WO2017024317A2 - Methods to induce targeted protein degradation through bifunctional molecules - Google Patents
Methods to induce targeted protein degradation through bifunctional molecules Download PDFInfo
- Publication number
- WO2017024317A2 WO2017024317A2 PCT/US2016/046087 US2016046087W WO2017024317A2 WO 2017024317 A2 WO2017024317 A2 WO 2017024317A2 US 2016046087 W US2016046087 W US 2016046087W WO 2017024317 A2 WO2017024317 A2 WO 2017024317A2
- Authority
- WO
- WIPO (PCT)
- Prior art keywords
- polypeptide
- alkyl
- certain embodiments
- compound
- independently
- Prior art date
- Legal status (The legal status is an assumption and is not a legal conclusion. Google has not performed a legal analysis and makes no representation as to the accuracy of the status listed.)
- Ceased
Links
- 0 CC1[C@](C2)C(CCC*3)C3C2[C@@]1* Chemical compound CC1[C@](C2)C(CCC*3)C3C2[C@@]1* 0.000 description 36
- XGLZLTNLZLEOMX-UHFFFAOYSA-N C=C(CCC1N(C(c2cccc(OCC=O)c22)=O)C2=O)NC1=O Chemical compound C=C(CCC1N(C(c2cccc(OCC=O)c22)=O)C2=O)NC1=O XGLZLTNLZLEOMX-UHFFFAOYSA-N 0.000 description 1
- SPKNTHQHNKFPQN-UHFFFAOYSA-N CC(C)(C)CC(C[Br]=C)=O Chemical compound CC(C)(C)CC(C[Br]=C)=O SPKNTHQHNKFPQN-UHFFFAOYSA-N 0.000 description 1
- VRMBFBWGMGTSPS-BQYQJAHWSA-N CC(C)(C)OC(N/C=C/NC(OC)=C=C)=O Chemical compound CC(C)(C)OC(N/C=C/NC(OC)=C=C)=O VRMBFBWGMGTSPS-BQYQJAHWSA-N 0.000 description 1
- DHQOZFQGPYEETI-UHFFFAOYSA-N CC(C)(C)OC(NCCCCCCNC(CCl)=O)=O Chemical compound CC(C)(C)OC(NCCCCCCNC(CCl)=O)=O DHQOZFQGPYEETI-UHFFFAOYSA-N 0.000 description 1
- SMGKCEONROGNMC-UHFFFAOYSA-N CC(C)(C)OC(NCCCCCCNC(COc1c(C(OC)=O)c(C(OC)=O)ccc1)=O)=O Chemical compound CC(C)(C)OC(NCCCCCCNC(COc1c(C(OC)=O)c(C(OC)=O)ccc1)=O)=O SMGKCEONROGNMC-UHFFFAOYSA-N 0.000 description 1
- DSXAQANXDBCOCN-UHFFFAOYSA-N CC(C)C(CCC(C(C)(CC(C)O)C=C1)=CC1=O)(C#C)N Chemical compound CC(C)C(CCC(C(C)(CC(C)O)C=C1)=CC1=O)(C#C)N DSXAQANXDBCOCN-UHFFFAOYSA-N 0.000 description 1
- ARPJGZGKTXWLHY-UHFFFAOYSA-N CC(CC(O)=O)c1nnc(C)[n]1-c1c(C(c(cc2)ccc2Cl)=C)c(C)c(C)[s]1 Chemical compound CC(CC(O)=O)c1nnc(C)[n]1-c1c(C(c(cc2)ccc2Cl)=C)c(C)c(C)[s]1 ARPJGZGKTXWLHY-UHFFFAOYSA-N 0.000 description 1
- MLNXTWQDTOBJSI-UHFFFAOYSA-N CCC(C(C)C1N(C)C1(C)CC)F Chemical compound CCC(C(C)C1N(C)C1(C)CC)F MLNXTWQDTOBJSI-UHFFFAOYSA-N 0.000 description 1
- FPNOJFOVIQPUSR-XZIJGCAUSA-N CCC(C(N(C)/C1=C/N)=O)N(C2CCCC2)C1=N Chemical compound CCC(C(N(C)/C1=C/N)=O)N(C2CCCC2)C1=N FPNOJFOVIQPUSR-XZIJGCAUSA-N 0.000 description 1
- GWXADOKFGBKLOD-UHFFFAOYSA-N CCC(C)(C)C(C(N(CCCC1)C1C(O)=O)=O)=O Chemical compound CCC(C)(C)C(C(N(CCCC1)C1C(O)=O)=O)=O GWXADOKFGBKLOD-UHFFFAOYSA-N 0.000 description 1
- LZUVCMPTXPMNSN-UHFFFAOYSA-N Cc1c(C)[s]c(-[n]2c(C)nnc2)c1C Chemical compound Cc1c(C)[s]c(-[n]2c(C)nnc2)c1C LZUVCMPTXPMNSN-UHFFFAOYSA-N 0.000 description 1
Classifications
-
- G—PHYSICS
- G01—MEASURING; TESTING
- G01N—INVESTIGATING OR ANALYSING MATERIALS BY DETERMINING THEIR CHEMICAL OR PHYSICAL PROPERTIES
- G01N33/00—Investigating or analysing materials by specific methods not covered by groups G01N1/00 - G01N31/00
- G01N33/48—Biological material, e.g. blood, urine; Haemocytometers
- G01N33/50—Chemical analysis of biological material, e.g. blood, urine; Testing involving biospecific ligand binding methods; Immunological testing
- G01N33/68—Chemical analysis of biological material, e.g. blood, urine; Testing involving biospecific ligand binding methods; Immunological testing involving proteins, peptides or amino acids
-
- C—CHEMISTRY; METALLURGY
- C07—ORGANIC CHEMISTRY
- C07K—PEPTIDES
- C07K14/00—Peptides having more than 20 amino acids; Gastrins; Somatostatins; Melanotropins; Derivatives thereof
- C07K14/435—Peptides having more than 20 amino acids; Gastrins; Somatostatins; Melanotropins; Derivatives thereof from animals; from humans
- C07K14/705—Receptors; Cell surface antigens; Cell surface determinants
- C07K14/70503—Immunoglobulin superfamily
- C07K14/7051—T-cell receptor (TcR)-CD3 complex
-
- C—CHEMISTRY; METALLURGY
- C07—ORGANIC CHEMISTRY
- C07K—PEPTIDES
- C07K14/00—Peptides having more than 20 amino acids; Gastrins; Somatostatins; Melanotropins; Derivatives thereof
- C07K14/82—Translation products from oncogenes
-
- C—CHEMISTRY; METALLURGY
- C12—BIOCHEMISTRY; BEER; SPIRITS; WINE; VINEGAR; MICROBIOLOGY; ENZYMOLOGY; MUTATION OR GENETIC ENGINEERING
- C12N—MICROORGANISMS OR ENZYMES; COMPOSITIONS THEREOF; PROPAGATING, PRESERVING, OR MAINTAINING MICROORGANISMS; MUTATION OR GENETIC ENGINEERING; CULTURE MEDIA
- C12N9/00—Enzymes; Proenzymes; Compositions thereof; Processes for preparing, activating, inhibiting, separating or purifying enzymes
- C12N9/14—Hydrolases (3)
- C12N9/16—Hydrolases (3) acting on ester bonds (3.1)
- C12N9/22—Ribonucleases [RNase]; Deoxyribonucleases [DNase]
-
- C—CHEMISTRY; METALLURGY
- C12—BIOCHEMISTRY; BEER; SPIRITS; WINE; VINEGAR; MICROBIOLOGY; ENZYMOLOGY; MUTATION OR GENETIC ENGINEERING
- C12N—MICROORGANISMS OR ENZYMES; COMPOSITIONS THEREOF; PROPAGATING, PRESERVING, OR MAINTAINING MICROORGANISMS; MUTATION OR GENETIC ENGINEERING; CULTURE MEDIA
- C12N9/00—Enzymes; Proenzymes; Compositions thereof; Processes for preparing, activating, inhibiting, separating or purifying enzymes
- C12N9/90—Isomerases (5.)
-
- C—CHEMISTRY; METALLURGY
- C12—BIOCHEMISTRY; BEER; SPIRITS; WINE; VINEGAR; MICROBIOLOGY; ENZYMOLOGY; MUTATION OR GENETIC ENGINEERING
- C12Y—ENZYMES
- C12Y502/00—Cis-trans-isomerases (5.2)
- C12Y502/01—Cis-trans-Isomerases (5.2.1)
- C12Y502/01008—Peptidylprolyl isomerase (5.2.1.8), i.e. cyclophilin
-
- A—HUMAN NECESSITIES
- A61—MEDICAL OR VETERINARY SCIENCE; HYGIENE
- A61K—PREPARATIONS FOR MEDICAL, DENTAL OR TOILETRY PURPOSES
- A61K35/00—Medicinal preparations containing materials or reaction products thereof with undetermined constitution
- A61K35/12—Materials from mammals; Compositions comprising non-specified tissues or cells; Compositions comprising non-embryonic stem cells; Genetically modified cells
- A61K35/14—Blood; Artificial blood
- A61K35/17—Lymphocytes; B-cells; T-cells; Natural killer cells; Interferon-activated or cytokine-activated lymphocytes
-
- A—HUMAN NECESSITIES
- A61—MEDICAL OR VETERINARY SCIENCE; HYGIENE
- A61K—PREPARATIONS FOR MEDICAL, DENTAL OR TOILETRY PURPOSES
- A61K38/00—Medicinal preparations containing peptides
-
- C—CHEMISTRY; METALLURGY
- C07—ORGANIC CHEMISTRY
- C07K—PEPTIDES
- C07K2319/00—Fusion polypeptide
-
- C—CHEMISTRY; METALLURGY
- C07—ORGANIC CHEMISTRY
- C07K—PEPTIDES
- C07K2319/00—Fusion polypeptide
- C07K2319/40—Fusion polypeptide containing a tag for immunodetection, or an epitope for immunisation
- C07K2319/42—Fusion polypeptide containing a tag for immunodetection, or an epitope for immunisation containing a HA(hemagglutinin)-tag
-
- C—CHEMISTRY; METALLURGY
- C07—ORGANIC CHEMISTRY
- C07K—PEPTIDES
- C07K2319/00—Fusion polypeptide
- C07K2319/60—Fusion polypeptide containing spectroscopic/fluorescent detection, e.g. green fluorescent protein [GFP]
Definitions
- UPP Ubiquitin-Proteasome Pathway
- E3 ubiquitin ligases comprise over 500 different proteins and are categorized into multiple classes defined by the structural element of their E3 functional activity.
- Cereblon interacts with damaged DNA binding protein 1 and forms an E3 ubiquitin ligase complex with Cullin 4 where it functions as a substrate receptor in which the proteins recognized by CRBN might be ubiquitinated and degraded by proteasomes.
- CRBN CRBN
- IMDs immunomodulatory drugs
- lenalidomide a new role for CRBN
- CRBN is likely a key player in the binding, ubiquitination and
- the UPP is used to induce selective protein degradation, including use of fusion proteins to artificially ubiquitinate target proteins and synthetic small-molecule probes to induce proteasome-dependent degradation.
- Proteolysis Targeting Chimeras PROTACs
- heterobifunctional compounds composed of a target protein-binding ligand and an E3 ubiquitin ligase ligand, induced proteasome-mediated degradation of selected proteins via their recruitment to E3 ubiquitin ligase and subsequent ubiquitination.
- Such compounds are capable of inducing the inactivation of a protein of interest upon addition to cells or administration to an animal or human, and could be useful as biochemical reagents and lead to a new paradigm for the treatment of diseases by removing pathogenic or oncogenic proteins (Crews C, Chemistry & Biology, 2010, 17(6):551-555; Schnnekloth JS Jr.,
- the present application relates to novel bifunctional compounds, which function to recruit targeted proteins to E3 Ubiquitin Ligase for degradation, and methods of preparation and uses thereof.
- the present application further relates to targeted degradation of proteins through the use of bifunctional molecules, including bifunctional molecules that link a cereblon-binding moiety to a ligand that binds the targeted protein.
- the present application also relates to a bifunctional compound having the following structure:
- the Linker is covalently bound to at least one Degron and at least one Targeting Ligand
- the Degron is a compound capable of binding to a ubiquitin ligase such as an E3 Ubiquitin Ligase (e.g. , cereblon)
- the Targeting Ligand is capable of binding to the targeted protein(s).
- the present application also relates to a polynucleotide comprising a first nucleotide sequence encoding a first polypeptide to which a Targeting Ligand is capable of binding, and a second nucleotide sequence encoding a second polypeptide, wherein the first polypeptide
- SUBSTITUTE SHEET (RULE 26) and the second polypeptide are linked together with a peptide bond to form a fused polypeptide.
- the present application also relates to a polypeptide comprising a first polypeptide to which a Targeting Ligand is capable of binding and a second polypeptide, wherein the first polypeptide and the second polypeptide are linked together with a peptide bond to form a fused polypeptide.
- the present application also relates to a cell line comprising a first nucleotide sequence encoding a first polypeptide to which a Targeting Ligand is capable of binding, and a second nucleotide sequence encoding a second polypeptide, wherein the first polypeptide and the second polypeptide are linked together with a peptide bond to form a fused polypeptide.
- the present application also relates to a method of modulating the amount of a second polypeptide, comprising linking the second polypeptide and a first polypeptide to which a Targeting Ligand is capable of binding with a peptide bond to form a fused polypeptide, and treating the fused polypeptide with a bifunctional compound of the present application.
- the present application also relates to a method of modulating the amount of a second polypeptide in a cell, comprising:
- the present application also relates to a method of modulating the amount of a second polypeptide in a cell, comprising:
- the present application also relates to a method of selecting a polypeptide for degradation by a bifunctional compound of the present application, comprising:
- the present application also relates to a method of determining the efficacy of a therapeutic agent in treating a disease or condition in a subject, or determining the response of a subject that is suffering from or is at a risk of developing a disease or condition to a therapeutic agent, comprising:
- the one or more vectors comprise a first nucleotide sequence encoding a first polypeptide to which a Targeting Ligand is capable of binding, and at least a second nucleotide sequence encoding at least a second polypeptide that plays a role in the disease or condition, wherein the first polypeptide and the at least second polypeptide are linked together with a peptide bond to form a fused polypeptide, and wherein the therapeutic agent is capable of decreasing the amount of or inhibiting the activity of the at least second polypeptide; b) determining the amount of the fused polypeptide in the subject;
- a decrease in the amount in d) relative to the amount in b) indicates that the therapeutic agent is effective in treating the disease or condition or the subject will respond to the therapeutic agent.
- the present application also relates to a method of treating a disease or condition in a subject that is suffering from or is at a risk of developing the disease or condition, comprising:
- SUBSTITUTE SHEET (RULE 26) d) determining the amount of the fused polypeptide in the subject; and e) administering or increasing the administered amount of the therapeutic agent to the subject, if the amount in d) is less than the amount in b).
- the present application also relates to a method of treating a disease or condition in a subject in need thereof, comprising:
- nucleic acid comprising a first nucleotide sequence encoding a first polypeptide to which a Targeting Ligand is capable of binding, and a second nucleotide sequence encoding a second polypeptide, wherein the first polypeptide and the second polypeptide are linked together with a peptide bond to form a fused polypeptide, wherein the second polypeptide plays a role in regulating the disease or condition;
- the present application also relates to a method of modulating the amount of a second polypeptide encoded by a target nucleotide sequence in a cell, comprising:
- the present application also relates to a method of modulating the amount of a second polypeptide encoded by a target nucleotide sequence in a cell, comprising:
- SUBSTITUTE SHEET (RULE 26) present specification, including definitions, will control.
- the materials, methods, and examples are illustrative only and are not intended to be limiting.
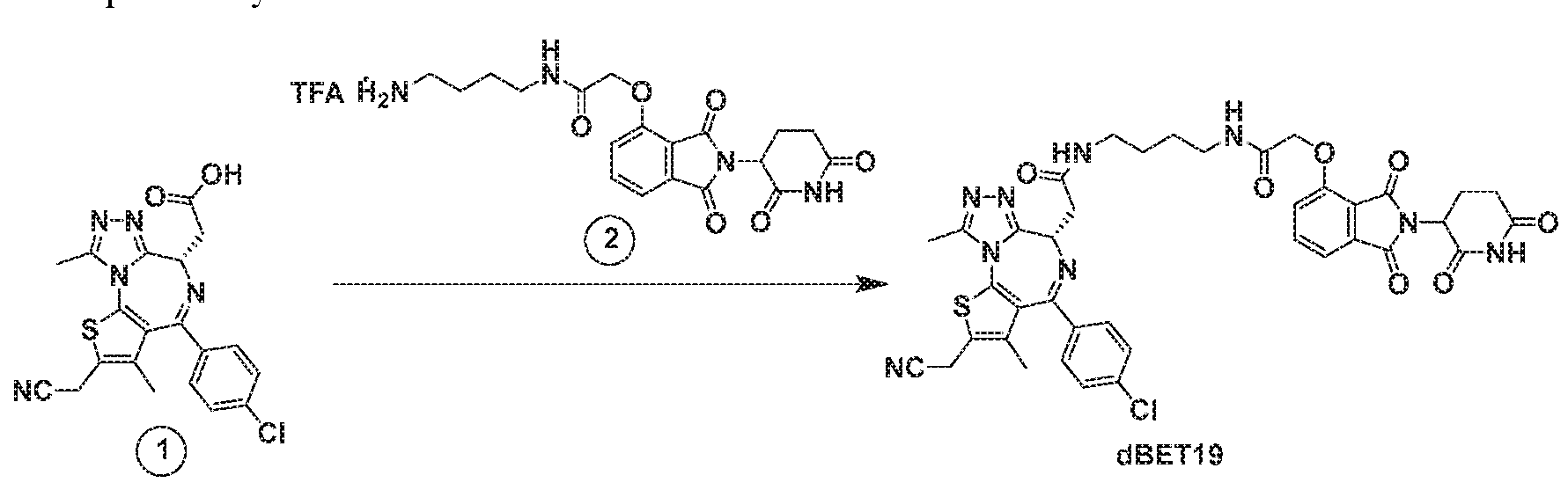
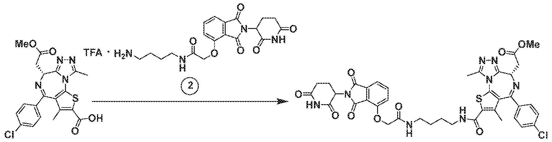
- Figs. 1A-1H Design and characterization of dBETl .
- Fig. 1A shows the chemical structure of JQ1(S), JQ1(R) and the phthalimides
- Fig. IB shows the chemical structure of dBETl
- Fig. 1C shows DMSO normalized BRD4 binding signal measured by AlphaScreen for the indicated compounds (values represent mean ⁇ stdev of triplicate analysis)
- Fig. ID shows the crystal structure of dBETl bound to bromodomain 1 of BRD4
- Fig. IE shows docking of the structure in Fig. ID into the published DDB1-CRBN structure
- IF shows immunoblot analysis for BRD4 and Vinculin after 18 h treatment of MV4-11 cells with the indicated concentrations of dBETl ;
- Fig. 1G shows the crystal structure of dBETl bound to BRD4 overlaid with the structure of JQ1 bound to BRD4;
- Fig. 1H is a Western blot illustrating the degree of degradation of BRD4 and reduction in c-MYC by treatment of cells with increased concentrations of a bifunctional compound of the application, dBETl .
- Figs. 2A-2Q Fig. 2A shows the immunoblot analysis for BRD4 after treatment of
- Fig. 2B shows cell count normalized BRD4 levels as determined by high-content assay in SUM 149 cells treated with the indicated concentrations of dBETl and dBETl (R) for 18 h (values represent mean ⁇ stdev of triplicate analysis, normalized to DMSO treated cells and baseline corrected based on immunoblots in Fig. 2C);
- Fig. 2C shows immunoblot analysis for BRD4 and Vinculin after treatment of SUM 149 cells with the indicated concentrations of dBETl and dBETl (R) for 18 h; Fig.
- FIG. 2D shows immunoblot analysis for BRD4 and Vinculin after treatment of MV4-11 cells with 100 nM dBETl at the indicated time points;
- Fig. 2E shows cellular viability dose-response of dBETl and JQ1 treatment for 24 h in MV4-11 as determined ATP levels (values represent mean ⁇ stdev of quadruplicate analysis);
- Fig. 2F is a bar graph depiction of fold increase of apoptosis assessed via caspase glo assay relative to DMSO treated controls after 24 h treatment in MV4-11 or DHL4 cells (values represent mean ⁇ stdev of quadruplicate analysis);
- Fig. 2G shows immunoblot analysis for BRD4 and Vinculin after
- FIG. 2H is a bar graph depiction of fraction of Annexin V positive primary patient cells after 24 h treatment with either dBETl or JQl at the indicated concentrations (values represent the average of duplicates and the range as error bars) (representative counter plots shown in Figs. 2L and 2M);
- Figs. 21 and 2J are immunoblot analysis showing BRD4 and Vinculin 18h after dBETl treatment with the indicated concentrations in SUM159 and MOLM13, respectively; Fig.
- FIG. 2K shows immunoblot analysis for BRD2, BRD3, and BRD4 and c-Myc at different time points after treatment of cells with the 100 nM of dBETl ;
- FIG. 2L are a series of flow cytometry plots illustrating Annexin V/PI data of primary patient cells treated with the indicated concentrations of JQl and dBETl for 24h;
- Fig. 2M is a bar graph depiction of Annexin V positive MV4-1 1 cells after treatment with dBETl or JQl at the indicated concentrations (data represents mean ⁇ stdev of triplicate analysis); Fig.
- FIG. 2N is an immunoblot analysis of cleaved caspase 3, PARP cleavage and vinculin after treatment with dBETl and JQ l at the indicated concentrations for 24 h;
- FIG. 20 are bar graphs illustrating the kinetic advantage of BET degradation on apoptosis (Caspase-GLO) relative to treated controls: MV4-1 cells were treated for 4 or 8 h with JQl or dBETl at the indicated concentrations, followed by drug wash-out before being plated in drug-free media for 24 h; Fig.
- 2P is a bar graph depiction of fold increase of apoptosis of MV4-1 1 cells treated for 4 or 8 h with JQl or dBETl at the indicated concentrations, relative to DMSO treated controls assessed via caspase glo assay (drug were washed out with PBS (3x) before being plated in drug-free media for a final treatment duration of 24 h);
- Fig. 2Q is an immunoblot analysis of cleaved caspase 3, PARP cleavage and vinculin after identical treatment conditions in Fig. 2P.
- Figs. 3A-3F show chemical and genetic rescue of dBETl -mediated degradation of BRD4.
- Fig. 3 A shows immunoblot analysis for BRD4 and Vinculin after treatment of MV4-1 1 cells with the indicated concentrations of dBETl , JQl, and thalidomide for 24 h;
- Fig. 3B shows immunoblot analysis for BRD4 and Vinculin after 4 h pre-treatment with either DMSO, Carfilzomib (0.4 ⁇ ), JQl (10 ⁇ ) or thalidomide (10 ⁇ ) followed by 2 h dBETl treatment at a concentration of 100 nM;
- Fig. 3 A shows immunoblot analysis for BRD4 and Vinculin after treatment of MV4-1 1 cells with the indicated concentrations of dBETl , JQl, and thalidomide for 24 h
- Fig. 3B shows immunoblot analysis for BRD4 and Vinculin after 4 h pre-treatment with either DM
- 3C shows immunoblot analysis for BRD4 and Vinculin after a 4 h pre-treatment with 1 ⁇ MLN4924 followed by 2 h dBETl treatment at the indicated concentrations
- Fig. 3D shows immunoblot analysis for BRD4, CRBN and tubulin after treatment of MM1 S WT or MMI S 0 TM "7" with dBETl for 18 h at the indicated concentrations
- Fig. 3E is an immunoblot analysis comparing the concentration of BRD4 in cells treated with various concentrations of thalidomide, JQl , and dBETl
- Fig. 3F is an immunoblot analysis showing the concentration of BRD4 in cells treated with carfilzomib
- SUBSTITUTE SHEET (RULE 26) (400nM), JQ1 (20uM), or thalidomide (20 uM) for 4 hours and with dBETl (lOOnM) as indicated for 2 hours.
- Figs. 4A-4F show selective BET bromodomain degradation by expression proteomics: MV4-11 cells were treated for 2 hours with DMSO, 250 nM dBETl or 250 nM JQ1.
- Fig. 4A depicts fold change of abundance of 7429 proteins comparing JQ1 to DMSO treatment as well as their respective p-value (T-test) (data from triplicate analysis);
- Fig. 4B depicts fold change of abundance of 7429 proteins comparing 250 nM dBETl to DMSO treatment (data from triplicate analysis); Fig.
- FIG. 4C is a bar graph depiction of changes in protein levels of the selected proteins as shown normalized to DMSO (values represent mean ⁇ stdev of triplicates);
- FIG. 4D shows immunoblot analysis of BRD2, BRD3, BRD4, MYC, PIM1 and VINC after 2 h treatment of MV4-11 cells with either DMSO, 250 nM dBETl or 250 nM JQ1 ;
- 4E is a bar graph depiction of qRT-PCR analysis of transcript levels of BRD2, BRD3, BRD4, MYC and PIM1 after 2 h treatment of MV4-11 cells with either DMSO, 250 nM dBETl or 250 nM JQ1 (values represent mean +/- stdev of triplicates);
- Fig. 4F is an immunoblot analysis for IKZF3 and Vinculin after 24 h treatment with thalidomide or the indicated concentrations of dBETl in MM1S cell line.
- Figs. 5A-5B Fig. 5 A is a Western blot showing the concentration of BRD4 in cells treated with various concentrations of JQl-Rev, in comparison with 100 nM of a bifunctional compound of the application, dBETl .
- Fig. 5B is a drawing of the chemical structure of JQ1- Rev (JQI-11-079).
- Figs. 6A-6B are a series of graphs that illustrate the transcription levels of BRD4 assayed via qRT-PCR after 2 hrs (Fig. 6A) or 4 hrs (Fig. 6B) from cells treated with various concentrations of JQ1 or dBET.
- Fig. 7 is a Western blot illustrating the degree of degradation of BRD4 by treatment of a human cell line MM1 S and a human cell line MM1 S that is deficient in cereblon with increased concentrations of a bifunctional compound of the application, dBETl .
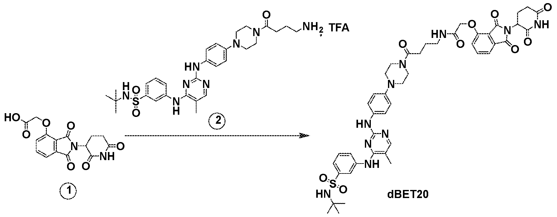
- Fig. 8 is a Western blot illustrating the degree of degradation of BRD4 by treatment of cells with increased concentrations of a bifunctional compound of the application, dBET2.
- Figs. 9A-9B Fig. 9A is a Western blot illustrating reduction in PLK1 by treatment of cells with increased concentrations of a bifunctional compound of the application, dBET2; Fig. 9B is a bar graph depicting PLK intensity in dBET2 treated cells as percentage of that in DMSO treated cells.
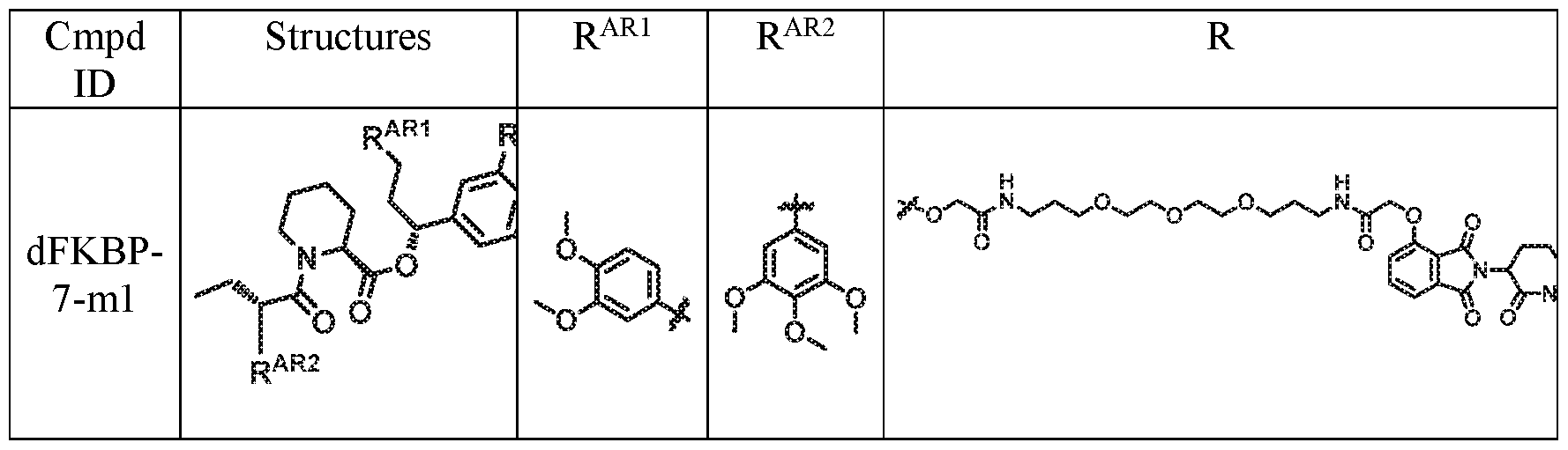
- Figs. 10A-10E dFKBP-1 to dFKBP-5 mediated degradation of FKBP12.
- Fig. 10A and Fig. 10B illustrate immunoblot analysis for FKBP12 and Vinculin after 18 h treatment
- Fig. IOC shows immunoblot analysis for FKBP12 and Vinculin after a 4 h pre-treatment with either DMSO, Carfilzomib (400 nM), MLN4924 (1 ⁇ ), SLF (20 ⁇ ) or thalidomide (10 ⁇ ) followed by a 4 h dFKBP-1 treatment at a concentration of 1 ⁇ in MV4-11 cells;
- Fig. 10D shows immunoblot analysis for FKBP12, CRBN and tubulin after treatment of 293FT WT or 293FT CRBN"/ - with dFKBP 1 at the indicated concentrations for 18 h.
- Fig. 10E shows immunoblot analysis for FKBP12 and actin after treatment with dFKBP-3, dFKBP-4, or dFKBP-5 at the indicated concentrations.
- Figs. 11A-11C Fig. 11A is a diagram showing selectivity of dBETl for binding to BETs over other human bromodomains, as determined by single point screening
- Fig. 1 IB shows results from a dimerization assay measuring dBETl induced proximity (at 111 nM) between recombinant BRD4 bromodomain and recombinant CRBN- DDB1 (values represent mean ⁇ stdev of quadruplicate analysis and are normalized to DMSO);
- Fig. 11C is a bar graph showing the competition of dBETl induced proximity in the presence of DMSO (vehicle), JQ1(S), thal-(-), JQ1(R) and thal-(+), all at a final concentration of 1 ⁇ (values represent mean ⁇ stdev of quadruplicate analysis and are normalized to DMSO).
- FIG. 12D shows immunohistochemistry staining for BRD4, MYC and Ki67 of a representative tumor of a dBETl treated and a control treated mouse
- Fig. 12E is a bar graph depicting quantification of the staining in Fig. 12D based on 3 independent areas within that section (data represents mean ⁇ stdev of triplicate analysis and is normalized to DMSO).
- Figs. 13A-13D Pharmacokinetic studies of dBETl in CD1 mice.
- Fig. 13A is a graph showing concentration of dBETl in CD1 mice following intraperitoneal injection of dBETl formulated in 0.5% MC in water;
- Fig. 13B is a table depicting pharmacokinetic parameters in mice from Fig. 13A;
- Fig. 13C is a graph showing the change in weight of mice treated with 50mg/kg q.d. of dBETl or vehicle;
- Fig. 13D are bar graphs showing changes in HTC, WBC, or PLT in mice from Fig. 13C.
- Figs. 14A-14BB High content assay measuring BRD4 levels in cells (293FT WT or 293FT CRBN_/" ) after 4 hour treatment with indicated concentrations of the Afunctional
- FIGs. 14A-14B BRD4 levels in 293FT WT (Fig. 14A) or 293FT CRBN_/" (Fig. 14B) after 4 hour treatment with indicated concentrations of JQ1 ;
- Figs. 14C-14D BRD4 levels in 293FT WT (Fig. 14C) or 293FT CRBN"/ - (Fig. 14D) after 4 hour treatment with indicated concentrations of dBETl ;
- Fig. 14E-14F BRD4 levels in 293FT WT (Fig. 14E) or 293FT CRBN_/" (Fig. 14F) after 4 hour treatment with indicated concentrations of dBET2;
- Figs. 14E BRD4 levels in 293FT WT (Fig. 14E) or 293FT CRBN_/" (Fig. 14F) after 4 hour treatment with indicated concentrations of dBET2;
- Figs. 14E BRD4 levels in 293FT WT (Fig. 14E) or 293FT CRBN
- FIG. 14G-14H BRD4 levels in 293FT WT (Fig. 14G) or 293FT CRBN"/ - (Fig. 14H) after 4 hour treatment with indicated concentrations of dBET3;
- Figs. 14I-14J BRD4 levels in 293FT WT (Fig. 141) or 293FT CRBN"/ - (Fig. 14J) after 4 hour treatment with indicated concentrations of dBET4;
- Figs. 14K-14L BRD4 levels in 293FT WT (Fig. 14K) or
- Figs. 14S-14T BRD4 levels in 293FT WT (Fig. 14S) or 293FT CRBN"/ - (Fig. 14T) after 4 hour treatment with indicated concentrations of dBET9;
- Figs. 14U-14V BRD4 levels in 293FT WT (Fig. 14U) or
- Figs. 15A-15F Immunoblots of BRD levels in cells treated with varying
- Fig. 15A is an immunoblot showing BRD4 levels in BAF3 K-RAS cells treated with the indicated concentrations of dBETl or dBET6 for 16.5 hours
- Fig. 15B is an immunoblot showing BRD4 levels in BAF3 K-RAS or SEMK2 cells treated with the indicated concentrations of dBETl for 16.5 hours
- Fig. 15C is an immunoblot showing BRD4 levels in SEMK2 cells treated with the indicated concentrations of dBETl or dBET6 for 16.5 hours
- Fig. 15D is an immunoblot showing BRD4 levels in Monomacl cells treated with the indicated
- Fig. 15E is an immunoblot showing levels of BRD4, BRD2, and BRD3 at various time points in MV4-11 cells treated with 50 nM of
- Fig. 15F is an immunoblot showing BRD4 levels in MM1S WT or MMIS 0 ⁇ "7" cells treated with the indicated concentrations of dBET6 for 16 hours.
- Figs. 16A-16B Immunoblots of protein levels in cells treated with the bifunctional compounds of the present application.
- Fig. 16A is an immunoblot showing levels of BRD4 and PLK1 in cells (WT or CRBN-/-) treated with 1 ⁇ of dBET2, dBET7, dBET8, or dBETIO;
- Fig. 16B is an immunoblot showing BRD4 levels at the indicated time points after the cells were treated with 100 nM dBET18.
- Figs. 17A-17E Cell viability after treatment with the bifunctional compounds of the present application.
- Figs. 17A-17B indicate cell viability EC50 values of the bifunctional compounds of the present application in various cells lines;
- Figs. 17C-17E show cell viability after treatment with increasing concentrations of JQ1, dBETl, dBET6, dBET7, or dBET8.
- Figs. 18A-18C show viability of MOLT4 (Fig. 18A), DND41 (Fig. 18B), and CUTLL1 (Fig. 18C) cells after being treated with increasing concentrations of dBET compounds.
- Fig. 19 is an immunoblot showing GR levels in cells treated with indicated concentrations of dGR3.
- Fig. 20 are graphs showing degradation of nanolucif erase (NLuc) fused with
- FKBP12 as measured by the signal ratio (NLuc/FLuc) between NLuc and Firefly luciferase
- FLuc from the same multicistronic transcript, in wild-type (left panel) or CRBN-/- 293FT cells (right panel) treated with indicated concentrations of various dFKBPs for 4 hours. A decrease in the ratio indicates NLuc degradation.
- Fig. 21 are graphs showing degradation of nanolucif erase (NLuc) fused with a mutant
- FKBP12 as measured by the signal ratio (NLuc/FLuc) between NLuc and Firefly luciferase
- FLuc from the same multicistronic transcript, in wild-type (left panel) or CRBN-/- 293FT cells (right panel) treated with indicated concentrations of various dFKBPs for 4 hours. A decrease in the ratio indicates NLuc degradation.
- Figs. 22A-22D show degradation of nanoluciferase (NLuc) fused with FKBP12. Figs.
- 22A and 22B are immunoblot analysis of FKBP12-NLuc fusion protein in wild-type (Fig.
- FIGs. 22A and 22B are graphs showing degradation of FKBP12-NLuc fusion protein, as measured by the signal ratio (NLuc/FLuc) between NLuc and Firefly luciferase (FLuc) from the same multicistronic transcript, in wild-type (Fig. 22C) or CRBN-/- 293FT cells (Fig. 22D) treated with indicated concentrations of various dFKBPs for 4 hours. A decrease in the ratio indicates NLuc degradation.
- Small molecule antagonists disable discrete biochemical properties of the protein targets.
- the pharmacologic consequence of drug action is limited by selective disruption of one domain-specific activity.
- target inhibition is kinetically limited by the durability and degree of the target engagement.
- the present application relates to small molecule E3 ligase ligands (Degrons) which are covalently linked to a targeted protein ligand through a Linker of varying length and functionality.
- the present application also relates to a technology platform of bringing targeted proteins to E3 ligases, for example CRBN, for ubiquitination and subsequent proteasomal degradation using the bifunctional small molecules comprising a thalidomide- like Degron and a Targeting Ligand connected to each other via a Linker.
- This technology platform provides therapies based upon depression of target protein levels by degradation.
- the novel technology allows for targeted degradation to occur in a more general nature than existing methods with respect to possible targets and different cell lines or different in vivo systems.
- small molecule modulators for numerous protein targets have not yet become available. Regulation of those protein targets and their activities may be achieved through ubiquitin mediated degradation by tagging the protein targets with a moiety (e.g., a protein) that can be targeted by the bifunctional molecules of the present application described herein. Moreover, combining the chemical strategy of protein degradation via the bifunctional molecules of the present application with genome engineering (e.g. , gene editing), a variety of proteins and their activities can be regulated in a precise, temporal manner by rapidly turning on and off the degradation of the protein targets. Similarly, exogenous proteins tagged with a moiety (e.g. , a protein) which is a target of the bifunctional
- SUBSTITUTE SHEET (RULE 26) molecules of the present application may be introduced into a cell for treating various diseases and disorders with the desired treatment duration.
- the present application relates to a polynucleotide comprising a first nucleotide sequence encoding a first polypeptide to which a Targeting Ligand is capable of binding, and a second nucleotide sequence encoding a second polypeptide, wherein the first polypeptide and the second polypeptide are linked together with a peptide bond to form a fused polypeptide.
- the polynucleotide further comprises a third nucleotide sequence encoding a third polypeptide which allows the fused polypeptide to be detected or quantified.
- the third polypeptide is linked to the first and/or second polypeptide with a peptide bond.
- the third polypeptide includes but is not limited to glutathione-5-transferase (GST), horseradish peroxidase (HRP),
- the third polypeptide is a fluorescent protein (e.g., GFP, YFP, CFP, or BFP) or a luciferase.
- the present application also relates to a polypeptide comprising a first polypeptide to which a Targeting Ligand is capable of binding and a second polypeptide, wherein the first polypeptide and the second polypeptide are linked together with a peptide bond to form a fused polypeptide.
- the fused polypeptide further comprises a third polypeptide which allows the fused polypeptide to be detected or quantified.
- the third polypeptide is a fluorescent protein or a luciferase.
- the fluorescent protein or the luciferase is linked to first and/or second polypeptide with a peptide bond.
- the first polypeptide can be fused to either the N-terminal or the C-terminal of the second polypeptide. In certain embodiments, the first polypeptide is fused to the N-terminal of the second polypeptide. In certain embodiments, the first polypeptide is fused to the C- terminal of the second polypeptide.
- the third polypeptide can be fused to either the N-terminal or the C-terminal of the first polypeptide and/or the second polypeptide. In certain embodiments, the third polypeptide is fused to the N-terminal of the first polypeptide. In certain embodiments, the third polypeptide is fused to the N-terminal of the second polypeptide.
- SUBSTITUTE SHEET (RULE 26) polypeptide In certain embodiments, the third polypeptide is fused to the C-terminal of the first polypeptide. In certain embodiments, the third polypeptide is fused to the C-terminal of the second polypeptide.
- the first nucleotide sequence can be any nucleotide sequence that encodes a polypeptide to which a Targeting Ligand described herein is capable of binding.
- the first nucleotide sequence encodes a cytosolic signaling protein FKBP12.
- the first nucleotide sequence encodes a mutant cytosolic signaling protein FKBP12.
- the mutant cytosolic signaling protein FKBP12 contains one or more mutations that create an enlarged binding pocket for FKBP12 ligands.
- the one or more mutations include a mutation of the phenylalanine (F) at amino acid position 36 to valine (V).
- the first polypeptide can be any polypeptide to which a Targeting Ligand described herein is capable of binding.
- the first polypeptide is a cytosolic signaling protein FKBP12.
- the first polypeptide is a mutant cytosolic signaling protein FKBP12, as described herein.
- the first nucleotide sequence encodes a polypeptide to which any of dFKBP-1 to dFKBP-9 is capable of binding.
- the first polypeptide is a polypeptide to which any of dFKBP-1 to dFKBP-9 is capable of binding.
- one of dFKBP-1 to dFKBP-9 is capable of binding to the first polypeptide with a higher affinity than any other of dFKBP-1 to dFKBP-9 is capable of.
- two of dFKBP-1 to dFKBP-9 are capable of binding to the first polypeptide with a higher affinity than any other of dFKBP-1 to dFKBP-9 is capable of.
- three of dFKBP-1 to dFKBP-9 are capable of binding to the first polypeptide with a higher affinity than any other of dFKBP-1 to dFKBP-9 is capable of.
- four of dFKBP-1 to dFKBP-9 are capable of binding to the first polypeptide with a higher affinity than any other of dFKBP-1 to dFKBP-9 is capable of.
- the affinity of the binding of any of dFKBP-1 to dFKBP-9 to the first polypeptide can be measured with any methods known in the art. In certain embodiments, the binding affinity is measured by EC50 of the binding of any of dFKBP-1 to dFKBP-9 to the first polypeptide.
- one of dFKBP-1 to dFKBP-9 is capable of binding to the wild-type FKBP12 with a higher affinity than binding to a mutant FKBP12 (e.g., FKBP12 F36V).
- two of dFKBP-1 to dFKBP-9 are capable of binding to the wild-type FKBP12 with a higher affinity than binding to a mutant FKBP12 (e.g., FKBP12
- dFKBP-1 to dFKBP-9 are capable of binding to the wild-type FKBP12 with a higher affinity than binding to a mutant FKBP12 (e.g., FKBP12 F36V).
- four of dFKBP-1 to dFKBP-9 are capable of binding to the wild-type FKBP12 with a higher affinity than binding to a mutant FKBP12 (e.g., FKBP12 F36V).
- five of dFKBP-1 to dFKBP-9 are capable of binding to the wild-type FKBP12 with a higher affinity than binding to a mutant FKBP12 (e.g., FKBP12 F36V).
- six of dFKBP-1 to dFKBP-9 are capable of binding to the wild-type FKBP12 with a higher affinity than binding to a mutant FKBP12 (e.g., FKBP12 F36V).
- seven of dFKBP-1 to dFKBP-9 are capable of binding to the wild-type FKBP 12 with a higher affinity than binding to a mutant FKBP 12 (e.g. , FKBP 12 F36V).
- eight of dFKBP-1 to dFKBP-9 are capable of binding to the wild-type FKBP 12 with a higher affinity than binding to a mutant FKBP 12 (e.g., FKBP 12 F36V). In certain embodiments, nine of dFKBP-1 to dFKBP-9 are capable of binding to the wild-type FKBP 12 with a higher affinity than binding to a mutant FKBP 12 (e.g., FKBP 12 F36V).
- one of dFKBP-1 to dFKBP-9 is capable of binding to a mutant FKBP12 (e.g., FKBP12 F36V) with a higher affinity than binding to the wild-type FKBP12.
- two of dFKBP-1 to dFKBP-9 are capable of binding to a mutant FKBP12 (e.g., FKBP12 F36V) with a higher affinity than binding to the wild-type FKBP 12.
- three of dFKBP-1 to dFKBP-9 are capable of binding to a mutant FKBP12 (e.g., FKBP12 F36V) with a higher affinity than binding to the wild-type FKBP 12.
- dFKBP-1 to dFKBP-9 are capable of binding to a mutant FKBP12 (e.g., FKBP12 F36V) with a higher affinity than binding to the wild-type FKBP12.
- five of dFKBP-1 to dFKBP-9 are capable of binding to a mutant FKBP 12 (e.g., FKBP12 F36V) with a higher affinity than binding to the wild-type FKBP12.
- six of dFKBP-1 to dFKBP-9 are capable of binding to a mutant FKBP12 (e.g., FKBP12 F36V) with a higher affinity than binding to the wild-type FKBP12.
- seven of dFKBP-1 to dFKBP-9 are capable of binding to a mutant FKBP12 (e.g. , FKBP12 F36V) with a higher affinity than binding to the wild-type FKBP12.
- eight of dFKBP-1 to dFKBP-9 are capable of binding to a mutant FKBP12 (e.g., FKBP12 F36V) with a higher affinity than binding to the wild-type FKBP12.
- nine of dFKBP-1 to dFKBP-9 are capable of binding to a mutant FKBP12 (e.g. , FKBP12 F36V) with a higher affinity than binding to the wild-type FKBP12.
- the second nucleotide sequence can be any nucleotide sequence that encodes a polypeptide (e.g., a protein) of interest. Further, the second polypeptide can be any polypeptide (e.g., a protein) of interest.
- the polypeptide of interest is a cell surface receptor.
- the cell surface receptor is capable of binding to an antigen.
- the cell surface receptor is a T-cell surface receptor.
- the antigen is a cell surface protein or a protein that has an extra-cellular portion (e.g. , a receptor).
- the antigen is present on the surface of a tumor cell.
- the antigen is present on the surface of a tumor cell in a greater amount than on the surface of a control cell (e.g. , a non-tumor cell).
- the T- cell surface receptor is capable of binding to an antigen on a tumor cell.
- the antigen on a tumor cell is an antigen selected from alphafetaprotein (AFP), carcinoembryonic antigen (CEA), CA-125, MUC-1, epithelial tumor antigen (ETA), tyrosinase, melanoma-associated antigen (MAGE), CA15-3, CA27-29, CA19-9, CA-125, calcitonin, calretinin, CD34, CD99MIC2, CD7, chromogranin, cytokeratin, desmin, Factor VIII, CD31 FL1, glial fibrillary acidic protein, gross cystic disease fluid protein, HMB-45, human chorionic gonadotropin inhibin, MART-1, Myo Dl, neuron-specific enolase, placental alkaline phosphatase, prostate-specific antigen, PTPRC, SI 00 protein, synaptophysin, thyroglobulin, thyroid transcription factor 1, tumor M2-PK, and vimentin.
- AFP alphafetaprotein
- the polypeptide of interest is an oncogenic protein.
- the oncogenic protein is selected from RAS, WNT, MYC, ERK, and TRK.
- the oncogenic protein is a RAS family protein.
- the RAS family protein is KRAS.
- the polypeptide of interest is an enzyme that is capable of modifying the nucleotide sequence of a DNA.
- the enzyme is a DNA nuclease. In certain embodiments, the enzyme is deficient in its nuclease activity. In certain embodiments, the enzyme is a Zinc- finger nuclease. In further embodiments, the Zinc-finger nuclease is selected from ZF-Fokl and ZF-Tn3. In certain embodiments, the enzyme is a transcription activator-like effector nuclease (TALEN). In further embodiments, the TALEN is TAL-Fokl. In certain embodiments, the enzyme is a homing endonuclease. In further embodiments, the homing
- SUBSTITUTE SHEET (RULE 26) endonuclease is selected from LAGLIDADG, GIY-YIG, His-Cys, H-N-H, PD-(D/E)xK, and Vsr-like.
- the enzyme is a Clustered Regularly Interspaced Short Palindromic Repeats (CRISPR) enzyme.
- CRISPR enzyme is a type II CRISPR enzyme.
- the type II CRISPR enzyme is Cas9.
- the CRISPR enzyme is deficient in its nuclease activity.
- the enzyme is a DNA integrase.
- the DNA integrase is selected from ⁇ -int and (
- the enzyme is a DNA recombinase.
- the DNA recombinase is selected from Cre, Flp, and RMCE.
- the enzyme is a reverse transcriptase.
- the enzyme is a transposase.
- the present application also relates to a cell comprising the polynucleotide or polypeptide of the present application.
- the cell is to be administered to a subject in need thereof.
- the cell is derived from a subject to which the cell is to be administered.
- the cell is a T-cell.
- the present application relates to a method of modulating the amount of a second polypeptide, comprising linking the second polypeptide and a first polypeptide to which a Targeting Ligand is capable of binding with a peptide bond to form a fused polypeptide, and treating the fused polypeptide with a bifunctional compound of the present application.
- the first and second nucleotide sequences and the first and second polypeptides are each as described herein above.
- the modulation is degradation or reduction of the amount of the second polypeptide.
- the present application relates to a method of modulating the amount of a second polypeptide in a cell, comprising:
- the present application relates to a method of modulating the amount of a second polypeptide in a cell, comprising:
- SUBSTITUTE SHEET (RULE 26) a) introducing into the cell a first nucleotide sequence encoding a first polypeptide to which a Targeting Ligand is capable of binding, wherein the first polypeptide and the second polypeptide are linked together with a peptide bond to form a fused polypeptide; and
- the second polypeptide is an exogenous polypeptide, i.e., the cell does not naturally express the second polypeptide.
- the second polypeptide is an endogenous polypeptide and is encoded by an endogenous nucleotide sequence in the cell.
- the second nucleotide sequence after being introduced into the cell, replaces the endogenous nucleotide sequence in the cell that encodes the second polypeptide (e.g. , through homologous recombination (HR) or non-homologous end-joining (NHEJ)).
- the second nucleotide sequence encodes a second polypeptide that is a mutant of the endogenous second polypeptide, i.e. , contains one or more mutations which are not present in the endogenous second polypeptide.
- the method further comprises introducing into the cell a third nucleotide sequence encoding a third polypeptide which allows the first and/or second polypeptides to be detected or quantified and/or allows the identification and selection of cells that contain the first and second nucleotide sequences.
- the third polypeptide is as described herein above.
- the third polypeptide is linked to the first and/or second polypeptides with a peptide bond.
- the third polypeptide is expressed from the same multicistronic transcript as the first and/or second polypeptide.
- the first nucleotide sequence is inserted into the genome of the cell, such that the first polypeptide and the second polypeptide are linked together with a peptide bond.
- the present application also relates to a method of selecting a polypeptide for degradation by a bifunctional compound of the present application, comprising:
- the polypeptide for degradation and the target polypeptide are linked by expressing in a cell a polynucleotide comprising a first nucleotide sequence encoding the target polypeptide, and a second nucleotide sequence encoding the polypeptide for degradation.
- the first and second nucleotide sequences are each as described herein above.
- the amount of the fused polypeptide can be determined by any methods available in the art, such as immunoblotting (i.e. , Western blot), immunofluorescence, mass spectrometry, liquid chromatography, etc.
- the present application also relates to a method of determining the efficacy of a therapeutic agent in treating a disease or condition in a subject, or determining the response of a subject that is suffering from or is at a risk of developing a disease or condition to a therapeutic agent, comprising:
- the one or more vectors comprise a first nucleotide sequence encoding a first polypeptide to which a Targeting Ligand is capable of binding, and at least a second nucleotide sequence encoding at least a second polypeptide that plays a role in the disease or condition, wherein the first polypeptide and the at least second polypeptide are linked together with a peptide bond to form a fused polypeptide, and wherein the therapeutic agent is capable of decreasing the amount of or inhibiting the activity of the at least second polypeptide; b) determining the amount of the fused polypeptide in the subject;
- a decrease in the amount in d) relative to the amount in b) indicates that the therapeutic agent is effective in treating the disease or condition or that the subject will respond to the therapeutic agent.
- the method comprises introducing the one or more vectors (e.g. , those described herein) to a cell and administering the cell to the subject.
- the method further comprises assessing one or more symptoms of the disease or condition in the subject, wherein a decrease in the amount in d) relative to the amount in b) together with the alleviation of one or more symptoms of the disease or condition indicates that the therapeutic agent is effective in treating the disease or condition or that the subject will respond to the therapeutic agent.
- the first and at least second nucleotide sequence and the first and second polypeptides are each as described herein above.
- the at least second nucleotide sequences include one, two, three, or more second nucleotide sequences, each of which encodes a different second polypeptide selected from the second polypeptide described herein above.
- the at least second polypeptide is an exogenous polypeptide, i.e. , the cell does not naturally express the second polypeptide.
- the at least second polypeptide is an endogenous polypeptide and is encoded by an endogenous nucleotide sequence in the cell.
- the at least second nucleotide sequence after being introduced into the cell, replaces the endogenous nucleotide sequence in the cell that encodes the at least second polypeptide (e.g. , through homologous recombination (HR) or non-homologous end-joining (NHEJ)).
- the at least second nucleotide sequence encodes at least a second polypeptide that is a mutant of the endogenous second polypeptide, i.e. , contains one or more mutations which are not present in the endogenous second polypeptide.
- the method further comprises introducing into the cell a third nucleotide sequence encoding a third polypeptide which allows the first and/or second polypeptides to be detected or quantified and/or allows the identification and selection of cells that contains the first and second nucleotide sequences.
- the third polypeptide is as described herein above.
- the third polypeptide is linked to the first and/or second polypeptides with a peptide bond.
- the third polypeptide is expressed from the same multicistronic transcript as the first and/or second polypeptide.
- the second polypeptide plays a role in the disease or condition when it participates in the regulation of the initiation and/or development of the disease or condition.
- the present application also relates to a method of treating a disease or condition in a subject that is suffering from or is at a risk of developing the disease or condition, comprising:
- SUBSTITUTE SHEET (RULE 26) wherein a therapeutic agent is capable of decreasing the amount of or inhibiting the activity of the second polypeptide
- the method comprises introducing the one or more vectors (e.g. , those described herein) to a cell and administering the cell to the subject.
- the method further comprises assessing one or more symptoms of the disease or condition in the subject, and administering or increasing the administered amount of the therapeutic agent to the subject when the amount in d) less than the amount in b) and one or more symptoms of the disease or condition is alleviated.
- first and second nucleotide sequences and the first and second polypeptides are each as described herein above.
- the second polypeptide is an exogenous polypeptide, i.e., the cell does not naturally express the second polypeptide.
- the second polypeptide is an endogenous polypeptide and is encoded by an endogenous nucleotide sequence in the cell.
- the second nucleotide sequence after being introduced into the cell, replaces the endogenous nucleotide sequence in the cell that encodes the second polypeptide (e.g. , through homologous recombination (HR) or non-homologous end-joining (NHEJ)).
- the second nucleotide sequence encodes a second polypeptide that is a mutant of the endogenous second polypeptide, i.e. , contains one or more mutations which are not present in the endogenous second polypeptide.
- the method further comprises introducing into the cell a third nucleotide sequence encoding a third polypeptide which allows the first and/or second polypeptides to be detected or quantified and/or allows the identification and selection of cells that contains the first and second nucleotide sequences.
- the third polypeptide is as described herein above.
- the third polypeptide is linked to the first and/or second polypeptides with a peptide bond.
- the third polypeptide is expressed from the same multicistronic transcript as the first and/or second polypeptide.
- the second polypeptide plays a role in the disease or condition when it participates in the regulation of the initiation and/or development of the disease or condition.
- the present application also relates to a method of treating a disease or condition in a subject in need thereof, comprising:
- nucleic acid comprising a first nucleotide sequence encoding a first polypeptide to which a Targeting Ligand is capable of binding, and a second nucleotide sequence encoding a second polypeptide, wherein the first polypeptide and the second polypeptide are linked together with a peptide bond to form a fused polypeptide, wherein the second polypeptide plays a role in regulating the disease or condition;
- the cell is a T cell. In certain embodiments, the T cell is isolated from the subject. In certain embodiments, the first and second nucleotide sequences and the first and second polypeptides are each as described herein above. In certain embodiments, the second polypeptide has an extracellular portion that can bind to a target cell (e.g. , a tumor cell). In certain embodiments, the second polypeptide can be secreted by the cell and can bind to a target cell (e.g., a tumor cell). In certain embodiments, binding of the second polypeptide to a target cell triggers biological responses (e.g., change in gene expression, apoptosis, etc.) in the target cell, which affect the disease or condition.
- biological responses e.g., change in gene expression, apoptosis, etc.
- the second polypeptide is a T cell surface receptor capable of binding to a tumor cell antigen, as described herein.
- the T cell surface receptor is capable of binding to an antigen present in a target cell (e.g. , a tumor cell) from the subject.
- the cell is a T cell expressing the fused polypeptide and binds to a tumor cell expressing the tumor cell antigen. In certain embodiments, such binding leads to the death of the tumor cell.
- the method further comprises administering to the subject a bifunctional compound of the present application.
- a bifunctional compound of the present application is administered after the death of all the target cells (e.g., tumor cells).
- administration of a bifunctional compound of the present application terminates the binding of the cell (e.g. , a T cell) to a target cell (e.g. , a tumor cell) in the subject.
- the side effects e.g., toxicity
- SUBSTITUTE SHEET (RULE 26)
- the present application also relates to a method of modulating the amount of a second polypeptide encoded by a target nucleotide sequence in a cell, comprising:
- the present application also relates to a method of modulating the amount of a second polypeptide encoded by a target nucleotide sequence in a cell, comprising:
- Replacing the target nucleotide sequence in the cell with a polynucleotide comprising a first nucleotide sequence encoding a first polypeptide to which a Targeting Ligand is capable of binding, and a second nucleotide sequence encoding the second polypeptide, or introducing into the cell a polynucleotide comprising a first nucleotide sequence encoding a first polypeptide to which a Targeting Ligand is capable of binding can be carried out with various genome engineering methods utilizing, for example, CRISPR/Cas, Zinc-finger nucleases (ZFNs), Transcription Activator-Like Effector Nucleases (TALENs), homing endonuclease, DNA integrase, DNA recombinase, transposons, transposase, and reverse transcriptase.
- CRISPR/Cas Zinc-finger nucleases (ZFNs), Transcription Activator-L
- the present application also relates to a method of modulating the amount of a second polypeptide encoded by a target nucleotide sequence in a cell, comprising:
- SUBSTITUTE SHEET (RULE 26) introducing into the cell one or more vectors comprising:
- a second polynucleotide comprising a tag nucleotide sequence encoding a first polypeptide to which a Targeting Ligand is capable of binding, wherein the tag nucleotide sequence is inserted at the 5 '-terminal or 3 '-terminal of the target nucleotide sequence;
- tag nucleotide sequence and the target nucleotide sequence together encode a fused polypeptide comprising the second polypeptide and the first polypeptide linked together with a peptide bond.
- the tag nucleotide sequence is inserted at the 5 '-terminal or 3 '-terminal of the target nucleotide sequence through homology directed repair. In certain embodiments, the tag nucleotide sequence is inserted at the 5 '-terminal or 3 '-terminal of the target nucleotide sequence through non-homology directed repair (e.g., NHEJ).
- NHEJ non-homology directed repair
- the present application also relates to a method of modulating the amount of a second polypeptide in a cell, comprising:
- a second polynucleotide comprising a tag nucleotide sequence encoding a first polypeptide to which a Targeting Ligand is capable of binding, and a second nucleotide sequence, wherein the second polynucleotide replaces the target nucleotide sequence;
- the second polypeptide is encoded by the target nucleotide sequence.
- the second nucleotide sequence encodes the second polypeptide. In certain embodiments, the second nucleotide sequence encodes a mutant of the second polypeptide. In certain embodiments, the second nucleotide sequence encodes the second polypeptide or a mutant of the second polypeptide which is linked to the first polypeptide with a peptide bond.
- the enzyme modifies the target nucleotide sequence by cleaving the target nucleotide sequence.
- the enzyme is a DNA
- the DNA nuclease is selected from ZFN (e.g. , ZF-Fokl and ZF-Tn3), TALEN (e.g. , TAL-Fokl), a homing endonuclease (e.g. , LAGLIDADG, GIY- YIG, His-Cys, H-N-H, PD-(D/E)xK, and Vsr-like), a CRISPR enzyme (e.g., a type II CRISPR enzyme or Cas9).
- the enzyme is deficient in its nuclease activity.
- the enzyme modifies the target nucleotide sequence by inserting another nucleotide sequence into the target nucleotide sequence.
- the enzyme is a DNA integrase (e.g. , ⁇ -int and ⁇ 031). In certain
- the enzyme is a DNA recombinase (e.g. , Cre, Flp, and RMCE). In certain embodiments, the enzyme is a reverse transcriptase. In certain embodiments, the enzyme is a transposase.
- DNA recombinase e.g. , Cre, Flp, and RMCE.
- the enzyme is a reverse transcriptase. In certain embodiments, the enzyme is a transposase.
- the second polynucleotide may further comprise an exogenous nucleotide sequence encoding a mutant second polypeptide, wherein the mutant second polypeptide comprises one or more amino acid residues not present in the second polypeptide.
- the mutations in the mutant second polypeptide do not occur naturally.
- the mutant second polypeptide does not differ substantially from the second polypeptide in their biological activities (i.e. , the mutant second polypeptide possesses at least 60%, 70%, 80%, 90%, or 95% of the biological activity of the second polypeptide).
- the mutant second polypeptide differs substantially from the second polypeptide in their biological activities (i. e.
- the mutant second polypeptide does not retain the biological activity of the second polypeptide, or possesses a different biological activity than the second polypeptide).
- the mutant second polypeptide binds to, a different protein, DNA, and/or RNA, or a different set of proteins, DNAs, and/or RNAs from the second polypeptide, or the mutant second polypeptide binds to same or same sets of proteins, DNAs, and/or RNAs as the second polypeptide with a different binding characteristics.
- the mutant second polypeptide may bind to the same or same sets of proteins, DNAs, and/or RNAs with different binding affinity, at different cellular locations, or at different stage of the cell cycle.
- the exogenous nucleotide sequence encoding a mutant second polypeptide replaces the target nucleotide sequence (e.g., through homologous recombination or non-homologous end joining).
- the first polypeptide may be a cytosolic signaling protein FKBP12.
- the first polypeptide is a mutant cytosolic signaling protein FKBP12 (e.g., FKBP12 F36V).
- the mutant cytosolic signaling protein FKBP12 e.g., FKBP12 F36V.
- SUBSTITUTE SHEET (RULE 26) mutant cytosolic signaling protein FKBP12 contains one or more mutations that do not naturally occur in the cell.
- the bifunctional compound may be a bifunctional compound capable of binding to the cytosolic signaling protein FKBP12. In certain embodiments, the bifunctional compound is selected a bifunctional compound capable of binding to a mutant cytosolic signaling protein FKBP12. In certain embodiments, the bifunctional compound is selected from dFKBPl to dFKBP9.
- the first polypeptide can be fused to either the N-terminal or the C-terminal of the second polypeptide. In certain embodiments, the first polypeptide is fused to the N-terminal of the second polypeptide. In certain embodiments, the first polypeptide is fused to the C-terminal of the second polypeptide.
- the third polypeptide can be fused to either the N-terminal or the C-terminal of the first polypeptide and/or the second polypeptide. In certain embodiments, the third polypeptide is fused to the N-terminal of the first polypeptide. In certain embodiments, the third polypeptide is fused to the N-terminal of the second polypeptide. In certain embodiments, the third polypeptide is fused to the C-terminal of the first polypeptide. In certain embodiments, the third polypeptide can be fused to either the N-terminal or the C-terminal of the second polypeptide. In certain embodiments, the first polypeptide is fused to the second polypeptide. In certain
- polypeptide is fused to the C-terminal of the second polypeptide.
- nucleotide sequences of the present application may be introduced into the cell or subject in need thereof through methods known in the art.
- the nucleotide sequences of the present application are inserted into a vector, which is then introduced into the cell.
- the nucleotide sequences of the present application may be introduced into the cell via non-viral delivery system.
- Methods of non- viral delivery of nucleotides include lipofection, nucleofection, microinjection, biolistics, virosomes, liposomes, immunoliposomes, poly cation or lipid:nucleic acid conjugates, naked DNA, artificial virions, and agent-enhanced uptake of DNA. Lipofection is described in, e.g.
- Cationic and neutral lipids that are suitable for efficient receptor-recognition lipofection of polynucleotides include those of Feigner, WO 91/17424; WO 91/16024. Delivery can be to cells (e.g., in vitro or ex vivo administration) or target tissues (e.g. , in vivo administration).
- lipid:nucleic acid complexes including targeted liposomes such as immunolipid complexes
- lipid:nucleic acid complexes including targeted liposomes such as immunolipid complexes
- RNA or DNA viral based systems for the delivery of nucleotide sequences take advantage of highly evolved processes for targeting a virus to specific cells in the body and trafficking the viral payload to the nucleus.
- Viral vectors can be administered directly to patients (in vivo) or they can be used to treat cells in vitro, and the modified cells may optionally be administered to patients (ex vivo).
- Conventional viral based systems could include retroviral, lentivirus, adenoviral, adeno-associated and herpes simplex virus vectors for gene transfer. Integration in the host genome is possible with the retrovirus, lentivirus, and adeno-associated virus gene transfer methods, often resulting in long term expression of the inserted transgene. Additionally, high transduction efficiencies have been observed in many different cell types and target tissues.
- Lentiviral vectors are retroviral vectors that are able to transduce or infect non-dividing cells and typically produce high viral titers. Selection of a retroviral gene transfer system would therefore depend on the target tissue. Retroviral vectors are comprised of cis-acting long terminal repeats with packaging capacity for up to 6-10 kb of foreign sequence. The minimum cis-acting LTRs are sufficient for replication and packaging of the vectors, which are then used to integrate the therapeutic gene into the target cell to provide permanent transgene expression.
- Widely used retroviral vectors include those based upon murine leukemia virus (MuLV), gibbon ape leukemia virus (GaLV), Simian Immuno deficiency virus (SIV), human immuno deficiency virus (HIV), and combinations thereof (see, e.g., Buchscher et al, J. Virol. 66:2731-2739 (1992); Johann et al., J. Virol. 66: 1635-1640 (1992); Sommnerfelt et al, Virol. 176:58-59 (1990); Wilson et al, J. Virol. 63:2374-2378 (1989); Miller et al, J. Virol.
- MiLV murine leukemia virus
- GaLV gibbon ape leukemia virus
- SIV Simian Immuno deficiency virus
- HAV human immuno deficiency virus
- Adenoviral based systems may be used.
- Adenoviral based vectors are capable of very high transduction efficiency in many cell types and do not require cell division. With such vectors, high titer and levels of expression have been obtained. This vector can be produced in large quantities in a relatively simple system.
- Adeno-associated virus (“AAV”) vectors may also be used to transduce cells with target nucleic acids, e.g.
- Packaging cells are typically used to form virus particles that are capable of infecting a host cell. Such cells include 293 cells, which package adenovirus, and .psi.2 cells or PA317 cells, which package retrovirus.
- Viral vectors are usually generated by producing a cell line that packages a nucleic acid vector into a viral particle. The vectors typically contain the minimal viral sequences required for packaging and subsequent integration into a host, other viral sequences being replaced by an expression cassette for the polynucleotide(s) to be expressed. The missing viral functions are typically supplied in trans by the packaging cell line. For example, AAV vectors used in gene therapy typically only possess ITR sequences from the AAV genome which are required for packaging and integration into the host genome.
- Viral DNA is packaged in a cell line, which contains a helper plasmid encoding the other AAV genes, namely rep and cap, but lacking ITR sequences.
- the cell line may also be infected with adenovirus as a helper.
- the helper virus promotes replication of the AAV vector and expression of AAV genes from the helper plasmid.
- the helper plasmid is not packaged in significant amounts due to a lack of ITR sequences. Contamination with adenovirus can be reduced by, e.g., heat treatment to which adenovirus is more sensitive than AAV. Additional methods for the delivery of nucleic acids to cells are known to those skilled in the art. See, for example, US20030087817, incorporated herein by reference.
- a host cell e.g. , a cell from a patient
- a cell is transiently or non- transiently transfected with one or more vectors described herein.
- a cell is transfected as it naturally occurs in a subject.
- a cell is taken from a subject and then transfected.
- the cell is derived from a cell line, which is taken from a subject.
- a wide variety of cell lines for tissue culture are known in the art.
- cell lines include, but are not limited to, C8161, CCRF-CEM, MOLT, mIMCD-3, NHDF, HeLa-S3, Huhl, Huh4, Huh7, HUVEC, HASMC, HEKn, HEKa, MiaPaCell, Panel, PC-3, TF1, CTLL-2, C1R, Rat6, CV1, RPTE, A10, T24, J82, A375, ARH- 77, Calul, SW480, SW620, SKOV3, SK-UT, CaCo2, P388D1, SEM-K2, WEHI-231, HB56, TIB55, Jurkat, J45.01, LRMB, Bcl-1, BC-3, IC21, DLD2, Raw264.7, NRK, NRK-52E, MRC5, MEF, Hep G2, HeLa B, HeLa T4, COS, COS-1, COS-6, COS-M6A, BS-C-1 monkey kidney epithelial, BA
- SUBSTITUTE SHEET (RULE 26) A2780cis, A172, A20, A253, A431, A-549, ALC, B16, B35, BCP-1 cells, BEAS-2B, bEnd.3, BHK-21, BR 293, BxPC3, C3H-10T1/2, C6/36, Cal-27, CHO, CHO-7, CHO-IR, CHO-K1, CHO-K2, CHO-T, CHO Dhfr -/-, COR-L23, COR-L23/CPR, COR-L23/5010, COR- L23/R23, COS-7, COV-434, CML Tl, CMT, CT26, D17, DH82, DU145, DuCaP, EL4, EM2, EM3, EMT6/AR1, EMT6/AR10.0, FM3, H1299, H69, HB54, HB55, HCA2, HEK- 293, HeLa, Hepalclc7,
- a cell transfected with one or more vectors described herein is used to establish a new cell line comprising one or more vector- derived sequences.
- a cell transiently transfected with the nucleotide sequences of the present application is used to establish a new cell line comprising cells containing the a modified version of the endogenous protein (e.g., an endogenous protein fused with a polypeptide a Targeting Ligand is capable of binding, and a mutated endogenous protein fused with a polypeptide a Targeting Ligand is capable of binding).
- cells transiently or non-transiently transfected with one or more vectors described herein, or cell lines derived from such cells are used in assessing one or more test compounds.
- Vectors may be introduced and propagated in a prokaryote.
- a prokaryote is used to amplify copies of a vector to be introduced into a eukaryotic cell or as an intermediate vector in the production of a vector to be introduced into a eukaryotic cell (e.g., amplifying a plasmid as part of a viral vector packaging system).
- a prokaryote is used to amplify copies of a vector and express one or more nucleic acids, such as to provide a source of one or more proteins for delivery to a host cell or host organism.
- Fusion vectors add a number of amino acids to a protein encoded therein, such as to the amino terminus of the recombinant protein.
- Such fusion vectors may serve one or more purposes, such as: (i) to increase
- SUBSTITUTE SHEET (RULE 26) expression of recombinant protein; (ii) to increase the solubility of the recombinant protein; and (iii) to aid in the purification of the recombinant protein by acting as a ligand in affinity purification.
- a proteolytic cleavage site is introduced at the junction of the fusion moiety and the recombinant protein to enable separation of the recombinant protein from the fusion moiety subsequent to purification of the fusion protein.
- enzymes, and their cognate recognition sequences include Factor Xa, thrombin and enterokinase.
- Example fusion expression vectors include pGEX (Pharmacia Biotech Inc; Smith and Johnson, 1988. Gene 67: 31-40), pMAL (New England Biolabs, Beverly, Mass.) and pRIT5 (Pharmacia, Piscataway, N.J.) that fuse glutathione S-transferase (GST), maltose E binding protein, or protein A. respectively, to the target recombinant protein.
- GST glutathione S-transferase
- maltose E binding protein or protein A. respectively, to the target recombinant protein.
- E. coli expression vectors examples include pTrc (Amrann et al, (1988) Gene 69:301-315) and pET l id (Studier et al., GENE EXPRESSION TECHNOLOGY: METHODS IN ENZYMOLOGY 185, Academic Press, San Diego, Calif. (1990) 60-89).
- a vector is a yeast expression vector.
- yeast Saccharomyces cerivisae examples include pYepSecl (Baldari, et al, 1987. EMBO J. 6: 229-234), pMFa (Kuijan and Herskowitz, 1982. Cell 30: 933-943), pJRY88 (Schultz et al, 1987. Gene 54: 113-123), pYES2 (Invitrogen Corporation, San Diego, Calif), and picZ (InVitrogen Corp, San Diego, Calif).
- a vector is capable of driving expression of one or more sequences in mammalian cells using a mammalian expression vector.
- mammalian expression vectors include pCDM8 (Seed, 1987. Nature 329: 840) and pMT2PC (Kaufman, et al., 1987. EMBO J. 6: 187-195).
- the expression vector's control functions are typically provided by one or more regulatory elements.
- commonly used promoters are derived from polyoma, adenovirus 2, cytomegalovirus, simian virus 40, and others disclosed herein and known in the art.
- the recombinant mammalian expression vector is capable of directing expression of the nucleic acid preferentially in a particular cell type (e.g. , tissue-specific regulatory elements are used to express the nucleic acid).
- tissue-specific regulatory elements are known in the art.
- suitable tissue-specific promoters are known in the art.
- SUBSTITUTE SHEET include the albumin promoter (liver-specific; Pinkert, et al, 1987. Genes Dev. 1 : 268-277), lymphoid-specific promoters (Calame and Eaton, 1988. Adv. Immunol. 43: 235-275), in particular promoters of T cell receptors (Winoto and Baltimore, 1989. EMBO J. 8: 729-733) and immunoglobulins (Baneiji, et al, 1983. Cell 33: 729-740; Queen and Baltimore, 1983. Cell 33: 741-748), neuron-specific promoters (e.g., the neurofilament promoter; Byrne and Ruddle, 1989. Proc. Natl.
- pancreas-specific promoters Eslund, et al., 1985. Science 230: 912-916
- mammary gland-specific promoters e.g., milk whey promoter; U.S. Pat. No. 4,873,316 and European Application Publication No. 264,166
- Developmentally-regulated promoters are also encompassed, e.g. , the murine hox promoters (Kessel and Gruss, 1990. Science 249: 374-379) and the .alpha. -fetoprotein promoter (Campes and Tilghman, 1989. Genes Dev. 3: 537-546).
- the present application relates to bifunctional compounds which find utility as modulators of ubiquitination and proteosomal degradation of targeted proteins, especially compounds comprising an inhibitor of a polypeptide or a protein that is degraded and/or otherwise inhibited by the bifunctional compounds of the present application.
- the present application is directed to compounds which contain a ligand, e.g., a small molecule ligand (i.e., having a molecular weight of below 2,000, 1,000, 500, or 200 Daltons), such as a thalidomi de-like ligand, which is capable of binding to a ubiquitin ligase, such as cereblon, and a moiety that is capable of binding to a target protein, in such a way that the target protein is placed in proximity to the ubiquitin ligase to effect degradation (and/or inhibition) of that protein.
- a ligand e.g., a small molecule ligand (i.e., having a molecular weight of below 2,000, 1,000, 500, or 200 Daltons), such as a thalidomi de-like ligand, which is capable of binding to a ubiquitin ligase, such as cereblon, and a moiety that is capable of binding to a target protein, in such a
- the Linker is covalently bound to at least one Degron and at least one Targeting Ligand
- the Degron is a compound capable of binding to a ubiquitin ligase such as an E3 Ubiquitin Ligase (e.g., cereblon)
- the Targeting Ligand is capable of binding to the targeted protein(s).
- the present application provides a compound of Formula X:
- the Linker is a group that covalently binds to the Targeting Ligand and Y; and the Targeting Ligand is capable of binding to or binds to a targeted protein;
- X, Xi, X 2 , Y, Ri, R2, R2', R3, R3', R4, R5, m and n are each as defined herein.
- the present application provides a compound of Formula I:
- the Linker is a group that covalently binds to the Targeting Ligand and Y; and the Targeting Ligand is capable of binding to or binds to a targeted protein;
- the present application provides a compound of Formula I:
- the Linker is a group that covalently binds to the Targeting Ligand and Y; and the Targeting Ligand is capable of binding to or binds to a targeted protein;
- the Degron is a compound that serves to link a targeted protein, through the Linker and Targeting Ligand, to a ubiquitin ligase for proteosomal degradation.
- the Degron is a compound that is capable of binding to or binds to a ubiquitin ligase.
- the Degron is a compound that is capable of binding to or binds to a E3 Ubiquitin Ligase.
- the Degron is a compound that is capable of binding to or binds to cereblon.
- the Degron is a thalidomide or a derivative or analog thereof.
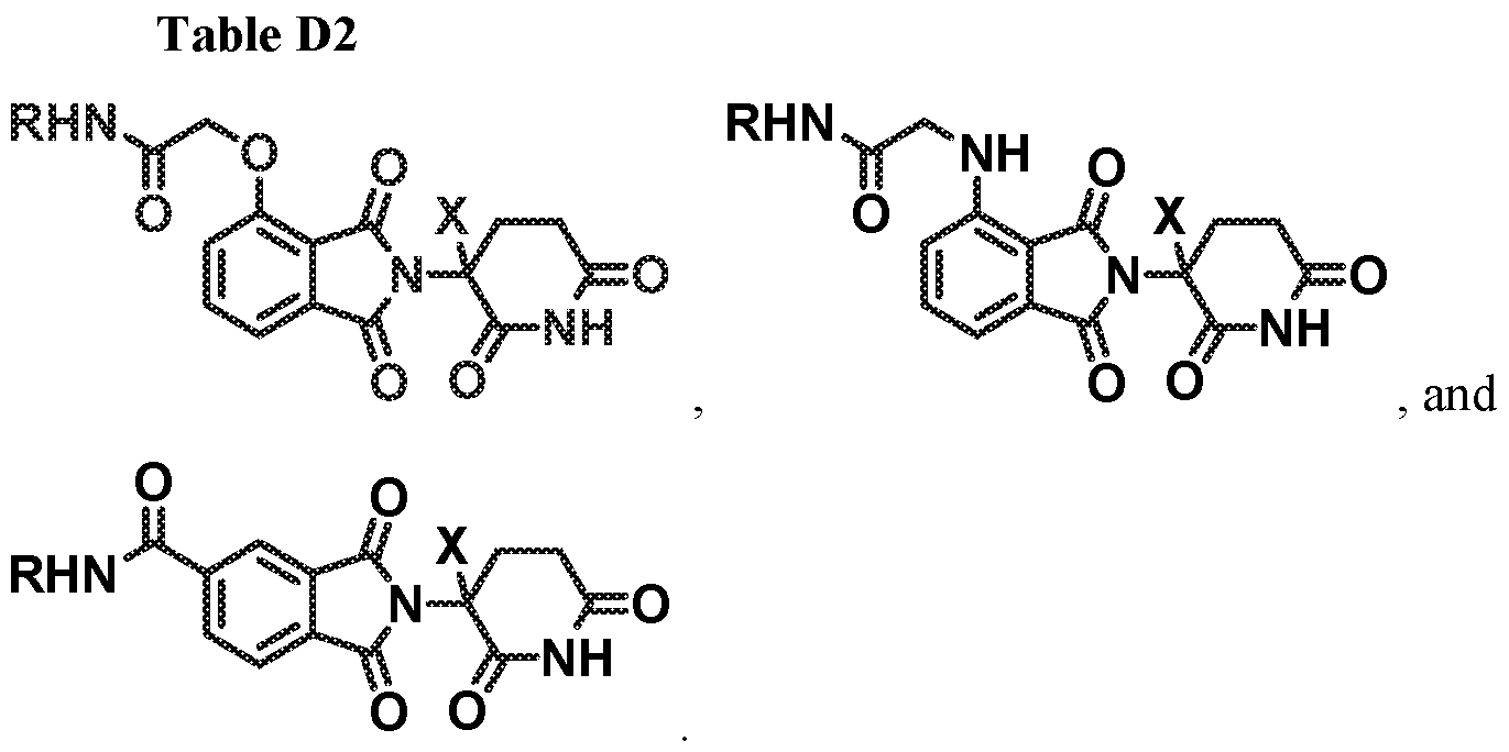
- the Degron is a compound having Formula D:
- Y is a bond, (CH 2 )i-6, (CH 2 )o-6-0, (CH 2 )o-6-C(0)NR 2 ', (CH 2 )o-e-NR 2 'C(0), (CH 2 )o-e-
- X is C(O) or C(R 3 ) 2 ;
- each Ri is independently halogen, OH, Ci-C 6 alkyl, or Ci-C 6 alkoxy;
- R 2 is Ci-Ce alkyl, C(0)-Ci-Ce alkyl, or C(0)-C 3 -Ce cycloalkyl;
- R 2 ' is H or Ci-Ce alkyl
- each R 3 is independently H or Ci-C 3 alkyl
- each R 3 ' is independently Ci-C 3 alkyl
- each R4 is independently H or Ci-C 3 alkyl; or two R4, together with the carbon atom to which they are attached, form C(O), a C 3 -C6 carbocycle, or a 4-, 5-, or 6-membered heterocycle comprising 1 or 2 heteroatoms selected from N and O;
- R5 is H, deuterium, Ci-C 3 alkyl, F, or CI;
- n 0, 1 , 2 or 3;
- n 0, 1 or 2;
- SUBSTITUTE SHEET (RULE 26) wherein the ound is covalently bonded to another moiety (e.g. , a compound, or a
- the Degron is a compound of Formula D, wherein
- the Degron is a compound of Formula D, wherein
- the Degron is a compound of Formula D, wherein X is C(O).
- the Degron is a compound of Formula D, wherein X is
- X is C(R3)2; and each R3 is H.
- X is C(R3)2; and one of R3 is H, and the other is C1-C3 alkyl selected from methyl, ethyl, and propyl.
- X is C(R3)2; and each R3 is independently selected from methyl, ethyl, and propyl.
- the Degron is a compound of Formula D, wherein X1-X2 is C(R3)2-C(R3)2; and each R3 is H.
- X1-X2 is C(R3)2-C(R3)2; and one of R3 is H, and the other three R3 are independently C1-C3 alkyl selected from methyl, ethyl, and propyl.
- X1-X2 is C(R3)2-C(R3)2; and two of the R3 are H, and the other two R3 are independently C1-C3 alkyl selected from methyl, ethyl, and propyl.
- X1-X2 is C(R3)2-C(R3)2; and three of the R3 are H, and the remaining R3 is C1-C3 alkyl selected from methyl, ethyl, and propyl.
- the Degron is a compound of Formula D, wherein Y is a bond.
- the Degron is a compound of Formula D, wherein Y is (CH 2 )i, (CH 2 ) 2 , (CH 2 ) 3 , (CH 2 ) 4 , (CH 2 ) 5 , or (CH 2 ) 6 .
- Y is (CH 2 )i, (CH 2 ) 2 , or (CH 2 )3.
- Y is (CH 2 )i or (CH 2 ) 2 .
- the Degron is a compound of Formula D, wherein Y is O, CH 2 -0, (CH 2 ) 2 -0, (CH 2 ) 3 -0, (CH 2 ) 4 -0, (CH 2 ) 5 -0, or (CH 2 ) 6 -0.
- Y is O, CH 2 -0, (CH 2 ) 2 -0, or (CH 2 ) 3 -0.
- Y is O or CH 2 -0.
- Y is O.
- the Degron is a compound of Formula D, wherein Y is C(0)NR 2 ', CH 2 -C(0)NR 2 ', (CH 2 ) 2 -C(0)NR 2 ⁇ (CH 2 ) 3 -C(0)NR 2 ', (CH 2 ) 4 -C(0)NR 2 ', (CH 2 ) 5 - C(0)NR 2 ', or (CH 2 ) 6 -C(0)NR 2 ⁇
- Y is C(0)NR 2 ', CH 2 -C(0)NR 2 ', (CH 2 ) 2 -C(0)NR 2 ', or (CH 2 ) 3 -C(0)NR 2 ⁇
- Y is C(0)NR 2 ' or CH 2 - C(0)NR 2 '.
- Y is C(0)NR 2 ' .
- the Degron is a compound of Formula D, wherein Y is NR 2 'C(0), CH 2 -NR 2 'C(0), (CH 2 ) 2 -NR 2 'C(0), (CH 2 ) 3 -NR 2 'C(0), (CH 2 ) 4 -NR 2 'C(0), (CH 2 ) 5 - NR 2 'C(0), or (CH 2 ) 6 -NR 2 'C(0).
- Y is NR 2 'C(0), CH 2 -NR 2 'C(0), (CH 2 ) 2 -NR 2 'C(0), or (CH 2 ) 3 -NR 2 'C(0).
- Y is NR 2 'C(0) or CH 2 - NR 2 'C(0).
- Y is NR 2 'C(0).
