarbons (eg, cyclohexane, hexane, etc.), ethers (eg, tetrahydrofuran, diethyl ether, dioxane, dimethoxyethane, etc.) , Halogenated hydrocarbons (eg, chloroform, dichloromethane, etc.), DMF, DMSO, NMP, acetonitrile and the like, and can be used alone or in combination.
The reaction temperature is 0 to 120 ° C, preferably 0 to 80 ° C.
The reaction time is 0.1 to 72 hours, preferably 0.5 to 18 hours.
The obtained desired compound (Iα-c2) can be purified by conventional methods (eg, column chromatography, recrystallization, etc.) if necessary.
[G法]
(式中、RD1、RD2およびRD3は、それぞれ独立して、置換若しくは非置換のアルキルであり;R5CおよびR5Dは、それぞれ独立して、水素または前記(1)のR5として示されるいずれかの基であり;その他の記号は前記(1)と同意義である。)
工程1
化合物(G-1)に、化合物(G-2)を塩基存在下、適当な溶媒中で反応させることにより化合物(G-3)を得ることができる。
本反応において、化合物(G-1)は、化合物(G-2)に対して1.0モル当量またはそれ以上、好ましくは1.0~2.0モル当量使用することができる。
塩基としては、例えば、金属水酸化物(例、水酸化ナトリウム、水酸化カリウム、リン酸三カリウムなど)、金属水素化物(例、水素化ナトリウム、水素化リチウムなど)、金属炭酸塩(例、炭酸ナトリウム、炭酸カリウム、炭酸セシウムなど)、金属アルコキシド(例、ナトリウムメトキシド、ナトリウムエトキシド、カリウムtert-ブトキシドなど)、金属アルキル(例、ブチルリチウムなど)、ピリジン、トリエチルアミン、DIEA等などが挙げられる。化合物(G-2)に対して1.0モル当量またはそれ以上、好ましくは1.0~5.0モル当量使用することができる。
反応溶媒としては、アルコール類(例、メタノール、エタノール、tert-ブタノール、イソプロパノールなど)、芳香族炭化水素類(例、トルエン、ベンゼン、キシレンなど)、飽和炭化水素類(例、シクロヘキサン、ヘキサンなど)、エーテル類(例、テトラヒドロフラン、ジエチルエーテル、ジオキサン、ジメトキシエタンなど)、ハロゲン化炭化水素類(例、クロロホルム、ジクロロメタンなど)、DMF、DMSO、NMP、アセトニトリル等が挙げられ、単独または混合して用いることができる。
反応温度は0~200℃、好ましくは20~120℃である。
反応時間は、0.1~48時間、好ましくは1時間~24時間である。
得られた所望の化合物(G-3)は、要すれば常法(例、カラムクロマトグラフィー、再結晶など)により精製することができる。
工程2
化合物(G-3)を酸存在下、適当な溶媒中で反応させることにより化合物(G-4)を得ることができる。
酸としては、例えば、p-トルエンスルホン酸、トリフルオロ酢酸などが挙げられる。化合物(G-3)に対して0.05モル当量またはそれ以上、好ましくは0.1~0.5モル当量使用することができる。
反応溶媒としては、アルコール類(例、tert-ブタノール、イソプロパノールなど)、芳香族炭化水素類(例、トルエン、ベンゼン、キシレンなど)、飽和炭化水素類(例、シクロヘキサン、ヘキサンなど)、エーテル類(例、テトラヒドロフラン、ジエチルエーテル、ジオキサン、ジメトキシエタンなど)、DMF、NMP、アセトニトリル、DMA等が挙げられ、単独または混合して用いることができる。
反応温度は0~200℃、好ましくは20~150℃である。
反応時間は、0.1~72時間、好ましくは0.5時間~18時間である。
得られた所望の化合物(G-4)は、要すれば常法(例、カラムクロマトグラフィー、再結晶など)により精製することができる。
工程3
A法工程3に記載の合成方法に従って、化合物(G-4)およびヨウ化メチルを反応させることにより、化合物(G-5)を得ることができる。
得られた所望の化合物(G-5)は、要すれば常法(例、カラムクロマトグラフィー、再結晶など)により精製することができる。
工程4
A法工程4に記載の合成方法に従って、化合物(G-5)および化合物(G-6)を反応させることにより化合物(Iα-d)を得ることができる。
得られた所望の化合物(Iα-d)は、要すれば常法(例、カラムクロマトグラフィー、再結晶など)により精製することができる。
[H法]
(R5EおよびR5Fは、それぞれ独立して、水素または前記(1)のR5として示されるいずれかの基であり;式中の記号は前記(1)と同意義である。)
工程1
A法で得られた化合物(A-4)と化合物(H-1)を適当な溶媒中で反応させることにより化合物(H-2)を得ることができる。
本反応において、化合物(H-1)は、化合物(A-4)に対して1.0モル当量またはそれ以上、好ましくは1.0~5.0モル当量使用することができる。
反応溶媒としては、アルコール類(例、メタノール、エタノール、tert-ブタノール、イソプロパノールなど)、芳香族炭化水素類(例、トルエン、ベンゼン、キシレンなど)、飽和炭化水素類(例、シクロヘキサン、ヘキサンなど)、エーテル類(例、テトラヒドロフラン、ジエチルエーテル、ジオキサン、ジメトキシエタンなど)、ハロゲン化炭化水素類(例、クロロホルム、ジクロロメタンなど)、DMF、DMSO、NMP、アセトニトリル等が挙げられ、単独または混合して用いることができる。
反応温度は0~150℃、好ましくは20~80℃である。
反応時間は、0.1~24時間、好ましくは1時間~12時間である。
得られた所望の化合物(H-2)は、要すれば常法(例、カラムクロマトグラフィー、再結晶など)により精製することができる
工程2
A法工程3に記載の合成方法に従って、化合物(H-2)およびヨウ化メチルを反応させることにより、化合物(H-3)を得ることができる。
得られた所望の化合物(H-3)は、要すれば常法(例、カラムクロマトグラフィー、再結晶など)により精製することができる。
工程4
A法工程4に記載の合成方法に従って、化合物(H-3)および化合物(H-4)を反応させることにより化合物(Iα-e)を得ることができる。
得られた所望の化合物(Iα-e)は、要すれば常法(例、カラムクロマトグラフィー、再結晶など)により精製することができる。
[G method]
Wherein R D1 , R D2 and R D3 are each independently substituted or unsubstituted alkyl; R 5C and R 5D are each independently hydrogen or R 5 in the above (1) Any of the groups shown; the other symbols have the same meanings as in (1) above.)
Process 1
Compound (G-3) can be obtained by reacting compound (G-1) with compound (G-2) in the presence of a base in an appropriate solvent.
In this reaction, compound (G-1) can be used at 1.0 molar equivalent or more, preferably 1.0-2.0 molar equivalents relative to compound (G-2).
Examples of the base include metal hydroxides (eg, sodium hydroxide, potassium hydroxide, tripotassium phosphate, etc.), metal hydrides (eg, sodium hydride, lithium hydride, etc.), metal carbonates (eg, Sodium carbonate, potassium carbonate, cesium carbonate, etc.), metal alkoxide (eg, sodium methoxide, sodium ethoxide, potassium tert-butoxide, etc.), metal alkyl (eg, butyllithium, etc.), pyridine, triethylamine, DIEA, etc. It is done. 1.0 molar equivalent or more, preferably 1.0 to 5.0 molar equivalent can be used relative to compound (G-2).
Reaction solvents include alcohols (eg, methanol, ethanol, tert-butanol, isopropanol, etc.), aromatic hydrocarbons (eg, toluene, benzene, xylene, etc.), saturated hydrocarbons (eg, cyclohexane, hexane, etc.) , Ethers (eg, tetrahydrofuran, diethyl ether, dioxane, dimethoxyethane, etc.), halogenated hydrocarbons (eg, chloroform, dichloromethane, etc.), DMF, DMSO, NMP, acetonitrile, etc., used alone or in combination. be able to.
The reaction temperature is 0 to 200 ° C, preferably 20 to 120 ° C.
The reaction time is 0.1 to 48 hours, preferably 1 to 24 hours.
The obtained desired compound (G-3) can be purified by conventional methods (eg, column chromatography, recrystallization, etc.) if necessary.
Process 2
Compound (G-4) can be obtained by reacting compound (G-3) in the presence of an acid in a suitable solvent.
Examples of the acid include p-toluenesulfonic acid and trifluoroacetic acid. 0.05 molar equivalent or more, preferably 0.1 to 0.5 molar equivalent can be used with respect to compound (G-3).
Reaction solvents include alcohols (eg, tert-butanol, isopropanol, etc.), aromatic hydrocarbons (eg, toluene, benzene, xylene, etc.), saturated hydrocarbons (eg, cyclohexane, hexane, etc.), ethers ( Examples include tetrahydrofuran, diethyl ether, dioxane, dimethoxyethane, etc.), DMF, NMP, acetonitrile, DMA and the like, and these can be used alone or in combination.
The reaction temperature is 0 to 200 ° C, preferably 20 to 150 ° C.
The reaction time is 0.1 to 72 hours, preferably 0.5 to 18 hours.
The obtained desired compound (G-4) can be purified by conventional methods (eg, column chromatography, recrystallization, etc.) if necessary.
Process 3
The compound (G-5) can be obtained by reacting the compound (G-4) and methyl iodide according to the synthesis method described in Method A, Step 3.
The obtained desired compound (G-5) can be purified by conventional methods (eg, column chromatography, recrystallization, etc.) if necessary.
Process 4
Compound (Iα-d) can be obtained by reacting compound (G-5) and compound (G-6) according to the synthesis method described in Method A, Step 4.
The obtained desired compound (Iα-d) can be purified by conventional methods (eg, column chromatography, recrystallization, etc.) if necessary.
[Method H]
(R 5E and R 5F are each independently hydrogen or any group represented as R 5 in (1) above; the symbols in the formula are as defined above in (1).)
Process 1
Compound (H-2) can be obtained by reacting compound (A-4) obtained by Method A with compound (H-1) in a suitable solvent.
In this reaction, compound (H-1) can be used at 1.0 molar equivalent or more, preferably 1.0 to 5.0 molar equivalents, relative to compound (A-4).
Reaction solvents include alcohols (eg, methanol, ethanol, tert-butanol, isopropanol, etc.), aromatic hydrocarbons (eg, toluene, benzene, xylene, etc.), saturated hydrocarbons (eg, cyclohexane, hexane, etc.) , Ethers (eg, tetrahydrofuran, diethyl ether, dioxane, dimethoxyethane, etc.), halogenated hydrocarbons (eg, chloroform, dichloromethane, etc.), DMF, DMSO, NMP, acetonitrile, etc., used alone or in combination. be able to.
The reaction temperature is 0 to 150 ° C., preferably 20 to 80 ° C.
The reaction time is 0.1 to 24 hours, preferably 1 to 12 hours.
The desired compound (H-2) obtained can be purified by conventional methods (eg, column chromatography, recrystallization, etc.) if necessary.
The compound (H-3) can be obtained by reacting the compound (H-2) and methyl iodide according to the synthesis method described in Method A, Step 3.
The obtained desired compound (H-3) can be purified by conventional methods (eg, column chromatography, recrystallization, etc.) if necessary.
Process 4
Compound (Iα-e) can be obtained by reacting compound (H-3) and compound (H-4) according to the synthesis method described in Method A, Step 4.
The obtained desired compound (Iα-e) can be purified by conventional methods (eg, column chromatography, recrystallization, etc.) if necessary.
[I法]
(式中、RA1およびG1はA法と同意義であり;G2は、ハロゲン、置換もしくは非置換のアルキルスルファニル、置換もしくは非置換のアルキルスルフィニル、または置換もしくは非置換のアルキルスルホニル等の脱離基であり;その他の記号は前記(1)と同意義である。)
工程1
化合物(A-1)とトリホスゲンを適当な溶媒中で反応させることにより化合物(I-1)を得ることができる。
本反応において、トリホスゲンは、化合物(A-1)に対して1.0モル当量またはそれ以上、好ましくは1.0~5.0モル当量使用することができる。
反応溶媒としては、芳香族炭化水素類(例、トルエン、ベンゼン、キシレンなど)、飽和炭化水素類(例、シクロヘキサン、ヘキサンなど)、エーテル類(例、テトラヒドロフラン、ジエチルエーテル、ジオキサン、ジメトキシエタンなど)、ハロゲン化炭化水素類(例、クロロホルム、ジクロロメタンなど)、DMF、DMSO、NMP、アセトニトリル、水等が挙げられ、単独または混合して用いることができる。
反応温度は-10~150℃、好ましくは20~120℃である。
反応時間は、0.1~24時間、好ましくは1時間~12時間である。
得られた所望の化合物(I-1)は、要すれば常法(例、カラムクロマトグラフィー、再結晶など)により精製することができる
工程2
A法工程1に記載の合成方法に従って、化合物(I-1)と化合物(I-2)を反応させることにより化合物(I-3)を得ることができる
得られた所望の化合物(I-3)は、要すれば常法(例、カラムクロマトグラフィー、再結晶など)により精製することができる。
工程3
化合物(I-3)と化合物(I-4)を、塩基性条件下、適当な溶媒中で反応させることにより化合物(I-5)を得ることができる。
本反応において、化合物(I-4)は、化合物(I-3)に対して1.0モル当量またはそれ以上、好ましくは1.0~5.0モル当量使用することができる。
塩基としては、例えば、金属水素化物(例、水素化ナトリウム、水素化リチウムなど)、金属アルコキシド(例、ナトリウムメトキシド、ナトリウムエトキシド、カリウムtert-ブトキシドなど)、金属アルキル(例、ブチルリチウムなど)などが挙げられる。化合物(I-4)に対して1.0モル当量またはそれ以上、好ましくは1.0~5.0モル当量使用することができる。
反応溶媒としては、芳香族炭化水素類(例、トルエン、ベンゼン、キシレンなど)、飽和炭化水素類(例、シクロヘキサン、ヘキサンなど)、エーテル類(例、テトラヒドロフラン、ジエチルエーテル、ジオキサン、ジメトキシエタンなど)、DMF、DMSO、NMP、アセトニトリル等が挙げられ、単独または混合して用いることができる。
反応温度は-78~150℃、好ましくは0~120℃である。
反応時間は、0.1~24時間、好ましくは1時間~12時間である。
得られた所望の化合物(I-5)は、要すれば常法(例、カラムクロマトグラフィー、再結晶など)により精製することができる
工程4
化合物(I-5)および化合物(I-6)を必要に応じてパラジウム触媒および塩基存在下、適当な溶媒中で反応させることにより化合物(Iβ)を得ることができる。
本反応において、化合物(I-6)は、化合物(I-5)に対して1.0モル当量またはそれ以上、好ましくは1.0~5.0モル当量使用することができる。
塩基としては、例えば、金属水酸化物(例、水酸化ナトリウム、水酸化カリウム、リン酸三カリウムなど)、金属水素化物(例、水素化ナトリウム、水素化リチウムなど)、金属炭酸塩(例、炭酸ナトリウム、炭酸カリウム、炭酸セシウムなど)、金属アルコキシド(例、ナトリウムメトキシド、ナトリウムエトキシド、カリウムtert-ブトキシドなど)、金属アルキル(例、ブチルリチウムなど)、ピリジン、トリエチルアミン、DIEA等が挙げられる。化合物(I-5)に対して1.0モル当量またはそれ以上、好ましくは1.0~5.0モル当量使用することができる。
パラジウム触媒としては、酢酸パラジウム、ビス(ジベンジリデンアセトン)パラジウム、テトラキス(トリフェニルホスフィン)パラジウム、ビス(トリフェニルホスフィン)パラジウム(II)二塩化物、ビス(トリ-tert-ブチルホスフィン)パラジウム、PdCl2(dppf) CH2Cl2などが挙げられる。化合物(I-5)に対して、0.001~0.5モル当量用いることができる。
反応溶媒としては、アルコール類(例、tert-ブタノール、イソプロパノールなど)、芳香族炭化水素類(例、トルエン、ベンゼン、キシレンなど)、飽和炭化水素類(例、シクロヘキサン、ヘキサンなど)、エーテル類(例、テトラヒドロフラン、ジエチルエーテル、ジオキサン、ジメトキシエタンなど)、DMF、DMSO、NMP、アセトニトリル等が挙げられ、単独または混合して用いることができる。
反応温度は0~200℃、場合によってはマイクロウェーブ照射下、好ましくは0~150℃である。
反応時間は、0.1~72時間、好ましくは0.5時間~18時間である。
得られた所望の化合物(Iβ)は、要すれば常法(例、カラムクロマトグラフィー、再結晶など)により精製することができる。
[Method I]
Wherein R A1 and G 1 are as defined in method A; G 2 is halogen, substituted or unsubstituted alkylsulfanyl, substituted or unsubstituted alkylsulfinyl, substituted or unsubstituted alkylsulfonyl, etc. A leaving group; other symbols have the same meanings as in (1) above.)
Process 1
Compound (I-1) can be obtained by reacting compound (A-1) with triphosgene in an appropriate solvent.
In this reaction, triphosgene can be used in an amount of 1.0 molar equivalent or more, preferably 1.0 to 5.0 molar equivalents, relative to compound (A-1).
Reaction solvents include aromatic hydrocarbons (eg, toluene, benzene, xylene, etc.), saturated hydrocarbons (eg, cyclohexane, hexane, etc.), ethers (eg, tetrahydrofuran, diethyl ether, dioxane, dimethoxyethane, etc.) , Halogenated hydrocarbons (eg, chloroform, dichloromethane, etc.), DMF, DMSO, NMP, acetonitrile, water, etc., can be used alone or in combination.
The reaction temperature is −10 to 150 ° C., preferably 20 to 120 ° C.
The reaction time is 0.1 to 24 hours, preferably 1 to 12 hours.
The obtained desired compound (I-1) can be purified by a conventional method (eg, column chromatography, recrystallization, etc.) if necessary.
The compound (I-3) can be obtained by reacting the compound (I-1) with the compound (I-2) according to the synthesis method described in Method A, Step 1. The desired compound (I-3) obtained ) Can be purified by conventional methods (eg, column chromatography, recrystallization, etc.) if necessary.
Process 3
Compound (I-5) can be obtained by reacting compound (I-3) with compound (I-4) in a suitable solvent under basic conditions.
In this reaction, compound (I-4) can be used at 1.0 molar equivalent or more, preferably 1.0 to 5.0 molar equivalents, relative to compound (I-3).
Examples of the base include metal hydrides (eg, sodium hydride, lithium hydride, etc.), metal alkoxides (eg, sodium methoxide, sodium ethoxide, potassium tert-butoxide, etc.), metal alkyls (eg, butyl lithium, etc.) ) And the like. 1.0 molar equivalent or more, preferably 1.0 to 5.0 molar equivalent can be used relative to compound (I-4).
Reaction solvents include aromatic hydrocarbons (eg, toluene, benzene, xylene, etc.), saturated hydrocarbons (eg, cyclohexane, hexane, etc.), ethers (eg, tetrahydrofuran, diethyl ether, dioxane, dimethoxyethane, etc.) , DMF, DMSO, NMP, acetonitrile and the like, and can be used alone or in combination.
The reaction temperature is -78 to 150 ° C, preferably 0 to 120 ° C.
The reaction time is 0.1 to 24 hours, preferably 1 to 12 hours.
The desired compound (I-5) obtained can be purified by conventional methods (eg, column chromatography, recrystallization, etc.) if necessary.
Compound (Iβ) can be obtained by reacting compound (I-5) and compound (I-6) in an appropriate solvent in the presence of a palladium catalyst and a base, if necessary.
In this reaction, compound (I-6) can be used at 1.0 molar equivalent or more, preferably 1.0 to 5.0 molar equivalents relative to compound (I-5).
Examples of the base include metal hydroxides (eg, sodium hydroxide, potassium hydroxide, tripotassium phosphate, etc.), metal hydrides (eg, sodium hydride, lithium hydride, etc.), metal carbonates (eg, Sodium carbonate, potassium carbonate, cesium carbonate, etc.), metal alkoxide (eg, sodium methoxide, sodium ethoxide, potassium tert-butoxide, etc.), metal alkyl (eg, butyllithium, etc.), pyridine, triethylamine, DIEA, etc. . 1.0 molar equivalent or more, preferably 1.0 to 5.0 molar equivalent can be used with respect to compound (I-5).
Palladium catalysts include palladium acetate, bis (dibenzylideneacetone) palladium, tetrakis (triphenylphosphine) palladium, bis (triphenylphosphine) palladium (II) dichloride, bis (tri-tert-butylphosphine) palladium, PdCl 2 (dppf) CH 2 Cl 2 and the like. The compound can be used at 0.001 to 0.5 molar equivalent relative to compound (I-5).
Reaction solvents include alcohols (eg, tert-butanol, isopropanol, etc.), aromatic hydrocarbons (eg, toluene, benzene, xylene, etc.), saturated hydrocarbons (eg, cyclohexane, hexane, etc.), ethers ( Examples include tetrahydrofuran, diethyl ether, dioxane, dimethoxyethane, etc.), DMF, DMSO, NMP, acetonitrile and the like, which can be used alone or in combination.
The reaction temperature is 0 to 200 ° C., optionally under microwave irradiation, preferably 0 to 150 ° C.
The reaction time is 0.1 to 72 hours, preferably 0.5 to 18 hours.
The obtained desired compound (Iβ) can be purified by conventional methods (eg, column chromatography, recrystallization, etc.) if necessary.
[J法]
(式中の記号は前記(1)と同意義である。)
工程1
化合物(J-1)と化合物(J-2)を縮合剤の存在下または非存在下、縮合し、還元剤により還元することにより、化合物(J-3)を得ることができる。
本反応において、化合物(J-2)は、化合物(J-1)に対して1.0モル当量またはそれ以上、好ましくは1.0~5.0モル当量使用することができる。
縮合剤としては、4-トルエンスルホン酸、メタンスルホン酸、酢酸、無水硫酸マグネシウム、オルトチタン酸テトライソプロピル、四塩化チタン、モレキュラーシーブ等が挙げられる。化合物(J-1)に対して、1~10モル当量用いることができる。
還元剤としては、水素化ホウ素ナトリウム、水素化シアノホウ素ナトリウム、水素化トリアセトキシホウ素ナトリウム、ボランおよびその錯体、水素化ホウ素リチウム、水素化ホウ素カリウム、水素化ジイソブチルアルミニウム等が挙げられる。化合物(J-1)に対して、1~10モル当量用いることができる。
反応溶媒としては、アルコール類(例、メタノール、エタノール、tert-ブタノール、イソプロパノールなど)、芳香族炭化水素類(例、トルエン、ベンゼン、キシレンなど)、飽和炭化水素類(例、シクロヘキサン、ヘキサンなど)、エーテル類(例、テトラヒドロフラン、ジエチルエーテル、ジオキサン、ジメトキシエタンなど)、ハロゲン化炭化水素類(例、クロロホルム、ジクロロメタンなど)、DMF、DMSO、NMP、アセトニトリル、水等が挙げられ、単独または混合して用いることができる。
反応温度は-78℃~150℃、好ましくは0~40℃である。
反応時間は、0.1~48時間、好ましくは1時間~6時間である。
得られた所望の化合物(J-3)は、要すれば常法(例、カラムクロマトグラフィー、再結晶など)により精製することができる
工程2
化合物(J-3)とアルコキシカルボニルイソチオシアナートを塩基存在下、または非存在下、適当な溶媒中で反応させることにより、化合物(J-4)を得ることができる。
本反応において、アルコキシカルボニルイソチオシアナートは、化合物(J-3)に対して1.0モル当量またはそれ以上、好ましくは1.0~10.0モル当量使用することができる。
塩基としては、例えば、金属水素化物(例、水素化ナトリウム、水素化リチウムなど)、金属アルコキシド(例、ナトリウムメトキシド、ナトリウムエトキシド、カリウムtert-ブトキシドなど)、金属アルキル(例、ブチルリチウムなど)、ピリジン、トリエチルアミン、DIEA等が挙げられる。化合物(J-3)に対して1.0モル当量またはそれ以上、好ましくは1.0~5.0モル当量使用することができる。
反応溶媒としては、アルコール類(例、メタノール、エタノール、イソプロパノールなど)、芳香族炭化水素類(例、トルエン、ベンゼン、キシレンなど)、飽和炭化水素類(例、シクロヘキサン、ヘキサンなど)、エーテル類(例、テトラヒドロフラン、ジエチルエーテル、ジオキサン、ジメトキシエタンなど)、DMF、DMSO、NMP、アセトニトリル、DMA等が挙げられ、単独または混合して用いることができる。
反応温度は0~200℃、好ましくは20~150℃である。
反応時間は、0.1~72時間、好ましくは0.5時間~18時間である。
得られた所望の化合物(J-4)は、要すれば常法(例、カラムクロマトグラフィー、再結晶など)により精製することができる。
工程3
A法工程3に記載の合成方法に従って、化合物(J-4)およびヨウ化メチルを反応させることにより、化合物(J-5)を得ることができる。
得られた所望の化合物(J-5)は、要すれば常法(例、カラムクロマトグラフィー、再結晶など)により精製することができる。
工程4
A法工程4に記載の合成方法に従って、化合物(J-5)および化合物(J-6)を反応させることにより化合物(Iγ)を得ることができる。
得られた所望の化合物(Iγ)は、要すれば常法(例、カラムクロマトグラフィー、再結晶など)により精製することができる。
[J method]
(The symbols in the formula are as defined in (1) above.)
Process 1
Compound (J-3) can be obtained by condensing compound (J-1) and compound (J-2) in the presence or absence of a condensing agent and reducing with a reducing agent.
In this reaction, compound (J-2) can be used at 1.0 molar equivalent or more, preferably 1.0 to 5.0 molar equivalents relative to compound (J-1).
Examples of the condensing agent include 4-toluenesulfonic acid, methanesulfonic acid, acetic acid, anhydrous magnesium sulfate, tetraisopropyl orthotitanate, titanium tetrachloride, and molecular sieve. The base can be used at 1 to 10 molar equivalents relative to compound (J-1).
Examples of the reducing agent include sodium borohydride, sodium cyanoborohydride, sodium triacetoxyborohydride, borane and its complex, lithium borohydride, potassium borohydride, diisobutylaluminum hydride and the like. The base can be used at 1 to 10 molar equivalents relative to compound (J-1).
Reaction solvents include alcohols (eg, methanol, ethanol, tert-butanol, isopropanol, etc.), aromatic hydrocarbons (eg, toluene, benzene, xylene, etc.), saturated hydrocarbons (eg, cyclohexane, hexane, etc.) , Ethers (eg, tetrahydrofuran, diethyl ether, dioxane, dimethoxyethane, etc.), halogenated hydrocarbons (eg, chloroform, dichloromethane, etc.), DMF, DMSO, NMP, acetonitrile, water, etc. Can be used.
The reaction temperature is -78 ° C to 150 ° C, preferably 0 to 40 ° C.
The reaction time is 0.1 to 48 hours, preferably 1 to 6 hours.
The desired compound (J-3) obtained can be purified by conventional methods (eg, column chromatography, recrystallization, etc.) if necessary.
Compound (J-4) can be obtained by reacting compound (J-3) with alkoxycarbonylisothiocyanate in the presence or absence of a base in a suitable solvent.
In this reaction, alkoxycarbonyl isothiocyanate can be used at 1.0 molar equivalent or more, preferably 1.0-10.0 molar equivalent relative to compound (J-3).
Examples of the base include metal hydrides (eg, sodium hydride, lithium hydride, etc.), metal alkoxides (eg, sodium methoxide, sodium ethoxide, potassium tert-butoxide, etc.), metal alkyls (eg, butyl lithium, etc.) ), Pyridine, triethylamine, DIEA and the like. 1.0 molar equivalent or more, preferably 1.0 to 5.0 molar equivalents can be used relative to compound (J-3).
Reaction solvents include alcohols (eg, methanol, ethanol, isopropanol, etc.), aromatic hydrocarbons (eg, toluene, benzene, xylene, etc.), saturated hydrocarbons (eg, cyclohexane, hexane, etc.), ethers ( Examples, tetrahydrofuran, diethyl ether, dioxane, dimethoxyethane, etc.), DMF, DMSO, NMP, acetonitrile, DMA and the like can be mentioned, and these can be used alone or in combination.
The reaction temperature is 0 to 200 ° C, preferably 20 to 150 ° C.
The reaction time is 0.1 to 72 hours, preferably 0.5 to 18 hours.
The obtained desired compound (J-4) can be purified by conventional methods (eg, column chromatography, recrystallization, etc.) if necessary.
Process 3
The compound (J-5) can be obtained by reacting the compound (J-4) and methyl iodide according to the synthesis method described in Method A, Step 3.
The obtained desired compound (J-5) can be purified by conventional methods (eg, column chromatography, recrystallization, etc.) if necessary.
Process 4
Compound (Iγ) can be obtained by reacting compound (J-5) and compound (J-6) according to the synthesis method described in Method A, Step 4.
The obtained desired compound (Iγ) can be purified by conventional methods (eg, column chromatography, recrystallization, etc.) if necessary.
