WO2017069224A1 - Spiro heterocyclic derivative having mgat2-inhibiting activity - Google Patents
Spiro heterocyclic derivative having mgat2-inhibiting activity Download PDFInfo
- Publication number
- WO2017069224A1 WO2017069224A1 PCT/JP2016/081208 JP2016081208W WO2017069224A1 WO 2017069224 A1 WO2017069224 A1 WO 2017069224A1 JP 2016081208 W JP2016081208 W JP 2016081208W WO 2017069224 A1 WO2017069224 A1 WO 2017069224A1
- Authority
- WO
- WIPO (PCT)
- Prior art keywords
- substituted
- unsubstituted
- aromatic
- aromatic heterocyclic
- aromatic carbocyclic
- Prior art date
- Legal status (The legal status is an assumption and is not a legal conclusion. Google has not performed a legal analysis and makes no representation as to the accuracy of the status listed.)
- Ceased
Links
- WVPBLKNAMCHZFN-UHFFFAOYSA-N Cc(cc1)cnc1C(CC(CCc1c2)(c1ccc2OCCCC(F)(F)F)NC1=O)=C1C#N Chemical compound Cc(cc1)cnc1C(CC(CCc1c2)(c1ccc2OCCCC(F)(F)F)NC1=O)=C1C#N WVPBLKNAMCHZFN-UHFFFAOYSA-N 0.000 description 1
- ZEKGYBLPWPYZEI-UHFFFAOYSA-N N#CC(C(NC(CCc1c2)(C3)c1ccc2OCCCC(F)(F)F)=O)=C3Cl Chemical compound N#CC(C(NC(CCc1c2)(C3)c1ccc2OCCCC(F)(F)F)=O)=C3Cl ZEKGYBLPWPYZEI-UHFFFAOYSA-N 0.000 description 1
Classifications
-
- A—HUMAN NECESSITIES
- A61—MEDICAL OR VETERINARY SCIENCE; HYGIENE
- A61K—PREPARATIONS FOR MEDICAL, DENTAL OR TOILETRY PURPOSES
- A61K31/00—Medicinal preparations containing organic active ingredients
- A61K31/33—Heterocyclic compounds
- A61K31/395—Heterocyclic compounds having nitrogen as a ring hetero atom, e.g. guanethidine or rifamycins
- A61K31/435—Heterocyclic compounds having nitrogen as a ring hetero atom, e.g. guanethidine or rifamycins having six-membered rings with one nitrogen as the only ring hetero atom
- A61K31/438—The ring being spiro-condensed with carbocyclic or heterocyclic ring systems
-
- A—HUMAN NECESSITIES
- A61—MEDICAL OR VETERINARY SCIENCE; HYGIENE
- A61K—PREPARATIONS FOR MEDICAL, DENTAL OR TOILETRY PURPOSES
- A61K31/00—Medicinal preparations containing organic active ingredients
- A61K31/33—Heterocyclic compounds
- A61K31/395—Heterocyclic compounds having nitrogen as a ring hetero atom, e.g. guanethidine or rifamycins
- A61K31/435—Heterocyclic compounds having nitrogen as a ring hetero atom, e.g. guanethidine or rifamycins having six-membered rings with one nitrogen as the only ring hetero atom
- A61K31/44—Non condensed pyridines; Hydrogenated derivatives thereof
- A61K31/4427—Non condensed pyridines; Hydrogenated derivatives thereof containing further heterocyclic ring systems
- A61K31/444—Non condensed pyridines; Hydrogenated derivatives thereof containing further heterocyclic ring systems containing a six-membered ring with nitrogen as a ring heteroatom, e.g. amrinone
-
- A—HUMAN NECESSITIES
- A61—MEDICAL OR VETERINARY SCIENCE; HYGIENE
- A61K—PREPARATIONS FOR MEDICAL, DENTAL OR TOILETRY PURPOSES
- A61K31/00—Medicinal preparations containing organic active ingredients
- A61K31/33—Heterocyclic compounds
- A61K31/395—Heterocyclic compounds having nitrogen as a ring hetero atom, e.g. guanethidine or rifamycins
- A61K31/435—Heterocyclic compounds having nitrogen as a ring hetero atom, e.g. guanethidine or rifamycins having six-membered rings with one nitrogen as the only ring hetero atom
- A61K31/44—Non condensed pyridines; Hydrogenated derivatives thereof
- A61K31/445—Non condensed piperidines, e.g. piperocaine
- A61K31/4523—Non condensed piperidines, e.g. piperocaine containing further heterocyclic ring systems
- A61K31/4545—Non condensed piperidines, e.g. piperocaine containing further heterocyclic ring systems containing a six-membered ring with nitrogen as a ring hetero atom, e.g. pipamperone, anabasine
-
- A—HUMAN NECESSITIES
- A61—MEDICAL OR VETERINARY SCIENCE; HYGIENE
- A61K—PREPARATIONS FOR MEDICAL, DENTAL OR TOILETRY PURPOSES
- A61K31/00—Medicinal preparations containing organic active ingredients
- A61K31/33—Heterocyclic compounds
- A61K31/395—Heterocyclic compounds having nitrogen as a ring hetero atom, e.g. guanethidine or rifamycins
- A61K31/495—Heterocyclic compounds having nitrogen as a ring hetero atom, e.g. guanethidine or rifamycins having six-membered rings with two or more nitrogen atoms as the only ring heteroatoms, e.g. piperazine or tetrazines
- A61K31/496—Non-condensed piperazines containing further heterocyclic rings, e.g. rifampin, thiothixene or sparfloxacin
-
- A—HUMAN NECESSITIES
- A61—MEDICAL OR VETERINARY SCIENCE; HYGIENE
- A61K—PREPARATIONS FOR MEDICAL, DENTAL OR TOILETRY PURPOSES
- A61K31/00—Medicinal preparations containing organic active ingredients
- A61K31/33—Heterocyclic compounds
- A61K31/395—Heterocyclic compounds having nitrogen as a ring hetero atom, e.g. guanethidine or rifamycins
- A61K31/495—Heterocyclic compounds having nitrogen as a ring hetero atom, e.g. guanethidine or rifamycins having six-membered rings with two or more nitrogen atoms as the only ring heteroatoms, e.g. piperazine or tetrazines
- A61K31/505—Pyrimidines; Hydrogenated pyrimidines, e.g. trimethoprim
- A61K31/506—Pyrimidines; Hydrogenated pyrimidines, e.g. trimethoprim not condensed and containing further heterocyclic rings
-
- A—HUMAN NECESSITIES
- A61—MEDICAL OR VETERINARY SCIENCE; HYGIENE
- A61K—PREPARATIONS FOR MEDICAL, DENTAL OR TOILETRY PURPOSES
- A61K31/00—Medicinal preparations containing organic active ingredients
- A61K31/33—Heterocyclic compounds
- A61K31/395—Heterocyclic compounds having nitrogen as a ring hetero atom, e.g. guanethidine or rifamycins
- A61K31/535—Heterocyclic compounds having nitrogen as a ring hetero atom, e.g. guanethidine or rifamycins having six-membered rings with at least one nitrogen and one oxygen as the ring hetero atoms, e.g. 1,2-oxazines
- A61K31/5375—1,4-Oxazines, e.g. morpholine
- A61K31/5377—1,4-Oxazines, e.g. morpholine not condensed and containing further heterocyclic rings, e.g. timolol
-
- C—CHEMISTRY; METALLURGY
- C07—ORGANIC CHEMISTRY
- C07D—HETEROCYCLIC COMPOUNDS
- C07D221/00—Heterocyclic compounds containing six-membered rings having one nitrogen atom as the only ring hetero atom, not provided for by groups C07D211/00 - C07D219/00
- C07D221/02—Heterocyclic compounds containing six-membered rings having one nitrogen atom as the only ring hetero atom, not provided for by groups C07D211/00 - C07D219/00 condensed with carbocyclic rings or ring systems
- C07D221/20—Spiro-condensed ring systems
-
- C—CHEMISTRY; METALLURGY
- C07—ORGANIC CHEMISTRY
- C07D—HETEROCYCLIC COMPOUNDS
- C07D401/00—Heterocyclic compounds containing two or more hetero rings, having nitrogen atoms as the only ring hetero atoms, at least one ring being a six-membered ring with only one nitrogen atom
- C07D401/02—Heterocyclic compounds containing two or more hetero rings, having nitrogen atoms as the only ring hetero atoms, at least one ring being a six-membered ring with only one nitrogen atom containing two hetero rings
- C07D401/04—Heterocyclic compounds containing two or more hetero rings, having nitrogen atoms as the only ring hetero atoms, at least one ring being a six-membered ring with only one nitrogen atom containing two hetero rings directly linked by a ring-member-to-ring-member bond
-
- C—CHEMISTRY; METALLURGY
- C07—ORGANIC CHEMISTRY
- C07D—HETEROCYCLIC COMPOUNDS
- C07D405/00—Heterocyclic compounds containing both one or more hetero rings having oxygen atoms as the only ring hetero atoms, and one or more rings having nitrogen as the only ring hetero atom
- C07D405/02—Heterocyclic compounds containing both one or more hetero rings having oxygen atoms as the only ring hetero atoms, and one or more rings having nitrogen as the only ring hetero atom containing two hetero rings
- C07D405/04—Heterocyclic compounds containing both one or more hetero rings having oxygen atoms as the only ring hetero atoms, and one or more rings having nitrogen as the only ring hetero atom containing two hetero rings directly linked by a ring-member-to-ring-member bond
-
- C—CHEMISTRY; METALLURGY
- C07—ORGANIC CHEMISTRY
- C07D—HETEROCYCLIC COMPOUNDS
- C07D409/00—Heterocyclic compounds containing two or more hetero rings, at least one ring having sulfur atoms as the only ring hetero atoms
- C07D409/02—Heterocyclic compounds containing two or more hetero rings, at least one ring having sulfur atoms as the only ring hetero atoms containing two hetero rings
- C07D409/04—Heterocyclic compounds containing two or more hetero rings, at least one ring having sulfur atoms as the only ring hetero atoms containing two hetero rings directly linked by a ring-member-to-ring-member bond
Definitions
- the present invention relates to a compound having a monoacylglycerol acyltransferase 2 (hereinafter also referred to as MGAT2) inhibitory action, or a pharmaceutically acceptable salt thereof, and a pharmaceutical composition containing the same.
- MGAT2 monoacylglycerol acyltransferase 2
- Obesity is defined as the accumulation of excess fat or adipose tissue in the body relative to lean body mass, and is recognized as a major risk factor for health problems.
- the body mass index (BMI) is a simple index of the height-weight ratio that is commonly used to classify an adult (over 15 years old) group or individual as overweight or obese. It is defined as the body weight (kg / m 2 ) expressed in kilograms divided by the height squared in meters. According to the World Health Organization, BMI of 25 kg / m 2 or more is “overweight” and 30 kg / m 2 or more is “obese”. On the other hand, the Japanese Society of Obesity considers BMI to be 25 kg / m 2 or more as “obesity”.
- Drug therapy uses drugs such as orlistat, mazindol, and sibutramine, but none is satisfactory in terms of both drug efficacy and side effects.
- drugs such as orlistat, mazindol, and sibutramine, but none is satisfactory in terms of both drug efficacy and side effects.
- neutral fat triglycerol
- MGAT Monoacylglycerol acyltransferase
- DGAT diacylglycerol acyltransferase
- MGAT2 and MGAT3 are highly expressed in the small intestine and are thought to be involved in fat absorption in the small intestine.
- MGAT2 knockout mice have reported that MGAT2 expression in the small intestine is increased and MGAT activity is increased by high-fat diet loading (Non-patent Document 1).
- MGAT2 knockout mice suppression of weight gain due to high-fat diet load, suppression of insulin resistance, suppression of elevated blood cholesterol, suppression of fatty liver formation, and increase in energy consumption have been confirmed (non-patented) Reference 2). So far, compounds having MGAT2 inhibitory activity have been reported (Patent Documents 1 to 16, Non-Patent Documents 3 to 13), but there is no disclosure of the compounds of the present invention shown below.
- An object of the present invention is to provide a compound having an MGAT2 inhibitory action or a pharmaceutically acceptable salt thereof and a pharmaceutical composition containing them.
- the present invention [1] Formula (I): (Where R 1 Is hydrogen, halogen, hydroxy, cyano, carboxy, substituted or unsubstituted carbamoyl, substituted or unsubstituted thiocarbamoyl, substituted or unsubstituted amidino, substituted or unsubstituted amino, substituted or unsubstituted ureido, substituted or Unsubstituted guanidino, pentafluorothio, sulfo, substituted or unsubstituted sulfamoyl, substituted or unsubstituted alkyl, substituted or unsubstituted alkenyl, substituted or unsubstituted alkynyl, substituted or unsubstituted alkyloxy, substituted or unsubstituted Sub
- a method for treating or preventing a disease associated with MGAT2 which comprises administering the compound according to any one of [1] to [10] above, or a pharmaceutically acceptable salt thereof, [16] Use of the compound according to any one of the above [1] to [10], or a pharmaceutically acceptable salt thereof, for the manufacture of a therapeutic or prophylactic agent for a disease involving MGAT2.
- the compound according to the present invention has an MGAT2 inhibitory action, and is a prophylactic agent for obesity, metabolic syndrome, hyperlipidemia, hypertriglyceridemia, hyperVLDLemia, hyperfattyemia, diabetes or arteriosclerosis, And / or useful as a therapeutic agent.
- Halogen includes fluorine atom, chlorine atom, bromine atom, and iodine atom. In particular, a fluorine atom and a chlorine atom are preferable.
- Alkyl includes linear or branched hydrocarbon groups having 1 to 15 carbon atoms, preferably 1 to 10 carbon atoms, more preferably 1 to 6 carbon atoms, and still more preferably 1 to 4 carbon atoms. To do. For example, methyl, ethyl, n-propyl, isopropyl, n-butyl, isobutyl, sec-butyl, tert-butyl, n-pentyl, isopentyl, neopentyl, n-hexyl, isohexyl, n-heptyl, isoheptyl, n-octyl , Isooctyl, n-nonyl, n-decyl and the like.
- alkyl examples include methyl, ethyl, n-propyl, isopropyl, n-butyl, isobutyl, sec-butyl, tert-butyl and n-pentyl. Further preferred examples include methyl, ethyl, n-propyl, isopropyl and tert-butyl.
- Alkenyl has 2 to 15 carbon atoms, preferably 2 to 10 carbon atoms, more preferably 2 to 6 carbon atoms, and further preferably 2 to 4 carbon atoms, having one or more double bonds at any position. These linear or branched hydrocarbon groups are included.
- alkenyl include vinyl, allyl, propenyl, isopropenyl, butenyl, isobutenyl, prenyl, butadienyl, pentenyl, isopentenyl, pentadienyl, hexenyl, isohexenyl, hexadienyl, heptenyl, octenyl, nonenyl, decenyl, undecenyl, dodecenyl, tridecenyl, decenyl, tridecenyl, decenyl Etc.
- alkenyl include vinyl, allyl, propenyl, isopropenyl and butenyl.
- Alkynyl has 2 to 10 carbon atoms, preferably 2 to 8 carbon atoms, more preferably 2 to 6 carbon atoms, and more preferably 2 to 4 carbon atoms, having one or more triple bonds at any position. Includes straight chain or branched hydrocarbon groups. Furthermore, you may have a double bond in arbitrary positions. Examples include ethynyl, propynyl, butynyl, pentynyl, hexynyl, heptynyl, octynyl, nonynyl, decynyl and the like. Preferred embodiments of “alkynyl” include ethynyl, propynyl, butynyl and pentynyl.
- Alkylene is a straight or branched divalent hydrocarbon having 1 to 15 carbon atoms, preferably 1 to 10 carbon atoms, more preferably 1 to 6 carbon atoms, and still more preferably 1 to 4 carbon atoms. Includes groups. Examples include methylene, ethylene, propylene, tetramethylene, pentamethylene, hexamethylene and the like.
- aromatic carbocyclic group means a cyclic aromatic hydrocarbon group having one or more rings.
- aromatic carbocyclic group includes phenyl.
- non-aromatic carbocyclic group means a cyclic saturated hydrocarbon group or a cyclic non-aromatic unsaturated hydrocarbon group having one or more rings.
- the “non-aromatic carbocyclic group” having two or more rings includes those obtained by condensing a ring in the above “aromatic carbocyclic group” to a monocyclic or two or more non-aromatic carbocyclic groups.
- the “non-aromatic carbocyclic group” includes a group that forms a bridge or a spiro ring as described below.
- the monocyclic non-aromatic carbocyclic group preferably has 3 to 16 carbon atoms, more preferably 3 to 12 carbon atoms, and still more preferably 4 to 8 carbon atoms.
- Examples include cyclopropyl, cyclobutyl, cyclopentyl, cyclohexyl, cycloheptyl, cyclooctyl, cyclononyl, cyclodecyl, cyclopropenyl, cyclobutenyl, cyclopentenyl, cyclohexenyl, cycloheptenyl, cyclohexadienyl, and the like.
- the non-aromatic carbocyclic group having 2 or more rings preferably has 8 to 20 carbon atoms, and more preferably has 8 to 16 carbon atoms.
- indanyl, indenyl, acenaphthyl, tetrahydronaphthyl, fluorenyl and the like can be mentioned.
- “Aromatic heterocyclic group” means a monocyclic or bicyclic or more aromatic cyclic group having one or more heteroatoms arbitrarily selected from O, S and N in the ring To do.
- the aromatic heterocyclic group having two or more rings includes those obtained by condensing a ring in the above “aromatic carbocyclic group” to a monocyclic or two or more aromatic heterocyclic group.
- the monocyclic aromatic heterocyclic group is preferably 5 to 8 members, more preferably 5 or 6 members.
- Examples include pyrrolyl, imidazolyl, pyrazolyl, pyridyl, pyridazinyl, pyrimidinyl, pyrazinyl, triazolyl, triazinyl, tetrazolyl, furyl, thienyl, isoxazolyl, oxazolyl, oxadiazolyl, isothiazolyl, thiazolyl, thiadiazolyl and the like.
- the bicyclic aromatic heterocyclic group is preferably 8 to 10 members, more preferably 9 or 10 members.
- indolyl isoindolyl, indazolyl, indolizinyl, quinolinyl, isoquinolinyl, cinnolinyl, phthalazinyl, quinazolinyl, naphthyridinyl, quinoxalinyl, purinyl, pteridinyl, benzimidazolyl, benzisoxazolyl, benzoxazoazolyl, benzoxadiazolyl, benzoisodiazolyl Ril, benzothiazolyl, benzothiadiazolyl, benzofuryl, isobenzofuryl, benzothienyl, benzotriazolyl, imidazopyridyl, triazolopyridyl, imidazothiazolyl, pyrazinopyridazinyl, oxazolopyridyl, thiazolopyridyl, etc.
- aromatic heterocyclic group having 3 or more rings examples include carbazolyl, acridinyl, xanthenyl, phenothiazinyl, phenoxathinyl, phenoxazinyl, dibenzofuryl and the like.
- Non-aromatic heterocyclic group means a monocyclic or bicyclic or more cyclic non-aromatic cyclic group having at least one hetero atom selected from O, S and N in the ring. Means group.
- the non-aromatic heterocyclic group having 2 or more rings is a monocyclic or 2 or more non-aromatic heterocyclic group, the above “aromatic carbocyclic group”, “non-aromatic carbocyclic group”, and / Or each condensed ring in the “aromatic heterocyclic group” is condensed, and further, the ring in the above “aromatic heterocyclic group” is condensed to a monocyclic or two or more non-aromatic carbocyclic groups. Also included.
- non-aromatic heterocyclic group includes a group that forms a bridge or a spiro ring as described below.
- the monocyclic non-aromatic heterocyclic group is preferably 3 to 8 members, more preferably 5 or 6 members.
- the non-aromatic heterocyclic group having 2 or more rings is preferably 8 to 20 members, more preferably 8 to 10 members.
- indolinyl, isoindolinyl, chromanyl, isochromanyl and the like can be mentioned.
- a carbon atom or a nitrogen atom at any position may be bonded to one or more groups selected from the following substituents.
- substituents halogen, hydroxy, cyano, formyl, formyloxy, thioformyl, carboxy, thiocarboxy, dithiocarboxy, carbamoyl, thiocarbamoyl, amidino, amino, hydroxyamino, hydroxyimino, nitro, nitroso, azide, hydrazino, ureido, guanidino , Pentafluorothio, thiol, sulfino, sulfo, sulfamoyl, trialkylsilyl, alkyl, alkenyl, alkynyl, haloalkyl, haloalkenyl, haloalkynyl, alkyloxy, alkenyloxy, alkynyloxy, haloalkyl
- An atom at any position on the ring may be bonded to one or more groups selected from the following substituents.
- substituents halogen, hydroxy, cyano, formyl, formyloxy, thioformyl, carboxy, thiocarboxy, dithiocarboxy, carbamoyl, thiocarbamoyl, amidino, amino, hydroxyamino, imino, hydroxyimino, nitro, nitroso, azide, hydrazino, ureido , Guanidino, pentafluorothio, thiol, sulfino, sulfo, sulfamoyl, trialkylsilyl, alkyl, alkenyl, alkynyl, alkyloxy, alkenyloxy, alkynyloxy, haloalkyloxy, haloalkenyloxy, haloalkynyloxy, hydroxyalkyl, alky
- substituted or unsubstituted non-aromatic carbocyclic group and “substituted or unsubstituted non-aromatic heterocyclic group” may be substituted with “oxo”. In this case, it means a group in which two hydrogen atoms on a carbon atom are substituted as follows.
- R 1 is, for example, hydrogen, halogen, hydroxy, cyano, carboxy, substituted or unsubstituted carbamoyl, substituted or unsubstituted thiocarbamoyl, substituted or unsubstituted amidino, substituted or unsubstituted amino, substituted or unsubstituted Ureido, substituted or unsubstituted guanidino, pentafluorothio, sulfo, substituted or unsubstituted sulfamoyl, substituted or unsubstituted alkyl, substituted or unsubstituted alkenyl, substituted or unsubstituted alkynyl, substituted or unsubstituted alkyl Oxy, substituted or unsubstituted alkenyloxy, substituted or unsubstituted alkynyloxy, substituted or unsubstituted alkylcarbonyloxy, substituted or unsub
- R 1 Preferred embodiments of R 1 include hydrogen, cyano, substituted or unsubstituted alkyloxycarbonyl, substituted or unsubstituted carbamoyl, substituted or unsubstituted amino, substituted or unsubstituted ureido, substituted or unsubstituted sulfamoyl, substituted Alternatively, unsubstituted alkyl, substituted or unsubstituted aromatic heterocyclic group, substituted or unsubstituted non-aromatic heterocyclic group, groups shown below, and the like can be given.
- R 1 More preferred embodiments of R 1 include hydrogen, cyano, substituted or unsubstituted alkyl, substituted or unsubstituted alkyloxycarbonyl, substituted or unsubstituted aromatic heterocyclic group, substituted or unsubstituted non-aromatic heterocyclic A cyclic group, the group shown below, etc. are mentioned.
- the preferred substituent of R 1 is halogen, cyano, carboxy, amino, ureido, sulfamoyl, alkyl, alkenyl, alkyloxy, alkylsulfonyl, monoalkylaminosulfonyl Monoalkylamino, dialkylamino, monoalkylcarbonylamino, monoalkyloxycarbonylamino, monoalkylsulfonylamino, monoalkylcarbamoyl, dialkylcarbamoyl, monoalkylsulfamoyl, dialkylsulfamoyl, aromatic carbocyclic group, non An aromatic carbocyclic group, an aromatic heterocyclic group, or a non-aromatic heterocyclic group.
- R 1 More preferred specific embodiments of R 1 include, for example, hydrogen, cyano, alkyloxycarbonyl, carbamoylalkyl, alkylcarbonylaminoalkyl, cycloalkylsulfocarbamoylalkyl, and groups shown below.
- R 2 is, for example, hydrogen, hydroxy, substituted or unsubstituted carbamoyl, substituted or unsubstituted alkyl, substituted or unsubstituted alkylcarbonyl, substituted or unsubstituted alkyloxycarbonyl, substituted or unsubstituted alkylsulfonyl, A substituted or unsubstituted aromatic carbocyclic group, a substituted or unsubstituted non-aromatic carbocyclic group, a substituted or unsubstituted aromatic heterocyclic group, a substituted or unsubstituted non-aromatic heterocyclic group, Substituted or unsubstituted aromatic carbocyclic carbonyl, substituted or unsubstituted non-aromatic carbocyclic carbonyl, substituted or unsubstituted aromatic heterocyclic carbonyl, substituted or unsubstituted non-aromatic heterocyclic carbonyl, substituted or un
- R 2 are hydrogen, hydroxy and the like.
- preferred substituents of R 2 are halogen, hydroxy, amino, alkyl, monoalkylamino, dialkylamino, aromatic carbocyclic group, non-aromatic carbon A cyclic group, an aromatic heterocyclic group, or a non-aromatic heterocyclic group.
- the R 4a for example, hydrogen, halogen, hydroxy, cyano, substituted or unsubstituted alkyl, substituted or unsubstituted alkyloxy, substituted or unsubstituted alkylsulfonyl, substituted or unsubstituted aromatic carbocyclic group, Substituted or unsubstituted non-aromatic carbocyclic group, substituted or unsubstituted aromatic heterocyclic group, substituted or unsubstituted non-aromatic heterocyclic group, substituted or unsubstituted aromatic carbocyclic group oxy Substituted or unsubstituted non-aromatic carbocyclic group oxy, substituted or unsubstituted aromatic heterocyclic group oxy, substituted or unsubstituted non-aromatic heterocyclic group oxy, substituted or unsubstituted aromatic carbon Cyclic group sulfonyl, substituted or unsubstituted non-ar
- a preferable embodiment of R 4a includes hydrogen.
- the substituent of the preferred substituent of R 4a is halogen, hydroxy, amino, alkyl, monoalkylamino, dialkylamino, aromatic carbocyclic group, non-aromatic carbon A cyclic group, an aromatic heterocyclic group, or a non-aromatic heterocyclic group.
- R 4b includes, for example, hydrogen, halogen, hydroxy, cyano, substituted or unsubstituted alkyl, substituted or unsubstituted alkyloxy, substituted or unsubstituted alkylsulfonyl, substituted or unsubstituted aromatic carbocyclic group, Substituted or unsubstituted non-aromatic carbocyclic group, substituted or unsubstituted aromatic heterocyclic group, substituted or unsubstituted non-aromatic heterocyclic group, substituted or unsubstituted aromatic carbocyclic group oxy Substituted or unsubstituted non-aromatic carbocyclic group oxy, substituted or unsubstituted aromatic heterocyclic group oxy, substituted or unsubstituted non-aromatic heterocyclic group oxy, substituted or unsubstituted aromatic carbon Cyclic group sulfonyl, substituted or unsubstituted non-
- R 4b includes hydrogen.
- preferred substituents of R 4b are halogen, hydroxy, amino, alkyl, monoalkylamino, dialkylamino, aromatic carbocyclic group, non-aromatic carbon A cyclic group, an aromatic heterocyclic group, or a non-aromatic heterocyclic group.
- R 5 is each independently, for example, halogen, hydroxy, cyano, carboxy, substituted or unsubstituted carbamoyl, substituted or unsubstituted thiocarbamoyl, substituted or unsubstituted amidino, substituted or unsubstituted amino, substituted Or unsubstituted ureido, substituted or unsubstituted guanidino, pentafluorothio, sulfo, substituted or unsubstituted sulfamoyl, substituted or unsubstituted alkyl, substituted or unsubstituted alkenyl, substituted or unsubstituted alkynyl, substituted or unsubstituted Substituted alkyloxy, substituted or unsubstituted alkenyloxy, substituted or unsubstituted alkynyloxy, substituted or unsubstituted alkylcarbonyloxy, substitute
- R 5 are each independently halogen, carboxy, cyano, substituted or unsubstituted carbamoyl, substituted or unsubstituted amino, substituted or unsubstituted ureido, substituted or unsubstituted sulfamoyl, substituted or unsubstituted Substituted alkyl, substituted or unsubstituted alkyloxy, substituted or unsubstituted alkylcarbonyl, substituted or unsubstituted alkyloxycarbonyl, substituted or unsubstituted alkylsulfonyl, substituted or unsubstituted aromatic carbocyclic group, substituted Or an unsubstituted non-aromatic carbocyclic group, a substituted or unsubstituted aromatic heterocyclic group, a substituted or unsubstituted non-aromatic heterocyclic group, a substituted or unsubstituted aromatic carbocyclic group, substituted
- R 5 are each independently halogen, cyano, substituted or unsubstituted carbamoyl, substituted or unsubstituted amino, substituted or unsubstituted sulfamoyl, substituted or unsubstituted alkyl, substituted or unsubstituted Alkyloxy, substituted or unsubstituted alkylcarbonyl, substituted or unsubstituted alkyloxycarbonyl, substituted or unsubstituted alkylsulfonyl, substituted or unsubstituted aromatic carbocyclic group, substituted or unsubstituted nonaromatic carbon Cyclic group, substituted or unsubstituted aromatic heterocyclic group, substituted or unsubstituted non-aromatic heterocyclic group, substituted or unsubstituted non-aromatic carbocyclic oxy, substituted or unsubstituted non-aromatic hetero A ring oxy is mentioned.
- the preferred substituents of R 5 are halogen, cyano, hydroxy, carboxy, amino, ureido, alkyl, alkenyl, alkyloxy, alkylcarbonyl, alkyloxycarbonyl, Alkylsulfonyl, alkylsulfonylamino, monoalkylaminosulfonyl, monoalkylamino, dialkylamino, monoalkylcarbonylamino, monoalkyloxycarbonylamino, monoalkylsulfonylamino, monoalkylcarbamoyl, dialkylcarbamoyl, monoalkylsulfamoyl, dialkylsulfone Famoyl, aromatic carbocyclic group, non-aromatic carbocyclic group, aromatic heterocyclic group, or non-aromatic heterocyclic group.
- R 5 are each independently, for example, fluorine atom, chlorine atom, cyano, methyl, ethyl, propyl, pentyl, difluoromethyl, trifluoromethyl, hydroxymethyl, hydroxyethyl, hydroxypropyl.
- the bonding position of R 5 is preferably the p position of A.
- R 6 is each independently, for example, halogen, hydroxy, cyano, carboxy, substituted or unsubstituted carbamoyl, substituted or unsubstituted thiocarbamoyl, substituted or unsubstituted amidino, substituted or unsubstituted amino, substituted Or unsubstituted ureido, substituted or unsubstituted guanidino, pentafluorothio, sulfo, substituted or unsubstituted sulfamoyl, substituted or unsubstituted alkyl, substituted or unsubstituted alkenyl, substituted or unsubstituted alkynyl, substituted or unsubstituted Substituted alkyloxy, substituted or unsubstituted alkenyloxy, substituted or unsubstituted alkynyloxy, substituted or unsubstituted alkylcarbonyloxy, substitute
- R 6 each independently represents halogen, hydroxy, cyano, carboxy, substituted or unsubstituted carbamoyl, substituted or unsubstituted amino, substituted or unsubstituted ureido, substituted or unsubstituted sulfamoyl, substituted Or unsubstituted alkyl, substituted or unsubstituted alkenyl, substituted or unsubstituted alkyloxy, substituted or unsubstituted alkylcarbonyl, substituted or unsubstituted alkyloxycarbonyl, substituted or unsubstituted alkylsulfonyl, substituted or unsubstituted Aromatic carbocyclic group, substituted or unsubstituted non-aromatic carbocyclic group, substituted or unsubstituted aromatic heterocyclic group, substituted or unsubstituted non-aromatic heterocyclic group, substituted or unsubstituted
- R 6 include halogen, hydroxy, substituted or unsubstituted amino, substituted or unsubstituted alkyl, substituted or unsubstituted alkyloxy, substituted or unsubstituted alkylcarbonyl, substituted or unsubstituted alkylcarbonyl Oxy, substituted or unsubstituted alkyloxycarbonyl, substituted or unsubstituted aromatic carbocyclic group, substituted or unsubstituted nonaromatic carbocyclic group, substituted or unsubstituted aromatic heterocyclic group, substituted or Unsubstituted non-aromatic heterocyclic group, substituted or unsubstituted aromatic carbocyclic oxy, substituted or unsubstituted non-aromatic carbocyclic oxy, substituted or unsubstituted aromatic heterocyclic oxy, substituted or unsubstituted Non-aromatic heterocyclic oxy is mentioned.
- the preferred substituents of R 6 are halogen, cyano, hydroxy, carboxy, nitro, amino, ureido, alkyl, alkenyl, haloalkyl, hydroxyalkyl, alkyloxy, Alkylcarbonyl, haloalkyloxy, haloalkyloxyalkyl, alkylsulfonyl, monoalkylaminosulfonyl, monoalkylamino, dialkylamino, monoalkylcarbonylamino, monoalkyloxycarbonylamino, monoalkylsulfonylamino, monoalkylcarbamoyl, dialkylcarbamoyl, monoalkyl Sulfamoyl, dialkylsulfamoyl, alkylsulfinyl, aromatic carbocyclic group, non-aromatic carbocyclic group, aromatic heterocyclic group, non-aromatic heterocycl
- R 6 for example, bromine atom, hydroxy, amino, methyl, ethyl, butyl, pentyl, methyloxymethyl, methylcarbonyl, methylcarbonylamino, monofluoroethyloxy, monofluoropropyloxy, Difluoroethylamino, trifluoroethylamino, trifluoromethyl, trifluoropropyl, trifluoropropylamino, trifluoromethyloxyethyloxy, trifluoromethyloxyethylamino, difluoromethyloxy, trifluorobutyl, tri Fluorobutyloxy, trifluorobutylamino, dimethylsulfinylamino, dimethylaminoethyl, hydroxypentyloxy, pentylamino, cyclopropyl, cyclopropyl Examples include propylmethyl, cyclobutylamino, dimethylsulfinylamino, dimethyl
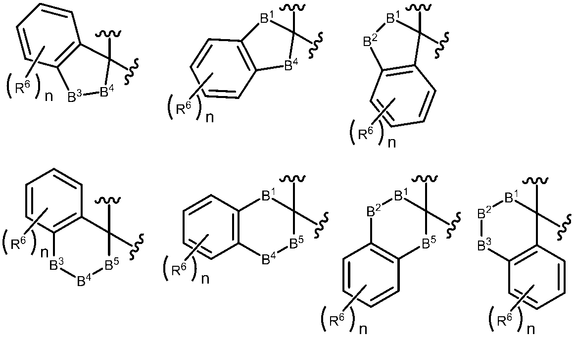
- B 1 examples include CR 11a R 11b , NR 11c , O, and S.
- Preferred examples of B 1 include CR 11a R 11b , NR 11c , and O. More preferred embodiments of B 1 include CR 11a R 11b .
- a preferred specific embodiment of B 1 includes, for example, CH 2 .
- B 2 examples include CR 12a R 12b , NR 12c , O, and S.
- Preferred examples of B 2 include CR 12a R 12b , NR 12c , and O.
- CR 12a R 12b can be mentioned.
- Preferable specific embodiments of B 2 include, for example, CH 2 .
- B 3 examples include CR 13a R 13b , NR 13c , O, and S.
- Preferred examples of B 3 include CR 13a R 13b , NR 13c , and O. More preferred embodiments of B 3 include CR 13a R 13b .
- Preferable specific embodiments of B 3 include, for example, CH 2 , NMe, and O.
- B 4 examples include CR 14a R 14b , NR 14c , O, and S.
- Preferred examples of B 4 include CR 14a R 14b , NR 14c , and O.
- More preferred embodiments of B 4 include CR 14a R 14b .
- Preferable specific embodiments of B 4 include, for example, CH 2 , CF 2 , C ( ⁇ O), and O.
- B 5 examples include CR 15a R 15b , NR 15c , O, and S.
- Preferred examples of B 5 include CR 15a R 15b , NR 15c , and O. More preferred embodiments of B 5 include CR 15a R 15b .
- Preferable specific embodiments of B 5 include, for example, CH 2 .
- —B 1 —B 2 —B 3 —B 4 — or —B 1 —B 2 —B 3 —B 4 —B 5 — represents —O—O—O—O— or —S—S—S.
- —S— three or more atoms of any one of N, O, and S are not bonded in succession.
- R 11a , R 12a , R 13a , R 14a , and R 15a are each independently, for example, hydrogen, halogen, hydroxy, cyano, carboxy, substituted or unsubstituted carbamoyl, substituted or unsubstituted thiocarbamoyl, Substituted or unsubstituted amidino, substituted or unsubstituted amino, substituted or unsubstituted ureido, substituted or unsubstituted guanidino, pentafluorothio, sulfo, substituted or unsubstituted sulfamoyl, substituted or unsubstituted alkyl, substituted or Unsubstituted alkenyl, substituted or unsubstituted alkynyl, substituted or unsubstituted alkyloxy, substituted or unsubstituted alkenyloxy, substituted or unsubstituted alkyn
- R 11a , R 12a , R 13a , R 14a , and R 15a each independently include hydrogen, halogen, and substituted or unsubstituted alkyl. Hydrogen is mentioned as a further more preferable aspect of R ⁇ 11a> , R ⁇ 12a> , R ⁇ 13a> , R ⁇ 14a> , and R ⁇ 15a> .
- substituents of R 11a , R 12a , R 13a , R 14a , and R 15a further have a substituent
- the preferred substituents are each independently halogen, hydroxy, amino, alkyl, monoalkylamino , Dialkylamino, aromatic carbocyclic group, non-aromatic carbocyclic group, aromatic heterocyclic group, or non-aromatic heterocyclic group.
- R 11b , R 12b , R 13b , R 14b , and R 15b are each independently, for example, hydrogen, halogen, hydroxy, cyano, carboxy, substituted or unsubstituted carbamoyl, substituted or unsubstituted thiocarbamoyl, Substituted or unsubstituted amidino, substituted or unsubstituted amino, substituted or unsubstituted ureido, substituted or unsubstituted guanidino, pentafluorothio, sulfo, substituted or unsubstituted sulfamoyl, substituted or unsubstituted alkyl, substituted or Unsubstituted alkenyl, substituted or unsubstituted alkynyl, substituted or unsubstituted alkyloxy, substituted or unsubstituted alkenyloxy, substituted or unsubstituted alkyn
- Hydrogen is mentioned as a still more preferable aspect of R ⁇ 11b> , R ⁇ 12b> , R ⁇ 13b> , R ⁇ 14b> , and R ⁇ 15b> .
- the preferred substituents are each independently halogen, hydroxy, amino, alkyl, monoalkylamino , Dialkylamino, aromatic carbocyclic group, non-aromatic carbocyclic group, aromatic heterocyclic group, or non-aromatic heterocyclic group.
- R 11c , R 12c , R 13c , R 14c , and R 15c are each independently, for example, hydrogen, substituted or unsubstituted carbamoyl, substituted or unsubstituted thiocarbamoyl, substituted or unsubstituted amidino, substituted Or unsubstituted amino, substituted or unsubstituted ureido, substituted or unsubstituted guanidino, pentafluorothio, sulfo, substituted or unsubstituted sulfamoyl, substituted or unsubstituted alkyl, substituted or unsubstituted alkenyl, substituted or unsubstituted Substituted alkynyl, substituted or unsubstituted alkyloxy, substituted or unsubstituted alkenyloxy, substituted or unsubstituted alkynyloxy, substituted or unsubstitute
- R 11c , R 12c , R 13c , R 14c , and R 15c each independently include hydrogen, halogen, and substituted or unsubstituted alkyl. Hydrogen is mentioned as a still more preferable aspect of R ⁇ 11c> , R ⁇ 12c> , R ⁇ 13c> , R ⁇ 14c> , and R ⁇ 15c> .
- the preferred substituents of the substituent are each independently halogen, hydroxy, amino, alkyl, monoalkylamino , Dialkylamino, aromatic carbocyclic group, non-aromatic carbocyclic group, aromatic heterocyclic group, or non-aromatic heterocyclic group.
- R S1 and R S2 are each independently, for example, hydrogen, substituted or unsubstituted alkyl, substituted or unsubstituted aromatic carbocyclic group, substituted or unsubstituted non-aromatic carbocyclic group, substituted Or an unsubstituted aromatic heterocyclic group, a substituted or unsubstituted non-aromatic heterocyclic group, or R S1 and R S2 bonded to the same sulfur atom together with the sulfur atom Thus, a substituted or unsubstituted non-aromatic heterocyclic ring may be formed.
- Preferable embodiments of R S1 and R S2 each independently include hydrogen, substituted or unsubstituted alkyl.
- R S1 and R S2 includes hydrogen.
- the substituents of the preferred substituents of R S1 and R S2 are each independently halogen, hydroxy, amino, alkyl, alkyloxy, monoalkylamino, A dialkylamino, an aromatic carbocyclic group, a non-aromatic carbocyclic group, an aromatic heterocyclic group, or a non-aromatic heterocyclic group.
- the R N each independently, for example, hydrogen, cyano, substituted or unsubstituted carbamoyl, substituted or unsubstituted alkyl, substituted or unsubstituted alkylcarbonyl, substituted or unsubstituted alkyloxycarbonyl, substituted or non Substituted aromatic carbocyclic group, substituted or unsubstituted non-aromatic carbocyclic group, substituted or unsubstituted aromatic heterocyclic group, substituted or unsubstituted non-aromatic heterocyclic group, substituted or non-substituted Examples thereof include substituted aromatic carbocyclic carbonyl, substituted or unsubstituted non-aromatic carbocyclic carbonyl, substituted or unsubstituted aromatic heterocyclic carbonyl, and substituted or unsubstituted non-aromatic heterocyclic carbonyl.
- R N each independently hydrogen, include substituted or unsubstituted alkyl.
- R N include substituted or unsubstituted alkyl.
- the substituents of preferred substituents R N is halogen, hydroxy, amino, alkyl, alkyloxy, monoalkylamino, dialkylamino, aromatic carbocyclic group, a non- An aromatic carbocyclic group, an aromatic heterocyclic group, or a non-aromatic heterocyclic group.
- L is each independently, for example, a single bond, alkylene, or C ( ⁇ O).
- a single bond and alkylene are mentioned each independently.
- a more preferred embodiment of L includes a single bond.
- Examples of X include C ( ⁇ O), C ( ⁇ S), and SO 2 .
- Preferred examples of X include C ( ⁇ O) and C ( ⁇ S).
- a more preferable embodiment of X includes C ( ⁇ O).
- A is an aromatic carbocyclic ring, a non-aromatic carbocyclic ring, an aromatic heterocyclic ring, or a non-aromatic heterocyclic ring.
- a more preferable embodiment of A is an aromatic carbocyclic ring, a non-aromatic carbocyclic ring or an aromatic heterocyclic ring.
- A include, for example, phenyl, naphthyl, cyclopentyl, cyclohexyl, cycloheptyl, indanyl, pyridyl, pyrimidyl, pyrazolyl, piperidyl, piperazinyl, morpholino, azaspiroheptyl, benzodioxolyl, benzothiophenyl. It is done.
- B is a non-aromatic carbocyclic ring or a non-aromatic heterocyclic ring. More preferable embodiments of B include, for example, cyclopentyl, cyclohexyl, dihydroindenyl, tetrahydronaphthyl, indolinonyl, chromanyl, isochromanyl and the like.
- C is an aromatic carbocyclic ring, a non-aromatic carbocyclic ring, an aromatic heterocyclic ring, or a non-aromatic heterocyclic ring.
- a more preferable embodiment of C is an aromatic carbocycle or an aromatic heterocycle.
- Another preferred embodiment of C includes, for example, benzene.
- n is an integer of 0 to 5.
- a preferred embodiment of m is an integer of 0 to 3.
- a more preferred embodiment of m is 0-2.
- 0 or 1 is used.
- n is an integer of 0 to 4.
- a preferred embodiment of n is an integer of 1 to 4.
- a more preferred embodiment of n is an integer of 1 to 3.
- a more preferable embodiment of n is an integer of 1 to 2.
- a particularly preferred embodiment of n is 1.
- L 1 is substituted or unsubstituted alkylene.
- Preferable embodiments of L 1 include, for example, methylene, ethylene, propylene and the like.
- L 2 is each independently a single bond, —C ( ⁇ O) —, —C ( ⁇ O) —O—, —O—C ( ⁇ O) —, —C ( ⁇ O) —N ( H) —, —N (H) —C ( ⁇ O) —, —C ( ⁇ O) —N (H) —S (O) 2 —, —N (H) —S (O) 2 —, — It is a group selected from the group consisting of S (O) 2 —N (H) — and —S (O) 2 —N (H) —C ( ⁇ O) —.
- L 3 is each independently a single bond or substituted or unsubstituted alkylene.
- the substituents of preferred substituents of L 3 are, for example, independently, halogen, cyano, carboxy, amino, ureido, sulfamoyl, alkyl, alkenyl, alkyloxy, Alkylsulfonyl, monoalkylaminosulfonyl, monoalkylamino, dialkylamino, monoalkylcarbonylamino, monoalkyloxycarbonylamino, monoalkylsulfonylamino, monoalkylcarbamoyl, dialkylcarbamoyl, monoalkylsulfamoyl, dialkylsulfamoyl, aromatic An aromatic carbocyclic group, a non-aromatic carbocyclic group, an aromatic heterocyclic group, a non-aromatic heterocyclic group, and the like
- R 1 ′ is halogen, hydroxy, carboxy, cyano, substituted or unsubstituted amino, substituted or unsubstituted alkyl, substituted or unsubstituted alkenyl, substituted or unsubstituted alkynyl, substituted or unsubstituted aromatic carbon A cyclic group, a substituted or unsubstituted non-aromatic carbocyclic group, a substituted or unsubstituted aromatic heterocyclic group, or a substituted or unsubstituted non-aromatic heterocyclic group.
- R 1 ′ include, for example, hydroxy, carboxy, cyano, substituted or unsubstituted amino, substituted or unsubstituted alkyl, substituted or unsubstituted aromatic carbocyclic group, substituted or unsubstituted non-aromatic An aromatic carbocyclic group, a substituted or unsubstituted aromatic heterocyclic group, and the like.
- the substituents of the preferred substituent of R 1 ′ are, for example, independently, halogen, cyano, carboxy, amino, ureido, sulfamoyl, alkyl, alkenyl, alkyl Oxy, alkylsulfonyl, monoalkylaminosulfonyl, monoalkylamino, dialkylamino, monoalkylcarbonylamino, monoalkyloxycarbonylamino, monoalkylsulfonylamino, monoalkylcarbamoyl, dialkylcarbamoyl, monoalkylsulfamoyl, dialkylsulfamoyl , Aromatic carbocyclic group, non-aromatic carbocyclic group, aromatic heterocyclic group, non-aromatic heterocyclic group and the like.
- p is an integer of 0 to 2.
- a preferred embodiment of p is an integer of 0 to 1.
- a more preferable embodiment of p is 1.
- Particularly preferred compounds according to the present invention include the compounds of Examples I-1, I-2, I-3, I-5, I-7, I-8, I-12, I-19, I-33, I A compound selected from the group consisting of -44, I-45, I-50, I-51, I-52, I-53, I-55, I-57 and I-61, or Examples Compounds I-5, I-70, I-71, I-73, I-83, I-94, I-95, I-104, I-108, I-110, I-112, I-132 A compound selected from the group consisting of I-136, I-143, I-157, I-160, I-164, I-165, I-185 and I-222, or Examples Compounds I-1, I-71, I-132, I-134, I-143, I-160, I-162, I-164, I-165, I-232, I-245, I-246 And compounds selected from the group consisting of I-247, I-255, I-263, I-304, I-
- a feature of the compound according to the present invention is that B of formula (I) has a MGAT2 inhibitory action by forming a spiro ring.
- the compound of formula (I) is not limited to a particular isomer, but all possible isomers (eg keto-enol isomer, imine-enamine isomer, diastereoisomer, optical isomer) , Rotamers, etc.), racemates or mixtures thereof.
- a compound in which A is an aromatic heterocyclic group such as pyridyl and R 1 is an aromatic heterocyclic group such as tetrazolonyl includes the following tautomers. .
- One or more hydrogen, carbon and / or other atoms of the compound of formula (I) may be replaced with isotopes of hydrogen, carbon and / or other atoms, respectively.
- isotopes are 2 H, 3 H, 11 C, 13 C, 14 C, 15 N, 18 O, 17 O, 31 P, 32 P, 35 S, 18 F, 123 I and Like 36 Cl, hydrogen, carbon, nitrogen, oxygen, phosphorus, sulfur, fluorine, iodine and chlorine are included.
- the compound represented by the formula (I) also includes a compound substituted with such an isotope.
- the compound substituted with the isotope is also useful as a pharmaceutical, and includes all radiolabeled compounds of the compound represented by the formula (I).
- a “radiolabeling method” for producing the “radiolabeled substance” is also encompassed in the present invention, and the “radiolabeled substance” is useful as a metabolic pharmacokinetic study, a research in a binding assay, and / or a diagnostic tool. It is.
- the radioactive label of the compound represented by the formula (I) can be prepared by a method well known in the art.
- the tritium labeled compound represented by the formula (I) can be prepared by introducing tritium into the specific compound represented by the formula (I) by catalytic dehalogenation reaction using tritium. This method reacts a tritium gas with a precursor in which the compound of formula (I) is appropriately halogen-substituted in the presence of a suitable catalyst such as Pd / C, in the presence or absence of a base. Including that.
- a suitable catalyst such as Pd / C
- the 14 C-labeled compound can be prepared by using a raw material having 14 C carbon.
- an alkali metal for example, lithium, sodium, potassium, etc.
- an alkaline earth metal for example, Calcium, barium, etc.
- magnesium transition metals (eg, zinc, iron, etc.), ammonia, organic bases (eg, trimethylamine, triethylamine, dicyclohexylamine, ethanolamine, diethanolamine, triethanolamine, meglumine, ethylenediamine, pyridine, picoline, Quinoline etc.) and amino acid salts, or inorganic acids (eg hydrochloric acid, sulfuric acid, nitric acid, carbonic acid, hydrobromic acid, phosphoric acid, hydroiodic acid etc.) and organic acids (eg formic acid, acetic acid, propionic acid) , Trifluoroacetic acid, citric acid, lactic acid, tartaric acid, oxalic acid, Maleic acid, fuma
- organic bases eg, trimethylamine, triethylamine, dicyclohexylamine,
- the compound represented by the formula (I) of the present invention or a pharmaceutically acceptable salt thereof may form a solvate (for example, hydrate etc.), a co-crystal and / or a crystal polymorph. Also encompasses such various solvates, co-crystals and polymorphs.
- the “solvate” may be coordinated with an arbitrary number of solvent molecules (for example, water molecules) with respect to the compound represented by the formula (I).
- solvent molecules for example, water molecules
- a crystal polymorph may be formed by recrystallizing the compound represented by the formula (I) or a pharmaceutically acceptable salt thereof.
- “Co-crystal” means that the compound or salt represented by the formula (I) and the counter molecule are present in the same crystal lattice, and may be formed with any number of counter molecules.
- the compound represented by the formula (I) of the present invention or a pharmaceutically acceptable salt thereof may form a prodrug, and the present invention includes such various prodrugs.
- a prodrug is a derivative of a compound of the present invention having a group that can be chemically or metabolically degraded, and is a compound that becomes a pharmaceutically active compound of the present invention by solvolysis or under physiological conditions in vivo.
- a prodrug is a compound that is enzymatically oxidized, reduced, hydrolyzed, etc. under physiological conditions in vivo to be converted into a compound represented by formula (I), hydrolyzed by gastric acid, etc. The compound etc. which are converted into the compound shown are included. Methods for selecting and producing suitable prodrug derivatives are described, for example, in “Design of Prodrugs, Elsevier, Amsterdam, 1985”. Prodrugs may themselves have activity.
- the compound represented by formula (I) or a pharmaceutically acceptable salt thereof has a hydroxyl group
- prodrugs such as acyloxy derivatives and sulfonyloxy derivatives produced by reacting sulfonyl anhydride and mixed anhydride or reacting with a condensing agent.
- the compound represented by the formula (I) according to the present invention can be produced, for example, by the general synthesis method shown below. Extraction, purification, and the like may be performed in a normal organic chemistry experiment.
- the compounds of the present invention can be synthesized with reference to techniques known in the art.
- Step A-1 The compound represented by formula (I) according to the present invention (the following a9) can be produced, for example, by the following production method. (The symbols in the formula are as defined above.)
- Compound a2 can be obtained by reacting compound a1, tert-butylsulfinamide, tetraisopropoxytitanium, tetraethoxyethane, and the like.
- the reaction temperature is 20 ° C. to 120 ° C., preferably 70 ° C. to 100 ° C.
- the reaction time is 1 to 12 hours, preferably 3 to 6 hours.
- Examples of the reaction solvent include tetrahydrofuran, 2-methyltetrahydrofuran and the like.
- Step A-2 Lithium diisopropylamide is prepared by reacting diisopropylamine with n-butyllithium, reacted with ester a3, then added with titanium chloride triisopropoxide and reacted with compound a2 to obtain compound a4. .
- the reaction temperature is ⁇ 78 ° C. to ⁇ 20 ° C. when adjusting lithium diisopropylamide, and the subsequent reaction with ester a3 and compound a2 is ⁇ 78 ° C. to ⁇ 20 ° C.
- the reaction time is 30 minutes to 1 hour when adjusting diisopropylamide, 30 minutes to 2 hours when diisopropylamide and ester a3 are reacted, and 1 to 5 hours for the subsequent reaction with compound a2.
- the reaction solvent include tetrahydrofuran and diethyl ether.
- R 2 by continuously performing reactions such as alkylation can be synthesized compounds such as alkyl.
- Compound a5 can be obtained by reacting compound a4 with an acid or a Lewis acid.
- Examples of the acid include hydrochloric acid-ethyl acetate, hydrochloric acid-methanol, hydrochloric acid-dioxane, sulfuric acid, formic acid, trifluoroacetic acid and the like.
- Examples of the Lewis acid include trimethylsilyl iodide, BBr 3 , AlCl 3 , BF 3. (Et 2 O), and the like, and 1 to 10 molar equivalents can be used with respect to the compound a4.
- the reaction temperature is 0 ° C. to 60 ° C., preferably 0 ° C. to 20 ° C.
- the reaction time is 0.5 to 12 hours, preferably 1 to 6 hours.
- Step A-4 Compound a6 can be obtained by reacting compound a5 with a carboxylic acid chloride, sulfonic acid chloride, thiocarboxylic acid chloride, or the like in the presence of a base.
- a base include pyridine, DIEA, potassium carbonate, sodium hydrogen carbonate, sodium hydride, sodium hydroxide and the like.
- the reaction temperature is 0 ° C. to 150 ° C., preferably 20 ° C. to 100 ° C.
- the reaction time is 0.5 to 120 hours, preferably 1 to 72 hours.
- step A-4 can be taken.
- Step A-4 ′ Compound a6 can be obtained by reacting compound a5 with a carboxylic acid or the like in the presence of a condensing agent and allowing a base to act as necessary.
- dicyclohexylcarbodiimide carbonyldiimidazole, dicyclohexylcarbodiimide-N-hydroxybenzotriazole, EDC, 4- (4,6-dimethoxy-1,3,5-triazin-2-yl) -4-methyl
- examples thereof include morpholinium chloride and HATU, and can be used at 1 to 5 molar equivalents relative to compound a5.
- Examples of the base include triethylamine and diisopropylethylamine.
- the reaction temperature is -20 ° C to 60 ° C, preferably 0 ° C to 30 ° C.
- the reaction time is 0.1 hour to 24 hours, preferably 1 hour to 12 hours.
- reaction solvent examples include DMF, DMA, NMP, tetrahydrofuran, dioxane, dichloromethane, acetonitrile and the like, and these can be used alone or in combination.
- Compound a7 can be obtained by reacting compound a6 with a base.
- the base include piperidine, pyrrolidine, triethylamine, diisopropylethylamine, sodium methoxide, sodium ethoxide and the like.
- the reaction temperature is 0 ° C to 100 ° C.
- the reaction time is 1 to 10 hours.
- the reaction solvent include methanol, ethanol, tetrahydrofuran and the like.
- Compound a8 can be obtained by reacting compound a7 with a halogenating agent and a base.
- a halogenating agent a compound in which X 2 is a chlorine atom can be obtained by using oxalyl dichloride, thionyl chloride, phosphorus oxychloride, carbon tetrabromide-triphenylphosphine, and the like. 5 molar equivalents can be used.
- a compound in which X 2 is trifluoromethanesulfonate can be obtained, and further by allowing an iodinating agent such as sodium iodide to act.
- a compound in which X 2 is an iodine atom can be obtained.
- a compound in which X 2 is a bromine atom can be obtained by acting a brominating agent.
- the base include triethylamine, diisopropylethylamine, pyridine, 2,6-lutidine and the like.
- the reaction temperature is ⁇ 50 ° C. to 100 ° C.
- the reaction time is 0.1 to 24 hours, preferably 0.5 to 12 hours.
- As the reaction solvent acetonitrile, tetrahydrofuran, toluene, dichloromethane, dichloroethane or the like can be used.
- Compound a9 can be obtained by reacting compound a8 with boronic acid, boronic acid ester, trialkylstannane or the like in the presence of a metal catalyst and a base.
- metal catalyst examples include palladium acetate, bis (dibenzylideneacetone) palladium, tetrakis (triphenylphosphine) palladium, bis (triphenylphosphine) palladium (II) dichloride, bis (tri-tert-butylphosphine) palladium and the like. 0.001 to 0.5 molar equivalent can be used with respect to compound a8.
- potassium hydrogen and 1 to 10 molar equivalents
- Boronic acid or boronic acid ester or trialkylstannane can be used at 1 to 10 molar equivalents relative to compound a8.
- the reaction temperature is 20 ° C. to the reflux temperature of the solvent, and optionally under microwave irradiation.
- the reaction time is 0.1 to 48 hours, preferably 0.5 to 12 hours.
- reaction solvent examples include tetrahydrofuran, toluene, DMF, dioxane, water and the like, and these can be used alone or in combination.
- compound a9 which has cyclic amine in A is compoundable by making cyclic amines, such as piperidine, and compound a8 react.
- Step A-2 Compound a4 can be obtained by reacting a3 with a base such as lithium diisopropylamide or lithium hexamethyldisilazide and then reacting with compound a2.
- the reaction temperature is ⁇ 78 ° C. to ⁇ 20 ° C. for the reaction of a base such as lithium diisopropylamide and lithium hexamethyldisilazide with the ester a3 and the subsequent reaction with the compound a2.
- the reaction time of the base with the ester a3 is 30 minutes to 2 hours, and the subsequent reaction with the compound a2 is 1 to 5 hours.
- the reaction solvent include tetrahydrofuran and diethyl ether.
- R 2 by continuously performing reactions such as alkylation can be synthesized compounds such as alkyl.
- Compound a5 can be obtained by reacting compound a4 with an acid or a Lewis acid.
- the acid include hydrochloric acid-ethyl acetate, hydrochloric acid-methanol, hydrochloric acid-dioxane, sulfuric acid, formic acid, trifluoroacetic acid and the like.
- Examples of the Lewis acid include trimethylsilyl iodide, BBr 3 , AlCl 3 , BF 3. (Et 2 O), and the like, and 1 to 10 molar equivalents can be used with respect to the compound a4.
- the reaction temperature is 0 ° C. to 60 ° C., preferably 0 ° C. to 20 ° C.
- the reaction time is 0.5 to 12 hours, preferably 1 to 6 hours.
- Examples of the reaction solvent include methanol, ethanol, water, acetone, acetonitrile, DMF and the like, and these can be used alone or in combination.
- Compound a6 can be obtained by reacting compound a5 with a carboxylic acid chloride, sulfonic acid chloride, thiocarboxylic acid chloride, or the like in the presence of a base.
- a base include pyridine, DIEA, potassium carbonate, sodium hydrogen carbonate, sodium hydride, sodium hydroxide and the like.
- the reaction temperature is 0 ° C. to 150 ° C., preferably 20 ° C. to 100 ° C.
- the reaction time is 0.5 to 120 hours, preferably 1 to 72 hours.
- the reaction solvent include acetonitrile, tetrahydrofuran, toluene, dichloromethane and the like.
- step A-4 ′ can be taken.
- Compound a6 can be obtained by reacting compound a5 with a carboxylic acid or the like in the presence of a condensing agent and allowing a base to act as necessary.
- a condensing agent dicyclohexylcarbodiimide, carbonyldiimidazole, dicyclohexylcarbodiimide-N-hydroxybenzotriazole, EDC, 4- (4,6-dimethoxy-1,3,5-triazin-2-yl) -4-methyl
- examples thereof include morpholinium chloride and HATU, and can be used at 1 to 5 molar equivalents relative to compound a5.
- Examples of the base include triethylamine and diisopropylethylamine.
- the reaction temperature is -20 ° C to 60 ° C, preferably 0 ° C to 30 ° C.
- the reaction time is 0.1 hour to 24 hours, preferably 1 hour to 12 hours.
- Examples of the reaction solvent include DMF, DMA, NMP, tetrahydrofuran, dioxane, dichloromethane, acetonitrile and the like, and these can be used alone or in combination.
- Compound a7 can be obtained by reacting compound a6 with a base.
- Examples of the base include piperidine, pyrrolidine, triethylamine, diisopropylethylamine, sodium methoxide, sodium ethoxide and the like.
- the reaction temperature is 0 ° C to 100 ° C.
- the reaction time is 1 to 10 hours.
- Examples of the reaction solvent include methanol, ethanol, tetrahydrofuran and the like. Depending on the compound, positional isomers of olefins may be obtained.
- Step A-1 Compound a2 can be obtained by reacting compound a1 with a basic aqueous solution.
- the reaction temperature is 0 ° C. to 40 ° C., preferably 0 ° C. to 20 ° C.
- the reaction time is 0.5 to 12 hours, preferably 1 to 6 hours.
- sodium carbonate, potassium carbonate, cesium carbonate, lithium hydroxide, sodium hydroxide, potassium hydroxide and the like can be used.
- Step A-2 Compound a3 can be obtained by reacting compound a2 with a condensing agent, N, O-dimethylhydroxylamine, and adding a base as necessary.
- dicyclohexylcarbodiimide carbonyldiimidazole, dicyclohexylcarbodiimide-N-hydroxybenzotriazole, EDC, 4- (4,6-dimethoxy-1,3,5-triazin-2-yl) -4-methyl
- examples thereof include morpholinium chloride and HATU, and can be used at 1 to 5 molar equivalents relative to compound a2.
- Examples of the base include triethylamine and diisopropylethylamine.
- the reaction temperature is -20 ° C to 60 ° C, preferably 0 ° C to 30 ° C.
- the reaction time is 0.1 hour to 24 hours, preferably 1 hour to 12 hours.
- reaction solvent examples include DMF, DMA, NMP, tetrahydrofuran, dioxane, dichloromethane, acetonitrile and the like, and they can be used alone or in combination.
- reaction solvent examples include DMF, DMA, NMP, tetrahydrofuran, dioxane, dichloromethane, acetonitrile and the like, and they can be used alone or in combination.
- lithium reagents such as aryllithium, Grignard reagents such as arylmagnesium bromide, arylmagnesium chloride, arylmagnesium iodide, arylmagnesium bromide, arylmagnesium chloride, arylmagnesium iodide and the like, and mixtures of these with metal salts
- a reagent and can be used at 1 to 5 molar equivalents relative to compound a3.
- the reaction temperature is -78 ° C to the reflux temperature of the solvent, preferably -45 ° C to 0 ° C.
- the reaction time is 0.5 to 24 hours, preferably 1 to 6 hours.
- reaction solvent examples include tetrahydrofuran, hexane, diethyl ether, methyl tert-butyl ether, toluene, dichloromethane and the like, and these can be used alone or in combination.
- the nucleophilic agent a4 can be prepared by lithiation of the corresponding halide with alkyl lithium such as n-butyl lithium.
- the reaction solvent is not particularly limited as long as it does not react with alkyllithium such as tetrahydrofuran and dioxane.
- the temperature of the lithiation reaction is preferably about ⁇ 78 ° C. to 0 ° C.
- Compound a6 can be obtained by reacting compound a5 with an acid or a Lewis acid.
- the acid include hydrochloric acid-ethyl acetate, hydrochloric acid-methanol, hydrochloric acid-dioxane, sulfuric acid, formic acid, trifluoroacetic acid and the like.
- the Lewis acid include trimethylsilyl iodide, BBr 3 , AlCl 3 , BF 3. (Et 2 O), and the like, and 1 to 10 molar equivalents can be used with respect to the compound a5.
- the reaction temperature is 0 ° C. to 60 ° C., preferably 0 ° C. to 20 ° C.
- the reaction time is 0.5 to 12 hours, preferably 1 to 6 hours.
- the reaction solvent include methanol, ethanol, water, acetone, acetonitrile, DMF and the like, and these can be used alone or in combination.
- Compound a7 can be obtained by reacting compound a6 with a carboxylic acid chloride, a sulfonic acid chloride, or a thiocarboxylic acid chloride in the presence of a base.
- the base include pyridine, DIEA, potassium carbonate, sodium hydrogen carbonate, sodium hydride, sodium hydroxide and the like.
- the reaction temperature is 0 ° C. to 150 ° C., preferably 20 ° C. to 100 ° C.
- step A-5 can be taken.
- Step A-5 ′ Compound a7 can be obtained by reacting compound a6 with a carboxylic acid in the presence of a condensing agent and allowing a base to act as necessary.
- dicyclohexylcarbodiimide carbonyldiimidazole, dicyclohexylcarbodiimide-N-hydroxybenzotriazole, EDC, 4- (4,6-dimethoxy-1,3,5-triazin-2-yl) -4-methyl
- examples thereof include morpholinium chloride and HATU, and can be used at 1 to 5 molar equivalents relative to compound a6.
- Examples of the base include triethylamine and diisopropylethylamine.
- the reaction temperature is -20 ° C to 60 ° C, preferably 0 ° C to 30 ° C.
- the reaction time is 0.1 hour to 24 hours, preferably 1 hour to 12 hours.
- reaction solvent examples include DMF, DMA, NMP, tetrahydrofuran, dioxane, dichloromethane, acetonitrile and the like, and these can be used alone or in combination.
- Compound a8 can be obtained by reacting compound a7 with a base.
- the base include piperidine, pyrrolidine, triethylamine, diisopropylethylamine, sodium methoxide, sodium ethoxide and the like.
- the reaction temperature is 0 ° C to 100 ° C.
- the reaction time is 1 to 10 hours.
- the reaction solvent examples include methanol, ethanol, tetrahydrofuran and the like.
- Step A-1 The compound represented by the formula (I) according to the present invention (the following a10) can be produced, for example, by the following production method.
- Step A-1 Compound a3 can be obtained by reacting a2 with a base such as lithium diisopropylamide or lithium hexamethyldisilazide and then reacting with compound a1.
- the reaction temperature is ⁇ 78 ° C. to 0 ° C. for the reaction between the base and the ester a2 and the subsequent reaction with the compound a1.
- the reaction time of the base with the ester a2 is 30 minutes to 2 hours, and the subsequent reaction with the compound a1 is 1 to 5 hours.
- reaction solvent examples include tetrahydrofuran and diethyl ether.
- Compound a4 can be obtained by reacting compound a3 with an acid such as chlorosulfonic acid in an acetonitrile solvent and adding water.
- the reaction temperature is 0 ° C. to 100 ° C., preferably 0 ° C. to 50 ° C.
- R 2 by continuously performing reactions such as alkylation can be synthesized compounds such as alkyl.
- Compound a5 can be obtained by reacting compound a4 with an acid or a Lewis acid.
- Examples of the acid include hydrochloric acid-ethyl acetate, hydrochloric acid-methanol, hydrochloric acid-dioxane, sulfuric acid, formic acid, concentrated hydrochloric acid trifluoroacetic acid and the like.
- Examples of the Lewis acid include trimethylsilyl iodide, BBr 3 , AlCl 3 , BF 3. (Et 2 O), and the like, and 1 to 10 molar equivalents can be used with respect to the compound a4.
- the reaction temperature is 0 ° C. to 150 ° C., preferably 60 ° C. to 120 ° C.
- the reaction time is 0.5 hour to 150 hours, preferably 10 hours to 100 hours.
- reaction solvent examples include methanol, ethanol, water, acetone, acetonitrile, DMF and the like, and these can be used alone or in combination.
- reaction solvent examples include methanol, ethanol, water, acetone, acetonitrile, DMF and the like, and these can be used alone or in combination.
- Compound a6 can be obtained by reacting compound a5 with thionyl chloride or the like in a methanol solvent.
- the reaction temperature is 0 ° C. to 150 ° C., preferably 40 ° C. to 80 ° C.
- the reaction time is 0.5 hour to 10 hours, preferably 1 hour to 4 hours.
- Compound a7 can be obtained by reacting compound a6 with a carboxylic acid chloride, a sulfonic acid chloride, or a thiocarboxylic acid chloride in the presence of a base.
- a base include pyridine, DIEA, potassium carbonate, sodium hydrogen carbonate, sodium hydride, sodium hydroxide and the like.
- the reaction temperature is 0 ° C. to 150 ° C., preferably 20 ° C. to 100 ° C.
- the reaction time is 0.5 to 120 hours, preferably 1 to 72 hours.
- the reaction solvent include acetonitrile, tetrahydrofuran, toluene, dichloromethane and the like.
- step A-5 ′ can be taken.
- Compound a7 can be obtained by reacting compound a6 with a carboxylic acid in the presence of a condensing agent and allowing a base to act as necessary.
- a condensing agent dicyclohexylcarbodiimide, carbonyldiimidazole, dicyclohexylcarbodiimide-N-hydroxybenzotriazole, EDC, 4- (4,6-dimethoxy-1,3,5-triazin-2-yl) -4-methyl
- Examples thereof include morpholinium chloride and HATU, and can be used at 1 to 5 molar equivalents relative to compound a6.
- Examples of the base include triethylamine and diisopropylethylamine.
- the reaction temperature is -20 ° C to 60 ° C, preferably 0 ° C to 30 ° C.
- the reaction time is 0.1 hour to 24 hours, preferably 1 hour to 12 hours.
- Examples of the reaction solvent include DMF, DMA, NMP, tetrahydrofuran, dioxane, dichloromethane, acetonitrile and the like, and these can be used alone or in combination.
- Compound a8 can be obtained by reacting compound a7 with a base.
- Step A-7 Compound a9 can be obtained by reacting compound a8 with a halogenating agent and a base.
- halogenating agent a compound in which X 2 is a chlorine atom can be obtained by using oxalyl dichloride, thionyl chloride, phosphorus oxychloride, carbon tetrabromide-triphenylphosphine, and the like. 5 molar equivalents can be used. Further, by allowing trifluoromethanesulfonic anhydride or the like to act instead of the halogenating agent, a compound in which X 2 is trifluoromethanesulfonate can be obtained, and further by allowing an iodinating agent such as sodium iodide to act. A compound in which X 2 is an iodine atom can be obtained.
- a compound in which X 2 is a bromine atom can be obtained by acting a brominating agent.
- the base include triethylamine, diisopropylethylamine, pyridine, 2,6-lutidine and the like.
- the reaction temperature is ⁇ 50 ° C. to 100 ° C.
- the reaction time is 0.1 to 24 hours, preferably 0.5 to 12 hours.
- As the reaction solvent acetonitrile, tetrahydrofuran, toluene, dichloromethane, dichloroethane and the like can be used.
- Compound a10 can be obtained by reacting compound a9 with boronic acid or boronic acid ester or trialkylstannane in the presence of a metal catalyst and a base.
- a metal catalyst include palladium acetate, bis (dibenzylideneacetone) palladium, tetrakis (triphenylphosphine) palladium, bis (triphenylphosphine) palladium (II) dichloride, bis (tri-tert-butylphosphine) palladium and the like.
- the compound can be used in an amount of 0.001 to 0.5 molar equivalents relative to compound a9.
- potassium hydrogen and 1 to 10 molar equivalents can be used relative to compound a9.
- Boronic acid or boronic acid ester or trialkylstannane can be used at 1 to 10 molar equivalents relative to compound a9.
- the reaction temperature is 20 ° C. to the reflux temperature of the solvent, and optionally under microwave irradiation.
- the reaction time is 0.1 to 48 hours, preferably 0.5 to 12 hours.
- reaction solvent examples include tetrahydrofuran, toluene, DMF, dioxane, water and the like, and these can be used alone or in combination.
- compound a10 which has cyclic amine in A is compoundable by making cyclic amines, such as piperidine, and compound a9 react.
- Step A-1 Compound a2 can be obtained by reacting compound a1 with an acid or a Lewis acid.
- the acid include hydrochloric acid-ethyl acetate, hydrochloric acid-methanol, hydrochloric acid-dioxane, sulfuric acid, formic acid, concentrated hydrochloric acid trifluoroacetic acid and the like.
- the Lewis acid include trimethylsilyl iodide, BBr 3 , AlCl 3 , BF 3.
- reaction temperature is 0 ° C. to 150 ° C., preferably 60 ° C. to 120 ° C.
- the reaction time is 0.5 hour to 150 hours, preferably 10 hours to 100 hours.
- the reaction solvent include methanol, ethanol, water, acetone, acetonitrile, DMF and the like, and these can be used alone or in combination.
- Compound a3 can be obtained by reacting compound a2 with Boc 2 O in the presence or absence of a base.
- Examples of the base include sodium hydroxide, sodium carbonate, sodium hydrogen carbonate, potassium carbonate, calcium carbonate, cesium carbonate, pyridine, triethylamine and the like, and 1 to 5 molar equivalents can be used with respect to compound a2.
- the reaction temperature is ⁇ 10 ° C. to 80 ° C., preferably 10 ° C. to 60 ° C.
- the reaction time is 0.5 to 24 hours, preferably 1 to 12 hours.
- Examples of the reaction solvent include tetrahydrofuran, dioxane, acetonitrile, water and the like, and these can be used alone or in combination.
- Step A-3 Compound a4 can be obtained by reacting compound a3 with a basic aqueous solution.
- the reaction temperature is 0 ° C. to 40 ° C., preferably 0 ° C. to 20 ° C.
- the reaction time is 0.5 to 12 hours, preferably 1 to 6 hours.
- Step A-4 Compound a5 can be obtained by reacting compound a4 with Meldrum's acid in the presence of a condensing agent, allowing a base to act as necessary, and then heating.
- dicyclohexylcarbodiimide carbonyldiimidazole, dicyclohexylcarbodiimide-N-hydroxybenzotriazole, EDC, 4- (4,6-dimethoxy-1,3,5-triazin-2-yl) -4-methyl
- examples thereof include morpholinium chloride and HATU, and can be used at 1 to 5 molar equivalents relative to compound a4.
- Examples of the base include triethylamine, diisopropylethylamine, paradimethylaminopyridine and the like.
- the reaction temperature is ⁇ 20 ° C. to 60 ° C., preferably 0 ° C. to 30 ° C.
- Step A-5 Compound a6 can be obtained by reacting compound a5 with a halide represented by R 1 -X in the presence of a base.
- the reaction temperature is 0 ° C. to 40 ° C., preferably 0 ° C.
- the reaction time is 0.5 to 12 hours, preferably 1 to 6 hours.
- the base sodium carbonate, potassium carbonate, cesium carbonate, lithium hydroxide, sodium hydroxide, potassium hydroxide and the like can be used.
- the reaction solvent include methanol, ethanol, acetonitrile, tetrahydrofuran, dimethylformamide and the like, and these can be used alone or in combination.
- Compound a7 can be obtained by reacting compound a6 with a halogenating agent and a base.
- a compound in which X 2 is a chlorine atom can be obtained.
- a molar equivalent can be used.
- trifluoromethanesulfonic anhydride or the like to act instead of the halogenating agent, a compound in which X 2 is trifluoromethanesulfonate can be obtained, and further by allowing an iodinating agent such as sodium iodide to act.
- an iodinating agent such as sodium iodide
- a compound in which X 2 is a bromine atom can be obtained by acting a brominating agent.
- the base include triethylamine, diisopropylethylamine, pyridine, 2,6-lutidine and the like.
- the reaction temperature is -78 ° C to 100 ° C.
- the reaction time is 0.1 to 24 hours, preferably 0.5 to 12 hours.
- As the reaction solvent acetonitrile, tetrahydrofuran, toluene, dichloromethane, dichloroethane and the like can be used.
- Compound a8 can be obtained by reacting compound a7 with boronic acid, boronic acid ester, trialkylstannane or the like in the presence of a metal catalyst and a base.
- a metal catalyst include palladium acetate, bis (dibenzylideneacetone) palladium, tetrakis (triphenylphosphine) palladium, bis (triphenylphosphine) palladium (II) dichloride, bis (tri-tert-butylphosphine) palladium and the like. 0.001 to 0.5 molar equivalent can be used with respect to compound a7.
- potassium hydrogen and 1 to 10 molar equivalents
- Boronic acid or boronic acid ester or trialkylstannane can be used at 1 to 10 molar equivalents relative to compound a7.
- the reaction temperature is 20 ° C. to the reflux temperature of the solvent, and optionally under microwave irradiation.
- the reaction time is 0.1 to 48 hours, preferably 0.5 to 12 hours.
- reaction solvent examples include tetrahydrofuran, toluene, DMF, dioxane, water and the like, and these can be used alone or in combination.
- compound a8 which has cyclic amine in A is compoundable by making cyclic amines, such as piperidine, and compound a7 react.
- Compound a9 can be obtained by reacting compound a8 with an acid or a Lewis acid.
- the acid include hydrochloric acid-ethyl acetate, hydrochloric acid-methanol, hydrochloric acid-dioxane, sulfuric acid, formic acid, trifluoroacetic acid and the like.
- Examples of the Lewis acid include trimethylsilyl iodide, BBr 3 , AlCl 3 , BF 3. (Et 2 O) and the like, and can be used at 1 to 10 molar equivalents relative to compound a9.
- the reaction temperature is 0 ° C. to 60 ° C., preferably 0 ° C. to 20 ° C.
- the reaction time is 0.5 to 12 hours, preferably 1 to 6 hours.
- Examples of the reaction solvent include methanol, ethanol, water, acetone, acetonitrile, DMF and the like, and these can be used alone or in combination.
- R 2 by continuously performing reactions such as alkylation can be synthesized compounds such as alkyl. It should be noted that the order of steps A-7 and A-8 can be changed so that the deprotection of the Boc group or the like can be performed before the introduction of A.
- Step A-1 Compound a2 can be obtained by reacting compound a1 with Meldrum's acid in the presence of a condensing agent, adding a base as necessary, and then heating.
- dicyclohexylcarbodiimide carbonyldiimidazole, dicyclohexylcarbodiimide-N-hydroxybenzotriazole, EDC, 4- (4,6-dimethoxy-1,3,5-triazin-2-yl) -4-methyl
- EDC 4- (4,6-dimethoxy-1,3,5-triazin-2-yl) -4-methyl
- examples thereof include morpholinium chloride and HATU, and 1 to 5 molar equivalents can be used with respect to compound a1.
- the base include triethylamine, diisopropylethylamine, paradimethylaminopyridine and the like.
- the reaction temperature is ⁇ 20 ° C. to 60 ° C., preferably 0 ° C. to 30 ° C.
- Step A-2 Compound a3 can be obtained by reacting compound a2 with an acid or a Lewis acid.
- Examples of the acid include hydrochloric acid-ethyl acetate, hydrochloric acid-methanol, hydrochloric acid-dioxane, sulfuric acid, formic acid, concentrated hydrochloric acid trifluoroacetic acid and the like.
- Examples of the Lewis acid include trimethylsilyl iodide, BBr 3 , AlCl 3 , BF 3. (Et 2 O), and the like, and 1 to 10 molar equivalents can be used with respect to the compound a2.
- the reaction temperature is 0 ° C. to 150 ° C., preferably 60 ° C. to 120 ° C.
- the reaction time is 0.5 hour to 150 hours, preferably 10 hours to 100 hours.
- Step A-3 Compound a4 can be obtained by reacting compound a3 with a halogenating agent and a base.
- a halogenating agent By using oxalyl dichloride, thionyl chloride, phosphorus oxychloride, carbon tetrabromide-triphenylphosphine, or the like as a halogenating agent, a compound in which X 2 is a chlorine atom can be obtained. A molar equivalent can be used.
- a compound in which X 2 is trifluoromethanesulfonate can be obtained, and further by allowing an iodinating agent such as sodium iodide to act.
- a compound in which X 2 is an iodine atom can be obtained.
- a compound in which X 2 is a bromine atom can be obtained by acting a brominating agent.
- the base include triethylamine, diisopropylethylamine, pyridine, 2,6-lutidine and the like.
- the reaction temperature is -78 ° C to 100 ° C.
- the reaction time is 0.1 to 24 hours, preferably 0.5 to 12 hours.
- As the reaction solvent acetonitrile, tetrahydrofuran, toluene, dichloromethane, dichloroethane and the like can be used.
- Compound a5 can be obtained by reacting compound a4 with boronic acid, boronic acid ester, trialkylstannane or the like in the presence of a metal catalyst and a base.
- metal catalyst examples include palladium acetate, bis (dibenzylideneacetone) palladium, tetrakis (triphenylphosphine) palladium, bis (triphenylphosphine) palladium (II) dichloride, bis (tri-tert-butylphosphine) palladium and the like. 0.001 to 0.5 molar equivalent can be used with respect to compound a4.
- potassium hydrogen and 1 to 10 molar equivalents can be used with respect to compound a4.
- Boronic acid or boronic acid ester or trialkylstannane can be used at 1 to 10 molar equivalents relative to compound a4.
- the reaction temperature is 20 ° C. to the reflux temperature of the solvent, and optionally under microwave irradiation.
- the reaction time is 0.1 to 48 hours, preferably 0.5 to 12 hours.
- reaction solvent examples include tetrahydrofuran, toluene, DMF, dioxane, water and the like, and these can be used alone or in combination.
- compound a5 which has cyclic amine in A is compoundable by making cyclic amines, such as piperidine, react with compound a4.
- R 2 by continuously performing reactions such as alkylation can be synthesized compounds such as alkyl.
- the compound according to the present invention has an MGAT2 inhibitory action and is a prophylactic agent for obesity, metabolic syndrome, hyperlipidemia, hypertriglyceridemia, hyperVLDL, hyperfattyemia, diabetes, arteriosclerosis, etc. Or it is useful as a therapeutic agent.
- the compound of the present invention has not only an MGAT2 inhibitory action but also a usefulness as a medicine, and has any or all of the following excellent features. a) High metabolic stability. b) High solubility. c) Little concern about phototoxicity. d) Little concern about hepatotoxicity. e) Little concern about nephrotoxicity. f) Small concern about gastrointestinal disorders. g) Less concern about drug interactions. h) High oral absorption. i) Clearance is small. j) High migration to the target tissue. k) Strong enzyme activity. l) Less induction of drug metabolizing enzymes. m) Strong medicinal effect.
- composition of the present invention can be administered either orally or parenterally.
- parenteral administration include transdermal, subcutaneous, intravenous, intraarterial, intramuscular, intraperitoneal, transmucosal, inhalation, nasal, eye drop, ear drop, and intravaginal administration.
- solid preparations for internal use eg, tablets, powders, granules, capsules, pills, films, etc.
- liquids for internal use eg, suspensions, emulsions, elixirs, syrups
- the tablets may be sugar-coated tablets, film-coated tablets, enteric-coated tablets, sustained-release tablets, troches, sublingual tablets, buccal tablets, chewable tablets or orally disintegrating tablets, and the powders and granules are dry syrups.
- the capsule may be a soft capsule, a microcapsule or a sustained release capsule.
- injections, drops, external preparations eg eye drops, nasal drops, ear drops, aerosols, inhalants, lotions, injections, coating agents, mouthwashes, enemas
- Any commonly used dosage form such as an ointment, a plaster, a jelly, a cream, a patch, a patch, a powder for external use, a suppository and the like can be suitably administered.
- the injection may be an emulsion such as O / W, W / O, O / W / O, W / O / W type.
- Various pharmaceutical additives such as excipients, binders, disintegrants, lubricants and the like suitable for the dosage form can be mixed with the effective amount of the compound of the present invention as necessary to obtain a pharmaceutical composition.
- the pharmaceutical composition can be obtained by changing the effective amount, dosage form and / or various pharmaceutical additives of the compound of the present invention as appropriate, so that it can be used for pediatric, elderly, critically ill patients or surgery. You can also
- the pediatric pharmaceutical composition is preferably administered to a patient under the age of 12 or 15 years.
- the pediatric pharmaceutical composition can be administered to patients less than 27 days after birth, 28 to 23 months after birth, 2 to 11 years old, or 12 to 16 years old or 18 years old.
- the elderly pharmaceutical composition is preferably administered to a patient over 65 years of age.
- the dose of the pharmaceutical composition of the present invention is preferably set in consideration of the patient's age, weight, type and degree of disease, route of administration, etc., but when administered orally, usually 0.05 to 100 mg / kg / day, preferably in the range of 0.1 to 10 mg / kg / day.
- parenteral administration although it varies greatly depending on the administration route, it is usually 0.005 to 10 mg / kg / day, preferably 0.01 to 1 mg / kg / day. This may be administered once to several times a day.
- the dose of the concomitant drug can be appropriately selected based on the clinically used dose.
- the compounding ratio of the compound of the present invention and the concomitant drug can be appropriately selected depending on the administration subject, administration route, target disease, symptom, combination and the like.
- the concomitant drug may be used in an amount of 0.01 to 100 parts by weight per 1 part by weight of the compound of the present invention.
- the pharmaceutical composition of the present invention is also effective for obesity (however, it has both type 2 diabetes and dyslipidemia, and BMI is 25 kg / m 2 or more even if diet therapy / exercise therapy is performed). It is valid.
- the pharmaceutical composition of the present invention is also effective for severe obesity for which the effect of dietary therapy and exercise therapy applied in advance is insufficient.
- the pharmaceutical composition of the present invention can also be used in combination with other anti-obesity drugs (pharmaceutical compositions containing compounds having anti-obesity action, drugs that can be used for weight management in obesity and obesity, etc.).
- pharmaceutical compositions containing compounds having anti-obesity action drugs that can be used for weight management in obesity and obesity, etc.
- a pharmaceutical composition containing a compound having an anti-obesity action in combination with the compound of the present invention, it can be used for prevention and / or treatment of obesity, weight management in obesity, and the like.
- the pharmaceutical composition containing the compound of the present invention can be used in combination with a pharmaceutical composition containing a compound having an anti-obesity action for the prevention and / or treatment of obesity or weight management in obesity. it can.
- the administration therapy of the pharmaceutical composition of the present invention can be used in combination with diet therapy, drug therapy, exercise and the like.
- a 1.0 mol / L titanium chloride triisopropoxide-hexane solution (3.98 mL, 3.98 mmol) was added dropwise at ⁇ 78 ° C., and the mixture was stirred for 30 minutes.
- a solution of compound 2 (0.50 g, 1.59 mmol) in tetrahydrofuran (2.9 mL) was added dropwise thereto, and the mixture was heated from ⁇ 78 ° C. to ⁇ 35 ° C. with stirring over 2 hours.
- Saturated aqueous ammonium chloride solution, Rochelle salt and water were added, and the temperature was raised to room temperature. After extraction with ethyl acetate, the organic layer was washed with water and dried over anhydrous magnesium sulfate.