- the Degron is a compound of Formula D, wherein R 2 ' is H. In certain embodiments, the Degron is a compound of Formula D, wherein R 2 ' is selected from methyl, ethyl, propyl, butyl, i-butyl, t-butyl, pentyl, i-pentyl, and hexyl. In certain embodiments, R ⁇ ' is Ci-C 3 alkyl selected from methyl, ethyl, and propyl.
- the Degron is a compound of Formula D, wherein Y is NH, CH 2 -NH, (CH 2 ) 2 -NH, (CH 2 ) 3 -NH, (CH 2 ) -NH, (CH 2 ) 5 -NH, or (CH 2 ) 6 -NH.
- Y is NH, CH 2 -NH, (CH 2 ) 2 -NH, or (CH 2 ) 3 -NH.
- Y is NH or CH 2 -NH.
- Y is NH.
- the Degron is a compound of Formula D, wherein Y is NR 2 , CH 2 -NR 2 , (CH 2 ) 2 -NR 2 , (CH 2 ) 3 -NR 2 , (CH 2 ) -NR 2 , (CH 2 ) 5 -NR 2 , or (CH 2 ) 6 -NR 2 .
- Y is NR 2 , CH 2 -NR 2 , (CH 2 ) 2 -NR 2 , or (CH 2 ) 3 -NR 2 .
- Y is NR 2 or CH 2 -NR 2 .
- Y is NR 2 .
- the Degron is a compound of Formula D, wherein R 2 is selected from methyl, ethyl, propyl, butyl, i-butyl, t-butyl, pentyl, i-pentyl, and hexyl.
- R 2 is Ci-C 3 alkyl selected from methyl, ethyl, and propyl.
- the Degron is a compound of Formula D, wherein R 2 is selected from C(0)-methyl, C(0)-ethyl, C(0)-propyl, C(0)-butyl, C(0)-i-butyl, C(0)-t-butyl,
- R2 is C(0)-Ci-C3 alkyl selected from C(0)-methyl, C(0)-ethyl, and C(0)-propyl.
- the Degron is a compound of Formula D, wherein R2 is selected from C(0)-cyclopropyl, C(0)-cyclobutyl, C(0)-cyclopentyl, and C(0)-cyclohexyl. In certain embodiments, R2 is C(0)-cyclopropyl.
- the Degron is a compound of Formula D, wherein R3 is H.
- the Degron is a compound of Formula D, wherein R3 is Ci- C3 alkyl selected from methyl, ethyl, and propyl. In certain embodiments, R3 is methyl.
- the Degron is a compound of Formula D, wherein n is 0.
- the Degron is a compound of Formula D, wherein n is 1.
- the Degron is a compound of Formula D, wherein n is 2.
- the Degron is a compound of Formula D, wherein each R3' is independently C1-C3 alkyl selected from methyl, ethyl, and propyl.
- the Degron is a compound of Formula D, wherein m is 0.
- the Degron is a compound of Formula D, wherein m is 1.
- the Degron is a compound of Formula D, wherein m is 2.
- the Degron is a compound of Formula D, wherein m is 3.
- the Degron is a compound of Formula D, wherein each Ri is independently selected from halogen (e.g. , F, CI, Br, and I), OH, C1-C6 alkyl (e.g., methyl, ethyl, propyl, butyl, i-butyl, t-butyl, pentyl, i-pentyl, and hexyl), and C1-C6 alkoxy (e.g. , methoxy, ethoxy, propoxy, butoxy, i-butoxy, t-butoxy, and pentoxy).
- halogen e.g. , F, CI, Br, and I
- C1-C6 alkyl e.g., methyl, ethyl, propyl, butyl, i-butyl, t-butyl, pentyl, i-pentyl, and hexyl
- C1-C6 alkoxy
- the Degron is a compound of Formula D, wherein each Ri is independently selected from F, CI, OH, methyl, ethyl, propyl, butyl, i-butyl, t-butyl, methoxy, and ethoxy.
- the Degron is a compound of Formula D, wherein each R4 is
- the Degron is a compound of Formula D, wherein one of R4 is H, and the other R4 is C1-C3 alkyl selected from methyl, ethyl, and propyl.
- the Degron is a compound of Formula D, wherein each R4 is independently C1-C3 alkyl selected from methyl, ethyl, and propyl.
- the Degron is a compound of Formula D, wherein two R4, together with the carbon atom to which they are attached, form C(O).
- the Degron is a compound of Formula D, wherein two R4, together with the carbon atom to which they are attached, form cyclopropyl, cyclobutyl, cyclopentyl, or cyclohexyl.
- the Degron is a compound of Formula D, wherein two R.4, together with the carbon atom to which they are attached, form a 4-, 5-, or 6-membered heterocycle selected from oxetane, azetidine, tetrahydrofuran, pyrrolidine, piperidine, piperazine, and morpholine.
- two R.4, together with the carbon atom to which they are attached form oxetane.
- the Degron is a compound of Formula D, wherein R5 is H, deuterium, or C1-C3 alkyl. In further embodiments, R5 is in the (S) or (R) configuration. In further embodiments, R5 is in the (S) configuration. In certain embodiments, the Degron is a compound of Formula D, wherein the compound comprises a racemic mixture of (S)-Rs and (R)-Rs.
- the Degron is a compound of Formula D, wherein R5 is H. In certain embodiments, the Degron is a compound of Formula D, wherein R5 is deuterium.
- the Degron is a compound of Formula D, wherein R5 is Ci- C3 alkyl selected from methyl, ethyl, and propyl. In certain embodiments, R5 is methyl.
- the Degron is a compound of Formula D, wherein R5 is F or CI. In further embodiments, R5 is in the (S) or (R) configuration. In further embodiments, R5 is in the (R) configuration. In certain embodiments, the Degron is a compound of Formula D, wherein the compound comprises a racemic mixture of (5)-Rs and (i?)-Rs. In certain embodiments, R5 is F.
- n can be combined with any of the moieties defined for the others of , X, Xi, X2, Y, Ri, R2, R2', R3, R3', R4, R5, m, and n.
- the Degron is a compound having Formula Dl :
- Each of X, Y, Ri, R2, R2', R3, R3 ' , R4, R5, m, and n can be selected from the moieties described above in Formula D.
- Each of the moieties defined for one of X, Y, Ri, R2, R2', R3, R3 ' , R4, R5, m, and n can be combined with any of the moieties defined for the others of X, Y, Ri, R2, R2', R3, R3 ', R4, R5, m, and n, as described above in Formula D.
- the Degron is a compound of Formula D2:
- Ri, R3 ' , m and n is as defined above and can be selected from any moieties or combinations thereof described above.
- the Degron is a compound of the following structure:
- the Degron is a compound of Formula D3:
- Each of Xi, X 2 , Y, Ri, R2, R2', R3, R3 ', R4, R5, m, and n can be selected from the moieties described above in Formula D.
- Each of the moieties defined for one of Xi, X 2 , Y, Ri, R2, R2', R3, R3 ' , R4, R5, m, and n can be combined with any of the moieties defined for the others of Xi, X 2 , Y, Ri, R2, R2', R3, R3 ' , R4, R5, m, and n, as described above in Formula D.
- the Degron is selected from the following in Table D, wherein X is H, deuterium, C1-C3 alkyl, or halogen; and R is a Linker.
- the Degron is selected from the follow i ng i n Table Dl
- the Degron is s elected from the following in Table D2:
- the Linker is a bond or a carbon chain that serves to link a Targeting Ligand with a Degron.
- the carbon chain optionally comprises one, two, three, or more heteroatoms selected from N, O, and S.
- the carbon chain comprises only saturated chain carbon atoms.
- one or more chain carbon atoms in the carbon chain are optionally substituted with one or more substituents (e.g., oxo, Ci-C 6 alkyl, d-Ce alkenyl, d-Ce alkynyl, C1-C3 alkoxy, OH, halogen, NH 2 , NH(Ci-C 3 alkyl), N(Ci-Cs alkyl) 2 , CN, C 3 -Cs cycloalkyl, heterocyclyl, phenyl, and heteroaryl).
- substituents e.g., oxo, Ci-C 6 alkyl, d-Ce alkenyl, d-Ce alkynyl, C1-C3 alkoxy, OH, halogen, NH 2 , NH(Ci-C 3 alkyl), N
- the Linker comprises at least 5 chain atoms (e.g., C, O, N, and S). In certain embodiments, the Linker comprises less than 20 chain atoms (e.g., C, O, N, and S). In certain embodiments, the Linker comprises 5, 6, 7, 8, 9, 10, 11, 12, 13, 14, 15, 16, 17, 18, or 19 chain atoms (e.g., C, O, N, and S). In certain embodiments, the Linker comprises 5, 7, 9, 11, 13, 15, 17, or 19 chain atoms (e.g., C, O, N, and S). In certain embodiments, the Linker comprises 5, 7, 9, or 11 chain atoms (e.g., C, O, N, and S).
- the Linker comprises 6, 8, 10, 12, 14, 16, or 18 chain atoms (e.g., C, O, N, and S). In certain embodiments, the Linker comprises 6, 8, 10, or 12 chain atoms (e.g., C, O, N, and S).
- the Linker is a carbon chain optionally substituted with non- bulky substituents (e.g., oxo, Ci-C 6 alkyl, d-Ce alkenyl, d-Ce alkynyl, C1-C3 alkoxy, OH, halogen, NH2, NH(Ci-C3 alkyl), N(Ci-C 3 alkyl)2, and CN).
- non- bulky substituents e.g., oxo, Ci-C 6 alkyl, d-Ce alkenyl, d-Ce alkynyl, C1-C3 alkoxy, OH, halogen, NH2, NH(Ci-C3 alkyl), N(Ci-C 3 alkyl)2, and CN.
- the non- bulky substitution is located on the chain carbon atom proximal to the Degron (i.e., the
- SUBSTITUTE SHEET (RULE 26) carbon atom is separated from the carbon atom to which the Degron is bonded by at least 3, 4, or 5 chain atoms in the Linker).
- the Linker is of Formula L0:
- pi is an integer selected from 0 to 12;
- p2 is an integer selected from 0 to 12;
- p3 is an integer selected from 1 to 6;
- each W is independently absent, CH2, O, S, NH or NR5;
- Z is absent, CH 2 , O, NH or NR5;
- each R.5 is independently C1-C3 alkyl
- Q is absent or -CH 2 C(0)NH-, wherein the Linker is covalently bonded to the Degron with the ⁇ next to Q, and covalently bonded to the Targeting Ligand with the ⁇ next to Z, and wherein the total number of chain atoms in the Linker is less than 20.
- the Linker-Targeting Ligand has the structure of Formula LI or L2:
- pi is an integer selected from 0 to 12;
- p2 is an integer selected from 0 to 12;
- p3 is an integer selected from 1 to 6;
- each W is independently absent, CH2, O, S, NH or NR5;
- Z is absent, CH 2 , O, NH or NR5;
- each R 5 is independently C1-C3 alkyl
- SUBSTITUTE SHEET (RULE 26) TL is a Targeting Ligand, wherein the Linker is covalently bonded to the Degron with s .
- pi is an integer selected from 0 to 10.
- pi is an integer selected from 2 to 10.
- pi is selected from 1, 2, 3, 4, 5, and 6.
- pi is selected from 1, 3, and 5.
- pi is selected from 1, 2, and 3.
- pi is 3.
- p2 is an integer selected from 0 to 10.
- p2 is selected from 0, 1, 2, 3, 4, 5, and 6.
- p2 is an integer selected from 0 and 1.
- p3 is an integer selected from 1 to 5.
- p3 is selected from 2, 3, 4, and 5.
- p3 is selected from 1, 2, and 3.
- p3 is selected from 2 and 3.
- At least one W is CH2.
- At least one W is O.
- At least one W is S.
- At least one W is NH.
- At least one W is NR5; and R5 is C1-C3 alkyl selected from methyl, ethyl, and propyl.
- W is O.
- Z is absent.
- Z is CH2.
- Z is O
- Z is NH
- Z is NR5; and R5 is C1-C3 alkyl selected from methyl, ethyl, and propyl.
- Z is part of the Targeting Ligand that is bonded to the Linker, namely, Z is formed from reacting a functional group of the Targeting Ligand with the Linker.
- W is CH2, and Z is CH2.
- W is O
- Z is CH2.
- W is CH2
- Z is O
- W is O
- Z is O
- the Linker-Targeting Ligand has the structure selected from
- any one of the Degrons described herein can be covalently bound to any one of the Linkers described herein.
- the present application relates to the Degron-Linker (DL) having the following structure:
- Targeting Ligand is covalently bonded to the DL with the 3 ⁇ 4 next to Z.
- the present application relates to the Degron-Linker (DL) having the following structure:
- Targeting Ligand is covalently bonded to the DL with the 3 ⁇ 4 next to Z.
- the present application relates to the Degron-Linker (DL) intermediates having the following structure:
- the DLs have the following structure:
- the DL intermediate has the following structure:
- the Linker may be a polyethylene glycol group ranging in size from about 1 to about 12 ethylene glycol units, between 1 and about 10 ethylene glycol units, about 2 about 6 ethylene glycol units, between about 2 and 5 ethylene glycol units, between about 2 and 4 ethylene glycol units.
- the Linker is designed and optimized based on SAR
- the optimal Linker length and composition vary by target and can be estimated based upon X-ray structures of the original Targeting Ligand bound to its target.
- Linker length and composition can be also modified to modulate metabolic stability and pharmacokinetic (PK) and pharmacodynamics (PD) parameters.
- selectivity may be achieved by varying Linker length where the ligand binds some of its targets in different binding pockets, e.g. , deeper or shallower binding pockets than others.
- Targeting Ligand (or target protein moiety or target protein ligand or ligand) is a small molecule which is capable of binding to or binds to a target protein of interest.
- TLs which include but are not limited to Hsp90 inhibitors, kinase inhibitors, MDM2 inhibitors, compounds targeting Human BET Bromodomain-containing proteins, compounds targeting cytosolic signaling protein FKBP12, HDAC inhibitors, human lysine methyltransferase inhibitors, angiogenesis inhibitors, immunosuppressive compounds, and compounds targeting the aryl hydrocarbon receptor (AHR).
- the Targeting Ligand is a compound that is capable of binding to or binds to a kinase, a BET bromodomain-containing protein, a cytosolic signaling protein (e.g. , FKBP12), a nuclear protein, a histone deacetylase, a lysine methyltransferase, a protein regulating angiogenesis, a protein regulating immune response, an aryl hydrocarbon receptor (AHR), an estrogen receptor, an androgen receptor, a glucocorticoid receptor, or a transcription factor (e.g. , SMARCA4, SMARCA2, TRIM24).
- a cytosolic signaling protein e.g. , FKBP12
- FKBP12 cytosolic signaling protein
- AHR aryl hydrocarbon receptor
- an estrogen receptor an androgen receptor
- glucocorticoid receptor e.g. , SMARCA4, SMARCA2, TRIM24.
- the Targeting Ligand is a compound that is capable of binding to or binds to FK506 binding protein- 12 (FKBP12), bromodomain-containing protein 4 (BRD4), CREB binding protein (CREBBP), or transcriptional activator BRG1
- the Targeting Ligand is a compound that is capable of binding to or binds to a hormone receptor e.g,. estrogen-receptor protein, androgen receptor protein, retinoid x receptor (RXR) protein, or dihydroflorate reductase (DHFR), including bacterial DHFR.
- the Targeting Ligand is a compound that is capable of binding to or binds to a bacterial dehalogenase.
- the Targeting Ligand is a compound that is capable of binding to or binds to ASH1L, ATAD2, BAZ1A, BAZ1B, BAZ2A, BAZ2B, BRD1, BRD2, BRD3, BREW, BRD5, BRD6, BRD7, BRD8, BRD9, BRD10, BRDT, BRPF1, BRPF3, BRWD3, CECR2, CREBBP, EP300, FALZ, GCN5L2, KIAA1240, LOC93349, MLL, PB1, PCAF, PHIP, PRKCBP1, SMARCA2, SMARCA4, SP100, SP110, SP140, TAF1, TAF1L, TIF la, TRIM28, TRIM33, TRIM66,
- Targeting Ligand is a compound that is capable of binding to or binds to MDM2.
- the Targeting Ligand is a compound that is capable of binding to or binds to a BET bromodomain-containing protein, for example, but not limited to, ASH1L, ATAD2, BAZ1A, BAZ1B, BAZ2A, BAZ2B, BRD1, BRD2, BRD3, BRD4, BRD5, BRD6, BRD7, BRD8, BRD9, BRD10, BRDT, BRPF1, BRPF3, BRWD3, CECR2, CREBBP, EP300, FALZ, GCN5L2, KIAA1240, LOC93349, MLL, PB1, PCAF, PHIP, PRKCBP1, SMARCA2, SMARCA4, SP100, SP110, SP140, TAF1, TAF1L, TIF la, TRIM28, TRIM33, TRIM66, WDR9, ZMYNDl 1, and MLL4.
- ASH1L ATAD2, BAZ1A, BAZ1B, BAZ2A, BAZ2B, B
- the Targeting Ligand is a compound that is capable of binding to or binds to BRD2, BRD3, BRD4, or BRDT.
- the Targeting Ligand is a compound that is capable of binding to or binds to BRD2, BRD3, BRD4, or BRDT.
- Targeting Ligand is a compound that is capable of binding to or binds to a modified or mutant BRD2, BRD3, BRD4, or BRDT protein.
- the one or more mutations of BRD2 include a mutation of the
- the one or more mutations of BRD3 include a mutation of the W at amino acid position 57, a mutation of the V at amino acid position 63, a mutation of the L at amino acid position 70, a mutation of the W at amino acid position 332, a mutation of the V at amino acid position 338, or a mutation of the L at amino acid position 345.
- the one or more mutations of BRD4 include a mutation of the W at amino acid position 81, a mutation of the V at amino acid position 87, a mutation of the L at amino acid position 94, a mutation of the W at amino acid position 374, a mutation of the V at amino acid position 380, or a mutation of the L at amino acid position 387.
- the one or more mutations of BRDT include a mutation of the W at amino acid position 50, a mutation of the V at amino acid position 56, a mutation of the L at amino acid position 63, a mutation of the W at amino acid position 293, a mutation of the V at amino acid position 299, or a mutation of the L at amino acid position 306.
- the Targeting Ligand is a compound that is capable of binding to or binds to cytosolic signaling protein FKBP12.
- the Targeting Ligand is a compound that is capable of binding to or binds to a modified or mutant cytosolic signaling protein FKBP12.
- the modified or mutant cytosolic signaling protein FKBP12 contains one or more mutations that create an enlarged binding pocket for FKBP12 ligands.
- the one or more mutations include a mutation of the phenylalanine (F) at amino acid position 36 to valine (V) (F36V).
- the Targeting Ligand is a compound that is capable of binding to or binds to an amino acid sequence, or fragment thereof from any of SEQ. IDs. 1-9 or 24-29. In a particular embodiment, the Targeting Ligand is a compound that is capable of binding to or binds to an amino acid sequence, or fragment thereof of SEQ ID NO.l.
- the Targeting Ligand is a compound that is capable of g to or binds to an amino acid sequence, or fragment thereof of SEQ ID NO.2.
- the Targeting Ligand is a compound that is capable of g to or binds to an amino acid sequence, or fragment thereof of SEQ ID NO.3.
- the Targeting Ligand is a compound that is capable of binding to or binds to an amino acid sequence, or fragment thereof of SEQ ID NO.4.
- the Targeting Ligand is a compound that is capable of binding to or binds to an amino acid sequence, or fragment thereof of SEQ ID NO.5.
- the Targeting Ligand is a compound that is capable of binding to or binds to an amino acid sequence, or fragment thereof of SEQ ID NO.6.
- the Targeting Ligand is a compound that is capable of binding to or binds to an amino acid sequence, or fragment thereof of SEQ ID NO.7.
- the Targeting Ligand is a compound that is capable of binding to or binds to an amino acid sequence, or fragment thereof of SEQ ID NO.8.
- the Targeting Ligand is a compound that is capable of binding to or binds to an amino acid sequence, or fragment thereof of SEQ ID NO.9.
- the Targeting Ligand is a compound that is capable of binding to or binds to an amino acid sequence, or fragment thereof of SEQ ID NO.24
- the Targeting Ligand is a compound that is capable of binding to or binds to an amino acid sequence, or fragment thereof of SEQ ID NO.25.
- the Targeting Ligand is a compound that is capable of binding to or binds to an amino acid sequence, or fragment thereof of SEQ ID NO.26.
- the Targeting Ligand is a compound that is capable of binding to or binds to an amino acid sequence, or fragment thereof of SEQ ID NO.27.
- the Targeting Ligand is a compound that is capable of binding to or binds to an amino acid sequence, or fragment thereof of SEQ ID NO.28.
- the Targeting Ligand is a compound that is capable of binding to or binds to an amino acid sequence, or fragment thereof of SEQ ID NO.29.
- the fragment thereof refers to the minimum amino acid sequence need to be bound by the Targeting Ligand.
- the Targeting Ligand is a compound that is capable of binding to or binds to an amino acid sequence or fragment thereof of SEQ ID NO.1 (e.g., dFKBP-l-dFKBP-5).
- the Targeting Ligand is a compound that is capable of binding to or binds to an amino acid sequence or fragment thereof of SEQ ID NO.2 (e.g., dFKBP-6-dFKBP-13).
- the Targeting Ligand is a compound that is capable of binding to or binds to an amino acid sequence or fragment thereof of SEQ ID NO.3 (e.g., dBETl-dBET18).
- the Targeting Ligand is a compound that is capable of binding to or binds to an amino acid sequence or fragment thereof of SEQ ID NO.9 (e.g. , dHalol-dHalo2).
- the Targeting Ligand is a compound that is capable of binding to or binds to CREBBP (e.g. , selected from Table S). In a particular embodiment, the Targeting Ligand is a compound that is capable of binding to or binds to SMARCA4, PBl, or SMARCA2 (e.g. , selected from Table S). In a particular embodiment, the Targeting Ligand is a compound that is capable of binding to or binds to TRIM24 or BRPF1 (e.g. ,
- the Targeting Ligand is a compound that is capable of binding to or binds to a glucocorticoid receptor (e.g. , selected from Table S).
- the Targeting Ligand is a compound that is capable of binding to or binds to an estrogen or androgen receptor (e.g. , selected from Table S).
- the Targeting Ligand is a compound that is capable of binding to or binds to DOT1L (e.g., selected from Table S).
- the Targeting Ligand is a compound that is capable of binding to or binds to Ras (e.g., selected from Table S).
- the Targeting Ligand is a compound that is capable of binding to or binds to RasG12C (e.g., selected from Table S). In a particular embodiment, the Targeting Ligand is a compound that is capable of binding to or binds to HER3 (e.g. , selected from
- the Targeting Ligand is a compound that is capable of binding to or binds to Bcl-2 or Bcl-XL (e.g., selected from Table S).
- the Targeting Ligand is a compound that is capable of binding to or binds to HDAC (e.g. , selected from Table S).
- the Targeting Ligand is a compound that is capable of binding to or binds to PPAR (e.g. , selected from Table S).
- the Targeting Ligand is a compound that is capable of binding to or binds to DHFR (e.g. , selected from Table S).
- R is the point at which the linker is attached
- R' is methyl or ethyl.
- R is the point at which the linker is attached
- A is N or CH
- n 0, 1 , 2, 3, 4, 5, 6, 7, or 8.
- R is the point at which the linker is attached
- A is N or CH
- n 0, 1, 2, 3, 4, 5, 6, 7, or 8.
- R is the point at which the linker is attached
- R is the point at which the linker is attached.
- R is the point at which the linker is attached
- A is N or CH
- n 0, 1, 2, 3, 4, 5, 6, 7, or 8.
- R is the point at which the linker is attached.
- R is the point at which the linker is attached.
- R is the point at which the linker is attached
- R' is or ⁇ .
- R is the point at which the linker is attached.
- R is the point at which the linker is attached.
- R is the point at which the linker is attached.
- R is the point at which the linker is attached.
- R is the point at which the linker is attached.
- a kinase to which the Targeting Ligand is capable of binding or binds includes, but is not limited to, a tyrosine kinase (e.g., AATK, ABL, ABL2, ALK, AXL, BLK, BMX, BTK, CSF1R, CSK, DDR1, DDR2, EGFR, EPHA1, EPHA2, EPHA3, EPHA4, EPHA5, EPHA6, EPHA7, EPHA8, EPHA10, EPHB1, EPHB2, EPHB3, EPHB4, EPHB6, ERBB2, ERBB3, ERBB4, FER, FES, FGFR1, FGFR2, FGFR3, FGFR4, FGR, FLT1, FLT3, FLT4, FRK, FYN, GSG2, HCK, IGF1R, ILK, INSR, INSRR, IRAK4, ITK, JAK1, JAK2, JAK3, KDR, KIT, KSR1, LCK, LMTK2, LMTK3, LTK,
- the Targeting Ligand is a compound that is capable of binding to or binds to a BET bromodomain-containing protein, for example, but not limited to, ASH1L, ATAD2, BAZ1A, BAZ1B, BAZ2A, BAZ2B, BRDl, BRD2, BRD3, BREW, BRD5, BRD6, BRD7, BRD8, BRD9, BRD10, BRDT, BRPF1, BRPF3, BRWD3, CECR2, CREBBP, EP300, FALZ, GCN5L2, KIAA1240, LOC93349, MLL, PB1, PCAF, PHIP, PRKCBP1, SMARCA2, SMARCA4, SP100, SP110, SP140, TAF1, TAF1L, TIF la, TRIM28, TRIM33, TRIM66, WDR9, ZMYND11, and MLL4.
- ASH1L ATAD2, BAZ1A, BAZ1B, BAZ2A, BAZ2B
- the Targeting Ligand is a compound that is capable of binding to or binds to BRD2, BRD3, BRD4, or BRDT. In certain embodiments, the Targeting Ligand is a compound that is capable of binding to or binds to a modified or mutant BRD2, BRD3, BRD4, or BRDT protein.
- a BET bromodomain-containing protein to which the Targeting Ligand is capable of binding or binds includes, but is not limited to, BRDl, BRD2, BRD3, BRD4, BRD5, BRD6, BRD7, BRD8, BRD9, BRD10, and BRDT.
- a BET bromodomain-containing protein is BRD4.
- a nuclear protein to which the Targeting Ligand is capable of binding or binds includes, but is not limited to, BRD2, BRD3, BRD4, Antennapedia
- the Targeting Ligand is selected from a kinase inhibitor, a BET bromodomain-containing protein inhibitor, cytosolic signaling protein FKBP12 ligand, an HDAC inhibitor, a lysine methyltransferase inhibitor, an angiogenesis inhibitor, an immunosuppressive compound, and an aryl hydrocarbon receptor (AHR) inhibitor.
- Non-limiting examples of TLs are shown in below and represent Targeting Ligands of certain types of proteins of interest.
- R Degron-Linker
- the present application relates to the compounds containing the TL moieties shown in Table 1.
- a Targeting Ligand is a compound of Formula TL-I:
- nnl 0, 1, or 2;
- each Rai is independently C1-C3 alkyl, (CH2)o-3-CN, (CH2)o-3-halogen, (CH2)o-3-OH, (CH 2 )o-3-Ci-C 3 alkoxy, C(0)NRa 5 L, OL, NRasL, or L;
- Ra2 is H, C1-C6 alkyl, (CH2)o-3-heterocyclyl, (CH2)o-3-phenyl, or L, wherein the heterocyclyl comprises one saturated 5- or 6-membered ring and 1-2 heteroatoms selected
- SUBSTITUTE SHEET (RULE 26) from N, O, and S and is optionally substituted with C1-C3 alkyl, L, or C(0)L, and wherein the phenyl is optionally substituted with C1-C3 alkyl, CN, halogen, OH, C1-C3 alkoxy, or L; nn2 is 0, 1, 2, or 3;
- each Ra3 is independently C1-C3 alkyl, (CH2)o-3-CN, (CH2)o-3-halogen, L, or
- Ra4 is C1-C3 alkyl
- Ra3 ⁇ 4 is H or C1-C3 alkyl
- L is a Linker
- » ⁇ is ⁇
- Ai is S.
- A2 is NRas.
- Ras is H.
- Ras is C1-C3 alkyl (e.g. , methyl, ethyl, propyl, or i-propyl).
- Ras is methyl.
- A2 is O.
- nnl is 0.
- nnl is 1.
- nnl is 2.
- At least one Rai is C1-C3 alkyl (e.g. , methyl, ethyl, propyl, or i-propyl). In further embodiments, at least one Rai is methyl. In further embodiments, two Rai are methyl.
- At least one Rai is CN, (CH 2 )-CN, (CH 2 )2-CN, or (CH 2 )3-CN. In further embodiments, at least one Rai is (CH2)-CN.
- At least one Rai is halogen (e.g. , F, CI, or Br), (CH2)-halogen, (CH2)2-halogen, or (CH2)3-halogen.
- at least one Rai is CI, (CH2)-C1, (CH 2 ) 2 -C1, or (CH 2 )3-C1.
- At least one Rai is OH, (CH2)-OH, (CH2)2-OH, or (CH2)3-
- At least one Rai is C1-C3 alkoxy (e.g. , methoxy, ethoxy, or propoxy), (CH2)-Ci-C3 alkoxy, (CH2)2-Ci-C3 alkoxy, or (CH2)3-Ci-C3 alkoxy. In certain embodiments, at least one Rai is methoxy.
- one Rai is C(0)NRasL.
- Ras is H.
- Ras is C1-C3 alkyl (e.g., methyl, ethyl, propyl, or i-propyl).
- one Rai is OL.
- one Rai is NRasL.
- Ras is H.
- Ras is C1-C3 alkyl (e.g. , methyl, ethyl, propyl, or i-propyl).
- Ras is methyl.
- one Rai is L.
- Ra2 is H.
- Ra2 is straight-chain Ci-C 6 or branched C3-C6 alkyl (e.g., methyl, ethyl, propyl, i-propyl, butyl, i-butyl, t-butyl, pentyl, or hexyl). In further embodiments, Ra2 is methyl, ethyl, or t-butyl.
- Ra2 is heterocyclyl, (CH2)-heterocyclyl, (CH2)2-heterocyclyl, or (CH2)3-heterocyclyl. In further embodiments, Ra2 is (CH2)3-heterocyclyl.
- the heterocyclyl is selected from pyrrolidinyl, pyrazolidinyl, imidazolidinyl, oxazolidinyl, isoxazolidinyl, thiazolidinyl, isothiazolidinyl, piperidinyl, piperazinyl, hexahydropyrimidinyl, morpholinyl, and thiomorpholinyl. In further embodiments, the heterocyclyl is piperazinyl.
- the heterocyclyl is substituted with C1-C3 alkyl (e.g., methyl, ethyl, propyl, or i-propyl).
- C1-C3 alkyl e.g., methyl, ethyl, propyl, or i-propyl.
- the heterocyclyl is substituted with C(0)L.
- the heterocyclyl is substituted with L.
- Ra2 is phenyl, (CH2)-phenyl, (CH2)2-phenyl, or (CH2)3- phenyl. In further embodiments, Ra2 is phenyl.
- the phenyl is substituted with C1-C3 alkyl (e.g. , methyl, ethyl, propyl, or i-propyl). In certain embodiments, the phenyl is substituted with CN. In certain embodiments, the phenyl is substituted with halogen (e.g. , F, CI, or Br). In certain embodiments, the phenyl is substituted with OH. In certain embodiments, the phenyl is substituted with C1-C3 alkoxy (e.g. , methoxy, ethoxy, or propoxy).
- the phenyl is substituted with L.
- Ra2 is L.
- nn2 is 0.
- nn2 is 1.
- nn2 is 2.
- nn2 is 3.
- At least one Ra3 is C1-C3 alkyl (e.g. , methyl, ethyl, propyl, or i-propyl). In further embodiments, at least one Ra3 is methyl.
- At least one Ra3 is CN, (CH 2 )-CN, (CH 2 )2-CN, or (CH 2 )3-CN. In further embodiments, at least one Ra3 is CN.
- At least one Ra3 is halogen (e.g. , F, CI, or Br), (CH2)-halogen,
- At least one Ra3 is CI, (CH2)-C1, (CH2)2-C1, or (CH2)3-C1. In further embodiments, at least one Ra3 is CI.
- one Ra3 is L.
- one Ra3 is C(0)NRasL.
- Ras is H.
- Ras is C1-C3 alkyl (e.g., methyl, ethyl, propyl, or i-propyl).
- Ra4 is C1-C3 alkyl (e.g. , methyl, ethyl, propyl, or i-propyl). In further embodiments, Ra4 is methyl.
- Ras is H.
- Ras is C1-C3 alkyl (e.g. , methyl, ethyl, propyl, or i-propyl). In further embodiments, Ras is methyl.
- Each of the moieties defined for one of Ti, T2, T3, T4, T5, Ai, A2, Rai, Ra2, Ra3, Ra4, Ra3 ⁇ 4, nnl, and nn2, can be combined with any of the moieties defined for the others of Ti, T 2 , T3, T4, T5, Ai, A2, Rai, Ra2, Ra3, Ra4, Ras, nnl, and nn2.
- , and Ai is S.
- A2 is NH
- Ra2 is (CH2)o-3-heterocyclyl.
- Ra2 is (CH2)3-heterocyclyl.
- the heterocyclyl is piperazinyl.
- the heterocyclyl is substituted with C1-C3 alkyl, L, or
- A2 is NH
- Ra2 is (CH2)o-3-phenyl.
- Ra2 is phenyl.
- the phenyl is substituted with OH or L.
- A2 is NH
- Ra2 is L
- A2 is NH
- Ra2 is H or Ci-C 6 alkyl. In further embodiments, Ra2 is C1-C4 alkyl.
- A2 is O, and Ra2 is H or Ci-C 6 alkyl.
- Ra2 is C1-C4 alkyl.
- a Targeting Ligand is a compound of Formula TL-Il:
- Each of A2, Rai, Ra2, Ra3, Ra4, Ras, nnl, and nn2 may be selected from the moieties described above in Formula TL-I.
- Each of the moieties defined for one of A2, Rai, Ra2, Ra3, Ra4, Ra3 ⁇ 4, nnl, and nn2, can be combined with any of the moieties defined for the others of A2, Rai, Ra2, Ra3, Ra4, Ras, nnl, and nn2, as described above in Formula TL-I.
- a Targeting Ligand is a compound of Formula TL-I la - TL- lid:
- each Rae is independently C1-C3 alkyl, (CH 2 )o-3-CN, (CH 2 )o-3-halogen, (CH 2 )o-3-OH, or (CH 2 )o-3-Ci-C 3 alkoxy;
- Ra7 is (CH 2 )o-3-heterocyclyl, (CH 2 )o-3-phenyl, or L, wherein the heterocyclyl comprises one saturated 5- or 6-membered ring and 1-2 heteroatoms selected from N, O, and S and is substituted with L or C(0)L, and wherein the phenyl is substituted with L;
- Ras is H, Ci-C 6 alkyl, (CH 2 )o-3-heterocyclyl, or (CH 2 )o-3-phenyl, wherein the heterocyclyl comprises one saturated 5- or 6-membered ring and 1-2 heteroatoms selected from N, O, and S and is optionally substituted with C1-C3 alkyl, and wherein the phenyl is optionally substituted with C1-C3 alkyl, CN, halogen, OH, or C1-C3 alkoxy;
- Raio is C1-C3 alkyl, (CH 2 )o-3-CN, or (CH 2 )o-3-halogen;
- a 2 , Ra4, Ras, nnl, and L are each as defined above in Formula TL-I.
- nnl is 0.
- nnl is 1.
- nnl is 2.
- At least one Rae is C1-C3 alkyl (e.g. , methyl, ethyl, propyl, or i-propyl). In further embodiments, at least one Rae is methyl. In further embodiments, two Rae are methyl.
- At least one Rae is CN, (CH 2 )-CN, (CH 2 )2-CN, or (CH 2 )3-CN. In further embodiments, at least one Rae is (CH2)-CN.
- At least one Rae is halogen (e.g. , F, CI, or Br), (CH2)-halogen, (CH2)2-halogen, or (CH2)3-halogen. In further embodiments, at least one Rae is CI, (CH2)-C1, (CH 2 ) 2 -C1, or (CH 2 ) 3 -C1.
- halogen e.g. , F, CI, or Br
- at least one Rae is CI, (CH2)-C1, (CH 2 ) 2 -C1, or (CH 2 ) 3 -C1.
- At least one Rae is OH, (CH2)-OH, (CH2)2-OH, or (CH2)3-
- At least one Rae is C1-C3 alkoxy (e.g. , methoxy, ethoxy, or propoxy), (CH2)-Ci-C3 alkoxy, (CH2)2-Ci-C3 alkoxy, or (CH2)3-Ci-C3 alkoxy. In certain embodiments, at least one Rae is methoxy.
- Ra7 is heterocyclyl, (CH2)-heterocyclyl, (CH2)2-heterocyclyl, or (CH2)3-heterocyclyl. In further embodiments, Ra7 is (CH2)3-heterocyclyl.
- the heterocyclyl is selected from pyrrolidinyl, pyrazolidinyl, imidazolidinyl, oxazolidinyl, isoxazolidinyl, thiazolidinyl, isothiazolidinyl, piperidinyl, piperazinyl, hexahydropyrimidinyl, morpholinyl, and thiomorpholinyl. In further embodiments, the heterocyclyl is piperazinyl.
- the heterocyclyl is substituted with C(0)L.
- the heterocyclyl is substituted with L.
- Ra7 is phenyl, (CH2)-phenyl, (CH2)2-phenyl, or (CH2)3- phenyl. In further embodiments, Ra7 is phenyl.
- Ra7 is L.
- Ras is H.
- Ras is straight-chain C1-C6 or branched C3-C6 alkyl (e.g., methyl, ethyl, propyl, i-propyl, butyl, i-butyl, t-butyl, pentyl, or hexyl). In further embodiments, Ras is methyl, ethyl, or t-butyl.
- Ras is heterocyclyl, (CH2)-heterocyclyl, (CH2)2-heterocyclyl, or (CH2)3-heterocyclyl. In further embodiments, Ras is (CH2)3-heterocyclyl.
- the heterocyclyl is selected from pyrrolidinyl, pyrazolidinyl, imidazolidinyl, oxazolidinyl, isoxazolidinyl, thiazolidinyl, isothiazolidinyl, piperidinyl, piperazinyl, hexahydropyrimidinyl, morpholinyl, and thiomorpholinyl. In further embodiments, the heterocyclyl is piperazinyl.
- the heterocyclyl is substituted with C1-C3 alkyl (e.g., methyl, ethyl, propyl, or i-propyl).
- C1-C3 alkyl e.g., methyl, ethyl, propyl, or i-propyl.
- Ras is phenyl, (CH2)-phenyl, (CH2)2-phenyl, or (CH2)3- phenyl. In further embodiments, Ras is phenyl.
- the phenyl is substituted with C1-C3 alkyl (e.g. , methyl, ethyl, propyl, or i-propyl). In certain embodiments, the phenyl is substituted with CN. In certain embodiments, the phenyl is substituted with halogen (e.g. , F, CI, or Br). In certain embodiments, the phenyl is substituted with OH. In certain embodiments, the phenyl is substituted with C1-C3 alkoxy (e.g. , methoxy, ethoxy, or propoxy).
- Raio is C1-C3 alkyl (e.g., methyl, ethyl, propyl, or i-propyl).
- Raio is CN, (CH 2 )-CN, (CH 2 ) 2 -CN, or (CH 2 ) 3 -CN.
- Raio is halogen (e.g., F, CI, or Br), (CH2)-halogen, (CH2)2- halogen, or (CH2)3-halogen.
- Ro is CI, (CH2)-C1, (CH2)2-C1, or (CH2)3-C1.
- Raio is CI.
- Each of A2, Ra4, Ras, and nnl may be selected from the moieties described above in Formula TL-I.
- Each of the moieties defined for one of A2, Rat, Ras, Rae, Ra7, Ras, Raio, and nnl can be combined with any of the moieties defined for the others of A 2 , Rat, Ras, Rae, Ra7, Ra8, Raio, and nnl, as described above and in Formula TL-I.
- a Targeting Ligand is a compound of Formula TL-I2:
- Each of A 2 , Rai, Ra2, Ra3, Ra4, Ras, nnl, and nn2 may be selected from the moieties described above in Formula TL-I.
- Each of the moieties defined for one of A 2 , Rai, Ra2, Ra3, Ra4, Ra3 ⁇ 4, nnl, and nn2, can be combined with any of the moieties defined for the others of A2, Rai, Ra2, Ra3, Ra4, Ras, nnl, and nn2, as described above in Formula TL-I.
- a Targeting Ligand is a compound of Formula TL-I2a - TL-
- Each of A 2 , Ra4, Ras, and nnl may be selected from the moieties described above in Formula TL-I, and each of Rae, Ra7, Ras, and Raio may be selected from the moieties described above in Formula TL-Ila - TL-Ild.
- Each of the moieties defined for one of A 2 , Ra4, Ras, Rae, Ra7, Ras, Raio, and nnl can be combined with any of the moieties defined for the others of A 2 , Rat, Ras, Rae, Ra7, Ras, Raio, and nnl, as described above in Formula TL-I and TL-Ila - TL-Ild.
- a Targeting Ligand is a compound of Formula TL-I3:
- SUBSTITUTE SHEET (RULE 26) or a pharmaceutically acceptable salt thereof.
- A2, Rai, Ra2, Ra3, Ra4, Ras, nnl, and nn2 are each as defined above in Formula TL-I.
- Each of A 2 , Rai, Ra2, Ra3, Rat, Ras, nnl, and nn2 may be selected from the moieties described above in Formula TL-I.
- Each of the moieties defined for one of A 2 , Rai, Ra2, Ra3, Ra4, Ra3 ⁇ 4, nnl, and nn2 can be combined with any of the moieties defined for the others of A2, Rai, Ra2, Ra3, Ra4, Ras, nnl, and nn2, as described above in Formula TL-I.
- a Targeting Ligand is a compound of Formula TL-I3a - TL-
- Ra 9 is C(0)NRa 5 L, OL, NRasL, or L;
- A2, Ra4, Ra3 ⁇ 4, nnl, and L are each as defined above in Formula TL-I;
- Rae, Ra7, Ras, and Raio are each as defined above in Formula TL-I la - TL-I Id.
- Ra9 is C(0)NRasL.
- Ras is H.
- Ras is C1-C3 alkyl (e.g. , methyl, ethyl, propyl, or i-propyl).
- Ra9 is OL.
- Ra9 is NRasL.
- Ras is H.
- Ras is C1-C3 alkyl (e.g. , methyl, ethyl, propyl, or i-propyl).
- Ras is methyl.
- Ra9 is L.
- Each of A2, Ra4, Ras, and nnl may be selected from the moieties described above in Formula TL-I, and each of Rae, Ra7, Ras, and Raio may be selected from the moieties described above in Formula TL-Ila - TL-Il d.
- Each of the moieties defined for one of A2, Ra4, Ra3 ⁇ 4, Rae, Ra7, Ras, Ra9, Raio, and nnl can be combined with any of the moieties defined for the others of A 2 , Ra4, Ras, Rae, Ra7, Ras, Ra9, Raio, and nnl, as described above and in Formula TL-I and TL-Ila - TL-Il d.
- a Targeting Ligand is a compound of Formula TL-II:
- Te is CRb 4 or N
- Rbi, Rb2, and Rbs are each independently H or C1-C3 alkyl
- Rb3 is C3-C6 cycloalkyl
- each Rb4 is independently H, C1-C3 alkyl, C1-C3 alkoxy, CN, or halogen;
- nn3 is 0, 1, 2, or 3;
- each Rb6 is independently C1-C3 alkyl, C1-C3 alkoxy, CN, or halogen;
- Rbv is C(0)NRbsL, OL, NRbsL, or L;
- Rb8 is H or C1-C3 alkyl
- L is a Linker
- ⁇ is CRb4.
- ⁇ is N.
- Rbi is H. In certain embodiments, Rbi is C1-C3 alkyl (e.g., methyl, ethyl, propyl, or i-propyl). In further embodiments, Rbi is methyl.
- Rb2 is H. In certain embodiments, Rb2 is C1-C3 alkyl (e.g., methyl, ethyl, propyl, or i-propyl). In further embodiments, Rb2 is methyl or ethyl.
- Rbs is H. In certain embodiments, Rbs is C1-C3 alkyl (e.g., methyl, ethyl, propyl, or i-propyl).
- Rb3 is cyclopropyl, cyclobutyl, cyclopentyl, or cyclohexyl. In further embodiments, Rb3 is cyclopentyl.
- Rb4 is H.
- Rb4 is C1-C3 alkyl (e.g. , methyl, ethyl, propyl, or i-propyl).
- Rb4 is C1-C3 alkoxy (e.g., methoxy, ethoxy, or propoxy).
- Rb4 is CN
- Rb4 is halogen (e.g., F, CI, or Br).
- nn3 is 0.
- nn3 is 1.
- nn3 is 2.
- nn3 is 3.
- At least one Rb6 is C1-C3 alkyl (e.g., methyl, ethyl, propyl, or i-propyl). In further embodiments, at least one Rb6 is methyl.
- At least one Rb6 is C1-C3 alkoxy (e.g. , methoxy, ethoxy, or propoxy). In further embodiments, at least one Rb6 is methoxy.
- At least one Rb6 is CN.
- At least one Rb6 is halogen (e.g. , F, CI, or Br).
- Rb7 is C(0)NRbsL. In further embodiments, Rbs is H. In other embodiments, Rbs is C1-C3 alkyl (e.g., methyl, ethyl, propyl, or i-propyl).
- Rb7 is OL.
- Rb7 is NRbsL. In further embodiments, Rbs is H. In other embodiments, Rbs is C1-C3 alkyl (e.g., methyl, ethyl, propyl, or i-propyl). In other embodiments, Rbs is methyl.
- Rb7 is L.
- Each of the moieties defined for one of ⁇ , Rbi, Rb2, Rb3, Rb4, Rbs, Rb6, Rb7, Rbs, and nn3, can be combined with any of the moieties defined for the others of ⁇ , Rbi, Rb2, Rb 3 , Rb 4 , Rbs, Rbe, Rb?, Rb 8 , and nn3.
- Rb3 is cyclopentyl
- Rb7 is C(0)NRbsL
- a Targeting Ligand is a compound of Formula TL-II1 :
- Each of ⁇ , Rb2, Rb4, Rb6, Rb7, and Rbs may be selected from the moieties described above in Formula TL-II.
- Each of the moieties defined for one of ⁇ , Rb2, Rb4, Rb6, Rb7, and Rb8, can be combined with any of the moieties defined for the others of ⁇ , Rb2, Rb4, Rb6, Rb7, and Rbs, as described above in Formula TL-II.
- a Targeting Ligand is a compound of Formula TL-IIla:
- Each of ⁇ , Rb2, and Rb4 may be selected from the moieties described above in Formula TL-II.
- Each of the moieties defined for one of ⁇ , Rb2, and Rb4 can be combined with any of the moieties defined for the others of ⁇ , Rb2, and Rb4, as described above in Formula TL-II.
- a Targeting Ligand is a compound of Formula TL-III:
- nn4 is 0 or 1 ;
- Rci is C(0)NRceL, OL, NRceL, or L;
- RC2 is H, C1-C3 alkyl, C(0)NRceL, OL, NRceL, or L;
- Rcs is H, C1-C3 alkyl, C(0)L, or L;
- nn5 is 0, 1, or 2;
- each Rc4 is independently C1-C3 alkyl or C1-C3 alkoxy
- each Rcs is independently H or C1-C3 alkyl
- Rc6 is independently H or C1-C3 alkyl
- L is a Linker
- nn4 is 0.
- nn4 is 1.
- Rci is C(0)NRc6L. In further embodiments, Rc6 is H. In other embodiments, Rc6 is C1-C3 alkyl (e.g. , methyl, ethyl, propyl, or i-propyl).
- Rci is OL.
- Rci is NRc6L. In further embodiments, Rc6 is H. In other embodiments, Rc6 is C1-C3 alkyl (e.g. , methyl, ethyl, propyl, or i-propyl). In other embodiments, Rc6 is methyl.
- Rci is L.
- Rc2 is H.
- Rc2 is C1-C3 alkyl (e.g. , methyl, ethyl, propyl, or i-propyl). In further embodiments, Rc2 is methyl.
- Rc2 is C(0)NRc6L.
- Rc6 is H.
- Rc6 is C1-C3 alkyl (e.g. , methyl, ethyl, propyl, or i-propyl).
- Rc2 is OL.
- Rc2 is NRc6L.
- Rc6 is H.
- Rc6 is C1-C3 alkyl (e.g. , methyl, ethyl, propyl, or i-propyl). In other embodiments, Rc6 is methyl.
- Rc2 is L.
- Rc3 is H.
- Rc3 is C1-C3 alkyl (e.g. , methyl, ethyl, propyl, or i-propyl). In certain embodiments, Rc3 is C(0)L.
- Rc3 is L.
- nn5 is 0.
- nn5 is 1.
- nn5 is 2.
- At least one Rc4 is C1-C3 alkyl (e.g. , methyl, ethyl, propyl, or i-propyl). In further embodiments, at least one Rc4 is methyl.
- At least one Rc4 is C1-C3 alkoxy (e.g. , methoxy, ethoxy, or propoxy). In further embodiments, at least one Rc4 is methoxy.
- At least one Res is H.
- At least one Res is C1-C3 alkyl (e.g. , methyl, ethyl, propyl, or i-propyl). In further embodiments, at least one Res is methyl. In further embodiments, two Res are methyl.
- Each of the moieties defined for one of Rci, Rc2, Rc3, Rc4, Res, Rc6, nn4, and nn5, can be combined with any of the moieties defined for the others of Rci, Rc2, Rc3, Rc4, Res, Rc6, nn4, and nn5.
- a Targeting Ligand is a compound of Formula TL-III1 - TL- III3:
- Rci, Rc2, Rc3, Rc4, and nn5 are each as defined above in Formula TL-III.
- Each of Rci, Rc2, Rc3, Rc4, and nn5 may be selected from the moieties described above in Formula TL-III.
- Each of the moieties defined for one of Rci, Rc2, Rc3, Rc4, and nn5, can be combined with any of the moieties defined for the others of Rci, Rc2, Rc3, Rc4, and nn5, as described above in Formula TL-III.
- a Targeting Ligand is a compound of Formula TL-IV:
- each Rdi is independently H or C1-C3 alkyl
- nn6 is 0, 1, 2, or 3;
- nn7 is 0, 1, 2, or 3;
- each Rd2 is independently C1-C3 alkyl, C1-C3 alkoxy, CN, or halogen;
- Rd 3 is C(0)NRd 4 L, OL, NRd 4 L, or L;
- Rd4 is H or C1-C3 alkyl
- L is a Linker
- Rdi is H.
- Rdi is C1-C3 alkyl (e.g. , methyl, ethyl, propyl, or i-propyl). In further embodiments, Rdi is methyl.
- nn6 is 0.
- nn6 is 1.
- nn6 is 2.
- nn6 is 3.
- nn7 is 0.
- nn7 is 1.
- nn7 is 2.
- nn7 is 3.
- At least one Rxh is C1-C3 alkyl (e.g., methyl, ethyl, propyl, or i-propyl). In further embodiments, at least one Rd2 is methyl.
- At least one Rd2 is C1-C3 alkoxy (e.g. , methoxy, ethoxy, or propoxy). In further embodiments, at least one Rd2 is methoxy.
- At least one Rd2 is CN.
- At least one Rd2 is halogen (e.g. , F, CI, or Br).
- Rd3 is C(0)NRd4L.
- Rd4 is H.
- Rd4 is C1-C3 alkyl (e.g., methyl, ethyl, propyl, or i-propyl).
- Rd3 is OL.
- Rd3 is NRd4L.
- Rd4 is H.
- Rd4 is C1-C3 alkyl (e.g., methyl, ethyl, propyl, or i-propyl). In other embodiments, Rd4 is methyl.
- Rd3 is L.
- Each of the moieties defined for one of Rdi, Rd2, Rd3, Rd4, nn6, and nn7 can be combined with any of the moieties defined for the others of Rdi, Rd2, Rd3, Rd4, nn6, and nn7.
- a Targeting Ligand is a compound of Formula TL-IV1 :
- Rd3 is as defined above in Formul TL-IV.
- Rd3 may be selected from the moieties described above in Formula TL-IV.
- a Targeting Ligand is a compound of Formula TL-V:
- each Rei is independently H or C1-C3 alkyl
- nn8 is 0, 1, 2, or 3;
- nn9 is 0, 1, 2, or 3;
- each Re2 is independently C1-C3 alkyl, C1-C3 alkoxy, CN, or halogen;
- Re 3 is NH-(CH 2 )i-3-C(0)NRe 4 L, C(0)NRe 4 L, OL, NRe 4 L, or L;
- Re 4 is H or C1-C3 alkyl
- L is a Linker
- Rei is H.
- Rei is C1-C3 alkyl (e.g. , methyl, ethyl, propyl, or i-propyl). In further embodiments, Rei is methyl.
- nn8 is 0.
- nn8 is 1.
- nn8 is 2.
- nn8 is 3.
- nn9 is 0.
- nn9 is 1.
- nn9 is 2.
- nn9 is 3.
- At least one Re2 is C1-C3 alkyl (e.g. , methyl, ethyl, propyl, or i-propyl). In further embodiments, at least one Re2 is methyl.
- At least one Re2 is C1-C3 alkoxy (e.g. , methoxy, ethoxy, or propoxy). In further embodiments, at least one Re2 is methoxy.
- At least one Re2 is CN.
- At least one Re2 is halogen (e.g. , F, CI, or Br).
- Re 3 is NH-CH 2 -C(0)NRe 4 L, NH-(CH 2 )2-C(0)NRe 4 L, or NH-(CH 2 )3-C(0)NRe 4 L.
- Re3 is NH-CH 2 -C(0)NRe 4 L.
- Re 4 is H.
- Re 4 is C1-C3 alkyl (e.g., methyl, ethyl, propyl, or i-propyl).
- Re3 is C(0)NRe4L.
- Re4 is H.
- Re4 is C1-C3 alkyl (e.g. , methyl, ethyl, propyl, or i-propyl).
- Re3 is OL.
- Re3 is NRe4L.
- Re4 is H.
- Re4 is C1-C3 alkyl (e.g. , methyl, ethyl, propyl, or i-propyl). In other embodiments, Re4 is methyl.
- Re3 is L.
- Each of the moieties defined for one of Rei, Re2, Re3, Re4, nn8, and nn9 can be combined with any of the moieties defined for the others of Rei, Re2, Re3, Re4, nn8, and nn9.
- a Targeting Ligand is a compound of Formula TL-V1 : (TL-VI),
- Re3 may be selected from the moieties described above in Formula TL-V.
- a Targeting Ligand is a compound of Formula TL-VI:
- Rfi is C(0)NRf 2 L, OL, NRfzL, or L;
- Rf2 is independently H or C1-C3 alkyl
- L is a Linker
- Rfi is C(0)NRf2L.
- Rf2 is H.
- Rf2 is C1-C3 alkyl (e.g. , methyl, ethyl, propyl, or i-propyl).
- Rfi is OL.
- Rfi is NRe4L.
- Rf2 is H.
- Rf2 is C1-C3 alkyl (e.g. , methyl, ethyl, propyl, or i-propyl). In other embodiments, Rf2 is methyl.
- Rfi is L.
- a Targeting Ligand is a compound of Formula TL-VII:
- Rgi is C(0)Rg 5 or (CH 2 )i- 3 Rg6;
- nnlO 0, 1, 2, or 3;
- nnl l is 0, 1, 2, or 3;
- each Rg2 is independently C1-C3 alkyl, C1-C3 alkoxy, CN, or halogen;
- Rg 3 is C(0)NRg 4 L, OL, NRg 4 L, L, 0-(CH 2 )i-3-C(0)NRg 4 L, or NHC(0)-(CH 2 )i-3- C(0)NRg 4 L;
- Rg 4 is H or Ci-C 3 alkyl
- Rg5 is Ci-Ce alkyl
- Rg6 is phenyl optionally substituted with C1-C3 alkyl, C1-C3 alkoxy, CN, or halogen;
- L is a Linker
- T7 is CH2.
- T7 is CH2CH2.
- Rgi is C(0)Rg5.
- Rgi is (CH2)-Rg6, (CH2)2-Rg6, or (CH2)3-Rg6.
- Rg5 is straight-chain C1-C6 or branched C3-C6 alkyl (e.g. , methyl, ethyl, propyl, i-propyl, butyl, i-butyl, t-butyl, pentyl, or hexyl).
- Rg6 is unsubstituted phenyl.
- Rg6 is phenyl substituted with one, two, three, or more substituents independently selected from C1-C3 alkyl (e.g. , methyl, ethyl, propyl, or i-propyl), C1-C3 alkoxy (e.g. , methoxy, ethoxy, or propoxy), CN, and halogen (e.g., F, CI, or Br).
- C1-C3 alkyl e.g. , methyl, ethyl, propyl, or i-propyl
- C1-C3 alkoxy e.g. , methoxy, ethoxy, or propoxy
- CN e.g., halogen (e.g., F, CI, or Br).
- nnlO is 0.
- nnlO is 1.
- nnlO is 2.
- nnlO is 3.
- nnl l 0.
- nnl l is 1.
- nnl l is 2.
- nnl l is 3.
- At least one Rg2 is C1-C3 alkyl (e.g., methyl, ethyl, propyl, or i-propyl). In further embodiments, at least one Rg2 is methyl.
- At least one Rg2 is C1-C3 alkoxy (e.g. , methoxy, ethoxy, or propoxy). In further embodiments, at least one Rg2 is methoxy.
- At least one Rg2 is CN.
- At least one Rg2 is halogen (e.g. , F, CI, or Br).
- Rg3 is C(0)NRg4L. In further embodiments, Rg4 is H. In other embodiments, Rg4 is C1-C3 alkyl (e.g., methyl, ethyl, propyl, or i-propyl).
- Rg3 is OL.
- Rg3 is NRg4L. In further embodiments, Rg4 is H. In other embodiments, Rg4 is C1-C3 alkyl (e.g., methyl, ethyl, propyl, or i-propyl). In other embodiments, Rg4 is methyl.
- Rg3 is L.
- Rg 3 is 0-(CH 2 )-C(0)NRg 4 L, 0-(CH 2 )2-C(0)NRg 4 L, or O- (CH 2 )3-C(0)NRg 4 L. In further embodiments, Rg 3 is 0-(CH 2 )-C(0)NRg 4 L. In further embodiments, Rg4 is H. In other embodiments, Rg4 is C1-C3 alkyl (e.g. , methyl, ethyl, propyl, or i-propyl).
- Rg 3 is NHC(0)-(CH 2 )-C(0)NRg 4 L, NHC(0)-(CH 2 ) 2 - C(0)NRg 4 L, or NHC(0)-(CH 2 )3-C(0)NRg 4 L. In further embodiments, Rg 3 is NHC(O)- (CH 2 )-C(0)NRg 4 L, NHC(0)-(CH 2 )2-C(0)NRg 4 L. In further embodiments, Rg 3 is NHC(O)- (CH2)2-C(0)NRg4L. In further embodiments, Rg4 is H. In other embodiments, Rg4 is C1-C3 alkyl (e.g., methyl, ethyl, propyl, or i-propyl).
- Rg4 is C1-C3 alkyl (e.g., methyl, ethyl, propyl, or i-propyl).
- Targeting Ligand is selected from the following in Table T, wherein R is a Linker:
- the TLs or targets are chosen based on existence (known target protein binding moieties) and ability to develop potent and selective ligands with functional positions that can accommodate a Linker. Some embodiments relate to targets with less selectivity, which may benefit from degradation coupled with proteomics as a measure of compound selectivity or target ID. Such cases include, but are not limited to a) targets that
- SUBSTITUTE SHEET (RULE 26) have multiple functionalities that are unable to be targeted by inhibition; b) targets that are resistant to inhibitors without altering their binding; c) targets that have ligands that do not alter the function of the target; and d) targets that would benefit from irreversible inhibition but lack reactive residues that can be targeted with covalent ligands.
- the present application relates to small molecule inducers of protein degradation, which have numerous advantages over inhibitors of protein function and can a) overcome resistance in certain cases; b) prolong the kinetics of drug effect by destroying the protein requiring resynthesis even after the small molecule has been metabolized; c) target all functions of a protein at once rather than a specific catalytic activity or binding event; d) expand the number of drug targets by including all proteins that a ligand can be developed for, rather than proteins whose activity can be affected by a small molecule inhibitor, antagonist or agonist; and e) have increased potency compared to inhibitors due to the possibility of the small molecule acting catalytically.
- Some embodiments of the present application relate to degradation or loss of 30% to 100% of the target protein. Certain embodiments relate to the loss of 50-100% of the target protein. Other embodiments relate to the loss of 75-95% of the targeted protein.
- Some embodiments of present application relate to the bifunctional compounds having the following structures, as shown in Table 1-1 and Table 1-2, their synthesis and methods of use:
Landscapes
- Health & Medical Sciences (AREA)
- Life Sciences & Earth Sciences (AREA)
- Chemical & Material Sciences (AREA)
- Organic Chemistry (AREA)
- Engineering & Computer Science (AREA)
- Molecular Biology (AREA)
- Genetics & Genomics (AREA)
- Zoology (AREA)
- General Health & Medical Sciences (AREA)
- Biochemistry (AREA)
- Medicinal Chemistry (AREA)
- Wood Science & Technology (AREA)
- Immunology (AREA)
- Bioinformatics & Cheminformatics (AREA)
- Biomedical Technology (AREA)
- Biotechnology (AREA)
- Microbiology (AREA)
- Proteomics, Peptides & Aminoacids (AREA)
- General Engineering & Computer Science (AREA)
- Gastroenterology & Hepatology (AREA)
- Cell Biology (AREA)
- Urology & Nephrology (AREA)
- Biophysics (AREA)
- Hematology (AREA)
- Physics & Mathematics (AREA)
- General Physics & Mathematics (AREA)
- Pathology (AREA)
- Toxicology (AREA)
- Analytical Chemistry (AREA)
- Food Science & Technology (AREA)
- Oncology (AREA)
- Peptides Or Proteins (AREA)
- Pharmaceuticals Containing Other Organic And Inorganic Compounds (AREA)
Abstract
The present application provides bifunctional compounds which act as protein degradation inducing moieties. The present application also relates to nucleic acids, polypeptides, cells, and methods for highly regulated, targeted degradation of proteins through the use of the bifunctional compounds.
Description
METHODS TO INDUCE TARGETED PROTEIN DEGRADATION THROUGH
BIFUNCTIONAL MOLECULES
RELATED APPLICATIONS
This application claims the benefit of, and priority to, U.S. provisional application No.
62/202,076, filed August 6, 2015, the contents of which are incorporated herein by reference in its entirety.
BACKGROUND
Ubiquitin-Proteasome Pathway (UPP) is a critical pathway that regulates key regulator proteins and degrades misfolded or abnormal proteins. UPP is central to multiple cellular processes, and if defective or imbalanced, it leads to pathogenesis of a variety of diseases. The covalent attachment of ubiquitin to specific protein substrates is achieved through the action of E3 ubiquitin ligases. These ligases comprise over 500 different proteins and are categorized into multiple classes defined by the structural element of their E3 functional activity.
Cereblon (CRBN) interacts with damaged DNA binding protein 1 and forms an E3 ubiquitin ligase complex with Cullin 4 where it functions as a substrate receptor in which the proteins recognized by CRBN might be ubiquitinated and degraded by proteasomes.
Proteasome-mediated degradation of unneeded or damaged proteins plays a very important role in maintaining regular function of a cell, such as cell survival, proliferation and growth. A new role for CRBN has been identified, i.e., the binding of immunomodulatory drugs (IMiDs), e.g. thalidomide, to CRBN has now been associated with teratogenicity and also the cytotoxicity of IMiDs, including lenalidomide, which are widely used to treat multiple myeloma patients. CRBN is likely a key player in the binding, ubiquitination and
degradation of factors involved in maintaining function of myeloma cells. These new findings regarding the role of CRBN in IMiD action stimulated intense investigation of CRBN's downstream factors involved in maintaining regular function of a cell (Chang X. Int I Biochem Mol Biol. 2011; 2(3): 287-294).
The UPP is used to induce selective protein degradation, including use of fusion proteins to artificially ubiquitinate target proteins and synthetic small-molecule probes to induce proteasome-dependent degradation. Proteolysis Targeting Chimeras (PROTACs), heterobifunctional compounds composed of a target protein-binding ligand and an E3
ubiquitin ligase ligand, induced proteasome-mediated degradation of selected proteins via their recruitment to E3 ubiquitin ligase and subsequent ubiquitination. These drug-like molecules offer the possibility of temporal control over protein expression. Such compounds are capable of inducing the inactivation of a protein of interest upon addition to cells or administration to an animal or human, and could be useful as biochemical reagents and lead to a new paradigm for the treatment of diseases by removing pathogenic or oncogenic proteins (Crews C, Chemistry & Biology, 2010, 17(6):551-555; Schnnekloth JS Jr.,
Chembiochem, 2005, 6(l):40-46).
Successful treatment of various oncologic and immunologic disorders, such as cancer, is still a highly unmet need. Therefore, continued development of alternative approaches to cure or treat such disorders, including developing therapies involving protein degradation technology, remains of strong interest. Novel methods of more general nature than existing methods with respect to possible targets and different cell lines or different in vivo systems could potentially lead to the development of future therapeutic treatments.
SUMMARY
The present application relates to novel bifunctional compounds, which function to recruit targeted proteins to E3 Ubiquitin Ligase for degradation, and methods of preparation and uses thereof.
The present application further relates to targeted degradation of proteins through the use of bifunctional molecules, including bifunctional molecules that link a cereblon-binding moiety to a ligand that binds the targeted protein.
The present application also relates to a bifunctional compound having the following structure:
Degron-Linker-Targeting Ligand,
wherein the Linker is covalently bound to at least one Degron and at least one Targeting Ligand, the Degron is a compound capable of binding to a ubiquitin ligase such as an E3 Ubiquitin Ligase (e.g. , cereblon), and the Targeting Ligand is capable of binding to the targeted protein(s).
The present application also relates to a polynucleotide comprising a first nucleotide sequence encoding a first polypeptide to which a Targeting Ligand is capable of binding, and a second nucleotide sequence encoding a second polypeptide, wherein the first polypeptide
SUBSTITUTE SHEET (RULE 26)
and the second polypeptide are linked together with a peptide bond to form a fused polypeptide.
The present application also relates to a polypeptide comprising a first polypeptide to which a Targeting Ligand is capable of binding and a second polypeptide, wherein the first polypeptide and the second polypeptide are linked together with a peptide bond to form a fused polypeptide.
The present application also relates to a cell line comprising a first nucleotide sequence encoding a first polypeptide to which a Targeting Ligand is capable of binding, and a second nucleotide sequence encoding a second polypeptide, wherein the first polypeptide and the second polypeptide are linked together with a peptide bond to form a fused polypeptide.
The present application also relates to a method of modulating the amount of a second polypeptide, comprising linking the second polypeptide and a first polypeptide to which a Targeting Ligand is capable of binding with a peptide bond to form a fused polypeptide, and treating the fused polypeptide with a bifunctional compound of the present application.
The present application also relates to a method of modulating the amount of a second polypeptide in a cell, comprising:
a) introducing into the cell a first nucleotide sequence encoding a first polypeptide to which a Targeting Ligand is capable of binding, and a second nucleotide sequence encoding the second polypeptide, wherein the first polypeptide and the second polypeptide are linked together with a peptide bond to form a fused polypeptide; and b) exposing the cell to a bifunctional compound of the present application.
The present application also relates to a method of modulating the amount of a second polypeptide in a cell, comprising:
a) introducing into the cell a first nucleotide sequence encoding a first polypeptide to which a Targeting Ligand is capable of binding, wherein the first polypeptide and the second polypeptide are linked together with a peptide bond to form a fused polypeptide; and
b) exposing the cell to a bifunctional compound of the present application.
The present application also relates to a method of selecting a polypeptide for degradation by a bifunctional compound of the present application, comprising:
a) linking the polypeptide and a target polypeptide to which a Targeting Ligand is capable of binding with a peptide bond to form a fused polypeptide;
SUBSTITUTE SHEET (RULE 26)
b) treating the fused polypeptide with a Afunctional compound of the present application;
c) determining the amount of the fused polypeptide; and
d) selecting the fused polypeptide of which the amount is reduced.
The present application also relates to a method of determining the efficacy of a therapeutic agent in treating a disease or condition in a subject, or determining the response of a subject that is suffering from or is at a risk of developing a disease or condition to a therapeutic agent, comprising:
a) introducing into the subject one or more vectors, wherein the one or more vectors comprise a first nucleotide sequence encoding a first polypeptide to which a Targeting Ligand is capable of binding, and at least a second nucleotide sequence encoding at least a second polypeptide that plays a role in the disease or condition, wherein the first polypeptide and the at least second polypeptide are linked together with a peptide bond to form a fused polypeptide, and wherein the therapeutic agent is capable of decreasing the amount of or inhibiting the activity of the at least second polypeptide; b) determining the amount of the fused polypeptide in the subject;
c) administering to the subject a bifunctional compound of the present application; and
d) determining the amount of the fused polypeptide in the subject;
wherein a decrease in the amount in d) relative to the amount in b) indicates that the therapeutic agent is effective in treating the disease or condition or the subject will respond to the therapeutic agent.
The present application also relates to a method of treating a disease or condition in a subject that is suffering from or is at a risk of developing the disease or condition, comprising:
a) introducing into the subject one or more vectors comprising a first nucleotide sequence encoding a first polypeptide to which a Targeting Ligand is capable of binding, and a second nucleotide sequence encoding a second polypeptide that plays a role in the disease or condition, wherein the first polypeptide and the second polypeptide are linked together with a peptide bond to form a fused polypeptide, and wherein a therapeutic agent is capable of decreasing the amount of or inhibiting the activity of the second polypeptide;
b) determining the amount of the fused polypeptide in the subject;
c) administering to the subject a bifunctional compound of the present application;
SUBSTITUTE SHEET (RULE 26)
d) determining the amount of the fused polypeptide in the subject; and e) administering or increasing the administered amount of the therapeutic agent to the subject, if the amount in d) is less than the amount in b).
The present application also relates to a method of treating a disease or condition in a subject in need thereof, comprising:
introducing into a cell a nucleic acid comprising a first nucleotide sequence encoding a first polypeptide to which a Targeting Ligand is capable of binding, and a second nucleotide sequence encoding a second polypeptide, wherein the first polypeptide and the second polypeptide are linked together with a peptide bond to form a fused polypeptide, wherein the second polypeptide plays a role in regulating the disease or condition; and
administering the cell into the subject.
The present application also relates to a method of modulating the amount of a second polypeptide encoded by a target nucleotide sequence in a cell, comprising:
a) replacing the target nucleotide sequence in the cell with a polynucleotide comprising a first nucleotide sequence encoding a first polypeptide to which a Targeting Ligand is capable of binding, and a second nucleotide sequence encoding the second polypeptide, wherein the first polypeptide and the second polypeptide are linked together with a peptide bond to form a fused polypeptide; and
b) exposing the cell to a bifunctional compound of the present application.
The present application also relates to a method of modulating the amount of a second polypeptide encoded by a target nucleotide sequence in a cell, comprising:
a) introducing into the cell a polynucleotide comprising a first nucleotide sequence encoding a first polypeptide to which a Targeting Ligand is capable of binding, wherein the first polypeptide and the second polypeptide are linked together with a peptide bond to form a fused polypeptide; and
b) exposing the cell to a bifunctional compound of the present application.
Unless otherwise defined, all technical and scientific terms used herein have the same meaning as commonly understood by one of ordinary skill in the art to which this application belongs. In the specification, the singular forms also include the plural unless the context clearly dictates otherwise. Although methods and materials similar or equivalent to those described herein can be used in the practice or testing of the present application, suitable methods and materials are described below. All publications, patent applications, patents, and other references mentioned herein are incorporated by reference. The references cited herein are not admitted to be prior art to the claimed application. In the case of conflict, the
SUBSTITUTE SHEET (RULE 26)
present specification, including definitions, will control. In addition, the materials, methods, and examples are illustrative only and are not intended to be limiting.
Other features and advantages of the present application will be apparent from the following detailed description and claims.
BRIEF DESCRIPTION OF THE DRAWINGS
The foregoing summary, as well as the following detailed description of the application, will be better understood when read in conjunction with the appended drawings.
Figs. 1A-1H: Design and characterization of dBETl . Fig. 1A shows the chemical structure of JQ1(S), JQ1(R) and the phthalimides; Fig. IB shows the chemical structure of dBETl ; Fig. 1C shows DMSO normalized BRD4 binding signal measured by AlphaScreen for the indicated compounds (values represent mean ± stdev of triplicate analysis); Fig. ID shows the crystal structure of dBETl bound to bromodomain 1 of BRD4; Fig. IE shows docking of the structure in Fig. ID into the published DDB1-CRBN structure; Fig. IF shows immunoblot analysis for BRD4 and Vinculin after 18 h treatment of MV4-11 cells with the indicated concentrations of dBETl ; Fig. 1G shows the crystal structure of dBETl bound to BRD4 overlaid with the structure of JQ1 bound to BRD4; Fig. 1H is a Western blot illustrating the degree of degradation of BRD4 and reduction in c-MYC by treatment of cells with increased concentrations of a bifunctional compound of the application, dBETl .
Figs. 2A-2Q: Fig. 2A shows the immunoblot analysis for BRD4 after treatment of
MV4-11 cells with the indicated concentrations of dBETl(R) for 18 h; Fig. 2B shows cell count normalized BRD4 levels as determined by high-content assay in SUM 149 cells treated with the indicated concentrations of dBETl and dBETl (R) for 18 h (values represent mean ± stdev of triplicate analysis, normalized to DMSO treated cells and baseline corrected based on immunoblots in Fig. 2C); Fig. 2C shows immunoblot analysis for BRD4 and Vinculin after treatment of SUM 149 cells with the indicated concentrations of dBETl and dBETl (R) for 18 h; Fig. 2D shows immunoblot analysis for BRD4 and Vinculin after treatment of MV4-11 cells with 100 nM dBETl at the indicated time points; Fig. 2E shows cellular viability dose-response of dBETl and JQ1 treatment for 24 h in MV4-11 as determined ATP levels (values represent mean ± stdev of quadruplicate analysis); Fig. 2F is a bar graph depiction of fold increase of apoptosis assessed via caspase glo assay relative to DMSO treated controls after 24 h treatment in MV4-11 or DHL4 cells (values represent mean ± stdev of quadruplicate analysis); Fig. 2G shows immunoblot analysis for BRD4 and Vinculin after
SUBSTITUTE SHEET (RULE 26)
treatment of primary patient cells with the indicated concentrations of dBETl for 24 hours; Fig. 2H is a bar graph depiction of fraction of Annexin V positive primary patient cells after 24 h treatment with either dBETl or JQl at the indicated concentrations (values represent the average of duplicates and the range as error bars) (representative counter plots shown in Figs. 2L and 2M); Figs. 21 and 2J are immunoblot analysis showing BRD4 and Vinculin 18h after dBETl treatment with the indicated concentrations in SUM159 and MOLM13, respectively; Fig. 2K shows immunoblot analysis for BRD2, BRD3, and BRD4 and c-Myc at different time points after treatment of cells with the 100 nM of dBETl ; Fig. 2L are a series of flow cytometry plots illustrating Annexin V/PI data of primary patient cells treated with the indicated concentrations of JQl and dBETl for 24h; Fig. 2M is a bar graph depiction of Annexin V positive MV4-1 1 cells after treatment with dBETl or JQl at the indicated concentrations (data represents mean± stdev of triplicate analysis); Fig. 2N is an immunoblot analysis of cleaved caspase 3, PARP cleavage and vinculin after treatment with dBETl and JQ l at the indicated concentrations for 24 h; Fig. 20 are bar graphs illustrating the kinetic advantage of BET degradation on apoptosis (Caspase-GLO) relative to treated controls: MV4-1 cells were treated for 4 or 8 h with JQl or dBETl at the indicated concentrations, followed by drug wash-out before being plated in drug-free media for 24 h; Fig. 2P is a bar graph depiction of fold increase of apoptosis of MV4-1 1 cells treated for 4 or 8 h with JQl or dBETl at the indicated concentrations, relative to DMSO treated controls assessed via caspase glo assay (drug were washed out with PBS (3x) before being plated in drug-free media for a final treatment duration of 24 h); Fig. 2Q is an immunoblot analysis of cleaved caspase 3, PARP cleavage and vinculin after identical treatment conditions in Fig. 2P.
Figs. 3A-3F: Figs. 3A-3D show chemical and genetic rescue of dBETl -mediated degradation of BRD4. Fig. 3 A shows immunoblot analysis for BRD4 and Vinculin after treatment of MV4-1 1 cells with the indicated concentrations of dBETl , JQl, and thalidomide for 24 h; Fig. 3B shows immunoblot analysis for BRD4 and Vinculin after 4 h pre-treatment with either DMSO, Carfilzomib (0.4 μΜ), JQl (10 μΜ) or thalidomide (10 μΜ) followed by 2 h dBETl treatment at a concentration of 100 nM; Fig. 3C shows immunoblot analysis for BRD4 and Vinculin after a 4 h pre-treatment with 1 μΜ MLN4924 followed by 2 h dBETl treatment at the indicated concentrations; Fig. 3D shows immunoblot analysis for BRD4, CRBN and tubulin after treatment of MM1 SWT or MMI S0™"7" with dBETl for 18 h at the indicated concentrations; Fig. 3E is an immunoblot analysis comparing the concentration of BRD4 in cells treated with various concentrations of thalidomide, JQl , and dBETl ; Fig. 3F is an immunoblot analysis showing the concentration of BRD4 in cells treated with carfilzomib
SUBSTITUTE SHEET (RULE 26)
(400nM), JQ1 (20uM), or thalidomide (20 uM) for 4 hours and with dBETl (lOOnM) as indicated for 2 hours.
Figs. 4A-4F: Figs. 4A-4E show selective BET bromodomain degradation by expression proteomics: MV4-11 cells were treated for 2 hours with DMSO, 250 nM dBETl or 250 nM JQ1. Fig. 4A depicts fold change of abundance of 7429 proteins comparing JQ1 to DMSO treatment as well as their respective p-value (T-test) (data from triplicate analysis); Fig. 4B depicts fold change of abundance of 7429 proteins comparing 250 nM dBETl to DMSO treatment (data from triplicate analysis); Fig. 4C is a bar graph depiction of changes in protein levels of the selected proteins as shown normalized to DMSO (values represent mean ± stdev of triplicates); Fig. 4D shows immunoblot analysis of BRD2, BRD3, BRD4, MYC, PIM1 and VINC after 2 h treatment of MV4-11 cells with either DMSO, 250 nM dBETl or 250 nM JQ1 ; Fig. 4E is a bar graph depiction of qRT-PCR analysis of transcript levels of BRD2, BRD3, BRD4, MYC and PIM1 after 2 h treatment of MV4-11 cells with either DMSO, 250 nM dBETl or 250 nM JQ1 (values represent mean +/- stdev of triplicates); Fig. 4F is an immunoblot analysis for IKZF3 and Vinculin after 24 h treatment with thalidomide or the indicated concentrations of dBETl in MM1S cell line.
Figs. 5A-5B: Fig. 5 A is a Western blot showing the concentration of BRD4 in cells treated with various concentrations of JQl-Rev, in comparison with 100 nM of a bifunctional compound of the application, dBETl . Fig. 5B is a drawing of the chemical structure of JQ1- Rev (JQI-11-079).
Figs. 6A-6B: Fig. 6A and 6B are a series of graphs that illustrate the transcription levels of BRD4 assayed via qRT-PCR after 2 hrs (Fig. 6A) or 4 hrs (Fig. 6B) from cells treated with various concentrations of JQ1 or dBET.
Fig. 7 is a Western blot illustrating the degree of degradation of BRD4 by treatment of a human cell line MM1 S and a human cell line MM1 S that is deficient in cereblon with increased concentrations of a bifunctional compound of the application, dBETl .
Fig. 8 is a Western blot illustrating the degree of degradation of BRD4 by treatment of cells with increased concentrations of a bifunctional compound of the application, dBET2.
Figs. 9A-9B: Fig. 9A is a Western blot illustrating reduction in PLK1 by treatment of cells with increased concentrations of a bifunctional compound of the application, dBET2; Fig. 9B is a bar graph depicting PLK intensity in dBET2 treated cells as percentage of that in DMSO treated cells.
Figs. 10A-10E: dFKBP-1 to dFKBP-5 mediated degradation of FKBP12. Fig. 10A and Fig. 10B illustrate immunoblot analysis for FKBP12 and Vinculin after 18 h treatment
SUBSTITUTE SHEET (RULE 26)
with the indicated compounds (μΜ); Fig. IOC shows immunoblot analysis for FKBP12 and Vinculin after a 4 h pre-treatment with either DMSO, Carfilzomib (400 nM), MLN4924 (1 μΜ), SLF (20 μΜ) or thalidomide (10 μΜ) followed by a 4 h dFKBP-1 treatment at a concentration of 1 μΜ in MV4-11 cells; Fig. 10D shows immunoblot analysis for FKBP12, CRBN and tubulin after treatment of 293FTWT or 293FTCRBN"/- with dFKBP 1 at the indicated concentrations for 18 h. Fig. 10E shows immunoblot analysis for FKBP12 and actin after treatment with dFKBP-3, dFKBP-4, or dFKBP-5 at the indicated concentrations.
Figs. 11A-11C: Fig. 11A is a diagram showing selectivity of dBETl for binding to BETs over other human bromodomains, as determined by single point screening
(BromoScan); Fig. 1 IB shows results from a dimerization assay measuring dBETl induced proximity (at 111 nM) between recombinant BRD4 bromodomain and recombinant CRBN- DDB1 (values represent mean ± stdev of quadruplicate analysis and are normalized to DMSO); Fig. 11C is a bar graph showing the competition of dBETl induced proximity in the presence of DMSO (vehicle), JQ1(S), thal-(-), JQ1(R) and thal-(+), all at a final concentration of 1 μΜ (values represent mean ± stdev of quadruplicate analysis and are normalized to DMSO).
Figs. 12A-12E: Fig. 12A is a bar graph showing the tumor volume of vehicle treated mice (n=5) or mice treated with dBETl at a concentration of 50 mg/kg (n=6) over a treatment period of 14 days; Fig. 12B is a bar graph comparing the tumor weight after termination of the experiment shown in Fig. 12A on day 14; Fig. 12C is an immunoblot analysis for BRD4, MYC and Vinculin using tumor lysates from mice treated either once for 4 h or twice for 22 h and 4h compared to a vehicle treated control; Fig. 12D shows immunohistochemistry staining for BRD4, MYC and Ki67 of a representative tumor of a dBETl treated and a control treated mouse; Fig. 12E is a bar graph depicting quantification of the staining in Fig. 12D based on 3 independent areas within that section (data represents mean ± stdev of triplicate analysis and is normalized to DMSO).
Figs. 13A-13D: Pharmacokinetic studies of dBETl in CD1 mice. Fig. 13A is a graph showing concentration of dBETl in CD1 mice following intraperitoneal injection of dBETl formulated in 0.5% MC in water; Fig. 13B is a table depicting pharmacokinetic parameters in mice from Fig. 13A; Fig. 13C is a graph showing the change in weight of mice treated with 50mg/kg q.d. of dBETl or vehicle; Fig. 13D are bar graphs showing changes in HTC, WBC, or PLT in mice from Fig. 13C.
Figs. 14A-14BB: High content assay measuring BRD4 levels in cells (293FTWT or 293FTCRBN_/") after 4 hour treatment with indicated concentrations of the Afunctional
SUBSTITUTE SHEET (RULE 26)
compounds of the present application. Figs. 14A-14B: BRD4 levels in 293FTWT (Fig. 14A) or 293FTCRBN_/" (Fig. 14B) after 4 hour treatment with indicated concentrations of JQ1 ; Figs. 14C-14D: BRD4 levels in 293FTWT (Fig. 14C) or 293FTCRBN"/- (Fig. 14D) after 4 hour treatment with indicated concentrations of dBETl ; Fig. 14E-14F: BRD4 levels in 293FTWT (Fig. 14E) or 293FTCRBN_/" (Fig. 14F) after 4 hour treatment with indicated concentrations of dBET2; Figs. 14G-14H: BRD4 levels in 293FTWT (Fig. 14G) or 293FTCRBN"/- (Fig. 14H) after 4 hour treatment with indicated concentrations of dBET3; Figs. 14I-14J: BRD4 levels in 293FTWT (Fig. 141) or 293FTCRBN"/- (Fig. 14J) after 4 hour treatment with indicated concentrations of dBET4; Figs. 14K-14L: BRD4 levels in 293FTWT (Fig. 14K) or
293FTCRBN_/" (Fig. 14L) after 4 hour treatment with indicated concentrations of dBET5; Figs. 14M-14N: BRD4 levels in 293FTWT (Fig. 14M) or 293FTCRBN"/- (Fig. 14N) after 4 hour treatment with indicated concentrations of dBET6; Figs. 140-14P: BRD4 levels in 293FTWT (Fig. 140) or 293FTCRBN_/" (Fig. 14P) after 4 hour treatment with indicated concentrations of dBET7; Figs. 14Q-14R: BRD4 levels in 293FTWT (Fig. 14Q) or 293FTCRBN"/- (Fig. 14R) after 4 hour treatment with indicated concentrations of dBET8; Figs. 14S-14T: BRD4 levels in 293FTWT (Fig. 14S) or 293FTCRBN"/- (Fig. 14T) after 4 hour treatment with indicated concentrations of dBET9; Figs. 14U-14V: BRD4 levels in 293FTWT (Fig. 14U) or
293 CRBN-/- (- jg 1 4Y) af[er 4 hour treatment with indicated concentrations of dBETIO; Figs. 14W-14X: BRD4 levels in 293FTWT (Fig. 14W) or 293FTCRBN"/- (Fig. 14X) after 4 hour treatment with indicated concentrations of dBETl 5; Figs. 14Y-14Z: BRD4 levels in 293FTWT (Fig. 14Y) or 293FTCRBN_/" (Fig. 14Z) after 4 hour treatment with indicated concentrations of dBETl 7; Figs. 14AA-14BB: BRD4 levels in 293FTWT (Fig. 14AA) or 293FTCRBN"/- (Fig. 14BB) after 4 hour treatment with indicated concentrations of dBETl 8.