[K法]
(式中、RE1、RE2およびRE3は、それぞれ独立して、水素または置換若しくは非置換のアルキルであり;G1はA法と同意義であり;G2はI法と同意義であり;その他の記号は前記(1)と同意義である。)
工程1
化合物(J-1)と化合物(K-1)を適当な溶媒中で反応させることにより化合物(K-2)を得ることができる。
本反応において、化合物(K-1)は、化合物(J-1)に対して1.0モル当量またはそれ以上、好ましくは1.0~5.0モル当量使用することができる。
反応溶媒としては、アルコール類(例、メタノール、エタノール、tert-ブタノール、イソプロパノールなど)、芳香族炭化水素類(例、トルエン、ベンゼン、キシレンなど)、飽和炭化水素類(例、シクロヘキサン、ヘキサンなど)、エーテル類(例、テトラヒドロフラン、ジエチルエーテル、ジオキサン、ジメトキシエタンなど)、ハロゲン化炭化水素類(例、クロロホルム、ジクロロメタンなど)、DMF、DMSO、NMP、アセトニトリル等が挙げられ、単独または混合して用いることができる。
反応温度は0~200℃、場合によってはマイクロウェーブ照射下、好ましくは0~150℃である。
反応時間は、0.1~24時間、好ましくは1時間~6時間である。
得られた所望の化合物(K-2)は、要すれば常法(例、カラムクロマトグラフィー、再結晶など)により精製することができる
工程2
A法工程1に記載の合成方法に従って、化合物(K-2)と化合物(K-3)を反応させることにより化合物(K-4)を得ることができる
得られた所望の化合物(K-4)は、要すれば常法(例、カラムクロマトグラフィー、再結晶など)により精製することができる。
工程3
化合物(K-4)に、塩基性の水溶液を反応させることにより、化合物(K-5)を得ることができる。
塩基としては、例えば、金属水酸化物(例、水酸化ナトリウム、水酸化カリウム、水酸化リチウムなど)、金属炭酸塩(例、炭酸ナトリウム、炭酸カリウム、炭酸セシウムなど)などが挙げられる。化合物(K-4)に対して1.0モル当量またはそれ以上、好ましくは1.0~5.0モル当量使用することができる。
反応溶媒としては、エーテル類(例、テトラヒドロフラン、ジエチルエーテル、ジオキサン、ジメトキシエタンなど)、DMF、DMSO、NMP、水およびそれらの混合溶媒などが挙げられる。
反応温度は、0℃~100℃、好ましくは0℃~20℃である。
反応時間は、0.5時間~48時間、好ましくは1時間~16時間である。
得られた所望の化合物(K-5)は、要すれば常法(例、カラムクロマトグラフィー、再結晶など)により精製することができる。
工程4
化合物(K-5)とDPPAを塩基存在下、または非存在下、適当な溶媒中で反応させることにより化合物(K-6)を得ることができる。
本反応において、DPPAは、化合物(K-5)に対して1.0モル当量またはそれ以上、好ましくは1.0~10.0モル当量使用することができる。
塩基としては、ピリジン、トリエチルアミン、DIEA等が挙げられる。化合物(K-5)に対して1.0モル当量またはそれ以上、好ましくは1.0~5.0モル当量使用することができる。
反応溶媒としては、アルコール類(例、メタノール、エタノール、イソプロパノールなど)、芳香族炭化水素類(例、トルエン、ベンゼン、キシレンなど)、飽和炭化水素類(例、シクロヘキサン、ヘキサンなど)、エーテル類(例、テトラヒドロフラン、ジエチルエーテル、ジオキサン、ジメトキシエタンなど)、DMF、DMSO、NMP、アセトニトリル、DMA等が挙げられ、単独または混合して用いることができる。
反応温度は0~200℃、好ましくは20~120℃である。
反応時間は、0.1~72時間、好ましくは0.5時間~8時間である。
得られた所望の化合物(K-6)は、要すれば常法(例、カラムクロマトグラフィー、再結晶など)により精製することができる。
工程4
I法工程4に記載の合成方法に従って、化合物(K-6)および化合物(K-7)を反応させることにより化合物(Iε)を得ることができる。
得られた所望の化合物(Iε)は、要すれば常法(例、カラムクロマトグラフィー、再結晶など)により精製することができる。
[K method]
Wherein R E1 , R E2 and R E3 are each independently hydrogen or substituted or unsubstituted alkyl; G 1 has the same meaning as Method A; G 2 has the same meaning as Method I Yes; other symbols have the same meanings as in (1) above.)
Process 1
Compound (K-2) can be obtained by reacting compound (J-1) with compound (K-1) in a suitable solvent.
In this reaction, compound (K-1) can be used at 1.0 molar equivalent or more, preferably 1.0 to 5.0 molar equivalents, relative to compound (J-1).
Reaction solvents include alcohols (eg, methanol, ethanol, tert-butanol, isopropanol, etc.), aromatic hydrocarbons (eg, toluene, benzene, xylene, etc.), saturated hydrocarbons (eg, cyclohexane, hexane, etc.) , Ethers (eg, tetrahydrofuran, diethyl ether, dioxane, dimethoxyethane, etc.), halogenated hydrocarbons (eg, chloroform, dichloromethane, etc.), DMF, DMSO, NMP, acetonitrile, etc., used alone or in combination. be able to.
The reaction temperature is 0 to 200 ° C., optionally under microwave irradiation, preferably 0 to 150 ° C.
The reaction time is 0.1 to 24 hours, preferably 1 to 6 hours.
The desired compound (K-2) obtained can be purified by conventional methods (eg, column chromatography, recrystallization, etc.) if necessary.
The compound (K-4) can be obtained by reacting the compound (K-2) with the compound (K-3) according to the synthesis method described in Method A, Step 1. The desired compound (K-4) obtained ) Can be purified by conventional methods (eg, column chromatography, recrystallization, etc.) if necessary.
Process 3
Compound (K-5) can be obtained by reacting compound (K-4) with a basic aqueous solution.
Examples of the base include metal hydroxide (eg, sodium hydroxide, potassium hydroxide, lithium hydroxide, etc.), metal carbonate (eg, sodium carbonate, potassium carbonate, cesium carbonate, etc.) and the like. 1.0 molar equivalent or more, preferably 1.0 to 5.0 molar equivalent can be used with respect to compound (K-4).
Examples of the reaction solvent include ethers (eg, tetrahydrofuran, diethyl ether, dioxane, dimethoxyethane, etc.), DMF, DMSO, NMP, water, and mixed solvents thereof.
The reaction temperature is 0 ° C to 100 ° C, preferably 0 ° C to 20 ° C.
The reaction time is 0.5 to 48 hours, preferably 1 to 16 hours.
The obtained desired compound (K-5) can be purified by conventional methods (eg, column chromatography, recrystallization, etc.) if necessary.
Process 4
Compound (K-6) can be obtained by reacting compound (K-5) with DPPA in the presence or absence of a base in a suitable solvent.
In this reaction, DPPA can be used at 1.0 molar equivalent or more, preferably 1.0-10.0 molar equivalent relative to compound (K-5).
Examples of the base include pyridine, triethylamine, DIEA and the like. 1.0 molar equivalent or more, preferably 1.0 to 5.0 molar equivalent can be used with respect to compound (K-5).
Reaction solvents include alcohols (eg, methanol, ethanol, isopropanol, etc.), aromatic hydrocarbons (eg, toluene, benzene, xylene, etc.), saturated hydrocarbons (eg, cyclohexane, hexane, etc.), ethers ( Examples, tetrahydrofuran, diethyl ether, dioxane, dimethoxyethane, etc.), DMF, DMSO, NMP, acetonitrile, DMA and the like can be mentioned, and these can be used alone or in combination.
The reaction temperature is 0 to 200 ° C, preferably 20 to 120 ° C.
The reaction time is 0.1 to 72 hours, preferably 0.5 to 8 hours.
The obtained desired compound (K-6) can be purified by conventional methods (eg, column chromatography, recrystallization, etc.) if necessary.
Process 4
Compound (Iε) can be obtained by reacting compound (K-6) and compound (K-7) according to the synthesis method described in Method I Step 4.
The obtained desired compound (Iε) can be purified by conventional methods (eg, column chromatography, recrystallization, etc.) if necessary.
式(I)で示される化合物の光学活性体は、光学活性な出発原料を用いる、適当な段階で不斉合成を行い光学活性な中間体を得る、またはラセミ体である中間体若しくは最終物を適当な段階で光学分割することにより製造することができる。光学分割の手法としては、光学活性カラムを用いて光学異性体を分離する方法、酵素反応等を利用した速度論的光学分割、キラルな酸、キラルな塩基を用いての塩形成によるジアステレオマーの晶析分割、優先晶出法等がある。 The optically active form of the compound represented by the formula (I) is an optically active starting material, an asymmetric synthesis is carried out at an appropriate stage to obtain an optically active intermediate, or an intermediate or final product that is a racemate. It can be manufactured by optical resolution at an appropriate stage. Optical resolution methods include separation of optical isomers using an optically active column, kinetic optical resolution using enzymatic reactions, etc., diastereomers by salt formation using chiral acids and chiral bases. There are crystallization division, preferential crystallization method and the like.
好ましい本発明化合物は、P2X7受容体拮抗作用のみならず、医薬としての有用性を備えており、下記いずれか、あるいは全ての優れた特徴を有する。
a)CYP酵素(例えば、CYP1A2、CYP2C9、CYP2C19、CYP2D6、CYP3A4等)に対する阻害作用が弱い。
b)高いバイオアベイラビリティー、適度なクリアランス等良好な薬物動態を示す。
c)代謝安定性が高い。
d)CYP酵素(例えば、CYP3A4)に対し、本明細書に記載する測定条件の濃度範囲内で不可逆的阻害作用を示さない。
e)変異原性を有さない。
f)心血管系のリスクが低い。
g)高い溶解性を示す。
h)高いP2X7受容体選択性(例えば、P2Xファミリーの他の受容体に対する選択性等)を有している。
i)高い脳移行性を有している。
Preferred compounds of the present invention, not only P2X 7 receptor antagonism, has a utility as a pharmaceutical, it has the following one, or all of the outstanding features.
a) The inhibitory effect on CYP enzymes (for example, CYP1A2, CYP2C9, CYP2C19, CYP2D6, CYP3A4, etc.) is weak.
b) Good pharmacokinetics such as high bioavailability and moderate clearance.
c) High metabolic stability.
d) Does not show irreversible inhibitory action on CYP enzymes (eg CYP3A4) within the concentration range of the measurement conditions described herein.
e) Not mutagenic.
f) Low cardiovascular risk.
g) High solubility.
h) high P2X 7 receptor selectivity (for example, a selectivity, etc.) to other receptors P2X family.
i) High brain transferability.
本発明の医薬組成物を投与する場合、経口的、非経口的のいずれの方法でも投与することができる。非経口投与の方法としては、経皮、皮下、静脈内、動脈内、筋肉内、腹腔内、経粘膜、吸入、経鼻、点眼、点耳、膣内投与等が挙げられる。 When administering the pharmaceutical composition of the present invention, it can be administered either orally or parenterally. Examples of parenteral administration include transdermal, subcutaneous, intravenous, intraarterial, intramuscular, intraperitoneal, transmucosal, inhalation, nasal, eye drop, ear drop, and intravaginal administration.
経口投与は常法に従って、内用固形製剤(例えば、錠剤、散剤、顆粒剤、カプセル剤、丸剤、フィルム剤等)、内用液剤(例えば、懸濁剤、乳剤、エリキシル剤、シロップ剤、リモナーデ剤、酒精剤、芳香水剤、エキス剤、煎剤、チンキ剤等)等の通常用いられるいずれの剤型に調製して投与すればよい。ここで、錠剤は、糖衣錠、フィルムコーティング錠、腸溶性コーティング錠、徐放錠、トローチ錠、舌下錠、バッカル錠、チュアブル錠または口腔内崩壊錠であってもよく、散剤および顆粒剤はドライシロップであってもよく、カプセル剤は、ソフトカプセル剤、マイクロカプセル剤または徐放性カプセル剤であってもよい。 Oral administration is in accordance with conventional methods, such as solid preparations for internal use (eg, tablets, powders, granules, capsules, pills, films, etc.), liquids for internal use (eg, suspensions, emulsions, elixirs, syrups, It may be prepared and administered in any commonly used dosage form such as a limonade agent, an alcoholic agent, an aromatic water agent, an extract, a decoction, a tincture and the like. Here, the tablet may be a sugar-coated tablet, a film-coated tablet, an enteric-coated tablet, a sustained-release tablet, a troche tablet, a sublingual tablet, a buccal tablet, a chewable tablet or an orally disintegrating tablet, and the powder and granules are dry syrup. The capsule may be a soft capsule, a microcapsule or a sustained release capsule.
非経口投与は、注射剤、点滴剤、外用剤(例えば、点眼剤、点鼻剤、点耳剤、エアゾール剤、吸入剤、ローション剤、注入剤、塗布剤、含嗽剤、浣腸剤、軟膏剤、硬膏剤、ゼリー剤、クリーム剤、貼付剤、パップ剤、外用散剤、坐剤等)等の通常用いられるいずれの剤型でも好適に投与することができる。ここで、注射剤は、O/W、W/O、O/W/O、W/O/W型等のエマルジョンであってもよい。 Parenteral administration includes injections, drops, external preparations (eg eye drops, nasal drops, ear drops, aerosols, inhalants, lotions, injections, coatings, mouthwashes, enemas, ointments Any of the commonly used dosage forms such as plasters, jelly preparations, cream preparations, patches, poultices, external powders, suppositories, etc. can be suitably administered. Here, the injection may be an emulsion of O / W, W / O, O / W / O, W / O / W type and the like.
本発明化合物の有効量にその剤型に適した賦形剤、結合剤、崩壊剤、滑沢剤等の各種医薬用添加剤を必要に応じて混合し、医薬組成物とすることができる。さらに、該医薬組成物は、本発明化合物の有効量、剤型および/または各種医薬用添加剤を適宜変更することにより、小児用、高齢者用、重症患者用または手術用の医薬組成物とすることもできる。小児用医薬組成物は、12歳または15歳未満の患者に投与するのが好ましい。また、小児用医薬組成物は、出生後28日未満、出生後28日~23か月、2歳~11歳または12歳~17歳若しくは18歳の患者に投与されうる。高齢者用医薬組成物は、65歳以上の患者に投与するのが好ましい。 Various pharmaceutical additives such as excipients, binders, disintegrants, lubricants and the like suitable for the dosage form can be mixed with the effective amount of the compound of the present invention as necessary to obtain a pharmaceutical composition. Furthermore, the pharmaceutical composition can be obtained by changing the effective amount, dosage form and / or various pharmaceutical additives of the compound of the present invention as appropriate, so that it can be used for pediatric, elderly, critically ill patients or surgery. You can also The pediatric pharmaceutical composition is preferably administered to a patient under the age of 12 or 15 years. The pediatric pharmaceutical composition can also be administered to patients less than 28 days after birth, between 28 and 23 months after birth, between 2 and 11 years, or between 12 and 17 or 18 years. The elderly pharmaceutical composition is preferably administered to a patient over 65 years of age.
本発明の医薬組成物の投与量は、患者の年齢、体重、疾病の種類や程度、投与経路等を考慮した上で設定することが望ましいが、経口投与する場合、通常0.05~100mg/kg/日であり、好ましくは0.1~10mg/kg/日の範囲内である。非経口投与の場合には投与経路により大きく異なるが、通常0.005~10mg/kg/日であり、好ましくは0.01~1mg/kg/日の範囲内である。これを1日1回~数回に分けて投与すれば良い。 The dose of the pharmaceutical composition of the present invention is preferably set in consideration of the patient's age, weight, type and degree of disease, route of administration, etc., but when administered orally, usually 0.05 to 100 mg / kg / day, preferably in the range of 0.1 to 10 mg / kg / day. In the case of parenteral administration, although it varies greatly depending on the administration route, it is usually 0.005 to 10 mg / kg / day, preferably 0.01 to 1 mg / kg / day. This may be administered once to several times a day.
以下に本発明の実施例および参考例、ならびに試験例を挙げて本発明をさらに詳しく説明するが、本発明はこれらにより限定されるものではない。 Hereinafter, the present invention will be described in more detail with reference to Examples, Reference Examples, and Test Examples of the present invention, but the present invention is not limited thereto.
各実施例で得られたNMR分析は400MHzで行い、DMSO-d6、CDCl3を用いて測定した。
表中の保持時間は、LC/MS:液体クロマトグラフィー/質量分析での保持時間を表し、以下の条件で測定した。
分析条件[1]
カラム:Shim-pack XR-ODS (2.2μm、i.d.50x3.0mm)
流速:1.6 mL/分
UV検出波長:254nm
移動相:[A]は0.1%ギ酸含有水溶液、[B]は0.1%ギ酸含有アセトニトリル溶液
グラジェント:3分間で10%-100%溶媒[B]のリニアグラジエントを行い、0.5分間、100%溶媒[B]を維持した。
分析条件[2]
カラム:ACQUITY UPLC(登録商標)BEH C18(1.7μm i.d.2.1x50mm)
流速:0.8 mL/分
UV検出波長:254nm
移動相:[A]は10mM炭酸アンモニウム含有水溶液、[B]はアセトニトリル
グラジェント:3.5分間で5%-100%溶媒[B]のリニアグラジエントを行い、0.5分間、100%溶媒[B]を維持した。
分析条件[3]
カラム:ACQUITY UPLC(登録商標)BEH C18(1.7μm i.d.2.1x50mm)
流速:0.8 mL/分
UV検出波長:254nm
移動相:[A]は0.1%ギ酸含有水溶液、[B]は0.1%ギ酸含有アセトニトリル溶液
グラジェント:3.5分間で5%-100%溶媒[B]のリニアグラジエントを行い、0.5分間、100%溶媒[B]を維持した。
実施例に記載された化合物の構造式において、オキシム等における波線は、E体およびZ体のいずれの異性体も包含することを示す。
The NMR analysis obtained in each example was performed at 400 MHz and measured using DMSO-d 6 and CDCl 3 .
The retention time in the table represents the retention time in LC / MS: liquid chromatography / mass spectrometry, and was measured under the following conditions.
Analysis conditions [1]
Column: Shim-pack XR-ODS (2.2 μm, id 50 × 3.0 mm)
Flow rate: 1.6 mL / min UV detection wavelength: 254 nm
Mobile phase: [A] is a 0.1% formic acid-containing aqueous solution, [B] is a 0.1% formic acid-containing acetonitrile solution. Gradient: Linear gradient of 10% -100% solvent [B] in 3 minutes. 100% solvent [B] was maintained for 5 minutes.
Analysis conditions [2]
Column: ACQUITY UPLC® BEH C18 (1.7 μm id 2.1 × 50 mm)
Flow rate: 0.8 mL / min UV detection wavelength: 254 nm
Mobile phase: [A] is an aqueous solution containing 10 mM ammonium carbonate, [B] is an acetonitrile gradient: linear gradient of 5% -100% solvent [B] is performed for 3.5 minutes, and 100% solvent [B] is added for 0.5 minutes. B] was maintained.
Analysis conditions [3]
Column: ACQUITY UPLC® BEH C18 (1.7 μm id 2.1 × 50 mm)
Flow rate: 0.8 mL / min UV detection wavelength: 254 nm
Mobile phase: [A] is 0.1% formic acid-containing aqueous solution, [B] is 0.1% formic acid-containing acetonitrile solution Gradient: Linear gradient of 5% -100% solvent [B] in 3.5 minutes, 100% solvent [B] was maintained for 0.5 minutes.
In the structural formulas of the compounds described in the examples, wavy lines in oximes and the like indicate that both isomers of E-form and Z-form are included.
化合物I-0001の合成
工程1
窒素雰囲気下、金属ナトリウム(1.92g、83mmol)をエタノール(46.2mL)に加え、ナトリウムが溶解するまで撹拌した。化合物1(4.62g、27.8mmol)および化合物2(3.3g、27.8mmol)を加え、2.5時間加熱還流した。0℃に冷却し、水(80mL)および2mol/L塩酸(42mL)を加え、反応液を中和した。生じた固体を濾取して、化合物3(6.6g、収率:90%)を青色固体として得た。
工程2
化合物3(6.6g、25.1mmol)をジオキサン(82mL)および水(82mL)に溶解した。1mol/L水酸化ナトリウム水溶液(94ml、94mmol)および亜ジチオン酸ナトリウム(14.4g、83mmol)を加え、室温で2.5時間撹拌した。亜ジチオン酸ナトリウム(4.8g、27.7mmol)を加え、室温で10分間撹拌した。0℃に冷却し、生じた固体を濾取して、化合物4(5.8g、収率:93%)を黄色固体として得た。
工程3
化合物4(5.8g、23.4mmol)およびホルムアミド(24mL、602mmol)を混合し、170℃にて30分間撹拌した。室温に冷却し、生じた固体を濾取して、化合物5(4.9g、収率:81%)を淡黄色固体として得た。
工程4
化合物5(4.9g、19.0mmol)および水(98mL)の混合液に、1mol/L水酸化ナトリウム水溶液(32.3mL、32.3mmol)およびヨウ化メチル(1.78mL、28.5mmol)を加え、室温で1時間撹拌した。水(250mL)および2mol/L塩酸(32.2mL)で反応液を中和し、生じた固体を濾取した。固体を酢酸エチルで洗浄して、化合物6(4.73g、収率:91%)を黄色固体として得た。
1H-NMR (CDCl3) δ: 2.70 (s, 3H), 5.61 (s, 2H), 7.31-7.37 (m, 5H), 8.08 (s, 1H).
工程5
化合物6(300mg、1.102mmol)のtert-ブチルアルコール(6mL)溶液に、3-クロロ-2-メチルアニリン(234mg、1.652mmol)および酢酸(945uL、16.52mmol)を加え、18時間加熱還流した。溶媒を減圧留去し、酢酸(2mL)を加え、115℃にて24時間撹拌した。3-クロロ-2-メチルアニリン(468mg、3.7mmol)を加え、115℃にて24時間撹拌した。3-クロロ-2-メチルアニリン(4680mg、3.70mmol)を加え、115℃にて24時間撹拌した。反応液に飽和炭酸水素ナトリウム水溶液を加え、酢酸エチルで抽出した。有機層を飽和食塩水で洗浄し、無水硫酸ナトリウムで乾燥し、溶媒を減圧留去した。残渣をシリカゲルカラムクロマトグラフィー(ヘキサン/酢酸エチル)で精製して、化合物I-0001(64mg、収率:16%)を茶色固体として得た。
1H-NMR (CDCl3) δ: 2.03 (s, 3H), 5.44 (s, 2H), 6.70 (t, J = 4.5 Hz, 1H), 7.10 (d, J = 4.5 Hz, 2H), 7.26-7.35 (m, 5H), 7.75 (s, 1H), 11.46 (br s, 1H).
Synthesis of Compound I-0001
Process 1
Under a nitrogen atmosphere, metallic sodium (1.92 g, 83 mmol) was added to ethanol (46.2 mL) and stirred until the sodium dissolved. Compound 1 (4.62 g, 27.8 mmol) and compound 2 (3.3 g, 27.8 mmol) were added, and the mixture was heated to reflux for 2.5 hours. After cooling to 0 ° C., water (80 mL) and 2 mol / L hydrochloric acid (42 mL) were added to neutralize the reaction solution. The resulting solid was collected by filtration to give compound 3 (6.6 g, yield: 90%) as a blue solid.
Process 2
Compound 3 (6.6 g, 25.1 mmol) was dissolved in dioxane (82 mL) and water (82 mL). A 1 mol / L aqueous sodium hydroxide solution (94 ml, 94 mmol) and sodium dithionite (14.4 g, 83 mmol) were added, and the mixture was stirred at room temperature for 2.5 hours. Sodium dithionite (4.8 g, 27.7 mmol) was added and stirred at room temperature for 10 minutes. The mixture was cooled to 0 ° C., and the resulting solid was collected by filtration to give compound 4 (5.8 g, yield: 93%) as a yellow solid.
Process 3
Compound 4 (5.8 g, 23.4 mmol) and formamide (24 mL, 602 mmol) were mixed and stirred at 170 ° C. for 30 minutes. The mixture was cooled to room temperature, and the resulting solid was collected by filtration to give compound 5 (4.9 g, yield: 81%) as a pale yellow solid.
Process 4
To a mixture of compound 5 (4.9 g, 19.0 mmol) and water (98 mL), a 1 mol / L aqueous sodium hydroxide solution (32.3 mL, 32.3 mmol) and methyl iodide (1.78 mL, 28.5 mmol) were added. And stirred at room temperature for 1 hour. The reaction mixture was neutralized with water (250 mL) and 2 mol / L hydrochloric acid (32.2 mL), and the resulting solid was collected by filtration. The solid was washed with ethyl acetate to give compound 6 (4.73 g, yield: 91%) as a yellow solid.
1 H-NMR (CDCl 3 ) δ: 2.70 (s, 3H), 5.61 (s, 2H), 7.31-7.37 (m, 5H), 8.08 (s, 1H).
Process 5
To a solution of compound 6 (300 mg, 1.102 mmol) in tert-butyl alcohol (6 mL) was added 3-chloro-2-methylaniline (234 mg, 1.652 mmol) and acetic acid (945 uL, 16.52 mmol) and heated for 18 hours. Refluxed. The solvent was distilled off under reduced pressure, acetic acid (2 mL) was added, and the mixture was stirred at 115 ° C. for 24 hours. 3-Chloro-2-methylaniline (468 mg, 3.7 mmol) was added, and the mixture was stirred at 115 ° C. for 24 hours. 3-Chloro-2-methylaniline (4680 mg, 3.70 mmol) was added, and the mixture was stirred at 115 ° C. for 24 hours. A saturated aqueous sodium hydrogen carbonate solution was added to the reaction mixture, and the mixture was extracted with ethyl acetate. The organic layer was washed with saturated brine, dried over anhydrous sodium sulfate, and the solvent was evaporated under reduced pressure. The residue was purified by silica gel column chromatography (hexane / ethyl acetate) to give compound I-0001 (64 mg, yield: 16%) as a brown solid.
1 H-NMR (CDCl 3 ) δ: 2.03 (s, 3H), 5.44 (s, 2H), 6.70 (t, J = 4.5 Hz, 1H), 7.10 (d, J = 4.5 Hz, 2H), 7.26- 7.35 (m, 5H), 7.75 (s, 1H), 11.46 (br s, 1H).
化合物I-0002の合成
工程1
化合物6(1g、3.67mmol)のアセトン(20mL)溶液に、炭酸ナトリウム(584mg、5.51mmol)およびジメチル硫酸(0.37mL、3.86mmol)を加え、60℃にて2時間撹拌した。DMF(20mL)を加え、60℃にて2.5時間撹拌した。ジメチル硫酸(0.123mL、1.29mmol)を加え、60℃にて30分撹拌した。0℃に冷却し、生じた固体を濾取して、化合物7(0.62g、収率:59%)を黄色固体として得た。
1H-NMR (CDCl3) δ: 2.64 (s, 3H), 4.09 (s, 3H), 5.49 (s, 2H), 7.29-7.34 (m, 5H), 7.57 (s, 1H).
工程2
化合物7(50mg、0.175mmol)に3-クロロ-2-メチルアニリン(74.2mg、0.524mmol)および酢酸(1mL、17.48mmol)を加え、110℃にて24時間撹拌した。3-クロロ-2-メチルアニリン(742mg、5.2mmol)を加え、115℃にて24時間撹拌した。反応液に飽和炭酸水素ナトリウム水溶液を加え、酢酸エチルで抽出した。有機層を飽和食塩水で洗浄し、無水硫酸ナトリウムで乾燥し、溶媒を減圧留去した。残渣をシリカゲルカラムクロマトグラフィー(ヘキサン/酢酸エチル)で精製して、化合物I-0002(28.3mg、収率:43%)を白色固体として得た。
1H-NMR (CDCl3) δ: 2.01 (s, 3H), 3.91 (s, 3H), 5.40 (s, 2H), 6.69 (br s, 1H), 7.08-7.10 (m, 2H), 7.26-7.33 (m, 4H), 7.47 (s, 1H), 7.51 (d, J = 6.8 Hz, 2H)
Synthesis of Compound I-0002
Process 1
Sodium carbonate (584 mg, 5.51 mmol) and dimethyl sulfate (0.37 mL, 3.86 mmol) were added to a solution of compound 6 (1 g, 3.67 mmol) in acetone (20 mL), and the mixture was stirred at 60 ° C. for 2 hours. DMF (20 mL) was added and stirred at 60 ° C. for 2.5 hours. Dimethyl sulfuric acid (0.123 mL, 1.29 mmol) was added, and the mixture was stirred at 60 ° C. for 30 minutes. The mixture was cooled to 0 ° C., and the resulting solid was collected by filtration to give compound 7 (0.62 g, yield: 59%) as a yellow solid.
1 H-NMR (CDCl 3 ) δ: 2.64 (s, 3H), 4.09 (s, 3H), 5.49 (s, 2H), 7.29-7.34 (m, 5H), 7.57 (s, 1H).
Process 2
To compound 7 (50 mg, 0.175 mmol), 3-chloro-2-methylaniline (74.2 mg, 0.524 mmol) and acetic acid (1 mL, 17.48 mmol) were added, and the mixture was stirred at 110 ° C. for 24 hours. 3-Chloro-2-methylaniline (742 mg, 5.2 mmol) was added, and the mixture was stirred at 115 ° C. for 24 hours. A saturated aqueous sodium hydrogen carbonate solution was added to the reaction mixture, and the mixture was extracted with ethyl acetate. The organic layer was washed with saturated brine, dried over anhydrous sodium sulfate, and the solvent was evaporated under reduced pressure. The residue was purified by silica gel column chromatography (hexane / ethyl acetate) to obtain Compound I-0002 (28.3 mg, yield: 43%) as a white solid.
1 H-NMR (CDCl 3 ) δ: 2.01 (s, 3H), 3.91 (s, 3H), 5.40 (s, 2H), 6.69 (br s, 1H), 7.08-7.10 (m, 2H), 7.26- 7.33 (m, 4H), 7.47 (s, 1H), 7.51 (d, J = 6.8 Hz, 2H)
化合物I-0004の合成
工程1
化合物6(500mg、1.836mmol)をテトラヒドロフラン(25mL)およびピリジン(5mL)の混合溶媒に溶解した。フェニルボロン酸(493mg、4.04mmol)および酢酸銅(II)(600mg、3.30mmol)を加え、室温で24時間撹拌した。その後、60℃にて1時間撹拌した。不溶物を濾過し、溶媒を減圧留去した。残渣をアミノシリカゲルカラムクロマトグラフィー(ヘキサン/酢酸エチル)で精製して、化合物8(326mg、収率:51%)を白色固体として得た。
1H-NMR (CDCl3) δ: 2.65 (s, 3H), 5.56 (s, 2H), 7.35-7.36 (m, 5H), 7.45-7.57 (m, 5H), 7.82 (s, 1H).