- Step 4 Synthesis of Compound 5
- Compound 4 (1.01 g, 2.45 mmol) was dissolved in tetrahydrofuran (11 mL), 30% aqueous hydrogen peroxide (2.55 mL, 25.0 mmol) was added, and the mixture was stirred at room temperature for 2 hours. . Diluted with ethyl acetate, added saturated aqueous sodium thiosulfate solution, and allowed to stand overnight. After extraction with ethyl acetate, the organic layer was washed with water and dried over anhydrous magnesium sulfate.
- Step 6 Synthesis of Compound 7
- Compound 6 (0.866 g, 1.99 mmol) was dissolved in methanol (9 mL), 4 mol / L dioxane hydrochloride solution (1.49 mL, 5.97 mmol) was added, and the mixture was stirred at room temperature for 2 hours. did. Saturated aqueous sodium hydrogen carbonate was added, and the mixture was extracted with ethyl acetate. The organic layer was washed with water and then dried over anhydrous magnesium sulfate. After distilling off the solvent under reduced pressure, compound 7 (0.663 g, 100%) was obtained as a crude product. The resulting crude product was used to proceed to the next reaction.
- Step 7 Synthesis of Compound 8
- Oxalyl dichloride (0.522 ml, 5.97 mmol) was added dropwise to a solution of cyanoacetic acid (0.507 g, 5.97 mmol) in dichloromethane (5.3 mL), a small amount of dimethylformamide was added, and room temperature was added. Under stirring for 30 minutes, a dichloromethane solution of cyanoacetyl chloride was prepared.
- Step 8 Synthesis of Compound 9
- Compound 8 (0.591 g, 1.48 mmol) was dissolved in methanol (6 mL), and a 28% methanol solution of sodium methoxide (1.45 mL, 5.93 mmol) was added. Stir for hours.
- the reaction mixture was poured into 1 mol / L hydrochloric acid aqueous solution (6 mL), water was added, and the mixture was extracted with ethyl acetate. The organic layer was washed with water and then dried over anhydrous magnesium sulfate. After the solvent was distilled off under reduced pressure, compound 9 (0.504 mg, 93%) was obtained as a crude product.
- Step 9 Synthesis of Compound 10
- Compound 9 (0.350 g, 0.955 mmol) was dissolved in dichloroethane (11 mL), phosphoryl chloride (0.124 mL, 1.43 mmol) was added, followed by 2,6- Lutidine (0.167 mL, 1.43 mmol) was added and stirred for 5 minutes, warmed to room temperature and stirred for 3 hours. Then, it heated up to 40 degreeC and stirred for 2 hours and 10 minutes, and also heated up to 50 degreeC, and stirred for 1.5 hours.
- the solvent was distilled off under reduced pressure, saturated multistory water was added to the resulting residue, extracted with ethyl acetate, and the organic layer was dried over anhydrous magnesium sulfate.
- Example 2 Synthesis of Compound I-60 Step 1 Synthesis of Compound I-60 (5-Methyl-2-tributylstannylpyridine (59.6 mg, 0.156 mmol) was dissolved in toluene (1 mL), and Compound 14 (30.0 mg, 0.078 mmol) and tetrakis Triphenylphosphine palladium (9.01 mg, 0.0078 mmol) was added and irradiated with microwaves for 30 minutes at 140 ° C. Then, water was added and extracted with chloroform, and the solvent of the organic layer was distilled off under reduced pressure. The residue was purified by reverse phase chromatography (acetonitrile-water) to give compound I-60 (12 mg, 35%).
- Step 3 Synthesis of Compound 13
- Compound 12 (74.0 mg, 0.211 mmol) was dissolved in methanol (1 mL), and a 28% methanol solution of sodium methoxide (0.21 mL, 0.84 mmol) was added. Stir for hours. After concentration, ethyl acetate was added, and the reaction solution was poured into 1 mol / L hydrochloric acid aqueous solution and extracted with ethyl acetate.
- Step 2 Synthesis of Compound 3
- Compound 2 (63 mg, 0.28 mmol) was dissolved in dichloromethane (2 mL), triethylamine (0.11 ml, 0.83 mmol) and t-butyldimethylsilyl trifluoromethanesulfonate (109 mg, 0.41 mmol). ) And stirred at 0 ° C. for 5 hours. Dilute with diethyl ether at room temperature, add saturated multistory water, and extract with diethyl ether. The organic layer was washed with saturated multilayer water and then dried over anhydrous magnesium sulfate. The solvent was distilled off under reduced pressure to obtain a crude product.
- Step 3 Synthesis of Compound 4
- Compound 3 (3.00 g, 12.1 mmol) was dissolved in tetrahydrofuran (30 mL), and (S) -2-methylpropane-2-sulfinamide (1.91 g, 15.8 mmol) and tetra Ethoxytitanium (3.30 mL, 15.8 mmol) was added and stirred at 80 ° C. for 8 hours. Then, it diluted with ethyl acetate at room temperature, and saturated ammonium chloride aqueous solution was added. Rochelle salt was added and stirred for 5 minutes, followed by extraction with ethyl acetate.
- Step 8 Synthesis of Compound 9
- Oxalyl dichloride (0.16 ml, 1.88 mmol) was added dropwise to a solution of cyanoacetic acid (0.16 g, 1.88 mmol) in dichloromethane (20 mL), and a small amount of dimethylformamide was added. Stir for hours to prepare a dichloromethane solution of cyanoacetyl chloride.
- pyridine (0.23 ml, 2.82 mmol
- Step 9 Synthesis of Compound I-105
- the crude product of Compound 9 (0.47 g) synthesized in Step 8 was dissolved in ethanol (9 mL), piperidine (0.93 mL, 9.41 mmol) was added, and Stir for hours. Water was added to the reaction mixture, and the mixture was extracted with ethyl acetate. The organic layer was washed with water and then dried over anhydrous magnesium sulfate.
- Step 10 Synthesis of Compound I-107
- Compound I-105 (0.03 g, 0.063 mmol) was dissolved in dioxane (1 mL), and di-n-butyloxotin (31.3 mg, 0.126 mmol) and trimethylsilyl azide ( 0.083 mL, 0.63 mmol) was added, and microwave irradiation was performed at 150 ° C. for 1 hour. Thereafter, water was added, the mixture was extracted with ethyl acetate, and the organic layer was dried over anhydrous magnesium sulfate.
- Step 2 Synthesis of Compound 3
- the crude product of Compound 2 (10.2 g) was dissolved in dichloromethane (70 mL), and 1-hydroxybenztriazole (3.92 g, 29.0 mmol) and 1-ethyl-3- (3- Add dimethylaminopropyl) carbodiimide hydrochloride (5.57 g, 29.0 mmol), N, O-dimethylhydroxylamine hydrochloride (2.83 g, 29.0 mmol) and triethylamine (10.1 mL, 72.6 mmol) at room temperature. Stirred under for 15 hours. At room temperature, 10% aqueous citric acid solution was added, and the mixture was extracted with ethyl acetate.
- Step 3 Synthesis of Compound 4
- Compound 3 (2.8 g, 6.03 mmol) was dissolved in tetrahydrofuran (20 mL), and 1 mol / L p-tolylmagnesium bromide tetrahydrofuran solution (18.1 mL, 6.03 mmol) was added at ⁇ 60 ° C. And stirred for 5 hours while gradually warming to 0 ° C. Then, after adding vinegar saturated ammonium chloride aqueous solution, it extracted with ethyl acetate. The organic layer was washed with a saturated aqueous sodium chloride solution and then dried over anhydrous magnesium sulfate.
- Step 4 Synthesis of Compound 5
- Compound 4 (530 mg, 1.73 mmol) was dissolved in methanol (10 mL), thionyl chloride (0.25 mL, 3.46 mmol) was added dropwise, and the mixture was stirred at 60 ° C. for 2 hours.
- layered water was added, and the mixture was extracted with ethyl acetate.
- the organic layer was washed with water and then dried over anhydrous sodium sulfate, and the solvent was distilled off under reduced pressure to obtain Compound 5 as a crude product.
- the resulting crude product was used to proceed to the next reaction.
- Step 5 Synthesis of Compound 6
- Compound 5 (1.73 mmol) was dissolved in dimethylformamide (5 mL), 2-cyanoacetic acid (220 mg, 2.59 mmol) and O- (7-aza-1H-benzotriazol-1-yl).
- 2-cyanoacetic acid (220 mg, 2.59 mmol) and O- (7-aza-1H-benzotriazol-1-yl).
- -N, N, N ′, N′-tetramethyluronium hexafluorophosphate (986 mg, 2.59 mmol) and triethylamine (0.72 mL, 5.18 mmol) were added, and the mixture was stirred at room temperature for 30 minutes.
- a 1.00 mol / L hydrochloric acid aqueous solution was added, and the mixture was extracted with ethyl acetate.
- Step 8 Synthesis of Compound 9
- Compound 8 (1.00 mmol) was dissolved in toluene (2 mL), 4-methylphenylboronic acid (204 mg, 1.50 mmol), tetrakistriphenylphosphine palladium (116 mg, 0.10 mmol) and 2
- a 0.000 mol / L aqueous sodium carbonate solution (1.00 mL, 2.00 mmol) was added, and the mixture was stirred at 60 ° C. for 10 minutes.
- a saturated aqueous ammonium chloride solution was added and the mixture was extracted with ethyl acetate. The organic layer was washed with water and then dried over anhydrous sodium sulfate.
- Step 9 Synthesis of Compound 10
- Compound 9 (40 mg, 0.10 mmol) was dissolved in toluene (0.5 mL) and water (0.2 mL), and (2-dicyclohexylphosphino-2 ′, 6′-diisopropoxy- 1,1′-biphenyl) [2- (2′-amino-1,1′-biphenyl)] palladium (II) methanesulfonate (8.5 mg, 0.010 mmol) and potassium trifluoro (3,3,3 -Trifluoropropyl) borate (83 mg, 0.40 mmol) and cesium carbonate (133 mg, 0.40 mmol) were added and irradiated with microwaves at 120 ° C.
- Step 2 Synthesis of Compound 3
- Compound 8.29 g, 19.21 mmol was dissolved in methanol (60 mL), 5 mol / L aqueous sodium hydroxide solution (11.91 mL, 59.6 mmol) was added under ice cooling, and at room temperature. Stir for 3 hours.
- the organic layer was washed with a saturated aqueous sodium chloride solution and then dried over sodium sulfate.
- the solvent was distilled off under reduced pressure to obtain Compound 3 (7.6 g, yield 95%).
- Step 3 Synthesis of Compound 4
- Compound 3 (5.66 g, 13.56 mmol) was dissolved in dimethylformamide (30 mL) and tetrahydrofuran (10 mL), and Meldrum's acid (2.93 g, 20.34 mmol), paradimethylaminopyridine (4 .97 g, 40.7 mmol) and 1-ethyl-3- (3-dimethylaminopropyl) carbodiimide hydrochloride (3.90 g, 20.34 mmol) were added and stirred at room temperature for 4 hours.
- the organic layer was washed with 0.1 mol / L hydrochloric acid aqueous solution, distilled water, and saturated sodium chloride aqueous solution, and then dried over sodium sulfate.
- the solvent was distilled off under reduced pressure, and the resulting residue was dissolved in ethyl acetate (100 mL), and stirred for 4 hours under heating to reflux.
- Step 4 Synthesis of Compound 5
- a solution of compound 4 (1 g, 2.265 mmol) in ethanol (14 mL) was added potassium carbonate (1.57 g, 11.33 mmol) and N- (bromomethyl) phthalimide (653 mg, 2.72 mmol).
- the organic layer was washed with a saturated aqueous sodium chloride solution and then dried over sodium sulfate.
- Step 5 Synthesis of Compound 6 To a solution of Compound 5 (900 mg, 1.50 mmol) in dichloromethane (4 mL) was added diisopropylethylamine (0.314 mL, 1.8 mmol). After cooling to ⁇ 60 ° C., trifluoromethanesulfonic anhydride (0.278 mL, 1.65 mmol) was further added and stirred for 30 minutes. Distilled water was added to the reaction mixture, and the mixture was extracted with ethyl acetate. The organic layer was washed with a 10% aqueous citric acid solution, a saturated aqueous sodium bicarbonate solution, and a saturated aqueous sodium chloride solution, and then dried over sodium sulfate.
- Step 6 Synthesis of Compound 7
- Compound 6 50 mg, 0.068 mmol was dissolved in 1,4-dioxane (0.5 mL), and paratolylboronic acid (13.92 mg, 0.102 mmol), [1,1′- Bis (di-tert-butylphosphino) ferrocene] palladium (II) dichloride (2.2 mg, 0.0034 mmol) and potassium phosphate (43.5 mg, 0.205 mmol) were added and stirred at 80 ° C. for 2 hours.
- the reaction solution was purified by silica gel column chromatography (hexane-ethyl acetate 3: 1) to obtain Compound 7 (43.7 mg, yield 95%).
- Step 7 Synthesis of Compound 8
- Compound 7 (20 mg, 0.030 mmol) was dissolved in 33% methylamine-ethanol solution (0.3 mL, 2.41 mmol) and stirred at room temperature for 2.5 hours. After the solvent was distilled off under reduced pressure, the residue was dissolved in ethanol (0.5 mL), acetic anhydride (0.0034 mL, 0.036 mmol) was added, and the mixture was stirred at room temperature for 8 hours. After evaporating the solvent under reduced pressure, the residue was dissolved in dichloromethane (0.3 mL), trifluoroacetic acid (0.3 mL, 3.89 mmol) was added, and the mixture was stirred at room temperature for 4 hr.
- Example 9 Synthesis of Compound I-246 Step 1 Synthesis of Compound 10 To a solution of Compound 7 (40 mg, 0.055 mmol) in dichloromethane (0.2 mL) was added trifluoroacetic acid (0.2 mL, 2.60 mmol), and the mixture was stirred at room temperature for 1 hour. After distilling off the solvent under reduced pressure, toluene azeotropy was performed twice to obtain Compound 10 (34.5 mg, yield 100%) as a yellow amorphous.
- Step 2 Synthesis of Compound 11
- Compound 10 (34.5 mg, 0.055 mmol) was dissolved in 1,4-dioxane (0.5 mL) and para- (1-hydroxy-isopropyl) phenylboronic acid (14.73 mg, 0 0.082 mmol), [1,1′-bis (di-tert-butylphosphino) ferrocene] palladium (II) dichloride (1.78 mg, 0.0027 mmol), potassium phosphate (34.7 mg, 0.164 mmol). The mixture was further stirred at 80 ° C. for 2 hours.
- Step 3 Synthesis of Compound I-246
- Compound 11 (26 mg, 0.042 mmol) was dissolved in 33% methylamine-ethanol solution (0.3 mL, 2.41 mmol) and stirred at room temperature for 1.5 hours. After the solvent was distilled off under reduced pressure, the residue was dissolved in ethanol (0.5 ml), acetic anhydride (0.0047 mL, 0.050 mmol) was added, and the mixture was stirred at room temperature for 8 hours. The solvent was evaporated under reduced pressure, diluted with ethyl acetate, saturated aqueous sodium hydrogen carbonate was added, and the mixture was extracted with ethyl acetate.
- the organic layer was washed with a saturated aqueous sodium chloride solution and then dried over sodium sulfate.
- the solvent was distilled off under reduced pressure, and the resulting residue was dissolved in ethyl acetate (10 mL) and stirred under reflux conditions for 2 hours.
- the solvent was distilled off under reduced pressure, and the resulting residue was dissolved in methanol (10 mL), and 2 mol / L hydrochloric acid methanol solution (2.47 mL, 4.94 mmol) was added.
- water was added and the mixture was extracted with ethyl acetate.
- the organic layer was washed with a saturated aqueous sodium chloride solution and then dried over sodium sulfate.
- Step 2 Synthesis of Compound 3
- Compound 2 (660 mg, 1.93 mmol) was dissolved in dichloroethane (10 mL), phosphoryl chloride (0.22 mL, 2.32 mmol) and 2,6-lutidine (0.29 mL, 2.51 mmol). And stirred at room temperature for 1 hour. Then, after adding water, it extracted with chloroform. The organic layer was washed with a saturated aqueous sodium chloride solution and then dried over sodium sulfate. The solvent was distilled off under reduced pressure, and the resulting residue was dissolved in ethyl acetate (10 mL) and stirred under reflux conditions for 2 hours.
- Step 3 Synthesis of Compound I-352
- Compound 2 (30 mg, 0.083 mmol) was dissolved in dioxane (0.5 mL) and boronic acid 4 (41.5 mg, 0.25 mmol), tripotassium phosphate (53.1 mg, 0.25 mmol) and [1, 1′-Bis (di-tert-butylphosphino) ferrocene] palladium (II) dichloride (5.4 mg, 0.0083 mmol) was added, and the mixture was stirred at 80 ° C. for 2 hours. Then, water was added and extracted with ethyl acetate. The organic layer was washed with water and then dried over anhydrous magnesium sulfate.
- Example 11 Synthesis of Compound I-330 Step 1 Synthesis of Compound 2 6-Bromonicotinaldehyde (10 g, 53.8 mmol) was dissolved in methylene chloride (50 mL), and N, N-diethylaminosulfur trifluoride (15.6 mL, 118 mmol) was added under ice cooling. And stirred at room temperature for 2 hours. Water was added to the reaction mixture, and the mixture was extracted with ethyl acetate. The organic layer was washed with saturated brine and dried over anhydrous sodium sulfate.
- Step 2 Synthesis of Compound 3
- Compound 2 (6.6 g, 31.7 mmol) was dissolved in dioxane (50 mL) and tributyl (1-ethoxyvinyl) tin (22.9 g, 63.5 mmol) and triphenylphosphine palladium (1 .83 g, 1.59 mmol) was added, followed by stirring at 120 ° C. overnight.
- the reaction mixture was cooled to room temperature, 2 mol / L hydrochloric acid (79 mL, 159 mmol) was added, and the mixture was stirred at room temperature for 3 hr. Saturated multistory water was added to the reaction solution, and the mixture was extracted with ethyl acetate.
- Step 3 Synthesis of Compound 6
- Compound 5 (59 mg, 0.215 mmol; WO2015 / 134699) was dissolved in methylene chloride (1 mL) and triphenylphosphine (169 mg, 0.646 mmol) and 2,2,2-trichloroacetonitrile (0 0.032 mL, 0.323 mmol) was added, followed by stirring at room temperature for 30 minutes. Further, Compound 4 (50 mg, 0.108 mmol) obtained in Step A-2 and Step A-3 of General Synthesis Method 2 using Compound 3 as a raw material in THF (5 mL) and a pyridine reaction solution (0.087 mL, 1.08 mmol) was added and stirred overnight.
- Step 4 Synthesis of Compound 7
- Compound 6 (65 mg, 0.09 mmol) was dissolved in ethanol (1 mL), sodium ethoxide solution (0.177 mL, 0.451 mmol) was added, and the mixture was stirred at room temperature for 1 hour.
- 1 mol / L hydrochloric acid was added to the reaction solution, and the mixture was extracted with ethyl acetate. The organic layer was washed with saturated brine and dried over anhydrous sodium sulfate.
- Step 5 Synthesis of Compound I-330
- Compound 7 (38 mg, 0.057 mmol) was dissolved in methylene chloride (1 mL), trifluoroacetic acid (0.35 mL, 4.51 mmol) was added, and the mixture was stirred at room temperature for 3 hours. .
- the reaction solution was concentrated under reduced pressure, saturated multistory water was added to the reaction solution, and the mixture was extracted with methylene chloride.
- LC (min) represents the retention time in LC / MS (liquid chromatography / mass spectrometry), and MS (M + H) represents the mass in LC / MS.
- the symbol represents any of the following measurement conditions for LC / MS. Measurement condition A Column: ACQUITY UPLC® BEH C18 (1.7 ⁇ m id 2.1 ⁇ 50 mm) (Waters) Flow rate: 0.8 mL / min UV detection wavelength: 254 nm
- [B] is 0.1% formic acid-containing acetonitrile solution. 100% solvent [B] was maintained for 5 minutes.
- Measurement condition B Column: Shim-pack XR-ODS (2.2 ⁇ m id50x3.0mm) (Shimadzu) Flow rate: 1.6 mL / min UV detection wavelength: 254 nm; Mobile phase: [A] is a 0.1% formic acid-containing aqueous solution, [B] is a 0.1% formic acid-containing acetonitrile solution. Gradient: Linear gradient of 10% -100% solvent [B] in 3 minutes. 100% solvent [B] was maintained for 5 minutes.
- Preparation Example 1 (Preparation of recombinant human MGAT2) The full-length human MGAT2 gene with Flag-tag added to the N-terminus was inserted into pFastBac (Invitrogen). Recombinant baculovirus was prepared according to the protocol of Bac-to-Bac baculovirus expression system (Invitrogen) and infected with Sf-9 cells. The collected cells were sonicated and the membrane fraction was collected by centrifugation. Expression was confirmed by Western blot analysis using an anti-Flag antibody, and a recombinant human MGAT2 enzyme solution was obtained.
- Test Example 1 Measurement of human MGAT2 inhibitory activity
- Each assay compound 100 mmol / L phosphate buffer (pH 7.4) containing 2 mmol / l DTT
- a 384-well microplate made of Corning manufactured by dispensing 0.2 ⁇ L of each DMSO solution of the present compound.
- Add 5 ⁇ L of the prepared enzyme solution and 5 ⁇ L of the substrate solution 100 mmol / L phosphate buffer (pH 7.4), 30 ⁇ mol / L 2-Oleoylglycerol, 10 ⁇ mol / L Oleoyl-CoA
- stirring and centrifugation in a wet box Incubated for 1 hour at room temperature.
- the reaction was stopped by adding 50 ⁇ L of a stop solution containing Internal Standard (IS) (containing 0.2 ⁇ mol / L Diolein-d5, 0.4% formic acid and 50% isopropanol), and placed on a Shimadzu GLC plate. After sealing, the mixture was stirred and centrifuged, and measurement was performed by electrospray ionization using RapidFire360 and Agilent 6550 Q-TOF mass spectrometer.
- the reaction product (P) Diolein of 2-Oleoylglycerol as a substrate and the ammonium adduct ion of IS were detected, and the peak intensity ratio P / IS was calculated using the peak height to evaluate the inhibitory activity.
- Test Example 2 (Metabolic stability test) A commercially available pooled human liver microsome was reacted with the compound of the present invention for a certain period of time, and the residual ratio was calculated by comparing the reaction sample with the unreacted sample, and the degree of metabolism of the compound of the present invention in the liver was evaluated.
- the compound of the present invention in the centrifugal supernatant was quantified by LC / MS / MS, and the residual amount of the compound of the present invention after the reaction was calculated with the compound amount at 0 minute reaction as 100%.
- the hydrolysis reaction was carried out in the absence of NADPH, and the glucuronic acid conjugation reaction was carried out in the presence of 5 mmol / L UDP-glucuronic acid instead of NADPH, and thereafter the same operation was carried out.
- Test Example 4 (Phototoxicity test) As an in vitro phototoxicity test, an erythrocyte photohemolysis test (Wolfgang JW Pepe et al., ATLA 29, 145-162, 2001), which is an evaluation method using an action on a biological membrane and photoperoxidation as an index, was performed. In this method, a mixed solution (concentration: 0.1 to 0.0008%) obtained by adding 2.5% (v / v) sheep erythrocyte solution to the preparation solution of the compound of the present invention using dimethyl sulfoxide as a medium. Using.
- the photohemolysis rate was determined from the difference between the light irradiation and unirradiated absorbance (540 nm), and for photoperoxidation, the amount of change in the light irradiation and unirradiated absorbance (630 nm) was determined.
- the absorbance (540 nm) obtained from a 2.5% (v / v) sheep erythrocyte solution that was forcibly hemolyzed with distilled water was used as a reference for the photohemolysis rate of 100%.
- Test Example 5 (Cytotoxicity test) Using the cell image analyzer Toxinsight (Thermofisher Scientific), the number of cells after compound exposure was automatically measured, and the cytotoxicity of the compound of the present invention was evaluated. HepG2 cells (derived from human hepatoma cells) were seeded in a 384-well plate at 60000 cells / mL, and the compound solution was added to each well 24 hours later.
- a DMSO solution containing the compound of the present invention (maximum concentration is set to 50 ⁇ mol / L, 5-fold dilution at a 2-fold common ratio, minimum concentration is about 3.1 ⁇ mol / L), DMSO-only solution as a negative control, Camptothecin solution was used as a positive control.
- a DMSO solution, negative control solution, or positive control solution of the compound of the present invention was added to each well.
- Test Example 6 Anti-obesity effect test
- C57BL / 6j mice DIO mice fed with a high fat diet (TestDiet; 58Y1).
- 5-week-old male C57BL / 6j Claire Japan
- Test Example 7 Using commercially available pooled human liver microsomes, 7-ethoxyresorufin O-deethylation (CYP1A2), methyl tolbutamide as a typical substrate metabolic reaction of the major human CYP5 species (CYP1A2, 2C9, 2C19, 2D6, 3A4) -Hydroxylation (CYP2C9), mephenytoin 4'-hydroxylation (CYP2C19), dextromethorphan O-demethylation (CYP2D6), and terfenadine hydroxylation (CYP3A4) are used as indicators. The degree of inhibition by the inventive compounds was evaluated.
- reaction conditions are as follows: substrate, 0.5 ⁇ mol / L ethoxyresorufin (CYP1A2), 100 ⁇ mol / L tolbutamide (CYP2C9), 50 ⁇ mol / L S-mephenytoin (CYP2C19), 5 ⁇ mol / L dextromethorphan (CYP2D6), 1 ⁇ mol / L terfenadine (CYP3A4); reaction time, 15 minutes; reaction temperature, 37 ° C .; enzyme, pooled human liver microsome 0.2 mg protein / mL; compound concentration of the present invention 1, 5, 10, 20 ⁇ mol / L (4 points) .
- resorufin CYP1A2 metabolite
- a fluorescent multilabel counter or LC / MS / MS
- tolbutamide hydroxide CYP2C9 metabolite
- mephenytoin 4 ′ hydroxylated The body (CYP2C19 metabolite), dextrorphan (CYP2D6 metabolite), and terfenadine alcohol (CYP3A4 metabolite) were quantified by LC / MS / MS.
- the control (100%) was obtained by adding only DMSO, which is a drug-dissolving solvent, to the reaction system, the residual activity (%) was calculated, and the IC50 was calculated by inverse estimation using a logistic model using the concentration and inhibition rate. did.
- Test Example 8 (BA test) Study Material and Method for Oral Absorption
- Animals used Mice or SD rats were used.
- Breeding conditions Mice or SD rats were allowed to freely take solid feed and sterilized tap water.
- Intravenous administration was performed from the tail vein or femoral vein by a syringe with an injection needle.
- Test Example 9 CYP3A4 (MDZ) MBI test
- MBI mechanism based inhibition
- reaction conditions are as follows: substrate, 10 ⁇ mol / L MDZ; pre-reaction time, 0 or 30 minutes; reaction time, 2 minutes; reaction temperature, 37 ° C .; pooled human liver microsomes, pre-reaction 0.5 mg / mL, reaction time 0.05 mg / mL (when diluted 10-fold); concentration at the time of pre-reaction of the compound of the present invention 1, 5, 10, 20 ⁇ mol / L (4 points).
- a control (100%) was obtained by adding only DMSO, which is a solvent in which the compound of the present invention was dissolved, to the reaction system, and the residual activity (%) when the compound of the present invention was added at each concentration was calculated.
- IC was calculated by inverse estimation using a logistic model. Preincubation 0 min IC / Preincubation 30 min IC was defined as the Shifted IC value, and when the Shifted IC was 1.5 or more, Positive, and when the Shifted IC was 1.0 or less, it was defined as Negative.
- Test Example 10 An appropriate amount of the compound of the present invention is put in an appropriate container, and JP-1 solution (2.0 g of sodium chloride, water is added to 7.0 mL of hydrochloric acid to make 1000 mL), JP-2 solution (pH 6.8 phosphoric acid) 200 mL of water was added to 500 mL of salt buffer) and 20 mmol / L sodium taurocholate (TCA) / JP-2 solution (JP-2 solution was added to 1.08 g of TCA to make 100 mL). When the entire amount was dissolved after adding the test solution, the compound of the present invention was appropriately added. After sealing at 37 ° C.
- the compound of the present invention was quantified using HPLC by an absolute calibration curve method.
- Test Example 11 The mutagenicity of the compounds of the present invention was evaluated. Twenty microliters of Salmonella typhimurium TA98, TA100) cryopreserved was inoculated into 10 mL liquid nutrient medium (2.5% Oxoid nutritive broth No. 2) and cultured at 37 ° C. for 10 hours before shaking. For the TA98 strain, 8.0 mL of the bacterial solution was centrifuged (2000 ⁇ g, 10 minutes) to remove the culture solution.
- Micro F buffer K 2 HPO 4 : 3.5 g / L, KH 2 PO 4 : 1 g / L, (NH 4 ) 2 SO 4 : 1 g / L, trisodium citrate dihydrate:
- the cells are suspended in 0.25 g / L, MgSO 4 ⁇ 7H 2 0: 0.1 g / L), and 120 mL of Exposure medium (biotin: 8 ⁇ g / mL, histidine: 0.2 ⁇ g / mL, glucose: 8 mg / mL) Containing MicroF buffer).
- the TA100 strain was added to 120 mL of Exposure medium with respect to the 3.1 mL bacterial solution to prepare a test bacterial solution.
- Compound DMSO solution of the present invention (maximum dose of 50 mg / mL to several-fold dilution at 2-3 times common ratio), DMSO as a negative control, and non-metabolic activation conditions as a positive control, 50 ⁇ g / mL 4-TA Nitroquinoline-1-oxide DMSO solution, 0.25 ⁇ g / mL 2- (2-furyl) -3- (5-nitro-2-furyl) acrylamide DMSO solution for TA100 strain, TA98 under metabolic activation conditions 40 ⁇ g / mL 2-aminoanthracene DMSO solution for the strain and 20 ⁇ g / mL 2-aminoanthracene DMSO solution for the TA100 strain, respectively, and 588 ⁇ L of the test bacterial solution (498 ⁇ L of the test bacterial solution and S9 under metabolic activation conditions).
- Test Example 12 Delayed rectification plays an important role in ventricular repolarization process using CHO cells expressing human ether-a-go-go related gene (hERG) channel for the purpose of evaluating the risk of prolonging electrocardiogram QT interval of the compound of the present invention
- the effect of the compounds of the present invention on K + current (I Kr ) was examined.
- the cell was held at a membrane potential of ⁇ 80 mV by a whole cell patch clamp method, and after applying a leak potential of ⁇ 50 mV, a depolarization stimulus of +20 mV for 2 seconds, and further records the I Kr induced repolarization stimulation of -50mV when given 2 seconds.
- an extracellular solution NaCl: 145 mmol / L, KCl: 4 mmol / L, CaCl 2 : 2 mmol / L, MgCl 2 : 1 mmol
- an extracellular solution NaCl: 145 mmol / L, KCl: 4 mmol / L, CaCl 2 : 2 mmol / L, MgCl 2 : 1 mmol
- MGAT2 such as obesity, metabolic syndrome, hyperlipidemia, hypertriglyceridemia, hyperVLDLemia, hyperfattyemia, diabetes, arteriosclerosis It is useful as a medicine for the diseases involved.
Landscapes
- Chemical & Material Sciences (AREA)
- Health & Medical Sciences (AREA)
- Organic Chemistry (AREA)
- Medicinal Chemistry (AREA)
- Pharmacology & Pharmacy (AREA)
- Epidemiology (AREA)
- Life Sciences & Earth Sciences (AREA)
- Animal Behavior & Ethology (AREA)
- General Health & Medical Sciences (AREA)
- Public Health (AREA)
- Veterinary Medicine (AREA)
- Pharmaceuticals Containing Other Organic And Inorganic Compounds (AREA)
Abstract
Description
本発明は、モノアシルグリセロール アシルトランスフェラーゼ2(monoacylglycerol acyltransferase2、以下MGAT2とも称する)阻害作用を有する化合物、またはその製薬上許容される塩およびそれを含有する医薬組成物に関する。 The present invention relates to a compound having a monoacylglycerol acyltransferase 2 (hereinafter also referred to as MGAT2) inhibitory action, or a pharmaceutically acceptable salt thereof, and a pharmaceutical composition containing the same.
肥満は除脂肪体重に対して体内に過剰な脂肪あるいは脂肪組織が蓄積した状態と定義されており、健康問題の主なリスクファクターと認識されている。身体質量指数(BMI)は成人(15歳以上)の集団あるいは個人を過体重や肥満に分類する際に共通して使用されている身長体重比の単純指数である。メートルで表す身長の二乗で割ったキログラムで表す体重(kg/m2)として定義されている。世界保健機関では、BMIが25kg/m2以上を「過体重」、30kg/m2以上を「肥満」としている。一方で、日本肥満学会ではBMIが25kg/m2以上を「肥満」としている。なぜなら、糖尿病や脂質異常症を含む肥満関連疾患の数がBMIに応じて増加する、そしてその疾患の数の平均値のBMIが25kg/m2において1.0以上になるためである。世界保健機関による2005年の調査では、世界中で、約16億人が過体重、少なくとも4億人が肥満であるとされている。肥満は主に身体的活動や日常生活における消費に対するカロリー摂取の割合の増加によってもたらされる。近年の高脂肪、高糖分含有食物の摂取増加により肥満者数は増加しており、2015年には世界中で、7億人以上が肥満と診断されると予想されている。これらの治療には、食事療法、運動療法、薬物療法などが行われている。薬物療法ではオルリスタット、マジンドール、シブトラミンなどの薬物が使用されているが、薬効と副作用の両面で満足できるものはない。
肥満症の原因として中性脂肪の過剰摂取がある。食事によって摂取された中性脂肪(トリグリセロール)は、消化管内において膵リパーゼにより2-モノアシルグリセロールと遊離脂肪酸に分解され、小腸上皮細胞に吸収される。モノアシルグリセロールアシルトランスフェラーゼ(MGAT)によって遊離脂肪酸のアシル基が2-モノアシルグリセロールへ転移される。生成されたジアシルグリセロールは、さらにジアシルグリセロールアシルトランスフェラーゼ(DGAT)によって中性脂肪まで変換される。
MGATはMGAT1、MGAT2、およびMGAT3の3種類のアイソフォームが同定されている。このうち、MGAT2およびMGAT3は小腸で高発現しており、小腸における脂肪吸収に関与していると考えられている。
MGAT2ノックアウトマウスによる実験により、高脂肪食負荷により小腸におけるMGAT2の発現が亢進し、MGAT活性が上昇したことが報告されている(非特許文献1)。さらに、MGAT2ノックアウトマウスにおいて、高脂肪食負荷による体重増加の抑制、インスリン抵抗性惹起の抑制、血中コレステロール上昇の抑制、脂肪肝形成などの抑制、エネルギー消費の亢進が確認されている(非特許文献2)。
これまでに、MGAT2阻害活性を有する化合物が報告されているが(特許文献1~16、非特許文献3~13)、下記に示される本発明の化合物の開示はない。
Obesity is defined as the accumulation of excess fat or adipose tissue in the body relative to lean body mass, and is recognized as a major risk factor for health problems. The body mass index (BMI) is a simple index of the height-weight ratio that is commonly used to classify an adult (over 15 years old) group or individual as overweight or obese. It is defined as the body weight (kg / m 2 ) expressed in kilograms divided by the height squared in meters. According to the World Health Organization, BMI of 25 kg / m 2 or more is “overweight” and 30 kg / m 2 or more is “obese”. On the other hand, the Japanese Society of Obesity considers BMI to be 25 kg / m 2 or more as “obesity”. This is because the number of obesity-related diseases including diabetes and dyslipidemia increases according to BMI, and the average BMI of the number of diseases becomes 1.0 or more at 25 kg / m 2 . According to a 2005 survey by the World Health Organization, around 1.6 billion people worldwide are overweight and at least 400 million people are obese. Obesity is mainly caused by an increase in the ratio of caloric intake to physical activity and consumption in daily life. The number of obese people is increasing due to an increase in the intake of high fat and high sugar content foods in recent years, and more than 700 million people are expected to be diagnosed as obese worldwide in 2015. These treatments include diet therapy, exercise therapy, and drug therapy. Drug therapy uses drugs such as orlistat, mazindol, and sibutramine, but none is satisfactory in terms of both drug efficacy and side effects.
There is an overdose of neutral fat as a cause of obesity. Neutral fat (triglycerol) ingested by meals is broken down into 2-monoacylglycerol and free fatty acids by pancreatic lipase in the digestive tract and absorbed into small intestinal epithelial cells. Monoacylglycerol acyltransferase (MGAT) transfers the acyl group of the free fatty acid to 2-monoacylglycerol. The produced diacylglycerol is further converted to neutral fat by diacylglycerol acyltransferase (DGAT).
Three isoforms of MGAT, MGAT1, MGAT2, and MGAT3 have been identified. Of these, MGAT2 and MGAT3 are highly expressed in the small intestine and are thought to be involved in fat absorption in the small intestine.
Experiments with MGAT2 knockout mice have reported that MGAT2 expression in the small intestine is increased and MGAT activity is increased by high-fat diet loading (Non-patent Document 1). Furthermore, in MGAT2 knockout mice, suppression of weight gain due to high-fat diet load, suppression of insulin resistance, suppression of elevated blood cholesterol, suppression of fatty liver formation, and increase in energy consumption have been confirmed (non-patented) Reference 2).
So far, compounds having MGAT2 inhibitory activity have been reported (Patent Documents 1 to 16, Non-Patent Documents 3 to 13), but there is no disclosure of the compounds of the present invention shown below.
本発明の目的は、MGAT2阻害作用を有する化合物またはその製薬上許容される塩およびそれらを含有する医薬組成物を提供することにある。 An object of the present invention is to provide a compound having an MGAT2 inhibitory action or a pharmaceutically acceptable salt thereof and a pharmaceutical composition containing them.
本発明者らは、鋭意研究の結果、MGAT2阻害作用を有する優れた化合物の合成に成功した。すなわち、本発明は、
[1]
式(I):
(式中、
R1は、水素、ハロゲン、ヒドロキシ、シアノ、カルボキシ、置換もしくは非置換のカルバモイル、置換もしくは非置換のチオカルバモイル、置換もしくは非置換のアミジノ、置換もしくは非置換のアミノ、置換もしくは非置換のウレイド、置換もしくは非置換のグアニジノ、ペンタフルオロチオ、スルホ、置換もしくは非置換のスルファモイル、置換もしくは非置換のアルキル、置換もしくは非置換のアルケニル、置換もしくは非置換のアルキニル、置換もしくは非置換のアルキルオキシ、置換もしくは非置換のアルケニルオキシ、置換もしくは非置換のアルキニルオキシ、置換もしくは非置換のアルキルカルボニルオキシ、置換もしくは非置換のアルケニルカルボニルオキシ、置換もしくは非置換のアルキニルカルボニルオキシ、置換もしくは非置換のアルキルカルボニル、置換もしくは非置換のアルケニルカルボニル、置換もしくは非置換のアルキニルカルボニル、置換もしくは非置換のアルキルオキシカルボニル、置換もしくは非置換のアルケニルオキシカルボニル、置換もしくは非置換のアルキニルオキシカルボニル、置換もしくは非置換のアルキルスルファニル、置換もしくは非置換のアルケニルスルファニル、置換もしくは非置換のアルキニルスルファニル、置換もしくは非置換のアルキルスルフィニル、置換もしくは非置換のアルケニルスルフィニル、置換もしくは非置換のアルキニルスルフィニル、置換もしくは非置換のアルキルスルホニル、置換もしくは非置換のアルケニルスルホニル、置換もしくは非置換のアルキニルスルホニル、置換もしくは非置換の芳香族炭素環式基、置換もしくは非置換の非芳香族炭素環式基、置換もしくは非置換の芳香族複素環式基、置換もしくは非置換の非芳香族複素環式基、置換もしくは非置換の芳香族炭素環オキシ、置換もしくは非置換の非芳香族炭素環オキシ、置換もしくは非置換の芳香族複素環オキシ、置換もしくは非置換の非芳香族複素環オキシ、置換もしくは非置換の芳香族炭素環カルボニルオキシ、置換もしくは非置換の非芳香族炭素環カルボニルオキシ、置換もしくは非置換の芳香族複素環カルボニルオキシ、置換もしくは非置換の非芳香族複素環カルボニルオキシ、置換もしくは非置換の芳香族炭素環カルボニル、置換もしくは非置換の非芳香族炭素環カルボニル、置換もしくは非置換の芳香族複素環カルボニル、置換もしくは非置換の非芳香族複素環カルボニル、置換もしくは非置換の芳香族炭素環オキシカルボニル、置換もしくは非置換の非芳香族炭素環オキシカルボニル、置換もしくは非置換の芳香族複素環オキシカルボニル、置換もしくは非置換の非芳香族複素環オキシカルボニル、置換もしくは非置換の芳香族炭素環スルファニル、置換もしくは非置換の非芳香族炭素環スルファニル、置換もしくは非置換の芳香族複素環スルファニル、置換もしくは非置換の非芳香族複素環スルファニル、置換もしくは非置換の芳香族炭素環スルフィニル、置換もしくは非置換の非芳香族炭素環スルフィニル、置換もしくは非置換の芳香族複素環スルフィニル、置換もしくは非置換の非芳香族複素環スルフィニル、置換もしくは非置換の芳香族炭素環スルホニル、置換もしくは非置換の非芳香族炭素環スルホニル、置換もしくは非置換の芳香族複素環スルホニル、置換もしくは非置換の非芳香族複素環スルホニル、式:-L-N=S(=O)(-RS1)-RS2、式:-L-S(=O)(=N-RN)-RS1、式:-N=S(=N-RN)(-RS1)-RS2、または式:-S(=N-RN)2-RS1で示される基であり、
R2は、水素、ヒドロキシ、置換もしくは非置換のカルバモイル、置換もしくは非置換のアルキル、置換もしくは非置換のアルキルカルボニル、置換もしくは非置換のアルキルオキシカルボニル、置換もしくは非置換のアルキルスルホニル、置換もしくは非置換の芳香族炭素環式基、置換もしくは非置換の非芳香族炭素環式基、置換もしくは非置換の芳香族複素環式基、置換もしくは非置換の非芳香族複素環式基、置換もしくは非置換の芳香族炭素環カルボニル、置換もしくは非置換の非芳香族炭素環カルボニル、置換もしくは非置換の芳香族複素環カルボニル、置換もしくは非置換の非芳香族複素環カルボニル、置換もしくは非置換の芳香族炭素環オキシカルボニル、置換もしくは非置換の非芳香族炭素環オキシカルボニル、置換もしくは非置換の芳香族複素環オキシカルボニル、置換もしくは非置換の非芳香族複素環オキシカルボニル、置換もしくは非置換の芳香族炭素環スルホニル、置換もしくは非置換の非芳香族炭素環スルホニル、置換もしくは非置換の芳香族複素環スルホニル、または置換もしくは非置換の非芳香族複素環スルホニルであり、
R4aは、水素、ハロゲン、ヒドロキシ、シアノ、置換もしくは非置換のアルキル、置換もしくは非置換のアルキルオキシ、置換もしくは非置換のアルキルスルホニル、置換もしくは非置換の芳香族炭素環式基、置換もしくは非置換の非芳香族炭素環式基、置換もしくは非置換の芳香族複素環式基、置換もしくは非置換の非芳香族複素環式基、置換もしくは非置換の芳香族炭素環式基オキシ、置換もしくは非置換の非芳香族炭素環式基オキシ、置換もしくは非置換の芳香族複素環式基オキシ、置換もしくは非置換の非芳香族複素環式基オキシ、置換もしくは非置換の芳香族炭素環式基スルホニル、置換もしくは非置換の非芳香族炭素環式基スルホニル、置換もしくは非置換の芳香族複素環式基スルホニル、または置換もしくは非置換の非芳香族複素環式基スルホニルであり、
R4bは、水素、ハロゲン、ヒドロキシ、シアノ、置換もしくは非置換のアルキル、置換もしくは非置換のアルキルオキシ、置換もしくは非置換のアルキルスルホニル、置換もしくは非置換の芳香族炭素環式基、置換もしくは非置換の非芳香族炭素環式基、置換もしくは非置換の芳香族複素環式基、置換もしくは非置換の非芳香族複素環式基、置換もしくは非置換の芳香族炭素環式基オキシ、置換もしくは非置換の非芳香族炭素環式基オキシ、置換もしくは非置換の芳香族複素環式基オキシ、置換もしくは非置換の非芳香族複素環式基オキシ、置換もしくは非置換の芳香族炭素環式基スルホニル、置換もしくは非置換の非芳香族炭素環式基スルホニル、置換もしくは非置換の芳香族複素環式基スルホニル、または置換もしくは非置換の非芳香族複素環式基スルホニルであり、
R5は、それぞれ独立して、ハロゲン、ヒドロキシ、シアノ、カルボキシ、置換もしくは非置換のカルバモイル、置換もしくは非置換のチオカルバモイル、置換もしくは非置換のアミジノ、置換もしくは非置換のアミノ、置換もしくは非置換のウレイド、置換もしくは非置換のグアニジノ、ペンタフルオロチオ、スルホ、置換もしくは非置換のスルファモイル、置換もしくは非置換のアルキル、置換もしくは非置換のアルケニル、置換もしくは非置換のアルキニル、置換もしくは非置換のアルキルオキシ、置換もしくは非置換のアルケニルオキシ、置換もしくは非置換のアルキニルオキシ、置換もしくは非置換のアルキルカルボニルオキシ、置換もしくは非置換のアルケニルカルボニルオキシ、置換もしくは非置換のアルキニルカルボニルオキシ、置換もしくは非置換のアルキルカルボニル、置換もしくは非置換のアルケニルカルボニル、置換もしくは非置換のアルキニルカルボニル、置換もしくは非置換のアルキルオキシカルボニル、置換もしくは非置換のアルケニルオキシカルボニル、置換もしくは非置換のアルキニルオキシカルボニル、置換もしくは非置換のアルキルスルファニル、置換もしくは非置換のアルケニルスルファニル、置換もしくは非置換のアルキニルスルファニル、置換もしくは非置換のアルキルスルフィニル、置換もしくは非置換のアルケニルスルフィニル、置換もしくは非置換のアルキニルスルフィニル、置換もしくは非置換のアルキルスルホニル、置換もしくは非置換のアルケニルスルホニル、置換もしくは非置換のアルキニルスルホニル、置換もしくは非置換の芳香族炭素環式基、置換もしくは非置換の非芳香族炭素環式基、置換もしくは非置換の芳香族複素環式基、置換もしくは非置換の非芳香族複素環式基、置換もしくは非置換の芳香族炭素環オキシ、置換もしくは非置換の非芳香族炭素環オキシ、置換もしくは非置換の芳香族複素環オキシ、置換もしくは非置換の非芳香族複素環オキシ、置換もしくは非置換の芳香族炭素環カルボニルオキシ、置換もしくは非置換の非芳香族炭素環カルボニルオキシ、置換もしくは非置換の芳香族複素環カルボニルオキシ、置換もしくは非置換の非芳香族複素環カルボニルオキシ、置換もしくは非置換の芳香族炭素環カルボニル、置換もしくは非置換の非芳香族炭素環カルボニル、置換もしくは非置換の芳香族複素環カルボニル、置換もしくは非置換の非芳香族複素環カルボニル、置換もしくは非置換の芳香族炭素環オキシカルボニル、置換もしくは非置換の非芳香族炭素環オキシカルボニル、置換もしくは非置換の芳香族複素環オキシカルボニル、置換もしくは非置換の非芳香族複素環オキシカルボニル、置換もしくは非置換の芳香族炭素環スルファニル、置換もしくは非置換の非芳香族炭素環スルファニル、置換もしくは非置換の芳香族複素環スルファニル、置換もしくは非置換の非芳香族複素環スルファニル、置換もしくは非置換の芳香族炭素環スルフィニル、置換もしくは非置換の非芳香族炭素環スルフィニル、置換もしくは非置換の芳香族複素環スルフィニル、置換もしくは非置換の非芳香族複素環スルフィニル、置換もしくは非置換の芳香族炭素環スルホニル、置換もしくは非置換の非芳香族炭素環スルホニル、置換もしくは非置換の芳香族複素環スルホニル、置換もしくは非置換の非芳香族複素環スルホニル、式:-L-N=S(=O)(-RS1)-RS2、式:-L-S(=O)(=N-RN)-RS1、式:-N=S(=N-RN)(-RS1)-RS2、または式:-S(=N-RN)2-RS1で示される基であり、
Aは、芳香族炭素環、非芳香族炭素環、芳香族複素環、または非芳香族複素環であり、
Bは、置換もしくは非置換の非芳香族炭素環または置換もしくは非置換の非芳香族複素環であり、
Xは、C(=O)、C(=S)またはSO2であり、
mは、0~5の整数であり、
Lは、それぞれ独立して、単結合、アルキレン、またはC(=O)であり、
RS1およびRS2は、それぞれ独立して、水素、置換もしくは非置換のアルキル、置換もしくは非置換の芳香族炭素環式基、置換もしくは非置換の非芳香族炭素環式基、置換もしくは非置換の芳香族複素環式基、または置換もしくは非置換の非芳香族複素環式基であり、または、同一の硫黄原子に結合しているRS1およびRS2は当該硫黄原子と一緒になって置換もしくは非置換の非芳香族複素環を形成してもよく、
RNは、それぞれ独立して、水素、シアノ、置換もしくは非置換のカルバモイル、置換もしくは非置換のアルキル、置換もしくは非置換のアルキルカルボニル、置換もしくは非置換のアルキルオキシカルボニル、置換もしくは非置換の芳香族炭素環式基、置換もしくは非置換の非芳香族炭素環式基、置換もしくは非置換の芳香族複素環式基、置換もしくは非置換の非芳香族複素環式基、置換もしくは非置換の芳香族炭素環カルボニル、置換もしくは非置換の非芳香族炭素環カルボニル、置換もしくは非置換の芳香族複素環カルボニル、または置換もしくは非置換の非芳香族複素環カルボニルである)
で示される化合物(ただし、R1が水素、かつR2が非置換アルキルオキシカルボニルである化合物を除く)、またはその製薬上許容される塩、
[2]
Bが、以下のいずれかの式で示される、前記[1]記載の化合物、またはその製薬上許容される塩、
式:
(式中、
B1は、CR11aR11b、NR11c、O、またはSであり、
B2は、CR12aR12b、NR12c、O、またはSであり、
B3は、CR13aR13b、NR13c、O、またはSであり、
B4は、CR14aR14b、NR14c、O、またはSであり、
B5は、CR15aR15b、NR15c、O、またはSであり、
R11a、R12a、R13a、R14a、およびR15aは、それぞれ独立して、水素、ハロゲン、ヒドロキシ、シアノ、カルボキシ、置換もしくは非置換のカルバモイル、置換もしくは非置換のチオカルバモイル、置換もしくは非置換のアミジノ、置換もしくは非置換のアミノ、置換もしくは非置換のウレイド、置換もしくは非置換のグアニジノ、ペンタフルオロチオ、スルホ、置換もしくは非置換のスルファモイル、置換もしくは非置換のアルキル、置換もしくは非置換のアルケニル、置換もしくは非置換のアルキニル、置換もしくは非置換のアルキルオキシ、置換もしくは非置換のアルケニルオキシ、置換もしくは非置換のアルキニルオキシ、置換もしくは非置換のアルキルカルボニルオキシ、置換もしくは非置換のアルケニルカルボニルオキシ、置換もしくは非置換のアルキニルカルボニルオキシ、置換もしくは非置換のアルキルカルボニル、置換もしくは非置換のアルケニルカルボニル、置換もしくは非置換のアルキニルカルボニル、置換もしくは非置換のアルキルオキシカルボニル、置換もしくは非置換のアルケニルオキシカルボニル、置換もしくは非置換のアルキニルオキシカルボニル、置換もしくは非置換のアルキルスルファニル、置換もしくは非置換のアルケニルスルファニル、置換もしくは非置換のアルキニルスルファニル、置換もしくは非置換のアルキルスルフィニル、置換もしくは非置換のアルケニルスルフィニル、置換もしくは非置換のアルキニルスルフィニル、置換もしくは非置換のアルキルスルホニル、置換もしくは非置換のアルケニルスルホニル、置換もしくは非置換のアルキニルスルホニル、置換もしくは非置換の芳香族炭素環式基、置換もしくは非置換の非芳香族炭素環式基、置換もしくは非置換の芳香族複素環式基、置換もしくは非置換の非芳香族複素環式基、置換もしくは非置換の芳香族炭素環オキシ、置換もしくは非置換の非芳香族炭素環オキシ、置換もしくは非置換の芳香族複素環オキシ、置換もしくは非置換の非芳香族複素環オキシ、置換もしくは非置換の芳香族炭素環カルボニルオキシ、置換もしくは非置換の非芳香族炭素環カルボニルオキシ、置換もしくは非置換の芳香族複素環カルボニルオキシ、置換もしくは非置換の非芳香族複素環カルボニルオキシ、置換もしくは非置換の芳香族炭素環カルボニル、置換もしくは非置換の非芳香族炭素環カルボニル、置換もしくは非置換の芳香族複素環カルボニル、置換もしくは非置換の非芳香族複素環カルボニル、置換もしくは非置換の芳香族炭素環オキシカルボニル、置換もしくは非置換の非芳香族炭素環オキシカルボニル、置換もしくは非置換の芳香族複素環オキシカルボニル、置換もしくは非置換の非芳香族複素環オキシカルボニル、置換もしくは非置換の芳香族炭素環スルファニル、置換もしくは非置換の非芳香族炭素環スルファニル、置換もしくは非置換の芳香族複素環スルファニル、置換もしくは非置換の非芳香族複素環スルファニル、置換もしくは非置換の芳香族炭素環スルフィニル、置換もしくは非置換の非芳香族炭素環スルフィニル、置換もしくは非置換の芳香族複素環スルフィニル、置換もしくは非置換の非芳香族複素環スルフィニル、置換もしくは非置換の芳香族炭素環スルホニル、置換もしくは非置換の非芳香族炭素環スルホニル、置換もしくは非置換の芳香族複素環スルホニル、置換もしくは非置換の非芳香族複素環スルホニル、式:-L-N=S(=O)(-RS1)-RS2、式:-L-S(=O)(=N-RN)-RS1、式:-N=S(=N-RN)(-RS1)-RS2、または式:-S(=N-RN)2-RS1で示される基であり、
R11b、R12b、R13b、R14b、およびR15bは、それぞれ独立して、水素、ハロゲン、ヒドロキシ、シアノ、カルボキシ、置換もしくは非置換のカルバモイル、置換もしくは非置換のチオカルバモイル、置換もしくは非置換のアミジノ、置換もしくは非置換のアミノ、置換もしくは非置換のウレイド、置換もしくは非置換のグアニジノ、ペンタフルオロチオ、スルホ、置換もしくは非置換のスルファモイル、置換もしくは非置換のアルキル、置換もしくは非置換のアルケニル、置換もしくは非置換のアルキニル、置換もしくは非置換のアルキルオキシ、置換もしくは非置換のアルケニルオキシ、置換もしくは非置換のアルキニルオキシ、置換もしくは非置換のアルキルカルボニルオキシ、置換もしくは非置換のアルケニルカルボニルオキシ、置換もしくは非置換のアルキニルカルボニルオキシ、置換もしくは非置換のアルキルカルボニル、置換もしくは非置換のアルケニルカルボニル、置換もしくは非置換のアルキニルカルボニル、置換もしくは非置換のアルキルオキシカルボニル、置換もしくは非置換のアルケニルオキシカルボニル、置換もしくは非置換のアルキニルオキシカルボニル、置換もしくは非置換のアルキルスルファニル、置換もしくは非置換のアルケニルスルファニル、置換もしくは非置換のアルキニルスルファニル、置換もしくは非置換のアルキルスルフィニル、置換もしくは非置換のアルケニルスルフィニル、置換もしくは非置換のアルキニルスルフィニル、置換もしくは非置換のアルキルスルホニル、置換もしくは非置換のアルケニルスルホニル、置換もしくは非置換のアルキニルスルホニル、置換もしくは非置換の芳香族炭素環式基、置換もしくは非置換の非芳香族炭素環式基、置換もしくは非置換の芳香族複素環式基、置換もしくは非置換の非芳香族複素環式基、置換もしくは非置換の芳香族炭素環オキシ、置換もしくは非置換の非芳香族炭素環オキシ、置換もしくは非置換の芳香族複素環オキシ、置換もしくは非置換の非芳香族複素環オキシ、置換もしくは非置換の芳香族炭素環カルボニルオキシ、置換もしくは非置換の非芳香族炭素環カルボニルオキシ、置換もしくは非置換の芳香族複素環カルボニルオキシ、置換もしくは非置換の非芳香族複素環カルボニルオキシ、置換もしくは非置換の芳香族炭素環カルボニル、置換もしくは非置換の非芳香族炭素環カルボニル、置換もしくは非置換の芳香族複素環カルボニル、置換もしくは非置換の非芳香族複素環カルボニル、置換もしくは非置換の芳香族炭素環オキシカルボニル、置換もしくは非置換の非芳香族炭素環オキシカルボニル、置換もしくは非置換の芳香族複素環オキシカルボニル、置換もしくは非置換の非芳香族複素環オキシカルボニル、置換もしくは非置換の芳香族炭素環スルファニル、置換もしくは非置換の非芳香族炭素環スルファニル、置換もしくは非置換の芳香族複素環スルファニル、置換もしくは非置換の非芳香族複素環スルファニル、置換もしくは非置換の芳香族炭素環スルフィニル、置換もしくは非置換の非芳香族炭素環スルフィニル、置換もしくは非置換の芳香族複素環スルフィニル、置換もしくは非置換の非芳香族複素環スルフィニル、置換もしくは非置換の芳香族炭素環スルホニル、置換もしくは非置換の非芳香族炭素環スルホニル、置換もしくは非置換の芳香族複素環スルホニル、置換もしくは非置換の非芳香族複素環スルホニル、式:-L-N=S(=O)(-RS1)-RS2、式:-L-S(=O)(=N-RN)-RS1、式:-N=S(=N-RN)(-RS1)-RS2、または式:-S(=N-RN)2-RS1で示される基であり、
R11c、R12c、R13c、R14c、およびR15cは、それぞれ独立して、水素、シアノ、置換もしくは非置換のカルバモイル、置換もしくは非置換のチオカルバモイル、置換もしくは非置換のアミジノ、置換もしくは非置換のアミノ、置換もしくは非置換のウレイド、置換もしくは非置換のグアニジノ、ペンタフルオロチオ、スルホ、置換もしくは非置換のスルファモイル、置換もしくは非置換のアルキル、置換もしくは非置換のアルケニル、置換もしくは非置換のアルキニル、置換もしくは非置換のアルキルオキシ、置換もしくは非置換のアルケニルオキシ、置換もしくは非置換のアルキニルオキシ、置換もしくは非置換のアルキルカルボニル、置換もしくは非置換のアルケニルカルボニル、置換もしくは非置換のアルキニルカルボニル、置換もしくは非置換のアルキルオキシカルボニル、置換もしくは非置換のアルケニルオキシカルボニル、置換もしくは非置換のアルキニルオキシカルボニル、置換もしくは非置換のアルキルスルファニル、置換もしくは非置換のアルケニルスルファニル、置換もしくは非置換のアルキニルスルファニル、置換もしくは非置換のアルキルスルフィニル、置換もしくは非置換のアルケニルスルフィニル、置換もしくは非置換のアルキニルスルフィニル、置換もしくは非置換のアルキルスルホニル、置換もしくは非置換のアルケニルスルホニル、置換もしくは非置換のアルキニルスルホニル、置換もしくは非置換の芳香族炭素環式基、置換もしくは非置換の非芳香族炭素環式基、置換もしくは非置換の芳香族複素環式基、置換もしくは非置換の非芳香族複素環式基、置換もしくは非置換の芳香族炭素環オキシ、置換もしくは非置換の非芳香族炭素環オキシ、置換もしくは非置換の芳香族複素環オキシ、置換もしくは非置換の非芳香族複素環オキシ、置換もしくは非置換の芳香族炭素環カルボニル、置換もしくは非置換の非芳香族炭素環カルボニル、置換もしくは非置換の芳香族複素環カルボニル、置換もしくは非置換の非芳香族複素環カルボニル、置換もしくは非置換の芳香族炭素環オキシカルボニル、置換もしくは非置換の非芳香族炭素環オキシカルボニル、置換もしくは非置換の芳香族複素環オキシカルボニル、置換もしくは非置換の非芳香族複素環オキシカルボニル、置換もしくは非置換の芳香族炭素環スルファニル、置換もしくは非置換の非芳香族炭素環スルファニル、置換もしくは非置換の芳香族複素環スルファニル、置換もしくは非置換の非芳香族複素環スルファニル、置換もしくは非置換の芳香族炭素環スルフィニル、置換もしくは非置換の非芳香族炭素環スルフィニル、置換もしくは非置換の芳香族複素環スルフィニル、置換もしくは非置換の非芳香族複素環スルフィニル、置換もしくは非置換の芳香族炭素環スルホニル、置換もしくは非置換の非芳香族炭素環スルホニル、置換もしくは非置換の芳香族複素環スルホニル、または置換もしくは非置換の非芳香族複素環スルホニルであり、
または、R11aとR12a、R12aとR13a、R13aとR14a、および/またはR14aとR15aは、隣接する炭素原子と一緒になって、置換もしくは非置換の芳香族炭素環、置換もしくは非置換の非芳香族炭素環、置換もしくは非置換の芳香族複素環、または置換もしくは非置換の非芳香族複素環を形成してもよく、
および/または、R11cとR12a、R11cとR12c、R12cとR11a、R12cとR13a、R12cとR13c、R13cとR12a、R13cとR14a、R13cとR14c、R14cとR13a、R14cとR15c、および/またはR15cとR14aは、隣接する原子と一緒になって、置換もしくは非置換の芳香族複素環または置換もしくは非置換の非芳香族複素環を形成してもよく、
および/または、R11aとR13a、R11aとR13c、R11aとR14a、R11aとR14c、R11aとR15a、R11aとR15c、R11cとR13a、R11cとR13c、R11cとR14a、R11cとR14c、R11cとR15a、R11cとR15c、R12aとR14a、R12aとR14c、R12aとR15a、R12aとR15c、R12cとR14a、R12cとR14c、R12cとR15a、R12cとR15c、R13aとR15a、R13aとR15c、R13cとR15a、および/またはR13cとR15cは、一緒になってC2-C4架橋を形成してもよく、
および/または、R11bとR12b、R11bとR12c、R11cとR12b、R11cとR12c、R12bとR13b、R12bとR13c、R12cとR13b、R12cとR13c、R13bとR14b、R13bとR14c、R13cとR14b、R13cとR14c、R14bとR15b、R14bとR15c、R14cとR15b、および/またはR14cとR15cは、一緒になって結合を形成してもよく、
破線は結合の存在または非存在を示し、
その他の記号は前記[1]と同意義である)
[3]
Bが、以下のいずれかの式で示される、前記[1]または[2]記載の化合物、またはその製薬上許容される塩、
式:
(式中、
Cは、置換もしくは非置換の芳香族炭素環、置換もしくは非置換の非芳香族炭素環、置換もしくは非置換の芳香族複素環、または置換もしくは非置換の非芳香族複素環であり、
R6は、それぞれ独立して、ハロゲン、ヒドロキシ、シアノ、カルボキシ、置換もしくは非置換のカルバモイル、置換もしくは非置換のチオカルバモイル、置換もしくは非置換のアミジノ、置換もしくは非置換のアミノ、置換もしくは非置換のウレイド、置換もしくは非置換のグアニジノ、ペンタフルオロチオ、スルホ、置換もしくは非置換のスルファモイル、置換もしくは非置換のアルキル、置換もしくは非置換のアルケニル、置換もしくは非置換のアルキニル、置換もしくは非置換のアルキルオキシ、置換もしくは非置換のアルケニルオキシ、置換もしくは非置換のアルキニルオキシ、置換もしくは非置換のアルキルカルボニルオキシ、置換もしくは非置換のアルケニルカルボニルオキシ、置換もしくは非置換のアルキニルカルボニルオキシ、置換もしくは非置換のアルキルカルボニル、置換もしくは非置換のアルケニルカルボニル、置換もしくは非置換のアルキニルカルボニル、置換もしくは非置換のアルキルオキシカルボニル、置換もしくは非置換のアルケニルオキシカルボニル、置換もしくは非置換のアルキニルオキシカルボニル、置換もしくは非置換のアルキルスルファニル、置換もしくは非置換のアルケニルスルファニル、置換もしくは非置換のアルキニルスルファニル、置換もしくは非置換のアルキルスルフィニル、置換もしくは非置換のアルケニルスルフィニル、置換もしくは非置換のアルキニルスルフィニル、置換もしくは非置換のアルキルスルホニル、置換もしくは非置換のアルケニルスルホニル、置換もしくは非置換のアルキニルスルホニル、置換もしくは非置換の芳香族炭素環式基、置換もしくは非置換の非芳香族炭素環式基、置換もしくは非置換の芳香族複素環式基、置換もしくは非置換の非芳香族複素環式基、置換もしくは非置換の芳香族炭素環オキシ、置換もしくは非置換の非芳香族炭素環オキシ、置換もしくは非置換の芳香族複素環オキシ、置換もしくは非置換の非芳香族複素環オキシ、置換もしくは非置換の芳香族炭素環カルボニルオキシ、置換もしくは非置換の非芳香族炭素環カルボニルオキシ、置換もしくは非置換の芳香族複素環カルボニルオキシ、置換もしくは非置換の非芳香族複素環カルボニルオキシ、置換もしくは非置換の芳香族炭素環カルボニル、置換もしくは非置換の非芳香族炭素環カルボニル、置換もしくは非置換の芳香族複素環カルボニル、置換もしくは非置換の非芳香族複素環カルボニル、置換もしくは非置換の芳香族炭素環オキシカルボニル、置換もしくは非置換の非芳香族炭素環オキシカルボニル、置換もしくは非置換の芳香族複素環オキシカルボニル、置換もしくは非置換の非芳香族複素環オキシカルボニル、置換もしくは非置換の芳香族炭素環スルファニル、置換もしくは非置換の非芳香族炭素環スルファニル、置換もしくは非置換の芳香族複素環スルファニル、置換もしくは非置換の非芳香族複素環スルファニル、置換もしくは非置換の芳香族炭素環スルフィニル、置換もしくは非置換の非芳香族炭素環スルフィニル、置換もしくは非置換の芳香族複素環スルフィニル、置換もしくは非置換の非芳香族複素環スルフィニル、置換もしくは非置換の芳香族炭素環スルホニル、置換もしくは非置換の非芳香族炭素環スルホニル、置換もしくは非置換の芳香族複素環スルホニル、置換もしくは非置換の非芳香族複素環スルホニル、式:-L-N=S(=O)(-RS1)-RS2、式:-L-S(=O)(=N-RN)-RS1、式:-N=S(=N-RN)(-RS1)-RS2、または式:-S(=N-RN)2-RS1で示される基であり、
nは、0~4の整数であり、
B1、B2、B3、B4およびB5は、前記[2]と同意義であり、
その他の記号は前記[1]と同意義である)
[4]
Bが、以下のいずれかの式で示される、前記[1]~[3]のいずれかに記載の化合物、またはその製薬上許容される塩、
式:
(式中、R6およびnは、前記[3]と同意義であり、
B1、B2、B3、B4およびB5は、前記[2]と同意義であり、
その他の記号は前記と同意義である)
[5]
R1が、水素、シアノ、置換もしくは非置換のカルバモイル、置換もしくは非置換のアミノ、置換もしくは非置換のアルキル、置換もしくは非置換のアルキルオキシカルボニル、置換もしくは非置換の芳香族複素環式基、または置換もしくは非置換の非芳香族複素環式基、または以下に示される基である、前記[1]~[4]のいずれかに記載の化合物、またはその製薬上許容される塩、
(式中、
L1は、置換もしくは非置換のアルキレンであり、
L2は、それぞれ独立して、単結合、-C(=O)-、-C(=O)-O-、-O-C(=O)-、-C(=O)-N(H)-、-N(H)-C(=O)-、-C(=O)-N(H)-S(O)2-、-N(H)-S(O)2-、-S(O)2-N(H)-、および-S(O)2-N(H)-C(=O)-からなる群から選択される基であり、
L3は、それぞれ独立して、単結合または置換もしくは非置換のアルキレンであり、
R1’は、ハロゲン、ヒドロキシ、カルボキシ、シアノ、置換もしくは非置換のアミノ、置換もしくは非置換のアルキル、置換もしくは非置換のアルケニル、置換もしくは非置換のアルキニル、置換もしくは非置換の芳香族炭素環式基、置換もしくは非置換の非芳香族炭素環式基、置換もしくは非置換の芳香族複素環式基、または置換もしくは非置換の非芳香族複素環式基であり、
pは、0~2の整数である)、
[6]
R5が、それぞれ独立して、ハロゲン、シアノ、置換もしくは非置換のカルバモイル、置換もしくは非置換のアミノ、置換もしくは非置換のスルファモイル、置換もしくは非置換のアルキル、置換もしくは非置換のアルキルオキシ、置換もしくは非置換のアルキルカルボニル、置換もしくは非置換のアルキルオキシカルボニル、置換もしくは非置換のアルキルスルホニル、置換もしくは非置換の芳香族炭素環式基、置換もしくは非置換の非芳香族炭素環式基、置換もしくは非置換の芳香族複素環式基、置換もしくは非置換の非芳香族複素環式基、置換もしくは非置換の非芳香族炭素環オキシ、または置換もしくは非置換の非芳香族複素環オキシである、前記[1]~[5]のいずれかに記載の化合物、またはその製薬上許容される塩、
[7]
R6が、それぞれ独立して、ハロゲン、ヒドロキシ、置換もしくは非置換のアミノ、置換もしくは非置換のアルキル、置換もしくは非置換のアルケニル、置換もしくは非置換のアルキルオキシ、置換もしくは非置換のアルケニルオキシ、置換もしくは非置換のアルキルカルボニル、置換もしくは非置換の芳香族炭素環式基、置換もしくは非置換の非芳香族炭素環式基、置換もしくは非置換の芳香族複素環式基、置換もしくは非置換の非芳香族複素環式基、置換もしくは非置換の芳香族炭素環オキシ、置換もしくは非置換の非芳香族炭素環オキシ、置換もしくは非置換の芳香族複素環オキシ、置換もしくは非置換の非芳香族複素環オキシ、または置換もしくは非置換の芳香族炭素環カルボニルオキシである、前記[3]~[6]のいずれかに記載の化合物、またはその製薬上許容される塩、
[8]
実施例化合物I-1、I-2、I-3、I-5、I-7、I-8、I-12、I-19、I-33、I-44、I-45、I-50、I-51、I-52、I-53、I-55、I-57およびI-61からなる群から選択される、前記[1]記載の化合物、またはその製薬上許容される塩、
[9]
実施例化合物I-5、I-70、I-71、I-73、I-83、I-94、I-95、I-104、I-108、I-110、I-112、I-132、I-136、I-143、I-157、I-160、I-164、I-165、I-185およびI-222からなる群から選択される、前記[1]記載の化合物、またはその製薬上許容される塩、
[10]
実施例化合物I-1、I-71、I-132、I-134、I-143、I-160、I-162、I-164、I-165、I-232、I-245、I-246、I-247、I-255、I-263、I-304、I-328、I-330、I-402およびI-407からなる群から選択される、前記[1]記載の化合物、またはその製薬上許容される塩、
[11]
前記[1]~[10]のいずれかに記載の化合物またはその製薬上許容される塩を含有する、医薬組成物、
[12]
MGAT2阻害作用を有する、前記[11]記載の医薬組成物、
[13]
MGAT2の関与する疾患の治療または予防のために用いる、前記[11]または[12]記載の医薬組成物、
[14]
肥満症、メタボリックシンドローム、高脂血症、高中性脂肪血症、高VLDL血症、高脂肪酸血症、糖尿病または動脈硬化症の治療または予防のために用いる、前記[13]記載の医薬組成物、
[15]
前記[1]~[10]のいずれかに記載の化合物、またはその製薬上許容される塩を投与することを特徴とする、MGAT2の関与する疾患の治療または予防方法、
[16]
MGAT2の関与する疾患の治療または予防剤を製造するための、前記[1]~[10]のいずれかに記載の化合物、またはその製薬上許容される塩の使用、
[17]
MGAT2の関与する疾患を治療または予防するための、前記[1]~[10]のいずれかに記載の化合物、またはその製薬上許容される塩、
[18]
前記[1]~[10]のいずれかに記載の化合物、またはその製薬上許容される塩を含有する、経口投与のための医薬組成物、
[19]
錠剤、散剤、顆粒剤、カプセル剤、丸剤、フィルム剤、懸濁剤、乳剤、エリキシル剤、シロップ剤、リモナーデ剤、酒精剤、芳香水剤、エキス剤、煎剤またはチンキ剤である、前記[18]記載の医薬組成物、
[20]
糖衣錠、フィルムコーティング錠、腸溶性コーティング錠、徐放錠、トローチ錠、舌下錠、バッカル錠、チュアブル錠、口腔内崩壊錠、ドライシロップ、ソフトカプセル剤、マイクロカプセル剤または徐放性カプセル剤である、前記[18]記載の医薬組成物、
[21]
前記[1]~[10]のいずれかに記載の化合物、またはその製薬上許容される塩を含有する、非経口投与のための医薬組成物、
[22]
経皮、皮下、静脈内、動脈内、筋肉内、腹腔内、経粘膜、吸入、経鼻、点眼、点耳または膣内投与のための、前記[21]記載の医薬組成物、
[23]
注射剤、点滴剤、点眼剤、点鼻剤、点耳剤、エアゾール剤、吸入剤、ローション剤、注入剤、塗布剤、含嗽剤、浣腸剤、軟膏剤、硬膏剤、ゼリー剤、クリーム剤、貼付剤、パップ剤、外用散剤または坐剤である、前記[21]記載の医薬組成物、
[24]
前記[1]~[10]のいずれかに記載の化合物、またはその製薬上許容される塩を含有する、小児用または高齢者用の医薬組成物、
に関する。
As a result of intensive studies, the present inventors have succeeded in synthesizing an excellent compound having an MGAT2 inhibitory action. That is, the present invention
[1]
Formula (I):
(Where
R 1 Is hydrogen, halogen, hydroxy, cyano, carboxy, substituted or unsubstituted carbamoyl, substituted or unsubstituted thiocarbamoyl, substituted or unsubstituted amidino, substituted or unsubstituted amino, substituted or unsubstituted ureido, substituted or Unsubstituted guanidino, pentafluorothio, sulfo, substituted or unsubstituted sulfamoyl, substituted or unsubstituted alkyl, substituted or unsubstituted alkenyl, substituted or unsubstituted alkynyl, substituted or unsubstituted alkyloxy, substituted or unsubstituted Substituted alkenyloxy, substituted or unsubstituted alkynyloxy, substituted or unsubstituted alkylcarbonyloxy, substituted or unsubstituted alkenylcarbonyloxy, substituted or unsubstituted alkynylcarbonyloxy, substituted or Unsubstituted alkylcarbonyl, substituted or unsubstituted alkenylcarbonyl, substituted or unsubstituted alkynylcarbonyl, substituted or unsubstituted alkyloxycarbonyl, substituted or unsubstituted alkenyloxycarbonyl, substituted or unsubstituted alkynyloxycarbonyl, substituted Or unsubstituted alkylsulfanyl, substituted or unsubstituted alkenylsulfanyl, substituted or unsubstituted alkynylsulfanyl, substituted or unsubstituted alkylsulfinyl, substituted or unsubstituted alkenylsulfinyl, substituted or unsubstituted alkynylsulfinyl, substituted or unsubstituted Substituted alkylsulfonyl, substituted or unsubstituted alkenylsulfonyl, substituted or unsubstituted alkynylsulfonyl, substituted or unsubstituted aromatic Prime cyclic group, substituted or unsubstituted non-aromatic carbocyclic group, substituted or unsubstituted aromatic heterocyclic group, substituted or unsubstituted non-aromatic heterocyclic group, substituted or unsubstituted aromatic Carbocyclic oxy, substituted or unsubstituted non-aromatic carbocyclic oxy, substituted or unsubstituted aromatic heterocyclic oxy, substituted or unsubstituted non-aromatic heterocyclic oxy, substituted or unsubstituted aromatic carbocyclic carbonyloxy Substituted or unsubstituted non-aromatic carbocyclic carbonyloxy, substituted or unsubstituted aromatic heterocyclic carbonyloxy, substituted or unsubstituted non-aromatic heterocyclic carbonyloxy, substituted or unsubstituted aromatic carbocyclic carbonyl, Substituted or unsubstituted non-aromatic carbocyclic carbonyl, substituted or unsubstituted aromatic heterocyclic carbonyl, substituted or unsubstituted non-aromatic heterocyclic ring Rubonyl, substituted or unsubstituted aromatic carbocyclic oxycarbonyl, substituted or unsubstituted non-aromatic carbocyclic oxycarbonyl, substituted or unsubstituted aromatic heterocyclic oxycarbonyl, substituted or unsubstituted non-aromatic heterocyclic oxy Carbonyl, substituted or unsubstituted aromatic carbocyclic sulfanyl, substituted or unsubstituted non-aromatic carbocyclic sulfanyl, substituted or unsubstituted aromatic heterocyclic sulfanyl, substituted or unsubstituted non-aromatic heterocyclic sulfanyl, substituted or Unsubstituted aromatic carbocyclic sulfinyl, substituted or unsubstituted non-aromatic carbocyclic sulfinyl, substituted or unsubstituted aromatic heterocyclic sulfinyl, substituted or unsubstituted non-aromatic heterocyclic sulfinyl, substituted or unsubstituted fragrance Aromatic carbocyclic sulfonyl, substituted or unsubstituted non-aromatic carbon Sulfonyl, substituted or unsubstituted aromatic heterocyclic sulfonyl, substituted or unsubstituted non-aromatic heterocyclic sulfonyl, formula: -L-N = S (= O) (- R S1 -R S2 Formula: -LS (= O) (= NR N -R S1 , Formula: -N = S (= N-R N ) (-R S1 -R S2 Or the formula: —S (= N—R N ) 2 -R S1 A group represented by
R 2 Is hydrogen, hydroxy, substituted or unsubstituted carbamoyl, substituted or unsubstituted alkyl, substituted or unsubstituted alkylcarbonyl, substituted or unsubstituted alkyloxycarbonyl, substituted or unsubstituted alkylsulfonyl, substituted or unsubstituted Aromatic carbocyclic group, substituted or unsubstituted non-aromatic carbocyclic group, substituted or unsubstituted aromatic heterocyclic group, substituted or unsubstituted non-aromatic heterocyclic group, substituted or unsubstituted Aromatic carbocyclic carbonyl, substituted or unsubstituted non-aromatic carbocyclic carbonyl, substituted or unsubstituted aromatic heterocyclic carbonyl, substituted or unsubstituted non-aromatic heterocyclic carbonyl, substituted or unsubstituted aromatic carbocycle Oxycarbonyl, substituted or unsubstituted non-aromatic carbocyclic oxycarbonyl, substituted or unsubstituted Aromatic heterocyclic oxycarbonyl, substituted or unsubstituted non-aromatic heterocyclic oxycarbonyl, substituted or unsubstituted aromatic carbocyclic sulfonyl, substituted or unsubstituted non-aromatic carbocyclic sulfonyl, substituted or unsubstituted aromatic A heterocyclic sulfonyl group, or a substituted or unsubstituted non-aromatic heterocyclic sulfonyl group,
R 4a Is hydrogen, halogen, hydroxy, cyano, substituted or unsubstituted alkyl, substituted or unsubstituted alkyloxy, substituted or unsubstituted alkylsulfonyl, substituted or unsubstituted aromatic carbocyclic group, substituted or unsubstituted Non-aromatic carbocyclic group, substituted or unsubstituted aromatic heterocyclic group, substituted or unsubstituted non-aromatic heterocyclic group, substituted or unsubstituted aromatic carbocyclic group oxy, substituted or unsubstituted A non-aromatic carbocyclic group oxy, a substituted or unsubstituted aromatic heterocyclic group oxy, a substituted or unsubstituted non-aromatic heterocyclic group oxy, a substituted or unsubstituted aromatic carbocyclic group sulfonyl, Substituted or unsubstituted non-aromatic carbocyclic group sulfonyl, substituted or unsubstituted aromatic heterocyclic group sulfonyl, or substituted or unsubstituted non-aromatic hetero group Is a Shikimoto sulfonyl,
R 4b Is hydrogen, halogen, hydroxy, cyano, substituted or unsubstituted alkyl, substituted or unsubstituted alkyloxy, substituted or unsubstituted alkylsulfonyl, substituted or unsubstituted aromatic carbocyclic group, substituted or unsubstituted Non-aromatic carbocyclic group, substituted or unsubstituted aromatic heterocyclic group, substituted or unsubstituted non-aromatic heterocyclic group, substituted or unsubstituted aromatic carbocyclic group oxy, substituted or unsubstituted A non-aromatic carbocyclic group oxy, a substituted or unsubstituted aromatic heterocyclic group oxy, a substituted or unsubstituted non-aromatic heterocyclic group oxy, a substituted or unsubstituted aromatic carbocyclic group sulfonyl, Substituted or unsubstituted non-aromatic carbocyclic group sulfonyl, substituted or unsubstituted aromatic heterocyclic group sulfonyl, or substituted or unsubstituted non-aromatic hetero group Is a Shikimoto sulfonyl,
R 5 Are each independently halogen, hydroxy, cyano, carboxy, substituted or unsubstituted carbamoyl, substituted or unsubstituted thiocarbamoyl, substituted or unsubstituted amidino, substituted or unsubstituted amino, substituted or unsubstituted ureido Substituted or unsubstituted guanidino, pentafluorothio, sulfo, substituted or unsubstituted sulfamoyl, substituted or unsubstituted alkyl, substituted or unsubstituted alkenyl, substituted or unsubstituted alkynyl, substituted or unsubstituted alkyloxy, Substituted or unsubstituted alkenyloxy, substituted or unsubstituted alkynyloxy, substituted or unsubstituted alkylcarbonyloxy, substituted or unsubstituted alkenylcarbonyloxy, substituted or unsubstituted alkynylcarbonyloxy Substituted or unsubstituted alkylcarbonyl, substituted or unsubstituted alkenylcarbonyl, substituted or unsubstituted alkynylcarbonyl, substituted or unsubstituted alkyloxycarbonyl, substituted or unsubstituted alkenyloxycarbonyl, substituted or unsubstituted alkynyloxycarbonyl Substituted or unsubstituted alkylsulfanyl, substituted or unsubstituted alkenylsulfanyl, substituted or unsubstituted alkynylsulfanyl, substituted or unsubstituted alkylsulfinyl, substituted or unsubstituted alkenylsulfinyl, substituted or unsubstituted alkynylsulfinyl, substituted Or unsubstituted alkylsulfonyl, substituted or unsubstituted alkenylsulfonyl, substituted or unsubstituted alkynylsulfonyl, substituted or non-substituted Substituted aromatic carbocyclic group, substituted or unsubstituted non-aromatic carbocyclic group, substituted or unsubstituted aromatic heterocyclic group, substituted or unsubstituted non-aromatic heterocyclic group, substituted or non-substituted Substituted aromatic carbocyclic oxy, substituted or unsubstituted non-aromatic carbocyclic oxy, substituted or unsubstituted aromatic heterocyclic oxy, substituted or unsubstituted non-aromatic heterocyclic oxy, substituted or unsubstituted aromatic Carbocyclic carbonyloxy, substituted or unsubstituted non-aromatic carbocyclic carbonyloxy, substituted or unsubstituted aromatic heterocyclic carbonyloxy, substituted or unsubstituted non-aromatic heterocyclic carbonyloxy, substituted or unsubstituted aromatic Carbocyclic carbonyl, substituted or unsubstituted non-aromatic carbocyclic carbonyl, substituted or unsubstituted aromatic heterocyclic carbonyl, substituted or unsubstituted aromatic Aromatic heterocyclic carbonyl, substituted or unsubstituted aromatic carbocyclic oxycarbonyl, substituted or unsubstituted non-aromatic carbocyclic oxycarbonyl, substituted or unsubstituted aromatic heterocyclic oxycarbonyl, substituted or unsubstituted non-aromatic Heterocyclic oxycarbonyl, substituted or unsubstituted aromatic carbocyclic sulfanyl, substituted or unsubstituted non-aromatic carbocyclic sulfanyl, substituted or unsubstituted aromatic heterocyclic sulfanyl, substituted or unsubstituted non-aromatic heterocyclic ring Sulfanyl, substituted or unsubstituted aromatic carbocyclic sulfinyl, substituted or unsubstituted non-aromatic carbocyclic sulfinyl, substituted or unsubstituted aromatic heterocyclic sulfinyl, substituted or unsubstituted non-aromatic heterocyclic sulfinyl, substituted or Unsubstituted aromatic carbocyclic sulfonyl, substituted or unsubstituted Aromatic carbocyclic sulfonyl, substituted or unsubstituted aromatic heterocyclic sulfonyl, substituted or unsubstituted non-aromatic heterocyclic sulfonyl, formula: -L-N = S (= O) (- R S1 -R S2 Formula: -LS (= O) (= NR N -R S1 , Formula: -N = S (= N-R N ) (-R S1 -R S2 Or the formula: —S (= N—R N ) 2 -R S1 A group represented by
A is an aromatic carbocycle, non-aromatic carbocycle, aromatic heterocycle, or non-aromatic heterocycle,
B is a substituted or unsubstituted non-aromatic carbocyclic ring or a substituted or unsubstituted non-aromatic heterocyclic ring;
X is C (= O), C (= S) or SO 2 And
m is an integer from 0 to 5,
Each L is independently a single bond, alkylene, or C (═O);
R S1 And R S2 Are each independently hydrogen, substituted or unsubstituted alkyl, substituted or unsubstituted aromatic carbocyclic group, substituted or unsubstituted nonaromatic carbocyclic group, substituted or unsubstituted aromatic heterocyclic ring R, which is a formula group, or a substituted or unsubstituted non-aromatic heterocyclic group, or bonded to the same sulfur atom S1 And R S2 May form a substituted or unsubstituted non-aromatic heterocyclic ring together with the sulfur atom,
R N Each independently represents hydrogen, cyano, substituted or unsubstituted carbamoyl, substituted or unsubstituted alkyl, substituted or unsubstituted alkylcarbonyl, substituted or unsubstituted alkyloxycarbonyl, substituted or unsubstituted aromatic carbon Cyclic group, substituted or unsubstituted non-aromatic carbocyclic group, substituted or unsubstituted aromatic heterocyclic group, substituted or unsubstituted non-aromatic heterocyclic group, substituted or unsubstituted aromatic carbon A ring carbonyl, a substituted or unsubstituted non-aromatic carbocyclic carbonyl, a substituted or unsubstituted aromatic heterocyclic carbonyl, or a substituted or unsubstituted non-aromatic heterocyclic carbonyl)
A compound represented by the formula (where R is 1 Is hydrogen and R 2 Is a non-substituted alkyloxycarbonyl), or a pharmaceutically acceptable salt thereof,
[2]
The compound according to the above [1], wherein B is represented by any one of the following formulas, or a pharmaceutically acceptable salt thereof:
formula:
(Where
B 1 Is CR 11a R 11b , NR 11c , O, or S,
B 2 Is CR 12a R 12b , NR 12c , O, or S,
B 3 Is CR 13a R 13b , NR 13c , O, or S,
B 4 Is CR 14a R 14b , NR 14c , O, or S,
B 5 Is CR 15a R 15b , NR 15c , O, or S,
R 11a , R 12a , R 13a , R 14a And R 15a Each independently represents hydrogen, halogen, hydroxy, cyano, carboxy, substituted or unsubstituted carbamoyl, substituted or unsubstituted thiocarbamoyl, substituted or unsubstituted amidino, substituted or unsubstituted amino, substituted or unsubstituted Ureido, substituted or unsubstituted guanidino, pentafluorothio, sulfo, substituted or unsubstituted sulfamoyl, substituted or unsubstituted alkyl, substituted or unsubstituted alkenyl, substituted or unsubstituted alkynyl, substituted or unsubstituted alkyl Oxy, substituted or unsubstituted alkenyloxy, substituted or unsubstituted alkynyloxy, substituted or unsubstituted alkylcarbonyloxy, substituted or unsubstituted alkenylcarbonyloxy, substituted or unsubstituted alkynylcarbonyl Xy, substituted or unsubstituted alkylcarbonyl, substituted or unsubstituted alkenylcarbonyl, substituted or unsubstituted alkynylcarbonyl, substituted or unsubstituted alkyloxycarbonyl, substituted or unsubstituted alkenyloxycarbonyl, substituted or unsubstituted alkynyl Oxycarbonyl, substituted or unsubstituted alkylsulfanyl, substituted or unsubstituted alkenylsulfanyl, substituted or unsubstituted alkynylsulfanyl, substituted or unsubstituted alkylsulfinyl, substituted or unsubstituted alkenylsulfinyl, substituted or unsubstituted alkynylsulfinyl Substituted or unsubstituted alkylsulfonyl, substituted or unsubstituted alkenylsulfonyl, substituted or unsubstituted alkynylsulfonyl, substituted Is an unsubstituted aromatic carbocyclic group, a substituted or unsubstituted non-aromatic carbocyclic group, a substituted or unsubstituted aromatic heterocyclic group, a substituted or unsubstituted non-aromatic heterocyclic group, substituted Or unsubstituted aromatic carbocyclic oxy, substituted or unsubstituted non-aromatic carbocyclic oxy, substituted or unsubstituted aromatic heterocyclic oxy, substituted or unsubstituted non-aromatic heterocyclic oxy, substituted or unsubstituted Aromatic carbocyclic carbonyloxy, substituted or unsubstituted non-aromatic carbocyclic carbonyloxy, substituted or unsubstituted aromatic heterocyclic carbonyloxy, substituted or unsubstituted non-aromatic heterocyclic carbonyloxy, substituted or unsubstituted Aromatic carbocyclic carbonyl, substituted or unsubstituted non-aromatic carbocyclic carbonyl, substituted or unsubstituted aromatic heterocyclic carbonyl, substituted or unsubstituted Non-aromatic heterocyclic carbonyl, substituted or unsubstituted aromatic carbocyclic oxycarbonyl, substituted or unsubstituted non-aromatic carbocyclic oxycarbonyl, substituted or unsubstituted aromatic heterocyclic oxycarbonyl, substituted or unsubstituted Non-aromatic heterocyclic oxycarbonyl, substituted or unsubstituted aromatic carbocyclic sulfanyl, substituted or unsubstituted non-aromatic carbocyclic sulfanyl, substituted or unsubstituted aromatic heterocyclic sulfanyl, substituted or unsubstituted non-aromatic Heterocyclic sulfanyl, substituted or unsubstituted aromatic carbocyclic sulfinyl, substituted or unsubstituted non-aromatic carbocyclic sulfinyl, substituted or unsubstituted aromatic heterocyclic sulfinyl, substituted or unsubstituted non-aromatic heterocyclic sulfinyl, Substituted or unsubstituted aromatic carbocyclic sulfonyl, substituted or unsubstituted Non-aromatic carbocyclic sulfonyl conversion, substituted or unsubstituted aromatic heterocyclic sulfonyl, substituted or unsubstituted non-aromatic heterocyclic sulfonyl, formula: -L-N = S (= O) (- R S1 -R S2 Formula: -LS (= O) (= NR N -R S1 , Formula: -N = S (= N-R N ) (-R S1 -R S2 Or the formula: —S (= N—R N ) 2 -R S1 A group represented by
R 11b , R 12b , R 13b , R 14b And R 15b Each independently represents hydrogen, halogen, hydroxy, cyano, carboxy, substituted or unsubstituted carbamoyl, substituted or unsubstituted thiocarbamoyl, substituted or unsubstituted amidino, substituted or unsubstituted amino, substituted or unsubstituted Ureido, substituted or unsubstituted guanidino, pentafluorothio, sulfo, substituted or unsubstituted sulfamoyl, substituted or unsubstituted alkyl, substituted or unsubstituted alkenyl, substituted or unsubstituted alkynyl, substituted or unsubstituted alkyl Oxy, substituted or unsubstituted alkenyloxy, substituted or unsubstituted alkynyloxy, substituted or unsubstituted alkylcarbonyloxy, substituted or unsubstituted alkenylcarbonyloxy, substituted or unsubstituted alkynylcarbonyl Xy, substituted or unsubstituted alkylcarbonyl, substituted or unsubstituted alkenylcarbonyl, substituted or unsubstituted alkynylcarbonyl, substituted or unsubstituted alkyloxycarbonyl, substituted or unsubstituted alkenyloxycarbonyl, substituted or unsubstituted alkynyl Oxycarbonyl, substituted or unsubstituted alkylsulfanyl, substituted or unsubstituted alkenylsulfanyl, substituted or unsubstituted alkynylsulfanyl, substituted or unsubstituted alkylsulfinyl, substituted or unsubstituted alkenylsulfinyl, substituted or unsubstituted alkynylsulfinyl Substituted or unsubstituted alkylsulfonyl, substituted or unsubstituted alkenylsulfonyl, substituted or unsubstituted alkynylsulfonyl, substituted Is an unsubstituted aromatic carbocyclic group, a substituted or unsubstituted non-aromatic carbocyclic group, a substituted or unsubstituted aromatic heterocyclic group, a substituted or unsubstituted non-aromatic heterocyclic group, substituted Or unsubstituted aromatic carbocyclic oxy, substituted or unsubstituted non-aromatic carbocyclic oxy, substituted or unsubstituted aromatic heterocyclic oxy, substituted or unsubstituted non-aromatic heterocyclic oxy, substituted or unsubstituted Aromatic carbocyclic carbonyloxy, substituted or unsubstituted non-aromatic carbocyclic carbonyloxy, substituted or unsubstituted aromatic heterocyclic carbonyloxy, substituted or unsubstituted non-aromatic heterocyclic carbonyloxy, substituted or unsubstituted Aromatic carbocyclic carbonyl, substituted or unsubstituted non-aromatic carbocyclic carbonyl, substituted or unsubstituted aromatic heterocyclic carbonyl, substituted or unsubstituted Non-aromatic heterocyclic carbonyl, substituted or unsubstituted aromatic carbocyclic oxycarbonyl, substituted or unsubstituted non-aromatic carbocyclic oxycarbonyl, substituted or unsubstituted aromatic heterocyclic oxycarbonyl, substituted or unsubstituted Non-aromatic heterocyclic oxycarbonyl, substituted or unsubstituted aromatic carbocyclic sulfanyl, substituted or unsubstituted non-aromatic carbocyclic sulfanyl, substituted or unsubstituted aromatic heterocyclic sulfanyl, substituted or unsubstituted non-aromatic Heterocyclic sulfanyl, substituted or unsubstituted aromatic carbocyclic sulfinyl, substituted or unsubstituted non-aromatic carbocyclic sulfinyl, substituted or unsubstituted aromatic heterocyclic sulfinyl, substituted or unsubstituted non-aromatic heterocyclic sulfinyl, Substituted or unsubstituted aromatic carbocyclic sulfonyl, substituted or unsubstituted Non-aromatic carbocyclic sulfonyl conversion, substituted or unsubstituted aromatic heterocyclic sulfonyl, substituted or unsubstituted non-aromatic heterocyclic sulfonyl, formula: -L-N = S (= O) (- R S1 -R S2 Formula: -LS (= O) (= NR N -R S1 , Formula: -N = S (= N-R N ) (-R S1 -R S2 Or the formula: —S (= N—R N ) 2 -R S1 A group represented by
R 11c , R 12c , R 13c , R 14c And R 15c Each independently represents hydrogen, cyano, substituted or unsubstituted carbamoyl, substituted or unsubstituted thiocarbamoyl, substituted or unsubstituted amidino, substituted or unsubstituted amino, substituted or unsubstituted ureido, substituted or unsubstituted Substituted guanidino, pentafluorothio, sulfo, substituted or unsubstituted sulfamoyl, substituted or unsubstituted alkyl, substituted or unsubstituted alkenyl, substituted or unsubstituted alkynyl, substituted or unsubstituted alkyloxy, substituted or unsubstituted Alkenyloxy, substituted or unsubstituted alkynyloxy, substituted or unsubstituted alkylcarbonyl, substituted or unsubstituted alkenylcarbonyl, substituted or unsubstituted alkynylcarbonyl, substituted or unsubstituted alkyloxycarbonyl Substituted or unsubstituted alkenyloxycarbonyl, substituted or unsubstituted alkynyloxycarbonyl, substituted or unsubstituted alkylsulfanyl, substituted or unsubstituted alkenylsulfanyl, substituted or unsubstituted alkynylsulfanyl, substituted or unsubstituted alkylsulfinyl, Substituted or unsubstituted alkenylsulfinyl, substituted or unsubstituted alkynylsulfinyl, substituted or unsubstituted alkylsulfonyl, substituted or unsubstituted alkenylsulfonyl, substituted or unsubstituted alkynylsulfonyl, substituted or unsubstituted aromatic carbocyclic Group, substituted or unsubstituted non-aromatic carbocyclic group, substituted or unsubstituted aromatic heterocyclic group, substituted or unsubstituted non-aromatic heterocyclic group, substituted or unsubstituted aromatic carbon Ring oxy, substituted or unsubstituted non-aromatic carbocyclic oxy, substituted or unsubstituted aromatic heterocyclic oxy, substituted or unsubstituted non-aromatic heterocyclic oxy, substituted or unsubstituted aromatic carbocyclic carbonyl, substituted Or unsubstituted non-aromatic carbocyclic carbonyl, substituted or unsubstituted aromatic heterocyclic carbonyl, substituted or unsubstituted non-aromatic heterocyclic carbonyl, substituted or unsubstituted aromatic carbocyclic oxycarbonyl, substituted or unsubstituted Non-aromatic carbocyclic oxycarbonyl, substituted or unsubstituted aromatic heterocyclic oxycarbonyl, substituted or unsubstituted non-aromatic heterocyclic oxycarbonyl, substituted or unsubstituted aromatic carbocyclic sulfanyl, substituted or unsubstituted Non-aromatic carbocyclic sulfanyl, substituted or unsubstituted aromatic heterocyclic sulfanyl, substituted Or unsubstituted non-aromatic heterocyclic sulfanyl, substituted or unsubstituted aromatic carbocyclic sulfinyl, substituted or unsubstituted non-aromatic carbocyclic sulfinyl, substituted or unsubstituted aromatic heterocyclic sulfinyl, substituted or unsubstituted Non-aromatic heterocyclic sulfinyl, substituted or unsubstituted aromatic carbocyclic sulfonyl, substituted or unsubstituted non-aromatic carbocyclic sulfonyl, substituted or unsubstituted aromatic heterocyclic sulfonyl, or substituted or unsubstituted non-aromatic A group heterocyclic sulfonyl,
Or R 11a And R 12a , R 12a And R 13a , R 13a And R 14a And / or R 14a And R 15a Together with adjacent carbon atoms, a substituted or unsubstituted aromatic carbocycle, substituted or unsubstituted non-aromatic carbocycle, substituted or unsubstituted aromatic heterocycle, or substituted or unsubstituted non-substituted May form an aromatic heterocycle,
And / or R 11c And R 12a , R 11c And R 12c , R 12c And R 11a , R 12c And R 13a , R 12c And R 13c , R 13c And R 12a , R 13c And R 14a , R 13c And R 14c , R 14c And R 13a , R 14c And R 15c And / or R 15c And R 14a Together with adjacent atoms may form a substituted or unsubstituted aromatic heterocycle or a substituted or unsubstituted nonaromatic heterocycle,
And / or R 11a And R 13a , R 11a And R 13c , R 11a And R 14a , R 11a And R 14c , R 11a And R 15a , R 11a And R 15c , R 11c And R 13a , R 11c And R 13c , R 11c And R 14a , R 11c And R 14c , R 11c And R 15a , R 11c And R 15c , R 12a And R 14a , R 12a And R 14c , R 12a And R 15a , R 12a And R 15c , R 12c And R 14a , R 12c And R 14c , R 12c And R 15a , R 12c And R 15c , R 13a And R 15a , R 13a And R 15c , R 13c And R 15a And / or R 13c And R 15c Together may form a C2-C4 bridge,
And / or R 11b And R 12b , R 11b And R 12c , R 11c And R 12b , R 11c And R 12c , R 12b And R 13b , R 12b And R 13c , R 12c And R 13b , R 12c And R 13c , R 13b And R 14b , R 13b And R 14c , R 13c And R 14b , R 13c And R 14c , R 14b And R 15b , R 14b And R 15c , R 14c And R 15b And / or R 14c And R 15c Together may form a bond,
The dashed line indicates the presence or absence of a bond,
Other symbols have the same meaning as in [1] above)
[3]
The compound according to the above [1] or [2], wherein B is represented by any one of the following formulas, or a pharmaceutically acceptable salt thereof:
formula:
(Where
C is a substituted or unsubstituted aromatic carbocyclic ring, a substituted or unsubstituted nonaromatic carbocyclic ring, a substituted or unsubstituted aromatic heterocyclic ring, or a substituted or unsubstituted nonaromatic heterocyclic ring;
R 6 Are each independently halogen, hydroxy, cyano, carboxy, substituted or unsubstituted carbamoyl, substituted or unsubstituted thiocarbamoyl, substituted or unsubstituted amidino, substituted or unsubstituted amino, substituted or unsubstituted ureido Substituted or unsubstituted guanidino, pentafluorothio, sulfo, substituted or unsubstituted sulfamoyl, substituted or unsubstituted alkyl, substituted or unsubstituted alkenyl, substituted or unsubstituted alkynyl, substituted or unsubstituted alkyloxy, Substituted or unsubstituted alkenyloxy, substituted or unsubstituted alkynyloxy, substituted or unsubstituted alkylcarbonyloxy, substituted or unsubstituted alkenylcarbonyloxy, substituted or unsubstituted alkynylcarbonyloxy Substituted or unsubstituted alkylcarbonyl, substituted or unsubstituted alkenylcarbonyl, substituted or unsubstituted alkynylcarbonyl, substituted or unsubstituted alkyloxycarbonyl, substituted or unsubstituted alkenyloxycarbonyl, substituted or unsubstituted alkynyloxycarbonyl Substituted or unsubstituted alkylsulfanyl, substituted or unsubstituted alkenylsulfanyl, substituted or unsubstituted alkynylsulfanyl, substituted or unsubstituted alkylsulfinyl, substituted or unsubstituted alkenylsulfinyl, substituted or unsubstituted alkynylsulfinyl, substituted Or unsubstituted alkylsulfonyl, substituted or unsubstituted alkenylsulfonyl, substituted or unsubstituted alkynylsulfonyl, substituted or non-substituted Substituted aromatic carbocyclic group, substituted or unsubstituted non-aromatic carbocyclic group, substituted or unsubstituted aromatic heterocyclic group, substituted or unsubstituted non-aromatic heterocyclic group, substituted or non-substituted Substituted aromatic carbocyclic oxy, substituted or unsubstituted non-aromatic carbocyclic oxy, substituted or unsubstituted aromatic heterocyclic oxy, substituted or unsubstituted non-aromatic heterocyclic oxy, substituted or unsubstituted aromatic Carbocyclic carbonyloxy, substituted or unsubstituted non-aromatic carbocyclic carbonyloxy, substituted or unsubstituted aromatic heterocyclic carbonyloxy, substituted or unsubstituted non-aromatic heterocyclic carbonyloxy, substituted or unsubstituted aromatic Carbocyclic carbonyl, substituted or unsubstituted non-aromatic carbocyclic carbonyl, substituted or unsubstituted aromatic heterocyclic carbonyl, substituted or unsubstituted aromatic Aromatic heterocyclic carbonyl, substituted or unsubstituted aromatic carbocyclic oxycarbonyl, substituted or unsubstituted non-aromatic carbocyclic oxycarbonyl, substituted or unsubstituted aromatic heterocyclic oxycarbonyl, substituted or unsubstituted non-aromatic Heterocyclic oxycarbonyl, substituted or unsubstituted aromatic carbocyclic sulfanyl, substituted or unsubstituted non-aromatic carbocyclic sulfanyl, substituted or unsubstituted aromatic heterocyclic sulfanyl, substituted or unsubstituted non-aromatic heterocyclic ring Sulfanyl, substituted or unsubstituted aromatic carbocyclic sulfinyl, substituted or unsubstituted non-aromatic carbocyclic sulfinyl, substituted or unsubstituted aromatic heterocyclic sulfinyl, substituted or unsubstituted non-aromatic heterocyclic sulfinyl, substituted or Unsubstituted aromatic carbocyclic sulfonyl, substituted or unsubstituted Aromatic carbocyclic sulfonyl, substituted or unsubstituted aromatic heterocyclic sulfonyl, substituted or unsubstituted non-aromatic heterocyclic sulfonyl, formula: -L-N = S (= O) (- R S1 -R S2 Formula: -LS (= O) (= NR N -R S1 , Formula: -N = S (= N-R N ) (-R S1 -R S2 Or the formula: —S (= N—R N ) 2 -R S1 A group represented by
n is an integer from 0 to 4,
B 1 , B 2 , B 3 , B 4 And B 5 Is the same as [2] above,
Other symbols have the same meaning as in [1] above)
[4]
The compound according to any one of the above [1] to [3], wherein B is represented by any one of the following formulas, or a pharmaceutically acceptable salt thereof:
formula:
(Wherein R 6 And n are as defined above [3],
B 1 , B 2 , B 3 , B 4 And B 5 Is the same as [2] above,
Other symbols are as defined above)
[5]
R 1 Is hydrogen, cyano, substituted or unsubstituted carbamoyl, substituted or unsubstituted amino, substituted or unsubstituted alkyl, substituted or unsubstituted alkyloxycarbonyl, substituted or unsubstituted aromatic heterocyclic group, or substituted Or an unsubstituted non-aromatic heterocyclic group, or a compound shown in any of the above [1] to [4], or a pharmaceutically acceptable salt thereof,
(Where
L 1 Is a substituted or unsubstituted alkylene;
L 2 Each independently represents a single bond, —C (═O) —, —C (═O) —O—, —O—C (═O) —, —C (═O) —N (H) —. , -N (H) -C (= O)-, -C (= O) -N (H) -S (O) 2 -, -N (H) -S (O) 2 -, -S (O) 2 -N (H)-, and -S (O) 2 A group selected from the group consisting of —N (H) —C (═O) —,
L 3 Each independently is a single bond or substituted or unsubstituted alkylene;
R 1 'Is halogen, hydroxy, carboxy, cyano, substituted or unsubstituted amino, substituted or unsubstituted alkyl, substituted or unsubstituted alkenyl, substituted or unsubstituted alkynyl, substituted or unsubstituted aromatic carbocyclic group A substituted or unsubstituted non-aromatic carbocyclic group, a substituted or unsubstituted aromatic heterocyclic group, or a substituted or unsubstituted non-aromatic heterocyclic group,
p is an integer from 0 to 2),
[6]
R 5 Each independently of halogen, cyano, substituted or unsubstituted carbamoyl, substituted or unsubstituted amino, substituted or unsubstituted sulfamoyl, substituted or unsubstituted alkyl, substituted or unsubstituted alkyloxy, substituted or unsubstituted Substituted alkylcarbonyl, substituted or unsubstituted alkyloxycarbonyl, substituted or unsubstituted alkylsulfonyl, substituted or unsubstituted aromatic carbocyclic group, substituted or unsubstituted non-aromatic carbocyclic group, substituted or non-substituted A substituted aromatic heterocyclic group, a substituted or unsubstituted non-aromatic heterocyclic group, a substituted or unsubstituted non-aromatic carbocyclic oxy, or a substituted or unsubstituted non-aromatic heterocyclic oxy, [1] to [5], or a pharmaceutically acceptable salt thereof,
[7]
R 6 Each independently of halogen, hydroxy, substituted or unsubstituted amino, substituted or unsubstituted alkyl, substituted or unsubstituted alkenyl, substituted or unsubstituted alkyloxy, substituted or unsubstituted alkenyloxy, substituted or Unsubstituted alkylcarbonyl, substituted or unsubstituted aromatic carbocyclic group, substituted or unsubstituted nonaromatic carbocyclic group, substituted or unsubstituted aromatic heterocyclic group, substituted or unsubstituted nonaromatic Heterocyclic group, substituted or unsubstituted aromatic carbocyclic oxy, substituted or unsubstituted non-aromatic carbocyclic oxy, substituted or unsubstituted aromatic heterocyclic oxy, substituted or unsubstituted non-aromatic heterocyclic ring Any one of [3] to [6] above, which is oxy, or substituted or unsubstituted aromatic carbocyclic carbonyloxy Compound or a pharmaceutically acceptable salt thereof,
[8]
Examples Compounds I-1, I-2, I-3, I-5, I-7, I-8, I-12, I-19, I-33, I-44, I-45, I-50 , I-51, I-52, I-53, I-55, I-57 and I-61, the compound according to the above [1], or a pharmaceutically acceptable salt thereof,
[9]
Examples Compounds I-5, I-70, I-71, I-73, I-83, I-94, I-95, I-104, I-108, I-110, I-112, I-132 Or a compound thereof according to [1], selected from the group consisting of: I-136, I-143, I-157, I-160, I-164, I-165, I-185 and I-222, A pharmaceutically acceptable salt,
[10]
Examples Compounds I-1, I-71, I-132, I-134, I-143, I-160, I-162, I-164, I-165, I-232, I-245, I-246 Or a compound thereof according to [1], selected from the group consisting of: I-247, I-255, I-263, I-304, I-328, I-330, I-402 and I-407, A pharmaceutically acceptable salt,
[11]
A pharmaceutical composition comprising the compound according to any one of the above [1] to [10] or a pharmaceutically acceptable salt thereof,
[12]
The pharmaceutical composition according to the above [11], which has an MGAT2 inhibitory action,
[13]
The pharmaceutical composition according to the above [11] or [12], which is used for treatment or prevention of a disease involving MGAT2;
[14]
The pharmaceutical composition according to [13] above, which is used for the treatment or prevention of obesity, metabolic syndrome, hyperlipidemia, hypertriglyceridemia, hyperVLDL, hyperfattyemia, diabetes or arteriosclerosis. ,
[15]
A method for treating or preventing a disease associated with MGAT2, which comprises administering the compound according to any one of [1] to [10] above, or a pharmaceutically acceptable salt thereof,
[16]
Use of the compound according to any one of the above [1] to [10], or a pharmaceutically acceptable salt thereof, for the manufacture of a therapeutic or prophylactic agent for a disease involving MGAT2.