Figs. 15A-15F: Immunoblots of BRD levels in cells treated with varying
concentrations of the bifunctional compounds of the present application. Fig. 15A is an immunoblot showing BRD4 levels in BAF3 K-RAS cells treated with the indicated concentrations of dBETl or dBET6 for 16.5 hours; Fig. 15B is an immunoblot showing BRD4 levels in BAF3 K-RAS or SEMK2 cells treated with the indicated concentrations of dBETl for 16.5 hours; Fig. 15C is an immunoblot showing BRD4 levels in SEMK2 cells treated with the indicated concentrations of dBETl or dBET6 for 16.5 hours; Fig. 15D is an immunoblot showing BRD4 levels in Monomacl cells treated with the indicated
concentrations of dBETl or dBET6 for 16 hours; Fig. 15E is an immunoblot showing levels of BRD4, BRD2, and BRD3 at various time points in MV4-11 cells treated with 50 nM of
SUBSTITUTE SHEET (RULE 26)
dBET6; Fig. 15F is an immunoblot showing BRD4 levels in MM1SWT or MMIS0^"7" cells treated with the indicated concentrations of dBET6 for 16 hours.
Figs. 16A-16B: Immunoblots of protein levels in cells treated with the bifunctional compounds of the present application. Fig. 16A is an immunoblot showing levels of BRD4 and PLK1 in cells (WT or CRBN-/-) treated with 1 μΜ of dBET2, dBET7, dBET8, or dBETIO; Fig. 16B is an immunoblot showing BRD4 levels at the indicated time points after the cells were treated with 100 nM dBET18.
Figs. 17A-17E: Cell viability after treatment with the bifunctional compounds of the present application. Figs. 17A-17B indicate cell viability EC50 values of the bifunctional compounds of the present application in various cells lines; Figs. 17C-17E show cell viability after treatment with increasing concentrations of JQ1, dBETl, dBET6, dBET7, or dBET8.
Figs. 18A-18C show viability of MOLT4 (Fig. 18A), DND41 (Fig. 18B), and CUTLL1 (Fig. 18C) cells after being treated with increasing concentrations of dBET compounds.
Fig. 19 is an immunoblot showing GR levels in cells treated with indicated concentrations of dGR3.
Fig. 20 are graphs showing degradation of nanolucif erase (NLuc) fused with
FKBP12, as measured by the signal ratio (NLuc/FLuc) between NLuc and Firefly luciferase
(FLuc) from the same multicistronic transcript, in wild-type (left panel) or CRBN-/- 293FT cells (right panel) treated with indicated concentrations of various dFKBPs for 4 hours. A decrease in the ratio indicates NLuc degradation.
Fig. 21 are graphs showing degradation of nanolucif erase (NLuc) fused with a mutant
FKBP12, as measured by the signal ratio (NLuc/FLuc) between NLuc and Firefly luciferase
(FLuc) from the same multicistronic transcript, in wild-type (left panel) or CRBN-/- 293FT cells (right panel) treated with indicated concentrations of various dFKBPs for 4 hours. A decrease in the ratio indicates NLuc degradation.
Figs. 22A-22D show degradation of nanoluciferase (NLuc) fused with FKBP12. Figs.
22A and 22B are immunoblot analysis of FKBP12-NLuc fusion protein in wild-type (Fig.
22A) or CRBN-/- 293FT cells (Fig. 22B) treated with indicated concentrations of dFKBP-1. Figs. 22C and 22D are graphs showing degradation of FKBP12-NLuc fusion protein, as measured by the signal ratio (NLuc/FLuc) between NLuc and Firefly luciferase (FLuc) from the same multicistronic transcript, in wild-type (Fig. 22C) or CRBN-/- 293FT cells (Fig. 22D) treated with indicated concentrations of various dFKBPs for 4 hours. A decrease in the ratio indicates NLuc degradation.
SUBSTITUTE SHEET (RULE 26)
DETAILED DESCRIPTION
Small molecule antagonists disable discrete biochemical properties of the protein targets. For multi-domain protein targets, the pharmacologic consequence of drug action is limited by selective disruption of one domain-specific activity. Also, target inhibition is kinetically limited by the durability and degree of the target engagement. These features of traditional drug molecules are challenging to the development of inhibitors targeting transcription factors and chromatin-associated epigenetic proteins, which function as multi- domain biomolecular scaffolds and generally feature rapid association and dissociation kinetics. A chemical strategy was devised to prompt ligand-dependent target protein degradation via chemical conjugation with derivatized phthalimides that hijack the function of the Cereblon E3 ubiquitin ligase complex. Using this approach, various proteins, such as BRD proteins and FKBP proteins, can be degraded rapidly with a high specificity and efficiency.
The present application relates to small molecule E3 ligase ligands (Degrons) which are covalently linked to a targeted protein ligand through a Linker of varying length and functionality. The present application also relates to a technology platform of bringing targeted proteins to E3 ligases, for example CRBN, for ubiquitination and subsequent proteasomal degradation using the bifunctional small molecules comprising a thalidomide- like Degron and a Targeting Ligand connected to each other via a Linker.
This technology platform provides therapies based upon depression of target protein levels by degradation. The novel technology allows for targeted degradation to occur in a more general nature than existing methods with respect to possible targets and different cell lines or different in vivo systems.
In addition, small molecule modulators for numerous protein targets have not yet become available. Regulation of those protein targets and their activities may be achieved through ubiquitin mediated degradation by tagging the protein targets with a moiety (e.g., a protein) that can be targeted by the bifunctional molecules of the present application described herein. Moreover, combining the chemical strategy of protein degradation via the bifunctional molecules of the present application with genome engineering (e.g. , gene editing), a variety of proteins and their activities can be regulated in a precise, temporal manner by rapidly turning on and off the degradation of the protein targets. Similarly, exogenous proteins tagged with a moiety (e.g. , a protein) which is a target of the bifunctional
SUBSTITUTE SHEET (RULE 26)
molecules of the present application may be introduced into a cell for treating various diseases and disorders with the desired treatment duration.
Nucleic Acids. Polypeptides, and Cells of the Application
The present application relates to a polynucleotide comprising a first nucleotide sequence encoding a first polypeptide to which a Targeting Ligand is capable of binding, and a second nucleotide sequence encoding a second polypeptide, wherein the first polypeptide and the second polypeptide are linked together with a peptide bond to form a fused polypeptide.
In certain embodiments, the polynucleotide further comprises a third nucleotide sequence encoding a third polypeptide which allows the fused polypeptide to be detected or quantified. In certain embodiments, the third polypeptide is linked to the first and/or second polypeptide with a peptide bond. In certain embodiments, the third polypeptide includes but is not limited to glutathione-5-transferase (GST), horseradish peroxidase (HRP),
chloramphenicol acetyltransferase (CAT) beta-galactosidase, beta-glucuronidase, luciferase, fluorescent proteins (e.g. , green fluorescent protein (GFP), HcRed, DsRed, cyan fluorescent protein (CFP), yellow fluorescent protein (YFP)), and autofluorescent proteins including blue fluorescent protein (BFP). In further embodiments, the third polypeptide is a fluorescent protein (e.g., GFP, YFP, CFP, or BFP) or a luciferase.
The present application also relates to a polypeptide comprising a first polypeptide to which a Targeting Ligand is capable of binding and a second polypeptide, wherein the first polypeptide and the second polypeptide are linked together with a peptide bond to form a fused polypeptide.
In certain embodiments, the fused polypeptide further comprises a third polypeptide which allows the fused polypeptide to be detected or quantified. In certain embodiments, the third polypeptide is a fluorescent protein or a luciferase. In certain embodiments, the fluorescent protein or the luciferase is linked to first and/or second polypeptide with a peptide bond.
The first polypeptide can be fused to either the N-terminal or the C-terminal of the second polypeptide. In certain embodiments, the first polypeptide is fused to the N-terminal of the second polypeptide. In certain embodiments, the first polypeptide is fused to the C- terminal of the second polypeptide. Similarly, the third polypeptide can be fused to either the N-terminal or the C-terminal of the first polypeptide and/or the second polypeptide. In certain embodiments, the third polypeptide is fused to the N-terminal of the first polypeptide. In certain embodiments, the third polypeptide is fused to the N-terminal of the second
SUBSTITUTE SHEET (RULE 26)
polypeptide. In certain embodiments, the third polypeptide is fused to the C-terminal of the first polypeptide. In certain embodiments, the third polypeptide is fused to the C-terminal of the second polypeptide.
The first nucleotide sequence can be any nucleotide sequence that encodes a polypeptide to which a Targeting Ligand described herein is capable of binding. In certain embodiments, the first nucleotide sequence encodes a cytosolic signaling protein FKBP12. In certain embodiments, the first nucleotide sequence encodes a mutant cytosolic signaling protein FKBP12. In certain embodiments, the mutant cytosolic signaling protein FKBP12 contains one or more mutations that create an enlarged binding pocket for FKBP12 ligands. In certain embodiments, the one or more mutations include a mutation of the phenylalanine (F) at amino acid position 36 to valine (V).
The first polypeptide can be any polypeptide to which a Targeting Ligand described herein is capable of binding. In certain embodiments, the first polypeptide is a cytosolic signaling protein FKBP12. In certain embodiments, the first polypeptide is a mutant cytosolic signaling protein FKBP12, as described herein.
In certain embodiments, the first nucleotide sequence encodes a polypeptide to which any of dFKBP-1 to dFKBP-9 is capable of binding.
In certain embodiments, the first polypeptide is a polypeptide to which any of dFKBP-1 to dFKBP-9 is capable of binding.
In certain embodiments, one of dFKBP-1 to dFKBP-9 is capable of binding to the first polypeptide with a higher affinity than any other of dFKBP-1 to dFKBP-9 is capable of. In certain embodiments, two of dFKBP-1 to dFKBP-9 are capable of binding to the first polypeptide with a higher affinity than any other of dFKBP-1 to dFKBP-9 is capable of. In certain embodiments, three of dFKBP-1 to dFKBP-9 are capable of binding to the first polypeptide with a higher affinity than any other of dFKBP-1 to dFKBP-9 is capable of. In certain embodiments, four of dFKBP-1 to dFKBP-9 are capable of binding to the first polypeptide with a higher affinity than any other of dFKBP-1 to dFKBP-9 is capable of. The affinity of the binding of any of dFKBP-1 to dFKBP-9 to the first polypeptide can be measured with any methods known in the art. In certain embodiments, the binding affinity is measured by EC50 of the binding of any of dFKBP-1 to dFKBP-9 to the first polypeptide.
In certain embodiments, one of dFKBP-1 to dFKBP-9 is capable of binding to the wild-type FKBP12 with a higher affinity than binding to a mutant FKBP12 (e.g., FKBP12 F36V). In certain embodiments, two of dFKBP-1 to dFKBP-9 are capable of binding to the wild-type FKBP12 with a higher affinity than binding to a mutant FKBP12 (e.g., FKBP12
SUBSTITUTE SHEET (RULE 26)
F36V). In certain embodiments, three of dFKBP-1 to dFKBP-9 are capable of binding to the wild-type FKBP12 with a higher affinity than binding to a mutant FKBP12 (e.g., FKBP12 F36V). In certain embodiments, four of dFKBP-1 to dFKBP-9 are capable of binding to the wild-type FKBP12 with a higher affinity than binding to a mutant FKBP12 (e.g., FKBP12 F36V). In certain embodiments, five of dFKBP-1 to dFKBP-9 are capable of binding to the wild-type FKBP12 with a higher affinity than binding to a mutant FKBP12 (e.g., FKBP12 F36V). In certain embodiments, six of dFKBP-1 to dFKBP-9 are capable of binding to the wild-type FKBP12 with a higher affinity than binding to a mutant FKBP12 (e.g., FKBP12 F36V). In certain embodiments, seven of dFKBP-1 to dFKBP-9 are capable of binding to the wild-type FKBP 12 with a higher affinity than binding to a mutant FKBP 12 (e.g. , FKBP 12 F36V). In certain embodiments, eight of dFKBP-1 to dFKBP-9 are capable of binding to the wild-type FKBP 12 with a higher affinity than binding to a mutant FKBP 12 (e.g., FKBP 12 F36V). In certain embodiments, nine of dFKBP-1 to dFKBP-9 are capable of binding to the wild-type FKBP 12 with a higher affinity than binding to a mutant FKBP 12 (e.g., FKBP 12 F36V).
In certain embodiments, one of dFKBP-1 to dFKBP-9 is capable of binding to a mutant FKBP12 (e.g., FKBP12 F36V) with a higher affinity than binding to the wild-type FKBP12. In certain embodiments, two of dFKBP-1 to dFKBP-9 are capable of binding to a mutant FKBP12 (e.g., FKBP12 F36V) with a higher affinity than binding to the wild-type FKBP 12. In certain embodiments, three of dFKBP-1 to dFKBP-9 are capable of binding to a mutant FKBP12 (e.g., FKBP12 F36V) with a higher affinity than binding to the wild-type FKBP 12. In certain embodiments, four of dFKBP-1 to dFKBP-9 are capable of binding to a mutant FKBP12 (e.g., FKBP12 F36V) with a higher affinity than binding to the wild-type FKBP12. In certain embodiments, five of dFKBP-1 to dFKBP-9 are capable of binding to a mutant FKBP 12 (e.g., FKBP12 F36V) with a higher affinity than binding to the wild-type FKBP12. In certain embodiments, six of dFKBP-1 to dFKBP-9 are capable of binding to a mutant FKBP12 (e.g., FKBP12 F36V) with a higher affinity than binding to the wild-type FKBP12. In certain embodiments, seven of dFKBP-1 to dFKBP-9 are capable of binding to a mutant FKBP12 (e.g. , FKBP12 F36V) with a higher affinity than binding to the wild-type FKBP12. In certain embodiments, eight of dFKBP-1 to dFKBP-9 are capable of binding to a mutant FKBP12 (e.g., FKBP12 F36V) with a higher affinity than binding to the wild-type FKBP12. In certain embodiments, nine of dFKBP-1 to dFKBP-9 are capable of binding to a mutant FKBP12 (e.g. , FKBP12 F36V) with a higher affinity than binding to the wild-type FKBP12.
SUBSTITUTE SHEET (RULE 26)
The second nucleotide sequence can be any nucleotide sequence that encodes a polypeptide (e.g., a protein) of interest. Further, the second polypeptide can be any polypeptide (e.g., a protein) of interest.
In certain embodiments, the polypeptide of interest is a cell surface receptor. In certain embodiments, the cell surface receptor is capable of binding to an antigen. In certain embodiments, the cell surface receptor is a T-cell surface receptor. In certain embodiments, the antigen is a cell surface protein or a protein that has an extra-cellular portion (e.g. , a receptor). In certain embodiments, the antigen is present on the surface of a tumor cell. In certain embodiments, the antigen is present on the surface of a tumor cell in a greater amount than on the surface of a control cell (e.g. , a non-tumor cell). In certain embodiments, the T- cell surface receptor is capable of binding to an antigen on a tumor cell. In certain embodiments, the antigen on a tumor cell is an antigen selected from alphafetaprotein (AFP), carcinoembryonic antigen (CEA), CA-125, MUC-1, epithelial tumor antigen (ETA), tyrosinase, melanoma-associated antigen (MAGE), CA15-3, CA27-29, CA19-9, CA-125, calcitonin, calretinin, CD34, CD99MIC2, CD7, chromogranin, cytokeratin, desmin, Factor VIII, CD31 FL1, glial fibrillary acidic protein, gross cystic disease fluid protein, HMB-45, human chorionic gonadotropin inhibin, MART-1, Myo Dl, neuron-specific enolase, placental alkaline phosphatase, prostate-specific antigen, PTPRC, SI 00 protein, synaptophysin, thyroglobulin, thyroid transcription factor 1, tumor M2-PK, and vimentin. In certain embodiments, the T-cell surface receptors capable of binding to an antigen on a tumor cell can be screened, and the amino acid sequence or nucleotide sequence thereof can be identified, through routine methods and techniques known in the art.
In certain embodiments, the polypeptide of interest is an oncogenic protein. In certain embodiments, the oncogenic protein is selected from RAS, WNT, MYC, ERK, and TRK. In further embodiments, the oncogenic protein is a RAS family protein. In further
embodiments, the RAS family protein is KRAS.
In certain embodiments, the polypeptide of interest is an enzyme that is capable of modifying the nucleotide sequence of a DNA.
In certain embodiments, the enzyme is a DNA nuclease. In certain embodiments, the enzyme is deficient in its nuclease activity. In certain embodiments, the enzyme is a Zinc- finger nuclease. In further embodiments, the Zinc-finger nuclease is selected from ZF-Fokl and ZF-Tn3. In certain embodiments, the enzyme is a transcription activator-like effector nuclease (TALEN). In further embodiments, the TALEN is TAL-Fokl. In certain embodiments, the enzyme is a homing endonuclease. In further embodiments, the homing
SUBSTITUTE SHEET (RULE 26)
endonuclease is selected from LAGLIDADG, GIY-YIG, His-Cys, H-N-H, PD-(D/E)xK, and Vsr-like. In certain embodiments, the enzyme is a Clustered Regularly Interspaced Short Palindromic Repeats (CRISPR) enzyme. In further embodiments, the CRISPR enzyme is a type II CRISPR enzyme. In further embodiments, the type II CRISPR enzyme is Cas9. In certain embodiments, the CRISPR enzyme is deficient in its nuclease activity.
In certain embodiments, the enzyme is a DNA integrase. In certain embodiments, the DNA integrase is selected from λ-int and (|)C31.
In certain embodiments, the enzyme is a DNA recombinase. In certain embodiments, the DNA recombinase is selected from Cre, Flp, and RMCE.
In certain embodiments, the enzyme is a reverse transcriptase. In certain
embodiments, the enzyme is a transposase.
The present application also relates to a cell comprising the polynucleotide or polypeptide of the present application. In certain embodiments, the cell is to be administered to a subject in need thereof. In certain embodiments, the cell is derived from a subject to which the cell is to be administered. In certain embodiments, the cell is a T-cell.
Methods of the Application
The present application relates to a method of modulating the amount of a second polypeptide, comprising linking the second polypeptide and a first polypeptide to which a Targeting Ligand is capable of binding with a peptide bond to form a fused polypeptide, and treating the fused polypeptide with a bifunctional compound of the present application.
In certain embodiments, the first and second nucleotide sequences and the first and second polypeptides are each as described herein above. In certain embodiments, the modulation is degradation or reduction of the amount of the second polypeptide.
In certain embodiments, the present application relates to a method of modulating the amount of a second polypeptide in a cell, comprising:
a) introducing into the cell a first nucleotide sequence encoding a first polypeptide to which a Targeting Ligand is capable of binding, and a second nucleotide sequence encoding the second polypeptide, wherein the first polypeptide and the second polypeptide are linked together with a peptide bond to form a fused polypeptide; and b) exposing the cell to a bifunctional compound of the present application.
In certain embodiments, the present application relates to a method of modulating the amount of a second polypeptide in a cell, comprising:
SUBSTITUTE SHEET (RULE 26)
a) introducing into the cell a first nucleotide sequence encoding a first polypeptide to which a Targeting Ligand is capable of binding, wherein the first polypeptide and the second polypeptide are linked together with a peptide bond to form a fused polypeptide; and
b) exposing the cell to a bifunctional compound of the present application.
In certain embodiments, the second polypeptide is an exogenous polypeptide, i.e., the cell does not naturally express the second polypeptide. In certain embodiments, the second polypeptide is an endogenous polypeptide and is encoded by an endogenous nucleotide sequence in the cell. In certain embodiments, the second nucleotide sequence, after being introduced into the cell, replaces the endogenous nucleotide sequence in the cell that encodes the second polypeptide (e.g. , through homologous recombination (HR) or non-homologous end-joining (NHEJ)). In certain embodiments, the second nucleotide sequence encodes a second polypeptide that is a mutant of the endogenous second polypeptide, i.e. , contains one or more mutations which are not present in the endogenous second polypeptide.
In certain embodiments, the method further comprises introducing into the cell a third nucleotide sequence encoding a third polypeptide which allows the first and/or second polypeptides to be detected or quantified and/or allows the identification and selection of cells that contain the first and second nucleotide sequences. In certain embodiments, the third polypeptide is as described herein above. In certain embodiments, the third polypeptide is linked to the first and/or second polypeptides with a peptide bond. In certain embodiments, the third polypeptide is expressed from the same multicistronic transcript as the first and/or second polypeptide.
In certain embodiments, the first nucleotide sequence is inserted into the genome of the cell, such that the first polypeptide and the second polypeptide are linked together with a peptide bond.
The present application also relates to a method of selecting a polypeptide for degradation by a bifunctional compound of the present application, comprising:
a) linking the polypeptide and a target polypeptide to which a Targeting Ligand is capable of binding with a peptide bond to form a fused polypeptide;
b) treating the fused polypeptide with a bifunctional compound of the present application;
c) determining the amount of the fused polypeptide; and
d) selecting the fused polypeptide of which the amount is reduced.
SUBSTITUTE SHEET (RULE 26)
In certain embodiments, the polypeptide for degradation and the target polypeptide are linked by expressing in a cell a polynucleotide comprising a first nucleotide sequence encoding the target polypeptide, and a second nucleotide sequence encoding the polypeptide for degradation. In certain embodiments, the first and second nucleotide sequences are each as described herein above.
The amount of the fused polypeptide can be determined by any methods available in the art, such as immunoblotting (i.e. , Western blot), immunofluorescence, mass spectrometry, liquid chromatography, etc.
The present application also relates to a method of determining the efficacy of a therapeutic agent in treating a disease or condition in a subject, or determining the response of a subject that is suffering from or is at a risk of developing a disease or condition to a therapeutic agent, comprising:
a) introducing into the subject one or more vectors, wherein the one or more vectors comprise a first nucleotide sequence encoding a first polypeptide to which a Targeting Ligand is capable of binding, and at least a second nucleotide sequence encoding at least a second polypeptide that plays a role in the disease or condition, wherein the first polypeptide and the at least second polypeptide are linked together with a peptide bond to form a fused polypeptide, and wherein the therapeutic agent is capable of decreasing the amount of or inhibiting the activity of the at least second polypeptide; b) determining the amount of the fused polypeptide in the subject;
c) administering to the subject a bifunctional compound of the present application; and
d) determining the amount of the fused polypeptide in the subject;
wherein a decrease in the amount in d) relative to the amount in b) indicates that the therapeutic agent is effective in treating the disease or condition or that the subject will respond to the therapeutic agent.
In certain embodiments, the method comprises introducing the one or more vectors (e.g. , those described herein) to a cell and administering the cell to the subject. In certain embodiments, the method further comprises assessing one or more symptoms of the disease or condition in the subject, wherein a decrease in the amount in d) relative to the amount in b) together with the alleviation of one or more symptoms of the disease or condition indicates that the therapeutic agent is effective in treating the disease or condition or that the subject will respond to the therapeutic agent.
SUBSTITUTE SHEET (RULE 26)
In certain embodiments, the first and at least second nucleotide sequence and the first and second polypeptides are each as described herein above. In certain embodiments, the at least second nucleotide sequences include one, two, three, or more second nucleotide sequences, each of which encodes a different second polypeptide selected from the second polypeptide described herein above.
In certain embodiments, the at least second polypeptide is an exogenous polypeptide, i.e. , the cell does not naturally express the second polypeptide. In certain embodiments, the at least second polypeptide is an endogenous polypeptide and is encoded by an endogenous nucleotide sequence in the cell. In certain embodiments, the at least second nucleotide sequence, after being introduced into the cell, replaces the endogenous nucleotide sequence in the cell that encodes the at least second polypeptide (e.g. , through homologous recombination (HR) or non-homologous end-joining (NHEJ)). In certain embodiments, the at least second nucleotide sequence encodes at least a second polypeptide that is a mutant of the endogenous second polypeptide, i.e. , contains one or more mutations which are not present in the endogenous second polypeptide.
In certain embodiments, the method further comprises introducing into the cell a third nucleotide sequence encoding a third polypeptide which allows the first and/or second polypeptides to be detected or quantified and/or allows the identification and selection of cells that contains the first and second nucleotide sequences. In certain embodiments, the third polypeptide is as described herein above. In certain embodiments, the third polypeptide is linked to the first and/or second polypeptides with a peptide bond. In certain embodiments, the third polypeptide is expressed from the same multicistronic transcript as the first and/or second polypeptide.
In certain embodiments, the second polypeptide plays a role in the disease or condition when it participates in the regulation of the initiation and/or development of the disease or condition.
The present application also relates to a method of treating a disease or condition in a subject that is suffering from or is at a risk of developing the disease or condition, comprising:
a) introducing into the subject one or more vectors comprising a first nucleotide sequence encoding a first polypeptide to which a Targeting Ligand is capable of binding, and a second nucleotide sequence encoding a second polypeptide that plays a role in the disease or condition, wherein the first polypeptide and the second polypeptide are linked together with a peptide bond to form a fused polypeptide, and
SUBSTITUTE SHEET (RULE 26)
wherein a therapeutic agent is capable of decreasing the amount of or inhibiting the activity of the second polypeptide;
b) determining the amount of the fused polypeptide in the subject;
c) administering to the subject a bifunctional compound of the present application; d) determining the amount of the fused polypeptide in the subject; and
e) administering or increasing the administered amount of the therapeutic agent to the subject, if the amount in d) less than the amount in b).
In certain embodiments, the method comprises introducing the one or more vectors (e.g. , those described herein) to a cell and administering the cell to the subject. In certain embodiments, the method further comprises assessing one or more symptoms of the disease or condition in the subject, and administering or increasing the administered amount of the therapeutic agent to the subject when the amount in d) less than the amount in b) and one or more symptoms of the disease or condition is alleviated.
In certain embodiments, the first and second nucleotide sequences and the first and second polypeptides are each as described herein above.
In certain embodiments, the second polypeptide is an exogenous polypeptide, i.e., the cell does not naturally express the second polypeptide. In certain embodiments, the second polypeptide is an endogenous polypeptide and is encoded by an endogenous nucleotide sequence in the cell. In certain embodiments, the second nucleotide sequence, after being introduced into the cell, replaces the endogenous nucleotide sequence in the cell that encodes the second polypeptide (e.g. , through homologous recombination (HR) or non-homologous end-joining (NHEJ)). In certain embodiments, the second nucleotide sequence encodes a second polypeptide that is a mutant of the endogenous second polypeptide, i.e. , contains one or more mutations which are not present in the endogenous second polypeptide.
In certain embodiments, the method further comprises introducing into the cell a third nucleotide sequence encoding a third polypeptide which allows the first and/or second polypeptides to be detected or quantified and/or allows the identification and selection of cells that contains the first and second nucleotide sequences. In certain embodiments, the third polypeptide is as described herein above. In certain embodiments, the third polypeptide is linked to the first and/or second polypeptides with a peptide bond. In certain embodiments, the third polypeptide is expressed from the same multicistronic transcript as the first and/or second polypeptide.
SUBSTITUTE SHEET (RULE 26)
In certain embodiments, the second polypeptide plays a role in the disease or condition when it participates in the regulation of the initiation and/or development of the disease or condition.
The present application also relates to a method of treating a disease or condition in a subject in need thereof, comprising:
introducing into a cell a nucleic acid comprising a first nucleotide sequence encoding a first polypeptide to which a Targeting Ligand is capable of binding, and a second nucleotide sequence encoding a second polypeptide, wherein the first polypeptide and the second polypeptide are linked together with a peptide bond to form a fused polypeptide, wherein the second polypeptide plays a role in regulating the disease or condition; and
administering the cell into the subject.
In certain embodiments, the cell is a T cell. In certain embodiments, the T cell is isolated from the subject. In certain embodiments, the first and second nucleotide sequences and the first and second polypeptides are each as described herein above. In certain embodiments, the second polypeptide has an extracellular portion that can bind to a target cell (e.g. , a tumor cell). In certain embodiments, the second polypeptide can be secreted by the cell and can bind to a target cell (e.g., a tumor cell). In certain embodiments, binding of the second polypeptide to a target cell triggers biological responses (e.g., change in gene expression, apoptosis, etc.) in the target cell, which affect the disease or condition. In certain embodiments, the second polypeptide is a T cell surface receptor capable of binding to a tumor cell antigen, as described herein. In certain embodiments, the T cell surface receptor is capable of binding to an antigen present in a target cell (e.g. , a tumor cell) from the subject. In certain embodiments, the cell is a T cell expressing the fused polypeptide and binds to a tumor cell expressing the tumor cell antigen. In certain embodiments, such binding leads to the death of the tumor cell.
In certain embodiments, the method further comprises administering to the subject a bifunctional compound of the present application. In certain embodiments, a bifunctional compound of the present application is administered after the death of all the target cells (e.g., tumor cells). In certain embodiments, administration of a bifunctional compound of the present application terminates the binding of the cell (e.g. , a T cell) to a target cell (e.g. , a tumor cell) in the subject. Through timely termination of the T-cell mediated immune response by administration of a bifunctional compound of the present application, the side effects (e.g., toxicity) associated with the immune response can be reduced or shortened.
SUBSTITUTE SHEET (RULE 26)
The present application also relates to a method of modulating the amount of a second polypeptide encoded by a target nucleotide sequence in a cell, comprising:
a) replacing the target nucleotide sequence in the cell with a polynucleotide comprising a first nucleotide sequence encoding a first polypeptide to which a Targeting Ligand is capable of binding, and a second nucleotide sequence encoding the second polypeptide, wherein the first polypeptide and the second polypeptide are linked together with a peptide bond to form a fused polypeptide; and
b) exposing the cell to a bifunctional compound of the present application.
The present application also relates to a method of modulating the amount of a second polypeptide encoded by a target nucleotide sequence in a cell, comprising:
a) introducing into the cell a polynucleotide comprising a first nucleotide sequence encoding a first polypeptide to which a Targeting Ligand is capable of binding, wherein the first polypeptide and the second polypeptide are linked together with a peptide bond to form a fused polypeptide; and
b) exposing the cell to a bifunctional compound of the present application.
Replacing the target nucleotide sequence in the cell with a polynucleotide comprising a first nucleotide sequence encoding a first polypeptide to which a Targeting Ligand is capable of binding, and a second nucleotide sequence encoding the second polypeptide, or introducing into the cell a polynucleotide comprising a first nucleotide sequence encoding a first polypeptide to which a Targeting Ligand is capable of binding, can be carried out with various genome engineering methods utilizing, for example, CRISPR/Cas, Zinc-finger nucleases (ZFNs), Transcription Activator-Like Effector Nucleases (TALENs), homing endonuclease, DNA integrase, DNA recombinase, transposons, transposase, and reverse transcriptase. Examples of these genome engineering methods are provided in U.S. Patent 8,697,359; Sander and Joung, Nat. Biotechol. 32, 347 (2014); Esvelt and Wang, Mol. Sys. Biol. 9, 641 (2013); Pabo et al , Annu. Rev. Biochem. 70, 313 (2001), Bibikova et al. , Science 300, 764 (2003); Boch et al , Nat. Biotechnol. 29, 135 (2011); Christian et al , Genetics 186, 757 (2010); Zhang et al , Nat. Biotechnol. 29, 149 (2011); Stoddard, Quarterly Rev. Biophys. 38, 49 (2006); "Piggybac Transposon System", Transposagen
Biopharmaceuticals, Inc.; Plasterk, Cell 74, 781 (1993); Ivies et al , Cell 91, 501 (1997), the contents of each of which are incorporated herein in their entirety.
In certain embodiments, the present application also relates to a method of modulating the amount of a second polypeptide encoded by a target nucleotide sequence in a cell, comprising:
SUBSTITUTE SHEET (RULE 26)
introducing into the cell one or more vectors comprising:
a) a first polynucleotide encoding an enzyme that modifies the target nucleotide sequence, and
b) a second polynucleotide comprising a tag nucleotide sequence encoding a first polypeptide to which a Targeting Ligand is capable of binding, wherein the tag nucleotide sequence is inserted at the 5 '-terminal or 3 '-terminal of the target nucleotide sequence; and
exposing the cell to a bifunctional compound of the present application,
wherein the tag nucleotide sequence and the target nucleotide sequence together encode a fused polypeptide comprising the second polypeptide and the first polypeptide linked together with a peptide bond.
In certain embodiments, the tag nucleotide sequence is inserted at the 5 '-terminal or 3 '-terminal of the target nucleotide sequence through homology directed repair. In certain embodiments, the tag nucleotide sequence is inserted at the 5 '-terminal or 3 '-terminal of the target nucleotide sequence through non-homology directed repair (e.g., NHEJ).
In certain embodiments, the present application also relates to a method of modulating the amount of a second polypeptide in a cell, comprising:
introducing into the cell one or more vectors comprising:
a) a first polynucleotide encoding an enzyme that modifies a target nucleotide sequence in the cell, and
b) a second polynucleotide comprising a tag nucleotide sequence encoding a first polypeptide to which a Targeting Ligand is capable of binding, and a second nucleotide sequence, wherein the second polynucleotide replaces the target nucleotide sequence; and
exposing the cell to a bifunctional compound of the present application.
In certain embodiments, the second polypeptide is encoded by the target nucleotide sequence.
In certain embodiments, the second nucleotide sequence encodes the second polypeptide. In certain embodiments, the second nucleotide sequence encodes a mutant of the second polypeptide. In certain embodiments, the second nucleotide sequence encodes the second polypeptide or a mutant of the second polypeptide which is linked to the first polypeptide with a peptide bond.
In certain embodiments, the enzyme modifies the target nucleotide sequence by cleaving the target nucleotide sequence. In certain embodiments, the enzyme is a DNA
SUBSTITUTE SHEET (RULE 26)
nuclease. In certain embodiments, the DNA nuclease is selected from ZFN (e.g. , ZF-Fokl and ZF-Tn3), TALEN (e.g. , TAL-Fokl), a homing endonuclease (e.g. , LAGLIDADG, GIY- YIG, His-Cys, H-N-H, PD-(D/E)xK, and Vsr-like), a CRISPR enzyme (e.g., a type II CRISPR enzyme or Cas9). In certain embodiments, the enzyme is deficient in its nuclease activity.
In certain embodiments, the enzyme modifies the target nucleotide sequence by inserting another nucleotide sequence into the target nucleotide sequence. In certain embodiments, the enzyme is a DNA integrase (e.g. , λ-int and φ031). In certain
embodiments, the enzyme is a DNA recombinase (e.g. , Cre, Flp, and RMCE). In certain embodiments, the enzyme is a reverse transcriptase. In certain embodiments, the enzyme is a transposase.
In certain embodiments, the second polynucleotide may further comprise an exogenous nucleotide sequence encoding a mutant second polypeptide, wherein the mutant second polypeptide comprises one or more amino acid residues not present in the second polypeptide. In certain embodiments, the mutations in the mutant second polypeptide do not occur naturally. In certain embodiments, the mutant second polypeptide does not differ substantially from the second polypeptide in their biological activities (i.e. , the mutant second polypeptide possesses at least 60%, 70%, 80%, 90%, or 95% of the biological activity of the second polypeptide). In certain embodiments, the mutant second polypeptide differs substantially from the second polypeptide in their biological activities (i. e. , the mutant second polypeptide does not retain the biological activity of the second polypeptide, or possesses a different biological activity than the second polypeptide). In certain embodiments, the mutant second polypeptide binds to, a different protein, DNA, and/or RNA, or a different set of proteins, DNAs, and/or RNAs from the second polypeptide, or the mutant second polypeptide binds to same or same sets of proteins, DNAs, and/or RNAs as the second polypeptide with a different binding characteristics. For example, the mutant second polypeptide may bind to the same or same sets of proteins, DNAs, and/or RNAs with different binding affinity, at different cellular locations, or at different stage of the cell cycle.
In certain embodiments, the exogenous nucleotide sequence encoding a mutant second polypeptide replaces the target nucleotide sequence (e.g., through homologous recombination or non-homologous end joining).
In the methods of the present application, the first polypeptide may be a cytosolic signaling protein FKBP12. In certain embodiments, the first polypeptide is a mutant cytosolic signaling protein FKBP12 (e.g., FKBP12 F36V). In certain embodiments, the
SUBSTITUTE SHEET (RULE 26)
mutant cytosolic signaling protein FKBP12 contains one or more mutations that do not naturally occur in the cell.
In the methods of the present application, the bifunctional compound may be a bifunctional compound capable of binding to the cytosolic signaling protein FKBP12. In certain embodiments, the bifunctional compound is selected a bifunctional compound capable of binding to a mutant cytosolic signaling protein FKBP12. In certain embodiments, the bifunctional compound is selected from dFKBPl to dFKBP9.
In the methods of the present application, the first polypeptide can be fused to either the N-terminal or the C-terminal of the second polypeptide. In certain embodiments, the first polypeptide is fused to the N-terminal of the second polypeptide. In certain embodiments, the first polypeptide is fused to the C-terminal of the second polypeptide. The third polypeptide can be fused to either the N-terminal or the C-terminal of the first polypeptide and/or the second polypeptide. In certain embodiments, the third polypeptide is fused to the N-terminal of the first polypeptide. In certain embodiments, the third polypeptide is fused to the N-terminal of the second polypeptide. In certain embodiments, the third polypeptide is fused to the C-terminal of the first polypeptide. In certain embodiments, the third
polypeptide is fused to the C-terminal of the second polypeptide.
The nucleotide sequences of the present application may be introduced into the cell or subject in need thereof through methods known in the art. In certain embodiments, the nucleotide sequences of the present application are inserted into a vector, which is then introduced into the cell. In certain embodiments, the nucleotide sequences of the present application may be introduced into the cell via non-viral delivery system. Methods of non- viral delivery of nucleotides include lipofection, nucleofection, microinjection, biolistics, virosomes, liposomes, immunoliposomes, poly cation or lipid:nucleic acid conjugates, naked DNA, artificial virions, and agent-enhanced uptake of DNA. Lipofection is described in, e.g. , U.S. Pat. Nos. 5,049,386, 4,946,787; and 4,897,355) and lipofection reagents are sold commercially (e.g., TransfectamTM. and Lipofectin.TM.). Cationic and neutral lipids that are suitable for efficient receptor-recognition lipofection of polynucleotides include those of Feigner, WO 91/17424; WO 91/16024. Delivery can be to cells (e.g., in vitro or ex vivo administration) or target tissues (e.g. , in vivo administration).
The preparation of lipid:nucleic acid complexes, including targeted liposomes such as immunolipid complexes, is well known to one of skill in the art (see, e.g., Crystal, Science 270:404-410 (1995); Blaese et al, Cancer Gene Ther. 2:291-297 (1995): Behr et al.,
Bioconjugate Chem. 5:382-389 (1994); Remy et al., Bioconjugate Chem. 5:647-654 (1994);
SUBSTITUTE SHEET (RULE 26)
Gao et al., Gene Therapy 2:710-722 (1995); Ahmad et al, Cancer Res. 52:4817-4820 (1992); U.S. Pat. Nos. 4,186,183, 4,217,344, 4,235,871, 4,261,975, 4,485,054, 4,501,728, 4,774,085, 4,837,028, and 4,946,787).
The use of RNA or DNA viral based systems for the delivery of nucleotide sequences take advantage of highly evolved processes for targeting a virus to specific cells in the body and trafficking the viral payload to the nucleus. Viral vectors can be administered directly to patients (in vivo) or they can be used to treat cells in vitro, and the modified cells may optionally be administered to patients (ex vivo). Conventional viral based systems could include retroviral, lentivirus, adenoviral, adeno-associated and herpes simplex virus vectors for gene transfer. Integration in the host genome is possible with the retrovirus, lentivirus, and adeno-associated virus gene transfer methods, often resulting in long term expression of the inserted transgene. Additionally, high transduction efficiencies have been observed in many different cell types and target tissues.
The tropism of a retrovirus can be altered by incorporating foreign envelope proteins, expanding the potential target population of target cells. Lentiviral vectors are retroviral vectors that are able to transduce or infect non-dividing cells and typically produce high viral titers. Selection of a retroviral gene transfer system would therefore depend on the target tissue. Retroviral vectors are comprised of cis-acting long terminal repeats with packaging capacity for up to 6-10 kb of foreign sequence. The minimum cis-acting LTRs are sufficient for replication and packaging of the vectors, which are then used to integrate the therapeutic gene into the target cell to provide permanent transgene expression. Widely used retroviral vectors include those based upon murine leukemia virus (MuLV), gibbon ape leukemia virus (GaLV), Simian Immuno deficiency virus (SIV), human immuno deficiency virus (HIV), and combinations thereof (see, e.g., Buchscher et al, J. Virol. 66:2731-2739 (1992); Johann et al., J. Virol. 66: 1635-1640 (1992); Sommnerfelt et al, Virol. 176:58-59 (1990); Wilson et al, J. Virol. 63:2374-2378 (1989); Miller et al, J. Virol. 65:2220-2224 (1991); PCT/US94/05700). In instances where transient expression is preferred, adenoviral based systems may be used. Adenoviral based vectors are capable of very high transduction efficiency in many cell types and do not require cell division. With such vectors, high titer and levels of expression have been obtained. This vector can be produced in large quantities in a relatively simple system. Adeno-associated virus ("AAV") vectors may also be used to transduce cells with target nucleic acids, e.g. , in the in vitro production of nucleic acids and peptides, and for in vivo and ex vivo gene therapy procedures (see, e.g., West et al, Virology 160:38-47 (1987); U.S. Pat. No. 4,797,368; WO 93/24641 ; Kotin, Human Gene Therapy 5:793-801 (1994); Muzyczka, J.
SUBSTITUTE SHEET (RULE 26)
Clin. Invest. 94: 1351 (1994). Construction of recombinant AAV vectors are described in a number of publications, including U.S. Pat. No. 5,173,414; Tratschin et al., Mol. Cell. Biol. 5:3251-3260 (1985); Tratschin, et al, Mol. Cell. Biol. 4:2072-2081 (1984); Hermonat & Muzyczka, PNAS 81 :6466-6470 (1984); and Samulski et al., J. Virol. 63:03822-3828 (1989).
Packaging cells are typically used to form virus particles that are capable of infecting a host cell. Such cells include 293 cells, which package adenovirus, and .psi.2 cells or PA317 cells, which package retrovirus. Viral vectors are usually generated by producing a cell line that packages a nucleic acid vector into a viral particle. The vectors typically contain the minimal viral sequences required for packaging and subsequent integration into a host, other viral sequences being replaced by an expression cassette for the polynucleotide(s) to be expressed. The missing viral functions are typically supplied in trans by the packaging cell line. For example, AAV vectors used in gene therapy typically only possess ITR sequences from the AAV genome which are required for packaging and integration into the host genome. Viral DNA is packaged in a cell line, which contains a helper plasmid encoding the other AAV genes, namely rep and cap, but lacking ITR sequences. The cell line may also be infected with adenovirus as a helper. The helper virus promotes replication of the AAV vector and expression of AAV genes from the helper plasmid. The helper plasmid is not packaged in significant amounts due to a lack of ITR sequences. Contamination with adenovirus can be reduced by, e.g., heat treatment to which adenovirus is more sensitive than AAV. Additional methods for the delivery of nucleic acids to cells are known to those skilled in the art. See, for example, US20030087817, incorporated herein by reference.
In some embodiments, a host cell (e.g. , a cell from a patient) is transiently or non- transiently transfected with one or more vectors described herein. In some embodiments, a cell is transfected as it naturally occurs in a subject. In some embodiments, a cell is taken from a subject and then transfected. In some embodiments, the cell is derived from a cell line, which is taken from a subject. A wide variety of cell lines for tissue culture are known in the art. Examples of cell lines include, but are not limited to, C8161, CCRF-CEM, MOLT, mIMCD-3, NHDF, HeLa-S3, Huhl, Huh4, Huh7, HUVEC, HASMC, HEKn, HEKa, MiaPaCell, Panel, PC-3, TF1, CTLL-2, C1R, Rat6, CV1, RPTE, A10, T24, J82, A375, ARH- 77, Calul, SW480, SW620, SKOV3, SK-UT, CaCo2, P388D1, SEM-K2, WEHI-231, HB56, TIB55, Jurkat, J45.01, LRMB, Bcl-1, BC-3, IC21, DLD2, Raw264.7, NRK, NRK-52E, MRC5, MEF, Hep G2, HeLa B, HeLa T4, COS, COS-1, COS-6, COS-M6A, BS-C-1 monkey kidney epithelial, BALB/3T3 mouse embryo fibroblast, 3T3 Swiss, 3T3-L1, 132-d5 human fetal fibroblasts; 10.1 mouse fibroblasts, 293-T, 3T3, 721, 9L, A2780, A2780ADR,
SUBSTITUTE SHEET (RULE 26)
A2780cis, A172, A20, A253, A431, A-549, ALC, B16, B35, BCP-1 cells, BEAS-2B, bEnd.3, BHK-21, BR 293, BxPC3, C3H-10T1/2, C6/36, Cal-27, CHO, CHO-7, CHO-IR, CHO-K1, CHO-K2, CHO-T, CHO Dhfr -/-, COR-L23, COR-L23/CPR, COR-L23/5010, COR- L23/R23, COS-7, COV-434, CML Tl, CMT, CT26, D17, DH82, DU145, DuCaP, EL4, EM2, EM3, EMT6/AR1, EMT6/AR10.0, FM3, H1299, H69, HB54, HB55, HCA2, HEK- 293, HeLa, Hepalclc7, HL-60, HMEC, HT-29, Jurkat, JY cells, K562 cells, Ku812, KCL22, KG1, KYOl, LNCap, Ma-Mel 1-48, MC-38, MCF-7, MCF-IOA, MDA-MB-231, MDA-MB- 468, MDA-MB-435, MDCK II, MDCK II, MOR/0.2R, MONO-MAC 6, MTD-1A, MyEnd, NCI-H69/CPR, NCI-H69/LX10, NCI-H69/LX20, NCI-H69/LX4, NIH-3T3, NALM-1, NW- 145, OPCN/OPCT cell lines, Peer, PNT-IA/PNT 2, RenCa, RIN-5F, RMA/RMAS, Saos-2 cells, Sf-9, SkBr3, T2, T-47D, T84, THP1 cell line, U373, U87, U937, VCaP, Vero cells, WM39, WT-49, X63, YAC-1, YAR, and transgenic varieties thereof. Cell lines are available from a variety of sources known to those with skill in the art (see, e.g., the American Type Culture Collection (ATCC)). In some embodiments, a cell transfected with one or more vectors described herein is used to establish a new cell line comprising one or more vector- derived sequences. In some embodiments, a cell transiently transfected with the nucleotide sequences of the present application is used to establish a new cell line comprising cells containing the a modified version of the endogenous protein (e.g., an endogenous protein fused with a polypeptide a Targeting Ligand is capable of binding, and a mutated endogenous protein fused with a polypeptide a Targeting Ligand is capable of binding). In some embodiments, cells transiently or non-transiently transfected with one or more vectors described herein, or cell lines derived from such cells are used in assessing one or more test compounds.
Vectors (e.g. , those described herein) may be introduced and propagated in a prokaryote. In some embodiments, a prokaryote is used to amplify copies of a vector to be introduced into a eukaryotic cell or as an intermediate vector in the production of a vector to be introduced into a eukaryotic cell (e.g., amplifying a plasmid as part of a viral vector packaging system). In some embodiments, a prokaryote is used to amplify copies of a vector and express one or more nucleic acids, such as to provide a source of one or more proteins for delivery to a host cell or host organism. Expression of proteins in prokaryotes is most often carried out in Escherichia coli with vectors containing constitutive or inducible promoters directing the expression of either fusion or non-fusion proteins. Fusion vectors add a number of amino acids to a protein encoded therein, such as to the amino terminus of the recombinant protein. Such fusion vectors may serve one or more purposes, such as: (i) to increase
SUBSTITUTE SHEET (RULE 26)
expression of recombinant protein; (ii) to increase the solubility of the recombinant protein; and (iii) to aid in the purification of the recombinant protein by acting as a ligand in affinity purification. Often, in fusion expression vectors, a proteolytic cleavage site is introduced at the junction of the fusion moiety and the recombinant protein to enable separation of the recombinant protein from the fusion moiety subsequent to purification of the fusion protein. Such enzymes, and their cognate recognition sequences, include Factor Xa, thrombin and enterokinase. Example fusion expression vectors include pGEX (Pharmacia Biotech Inc; Smith and Johnson, 1988. Gene 67: 31-40), pMAL (New England Biolabs, Beverly, Mass.) and pRIT5 (Pharmacia, Piscataway, N.J.) that fuse glutathione S-transferase (GST), maltose E binding protein, or protein A. respectively, to the target recombinant protein.
Examples of suitable inducible non-fusion E. coli expression vectors include pTrc (Amrann et al, (1988) Gene 69:301-315) and pET l id (Studier et al., GENE EXPRESSION TECHNOLOGY: METHODS IN ENZYMOLOGY 185, Academic Press, San Diego, Calif. (1990) 60-89).
In some embodiments, a vector is a yeast expression vector. Examples of vectors for expression in yeast Saccharomyces cerivisae include pYepSecl (Baldari, et al, 1987. EMBO J. 6: 229-234), pMFa (Kuijan and Herskowitz, 1982. Cell 30: 933-943), pJRY88 (Schultz et al, 1987. Gene 54: 113-123), pYES2 (Invitrogen Corporation, San Diego, Calif), and picZ (InVitrogen Corp, San Diego, Calif).
In some embodiments, a vector is capable of driving expression of one or more sequences in mammalian cells using a mammalian expression vector. Examples of mammalian expression vectors include pCDM8 (Seed, 1987. Nature 329: 840) and pMT2PC (Kaufman, et al., 1987. EMBO J. 6: 187-195). When used in mammalian cells, the expression vector's control functions are typically provided by one or more regulatory elements. For example, commonly used promoters are derived from polyoma, adenovirus 2, cytomegalovirus, simian virus 40, and others disclosed herein and known in the art. For other suitable expression systems for both prokaryotic and eukaryotic cells see, e.g., Chapters 16 and 17 of Sambrook, et al, MOLECULAR CLONING: A LABORATORY MANUAL. 2nd ed., Cold Spring Harbor Laboratory, Cold Spring Harbor Laboratory Press, Cold Spring Harbor, N.Y., 1989.
In some embodiments, the recombinant mammalian expression vector is capable of directing expression of the nucleic acid preferentially in a particular cell type (e.g. , tissue- specific regulatory elements are used to express the nucleic acid). Tissue-specific regulatory elements are known in the art. Non-limiting examples of suitable tissue-specific promoters
SUBSTITUTE SHEET (RULE 26)
include the albumin promoter (liver-specific; Pinkert, et al, 1987. Genes Dev. 1 : 268-277), lymphoid-specific promoters (Calame and Eaton, 1988. Adv. Immunol. 43: 235-275), in particular promoters of T cell receptors (Winoto and Baltimore, 1989. EMBO J. 8: 729-733) and immunoglobulins (Baneiji, et al, 1983. Cell 33: 729-740; Queen and Baltimore, 1983. Cell 33: 741-748), neuron-specific promoters (e.g., the neurofilament promoter; Byrne and Ruddle, 1989. Proc. Natl. Acad. Sci. USA 86: 5473-5477), pancreas-specific promoters (Edlund, et al., 1985. Science 230: 912-916), and mammary gland-specific promoters (e.g., milk whey promoter; U.S. Pat. No. 4,873,316 and European Application Publication No. 264,166). Developmentally-regulated promoters are also encompassed, e.g. , the murine hox promoters (Kessel and Gruss, 1990. Science 249: 374-379) and the .alpha. -fetoprotein promoter (Campes and Tilghman, 1989. Genes Dev. 3: 537-546).
Compounds of the Application
The present application relates to bifunctional compounds which find utility as modulators of ubiquitination and proteosomal degradation of targeted proteins, especially compounds comprising an inhibitor of a polypeptide or a protein that is degraded and/or otherwise inhibited by the bifunctional compounds of the present application. In particular, the present application is directed to compounds which contain a ligand, e.g., a small molecule ligand (i.e., having a molecular weight of below 2,000, 1,000, 500, or 200 Daltons), such as a thalidomi de-like ligand, which is capable of binding to a ubiquitin ligase, such as cereblon, and a moiety that is capable of binding to a target protein, in such a way that the target protein is placed in proximity to the ubiquitin ligase to effect degradation (and/or inhibition) of that protein.
In general, the present application provides compounds having the general structure:
Degron-Linker-Targeting Ligand,
wherein the Linker is covalently bound to at least one Degron and at least one Targeting Ligand, the Degron is a compound capable of binding to a ubiquitin ligase such as an E3 Ubiquitin Ligase (e.g., cereblon), and the Targeting Ligand is capable of binding to the targeted protein(s).
In certain embodiments, the present application provides a compound of Formula X:
SUBSTITUTE SHEET (RULE 26)
(R3')r Targeting Ligand
(X),
or an enantiomer, diastereomer, stereoisomer, or a pharmaceutically acceptable salt thereof, wherein:
the Linker is a group that covalently binds to the Targeting Ligand and Y; and the Targeting Ligand is capable of binding to or binds to a targeted protein;
In certain embodiments, the present application provides a compound of Formula I:
the Linker is a group that covalently binds to the Targeting Ligand and Y; and the Targeting Ligand is capable of binding to or binds to a targeted protein;
and wherein X, XY, Ri, R2, R2', R3, R3', R4, R5, m and n are each as defined herein.
In certain embodiments, the present application provides a compound of Formula I:
or an enantiomer, diastereomer, stereoisomer, or pharmaceutically acceptable salt thereof, wherein:
the Linker is a group that covalently binds to the Targeting Ligand and Y; and the Targeting Ligand is capable of binding to or binds to a targeted protein;
SUBSTITUTE SHEET (RULE 26)
and wherein Xi, X2, Y, Ri, R2, R2', R3, R3', R4, R5, m and n are each as defined herein. Degron
The Degron is a compound that serves to link a targeted protein, through the Linker and Targeting Ligand, to a ubiquitin ligase for proteosomal degradation. In certain embodiments, the Degron is a compound that is capable of binding to or binds to a ubiquitin ligase. In further embodiments, the Degron is a compound that is capable of binding to or binds to a E3 Ubiquitin Ligase. In further embodiments, the Degron is a compound that is capable of binding to or binds to cereblon. In further embodiments, the Degron is a thalidomide or a derivative or analog thereof.
In certain embodiments, the Degron is a compound having Formula D:
X is C(O) or C(R3)2;
X1-X2 is C(R3)=N or C(R3)2-C(R3)2;
each Ri is independently halogen, OH, Ci-C6 alkyl, or Ci-C6 alkoxy;
R2 is Ci-Ce alkyl, C(0)-Ci-Ce alkyl, or C(0)-C3-Ce cycloalkyl;
R2' is H or Ci-Ce alkyl;
each R3 is independently H or Ci-C3 alkyl;
each R3' is independently Ci-C3 alkyl;
each R4 is independently H or Ci-C3 alkyl; or two R4, together with the carbon atom to which they are attached, form C(O), a C3-C6 carbocycle, or a 4-, 5-, or 6-membered heterocycle comprising 1 or 2 heteroatoms selected from N and O;
R5 is H, deuterium, Ci-C3 alkyl, F, or CI;
m is 0, 1 , 2 or 3; and
n is 0, 1 or 2;
SUBSTITUTE SHEET (RULE 26)
wherein the ound is covalently bonded to another moiety (e.g. , a compound, or a
In certain embodiments, the Degron is a compound of Formula D, wherein X is C(O).
In certain embodiments, the Degron is a compound of Formula D, wherein X is
C(R.3)2; and each R3 is H. In certain embodiments, X is C(R3)2; and one of R3 is H, and the other is C1-C3 alkyl selected from methyl, ethyl, and propyl. In certain embodiments, X is C(R3)2; and each R3 is independently selected from methyl, ethyl, and propyl.
In certain embodiments, the Degron is a compound of Formula D, wherein X1-X2 is C(R3)=N. In certain embodiments, X1-X2 is CH=N. In certain embodiments, X1-X2 is C(R3)=N; and R3 is C1-C3 alkyl selected from methyl, ethyl, and propyl. In certain embodiments, X1-X2 is C(CH3)=N.
In certain embodiments, the Degron is a compound of Formula D, wherein X1-X2 is C(R3)2-C(R3)2; and each R3 is H. In certain embodiments, X1-X2 is C(R3)2-C(R3)2; and one of R3 is H, and the other three R3 are independently C1-C3 alkyl selected from methyl, ethyl, and propyl. In certain embodiments, X1-X2 is C(R3)2-C(R3)2; and two of the R3 are H, and the other two R3 are independently C1-C3 alkyl selected from methyl, ethyl, and propyl. In certain embodiments, X1-X2 is C(R3)2-C(R3)2; and three of the R3 are H, and the remaining R3 is C1-C3 alkyl selected from methyl, ethyl, and propyl.
In certain embodiments, the Degron is a compound of Formula D, wherein Y is a bond.
SUBSTITUTE SHEET (RULE 26)
In certain embodiments, the Degron is a compound of Formula D, wherein Y is (CH2)i, (CH2)2, (CH2)3, (CH2)4, (CH2)5, or (CH2)6. In certain embodiments, Y is (CH2)i, (CH2)2, or (CH2)3. In certain embodiments, Y is (CH2)i or (CH2)2.
In certain embodiments, the Degron is a compound of Formula D, wherein Y is O, CH2-0, (CH2)2-0, (CH2)3-0, (CH2)4-0, (CH2)5-0, or (CH2)6-0. In certain embodiments, Y is O, CH2-0, (CH2)2-0, or (CH2)3-0. In certain embodiments, Y is O or CH2-0. In certain embodiments, Y is O.
In certain embodiments, the Degron is a compound of Formula D, wherein Y is C(0)NR2', CH2-C(0)NR2', (CH2)2-C(0)NR2\ (CH2)3-C(0)NR2', (CH2)4-C(0)NR2', (CH2)5- C(0)NR2', or (CH2)6-C(0)NR2\ In certain embodiments, Y is C(0)NR2', CH2-C(0)NR2', (CH2)2-C(0)NR2', or (CH2)3-C(0)NR2\ In certain embodiments, Y is C(0)NR2' or CH2- C(0)NR2'. In certain embodiments, Y is C(0)NR2' .
In certain embodiments, the Degron is a compound of Formula D, wherein Y is NR2'C(0), CH2-NR2'C(0), (CH2)2-NR2'C(0), (CH2)3-NR2'C(0), (CH2)4-NR2'C(0), (CH2)5- NR2'C(0), or (CH2)6-NR2'C(0). In certain embodiments, Y is NR2'C(0), CH2-NR2'C(0), (CH2)2-NR2'C(0), or (CH2)3-NR2'C(0). In certain embodiments, Y is NR2'C(0) or CH2- NR2'C(0). In certain embodiments, Y is NR2'C(0).
In certain embodiments, the Degron is a compound of Formula D, wherein R2' is H. In certain embodiments, the Degron is a compound of Formula D, wherein R2' is selected from methyl, ethyl, propyl, butyl, i-butyl, t-butyl, pentyl, i-pentyl, and hexyl. In certain embodiments, R^' is Ci-C3 alkyl selected from methyl, ethyl, and propyl.
In certain embodiments, the Degron is a compound of Formula D, wherein Y is NH, CH2-NH, (CH2)2-NH, (CH2)3-NH, (CH2) -NH, (CH2)5-NH, or (CH2)6-NH. In certain embodiments, Y is NH, CH2-NH, (CH2)2-NH, or (CH2)3-NH. In certain embodiments, Y is NH or CH2-NH. In certain embodiments, Y is NH.
In certain embodiments, the Degron is a compound of Formula D, wherein Y is NR2, CH2-NR2, (CH2)2-NR2, (CH2)3-NR2, (CH2) -NR2, (CH2)5-NR2, or (CH2)6-NR2. In certain embodiments, Y is NR2, CH2-NR2, (CH2)2-NR2, or (CH2)3-NR2. In certain embodiments, Y is NR2 or CH2-NR2. In certain embodiments, Y is NR2.
In certain embodiments, the Degron is a compound of Formula D, wherein R2 is selected from methyl, ethyl, propyl, butyl, i-butyl, t-butyl, pentyl, i-pentyl, and hexyl. In certain embodiments, R2 is Ci-C3 alkyl selected from methyl, ethyl, and propyl.
In certain embodiments, the Degron is a compound of Formula D, wherein R2 is selected from C(0)-methyl, C(0)-ethyl, C(0)-propyl, C(0)-butyl, C(0)-i-butyl, C(0)-t-butyl,
SUBSTITUTE SHEET (RULE 26)
C(0)-pent l, C(0)-i-pentyl, and C(0)-hexyl. In certain embodiments, R2 is C(0)-Ci-C3 alkyl selected from C(0)-methyl, C(0)-ethyl, and C(0)-propyl.
In certain embodiments, the Degron is a compound of Formula D, wherein R2 is selected from C(0)-cyclopropyl, C(0)-cyclobutyl, C(0)-cyclopentyl, and C(0)-cyclohexyl. In certain embodiments, R2 is C(0)-cyclopropyl.
In certain embodiments, the Degron is a compound of Formula D, wherein R3 is H.
In certain embodiments, the Degron is a compound of Formula D, wherein R3 is Ci- C3 alkyl selected from methyl, ethyl, and propyl. In certain embodiments, R3 is methyl.
In certain embodiments, the Degron is a compound of Formula D, wherein n is 0.
In certain embodiments, the Degron is a compound of Formula D, wherein n is 1.
In certain embodiments, the Degron is a compound of Formula D, wherein n is 2.
In certain embodiments, the Degron is a compound of Formula D, wherein each R3' is independently C1-C3 alkyl selected from methyl, ethyl, and propyl.
In certain embodiments, the Degron is a compound of Formula D, wherein m is 0.
In certain embodiments, the Degron is a compound of Formula D, wherein m is 1.
In certain embodiments, the Degron is a compound of Formula D, wherein m is 2.
In certain embodiments, the Degron is a compound of Formula D, wherein m is 3.
In certain embodiments, the Degron is a compound of Formula D, wherein each Ri is independently selected from halogen (e.g. , F, CI, Br, and I), OH, C1-C6 alkyl (e.g., methyl, ethyl, propyl, butyl, i-butyl, t-butyl, pentyl, i-pentyl, and hexyl), and C1-C6 alkoxy (e.g. , methoxy, ethoxy, propoxy, butoxy, i-butoxy, t-butoxy, and pentoxy). In further
embodiments, the Degron is a compound of Formula D, wherein each Ri is independently selected from F, CI, OH, methyl, ethyl, propyl, butyl, i-butyl, t-butyl, methoxy, and ethoxy.
In certain embodiments, the Degron is a compound of Formula D, wherein each R4 is
H.
In certain embodiments, the Degron is a compound of Formula D, wherein one of R4 is H, and the other R4 is C1-C3 alkyl selected from methyl, ethyl, and propyl.
In certain embodiments, the Degron is a compound of Formula D, wherein each R4 is independently C1-C3 alkyl selected from methyl, ethyl, and propyl.
In certain embodiments, the Degron is a compound of Formula D, wherein two R4, together with the carbon atom to which they are attached, form C(O).
In certain embodiments, the Degron is a compound of Formula D, wherein two R4, together with the carbon atom to which they are attached, form cyclopropyl, cyclobutyl, cyclopentyl, or cyclohexyl.
SUBSTITUTE SHEET (RULE 26)
In certain embodiments, the Degron is a compound of Formula D, wherein two R.4, together with the carbon atom to which they are attached, form a 4-, 5-, or 6-membered heterocycle selected from oxetane, azetidine, tetrahydrofuran, pyrrolidine, piperidine, piperazine, and morpholine. In certain embodiments, two R.4, together with the carbon atom to which they are attached, form oxetane.
In certain embodiments, the Degron is a compound of Formula D, wherein R5 is H, deuterium, or C1-C3 alkyl. In further embodiments, R5 is in the (S) or (R) configuration. In further embodiments, R5 is in the (S) configuration. In certain embodiments, the Degron is a compound of Formula D, wherein the compound comprises a racemic mixture of (S)-Rs and (R)-Rs.
In certain embodiments, the Degron is a compound of Formula D, wherein R5 is H. In certain embodiments, the Degron is a compound of Formula D, wherein R5 is deuterium.
In certain embodiments, the Degron is a compound of Formula D, wherein R5 is Ci- C3 alkyl selected from methyl, ethyl, and propyl. In certain embodiments, R5 is methyl.
In certain embodiments, the Degron is a compound of Formula D, wherein R5 is F or CI. In further embodiments, R5 is in the (S) or (R) configuration. In further embodiments, R5 is in the (R) configuration. In certain embodiments, the Degron is a compound of Formula D, wherein the compound comprises a racemic mixture of (5)-Rs and (i?)-Rs. In certain embodiments, R5 is F.
, m, and n, can be combined with any of the moieties defined for the others of
, X, Xi, X2, Y, Ri, R2, R2', R3, R3', R4, R5, m, and n.
In certain embodiments, the Degron is a compound having Formula Dl :
or an enantiomer, diastereomer, or stereoisomer thereof, wherein X, Y, Ri, R2, R2', R3, R3', R4, R5, m, and n are each as defined above in Formula D.
SUBSTITUTE SHEET (RULE 26)
Each of X, Y, Ri, R2, R2', R3, R3 ' , R4, R5, m, and n can be selected from the moieties described above in Formula D. Each of the moieties defined for one of X, Y, Ri, R2, R2', R3, R3 ' , R4, R5, m, and n, can be combined with any of the moieties defined for the others of X, Y, Ri, R2, R2', R3, R3 ', R4, R5, m, and n, as described above in Formula D.
In certain embodiments, the Degron is a compound of Formula D2:
or an enantiomer, diastereomer, or stereoisomer thereof, wherein each of Ri, R3 ' , m and n is as defined above and can be selected from any moieties or combinations thereof described above.
In certain embodiments, the Degron is a compound of the following structure:
enantiomer, diastereomer, or stereoisomer thereof.
In certain embodiments, the Degron is a compound of Formula D3:
or an enantiomer, diastereomer, or stereoisomer thereof, wherein Xi, X2, Y, Ri, R2, R2', R3, R3 ' , R4, R5, m, and n are each as defined above in Formula D.
Each of Xi, X2, Y, Ri, R2, R2', R3, R3 ', R4, R5, m, and n can be selected from the moieties described above in Formula D. Each of the moieties defined for one of Xi, X2, Y, Ri, R2, R2', R3, R3 ' , R4, R5, m, and n, can be combined with any of the moieties defined for the others of Xi, X2, Y, Ri, R2, R2', R3, R3 ' , R4, R5, m, and n, as described above in Formula D.
In certain embodiments, the Degron is selected from the following in Table D, wherein X is H, deuterium, C1-C3 alkyl, or halogen; and R is a Linker.
SUBSTITUTE SHEET (RULE 26)
SUBSTITUTE SHEET (RULE 26)
SUBSTITUTE SHEET (RULE 26)
SUBSTITUTE SHEET (RULE 26)
SUBSTITUTE SHEET (RULE 26)
SUBSTITUTE SHEET (RULE 26)
P
O 2017/024317
embodiments, the Degron is selected from the following in Table Dl
In certain
Table Dl
In certain embodiments, the Degron is s elected from the following in Table D2:
The Linker is a bond or a carbon chain that serves to link a Targeting Ligand with a Degron. In certain embodiments, the carbon chain optionally comprises one, two, three, or more heteroatoms selected from N, O, and S. In certain embodiments, the carbon chain comprises only saturated chain carbon atoms. In certain embodiments, the carbon chain optionally comprises two or more unsaturated chain carbon atoms (e.g., C=C or C≡EC) In certain embodiments, one or more chain carbon atoms in the carbon chain are optionally substituted with one or more substituents (e.g., oxo, Ci-C6 alkyl, d-Ce alkenyl, d-Ce alkynyl, C1-C3 alkoxy, OH, halogen, NH2, NH(Ci-C3 alkyl), N(Ci-Cs alkyl)2, CN, C3-Cs cycloalkyl, heterocyclyl, phenyl, and heteroaryl).
In certain embodiments, the Linker comprises at least 5 chain atoms (e.g., C, O, N, and S). In certain embodiments, the Linker comprises less than 20 chain atoms (e.g., C, O, N, and S). In certain embodiments, the Linker comprises 5, 6, 7, 8, 9, 10, 11, 12, 13, 14, 15, 16, 17, 18, or 19 chain atoms (e.g., C, O, N, and S). In certain embodiments, the Linker comprises 5, 7, 9, 11, 13, 15, 17, or 19 chain atoms (e.g., C, O, N, and S). In certain embodiments, the Linker comprises 5, 7, 9, or 11 chain atoms (e.g., C, O, N, and S). In certain embodiments, the Linker comprises 6, 8, 10, 12, 14, 16, or 18 chain atoms (e.g., C, O, N, and S). In certain embodiments, the Linker comprises 6, 8, 10, or 12 chain atoms (e.g., C, O, N, and S).
In certain embodiments, the Linker is a carbon chain optionally substituted with non- bulky substituents (e.g., oxo, Ci-C6 alkyl, d-Ce alkenyl, d-Ce alkynyl, C1-C3 alkoxy, OH, halogen, NH2, NH(Ci-C3 alkyl), N(Ci-C3 alkyl)2, and CN). In certain embodiments, the non- bulky substitution is located on the chain carbon atom proximal to the Degron (i.e., the
SUBSTITUTE SHEET (RULE 26)
carbon atom is separated from the carbon atom to which the Degron is bonded by at least 3, 4, or 5 chain atoms in the Linker).
or an enantiomer, diastereomer, or stereoisomer thereof, wherein
pi is an integer selected from 0 to 12;
p2 is an integer selected from 0 to 12;
p3 is an integer selected from 1 to 6;
each W is independently absent, CH2, O, S, NH or NR5;
Z is absent, CH2, O, NH or NR5;
each R.5 is independently C1-C3 alkyl; and
Q is absent or -CH2C(0)NH-, wherein the Linker is covalently bonded to the Degron with the ^ next to Q, and covalently bonded to the Targeting Ligand with the ^ next to Z, and wherein the total number of chain atoms in the Linker is less than 20.
In certain embodiments, the Linker-Targeting Ligand (TL) has the structure of Formula LI or L2:
enantiomer, diastereomer, or stereoisomer thereof, wherein:
pi is an integer selected from 0 to 12;
p2 is an integer selected from 0 to 12;
p3 is an integer selected from 1 to 6;
each W is independently absent, CH2, O, S, NH or NR5;
Z is absent, CH2, O, NH or NR5;
each R 5 is independently C1-C3 alkyl; and
SUBSTITUTE SHEET (RULE 26)
TL is a Targeting Ligand, wherein the Linker is covalently bonded to the Degron with s .
In certain embodiments, pi is an integer selected from 0 to 10.
In certain embodiments, pi is an integer selected from 2 to 10.
In certain embodiments, pi is selected from 1, 2, 3, 4, 5, and 6.
In certain embodiments, pi is selected from 1, 3, and 5.
In certain embodiments, pi is selected from 1, 2, and 3.
In certain embodiments, pi is 3.
In certain embodiments, p2 is an integer selected from 0 to 10.
In certain embodiments, p2 is selected from 0, 1, 2, 3, 4, 5, and 6.
In certain embodiments, p2 is an integer selected from 0 and 1.
In certain embodiments, p3 is an integer selected from 1 to 5.
In certain embodiments, p3 is selected from 2, 3, 4, and 5.
In certain embodiments, p3 is selected from 1, 2, and 3.
In certain embodiments, p3 is selected from 2 and 3.
In certain embodiments, at least one W is CH2.
In certain embodiments, at least one W is O.
In certain embodiments, at least one W is S.
In certain embodiments, at least one W is NH.
In certain embodiments, at least one W is NR5; and R5 is C1-C3 alkyl selected from methyl, ethyl, and propyl.
In certain embodiments, W is O.
In certain embodiments, Z is absent.
In certain embodiments, Z is CH2.
In certain embodiments, Z is O.
In certain embodiments, Z is NH.
In certain embodiments, Z is NR5; and R5 is C1-C3 alkyl selected from methyl, ethyl, and propyl.
In certain embodiments, Z is part of the Targeting Ligand that is bonded to the Linker, namely, Z is formed from reacting a functional group of the Targeting Ligand with the Linker.
In certain embodiments, W is CH2, and Z is CH2.
In certain embodiments, W is O, and Z is CH2.
SUBSTITUTE SHEET (RULE 26)
In certain embodiments, W is CH2, and Z is O.
In certain embodiments, W is O, and Z is O.
In certain embodiments, the Linker-Targeting Ligand has the structure selected from
Table L:
wherein Z, TL, and pi are each as described above.
Any one of the Degrons described herein can be covalently bound to any one of the Linkers described herein.
In certain embodiments, the present application relates to the Degron-Linker (DL) having the following structure:
SUBSTITUTE SHEET (RULE 26)
wherein each of the variables is as described above in Formula D and Formula LO, and a
Targeting Ligand is covalently bonded to the DL with the ¾ next to Z.
In certain embodiments, the present application relates to the Degron-Linker (DL) having the following structure:
wherein each of the variables is as described above in Formula D and Formula LO, and a
Targeting Ligand is covalently bonded to the DL with the ¾ next to Z.
In certain embodiments, the present application relates to the Degron-Linker (DL) intermediates having the following structure:
or an enantiomer, diastereomer, or stereoisomer thereof,
wherein p is 1-19 and X and Ri are as described above.
In certain embodiments, the DLs have the following structure:
or an enantiomer, diastereomer, or stereoisomer thereof,
wherein p is 1-19.
In certain embodiments, the DL intermediate has the following structure:
Some embodiments of the present application relate to a bifunctional compound having the following structure:
or an enantiomer, diastereomer, or stereoisomer thereof, wherein each of the variables is as described above in Formula D and Formula LO, and the Targeting Ligand is described herein below.
Further embodiments of the present application relate to a bifunctional compound having the following structure:
or an enantiomer, diastereomer, or stereoisomer thereof, wherein each of the variables is as described above in Formula D and Formula LO, and the Targeting Ligand is described herein below.
Certain embodiments of the present application relate to bifunctional compounds having one of the following structures:
In certain embodiments, the Linker may be a polyethylene glycol group ranging in size from about 1 to about 12 ethylene glycol units, between 1 and about 10 ethylene glycol units, about 2 about 6 ethylene glycol units, between about 2 and 5 ethylene glycol units, between about 2 and 4 ethylene glycol units.
In certain embodiments, the Linker is designed and optimized based on SAR
(structure-activity relationship) and X-ray crystallography of the Targeting Ligand with regard to the location of attachment for the Linker.
In certain embodiments, the optimal Linker length and composition vary by target and can be estimated based upon X-ray structures of the original Targeting Ligand bound to its target. Linker length and composition can be also modified to modulate metabolic stability and pharmacokinetic (PK) and pharmacodynamics (PD) parameters.
In certain embodiments, where the Target Ligand binds multiple targets, selectivity may be achieved by varying Linker length where the ligand binds some of its targets in different binding pockets, e.g. , deeper or shallower binding pockets than others.
Targeting Ligand
Targeting Ligand (TL) (or target protein moiety or target protein ligand or ligand) is a small molecule which is capable of binding to or binds to a target protein of interest.
SUBSTITUTE SHEET (RULE 26)
Some embodiments of the present application relate to TLs which include but are not limited to Hsp90 inhibitors, kinase inhibitors, MDM2 inhibitors, compounds targeting Human BET Bromodomain-containing proteins, compounds targeting cytosolic signaling protein FKBP12, HDAC inhibitors, human lysine methyltransferase inhibitors, angiogenesis inhibitors, immunosuppressive compounds, and compounds targeting the aryl hydrocarbon receptor (AHR).
In certain embodiments, the Targeting Ligand is a compound that is capable of binding to or binds to a kinase, a BET bromodomain-containing protein, a cytosolic signaling protein (e.g. , FKBP12), a nuclear protein, a histone deacetylase, a lysine methyltransferase, a protein regulating angiogenesis, a protein regulating immune response, an aryl hydrocarbon receptor (AHR), an estrogen receptor, an androgen receptor, a glucocorticoid receptor, or a transcription factor (e.g. , SMARCA4, SMARCA2, TRIM24).
In certain embodiments, the Targeting Ligand is a compound that is capable of binding to or binds to FK506 binding protein- 12 (FKBP12), bromodomain-containing protein 4 (BRD4), CREB binding protein (CREBBP), or transcriptional activator BRG1
(SMARCA4). In other embodiments, the Targeting Ligand is a compound that is capable of binding to or binds to a hormone receptor e.g,. estrogen-receptor protein, androgen receptor protein, retinoid x receptor (RXR) protein, or dihydroflorate reductase (DHFR), including bacterial DHFR. In other embodiments, the Targeting Ligand is a compound that is capable of binding to or binds to a bacterial dehalogenase. In other embodiments, the Targeting Ligand is a compound that is capable of binding to or binds to ASH1L, ATAD2, BAZ1A, BAZ1B, BAZ2A, BAZ2B, BRD1, BRD2, BRD3, BREW, BRD5, BRD6, BRD7, BRD8, BRD9, BRD10, BRDT, BRPF1, BRPF3, BRWD3, CECR2, CREBBP, EP300, FALZ, GCN5L2, KIAA1240, LOC93349, MLL, PB1, PCAF, PHIP, PRKCBP1, SMARCA2, SMARCA4, SP100, SP110, SP140, TAF1, TAF1L, TIF la, TRIM28, TRIM33, TRIM66,
WDR9, ZMYNDl 1, or MLL4. In further embodiments, the Targeting Ligand is a compound that is capable of binding to or binds to MDM2.
In certain embodiments, the Targeting Ligand is a compound that is capable of binding to or binds to a BET bromodomain-containing protein, for example, but not limited to, ASH1L, ATAD2, BAZ1A, BAZ1B, BAZ2A, BAZ2B, BRD1, BRD2, BRD3, BRD4, BRD5, BRD6, BRD7, BRD8, BRD9, BRD10, BRDT, BRPF1, BRPF3, BRWD3, CECR2, CREBBP, EP300, FALZ, GCN5L2, KIAA1240, LOC93349, MLL, PB1, PCAF, PHIP, PRKCBP1, SMARCA2, SMARCA4, SP100, SP110, SP140, TAF1, TAF1L, TIF la, TRIM28, TRIM33, TRIM66, WDR9, ZMYNDl 1, and MLL4.
SUBSTITUTE SHEET (RULE 26)
In a particular embodiment, the Targeting Ligand is a compound that is capable of binding to or binds to BRD2, BRD3, BRD4, or BRDT. In certain embodiments, the
Targeting Ligand is a compound that is capable of binding to or binds to a modified or mutant BRD2, BRD3, BRD4, or BRDT protein.
In certain embodiments, the one or more mutations of BRD2 include a mutation of the
Tryptophan (W) at amino acid position 97, a mutation of the Valine (V) at amino acid position 103, a mutation of the Leucine (L) at amino acid position 110, a mutation of the W at amino acid position 370, a mutation of the V at amino acid position 376, or a mutation of the L at amino acid position 381. In certain embodiments, the one or more mutations of BRD3 include a mutation of the W at amino acid position 57, a mutation of the V at amino acid position 63, a mutation of the L at amino acid position 70, a mutation of the W at amino acid position 332, a mutation of the V at amino acid position 338, or a mutation of the L at amino acid position 345. In certain embodiments, the one or more mutations of BRD4 include a mutation of the W at amino acid position 81, a mutation of the V at amino acid position 87, a mutation of the L at amino acid position 94, a mutation of the W at amino acid position 374, a mutation of the V at amino acid position 380, or a mutation of the L at amino acid position 387. In certain embodiments, the one or more mutations of BRDT include a mutation of the W at amino acid position 50, a mutation of the V at amino acid position 56, a mutation of the L at amino acid position 63, a mutation of the W at amino acid position 293, a mutation of the V at amino acid position 299, or a mutation of the L at amino acid position 306.
In a particular embodiment, the Targeting Ligand is a compound that is capable of binding to or binds to cytosolic signaling protein FKBP12. In certain embodiments, the Targeting Ligand is a compound that is capable of binding to or binds to a modified or mutant cytosolic signaling protein FKBP12. In certain embodiments, the modified or mutant cytosolic signaling protein FKBP12 contains one or more mutations that create an enlarged binding pocket for FKBP12 ligands. In certain embodiments, the one or more mutations include a mutation of the phenylalanine (F) at amino acid position 36 to valine (V) (F36V).
In one embodiment, the Targeting Ligand is a compound that is capable of binding to or binds to an amino acid sequence, or fragment thereof from any of SEQ. IDs. 1-9 or 24-29. In a particular embodiment, the Targeting Ligand is a compound that is capable of binding to or binds to an amino acid sequence, or fragment thereof of SEQ ID NO.l.
SEQ ID NO. 1:
SUBSTITUTE SHEET (RULE 26)
GVQVETISP GDGRTFPKRG QTCVVHYTGM LEDGKKFDSS RDRNKPFKFM LGKQEVIRGW EEGVAQMSVG QRAKLTISPD YAYGATGHPG IIPPHATLVF DVELLKLE
In a particular embodiment, the Targeting Ligand is a compound that is capable of g to or binds to an amino acid sequence, or fragment thereof of SEQ ID NO.2.
SEQ ID NO. 2:
GVQVETISPGDGRTFPKRGQTCVVHYTGMLEDGKKFDSSRDRNKPFKFMLG KQEVIRGW
EEGVAQMSVGQRAKLTISPDYAYGATGHPGIIPPHATLVFDVELLKLE
In a particular embodiment, the Targeting Ligand is a compound that is capable of g to or binds to an amino acid sequence, or fragment thereof of SEQ ID NO.3.
SEQ ID NO. 3:
MSAESGPGTR LRNLPVMGDG LETSQMSTTQ AQAQPQPANA ASTNPPPPET SNPNKPKRQT NQLQYLLRVV LKTLWKHQFA WPFQQPVDAV KLNLPDYYKI IKTPMDMGTI KKRLENNYYW NAQECIQDFN TMFTNCYIYN KPGDDIVLMA EALEKLFLQK INELPTEETE IMIVQAKGRG RGRKETGTAK PGVSTVPNTT QASTPPQTQT PQPNPPPVQA TPHPFPAVTP DLIVQTPVMT VVPPQPLQTP PPVPPQPQPP PAPAPQPVQS HPPIIAATPQ PVKTKKGVKR KADTTTPTTI DPIHEPPSLP PEPKTTKLGQ RRESSRPVKP PKKDVPDSQQ HPAPEKSSKV SEQLKCCSGI LKEMFAKKHA AYAWPFYKPV DVEALGLHDY CDIIKHPMDM STIKSKLEAR EYRDAQEFGA DVRLMFSNCY KYNPPDHEVV AMARKLQDVF EMRFAKMPDE PEEPVVAVSS PAVPPPTKVV APPSSSDSSS DSSSDSDSST DDSEEERAQR LAELQEQLKA VHEQLAALSQ PQQNKPKKKE KDKKEKKKEK HKRKEEVEEN KKSKAKEPPP KKTKKNNSSN SNVSKKEPAP MKSKPPPTYE SEEEDKCKPM SYEEKRQLSL DINKLPGEKL GRVVHIIQSR EPSLKNSNPD EIEIDFETLK PSTLRELERY VTSCLRKKRK PQAEKVDVIA GSSKMKGFSS SESESSSESS SSDSEDSETE MAPKSKKKGH PGREQKKHHH HHHQQMQQAP APVPQQPPPP PQQPPPPPPP QQQQQPPPPP PPPSMPQQAA PAMKSSPPPF IATQVPVLEP QLPGSVFDPI GHFTQPILHL PQPELPPHLP QPPEHSTPPH LNQHAVVSPP ALHNALPQQP SRPSNRAAAL PPKPARPPAV SPALTQTPLL PQPPMAQPPQ VLLEDEEPPA PPLTSMQMQL YLQQLQKVQP PTPLLPSVKV QSQPPPPLPP PPHPSVQQQL QQQPPPPPPP QPQPPPQQQH QPPPRPVHLQ PMQFSTHIQQ PPPPQGQQPP HPPPGQQPPP PQPAKPQQVI QHHHSPRHHK SDPYSTGHLR EAPSPLMIHS PQMSQFQSLT HQSPPQQNVQ PKKQELRAAS
SUBSTITUTE SHEET (RULE 26)
VVQPQPLVVV KEEKIHSPII RSEPFSPSLR PEPPKHPESI KAPVHLPQRP EMKPVDVGRP VIRPPEQNAP PPGAPDKDKQ KQEPKTPVAP KKDLKIKNMG SWASLVQKHP TTPSSTAKSS SDSFEQFRRA AREKEEREKA LKAQAEHAEK EKERLRQERM RS REDED ALE QARRAHEEAR RRQEQQQQQR QEQQQQQQQQ
AAAVAAAATP QAQSSQPQSM LDQQRELARK REQERRRREA
MAATIDMNFQ
SDLLSIFEEN LF
In a particular embodiment, the Targeting Ligand is a compound that is capable of binding to or binds to an amino acid sequence, or fragment thereof of SEQ ID NO.4.