工程2
化合物8(50mg、0.144mmol)に3-クロロ-2-メチルアニリン(203mg、1.435mmol)および酢酸(1mL、17.48mmol)を加え、115℃にて24時間撹拌した。3-クロロ-2-メチルアニリン(102mg、0.72mmol)を加え、115℃にて20時間撹拌した。反応液に飽和炭酸水素ナトリウム水溶液を加え、酢酸エチルで抽出した。有機層を飽和食塩水で洗浄し、無水硫酸ナトリウムで乾燥し、溶媒を減圧留去した。残渣をシリカゲルカラムクロマトグラフィー(ヘキサン/酢酸エチル)で精製して、化合物I-0004(43.5mg、収率:69%)を白色固体として得た。
1H-NMR (CDCl3) δ: 2.04 (s, 3H), 5.48 (s, 2H), 6.70 (br s, 1H), 7.07-7.08 (m, 2H), 7.29-7.37 (m, 4H), 7.44-7.49 (m, 5H), 7.59 (d, J = 7.3 Hz, 2H), 7.71 (s, 1H).
Synthesis of Compound I-0004
Process 1
Compound 6 (500 mg, 1.836 mmol) was dissolved in a mixed solvent of tetrahydrofuran (25 mL) and pyridine (5 mL). Phenylboronic acid (493 mg, 4.04 mmol) and copper (II) acetate (600 mg, 3.30 mmol) were added, and the mixture was stirred at room temperature for 24 hours. Then, it stirred at 60 degreeC for 1 hour. Insoluble matter was filtered, and the solvent was distilled off under reduced pressure. The residue was purified by amino silica gel column chromatography (hexane / ethyl acetate) to obtain Compound 8 (326 mg, yield: 51%) as a white solid.
1 H-NMR (CDCl 3 ) δ: 2.65 (s, 3H), 5.56 (s, 2H), 7.35-7.36 (m, 5H), 7.45-7.57 (m, 5H), 7.82 (s, 1H).
Process 2
To compound 8 (50 mg, 0.144 mmol) was added 3-chloro-2-methylaniline (203 mg, 1.435 mmol) and acetic acid (1 mL, 17.48 mmol), and the mixture was stirred at 115 ° C. for 24 hours. 3-Chloro-2-methylaniline (102 mg, 0.72 mmol) was added and stirred at 115 ° C. for 20 hours. A saturated aqueous sodium hydrogen carbonate solution was added to the reaction mixture, and the mixture was extracted with ethyl acetate. The organic layer was washed with saturated brine, dried over anhydrous sodium sulfate, and the solvent was evaporated under reduced pressure. The residue was purified by silica gel column chromatography (hexane / ethyl acetate) to give compound I-0004 (43.5 mg, yield: 69%) as a white solid.
1 H-NMR (CDCl 3 ) δ: 2.04 (s, 3H), 5.48 (s, 2H), 6.70 (br s, 1H), 7.07-7.08 (m, 2H), 7.29-7.37 (m, 4H), 7.44-7.49 (m, 5H), 7.59 (d, J = 7.3 Hz, 2H), 7.71 (s, 1H).
化合物I-0019の合成
実施例1と同様の合成法にて得られた化合物9(19mg、0.050mmol)をDMF(0.4mL)も溶解した。NCS(7.3mg、0.054mmol)を加え、室温で2時間撹拌した。その後、60℃にて16時間撹拌した。反応液に水を加え、酢酸エチルで抽出した。有機層を飽和食塩水で洗浄し、無水硫酸ナトリウムで乾燥し、溶媒を減圧留去した。残渣をシリカゲルカラムクロマトグラフィー(ヘキサン/酢酸エチル)で精製して、化合物I-0019(1.8mg、収率:9%)を無色油状物質として得た。
1H-NMR (CDCl3) δ: 2.01 (s, 3H), 5.35 (s, 2H), 6.69 (br s, 1H), 6.98 (br s, 2H), 7.12 (br s, 2H), 7.23-7.29 (m, 3H), 7.39 (brs, 1H).
Synthesis of Compound I-0019
Compound 9 (19 mg, 0.050 mmol) obtained by the same synthesis method as in Example 1 was also dissolved in DMF (0.4 mL). NCS (7.3 mg, 0.054 mmol) was added and stirred at room temperature for 2 hours. Then, it stirred at 60 degreeC for 16 hours. Water was added to the reaction mixture, and the mixture was extracted with ethyl acetate. The organic layer was washed with saturated brine, dried over anhydrous sodium sulfate, and the solvent was evaporated under reduced pressure. The residue was purified by silica gel column chromatography (hexane / ethyl acetate) to give Compound I-0019 (1.8 mg, yield: 9%) as a colorless oil.
1 H-NMR (CDCl 3 ) δ: 2.01 (s, 3H), 5.35 (s, 2H), 6.69 (br s, 1H), 6.98 (br s, 2H), 7.12 (br s, 2H), 7.23- 7.29 (m, 3H), 7.39 (brs, 1H).
化合物I-0023の合成
工程1
窒素雰囲気下、エタノール(5mL)およびテトラヒドロフラン(5mL)の混合溶媒に、水素化ナトリウム(265mg、6.62mmol)を加えた。化合物1(500mg、3.01mmol)および化合物10(0.69g、3.01mmol)を加え、80℃にて20時間撹拌した。0℃に冷却し、2mol/L塩酸(3.3mL)を加え、反応液を中和し、酢酸エチルで抽出した。有機層を飽和食塩水で洗浄し、無水硫酸ナトリウムで乾燥し、溶媒を減圧留去した。残渣をシリカゲルカラムクロマトグラフィー(ヘキサン/酢酸エチル)で精製して、化合物11(0.62g、収率:59%)を白色固体として得た。
1H-NMR (CDCl3) δ: 1.12 (t, J = 7.6 Hz, 6H), 2.68 (d, J = 4.8 Hz, 2H), 3.51 (t, J = 7.6 Hz, 2H), 3.69 (t, J = 7.6 Hz, 2H), 4.46 (br s, 1H), 5.25 (s, 2H), 5.84 (s, 2H), 7.32-7.38 (m, 5H), 9.45 (s, 1H).
工程2
化合物11(150mg、0.43mmol)にトルエン(0.4mL)を加え、懸濁した。PPTS(21.6mg、0.086mmol)を加え、120℃にて1時間撹拌した。室温に冷却し、生じた固体を濾取した。固体をトルエンで洗浄し、粗生成物として化合物12を得た。
化合物12(110mg、0.43mmol)および水(2.2mL)の混合液に、1mol/L水酸化ナトリウム水溶液(0.73mL、0.73mmol)およびヨウ化メチル(40μL、0.644mmol)を加え、室温で4時間撹拌した。2mol/L塩酸(0.37mL)で反応液を中和し、生じた固体を濾取した。固体を水で洗浄して、化合物13(89mg、収率:2工程 77%)を白色固体として得た。
1H-NMR (DMSO-D6) δ: 2.49 (s, 3H), 5.43 (s, 2H), 6.38 (d, J = 3.5 Hz, 1H), 6.88 (d, J = 3.3 Hz, 1H), 7.12 (d, J = 7.3 Hz, 2H), 7.29-7.37 (m, 3H).
工程3
化合物13(85mg、0.313mmol)に3-クロロ-2-メチルアニリン(222mg、1.57mmol)および酢酸(1mL、17.48mmol)を加え、115℃にて5時間撹拌した。反応液に飽和炭酸水素ナトリウム水溶液を加え、酢酸エチルで抽出した。有機層を飽和食塩水で洗浄し、無水硫酸ナトリウムで乾燥し、溶媒を減圧留去した。残渣をシリカゲルカラムクロマトグラフィー(ヘキサン/酢酸エチル)で精製して、化合物I-0023(81mg、収率:71%)を白色固体として得た。
1H-NMR (CDCl3) δ: 2.09 (s, 3H), 5.36 (s, 2H), 6.37-6.40 (m, 1H), 6.42-6.44 (m, 1H), 6.70-6.72 (m, 1H), 7.07-7.10 (m, 2H), 7.29-7.32 (m, 5H), 9.01 (br s, 1H).
Synthesis of Compound I-0023
Process 1
Under a nitrogen atmosphere, sodium hydride (265 mg, 6.62 mmol) was added to a mixed solvent of ethanol (5 mL) and tetrahydrofuran (5 mL). Compound 1 (500 mg, 3.01 mmol) and compound 10 (0.69 g, 3.01 mmol) were added, and the mixture was stirred at 80 ° C. for 20 hours. The mixture was cooled to 0 ° C., 2 mol / L hydrochloric acid (3.3 mL) was added, the reaction mixture was neutralized, and extracted with ethyl acetate. The organic layer was washed with saturated brine, dried over anhydrous sodium sulfate, and the solvent was evaporated under reduced pressure. The residue was purified by silica gel column chromatography (hexane / ethyl acetate) to give compound 11 (0.62 g, yield: 59%) as a white solid.
1 H-NMR (CDCl 3 ) δ: 1.12 (t, J = 7.6 Hz, 6H), 2.68 (d, J = 4.8 Hz, 2H), 3.51 (t, J = 7.6 Hz, 2H), 3.69 (t, J = 7.6 Hz, 2H), 4.46 (br s, 1H), 5.25 (s, 2H), 5.84 (s, 2H), 7.32-7.38 (m, 5H), 9.45 (s, 1H).
Process 2
Toluene (0.4 mL) was added to compound 11 (150 mg, 0.43 mmol) and suspended. PPTS (21.6 mg, 0.086 mmol) was added and stirred at 120 ° C. for 1 hour. After cooling to room temperature, the resulting solid was collected by filtration. The solid was washed with toluene to give Compound 12 as a crude product.
To a mixture of compound 12 (110 mg, 0.43 mmol) and water (2.2 mL) was added 1 mol / L aqueous sodium hydroxide solution (0.73 mL, 0.73 mmol) and methyl iodide (40 μL, 0.644 mmol). And stirred at room temperature for 4 hours. The reaction solution was neutralized with 2 mol / L hydrochloric acid (0.37 mL), and the resulting solid was collected by filtration. The solid was washed with water to give compound 13 (89 mg, yield: 77% over 2 steps) as a white solid.
1 H-NMR (DMSO-D 6 ) δ: 2.49 (s, 3H), 5.43 (s, 2H), 6.38 (d, J = 3.5 Hz, 1H), 6.88 (d, J = 3.3 Hz, 1H), 7.12 (d, J = 7.3 Hz, 2H), 7.29-7.37 (m, 3H).
Process 3
To compound 13 (85 mg, 0.313 mmol) was added 3-chloro-2-methylaniline (222 mg, 1.57 mmol) and acetic acid (1 mL, 17.48 mmol), and the mixture was stirred at 115 ° C. for 5 hours. A saturated aqueous sodium hydrogen carbonate solution was added to the reaction mixture, and the mixture was extracted with ethyl acetate. The organic layer was washed with saturated brine, dried over anhydrous sodium sulfate, and the solvent was evaporated under reduced pressure. The residue was purified by silica gel column chromatography (hexane / ethyl acetate) to give compound I-0023 (81 mg, yield: 71%) as a white solid.
1 H-NMR (CDCl 3 ) δ: 2.09 (s, 3H), 5.36 (s, 2H), 6.37-6.40 (m, 1H), 6.42-6.44 (m, 1H), 6.70-6.72 (m, 1H) , 7.07-7.10 (m, 2H), 7.29-7.32 (m, 5H), 9.01 (br s, 1H).
化合物I-0031の合成
工程1
化合物4(200mg、0.81mmol)をエタノール(16mL)に懸濁した。1、4-ジオキサン-2、3-ジオール(126mg、1.05mmol)を加え、室温で1時間撹拌した。溶媒を減圧留去し、粗生成物として化合物14を得た。
化合物14および水(4.3mL)の混合液に、1mol/L水酸化ナトリウム水溶液(1.36mL、1.36mmol)およびヨウ化メチル(75μL、1.20mmol)を加え、室温で1時間撹拌した。水を加え、生じた固体を濾取した。固体を水で洗浄して、化合物15(134mg、収率:2工程 59%)を橙色固体として得た。
1H-NMR (CDCl3) δ: 2.69 (s, 3H), 5.71 (s, 2H), 7.24-7.34 (m, 5H), 8.66 (d, J = 2.3 Hz, 1H), 8.81 (d, J = 2.3 Hz, 1H).
工程2
化合物15(125mg、0.440mmol)に3-クロロ-2-メチルアニリン(311mg、2.20mmol)およびプロピオン酸(2mL、26.7mmol)を加え、140℃にて2時間撹拌した。反応液に2mol/L水酸化ナトリウム水溶液(13mL)を加え、反応液を中和し、酢酸エチルで抽出した。有機層を飽和食塩水で洗浄し、無水硫酸ナトリウムで乾燥し、溶媒を減圧留去した。残渣をシリカゲルカラムクロマトグラフィー(ヘキサン/酢酸エチル)で精製して、化合物I-0031(54mg、収率:33%)を白色固体として得た。
1H-NMR (CDCl3) δ: 2.04 (s, 3H), 5.69 (s, 2H), 6.69 (dd, J = 7.2, 1.3 Hz, 1H), 7.10-7.17 (m, 2H), 7.26-7.35 (m, 3H), 7.49 (d, J = 6.9 Hz, 2H), 7.99 (br s, 1H), 8.45 (d, J = 2.3 Hz, 1H), 8.57 (d, J = 2.3 Hz, 1H).
Synthesis of Compound I-0031
Process 1
Compound 4 (200 mg, 0.81 mmol) was suspended in ethanol (16 mL). 1,4-Dioxane-2,3-diol (126 mg, 1.05 mmol) was added and stirred at room temperature for 1 hour. The solvent was distilled off under reduced pressure to obtain Compound 14 as a crude product.
A 1 mol / L aqueous sodium hydroxide solution (1.36 mL, 1.36 mmol) and methyl iodide (75 μL, 1.20 mmol) were added to a mixture of compound 14 and water (4.3 mL), and the mixture was stirred at room temperature for 1 hour. . Water was added and the resulting solid was collected by filtration. The solid was washed with water to give compound 15 (134 mg, yield: 59% over 2 steps) as an orange solid.
1 H-NMR (CDCl 3 ) δ: 2.69 (s, 3H), 5.71 (s, 2H), 7.24-7.34 (m, 5H), 8.66 (d, J = 2.3 Hz, 1H), 8.81 (d, J = 2.3 Hz, 1H).
Process 2
To compound 15 (125 mg, 0.440 mmol), 3-chloro-2-methylaniline (311 mg, 2.20 mmol) and propionic acid (2 mL, 26.7 mmol) were added, and the mixture was stirred at 140 ° C. for 2 hours. A 2 mol / L sodium hydroxide aqueous solution (13 mL) was added to the reaction solution, the reaction solution was neutralized, and extracted with ethyl acetate. The organic layer was washed with saturated brine, dried over anhydrous sodium sulfate, and the solvent was evaporated under reduced pressure. The residue was purified by silica gel column chromatography (hexane / ethyl acetate) to obtain Compound I-0031 (54 mg, yield: 33%) as a white solid.
1 H-NMR (CDCl 3 ) δ: 2.04 (s, 3H), 5.69 (s, 2H), 6.69 (dd, J = 7.2, 1.3 Hz, 1H), 7.10-7.17 (m, 2H), 7.26-7.35 (m, 3H), 7.49 (d, J = 6.9 Hz, 2H), 7.99 (br s, 1H), 8.45 (d, J = 2.3 Hz, 1H), 8.57 (d, J = 2.3 Hz, 1H).
化合物I-0038の合成
工程1
化合物4(200mg、0.81mmol)をDMF(1mL)に懸濁した。無水酢酸(1mL、10.6mmol)を加え、90℃にて18時間撹拌した。その後、115℃にて24時間撹拌した。反応液に水を加え、酢酸エチルで抽出した。有機層を飽和食塩水で洗浄し、無水硫酸ナトリウムで乾燥し、溶媒を減圧留去した。得られた固体をエーテルで洗浄して、粗生成物として化合物16を得た。
化合物16および水(2.8mL)の混合液に、1mol/L水酸化ナトリウム水溶液(0.87mL、0.87mmol)およびヨウ化メチル(48μL、0.77mmol)を加え、室温で30分間撹拌した。2mol/L塩酸(0.44mL)加え、反応液を中和し、生じた固体を濾取した。固体を水で洗浄して、化合物17(161mg、収率:2工程72%)を白色固体として得た。
1H-NMR (CDCl3) δ: 2.67 (s, 3H), 2.69 (s, 3H), 5.56 (s, 2H), 7.29-7.34 (m, 5H).
工程2
化合物17(160mg、0.56mmol)に3-クロロ-2-メチルアニリン(396mg、2.79mmol)およびプロピオン酸(3mL、40.1mmol)を加え、140℃にて2日間撹拌した。3-クロロ-2-メチルアニリン(396mg、2.79mmol)を加え、さらに4日間撹拌した。反応液に2mol/L水酸化ナトリウム水溶液(20mL)を加え、反応液を中和し、酢酸エチルで抽出した。有機層を飽和食塩水で洗浄し、無水硫酸ナトリウムで乾燥し、溶媒を減圧留去した。残渣をシリカゲルカラムクロマトグラフィー(ヘキサン/酢酸エチル)で精製して、化合物I-0038(22mg、収率:11%)を白色固体として得た。
1H-NMR (CDCl3) δ: 1.98 (s, 3H), 2.50 (s, 3H), 5.40 (s, 2H), 6.71 (br s, 1H), 7.10 (d, J = 4.5 Hz, 2H), 7.29-7.31 (m, 3H), 7.42 (br s, 1H), 7.51 (d, J = 7.2 Hz, 2H), 12.38 (s, 1H).
Synthesis of Compound I-0038
Process 1
Compound 4 (200 mg, 0.81 mmol) was suspended in DMF (1 mL). Acetic anhydride (1 mL, 10.6 mmol) was added and stirred at 90 ° C. for 18 hours. Then, it stirred at 115 degreeC for 24 hours. Water was added to the reaction mixture, and the mixture was extracted with ethyl acetate. The organic layer was washed with saturated brine, dried over anhydrous sodium sulfate, and the solvent was evaporated under reduced pressure. The obtained solid was washed with ether to obtain Compound 16 as a crude product.
1 mol / L aqueous sodium hydroxide solution (0.87 mL, 0.87 mmol) and methyl iodide (48 μL, 0.77 mmol) were added to a mixture of compound 16 and water (2.8 mL), and the mixture was stirred at room temperature for 30 minutes. . 2 mol / L hydrochloric acid (0.44 mL) was added to neutralize the reaction solution, and the resulting solid was collected by filtration. The solid was washed with water to give compound 17 (161 mg, yield: 72% for 2 steps) as a white solid.
1 H-NMR (CDCl 3 ) δ: 2.67 (s, 3H), 2.69 (s, 3H), 5.56 (s, 2H), 7.29-7.34 (m, 5H).
Process 2
To compound 17 (160 mg, 0.56 mmol) were added 3-chloro-2-methylaniline (396 mg, 2.79 mmol) and propionic acid (3 mL, 40.1 mmol), and the mixture was stirred at 140 ° C. for 2 days. 3-Chloro-2-methylaniline (396 mg, 2.79 mmol) was added, and the mixture was further stirred for 4 days. A 2 mol / L sodium hydroxide aqueous solution (20 mL) was added to the reaction solution, the reaction solution was neutralized, and extracted with ethyl acetate. The organic layer was washed with saturated brine, dried over anhydrous sodium sulfate, and the solvent was evaporated under reduced pressure. The residue was purified by silica gel column chromatography (hexane / ethyl acetate) to obtain Compound I-0038 (22 mg, yield: 11%) as a white solid.
1 H-NMR (CDCl 3 ) δ: 1.98 (s, 3H), 2.50 (s, 3H), 5.40 (s, 2H), 6.71 (br s, 1H), 7.10 (d, J = 4.5 Hz, 2H) , 7.29-7.31 (m, 3H), 7.42 (br s, 1H), 7.51 (d, J = 7.2 Hz, 2H), 12.38 (s, 1H).
化合物I-0036の合成
工程1
化合物6(1g、3.67mmol)のDMF(20mL)溶液に、炭酸カリウム(609mg、4.41mmol)および臭化アリル(0.32mL、3.67mmol)を加え、60℃にて2時間撹拌した。水を加え、酢酸エチルで抽出した。有機層を飽和食塩水で洗浄し、無水硫酸ナトリウムで乾燥し、溶媒を減圧留去した。得られた固体をジエチルエーテルで洗浄して、化合物18(0.65g、収率:57%)を白色固体として得た。
1H-NMR (CDCl3) δ: 2.64 (s, 3H), 5.08 (d, J = 6.0 Hz, 2H), 5.29 (d, J = 16.0 Hz, 1H), 5.32 (d, J = 9.2 Hz, 1H), 5.50 (s, 2H), 6.06-6.14 (m, 1H), 7.32 (s, 5H), 7.62 (s, 1H).
工程2
化合物18(650mg、2.08mmol)に3-クロロ-2-メチルアニリン(1.47g、10.4mmol)および酢酸(5mL、87mmol)を加え、115℃にて1日間撹拌した。3-クロロ-2-メチルアニリン(1.47g、10.4mmol)を加え、さらに1日間撹拌した。反応液に飽和炭酸水素ナトリウム水溶液を加え、反応液を中和し、酢酸エチルで抽出した。有機層を飽和食塩水で洗浄し、無水硫酸ナトリウムで乾燥し、溶媒を減圧留去した。残渣をシリカゲルカラムクロマトグラフィー(ヘキサン/酢酸エチル)で精製して、化合物I-0022(504mg、収率:60%)を白色固体として得た。
1H-NMR (CDCl3) δ: 2.02 (s, 3H), 4.85 (br s, 2H), 5.28 (d, J = 18.8 Hz, 1H), 5.32 (d, J = 12.0 Hz, 1H), 5.41 (s, 2H), 5.98-6.07 (m, 1H), 6.68 (br s, 1H), 7.09 (br s, 2H), 7.23-7.32 (m, 4H), 7.53 (br s, 3H).
工程3
化合物I-0022(110mg、0.271mmol)にテトラヒドロフラン(1.1mL)および水(1.1mL)の混合溶媒を加え、N-メチルモルホリン-N-オキシド(63.5mg、0.542mmol)を加えた。K2OsO4(10mg、0.027mmol)を加え、室温で16時間撹拌した。チオ硫酸ナトリウム水溶液を加え、酢酸エチルで抽出した。有機層を飽和食塩水で洗浄し、無水硫酸ナトリウムで乾燥し、溶媒を減圧留去した。残渣をシリカゲルカラムクロマトグラフィー(クロロホルム/メタノール)で精製して、化合物I-0028(110mg、収率:92%)を白色アモルファスとして得た。
1H-NMR (CDCl3) δ: 2.02 (s, 3H), 2.70 (br s, 1H), 3.18 (br s, 1H), 3.59 (br s, 2H), 4.00 (br s, 1H), 4.29-4.35 (m, 1H), 4.37-4.43 (m, 1H), 5.41 (s, 2H), 6.68 (s, 1H), 7.10-7.62 (m, 8H).
工程4
化合物I-0028(78mg、0.177mmol)にジオキサン(1.0mL)および水(0.5mL)の混合溶媒を加えた。過ヨウ素酸ナトリウム(42mg、0.195mmol)を加え、室温で2.5時間撹拌した。チオ硫酸ナトリウム水溶液を加え、酢酸エチルで抽出した。有機層を飽和食塩水で洗浄し、無水硫酸ナトリウムで乾燥し、溶媒を減圧留去した。得られた固体をヘキサン:酢酸エチル=1:1の混合溶媒で洗浄して、化合物I-0035(77mg)を白色固体として得た。
1H-NMR (CDCl3) δ: 2.01 (s, 3H), 3.70 (s, 2H), 5.41 (s, 2H), 7.06-7.08 (m, 2H), 7.31-7.34 (br m, 4H), 7.53-7.55 (m, 4H), 9.71 (s, 1H).
工程5
化合物I-0035(39mg、0.096mmol)をメタノール(1.0mL)に溶解した。水素化ホウ素ナトリウム(3.6mg、0.096mmol)を加え、室温で30分間撹拌した。水を加え、酢酸エチルで抽出した。有機層を飽和食塩水で洗浄し、無水硫酸ナトリウムで乾燥し、溶媒を減圧留去した。残渣をシリカゲルカラムクロマトグラフィー(ヘキサン/酢酸エチル)で精製して、化合物I-0036(26mg、収率:66%)を白色固体として得た。
1H-NMR (CDCl3) δ: 2.00 (s, 3H), 3.95 (t, J = 4.8 Hz, 2H), 4.37 (br s, 2H), 5.42 (br s, 2H), 6.73 (br s, 1H), 7.06-7.10 (m, 2H), 7.28-7.35 (m, 4H), 7.52 (d, J = 7.6 Hz, 2H), 7.61 (s, 1H).
Synthesis of Compound I-0036
Process 1
To a solution of compound 6 (1 g, 3.67 mmol) in DMF (20 mL) was added potassium carbonate (609 mg, 4.41 mmol) and allyl bromide (0.32 mL, 3.67 mmol), and the mixture was stirred at 60 ° C. for 2 hours. . Water was added and extracted with ethyl acetate. The organic layer was washed with saturated brine, dried over anhydrous sodium sulfate, and the solvent was evaporated under reduced pressure. The obtained solid was washed with diethyl ether to obtain Compound 18 (0.65 g, yield: 57%) as a white solid.
1 H-NMR (CDCl 3 ) δ: 2.64 (s, 3H), 5.08 (d, J = 6.0 Hz, 2H), 5.29 (d, J = 16.0 Hz, 1H), 5.32 (d, J = 9.2 Hz, 1H), 5.50 (s, 2H), 6.06-6.14 (m, 1H), 7.32 (s, 5H), 7.62 (s, 1H).
Process 2
To compound 18 (650 mg, 2.08 mmol) were added 3-chloro-2-methylaniline (1.47 g, 10.4 mmol) and acetic acid (5 mL, 87 mmol), and the mixture was stirred at 115 ° C. for 1 day. 3-Chloro-2-methylaniline (1.47 g, 10.4 mmol) was added, and the mixture was further stirred for 1 day. A saturated aqueous sodium hydrogen carbonate solution was added to the reaction solution to neutralize the reaction solution, and the mixture was extracted with ethyl acetate. The organic layer was washed with saturated brine, dried over anhydrous sodium sulfate, and the solvent was evaporated under reduced pressure. The residue was purified by silica gel column chromatography (hexane / ethyl acetate) to obtain Compound I-0022 (504 mg, yield: 60%) as a white solid.
1 H-NMR (CDCl 3 ) δ: 2.02 (s, 3H), 4.85 (br s, 2H), 5.28 (d, J = 18.8 Hz, 1H), 5.32 (d, J = 12.0 Hz, 1H), 5.41 (s, 2H), 5.98-6.07 (m, 1H), 6.68 (br s, 1H), 7.09 (br s, 2H), 7.23-7.32 (m, 4H), 7.53 (br s, 3H).
Process 3
To Compound I-0022 (110 mg, 0.271 mmol) was added a mixed solvent of tetrahydrofuran (1.1 mL) and water (1.1 mL), and N-methylmorpholine-N-oxide (63.5 mg, 0.542 mmol) was added. It was. K 2 OsO 4 (10 mg, 0.027 mmol) was added and stirred at room temperature for 16 hours. An aqueous sodium thiosulfate solution was added, and the mixture was extracted with ethyl acetate. The organic layer was washed with saturated brine, dried over anhydrous sodium sulfate, and the solvent was evaporated under reduced pressure. The residue was purified by silica gel column chromatography (chloroform / methanol) to obtain Compound I-0028 (110 mg, yield: 92%) as a white amorphous.
1 H-NMR (CDCl 3 ) δ: 2.02 (s, 3H), 2.70 (br s, 1H), 3.18 (br s, 1H), 3.59 (br s, 2H), 4.00 (br s, 1H), 4.29 -4.35 (m, 1H), 4.37-4.43 (m, 1H), 5.41 (s, 2H), 6.68 (s, 1H), 7.10-7.62 (m, 8H).
Process 4
A mixed solvent of dioxane (1.0 mL) and water (0.5 mL) was added to compound I-0028 (78 mg, 0.177 mmol). Sodium periodate (42 mg, 0.195 mmol) was added and stirred at room temperature for 2.5 hours. An aqueous sodium thiosulfate solution was added, and the mixture was extracted with ethyl acetate. The organic layer was washed with saturated brine, dried over anhydrous sodium sulfate, and the solvent was evaporated under reduced pressure. The obtained solid was washed with a mixed solvent of hexane: ethyl acetate = 1: 1 to obtain Compound I-0035 (77 mg) as a white solid.
1 H-NMR (CDCl 3 ) δ: 2.01 (s, 3H), 3.70 (s, 2H), 5.41 (s, 2H), 7.06-7.08 (m, 2H), 7.31-7.34 (br m, 4H), 7.53-7.55 (m, 4H), 9.71 (s, 1H).
Process 5
Compound I-0035 (39 mg, 0.096 mmol) was dissolved in methanol (1.0 mL). Sodium borohydride (3.6 mg, 0.096 mmol) was added and stirred at room temperature for 30 minutes. Water was added and extracted with ethyl acetate. The organic layer was washed with saturated brine, dried over anhydrous sodium sulfate, and the solvent was evaporated under reduced pressure. The residue was purified by silica gel column chromatography (hexane / ethyl acetate) to obtain Compound I-0036 (26 mg, yield: 66%) as a white solid.
1 H-NMR (CDCl 3 ) δ: 2.00 (s, 3H), 3.95 (t, J = 4.8 Hz, 2H), 4.37 (br s, 2H), 5.42 (br s, 2H), 6.73 (br s, 1H), 7.06-7.10 (m, 2H), 7.28-7.35 (m, 4H), 7.52 (d, J = 7.6 Hz, 2H), 7.61 (s, 1H).
化合物I-0037の合成
化合物I-0035(30mg、0.074mmol)をテトラヒドロフラン(1.0mL)に溶解した。O-メチルヒドロキシアミン塩酸塩(6.8mg、0.081mmol)を加え、室温で1時間撹拌した。溶媒を減圧留去し、残渣をシリカゲルカラムクロマトグラフィー(ヘキサン/酢酸エチル)で精製して、化合物I-0037(7.2mg、収率:22%)を無色油状物質として得た。
1H-NMR (CDCl3) δ: 2.00 (s, 1.5H), 2.01 (s, 1.5H), 3.87 (s, 1.5H), 3.96 (s, 1.5H), 4.96 (d, J = 5.5 Hz, 1H), 5.07 (d, J = 4.5 Hz, 1H), 5.41 (s, 2H), 6.71 (br s, 1H), 6.89 (t, J = 4.5 Hz, 0.5H), 7.06-7.10 (m, 2H), 7.28-7.34 (m, 3H), 7.52-7.60 (m, 3.5H).