[17]
The compound according to any one of the above [1] to [10], or a pharmaceutically acceptable salt thereof, for treating or preventing a disease involving MGAT2;
[18]
A pharmaceutical composition for oral administration comprising the compound according to any one of the above [1] to [10], or a pharmaceutically acceptable salt thereof,
[19]
Tablets, powders, granules, capsules, pills, films, suspensions, emulsions, elixirs, syrups, limonades, spirits, fragrances, extracts, decoctions or tinctures, 18] The pharmaceutical composition of
[20]
Sugar-coated tablets, film-coated tablets, enteric-coated tablets, sustained-release tablets, troche tablets, sublingual tablets, buccal tablets, chewable tablets, orally disintegrating tablets, dry syrups, soft capsules, microcapsules or sustained-release capsules, The pharmaceutical composition according to the above [18],
[21]
A pharmaceutical composition for parenteral administration, comprising the compound according to any one of the above [1] to [10], or a pharmaceutically acceptable salt thereof;
[22]
The pharmaceutical composition according to [21] above, for transdermal, subcutaneous, intravenous, intraarterial, intramuscular, intraperitoneal, transmucosal, inhalation, nasal, eye drop, ear drop or intravaginal administration,
[23]
Injections, drops, eye drops, nasal drops, ear drops, aerosols, inhalants, lotions, injections, coatings, mouthwashes, enemas, ointments, plasters, jellies, creams, The pharmaceutical composition according to the above [21], which is a patch, cataplasm, external powder or suppository,
[24]
A pharmaceutical composition for children or the elderly, comprising the compound according to any one of the above [1] to [10], or a pharmaceutically acceptable salt thereof,
About.
本発明に係る化合物は、MGAT2阻害作用を有し、肥満症、メタボリックシンドローム、高脂血症、高中性脂肪血症、高VLDL血症、高脂肪酸血症、糖尿病または動脈硬化症の予防剤、および/または治療剤として有用である。 The compound according to the present invention has an MGAT2 inhibitory action, and is a prophylactic agent for obesity, metabolic syndrome, hyperlipidemia, hypertriglyceridemia, hyperVLDLemia, hyperfattyemia, diabetes or arteriosclerosis, And / or useful as a therapeutic agent.
以下に本明細書において用いられる各用語の意味を説明する。各用語は特に断りのない限り、単独で用いられる場合も、または他の用語と組み合わせて用いられる場合も、同一の意味で用いられる。
「からなる」という用語は、構成要件のみを有することを意味する。
「含む」という用語は、構成要件に限定されず、記載されていない要素を排除しないことを意味する。
The meaning of each term used in this specification will be described below. Unless otherwise specified, each term is used in the same meaning when used alone or in combination with other terms.
The term “consisting of” means having only the configuration requirements.
The term “comprising” is not limited to the constituent elements and means that elements not described are not excluded.
「ハロゲン」とは、フッ素原子、塩素原子、臭素原子、およびヨウ素原子を包含する。特にフッ素原子および塩素原子が好ましい。 “Halogen” includes fluorine atom, chlorine atom, bromine atom, and iodine atom. In particular, a fluorine atom and a chlorine atom are preferable.
「アルキル」とは、炭素数1~15、好ましくは炭素数1~10、より好ましくは炭素数1~6、さらに好ましくは炭素数1~4の直鎖又は分枝状の炭化水素基を包含する。例えば、メチル、エチル、n-プロピル、イソプロピル、n-ブチル、イソブチル、sec-ブチル、tert-ブチル、n-ペンチル、イソペンチル、ネオペンチル、n-ヘキシル、イソヘキシル、n-へプチル、イソヘプチル、n-オクチル、イソオクチル、n-ノニル、n-デシル等が挙げられる。
「アルキル」の好ましい態様として、メチル、エチル、n-プロピル、イソプロピル、n-ブチル、イソブチル、sec-ブチル、tert-ブチル、n-ペンチルが挙げられる。さらに好ましい態様として、メチル、エチル、n-プロピル、イソプロピル、tert-ブチルが挙げられる。
“Alkyl” includes linear or branched hydrocarbon groups having 1 to 15 carbon atoms, preferably 1 to 10 carbon atoms, more preferably 1 to 6 carbon atoms, and still more preferably 1 to 4 carbon atoms. To do. For example, methyl, ethyl, n-propyl, isopropyl, n-butyl, isobutyl, sec-butyl, tert-butyl, n-pentyl, isopentyl, neopentyl, n-hexyl, isohexyl, n-heptyl, isoheptyl, n-octyl , Isooctyl, n-nonyl, n-decyl and the like.
Preferred embodiments of “alkyl” include methyl, ethyl, n-propyl, isopropyl, n-butyl, isobutyl, sec-butyl, tert-butyl and n-pentyl. Further preferred examples include methyl, ethyl, n-propyl, isopropyl and tert-butyl.
「アルケニル」とは、任意の位置に1以上の二重結合を有する、炭素数2~15、好ましくは炭素数2~10、より好ましくは炭素数2~6、さらに好ましくは炭素数2~4の直鎖又は分枝状の炭化水素基を包含する。例えば、ビニル、アリル、プロペニル、イソプロペニル、ブテニル、イソブテニル、プレニル、ブタジエニル、ペンテニル、イソペンテニル、ペンタジエニル、ヘキセニル、イソヘキセニル、ヘキサジエニル、ヘプテニル、オクテニル、ノネニル、デセニル、ウンデセニル、ドデセニル、トリデセニル、テトラデセニル、ペンタデセニル等が挙げられる。
「アルケニル」の好ましい態様として、ビニル、アリル、プロペニル、イソプロペニル、ブテニルが挙げられる。
“Alkenyl” has 2 to 15 carbon atoms, preferably 2 to 10 carbon atoms, more preferably 2 to 6 carbon atoms, and further preferably 2 to 4 carbon atoms, having one or more double bonds at any position. These linear or branched hydrocarbon groups are included. For example, vinyl, allyl, propenyl, isopropenyl, butenyl, isobutenyl, prenyl, butadienyl, pentenyl, isopentenyl, pentadienyl, hexenyl, isohexenyl, hexadienyl, heptenyl, octenyl, nonenyl, decenyl, undecenyl, dodecenyl, tridecenyl, decenyl, tridecenyl, decenyl Etc.
Preferred embodiments of “alkenyl” include vinyl, allyl, propenyl, isopropenyl and butenyl.
「アルキニル」とは、任意の位置に1以上の三重結合を有する、炭素数2~10、好ましくは炭素数2~8、さらに好ましくは炭素数2~6、さらに好ましくは炭素数2~4の直鎖又は分枝状の炭化水素基を包含する。さらに任意の位置に二重結合を有していてもよい。例えば、エチニル、プロピニル、ブチニル、ペンチニル、ヘキシニル、ヘプチニル、オクチニル、ノニニル、デシニル等を包含する。
「アルキニル」の好ましい態様として、エチニル、プロピニル、ブチニル、ペンチニルが挙げられる。
“Alkynyl” has 2 to 10 carbon atoms, preferably 2 to 8 carbon atoms, more preferably 2 to 6 carbon atoms, and more preferably 2 to 4 carbon atoms, having one or more triple bonds at any position. Includes straight chain or branched hydrocarbon groups. Furthermore, you may have a double bond in arbitrary positions. Examples include ethynyl, propynyl, butynyl, pentynyl, hexynyl, heptynyl, octynyl, nonynyl, decynyl and the like.
Preferred embodiments of “alkynyl” include ethynyl, propynyl, butynyl and pentynyl.
「アルキレン」とは、炭素数1~15、好ましくは炭素数1~10、より好ましくは炭素数1~6、さらに好ましくは炭素数1~4の直鎖又は分枝状の2価の炭化水素基を包含する。例えば、メチレン、エチレン、プロピレン、テトラメチレン、ペンタメチレン、ヘキサメチレン等が挙げられる。 “Alkylene” is a straight or branched divalent hydrocarbon having 1 to 15 carbon atoms, preferably 1 to 10 carbon atoms, more preferably 1 to 6 carbon atoms, and still more preferably 1 to 4 carbon atoms. Includes groups. Examples include methylene, ethylene, propylene, tetramethylene, pentamethylene, hexamethylene and the like.
「芳香族炭素環式基」とは、単環または2環以上の、環状芳香族炭化水素基を意味する。例えば、フェニル、ナフチル、アントリル、フェナントリル等が挙げられる。
「芳香族炭素環式基」の好ましい態様として、フェニルが挙げられる。
The “aromatic carbocyclic group” means a cyclic aromatic hydrocarbon group having one or more rings. For example, phenyl, naphthyl, anthryl, phenanthryl and the like can be mentioned.
A preferred embodiment of the “aromatic carbocyclic group” includes phenyl.
「非芳香族炭素環式基」とは、単環または2環以上の、環状飽和炭化水素基または環状非芳香族不飽和炭化水素基を意味する。2環以上の「非芳香族炭素環式基」は、単環または2環以上の非芳香族炭素環式基に、上記「芳香族炭素環式基」における環が縮合したものも包含する。
さらに、「非芳香族炭素環式基」は、以下のように架橋している基、またはスピロ環を形成する基も包含する。
単環の非芳香族炭素環式基としては、炭素数3~16が好ましく、より好ましくは炭素数3~12、さらに好ましくは炭素数4~8である。例えば、シクロプロピル、シクロブチル、シクロペンチル、シクロヘキシル、シクロヘプチル、シクロオクチル、シクロノニル、シクロデシル、シクロプロペニル、シクロブテニル、シクロペンテニル、シクロヘキセニル、シクロヘプテニル、シクロヘキサジエニル等が挙げられる。
2環以上の非芳香族炭素環式基としては、炭素数8~20が好ましく、より好ましくは炭素数8~16である。例えば、インダニル、インデニル、アセナフチル、テトラヒドロナフチル、フルオレニル等が挙げられる。
The “non-aromatic carbocyclic group” means a cyclic saturated hydrocarbon group or a cyclic non-aromatic unsaturated hydrocarbon group having one or more rings. The “non-aromatic carbocyclic group” having two or more rings includes those obtained by condensing a ring in the above “aromatic carbocyclic group” to a monocyclic or two or more non-aromatic carbocyclic groups.
Furthermore, the “non-aromatic carbocyclic group” includes a group that forms a bridge or a spiro ring as described below.
The monocyclic non-aromatic carbocyclic group preferably has 3 to 16 carbon atoms, more preferably 3 to 12 carbon atoms, and still more preferably 4 to 8 carbon atoms. Examples include cyclopropyl, cyclobutyl, cyclopentyl, cyclohexyl, cycloheptyl, cyclooctyl, cyclononyl, cyclodecyl, cyclopropenyl, cyclobutenyl, cyclopentenyl, cyclohexenyl, cycloheptenyl, cyclohexadienyl, and the like.
The non-aromatic carbocyclic group having 2 or more rings preferably has 8 to 20 carbon atoms, and more preferably has 8 to 16 carbon atoms. For example, indanyl, indenyl, acenaphthyl, tetrahydronaphthyl, fluorenyl and the like can be mentioned.
「芳香族複素環式基」とは、O、SおよびNから任意に選択される同一または異なるヘテロ原子を環内に1以上有する、単環または2環以上の、芳香族環式基を意味する。2環以上の芳香族複素環式基は、単環または2環以上の芳香族複素環式基に、上記「芳香族炭素環式基」における環が縮合したものも包含する。
単環の芳香族複素環式基としては、5~8員が好ましく、より好ましくは5員または6員である。例えば、ピロリル、イミダゾリル、ピラゾリル、ピリジル、ピリダジニル、ピリミジニル、ピラジニル、トリアゾリル、トリアジニル、テトラゾリル、フリル、チエニル、イソオキサゾリル、オキサゾリル、オキサジアゾリル、イソチアゾリル、チアゾリル、チアジアゾリル等が挙げられる。
2環の芳香族複素環式基としては、8~10員が好ましく、より好ましくは9員または10員である。例えば、インドリル、イソインドリル、インダゾリル、インドリジニル、キノリニル、イソキノリニル、シンノリニル、フタラジニル、キナゾリニル、ナフチリジニル、キノキサリニル、プリニル、プテリジニル、ベンズイミダゾリル、ベンズイソオキサゾリル、ベンズオキサゾリル、ベンズオキサジアゾリル、ベンズイソチアゾリル、ベンゾチアゾリル、ベンゾチアジアゾリル、ベンゾフリル、イソベンゾフリル、ベンゾチエニル、ベンゾトリアゾリル、イミダゾピリジル、トリアゾロピリジル、イミダゾチアゾリル、ピラジノピリダジニル、オキサゾロピリジル、チアゾロピリジル等が挙げられる。
3環以上の芳香族複素環式基としては、例えば、カルバゾリル、アクリジニル、キサンテニル、フェノチアジニル、フェノキサチイニル、フェノキサジニル、ジベンゾフリル等が挙げられる。
“Aromatic heterocyclic group” means a monocyclic or bicyclic or more aromatic cyclic group having one or more heteroatoms arbitrarily selected from O, S and N in the ring To do. The aromatic heterocyclic group having two or more rings includes those obtained by condensing a ring in the above “aromatic carbocyclic group” to a monocyclic or two or more aromatic heterocyclic group.
The monocyclic aromatic heterocyclic group is preferably 5 to 8 members, more preferably 5 or 6 members. Examples include pyrrolyl, imidazolyl, pyrazolyl, pyridyl, pyridazinyl, pyrimidinyl, pyrazinyl, triazolyl, triazinyl, tetrazolyl, furyl, thienyl, isoxazolyl, oxazolyl, oxadiazolyl, isothiazolyl, thiazolyl, thiadiazolyl and the like.
The bicyclic aromatic heterocyclic group is preferably 8 to 10 members, more preferably 9 or 10 members. For example, indolyl, isoindolyl, indazolyl, indolizinyl, quinolinyl, isoquinolinyl, cinnolinyl, phthalazinyl, quinazolinyl, naphthyridinyl, quinoxalinyl, purinyl, pteridinyl, benzimidazolyl, benzisoxazolyl, benzoxazoazolyl, benzoxadiazolyl, benzoisodiazolyl Ril, benzothiazolyl, benzothiadiazolyl, benzofuryl, isobenzofuryl, benzothienyl, benzotriazolyl, imidazopyridyl, triazolopyridyl, imidazothiazolyl, pyrazinopyridazinyl, oxazolopyridyl, thiazolopyridyl, etc. Is mentioned.
Examples of the aromatic heterocyclic group having 3 or more rings include carbazolyl, acridinyl, xanthenyl, phenothiazinyl, phenoxathinyl, phenoxazinyl, dibenzofuryl and the like.
「非芳香族複素環式基」とは、O、SおよびNから任意に選択される同一または異なるヘテロ原子を環内に1以上有する、単環または2環以上の、環状非芳香族環式基を意味する。2環以上の非芳香族複素環式基は、単環または2環以上の非芳香族複素環式基に、上記「芳香族炭素環式基」、「非芳香族炭素環式基」、および/または「芳香族複素環式基」におけるそれぞれの環が縮合したもの、さらに、単環または2環以上の非芳香族炭素環式基に、上記「芳香族複素環式基」における環が縮合したものも包含する。
さらに、「非芳香族複素環式基」は、以下のように架橋している基、またはスピロ環を形成する基も包含する。
単環の非芳香族複素環式基としては、3~8員が好ましく、より好ましくは5員または6員である。例えば、ジオキサニル、チイラニル、オキシラニル、オキセタニル、オキサチオラニル、アゼチジニル、チアニル、チアゾリジニル、ピロリジニル、ピロリニル、イミダゾリジニル、イミダゾリニル、ピラゾリジニル、ピラゾリニル、ピペリジル、ピペラジニル、モルホリニル、モルホリノ、チオモルホリニル、チオモルホリノ、ジヒドロピリジル、テトラヒドロピリジル、テトラヒドロフリル、テトラヒドロピラニル、ジヒドロチアゾリル、テトラヒドロチアゾリル、テトラヒドロイソチアゾリル、ジヒドロオキサジニル、ヘキサヒドロアゼピニル、テトラヒドロジアゼピニル、テトラヒドロピリダジニル、ヘキサヒドロピリミジニル、ジオキソラニル、ジオキサジニル、アジリジニル、ジオキソリニル、オキセパニル、チオラニル、チイニル、チアジニル等が挙げられる。
2環以上の非芳香族複素環式基としては、8~20員が好ましく、より好ましくは8~10員である。例えば、インドリニル、イソインドリニル、クロマニル、イソクロマニル等が挙げられる。
“Non-aromatic heterocyclic group” means a monocyclic or bicyclic or more cyclic non-aromatic cyclic group having at least one hetero atom selected from O, S and N in the ring. Means group. The non-aromatic heterocyclic group having 2 or more rings is a monocyclic or 2 or more non-aromatic heterocyclic group, the above “aromatic carbocyclic group”, “non-aromatic carbocyclic group”, and / Or each condensed ring in the “aromatic heterocyclic group” is condensed, and further, the ring in the above “aromatic heterocyclic group” is condensed to a monocyclic or two or more non-aromatic carbocyclic groups. Also included.
Furthermore, the “non-aromatic heterocyclic group” includes a group that forms a bridge or a spiro ring as described below.
The monocyclic non-aromatic heterocyclic group is preferably 3 to 8 members, more preferably 5 or 6 members. For example, dioxanyl, thiranyl, oxiranyl, oxetanyl, oxathiolanyl, azetidinyl, thianyl, thiazolidinyl, pyrrolidinyl, pyrrolinyl, imidazolidinyl, imidazolinyl, pyrazolidinyl, pyrazolinyl, piperidyl, piperazinyl, morpholinyl, morpholino, thiomorpholinyl, morpholino, thiomorpholinyl, morpholino, thiomorpholinyl Furyl, tetrahydropyranyl, dihydrothiazolyl, tetrahydrothiazolyl, tetrahydroisothiazolyl, dihydrooxazinyl, hexahydroazepinyl, tetrahydrodiazepinyl, tetrahydropyridazinyl, hexahydropyrimidinyl, dioxolanyl, dioxazinyl Aziridinyl, dioxolinyl, oxepanyl, thiolanyl, thii Le, triazinyl, and the like.
The non-aromatic heterocyclic group having 2 or more rings is preferably 8 to 20 members, more preferably 8 to 10 members. For example, indolinyl, isoindolinyl, chromanyl, isochromanyl and the like can be mentioned.
「置換カルバモイル」、「置換チオカルバモイル」、「置換アミジノ」、「置換アミノ」、「置換ウレイド」、「置換グアニジノ」、「置換スルファモイル」、「置換アルキル」、「置換アルケニル」、「置換アルキニル」、「置換アルキルオキシ」、「置換アルケニルオキシ」、「置換アルキニルオキシ」、「置換アルキルカルボニルオキシ」、「置換アルケニルカルボニルオキシ」、「置換アルキニルカルボニルオキシ」、「置換アルキルカルボニル」、「置換アルケニルカルボニル」、「置換アルキニルカルボニル」、「置換アルキルオキシカルボニル」、「置換アルケニルオキシカルボニル」、「置換アルキニルオキシカルボニル」、「置換アルキルスルファニル」、「置換アルケニルスルファニル」、「置換アルキニルスルファニル」、「置換アルキルスルフィニル」、「置換アルケニルスルフィニル」、「置換アルキニルスルフィニル」、「置換アルキルスルホニル」、「置換アルケニルスルホニル」、および「置換アルキニルスルホニル」の置換基としては、次の置換基が挙げられる。任意の位置の炭素原子または窒素原子が次の置換基から選択される1以上の基と結合していてもよい。
置換基:ハロゲン、ヒドロキシ、シアノ、ホルミル、ホルミルオキシ、チオホルミル、カルボキシ、チオカルボキシ、ジチオカルボキシ、カルバモイル、チオカルバモイル、アミジノ、アミノ、ヒドロキシアミノ、ヒドロキシイミノ、ニトロ、ニトロソ、アジド、ヒドラジノ、ウレイド、グアニジノ、ペンタフルオロチオ、チオール、スルフィノ、スルホ、スルファモイル、トリアルキルシリル、アルキル、アルケニル、アルキニル、ハロアルキル、ハロアルケニル、ハロアルキニル、アルキルオキシ、アルケニルオキシ、アルキニルオキシ、ハロアルキルオキシ、ハロアルキルオキシアルキル、アルキルカルボニルオキシ、アルケニルカルボニルオキシ、アルキニルカルボニルオキシ、アルキルカルボニル、アルケニルカルボニル、アルキニルカルボニル、アルキルオキシカルボニル、アルケニルオキシカルボニル、アルキニルオキシカルボニル、アルキルスルファニル、アルケニルスルファニル、アルキニルスルファニル、アルキルスルフィニル、アルケニルスルフィニル、アルキニルスルフィニル、アルキルスルホニル、アルケニルスルホニル、アルキニルスルホニル、モノアルキルアミノスルホニル、モノアルケニルアミノスルホニル、モノアルキニルアミノスルホニル、ジアルキルアミノスルホニル、ジアルケニルアミノスルホニル、ジアルキニルアミノスルホニル、モノアルキルアミノ、モノアルケニルアミノ、モノアルキニルアミノ、ジアルキルアミノ、ジアルケニルアミノ、ジアルキニルアミノ、モノアルキルカルボニルアミノ、モノアルケニルカルボニルアミノ、モノアルキニルカルボニルアミノ、ジアルキルカルボニルアミノ、ジアルケニルカルボニルアミノ、ジアルキニルカルボニルアミノ、モノアルキルオキシカルボニルアミノ、モノアルケニルオキシカルボニルアミノ、モノアルキニルオキシカルボニルアミノ、ジアルキルオキシカルボニルアミノ、ジアルケニルオキシカルボニルアミノ、ジアルキニルオキシカルボニルアミノ、モノアルキルスルホニルアミノ、モノアルケニルスルホニルアミノ、モノアルキニルスルホニルアミノ、ジアルキルスルホニルアミノ、ジアルケニルスルホニルアミノ、ジアルキニルスルホニルアミノ、モノアルキルカルバモイル、モノアルケニルカルバモイル、モノアルキニルカルバモイル、ジアルキルカルバモイル、ジアルケニルカルバモイル、ジアルキニルカルバモイル、モノアルキルオキシカルバモイル、モノアルケニルオキシカルバモイル、モノアルキニルオキシカルバモイル、ジアルキルオキシカルバモイル、ジアルケニルオキシカルバモイル、ジアルキニルオキシカルバモイル、モノアルキルカルボニルカルバモイル、モノアルケニルカルボニルカルバモイル、モノアルキニルカルボニルカルバモイル、モノアルキルオキシカルボニルカルバモイル、モノアルケニルオキシカルボニルカルバモイル、モノアルキニルオキシカルボニルカルバモイル、モノアルキルスルホニルカルバモイル、モノアルケニルスルホニルカルバモイル、モノアルキニルスルホニルカルバモイル、モノアルキルスルファモイル、モノアルケニルスルファモイル、モノアルキニルスルファモイル、ジアルキルスルファモイル、ジアルケニルスルファモイル、ジアルキニルスルファモイル、モノアルキルオキシスルファモイル、モノアルケニルオキシスルファモイル、モノアルキニルオキシスルファモイル、ジアルキルオキシスルファモイル、ジアルケニルオキシスルファモイル、ジアルキニルオキシスルファモイル、モノアルキルカルボニルスルファモイル、モノアルケニルカルボニルスルファモイル、モノアルキニルカルボニルスルファモイル、モノアルキルオキシカルボニルスルファモイル、モノアルケニルオキシカルボニルスルファモイル、モノアルキニルオキシカルボニルスルファモイル、モノアルキルスルホニルスルファモイル、モノアルケニルスルホニルスルファモイル、モノアルキニルスルホニルスルファモイル、芳香族炭素環式基、非芳香族炭素環式基、芳香族複素環式基、非芳香族複素環式基、芳香族炭素環オキシ、非芳香族炭素環オキシ、芳香族複素環オキシ、非芳香族複素環オキシ、芳香族炭素環カルボニルオキシ、非芳香族炭素環カルボニルオキシ、芳香族複素環カルボニルオキシ、非芳香族複素環カルボニルオキシ、芳香族炭素環カルボニル、非芳香族炭素環カルボニル、芳香族複素環カルボニル、非芳香族複素環カルボニル、芳香族炭素環オキシカルボニル、非芳香族炭素環オキシカルボニル、芳香族複素環オキシカルボニル、非芳香族複素環オキシカルボニル、芳香族炭素環スルファニル、非芳香族炭素環スルファニル、芳香族複素環スルファニル、非芳香族複素環スルファニル、芳香族炭素環スルフィニル、非芳香族炭素環スルフィニル、芳香族複素環スルフィニル、非芳香族複素環スルフィニル、芳香族炭素環スルホニル、非芳香族炭素環スルホニル、芳香族複素環スルホニル、非芳香族複素環スルホニル、芳香族炭素環アルキル、非芳香族炭素環アルキル、芳香族複素環アルキル、非芳香族複素環アルキル、芳香族炭素環アルキルオキシ、非芳香族炭素環アルキルオキシ、芳香族複素環アルキルオキシ、非芳香族複素環アルキルオキシ、芳香族炭素環アルキルカルボニル、非芳香族炭素環アルキルカルボニル、芳香族複素環アルキルカルボニル、非芳香族複素環アルキルカルボニル、芳香族炭素環アルキルオキシカルボニル、非芳香族炭素環アルキルオキシカルボニル、芳香族複素環アルキルオキシカルボニル、非芳香族複素環アルキルオキシカルボニル、芳香族炭素環アルキルスルファニル、非芳香族炭素環アルキルスルファニル、芳香族複素環アルキルスルファニル、非芳香族複素環アルキルスルファニル、芳香族炭素環アルキルスルフィニル、非芳香族炭素環アルキルスルフィニル、芳香族複素環アルキルスルフィニル、非芳香族複素環アルキルスルフィニル、芳香族炭素環アルキルスルホニル、非芳香族炭素環アルキルスルホニル、芳香族複素環アルキルスルホニル、非芳香族複素環アルキルスルホニル、芳香族炭素環アルキルアミノ、非芳香族炭素環アルキルアミノ、芳香族複素環アルキルアミノ、非芳香族複素環アルキルアミノ、芳香族炭素環アルキルカルボニルアミノ、非芳香族炭素環アルキルカルボニルアミノ、芳香族複素環アルキルカルボニルアミノ、非芳香族複素環アルキルカルボニルアミノ、芳香族炭素環アルキルオキシカルボニルアミノ、非芳香族炭素環アルキルオキシカルボニルアミノ、芳香族複素環アルキルオキシカルボニルアミノ、非芳香族複素環アルキルオキシカルボニルアミノ、芳香族炭素環アルキルスルホニルアミノ、非芳香族炭素環アルキルスルホニルアミノ、芳香族複素環アルキルスルホニルアミノ、非芳香族複素環アルキルスルホニルアミノ、芳香族炭素環オキシアルキルアミノ、非芳香族炭素環オキシアルキルアミノ、芳香族複素環オキシアルキルアミノ、非芳香族複素環オキシアルキルアミノ、芳香族炭素環式基で置換された芳香族炭素環式基、芳香族炭素環式基で置換された非芳香族炭素環式基、芳香族炭素環式基で置換された芳香族複素環式基、芳香族炭素環式基で置換された非芳香族複素環式基、非芳香族炭素環式基で置換された芳香族炭素環式基、非芳香族炭素環式基で置換された非芳香族炭素環式基、非芳香族炭素環式基で置換された芳香族複素環式基、非芳香族炭素環式基で置換された非芳香族複素環式基、芳香族複素環式基で置換された芳香族炭素環式基、芳香族複素環式基で置換された非芳香族炭素環式基、芳香族複素環式基で置換された芳香族複素環式基、芳香族複素環式基で置換された非芳香族複素環式基、非芳香族複素環式基で置換された芳香族炭素環式基、非芳香族複素環式基で置換された非芳香族炭素環式基、非芳香族複素環式基で置換された芳香族複素環式基、非芳香族複素環式基で置換された非芳香族複素環式基、およびハロゲンで置換された非芳香族炭素環式基。
“Substituted carbamoyl”, “Substituted thiocarbamoyl”, “Substituted amidino”, “Substituted amino”, “Substituted ureido”, “Substituted guanidino”, “Substituted sulfamoyl”, “Substituted alkyl”, “Substituted alkenyl”, “Substituted alkynyl” , “Substituted alkyloxy”, “substituted alkenyloxy”, “substituted alkynyloxy”, “substituted alkylcarbonyloxy”, “substituted alkenylcarbonyloxy”, “substituted alkynylcarbonyloxy”, “substituted alkylcarbonyl”, “substituted alkenylcarbonyl” , “Substituted alkynylcarbonyl”, “substituted alkyloxycarbonyl”, “substituted alkenyloxycarbonyl”, “substituted alkynyloxycarbonyl”, “substituted alkylsulfanyl”, “substituted alkenylsulfanyl”, “substituted alkynylsulfani” , “Substituted alkylsulfinyl”, “substituted alkenylsulfinyl”, “substituted alkynylsulfinyl”, “substituted alkylsulfonyl”, “substituted alkenylsulfonyl”, and “substituted alkynylsulfonyl” include the following substituents. It is done. A carbon atom or a nitrogen atom at any position may be bonded to one or more groups selected from the following substituents.
Substituents: halogen, hydroxy, cyano, formyl, formyloxy, thioformyl, carboxy, thiocarboxy, dithiocarboxy, carbamoyl, thiocarbamoyl, amidino, amino, hydroxyamino, hydroxyimino, nitro, nitroso, azide, hydrazino, ureido, guanidino , Pentafluorothio, thiol, sulfino, sulfo, sulfamoyl, trialkylsilyl, alkyl, alkenyl, alkynyl, haloalkyl, haloalkenyl, haloalkynyl, alkyloxy, alkenyloxy, alkynyloxy, haloalkyloxy, haloalkyloxyalkyl, alkylcarbonyloxy Alkenylcarbonyloxy, alkynylcarbonyloxy, alkylcarbonyl, alkenylcarbonyl, alkenyl Rucarbonyl, alkyloxycarbonyl, alkenyloxycarbonyl, alkynyloxycarbonyl, alkylsulfanyl, alkenylsulfanyl, alkynylsulfanyl, alkylsulfinyl, alkenylsulfinyl, alkynylsulfinyl, alkylsulfonyl, alkenylsulfonyl, alkynylsulfonyl, monoalkylaminosulfonyl, monoalkenylamino Sulfonyl, monoalkynylaminosulfonyl, dialkylaminosulfonyl, dialkenylaminosulfonyl, dialkynylaminosulfonyl, monoalkylamino, monoalkenylamino, monoalkynylamino, dialkylamino, dialkenylamino, dialkynylamino, monoalkylcarbonylamino, mono Alkenylcarbonylamino Monoalkynylcarbonylamino, dialkylcarbonylamino, dialkenylcarbonylamino, dialkynylcarbonylamino, monoalkyloxycarbonylamino, monoalkenyloxycarbonylamino, monoalkynyloxycarbonylamino, dialkyloxycarbonylamino, dialkenyloxycarbonylamino, dialkynyl Oxycarbonylamino, monoalkylsulfonylamino, monoalkenylsulfonylamino, monoalkynylsulfonylamino, dialkylsulfonylamino, dialkenylsulfonylamino, dialkynylsulfonylamino, monoalkylcarbamoyl, monoalkenylcarbamoyl, monoalkynylcarbamoyl, dialkylcarbamoyl, dialkenyl Carbamoyl, dialkynylka Rubamoyl, monoalkyloxycarbamoyl, monoalkenyloxycarbamoyl, monoalkynyloxycarbamoyl, dialkyloxycarbamoyl, dialkenyloxycarbamoyl, dialkynyloxycarbamoyl, monoalkylcarbonylcarbamoyl, monoalkenylcarbonylcarbamoyl, monoalkynylcarbonylcarbamoyl, monoalkyloxycarbonyl Carbamoyl, monoalkenyloxycarbonylcarbamoyl, monoalkynyloxycarbonylcarbamoyl, monoalkylsulfonylcarbamoyl, monoalkenylsulfonylcarbamoyl, monoalkynylsulfonylcarbamoyl, monoalkylsulfamoyl, monoalkenylsulfamoyl, monoalkynylsulfamoyl, dialkylsulfamo Yl, dialkenylsulfamoyl, dialkynylsulfamoyl, monoalkyloxysulfamoyl, monoalkenyloxysulfamoyl, monoalkynyloxysulfamoyl, dialkyloxysulfamoyl, dialkenyloxysulfamoyl, dialkynyl Oxysulfamoyl, monoalkylcarbonylsulfamoyl, monoalkenylcarbonylsulfamoyl, monoalkynylcarbonylsulfamoyl, monoalkyloxycarbonylsulfamoyl, monoalkenyloxycarbonylsulfamoyl, monoalkynyloxycarbonylsulfamoyl, Monoalkylsulfonylsulfamoyl, monoalkenylsulfonylsulfamoyl, monoalkynylsulfonylsulfamoyl, aromatic carbocyclic, non-aromatic Carbocyclic group, aromatic heterocyclic group, non-aromatic heterocyclic group, aromatic carbocyclic oxy, non-aromatic carbocyclic oxy, aromatic heterocyclic oxy, non-aromatic heterocyclic oxy, aromatic carbocyclic Carbonyloxy, non-aromatic carbocyclic carbonyloxy, aromatic heterocyclic carbonyloxy, non-aromatic heterocyclic carbonyloxy, aromatic carbocyclic carbonyl, non-aromatic carbocyclic carbonyl, aromatic heterocyclic carbonyl, non-aromatic heterocyclic Carbonyl, aromatic carbocyclic oxycarbonyl, non-aromatic carbocyclic oxycarbonyl, aromatic heterocyclic oxycarbonyl, non-aromatic heterocyclic oxycarbonyl, aromatic carbocyclic sulfanyl, non-aromatic carbocyclic sulfanyl, aromatic heterocyclic sulfanyl , Non-aromatic heterocyclic sulfinyl, aromatic carbocyclic sulfinyl, non-aromatic carbocyclic sulfinyl, aromatic heterocyclic sulfinyl , Non-aromatic heterocyclic sulfinyl, aromatic carbocyclic sulfonyl, non-aromatic carbocyclic sulfonyl, aromatic heterocyclic sulfonyl, non-aromatic heterocyclic sulfonyl, aromatic carbocyclic alkyl, non-aromatic carbocyclic alkyl, aromatic Heterocyclic alkyl, non-aromatic heterocyclic alkyl, aromatic carbocyclic alkyloxy, non-aromatic carbocyclic alkyloxy, aromatic heterocyclic alkyloxy, non-aromatic heterocyclic alkyloxy, aromatic carbocyclic alkylcarbonyl, non-aromatic Aromatic carbocyclic alkylcarbonyl, Aromatic heterocyclic alkylcarbonyl, Non-aromatic heterocyclic alkylcarbonyl, Aromatic carbocyclic alkyloxycarbonyl, Non-aromatic carbocyclic alkyloxycarbonyl, Aromatic heterocyclic alkyloxycarbonyl, Non-aromatic hetero Ring alkyloxycarbonyl, aromatic carbocyclic alkylsulfanyl, Aromatic carbocyclic alkyl sulfanyl, aromatic heterocyclic alkyl sulfanyl, non-aromatic heterocyclic alkyl sulfanyl, aromatic carbocyclic alkyl sulfinyl, non-aromatic carbocyclic alkyl sulfinyl, aromatic heterocyclic alkyl sulfinyl, non-aromatic heterocyclic alkyl sulfinyl , Aromatic carbocyclic alkylsulfonyl, non-aromatic carbocyclic alkylsulfonyl, aromatic heterocyclic alkylsulfonyl, non-aromatic heterocyclic alkylsulfonyl, aromatic carbocyclic alkylamino, non-aromatic carbocyclic alkylamino, aromatic heterocyclic Alkylamino, non-aromatic heterocyclic alkylamino, aromatic carbocyclic alkylcarbonylamino, non-aromatic carbocyclic alkylcarbonylamino, aromatic heterocyclic alkylcarbonylamino, non-aromatic heterocyclic alkylcarbonylamino, aromatic carbocyclic alkyl Xoxycarbonylamino, non-aromatic carbocyclic alkyloxycarbonylamino, aromatic heterocyclic alkyloxycarbonylamino, non-aromatic heterocyclic alkyloxycarbonylamino, aromatic carbocyclic alkylsulfonylamino, non-aromatic carbocyclic alkylsulfonylamino, Aromatic heterocyclic alkylsulfonylamino, non-aromatic heterocyclic alkylsulfonylamino, aromatic carbocyclic oxyalkylamino, non-aromatic carbocyclic oxyalkylamino, aromatic heterocyclic oxyalkylamino, non-aromatic heterocyclic oxyalkylamino An aromatic carbocyclic group substituted with an aromatic carbocyclic group, a non-aromatic carbocyclic group substituted with an aromatic carbocyclic group, an aromatic heterocyclic ring substituted with an aromatic carbocyclic group Substituted with a non-aromatic heterocyclic group or non-aromatic carbocyclic group substituted with an aromatic group or aromatic carbocyclic group Aromatic carbocyclic group, non-aromatic carbocyclic group substituted with non-aromatic carbocyclic group, aromatic heterocyclic group substituted with non-aromatic carbocyclic group, non-aromatic carbon A non-aromatic heterocyclic group substituted with a cyclic group, an aromatic carbocyclic group substituted with an aromatic heterocyclic group, a non-aromatic carbocyclic group substituted with an aromatic heterocyclic group, Aromatic heterocyclic group substituted with aromatic heterocyclic group, Non-aromatic heterocyclic group substituted with aromatic heterocyclic group, Aromatic carbocycle substituted with non-aromatic heterocyclic group Substituted with a non-aromatic carbocyclic group substituted with a non-aromatic heterocyclic group, an aromatic heterocyclic group substituted with a non-aromatic heterocyclic group, or a non-aromatic heterocyclic group Non-aromatic heterocyclic groups, and non-aromatic carbocyclic groups substituted with halogen.
「置換芳香族炭素環式基」、「置換非芳香族炭素環式基」、「置換芳香族複素環式基」、「置換非芳香族複素環式基」、「置換芳香族炭素環オキシ」、「置換非芳香族炭素環オキシ」、「置換芳香族複素環オキシ」、「置換非芳香族複素環オキシ」、「置換芳香族炭素環カルボニルオキシ」、「置換非芳香族炭素環カルボニルオキシ」、「置換芳香族複素環カルボニルオキシ」、「置換非芳香族複素環カルボニルオキシ」、「置換も芳香族炭素環カルボニル」、「置換非芳香族炭素環カルボニル」、「置換芳香族複素環カルボニル」、「置換非芳香族複素環カルボニル」、「置換芳香族炭素環オキシカルボニル」、「置換非芳香族炭素環オキシカルボニル」、「置換芳香族複素環オキシカルボニル」、「置換非芳香族複素環オキシカルボニル」、「置換芳香族炭素環スルファニル」、「置換非芳香族炭素環スルファニル」、「置換芳香族複素環スルファニル」、「置換非芳香族複素環スルファニル」、「置換芳香族炭素環スルフィニル」、「置換非芳香族炭素環スルフィニル」、「置換芳香族複素環スルフィニル」、「置換非芳香族複素環スルフィニル」、「置換芳香族炭素環スルホニル」、「置換非芳香族炭素環スルホニル」、「置換芳香族複素環スルホニル」、および「置換非芳香族複素環スルホニル」の「芳香族炭素環」、「非芳香族炭素環」、「芳香族複素環」、および「非芳香族複素環」の環上の置換基としては、次の置換基が挙げられる。環上の任意の位置の原子が次の置換基から選択される1以上の基と結合していてもよい。
置換基:ハロゲン、ヒドロキシ、シアノ、ホルミル、ホルミルオキシ、チオホルミル、カルボキシ、チオカルボキシ、ジチオカルボキシ、カルバモイル、チオカルバモイル、アミジノ、アミノ、ヒドロキシアミノ、イミノ、ヒドロキシイミノ、ニトロ、ニトロソ、アジド、ヒドラジノ、ウレイド、グアニジノ、ペンタフルオロチオ、チオール、スルフィノ、スルホ、スルファモイル、トリアルキルシリル、アルキル、アルケニル、アルキニル、アルキルオキシ、アルケニルオキシ、アルキニルオキシ、ハロアルキルオキシ、ハロアルケニルオキシ、ハロアルキニルオキシ、ヒドロキシアルキル、アルキルカルボニルオキシ、アルケニルカルボニルオキシ、アルキニルカルボニルオキシ、アルキルカルボニル、アルケニルカルボニル、アルキニルカルボニル、アルキルオキシカルボニル、アルケニルオキシカルボニル、アルキニルオキシカルボニル、アルキルスルファニル、アルケニルスルファニル、アルキニルスルファニル、アルキルスルフィニル、アルケニルスルフィニル、アルキニルスルフィニル、アルキルスルホニル、アルケニルスルホニル、アルキニルスルホニル、モノアルキルアミノスルホニル、モノアルケニルアミノスルホニル、モノアルキニルアミノスルホニル、ジアルキルアミノスルホニル、ジアルケニルアミノスルホニル、ジアルキニルアミノスルホニル、モノアルキルアミノ、モノアルケニルアミノ、モノアルキニルアミノ、ジアルキルアミノ、ジアルケニルアミノ、ジアルキニルアミノ、モノアルキルカルボニルアミノ、モノアルケニルカルボニルアミノ、モノアルキニルカルボニルアミノ、ジアルキルカルボニルアミノ、ジアルケニルカルボニルアミノ、ジアルキニルカルボニルアミノ、モノアルキルオキシカルボニルアミノ、モノアルケニルオキシカルボニルアミノ、モノアルキニルオキシカルボニルアミノ、ジアルキルオキシカルボニルアミノ、ジアルケニルオキシカルボニルアミノ、ジアルキニルオキシカルボニルアミノ、モノアルキルスルホニルアミノ、モノアルケニルスルホニルアミノ、モノアルキニルスルホニルアミノ、ジアルキルスルホニルアミノ、ジアルケニルスルホニルアミノ、ジアルキニルスルホニルアミノ、アルキルイミノ、アルケニルイミノ、アルキニルイミノ、アルキルオキシイミノ、アルケニルオキシイミノ、アルキニルオキシイミノ、モノアルキルカルバモイル、モノアルケニルカルバモイル、モノアルキニルカルバモイル、ジアルキルカルバモイル、ジアルケニルカルバモイル、ジアルキニルカルバモイル、モノアルキルオキシカルバモイル、モノアルケニルオキシカルバモイル、モノアルキニルオキシカルバモイル、ジアルキルオキシカルバモイル、ジアルケニルオキシカルバモイル、ジアルキニルオキシカルバモイル、モノアルキルカルボニルカルバモイル、モノアルケニルカルボニルカルバモイル、モノアルキニルカルボニルカルバモイル、モノアルキルオキシカルボニルカルバモイル、モノアルケニルオキシカルボニルカルバモイル、モノアルキニルオキシカルボニルカルバモイル、モノアルキルスルホニルカルバモイル、モノアルケニルスルホニルカルバモイル、モノアルキニルスルホニルカルバモイル、モノアルキルスルファモイル、モノアルケニルスルファモイル、モノアルキニルスルファモイル、ジアルキルスルファモイル、ジアルケニルスルファモイル、ジアルキニルスルファモイル、モノアルキルオキシスルファモイル、モノアルケニルオキシスルファモイル、モノアルキニルオキシスルファモイル、ジアルキルオキシスルファモイル、ジアルケニルオキシスルファモイル、ジアルキニルオキシスルファモイル、モノアルキルカルボニルスルファモイル、モノアルケニルカルボニルスルファモイル、モノアルキニルカルボニルスルファモイル、モノアルキルオキシカルボニルスルファモイル、モノアルケニルオキシカルボニルスルファモイル、モノアルキニルオキシカルボニルスルファモイル、モノアルキルスルホニルスルファモイル、モノアルケニルスルホニルスルファモイル、モノアルキニルスルホニルスルファモイル、芳香族炭素環式基、非芳香族炭素環式基、芳香族複素環式基、非芳香族複素環式基、芳香族炭素環オキシ、非芳香族炭素環オキシ、芳香族複素環オキシ、非芳香族複素環オキシ、芳香族炭素環カルボニルオキシ、非芳香族炭素環カルボニルオキシ、芳香族複素環カルボニルオキシ、非芳香族複素環カルボニルオキシ、芳香族炭素環カルボニル、非芳香族炭素環カルボニル、芳香族複素環カルボニル、非芳香族複素環カルボニル、芳香族炭素環オキシカルボニル、非芳香族炭素環オキシカルボニル、芳香族複素環オキシカルボニル、非芳香族複素環オキシカルボニル、芳香族炭素環スルファニル、非芳香族炭素環スルファニル、芳香族複素環スルファニル、非芳香族複素環スルファニル、芳香族炭素環スルフィニル、非芳香族炭素環スルフィニル、芳香族複素環スルフィニル、非芳香族複素環スルフィニル、芳香族炭素環スルホニル、非芳香族炭素環スルホニル、芳香族複素環スルホニル、非芳香族複素環スルホニル、芳香族炭素環アルキル、非芳香族炭素環アルキル、芳香族複素環アルキル、非芳香族複素環アルキル、芳香族炭素環アルキルオキシ、非芳香族炭素環アルキルオキシ、芳香族複素環アルキルオキシ、非芳香族複素環アルキルオキシ、芳香族炭素環アルキルカルボニル、非芳香族炭素環アルキルカルボニル、芳香族複素環アルキルカルボニル、非芳香族複素環アルキルカルボニル、芳香族炭素環アルキルオキシカルボニル、非芳香族炭素環アルキルオキシカルボニル、芳香族複素環アルキルオキシカルボニル、非芳香族複素環アルキルオキシカルボニル、芳香族炭素環アルキルスルファニル、非芳香族炭素環アルキルスルファニル、芳香族複素環アルキルスルファニル、非芳香族複素環アルキルスルファニル、芳香族炭素環アルキルスルフィニル、非芳香族炭素環アルキルスルフィニル、芳香族複素環アルキルスルフィニル、非芳香族複素環アルキルスルフィニル、芳香族炭素環アルキルスルホニル、非芳香族炭素環アルキルスルホニル、芳香族複素環アルキルスルホニル、非芳香族複素環アルキルスルホニル、芳香族炭素環アルキルアミノ、非芳香族炭素環アルキルアミノ、芳香族複素環アルキルアミノ、非芳香族複素環アルキルアミノ、芳香族炭素環アルキルカルボニルアミノ、非芳香族炭素環アルキルカルボニルアミノ、芳香族複素環アルキルカルボニルアミノ、非芳香族複素環アルキルカルボニルアミノ、芳香族炭素環アルキルオキシカルボニルアミノ、非芳香族炭素環アルキルオキシカルボニルアミノ、芳香族複素環アルキルオキシカルボニルアミノ、非芳香族複素環アルキルオキシカルボニルアミノ、芳香族炭素環アルキルスルホニルアミノ、非芳香族炭素環アルキルスルホニルアミノ、芳香族複素環アルキルスルホニルアミノ、非芳香族複素環アルキルスルホニルアミノ、芳香族炭素環オキシアルキルアミノ、非芳香族炭素環オキシアルキルアミノ、芳香族複素環オキシアルキルアミノ、非芳香族複素環オキシアルキルアミノ、芳香族炭素環式基で置換された芳香族炭素環式基、芳香族炭素環式基で置換された非芳香族炭素環式基、芳香族炭素環式基で置換された芳香族複素環式基、芳香族炭素環式基で置換された非芳香族複素環式基、非芳香族炭素環式基で置換された芳香族炭素環式基、非芳香族炭素環式基で置換された非芳香族炭素環式基、非芳香族炭素環式基で置換された芳香族複素環式基、非芳香族炭素環式基で置換された非芳香族複素環式基、芳香族複素環式基で置換された芳香族炭素環式基、芳香族複素環式基で置換された非芳香族炭素環式基、芳香族複素環式基で置換された芳香族複素環式基、芳香族複素環式基で置換された非芳香族複素環式基、非芳香族複素環式基で置換された芳香族炭素環式基、非芳香族複素環式基で置換された非芳香族炭素環式基、非芳香族複素環式基で置換された芳香族複素環式基、非芳香族複素環式基で置換された非芳香族複素環式基、およびアルキルオキシで置換された芳香族炭素環アルキル。
“Substituted aromatic carbocyclic group”, “Substituted non-aromatic carbocyclic group”, “Substituted aromatic heterocyclic group”, “Substituted non-aromatic heterocyclic group”, “Substituted aromatic carbocyclic oxy” , “Substituted non-aromatic carbocyclic oxy”, “substituted aromatic heterocycle oxy”, “substituted non-aromatic heterocycle oxy”, “substituted aromatic carbocycle carbonyloxy”, “substituted non-aromatic carbocycle oxy” , “Substituted aromatic heterocyclic carbonyloxy”, “substituted non-aromatic heterocyclic carbonyloxy”, “substituted aromatic carbocyclic carbonyl”, “substituted non-aromatic carbocyclic carbonyl”, “substituted aromatic heterocyclic carbonyl” , “Substituted non-aromatic heterocyclic carbonyl”, “substituted aromatic carbocyclic oxycarbonyl”, “substituted non-aromatic carbocyclic oxycarbonyl”, “substituted aromatic heterocyclic oxycarbonyl”, “substituted non-aromatic heterocyclic oxy” Carbonyl , “Substituted aromatic carbocyclic sulfanyl”, “substituted non-aromatic carbocyclic sulfanyl”, “substituted aromatic heterocyclic sulfanyl”, “substituted non-aromatic heterocyclic sulfanyl”, “substituted aromatic carbocyclic sulfinyl”, “substituted” "Non-aromatic carbocyclic sulfinyl", "substituted aromatic heterocyclic sulfinyl", "substituted non-aromatic heterocyclic sulfinyl", "substituted aromatic carbocyclic sulfonyl", "substituted non-aromatic carbocyclic sulfonyl", "substituted aromatic On the rings of “aromatic carbocycle”, “non-aromatic carbocycle”, “aromatic heterocycle”, and “non-aromatic heterocycle” of “heterocycle sulfonyl” and “substituted non-aromatic heterocycle sulfonyl” Examples of the substituent include the following substituents. An atom at any position on the ring may be bonded to one or more groups selected from the following substituents.
Substituents: halogen, hydroxy, cyano, formyl, formyloxy, thioformyl, carboxy, thiocarboxy, dithiocarboxy, carbamoyl, thiocarbamoyl, amidino, amino, hydroxyamino, imino, hydroxyimino, nitro, nitroso, azide, hydrazino, ureido , Guanidino, pentafluorothio, thiol, sulfino, sulfo, sulfamoyl, trialkylsilyl, alkyl, alkenyl, alkynyl, alkyloxy, alkenyloxy, alkynyloxy, haloalkyloxy, haloalkenyloxy, haloalkynyloxy, hydroxyalkyl, alkylcarbonyl Oxy, alkenylcarbonyloxy, alkynylcarbonyloxy, alkylcarbonyl, alkenylcarbonyl, alkynyl Carbonyl, alkyloxycarbonyl, alkenyloxycarbonyl, alkynyloxycarbonyl, alkylsulfanyl, alkenylsulfanyl, alkynylsulfanyl, alkylsulfinyl, alkenylsulfinyl, alkynylsulfinyl, alkylsulfonyl, alkenylsulfonyl, alkynylsulfonyl, monoalkylaminosulfonyl, monoalkenylaminosulfonyl , Monoalkynylaminosulfonyl, dialkylaminosulfonyl, dialkenylaminosulfonyl, dialkynylaminosulfonyl, monoalkylamino, monoalkenylamino, monoalkynylamino, dialkylamino, dialkenylamino, dialkynylamino, monoalkylcarbonylamino, monoalkenyl Carbonylamino, Noalkynylcarbonylamino, dialkylcarbonylamino, dialkenylcarbonylamino, dialkynylcarbonylamino, monoalkyloxycarbonylamino, monoalkenyloxycarbonylamino, monoalkynyloxycarbonylamino, dialkyloxycarbonylamino, dialkenyloxycarbonylamino, dialkynyl Oxycarbonylamino, monoalkylsulfonylamino, monoalkenylsulfonylamino, monoalkynylsulfonylamino, dialkylsulfonylamino, dialkenylsulfonylamino, dialkynylsulfonylamino, alkylimino, alkenylimino, alkynylimino, alkyloxyimino, alkenyloxyimino, Alkynyloxyimino, monoalkylcarbamoyl, Monoalkenylcarbamoyl, monoalkynylcarbamoyl, dialkylcarbamoyl, dialkenylcarbamoyl, dialkynylcarbamoyl, monoalkyloxycarbamoyl, monoalkenyloxycarbamoyl, monoalkynyloxycarbamoyl, dialkyloxycarbamoyl, dialkenyloxycarbamoyl, dialkynyloxycarbamoyl, monoalkyl Carbonylcarbamoyl, monoalkenylcarbonylcarbamoyl, monoalkynylcarbonylcarbamoyl, monoalkyloxycarbonylcarbamoyl, monoalkenyloxycarbonylcarbamoyl, monoalkynyloxycarbonylcarbamoyl, monoalkylsulfonylcarbamoyl, monoalkenylsulfonylcarbamoyl, monoalkynylsulfonyl Rubamoyl, monoalkylsulfamoyl, monoalkenylsulfamoyl, monoalkynylsulfamoyl, dialkylsulfamoyl, dialkenylsulfamoyl, dialkynylsulfamoyl, monoalkyloxysulfamoyl, monoalkenyloxysulfamoyl Monoalkynyloxysulfamoyl, dialkyloxysulfamoyl, dialkenyloxysulfamoyl, dialkynyloxysulfamoyl, monoalkylcarbonylsulfamoyl, monoalkenylcarbonylsulfamoyl, monoalkynylcarbonylsulfamoyl, mono Alkyloxycarbonylsulfamoyl, monoalkenyloxycarbonylsulfamoyl, monoalkynyloxycarbonylsulfamoyl, monoalkylsulfonyl Rufamoyl, monoalkenylsulfonylsulfamoyl, monoalkynylsulfonylsulfamoyl, aromatic carbocyclic group, non-aromatic carbocyclic group, aromatic heterocyclic group, non-aromatic heterocyclic group, aromatic carbocycle Oxy, non-aromatic carbocyclic oxy, aromatic heterocyclic oxy, non-aromatic heterocyclic oxy, aromatic carbocyclic carbonyloxy, non-aromatic carbocyclic carbonyloxy, aromatic heterocyclic carbonyloxy, non-aromatic heterocyclic carbonyl Oxy, aromatic carbocyclic carbonyl, non-aromatic carbocyclic carbonyl, aromatic heterocyclic carbonyl, non-aromatic heterocyclic carbonyl, aromatic carbocyclic oxycarbonyl, non-aromatic carbocyclic oxycarbonyl, aromatic heterocyclic oxycarbonyl, Non-aromatic heterocyclic oxycarbonyl, aromatic carbocyclic sulfanyl, non-aromatic carbocyclic sulfanyl, aromatic hetero Ring sulfanyl, non-aromatic heterocyclic sulfanyl, aromatic carbocyclic sulfinyl, non-aromatic carbocyclic sulfinyl, aromatic heterocyclic sulfinyl, non-aromatic heterocyclic sulfinyl, aromatic carbocyclic sulfonyl, non-aromatic carbocyclic sulfonyl, aromatic Aromatic heterocyclic sulfonyl, non-aromatic heterocyclic sulfonyl, aromatic carbocyclic alkyl, non-aromatic carbocyclic alkyl, aromatic heterocyclic alkyl, non-aromatic heterocyclic alkyl, aromatic carbocyclic alkyloxy, non-aromatic carbocycle Alkyloxy, aromatic heterocyclic alkyloxy, non-aromatic heterocyclic alkyloxy, aromatic carbocyclic alkylcarbonyl, non-aromatic carbocyclic alkylcarbonyl, aromatic heterocyclic alkylcarbonyl, non-aromatic heterocyclic alkylcarbonyl, aromatic Carbocyclic alkyloxycarbonyl, non-aromatic carbocyclic alkyloxycarbonyl , Aromatic heterocyclic alkyloxycarbonyl, non-aromatic heterocyclic alkyloxycarbonyl, aromatic carbocyclic alkylsulfanyl, non-aromatic carbocyclic alkylsulfanyl, aromatic heterocyclic alkylsulfanyl, non-aromatic heterocyclic alkylsulfanyl, aromatic Carbocyclic alkylsulfinyl, non-aromatic carbocyclic alkylsulfinyl, aromatic heterocyclic alkylsulfinyl, non-aromatic heterocyclic alkylsulfinyl, aromatic carbocyclic alkylsulfonyl, non-aromatic carbocyclic alkylsulfonyl, aromatic heterocyclic alkylsulfonyl, Non-aromatic heterocyclic alkylsulfonyl, aromatic carbocyclic alkylamino, non-aromatic carbocyclic alkylamino, aromatic heterocyclic alkylamino, non-aromatic heterocyclic alkylamino, aromatic carbocyclic alkylcarbonylamino, non-aromatic carbon Ring al Rucarbonylamino, aromatic heterocyclic alkylcarbonylamino, non-aromatic heterocyclic alkylcarbonylamino, aromatic carbocyclic alkyloxycarbonylamino, non-aromatic carbocyclic alkyloxycarbonylamino, aromatic heterocyclic alkyloxycarbonylamino, non-aromatic Aromatic heterocyclic alkyloxycarbonylamino, aromatic carbocyclic alkylsulfonylamino, non-aromatic carbocyclic alkylsulfonylamino, aromatic heterocyclic alkylsulfonylamino, non-aromatic heterocyclic alkylsulfonylamino, aromatic carbocyclic oxyalkylamino , Non-aromatic carbocyclic oxyalkylamino, aromatic heterocyclic oxyalkylamino, non-aromatic heterocyclic oxyalkylamino, aromatic carbocyclic group substituted with aromatic carbocyclic group, aromatic carbocyclic group Non-aromatic carbocyclic group substituted with An aromatic heterocyclic group substituted with an aromatic carbocyclic group, a non-aromatic heterocyclic group substituted with an aromatic carbocyclic group, an aromatic carbon substituted with a non-aromatic carbocyclic group Substituted with a cyclic group, a non-aromatic carbocyclic group substituted with a non-aromatic carbocyclic group, an aromatic heterocyclic group substituted with a non-aromatic carbocyclic group, or a non-aromatic carbocyclic group Non-aromatic heterocyclic group, aromatic carbocyclic group substituted with aromatic heterocyclic group, non-aromatic carbocyclic group substituted with aromatic heterocyclic group, aromatic heterocyclic Aromatic heterocyclic group substituted with a group, Non-aromatic heterocyclic group substituted with an aromatic heterocyclic group, Aromatic carbocyclic group substituted with a non-aromatic heterocyclic group, Non-aromatic Non-aromatic carbocyclic group substituted with aromatic heterocyclic group, aromatic heterocyclic group substituted with non-aromatic heterocyclic group, non-aromatic compound substituted with non-aromatic heterocyclic group Cyclic groups, and aromatic carbocyclic alkyl substituted with alkyloxy.
また、「置換若しくは非置換の非芳香族炭素環式基」および「置換若しくは非置換の非芳香族複素環式基」は「オキソ」で置換されていてもよい。この場合、以下のように炭素原子上の2個の水素原子が置換されている基を意味する。
上記、「置換もしくは非置換の非芳香族炭素環オキシ」、「置換もしくは非置換の非芳香族複素環オキシ」、「置換もしくは非置換の非芳香族炭素環カルボニルオキシ」、「置換もしくは非置換の非芳香族複素環カルボニルオキシ」、「置換もしくは非置換の非芳香族炭素環カルボニル」、「置換もしくは非置換の非芳香族複素環カルボニル」、「置換もしくは非置換の非芳香族炭素環オキシカルボニル」、「置換もしくは非置換の非芳香族複素環オキシカルボニル」、「置換もしくは非置換の非芳香族炭素環スルファニル」、「置換もしくは非置換の非芳香族複素環スルファニル」、「置換もしくは非置換の非芳香族炭素環スルフィニル」、「置換もしくは非置換の非芳香族複素環スルフィニル」、「置換もしくは非置換の非芳香族炭素環スルホニル」、および「置換もしくは非置換の非芳香族複素環スルホニル」の非芳香族炭素環、および非芳香族複素環部分も上記と同様に「オキソ」で置換されていてもよい。 "Substituted or unsubstituted non-aromatic carbocyclic oxy", "Substituted or unsubstituted non-aromatic heterocyclic oxy", "Substituted or unsubstituted non-aromatic carbocyclic oxy", "Substituted or unsubstituted Non-aromatic heterocyclic carbonyloxy ”,“ substituted or unsubstituted non-aromatic carbocyclic carbonyl ”,“ substituted or unsubstituted non-aromatic heterocyclic carbonyl ”,“ substituted or unsubstituted non-aromatic carbocyclic oxy ” Carbonyl "," substituted or unsubstituted non-aromatic heterocyclic oxycarbonyl "," substituted or unsubstituted non-aromatic carbocyclic sulfanyl "," substituted or unsubstituted non-aromatic heterocyclic sulfanyl "," substituted or non-substituted "Substituted non-aromatic carbocyclic sulfinyl", "Substituted or unsubstituted non-aromatic heterocyclic sulfinyl", "Substituted or unsubstituted non-aromatic carbon" Sulfonyl ", and" optionally substituted non-aromatic carbocyclic ring or a substituted or unsubstituted non-aromatic heterocyclic sulfonyl ", and non-aromatic heterocyclic moiety also similarly to the" oxo ".