SEQ ID NO. 4:
MTMTLHTKAS GMALLHQIQG NELEPLNRPQ LKIPLERPLG EVYLDSSKPA VYNYPEGAAY EFNAAAAANA QVYGQTGLPY GPGSEAAAFG SNGLGGFPPL NSVSPSPLML LHPPPQLSPF LQPHGQQVPY YLENEPSGYT VREAGPP AF Y RPNSDNRRQG GRERLASTND KGSMAMES AK
ETRYCAVCND YAS GYHYGVW SCEGCKAFFK RSIQGHNDYM CPATNQCTID KNRRKSCQAC RLRKCYEVGM MKGGIRKDRR GGRMLKHKRQ RDDGEGRGEV GSAGDMRAAN LWPSPLMIKR SKKNSLALSL TADQMVSALL DAEPPILYSE YDPTRPFSEA SMMGLLTNLA DRELVHMINW AKRVPGFVDL TLHDQVHLLE CAWLEILMIG
LVWRSMEHPG KLLFAPNLLL DRNQGKCVEG MVEIFDMLLA TSSRFRMMNL QGEEFVCLKS IILLNSGVYT FLSSTLKSLE EKDHIHRVLD KITDTLIHLM AKAGLTLQQQ HQRLAQLLLI LSHIRHMSNK GMEHLYSMKC KNVVPLYDLL LEMLDAHRLH APTSRGGASV EETDQSHLAT AGSTSSHSLQ KYYITGEAEG FPATV
In a particular embodiment, the Targeting Ligand is a compound that is capable of binding to or binds to an amino acid sequence, or fragment thereof of SEQ ID NO.5.
SEQ ID NO. 5:
SLALSLTADQMVSALLDAEPPILYSEYDPTRPFSEASMMGLLTNLADRE LVHMINWAKRVPGFVDLTLHDQVHLLECAWLEILMIGLVWRSMEHPGKL LFAPNLLLDRNQGKCVEGMVEIFDMLLATSSRFRMMNLQGEEFVCLKSI ILLNSGVYTFLSSTLKSLEEKDHIHRVLDKITDTLIHLMAKAGLTLQQQ HQRLAQLLLILSHIRHMSNKGMEHLYSMKCKNVVPLYDLLLEMLDAHRL
SUBSTITUTE SHEET (RULE 26)
In a particular embodiment, the Targeting Ligand is a compound that is capable of binding to or binds to an amino acid sequence, or fragment thereof of SEQ ID NO.6.
SEQ ID NO. 6:
MEVQLGLGRV YPRPPSKTYR GAFQNLFQSV REVIQNPGPR HPEAASAAPP GASLLLLQQQ QQQQQQQQQQ QQQQQQQQQQ ETSPRQQQQQ
QGEDGSPQAH RRGPTGYLVL DEEQQPSQPQ SALECHPERG CVPEPGAAVA ASKGLPQQLP APPDEDDSAA PSTLSLLGPT FPGLSSCSAD LKDILSEAST MQLLQQQQQE AVSEGSSSGR AREASGAPTS SKDNYLGGTS TISDNAKELC KAVSVSMGLG VEALEHLSPG EQLRGDCMYA PLLGVPPAVR PTPCAPLAEC KGSLLDDSAG KSTEDTAEYS PFKGGYTKGL EGESLGCSGS AAAGSSGTLE
LPSTLSLYKS GALDEAAAYQ SRDYYNFPLA LAGPPPPPPP PHPHARIKLE NPLDYGSAWA AAAAQCRYGD LASLHGAGAA GPGSGSPSAA ASSSWHTLFT AEEGQLYGPC GGGGGGGGGG GGGGGGGGGG GGGEAGAVAP YGYTRPPQGL AGQESDFTAP DVWYPGGMVS RVPYPSPTCV KSEMGPWMDS YSGPYGDMRL ETARDHVLPI DYYFPPQKTC
LICGDEASGC HYGALTCGSC KVFFKRAAEG KQKYLCASRN DCTIDKFRRK NCPSCRLRKC YEAGMTLGAR KLKKLGNLKL QEEGEASSTT SPTEETTQKL TVSHIEGYEC QPIFLNVLEA IEPGVVCAGH DNNQPDSFAA LLSSLNELGE RQLVHVVKWA KALPGFRNLH VDDQMAVIQY SWMGLMVFAM GWRSFTNVNS RMLYFAPDLV FNEYRMHKSR MYSQCVRMRH
LSQEFGWLQI TPQEFLCMKA LLLFSIIPVD GLKNQKFFDE LRMNYIKELD RIIACKRKNP TSCSRRFYQL TKLLDSVQPI ARELHQFTFD LLIKSHMVSV DFPEMMAEII SVQVPKILSG KVKPIYFHTQ
In a particular embodiment, the Targeting Ligand is a compound that is capable of binding to or binds to an amino acid sequence, or fragment thereof of SEQ ID NO.7.
SEQ ID NO. 7:
MDTKHFLPLD FSTQVNSSLT SPTGRGSMAA PSLHPSLGPG IGSPGQLHSP ISTLSSPING MGPPFSVISS PMGPHSMSVP TTPTLGFSTG SPQLSSPMNP VSSSEDIKPP LGLNGVLKVP AHPSGNMASF TKHICAICGD RSSGKHYGVY SCEGCKGFFK RTVRKDLTYT CRDNKDCLID KRQRNRCQYC
RYQKCLAMGM KREAVQEERQ RGKDRNENEV ESTSSANEDM PVERILEAEL AVEPKTETYV EANMGLNPSS PNDPVTNICQ AADKQLFTLV EWAKRIPHFS ELPLDDQVIL LRAGWNELLI ASFSHRSIAV KDGILLATGL HVHRNSAHSA GVGAIFDRVL TELVSKMRDM QMDKTELGCL RAIVLFNPDS KGLSNPAEVE
SUBSTITUTE SHEET (RULE 26)
ALREKVYASL EAYCKHKYPE QPGRFAKLLL RLPALRSIGL KCLEHLFFFK LIGDTPIDTF LMEMLEAPHQ MT
In a particular embodiment, the Targeting Ligand is a compound that is capable of binding to or binds to an amino acid sequence, or fragment thereof of SEQ ID NO.8.
SEQ ID NO. 8:
MNSESVRIYL VAAMGANRVI GNGPNIPWKI PGEQKIFRRL TEGKVVVMGR KTFESIGKPL PNRHTLVISR QANYRATGCV VVSTLSHAIA LASELGNELY VAGGAEIYTL ALPHAHGVFL SEVHQTFEGD AFFPMLNETE FELVSTETIQ AVIPYTHSVY ARRNG
In a particular embodiment, the Targeting Ligand is a compound that is capable of binding to or binds to an amino acid sequence, or fragment thereof of SEQ ID NO.9.
SEQ ID NO. 9:
MAEIGTGFPF DPHYVEVLGE RMHYVDVGPR DGTPVLFLHGNPTSSYVWRN IIPHVAPTHR CIAPDLIGMG KSDKPDLGYF FDDHVRFMDA FIEALGLEEV VLVIHDWGSA LGFHWAKRNP ERVKGIAFME FIRPIPTWDE WPEFARETFQ AFRTTDVGRK LIIDQNVFIE GTLPMGVVRP LTEVEMDHYR EPFLNPVDRE PLWRFPNELP IAGEPANIVA LVEEYMDWLH QSPVPKLLFW GTPGVLIPPA EAARLAKSLP NCKAVDIGPG LNLLQEDNPD LIGSEIARWL STLEISG
In a particular embodiment, the Targeting Ligand is a compound that is capable of binding to or binds to an amino acid sequence, or fragment thereof of SEQ ID NO.24
SEQ ID NO. 24:
In a particular embodiment, the Targeting Ligand is a compound that is capable of binding to or binds to an amino acid sequence, or fragment thereof of SEQ ID NO.25.
SEQ ID NO. 25:
SANEDMPVERILEAELAVEPKTETYVEANMGLNPSSPNDPVTNICQAADKQL
FTLVEWAKRIPHFSELPLDDQVILLRAGWNELLIASFSHRSIAVKDGILLATGL
HVHRNSAHSAGVGAIFDRVLTELVSKMRDMQMDKTELGCLRAIVLFNPDSK
GLSNPAEVEALREKVYASLEAYCKHKYPEQPGRFAKLLLRLPALRSIGLKCLE
HLFFFKLIGDTPIDTFLMEMLEAPHQMT
In a particular embodiment, the Targeting Ligand is a compound that is capable of binding to or binds to an amino acid sequence, or fragment thereof of SEQ ID NO.26.
SEQ ID NO. 26:
SUBSTITUTE SHEET (RULE 26)
MCNTNMSVPT DGAVTTSQIP ASEQETLVRP KPLLLKLLKS VGAQKDTYTM KEVLFYLGQY IMTKRLYDEK QQHIVYCSND LLGDLFGVPS FSVKEHRKIY TMIYRNLVVV
In a particular embodiment, the Targeting Ligand is a compound that is capable of binding to or binds to an amino acid sequence, or fragment thereof of SEQ ID NO.27.
SEQ ID NO. 27:
MLQNVTPHNK LPGEGNAGLL GLGPEAAAPG KRIRKPSLLY EGFESPTMAS VPALQLTPAN PPPPEVSNPK KPGRVTNQLQ YLHKVVMKAL WKHQFAWPFR QPVDAVKLGL PDYHKIIKQP MDMGTIKRRL ENNYYWAASE CMQDFNTMFT NCYIYNKPTD DIVLMAQTLE KIFLQKVASM PQEEQELVVT IPKNSHKKGA KLAALQGSVT SAHQVPAVSS VSHTALYTPP PEIPTTVLNI PHPSVISSPL LKSLHSAGPP LLAVTAAPPA QPLAKKKGVK RKADTTTPTP TAILAPGSPA SPPGSLEPKA ARLPPMRRES GRPIKPPRKD LPDSQQQHQS SKKGKLSEQL KHCNGILKEL LSKKHAAYAW PFYKPVDASA LGLHDYHDII KHPMDLSTVK RKMENRDYRD AQEFAADVRL MFSNCYKYNP PDHDVVAMAR KLQDVFEFRY AKMPDEPLEP GPLPVSTAMP PGLAKSSSES SSEESSSESS SEEEEEEDEE DEEEEESESS DSEEERAHRL AELQEQLRAV HEQLAALSQG PISKPKRKRE KKEKKKKRKA EKHRGRAGAD EDDKGPRAPR PPQPKKSKKA SGSGGGSAAL GPSGFGPSGG SGTKLPKKAT KTAPPALPTG YDSEEEEESR PMSYDEKRQL SLDINKLPGE KLGRVVHIIQ AREPSLRDSN PEEIEIDFET LKPSTLRELE RYVLSCLRKK PRKPYTIKKP VGKTKEELAL EKKRELEKRL QDVSGQLNST KKPPKKANEK TESSSAQQVA VSRLSASSSS SDSSSSSSSS SSSDTSDSDS G
In a particular embodiment, the Targeting Ligand is a compound that is capable of binding to or binds to an amino acid sequence, or fragment thereof of SEQ ID NO.28.
SEQ ID NO. 28:
MSTATTVAPA GIPATPGPVN PPPPEVSNPS KPGRKTNQLQ YMQNVVVKTL WKHQFAWPFY QPVDAIKLNL PDYHKIIKNP MDMGTIKKRL ENNYYWSASE CMQDFNTMFT NCYIYNKPTD DIVLMAQALE KIFLQKVAQM PQEEVELLPP APKGKGRKPA AGAQSAGTQQ VAAVSSVSPA TPFQSVPPTV SQTPVIAATP VPTITANVTS VPVPPAAAPP PPATPIVPVV PPTPPVVKKK GVKRKADTTT PTTSAITASR SESPPPLSDP KQAKVVARRE SGGRPIKPPK KDLEDGEVPQ HAGKKGKLSE HLRYCDSILR EMLSKKHAAY AWPFYKPVDA EALELHDYHD
SUBSTITUTE SHEET (RULE 26)
IIKHPMDLST VKRKMDGREY PDAQGFAADV RLMFSNCYKY NPPDHEVVAM
ARKLQDVFEM RFAKMPDEPV EAPALPAPAA PMVSKGAESS RSSEESSSDS GSSDSEEERA TRLAELQEQL KAVHEQLAAL SQAPVNKPKK KKEKKEKEKK KKDKEKEKEK HKVKAEEEKK AKVAPPAKQA QQKKAPAKKA
NSTTTAGRQL
KKGGKQASAS YDSEEEEEGL PMSYDEKRQL SLDINRLPGE KLGRVVHIIQ SREPSLRDSN PDEIEIDFET LKPTTLRELE RYVKSCLQKK QRKPFSASGK KQAAKSKEEL AQEKKKELEK RLQDVSGQLS SSKKPARKEK PGSAPSGGPS RLSSSSSSES GSSSSSGSSS DSSDSE
In a particular embodiment, the Targeting Ligand is a compound that is capable of binding to or binds to an amino acid sequence, or fragment thereof of SEQ ID NO.29.
SEQ ID NO. 29:
MSLPSRQTAI IVNPPPPEYI NTKKNGRLTN QLQYLQKVVL KDLWKHSFSW PFQRPVDAVK LQLPDYYTII KNPMDLNTIK KRLENKYYAK ASECIEDFNT
MFSNCYLYNK PGDDIVLMAQ ALEKLFMQKL SQMPQEEQVV GVKERIKKGT
QQNIAVSSAK EKSSPSATEK VFKQQEIPSV FPKTSISPLN VVQGASVNSS SQTAAQVTKG VKRKADTTTP ATSAVKASSE FSPTFTEKSV ALPPIKENMP KNVLPDSQQQ YNVVKTVKVT EQLRHCSEIL KEMLAKKHFS
YAWPFYNPVD
VNALGLHNYY DVVKNPMDLG TIKEKMDNQE YKDAYKFAAD VRLMFMNCYK
YNPPDHEVVT MARMLQDVFE THFSKIPIEP VESMPLCYIK TDITETTGRE NTNEASSEGN SSDDSEDERV KRLAKLQEQL KAVHQQLQVL SQVPFRKLNK
KKEKSKKEKK KEKVNNSNEN PRKMCEQMRL KEKSKRNQPK KRKQQFIGLK
SEDEDNAKPM NYDEKRQLSL NINKLPGDKL GRVVHIIQSR EPSLSNSNPD EIEIDFETLK ASTLRELEKY VSACLRKRPL KPPAKKIMMS KEELHSQKKQ ELEKRLLDVN NQLNSRKRQT KSDKTQPSKA VENVSRLSES SSSSSSSSES
ESSSSDLSSS DSSDSESEMF PKFTEVKPND SPSKENVKKM KNECIPPEGR TGVTQIGYCV QDTTSANTTL VHQTTPSHVM PPNHHQLAFN YQELEHLQTV KNISPLQILP PSGDSEQLSN GITVMHPSGD SDTTMLESEC QAPVQKDIKI KNADSWKSLG KPVKPSGVMK SSDELFNQFR KAAIEKEVKA RTQELIRKHL
SUBSTITUTE SHEET (RULE 26)
EQNTKELKAS QENQRDLGNG LTVESFSNKI QNKCSGEEQK EHQQSSEAQD KSKLWLLKDR DLARQKEQER RRREAMVGTI DMTLQSDIMT MFENNFD
In a particular embodiment, the fragment thereof refers to the minimum amino acid sequence need to be bound by the Targeting Ligand.
In a particular embodiment, the Targeting Ligand is a compound that is capable of binding to or binds to an amino acid sequence or fragment thereof of SEQ ID NO.1 (e.g., dFKBP-l-dFKBP-5). In a particular embodiment, the Targeting Ligand is a compound that is capable of binding to or binds to an amino acid sequence or fragment thereof of SEQ ID NO.2 (e.g., dFKBP-6-dFKBP-13). In a particular embodiment, the Targeting Ligand is a compound that is capable of binding to or binds to an amino acid sequence or fragment thereof of SEQ ID NO.3 (e.g., dBETl-dBET18). In a particular embodiment, the Targeting Ligand is a compound that is capable of binding to or binds to an amino acid sequence or fragment thereof of SEQ ID NO.9 (e.g. , dHalol-dHalo2).
In a particular embodiment, the Targeting Ligand is a compound that is capable of binding to or binds to CREBBP (e.g. , selected from Table S). In a particular embodiment, the Targeting Ligand is a compound that is capable of binding to or binds to SMARCA4, PBl, or SMARCA2 (e.g. , selected from Table S). In a particular embodiment, the Targeting Ligand is a compound that is capable of binding to or binds to TRIM24 or BRPF1 (e.g. ,
SUBSTITUTE SHEET (RULE 26)
selected from Table S). In a particular embodiment, the Targeting Ligand is a compound that is capable of binding to or binds to a glucocorticoid receptor (e.g. , selected from Table S). In a particular embodiment, the Targeting Ligand is a compound that is capable of binding to or binds to an estrogen or androgen receptor (e.g. , selected from Table S). In a particular embodiment, the Targeting Ligand is a compound that is capable of binding to or binds to DOT1L (e.g., selected from Table S). In a particular embodiment, the Targeting Ligand is a compound that is capable of binding to or binds to Ras (e.g., selected from Table S). In a particular embodiment, the Targeting Ligand is a compound that is capable of binding to or binds to RasG12C (e.g., selected from Table S). In a particular embodiment, the Targeting Ligand is a compound that is capable of binding to or binds to HER3 (e.g. , selected from
Table S). In a particular embodiment, the Targeting Ligand is a compound that is capable of binding to or binds to Bcl-2 or Bcl-XL (e.g., selected from Table S). In a particular embodiment, the Targeting Ligand is a compound that is capable of binding to or binds to HDAC (e.g. , selected from Table S). In a particular embodiment, the Targeting Ligand is a compound that is capable of binding to or binds to PPAR (e.g. , selected from Table S). In a particular embodiment, the Targeting Ligand is a compound that is capable of binding to or binds to DHFR (e.g. , selected from Table S).
SUBSTITUTE SHEET (RULE 26)
Table S
BRD Targeting Ligands:
wherein:
R is the point at which the linker is attached; and
R' : is methyl or ethyl.
SUBSTITUTE SHEET (RULE 26)
Table S (Cont'd)
CREBBP Targeting Ligands:
wherein:
R is the point at which the linker is attached;
A is N or CH; and
m is 0, 1 , 2, 3, 4, 5, 6, 7, or 8.
SUBSTITUTE SHEET (RULE 26)
Table S (Cont'd)
SMARC A4/PB 1/SMARC A2 Targeting Ligands:
wherein:
R is the point at which the linker is attached;
A is N or CH; and
m is 0, 1, 2, 3, 4, 5, 6, 7, or 8.
SUBSTITUTE SHEET (RULE 26)
Table S (Cont'd)
TRIM24/BRPF 1 Targeting Ligands:
wherein:
R is the point at which the linker is attached; and
mis 0, 1,2, 3, 4, 5, 6, 7, or 8.
SUBSTITUTE SHEET (RULE 26)
Table S (Cont'd)
SUBSTITUTE SHEET (RULE 26)
SUBSTITUTE SHEET (RULE 26)
Table S (Cont'd)
wherein:
R is the point at which the linker is attached.
SUBSTITUTE SHEET (RULE 26)
Table S (Cont'd)
DOTIL Targeting Ligands:
wherein:
R is the point at which the linker is attached;
A is N or CH; and
m is 0, 1, 2, 3, 4, 5, 6, 7, or 8.
R is the point at which the linker is attached.
SUBSTITUTE SHEET (RULE 26)
Table S (Cont'd)
wherein:
R is the point at which the linker is attached.
SUBSTITUTE SHEET (RULE 26)
Table S (Cont'd)
wherein:
R is the point at which the linker is attached; and
R' is or ^.
SUBSTITUTE SHEET (RULE 26)
Table S (Cont'd)
-2/Bcl-XL Targeting Ligands:
wherein:
R is the point at which the linker is attached.
SUBSTITUTE SHEET (RULE 26)
Table S (Cont'd)
R is the point at which the linker is attached.
PPAR-gamma Targeting Ligands:
wherein:
R is the point at which the linker is attached.
SUBSTITUTE SHEET (RULE 26)
Table S (Cont'd)
wherein: R is the point at which the linker is attached.
SUBSTITUTE SHEET (RULE 26)
Table S (Cont'd)
DHFR Targeting Ligands:
SUBSTITUTE SHEET (RULE 26)
R is the point at which the linker is attached.
In certain embodiments, a kinase to which the Targeting Ligand is capable of binding or binds includes, but is not limited to, a tyrosine kinase (e.g., AATK, ABL, ABL2, ALK, AXL, BLK, BMX, BTK, CSF1R, CSK, DDR1, DDR2, EGFR, EPHA1, EPHA2, EPHA3, EPHA4, EPHA5, EPHA6, EPHA7, EPHA8, EPHA10, EPHB1, EPHB2, EPHB3, EPHB4, EPHB6, ERBB2, ERBB3, ERBB4, FER, FES, FGFR1, FGFR2, FGFR3, FGFR4, FGR, FLT1, FLT3, FLT4, FRK, FYN, GSG2, HCK, IGF1R, ILK, INSR, INSRR, IRAK4, ITK, JAK1, JAK2, JAK3, KDR, KIT, KSR1, LCK, LMTK2, LMTK3, LTK, LYN, MATK, MERTK, MET, MLTK, MST1R, MUSK, NPR1, NTRK1, NTRK2, NTRK3, PDGFRA, PDGFRB, PLK4, PTK2, PTK2B, PTK6, PTK7, RET, RORl , ROR2, ROS 1 , RYK, SGK493, SRC, SRMS, STYK1, SYK, TEC, TEK, TEX 14, TIE1, TNK1, TNK2, TN I3K, TXK, TYK2, TYR03, YESl, or ZAP70), a serine/threonine kinase (e.g., casein kinase 2, protein kinase A, protein kinase B, protein kinase C, Raf kinases, CaM kinases, AKT1, AKT2, AKT3, ALKl, ALK2, ALK3, ALK4, Aurora A, Aurora B, Aurora C, CHKl, CHK2, CLKl,
SUBSTITUTE SHEET (RULE 26)
CLK2, CLK3, DAPK1, DAPK2, DAPK3, DMPK, ERKl, ERK2, ERK5, GCK, GSK3, HIPK, KHS1, LKB1, LOK, MAPKAPK2, MAPKAPK, MNK1, MS SKI, MST1, MST2, MST4, NDR, NEK2, NEK3, NEK6, NEK7, NEK9, NEK11, PAK1, PAK2, PAK3, PAK4, PAK5, PAK6, PIMl, ΡΙΜ2, PLKl, RIP2, RIP5, RSKl, RSK2, SGK2, SGK3, SIKl, STK33, TAOl, TA02, TGF-beta, TLK2, TSSK1, TSSK2, ULK1, or ULK2), a cyclin dependent kinase (e.g., Cdkl - Cdkl 1), and a leucine-rich repeat kinase (e.g., LRRK2).
In certain embodiments, the Targeting Ligand is a compound that is capable of binding to or binds to a BET bromodomain-containing protein, for example, but not limited to, ASH1L, ATAD2, BAZ1A, BAZ1B, BAZ2A, BAZ2B, BRDl, BRD2, BRD3, BREW, BRD5, BRD6, BRD7, BRD8, BRD9, BRD10, BRDT, BRPF1, BRPF3, BRWD3, CECR2, CREBBP, EP300, FALZ, GCN5L2, KIAA1240, LOC93349, MLL, PB1, PCAF, PHIP, PRKCBP1, SMARCA2, SMARCA4, SP100, SP110, SP140, TAF1, TAF1L, TIF la, TRIM28, TRIM33, TRIM66, WDR9, ZMYND11, and MLL4. In a particular embodiment, the Targeting Ligand is a compound that is capable of binding to or binds to BRD2, BRD3, BRD4, or BRDT. In certain embodiments, the Targeting Ligand is a compound that is capable of binding to or binds to a modified or mutant BRD2, BRD3, BRD4, or BRDT protein.
In certain embodiments, a BET bromodomain-containing protein to which the Targeting Ligand is capable of binding or binds includes, but is not limited to, BRDl, BRD2, BRD3, BRD4, BRD5, BRD6, BRD7, BRD8, BRD9, BRD10, and BRDT. In certain embodiments, a BET bromodomain-containing protein is BRD4.
In certain embodiments, a nuclear protein to which the Targeting Ligand is capable of binding or binds includes, but is not limited to, BRD2, BRD3, BRD4, Antennapedia
Homeodomain Protein, BRCA1, BRCA2, CCAAT-Enhanced-Binding Proteins, histones, Poly comb-group proteins, High Mobility Group Proteins, Telomere Binding Proteins, FANCA, FANCD2, FANCE, FANCF, hepatocyte nuclear factors, Mad2, NF -kappa B, Nuclear Receptor Coactivators, CREB-binding protein, p55, pl07, pl30, Rb proteins, p53, c- fos, c-jun, c-mdm2, c-myc, and c-rel.
In certain embodiments, the Targeting Ligand is selected from a kinase inhibitor, a BET bromodomain-containing protein inhibitor, cytosolic signaling protein FKBP12 ligand, an HDAC inhibitor, a lysine methyltransferase inhibitor, an angiogenesis inhibitor, an immunosuppressive compound, and an aryl hydrocarbon receptor (AHR) inhibitor.
Non-limiting examples of TLs are shown in below and represent Targeting Ligands of certain types of proteins of interest.
SUBSTITUTE SHEET (RULE 26)
SUBSTITUTE SHEET (RULE 26)
SUBSTITUTE SHEET (RULE 26)
SUBSTITUTE SHEET (RULE 26)
R: Degron-Linker
DOTIL Targeting Ligand
R: Degron-Linker; X: N or CH; n: 0-8
BRAF Targeting Ligand
R: Degron-Linker
Ras Targeting Ligand
SUBSTITUTE SHEET (RULE 26)
SUBSTITUTE SHEET (RULE 26)
SUBSTITUTE SHEET (RULE 26)
PPAR-gamma Targeting Ligand
SUBSTITUTE SHEET (RULE 26)
R: Degron-Linker
In certain embodiments, the present application relates to the compounds containing the TL moieties shown in Table 1.
Table 1. Targeting Ligands 1-6
In certain embodiments, a Targeting Ligand is a compound of Formula TL-I:
Ai is S or C=C;
nnl is 0, 1, or 2;
each Rai is independently C1-C3 alkyl, (CH2)o-3-CN, (CH2)o-3-halogen, (CH2)o-3-OH, (CH2)o-3-Ci-C3 alkoxy, C(0)NRa5L, OL, NRasL, or L;
Ra2 is H, C1-C6 alkyl, (CH2)o-3-heterocyclyl, (CH2)o-3-phenyl, or L, wherein the heterocyclyl comprises one saturated 5- or 6-membered ring and 1-2 heteroatoms selected
SUBSTITUTE SHEET (RULE 26)
from N, O, and S and is optionally substituted with C1-C3 alkyl, L, or C(0)L, and wherein the phenyl is optionally substituted with C1-C3 alkyl, CN, halogen, OH, C1-C3 alkoxy, or L; nn2 is 0, 1, 2, or 3;
each Ra3 is independently C1-C3 alkyl, (CH2)o-3-CN, (CH2)o-3-halogen, L, or
C(0)NRa5L;
Ra4 is C1-C3 alkyl;
Ra¾ is H or C1-C3 alkyl; and
L is a Linker,
provided that the compound of tituted with only one L.
In certain embodiments, »· is ·
In certain embodiments, Ai is S.
In certain embodiments, Ai is C=C.
In certain embodiments, A2 is NRas. In further embodiments, Ras is H. In other embodiments, Ras is C1-C3 alkyl (e.g. , methyl, ethyl, propyl, or i-propyl). In further embodiments, Ras is methyl.
In certain embodiments, A2 is O.
In certain embodiments, nnl is 0.
In certain embodiments, nnl is 1.
In certain embodiments, nnl is 2.
In certain embodiments, at least one Rai is C1-C3 alkyl (e.g. , methyl, ethyl, propyl, or i-propyl). In further embodiments, at least one Rai is methyl. In further embodiments, two Rai are methyl.
In certain embodiments, at least one Rai is CN, (CH2)-CN, (CH2)2-CN, or (CH2)3-CN. In further embodiments, at least one Rai is (CH2)-CN.
In certain embodiments, at least one Rai is halogen (e.g. , F, CI, or Br), (CH2)-halogen, (CH2)2-halogen, or (CH2)3-halogen. In further embodiments, at least one Rai is CI, (CH2)-C1, (CH2)2-C1, or (CH2)3-C1.
SUBSTITUTE SHEET (RULE 26)
In certain embodiments, at least one Rai is OH, (CH2)-OH, (CH2)2-OH, or (CH2)3-
OH.
In certain embodiments, at least one Rai is C1-C3 alkoxy (e.g. , methoxy, ethoxy, or propoxy), (CH2)-Ci-C3 alkoxy, (CH2)2-Ci-C3 alkoxy, or (CH2)3-Ci-C3 alkoxy. In certain embodiments, at least one Rai is methoxy.
In certain embodiments, one Rai is C(0)NRasL. In further embodiments, Ras is H. In other embodiments, Ras is C1-C3 alkyl (e.g., methyl, ethyl, propyl, or i-propyl).
In certain embodiments, one Rai is OL.
In certain embodiments, one Rai is NRasL. In further embodiments, Ras is H. In other embodiments, Ras is C1-C3 alkyl (e.g. , methyl, ethyl, propyl, or i-propyl). In other embodiments, Ras is methyl.
In certain embodiments, one Rai is L.
In certain embodiments, Ra2 is H.
In certain embodiments, Ra2 is straight-chain Ci-C6 or branched C3-C6 alkyl (e.g., methyl, ethyl, propyl, i-propyl, butyl, i-butyl, t-butyl, pentyl, or hexyl). In further embodiments, Ra2 is methyl, ethyl, or t-butyl.
In certain embodiments, Ra2 is heterocyclyl, (CH2)-heterocyclyl, (CH2)2-heterocyclyl, or (CH2)3-heterocyclyl. In further embodiments, Ra2 is (CH2)3-heterocyclyl. In further embodiments, the heterocyclyl is selected from pyrrolidinyl, pyrazolidinyl, imidazolidinyl, oxazolidinyl, isoxazolidinyl, thiazolidinyl, isothiazolidinyl, piperidinyl, piperazinyl, hexahydropyrimidinyl, morpholinyl, and thiomorpholinyl. In further embodiments, the heterocyclyl is piperazinyl.
In certain embodiments, the heterocyclyl is substituted with C1-C3 alkyl (e.g., methyl, ethyl, propyl, or i-propyl).
In certain embodiments, the heterocyclyl is substituted with C(0)L.
In certain embodiments, the heterocyclyl is substituted with L.
In certain embodiments, Ra2 is phenyl, (CH2)-phenyl, (CH2)2-phenyl, or (CH2)3- phenyl. In further embodiments, Ra2 is phenyl.
In certain embodiments, the phenyl is substituted with C1-C3 alkyl (e.g. , methyl, ethyl, propyl, or i-propyl). In certain embodiments, the phenyl is substituted with CN. In certain embodiments, the phenyl is substituted with halogen (e.g. , F, CI, or Br). In certain embodiments, the phenyl is substituted with OH. In certain embodiments, the phenyl is substituted with C1-C3 alkoxy (e.g. , methoxy, ethoxy, or propoxy).
In certain embodiments, the phenyl is substituted with L.
SUBSTITUTE SHEET (RULE 26)
In certain embodiments, Ra2 is L.
In certain embodiments, nn2 is 0.
In certain embodiments, nn2 is 1.
In certain embodiments, nn2 is 2.
In certain embodiments, nn2 is 3.
In certain embodiments, at least one Ra3 is C1-C3 alkyl (e.g. , methyl, ethyl, propyl, or i-propyl). In further embodiments, at least one Ra3 is methyl.
In certain embodiments, at least one Ra3 is CN, (CH2)-CN, (CH2)2-CN, or (CH2)3-CN. In further embodiments, at least one Ra3 is CN.
In certain embodiments, at least one Ra3 is halogen (e.g. , F, CI, or Br), (CH2)-halogen,
(CH2)2-halogen, or (CH2)3-halogen. In further embodiments, at least one Ra3 is CI, (CH2)-C1, (CH2)2-C1, or (CH2)3-C1. In further embodiments, at least one Ra3 is CI.
In certain embodiments, one Ra3 is L.
In certain embodiments, one Ra3 is C(0)NRasL. In further embodiments, Ras is H. In other embodiments, Ras is C1-C3 alkyl (e.g., methyl, ethyl, propyl, or i-propyl).
In certain embodiments, Ra4 is C1-C3 alkyl (e.g. , methyl, ethyl, propyl, or i-propyl). In further embodiments, Ra4 is methyl.
In certain embodiments, Ras is H.
In certain embodiments, Ras is C1-C3 alkyl (e.g. , methyl, ethyl, propyl, or i-propyl). In further embodiments, Ras is methyl.
Each of the moieties defined for one of Ti, T2, T3, T4, T5, Ai, A2, Rai, Ra2, Ra3, Ra4, Ra¾, nnl, and nn2, can be combined with any of the moieties defined for the others of Ti, T2, T3, T4, T5, Ai, A2, Rai, Ra2, Ra3, Ra4, Ras, nnl, and nn2.
In certain embodiments, , and Ai is S.
In certain embodiments, , and Ai is C=C.
SUBSTITUTE SHEET (RULE 26)
In certain embodiments, A2 is NH, and Ra2 is (CH2)o-3-heterocyclyl. In further embodiments, Ra2 is (CH2)3-heterocyclyl. In further embodiments, the heterocyclyl is piperazinyl. In further embodiments, the heterocyclyl is substituted with C1-C3 alkyl, L, or
C(0)L.
In certain embodiments, A2 is NH, and Ra2 is (CH2)o-3-phenyl. In further
embodiments, Ra2 is phenyl. In further embodiments, the phenyl is substituted with OH or L.
In certain embodiments, A2 is NH, and Ra2 is L.
In certain embodiments, A2 is NH, and Ra2 is H or Ci-C6 alkyl. In further embodiments, Ra2 is C1-C4 alkyl.
In certain embodiments, A2 is O, and Ra2 is H or Ci-C6 alkyl. In further
embodiments, Ra2 is C1-C4 alkyl.
In certain embodiments, a Targeting Ligand is a compound of Formula TL-Il:
, or a pharmaceutically acceptable salt thereof, wherein A2, Rai, Ra2, Ra3, Ra4, Ras, nnl, and nn2 are each as defined above in Formula TL-I.
Each of A2, Rai, Ra2, Ra3, Ra4, Ras, nnl, and nn2 may be selected from the moieties described above in Formula TL-I. Each of the moieties defined for one of A2, Rai, Ra2, Ra3, Ra4, Ra¾, nnl, and nn2, can be combined with any of the moieties defined for the others of A2, Rai, Ra2, Ra3, Ra4, Ras, nnl, and nn2, as described above in Formula TL-I.
In certain embodiments, a Targeting Ligand is a compound of Formula TL-I la - TL- lid:
SUBSTITUTE SHEET (RULE 26)
or a pharmaceutically acceptable salt thereof, wherein:
each Rae is independently C1-C3 alkyl, (CH2)o-3-CN, (CH2)o-3-halogen, (CH2)o-3-OH, or (CH2)o-3-Ci-C3 alkoxy;
Ra7 is (CH2)o-3-heterocyclyl, (CH2)o-3-phenyl, or L, wherein the heterocyclyl comprises one saturated 5- or 6-membered ring and 1-2 heteroatoms selected from N, O, and S and is substituted with L or C(0)L, and wherein the phenyl is substituted with L;
Ras is H, Ci-C6 alkyl, (CH2)o-3-heterocyclyl, or (CH2)o-3-phenyl, wherein the heterocyclyl comprises one saturated 5- or 6-membered ring and 1-2 heteroatoms selected from N, O, and S and is optionally substituted with C1-C3 alkyl, and wherein the phenyl is optionally substituted with C1-C3 alkyl, CN, halogen, OH, or C1-C3 alkoxy;
Raio is C1-C3 alkyl, (CH2)o-3-CN, or (CH2)o-3-halogen; and
A2, Ra4, Ras, nnl, and L are each as defined above in Formula TL-I.
In certain embodiments, nnl is 0.
In certain embodiments, nnl is 1.
In certain embodiments, nnl is 2.
In certain embodiments, at least one Rae is C1-C3 alkyl (e.g. , methyl, ethyl, propyl, or i-propyl). In further embodiments, at least one Rae is methyl. In further embodiments, two Rae are methyl.
SUBSTITUTE SHEET (RULE 26)
In certain embodiments, at least one Rae is CN, (CH2)-CN, (CH2)2-CN, or (CH2)3-CN. In further embodiments, at least one Rae is (CH2)-CN.
In certain embodiments, at least one Rae is halogen (e.g. , F, CI, or Br), (CH2)-halogen, (CH2)2-halogen, or (CH2)3-halogen. In further embodiments, at least one Rae is CI, (CH2)-C1, (CH2)2-C1, or (CH2)3-C1.
In certain embodiments, at least one Rae is OH, (CH2)-OH, (CH2)2-OH, or (CH2)3-
OH.
In certain embodiments, at least one Rae is C1-C3 alkoxy (e.g. , methoxy, ethoxy, or propoxy), (CH2)-Ci-C3 alkoxy, (CH2)2-Ci-C3 alkoxy, or (CH2)3-Ci-C3 alkoxy. In certain embodiments, at least one Rae is methoxy.
In certain embodiments, Ra7 is heterocyclyl, (CH2)-heterocyclyl, (CH2)2-heterocyclyl, or (CH2)3-heterocyclyl. In further embodiments, Ra7 is (CH2)3-heterocyclyl. In further embodiments, the heterocyclyl is selected from pyrrolidinyl, pyrazolidinyl, imidazolidinyl, oxazolidinyl, isoxazolidinyl, thiazolidinyl, isothiazolidinyl, piperidinyl, piperazinyl, hexahydropyrimidinyl, morpholinyl, and thiomorpholinyl. In further embodiments, the heterocyclyl is piperazinyl.
In certain embodiments, the heterocyclyl is substituted with C(0)L.
In certain embodiments, the heterocyclyl is substituted with L.
In certain embodiments, Ra7 is phenyl, (CH2)-phenyl, (CH2)2-phenyl, or (CH2)3- phenyl. In further embodiments, Ra7 is phenyl.
In certain embodiments, Ra7 is L.
In certain embodiments, Ras is H.
In certain embodiments, Ras is straight-chain C1-C6 or branched C3-C6 alkyl (e.g., methyl, ethyl, propyl, i-propyl, butyl, i-butyl, t-butyl, pentyl, or hexyl). In further embodiments, Ras is methyl, ethyl, or t-butyl.
In certain embodiments, Ras is heterocyclyl, (CH2)-heterocyclyl, (CH2)2-heterocyclyl, or (CH2)3-heterocyclyl. In further embodiments, Ras is (CH2)3-heterocyclyl. In further embodiments, the heterocyclyl is selected from pyrrolidinyl, pyrazolidinyl, imidazolidinyl, oxazolidinyl, isoxazolidinyl, thiazolidinyl, isothiazolidinyl, piperidinyl, piperazinyl, hexahydropyrimidinyl, morpholinyl, and thiomorpholinyl. In further embodiments, the heterocyclyl is piperazinyl.
In certain embodiments, the heterocyclyl is substituted with C1-C3 alkyl (e.g., methyl, ethyl, propyl, or i-propyl).
SUBSTITUTE SHEET (RULE 26)
In certain embodiments, Ras is phenyl, (CH2)-phenyl, (CH2)2-phenyl, or (CH2)3- phenyl. In further embodiments, Ras is phenyl.
In certain embodiments, the phenyl is substituted with C1-C3 alkyl (e.g. , methyl, ethyl, propyl, or i-propyl). In certain embodiments, the phenyl is substituted with CN. In certain embodiments, the phenyl is substituted with halogen (e.g. , F, CI, or Br). In certain embodiments, the phenyl is substituted with OH. In certain embodiments, the phenyl is substituted with C1-C3 alkoxy (e.g. , methoxy, ethoxy, or propoxy).
In certain embodiments, Raio is C1-C3 alkyl (e.g., methyl, ethyl, propyl, or i-propyl).
In certain embodiments, Raio is CN, (CH2)-CN, (CH2)2-CN, or (CH2)3-CN.
In certain embodiments, Raio is halogen (e.g., F, CI, or Br), (CH2)-halogen, (CH2)2- halogen, or (CH2)3-halogen. In further embodiments, Raio is CI, (CH2)-C1, (CH2)2-C1, or (CH2)3-C1. In further embodiments, Raio is CI.
Each of A2, Ra4, Ras, and nnl may be selected from the moieties described above in Formula TL-I. Each of the moieties defined for one of A2, Rat, Ras, Rae, Ra7, Ras, Raio, and nnl, can be combined with any of the moieties defined for the others of A2, Rat, Ras, Rae, Ra7, Ra8, Raio, and nnl, as described above and in Formula TL-I.
In certain embodiments, a Targeting Ligand is a compound of Formula TL-I2:
or a pharmaceutically acceptable salt thereof, wherein A2, Rai, Ra2, Ra3, Ra4, Ras, nnl, and nn2 are each as defined above in Formula TL-I.
Each of A2, Rai, Ra2, Ra3, Ra4, Ras, nnl, and nn2 may be selected from the moieties described above in Formula TL-I. Each of the moieties defined for one of A2, Rai, Ra2, Ra3, Ra4, Ra¾, nnl, and nn2, can be combined with any of the moieties defined for the others of A2, Rai, Ra2, Ra3, Ra4, Ras, nnl, and nn2, as described above in Formula TL-I.
In certain embodiments, a Targeting Ligand is a compound of Formula TL-I2a - TL-
I2c:
SUBSTITUTE SHEET (RULE 26)
or a pharmaceutically acceptable salt thereof, wherein A2, Ra4, Ras, nnl, and L are each as defined above in Formula TL-I, and Rae, Ra7, Ras, and Raio are each as defined above in Formula TL-Ila - TL-I Id.
Each of A2, Ra4, Ras, and nnl may be selected from the moieties described above in Formula TL-I, and each of Rae, Ra7, Ras, and Raio may be selected from the moieties described above in Formula TL-Ila - TL-Ild. Each of the moieties defined for one of A2, Ra4, Ras, Rae, Ra7, Ras, Raio, and nnl, can be combined with any of the moieties defined for the others of A2, Rat, Ras, Rae, Ra7, Ras, Raio, and nnl, as described above in Formula TL-I and TL-Ila - TL-Ild.
In certain embodiments, a Targeting Ligand is a compound of Formula TL-I3:
SUBSTITUTE SHEET (RULE 26)
or a pharmaceutically acceptable salt thereof.
A2, Rai, Ra2, Ra3, Ra4, Ras, nnl, and nn2 are each as defined above in Formula TL-I. Each of A2, Rai, Ra2, Ra3, Rat, Ras, nnl, and nn2 may be selected from the moieties described above in Formula TL-I. Each of the moieties defined for one of A2, Rai, Ra2, Ra3, Ra4, Ra¾, nnl, and nn2, can be combined with any of the moieties defined for the others of A2, Rai, Ra2, Ra3, Ra4, Ras, nnl, and nn2, as described above in Formula TL-I.
In certain embodiments, a Targeting Ligand is a compound of Formula TL-I3a - TL-
I
or a pharmaceutically acceptable salt thereof, wherein:
Ra9 is C(0)NRa5L, OL, NRasL, or L;
A2, Ra4, Ra¾, nnl, and L are each as defined above in Formula TL-I; and
Rae, Ra7, Ras, and Raio are each as defined above in Formula TL-I la - TL-I Id.
In certain embodiments, Ra9 is C(0)NRasL. In further embodiments, Ras is H. In other embodiments, Ras is C1-C3 alkyl (e.g. , methyl, ethyl, propyl, or i-propyl).
In certain embodiments, Ra9 is OL.
SUBSTITUTE SHEET (RULE 26)
In certain embodiments, Ra9 is NRasL. In further embodiments, Ras is H. In other embodiments, Ras is C1-C3 alkyl (e.g. , methyl, ethyl, propyl, or i-propyl). In other embodiments, Ras is methyl.
In certain embodiments, Ra9 is L.
Each of A2, Ra4, Ras, and nnl may be selected from the moieties described above in Formula TL-I, and each of Rae, Ra7, Ras, and Raio may be selected from the moieties described above in Formula TL-Ila - TL-Il d. Each of the moieties defined for one of A2, Ra4, Ra¾, Rae, Ra7, Ras, Ra9, Raio, and nnl , can be combined with any of the moieties defined for the others of A2, Ra4, Ras, Rae, Ra7, Ras, Ra9, Raio, and nnl, as described above and in Formula TL-I and TL-Ila - TL-Il d.
In certain embodiments, a Targeting Ligand is a compound of Formula TL-II:
Te is CRb4 or N;
Rbi, Rb2, and Rbs are each independently H or C1-C3 alkyl;
Rb3 is C3-C6 cycloalkyl;
each Rb4 is independently H, C1-C3 alkyl, C1-C3 alkoxy, CN, or halogen;
nn3 is 0, 1, 2, or 3;
each Rb6 is independently C1-C3 alkyl, C1-C3 alkoxy, CN, or halogen;
Rbv is C(0)NRbsL, OL, NRbsL, or L;
Rb8 is H or C1-C3 alkyl; and
L is a Linker.
In certain embodiments, Τβ is CRb4.
In certain embodiments, Τβ is N.
In certain embodiments, Rbi is H. In certain embodiments, Rbi is C1-C3 alkyl (e.g., methyl, ethyl, propyl, or i-propyl). In further embodiments, Rbi is methyl.
In certain embodiments, Rb2 is H. In certain embodiments, Rb2 is C1-C3 alkyl (e.g., methyl, ethyl, propyl, or i-propyl). In further embodiments, Rb2 is methyl or ethyl.
SUBSTITUTE SHEET (RULE 26)
In certain embodiments, Rbs is H. In certain embodiments, Rbs is C1-C3 alkyl (e.g., methyl, ethyl, propyl, or i-propyl).
In certain embodiments, Rb3 is cyclopropyl, cyclobutyl, cyclopentyl, or cyclohexyl. In further embodiments, Rb3 is cyclopentyl.
In certain embodiments, Rb4 is H.
In certain embodiments, Rb4 is C1-C3 alkyl (e.g. , methyl, ethyl, propyl, or i-propyl).
In certain embodiments, Rb4 is C1-C3 alkoxy (e.g., methoxy, ethoxy, or propoxy).
In certain embodiments, Rb4 is CN.
In certain embodiments, Rb4 is halogen (e.g., F, CI, or Br).
In certain embodiments, nn3 is 0.
In certain embodiments, nn3 is 1.
In certain embodiments, nn3 is 2.
In certain embodiments, nn3 is 3.
In certain embodiments, at least one Rb6 is C1-C3 alkyl (e.g., methyl, ethyl, propyl, or i-propyl). In further embodiments, at least one Rb6 is methyl.
In certain embodiments, at least one Rb6 is C1-C3 alkoxy (e.g. , methoxy, ethoxy, or propoxy). In further embodiments, at least one Rb6 is methoxy.
In certain embodiments, at least one Rb6 is CN.
In certain embodiments, at least one Rb6 is halogen (e.g. , F, CI, or Br).
In certain embodiments, Rb7 is C(0)NRbsL. In further embodiments, Rbs is H. In other embodiments, Rbs is C1-C3 alkyl (e.g., methyl, ethyl, propyl, or i-propyl).
In certain embodiments, Rb7 is OL.
In certain embodiments, Rb7 is NRbsL. In further embodiments, Rbs is H. In other embodiments, Rbs is C1-C3 alkyl (e.g., methyl, ethyl, propyl, or i-propyl). In other embodiments, Rbs is methyl.
In certain embodiments, Rb7 is L.
Each of the moieties defined for one of Τβ, Rbi, Rb2, Rb3, Rb4, Rbs, Rb6, Rb7, Rbs, and nn3, can be combined with any of the moieties defined for the others of Τβ, Rbi, Rb2, Rb3, Rb4, Rbs, Rbe, Rb?, Rb8, and nn3.
In certain embodiments, Rb3 is cyclopentyl, and Rb7 is C(0)NRbsL.
In certain embodiments, a Targeting Ligand is a compound of Formula TL-II1 :
or a pharmaceutically acceptable salt thereof, wherein Τβ, Rb2, Rb4, Rb6, Rb7, and Rbs are each as defined above in Formula TL-II.
Each of Τβ, Rb2, Rb4, Rb6, Rb7, and Rbs may be selected from the moieties described above in Formula TL-II. Each of the moieties defined for one of Τβ, Rb2, Rb4, Rb6, Rb7, and Rb8, can be combined with any of the moieties defined for the others of Τβ, Rb2, Rb4, Rb6, Rb7, and Rbs, as described above in Formula TL-II.
In certain embodiments, a Targeting Ligand is a compound of Formula TL-IIla:
or a pharmaceutically acceptable salt thereof, wherein Τβ, Rb2, and Rb4 are each as defined above in Formula TL-II.
Each of Τβ, Rb2, and Rb4 may be selected from the moieties described above in Formula TL-II. Each of the moieties defined for one of Τβ, Rb2, and Rb4, can be combined with any of the moieties defined for the others of Τβ, Rb2, and Rb4, as described above in Formula TL-II.
In certain embodiments, a Targeting Ligand is a compound of Formula TL-III:
or a pharmaceutically acceptable salt thereof, wherein:
nn4 is 0 or 1 ;
Rci is C(0)NRceL, OL, NRceL, or L;
RC2 is H, C1-C3 alkyl, C(0)NRceL, OL, NRceL, or L;
Rcs is H, C1-C3 alkyl, C(0)L, or L;
nn5 is 0, 1, or 2;
each Rc4 is independently C1-C3 alkyl or C1-C3 alkoxy;
each Rcs is independently H or C1-C3 alkyl;
Rc6 is independently H or C1-C3 alkyl; and
L is a Linker,
provided that the compound of Formula TL-III is substituted with only one L.
In certain embodiments, nn4 is 0.
In certain embodiments, nn4 is 1.
In certain embodiments, Rci is C(0)NRc6L. In further embodiments, Rc6 is H. In other embodiments, Rc6 is C1-C3 alkyl (e.g. , methyl, ethyl, propyl, or i-propyl).
In certain embodiments, Rci is OL.
In certain embodiments, Rci is NRc6L. In further embodiments, Rc6 is H. In other embodiments, Rc6 is C1-C3 alkyl (e.g. , methyl, ethyl, propyl, or i-propyl). In other embodiments, Rc6 is methyl.
In certain embodiments, Rci is L.
In certain embodiments, Rc2 is H.
In certain embodiments, Rc2 is C1-C3 alkyl (e.g. , methyl, ethyl, propyl, or i-propyl). In further embodiments, Rc2 is methyl.
In certain embodiments, Rc2 is C(0)NRc6L. In further embodiments, Rc6 is H. In other embodiments, Rc6 is C1-C3 alkyl (e.g. , methyl, ethyl, propyl, or i-propyl).
SUBSTITUTE SHEET (RULE 26)
In certain embodiments, Rc2 is OL.
In certain embodiments, Rc2 is NRc6L. In further embodiments, Rc6 is H. In other embodiments, Rc6 is C1-C3 alkyl (e.g. , methyl, ethyl, propyl, or i-propyl). In other embodiments, Rc6 is methyl.
In certain embodiments, Rc2 is L.
In certain embodiments, Rc3 is H.
In certain embodiments, Rc3 is C1-C3 alkyl (e.g. , methyl, ethyl, propyl, or i-propyl). In certain embodiments, Rc3 is C(0)L.
In certain embodiments, Rc3 is L.
In certain embodiments, nn5 is 0.
In certain embodiments, nn5 is 1.
In certain embodiments, nn5 is 2.
In certain embodiments, at least one Rc4 is C1-C3 alkyl (e.g. , methyl, ethyl, propyl, or i-propyl). In further embodiments, at least one Rc4 is methyl.
In certain embodiments, at least one Rc4 is C1-C3 alkoxy (e.g. , methoxy, ethoxy, or propoxy). In further embodiments, at least one Rc4 is methoxy.
In certain embodiments, at least one Res is H.
In certain embodiments, at least one Res is C1-C3 alkyl (e.g. , methyl, ethyl, propyl, or i-propyl). In further embodiments, at least one Res is methyl. In further embodiments, two Res are methyl.
Each of the moieties defined for one of Rci, Rc2, Rc3, Rc4, Res, Rc6, nn4, and nn5, can be combined with any of the moieties defined for the others of Rci, Rc2, Rc3, Rc4, Res, Rc6, nn4, and nn5.
In certain embodiments, a Targeting Ligand is a compound of Formula TL-III1 - TL- III3:
SUBSTITUTE SHEET (RULE 26)
or a pharmaceutically acceptable salt thereof, wherein Rci, Rc2, Rc3, Rc4, and nn5 are each as defined above in Formula TL-III.
Each of Rci, Rc2, Rc3, Rc4, and nn5 may be selected from the moieties described above in Formula TL-III. Each of the moieties defined for one of Rci, Rc2, Rc3, Rc4, and nn5, can be combined with any of the moieties defined for the others of Rci, Rc2, Rc3, Rc4, and nn5, as described above in Formula TL-III.
In certain embodiments, a Targeting Ligand is a compound of Formula TL-IV:
or a pharmaceutically acceptable salt thereof, wherein:
each Rdi is independently H or C1-C3 alkyl;
nn6 is 0, 1, 2, or 3;
nn7 is 0, 1, 2, or 3;
each Rd2 is independently C1-C3 alkyl, C1-C3 alkoxy, CN, or halogen;
Rd3 is C(0)NRd4L, OL, NRd4L, or L;
Rd4 is H or C1-C3 alkyl; and
L is a Linker.
In certain embodiments, Rdi is H.
In certain embodiments, Rdi is C1-C3 alkyl (e.g. , methyl, ethyl, propyl, or i-propyl). In further embodiments, Rdi is methyl.
In certain embodiments, nn6 is 0.
In certain embodiments, nn6 is 1.
SUBSTITUTE SHEET (RULE 26)
In certain embodiments, nn6 is 2.
In certain embodiments, nn6 is 3.
In certain embodiments, nn7 is 0.
In certain embodiments, nn7 is 1.
In certain embodiments, nn7 is 2.
In certain embodiments, nn7 is 3.
In certain embodiments, at least one Rxh is C1-C3 alkyl (e.g., methyl, ethyl, propyl, or i-propyl). In further embodiments, at least one Rd2 is methyl.
In certain embodiments, at least one Rd2 is C1-C3 alkoxy (e.g. , methoxy, ethoxy, or propoxy). In further embodiments, at least one Rd2 is methoxy.
In certain embodiments, at least one Rd2 is CN.
In certain embodiments, at least one Rd2 is halogen (e.g. , F, CI, or Br).
In certain embodiments, Rd3 is C(0)NRd4L. In further embodiments, Rd4 is H. In other embodiments, Rd4 is C1-C3 alkyl (e.g., methyl, ethyl, propyl, or i-propyl).
In certain embodiments, Rd3 is OL.
In certain embodiments, Rd3 is NRd4L. In further embodiments, Rd4 is H. In other embodiments, Rd4 is C1-C3 alkyl (e.g., methyl, ethyl, propyl, or i-propyl). In other embodiments, Rd4 is methyl.
In certain embodiments, Rd3 is L.
Each of the moieties defined for one of Rdi, Rd2, Rd3, Rd4, nn6, and nn7, can be combined with any of the moieties defined for the others of Rdi, Rd2, Rd3, Rd4, nn6, and nn7.
In certain embodiments, a Targeting Ligand is a compound of Formula TL-IV1 :
or a pharmaceutically acceptable salt thereof, wherein Rd3 is as defined above in Formul TL-IV.
Rd3 may be selected from the moieties described above in Formula TL-IV.
In certain embodiments, a Targeting Ligand is a compound of Formula TL-V:
or a pharmaceutically acceptable salt thereof, wherein:
each Rei is independently H or C1-C3 alkyl;
nn8 is 0, 1, 2, or 3;
nn9 is 0, 1, 2, or 3;
each Re2 is independently C1-C3 alkyl, C1-C3 alkoxy, CN, or halogen;
Re3 is NH-(CH2)i-3-C(0)NRe4L, C(0)NRe4L, OL, NRe4L, or L;
Re4 is H or C1-C3 alkyl; and
L is a Linker.
In certain embodiments, Rei is H.
In certain embodiments, Rei is C1-C3 alkyl (e.g. , methyl, ethyl, propyl, or i-propyl). In further embodiments, Rei is methyl.
In certain embodiments, nn8 is 0.
In certain embodiments, nn8 is 1.
In certain embodiments, nn8 is 2.
In certain embodiments, nn8 is 3.
In certain embodiments, nn9 is 0.
In certain embodiments, nn9 is 1.
In certain embodiments, nn9 is 2.
In certain embodiments, nn9 is 3.
In certain embodiments, at least one Re2 is C1-C3 alkyl (e.g. , methyl, ethyl, propyl, or i-propyl). In further embodiments, at least one Re2 is methyl.
In certain embodiments, at least one Re2 is C1-C3 alkoxy (e.g. , methoxy, ethoxy, or propoxy). In further embodiments, at least one Re2 is methoxy.
In certain embodiments, at least one Re2 is CN.
In certain embodiments, at least one Re2 is halogen (e.g. , F, CI, or Br).
In certain embodiments, Re3 is NH-CH2-C(0)NRe4L, NH-(CH2)2-C(0)NRe4L, or NH-(CH2)3-C(0)NRe4L. In further embodiments, Re3 is NH-CH2-C(0)NRe4L. In further embodiments, Re4 is H. In other embodiments, Re4 is C1-C3 alkyl (e.g., methyl, ethyl, propyl, or i-propyl).
SUBSTITUTE SHEET (RULE 26)
In certain embodiments, Re3 is C(0)NRe4L. In further embodiments, Re4 is H. In other embodiments, Re4 is C1-C3 alkyl (e.g. , methyl, ethyl, propyl, or i-propyl).
In certain embodiments, Re3 is OL.
In certain embodiments, Re3 is NRe4L. In further embodiments, Re4 is H. In other embodiments, Re4 is C1-C3 alkyl (e.g. , methyl, ethyl, propyl, or i-propyl). In other embodiments, Re4 is methyl.
In certain embodiments, Re3 is L.
Each of the moieties defined for one of Rei, Re2, Re3, Re4, nn8, and nn9, can be combined with any of the moieties defined for the others of Rei, Re2, Re3, Re4, nn8, and nn9.
or a pharmaceutically acceptable salt thereof, wherein Re3 is as defined above in Formula
TL-V.
Re3 may be selected from the moieties described above in Formula TL-V.
In certain embodiments, a Targeting Ligand is a compound of Formula TL-VI:
or a pharmaceutically acceptable salt thereof, wherein:
Rfi is C(0)NRf2L, OL, NRfzL, or L;
Rf2 is independently H or C1-C3 alkyl; and
L is a Linker.
In certain embodiments, Rfi is C(0)NRf2L. In further embodiments, Rf2 is H. In other embodiments, Rf2is C1-C3 alkyl (e.g. , methyl, ethyl, propyl, or i-propyl).
In certain embodiments, Rfi is OL.
In certain embodiments, Rfi is NRe4L. In further embodiments, Rf2 is H. In other embodiments, Rf2 is C1-C3 alkyl (e.g. , methyl, ethyl, propyl, or i-propyl). In other embodiments, Rf2 is methyl.
In certain embodiments, Rfi is L.
In certain embodiments, a Targeting Ligand is a compound of Formula TL-VII:
SUBSTITUTE SHEET (RULE 26)
or a pharmaceutically acceptable salt thereof, wherein:
Rgi is C(0)Rg5 or (CH2)i-3Rg6;
nnlO is 0, 1, 2, or 3;
nnl l is 0, 1, 2, or 3;
each Rg2 is independently C1-C3 alkyl, C1-C3 alkoxy, CN, or halogen;
Rg3 is C(0)NRg4L, OL, NRg4L, L, 0-(CH2)i-3-C(0)NRg4L, or NHC(0)-(CH2)i-3- C(0)NRg4L;
Rg4 is H or Ci-C3 alkyl;
Rg5 is Ci-Ce alkyl;
Rg6 is phenyl optionally substituted with C1-C3 alkyl, C1-C3 alkoxy, CN, or halogen; and
L is a Linker.
In certain embodiments, T7 is CH2.
In certain embodiments, T7 is CH2CH2.
In certain embodiments, Rgi is C(0)Rg5.
In certain embodiments, Rgi is (CH2)-Rg6, (CH2)2-Rg6, or (CH2)3-Rg6.
In certain embodiments, Rg5 is straight-chain C1-C6 or branched C3-C6 alkyl (e.g. , methyl, ethyl, propyl, i-propyl, butyl, i-butyl, t-butyl, pentyl, or hexyl).
In certain embodiments, Rg6 is unsubstituted phenyl.
In certain embodiments, Rg6 is phenyl substituted with one, two, three, or more substituents independently selected from C1-C3 alkyl (e.g. , methyl, ethyl, propyl, or i-propyl), C1-C3 alkoxy (e.g. , methoxy, ethoxy, or propoxy), CN, and halogen (e.g., F, CI, or Br).
In certain embodiments, nnlO is 0.
In certain embodiments, nnlO is 1.
In certain embodiments, nnlO is 2.
In certain embodiments, nnlO is 3.
SUBSTITUTE SHEET (RULE 26)
In certain embodiments, nnl l is 0.
In certain embodiments, nnl l is 1.
In certain embodiments, nnl l is 2.
In certain embodiments, nnl l is 3.
In certain embodiments, at least one Rg2 is C1-C3 alkyl (e.g., methyl, ethyl, propyl, or i-propyl). In further embodiments, at least one Rg2 is methyl.
In certain embodiments, at least one Rg2 is C1-C3 alkoxy (e.g. , methoxy, ethoxy, or propoxy). In further embodiments, at least one Rg2 is methoxy.
In certain embodiments, at least one Rg2 is CN.
In certain embodiments, at least one Rg2 is halogen (e.g. , F, CI, or Br).
In certain embodiments, Rg3 is C(0)NRg4L. In further embodiments, Rg4 is H. In other embodiments, Rg4 is C1-C3 alkyl (e.g., methyl, ethyl, propyl, or i-propyl).
In certain embodiments, Rg3 is OL.
In certain embodiments, Rg3 is NRg4L. In further embodiments, Rg4 is H. In other embodiments, Rg4 is C1-C3 alkyl (e.g., methyl, ethyl, propyl, or i-propyl). In other embodiments, Rg4 is methyl.
In certain embodiments, Rg3 is L.
In certain embodiments, Rg3 is 0-(CH2)-C(0)NRg4L, 0-(CH2)2-C(0)NRg4L, or O- (CH2)3-C(0)NRg4L. In further embodiments, Rg3 is 0-(CH2)-C(0)NRg4L. In further embodiments, Rg4 is H. In other embodiments, Rg4 is C1-C3 alkyl (e.g. , methyl, ethyl, propyl, or i-propyl).
In certain embodiments, Rg3 is NHC(0)-(CH2)-C(0)NRg4L, NHC(0)-(CH2)2- C(0)NRg4L, or NHC(0)-(CH2)3-C(0)NRg4L. In further embodiments, Rg3 is NHC(O)- (CH2)-C(0)NRg4L, NHC(0)-(CH2)2-C(0)NRg4L. In further embodiments, Rg3 is NHC(O)- (CH2)2-C(0)NRg4L. In further embodiments, Rg4 is H. In other embodiments, Rg4 is C1-C3 alkyl (e.g., methyl, ethyl, propyl, or i-propyl).
In certain embodiments, the Targeting Ligand is selected from the following in Table T, wherein R is a Linker:
Table T
SUBSTITUTE SHEET (RULE 26)
SUBSTITUTE SHEET (RULE 26)
SUBSTITUTE SHEET (RULE 26)
SUBSTITUTE SHEET (RULE 26)
SUBSTITUTE SHEET (RULE 26)
SUBSTITUTE SHEET (RULE 26)
In certain embodiments, the TLs or targets are chosen based on existence (known target protein binding moieties) and ability to develop potent and selective ligands with functional positions that can accommodate a Linker. Some embodiments relate to targets with less selectivity, which may benefit from degradation coupled with proteomics as a measure of compound selectivity or target ID. Such cases include, but are not limited to a) targets that
SUBSTITUTE SHEET (RULE 26)
have multiple functionalities that are unable to be targeted by inhibition; b) targets that are resistant to inhibitors without altering their binding; c) targets that have ligands that do not alter the function of the target; and d) targets that would benefit from irreversible inhibition but lack reactive residues that can be targeted with covalent ligands.
In certain embodiments, the present application relates to small molecule inducers of protein degradation, which have numerous advantages over inhibitors of protein function and can a) overcome resistance in certain cases; b) prolong the kinetics of drug effect by destroying the protein requiring resynthesis even after the small molecule has been metabolized; c) target all functions of a protein at once rather than a specific catalytic activity or binding event; d) expand the number of drug targets by including all proteins that a ligand can be developed for, rather than proteins whose activity can be affected by a small molecule inhibitor, antagonist or agonist; and e) have increased potency compared to inhibitors due to the possibility of the small molecule acting catalytically.
Some embodiments of the present application relate to degradation or loss of 30% to 100% of the target protein. Certain embodiments relate to the loss of 50-100% of the target protein. Other embodiments relate to the loss of 75-95% of the targeted protein.
Some embodiments of present application relate to the bifunctional compounds having the following structures, as shown in Table 1-1 and Table 1-2, their synthesis and methods of use:
Table 1-1
SUBSTITUTE SHEET (RULE 26)
SUBSTITUTE SHEET (RULE 26)
SUBSTITUTE SHEET (RULE 26)
SUBSTITUTE SHEET (RULE 26)
SUBSTITUTE SHEET (RULE 26)
SUBSTITUTE SHEET (RULE 26)
135260160 vl
SUBSTITUTE SHEET (RULE 26)
SUBSTITUTE SHEET (RULE 26)
SUBSTITUTE SHEET (RULE 26)
SUBSTITUTE SHEET (RULE 26)
SUBSTITUTE SHEET (RULE 26)
SUBSTITUTE SHEET (RULE 26)
SUBSTITUTE SHEET (RULE 26)
SUBSTITUTE SHEET (RULE 26)
SUBSTITUTE SHEET (RULE 26)
SUBSTITUTE SHEET (RULE 26)
SUBSTITUTE SHEET (RULE 26)
SUBSTITUTE SHEET (RULE 26)
SUBSTITUTE SHEET (RULE 26)
SUBSTITUTE SHEET (RULE 26)
SUBSTITUTE SHEET (RULE 26)
SUBSTITUTE SHEET (RULE 26)
SUBSTITUTE SHEET (RULE 26)
SUBSTITUTE SHEET (RULE 26)
SUBSTITUTE SHEET (RULE 26)
SUBSTITUTE SHEET (RULE 26)
SUBSTITUTE SHEET (RULE 26)
SUBSTITUTE SHEET (RULE 26)
SUBSTITUTE SHEET (RULE 26)
SUBSTITUTE SHEET (RULE 26)
SUBSTITUTE SHEET (RULE 26)
SUBSTITUTE SHEET (RULE 26)
SUBSTITUTE SHEET (RULE 26)
SUBSTITUTE SHEET (RULE 26)
SUBSTITUTE SHEET (RULE 26)
SUBSTITUTE SHEET (RULE 26)
SUBSTITUTE SHEET (RULE 26)
SUBSTITUTE SHEET (RULE 26)
SUBSTITUTE SHEET (RULE 26)
SUBSTITUTE SHEET (RULE 26)
SUBSTITUTE SHEET (RULE 26)
SUBSTITUTE SHEET (RULE 26)
SUBSTITUTE SHEET (RULE 26)
SUBSTITUTE SHEET (RULE 26)
SUBSTITUTE SHEET (RULE 26)
SUBSTITUTE SHEET (RULE 26)
SUBSTITUTE SHEET (RULE 26)
SUBSTITUTE SHEET (RULE 26)
SUBSTITUTE SHEET (RULE 26)
SUBSTITUTE SHEET (RULE 26)
SUBSTITUTE SHEET (RULE 26)
SUBSTITUTE SHEET (RULE 26)
SUBSTITUTE SHEET (RULE 26)
Some of the foregoing compounds can comprise one or more asymmetric centers, and thus can exist in various isomeric forms, e.g. , stereoisomers and/or diastereomers. Thus, inventive compounds and pharmaceutical compositions thereof may be in the form of an individual enantiomer, diastereomer or geometric isomer, or may be in the form of a mixture of stereoisomers. In certain embodiments, the compounds of the application are enantiopure compounds. In certain other embodiments, mixtures of stereoisomers or diastereomers are provided.
Furthermore, certain compounds, as described herein may have one or more double bonds that can exist as either the Z or E isomer, unless otherwise indicated. The application additionally encompasses the compounds as individual isomers substantially free of other isomers and alternatively, as mixtures of various isomers, e.g., racemic mixtures of stereoisomers. In addition to the above-mentioned compounds per se, this application also encompasses pharmaceutically acceptable derivatives of these compounds and compositions comprising one or more compounds of the application and one or more pharmaceutically acceptable excipients or additives.
Compounds of the application may be prepared by crystallization of the compound under different conditions and may exist as one or a combination of polymorphs of the compound forming part of this application. For example, different polymorphs may be identified and/or prepared using different solvents, or different mixtures of solvents for recrystallization; by performing crystallizations at different temperatures; or by using various modes of cooling, ranging from very fast to very slow cooling during crystallizations.
Polymorphs may also be obtained by heating or melting the compound followed by gradual or fast cooling. The presence of polymorphs may be determined by solid probe NMR spectroscopy, IR spectroscopy, differential scanning calorimetry, powder X-ray
diffractogram and/or other techniques. Thus, the present application encompasses inventive compounds, their derivatives, their tautomeric forms, their stereoisomers, their polymorphs, their pharmaceutically acceptable salts their pharmaceutically acceptable solvates and pharmaceutically acceptable compositions containing them.
In certain embodiments, the compounds of the present application are useful as anticancer agents, and thus may be useful in the treatment of cancer, by effecting tumor cell death or inhibiting the growth of tumor cells. In certain exemplary embodiments, the disclosed anticancer agents are useful in the treatment of cancers and other proliferative disorders, including, but not limited to breast cancer, cervical cancer, colon and rectal cancer, leukemia, lung cancer, melanoma, multiple myeloma, non-Hodgkin's lymphoma, ovarian
SUBSTITUTE SHEET (RULE 26)
cancer, pancreatic cancer, prostate cancer, gastric cancer, leukemias (e.g. , myeloid, lymphocytic, myelocytic and lymphoblastic leukemias), malignant melanomas, T-cell lymphoma.
Synthesis of the Compounds of the Application
Exemplary synthetic schemes for preparing the bifunctional compounds of the present application are shown in below.
4 (reagent synthesized as in pyridine 110 °C Fischer et al, Nature, 2014, doi:10.1038/nature13527)
6 7
In one aspect of the application, a method for the synthesis of the core structure of
Degron-Linker moiety of certain compounds is provided, the method comprising steps of: a) reacting fert-Butyl (2-aminoethyl)carbamate or its analog (e.g. , n = 1-20) (1) or its analog (e.g. , n = 1-20) with chloroacetyl chloride under suitable conditions to generate tert- butyl (2-(2-chloroacetamido)ethyl)carbamate or its analog (e.g. , n = 1-20) (2);
b) reacting fert-butyl (2-(2-chloroacetamido)ethyl)carbamate or its analog (2) with dimethyl 3-hydroxyphthalate under suitable conditions to provide dimethyl 3-(2-((2-((tert- butoxycarbonyl)amino)ethyl)amino)-2-oxoethoxy)phthalate or its analog (3);
c) reacting dimethyl 3-(2-((2-((tert-butoxycarbonyl)amino)ethyl)amino)-2- oxoethoxy)phthalate or its analog (3) with strong base, followed by 3-aminopiperidine-2,6- dione hydrochloride to generate tert-butyl (2-(2-((2-(2,6-dioxopiperidin-3-yl)-l,3- dioxoisoindolin-4-yl)oxy)acetamido)ethyl)carbamate or its analog (4);
SUBSTITUTE SHEET (RULE 26)
d) deprotecting compound (4) to provide diaminoethyl-acetyl-O-thalidomide trifluoroacetate or its analog (5).
Diaminobutyl-acetyl-O-thalidomide trifluoroacetate can be prepared according to the procedure in Fischer et al. Nature, 2014, 512, 49-53.
In another aspect of the application, a method for the synthesis of the exemplary bifunctional compound is provided, the method comprising reacting a Degron-Linker moiety, for example, compound (5) with an acid derivative of a Target Ligand R - compound (6) under suitable conditions to yield a bifunctional compound (7).
Those of skill in the art will realize that based on this teaching and those known in the art, one could prepare any of the compounds of the present application.
In yet another aspect of the application, methods for producing intermediates useful for the preparation of certain compounds of the application are provided.
In some aspects of the application, the Degron-Linker intermediates can be prepared according to the following steps:
DL5:
pyridine, 110 °C
SUBSTITUTE SHEET (RULE 26)
6087
DL6:
pyridine, 110 °C DL7.
pyridine, 110 °C
In other aspects of the application, the bifunctional compounds dBETl - dBET6 can be prepared according to the following schemes using a moiety targeting bromodomain:
dBETl:
SUBSTITUTE SHEET (RULE 26)
ref: ACIEE 2011, SO, 9378
In other aspects of the application, the bifunctional compounds dGRl and dGR2 can be prepared according to the following schemes using TL4 target moiety (dexamethasone): dGRl :
dexamethasone
dGR2:
In other embodiments of the disclosure, the bifunctional compounds dFKBP-1 and dFKBP-2 can be prepared using TL5 target moiety (API 479) according to the general methods illustrated above, as shown in the following schemes: -1 :
Scheme for synthesis of amino acid-thalidomide linker
SUBSTITUTE SHEET (RULE 26)
SUBSTITUTE SHEET (RULE 26)
SUBSTITUTE SHEET (RULE 26)
In certain embodiments, the methods described above are carried out in solution phase. In certain other embodiments, the methods described above are carried out on a solid phase. In certain embodiments, the synthetic method is amenable to high-throughput techniques or to techniques commonly used in combinatorial chemistry.
Pharmaceutical Compositions
Accordingly, in another aspect of the present application, pharmaceutical compositions are provided, which comprise any one of the compounds described herein (or a prodrug, pharmaceutically acceptable salt or other pharmaceutically acceptable derivative thereof), and optionally comprise a pharmaceutically acceptable carrier. In certain embodiments, these compositions optionally further comprise one or more additional therapeutic agents. Alternatively, a compound of this application may be administered to a patient in need thereof in combination with the administration of one or more other therapeutic agents. For example, additional therapeutic agents for conjoint administration or inclusion in a pharmaceutical composition with a compound of this application may be, for example, an approved chemotherapeutic agent, or it may be any one of a number of agents undergoing approval in the Food and Drug Administration that ultimately obtain approval for the treatment of any disorder associated with cellular hyperproliferation. In certain other
SUBSTITUTE SHEET (RULE 26)
embodiments, the additional therapeutic agent is an anticancer agent, as discussed in more detail herein.
It will also be appreciated that certain of the compounds of present application can exist in free form for treatment, or where appropriate, as a pharmaceutically acceptable derivative thereof. According to the present application, a pharmaceutically acceptable derivative includes, but is not limited to, pharmaceutically acceptable salts, esters, salts of such esters, or a pro-drug or other adduct or derivative of a compound of this application which upon administration to a patient in need is capable of providing, directly or indirectly, a compound as otherwise described herein, or a metabolite or residue thereof.
As used herein, the term "pharmaceutically acceptable salt" refers to those salts which are, within the scope of sound medical judgment, suitable for use in contact with the tissues of humans and lower animals without undue toxicity, irritation, allergic response and the like, and are commensurate with a reasonable benefit/risk ratio. Pharmaceutically acceptable salts of amines, carboxylic acids, and other types of compounds, are well known in the art. For example, S. M. Berge, et al. describe pharmaceutically acceptable salts in detail in J
Pharmaceutical Sciences, 66: 1-19 (1977), incorporated herein by reference. The salts can be prepared in situ during the final isolation and purification of the compounds of the application, or separately by reacting a free base or free acid function with a suitable reagent, as described generally below. For example, a free base function can be reacted with a suitable acid. Furthermore, where the compounds of the application carry an acidic moiety, suitable pharmaceutically acceptable salts thereof may, include metal salts such as alkali metal salts, e.g. sodium or potassium salts; and alkaline earth metal salts, e.g. calcium or magnesium salts. Examples of pharmaceutically acceptable, nontoxic acid addition salts are salts of an amino group formed with inorganic acids such as hydrochloric acid, hydrobromic acid, phosphoric acid, sulfuric acid and perchloric acid or with organic acids such as acetic acid, oxalic acid, maleic acid, tartaric acid, citric acid, succinic acid or malonic acid or by using other methods used in the art such as ion exchange. Other pharmaceutically acceptable salts include adipate, alginate, ascorbate, aspartate, benzenesulfonate, benzoate, bisulfate, borate, butyrate, camphorate, camphorsulfonate, citrate, cyclopentanepropionate, digluconate, dodecylsulfate, ethanesulfonate, formate, fumarate, glucoheptonate, glycerophosphate, gluconate, hemisulfate, heptanoate, hexanoate, hydroiodide, 2-hydroxy -ethanesulfonate, lactobionate, lactate, laurate, lauryl sulfate, malate, maleate, malonate, methanesulfonate, 2- naphthalenesulfonate, nicotinate, nitrate, oleate, oxalate, palmitate, pamoate, pectinate, persulfate, 3-phenylpropionate, phosphate, picrate, pivalate, propionate, stearate, succinate,
SUBSTITUTE SHEET (RULE 26)
sulfate, tartrate, thiocyanate, p-toluenesulfonate, undecanoate, valerate salts, and the like. Representative alkali or alkaline earth metal salts include sodium, lithium, potassium, calcium, magnesium, and the like. Further pharmaceutically acceptable salts include, when appropriate, nontoxic ammonium, quaternary ammonium, and amine cations formed using counterions such as halide, hydroxide, carboxylate, sulfate, phosphate, nitrate, lower alkyl sulfonate and aryl sulfonate.
Additionally, as used herein, the term "pharmaceutically acceptable ester" refers to esters that hydrolyze in vivo and include those that break down readily in the human body to leave the parent compound or a salt thereof. Suitable ester groups include, for example, those derived from pharmaceutically acceptable aliphatic carboxylic acids, particularly alkanoic, alkenoic, cycloalkanoic and alkanedioic acids, in which each alkyl or alkenyl moiety advantageously has not more than 6 carbon atoms. Examples of particular esters include formates, acetates, propionates, butyrates, acrylates and ethylsuccinates.
Furthermore, the term "pharmaceutically acceptable prodrugs" as used herein refers to those prodrugs of the compounds of the present application which are, within the scope of sound medical judgment, suitable for use in contact with the issues of humans and lower animals with undue toxicity, irritation, allergic response, and the like, commensurate with a reasonable benefit/risk ratio, and effective for their intended use, as well as the zwitterionic forms, where possible, of the compounds of the application. The term "prodrug" refers to compounds that are rapidly transformed in vivo to yield the parent compound of the above formula, for example by hydrolysis in blood. A thorough discussion is provided in T. Higuchi and V. Stella, Pro-drugs as Novel Delivery Systems, Vol. 14 of the A.C.S. Symposium Series, and in Edward B. Roche, ed., Bioreversible Carriers in Drug Design, American Pharmaceutical Association and Pergamon Press, 1987, both of which are incorporated herein by reference.
As described above, the pharmaceutical compositions of the present application additionally comprise a pharmaceutically acceptable carrier, which, as used herein, includes any and all solvents, diluents, or other liquid vehicle, dispersion or suspension aids, surface active agents, isotonic agents, thickening or emulsifying agents, preservatives, solid binders, lubricants and the like, as suited to the particular dosage form desired. Remington's
Pharmaceutical Sciences, Sixteenth Edition, E. W. Martin (Mack Publishing Co., Easton, Pa., 1980) discloses various carriers used in formulating pharmaceutical compositions and known techniques for the preparation thereof. Except insofar as any conventional carrier medium is incompatible with the compounds of the application, such as by producing any undesirable
SUBSTITUTE SHEET (RULE 26)
biological effect or otherwise interacting in a deleterious manner with any other
component(s) of the pharmaceutical composition, its use is contemplated to be within the scope of this application. Some examples of materials which can serve as pharmaceutically acceptable carriers include, but are not limited to, sugars such as lactose, glucose and sucrose; starches such as com starch and potato starch; cellulose and its derivatives such as sodium carboxymethyl cellulose, ethyl cellulose and cellulose acetate; powdered tragacanth; malt; gelatine; talc; excipients such as cocoa butter and suppository waxes; oils such as peanut oil, cottonseed oil; safflower oil, sesame oil; olive oil; com oil and soybean oil; glycols; such as propylene glycol; esters such as ethyl oleate and ethyl laurate; agar; buffering agents such as magnesium hydroxide and aluminum hydroxide; alginic acid; pyrogen-free water; isotonic saline; Ringer's solution; ethyl alcohol, and phosphate buffer solutions, as well as other nontoxic compatible lubricants such as sodium lauryl sulfate and magnesium stearate, as well as coloring agents, releasing agents, coating agents, sweetening, flavoring and perfuming agents, preservatives and antioxidants can also be present in the composition, according to the j udgment of the formulator.
Liquid dosage forms for oral administration include, but are not limited to, pharmaceutically acceptable emulsions, microemulsions, solutions, suspensions, syrups and elixirs. In addition to the active compounds, the liquid dosage forms may contain inert diluents commonly used in the art such as, for example, water or other solvents, solubilizing agents and emulsifiers such as ethyl alcohol, isopropyl alcohol, ethyl carbonate, ethyl acetate, benzyl alcohol, benzyl benzoate, propylene glycol, 1 ,3-butylene glycol, dimethylformamide, oils (in particular, cottonseed, groundnut, corn, germ, olive, castor, and sesame oils), glycerol, tetrahydrofurfuryl alcohol, polyethylene glycols and fatty acid esters of sorbitan, and mixtures thereof. Besides inert diluents, the oral compositions can also include adjuvants such as wetting agents, emulsifying and suspending agents, sweetening, flavoring, and perfuming agents.
Injectable preparations, for example, sterile injectable aqueous or oleaginous suspensions may be formulated according to the known art using suitable dispersing or wetting agents and suspending agents. The sterile injectable preparation may also be a sterile injectable solution, suspension or emulsion in a nontoxic parenterally acceptable diluent or solvent, for example, as a solution in 1 ,3-butanediol. Among the acceptable vehicles and solvents that may be employed are water, Ringer's solution, U. S. P. and isotonic sodium chloride solution. In addition, sterile, fixed oils are conventionally employed as a solvent or suspending medium. For this purpose any bland fixed oil can be employed including
SUBSTITUTE SHEET (RULE 26)
synthetic mono- or diglycerides. In addition, fatty acids such as oleic acid are used in the preparation of injectables.
The injectable formulations can be sterilized, for example, by filtration through a bacterial-retaining filter, or by incorporating sterilizing agents in the form of sterile solid compositions which can be dissolved or dispersed in sterile water or other sterile injectable medium prior to use.
In order to prolong the effect of a drug, it is often desirable to slow the absorption of the drug from subcutaneous or intramuscular injection. This may be accomplished by the use of a liquid suspension or crystalline or amorphous material with poor water solubility. The rate of absorption of the drug then depends upon its rate of dissolution that, in turn, may depend upon crystal size and crystalline form. Alternatively, delayed absorption of a parenterally administered drug form is accomplished by dissolving or suspending the drug in an oil vehicle. Injectable depot forms are made by forming microencapsule matrices of the drug in biodegradable polymers such as polylactide-polyglycolide. Depending upon the ratio of drug to polymer and the nature of the particular polymer employed, the rate of drug release can be controlled. Examples of other biodegradable polymers include poly(orthoesters) and poly (anhydrides). Depot injectable formulations are also prepared by entrapping the drug in liposomes or microemulsions which are compatible with body tissues.
Compositions for rectal or vaginal administration are preferably suppositories which can be prepared by mixing the compounds of this application with suitable non-irritating excipients or carriers such as cocoa butter, polyethylene glycol or a suppository wax which are solid at ambient temperature but liquid at body temperature and therefore melt in the rectum or vaginal cavity and release the active compound.