Synthesis of Compound I-0037
Compound I-0035 (30 mg, 0.074 mmol) was dissolved in tetrahydrofuran (1.0 mL). O-methylhydroxyamine hydrochloride (6.8 mg, 0.081 mmol) was added and stirred at room temperature for 1 hour. The solvent was distilled off under reduced pressure, and the residue was purified by silica gel column chromatography (hexane / ethyl acetate) to obtain Compound I-0037 (7.2 mg, yield: 22%) as a colorless oily substance.
1 H-NMR (CDCl 3 ) δ: 2.00 (s, 1.5H), 2.01 (s, 1.5H), 3.87 (s, 1.5H), 3.96 (s, 1.5H), 4.96 (d, J = 5.5 Hz , 1H), 5.07 (d, J = 4.5 Hz, 1H), 5.41 (s, 2H), 6.71 (br s, 1H), 6.89 (t, J = 4.5 Hz, 0.5H), 7.06-7.10 (m, 2H), 7.28-7.34 (m, 3H), 7.52-7.60 (m, 3.5H).
化合物I-0086の合成
工程1
化合物19(3.20g、20.5mmol)および3,4,5-トリフルオロベンジルアミン(3.00g、18.6mmol)をエタノール(60mL)に溶解した。パラトルエンスルホン酸一水和物(0.35g、1.86mmol)を加え、室温で一晩撹拌した。反応液を濾過し、溶媒を減圧留去した。残渣に水を加え、酢酸エチルで抽出した。有機層を食塩水で洗浄し、無水硫酸マグネシウムで乾燥し、溶媒を減圧留去した。得られた残渣にヘキサンを加えて、生じた固体を濾取して、化合物20(4.42g、収率:79%)を得た。
1H-NMR(CDCl3)δ:1.29 (t, J = 6.8 Hz, 3H), 1.82 (m, 2H), 2.47 (t, J = 7.6 Hz, 2H), 2,54 (t, J = 7.6 Hz, 2H), 4.16 (q, J = 6.8 Hz, 2H), 4.32 (d, J = 6.8 Hz, 2H), 6.87 (m, 2H), 7.77 (brs, 1H).
工程2
化合物20(2.00g、6.68mmol)にトリメチルシリルイソチオシアナート(8.77g、66.8mmol)を加え、150℃にて4時間撹拌した。水を加え、酢酸エチルで抽出した。有機層を食塩水で洗浄し、無水硫酸マグネシウムで乾燥し、溶媒を減圧留去した。得られた残渣に水を加えて、生じた固体を濾取して、化合物21(1.27g、収率:61%)を得た。
1H-NMR(CDCl3)δ:2.12 (m, 2H),2.81 (m, 4H), 5.49 (s, 2H), 6.91 (m, 2H), 9.44 (brs, 1H).
工程3
化合物21(1.20g、3.84mmol)をアセトニトリル(30mL)に溶解した。ヨウ化メチル(1.20mL、19.2mmol)およびDIEA(1.34mL、7.68mmol)を加え、50℃にて2時間撹拌した。溶媒を減圧留去し、得られた残渣に食塩水を加え、酢酸エチルで抽出した。有機層を食塩水で洗浄し、無水硫酸マグネシウムで乾燥し、溶媒を減圧留去した。得られた残渣にジエチルエーテルを加えて、生じた固体を濾取して、化合物22(1.18g、収率:91%)を得た。
1H-NMR(DMSO-d6)δ:2.09 (m, 2H), 2.62 (s, 3H), 2.77 (t, J = 7.6 Hz, 2H), 2.85 (t, J = 7.6 Hz, 2H), 5.05 (s, 2H), 6.76 (m, 2H).
工程4
化合物22(100mg、0.31mmol)および2,5-ジメチルベンゾ[d]チアゾール-6-アミン(246mg、1.38mmol)にプロピオン酸(800μL)を加え、150℃にて3時間撹拌した。クロロホルムを加えて希釈し、シリカゲルカラムクロマトグラフィー(ヘキサン-酢酸エチル)で精製した。得られた残渣にジエチルエーテルを加え、、生じた固体を濾取して、化合物I-0086(92mg、収率:66%)を得た。
1H-NMR(DMSO-d6)δ:1.94 (s, 3H), 1.96 (m, 2H), 2.50 (t, J = 7.6 Hz, 2H), 2.72 (s, 3H), 2.84 (t, J = 7.6 Hz, 2H), 5.23 (s, 2H), 7.28 (s, 1H), 7.32 (m, 2H), 7.63 (s, 1H).
Synthesis of Compound I-0086
Process 1
Compound 19 (3.20 g, 20.5 mmol) and 3,4,5-trifluorobenzylamine (3.00 g, 18.6 mmol) were dissolved in ethanol (60 mL). Paratoluenesulfonic acid monohydrate (0.35 g, 1.86 mmol) was added and stirred at room temperature overnight. The reaction solution was filtered, and the solvent was distilled off under reduced pressure. Water was added to the residue and extracted with ethyl acetate. The organic layer was washed with brine, dried over anhydrous magnesium sulfate, and the solvent was removed under reduced pressure. Hexane was added to the resulting residue, and the resulting solid was collected by filtration to obtain Compound 20 (4.42 g, yield: 79%).
1 H-NMR (CDCl 3 ) δ: 1.29 (t, J = 6.8 Hz, 3H), 1.82 (m, 2H), 2.47 (t, J = 7.6 Hz, 2H), 2,54 (t, J = 7.6 Hz, 2H), 4.16 (q, J = 6.8 Hz, 2H), 4.32 (d, J = 6.8 Hz, 2H), 6.87 (m, 2H), 7.77 (brs, 1H).
Process 2
Trimethylsilyl isothiocyanate (8.77 g, 66.8 mmol) was added to compound 20 (2.00 g, 6.68 mmol), and the mixture was stirred at 150 ° C. for 4 hours. Water was added and extracted with ethyl acetate. The organic layer was washed with brine, dried over anhydrous magnesium sulfate, and the solvent was removed under reduced pressure. Water was added to the obtained residue, and the resulting solid was collected by filtration to obtain Compound 21 (1.27 g, yield: 61%).
1 H-NMR (CDCl 3 ) δ: 2.12 (m, 2H), 2.81 (m, 4H), 5.49 (s, 2H), 6.91 (m, 2H), 9.44 (brs, 1H).
Process 3
Compound 21 (1.20 g, 3.84 mmol) was dissolved in acetonitrile (30 mL). Methyl iodide (1.20 mL, 19.2 mmol) and DIEA (1.34 mL, 7.68 mmol) were added and stirred at 50 ° C. for 2 hours. The solvent was distilled off under reduced pressure, brine was added to the resulting residue, and the mixture was extracted with ethyl acetate. The organic layer was washed with brine, dried over anhydrous magnesium sulfate, and the solvent was removed under reduced pressure. Diethyl ether was added to the obtained residue, and the resulting solid was collected by filtration to obtain Compound 22 (1.18 g, yield: 91%).
1 H-NMR (DMSO-d 6 ) δ: 2.09 (m, 2H), 2.62 (s, 3H), 2.77 (t, J = 7.6 Hz, 2H), 2.85 (t, J = 7.6 Hz, 2H), 5.05 (s, 2H), 6.76 (m, 2H).
Process 4
Propionic acid (800 μL) was added to compound 22 (100 mg, 0.31 mmol) and 2,5-dimethylbenzo [d] thiazol-6-amine (246 mg, 1.38 mmol), and the mixture was stirred at 150 ° C. for 3 hours. The mixture was diluted with chloroform and purified by silica gel column chromatography (hexane-ethyl acetate). Diethyl ether was added to the obtained residue, and the resulting solid was collected by filtration to give compound I-0086 (92 mg, yield: 66%).
1 H-NMR (DMSO-d 6 ) δ: 1.94 (s, 3H), 1.96 (m, 2H), 2.50 (t, J = 7.6 Hz, 2H), 2.72 (s, 3H), 2.84 (t, J = 7.6 Hz, 2H), 5.23 (s, 2H), 7.28 (s, 1H), 7.32 (m, 2H), 7.63 (s, 1H).
化合物I-0114の合成
工程1
化合物23(3.72g、25.8mmol)および3,4-ジフルオロベンジルアミン(4.06g、28.4mmol)をメタノール(75mL)に溶解した。パラトルエンスルホン酸ピリジニウム(6.49g、25.8mmol)を加え、室温で一晩撹拌した。反応液を濾過し、溶媒を減圧留去した。残渣に水を加え、酢酸エチルで抽出した。有機層を食塩水で洗浄し、無水硫酸マグネシウムで乾燥し、溶媒を減圧留去した。得られた残渣をシリカゲルカラムクロマトグラフィー(ヘキサン-酢酸エチル)で精製して、化合物24(4.46g、収率:63%)を固体として得た。
1H-NMR(CDCl3)δ:3.71 (s, 3H), 4.25 (d, J = 6.4 Hz, 2H), 4.67 (m, 2H), 4.78 (m, 2H), 6.90-7.30 (m, 3H).
工程2
化合物24(3.50g、13.0mmol)をNMP(17.5mL)に溶解した。トリメチルシリルイソチオシアナート(16.3g、124mmol)を加え、150℃にて10時間撹拌した。水を加え、酢酸エチルで抽出した。有機層を食塩水で洗浄し、無水硫酸マグネシウムで乾燥し、溶媒を減圧留去した。得られた残渣をシリカゲルカラムクロマトグラフィー(ヘキサン-酢酸エチル)で精製した。残渣にジエチルエーテルを加えて、生じた固体を濾取して、化合物25(0.900g、収率:24%)を得た。
1H-NMR(DMSO-d6)δ:4.82 (m, 4H), 5.40 (s, 2H), 7.13 (m, 1H), 7.41 (m, 2H), 12.84 (s, 1H).
工程3
化合物25(0.920g、3.11mmol)をアセトニトリル(15mL)に溶解した。ヨウ化メチル(0.970mL、15.5mmol)およびDIEA(1.09mL、6.21mmol)を加え、50℃にて2時間撹拌した。溶媒を減圧留去し、得られた残渣に水を加えて、生じた固体を濾取して、化合物26(0.873g、収率:91%)を得た。
1H-NMR(DMSO-d6)δ:2.50 (s, 3H), 4.83 (s, 2H), 4.91 (s, 2H), 5.11 (s, 2H), 7.07 (m, 1H), 7.42 (m, 2H).
工程4
化合物26(80.0mg、0.258mmol)および2,5-ジメチルベンゾ[d]チアゾール-6-アミン(161mg、0.902mmol)にプロピオン酸(640μL)を加え、150℃にて3時間撹拌した。クロロホルムを加えて希釈し、シリカゲルカラムクロマトグラフィー(ヘキサン-酢酸エチル)で精製した。得られた残渣にジエチルエーテルを加えて、生じた固体を濾取して、化合物I-0114(72.0mg、収率:51%)を得た。
1H-NMR(DMSO-d6)δ:1.93 (s, 3H), 2,73 (s, 3H), 4.78 (s, 2H), 4.94 (s, 2H), 5.02 (s, 2H), 7.00-7.30 (m, 2H), 7.44 (m, 2H), 7.64 (s, 1H), 9.82 (brs, 1H).
Synthesis of Compound I-0114
Process 1
Compound 23 (3.72 g, 25.8 mmol) and 3,4-difluorobenzylamine (4.06 g, 28.4 mmol) were dissolved in methanol (75 mL). Pyridinium paratoluenesulfonate (6.49 g, 25.8 mmol) was added and stirred at room temperature overnight. The reaction solution was filtered, and the solvent was distilled off under reduced pressure. Water was added to the residue and extracted with ethyl acetate. The organic layer was washed with brine, dried over anhydrous magnesium sulfate, and the solvent was removed under reduced pressure. The obtained residue was purified by silica gel column chromatography (hexane-ethyl acetate) to obtain Compound 24 (4.46 g, yield: 63%) as a solid.
1 H-NMR (CDCl 3 ) δ: 3.71 (s, 3H), 4.25 (d, J = 6.4 Hz, 2H), 4.67 (m, 2H), 4.78 (m, 2H), 6.90-7.30 (m, 3H ).
Process 2
Compound 24 (3.50 g, 13.0 mmol) was dissolved in NMP (17.5 mL). Trimethylsilyl isothiocyanate (16.3 g, 124 mmol) was added and stirred at 150 ° C. for 10 hours. Water was added and extracted with ethyl acetate. The organic layer was washed with brine, dried over anhydrous magnesium sulfate, and the solvent was removed under reduced pressure. The obtained residue was purified by silica gel column chromatography (hexane-ethyl acetate). Diethyl ether was added to the residue, and the resulting solid was collected by filtration to obtain compound 25 (0.900 g, yield: 24%).
1 H-NMR (DMSO-d 6 ) δ: 4.82 (m, 4H), 5.40 (s, 2H), 7.13 (m, 1H), 7.41 (m, 2H), 12.84 (s, 1H).
Process 3
Compound 25 (0.920 g, 3.11 mmol) was dissolved in acetonitrile (15 mL). Methyl iodide (0.970 mL, 15.5 mmol) and DIEA (1.09 mL, 6.21 mmol) were added and stirred at 50 ° C. for 2 hours. The solvent was distilled off under reduced pressure, water was added to the resulting residue, and the resulting solid was collected by filtration to obtain Compound 26 (0.873 g, yield: 91%).
1 H-NMR (DMSO-d 6 ) δ: 2.50 (s, 3H), 4.83 (s, 2H), 4.91 (s, 2H), 5.11 (s, 2H), 7.07 (m, 1H), 7.42 (m , 2H).
Process 4
Propionic acid (640 μL) was added to compound 26 (80.0 mg, 0.258 mmol) and 2,5-dimethylbenzo [d] thiazol-6-amine (161 mg, 0.902 mmol), and the mixture was stirred at 150 ° C. for 3 hours. . The mixture was diluted with chloroform and purified by silica gel column chromatography (hexane-ethyl acetate). Diethyl ether was added to the obtained residue, and the resulting solid was collected by filtration to give compound I-0114 (72.0 mg, yield: 51%).
1 H-NMR (DMSO-d 6 ) δ: 1.93 (s, 3H), 2,73 (s, 3H), 4.78 (s, 2H), 4.94 (s, 2H), 5.02 (s, 2H), 7.00 -7.30 (m, 2H), 7.44 (m, 2H), 7.64 (s, 1H), 9.82 (brs, 1H).
化合物I-0139の合成
工程1
化合物27(1.10g、7.02mmoL)をジクロロメタン(9mL)に溶解した。3,4-ジフルオロベンズアルデヒド(0.844mL、7.72mmoL)、酢酸(8.03mL、140mmoL)および水素化トリアセトキシホウ素ナトリウム(2.98g、14.04mmoL)を加え、室温で2時間撹拌した。3,4-ジフルオロベンズアルデヒド(1.535mL、14.04mmoL)および水素化トリアセトキシホウ素ナトリウム(2.98g、14.04mmoL)を加え、室温で5時間撹拌した。反応液に水を加え、酢酸エチルで抽出した。有機層を水、飽和重曹水および飽和食塩水で洗浄し、無水硫酸マグネシウムで乾燥し、溶媒を減圧留去した。得られた残渣をシリカゲルクロマトグラフィー(ヘキサン-酢酸エチル)により精製して、化合物28(1.64g、83%)を得た。
1H-NMR (CDCl3) δ: 2.35 (3H, s), 3.95 (3H, s), 4.44 (2H, d, J = 7.0 Hz), 5.36 (1H, t, J = 7.0 Hz), 7.00-7.03 (1H, br m), 7.11-7.15 (2H, m).
工程2
化合物28(1.63g、5.78mmoL)をジクロロメタン(60mL)に溶解した。イソチオシアン酸ベンゾイル(0.858mL、6.36mmoL)を加え、室温にて3時間撹拌し、4日間静置した。溶媒を減圧留去し、得られた残渣に7moL/Lアンモニアのメタノール溶液(35.8mL、250mmoL)を加えた。封緘し、70℃に昇温し、3時間撹拌した。室温まで放冷し、溶媒を減圧留去した。得られた固体を濾取し、クロロホルムおよびメタノールで洗浄して、化合物29(565mg、32%)を得た。
[M+H]=308:分析条件[3]:保持時間=1.85(分)
工程3
化合物29(561mg、1.81mmoL)をテトラヒドロフラン(17mL)に懸濁した。ヨウ化メチル(1.134mL、18.14mmoL)およびDIEA(1.267mL、7.26mmoL)を加え、室温で3時間撹拌した。析出した固体を濾取し、シリカゲルクロマトグラフィー(クロロホルム-メタノール)により精製して、化合物30(234mg、40%)を得た。
1H-NMR (DMSO-D6) δ: 2.32 (3H, s), 2.56 (3H, s), 5.50 (2H, s), 7.07-7.10 (1H, br m), 7.42-7.47 (2H, m).
工程4
4-メトキシ-2-メチルアニリン(82mg、0.60mmoL)および化合物30(55mg、0.17mmoL)をプロピオン酸(0.382mL、5.10mmoL)に懸濁した。封緘し、150℃で4時間撹拌した。溶媒を減圧留去し、得られた残渣を逆相HPLC(アセトニトリル-水)により精製して、化合物I-0139(38mg、54%)を得た。
[M+H]=413:分析条件[3]:保持時間=1.93(分)
Synthesis of Compound I-0139
Process 1
Compound 27 (1.10 g, 7.02 mmol) was dissolved in dichloromethane (9 mL). 3,4-Difluorobenzaldehyde (0.844 mL, 7.72 mmol), acetic acid (8.03 mL, 140 mmol) and sodium triacetoxyborohydride (2.98 g, 14.04 mmol) were added and stirred at room temperature for 2 hours. 3,4-Difluorobenzaldehyde (1.535 mL, 14.04 mmol) and sodium triacetoxyborohydride (2.98 g, 14.04 mmol) were added and stirred at room temperature for 5 hours. Water was added to the reaction mixture, and the mixture was extracted with ethyl acetate. The organic layer was washed with water, saturated aqueous sodium hydrogen carbonate and saturated brine, dried over anhydrous magnesium sulfate, and the solvent was evaporated under reduced pressure. The obtained residue was purified by silica gel chromatography (hexane-ethyl acetate) to obtain Compound 28 (1.64 g, 83%).
1H-NMR (CDCl3) δ: 2.35 (3H, s), 3.95 (3H, s), 4.44 (2H, d, J = 7.0 Hz), 5.36 (1H, t, J = 7.0 Hz), 7.00-7.03 ( 1H, br m), 7.11-7.15 (2H, m).
Process 2
Compound 28 (1.63 g, 5.78 mmol) was dissolved in dichloromethane (60 mL). Benzoyl isothiocyanate (0.858 mL, 6.36 mmol) was added, stirred at room temperature for 3 hours, and allowed to stand for 4 days. The solvent was distilled off under reduced pressure, and a 7 mol / L ammonia methanol solution (35.8 mL, 250 mmol) was added to the resulting residue. Sealed, heated to 70 ° C., and stirred for 3 hours. The mixture was allowed to cool to room temperature and the solvent was distilled off under reduced pressure. The resulting solid was collected by filtration and washed with chloroform and methanol to give compound 29 (565 mg, 32%).
[M + H] = 308: Analysis condition [3]: Retention time = 1.85 (min)
Process 3
Compound 29 (561 mg, 1.81 mmol) was suspended in tetrahydrofuran (17 mL). Methyl iodide (1.134 mL, 18.14 mmol) and DIEA (1.267 mL, 7.26 mmol) were added and stirred at room temperature for 3 hours. The precipitated solid was collected by filtration and purified by silica gel chromatography (chloroform-methanol) to obtain Compound 30 (234 mg, 40%).
1H-NMR (DMSO-D6) δ: 2.32 (3H, s), 2.56 (3H, s), 5.50 (2H, s), 7.07-7.10 (1H, br m), 7.42-7.47 (2H, m).
Process 4
4-Methoxy-2-methylaniline (82 mg, 0.60 mmol) and compound 30 (55 mg, 0.17 mmol) were suspended in propionic acid (0.382 mL, 5.10 mmol). Sealed and stirred at 150 ° C. for 4 hours. The solvent was removed under reduced pressure, and the resulting residue was purified by reverse phase HPLC (acetonitrile-water) to give compound I-0139 (38 mg, 54%).
[M + H] = 413: Analysis condition [3]: Retention time = 1.93 (min)
化合物I-0128の合成
工程1
窒素雰囲気下、化合物31(500mg、6.02mmol)をテトラヒドロフラン(10mL)に溶解し、ベンズアルデヒド(703mg、6.62mmol)および酢酸(0.413mL、7.72mmol)を加え、室温で1時間撹拌した。水素化ホウ素ナトリウム(273mg、7.72mmol)を加え、1時間撹拌した。炭酸水素ナトリウムを加え、クロロホルムで抽出した。得られた有機層の溶媒を減圧留去した。得られた残渣を逆相カラムクロマトグラフィーにより精製して、化合物32(545mg、収率52%)を得た。
分析条件[3]:保持時間=1.08(分):[M+H]=174
工程2
化合物32(319mg、1.843mmol)をアセトニトリル(4mL)に溶解し、エトキシカルボニルイソチオシアナート(0.25mL、2.12mmol)を加え、室温にて1時間撹拌した。溶媒を減圧留去して、化合物33の粗生成物を得た。
工程3
工程2で得られた化合物33の粗生成物を、テトラヒドロフラン(2.5mL)およびメタノール(2.5mL)に溶解し、2mol/L水酸化ナトリウム水溶液(5mL)を加え、室温で終夜撹拌した。クロロホルムを加え、0度に冷却し、2mol/L塩酸を加え、室温にて撹拌した。クロロホルムで抽出し、得られた有機層を減圧留去した。得られた残渣を逆相カラムクロマトグラフィーにより精製して、化合物34(110mg、収率23%)を得た。
分析条件[3]:保持時間=1.46(分):[M+H]=259
工程4
化合物34(110mg、0.426mmol)をテトラヒドロフラン(1mL)に溶解し、ヨウ化メチル(0.133mL、2.13mmol)およびDIEA(0.149mL、0.852mmol)を加え、室温にて30分間撹拌した。溶媒を減圧留去し、逆相カラムクロマトグラフィーにより精製して、化合物35(92.3mg、収率80%)を得た。
分析条件[3]:保持時間=1.35(分):[M+H]=273
工程5
化合物35(54.5mg、0.2mmol)にプロピオン酸(0.5mL)、および4,5-ジメトキシ-2-メチルアニリン(117mg、0.7mmol)を加え、150℃で4時間撹拌した。溶媒を減圧留去し、得られた残渣を逆相カラムクロマトグラフィーにより精製して、化合物I-0128(14.8mg、収率19%)を得た。
分析条件[3]:保持時間=1.55(分):[M+H]=392
Synthesis of Compound I-0128
Process 1
Under a nitrogen atmosphere, compound 31 (500 mg, 6.02 mmol) was dissolved in tetrahydrofuran (10 mL), benzaldehyde (703 mg, 6.62 mmol) and acetic acid (0.413 mL, 7.72 mmol) were added, and the mixture was stirred at room temperature for 1 hour. . Sodium borohydride (273 mg, 7.72 mmol) was added and stirred for 1 hour. Sodium hydrogen carbonate was added and extracted with chloroform. The solvent of the obtained organic layer was distilled off under reduced pressure. The resulting residue was purified by reverse phase column chromatography to obtain compound 32 (545 mg, 52% yield).
Analysis condition [3]: Retention time = 1.08 (min): [M + H] = 174
Process 2
Compound 32 (319 mg, 1.843 mmol) was dissolved in acetonitrile (4 mL), ethoxycarbonyl isothiocyanate (0.25 mL, 2.12 mmol) was added, and the mixture was stirred at room temperature for 1 hour. The solvent was distilled off under reduced pressure to obtain a crude product of compound 33.
Process 3
The crude product of compound 33 obtained in step 2 was dissolved in tetrahydrofuran (2.5 mL) and methanol (2.5 mL), 2 mol / L aqueous sodium hydroxide solution (5 mL) was added, and the mixture was stirred at room temperature overnight. Chloroform was added, cooled to 0 ° C., 2 mol / L hydrochloric acid was added, and the mixture was stirred at room temperature. Extraction was performed with chloroform, and the obtained organic layer was distilled off under reduced pressure. The obtained residue was purified by reverse phase column chromatography to give compound 34 (110 mg, yield 23%).
Analysis condition [3]: Retention time = 1.46 (min): [M + H] = 259
Process 4
Compound 34 (110 mg, 0.426 mmol) is dissolved in tetrahydrofuran (1 mL), methyl iodide (0.133 mL, 2.13 mmol) and DIEA (0.149 mL, 0.852 mmol) are added, and the mixture is stirred at room temperature for 30 minutes. did. The solvent was distilled off under reduced pressure and purified by reverse phase column chromatography to obtain compound 35 (92.3 mg, yield 80%).
Analysis condition [3]: Retention time = 1.35 (min): [M + H] = 273
Process 5
Propionic acid (0.5 mL) and 4,5-dimethoxy-2-methylaniline (117 mg, 0.7 mmol) were added to compound 35 (54.5 mg, 0.2 mmol), and the mixture was stirred at 150 ° C. for 4 hours. The solvent was distilled off under reduced pressure, and the resulting residue was purified by reverse phase column chromatography to obtain compound I-0128 (14.8 mg, yield 19%).
Analysis condition [3]: Retention time = 1.55 (min): [M + H] = 392
一般的合成方法および実施例に記載の方法に準じて、以下の化合物を合成した。化学構造式および物性(LC/MSデータまたはNMRスペクトル)を以下に示す。
以下に、本発明化合物に関する生物試験例を記載する。
ヒトP2X7受容体阻害活性の評価
ヒトP2X7受容体遺伝子(GenBank登録配列NM_002562.5 ただしT606CとG952Aの一塩基多型を含む)を1321N1細胞に導入して発現させた。ヒトP2X7受容体を安定発現させた1321N1細胞をピュアコートアミン384穴黒透明平底プレート(ファルコン;コーニング社製)に1穴当り8000個になるように播種し、培地(10%ウシ胎児血清、25mM HEPES、1%ペニシリン・ストレプトマイシン混合溶液を含むDMEM(D5796;SIGMA社製))中で37℃、5%二酸化炭素下で1日間培養した。セルウオッシャーELx405(バイオテック社製)を用い、緩衝液(20mM HEPES、55.6mM D-グルコース、HBSS(-)(ライフテクノロジーズ社製#14185-052)を1xに希釈、pH7.4~7.5に調整)にて洗浄し、1穴当たり20μLの緩衝液で満たした。緩衝液で希釈した最終濃度4μMのYo-Pro(ライフテクノロジーズ社製)を含む蛍光試薬を15μL、自動分注装置Bravo(アジレント社)にて分注した。プレートをカイネティック蛍光測定装置FLIPR TETRA(モレキュラーデバイス社製)に設置し、緩衝液で希釈した最終濃度30μMのBzATP溶液を内蔵の自動分注装置で1穴当り15μL添加し、蛍光強度の測定を開始した。その約8分後に希釈用緩衝液を用いて異なる濃度に希釈した本発明化合物のDMSO溶液を1穴当り15μLずつ内蔵の自動分注装置にて分注し、20分間蛍光強度の測定を継続した。本発明化合物の溶媒であるDMSO溶液を添加した場合の最大蛍光強度の値を阻害0%(陰性対照)、既知阻害剤を添加した場合の最大蛍光強度の値を阻害100%(陽性対照)とし、阻害率の算出は本発明化合物添加直前から20分後までの蛍光強度の最大値と最小値の差によって表される変化量をもとに次式より算出した。
阻害率=(1-(本発明化合物による変化量-陽性対照による変化量)/(陰性対照による変化量-陽性対照による変化量))x100
ロジスティック近似法により阻害50%となる濃度(IC50)を算出して本発明化合物の阻害活性を評価した。
Below, the biological test example regarding this invention compound is described.
Was expressed by introducing human P2X 7 Evaluation human P2X 7 receptor gene of the receptor inhibitory activity (including single nucleotide polymorphisms of GenBank accession sequence NM_002562.5 However T606C and G952A) in 1321N1 cells. The 1321N1 cells were stably expressing the human P2X 7 receptor Pure coat amine 384 anachronism transparent flat bottom plate; seeded such that 8000 cells per well in (Falcon Corning), medium (10% fetal calf serum, The cells were cultured at 37 ° C. under 5% carbon dioxide for 1 day in DMEM (D5796; manufactured by SIGMA) containing 25 mM HEPES and 1% penicillin / streptomycin mixed solution. Using Cell Washer ELx405 (Biotech), dilute buffer (20 mM HEPES, 55.6 mM D-glucose, HBSS (-) (Life Technologies # 14185-052) to 1x, pH 7.4-7. 5) and filled with 20 μL of buffer per well. A fluorescent reagent containing Yo-Pro (manufactured by Life Technologies) having a final concentration of 4 μM diluted with a buffer solution was dispensed by an automatic dispensing apparatus Bravo (Agilent). Place the plate in the kinetic fluorescence measurement apparatus FLIPR TETRA (Molecular Devices), add 15 μL of BzATP solution with a final concentration of 30 μM diluted with buffer solution per well with a built-in automatic dispensing device, and measure the fluorescence intensity. Started. About 8 minutes later, DMSO solutions of the compounds of the present invention diluted to different concentrations using a dilution buffer were dispensed at 15 μL per well with a built-in automatic dispenser, and fluorescence intensity measurement was continued for 20 minutes. . The value of the maximum fluorescence intensity when the DMSO solution as the solvent of the compound of the present invention is added is 0% inhibition (negative control), and the value of the maximum fluorescence intensity when the known inhibitor is added is 100% inhibition (positive control). The inhibition rate was calculated from the following equation based on the amount of change represented by the difference between the maximum value and the minimum value of the fluorescence intensity from immediately before the addition of the compound of the present invention to 20 minutes later.