式(I)で示される化合物における、R1、R2、R4a、R4b、R5、R6、B1、B2、B3、B4、B5、R11a、R11b、R11c、R12a、R12b、R12c、R13a、R13b、R13c、R14a、R14b、R14c、R15a、R15b、R15c、RS1、RS2、RN、L、X、A、B、C、m、n、L1、L2、L3、R1’およびpの好ましい態様を以下に示す。下記の可能な組合せの化合物が好ましい。 R 1 , R 2 , R 4a , R 4b , R 5 , R 6 , B 1 , B 2 , B 3 , B 4 , B 5 , R 11a , R 11b , R in the compound represented by the formula (I) 11c , R 12a , R 12b , R 12c , R 13a , R 13b , R 13c , R 14a , R 14b , R 14c , R 15a , R 15b , R 15c , R S1 , R S2 , R N , L, Preferred embodiments of A, B, C, m, n, L 1 , L 2 , L 3 , R 1 ′ and p are shown below. The following possible combinations of compounds are preferred:
R1としては、例えば、水素、ハロゲン、ヒドロキシ、シアノ、カルボキシ、置換もしくは非置換のカルバモイル、置換もしくは非置換のチオカルバモイル、置換もしくは非置換のアミジノ、置換もしくは非置換のアミノ、置換もしくは非置換のウレイド、置換もしくは非置換のグアニジノ、ペンタフルオロチオ、スルホ、置換もしくは非置換のスルファモイル、置換もしくは非置換のアルキル、置換もしくは非置換のアルケニル、置換もしくは非置換のアルキニル、置換もしくは非置換のアルキルオキシ、置換もしくは非置換のアルケニルオキシ、置換もしくは非置換のアルキニルオキシ、置換もしくは非置換のアルキルカルボニルオキシ、置換もしくは非置換のアルケニルカルボニルオキシ、置換もしくは非置換のアルキニルカルボニルオキシ、置換もしくは非置換のアルキルカルボニル、置換もしくは非置換のアルケニルカルボニル、置換もしくは非置換のアルキニルカルボニル、置換もしくは非置換のアルキルオキシカルボニル、置換もしくは非置換のアルケニルオキシカルボニル、置換もしくは非置換のアルキニルオキシカルボニル、置換もしくは非置換のアルキルスルファニル、置換もしくは非置換のアルケニルスルファニル、置換もしくは非置換のアルキニルスルファニル、置換もしくは非置換のアルキルスルフィニル、置換もしくは非置換のアルケニルスルフィニル、置換もしくは非置換のアルキニルスルフィニル、置換もしくは非置換のアルキルスルホニル、置換もしくは非置換のアルケニルスルホニル、置換もしくは非置換のアルキニルスルホニル、置換もしくは非置換の芳香族炭素環式基、置換もしくは非置換の非芳香族炭素環式基、置換もしくは非置換の芳香族複素環式基、置換もしくは非置換の非芳香族複素環式基、置換もしくは非置換の芳香族炭素環オキシ、置換もしくは非置換の非芳香族炭素環オキシ、置換もしくは非置換の芳香族複素環オキシ、置換もしくは非置換の非芳香族複素環オキシ、置換もしくは非置換の芳香族炭素環カルボニルオキシ、置換もしくは非置換の非芳香族炭素環カルボニルオキシ、置換もしくは非置換の芳香族複素環カルボニルオキシ、置換もしくは非置換の非芳香族複素環カルボニルオキシ、置換もしくは非置換の芳香族炭素環カルボニル、置換もしくは非置換の非芳香族炭素環カルボニル、置換もしくは非置換の芳香族複素環カルボニル、置換もしくは非置換の非芳香族複素環カルボニル、置換もしくは非置換の芳香族炭素環オキシカルボニル、置換もしくは非置換の非芳香族炭素環オキシカルボニル、置換もしくは非置換の芳香族複素環オキシカルボニル、置換もしくは非置換の非芳香族複素環オキシカルボニル、置換もしくは非置換の芳香族炭素環スルファニル、置換もしくは非置換の非芳香族炭素環スルファニル、置換もしくは非置換の芳香族複素環スルファニル、置換もしくは非置換の非芳香族複素環スルファニル、置換もしくは非置換の芳香族炭素環スルフィニル、置換もしくは非置換の非芳香族炭素環スルフィニル、置換もしくは非置換の芳香族複素環スルフィニル、置換もしくは非置換の非芳香族複素環スルフィニル、置換もしくは非置換の芳香族炭素環スルホニル、置換もしくは非置換の非芳香族炭素環スルホニル、置換もしくは非置換の芳香族複素環スルホニル、置換もしくは非置換の非芳香族複素環スルホニル、式:-L-N=S(=O)(-RS1)-RS2、式:-L-S(=O)(=N-RN)-RS1、式:-N=S(=N-RN)(-RS1)-RS2、式:-S(=N-RN)2-RS1で示される基が挙げられる。
ここで、式:-L-N=S(=O)(-RS1)-RS2、式:-L-S(=O)(=N-RN)-RS1、式:-N=S(=N-RN)(-RS1)-RS2、式:-S(=N-RN)2-RS1で示される基は、それぞれ以下の化学構造を有する基である。
R1の好ましい態様としては、水素、シアノ、置換もしくは非置換のアルキルオキシカルボニル、置換もしくは非置換のカルバモイル、置換もしくは非置換のアミノ、置換もしくは非置換のウレイド、置換もしくは非置換のスルファモイル、置換もしくは非置換のアルキル、置換もしくは非置換の芳香族複素環式基、置換もしくは非置換の非芳香族複素環式基、以下に示される基等が挙げられる。
R1のさらに好ましい態様としては、水素、シアノ、置換もしくは非置換のアルキル、置換もしくは非置換のアルキルオキシカルボニル、置換もしくは非置換の芳香族複素環式基、置換もしくは非置換の非芳香族複素環式基、以下に示される基等が挙げられる。
R1の置換基がさらに置換基を有する場合、R1の好ましい置換基の置換基は、ハロゲン、シアノ、カルボキシ、アミノ、ウレイド、スルファモイル、アルキル、アルケニル、アルキルオキシ、アルキルスルホニル、モノアルキルアミノスルホニル、モノアルキルアミノ、ジアルキルアミノ、モノアルキルカルボニルアミノ、モノアルキルオキシカルボニルアミノ、モノアルキルスルホニルアミノ、モノアルキルカルバモイル、ジアルキルカルバモイル、モノアルキルスルファモイル、ジアルキルスルファモイル、芳香族炭素環式基、非芳香族炭素環式基、芳香族複素環式基、または非芳香族複素環式基である。
R1のさらに好ましい具体的な態様としては、例えば、水素、シアノ、アルキルオキシカルボニル、カルバモイルアルキル、アルキルカルボニルアミノアルキル、シクロアルキルスルホカルバモイルアルキルおよび以下に示される基が挙げられる。
Here, the formula: -LN = S (= O) (-R S1 ) -R S2 , formula: -LS (= O) (= N-R N ) -R S1 , formula: -N = The groups represented by S (= N—R N ) (— R S1 ) —R S2 and the formula: —S (═N—R N ) 2 —R S1 are groups having the following chemical structures, respectively.
Preferred embodiments of R 1 include hydrogen, cyano, substituted or unsubstituted alkyloxycarbonyl, substituted or unsubstituted carbamoyl, substituted or unsubstituted amino, substituted or unsubstituted ureido, substituted or unsubstituted sulfamoyl, substituted Alternatively, unsubstituted alkyl, substituted or unsubstituted aromatic heterocyclic group, substituted or unsubstituted non-aromatic heterocyclic group, groups shown below, and the like can be given.
More preferred embodiments of R 1 include hydrogen, cyano, substituted or unsubstituted alkyl, substituted or unsubstituted alkyloxycarbonyl, substituted or unsubstituted aromatic heterocyclic group, substituted or unsubstituted non-aromatic heterocyclic A cyclic group, the group shown below, etc. are mentioned.
When the substituent of R 1 further has a substituent, the preferred substituent of R 1 is halogen, cyano, carboxy, amino, ureido, sulfamoyl, alkyl, alkenyl, alkyloxy, alkylsulfonyl, monoalkylaminosulfonyl Monoalkylamino, dialkylamino, monoalkylcarbonylamino, monoalkyloxycarbonylamino, monoalkylsulfonylamino, monoalkylcarbamoyl, dialkylcarbamoyl, monoalkylsulfamoyl, dialkylsulfamoyl, aromatic carbocyclic group, non An aromatic carbocyclic group, an aromatic heterocyclic group, or a non-aromatic heterocyclic group.
More preferred specific embodiments of R 1 include, for example, hydrogen, cyano, alkyloxycarbonyl, carbamoylalkyl, alkylcarbonylaminoalkyl, cycloalkylsulfocarbamoylalkyl, and groups shown below.
R2としては、例えば、水素、ヒドロキシ、置換もしくは非置換のカルバモイル、置換もしくは非置換のアルキル、置換もしくは非置換のアルキルカルボニル、置換もしくは非置換のアルキルオキシカルボニル、置換もしくは非置換のアルキルスルホニル、置換もしくは非置換の芳香族炭素環式基、置換もしくは非置換の非芳香族炭素環式基、置換もしくは非置換の芳香族複素環式基、置換もしくは非置換の非芳香族複素環式基、置換もしくは非置換の芳香族炭素環カルボニル、置換もしくは非置換の非芳香族炭素環カルボニル、置換もしくは非置換の芳香族複素環カルボニル、置換もしくは非置換の非芳香族複素環カルボニル、置換もしくは非置換の芳香族炭素環オキシカルボニル、置換もしくは非置換の非芳香族炭素環オキシカルボニル、置換もしくは非置換の芳香族複素環オキシカルボニル、置換もしくは非置換の非芳香族複素環オキシカルボニル、置換もしくは非置換の芳香族炭素環スルホニル、置換もしくは非置換の非芳香族炭素環スルホニル、置換もしくは非置換の芳香族複素環スルホニル、置換もしくは非置換の非芳香族複素環スルホニルが挙げられる。
R2の好ましい態様としては、水素、ヒドロキシ等である。
R2の置換基がさらに置換基を有する場合、R2の好ましい置換基の置換基は、ハロゲン、ヒドロキシ、アミノ、アルキル、モノアルキルアミノ、ジアルキルアミノ、芳香族炭素環式基、非芳香族炭素環式基、芳香族複素環式基、または非芳香族複素環式基である。
R 2 is, for example, hydrogen, hydroxy, substituted or unsubstituted carbamoyl, substituted or unsubstituted alkyl, substituted or unsubstituted alkylcarbonyl, substituted or unsubstituted alkyloxycarbonyl, substituted or unsubstituted alkylsulfonyl, A substituted or unsubstituted aromatic carbocyclic group, a substituted or unsubstituted non-aromatic carbocyclic group, a substituted or unsubstituted aromatic heterocyclic group, a substituted or unsubstituted non-aromatic heterocyclic group, Substituted or unsubstituted aromatic carbocyclic carbonyl, substituted or unsubstituted non-aromatic carbocyclic carbonyl, substituted or unsubstituted aromatic heterocyclic carbonyl, substituted or unsubstituted non-aromatic heterocyclic carbonyl, substituted or unsubstituted Aromatic carbocyclic oxycarbonyl, substituted or unsubstituted non-aromatic carbocyclic oxycarbonyl Substituted or unsubstituted aromatic heterocyclic oxycarbonyl, substituted or unsubstituted non-aromatic heterocyclic oxycarbonyl, substituted or unsubstituted aromatic carbocyclic sulfonyl, substituted or unsubstituted non-aromatic carbocyclic sulfonyl, substituted Or an unsubstituted aromatic heterocyclic sulfonyl and a substituted or unsubstituted non-aromatic heterocyclic sulfonyl are mentioned.
Preferred embodiments of R 2 are hydrogen, hydroxy and the like.
When the substituent of R 2 further has a substituent, preferred substituents of R 2 are halogen, hydroxy, amino, alkyl, monoalkylamino, dialkylamino, aromatic carbocyclic group, non-aromatic carbon A cyclic group, an aromatic heterocyclic group, or a non-aromatic heterocyclic group.
R4aとしては、例えば、水素、ハロゲン、ヒドロキシ、シアノ、置換もしくは非置換のアルキル、置換もしくは非置換のアルキルオキシ、置換もしくは非置換のアルキルスルホニル、置換もしくは非置換の芳香族炭素環式基、置換もしくは非置換の非芳香族炭素環式基、置換もしくは非置換の芳香族複素環式基、置換もしくは非置換の非芳香族複素環式基、置換もしくは非置換の芳香族炭素環式基オキシ、置換もしくは非置換の非芳香族炭素環式基オキシ、置換もしくは非置換の芳香族複素環式基オキシ、置換もしくは非置換の非芳香族複素環式基オキシ、置換もしくは非置換の芳香族炭素環式基スルホニル、置換もしくは非置換の非芳香族炭素環式基スルホニル、置換もしくは非置換の芳香族複素環式基スルホニル、または置換もしくは非置換の非芳香族複素環式基スルホニル等が挙げられる。
R4aの好ましい態様としては、水素が挙げられる。
R4aの置換基がさらに置換基を有する場合、R4aの好ましい置換基の置換基は、ハロゲン、ヒドロキシ、アミノ、アルキル、モノアルキルアミノ、ジアルキルアミノ、芳香族炭素環式基、非芳香族炭素環式基、芳香族複素環式基、または非芳香族複素環式基である。
The R 4a, for example, hydrogen, halogen, hydroxy, cyano, substituted or unsubstituted alkyl, substituted or unsubstituted alkyloxy, substituted or unsubstituted alkylsulfonyl, substituted or unsubstituted aromatic carbocyclic group, Substituted or unsubstituted non-aromatic carbocyclic group, substituted or unsubstituted aromatic heterocyclic group, substituted or unsubstituted non-aromatic heterocyclic group, substituted or unsubstituted aromatic carbocyclic group oxy Substituted or unsubstituted non-aromatic carbocyclic group oxy, substituted or unsubstituted aromatic heterocyclic group oxy, substituted or unsubstituted non-aromatic heterocyclic group oxy, substituted or unsubstituted aromatic carbon Cyclic group sulfonyl, substituted or unsubstituted non-aromatic carbocyclic group sulfonyl, substituted or unsubstituted aromatic heterocyclic group sulfonyl, or substituted or An unsubstituted non-aromatic heterocyclic group sulfonyl and the like can be mentioned.
A preferable embodiment of R 4a includes hydrogen.
When the substituent of R 4a further has a substituent, the substituent of the preferred substituent of R 4a is halogen, hydroxy, amino, alkyl, monoalkylamino, dialkylamino, aromatic carbocyclic group, non-aromatic carbon A cyclic group, an aromatic heterocyclic group, or a non-aromatic heterocyclic group.
R4bとしては、例えば、水素、ハロゲン、ヒドロキシ、シアノ、置換もしくは非置換のアルキル、置換もしくは非置換のアルキルオキシ、置換もしくは非置換のアルキルスルホニル、置換もしくは非置換の芳香族炭素環式基、置換もしくは非置換の非芳香族炭素環式基、置換もしくは非置換の芳香族複素環式基、置換もしくは非置換の非芳香族複素環式基、置換もしくは非置換の芳香族炭素環式基オキシ、置換もしくは非置換の非芳香族炭素環式基オキシ、置換もしくは非置換の芳香族複素環式基オキシ、置換もしくは非置換の非芳香族複素環式基オキシ、置換もしくは非置換の芳香族炭素環式基スルホニル、置換もしくは非置換の非芳香族炭素環式基スルホニル、置換もしくは非置換の芳香族複素環式基スルホニル、または置換もしくは非置換の非芳香族複素環式基スルホニル等が挙げられる。
R4bの好ましい態様としては、水素が挙げられる。
R4bの置換基がさらに置換基を有する場合、R4bの好ましい置換基の置換基は、ハロゲン、ヒドロキシ、アミノ、アルキル、モノアルキルアミノ、ジアルキルアミノ、芳香族炭素環式基、非芳香族炭素環式基、芳香族複素環式基、または非芳香族複素環式基である。
R 4b includes, for example, hydrogen, halogen, hydroxy, cyano, substituted or unsubstituted alkyl, substituted or unsubstituted alkyloxy, substituted or unsubstituted alkylsulfonyl, substituted or unsubstituted aromatic carbocyclic group, Substituted or unsubstituted non-aromatic carbocyclic group, substituted or unsubstituted aromatic heterocyclic group, substituted or unsubstituted non-aromatic heterocyclic group, substituted or unsubstituted aromatic carbocyclic group oxy Substituted or unsubstituted non-aromatic carbocyclic group oxy, substituted or unsubstituted aromatic heterocyclic group oxy, substituted or unsubstituted non-aromatic heterocyclic group oxy, substituted or unsubstituted aromatic carbon Cyclic group sulfonyl, substituted or unsubstituted non-aromatic carbocyclic group sulfonyl, substituted or unsubstituted aromatic heterocyclic group sulfonyl, or substituted or An unsubstituted non-aromatic heterocyclic group sulfonyl and the like can be mentioned.
A preferable embodiment of R 4b includes hydrogen.
When the substituent of R 4b further has a substituent, preferred substituents of R 4b are halogen, hydroxy, amino, alkyl, monoalkylamino, dialkylamino, aromatic carbocyclic group, non-aromatic carbon A cyclic group, an aromatic heterocyclic group, or a non-aromatic heterocyclic group.
R5としては、それぞれ独立して、例えば、ハロゲン、ヒドロキシ、シアノ、カルボキシ、置換もしくは非置換のカルバモイル、置換もしくは非置換のチオカルバモイル、置換もしくは非置換のアミジノ、置換もしくは非置換のアミノ、置換もしくは非置換のウレイド、置換もしくは非置換のグアニジノ、ペンタフルオロチオ、スルホ、置換もしくは非置換のスルファモイル、置換もしくは非置換のアルキル、置換もしくは非置換のアルケニル、置換もしくは非置換のアルキニル、置換もしくは非置換のアルキルオキシ、置換もしくは非置換のアルケニルオキシ、置換もしくは非置換のアルキニルオキシ、置換もしくは非置換のアルキルカルボニルオキシ、置換もしくは非置換のアルケニルカルボニルオキシ、置換もしくは非置換のアルキニルカルボニルオキシ、置換もしくは非置換のアルキルカルボニル、置換もしくは非置換のアルケニルカルボニル、置換もしくは非置換のアルキニルカルボニル、置換もしくは非置換のアルキルオキシカルボニル、置換もしくは非置換のアルケニルオキシカルボニル、置換もしくは非置換のアルキニルオキシカルボニル、置換もしくは非置換のアルキルスルファニル、置換もしくは非置換のアルケニルスルファニル、置換もしくは非置換のアルキニルスルファニル、置換もしくは非置換のアルキルスルフィニル、置換もしくは非置換のアルケニルスルフィニル、置換もしくは非置換のアルキニルスルフィニル、置換もしくは非置換のアルキルスルホニル、置換もしくは非置換のアルケニルスルホニル、置換もしくは非置換のアルキニルスルホニル、置換もしくは非置換の芳香族炭素環式基、置換もしくは非置換の非芳香族炭素環式基、置換もしくは非置換の芳香族複素環式基、置換もしくは非置換の非芳香族複素環式基、置換もしくは非置換の芳香族炭素環オキシ、置換もしくは非置換の非芳香族炭素環オキシ、置換もしくは非置換の芳香族複素環オキシ、置換もしくは非置換の非芳香族複素環オキシ、置換もしくは非置換の芳香族炭素環カルボニルオキシ、置換もしくは非置換の非芳香族炭素環カルボニルオキシ、置換もしくは非置換の芳香族複素環カルボニルオキシ、置換もしくは非置換の非芳香族複素環カルボニルオキシ、置換もしくは非置換の芳香族炭素環カルボニル、置換もしくは非置換の非芳香族炭素環カルボニル、置換もしくは非置換の芳香族複素環カルボニル、置換もしくは非置換の非芳香族複素環カルボニル、置換もしくは非置換の芳香族炭素環オキシカルボニル、置換もしくは非置換の非芳香族炭素環オキシカルボニル、置換もしくは非置換の芳香族複素環オキシカルボニル、置換もしくは非置換の非芳香族複素環オキシカルボニル、置換もしくは非置換の芳香族炭素環スルファニル、置換もしくは非置換の非芳香族炭素環スルファニル、置換もしくは非置換の芳香族複素環スルファニル、置換もしくは非置換の非芳香族複素環スルファニル、置換もしくは非置換の芳香族炭素環スルフィニル、置換もしくは非置換の非芳香族炭素環スルフィニル、置換もしくは非置換の芳香族複素環スルフィニル、置換もしくは非置換の非芳香族複素環スルフィニル、置換もしくは非置換の芳香族炭素環スルホニル、置換もしくは非置換の非芳香族炭素環スルホニル、置換もしくは非置換の芳香族複素環スルホニル、置換もしくは非置換の非芳香族複素環スルホニル、式:-L-N=S(=O)(-RS1)-RS2、式:-L-S(=O)(=N-RN)-RS1、式:-N=S(=N-RN)(-RS1)-RS2、式:-S(=N-RN)2-RS1で示される基が挙げられる。
R5の好ましい態様としては、それぞれ独立して、ハロゲン、カルボキシ、シアノ、置換もしくは非置換のカルバモイル、置換もしくは非置換のアミノ、置換もしくは非置換のウレイド、置換もしくは非置換のスルファモイル、置換もしくは非置換のアルキル、置換もしくは非置換のアルキルオキシ、置換もしくは非置換のアルキルカルボニル、置換もしくは非置換のアルキルオキシカルボニル、置換もしくは非置換のアルキルスルホニル、置換もしくは非置換の芳香族炭素環式基、置換もしくは非置換の非芳香族炭素環式基、置換もしくは非置換の芳香族複素環式基、置換もしくは非置換の非芳香族複素環式基、置換もしくは非置換の芳香族炭素環オキシ、置換もしくは非置換の非芳香族炭素環オキシ、置換もしくは非置換の芳香族複素環オキシ、置換もしくは非置換の非芳香族複素環オキシ、置換もしくは非置換の芳香族炭素環スルホニル、置換もしくは非置換の非芳香族炭素環スルホニル、置換もしくは非置換の芳香族複素環スルホニル、置換もしくは非置換の非芳香族複素環スルホニル、置換もしくは非置換のアルキルカルボニルアミノが挙げられる。
R5のさらに好ましい態様としては、それぞれ独立して、ハロゲン、シアノ、置換もしくは非置換のカルバモイル、置換もしくは非置換のアミノ、置換もしくは非置換のスルファモイル、置換もしくは非置換のアルキル、置換もしくは非置換のアルキルオキシ、置換もしくは非置換のアルキルカルボニル、置換もしくは非置換のアルキルオキシカルボニル、置換もしくは非置換のアルキルスルホニル、置換もしくは非置換の芳香族炭素環式基、置換もしくは非置換の非芳香族炭素環式基、置換もしくは非置換の芳香族複素環式基、置換もしくは非置換の非芳香族複素環式基、置換もしくは非置換の非芳香族炭素環オキシ、置換もしくは非置換の非芳香族複素環オキシが挙げられる。
R5の置換基がさらに置換基を有する場合、R5の好ましい置換基の置換基は、ハロゲン、シアノ、ヒドロキシ、カルボキシ、アミノ、ウレイド、アルキル、アルケニル、アルキルオキシ、アルキルカルボニル、アルキルオキシカルボニル、アルキルスルホニル、アルキルスルホニルアミノ、モノアルキルアミノスルホニル、モノアルキルアミノ、ジアルキルアミノ、モノアルキルカルボニルアミノ、モノアルキルオキシカルボニルアミノ、モノアルキルスルホニルアミノ、モノアルキルカルバモイル、ジアルキルカルバモイル、モノアルキルスルファモイル、ジアルキルスルファモイル、芳香族炭素環式基、非芳香族炭素環式基、芳香族複素環式基、または非芳香族複素環式基である。
R5のさらに好ましい具体的な態様としては、それぞれ独立して、例えば、フッ素原子、塩素原子、シアノ、メチル、エチル、プロピル、ペンチル、ジフルオロメチル、トリフルオロメチル、ヒドロキシメチル、ヒドロキシエチル、ヒドロキシプロピル、シアノメチル、メチルオキシ、ジフルオロメチルオキシ、エチルオキシ、シクロプロピルエチルオキシ、メチルスルホニル、アミノ、アミノスルホニル、カルバモイル、スルファモイル、メチルカルボニル、tert-ブチルオキシカルボニル、メチルスルホニルアミノ、メチルスルホニルアミノメチル、メチルカルボニルアミノ、メチルカルボニルアミノメチル、メチルオキシカルボニルアミノ、ジメチルアミノ、シクロプロピル、シクロプロピルメチル、シクロプロピルオキシ、メチルスルホニルアミノメチル、シクロペンチル、フェニル、ベンジルが挙げられる。
R5の結合位置はAのp位が好ましい。
R 5 is each independently, for example, halogen, hydroxy, cyano, carboxy, substituted or unsubstituted carbamoyl, substituted or unsubstituted thiocarbamoyl, substituted or unsubstituted amidino, substituted or unsubstituted amino, substituted Or unsubstituted ureido, substituted or unsubstituted guanidino, pentafluorothio, sulfo, substituted or unsubstituted sulfamoyl, substituted or unsubstituted alkyl, substituted or unsubstituted alkenyl, substituted or unsubstituted alkynyl, substituted or unsubstituted Substituted alkyloxy, substituted or unsubstituted alkenyloxy, substituted or unsubstituted alkynyloxy, substituted or unsubstituted alkylcarbonyloxy, substituted or unsubstituted alkenylcarbonyloxy, substituted or unsubstituted alkynyl Rucarbonyloxy, substituted or unsubstituted alkylcarbonyl, substituted or unsubstituted alkenylcarbonyl, substituted or unsubstituted alkynylcarbonyl, substituted or unsubstituted alkyloxycarbonyl, substituted or unsubstituted alkenyloxycarbonyl, substituted or unsubstituted Alkynyloxycarbonyl, substituted or unsubstituted alkylsulfanyl, substituted or unsubstituted alkenylsulfanyl, substituted or unsubstituted alkynylsulfanyl, substituted or unsubstituted alkylsulfinyl, substituted or unsubstituted alkenylsulfinyl, substituted or unsubstituted Alkynylsulfinyl, substituted or unsubstituted alkylsulfonyl, substituted or unsubstituted alkenylsulfonyl, substituted or unsubstituted alkynylsulfonyl Substituted or unsubstituted aromatic carbocyclic group, substituted or unsubstituted non-aromatic carbocyclic group, substituted or unsubstituted aromatic heterocyclic group, substituted or unsubstituted non-aromatic heterocyclic group Substituted or unsubstituted aromatic carbocyclic oxy, substituted or unsubstituted non-aromatic carbocyclic oxy, substituted or unsubstituted aromatic heterocyclic oxy, substituted or unsubstituted non-aromatic heterocyclic oxy, substituted or non-substituted Substituted aromatic carbocyclic carbonyloxy, substituted or unsubstituted non-aromatic carbocyclic oxy, substituted or unsubstituted aromatic heterocyclic carbonyloxy, substituted or unsubstituted non-aromatic heterocyclic carbonyloxy, substituted or non-substituted Substituted aromatic carbocyclic carbonyl, substituted or unsubstituted non-aromatic carbocyclic carbonyl, substituted or unsubstituted aromatic heterocyclic carbonyl, substituted Or unsubstituted non-aromatic heterocyclic carbonyl, substituted or unsubstituted aromatic carbocyclic oxycarbonyl, substituted or unsubstituted non-aromatic carbocyclic oxycarbonyl, substituted or unsubstituted aromatic heterocyclic oxycarbonyl, substituted Or unsubstituted non-aromatic heterocyclic oxycarbonyl, substituted or unsubstituted aromatic carbocyclic sulfanyl, substituted or unsubstituted non-aromatic carbocyclic sulfanyl, substituted or unsubstituted aromatic heterocyclic sulfanyl, substituted or unsubstituted Non-aromatic heterocyclic sulfanyl, substituted or unsubstituted aromatic carbocyclic sulfinyl, substituted or unsubstituted non-aromatic carbocyclic sulfinyl, substituted or unsubstituted aromatic heterocyclic sulfinyl, substituted or unsubstituted non-aromatic Heterocyclic sulfinyl, substituted or unsubstituted aromatic carbocyclic sulfonyl, Substituted or unsubstituted non-aromatic carbocyclic sulfonyl, substituted or unsubstituted aromatic heterocyclic sulfonyl, substituted or unsubstituted non-aromatic heterocyclic sulfonyl, formula: -LN = S (= O) (-R S1 ) -R S2 , Formula: -LS (= O) (= N-R N ) -R S1 , Formula: -N = S (= N-R N ) (-R S1 ) -R S2 , Formula : —S (═N—R N ) 2 —R S1 is exemplified.
Preferable embodiments of R 5 are each independently halogen, carboxy, cyano, substituted or unsubstituted carbamoyl, substituted or unsubstituted amino, substituted or unsubstituted ureido, substituted or unsubstituted sulfamoyl, substituted or unsubstituted Substituted alkyl, substituted or unsubstituted alkyloxy, substituted or unsubstituted alkylcarbonyl, substituted or unsubstituted alkyloxycarbonyl, substituted or unsubstituted alkylsulfonyl, substituted or unsubstituted aromatic carbocyclic group, substituted Or an unsubstituted non-aromatic carbocyclic group, a substituted or unsubstituted aromatic heterocyclic group, a substituted or unsubstituted non-aromatic heterocyclic group, a substituted or unsubstituted aromatic carbocyclic oxy, substituted or Unsubstituted non-aromatic carbocyclic oxy, substituted or unsubstituted aromatic heterocycle Oxy, substituted or unsubstituted non-aromatic heterocyclic oxy, substituted or unsubstituted aromatic carbocyclic sulfonyl, substituted or unsubstituted non-aromatic carbocyclic sulfonyl, substituted or unsubstituted aromatic heterocyclic sulfonyl, substituted or Examples include unsubstituted non-aromatic heterocyclic sulfonyl and substituted or unsubstituted alkylcarbonylamino.
Further preferred embodiments of R 5 are each independently halogen, cyano, substituted or unsubstituted carbamoyl, substituted or unsubstituted amino, substituted or unsubstituted sulfamoyl, substituted or unsubstituted alkyl, substituted or unsubstituted Alkyloxy, substituted or unsubstituted alkylcarbonyl, substituted or unsubstituted alkyloxycarbonyl, substituted or unsubstituted alkylsulfonyl, substituted or unsubstituted aromatic carbocyclic group, substituted or unsubstituted nonaromatic carbon Cyclic group, substituted or unsubstituted aromatic heterocyclic group, substituted or unsubstituted non-aromatic heterocyclic group, substituted or unsubstituted non-aromatic carbocyclic oxy, substituted or unsubstituted non-aromatic hetero A ring oxy is mentioned.
When the substituent of R 5 further has a substituent, the preferred substituents of R 5 are halogen, cyano, hydroxy, carboxy, amino, ureido, alkyl, alkenyl, alkyloxy, alkylcarbonyl, alkyloxycarbonyl, Alkylsulfonyl, alkylsulfonylamino, monoalkylaminosulfonyl, monoalkylamino, dialkylamino, monoalkylcarbonylamino, monoalkyloxycarbonylamino, monoalkylsulfonylamino, monoalkylcarbamoyl, dialkylcarbamoyl, monoalkylsulfamoyl, dialkylsulfone Famoyl, aromatic carbocyclic group, non-aromatic carbocyclic group, aromatic heterocyclic group, or non-aromatic heterocyclic group.
More preferable specific embodiments of R 5 are each independently, for example, fluorine atom, chlorine atom, cyano, methyl, ethyl, propyl, pentyl, difluoromethyl, trifluoromethyl, hydroxymethyl, hydroxyethyl, hydroxypropyl. , Cyanomethyl, methyloxy, difluoromethyloxy, ethyloxy, cyclopropylethyloxy, methylsulfonyl, amino, aminosulfonyl, carbamoyl, sulfamoyl, methylcarbonyl, tert-butyloxycarbonyl, methylsulfonylamino, methylsulfonylaminomethyl, methylcarbonylamino Methylcarbonylaminomethyl, methyloxycarbonylamino, dimethylamino, cyclopropyl, cyclopropylmethyl, cyclopropyloxy, methyl Examples include rusulfonylaminomethyl, cyclopentyl, phenyl and benzyl.
The bonding position of R 5 is preferably the p position of A.
R6としては、それぞれ独立して、例えば、ハロゲン、ヒドロキシ、シアノ、カルボキシ、置換もしくは非置換のカルバモイル、置換もしくは非置換のチオカルバモイル、置換もしくは非置換のアミジノ、置換もしくは非置換のアミノ、置換もしくは非置換のウレイド、置換もしくは非置換のグアニジノ、ペンタフルオロチオ、スルホ、置換もしくは非置換のスルファモイル、置換もしくは非置換のアルキル、置換もしくは非置換のアルケニル、置換もしくは非置換のアルキニル、置換もしくは非置換のアルキルオキシ、置換もしくは非置換のアルケニルオキシ、置換もしくは非置換のアルキニルオキシ、置換もしくは非置換のアルキルカルボニルオキシ、置換もしくは非置換のアルケニルカルボニルオキシ、置換もしくは非置換のアルキニルカルボニルオキシ、置換もしくは非置換のアルキルカルボニル、置換もしくは非置換のアルケニルカルボニル、置換もしくは非置換のアルキニルカルボニル、置換もしくは非置換のアルキルオキシカルボニル、置換もしくは非置換のアルケニルオキシカルボニル、置換もしくは非置換のアルキニルオキシカルボニル、置換もしくは非置換のアルキルスルファニル、置換もしくは非置換のアルケニルスルファニル、置換もしくは非置換のアルキニルスルファニル、置換もしくは非置換のアルキルスルフィニル、置換もしくは非置換のアルケニルスルフィニル、置換もしくは非置換のアルキニルスルフィニル、置換もしくは非置換のアルキルスルホニル、置換もしくは非置換のアルケニルスルホニル、置換もしくは非置換のアルキニルスルホニル、置換もしくは非置換の芳香族炭素環式基、置換もしくは非置換の非芳香族炭素環式基、置換もしくは非置換の芳香族複素環式基、置換もしくは非置換の非芳香族複素環式基、置換もしくは非置換の芳香族炭素環オキシ、置換もしくは非置換の非芳香族炭素環オキシ、置換もしくは非置換の芳香族複素環オキシ、置換もしくは非置換の非芳香族複素環オキシ、置換もしくは非置換の芳香族炭素環カルボニルオキシ、置換もしくは非置換の非芳香族炭素環カルボニルオキシ、置換もしくは非置換の芳香族複素環カルボニルオキシ、置換もしくは非置換の非芳香族複素環カルボニルオキシ、置換もしくは非置換の芳香族炭素環カルボニル、置換もしくは非置換の非芳香族炭素環カルボニル、置換もしくは非置換の芳香族複素環カルボニル、置換もしくは非置換の非芳香族複素環カルボニル、置換もしくは非置換の芳香族炭素環オキシカルボニル、置換もしくは非置換の非芳香族炭素環オキシカルボニル、置換もしくは非置換の芳香族複素環オキシカルボニル、置換もしくは非置換の非芳香族複素環オキシカルボニル、置換もしくは非置換の芳香族炭素環スルファニル、置換もしくは非置換の非芳香族炭素環スルファニル、置換もしくは非置換の芳香族複素環スルファニル、置換もしくは非置換の非芳香族複素環スルファニル、置換もしくは非置換の芳香族炭素環スルフィニル、置換もしくは非置換の非芳香族炭素環スルフィニル、置換もしくは非置換の芳香族複素環スルフィニル、置換もしくは非置換の非芳香族複素環スルフィニル、置換もしくは非置換の芳香族炭素環スルホニル、置換もしくは非置換の非芳香族炭素環スルホニル、置換もしくは非置換の芳香族複素環スルホニル、置換もしくは非置換の非芳香族複素環スルホニル、式:-L-N=S(=O)(-RS1)-RS2、式:-L-S(=O)(=N-RN)-RS1、式:-N=S(=N-RN)(-RS1)-RS2、式:-S(=N-RN)2-RS1で示される基が挙げられる。
R6の好ましい態様としては、それぞれ独立して、ハロゲン、ヒドロキシ、シアノ、カルボキシ、置換もしくは非置換のカルバモイル、置換もしくは非置換のアミノ、置換もしくは非置換のウレイド、置換もしくは非置換のスルファモイル、置換もしくは非置換のアルキル、置換もしくは非置換のアルケニル、置換もしくは非置換のアルキルオキシ、置換もしくは非置換のアルキルカルボニル、置換もしくは非置換のアルキルオキシカルボニル、置換もしくは非置換のアルキルスルホニル、置換もしくは非置換の芳香族炭素環式基、置換もしくは非置換の非芳香族炭素環式基、置換もしくは非置換の芳香族複素環式基、置換もしくは非置換の非芳香族複素環式基、置換もしくは非置換の芳香族炭素環オキシ、置換もしくは非置換の非芳香族炭素環オキシ、置換もしくは非置換の芳香族複素環オキシ、置換もしくは非置換の非芳香族複素環オキシ、置換もしくは非置換の芳香族炭素環カルボニル、置換もしくは非置換の非芳香族炭素環カルボニル、置換もしくは非置換の芳香族複素環カルボニル、置換もしくは非置換の非芳香族複素環カルボニル、置換もしくは非置換の芳香族炭素環スルホニル、置換もしくは非置換の非芳香族炭素環スルホニル、置換もしくは非置換の芳香族複素環スルホニル、置換もしくは非置換の非芳香族複素環スルホニルが挙げられる。
R6のさらに好ましい態様としては、ハロゲン、ヒドロキシ、置換もしくは非置換のアミノ、置換もしくは非置換のアルキル、置換もしくは非置換のアルキルオキシ、置換もしくは非置換のアルキルカルボニル、置換もしくは非置換のアルキルカルボニルオキシ、置換もしくは非置換のアルキルオキシカルボニル、置換もしくは非置換の芳香族炭素環式基、置換もしくは非置換の非芳香族炭素環式基、置換もしくは非置換の芳香族複素環式基、置換もしくは非置換の非芳香族複素環式基、置換もしくは非置換の芳香族炭素環オキシ、置換もしくは非置換の非芳香族炭素環オキシ、置換もしくは非置換の芳香族複素環オキシ、置換もしくは非置換の非芳香族複素環オキシが挙げられる。
R6の置換基がさらに置換基を有する場合、R6の好ましい置換基の置換基は、ハロゲン、シアノ、ヒドロキシ、カルボキシ、ニトロ、アミノ、ウレイド、アルキル、アルケニル、ハロアルキル、ヒドロキシアルキル、アルキルオキシ、アルキルカルボニル、ハロアルキルオキシ、ハロアルキルオキシアルキル、アルキルスルホニル、モノアルキルアミノスルホニル、モノアルキルアミノ、ジアルキルアミノ、モノアルキルカルボニルアミノ、モノアルキルオキシカルボニルアミノ、モノアルキルスルホニルアミノ、モノアルキルカルバモイル、ジアルキルカルバモイル、モノアルキルスルファモイル、ジアルキルスルファモイル、アルキルスルフィニル、芳香族炭素環式基、非芳香族炭素環式基、芳香族複素環式基、非芳香族複素環式基、非芳香族複素環アルキル、またはハロゲンで置換された非芳香族炭素環式基である。
R6のさらに好ましい具体的な態様としては、例えば、臭素原子、ヒドロキシ、アミノ、メチル、エチル、ブチル、ペンチル、メチルオキシメチル、メチルカルボニル、メチルカルボニルアミノ、モノフルオロエチルオキシ、モノフルオロプロピルオキシ、ジフルオロエチルアミノ、トリフルオロエチルアミノ、トリフルオロメチル、トリフルオロプロピル、トリフルオロプロピルオキシ、トリフルオロプロピルアミノ、トリフルオロメチルオキシエチルオキシ、トリフルオロメチルオキシエチルアミノ、ジフルオロメチルオキシ、トリフルオロブチル、トリフルオロブチルオキシ、トリフルオロブチルアミノ、ジメチルスルフィニルアミノ、ジメチルアミノエチル、ヒドロキシペンチルオキシ、ペンチルアミノ、シクロプロピル、シクロプロピルメチル、シクロブチルアミノ、フェニルが挙げられる。
R6は、Bおよび/またはCの任意の位置にn個結合する。
R 6 is each independently, for example, halogen, hydroxy, cyano, carboxy, substituted or unsubstituted carbamoyl, substituted or unsubstituted thiocarbamoyl, substituted or unsubstituted amidino, substituted or unsubstituted amino, substituted Or unsubstituted ureido, substituted or unsubstituted guanidino, pentafluorothio, sulfo, substituted or unsubstituted sulfamoyl, substituted or unsubstituted alkyl, substituted or unsubstituted alkenyl, substituted or unsubstituted alkynyl, substituted or unsubstituted Substituted alkyloxy, substituted or unsubstituted alkenyloxy, substituted or unsubstituted alkynyloxy, substituted or unsubstituted alkylcarbonyloxy, substituted or unsubstituted alkenylcarbonyloxy, substituted or unsubstituted alkynyl Rucarbonyloxy, substituted or unsubstituted alkylcarbonyl, substituted or unsubstituted alkenylcarbonyl, substituted or unsubstituted alkynylcarbonyl, substituted or unsubstituted alkyloxycarbonyl, substituted or unsubstituted alkenyloxycarbonyl, substituted or unsubstituted Alkynyloxycarbonyl, substituted or unsubstituted alkylsulfanyl, substituted or unsubstituted alkenylsulfanyl, substituted or unsubstituted alkynylsulfanyl, substituted or unsubstituted alkylsulfinyl, substituted or unsubstituted alkenylsulfinyl, substituted or unsubstituted Alkynylsulfinyl, substituted or unsubstituted alkylsulfonyl, substituted or unsubstituted alkenylsulfonyl, substituted or unsubstituted alkynylsulfonyl Substituted or unsubstituted aromatic carbocyclic group, substituted or unsubstituted non-aromatic carbocyclic group, substituted or unsubstituted aromatic heterocyclic group, substituted or unsubstituted non-aromatic heterocyclic group Substituted or unsubstituted aromatic carbocyclic oxy, substituted or unsubstituted non-aromatic carbocyclic oxy, substituted or unsubstituted aromatic heterocyclic oxy, substituted or unsubstituted non-aromatic heterocyclic oxy, substituted or non-substituted Substituted aromatic carbocyclic carbonyloxy, substituted or unsubstituted non-aromatic carbocyclic oxy, substituted or unsubstituted aromatic heterocyclic carbonyloxy, substituted or unsubstituted non-aromatic heterocyclic carbonyloxy, substituted or non-substituted Substituted aromatic carbocyclic carbonyl, substituted or unsubstituted non-aromatic carbocyclic carbonyl, substituted or unsubstituted aromatic heterocyclic carbonyl, substituted Or unsubstituted non-aromatic heterocyclic carbonyl, substituted or unsubstituted aromatic carbocyclic oxycarbonyl, substituted or unsubstituted non-aromatic carbocyclic oxycarbonyl, substituted or unsubstituted aromatic heterocyclic oxycarbonyl, substituted Or unsubstituted non-aromatic heterocyclic oxycarbonyl, substituted or unsubstituted aromatic carbocyclic sulfanyl, substituted or unsubstituted non-aromatic carbocyclic sulfanyl, substituted or unsubstituted aromatic heterocyclic sulfanyl, substituted or unsubstituted Non-aromatic heterocyclic sulfanyl, substituted or unsubstituted aromatic carbocyclic sulfinyl, substituted or unsubstituted non-aromatic carbocyclic sulfinyl, substituted or unsubstituted aromatic heterocyclic sulfinyl, substituted or unsubstituted non-aromatic Heterocyclic sulfinyl, substituted or unsubstituted aromatic carbocyclic sulfonyl, Substituted or unsubstituted non-aromatic carbocyclic sulfonyl, substituted or unsubstituted aromatic heterocyclic sulfonyl, substituted or unsubstituted non-aromatic heterocyclic sulfonyl, formula: -LN = S (= O) (-R S1 ) -R S2 , Formula: -LS (= O) (= N-R N ) -R S1 , Formula: -N = S (= N-R N ) (-R S1 ) -R S2 , Formula : —S (═N—R N ) 2 —R S1 is exemplified.
As preferred embodiments of R 6 , each independently represents halogen, hydroxy, cyano, carboxy, substituted or unsubstituted carbamoyl, substituted or unsubstituted amino, substituted or unsubstituted ureido, substituted or unsubstituted sulfamoyl, substituted Or unsubstituted alkyl, substituted or unsubstituted alkenyl, substituted or unsubstituted alkyloxy, substituted or unsubstituted alkylcarbonyl, substituted or unsubstituted alkyloxycarbonyl, substituted or unsubstituted alkylsulfonyl, substituted or unsubstituted Aromatic carbocyclic group, substituted or unsubstituted non-aromatic carbocyclic group, substituted or unsubstituted aromatic heterocyclic group, substituted or unsubstituted non-aromatic heterocyclic group, substituted or unsubstituted Aromatic carbocyclic oxy, substituted or unsubstituted non-aromatic charcoal Prime ring oxy, substituted or unsubstituted aromatic heterocyclic oxy, substituted or unsubstituted non-aromatic heterocyclic oxy, substituted or unsubstituted aromatic carbocyclic carbonyl, substituted or unsubstituted non-aromatic carbocyclic carbonyl, Substituted or unsubstituted aromatic heterocyclic carbonyl, substituted or unsubstituted non-aromatic heterocyclic carbonyl, substituted or unsubstituted aromatic carbocyclic sulfonyl, substituted or unsubstituted non-aromatic carbocyclic sulfonyl, substituted or unsubstituted Aromatic heterocyclic sulfonyl, substituted or unsubstituted non-aromatic heterocyclic sulfonyl.
Further preferred embodiments of R 6 include halogen, hydroxy, substituted or unsubstituted amino, substituted or unsubstituted alkyl, substituted or unsubstituted alkyloxy, substituted or unsubstituted alkylcarbonyl, substituted or unsubstituted alkylcarbonyl Oxy, substituted or unsubstituted alkyloxycarbonyl, substituted or unsubstituted aromatic carbocyclic group, substituted or unsubstituted nonaromatic carbocyclic group, substituted or unsubstituted aromatic heterocyclic group, substituted or Unsubstituted non-aromatic heterocyclic group, substituted or unsubstituted aromatic carbocyclic oxy, substituted or unsubstituted non-aromatic carbocyclic oxy, substituted or unsubstituted aromatic heterocyclic oxy, substituted or unsubstituted Non-aromatic heterocyclic oxy is mentioned.
When the substituent of R 6 further has a substituent, the preferred substituents of R 6 are halogen, cyano, hydroxy, carboxy, nitro, amino, ureido, alkyl, alkenyl, haloalkyl, hydroxyalkyl, alkyloxy, Alkylcarbonyl, haloalkyloxy, haloalkyloxyalkyl, alkylsulfonyl, monoalkylaminosulfonyl, monoalkylamino, dialkylamino, monoalkylcarbonylamino, monoalkyloxycarbonylamino, monoalkylsulfonylamino, monoalkylcarbamoyl, dialkylcarbamoyl, monoalkyl Sulfamoyl, dialkylsulfamoyl, alkylsulfinyl, aromatic carbocyclic group, non-aromatic carbocyclic group, aromatic heterocyclic group, non-aromatic heterocyclic group Non-aromatic heterocyclic alkyl, or a non-aromatic carbocyclic group substituted by a halogen.
As more preferred specific embodiments of R 6 , for example, bromine atom, hydroxy, amino, methyl, ethyl, butyl, pentyl, methyloxymethyl, methylcarbonyl, methylcarbonylamino, monofluoroethyloxy, monofluoropropyloxy, Difluoroethylamino, trifluoroethylamino, trifluoromethyl, trifluoropropyl, trifluoropropyloxy, trifluoropropylamino, trifluoromethyloxyethyloxy, trifluoromethyloxyethylamino, difluoromethyloxy, trifluorobutyl, tri Fluorobutyloxy, trifluorobutylamino, dimethylsulfinylamino, dimethylaminoethyl, hydroxypentyloxy, pentylamino, cyclopropyl, cyclopropyl Examples include propylmethyl, cyclobutylamino, and phenyl.
R 6 is bonded to n at any position of B and / or C.
B1としては、例えば、CR11aR11b、NR11c、O、Sが挙げられる。
B1の好ましい態様としては、CR11aR11b、NR11c、Oが挙げられる。
B1のさらに好ましい態様としては、CR11aR11bが挙げられる。
B1の好ましい具体的な態様としては、例えば、CH2が挙げられる。
Examples of B 1 include CR 11a R 11b , NR 11c , O, and S.
Preferred examples of B 1 include CR 11a R 11b , NR 11c , and O.
More preferred embodiments of B 1 include CR 11a R 11b .
A preferred specific embodiment of B 1 includes, for example, CH 2 .
B2としては、例えば、CR12aR12b、NR12c、O、Sが挙げられる。
B2の好ましい態様としては、CR12aR12b、NR12c、Oが挙げられる。
B2のさらに好ましい態様としては、CR12aR12bが挙げられる。
B2の好ましい具体的な態様としては、例えば、CH2が挙げられる。
Examples of B 2 include CR 12a R 12b , NR 12c , O, and S.
Preferred examples of B 2 include CR 12a R 12b , NR 12c , and O.
As a more preferred embodiment of B 2 , CR 12a R 12b can be mentioned.
Preferable specific embodiments of B 2 include, for example, CH 2 .
B3としては、例えば、CR13aR13b、NR13c、O、Sが挙げられる。
B3の好ましい態様としては、CR13aR13b、NR13c、Oが挙げられる。
B3のさらに好ましい態様としては、CR13aR13bが挙げられる。
B3の好ましい具体的な態様としては、例えば、CH2、NMe、Oが挙げられる。
Examples of B 3 include CR 13a R 13b , NR 13c , O, and S.
Preferred examples of B 3 include CR 13a R 13b , NR 13c , and O.
More preferred embodiments of B 3 include CR 13a R 13b .
Preferable specific embodiments of B 3 include, for example, CH 2 , NMe, and O.
B4としては、例えば、CR14aR14b、NR14c、O、Sが挙げられる。
B4の好ましい態様としては、CR14aR14b、NR14c、Oが挙げられる。
B4のさらに好ましい態様としては、CR14aR14bが挙げられる。
B4の好ましい具体的な態様としては、例えば、CH2、CF2、C(=O)、Oが挙げられる。
Examples of B 4 include CR 14a R 14b , NR 14c , O, and S.
Preferred examples of B 4 include CR 14a R 14b , NR 14c , and O.
More preferred embodiments of B 4 include CR 14a R 14b .
Preferable specific embodiments of B 4 include, for example, CH 2 , CF 2 , C (═O), and O.
B5としては、例えば、CR15aR15b、NR15c、O、Sが挙げられる。
B5の好ましい態様としては、CR15aR15b、NR15c、Oが挙げられる。
B5のさらに好ましい態様としては、CR15aR15bが挙げられる。
B5の好ましい具体的な態様としては、例えば、CH2が挙げられる。
Examples of B 5 include CR 15a R 15b , NR 15c , O, and S.
Preferred examples of B 5 include CR 15a R 15b , NR 15c , and O.
More preferred embodiments of B 5 include CR 15a R 15b .
Preferable specific embodiments of B 5 include, for example, CH 2 .
ただし、-B1-B2-B3-B4-または-B1-B2-B3-B4-B5-が、-O-O-O-O-や-S-S-S-S-等のようにN、O、およびSのいずれか1種の原子が3つ以上連続して結合することはない。 However, —B 1 —B 2 —B 3 —B 4 — or —B 1 —B 2 —B 3 —B 4 —B 5 — represents —O—O—O—O— or —S—S—S. As in —S—, three or more atoms of any one of N, O, and S are not bonded in succession.
R11a、R12a、R13a、R14a、およびR15aとしては、それぞれ独立して、例えば、水素、ハロゲン、ヒドロキシ、シアノ、カルボキシ、置換もしくは非置換のカルバモイル、置換もしくは非置換のチオカルバモイル、置換もしくは非置換のアミジノ、置換もしくは非置換のアミノ、置換もしくは非置換のウレイド、置換もしくは非置換のグアニジノ、ペンタフルオロチオ、スルホ、置換もしくは非置換のスルファモイル、置換もしくは非置換のアルキル、置換もしくは非置換のアルケニル、置換もしくは非置換のアルキニル、置換もしくは非置換のアルキルオキシ、置換もしくは非置換のアルケニルオキシ、置換もしくは非置換のアルキニルオキシ、置換もしくは非置換のアルキルカルボニルオキシ、置換もしくは非置換のアルケニルカルボニルオキシ、置換もしくは非置換のアルキニルカルボニルオキシ、置換もしくは非置換のアルキルカルボニル、置換もしくは非置換のアルケニルカルボニル、置換もしくは非置換のアルキニルカルボニル、置換もしくは非置換のアルキルオキシカルボニル、置換もしくは非置換のアルケニルオキシカルボニル、置換もしくは非置換のアルキニルオキシカルボニル、置換もしくは非置換のアルキルスルファニル、置換もしくは非置換のアルケニルスルファニル、置換もしくは非置換のアルキニルスルファニル、置換もしくは非置換のアルキルスルフィニル、置換もしくは非置換のアルケニルスルフィニル、置換もしくは非置換のアルキニルスルフィニル、置換もしくは非置換のアルキルスルホニル、置換もしくは非置換のアルケニルスルホニル、置換もしくは非置換のアルキニルスルホニル、置換もしくは非置換の芳香族炭素環式基、置換もしくは非置換の非芳香族炭素環式基、置換もしくは非置換の芳香族複素環式基、置換もしくは非置換の非芳香族複素環式基、置換もしくは非置換の芳香族炭素環オキシ、置換もしくは非置換の非芳香族炭素環オキシ、置換もしくは非置換の芳香族複素環オキシ、置換もしくは非置換の非芳香族複素環オキシ、置換もしくは非置換の芳香族炭素環カルボニルオキシ、置換もしくは非置換の非芳香族炭素環カルボニルオキシ、置換もしくは非置換の芳香族複素環カルボニルオキシ、置換もしくは非置換の非芳香族複素環カルボニルオキシ、置換もしくは非置換の芳香族炭素環カルボニル、置換もしくは非置換の非芳香族炭素環カルボニル、置換もしくは非置換の芳香族複素環カルボニル、置換もしくは非置換の非芳香族複素環カルボニル、置換もしくは非置換の芳香族炭素環オキシカルボニル、置換もしくは非置換の非芳香族炭素環オキシカルボニル、置換もしくは非置換の芳香族複素環オキシカルボニル、置換もしくは非置換の非芳香族複素環オキシカルボニル、置換もしくは非置換の芳香族炭素環スルファニル、置換もしくは非置換の非芳香族炭素環スルファニル、置換もしくは非置換の芳香族複素環スルファニル、置換もしくは非置換の非芳香族複素環スルファニル、置換もしくは非置換の芳香族炭素環スルフィニル、置換もしくは非置換の非芳香族炭素環スルフィニル、置換もしくは非置換の芳香族複素環スルフィニル、置換もしくは非置換の非芳香族複素環スルフィニル、置換もしくは非置換の芳香族炭素環スルホニル、置換もしくは非置換の非芳香族炭素環スルホニル、置換もしくは非置換の芳香族複素環スルホニル、置換もしくは非置換の非芳香族複素環スルホニル、式:-L-N=S(=O)(-RS1)-RS2、式:-L-S(=O)(=N-RN)-RS1、式:-N=S(=N-RN)(-RS1)-RS2、式:-S(=N-RN)2-RS1で示される基が挙げられる。
R11a、R12a、R13a、R14a、およびR15aの好ましい態様としては、それぞれ独立して、水素、ハロゲン、置換もしくは非置換のアルキルが挙げられる。
R11a、R12a、R13a、R14a、およびR15aのさらに好ましい態様としては、水素が挙げられる。
R11a、R12a、R13a、R14a、およびR15aの置換基がさらに置換基を有する場合、好ましい置換基の置換基は、それぞれ独立して、ハロゲン、ヒドロキシ、アミノ、アルキル、モノアルキルアミノ、ジアルキルアミノ、芳香族炭素環式基、非芳香族炭素環式基、芳香族複素環式基、または非芳香族複素環式基である。
R 11a , R 12a , R 13a , R 14a , and R 15a are each independently, for example, hydrogen, halogen, hydroxy, cyano, carboxy, substituted or unsubstituted carbamoyl, substituted or unsubstituted thiocarbamoyl, Substituted or unsubstituted amidino, substituted or unsubstituted amino, substituted or unsubstituted ureido, substituted or unsubstituted guanidino, pentafluorothio, sulfo, substituted or unsubstituted sulfamoyl, substituted or unsubstituted alkyl, substituted or Unsubstituted alkenyl, substituted or unsubstituted alkynyl, substituted or unsubstituted alkyloxy, substituted or unsubstituted alkenyloxy, substituted or unsubstituted alkynyloxy, substituted or unsubstituted alkylcarbonyloxy, substituted or unsubstituted Substituted alkenylcarbonyloxy, substituted or unsubstituted alkynylcarbonyloxy, substituted or unsubstituted alkylcarbonyl, substituted or unsubstituted alkenylcarbonyl, substituted or unsubstituted alkynylcarbonyl, substituted or unsubstituted alkyloxycarbonyl, substituted or Unsubstituted alkenyloxycarbonyl, substituted or unsubstituted alkynyloxycarbonyl, substituted or unsubstituted alkylsulfanyl, substituted or unsubstituted alkenylsulfanyl, substituted or unsubstituted alkynylsulfanyl, substituted or unsubstituted alkylsulfinyl, substituted or Unsubstituted alkenylsulfinyl, substituted or unsubstituted alkynylsulfinyl, substituted or unsubstituted alkylsulfonyl, substituted or unsubstituted Alkenylsulfonyl, substituted or unsubstituted alkynylsulfonyl, substituted or unsubstituted aromatic carbocyclic group, substituted or unsubstituted nonaromatic carbocyclic group, substituted or unsubstituted aromatic heterocyclic group, substituted or Unsubstituted non-aromatic heterocyclic group, substituted or unsubstituted aromatic carbocyclic oxy, substituted or unsubstituted non-aromatic carbocyclic oxy, substituted or unsubstituted aromatic heterocyclic oxy, substituted or unsubstituted Non-aromatic heterocyclic oxy, substituted or unsubstituted aromatic carbocyclic carbonyloxy, substituted or unsubstituted non-aromatic carbocyclic carbonyloxy, substituted or unsubstituted aromatic heterocyclic carbonyloxy, substituted or unsubstituted non-substituted Aromatic heterocyclic carbonyloxy, substituted or unsubstituted aromatic carbocyclic carbonyl, substituted or unsubstituted non-aromatic carbocyclic ring Carbonyl, substituted or unsubstituted aromatic heterocyclic carbonyl, substituted or unsubstituted non-aromatic heterocyclic carbonyl, substituted or unsubstituted aromatic carbocyclic oxycarbonyl, substituted or unsubstituted non-aromatic carbocyclic oxycarbonyl, Substituted or unsubstituted aromatic heterocyclic oxycarbonyl, substituted or unsubstituted non-aromatic heterocyclic oxycarbonyl, substituted or unsubstituted aromatic carbocyclic sulfanyl, substituted or unsubstituted non-aromatic carbocyclic sulfanyl, substituted or Unsubstituted aromatic heterocyclic sulfanyl, substituted or unsubstituted non-aromatic heterocyclic sulfanyl, substituted or unsubstituted aromatic carbocyclic sulfinyl, substituted or unsubstituted non-aromatic carbocyclic sulfinyl, substituted or unsubstituted aromatic Heterocyclic sulfinyl, substituted or unsubstituted non-aromatic hetero Sulfinyl, substituted or unsubstituted aromatic carbocyclic sulfonyl, substituted or unsubstituted non-aromatic carbocyclic sulfonyl, substituted or unsubstituted aromatic heterocyclic sulfonyl, substituted or unsubstituted non-aromatic heterocyclic sulfonyl, formula: -LN = S (= O) (-R S1 ) -R S2 , Formula: -LS (= O) (= N-R N ) -R S1 , Formula: -N = S (= N- R N ) (— R S1 ) —R S2 , a group represented by the formula: —S (═N—R N ) 2 —R S1 may be mentioned.
Preferable embodiments of R 11a , R 12a , R 13a , R 14a , and R 15a each independently include hydrogen, halogen, and substituted or unsubstituted alkyl.
Hydrogen is mentioned as a further more preferable aspect of R < 11a> , R <12a> , R <13a> , R <14a> , and R <15a> .
When the substituents of R 11a , R 12a , R 13a , R 14a , and R 15a further have a substituent, the preferred substituents are each independently halogen, hydroxy, amino, alkyl, monoalkylamino , Dialkylamino, aromatic carbocyclic group, non-aromatic carbocyclic group, aromatic heterocyclic group, or non-aromatic heterocyclic group.
R11b、R12b、R13b、R14b、およびR15bとしては、それぞれ独立して、例えば、水素、ハロゲン、ヒドロキシ、シアノ、カルボキシ、置換もしくは非置換のカルバモイル、置換もしくは非置換のチオカルバモイル、置換もしくは非置換のアミジノ、置換もしくは非置換のアミノ、置換もしくは非置換のウレイド、置換もしくは非置換のグアニジノ、ペンタフルオロチオ、スルホ、置換もしくは非置換のスルファモイル、置換もしくは非置換のアルキル、置換もしくは非置換のアルケニル、置換もしくは非置換のアルキニル、置換もしくは非置換のアルキルオキシ、置換もしくは非置換のアルケニルオキシ、置換もしくは非置換のアルキニルオキシ、置換もしくは非置換のアルキルカルボニルオキシ、置換もしくは非置換のアルケニルカルボニルオキシ、置換もしくは非置換のアルキニルカルボニルオキシ、置換もしくは非置換のアルキルカルボニル、置換もしくは非置換のアルケニルカルボニル、置換もしくは非置換のアルキニルカルボニル、置換もしくは非置換のアルキルオキシカルボニル、置換もしくは非置換のアルケニルオキシカルボニル、置換もしくは非置換のアルキニルオキシカルボニル、置換もしくは非置換のアルキルスルファニル、置換もしくは非置換のアルケニルスルファニル、置換もしくは非置換のアルキニルスルファニル、置換もしくは非置換のアルキルスルフィニル、置換もしくは非置換のアルケニルスルフィニル、置換もしくは非置換のアルキニルスルフィニル、置換もしくは非置換のアルキルスルホニル、置換もしくは非置換のアルケニルスルホニル、置換もしくは非置換のアルキニルスルホニル、置換もしくは非置換の芳香族炭素環式基、置換もしくは非置換の非芳香族炭素環式基、置換もしくは非置換の芳香族複素環式基、置換もしくは非置換の非芳香族複素環式基、置換もしくは非置換の芳香族炭素環オキシ、置換もしくは非置換の非芳香族炭素環オキシ、置換もしくは非置換の芳香族複素環オキシ、置換もしくは非置換の非芳香族複素環オキシ、置換もしくは非置換の芳香族炭素環カルボニルオキシ、置換もしくは非置換の非芳香族炭素環カルボニルオキシ、置換もしくは非置換の芳香族複素環カルボニルオキシ、置換もしくは非置換の非芳香族複素環カルボニルオキシ、置換もしくは非置換の芳香族炭素環カルボニル、置換もしくは非置換の非芳香族炭素環カルボニル、置換もしくは非置換の芳香族複素環カルボニル、置換もしくは非置換の非芳香族複素環カルボニル、置換もしくは非置換の芳香族炭素環オキシカルボニル、置換もしくは非置換の非芳香族炭素環オキシカルボニル、置換もしくは非置換の芳香族複素環オキシカルボニル、置換もしくは非置換の非芳香族複素環オキシカルボニル、置換もしくは非置換の芳香族炭素環スルファニル、置換もしくは非置換の非芳香族炭素環スルファニル、置換もしくは非置換の芳香族複素環スルファニル、置換もしくは非置換の非芳香族複素環スルファニル、置換もしくは非置換の芳香族炭素環スルフィニル、置換もしくは非置換の非芳香族炭素環スルフィニル、置換もしくは非置換の芳香族複素環スルフィニル、置換もしくは非置換の非芳香族複素環スルフィニル、置換もしくは非置換の芳香族炭素環スルホニル、置換もしくは非置換の非芳香族炭素環スルホニル、置換もしくは非置換の芳香族複素環スルホニル、置換もしくは非置換の非芳香族複素環スルホニル、式:-L-N=S(=O)(-RS1)-RS2、式:-L-S(=O)(=N-RN)-RS1、式:-N=S(=N-RN)(-RS1)-RS2、式:-S(=N-RN)2-RS1で示される基が挙げられる。
R11b、R12b、R13b、R14b、およびR15bのさらに好ましい態様としては、水素が挙げられる。
R11b、R12b、R13b、R14b、およびR15bの置換基がさらに置換基を有する場合、好ましい置換基の置換基は、それぞれ独立して、ハロゲン、ヒドロキシ、アミノ、アルキル、モノアルキルアミノ、ジアルキルアミノ、芳香族炭素環式基、非芳香族炭素環式基、芳香族複素環式基、または非芳香族複素環式基である。
R 11b , R 12b , R 13b , R 14b , and R 15b are each independently, for example, hydrogen, halogen, hydroxy, cyano, carboxy, substituted or unsubstituted carbamoyl, substituted or unsubstituted thiocarbamoyl, Substituted or unsubstituted amidino, substituted or unsubstituted amino, substituted or unsubstituted ureido, substituted or unsubstituted guanidino, pentafluorothio, sulfo, substituted or unsubstituted sulfamoyl, substituted or unsubstituted alkyl, substituted or Unsubstituted alkenyl, substituted or unsubstituted alkynyl, substituted or unsubstituted alkyloxy, substituted or unsubstituted alkenyloxy, substituted or unsubstituted alkynyloxy, substituted or unsubstituted alkylcarbonyloxy, substituted or unsubstituted Substituted alkenylcarbonyloxy, substituted or unsubstituted alkynylcarbonyloxy, substituted or unsubstituted alkylcarbonyl, substituted or unsubstituted alkenylcarbonyl, substituted or unsubstituted alkynylcarbonyl, substituted or unsubstituted alkyloxycarbonyl, substituted or Unsubstituted alkenyloxycarbonyl, substituted or unsubstituted alkynyloxycarbonyl, substituted or unsubstituted alkylsulfanyl, substituted or unsubstituted alkenylsulfanyl, substituted or unsubstituted alkynylsulfanyl, substituted or unsubstituted alkylsulfinyl, substituted or Unsubstituted alkenylsulfinyl, substituted or unsubstituted alkynylsulfinyl, substituted or unsubstituted alkylsulfonyl, substituted or unsubstituted Alkenylsulfonyl, substituted or unsubstituted alkynylsulfonyl, substituted or unsubstituted aromatic carbocyclic group, substituted or unsubstituted nonaromatic carbocyclic group, substituted or unsubstituted aromatic heterocyclic group, substituted or Unsubstituted non-aromatic heterocyclic group, substituted or unsubstituted aromatic carbocyclic oxy, substituted or unsubstituted non-aromatic carbocyclic oxy, substituted or unsubstituted aromatic heterocyclic oxy, substituted or unsubstituted Non-aromatic heterocyclic oxy, substituted or unsubstituted aromatic carbocyclic carbonyloxy, substituted or unsubstituted non-aromatic carbocyclic carbonyloxy, substituted or unsubstituted aromatic heterocyclic carbonyloxy, substituted or unsubstituted non-substituted Aromatic heterocyclic carbonyloxy, substituted or unsubstituted aromatic carbocyclic carbonyl, substituted or unsubstituted non-aromatic carbocyclic ring Carbonyl, substituted or unsubstituted aromatic heterocyclic carbonyl, substituted or unsubstituted non-aromatic heterocyclic carbonyl, substituted or unsubstituted aromatic carbocyclic oxycarbonyl, substituted or unsubstituted non-aromatic carbocyclic oxycarbonyl, Substituted or unsubstituted aromatic heterocyclic oxycarbonyl, substituted or unsubstituted non-aromatic heterocyclic oxycarbonyl, substituted or unsubstituted aromatic carbocyclic sulfanyl, substituted or unsubstituted non-aromatic carbocyclic sulfanyl, substituted or Unsubstituted aromatic heterocyclic sulfanyl, substituted or unsubstituted non-aromatic heterocyclic sulfanyl, substituted or unsubstituted aromatic carbocyclic sulfinyl, substituted or unsubstituted non-aromatic carbocyclic sulfinyl, substituted or unsubstituted aromatic Heterocyclic sulfinyl, substituted or unsubstituted non-aromatic hetero Sulfinyl, substituted or unsubstituted aromatic carbocyclic sulfonyl, substituted or unsubstituted non-aromatic carbocyclic sulfonyl, substituted or unsubstituted aromatic heterocyclic sulfonyl, substituted or unsubstituted non-aromatic heterocyclic sulfonyl, formula: -LN = S (= O) (-R S1 ) -R S2 , Formula: -LS (= O) (= N-R N ) -R S1 , Formula: -N = S (= N- R N ) (— R S1 ) —R S2 , a group represented by the formula: —S (═N—R N ) 2 —R S1 may be mentioned.
Hydrogen is mentioned as a still more preferable aspect of R < 11b> , R <12b> , R <13b> , R <14b> , and R <15b> .
When the substituent of R 11b , R 12b , R 13b , R 14b , and R 15b further has a substituent, the preferred substituents are each independently halogen, hydroxy, amino, alkyl, monoalkylamino , Dialkylamino, aromatic carbocyclic group, non-aromatic carbocyclic group, aromatic heterocyclic group, or non-aromatic heterocyclic group.
R11c、R12c、R13c、R14c、およびR15cとしては、それぞれ独立して、例えば、水素、置換もしくは非置換のカルバモイル、置換もしくは非置換のチオカルバモイル、置換もしくは非置換のアミジノ、置換もしくは非置換のアミノ、置換もしくは非置換のウレイド、置換もしくは非置換のグアニジノ、ペンタフルオロチオ、スルホ、置換もしくは非置換のスルファモイル、置換もしくは非置換のアルキル、置換もしくは非置換のアルケニル、置換もしくは非置換のアルキニル、置換もしくは非置換のアルキルオキシ、置換もしくは非置換のアルケニルオキシ、置換もしくは非置換のアルキニルオキシ、置換もしくは非置換のアルキルカルボニル、置換もしくは非置換のアルケニルカルボニル、置換もしくは非置換のアルキニルカルボニル、置換もしくは非置換のアルキルオキシカルボニル、置換もしくは非置換のアルケニルオキシカルボニル、置換もしくは非置換のアルキニルオキシカルボニル、置換もしくは非置換のアルキルスルファニル、置換もしくは非置換のアルケニルスルファニル、置換もしくは非置換のアルキニルスルファニル、置換もしくは非置換のアルキルスルフィニル、置換もしくは非置換のアルケニルスルフィニル、置換もしくは非置換のアルキニルスルフィニル、置換もしくは非置換のアルキルスルホニル、置換もしくは非置換のアルケニルスルホニル、置換もしくは非置換のアルキニルスルホニル、置換もしくは非置換の芳香族炭素環式基、置換もしくは非置換の非芳香族炭素環式基、置換もしくは非置換の芳香族複素環式基、置換もしくは非置換の非芳香族複素環式基、置換もしくは非置換の芳香族炭素環オキシ、置換もしくは非置換の非芳香族炭素環オキシ、置換もしくは非置換の芳香族複素環オキシ、置換もしくは非置換の非芳香族複素環オキシ、置換もしくは非置換の芳香族炭素環カルボニル、置換もしくは非置換の非芳香族炭素環カルボニル、置換もしくは非置換の芳香族複素環カルボニル、置換もしくは非置換の非芳香族複素環カルボニル、置換もしくは非置換の芳香族炭素環オキシカルボニル、置換もしくは非置換の非芳香族炭素環オキシカルボニル、置換もしくは非置換の芳香族複素環オキシカルボニル、置換もしくは非置換の非芳香族複素環オキシカルボニル、置換もしくは非置換の芳香族炭素環スルファニル、置換もしくは非置換の非芳香族炭素環スルファニル、置換もしくは非置換の芳香族複素環スルファニル、置換もしくは非置換の非芳香族複素環スルファニル、置換もしくは非置換の芳香族炭素環スルフィニル、置換もしくは非置換の非芳香族炭素環スルフィニル、置換もしくは非置換の芳香族複素環スルフィニル、置換もしくは非置換の非芳香族複素環スルフィニル、置換もしくは非置換の芳香族炭素環スルホニル、置換もしくは非置換の非芳香族炭素環スルホニル、置換もしくは非置換の芳香族複素環スルホニル、置換もしくは非置換の非芳香族複素環スルホニルが挙げられる。
R11c、R12c、R13c、R14c、およびR15cの好ましい態様としては、それぞれ独立して、水素、ハロゲン、置換もしくは非置換のアルキルが挙げられる。
R11c、R12c、R13c、R14c、およびR15cのさらに好ましい態様としては、水素が挙げられる。
R11c、R12c、R13c、R14c、およびR15cの置換基がさらに置換基を有する場合、好ましい置換基の置換基は、それぞれ独立して、ハロゲン、ヒドロキシ、アミノ、アルキル、モノアルキルアミノ、ジアルキルアミノ、芳香族炭素環式基、非芳香族炭素環式基、芳香族複素環式基、または非芳香族複素環式基である。
R 11c , R 12c , R 13c , R 14c , and R 15c are each independently, for example, hydrogen, substituted or unsubstituted carbamoyl, substituted or unsubstituted thiocarbamoyl, substituted or unsubstituted amidino, substituted Or unsubstituted amino, substituted or unsubstituted ureido, substituted or unsubstituted guanidino, pentafluorothio, sulfo, substituted or unsubstituted sulfamoyl, substituted or unsubstituted alkyl, substituted or unsubstituted alkenyl, substituted or unsubstituted Substituted alkynyl, substituted or unsubstituted alkyloxy, substituted or unsubstituted alkenyloxy, substituted or unsubstituted alkynyloxy, substituted or unsubstituted alkylcarbonyl, substituted or unsubstituted alkenylcarbonyl, substituted or unsubstituted Lucinylcarbonyl, substituted or unsubstituted alkyloxycarbonyl, substituted or unsubstituted alkenyloxycarbonyl, substituted or unsubstituted alkynyloxycarbonyl, substituted or unsubstituted alkylsulfanyl, substituted or unsubstituted alkenylsulfanyl, substituted or unsubstituted Substituted alkynylsulfanyl, substituted or unsubstituted alkylsulfinyl, substituted or unsubstituted alkenylsulfinyl, substituted or unsubstituted alkynylsulfinyl, substituted or unsubstituted alkylsulfonyl, substituted or unsubstituted alkenylsulfonyl, substituted or unsubstituted Alkynylsulfonyl, substituted or unsubstituted aromatic carbocyclic group, substituted or unsubstituted non-aromatic carbocyclic group, substituted or unsubstituted aromatic heterocyclic group, Or unsubstituted non-aromatic heterocyclic group, substituted or unsubstituted aromatic carbocyclic oxy, substituted or unsubstituted non-aromatic carbocyclic oxy, substituted or unsubstituted aromatic heterocyclic oxy, substituted or unsubstituted Non-aromatic heterocyclic oxy, substituted or unsubstituted aromatic carbocyclic carbonyl, substituted or unsubstituted non-aromatic carbocyclic carbonyl, substituted or unsubstituted aromatic heterocyclic carbonyl, substituted or unsubstituted non-aromatic Heterocyclic carbonyl, substituted or unsubstituted aromatic carbocyclic oxycarbonyl, substituted or unsubstituted non-aromatic carbocyclic oxycarbonyl, substituted or unsubstituted aromatic heterocyclic oxycarbonyl, substituted or unsubstituted non-aromatic hetero Ring oxycarbonyl, substituted or unsubstituted aromatic carbocyclic sulfanyl, substituted or unsubstituted non-aromatic carbocyclic ring Rufanyl, substituted or unsubstituted aromatic heterocyclic sulfanyl, substituted or unsubstituted non-aromatic heterocyclic sulfanyl, substituted or unsubstituted aromatic carbocyclic sulfinyl, substituted or unsubstituted non-aromatic carbocyclic sulfinyl, substituted or Unsubstituted aromatic heterocyclic sulfinyl, substituted or unsubstituted non-aromatic heterocyclic sulfinyl, substituted or unsubstituted aromatic carbocyclic sulfonyl, substituted or unsubstituted non-aromatic carbocyclic sulfonyl, substituted or unsubstituted aromatic Group heterocyclic sulfonyl, and substituted or unsubstituted non-aromatic heterocyclic sulfonyl.
Preferable embodiments of R 11c , R 12c , R 13c , R 14c , and R 15c each independently include hydrogen, halogen, and substituted or unsubstituted alkyl.
Hydrogen is mentioned as a still more preferable aspect of R < 11c> , R <12c> , R <13c> , R <14c> , and R <15c> .
When the substituent of R 11c , R 12c , R 13c , R 14c , and R 15c further has a substituent, the preferred substituents of the substituent are each independently halogen, hydroxy, amino, alkyl, monoalkylamino , Dialkylamino, aromatic carbocyclic group, non-aromatic carbocyclic group, aromatic heterocyclic group, or non-aromatic heterocyclic group.
RS1およびRS2としては、それぞれ独立して、例えば、水素、置換もしくは非置換のアルキル、置換もしくは非置換の芳香族炭素環式基、置換もしくは非置換の非芳香族炭素環式基、置換もしくは非置換の芳香族複素環式基、置換もしくは非置換の非芳香族複素環式基が挙げられ、または、同一の硫黄原子に結合しているRS1およびRS2は当該硫黄原子と一緒になって置換もしくは非置換の非芳香族複素環を形成してもよい。
RS1およびRS2の好ましい態様としては、それぞれ独立して、水素、置換もしくは非置換のアルキルが挙げられる。
RS1およびRS2のさらに好ましい態様としては、水素が挙げられる。
RS1およびRS2の置換基がさらに置換基を有する場合、RS1およびRS2の好ましい置換基の置換基は、それぞれ独立して、ハロゲン、ヒドロキシ、アミノ、アルキル、アルキルオキシ、モノアルキルアミノ、ジアルキルアミノ、芳香族炭素環式基、非芳香族炭素環式基、芳香族複素環式基、または非芳香族複素環式基である。
R S1 and R S2 are each independently, for example, hydrogen, substituted or unsubstituted alkyl, substituted or unsubstituted aromatic carbocyclic group, substituted or unsubstituted non-aromatic carbocyclic group, substituted Or an unsubstituted aromatic heterocyclic group, a substituted or unsubstituted non-aromatic heterocyclic group, or R S1 and R S2 bonded to the same sulfur atom together with the sulfur atom Thus, a substituted or unsubstituted non-aromatic heterocyclic ring may be formed.
Preferable embodiments of R S1 and R S2 each independently include hydrogen, substituted or unsubstituted alkyl.
A more preferred embodiment of R S1 and R S2 includes hydrogen.
When the substituent of R S1 and R S2 further has a substituent, the substituents of the preferred substituents of R S1 and R S2 are each independently halogen, hydroxy, amino, alkyl, alkyloxy, monoalkylamino, A dialkylamino, an aromatic carbocyclic group, a non-aromatic carbocyclic group, an aromatic heterocyclic group, or a non-aromatic heterocyclic group.
RNとしては、それぞれ独立して、例えば、水素、シアノ、置換もしくは非置換のカルバモイル、置換もしくは非置換のアルキル、置換もしくは非置換のアルキルカルボニル、置換もしくは非置換のアルキルオキシカルボニル、置換もしくは非置換の芳香族炭素環式基、置換もしくは非置換の非芳香族炭素環式基、置換もしくは非置換の芳香族複素環式基、置換もしくは非置換の非芳香族複素環式基、置換もしくは非置換の芳香族炭素環カルボニル、置換もしくは非置換の非芳香族炭素環カルボニル、置換もしくは非置換の芳香族複素環カルボニル、置換もしくは非置換の非芳香族複素環カルボニルが挙げられる。
RNの好ましい態様としては、それぞれ独立して水素、置換もしくは非置換のアルキルが挙げられる。
RNのさらに好ましい態様としては、置換もしくは非置換のアルキルが挙げられる。
RNの置換基がさらに置換基を有する場合、RNの好ましい置換基の置換基は、ハロゲン、ヒドロキシ、アミノ、アルキル、アルキルオキシ、モノアルキルアミノ、ジアルキルアミノ、芳香族炭素環式基、非芳香族炭素環式基、芳香族複素環式基、または非芳香族複素環式基である。
The R N, each independently, for example, hydrogen, cyano, substituted or unsubstituted carbamoyl, substituted or unsubstituted alkyl, substituted or unsubstituted alkylcarbonyl, substituted or unsubstituted alkyloxycarbonyl, substituted or non Substituted aromatic carbocyclic group, substituted or unsubstituted non-aromatic carbocyclic group, substituted or unsubstituted aromatic heterocyclic group, substituted or unsubstituted non-aromatic heterocyclic group, substituted or non-substituted Examples thereof include substituted aromatic carbocyclic carbonyl, substituted or unsubstituted non-aromatic carbocyclic carbonyl, substituted or unsubstituted aromatic heterocyclic carbonyl, and substituted or unsubstituted non-aromatic heterocyclic carbonyl.
Preferred embodiments of R N, each independently hydrogen, include substituted or unsubstituted alkyl.
As a further preferred embodiment of R N, include substituted or unsubstituted alkyl.
If having a substituent is a substituent of R N, the substituents of preferred substituents R N is halogen, hydroxy, amino, alkyl, alkyloxy, monoalkylamino, dialkylamino, aromatic carbocyclic group, a non- An aromatic carbocyclic group, an aromatic heterocyclic group, or a non-aromatic heterocyclic group.
Lとしては、それぞれ独立して、例えば、単結合、アルキレン、C(=O)が挙げられる。
Lの好ましい態様としては、それぞれ独立して単結合、アルキレンが挙げられる。
Lのさらに好ましい態様としては、単結合が挙げられる。
L is each independently, for example, a single bond, alkylene, or C (═O).
As a preferable aspect of L, a single bond and alkylene are mentioned each independently.
A more preferred embodiment of L includes a single bond.
Xとしては、例えば、C(=O)、C(=S)、SO2が挙げられる。
Xの好ましい態様としては、C(=O)、C(=S)が挙げられる。
Xのさらに好ましい態様としては、C(=O)が挙げられる。
Examples of X include C (═O), C (═S), and SO 2 .
Preferred examples of X include C (═O) and C (═S).
A more preferable embodiment of X includes C (═O).
Aとしては、芳香族炭素環、非芳香族炭素環、芳香族複素環、または非芳香族複素環である。
Aのさらに好ましい態様としては、芳香族炭素環、非芳香族炭素環または芳香族複素環である。
Aの別の好ましい態様としては、例えば、フェニル、ナフチル、シクロペンチル、シクロヘキシル、シクロヘプチル、インダニル、ピリジル、ピリミジル、ピラゾリル、ピペリジル、ピペラジニル、モルホリノ、アザスピロヘプチル、ベンゾジオキソリル、ベンゾチオフェニルが挙げられる。
A is an aromatic carbocyclic ring, a non-aromatic carbocyclic ring, an aromatic heterocyclic ring, or a non-aromatic heterocyclic ring.
A more preferable embodiment of A is an aromatic carbocyclic ring, a non-aromatic carbocyclic ring or an aromatic heterocyclic ring.
Other preferred embodiments of A include, for example, phenyl, naphthyl, cyclopentyl, cyclohexyl, cycloheptyl, indanyl, pyridyl, pyrimidyl, pyrazolyl, piperidyl, piperazinyl, morpholino, azaspiroheptyl, benzodioxolyl, benzothiophenyl. It is done.
Bとしては、非芳香族炭素環または非芳香族複素環である。
Bのさらに好ましい態様としては、例えば、シクロペンチル、シクロヘキシル、ジヒドロインデニル、テトラヒドロナフチル、インドリノニル、クロマニル、イソクロマニル等が挙げられる。
B is a non-aromatic carbocyclic ring or a non-aromatic heterocyclic ring.
More preferable embodiments of B include, for example, cyclopentyl, cyclohexyl, dihydroindenyl, tetrahydronaphthyl, indolinonyl, chromanyl, isochromanyl and the like.
Cとしては、芳香族炭素環、非芳香族炭素環、芳香族複素環、または非芳香族複素環である。
Cのさらに好ましい態様としては、芳香族炭素環、または芳香族複素環である。
Cの別の好ましい態様としては、例えば、ベンゼンが挙げられる。
C is an aromatic carbocyclic ring, a non-aromatic carbocyclic ring, an aromatic heterocyclic ring, or a non-aromatic heterocyclic ring.
A more preferable embodiment of C is an aromatic carbocycle or an aromatic heterocycle.
Another preferred embodiment of C includes, for example, benzene.
mとしては、0~5の整数である。
mの好ましい態様としては、0~3の整数である。
mのさらに好ましい態様としては、0~2である。
mの特に好ましい態様として、0または1である。
m is an integer of 0 to 5.
A preferred embodiment of m is an integer of 0 to 3.
A more preferred embodiment of m is 0-2.
In a particularly preferred embodiment of m, 0 or 1 is used.
nとしては、0~4の整数である。
nの好ましい態様としては、1~4の整数である。
nのさらに好ましい態様としては、1~3の整数である。
nのさらに好ましい態様としては、1~2の整数である。
nの特に好ましい態様としては、1である。
n is an integer of 0 to 4.
A preferred embodiment of n is an integer of 1 to 4.
A more preferred embodiment of n is an integer of 1 to 3.
A more preferable embodiment of n is an integer of 1 to 2.
A particularly preferred embodiment of n is 1.
L1としては、置換もしくは非置換のアルキレンである。
L1の好ましい態様としては、例えば、メチレン、エチレン、プロピレン等が挙げられる。
L 1 is substituted or unsubstituted alkylene.
Preferable embodiments of L 1 include, for example, methylene, ethylene, propylene and the like.
L2としては、それぞれ独立して、単結合、-C(=O)-、-C(=O)-O-、-O-C(=O)-、-C(=O)-N(H)-、-N(H)-C(=O)-、-C(=O)-N(H)-S(O)2-、-N(H)-S(O)2-、-S(O)2-N(H)-、および-S(O)2-N(H)-C(=O)-からなる群から選択される基である。
L2の好ましい態様としては、例えば、それぞれ独立して、単結合、-C(=O)-、-C(=O)-O-、-C(=O)-N(H)-、-N(H)-C(=O)-、-C(=O)-N(H)-S(O)2-、-N(H)-S(O)2-等が挙げられる。
L 2 is each independently a single bond, —C (═O) —, —C (═O) —O—, —O—C (═O) —, —C (═O) —N ( H) —, —N (H) —C (═O) —, —C (═O) —N (H) —S (O) 2 —, —N (H) —S (O) 2 —, — It is a group selected from the group consisting of S (O) 2 —N (H) — and —S (O) 2 —N (H) —C (═O) —.
As a preferable embodiment of L 2 , for example, each independently represents a single bond, —C (═O) —, —C (═O) —O—, —C (═O) —N (H) —, — N (H) —C (═O) —, —C (═O) —N (H) —S (O) 2 —, —N (H) —S (O) 2 — and the like can be mentioned.
L3としては、それぞれ独立して、単結合または置換もしくは非置換のアルキレンである。
L3の置換基がさらに置換基を有する場合、L3の好ましい置換基の置換基は、例えば、それぞれ独立して、ハロゲン、シアノ、カルボキシ、アミノ、ウレイド、スルファモイル、アルキル、アルケニル、アルキルオキシ、アルキルスルホニル、モノアルキルアミノスルホニル、モノアルキルアミノ、ジアルキルアミノ、モノアルキルカルボニルアミノ、モノアルキルオキシカルボニルアミノ、モノアルキルスルホニルアミノ、モノアルキルカルバモイル、ジアルキルカルバモイル、モノアルキルスルファモイル、ジアルキルスルファモイル、芳香族炭素環式基、非芳香族炭素環式基、芳香族複素環式基、非芳香族複素環式基等が挙げられる。
L3の好ましい態様としては、例えば、それぞれ独立して、単結合、メチレン、エチレン、プロピレン等が挙げられる。
L 3 is each independently a single bond or substituted or unsubstituted alkylene.
When the substituent of L 3 further has a substituent, the substituents of preferred substituents of L 3 are, for example, independently, halogen, cyano, carboxy, amino, ureido, sulfamoyl, alkyl, alkenyl, alkyloxy, Alkylsulfonyl, monoalkylaminosulfonyl, monoalkylamino, dialkylamino, monoalkylcarbonylamino, monoalkyloxycarbonylamino, monoalkylsulfonylamino, monoalkylcarbamoyl, dialkylcarbamoyl, monoalkylsulfamoyl, dialkylsulfamoyl, aromatic An aromatic carbocyclic group, a non-aromatic carbocyclic group, an aromatic heterocyclic group, a non-aromatic heterocyclic group, and the like.
Preferable embodiments of L 3 include, for example, each independently a single bond, methylene, ethylene, propylene and the like.