Solid dosage forms for oral administration include capsules, tablets, pills, powders, and granules. In such solid dosage forms, the active compound is mixed with at least one inert, pharmaceutically acceptable excipient or carrier such as sodium citrate or dicalcium phosphate and/or a) fillers or extenders such as starches, lactose, sucrose, glucose, mannitol, and silicic acid, b) binders such as, for example, carboxymethylcellulose, alginates, gelatin, polyvinylpyrrolidinone, sucrose, and acacia, c) humectants such as glycerol, d) disintegrating agents such as agar-agar, calcium carbonate, potato or tapioca starch, alginic acid, certain silicates, and sodium carbonate, e) solution retarding agents such as paraffin, f) absorption accelerators such as quaternary ammonium compounds, g) wetting agents such as, for example, cetyl alcohol and glycerol monostearate, h) absorbents such as kaolin and bentonite clay, and i) lubricants such as talc, calcium stearate, magnesium stearate, solid polyethylene
SUBSTITUTE SHEET (RULE 26)
glycols, sodium lauryl sulfate, and mixtures thereof. In the case of capsules, tablets and pills, the dosage form may also comprise buffering agents.
Solid compositions of a similar type may also be employed as fillers in soft and hard- filled gelatin capsules using such excipients as lactose or milk sugar as well as high molecular weight polyethylene glycols and the like. The solid dosage forms of tablets, dragees, capsules, pills, and granules can be prepared with coatings and shells such as enteric coatings and other coatings well known in the pharmaceutical formulating art. They may optionally contain opacifying agents and can also be of a composition that they release the active ingredient(s) only, or preferentially, in a certain part of the intestinal tract, optionally, in a delayed manner.
Examples of embedding compositions that can be used include polymeric substances and waxes. Solid compositions of a similar type may also be employed as fillers in soft and hard-filled gelatin capsules using such excipients as lactose or milk sugar as well as high molecular weight polyethylene glycols and the like.
The active compounds can also be in micro-encapsulated form with one or more excipients as noted above. The solid dosage forms of tablets, dragees, capsules, pills, and granules can be prepared with coatings and shells such as enteric coatings, release controlling coatings and other coatings well known in the pharmaceutical formulating art. In such solid dosage forms the active compound may be admixed with at least one inert diluent such as sucrose, lactose and starch. Such dosage forms may also comprise, as in normal practice, additional substances other than inert diluents, e.g. , tableting lubricants and other tableting aids such as magnesium stearate and microcrystalline cellulose. In the case of capsules, tablets and pills, the dosage forms may also comprise buffering agents. They may optionally contain opacifying agents and can also be of a composition that they release the active ingredient(s) only, or preferentially, in a certain part of the intestinal tract, optionally, in a delayed manner. Examples of embedding compositions which can be used include polymeric substances and waxes.
The present application encompasses pharmaceutically acceptable topical formulations of inventive compounds. The term "pharmaceutically acceptable topical formulation", as used herein, means any formulation which is pharmaceutically acceptable for intradermal administration of a compound of the application by application of the formulation to the epidermis. In certain embodiments of the application, the topical formulation comprises a carrier system. Pharmaceutically effective carriers include, but are not limited to, solvents (e.g. , alcohols, poly alcohols, water), creams, lotions, ointments, oils,
SUBSTITUTE SHEET (RULE 26)
plasters, liposomes, powders, emulsions, microemulsions, and buffered solutions (e.g., hypotonic or buffered saline) or any other carrier known in the art for topically administering pharmaceuticals. A more complete listing of art-known carriers is provided by reference texts that are standard in the art, for example, Remington's Pharmaceutical Sciences, 16th Edition, 1980 and 17th Edition, 1985, both published by Mack Publishing Company, Easton, Pa., the disclosures of which are incorporated herein by reference in their entireties. In certain other embodiments, the topical formulations of the application may comprise excipients. Any pharmaceutically acceptable excipient known in the art may be used to prepare the inventive pharmaceutically acceptable topical formulations. Examples of excipients that can be included in the topical formulations of the application include, but are not limited to, preservatives, antioxidants, moisturizers, emollients, buffering agents, solubilizing agents, other penetration agents, skin protectants, surfactants, and propellants, and/or additional therapeutic agents used in combination to the inventive compound. Suitable preservatives include, but are not limited to, alcohols, quaternary amines, organic acids, parabens, and phenols. Suitable antioxidants include, but are not limited to, ascorbic acid and its esters, sodium bisulfite, butylated hydroxy toluene, butylated hydroxyanisole, tocopherols, and chelating agents like EDTA and citric acid. Suitable moisturizers include, but are not limited to, glycerine, sorbitol, polyethylene glycols, urea, and propylene glycol. Suitable buffering agents for use with the application include, but are not limited to, citric, hydrochloric, and lactic acid buffers. Suitable solubilizing agents include, but are not limited to, quaternary ammonium chlorides, cyclodextrins, benzyl benzoate, lecithin, and polysorbates. Suitable skin protectants that can be used in the topical formulations of the application include, but are not limited to, vitamin E oil, allatoin, dimethicone, glycerin, petrolatum, and zinc oxide.
In certain embodiments, the pharmaceutically acceptable topical formulations of the application comprise at least a compound of the application and a penetration enhancing agent. The choice of topical formulation will depend or several factors, including the condition to be treated, the physicochemical characteristics of the inventive compound and other excipients present, their stability in the formulation, available manufacturing equipment, and costs constraints. As used herein the term "penetration enhancing agent" means an agent capable of transporting a pharmacologically active compound through the stratum corneum and into the epidermis or dermis, preferably, with little or no systemic absorption. A wide variety of compounds have been evaluated as to their effectiveness in enhancing the rate of penetration of drugs through the skin. See, for example, Percutaneous Penetration Enhancers, Maibach H. I. and Smith H. E. (eds.), CRC Press, Inc., Boca Raton,
SUBSTITUTE SHEET (RULE 26)
Fla. (1995), which surveys the use and testing of various skin penetration enhancers, and Buyuktimkin et al. , Chemical Means of Transdermal Drug Permeation Enhancement in Transdermal and Topical Drug Delivery Systems, Gosh T. K., Pfister W. R., Yum S. I.
(Eds.), Interpharm Press Inc., Buffalo Grove, 111. (1997). In certain exemplary embodiments, penetration agents for use with the application include, but are not limited to, triglycerides (e.g. , soybean oil), aloe compositions (e.g., aloe-vera gel), ethyl alcohol, isopropyl alcohol, octolyphenylpolyethylene glycol, oleic acid, polyethylene glycol 400, propylene glycol, N- decylmethylsulfoxide, fatty acid esters (e.g. , isopropyl myristate, methyl laurate, glycerol monooleate, and propylene glycol monooleate), and N-methylpyrrolidone.
In certain embodiments, the compositions may be in the form of ointments, pastes, creams, lotions, gels, powders, solutions, sprays, inhalants or patches. In certain exemplary embodiments, formulations of the compositions according to the application are creams, which may further contain saturated or unsaturated fatty acids such as stearic acid, palmitic acid, oleic acid, palmito-oleic acid, cetyl or oleyl alcohols, and stearic acid being particularly preferred. Creams of the application may also contain a non-ionic surfactant, for example, polyoxy-40-stearate. In certain embodiments, the active component is admixed under sterile conditions with a pharmaceutically acceptable carrier and any needed preservatives or buffers as may be required. Ophthalmic formulation, eardrops, and eye drops are also contemplated as being within the scope of this application. Additionally, the present application contemplates the use of transdermal patches, which have the added advantage of providing controlled delivery of a compound to the body. Such dosage forms are made by dissolving or dispensing the compound in the proper medium. As discussed above, penetration enhancing agents can also be used to increase the flux of the compound across the skin. The rate can be controlled by either providing a rate controlling membrane or by dispersing the compound in a polymer matrix or gel.
It will also be appreciated that the compounds and pharmaceutical compositions of the present application can be formulated and employed in combination therapies, that is, the compounds and pharmaceutical compositions can be formulated with or administered concurrently with, prior to, or subsequent to, one or more other desired therapeutics or medical procedures. The particular combination of therapies (therapeutics or procedures) to employ in a combination regimen will take into account compatibility of the desired therapeutics and/or procedures and the desired therapeutic effect to be achieved. It will also be appreciated that the therapies employed may achieve a desired effect for the same disorder (for example, an inventive compound may be administered concurrently with another
SUBSTITUTE SHEET (RULE 26)
immunomodulatory agent or anticancer agent, or they may achieve different effects (e.g. , control of any adverse effects).
For example, other therapies or anticancer agents that may be used in combination with the compounds of the present application include surgery, radiotherapy, endocrine therapy, biologic response modifiers (interferons, interleukins, and tumor necrosis factor (TNF) to name a few), hyperthermia and cryotherapy, agents to attenuate any adverse effects (e.g. , antiemetics), and other approved chemotherapeutic drugs, including, but not limited to, alkylating drugs (mechlorethamine, chlorambucil, Cyclophosphamide, Melphalan,
Ifosfamide), antimetabolites (Methotrexate), purine antagonists and pyrimidine antagonists (6-Mercaptopurine, 5-Fluorouracil, Cytarabile, Gemcitabine), spindle poisons (Vinblastine, Vincristine, Vinorelbine, Paclitaxel), podophyllotoxins (Etoposide, Irinotecan, Topotecan), antibiotics (Doxorubicin, Bleomycin, Mitomycin), nitrosoureas (Carmustine, Lomustine), inorganic ions (Cisplatin, Carboplatin), enzymes (Asparaginase), and hormones (Tamoxifen, Leuprolide, Flutamide, and Megestrol), to name a few. For a more comprehensive discussion of updated cancer therapies see, The Merck Manual, Seventeenth Ed. 1999, the entire contents of which are hereby incorporated by reference. See also the National Cancer Institute (CNI) website (www.nci.nih.gov) and the Food and Drug Administration (FDA) website for a list of the FDA approved oncology drugs
(www. f da. gov/ cder/ cancer/ druglistframe) .
In certain embodiments, the pharmaceutical compositions of the present application further comprise one or more additional therapeutically active ingredients (e.g.,
chemotherapeutic and/or palliative). For purposes of the application, the term "palliative" refers to treatment that is focused on the relief of symptoms of a disease and/or side effects of a therapeutic regimen, but is not curative. For example, palliative treatment encompasses painkillers, antinausea medications and anti-sickness drugs. In addition, chemotherapy, radiotherapy and surgery can all be used palliatively (that is, to reduce symptoms without going for cure; e.g., for shrinking tumors and reducing pressure, bleeding, pain and other symptoms of cancer).
Additionally, the present application provides pharmaceutically acceptable derivatives of the inventive compounds, and methods of treating a subject using these compounds, pharmaceutical compositions thereof, or either of these in combination with one or more additional therapeutic agents.
It will also be appreciated that certain of the compounds of present application can exist in free form for treatment, or where appropriate, as a pharmaceutically acceptable
SUBSTITUTE SHEET (RULE 26)
derivative thereof. According to the present application, a pharmaceutically acceptable derivative includes, but is not limited to, pharmaceutically acceptable salts, esters, salts of such esters, or a prodrug or other adduct or derivative of a compound of this application which upon administration to a patient in need is capable of providing, directly or indirectly, a compound as otherwise described herein, or a metabolite or residue thereof.
Methods of Treatment
In general, methods of using the compounds of the present application comprise administering to a subject in need thereof a therapeutically effective amount of a compound of the present application. The compounds of the application are generally inducers of target protein degradation.
In certain embodiments, compounds of the application are useful in the treatment of proliferative diseases (e.g. , cancer, benign neoplasms, inflammatory disease, and autoimmune diseases). In certain embodiments, according to the methods of treatment of the present application, levels of cell proteins of interest, e.g., pathogenic and oncogenic proteins are modulated, or their growth is inhibited by contacting said cells with an inventive compound or composition, as described herein. In other embodiments, the compounds are useful in treating cancer.
Thus, in another aspect of the application, methods for the treatment of cancer are provided comprising administering a therapeutically effective amount of an inventive compound, as described herein, to a subject in need thereof. In certain embodiments, a method for the treatment of cancer is provided comprising administering a therapeutically effective amount of an inventive compound, or a pharmaceutical composition comprising an inventive compound to a subject in need thereof, in such amounts and for such time as is necessary to achieve the desired result. Preferably, the compounds of present application are administered orally or intravenously. In certain embodiments of the present application a "therapeutically effective amount" of the inventive compound or pharmaceutical composition is that amount effective for killing or inhibiting the growth of tumor cells. The compounds and compositions, according to the method of the present application, may be administered using any amount and any route of administration effective for killing or inhibiting the growth of tumor cells. Thus, the expression "amount effective to kill or inhibit the growth of tumor cells," as used herein, refers to a sufficient amount of agent to kill or inhibit the growth of tumor cells. The exact amount required will vary from subject to subject, depending on the species, age, and general condition of the subject, the severity of the infection, the particular
SUBSTITUTE SHEET (RULE 26)
anticancer agent, its mode of administration, and the like. In certain embodiments of the present application a "therapeutically effective amount" of the inventive compound or pharmaceutical composition is that amount effective for reducing the levels of target proteins. In certain embodiments of the present application a "therapeutically effective amount" of the compound or pharmaceutical composition is that amount effective to kill or inhibit the growth of skin cells.
In certain embodiments, the method involves the administration of a therapeutically effective amount of the compound or a pharmaceutically acceptable derivative thereof to a subject (including, but not limited to a human or animal) in need of it. In certain
embodiments, the bifunctional compounds as useful for the treatment of cancer (including, but not limited to, glioblastoma, retinoblastoma, breast cancer, cervical cancer, colon and rectal cancer, leukemia, lymphoma, lung cancer (including, but not limited to small cell lung cancer), melanoma and/or skin cancer, multiple myeloma, non-Hodgkin's lymphoma, ovarian cancer, pancreatic cancer, prostate cancer and gastric cancer, bladder cancer, uterine cancer, kidney cancer, testicular cancer, stomach cancer, brain cancer, liver cancer, or esophageal cancer.
In certain embodiments, the inventive anticancer agents are useful in the treatment of cancers and other proliferative disorders, including, but not limited to breast cancer, cervical cancer, colon and rectal cancer, leukemia, lung cancer, melanoma, multiple myeloma, non- Hodgkin's lymphoma, ovarian cancer, pancreatic cancer, prostate cancer, and gastric cancer. In certain embodiments, the inventive anticancer agents are active against solid tumors.
In certain embodiments, the inventive compounds also find use in the prevention of restenosis of blood vessels subject to traumas such as angioplasty and stenting. For example, it is contemplated that the compounds of the application will be useful as a coating for implanted medical devices, such as tubings, shunts, catheters, artificial implants, pins, electrical implants such as pacemakers, and especially for arterial or venous stents, including balloon-expandable stents. In certain embodiments inventive compounds may be bound to an implantable medical device, or alternatively, may be passively adsorbed to the surface of the implantable device. In certain other embodiments, the inventive compounds may be formulated to be contained within, or, adapted to release by a surgical or medical device or implant, such as, for example, stents, sutures, indwelling catheters, prosthesis, and the like. For example, drugs having antiproliferative and anti-inflammatory activities have been evaluated as stent coatings, and have shown promise in preventing retenosis (See, for example, Presbitero P. et al , "Drug eluting stents do they make the difference?", Minerva
SUBSTITUTE SHEET (RULE 26)
Cardioangiol, 2002, 50(5):431-442; Ruygrok P. N. et al, "Rapamycin in cardiovascular medicine", Intern. Med. I, 2003, 33(3): 103-109; and Marx S. O. et al, "Bench to bedside: the development of rapamycin and its application to stent restenosis", Circulation, 2001, 104(8): 852-855, each of these references is incorporated herein by reference in its entirety). Accordingly, without wishing to be bound to any particular theory, Applicant proposes that inventive compounds having antiproliferative effects can be used as stent coatings and/or in stent drug delivery devices, inter alia for the prevention of restenosis or reduction of restenosis rate. Suitable coatings and the general preparation of coated implantable devices are described in U.S. Pat. Nos. 6,099,562; 5,886,026; and 5,304,121. The coatings are typically biocompatible polymeric materials such as a hydrogel polymer,
polymethyldisiloxane, polycaprolactone, polyethylene glycol, polylactic acid, ethylene vinyl acetate, and mixtures thereof. The coatings may optionally be further covered by a suitable topcoat of fluorosilicone, polysaccarides, polyethylene glycol, phospholipids or combinations thereof to impart controlled release characteristics in the composition. A variety of compositions and methods related to stent coating and/or local stent drug delivery for preventing restenosis are known in the art (see, for example, U.S. Pat. Nos. 6,517,889;
6,273,913; 6,258,121; 6,251,136; 6,248,127; 6,231,600; 6,203,551 ; 6,153,252; 6,071,305; 5,891,507; 5,837,313 and published U.S. patent application No. : US2001/0027340, each of which is incorporated herein by reference in its entirety). For example, stents may be coated with polymer-drug conjugates by dipping the stent in polymer-drug solution or spraying the stent with such a solution. In certain embodiments, suitable materials for the implantable device include biocompatible and nontoxic materials, and may be chosen from the metals such as nickel-titanium alloys, steel, or biocompatible polymers, hydrogels, polyurethanes, polyethylenes, ethylenevinyl acetate copolymers, etc. In certain embodiments, the inventive compound is coated onto a stent for insertion into an artery or vein following balloon angioplasty.
The compounds of this application or pharmaceutically acceptable compositions thereof may also be incorporated into compositions for coating implantable medical devices, such as prostheses, artificial valves, vascular grafts, stents and catheters. Accordingly, the present application, in another aspect, includes a composition for coating an implantable device comprising a compound of the present application as described generally above, and in classes and subclasses herein, and a carrier suitable for coating said implantable device. In still another aspect, the present application includes an implantable device coated with a composition comprising a compound of the present application as described generally above,
SUBSTITUTE SHEET (RULE 26)
and in classes and subclasses herein, and a carrier suitable for coating said implantable device.
Additionally, the present application provides pharmaceutically acceptable derivatives of the inventive compounds, and methods of treating a subject using these compounds, pharmaceutical compositions thereof, or either of these in combination with one or more additional therapeutic agents.
Another aspect of the application relates to a method of treating or lessening the severity of a disease or condition associated with a proliferation disorder in a patient, said method comprising a step of administering to said patient, a compound of Formula I or a composition comprising said compound.
It will be appreciated that the compounds and compositions, according to the method of the present application, may be administered using any amount and any route of administration effective for the treatment of cancer and/or disorders associated with cell hyperproliferation. For example, when using the inventive compounds for the treatment of cancer, the expression "effective amount" as used herein, refers to a sufficient amount of agent to inhibit cell proliferation, or refers to a sufficient amount to reduce the effects of cancer. The exact amount required will vary from subject to subject, depending on the species, age, and general condition of the subject, the severity of the diseases, the particular anticancer agent, its mode of administration, and the like.
The compounds of the application are preferably formulated in dosage unit form for ease of administration and uniformity of dosage. The expression "dosage unit form" as used herein refers to a physically discrete unit of therapeutic agent appropriate for the patient to be treated. It will be understood, however, that the total daily usage of the compounds and compositions of the present application will be decided by the attending physician within the scope of sound medical judgment. The specific therapeutically effective dose level for any particular patient or organism will depend upon a variety of factors including the disorder being treated and the severity of the disorder; the activity of the specific compound employed; the specific composition employed; the age, body weight, general health, sex and diet of the patient; the time of administration, route of administration, and rate of excretion of the specific compound employed; the duration of the treatment; drugs used in combination or coincidental with the specific compound employed; and like factors well known in the medical arts (see, for example, Goodman and Gilman's, "The Pharmacological Basis of Therapeutics", Tenth Edition, A. Gilman, J. Hardman and L. Limbird, eds., McGraw-Hill Press, 155-173, 2001 , which is incorporated herein by reference in its entirety).
SUBSTITUTE SHEET (RULE 26)
Furthermore, after formulation with an appropriate pharmaceutically acceptable carrier in a desired dosage, the pharmaceutical compositions of this application can be administered to humans and other animals orally, rectally, parenterally, intracisternally, intravaginally, intraperitoneally, topically (as by powders, ointments, creams or drops), bucally, as an oral or nasal spray, or the like, depending on the severity of the infection being treated. In certain embodiments, the compounds of the application may be administered at dosage levels of about 0.001 mg/kg to about 50 mg/kg, from about 0.01 mg/kg to about 25 mg/kg, or from about 0.1 mg/kg to about 10 mg/kg of subject body weight per day, one or more times a day, to obtain the desired therapeutic effect. It will also be appreciated that dosages smaller than 0.001 mg/kg or greater than 50 mg/kg (for example 50-100 mg/kg) can be administered to a subject. In certain embodiments, compounds are administered orally or parenterally.
The present application provides methods for the treatment of a cell proliferative disorder in a subject in need thereof by administering to a subject in need of such treatment, a therapeutically effective amount of a compound of the present application, or a
pharmaceutically acceptable salt, prodrug, metabolite, polymorph or solvate thereof. The cell proliferative disorder can be cancer or a precancerous condition. The present application further provides the use of a compound of the present application, or a pharmaceutically acceptable salt, prodrug, metabolite, polymorph or solvate thereof, for the preparation of a medicament useful for the treatment of a cell proliferative disorder.
The present application also provides methods of protecting against a cell proliferative disorder in a subject in need thereof by administering a therapeutically effective amount of compound of the present application, or a pharmaceutically acceptable salt, prodrug, metabolite, polymorph or solvate thereof, to a subject in need of such treatment. The cell proliferative disorder can be cancer or a precancerous condition. The present application also provides the use of compound of the present application, or a
pharmaceutically acceptable salt, prodrug, metabolite, polymorph or solvate thereof, for the preparation of a medicament useful for the prevention of a cell proliferative disorder.
As used herein, a "subject in need thereof is a subject having a cell proliferative disorder, or a subject having an increased risk of developing a cell proliferative disorder relative to the population at large. A subject in need thereof can have a precancerous condition. Preferably, a subject in need thereof has cancer. A "subject" includes a mammal. The mammal can be e.g., any mammal, e.g., a human, primate, bird, mouse, rat, fowl, dog, cat, cow, horse, goat, camel, sheep or a pig. Preferably, the mammal is a human.
SUBSTITUTE SHEET (RULE 26)
A "cell" includes a eukaryotic or a prokaryotic cell. In particular, a cell includes a eukaryotic cell, such as a mammalian cell. The mammalian cell can be e.g. , any mammalian cell, e.g. , a cell from the human, primate, bird, mouse, rat, fowl, dog, cat, cow, horse, goat, camel, sheep or a pig. Preferably, the mammalian cell is a human cell. A human cell can be a cell taken or derived from any tissue or organ.
As used herein, the term "cell proliferative disorder" refers to conditions in which unregulated or abnormal growth, or both, of cells can lead to the development of an unwanted condition or disease, which may or may not be cancerous. Exemplary cell proliferative disorders of the application encompass a variety of conditions wherein cell division is deregulated. Exemplary cell proliferative disorder include, but are not limited to, neoplasms, benign tumors, malignant tumors, pre-cancerous conditions, in situ tumors, encapsulated tumors, metastatic tumors, liquid tumors, solid tumors, immunological tumors, hematological tumors, cancers, carcinomas, leukemias, lymphomas, sarcomas, and rapidly dividing cells. The term "rapidly dividing cell" as used herein is defined as any cell that divides at a rate that exceeds or is greater than what is expected or observed among neighboring or juxtaposed cells within the same tissue. A cell proliferative disorder includes a precancer or a precancerous condition. A cell proliferative disorder includes cancer. Preferably, the methods provided herein are used to treat or alleviate a symptom of cancer. The term
"cancer" includes solid tumors, as well as, hematologic tumors and/or malignancies. A "precancer cell" or "precancerous cell" is a cell manifesting a cell proliferative disorder that is a precancer or a precancerous condition. A "cancer cell" or "cancerous cell" is a cell manifesting a cell proliferative disorder that is a cancer. Any reproducible means of measurement may be used to identify cancer cells or precancerous cells. Cancer cells or precancerous cells can be identified by histological typing or grading of a tissue sample (e.g., a biopsy sample). Cancer cells or precancerous cells can be identified through the use of appropriate molecular markers.
Exemplary non-cancerous conditions or disorders include, but are not limited to, rheumatoid arthritis; inflammation; autoimmune disease; lymphoproliferative conditions; acromegaly; rheumatoid spondylitis; osteoarthritis; gout, other arthritic conditions; sepsis; septic shock; endotoxic shock; gram-negative sepsis; toxic shock syndrome; asthma; adult respiratory distress syndrome; chronic obstructive pulmonary disease; chronic pulmonary inflammation; inflammatory bowel disease; Crohn's disease; psoriasis; eczema; ulcerative colitis; pancreatic fibrosis; hepatic fibrosis; acute and chronic renal disease; irritable bowel syndrome; pyresis; restenosis; cerebral malaria; stroke and ischemic injury; neural trauma;
SUBSTITUTE SHEET (RULE 26)
Alzheimer's disease; Huntington's disease; Parkinson's disease; acute and chronic pain; allergic rhinitis; allergic conjunctivitis; chronic heart failure; acute coronary syndrome;
cachexia; malaria; leprosy; leishmaniasis; Lyme disease; Reiter's syndrome; acute synovitis; muscle degeneration, bursitis; tendonitis; tenosynovitis; herniated, ruptures, or prolapsed intervertebral disk syndrome; osteopetrosis; thrombosis; restenosis; silicosis; pulmonary sarcosis; bone resorption diseases, such as osteoporosis; graft-versus-host reaction; Multiple Sclerosis; lupus; fibromyalgia; AIDS and other viral diseases such as Herpes Zoster, Herpes Simplex I or II, influenza virus and cytomegalovirus; and diabetes mellitus.
Exemplary cancers include, but are not limited to, adrenocortical carcinoma, AIDS- related cancers, AIDS-related lymphoma, anal cancer, anorectal cancer, cancer of the anal canal, appendix cancer, childhood cerebellar astrocytoma, childhood cerebral astrocytoma, basal cell carcinoma, skin cancer (non-melanoma), biliary cancer, extrahepatic bile duct cancer, intrahepatic bile duct cancer, bladder cancer, urinary bladder cancer, bone and joint cancer, osteosarcoma and malignant fibrous histiocytoma, brain cancer, brain tumor, brain stem glioma, cerebellar astrocytoma, cerebral astrocytoma/malignant glioma, ependymoma,
medulloblastoma, supratentorial primitive neuroectodeimal tumors, visual pathway and hypothalamic glioma, breast cancer, bronchial adenomas/carcinoids, carcinoid tumor, gastrointestinal, nervous system cancer, nervous system lymphoma, central nervous system cancer, central nervous system lymphoma, cervical cancer, childhood cancers, chronic lymphocytic leukemia, chronic myelogenous leukemia, chronic myeloproliferative disorders, colon cancer, colorectal cancer, cutaneous T-cell lymphoma, lymphoid neoplasm, mycosis fungoides, Seziary Syndrome, endometrial cancer, esophageal cancer, extracranial germ cell tumor, extragonadal germ cell tumor, extrahepatic bile duct cancer, eye cancer, intraocular melanoma, retinoblastoma, gallbladder cancer, gastric (stomach) cancer, gastrointestinal carcinoid tumor, gastrointestinal stromal tumor (GIST), germ cell tumor, ovarian germ cell tumor, gestational trophoblastic tumor glioma, head and neck cancer, hepatocellular (liver) cancer, Hodgkin lymphoma, hypopharyngeal cancer, intraocular melanoma, ocular cancer, islet cell tumors (endocrine pancreas), Kaposi Sarcoma, kidney cancer, renal cancer, kidney cancer, laryngeal cancer, acute lymphoblastic leukemia, acute myeloid leukemia, chronic
lymphocytic leukemia, chronic myelogenous leukemia, hairy cell leukemia, lip and oral cavity cancer, liver cancer, lung cancer, non-small cell lung cancer, small cell lung cancer, AIDS- related lymphoma, non-Hodgkin lymphoma, primary central nervous system lymphoma, Waldenstram macroglobulinemia, medulloblastoma, melanoma, intraocular (eye) melanoma, merkel cell carcinoma, mesothelioma malignant, mesothelioma, metastatic
SUBSTITUTE SHEET (RULE 26)
squamous neck cancer, mouth cancer, cancer of the tongue, multiple endocrine neoplasia syndrome, mycosis fungoides, myelodysplastic syndromes, myelodysplastic/ myeloproliferative diseases, chronic myelogenous leukemia, acute myeloid leukemia, multiple myeloma, chronic myeloproliferative disorders, nasopharyngeal cancer, neuroblastoma, oral cancer, oral cavity cancer, oropharyngeal cancer, ovarian cancer, ovarian epithelial cancer, ovarian low malignant potential tumor, pancreatic cancer, islet cell pancreatic cancer, paranasal sinus and nasal cavity cancer, parathyroid cancer, penile cancer, pharyngeal cancer, pheochromocytoma, pineoblastoma and supratentorial primitive neuroectodermal tumors, pituitary tumor, plasma cell neoplasm/multiple myeloma, pleuropulmonary blastoma, prostate cancer, rectal cancer, renal pelvis and ureter, transitional cell cancer, retinoblastoma, rhabdomyosarcoma, salivary gland cancer, ewing family of sarcoma tumors, Kaposi Sarcoma, soft tissue sarcoma, uterine cancer, uterine sarcoma, skin cancer (non-melanoma), skin cancer (melanoma), merkel cell skin carcinoma, small intestine cancer, soft tissue sarcoma, squamous cell carcinoma, stomach (gastric) cancer, supratentorial primitive neuroectodermal tumors, testicular cancer, throat cancer, thymoma, thymoma and thymic carcinoma, thyroid cancer, transitional cell cancer of the renal pelvis and ureter and other urinary organs, gestational trophoblastic tumor, urethral cancer, endometrial uterine cancer, uterine sarcoma, uterine corpus cancer, vaginal cancer, vulvar cancer, and Wilm's Tumor.
A "cell proliferative disorder of the hematologic system" is a cell proliferative disorder involving cells of the hematologic system. A cell proliferative disorder of the hematologic system can include lymphoma, leukemia, myeloid neoplasms, mast cell neoplasms, myelodysplasia, benign monoclonal gammopathy, lymphomatoid granulomatosis, lymphomatoid papulosis, polycythemia vera, chronic myelocytic leukemia, agnogenic myeloid metaplasia, and essential thrombocythemia. A cell proliferative disorder of the hematologic system can include hyperplasia, dysplasia, and metaplasia of cells of the hematologic system. Preferably, compositions of the present application may be used to treat a cancer selected from the group consisting of a hematologic cancer of the present application or a hematologic cell proliferative disorder of the present application. A hematologic cancer of the present application can include multiple myeloma, lymphoma (including Hodgkin's lymphoma, non-Hodgkin's lymphoma, childhood lymphomas, and lymphomas of lymphocytic and cutaneous origin), leukemia (including childhood leukemia, hairy-cell leukemia, acute lymphocytic leukemia, acute myelocytic leukemia, chronic lymphocytic leukemia, chronic myelocytic leukemia, chronic myelogenous leukemia, and mast cell leukemia), myeloid neoplasms and mast cell neoplasms.
SUBSTITUTE SHEET (RULE 26)
A "cell proliferative disorder of the lung" is a cell proliferative disorder involving cells of the lung. Cell proliferative disorders of the lung can include all forms of cell proliferative disorders affecting lung cells. Cell proliferative disorders of the lung can include lung cancer, a precancer or precancerous condition of the lung, benign growths or lesions of the lung, and malignant growths or lesions of the lung, and metastatic lesions in tissue and organs in the body other than the lung. Preferably, compositions of the present application may be used to treat lung cancer or cell proliferative disorders of the lung. Lung cancer can include all forms of cancer of the lung. Lung cancer can include malignant lung neoplasms, carcinoma in situ, typical carcinoid tumors, and atypical carcinoid tumors. Lung cancer can include small cell lung cancer ("SCLC"), non-small cell lung cancer ("NSCLC"), squamous cell carcinoma, adenocarcinoma, small cell carcinoma, large cell carcinoma, adenosquamous cell carcinoma, and mesothelioma. Lung cancer can include "scar carcinoma", bronchioalveolar carcinoma, giant cell carcinoma, spindle cell carcinoma, and large cell neuroendocrine carcinoma. Lung cancer can include lung neoplasms having histologic and ultrastructual heterogeneity (e.g., mixed cell types).
Cell proliferative disorders of the lung can include all forms of cell proliferative disorders affecting lung cells. Cell proliferative disorders of the lung can include lung cancer, precancerous conditions of the lung. Cell proliferative disorders of the lung can include hyperplasia, metaplasia, and dysplasia of the lung. Cell proliferative disorders of the lung can include asbestos-induced hyperplasia, squamous metaplasia, and benign reactive mesothelial metaplasia. Cell proliferative disorders of the lung can include replacement of columnar epithelium with stratified squamous epithelium, and mucosal dysplasia. Individuals exposed to inhaled injurious environmental agents such as cigarette smoke and asbestos may be at increased risk for developing cell proliferative disorders of the lung. Prior lung diseases that may predispose individuals to development of cell proliferative disorders of the lung can include chronic interstitial lung disease, necrotizing pulmonary disease, scleroderma, rheumatoid disease, sarcoidosis, interstitial pneumonitis, tuberculosis, repeated pneumonias, idiopathic pulmonary fibrosis, granulomata, asbestosis, fibrosing alveolitis, and Hodgkin's disease.
A "cell proliferative disorder of the colon" is a cell proliferative disorder involving cells of the colon. Preferably, the cell proliferative disorder of the colon is colon cancer. Preferably, compositions of the present application may be used to treat colon cancer or cell proliferative disorders of the colon. Colon cancer can include all forms of cancer of the colon. Colon cancer can include sporadic and hereditary colon cancers. Colon cancer can
SUBSTITUTE SHEET (RULE 26)
include malignant colon neoplasms, carcinoma in situ, typical carcinoid tumors, and atypical carcinoid tumors. Colon cancer can include adenocarcinoma, squamous cell carcinoma, and adenosquamous cell carcinoma. Colon cancer can be associated with a hereditary syndrome selected from the group consisting of hereditary nonpolyposis colorectal cancer, familial adenomatous polyposis, Gardner's syndrome, Peutz-Jeghers syndrome, Turcot's syndrome and juvenile polyposis. Colon cancer can be caused by a hereditary syndrome selected from the group consisting of hereditary nonpolyposis colorectal cancer, familial adenomatous polyposis, Gardner's syndrome, Peutz-Jeghers syndrome, Turcot's syndrome and juvenile polyposis.
Cell proliferative disorders of the colon can include all forms of cell proliferative disorders affecting colon cells. Cell proliferative disorders of the colon can include colon cancer, precancerous conditions of the colon, adenomatous polyps of the colon and metachronous lesions of the colon. A cell proliferative disorder of the colon can include adenoma. Cell proliferative disorders of the colon can be characterized by hyperplasia, metaplasia, and dysplasia of the colon. Prior colon diseases that may predispose individuals to development of cell proliferative disorders of the colon can include prior colon cancer. Current disease that may predispose individuals to development of cell proliferative disorders of the colon can include Crohn's disease and ulcerative colitis. A cell proliferative disorder of the colon can be associated with a mutation in a gene selected from the group consisting of p53, ras, FAP and DCC. An individual can have an elevated risk of developing a cell proliferative disorder of the colon due to the presence of a mutation in a gene selected from the group consisting of p53, ras, FAP and DCC.
A "cell proliferative disorder of the pancreas" is a cell proliferative disorder involving cells of the pancreas. Cell proliferative disorders of the pancreas can include all forms of cell proliferative disorders affecting pancreatic cells. Cell proliferative disorders of the pancreas can include pancreas cancer, a precancer or precancerous condition of the pancreas, hyperplasia of the pancreas, and dysplasia of the pancreas, benign growths or lesions of the pancreas, and malignant growths or lesions of the pancreas, and metastatic lesions in tissue and organs in the body other than the pancreas. Pancreatic cancer includes all forms of cancer of the pancreas. Pancreatic cancer can include ductal adenocarcinoma, adenosquamous carcinoma, pleomorphic giant cell carcinoma, mucinous adenocarcinoma, osteoclast-like giant cell carcinoma, mucinous cystadenocarcinoma, acinar carcinoma, unclassified large cell carcinoma, small cell carcinoma, pancreatoblastoma, papillary neoplasm, mucinous cystadenoma, papillary cystic neoplasm, and serous cystadenoma.
SUBSTITUTE SHEET (RULE 26)
Pancreatic cancer can also include pancreatic neoplasms having histologic and ultrastructual heterogeneity (e.g., mixed cell types).
A "cell proliferative disorder of the prostate" is a cell proliferative disorder involving cells of the prostate. Cell proliferative disorders of the prostate can include all forms of cell proliferative disorders affecting prostate cells. Cell proliferative disorders of the prostate can include prostate cancer, a precancer or precancerous condition of the prostate, benign growths or lesions of the prostate, and malignant growths or lesions of the prostate, and metastatic lesions in tissue and organs in the body other than the prostate. Cell proliferative disorders of the prostate can include hyperplasia, metaplasia, and dysplasia of the prostate.
A "cell proliferative disorder of the skin" is a cell proliferative disorder involving cells of the skin. Cell proliferative disorders of the skin can include all forms of cell proliferative disorders affecting skin cells. Cell proliferative disorders of the skin can include a precancer or precancerous condition of the skin, benign growths or lesions of the skin, melanoma, malignant melanoma and other malignant growths or lesions of the skin, and metastatic lesions in tissue and organs in the body other than the skin. Cell proliferative disorders of the skin can include hyperplasia, metaplasia, and dysplasia of the skin.
A "cell proliferative disorder of the ovary" is a cell proliferative disorder involving cells of the ovary. Cell proliferative disorders of the ovary can include all forms of cell proliferative disorders affecting cells of the ovary. Cell proliferative disorders of the ovary can include a precancer or precancerous condition of the ovary, benign growths or lesions of the ovary, ovarian cancer, malignant growths or lesions of the ovary, and metastatic lesions in tissue and organs in the body other than the ovary. Cell proliferative disorders of the skin can include hyperplasia, metaplasia, and dysplasia of cells of the ovary.
A "cell proliferative disorder of the breast" is a cell proliferative disorder involving cells of the breast. Cell proliferative disorders of the breast can include all forms of cell proliferative disorders affecting breast cells. Cell proliferative disorders of the breast can include breast cancer, a precancer or precancerous condition of the breast, benign growths or lesions of the breast, and malignant growths or lesions of the breast, and metastatic lesions in tissue and organs in the body other than the breast. Cell proliferative disorders of the breast can include hyperplasia, metaplasia, and dysplasia of the breast.
A cancer that is to be treated can be staged according to the American Joint
Committee on Cancer (AJCC) TNM classification system, where the tumor (T) has been assigned a stage of TX, Tl, Tlmic, Tla, Tib, Tic, T2, T3, T4, T4a, T4b, T4c, or T4d; and where the regional lymph nodes (N) have been assigned a stage of NX, NO, Nl, N2, N2a,
SUBSTITUTE SHEET (RULE 26)
N2b, N3, N3a, N3b, or N3c; and where distant metastasis (M) can be assigned a stage of MX, MO, or Ml. A cancer that is to be treated can be staged according to an American Joint Committee on Cancer (AJCC) classification as Stage I, Stage IIA, Stage IIB, Stage IIIA, Stage IIIB, Stage IIIC, or Stage IV. A cancer that is to be treated can be assigned a grade according to an AJCC classification as Grade GX (e.g., grade cannot be assessed), Grade 1, Grade 2, Grade 3 or Grade 4. A cancer that is to be treated can be staged according to an AJCC pathologic classification (pN) of pNX, pNO, PNO (I-), PNO (I+), PNO (mol-), PNO (mol+), PN1, PNl(mi), PNla, PNlb, PNlc, pN2, pN2a, pN2b, pN3, pN3a, pN3b, or pN3c.
A cancer that is to be treated can include a tumor that has been determined to be less than or equal to about 2 centimeters in diameter. A cancer that is to be treated can include a tumor that has been determined to be from about 2 to about 5 centimeters in diameter. A cancer that is to be treated can include a tumor that has been determined to be greater than or equal to about 3 centimeters in diameter. A cancer that is to be treated can include a tumor that has been determined to be greater than 5 centimeters in diameter. A cancer that is to be treated can be classified by microscopic appearance as well differentiated, moderately differentiated, poorly differentiated, or undifferentiated. A cancer that is to be treated can be classified by microscopic appearance with respect to mitosis count (e.g., amount of cell division) or nuclear pleiomorphism (e.g., change in cells). A cancer that is to be treated can be classified by microscopic appearance as being associated with areas of necrosis (e.g., areas of dying or degenerating cells). A cancer that is to be treated can be classified as having an abnormal karyotype, having an abnormal number of chromosomes, or having one or more chromosomes that are abnormal in appearance. A cancer that is to be treated can be classified as being aneuploid, triploid, tetraploid, or as having an altered ploidy. A cancer that is to be treated can be classified as having a chromosomal translocation, or a deletion or duplication of an entire chromosome, or a region of deletion, duplication or amplification of a portion of a chromosome.
A cancer that is to be treated can be evaluated by DNA cytometry, flow cytometry, or image cytometry. A cancer that is to be treated can be typed as having 10%, 20%, 30%, 40%, 50%, 60%, 70%, 80%, or 90% of cells in the synthesis stage of cell division (e.g., in S phase of cell division). A cancer that is to be treated can be typed as having a low S-phase fraction or a high S-phase fraction.
As used herein, a "normal cell" is a cell that cannot be classified as part of a "cell proliferative disorder". A normal cell lacks unregulated or abnormal growth, or both, that
SUBSTITUTE SHEET (RULE 26)
can lead to the development of an unwanted condition or disease. Preferably, a normal cell possesses normally functioning cell cycle checkpoint control mechanisms.
As used herein, "contacting a cell" refers to a condition in which a compound or other composition of matter is in direct contact with a cell, or is close enough to induce a desired biological effect in a cell.
As used herein, "treating" or "treat" describes the management and care of a patient for the purpose of combating a disease, condition, or disorder and includes the administration of a compound of the present application, or a pharmaceutically acceptable salt, prodrug, metabolite, polymorph or solvate thereof, to alleviate the symptoms or complications of a disease, condition or disorder, or to eliminate the disease, condition or disorder.
A compound of the present application, or a pharmaceutically acceptable salt, prodrug, metabolite, polymorph or solvate thereof, can also be used to prevent a disease, condition or disorder. As used herein, "preventing" or "prevent" describes reducing or eliminating the onset of the symptoms or complications of the disease, condition or disorder.
As used herein, the term "alleviate" is meant to describe a process by which the severity of a sign or symptom of a disorder is decreased. Importantly, a sign or symptom can be alleviated without being eliminated. In a preferred embodiment, the administration of pharmaceutical compositions of the application leads to the elimination of a sign or symptom, however, elimination is not required. Effective dosages are expected to decrease the severity of a sign or symptom. For instance, a sign or symptom of a disorder such as cancer, which can occur in multiple locations, is alleviated if the severity of the cancer is decreased within at least one of multiple locations.
The compounds described herein (e.g. , the bifunctional compounds), once produced, can be characterized using a variety of assays known to those skilled in the art to determine whether the compounds have the desired biological activity. For example, the molecules can be characterized by conventional assays, including but not limited to those assays described below (e.g. , treating cells of interest, such as MV4-11 cells, human cell line MM1S, or a human cell line MM1S that is deficient in cereblon, with a test compound and then performing immunoblotting against the indicated proteins such as BRD2, BRD3, and BRD4, or treating certain cells of interest with a test compound and then measuring BRD4 transcript levels via qRT-PCR), to determine whether they have a predicted activity, binding activity and/or binding specificity.
One skilled in the art may refer to general reference texts for detailed descriptions of known techniques discussed herein or equivalent techniques. These texts include Ausubel et
SUBSTITUTE SHEET (RULE 26)
al, Current Protocols in Molecular Biology, John Wiley and Sons, Inc. (2005); Sambrook et al, Molecular Cloning, A Laboratory Manual (3rd edition), Cold Spring Harbor Press, Cold Spring Harbor, New York (2000); Coligan et al. , Current Protocols in Immunology, John Wiley & Sons, N.Y.; Enna et al , Current Protocols in Pharmacology, John Wiley & Sons, N.Y.; Fingl et al, The Pharmacological Basis of Therapeutics (1975), Remington's
Pharmaceutical Sciences, Mack Publishing Co., Easton, PA, 18th edition (1990). These texts can, of course, also be referred to in making or using an aspect of the application
Definitions
Certain compounds of the present application, and definitions of specific functional groups are also described in more detail below.
It will be appreciated that the compounds, as described herein, may be substituted with any number of substituents or functional moieties. In general, the term "substituted" whether preceded by the term "optionally" or not, and substituents contained in formulas of this application, refer to the replacement of hydrogen radicals in a given structure with the radical of a specified substituent. When more than one position in any given structure may be substituted with more than one substituent selected from a specified group, the substituent may be either the same or different at every position. As used herein, the term "substituted" is contemplated to include all permissible substituents of organic compounds. In a broad aspect, the permissible substituents include acyclic and cyclic, branched and unbranched, carbocyclic and heterocyclic, aromatic and nonaromatic substituents of organic compounds. For purposes of this application, heteroatoms such as nitrogen may have hydrogen substituents and/or any permissible substituents of organic compounds described herein which satisfy the valencies of the heteroatoms.
The term "Linker", "linker", "Linker group" or "linker group" as used herein, refers to a chemical moiety utilized to attach one part of a compound of interest to another compound of interest. These binding moieties of the present application are linked to the ubiquitin ligase binding moiety preferably through a Linker in order to present a target protein (to which the protein target moiety is bound) in proximity to the ubiquitin ligase for ubiquitination and degradation. Exemplary Linkers are described herein.
The term "compound" or "chemical compound" as used herein can include organometallic compounds, organic compounds, metals, transitional metal complexes, and small molecules. In certain preferred embodiments, polynucleotides are excluded from the definition of compounds. In other preferred embodiments, polynucleotides and peptides are
SUBSTITUTE SHEET (RULE 26)
excluded from the definition of compounds. In a particularly preferred embodiment, the term compounds refers to small molecules (e.g. , preferably, non-peptidic and non-oligomeric) and excludes peptides, polynucleotides, transition metal complexes, metals, and organometallic compounds.
As used herein, the term "small molecule" refers to a non-peptidic, non-oligomeric organic compound either synthesized in the laboratory or found in nature. Small molecules, as used herein, can refer to compounds that are "natural product-like", however, the term "small molecule" is not limited to "natural product-like" compounds. Rather, a small molecule is typically characterized in that it contains several carbon-carbon bonds, and has a molecular weight of less than 2000 g/mol, preferably less than 1500 g/mol, although this characterization is not intended to be limiting for the purposes of the present application. In certain other preferred embodiments, synthetic small molecules are utilized.
The term "independently" is used herein to indicate that the variable, such as atom or functional group, which is independently applied, varies independently from application to application. For example, where more than one substituent or atom (carbon or heteroatom, such as oxygen (O), sulfur (S), or nitrogen (N)) occurs, each substituent or atom is independent of another substituent or atom and such substituents or atom can also alternate.
In chemistry, a "derivative" is a compound that is derived from a similar compound by some chemical or physical process. It is also used to mean that a compound can arise from another compound, if one atom is replaced with another atom or group of atoms. A term "structural analogue" can be also used for this meaning.
The term "structural analogue" or term "analogue" has always been used to describe structural and functional similarity. Extended to drugs, this definition implies that the analogue of an existing drug molecule shares structural and pharmacological similarities with the original compound. Formally, this definition allows the establishment of three categories of drug analogues: analogues possessing chemical and pharmacological similarities (direct analogues); analogues possessing structural similarities only (structural analogues); and chemically different compounds displaying similar pharmacological properties (functional analogues). For example, lenalidomide and pomalidomide are among thalidomide analogs, and are believed to act in a similar fashion.
The term "E3 Ubiquitin Ligase" or "Ubiquitin Ligase" (UL) is used herein to describe a target enzyme(s) binding site of ubiquitin ligase moieties in the bifunctional compounds according to the present application. E3 UL is a protein that in combination with an E2 ubiquitin-conjugating enzyme causes the attachment of ubiquitin to a lysine on a target
SUBSTITUTE SHEET (RULE 26)
protein; the E3 ubiquitin ligase targets specific protein substrates for degradation by the proteasome. Thus, E3 ubiquitin ligase alone or in complex with an E2 ubiquitin conjugating enzyme is responsible for the transfer of ubiquitin to targeted proteins. In general, the ubiquitin ligase is involved in polyubiquitination such that a second ubiquitin is attached to the first, a third is attached to the second, and so forth. Polyubiquitination marks proteins for degradation by the proteasome. However, there are some ubiquitination events that are limited to monoubiquitination, in which only a single ubiquitin is added by the ubiquitin ligase to a substrate molecule. Mono-ubiquitinated proteins are not targeted to the proteasome for degradation, but may instead be altered in their cellular location or function, for example, via binding other proteins that have domains capable of binding ubiquitin. Further complicating matters, different lysines on ubiquitin can be targeted by an E3 to make chains. The most common lysine is Lys48 on the ubiquitin chain. This is the lysine used to make polyubiquitin, which is recognized by the proteasome.
The term "protein target moiety" or "target protein ligand" is used herein to describe a small molecule, which is capable of binding to or binds to a target protein or other protein or polypeptide of interest and places/presents that protein or polypeptide in proximity to an ubiquitin ligase such that degradation of the protein or polypeptide by ubiquitin ligase may occur. Any protein, which can bind to a protein target moiety and acted on or degraded by an ubiquitin ligase is a target protein according to the present application. In general, target proteins may include, for example, structural proteins, receptors, enzymes, cell surface proteins, proteins pertinent to the integrated function of a cell, including proteins involved in catalytic activity, aromatase activity, motor activity, helicase activity, metabolic processes (anabolism and catrabolism), antioxidant activity, proteolysis, biosynthesis, proteins with kinase activity, oxidoreductase activity, transferase activity, hydrolase activity, lyase activity, isomerase activity, ligase activity, enzyme regulator activity, signal transducer activity, structural molecule activity, binding activity (protein, lipid carbohydrate), receptor activity, cell motility, membrane fusion, cell communication, regulation of biological processes, development, cell differentiation, response to stimulus, behavioral proteins, cell adhesion proteins, proteins involved in cell death, proteins involved in transport (including protein transporter activity, nuclear transport, ion transporter activity, channel transporter activity, carrier activity, permease activity, secretion activity, electron transporter activity, pathogenesis, chaperone regulator activity, nucleic acid binding activity, transcription regulator activity, extracellular organization and biogenesis activity, translation regulator activity. Proteins of interest can include proteins from eurkaryotes and prokaryotes including
SUBSTITUTE SHEET (RULE 26)
humans as targets for drug therapy, other animals, including domesticated animals, microbials for the determination of targets for antibiotics and other antimicrobials and plants, and even viruses, among numerous others. Non-limiting examples of small molecule target protein binding moieties include Hsp90 inhibitors, kinase inhibitors, MDM2 inhibitors, compounds targeting Human BET Bromodomain-containing proteins, HDAC inhibitors, human lysine methyltransferase inhibitors, angiogenesis inhibitors, immunosuppressive compounds, and compounds targeting the aryl hydrocarbon receptor (AHR), among numerous others. The compositions described below exemplify some of the members of these small molecule target protein.
As used herein, the term "BRD4" or "Brd4 "relates to Bromodomain-containing protein 4 is a protein that in humans is encoded by the BRD4 gene. BDR4 is a member of the BET (bromodomain and extra terminal domain) family, along with BRD2, BRD3, and BRDT. BRD4, similar to its BET family members, contains two bromodomains that recognize acetylated lysine residues. An increase in Brd4 expression led to increased P- TEFb-dependent phosphorylation of RNA polymerase II (RNAPII) CTD and stimulation of transcription from promoters in vivo. Conversely, a reduction in Brd4 expression by siRNA reduced CTD phosphorylation and transcription, revealing that Brd4 is a positive regulatory component of P-TEFb. In chromatin immunoprecipitation (ChIP) assays, the recruitment of P-TEFb to a promoter was dependent on Brd4 and was enhanced by an increase in chromatin acetylation. Together, P-TEFb alternately interacts with Brd4 and the inhibitory subunit to maintain functional equilibrium in the cell.
BRD4 is an exemplary, non-enzymatic protein target. BRD4 is a transcriptional co- activator involved in dynamic transcriptional activation and elongation. BRD4 binds to enhancer and promoter regions adjacent to target genes, via recognition of side-chain acetylated lysine on histone proteins and transcription factors (TFs) by twin acetyl-lysine binding modules or bromodomains. Recently, a first direct-acting inhibitor of BET bromodomains (JQl) was developed (P. Filippakopoulos et al , Nature 468, 1067-1073 (2010)), that displaces BRD4 from chromatin leading to impaired signal transduction from master regulatory TFs to RNA Polymerase II ( B. Chapuy et al.., Cancer Cell 24, 777-790 (2013); J. E. Delmore et al , Cell 146, 904-917 (2011); J. Loven et al , Cell 153, 320-334 (2013).). Molecular recognition of the BRD4 bromodomains by JQl is stereo-specific, and only the (+)-JQl enantiomer (JQI S; from here forward JQl) is active; the (-)-JQl enantiomer (JQ1R) is inactive. Silencing of BRD4 expression by RNA interference in murine and human models of MM and acute myeloid leukemia (AML) elicited rapid transcriptional
SUBSTITUTE SHEET (RULE 26)
downregulation of the MYC oncogene and a potent anti-proliferative response ( J. E. Delmore et ctl , Cell 146, 904-917 (2011); J. Zuber et al, Nature 478, 524-528 (2011)). These and other studies in cancer, inflammation ( E. Nicodeme et al , Nature 468, 1119-1123 (2010)) and heart disease (P. Anand et al , Cell 154, 569-582 (2013); J. D. Brown et αΙ. , ΜοΙ. Cell 56, 219-231 (2014)), establish a desirable mechanistic and translational purpose to target BRD4 for selective degradation.
As used herein, the term "FKBP" relates to a family of proteins that have prolyl isomerase activity and are related to the cyclophilins in function, though not in amino acid sequence (Siekierka et al. Nature 341 (6244): 755-7 (1989)). FKBPs have been identified in many eukaryotes from yeast to humans and function as protein folding chaperones for proteins containing proline residues. Along with cyclophilin, FKBPs belong to the immunophilin family (Balbach et al. Mechanisms of protein folding (2nd ed.). Oxford:
Oxford University Press, pp. 212-237 (2000)). Cytosolic signaling protein FKBP 12 is notable in humans for binding the immunosuppressant molecule tacrolimus (originally designated FK506), which is used in treating patients after organ transplant and patients suffering from autoimmune disorders (Wang et al. Science 265 (5172): 674-6 (1994)).
Tacrolimus has been found to reduce episodes of organ rejection over a related treatment, the drug ciclosporin, which binds cyclophilin (Mayer et al. Transplantation 64 (3): 436-43 (1997)). Both the FKBP-tacrolimus complex and the ciclosporin-cyclophilin complex inhibit a phosphatase called calcineurin, thus blocking signal transduction in the T-lymphocyte transduction pathway (Liu et al. Cell 66 (4): 807-15 (1991)). This therapeutic role is not related to prolyl isomerase activity. AP1497 (Table 1, TL5) is a synthetic pipecolyl a- ketoamide designed to be recognized by FKBP 12 (Holt et al, J. Am. Chem. Soc.115, 9925 (1993))
As used herein the term "CREBBP" relates to CREB binding protein. This gene is ubiquitously expressed and is involved in the transcriptional coactivation of many different transcription factors. First isolated as a nuclear protein that binds to cAMP -response element binding protein (CREB), this gene is now known to play critical roles in embryonic development, growth control, and homeostasis by coupling chromatin remodeling to transcription factor recognition. Chromosomal translocations involving this gene have been associated with acute myeloid leukemia.
As used herein the term "SMARCA4" relates to transcription activator BRG1 also known as ATP-dependent helicase SMARCA4 is a protein that in humans is encoded by the SMARCA4 gene. Mutations in this gene were first recognized in human lung cancer cell
SUBSTITUTE SHEET (RULE 26)
lines. It has been demonstrated that BRG1 plays a role in the control of retinoic acid and glucocorticoid-induced cell differentiation in lung cancer and in other tumor types.
As used herein the term "nuclear receptor" relates to a class of proteins found within cells that are responsible for sensing steroid and thyroid hormones and certain other molecules. In response, these receptors work with other proteins to regulate the expression of specific genes, thereby controlling the development, homeostasis, and metabolism of the organism. Since the expression of a large number of genes is regulated by nuclear receptors, ligands that activate these receptors can have profound effects on the organism.
The representative examples which follow are intended to help illustrate the application, and are not intended to, nor should they be construed to, limit the scope of the application. Indeed, various modifications of the application and many further embodiments thereof, in addition to those shown and described herein, will become apparent to those skilled in the art from the full contents of this document, including the examples which follow and the references to the scientific and patent literature cited herein. It should further be appreciated that, unless otherwise indicated, the entire contents of each of the references cited herein are incorporated herein by reference to help illustrate the state of the art. The following examples contain important additional information, exemplification and guidance which can be adapted to the practice of this application in its various embodiments and the equivalents thereof.
The terms "polynucleotide", "nucleotide", "nucleotide sequence", "nucleic acid" and
"oligonucleotide" are used interchangeably. They refer to a polymeric form of nucleotides of any length, either deoxyribonucleotides or ribonucleotides, or analogs thereof.
Polynucleotides may have any three dimensional structure, and may perform any function, known or unknown. The following are non limiting examples of polynucleotides: coding or non-coding regions of a gene or gene fragment, loci (locus) defined from linkage analysis, exons, introns, messenger RNA (mRNA), transfer RNA, ribosomal RNA, short interfering RNA (siRNA), short-hairpin RNA (shRNA), micro-RNA (miRNA), ribozymes, cDNA, recombinant polynucleotides, branched polynucleotides, plasmids, vectors, isolated DNA of any sequence, isolated RNA of any sequence, nucleic acid probes, and primers. A polynucleotide may comprise one or more modified nucleotides, such as methylated nucleotides and nucleotide analogs. If present, modifications to the nucleotide structure may be imparted before or after assembly of the polymer. The sequence of nucleotides may be interrupted by non nucleotide components. A polynucleotide may be further modified after polymerization, such as by conjugation with a labeling component.
SUBSTITUTE SHEET (RULE 26)
The terms "polypeptide", "peptide" and "protein" are used interchangeably herein to refer to polymers of amino acids of any length. The polymer may be linear or branched, it may comprise modified amino acids, and it may be interrupted by non amino acids. The terms also encompass an amino acid polymer that has been modified; for example, disulfide bond formation, glycosylation, lipidation, acetylation, phosphorylation, or any other manipulation, such as conjugation with a labeling component. As used herein the term "amino acid" includes natural and/or unnatural or synthetic amino acids, including glycine and both the D or L optical isomers, and amino acid analogs and peptidomimetics.
As used herein, "expression" refers to the process by which a polynucleotide is transcribed from a DNA template (such as into and mRNA or other RNA transcript) and/or the process by which a transcribed mRNA is subsequently translated into peptides, polypeptides, or proteins. Transcripts and encoded polypeptides may be collectively referred to as "gene product. " If the polynucleotide is derived from genomic DNA, expression may include splicing of the mRNA in a eukaryotic cell.
These and other aspects of the present application will be further appreciated upon consideration of the following Examples, which are intended to illustrate certain particular embodiments of the application but are not intended to limit its scope, as defined by the claims. EXAMPLES
General Description of Synthetic Methods
The various references cited herein provide helpful background information on preparing compounds similar to the inventive compounds described herein or relevant intermediates, as well as information on formulation, uses, and administration of such compounds which may be of interest.
Moreover, the practitioner is directed to the specific guidance and examples provided in this document relating to various exemplary compounds and intermediates thereof.
According to the present application, any available techniques can be used to make or prepare the inventive compounds or compositions including them. For example, a variety of a variety combinatorial techniques, parallel synthesis and/or solid phase synthetic methods such as those discussed in detail below may be used. Alternatively or additionally, the inventive compounds may be prepared using any of a variety of solution phase synthetic methods known in the art.
SUBSTITUTE SHEET (RULE 26)
The starting materials, intermediates, and compounds of this application may be isolated and purified using conventional techniques, including filtration, distillation, crystallization, chromatography, and the like. They may be characterized using conventional methods, including physical constants and spectral data.
Synthesis of Exemplary Compounds
Unless otherwise indicated, starting materials are either commercially available or readily accessible through laboratory synthesis by anyone reasonably familiar with the art. Described generally below, are procedures and general guidance for the synthesis of compounds as described generally and in subclasses and species herein.
SUBSTITUTE SHEET (RULE 26)
Example 1 : Synthesis of dBETl
DB-2 -190-2
dBETl
(1) Synthesis of JQ-acid
JQ1 (l .O g, 2.19 mmol, 1 eq) was dissolved in formic acid (11 mL, 0.2 M) at room temperature and stirred for 75 hours. The mixture was concentrated under reduced pressure to give a yellow solid (0.99 g, quant yield) that was used without purification. ¾ NMR (400 MHz, Methanol-ώ) δ 7.50 - 7.36 (m, 4H), 4.59 (t, J = 7.1 Hz, 1H), 3.51 (d, J = 7.1 Hz, 2H), 2.70 (s, 3H), 2.45 (s, 3H), 1.71 (s, 3H). LCMS 401.33 (M+H).
N-(4-aminobutyl)-2-((2-(2,6-dioxopiperidin-3-yl)-l,3-dioxoisoindolin-4- yl)oxy)acetamidetrifluoroacetate was synthesized according to the previously published procedure (Fischer et al. Nature 2014, 512, 49).
(2) Synthesis of dBETl
JQ-acid (11.3 mg, 0.0281 mmol, 1 eq) and N-(4-aminobutyl)-2-((2-(2,6- dioxopiperidin-3-yl)-l,3-dioxoisoindolin-4-yl)oxy)acetamide trifiuoroacetate (14.5 mg, 0.0281 mmol, 1 eq) were dissolved in DMF (0.28 mL, 0.1 M) at room temperature. DIPEA (14.7 microliters, 0.0843 mmol, 3 eq) and HATU (10.7 mg, 0.0281 mmol, 1 eq) were then added and the mixture was stirred for 19 hours. The mixture was then purified by preparative HPLC to give dBETl as a yellow solid (15.90 mg, 0.0202 mmol, 72%). ¾ NMR (400 MHz, Methanol-ώ) δ 7.77 (dd, J= 8.3, 7.5 Hz, 1H), 7.49 (d, J= 7.3 Hz, 1H), 7.47 - 7.37 (m, 5H),
SUBSTITUTE SHEET (RULE 26)
5.07 (dd, J= 12.5, 5.4 Hz, 1H), 4.74 (s, 2H), 4.69 (dd, J = 8.7, 5.5 Hz, 1H), 3.43 - 3.32 (m, 3H), 3.29 - 3.25 (m, 2H), 2.87 - 2.62 (m, 7H), 2.43 (s, 3H), 2.13 - 2.04 (m, 1H), 1.72 - 1.58 (m, 7H). 13C NMR (100 MHz, cd3od) δ 174.41 , 172.33, 171.27, 171.25, 169.87, 168.22, 167.76, 166.73, 166.70, 156.26, 138.40, 138.23, 137.44, 134.83, 133.92, 133.40, 132.30, 132.28, 131.97, 131.50, 129.87, 121.85, 119.31 , 1 18.00, 69.53, 54.90, 50.54, 40.09, 39.83, 38.40, 32.12, 27.74, 27.65, 23.61, 14.42, 12.97, 11.57. LCMS 785.44 (M+H).
Example 2: Synthesis of dBET4
A 0.1 M solution of N-(4-aminobutyl)-2-((2-(2,6-dioxopiperidin-3-yl)-l ,3- dioxoisoindolin-4-yl)oxy)acetamide trifluoroacetate in DMF (0.438 mL, 0.0438 mmol 1.2 eq) was added to (R)-JQ-acid (prepared from (R)-JQ1 in an analogous method to JQ-acid) (14.63 mg, 0.0365 mmol, 1 eq) at room temperature. DIPEA (19.1 microliters, 0.1095 mmol, 3 eq) and HATU (15.3 mg, 0.0402 mmol, 1.1 eq) were added and the mixture was stirred for 24 hours, then diluted with MeOH and concentrated under reduced pressure. The crude material was purified by preparative HPLC to give a yellow solid (20.64 mg, 0.0263 mmol, 72%). ¾ NMR (400 MHz, Methanol-ώ) δ 7.79 (dd, J= 8.4, 7.4 Hz, 1H), 7.51 (d, J= 7.3 Hz, 1H), 7.47 - 7.39 (m, 5H), 5.1 1 - 5.06 (m, 1H), 4.75 (s, 2H), 4.68 (dd, J = 8.8, 5.5 Hz, 1H), 3.47 - 3.31 (m, 5H), 2.83 - 2.65 (m, 7H), 2.44 (s, 3H), 2.13 - 2.06 (m, 1H), 1.68 (s, 3H), 1.67 - 1.60 (m, 4H). 13C NMR (100 MHz, cd3od) δ 174.43, 172.40, 171.29, 169.92, 168.24, 167.82, 166.71 , 156.31, 153.14, 138.38, 138.24, 137.54, 134.88, 133.86, 133.44, 132.29, 132.00, 131.49, 129.88, 122.46, 121.90, 119.38, 1 18.02, 69.59, 54.96, 50.55, 40.09, 39.84, 38.45, 32.14, 27.75, 27.65, 23.62, 14.41, 12.96, 1 1.56. MS 785.48 (M+H).
SUBSTITUTE SHEET (RULE 26)
Example 3: Synthesis of dBET3
dBET3
A 0.1 M solution of N-(2-aminoethyl)-2-((2-(2,6-dioxopiperidin-3-yl)-l,3- dioxoisoindolin-4-yl)oxy)acetamide trifluoroacetate in DMF (0.475 mL, 0.0475 mmol, 1.2 eq) was added to JQ-acid (15.86 mg, 0.0396 mmol, 1 eq) at room temperature. DIPEA (20.7 microliters, 0.1188 mmol, 3 eq) and HATU (16.5 mg, 0.0435 mmol, 1.1 eq) were then added and the mixture was stirred for 24 hours, then purified by preparative HPLC to give a yellow solid (22.14 mg, 0.0292 mmol, 74%). ¾ NMR (400 MHz, Methanol-ώ) δ 7.82 - 7.75 (m, 1H), 7.52 - 7.32 (m, 6H), 5.04 (dd, J = 11.6, 5.5 Hz, 1H), 4.76 (d, J = 3.2 Hz, 2H), 4.66 (d, J = 6.6 Hz, 1H), 3.58 - 3.35 (m, 6H), 2.78 - 2.58 (m, 6H), 2.48 - 2.41 (m, 3H), 2.11 - 2.02 (m, 1H), 1.70 (d, J= 11.8 Hz, 3H). 13C NMR (100 MHz, cd3od) δ 174.38, 171.26, 171.19, 170.26, 168.86, 168.21, 167.76, 166.72, 156.27, 153.14, 138.44, 138.36, 138.19, 134.87, 133.71, 132.31, 131.57, 131.51, 129.90, 129.86, 121.81, 119.36, 117.95, 69.48, 54.83, 50.52, 40.09, 39.76, 38.30, 32.09, 23.63, 14.40, 11.61. LCMS 757.41 (M+H).
Example 4: Synthesis of dBET5
DB-2-264
dBETS
A 0.1M solution of N-(6-aminohexyl)-2-((2-(2,6-dioxopiperidin-3-yl)-l,3- dioxoisoindolin-4-yl)oxy)acetamide trifluoroacetate in DMF (0.247 mL, 0.0247 mmol, 1 eq) was added to JQ-acid (9.9 mg, 0.0247 mmol, 1 eq) at room temperature. DIPEA (12.9
SUBSTITUTE SHEET (RULE 26)
microliters, 0.0741 mmol, 3 eq) and HATU (9.4 mg, 0.0247 mmol, 1 eq) were then added, the mixture was stirred for 21 hours, then diluted with MeOH and concentrated under reduced pressure. The crude material was purified by preparative HPLC to give a yellow solid (13.56 mg, 0.0167 mmol, 67%). ¾ NMR (400 MHz, Methanol-ώ) δ 7.82 - 7.78 (m, 1H), 7.53 (dd, J = 7.3, 2.0 Hz, 1H), 7.49 - 7.37 (m, 5H), 5.10 (dt, J = 12.4, 5.3 Hz, 1H), 4.76 (s, 2H), 4.70 (dd, J = 8.7, 5.5 Hz, 1H), 3.42 - 3.33 (m, 2H), 3.25 (dt, J = 12.3, 6.0 Hz, 3H), 2.87 - 2.67 (m, 7H), 2.48 - 2.42 (m, 3H), 2.14 - 2.09 (m, 1H), 1.69 (d, J = 4.8 Hz, 3H), 1.58 (s, 4H), 1.42 (d, J = 5.2 Hz, 4H). 13C NMR (100 MHz, cd3od) δ 174.51 , 171.31, 171.26, 169.82, 168.27, 168.26, 167.75, 156.26, 150.46, 138.20, 134.92, 133.92, 133.47, 132.34, 132.01, 131.52, 129.88, 121.69, 119.34, 117.95, 1 11.42, 69.39, 54.97, 50.56, 40.39, 40.00, 38.40, 32.15, 30.46, 30.16, 27.58, 27.48, 23.64, 14.41 , 12.96, 1 1.55. LCMS 813.38.
Example 5-1 : Synthesis of dBET6
DB-2-270
dBET8
A 0.1M solution ofN-(8-aminooctyl)-2-((2-(2,6-dioxopiperidin-3-yl)-l ,3- dioxoisoindolin-4-yl)oxy)acetamide trifluoroacetate in DMF (0.191 mL, 0.0191 mmol, 1 eq) was added to JQ-acid (7.66 mg, 0.0191 mmol, 1 eq) at room temperature. DIPEA (10 microliters, 0.0574 mmol, 3 eq) and HATU (7.3 mg, 0.0191 mmol, 1 eq) were added and the mixture was stirred for 22 hours, diluted with MeOH, and concentrated under reduced pressure. The crude material was purified by preparative HPLC to give a cream colored solid. (8.53 mg, 0.0101 mmol, 53%). ¾ NMR (400 MHz, Methanol-ώ) δ 7.80 (dd, J = 8.4, 7.4 Hz, 1H), 7.53 (d, J = 7.4 Hz, 1H), 7.49 - 7.36 (m, 5H), 5.10 (dt, J = 12.3, 5.3 Hz, 1H), 4.75 (s, 2H), 4.69 (dd, J = 8.8, 5.3 Hz, 1H), 3.42 (dd, J = 15.0, 8.9 Hz, 1H), 3.30 - 3.18 (m, 4H), 2.90 - 2.64 (m, 7H), 2.45 (s, 3H), 2.13 (dtt, J = 10.8, 5.2, 2.6 Hz, 1H), 1.71 (d, J = 4.4 Hz, 3H), 1.56 (d, J = 6.2 Hz, 4H), 1.33 (d, J = 17.1 Hz, 8H). 13C NMR (100 MHz, cd3od) δ 174.50, 172.38, 171.30, 169.81, 168.28, 167.74, 166.64, 156.25, 138.38, 138.20, 137.55, 134.92, 133.88, 133.42, 132.27, 132.02, 131.50, 129.85, 121.66, 1 19.30, 117.95, 69.37, 55.01, 50.58,
SUBSTITUTE SHEET (RULE 26)
40.51, 40.12, 38.44, 32.18, 30.46, 30.33, 30.27, 30.21, 27.91, 27.81, 23.63, 14.42, 12.96, 11.55. LCMS 841.64 (M+H).
Example 5-2: Synthesis of dBET6
Step 1: Synthesis of 2-(2,6-dioxopiperidin-3-yl)-4-hydroxyisoindoline-l,3-dione
3-Hydroxyphthalic anhydride (1.641 g, 10 mmol, 1 eq) and 3-aminopiperidine-2,6- dione hydrochloride (1.646 g, 10 mmol, 1 eq) were dissolved in pyridine (40 mL, 0.25 M) and heated to 110 °C. After 14 hours, the mixture was cooled to room temperature and concentrated under reduced pressure. Purification by column chromatography (ISCO, 24 g silica column, 0-10% MeOH/DCM) gave the desired product as a tan solid (2.424 g, 8.84 mmol, 88%). JH NMR (400 MHz, DMSO-c e) δ 11.08 (s, 2H), 7.65 (dd, J = 8.4, 7.2 Hz, 1H), 7.36 - 7.28 (m, 1H), 7.25 (dd, J= 8.4, 0.6 Hz, 1H), 5.07 (dd, J= 12.8, 5.4 Hz, 1H), 2.88 (ddd, J= 17.3, 14.0, 5.4 Hz, 1H), 2.63 - 2.50 (m, 2H), 2.08 - 1.95 (m, 1H).
Step 2: Synthesis of tert-butyl 2-((2-(2,6-dioxopiperidin-3-yl)-l,3-dioxoisoindolin-4- yl)oxy)acetate
2-(2,6-dioxopiperidin-3-yl)-4-hydroxyisoindoline-l,3-dione (1.568 g, 5.71 mmol, 1 eq) was dissolved in DMF (57 mL, 0.1 M) at room temperature. Potassium carbonate (1.19 g, 8.58 mmol, 1.5 eq) and tert-butyl bromoacetate (0.843 mL, 5.71 mmol, 1 eq) were then added. After 2 hours, the mixture was diluted with EtOAc and washed once with water then twice with brine. The organic layer was dried over sodium sulfate, filtered and concentrated under reduced pressure. Purification by column chromatography (ISCO, 24 g silica column, 0-100%EtOAc/hexanes, 21 minute gradient) gave the desired product as a cream colored solid (2.06 g, 5.30 mmol, 93%). ¾ NMR (500 MHz, Chloroform-i ) δ 7.94 (s, 1H), 7.67 (dd, J = 8.4, 7.3 Hz, 1H), 7.52 (d, J= 6.8 Hz, 1H), 7.11 (d, J = 8.3 Hz, 1H), 4.97 (dd, J= 12.3, 5.3 Hz, 1H), 4.79 (s, 2H), 2.95 - 2.89 (m, 1H), 2.85 - 2.71 (m, 2H), 2.14 (dtd, J= 10.2, 5.0, 2.7 Hz, 1H), 1.48 (s, 9H). LCMS 389.33 (M+H).
Step 3: Synthesis of 2-((2-(2,6-dioxopiperidin-3-yl)-l,3-dioxoisoindolin-4-yl)oxy)acetic acid tert-butyl 2-((2-(2,6-dioxopiperidin-3-yl)-l,3-dioxoisoindolin-4-yl)oxy)acetate (2.06 g, 5.30 mmol, 1 eq) was dissolved in TFA (53 mL, 0.1M) at room temperature. After 4 hours, the solution was diluted with DCM and concentrated under reduced pressure. The resultant cream colored solid (1.484 g, 4.47 mmol, 84%) was deemed sufficiently pure and carried onto the next step without further purification. JH NMR (500 MHz, DMSO-c e) δ 11.11 (s, 1H), 7.79 (dd, J = 8.4, 7.4 Hz, 1H), 7.48 (d, J= 7.2 Hz, 1H), 7.39 (d, J = 8.6 Hz, 1H), 5.10
SUBSTITUTE SHEET (RULE 26)
(dd, J = 12.8, 5.4 Hz, 1H), 4.99 (s, 2H), 2.93 - 2.89 (m, 1H), 2.63 - 2.51 (m, 2H), 2.04 (ddd, J = 10.5, 5.4, 3.1 Hz, 1H). LCMS 333.25 (M+H).
Step 4: Synthesis of tert-butyl (8-(2-((2-(2,6-dioxopiperidin-3-yl)-l,3-dioxoisoindolin-4- yl)oxy)acetamido)octyl)carbamate
Boc-l,8-diaminooctane (2.10 g, 8.59 mmol, 1.1 eq) was dissolved in DMF (86 mL).
In a separate flask, 2-((2-(2,6-dioxopiperidin-3-yl)-l,3-dioxoisoindolin-4-yl)oxy)acetic acid (2.60 g, 7.81 mmol, 1 eq) was dissolved in DMF (78 mL). The solution of Boc-1,8- diaminooctane in DMF was then added, followed by DIPEA (4.08 mL, 23.4 mmol. 3 eq) and HATU (2.97 g, 7.81 mmol, 1 eq). The mixture was stirred for 19 hours at room temperature, then diluted with EtOAc (600 mL). The organic layer was washed sequentially with 200 mL of half saturated sodium chloride, 200 mL 10% citric acid (aq.), 200 mL of half saturated sodium chloride, 200 mL of saturated sodium bicarbonate (aq.), 200 mL water and twice with 200 mL brine. The organic layer was dried over sodium sulfate, filtered and concentrated under reduced pressure. Purification by column chromatography (ISCO, 40 g column, 0-5% MeOH/DCM, 35 minute gradient) gave the desired product as a white solid (3.53 g, 6.32 mmol, 81%). ¾ NMR (500 MHz, Chloroform-i ) δ 8.49 (s, 1H), 7.74 (dd, J = 8.3, 7.4 Hz, 1H), 7.55 (d, J = 7.2 Hz, 1H), 7.39 (t, J = 5.3 Hz, 1H), 7.19 (d, J = 8.4 Hz, 1H), 4.97 (dd, J = 12.4, 5.3 Hz, 1H), 4.63 (d, J = 2.2 Hz, 2H), 4.59 (d, J= 10.0 Hz, 1H), 3.36 (q, J = 6.9 Hz, 2H), 3.12 - 3.03 (m, 2H), 2.95 - 2.72 (m, 3H), 2.16 (ddt, J= 10.3, 5.2, 2.7 Hz, 1H), 1.59 (p, J = 7.1 Hz, 2H), 1.37 (d, J= 67.6 Hz, 19H). LCMS 559.47 (M+H).
Step 5: Synthesis of N-(8-aminooctyl)-2-((2-(2,6-dioxopiperidin-3-yl)-l,3-dioxoisoindolin-4- yl)oxy)acetamide trifiuoroacetate
tert-butyl (8-(2-((2-(2,6-dioxopiperidin-3-yl)-l,3-dioxoisoindolin-4- yl)oxy)acetamido)octyl)carbamate (3.53 g, 6.32 mmol, 1 eq) was dissolved in TFA (63 mL, 0.1M) and heated to 50 °C. After 1 hour, the mixture was cooled to room temperature, diluted with MeOH and concentrated under reduced pressure. The crude material was triturated with diethyl ether and dried under vacuum to give a white solid (2.93 g, 5.12 mmol, 81%). *H NMR (500 MHz, Methanol-ώ) δ 7.82 (dd, J = 8.4, 7.4 Hz, 1H), 7.55 (d, J= 7.2 Hz, 1H), 7.44 (d, J= 8.4 Hz, 1H), 5.14 (dd, J= 12.5, 5.5 Hz, 1H), 4.76 (s, 2H), 3.33 (dd, J = 6.8, 1.8 Hz, 1H), 3.30 (s, 1H), 2.94 - 2.85 (m, 3H), 2.80 - 2.69 (m, 2H), 2.19 - 2.11 (m, 1H), 1.60 (dq, J = 24.8, 7.0 Hz, 4H), 1.37 (s, 8H). LCMS 459.45 (M+H).
Step 6: Synthesis of dBET6
SUBSTITUTE SHEET (RULE 26)
(5 -2-(4-(4-chlorophenyl)-2,3,9-trimethyl-6H-thieno[3,2-^] [l,2,4]triazolo[4,3- a][l,4]diazepin-6-yl)acetic acid (0.894 g, 2.23 mmol, 1 eq) and N-(8-aminooctyl)-2-((2-(2,6- dioxopiperidin-3-yl)-l,3-dioxoisoindolin-4-yl)oxy)acetamide trifluoroacetate (1.277 g) were dissolved in DMF (22.3 mL, 0.1M) at room temperature. DIPEA (1.17 mL, 6.69 mmol, 3 eq) was added, followed by HATU (0.848 g, 2.23 mmol, 1 eq). The mixture was stirred for 23 hours, and then diluted with EtOAc. The organic layer was washed with saturated sodium bicarbonate, water and three times with brine. The organic layer was then dried under sodium sulfate, filtered and concentrated under reduced pressure. Purification by column
chromatography (ISCO, 40 g column, 4-10% MeOH/DCM, 35 minute gradient) gave dBET6 as a cream colored solid (1.573 g, 1.87 mmol, 84%). JH NMR (500 MHz, Methanol-ώ) δ 7.80 (dd, J= 8.3, 7.5 Hz, 1H), 7.53 (d, J = 7.3 Hz, 1H), 7.46 - 7.37 (m, 5H), 5.11 (ddd, J = 12.6, 8.2, 5.5 Hz, 1H), 4.75 (s, 2H), 4.63 (dd, J = 9.0, 5.2 Hz, 1H), 3.41 (ddd, J= 14.9, 9.0, 2.2 Hz, 1H), 3.30 - 3.14 (m, 5H), 2.86 (ddt, J= 19.8, 14.6, 5.2 Hz, 1H), 2.78 - 2.66 (m, 5H), 2.44 (s, 3H), 2.13 (ddq, J = 15.3, 7.7, 4.8, 3.8 Hz, 1H), 1.69 (s, 3H), 1.61 - 1.51 (m, 4H), 1.35 (s, 8H). 13C NMR (126 MHz, MeOD) δ 174.49, 172.65, 171.30, 169.80, 168.28, 167.74, 166.18, 157.03, 156.24, 152.18, 138.19, 138.08, 137.97, 134.92, 133.52, 133.23, 132.02, 131.99, 131.33, 129.76, 121.65, 119.30, 117.94, 69.36, 55.27, 50.57, 40.49, 40.13, 38.84, 32.19, 30.49, 30.34, 30.31, 30.22, 27.92, 27.82, 23.64, 14.42, 12.92, 11.60. LCMS 841.48 (M+H).
SUBSTITUTE SHEET (RULE 26)
Example 6: Synthesis of dBET9
dBET9
A 0.1M solution of N-(3-(2-(2-(3-aminopropoxy)ethoxy)ethoxy)propyl)-2-((2-(2,6- dioxopiperidin-3-yl)-l,3-dioxoisoindolin-4-yl)oxy)acetamide trifluoroacetate in DMF (0.321 mL, 0.0321 mmol, 1 eq) was added to JQ-acid (12.87 mg, 0.0321 mmol, 1 eq) at room temperature. DIPEA (16.8 microliters, 0.0963 mmol, 3 eq) and HATU (12.2 mg, 0.0321 mmol, 1 eq) were added and the mixture was stirred for 24 hours, diluted with MeOH, and concentrated under reduced pressure. The crude material was purified by preparative HPLC to give a yellow oil. (16.11 mg, 0.0176 mmol, 55%).
¾ NMR (400 MHz, Methanol-ώ) δ 7.79 (dd, J = 8.4, 7.4 Hz, 1H), 7.52 (d, J = 7.2 Hz, 1H), 7.49 - 7.36 (m, 5H), 5.10 (dd, J = 12.5, 5.5 Hz, 1H), 4.78 - 4.67 (m, 3H), 3.64 - 3.52 (m, 1 1H), 3.48 - 3.32 (m, 6H), 2.94 - 2.64 (m, 7H), 2.52 - 2.43 (m, 3H), 2.18 - 2.08 (m, 1H), 1.81 (p, J = 6.3 Hz, 4H), 1.73 - 1.67 (m, 3H). LCMS 918.45 (M+H).
SUBSTITUTE SHEET (RULE 26)
xample 7: Synthesis of dBET17
A 0.1 M solution of N-(4-aminobutyl)-2-((2-(2,6-dioxopiperidin-3-yl)-l,3- dioxoisoindolin-4-yl)oxy)acetamide trifluoroacetate in DMF (0.281 mL, 0.0281 mmol 1 eq) was added to (5 -2-(4-(4-cyanophenyl)-2,3,9-trimethyl-6H-thieno[3,2-^] [l,2,4]triazolo[4,3- a][l,4]diazepin-6-yl)acetic acid (11 mg, 0.0281 mmol, 1 eq) at room temperature. DIPEA (14.7 microliters, 0.0843 mmol, 3 eq) and HATU (10.7 mg, 0.0281 mmol, 1 eq) were added and the mixture was stirred for 24 hours, diluted with EtOAc and washed with saturated sodium bicarbonate, water and brine. The organic layer was dried over sodium sulfate, filtered and condensed. Purification by column chromatography (ISCO, 4 g silica column 0- 10%MeOH/DCM) gave a white solid (14.12 mg, 0.0182 mmol, 65%).
¾ NMR (400 MHz, Methanol-ώ) δ 7.82 - 7.72 (m, 3H), 7.61 (dd, J= 8.5, 2.0 Hz, 2H), 7.51 (d,J=7.9Hz, 1H), 7.44-7.40 (m, 1H), 5.11 -5.05 (m, 1H), 4.76 (s, 2H), 4.66 (dd,J=9.0, 5.1 Hz, 1H), 3.48-3.32 (m, 4H), 3.30-3.23 (m, 1H), 2.87-2.61 (m, 7H), 2.43 (s, 3H), 2.10 (dt, J= 10.7, 5.2 Hz, 1H), 1.70 - 1.59 (m, 7H).13C NMR (100 MHz, cd3od) δ 174.42, 172.65, 171.27, 169.92, 168.25, 167.80, 165.88, 156.31, 143.55, 138.24, 134.88, 133.92, 133.50, 133.39, 131.72, 131.46, 130.55, 121.93, 119.39, 119.21, 118.02, 115.17, 69.59, 55.50, 50.55, 40.10, 39.83, 38.86, 32.11, 27.78, 27.67, 23.62, 14.41, 12.91, 11.64. LCMS 776.39 (M+H).