Inhibition rate = (1− (change amount by compound of the present invention−change amount by positive control) / (change amount by negative control−change amount by positive control)) × 100
The inhibitory activity of the compound of the present invention was evaluated by calculating the concentration (IC 50 ) at which inhibition was 50% by the logistic approximation method.
本発明化合物のヒトP2X7受容体阻害活性に関する評価結果を以下の表に示す。
上記以外の本発明化合物のヒトP2X7受容体阻害活性に関する評価結果を以下の表に示す。なお、IC50値は、10nmol/L未満を「A」、10nmol/L以上~100nmol/L未満を「B」、100nmol/L以上~500nmol/L未満を「C」、500nmol/L以上~1μmol/L未満を「D」とする。
The evaluation results of the human P2X 7 receptor inhibitory activity of the present compounds other than the above are shown in the table below. The IC 50 value is “A” for less than 10 nmol / L, “B” for 10 nmol / L to less than 100 nmol / L, “C” for 100 nmol / L to less than 500 nmol / L, and 500 nmol / L to 1 μmol. / L is defined as “D”.
試験例2: ラットP2X7受容体阻害活性の評価
ラットP2X7受容体遺伝子(GenBank登録配列NM_019256.1 ただしC586TとC652Aの一塩基多型を含む)を1321N1細胞に導入して発現させる。ラットP2X7受容体を安定発現させた1321N1細胞をTC処理384穴黒透明平底プレート(ファルコン;コーニング社製)に1穴当り10000個になるように播種し、培地(10%ウシ胎児血清、2mM GlutaMax-1、1%ペニシリン・ストレプトマイシン混合溶液を含むDMEM(D6546;SIGMA社製))中で37℃、5%二酸化炭素下で1日間培養する。セルウオッシャーELx405(バイオテック社製)を用い、緩衝液(20mM HEPES、HBSS(+)(ライフテクノロジーズ社製#14065-056)を1xに希釈、pH7.4に調整)にて洗浄し、1穴当たり20μLの緩衝液で満たす。緩衝液で希釈した最終濃度8μMのYo-Pro(ライフテクノロジーズ社製)を含む蛍光試薬を15μL、自動分注装置Bravo(アジレント社)にて分注する。プレートをカイネティック蛍光測定装置FLIPR TETRA(モレキュラーデバイス社製)に設置し、緩衝液で希釈した最終濃度250μMのBzATP溶液を内蔵の自動分注装置で1穴当り15μL添加し、蛍光強度の測定を開始する。その約8分後に希釈用緩衝液を用いて異なる濃度に希釈した本発明化合物のDMSO溶液を1穴当り15μLずつ内蔵の自動分注装置にて分注し、20分間蛍光強度の測定を継続する。本発明化合物の溶媒であるDMSO溶液を添加した場合の最大蛍光強度の値を阻害0%(陰性対照)、既知阻害剤を添加した場合の最大蛍光強度の値を阻害100%(陽性対照)とし、阻害率の算出は本発明化合物添加直前から20分後までの蛍光強度の最大値と最小値の差によって表される変化量をもとに次式より算出する。
阻害率=(1-(本発明化合物による変化量-陽性対照による変化量)/(陰性対照による変化量-陽性対照による変化量))x100
ロジスティック近似法により阻害50%となる濃度(IC50)を算出して本発明化合物の阻害活性を評価する。
Test Example 2: introducing and expressing rat P2X 7 Evaluation rat P2X 7 receptor gene of the receptor inhibitory activity (including single nucleotide polymorphisms of GenBank accession sequence NM_019256.1 However C586T and C652A) in 1321N1 cells. The 1321N1 cells were stably expressing the rat P2X 7 receptor TC process 384 anachronism transparent flat bottom plate; seeded to be 10,000 per well in (Falcon Corning), medium (10% fetal calf serum, 2mM Incubate in DMEM (D6546; manufactured by SIGMA) containing GlutaMax-1 and 1% penicillin / streptomycin mixed solution at 37 ° C. under 5% carbon dioxide for 1 day. Using Cell Washer ELx405 (Biotech), wash with buffer (20 mM HEPES, HBSS (+) (Life Technologies # 14065-056) diluted 1x, adjusted to pH 7.4), 1 hole Fill with 20 μL of buffer per minute. Dispense 15 μL of a fluorescent reagent containing Yo-Pro (manufactured by Life Technologies) having a final concentration of 8 μM diluted with a buffer with an automatic dispensing device Bravo (Agilent). Place the plate in the kinetic fluorescence measurement apparatus FLIPR TETRA (Molecular Device), add 15 μL of BzATP solution with a final concentration of 250 μM diluted with buffer solution per well with a built-in automatic dispensing device, and measure the fluorescence intensity. Start. Approximately 8 minutes later, DMSO solutions of the compounds of the present invention diluted to different concentrations using a buffer for dilution are dispensed at 15 μL per well with a built-in automatic dispenser and measurement of fluorescence intensity is continued for 20 minutes. . The value of the maximum fluorescence intensity when the DMSO solution as the solvent of the compound of the present invention is added is 0% inhibition (negative control), and the value of the maximum fluorescence intensity when the known inhibitor is added is 100% inhibition (positive control). The inhibition rate is calculated from the following equation based on the amount of change represented by the difference between the maximum value and the minimum value of the fluorescence intensity immediately before the addition of the compound of the present invention and after 20 minutes.
Inhibition rate = (1− (change amount by compound of the present invention−change amount by positive control) / (change amount by negative control−change amount by positive control)) × 100
The inhibitory activity of the compound of the present invention is evaluated by calculating the concentration (IC 50 ) at which inhibition is 50% by the logistic approximation method.
試験3-1:Seltzerモデルによる薬効評価
<ラットPartial Sciatic Nerve Ligationモデル(坐骨神経部分結紮モデル)の作製>
ラットをイソフルランにより麻酔し、左足の毛を剃る。大腿上部の皮膚を切開し、筋を割いて坐骨神経を露出させる。坐骨神経の約半分をナイロン糸で強く結紮し、筋および皮膚を縫合する。これを手術側とする。右足については坐骨神経結紮以外の同様の処置を行い、偽手術側とする。
<評価(1)>
手術の2週間後、フォンフライフィラメントにより機械性のアロディニアに対する作用を評価する。手術2週間後、金網上に載せたプラスチック製ケージにラットを入れ、馴化させる。金網側からラットの足裏にフォンフライフィラメント(0.4~26g)を押し当て、ラットが逃避行動を示し始めるフィラメントの圧値を疼痛閾値とする。左右の後足について疼痛閾値を評価し、処置前の閾値とする。手術後の疼痛閾値が0.6~2g、かつ偽手術側の疼痛閾値が8~15gの動物を薬効評価に採用する。なお動物の訓練のために、処置前の疼痛閾値測定前に同様の操作を実施する。採用した動物に本発明化合物を投与する。本発明化合物は乳鉢と乳棒を用いて粉砕し、0.5%メチルセルロース溶液にて0.03~100mg/2mL/kgになるよう懸濁液、または溶液を調整する。動物には経口ゾンデを用い経口投与する。投与1~5時間後、左右後足の疼痛閾値を評価し、処置後の疼痛閾値とする。下記の方法により%reversal値を算出し、化合物の鎮痛効果として比較する。
%reversal値=(手術側処置後の疼痛閾値の対数-手術側処置前の疼痛閾値の対数)/(偽手術側処置前の疼痛閾値の対数-手術側処置前の疼痛閾値の対数)×100
<評価(2)>
analgesiometer (Randall Selitto)により機械痛覚過敏に対する作用を評価する。手術2週間後、analgesiometerにより1秒当り16 gずつ刺激圧が増加するようにラット後肢を圧迫し、ラットが逃避行動を示した際の圧を疼痛閾値とする。左右の後肢について疼痛閾値を評価し、処置前疼痛閾値とする。手術側の疼痛閾値が60~90g、かつ偽手術側の疼痛閾値が100~175gの動物を採用する。なお、動物の訓練のため、処置前疼痛閾値測定前に同様の操作を実施する。採用した動物に本発明化合物を投与する。本発明化合物は乳鉢と乳棒を用いて破砕し、0.5%メチルセルロース液を用いて0.03~100mg/2mL/kgになるように懸濁液、または溶液を調製し、経口ゾンデを持ち用いて動物に経口投与する。投与1~5時間後、左右後肢の疼痛閾値を評価し、処置後疼痛閾値とする。下記の方法により%reversal値を計算し、化合物の鎮痛作用を比較する。
%reversal値=(手術側処置後疼痛閾値―手術側処置前疼痛閾値)/( 偽手術側処置前疼痛閾値-手術側処置前疼痛閾値)×100
Test 3-1: Evaluation of drug efficacy by Seltzer model <Preparation of rat Partial Scientific Nerve Ligation model (sciatic nerve partial ligation model)>
Rats are anesthetized with isoflurane and the left leg is shaved. An incision is made in the upper thigh skin and the muscle is broken to expose the sciatic nerve. About half of the sciatic nerve is tightly ligated with nylon thread and the muscles and skin are sutured. This is the operation side. For the right foot, perform the same procedure except for sciatic nerve ligation, and make it the sham operation side.
<Evaluation (1)>
Two weeks after surgery, the effect on mechanical allodynia is assessed by von Frey filaments. Two weeks after surgery, the rats are habituated to a plastic cage placed on a wire mesh. A von Frey filament (0.4 to 26 g) is pressed against the sole of the rat from the wire mesh side, and the pressure value of the filament at which the rat begins to show escape behavior is defined as a pain threshold. The pain threshold is evaluated for the left and right hind legs, and set as the threshold before treatment. Animals having a pain threshold of 0.6 to 2 g after surgery and a pain threshold of 8 to 15 g on the sham operation side are adopted for the evaluation of drug efficacy. For animal training, the same operation is performed before measuring the pain threshold before treatment. The compound of the present invention is administered to the adopted animal. The compound of the present invention is pulverized using a mortar and pestle, and the suspension or solution is adjusted with a 0.5% methylcellulose solution to 0.03 to 100 mg / 2 mL / kg. Animals are administered orally using an oral sonde. 1 to 5 hours after administration, the pain threshold value of the left and right hind legs is evaluated, and the pain threshold value after the treatment is used. The% reversal value is calculated by the following method and compared as the analgesic effect of the compound.
% Reversal value = (logarithm of pain threshold value after surgical side treatment−logarithm of pain threshold value before surgical side treatment) / (logarithm of pain threshold value before surgical side treatment−logarithm of pain threshold value before surgical side treatment) × 100
<Evaluation (2)>
Analgesiometer (Randall Selitto) evaluates the effect on mechanical hyperalgesia. Two weeks after the operation, the rat hind limb is compressed by an analgesiometer so that the stimulation pressure increases by 16 g per second, and the pressure when the rat exhibits escape behavior is set as a pain threshold. Pain thresholds are evaluated for the left and right hind limbs and set as pre-treatment pain thresholds. Animals with a surgical threshold of 60-90 g and a sham surgical threshold of 100-175 g are employed. In order to train the animal, the same operation is performed before measuring the pre-treatment pain threshold. The compound of the present invention is administered to the adopted animal. The compound of the present invention is crushed using a mortar and pestle, and a suspension or solution is prepared using 0.5% methylcellulose solution to 0.03 to 100 mg / 2 mL / kg, and an oral sonde is used. Orally administered to animals. 1 to 5 hours after administration, the pain threshold value of the left and right hind limbs is evaluated and set as a post-treatment pain threshold value. The% reversal value is calculated by the following method to compare the analgesic action of the compounds.
% Reversal value = (pain threshold after operation side treatment−pain threshold value before operation side treatment) / (pain threshold value before operation side treatment before surgery− pain threshold value before operation side treatment) × 100
試験3-2:馬尾神経圧迫モデルによる薬効評価
<モデル動物の作製>
モデル動物を作製するため、麻酔下でラットの腰背部を切開し、第4、第5、及び第6腰椎を露出する。第4-5、及び第5-6腰椎椎関節を切開する。椎関節切開口からシリコンラバーを第4、及び第6腰椎脊柱管内に挿入して留置し、切開口を縫合する。
偽手術動物を作製するため、上記の操作からシリコンラバーの挿入、及び留置の操作を除いた手術を施す。
<鎮痛効果の評価>
手術の2週間後、フォンフライフィラメントにより機械性のアロディニアに対する作用を評価する。手術2週間後、金網上に載せたプラスチック製ケージにラットを入れ、馴化させる。金網側からラットの足裏にフォンフライフィラメント(0.4~26g)を押し当て、ラットが逃避行動を示し始めるフィラメントの圧値を疼痛閾値とする。左右の後足について疼痛閾値を評価し、処置前の閾値とする。両後足について疼痛閾値を評価し、モデル動物の両足の閾値が0.4~1gのより痛みの強い値を薬物投与前の閾値とする。偽手術群の疼痛閾値が8~15gの動物を薬効評価に採用する。なお動物の訓練のために、処置前の疼痛閾値測定前に同様の操作を実施する。採用した動物に本発明化合物を投与する。本発明化合物は乳鉢と乳棒を用いて粉砕し、0.5%メチルセルロース溶液にて0.03~100mg/2mL/kgになるよう懸濁液、または溶液を調整する。動物には経口ゾンデを用い経口投与する。投与1~5時間後、左右後足の疼痛閾値を評価し、処置後の疼痛閾値とする。下記の方法により%reversal値を算出し、化合物の鎮痛効果として比較する。
Test 3-2: Evaluation of drug efficacy using the cauda equina nerve compression model <Production of model animals>
In order to produce a model animal, the lower back of the rat is incised under anesthesia to expose the fourth, fifth, and sixth lumbar vertebrae. Incisions are made on the 4th-5th and 5th-6th lumbar vertebral joints. Silicon rubber is inserted into the 4th and 6th lumbar spinal canals from the vertebral joint incision and placed, and the incision is sutured.
In order to produce a sham-operated animal, the above-described operation is subjected to an operation excluding silicon rubber insertion and indwelling operations.
<Evaluation of analgesic effect>
Two weeks after surgery, the effect on mechanical allodynia is assessed by von Frey filaments. Two weeks after surgery, the rats are habituated to a plastic cage placed on a wire mesh. A von Frey filament (0.4 to 26 g) is pressed against the sole of the rat from the wire mesh side, and the pressure value of the filament at which the rat begins to show escape behavior is defined as a pain threshold. The pain threshold is evaluated for the left and right hind legs, and set as the threshold before treatment. The pain threshold is evaluated for both hind paws, and the more painful value of the model animal with a threshold of 0.4 to 1 g for both feet is taken as the threshold before drug administration. Animals with a pain threshold of 8-15 g in the sham-operated group are adopted for drug efficacy evaluation. For animal training, the same operation is performed before measuring the pain threshold before treatment. The compound of the present invention is administered to the adopted animal. The compound of the present invention is pulverized using a mortar and pestle, and the suspension or solution is adjusted with a 0.5% methylcellulose solution to 0.03 to 100 mg / 2 mL / kg. Animals are administered orally using an oral sonde. 1 to 5 hours after administration, the pain threshold value of the left and right hind legs is evaluated, and the pain threshold value after the treatment is used. The% reversal value is calculated by the following method and compared as the analgesic effect of the compound.
試験3-3:EAEモデルによる薬効評価
<ラットExperimental Autoimmune Encephalomyelitisモデル(実験的自己免疫性脳脊髄炎モデル)の作製>
ラット(Lewis rat 雌)をイソフルランにより麻酔し、尾根部の背部の毛を剃る。CFA(complete Freund‘s Adjuvant)とMBP(Myelin Basic Protein)のsaline溶液を1:1で混合した1g/Lのエマルジョンを調整し、ラット尾根部の背部皮下に100uL投与することで免疫する。これを処置群とする。MBPを含まないsalineを用いてCFAとのエマルジョンを作製し、同様の処置を行い、これを偽処置群とする。
<評価>
免疫の3週間後、フォンフライフィラメントにより機械性のアロディニアに対する作用を評価する。免疫3週間後、金網上に載せたプラスチック製ケージにラットを入れ、馴化させる。金網側からラットの足裏にフォンフライフィラメント(0.4~26g)を押し当て、ラットが逃避行動を示し始めるフィラメントの圧値を疼痛閾値とする。両後足について疼痛閾値を評価し、処置群の両足の閾値が4g以下でかつ、0.6~2gのより痛みの強い値を薬物投与前の閾値とする。偽処置群の疼痛閾値が6~15gの動物を薬効評価に採用する。なお動物の訓練のために、薬物投与前の疼痛閾値測定前に同様の操作を実施する。採用した動物に本発明化合物を投与する。本発明化合物は乳鉢と乳棒を用いて粉砕し、0.5%メチルセルロース溶液にて0.03~100mg/2mL/kgになるよう懸濁液、または溶液を調整する。動物には経口ゾンデを用い経口投与する。投与1~5時間後、後足の疼痛閾値を評価し、薬物投与後の疼痛閾値とする。下記の方法により%reversal値を算出し、化合物の鎮痛効果として比較する。
%reversal値=(処置群薬物投与後の疼痛閾値の対数-処置群薬物投与前の疼痛閾値の対数)/(偽処置側薬物投与前の疼痛閾値の対数-処置群薬物投与前の疼痛閾値の対数)×100
Test 3-3: Efficacy Evaluation by EAE Model <Production of Rat Experimental Autoimmune Encephalomyelitis Model (Experimental Autoimmune Encephalomyelitis Model)>
Rats (Lewis rat females) are anesthetized with isoflurane and the back of the ridge is shaved. Immunization is carried out by preparing a 1 g / L emulsion prepared by mixing 1: 1 CFA (complete Freund's Adjuvant) and MBP (Myelin Basic Protein) saline solution, and administering 100 uL subcutaneously on the back of the rat tail. This is a treatment group. An emulsion with CFA is prepared using saline containing no MBP, the same treatment is performed, and this is set as a sham treatment group.
<Evaluation>
Three weeks after immunization, the effect on mechanical allodynia is assessed by von Frey filament. Three weeks after immunization, rats are habituated to plastic cages placed on a wire mesh. A von Frey filament (0.4 to 26 g) is pressed against the sole of the rat from the wire mesh side, and the pressure value of the filament at which the rat begins to show escape behavior is defined as a pain threshold. The pain threshold is evaluated for both hind paws, and the threshold value for both legs in the treatment group is 4 g or less, and the more painful value of 0.6 to 2 g is set as the threshold before drug administration. Animals with a pain threshold of 6-15 g in the sham-treated group are adopted for drug efficacy evaluation. For animal training, the same operation is performed before the pain threshold measurement before drug administration. The compound of the present invention is administered to the adopted animal. The compound of the present invention is pulverized using a mortar and pestle, and the suspension or solution is adjusted with a 0.5% methylcellulose solution to 0.03 to 100 mg / 2 mL / kg. Animals are administered orally using an oral sonde. 1 to 5 hours after administration, the pain threshold value of the hind paw is evaluated and used as the pain threshold value after drug administration. The% reversal value is calculated by the following method and compared as the analgesic effect of the compound.
% Reversal value = (logarithm of pain threshold value after treatment group drug administration−logarithm of pain threshold value before treatment group drug administration) / (logarithm of pain threshold value before sham treatment drug administration−pain threshold value before treatment group drug administration) Logarithm) x 100
P2X7受容体に対する阻害活性は、British Journal of Pharmacology (2013) 170 624-640に記載の評価方法を用いることによっても、評価することが可能である。 The inhibitory activity against the P2X7 receptor can also be evaluated by using the evaluation method described in British Journal of Pharmacology (2013) 170 624-640.
試験例4:CYP阻害試験
市販のプールドヒト肝ミクロソームを用いて、ヒト主要CYP5分子種(CYP1A2、2C9、2C19、2D6、3A4)の典型的基質代謝反応として7-エトキシレゾルフィンのO-脱エチル化(CYP1A2)、トルブタミドのメチル-水酸化(CYP2C9)、メフェニトインの4’-水酸化(CYP2C19)、デキストロメトルファンのO脱メチル化(CYP2D6)、テルフェナジンの水酸化(CYP3A4)を指標とし、それぞれの代謝物生成量が本発明化合物によって阻害される程度を評価する。
Test Example 4 CYP Inhibition Test O-deethylation of 7-ethoxyresorufin as a typical substrate metabolic reaction of human major CYP5 molecular species (CYP1A2, 2C9, 2C19, 2D6, 3A4) using commercially available pooled human liver microsomes (CYP1A2), methyl-hydroxylation of tolbutamide (CYP2C9), 4′-hydroxylation of mephenytoin (CYP2C19), O-demethylation of dextromethorphan (CYP2D6), and hydroxylation of terfenadine (CYP3A4), respectively. The degree to which the amount of metabolite produced is inhibited by the compound of the present invention is evaluated.
反応条件は以下のとおり:基質、0.5μmol/L エトキシレゾルフィン(CYP1A2)、100μmol/L トルブタミド(CYP2C9)、50μmol/L S-メフェニトイン(CYP2C19)、5μmol/L デキストロメトルファン(CYP2D6)、1μmol/L テルフェナジン(CYP3A4);反応時間、15分;反応温度、37℃;酵素、プールドヒト肝ミクロソーム0.2mg タンパク質/mL;本発明化合物濃度、1、5、10、20μmol/L(4点)。 The reaction conditions were as follows: substrate, 0.5 μmol / L ethoxyresorufin (CYP1A2), 100 μmol / L tolbutamide (CYP2C9), 50 μmol / L S-mephenytoin (CYP2C19), 5 μmol / L dextromethorphan (CYP2D6), 1 μmol / L terfenadine (CYP3A4); reaction time, 15 minutes; reaction temperature, 37 ° C .; enzyme, pooled human liver microsome 0.2 mg protein / mL; compound concentration of the present invention 1, 5, 10, 20 μmol / L (4 points) .
96穴プレートに反応溶液として、50mmol/L Hepes緩衝液中に各5種の基質、ヒト肝ミクロソーム、本発明化合物を上記組成で加え、補酵素であるNADPHを添加して、指標とする代謝反応を開始する。37℃、15分間反応した後、メタノール/アセトニトリル=1/1(V/V)溶液を添加することで反応を停止する。3000rpm、15分間の遠心後、遠心上清中のレゾルフィン(CYP1A2代謝物)を蛍光マルチラベルカウンタまたはLC/MS/MSで定量し、トルブタミド水酸化体(CYP2C9代謝物)、メフェニトイン4’水酸化体(CYP2C19代謝物)、デキストロルファン(CYP2D6代謝物)、テルフェナジンアルコール体(CYP3A4代謝物)をLC/MS/MSで定量する。 As a reaction solution in a 96-well plate, each of 5 types of substrate, human liver microsome, and the compound of the present invention are added in the above composition in a 50 mmol / L Hepes buffer solution, and NADPH, a coenzyme, is added as an indicator for metabolic reaction. To start. After reacting at 37 ° C. for 15 minutes, the reaction is stopped by adding a methanol / acetonitrile = 1/1 (V / V) solution. After centrifugation at 3000 rpm for 15 minutes, resorufin (CYP1A2 metabolite) in the supernatant was quantified with a fluorescent multilabel counter or LC / MS / MS, and tolbutamide hydroxide (CYP2C9 metabolite), mephenytoin 4 ′ hydroxylated. The body (CYP2C19 metabolite), dextrorphan (CYP2D6 metabolite), and terfenadine alcohol (CYP3A4 metabolite) are quantified by LC / MS / MS.
薬物を溶解した溶媒であるDMSOのみを反応系に添加したものをコントロール(100%)とし、残存活性(%)を算出し、濃度と抑制率を用いて、ロジスティックモデルによる逆推定によりIC50を算出する。 The control (100%) was obtained by adding only DMSO, which is a solvent in which the drug was dissolved, to the reaction system, the residual activity (%) was calculated, and the IC 50 was calculated by inverse estimation using a logistic model using the concentration and the inhibition rate. calculate.
試験例5-1:CYP3A4蛍光MBI試験
CYP3A4蛍光MBI試験は、代謝反応による本発明化合物のCYP3A4阻害の増強を調べる試験である。CYP3A4酵素(大腸菌発現酵素)により7-ベンジルオキシトリフルオロメチルクマリン(7-BFC)が脱ベンジル化されて、蛍光を発する代謝物7-ハイドロキシトリフルオロメチルクマリン(7-HFC)が生じる。7-HFC生成反応を指標としてCYP3A4阻害を評価する。
Test Example 5-1: CYP3A4 Fluorescence MBI Test The CYP3A4 fluorescence MBI test is a test for examining the enhancement of CYP3A4 inhibition of the compound of the present invention by metabolic reaction. 7-Benzyloxytrifluoromethylcoumarin (7-BFC) is debenzylated by CYP3A4 enzyme (E. coli-expressed enzyme) to produce a fluorescent metabolite 7-hydroxytrifluoromethylcoumarin (7-HFC). CYP3A4 inhibition is evaluated using 7-HFC production reaction as an index.
反応条件は以下のとおり:基質、5.6μmol/L 7-BFC;プレ反応時間、0または30分;反応時間、15分;反応温度、25℃(室温);CYP3A4含量(大腸菌発現酵素)、プレ反応時62.5pmol/mL、反応時6.25pmol/mL(10倍希釈時);本発明化合物濃度、0.625、1.25、2.5、5、10、20μmol/L(6点)。 The reaction conditions are as follows: substrate, 5.6 μmol / L 7-BFC; pre-reaction time, 0 or 30 minutes; reaction time, 15 minutes; reaction temperature, 25 ° C. (room temperature); CYP3A4 content (E. coli expression enzyme), Pre-reaction 62.5 pmol / mL, reaction 6.25 pmol / mL (10-fold dilution); compound concentration of the present invention, 0.625, 1.25, 2.5, 5, 10, 20 μmol / L (6 points) ).
96穴プレートにプレ反応液としてK-Pi緩衝液(pH7.4)中に酵素、本発明化合物溶液を上記のプレ反応の組成で加え、別の96穴プレートに基質とK-Pi緩衝液で1/10希釈されるようにその一部を移行し、補酵素であるNADPHを添加して指標とする反応を開始し(プレ反応無)、所定の時間反応後、アセトニトリル/0.5mol/L Tris(トリスヒドロキシアミノメタン)=4/1(V/V)を加えることによって反応を停止する。また残りのプレ反応液にもNADPHを添加しプレ反応を開始し(プレ反応有)、所定時間プレ反応後、別のプレートに基質とK-Pi緩衝液で1/10希釈されるように一部を移行し指標とする反応を開始する。所定の時間反応後、アセトニトリル/0.5mol/L Tris(トリスヒドロキシアミノメタン)=4/1(V/V)を加えることによって反応を停止する。それぞれの指標反応を行ったプレートを蛍光プレートリーダーで代謝物である7-HFCの蛍光値を測定する。(Ex=420nm、Em=535nm) The enzyme and the compound solution of the present invention are added to the 96-well plate as a pre-reaction solution in K-Pi buffer (pH 7.4) in the above-mentioned pre-reaction composition, and the substrate and K-Pi buffer are added to another 96-well plate. A part of the solution was transferred so as to be diluted by 1/10, and a reaction using NADPH as a coenzyme was started as an indicator (no pre-reaction). After reaction for a predetermined time, acetonitrile / 0.5 mol / L The reaction is stopped by adding Tris (trishydroxyaminomethane) = 4/1 (V / V). In addition, NADPH is also added to the remaining pre-reaction solution to start the pre-reaction (pre-reaction is present), and after pre-reaction for a predetermined time, one plate is diluted to 1/10 with the substrate and K-Pi buffer. Start the reaction with the part as the indicator. After the reaction for a predetermined time, the reaction is stopped by adding acetonitrile / 0.5 mol / L Tris (trishydroxyaminomethane) = 4/1 (V / V). The fluorescence value of 7-HFC, which is a metabolite, is measured using a fluorescent plate reader on the plate on which each index reaction has been performed. (Ex = 420nm, Em = 535nm)
本発明化合物を溶解した溶媒であるDMSOのみを反応系に添加したものをコントロール(100%)とし、本発明化合物をそれぞれの濃度添加したときの残存活性(%)を算出し、濃度と抑制率を用いて、ロジスティックモデルによる逆推定によりIC50を算出する。IC50値の差が5μmol/L以上の場合を(+)とし、3μmol/L以下の場合を(-)とする。 A control (100%) was obtained by adding only DMSO, which is a solvent in which the compound of the present invention was dissolved, to the reaction system. Is used to calculate IC 50 by inverse estimation using a logistic model. The case where the difference in IC 50 value is 5 μmol / L or more is (+), and the case where it is 3 μmol / L or less is (−).
試験例5-2:CYP3A4(MDZ)MBI試験
本発明化合物のCYP3A4阻害に関して代謝反応による増強からMechanism based inhibition(MBI)能を評価する試験である。プールドヒト肝ミクロソームを用いてミダゾラム(MDZ)の1-水酸化反応を指標としてCYP3A4阻害を評価する。
Test Example 5-2: CYP3A4 (MDZ) MBI Test This test evaluates the mechanism based inhibition (MBI) ability from the enhancement by metabolic reaction regarding CYP3A4 inhibition of the compounds of the present invention. Pooled human liver microsomes are used to evaluate CYP3A4 inhibition using midazolam (MDZ) 1-hydroxylation as an indicator.
反応条件は以下のとおり:基質、10μmol/L MDZ;プレ反応時間、0または30分;反応時間、2分;反応温度、37℃;プールドヒト肝ミクロソーム、プレ反応時0.5mg/mL、反応時0.05mg/mL(10倍希釈時);本発明化合物プレ反応時の濃度、1、5、10、20μmol/L(4点)。 The reaction conditions are as follows: substrate, 10 μmol / L MDZ; pre-reaction time, 0 or 30 minutes; reaction time, 2 minutes; reaction temperature, 37 ° C .; pooled human liver microsome, pre-reaction 0.5 mg / mL, reaction time 0.05 mg / mL (when diluted 10-fold); concentration at the time of pre-reaction of the compound of the present invention 1, 5, 10, 20 μmol / L (4 points).