R1’としては、ハロゲン、ヒドロキシ、カルボキシ、シアノ、置換もしくは非置換のアミノ、置換もしくは非置換のアルキル、置換もしくは非置換のアルケニル、置換もしくは非置換のアルキニル、置換もしくは非置換の芳香族炭素環式基、置換もしくは非置換の非芳香族炭素環式基、置換もしくは非置換の芳香族複素環式基、または置換もしくは非置換の非芳香族複素環式基である。
R1’の好ましい態様としては、例えば、ヒドロキシ、カルボキシ、シアノ、置換もしくは非置換のアミノ、置換もしくは非置換のアルキル、置換もしくは非置換の芳香族炭素環式基、置換もしくは非置換の非芳香族炭素環式基、置換もしくは非置換の芳香族複素環式基等が挙げられる。
R1’の置換基がさらに置換基を有する場合、R1’の好ましい置換基の置換基は、例えば、それぞれ独立して、ハロゲン、シアノ、カルボキシ、アミノ、ウレイド、スルファモイル、アルキル、アルケニル、アルキルオキシ、アルキルスルホニル、モノアルキルアミノスルホニル、モノアルキルアミノ、ジアルキルアミノ、モノアルキルカルボニルアミノ、モノアルキルオキシカルボニルアミノ、モノアルキルスルホニルアミノ、モノアルキルカルバモイル、ジアルキルカルバモイル、モノアルキルスルファモイル、ジアルキルスルファモイル、芳香族炭素環式基、非芳香族炭素環式基、芳香族複素環式基、非芳香族複素環式基等が挙げられる。
R 1 ′ is halogen, hydroxy, carboxy, cyano, substituted or unsubstituted amino, substituted or unsubstituted alkyl, substituted or unsubstituted alkenyl, substituted or unsubstituted alkynyl, substituted or unsubstituted aromatic carbon A cyclic group, a substituted or unsubstituted non-aromatic carbocyclic group, a substituted or unsubstituted aromatic heterocyclic group, or a substituted or unsubstituted non-aromatic heterocyclic group.
Preferred embodiments of R 1 ′ include, for example, hydroxy, carboxy, cyano, substituted or unsubstituted amino, substituted or unsubstituted alkyl, substituted or unsubstituted aromatic carbocyclic group, substituted or unsubstituted non-aromatic An aromatic carbocyclic group, a substituted or unsubstituted aromatic heterocyclic group, and the like.
When the substituent of R 1 ′ further has a substituent, the substituents of the preferred substituent of R 1 ′ are, for example, independently, halogen, cyano, carboxy, amino, ureido, sulfamoyl, alkyl, alkenyl, alkyl Oxy, alkylsulfonyl, monoalkylaminosulfonyl, monoalkylamino, dialkylamino, monoalkylcarbonylamino, monoalkyloxycarbonylamino, monoalkylsulfonylamino, monoalkylcarbamoyl, dialkylcarbamoyl, monoalkylsulfamoyl, dialkylsulfamoyl , Aromatic carbocyclic group, non-aromatic carbocyclic group, aromatic heterocyclic group, non-aromatic heterocyclic group and the like.
pとしては、0~2の整数である。
pの好ましい態様としては、0~1の整数である。
pのさらに好ましい態様としては、1である。
p is an integer of 0 to 2.
A preferred embodiment of p is an integer of 0 to 1.
A more preferable embodiment of p is 1.
特に好ましい本発明に係る化合物としては、実施例化合物I-1、I-2、I-3、I-5、I-7、I-8、I-12、I-19、I-33、I-44、I-45、I-50、I-51、I-52、I-53、I-55、I-57およびI-61からなる群から選択される化合物、または、
実施例化合物I-5、I-70、I-71、I-73、I-83、I-94、I-95、I-104、I-108、I-110、I-112、I-132、I-136、I-143、I-157、I-160、I-164、I-165、I-185およびI-222からなる群から選択される化合物、または、
実施例化合物I-1、I-71、I-132、I-134、I-143、I-160、I-162、I-164、I-165、I-232、I-245、I-246、I-247、I-255、I-263、I-304、I-328、I-330、I-402およびI-407からなる群から選択される化合物等が挙げられる。
Particularly preferred compounds according to the present invention include the compounds of Examples I-1, I-2, I-3, I-5, I-7, I-8, I-12, I-19, I-33, I A compound selected from the group consisting of -44, I-45, I-50, I-51, I-52, I-53, I-55, I-57 and I-61, or
Examples Compounds I-5, I-70, I-71, I-73, I-83, I-94, I-95, I-104, I-108, I-110, I-112, I-132 A compound selected from the group consisting of I-136, I-143, I-157, I-160, I-164, I-165, I-185 and I-222, or
Examples Compounds I-1, I-71, I-132, I-134, I-143, I-160, I-162, I-164, I-165, I-232, I-245, I-246 And compounds selected from the group consisting of I-247, I-255, I-263, I-304, I-328, I-330, I-402 and I-407.
本発明に係る化合物の特徴は、式(I)のBがスピロ環を形成することによりMGAT2阻害作用を有する点である。 A feature of the compound according to the present invention is that B of formula (I) has a MGAT2 inhibitory action by forming a spiro ring.
式(I)で示される化合物は、特定の異性体に限定するものではなく、全ての可能な異性体(例えば、ケト-エノール異性体、イミン-エナミン異性体、ジアステレオ異性体、光学異性体、回転異性体等)、ラセミ体またはそれらの混合物を含む。例えば、式(I)において、例えば、Aがピリジル等の芳香族複素環式基、R1がテトラゾロニル等の芳香族複素環式基である化合物は、以下のような互変異性体を包含する。
式(I)で示される化合物の一つ以上の水素、炭素および/または他の原子は、それぞれ水素、炭素および/または他の原子の同位体で置換され得る。そのような同位体の例としては、それぞれ2H、3H、11C、13C、14C、15N、18O、17O、31P、32P、35S、18F、123Iおよび36Clのように、水素、炭素、窒素、酸素、リン、硫黄、フッ素、ヨウ素および塩素が包含される。式(I)で示される化合物は、そのような同位体で置換された化合物も包含する。該同位体で置換された化合物は、医薬品としても有用であり、式(I)で示される化合物のすべての放射性標識体を包含する。また該「放射性標識体」を製造するための「放射性標識化方法」も本発明に包含され、該「放射性標識体」は、代謝薬物動態研究、結合アッセイにおける研究および/または診断のツールとして有用である。 One or more hydrogen, carbon and / or other atoms of the compound of formula (I) may be replaced with isotopes of hydrogen, carbon and / or other atoms, respectively. Examples of such isotopes are 2 H, 3 H, 11 C, 13 C, 14 C, 15 N, 18 O, 17 O, 31 P, 32 P, 35 S, 18 F, 123 I and Like 36 Cl, hydrogen, carbon, nitrogen, oxygen, phosphorus, sulfur, fluorine, iodine and chlorine are included. The compound represented by the formula (I) also includes a compound substituted with such an isotope. The compound substituted with the isotope is also useful as a pharmaceutical, and includes all radiolabeled compounds of the compound represented by the formula (I). In addition, a “radiolabeling method” for producing the “radiolabeled substance” is also encompassed in the present invention, and the “radiolabeled substance” is useful as a metabolic pharmacokinetic study, a research in a binding assay, and / or a diagnostic tool. It is.
式(I)で示される化合物の放射性標識体は、当該技術分野で周知の方法で調製できる。例えば、式(I)で示されるトリチウム標識化合物は、トリチウムを用いた触媒的脱ハロゲン化反応によって、式(I)で示される特定の化合物にトリチウムを導入することで調製できる。この方法は、適切な触媒、例えばPd/Cの存在下、塩基の存在下または非存在下で、式(I)で示される化合物が適切にハロゲン置換された前駆体とトリチウムガスとを反応させることを包含する。トリチウム標識化合物を調製するための他の適切な方法は、“Isotopes in the Physical and Biomedical Sciences,Vol.1,Labeled Compounds (Part A),Chapter 6 (1987年)”を参照することができる。14C-標識化合物は、14C炭素を有する原料を用いることによって調製できる。 The radioactive label of the compound represented by the formula (I) can be prepared by a method well known in the art. For example, the tritium labeled compound represented by the formula (I) can be prepared by introducing tritium into the specific compound represented by the formula (I) by catalytic dehalogenation reaction using tritium. This method reacts a tritium gas with a precursor in which the compound of formula (I) is appropriately halogen-substituted in the presence of a suitable catalyst such as Pd / C, in the presence or absence of a base. Including that. For other suitable methods for preparing tritium labeled compounds, reference can be made to “Isotopes in the Physical and Biomedical Sciences, Vol. 1, Labeled Compounds (Part A), Chapter 6 (1987)”. The 14 C-labeled compound can be prepared by using a raw material having 14 C carbon.
式(I)で示される化合物の製薬上許容される塩としては、例えば、式(I)で示される化合物と、アルカリ金属(例えば、リチウム、ナトリウム、カリウム等)、アルカリ土類金属(例えば、カルシウム、バリウム等)、マグネシウム、遷移金属(例えば、亜鉛、鉄等)、アンモニア、有機塩基(例えば、トリメチルアミン、トリエチルアミン、ジシクロヘキシルアミン、エタノールアミン、ジエタノールアミン、トリエタノールアミン、メグルミン、エチレンジアミン、ピリジン、ピコリン、キノリン等)およびアミノ酸との塩、または無機酸(例えば、塩酸、硫酸、硝酸、炭酸、臭化水素酸、リン酸、ヨウ化水素酸等)、および有機酸(例えば、ギ酸、酢酸、プロピオン酸、トリフルオロ酢酸、クエン酸、乳酸、酒石酸、シュウ酸、マレイン酸、フマル酸、マンデル酸、グルタル酸、リンゴ酸、安息香酸、フタル酸、アスコルビン酸、ベンゼンスルホン酸、p-トルエンスルホン酸、メタンスルホン酸、エタンスルホン酸等)との塩が挙げられる。特に塩酸、硫酸、リン酸、酒石酸、メタンスルホン酸との塩等が挙げられる。これらの塩は、通常行われる方法によって形成させることができる。 As the pharmaceutically acceptable salt of the compound represented by the formula (I), for example, a compound represented by the formula (I), an alkali metal (for example, lithium, sodium, potassium, etc.), an alkaline earth metal (for example, Calcium, barium, etc.), magnesium, transition metals (eg, zinc, iron, etc.), ammonia, organic bases (eg, trimethylamine, triethylamine, dicyclohexylamine, ethanolamine, diethanolamine, triethanolamine, meglumine, ethylenediamine, pyridine, picoline, Quinoline etc.) and amino acid salts, or inorganic acids (eg hydrochloric acid, sulfuric acid, nitric acid, carbonic acid, hydrobromic acid, phosphoric acid, hydroiodic acid etc.) and organic acids (eg formic acid, acetic acid, propionic acid) , Trifluoroacetic acid, citric acid, lactic acid, tartaric acid, oxalic acid, Maleic acid, fumaric acid, mandelic acid, glutaric acid, malic acid, benzoic acid, phthalic acid, ascorbic acid, benzenesulfonic acid, p- toluenesulfonic acid, methanesulfonic acid, and salts with ethanesulfonic acid, etc.). Particularly, salts with hydrochloric acid, sulfuric acid, phosphoric acid, tartaric acid, methanesulfonic acid and the like can be mentioned. These salts can be formed by a commonly performed method.
本発明の式(I)で示される化合物またはその製薬上許容される塩は、溶媒和物(例えば、水和物等)、共結晶および/または結晶多形を形成する場合があり、本発明はそのような各種の溶媒和物、共結晶および結晶多形も包含する。「溶媒和物」は、式(I)で示される化合物に対し、任意の数の溶媒分子(例えば、水分子等)と配位していてもよい。式(I)で示される化合物またはその製薬上許容される塩を、大気中に放置することにより、水分を吸収し、吸着水が付着する場合や、水和物を形成する場合がある。また、式(I)で示される化合物またはその製薬上許容される塩を、再結晶することで結晶多形を形成する場合がある。「共結晶」は、式(I)で示される化合物または塩とカウンター分子が同一結晶格子内に存在することを意味し、任意の数のカウンター分子と形成していてもよい。 The compound represented by the formula (I) of the present invention or a pharmaceutically acceptable salt thereof may form a solvate (for example, hydrate etc.), a co-crystal and / or a crystal polymorph. Also encompasses such various solvates, co-crystals and polymorphs. The “solvate” may be coordinated with an arbitrary number of solvent molecules (for example, water molecules) with respect to the compound represented by the formula (I). When the compound represented by the formula (I) or a pharmaceutically acceptable salt thereof is left in the air, it may absorb moisture and adsorbed water may adhere or form a hydrate. In addition, a crystal polymorph may be formed by recrystallizing the compound represented by the formula (I) or a pharmaceutically acceptable salt thereof. “Co-crystal” means that the compound or salt represented by the formula (I) and the counter molecule are present in the same crystal lattice, and may be formed with any number of counter molecules.
本発明の式(I)で示される化合物またはその製薬上許容される塩は、プロドラッグを形成する場合があり、本発明はそのような各種のプロドラッグも包含する。プロドラッグは、化学的又は代謝的に分解できる基を有する本発明化合物の誘導体であり、加溶媒分解により又は生理学的条件下でインビボにおいて薬学的に活性な本発明化合物となる化合物である。プロドラッグは、生体内における生理条件下で酵素的に酸化、還元、加水分解等を受けて式(I)で示される化合物に変換される化合物、胃酸等により加水分解されて式(I)で示される化合物に変換される化合物等を包含する。適当なプロドラッグ誘導体を選択する方法および製造する方法は、例えば“Design of Prodrugs, Elsevier, Amsterdam, 1985”に記載されている。プロドラッグは、それ自身が活性を有する場合がある。 The compound represented by the formula (I) of the present invention or a pharmaceutically acceptable salt thereof may form a prodrug, and the present invention includes such various prodrugs. A prodrug is a derivative of a compound of the present invention having a group that can be chemically or metabolically degraded, and is a compound that becomes a pharmaceutically active compound of the present invention by solvolysis or under physiological conditions in vivo. A prodrug is a compound that is enzymatically oxidized, reduced, hydrolyzed, etc. under physiological conditions in vivo to be converted into a compound represented by formula (I), hydrolyzed by gastric acid, etc. The compound etc. which are converted into the compound shown are included. Methods for selecting and producing suitable prodrug derivatives are described, for example, in “Design of Prodrugs, Elsevier, Amsterdam, 1985”. Prodrugs may themselves have activity.
式(I)で示される化合物またはその製薬上許容される塩がヒドロキシル基を有する場合は、例えば、ヒドロキシル基を有する化合物と適当なアシルハライド、適当な酸無水物、適当なスルホニルクロライド、適当なスルホニルアンハイドライド及びミックスドアンハイドライドとを反応させることにより或いは縮合剤を用いて反応させることにより製造されるアシルオキシ誘導体やスルホニルオキシ誘導体のようなプロドラッグが例示される。例えば、CH3COO-、C2H5COO-、tert-BuCOO-、C15H31COO-、PhCOO-、(m-NaOOCPh)COO-、NaOOCCH2CH2COO-、CH3CH(NH2)COO-、CH2N(CH3)2COO-、CH3SO3-、CH3CH2SO3-、CF3SO3-、CH2FSO3-、CF3CH2SO3-、p-CH3O-PhSO3-、PhSO3-、p-CH3PhSO3-が挙げられる。 When the compound represented by formula (I) or a pharmaceutically acceptable salt thereof has a hydroxyl group, for example, the compound having a hydroxyl group and a suitable acyl halide, a suitable acid anhydride, a suitable sulfonyl chloride, a suitable Examples thereof include prodrugs such as acyloxy derivatives and sulfonyloxy derivatives produced by reacting sulfonyl anhydride and mixed anhydride or reacting with a condensing agent. For example, CH 3 COO—, C 2 H 5 COO—, tert-BuCOO—, C 15 H 31 COO—, PhCOO—, (m-NaOOCPh) COO—, NaOOCCH 2 CH 2 COO—, CH 3 CH (NH 2 ) COO—, CH 2 N (CH 3 ) 2 COO—, CH 3 SO 3 —, CH 3 CH 2 SO 3 —, CF 3 SO 3 —, CH 2 FSO 3 —, CF 3 CH 2 SO 3 —, p -CH 3 O-PhSO 3- , PhSO 3- , p-CH 3 PhSO 3 -can be mentioned.
(本発明の化合物の製造法)
本発明に係る式(I)で示される化合物は、例えば、下記に示す一般的合成法によって製造することができる。抽出、精製等は、通常の有機化学の実験で行う処理を行えばよい。
本発明の化合物は、当該分野において公知の手法を参考にしながら合成することができる。
(Method for producing the compound of the present invention)
The compound represented by the formula (I) according to the present invention can be produced, for example, by the general synthesis method shown below. Extraction, purification, and the like may be performed in a normal organic chemistry experiment.
The compounds of the present invention can be synthesized with reference to techniques known in the art.
(一般的合成法1)
本発明に係る式(I)で示される化合物(下記a9)は、例えば下記の製法によって製造することができる。
(式中の記号は、上記と同意義である。)
[工程A-1]
化合物a1とtert-ブチルスルフィンアミドとテトライソプロポキシチタニウムやテトラエトキシエタン等を反応させることにより化合物a2を得ることができる。
反応温度は、20℃~120℃、好ましくは70℃~100℃である。
反応時間は、1時間~12時間、好ましくは3時間~6時間である。
反応溶媒としては、テトラヒドロフラン、2-メチルテトラヒドロフラン等が挙げられる。
[工程A-2]
ジイソプロピルアミンとn-ブチルリチウムを反応させることによりリチウムジイソプロピルアミドを調製し、エステルa3と反応させた後、塩化チタントリイソプロポキシドを加え、化合物a2と反応させることで化合物a4を得ることができる。
反応温度は、リチウムジイソプロピルアミドの調整時は-78℃~-20℃であり、続くエステルa3との反応と化合物a2との反応は-78℃~-20℃である。
反応時間はジイソプロピルアミドの調整時が30分~1時間、ジイソプロピルアミドとエステルa3の反応時が30分~2時間、続く化合物a2との反応が1~5時間である。
反応溶媒としては、テトラヒドロフラン、ジエチルエーテルが挙げられる。
なお、アルキル化などの反応を連続して行うことでR2がアルキルなどの化合物を合成することができる。
[工程A-3]
化合物a4に、酸またはルイス酸を反応させることにより、化合物a5を得ることができる。
酸としては、塩酸-酢酸エチル、塩酸-メタノール、塩酸-ジオキサン、硫酸、ギ酸、トリフルオロ酢酸等が挙げられる。ルイス酸としては、ヨウ化トリメチルシリル、BBr3、AlCl3、BF3・(Et2O)等が挙げられ、化合物a4に対して1~10モル当量用いることができる。
反応温度は、0℃~60℃、好ましくは0℃~20℃である。
反応時間は、0.5時間~12時間、好ましくは1時間~6時間である。
反応溶媒としては、メタノール、エタノール、水、アセトン、アセトニトリル、DMF等が挙げられ、単独または混合して用いることができる。
[工程A-4]
塩基の存在下、化合物a5とカルボン酸塩化物またはスルホン酸塩化物またはチオカルボン酸塩化物等を反応させることにより、化合物a6を得ることができる。
塩基としては、ピリジン、DIEA、炭酸カリウム、炭酸水素ナトリウム、水素化ナトリウム、水酸化ナトリウム等が挙げられる。
反応温度は、0℃~150℃、好ましくは20℃~100℃である。
反応時間は、0.5時間~120時間、好ましくは1時間~72時間である。
反応溶媒としては、アセトニトリル、テトラヒドロフラン、トルエン、ジクロロメタン等が挙げられる。
工程A-4の別法として、工程A-4’を取り得る。
[工程A-4’]
化合物a5に、縮合剤の存在下、カルボン酸などを反応させ、必要に応じて塩基も作用させることで、化合物a6を得ることができる。
縮合剤としては、ジシクロへキシルカルボジイミド、カルボニルジイミダゾール、ジシクロヘキシルカルボジイミド-N-ヒドロキシベンゾトリアゾール、EDC、4-(4,6-ジメトキシ-1,3,5-トリアジン-2-イル)-4-メチルモルホリニウムクロリド、HATU等が挙げられ、化合物a5に対して1~5モル当量用いることができる。
塩基としては、トリエチルアミン、ジイソプロピルエチルアミンなどが挙げられる。
反応温度は、-20℃~60℃、好ましくは0℃~30℃である。
反応時間は、0.1時間~24時間、好ましくは1時間~12時間である。
反応溶媒としては、DMF、DMA、NMP、テトラヒドロフラン、ジオキサン、ジクロロメタン、アセトニトリル等が挙げられ、単独または混合して用いることができる。
[工程A-5]
化合物a6に塩基を反応させることで、化合物a7を得ることができる。
塩基としては、ピペリジン、ピロリジン、トリエチルアミン、ジイソプロピルエチルアミン、ナトリウムメトキシド、ナトリウムエトキシドなどが挙げられる。
反応温度は0℃~100℃である。
反応時間は1時間~10時間である。
反応溶媒としてはメタノール、エタノール、テトラヒドロフラン等が挙げられる。
[工程A-6]
化合物a7に、ハロゲン化剤と塩基を反応させることにより、化合物a8を得ることができる。
ハロゲン化剤としては、二塩化オキサリル、塩化チオニル、オキシ塩化燐、四臭化炭素-トリフェニルホスフィン等を用いることでX2が塩素原子の化合物を得ることができ、化合物a7に対して1~5モル当量用いることができる。
また、ハロゲン化剤の代わりに無水トリフルオロメタンスルホン酸などを作用させることで、X2がトリフルオロメタンスルホナートである化合物を得ることができ、更にヨウ化ナトリウムなどのヨウ素化剤を作用させることでX2がヨウ素原子の化合物を得ることができる。その他にも、臭素化剤を作用させることで、X2が臭素原子の化合物を得ることができる。
塩基としては、トリエチルアミン、ジイソプロピルエチルアミン、ピリジン、2,6-ルチジンなどが挙げられる。
反応温度は、-50℃~100℃である。
反応時間は、0.1時間~24時間、好ましくは0.5時間~12時間である。
反応溶媒としては、アセトニトリル、テトラヒドロフラン、トルエン、ジクロロメタン、ジクロロエタン等を用いることができる。
[工程A-7]
金属触媒および塩基存在下、化合物a8とボロン酸またはボロン酸エステルまたはトリアルキルスタンナンなどを反応させることにより、化合物a9を得ることができる。
金属触媒としては、酢酸パラジウム、ビス(ジベンジリデンアセトン)パラジウム、テトラキス(トリフェニルホスフィン)パラジウム、ビス(トリフェニルホスフィン)パラジウム(II)二塩化物、ビス(トリ-tert-ブチルホスフィン)パラジウムなどが挙げられ、化合物a8に対して、0.001~0.5モル当量用いることができる。
塩基として、水酸化リチウム、水酸化ナトリウム、水酸化カリウム、カリウムtert-ブトキシド、ナトリウムtert-ブトキシド、炭酸ナトリウム、炭酸カリウム、炭酸水素ナトリウム、リン酸ナトリウム、リン酸水素ナトリウム、リン酸カリウム、リン酸水素カリウム等が挙げられ、化合物a8に対して、1~10モル当量用いることができる。
ボロン酸またはボロン酸エステルまたはトリアルキルスタンナンなどは、化合物a8に対して、1~10モル当量用いることができる。
反応温度は、20℃~溶媒の還流温度、場合によってはマイクロウェーブ照射下の温度で行う。
反応時間は、0.1~48時間、好ましくは0.5時間~12時間である。
反応溶媒としては、テトラヒドロフラン、トルエン、DMF、ジオキサン、水等が挙げられ、単独または混合して用いることができる。
なお、ピペリジンなどの環状アミンと化合物a8を反応させることで、Aに環状アミンを有する化合物a9を合成することができる。
(General synthesis method 1)
The compound represented by formula (I) according to the present invention (the following a9) can be produced, for example, by the following production method.
(The symbols in the formula are as defined above.)
[Step A-1]
Compound a2 can be obtained by reacting compound a1, tert-butylsulfinamide, tetraisopropoxytitanium, tetraethoxyethane, and the like.
The reaction temperature is 20 ° C. to 120 ° C., preferably 70 ° C. to 100 ° C.
The reaction time is 1 to 12 hours, preferably 3 to 6 hours.
Examples of the reaction solvent include tetrahydrofuran, 2-methyltetrahydrofuran and the like.
[Step A-2]
Lithium diisopropylamide is prepared by reacting diisopropylamine with n-butyllithium, reacted with ester a3, then added with titanium chloride triisopropoxide and reacted with compound a2 to obtain compound a4. .
The reaction temperature is −78 ° C. to −20 ° C. when adjusting lithium diisopropylamide, and the subsequent reaction with ester a3 and compound a2 is −78 ° C. to −20 ° C.
The reaction time is 30 minutes to 1 hour when adjusting diisopropylamide, 30 minutes to 2 hours when diisopropylamide and ester a3 are reacted, and 1 to 5 hours for the subsequent reaction with compound a2.
Examples of the reaction solvent include tetrahydrofuran and diethyl ether.
Incidentally, R 2 by continuously performing reactions such as alkylation can be synthesized compounds such as alkyl.
[Step A-3]
Compound a5 can be obtained by reacting compound a4 with an acid or a Lewis acid.
Examples of the acid include hydrochloric acid-ethyl acetate, hydrochloric acid-methanol, hydrochloric acid-dioxane, sulfuric acid, formic acid, trifluoroacetic acid and the like. Examples of the Lewis acid include trimethylsilyl iodide, BBr 3 , AlCl 3 , BF 3. (Et 2 O), and the like, and 1 to 10 molar equivalents can be used with respect to the compound a4.
The reaction temperature is 0 ° C. to 60 ° C., preferably 0 ° C. to 20 ° C.
The reaction time is 0.5 to 12 hours, preferably 1 to 6 hours.
Examples of the reaction solvent include methanol, ethanol, water, acetone, acetonitrile, DMF and the like, and these can be used alone or in combination.
[Step A-4]
Compound a6 can be obtained by reacting compound a5 with a carboxylic acid chloride, sulfonic acid chloride, thiocarboxylic acid chloride, or the like in the presence of a base.
Examples of the base include pyridine, DIEA, potassium carbonate, sodium hydrogen carbonate, sodium hydride, sodium hydroxide and the like.
The reaction temperature is 0 ° C. to 150 ° C., preferably 20 ° C. to 100 ° C.
The reaction time is 0.5 to 120 hours, preferably 1 to 72 hours.
Examples of the reaction solvent include acetonitrile, tetrahydrofuran, toluene, dichloromethane and the like.
As another method of step A-4, step A-4 ′ can be taken.
[Step A-4 ′]
Compound a6 can be obtained by reacting compound a5 with a carboxylic acid or the like in the presence of a condensing agent and allowing a base to act as necessary.
As the condensing agent, dicyclohexylcarbodiimide, carbonyldiimidazole, dicyclohexylcarbodiimide-N-hydroxybenzotriazole, EDC, 4- (4,6-dimethoxy-1,3,5-triazin-2-yl) -4-methyl Examples thereof include morpholinium chloride and HATU, and can be used at 1 to 5 molar equivalents relative to compound a5.
Examples of the base include triethylamine and diisopropylethylamine.
The reaction temperature is -20 ° C to 60 ° C, preferably 0 ° C to 30 ° C.
The reaction time is 0.1 hour to 24 hours, preferably 1 hour to 12 hours.
Examples of the reaction solvent include DMF, DMA, NMP, tetrahydrofuran, dioxane, dichloromethane, acetonitrile and the like, and these can be used alone or in combination.
[Step A-5]
Compound a7 can be obtained by reacting compound a6 with a base.
Examples of the base include piperidine, pyrrolidine, triethylamine, diisopropylethylamine, sodium methoxide, sodium ethoxide and the like.
The reaction temperature is 0 ° C to 100 ° C.
The reaction time is 1 to 10 hours.
Examples of the reaction solvent include methanol, ethanol, tetrahydrofuran and the like.
[Step A-6]
Compound a8 can be obtained by reacting compound a7 with a halogenating agent and a base.
As the halogenating agent, a compound in which X 2 is a chlorine atom can be obtained by using oxalyl dichloride, thionyl chloride, phosphorus oxychloride, carbon tetrabromide-triphenylphosphine, and the like. 5 molar equivalents can be used.
Further, by allowing trifluoromethanesulfonic anhydride or the like to act instead of the halogenating agent, a compound in which X 2 is trifluoromethanesulfonate can be obtained, and further by allowing an iodinating agent such as sodium iodide to act. A compound in which X 2 is an iodine atom can be obtained. In addition, a compound in which X 2 is a bromine atom can be obtained by acting a brominating agent.
Examples of the base include triethylamine, diisopropylethylamine, pyridine, 2,6-lutidine and the like.
The reaction temperature is −50 ° C. to 100 ° C.
The reaction time is 0.1 to 24 hours, preferably 0.5 to 12 hours.
As the reaction solvent, acetonitrile, tetrahydrofuran, toluene, dichloromethane, dichloroethane or the like can be used.
[Step A-7]
Compound a9 can be obtained by reacting compound a8 with boronic acid, boronic acid ester, trialkylstannane or the like in the presence of a metal catalyst and a base.
Examples of the metal catalyst include palladium acetate, bis (dibenzylideneacetone) palladium, tetrakis (triphenylphosphine) palladium, bis (triphenylphosphine) palladium (II) dichloride, bis (tri-tert-butylphosphine) palladium and the like. 0.001 to 0.5 molar equivalent can be used with respect to compound a8.
As a base, lithium hydroxide, sodium hydroxide, potassium hydroxide, potassium tert-butoxide, sodium tert-butoxide, sodium carbonate, potassium carbonate, sodium bicarbonate, sodium phosphate, sodium hydrogen phosphate, potassium phosphate, phosphoric acid Examples thereof include potassium hydrogen, and 1 to 10 molar equivalents can be used relative to compound a8.
Boronic acid or boronic acid ester or trialkylstannane can be used at 1 to 10 molar equivalents relative to compound a8.
The reaction temperature is 20 ° C. to the reflux temperature of the solvent, and optionally under microwave irradiation.
The reaction time is 0.1 to 48 hours, preferably 0.5 to 12 hours.
Examples of the reaction solvent include tetrahydrofuran, toluene, DMF, dioxane, water and the like, and these can be used alone or in combination.
In addition, compound a9 which has cyclic amine in A is compoundable by making cyclic amines, such as piperidine, and compound a8 react.
(一般的合成法2)
本発明に係る式(I)で示される化合物(下記a7)は、例えば下記の製法によって製造することができる。
[工程A-2]
リチウムジイソプロピルアミドやリチウムヘキサメチルジシラジドなどの塩基とa3と反応させた後、化合物a2と反応させることで化合物a4を得ることができる。
反応温度は、リチウムジイソプロピルアミドやリチウムヘキサメチルジシラジドなどの塩基とエステルa3との反応および、続く化合物a2との反応は-78℃~-20℃である。
塩基とエステルa3の反応時が30分~2時間、続く化合物a2との反応が1~5時間である。
反応溶媒としては、テトラヒドロフラン、ジエチルエーテルなどが挙げられる。
なお、アルキル化などの反応を連続して行うことでR2がアルキルなどの化合物を合成することができる。
[工程A-3]
化合物a4に、酸またはルイス酸を反応させることにより、化合物a5を得ることができる。
酸としては、塩酸-酢酸エチル、塩酸-メタノール、塩酸-ジオキサン、硫酸、ギ酸、トリフルオロ酢酸等が挙げられる。ルイス酸としては、ヨウ化トリメチルシリル、BBr3、AlCl3、BF3・(Et2O)等が挙げられ、化合物a4に対して1~10モル当量用いることができる。
反応温度は、0℃~60℃、好ましくは0℃~20℃である。
反応時間は、0.5時間~12時間、好ましくは1時間~6時間である。
反応溶媒としては、メタノール、エタノール、水、アセトン、アセトニトリル、DMF等が挙げられ、単独または混合して用いることができる。
[工程A-4]
塩基の存在下、化合物a5とカルボン酸塩化物またはスルホン酸塩化物またはチオカルボン酸塩化物等を反応させることにより、化合物a6を得ることができる。
塩基としては、ピリジン、DIEA、炭酸カリウム、炭酸水素ナトリウム、水素化ナトリウム、水酸化ナトリウム等が挙げられる。
反応温度は、0℃~150℃、好ましくは20℃~100℃である。
反応時間は、0.5時間~120時間、好ましくは1時間~72時間である。
反応溶媒としては、アセトニトリル、テトラヒドロフラン、トルエン、ジクロロメタン等が挙げられる。
工程A-4の別法として、工程A-4’を取り得る。
[工程A-4’]
化合物a5に、縮合剤の存在下、カルボン酸などを反応させ、必要に応じて塩基も作用させることで、化合物a6を得ることができる。
縮合剤としては、ジシクロへキシルカルボジイミド、カルボニルジイミダゾール、ジシクロヘキシルカルボジイミド-N-ヒドロキシベンゾトリアゾール、EDC、4-(4,6-ジメトキシ-1,3,5-トリアジン-2-イル)-4-メチルモルホリニウムクロリド、HATU等が挙げられ、化合物a5に対して1~5モル当量用いることができる。
塩基としては、トリエチルアミン、ジイソプロピルエチルアミンなどが挙げられる。
反応温度は、-20℃~60℃、好ましくは0℃~30℃である。
反応時間は、0.1時間~24時間、好ましくは1時間~12時間である。
反応溶媒としては、DMF、DMA、NMP、テトラヒドロフラン、ジオキサン、ジクロロメタン、アセトニトリル等が挙げられ、単独または混合して用いることができる。
[工程A-5]
化合物a6に塩基を反応させることで、化合物a7を得ることができる。
塩基としては、ピペリジン、ピロリジン、トリエチルアミン、ジイソプロピルエチルアミン、ナトリウムメトキシド、ナトリウムエトキシドなどが挙げられる。
反応温度は0℃~100℃である。
反応時間は1時間~10時間である。
反応溶媒としてはメタノール、エタノール、テトラヒドロフラン等が挙げられる。
また、化合物によっては、オレフィンの位置異性体が得られる場合もある。
(General synthesis method 2)
The compound represented by formula (I) according to the present invention (the following a7) can be produced, for example, by the following production method.
[Step A-2]
Compound a4 can be obtained by reacting a3 with a base such as lithium diisopropylamide or lithium hexamethyldisilazide and then reacting with compound a2.
The reaction temperature is −78 ° C. to −20 ° C. for the reaction of a base such as lithium diisopropylamide and lithium hexamethyldisilazide with the ester a3 and the subsequent reaction with the compound a2.
The reaction time of the base with the ester a3 is 30 minutes to 2 hours, and the subsequent reaction with the compound a2 is 1 to 5 hours.
Examples of the reaction solvent include tetrahydrofuran and diethyl ether.
Incidentally, R 2 by continuously performing reactions such as alkylation can be synthesized compounds such as alkyl.
[Step A-3]
Compound a5 can be obtained by reacting compound a4 with an acid or a Lewis acid.
Examples of the acid include hydrochloric acid-ethyl acetate, hydrochloric acid-methanol, hydrochloric acid-dioxane, sulfuric acid, formic acid, trifluoroacetic acid and the like. Examples of the Lewis acid include trimethylsilyl iodide, BBr 3 , AlCl 3 , BF 3. (Et 2 O), and the like, and 1 to 10 molar equivalents can be used with respect to the compound a4.
The reaction temperature is 0 ° C. to 60 ° C., preferably 0 ° C. to 20 ° C.
The reaction time is 0.5 to 12 hours, preferably 1 to 6 hours.
Examples of the reaction solvent include methanol, ethanol, water, acetone, acetonitrile, DMF and the like, and these can be used alone or in combination.
[Step A-4]
Compound a6 can be obtained by reacting compound a5 with a carboxylic acid chloride, sulfonic acid chloride, thiocarboxylic acid chloride, or the like in the presence of a base.
Examples of the base include pyridine, DIEA, potassium carbonate, sodium hydrogen carbonate, sodium hydride, sodium hydroxide and the like.
The reaction temperature is 0 ° C. to 150 ° C., preferably 20 ° C. to 100 ° C.
The reaction time is 0.5 to 120 hours, preferably 1 to 72 hours.
Examples of the reaction solvent include acetonitrile, tetrahydrofuran, toluene, dichloromethane and the like.
As another method of step A-4, step A-4 ′ can be taken.
[Step A-4 ′]
Compound a6 can be obtained by reacting compound a5 with a carboxylic acid or the like in the presence of a condensing agent and allowing a base to act as necessary.
As the condensing agent, dicyclohexylcarbodiimide, carbonyldiimidazole, dicyclohexylcarbodiimide-N-hydroxybenzotriazole, EDC, 4- (4,6-dimethoxy-1,3,5-triazin-2-yl) -4-methyl Examples thereof include morpholinium chloride and HATU, and can be used at 1 to 5 molar equivalents relative to compound a5.
Examples of the base include triethylamine and diisopropylethylamine.
The reaction temperature is -20 ° C to 60 ° C, preferably 0 ° C to 30 ° C.
The reaction time is 0.1 hour to 24 hours, preferably 1 hour to 12 hours.
Examples of the reaction solvent include DMF, DMA, NMP, tetrahydrofuran, dioxane, dichloromethane, acetonitrile and the like, and these can be used alone or in combination.
[Step A-5]
Compound a7 can be obtained by reacting compound a6 with a base.
Examples of the base include piperidine, pyrrolidine, triethylamine, diisopropylethylamine, sodium methoxide, sodium ethoxide and the like.
The reaction temperature is 0 ° C to 100 ° C.
The reaction time is 1 to 10 hours.
Examples of the reaction solvent include methanol, ethanol, tetrahydrofuran and the like.
Depending on the compound, positional isomers of olefins may be obtained.
(一般的合成法3)
本発明に係る式(I)で示される化合物(下記a8)は、例えば下記の製法によって製造することができる。
[工程A-1]
化合物a1に、塩基性の水溶液を反応させることにより、化合物a2を得ることができる。
反応温度は、0℃~40℃、好ましくは0℃~20℃である。
反応時間は、0.5時間~12時間、好ましくは1時間~6時間である。
塩基としては、炭酸ナトリウム、炭酸カリウム、炭酸セシウム、水酸化リチウム、水酸化ナトリウム、水酸化カリウム等が使用可能である。
反応溶媒としては、メタノール、エタノール、水、アセトン、アセトニトリル、テトラヒドロフラン等が挙げられ、単独または混合して用いることができる。
[工程A-2]
化合物a2に、縮合剤、N,O-ジメチルヒドロキシルアミンを反応させ、必要に応じて塩基を加えることで、化合物a3を得ることができる。
縮合剤としては、ジシクロへキシルカルボジイミド、カルボニルジイミダゾール、ジシクロヘキシルカルボジイミド-N-ヒドロキシベンゾトリアゾール、EDC、4-(4,6-ジメトキシ-1,3,5-トリアジン-2-イル)-4-メチルモルホリニウムクロリド、HATU等が挙げられ、化合物a2に対して1~5モル当量用いることができる。
塩基としては、トリエチルアミン、ジイソプロピルエチルアミンなどが挙げられる。
反応温度は、-20℃~60℃、好ましくは0℃~30℃である。
反応時間は、0.1時間~24時間、好ましくは1時間~12時間である。
反応溶媒としては、DMF、DMA、NMP、テトラヒドロフラン、ジオキサン、ジクロロメタン、アセトニトリル等が挙げられ、単独または混合して用いることができる
[工程A-3]
化合物a3と求核剤a4を反応させることにより、化合物a5を得ることができる。
求核剤a4としては、アリールリチウム等のリチウム試薬やアリール臭化マグネシウム、アリール塩化マグネシウム、アリールヨウ化マグネシウム、アリール臭化マグネシウム、アリール塩化マグネシウム、アリールヨウ化マグネシウム等のグリニャール試薬およびこれらと金属塩の混合試薬が挙げられ、化合物a3に対して、1~5モル当量用いることができる。
反応温度は、-78℃~溶媒の還流温度、好ましくは-45℃~0℃である。
反応時間は、0.5~24時間、好ましくは1時間~6時間である。
反応溶媒としては、テトラヒドロフラン、ヘキサン、ジエチルエーテル、メチルtert-ブチルエーテル、トルエン、ジクロロメタン等が挙げられ、単独または混合して用いることができる。
求核剤a4は、対応するハロゲン化物をn-ブチルリチウム等のアルキルリチウムを用いてリチオ化することにより、調整することができる。
反応溶媒としては、テトラヒドロフラン、ジオキサンなどアルキルリチウムと反応しない溶媒でなければ特に限定されない。リチオ化反応の温度は、-78℃~0℃程度が好ましい。
[工程A-4]
化合物a5に、酸またはルイス酸を反応させることにより、化合物a6を得ることができる。
酸としては、塩酸-酢酸エチル、塩酸-メタノール、塩酸-ジオキサン、硫酸、ギ酸、トリフルオロ酢酸等が挙げられる。ルイス酸としては、ヨウ化トリメチルシリル、BBr3、AlCl3、BF3・(Et2O)等が挙げられ、化合物a5に対して1~10モル当量用いることができる。
反応温度は、0℃~60℃、好ましくは0℃~20℃である。
反応時間は、0.5時間~12時間、好ましくは1時間~6時間である。
反応溶媒としては、メタノール、エタノール、水、アセトン、アセトニトリル、DMF等が挙げられ、単独または混合して用いることができる。
[工程A-5]
塩基の存在下、化合物a6とカルボン酸塩化物またはスルホン酸塩化物またはチオカルボン酸塩化物等を反応させることにより、化合物a7を得ることができる。
塩基としては、ピリジン、DIEA、炭酸カリウム、炭酸水素ナトリウム、水素化ナトリウム、水酸化ナトリウム等が挙げられる。
反応温度は、0℃~150℃、好ましくは20℃~100℃である。
反応時間は、0.5時間~120時間、好ましくは1時間~72時間である。
反応溶媒としては、アセトニトリル、テトラヒドロフラン、トルエン、ジクロロメタン等が挙げられる。
工程A-5の別法として、工程A-5’を取り得る。
[工程A-5’]
化合物a6に、縮合剤の存在下、カルボン酸などを反応させ、必要に応じて塩基も作用させることで、化合物a7を得ることができる。
縮合剤としては、ジシクロへキシルカルボジイミド、カルボニルジイミダゾール、ジシクロヘキシルカルボジイミド-N-ヒドロキシベンゾトリアゾール、EDC、4-(4,6-ジメトキシ-1,3,5-トリアジン-2-イル)-4-メチルモルホリニウムクロリド、HATU等が挙げられ、化合物a6に対して1~5モル当量用いることができる。
塩基としては、トリエチルアミン、ジイソプロピルエチルアミンなどが挙げられる。
反応温度は、-20℃~60℃、好ましくは0℃~30℃である。
反応時間は、0.1時間~24時間、好ましくは1時間~12時間である。
反応溶媒としては、DMF、DMA、NMP、テトラヒドロフラン、ジオキサン、ジクロロメタン、アセトニトリル等が挙げられ、単独または混合して用いることができる。
[工程A-6]
化合物a7に塩基を反応させることで、化合物a8を得ることができる。
塩基としては、ピペリジン、ピロリジン、トリエチルアミン、ジイソプロピルエチルアミン、ナトリウムメトキシド、ナトリウムエトキシドなどが挙げられる。
反応温度は0℃~100℃である。
反応時間は1時間~10時間である。
反応溶媒としてはメタノール、エタノール、テトラヒドロフラン等が挙げられる。
(General synthesis method 3)
The compound represented by the formula (I) according to the present invention (the following a8) can be produced, for example, by the following production method.
[Step A-1]
Compound a2 can be obtained by reacting compound a1 with a basic aqueous solution.
The reaction temperature is 0 ° C. to 40 ° C., preferably 0 ° C. to 20 ° C.
The reaction time is 0.5 to 12 hours, preferably 1 to 6 hours.
As the base, sodium carbonate, potassium carbonate, cesium carbonate, lithium hydroxide, sodium hydroxide, potassium hydroxide and the like can be used.
Examples of the reaction solvent include methanol, ethanol, water, acetone, acetonitrile, tetrahydrofuran and the like, and these can be used alone or in combination.
[Step A-2]
Compound a3 can be obtained by reacting compound a2 with a condensing agent, N, O-dimethylhydroxylamine, and adding a base as necessary.
As the condensing agent, dicyclohexylcarbodiimide, carbonyldiimidazole, dicyclohexylcarbodiimide-N-hydroxybenzotriazole, EDC, 4- (4,6-dimethoxy-1,3,5-triazin-2-yl) -4-methyl Examples thereof include morpholinium chloride and HATU, and can be used at 1 to 5 molar equivalents relative to compound a2.
Examples of the base include triethylamine and diisopropylethylamine.
The reaction temperature is -20 ° C to 60 ° C, preferably 0 ° C to 30 ° C.
The reaction time is 0.1 hour to 24 hours, preferably 1 hour to 12 hours.
Examples of the reaction solvent include DMF, DMA, NMP, tetrahydrofuran, dioxane, dichloromethane, acetonitrile and the like, and they can be used alone or in combination.
[Step A-3]
Compound a5 can be obtained by reacting compound a3 with nucleophile a4.
As the nucleophilic agent a4, lithium reagents such as aryllithium, Grignard reagents such as arylmagnesium bromide, arylmagnesium chloride, arylmagnesium iodide, arylmagnesium bromide, arylmagnesium chloride, arylmagnesium iodide and the like, and mixtures of these with metal salts A reagent, and can be used at 1 to 5 molar equivalents relative to compound a3.
The reaction temperature is -78 ° C to the reflux temperature of the solvent, preferably -45 ° C to 0 ° C.
The reaction time is 0.5 to 24 hours, preferably 1 to 6 hours.
Examples of the reaction solvent include tetrahydrofuran, hexane, diethyl ether, methyl tert-butyl ether, toluene, dichloromethane and the like, and these can be used alone or in combination.
The nucleophilic agent a4 can be prepared by lithiation of the corresponding halide with alkyl lithium such as n-butyl lithium.
The reaction solvent is not particularly limited as long as it does not react with alkyllithium such as tetrahydrofuran and dioxane. The temperature of the lithiation reaction is preferably about −78 ° C. to 0 ° C.
[Step A-4]
Compound a6 can be obtained by reacting compound a5 with an acid or a Lewis acid.
Examples of the acid include hydrochloric acid-ethyl acetate, hydrochloric acid-methanol, hydrochloric acid-dioxane, sulfuric acid, formic acid, trifluoroacetic acid and the like. Examples of the Lewis acid include trimethylsilyl iodide, BBr 3 , AlCl 3 , BF 3. (Et 2 O), and the like, and 1 to 10 molar equivalents can be used with respect to the compound a5.
The reaction temperature is 0 ° C. to 60 ° C., preferably 0 ° C. to 20 ° C.
The reaction time is 0.5 to 12 hours, preferably 1 to 6 hours.
Examples of the reaction solvent include methanol, ethanol, water, acetone, acetonitrile, DMF and the like, and these can be used alone or in combination.
[Step A-5]
Compound a7 can be obtained by reacting compound a6 with a carboxylic acid chloride, a sulfonic acid chloride, or a thiocarboxylic acid chloride in the presence of a base.
Examples of the base include pyridine, DIEA, potassium carbonate, sodium hydrogen carbonate, sodium hydride, sodium hydroxide and the like.
The reaction temperature is 0 ° C. to 150 ° C., preferably 20 ° C. to 100 ° C.
The reaction time is 0.5 to 120 hours, preferably 1 to 72 hours.
Examples of the reaction solvent include acetonitrile, tetrahydrofuran, toluene, dichloromethane and the like.
As another method of step A-5, step A-5 ′ can be taken.
[Step A-5 ′]
Compound a7 can be obtained by reacting compound a6 with a carboxylic acid in the presence of a condensing agent and allowing a base to act as necessary.
As the condensing agent, dicyclohexylcarbodiimide, carbonyldiimidazole, dicyclohexylcarbodiimide-N-hydroxybenzotriazole, EDC, 4- (4,6-dimethoxy-1,3,5-triazin-2-yl) -4-methyl Examples thereof include morpholinium chloride and HATU, and can be used at 1 to 5 molar equivalents relative to compound a6.
Examples of the base include triethylamine and diisopropylethylamine.
The reaction temperature is -20 ° C to 60 ° C, preferably 0 ° C to 30 ° C.
The reaction time is 0.1 hour to 24 hours, preferably 1 hour to 12 hours.
Examples of the reaction solvent include DMF, DMA, NMP, tetrahydrofuran, dioxane, dichloromethane, acetonitrile and the like, and these can be used alone or in combination.
[Step A-6]
Compound a8 can be obtained by reacting compound a7 with a base.
Examples of the base include piperidine, pyrrolidine, triethylamine, diisopropylethylamine, sodium methoxide, sodium ethoxide and the like.
The reaction temperature is 0 ° C to 100 ° C.
The reaction time is 1 to 10 hours.
Examples of the reaction solvent include methanol, ethanol, tetrahydrofuran and the like.
(一般的合成法4)
本発明に係る式(I)で示される化合物(下記a10)は、例えば下記の製法によって製造することができる。
[工程A-1]
リチウムジイソプロピルアミドやリチウムヘキサメチルジシラジドなどの塩基とa2を反応させた後、化合物a1と反応させることで化合物a3を得ることができる。
反応温度は、塩基とエステルa2との反応および、続く化合物a1との反応は-78℃~0℃である。
塩基とエステルa2の反応時が30分~2時間、続く化合物a1との反応が1~5時間である。
反応溶媒としては、テトラヒドロフラン、ジエチルエーテルなどが挙げられる。
[工程A-2]
化合物a3とアセトニトリル溶媒中、塩化スルホン酸などの酸と反応させて、水を加えることで化合物a4を得ることができる。
反応温度は、0℃~100℃で、好ましくは0℃から50℃である。
なお、アルキル化などの反応を連続して行うことでR2がアルキルなどの化合物を合成することができる。
[工程A-3]
化合物a4に、酸またはルイス酸を反応させることにより、化合物a5を得ることができる。
酸としては、塩酸-酢酸エチル、塩酸-メタノール、塩酸-ジオキサン、硫酸、ギ酸、濃塩酸トリフルオロ酢酸等が挙げられる。ルイス酸としては、ヨウ化トリメチルシリル、BBr3、AlCl3、BF3・(Et2O)等が挙げられ、化合物a4に対して1~10モル当量用いることができる。
反応温度は、0℃~150℃、好ましくは60℃~120℃である。
反応時間は、0.5時間~150時間、好ましくは10時間~100時間である。
反応溶媒としては、メタノール、エタノール、水、アセトン、アセトニトリル、DMF等が挙げられ、単独または混合して用いることができる。
[工程A-4]
化合物a5に、メタノール溶媒中、塩化チオニルなどを反応させることにより、化合物a6を得ることができる。
反応温度は、0℃~150℃、好ましくは40℃~80℃である。
反応時間は、0.5時間~10時間、好ましくは1時間~4時間である。
[工程A-5]
塩基の存在下、化合物a6とカルボン酸塩化物またはスルホン酸塩化物またはチオカルボン酸塩化物等を反応させることにより、化合物a7を得ることができる。
塩基としては、ピリジン、DIEA、炭酸カリウム、炭酸水素ナトリウム、水素化ナトリウム、水酸化ナトリウム等が挙げられる。
反応温度は、0℃~150℃、好ましくは20℃~100℃である。
反応時間は、0.5時間~120時間、好ましくは1時間~72時間である。
反応溶媒としては、アセトニトリル、テトラヒドロフラン、トルエン、ジクロロメタン等が挙げられる。
工程A-5の別法として、工程A-5’を取り得る。
[工程A-5’]
化合物a6に、縮合剤の存在下、カルボン酸などを反応させ、必要に応じて塩基も作用させることで、化合物a7を得ることができる。
縮合剤としては、ジシクロへキシルカルボジイミド、カルボニルジイミダゾール、ジシクロヘキシルカルボジイミド-N-ヒドロキシベンゾトリアゾール、EDC、4-(4,6-ジメトキシ-1,3,5-トリアジン-2-イル)-4-メチルモルホリニウムクロリド、HATU等が挙げられ、化合物a6に対して1~5モル当量用いることができる。
塩基としては、トリエチルアミン、ジイソプロピルエチルアミンなどが挙げられる。
反応温度は、-20℃~60℃、好ましくは0℃~30℃である。
反応時間は、0.1時間~24時間、好ましくは1時間~12時間である。
反応溶媒としては、DMF、DMA、NMP、テトラヒドロフラン、ジオキサン、ジクロロメタン、アセトニトリル等が挙げられ、単独または混合して用いることができる。
[工程A-6]
化合物a7に塩基を反応させることで、化合物a8を得ることができる。
塩基としては、ピペリジン、ピロリジン、トリエチルアミン、ジイソプロピルエチルアミン、ナトリウムメトキシド、ナトリウムエトキシドなどが挙げられる。
反応温度は0℃~100℃である。
反応時間は1時間~10時間である。
反応溶媒としてはメタノール、エタノール、テトラヒドロフラン等が挙げられる。
[工程A-7]
化合物a8に、ハロゲン化剤と塩基を反応させることにより、化合a9を得ることができる。
ハロゲン化剤としては、二塩化オキサリル、塩化チオニル、オキシ塩化燐、四臭化炭素-トリフェニルホスフィン等を用いることでX2が塩素原子の化合物を得ることができ、化合物a8に対して1~5モル当量用いることができる。
また、ハロゲン化剤の代わりに無水トリフルオロメタンスルホン酸などを作用させることで、X2がトリフルオロメタンスルホナートである化合物を得ることができ、更にヨウ化ナトリウムなどのヨウ素化剤を作用させることでX2がヨウ素原子の化合物を得ることができる。 その他にも、臭素化剤を作用させることで、X2が臭素原子の化合物を得ることができる。
塩基としては、トリエチルアミン、ジイソプロピルエチルアミン、ピリジン、2,6-ルチジンなどが挙げられる。
反応温度は、-50℃~100℃である。
反応時間は、0.1時間~24時間、好ましくは0.5時間~12時間である。
反応溶媒としては、アセトニトリル、テトラヒドロフラン、トルエン、ジクロロメタン、ジクロロエタン等が用いることができる。
[工程A-8]
金属触媒および塩基存在下、化合物a9とボロン酸またはボロン酸エステルまたはトリアルキルスタンナンなどを反応させることにより、化合物a10を得ることができる。
金属触媒としては、酢酸パラジウム、ビス(ジベンジリデンアセトン)パラジウム、テトラキス(トリフェニルホスフィン)パラジウム、ビス(トリフェニルホスフィン)パラジウム(II)二塩化物、ビス(トリ-tert-ブチルホスフィン)パラジウムなどが挙げられ、化合物a9に対して、0.001~0.5モル当量用いることができる。
塩基として、水酸化リチウム、水酸化ナトリウム、水酸化カリウム、カリウムtert-ブトキシド、ナトリウムtert-ブトキシド、炭酸ナトリウム、炭酸カリウム、炭酸水素ナトリウム、リン酸ナトリウム、リン酸水素ナトリウム、リン酸カリウム、リン酸水素カリウム等が挙げられ、化合物a9に対して、1~10モル当量用いることができる。
ボロン酸またはボロン酸エステルまたはトリアルキルスタンナンなどは、化合物a9に対して、1~10モル当量用いることができる。
反応温度は、20℃~溶媒の還流温度、場合によってはマイクロウェーブ照射下の温度で行う。
反応時間は、0.1~48時間、好ましくは0.5時間~12時間である。
反応溶媒としては、テトラヒドロフラン、トルエン、DMF、ジオキサン、水等が挙げられ、単独または混合して用いることができる。
なお、ピペリジンなどの環状アミンと化合物a9を反応させることで、Aに環状アミンを有する化合物a10を合成することができる。
(General synthesis method 4)
The compound represented by the formula (I) according to the present invention (the following a10) can be produced, for example, by the following production method.
[Step A-1]
Compound a3 can be obtained by reacting a2 with a base such as lithium diisopropylamide or lithium hexamethyldisilazide and then reacting with compound a1.
The reaction temperature is −78 ° C. to 0 ° C. for the reaction between the base and the ester a2 and the subsequent reaction with the compound a1.
The reaction time of the base with the ester a2 is 30 minutes to 2 hours, and the subsequent reaction with the compound a1 is 1 to 5 hours.
Examples of the reaction solvent include tetrahydrofuran and diethyl ether.
[Step A-2]
Compound a4 can be obtained by reacting compound a3 with an acid such as chlorosulfonic acid in an acetonitrile solvent and adding water.
The reaction temperature is 0 ° C. to 100 ° C., preferably 0 ° C. to 50 ° C.
Incidentally, R 2 by continuously performing reactions such as alkylation can be synthesized compounds such as alkyl.
[Step A-3]
Compound a5 can be obtained by reacting compound a4 with an acid or a Lewis acid.
Examples of the acid include hydrochloric acid-ethyl acetate, hydrochloric acid-methanol, hydrochloric acid-dioxane, sulfuric acid, formic acid, concentrated hydrochloric acid trifluoroacetic acid and the like. Examples of the Lewis acid include trimethylsilyl iodide, BBr 3 , AlCl 3 , BF 3. (Et 2 O), and the like, and 1 to 10 molar equivalents can be used with respect to the compound a4.
The reaction temperature is 0 ° C. to 150 ° C., preferably 60 ° C. to 120 ° C.
The reaction time is 0.5 hour to 150 hours, preferably 10 hours to 100 hours.
Examples of the reaction solvent include methanol, ethanol, water, acetone, acetonitrile, DMF and the like, and these can be used alone or in combination.
[Step A-4]
Compound a6 can be obtained by reacting compound a5 with thionyl chloride or the like in a methanol solvent.
The reaction temperature is 0 ° C. to 150 ° C., preferably 40 ° C. to 80 ° C.
The reaction time is 0.5 hour to 10 hours, preferably 1 hour to 4 hours.
[Step A-5]
Compound a7 can be obtained by reacting compound a6 with a carboxylic acid chloride, a sulfonic acid chloride, or a thiocarboxylic acid chloride in the presence of a base.
Examples of the base include pyridine, DIEA, potassium carbonate, sodium hydrogen carbonate, sodium hydride, sodium hydroxide and the like.
The reaction temperature is 0 ° C. to 150 ° C., preferably 20 ° C. to 100 ° C.
The reaction time is 0.5 to 120 hours, preferably 1 to 72 hours.
Examples of the reaction solvent include acetonitrile, tetrahydrofuran, toluene, dichloromethane and the like.
As another method of step A-5, step A-5 ′ can be taken.
[Step A-5 ′]
Compound a7 can be obtained by reacting compound a6 with a carboxylic acid in the presence of a condensing agent and allowing a base to act as necessary.
As the condensing agent, dicyclohexylcarbodiimide, carbonyldiimidazole, dicyclohexylcarbodiimide-N-hydroxybenzotriazole, EDC, 4- (4,6-dimethoxy-1,3,5-triazin-2-yl) -4-methyl Examples thereof include morpholinium chloride and HATU, and can be used at 1 to 5 molar equivalents relative to compound a6.
Examples of the base include triethylamine and diisopropylethylamine.
The reaction temperature is -20 ° C to 60 ° C, preferably 0 ° C to 30 ° C.
The reaction time is 0.1 hour to 24 hours, preferably 1 hour to 12 hours.
Examples of the reaction solvent include DMF, DMA, NMP, tetrahydrofuran, dioxane, dichloromethane, acetonitrile and the like, and these can be used alone or in combination.
[Step A-6]
Compound a8 can be obtained by reacting compound a7 with a base.
Examples of the base include piperidine, pyrrolidine, triethylamine, diisopropylethylamine, sodium methoxide, sodium ethoxide and the like.
The reaction temperature is 0 ° C to 100 ° C.
The reaction time is 1 to 10 hours.
Examples of the reaction solvent include methanol, ethanol, tetrahydrofuran and the like.
[Step A-7]
Compound a9 can be obtained by reacting compound a8 with a halogenating agent and a base.
As the halogenating agent, a compound in which X 2 is a chlorine atom can be obtained by using oxalyl dichloride, thionyl chloride, phosphorus oxychloride, carbon tetrabromide-triphenylphosphine, and the like. 5 molar equivalents can be used.
Further, by allowing trifluoromethanesulfonic anhydride or the like to act instead of the halogenating agent, a compound in which X 2 is trifluoromethanesulfonate can be obtained, and further by allowing an iodinating agent such as sodium iodide to act. A compound in which X 2 is an iodine atom can be obtained. In addition, a compound in which X 2 is a bromine atom can be obtained by acting a brominating agent.
Examples of the base include triethylamine, diisopropylethylamine, pyridine, 2,6-lutidine and the like.
The reaction temperature is −50 ° C. to 100 ° C.
The reaction time is 0.1 to 24 hours, preferably 0.5 to 12 hours.
As the reaction solvent, acetonitrile, tetrahydrofuran, toluene, dichloromethane, dichloroethane and the like can be used.
[Step A-8]
Compound a10 can be obtained by reacting compound a9 with boronic acid or boronic acid ester or trialkylstannane in the presence of a metal catalyst and a base.
Examples of the metal catalyst include palladium acetate, bis (dibenzylideneacetone) palladium, tetrakis (triphenylphosphine) palladium, bis (triphenylphosphine) palladium (II) dichloride, bis (tri-tert-butylphosphine) palladium and the like. The compound can be used in an amount of 0.001 to 0.5 molar equivalents relative to compound a9.
As a base, lithium hydroxide, sodium hydroxide, potassium hydroxide, potassium tert-butoxide, sodium tert-butoxide, sodium carbonate, potassium carbonate, sodium bicarbonate, sodium phosphate, sodium hydrogen phosphate, potassium phosphate, phosphoric acid Examples thereof include potassium hydrogen, and 1 to 10 molar equivalents can be used relative to compound a9.
Boronic acid or boronic acid ester or trialkylstannane can be used at 1 to 10 molar equivalents relative to compound a9.
The reaction temperature is 20 ° C. to the reflux temperature of the solvent, and optionally under microwave irradiation.
The reaction time is 0.1 to 48 hours, preferably 0.5 to 12 hours.
Examples of the reaction solvent include tetrahydrofuran, toluene, DMF, dioxane, water and the like, and these can be used alone or in combination.
In addition, compound a10 which has cyclic amine in A is compoundable by making cyclic amines, such as piperidine, and compound a9 react.
(一般的合成法5)
本発明に係る式(I)で示される化合物(下記a9)は、例えば下記の製法によって製造することができる。
[工程A-1]
化合物a1に、酸またはルイス酸を反応させることにより、化合物a2を得ることができる。
酸としては、塩酸-酢酸エチル、塩酸-メタノール、塩酸-ジオキサン、硫酸、ギ酸、濃塩酸トリフルオロ酢酸等が挙げられる。ルイス酸としては、ヨウ化トリメチルシリル、BBr3、AlCl3、BF3・(Et2O)等が挙げられ、化合物a1に対して1~10モル当量用いることができる。
反応温度は、0℃~150℃、好ましくは60℃~120℃である。
反応時間は、0.5時間~150時間、好ましくは10時間~100時間である。
反応溶媒としては、メタノール、エタノール、水、アセトン、アセトニトリル、DMF等が挙げられ、単独または混合して用いることができる。
[工程A-2]
化合物a2に、塩基の存在下または非存在下、Boc2Oを反応させることにより、化合物a3を得ることができる。
塩基としては、水酸化ナトリウム、炭酸ナトリウム、炭酸水素ナトリウム、炭酸カリウム、炭酸カルシウム、炭酸セシウム、ピリジン、トリエチルアミン等が挙げられ、化合物a2に対して1~5モル当量用いることができる。
反応温度は、-10℃~80℃、好ましくは10℃~60℃である。
反応時間は、0.5時間~24時間、好ましくは1~12時間である。
反応溶媒としては、テトラヒドロフラン、ジオキサン、アセトニトリル、水等が挙げられ、単独または混合して用いることができる。
また、Boc以外の保護基として、Bn基やAlloc基、Fmoc基、Cbz基、Ac基、Troc基メトキシカルボニル基、トリフルオロアセチル基などの他の保護基も用いることができる。
[工程A-3]
化合物a3に、塩基性の水溶液を反応させることにより、化合物a4を得ることができる。
反応温度は、0℃~40℃、好ましくは0℃~20℃である。
反応時間は、0.5時間~12時間、好ましくは1時間~6時間である。
塩基としては、炭酸ナトリウム、炭酸カリウム、炭酸セシウム、水酸化リチウム、水酸化ナトリウム、水酸化カリウム等が使用可能である。
反応溶媒としては、メタノール、エタノール、水、アセトン、アセトニトリル、テトラヒドロフラン等が挙げられ、単独または混合して用いることができる。
[工程A-4]
化合物a4に、縮合剤の存在下、メルドラム酸を反応させ、必要に応じて塩基も作用させ、その後加熱することで化合物a5を得ることができる。
縮合剤としては、ジシクロへキシルカルボジイミド、カルボニルジイミダゾール、ジシクロヘキシルカルボジイミド-N-ヒドロキシベンゾトリアゾール、EDC、4-(4,6-ジメトキシ-1,3,5-トリアジン-2-イル)-4-メチルモルホリニウムクロリド、HATU等が挙げられ、化合物a4に対して1~5モル当量用いることができる。
塩基としては、トリエチルアミン、ジイソプロピルエチルアミン、パラジメチルアミノピリジンなどが挙げられる。
反応温度は、縮合反応が-20℃~60℃、好ましくは0℃~30℃であり、その後の加熱反応は50℃~80℃である。
反応時間は、縮合反応が0.1時間~24時間、好ましくは1時間~12時間であり、その後の加熱反応が2~5時間である。
反応溶媒としては、DMF、DMA、NMP、テトラヒドロフラン、ジオキサン、ジクロロメタン、アセトニトリル、酢酸エチル等が挙げられ、単独または混合して用いることができる。
[工程A-5]
化合物a5に、塩基の存在下、R1-Xで示されるハロゲン化物を作用させることで化合物a6を得ることができる。
反応温度は、0℃~40℃、好ましくは0℃~20℃である。
反応時間は、0.5時間~12時間、好ましくは1時間~6時間である。
塩基としては、炭酸ナトリウム、炭酸カリウム、炭酸セシウム、水酸化リチウム、水酸化ナトリウム、水酸化カリウム等が使用可能である。
反応溶媒としては、メタノール、エタノール、アセトニトリル、テトラヒドロフラン、ジメチルホルムアミド等が挙げられ、単独または混合して用いることができる。
[工程A-6]
化合物a6に、ハロゲン化剤と塩基を反応させることにより、化合a7を得ることができる。
ハロゲン化剤として、二塩化オキサリル、塩化チオニル、オキシ塩化燐、四臭化炭素-トリフェニルホスフィン等を用いることでX2が塩素原子の化合物を得ることができ、化合物a6に対して1~5モル当量用いることができる。
また、ハロゲン化剤の代わりに無水トリフルオロメタンスルホン酸などを作用させることで、X2がトリフルオロメタンスルホナートである化合物を得ることができ、更にヨウ化ナトリウムなどのヨウ素化剤を作用させることでX2がヨウ素原子の化合物を得ることができる。その他にも、臭素化剤を作用させることで、X2が臭素原子の化合物を得ることができる。
塩基としては、トリエチルアミン、ジイソプロピルエチルアミン、ピリジン、2,6-ルチジンなどが挙げられる。
反応温度は、-78℃~100℃である。
反応時間は、0.1時間~24時間、好ましくは0.5時間~12時間である。
反応溶媒としては、アセトニトリル、テトラヒドロフラン、トルエン、ジクロロメタン、ジクロロエタン等が用いることができる。
[工程A-7]
金属触媒および塩基存在下、化合物a7とボロン酸またはボロン酸エステルまたはトリアルキルスタンナンなどを反応させることにより、化合物a8を得ることができる。
金属触媒としては、酢酸パラジウム、ビス(ジベンジリデンアセトン)パラジウム、テトラキス(トリフェニルホスフィン)パラジウム、ビス(トリフェニルホスフィン)パラジウム(II)二塩化物、ビス(トリ-tert-ブチルホスフィン)パラジウムなどが挙げられ、化合物a7に対して、0.001~0.5モル当量用いることができる。
塩基として、水酸化リチウム、水酸化ナトリウム、水酸化カリウム、カリウムtert-ブトキシド、ナトリウムtert-ブトキシド、炭酸ナトリウム、炭酸カリウム、炭酸水素ナトリウム、リン酸ナトリウム、リン酸水素ナトリウム、リン酸カリウム、リン酸水素カリウム等が挙げられ、化合物a7に対して、1~10モル当量用いることができる。
ボロン酸またはボロン酸エステルまたはトリアルキルスタンナンなどは、化合物a7に対して、1~10モル当量用いることができる。
反応温度は、20℃~溶媒の還流温度、場合によってはマイクロウェーブ照射下の温度で行う。
反応時間は、0.1~48時間、好ましくは0.5時間~12時間である。
反応溶媒としては、テトラヒドロフラン、トルエン、DMF、ジオキサン、水等が挙げられ、単独または混合して用いることができる。
なお、ピペリジンなどの環状アミンと化合物a7を反応させることで、Aに環状アミンを有する化合物a8を合成することができる。
[工程A-8]
化合物a8に、酸またはルイス酸を反応させることにより、化合物a9を得ることができる。
酸としては、塩酸-酢酸エチル、塩酸-メタノール、塩酸-ジオキサン、硫酸、ギ酸、トリフルオロ酢酸等が挙げられる。ルイス酸としては、ヨウ化トリメチルシリル、BBr3、AlCl3、BF3・(Et2O)等が挙げられ、化合物a9に対して1~10モル当量用いることができる。
反応温度は、0℃~60℃、好ましくは0℃~20℃である。
反応時間は、0.5時間~12時間、好ましくは1時間~6時間である。
反応溶媒としては、メタノール、エタノール、水、アセトン、アセトニトリル、DMF等が挙げられ、単独または混合して用いることができる。
なお、アルキル化などの反応を連続して行うことでR2がアルキルなどの化合物を合成することができる。
なお、工程A-7とA-8の順番を入れ替えて、Boc基などの脱保護をAの導入の前に行うことも可能である。
(General synthesis method 5)
The compound represented by formula (I) according to the present invention (the following a9) can be produced, for example, by the following production method.
[Step A-1]
Compound a2 can be obtained by reacting compound a1 with an acid or a Lewis acid.
Examples of the acid include hydrochloric acid-ethyl acetate, hydrochloric acid-methanol, hydrochloric acid-dioxane, sulfuric acid, formic acid, concentrated hydrochloric acid trifluoroacetic acid and the like. Examples of the Lewis acid include trimethylsilyl iodide, BBr 3 , AlCl 3 , BF 3. (Et 2 O) and the like, and 1 to 10 molar equivalents can be used with respect to the compound a1.
The reaction temperature is 0 ° C. to 150 ° C., preferably 60 ° C. to 120 ° C.
The reaction time is 0.5 hour to 150 hours, preferably 10 hours to 100 hours.
Examples of the reaction solvent include methanol, ethanol, water, acetone, acetonitrile, DMF and the like, and these can be used alone or in combination.
[Step A-2]
Compound a3 can be obtained by reacting compound a2 with Boc 2 O in the presence or absence of a base.
Examples of the base include sodium hydroxide, sodium carbonate, sodium hydrogen carbonate, potassium carbonate, calcium carbonate, cesium carbonate, pyridine, triethylamine and the like, and 1 to 5 molar equivalents can be used with respect to compound a2.
The reaction temperature is −10 ° C. to 80 ° C., preferably 10 ° C. to 60 ° C.
The reaction time is 0.5 to 24 hours, preferably 1 to 12 hours.
Examples of the reaction solvent include tetrahydrofuran, dioxane, acetonitrile, water and the like, and these can be used alone or in combination.
In addition, as a protective group other than Boc, other protective groups such as a Bn group, an Alloc group, an Fmoc group, a Cbz group, an Ac group, a Troc group, a methoxycarbonyl group, and a trifluoroacetyl group can also be used.
[Step A-3]
Compound a4 can be obtained by reacting compound a3 with a basic aqueous solution.
The reaction temperature is 0 ° C. to 40 ° C., preferably 0 ° C. to 20 ° C.
The reaction time is 0.5 to 12 hours, preferably 1 to 6 hours.
As the base, sodium carbonate, potassium carbonate, cesium carbonate, lithium hydroxide, sodium hydroxide, potassium hydroxide and the like can be used.
Examples of the reaction solvent include methanol, ethanol, water, acetone, acetonitrile, tetrahydrofuran and the like, and these can be used alone or in combination.
[Step A-4]
Compound a5 can be obtained by reacting compound a4 with Meldrum's acid in the presence of a condensing agent, allowing a base to act as necessary, and then heating.
As the condensing agent, dicyclohexylcarbodiimide, carbonyldiimidazole, dicyclohexylcarbodiimide-N-hydroxybenzotriazole, EDC, 4- (4,6-dimethoxy-1,3,5-triazin-2-yl) -4-methyl Examples thereof include morpholinium chloride and HATU, and can be used at 1 to 5 molar equivalents relative to compound a4.
Examples of the base include triethylamine, diisopropylethylamine, paradimethylaminopyridine and the like.
The reaction temperature is −20 ° C. to 60 ° C., preferably 0 ° C. to 30 ° C. for the condensation reaction, and 50 ° C. to 80 ° C. for the subsequent heating reaction.
The reaction time is 0.1 to 24 hours, preferably 1 to 12 hours for the condensation reaction, and 2 to 5 hours for the subsequent heating reaction.
Examples of the reaction solvent include DMF, DMA, NMP, tetrahydrofuran, dioxane, dichloromethane, acetonitrile, ethyl acetate and the like, and these can be used alone or in combination.
[Step A-5]
Compound a6 can be obtained by reacting compound a5 with a halide represented by R 1 -X in the presence of a base.
The reaction temperature is 0 ° C. to 40 ° C., preferably 0 ° C. to 20 ° C.
The reaction time is 0.5 to 12 hours, preferably 1 to 6 hours.
As the base, sodium carbonate, potassium carbonate, cesium carbonate, lithium hydroxide, sodium hydroxide, potassium hydroxide and the like can be used.
Examples of the reaction solvent include methanol, ethanol, acetonitrile, tetrahydrofuran, dimethylformamide and the like, and these can be used alone or in combination.
[Step A-6]
Compound a7 can be obtained by reacting compound a6 with a halogenating agent and a base.
By using oxalyl dichloride, thionyl chloride, phosphorus oxychloride, carbon tetrabromide-triphenylphosphine, or the like as a halogenating agent, a compound in which X 2 is a chlorine atom can be obtained. A molar equivalent can be used.
Further, by allowing trifluoromethanesulfonic anhydride or the like to act instead of the halogenating agent, a compound in which X 2 is trifluoromethanesulfonate can be obtained, and further by allowing an iodinating agent such as sodium iodide to act. A compound in which X 2 is an iodine atom can be obtained. In addition, a compound in which X 2 is a bromine atom can be obtained by acting a brominating agent.
Examples of the base include triethylamine, diisopropylethylamine, pyridine, 2,6-lutidine and the like.
The reaction temperature is -78 ° C to 100 ° C.
The reaction time is 0.1 to 24 hours, preferably 0.5 to 12 hours.
As the reaction solvent, acetonitrile, tetrahydrofuran, toluene, dichloromethane, dichloroethane and the like can be used.
[Step A-7]
Compound a8 can be obtained by reacting compound a7 with boronic acid, boronic acid ester, trialkylstannane or the like in the presence of a metal catalyst and a base.
Examples of the metal catalyst include palladium acetate, bis (dibenzylideneacetone) palladium, tetrakis (triphenylphosphine) palladium, bis (triphenylphosphine) palladium (II) dichloride, bis (tri-tert-butylphosphine) palladium and the like. 0.001 to 0.5 molar equivalent can be used with respect to compound a7.
As a base, lithium hydroxide, sodium hydroxide, potassium hydroxide, potassium tert-butoxide, sodium tert-butoxide, sodium carbonate, potassium carbonate, sodium bicarbonate, sodium phosphate, sodium hydrogen phosphate, potassium phosphate, phosphoric acid Examples thereof include potassium hydrogen, and 1 to 10 molar equivalents can be used with respect to compound a7.
Boronic acid or boronic acid ester or trialkylstannane can be used at 1 to 10 molar equivalents relative to compound a7.
The reaction temperature is 20 ° C. to the reflux temperature of the solvent, and optionally under microwave irradiation.
The reaction time is 0.1 to 48 hours, preferably 0.5 to 12 hours.
Examples of the reaction solvent include tetrahydrofuran, toluene, DMF, dioxane, water and the like, and these can be used alone or in combination.
In addition, compound a8 which has cyclic amine in A is compoundable by making cyclic amines, such as piperidine, and compound a7 react.
[Step A-8]
Compound a9 can be obtained by reacting compound a8 with an acid or a Lewis acid.
Examples of the acid include hydrochloric acid-ethyl acetate, hydrochloric acid-methanol, hydrochloric acid-dioxane, sulfuric acid, formic acid, trifluoroacetic acid and the like. Examples of the Lewis acid include trimethylsilyl iodide, BBr 3 , AlCl 3 , BF 3. (Et 2 O) and the like, and can be used at 1 to 10 molar equivalents relative to compound a9.
The reaction temperature is 0 ° C. to 60 ° C., preferably 0 ° C. to 20 ° C.
The reaction time is 0.5 to 12 hours, preferably 1 to 6 hours.
Examples of the reaction solvent include methanol, ethanol, water, acetone, acetonitrile, DMF and the like, and these can be used alone or in combination.
Incidentally, R 2 by continuously performing reactions such as alkylation can be synthesized compounds such as alkyl.
It should be noted that the order of steps A-7 and A-8 can be changed so that the deprotection of the Boc group or the like can be performed before the introduction of A.
(一般的合成法6)
本発明に係る式(I)で示される化合物(下記a5)は、例えば下記の製法によって製造することができる。
[工程A-1]
化合物a1に、縮合剤の存在下、メルドラム酸を反応させ、必要に応じて塩基を加え、その後加熱することで化合物a2を得ることができる。
縮合剤としては、ジシクロへキシルカルボジイミド、カルボニルジイミダゾール、ジシクロヘキシルカルボジイミド-N-ヒドロキシベンゾトリアゾール、EDC、4-(4,6-ジメトキシ-1,3,5-トリアジン-2-イル)-4-メチルモルホリニウムクロリド、HATU等が挙げられ、化合物a1に対して1~5モル当量用いることができる。
塩基としては、トリエチルアミン、ジイソプロピルエチルアミン、パラジメチルアミノピリジンなどが挙げられる。
反応温度は、縮合反応が-20℃~60℃、好ましくは0℃~30℃であり、その後の加熱反応は50℃~80℃である。
反応時間は、縮合反応が0.1時間~24時間、好ましくは1時間~12時間であり、その後の加熱反応が2~5時間である。
反応溶媒としては、DMF、DMA、NMP、テトラヒドロフラン、ジオキサン、ジクロロメタン、アセトニトリル、酢酸エチル等が挙げられ、単独または混合して用いることができる。
[工程A-2]
化合物a2に、酸またはルイス酸を反応させることにより、化合物a3を得ることができる。
酸としては、塩酸-酢酸エチル、塩酸-メタノール、塩酸-ジオキサン、硫酸、ギ酸、濃塩酸トリフルオロ酢酸等が挙げられる。ルイス酸としては、ヨウ化トリメチルシリル、BBr3、AlCl3、BF3・(Et2O)等が挙げられ、化合物a2に対して1~10モル当量用いることができる。
反応温度は、0℃~150℃、好ましくは60℃~120℃である。
反応時間は、0.5時間~150時間、好ましくは10時間~100時間である。
反応溶媒としては、メタノール、エタノール、水、アセトン、アセトニトリル、DMF等が挙げられ、単独または混合して用いることができる。
[工程A-3]
化合物a3に、ハロゲン化剤と塩基を反応させることにより、化合物a4を得ることができる。
ハロゲン化剤として、二塩化オキサリル、塩化チオニル、オキシ塩化燐、四臭化炭素-トリフェニルホスフィン等を用いることでX2が塩素原子の化合物を得ることができ、化合物a3に対して1~5モル当量用いることができる。
また、ハロゲン化剤の代わりに無水トリフルオロメタンスルホン酸などを作用させることで、X2がトリフルオロメタンスルホナートである化合物を得ることができ、更にヨウ化ナトリウムなどのヨウ素化剤を作用させることでX2がヨウ素原子の化合物を得ることができる。その他にも、臭素化剤を作用させることで、X2が臭素原子の化合物を得ることができる。
塩基としては、トリエチルアミン、ジイソプロピルエチルアミン、ピリジン、2,6-ルチジンなどが挙げられる。
反応温度は、-78℃~100℃である。
反応時間は、0.1時間~24時間、好ましくは0.5時間~12時間である。
反応溶媒としては、アセトニトリル、テトラヒドロフラン、トルエン、ジクロロメタン、ジクロロエタン等が用いることができる。
[工程A-4]
金属触媒および塩基存在下、化合物a4とボロン酸またはボロン酸エステルまたはトリアルキルスタンナンなどを反応させることにより、化合物a5を得ることができる。
金属触媒としては、酢酸パラジウム、ビス(ジベンジリデンアセトン)パラジウム、テトラキス(トリフェニルホスフィン)パラジウム、ビス(トリフェニルホスフィン)パラジウム(II)二塩化物、ビス(トリ-tert-ブチルホスフィン)パラジウムなどが挙げられ、化合物a4に対して、0.001~0.5モル当量用いることができる。
塩基として、水酸化リチウム、水酸化ナトリウム、水酸化カリウム、カリウムtert-ブトキシド、ナトリウムtert-ブトキシド、炭酸ナトリウム、炭酸カリウム、炭酸水素ナトリウム、リン酸ナトリウム、リン酸水素ナトリウム、リン酸カリウム、リン酸水素カリウム等が挙げられ、化合物a4に対して、1~10モル当量用いることができる。
ボロン酸またはボロン酸エステルまたはトリアルキルスタンナンなどは、化合物a4に対して、1~10モル当量用いることができる。
反応温度は、20℃~溶媒の還流温度、場合によってはマイクロウェーブ照射下の温度で行う。
反応時間は、0.1~48時間、好ましくは0.5時間~12時間である。
反応溶媒としては、テトラヒドロフラン、トルエン、DMF、ジオキサン、水等が挙げられ、単独または混合して用いることができる。
なお、ピペリジンなどの環状アミンと化合物a4を反応させることで、Aに環状アミンを有する化合物a5を合成することができる。
なお、アルキル化などの反応を連続して行うことでR2がアルキルなどの化合物を合成することができる。
(General synthesis method 6)
The compound represented by formula (I) according to the present invention (the following a5) can be produced, for example, by the following production method.
[Step A-1]
Compound a2 can be obtained by reacting compound a1 with Meldrum's acid in the presence of a condensing agent, adding a base as necessary, and then heating.
As the condensing agent, dicyclohexylcarbodiimide, carbonyldiimidazole, dicyclohexylcarbodiimide-N-hydroxybenzotriazole, EDC, 4- (4,6-dimethoxy-1,3,5-triazin-2-yl) -4-methyl Examples thereof include morpholinium chloride and HATU, and 1 to 5 molar equivalents can be used with respect to compound a1.
Examples of the base include triethylamine, diisopropylethylamine, paradimethylaminopyridine and the like.
The reaction temperature is −20 ° C. to 60 ° C., preferably 0 ° C. to 30 ° C. for the condensation reaction, and 50 ° C. to 80 ° C. for the subsequent heating reaction.
The reaction time is 0.1 to 24 hours, preferably 1 to 12 hours for the condensation reaction, and 2 to 5 hours for the subsequent heating reaction.
Examples of the reaction solvent include DMF, DMA, NMP, tetrahydrofuran, dioxane, dichloromethane, acetonitrile, ethyl acetate and the like, and these can be used alone or in combination.
[Step A-2]
Compound a3 can be obtained by reacting compound a2 with an acid or a Lewis acid.
Examples of the acid include hydrochloric acid-ethyl acetate, hydrochloric acid-methanol, hydrochloric acid-dioxane, sulfuric acid, formic acid, concentrated hydrochloric acid trifluoroacetic acid and the like. Examples of the Lewis acid include trimethylsilyl iodide, BBr 3 , AlCl 3 , BF 3. (Et 2 O), and the like, and 1 to 10 molar equivalents can be used with respect to the compound a2.
The reaction temperature is 0 ° C. to 150 ° C., preferably 60 ° C. to 120 ° C.
The reaction time is 0.5 hour to 150 hours, preferably 10 hours to 100 hours.
Examples of the reaction solvent include methanol, ethanol, water, acetone, acetonitrile, DMF and the like, and these can be used alone or in combination.
[Step A-3]
Compound a4 can be obtained by reacting compound a3 with a halogenating agent and a base.
By using oxalyl dichloride, thionyl chloride, phosphorus oxychloride, carbon tetrabromide-triphenylphosphine, or the like as a halogenating agent, a compound in which X 2 is a chlorine atom can be obtained. A molar equivalent can be used.
Further, by allowing trifluoromethanesulfonic anhydride or the like to act instead of the halogenating agent, a compound in which X 2 is trifluoromethanesulfonate can be obtained, and further by allowing an iodinating agent such as sodium iodide to act. A compound in which X 2 is an iodine atom can be obtained. In addition, a compound in which X 2 is a bromine atom can be obtained by acting a brominating agent.
Examples of the base include triethylamine, diisopropylethylamine, pyridine, 2,6-lutidine and the like.
The reaction temperature is -78 ° C to 100 ° C.
The reaction time is 0.1 to 24 hours, preferably 0.5 to 12 hours.
As the reaction solvent, acetonitrile, tetrahydrofuran, toluene, dichloromethane, dichloroethane and the like can be used.
[Step A-4]
Compound a5 can be obtained by reacting compound a4 with boronic acid, boronic acid ester, trialkylstannane or the like in the presence of a metal catalyst and a base.
Examples of the metal catalyst include palladium acetate, bis (dibenzylideneacetone) palladium, tetrakis (triphenylphosphine) palladium, bis (triphenylphosphine) palladium (II) dichloride, bis (tri-tert-butylphosphine) palladium and the like. 0.001 to 0.5 molar equivalent can be used with respect to compound a4.
As a base, lithium hydroxide, sodium hydroxide, potassium hydroxide, potassium tert-butoxide, sodium tert-butoxide, sodium carbonate, potassium carbonate, sodium bicarbonate, sodium phosphate, sodium hydrogen phosphate, potassium phosphate, phosphoric acid Examples thereof include potassium hydrogen, and 1 to 10 molar equivalents can be used with respect to compound a4.
Boronic acid or boronic acid ester or trialkylstannane can be used at 1 to 10 molar equivalents relative to compound a4.
The reaction temperature is 20 ° C. to the reflux temperature of the solvent, and optionally under microwave irradiation.
The reaction time is 0.1 to 48 hours, preferably 0.5 to 12 hours.
Examples of the reaction solvent include tetrahydrofuran, toluene, DMF, dioxane, water and the like, and these can be used alone or in combination.
In addition, compound a5 which has cyclic amine in A is compoundable by making cyclic amines, such as piperidine, react with compound a4.
Incidentally, R 2 by continuously performing reactions such as alkylation can be synthesized compounds such as alkyl.
本発明に係る化合物は、MGAT2阻害作用を有し、肥満症、メタボリックシンドローム、高脂血症、高中性脂肪血症、高VLDL血症、高脂肪酸血症、糖尿病、動脈硬化症等の予防剤または治療剤として有用である。
本発明化合物は、MGAT2阻害作用のみならず、医薬としての有用性を備えており、下記いずれか、あるいは全ての優れた特徴を有している。
a)代謝安定性が高い。
b)高い溶解性を示す。
c)光毒性の懸念が小さい。
d)肝毒性の懸念が小さい。
e)腎毒性の懸念が小さい。
f)消化管障害の懸念が小さい。
g)薬物相互作用の懸念が小さい。
h)経口吸収性が高い。
i)クリアランスが小さい。
j)標的組織への移行性が高い。
k)酵素活性が強い。
l)薬物代謝酵素の誘導が少ない。
m)薬効が強い。
The compound according to the present invention has an MGAT2 inhibitory action and is a prophylactic agent for obesity, metabolic syndrome, hyperlipidemia, hypertriglyceridemia, hyperVLDL, hyperfattyemia, diabetes, arteriosclerosis, etc. Or it is useful as a therapeutic agent.