SUBSTITUTE SHEET (RULE 26)
xample 8: Synthesis of dBET15
N-(6-aminohexyl)-2-(2,6-dioxopiperidin-3-yl)-l,3-dioxoisoindoline-5-carboxamide trifluoroacetate (13.29 mg, 0.258 mmol, 1 eq) and JQ-acid (10.3 mg, 0.0258 mmol, 1 eq) were dissolved in DMF (0.26 mL). DIPEA (13.5 microliters, 0.0775 mmol, 3 eq) was added, followed by HATU (9.8 mg, 0.0258 mmol, 1 eq) and the mixture was stirred at room temperature. After 24 hours, the material was diluted with DCM and purified by column chromatography (ISCO, 0-15%MeOH/DCM) followed by preparative HPLC to give a pale yellow solid (11.44 mg, 0.0146 mmol 57%).
¾ NMR (400 MHz, Methanol-ώ) δ 8.29 - 8.23 (m, 2H), 7.93 (dd, J = 8.1 , 4.2 Hz, 1H), 7.50 - 7.34 (m, 4H), 5.17 - 5.11 (m, 1H), 4.75 - 4.69 (m, 1H), 3.53 - 3.32 (m, 6H), 3.25 (dd, J = 13.8, 6.7 Hz, 1H), 2.90 - 2.67 (m, 6H), 2.49 - 2.38 (m, 3H), 2.18 - 2.10 (m, 1H), 1.64 (d, J = 22.4 Hz, 6H), 1.47 (s, 4H). 13C NMR (100 MHz, cd3od) δ 174.48, 171.17, 168.05, 168.03, 167.99, 167.70, 166.63, 141.81, 138.40, 137.47, 135.09, 134.77, 134.74, 133.96, 133.94,
133.38, 132.24, 132.05, 131.44, 129.85, 124.57, 123.12, 123.09, 54.98, 50.78, 40.88, 40.08, 38.37, 32.13, 30.40, 30.23, 27.34, 27.26, 23.58, 14.40, 12.96, 1 1.54. LCMS 783.43 (M+H).
SUBSTITUTE SHEET (RULE 26)
Example 9: Synthesis of dBET2
(1) Synthesis of (i?)-ethyl 4-((8-cyclopentyl-7-ethyl-5-methyl-6-oxo-5,6,7,8- tetrahydropteridin-2-yl)amino)-3-methoxybenzoate
(i?)-2-chloro-8-cyclopentyl-7-ethyl-5-methyl-7,8-dihydropteridin-6(5H)-one (44.2 mg, 0.15 mmol, 1 eq), ethyl 4-amino-3-methoxybenzoate (35.1 mg, 0.18 mmol, 1.2 eq), Pd2dba3 (6.9 mg, 0.0075 mmol, 5 mol %), XPhos (10.7 mg, 0.0225 mmol, 15 mol %) and potassium carbonate (82.9 mg, 0.60 mmol, 4 eq) were dissolved in tBuOH (1.5 mL, 0.1 M) and heated to 100 °C. After 21 hours, the mixture was cooled to room temperature, filtered through celite, washed with DCM and concentrated under reduced pressure. Purification by column chromatography (ISCO, 4 g silica column, 0-100% EtOAc/hexanes over an 18 minute gradient) gave a yellow oil (52.3 mg, 0.1 15 mmol, 77%). ¾ NMR (400 MHz, Chloroform-ύ δ 8.57 (d, J = 8.5 Hz, 1H), 7.69 (td, J = 6.2, 2.9 Hz, 2H), 7.54 (d, J = 1.8 Hz, 1H), 4.52 (t, J = 7.9 Hz, 1H), 4.37 (q, J = 7.1 Hz, 2H), 4.23 (dd, J = 7.9, 3.7 Hz, 1H), 3.97 (s, 3H), 3.33 (s, 3H), 2.20 - 2.12 (m, 1H), 2.03 - 1.97 (m, 1H), 1.86 (ddd, J = 13.9, 7.6, 3.6 Hz, 4H), 1.78 - 1.65 (m, 4H), 1.40 (t, J = 7.1 Hz, 3H), 0.88 (t, J = 7.5 Hz, 3H). LCMS 454.32 (M+H).
(2) Synthesis of (i?)-4-((8-cyclopentyl-7-ethyl-5-methyl-6-oxo-5,6,7,8-tetrahydropteridin-2- yl)amino)-3-methoxy benzoic acid
(i?)-ethyl 4-((8-cyclopentyl-7-ethyl-5-methyl-6-oxo-5,6,7,8-tetrahydropteridin-2- yl)amino)-3-methoxybenzoate (73.8 mg, 0.163 mmol, 1 eq) and LiOH (11.7 mg, 0.489 mmol, 3 eq) were dissolved in MeOH (0.82 mL) THF (1.63 mL) and water (0.82 mL). After 20 hours, an additional 0.82 mL of water was added and the mixture was stirred for an additional 24 hours before being purified by preparative HPLC to give a cream colored solid (53 mg, 0.125 mmol, 76%). ¾ NMR (400 MHz, Methanol-ώ) δ 7.97 (d, J= 8.4 Hz, 1H), 7.67 (dd, J = 8.3, 1.6 Hz, 1H), 7.64 - 7.59 (m, 2H), 4.38 (dd, J = 7.0, 3.2 Hz, 1H), 4.36 - 4.29 (m, 1H), 3.94 (s, 3H), 3.30 (s, 3H), 2.13 - 1.98 (m, 2H), 1.95 - 1.87 (m, 2H), 1.87 - 1.76 (m, 2H), 1.73 - 1.57 (m, 4H), 0.86 (t, J = 7.5 Hz, 3H). 13C NMR (100 MHz, cd3od) δ 168.67, 163.72, 153.59, 150.74, 150.60, 130.95, 127.88, 125.97, 123.14, 121.68, 116.75, 112.35, 61.76, 61.66, 56.31, 29.40, 29.00, 28.68, 28.21 , 23.57, 23.41, 8.69. LCMS 426.45 (M+H).
(3) Synthesis of dBET2
A 0.1 M solution of N-(4-aminobutyl)-2-((2-(2,6-dioxopiperidin-3-yl)-l ,3- dioxoisoindolin-4-yl)oxy)acetamide trifluoroacetate in DMF (0.183 mL, 0.0183 mmol 1.2 eq) was added to (i?)-4-((8-cyclopentyl-7-ethyl-5-methyl-6-oxo-5,6,7,8-tetrahydropteridin-2- yl)amino)-3-methoxybenzoic acid (6.48 mg, 0.0152 mmol, 1 eq) at room temperature.
DIPEA (7.9 microliters, 0.0456 mmol, 3 eq) and HATU (6.4 mg, 0.0168 mmol, 1.1 eq) were added and the mixture was stirred for 23 hours, before being purified by preparative HPLC to give a yellow solid (9.44 mg, 0.0102 mmol, 67%). ¾ NMR (400 MHz, Methanol-ώ) δ 7.84 - 7.77 (m, 2H), 7.58 (d, J= 1.8 Hz, 2H), 7.53 - 7.46 (m, 2H), 7.42 (d, J = 8.4 Hz, 1H), 5.1 1 - 5.05 (m, 1H), 4.76 (s, 2H), 4.48 (dd, J = 6.5, 3.1 Hz, 1H), 4.33 - 4.24 (m, 1H), 3.95 (s, 3H), 3.49 - 3.35 (m, 4H), 2.97 (d, J = 10.5 Hz, 3H), 2.89 - 2.65 (m, 5H), 2.17 - 1.99 (m, 4H), 1.89 (dd, J = 14.5, 7.3 Hz, 2H), 1.69 - 1.54 (m, 6H), 1.36 (dt, J= 7.6, 3.9 Hz, 1H), 0.85 (t, J= 7.5 Hz, 3H). 13C NMR (100 MHz, cd3od) δ 176.52, 174.48, 173.05, 171.34, 169.99, 168.91 , 168.25, 167.80, 164.58, 156.34, 154.48, 153.10, 150.63, 138.22, 134.89, 133.96, 129.53, 123.93, 121.87, 120.78, 119.36, 1 17.99, 1 11.54, 69.55, 63.29, 63.10, 56.68, 50.55, 40.71 , 39.86, 32.15, 29.43, 29.26, 28.73, 28.63, 27.81 , 27.77, 24.25, 23.63, 8.47. LCMS 810.58 (M+H).
SUBSTITUTE SHEET (RULE 26)
xample 10: Synthesis of dBET7
dBET7
A 0.1 M solution N-(6-aminohexyl)-2-((2-(2,6-dioxopiperidin-3-yl)-l,3- dioxoisoindolin-4-yl)oxy)acetamide trifluoroacetate in DMF (0.186 mL, 0.0186 mmol 1 eq) was added to (i?)-4-((8-cyclopentyl-7-ethyl-5-methyl-6-oxo-5,6,7,8-tetrahydropteridin-2- yl)amino)-3-methoxybenzoic acid (7.9 mg, 0.0186 mmol, 1 eq) at room temperature. DIPEA (9.7 microliters, 0.0557 mmol, 3 eq) and HATU (7.1 mg, 0.0186 mmol, 1 eq) were added and the mixture was stirred for 19 hours, before being purified by preparative HPLC to give the desired trifluoroacetate salt as a yellow solid(13.62 mg, 0.0143 mmol, 77%).
¾ NMR (400 MHz, Methanol-ώ) δ 7.80 (t, J = 8.3 Hz, 2H), 7.61 - 7.57 (m, 2H), 7.55 - 7.49 (m, 2H), 7.42 (d, J = 8.4 Hz, 1H), 5.13 (dd, J = 12.6, 5.5 Hz, 1H), 4.75 (s, 2H), 4.48 (dd, J = 6.5, 3.2 Hz, 1H), 4.33 - 4.24 (m, 1H), 3.97 (s, 3H), 3.40 (t, J = 7.1 Hz, 2H), 3.34 (d, J = 6.7 Hz, 2H), 3.30 (s, 3H), 2.98 (d, J = 8.5 Hz, 1H), 2.89 - 2.82 (m, 1H), 2.79 - 2.63 (m, 3H), 2.17 - 2.00 (m, 4H), 1.91 (dt, J = 14.4, 7.1 Hz, 3H), 1.61 (dt, J = 13.4, 6.6 Hz, 7H), 1.47 -
1.41 (m, 3H), 0.86 (t, J = 7.5 Hz, 3H). 13C NMR (100 MHz, cd3od) δ 174.54, 171.37, 169.84, 168.84, 168.27, 167.74, 164.59, 156.26, 154.47, 153.18, 150.69, 138.19, 134.91, 134.05, 129.47, 124.78, 124.01, 121.65, 120.77, 119.29, 1 17.92, 1 17.86, 1 11.55, 69.34, 63.31, 63.13, 56.67, 50.53, 40.97, 39.96, 32.16, 30.42, 30.19, 29.42, 29.26, 28.72, 28.62, 27.65, 27.46, 24.26, 23.65, 8.47. LCMS 838.60 (M+H).
SUBSTITUTE SHEET (RULE 26)
A 0.1 M solution N-(8-aminooctyl)-2-((2-(2,6-dioxopiperidin-3-yl)-l,3- dioxoisoindolin-4-yl)oxy)acetamide trifluoroacetate in DMF (0.186 mL, 0.0186 mmol 1 eq) was added to (i?)-4-((8-cyclopentyl-7-ethyl-5-methyl-6-oxo-5,6,7,8-tetrahydropteridin-2- yl)amino)-3-methoxybenzoic acid (7.9 mg, 0.0186 mmol, 1 eq) at room temperature. DIPEA (9.7 microliters, 0.0557 mmol, 3 eq) and HATU (7.1 mg, 0.0186 mmol, 1 eq) were added and the mixture was stirred for 16 hours, before being purified by preparative HPLC to give the desired trifluoroacetate salt as an off-white solid(7.15 mg, 0.007296 mmol, 39%).
¾ NMR (400 MHz, Methanol-ώ) δ 7.83 - 7.77 (m, 2H), 7.61 - 7.56 (m, 2H), 7.55 - 7.50 (m, 2H), 7.42 (d, J = 8.5 Hz, 1H), 5.13 (dd, J = 12.6, 5.5 Hz, 1H), 4.75 (s, 2H), 4.49 (dd, J = 6.6, 3.3 Hz, 1H), 4.33 - 4.24 (m, 1H), 3.97 (s, 3H), 3.39 (t, J = 7.1 Hz, 2H), 3.34 - 3.32 (m, 2H), 3.30 (s, 3H), 3.01 - 2.83 (m, 2H), 2.82 - 2.65 (m, 3H), 2.17 - 2.01 (m, 4H), 1.91 (dt, J = 14.2, 7.4 Hz, 1H), 1.68 - 1.54 (m, 7H), 1.37 (s, 7H), 0.86 (t, J = 7.5 Hz, 3H). 13C NMR (100 MHz, cd3od) δ 174.52, 171.35, 169.81 , 168.85, 168.28, 167.74, 164.58, 156.27, 154.47, 153.89, 150.64, 138.19, 134.93, 134.18, 129.52, 129.41 , 124.91 , 123.83, 121.67, 120.76, 1 19.31, 1 17.95, 117.89, 11 1.57, 69.37, 63.37, 63.17, 56.67, 50.58, 41.12, 40.12, 32.19, 30.43, 30.28, 30.22, 30.19, 29.40, 29.25, 28.71 , 28.62, 27.94, 27.75, 24.29, 23.65, 8.46. LCMS 866.56 (M+H).
SUBSTITUTE SHEET (RULE 26)
xample 12: Synthesis of dBETI O
A 0.1 M solution N-(3-(2-(2-(3-aminopropoxy)ethoxy)ethoxy)propyl)-2-((2-(2,6- dioxopiperidin-3-yl)-l,3-dioxoisoindolin-4-yl)oxy)acetamide trifluoroacetate in DMF (0.172 mL, 0.0172 mmol 1 eq) was added to (i?)-4-((8-cyclopentyl-7-ethyl-5-methyl-6-oxo-5, 6,7,8- tetrahydropteridin-2-yl)amino)-3-methoxybenzoic acid (7.3 mg, 0.0172 mmol, 1 eq) at room temperature. DIPEA (9.0 microliters, 0.0515 mmol, 3 eq) and HATU (6.5 mg, 0.0172 mmol, 1 eq) were added and the mixture was stirred for 23 hours, before being purified by preparative HPLC to give the desired trifluoroacetate salt as an off- white oil (10.7 mg, 0.0101 mmol, 59%).
¾ NMR (400 MHz, Methanol-ώ) δ 7.78 (d, J = 8.3 Hz, 1H), 7.75 (dd, J = 8.4, 7.4 Hz, 1H), 7.56 - 7.51 (m, 2H), 7.49 - 7.44 (m, 2H), 7.36 (d, J = 8.4 Hz, 1H), 5.08 (dd, J = 12.4, 5.4 Hz, 1H), 4.69 (s, 2H), 4.44 (dd, J = 6.7, 3.2 Hz, 1H), 4.30 - 4.21 (m, 1H), 3.92 (s, 3H), 3.59 - 3.42 (m, 12H), 3.35 (t, J = 6.7 Hz, 2H), 3.25 (s, 3H), 2.95 - 2.64 (m, 5H), 2.13 - 1.95 (m, 4H), 1.91 - 1.71 (m, 7H), 1.65 - 1.48 (m, 4H), 0.81 (t, J = 7.5 Hz, 3H). 13C NMR (100 MHz, cd3od) 5 174.50, 171.35, 169.83, 168.77, 168.25, 167.68, 164.57, 156.26, 154.47, 153.05, 150.59, 138.19, 134.92, 133.89, 129.53, 124.57, 123.98, 121.72, 120.75, 1 19.26, 1 17.95, 1 17.86, 1 11.54, 71.51 , 71.46, 71.28, 71.20, 70.18, 69.65, 69.41 , 63.27, 63.07, 56.71, 50.57, 38.84, 37.59, 32.17, 30.41, 30.32, 29.46, 29.26, 28.73, 28.64, 24.27, 23.65, 8.49. LCMS 942.62 (M+H).
SUBSTITUTE SHEET (RULE 26)
A 0.1 M solution of N-(4-aminobutyl)-2-((2-(2,6-dioxopiperidin-3-yl)-l ,3- dioxoisoindolin-4-yl)oxy)acetamide trifluoroacetate in DMF (0.402 mL, 0.0402 mmol 1 eq) was added (i?)-4-((4-cyclopentyl-l ,3-dimethyl-2-oxo-l ,2,3,4-tetrahydropyrido[2,3- )]pyrazin- 6-yl)amino)-3-methoxy benzoic acid (16.55 mg, 0.0402 mmol, 1 eq) at room temperature. DIPEA (21 microliters, 0.1206 mmol, 3 eq) and HATU (15.3 mg, 0.0402 mmol, 1 eq) were added and the mixture was stirred for 21 hours, before being purified by preparative HPLC, followed by column chromatography (ISCO, 12 g NH2-silica column, 0-15% MeOH/DCM, 20 min gradient) to give HPLC to give a brown solid (10.63 mg, 0.0134 mmol, 33%).
¾ NMR (400 MHz, Methanol-ώ) δ 8.22 (d, J = 8.4 Hz, 1H), 7.78 (dd, J = 8.4, 7.4 Hz, 1H), 7.73 - 7.68 (m, 1H), 7.49 (d, J = 7.4 Hz, 2H), 7.46 - 7.39 (m, 2H), 6.98 (d, J= 8.8 Hz, 1H), 5.97 - 5.87 (m, 1H), 5.06 (dd, J= 12.6, 5.4 Hz, 1H), 4.76 (s, 2H), 3.98 (s, 3H), 3.61 (s, 2H), 3.44 - 3.36 (m, 4H), 2.92 (s, 1H), 2.78 (dd, J= 14.3, 5.2 Hz, 1H), 2.68 (ddd, J= 17.7, 8.2, 4.5 Hz, 2H), 2.36 - 2.26 (m, 2H), 2.10 - 1.90 (m, 5H), 1.76 - 1.62 (m, 6H), 1.31 (d, J= 16.0 Hz, 4H). LCMS 795.38 (M+H).
SUBSTITUTE SHEET (RULE 26)
xample 14: Synthesis of dBETl l
dBET11
(1) Synthesis of ethyl 4-((5,l l-dimethyl-6-oxo-6,l l-dihydro-5H-benzo[e]pyrimido[5,4- b][l,4]diazepin-2-yl)amino)-3-methoxybenzoate
2-chloro-5,l l-dimethyl-5H-benzo[e]pyrimido[5,4- )] [l,4]diazepin-6(l lH)-one(82.4 mg, 0.30 mmol, 1 eq), ethyl 4-amino-3-methoxybenzoate (70.3 mg, 0.36 mmol, 1.2 eq) Pd2dba3 (13.7 mg, 0.015 mmol, 5 mol%), XPhos (21.5 mg, 0.045 mmol, 15 mol%) and potassium carbonate (166 mg, 1.2 mmol, 4 eq) were dissolved in tBuOH (3.0 mL) and heated to 100 °C. After 17 hours, the mixture was cooled room temperature and filtered through celite. The mixture was purified by column chromatography (ISCO, 12 g silica column, 0- 100% EtOAc/hexanes, 19 min gradient) to give an off white solid (64.3 mg, 0.148 mmol, 49%).
¾ NMR (400 MHz, 50% cdsod/cdch) δ 8.51 (d, J= 8.5 Hz, 1H), 8.17 (s, 1H), 7.73 (ddd, J = 18.7, 8.1, 1.7 Hz, 2H), 7.52 (d, J= 1.8 Hz, 1H), 7.46 - 7.41 (m, 1H), 7.15 - 7.10 (m, 2H), 4.34 (q, J= 7.1 Hz, 4H), 3.95 (s, 3H), 3.47 (s, 3H), 3.43 (s, 3H), 1.38 (t, J= 7.1 Hz, 3H). 13C NMR (100 MHz, 50% ccfaod/cdcb) δ 169.28, 167.39, 164.29, 155.64, 151.75, 149.73, 147.45, 146.22, 133.88, 133.18, 132.37, 126.44, 124.29, 123.70, 123.36, 122.26, 120.58, 118.05, 116.83, 110.82, 61.34, 56.20, 38.62, 36.25, 14.51. LCMS 434.33 (M+H).
(2) Synthesis of 4-((5,l l-dimethyl-6-oxo-6,l l-dihydro-5H-benzo[e]pyrimido[5,4- b][l,4]diazepin-2-yl)amino)-3-methoxybenzoic acid
SUBSTITUTE SHEET (RULE 26)
Ethyl 4-((5, l 1 -dimethyl-6-oxo-6, 1 l-dihydro-5H-benzo[e]pyrimido[5,4-)] [l,4]diazepin-2-yl)amino)-3-methoxybenzoate (108.9 mg, 0.251 mmol, 1 eq) and LiOH (18 mg) were dissolved in THF (2.5 mL) and water (1.25 mL). After 24 hours, MeOH (0.63 mL) was added to improved solubility) and stirred for an additional 24 hours before being diluted with MeOH and purified by preparative HPLC to give a light yellow solid (41.31 mg).
¾ NMR (400 MHz, Methanol-ώ) δ 8.51 (d, J = 8.5 Hz, 1H), 8.22 (s, 1H), 7.73 (ddd, J = 1 1.8, 8.1 , 1.7 Hz, 2H), 7.57 (d, J = 1.8 Hz, 1H), 7.49 - 7.44 (m, 1H), 7.19 - 7.11 (m, 2H), 3.97 (s, 3H), 3.48 (s, 3H), 3.45 (s, 3H). LCMS 406.32 (M+H).
(3) Synthesis of dBETl l
A 0.1 M solution of N-(4-aminobutyl)-2-((2-(2,6-dioxopiperidin-3-yl)-l ,3- dioxoisoindolin-4-yl)oxy)acetamide trifluoroacetate in DMF (0.190 mL, 0.0190 mmol 1 eq) was added to 4-((5, l l-dimethyl-6-oxo-6, l l -dihydro-5H-benzo[e]pyrirnido[5,4- Z>] [l,4]diazepin-2-yl)amino)-3-methoxybenzoic acid(7.71 mg, 0.0190 mmol, 1 eq) at room temperature. DIPEA (9.9 microliters, 0.0571 mmol, 3 eq) and HATU (7.2 mg, 0.0190 mmol, 1 eq) were added and the mixture was stirred for 22 hours, before being purified by preparative HPLC to give HPLC to give the desired trifluoroacetate salt as a cream colored solid (6.72 mg, 0.00744 mmol, 39%).
¾ NMR (400 MHz, Methanol-ώ) δ 8.46 (d, J = 8.3 Hz, 1H), 8.21 (s, 1H), 7.79 - 7.73 (m, 2H), 7.52 (d, J = 7.1 Hz, 1H), 7.50 - 7.43 (m, 3H), 7.33 (d, J = 8.2 Hz, 1H), 7.15 (dd, J = 7.7, 5.9 Hz, 2H), 4.98 (dd, J = 12.0, 5.5 Hz, 1H), 4.69 (s, 2H), 3.97 (s, 3H), 3.49 (s, 3H), 3.46 - 3.34 (m, 7H), 2.81 - 2.67 (m, 3H), 2.13 - 2.08 (m, 1H), 1.69 (dt, J = 6.6, 3.5 Hz, 4H). 13C NMR (100 MHz, cd3od) δ 173.40, 170.10, 169.68, 169.00, 168.85, 167.60, 167.15, 164.77, 156.01, 155.42, 151.83, 150.03, 148.21, 137.82, 134.12, 133.48, 132.58, 132.52, 128.1 1, 126.72, 124.54, 122.33, 121.06, 120.63, 118.77, 1 18.38, 1 17.94, 1 17.62, 109.67, 68.90, 56.33, 49.96, 40.16, 39.48, 38.72, 36.34, 31.82, 27.24, 23.16. LCMS 790.48 (M+H).
SUBSTITUTE SHEET (RULE 26)
Example 15 : S nthesis of dBET12
A 0.1 M solution N-(3-(2-(2-(3-aminopropoxy)ethoxy)ethoxy)propyl)-2-((2-(2,6- dioxopiperidin-3-yl)-l,3-dioxoisoindolin-4-yl)oxy)acetamide trifluoroacetate in DMF (0.186 mL, 0.0186 mmol 1 eq) was added to 4-((5, l l-dimethyl-6-oxo-6, l l-dihydro-5H- benzo[e]pyrimido[5,4- )] [l,4]diazepin-2-yl)amino)-3-methoxybenzoic acid(7.53 mg, 0.0186 mmol, 1 eq) at room temperature. DIPEA (9.7 microliters, 0.0557 mmol, 3 eq) and HATU (7.1 mg, 0.0186 mmol, 1 eq) were added and the mixture was stirred for 22 hours, before being purified by preparative HPLC to give HPLC to give the desired trifluoroacetate salt as a cream colored solid (7.50 mg, 0.00724 mmol, 39%).
¾ NMR (400 MHz, Methanol-ώ) δ 8.46 (d, J = 8.9 Hz, 1H), 8.21 (s, 1H), 7.73 (dd, J = 15.2, 7.8 Hz, 2H), 7.50 - 7.42 (m, 3H), 7.28 (d, J = 8.5 Hz, 1H), 7.15 (t, J = 7.7 Hz, 2H), 5.01 (dd, J = 11.8, 5.8 Hz, 1H), 4.68 (s, 2H), 3.97 (s, 3H), 3.67 - 3.58 (m, 7H), 3.58 - 3.43 (m, 10H), 3.39 (t, J = 6.8 Hz, 2H), 3.35 (s, 2H), 2.97 (s, 1H), 2.84 - 2.70 (m, 3H), 2.16 - 2.07 (m, 1H), 1.93 - 1.76 (m, 4H). LCMS 922.57 (M+H).
Example 16: Synthesis of dBET13
A 0.1 M solution of N-(4-aminobutyl)-2-((2-(2,6-dioxopiperidin-3-yl)-l ,3- dioxoisoindolin-4-yl)oxy)acetamide trifluoroacetate in DMF (0.501 mL, 0.0501 mmol 1 eq)
SUBSTITUTE SHEET (RULE 26)
was added to 2-((2-(4-(3,5-dimethylisoxazol-4-yl)phenyl)imidazo[l,2-a]pyrazin-3- yl)amino)acetic acid (synthesized as in McKeown et al, J. Med. Chem, 2014, 57, 9019) (18.22 mg, 0.0501 mmol, 1 eq) at room temperature. DIPEA (26.3 microliters, 0.150 mmol, 3 eq) and HATU (19.0 mg, 0.0501 mmol, 1 eq) were added and the mixture was stirred for 21 hours, before being purified by preparative HPLC to give HPLC to give the desired trifluoroacetate salt as a dark yellow oil (29.66 mg, 0.0344 mmol, 69%). JH NMR (400 MHz, Methanol-ώ) δ 9.09 (s, 1H), 8.65 (d, J= 5.2 Hz, 1H), 8.14 - 8.06 (m, 2H), 7.94 - 7.88 (m, 1H), 7.80 - 7.74 (m, 1H), 7.59 - 7.47 (m, 3H), 7.40 (dd, J= 8.4, 4.7 Hz, 1H), 5.11 - 5.06 (m, 1H), 4.72 (d, J= 9.8 Hz, 2H), 3.90 (s, 2H), 3.25 - 3.22 (m, 1H), 3.12 (t, J= 6.4 Hz, 1H), 2.96 (s, 2H), 2.89 - 2.79 (m, 1H), 2.76 - 2.62 (m, 2H), 2.48 - 2.42 (m, 3H), 2.29 (s, 3H), 2.10 (ddq, J= 10.2, 5.3, 2.7 Hz, 1H), 1.49 - 1.45 (m, 2H), 1.37 (dd, J= 6.7, 3.6 Hz, 2H). 13C NMR (100 MHz, cdsod) δ 174.45, 171.98, 171.35, 169.88, 168.17, 167.85, 167.40, 159.88, 156.28, 141.82, 138.26, 135.85, 134.82, 133.09, 132.06, 130.75, 129.67, 122.07, 121.94, 119.30, 118.98, 118.06, 117.24, 69.56, 50.56, 40.05, 39.73, 32.13, 27.53, 23.62, 18.71, 17.28, 11.64, 10.85. LCMS 748.49 (M+H).
Example 17: Synthesis of dBET14
A 0.1 M solution N-(3-(2-(2-(3-aminopropoxy)ethoxy)ethoxy)propyl)-2-((2-(2,6- dioxopiperidin-3-yl)-l,3-dioxoisoindolin-4-yl)oxy)acetamide trifluoroacetate in DMF (0.510 mL, 0.0510 mmol 1 eq) was added to 2-((2-(4-(3,5-dimethylisoxazol-4- yl)phenyl)imidazo[l,2-a]pyrazin-3-yl)amino)acetic acid (synthesized as in McKeown et al, J. Med. Chem, 2014, 57, 9019) (18.52 mg, 0.0510 mmol, 1 eq) at room temperature. DIPEA
SUBSTITUTE SHEET (RULE 26)
(26.6 microliters, 0.153 mmol, 3 eq) and HATU (19.4 mg, 0.0510 mmol, 1 eq) were added and the mixture was stirred for 22 hours, before being purified by preparative HPLC to give HPLC to give the desired trifluoroacetate salt as a dark yellow oil (32.63 mg, 0.0328 mmol, 64%).
¾ NMR (400 MHz, Methanol-ώ) δ 9.09 (s, 1H), 8.66 (d, J = 5.4 Hz, 1H), 8.17 - 8.08 (m, 2H), 7.92 (d, J= 5.6 Hz, 1H), 7.77 (dd, J= 8.4, 7.4 Hz, 1H), 7.60 - 7.47 (m, 3H), 7.39 (d, J = 8.4 Hz, 1H), 5.09 (dd, J= 12.4, 5.5 Hz, 1H), 4.71 (s, 2H), 3.91 (s, 2H), 3.62 - 3.46 (m, 10H), 3.38 (dt, J= 16.0, 6.4 Hz, 3H), 3.18 (t, J= 6.8 Hz, 2H), 2.97 (s, 1H), 2.89 - 2.81 (m, 1H), 2.78 - 2.66 (m, 2H), 2.47 (s, 3H), 2.31 (s, 3H), 2.16 - 2.08 (m, 1H), 1.79 (dt, J= 12.8, 6.5 Hz, 2H), 1.64 (t, J = 6.3 Hz, 2H). 13C NMR (100 MHz, cd3od) δ 174.48, 171.88, 171.34, 169.80, 168.22, 167.69, 167.42, 159.87, 156.24, 141.87, 138.21, 135.89, 134.88, 133.13, 132.04, 130.76, 129.67, 122.08, 121.69, 1 19.20, 1 17.94, 1 17.23, 71.44, 71.22, 71.10, 69.92, 69.62, 69.38, 50.57, 49.64, 38.1 1, 37.55, 32.16, 30.30, 30.20, 23.63, 11.67, 10.88. LCMS 880.46 (M+H).
Example 18: Synthesis of dBET18
(1) Synthesis of (S)-tert-butyl 4-(3-(2-(4-(4-chlorophenyl)-2,3,9-trimethyl-6H-thieno[3,2- f] [ 1 ,2,4] triazolo [4,3 -a] [1,4] diazepin-6-y l)acetamido)propy l)piperazine- 1 -carboxy late
JQ-acid (176.6 mg, 0.441 mmol, 1 eq) was dissolved in DMF (4.4 mL) at room temperature. HATU (176 mg, 0.463 mmol, 1.05 eq) was added, followed by DIPEA (0.23 mL), 1.32 mmol, 3 eq). After 10 minutes, fert-butyl 4-(3-aminopropyl)piperazine-l-
SUBSTITUTE SHEET (RULE 26)
carboxylate (118 mg, 0.485 mmol, 1.1 eq) was added as a solution in DMF (0.44 mL). After 24 hours, the mixture was diluted with half saturated sodium bicarbonate and extracted twice with DCM and once with EtOAc. The combined organic layer was dried over sodium sulfate, filtered and condensed. Purification by column chromatography (IS CO, 24 g silica column, 0-15% MeOH/DCM, 23 minute gradient) gave a yellow oil (325.5 mg, quant yield) ¾ NMR (400 MHz, Chloroform-i ) δ 7.67 (t, J= 5.3 Hz, 1H), 7.41 - 7.28 (m, 4H), 4.58 (dd, J= 7.5, 5.9 Hz, 1H), 3.52 - 3.23 (m, 8H), 2.63 (s, 9H), 2.37 (s, 3H), 1.80 - 1.69 (m, 2H), 1.64 (s, 3H), 1.42 (s, 9H). 13C NMR (100 MHz, cdch) δ 171.41, 164.35, 155.62, 154.45, 150.20, 136.92, 136.64, 132.19, 131.14, 130.98, 130.42, 129.98, 128.80, 80.24, 56.11, 54.32, 52.70, 38.96, 37.85, 28.42, 25.17, 14.43, 13.16, 11.82. LCMS 626.36 (M+H).
(2) Synthesis of (S)-2-(4-(4-chlorophenyl)-2,3,9-trimethyl-6H-thieno[3,2- f] [ 1 ,2,4] triazolo [4,3 -a] [1,4] diazepin-6-y l)-N-(3-(piperazin- 1 -yl)propy l)acetamide
(S)-tert-bxxty\ 4-(3-(2-(4-(4-chlorophenyl)-2,3,9-trimethyl-6H-thieno[3,2- ] [ 1 ,2,4] triazolo [4,3-a] [1,4] diazepin-6-y l)acetamido)propy l)piperazine- 1 -carboxylate (325.5 mg) was dissolved in DCM (5 mL) and MeOH (0.5 mL). A solution of 4M HC1 in dioxane (1 mL) was added and the mixture was stirred for 16 hours, then concentrated under a stream of nitrogen to give a yellow solid (231.8 mg) which was used without further purification. ¾ NMR (400 MHz, Methanol-ώ) δ 7.64 - 7.53 (m, 4H), 5.05 (t, J = 7.1 Hz, 1H), 3.81 - 3.66 (m, 6H), 3.62 - 3.33 (m, 9H), 3.30 (p, J= 1.6 Hz, 1H), 2.94 (s, 3H), 2.51 (s, 3H), 2.09 (dq, J = 11.8, 6.1 Hz, 2H), 1.72 (s, 3H). 13C NMR (100 MHz, cd3od) δ 171.78, 169.38, 155.83, 154.03, 152.14, 140.55, 136.33, 134.58, 134.53, 133.33, 132.73, 130.89, 130.38, 56.07, 53.54, 41.96, 37.22, 36.23, 25.11, 14.48, 13.14, 11.68. LCMS 526.29 (M+H).
(3) Synthesis of (S)-tert-butyl (6-(4-(3-(2-(4-(4-chlorophenyl)-2,3,9-trimethyl-6H-thieno[3,2- f] [ 1 ,2,4] triazolo [4,3 -a] [1,4] diazepin-6-y l)acetamido)propy l)piperazin- 1 -y l)-6- oxohexyl)carbamate
(5 -2-(4-(4-chlorophenyl)-2,3,9-trimethyl-6H-thieno[3,2-^] [l,2,4]triazolo[4,3- a][l,4]diazepin-6-yl)-N-(3-(piperazin-l-yl)propyl)acetamide (62.1 mg) and 6-((tert- butoxycarbonyl)amino)hexanoic acid (24.0 mg, 0.1037 mmol, 1 eq) were dissolved in DMF (1 mL). DIPEA (72.2 microliters, 0.4147 mmol, 4 eq) was added, followed by HATU (39.4 mg, 0.1037 mmol, 1 eq) and the mixture was stirred for 25 hours. The mixture was diluted with half saturated sodium bicarbonate and extracted three times with DCM. The combined organic layer was dried over sodium sulfate, filtered and condensed. Purification by column chromatography (ISCO, 4 g silica column, 0-15% MeOH/DCM, 15 minute gradient) gave a yellow oil (71.75 mg, 0.0970 mmol, 94%).
SUBSTITUTE SHEET (RULE 26)
¾ NMR (400 MHz, Chloroform-c ) δ 7.61 (s, 1H), 7.43 - 7.28 (m, 4H), 4.63 (s, 1H), 4.61 - 4.56 (m, 1H), 3.82 - 3.21 (m, 10H), 3.11 - 3.01 (m, 2H), 2.61 (d, J = 24.3 Hz, 9H), 2.38 (s, 3H), 2.28 (t, J = 7.4 Hz, 2H), 1.73 (dq, J= 13.8, 7.4 Hz, 2H), 1.63 - 1.55 (m, 2H), 1.53 - 1.24 (m, 14H). 13C NMR (100 MHz, cdch) δ 171.63, 171.11, 164.34, 156.17, 155.66, 150.21, 136.96, 136.72, 132.25, 131.14, 131.01, 130.47, 130.00, 128.85, 79.11, 56.42, 54.46, 53.06, 52.82, 45.04, 41.02, 40.47, 39.29, 38.33, 33.00, 29.90, 28.54, 26.60, 25.29, 24.86, 14.47, 13.20, 11.86. LCMS 739.37 (M+H).
(4) Synthesis of (S)-N-(3-(4-(6-aminohexanoyl)piperazin-l-yl)propyl)-2-(4-(4-chlorophenyl)- 2,3,9 rimethyl-6H hieno[3,2-f][l,2,4]triazolo[4,3-a] [l,4]diazepin-6-yl)acetamide
(S)-tert-buty\ (6-(4-(3-(2-(4-(4-chlorophenyl)-2,3,9-trimethyl-6H-thieno[3,2- | [l,2,4]triazolo[4,3-a][l,4]diazepin-6-yl)acetamido)propyl)piperazin-l-yl)-6- oxohexyl)carbamate (71.75 mg, 0.0970 mmol, 1 eq) was dissolved in DCM (2 mL) and MeOH (0.2 mL). A solution of 4M HC1 in dioxane (0.49 mL) was added and the mixture was stirred for 2 hours, then concentrated under a stream of nitrogen, followed by vacuum to give a yellow foam (59.8 mg, 0.0840 mmol, 87%).
¾ NMR (400 MHz, Methanol-ώ) δ 7.68 - 7.53 (m, 4H), 5.04 (d, J= 6.6 Hz, 1H), 4.66 (d, J = 13.6 Hz, 1H), 4.23 (d, J = 13.6 Hz, 1H), 3.63 - 3.34 (m, 7H), 3.29 - 3.00 (m, 5H), 2.95 (d, J = 6.0 Hz, 5H), 2.51 (d, J= 9.2 Hz, 5H), 2.08 (s, 2H), 1.77 - 1.62 (m, 7H), 1.45 (dt, J = 15.3, 8.6 Hz, 2H). 13C NMR (100 MHz, cd3od) δ 173.77, 171.84, 169.35, 155.85, 153.99, 140.56, 136.40, 134.58, 133.35, 132.70, 130.39, 55.83, 53.57, 52.92, 52.70, 43.57, 40.55, 39.67,
37.33, 36.25, 33.17, 28.26, 26.94, 25.33, 25.26, 14.49, 13.15, 11.65. LCMS 639.35 (M+H).
(5) Synthesis of dBET18
(^-N-(3-(4-(6-aminohexanoyl)piperazin-l-yl)propyl)-2-(4-(4-chlorophenyl)-2,3,9- trimethyl-6H4hieno[3,2- | [l,2,4]triazolo[4,3-a][l,4]diazepin-6-yl)acetamide dihydrochloride (20.0 mg, 0.0281 mmol, 1 eq) and 2-((2-(2,6-dioxopiperidin-3-yl)-l,3-dioxoisoindolin-4- yl)oxy)acetic acid (9.32 mg, 0.0281 mmol, 1 eq) were dissolved in DMF (0.281 mL). DIPEA (19.6 microliters, 0.1124 mmol, 4 eq) was added, followed by HATU (10.7 mg, 0.0281 mmol, 1 eq). After 24 hours, the mixture was diluted with MeOH and purified by preparative HPLC to give the desired trifluoroacetate salt.
¾ NMR (400 MHz, Methanol-ώ) δ 7.83 - 7.79 (m, 1H), 7.54 (d, J= 7.1 Hz, 1H), 7.45 (q, J = 8.8 Hz, 5H), 5.12 (dd, J = 12.5, 5.4 Hz, 1H), 4.76 (s, 2H), 4.68 (t, J = 7.3 Hz, 1H), 3.59 - 3.32 (m, 8H), 3.28 - 3.18 (m, 4H), 2.87 (ddd, J= 19.0, 14.7, 5.3 Hz, 2H), 2.80 - 2.65 (m, 6H), 2.44 (d, J= 6.8 Hz, 5H), 2.33 - 2.25 (m, 1H), 2.14 (dd, J= 9.8, 4.9 Hz, 1H), 2.06 - 1.89 (m, 3H), 1.70 (s, 3H), 1.61 (dq, J= 14.4, 7.3, 6.9 Hz, 4H), 1.45 - 1.37 (m, 2H). 13C NMR
SUBSTITUTE SHEET (RULE 26)
(100 MHz, cd3od) δ 174.52, 173.97, 173.69, 171.44, 169.88, 168.26, 167.83, 166.72, 156.36, 138.28, 137.84, 134.89, 133.52, 132.12, 131.83, 131.38, 129.89, 121.87, 119.32, 118.01, 69.52, 55.64, 55.03, 52.79, 50.58, 43.69, 39.77, 38.57, 36.89, 33.47, 32.16, 29.93, 27.34, 25.76, 25.45, 23.63, 14.39, 12.94, 11.66. LCMS 953.43 (M+H).
Example 19: Synthesis of dBET19
A 0.1 M solution of N-(4-aminobutyl)-2-((2-(2,6-dioxopiperidin-3-yl)-l,3- dioxoisoindolin-4-yl)oxy)acetamide trifluoroacetate in DMF (235 microliters, 0.0235 mmol, 1 eq) was added to (5 -2-(4-(4-chlorophenyl)-2-(cyanomethyl)-3,9-dimethyl-6H-thieno[3,2- | [l,2,4]triazolo[4,3-a][l,4]diazepin-6-yl)acetic acid (10 mg, 0.0235 mmol, 1 eq) at room temperature. DIPEA (12.3 microliters, 0.0704 mmol, 3 eq) and HATU (8.9 mg, 0.0235 mmol, 1 eq) were added and the mixture was stirred for 18.5 hours. The mixture was then diluted with EtOAc and washed with saturated sodium bicarbonate, water and brine. The organic layer was dried over sodium sulfate, filtered and concentrated under reduced pressure. Purification by column chromatography (ISCO, 4 g silica column, 0-10%
MeOH/DCM, 25 minute gradient) gave the desired product as a white solid (12.96 mg, 0.0160 mmol, 68%). JH NMR (400 MHz, Chloroform-i ) δ 7.80 (dd, J= 8.4, 7.4 Hz, 1H), 7.55 - 7.37 (m, 6H), 5.14 - 5.06 (m, 1H), 4.77 (d, J= 1.5 Hz, 2H), 4.64 (dd, J= 8.0, 5.6 Hz, 1H), 3.45 - 3.32 (m, 5H), 3.29 - 3.21 (m, 2H), 2.83 - 2.66 (m, 6H), 2.58 (s, 3H), 2.14 - 2.06 (m, 1H), 1.71 - 1.57 (m, 4H). LCMS 810.30, M+H).
SUBSTITUTE SHEET (RULE 26)
Example 20: Synthesis of dBET20
3-((2-((4-(4-(4-aminobutanoyl)piperazin-l-yl)phenyl)amino)-5-methylpyrimidin-4- yl)amino)-N-(teri-butyl)benzenesulfonamide trifluoroacetate (7.41 mg, 0.0107 mmol, 1 eq) and 2-((2-(2,6-dioxopiperidin-3-yl)-l,3-dioxoisoindolin-4-yl)oxy)acetic acid (3.6 mg, 0.0107 mmol, 1 eq) were dissolved in DMF (214 microliters, 0.05M) at room temperature. DIPEA (5.6 microliters, 0.0321 mmol, 3 eq) and HATU (4.1 mg, 0.0107 mmol, 1 eq) were added. After 22.5 hours, the mixture was diluted with MeOH and purified by preparative HPLC to give the desired product as a brown residue (6.27 mg, 0.00701 mmol, 65%). ¾ NMR (500 MHz, Methanol-ώ) δ 8.06 (s, 1H), 7.84 - 7.75 (m, 3H), 7.65 (s, 1H), 7.55 (t, J= 7.8 Hz, 2H), 7.45 (d, J= 8.4 Hz, 1H), 7.25 - 7.20 (m, 2H), 6.99 (d, J = 8.8 Hz, 2H), 5.11 (dd, J= 12.5, 5.4 Hz, 1H), 4.78 (s, 2H), 3.79 - 3.66 (m, 4H), 3.40 (t, J = 6.6 Hz, 2H), 3.24 - 3.13 (m, 4H), 2.82 - 2.68 (m, 3H), 2.52 (t, J = 7.4 Hz, 2H), 2.24 - 2.19 (m, 3H), 2.12 (dd, J= 10.2, 5.1 Hz, 1H), 1.92 (dd, J= 13.4, 6.4 Hz, 2H), 1.18 (s, 9H). LCMS 895.63 (M+H).
SUBSTITUTE SHEET (RULE 26)
Example 21 : Synthesis of dBET21
A 0.1 M solution of 4-((10-aminodecyl)oxy)-2-(2,6-dioxopiperidin-3-yl)isoindoline- 1,3-dione trifluoroacetate in DMF (232 microliters, 0.0232 mmol, 1 eq) was added to JQ-acid (9.3 mg, 0.0232 mmol, 1 eq) at room temperature. DIPEA (12.1 microliters, 0.0696 mmol, 3 eq) and HATU (8.8 mg, 0.0232 mmol, 1 eq) were added and the mixture was stirred for 18 hours. The mixture was then diluted with EtOAc and washed with saturated sodium bicarbonate, water and brine. The organic layer was dried over sodium sulfate, filtered and concentrated under reduced pressure. Purification by preparative HPLC followed by column chromatography (ISCO, 4 g silica column, 0-10% MeOH/DCM, 25 minute gradient) gave the desired product as an off-white residue (1.84 mg, 0.00235 mmol, 10%). ¾ NMR (500 MHz, Methanol-ώ) δ 7.77 - 7.73 (m, 1H), 7.50 - 7.33 (m, 6H), 5.09 (dd, J= 12.5, 5.5 Hz, 1H), 4.62 (s, 1H), 4.21 (t, J = 6.4 Hz, 2H), 3.36 (s, 2H), 2.87 - 2.67 (m, 6H), 2.44 (s, 3H), 1.88 - 1.82 (m, 2H), 1.70 (s, 3H), 1.58 (s, 4H), 1.29 (s, 8H). LCMS 784.51 (M+H).
SUBSTITUTE SHEET (RULE 26)
Example 22: Synthesis of dBET22
dB£T22
A 0.1 M solution of N-(4-aminobutyl)-2-((2-(2,6-dioxopiperidin-3-yl)-l,3- dioxoisoindolin-4-yl)oxy)acetamide trifluoroacetate in DMF (247 microliters, 0.0247 mmol, 1 eq) was added to (5)-4-(4-chlorophenyl)-6-(2-methoxy-2-oxoethyl)-3,9-dimethyl-6H- thieno[3,2-/][l,2,4]triazolo[4,3-a][l,4]diazepine-2-carboxylic acid (10.98 mg, 0.0247 mmol, 1 eq) at room temperature. DIPEA (12.9 microliters, 0.0740 mmol, 3 eq) and HATU (9.4 mg, 0.0247 mmol, 1 eq) were added. The mixture was then stirred for 21 hours, then diluted with EtOAc and washed with saturated sodium bicarbonate, water and brine. The organic layer was dried over sodium sulfate, filtered and concentrated under reduced pressure. Purification by column chromatography (ISCO, 4 g silica column, 0-10% MeOH/DCM, 25 minute gradient) gave the desired product as a white solid (9.79 mg, 0.0118 mmol, 48%). ¾ NMR (400 MHz, Methanol-ώ) δ 7.80 (dd, J = 8.4, 7.4 Hz, 1H), 7.51 (dd, J = 7.1, 1.5 Hz, 1H), 7.48 - 7.34 (m, 5H), 5.11 (ddd, J = 12.4, 5.4, 3.5 Hz, 1H), 4.76 (s, 2H), 4.69 (td, J = 7.2, 1.4 Hz, 1H), 3.76 (s, 3H), 3.55 (d, J = 7.2 Hz, 2H), 3.48 - 3.33 (m, 4H), 2.93 - 2.82 (m, 1H), 2.78 - 2.64 (m, 5H), 2.14 - 2.07 (m, 1H), 1.96 (d, J = 0.9 Hz, 3H), 1.66 (s, 4H). LCMS 829.39 (M+H).
SUBSTITUTE SHEET (RULE 26)
xample 23 : Synthesis of dBET23
A 0.1 M solution of N-(8-aminooctyl)-2-((2-(2,6-dioxopiperidin-3-yl)-l,3- dioxoisoindolin-4-yl)oxy)acetamide trifluoroacetate in DMF (220 microliters, 0.0220 mmol, 1 eq) was added to (5 -4-(4-chlorophenyl)-6-(2-methoxy-2-oxoethyl)-3,9-dimethyl-6H- thieno[3,2: ][l,2,4]triazolo[4,3-a][l,4]diazepine-2-carboxylic acid (9.87 mg, 0.0220 mmol, 1 eq) at room temperature. DIPEA (11.5 microliters, 0.0660 mmol, 3 eq) and HATU (8.4 mg, 0.0220 mmol, 1 eq) were added. The mixture was then stirred for 21 hours, then diluted with EtOAc and washed with saturated sodium bicarbonate, water and brine. The organic layer was dried over sodium sulfate, filtered and concentrated under reduced pressure. Purification by column chromatography (ISCO, 4 g silica column, 0-10% MeOH/DCM, 25 minute gradient) gave the desired product as a white solid (8.84 mg, 0.00998 mmol, 45%). *H NMR (400 MHz, Methanol-ώ) δ 7.81 (dd, J= 8.4, 7.4 Hz, 1H), 7.53 (d, J= 7.3 Hz, 1H), 7.50 - 7.39 (m, 5H), 5.12 (dd, J = 12.6, 5.4 Hz, 1H), 4.75 (s, 2H), 4.68 (t, J= 7.2 Hz, 1H), 3.76 (s, 3H), 3.54 (d, J= 7.2 Hz, 2H), 3.39 - 3.32 (m, 3H), 3.29 (s, 1H), 2.90 - 2.83 (m, 1H), 2.79 - 2.68 (m, 5H), 2.14 (dd, J = 8.9, 3.7 Hz, 1H), 1.99 (s, 3H), 1.65 - 1.53 (m, 4H), 1.36 (d, J = 6.5 Hz, 8H). LCMS 885.47 (M+H).
Example 24: Synthesis of dBET24
Step 1: Synthesis of tert-butyl (2-(2-(2-(2-((2-(2,6-dioxopiperidin-3-yl)-l,3-dioxoisoindolin- 4-yl)oxy)acetamido)ethoxy)ethoxy)ethyl)carbamate
2-((2-(2,6-dioxopiperidin-3-yl)-l,3-dioxoisoindolin-4-yl)oxy)acetic acid (200 mg, 0.602 mmol, 1 eq) was dissolved in DMF (6.0 mL, 0.1M). HATU (228.9 mg, 0.602 mmol, 1 eq), DIPEA (0.315 mL, 1.81 mmol, 3 eq) and N-Boc-2,2'-(ethylenedioxy)diethylamine (0.143 mL, 0.602 mmol, 1 eq) were added sequentially. After 6 hours, additional HATU (114 mg, 0.30 mmol, 0.5 eq) were added to ensure completeness of reaction. After an additional 24 hours, the mixture was diluted with EtOAc, and washed with saturated sodium bicarbonate,
SUBSTITUTE SHEET (RULE 26)
water and twice with brine. The combined organic layer was dried over sodium sulfate, filtered and concentrated under reduced pressure. Purification by column chromatography (ISCO, 12 g silica column, 0-15% MeOH/DCM, 15 minute gradient) gave the desired product as a yellow oil (0.25 g, 0.44 mmol, 74%). JH NMR (400 MHz, Methanol-ώ) δ 7.82 - 7.75 (m, 1H), 7.51 (d, J= 7.4 Hz, 1H), 7.41 (d, J= 8.5 Hz, 1H), 5.13 (dd, J = 12.4, 5.5 Hz, 1H), 4.76 (s, 2H), 3.66 - 3.58 (m, 6H), 3.53 - 3.45 (m, 4H), 3.19 (t, J = 5.6 Hz, 2H), 2.95 - 2.83 (m, 1H), 2.80 - 2.67 (m, 2H), 2.19 - 2.12 (m, 1H), 1.41 (s, 9H). LCMS 563.34 (M+H). Step 2: Synthesis of N-(2-(2-(2-aminoethoxy)ethoxy)ethyl)-2-((2-(2,6-dioxopiperidin-3-yl)- l,3-dioxoisoindolin-4-yl)oxy)acetamide trifluoroacetate
tot-butyl (2-(2-(2-(2-((2-(2,6-dioxopiperidin-3-yl)-l,3-dioxoisoindolin-4- yl)oxy)acetamido)ethoxy)ethoxy)ethyl)carbamate (0.25 g, 0.44 mmol, 1 eq) was dissolved in TFA (4.5 mL) and heated to 50 °C. After 3 hours, the mixture was cooled to room temperature, diluted with MeOH, and concentrated under reduced pressure. Purification by preparative HPLC gave the desired product as a tan solid (0.197 g, 0.342 mmol, 77%). lW NMR (400 MHz, Methanol-ώ) δ 7.81 (ddd, J= 8.4, 7.4, 1.1 Hz, 1H), 7.55 - 7.50 (m, 1H), 7.43 (d, J= 8.5 Hz, 1H), 5.13 (dd, J= 12.7, 5.5 Hz, 1H), 4.78 (s, 2H), 3.74 - 3.66 (m, 6H), 3.64 (t, J = 5.4 Hz, 2H), 3.52 (t, J = 5.3 Hz, 2H), 3.14 - 3.08 (m, 2H), 2.89 (ddd, J= 17.5, 13.9, 5.2 Hz, 1H), 2.80 - 2.66 (m, 2H), 2.16 (dtd, J= 13.0, 5.7, 2.7 Hz, 1H). LCMS 463.36 (M+H).
Step 2: Synthesis of dBET24
A 0.1 M solution of N-(2-(2-(2-aminoethoxy)ethoxy)ethyl)-2-((2-(2,6- dioxopiperidin-3-yl)-l,3-dioxoisoindolin-4-yl)oxy)acetamide trifluoroacetate in DMF (0.324 mL, 0.0324 mmol, 1 eq) was added to JQ-acid (13.0 mg, 0.324 mmol, 1 eq). DIPEA 16.9 microliters, 0.0972 mmol, 3 eq) and HATU (12.3 mg, 0.0324 mmol, 1 eq) were then added and the mixture was stirred for 18 hours at room temperature. The mixture was then diluted with EtOAc and washed with saturated sodium bicarbonate, water and brine. The organic layer was then dried over sodium sulfate, filtered and concentrated under reduced pressure. Purification by column chromatography (ISCO, 4 g silica column, 0-10% MeOH/DCM, 25 minute gradient) gave the desired product as an off-white solid (20.0 mg, 0.0236 mmol, 73%). ¾ NMR (400 MHz, Methanol-ώ) δ 7.77 - 7.72 (m, 1H), 7.49 (d, J = 7.4 Hz, 1H),
7.45 - 7.35 (m, 5H), 5.09 (ddd, J = 12.3, 5.4, 3.7 Hz, 1H), 4.76 (s, 2H), 4.60 (dd, J = 8.9, 5.3 Hz, 1H), 3.68 - 3.62 (m, 6H), 3.59 (t, J = 5.6 Hz, 2H), 3.54 - 3.48 (m, 2H), 3.47 - 3.35 (m, 4H), 2.84 (ddd, J= 19.4, 9.9, 4.6 Hz, 1H), 2.77 - 2.69 (m, 2H), 2.68 (d, J = 1.8 Hz, 3H), 2.43 (s, 3H), 2.12 (dt, J= 9.8, 5.3 Hz, 1H), 1.68 (s, 3H). LCMS 845.39 (M+H).
SUBSTITUTE SHEET (RULE 26)
xample 25 : Synthesis of dBET25
A 0.1 M solution of N-(4-aminobutyl)-2-((2-(2,6-dioxopiperidin-3-yl)-l,3- dioxoisoindolin-4-yl)oxy)acetamide trifluoroacetate in DMF (183 microliters, 0.0183 mmol, 1 eq) was added to (5 -4-(4-chlorophenyl)-6-(2-methoxy-2-oxoethyl)-2,9-dimethyl-6H- thieno[3,2- |[l,2,4]triazolo[4,3-a][l,4]diazepine-3-carboxylic acid (8.16 mg, 0.0183 mmol, 1 eq) at room temperature. DIPEA (9.6 microliters, 0.0550 mmol, 3 eq) and HATU (7.0 mg, 0.0183 mmol, 1 eq) were added. The mixture was then stirred for 23 hours, then diluted with EtOAc and washed with saturated sodium bicarbonate, water and brine. The organic layer was dried over sodium sulfate, filtered and concentrated under reduced pressure. Purification by column chromatography (ISCO, 4 g silica column, 0-10% MeOH/DCM, 25 minute gradient) gave the desired product as a yellow solid (4.39 mg, 0.00529 mmol, 29%). ¾
NMR (400 MHz, Methanol-ώ) δ 7.82 (dd, J= 8.4, 7.4 Hz, 1H), 7.55 (d, J= 7.3 Hz, 1H), 7.45 (d, J= 8.2 Hz, 1H), 7.43 - 7.31 (m, 4H), 5.16 - 5.10 (m, 1H), 4.77 (d, J= 1.5 Hz, 2H), 4.56 (s, 1H), 3.74 (d, J= 1.8 Hz, 3H), 3.66 - 3.60 (m, 1H), 3.50 (dd, J= 16.5, 7.3 Hz, 1H), 3.37 - 3.32 (m, 1H), 3.28 (s, 3H), 2.85 (t, J= 7.2 Hz, 2H), 2.75 (d, J= 7.8 Hz, 1H), 2.71 (d, J = 0.9 Hz, 3H), 2.59 (d, J= 1.0 Hz, 3H), 2.18 - 2.10 (m, 1H), 1.36 - 1.24 (m, 4H). LCMS 829.38 (M+H).
SUBSTITUTE SHEET (RULE 26)
Example 26: Synthesis of dBET26
A 0.1 M solution ofN-(8-aminooctyl)-2-((2-(2,6-dioxopiperidin-3-yl)-l,3- dioxoisoindolin-4-yl)oxy)acetamide trifiuoroacetate in DMF (186 microliters, 0.0186 mmol, 1 eq) was added to (5 -4-(4-chlorophenyl)-6-(2-methoxy-2-oxoethyl)-2,9-dimethyl-6H- thieno[3,2- |[l,2,4]triazolo[4,3-a][l,4]diazepine-3-carboxylic acid (8.26 mg, 0.0186 mmol, 1 eq) at room temperature. DIPEA (9.7 microliters, 0.0557 mmol, 3 eq) and HATU (7.1 mg, 0.0186 mmol, 1 eq) were added. The mixture was then stirred for 23 hours, then diluted with EtOAc and washed with saturated sodium bicarbonate, water and brine. The organic layer was dried over sodium sulfate, filtered and concentrated under reduced pressure. Purification by column chromatography (ISCO, 4 g silica column, 0-10% MeOH/DCM, 25 minute gradient) gave the desired product as a cream colored solid (6.34 mg, 0.00716 mmol, 38%). ¾ NMR (400 MHz, Methanol-ώ) δ 7.83 - 7.78 (m, 1H), 7.53 (dd, J= 7.3, 2.2 Hz, 1H), 7.45 - 7.38 (m, 3H), 7.32 (dd, J = 8.5, 1.3 Hz, 2H), 5.16 - 5.08 (m, 1H), 4.76 (s, 2H), 4.56 (s, 1H), 3.75 (s, 3H), 3.66 (dd, J= 15.9, 8.7 Hz, 1H), 3.50 (dd, J = 16.9, 6.9 Hz, 1H), 3.32 (d, J = 2.8 Hz, 4H), 2.84 - 2.74 (m, 3H), 2.70 (d, J= 1.1 Hz, 3H), 2.66 - 2.54 (m, 3H), 2.14 (d, J = 5.3 Hz, 1H), 1.62 - 1.22 (m, 12H). LCMS 885.48 (M+H).
SUBSTITUTE SHEET (RULE 26)
xample 27: Synthesis of dBET27
A 0.1 M solution of 4-(2-(2-aminoethoxy)ethoxy)-2-(2,6-dioxopiperidin-3- yl)isoindoline-l,3-dione trifluoroacetate in DMF (257 microliters, 0.0257 mmol, 1 eq) was added to JQ-acid (10.3 mg, 0.0257 mmol, 1 eq). DIPEA (13.4 microliters, 0.0771 mmol, 3 eq) and HATU (9.8 mg, 0.0257 mmol, 1 eq) were then added and the mixture was stirred for 18 hours at room temperature. The mixture was then diluted with EtOAc and washed with saturated sodium bicarbonate, water and brine. The organic layer was then dried over sodium sulfate, filtered and concentrated under reduced pressure. Purification by column
chromatography (ISCO, 4 g silica column, 0-10% MeOH/DCM, 25 minute gradient) gave the desired product as a white solid (14.53 mg, 0.0195 mmol, 76%). JH NMR (400 MHz, Methanol-ώ) δ 7.75 (ddd, J = 8.5, 7.3, 1.3 Hz, 1H), 7.47 - 7.30 (m, 6H), 5.00 (ddd, J = 25.4, 12.2, 5.2 Hz, 1H), 4.61 (td, J = 9.4, 5.0 Hz, 1H), 4.36 (q, J = 4.8 Hz, 2H), 3.96 - 3.89 (m, 2H), 3.74 (q, J= 5.6 Hz, 2H), 3.53 - 3.41 (m, 3H), 3.30 - 3.24 (m, 1H), 2.78 - 2.53 (m, 6H), 2.41 (d, J= 3.9 Hz, 3H), 2.09 - 1.98 (m, 1H), 1.67 (d, J= 5.0 Hz, 3H).
SUBSTITUTE SHEET (RULE 26)
Example 28: Synthesis of dBET28
A 0.1 M solution of 4-(4-aminobutoxy)-2-(2,6-dioxopiperidin-3-yl)isoindoline-l,3- dione trifluoroacetate in DMF (202 microliters, 0.0202 mmol, 1 eq) was added to JQ-acid (8.1 mg, 0.0202 mmol, 1 eq). DIPEA (10.6 microliters, 0.0606 mmol, 3 eq) and HATU (7.7 mg, 0.0202 mmol, 1 eq) were then added and the mixture was stirred for 18.5 hours at room temperature. The mixture was then diluted with EtOAc and washed with saturated sodium bicarbonate, water and brine. The organic layer was then dried over sodium sulfate, filtered and concentrated under reduced pressure. Purification by column chromatography (ISCO, 4 g silica column, 0-10% MeOH/DCM, 25 minute gradient) gave the desired product as a cream colored solid (10.46 mg, 0.0144 mmol, 71%). ¾ NMR (400 MHz, Methanol-ώ) δ 7.76 (t, J
= 7.5 Hz, 1H), 7.43 (td, J= 6.5, 2.5 Hz, 4H), 7.34 (t, J = 8.8 Hz, 2H), 5.08 - 4.98 (m, 1H), 4.64 (td, J= 9.1, 5.0 Hz, 1H), 4.26 (t, J = 5.3 Hz, 2H), 3.57 - 3.32 (m, 4H), 2.84 - 2.59 (m, 6H), 2.45 - 2.37 (m, 3H), 2.08 - 2.01 (m, 1H), 2.00 - 1.91 (m, 2H), 1.82 (dq, J = 13.8, 6.9 Hz, 2H), 1.68 (d, J= 11.7 Hz, 3H). LCMS 728.38 (M+H).
SUBSTITUTE SHEET (RULE 26)
Example 29: Synthesis of dBET29
A 0.1 M solution of 4-((6-aminohexyl)oxy)-2-(2,6-dioxopiperidin-3-yl)isoindoline- 1,3-dione in DMF (205 microliters, 0.0205 mmol, 1 eq) was added to JQ-acid (8.2 mg, 0.0205 mmol, 1 eq). DIPEA (10.7 microliters, 0.0614 mmol, 3 eq) and HATU (7.8 mg, 0.0205 mmol, 1 eq) were then added and the mixture was stirred for 19 hours at room temperature. The mixture was then diluted with EtOAc and washed with saturated sodium bicarbonate, water and brine. The organic layer was then dried over sodium sulfate, filtered and concentrated under reduced pressure. Purification by column chromatography (ISCO, 4 g silica column, 0-10% MeOH/DCM, 25 minute gradient) gave the desired product as a white solid (8.04 mg, 0.0106 mmol, 52%). ¾ NMR (400 MHz, Methanol-ώ) δ 7.75 - 7.71 (m, 1H), 7.51 - 7.34 (m, 6H), 5.07 (ddd, J = 12.1, 5.4, 2.4 Hz, 1H), 4.62 (dd, J = 9.0, 5.2 Hz, 1H), 4.22 (t, J = 6.4 Hz, 2H), 3.44 - 3.32 (m, 2H), 3.29 - 3.21 (m, 2H), 2.88 - 2.65 (m, 6H), 2.43 (s, 3H), 2.13 - 2.06 (m, 1H), 1.86 (dt, J = 13.9, 6.7 Hz, 2H), 1.68 (s, 3H), 1.59 (dq, J = 14.2, 7.0 Hz, 4H), 1.54 - 1.45 (m, 2H). LCMS 756.40 (M+H).
SUBSTITUTE SHEET (RULE 26)
xample 30: Synthesis of dBET30
A 0.1 M solution of N-(4-aminobutyl)-2-((2-(2,6-dioxopiperidin-3-yl)-l,3- dioxoisoindolin-4-yl)oxy)acetamide trifluoroacetate in DMF (163 microliters, 0.0163 mmol, 1 eq) was added to (5 -4-(4-chlorophenyl)-3,9-dimethyl-6-(2-((3-(4-methylpiperazin-l- yl)propyl)amino)-2-oxoethyl)-6H-thieno[3,2- |[l,2,4]triazolo[4,3-a] [l,4]diazepine-2- carboxylic acid (9.31 mg, 0.0163 mmol, 1 eq) at room temperature. DIPEA (8.5 microliters, 0.0490 mmol, 3 eq) and HATU (6.2 mg, 0.0163 mmol, 1 eq) were added. The mixture was then stirred for 23.5 hours, then purified by prepartive HPLC togive the desired product as a yellow oil (11.48 mg, 0.0107 mmol, 66%). JH NMR (400 MHz, Methanol-ώ) δ 7.82 - 7.78 (m, 1H), 7.54 - 7.35 (m, 6H), 5.09 (td, J = 12.7, 5.4 Hz, 1H), 4.77 - 4.70 (m, 3H), 3.56 - 3.31 (m, 12H), 3.23 (dd, J = 8.0, 6.0 Hz, 3H), 3.05 (d, J= 3.2 Hz, 2H), 2.93 - 2.81 (m, 5H), 2.78 - 2.63 (m, 5H), 2.15 - 2.05 (m, 2H), 1.96 - 1.86 (m, 4H), 1.68 (s, 4H). LCMS 954.55 (M+H). Example 31 : Synthesis of dBET31
SUBSTITUTE SHEET (RULE 26)
A 0.1 M solution ofN-(8-aminooctyl)-2-((2-(2,6-dioxopiperidin-3-yl)-l,3- dioxoisoindolin-4-yl)oxy)acetamide trifluoroacetate in DMF (153 microliters, 0.0153 mmol, 1 eq) was added to (5 -4-(4-chlorophenyl)-3,9-dimethyl-6-(2-((3-(4-methylpiperazin-l- yl)propyl)amino)-2-oxoethyl)-6H-thieno[3,2- |[l,2,4]triazolo[4,3-a] [l,4]diazepine-2- carboxylic acid (8.7 mg, 0.0153 mmol, 1 eq) at room temperature. DIPEA (7.9 microliters, 0.0458 mmol, 3 eq) and HATU (5.8 mg, 0.0153 mmol, 1 eq) were added. The mixture was then stirred for 25 hours, then purified by prepartive HPLC togive the desired product as a nice brown (not like poop brown, kind of like brick) oil (9.52 mg, 0.00847 mmol, 55%). 1H NMR (400 MHz, Methanol-ώ) δ 7.81 (dd, J = 8.4, 7.4 Hz, 1H), 7.59 - 7.40 (m, 6H), 5.12 (dd, J = 12.5, 5.4 Hz, 1H), 4.75 (s, 2H), 4.71 (t, J = 7.4 Hz, 1H), 3.53 - 3.34 (m, 8H), 3.29 -
3.11 (m, 6H), 3.03 - 2.61 (m, 13H), 2.15 (s, 1H), 2.01 - 1.84 (m, 5H), 1.59 (s, 4H), 1.37 (s, 8H). LCMS 1010.62 (M+H).
Example 32: Synthesis of dBET32
A 0.1 M solution of N-(4-aminobutyl)-2-((2-(2,6-dioxopiperidin-3-yl)-l,3- dioxoisoindolin-4-yl)oxy)acetamide trifluoroacetate in DMF (180 microliters, 0.0180 mmol, 1 eq) was added to 4-(4-(4-((4-((3-(N-(teri-but l)sulfamoyl)phenyl)amino)-5- methylpyrimidin-2-yl)amino)phenyl)piperazin-l-yl)-4-oxobutanoic acid (10.7 mg, 0.0180 mmol, 1 eq) at room temperature. DIPEA (9.4 microliters, 0.0539 mmol, 3 eq) and HATU (6.8 mg, 0.0180 mmol, 1 eq) were added and the mixture was stirred for 19 hours. The mixture was then diluted with methanol and purified by preparative HPLC to give the desired product as a brown oil (4.40 mg, 0.00449 mmol, 25%). JH NMR (500 MHz, Methanol-ώ) δ 8.08 (d, J= 13.6 Hz, 1H), 7.84 - 7.76 (m, 3H), 7.63 (s, 1H), 7.57 - 7.51 (m, 2H), 7.41 (d, J = 8.4 Hz, 1H), 7.22 (td, J= 6.7, 2.2 Hz, 2H), 7.03 - 6.97 (m, 2H), 5.14 (dd, J= 12.5, 5.5 Hz, 1H), 4.76 (d, J= 16.8 Hz, 2H), 3.72 (dt, J= 10.0, 5.2 Hz, 4H), 3.34 - 3.33 (m, 1H), 3.23 -
3.12 (m, 5H), 2.97 (dd, J = 8.8, 4.0 Hz, 3H), 2.80 - 2.69 (m, 4H), 2.64 (dd, J= 7.6, 5.5 Hz, 1H), 2.50 (t, J = 6.8 Hz, 1H), 2.22 (dd, J = 2.4, 0.9 Hz, 3H), 2.17 - 2.11 (m, 1H), 1.67 - 1.52 (m, 4H), 1.18 (d, J = 0.8 Hz, 9H). LCMS 980.64 (M+H).
SUBSTITUTE SHEET (RULE 26)
xample 33: Synthesis of dBET33
A 0.1 M solution ofN-(8-aminooctyl)-2-((2-(2,6-dioxopiperidin-3-yl)-l,3- dioxoisoindolin-4-yl)oxy)acetamide trifluoroacetate in DMF (188 microliters, 0.0188 mmol, 1 eq) was added to 4-(4-(4-((4-((3-(N-(ter^-but l)sulfamoyl)phenyl)amino)-5- methylpyrimidin-2-yl)amino)phenyl)piperazin-l-yl)-4-oxobutanoic acid (10.8 mg, 0.0188 mmol, 1 eq) at room temperature. DIPEA (9.8 microliters, 0.0564 mmol, 3 eq) and HATU (7.1 mg, 0.0188 mmol, 1 eq) were added and the mixture was stirred for 23 hours. The mixture was then diluted with methanol and purified by preparative HPLC to give the desired product as a brown residue (7.41 mg, 0.00715 mmol, 38%). JH NMR (500 MHz, Methanol- ώ)δ 8.06 (s, 1H), 7.80 (ddd,J= 10.5, 7.6, 3.2 Hz, 3H), 7.65 (d,J=4.5 Hz, 1H), 7.57-7.51 (m, 2H), 7.41 (dd, J= 8.4, 2.9 Hz, 1H), 7.25 (td, J= 6.7, 2.9 Hz, 2H), 7.02 (t, J= 8.0 Hz, 2H), 5.16 - 5.09 (m, 1H), 4.75 (d, J= 9.5 Hz, 2H), 3.76 (dq, J= 16.0, 5.3 Hz, 4H), 3.29 - 3.12 (m, 7H), 3.00-2.67 (m, 7H), 2.51 (t,J=6.8Hz, 1H), 2.22 (d,J=3.1 Hz, 3H), 2.13 (dtd,J= 10.4, 5.7, 3.1 Hz, 1H), 1.59 - 1.52 (m, 2H), 1.51 - 1.43 (m, 2H), 1.32 (t, J= 16.6 Hz, 8H), 1.18 (d, J= 1.3 Hz, 9H). LCMS 1036.69 (M+H).
SUBSTITUTE SHEET (RULE 26)
Example 34: Synthesis of dBET34
A 0.1 M solution of N-(3-(2-(2-(3-aminopropoxy)ethoxy)ethoxy)propyl)-2-((2-(2,6- dioxopiperidin-3-yl)-l,3-dioxoisoindolin-4-yl)oxy)acetamide trifluoroacetate in DMF (173 microliters, 0.0173 mmol, 1 eq) was added to 4-(4-(4-((4-((3-(N-(teri- butyl)sulfamoyl)phenyl)amino)-5-methylpyrirnidin-2-yl)amino)phenyl)piperazin-l-yl)-4- oxobutanoic acid (10.3 mg, 0.0173 mmol, 1 eq) at room temperature. DIPEA (9.0 microliters, 0.0519 mmol, 3 eq) and HATU (6.6 mg, 0.0173 mmol, 1 eq) were added and the mixture was stirred for 25 hours. The mixture was then diluted with methanol and purified by preparative HPLC to give the desired product as a brown residue (7.99 mg, 0.00718 mmol, 42%). ¾
NMR (500 MHz, Methanol-ώ) δ 8.06 (s, 1H), 7.83 - 7.76 (m, 3H), 7.65 (s, 1H), 7.58 - 7.50 (m, 2H), 7.43 (dd, J= 17.7, 8.4 Hz, 1H), 7.27 - 7.21 (m, 2H), 7.02 (t, J = 8.0 Hz, 2H), 5.13 (dt, J= 12.7, 5.2 Hz, 1H), 4.76 (d, J = 12.4 Hz, 2H), 3.73 (q, J= 6.3 Hz, 4H), 3.63 - 3.49 (m, 10H), 3.41 (q, J= 6.6 Hz, 2H), 3.27 - 3.15 (m, 5H), 3.01 - 2.81 (m, 4H), 2.79 - 2.63 (m, 5H), 2.50 (t, J = 6.8 Hz, 1H), 2.22 (d, J= 2.3 Hz, 3H), 2.17 - 2.11 (m, 1H), 1.88 - 1.70 (m, 4H), 1.18 (d, J= 1.2 Hz, 9H). LCMS 1112.74 (M+H).
SUBSTITUTE SHEET (RULE 26)
Example 35: Synthesis of dBET35
A 0.1 M solution of N-(4-aminobutyl)-2-((2-(2,6-dioxopiperidin-3-yl)-l- oxoisoindolin-4-yl)amino)acetamide trifluoroacetate in DMF (185 microliters, 0.0185 mmol, 1 eq) was added to JQ-acid (7.4 mg, 0.0185 mmol, 1 eq). DIPEA (9.6 microliters, 0.0554 mmol, 3 eq) and HATU (7.0 mg, 0.0185 mmol, 1 eq) were then added and the mixture was stirred for 17 hours at room temperature. The mixture was then diluted with EtOAc and washed with saturated sodium bicarbonate, water and brine. The organic layer was then dried over sodium sulfate, filtered and concentrated under reduced pressure. Purification by column chromatography (ISCO, 4 g silica column, 0-15% MeOH/DCM, 25 minute gradient) gave the desired product as a white solid (2.71 mg, 0.00351 mmol, 19%). ¾ NMR (500 MHz, Methanol-ώ) δ 7.48 - 7.37 (m, 4H), 7.34 (t, J= 7.8 Hz, 1H), 7.14 (dd, J= 7.4, 2.4 Hz, 1H), 6.67 (d, J = 8.1 Hz, 1H), 5.14 (td, J = 13.5, 5.2 Hz, 1H), 4.66 - 4.60 (m, 1H), 4.59 (d, J = 8.3 Hz, 2H), 4.43 - 4.31 (m, 2H), 3.88 (s, 2H), 3.25 (dd, J = 14.8, 7.1 Hz, 4H), 2.94 - 2.72 (m, 3H), 2.68 (d, J = 4.9 Hz, 3H), 2.49 - 2.40 (m, 4H), 2.21 - 2.12 (m, 1H), 1.68 (s, 3H), 1.53 (s, 4H). LCMS 770.51 (M+H). Example 36: Synthesis of dBET36
SUBSTITUTE SHEET (RULE 26)
A 0.1 M solution of N-(4-aminobutyl)-2-(2-(2,6-dioxopiperidin-3-yl)-l ,3- dioxoisoindolin-4-yl)acetamide trifluoroacetate in DMF (222 microliters, 0.0222 mmol, 1 eq) was added to JQ-acid (8.9 mg, 0.0222 mmol, 1 eq). DIPEA (1 1.6 microliters, 0.0666 mmol, 3 eq) and HATU (8.4 mg, 0.0222 mmol, 1 eq) were then added and the mixture was stirred for 17.5 hours at room temperature. The mixture was then diluted with EtOAc and washed with saturated sodium bicarbonate, water and brine. The organic layer was then dried over sodium sulfate, filtered and concentrated under reduced pressure. Purification by column
chromatography (ISCO, 4 g silica column, 0-15% MeOH/DCM, 25 minute gradient) gave the desired product as a white solid (12.42 mg, 0.0156 mmol, 70%). ¾ NMR (500 MHz, Methanol-ώ) δ 7.80 - 7.74 (m, 2H), 7.68 (d, J = 6.8 Hz, 1H), 7.42 (q, J = 8.7 Hz, 4H), 5.1 1 (dt, J= 12.3, 4.6 Hz, 1H), 4.63 (dd, J= 8.8, 5.5 Hz, 1H), 4.10 - 4.00 (m, 2H), 3.39 (ddd, J = 14.9, 8.8, 2.5 Hz, 1H), 3.30 - 3.21 (m, 5H), 2.88 - 2.76 (m, 1H), 2.74 - 2.65 (m, 5H), 2.44 (s, 3H), 2.15 - 2.08 (m, 1H), 1.69 (s, 3H), 1.63 - 1.55 (m, 4H). LCMS 769.49 (M+H). Example 37: Synthesis of dBET37
A 0.1 M solution of 6-amino-N-((2-(2,6-dioxopiperidin-3-yl)-l,3-dioxoisoindolin-4- yl)methyl)hexanamide trifluoroacetate in DMF (195 microliters, 0.0195 mmol, 1 eq) was added to JQ-acid (7.8 mg, 0.0195 mmol, 1 eq). DIPEA (10.2 microliters, 0.0584 mmol, 3 eq) and HATU (7.4 mg, 0.0195 mmol, 1 eq) were then added and the mixture was stirred for 18 hours at room temperature. The mixture was then diluted with EtOAc and washed with saturated sodium bicarbonate, water and brine. The organic layer was then dried over sodium sulfate, filtered and concentrated under reduced pressure. Purification by column
chromatography (ISCO, 4 g silica column, 0-15% MeOH/DCM, 25 minute gradient) gave the desired product as a white solid (11.83 mg, 0.0151 mmol, 77%). ¾ NMR (500 MHz, Methanol-ώ) δ 7.78 - 7.74 (m, 2H), 7.71 (dd, J= 5.3, 3.5 Hz, 1H), 7.42 (q, J = 8.5 Hz, 4H), 5.13 (dd, J= 12.6, 5.5 Hz, 1H), 4.82 (s, 2H), 4.63 (dd, J= 8.8, 5.5 Hz, 1H), 3.40 (ddd, J =
SUBSTITUTE SHEET (RULE 26)
15.0, 8.8, 1.6 Hz, 1H), 3.30 - 3.21 (m, 3H), 2.86 (ddd, J= 18.4, 14.6, 4.8 Hz, 1H), 2.74 (ddd, J = 13.8, 10.1, 2.8 Hz, 2H), 2.69 (s, 3H), 2.44 (s, 3H), 2.30 (t, J= 7.4 Hz, 2H), 2.13 (dtd, J = 12.9, 4.9, 2.3 Hz, 1H), 1.74 - 1.64 (m, 5H), 1.59 (p, J= 7.0 Hz, 2H), 1.46 - 1.38 (m, 2H). LCMS 783.47 (M+H).
Example 38: Synthesis of dBET38
Step 1: Synthesis of tert- butyl (3-(3-(2-((2-(2,6-dioxopiperidin-3-yl)-l,3-dioxoisoindolin-4- yl)oxy)acetamido)propoxy)propyl)carbamate
tot-butyl (3-(3-aminopropoxy)propyl)carbamate (134.5 mg, 0.579 mmol, 1 eq) was dissolved in DMF (5.79 ml, 0.05 M) then added to 2-((2-(2,6-dioxopiperidin-3-yl)-l,3- dioxoisoindolin-4-yl)oxy)acetic acid (192.38 mg, 0.579 mmol, leq). DIPEA (0.28 ml, 1.74 mmol, 3 eq) and HATU (153.61 mg, 0.579 mmol, 1 eq) were added and the mixture was stirred for 18 hours at room temperature. The mixture was then diluted with EtOAc and washed with saturated sodium bicarbonate, water then brine. The organic layer was dried over sodium sulfate, filtered and condensed to give a yellow oil (157.1 mg). The crude material was purified by column chromatography (ISCO, 12 g silica column, 0 to 15% MeOH/DCM 25 minute gradient) to give a yellow oil (121.3 mg, 0.222 mmol, 38.27 %). ¾ NMR (400 MHz, Methanol-ώ) δ 7.78 (dd, J= 8.4, 7.4 Hz, 1H), 7.50 (d, J= 7.3 Hz, 1H), 7.41 (d, J= 8.5 Hz, 1H), 5.13 (dd, J= 12.4, 5.5 Hz, 1H), 4.75 (s, 2H), 3.53 - 3.37 (m, 6H), 3.14 - 3.07 (m, 2H), 2.94 - 2.88 (m, 1H), 2.79 - 2.68 (m, 2H), 2.16 (ddd, J = 12.8, 6.6, 2.7 Hz, 1H), 1.81 (p, J= 6.4 Hz, 2H), 1.73 - 1.65 (m, 2H), 1.40 (s, 9H). LCMS 547.6 (M+H).
Step 2: Synthesis of N-(3-(3-aminopropoxy)propyl)-2-((2-(2,6-dioxopuperidin-3-yl)-l,3- dioxoisoindolin-4-yl)oxy)acetamide trifluoroacetate salt
TFA (2.22ml, 0.1 M) was added to tert- butyl (3-(3-(2-((2-(2,6-dioxopiperidin-3-yl)- l,3-dioxoisoindolin-4-yl)oxy)acetamido)propoxy)propyl)carbamate (121.3 mg, 0.222 mmol, 1 eq) and the mixture was stirred at 50° C for 2 hours. The mixture was then dissolved in MeOH and concentrated under reduced pressure to give a brown oil (114.1 mg) that was carried forward without further purification. *Η NMR (400 MHz, Methanol-^) δ 7.81 - 7.74 (m, 1H), 7.50 (d, J = 7.3 Hz, 1H), 7.41 (d, J= 8.5 Hz, 1H), 5.12 (dd, J = 12.7, 5.5 Hz, 1H), 4.76 (s, 2H), 3.57 - 3.52 (m, 2H), 3.48 (t, J = 5.9 Hz, 2H), 3.40 (t, J = 6.6 Hz, 2H), 3.06 (t, J = 6.5 Hz, 2H), 2.87 (ddd, J= 14.1, 10.1, 7.0 Hz, 1H), 2.79 - 2.65 (m, 2H), 2.15 (dtd, J = 12.8, 5.5, 2.6 Hz, 1H), 1.92 (dt, J= 11.7, 5.9 Hz, 2H), 1.81 (p, J= 6.3 Hz, 2H). LCMS 447.2 (M+H).