96穴プレートにプレ反応液としてK-Pi緩衝液(pH7.4)中にプールドヒト肝ミクロソーム、本発明化合物溶液を上記のプレ反応の組成で加え、別の96穴プレートに基質とK-Pi緩衝液で1/10希釈されるようにその一部を移行し、補酵素であるNADPHを添加して指標とする反応を開始し(プレ反応無)、所定の時間反応後、メタノール/アセトニトリル=1/1(V/V)溶液を加えることによって反応を停止する。また残りのプレ反応液にもNADPHを添加しプレ反応を開始し(プレ反応有)、所定時間プレ反応後、別のプレートに基質とK-Pi緩衝液で1/10希釈されるように一部を移行し指標とする反応を開始する。所定の時間反応後、メタノール/アセトニトリル=1/1(V/V)溶液を加えることによって反応を停止する。それぞれの指標反応を行ったプレートを3000rpm、15分間の遠心後、遠心上清中の1-水酸化ミダゾラム をLC/MS/MSで定量する。 Pooled human liver microsomes and the compound solution of the present invention were added to a 96-well plate as a pre-reaction solution in K-Pi buffer (pH 7.4) in the above-mentioned pre-reaction composition, and the substrate and K-Pi buffer were added to another 96-well plate. A part of the solution was transferred so that the solution was diluted to 1/10, and a reaction using NADPH as a coenzyme was started as an index (no pre-reaction). After reaction for a predetermined time, methanol / acetonitrile = 1 The reaction is stopped by adding a 1/1 (V / V) solution. In addition, NADPH is also added to the remaining pre-reaction solution to start the pre-reaction (pre-reaction is present), and after pre-reaction for a predetermined time, one plate is diluted to 1/10 with the substrate and K-Pi buffer. Start the reaction with the part as the indicator. After the reaction for a predetermined time, the reaction is stopped by adding a methanol / acetonitrile = 1/1 (V / V) solution. The plate on which each index reaction has been performed is centrifuged at 3000 rpm for 15 minutes, and 1-hydroxymidazolam in the centrifuged supernatant is quantified by LC / MS / MS.
本発明化合物を溶解した溶媒であるDMSOのみを反応系に添加したものをコントロール(100%)とし、本発明化合物をそれぞれの濃度添加したときの残存活性(%)を算出し、濃度と阻害率を用いて、ロジスティックモデルによる逆推定によりICを算出する。Preincubataion 0minのIC/Preincubataion 30minのICをShifted IC値とし,Shifted ICが1.5以上であればPositiveとし、Shifted ICが1.0以下であればNegativeとする。 A control (100%) was obtained by adding only DMSO, which is a solvent in which the compound of the present invention was dissolved, to the reaction system, and the residual activity (%) when the compound of the present invention was added at each concentration was calculated. Is used to calculate IC by inverse estimation using a logistic model. Preincubation 0 min IC / Preincubation 30 min IC is the Shifted IC value, and if the Shifted IC is 1.5 or more, it is “Positive”, and if the Shifted IC is 1.0 or less, it is “Negative”.
試験例6:BA試験
経口吸収性の検討実験材料と方法
(1)使用動物:マウスあるいはラットを使用する。
(2)飼育条件:マウスあるいはラットは、固形飼料および滅菌水道水を自由摂取させる。
(3)投与量、群分けの設定:所定の投与量で経口投与および静脈内投与する。以下のように群を設定する。(化合物ごとで投与量は変更有)
経口投与 1~30mg/kg(n=2~3)
静脈内投与 0.5~10mg/kg(n=2~3)
(4)投与液の調製:経口投与は溶液または懸濁液として投与する。静脈内投与は可溶化して投与する。
(5)投与方法:経口投与は、経口ゾンデにより強制的に胃内に投与する。静脈内投与は、注射針を付けたシリンジにより尾静脈から投与する。
(6)評価項目:経時的に採血し、血漿中本発明化合物濃度をLC/MS/MSを用いて測定する。
(7)統計解析:血漿中本発明化合物濃度推移について、台形法により血漿中濃度‐時間曲線下面積(AUC)を算出し、経口投与群と静脈内投与群の投与量比およびAUC比から本発明化合物のバイオアベイラビリティ(BA)を算出する。
Test Example 6: Examination of BA test oral absorbability Experimental materials and methods (1) Animals used: Mice or rats are used.
(2) Breeding conditions: Mice or rats are allowed to freely take solid feed and sterilized tap water.
(3) Setting of dosage and grouping: oral administration and intravenous administration at a predetermined dosage. Set the group as follows. (Dose may vary for each compound)
Oral administration 1-30 mg / kg (n = 2-3)
Intravenous administration 0.5-10 mg / kg (n = 2-3)
(4) Preparation of administration solution: Oral administration is administered as a solution or suspension. Intravenous administration is administered after solubilization.
(5) Administration method: Oral administration is forcibly administered into the stomach with an oral sonde. Intravenous administration is performed from the tail vein using a syringe with an injection needle.
(6) Evaluation items: Blood is collected over time, and the concentration of the compound of the present invention in plasma is measured using LC / MS / MS.
(7) Statistical analysis: The plasma concentration-time curve area (AUC) was calculated by the trapezoidal method for the plasma concentration of the compound of the present invention. The bioavailability (BA) of the inventive compound is calculated.
試験例7:Fluctuation Ames Test
本発明化合物の変異原性を評価する。
凍結保存しているネズミチフス菌(Salmonella typhimurium TA98株、TA100株)20μLを10mL液体栄養培地(2.5% Oxoid nutrient broth No.2)に接種し37℃にて10時間、振盪前培養した。TA98株は7.70mLの菌液を遠心(2000×g、10分間)して培養液を除去する。7.70mLのMicro F緩衝液(K2HPO4:3.5g/L、KH2PO4:1g/L、(NH4)2SO4:1g/L、クエン酸三ナトリウム二水和物:0.25g/L、MgSO4・7H20:0.1g/L)に菌を懸濁し、120mLのExposure培地(ビオチン:8μg/mL、ヒスチジン:0.2μg/mL、グルコース:8mg/mLを含むMicroF緩衝液)に添加する。TA100株は3.42mL菌液に対しExposure培地130mLに添加し試験菌液を調製する。本発明化合物DMSO溶液(最高用量50mg/mLから2~3倍公比で数段階希釈)、陰性対照としてDMSO、陽性対照として非代謝活性化条件ではTA98株に対しては50μg/mLの4-ニトロキノリン-1-オキシドDMSO溶液、TA100株に対しては0.25μg/mLの2-(2-フリル)-3-(5-ニトロ-2-フリル)アクリルアミドDMSO溶液、代謝活性化条件ではTA98株に対して40μg/mLの2-アミノアントラセンDMSO溶液、TA100株に対しては20μg/mLの2-アミノアントラセンDMSO溶液それぞれ12μLと試験菌液588μL(代謝活性化条件では試験菌液498μLとS9 mix 90μLの混合液)を混和し、37℃にて90分間、振盪培養する。本発明化合物を曝露した菌液460μLを、Indicator培地(ビオチン:8μg/mL、ヒスチジン:0.2μg/mL、グルコース:8mg/mL、ブロモクレゾールパープル:37.5μg/mLを含むMicroF緩衝液)2300μLに混和し、50μLずつマイクロプレート48ウェル/用量に分注し、37℃にて3日間、静置培養する。アミノ酸(ヒスチジン)合成酵素遺伝子の突然変異によって増殖能を獲得した菌を含むウェルは、pH変化により紫色から黄色に変色するため、1用量あたり48ウェル中の黄色に変色した菌増殖ウェルを計数し、陰性対照群と比較して評価する。変異原性が陰性のものを(-)、陽性のものを(+)として示す。
Test Example 7: Fluctuation Ames Test
The mutagenicity of the compound of the present invention is evaluated.
Twenty microliters of Salmonella typhimurium TA98, TA100) cryopreserved was inoculated into 10 mL liquid nutrient medium (2.5% Oxoid nutritive broth No. 2) and cultured at 37 ° C. for 10 hours before shaking. For the TA98 strain, 7.70 mL of the bacterial solution is centrifuged (2000 × g, 10 minutes) to remove the culture solution. 7. 70 mL Micro F buffer (K 2 HPO 4 : 3.5 g / L, KH 2 PO 4 : 1 g / L, (NH 4 ) 2 SO 4 : 1 g / L, trisodium citrate dihydrate: The cells are suspended in 0.25 g / L, MgSO 4 · 7H 2 0: 0.1 g / L), and 120 mL of Exposure medium (biotin: 8 μg / mL, histidine: 0.2 μg / mL, glucose: 8 mg / mL) To the MicroF buffer). TA100 strain is added to 130 mL of Exposure medium with respect to 3.42 mL bacterial solution to prepare a test bacterial solution. Compound DMSO solution of the present invention (maximum dose of 50 mg / mL to several-fold dilution at 2-3 times common ratio), DMSO as a negative control, and non-metabolic activation conditions as a positive control, 50 μg / mL 4-TA Nitroquinoline-1-oxide DMSO solution, 0.25 μg / mL 2- (2-furyl) -3- (5-nitro-2-furyl) acrylamide DMSO solution for TA100 strain, TA98 under metabolic activation conditions 40 μg / mL 2-aminoanthracene DMSO solution for the strain and 20 μg / mL 2-aminoanthracene DMSO solution for the TA100 strain, respectively, and 588 μL of the test bacterial solution (498 μL of the test bacterial solution and S9 under metabolic activation conditions). mix 90 μL of the mixture) and incubate with shaking at 37 ° C. for 90 minutes. 460 μL of the bacterial solution exposed to the compound of the present invention was added 2300 μL of indicator medium (BioF: 8 μg / mL, histidine: 0.2 μg / mL, glucose: 8 mg / mL, bromocresol purple: 37.5 μg / mL). 50 μL aliquots into 48 wells / dose of the microplate and statically cultured at 37 ° C. for 3 days. Since wells containing bacteria that have acquired growth ability by mutation of the amino acid (histidine) synthase gene change from purple to yellow due to pH change, the number of bacteria growth wells that changed to yellow in 48 wells per dose was counted. Evaluation is made in comparison with the negative control group. A negative mutagenicity is indicated as (−), and a positive mutagenicity is indicated as (+).
試験例8:hERG試験
本発明化合物の心電図QT間隔延長リスク評価を目的として、human ether-a-go-go related gene (hERG)チャネルを発現させたCHO細胞を用いて、心室再分極過程に重要な役割を果たす遅延整流K+電流(IKr)への本発明化合物の作用を検討する。
全自動パッチクランプシステム(QPatch;Sophion Bioscience A/S)を用い、ホールセルパッチクランプ法により、細胞を-80mVの膜電位に保持し、-50mVのリーク電位を与えた後、+20mVの脱分極刺激を2秒間、さらに-50mVの再分極刺激を2秒間与えた際に誘発されるIKrを記録する。発生する電流が安定した後、本発明化合物を目的の濃度で溶解させた細胞外液(NaCl:145 mmol/L、KCl:4 mmol/L、CaCl2:2 mmol/L、MgCl2:1 mmol/L、グルコース:10 mmol/L、HEPES(4-(2-hydroxyethyl)-1-piperazineethanesulfonic acid、4-(2-ヒドロキシエチル)-1-ピペラジンエタンスルホン酸):10mmol/L、pH=7.4)を室温条件下で、10分間細胞に適用させる。得られたIKrから、解析ソフト(Falster Patch;Sophion Bioscience A/S)を使用して、保持膜電位における電流値を基準に最大テール電流の絶対値を計測する。さらに、本発明化合物適用前の最大テール電流に対する阻害率を算出し、媒体適用群(0.1%ジメチルスルホキシド溶液)と比較して、本発明化合物のIKrへの影響を評価する。
Test Example 8: hERG Test For the purpose of evaluating the risk of extending the electrocardiogram QT interval of the compound of the present invention, it is important for the ventricular repolarization process using CHO cells in which human ether-a-go-related gene (hERG) channels are expressed. The action of the compounds of the present invention on the delayed rectifier K + current (I Kr ) that plays a role will be examined.
Using a fully automatic patch clamp system (QPatch; Sophion Bioscience A / S), the cell was held at a membrane potential of −80 mV by a whole cell patch clamp method, and after applying a leak potential of −50 mV, a depolarization stimulus of +20 mV for 2 seconds, further records the I Kr induced repolarization stimulated when given 2 seconds -50 mV. After the generated current is stabilized, an extracellular solution (NaCl: 145 mmol / L, KCl: 4 mmol / L, CaCl 2 : 2 mmol / L, MgCl 2 : 1 mmol) in which the compound of the present invention is dissolved at a desired concentration. / L, glucose: 10 mmol / L, HEPES (4- (2-hydroxyethyl) -1-piperazine ethersulfonic acid, 4- (2-hydroxyethyl) -1-piperazineethanesulfonic acid): 10 mmol / L, pH = 7. 4) is applied to the cells for 10 minutes at room temperature. The absolute value of the maximum tail current is measured from the obtained I Kr using analysis software (Falster Patch; Sophion Bioscience A / S) based on the current value at the holding membrane potential. Furthermore, the inhibition rate with respect to the maximum tail current before application of the compound of the present invention is calculated, and compared with the vehicle application group (0.1% dimethyl sulfoxide solution), the influence of the compound of the present invention on I Kr is evaluated.
試験例9:溶解性試験
本発明化合物の溶解度は、1%DMSO添加条件下で決定する。DMSOにて10mmol/L化合物溶液を調製する。本発明化合物溶液2μLをそれぞれJP-1液、JP-2液198μLに添加するか、または本発明化合物溶液6μLをそれぞれJP-1液、JP-2液594μLに添加する。25℃で16時間静置(条件1)、または室温で3時間振盪させた(条件2)後、混液を吸引濾過する。濾液をメタノール/水=1/1(V/V)またはアセトニトリル/メタノール/水=1/1/2(V/V/V)にて10または100倍希釈し、絶対検量線法によりLC/MSまたは固相抽出(SPE)/MSを用いて濾液中濃度を測定する。
Test Example 9: Solubility test The solubility of the compound of the present invention is determined under the condition of addition of 1% DMSO. A 10 mmol / L compound solution is prepared in DMSO. 2 μL of the compound solution of the present invention is added to 198 μL of JP-1 solution and JP-2 solution, respectively, or 6 μL of the compound solution of the present invention is added to JP-1 solution and JP-2 solution 594 μL, respectively. After standing at 25 ° C. for 16 hours (condition 1) or shaking at room temperature for 3 hours (condition 2), the mixed solution is subjected to suction filtration. The filtrate was diluted 10 or 100 times with methanol / water = 1/1 (V / V) or acetonitrile / methanol / water = 1/11/2 (V / V / V), and LC / MS was determined by the absolute calibration curve method. Alternatively, the concentration in the filtrate is measured using solid phase extraction (SPE) / MS.
JP-1液の組成は、以下の通りである。
塩化ナトリウム2.0g、塩酸7.0mLに水を加えて1000mLとする。
JP-2液の組成は、以下のいずれかである。
組成1. リン酸二水素カリウム3.40gおよび無水リン酸水素二ナトリウム3.55gを水に溶かし1000mLとする。
組成2. リン酸二水素カリウム3.40gおよび無水リン酸水素二ナトリウム3.55gを水に溶かし1000mLとしたもの1容量に水1容量を加える。
The composition of JP-1 solution is as follows.
Add water to 2.0 g of sodium chloride and 7.0 mL of hydrochloric acid to make 1000 mL.
The composition of JP-2 solution is one of the following.
Composition 1. Dissolve 3.40 g of potassium dihydrogen phosphate and 3.55 g of anhydrous disodium hydrogen phosphate in water to make 1000 mL.
Composition 2. 1 volume of water is added to 1 volume of 3.40 g of potassium dihydrogen phosphate and 3.55 g of anhydrous disodium hydrogen phosphate dissolved in water to 1000 mL.
試験例10:代謝安定性試験
市販のプールドヒト肝ミクロソームと本発明化合物を一定時間反応させ、反応サンプルと未反応サンプルの比較により残存率を算出し、本発明化合物が肝で代謝される程度を評価する。
Test Example 10: Metabolic Stability Test A commercially available pooled human liver microsome and the compound of the present invention are reacted for a certain period of time, and the residual rate is calculated by comparing the reaction sample with the unreacted sample to evaluate the degree of metabolism of the compound of the present invention in the liver. To do.
ヒト肝ミクロソーム0.5mgタンパク質/mLを含む0.2mLの緩衝液(50mmol/L Tris-HCl pH7.4、150mmol/L 塩化カリウム、10mmol/L 塩化マグネシウム)中で、1mmol/L NADPH存在下で37℃、0分あるいは30分間反応させる(酸化的反応)。反応後、メタノール/アセトニトリル=1/1(v/v)溶液の100μLに反応液50μLを添加、混合し、3000rpmで15分間遠心する。その遠心上清中の本発明化合物をLC/MS/MSまたは固相抽出(SPE)/MSにて定量し、反応後の本発明化合物の残存量を0分反応時の化合物量を100%として計算する。 In 0.2 mL buffer solution (50 mmol / L Tris-HCl pH 7.4, 150 mmol / L potassium chloride, 10 mmol / L magnesium chloride) containing 0.5 mg protein / mL human liver microsome in the presence of 1 mmol / L NADPH React at 37 ° C. for 0 or 30 minutes (oxidative reaction). After the reaction, 50 μL of the reaction solution is added to 100 μL of a methanol / acetonitrile = 1/1 (v / v) solution, mixed, and centrifuged at 3000 rpm for 15 minutes. The compound of the present invention in the supernatant was quantified by LC / MS / MS or solid phase extraction (SPE) / MS, and the remaining amount of the compound of the present invention after the reaction was defined as 100% at 0 minutes. calculate.
試験例11:粉末溶解度試験
適当な容器に本発明化合物を適量入れ、各容器にJP-1液(塩化ナトリウム2.0g、塩酸7.0mLに水を加えて1000mLとする)、JP-2液(リン酸二水素カリウム3.40gおよび無水リン酸水素二ナトリウム3.55gを水に溶かし1000mLとしたもの1容量に水1容量を加える)、20mmol/L タウロコール酸ナトリウム(TCA)/JP-2液(TCA1.08gにJP-2液を加え100mLとする)を200μLずつ添加する。試験液添加後に全量溶解した場合には、適宜、本発明化合物を追加する。密閉して37℃で1時間振とう後に濾過し、各濾液100μLにメタノール100μLを添加して2倍希釈を行う。希釈倍率は、必要に応じて変更する。気泡および析出物がないかを確認し、密閉して振とうする。絶対検量線法によりHPLCを用いて本発明化合物を定量する。
Test Example 11: Powder Solubility Test An appropriate amount of the compound of the present invention is placed in an appropriate container, and JP-1 solution (2.0 g of sodium chloride, water is added to 7.0 mL of hydrochloric acid to 1000 mL), JP-2 solution (1 volume of water is added to 1 volume of 3.40 g of potassium dihydrogen phosphate and 3.55 g of anhydrous disodium hydrogen phosphate dissolved in water), 20 mmol / L sodium taurocholate (TCA) / JP-2 200 μL of the solution (JP-2 solution is added to 1.08 g of TCA to make 100 mL) is added. When the entire amount is dissolved after the addition of the test solution, the compound of the present invention is appropriately added. After sealing at 37 ° C. for 1 hour, the mixture is filtered, and 100 μL of methanol is added to 100 μL of each filtrate to perform 2-fold dilution. Change the dilution factor as necessary. Check for bubbles and deposits, seal and shake. The compound of the present invention is quantified using HPLC by the absolute calibration curve method.
試験例12:脳移行性試験
ラットに0.5mg/mL/kgの用量で本発明に係る化合物を静脈内投与し、30分後にイソフルラン麻酔下で下大動脈より全採血により放血死させる。
その後、脳を摘出し、蒸留水で20-25%のホモジネートを調製する。
一方、得られた血液は遠心処理後、血漿にする。その後、脳サンプルにはコントロール血漿を、血漿サンプルにはコントロール脳を1:1で添加し、それぞれのサンプルをLC/MS/MSを用いて測定する。得られた測定時のエリア比(脳/血漿)を脳Kp値とする。
Test Example 12: Brain transfer test The compound according to the present invention is intravenously administered to rats at a dose of 0.5 mg / mL / kg, and 30 minutes later, the blood is exsanguinated by whole blood collection from the lower aorta under isoflurane anesthesia.
Thereafter, the brain is removed and 20-25% homogenate is prepared with distilled water.
On the other hand, the obtained blood is made into plasma after centrifugation. Thereafter, control plasma is added to the brain sample and control brain is added to the plasma sample at a ratio of 1: 1, and each sample is measured using LC / MS / MS. The obtained area ratio (brain / plasma) at the time of measurement is defined as the brain Kp value.
試験例13:P-gp基質試験
ヒトMDR1発現細胞または親細胞を単層培養したトランスウェル(登録商標、CORNING社)の片側に本発明に係る化合物を添加し、一定時間反応させる。MDR1発現細胞と親細胞についてApical側からBasolateral側方向(A→B)とBasolateral側からApical側方向(B→A)の膜透過係数を算出し,MDR1発現細胞と親細胞のEfflux Ratio(ER;B→AとA→Bの膜透過係数の比)値を算出する.MDR1発現細胞と親細胞のEfflux Ratio(ER値)を比較し、本発明化合物がP-gp基質であるか否かを判断する。
Test Example 13: P-gp Substrate Test A compound according to the present invention is added to one side of a transwell (registered trademark, CORNING), in which human MDR1-expressing cells or parent cells are cultured in a monolayer, and allowed to react for a certain period of time. For MDR1-expressing cells and parent cells, the membrane permeability coefficient was calculated from the axial side to the basolateral side (A → B) and from the basolateral side to the apical side (B → A), and the EFFlux ratio (ER; Calculate the ratio of B → A and A → B membrane permeability coefficient). The Efflux Ratio (ER value) of the MDR1-expressing cell and the parent cell is compared to determine whether the compound of the present invention is a P-gp substrate.
試験例14:mdr1a(-/-)B6マウスP-gp基質試験
使用動物
mdr1a(-/-)B6マウス(ノックアウトマウス)またはC57BL/6Jマウス(野生マウス)
方法
1.マウスは、固形飼料および滅菌水道水を自由摂取させる。
2.本発明化合物は3匹の動物に各時点で投与し、血液及び脳サンプルは投与後の所定時点(例:15分、30分、1時間、2時間、4時間、6時間、8時間または24時間)で採取する。血液(0.3~0.7mL)は血液凝固防止剤(EDTAおよびヘパリン)を含むシリンジで採取する。血液及び脳サンプルは直ちに氷冷する。
3.血液サンプルは遠心分離(1780xg、10分間)により細胞を除去し、血漿を得る。その後、血漿サンプルをチューブに移し、-70℃で保存する。
4.脳サンプルは組織重量:蒸留水重量比=1:3でホモジナイズし、チューブに移して-70℃で保存する。
5.血漿及び脳サンプルは除タンパクを行い、LC/MS/MSで分析する。測定にはブランク血漿またはブランク脳から作成した検量線を用いて、測定法の真度及び精度の確認を行うためにクオリティーコントロール用サンプルを用いる。
6.血漿および脳内濃度値(ng/mLおよびng/g)は薬物動態パラメーターを求めるための適切な方法、例えばWinNonlin(登録商標)薬物動態解析ソフトウェアプログラムで解析する。
解析
Kp;脳/血中濃度比
Kp比=ノックアウトマウス(KO)のKp値/野生マウス(Wild)のKp値
脳AUC/血漿AUCのKO/Wild比
={脳AUC/血漿AUC(KO)}/{脳AUC/血漿AUC(Wild)}
Test Example 14: mdr1a (− / −) B6 mouse P-gp substrate test animals used mdr1a (− / −) B6 mouse (knockout mouse) or C57BL / 6J mouse (wild mouse)
Method 1. Mice have free access to chow and sterile tap water.
2. The compound of the present invention is administered to three animals at each time point, and blood and brain samples are given at predetermined time points after administration (eg, 15 minutes, 30 minutes, 1 hour, 2 hours, 4 hours, 6 hours, 8 hours or 24 hours). Time). Blood (0.3-0.7 mL) is collected with a syringe containing anticoagulants (EDTA and heparin). Blood and brain samples are immediately chilled on ice.
3. Blood samples are depleted of cells by centrifugation (1780 × g, 10 minutes) to obtain plasma. The plasma sample is then transferred to a tube and stored at -70 ° C.
4). Brain samples are homogenized at a tissue weight: distilled water weight ratio = 1: 3, transferred to tubes and stored at −70 ° C.
5). Plasma and brain samples are deproteinized and analyzed by LC / MS / MS. For the measurement, a quality control sample is used to confirm the accuracy and accuracy of the measurement method using a calibration curve prepared from blank plasma or blank brain.
6). Plasma and brain concentration values (ng / mL and ng / g) are analyzed with an appropriate method for determining pharmacokinetic parameters, such as the WinNonlin® pharmacokinetic analysis software program.
Analysis Kp: Brain / blood concentration ratio Kp ratio = Kp value of knockout mouse (KO) / Kp value of wild mouse (Wild) KO / Wild ratio of brain AUC / plasma AUC = {brain AUC / plasma AUC (KO)} / {Brain AUC / Plasma AUC (Wild)}
製剤例
以下に示す製剤例は例示にすぎないものであり、発明の範囲を何ら限定することを意図するものではない。
製剤例1: 錠剤
本発明化合物、乳糖およびステアリン酸カルシウムを混合し、破砕造粒して乾燥し、適当な大きさの顆粒剤とする。次にステアリン酸カルシウムを添加して圧縮成形して錠剤とする。
Formulation Examples Formulation examples shown below are merely illustrative and are not intended to limit the scope of the invention.
Formulation Example 1: Tablet A compound of the present invention, lactose and calcium stearate are mixed, crushed and granulated, and dried to obtain granules of an appropriate size. Next, calcium stearate is added and compressed to form tablets.
製剤例2: カプセル剤
本発明化合物、乳糖およびステアリン酸カルシウムを均一に混合して粉末または細粒状として散剤をつくる。それをカプセル容器に充填してカプセル剤とする。
Formulation Example 2: Capsule The compound of the present invention, lactose and calcium stearate are uniformly mixed to form a powder as a powder or fine granules. It is filled into a capsule container to form a capsule.
製剤例3: 顆粒剤
本発明化合物、乳糖およびステアリン酸カルシウムを均一に混合し、圧縮成型した後、粉砕、整粒し、篩別して適当な大きさの顆粒剤とする。
Formulation Example 3: Granules The compound of the present invention, lactose and calcium stearate are uniformly mixed, compression-molded, pulverized, sized and sieved to give granules of an appropriate size.
製剤例4: 口腔内崩壊錠
本発明化合物および結晶セルロースを混合し、造粒後打錠して口腔内崩壊錠とする。
Formulation Example 4: Orally disintegrating tablet The compound of the present invention and crystalline cellulose are mixed and tableted after granulation to obtain an orally disintegrating tablet.
製剤例5: ドライシロップ
本発明化合物および乳糖を混合し、粉砕、整粒、篩別して適当な大きさのドライシロップとする。
Formulation Example 5: Dry syrup The compound of the present invention and lactose are mixed, pulverized, sized and sieved to obtain a dry syrup of an appropriate size.
製剤例6: 注射剤
本発明化合物およびリン酸緩衝液を混合し、注射剤とする。
Formulation Example 6: Injection The compound of the present invention and a phosphate buffer are mixed to form an injection.
製剤例7: 点滴剤
本発明化合物およびリン酸緩衝液を混合し、点滴剤とする。
Formulation Example 7: Instillation A compound of the present invention and a phosphate buffer are mixed to form an instillation.
製剤例8: 吸入剤
本発明化合物および乳糖を混合し細かく粉砕することにより、吸入剤とする。
Formulation Example 8: Inhalant The compound of the present invention and lactose are mixed and finely pulverized to make an inhalant.
製剤例9: 軟膏剤
本発明化合物およびワセリンを混合し、軟膏剤とする。
Formulation Example 9: Ointment The compound of the present invention and petrolatum are mixed to form an ointment.
製剤例10: 貼付剤
本発明化合物および粘着プラスターなどの基剤を混合し、貼付剤とする。
Formulation Example 10: Patch A compound of the present invention and a base such as an adhesive plaster are mixed to obtain a patch.
本発明に係る化合物は、P2X7受容体に対する阻害作用を有し、P2X7受容体が関与する疾患または状態の治療剤および/または予防剤として有用であると考えられる。 Compounds according to the present invention has an inhibitory effect on P2X 7 receptors, believed to be useful as therapeutic and / or prophylactic agent for a disease or condition P2X 7 receptors are involved.