The compound of the present invention has not only an MGAT2 inhibitory action but also a usefulness as a medicine, and has any or all of the following excellent features.
a) High metabolic stability.
b) High solubility.
c) Little concern about phototoxicity.
d) Little concern about hepatotoxicity.
e) Little concern about nephrotoxicity.
f) Small concern about gastrointestinal disorders.
g) Less concern about drug interactions.
h) High oral absorption.
i) Clearance is small.
j) High migration to the target tissue.
k) Strong enzyme activity.
l) Less induction of drug metabolizing enzymes.
m) Strong medicinal effect.
本発明の医薬組成物は、経口的、非経口的のいずれの方法でも投与することができる。非経口投与の方法としては、経皮、皮下、静脈内、動脈内、筋肉内、腹腔内、経粘膜、吸入、経鼻、点眼、点耳、膣内投与等が挙げられる。 The pharmaceutical composition of the present invention can be administered either orally or parenterally. Examples of parenteral administration include transdermal, subcutaneous, intravenous, intraarterial, intramuscular, intraperitoneal, transmucosal, inhalation, nasal, eye drop, ear drop, and intravaginal administration.
経口投与の場合は常法に従って、内用固形製剤(例えば、錠剤、散剤、顆粒剤、カプセル剤、丸剤、フィルム剤等)、内用液剤(例えば、懸濁剤、乳剤、エリキシル剤、シロップ剤、リモナーデ剤、酒精剤、芳香水剤、エキス剤、煎剤、チンキ剤等)等の通常用いられるいずれの剤型に調製して投与すればよい。錠剤は、糖衣錠、フィルムコーティング錠、腸溶性コーティング錠、徐放錠、トローチ錠、舌下錠、バッカル錠、チュアブル錠または口腔内崩壊錠であってもよく、散剤および顆粒剤はドライシロップであってもよく、カプセル剤は、ソフトカプセル剤、マイクロカプセル剤または徐放性カプセル剤であってもよい。 In the case of oral administration, solid preparations for internal use (eg, tablets, powders, granules, capsules, pills, films, etc.) and liquids for internal use (eg, suspensions, emulsions, elixirs, syrups) Preparations, limonade agents, spirits, fragrances, extracts, decoctions, tinctures, etc.), etc. The tablets may be sugar-coated tablets, film-coated tablets, enteric-coated tablets, sustained-release tablets, troches, sublingual tablets, buccal tablets, chewable tablets or orally disintegrating tablets, and the powders and granules are dry syrups. Alternatively, the capsule may be a soft capsule, a microcapsule or a sustained release capsule.
非経口投与の場合は、注射剤、点滴剤、外用剤(例えば、点眼剤、点鼻剤、点耳剤、エアゾール剤、吸入剤、ローション剤、注入剤、塗布剤、含嗽剤、浣腸剤、軟膏剤、硬膏剤、ゼリー剤、クリーム剤、貼付剤、パップ剤、外用散剤、坐剤等)等の通常用いられるいずれの剤型でも好適に投与することができる。注射剤は、O/W、W/O、O/W/O、W/O/W型等のエマルジョンであってもよい。 In the case of parenteral administration, injections, drops, external preparations (eg eye drops, nasal drops, ear drops, aerosols, inhalants, lotions, injections, coating agents, mouthwashes, enemas, Any commonly used dosage form such as an ointment, a plaster, a jelly, a cream, a patch, a patch, a powder for external use, a suppository and the like can be suitably administered. The injection may be an emulsion such as O / W, W / O, O / W / O, W / O / W type.
本発明化合物の有効量にその剤型に適した賦形剤、結合剤、崩壊剤、滑沢剤等の各種医薬用添加剤を必要に応じて混合し、医薬組成物とすることができる。さらに、該医薬組成物は、本発明化合物の有効量、剤型および/または各種医薬用添加剤を適宜変更することにより、小児用、高齢者用、重症患者用または手術用の医薬組成物とすることもできる。小児用医薬組成物は、12歳または15歳未満の患者に投与するのが好ましい。また、小児用医薬組成物は、出生後27日未満、出生後28日~23か月、2歳~11歳または12歳~16歳若しくは18歳の患者に投与されうる。高齢者用医薬組成物は、65歳以上の患者に投与するのが好ましい。 Various pharmaceutical additives such as excipients, binders, disintegrants, lubricants and the like suitable for the dosage form can be mixed with the effective amount of the compound of the present invention as necessary to obtain a pharmaceutical composition. Furthermore, the pharmaceutical composition can be obtained by changing the effective amount, dosage form and / or various pharmaceutical additives of the compound of the present invention as appropriate, so that it can be used for pediatric, elderly, critically ill patients or surgery. You can also The pediatric pharmaceutical composition is preferably administered to a patient under the age of 12 or 15 years. In addition, the pediatric pharmaceutical composition can be administered to patients less than 27 days after birth, 28 to 23 months after birth, 2 to 11 years old, or 12 to 16 years old or 18 years old. The elderly pharmaceutical composition is preferably administered to a patient over 65 years of age.
本発明の医薬組成物の投与量は、患者の年齢、体重、疾病の種類や程度、投与経路等を考慮した上で設定することが望ましいが、経口投与する場合、通常0.05~100mg/kg/日であり、好ましくは0.1~10mg/kg/日の範囲内である。非経口投与の場合には投与経路により大きく異なるが、通常0.005~10mg/kg/日であり、好ましくは0.01~1mg/kg/日の範囲内である。これを1日1回~数回に分けて投与すれば良い。 The dose of the pharmaceutical composition of the present invention is preferably set in consideration of the patient's age, weight, type and degree of disease, route of administration, etc., but when administered orally, usually 0.05 to 100 mg / kg / day, preferably in the range of 0.1 to 10 mg / kg / day. In the case of parenteral administration, although it varies greatly depending on the administration route, it is usually 0.005 to 10 mg / kg / day, preferably 0.01 to 1 mg / kg / day. This may be administered once to several times a day.
併用薬剤の投与量は、臨床上用いられている用量を基準として適宜選択することができる。また、本発明化合物と併用薬剤の配合比は、投与対象、投与ルート、対象疾患、症状、組み合わせ等により適宜選択することができる。例えば、投与対象がヒトである場合、本発明化合物1重量部に対し、併用薬剤を0.01~100重量部用いればよい。 The dose of the concomitant drug can be appropriately selected based on the clinically used dose. The compounding ratio of the compound of the present invention and the concomitant drug can be appropriately selected depending on the administration subject, administration route, target disease, symptom, combination and the like. For example, when the administration subject is a human, the concomitant drug may be used in an amount of 0.01 to 100 parts by weight per 1 part by weight of the compound of the present invention.
本発明の医薬組成物は、肥満症(ただし、2型糖尿病及び脂質異常症を共に有し、食事療法・運動療法を行ってもBMIが25kg/m2以上の場合に限る)に対しても有効である。 The pharmaceutical composition of the present invention is also effective for obesity (however, it has both type 2 diabetes and dyslipidemia, and BMI is 25 kg / m 2 or more even if diet therapy / exercise therapy is performed). It is valid.
本発明の医薬組成物は、あらかじめ適用した食事療法及び運動療法の効果が不十分な高度肥満症に対しても有効である。 The pharmaceutical composition of the present invention is also effective for severe obesity for which the effect of dietary therapy and exercise therapy applied in advance is insufficient.
本発明の医薬組成物は、他の抗肥満薬(抗肥満作用を有する化合物を含有する医薬組成物、肥満症や肥満症における体重管理等に用いることのできる薬剤)と組み合わせて用いることもできる。例えば、抗肥満作用を有する化合物を含有する医薬組成物を、本発明化合物と併用することにより、肥満症の予防および/または治療や肥満症における体重管理等に用いることができる。また、本発明化合物を含有する医薬組成物を、抗肥満作用を有する化合物を含有する医薬組成物と併用することにより、肥満症の予防および/または治療や肥満症における体重管理等に用いることができる。また、本発明の医薬組成物の投与療法は、食事療法、薬物療法、運動等と組み合わせて用いることもできる。 The pharmaceutical composition of the present invention can also be used in combination with other anti-obesity drugs (pharmaceutical compositions containing compounds having anti-obesity action, drugs that can be used for weight management in obesity and obesity, etc.). . For example, by using a pharmaceutical composition containing a compound having an anti-obesity action in combination with the compound of the present invention, it can be used for prevention and / or treatment of obesity, weight management in obesity, and the like. The pharmaceutical composition containing the compound of the present invention can be used in combination with a pharmaceutical composition containing a compound having an anti-obesity action for the prevention and / or treatment of obesity or weight management in obesity. it can. Moreover, the administration therapy of the pharmaceutical composition of the present invention can be used in combination with diet therapy, drug therapy, exercise and the like.
本明細書中で用いる略語は以下の意味を表す。
Ac:アセチル
Alloc:アリルオキシカルボニル
Bn:ベンジル
Cbz:ベンジルオキシカルボニル
DIEA:N,N-ジイソプロピルエチルアミン
DMA:ジメチルアセトアミド
DMF:N,N-ジメチルホルムアミド
DMSO:ジメチルスルホキシド
DTT:ジチオトレイトール
EDC:1-エチル-3-(3-ジメチルアミノプロピル)-カルボジイミド
Et:エチル
Fmoc:9-フルオレニルメチルオキシカルボニル
HATU:O-(7-アザベンゾトリアゾール-1-イル)-1,1,3,3-テトラメチルウロニウムヘキサフルオロホスフェート
NMP:N-メチルピロリドン
Troc:2,2,2-トリクロロエトキシカルボニル
Abbreviations used in this specification represent the following meanings.
Ac: acetyl Alloc: allyloxycarbonyl Bn: benzyl Cbz: benzyloxycarbonyl DIEA: N, N-diisopropylethylamine DMA: dimethylacetamide DMF: N, N-dimethylformamide DMSO: dimethyl sulfoxide DTT: dithiothreitol EDC: 1-ethyl -3- (3-dimethylaminopropyl) -carbodiimide Et: ethyl Fmoc: 9-fluorenylmethyloxycarbonyl HATU: O- (7-azabenzotriazol-1-yl) -1,1,3,3-tetra Methyluronium hexafluorophosphate NMP: N-methylpyrrolidone Troc: 2,2,2-trichloroethoxycarbonyl
以下に実施例および参考例、ならびに試験例を挙げて本発明をさらに詳しく説明するが、本発明はこれらにより限定されるものではない。 Hereinafter, the present invention will be described in more detail with reference to Examples, Reference Examples, and Test Examples, but the present invention is not limited thereto.
実施例1 化合物I-1および化合物I-3の合成
工程1 化合物2の合成
5-ブロモ-2,3-ジヒドロ-1H-インデン-1-オン(2.00g、9.48mmol)を2-メチルテトラヒドロフラン(25mL)に溶解し、(R)-2-メチルプロパン-2-スルフィンアミド(1.38g、11.4mmol)とテトラエトキシチタン(2.58mL、12.3mmol)を加え、90℃で5時間撹拌した。その後、室温下、酢酸エチルで希釈し、飽和塩化アンモニウム水溶液を加えた。ロッシェル塩を加えて5分撹拌した後、酢酸エチルで抽出した。有機層を飽和塩化アンモニウム水溶液で洗浄した後、無水硫酸マグネシウムで乾燥した。溶媒を減圧留去し、得られた残渣をシリカゲルカラムクロマトグラフィー(ヘキサン-酢酸エチル)により精製して化合物2(1.25g、収率42%)を得た。
[M+H]=314.05、測定条件B:保持時間2.24分
工程2 化合物3の合成
ジイソプロピルアミン(0.48mL、3.34mmol)のテトラヒドロフラン(10mL)溶液をドライアイス-アセトンで-78℃に冷却した。これに1.60mol/L n-ブチルリチウム-テトラヒドロフラン溶液(1.99mL、3.18mmol)を滴下し、-78℃から-31℃まで45分間かけて撹拌しながら昇温させた。酢酸メチル(0.25mL、3.18mmol)のテトラヒドロフラン(1.0mL)溶液を-78℃で滴下し、1時間かけて撹拌した。1.0mol/L 塩化チタントリイソプロポキド-ヘキサン溶液(3.98mL、3.98mmol)を-78℃で滴下し、30分間撹拌した。ここへ化合物2(0.50g、1.59mmol)のテトラヒドロフラン(2.9mL)溶液を滴下し、-78℃から-35℃まで2時間かけて撹拌しながら昇温させた。飽和塩化アンモニウム水溶液とロッシェル塩、水を加え、室温に昇温した。酢酸エチルで抽出した後、有機層を水で洗浄した後、無水硫酸マグネシウムで乾燥した。溶媒を減圧留去し、得られた残渣をシリカゲルカラムクロマトグラフィー(ヘキサン-酢酸エチル)により精製して化合物3(0.347g、収率56%)を得た。不斉炭素の立体化学については、化合物3から3工程で合成した参考例1の化合物13のX線構造解析を行うことでS体であることを確認した(参考例1)。
1H-NMR (CDCl3) δ: 1.19 (s, 9H), 2.27-2.34 (m, 1H), 2.64-2.72 (m, 1H), 2.74-2.91 (m, 3H), 3.11-3.19 (m, 1H), 3.71 (s, 3H), 5.16 (s, 1H), 7.08 (d, J = 8.0 Hz, 1H), 7.34 (d, J = 8.0 Hz, 1H), 7.40 (s, 1H).
工程3 化合物4の合成
化合物3(0.970g、2.50mmol)をジオキサン(15mL)に溶解し、ビス(ピナコラト)ジボロン(0.825g、3.25mmol)と[1,1’-ビス(ジフェニルホスフィノ)フェロセン]パラジウム(II)ジクロリド ジクロロメタン錯体(1:1)(0.163g、0.200mmol)と酢酸カリウム(0.686g、6.99mmol)を加え、90℃で2時間半撹拌した。室温下、酢酸エチルで希釈し、水を加え、酢酸エチルで抽出した。有機層を水で洗浄した後、無水硫酸マグネシウムで乾燥した。溶媒を減圧留去し、得られた残渣をジオールカラムクロマトグラフィー(ヘキサン-酢酸エチル)により精製し、化合物4(1.4g、129%)を得た。
1H-NMR (CDCl3) δ: 1.19 (s, 9H), 1.34 (s, 12H),2.27-2.34 (m, 1H), 2.64-2.68 (m, 1H), 2.77 (d, J = 15.7 Hz, 1H), 2.84-2.93 (m, 2H), 3.11-3.19 (m, 1H), 3.70 (s, 3H), 5.21 (s, 1H), 7.22 (d, J = 7.7 Hz, 1H), 7.67 (d, J = 7.7 Hz, 1H), 7.73 (s, 1H).
工程4 化合物5の合成
化合物4(1.01g、2.45mmol)をテトラヒドロフラン(11mL)に溶解し、30%過酸化水素水(2.55mL、25.0mmol)を加え、室温で2時間撹拌した。酢酸エチルで希釈し、飽和チオ硫酸ナトリウム水溶液を加え、一晩静置した。酢酸エチルで抽出後、有機層を水で洗浄した後、無水硫酸マグネシウムで乾燥した。溶媒を減圧留去し、得られた残渣をシリカゲルカラムクロマトグラフィー(クロロホルム-メタノール)により精製し、化合物5(0.870g、107%)を得た。
[M+Na]=348.40、測定条件B:保持時間1.41分
工程5 化合物6の合成
化合物5(0.813g、2.50mmol)をジメチルホルムアルデヒド(8mL)に溶解し、炭酸セシウム(1.30g、4.00mmol)と4-ブロモ-1,1,1-トリフルオロエタン(0.399mL、3.25mmol)を加え、室温で3時間撹拌した。飽和塩化アンモニウム水溶液を加え、酢酸エチルで抽出した。有機層を水で洗浄した後、無水硫酸マグネシウムで乾燥した。溶媒を減圧留去し、得られた残渣をシリカゲルカラムクロマトグラフィー(ヘキサン-酢酸エチル)により精製し、化合物6(0.866g、80%)を得た。
1H-NMR (CDCl3) δ: 1.18 (s, 9H), 2.01-2.08 (m, 2H), 2.25-2.35 (m, 3H), 2.62-2.70 (m, 1H), 2.75 (d, J = 15.3 Hz, 1H), 2.79-2.90 (m, 2H), 3.11-3.20 (m, 1H), 3.71 (s, 3H), 4.00 (t, J = 5.9 Hz, 2H), 5.08 (s, 1H), 6.73-6.77 (m, 2H), 7.09 (d, J = 8.5 Hz, 1H).
工程6 化合物7の合成
化合物6(0.866g、1.99mmol)をメタノール(9mL)に溶解し、4mol/Lの塩酸ジオキサン溶液(1.49mL、5.97mmol)を加え、室温で2時間撹拌した。飽和重曹水を加え、酢酸エチルで抽出した。有機層を水で洗浄した後、無水硫酸マグネシウムで乾燥した。溶媒を減圧留去した後、化合物7(0.663g、100%)を粗生成物として得た。得られた粗生成物を用いて、次の反応へ進んだ。
工程7 化合物8の合成
シアノ酢酸(0.507g、5.97mmol)のジクロロメタン(5.3mL)溶液に2塩化オキサリル(0.522ml、5.97mmol)を滴下し、少量のジメチルホルムアミドを加え、室温下30分間撹拌し、塩化シアノアセチルのジクロロメタン溶液を調製した。化合物7(0.659mg、1.99mmol)のジクロロメタン(60mL)溶液にピリジン(0.482ml、5.97mmol)と先に調製した塩化シアノアセチルのジクロロメタン溶液を加え、室温で3時間撹拌した。飽和塩化アンモニウム水溶液を加えて一晩静置し、酢酸エチルで抽出した。有機層を水で洗浄した後、無水硫酸マグネシウムで乾燥した。溶媒を減圧留去し、得られた残渣をシリカゲルカラムクロマトグラフィー(ヘキサン-酢酸エチル)により精製して化合物8(0.591g、2段階収率75%)を得た。
1H-NMR (CDCl3) δ: 2.00-2.07 (m, 2H), 2.24-2.41 (m, 3H), 2.56-2.64 (m, 1H), 2.84-3.08 (m, 4H), 3.32 (s, 2H), 3.70 (s, 3H), 3.99 (t, J = 5.9 Hz, 2H), 6.72-6.77 (m, 2H), 6.95 (s, 1H), 7.22 (d, J = 8.5 Hz, 1H).
工程8 化合物9の合成
化合物8(0.591g、1.48mmol)をメタノール(6mL)に溶解し、ソジウムメトキシドの28%メタノール溶液(1.45mL、5.93mmol)を加え、室温下1時間撹拌した。反応液を1mol/Lの塩酸水溶液(6mL)に注ぎ、水を加え、酢酸エチルで抽出した。有機層を水で洗浄した後、無水硫酸マグネシウムで乾燥した。溶媒を減圧留去した後、化合物9(0.504mg、93%)を粗生成物として得た。
1H-NMR (CDCl3) δ: 2.01-2.20 (m, 4H), 2.25-2.45 (m, 3H), 2.64 (d, J = 17.4 Hz, 1H), 2.81-2.99 (m, 3H), 4.00 (t, J = 5.8 Hz, 2H), 5.70 (s, 1H), 6.75 (s, 1H), 6.79 (d, J = 8.3 Hz, 1H), 7.22 (d, J = 8.3 Hz, 1H).
工程9 化合物10の合成
化合物9(0.350g、0.955mmol)をジクロロエタン(11mL)に溶解し、塩化ホスホリル(0.124mL、1.43mmol)を加え、続いて氷冷下で2,6-ルチジン(0.167mL、1.43mmol)を加え5分間撹拌し、室温に昇温して3時間撹拌した。その後、40℃まで昇温して2時間10分撹拌し、さらに50℃まで昇温して16時間半撹拌した。溶媒を減圧留去し、得られた残渣に飽和重層水を加え、酢酸エチルで抽出し、有機層を無水硫酸マグネシウムで乾燥した。溶媒を減圧留去し、得られた残渣をシリカゲルカラムクロマトグラフィー(ヘキサン-酢酸エチル)により精製し、化合物10(0.212g、58%)を得た。
[M+H]=385.05、測定条件B:保持時間2.25分
工程10 化合物I-3の合成
化合物10(0.270g、0.702mmol)をジオキサン(5.4mL)に溶解し、p-トリルボロン酸(0.286g、2.11mmol)とリン酸三カリウム(447mg、2.11mmol)と[1,1’-ビス(ジ-tert-ブチルホスフィノ)フェロセン]パラジウム(II)ジクロリド(45.7mg、0.07mmol)を加え、80℃で40分間撹拌した。その後、室温で飽和塩化アンモニウム水溶液を加え、酢酸エチルで抽出した。有機層を水で洗浄した後、無水硫酸マグネシウムで乾燥した。溶媒を減圧留去し、得られた残渣をシリカゲルカラムクロマトグラフィー(ヘキサン-酢酸エチル)により精製し、化合物I-3(0.242g、78%)を得た。
1H-NMR (CDCl3) δ: 2.02-2.09 (m, 2H), 2.19-2.35 (m, 3H), 2.41 (s, 3H), 2.44-2.50 (m, 1H), 2.84-3.03 (m, 3H), 3.17 (d, J = 17.8 Hz, 1H), 4.02 (t, J = 6.0 Hz, 2H), 5.87 (s, 1H), 6.79-6.82 (m, 2H), 7.28-7.30 (m, 3H), 7.52 (d, J = 8.3 Hz, 2H).
[M+H]=441.30、測定条件B:保持時間2.43分
工程11 化合物I-1の合成
化合物I-3(0.240g、0.545mmol)をジオキサン(4mL)に溶解し、ジ-n-ブチルオキソスズ(67.8mg、0.272mmol)とトリメチルシリルアジド(0.361mL、2.72mmol)を加え、150℃で1時間マイクロウェーブを照射した。その後、水を加え、酢酸エチルで抽出し、有機層無水硫酸マグネシウムで乾燥した。溶媒を減圧留去し、得られた残渣をシリカゲルカラムクロマトグラフィー(クロロホルム-メタノール-酢酸)により精製した後、さらに逆相クロマトグラフィー(アセトニトリル-水)で精製し、酢酸エチル-ジイソプロピルエーテル-ヘキサンで再結晶を行い化合物I-1(124mg、47%)を得た。
1H-NMR (DMSO-D6) δ: 1.88-1.96 (m, 2H), 2.22 (s, 3H), 2.24-2.45 (m, 4H), 2.88-2.95 (m, 2H), 3.05 (d, J = 17.4 Hz, 1H), 3.16 (d, J = 17.4 Hz, 1H), 4.02 (t, J = 6.2 Hz, 2H), 6.80-6.85 (m, 2H), 6.88 (d, J = 8.1 Hz, 2H), 7.04 (d, J = 8.1 Hz, 2H), 7.40 (d, J = 8.3 Hz, 1H), 8.48 (s, 1H).
Example 1 Synthesis of Compound I-1 and Compound I-3
Step 1 Synthesis of Compound 2 5-Bromo-2,3-dihydro-1H-inden-1-one (2.00 g, 9.48 mmol) was dissolved in 2-methyltetrahydrofuran (25 mL), and (R) -2- Methylpropane-2-sulfinamide (1.38 g, 11.4 mmol) and tetraethoxytitanium (2.58 mL, 12.3 mmol) were added, and the mixture was stirred at 90 ° C. for 5 hours. Then, it diluted with ethyl acetate at room temperature, and saturated ammonium chloride aqueous solution was added. Rochelle salt was added and stirred for 5 minutes, followed by extraction with ethyl acetate. The organic layer was washed with a saturated aqueous ammonium chloride solution and then dried over anhydrous magnesium sulfate. The solvent was distilled off under reduced pressure, and the resulting residue was purified by silica gel column chromatography (hexane-ethyl acetate) to obtain Compound 2 (1.25 g, yield 42%).
[M + H] = 314.05, measurement condition B: retention time 2.24 minutes
Step 2 Synthesis of Compound 3 A solution of diisopropylamine (0.48 mL, 3.34 mmol) in tetrahydrofuran (10 mL) was cooled to −78 ° C. with dry ice-acetone. A 1.60 mol / L n-butyllithium-tetrahydrofuran solution (1.99 mL, 3.18 mmol) was added dropwise thereto, and the temperature was raised from −78 ° C. to −31 ° C. over 45 minutes with stirring. A solution of methyl acetate (0.25 mL, 3.18 mmol) in tetrahydrofuran (1.0 mL) was added dropwise at −78 ° C., and the mixture was stirred for 1 hour. A 1.0 mol / L titanium chloride triisopropoxide-hexane solution (3.98 mL, 3.98 mmol) was added dropwise at −78 ° C., and the mixture was stirred for 30 minutes. A solution of compound 2 (0.50 g, 1.59 mmol) in tetrahydrofuran (2.9 mL) was added dropwise thereto, and the mixture was heated from −78 ° C. to −35 ° C. with stirring over 2 hours. Saturated aqueous ammonium chloride solution, Rochelle salt and water were added, and the temperature was raised to room temperature. After extraction with ethyl acetate, the organic layer was washed with water and dried over anhydrous magnesium sulfate. The solvent was distilled off under reduced pressure, and the resulting residue was purified by silica gel column chromatography (hexane-ethyl acetate) to obtain Compound 3 (0.347 g, yield 56%). About the stereochemistry of the asymmetric carbon, it confirmed that it was a S body by conducting the X-ray structural analysis of the compound 13 of the reference example 1 synthesize | combined in 3 steps | paragraphs from the compound 3 (reference example 1).
1 H-NMR (CDCl 3 ) δ: 1.19 (s, 9H), 2.27-2.34 (m, 1H), 2.64-2.72 (m, 1H), 2.74-2.91 (m, 3H), 3.11-3.19 (m, 1H), 3.71 (s, 3H), 5.16 (s, 1H), 7.08 (d, J = 8.0 Hz, 1H), 7.34 (d, J = 8.0 Hz, 1H), 7.40 (s, 1H).
Step 3 Synthesis of Compound 4 Compound 3 (0.970 g, 2.50 mmol) was dissolved in dioxane (15 mL), bis (pinacolato) diboron (0.825 g, 3.25 mmol) and [1,1′-bis (diphenyl). Phosphino) ferrocene] palladium (II) dichloride Dichloromethane complex (1: 1) (0.163 g, 0.200 mmol) and potassium acetate (0.686 g, 6.99 mmol) were added, and the mixture was stirred at 90 ° C. for 2.5 hours. The mixture was diluted with ethyl acetate at room temperature, water was added, and the mixture was extracted with ethyl acetate. The organic layer was washed with water and then dried over anhydrous magnesium sulfate. The solvent was distilled off under reduced pressure, and the resulting residue was purified by diol column chromatography (hexane-ethyl acetate) to obtain Compound 4 (1.4 g, 129%).
1 H-NMR (CDCl 3 ) δ: 1.19 (s, 9H), 1.34 (s, 12H), 2.27-2.34 (m, 1H), 2.64-2.68 (m, 1H), 2.77 (d, J = 15.7 Hz , 1H), 2.84-2.93 (m, 2H), 3.11-3.19 (m, 1H), 3.70 (s, 3H), 5.21 (s, 1H), 7.22 (d, J = 7.7 Hz, 1H), 7.67 ( d, J = 7.7 Hz, 1H), 7.73 (s, 1H).
Step 4 Synthesis of Compound 5 Compound 4 (1.01 g, 2.45 mmol) was dissolved in tetrahydrofuran (11 mL), 30% aqueous hydrogen peroxide (2.55 mL, 25.0 mmol) was added, and the mixture was stirred at room temperature for 2 hours. . Diluted with ethyl acetate, added saturated aqueous sodium thiosulfate solution, and allowed to stand overnight. After extraction with ethyl acetate, the organic layer was washed with water and dried over anhydrous magnesium sulfate. The solvent was distilled off under reduced pressure, and the resulting residue was purified by silica gel column chromatography (chloroform-methanol) to obtain Compound 5 (0.870 g, 107%).
[M + Na] = 348.40, measurement condition B: retention time 1.41 minutes
Step 5 Synthesis of Compound 6 Compound 5 (0.813 g, 2.50 mmol) was dissolved in dimethylformaldehyde (8 mL) and cesium carbonate (1.30 g, 4.00 mmol) and 4-bromo-1,1,1-tri Fluoroethane (0.399 mL, 3.25 mmol) was added and stirred at room temperature for 3 hours. Saturated aqueous ammonium chloride solution was added, and the mixture was extracted with ethyl acetate. The organic layer was washed with water and then dried over anhydrous magnesium sulfate. The solvent was distilled off under reduced pressure, and the obtained residue was purified by silica gel column chromatography (hexane-ethyl acetate) to obtain Compound 6 (0.866 g, 80%).
1 H-NMR (CDCl 3 ) δ: 1.18 (s, 9H), 2.01-2.08 (m, 2H), 2.25-2.35 (m, 3H), 2.62-2.70 (m, 1H), 2.75 (d, J = 15.3 Hz, 1H), 2.79-2.90 (m, 2H), 3.11-3.20 (m, 1H), 3.71 (s, 3H), 4.00 (t, J = 5.9 Hz, 2H), 5.08 (s, 1H), 6.73-6.77 (m, 2H), 7.09 (d, J = 8.5 Hz, 1H).
Step 6 Synthesis of Compound 7 Compound 6 (0.866 g, 1.99 mmol) was dissolved in methanol (9 mL), 4 mol / L dioxane hydrochloride solution (1.49 mL, 5.97 mmol) was added, and the mixture was stirred at room temperature for 2 hours. did. Saturated aqueous sodium hydrogen carbonate was added, and the mixture was extracted with ethyl acetate. The organic layer was washed with water and then dried over anhydrous magnesium sulfate. After distilling off the solvent under reduced pressure, compound 7 (0.663 g, 100%) was obtained as a crude product. The resulting crude product was used to proceed to the next reaction.
Step 7 Synthesis of Compound 8 Oxalyl dichloride (0.522 ml, 5.97 mmol) was added dropwise to a solution of cyanoacetic acid (0.507 g, 5.97 mmol) in dichloromethane (5.3 mL), a small amount of dimethylformamide was added, and room temperature was added. Under stirring for 30 minutes, a dichloromethane solution of cyanoacetyl chloride was prepared. To a solution of compound 7 (0.659 mg, 1.99 mmol) in dichloromethane (60 mL) were added pyridine (0.482 ml, 5.97 mmol) and the previously prepared dichloromethane solution of cyanoacetyl chloride, and the mixture was stirred at room temperature for 3 hours. A saturated aqueous ammonium chloride solution was added, the mixture was allowed to stand overnight, and extracted with ethyl acetate. The organic layer was washed with water and then dried over anhydrous magnesium sulfate. The solvent was distilled off under reduced pressure, and the obtained residue was purified by silica gel column chromatography (hexane-ethyl acetate) to obtain Compound 8 (0.591 g, 2-step yield 75%).
1 H-NMR (CDCl 3 ) δ: 2.00-2.07 (m, 2H), 2.24-2.41 (m, 3H), 2.56-2.64 (m, 1H), 2.84-3.08 (m, 4H), 3.32 (s, 2H), 3.70 (s, 3H), 3.99 (t, J = 5.9 Hz, 2H), 6.72-6.77 (m, 2H), 6.95 (s, 1H), 7.22 (d, J = 8.5 Hz, 1H).
Step 8 Synthesis of Compound 9 Compound 8 (0.591 g, 1.48 mmol) was dissolved in methanol (6 mL), and a 28% methanol solution of sodium methoxide (1.45 mL, 5.93 mmol) was added. Stir for hours. The reaction mixture was poured into 1 mol / L hydrochloric acid aqueous solution (6 mL), water was added, and the mixture was extracted with ethyl acetate. The organic layer was washed with water and then dried over anhydrous magnesium sulfate. After the solvent was distilled off under reduced pressure, compound 9 (0.504 mg, 93%) was obtained as a crude product.
1 H-NMR (CDCl 3 ) δ: 2.01-2.20 (m, 4H), 2.25-2.45 (m, 3H), 2.64 (d, J = 17.4 Hz, 1H), 2.81-2.99 (m, 3H), 4.00 (t, J = 5.8 Hz, 2H), 5.70 (s, 1H), 6.75 (s, 1H), 6.79 (d, J = 8.3 Hz, 1H), 7.22 (d, J = 8.3 Hz, 1H).
Step 9 Synthesis of Compound 10 Compound 9 (0.350 g, 0.955 mmol) was dissolved in dichloroethane (11 mL), phosphoryl chloride (0.124 mL, 1.43 mmol) was added, followed by 2,6- Lutidine (0.167 mL, 1.43 mmol) was added and stirred for 5 minutes, warmed to room temperature and stirred for 3 hours. Then, it heated up to 40 degreeC and stirred for 2 hours and 10 minutes, and also heated up to 50 degreeC, and stirred for 1.5 hours. The solvent was distilled off under reduced pressure, saturated multistory water was added to the resulting residue, extracted with ethyl acetate, and the organic layer was dried over anhydrous magnesium sulfate. The solvent was distilled off under reduced pressure, and the obtained residue was purified by silica gel column chromatography (hexane-ethyl acetate) to obtain Compound 10 (0.212 g, 58%).
[M + H] = 385.05, measurement condition B: retention time 2.25 minutes
Step 10 Synthesis of Compound I-3 Compound 10 (0.270 g, 0.702 mmol) was dissolved in dioxane (5.4 mL), p-tolylboronic acid (0.286 g, 2.11 mmol) and tripotassium phosphate (447 mg). 2.11 mmol) and [1,1′-bis (di-tert-butylphosphino) ferrocene] palladium (II) dichloride (45.7 mg, 0.07 mmol) were added, and the mixture was stirred at 80 ° C. for 40 minutes. Thereafter, a saturated aqueous ammonium chloride solution was added at room temperature, and the mixture was extracted with ethyl acetate. The organic layer was washed with water and then dried over anhydrous magnesium sulfate. The solvent was distilled off under reduced pressure, and the obtained residue was purified by silica gel column chromatography (hexane-ethyl acetate) to obtain Compound I-3 (0.242 g, 78%).
1 H-NMR (CDCl 3 ) δ: 2.02-2.09 (m, 2H), 2.19-2.35 (m, 3H), 2.41 (s, 3H), 2.44-2.50 (m, 1H), 2.84-3.03 (m, 3H), 3.17 (d, J = 17.8 Hz, 1H), 4.02 (t, J = 6.0 Hz, 2H), 5.87 (s, 1H), 6.79-6.82 (m, 2H), 7.28-7.30 (m, 3H ), 7.52 (d, J = 8.3 Hz, 2H).
[M + H] = 441.30, measurement condition B: retention time 2.43 minutes
Step 11 Synthesis of Compound I-1 Compound I-3 (0.240 g, 0.545 mmol) was dissolved in dioxane (4 mL), and di-n-butyloxotin (67.8 mg, 0.272 mmol) and trimethylsilyl azide ( 0.361 mL, 2.72 mmol) was added, and microwave irradiation was performed at 150 ° C. for 1 hour. Thereafter, water was added, the mixture was extracted with ethyl acetate, and the organic layer was dried over anhydrous magnesium sulfate. The solvent was distilled off under reduced pressure, and the resulting residue was purified by silica gel column chromatography (chloroform-methanol-acetic acid), then further purified by reverse phase chromatography (acetonitrile-water), and ethyl acetate-diisopropyl ether-hexane. Recrystallization gave compound I-1 (124 mg, 47%).
1 H-NMR (DMSO-D 6 ) δ: 1.88-1.96 (m, 2H), 2.22 (s, 3H), 2.24-2.45 (m, 4H), 2.88-2.95 (m, 2H), 3.05 (d, J = 17.4 Hz, 1H), 3.16 (d, J = 17.4 Hz, 1H), 4.02 (t, J = 6.2 Hz, 2H), 6.80-6.85 (m, 2H), 6.88 (d, J = 8.1 Hz, 2H), 7.04 (d, J = 8.1 Hz, 2H), 7.40 (d, J = 8.3 Hz, 1H), 8.48 (s, 1H).
実施例2 化合物I-60の合成
工程1 化合物I-60の合成
(5-メチル-2-トリブチルスタニルピリジン(59.6mg、0.156mmol)をトルエン(1mL)に溶解し、化合物14(30.0mg、0.078mmol)とテトラキストリフェニルホスフィンパラジウム(9.01mg、0.0078mmol)を加え、140℃で30分間マイクロウェーブを照射した。その後、水を加え、クロロホルムで抽出した。有機層の溶媒を減圧留去し、得られた残渣を逆相クロマトグラフィー(アセトニトリル-水)により精製し、化合物I-60(12mg、35%)を得た。
1H-NMR (CDCl3) δ: 2.02-2.09 (m, 2H), 2.16-2.36 (m, 3H), 2.41 (s, 3H), 2.47-2.53 (m, 1H), 2.93-2.99 (m 2H), 3.16 (d, J = 18.3 Hz, 1H), 3.50 (d, J = 18.3 Hz, 1H), 4.01 (t, J = 6.0 Hz, 2H), 5.92 (s, 1H), 6.77-6.82 (m, 2H), 7.24-7.26 (m, 1H), 7.65 (dd, J = 8.0, 1.7 Hz, 1H), 8.05 (d, J = 8.2 Hz, 1H), 8.53 (d, J = 1.7 Hz, 1H).
Example 2 Synthesis of Compound I-60
Step 1 Synthesis of Compound I-60 (5-Methyl-2-tributylstannylpyridine (59.6 mg, 0.156 mmol) was dissolved in toluene (1 mL), and Compound 14 (30.0 mg, 0.078 mmol) and tetrakis Triphenylphosphine palladium (9.01 mg, 0.0078 mmol) was added and irradiated with microwaves for 30 minutes at 140 ° C. Then, water was added and extracted with chloroform, and the solvent of the organic layer was distilled off under reduced pressure. The residue was purified by reverse phase chromatography (acetonitrile-water) to give compound I-60 (12 mg, 35%).
1 H-NMR (CDCl 3 ) δ: 2.02-2.09 (m, 2H), 2.16-2.36 (m, 3H), 2.41 (s, 3H), 2.47-2.53 (m, 1H), 2.93-2.99 (m 2H ), 3.16 (d, J = 18.3 Hz, 1H), 3.50 (d, J = 18.3 Hz, 1H), 4.01 (t, J = 6.0 Hz, 2H), 5.92 (s, 1H), 6.77-6.82 (m , 2H), 7.24-7.26 (m, 1H), 7.65 (dd, J = 8.0, 1.7 Hz, 1H), 8.05 (d, J = 8.2 Hz, 1H), 8.53 (d, J = 1.7 Hz, 1H) .
実施例3 化合物I-62の合成
工程1 化合物I-62の合成
化合物14(20mg、0.052mmol)をジオキサン(0.5mL)に溶解し、ジイソプロピルエチルアミン(0.045ml、0.260mmol)と4,4-ジメチルピペリジン塩酸塩(15.6mg、0.104mmol)を加え、100℃で1時間半撹拌した。その後、水を加え、クロロホルムで抽出した。有機層の溶媒を減圧留去し、得られた残渣をアミノシリカゲルカラムクロマトグラフィー(ヘキサン-酢酸エチル)により精製し、化合物I-62(18.2mg、76%)を得た。
1H-NMR (CDCl3) δ: 1.02 (s, 6H), 1.45-1.53 (m, 4H), 2.01-2.19 (m 3H), 2.27-2.37 (m 3H), 2.56 (d, J = 15.1 Hz, 1H), 2.72 (d, J = 15.1 Hz, 1H), 2.78-2.87 (m, 1H), 2.92-3.00 (m, 1H), 3.60-3.75 (m, 4H), 4.01 (t, J = 5.8 Hz, 2H), 5.44 (s, 1H), 6.75-6.81 (m, 2H), 7.23-7.26 (m, 1H).
Example 3 Synthesis of Compound I-62
Step 1 Synthesis of Compound I-62 Compound 14 (20 mg, 0.052 mmol) was dissolved in dioxane (0.5 mL), and diisopropylethylamine (0.045 ml, 0.260 mmol) and 4,4-dimethylpiperidine hydrochloride (15 .6 mg, 0.104 mmol) was added, and the mixture was stirred at 100 ° C. for 1.5 hours. Then, water was added and extracted with chloroform. The solvent of the organic layer was distilled off under reduced pressure, and the resulting residue was purified by amino silica gel column chromatography (hexane-ethyl acetate) to obtain Compound I-62 (18.2 mg, 76%).
1 H-NMR (CDCl 3 ) δ: 1.02 (s, 6H), 1.45-1.53 (m, 4H), 2.01-2.19 (m 3H), 2.27-2.37 (m 3H), 2.56 (d, J = 15.1 Hz , 1H), 2.72 (d, J = 15.1 Hz, 1H), 2.78-2.87 (m, 1H), 2.92-3.00 (m, 1H), 3.60-3.75 (m, 4H), 4.01 (t, J = 5.8 Hz, 2H), 5.44 (s, 1H), 6.75-6.81 (m, 2H), 7.23-7.26 (m, 1H).
参考例1 X線構造解析用化合物13の合成
工程1 化合物11の合成
化合物3(89mg、0.23mmol)をメタノール(1.4mL)に溶解し、4mol/Lの塩酸ジオキサン溶液(0.12mL、0.46mmol)を加え、室温で1時間撹拌した。飽和重曹水を加え、酢酸エチルで抽出した。有機層を水で洗浄した後、無水硫酸マグネシウムで乾燥した。溶媒を減圧留去した後、そのまま次の反応へ進んだ。
工程2 化合物12の合成
シアノ酢酸(60.2mg、0.707mmol)のジクロロメタン(1.2mL)溶液に2塩化オキサリル(0.062mL、0.707mmol)を滴下し、少量のジメチルホルムアミドを加え、室温下30分間撹拌し、塩化シアノアセチルのジクロロメタン溶液を調製した。化合物11(67.0mg、0.236mmol)のジクロロメタン(2.0mL)溶液にピリジン(0.152mL、1.89mmol)と先に調製した塩化シアノアセチルのジクロロメタン溶液を加え、室温で30分撹拌した。水を加えて、クロロホルムで抽出した。溶媒を減圧留去し、得られた残渣をシリカゲルカラムクロマトグラフィー(ヘキサン-酢酸エチル)により精製して化合物12(74.0mg、2段階収率89%)を得た。
工程3 化合物13の合成
化合物12(74.0mg、0.211mmol)をメタノール(1mL)に溶解し、ソジウムメトキシドの28%メタノール溶液(0.21mL、0.84mmol)を加え、室温下2時間撹拌した。濃縮後、酢酸エチルを加え、反応液を1mol/Lの塩酸水溶液に注ぎ、酢酸エチルで抽出した。有機層を水で洗浄した後、無水硫酸マグネシウムで乾燥した。溶媒を減圧留去した後、化合物13(66.0mg、98%)を得た。得られた化合物13を結晶化した後、X線構造解析を行うことで、不斉炭素の絶対立体構造がS体であることを確認した。
[M+H]=319.10、測定条件B:保持時間1.40分
Reference Example 1 Synthesis of Compound 13 for X-ray Structure Analysis
Step 1 Synthesis of Compound 11 Compound 3 (89 mg, 0.23 mmol) was dissolved in methanol (1.4 mL), 4 mol / L dioxane hydrochloride solution (0.12 mL, 0.46 mmol) was added, and the mixture was stirred at room temperature for 1 hour. did. Saturated aqueous sodium hydrogen carbonate was added, and the mixture was extracted with ethyl acetate. The organic layer was washed with water and then dried over anhydrous magnesium sulfate. After the solvent was distilled off under reduced pressure, the reaction proceeded directly to the next reaction.
Step 2 Synthesis of Compound 12 To a solution of cyanoacetic acid (60.2 mg, 0.707 mmol) in dichloromethane (1.2 mL), oxalyl dichloride (0.062 mL, 0.707 mmol) was added dropwise, and a small amount of dimethylformamide was added. Under stirring for 30 minutes, a dichloromethane solution of cyanoacetyl chloride was prepared. To a solution of compound 11 (67.0 mg, 0.236 mmol) in dichloromethane (2.0 mL) was added pyridine (0.152 mL, 1.89 mmol) and the previously prepared dichloromethane solution of cyanoacetyl chloride, and the mixture was stirred at room temperature for 30 minutes. . Water was added and extracted with chloroform. The solvent was distilled off under reduced pressure, and the resulting residue was purified by silica gel column chromatography (hexane-ethyl acetate) to obtain Compound 12 (74.0 mg, 2-step yield 89%).
Step 3 Synthesis of Compound 13 Compound 12 (74.0 mg, 0.211 mmol) was dissolved in methanol (1 mL), and a 28% methanol solution of sodium methoxide (0.21 mL, 0.84 mmol) was added. Stir for hours. After concentration, ethyl acetate was added, and the reaction solution was poured into 1 mol / L hydrochloric acid aqueous solution and extracted with ethyl acetate. The organic layer was washed with water and then dried over anhydrous magnesium sulfate. After the solvent was distilled off under reduced pressure, Compound 13 (66.0 mg, 98%) was obtained. After crystallizing the obtained compound 13, X-ray structural analysis was performed to confirm that the absolute stereostructure of the asymmetric carbon was an S form.
[M + H] = 319.10, measurement condition B: retention time 1.40 minutes
以下に示す化合物も同様にして合成した。 The following compounds were synthesized in the same manner.
実施例4 化合物I-71の合成
工程1 化合物I-166の合成
化合物10(0.350g、0.910mmol)をジオキサン(7.0mL)に溶解し、4-ジフルオロメトキシフェニルボロン酸(0.513g、2.73mmol)とリン酸三カリウム(579mg、2.73mmol)と[1,1’-ビス(ジ-tert-ブチルホスフィノ)フェロセン]パラジウム(II)ジクロリド(59.3mg、0.091mmol)を加え、80℃で1時間半撹拌した。その後、室温で飽和塩化アンモニウム水溶液を加え、酢酸エチルで抽出した。有機層を水で洗浄した後、無水硫酸マグネシウムで乾燥した。溶媒を減圧留去し、得られた残渣をシリカゲルカラムクロマトグラフィー(ヘキサン-酢酸エチル)により精製し、化合物I-166(0.311g、69%)を得た。
[M+H]=493.40、測定条件B:保持時間2.34分
工程2 化合物11の合成
化合物I-166(300mg、0.609mmol)をエタノール(6.0mL)とテトラヒドロフラン(6.0mL)に溶解し、ヒドロキシルアミン50%水溶液(1.80mL、30.5mmol)を加え、60℃で17時間撹拌した。その後、溶媒を減圧留去し、得られた残渣をシリカゲルカラムクロマトグラフィー(クロロホルム-メタノール)により精製し、化合物11(178mg、56%)を得た。
[M+H]=526.35、測定条件B:保持時間1.74分
工程3 化合物I-71の合成
化合物11(178mg、0.340mmol)をジメチルホルムアミド(7.0mL)に溶解し、ピリジン(0.275mL、3.40mmol)とクロロギ酸4-ニトロフェニル(274mg、1.36mmol)を加え、室温で17時間撹拌した。その後、水を加え、酢酸エチルで抽出し、有機層を無水硫酸マグネシウムで乾燥した。溶媒を減圧留去し、得られた残渣をシリカゲルカラムクロマトグラフィー(クロロホルム-メタノール-酢酸)により精製し、化合物I-71(110mg、59%)を得た。
[M+H]=552.45、測定条件B:保持時間2.21分
1H-NMR (CDCl3) δ: 2.03-2.09 (m, 2H), 2.28-2.35 (m, 3H), 2.50-2.57 (m, 1H), 2.89-3.18 (m, 4H), 4.01 (t, J = 5.9 Hz, 2H), 6.36-6.73 (dd, J = 77.5, 68.9 Hz, 2H), 6.79-6.82 (d, J = 10.5 Hz, 2H), 7.13 (d, J = 8.7 Hz, 2H), 7.21-7.30 (m, 3H)
Example 4 Synthesis of Compound I-71
Step 1 Synthesis of Compound I-166 Compound 10 (0.350 g, 0.910 mmol) was dissolved in dioxane (7.0 mL), 4-difluoromethoxyphenylboronic acid (0.513 g, 2.73 mmol) and triphosphate Potassium (579 mg, 2.73 mmol) and [1,1′-bis (di-tert-butylphosphino) ferrocene] palladium (II) dichloride (59.3 mg, 0.091 mmol) were added and the mixture was heated at 80 ° C. for 1.5 hours. Stir. Thereafter, a saturated aqueous ammonium chloride solution was added at room temperature, and the mixture was extracted with ethyl acetate. The organic layer was washed with water and then dried over anhydrous magnesium sulfate. The solvent was distilled off under reduced pressure, and the obtained residue was purified by silica gel column chromatography (hexane-ethyl acetate) to obtain Compound I-166 (0.311 g, 69%).
[M + H] = 493.40, measurement condition B: retention time 2.34 minutes
Step 2 Synthesis of Compound 11 Compound I-166 (300 mg, 0.609 mmol) was dissolved in ethanol (6.0 mL) and tetrahydrofuran (6.0 mL), and hydroxylamine 50% aqueous solution (1.80 mL, 30.5 mmol) was dissolved. In addition, the mixture was stirred at 60 ° C. for 17 hours. Thereafter, the solvent was distilled off under reduced pressure, and the resulting residue was purified by silica gel column chromatography (chloroform-methanol) to obtain Compound 11 (178 mg, 56%).
[M + H] = 526.35, measurement condition B: retention time 1.74 minutes
Step 3 Synthesis of Compound I-71 Compound 11 (178 mg, 0.340 mmol) was dissolved in dimethylformamide (7.0 mL), pyridine (0.275 mL, 3.40 mmol) and 4-nitrophenyl chloroformate (274 mg, 1 .36 mmol) was added and stirred at room temperature for 17 hours. Then, water was added and extracted with ethyl acetate, and the organic layer was dried over anhydrous magnesium sulfate. The solvent was distilled off under reduced pressure, and the obtained residue was purified by silica gel column chromatography (chloroform-methanol-acetic acid) to obtain Compound I-71 (110 mg, 59%).
[M + H] = 552.45, measurement condition B: retention time 2.21 minutes
1 H-NMR (CDCl 3 ) δ: 2.03-2.09 (m, 2H), 2.28-2.35 (m, 3H), 2.50-2.57 (m, 1H), 2.89-3.18 (m, 4H), 4.01 (t, J = 5.9 Hz, 2H), 6.36-6.73 (dd, J = 77.5, 68.9 Hz, 2H), 6.79-6.82 (d, J = 10.5 Hz, 2H), 7.13 (d, J = 8.7 Hz, 2H), 7.21-7.30 (m, 3H)
実施例5 化合物I-107の合成
工程1 化合物2の合成
5-ブロモ-2,3-ジヒドロ-1H-インデン-1-オン(100mg、0.47mmol)をアセトニトリル(2mL)に溶解し、硫酸ナトリウム(135mg、0.95mmol)とセレクトフロー(420mg、1.19mmol)を加え、80℃で14時間撹拌した。室温下、酢酸エチルで希釈し、水を加え、酢酸エチルで抽出した。有機層を水で洗浄した後、無水硫酸マグネシウムで乾燥した。溶媒を減圧留去し、得られた残渣をジオールカラムクロマトグラフィー(ヘキサン-酢酸エチル)により精製し、化合物2(63mg、収率58%)を得た。
1H-NMR (CDCl3) δ: 3.17-3.29 (m, 1H), 3.57-3.65 (m, 1H), 5.26 (ddd, J = 50.8, 7.8, 4.3 Hz, 1H), 7.59 (d, J = 8.2 Hz, 1H), 7.66-7.68 (m, 2H).
工程2 化合物3の合成
化合物2(63mg、0.28mmol)をジクロロメタン(2mL)に溶解し、トリエチルアミン(0.11ml、0.83mmol)とt-ブチルジメチルシリルトリフルオロメタンスルホナート(109mg、0.41mmol)を加え、0℃で5時間撹拌した。室温下、ジエチルエーテルで希釈し、飽和重層水を加え、ジエチルエーテルで抽出した。有機層を飽和重層水で洗浄した後、無水硫酸マグネシウムで乾燥した。溶媒を減圧留去し、粗生成物を得た。得られた粗生成物をアセトニトリル(2mL)に溶解し、セレクトフロー(107mg、0.30mmol)を加え、室温で11時間撹拌した。濃縮後、ジクロロメタンで希釈し、濾過を行った。溶媒を減圧留去し、得られた残渣をカラムクロマトグラフィー(ヘキサン-酢酸エチル)により精製し、化合物3(51mg、2段階収率75%)を得た。
1H-NMR (CDCl3) δ: 3.56 (t, J = 12.5 Hz, 2H), 7.65 (d, J = 8.2 Hz, 1H), 7.68 (s, 1H), 7.73 (d, J = 8.3 Hz, 1H).
工程3 化合物4の合成
化合物3(3.00g、12.1mmol)をテトラヒドロフラン(30mL)に溶解し、(S)-2-メチルプロパン-2-スルフィンアミド(1.91g、15.8mmol)とテトラエトキシチタン(3.30mL、15.8mmol)を加え、80℃で8時間撹拌した。その後、室温下、酢酸エチルで希釈し、飽和塩化アンモニウム水溶液を加えた。ロッシェル塩を加えて5分撹拌した後、酢酸エチルで抽出した。有機層を飽和塩化アンモニウム水溶液で洗浄した後、無水硫酸マグネシウムで乾燥した。溶媒を減圧留去し、得られた残渣をシリカゲルカラムクロマトグラフィー(ヘキサン‐酢酸エチル)により精製して化合物4(4.09g、収率96%)を得た。
[M+H]=350.05、測定条件B:保持時間2.27分
工程4 化合物5の合成
ジイソプロピルアミン(2.40mL、17.1mmol)のテトラヒドロフラン(20mL)溶液をドライアイス-アセトンで-78℃に冷却した。これに2.66mol/L n-ブチルリチウム-ヘキサン溶液(6.44mL、17.1mmol)を滴下し、-78℃から-20℃まで1時間かけて撹拌しながら昇温させた。p-メチルアセトフェノン(2.23mL、17.1mmol)を-78℃で滴下し、1時間かけて撹拌した。ここへ化合物4(3.00g、8.57mmol)のテトラヒドロフラン(10mL)溶液を滴下し、-78℃から-50℃まで3時間かけて撹拌しながら昇温させた。飽和塩化アンモニウム水溶液を加え、室温に昇温した。酢酸エチルで抽出した後、有機層を水で洗浄した後、無水硫酸マグネシウムで乾燥した。溶媒を減圧留去し、得られた残渣をシリカゲルカラムクロマトグラフィー(ヘキサン-酢酸エチル)により精製して、化合物5とジアステレオマーの混合物(3.57g、化合物5/ジアステレオマー=76/24)を得た。
[M+H]=484.20、測定条件B:保持時間2.50分
工程5 化合物6の合成
化合物5とジアステレオマーの混合物(3.57g、7.37mmol、化合物5/ジアステレオマー=76/24)をジオキサン(35mL)に溶解し、ビス(ピナコラト)ジボロン(2.81g、11.1mmol)と[1,1’-ビス(ジフェニルホスフィノ)フェロセン]パラジウム(II)ジクロリド ジクロロメタン錯体(1:1)(0.60g、0.737mmol)と酢酸カリウム(2.17g、22.1mmol)を加え、80℃で3時間半撹拌した。室温下、酢酸エチルで希釈し、濾過を行った後、重層水を加え、酢酸エチルで抽出した。有機層を水で洗浄した後、無水硫酸マグネシウムで乾燥し、溶媒を減圧留去した。得られた残債をテトラヒドロフラン(11mL)に溶解し、30%過酸化水素水(15.1mL、147mmol)を加え、室温で3時間撹拌した。酢酸エチルで希釈し、水を加え、酢酸エチルで抽出した。有機層を水で洗浄した後、無水硫酸マグネシウムで乾燥した。溶媒を減圧留去し、得られた残渣をシリカゲルカラムクロマトグラフィー(クロロホルム-メタノール)により精製し、化合物6(2.55g、3段階収率71%)を得た。
[M+H]=422.45、測定条件B:保持時間2.02分
工程6 化合物7の合成
化合物6(2.47g、5.86mmol)をジメチルホルムアルデヒド(25mL)に溶解し、炭酸セシウム(3.82g、11.7mmol)と4-ブロモ-1,1,1-トリフルオロブタン(0.86mL、7.03mmol)を加え、室温で2時間撹拌した。飽和塩化アンモニウム水溶液を加え、酢酸エチルで抽出した。有機層を水で洗浄した後、無水硫酸マグネシウムで乾燥した。溶媒を減圧留去し、得られた残渣をシリカゲルカラムクロマトグラフィー(ヘキサン-酢酸エチル)により精製し、化合物7(1.81g、58%)を得た。
[M+H]=432.40、測定条件B:保持時間2.63分
工程7 化合物8の合成
化合物7(0.50g、0.94mmol)をメタノール(10mL)に溶解し、4mol/Lの塩酸ジオキサン溶液(1.2mL、4.70mmol)を加え、室温で6時間撹拌した。飽和重曹水を加え、酢酸エチルで抽出した。有機層を水で洗浄した後、無水硫酸マグネシウムで乾燥した。溶媒を減圧留去した後、化合物8(0.45g)を粗生成物として得た。得られた粗生成物を用いて、次の反応へ進んだ。
工程8 化合物9の合成
シアノ酢酸(0.16g、1.88mmol)のジクロロメタン(20mL)溶液に2塩化オキサリル(0.16ml、1.88mmol)を滴下し、少量のジメチルホルムアミドを加え、室温下1時間撹拌し、塩化シアノアセチルのジクロロメタン溶液を調製した。工程7で合成した化合物8の粗生成物(0.45g)のジクロロメタン(8mL)溶液にピリジン(0.23ml、2.82mmol)と先に調製した塩化シアノアセチルのジクロロメタン溶液を加え、室温で2時間撹拌した。飽和塩化アンモニウム水溶液を加えて、酢酸エチルで抽出した。有機層を水で洗浄した後、無水硫酸マグネシウムで乾燥した。溶媒を減圧留去し、化合物9の粗生成物(0.47g)を得た。
工程9 化合物I-105の合成
工程8で合成した化合物9の粗生成物(0.47g)をエタノール(9mL)に溶解し、ピペリジン(0.93mL、9.41mmol)を加え、80℃で3時間撹拌した。反応液に水を加え、酢酸エチルで抽出した。有機層を水で洗浄した後、無水硫酸マグネシウムで乾燥した。溶媒を減圧留去した後、クロマトグラフィー(ヘキサン-酢酸エチル)により精製し、化合物I-105(336mg、3段階収率75%)を得た。
1H-NMR (CDCl3) δ: 2.03-2.10 (m, 2H), 2.26-2.41 (m, 5H), 3.14-3.26 (m, 2H), 3.40-3.48 (m, 2H), 4.02 (t, J = 6.0 Hz, 2H), 5.86 (s, 1H), 6.78 (s, 1H), 6.90 (d, J = 8.4 Hz, 1H), 7.26-7.32 (m, 4H), 7.50 (d, J = 8.3 Hz, 2H).
工程10 化合物I-107の合成
化合物I-105(0.03g、0.063mmol)をジオキサン(1mL)に溶解し、ジ-n-ブチルオキソスズ(31.3mg、0.126mmol)とトリメチルシリルアジド(0.083mL、0.63mmol)を加え、150℃で1時間マイクロウェーブを照射した。その後、水を加え、酢酸エチルで抽出し、有機層無水硫酸マグネシウムで乾燥した。溶媒を減圧留去し、得られた残渣を逆相クロマトグラフィー(アセトニトリル-水)で精製し、化合物I-107(19.2mg、59%)を得た。
1H-NMR (DMSO-D6) δ: 1.91-1.98 (m, 2H), 2.23 (s, 3H), 2.39-2.46 (m, 2H), 3.09 (d, J = 18.1 Hz, 1H), 3.46-3.67 (m, 3H), 4.06 (t, J = 6.2 Hz, 2H), 6.92-6.98 (m, 4H), 7.06 (d, J = 8.0 Hz, 2H), 7.47 (d, J = 8.5 Hz, 1H), 8.60 (s, 1H).
さらに以下に示す化合物も上記いずれかの方法と同様にして合成した。
Example 5 Synthesis of Compound I-107
Step 1 Synthesis of Compound 2 5-Bromo-2,3-dihydro-1H-inden-1-one (100 mg, 0.47 mmol) was dissolved in acetonitrile (2 mL) and selected with sodium sulfate (135 mg, 0.95 mmol). Flow (420 mg, 1.19 mmol) was added and stirred at 80 ° C. for 14 hours. The mixture was diluted with ethyl acetate at room temperature, water was added, and the mixture was extracted with ethyl acetate. The organic layer was washed with water and then dried over anhydrous magnesium sulfate. The solvent was distilled off under reduced pressure, and the resulting residue was purified by diol column chromatography (hexane-ethyl acetate) to obtain Compound 2 (63 mg, yield 58%).
1 H-NMR (CDCl 3 ) δ: 3.17-3.29 (m, 1H), 3.57-3.65 (m, 1H), 5.26 (ddd, J = 50.8, 7.8, 4.3 Hz, 1H), 7.59 (d, J = 8.2 Hz, 1H), 7.66-7.68 (m, 2H).
Step 2 Synthesis of Compound 3 Compound 2 (63 mg, 0.28 mmol) was dissolved in dichloromethane (2 mL), triethylamine (0.11 ml, 0.83 mmol) and t-butyldimethylsilyl trifluoromethanesulfonate (109 mg, 0.41 mmol). ) And stirred at 0 ° C. for 5 hours. Dilute with diethyl ether at room temperature, add saturated multistory water, and extract with diethyl ether. The organic layer was washed with saturated multilayer water and then dried over anhydrous magnesium sulfate. The solvent was distilled off under reduced pressure to obtain a crude product. The obtained crude product was dissolved in acetonitrile (2 mL), Select Flow (107 mg, 0.30 mmol) was added, and the mixture was stirred at room temperature for 11 hours. After concentration, it was diluted with dichloromethane and filtered. The solvent was distilled off under reduced pressure, and the resulting residue was purified by column chromatography (hexane-ethyl acetate) to obtain Compound 3 (51 mg, 2-step yield 75%).
1 H-NMR (CDCl 3 ) δ: 3.56 (t, J = 12.5 Hz, 2H), 7.65 (d, J = 8.2 Hz, 1H), 7.68 (s, 1H), 7.73 (d, J = 8.3 Hz, 1H).
Step 3 Synthesis of Compound 4 Compound 3 (3.00 g, 12.1 mmol) was dissolved in tetrahydrofuran (30 mL), and (S) -2-methylpropane-2-sulfinamide (1.91 g, 15.8 mmol) and tetra Ethoxytitanium (3.30 mL, 15.8 mmol) was added and stirred at 80 ° C. for 8 hours. Then, it diluted with ethyl acetate at room temperature, and saturated ammonium chloride aqueous solution was added. Rochelle salt was added and stirred for 5 minutes, followed by extraction with ethyl acetate. The organic layer was washed with a saturated aqueous ammonium chloride solution and then dried over anhydrous magnesium sulfate. The solvent was distilled off under reduced pressure, and the obtained residue was purified by silica gel column chromatography (hexane-ethyl acetate) to obtain Compound 4 (4.09 g, yield 96%).
[M + H] = 350.05, measurement condition B: retention time 2.27 minutes
Step 4 Synthesis of Compound 5 A solution of diisopropylamine (2.40 mL, 17.1 mmol) in tetrahydrofuran (20 mL) was cooled to −78 ° C. with dry ice-acetone. A 2.66 mol / L n-butyllithium-hexane solution (6.44 mL, 17.1 mmol) was added dropwise thereto, and the temperature was raised from −78 ° C. to −20 ° C. over 1 hour with stirring. p-Methylacetophenone (2.23 mL, 17.1 mmol) was added dropwise at −78 ° C., and the mixture was stirred for 1 hour. A solution of compound 4 (3.00 g, 8.57 mmol) in tetrahydrofuran (10 mL) was added dropwise thereto, and the mixture was heated from −78 ° C. to −50 ° C. with stirring over 3 hours. A saturated aqueous ammonium chloride solution was added, and the temperature was raised to room temperature. After extraction with ethyl acetate, the organic layer was washed with water and dried over anhydrous magnesium sulfate. The solvent was distilled off under reduced pressure, and the obtained residue was purified by silica gel column chromatography (hexane-ethyl acetate) to give a mixture of compound 5 and diastereomer (3.57 g, compound 5 / diastereomer = 76/24 )
[M + H] = 484.20, measurement condition B: retention time 2.50 minutes
Step 5 Synthesis of Compound 6 A mixture of compound 5 and diastereomer (3.57 g, 7.37 mmol, compound 5 / diastereomer = 76/24) was dissolved in dioxane (35 mL), and bis (pinacolato) diboron (2 .81 g, 11.1 mmol) and [1,1′-bis (diphenylphosphino) ferrocene] palladium (II) dichloride dichloromethane complex (1: 1) (0.60 g, 0.737 mmol) and potassium acetate (2.17 g) 22.1 mmol) was added, and the mixture was stirred at 80 ° C. for 3.5 hours. The reaction mixture was diluted with ethyl acetate at room temperature and filtered, and then layered water was added and extracted with ethyl acetate. The organic layer was washed with water and then dried over anhydrous magnesium sulfate, and the solvent was distilled off under reduced pressure. The obtained residual bonds were dissolved in tetrahydrofuran (11 mL), 30% aqueous hydrogen peroxide (15.1 mL, 147 mmol) was added, and the mixture was stirred at room temperature for 3 hours. Dilute with ethyl acetate, add water and extract with ethyl acetate. The organic layer was washed with water and then dried over anhydrous magnesium sulfate. The solvent was distilled off under reduced pressure, and the resulting residue was purified by silica gel column chromatography (chloroform-methanol) to obtain Compound 6 (2.55 g, 3-step yield 71%).
[M + H] = 422.45, measurement condition B: retention time 2.02 minutes
Step 6 Synthesis of Compound 7 Compound 6 (2.47 g, 5.86 mmol) was dissolved in dimethylformaldehyde (25 mL), cesium carbonate (3.82 g, 11.7 mmol) and 4-bromo-1,1,1-tri Fluorobutane (0.86 mL, 7.03 mmol) was added and stirred at room temperature for 2 hours. Saturated aqueous ammonium chloride solution was added, and the mixture was extracted with ethyl acetate. The organic layer was washed with water and then dried over anhydrous magnesium sulfate. The solvent was distilled off under reduced pressure, and the obtained residue was purified by silica gel column chromatography (hexane-ethyl acetate) to obtain Compound 7 (1.81 g, 58%).
[M + H] = 432.40, measurement condition B: retention time 2.63 minutes
Step 7 Synthesis of Compound 8 Compound 7 (0.50 g, 0.94 mmol) was dissolved in methanol (10 mL), 4 mol / L dioxane hydrochloride solution (1.2 mL, 4.70 mmol) was added, and the mixture was stirred at room temperature for 6 hours. did. Saturated aqueous sodium hydrogen carbonate was added, and the mixture was extracted with ethyl acetate. The organic layer was washed with water and then dried over anhydrous magnesium sulfate. After distilling off the solvent under reduced pressure, Compound 8 (0.45 g) was obtained as a crude product. The resulting crude product was used to proceed to the next reaction.
Step 8 Synthesis of Compound 9 Oxalyl dichloride (0.16 ml, 1.88 mmol) was added dropwise to a solution of cyanoacetic acid (0.16 g, 1.88 mmol) in dichloromethane (20 mL), and a small amount of dimethylformamide was added. Stir for hours to prepare a dichloromethane solution of cyanoacetyl chloride. To a solution of the crude product of compound 8 synthesized in step 7 (0.45 g) in dichloromethane (8 mL) is added pyridine (0.23 ml, 2.82 mmol) and the previously prepared dichloromethane solution of cyanoacetyl chloride. Stir for hours. Saturated aqueous ammonium chloride solution was added, and the mixture was extracted with ethyl acetate. The organic layer was washed with water and then dried over anhydrous magnesium sulfate. The solvent was distilled off under reduced pressure to obtain a crude product of compound 9 (0.47 g).
Step 9 Synthesis of Compound I-105 The crude product of Compound 9 (0.47 g) synthesized in Step 8 was dissolved in ethanol (9 mL), piperidine (0.93 mL, 9.41 mmol) was added, and Stir for hours. Water was added to the reaction mixture, and the mixture was extracted with ethyl acetate. The organic layer was washed with water and then dried over anhydrous magnesium sulfate. After evaporating the solvent under reduced pressure, the residue was purified by chromatography (hexane-ethyl acetate) to obtain Compound I-105 (336 mg, 3 step yield 75%).
1 H-NMR (CDCl 3 ) δ: 2.03-2.10 (m, 2H), 2.26-2.41 (m, 5H), 3.14-3.26 (m, 2H), 3.40-3.48 (m, 2H), 4.02 (t, J = 6.0 Hz, 2H), 5.86 (s, 1H), 6.78 (s, 1H), 6.90 (d, J = 8.4 Hz, 1H), 7.26-7.32 (m, 4H), 7.50 (d, J = 8.3 Hz, 2H).
Step 10 Synthesis of Compound I-107 Compound I-105 (0.03 g, 0.063 mmol) was dissolved in dioxane (1 mL), and di-n-butyloxotin (31.3 mg, 0.126 mmol) and trimethylsilyl azide ( 0.083 mL, 0.63 mmol) was added, and microwave irradiation was performed at 150 ° C. for 1 hour. Thereafter, water was added, the mixture was extracted with ethyl acetate, and the organic layer was dried over anhydrous magnesium sulfate. The solvent was distilled off under reduced pressure, and the resulting residue was purified by reverse phase chromatography (acetonitrile-water) to obtain Compound I-107 (19.2 mg, 59%).
1 H-NMR (DMSO-D 6 ) δ: 1.91-1.98 (m, 2H), 2.23 (s, 3H), 2.39-2.46 (m, 2H), 3.09 (d, J = 18.1 Hz, 1H), 3.46 -3.67 (m, 3H), 4.06 (t, J = 6.2 Hz, 2H), 6.92-6.98 (m, 4H), 7.06 (d, J = 8.0 Hz, 2H), 7.47 (d, J = 8.5 Hz, 1H), 8.60 (s, 1H).
Further, the compounds shown below were synthesized in the same manner as in any of the above methods.
実施例6 化合物I-407の合成
工程1 化合物2の合成
化合物1(10.5g、24.1mmol)をメタノール(50mL)に溶解し、2mol/L水酸化ナトリウム水溶液(14.5mL、28.9mmol)を加え、室温で2時間撹拌した。濃縮後、水で希釈し、2mol/L塩酸を加えて中和した。その後、クロロホルムで抽出し、有機層を水で洗浄した後、硫酸ナトリウムで乾燥した。溶媒を減圧留去し、化合物2の粗生成物(10.2g)を得た。
1H-NMR (CDCl3) δ: 1.24 (s, 9H), 2.01-2.08 (m, 2H), 2.26-2.35 (m, 2H), 2.43-2.50 (m, 1H), 2.64-2.72 (m, 2H), 2.80 (d, J = 14.6 Hz, 1H), 2.86-2.94 (m, 1H), 3.12-3.17 (m, 1H), 4.01 (t, J = 6.0 Hz, 2H), 5.91 (s, 1H), 6.75-6.77 (m, 2H), 7.06 (d, J = 8.2 Hz, 1H).
工程2 化合物3の合成
化合物2の粗生成物(10.2g)をジクロロメタン(70mL)に溶解し、1-ヒドロキシベンズトリアゾール(3.92g、29.0mmol)と1-エチル-3-(3-ジメチルアミノプロピル)カルボジイミド塩酸塩(5.57g、29.0mmol)とN,O-ジメチルヒドロキシルアミン塩酸塩(2.83g、29.0mmol)とトリエチルアミン(10.1mL、72.6mmol)を加え、室温下で15時間撹拌した。室温下、10%クエン酸水溶液を加えた、酢酸エチルで抽出した。有機層を飽和重層水で洗浄した後、硫酸ナトリウムで乾燥した。溶媒を減圧留去し、得られた残渣をカラムクロマトグラフィー(クロロホルム-メタノール)により精製し、化合物3(10.6g、収率94%)を得た。
1H-NMR (CDCl3) δ: 1.19 (s, 9H), 2.01-2.08 (m, 2H), 2.24-2.35 (m, 3H), 2.72-2.87 (m, 3H), 2.98 (d, J = 15.9 Hz, 1H), 3.13-3.20 (m, 4H), 3.59 (s, 3H), 4.01 (t, J = 6.0 Hz, 2H), 5.94 (s, 1H), 6.75-6.77 (m, 2H), 7.15 (d, J = 9.2 Hz, 1H).
工程3 化合物4の合成
化合物3(2.8g、6.03mmol)をテトラヒドロフラン(20mL)に溶解し、1mol/Lのp-トリルマグネシウムブロミド テトラヒドロフラン溶液(18.1mL、6.03mmol)を-60℃で加え、0℃まで徐々に昇温しながら5時間撹拌した。その後、酢飽和塩化アンモニウム水溶液を加えた後、酢酸エチルで抽出した。有機層を飽和塩化ナトリウム水溶液で洗浄した後、無水硫酸マグネシウムで乾燥した。溶媒を減圧留去し、得られた残渣をシリカゲルカラムクロマトグラフィー(ヘキサン-酢酸エチル)により精製して化合物4(2.33g、収率78%)を得た。
1H-NMR (CDCl3) δ: 1.18 (s, 9H), 2.02-2.09 (m, 2H), 2.30 (tt, J = 15.2, 4.6 Hz, 3H), 2.41 (s, 3H), 2.81 (tt, J = 18.8, 5.2 Hz, 2H), 3.20 (dd, J = 16.4, 7.0 Hz, 1H), 3.52 (d, J = 17.3 Hz, 1H), 4.02 (t, J = 6.0 Hz, 2H), 5.51 (s, 1H), 6.77 (d, J = 7.2 Hz, 2H), 7.16 (d, J = 9.0 Hz, 1H), 7.25 (t, J = 5.3 Hz, 3H), 7.82 (d, J = 8.3 Hz, 2H).
工程4 化合物5の合成
化合物4(2.24g、4.52mmol)のメタノール(20mL)に溶解し、4mol/Lの塩酸ジオキサン溶液(2.26mL、9.04mmol)を滴下し、0℃で1時間撹拌した。溶媒を減圧留去した後、得られた残渣をテトラヒドロフラン(7mL)に溶解させた。HATU(2.15g、5.65mmol)とトリエチルアミン(1.57mL、11.3mmol)と2-(5-メチル-4H-1,2,4-トリアゾール-3-イル)酢酸(800mg、5.67mmol)を加えて、2時間かけて撹拌した。10%のクエン酸水溶液を加え、酢酸エチルで抽出した後、有機層を重層水で洗浄した後、無水硫酸マグネシウムで乾燥した。溶媒を減圧留去し化合物5の粗生成物(1.23g)を得た。
[M+H]=515.20、測定条件D:保持時間2.15分
工程5 化合物I-407の合成
化合物5の粗生成物(1.23g)をエタノール(10mL)に溶解し、ピペリジン(1.16mL、11.7mmol)を加え、80℃で16時間撹拌した。溶媒を減圧留去し、得られた残渣をシリカゲルカラムクロマトグラフィー(クロロホルム‐メタノール)により精製し、さらに逆相クロマトグラフィーにより精製することで化合物I-407(740mg、3段階収率64%)を得た。
1H-NMR (CDCl3) δ: 2.00-2.10 (m, 2H), 2.20-2.41 (m, 9H), 2.58-2.64 (m, 1H), 2.87-3.04 (m, 3H), 3.13 (d, J = 18.1 Hz, 1H), 4.01 (t, J = 5.9 Hz, 2H), 6.06 (s, 1H), 6.75-6.85 (m, 2H), 7.04 (d, J = 8.2 Hz, 2H), 7.08 (d, J = 8.2 Hz, 2H), 7.33 (d, J = 8.7 Hz, 1H), 11.84 (br s, 1H).
Example 6 Synthesis of Compound I-407
Step 1 Synthesis of Compound 2 Compound 1 (10.5 g, 24.1 mmol) was dissolved in methanol (50 mL), 2 mol / L aqueous sodium hydroxide solution (14.5 mL, 28.9 mmol) was added, and the mixture was stirred at room temperature for 2 hours. did. After concentration, it was diluted with water and neutralized by adding 2 mol / L hydrochloric acid. Thereafter, the mixture was extracted with chloroform, and the organic layer was washed with water and then dried over sodium sulfate. The solvent was distilled off under reduced pressure to obtain a crude product of compound 2 (10.2 g).
1H-NMR (CDCl3) δ: 1.24 (s, 9H), 2.01-2.08 (m, 2H), 2.26-2.35 (m, 2H), 2.43-2.50 (m, 1H), 2.64-2.72 (m, 2H) , 2.80 (d, J = 14.6 Hz, 1H), 2.86-2.94 (m, 1H), 3.12-3.17 (m, 1H), 4.01 (t, J = 6.0 Hz, 2H), 5.91 (s, 1H), 6.75-6.77 (m, 2H), 7.06 (d, J = 8.2 Hz, 1H).
Step 2 Synthesis of Compound 3 The crude product of Compound 2 (10.2 g) was dissolved in dichloromethane (70 mL), and 1-hydroxybenztriazole (3.92 g, 29.0 mmol) and 1-ethyl-3- (3- Add dimethylaminopropyl) carbodiimide hydrochloride (5.57 g, 29.0 mmol), N, O-dimethylhydroxylamine hydrochloride (2.83 g, 29.0 mmol) and triethylamine (10.1 mL, 72.6 mmol) at room temperature. Stirred under for 15 hours. At room temperature, 10% aqueous citric acid solution was added, and the mixture was extracted with ethyl acetate. The organic layer was washed with saturated multilayer water and then dried over sodium sulfate. The solvent was distilled off under reduced pressure, and the resulting residue was purified by column chromatography (chloroform-methanol) to obtain Compound 3 (10.6 g, yield 94%).
1H-NMR (CDCl3) δ: 1.19 (s, 9H), 2.01-2.08 (m, 2H), 2.24-2.35 (m, 3H), 2.72-2.87 (m, 3H), 2.98 (d, J = 15.9 Hz , 1H), 3.13-3.20 (m, 4H), 3.59 (s, 3H), 4.01 (t, J = 6.0 Hz, 2H), 5.94 (s, 1H), 6.75-6.77 (m, 2H), 7.15 ( d, J = 9.2 Hz, 1H).
Step 3 Synthesis of Compound 4 Compound 3 (2.8 g, 6.03 mmol) was dissolved in tetrahydrofuran (20 mL), and 1 mol / L p-tolylmagnesium bromide tetrahydrofuran solution (18.1 mL, 6.03 mmol) was added at −60 ° C. And stirred for 5 hours while gradually warming to 0 ° C. Then, after adding vinegar saturated ammonium chloride aqueous solution, it extracted with ethyl acetate. The organic layer was washed with a saturated aqueous sodium chloride solution and then dried over anhydrous magnesium sulfate. The solvent was distilled off under reduced pressure, and the resulting residue was purified by silica gel column chromatography (hexane-ethyl acetate) to obtain Compound 4 (2.33 g, yield 78%).
1H-NMR (CDCl3) δ: 1.18 (s, 9H), 2.02-2.09 (m, 2H), 2.30 (tt, J = 15.2, 4.6 Hz, 3H), 2.41 (s, 3H), 2.81 (tt, J = 18.8, 5.2 Hz, 2H), 3.20 (dd, J = 16.4, 7.0 Hz, 1H), 3.52 (d, J = 17.3 Hz, 1H), 4.02 (t, J = 6.0 Hz, 2H), 5.51 (s , 1H), 6.77 (d, J = 7.2 Hz, 2H), 7.16 (d, J = 9.0 Hz, 1H), 7.25 (t, J = 5.3 Hz, 3H), 7.82 (d, J = 8.3 Hz, 2H ).
Step 4 Synthesis of Compound 5 Compound 4 (2.24 g, 4.52 mmol) was dissolved in methanol (20 mL), and a 4 mol / L dioxane hydrochloride solution (2.26 mL, 9.04 mmol) was added dropwise. Stir for hours. After the solvent was distilled off under reduced pressure, the resulting residue was dissolved in tetrahydrofuran (7 mL). HATU (2.15 g, 5.65 mmol), triethylamine (1.57 mL, 11.3 mmol) and 2- (5-methyl-4H-1,2,4-triazol-3-yl) acetic acid (800 mg, 5.67 mmol) ) Was added and stirred for 2 hours. A 10% aqueous citric acid solution was added, and the mixture was extracted with ethyl acetate. The organic layer was washed with multilayer water and then dried over anhydrous magnesium sulfate. The solvent was distilled off under reduced pressure to obtain a crude product of compound 5 (1.23 g).
[M + H] = 515.20, measurement condition D: retention time 2.15 minutes
Step 5 Synthesis of Compound I-407 The crude product of Compound 5 (1.23 g) was dissolved in ethanol (10 mL), piperidine (1.16 mL, 11.7 mmol) was added, and the mixture was stirred at 80 ° C. for 16 hr. The solvent was distilled off under reduced pressure, and the resulting residue was purified by silica gel column chromatography (chloroform-methanol), and further purified by reverse phase chromatography to obtain Compound I-407 (740 mg, 3 step yield 64%). Obtained.
1H-NMR (CDCl3) δ: 2.00-2.10 (m, 2H), 2.20-2.41 (m, 9H), 2.58-2.64 (m, 1H), 2.87-3.04 (m, 3H), 3.13 (d, J = 18.1 Hz, 1H), 4.01 (t, J = 5.9 Hz, 2H), 6.06 (s, 1H), 6.75-6.85 (m, 2H), 7.04 (d, J = 8.2 Hz, 2H), 7.08 (d, J = 8.2 Hz, 2H), 7.33 (d, J = 8.7 Hz, 1H), 11.84 (br s, 1H).
実施例7 化合物I-258の合成
工程1 化合物2の合成
ジイソプロピルアミン(1.47mL、10.4mmol)のテトラヒドロフラン(10mL)溶液をドライアイス-アセトンで-78℃に冷却した。これに1.60mol/L n-ブチルリチウム-ヘキサン溶液(5.92mL、9.48mmol)を滴下し、-40℃で1時間撹拌した。メチルアセテート(0.77mL、9.71mmol)を-78℃で滴下し、30分間撹拌した。ここへ5-ブロモ-1,3-ジヒドロ-2H-インデン-2-オン(1.0g、4.74mmol)のテトラヒドロフラン(10mL)溶液を滴下し、-78℃から-20℃まで2時間かけて撹拌しながら昇温させた。飽和塩化アンモニウム水溶液を加え、室温に昇温した。酢酸エチルで抽出した後、有機層を水で洗浄した後、無水硫酸ナトリウムで乾燥した。溶媒を減圧留去し、得られた残渣をシリカゲルカラムクロマトグラフィー(ヘキサン-酢酸エチル)により精製して、化合物2(1.1g、収率81%)を得た。
[M+H]=285.00、測定条件C:保持時間1.85分
工程2 化合物3の合成
化合物2(1.1g、3.86mmol)をアセトニトリル(20mL)に溶解し、塩化スルホン酸(0.77mL、11.6mmol)を0℃で加え、室温で2時間撹拌した。水を加え、酢酸エチルで抽出した。有機層を水で洗浄した後、無水硫酸ナトリウムで乾燥した。溶媒を減圧留去し、得られた残渣をシリカゲルカラムクロマトグラフィー(ヘキサン-酢酸エチル)により精製して、化合物3(650mg、収率52%)を得た。
1H-NMR (CDCl3) δ: 1.93 (s, 3H), 3.01 (s, 2H), 3.12 (t, J = 17.4 Hz, 2H), 3.39 (t, J = 17.6 Hz, 2H), 3.68 (s, 3H), 5.91 (s, 1H), 7.06 (d, J = 7.8 Hz, 1H), 7.29-7.31 (m, 2H).
工程3 化合物4の合成
化合物3(650mg、1.99mmol)を水(6mL)と濃塩酸(6mL)に溶解し、100℃で4日間撹拌した。その後、溶媒を減圧留去し、化合物4(530mg、収率87%)を得た。
1H-NMR (DMSO-D6) δ: 2.90 (s, 2H), 3.17 (dd, J = 31.4, 16.1 Hz, 4H), 7.24-7.27 (m, 1H), 7.40 (d, J = 8.3 Hz, 1H), 7.51 (s, 1H), 8.28 (br s, 2H), 12.93 (s, 1H).
工程4 化合物5の合成
化合物4(530mg、1.73mmol)をメタノール(10mL)に溶解し、塩化チオニル(0.25mL、3.46mmol)を滴下し、60℃で2時間撹拌した。室温下、重層水を加え、酢酸エチルで抽出した。有機層を水で洗浄した後、無水硫酸ナトリウムで乾燥し、溶媒を減圧留去し、化合物5を粗生成物として得た。得られた粗生成物を用いて、次の反応へ進んだ。
工程5 化合物6の合成
化合物5(1.73mmol)をジメチルホルムアミド(5mL)に溶解し、2-シアノ酢酸(220mg、2.59mmol)とO-(7-アザ-1H-ベンゾトリアゾール-1-イル)-N,N,N’,N’-テトラメチルウロニウム ヘキサフルオロホスフェート(986mg、2.59mmol)とトリエチルアミン(0.72mL、5.18mmol)を加え、室温で30分撹拌した。1.00mol/L 塩酸水溶液を加え、酢酸エチルで抽出した。有機層を水で洗浄した後、無水硫酸ナトリウムで乾燥した。溶媒を減圧留去し、得られた残渣をシリカゲルカラムクロマトグラフィー(ヘキサン-酢酸エチル)により精製して、化合物6(300mg、2段階収率49%)を得た。
[M+H]=351.00、測定条件C:保持時間1.87分
工程6 化合物7の合成
化合物6(420mg、1.20mmol)を1.00mol/L ナトリウムメトキシド-メタノール溶液(3.50mL、3.50mmol)に溶解し、室温で1時間撹拌した。1.00mol/L 塩酸水溶液を加え、酢酸エチルで抽出した。有機層を水で洗浄した後、無水硫酸ナトリウムで乾燥した。溶媒を減圧留去し、化合物7(320mg、収率84%)を得た。
[M+H]=319.00、測定条件C:保持時間1.41分
工程7 化合物8の合成
化合物7(320mg、1.00mmol)をジクロロメタン(2mL)に溶解し、無水トリフルオロメタンスルホン酸(0.49mL、3.01mmol)と2,6-ルチジン(0.53mL、4.51mmol)を-50℃で加え、30分間撹拌した。その後、ヨウ化ナトリウム(676mg、4.51mmol)のアセトニトリル(1mL)溶液を-50℃で加え、0℃に昇温し30分間撹拌した。1.00mol/L 塩酸水溶液を加え、酢酸エチルで抽出した。有機層を水で洗浄した後、無水硫酸ナトリウムで乾燥した。溶媒を減圧留去し、化合物8を粗生成物として得た。得られた粗生成物を用いて、次の反応へ進んだ。
工程8 化合物9の合成
化合物8(1.00mmol)をトルエン(2mL)に溶解し、4-メチルフェニルボロン酸(204mg、1.50mmol)とテトラキストリフェニルホスフィンパラジウム(116mg、0.10mmol)と2.00mol/L 炭酸ナトリウム水溶液(1.00mL、2.00mmol)を加え、60℃で10分間撹拌した。飽和塩化アンモニウム水溶液を加え、酢酸エチルで抽出した後、有機層を水で洗浄した後、無水硫酸ナトリウムで乾燥した。溶媒を減圧留去し、得られた残渣をシリカゲルカラムクロマトグラフィー(ヘキサン-酢酸エチル)により精製して、化合物9(120mg、3段階収率30%)を得た。
1H-NMR (DMSO-D6) δ: 2.37 (s, 3H), 3.09-3.13 (m, 6H), 7.18 (d, J = 7.8 Hz, 1H), 7.35-7.42 (m, 4H), 7.55 (d, J = 8.0 Hz, 2H), 8.66 (s, 1H).