SUBSTITUTE SHEET (RULE 26)
Step 3: Synthesis of dBET38
A 0.1 M solution of N-(3-(3-aminopropoxy)propyl)-2-((2-(2,6-dioxopiperidin-3-yl)- l,3-dioxoisoindolin-4-yl)oxy)acetamide trifluoroacetate in DMF (0.215 mL, 0.0215 mmol, 1 eq) was added to JQ-acid (8.6 mg, 0.0215 mmol, 1 eq) at room temperature. DIPEA (11.2 microliters, 0.0644 mmol, 3 eq) and HATU (8.2 mg, 0.0215 mmol, 1 eq) were added. After 19 hours, the mixture was diluted with EtOAc and washed with saturated sodium
bicarbonate, water and brine. The combined organic layer was dried over sodium sulfate, filtered and concentrated under reduced pressure. Purification by column chromatography (ISCO, 4 g silica column, 0-15% MeOH/DCM, 25 minute gradient) gave the desired product as a cream colored solid (10.6 mg, 0.0127 mmol, 59%). JH NMR (500 MHz, Methanol-ώ) δ 7.79 - 7.74 (m, 1H), 7.50 (d, J = 8.1 Hz, 1H), 7.46 - 7.36 (m, 5H), 5.11 (ddd, J = 12.4, 5.5, 1.7 Hz, 1H), 4.73 (s, 2H), 4.62 (ddd, J= 8.7, 5.4, 1.4 Hz, 1H), 3.50 (q, J= 6.3 Hz, 4H), 3.43 (t, J= 6.5 Hz, 2H), 3.41 - 3.32 (m, 3H), 3.29 - 3.24 (m, 1H), 2.85 (ddd, J= 18.3, 14.6, 4.2 Hz, 1H), 2.77 - 2.65 (m, 5H), 2.43 (s, 3H), 2.17 - 2.09 (m, 1H), 1.80 (h, J = 6.4 Hz, 4H), 1.68 (s, 3H). LCMS 829.32 (M+H).
Example 39: Synthesis of dBET39
A 0.1 M solution of 4-((10-aminodecyl)oxy)-2-(2,6-dioxopiperidin-3-yl)isoindoline-
1,3-dione trifluoroacetate in DMF (0.212 mL, 0.0212 mmol, 1 eq) was added to JQ-acid (8.5 mg, 0.0212 mmol, 1 eq) at room temperature. DIPEA (11.1 microliters, 0.0636 mmol, 3 eq)
SUBSTITUTE SHEET (RULE 26)
and HATU (8.1 mg, 0.0212 mmol, 1 eq) were added. After 19 hours, the mixture was diluted with EtOAc and washed with saturated sodium bicarbonate, water and brine. The combined organic layer was dried over sodium sulfate, filtered and concentrated under reduced pressure. Purification by column chromatography (ISCO, 4 g silica column, 0-15%
MeOH/DCM, 25 minute gradient) and preparative HPLC gave the desired product (0.39 mg, 0.00048 mmol, 2.3%). ¾ NMR (500 MHz, Methanol-ώ) δ 7.77 - 7.73 (m, 1H), 7.56 - 7.31 (m, 6H), 5.11 - 5.06 (m, 1H), 4.62 (dd, J= 9.2, 5.0 Hz, 1H), 4.58 (s, 2H), 4.21 (t, J= 6.3 Hz, 2H), 3.42 - 3.38 (m, 1H), 3.24 - 3.20 (m, 1H), 2.90 - 2.68 (m, 6H), 2.45 (d, J= 6.7 Hz, 3H), 2.11 (s, 1H), 1.83 (dd, J= 14.7, 6.6 Hz, 2H), 1.70 (s, 3H), 1.61 - 1.49 (m, 4H), 1.32 (d, J = 23.2 Hz, 10H). LCMS 812.60 (M+H).
Example 40: Synthesis of dBET40
A 0.1 M solution of 4-(2-(2-(2-aminoethoxy)ethoxy)ethoxy)-2-(2,6-dioxopiperidin-3- yl)isoindoline-l,3-dione trifiuoroacetate in DMF (0.242 mL, 0.0242 mmol, 1 eq) was added to JQ-acid (9.7 mg, 0.0242 mmol, 1 eq) at room temperature. DIPEA (12.6 microliters, 0.0726 mmol, 3 eq) and HATU (9.2 mg, 0.0242 mmol, 1 eq) were added. After 22 hours, the mixture was diluted with EtOAc and washed with saturated sodium bicarbonate, water and brine. The combined organic layer was dried over sodium sulfate, filtered and concentrated under reduced pressure. Purification by column chromatography (ISCO, 4 g silica column, 0- 10% MeOH/DCM, 25 minute gradient) and preparative HPLC gave the desired product as a brown oil (4.74 mg, 0.00601mmol, 25%). ¾ NMR (500 MHz, Methanol-ώ) δ 7.77 - 7.67 (m, 1H), 7.52 - 7.36 (m, 5H), 5.09 - 5.03 (m, 1H), 4.64 (d, J = 4.8 Hz, 1H), 4.40 - 4.32 (m, 2H), 3.97 - 3.88 (m, 2H), 3.81 - 3.74 (m, 2H), 3.69 - 3.60 (m, 5H), 3.55 - 3.38 (m, 4H), 2.89 - 2.54 (m, 6H), 2.45 (d, J= 5.9 Hz, 3H), 2.11 (s, 1H), 1.70 (d, J = 8.6 Hz, 3H). LCMS
788.42 (M+H).
SUBSTITUTE SHEET (RULE 26)
Example 41 : Synthesis of dBET41
Step 1: Synthesis of fert-butyl (4-((2-((2-(2,6-dioxopiperidin-3-yl)-l,3-dioxoisoindolin-4- yl)oxy)acetamido)methyl)benzyl)carbamate
fert-butyl (4-(aminomethyl)benzyl)carbamate (183.14 mg, 0.755 mmol, leq) was dissolved in DMF (15.1 ml, 0.05 M) and added to 2-((2-(2,6-dioxopiperidin-3-yl)-l,3- dioxoisoindolin-4-yl)oxy)acetic acid (250.90 mg, 0.755 mmol, 1 eq). DIPEA (0.374 ml, 2.265 mmol, 3 eq) and HATU (296.67 mg, 0.755 mmol, 1 eq) were added and the mixture was stirred for 20 hours at room temperature. The mixture was then diluted with EtOAc and washed with saturated sodium bicarbonate, water then brine. The organic layer was dried over sodium sulfate, filtered and condensed to give a light brown oil. The crude material was purified by column chromatography (ISCO, 12 g silica column, 0 to 15% MeOH/DCM 25 minute gradient) to give a light brown oil (373.1 mg, 0.678 mmol, 89.8 %). JH NMR (500 MHz, DMSO-c e) δ 11.10 (s, 2H), 8.48 (t, J = 5.8 Hz, 1H), 7.80 (dd, J = 8.4, 7.3 Hz, 1H), 7.49 (d, J= 7.2 Hz, 1H), 7.40 (d, J = 8.6 Hz, 1H), 7.26 - 7.08 (m, 4H), 5.11 (dd, J = 12.9, 5.4 Hz, 1H), 4.86 (s, 2H), 4.33 (d, J= 3.9 Hz, 2H), 4.09 (d, J = 5.3 Hz, 2H), 2.65 - 2.51 (m, 3H), 2.07 - 1.99 (m, 1H), 1.38 (s, 9H). LCMS 551.5 (M+H).
Step 2: Synthesis of N-(4-(aminomethyl)benzyl)-2-((2-(2,6-dioxopiperidin-3-yl)-l,3- dioxoisoindolin-4-yl)oxy)acetamide trifluoracetate salt
TFA (6.77 ml, 0.1 M) was added to fert-butyl (4-((2-((2-(2,6-dioxopiperidin-3-yl)-l,3- dioxoisoindolin-4-yl)oxy)acetamido)methyl)benzyl)carbamate ( 373.1 mg, 0.677 mmol, 1 eq) and the mixture was stirred at 50° C for 1.5 hours. The mixture was then dissolved in MeOH and concentrated under reduced pressure to give a brown oil (270.29 mg) that was carried forward without further purification. Ή NMR (500 MHz, DMSO-c e) δ 11.11 (s, 1H), 8.55 (t, J = 6.2 Hz, 1H), 8.07 (s, 3H), 7.81 (dd, J = 8.5, 7.3 Hz, 1H), 7.51 (d, J = 7.2 Hz, 1H), 7.40 (dd, J = 14.9, 8.3 Hz, 3H), 7.31 (d, J= 8.2 Hz, 2H), 5.11 (dd, J= 12.9, 5.4 Hz, 1H), 4.87 (s, 2H), 4.37 (d, J= 6.1 Hz, 2H), 4.01 (q, J = 5.8 Hz, 2H), 2.66 - 2.51 (m, 3H), 2.07 - 1.99 (m, 1H). LCMS 451.3 (M+H).
SUBSTITUTE SHEET (RULE 26)
tep 3: Synthesis of dBET41
A 0.1 M solution of N-(4-(aminomethyl)benzyl)-2-((2-(2,6-dioxopiperidin-3-yl)-l,3- dioxoisoindolin-4-yl)oxy)acetamide trifluoroacetate in DMF (0.237 mL, 0.0237 mmol, 1 eq) was added to JQ-acid (9.5 mg, 0.0237 mmol, 1 eq) at room temperature. After 23 hours, the mixture was diluted with EtOAc and washed with saturated sodium bicarbonate, water and brine. The organic layer was dried over sodium sulfate, filtered and concentrated under reduced pressure. Purification by column chromatography (ISCO, 4 g silica column, 0-10% MeOH/DCM, 25 minute gradient) gave the desired product as a cream colored solid (11.8 mg, 0.0142 mmol, 60%). JH NMR (500 MHz, Methanol-ώ) δ 7.80 - 7.75 (m, 1H), 7.51 (dd, J = 7.3, 1.5 Hz, 1H), 7.41 (d, J = 8.4 Hz, 1H), 7.36 (d, J = 2.2 Hz, 4H), 7.34 - 7.28 (m, 4H), 5.10 - 5.00 (m, 1H), 4.82 (s, 2H), 4.67 - 4.64 (m, 1H), 4.61 - 4.42 (m, 4H), 4.34 (dd, J = 14.9, 12.8 Hz, 1H), 3.49 (ddd, J = 14.8, 9.5, 5.2 Hz, 1H), 2.83 - 2.75 (m, 1H), 2.73 - 2.61 (m, 5H), 2.44 - 2.39 (m, 3H), 2.06 (ddq, J = 9.8, 4.7, 2.6 Hz, 1H), 1.66 (d, J = 4.2 Hz, 3H).
LCMS 832.92 (M+H).
Example 42: Synthesis of dBET42
A 0.1 M solution of 5-amino-N-(2-(2,6-dioxopiperidin-3-yl)-l-oxoisoindolin-4- yl)pentanamide trifluoroacetate in DMF (222 microliters, 0.0222 mmol, 1 eq) was added to JQ-acid (8.9 mg, 0.0222 mmol, 1 eq). DIPEA (11.6 microliters, 0.0666 mmol, 3 eq) and
SUBSTITUTE SHEET (RULE 26)
HATU (8.4 mg, 0.0222 mmol, 1 eq) were then added and the mixture was stirred for 24 hours at room temperature. The mixture was then diluted with EtOAc and washed with saturated sodium bicarbonate, water and brine. The organic layer was then dried over sodium sulfate, filtered and concentrated under reduced pressure. Purification by column chromatography (ISCO, 4 g silica column, 0-10% MeOH/DCM, 25 minute gradient) gave the desired product as a white solid (12.23 mg, 0.0165 mmol, 74%). ¾ NMR (500 MHz, Methanol-ώ) δ 7.76 - 7.71 (m, 1H), 7.66 - 7.62 (m, 1H), 7.51 (td, J= 7.8, 2.5 Hz, 1H), 7.45 - 7.35 (m, 4H), 5.11 (ddd, J = 13.2, 11.3, 5.2 Hz, 1H), 4.63 (ddd, J = 8.8, 5.7, 3.2 Hz, 1H), 4.47 (s, 2H), 3.45 - 3.32 (m, 3H), 3.30 - 3.27 (m, 1H), 2.90 - 2.80 (m, 1H), 2.73 - 2.63 (m, 4H), 2.49 (t, J = 7.4 Hz, 2H), 2.46 - 2.38 (m, 4H), 2.11 (ddtd, J = 12.8, 10.5, 5.3, 2.3 Hz, 1H), 1.84 - 1.75 (m, 2H), 1.66 (dd, J = 16.2, 7.6 Hz, 5H). LCMS 741.46 (M+H).
Example 43 : Synthesis of dBET43
A 0.1 M solution of 7-amino-N-(2-(2,6-dioxopiperidin-3-yl)-l-oxoisoindolin-4- yl)heptanamide trifluoroacetate in DMF (227 microliters, 0.0227 mmol, 1 eq) was added to JQ-acid (9.1 mg, 0.0227 mmol, 1 eq). DIPEA (11.9 microliters, 0.0681 mmol, 3 eq) and HATU (8.6 mg, 0.0227 mmol, 1 eq) were then added and the mixture was stirred for 25.5 hours at room temperature. The mixture was then diluted with EtOAc and washed with saturated sodium bicarbonate, water and brine. The organic layer was then dried over sodium sulfate, filtered and concentrated under reduced pressure. Purification by column
chromatography (ISCO, 4 g silica column, 0-10% MeOH/DCM, 25 minute gradient) gave the desired product as an off-white solid (12.58 mg, 0.0164 mmol, 72%). JH NMR (500 MHz, Methanol-ώ) δ 7.71 (d, J = 7.9 Hz, 1H), 7.64 (d, J = 7.4 Hz, 1H), 7.51 (t, J = 7.8 Hz, 1H), 7.46 - 7.38 (m, 4H), 5.14 (ddd, J = 13.3, 5.2, 2.2 Hz, 1H), 4.62 (ddd, J = 8.6, 5.6, 2.1 Hz, 1H), 4.49 - 4.45 (m, 2H), 3.39 (ddd, J = 14.9, 8.7, 1.3 Hz, 1H), 3.30 - 3.24 (m, 3H), 2.93 - 2.83 (m, 1H), 2.79 - 2.65 (m, 4H), 2.50 - 2.40 (m, 6H), 2.16 (ddq, J = 9.9, 5.2, 2.6 Hz, 1H),
SUBSTITUTE SHEET (RULE 26)
1.78 - 1.70 (m, 2H), 1.68 (d, J = 2.1 Hz, 3H), 1.63 - 1.57 (m, 2H), 1.50 - 1.42 (m, 4H). LCMS 769.55 (M+H).
Example 44: Synthesis of dBET44
A 0.1 M solution of 8-amino-N-(2-(2,6-dioxopiperidin-3-yl)-l-oxoisoindolin-4- yl)octanamide trifluoroacetate in DMF (217 microliters, 0.0217 mmol, 1 eq) was added to JQ-acid (8.7 mg, 0.0217 mmol, 1 eq). DIPEA (11.3 microliters, 0.0651 mmol, 3 eq) and HATU (8.3 mg, 0.0217 mmol, 1 eq) were then added and the mixture was stirred for 20.5 hours at room temperature. The mixture was then diluted with EtOAc and washed with saturated sodium bicarbonate, water and brine. The organic layer was then dried over sodium sulfate, filtered and concentrated under reduced pressure. Purification by column
chromatography (ISCO, 4 g silica column, 0-10% MeOH/DCM, 25 minute gradient) gave the desired product as an cream colored solid (14.28 mg, 0.0182 mmol, 84%). ¾ NMR (500 MHz, Methanol-ώ) δ 7.72 - 7.68 (m, 1H), 7.64 (d, J = 7.5 Hz, 1H), 7.51 (t, J = 7.7 Hz, 1H), 7.46 - 7.39 (m, 4H), 5.14 (dt, J = 13.3, 5.0 Hz, 1H), 4.62 (dd, J = 8.8, 5.4 Hz, 1H), 4.48 - 4.44 (m, 2H), 3.40 (ddd, J = 14.9, 8.8, 0.9 Hz, 1H), 3.26 (dt, J = 13.2, 6.9 Hz, 3H), 2.88 (ddd, J = 18.7, 13.5, 5.4 Hz, 1H), 2.75 (dddd, J = 17.6, 7.1, 4.5, 2.4 Hz, 1H), 2.68 (d, J= 2.2 Hz, 3H), 2.49 - 2.39 (m, 6H), 2.17 (ddt, J = 9.8, 5.3, 2.3 Hz, 1H), 1.76 - 1.70 (m, 2H), 1.70 - 1.67 (m, 3H), 1.61 - 1.54 (m, 2H), 1.42 (s, 6H). LCMS 783.53 (M+H).
SUBSTITUTE SHEET (RULE 26)
xample 45 : Synthesis of dBET45
A 0.1 M solution ofN-(8-aminooctyl)-2-((2-(2,6-dioxopiperidin-3-yl)-l,3- dioxoisoindolin-4-yl)oxy)acetamide trifluoroacetate in DMF (268 microliters, 0.0268 mmol, 1 eq) was added to (i?)-4-((4-cyclopentyl-l,3-dimethyl-2-oxo-l,2,3,4-tetrahydropyrido[2,3- )]pyrazin-6-yl)amino)-3-methoxybenzoic acid (11.0 mg, 0.0268 mmol, 1 eq) at room temperature. DIPEA (14.0 microliters, 0.0804 mmol, 3 eq) and HATU (10.2 mg, 0.0268 mmol, 1 eq) were then added and the mixture was stirred for 18.5 hours. The mixture was then diluted with methanol and purified by preparative HPLC to give the desired product as a dark brown solid (10.44 mg, 0.0108 mmol, 40%). ¾ NMR (500 MHz, Methanol-ώ) δ 8.38 (d, J= 8.4 Hz, 1H), 7.80 - 7.75 (m, 1H), 7.55 - 7.48 (m, 1H), 7.48 - 7.35 (m, 3H), 7.27 (d, J = 8.3 Hz, 1H), 6.45 (d,J= 8.2 Hz, 1H), 5.12(dd,J= 12.5, 5.5 Hz, 1H), 4.72 (d,J=5.1 Hz, 2H), 4.53 (s, 1H), 4.28 (d,J=6.8Hz, 1H), 3.98 (d,J=4.1 Hz, 3H), 3.48-3.33 (m, 4H), 2.90- 2.82 (m, 1H), 2.80-2.69 (m, 2H), 2.18-2.01 (m, 4H), 1.88- 1.52 (m, 10H), 1.34 (d, J= 42.9 Hz, 10H), 1.17 (d,J=6.8Hz, 3H). LCMS 851.67 (M+H).
SUBSTITUTE SHEET (RULE 26)
xample 46: Synthesis of dBET46
A 0.1 M solution of N-(3-(2-(2-(3-aminopropoxy)ethoxy)ethoxy)propyl)-2-((2-(2,6- dioxopiperidin-3-yl)-l,3-dioxoisoindolin-4-yl)oxy)acetamide trifluoroacetate in DMF (256 microliters, 0.0256 mmol, 1 eq) was added to (i?)-4-((4-cyclopentyl-l,3-dimethyl-2-oxo- l,2,3,4-tetrahydropyrido[2,3- )]pyrazin-6-yl)amino)-3-methoxybenzoic acid (10.5 mg, 0.0256 mmol, 1 eq) at room temperature. DIPEA (13.4 microliters, 0.0767 mmol, 3 eq) and HATU (9.7 mg, 0.0256 mmol, 1 eq) were then added and the mixture was stirred for 20 hours. The mixture was then diluted with methanol and purified by preparative HPLC to give the desired product as a dark brown solid (13.69 mg, 0.0132 mmol, 51%). JH NMR (500 MHz,
Methanol-ώ) δ 8.28 - 8.24 (m, 1H), 7.74 - 7.71 (m, 1H), 7.49 (dd, J = 7.3, 3.7 Hz, 1H), 7.39 - 7.34 (m, 2H), 7.28 - 7.25 (m, 1H), 7.14 - 7.10 (m, 1H), 6.34 (d, J = 8.3 Hz, 1H), 5.01 - 4.97 (m, 1H), 4.62 (s, 2H), 4.25 (q, J = 6.7 Hz, 1H), 3.95 (d, J = 5.4 Hz, 3H), 3.60 (ddd, J = 9.0, 6.1, 1.6 Hz, 8H), 3.53 - 3.46 (m, 6H), 3.40 - 3.37 (m, 2H), 2.78 (td, J = 11.1, 6.6 Hz, 3H), 2.16 - 2.00 (m, 4H), 1.84 (ddt, J = 33.5, 13.0, 6.4 Hz, 7H), 1.75 - 1.60 (m, 6H), 1.17 (d, J = 6.8 Hz, 3H). LCMS 927.74 (M+H).
SUBSTITUTE SHEET (RULE 26)
Example 47: Synthesis of dBET50
A 0.1 M solution of N-(3-(2-(2-(3-aminopropoxy)ethoxy)ethoxy)propyl)-2-((2-(2,6- dioxopiperidin-3-yl)-l,3-dioxoisoindolin-4-yl)oxy)acetamide trifluoroacetate in DMF (200 microliters, 0.0200 mmol, 1 eq) was added to (5)-4-(4-chlorophenyl)-6-(2-methoxy-2- oxoethyl)-3,9-dimethyl-6H-thieno[3,2- | [l,2,4]triazolo[4,3-a][l,4]diazepine-2-carboxylic acid (8.9 mg, 0.020 mmol, 1 eq) at room temperature. DIPEA (10.5 microliters, 0.060 mmol, 3 eq) and HATU (7.6 mg, 0.020 mmol, 1 eq) were added. The mixture was then stirred for 17 hours, then diluted with EtOAc and washed with saturated sodium bicarbonate, water and brine. The organic layer was dried over sodium sulfate, filtered and concentrated under reduced pressure. Purification by column chromatography (ISCO, 4 g silica column, 0-10% MeOH/DCM, 25 minute gradient) gave the desired product as a cream colored solid (9.31 mg, 0.00968 mmol, 48%). ¾ NMR (500 MHz, Methanol-ώ) δ 7.82 - 7.78 (m, 1H), 7.52 (dd, J = 7.1, 1.6 Hz, 1H), 7.49 - 7.40 (m, 5H), 5.10 (ddd, J= 12.8, 5.5, 2.9 Hz, 1H), 4.74 (s, 2H), 4.67 (t, J= 7.1 Hz, 1H), 3.76 (s, 3H), 3.62 - 3.50 (m, 14H), 3.49 - 3.43 (m, 2H), 3.40 (q, J = 6.5 Hz, 2H), 2.87 (ddd, J= 17.6, 14.0, 5.3 Hz, 1H), 2.79 - 2.67 (m, 5H), 2.12 (ddq, J = 10.3, 5.4, 2.9 Hz, 1H), 2.00 (s, 3H), 1.86 (q, J= 6.3 Hz, 2H), 1.80 (p, J= 6.4 Hz, 2H). LCMS 961.67 (M+H).
SUBSTITUTE SHEET (RULE 26)
Example 48: Synthesis of dBET51
A 0.1 M solution of N-(2-(2-(2-aminoethoxy)ethoxy)ethyl)-2-((2-(2,6-dioxopiperidin- 3-yl)-l,3-dioxoisoindolin-4-yl)oxy)acetamide trifluoroacetate in DMF (200 microliters, 0.0200 mmol, 1 eq) was added to (5 -4-(4-chlorophenyl)-6-(2-methoxy-2-oxoethyl)-3,9- dimethyl-6H-thieno[3,2- |[l,2,4]triazolo[4,3-a] [l,4]diazepine-2-carboxylic acid (8.9 mg, 0.020 mmol, 1 eq) at room temperature. DIPEA (10.5 microliters, 0.060 mmol, 3 eq) and HATU (7.6 mg, 0.020 mmol, 1 eq) were added. The mixture was then stirred for 17 hours, then diluted with EtOAc and washed with saturated sodium bicarbonate, water and brine. The organic layer was dried over sodium sulfate, filtered and concentrated under reduced pressure. Purification by column chromatography (ISCO, 4 g silica column, 0-10%
MeOH/DCM, 25 minute gradient) gave the desired product as an off-white solid (8.38 mg, 0.00942 mmol, 47%). JH NMR (500 MHz, Methanol-ώ) δ 7.80 (dd, J = 8.4, 7.4 Hz, 1H), 7.52 (dd, J= 7.2, 1.3 Hz, 1H), 7.48 - 7.38 (m, 5H), 5.08 (ddd, J= 12.7, 5.5, 1.6 Hz, 1H), 4.74
(d, J= 2.7 Hz, 2H), 4.66 (t, J= 7.1 Hz, 1H), 3.75 (d, J = 3.0 Hz, 3H), 3.65 (t, J= 4.1 Hz, 6H), 3.59 (t, J = 5.3 Hz, 2H), 3.57 - 3.49 (m, 4H), 3.49 - 3.40 (m, 2H), 2.93 - 2.84 (m, 1H), 2.78 - 2.64 (m, 5H), 2.15 - 2.09 (m, 1H), 2.00 (d, J= 0.9 Hz, 3H). LCMS 889.58 (M+H).
SUBSTITUTE SHEET (RULE 26)
Example 49: Synthesis of dBET52
A 0.1 M solution of N-(2-(2-(2-(2-aminoethoxy)ethoxy)ethoxy)ethyl)-2-((2-(2,6- dioxopiperidin-3-yl)-l,3-dioxoisoindolin-4-yl)oxy)acetamide trifluoroacetate in DMF (200 microliters, 0.020 mmol, 1 eq) was added to JQ-acid (8.0 mg, 0.020 mmol, 1 eq) at room temperature. DIPEA (10.5 microliters, 0.060 mmol, 3 eq) and HATU (7.6 mg, 0.020 mmol, 1 eq) were added. After 17.5 hours, the mixture was diluted with EtOAc and washed with saturated sodium bicarbonate, water and brine. The combined organic layer was dried over sodium sulfate, filtered and concentrated under reduced pressure. Purification by column chromatography (ISCO, 4 g silica column, 0-10% MeOH/DCM, 25 minute gradient) gave the desired product as a colorless residue (9.12 mg, 0.01025 mmol, 51%). JH NMR (500 MHz, Methanol-ώ) δ 7.77 (t, J = 7.9 Hz, 1H), 7.50 (dd, J= 7.3, 1.5 Hz, 1H), 7.47 - 7.36 (m, 5H), 5.09 (ddd, J= 13.0, 7.6, 5.5 Hz, 1H), 4.76 (s, 2H), 4.62 (dd, J= 9.1, 5.1 Hz, 1H), 3.62 (ddt, J = 17.3, 11.2, 6.5 Hz, 12H), 3.52 - 3.41 (m, 5H), 3.28 (d, J= 5.1 Hz, 1H), 2.90 - 2.81 (m, 1H), 2.79 - 2.66 (m, 5H), 2.44 (s, 3H), 2.16 - 2.09 (m, 1H), 1.69 (s, 3H). LCMS 889.38 (M+H).
SUBSTITUTE SHEET (RULE 26)
xample 50: Synthesis of dBET53
A 0.1 M solution of N-(14-amino-3,6,9,12-tetraoxatetradecyl)-2-((2-(2,6- dioxopiperidin-3-yl)-l,3-dioxoisoindolin-4-yl)oxy)acetamide trifluoroacetate in DMF (200 microliters, 0.020 mmol, 1 eq) was added to JQ-acid (8.0 mg, 0.020 mmol, 1 eq) at room temperature. DIPEA (10.5 microliters, 0.060 mmol, 3 eq) and HATU (7.6 mg, 0.020 mmol, 1 eq) were added. After 17.5 hours, additional HATU (7.6 mg) and DIPEA (10.5 microliters were added) and the mixture was stirred for an additional 5 hours. The mixture was diluted with EtOAc and washed with saturated sodium bicarbonate, water and brine. The combined organic layer was dried over sodium sulfate, filtered and concentrated under reduced pressure. Purification by column chromatography (ISCO, 4 g silica column, 0-10%
MeOH/DCM, 25 minute gradient) gave the desired product (3.66 mg). JH NMR (500 MHz, Methanol-ώ) δ 7.79 (dd, J= 8.4, 7.4 Hz, 1H), 7.51 (d, J= 7.3 Hz, 1H), 7.45 (d, J= 7.7 Hz, 2H), 7.43 - 7.36 (m, 3H), 5.08 (ddd, J= 12.7, 5.5, 2.2 Hz, 1H), 4.78 - 4.74 (m, 2H), 4.62 (dd, J = 9.1, 5.1 Hz, 1H), 3.70 - 3.51 (m, 16H), 3.50 - 3.41 (m, 5H), 3.27 (dd, J= 5.1, 2.3 Hz, 1H), 2.87 (ddt, J= 18.2, 9.5, 4.9 Hz, 1H), 2.78 - 2.66 (m, 5H), 2.44 (s, 3H), 2.16 - 2.09 (m, 1H), 1.69 (s, 3H). LCMS 933.43 (M+H).
SUBSTITUTE SHEET (RULE 26)
Example 51 : Synthesis of dBET54
A 0.1 M solution of N-(17-amino-3,6,9,12,15-pentaoxaheptadecyl)-2-((2-(2,6- dioxopiperidin-3-yl)-l,3-dioxoisoindolin-4-yl)oxy)acetamide trifluoroacetate in DMF (200 microliters, 0.020 mmol, 1 eq) was added to JQ-acid (8.0 mg, 0.020 mmol, 1 eq) at room temperature. DIPEA (10.5 microliters, 0.060 mmol, 3 eq) and HATU (7.6 mg, 0.020 mmol, 1 eq) were added. After 16 hours the mixture was diluted with EtOAc and washed with saturated sodium bicarbonate, water and brine. The combined organic layer was dried over sodium sulfate, filtered and concentrated under reduced pressure. Purification by column chromatography (ISCO, 4 g silica column, 0-10% MeOH/DCM, 25 minute gradient) gave the desired product (6.27 mg, 0.00641 mmol, 32%). ¾ NMR (500 MHz, Methanol-ώ) δ 7.81 -
7.76 (m, 1H), 7.51 (d, J= 7.1 Hz, 1H), 7.47 - 7.38 (m, 5H), 5.09 (dd, J = 12.6, 5.5 Hz, 1H),
4.77 (s, 2H), 4.62 (dd, J= 8.8, 5.0 Hz, 1H), 3.67 - 3.55 (m, 20H), 3.46 (ddd, J= 20.1, 10.2, 4.7 Hz, 5H), 3.28 (d, J= 5.1 Hz, 1H), 2.91 - 2.83 (m, 1H), 2.78 - 2.68 (m, 5H), 2.44 (s, 3H), 2.16 - 2.10 (m, 1H), 1.72 - 1.66 (m, 3H). LCMS 977.50 (M+H).
SUBSTITUTE SHEET (RULE 26)
xample 52: Synthesis of dBET55
A 0.1 M solution ofN-(29-amino-3,6,9,12,15,18,21,24,27-nonaoxanonacosyl)-2-((2- (2,6-dioxopiperidin-3-yl)-l,3-dioxoisoindolin-4-yl)oxy)acetamide trifluoroacetate in DMF (200 microliters, 0.020 mmol, 1 eq) was added to JQ-acid (8.0 mg, 0.020 mmol, 1 eq) at room temperature. DIPEA (10.5 microliters, 0.060 mmol, 3 eq) and HATU (7.6 mg, 0.020 mmol, 1 eq) were added. After 18 hours the mixture was diluted with EtOAc and washed with saturated sodium bicarbonate, water and brine. The combined organic layer was dried over sodium sulfate, filtered and concentrated under reduced pressure. Purification by column chromatography (ISCO, 4 g silica column, 0-10% MeOH/DCM, 25 minute gradient) gave the desired product (10.55 mg, 0.00914 mmol, 46%). JH NMR (500 MHz, Methanol-ώ) δ 7.82 (dd, J = 8.4, 7.4 Hz, 1H), 7.55 (d, J= 7.0 Hz, 1H), 7.49 - 7.41 (m, 5H), 5.13 (dd, J= 12.6, 5.5 Hz, 1H), 4.80 (s, 2H), 4.65 (dd, J = 9.1, 5.1 Hz, 1H), 3.68 - 3.58 (m, 36H), 3.53 - 3.44 (m, 5H), 2.94 - 2.86 (m, 1H), 2.81 - 2.70 (m, 5H), 2.46 (s, 3H), 2.19 - 2.13 (m, 1H), 1.74 - 1.69 (m, 3H). LCMS 1153.59 (M+H).
SUBSTITUTE SHEET (RULE 26)
xample 53: Synthesis of dBET56
A 0.1 M solution of N-(35-amino-3,6,9,12,15,18,21,24,27,30,33- undecaoxapentatriacontyl)-2-((2-(2,6-dioxopiperidin-3-yl)-l,3-dioxoisoindolin-4- yl)oxy)acetamide trifluoroacetate in DMF (200 microliters, 0.020 mmol, 1 eq) was added to JQ-acid (8.0 mg, 0.020 mmol, 1 eq) at room temperature. DIPEA (10.5 microliters, 0.060 mmol, 3 eq) and HATU (7.6 mg, 0.020 mmol, 1 eq) were added. After 20 hours the mixture was diluted with EtOAc and washed with saturated sodium bicarbonate, water and brine. The combined organic layer was dried over sodium sulfate, filtered and concentrated under reduced pressure. Purification by column chromatography (ISCO, 4 g silica column, 0-10% MeOH/DCM, 25 minute gradient) gave the desired product as an oily residue (9.03 mg, 0.00727 mmol, 36%). JH NMR (500 MHz, Methanol-ώ) δ 7.81 (dd, J = 8.4, 7.4 Hz, 1H), 7.53 (d, J= 7.1 Hz, 1H), 7.50 - 7.40 (m, 5H), 5.11 (dd, J = 12.6, 5.5 Hz, 1H), 4.78 (s, 2H), 4.68 (dd, J= 8.6, 5.0 Hz, 1H), 3.69 - 3.56 (m, 44H), 3.52 - 3.43 (m, 5H), 3.34 (dd, J= 7.9, 3.5 Hz, 1H), 2.88 (ddd, J= 18.0, 14.0, 5.2 Hz, 1H), 2.79 - 2.68 (m, 5H), 2.46 (s, 3H), 2.17 - 2.12 (m, 1H), 1.71 (s, 3H). LCMS 1241.60 (M+H).
Example 54: Synthesis of dBET57
SUBSTITUTE SHEET (RULE 26)
A solution of 4-fluoroisobenzofuran-l,3-dione (200 mg, 1.20 mmol, 1 equiv) in AcOH (4.0 mL, 0.3 M) was added 2,6-dioxopiperidin-3 -amine hydrochloride (218 mg, 1.32 mmol, 1.1 equiv) and potassium acetate (366 mg, 3.73 mmol, 3.1 equiv). The reaction mixture was heated to 90 °C overnight, whereupon it was diluted with water to 20 mL and cooled on ice for 30 min. The resulting slurry was filtered, and the black solid was purified by flash column chromatography on silica gel (2% MeOH in CH2CI2, Rf = 0.3) to afford the title compound as a white solid (288 mg, 86%). ¾ NMR (500 MHz, DMSO-c e) δ 11.15 (s, 1H), 7.96 (ddd, J= 8.3, 7.3, 4.5 Hz, 1H), 7.82 - 7.71 (m, 2H), 5.17 (dd, J = 13.0, 5.4 Hz, 1H), 2.90 (ddd, J= 17.1, 13.9, 5.4 Hz, 1H), 2.65 - 2.47 (m, 2H), 2.10 - 2.04 (m, 1H), MS (ESI) cald for C13H10FN2O4 [M+H]+ 277.06, found 277.25.
Step 2: Synthesis of fert-butyl (2-((2-(2,6-dioxopiperidin-3-yl)-l,3-dioxoisoindolin-4- yl)amino)ethyl)carbamate
A stirred solution of 2-(2,6-dioxopiperidin-3-yl)-4-fluoroisoindoline-l,3-dione (174 mg, 0.630 mmol, 1 equiv) in DMF (6.3 mL, 0.1 M) was added DIPEA (220 uL, 1.26 mmol, 2 equiv) and 1-Boc-ethylendiamine (110 μί, 0.693 mmol, 1.1 equiv). The reaction mixture was heated to 90 °C overnight, whereupon it was cooled to room temperature and taken up in EtOAc (30 mL) and water (30 mL). The organic layer was washed with brine (3x20 mL), dried over Na2S04 and concentrated in vacuo. The residue was purified by flash column chromatography on silica gel (0→10% MeOH in CH2CI2) to give the title compound as a yellow solid (205 mg, 79%). ¾ NMR (500 MHz, CDCh) δ 8.08 (bs, 1H), 7.50 (dd, J = 8.5, 7.1 Hz, 1H), 7.12 (d, J= 7.1 Hz, 1H), 6.98 (d, J= 8.5 Hz, 1H), 6.39 (t, J = 6.1 Hz, 1H), 4.96 - 4.87 (m, 1H), 4.83 (bs, 1H), 3.50 - 3.41 (m, 2H), 3.41 - 3.35 (m, 2H), 2.92 - 2.66 (m, 3H), 2.16 - 2.09 (m, 1H), 1.45 (s, 9H); MS (ESI) cald for C20H25N4O6 [M+H]+ 417.18, found 417.58.
Step 3: Synthesis of 2-((2-(2,6-dioxopiperidin-3-yl)-l,3-dioxoisoindolin-4-yl)amino)ethan-l- aminium 2,2,2-trifiuoroacetate
A stirred solution of tert-butyl (2-((2-(2,6-dioxopiperidin-3-yl)-l,3-dioxoisoindolin-4- yl)amino)ethyl)carbamate (205 mg, 0.492 mmol, 1 equiv) in dichloromethane (2.25 mL) was added trifiuoroacetic acid (0.250 mL). The reaction mixture was stirred at room temperature for 4 h, whereupon the volatiles were removed in vacuo. The title compound was obtained as a yellow solid (226 mg, >95%), that was used without further purification. ¾ NMR (500 MHz, MeOD) δ 7.64 (d, J= 1.4 Hz, 1H), 7.27 - 7.05 (m, 2H), 5.10 (dd, J= 12.5, 5.5 Hz, 1H), 3.70 (t, J= 6.0 Hz, 2H), 3.50 - 3.42 (m, 2H), 3.22 (t, J= 6.0 Hz, 1H), 2.93 - 2.85 (m, 1H), 2.80 - 2.69 (m, 2H), 2.17 - 2.10 (m, 1H); MS (ESI) cald for C15H17N4O4 [M+H]+ 317.12, found 317.53.
Step 2: Synthesis of dBET57
JQ-acid (8.0 mg, 0.0200 mmol, 1 eq) and 2-((2-(2,6-dioxopiperidin-3-yl)-l,3- dioxoisoindolin-4-yl)amino)ethan-l-aminium 2,2,2-trifluoroacetate (8.6 mg, 0.0200 mmol, 1 equiv) were dissolved in DMF (0.200 mL, 0.1 M) at room temperature. DIPEA (17.4 μί, 0.100 mmol, 5 equiv) and HATU (7.59 mg, 0.0200 mmol, 1 equiv) were then added and the mixture was stirred at room temperature overnight. The reaction mixture was taken up in EtOAc (15 mL), and washed with satd. NaHCC (aq) (15 mL), water (15 mL) and brine (3x15 mL). The organic layer was dried over Na2S04 and concentrated in vacuo. The residue was purified by flash column chromatography on silica gel (0→10% MeOH in CH2CI2, Ri = 0.3 (10% MeOH in CH2CI2)) to give the title compound as a bright yellow solid (11.2 mg, 80%). ¾ NMR (400 MHz, CDCh) δ 8.49 (bs, 0.6H), 8.39 (bs, 0.4H), 7.51 - 7.43 (m, 1H), 7.38 (d, J= 7.8 Hz, 2H), 7.29 (dd, J= 8.8, 1.7 Hz, 2H), 7.07 (dd, J= 7.1, 4.9 Hz, 1H), 6.97
SUBSTITUTE SHEET (RULE 26)
(dd, J = 8.6, 4.9 Hz, 1H), 6.48 (t, J = 5.9 Hz, 1H), 6.40 (t, J = 5.8 Hz, 0.6H), 4.91 - 4.82 (m, 0.4H), 4.65 - 4.60 (m, 1H), 3.62 - 3.38 (m, 6H), 2.87 - 2.64 (m, 3H), 2.63 (s, 3H), 2.40 (s, 6H), 2.12 - 2.04 (m, 1H), 1.67 (s, 3H), rotamers; MS (ESI) calcd for C34H32CIN8O5S [M+H] 700.19, found 700.34.
Example 55 : Synthesis of dGRl
DB-2-247
dGRl
SUBSTITUTE SHEET (RULE 26)
Example 56: Synthesis of dGR2:
DB-2-285
dGR2 Example 57: Synthesis of dGR3 :
ciG S
SUBSTITUTE SHEET (RULE 26)
xample 58: Synthesis of dFKBP-1
dFKBP-1
(1) Synthesis of SLF-succinate
SLF (25 mg, 2.5 mL of a 10 mg/mL solution in MeOAc, 0.0477 mmol, 1 eq) was combined with DMF (0.48 mL, 0.1 M) and succinic anhydride (7.2 mg, 0.0715 mmol, 1.5 eq) and stirred at room temperature for 24 hours. Low conversion was observed and the mixture was placed under a stream of N2 to remove the MeOAc. An additional 0.48 mL of DMF was added, along with an additional 7.2 mg succinic anhydride and DMAP (5.8 mg, 0.0477 mmol, 1 eq). The mixture was then stirred for an additional 24 hours before being purified by preparative HPLC to give SLF-succinate as a yellow oil (24.06 mg, 0.0385 mmol, 81%). ¾ NMR (400 MHz, Methanol-c 4) δ 7.62 (d, J= 10.7 Hz, 1H), 7.44 (d, J= 8.0 Hz, 1H), 7.26 (td, J= 7.9, 2.7 Hz, 1H), 7.07 - 6.97 (m, 1H), 6.80 (dd, J = 8.1 , 2.1 Hz, 1H), 6.74 - 6.66 (m, 2H), 5.73 (dd, J = 8.1 , 5.5 Hz, 1H), 5.23 (d, J= 4.8 Hz, 1H), 3.83 (s, 3H), 3.81 (s, 3H), 3.39 - 3.29 (m, 4H), 3.21 (td, J= 13.2, 3.0 Hz, 1H), 2.68 - 2.50 (m, 5H), 2.37 - 2.19 (m, 2H), 2.12 - 2.02 (m, 1H), 1.79 - 1.61 (m, 4H), 1.49 - 1.30 (m, 2H), 1.27 - 1.05 (m, 6H), 0.82 (dt, J = 41.2, 7.5 Hz, 3H). LCMS 624.72 (M+H).
(2) Synthesis of dFKBP-1
N-(4-aminobutyl)-2-((2-(2,6-dioxopiperidin-3-yl)-l,3-dioxoisoindolin-4- yl)oxy)acetamide trifluoroacetate (9.9 mg, 0.0192 mmol, 1 eq) was added to SLFsuccinate (11.98 mg, 0.0192 mmol, 1 eq) as a solution in 0.192 mL DMF (0.1 M). DIPEA (10.0 microliters, 0.0575 mmol, 3 eq) was added, followed by HATU (7.3 mg, 0.0192 mmol, 1 eq). The mixture was stirred for 17 hours, then diluted with MeOH and purified by preparative HPLC to give dFKBP-1 (7.7 mg, 0.00763 mmol, 40%) as a yellow solid.
SUBSTITUTE SHEET (RULE 26)
¾ NMR (400 MHz, Methanol-c 4) δ 7.81 (s, 1H), 7.77 - 7.70 (m, 1H), 7.55 - 7.49 (m, 2H), 7.26 (dd, J= 8.0, 5.3 Hz, 2H), 7.05 - 6.99 (m, 1H), 6.77 (d, J = 8.8 Hz, 1H), 6.66 (d, J = 6.8 Hz, 2H), 5.77 - 5.72 (m, 1H), 5.24 (d, J= 4.8 Hz, 1H), 4.99 (dd, J= 12.3, 5.7 Hz, 1H), 4.68 - 4.59 (m, 2H), 3.82 (s, 3H), 3.81 (s, 3H), 3.32 (dt, J= 3.3, 1.6 Hz, 4H), 3.26 - 3.14 (m, 3H), 2.79 (dd, J= 18.9, 10.2 Hz, 3H), 2.64 - 2.48 (m, 5H), 2.34 (d, J= 14.4 Hz, 1H), 2.22 (d, J = 9.2 Hz, 1H), 2.14 - 2.02 (m, 2H), 1.78 - 1.49 (m, 9H), 1.43 - 1.30 (m, 2H), 1.20 - 1.04 (m, 6H), 0.90 - 0.76 (m, 3H). 13C NMR (100 MHz, cd3od) δ 208.51, 173.27, 172.64, 171.63, 169.93, 169.51, 168.04, 167.69, 167.09, 166.71 , 154.92, 149.05, 147.48, 140.76, 138.89, 137.48, 133.91, 133.67, 129.36, 122.19, 120.61 , 120.54, 1 19.82, 1 18.41 , 1 18.12, 1 17.79, 1 12.12, 1 11.76, 68.54, 56.10, 55.98, 51.67, 46.94, 44.57, 39.32, 39.01, 38.23, 32.64, 31.55, 31.43, 26.68, 26.64, 25.08, 23.52, 23.21 , 22.85, 21.27, 8.76. LCMS 1009.66 (M+H).
Example 59: Synthesis of dFKBP-2
dFKBP-2
(1) Synthesis of tert-butyl (l -chloro-2-oxo-7, 10, 13-trioxa-3-azahexadecan-16-yl)carbamate fert-butyl (3-(2-(2-(3-aminopropoxy)ethoxy)ethoxy)propyl)carbamate (1.0 g, 3.12 mmol, 1 eq) was dissolved in THF (31 mL, 0.1 M). DIPEA (0.543 mL, 3.12 mmol, 1 eq) was added and the solution was cooled to 0 °C. Chloroacetyl chloride (0.273 mL, 3.43 mmool, 1.1 eq) was added and the mixture was warmed slowly to room temperature. After 24 hours, the mixture was diluted with EtOAc and washed with saturated sodium
bicarbonate, water then brine. The organic layer was dried over sodium sulfate, filtered and condensed to give a yellow oil (1.416 g) that was carried forward without further purification. ¾ NMR (400 MHz, Chloroform-i ) δ 7.24 (s, 1H), 5.00 (s, 1H), 3.98 - 3.89 (m, 2H), 3.54 (dddt, J= 17.0, 11.2, 5.9, 2.2 Hz, 10H), 3.47 - 3.40 (m, 2H), 3.37 - 3.31 (m, 2H), 3.17 - 3.07
SUBSTITUTE SHEET (RULE 26)
(m, 2H), 1.79 - 1.70 (m, 2H), 1.67 (p, J = 6.1 Hz, 2H), 1.35 (s, 9H). 13C NMR (100 MHz, cdcl3) δ 165.83, 155.97, 78.75, 70.49, 70.47, 70.38, 70.30, 70.14, 69.48, 42.61, 38.62, 38.44, 29.62, 28.59, 28.40. LCMS 397.37 (M+H).
(2) Synthesis of dimethyl 3-((2,2-dimethyl-4,20-dioxo-3,9,12,15-tetraoxa-5,19- diazahenicosan-21 -yl)oxy)phthalate
fert-butyl (l-chloro-2-oxo-7,10,13-trioxa-3-azahexadecan-16-yl)carbamate (1.41 g, 3.12 mmol, 1 eq) was dissolved in MeCN (32 mL, 0.1 M). Dimethyl 3-hydroxyphthalate (0.721 g, 3.43 mmol, 1.1 eq) and cesium carbonate (2.80 g, 8.58 mmol, 2.75 eq) were added. The flask was fitted with a reflux condenser and heated to 80 °C for 19 hours. The mixture was cooled to room temperature and diluted water and extracted once with chloroform and twice with EtOAc. The combined organic layers were dried over sodium sulfate, filtered and concentrated under reduced pressure. The crude material was purified by column
chromatography (ISCO, 24 g silica column, 0-15% MeOH/DCM 22 minute gradient) to give a yellow oil (1.5892 g, 2.78 mmol, 89% over two steps).
¾ NMR (400 MHz, Chloroform-i ) δ 7.52 (d, J = 7.8 Hz, 1H), 7.35 (t, J = 8.1 Hz, 1H), 7.04 (d, J= 8.3 Hz, 1H), 7.00 (t, J= 5.3 Hz, 1H), 5.06 (s, 1H), 4.46 (s, 2H), 3.83 (s, 3H), 3.78 (s, 3H), 3.47 (ddd, J = 14.9, 5.5, 2.8 Hz, 8H), 3.39 (dt, J = 9.4, 6.0 Hz, 4H), 3.29 (q, J= 6.5 Hz, 2H), 3.09 (d, J= 6.0 Hz, 2H), 1.70 (p, J = 6.5 Hz, 2H), 1.63 (p, J = 6.3 Hz, 2H), 1.31 (s, 9H). 13C NMR (100 MHz, cdcl3) δ 167.68, 167.36, 165.45, 155.93, 154.41, 130.87, 129.60, 125.01, 123.20, 117.06, 78.60, 70.40, 70.17, 70.06, 69.39, 68.67, 68.25, 52.77, 52.57, 38.38, 36.58, 29.55, 29.20, 28.34. LCMS 571.47 (M+H).
(3) Synthesis of N-(3-(2-(2-(3-aminopropoxy)ethoxy)ethoxy)propyl)-2-((2-(2,6- dioxopiperidin-3-yl)-l,3-dioxoisoindolin-4-yl)oxy)acetamide trifiuoroacetate
Dimethyl 3-((2,2-dimethyl-4,20-dioxo-3,9,12,15-tetraoxa-5,19-diazahenicosan-21- yl)oxy)phthalate (1.589 g, 2.78 mmol, 1 eq) was dissolved in EtOH (14 mL, 0.2 M).
Aqueous 3M NaOH (2.8 mL, 8.34 mmol, 3 eq) was added and the mixture was heated to 80 °C for 22 hours. The mixture was then cooled to room temperature, diluted with 50 mL DCM and 20 mL 0.5 M HC1. The layers were separated and the organic layer was washed with 25 mL water. The aqueous layers were combined and extracted three times with 50 mL chloroform. The combined organic lyaers were dried over sodium sulfate, filtered and condensed to give 1.53 g of material that was carried forward without further purification. LCMS 553.44.
The resultant material (1.53 g) and 3-aminopiperidine-2,6-dione hydrochloride (0.480 g, 2.92 mmol, 1 eq) were dissolved in pyridine (11.7 mL, 0.25 M) and heated to 110 °C for
SUBSTITUTE SHEET (RULE 26)
17 hours. The mixture was cooled to room temperature and concentrated under reduced pressure to give crude tert-butyl (l-((2-(2,6-dioxopiperidin-3-yl)-l,3-dioxoisoindolin-4- yl)oxy)-2-oxo-7,10,13-trioxa-3-azahexadecan-16-yl)carbamate as a black sludge (3.1491 g) that was carried forward without further purification. LCMS 635.47.
The crude tert-butyl (l-((2-(2,6-dioxopiperidin-3-yl)-l,3-dioxoisoindolin-4-yl)oxy)-2- oxo-7, 10,13-trioxa-3-azahexadecan-16-yl)carbamate (3.15 g) was dissolved in TFA (20 mL) and heated to 50 °C for 2.5 hours. The mixture was cooled to room temperature, diluted with MeOH and concentrated under reduced pressure. The material was purified by preparative HPLC to give N-(3-(2-(2-(3-aminopropoxy)ethoxy)ethoxy)propyl)-2-((2-(2,6-dioxopiperidin- 3-yl)-l,3-dioxoisoindolin-4-yl)oxy)acetamide trifluoroacetate (1.2438 g, 1.9598 mmol, 71% over 3 steps) as a dark red oil.
¾ NMR (400 MHz, Methanol-c 4) δ 7.77 (dd, J= 8.3, 7.5 Hz, 1H), 7.49 (d, J= 7.3 Hz, 1H), 7.40 (d, J= 8.5 Hz, 1H), 5.12 (dd, J=12.8, 5.5 Hz, 1H), 4.75 (s, 2H), 3.68 - 3.51 (m, 12H), 3.40 (t, J= 6.8 Hz, 2H), 3.10 (t, J = 6.4 Hz, 2H), 2.94 - 2.68 (m, 3H), 2.16 (dtd, J= 12.6, 5.4, 2.5 Hz, 1H), 1.92 (p, J= 6.1 Hz, 2H), 1.86 - 1.77 (m, 2H). 13C NMR (100 MHz, cd3od) δ 173.17, 169.97, 168.48, 166.87, 166.30, 154.82, 136.89, 133.41, 120.29, 117.67, 116.58, 69.96, 69.68, 69.60, 68.87, 68.12, 67.92, 49.19, 38.62, 36.14, 30.80, 28.92, 26.63, 22.22. LCMS 536.41 (M+H).
(4) Synthesis of dFKBP-2
N-(3-(2-(2-(3-aminopropoxy)ethoxy)ethoxy)propyl)-2-((2-(2,6-dioxopiperidin-3-yl)- l,3-dioxoisoindolin-4-yl)oxy)acetamide trifluoroacetate(12.5 mg, 0.0193 mmol, 1 eq) was added to SLF-succinate (12.08 mg, 0.0193 mmol, 1 eq) as a solution in 0.193 mL in DMF (0.1 M). DIPEA (10.1 microliters, 0.0580 mmol, 3 eq) and HATU (7.3 mg, 0.0193 mmol, 1 eq) were added and the mixture was stirred for 19 hours. The mixture was then diluted with MeOH and purified by preparative HPLC to give dFKBP-2 (9.34 mg, 0.00818 mmol, 42%) as a yellow oil.
¾ NMR (400 MHz, 50% MeOD/Chloroform-c δ 7.76 - 7.70 (m, 1H), 7.58 - 7.45 (m, 3H), 7.26 (t, J= 8.2 Hz, 2H), 7.05 - 6.98 (m, 1H), 6.77 (d, J= 7.9 Hz, 1H), 6.71 - 6.63 (m, 2H), 5.73 (dd, J= 8.1, 5.6 Hz, 1H), 5.23 (d, J= 5.4 Hz, 1H), 5.03 - 4.95 (m, 1H), 4.64 (s, 2H), 3.82 (s, 3H), 3.80 (s, 3H), 3.62 - 3.52 (m, 8H), 3.47 (t, J= 6.1 Hz, 2H), 3.44 - 3.33 (m, 3H), 3.27 - 3.14 (m, 3H), 2.84 - 2.70 (m, 3H), 2.64 - 2.47 (m, 6H), 2.34 (d, J= 14.1 Hz, 1H), 2.24 (dd, J= 14.3, 9.3 Hz, 2H), 2.13 - 2.00 (m, 2H), 1.83 (p, J= 6.3 Hz, 2H), 1.67 (dtd, J= 38.4, 16.8, 14.8, 7.0 Hz, 7H), 1.51 - 1.26 (m, 3H), 1.22 - 1.05 (m, 6H), 0.80 (dt, J= 39.8, 7.5 Hz, 3H). 13C NMR (100 MHz, cdcl3) δ 208.64, 173.39, 173.01, 171.76, 170.11, 169.62, 168.24,
SUBSTITUTE SHEET (RULE 26)
167.92, 167.36, 166.69, 155.02, 149.23, 147.66, 140.94, 139.18, 137.57, 134.09, 133.91, 129.49, 122.32, 120.75, 120.52, 1 19.93, 1 18.42, 1 17.75, 1 12.33, 11 1.98, 70.77, 70.51, 70.40, 69.45, 69.04, 68.48, 56.20, 56.10, 51.88, 47.09, 44.78, 38.40, 37.48, 36.91, 32.80, 32.71, 31.70, 31.59, 31.55, 29.53, 29.30, 26.77, 25.22, 23.63, 23.33, 22.98, 21.43. LCMS 1141.71 (M+H).
Example 60: Synthesis of dFKBP-3
SLF-succinate was prepared according to step (1) of the synthesis of dFKBP-1.
A 0.1 M solution of N-(4-aminobutyl)-2-((2-(2,6-dioxopiperidin-3-yl)-l ,3- dioxoisoindolin-4-yl)oxy)acetamide trifluoroacetate (0.233 mL, 0.0233 mmol, 1 eq) was added to 2-(3-((i?)-3-(3,4-dimethoxyphenyl)-l-(((S)-l-(3,3-dimethyl-2- oxopentanoyl)pyrrolidine-2-carbonyl)oxy)propyl)phenoxy)acetic acid (13.3 mg, 0.0233 mmol, 1 eq). DIPEA (12.2 microliters, 0.0700 mmol, 3 eq) was added, followed by HATU (8.9 mg, 0.0233 mmol, 1 eq). The mixture was stirred for 23 hours, then diluted with MeOH and purified by preparative HPLC to give a white solid (10.72 mg mg, 0.0112 mmol, 48%). ¾ NMR (400 MHz, Methanol-ώ) δ 7.79 - 7.74 (m, 1H), 7.52 (d, J = 7.4 Hz, 1H), 7.33 (d, J = 8.4 Hz, 1H), 7.26 (t, J = 8.1 Hz, 1H), 6.97 - 6.90 (m, 2H), 6.89 - 6.84 (m, 1H), 6.79 (dd, J = 8.2, 1.9 Hz, 1H), 6.73 - 6.64 (m, 2H), 5.73 - 5.65 (m, 1H), 5.07 - 4.99 (m, 1H), 4.67 (s, 2H), 4.57 - 4.51 (m, 1H), 4.48 (dd, J = 5.7, 2.5 Hz, 2H), 3.82 (d, J = 1.9 Hz, 3H), 3.80 (s, 3H), 3.66 - 3.39 (m, 3H), 2.88 - 2.48 (m, 6H), 2.42 - 1.87 (m, 9H), 1.73 - 1.51 (m, 6H), 1.19 - 0.92 (m, 6H), 0.75 (dt, J = 56.7, 7.5 Hz, 3H). LCMS 954.52 (M+H).
Example 61 : Synthesis of dFKBP-4
SLF-succinate was prepared according to step (1) of the synthesis of dFKBP-1.
A 0.1 M solution of N-(4-aminobutyl)-2-((2-(2,6-dioxopiperidin-3-yl)-l ,3- dioxoisoindolin-4-yl)oxy)acetamide trifluoroacetate (0.182 mL, 0.0182 mmol, 1 eq) was added to 2-(3-((i?)-3-(3,4-dimethoxyphenyl)-l-(((S)-l-(3,3-dimethyl-2- oxopentanoyl)piperidine-2-carbonyl)oxy)propyl)phenoxy)acetic acid (10.6 mg, 0.0182 mmol, 1 eq). DIPEA (9.5 microliters, 0.0545 mmol, 3 eq) was added, followed by HATU (6.9 mg, 0.0182 mmol, 1 eq). The mixture was stirred for 26 hours, then diluted with MeOH and purified by preparative HPLC to give a white solid (9.74 mg, 0.01006 mmol, 55%).
¾ NMR (400 MHz, Methanol-ώ) δ 7.75 (dd, J = 8.3, 7.4 Hz, 1H), 7.53 (d, J = 2.3 Hz, 1H), 7.33 - 7.25 (m, 2H), 7.00 - 6.84 (m, 3H), 6.79 (dd, J = 8.1 , 2.5 Hz, 1H), 6.72 - 6.65 (m, 2H), 5.75 - 5.70 (m, 1H), 5.23 (d, J = 4.9 Hz, 1H), 5.05 - 4.96 (m, 1H), 4.66 (s, 2H), 4.46 (s, 2H),
SUBSTITUTE SHEET (RULE 26)
3.82 (s, 3H), 3.81 (s, 3H), 3.39 - 3.32 (m, 4H), 3.20 - 3.12 (m, 1H), 2.82 - 2.69 (m, 3H), 2.62 - 2.49 (m, 2H), 2.37 - 2.00 (m, 5H), 1.78 - 1.30 (m, 11H), 1.24 - 1.08 (m, 6H), 0.81 (dt, J = 32.9, 7.5 Hz, 3H). LCMS 968.55 (M+H). Example 62: Synthesis of dFKBP-5
SLF-succinate was prepared according to step (1) of the synthesis of dFKBP-1.
A 0.1 M solution of N-(4-aminobutyl)-2-((2-(2,6-dioxopiperidin-3-yl)-l ,3- dioxoisoindolin-4-yl)oxy)acetamide trifluoroacetate (0.205 mL, 0.0205 mmol, 1 eq) was added to 2-(3 -((R)-3 -(3,4-dimethoxy phenyl)- 1 -(((5)- 1 -(2-pheny lacety l)piperidine-2- carbonyl)oxy)propyl)phenoxy)acetic acid (1 1.8 mg, 0.0205 mmol, 1 eq). DIPEA (10.7 microliters, 0.0615 mmol, 3 eq) was added, followed by HATU (7.8 mg, 0.0205 mmol, 1 eq). The mixture was stirred for 29 hours, then diluted with MeOH and purified by preparative HPLC to give a white solid (10.62 mg, 0.01 106 mmol, 54%).
¾ NMR (400 MHz, Methanol-ώ) δ 7.77 - 7.72 (m, 1H), 7.52 (s, 1H), 7.31 - 7.1 1 (m, 7H), 6.92 - 6.77 (m, 4H), 6.68 - 6.62 (m, 2H), 5.70 - 5.64 (m, 1H), 5.38 (d, J = 3.8 Hz, 1H), 4.99 (d, J = 4.6 Hz, 1H), 4.65 (s, 2H), 4.45 - 4.39 (m, 2H), 3.80 (dd, J = 6.7, 2.4 Hz, 8H), 3.13 - 3.03 (m, 1H), 2.83 - 2.68 (m, 3H), 2.63 - 2.45 (m, 3H), 2.34 - 1.93 (m, 6H), 1.71 - 1.52 (m, 7H), 1.34 - 1.20 (m, 3H). LCMS 960.54 (M+H).
SUBSTITUTE SHEET (RULE 26)
xample 63 : Synthesis of dFKBP-6
N-(4-aminobutyl)-2-((2-(2,6-dioxopiperidin-3-yl)-l ,3-dioxoisoindolin-4- yl)oxy)acetamide trifluoroacetate(11.9 mg, 0.0231 mmol, 1 eq) is added to 2-(3-((i?)-3-(3,4- dimethoxy phenyl)- 1 -(((S)- 1 -((5 -2-(3,4,5 -trimethoxy pheny l)butanoy l)piperidine-2- carbonyl)oxy)propyl)phenoxy)acetic acid (16.0 mg, 0.0231 mmol, 1 eq) as a solution in 0.231 mL DMF (0.1 M). DIPEA (12.1 microliters, 0.0692 mmol, 3 eq) and HATU (8.8 mg, 0.0231 mmol, 1 eq) are added and the mixture is stirred for 21 hours. The mixture is diluted with EtOAc and washed with saturated sodium bicarbonate, water and brine. The organic layer is dried over sodium sulfate, filtered and concentrated under reduced pressure. The crude material is purified by column chromatography.
SUBSTITUTE SHEET (RULE 26)
xample 64: Synthesis of dFKBP-7
N-(3-(2-(2-(3-aminopropoxy)ethoxy)ethoxy)propyl)-2-((2-(2,6-dioxopiperidin-3-yl)- l,3-dioxoisoindolin-4-yl)oxy)acetamide trifluoracetate (12.3 mg, 0.0189 mmol, 1 eq) is added to 2-(3-((i?)-3-(3,4-dimethoxyphenyl)-l-(((S)-l-((S)-2-(3,4,5- trimethoxyphenyl)butanoyl) piperidine-2-carbonyl)oxy)propyl)phenoxy)acetic acid (13.1 mg, 0.0189 mmol, 1 eq) as a solution in 0.189 mL DMF (0.1 M). DIPEA (9.9 microliters, 0.0566 mmol, 3 eq) and HATU (7.2 mg, 0.0189 mmol, 1 eq) are added and the mixture is stirred for 17 hours. The mixture is diluted with EtOAc and washed with saturated sodium bicarbonate, water and brine. The organic layer is dried over sodium sulfate, filtered and concentrated under reduced pressure. The crude material is purified by column chromatography.
SUBSTITUTE SHEET (RULE 26)
xample 65 : Synthesis of dFKBP-8
N-(6-aminohexyl)-2-((2-(2,6-dioxopiperidin-3-yl)-l,3-dioxoisoindolin-4- yl)oxy)acetamide trifluoracetate (12.7 mg, 0.0233 mmol, 1.3 eq) is added to 2-(3-((i?)-3-(3,4- dimethoxy phenyl)- 1 -(((<S)- 1 -((5 -2-(3,4,5 -trimethoxy pheny l)butanoy l)piperidine-2- carbonyl)oxy)propyl)phenoxy)acetic acid (12.4 mg, 0.0179 mmol, 1 eq) as a solution in 0.233 mL DMF (0.1 M). DIPEA (9.3 microliters, 0.0537 mmol, 3 eq) and HATU (6.8 mg, 0.0179 mmol, 1 eq) are added and the mixture is stirred for 22 hours. The mixture is diluted with EtOAc and washed with saturated sodium bicarbonate, water and brine. The organic layer is dried over sodium sulfate, filtered and concentrated under reduced pressure. The crude material is purified by column chromatography.
SUBSTITUTE SHEET (RULE 26)
xample 66: Synthesis of dFKBP-9
N-(8-aminooctyl)-2-((2-(2,6-dioxopiperidin-3-yl)-l ,3-dioxoisoindolin-4- yl)oxy)acetamide trifluoroacetate (10.4 mg, 0.0181 mmol, 1 eq) is added to 2-(3-((i?)-3-(3,4- dimethoxy phenyl)- 1 -(((S)- 1 -((5 -2-(3,4,5 -trimethoxy pheny l)butanoy l)piperidine-2- carbonyl)oxy)propyl)phenoxy)acetic acid (12.5 mg, 0.0181 mmol, 1 eq) as a solution in 0.181 mL DMF (0.1 M). DIPEA (9.5 microliters, 0.0543 mmol, 3 eq) and HATU (6.9 mg, 0.0181 mmol, 1 eq) are added and the mixture is stirred for 22 hours. The mixture is diluted with EtOAc and washed with saturated sodium bicarbonate, water and brine. The organic layer is dried over sodium sulfate, filtered and concentrated under reduced pressure. The crude material is purified by column chromatography.
SUBSTITUTE SHEET (RULE 26)
xample 67: Synthesis of dFKBP
X2
FKBP*-acid (14.0 mg, 0.0202 mmol, 1 eq) and 2-((2-(2,6-dioxopiperidin-3-yl)-l,3- dioxoisoindolin-4-yl)amino)ethan-l-aminium 2,2,2-trifluoroacetate (8.7 mg, 0.0202 mmol, 1 equiv) are dissolved in DMF (0.202 mL, 0.1 M) at room temperature. DIPEA (17.6 DL, 0.101 mmol, 5 equiv) and HATU (7.6 mg, 0.0200 mmol, 1 equiv) are then added and the mixture is stirred at room temperature ovemight. The reaction mixture is taken up in EtOAc (15 mL), and washed with satd. NaHCCb (aq) (15 mL), water (15 mL) and brine (3x15 mL). The organic layer is dried over Na2S04 and concentrated in vacuo. The crude material is purified by column chromatography.
Example 68: Synthesis of diaminoethyl-acetyl-O-thalidomide trifiuoroacetate
pyridine, 110 °C
SUBSTITUTE SHEET (RULE 26)
(1) Synthesis of fert-Butyl (2-(2-chloroacetamido)ethyl)carbamate
H
BocHN'^ NTl^CI
O
fert-butyl (2-aminoethyl)carbamate (0.40 mL, 2.5 mmol, 1 eq) was dissolved in THF (25 mL, 0.1 M) and DIPEA (0.44 mL, 2.5 mmol, 1 eq) at 0 °C. Chloroacetyl chloride (0.21 mL, 2.75 mmol, 1.1 eq) was added and the mixture was allowed to warm to room
temperature. After 22 hours, the mixture was diluted with EtOAc and washed with saturated sodium bicarbonate, water and brine. The organic layer was dried with sodium sulfate, filtered and concentrated under reduced pressure to give a white solid (0.66 g, quantitative yield) that carried forward to the next step without further purification. ¾ NMR (400 MHz, Chloroform-ύ δ 7.16 (s, 1H), 4.83 (s, 1H), 4.04 (s, 2H), 3.42 (q, J = 5.4 Hz, 2H), 3.32 (q, J = 5.6 Hz, 2H), 1.45 (s, 9H). LCMS 237.30 (M+H).
fert-butyl (2-(2-chloroacetamido)ethyl)carbamate (0.66 g, 1 eq) was dissolved in MeCN (17 mL, 0.15 M). Dimethyl 3-hydroxyphthalate (0.578 g, 2.75 mmol, 1.1 eq) and cesium carbonate (2.24 g, 6.88 mmol, 2.75 eq) were then added. The flask was fitted with a reflux condenser and heated to 80 °C for 32 hours. The mixture was then cooled to room temperature, diluted with EtOAc and washed three times with water. The organic layer was dried over sodium sulfate, filtered and concentrated under reduced pressure. Purification by column chromatography (ISCO, 4g silica column, 0-15% MeOH/DCM over a 15 minute gradient) gave a yellow solid (0.394 g, 0.960 mmol, 38% over 2 steps). ¾ NMR (400 MHz, Chloroform-ύ δ 7.65 - 7.56 (m, 1H), 7.50 - 7.41 (m, 1H), 7.27 (s, 1H), 7.11 (dd, J= 8.4, 4.1 Hz, 2H), 5.17 (s, 1H), 4.57 (d, J = 6.3 Hz, 2H), 3.94 (s, 2H), 3.88 (s, 2H), 3.40 (p, J= 5.8 Hz, 4H), 3.32 - 3.19 (m, 4H), 1.39 (d, J= 5.7 Hz, 13H). 13C NMR (100 MHz, cdch) δ 168.37, 168.23, 165.73, 156.13, 154.71, 131.24, 130.09, 124.85, 123.49, 117.24, 79.42, 68.48, 53.22, 52.83, 40.43, 39.54, 28.44. LCMS 411.45 (M+H).
(3) Synthesis of diaminoethyl-acetyl-O-thalidomide trifluoroacetate
Dimethyl 3-(2-((2-((teri-butoxycarbonyl)amino)ethyl)amino)-2-oxoethoxy)phthalate (0.39 g, 0.970 mmol, 1 eq) was dissolved in EtOH (9.7 mL, 0.1 M). Aqueous 3M NaOH (0.97 mL, 2.91 mmol, 3 eq) was added and the mixture was heated to 80 °C for 3 hours. The mixture was cooled to room temperature, diluted with 50 mL DCM, 5 mL 1 M HC1 and 20 mL water. The layers were separated and the organic layer was washed with 20 mL water. The combined aqueous layers were then extracted 3 times with 50 mL chloroform. The combined organic layers were dried over sodium sulfate, filtered and concentrated under reduced pressure to give a yellow solid (0.226 g) that was carried forward without further purification. LCMS 383.36.
The resultant yellow solid (0.226 g) and 3-aminopiperidine-2,6-dione hydrochloride (0.102 g, 0.6197 mmol, 1 eq) were dissolved in pyridine (6.2 mL, 0.1 M) and heated to 110 °C for 16 hours. The mixture was cooled to room temperature and concentrated under reduced pressure to give fert-butyl (2-(2-((2-(2,6-dioxopiperidin-3-yl)-l,3-dioxoisoindolin-4- yl)oxy)acetamido)ethyl)carbamate as a poorly soluble black tar (0.663 g) which was carried forward without purification (due to poor solubility). LCMS 475.42 (M+H).
The crude fert-butyl (2-(2-((2-(2,6-dioxopiperidin-3-yl)-l,3-dioxoisoindolin-4- yl)oxy)acetamido)ethyl)carbamate was dissolved in TFA (10 mL) and heated to 50 °C for 3.5 hours, then concentrated under reduced pressure. Purification by preparative HPLC gave a red oil (176.7 mg, 0.362 mmol, 37% over 3 steps). ¾ NMR (400 MHz, Methanol-ώ) δ 7.85 - 7.76 (m, 1H), 7.57 - 7.50 (m, 1H), 7.48 - 7.41 (m, 1H), 5.13 (dd, J = 12.6, 5.5 Hz, 1H), 4.81 (s, 2H), 3.62 (td, J = 5.6, 1.8 Hz, 2H), 3.14 (t, J = 5.8 Hz, 2H), 2.97 (s, 1H), 2.80 - 2.66 (m, 2H), 2.15 (dddd, J= 10.1, 8.0, 5.8, 2.8 Hz, 1H). 13C NMR (100 MHz, cd3od) δ 173.09, 170.00, 169.99, 166.78, 166.62, 154.93, 136.88, 133.46, 120.71, 117.93, 116.77, 68.29, 49.17, 39.37, 38.60, 30.73, 22.19. LCMS 375.30 (M+H for free base).
SUBSTITUTE SHEET (RULE 26)
Diaminobutyl-acetyl-O-thalidomide trifluoroacetate was prepared according to the procedure in Fischer et al. Nature, 2014, 512, 49-53.
Example 70: Synthesis of diaminohexyl-acetyl-O-thalidomide trifluoroacetate
DIPEA THF O
pyridine, 110 °C
fert-butyl (6-aminohexyl)carbamate (0.224 mL, 1.0 mmol, 1 eq) was dissolved in THF (10 mL, 0.1 M). DIPEA (0.17 mL, 1.0 mmol, 1 eq) was added and the mixture was cooled to 0 °C. Chloroacetyl chloride (88 microliters, 1.1 mmol, 1.1 eq) was added and the mixture was warmed to room temperature and stirred for 18 hours. The mixture was then diluted with EtOAc and washed with saturated sodium bicarbonate, water and brine. The organic layer was dried over sodium sulfate, filtered and concentrated under reduced pressure to give a white solid (0.2691 g, 0.919 mmol, 92%). ¾ NMR (400 MHz, Chloroform-i ) δ
SUBSTITUTE SHEET (RULE 26)
6.60 (s, 1H), 4.51 (s, 1H), 4.05 (s, 2H), 3.30 (q, J= 6.9 Hz, 2H), 3.11 (d, J= 6.7 Hz, 2H), 1.57 - 1.46 (m, 4H), 1.44 (s, 9H), 1.38 - 1.32 (m, 4H). LCMS 293.39 (M+H).
fert-butyl (6-(2-chloroacetamido)hexyl)carbamate (0.2691 g, 0.919 mmol, 1 eq) was dissolved in MeCN (9.2 mL, 0.1 M). Dimethyl 3-hydroxyphthalate (0.212 g, 1.01 mmol, 1.1 eq) and cesium carbonate (0.823 g, 2.53 mmol, 2.75 eq) were added. The flask was fitted with a reflux condenser and heated to 80 °C for 14 hours. The mixture was cooled to room temperature and diluted with EtOAc, washed three times with water and back extracted once with EtOAc. The combined organic layers were dried over sodium sulfate, filtered and concentrated under reduced pressure. The crude material was purified by column
chromatography (ISCO, 12 g silica column, 0-15% MeOH/DCM 15 minute gradient) to give a yellow oil (0.304 g, 0.651 mmol, 71%). ¾ NMR (400 MHz, Chloroform-i ) δ 7.66 - 7.58 (m, 1H), 7.44 (td, J = 8.2, 1.6 Hz, 1H), 7.15 - 7.08 (m, 1H), 6.96 (s, 1H), 4.56 (s, 2H), 3.92 (t, J = 1.6 Hz, 3H), 3.88 (t, J= 1.6 Hz, 3H), 3.27 (q, J = 6.9 Hz, 2H), 3.10 - 3.00 (m, 2H), 1.41 (s, 13H), 1.33 - 1.22 (m, 4H). 13C NMR (100 MHz, cdch) δ 167.97, 167.37, 165.58, 155.95, 154.37, 130.97, 129.74, 124.94, 123.26, 116.81, 78.96, 68.04, 52.89, 52.87, 52.69, 52.67, 40.41, 38.96, 29.88, 29.13, 28.39, 26.33, 26.30. LCMS 467.49.
Dimethyl 3-(2-((6-((/er/-butoxycarbonyl)amino)hexyl)amino)-2-oxoethoxy)phthalate (0.304 g, 0.651 mmol, 1 eq) was dissolved in EtOH (6.5 mL, 0.1 M). Aqueous 3M NaOH (0.65 mL, 1.953 mmol, 3 eq) was added and the mixture was heated to 80 °C for 18 hours. The mixture was cooled to room temperature and diluted with 50 mL DCM and 10 mL 0.5 M HC1. The layers were separated and the organic layer was washed with 20 mL water. The combined aqueous layers were then extracted 3 times with chloroform. The combined organic layers were dried over sodium sulfate, filtered and concentrated under reduced
SUBSTITUTE SHEET (RULE 26)
pressure to give a yellow foam (0.290 g) that was carried forward without further purification. LCMS 439.47.
The resultant yellow solid (0.290 g) and 3-aminopiperidine-2,6-dione hydrochloride (0.113 g, 0.69 mmol, 1 eq) were dissolved in pyridine (6.9 mL, 0.1 M) and heated to 1 10 °C for 17 hours. The mixture was cooled to room temperature and concentrated under reduced pressure to give fert-butyl (6-(2-((2-(2,6-dioxopiperidin-3-yl)-l ,3-dioxoisoindolin-4- yl)oxy)acetamido)hexyl)carbamate as a black solid (0.4216 g) which was carried forward without purification (due to poor solubility). LCMS 531.41 (M+H).
The crude fert-butyl (6-(2-((2-(2,6-dioxopiperidin-3-yl)-l,3-dioxoisoindolin-4- yl)oxy)acetamido)hexyl)carbamate (0.4216 g) was dissolved in TFA (10 mL) and heated to 50 °C for 2 hours. The mixture was concentrated under reduced pressure, then concentrated under reduced pressure. Purification by preparative HPLC gave a brown solid (379.2 mg). ¾ NMR (400 MHz, Methanol-ώ) δ 7.79 (dd, J= 8.4, 7.4 Hz, 1H), 7.52 (d, J = 7.2 Hz, 1H), 7.42 (d, J= 8.4 Hz, 1H), 5.13 (dd, J= 12.6, 5.5 Hz, 1H), 4.75 (s, 2H), 3.32 (t, J = 7.6 Hz, 2H), 2.96 - 2.89 (m, 2H), 2.89 - 2.65 (m, 3H), 2.16 (ddt, J= 10.4, 5.4, 2.9 Hz, 1H), 1.63 (dp, J= 20.6, 7.1 Hz, 4H), 1.51 - 1.34 (m, 4H). 13C NMR (100 MHz, cd3od) δ 174.57, 171.42, 169.90, 168.24, 167.79, 156.23, 138.23, 134.87, 121.69, 1 19.22, 117.98, 69.36, 50.53, 40.64, 39.91 , 32.14, 30.01 , 28.44, 27.23, 26.96, 23.63. LCMS 431.37 (M+H).
SUBSTITUTE SHEET (RULE 26)
Example 71 : Synthesis of diaminooctyl-acetyl-O-thalidomide trifluoroacetate
pyridine, 110 °C
(1) Synthesis of fert-Butyl (8-(2-chloroacetamido)octyl)carbamate
BocHN ^CI
O
Octane-l,8-diamine (1.65 g, 1 1.45 mmol, 5 eq) was dissolved in chloroform (50 mL). A solution of di-tert-butyl dicarbonate (0.54 g, 2.291 mmol, 1 eq) in chloroform (10 mL) was added slowly at room temperature and stirred for 16 hours before being concentrated under reduced pressure. The solid material was resuspended in a mixture of DCM, MeOH, EtOAc and 0.5 N NLb (MeOH), filtered through celite and concentrated under reduced pressure. Purification by column chromatography (ISCO, 12 g NH2-silica column, 0-15%
MeOH/DCM over a 15 minute gradient) gave a mixture (1.75 g) of the desired product and starting material which was carried forward without further purification.
SUBSTITUTE SHEET (RULE 26)
This mixture was dissolved in THF (72 mL) and DIPEA (1.25 mL, 7.16 mmol) and cooled to 0 °C. Chloroacetyl chloride (0.63 mL, 7.88 mmol) was added and the mixture was allowed to warm to room temperature. After 16 hours, the mixture was diluted with EtOAc and washed with saturated sodium bicarbonate, water and brine. The resultant mixture was purified by column chromatography (ISCO, dry load onto silica, 24 g column, 0-100% EtOAc/hexanes, over a 21 minute gradient) to give a white solid (0.56 g, 1.745 mmol, 76% over 2 steps). ¾ NMR (400 MHz, Chloroform-i ) δ 6.55 (s, 1H), 4.48 (s, 1H), 4.05 (s, 2H), 3.30 (q, J= 6.9 Hz, 2H), 3.10 (d, J = 6.2 Hz, 2H), 1.44 (s, 12H), 1.31 (s, 9H). 13C NMR (100 MHz, cdch) δ 165.86, 156.14, 77.36, 42.86, 40.73, 40.00, 30.18, 29.44, 29.26, 28.59, 26.86, 26.82. LCMS 321.34 (M+H).
(2) Synthesis of dimethyl 3-(2-((8-((teri-butoxycarbonyl)amino)octyl)amino)-2- oxoethoxy)phthalate
fert-butyl (8-(2-chloroacetamido)octyl)carbamate (0.468 g, 1.46 mmol, 1 eq) was dissolved in MeCN (15 mL, 0.1 M). Dimethyl 3-hydroxyphthalate (0.337 g, 1.60 mmol, 1.1 eq) and cesium carbonate (1.308 g, 4.02 mmol, 2.75 eq) were added. The flask was fitted with a reflux condenser and heated to 80 °C for 18 hours. The mixture was cooled to room temperature and diluted water and extracted once with chloroform and twice with EtOAc. The combined organic layers were dried over sodium sulfate, filtered and concentrated under reduced pressure.
The crude material was purified by column chromatography (ISCO, 24 g silica column, 0-15% MeOH/DCM 20 minute gradient) to give a yellow oil (0.434 g, 0.878 mmol, 60%). ¾ NMR (400 MHz, Chloroform-i ) δ 7.57 (dd, J= 7.9, 0.8 Hz, 1H), 7.40 (t, J = 8.1 Hz, 1H), 7.07 (dd, J = 8.4, 0.7 Hz, 1H), 6.89 (t, J = 5.3 Hz, 1H), 4.63 (s, 1H), 4.52 (s, 2H), 3.88 (s, 3H), 3.83 (s, 3H), 3.22 (q, J = 6.9 Hz, 2H), 3.01 (q, J = 6.4 Hz, 2H), 1.36 (s, 12H), 1.20 (s, 9H). 13C NMR (100 MHz, cdch) δ 167.89, 167.29, 165.54, 155.97, 154.38, 130.95, 129.69, 124.96, 123.23, 116.86, 78.82, 68.05, 52.83, 52.82, 52.66, 52.64, 40.54, 39.06, 29.97, 29.19, 29.10, 29.06, 28.40, 26.66, 26.61. LCMS 495.42 (M+H).
(3) Synthesis of diaminooctyl-acetyl-O-thalidomide trifluoroacetate
Dimethyl 3-(2-((8-((teri-butoxycarbonyl)amino)octyl)amino)-2-oxoethoxy)phthalate (0.434 g, 0.878 mmol, 1 eq) was dissolved in EtOH (8.8 mL, 0.1 M) Aqueous 3M NaOH (0.88 mL, 2.63 mmol, 3 eq) was added and the mixture was heated to 80 °C for 24 hours. The mixture was cooled to room temperature and diluted with 50 mL DCM and 10 mL 0.5 M HC1. The layers were separated and the organic layer was washed with 20 mL water. The combined aqueous layers were then extracted 3 times with chloroform. The combined organic layers were dried over sodium sulfate, filtered and concentrated under reduced pressure to give a yellow solid (0.329 g) that was carried forward without further purification. LCMS 467.41.
The resultant yellow solid (0.329 g) and 3-aminopiperidine-2,6-dione hydrochloride (0.121 g, 0.734 mmol, 1 eq) were dissolved in pyridine (7.3 mL, 0.1 M) and heated to 110 °C for 20 hours. The mixture was cooled to room temperature and concentrated under reduced pressure to give fert-butyl (8-(2-((2-(2,6-dioxopiperidin-3-yl)-l,3-dioxoisoindolin-4- yl)oxy)acetamido) octyl) carbamate as a black tar (0.293 g) which was carried forward without purification (due to poor solubility). LCMS 559.45 (M+H).
The crude fert-butyl (8-(2-((2-(2,6-dioxopiperidin-3-yl)-l,3-dioxoisoindolin-4- yl)oxy)acetamido)octyl)carbamate (0.293 g) was dissolved in TFA (10 mL) and heated to 50 °C for 4 hours. The mixture was concentrated under reduced pressure, then concentrated under reduced pressure. Purification by preparative HPLC gave a brown residue (114.69 mg, 23% over 3 steps). ¾ NMR (400 MHz, Methanol-ώ) δ 7.84 - 7.78 (m, 1H), 7.54 (d, J = 7.3 Hz, 1H), 7.43 (d, J= 8.5 Hz, 1H), 5.13 (dd, J= 12.5, 5.5 Hz, 1H), 4.76 (s, 2H), 3.32 (d, J = 4.1 Hz, 1H), 3.30 (d, J= 3.3 Hz, 1H), 2.94 - 2.84 (m, 3H), 2.80 - 2.70 (m, 2H), 2.19 - 2.12 (m, 1H), 1.67 - 1.55 (m, 4H), 1.40 - 1.34 (m, 8H). 13C NMR (100 MHz, cd3od) δ 174.57, 171.37, 169.85, 168.26, 167.78, 156.26, 138.22, 134.91, 121.70, 119.28, 117.97, 69.37, 50.57, 40.76, 40.08, 32.17, 30.19, 30.05, 30.01, 28.52, 27.68, 27.33, 23.63. LCMS 459.41 (M+H).