Claims (26)
(式中、
Z1は、C(R4)またはNであり;
R4は、水素原子、ハロゲン、ヒドロキシ、カルボキシ、アミノ、カルバモイル、スルファモイル、スルホ、シアノ、置換若しくは非置換のアルキル、置換若しくは非置換のアルケニル、置換若しくは非置換のアルキニル、置換若しくは非置換のアルキルオキシ、置換若しくは非置換のアルケニルオキシ、置換若しくは非置換のアルキニルオキシ、置換若しくは非置換のアルキルスルファニル、置換若しくは非置換のアルケニルスルファニル、置換若しくは非置換のアルキニルスルファニル、置換若しくは非置換のアルキルアミノ、置換若しくは非置換のアルケニルアミノ、または置換若しくは非置換のアルキニルアミノであり;
Z2およびZ3は、それぞれ独立して、炭素原子または窒素原子であり;
(ただし、Z2およびZ3のいずれか一方が窒素原子であるとき、他方は炭素原子である)
破線は、結合の存在または不存在を示し;
破線が結合の存在を示すとき、Z2およびZ3は共に炭素原子であり;
環Qは、6員芳香族炭素環、5員芳香族複素環、6員芳香族複素環、5員非芳香族炭素環、6員非芳香族炭素環、5員非芳香族複素環、または6員非芳香族複素環であり;
R5は、それぞれ独立して、ハロゲン、ヒドロキシ、カルボキシ、アミノ、カルバモイル、スルファモイル、スルホ、シアノ、置換若しくは非置換のアルキル、置換若しくは非置換のアルケニル、置換若しくは非置換のアルキニル、置換若しくは非置換のアルキルオキシ、置換若しくは非置換のアルケニルオキシ、置換若しくは非置換のアルキニルオキシ、置換若しくは非置換のアルキルスルファニル、置換若しくは非置換のアルケニルスルファニル、置換若しくは非置換のアルキニルスルファニル、置換若しくは非置換のアルキルアミノ、置換若しくは非置換のアルケニルアミノ、置換若しくは非置換のアルキニルアミノ、置換若しくは非置換のアルキルカルボニル、置換若しくは非置換のアルケニルカルボニル、置換若しくは非置換のアルキニルカルボニル、置換若しくは非置換のアルキルスルホニル、置換若しくは非置換のアルケニルスルホニル、置換若しくは非置換のアルキニルスルホニル、置換若しくは非置換のアルキルカルボニルオキシ、置換若しくは非置換のアルケニルカルボニルオキシ、置換若しくは非置換のアルキニルカルボニルオキシ、置換若しくは非置換のアルキルオキシカルボニル、置換若しくは非置換のアルケニルオキシカルボニル、置換若しくは非置換のアルキニルオキシカルボニル、置換若しくは非置換のアルキルスルホニルオキシ、置換若しくは非置換のアルケニルスルホニルオキシ、置換若しくは非置換のアルキニルスルホニルオキシ、置換若しくは非置換のアルキルオキシスルホニル、置換若しくは非置換のアルケニルオキシスルホニル、置換若しくは非置換のアルキニルオキシスルホニル、置換若しくは非置換のアルキルカルバモイル、置換若しくは非置換のアルケニルカルバモイル、置換若しくは非置換のアルキニルカルバモイル、置換若しくは非置換のアルキルスルファモイル、置換若しくは非置換のアルケニルスルファモイル、置換若しくは非置換のアルキニルスルファモイル、置換若しくは非置換のアルキルカルボニルアミノ、置換若しくは非置換のアルケニルカルボニルアミノ、置換若しくは非置換のアルキニルカルボニルアミノ、置換若しくは非置換のアルキルスルホニルアミノ、置換若しくは非置換のアルケニルスルホニルアミノ、置換若しくは非置換のアルキニルスルホニルアミノ、置換若しくは非置換のアルキルオキシカルボニルアミノ、置換若しくは非置換のアルケニルオキシカルボニルアミノ、置換若しくは非置換のアルキニルオキシカルボニルアミノ、置換若しくは非置換の芳香族炭素環式基、置換若しくは非置換の非芳香族炭素環式基、置換若しくは非置換の芳香族複素環式基、置換若しくは非置換の非芳香族複素環式基、置換若しくは非置換の芳香族炭素環オキシ、置換若しくは非置換の非芳香族炭素環オキシ、置換若しくは非置換の芳香族複素環オキシ、置換若しくは非置換の非芳香族複素環オキシ、置換若しくは非置換の芳香族炭素環アミノ、置換若しくは非置換の非芳香族炭素環アミノ、置換若しくは非置換の芳香族複素環アミノ、置換若しくは非置換の非芳香族複素環アミノ、置換若しくは非置換の芳香族炭素環スルファニル、置換若しくは非置換の非芳香族炭素環スルファニル、置換若しくは非置換の芳香族複素環スルファニル、置換若しくは非置換の非芳香族複素環スルファニル、置換若しくは非置換の芳香族炭素環カルボニル、置換若しくは非置換の非芳香族炭素環カルボニル、置換若しくは非置換の芳香族複素環カルボニル、置換若しくは非置換の非芳香族複素環カルボニル、置換若しくは非置換の芳香族炭素環スルホニル、置換若しくは非置換の非芳香族炭素環スルホニル、置換若しくは非置換の芳香族複素環スルホニル、置換若しくは非置換の非芳香族複素環スルホニル、置換若しくは非置換の芳香族炭素環カルボニルオキシ、置換若しくは非置換の非芳香族炭素環カルボニルオキシ、置換若しくは非置換の芳香族複素環カルボニルオキシ、置換若しくは非置換の非芳香族複素環カルボニルオキシ、置換若しくは非置換の芳香族炭素環オキシカルボニル、置換若しくは非置換の非芳香族炭素環オキシカルボニル、置換若しくは非置換の芳香族複素環オキシカルボニル、置換若しくは非置換の非芳香族複素環オキシカルボニル、置換若しくは非置換の芳香族炭素環スルホニルオキシ、置換若しくは非置換の非芳香族炭素環スルホニルオキシ、置換若しくは非置換の芳香族複素環スルホニルオキシ、置換若しくは非置換の非芳香族複素環スルホニルオキシ、置換若しくは非置換の芳香族炭素環オキシスルホニル、置換若しくは非置換の非芳香族炭素環オキシスルホニル、置換若しくは非置換の芳香族複素環オキシスルホニル、置換若しくは非置換の非芳香族複素環オキシスルホニル、置換若しくは非置換の芳香族炭素環カルバモイル、置換若しくは非置換の非芳香族炭素環カルバモイル、置換若しくは非置換の芳香族複素環カルバモイル、置換若しくは非置換の非芳香族複素環カルバモイル、置換若しくは非置換の芳香族炭素環スルファモイル、置換若しくは非置換の非芳香族炭素環スルファモイル、置換若しくは非置換の芳香族複素環スルファモイル、置換若しくは非置換の非芳香族複素環スルファモイル、置換若しくは非置換の芳香族炭素環カルボニルアミノ、置換若しくは非置換の非芳香族炭素環カルボニルアミノ、置換若しくは非置換の芳香族複素環カルボニルアミノ、置換若しくは非置換の非芳香族複素環カルボニルアミノ、置換若しくは非置換の芳香族炭素環スルホニルアミノ、置換若しくは非置換の非芳香族炭素環スルホニルアミノ、置換若しくは非置換の芳香族複素環スルホニルアミノ、置換若しくは非置換の非芳香族複素環スルホニルアミノ、置換若しくは非置換の芳香族炭素環オキシカルボニルアミノ、置換若しくは非置換の非芳香族炭素環オキシカルボニルアミノ、置換若しくは非置換の芳香族複素環オキシカルボニルアミノ、または置換若しくは非置換の非芳香族複素環オキシカルボニルアミノであり;
Y1は、N(R6)、OまたはSであり;
R6は、水素原子、ヒドロキシ、シアノ、カルボキシ、カルバモイル、置換若しくは非置換のアルキル、置換若しくは非置換のアルケニル、置換若しくは非置換のアルキニル、置換若しくは非置換のアルキルオキシ、置換若しくは非置換のアルケニルオキシ、置換若しくは非置換のアルキニルオキシ、置換若しくは非置換の芳香族炭素環式基、置換若しくは非置換の非芳香族炭素環式基、置換若しくは非置換の芳香族複素環式基、または置換若しくは非置換の非芳香族複素環式基であり;
R1は、置換若しくは非置換の芳香族炭素環式基、置換若しくは非置換の非芳香族炭素環式基、置換若しくは非置換の芳香族複素環式基、または置換若しくは非置換の非芳香族複素環式基であり;
R2aは、それぞれ独立して、水素原子、ハロゲン、ヒドロキシ、置換若しくは非置換のアルキル、または置換若しくは非置換のアルキルオキシであり;
R2bは、それぞれ独立して、水素原子、ハロゲン、ヒドロキシ、置換若しくは非置換のアルキル、または置換若しくは非置換のアルキルオキシであり;
同一の炭素原子と結合するR2aおよびR2bは、一緒になって、オキソを形成してもよく;
Xは、N(R7a)、C(R8a)(R8b)、OまたはSであり;
R7aは、水素原子、置換若しくは非置換のアルキル、または置換若しくは非置換のアルキルカルボニルであり;
R8aおよびR8bは、それぞれ独立して、水素原子、ハロゲン、ヒドロキシ、置換若しくは非置換のアルキル、または置換若しくは非置換のアルキルオキシであり;
R2cは、それぞれ独立して、水素原子、ハロゲン、ヒドロキシ、置換若しくは非置換のアルキル、または置換若しくは非置換のアルキルオキシであり;
R2dは、それぞれ独立して、水素原子、ハロゲン、ヒドロキシ、置換若しくは非置換のアルキル、または置換若しくは非置換のアルキルオキシであり;
同一の炭素原子と結合するR2cおよびR2dが、一緒になって、置換若しくは非置換の非芳香族炭素環を形成してもよいか、または2つのR2cが、一緒になって、置換若しくは非置換の非芳香族炭素環を形成してもよく;
R3は、
(式中、環Bは、6員芳香族炭素環、6員非芳香族炭素環、6員芳香族複素環、または6員非芳香族複素環であり;
環Cは、5員非芳香族炭素環、5員芳香族複素環、または5員非芳香族複素環であり;
環Dは、5員非芳香族炭素環、6員非芳香族炭素環または6員芳香族炭素環であり;
R9aおよびR9bは、ハロゲン、ヒドロキシ、カルボキシ、アミノ、カルバモイル、スルファモイル、スルホ、シアノ、置換若しくは非置換のアルキル、置換若しくは非置換のアルケニル、置換若しくは非置換のアルキニル、置換若しくは非置換のアルキルオキシ、置換若しくは非置換のアルケニルオキシ、置換若しくは非置換のアルキニルオキシ、置換若しくは非置換のアルキルスルファニル、置換若しくは非置換のアルケニルスルファニル、置換若しくは非置換のアルキニルスルファニル、置換若しくは非置換のアルキルアミノ、置換若しくは非置換のアルケニルアミノ、置換若しくは非置換のアルキニルアミノ、置換若しくは非置換のアルキルカルボニル、置換若しくは非置換のアルケニルカルボニル、置換若しくは非置換のアルキニルカルボニル、置換若しくは非置換のアルキルスルホニル、置換若しくは非置換のアルケニルスルホニル、置換若しくは非置換のアルキニルスルホニル、置換若しくは非置換のアルキルカルボニルオキシ、置換若しくは非置換のアルケニルカルボニルオキシ、置換若しくは非置換のアルキニルカルボニルオキシ、置換若しくは非置換のアルキルオキシカルボニル、置換若しくは非置換のアルケニルオキシカルボニル、置換若しくは非置換のアルキニルオキシカルボニル、置換若しくは非置換のアルキルスルホニルオキシ、置換若しくは非置換のアルケニルスルホニルオキシ、置換若しくは非置換のアルキニルスルホニルオキシ、置換若しくは非置換のアルキルオキシスルホニル、置換若しくは非置換のアルケニルオキシスルホニル、置換若しくは非置換のアルキニルオキシスルホニル、置換若しくは非置換のアルキルカルバモイル、置換若しくは非置換のアルケニルカルバモイル、置換若しくは非置換のアルキニルカルバモイル、置換若しくは非置換のアルキルスルファモイル、置換若しくは非置換のアルケニルスルファモイル、置換若しくは非置換のアルキニルスルファモイル、置換若しくは非置換のアルキルカルボニルアミノ、置換若しくは非置換のアルケニルカルボニルアミノ、置換若しくは非置換のアルキニルカルボニルアミノ、置換若しくは非置換のアルキルスルホニルアミノ、置換若しくは非置換のアルケニルスルホニルアミノ、置換若しくは非置換の芳香族炭素環式基、置換若しくは非置換の非芳香族炭素環式基、置換若しくは非置換の芳香族複素環式基、置換若しくは非置換の非芳香族複素環式基、置換若しくは非置換の芳香族炭素環オキシ、置換若しくは非置換の非芳香族炭素環オキシ、置換若しくは非置換の芳香族複素環オキシ、置換若しくは非置換の非芳香族複素環オキシ、置換若しくは非置換の芳香族炭素環アミノ、置換若しくは非置換の非芳香族炭素環アミノ、置換若しくは非置換の芳香族複素環アミノ、置換若しくは非置換の非芳香族複素環アミノ、置換若しくは非置換の芳香族炭素環スルファニル、置換若しくは非置換の非芳香族炭素環スルファニル、置換若しくは非置換の芳香族複素環スルファニル、置換若しくは非置換の非芳香族複素環スルファニル、置換若しくは非置換の芳香族炭素環カルボニル、置換若しくは非置換の非芳香族炭素環カルボニル、置換若しくは非置換の芳香族複素環カルボニル、置換若しくは非置換の非芳香族複素環カルボニル、置換若しくは非置換の芳香族炭素環スルホニル、置換若しくは非置換の非芳香族炭素環スルホニル、置換若しくは非置換の芳香族複素環スルホニル、置換若しくは非置換の非芳香族複素環スルホニル、置換若しくは非置換の芳香族炭素環カルボニルオキシ、置換若しくは非置換の非芳香族炭素環カルボニルオキシ、置換若しくは非置換の芳香族複素環カルボニルオキシ、置換若しくは非置換の非芳香族複素環カルボニルオキシ、置換若しくは非置換の芳香族炭素環オキシカルボニル、置換若しくは非置換の非芳香族炭素環オキシカルボニル、置換若しくは非置換の芳香族複素環オキシカルボニル、置換若しくは非置換の非芳香族複素環オキシカルボニル、置換若しくは非置換の芳香族炭素環スルホニルオキシ、置換若しくは非置換の非芳香族炭素環スルホニルオキシ、置換若しくは非置換の芳香族複素環スルホニルオキシ、置換若しくは非置換の非芳香族複素環スルホニルオキシ、置換若しくは非置換の芳香族炭素環オキシスルホニル、置換若しくは非置換の非芳香族炭素環オキシスルホニル、置換若しくは非置換の芳香族複素環オキシスルホニル、置換若しくは非置換の非芳香族複素環オキシスルホニル、置換若しくは非置換の芳香族炭素環カルバモイル、置換若しくは非置換の非芳香族炭素環カルバモイル、置換若しくは非置換の芳香族複素環カルバモイル、置換若しくは非置換の非芳香族複素環カルバモイル、置換若しくは非置換の芳香族炭素環スルファモイル、置換若しくは非置換の非芳香族炭素環スルファモイル、置換若しくは非置換の芳香族複素環スルファモイル、置換若しくは非置換の非芳香族複素環スルファモイル、置換若しくは非置換の芳香族炭素環カルボニルアミノ、置換若しくは非置換の非芳香族炭素環カルボニルアミノ、置換若しくは非置換の芳香族複素環カルボニルアミノ、置換若しくは非置換の非芳香族複素環カルボニルアミノ、置換若しくは非置換の芳香族炭素環スルホニルアミノ、置換若しくは非置換の非芳香族炭素環スルホニルアミノ、置換若しくは非置換の芳香族複素環スルホニルアミノ、置換若しくは非置換の非芳香族複素環スルホニルアミノ、置換若しくは非置換の芳香族炭素環オキシカルボニルアミノ、置換若しくは非置換の非芳香族炭素環オキシカルボニルアミノ、置換若しくは非置換の芳香族複素環オキシカルボニルアミノ、または置換若しくは非置換の非芳香族複素環オキシカルボニルアミノであり;
R10a、R10b、R10cおよびR10dは、それぞれ独立して、ハロゲン、ヒドロキシ、カルボキシ、アミノ、カルバモイル、スルファモイル、スルホ、シアノ、置換若しくは非置換のアルキル、置換若しくは非置換のアルケニル、置換若しくは非置換のアルキニル、置換若しくは非置換のアルキルオキシ、置換若しくは非置換のアルケニルオキシ、置換若しくは非置換のアルキニルオキシ、置換若しくは非置換のアルキルスルファニル、置換若しくは非置換のアルケニルスルファニル、置換若しくは非置換のアルキニルスルファニル、置換若しくは非置換のアルキルアミノ、置換若しくは非置換のアルケニルアミノ、置換若しくは非置換のアルキニルアミノ、置換若しくは非置換のアルキルカルボニル、置換若しくは非置換のアルケニルカルボニル、置換若しくは非置換のアルキニルカルボニル、置換若しくは非置換のアルキルスルホニル、置換若しくは非置換のアルケニルスルホニル、置換若しくは非置換のアルキニルスルホニル、置換若しくは非置換のアルキルカルボニルオキシ、置換若しくは非置換のアルケニルカルボニルオキシ、置換若しくは非置換のアルキニルカルボニルオキシ、置換若しくは非置換のアルキルオキシカルボニル、置換若しくは非置換のアルケニルオキシカルボニル、置換若しくは非置換のアルキニルオキシカルボニル、置換若しくは非置換のアルキルスルホニルオキシ、置換若しくは非置換のアルケニルスルホニルオキシ、置換若しくは非置換のアルキニルスルホニルオキシ、置換若しくは非置換のアルキルオキシスルホニル、置換若しくは非置換のアルケニルオキシスルホニル、置換若しくは非置換のアルキニルオキシスルホニル、置換若しくは非置換のアルキルカルバモイル、置換若しくは非置換のアルケニルカルバモイル、置換若しくは非置換のアルキニルカルバモイル、置換若しくは非置換のアルキルスルファモイル、置換若しくは非置換のアルケニルスルファモイル、置換若しくは非置換のアルキニルスルファモイル、置換若しくは非置換のアルキルカルボニルアミノ、置換若しくは非置換のアルケニルカルボニルアミノ、置換若しくは非置換のアルキニルカルボニルアミノ、置換若しくは非置換のアルキルスルホニルアミノ、置換若しくは非置換のアルケニルスルホニルアミノ、置換若しくは非置換のアルキニルスルホニルアミノ、置換若しくは非置換の芳香族炭素環式基、置換若しくは非置換の非芳香族炭素環式基、置換若しくは非置換の芳香族複素環式基、置換若しくは非置換の非芳香族複素環式基、置換若しくは非置換の芳香族炭素環オキシ、置換若しくは非置換の非芳香族炭素環オキシ、置換若しくは非置換の芳香族複素環オキシ、置換若しくは非置換の非芳香族複素環オキシ、置換若しくは非置換の芳香族炭素環アミノ、置換若しくは非置換の非芳香族炭素環アミノ、置換若しくは非置換の芳香族複素環アミノ、置換若しくは非置換の非芳香族複素環アミノ、置換若しくは非置換の芳香族炭素環スルファニル、置換若しくは非置換の非芳香族炭素環スルファニル、置換若しくは非置換の芳香族複素環スルファニル、置換若しくは非置換の非芳香族複素環スルファニル、置換若しくは非置換の芳香族炭素環カルボニル、置換若しくは非置換の非芳香族炭素環カルボニル、置換若しくは非置換の芳香族複素環カルボニル、置換若しくは非置換の非芳香族複素環カルボニル、置換若しくは非置換の芳香族炭素環スルホニル、置換若しくは非置換の非芳香族炭素環スルホニル、置換若しくは非置換の芳香族複素環スルホニル、置換若しくは非置換の非芳香族複素環スルホニル、置換若しくは非置換の芳香族炭素環カルボニルオキシ、置換若しくは非置換の非芳香族炭素環カルボニルオキシ、置換若しくは非置換の芳香族複素環カルボニルオキシ、置換若しくは非置換の非芳香族複素環カルボニルオキシ、置換若しくは非置換の芳香族炭素環オキシカルボニル、置換若しくは非置換の非芳香族炭素環オキシカルボニル、置換若しくは非置換の芳香族複素環オキシカルボニル、置換若しくは非置換の非芳香族複素環オキシカルボニル、置換若しくは非置換の芳香族炭素環スルホニルオキシ、置換若しくは非置換の非芳香族炭素環スルホニルオキシ、置換若しくは非置換の芳香族複素環スルホニルオキシ、置換若しくは非置換の非芳香族複素環スルホニルオキシ、置換若しくは非置換の芳香族炭素環オキシスルホニル、置換若しくは非置換の非芳香族炭素環オキシスルホニル、置換若しくは非置換の芳香族複素環オキシスルホニル、置換若しくは非置換の非芳香族複素環オキシスルホニル、置換若しくは非置換の芳香族炭素環カルバモイル、置換若しくは非置換の非芳香族炭素環カルバモイル、置換若しくは非置換の芳香族複素環カルバモイル、置換若しくは非置換の非芳香族複素環カルバモイル、置換若しくは非置換の芳香族炭素環スルファモイル、置換若しくは非置換の非芳香族炭素環スルファモイル、置換若しくは非置換の芳香族複素環スルファモイル、置換若しくは非置換の非芳香族複素環スルファモイル、置換若しくは非置換の芳香族炭素環カルボニルアミノ、置換若しくは非置換の非芳香族炭素環カルボニルアミノ、置換若しくは非置換の芳香族複素環カルボニルアミノ、置換若しくは非置換の非芳香族複素環カルボニルアミノ、置換若しくは非置換の芳香族炭素環スルホニルアミノ、置換若しくは非置換の非芳香族炭素環スルホニルアミノ、置換若しくは非置換の芳香族複素環スルホニルアミノ、置換若しくは非置換の非芳香族複素環スルホニルアミノ、置換若しくは非置換の芳香族炭素環オキシカルボニルアミノ、置換若しくは非置換の非芳香族炭素環オキシカルボニルアミノ、置換若しくは非置換の芳香族複素環オキシカルボニルアミノ、または置換若しくは非置換の非芳香族複素環オキシカルボニルアミノであり;
R9a、R9b、R10aおよびR10bは、下記a)~c)のいずれかであってもよく;
a)R9aおよびR10a、またはR9bおよびR10bが、一緒になって、(C1-C3)架橋を形成する;該架橋を構成する炭素原子の1つは酸素原子または窒素原子で置き換えられてもよい;
b)隣接する環構成原子に結合するR9aおよびR10a、または隣接する環構成原子に結合するR9bおよびR10bが、一緒になって、置換若しくは非置換の芳香族炭素環、置換若しくは非置換の非芳香族炭素環、置換若しくは非置換の芳香族複素環、または置換若しくは非置換の非芳香族複素環を形成する;
c)隣接する環構成原子に結合する2つのR10a、または隣接する環構成原子に結合する2つのR10bが、一緒になって、置換若しくは非置換の芳香族炭素環、置換若しくは非置換の非芳香族炭素環、置換若しくは非置換の芳香族複素環、または置換若しくは非置換の非芳香族複素環を形成する;
R10eは、それぞれ独立して、ハロゲン、ヒドロキシ、置換若しくは非置換のアルキル、または置換若しくは非置換のアルキルオキシである)で示される基であり;
nは、1~5の整数であり;
mは、0~4の整数であり;
p1は、0~3の整数であり;
p2は、0~2の整数であり;
p3は、0~2の整数であり;
sは、0~4の整数であり;
ただし、
i)Z1がNであり、環Qがベンゼン環であり、XがCH2であり、かつmおよびsが0であるとき、R3は1-シクロプロピル-ベンゾイミダゾール-2-オン-3-イルではなく;
ii)Z1がNであり、環Qがシクロペンテン環であり、XがSであり、mが1であり、かつsが0であるとき、R1は置換された5員芳香族複素環および5員非芳香族複素環ではない
)で示される化合物(ただし、以下の化合物:
を除く)、またはその製薬上許容される塩。 Formula (I):
(Where
Z 1 is C (R 4 ) or N;
R 4 represents a hydrogen atom, halogen, hydroxy, carboxy, amino, carbamoyl, sulfamoyl, sulfo, cyano, substituted or unsubstituted alkyl, substituted or unsubstituted alkenyl, substituted or unsubstituted alkynyl, substituted or unsubstituted alkyl Oxy, substituted or unsubstituted alkenyloxy, substituted or unsubstituted alkynyloxy, substituted or unsubstituted alkylsulfanyl, substituted or unsubstituted alkenylsulfanyl, substituted or unsubstituted alkynylsulfanyl, substituted or unsubstituted alkylamino, Substituted or unsubstituted alkenylamino, or substituted or unsubstituted alkynylamino;
Z 2 and Z 3 are each independently a carbon atom or a nitrogen atom;
(However, when one of Z 2 and Z 3 is a nitrogen atom, the other is a carbon atom.)