工程9 化合物10の合成
化合物9(40mg、0.10mmol)をトルエン(0.5mL)と水(0.2mL)に溶解し、(2-ジシクロヘキシルホスフィノ-2’,6’-ジイソプロポキシ-1,1’-ビフェニル)[2-(2’-アミノ-1,1’-ビフェニル)]パラジウム(II)メタンスルホネ-ト(8.5mg、0.010mmol)とカリウムトリフルオロ(3,3,3-トリフルオロプロピル)ボレート(83mg、0.40mmol)と炭酸セシウム(133mg、0.40mmol)を加え、120℃で1時間マイクロウェーブを照射した。飽和塩化アンモニウム水溶液を加え、酢酸エチルで抽出した後、有機層を水で洗浄した後、無水硫酸ナトリウムで乾燥した。溶媒を減圧留去し、得られた残渣をシリカゲルカラムクロマトグラフィー(ヘキサン-酢酸エチル)と懸濁精製(ヘキサン-酢酸エチル)により精製し、化合物10(30mg、収率72%)を得た。
1H-NMR (CDCl3) δ: 2.34-2.43 (m, 5H), 2.84-2.86 (m, 2H), 3.08 (s, 2H), 3.14 (s, 4H), 6.34 (s, 1H), 7.06 (d, J = 7.0 Hz, 2H), 7.17 (d, J = 8.0 Hz, 1H), 7.29 (d, J = 8.0 Hz, 2H), 7.52 (d, J = 8.3 Hz, 2H).
工程10 化合物I-258の合成
化合物10(30mg、0.073mmol)をジオキサン(0.6mL)に溶解し、ジ-n-ブチルオキソスズ(27.3mg、0.11mmol)とトリメチルシリルアジド(0.048mL、0.37mmol)を加え、150℃で1時間マイクロウェーブを照射した。その後、水を加え、酢酸エチルで抽出し、有機層を無水硫酸ナトリウムで乾燥した。溶媒を減圧留去し、得られた残渣を逆相クロマトグラフィー(アセトニトリル-水)で精製し、化合物I-258(2.0mg、6%)を得た。
1H-NMR (CDCl3) δ: 1.23-1.31 (m, 2H), 2.35-2.41 (m, 5H), 2.86 (t, J = 8.3 Hz, 2H), 3.11-3.28 (m, 6H), 6.43 (s, 1H), 7.05-7.08 (m, 4H), 7.18 (t, J = 8.5 Hz, 3H).
Example 7 Synthesis of Compound I-258
Step 1 Synthesis of Compound 2 A solution of diisopropylamine (1.47 mL, 10.4 mmol) in tetrahydrofuran (10 mL) was cooled to −78 ° C. with dry ice-acetone. A 1.60 mol / L n-butyllithium-hexane solution (5.92 mL, 9.48 mmol) was added dropwise thereto, and the mixture was stirred at −40 ° C. for 1 hour. Methyl acetate (0.77 mL, 9.71 mmol) was added dropwise at −78 ° C. and stirred for 30 minutes. To this was added dropwise a solution of 5-bromo-1,3-dihydro-2H-inden-2-one (1.0 g, 4.74 mmol) in tetrahydrofuran (10 mL), and from −78 ° C. to −20 ° C. over 2 hours. The temperature was raised with stirring. A saturated aqueous ammonium chloride solution was added, and the temperature was raised to room temperature. After extraction with ethyl acetate, the organic layer was washed with water and then dried over anhydrous sodium sulfate. The solvent was distilled off under reduced pressure, and the resulting residue was purified by silica gel column chromatography (hexane-ethyl acetate) to obtain Compound 2 (1.1 g, yield 81%).
[M + H] = 285.00, measurement condition C: retention time 1.85 minutes
Step 2 Synthesis of Compound 3 Compound 2 (1.1 g, 3.86 mmol) was dissolved in acetonitrile (20 mL), chlorosulfonic acid (0.77 mL, 11.6 mmol) was added at 0 ° C., and the mixture was stirred at room temperature for 2 hours. . Water was added and extracted with ethyl acetate. The organic layer was washed with water and then dried over anhydrous sodium sulfate. The solvent was distilled off under reduced pressure, and the resulting residue was purified by silica gel column chromatography (hexane-ethyl acetate) to obtain Compound 3 (650 mg, yield 52%).
1H-NMR (CDCl3) δ: 1.93 (s, 3H), 3.01 (s, 2H), 3.12 (t, J = 17.4 Hz, 2H), 3.39 (t, J = 17.6 Hz, 2H), 3.68 (s, 3H), 5.91 (s, 1H), 7.06 (d, J = 7.8 Hz, 1H), 7.29-7.31 (m, 2H).
Step 3 Synthesis of Compound 4 Compound 3 (650 mg, 1.99 mmol) was dissolved in water (6 mL) and concentrated hydrochloric acid (6 mL) and stirred at 100 ° C. for 4 days. Thereafter, the solvent was distilled off under reduced pressure to obtain Compound 4 (530 mg, yield 87%).
1H-NMR (DMSO-D6) δ: 2.90 (s, 2H), 3.17 (dd, J = 31.4, 16.1 Hz, 4H), 7.24-7.27 (m, 1H), 7.40 (d, J = 8.3 Hz, 1H ), 7.51 (s, 1H), 8.28 (br s, 2H), 12.93 (s, 1H).
Step 4 Synthesis of Compound 5 Compound 4 (530 mg, 1.73 mmol) was dissolved in methanol (10 mL), thionyl chloride (0.25 mL, 3.46 mmol) was added dropwise, and the mixture was stirred at 60 ° C. for 2 hours. At room temperature, layered water was added, and the mixture was extracted with ethyl acetate. The organic layer was washed with water and then dried over anhydrous sodium sulfate, and the solvent was distilled off under reduced pressure to obtain Compound 5 as a crude product. The resulting crude product was used to proceed to the next reaction.
Step 5 Synthesis of Compound 6 Compound 5 (1.73 mmol) was dissolved in dimethylformamide (5 mL), 2-cyanoacetic acid (220 mg, 2.59 mmol) and O- (7-aza-1H-benzotriazol-1-yl). ) -N, N, N ′, N′-tetramethyluronium hexafluorophosphate (986 mg, 2.59 mmol) and triethylamine (0.72 mL, 5.18 mmol) were added, and the mixture was stirred at room temperature for 30 minutes. A 1.00 mol / L hydrochloric acid aqueous solution was added, and the mixture was extracted with ethyl acetate. The organic layer was washed with water and then dried over anhydrous sodium sulfate. The solvent was distilled off under reduced pressure, and the resulting residue was purified by silica gel column chromatography (hexane-ethyl acetate) to obtain Compound 6 (300 mg, 2-step yield 49%).
[M + H] = 351.00, measurement condition C: retention time 1.87 minutes
Step 6 Synthesis of Compound 7 Compound 6 (420 mg, 1.20 mmol) was dissolved in 1.00 mol / L sodium methoxide-methanol solution (3.50 mL, 3.50 mmol) and stirred at room temperature for 1 hour. A 1.00 mol / L hydrochloric acid aqueous solution was added, and the mixture was extracted with ethyl acetate. The organic layer was washed with water and then dried over anhydrous sodium sulfate. The solvent was distilled off under reduced pressure to obtain Compound 7 (320 mg, 84% yield).
[M + H] = 319.00, measurement condition C: retention time 1.41 minutes
Step 7 Synthesis of Compound 8 Compound 7 (320 mg, 1.00 mmol) was dissolved in dichloromethane (2 mL), and trifluoromethanesulfonic anhydride (0.49 mL, 3.01 mmol) and 2,6-lutidine (0.53 mL, 4 mL) were dissolved. .51 mmol) at −50 ° C. and stirred for 30 minutes. Thereafter, a solution of sodium iodide (676 mg, 4.51 mmol) in acetonitrile (1 mL) was added at −50 ° C., the temperature was raised to 0 ° C., and the mixture was stirred for 30 minutes. A 1.00 mol / L hydrochloric acid aqueous solution was added, and the mixture was extracted with ethyl acetate. The organic layer was washed with water and then dried over anhydrous sodium sulfate. The solvent was distilled off under reduced pressure to obtain Compound 8 as a crude product. The resulting crude product was used to proceed to the next reaction.
Step 8 Synthesis of Compound 9 Compound 8 (1.00 mmol) was dissolved in toluene (2 mL), 4-methylphenylboronic acid (204 mg, 1.50 mmol), tetrakistriphenylphosphine palladium (116 mg, 0.10 mmol) and 2 A 0.000 mol / L aqueous sodium carbonate solution (1.00 mL, 2.00 mmol) was added, and the mixture was stirred at 60 ° C. for 10 minutes. A saturated aqueous ammonium chloride solution was added and the mixture was extracted with ethyl acetate. The organic layer was washed with water and then dried over anhydrous sodium sulfate. The solvent was distilled off under reduced pressure, and the resulting residue was purified by silica gel column chromatography (hexane-ethyl acetate) to obtain Compound 9 (120 mg, 3 step yield 30%).
1H-NMR (DMSO-D6) δ: 2.37 (s, 3H), 3.09-3.13 (m, 6H), 7.18 (d, J = 7.8 Hz, 1H), 7.35-7.42 (m, 4H), 7.55 (d , J = 8.0 Hz, 2H), 8.66 (s, 1H).
Step 9 Synthesis of Compound 10 Compound 9 (40 mg, 0.10 mmol) was dissolved in toluene (0.5 mL) and water (0.2 mL), and (2-dicyclohexylphosphino-2 ′, 6′-diisopropoxy- 1,1′-biphenyl) [2- (2′-amino-1,1′-biphenyl)] palladium (II) methanesulfonate (8.5 mg, 0.010 mmol) and potassium trifluoro (3,3,3 -Trifluoropropyl) borate (83 mg, 0.40 mmol) and cesium carbonate (133 mg, 0.40 mmol) were added and irradiated with microwaves at 120 ° C. for 1 hour. A saturated aqueous ammonium chloride solution was added and the mixture was extracted with ethyl acetate. The organic layer was washed with water and then dried over anhydrous sodium sulfate. The solvent was distilled off under reduced pressure, and the obtained residue was purified by silica gel column chromatography (hexane-ethyl acetate) and suspension purification (hexane-ethyl acetate) to obtain Compound 10 (30 mg, yield 72%).
1H-NMR (CDCl3) δ: 2.34-2.43 (m, 5H), 2.84-2.86 (m, 2H), 3.08 (s, 2H), 3.14 (s, 4H), 6.34 (s, 1H), 7.06 (d , J = 7.0 Hz, 2H), 7.17 (d, J = 8.0 Hz, 1H), 7.29 (d, J = 8.0 Hz, 2H), 7.52 (d, J = 8.3 Hz, 2H).
Step 10 Synthesis of Compound I-258 Compound 10 (30 mg, 0.073 mmol) was dissolved in dioxane (0.6 mL), and di-n-butyloxotin (27.3 mg, 0.11 mmol) and trimethylsilyl azide (0. 048 mL, 0.37 mmol) was added, and microwave irradiation was performed at 150 ° C. for 1 hour. Then, water was added and extracted with ethyl acetate, and the organic layer was dried over anhydrous sodium sulfate. The solvent was distilled off under reduced pressure, and the resulting residue was purified by reverse phase chromatography (acetonitrile-water) to obtain Compound I-258 (2.0 mg, 6%).
1H-NMR (CDCl3) δ: 1.23-1.31 (m, 2H), 2.35-2.41 (m, 5H), 2.86 (t, J = 8.3 Hz, 2H), 3.11-3.28 (m, 6H), 6.43 (s , 1H), 7.05-7.08 (m, 4H), 7.18 (t, J = 8.5 Hz, 3H).
実施例8 化合物I-253の合成
工程1 化合物2の合成
化合物1(9.2g、21.13mmol)をメタノール(50mL)に溶解し、4mol/L塩酸ジオキサン溶液(11.09mL、44.4mmol)を氷冷下加え、0℃で1時間撹拌した。溶媒を減圧留去し、得られた残渣をジクロロメタン(50mL)に溶解し、トリエチルアミン(7.32mL、52.8mmol)と二炭酸ジ-tert-ブチル(5.89mL、25.4mmol)を氷冷下加え、室温にて3.5時間撹拌した。不溶物をろ去後、溶媒を減圧留去し、得られた残渣をシリカゲルカラムクロマトグラフィー(ヘキサン:酢酸エチル 4:1)により精製し、化合物2(8.4g、収率92%)を得た。
1H-NMR (CDCl3) δ: 1.38 (s, 9H), 1.98-2.07 (m, 2H), 2.23-2.43 (m, 3H), 2.51-2.62 (m, 1H), 2.79-2.89 (m, 2H), 2.91-3.04 (m, 2H), 3.64 (s, 3H), 3.99 (t, J = 6.0 Hz, 2H), 5.40 (s, 1H), 6.69-6.75 (m, 2H), 7.20 (d, J = 8.4 Hz, 1H).
工程2 化合物3の合成
化合物(8.29g、19.21mmol)をメタノール(60mL)に溶解し、5mol/L水酸化ナトリウム水溶液(11.91mL、59.6mmol)を氷冷下加え、室温にて3時間撹拌した。反応液を酢酸エチルで希釈し、塩酸水溶液を加えて水層をpH=4に調整後、酢酸エチルで抽出した。有機層を飽和塩化ナトリウム水溶液で洗浄した後、硫酸ナトリウムで乾燥した。溶媒を減圧留去し、化合物3(7.6g、収率95%)を得た。
工程3 化合物4の合成
化合物3(5.66g、13.56mmol)をジメチルホルムアミド(30mL)およびテトラヒドロフラン(10mL)に溶解し、メルドラム酸(2.93g、20.34mmol)、パラジメチルアミノピリジン(4.97g、40.7mmol)および1-エチル-3-(3-ジメチルアミノプロピル)カルボジイミド塩酸塩(3.90g、20.34mmol)を加え、室温にて4時間撹拌した。反応液を酢酸エチルで希釈し、水層を塩酸水溶液でpH=4に調整後、酢酸エチルで抽出した。有機層を0.1mol/L塩酸水溶液、蒸留水、飽和塩化ナトリウム水溶液で洗浄した後、硫酸ナトリウムで乾燥した。溶媒を減圧留去し、得られた残渣を酢酸エチル(100mL)に溶解し、加熱還流下4時間撹拌した。溶媒を減圧留去し、得られた固体残渣をヘキサンに懸濁させてろ取し、化合物4(4.92g、収率82%)を得た。
1H-NMR (CDCl3) δ: 1.20 (s, 9H), 2.01-2.08 (m, 2H), 2.21-2.37 (m, 3H), 2.63-2.79 (m, 2H), 2.88-2.96 (m, 1H), 3.00 (d, J = 15.7 Hz, 1H), 3.09-3.19 (m, 1H), 3.44 (d, J = 20.7 Hz, 1H), 3.54 (d, J = 20.7 Hz, 1H), 4.01 (t, J = 6.0 Hz, 2H), 6.77 (d, J = 2.4 Hz, 1H), 6.80 (dd, J = 8.4, 2.4 Hz, 1H), 7.20 (d, J = 8.4 Hz, 1H).
工程4 化合物5の合成
化合物4(1g、2.265mmol)のエタノール(14mL)溶液に炭酸カリウム(1.57g、11.33mmol)及びN-(ブロモメチル)フタルイミド(653mg、2.72mmol)を加え、室温にて3.5時間撹拌した。反応液を酢酸エチルで希釈し、水層を塩酸水溶液にてpH=4に調整後、酢酸エチルで抽出した。有機層を飽和塩化ナトリウム水溶液で洗浄した後、硫酸ナトリウムで乾燥した。溶媒を減圧留去し、得られた残渣をシリカゲルカラムクロマトグラフィー(ヘキサン-酢酸エチル 2:1)により精製し、化合物5(905mg、収率67%)を得た。
1H-NMR (DMSO-D6) δ: 1.07 (s, 9H), 1.86-1.95 (m, 2H), 2.25-2.43 (m, 5H), 2.74-2.85 (m, 1H), 2.89-3.06 (m, 2H), 4.02 (t, J = 6.1 Hz, 2H), 4.47 (s, 2H), 6.76-6.85 (m, 2H), 7.19 (d, J = 8.3 Hz, 1H), 7.80-7.90 (m, 4H), 10.87 (s, 1H).
工程5 化合物6の合成
化合物5(900mg、1.50mmol)のジクロロメタン(4mL)溶液にジイソプロピルエチルアミン(0.314mL、1.8mmol)を加えた。-60℃に冷却後無水トリフルオロメタンスルホン酸(0.278mL、1.65mmol)を更に加え、30分撹拌した。反応液に蒸留水を加え、酢酸エチルにて抽出した。有機層を10%クエン酸水溶液、飽和重曹水、飽和塩化ナトリウム水溶液にて洗浄後、硫酸ナトリウムで乾燥した。溶媒を減圧留去し、得られた残渣をシリカゲルカラムクロマトグラフィー(ヘキサン-酢酸エチル 3:1)により精製し、化合物6(825mg、収率75%)を得た。
1H-NMR (CDCl3) δ: 1.18 (s, 9H), 2.00-2.09 (m, 2H), 2.23-2.37 (m, 2H), 2.56-2.76 (m, 3H), 2.85-2.96 (m, 1H), 3.02-3.12 (m, 1H), 3.28 (d, J = 17.6 Hz, 1H), 4.00 (t, J = 5.8 Hz, 2H), 4.61 (d, J = 14.8 Hz, 1H), 4.81 (d, J = 14.8 Hz, 1H), 6.74-6.80 (m, 2H), 7.20 (d, J = 8.4 Hz, 1H), 7.69-7.75 (m, 2H), 7.84-7.89 (m, 2H).
工程6 化合物7の合成
化合物6(50mg、0.068mmol)を1,4-ジオキサン(0.5mL)に溶解し、パラトリルボロン酸(13.92mg、0.102mmol)、[1,1’-ビス(ジ-tert-ブチルホスフィノ)フェロセン]パラジウム(II)ジクロリド(2.2mg、0.0034mmol)、リン酸カリウム(43.5mg、0.205mmol)を加え80℃にて2時間撹拌した。反応液をシリカゲルカラムクロマトグラフィー(ヘキサン-酢酸エチル 3:1)により精製し、化合物7(43.7mg、収率95%)を得た。
1H-NMR (CDCl3) δ: 1.20 (s, 9H), 1.98-2.07 (m, 2H), 2.20 (s, 3H), 2.22-2.36 (m, 2H), 2.53 (d, J = 17.6 Hz, 1H), 2.63-2.70 (m, 1H), 2.72-2.80 (m, 1H), 2.85-2.93 (m, 1H), 3.03-3.20 (m, 2H), 3.99 (t, J = 5.9 Hz, 2H), 4.56 (d, J = 15.4 Hz, 1H), 4.78 (d, J = 15.4 Hz, 1H), 6.71-6.77 (m, 2H), 7.04 (d, J = 8.0 Hz, 2H), 7.10 (d, J = 8.0 Hz, 2H), 7.23 (d, J = 9.2 Hz, 1H), 7.60-7.65 (m, 2H), 7.68-7.73 (m, 2H).
工程7 化合物8の合成
化合物7(20mg、0.030mmol)を33%メチルアミン-エタノール溶液(0.3mL、2.41mmol)に溶解し、室温で2.5時間撹拌した。溶媒を減圧留去後、残渣をエタノール(0.5mL)に溶解し、無水酢酸(0.0034mL、0.036mmol)を加え、室温にて8時間撹拌した。溶媒を減圧留去後、残渣をジクロロメタン(0.3mL)に溶解し、トリフルオロ酢酸(0.3mL、3.89mmol)を加え、室温にて4時間撹拌した。溶媒を減圧留去し、酢酸エチルで希釈後、飽和重曹水を加え、酢酸エチルで抽出した。有機層を飽和重曹水、飽和塩化ナトリウム水溶液で洗浄後、硫酸ナトリウムで乾燥した。溶媒を減圧留去し、シリカゲルクロマトグラフィー(クロロホルム-メタノール 10:1)により精製し、化合物I-253(8.5mg、収率59%)を得た。
1H-NMR (CDCl3) δ: 1.96 (s, 3H), 2.00-2.09 (m, 2H), 2.17 (dt, J = 15.6, 6.5 Hz, 1H), 2.24-2.39 (m, 5H), 2.48-2.57 (m, 1H), 2.75 (d, J = 17.3 Hz, 1H), 2.81-3.04 (m, 3H), 4.01 (t, J = 6.0 Hz, 2H), 4.10-4.21 (m, 2H), 5.74 (s, 1H), 6.60 (t, J = 5.6 Hz, 1H), 6.74-6.82 (m, 2H), 7.14 (d, J = 8.0 Hz, 2H), 7.21 (d, J = 8.0 Hz, 2H), 7.26-7.31 (m, 1H).
Example 8 Synthesis of Compound I-253
Step 1 Synthesis of Compound 2 Compound 1 (9.2 g, 21.13 mmol) was dissolved in methanol (50 mL), and 4 mol / L dioxane hydrochloride solution (11.09 mL, 44.4 mmol) was added under ice-cooling. Stir for 1 hour. The solvent was distilled off under reduced pressure, and the resulting residue was dissolved in dichloromethane (50 mL). Triethylamine (7.32 mL, 52.8 mmol) and di-tert-butyl dicarbonate (5.89 mL, 25.4 mmol) were ice-cooled. Under addition, it stirred at room temperature for 3.5 hours. The insoluble material was removed by filtration, the solvent was distilled off under reduced pressure, and the resulting residue was purified by silica gel column chromatography (hexane: ethyl acetate 4: 1) to obtain Compound 2 (8.4 g, yield 92%). It was.
1H-NMR (CDCl3) δ: 1.38 (s, 9H), 1.98-2.07 (m, 2H), 2.23-2.43 (m, 3H), 2.51-2.62 (m, 1H), 2.79-2.89 (m, 2H) , 2.91-3.04 (m, 2H), 3.64 (s, 3H), 3.99 (t, J = 6.0 Hz, 2H), 5.40 (s, 1H), 6.69-6.75 (m, 2H), 7.20 (d, J = 8.4 Hz, 1H).
Step 2 Synthesis of Compound 3 Compound (8.29 g, 19.21 mmol) was dissolved in methanol (60 mL), 5 mol / L aqueous sodium hydroxide solution (11.91 mL, 59.6 mmol) was added under ice cooling, and at room temperature. Stir for 3 hours. The reaction mixture was diluted with ethyl acetate, aqueous hydrochloric acid was added to adjust the aqueous layer to pH = 4, and the mixture was extracted with ethyl acetate. The organic layer was washed with a saturated aqueous sodium chloride solution and then dried over sodium sulfate. The solvent was distilled off under reduced pressure to obtain Compound 3 (7.6 g, yield 95%).
Step 3 Synthesis of Compound 4 Compound 3 (5.66 g, 13.56 mmol) was dissolved in dimethylformamide (30 mL) and tetrahydrofuran (10 mL), and Meldrum's acid (2.93 g, 20.34 mmol), paradimethylaminopyridine (4 .97 g, 40.7 mmol) and 1-ethyl-3- (3-dimethylaminopropyl) carbodiimide hydrochloride (3.90 g, 20.34 mmol) were added and stirred at room temperature for 4 hours. The reaction solution was diluted with ethyl acetate, and the aqueous layer was adjusted to pH = 4 with an aqueous hydrochloric acid solution and extracted with ethyl acetate. The organic layer was washed with 0.1 mol / L hydrochloric acid aqueous solution, distilled water, and saturated sodium chloride aqueous solution, and then dried over sodium sulfate. The solvent was distilled off under reduced pressure, and the resulting residue was dissolved in ethyl acetate (100 mL), and stirred for 4 hours under heating to reflux. The solvent was distilled off under reduced pressure, and the resulting solid residue was suspended in hexane and collected by filtration to obtain Compound 4 (4.92 g, yield 82%).
1H-NMR (CDCl3) δ: 1.20 (s, 9H), 2.01-2.08 (m, 2H), 2.21-2.37 (m, 3H), 2.63-2.79 (m, 2H), 2.88-2.96 (m, 1H) , 3.00 (d, J = 15.7 Hz, 1H), 3.09-3.19 (m, 1H), 3.44 (d, J = 20.7 Hz, 1H), 3.54 (d, J = 20.7 Hz, 1H), 4.01 (t, J = 6.0 Hz, 2H), 6.77 (d, J = 2.4 Hz, 1H), 6.80 (dd, J = 8.4, 2.4 Hz, 1H), 7.20 (d, J = 8.4 Hz, 1H).
Step 4 Synthesis of Compound 5 To a solution of compound 4 (1 g, 2.265 mmol) in ethanol (14 mL) was added potassium carbonate (1.57 g, 11.33 mmol) and N- (bromomethyl) phthalimide (653 mg, 2.72 mmol). Stir at room temperature for 3.5 hours. The reaction solution was diluted with ethyl acetate, the aqueous layer was adjusted to pH = 4 with aqueous hydrochloric acid solution, and extracted with ethyl acetate. The organic layer was washed with a saturated aqueous sodium chloride solution and then dried over sodium sulfate. The solvent was distilled off under reduced pressure, and the obtained residue was purified by silica gel column chromatography (hexane-ethyl acetate 2: 1) to obtain Compound 5 (905 mg, yield 67%).
1H-NMR (DMSO-D6) δ: 1.07 (s, 9H), 1.86-1.95 (m, 2H), 2.25-2.43 (m, 5H), 2.74-2.85 (m, 1H), 2.89-3.06 (m, 2H), 4.02 (t, J = 6.1 Hz, 2H), 4.47 (s, 2H), 6.76-6.85 (m, 2H), 7.19 (d, J = 8.3 Hz, 1H), 7.80-7.90 (m, 4H ), 10.87 (s, 1H).
Step 5 Synthesis of Compound 6 To a solution of Compound 5 (900 mg, 1.50 mmol) in dichloromethane (4 mL) was added diisopropylethylamine (0.314 mL, 1.8 mmol). After cooling to −60 ° C., trifluoromethanesulfonic anhydride (0.278 mL, 1.65 mmol) was further added and stirred for 30 minutes. Distilled water was added to the reaction mixture, and the mixture was extracted with ethyl acetate. The organic layer was washed with a 10% aqueous citric acid solution, a saturated aqueous sodium bicarbonate solution, and a saturated aqueous sodium chloride solution, and then dried over sodium sulfate. The solvent was distilled off under reduced pressure, and the obtained residue was purified by silica gel column chromatography (hexane-ethyl acetate 3: 1) to obtain Compound 6 (825 mg, yield 75%).
1H-NMR (CDCl3) δ: 1.18 (s, 9H), 2.00-2.09 (m, 2H), 2.23-2.37 (m, 2H), 2.56-2.76 (m, 3H), 2.85-2.96 (m, 1H) , 3.02-3.12 (m, 1H), 3.28 (d, J = 17.6 Hz, 1H), 4.00 (t, J = 5.8 Hz, 2H), 4.61 (d, J = 14.8 Hz, 1H), 4.81 (d, J = 14.8 Hz, 1H), 6.74-6.80 (m, 2H), 7.20 (d, J = 8.4 Hz, 1H), 7.69-7.75 (m, 2H), 7.84-7.89 (m, 2H).
Step 6 Synthesis of Compound 7 Compound 6 (50 mg, 0.068 mmol) was dissolved in 1,4-dioxane (0.5 mL), and paratolylboronic acid (13.92 mg, 0.102 mmol), [1,1′- Bis (di-tert-butylphosphino) ferrocene] palladium (II) dichloride (2.2 mg, 0.0034 mmol) and potassium phosphate (43.5 mg, 0.205 mmol) were added and stirred at 80 ° C. for 2 hours. The reaction solution was purified by silica gel column chromatography (hexane-ethyl acetate 3: 1) to obtain Compound 7 (43.7 mg, yield 95%).
1H-NMR (CDCl3) δ: 1.20 (s, 9H), 1.98-2.07 (m, 2H), 2.20 (s, 3H), 2.22-2.36 (m, 2H), 2.53 (d, J = 17.6 Hz, 1H ), 2.63-2.70 (m, 1H), 2.72-2.80 (m, 1H), 2.85-2.93 (m, 1H), 3.03-3.20 (m, 2H), 3.99 (t, J = 5.9 Hz, 2H), 4.56 (d, J = 15.4 Hz, 1H), 4.78 (d, J = 15.4 Hz, 1H), 6.71-6.77 (m, 2H), 7.04 (d, J = 8.0 Hz, 2H), 7.10 (d, J = 8.0 Hz, 2H), 7.23 (d, J = 9.2 Hz, 1H), 7.60-7.65 (m, 2H), 7.68-7.73 (m, 2H).
Step 7 Synthesis of Compound 8 Compound 7 (20 mg, 0.030 mmol) was dissolved in 33% methylamine-ethanol solution (0.3 mL, 2.41 mmol) and stirred at room temperature for 2.5 hours. After the solvent was distilled off under reduced pressure, the residue was dissolved in ethanol (0.5 mL), acetic anhydride (0.0034 mL, 0.036 mmol) was added, and the mixture was stirred at room temperature for 8 hours. After evaporating the solvent under reduced pressure, the residue was dissolved in dichloromethane (0.3 mL), trifluoroacetic acid (0.3 mL, 3.89 mmol) was added, and the mixture was stirred at room temperature for 4 hr. The solvent was evaporated under reduced pressure, diluted with ethyl acetate, saturated aqueous sodium hydrogen carbonate was added, and the mixture was extracted with ethyl acetate. The organic layer was washed with saturated aqueous sodium hydrogen carbonate and saturated aqueous sodium chloride solution and then dried over sodium sulfate. The solvent was distilled off under reduced pressure, and the residue was purified by silica gel chromatography (chloroform-methanol 10: 1) to obtain Compound I-253 (8.5 mg, yield 59%).
1H-NMR (CDCl3) δ: 1.96 (s, 3H), 2.00-2.09 (m, 2H), 2.17 (dt, J = 15.6, 6.5 Hz, 1H), 2.24-2.39 (m, 5H), 2.48-2.57 (m, 1H), 2.75 (d, J = 17.3 Hz, 1H), 2.81-3.04 (m, 3H), 4.01 (t, J = 6.0 Hz, 2H), 4.10-4.21 (m, 2H), 5.74 ( s, 1H), 6.60 (t, J = 5.6 Hz, 1H), 6.74-6.82 (m, 2H), 7.14 (d, J = 8.0 Hz, 2H), 7.21 (d, J = 8.0 Hz, 2H), 7.26-7.31 (m, 1H).
実施例9 化合物I-246の合成
工程1 化合物10の合成
化合物7(40mg、0.055mmol)のジクロロメタン(0.2mL)溶液にトリフルオロ酢酸(0.2mL、2.60mmol)を加え、室温で1時間撹拌した。溶媒を減圧留去後、トルエン共沸を2回実施し、化合物10(34.5mg、収率100%)を黄色アモルファスとして得た。
工程2 化合物11の合成
化合物10(34.5mg、0.055mmol)を1,4-ジオキサン(0.5mL)に溶解し、パラ-(1-ヒドロキシ-イソプロピル)フェニルボロン酸(14.73mg、0.082mmol)、[1,1‘-ビス(ジ-tert-ブチルホスフィノ)フェロセン]パラジウム(II)ジクロリド(1.78mg、0.0027mmol)、リン酸カリウム(34.7mg、0.164mmol)を加え80℃にて2時間撹拌した。反応液をシリカゲルカラムクロマトグラフィー(ヘキサン-酢酸エチル 1:2)により精製し、化合物11(27.7mg、収率82%)を茶色アモルファスとして得た。
1H-NMR (CDCl3) δ: 1.48 (s, 6H), 2.01-2.08 (m, 2H), 2.21-2.37 (m, 3H), 2.60-2.70 (m, 2H), 2.79-2.90 (m, 1H), 2.90-3.06 (m, 2H), 4.00 (t, J = 6.0 Hz, 2H), 4.56 (d, J = 15.8 Hz, 1H), 4.77 (d, J = 15.8 Hz, 1H), 5.66 (s, 1H), 6.75 (s, 1H), 6.80 (d, J = 8.3 Hz, 1H), 7.22 (d, J = 8.2 Hz, 2H), 7.35 (d, J = 8.3 Hz, 1H), 7.39 (d, J = 8.2 Hz, 2H), 7.60-7.66 (m, 2H), 7.70-7.75 (m, 2H).
工程3 化合物I-246の合成
化合物11(26mg、0.042mmol)を33%メチルアミン-エタノール溶液(0.3mL、2.41mmol)に溶解し、室温で1.5時間撹拌した。溶媒を減圧留去後、残渣をエタノール(0.5ml)に溶解し、無水酢酸(0.0047mL、0.050mmol)を加え、室温にて8時間撹拌した。溶媒を減圧留去し、酢酸エチルで希釈後、飽和重曹水を加え、酢酸エチルで抽出した。有機層を飽和重曹水、飽和塩化ナトリウム水溶液で洗浄後、硫酸ナトリウムで乾燥した。溶媒を減圧留去し、シリカゲルクロマトグラフィー(クロロホルム-メタノール 10:1)により精製し、化合物I-246(21mg、収率94%)を白色アモルファスとして得た。
1H-NMR (CDCl3) δ: 1.58 (s, 6H), 1.84 (s, 1H), 1.96 (s, 3H), 2.01-2.08 (m, 2H), 2.12-2.22 (m, 1H), 2.24-2.39 (m, 2H), 2.50-2.56 (m, 1H), 2.76 (d, J = 17.2 Hz, 1H), 2.81-3.05 (m, 3H), 4.01 (t, J = 6.0 Hz, 2H), 4.10-4.22 (m, 2H), 5.79 (s, 1H), 6.64 (t, J = 5.4 Hz, 1H), 6.74-6.81 (m, 2H), 7.21-7.30 (m, 3H), 7.53 (d, J = 8.2 Hz, 2H).
Example 9 Synthesis of Compound I-246
Step 1 Synthesis of Compound 10 To a solution of Compound 7 (40 mg, 0.055 mmol) in dichloromethane (0.2 mL) was added trifluoroacetic acid (0.2 mL, 2.60 mmol), and the mixture was stirred at room temperature for 1 hour. After distilling off the solvent under reduced pressure, toluene azeotropy was performed twice to obtain Compound 10 (34.5 mg, yield 100%) as a yellow amorphous.
Step 2 Synthesis of Compound 11 Compound 10 (34.5 mg, 0.055 mmol) was dissolved in 1,4-dioxane (0.5 mL) and para- (1-hydroxy-isopropyl) phenylboronic acid (14.73 mg, 0 0.082 mmol), [1,1′-bis (di-tert-butylphosphino) ferrocene] palladium (II) dichloride (1.78 mg, 0.0027 mmol), potassium phosphate (34.7 mg, 0.164 mmol). The mixture was further stirred at 80 ° C. for 2 hours. The reaction solution was purified by silica gel column chromatography (hexane-ethyl acetate 1: 2) to obtain Compound 11 (27.7 mg, yield 82%) as a brown amorphous.
1H-NMR (CDCl3) δ: 1.48 (s, 6H), 2.01-2.08 (m, 2H), 2.21-2.37 (m, 3H), 2.60-2.70 (m, 2H), 2.79-2.90 (m, 1H) , 2.90-3.06 (m, 2H), 4.00 (t, J = 6.0 Hz, 2H), 4.56 (d, J = 15.8 Hz, 1H), 4.77 (d, J = 15.8 Hz, 1H), 5.66 (s, 1H), 6.75 (s, 1H), 6.80 (d, J = 8.3 Hz, 1H), 7.22 (d, J = 8.2 Hz, 2H), 7.35 (d, J = 8.3 Hz, 1H), 7.39 (d, J = 8.2 Hz, 2H), 7.60-7.66 (m, 2H), 7.70-7.75 (m, 2H).
Step 3 Synthesis of Compound I-246 Compound 11 (26 mg, 0.042 mmol) was dissolved in 33% methylamine-ethanol solution (0.3 mL, 2.41 mmol) and stirred at room temperature for 1.5 hours. After the solvent was distilled off under reduced pressure, the residue was dissolved in ethanol (0.5 ml), acetic anhydride (0.0047 mL, 0.050 mmol) was added, and the mixture was stirred at room temperature for 8 hours. The solvent was evaporated under reduced pressure, diluted with ethyl acetate, saturated aqueous sodium hydrogen carbonate was added, and the mixture was extracted with ethyl acetate. The organic layer was washed with saturated aqueous sodium hydrogen carbonate and saturated aqueous sodium chloride solution and then dried over sodium sulfate. The solvent was distilled off under reduced pressure, and the residue was purified by silica gel chromatography (chloroform-methanol 10: 1) to obtain Compound I-246 (21 mg, 94% yield) as a white amorphous.
1H-NMR (CDCl3) δ: 1.58 (s, 6H), 1.84 (s, 1H), 1.96 (s, 3H), 2.01-2.08 (m, 2H), 2.12-2.22 (m, 1H), 2.24-2.39 (m, 2H), 2.50-2.56 (m, 1H), 2.76 (d, J = 17.2 Hz, 1H), 2.81-3.05 (m, 3H), 4.01 (t, J = 6.0 Hz, 2H), 4.10- 4.22 (m, 2H), 5.79 (s, 1H), 6.64 (t, J = 5.4 Hz, 1H), 6.74-6.81 (m, 2H), 7.21-7.30 (m, 3H), 7.53 (d, J = 8.2 Hz, 2H).
実施例10 化合物I-352の合成
工程1 化合物2の合成
化合物1(1.09g、2.57mmol)をジメチルホルムアミド(10mL)に溶解し、メルドラム酸(0.56g、3.86mmol)とN,N-ジメチル-4-アミノピリジン(0.94g、7.72mmol)と1-エチル-3-(3-ジメチルアミノプロピル)カルボジイミド塩酸塩(0.74g、3.86mmol)を加え、室温で3時間撹拌した。その後、2mol/L塩酸水溶液を加えた後、酢酸エチルで抽出した。有機層を飽和塩化ナトリウム水溶液で洗浄した後、硫酸ナトリウムで乾燥した。溶媒を減圧留去し、得られた残渣を酢酸エチル(10mL)に溶解し、還流条件下2時間撹拌した。溶媒を減圧留去し、得られた残渣をメタノール(10mL)に溶解し、2mol/L塩酸メタノール溶液(2.47mL、4.94mmol)を加えた。室温で1時間撹拌した後、水を加えた、酢酸エチルで抽出した。有機層を飽和塩化ナトリウム水溶液で洗浄した後、硫酸ナトリウムで乾燥した。溶媒を減圧留去し、得られた残渣をシリカゲルカラムクロマトグラフィー(クロロホルム‐メタノール)により精製して化合物2(700mg、3段階収率83%)を得た。
1H-NMR (CDCl3) δ: 2.02-2.37 (m, 6H), 2.71 (d, J = 14.9 Hz, 1H), 2.80-3.03 (m, 3H), 3.32-3.44 (m, 2H), 4.01 (t, J = 6.0 Hz, 2H), 6.23 (s, 1H), 6.76-6.83 (m, 2H), 7.16 (d, J = 8.4 Hz, 1H).
工程2 化合物3の合成
化合物2(660mg、1.93mmol)をジクロロエタン(10mL)に溶解し、塩化ホスホリル(0.22mL、2.32mmol)と2,6-ルチジン(0.29mL、2.51mmol)を加え、室温で1時間撹拌した。その後、水を加えた後、クロロホルムで抽出した。有機層を飽和塩化ナトリウム水溶液で洗浄した後、硫酸ナトリウムで乾燥した。溶媒を減圧留去し、得られた残渣を酢酸エチル(10mL)に溶解し、還流条件下2時間撹拌した。溶媒を減圧留去し、得られた残渣をシリカゲルカラムクロマトグラフィー(ヘキサン‐酢酸エチル)により精製して化合物3(232mg、収率33%)を得た。
1H-NMR (CDCl3) δ: 2.02-2.18 (m, 3H), 2.28-2.35 (m, 2H), 2.47-2.53 (m, 1H), 2.68 (d, J = 17.6 Hz, 1H), 2.85-2.99 (m, 3H), 4.01 (t, J = 6.0 Hz, 2H), 5.52 (s, 1H), 6.19 (s, 1H), 6.77-6.80 (m, 2H), 7.23-7.26 (m, 1H).
工程3 化合物I-352の合成
化合物2(30mg、0.083mmol)をジオキサン(0.5mL)に溶解し、ボロン酸4(41.5mg、0.25mmol)とリン酸三カリウム(53.1mg、0.25mmol)と[1、1’-ビス(ジ-tert-ブチルホスフィノ)フェロセン]パラジウム(II)ジクロリド(5.4mg、0.0083mmol)を加え、80℃で2時間撹拌した。その後、水を加え、酢酸エチルで抽出した。有機層を水で洗浄した後、無水硫酸マグネシウムで乾燥した。溶媒を減圧留去し、得られた残渣をシリカゲルカラムクロマトグラフィー(ヘキサン-酢酸エチル)により精製し、化合物I-352(28mg、75%)を得た。
1H-NMR (CDCl3) δ: 2.03-2.19 (m, 3H), 2.28-2.36 (m, 5H), 2.46-2.51 (m, 1H), 2.86-3.03 (m, 4H), 4.02 (t, J = 6.0 Hz, 2H), 4.72 (s, 2H), 5.67 (s, 1H), 6.38 (s, 1H), 6.78-6.80 (m, 2H), 7.21 (d, J = 7.9 Hz, 1H), 7.30-7.37 (m, 2H), 7.53 (br-s, 1H).
Example 10 Synthesis of Compound I-352
Step 1 Synthesis of Compound 2 Compound 1 (1.09 g, 2.57 mmol) was dissolved in dimethylformamide (10 mL), and Meldrum's acid (0.56 g, 3.86 mmol) and N, N-dimethyl-4-aminopyridine ( 0.94 g, 7.72 mmol) and 1-ethyl-3- (3-dimethylaminopropyl) carbodiimide hydrochloride (0.74 g, 3.86 mmol) were added, and the mixture was stirred at room temperature for 3 hours. Thereafter, a 2 mol / L hydrochloric acid aqueous solution was added, followed by extraction with ethyl acetate. The organic layer was washed with a saturated aqueous sodium chloride solution and then dried over sodium sulfate. The solvent was distilled off under reduced pressure, and the resulting residue was dissolved in ethyl acetate (10 mL) and stirred under reflux conditions for 2 hours. The solvent was distilled off under reduced pressure, and the resulting residue was dissolved in methanol (10 mL), and 2 mol / L hydrochloric acid methanol solution (2.47 mL, 4.94 mmol) was added. After stirring at room temperature for 1 hour, water was added and the mixture was extracted with ethyl acetate. The organic layer was washed with a saturated aqueous sodium chloride solution and then dried over sodium sulfate. The solvent was distilled off under reduced pressure, and the resulting residue was purified by silica gel column chromatography (chloroform-methanol) to obtain Compound 2 (700 mg, 3-stage yield 83%).
1H-NMR (CDCl3) δ: 2.02-2.37 (m, 6H), 2.71 (d, J = 14.9 Hz, 1H), 2.80-3.03 (m, 3H), 3.32-3.44 (m, 2H), 4.01 (t , J = 6.0 Hz, 2H), 6.23 (s, 1H), 6.76-6.83 (m, 2H), 7.16 (d, J = 8.4 Hz, 1H).
Step 2 Synthesis of Compound 3 Compound 2 (660 mg, 1.93 mmol) was dissolved in dichloroethane (10 mL), phosphoryl chloride (0.22 mL, 2.32 mmol) and 2,6-lutidine (0.29 mL, 2.51 mmol). And stirred at room temperature for 1 hour. Then, after adding water, it extracted with chloroform. The organic layer was washed with a saturated aqueous sodium chloride solution and then dried over sodium sulfate. The solvent was distilled off under reduced pressure, and the resulting residue was dissolved in ethyl acetate (10 mL) and stirred under reflux conditions for 2 hours. The solvent was distilled off under reduced pressure, and the obtained residue was purified by silica gel column chromatography (hexane-ethyl acetate) to obtain Compound 3 (232 mg, yield 33%).
1H-NMR (CDCl3) δ: 2.02-2.18 (m, 3H), 2.28-2.35 (m, 2H), 2.47-2.53 (m, 1H), 2.68 (d, J = 17.6 Hz, 1H), 2.85-2.99 (m, 3H), 4.01 (t, J = 6.0 Hz, 2H), 5.52 (s, 1H), 6.19 (s, 1H), 6.77-6.80 (m, 2H), 7.23-7.26 (m, 1H).
Step 3 Synthesis of Compound I-352
Compound 2 (30 mg, 0.083 mmol) was dissolved in dioxane (0.5 mL) and boronic acid 4 (41.5 mg, 0.25 mmol), tripotassium phosphate (53.1 mg, 0.25 mmol) and [1, 1′-Bis (di-tert-butylphosphino) ferrocene] palladium (II) dichloride (5.4 mg, 0.0083 mmol) was added, and the mixture was stirred at 80 ° C. for 2 hours. Then, water was added and extracted with ethyl acetate. The organic layer was washed with water and then dried over anhydrous magnesium sulfate. The solvent was distilled off under reduced pressure, and the obtained residue was purified by silica gel column chromatography (hexane-ethyl acetate) to obtain Compound I-352 (28 mg, 75%).
1H-NMR (CDCl3) δ: 2.03-2.19 (m, 3H), 2.28-2.36 (m, 5H), 2.46-2.51 (m, 1H), 2.86-3.03 (m, 4H), 4.02 (t, J = 6.0 Hz, 2H), 4.72 (s, 2H), 5.67 (s, 1H), 6.38 (s, 1H), 6.78-6.80 (m, 2H), 7.21 (d, J = 7.9 Hz, 1H), 7.30- 7.37 (m, 2H), 7.53 (br-s, 1H).
実施例11 化合物I-330の合成
工程1 化合物2の合成
6-ブロモニコチンアルデヒド(10g、53.8mmol)を塩化メチレン(50mL)に溶解させ、三フッ化N,N-ジエチルアミノ硫黄(15.6mL、118mmol)を氷冷下加えて、室温で2時間撹拌した。反応液に水を加え、酢酸エチルで抽出した。有機層を飽和食塩水で洗浄し、無水硫酸ナトリウムで乾燥した。溶媒を減圧留去し、得られた残渣をシリカゲルカラムクロマトグラフィー(ヘキサン-酢酸エチル)により精製して、化合物2(7.65g、収率68%)を得た。
1H-NMR (CDCl3) δ: 6.70 (t, JH-F =55.6, Hz, 1H), 7.61 (d, J = 8.2 Hz, 1H), 7.71 (d, J = 8.2 Hz, 1H), 8.52 (s, 1H).
工程2 化合物3の合成
化合物2(6.6g、31.7mmol)をジオキサン(50mL)に溶解させ、トリブチル(1-エトキシビニル)錫(22.9g、63.5mmol)およびトリフェニルホスフィンパラジウム(1.83g、1.59mmol)を加えた後、120℃で終夜撹拌した。反応液を室温に冷やした後、2mol/L塩酸(79mL、159mmol)を加えて、室温で3時間撹拌した。反応液に飽和重層水を加え、酢酸エチルで抽出した。有機層を飽和食塩水で洗浄し、無水硫酸ナトリウムで乾燥した。溶媒を減圧留去し、得られた残渣をシリカゲルカラムクロマトグラフィー(ヘキサン-酢酸エチル)により精製して、化合物3(4.47g、収率82%)を得た。
1H-NMR (CDCl3) δ: 2.75 (s, 3H), 6.78 (t, JH-F =55.2, Hz, 1H), 7.98 (d, J = 8.4 Hz,1H), 8.13 (d, J = 8.4 Hz, 1H), 8.82 (s, 1H).
工程3 化合物6の合成
化合物5(59mg、0.215mmol;WO2015/134699)を塩化メチレン(1mL)に溶解させ、トリフェニルホスフィン(169mg、0.646mmol)および2,2,2-トリクロロアセトニトリル(0.032mL、0.323mmol)を加えた後、室温で30分間撹拌した。さらに、原料として化合物3を用いて一般的合成法2の工程A-2および工程A-3により得た化合物4(50mg、0.108mmol)のTHF(5mL)およびピリジン反応液(0.087mL、1.08mmol)を加えて終夜攪拌した。反応液を留去して得られた残渣をシリカゲルカラムクロマトグラフィー(ヘキサン-酢酸エチル)により精製して、化合物6(65mg、収率84%)を得た。
工程4 化合物7の合成
化合物6(65mg、0.09mmol)をエタノール(1mL)に溶解させ、ナトリウムエトキシド溶液(0.177mL、0.451mmol)を加えた後、室温で1時間撹拌した。反応液に1mol/L塩酸を加え、酢酸エチルで抽出した。有機層を飽和食塩水で洗浄し、無水硫酸ナトリウムで乾燥した。溶媒を減圧留去し、得られた残渣をシリカゲルカラムクロマトグラフィー(クロロホルム-メタノール)により精製して、2重結合および立体異性体の混合物として化合物7(38mg、収率89%)を得た。
工程5 化合物I-330の合成
化合物7(38mg、0.057mmol)を塩化メチレン(1mL)に溶解させ、トリフルオロ酢酸(0.35mL、4.51mmol)を加えた後、室温で3時間撹拌した。反応液を減圧下濃縮した後、反応液に飽和重層水を加え、塩化メチレンで抽出した。有機層を1mol/L塩酸と飽和食塩水で洗浄し、無水硫酸ナトリウムで乾燥した。溶媒を減圧留去し、粗生成物を得た。得られた残渣を超臨界クロマトグラフィー(エタノール)により精製して、化合物I-330(4.6mg、収率14%)を得た。
1H-NMR (CD3OD) δ: 2.03-2.10 (m, 2H), 2.34-2.46 (m, 2H), 3.57-3.74 (m, 2H), 4.11 (t, J = 6.0 Hz, 2H), 6.28 (s, 1H), 6.87 (d, JH-F = 55.2 Hz, 1H), 6.90 (s, 1H), 7.00 (s, 1H), 7.02 (d, J = 8.4 Hz, 1H), 7.56 (d, J = 8.4 Hz, 1H), 7.71 (d, J = 8.0 Hz, 1H), 7.73 (d, J = 8.0 Hz, 1H), 8.66 (s, 1H).
さらに以下に示す化合物も上記いずれかの方法と同様にして合成した。
Example 11 Synthesis of Compound I-330
Step 1 Synthesis of Compound 2 6-Bromonicotinaldehyde (10 g, 53.8 mmol) was dissolved in methylene chloride (50 mL), and N, N-diethylaminosulfur trifluoride (15.6 mL, 118 mmol) was added under ice cooling. And stirred at room temperature for 2 hours. Water was added to the reaction mixture, and the mixture was extracted with ethyl acetate. The organic layer was washed with saturated brine and dried over anhydrous sodium sulfate. The solvent was distilled off under reduced pressure, and the resulting residue was purified by silica gel column chromatography (hexane-ethyl acetate) to obtain Compound 2 (7.65 g, yield 68%).
1H-NMR (CDCl3) δ: 6.70 (t, JH-F = 55.6, Hz, 1H), 7.61 (d, J = 8.2 Hz, 1H), 7.71 (d, J = 8.2 Hz, 1H), 8.52 (s , 1H).
Step 2 Synthesis of Compound 3 Compound 2 (6.6 g, 31.7 mmol) was dissolved in dioxane (50 mL) and tributyl (1-ethoxyvinyl) tin (22.9 g, 63.5 mmol) and triphenylphosphine palladium (1 .83 g, 1.59 mmol) was added, followed by stirring at 120 ° C. overnight. The reaction mixture was cooled to room temperature, 2 mol / L hydrochloric acid (79 mL, 159 mmol) was added, and the mixture was stirred at room temperature for 3 hr. Saturated multistory water was added to the reaction solution, and the mixture was extracted with ethyl acetate. The organic layer was washed with saturated brine and dried over anhydrous sodium sulfate. The solvent was distilled off under reduced pressure, and the resulting residue was purified by silica gel column chromatography (hexane-ethyl acetate) to obtain Compound 3 (4.47 g, yield 82%).
1H-NMR (CDCl3) δ: 2.75 (s, 3H), 6.78 (t, JH-F = 55.2, Hz, 1H), 7.98 (d, J = 8.4 Hz, 1H), 8.13 (d, J = (8.4 Hz, 1H), 8.82 (s, 1H).
Step 3 Synthesis of Compound 6 Compound 5 (59 mg, 0.215 mmol; WO2015 / 134699) was dissolved in methylene chloride (1 mL) and triphenylphosphine (169 mg, 0.646 mmol) and 2,2,2-trichloroacetonitrile (0 0.032 mL, 0.323 mmol) was added, followed by stirring at room temperature for 30 minutes. Further, Compound 4 (50 mg, 0.108 mmol) obtained in Step A-2 and Step A-3 of General Synthesis Method 2 using Compound 3 as a raw material in THF (5 mL) and a pyridine reaction solution (0.087 mL, 1.08 mmol) was added and stirred overnight. The residue obtained by evaporating the reaction solution was purified by silica gel column chromatography (hexane-ethyl acetate) to obtain Compound 6 (65 mg, 84% yield).
Step 4 Synthesis of Compound 7 Compound 6 (65 mg, 0.09 mmol) was dissolved in ethanol (1 mL), sodium ethoxide solution (0.177 mL, 0.451 mmol) was added, and the mixture was stirred at room temperature for 1 hour. 1 mol / L hydrochloric acid was added to the reaction solution, and the mixture was extracted with ethyl acetate. The organic layer was washed with saturated brine and dried over anhydrous sodium sulfate. The solvent was distilled off under reduced pressure, and the resulting residue was purified by silica gel column chromatography (chloroform-methanol) to obtain Compound 7 (38 mg, 89% yield) as a mixture of double bonds and stereoisomers.
Step 5 Synthesis of Compound I-330 Compound 7 (38 mg, 0.057 mmol) was dissolved in methylene chloride (1 mL), trifluoroacetic acid (0.35 mL, 4.51 mmol) was added, and the mixture was stirred at room temperature for 3 hours. . The reaction solution was concentrated under reduced pressure, saturated multistory water was added to the reaction solution, and the mixture was extracted with methylene chloride. The organic layer was washed with 1 mol / L hydrochloric acid and saturated brine, and dried over anhydrous sodium sulfate. The solvent was distilled off under reduced pressure to obtain a crude product. The obtained residue was purified by supercritical chromatography (ethanol) to obtain Compound I-330 (4.6 mg, yield 14%).
1H-NMR (CD3OD) δ: 2.03-2.10 (m, 2H), 2.34-2.46 (m, 2H), 3.57-3.74 (m, 2H), 4.11 (t, J = 6.0 Hz, 2H), 6.28 (s , 1H), 6.87 (d, JH-F = 55.2 Hz, 1H), 6.90 (s, 1H), 7.00 (s, 1H), 7.02 (d, J = 8.4 Hz, 1H), 7.56 (d, J = 8.4 Hz, 1H), 7.71 (d, J = 8.0 Hz, 1H), 7.73 (d, J = 8.0 Hz, 1H), 8.66 (s, 1H).
Further, the compounds shown below were synthesized in the same manner as in any of the above methods.
各化合物の物理データを以下に示す。
表中にLC(min)とあるのは、LC/MS(液体クロマトグラフィー/質量分析)での保持時間を表し、MS(M+H)とあるのは、LC/MSでの質量を表し、LCMS Methodとあるのは、LC/MSの以下のいずれかの測定条件を表す。
測定条件A
カラム:ACQUITY UPLC(登録商標)BEH C18 (1.7μm i.d.2.1x50mm)(Waters)
流速:0.8 mL/分
UV検出波長:254nm
移動相:[A]は0.1%ギ酸含有水溶液[B]は0.1%ギ酸含有アセトニトリル溶液
3.5分間で5%-100%溶媒[B]のリニアグラジエントを行った後、0.5分間、100%溶媒[B]を維持した。
測定条件B
カラム:Shim-pack XR-ODS (2.2μm i.d.50x3.0mm) (Shimadzu)
流速:1.6 mL/分
UV検出波長:254nm;
移動相:[A]は0.1%ギ酸含有水溶液、[B]は0.1%ギ酸含有アセトニトリル溶液
グラジェント:3分間で10%-100%溶媒[B]のリニアグラジエントを行い、0.5分間、100%溶媒[B]を維持した。
測定条件C
カラム:ACQUITY UPLC(登録商標)BEH C18 (1.7μm i.d.2.1x50mm)(Waters)
流速:0.55mL/分
UV検出波長:254nm
移動相:[A]は0.1%ギ酸含有水溶液、[B]は0.1%ギ酸含有アセトニトリル溶液
グラジェント:3分間で5%-100%溶媒[B]のリニアグラジエントを行い、0.5分間、100%溶媒[B]を維持した。
測定条件D
カラム:ACQUITY UPLC(登録商標)BEH C18 (1.7μm i.d.2.1x50mm)(Waters)
流速:0.8mL/分
UV検出波長:254nm
移動相:[A]は0.1%ギ酸含有水溶液、[B]は0.1%ギ酸含有アセトニトリル溶液
グラジェント:3.5分間で5%-100%溶媒[B]のリニアグラジエントを行い、0.5分間、100%溶媒[B]を維持した。
測定条件E
カラム:ACQUITY UPLC(登録商標)BEH C18 (1.7μm i.d.2.1x50mm)(Waters)
流速:0.8 mL/分
UV検出波長:254nm
移動相:[A]は10mM炭酸アンモニウム含有水溶液、[B]はアセトニトリル
グラジェント:3.5分間で5%-100%溶媒[B]のリニアグラジエントを行った後、0.5分間、100%溶媒[B]を維持した。
The physical data of each compound is shown below.
In the table, LC (min) represents the retention time in LC / MS (liquid chromatography / mass spectrometry), and MS (M + H) represents the mass in LC / MS. The symbol represents any of the following measurement conditions for LC / MS.
Measurement condition A
Column: ACQUITY UPLC® BEH C18 (1.7 μm id 2.1 × 50 mm) (Waters)
Flow rate: 0.8 mL / min UV detection wavelength: 254 nm
Mobile phase: [A] is a 0.1% formic acid-containing aqueous solution [B] is 0.1% formic acid-containing acetonitrile solution. 100% solvent [B] was maintained for 5 minutes.
Measurement condition B
Column: Shim-pack XR-ODS (2.2μm id50x3.0mm) (Shimadzu)
Flow rate: 1.6 mL / min UV detection wavelength: 254 nm;
Mobile phase: [A] is a 0.1% formic acid-containing aqueous solution, [B] is a 0.1% formic acid-containing acetonitrile solution. Gradient: Linear gradient of 10% -100% solvent [B] in 3 minutes. 100% solvent [B] was maintained for 5 minutes.
Measurement condition C
Column: ACQUITY UPLC® BEH C18 (1.7 μm id 2.1 × 50 mm) (Waters)
Flow rate: 0.55 mL / min UV detection wavelength: 254 nm
Mobile phase: [A] is a 0.1% formic acid-containing aqueous solution, [B] is a 0.1% formic acid-containing acetonitrile solution Gradient: Linear gradient of 5% -100% solvent [B] is performed for 3 minutes. 100% solvent [B] was maintained for 5 minutes.
Measurement condition D
Column: ACQUITY UPLC® BEH C18 (1.7 μm id 2.1 × 50 mm) (Waters)
Flow rate: 0.8 mL / min UV detection wavelength: 254 nm
Mobile phase: [A] is 0.1% formic acid-containing aqueous solution, [B] is 0.1% formic acid-containing acetonitrile solution Gradient: Linear gradient of 5% -100% solvent [B] in 3.5 minutes, 100% solvent [B] was maintained for 0.5 minutes.
Measurement condition E
Column: ACQUITY UPLC® BEH C18 (1.7 μm id 2.1 × 50 mm) (Waters)
Flow rate: 0.8 mL / min UV detection wavelength: 254 nm
Mobile phase: [A] is a 10 mM ammonium carbonate-containing aqueous solution, [B] is acetonitrile gradient: linear gradient of 5% -100% solvent [B] in 3.5 minutes, then 0.5%, 100% Solvent [B] was maintained.
各実施例で得られたNMR分析は300MHzで行い、DMSO-d6、CDCl3を用いて測定した。 The NMR analysis obtained in each example was performed at 300 MHz and measured using DMSO-d 6 and CDCl 3 .
以下に、本発明化合物の生物試験例を記載する。 Hereinafter, biological test examples of the compounds of the present invention will be described.
調製例1(リコンビナントヒトMGAT2の調製)
N末端にFlag-tagを付加した全長のヒトMGAT2遺伝子をpFastBac(Invitrogen社製)に挿入した。Bac-to-Bacバキュロウイルス発現システム(Invitrogen社製)のプロトコールに従い、組換えバキュロウイルスを作製し、Sf-9細胞に感染した。回収した細胞を超音波破砕後、遠心分離によって膜画分を回収した。抗Flag抗体によるウェスタンブロット分析により発現を確認し、リコンビナントヒトMGAT2酵素液とした。
Preparation Example 1 (Preparation of recombinant human MGAT2)
The full-length human MGAT2 gene with Flag-tag added to the N-terminus was inserted into pFastBac (Invitrogen). Recombinant baculovirus was prepared according to the protocol of Bac-to-Bac baculovirus expression system (Invitrogen) and infected with Sf-9 cells. The collected cells were sonicated and the membrane fraction was collected by centrifugation. Expression was confirmed by Western blot analysis using an anti-Flag antibody, and a recombinant human MGAT2 enzyme solution was obtained.
試験例1(ヒトMGAT2阻害活性の測定)
各々の本発明化合物のDMSO溶液0.2μLを分注したコーニング社製ポリスチレン製384穴マイクロプレートに、アッセイ緩衝液(2mmol/l DTTを含む100mmol/Lリン酸緩衝液(pH7.4))で調製した酵素溶液5μLと基質溶液(100mmol/Lリン酸緩衝液(pH7.4)、30μmol/L 2-Oleoylglycerol、10μmol/L Oleoyl-CoA)5μLを添加し、撹拌および遠心後、湿潤箱中で室温1時間インキュベーションした。酵素反応後、Internal Standard(IS)を含む停止液(0.2μmol/L Diolein-d5、0.4%ギ酸および50%イソプロパノールを含む)50μLを添加により反応を停止し、島津GLC社製プレートにシール後、撹拌および遠心し、RapidFire360およびAgilent 6550 Q-TOF質量分析装置を用いてエレクトロスプレーイオン化法で測定を行った。基質である2-Oleoylglycerolの反応産物(P) DioleinとISのアンモニウム付加体イオンを検出し、そのピーク高さを用いてピーク強度比P/ISを算出し阻害活性を評価した。阻害活性は酵素添加あり/なしをそれぞれControl(+)/Control(-)と規定し、阻害率をそれぞれ0%および100%阻害として、発明化合物を添加した時のピーク強度比P/ISをSampleとして、下記の数式によりTIBCO Spotfire(TIBCO Software社製)にて算出した。
阻害活性(%)=[1-{Sample-Control(-)} / {Control(+)-Control(-)}] * 100
Test Example 1 (Measurement of human MGAT2 inhibitory activity)
Each assay compound (100 mmol / L phosphate buffer (pH 7.4) containing 2 mmol / l DTT) was added to a 384-well microplate made of Corning manufactured by dispensing 0.2 μL of each DMSO solution of the present compound. Add 5 μL of the prepared enzyme solution and 5 μL of the substrate solution (100 mmol / L phosphate buffer (pH 7.4), 30 μmol / L 2-Oleoylglycerol, 10 μmol / L Oleoyl-CoA), and after stirring and centrifugation, in a wet box Incubated for 1 hour at room temperature. After the enzyme reaction, the reaction was stopped by adding 50 μL of a stop solution containing Internal Standard (IS) (containing 0.2 μmol / L Diolein-d5, 0.4% formic acid and 50% isopropanol), and placed on a Shimadzu GLC plate. After sealing, the mixture was stirred and centrifuged, and measurement was performed by electrospray ionization using RapidFire360 and Agilent 6550 Q-TOF mass spectrometer. The reaction product (P) Diolein of 2-Oleoylglycerol as a substrate and the ammonium adduct ion of IS were detected, and the peak intensity ratio P / IS was calculated using the peak height to evaluate the inhibitory activity. Inhibitory activity is defined as Control (+) / Control (-) with and without enzyme addition, respectively, and the inhibition rate is 0% and 100% inhibition, respectively, and the peak intensity ratio P / IS when the invention compound is added is Sample Was calculated by TIBCO Spotfire (manufactured by TIBCO Software) according to the following formula.
Inhibitory activity (%) = [1- {Sample-Control (-)} / {Control (+)-Control (-)}] * 100
試験例2(代謝安定性試験)
市販のプールドヒト肝ミクロソームと本発明化合物を一定時間反応させ、反応サンプルと未反応サンプルの比較により残存率を算出し、本発明化合物が肝で代謝される程度を評価した。
Test Example 2 (Metabolic stability test)
A commercially available pooled human liver microsome was reacted with the compound of the present invention for a certain period of time, and the residual ratio was calculated by comparing the reaction sample with the unreacted sample, and the degree of metabolism of the compound of the present invention in the liver was evaluated.
ヒト肝ミクロソーム0.5mgタンパク質/mLを含む0.2mLの緩衝液(50mmol/L Tris-HCl pH7.4、150mmol/L 塩化カリウム、10mmol/L 塩化マグネシウム)中で、1mmol/L NADPH存在下で37℃、0分あるいは30分間反応させた(酸化的反応)。反応後、メタノール/アセトニトリル=1/1(v/v)溶液の100μLに反応液50μLを添加、混合し、3000rpmで15分間遠心した。その遠心上清中の本発明化合物をLC/MS/MSにて定量し、反応後の本発明化合物の残存量を0分反応時の化合物量を100%として計算した。なお、加水分解反応はNADPH非存在下で、グルクロン酸抱合反応はNADPHに換えて5mmol/L UDP-グルクロン酸の存在下で反応を行い、以後同じ操作を実施した。 In 0.2 mL buffer (50 mmol / L Tris-HCl pH 7.4, 150 mmol / L potassium chloride, 10 mmol / L magnesium chloride) containing 0.5 mg protein / mL human liver microsomes in the presence of 1 mmol / L NADPH The reaction was carried out at 37 ° C. for 0 or 30 minutes (oxidative reaction). After the reaction, 50 μL of the reaction solution was added to 100 μL of a methanol / acetonitrile = 1/1 (v / v) solution, mixed, and centrifuged at 3000 rpm for 15 minutes. The compound of the present invention in the centrifugal supernatant was quantified by LC / MS / MS, and the residual amount of the compound of the present invention after the reaction was calculated with the compound amount at 0 minute reaction as 100%. The hydrolysis reaction was carried out in the absence of NADPH, and the glucuronic acid conjugation reaction was carried out in the presence of 5 mmol / L UDP-glucuronic acid instead of NADPH, and thereafter the same operation was carried out.
試験例3(溶解性試験)
本発明化合物の溶解度は、1%DMSO添加条件下で決定した。DMSOにて10mmol/L化合物溶液を調製し、本発明化合物溶液6μLをpH6.8人工腸液(0.2mol/L リン酸二水素カリウム試液250mLに0.2mol/L NaOH試液118mL、水を加えて1000mLとした)594μLに添加した。25℃で16時間静置させた後、混液を吸引濾過した。濾液をメタノール/水=1/1(V/V)にて2倍希釈し、絶対検量線法によりHPLCまたはLC/MS/MSを用いて濾液中濃度を測定した。
Test Example 3 (Solubility test)
The solubility of the compound of the present invention was determined under the condition of adding 1% DMSO. Prepare a 10 mmol / L compound solution in DMSO, add 6 μL of the compound solution of the present invention to pH 6.8 artificial intestinal fluid (0.2 mol / L potassium dihydrogen phosphate test solution 250 mL, add 0.2 mL / L NaOH test solution 118 mL, water). To 594 μL). After allowing to stand at 25 ° C. for 16 hours, the mixed solution was subjected to suction filtration. The filtrate was diluted 2-fold with methanol / water = 1/1 (V / V), and the concentration in the filtrate was measured by HPLC or LC / MS / MS using the absolute calibration curve method.
試験例4(光毒性試験)
In vitro光毒性試験として、生体膜に対する作用および光過酸化を指標とした評価法である赤血球光溶血試験(Wolfgang J.W. Pepe et al., ATLA29, 145-162, 2001)を行った。本法では、ジメチルスホキシドを媒体とした本発明化合物の調製液に対し2.5%(v/v)のヒツジ赤血球液を添加した混合液(濃度:0.1~0.0008%)を用いた。この混合液を添加したマイクロプレートを二つ用意し、一つのマイクロプレートに紫外線蛍光ランプ(GL20SEランプ、三共電気及びFL20S-BLBランプ、パナソニック)を用いてUVA及びUVB領域での光照射(10J/cm2、290~400nm)を行い、光照射を行わなかったマイクロプレートと共に遠心操作を加えた後、上清の吸光度(540nmまたは630nm)を測定した。光毒性の判定に用いる二つの指標(生体膜に対する作用および光過酸化)を求めるために、本発明化合物から得られた吸光度について光照射および未照射のそれぞれで媒体での吸光度を差し引いた値を算出し、以降の計算に供した。生体膜に対する作用に関しては光照射と未照射の吸光度(540nm)の差から光溶血率を求め、光過酸化に対しては光照射と未照射の吸光度(630nm)の変化量を求めた。なお光溶血率の計算においては蒸留水を用いて強制溶血させた2.5%(v/v)のヒツジ赤血球液から得られた吸光度(540nm)を光溶血率100%の基準とした。
Test Example 4 (Phototoxicity test)
As an in vitro phototoxicity test, an erythrocyte photohemolysis test (Wolfgang JW Pepe et al., ATLA 29, 145-162, 2001), which is an evaluation method using an action on a biological membrane and photoperoxidation as an index, was performed. In this method, a mixed solution (concentration: 0.1 to 0.0008%) obtained by adding 2.5% (v / v) sheep erythrocyte solution to the preparation solution of the compound of the present invention using dimethyl sulfoxide as a medium. Using. Two microplates to which this mixed solution was added were prepared, and light irradiation in the UVA and UVB regions (10 J / day) was performed on one microplate using an ultraviolet fluorescent lamp (GL20SE lamp, Sankyo Electric and FL20S-BLB lamp, Panasonic). (cm 2 , 290 to 400 nm), and centrifugation was performed with a microplate that was not irradiated with light, and then the absorbance (540 nm or 630 nm) of the supernatant was measured. In order to determine the two indicators used for the determination of phototoxicity (action on biological membranes and photoperoxidation), the absorbance obtained from the compound of the present invention was obtained by subtracting the absorbance in the medium with and without light irradiation. Calculated and used for subsequent calculations. Regarding the action on the biological membrane, the photohemolysis rate was determined from the difference between the light irradiation and unirradiated absorbance (540 nm), and for photoperoxidation, the amount of change in the light irradiation and unirradiated absorbance (630 nm) was determined. In the calculation of the photohemolysis rate, the absorbance (540 nm) obtained from a 2.5% (v / v) sheep erythrocyte solution that was forcibly hemolyzed with distilled water was used as a reference for the photohemolysis rate of 100%.
試験例5(細胞障害性試験)
細胞イメージアナライザーであるToxinsight(Thermofisher Scientific社)を用いて、化合物曝露後の細胞数を自動測定し、本発明化合物の細胞障害性を評価した。
HepG2細胞(ヒト肝がん細胞由来)を384ウェルプレートに60000cells/mLとなるように播種し、24時間後に各ウェルに化合物溶液を添加した。化合物溶液としては、本発明化合物を含むDMSO溶液(最高濃度を50μmol/Lに設定し2倍公比で5段階希釈、最低濃度は約3.1μmol/L)、陰性対照としてDMSOのみの溶液、陽性対照としてカンプトテシン溶液を用いた。本発明化合物のDMSO溶液、陰性対照溶液、または陽性対照溶液を各ウェルに添加した。71時間後に、最終濃度1μg/mLになるようにダルベッコリン酸緩衝液(D-PBS)で希釈したHoechst 33342溶液を各ウェルに添加し、37℃、5%CO2インキュベーター内で1時間核の染色を行った。染色後、4%パラフォルムアルデヒドを用いて20分間、37℃のCO2インキュベーター内で固定した。最後に、D-PBSで3回洗浄後、Toxinsight(Thermofisher Scientific社)を用いて、ウェル毎の蛍光発色した核の数を計測した。1濃度あたり4ウェルを設け、4ウェル中の核の数(障害性がみられなかった細胞数)の平均値とばらつき(SD)算出した。陰性対照群と比較し、平均値が陰性対照の平均値から50%以上減少する化合物曝露濃度(IC50)を算出する。IC50の値が小さいほど細胞障害性のリスクが高いと判断した。
Test Example 5 (Cytotoxicity test)
Using the cell image analyzer Toxinsight (Thermofisher Scientific), the number of cells after compound exposure was automatically measured, and the cytotoxicity of the compound of the present invention was evaluated.
HepG2 cells (derived from human hepatoma cells) were seeded in a 384-well plate at 60000 cells / mL, and the compound solution was added to each well 24 hours later. As a compound solution, a DMSO solution containing the compound of the present invention (maximum concentration is set to 50 μmol / L, 5-fold dilution at a 2-fold common ratio, minimum concentration is about 3.1 μmol / L), DMSO-only solution as a negative control, Camptothecin solution was used as a positive control. A DMSO solution, negative control solution, or positive control solution of the compound of the present invention was added to each well. 71 hours later, Hoechst 33342 solution diluted with Dulbecco's phosphate buffer (D-PBS) to a final concentration of 1 μg / mL was added to each well, and the nuclei were incubated for 1 hour in a 37 ° C., 5% CO 2 incubator. Staining was performed. After staining, the cells were fixed in 4% paraformaldehyde for 20 minutes in a 37 ° C. CO 2 incubator. Finally, after washing 3 times with D-PBS, the number of nuclei that developed fluorescence per well was counted using Toxinsight (Thermofisher Scientific). Four wells were provided per concentration, and the average value and variation (SD) of the number of nuclei (number of cells in which no damage was observed) in the four wells were calculated. Compared with the negative control group, the compound exposure concentration (IC 50 ) at which the average value decreases by 50% or more from the average value of the negative control is calculated. It was judged that the smaller the value of IC 50, the higher the risk of cytotoxicity.
試験例6(抗肥満作用試験)
実施例の化合物の抗肥満作用を、高脂肪食(TestDiet;58Y1)を与えたC57BL/6jマウス(DIOマウス)において検討した。
5週齢の雄性C57BL/6j(日本クレア)を購入し、12時間の明暗サイクル下、高脂肪食を与え、4週間飼育し、DIOマウスを作成した。化合物投与の3週間前より1日2回、媒体(0.5%HPMC)を投与した。馴化投与期間中の体重、摂餌量変化によって無作為化を行い、群分けを実施した(n=7)。Day1よりDay28まで1日2回、実施例化合物または媒体(0.5%HPMC)の強制経ロ投与を行った。体重、摂餌量は毎日測定した。Day28に解剖し、精巣上体脂肪重量の測定、および採取した血液の生化学検査を実施した。
Test Example 6 (Anti-obesity effect test)
The anti-obesity effect of the compounds of Examples was examined in C57BL / 6j mice (DIO mice) fed with a high fat diet (TestDiet; 58Y1).
5-week-old male C57BL / 6j (Claire Japan) was purchased, fed with a high fat diet under a 12-hour light / dark cycle, and raised for 4 weeks to prepare DIO mice. The vehicle (0.5% HPMC) was administered twice a day from 3 weeks before compound administration. Randomization was performed according to changes in body weight and food intake during the habituation administration period, and grouping was performed (n = 7). From Day 1 to Day 28, the compound of Example or vehicle (0.5% HPMC) was administered twice a day. Body weight and food intake were measured daily. The specimen was dissected on Day 28, and epididymal fat weight was measured, and biochemical examination of the collected blood was performed.
試験例7(CYP阻害試験)
市販のプールドヒト肝ミクロソームを用いて、ヒト主要CYP5分子種(CYP1A2、2C9、2C19、2D6、3A4)の典型的基質代謝反応として7-エトキシレゾルフィンのO-脱エチル化(CYP1A2)、トルブタミドのメチル-水酸化(CYP2C9)、メフェニトインの4’-水酸化(CYP2C19)、デキストロメトルファンのO脱メチル化(CYP2D6)、テルフェナジンの水酸化(CYP3A4)を指標とし、それぞれの代謝物生成量が本発明化合物によって阻害される程度を評価した。
反応条件は以下のとおり:基質、0.5μmol/L エトキシレゾルフィン(CYP1A2)、100μmol/L トルブタミド(CYP2C9)、50μmol/L S-メフェニトイン(CYP2C19)、5μmol/L デキストロメトルファン(CYP2D6)、1μmol/L テルフェナジン(CYP3A4);反応時間、15分;反応温度、37℃;酵素、プールドヒト肝ミクロソーム0.2mg タンパク質/mL;本発明化合物濃度、1、5、10、20μmol/L(4点)。
96穴プレートに反応溶液として、50mmol/L Hepes緩衝液中に各5種の基質、ヒト肝ミクロソーム、本発明化合物を上記組成で加え、補酵素であるNADPHを添加して、指標とする代謝反応を開始した。37℃、15分間反応した後、メタノール/アセトニトリル=1/1(V/V)溶液を添加することで反応を停止した。3000rpm、15分間の遠心後、遠心上清中のレゾルフィン(CYP1A2代謝物)を蛍光マルチラベルカウンタまたはLC/MS/MSで定量し、トルブタミド水酸化体(CYP2C9代謝物)、メフェニトイン4’水酸化体(CYP2C19代謝物)、デキストロルファン(CYP2D6代謝物)、テルフェナジンアルコール体(CYP3A4代謝物)をLC/MS/MSで定量した。
薬物を溶解した溶媒であるDMSOのみを反応系に添加したものをコントロール(100%)とし、残存活性(%)を算出し、濃度と抑制率を用いて、ロジスティックモデルによる逆推定によりIC50を算出した。
Test Example 7 (CYP inhibition test)
Using commercially available pooled human liver microsomes, 7-ethoxyresorufin O-deethylation (CYP1A2), methyl tolbutamide as a typical substrate metabolic reaction of the major human CYP5 species (CYP1A2, 2C9, 2C19, 2D6, 3A4) -Hydroxylation (CYP2C9), mephenytoin 4'-hydroxylation (CYP2C19), dextromethorphan O-demethylation (CYP2D6), and terfenadine hydroxylation (CYP3A4) are used as indicators. The degree of inhibition by the inventive compounds was evaluated.
The reaction conditions are as follows: substrate, 0.5 μmol / L ethoxyresorufin (CYP1A2), 100 μmol / L tolbutamide (CYP2C9), 50 μmol / L S-mephenytoin (CYP2C19), 5 μmol / L dextromethorphan (CYP2D6), 1 μmol / L terfenadine (CYP3A4); reaction time, 15 minutes; reaction temperature, 37 ° C .; enzyme, pooled human liver microsome 0.2 mg protein / mL; compound concentration of the present invention 1, 5, 10, 20 μmol / L (4 points) .
As a reaction solution in a 96-well plate, each of 5 types of substrate, human liver microsome, and the compound of the present invention are added in the above composition in a 50 mmol / L Hepes buffer solution, and NADPH as a coenzyme is added to make a metabolic reaction as an index. Started. After reacting at 37 ° C. for 15 minutes, the reaction was stopped by adding a methanol / acetonitrile = 1/1 (V / V) solution. After centrifugation at 3000 rpm for 15 minutes, resorufin (CYP1A2 metabolite) in the supernatant was quantified with a fluorescent multilabel counter or LC / MS / MS, and tolbutamide hydroxide (CYP2C9 metabolite), mephenytoin 4 ′ hydroxylated. The body (CYP2C19 metabolite), dextrorphan (CYP2D6 metabolite), and terfenadine alcohol (CYP3A4 metabolite) were quantified by LC / MS / MS.
The control (100%) was obtained by adding only DMSO, which is a drug-dissolving solvent, to the reaction system, the residual activity (%) was calculated, and the IC50 was calculated by inverse estimation using a logistic model using the concentration and inhibition rate. did.
試験例8(BA試験)
経口吸収性の検討実験材料と方法
(1)使用動物:マウスあるいはSDラットを使用した。
(2)飼育条件:マウスあるいはSDラットは、固形飼料および滅菌水道水を自由摂取させた。
(3)投与量、群分けの設定:経口投与、静脈内投与を所定の投与量により投与した。以下のように群を設定した。(化合物ごとで投与量は変更有)
経口投与 1~30mg/kg(n=2~3)
静脈内投与 0.5~10mg/kg(n=2~3)
(4)投与液の調製:経口投与は溶液または懸濁液として投与した。静脈内投与は可溶化して投与した。
(5)投与方法:経口投与は、経口ゾンデにより強制的に胃内に投与した。静脈内投与は、注射針を付けたシリンジにより尾静脈または大腿静脈から投与した。
(6)評価項目:経時的に採血し、血漿中本発明化合物濃度をLC/MS/MSを用いて測定した。
(7)統計解析:血漿中本発明化合物濃度推移について、非線形最小二乗法プログラムWinNonlin(登録商標)を用いて血漿中濃度‐時間曲線下面積(AUC)を算出し、経口投与群と静脈内投与群のAUCから本発明化合物のバイオアベイラビリティ(BA)を算出した。
Test Example 8 (BA test)
Study Material and Method for Oral Absorption (1) Animals used: Mice or SD rats were used.
(2) Breeding conditions: Mice or SD rats were allowed to freely take solid feed and sterilized tap water.
(3) Setting of dose and grouping: Oral administration and intravenous administration were administered at a predetermined dose. Groups were set up as follows. (Dose may vary for each compound)
Oral administration 1-30 mg / kg (n = 2-3)
Intravenous administration 0.5-10 mg / kg (n = 2-3)
(4) Preparation of administration solution: Oral administration was administered as a solution or suspension. Intravenous administration was solubilized.
(5) Administration method: Oral administration was forcibly administered into the stomach with an oral sonde. Intravenous administration was performed from the tail vein or femoral vein by a syringe with an injection needle.
(6) Evaluation items: Blood was collected over time, and the concentration of the compound of the present invention in plasma was measured using LC / MS / MS.
(7) Statistical analysis: The plasma concentration-time curve area (AUC) is calculated using the non-linear least squares program WinNonlin (Registered Trademark) for plasma compound concentration transition, and the oral administration group and intravenous administration The bioavailability (BA) of the compound of the present invention was calculated from the AUC of the group.
試験例9(CYP3A4(MDZ)MBI試験)
本発明化合物のCYP3A4阻害に関して代謝反応による増強からMechanism based inhibition(MBI)能を評価する試験である。プールドヒト肝ミクロソームを用いてミダゾラム(MDZ)の1-水酸化反応を指標としてCYP3A4阻害を評価した。
反応条件は以下のとおり:基質、10μmol/L MDZ;プレ反応時間、0または30分;反応時間、2分;反応温度、37℃;プールドヒト肝ミクロソーム、プレ反応時0.5mg/mL、反応時0.05mg/mL(10倍希釈時);本発明化合物プレ反応時の濃度、1、5、10、20μmol/L(4点)。
96穴プレートにプレ反応液としてK-Pi緩衝液(pH7.4)中にプールドヒト肝ミクロソーム、本発明化合物溶液を上記のプレ反応の組成で加え、別の96穴プレートに基質とK-Pi緩衝液で1/10希釈されるようにその一部を移行し、補酵素であるNADPHを添加して指標とする反応を開始し(プレ反応無)、所定の時間反応後、メタノール/アセトニトリル=1/1(V/V)溶液を加えることによって反応を停止した。また残りのプレ反応液にもNADPHを添加しプレ反応を開始し(プレ反応有)、所定時間プレ反応後、別のプレートに基質とK-Pi緩衝液で1/10希釈されるように一部を移行し指標とする反応を開始した。所定の時間反応後、メタノール/アセトニトリル=1/1(V/V)溶液を加えることによって反応を停止する。それぞれの指標反応を行ったプレートを3000rpm、15分間の遠心後、遠心上清中の1-水酸化ミダゾラムをLC/MS/MSで定量した。
本発明化合物を溶解した溶媒であるDMSOのみを反応系に添加したものをコントロール(100%)とし、本発明化合物をそれぞれの濃度添加したときの残存活性(%)を算出し、濃度と阻害率を用いて、ロジスティックモデルによる逆推定によりICを算出した。Preincubataion 0minのIC/Preincubataion 30minのICをShifted IC値とし、Shifted ICが1.5以上であればPositive、Shifted ICが1.0以下であればNegativeとした。
Test Example 9 (CYP3A4 (MDZ) MBI test)
This is a test for evaluating the mechanism based inhibition (MBI) ability from the enhancement by metabolic reaction with respect to CYP3A4 inhibition of the compounds of the present invention. Pooled human liver microsomes were used to evaluate CYP3A4 inhibition using midazolam (MDZ) 1-hydroxylation as an indicator.
The reaction conditions are as follows: substrate, 10 μmol / L MDZ; pre-reaction time, 0 or 30 minutes; reaction time, 2 minutes; reaction temperature, 37 ° C .; pooled human liver microsomes, pre-reaction 0.5 mg / mL, reaction time 0.05 mg / mL (when diluted 10-fold); concentration at the time of pre-reaction of the compound of the present invention 1, 5, 10, 20 μmol / L (4 points).
Pooled human liver microsomes and the compound solution of the present invention were added to a 96-well plate as a pre-reaction solution in K-Pi buffer (pH 7.4) in the above-mentioned pre-reaction composition, and the substrate and K-Pi buffer were added to another 96-well plate. A part of the solution was transferred so that the solution was diluted to 1/10, and a reaction using NADPH as a coenzyme was started as an index (no pre-reaction). After reaction for a predetermined time, methanol / acetonitrile = 1 The reaction was stopped by adding a 1/1 (V / V) solution. In addition, NADPH is also added to the remaining pre-reaction solution to start the pre-reaction (pre-reaction is present), and after pre-reaction for a predetermined time, one plate is diluted to 1/10 with the substrate and K-Pi buffer. The reaction was started by shifting the part. After the reaction for a predetermined time, the reaction is stopped by adding a methanol / acetonitrile = 1/1 (V / V) solution. The plate subjected to each index reaction was centrifuged at 3000 rpm for 15 minutes, and 1-hydroxymidazolam in the centrifuged supernatant was quantified by LC / MS / MS.