The dashed line indicates the presence or absence of a bond;
Z 2 and Z 3 are both carbon atoms when the dashed line indicates the presence of a bond;
Ring Q is a 6-membered aromatic carbocyclic ring, a 5-membered aromatic heterocyclic ring, a 6-membered aromatic heterocyclic ring, a 5-membered non-aromatic carbocyclic ring, a 6-membered non-aromatic carbocyclic ring, a 5-membered non-aromatic heterocyclic ring, or A 6-membered non-aromatic heterocycle;
Each R 5 is independently halogen, hydroxy, carboxy, amino, carbamoyl, sulfamoyl, sulfo, cyano, substituted or unsubstituted alkyl, substituted or unsubstituted alkenyl, substituted or unsubstituted alkynyl, substituted or unsubstituted Alkyloxy, substituted or unsubstituted alkenyloxy, substituted or unsubstituted alkynyloxy, substituted or unsubstituted alkylsulfanyl, substituted or unsubstituted alkenylsulfanyl, substituted or unsubstituted alkynylsulfanyl, substituted or unsubstituted alkyl Amino, substituted or unsubstituted alkenylamino, substituted or unsubstituted alkynylamino, substituted or unsubstituted alkylcarbonyl, substituted or unsubstituted alkenylcarbonyl, substituted or unsubstituted amino Lucinylcarbonyl, substituted or unsubstituted alkylsulfonyl, substituted or unsubstituted alkenylsulfonyl, substituted or unsubstituted alkynylsulfonyl, substituted or unsubstituted alkylcarbonyloxy, substituted or unsubstituted alkenylcarbonyloxy, substituted or unsubstituted Alkynylcarbonyloxy, substituted or unsubstituted alkyloxycarbonyl, substituted or unsubstituted alkenyloxycarbonyl, substituted or unsubstituted alkynyloxycarbonyl, substituted or unsubstituted alkylsulfonyloxy, substituted or unsubstituted alkenylsulfonyloxy, Substituted or unsubstituted alkynylsulfonyloxy, substituted or unsubstituted alkyloxysulfonyl, substituted or unsubstituted alkenyloxysulfonyl, Or unsubstituted alkynyloxysulfonyl, substituted or unsubstituted alkylcarbamoyl, substituted or unsubstituted alkenylcarbamoyl, substituted or unsubstituted alkynylcarbamoyl, substituted or unsubstituted alkylsulfamoyl, substituted or unsubstituted alkenylsulfamo Moyl, substituted or unsubstituted alkynylsulfamoyl, substituted or unsubstituted alkylcarbonylamino, substituted or unsubstituted alkenylcarbonylamino, substituted or unsubstituted alkynylcarbonylamino, substituted or unsubstituted alkylsulfonylamino, substituted or Unsubstituted alkenylsulfonylamino, substituted or unsubstituted alkynylsulfonylamino, substituted or unsubstituted alkyloxycarbonylamino, substituted or unsubstituted Alkenyloxycarbonylamino, substituted or unsubstituted alkynyloxycarbonylamino, substituted or unsubstituted aromatic carbocyclic group, substituted or unsubstituted nonaromatic carbocyclic group, substituted or unsubstituted aromatic heterocyclic group Group, substituted or unsubstituted non-aromatic heterocyclic group, substituted or unsubstituted aromatic carbocyclic oxy, substituted or unsubstituted non-aromatic carbocyclic oxy, substituted or unsubstituted aromatic heterocyclic oxy, substituted Or unsubstituted non-aromatic heterocyclic oxy, substituted or unsubstituted aromatic carbocyclic amino, substituted or unsubstituted non-aromatic carbocyclic amino, substituted or unsubstituted aromatic heterocyclic amino, substituted or unsubstituted Non-aromatic heterocyclic amino, substituted or unsubstituted aromatic carbocyclic sulfanyl, substituted or unsubstituted non-aromatic carbocyclic sulfanyl, Substituted or unsubstituted aromatic heterocyclic sulfanyl, substituted or unsubstituted non-aromatic heterocyclic sulfanyl, substituted or unsubstituted aromatic carbocyclic carbonyl, substituted or unsubstituted non-aromatic carbocyclic carbonyl, substituted or unsubstituted Aromatic heterocyclic carbonyl, substituted or unsubstituted non-aromatic heterocyclic carbonyl, substituted or unsubstituted aromatic carbocyclic sulfonyl, substituted or unsubstituted non-aromatic carbocyclic sulfonyl, substituted or unsubstituted aromatic heterocyclic Ring sulfonyl, substituted or unsubstituted non-aromatic heterocyclic sulfonyl, substituted or unsubstituted aromatic carbocyclic carbonyloxy, substituted or unsubstituted non-aromatic carbocyclic carbonyloxy, substituted or unsubstituted aromatic heterocyclic carbonyl Oxy, substituted or unsubstituted non-aromatic heterocyclic carbonyloxy, substituted or unsubstituted Is unsubstituted aromatic carbocyclic oxycarbonyl, substituted or unsubstituted non-aromatic carbocyclic oxycarbonyl, substituted or unsubstituted aromatic heterocyclic oxycarbonyl, substituted or unsubstituted non-aromatic heterocyclic oxycarbonyl, substituted Or unsubstituted aromatic carbocyclic sulfonyloxy, substituted or unsubstituted non-aromatic carbocyclic sulfonyloxy, substituted or unsubstituted aromatic heterocyclic sulfonyloxy, substituted or unsubstituted non-aromatic heterocyclic sulfonyloxy, substituted Or unsubstituted aromatic carbocyclic oxysulfonyl, substituted or unsubstituted non-aromatic carbocyclic oxysulfonyl, substituted or unsubstituted aromatic heterocyclic oxysulfonyl, substituted or unsubstituted non-aromatic heterocyclic oxysulfonyl, substituted Or unsubstituted aromatic carbocyclic carbamoyl, substituted or unsubstituted Non-aromatic carbocyclic carbamoyl, substituted or unsubstituted aromatic heterocyclic carbamoyl, substituted or unsubstituted non-aromatic heterocyclic carbamoyl, substituted or unsubstituted aromatic carbocyclic sulfamoyl, substituted or unsubstituted non-aromatic Carbocyclic sulfamoyl, substituted or unsubstituted aromatic heterocyclic sulfamoyl, substituted or unsubstituted non-aromatic heterocyclic sulfamoyl, substituted or unsubstituted aromatic carbocyclic carbonylamino, substituted or unsubstituted non-aromatic carbocyclic carbonyl Amino, substituted or unsubstituted aromatic heterocyclic carbonylamino, substituted or unsubstituted nonaromatic heterocyclic carbonylamino, substituted or unsubstituted aromatic carbocyclic sulfonylamino, substituted or unsubstituted nonaromatic carbocyclic sulfonyl Amino, substituted or unsubstituted aromatic heterocyclic sulfoni Ruamino, substituted or unsubstituted non-aromatic heterocyclic sulfonylamino, substituted or unsubstituted aromatic carbocyclic oxycarbonylamino, substituted or unsubstituted non-aromatic carbocyclic oxycarbonylamino, substituted or unsubstituted aromatic heterocyclic Ring oxycarbonylamino, or substituted or unsubstituted non-aromatic heterocyclic oxycarbonylamino;
Y 1 is N (R 6 ), O or S;
R 6 represents a hydrogen atom, hydroxy, cyano, carboxy, carbamoyl, substituted or unsubstituted alkyl, substituted or unsubstituted alkenyl, substituted or unsubstituted alkynyl, substituted or unsubstituted alkyloxy, substituted or unsubstituted alkenyl Oxy, substituted or unsubstituted alkynyloxy, substituted or unsubstituted aromatic carbocyclic group, substituted or unsubstituted non-aromatic carbocyclic group, substituted or unsubstituted aromatic heterocyclic group, or substituted or An unsubstituted non-aromatic heterocyclic group;
R 1 represents a substituted or unsubstituted aromatic carbocyclic group, a substituted or unsubstituted non-aromatic carbocyclic group, a substituted or unsubstituted aromatic heterocyclic group, or a substituted or unsubstituted non-aromatic group A heterocyclic group;
Each R 2a is independently a hydrogen atom, halogen, hydroxy, substituted or unsubstituted alkyl, or substituted or unsubstituted alkyloxy;
Each R 2b is independently a hydrogen atom, halogen, hydroxy, substituted or unsubstituted alkyl, or substituted or unsubstituted alkyloxy;
R 2a and R 2b bonded to the same carbon atom may be taken together to form an oxo;
X is N (R 7a ), C (R 8a ) (R 8b ), O or S;
R 7a is a hydrogen atom, substituted or unsubstituted alkyl, or substituted or unsubstituted alkylcarbonyl;
R 8a and R 8b are each independently a hydrogen atom, halogen, hydroxy, substituted or unsubstituted alkyl, or substituted or unsubstituted alkyloxy;
Each R 2c is independently a hydrogen atom, halogen, hydroxy, substituted or unsubstituted alkyl, or substituted or unsubstituted alkyloxy;
Each R 2d is independently a hydrogen atom, halogen, hydroxy, substituted or unsubstituted alkyl, or substituted or unsubstituted alkyloxy;
R 2c and R 2d bonded to the same carbon atom may be taken together to form a substituted or unsubstituted non-aromatic carbocycle, or two R 2c taken together are substituted Or may form an unsubstituted non-aromatic carbocycle;
R 3 is
Wherein ring B is a 6-membered aromatic carbocycle, 6-membered non-aromatic carbocycle, 6-membered aromatic heterocycle, or 6-membered non-aromatic heterocycle;
Ring C is a 5-membered non-aromatic carbocycle, 5-membered aromatic heterocycle, or 5-membered non-aromatic heterocycle;
Ring D is a 5-membered non-aromatic carbocycle, 6-membered non-aromatic carbocycle or 6-membered aromatic carbocycle;
R 9a and R 9b are halogen, hydroxy, carboxy, amino, carbamoyl, sulfamoyl, sulfo, cyano, substituted or unsubstituted alkyl, substituted or unsubstituted alkenyl, substituted or unsubstituted alkynyl, substituted or unsubstituted alkyl Oxy, substituted or unsubstituted alkenyloxy, substituted or unsubstituted alkynyloxy, substituted or unsubstituted alkylsulfanyl, substituted or unsubstituted alkenylsulfanyl, substituted or unsubstituted alkynylsulfanyl, substituted or unsubstituted alkylamino, Substituted or unsubstituted alkenylamino, substituted or unsubstituted alkynylamino, substituted or unsubstituted alkylcarbonyl, substituted or unsubstituted alkenylcarbonyl, substituted or unsubstituted al Nylcarbonyl, substituted or unsubstituted alkylsulfonyl, substituted or unsubstituted alkenylsulfonyl, substituted or unsubstituted alkynylsulfonyl, substituted or unsubstituted alkylcarbonyloxy, substituted or unsubstituted alkenylcarbonyloxy, substituted or unsubstituted Alkynylcarbonyloxy, substituted or unsubstituted alkyloxycarbonyl, substituted or unsubstituted alkenyloxycarbonyl, substituted or unsubstituted alkynyloxycarbonyl, substituted or unsubstituted alkylsulfonyloxy, substituted or unsubstituted alkenylsulfonyloxy, substituted Or unsubstituted alkynylsulfonyloxy, substituted or unsubstituted alkyloxysulfonyl, substituted or unsubstituted alkenyloxysulfonyl, substituted Or unsubstituted alkynyloxysulfonyl, substituted or unsubstituted alkylcarbamoyl, substituted or unsubstituted alkenylcarbamoyl, substituted or unsubstituted alkynylcarbamoyl, substituted or unsubstituted alkylsulfamoyl, substituted or unsubstituted alkenylsulfuryl. Famoyl, substituted or unsubstituted alkynylsulfamoyl, substituted or unsubstituted alkylcarbonylamino, substituted or unsubstituted alkenylcarbonylamino, substituted or unsubstituted alkynylcarbonylamino, substituted or unsubstituted alkylsulfonylamino, substituted Or unsubstituted alkenylsulfonylamino, substituted or unsubstituted aromatic carbocyclic group, substituted or unsubstituted non-aromatic carbocyclic group, substituted or unsubstituted aromatic heterocyclic group, substituted Or unsubstituted non-aromatic heterocyclic group, substituted or unsubstituted aromatic carbocyclic oxy, substituted or unsubstituted non-aromatic carbocyclic oxy, substituted or unsubstituted aromatic heterocyclic oxy, substituted or non-substituted Substituted non-aromatic heterocyclic oxy, substituted or unsubstituted aromatic carbocyclic amino, substituted or unsubstituted non-aromatic carbocyclic amino, substituted or unsubstituted aromatic heterocyclic amino, substituted or unsubstituted non-aromatic Aromatic heterocyclic amino, substituted or unsubstituted aromatic carbocyclic sulfanyl, substituted or unsubstituted non-aromatic carbocyclic sulfanyl, substituted or unsubstituted aromatic heterocyclic sulfanyl, substituted or unsubstituted non-aromatic heterocyclic sulfanyl , Substituted or unsubstituted aromatic carbocyclic carbonyl, substituted or unsubstituted non-aromatic carbocyclic carbonyl, substituted or unsubstituted aromatic An aromatic carbonyl, a substituted or unsubstituted non-aromatic heterocyclic carbonyl, a substituted or unsubstituted aromatic carbocyclic sulfonyl, a substituted or unsubstituted non-aromatic carbocyclic sulfonyl, a substituted or unsubstituted aromatic heterocyclic sulfonyl, Substituted or unsubstituted non-aromatic heterocyclic sulfonyl, substituted or unsubstituted aromatic carbocyclic carbonyloxy, substituted or unsubstituted non-aromatic carbocyclic carbonyloxy, substituted or unsubstituted aromatic heterocyclic carbonyloxy, substituted Or unsubstituted non-aromatic heterocyclic carbonyloxy, substituted or unsubstituted aromatic carbocyclic oxycarbonyl, substituted or unsubstituted non-aromatic carbocyclic oxycarbonyl, substituted or unsubstituted aromatic heterocyclic oxycarbonyl, substituted Or unsubstituted non-aromatic heterocyclic oxycarbonyl, substituted or unsubstituted Substituted aromatic carbocyclic sulfonyloxy, substituted or unsubstituted non-aromatic carbocyclic sulfonyloxy, substituted or unsubstituted aromatic heterocyclic sulfonyloxy, substituted or unsubstituted non-aromatic heterocyclic sulfonyloxy, substituted or non-substituted Substituted aromatic carbocyclic oxysulfonyl, substituted or unsubstituted non-aromatic carbocyclic oxysulfonyl, substituted or unsubstituted aromatic heterocyclic oxysulfonyl, substituted or unsubstituted non-aromatic heterocyclic oxysulfonyl, substituted or non-substituted Substituted aromatic carbocyclic carbamoyl, substituted or unsubstituted non-aromatic carbocyclic carbamoyl, substituted or unsubstituted aromatic heterocyclic carbamoyl, substituted or unsubstituted non-aromatic heterocyclic carbamoyl, substituted or unsubstituted aromatic Carbocyclic sulfamoyl, substituted or unsubstituted non-aromatic carbocyclic sulf Amoyl, substituted or unsubstituted aromatic heterocyclic sulfamoyl, substituted or unsubstituted non-aromatic heterocyclic sulfamoyl, substituted or unsubstituted aromatic carbocyclic carbonylamino, substituted or unsubstituted non-aromatic carbocyclic carbonylamino, Substituted or unsubstituted aromatic heterocyclic carbonylamino, substituted or unsubstituted nonaromatic heterocyclic carbonylamino, substituted or unsubstituted aromatic carbocyclic sulfonylamino, substituted or unsubstituted nonaromatic carbocyclic sulfonylamino, Substituted or unsubstituted aromatic heterocyclic sulfonylamino, substituted or unsubstituted nonaromatic heterocyclic sulfonylamino, substituted or unsubstituted aromatic carbocyclic oxycarbonylamino, substituted or unsubstituted nonaromatic carbocyclic oxycarbonyl Amino, substituted or unsubstituted aromatic heterocyclic ring It is aryloxycarbonyl amino or a substituted or unsubstituted non-aromatic heterocyclic oxycarbonyl amino;
R 10a , R 10b , R 10c and R 10d are each independently halogen, hydroxy, carboxy, amino, carbamoyl, sulfamoyl, sulfo, cyano, substituted or unsubstituted alkyl, substituted or unsubstituted alkenyl, substituted or Unsubstituted alkynyl, substituted or unsubstituted alkyloxy, substituted or unsubstituted alkenyloxy, substituted or unsubstituted alkynyloxy, substituted or unsubstituted alkylsulfanyl, substituted or unsubstituted alkenylsulfanyl, substituted or unsubstituted Alkynylsulfanyl, substituted or unsubstituted alkylamino, substituted or unsubstituted alkenylamino, substituted or unsubstituted alkynylamino, substituted or unsubstituted alkylcarbonyl, substituted or unsubstituted amino Kenylcarbonyl, substituted or unsubstituted alkynylcarbonyl, substituted or unsubstituted alkylsulfonyl, substituted or unsubstituted alkenylsulfonyl, substituted or unsubstituted alkynylsulfonyl, substituted or unsubstituted alkylcarbonyloxy, substituted or unsubstituted Alkenylcarbonyloxy, substituted or unsubstituted alkynylcarbonyloxy, substituted or unsubstituted alkyloxycarbonyl, substituted or unsubstituted alkenyloxycarbonyl, substituted or unsubstituted alkynyloxycarbonyl, substituted or unsubstituted alkylsulfonyloxy, substituted Or unsubstituted alkenylsulfonyloxy, substituted or unsubstituted alkynylsulfonyloxy, substituted or unsubstituted alkyloxysulfonyl, substituted or unsubstituted Is unsubstituted alkenyloxysulfonyl, substituted or unsubstituted alkynyloxysulfonyl, substituted or unsubstituted alkylcarbamoyl, substituted or unsubstituted alkenylcarbamoyl, substituted or unsubstituted alkynylcarbamoyl, substituted or unsubstituted alkylsulfamoyl Substituted or unsubstituted alkenylsulfamoyl, substituted or unsubstituted alkynylsulfamoyl, substituted or unsubstituted alkylcarbonylamino, substituted or unsubstituted alkenylcarbonylamino, substituted or unsubstituted alkynylcarbonylamino, substituted or Unsubstituted alkylsulfonylamino, substituted or unsubstituted alkenylsulfonylamino, substituted or unsubstituted alkynylsulfonylamino, substituted or unsubstituted aromatic carbon Cyclic group, substituted or unsubstituted non-aromatic carbocyclic group, substituted or unsubstituted aromatic heterocyclic group, substituted or unsubstituted non-aromatic heterocyclic group, substituted or unsubstituted aromatic carbon Ring oxy, substituted or unsubstituted non-aromatic carbocyclic oxy, substituted or unsubstituted aromatic heterocyclic oxy, substituted or unsubstituted non-aromatic heterocyclic oxy, substituted or unsubstituted aromatic carbocyclic amino, substituted Or unsubstituted non-aromatic carbocyclic amino, substituted or unsubstituted aromatic heterocyclic amino, substituted or unsubstituted non-aromatic heterocyclic amino, substituted or unsubstituted aromatic carbocyclic sulfanyl, substituted or unsubstituted Non-aromatic carbocyclic sulfanyl, substituted or unsubstituted aromatic heterocyclic sulfanyl, substituted or unsubstituted non-aromatic heterocyclic sulfanyl, substituted or unsubstituted aromatic Carbocyclic carbonyl, substituted or unsubstituted non-aromatic carbocyclic carbonyl, substituted or unsubstituted aromatic heterocyclic carbonyl, substituted or unsubstituted non-aromatic heterocyclic carbonyl, substituted or unsubstituted aromatic carbocyclic sulfonyl, Substituted or unsubstituted non-aromatic carbocyclic sulfonyl, substituted or unsubstituted aromatic heterocyclic sulfonyl, substituted or unsubstituted non-aromatic heterocyclic sulfonyl, substituted or unsubstituted aromatic carbocyclic carbonyloxy, substituted or non-substituted Substituted non-aromatic carbocyclic carbonyloxy, substituted or unsubstituted aromatic heterocyclic carbonyloxy, substituted or unsubstituted non-aromatic heterocyclic carbonyloxy, substituted or unsubstituted aromatic carbocyclic oxycarbonyl, substituted or non-substituted Substituted non-aromatic carbocyclic oxycarbonyl, substituted or unsubstituted fragrance Heterocyclic oxycarbonyl, substituted or unsubstituted non-aromatic heterocyclic oxycarbonyl, substituted or unsubstituted aromatic carbocyclic sulfonyloxy, substituted or unsubstituted non-aromatic carbocyclic sulfonyloxy, substituted or unsubstituted aromatic Heterocyclic sulfonyloxy, substituted or unsubstituted non-aromatic heterocyclic sulfonyloxy, substituted or unsubstituted aromatic carbocyclic oxysulfonyl, substituted or unsubstituted non-aromatic carbocyclic oxysulfonyl, substituted or unsubstituted aromatic Heterocyclic oxysulfonyl, substituted or unsubstituted non-aromatic heterocyclic oxysulfonyl, substituted or unsubstituted aromatic carbocyclic carbamoyl, substituted or unsubstituted non-aromatic carbocyclic carbamoyl, substituted or unsubstituted aromatic heterocyclic Carbamoyl, substituted or unsubstituted non-aromatic heterocyclic carbamo , Substituted or unsubstituted aromatic carbocyclic sulfamoyl, substituted or unsubstituted non-aromatic carbocyclic sulfamoyl, substituted or unsubstituted aromatic heterocyclic sulfamoyl, substituted or unsubstituted non-aromatic heterocyclic sulfamoyl, substituted or Unsubstituted aromatic carbocyclic carbonylamino, substituted or unsubstituted non-aromatic carbocyclic carbonylamino, substituted or unsubstituted aromatic heterocyclic carbonylamino, substituted or unsubstituted non-aromatic heterocyclic carbonylamino, substituted or Unsubstituted aromatic carbocyclic sulfonylamino, substituted or unsubstituted non-aromatic carbocyclic sulfonylamino, substituted or unsubstituted aromatic heterocyclic sulfonylamino, substituted or unsubstituted non-aromatic heterocyclic sulfonylamino, substituted or Unsubstituted aromatic carbocyclic oxycarbonylamino, Substituted or unsubstituted non-aromatic carbocyclic oxycarbonyl amino, substituted or unsubstituted aromatic heterocyclic oxycarbonyl amino or a substituted or unsubstituted non-aromatic heterocyclic oxycarbonyl amino;
R 9a , R 9b , R 10a and R 10b may be any of the following a) to c):
a) R 9a and R 10a or R 9b and R 10b together form a (C1-C3) bridge; one of the carbon atoms making up the bridge is replaced by an oxygen or nitrogen atom May be;
b) R 9a and R 10a bonded to adjacent ring member atoms, or R 9b and R 10b bonded to adjacent ring member atoms are taken together to form a substituted or unsubstituted aromatic carbocyclic ring, substituted or non-substituted ring Forming a substituted non-aromatic carbocycle, substituted or unsubstituted aromatic heterocycle, or substituted or unsubstituted non-aromatic heterocycle;
c) Two R 10a bonded to adjacent ring member atoms, or two R 10b bonded to adjacent ring member atoms, together, are substituted or unsubstituted aromatic carbocyclic, substituted or unsubstituted Forming a non-aromatic carbocycle, a substituted or unsubstituted aromatic heterocycle, or a substituted or unsubstituted non-aromatic heterocycle;
Each R 10e is independently a group represented by halogen, hydroxy, substituted or unsubstituted alkyl, or substituted or unsubstituted alkyloxy;
n is an integer from 1 to 5;
m is an integer from 0 to 4;
p1 is an integer from 0 to 3;
p2 is an integer from 0 to 2;
p3 is an integer from 0 to 2;
s is an integer from 0 to 4;
However,
i) when Z 1 is N, ring Q is a benzene ring, X is CH 2 and m and s are 0, R 3 is 1-cyclopropyl-benzimidazol-2-one-3 -Not yl;
ii) when Z 1 is N, ring Q is a cyclopentene ring, X is S, m is 1 and s is 0, R 1 is a substituted 5-membered aromatic heterocycle and A compound represented by a compound that is not a 5-membered non-aromatic heterocycle (provided that
Or a pharmaceutically acceptable salt thereof.
である、請求項1記載の化合物、またはその製薬上許容される塩。
The compound according to claim 1, or a pharmaceutically acceptable salt thereof.
である、請求項1記載の化合物、またはその製薬上許容される塩。
The compound according to claim 1, or a pharmaceutically acceptable salt thereof.
である、請求項1~12のいずれかに記載の化合物、またはその製薬上許容される塩。 R 3 is
The compound according to any one of claims 1 to 12, or a pharmaceutically acceptable salt thereof.
隣接する環構成原子に結合する2つのR10a、または隣接する環構成原子に結合する2つのR10bが、一緒になって、置換若しくは非置換の芳香族炭素環、置換若しくは非置換の非芳香族炭素環、置換若しくは非置換の芳香族複素環、または置換若しくは非置換の非芳香族複素環を形成する、請求項1~14のいずれかに記載の化合物、またはその製薬上許容される塩。 R 9a and R 10a bonded to adjacent ring member atoms, or R 9b and R 10b bonded to adjacent ring member atoms are taken together to form a substituted or unsubstituted aromatic carbocycle, substituted or unsubstituted Forming a non-aromatic carbocycle, a substituted or unsubstituted aromatic heterocycle, or a substituted or unsubstituted non-aromatic heterocycle;
Two R 10a bonded to adjacent ring member atoms or two R 10b bonded to adjacent ring member atoms together form a substituted or unsubstituted aromatic carbocycle, substituted or unsubstituted non-aromatic The compound according to any one of claims 1 to 14, or a pharmaceutically acceptable salt thereof, which forms an aromatic carbocycle, a substituted or unsubstituted aromatic heterocycle, or a substituted or unsubstituted nonaromatic heterocycle .
Applications Claiming Priority (4)
| Application Number | Priority Date | Filing Date | Title |
|---|---|---|---|
| JP2016111422 | 2016-06-03 | ||
| JP2016-111422 | 2016-06-03 | ||
| JP2016201961 | 2016-10-13 | ||
| JP2016-201961 | 2016-10-13 |
Publications (1)
| Publication Number | Publication Date |
|---|---|
| WO2017209265A1 true WO2017209265A1 (en) | 2017-12-07 |
Family
ID=60478816
Family Applications (1)
| Application Number | Title | Priority Date | Filing Date |
|---|---|---|---|
| PCT/JP2017/020532 Ceased WO2017209265A1 (en) | 2016-06-03 | 2017-06-02 | Bicyclic heterocyclic derivative and pharmaceutical composition containing same |
Country Status (1)
| Country | Link |
|---|---|
| WO (1) | WO2017209265A1 (en) |
Cited By (5)
| Publication number | Priority date | Publication date | Assignee | Title |
|---|---|---|---|---|
| US10328053B2 (en) | 2016-08-26 | 2019-06-25 | Gilead Sciences, Inc. | Substituted pyrrolizine compounds and uses thereof |
| US10774051B2 (en) | 2015-04-24 | 2020-09-15 | Shionogi & Co., Ltd. | 6-membered heterocyclic derivatives and pharmaceutical composition comprising the same |
| US10836769B2 (en) | 2018-02-26 | 2020-11-17 | Gilead Sciences, Inc. | Substituted pyrrolizine compounds and uses thereof |
| CN112574214A (en) * | 2019-07-30 | 2021-03-30 | 杭州阿诺生物医药科技有限公司 | Preparation method of adenosine receptor antagonist |
| US11066409B2 (en) | 2016-10-17 | 2021-07-20 | Shionogi & Co., Ltd. | Bicyclic nitrogen-containing heterocyclic derivatives and pharmaceutical composition comprising the same |
Citations (9)
| Publication number | Priority date | Publication date | Assignee | Title |
|---|---|---|---|---|
| WO2006003500A1 (en) * | 2004-06-29 | 2006-01-12 | Pfizer Products Inc. | Method for preparing 5-`4-(2-hydroxy-propyl)-3,5-dioxo-4,5-dihydro-3h`1,2,4!triazin-2-yl!-benzamide derivatives by deprotecting the hydroxyl-protected precursers |
| WO2010126104A1 (en) * | 2009-04-28 | 2010-11-04 | 日産化学工業株式会社 | 4-substituted pyridazinone compound and p2x7 receptor inhibitor |
| WO2011012592A1 (en) * | 2009-07-30 | 2011-02-03 | F. Hoffmann-La Roche Ag | Dihydropyrimidone amides as p2x7 modulators |
| WO2011079000A1 (en) * | 2009-12-22 | 2011-06-30 | Schering Corporation | DERIVATIVES OF 7,8-DIHYDRO-1H-IMIDAZO[2,1-b]PURIN-4(5H)-ONE AND METHODS OF USE THEREOF |
| JP2012527471A (en) * | 2009-05-20 | 2012-11-08 | グラクソスミスクライン エルエルシー | Thiazolopyrimidinone derivatives as PI3 kinase inhibitors |
| EP2725024A1 (en) * | 2011-06-27 | 2014-04-30 | Shanghai Institute of Materia Medica, Chinese Academy of Sciences | Azole heterocyclic compound, preparation method, pharmaceutical composition and use |
| WO2015065336A1 (en) * | 2013-10-29 | 2015-05-07 | Medivir Ab | Respiratory syncytial virus inhibitors |
| WO2015099107A1 (en) * | 2013-12-26 | 2015-07-02 | 塩野義製薬株式会社 | Nitrogen-containing six-membered ring derivative and pharmaceutical composition containing same |
| WO2016088838A1 (en) * | 2014-12-04 | 2016-06-09 | 塩野義製薬株式会社 | Purine derivative and pharmaceutical composition thereof |
-
2017
- 2017-06-02 WO PCT/JP2017/020532 patent/WO2017209265A1/en not_active Ceased
Patent Citations (9)
| Publication number | Priority date | Publication date | Assignee | Title |
|---|---|---|---|---|
| WO2006003500A1 (en) * | 2004-06-29 | 2006-01-12 | Pfizer Products Inc. | Method for preparing 5-`4-(2-hydroxy-propyl)-3,5-dioxo-4,5-dihydro-3h`1,2,4!triazin-2-yl!-benzamide derivatives by deprotecting the hydroxyl-protected precursers |
| WO2010126104A1 (en) * | 2009-04-28 | 2010-11-04 | 日産化学工業株式会社 | 4-substituted pyridazinone compound and p2x7 receptor inhibitor |
| JP2012527471A (en) * | 2009-05-20 | 2012-11-08 | グラクソスミスクライン エルエルシー | Thiazolopyrimidinone derivatives as PI3 kinase inhibitors |
| WO2011012592A1 (en) * | 2009-07-30 | 2011-02-03 | F. Hoffmann-La Roche Ag | Dihydropyrimidone amides as p2x7 modulators |
| WO2011079000A1 (en) * | 2009-12-22 | 2011-06-30 | Schering Corporation | DERIVATIVES OF 7,8-DIHYDRO-1H-IMIDAZO[2,1-b]PURIN-4(5H)-ONE AND METHODS OF USE THEREOF |
| EP2725024A1 (en) * | 2011-06-27 | 2014-04-30 | Shanghai Institute of Materia Medica, Chinese Academy of Sciences | Azole heterocyclic compound, preparation method, pharmaceutical composition and use |
| WO2015065336A1 (en) * | 2013-10-29 | 2015-05-07 | Medivir Ab | Respiratory syncytial virus inhibitors |
| WO2015099107A1 (en) * | 2013-12-26 | 2015-07-02 | 塩野義製薬株式会社 | Nitrogen-containing six-membered ring derivative and pharmaceutical composition containing same |
| WO2016088838A1 (en) * | 2014-12-04 | 2016-06-09 | 塩野義製薬株式会社 | Purine derivative and pharmaceutical composition thereof |
Cited By (11)
| Publication number | Priority date | Publication date | Assignee | Title |
|---|---|---|---|---|
| US10774051B2 (en) | 2015-04-24 | 2020-09-15 | Shionogi & Co., Ltd. | 6-membered heterocyclic derivatives and pharmaceutical composition comprising the same |
| US11124486B2 (en) | 2015-04-24 | 2021-09-21 | Shionogi & Co., Ltd. | 6-membered heterocyclic derivatives and pharmaceutical composition comprising the same |
| US10328053B2 (en) | 2016-08-26 | 2019-06-25 | Gilead Sciences, Inc. | Substituted pyrrolizine compounds and uses thereof |
| US10874640B2 (en) | 2016-08-26 | 2020-12-29 | Gilead Sciences, Inc. | Substituted pyrrolizine compounds and uses thereof |
| US12161625B2 (en) | 2016-08-26 | 2024-12-10 | Gilead Sciences, Inc. | Substituted pyrrolizine compounds and uses thereof |
| US11066409B2 (en) | 2016-10-17 | 2021-07-20 | Shionogi & Co., Ltd. | Bicyclic nitrogen-containing heterocyclic derivatives and pharmaceutical composition comprising the same |
| US11685740B2 (en) | 2016-10-17 | 2023-06-27 | Shionogi & Co., Ltd. | Bicyclic nitrogen-containing heterocyclic derivatives and pharmaceutical composition comprising the same |
| US10836769B2 (en) | 2018-02-26 | 2020-11-17 | Gilead Sciences, Inc. | Substituted pyrrolizine compounds and uses thereof |
| US11420974B2 (en) | 2018-02-26 | 2022-08-23 | Gilead Sciences, Inc. | Substituted pyrrolizine compounds and uses thereof |
| CN112574214A (en) * | 2019-07-30 | 2021-03-30 | 杭州阿诺生物医药科技有限公司 | Preparation method of adenosine receptor antagonist |
| CN112574214B (en) * | 2019-07-30 | 2021-09-28 | 杭州阿诺生物医药科技有限公司 | Adenosine receptor antagonists |
Similar Documents
| Publication | Publication Date | Title |
|---|---|---|
| JP6358639B2 (en) | 6-membered heterocyclic derivatives and pharmaceutical compositions containing them | |
| JP6618120B2 (en) | Heterocyclic and carbocyclic derivatives having TrkA inhibitory activity | |
| JP2019001806A (en) | New alkylene derivatives | |
| US11685740B2 (en) | Bicyclic nitrogen-containing heterocyclic derivatives and pharmaceutical composition comprising the same | |
| WO2016159082A1 (en) | 9-membered fused ring derivative | |
| WO2017209265A1 (en) | Bicyclic heterocyclic derivative and pharmaceutical composition containing same | |
| JPWO2017006953A1 (en) | Heterocyclic derivatives having TrkA inhibitory activity | |
| JP7311944B2 (en) | Pharmaceutical composition containing bicyclic nitrogen-containing heterocyclic derivative | |
| WO2018079759A1 (en) | Fused heterocycle having trka inhibitory activity and fused carbocycle derivative | |
| WO2017204316A1 (en) | 5-oxo-1,2,4-triazine derivative, and pharmaceutical composition thereof | |
| WO2015199206A1 (en) | Six-membered ring derivative having trpv4 inhibitory activity | |
| JP2019182806A (en) | Bicyclic heterocyclic derivative and pharmaceutical composition containing the same | |
| WO2018074565A1 (en) | Nitrogen-containing 6-membered heterocycle derivative and pharmaceutical composition containing same | |
| JP6692113B2 (en) | Pharmaceutical composition containing 6-membered heterocyclic derivative | |
| BR112019006675B1 (en) | BICYCLIC NITROGENATED HETEROCYCLIC DERIVATIVE, PHARMACEUTICAL COMPOSITION INCLUDING THE SAME AND ITS USES | |
| JP2019189573A (en) | Pharmaceutical composition for treating or preventing pain, containing condensed heterocycle and condensed carbocycle derivative |
Legal Events
| Date | Code | Title | Description |
|---|---|---|---|
| 121 | Ep: the epo has been informed by wipo that ep was designated in this application |
Ref document number: 17806815 Country of ref document: EP Kind code of ref document: A1 |
|
| NENP | Non-entry into the national phase |
Ref country code: DE |
|
| 122 | Ep: pct application non-entry in european phase |
Ref document number: 17806815 Country of ref document: EP Kind code of ref document: A1 |
|
| NENP | Non-entry into the national phase |
Ref country code: JP |























































































