A control (100%) was obtained by adding only DMSO, which is a solvent in which the compound of the present invention was dissolved, to the reaction system, and the residual activity (%) when the compound of the present invention was added at each concentration was calculated. IC was calculated by inverse estimation using a logistic model. Preincubation 0 min IC / Preincubation 30 min IC was defined as the Shifted IC value, and when the Shifted IC was 1.5 or more, Positive, and when the Shifted IC was 1.0 or less, it was defined as Negative.
試験例10(粉末溶解度試験)
適当な容器に本発明化合物を適量入れ、各容器にJP-1液(塩化ナトリウム2.0g、塩酸7.0mLに水を加えて1000mLとする)、JP-2液(pH6.8のリン酸塩緩衝液500mLに水500mLを加える)、20mmol/L タウロコール酸ナトリウム(TCA)/JP-2液(TCA1.08gにJP-2液を加え100mLとする)を200μLずつ添加した。試験液添加後に全量溶解した場合には、適宜、本発明化合物を追加した。密閉して37℃で1時間振とう後に濾過し、各濾液100μLにメタノール100μLを添加して2倍希釈を行う。希釈倍率は、必要に応じて変更する。気泡および析出物がないかを確認し、密閉して振とうした。絶対検量線法によりHPLCを用いて本発明化合物を定量した。
Test Example 10 (powder solubility test)
An appropriate amount of the compound of the present invention is put in an appropriate container, and JP-1 solution (2.0 g of sodium chloride, water is added to 7.0 mL of hydrochloric acid to make 1000 mL), JP-2 solution (pH 6.8 phosphoric acid) 200 mL of water was added to 500 mL of salt buffer) and 20 mmol / L sodium taurocholate (TCA) / JP-2 solution (JP-2 solution was added to 1.08 g of TCA to make 100 mL). When the entire amount was dissolved after adding the test solution, the compound of the present invention was appropriately added. After sealing at 37 ° C. for 1 hour, the mixture is filtered, and 100 μL of methanol is added to 100 μL of each filtrate to perform 2-fold dilution. Change the dilution factor as necessary. After confirming that there were no bubbles and precipitates, the mixture was sealed and shaken. The compound of the present invention was quantified using HPLC by an absolute calibration curve method.
試験例11(Fluctuation Ames試験)
本発明化合物の変異原性を評価した。
凍結保存しているネズミチフス菌(Salmonella typhimurium TA98株、TA100株)20μLを10mL液体栄養培地(2.5% Oxoid nutrient broth No.2)に接種し37℃にて10時間、振盪前培養した。TA98株は8.0mLの菌液を遠心(2000×g、10分間)して培養液を除去した。8.0mLのMicro F緩衝液(K2HPO4:3.5g/L、KH2PO4:1g/L、(NH4)2SO4:1g/L、クエン酸三ナトリウム二水和物:0.25g/L、MgSO4・7H20:0.1g/L)に菌を懸濁し、120mLのExposure培地(ビオチン:8μg/mL、ヒスチジン:0.2μg/mL、グルコース:8mg/mLを含むMicroF緩衝液)に添加した。TA100株は3.1mL菌液に対しExposure培地120mLに添加し試験菌液を調製した。本発明化合物DMSO溶液(最高用量50mg/mLから2~3倍公比で数段階希釈)、陰性対照としてDMSO、陽性対照として非代謝活性化条件ではTA98株に対しては50μg/mLの4-ニトロキノリン-1-オキシドDMSO溶液、TA100株に対しては0.25μg/mLの2-(2-フリル)-3-(5-ニトロ-2-フリル)アクリルアミドDMSO溶液、代謝活性化条件ではTA98株に対して40μg/mLの2-アミノアントラセンDMSO溶液、TA100株に対しては20μg/mLの2-アミノアントラセンDMSO溶液それぞれ12μLと試験菌液588μL(代謝活性化条件では試験菌液498μLとS9 mix 90μLの混合液)を混和し、37℃にて90分間、振盪培養した。本発明化合物を暴露した菌液230μLを、Indicator培地(ビオチン:8μg/mL、ヒスチジン:0.2μg/mL、グルコース:8mg/mL、ブロモクレゾールパープル:37.5μg/mLを含むMicroF緩衝液)1150μLに混和し、50μLずつマイクロプレート48ウェル/用量に分注し、37℃にて3日間、静置培養した。アミノ酸(ヒスチジン)合成酵素遺伝子の突然変異によって増殖能を獲得した菌を含むウェルは、pH変化により紫色から黄色に変色するため、1用量あたり48ウェル中の黄色に変色した菌増殖ウェルを計数し、陰性対照群と比較して評価した。
Test Example 11 (Fluctuation Ames test)
The mutagenicity of the compounds of the present invention was evaluated.
Twenty microliters of Salmonella typhimurium TA98, TA100) cryopreserved was inoculated into 10 mL liquid nutrient medium (2.5% Oxoid nutritive broth No. 2) and cultured at 37 ° C. for 10 hours before shaking. For the TA98 strain, 8.0 mL of the bacterial solution was centrifuged (2000 × g, 10 minutes) to remove the culture solution. 8.0 mL Micro F buffer (K 2 HPO 4 : 3.5 g / L, KH 2 PO 4 : 1 g / L, (NH 4 ) 2 SO 4 : 1 g / L, trisodium citrate dihydrate: The cells are suspended in 0.25 g / L, MgSO 4 · 7H 2 0: 0.1 g / L), and 120 mL of Exposure medium (biotin: 8 μg / mL, histidine: 0.2 μg / mL, glucose: 8 mg / mL) Containing MicroF buffer). The TA100 strain was added to 120 mL of Exposure medium with respect to the 3.1 mL bacterial solution to prepare a test bacterial solution. Compound DMSO solution of the present invention (maximum dose of 50 mg / mL to several-fold dilution at 2-3 times common ratio), DMSO as a negative control, and non-metabolic activation conditions as a positive control, 50 μg / mL 4-TA Nitroquinoline-1-oxide DMSO solution, 0.25 μg / mL 2- (2-furyl) -3- (5-nitro-2-furyl) acrylamide DMSO solution for TA100 strain, TA98 under metabolic activation conditions 40 μg / mL 2-aminoanthracene DMSO solution for the strain and 20 μg / mL 2-aminoanthracene DMSO solution for the TA100 strain, respectively, and 588 μL of the test bacterial solution (498 μL of the test bacterial solution and S9 under metabolic activation conditions). (mixture of 90 μL of mix) was mixed and incubated at 37 ° C. for 90 minutes with shaking. 230 μL of the bacterial solution exposed to the compound of the present invention was added to 1150 μL of Indicator medium (MicroF buffer containing biotin: 8 μg / mL, histidine: 0.2 μg / mL, glucose: 8 mg / mL, bromocresol purple: 37.5 μg / mL). 50 μL each was dispensed into 48 wells / dose of a microplate, and statically cultured at 37 ° C. for 3 days. Since wells containing bacteria that have acquired growth ability by mutation of the amino acid (histidine) synthase gene change from purple to yellow due to pH change, the number of bacteria growth wells that changed to yellow in 48 wells per dose was counted. Evaluation was made in comparison with the negative control group.
試験例12(hERG試験)
本発明化合物の心電図QT間隔延長リスク評価を目的として、human ether-a-go-go related gene (hERG)チャネルを発現させたCHO細胞を用いて、心室再分極過程に重要な役割を果たす遅延整流K+電流(IKr)への本発明化合物の作用を検討した。
全自動パッチクランプシステム(QPatch;Sophion Bioscience A/S)を用い、ホールセルパッチクランプ法により、細胞を-80mVの膜電位に保持し、-50mVのリーク電位を与えた後、+20mVの脱分極刺激を2秒間、さらに-50mVの再分極刺激を2秒間与えた際に誘発されるIKrを記録した。発生する電流が安定した後、本発明化合物を目的の濃度で溶解させた細胞外液(NaCl:145 mmol/L、KCl:4 mmol/L、CaCl2:2 mmol/L、MgCl2:1 mmol/L、グルコース:10 mmol/L、HEPES(4-(2-hydroxyethyl)-1-piperazineethanesulfonic acid、4-(2-ヒドロキシエチル)-1-ピペラジンエタンスルホン酸):10mmol/L、pH=7.4)を室温条件下で、10分間細胞に適用させる。得られたIKrから、解析ソフト(Falster Patch;Sophion Bioscience A/S)を使用して、保持膜電位における電流値を基準に最大テール電流の絶対値を計測した。さらに、本発明化合物適用前の最大テール電流に対する阻害率を算出し、本発明化合物のIKrへの影響を評価した。
Test Example 12 (hERG test)
Delayed rectification plays an important role in ventricular repolarization process using CHO cells expressing human ether-a-go-go related gene (hERG) channel for the purpose of evaluating the risk of prolonging electrocardiogram QT interval of the compound of the present invention The effect of the compounds of the present invention on K + current (I Kr ) was examined.
Using a fully automatic patch clamp system (QPatch; Sophion Bioscience A / S), the cell was held at a membrane potential of −80 mV by a whole cell patch clamp method, and after applying a leak potential of −50 mV, a depolarization stimulus of +20 mV for 2 seconds, and further records the I Kr induced repolarization stimulation of -50mV when given 2 seconds. After the generated current is stabilized, an extracellular solution (NaCl: 145 mmol / L, KCl: 4 mmol / L, CaCl 2 : 2 mmol / L, MgCl 2 : 1 mmol) in which the compound of the present invention is dissolved at a desired concentration. / L, glucose: 10 mmol / L, HEPES (4- (2-hydroxyethyl) -1-piperazine ethersulfonic acid, 4- (2-hydroxyethyl) -1-piperazineethanesulfonic acid): 10 mmol / L, pH = 7. 4) is applied to the cells for 10 minutes at room temperature. From the obtained I Kr , the absolute value of the maximum tail current was measured using the analysis software (Falster Patch; Sophion Bioscience A / S) based on the current value at the holding membrane potential. Further, the inhibition rate with respect to the maximum tail current before application of the compound of the present invention was calculated, and the influence of the compound of the present invention on I Kr was evaluated.
本発明化合物は、MGAT2阻害作用を有するので、例えば、肥満症、メタボリックシンドローム、高脂血症、高中性脂肪血症、高VLDL血症、高脂肪酸血症、糖尿病、動脈硬化症等のMGAT2が関与する疾患のための医薬として有用である。 Since the compound of the present invention has an MGAT2 inhibitory action, for example, MGAT2 such as obesity, metabolic syndrome, hyperlipidemia, hypertriglyceridemia, hyperVLDLemia, hyperfattyemia, diabetes, arteriosclerosis It is useful as a medicine for the diseases involved.
Claims (16)
(式中、
R1は、水素、ハロゲン、ヒドロキシ、シアノ、カルボキシ、置換もしくは非置換のカルバモイル、置換もしくは非置換のチオカルバモイル、置換もしくは非置換のアミジノ、置換もしくは非置換のアミノ、置換もしくは非置換のウレイド、置換もしくは非置換のグアニジノ、ペンタフルオロチオ、スルホ、置換もしくは非置換のスルファモイル、置換もしくは非置換のアルキル、置換もしくは非置換のアルケニル、置換もしくは非置換のアルキニル、置換もしくは非置換のアルキルオキシ、置換もしくは非置換のアルケニルオキシ、置換もしくは非置換のアルキニルオキシ、置換もしくは非置換のアルキルカルボニルオキシ、置換もしくは非置換のアルケニルカルボニルオキシ、置換もしくは非置換のアルキニルカルボニルオキシ、置換もしくは非置換のアルキルカルボニル、置換もしくは非置換のアルケニルカルボニル、置換もしくは非置換のアルキニルカルボニル、置換もしくは非置換のアルキルオキシカルボニル、置換もしくは非置換のアルケニルオキシカルボニル、置換もしくは非置換のアルキニルオキシカルボニル、置換もしくは非置換のアルキルスルファニル、置換もしくは非置換のアルケニルスルファニル、置換もしくは非置換のアルキニルスルファニル、置換もしくは非置換のアルキルスルフィニル、置換もしくは非置換のアルケニルスルフィニル、置換もしくは非置換のアルキニルスルフィニル、置換もしくは非置換のアルキルスルホニル、置換もしくは非置換のアルケニルスルホニル、置換もしくは非置換のアルキニルスルホニル、置換もしくは非置換の芳香族炭素環式基、置換もしくは非置換の非芳香族炭素環式基、置換もしくは非置換の芳香族複素環式基、置換もしくは非置換の非芳香族複素環式基、置換もしくは非置換の芳香族炭素環オキシ、置換もしくは非置換の非芳香族炭素環オキシ、置換もしくは非置換の芳香族複素環オキシ、置換もしくは非置換の非芳香族複素環オキシ、置換もしくは非置換の芳香族炭素環カルボニルオキシ、置換もしくは非置換の非芳香族炭素環カルボニルオキシ、置換もしくは非置換の芳香族複素環カルボニルオキシ、置換もしくは非置換の非芳香族複素環カルボニルオキシ、置換もしくは非置換の芳香族炭素環カルボニル、置換もしくは非置換の非芳香族炭素環カルボニル、置換もしくは非置換の芳香族複素環カルボニル、置換もしくは非置換の非芳香族複素環カルボニル、置換もしくは非置換の芳香族炭素環オキシカルボニル、置換もしくは非置換の非芳香族炭素環オキシカルボニル、置換もしくは非置換の芳香族複素環オキシカルボニル、置換もしくは非置換の非芳香族複素環オキシカルボニル、置換もしくは非置換の芳香族炭素環スルファニル、置換もしくは非置換の非芳香族炭素環スルファニル、置換もしくは非置換の芳香族複素環スルファニル、置換もしくは非置換の非芳香族複素環スルファニル、置換もしくは非置換の芳香族炭素環スルフィニル、置換もしくは非置換の非芳香族炭素環スルフィニル、置換もしくは非置換の芳香族複素環スルフィニル、置換もしくは非置換の非芳香族複素環スルフィニル、置換もしくは非置換の芳香族炭素環スルホニル、置換もしくは非置換の非芳香族炭素環スルホニル、置換もしくは非置換の芳香族複素環スルホニル、置換もしくは非置換の非芳香族複素環スルホニル、式:-L-N=S(=O)(-RS1)-RS2、式:-L-S(=O)(=N-RN)-RS1、式:-N=S(=N-RN)(-RS1)-RS2、または式:-S(=N-RN)2-RS1で示される基であり、
R2は、水素、ヒドロキシ、置換もしくは非置換のカルバモイル、置換もしくは非置換のアルキル、置換もしくは非置換のアルキルカルボニル、置換もしくは非置換のアルキルオキシカルボニル、置換もしくは非置換のアルキルスルホニル、置換もしくは非置換の芳香族炭素環式基、置換もしくは非置換の非芳香族炭素環式基、置換もしくは非置換の芳香族複素環式基、置換もしくは非置換の非芳香族複素環式基、置換もしくは非置換の芳香族炭素環カルボニル、置換もしくは非置換の非芳香族炭素環カルボニル、置換もしくは非置換の芳香族複素環カルボニル、置換もしくは非置換の非芳香族複素環カルボニル、置換もしくは非置換の芳香族炭素環オキシカルボニル、置換もしくは非置換の非芳香族炭素環オキシカルボニル、置換もしくは非置換の芳香族複素環オキシカルボニル、置換もしくは非置換の非芳香族複素環オキシカルボニル、置換もしくは非置換の芳香族炭素環スルホニル、置換もしくは非置換の非芳香族炭素環スルホニル、置換もしくは非置換の芳香族複素環スルホニル、または置換もしくは非置換の非芳香族複素環スルホニルであり、
R4aは、水素、ハロゲン、ヒドロキシ、シアノ、置換もしくは非置換のアルキル、置換もしくは非置換のアルキルオキシ、置換もしくは非置換のアルキルスルホニル、置換もしくは非置換の芳香族炭素環式基、置換もしくは非置換の非芳香族炭素環式基、置換もしくは非置換の芳香族複素環式基、置換もしくは非置換の非芳香族複素環式基、置換もしくは非置換の芳香族炭素環式基オキシ、置換もしくは非置換の非芳香族炭素環式基オキシ、置換もしくは非置換の芳香族複素環式基オキシ、置換もしくは非置換の非芳香族複素環式基オキシ、置換もしくは非置換の芳香族炭素環式基スルホニル、置換もしくは非置換の非芳香族炭素環式基スルホニル、置換もしくは非置換の芳香族複素環式基スルホニル、または置換もしくは非置換の非芳香族複素環式基スルホニルであり、
R4bは、水素、ハロゲン、ヒドロキシ、シアノ、置換もしくは非置換のアルキル、置換もしくは非置換のアルキルオキシ、置換もしくは非置換のアルキルスルホニル、置換もしくは非置換の芳香族炭素環式基、置換もしくは非置換の非芳香族炭素環式基、置換もしくは非置換の芳香族複素環式基、置換もしくは非置換の非芳香族複素環式基、置換もしくは非置換の芳香族炭素環式基オキシ、置換もしくは非置換の非芳香族炭素環式基オキシ、置換もしくは非置換の芳香族複素環式基オキシ、置換もしくは非置換の非芳香族複素環式基オキシ、置換もしくは非置換の芳香族炭素環式基スルホニル、置換もしくは非置換の非芳香族炭素環式基スルホニル、置換もしくは非置換の芳香族複素環式基スルホニル、または置換もしくは非置換の非芳香族複素環式基スルホニルであり、
R5は、それぞれ独立して、ハロゲン、ヒドロキシ、シアノ、カルボキシ、置換もしくは非置換のカルバモイル、置換もしくは非置換のチオカルバモイル、置換もしくは非置換のアミジノ、置換もしくは非置換のアミノ、置換もしくは非置換のウレイド、置換もしくは非置換のグアニジノ、ペンタフルオロチオ、スルホ、置換もしくは非置換のスルファモイル、置換もしくは非置換のアルキル、置換もしくは非置換のアルケニル、置換もしくは非置換のアルキニル、置換もしくは非置換のアルキルオキシ、置換もしくは非置換のアルケニルオキシ、置換もしくは非置換のアルキニルオキシ、置換もしくは非置換のアルキルカルボニルオキシ、置換もしくは非置換のアルケニルカルボニルオキシ、置換もしくは非置換のアルキニルカルボニルオキシ、置換もしくは非置換のアルキルカルボニル、置換もしくは非置換のアルケニルカルボニル、置換もしくは非置換のアルキニルカルボニル、置換もしくは非置換のアルキルオキシカルボニル、置換もしくは非置換のアルケニルオキシカルボニル、置換もしくは非置換のアルキニルオキシカルボニル、置換もしくは非置換のアルキルスルファニル、置換もしくは非置換のアルケニルスルファニル、置換もしくは非置換のアルキニルスルファニル、置換もしくは非置換のアルキルスルフィニル、置換もしくは非置換のアルケニルスルフィニル、置換もしくは非置換のアルキニルスルフィニル、置換もしくは非置換のアルキルスルホニル、置換もしくは非置換のアルケニルスルホニル、置換もしくは非置換のアルキニルスルホニル、置換もしくは非置換の芳香族炭素環式基、置換もしくは非置換の非芳香族炭素環式基、置換もしくは非置換の芳香族複素環式基、置換もしくは非置換の非芳香族複素環式基、置換もしくは非置換の芳香族炭素環オキシ、置換もしくは非置換の非芳香族炭素環オキシ、置換もしくは非置換の芳香族複素環オキシ、置換もしくは非置換の非芳香族複素環オキシ、置換もしくは非置換の芳香族炭素環カルボニルオキシ、置換もしくは非置換の非芳香族炭素環カルボニルオキシ、置換もしくは非置換の芳香族複素環カルボニルオキシ、置換もしくは非置換の非芳香族複素環カルボニルオキシ、置換もしくは非置換の芳香族炭素環カルボニル、置換もしくは非置換の非芳香族炭素環カルボニル、置換もしくは非置換の芳香族複素環カルボニル、置換もしくは非置換の非芳香族複素環カルボニル、置換もしくは非置換の芳香族炭素環オキシカルボニル、置換もしくは非置換の非芳香族炭素環オキシカルボニル、置換もしくは非置換の芳香族複素環オキシカルボニル、置換もしくは非置換の非芳香族複素環オキシカルボニル、置換もしくは非置換の芳香族炭素環スルファニル、置換もしくは非置換の非芳香族炭素環スルファニル、置換もしくは非置換の芳香族複素環スルファニル、置換もしくは非置換の非芳香族複素環スルファニル、置換もしくは非置換の芳香族炭素環スルフィニル、置換もしくは非置換の非芳香族炭素環スルフィニル、置換もしくは非置換の芳香族複素環スルフィニル、置換もしくは非置換の非芳香族複素環スルフィニル、置換もしくは非置換の芳香族炭素環スルホニル、置換もしくは非置換の非芳香族炭素環スルホニル、置換もしくは非置換の芳香族複素環スルホニル、置換もしくは非置換の非芳香族複素環スルホニル、式:-L-N=S(=O)(-RS1)-RS2、式:-L-S(=O)(=N-RN)-RS1、式:-N=S(=N-RN)(-RS1)-RS2、または式:-S(=N-RN)2-RS1で示される基であり、
Aは、芳香族炭素環、非芳香族炭素環、芳香族複素環、または非芳香族複素環であり、
Bは、置換もしくは非置換の非芳香族炭素環または置換もしくは非置換の非芳香族複素環であり、
Xは、C(=O)、C(=S)、またはSO2であり、
mは、0~5の整数であり、
Lは、それぞれ独立して、単結合、アルキレン、またはC(=O)であり、
RS1およびRS2は、それぞれ独立して、水素、置換もしくは非置換のアルキル、置換もしくは非置換の芳香族炭素環式基、置換もしくは非置換の非芳香族炭素環式基、置換もしくは非置換の芳香族複素環式基、または置換もしくは非置換の非芳香族複素環式基であり、または、同一の硫黄原子に結合しているRS1およびRS2は当該硫黄原子と一緒になって置換もしくは非置換の非芳香族複素環を形成してもよく、
RNは、それぞれ独立して、水素、シアノ、置換もしくは非置換のカルバモイル、置換もしくは非置換のアルキル、置換もしくは非置換のアルキルカルボニル、置換もしくは非置換のアルキルオキシカルボニル、置換もしくは非置換の芳香族炭素環式基、置換もしくは非置換の非芳香族炭素環式基、置換もしくは非置換の芳香族複素環式基、置換もしくは非置換の非芳香族複素環式基、置換もしくは非置換の芳香族炭素環カルボニル、置換もしくは非置換の非芳香族炭素環カルボニル、置換もしくは非置換の芳香族複素環カルボニル、または置換もしくは非置換の非芳香族複素環カルボニルである)
で示される化合物(ただし、R1が水素、かつR2が非置換アルキルオキシカルボニルである化合物を除く)、またはその製薬上許容される塩。 Formula (I):
(Where
R 1 is hydrogen, halogen, hydroxy, cyano, carboxy, substituted or unsubstituted carbamoyl, substituted or unsubstituted thiocarbamoyl, substituted or unsubstituted amidino, substituted or unsubstituted amino, substituted or unsubstituted ureido, Substituted or unsubstituted guanidino, pentafluorothio, sulfo, substituted or unsubstituted sulfamoyl, substituted or unsubstituted alkyl, substituted or unsubstituted alkenyl, substituted or unsubstituted alkynyl, substituted or unsubstituted alkyloxy, substituted Or unsubstituted alkenyloxy, substituted or unsubstituted alkynyloxy, substituted or unsubstituted alkylcarbonyloxy, substituted or unsubstituted alkenylcarbonyloxy, substituted or unsubstituted alkynylcarbonyloxy, substituted Or unsubstituted alkylcarbonyl, substituted or unsubstituted alkenylcarbonyl, substituted or unsubstituted alkynylcarbonyl, substituted or unsubstituted alkyloxycarbonyl, substituted or unsubstituted alkenyloxycarbonyl, substituted or unsubstituted alkynyloxycarbonyl Substituted or unsubstituted alkylsulfanyl, substituted or unsubstituted alkenylsulfanyl, substituted or unsubstituted alkynylsulfanyl, substituted or unsubstituted alkylsulfinyl, substituted or unsubstituted alkenylsulfinyl, substituted or unsubstituted alkynylsulfinyl, substituted Or unsubstituted alkylsulfonyl, substituted or unsubstituted alkenylsulfonyl, substituted or unsubstituted alkynylsulfonyl, substituted or unsubstituted aromatic Aromatic carbocyclic group, substituted or unsubstituted non-aromatic carbocyclic group, substituted or unsubstituted aromatic heterocyclic group, substituted or unsubstituted non-aromatic heterocyclic group, substituted or unsubstituted aromatic Aromatic carbocyclic oxy, substituted or unsubstituted non-aromatic carbocyclic oxy, substituted or unsubstituted aromatic heterocyclic oxy, substituted or unsubstituted non-aromatic heterocyclic oxy, substituted or unsubstituted aromatic carbocyclic carbonyl Oxy, substituted or unsubstituted non-aromatic carbocyclic carbonyloxy, substituted or unsubstituted aromatic heterocyclic carbonyloxy, substituted or unsubstituted non-aromatic heterocyclic carbonyloxy, substituted or unsubstituted aromatic carbocyclic carbonyl Substituted or unsubstituted non-aromatic carbocyclic carbonyl, substituted or unsubstituted aromatic heterocyclic carbonyl, substituted or unsubstituted non-aromatic compound Ring carbonyl, substituted or unsubstituted aromatic carbocyclic oxycarbonyl, substituted or unsubstituted non-aromatic carbocyclic oxycarbonyl, substituted or unsubstituted aromatic heterocyclic oxycarbonyl, substituted or unsubstituted non-aromatic heterocyclic Oxycarbonyl, substituted or unsubstituted aromatic carbocyclic sulfanyl, substituted or unsubstituted non-aromatic carbocyclic sulfanyl, substituted or unsubstituted aromatic heterocyclic sulfanyl, substituted or unsubstituted non-aromatic heterocyclic sulfanyl, substituted Or unsubstituted aromatic carbocyclic sulfinyl, substituted or unsubstituted non-aromatic carbocyclic sulfinyl, substituted or unsubstituted aromatic heterocyclic sulfinyl, substituted or unsubstituted non-aromatic heterocyclic sulfinyl, substituted or unsubstituted Aromatic carbocyclic sulfonyl, substituted or unsubstituted non-aromatic Carbocycle sulfonyl, substituted or unsubstituted aromatic heterocyclic sulfonyl, substituted or unsubstituted non-aromatic heterocyclic sulfonyl, formula: -LN = S (= O) (-R S1 ) -R S2 , formula: —LS (═O) (═N—R N ) —R S1 , formula: —N═S (═N—R N ) (— R S1 ) —R S2 , or formula: —S (= N— R N ) 2 —R S1
R 2 is hydrogen, hydroxy, substituted or unsubstituted carbamoyl, substituted or unsubstituted alkyl, substituted or unsubstituted alkylcarbonyl, substituted or unsubstituted alkyloxycarbonyl, substituted or unsubstituted alkylsulfonyl, substituted or unsubstituted Substituted aromatic carbocyclic group, substituted or unsubstituted non-aromatic carbocyclic group, substituted or unsubstituted aromatic heterocyclic group, substituted or unsubstituted non-aromatic heterocyclic group, substituted or non-substituted Substituted aromatic carbocyclic carbonyl, substituted or unsubstituted non-aromatic carbocyclic carbonyl, substituted or unsubstituted aromatic heterocyclic carbonyl, substituted or unsubstituted non-aromatic heterocyclic carbonyl, substituted or unsubstituted aromatic Carbocyclic oxycarbonyl, substituted or unsubstituted non-aromatic carbocyclic oxycarbonyl, substituted or Unsubstituted aromatic heterocyclic oxycarbonyl, substituted or unsubstituted non-aromatic heterocyclic oxycarbonyl, substituted or unsubstituted aromatic carbocyclic sulfonyl, substituted or unsubstituted non-aromatic carbocyclic sulfonyl, substituted or unsubstituted An aromatic heterocyclic sulfonyl, or a substituted or unsubstituted non-aromatic heterocyclic sulfonyl,
R 4a is hydrogen, halogen, hydroxy, cyano, substituted or unsubstituted alkyl, substituted or unsubstituted alkyloxy, substituted or unsubstituted alkylsulfonyl, substituted or unsubstituted aromatic carbocyclic group, substituted or unsubstituted Substituted non-aromatic carbocyclic group, substituted or unsubstituted aromatic heterocyclic group, substituted or unsubstituted non-aromatic heterocyclic group, substituted or unsubstituted aromatic carbocyclic group oxy, substituted or Unsubstituted non-aromatic carbocyclic group oxy, substituted or unsubstituted aromatic heterocyclic group oxy, substituted or unsubstituted non-aromatic heterocyclic group oxy, substituted or unsubstituted aromatic carbocyclic group Sulfonyl, substituted or unsubstituted non-aromatic carbocyclic group sulfonyl, substituted or unsubstituted aromatic heterocyclic group sulfonyl, or substituted or unsubstituted non-aromatic A heterocyclic group sulfonyl,
R 4b is hydrogen, halogen, hydroxy, cyano, substituted or unsubstituted alkyl, substituted or unsubstituted alkyloxy, substituted or unsubstituted alkylsulfonyl, substituted or unsubstituted aromatic carbocyclic group, substituted or unsubstituted Substituted non-aromatic carbocyclic group, substituted or unsubstituted aromatic heterocyclic group, substituted or unsubstituted non-aromatic heterocyclic group, substituted or unsubstituted aromatic carbocyclic group oxy, substituted or Unsubstituted non-aromatic carbocyclic group oxy, substituted or unsubstituted aromatic heterocyclic group oxy, substituted or unsubstituted non-aromatic heterocyclic group oxy, substituted or unsubstituted aromatic carbocyclic group Sulfonyl, substituted or unsubstituted non-aromatic carbocyclic group sulfonyl, substituted or unsubstituted aromatic heterocyclic group sulfonyl, or substituted or unsubstituted non-aromatic A heterocyclic group sulfonyl,
Each R 5 is independently halogen, hydroxy, cyano, carboxy, substituted or unsubstituted carbamoyl, substituted or unsubstituted thiocarbamoyl, substituted or unsubstituted amidino, substituted or unsubstituted amino, substituted or unsubstituted Ureido, substituted or unsubstituted guanidino, pentafluorothio, sulfo, substituted or unsubstituted sulfamoyl, substituted or unsubstituted alkyl, substituted or unsubstituted alkenyl, substituted or unsubstituted alkynyl, substituted or unsubstituted alkyl Oxy, substituted or unsubstituted alkenyloxy, substituted or unsubstituted alkynyloxy, substituted or unsubstituted alkylcarbonyloxy, substituted or unsubstituted alkenylcarbonyloxy, substituted or unsubstituted alkynylcarbonyloxy Xy, substituted or unsubstituted alkylcarbonyl, substituted or unsubstituted alkenylcarbonyl, substituted or unsubstituted alkynylcarbonyl, substituted or unsubstituted alkyloxycarbonyl, substituted or unsubstituted alkenyloxycarbonyl, substituted or unsubstituted alkynyl Oxycarbonyl, substituted or unsubstituted alkylsulfanyl, substituted or unsubstituted alkenylsulfanyl, substituted or unsubstituted alkynylsulfanyl, substituted or unsubstituted alkylsulfinyl, substituted or unsubstituted alkenylsulfinyl, substituted or unsubstituted alkynylsulfinyl Substituted or unsubstituted alkylsulfonyl, substituted or unsubstituted alkenylsulfonyl, substituted or unsubstituted alkynylsulfonyl, substituted or Unsubstituted aromatic carbocyclic group, substituted or unsubstituted non-aromatic carbocyclic group, substituted or unsubstituted aromatic heterocyclic group, substituted or unsubstituted non-aromatic heterocyclic group, substituted or Unsubstituted aromatic carbocyclic oxy, substituted or unsubstituted non-aromatic carbocyclic oxy, substituted or unsubstituted aromatic heterocyclic oxy, substituted or unsubstituted non-aromatic heterocyclic oxy, substituted or unsubstituted fragrance Aromatic carbocyclic carbonyloxy, substituted or unsubstituted non-aromatic carbocyclic carbonyloxy, substituted or unsubstituted aromatic heterocyclic carbonyloxy, substituted or unsubstituted non-aromatic heterocyclic carbonyloxy, substituted or unsubstituted fragrance Aromatic carbocyclic carbonyl, substituted or unsubstituted non-aromatic carbocyclic carbonyl, substituted or unsubstituted aromatic heterocyclic carbonyl, substituted or unsubstituted Non-aromatic heterocyclic carbonyl, substituted or unsubstituted aromatic carbocyclic oxycarbonyl, substituted or unsubstituted non-aromatic carbocyclic oxycarbonyl, substituted or unsubstituted aromatic heterocyclic oxycarbonyl, substituted or unsubstituted non-substituted Aromatic heterocyclic oxycarbonyl, substituted or unsubstituted aromatic carbocyclic sulfanyl, substituted or unsubstituted non-aromatic carbocyclic sulfanyl, substituted or unsubstituted aromatic heterocyclic sulfanyl, substituted or unsubstituted non-aromatic hetero Ring sulfanyl, substituted or unsubstituted aromatic carbocyclic sulfinyl, substituted or unsubstituted non-aromatic carbocyclic sulfinyl, substituted or unsubstituted aromatic heterocyclic sulfinyl, substituted or unsubstituted non-aromatic heterocyclic sulfinyl, substituted Or unsubstituted aromatic carbocyclic sulfonyl, substituted or unsubstituted Substituted non-aromatic carbocyclic sulfonyl, substituted or unsubstituted aromatic heterocyclic sulfonyl, substituted or unsubstituted non-aromatic heterocyclic sulfonyl, formula: -LN = S (= O) (-R S1 )- R S2 , Formula: —LS (═O) (═N—R N ) —R S1 , Formula: —N═S (═N—R N ) (— R S1 ) —R S2 , or Formula: — A group represented by S (= N—R N ) 2 —R S1 ;
A is an aromatic carbocycle, non-aromatic carbocycle, aromatic heterocycle, or non-aromatic heterocycle,
B is a substituted or unsubstituted non-aromatic carbocyclic ring or a substituted or unsubstituted non-aromatic heterocyclic ring;
X is, C (= O), C (= S), or a SO 2,
m is an integer from 0 to 5,
Each L is independently a single bond, alkylene, or C (═O);
R S1 and R S2 are each independently hydrogen, substituted or unsubstituted alkyl, substituted or unsubstituted aromatic carbocyclic group, substituted or unsubstituted non-aromatic carbocyclic group, substituted or unsubstituted Or a substituted or unsubstituted non-aromatic heterocyclic group, or R S1 and R S2 bonded to the same sulfur atom are substituted together with the sulfur atom Or it may form an unsubstituted non-aromatic heterocycle,
RN is independently hydrogen, cyano, substituted or unsubstituted carbamoyl, substituted or unsubstituted alkyl, substituted or unsubstituted alkylcarbonyl, substituted or unsubstituted alkyloxycarbonyl, substituted or unsubstituted aromatic Aromatic carbocyclic group, substituted or unsubstituted non-aromatic carbocyclic group, substituted or unsubstituted aromatic heterocyclic group, substituted or unsubstituted non-aromatic heterocyclic group, substituted or unsubstituted aromatic An aromatic carbocyclic carbonyl, a substituted or unsubstituted non-aromatic carbocyclic carbonyl, a substituted or unsubstituted aromatic heterocyclic carbonyl, or a substituted or unsubstituted non-aromatic heterocyclic carbonyl)
Or a pharmaceutically acceptable salt thereof, except that R 1 is hydrogen and R 2 is unsubstituted alkyloxycarbonyl.
式:
(式中、
B1は、CR11aR11b、NR11c、O、またはSであり、
B2は、CR12aR12b、NR12c、O、またはSであり、
B3は、CR13aR13b、NR13c、O、またはSであり、
B4は、CR14aR14b、NR14c、O、またはSであり、
B5は、CR15aR15b、NR15c、O、またはSであり、
R11a、R12a、R13a、R14a、およびR15aは、それぞれ独立して、水素、ハロゲン、ヒドロキシ、シアノ、カルボキシ、置換もしくは非置換のカルバモイル、置換もしくは非置換のチオカルバモイル、置換もしくは非置換のアミジノ、置換もしくは非置換のアミノ、置換もしくは非置換のウレイド、置換もしくは非置換のグアニジノ、ペンタフルオロチオ、スルホ、置換もしくは非置換のスルファモイル、置換もしくは非置換のアルキル、置換もしくは非置換のアルケニル、置換もしくは非置換のアルキニル、置換もしくは非置換のアルキルオキシ、置換もしくは非置換のアルケニルオキシ、置換もしくは非置換のアルキニルオキシ、置換もしくは非置換のアルキルカルボニルオキシ、置換もしくは非置換のアルケニルカルボニルオキシ、置換もしくは非置換のアルキニルカルボニルオキシ、置換もしくは非置換のアルキルカルボニル、置換もしくは非置換のアルケニルカルボニル、置換もしくは非置換のアルキニルカルボニル、置換もしくは非置換のアルキルオキシカルボニル、置換もしくは非置換のアルケニルオキシカルボニル、置換もしくは非置換のアルキニルオキシカルボニル、置換もしくは非置換のアルキルスルファニル、置換もしくは非置換のアルケニルスルファニル、置換もしくは非置換のアルキニルスルファニル、置換もしくは非置換のアルキルスルフィニル、置換もしくは非置換のアルケニルスルフィニル、置換もしくは非置換のアルキニルスルフィニル、置換もしくは非置換のアルキルスルホニル、置換もしくは非置換のアルケニルスルホニル、置換もしくは非置換のアルキニルスルホニル、置換もしくは非置換の芳香族炭素環式基、置換もしくは非置換の非芳香族炭素環式基、置換もしくは非置換の芳香族複素環式基、置換もしくは非置換の非芳香族複素環式基、置換もしくは非置換の芳香族炭素環オキシ、置換もしくは非置換の非芳香族炭素環オキシ、置換もしくは非置換の芳香族複素環オキシ、置換もしくは非置換の非芳香族複素環オキシ、置換もしくは非置換の芳香族炭素環カルボニルオキシ、置換もしくは非置換の非芳香族炭素環カルボニルオキシ、置換もしくは非置換の芳香族複素環カルボニルオキシ、置換もしくは非置換の非芳香族複素環カルボニルオキシ、置換もしくは非置換の芳香族炭素環カルボニル、置換もしくは非置換の非芳香族炭素環カルボニル、置換もしくは非置換の芳香族複素環カルボニル、置換もしくは非置換の非芳香族複素環カルボニル、置換もしくは非置換の芳香族炭素環オキシカルボニル、置換もしくは非置換の非芳香族炭素環オキシカルボニル、置換もしくは非置換の芳香族複素環オキシカルボニル、置換もしくは非置換の非芳香族複素環オキシカルボニル、置換もしくは非置換の芳香族炭素環スルファニル、置換もしくは非置換の非芳香族炭素環スルファニル、置換もしくは非置換の芳香族複素環スルファニル、置換もしくは非置換の非芳香族複素環スルファニル、置換もしくは非置換の芳香族炭素環スルフィニル、置換もしくは非置換の非芳香族炭素環スルフィニル、置換もしくは非置換の芳香族複素環スルフィニル、置換もしくは非置換の非芳香族複素環スルフィニル、置換もしくは非置換の芳香族炭素環スルホニル、置換もしくは非置換の非芳香族炭素環スルホニル、置換もしくは非置換の芳香族複素環スルホニル、置換もしくは非置換の非芳香族複素環スルホニル、式:-L-N=S(=O)(-RS1)-RS2、式:-L-S(=O)(=N-RN)-RS1、式:-N=S(=N-RN)(-RS1)-RS2、または式:-S(=N-RN)2-RS1で示される基であり、
R11b、R12b、R13b、R14b、およびR15bは、それぞれ独立して、水素、ハロゲン、ヒドロキシ、シアノ、カルボキシ、置換もしくは非置換のカルバモイル、置換もしくは非置換のチオカルバモイル、置換もしくは非置換のアミジノ、置換もしくは非置換のアミノ、置換もしくは非置換のウレイド、置換もしくは非置換のグアニジノ、ペンタフルオロチオ、スルホ、置換もしくは非置換のスルファモイル、置換もしくは非置換のアルキル、置換もしくは非置換のアルケニル、置換もしくは非置換のアルキニル、置換もしくは非置換のアルキルオキシ、置換もしくは非置換のアルケニルオキシ、置換もしくは非置換のアルキニルオキシ、置換もしくは非置換のアルキルカルボニルオキシ、置換もしくは非置換のアルケニルカルボニルオキシ、置換もしくは非置換のアルキニルカルボニルオキシ、置換もしくは非置換のアルキルカルボニル、置換もしくは非置換のアルケニルカルボニル、置換もしくは非置換のアルキニルカルボニル、置換もしくは非置換のアルキルオキシカルボニル、置換もしくは非置換のアルケニルオキシカルボニル、置換もしくは非置換のアルキニルオキシカルボニル、置換もしくは非置換のアルキルスルファニル、置換もしくは非置換のアルケニルスルファニル、置換もしくは非置換のアルキニルスルファニル、置換もしくは非置換のアルキルスルフィニル、置換もしくは非置換のアルケニルスルフィニル、置換もしくは非置換のアルキニルスルフィニル、置換もしくは非置換のアルキルスルホニル、置換もしくは非置換のアルケニルスルホニル、置換もしくは非置換のアルキニルスルホニル、置換もしくは非置換の芳香族炭素環式基、置換もしくは非置換の非芳香族炭素環式基、置換もしくは非置換の芳香族複素環式基、置換もしくは非置換の非芳香族複素環式基、置換もしくは非置換の芳香族炭素環オキシ、置換もしくは非置換の非芳香族炭素環オキシ、置換もしくは非置換の芳香族複素環オキシ、置換もしくは非置換の非芳香族複素環オキシ、置換もしくは非置換の芳香族炭素環カルボニルオキシ、置換もしくは非置換の非芳香族炭素環カルボニルオキシ、置換もしくは非置換の芳香族複素環カルボニルオキシ、置換もしくは非置換の非芳香族複素環カルボニルオキシ、置換もしくは非置換の芳香族炭素環カルボニル、置換もしくは非置換の非芳香族炭素環カルボニル、置換もしくは非置換の芳香族複素環カルボニル、置換もしくは非置換の非芳香族複素環カルボニル、置換もしくは非置換の芳香族炭素環オキシカルボニル、置換もしくは非置換の非芳香族炭素環オキシカルボニル、置換もしくは非置換の芳香族複素環オキシカルボニル、置換もしくは非置換の非芳香族複素環オキシカルボニル、置換もしくは非置換の芳香族炭素環スルファニル、置換もしくは非置換の非芳香族炭素環スルファニル、置換もしくは非置換の芳香族複素環スルファニル、置換もしくは非置換の非芳香族複素環スルファニル、置換もしくは非置換の芳香族炭素環スルフィニル、置換もしくは非置換の非芳香族炭素環スルフィニル、置換もしくは非置換の芳香族複素環スルフィニル、置換もしくは非置換の非芳香族複素環スルフィニル、置換もしくは非置換の芳香族炭素環スルホニル、置換もしくは非置換の非芳香族炭素環スルホニル、置換もしくは非置換の芳香族複素環スルホニル、置換もしくは非置換の非芳香族複素環スルホニル、式:-L-N=S(=O)(-RS1)-RS2、式:-L-S(=O)(=N-RN)-RS1、式:-N=S(=N-RN)(-RS1)-RS2、または式:-S(=N-RN)2-RS1で示される基であり、
R11c、R12c、R13c、R14c、およびR15cは、それぞれ独立して、水素、シアノ、置換もしくは非置換のカルバモイル、置換もしくは非置換のチオカルバモイル、置換もしくは非置換のアミジノ、置換もしくは非置換のアミノ、置換もしくは非置換のウレイド、置換もしくは非置換のグアニジノ、ペンタフルオロチオ、スルホ、置換もしくは非置換のスルファモイル、置換もしくは非置換のアルキル、置換もしくは非置換のアルケニル、置換もしくは非置換のアルキニル、置換もしくは非置換のアルキルオキシ、置換もしくは非置換のアルケニルオキシ、置換もしくは非置換のアルキニルオキシ、置換もしくは非置換のアルキルカルボニル、置換もしくは非置換のアルケニルカルボニル、置換もしくは非置換のアルキニルカルボニル、置換もしくは非置換のアルキルオキシカルボニル、置換もしくは非置換のアルケニルオキシカルボニル、置換もしくは非置換のアルキニルオキシカルボニル、置換もしくは非置換のアルキルスルファニル、置換もしくは非置換のアルケニルスルファニル、置換もしくは非置換のアルキニルスルファニル、置換もしくは非置換のアルキルスルフィニル、置換もしくは非置換のアルケニルスルフィニル、置換もしくは非置換のアルキニルスルフィニル、置換もしくは非置換のアルキルスルホニル、置換もしくは非置換のアルケニルスルホニル、置換もしくは非置換のアルキニルスルホニル、置換もしくは非置換の芳香族炭素環式基、置換もしくは非置換の非芳香族炭素環式基、置換もしくは非置換の芳香族複素環式基、置換もしくは非置換の非芳香族複素環式基、置換もしくは非置換の芳香族炭素環オキシ、置換もしくは非置換の非芳香族炭素環オキシ、置換もしくは非置換の芳香族複素環オキシ、置換もしくは非置換の非芳香族複素環オキシ、置換もしくは非置換の芳香族炭素環カルボニル、置換もしくは非置換の非芳香族炭素環カルボニル、置換もしくは非置換の芳香族複素環カルボニル、置換もしくは非置換の非芳香族複素環カルボニル、置換もしくは非置換の芳香族炭素環オキシカルボニル、置換もしくは非置換の非芳香族炭素環オキシカルボニル、置換もしくは非置換の芳香族複素環オキシカルボニル、置換もしくは非置換の非芳香族複素環オキシカルボニル、置換もしくは非置換の芳香族炭素環スルファニル、置換もしくは非置換の非芳香族炭素環スルファニル、置換もしくは非置換の芳香族複素環スルファニル、置換もしくは非置換の非芳香族複素環スルファニル、置換もしくは非置換の芳香族炭素環スルフィニル、置換もしくは非置換の非芳香族炭素環スルフィニル、置換もしくは非置換の芳香族複素環スルフィニル、置換もしくは非置換の非芳香族複素環スルフィニル、置換もしくは非置換の芳香族炭素環スルホニル、置換もしくは非置換の非芳香族炭素環スルホニル、置換もしくは非置換の芳香族複素環スルホニル、または置換もしくは非置換の非芳香族複素環スルホニルであり、
または、R11aとR12a、R12aとR13a、R13aとR14a、および/またはR14aとR15aは、隣接する炭素原子と一緒になって、置換もしくは非置換の芳香族炭素環、置換もしくは非置換の非芳香族炭素環、置換もしくは非置換の芳香族複素環、または置換もしくは非置換の非芳香族複素環を形成してもよく、
および/または、R11cとR12a、R11cとR12c、R12cとR11a、R12cとR13a、R12cとR13c、R13cとR12a、R13cとR14a、R13cとR14c、R14cとR13a、R14cとR15c、および/またはR15cとR14aは、隣接する原子と一緒になって、置換もしくは非置換の芳香族複素環または置換もしくは非置換の非芳香族複素環を形成してもよく、
および/または、R11aとR13a、R11aとR13c、R11aとR14a、R11aとR14c、R11aとR15a、R11aとR15c、R11cとR13a、R11cとR13c、R11cとR14a、R11cとR14c、R11cとR15a、R11cとR15c、R12aとR14a、R12aとR14c、R12aとR15a、R12aとR15c、R12cとR14a、R12cとR14c、R12cとR15a、R12cとR15c、R13aとR15a、R13aとR15c、R13cとR15a、および/またはR13cとR15cは、一緒になってC2-C4架橋を形成してもよく、
および/または、R11bとR12b、R11bとR12c、R11cとR12b、R11cとR12c、R12bとR13b、R12bとR13c、R12cとR13b、R12cとR13c、R13bとR14b、R13bとR14c、R13cとR14b、R13cとR14c、R14bとR15b、R14bとR15c、R14cとR15b、および/またはR14cとR15cは、一緒になって結合を形成してもよく、
破線は結合の存在または非存在を示し、
その他の記号は、請求項1と同意義である) The compound according to claim 1, wherein B is represented by any one of the following formulas, or a pharmaceutically acceptable salt thereof:
formula:
(Where
B 1 is CR 11a R 11b , NR 11c , O, or S;
B 2 is CR 12a R 12b , NR 12c , O, or S;
B 3 is CR 13a R 13b , NR 13c , O, or S;
B 4 is CR 14a R 14b , NR 14c , O, or S;
B 5 is CR 15a R 15b , NR 15c , O, or S;
R 11a , R 12a , R 13a , R 14a , and R 15a are each independently hydrogen, halogen, hydroxy, cyano, carboxy, substituted or unsubstituted carbamoyl, substituted or unsubstituted thiocarbamoyl, substituted or non-substituted Substituted amidino, substituted or unsubstituted amino, substituted or unsubstituted ureido, substituted or unsubstituted guanidino, pentafluorothio, sulfo, substituted or unsubstituted sulfamoyl, substituted or unsubstituted alkyl, substituted or unsubstituted Alkenyl, substituted or unsubstituted alkynyl, substituted or unsubstituted alkyloxy, substituted or unsubstituted alkenyloxy, substituted or unsubstituted alkynyloxy, substituted or unsubstituted alkylcarbonyloxy, substituted or unsubstituted alkenyl Carbonyloxy, substituted or unsubstituted alkynylcarbonyloxy, substituted or unsubstituted alkylcarbonyl, substituted or unsubstituted alkenylcarbonyl, substituted or unsubstituted alkynylcarbonyl, substituted or unsubstituted alkyloxycarbonyl, substituted or unsubstituted Alkenyloxycarbonyl, substituted or unsubstituted alkynyloxycarbonyl, substituted or unsubstituted alkylsulfanyl, substituted or unsubstituted alkenylsulfanyl, substituted or unsubstituted alkynylsulfanyl, substituted or unsubstituted alkylsulfinyl, substituted or unsubstituted Alkenylsulfinyl, substituted or unsubstituted alkynylsulfinyl, substituted or unsubstituted alkylsulfonyl, substituted or unsubstituted alkenyls Phonyl, substituted or unsubstituted alkynylsulfonyl, substituted or unsubstituted aromatic carbocyclic group, substituted or unsubstituted non-aromatic carbocyclic group, substituted or unsubstituted aromatic heterocyclic group, substituted or non-substituted Substituted non-aromatic heterocyclic group, substituted or unsubstituted aromatic carbocyclic oxy, substituted or unsubstituted non-aromatic carbocyclic oxy, substituted or unsubstituted aromatic heterocyclic oxy, substituted or unsubstituted non-substituted Aromatic heterocyclic oxy, substituted or unsubstituted aromatic carbocyclic carbonyloxy, substituted or unsubstituted non-aromatic carbocyclic carbonyloxy, substituted or unsubstituted aromatic heterocyclic carbonyloxy, substituted or unsubstituted non-aromatic Heterocyclic carbonyloxy, substituted or unsubstituted aromatic carbocyclic carbonyl, substituted or unsubstituted non-aromatic carbocyclic carbonyl, Substituted or unsubstituted aromatic heterocyclic carbonyl, substituted or unsubstituted non-aromatic heterocyclic carbonyl, substituted or unsubstituted aromatic carbocyclic oxycarbonyl, substituted or unsubstituted non-aromatic carbocyclic oxycarbonyl, substituted or Unsubstituted aromatic heterocyclic oxycarbonyl, substituted or unsubstituted non-aromatic heterocyclic oxycarbonyl, substituted or unsubstituted aromatic carbocyclic sulfanyl, substituted or unsubstituted non-aromatic carbocyclic sulfanyl, substituted or unsubstituted Aromatic heterocyclic sulfanyl, substituted or unsubstituted non-aromatic heterocyclic sulfanyl, substituted or unsubstituted aromatic carbocyclic sulfinyl, substituted or unsubstituted non-aromatic carbocyclic sulfinyl, substituted or unsubstituted aromatic heterocyclic Ring sulfinyl, substituted or unsubstituted non-aromatic heterocyclic sulfinyl Substituted or unsubstituted aromatic carbocyclic sulfonyl, substituted or unsubstituted non-aromatic carbocyclic sulfonyl, substituted or unsubstituted aromatic heterocyclic sulfonyl, substituted or unsubstituted non-aromatic heterocyclic sulfonyl, formula: -L -N = S (= O) (-R S1 ) -R S2 , Formula: -LS (= O) (= N-R N ) -R S1 , Formula: -N = S (= N-R N ) (— R S1 ) —R S2 , or a group represented by the formula: —S (═N—R N ) 2 —R S1 ,
R 11b , R 12b , R 13b , R 14b , and R 15b are each independently hydrogen, halogen, hydroxy, cyano, carboxy, substituted or unsubstituted carbamoyl, substituted or unsubstituted thiocarbamoyl, substituted or non-substituted Substituted amidino, substituted or unsubstituted amino, substituted or unsubstituted ureido, substituted or unsubstituted guanidino, pentafluorothio, sulfo, substituted or unsubstituted sulfamoyl, substituted or unsubstituted alkyl, substituted or unsubstituted Alkenyl, substituted or unsubstituted alkynyl, substituted or unsubstituted alkyloxy, substituted or unsubstituted alkenyloxy, substituted or unsubstituted alkynyloxy, substituted or unsubstituted alkylcarbonyloxy, substituted or unsubstituted alkenyl Carbonyloxy, substituted or unsubstituted alkynylcarbonyloxy, substituted or unsubstituted alkylcarbonyl, substituted or unsubstituted alkenylcarbonyl, substituted or unsubstituted alkynylcarbonyl, substituted or unsubstituted alkyloxycarbonyl, substituted or unsubstituted Alkenyloxycarbonyl, substituted or unsubstituted alkynyloxycarbonyl, substituted or unsubstituted alkylsulfanyl, substituted or unsubstituted alkenylsulfanyl, substituted or unsubstituted alkynylsulfanyl, substituted or unsubstituted alkylsulfinyl, substituted or unsubstituted Alkenylsulfinyl, substituted or unsubstituted alkynylsulfinyl, substituted or unsubstituted alkylsulfonyl, substituted or unsubstituted alkenyls Phonyl, substituted or unsubstituted alkynylsulfonyl, substituted or unsubstituted aromatic carbocyclic group, substituted or unsubstituted non-aromatic carbocyclic group, substituted or unsubstituted aromatic heterocyclic group, substituted or non-substituted Substituted non-aromatic heterocyclic group, substituted or unsubstituted aromatic carbocyclic oxy, substituted or unsubstituted non-aromatic carbocyclic oxy, substituted or unsubstituted aromatic heterocyclic oxy, substituted or unsubstituted non-substituted Aromatic heterocyclic oxy, substituted or unsubstituted aromatic carbocyclic carbonyloxy, substituted or unsubstituted non-aromatic carbocyclic carbonyloxy, substituted or unsubstituted aromatic heterocyclic carbonyloxy, substituted or unsubstituted non-aromatic Heterocyclic carbonyloxy, substituted or unsubstituted aromatic carbocyclic carbonyl, substituted or unsubstituted non-aromatic carbocyclic carbonyl, Substituted or unsubstituted aromatic heterocyclic carbonyl, substituted or unsubstituted non-aromatic heterocyclic carbonyl, substituted or unsubstituted aromatic carbocyclic oxycarbonyl, substituted or unsubstituted non-aromatic carbocyclic oxycarbonyl, substituted or Unsubstituted aromatic heterocyclic oxycarbonyl, substituted or unsubstituted non-aromatic heterocyclic oxycarbonyl, substituted or unsubstituted aromatic carbocyclic sulfanyl, substituted or unsubstituted non-aromatic carbocyclic sulfanyl, substituted or unsubstituted Aromatic heterocyclic sulfanyl, substituted or unsubstituted non-aromatic heterocyclic sulfanyl, substituted or unsubstituted aromatic carbocyclic sulfinyl, substituted or unsubstituted non-aromatic carbocyclic sulfinyl, substituted or unsubstituted aromatic heterocyclic Ring sulfinyl, substituted or unsubstituted non-aromatic heterocyclic sulfinyl Substituted or unsubstituted aromatic carbocyclic sulfonyl, substituted or unsubstituted non-aromatic carbocyclic sulfonyl, substituted or unsubstituted aromatic heterocyclic sulfonyl, substituted or unsubstituted non-aromatic heterocyclic sulfonyl, formula: -L -N = S (= O) (-R S1 ) -R S2 , Formula: -LS (= O) (= N-R N ) -R S1 , Formula: -N = S (= N-R N ) (— R S1 ) —R S2 , or a group represented by the formula: —S (═N—R N ) 2 —R S1 ,
R 11c , R 12c , R 13c , R 14c , and R 15c are each independently hydrogen, cyano, substituted or unsubstituted carbamoyl, substituted or unsubstituted thiocarbamoyl, substituted or unsubstituted amidino, substituted or Unsubstituted amino, substituted or unsubstituted ureido, substituted or unsubstituted guanidino, pentafluorothio, sulfo, substituted or unsubstituted sulfamoyl, substituted or unsubstituted alkyl, substituted or unsubstituted alkenyl, substituted or unsubstituted Alkynyl, substituted or unsubstituted alkyloxy, substituted or unsubstituted alkenyloxy, substituted or unsubstituted alkynyloxy, substituted or unsubstituted alkylcarbonyl, substituted or unsubstituted alkenylcarbonyl, substituted or unsubstituted alkynyl Rucarbonyl, substituted or unsubstituted alkyloxycarbonyl, substituted or unsubstituted alkenyloxycarbonyl, substituted or unsubstituted alkynyloxycarbonyl, substituted or unsubstituted alkylsulfanyl, substituted or unsubstituted alkenylsulfanyl, substituted or unsubstituted Alkynylsulfanyl, substituted or unsubstituted alkylsulfinyl, substituted or unsubstituted alkenylsulfinyl, substituted or unsubstituted alkynylsulfinyl, substituted or unsubstituted alkylsulfonyl, substituted or unsubstituted alkenylsulfonyl, substituted or unsubstituted alkynyl Sulfonyl, substituted or unsubstituted aromatic carbocyclic group, substituted or unsubstituted non-aromatic carbocyclic group, substituted or unsubstituted aromatic heterocyclic group, substituted Is an unsubstituted non-aromatic heterocyclic group, substituted or unsubstituted aromatic carbocyclic oxy, substituted or unsubstituted non-aromatic carbocyclic oxy, substituted or unsubstituted aromatic heterocyclic oxy, substituted or unsubstituted Non-aromatic heterocyclic oxy, substituted or unsubstituted aromatic carbocyclic carbonyl, substituted or unsubstituted non-aromatic carbocyclic carbonyl, substituted or unsubstituted aromatic heterocyclic carbonyl, substituted or unsubstituted non-aromatic Heterocyclic carbonyl, substituted or unsubstituted aromatic carbocyclic oxycarbonyl, substituted or unsubstituted non-aromatic carbocyclic oxycarbonyl, substituted or unsubstituted aromatic heterocyclic oxycarbonyl, substituted or unsubstituted non-aromatic hetero Ring oxycarbonyl, substituted or unsubstituted aromatic carbocyclic sulfanyl, substituted or unsubstituted non-aromatic carbocyclic sulfan Nyl, substituted or unsubstituted aromatic heterocyclic sulfanyl, substituted or unsubstituted non-aromatic heterocyclic sulfanyl, substituted or unsubstituted aromatic carbocyclic sulfinyl, substituted or unsubstituted non-aromatic carbocyclic sulfinyl, substituted or Unsubstituted aromatic heterocyclic sulfinyl, substituted or unsubstituted non-aromatic heterocyclic sulfinyl, substituted or unsubstituted aromatic carbocyclic sulfonyl, substituted or unsubstituted non-aromatic carbocyclic sulfonyl, substituted or unsubstituted aromatic A heterocyclic sulfonyl group, or a substituted or unsubstituted non-aromatic heterocyclic sulfonyl group,
Or R 11a and R 12a , R 12a and R 13a , R 13a and R 14a , and / or R 14a and R 15a , together with adjacent carbon atoms, are substituted or unsubstituted aromatic carbocycles, May form a substituted or unsubstituted non-aromatic carbocyclic ring, a substituted or unsubstituted aromatic heterocyclic ring, or a substituted or unsubstituted non-aromatic heterocyclic ring;
And / or R 11c and R 12a , R 11c and R 12c , R 12c and R 11a , R 12c and R 13a , R 12c and R 13c , R 13c and R 12a , R 13c and R 14a , R 13c and R 14c , R 14c and R 13a , R 14c and R 15c , and / or R 15c and R 14a , together with adjacent atoms, can be substituted or unsubstituted aromatic heterocycle or substituted or unsubstituted non-aromatic Group heterocycles may be formed,
And / or R 11a and R 13a , R 11a and R 13c , R 11a and R 14a , R 11a and R 14c , R 11a and R 15a , R 11a and R 15c , R 11c and R 13a , R 11c and R 13c, R 11c and R 14a, R 11c and R 14c, R 11c and R 15a, R 11c and R 15c, R 12a and R 14a, R 12a and R 14c, R 12a and R 15a, R 12a and R 15c, R 12c and R 14a , R 12c and R 14c , R 12c and R 15a , R 12c and R 15c , R 13a and R 15a , R 13a and R 15c , R 13c and R 15a , and / or R 13c and R 15c Together may form a C2-C4 bridge,
And / or R 11b and R 12b , R 11b and R 12c , R 11c and R 12b , R 11c and R 12c , R 12b and R 13b , R 12b and R 13c , R 12c and R 13b , R 12c and R 13c , R 13b and R 14b , R 13b and R 14c , R 13c and R 14b , R 13c and R 14c , R 14b and R 15b , R 14b and R 15c , R 14c and R 15b , and / or R 14c R 15c together may form a bond;
The dashed line indicates the presence or absence of a bond,
Other symbols have the same meaning as in claim 1)
式:
(式中、
Cは、置換もしくは非置換の芳香族炭素環、置換もしくは非置換の非芳香族炭素環、置換もしくは非置換の芳香族複素環、または置換もしくは非置換の非芳香族複素環であり、
R6は、それぞれ独立して、ハロゲン、ヒドロキシ、シアノ、カルボキシ、置換もしくは非置換のカルバモイル、置換もしくは非置換のチオカルバモイル、置換もしくは非置換のアミジノ、置換もしくは非置換のアミノ、置換もしくは非置換のウレイド、置換もしくは非置換のグアニジノ、ペンタフルオロチオ、スルホ、置換もしくは非置換のスルファモイル、置換もしくは非置換のアルキル、置換もしくは非置換のアルケニル、置換もしくは非置換のアルキニル、置換もしくは非置換のアルキルオキシ、置換もしくは非置換のアルケニルオキシ、置換もしくは非置換のアルキニルオキシ、置換もしくは非置換のアルキルカルボニルオキシ、置換もしくは非置換のアルケニルカルボニルオキシ、置換もしくは非置換のアルキニルカルボニルオキシ、置換もしくは非置換のアルキルカルボニル、置換もしくは非置換のアルケニルカルボニル、置換もしくは非置換のアルキニルカルボニル、置換もしくは非置換のアルキルオキシカルボニル、置換もしくは非置換のアルケニルオキシカルボニル、置換もしくは非置換のアルキニルオキシカルボニル、置換もしくは非置換のアルキルスルファニル、置換もしくは非置換のアルケニルスルファニル、置換もしくは非置換のアルキニルスルファニル、置換もしくは非置換のアルキルスルフィニル、置換もしくは非置換のアルケニルスルフィニル、置換もしくは非置換のアルキニルスルフィニル、置換もしくは非置換のアルキルスルホニル、置換もしくは非置換のアルケニルスルホニル、置換もしくは非置換のアルキニルスルホニル、置換もしくは非置換の芳香族炭素環式基、置換もしくは非置換の非芳香族炭素環式基、置換もしくは非置換の芳香族複素環式基、置換もしくは非置換の非芳香族複素環式基、置換もしくは非置換の芳香族炭素環オキシ、置換もしくは非置換の非芳香族炭素環オキシ、置換もしくは非置換の芳香族複素環オキシ、置換もしくは非置換の非芳香族複素環オキシ、置換もしくは非置換の芳香族炭素環カルボニルオキシ、置換もしくは非置換の非芳香族炭素環カルボニルオキシ、置換もしくは非置換の芳香族複素環カルボニルオキシ、置換もしくは非置換の非芳香族複素環カルボニルオキシ、置換もしくは非置換の芳香族炭素環カルボニル、置換もしくは非置換の非芳香族炭素環カルボニル、置換もしくは非置換の芳香族複素環カルボニル、置換もしくは非置換の非芳香族複素環カルボニル、置換もしくは非置換の芳香族炭素環オキシカルボニル、置換もしくは非置換の非芳香族炭素環オキシカルボニル、置換もしくは非置換の芳香族複素環オキシカルボニル、置換もしくは非置換の非芳香族複素環オキシカルボニル、置換もしくは非置換の芳香族炭素環スルファニル、置換もしくは非置換の非芳香族炭素環スルファニル、置換もしくは非置換の芳香族複素環スルファニル、置換もしくは非置換の非芳香族複素環スルファニル、置換もしくは非置換の芳香族炭素環スルフィニル、置換もしくは非置換の非芳香族炭素環スルフィニル、置換もしくは非置換の芳香族複素環スルフィニル、置換もしくは非置換の非芳香族複素環スルフィニル、置換もしくは非置換の芳香族炭素環スルホニル、置換もしくは非置換の非芳香族炭素環スルホニル、置換もしくは非置換の芳香族複素環スルホニル、置換もしくは非置換の非芳香族複素環スルホニル、式:-L-N=S(=O)(-RS1)-RS2、式:-L-S(=O)(=N-RN)-RS1、式:-N=S(=N-RN)(-RS1)-RS2、または式:-S(=N-RN)2-RS1で示される基であり、
nは、0~4の整数であり、
B1、B2、B3、B4およびB5は、請求項2と同意義であり、
その他の記号は、請求項1と同意義である) The compound according to claim 1 or 2, or a pharmaceutically acceptable salt thereof, wherein B is represented by any one of the following formulae.
formula:
(Where
C is a substituted or unsubstituted aromatic carbocyclic ring, a substituted or unsubstituted nonaromatic carbocyclic ring, a substituted or unsubstituted aromatic heterocyclic ring, or a substituted or unsubstituted nonaromatic heterocyclic ring;
Each R 6 is independently halogen, hydroxy, cyano, carboxy, substituted or unsubstituted carbamoyl, substituted or unsubstituted thiocarbamoyl, substituted or unsubstituted amidino, substituted or unsubstituted amino, substituted or unsubstituted Ureido, substituted or unsubstituted guanidino, pentafluorothio, sulfo, substituted or unsubstituted sulfamoyl, substituted or unsubstituted alkyl, substituted or unsubstituted alkenyl, substituted or unsubstituted alkynyl, substituted or unsubstituted alkyl Oxy, substituted or unsubstituted alkenyloxy, substituted or unsubstituted alkynyloxy, substituted or unsubstituted alkylcarbonyloxy, substituted or unsubstituted alkenylcarbonyloxy, substituted or unsubstituted alkynylcarbonyloxy Xy, substituted or unsubstituted alkylcarbonyl, substituted or unsubstituted alkenylcarbonyl, substituted or unsubstituted alkynylcarbonyl, substituted or unsubstituted alkyloxycarbonyl, substituted or unsubstituted alkenyloxycarbonyl, substituted or unsubstituted alkynyl Oxycarbonyl, substituted or unsubstituted alkylsulfanyl, substituted or unsubstituted alkenylsulfanyl, substituted or unsubstituted alkynylsulfanyl, substituted or unsubstituted alkylsulfinyl, substituted or unsubstituted alkenylsulfinyl, substituted or unsubstituted alkynylsulfinyl Substituted or unsubstituted alkylsulfonyl, substituted or unsubstituted alkenylsulfonyl, substituted or unsubstituted alkynylsulfonyl, substituted or Unsubstituted aromatic carbocyclic group, substituted or unsubstituted non-aromatic carbocyclic group, substituted or unsubstituted aromatic heterocyclic group, substituted or unsubstituted non-aromatic heterocyclic group, substituted or Unsubstituted aromatic carbocyclic oxy, substituted or unsubstituted non-aromatic carbocyclic oxy, substituted or unsubstituted aromatic heterocyclic oxy, substituted or unsubstituted non-aromatic heterocyclic oxy, substituted or unsubstituted fragrance Aromatic carbocyclic carbonyloxy, substituted or unsubstituted non-aromatic carbocyclic carbonyloxy, substituted or unsubstituted aromatic heterocyclic carbonyloxy, substituted or unsubstituted non-aromatic heterocyclic carbonyloxy, substituted or unsubstituted fragrance Aromatic carbocyclic carbonyl, substituted or unsubstituted non-aromatic carbocyclic carbonyl, substituted or unsubstituted aromatic heterocyclic carbonyl, substituted or unsubstituted Non-aromatic heterocyclic carbonyl, substituted or unsubstituted aromatic carbocyclic oxycarbonyl, substituted or unsubstituted non-aromatic carbocyclic oxycarbonyl, substituted or unsubstituted aromatic heterocyclic oxycarbonyl, substituted or unsubstituted non-substituted Aromatic heterocyclic oxycarbonyl, substituted or unsubstituted aromatic carbocyclic sulfanyl, substituted or unsubstituted non-aromatic carbocyclic sulfanyl, substituted or unsubstituted aromatic heterocyclic sulfanyl, substituted or unsubstituted non-aromatic hetero Ring sulfanyl, substituted or unsubstituted aromatic carbocyclic sulfinyl, substituted or unsubstituted non-aromatic carbocyclic sulfinyl, substituted or unsubstituted aromatic heterocyclic sulfinyl, substituted or unsubstituted non-aromatic heterocyclic sulfinyl, substituted Or unsubstituted aromatic carbocyclic sulfonyl, substituted or unsubstituted Substituted non-aromatic carbocyclic sulfonyl, substituted or unsubstituted aromatic heterocyclic sulfonyl, substituted or unsubstituted non-aromatic heterocyclic sulfonyl, formula: -LN = S (= O) (-R S1 )- R S2 , Formula: —LS (═O) (═N—R N ) —R S1 , Formula: —N═S (═N—R N ) (— R S1 ) —R S2 , or Formula: — A group represented by S (= N—R N ) 2 —R S1 ;
n is an integer from 0 to 4,
B 1 , B 2 , B 3 , B 4 and B 5 are as defined in claim 2,
Other symbols have the same meaning as in claim 1)
式:
(式中、R6およびnは、請求項3と同意義であり、
B1、B2、B3、B4およびB5は、請求項2と同意義であり、
その他の記号は、請求項1と同意義である) The compound according to any one of claims 1 to 3, or a pharmaceutically acceptable salt thereof, wherein B is represented by any one of the following formulae.
formula:
(Wherein R 6 and n are as defined in claim 3,
B 1 , B 2 , B 3 , B 4 and B 5 are as defined in claim 2,
Other symbols have the same meaning as in claim 1)
(式中、
L1は、置換もしくは非置換のアルキレンであり、
L2は、それぞれ独立して、単結合、-C(=O)-、-C(=O)-O-、-O-C(=O)-、-C(=O)-N(H)-、-N(H)-C(=O)-、-C(=O)-N(H)-S(O)2-、-N(H)-S(O)2-、-S(O)2-N(H)-、および-S(O)2-N(H)-C(=O)-からなる群から選択される基であり、
L3は、それぞれ独立して、単結合または置換もしくは非置換のアルキレンであり、
R1’は、ハロゲン、ヒドロキシ、カルボキシ、シアノ、置換もしくは非置換のアミノ、置換もしくは非置換のアルキル、置換もしくは非置換のアルケニル、置換もしくは非置換のアルキニル、置換もしくは非置換の芳香族炭素環式基、置換もしくは非置換の非芳香族炭素環式基、置換もしくは非置換の芳香族複素環式基、または置換もしくは非置換の非芳香族複素環式基であり、
pは、0~2の整数である) R 1 is hydrogen, cyano, substituted or unsubstituted carbamoyl, substituted or unsubstituted amino, substituted or unsubstituted alkyl, substituted or unsubstituted alkyloxycarbonyl, substituted or unsubstituted aromatic heterocyclic group, The compound according to any one of claims 1 to 4, which is a substituted or unsubstituted non-aromatic heterocyclic group, or a group shown below, or a pharmaceutically acceptable salt thereof.
(Where
L 1 is a substituted or unsubstituted alkylene,
L 2 each independently represents a single bond, —C (═O) —, —C (═O) —O—, —O—C (═O) —, —C (═O) —N (H ) -, - N (H) -C (= O) -, - C (= O) -N (H) -S (O) 2 -, - N (H) -S (O) 2 -, - S A group selected from the group consisting of (O) 2 —N (H) — and —S (O) 2 —N (H) —C (═O) —;
Each L 3 is independently a single bond or substituted or unsubstituted alkylene;
R 1 ′ is halogen, hydroxy, carboxy, cyano, substituted or unsubstituted amino, substituted or unsubstituted alkyl, substituted or unsubstituted alkenyl, substituted or unsubstituted alkynyl, substituted or unsubstituted aromatic carbocycle A formula group, a substituted or unsubstituted non-aromatic carbocyclic group, a substituted or unsubstituted aromatic heterocyclic group, or a substituted or unsubstituted non-aromatic heterocyclic group,
p is an integer from 0 to 2)
Applications Claiming Priority (4)
| Application Number | Priority Date | Filing Date | Title |
|---|---|---|---|
| JP2015208103 | 2015-10-22 | ||
| JP2015-208103 | 2015-10-22 | ||
| JP2016-032627 | 2016-02-24 | ||
| JP2016032627 | 2016-02-24 |
Publications (1)
| Publication Number | Publication Date |
|---|---|
| WO2017069224A1 true WO2017069224A1 (en) | 2017-04-27 |
Family
ID=58557100
Family Applications (1)
| Application Number | Title | Priority Date | Filing Date |
|---|---|---|---|
| PCT/JP2016/081208 Ceased WO2017069224A1 (en) | 2015-10-22 | 2016-10-21 | Spiro heterocyclic derivative having mgat2-inhibiting activity |
Country Status (1)
| Country | Link |
|---|---|
| WO (1) | WO2017069224A1 (en) |
Cited By (8)
| Publication number | Priority date | Publication date | Assignee | Title |
|---|---|---|---|---|
| WO2018229079A1 (en) * | 2017-06-14 | 2018-12-20 | Ucb Biopharma Sprl | Spirocyclic indolines as il-17 modulators |
| WO2019013312A1 (en) * | 2017-07-14 | 2019-01-17 | 塩野義製薬株式会社 | Fused-ring derivative having mgat2 inhibitory activity |
| CN110066280A (en) * | 2019-05-24 | 2019-07-30 | 江苏师范大学 | A kind of oxindole spiral shell pyridine compounds and their and its synthetic method |
| WO2020011731A1 (en) * | 2018-07-12 | 2020-01-16 | UCB Biopharma SRL | Spirocyclic indane analogues as il-17 modulators |
| WO2020145369A1 (en) | 2019-01-11 | 2020-07-16 | 塩野義製薬株式会社 | Dihydropyrazolopyrazinone derivative having mgat2 inhibitory activity |
| JP2020111571A (en) * | 2019-01-11 | 2020-07-27 | 塩野義製薬株式会社 | Pharmaceutical composition containing fused ring derivative having MGAT2 inhibitory activity |
| RU2803743C2 (en) * | 2019-01-11 | 2023-09-19 | Сионоги Энд Ко., Лтд. | Dihydropyrazolopyrazinone derivative with mgat-2 inhibitory activity |
| US12030879B2 (en) | 2018-03-02 | 2024-07-09 | Inflazome Limited | Sulfonyl acetamides as NLRP3 inhibitors |
Citations (5)
| Publication number | Priority date | Publication date | Assignee | Title |
|---|---|---|---|---|
| WO2006129679A1 (en) * | 2005-05-31 | 2006-12-07 | Ono Pharmaceutical Co., Ltd. | Spiropiperidine compound and medicinal use thereof |
| WO2013082345A1 (en) * | 2011-12-02 | 2013-06-06 | Bristol-Myers Squibb Company | Aryl dihydropyridinone and piperidinone as mgat2 inhibitors |
| WO2014193884A1 (en) * | 2013-05-29 | 2014-12-04 | Bristol-Myers Squibb Company | Dihydropyridinone mgat2 inhibitors |
| WO2015134701A1 (en) * | 2014-03-07 | 2015-09-11 | Bristol-Myers Squibb Company | Dihydropyridinone mgat2 inhibitors for use in the treatment of metabolic disorders |
| WO2015134699A1 (en) * | 2014-03-07 | 2015-09-11 | Bristol-Myers Squibb Company | Tetrazolone-substituted dihydropyridinone mgat2 inhibitors |
-
2016
- 2016-10-21 WO PCT/JP2016/081208 patent/WO2017069224A1/en not_active Ceased
Patent Citations (5)
| Publication number | Priority date | Publication date | Assignee | Title |
|---|---|---|---|---|
| WO2006129679A1 (en) * | 2005-05-31 | 2006-12-07 | Ono Pharmaceutical Co., Ltd. | Spiropiperidine compound and medicinal use thereof |
| WO2013082345A1 (en) * | 2011-12-02 | 2013-06-06 | Bristol-Myers Squibb Company | Aryl dihydropyridinone and piperidinone as mgat2 inhibitors |
| WO2014193884A1 (en) * | 2013-05-29 | 2014-12-04 | Bristol-Myers Squibb Company | Dihydropyridinone mgat2 inhibitors |
| WO2015134701A1 (en) * | 2014-03-07 | 2015-09-11 | Bristol-Myers Squibb Company | Dihydropyridinone mgat2 inhibitors for use in the treatment of metabolic disorders |
| WO2015134699A1 (en) * | 2014-03-07 | 2015-09-11 | Bristol-Myers Squibb Company | Tetrazolone-substituted dihydropyridinone mgat2 inhibitors |
Cited By (35)
| Publication number | Priority date | Publication date | Assignee | Title |
|---|---|---|---|---|
| CN110769821A (en) * | 2017-06-14 | 2020-02-07 | Ucb生物制药私人有限公司 | Spirocyclic indolines as IL-17 modulators |
| CN110769821B (en) * | 2017-06-14 | 2023-07-07 | Ucb生物制药有限责任公司 | Spiro indolines as IL-17 modulators |
| WO2018229079A1 (en) * | 2017-06-14 | 2018-12-20 | Ucb Biopharma Sprl | Spirocyclic indolines as il-17 modulators |
| US11052076B2 (en) | 2017-06-14 | 2021-07-06 | UCB Biopharma SRL | Spirocyclic indolines as IL-17 modulators |
| JP7224086B2 (en) | 2017-07-14 | 2023-02-17 | 塩野義製薬株式会社 | Fused ring derivative having MGAT2 inhibitory activity |
| JP2023055851A (en) * | 2017-07-14 | 2023-04-18 | 塩野義製薬株式会社 | Fused ring derivative having MGAT2 inhibitory activity |
| KR20200029549A (en) | 2017-07-14 | 2020-03-18 | 시오노기 앤드 컴파니, 리미티드 | Condensed ring derivative having MGAT2 inhibitory activity |
| JPWO2019013311A1 (en) * | 2017-07-14 | 2020-05-07 | 塩野義製薬株式会社 | Fused ring derivative having MGAT2 inhibitory activity |
| US12454533B2 (en) | 2017-07-14 | 2025-10-28 | Shionogi & Co., Ltd. | Fused ring derivative having MGAT-2 inhibitory activity |
| EP4043463A1 (en) | 2017-07-14 | 2022-08-17 | Shionogi & Co., Ltd | Fused ring derivative having mgat-2 inhibitory activity |
| US12024519B2 (en) | 2017-07-14 | 2024-07-02 | Shionogi & Co., Ltd. | Fused ring derivative having MGAT-2 inhibitory activity |
| JP7493635B2 (en) | 2017-07-14 | 2024-05-31 | 塩野義製薬株式会社 | Fused ring derivatives having MGAT2 inhibitory activity |
| TWI782056B (en) * | 2017-07-14 | 2022-11-01 | 日商鹽野義製藥股份有限公司 | A fused ring derivative having a mgat2 inhibitoy activity |
| WO2019013312A1 (en) * | 2017-07-14 | 2019-01-17 | 塩野義製薬株式会社 | Fused-ring derivative having mgat2 inhibitory activity |
| US11198695B2 (en) | 2017-07-14 | 2021-12-14 | Shionogi & Co., Ltd. | Fused ring derivative having MGAT-2 inhibitory activity |
| RU2770437C2 (en) * | 2017-07-14 | 2022-04-18 | Сионоги Энд Ко., Лтд. | Condensed cyclic derivative with inhibitory activity against mgat-2 |
| JP7060298B1 (en) | 2017-07-14 | 2022-04-26 | 塩野義製薬株式会社 | Condensation ring derivative with MGAT2 inhibitory activity |
| WO2019013311A1 (en) | 2017-07-14 | 2019-01-17 | 塩野義製薬株式会社 | Fused ring derivative having mgat-2 inhibitory activity |
| JP2022068347A (en) * | 2017-07-14 | 2022-05-09 | 塩野義製薬株式会社 | Condensation ring derivative with MGAT2 inhibitory activity |
| US12030879B2 (en) | 2018-03-02 | 2024-07-09 | Inflazome Limited | Sulfonyl acetamides as NLRP3 inhibitors |
| US11458124B2 (en) | 2018-07-12 | 2022-10-04 | UCBBiopharma Srl | Spirocyclic indane analogues as IL-17 modulators |
| WO2020011731A1 (en) * | 2018-07-12 | 2020-01-16 | UCB Biopharma SRL | Spirocyclic indane analogues as il-17 modulators |
| KR20210114001A (en) | 2019-01-11 | 2021-09-17 | 시오노기 앤드 컴파니, 리미티드 | Dihydropyrazolopyrazinone derivatives having MGAT2 inhibitory activity |
| EP3909583A4 (en) * | 2019-01-11 | 2022-08-17 | Shionogi & Co., Ltd | Dihydropyrazolopyrazinone derivative having mgat2 inhibitory activity |
| JP7068743B2 (en) | 2019-01-11 | 2022-05-17 | 塩野義製薬株式会社 | A pharmaceutical composition containing a condensed ring derivative having MGAT2 inhibitory activity. |
| US20220135577A1 (en) * | 2019-01-11 | 2022-05-05 | Shionogi & Co., Ltd. | Dihydropyrazolopyrazinone derivative having mgat2 inhibitory activity |
| JPWO2020145369A1 (en) * | 2019-01-11 | 2021-11-25 | 塩野義製薬株式会社 | Dihydropyrazolopyrazinone derivative with MGAT2 inhibitory activity |
| RU2803743C2 (en) * | 2019-01-11 | 2023-09-19 | Сионоги Энд Ко., Лтд. | Dihydropyrazolopyrazinone derivative with mgat-2 inhibitory activity |
| TWI840489B (en) * | 2019-01-11 | 2024-05-01 | 日商鹽野義製藥股份有限公司 | Dihydropyrazolopyrazinone derivative having mgat-2 inhibitory activity |
| JP2020111571A (en) * | 2019-01-11 | 2020-07-27 | 塩野義製薬株式会社 | Pharmaceutical composition containing fused ring derivative having MGAT2 inhibitory activity |
| JP7608166B2 (en) | 2019-01-11 | 2025-01-06 | 塩野義製薬株式会社 | Dihydropyrazolopyrazinone derivatives having MGAT2 inhibitory activity |
| US12227509B2 (en) | 2019-01-11 | 2025-02-18 | Shionogi & Co., Ltd. | Dihydropyrazolopyrazinone derivative having MGAT2 inhibitory activity |
| WO2020145369A1 (en) | 2019-01-11 | 2020-07-16 | 塩野義製薬株式会社 | Dihydropyrazolopyrazinone derivative having mgat2 inhibitory activity |
| CN110066280A (en) * | 2019-05-24 | 2019-07-30 | 江苏师范大学 | A kind of oxindole spiral shell pyridine compounds and their and its synthetic method |
| CN110066280B (en) * | 2019-05-24 | 2021-06-25 | 江苏师范大学 | A kind of oxoindole spiropyridine compound and its synthetic method |
Similar Documents
| Publication | Publication Date | Title |
|---|---|---|
| JP7060298B1 (en) | Condensation ring derivative with MGAT2 inhibitory activity | |
| JP6618120B2 (en) | Heterocyclic and carbocyclic derivatives having TrkA inhibitory activity | |
| WO2017069224A1 (en) | Spiro heterocyclic derivative having mgat2-inhibiting activity | |
| JP6812059B2 (en) | Heterocyclic derivative with TrkA inhibitory activity | |
| JP6898043B2 (en) | Nitrogen-containing heterocycles and carbocyclic derivatives with TrkA inhibitory activity | |
| JP7068743B2 (en) | A pharmaceutical composition containing a condensed ring derivative having MGAT2 inhibitory activity. | |
| WO2018079759A1 (en) | Fused heterocycle having trka inhibitory activity and fused carbocycle derivative | |
| US10335401B2 (en) | Non-aromatic heterocyclic derivative having MGAT2 inhibitory activity | |
| JP7608166B2 (en) | Dihydropyrazolopyrazinone derivatives having MGAT2 inhibitory activity | |
| WO2022092141A1 (en) | Amide derivative having antiviral activity | |
| JP2019026646A (en) | Pharmaceutical composition for treating or preventing pain, containing nitrogen-containing heterocyclic and carbocyclic derivative | |
| JP2020158390A (en) | Nonaromatic heterocycle derivatives having mgat2 inhibitory activity, and pharmaceutical compositions containing the same | |
| JP2022016394A (en) | Pharmaceutical composition containing dihydro pyrazolo pyrazinone derivative having mgat2 inhibitory activity | |
| WO2023033018A1 (en) | Fused heterocyclic derivative having hiv replication inhibitory action | |
| WO2025121409A1 (en) | Nitrogen-containing aromatic heterocyclic and aromatic carbocyclic derivative having serotonin receptor binding activity | |
| JP2024033679A (en) | Heterocycle derivative with hiv replication inhibitory action | |
| JP2019189573A (en) | Pharmaceutical composition for treating or preventing pain, containing condensed heterocycle and condensed carbocycle derivative |
Legal Events
| Date | Code | Title | Description |
|---|---|---|---|
| 121 | Ep: the epo has been informed by wipo that ep was designated in this application |
Ref document number: 16857537 Country of ref document: EP Kind code of ref document: A1 |
|
| NENP | Non-entry into the national phase |
Ref country code: DE |
|
| 122 | Ep: pct application non-entry in european phase |
Ref document number: 16857537 Country of ref document: EP Kind code of ref document: A1 |
|
| NENP | Non-entry into the national phase |
Ref country code: JP |























































