Example 72: Synthesis of N-(3-(2-(2-(3-aminopropoxy)ethoxy)ethoxy)propyl)-2-((2-(2,6- dioxopiperidin-3-yl)-l,3-dioxoisoindolin-4-yl)oxy)acetamide trifluoroacetate
SUBSTITUTE SHEET (RULE 26)
C
fert-butyl (3-(2-(2-(3-aminopropoxy)ethoxy)ethoxy)propyl)carbamate (1.0 g, 3.12 mmol, 1 eq) was dissolved in THF (31 mL, 0.1 M). DIPEA (0.543 mL, 3.12 mmol, 1 eq) was added and the solution was cooled to 0 °C. Chloroacetyl chloride (0.273 mL, 3.43 mmool, 1.1 eq) was added and the mixture was warmed slowly to room temperature. After 24 hours, the mixture was diluted with EtOAc and washed with saturated sodium
bicarbonate, water then brine. The organic layer was dried over sodium sulfate, filtered and condensed to give a yellow oil (1.416 g) that was carried forward without further purification. ¾ NMR (400 MHz, Chloroform-c/) δ 7.24 (s, 1H), 5.00 (s, 1H), 3.98 - 3.89 (m, 2H), 3.54 (dddt, J = 17.0, 11.2, 5.9, 2.2 Hz, 10H), 3.47 - 3.40 (m, 2H), 3.37 - 3.31 (m, 2H), 3.17 - 3.07 (m, 2H), 1.79 - 1.70 (m, 2H), 1.67 (p, J = 6.1 Hz, 2H), 1.35 (s, 9H). 13C NMR (100 MHz, cdch) δ 165.83, 155.97, 78.75, 70.49, 70.47, 70.38, 70.30, 70.14, 69.48, 42.61 , 38.62, 38.44, 29.62, 28.59, 28.40. LCMS 397.37 (M+H).
(2) Synthesis of dimethyl 3-((2,2-dimethyl-4,20-dioxo-3,9, 12, 15-tetraoxa-5, 19- diazahenicosan-21 -yl)oxy)phthalate
SUBSTITUTE SHEET (RULE 26)
BocHN > ^O (^(
fert-butyl (l-chloro-2-oxo-7,10,13-trioxa-3-azahexadecan-16-yl)carbamate (1.41 g, 3.12 mmol, 1 eq) was dissolved in MeCN (32 mL, 0.1 M). Dimethyl 3-hydroxyphthalate (0.721 g, 3.43 mmol, 1.1 eq) and cesium carbonate (2.80 g, 8.58 mmol, 2.75 eq) were added. The flask was fitted with a reflux condenser and heated to 80 °C for 19 hours. The mixture was cooled to room temperature and diluted water and extracted once with chloroform and twice with EtOAc. The combined organic layers were dried over sodium sulfate, filtered and concentrated under reduced pressure. The crude material was purified by column
chromatography (ISCO, 24 g silica column, 0-15% MeOH/DCM 22 minute gradient) to give a yellow oil (1.5892 g, 2.78 mmol, 89% over two steps). ¾ NMR (400 MHz, Chloroform-c ) δ 7.52 (d, J = 7.8 Hz, 1H), 7.35 (t, J= 8.1 Hz, 1H), 7.04 (d, J = 8.3 Hz, 1H), 7.00 (t, J = 5.3 Hz, 1H), 5.06 (s, 1H), 4.46 (s, 2H), 3.83 (s, 3H), 3.78 (s, 3H), 3.47 (ddd, J= 14.9, 5.5, 2.8 Hz, 8H), 3.39 (dt, J= 9.4, 6.0 Hz, 4H), 3.29 (q, J = 6.5 Hz, 2H), 3.09 (d, J= 6.0 Hz, 2H), 1.70 (p, J = 6.5 Hz, 2H), 1.63 (p, J= 6.3 Hz, 2H), 1.31 (s, 9H). 13C NMR (100 MHz, cdch) δ 167.68, 167.36, 165.45, 155.93, 154.41, 130.87, 129.60, 125.01, 123.20, 117.06, 78.60, 70.40, 70.17, 70.06, 69.39, 68.67, 68.25, 52.77, 52.57, 38.38, 36.58, 29.55, 29.20, 28.34. LCMS 571.47 (M+H).
(3) Synthesis of N-(3-(2-(2-(3-aminopropoxy)ethoxy)ethoxy)propyl)-2-((2-(2,6- dioxopiperidin-3-yl)- -dioxoisoindolin-4-yl)oxy)acetamide trifluoroacetate
dimethyl 3-((2,2-dimethyl-4,20-dioxo-3,9,12,15-tetraoxa-5,19-diazahenicosan-21- yl)oxy)phthalate (1.589 g, 2.78 mmol, 1 eq) was dissolved in EtOH (14 mL, 0.2 M).
Aqueous 3M NaOH (2.8 mL, 8.34 mmol, 3 eq) was added and the mixture was heated to 80 °C for 22 hours. The mixture was then cooled to room temperature, diluted with 50 mL DCM and 20 mL 0.5 M HC1. The layers were separated and the organic layer was washed with 25 mL water. The aqueous layers were combined and extracted three times with 50 mL chloroform. The combined organic lyaers were dried over sodium sulfate, filtered and condensed to give 1.53 g of material that was carried forward without further purification. LCMS 553.44.
SUBSTITUTE SHEET (RULE 26)
The resultant material (1.53 g) and 3-aminopiperidine-2,6-dione hydrochloride (0.480 g, 2.92 mmol, 1 eq) were dissolved in pyridine (11.7 mL, 0.25 M) and heated to 1 10 °C for 17 hours. The mixture was cooled to room temperature and concentrated under reduced pressure to give crude fert-butyl (l -((2-(2,6-dioxopiperidin-3-yl)-l,3-dioxoisoindolin-4- yl)oxy)-2-oxo-7, 10, 13-trioxa-3-azahexadecan-16-yl)carbamate as a black sludge (3.1491 g) that was carried forward without further purification. LCMS 635.47.
The crude fert-butyl (l -((2-(2,6-dioxopiperidin-3-yl)-l,3-dioxoisoindolin-4-yl)oxy)-2- oxo-7, 10, 13-trioxa-3-azahexadecan-16-yl)carbamate (3.15 g) was dissolved in TFA (20 mL) and heated to 50 °C for 2.5 hours. The mixture was cooled to room temperature, diluted with MeOH and concentrated under reduced pressure. The material was purified by preparative HPLC to give N-(3-(2-(2-(3-aminopropoxy)ethoxy)ethoxy)propyl)-2-((2-(2,6-dioxopiperidin- 3-yl)-l ,3-dioxoisoindolin-4-yl)oxy)acetamide trifluoroacetate (1.2438 g, 1.9598 mmol, 71% over 3 steps) as a dark red oil. ¾ NMR (400 MHz, Methanol-ώ) δ 7.77 (dd, J = 8.3, 7.5 Hz, 1H), 7.49 (d, J = 7.3 Hz, 1H), 7.40 (d, J = 8.5 Hz, 1H), 5.12 (dd, J = 12.8, 5.5 Hz, 1H), 4.75 (s, 2H), 3.68 - 3.51 (m, 12H), 3.40 (t, J = 6.8 Hz, 2H), 3.10 (t, J = 6.4 Hz, 2H), 2.94 - 2.68 (m, 3H), 2.16 (dtd, J = 12.6, 5.4, 2.5 Hz, 1H), 1.92 (p, J = 6.1 Hz, 2H), 1.86 - 1.77 (m, 2H). 13C NMR (100 MHz, cd3od) δ 173.17, 169.97, 168.48, 166.87, 166.30, 154.82, 136.89, 133.41, 120.29, 117.67, 116.58, 69.96, 69.68, 69.60, 68.87, 68.12, 67.92, 49.19, 38.62, 36.14, 30.80, 28.92, 26.63, 22.22. LCMS 536.41 (M+H).
Example 73 : Synthesis of N-(6-aminohexyl)-2-(2,6-dioxopiperidin-3-yl)-l,3- dioxoisoindoline-5-carboxamide
l ,3-dioxo-l ,3-dihydroisobenzofuran-5-carboxylic acid (0.192 g, 1 mmol, 1 eq) and 3- aminopiperidine-2,6-dione hydrochloride (0.165 g, 1 mmol, 1 eq) were dissolved in DMF
SUBSTITUTE SHEET (RULE 26)
(2.5 mL) and acetic acid (5 mL) and heated to 80 °C for 24 hours. The mixture was then concentrated under reduced pressure and diluted with EtOH, from which a precipitate slowly formed. The precipitate was washed twice with EtOH to give a white solid (84.8 mg, 0.28 mmol, 28%). ¾ NMR (400 MHz, DMSO-c e) δ 13.74 (s, 1H), 11.12 (s, 1H), 8.39 (dd, J = 7.8, 1.4 Hz, 1H), 8.26 (s, 1H), 8.04 (d, J= 7.8 Hz, 1H), 5.18 (dd, J= 12.8, 5.4 Hz, 1H), 2.93 - 2.88 (m, 1H), 2.84 (d, J= 4.7 Hz, OH), 2.66 - 2.50 (m, 2H), 2.12 - 1.99 (m, 1H). LCMS 303.19 (M+H).
(2) Synthesis of fert-butyl (6-(2-(2,6-dioxopiperidin-3-yl)-l,3-dioxoisoindoline-5- carboxamido)hexyl)carbamate
2-(2,6-dioxopiperidin-3-yl)-l,3-dioxoisoindoline-5-carboxylic acid (22.7 mg, 0.0751 mmol, 1 eq) and HATU (31.4 mg, 0.0826 mmol, 1.1 eq) were dissolved in DMF (0.75 mL). After 5 minutes, DIPA (39.2 microliters, 0.225 mmol, 3 eq) was added. After an additional 5 minutes, fert-butyl (6-aminohexyl)carbamate (19.5 mg, 0.0901 mmol, 1.2 eq) was added as a solution in DMF (0.75 mL). The mixture was stirred for 20 hours, then diluted with EtOAc. The organic layer was washed three times with brine, dried over sodium sulfate and concentrated under reduced pressure. Purification by column chromatography (ISCO, 4 g column, 0-10%MeOH/DCM, 25 minute gradient) to give a yellow oil (17.18 mg, 0.03432 mmol, 46%). ¾ NMR (400 MHz, Chloroform-i ) δ 8.29 (d, J= 6.2 Hz, 2H), 8.16 (s, 1H), 7.94 (d, J= 8.4 Hz, 1H), 6.91 (s, 1H), 5.00 (dd, J= 12.4, 5.3 Hz, 1H), 4.58 (s, 1H), 3.47 (q, J = 6.7 Hz, 2H), 3.14 (q, J= 8.5, 7.3 Hz, 2H), 2.97 - 2.69 (m, 3H), 2.17 (ddd, J = 10.4, 4.8, 2.6 Hz, 1H), 1.65 (p, J= 6.9 Hz, 2H), 1.53 - 1.32 (m, 15H). 13C NMR (100 MHz, cdch) δ 174.69, 170.77, 167.86, 166.67, 165.27, 156.49, 141.06, 133.95, 133.71, 132.13, 124.21, 122.27, 77.36, 49.71, 39.75, 31.54, 30.27, 29.22, 28.57, 25.70, 25.37, 22.73. LCMS 501.28 (M+H).
fert-butyl (6-(2-(2,6-dioxopiperidin-3-yl)-l,3-dioxoisoindoline-5- carboxamido)hexyl)carbamate (17.18 mg, 0.343 mmol, 1 eq) was dissolved in TFA (1 mL)
SUBSTITUTE SHEET (RULE 26)
and heated to 50 °C for 2 hours. The mixture was concentrated under reduced pressure to give a yellow oil (13.29 mg) which was deemed sufficiently pure without further purification. ¾ NMR (400 MHz, Methanol-ώ) δ 8.27 (dd, J= 9.3, 1.3 Hz, 2H), 7.99 (d, J = 7.6 Hz, 1H), 5.18 (dd, J = 12.5, 5.4 Hz, 1H), 3.48 - 3.40 (m, 2H), 2.96 - 2.84 (m, 3H), 2.76 (ddd, J = 17.7, 8.1, 3.7 Hz, 2H), 2.20 - 2.12 (m, 1H), 1.75 - 1.63 (m, 4H), 1.53 - 1.43 (m, 4H). LCMS 401.31 (M+H).
Example 74: Synthesis of 2-((2-(2,6-dioxopiperidin-3-yl)-l,3-dioxoisoindolin-4-yl)oxy)acetic acid
4-hydroxyisobenzofuran-l,3-dione (0.773 g, 4.71 mmol, 1 eq) and 3-aminopiperidine- 2,6-dione hydrochloride (0.775 g, 4.71 mmol, 1 eq) were dissolved in pyridine (19 mL) and heated to 110 °C for 16 hours. The mixture was concentrated under reduced pressure and purified by column chromatography (ISCO, 12 g silica column, 0-10% MeOH/DCM, 25 minute gradient) to give an off white solid (1.14 g, 4.16 mmol, 88%). ¾ NMR (400 MHz, DMSO-c e) δ 11.19 (s, 1H), 11.07 (s, 1H), 7.65 (dd, J= 8.3, 7.3 Hz, 1H), 7.31 (d, J= 7.2 Hz, 1H), 7.24 (d, J= 8.4 Hz, 1H), 5.07 (dd, J= 12.8, 5.4 Hz, 1H), 2.88 (ddd, J = 17.7, 14.2, 5.4 Hz, 1H), 2.63 - 2.50 (m, 2H), 2.11 - 1.95 (m, 1H). LCMS 275.11 (M+H).
2-(2,6-dioxopiperidin-3-yl)-4-hydroxyisoindoline-l,3-dione (218.8 mg, 0.798 mmol, 1 eq) was dissolved in DMF (8 mL). Potassium carbonate (165.9 mg, 1.20 mmol, 1.5 eq) was
SUBSTITUTE SHEET (RULE 26)
added, followed by tert-butyl bromoacetate (118 microliters, 0.798 mmol, 1 eq) and the mixture was stirred at room temperature for 3 hours. The mixture was diluted with EtO Ac and washed once with water and twice with brine. Purification by column chromatography (ISCO, 12 g silica column, 0-100% EtO Ac/hex, 17 minute gradient) gave a white solid (0.26 g, 0.669 mmol, 84%). ¾ NMR (400 MHz, Chloroform-i ) δ 8.74 (s, 1H), 7.61 (dd, J= 8.4, 7.3 Hz, 1H), 7.46 - 7.41 (m, 1H), 7.06 (d, J = 8.3 Hz, 1H), 4.98 - 4.92 (m, 1H), 4.74 (s, 2H), 2.83 - 2.69 (m, 3H), 2.12 - 2.04 (m, 1H), 1.43 (s, 9H). 13C NMR (100 MHz, cdch) δ 171.58, 168.37, 166.96, 166.87, 165.49, 155.45, 136.27, 133.89, 119.78, 117.55, 116.83, 83.05, 66.52, 49.20, 31.37, 28.03, 22.55. LCMS 411.23 (M+Na).
tert-butyl 2-((2-(2,6-dioxopiperidin-3-yl)-l,3-dioxoisoindolin-4-yl)oxy)acetate (47.5 mg, 0.122 mmol, 1 eq) was dissolved in TFA (1.3 mL) at room temperature. After 3 hours, the mixture was diluted with DCM and concentrated under reduced pressure to yield a white solid (42.27 mg), which was deemed sufficiently pure without further purification. ¾ NMR (400 MHz, Methanol-ώ) δ 7.76 (dd, J= 8.5, 7.3 Hz, 1H), 7.50 (d, J= 7.3 Hz, 1H), 7.34 (d, J = 8.5 Hz, 1H), 5.11 (dd, J = 12.5, 5.5 Hz, 1H), 4.96 (s, 2H), 2.87 (ddd, J= 17.8, 14.2, 5.0 Hz, 1H), 2.80 - 2.65 (m, 2H), 2.18 - 2.09 (m, 1H). LCMS 333.15 (M+H). Example 75: dBETl treatment downregulates BRD4 levels
dBETl showed potent binding to the first bromodomain of BRD4 (BRD4(1); IC50 =
20 nM), while the epimeric dBETl (R) was comparatively inactive (IC50 = 6.9 μΜ) (Fig. 1C).
In comparison, the IC50 JQ1 and JQ1-R are 20 nM and 8.8 μΜ, respectively (Fig. 1C).
Selectivity profiling confirmed potent and BET-specific target engagement among 32 bromodomains studied by phage display and displacement (Fig. 11 A) (Table 2).
SUBSTITUTE SHEET (RULE 26)
Table 2. Single Point Screenin of dBETl using BromoScan
A high-resolution crystal structure (1.0 A) of dBETl bound to BRD4(1) confirmed the mode of molecular recognition as comparable to JQl (Figs. ID and 1G). Ordered density for the dBETl ligand was found only to the first two carbon atoms of the butane spacer, suggesting conformational flexibility of the conjugated phthalimide. Using the dBETl- BRD4(1) crystal structure and the recently reported structure of CRBN bound to thalidomide (E. S. Fischer et al, Nature 512, 49-53 (2014)), the feasibility of ternary complex formation was modeled in silico. An extended conformation of dBETl was capable of bridging ordered BRD4(1) and CRBN in numerous sampled conformations without destructive steric interactions (Fig. IE). The modular nature of CRL complexes suggests that chemical
SUBSTITUTE SHEET (RULE 26)
recruitment of BRD4 may lead to CRBN-dependent degradation ( E. S. Fischer et al , Cell 147, 1024-1039 (2011); M. D. Petroski, R. J. Deshaies, Nat. Rev. Mol. Cell Biol. 6, 9-2).
The chemical adaptor function of dBETl was assessed by a homogeneous proximity assay for recombinant, human CRBN-DDBl and BRD4 using AlphaScreen technology. As shown in Fig. 1 IB, luminescence arising from proximity of acceptor (CRBN-bound) and donor (BRD4-bound) beads was increased in the presence of low (10 - 100 nM)
concentrations of dBETl . At higher concentrations of dBETl (e.g. , 1 μΜ), luminescence diminished, consistent with independent occupancy of CRBN and BRD4 binding sites by excess dBETl (the hook effect). Inhibition of chemical adaptor function was accomplished with competitive co-incubation with free JQ1 or thalidomide, each in a stereo-specific manner (Fig. 11C).
To functionally assess the effect of dBETl on BRD4 in cells, a human AML cell line (MV4-11) was treated for 18 hours with increasing concentrations of dBETl and assayed for endogenous BRD4 levels by immunoblot. Pronounced loss of BRD4 (> 85%) was observed with concentrations of dBETl as low as 100 nM (Fig. IF). MV4-11 cells were treated with DMSO or increasing concentrations of dBETl for 24 hours, lysed in RIPA buffer.
Immunoblotting was performed against the indicated proteins. In addition, BRD4 and c- MYC levels were quantified relative to vinculin levels in cells treated with increasing concentrations of dBETl (Fig. 1H). Notably, JMJD6, a protein that physically interacts with BRD4 was not affected (Fig. 1H). Moreover, HEXIM1 levels which usually increase after BRD4 inhibitor treatment via a transcriptional control mechanism were moderately decreased as well (Fig. 1H).
Molecular recognition of the BRD4 bromodomains by JQ1 is stereo-specific, and only the (+)-JQl enantiomer is active; the (-)-JQl enantiomer (JQ1R) is inactive (Figs 1A-1C and Fig. 5). The epimeric dBETl(R) compound lacks BRD4 binding (> 300 fold weaker binding in homogenous assays) and was inactive, demonstrating that BRD4 degradation requires target protein engagement (Fig. 2A).
Example 76: Degradation of BRD2, BRD3, and BRD4 by dBETl
MV4-11 cells were treated with DMSO or 100 nM dBETl for various timepoints between 1 and 24 hours. Cells were lysed in RIPA buffer. Immunoblotting was performed. While BRD3 and BRD4 showed comparable kinetics, BRD2 levels equilibrated faster at later timepoints. The results are shown in Fig. 2K.
SUBSTITUTE SHEET (RULE 26)
To quantify dose-responsive effects on BRD4 protein stability, a cell-count normalized, immunofluorescence-based high-content assay was developed in an adherent human cancer cell line (SUM149 breast cancer cells (Fig. 2B). Potent downregulation of total BRD4 was observed for dBETl (EC5o = 430 nM) without apparent activity for dBETl (R). These observations were confirmed by immunoblot in SUM149, which were used for baseline normalization of the assay (Fig. 2C). Additional cultured adherent and nonadherent human cancer cell lines showed comparable response (SUM159, MOLM13) (Figs. 21 and 2J).
The kinetics of BRD4 degradation were determined in a time course experiment using 100 nM dBETl in MV4-11 cells. Marked depletion of BRD4 was observed at 1 hour and complete degradation was observed at 2 hours of treatment (Fig. 2D). Degradation of BRD4 by dBETl was associated with a potent inhibitory effect on MV4-11 cell proliferation at 24 hours (measured by ATP content, IC50 = 0.14 μΜ, compared to IC50 = 1.1 μΜ (Fig. 2E), consistent with the reported, pronounced inhibitory effect of RNA silencing of BRD4 in this and other models of MLL-rearranged leukemia ( J. Zuber et al, Nature 478, 524-528 (2011)). Moreover, dBETl induced a potent apoptotic consequence in MV4-11 as measured by activated caspase cleavage (Caspase-GLO) (Fig. 2F), cleavage of poly(ADP-ribose) polymerase (PARP), and cleavage of Caspase-3 (Fig. 2N) and Annexin V staining (Fig. 2M). The apoptotic response to dBETl was confirmed in additional cultured human cell lines including DHL4 (B-cell lymphoma) (Fig. 2F). Kinetic studies of apoptotic response were then performed in MV4-11 cells cultured for either 4 or 8 hours followed by drug washout. Induction of apoptosis was assessed at 24 hours. While pulsed treatment with JQ1 did not yield a pronounced apoptotic response, significantly increased apoptosis was observed after only 4 h of dBETl treatment that was enhanced at 8 h (Figs. 2P and 2Q).
The rapid biochemical activity and robust apoptotic response of cultured cell lines to dBETl established the feasibility of assessing effects on primary human AML cells, where ex vivo proliferation is negligible in short-term cultures. Exposure of primary leukemic patient blasts to dBETl elicited dose-proportionate depletion of BRD4 (immunoblot) (Fig. 2G) and induction of apoptosis (Annexin V staining) (Figs. 2H and 2L). Importantly, the effect of BRD4 degradation by dBETl elicited a significantly greater apoptotic response in primary AML cells and AML cell lines than displacement of BRD4 by JQ1 (Fig. 2H). Together, these data demonstrated ligand-dependent target protein degradation and supported that target degradation can elicit a more pronounced biological consequence than domain-specific target inhibition.
SUBSTITUTE SHEET (RULE 26)
The therapeutic effect of BRD4 degradation was assessed in vivo by evaluating the tolerability and anti -tumor efficacy of repeat-dose dBETl in an established murine xenograft model of human MV4-11 leukemia cells. Tumor-bearing mice were treated with dBETl administered by intraperitoneal injection (50 mg/kg daily) or vehicle control. After 14 days of therapy a first tumor reached institutional limits for tumor size, and the study was terminated for comparative assessment of efficacy and modulation of BRD4 stability and function. Administration of dBETl attenuated tumor progression as determined by serial volumetric measurement (Fig. 12A), and decreased tumor weight assessed post-mortem (Fig. 12B). Acute pharmacodynamic degradation of BRD4 was observed four hours after a first or second daily treatment with dBETl (50 mg/kg IP) by immunoblot, accompanied by downregulation of MYC (Fig. 12C). The results were confirmed by quantitative
immunohistochemistry for BRD4 and MYC following repeat-dose exposure to dBETl for 14 days (Fig. 12D). A statistically significant destabilization of BRD4, downregulation of MYC and inhibition of proliferation (Ki67 staining) was observed with dBETl compared to vehicle control in excised tumors (Figs. 12D and 12E). Pharmacokinetic studies of dBETl (50 mg/kg IP) corroborated adequate drug exposure in vivo (Cmax = 392 nM; Fig. 13B), above the EC50 for BRD4 knock-down observed in vitro (<100 nM). Notably, two weeks of dBETl was well tolerated by mice without a meaningful effect on weight, white blood count, hematocrit or platelet count (Figs. 13C and 13D).
Example 77: Degradation is specific for dBETl
To critically assess the mechanism of dBETl -induced BRD4 degradation, requirements on proteasome function, BRD4 binding, and CRBN binding, were examined using chemical genetic and gene editing approaches. Treatment with either JQ1 or thalidomide alone was insufficient to induce BRD4 degradation in MV4-11 cells (Figs. 3 A and 3E). BRD4 stability was rescued by pre-treatment with the irreversible proteasome inhibitor carfilzomib (0.4 μΜ), indicating that proteasome function is required in dBETl- mediated BRD4 degradation (Figs. 3B and 3F). Pre-treatment with excess JQ1 or thalidomide abolished dBETl -induced BRD4 degradation, further confirming the requirement for both BRD4 and CRBN (Figs. 3B and 3F). Cullin-based ubiquitin ligases require neddylation of the cullin subunit for processive E3 ligase activity and target polyubiquitination (G. Lu, et al, Science 343, 305-309 (2014); R. I. Sufan, M. Ohh, Neoplasia 8, 956-963 (2006)). Pre-treatment with the selective NAE1 inhibitor
MLN4924(29) rescued BRD4 stability from dBETl exposure, further supporting dependence
SUBSTITUTE SHEET (RULE 26)
on active RING E3 ligase activity (Fig. 3C). Moreover, using a recently published human MM cell line (MM1.S-CRBN 7 ) that features an engineered knockout of CRBN by
CRISPR/Cas9 technology (G. Lu, et al, Science 343, 305-309 (2014)) confirmed the cellular requirement for CRBN (Fig. 3D). These data showed CRBN-dependent proteasomal degradation of BRD4 by dBET 1.
Example 78: Highly selective BET bromodomain degradation by expression proteomics
An unbiased, proteome-wide approach was selected to assess the cellular
consequences of dBETl treatment on protein stability. The acute impact of dBETl treatment (250 nM) was compared to JQl (250 nM) and vehicle (DMSO 0.0025%) controls on protein stability in MV4-11 cells. A 2 hour incubation was selected to capture primary, immediate consequences of small-molecule action and to mitigate expected, confounding effects on suppressed transactivation of BRD4 target genes. Three biological sample replicates were prepared for each treatment condition using isobaric tagging that allowed the detection of 7429 proteins using a lower cut-off of at least two identified spectra per protein. Following BET bromodomain inhibition with JQl, few proteomic changes are observed (Fig. 4A). Only MYC was significantly depleted by more than 2-fold after 2 hours of JQl treatment, indicating the reported rapid and selective effect of BET bromodomain inhibition on MYC expression in AML (Figs. 4A and 4C) (J. Zuber et al. , Nature 478, 524-528 (2011)). JQl treatment also downregulated the oncoprotein PIM1 (Figs. 4A and 4C).
Treatment with dBETl elicited a comparable, modest effect on MYC and PIM1 expression. Only three additional proteins were identified as significantly (p < 0.001) and markedly (> 5-fold) depleted in dBETl-treated cells: BRD2, BRD3 and BRD4 (Figs. 4B and 4C). Orthogonal detection of BRD2, BRD3, BRD4, MYC and PIM1 was performed by immunoblot following treatment of MV4-11 leukemia cells with dBETl or JQl. BET family members were degraded only by dBETl, whereas MYC and PIM1 abundance was decreased by both dBETl and JQl, and to a lesser degree (Fig. 4D). No effect on Ikaros TF expression was observed in either treatment condition (Fig. 4F). Because MYC and PIM1 are often associated with massive adjacent enhancer loci by epigenomic profiling (B. Chapuy et al, Cancer Cell 24, 777-790 (2013); J. Loven et al, Cell 153, 320-334 (2013)) suggestive of a transcriptional mechanism of downregulation, mRNA transcript abundance was measured for each depleted gene product (Fig. 4E). Treatment with either JQl or dBETl downregulated MYC md PIMl transcription, suggestive of secondary transcriptional effects. Transcription of BRD4 and BRD3 were unaffected, consistent with post-transcriptional effects.
SUBSTITUTE SHEET (RULE 26)
Transcription of BRD2 was affected by JQ1 and dBETl, whereas protein stability of the BRD2 gene product was only influenced by dBETl , indicating transcriptional and post- transcriptional consequences. These data demonstrated a highly selective effect of dBETl on target protein stability, proteome-wide.
Example 79: Negative SAR JQl -Rev (JQI-II-079)
MV4-11 cells were treated for 24 hours with either DMSO, dBETl (Ι ΟΟηΜ) or the indicated concentrations of JQ 1-REV (JQ-II-079), lysed with RIPA buffer, and
immunoblotted for BRD4 and Vinculin as loading control. While BRD4 levels were significantly decreased with dBET 1 treatment, JQl -Rev treatment did not yield any measureable effect. The results are shown in Fig. 5.
Example 80: Decrease in BRD4 protein levels proceed measurable decrease in BRD4 transcript levels
MV4-11 cells were treated with dBETl or JQ1 for 2 and 4 hours at 100 nM or luM each. RNA was isolated using Qiagen RNAeasy kit and converted to cDNA using VILO Superscript reverse transcriptase. BRD4 transcript levels were assayed via qRT-PCR. The results are shown in Fig. 6. Example 81 : dBETl mediated degradation of BRD4 is dependent on CRBN availability
Wild type MM1 S proficient of CBRN expression (MM1 S WT) as well as deficient of CRBN expression (MM1 S CRBN 7 ) were treated with dBETl for 8 hours. CRBN deficient isogenic cell line was reported elsewhere (Lu et al. Science 2014). Cells were lysed with RIPA buffer and immunoblotted for BRD4 and tubulin as loading control. The results are shown in Fig. 7.
Example 82: Effects of dBET2 on BRD4 expression levels
MV4-1 1 cells were treated with DMSO or increasing concentrations of dBET2 for 8 hours, lysed in RIPA buffer and immunoblotting was performed against BRD4 and tubulin as loading control. The results are shown in Fig. 8.
Example 83 : Effects of dBET2 on PLKl expression levels
(A) MV4-11 cells were treated with DMSO or increasing concentrations of dBET2 for 8 hours, lysed in RIPA buffer and immunoblotting was performed against PLKl and tubulin
SUBSTITUTE SHEET (RULE 26)
as loading control. (B) Quantification of (A). The intensity of the PLKl bands was quantified to the respective tubulin loading control bands. The results are shown in Fig. 9.
Example 84: dBETl mediated degradation in vivo
Short-term treatment studies were conducted with tumor-bearing mice using the human MV4-11 leukemia murine xenograft model. Mice with established tumors were administered dBETl (50 mg/kg), JQ1 (50 mg/kg) or a vehicle control, once daily for two days. Pharmacodynamic effects on BRD4 stability were determined 4h after the second drug exposure, by immunoblot. Treatment with dBETl was associated with unambiguous suppression of BRD4, compared to JQ1 and vehicle controls (Fig. 20). Corroborating the pharmacologic advantage observed in cell lines and primary patient cells, an increased apoptotic response following dBETl treatment in vivo was observed as measured by immunoblotting for PARP and caspase cleavage (Fig. 20). Example 85 : dFKBP- 1 to dFKBP-5 mediated degradation of FKBP 12
Phthalimide-conjugated ligands to the cytosolic signaling protein, FKBP12, were synthesized. FKBP 12 has been identified to play a role in cardiac development, ryanodine receptor function, oncogenic signaling, and other biological phenotypes. At a known permissive site on the FKBP12-directed ligand API 497, two chemical spacers were placed to create the conjugated phthalimides dFKBP-1 and dFKBP-2. Similarly, dFKBP-3 to dFKBP-5 were also synthesized. dFKBPs decreased FKBP12 abundance in MV4-11 cells (Figs. 10A and 10B). dFKBP-1 and dFKBP-2 treatment resulted in over 80% reduction of FKBP12 at 0.1 μΜ and 50% reduction at 0.01 μΜ, a 1000-fold improvement in potency as compared to conjugated PROTAC ligands which demonstrated activity at 25 μΜ. As with dBETl, destabilization of FKBP12 by dFKBP-1 was rescued by pre-treatment with carfilzomib,
MLN4924, free API 497 or free thalidomide (Fig. IOC). CRBN-dependent degradation was established using previously published isogenic 293FT cell lines which are wild-type (293FT-WT) or deficient (293FT-CRBN 7 ) for CRBN (G. Lu, et ctl, Science 343, 305-309 (2014)). Treatment of 293FT-WT cells with dFKBP-1 induced potent, dose-dependent degradation of FKBP 12, whereas 293FT-CRBN 7- were unaffected (Fig. 10D). Degradation of FKBP by dFKBP-3, dFKBP-4, or dFKBP-5 is shown in Fig. 10E.
SUBSTITUTE SHEET (RULE 26)
Example 86: Degradation of BRD proteins by dBET
10,000 cells (293FT WT or 293 CRBN-/-) were seeded per well using 384-well plates. On the following day, dBET compounds were added at various concentrations. After being treated with the dBET compounds for 4 hours, cells were fixed with formaldehyde, permeabilized using 0.1% triton, blocked with LiCor blocking buffer, and incubated with the primary antibody (BRD4, 1 : 1000) overnight. On the following day, cells were washed (5x TBST) and stained using Odysee Cell Stain (1 :500). A secondary antibody recognizing the rabbit BRD4 antibody was added simultaneously (1 :800). Images were quantified using LiCOR imager. BRD4 levels in the cells after the dBET treatment were shown in Figs. 14A- BB.
Various cells (BAF3 K-RAS, SEMK2, Monomacl, MM1 SWT, MMIS0™"7") were treated with increasing concentrations of dBETl or dBET6 for -16 hours. Cells were lysed and the lysates were immunoblotted to measure levels of BRD4. The results are shown in Figs. 15A-15D and 15F.
MV4-11 cells were treated with 50 nM dBET6 or 200 nM dBETl 8. For the following
24 hours, levels of BRD4 or BRD4, BRD2 and BRD3 were detected by immunoblotting at various time points. The results are shown in Fig. 15E and Fig. 16B.
Example 87: Degradation of BRD and other proteins by dBET
293FT WT or 293 CRBN-/- were treated with dBET2, dBET7, dBET8, or dBETl 0 at
1 μΜ for 16 hours. The cells were then lysed and the lysates were immunoblotted to measure levels of BRD4 and PLK1. The results are shown in Fig. 16 A.
Example 88: Viability of cells treated with dBET compounds
Various cell lines (T-ALL (MOLT4, DND41 , CUTLL 1 ), LOUCY, MV4 - 11 , and
RS4-11) were plated in 384 well plates at 1000 cells/well. dBET compounds were then added to the cells and incubated for 48 hours. ATP content was measured as a surrogate for cellular viability using ATPlite (Promega). The results were shown in Fig. 17A-17E and Fig. 18A-18C.
Example 89: dGR mediated glucocorticoid receptor degradation
DND41 cells were grown in culture plates. dGR3 was added at various
concentrations and incubated for 16 hours. The cells were then lysed, and the lysates were immunoblotted to measure GR levels. The results are shown in Fig. 19.
SUBSTITUTE SHEET (RULE 26)
Example 90: Synthesis of dFKBP13 - dFKBP21 and dFKBP24 - dFKBP38
4-((6-aminohexyl)oxy)-2-(2,6-dioxopiperidin-3-yl)isoindoline-l,3-dione (5.59 mg,
0.015 mmol, leq) as a solution in 151.63 μΐ DMF (0.1 M) is added to FKBP acid (10.52 mg, 0.015 mmol, leq). DIPEA (7.43 μΐ, 0.045 mmol, 3 eq) is added, followed by HATU (5.70 mg, 0.015 mmol, 1 eq). The mixture is stirred for 17 hours at room temperature. The mixture is then diluted with EtOAc and washed with saturated sodium bicarbonate, water then brine. The organic layer is dried over sodium sulfate, filtered and condensed. The crude material is purified by column chromatography.
4-((10-aminodecyl)oxy)-2-(2,6-dioxopiperidin-3-yl)isoindoline-l,3-dione (9.45 mg, 0.022 mmol, 1 eq) as a solution in 220 μΐ DMF (0.1 M) is added to FKBP acid (15.58 mg, 0.022 mmol, 1 eq). DIPEA (10.9 μΐ, 0.066 mmol, 3 eq) is added, followed by HATU (8.36 mg, 0.022 mmol, 1 eq). The mixture is stirred for 17 hours at room temperature. The mixture is then diluted with EtOAc and washed with saturated sodium bicarbonate, water then brine. The organic layer is dried over sodium sulfate, filtered and condensed. The crude material is purified by column chromatography.
(3) dFKBP15
4-(2-(2-(2-aminoethoxy)ethoxy)-2-(2,6-dioxopiperidin-3-yl)isoindoline-l,3-dione (8.91 mg, 0.022 mmol, 1 eq) as a solution in 220 μΐ DMF (0.1 M) is added to FKBP acid (15.58 mg, 0.022 mmol, 1 eq). DIPEA (10.91 μΐ, 0.066 mmol, 3 eq) is added, followed by HATU (8. 36 mg, 0.022 mmol, 1 eq). The mixture is stirred for 20 hours at room
temperature. The mixture is then diluted with EtOAc and washed with saturated sodium bicarbonate, water then brine. The organic layer is dried over sodium sulfate, filtered and condensed. The crude material is purified by column chromatography.
(4) dFKBP16
5-andno-N-(2-2(2,6-dioxopiperidin-3-yl)-l-oxoisoindolin-4-yl)pentanamide (7.84 mg, 0.0219 mmol, 1 eq) as a solution in 219 μΐ DMF (0.1 M) is added to FKBP acid (15.23 mg, 0.0219 mmol, 1 eq). DIPEA (10. 87 μΐ, 0.065 mmol, 3 eq) is added, followed by HATU (8.32 mg, 0.0219 mmol, 1 eq). The mixture is stirred for 17 hours at room temperature. The mixture is then diluted with EtOAc and washed with saturated sodium bicarbonate, water then brine. The organic layer is dried over sodium sulfate, filtered and condensed. The crude material is purified by column chromatography.
(5) dFKBP17
SUBSTITUTE SHEET (RULE 26)
OMe
N-(3-(3-aminopropoxy)propyl)-2-((2-(2,6-dioxopiperidin-3-yl)-l,3-dioxoisoindolin-4- yl)oxy)acetamide (10.27 mg, 0.023 mmol, 1 eq) as a solution in 230 μΐ DMF (0.1 M) is added to FKBP acid (15.66 mg, 0.023 mmol, 1 eq). DIPEA (11.07 μΐ, 0.067 mmol, 3 eq) is added, followed by HATU (8.74 mg, 0.023 mmol, 1 eq). The mixture is stirred for 18 hours at room temperature. The mixture is then diluted with EtOAc and washed with saturated sodium bicarbonate, water then brine. The organic layer is dried over sodium sulfate, filtered and condensed. The crude material is purified by column chromatography.
4-(4-aminobutoxy)-2-(2,6-dioxopiperidin-3-yl)isoindoline-l,3-dione (5.31 mg, 0.0154 mmol, 1 eq) as a solution in 153.94 μΐ DMF (0.1 M) is added to FKBP acid (10.68 mg, 0.0154 mmol, 1 eq). DIPEA (7.63 μΐ, 0.046 mmol, 3 eq) is added, followed by HATU (5.85 mg, 0.0154 mmol, 1 eq). The mixture is stirred for 21 hours at room temperature. The mixture is then diluted with EtOAc and washed with saturated sodium bicarbonate, water then brine. The organic layer is dried over sodium sulfate, filtered and condensed. The crude material is purified by column chromatography.
(7) dFKBP19
4-(2-(2-aminoethoxy)ethoxy)-2-(2,6-dioxopiperidin-3-yl)isoindoline-l,3-dione (5.77 mg, 0.016 mmol, 1 eq) as a solution in 158.98 μΐ DMF (0.1 M) is added to FKBP acid (11.03 mg, 0.016 mmol, 1 eq). DIPEA (7.93 μΐ, 0.048 mmol, 3 eq) is added, followed by HATU (6.08 mg, 0.016 mmol, 1 eq). The mixture is stirred for 20 hours at room temperature. The mixture is then diluted with EtOAc and washed with saturated sodium bicarbonate, water then brine. The organic layer is dried over sodium sulfate, filtered and condensed. The crude material is purified by column chromatography.
(8) dFKBP20
8-andno-N-(2-(2,6-dioxopiperidin-3-yl)-l-oxoisoindolin-4-yl)octanamide (8.8 mg, 0.022 mmol, 1 eq) as a solution in 220 μΐ DMF (0.1 M) is added to FKBP acid (15.48 mg, 0.022 mmol, 1 eq). DIPEA (10.91 μΐ, 0.066 mmol, 3 eq) is added, followed by HATU (8.36 mg, 0.022 mmol, 1 eq). The mixture is stirred for 18 hours at room temperature. The mixture is then diluted with EtOAc and washed with saturated sodium bicarbonate, water then brine. The organic layer is dried over sodium sulfate, filtered and condensed. The crude material is purified by column chromatography.
SUBSTITUTE SHEET (RULE 26)
(9) dFKBP21
N-(4-(aminomethyl)benzyl)-2-((2-(2,6-dioxopiperidin-3-yl)-l,3-dioxoisoindolin-4- yl)oxy)acetamide (9.9 mg, 0.022 mmol, 1 eq) as a solution in 220 μΐ DMF (0.1 M) is added to FKBP acid (15.31 mg, 0.022 mmol, 1 eq). DIPEA (10. 91 μΐ, 0.066 mmol, 3 eq) is added, followed by HATU (8.36 mg, 0.022 mmol, 1 eq). The mixture is stirred for 16 hours at room temperature. The mixture is then diluted with EtOAc and washed with saturated sodium bicarbonate, water then brine. The organic layer is dried over sodium sulfate, filtered and condensed. The crude material is purified by column chromatography.
N-(14-amino-3,6,9,12-tetraoxatetradecyl)-2-((2-(2,6-dioxopiperidin-3-yl)-l,3- dioxoisoindolin-4-yl)oxy)acetamide (15.93 mg, 0.024 mmol, 1 eq) as a solution in 240 μΐ DMF (0.1 M) is added to FKBP acid (16.76 mg, 0.024 mmol, 1 eq). DIPEA (11.90 μΐ, 0.072 mmol, 3 eq) is added, followed by HATU (9.125 mg, 0.024 mmol, 1 eq). The mixture is stirred for 17 hours at room temperature. The mixture is then diluted with EtOAc and washed with saturated sodium bicarbonate, water then brine. The organic layer is dried over sodium sulfate, filtered and condensed. The crude material is purified by column chromatography.
N-(29-amino-3,6,9,12,15,18,21,24,27-nonaoxanonacosyl)-2-((2-(2,6-dioxopiperidin- 3-yl)-l,3-dioxoisoindolin-4-yl)oxy)acetamide (22.1 mg, 0.025 mmol, 1 eq) as a solution in 250 μΐ DMF (0.1 M) is added to FKBP acid (17.51 mg, 0.025 mmol, 1 eq). DIPEA (12.4 μΐ, 0.075 mmol, 3 eq) is added, followed by HATU (9.5 mg, 0.025 mmol, 1 eq). The mixture is stirred for 19 hours at room temperature. The mixture is then diluted with EtOAc and washed with saturated sodium bicarbonate, water then brine. The organic layer is dried over sodium sulfate, filtered and condensed. The crude material is purified by column chromatography.
N-(2-(2-(2-(2-aminoethoxy)ethoxy)ethyl)-2-((2-(2,6-sioxopiperidin-3-yl)-l,3- dioxoisoindolin-4-yl)oxy)acetamide (12.4 mg, 0.02 mmol, 1 eq) as a solution in 200 μΐ DMF (0.1 M) is added to FKBP acid (14.4 mg, 0.02 mmol, 1 eq). DIPEA (10.29 μΐ, 0.062 mmol, 3 eq) is added, followed by HATU (7.6 mg, 0.02 mmol, 1 eq). The mixture is stirred for 18 hours at room temperature. The mixture is then diluted with EtOAc and washed with saturated sodium bicarbonate, water then brine. The organic layer is dried over sodium sulfate, filtered and condensed. The crude material is purified by column chromatography. (13) dFKBP27
SUBSTITUTE SHEET (RULE 26)
N-(17-amino-3, 6,9,12, 15-pentaoxaheptadecyl)-2-((2-(2,6-dioxopiperidin-3-yl)-l, 3- dioxoisoindolin-4-yl)oxy)acetamide (13.87 mg, 0.019 mmol, 1 eq) as a solution in 196 μΐ DMF (0.1 M) is added to FKBP acid (13.65 mg, 0.0196 mmol, 1 eq). DIPEA (9.75 μΐ, 0.059 mmol, 3 eq) is added, followed by HATU (7.45 mg, 0.0196 mmol, 1 eq). The mixture is stirred for 16 hours at room temperature. The mixture is then diluted with EtOAc and washed with saturated sodium bicarbonate, water then brine. The organic layer is dried over sodium sulfate, filtered and condensed. The crude material is purified by column chromatography.
dFKBP28 (SD-2-90)
N-(23-arnino-3,6,9,12,15,18,21-heptaoxatricosyl)-2-((2-(2,6-dioxopiperidin-3-yl)-l,3- dioxoisoindolin-4-yl)oxy)acetamide (16.71 mg, 0.021 mmol, 1 eq) as a solution in 210 μΐ DMF (0.1 M) is added to FKBP acid (14.46 mg, 0.021 mmol, 1 eq). DIPEA (10.33 μΐ, 0.062 mmol, 3 eq) is added, followed by HATU (7.98 mg, 0.021 mmol, 1 eq). The mixture is stirred for 17 hours at room temperature. The mixture is then diluted with EtOAc and washed with saturated sodium bicarbonate, water then brine. The organic layer is dried over sodium sulfate, filtered and condensed. The crude material is purified by column chromatography. (15) dFKBP29
N 35-amino-3,6,9,12,15,18,21,24,27,30,33-undecaoxapentatriacontyl)-2-((2-(2,6- dioxopiperidin-3-yl)-l,3-dioxoisoindolin-4-yl)oxy)acetamide (19.36 mg, 0.0199 mmol, 1 eq) as a solution in 199 μΐ DMF (0.1 M) is added to FKBP acid (13.83 mg, 0.0199 mmol, 1 eq). DIPEA (9.88 μΐ, 0.059 mmol, 3 eq) is added, followed by HATU (7.56 mg, 0.0199 mmol, 1 eq). The mixture is stirred for 16 hours at room temperature. The mixture is then diluted with EtOAc and washed with saturated sodium bicarbonate, water then brine. The organic layer is dried over sodium sulfate, filtered and condensed. The crude material is purified by column chromatography.
N-(4-aminobutyl)-2-((2-(2,6-dioxopiperidin-3-yl)-l-oxoisoindolin-4- yl)oxy)acetamide (11.04 mg, 0.022 mmol, 1 eq) as a solution in 220 μΐ DMF (0.1 M) is added to FKBP acid (15.07 mg, 0.022 mmol, 1 eq). DIPEA (10.91 μΐ, 0.066 mmol, 3 eq) is added, followed by HATU (8.36 mg, 0.022 mmol, 1 eq). The mixture is stirred for 18 hours at room temperature. The mixture is then diluted with EtOAc and washed with saturated sodium bicarbonate, water then brine. The organic layer is dried over sodium sulfate, filtered and condensed. The crude material is purified by column chromatography.
(17) dFKBP31
N-(8-aminooctyl)-2-(2-(2,6-dioxopiperidin-3-yl)-l,3-dioxoisoindolin-4- yl)oxy)acetamide (8.56 mg, 0.0154 mmol, 1 eq) as a solution in 154 μΐ DMF (0.1 M) is added to FKBP acid (10.7 mg, 0.0154 mmol, 1 eq). DIPEA (7.6 μΐ, 0.046 mmol, 3 eq) is added, followed by HATU (4.05 mg, 0.0154 mmol, 1 eq). The mixture is stirred for 18 hours at room temperature. The mixture is then diluted with EtOAc and washed with saturated sodium bicarbonate, water then brine. The organic layer is dried over sodium sulfate, filtered and condensed. The crude material is purified by column chromatography.
(18) dFKBP32
N-(8-aminobutyl)-2-((2-(2,6-dioxopiperidin-3-yl)-l-oxoisoindolin-4- yl)oxy)acetamide (11.8 mg, 0.0212 mmol, 1 eq) as a solution in 212 μΐ DMF (0.1 M) is added to FKBP acid (14.75 mg, 0.0212 mmol, 1 eq). DIPEA (10.5 μΐ, 0.063 mmol, 3 eq) is added, followed by HATU (8.06 mg, 0.0212 mmol, 1 eq). The mixture is stirred for 16 hours at room temperature. The mixture is then diluted with EtOAc and washed with saturated sodium bicarbonate, water then brine. The organic layer is dried over sodium sulfate, filtered and condensed. The crude material is purified by column chromatography.
(19) dFKBP33
SUBSTITUTE SHEET (RULE 26)
N-(8-aminobutyl)-2-((2-(2,6-dioxopiperidin-3-yl)-l-oxoisoindolin-4- yl)amino)acetamide (12.23 mg, 0.022 mmol, 1 eq) as a solution in 220 μΐ DMF (0.1 M) is added to FKBP acid (15.33 mg, 0.022 mmol, 1 eq). DIPEA (10.9 μΐ, 0.066 mmol, 3 eq) is added, followed by HATU (8.36 mg, 0.022 mmol, 1 eq). The mixture is stirred for 17 hours at room temperature. The mixture is then diluted with EtOAc and washed with saturated sodium bicarbonate, water then brine. The organic layer is dried over sodium sulfate, filtered and condensed. The crude material is purified by column chromatography.
N-(4-andnobutyl)amino)-2-(2,6-dioxopiperidin-3-yl)isoindolin-l,3-dione (9.68 mg, 0.0212 mmol, 1 eq) as a solution in 212 μΐ DMF (0.1 M) is added to FKBP acid (14.75 mg, 0.0212 mmol, 1 eq). DIPEA (10.52 μΐ, 0.063 mmol, 3 eq) is added, followed by HATU (8.06 mg, 0.0212 mmol, 1 eq). The mixture is stirred for 18 hours at room temperature. The mixture is then diluted with EtOAc and washed with saturated sodium bicarbonate, water then brine. The organic layer is dried over sodium sulfate, filtered and condensed. The crude material is purified by column chromatography.
(21) dFKBP35
SUBSTITUTE SHEET (RULE 26)
5-((4-aminobutyl)amino)-2-(2,6-dioxopiperidin-3-yl)isoindoline-l,3-dione (9.78 mg, 0.0214 mmol, 1 eq) as a solution in 214 μΐ DMF (0.1 M) is added to FKBP acid (14.89 mg, 0.0214 mmol, 1 eq). DIPEA (10.64 μΐ, 0.064 mmol, 3 eq) is added, followed by HATU (8.13 mg, 0.0214 mmol, 1 eq). The mixture is stirred for 17 hours at room temperature. The mixture is then diluted with EtOAc and washed with saturated sodium bicarbonate, water then brine. The organic layer is dried over sodium sulfate, filtered and condensed. The crude material is purified by column chromatography.
4-((8-andnooctyl)amino)-2-(2,6-dioxopiperidin-3-yl)isoindoline-l,3-dione (10.41 mg, 0.0203 mmol, 1 eq) as a solution in 203 μΐ DMF (0.1 M) is added to FKBP acid (14.15 mg, 0.0203 mmol, 1 eq). DIPEA (10.06 μΐ, 0.061 mmol, 3 eq) is added, followed by HATU (7.72 mg, 0.0203 mmol, 1 eq). The mixture is stirred for 18 hours at room temperature. The mixture is then diluted with EtOAc and washed with saturated sodium bicarbonate, water then brine. The organic layer is dried over sodium sulfate, filtered and condensed. The crude material is purified by column chromatography.
(23) dFKBP37
SUBSTITUTE SHEET (RULE 26)
5-((2-(2-(2-(2-aminoethoxy)ethoxy)ethyl)amino)-2-(2,6-dioxopiperidin-3- yl)isoindoline-l,3-dione (11.56 mg, 0.0206 mmol, 1 eq) as a solution in 206 μΐ DMF (0.1 M) is added to FKBP acid (14.31 mg, 0.0206 mmol, 1 eq). DIPEA (10.21 μΐ, 0.0618 mmol, 3 eq) is added, followed by HATU (7.83 mg, 0.0206 mmol, 1 eq). The mixture is stirred for 22 hours at room temperature. The mixture is then diluted with EtOAc and washed with saturated sodium bicarbonate, water then brine. The organic layer is dried over sodium sulfate, filtered and condensed. The crude material is purified by column chromatography.
W-(3-(aminomethyl)phenyl)-2-((2-(2,6-dioxopiperidin-3-yl)-1 ,3-dioxoisoindolin-4- yl)oxy)acetamide
(7.35 mg, 0.0134 mmol, 1 eq) as a solution in 134 μΐ DMF (0.1 M) is added to FKBP acid (9.35 mg, 0.0134mmol, 1 eq). DIPEA (6.68 μΐ, 0.0404 mmol, 3 eq) is added, followed by HATU (5.09 mg, 0.0133 mmol, 1 eq). The mixture is stirred for 20 hours at room temperature. The mixture is then diluted with EtOAc and washed with saturated sodium bicarbonate, water then brine. The organic layer is dried over sodium sulfate, filtered and condensed. The crude material is purified by column chromatography.
SUBSTITUTE SHEET (RULE 26)
5-((4-aminobutyl)amino)-2-(2,6-dioxopiperidin-3-yl)isoindoline-l,3-dione (233.07 mg, 0.051 mmol, 1 eq) as a solution in 510 μΐ DMF (0.1 M) was added to JQl-acid (20.46 mg, 0.051 mmol, 1 eq). DIPEA (25.28 μΐ, 0.153 mmol, 3 eq) was added, followed by HATU (19.39 mg, 0.051 mmol, 1 eq). The mixture was stirred for 20 hours at room temperature. The mixture was then diluted with EtOAc and washed with saturated sodium bicarbonate, water then brine. The organic layer was dried over sodium sulfate, filtered and condensed to give a white oil (31.3 mg, 84.4 % yield). The crude material was purified by column
chromatography (ISCO, 4 g silica column, 0 to 10% MeOH/DCM 25 minute gradient) to give a yellow oil (16.7 mg, 45 % yield). ¾ NMR (500 MHz, Methanol-ώ) δ 7.51 (dd, J = 8.4, 1.3
Hz, 1H), 7.44 - 7.39 (m, 2H), 7.36 - 7.30 (m, 2H), 6.95 (t, J = 2.0 Hz, 1H), 6.81 (ddd, J = 8.4, 2.2, 1.2 Hz, 1H), 5.01 (ddd, J = 12.7, 5.5, 3.0 Hz, 1H), 4.64 (dd, J= 9.0, 5.2 Hz, 1H), 3.47 _ 3.34 (m, 2H), 3.25 (tt, J = 9.7, 6.2 Hz, 2H), 2.88 - 2.79 (m, 1H), 2.77 - 2.70 (m, 1H), 2.68 (s, 3H), 2.42 (s, 4H), 2.07 (ddq, J = 10.3, 5.4, 2.8 Hz, 1H), 1.75 - 1.68 (m, 5H), 1.67 - 1.63 (m, 3H), 1.29 (s, 1H). LCMS 728 (M+H)
4-((8-andnooctyl)amino)-2-(2,6-dioxopiperidin-3-yl)isoindoline-l,3-dione (23.59 mg, 0.046 mmol, 1 eq) as a solution in 460 μΐ DMF (0.1 M) was added to JQl-acid (18.68 mg,0.046 mmol, 1 eq). DIPEA (23.1 μΐ, 0.139 mmol, 3 eq) was added, followed by HATU (17.49 mg, 0.046 mmol, 1 eq). The mixture was stirred for 18 hours at room temperature. The mixture was then diluted with EtOAc and washed with saturated sodium bicarbonate, water then brine. The organic layer was dried over sodium sulfate, filtered and condensed to give a white powder (26 mg, 72.18 % yield). The crude material was purified by column
SUBSTITUTE SHEET (RULE 26)
chromatography (ISCO, 4 g silica column, 0 to 10% MeOH/DCM 25 minute gradient) to give a yellow oil (17.1 mg, 47.4 % yield). ¾ NMR (500 MHz, Methanol-ώ) δ 7.52 (dd, J= 8.6,
7.2 Hz, 1H), 7.46 - 7.43 (m, 2H), 7.39 (d, J = 8.6 Hz, 2H), 7.00 (dd, J= 7.6, 2.0 Hz, 2H),
5.03 (dd, J= 12.5, 5.5 Hz, 1H), 4.62 (dd, J= 9.0, 5.2 Hz, 1H), 3.40 (dd, J = 14.9, 9.0 Hz, 1H), 3.28 (d, J = 6.8 Hz, 2H), 3.27 - 3.17 (m, 2H), 2.89 - 2.79 (m, 1H), 2.74 (dd, J = 4.4, 2.6 Hz, 1H), 2.68 (s, 3H), 2.43 (s, 4H), 2.13 - 2.01 (m, 1H), 1.68 (s, 3H), 1.63 (q, J = 7.2 Hz, 1H), 1.56 (q, J = 7.0 Hz, 2H), 1.46 - 1.34 (m, 9H), 1.29 (s, 1H). LCMS 784 (M+H)
(3)
4-((4-aminobutyl)amino)-2-(2,6-dioxopiperidin-3-yl)isoindoline-l,3-dione (22.71 mg,
0.0497 mmol, 1 eq) as a solution in 497 μΐ DMF (0.1 M) was added to JQl-acid (19.95 mg, 0.0497 mmol, 1 eq). DIPEA (24.67 μΐ, 0.149 mmol, 3 eq) was added, followed by HATU (18.89 mg, 0.0497 mmol, 1 eq). The mixture was stirred for 17 hours at room temperature. The mixture was then diluted with EtOAc and washed with saturated sodium bicarbonate, water then brine. The organic layer was dried over sodium sulfate, filtered and condensed to give a white oil (30.4 mg, 72 % yield). The crude material was purified by column chromatography (ISCO, 4 g silica column, 0 to 10% MeOH/DCM 25 minute gradient) to give a yellow oil (26.6 mg, 63.6 % yield). ¾ NMR (500 MHz, Methanol-ώ) δ 7.51 (ddd, J = 8.3, 7.1, 0.8 Hz, 1H), 7.45 - 7.41 (m, 2H), 7.34 (dd, J= 8.7, 3.4 Hz, 2H), 7.06 - 7.00 (m, 2H), 5.01 (ddd, J= 12.9, 10.8, 5.5 Hz, 1H), 4.62 (ddd, J= 9.0, 5.3, 2.3 Hz, 1H), 3.44 - 3.33 (m, 3H), 3.27 (ddd, J= 14.7, 5.2, 2.2 Hz, 1H), 2.83 (ddd, J = 14.2, 5.4, 2.6 Hz, 1H), 2.76 - 2.70 (m, 2H), 2.43 (s, 3H), 2.07 (dtt, J = 12.9, 5.4, 2.9 Hz, 1H), 1.76 - 1.68 (m, 5H), 1.66 (s, 3H).LCMS 728 (M+H)
(4)
SUBSTITUTE SHEET (RULE 26)
N-(23-arnino-3,6,9,12,15,18,21-heptaoxatricosyl)-2-((2-(2,6-dioxopiperidin-3-yl)-l,3- dioxoisoindolin-4-yl)oxy)acetamide (60.49 mg, 0.076 mmol, 1 eq) as a solution in 760 μΐ DMF (0.1 M) was added to JQl-acid (30.80 mg, 0.076 mmol, 1 eq). DIPEA (38 μΐ, 0.23 mmol, 3 eq) was added, followed by HATU (28.89 mg, 0.076 mmol, 1 eq). The mixture was stirred for 20 hours at room temperature. The mixture was then diluted with EtOAc and washed with saturated sodium bicarbonate, water then brine. The organic layer was dried over sodium sulfate, filtered and condensed to give a white oil (42.8 mg, 52.8 % yield). The crude material was purified by column chromatography (ISCO, 4 g silica column, 0 to 10% MeOH/DCM 25 minute gradient) to give a white oil (36.6 mg, 45.2 % yield). ¾ NMR (500 MHz, Methanol-ώ) δ 7.81 - 7.75 (m, 1H), 7.50 (d, J = 7.3 Hz, 1H), 7.45 (d, J= 8.6 Hz, 2H), 7.43 - 7.37 (m, 3H), 5.09 (dd, J = 12.8, 5.5 Hz, 1H), 4.76 (s, 2H), 4.63 (dd, J = 9.1, 5.2 Hz, 1H), 3.66 - 3.55 (m, 30H), 3.51 - 3.41 (m, 5H), 2.90 - 2.83 (m, 1H), 2.79 - 2.71 (m, 2H), 2.69 (s, 3H), 2.43 (s, 3H), 2.14 (ddt, J= 10.5, 5.5, 3.2 Hz, 1H), 1.69 (s, 3H). LCMS 1065 (M+H)
(5)
N-(8-aminooctyl)-2-((2-(2,6-dioxopiperidin-3-yl)-l-oxoisoindolin-4- yl)amino)acetamide (28.9 mg, 0.052 mmol, 1 eq) as a solution in 524 μΐ DMF (0.1 M) was added to JQl-acid (21.01 mg, 0.052 mmol, 1 eq). DIPEA (524 μΐ, 0.157 mmol, 3 eq) was added, followed by HATU (19.77 mg, 0.052 mmol, 1 eq). The mixture was stirred for 20 hours at room temperature. The mixture was then diluted with EtOAc and washed with saturated sodium bicarbonate, water then brine. The organic layer was dried over sodium sulfate, filtered and condensed to give a white powder (33.7 mg, 78 % yield). The crude material was purified by column chromatography (ISCO, 4 g silica column, 0 to 10%
MeOH/DCM 25 minute gradient) to give a white powder (13.8 mg, 32 % yield). ¾ NMR (500 MHz, Chloroform-c δ 7.39 (dd, J = 8.2, 4.7 Hz, 3H), 7.31 (dd, J = 8.5, 3.5 Hz, 3H), 7.23 (dd, J= 7.6, 3.8 Hz, 1H), 6.65 (dd, J= 8.0, 3.4 Hz, 1H), 5.20 - 5.00 (m, 2H), 4.63 (q, J = 7.1 Hz, 2H), 3.87 (d, J= 5.6 Hz, 1H), 3.52 (ddd, J = 29.5, 14.8, 7.8 Hz, 1H), 3.37 - 3.13
SUBSTITUTE SHEET (RULE 26)
(m, 6H), 2.71 - 2.54 (m, 7H), 2.39 (d, J= 3.3 Hz, 5H), 1.66 (d, J= 5.7 Hz, 5H), 1.52 (t, J = 7.1 Hz, 1H), 1.43 (dt, J= 17.8, 5.3 Hz, 3H), 1.35 - 1.21 (m, 3H). LCMS 827 (M+H) (6)
N-(8-aminooctyl)-2-((2-(2,6-dioxopiperidin-3-yl)-l-oxoisoindolin-4-yl)oxy)acetamide (29.52 mg, 0.053 mmol, 1 eq) as a solution in 536 μΐ DMF (0.1 M) was added to JQl-acid (12.51 mg, 0.053 mmol, 1 eq). DIPEA (26.6 μΐ, 0.161 mmol, 3 eq) was added, followed by HATU (20.15 mg, 0.053 mmol, 1 eq). The mixture was stirred for 20 hours at room temperature. The mixture was then diluted with EtOAc and washed with saturated sodium bicarbonate, water then brine. The organic layer was dried over sodium sulfate, filtered and condensed to give a white oil (27.4 mg, 62.5 % yield). The crude material was purified by column chromatography (ISCO, 4 g silica column, 0 to 10% MeOH/DCM 25 minute gradient) to give a white oil (19.6 mg, 44.7 % yield). JH NMR (500 MHz, Methanol-^) δ 7.50 - 7.41 (m, 4H), 7.41 - 7.37 (m, 2H), 7.12 (dd, J = 7.9, 1.4 Hz, 1H), 5.14 (dt, J = 11.4, 3.2 Hz, 1H), 4.66 - 4.60 (m, 3H), 4.58 - 4.47 (m, 2H), 3.44 - 3.34 (m, 1H), 3.30 - 3.20 (m, 4H), 2.94 - 2.84 (m, 1H), 2.76 (ddq, J= 17.7, 5.0, 2.5 Hz, 1H), 2.68 (s, 3H), 2.53 - 2.45 (m, 1H), 2.43 (s, 3H), 2.17 (ddt, J = 10.0, 4.9, 2.6 Hz, 1H), 1.68 (s, 3H), 1.53 (dp, J= 21.0, 6.8 Hz, 4H), 1.39 - 1.24 (m, 9H). LCMS 827 (M+H)
(7)
N-(9-andnononyl)-2-((2-(2,6-dioxopiperidin-3-yl)-l,3-dioxoisoindolin-4-yl)acetamide (7.5 mg, 0.0135 mmol, 1 eq) as a solution in 135 μΐ DMF (0.1 M) was added to JQl-acid (5.41 mg, 0.0135 mmol, 1 eq). DIPEA (6.7 μΐ, 0.0405 mmol, 3 eq) was added, followed by HATU (5.13 mg, 0.0135 mmol, 1 eq). The mixture was stirred for 19 hours at room temperature. The mixture was then diluted with EtOAc and washed with saturated sodium bicarbonate, water then brine. The organic layer was dried over sodium sulfate, filtered and
SUBSTITUTE SHEET (RULE 26)
condensed to give a white powder (10.5 mg, 94.3 % yield). The crude material was purified by column chromatography (IS CO, 4 g silica column, 0 to 10% MeOH/DCM 25 minute gradient) to give a white powder (6.8 mg, 61 % yield). *H NMR (500 MHz, Methanol-^) δ 7.81 - 7.73 (m, 2H), 7.67 (dd, J= 7.5, 1.2 Hz, 1H), 7.47 - 7.43 (m, 2H), 7.40 (d, J = 8.7 Hz, 2H), 5.11 (dd, J = 12.7, 5.5 Hz, 1H), 4.63 (dd, J = 8.9, 5.3 Hz, 1H), 4.10 (q, J= 7.1 Hz, 1H), 4.04 (d, J= 4.1 Hz, 2H), 3.41 (dd, J= 14.9, 9.0 Hz, 1H), 3.29 - 3.20 (m, 2H), 3.17 (td, J = 6.9, 2.0 Hz, 2H), 2.90 - 2.80 (m, 1H), 2.78 - 2.70 (m, 2H), 2.44 (s, 3H), 2.12 (ddd, J= 7.8, 5.7, 2.7 Hz, 1H), 2.01 (s, 1H), 1.70 (s, 3H), 1.56 (q, J = 7.3 Hz, 2H), 1.49 (q, J= 6.8 Hz, 2H), 1.38 - 1.28 (m, 11H), 1.24 (t, J = 7.1 Hz, 1H), 0.95 - 0.81 (m, 1H). LCMS 839 (M+H) (8)
(i?)-N-(4-aminobutyl)-2-((2-(3-methyl-2,6-dioxopiperidin-3-yl)-l,3-dioxoisoindolin- 4-yl)oxy)acetamide (47.1 mg, 0.113 mmol, 1 eq) as a solution in 1.13 ml DMF (0.1 M) was added to JQl-acid (45.3 mg, 0.113 mmol, 1 eq). DIPEA (56.02 μΐ, 0.339 mmol, 3 eq) was added, followed by HATU (42.96 mg, 0.113 mmol, 1 eq). The mixture was stirred for 21 hours at room temperature. The mixture was then diluted with EtOAc and washed with saturated sodium bicarbonate, water then brine. The organic layer was dried over sodium sulfate, filtered and condensed to give a yellow powder (49.2 mg, 54.5 % yield). The crude material was purified by column chromatography (ISCO, 4 g silica column, 0 to 10%
MeOH/DCM 25 minute gradient) to give a yellow powder (20.1 mg, 22 % yield). *H NMR (400 MHz, Methanol-ώ) δ 7.77 (dd, J= 8.4, 7.4 Hz, 1H), 7.47 (s, 1H), 7.44 (d, J= 2.1 Hz, 1H), 7.42 (d, J= 1.3 Hz, 2H), 7.40 (d, J = 2.3 Hz, 2H), 7.38 (d, J= 2.6 Hz, 1H), 4.73 (s, 2H), 4.66 - 4.61 (m, 1H), 3.45 - 3.34 (m, 3H), 2.98 (s, 2H), 2.68 (d, J = 11.1 Hz, 5H), 2.44 (dd, J = 8.2, 0.9 Hz, 4H), 1.96 (s, 3H), 1.69 - 1.62 (m, 7H), 0.95 - 0.81 (m, 4H). LCMS 799 (M+H)
SUBSTITUTE SHEET (RULE 26)
xample 92: Synthesis of
N-(3-(2-(2-(3-aminopropoxy)ethoxy)ethoxy)propyl)-2-((2-(2,6-dioxopiperidin-3-yl)-l,3- dioxoisoindolin-4-yl)oxy)acetamide trifluoroacetate salt(13.0 mg, 0.020 mmol, 1 eq) is added to 2-(3-((i?)-3-(3,4-dimethoxyphenyl)-l-(((5 -l -((,S -2-(3,4,5-trimethoxyphenyl)
butanoyl)piperidine-2-carbonyl)oxy)propyl)phenoxy)acetic acid (13.9 mg, 0.020 mmol, 1 eq) as a 0.1 M solution in DMF (200 uL). DIPEA (19.5 uL, 0.060 mmol, 3 eq) is added, followed by HATU (7.6 mg, 0.020 mmol, 1 eq). The mixture is stirred at room temperature for 22 hours, then diluted with EtOAc. The organic layer is washed with 10% citric acid (aq), brine, saturated sodium bicarbonate (aq), water and brine. The organic layer is then dried over sodium sulfate, filtered and concentrated under reduced pressure. The crude material is purified by column chromatography.
4-((6-aminohexyl)oxy)-2-(2,6-dioxopiperidin-3-yl)isoindoline-l ,3-dione
trifluoroacetate salt (9.7 mg, 0.020 mmol, 1 eq) is added to 2-(3-((i?)-3-(3,4- dimethoxy phenyl)- 1 -(((<S)- 1 -((5 -2-(3,4,5 -trimethoxy pheny l)butanoy l)piperidine-2- carbonyl)oxy)propyl)phenoxy)acetic acid (13.9 mg, 0.020 mmol, 1 eq) as a 0.1 M solution in DMF (200 uL). DIPEA (19.5 uL, 0.060 mmol, 3 eq) is added, followed by HATU (7.6 mg, 0.020 mmol, 1 eq). The mixture is stirred at room temperature for 23 hours, then diluted with EtOAc. The organic layer is washed with 10% citric acid (aq), brine, saturated sodium bicarbonate (aq), water and brine. The organic layer is then dried over sodium sulfate, filtered
SUBSTITUTE SHEET (RULE 26)
and concentrated under reduced pressure. The crude material is purified by column chromatography.
Example 53 : Degradation of protein fused with FKBP12 by dFKBPs
Wild-type 293FT cells or cereblon mutant 293FT cells (CRBN-/-) were transduced with a lentiviral vector expressing a fusion of FKBP 12 to nanoluciferase (NLuc; HA-tagged) as well as Firefly luciferase (FLuc) from the same multicistronic transcript, or with a lentiviral vector expressing a fusion of mutant FKBP12 to nanoluciferase (NLuc; HA-tagged) as well as Firefly luciferase (FLuc) from the same multicistronic transcript. The cells were treated with increasing concentrations of various dFKBPs for 4 hours. The amount of NLuc and FLuc was measured, and the abundance of the FKBP12-HA-NLuc was quantified by calculating the signal ratio of NLuc/FLuc. As evidenced by the results shown in Figs. 20 and 21 , degradation of the FKBP12-HA-NLuc or mutant FKBP 12-HA-NLuc was cereblon dependent. Example 94: Degradation of protein fused with FKBP12 by dFKBPs
dFKBP-1 decreased the abundance of nanoluciferase fused with FKBP 12 in MV4-11 cells (Figs. 22A and 22B). Also, wild-type 293FT cells or cereblon mutant 293FT cells (CRBN-/-) were transduced with a lentiviral vector expressing a fusion of FKBP12 to NLuc (HA-tagged) as well as Firefly luciferase (FLuc) from the same multicistronic transcript. The cells were treated with increasing concentrations of various dFKBPs for 4 hours. The amount of NLuc and FLuc was measured, and the abundance of the FKBP12-HA-NLuc was quantified by calculating the signal ratio of NLuc/FLuc. As evidenced by the results shown in Figs. 22C and 22D, degradation of the FKBP12-HA-NLuc was cereblon dependent. Example 96: Biological activity of compounds of the present application
Example 97: Experimental procedures
Protein purification and crystal structure
A construct of human BRD4 covering residues 44-168 in the pNIC28Bsa4 vector
(Addgene) was overexpressed in E. coli BL21 (DE3) in LB medium in the presence of 50 mg/ml of kanamycin. Cells were grown at 37°C to an OD of 0.8, induced with 500 μΜ
SUBSTITUTE SHEET (RULE 26)
isopropyl-l-thio-D-galactopyranoside, incubated overnight at 17°C, collected by
centrifugation, and stored at -80°C. Cell pellets were sonicated in buffer A (50 mM hepes 7.5 + 300 mM NaCl + 10% glycerol + 10 mM Imidazole + 3 mM BME) and the resulting lysate was centrifuged at 35,000 xg for 40 min. Ni-NTA beads (Qiagen) were mixed with lysate supernatant for 30 min and washed with buffer A. Beads were transferred to an FPLC- compatible column and the bound protein was washed with 15% buffer B (50 mM hepes 7.5 + 300 mM NaCl + 10% glycerol + 300 mM Imidazole + 3 mM BME) and eluted with 100% buffer B. TEV was added to the eluted protein and incubated at 4°C overnight. The sample was then passed through a desalting column (26/10 column) equilibrate with buffer A (without imidazole), and the eluted protein was subjected to a second Ni-NTA step to remove His-tag and TEV. The eluent was concentrated and passed through a Superdex-200 10/300 column in 20 mM hepes7.5 + 150 mM NaCl + 1 mM DTT. Fractions were pooled, concentrated to 14 mg/ml, and frozen at -80°C.
Crystallization, data collection and structure determination
A 1.5-fold excess of 10 mM dBETl (in DMSO) was mixed with 500 μΜ protein and crystallized by sitting-drop vapor diffusion at 20°C in the following crystallization buffer: 15% PEG3350, 0.1 M Succinate. Crystals were transferred briefly into crystallization buffer containing 25% glycerol prior to flash-freezing in liquid nitrogen. Diffraction data from complex crystals were collected at beamline 24ID-C of the NE-CAT at the Advanced Photon Source (Argonne National Laboratory), and data-sets were integrated and scaled using XDS (Kabsch, W. Acta crystallographica Section D, Biological crystallography 2010, 66, 133). Structures were solved by molecular replacement using the program Phaser (Mccoy et al. , Journal of Applied Crystallography 2007, 40, 658) and the search model PDB entry XXXX. The ligand was automatically positioned and refined using Buster (Smart et al. Acta crystallographica Section D, Biological crystallography 2012, 68, 368). Iterative model building and refinement using Phenix (Adams et al. Acta crystallographica Section D, Biological crystallography 2010, 66, 213) and Coot (Emsley, P.; Cowtan, K. Acta crystallographica Section D, Biological crystallography 2004, 60, 2126) led to a model with statistics shown in Table 3.
SUBSTITUTE SHEET (RULE 26)
Table 3. Data collection and refinement statistics.
Statistics for the highest-resolution shell are shown in parentheses.
BRD4 AlphaScreen
Assays were performed with minimal modifications from the manufacturer's protocol (PerkinElmer, USA). All reagents were diluted in 50 mM HEPES, 150 mM NaCl, 0.1% w/v BSA, 0.01% w/v Tween20, pH 7.5 and allowed to equilibrate to room temperature prior to
SUBSTITUTE SHEET (RULE 26)
addition to plates. After addition of Alpha beads to master solutions all subsequent steps were performed under low light conditions. A 2x solution of components with final concentrations of BRD4 (see protein expression section) at 40 nM, Ni-coated Acceptor Bead at 10 μg/mL, and 20 nM biotinylated-JQl (Anders et al. Nature Biotechnology 2013, 32, 92) was added in 10 to 384-well plates (AlphaPlate-384, PerkinElmer, USA). Plates were spun down at 150x g, 100 nL of compound in DMSO from stock plates were added by pin transfer using a Janus Workstation (PerkinElmer, USA). The streptavidin-coated donor beads (10 μg/mL final) were added as with previous the solution in a 2x, 10 μΐ. volume. Following this addition, plates were sealed with foil to prevent light exposure and evaporation. The plates were spun down again at 150xg. Plates were incubated at room temperature for 1 hour and then read on an Envision 2104 (PerkinElmer, USA) using the manufacturer's protocol.
CRBN-DDB1 expression and purification
Expression and purification of CRBN-DDB1 were performed as described in Fischer, E. S. et al., Nature 512, 49 (2014), using Sf9 cells (Invitrogen). pFastBac vectors encoding human CRBN and DDBlwere used for expression of the proteins.
CRBN-DDB 1 /BRD4 Dimerization Assay
A bead-based AlphaScreen technology was used to detect CRBN-DDB 1/BRD4 dimerization by dBETl . In brief, GST-BRD4[49-170] (Sigma Aldrich) and CRBN-DDB 1 were diluted to 125 nM and 250 nM, respectively, in assay buffer (50 mM HEPES pH 7.4, 200 mM NaCl, 1 mM TCEP, and 0.1 % BS A), and 20 uL of protein mixture was added to each well of a 384-well AlphaPlate (PerkinElmer). Compounds were then added at 100 nL per well from DMSO stock plates using a CyBi®-Well vario pin tool. After 1 hr incubation at room temperature, Nickel Chelate AlphaLISA® Acceptor and Glutathione AlphaLISA® Donor beads (PerkinElmer) were diluted in assay buffer to a 2X concentration (20 ug/ul) and added at 20 uL per well. Plates were incubated for 1 hr at room temperature prior to luminescence detection on an Envision 2104 plate reader (PerkinElmer).
For competition assays, GST-BRD4[49-170] and CRBN-DDB 1 were diluted as above in the presence of 111 nM dBETl. Compound addition and subsequent detection was performed as described above.
Cell lines
293FT and 293FTCRBN"/- were cultured in DMEM supplemented with 10% FCS and 1% Penicillin/Streptomycin. MV4-11, MOLM13, MM1 S and MMI S0™"7" were cultured in RPMI supplemented with 10% FCS and 1% Penicillin/Streptomycin. SUM149 cells were
SUBSTITUTE SHEET (RULE 26)
cultured in HUMEC medium (cell application, 815-500) with DMEM F12 (corning cellgro, 10-090-CV) (1 : 1) and final 5% FCS with 1% Penicillin/Streptomycin.
Culture of primary patient material
Cells were freshly thawed and grown for 24 hours in StemSpan SFEM media (Stemcell) supplemented with (all in ng/ml final concentration): IL-3 (20), IL-6 (20), FLT3L (100), SCF (100) and GSCF (20). After that, cells were treated with dBETl or JQ1 at the indicated concentrations with renewed cytokines for 24 hours. Subsequently, cells were either used for immunoblot analysis or for FACS analysis.
Analysis of apoptotic cells by Flow Cytometry
For each sample, cells were washed with 500 of PBS and spun down at 400xg for
5 minutes and media aspirated off. Cells were then resuspended in Annexin V binding buffer: 140 mMNaCl, 10 mM HEPES, 2.5 mM CaCh, pH 7.4 and 500 μΐ. of each sample transferred to 5 mL polystyrene FACS tubes (Falcon Cat. No. 352054). Cells were spun down at 400xg for 5 minutes and buffer aspirated off. To each sample, 400 of Annexin V binding buffer with 250 ng/mL FITC-Annexin V and 500 ng/mL propidium iodide were added for staining. Cells were then sorted on a BD LSRFortessa and analyzed using Flow Jo V10 software (Tree Star, Inc).
Analysis of apoptotic cells by Caspase glo assay
Caspaseglo assay (Promega) has been conducted following the manufacturer's recommendations. Cells were seeded at a density of 5000 cells/well in a white 384 well plate (Thermo Scientific Nunc, #164610) in a total volume of 40ul with respective compound or vehicle control treatment. After a 24 h incubation, 30 ul of the Caspaseglo substrate were added per well. Plate was incubated in the dark for 90 minutes and read on Envision plate reader (Perkin Elmer).
BRD4-high content assay
SUM149 cells were plated at a density of 3xl05 cells/well using the inner 60 wells of a 96 well plate. 24 hours later, compounds were added in at the respective concentrations. Assays were performed with minimal modifications from the manufacturer's protocol (LICOR In-Cell Western Assay Kit). In brief, cells were fixed in 3.7% formaldehyde in PBS for 20 minutes on room temperature (200 ul per well) and subsequently permeabilized using lxPBS with 0.1% Triton X-100 (5 x 200 ul per well). Then, cells were blocked using 100 ul of a 1 : 1 diluted Odyssey Blocking Buffer (LICOR) for 90 minutes on room temperature. Next, cells were incubated with BRD4 antibody diluted 1 : 1000 in Odyssey Blocking Buffer (LICOR) (50 ul per well) overnight on 4°C. Next day, plate was washed 5 times with TBST
SUBSTITUTE SHEET (RULE 26)
(200 ul per well). Then, plates are stained with a 1 :800 dilution of IRDye 800CW goat anti- Rabbit antibody (LICOR) and simultaneously with CellTag 700 Stain (1 :500, LICOR) for cell normalization. Plates were incubated for lh in the dark on RT, washed 5 times with TBST (200 ul per well) and imaged on the Odyssey CLx Imager (LI-COR).
qRT-PCR
RNA was isolated using RNeasy Plus Mini Kit (Qiagen) and 500 ng of total RNA have been used per sample for reverse transcription using Superscript Reverse Transcriptase (Life Technologies). cDNA has been diluted 1 :9 and 2 ul have been used as template for
■PCR using SYBR Select master mix. The following primers have been used
GAPDH (F): CCACTCCTCCACCTTTGAC SEQ ID NO. 30
GAPDH (R): ACCCTGTTGCTGTAGCCA SEQ ID NO. 31
BRD2 (F): GTGGTTCTCGGCGGTAAG SEQ ID NO. 32
BRD2 (R): GGTTGACACCCCGGATTAC SEQ ID NO. 33
BRD3 (F): TTGGC AAAC CTC ATCTC AAA SEQ ID NO. 34
BRD3 (R): GATGTCCGGCTGATGTTCTC SEQ ID NO. 35
BRD4 (F): CTCCGCAGACATGCTAGTGA SEQ ID NO. 36
BRD4 (R): GTAGGATGACTGGGCCTCTG SEQ ID NO. 37
c-MYC (F): C AC C GAGTC GT AGTC GAGGT SEQ ID NO. 38
c-MYC (R): GCTGCTTAGACGCTGGATTT SEQ ID NO. 39
PIM1 (F): TCATACAGCAGGATCCCCA SEQ ID NO. 40
PIM1 (R): CCGTCTACACGGACTTCGAT SEQ ID NO. 41
Sample preparation for quantitative mass spectrometry analysis
Sample were prepared as previously described (Weekes, M. P. et al , Cell 157, 1460 (2014)) with the following modification. All solutions are reported as final concentrations. Lysis buffer (8 M Urea, 1% SDS, 50 mM Tris pH 8.5, Protease and Phosphatase inhibitors from Roche) was added to the cell pellets to achieve a cell lysate with a protein concentration between 2-8 mg/mL. A micro-BCA assay (Pierce) was used to determine the final protein concentration in the cell lysate. Proteins were reduced and alkylated as previously described. Proteins were precipitated using methanol/chloroform. In brief, four volumes of methanol was added to the cell lysate, followed by one volume of chloroform, and finally three volumes of water. The mixture was vortexed and centrifuged to separate the chloroform phase from the aqueous phase. The precipitated protein was washed with one volume of ice cold methanol. The washed precipitated protein was allowed to air dry. Precipitated protein was resuspended in 4 M Urea, 50 mM Tris pH 8.5. Proteins were first digested with LysC (1 :50; enzyme:protein) for 12 hours at 25 °C. The LysC digestion is diluted down to 1 M
SUBSTITUTE SHEET (RULE 26)
Urea, 50 mM Tris pH8.5 and then digested with trypsin (1 : 100; enzyme:protein) for another 8 hours at 25 °C. Peptides were desalted using a Cie solid phase extraction cartridges. Dried peptides were resuspended in 200 mM EPPS, pH 8.0. Peptide quantification was performed using the micro-BCA assay (Pierce). The same amount of peptide from each condition was labeled with tandem mass tag (TMT) reagent (1 :4; peptide:TMT label) (Pierce). The 10-plex labeling reactions were performed for 2 hours at 25 °C. Modification of tyrosine residue with TMT was reversed by the addition of 5% hydroxyl amine for 15 minutes at 25 °C. The reaction was quenched with 0.5% TFA and samples were combined at a 1 : 1 : 1 : 1 : 1 : 1 : 1 : 1 : 1 : 1 ratio. Combined samples were desalted and offline fractionated into 24 fractions as previously described.
Liquid chromatography-MS3 spectrometry (LC-MS/MS)
12 of the 24 peptide fraction from the basic reverse phase step (every other fraction) were analyzed with an LC-MS3 data collection strategy (McAlister, G. C. et al. , Anal. Chem. 86, 7150 (2014)) on an Orbitrap Fusion mass spectrometer (Thermo Fisher Scientific) equipped with a Proxeon Easy nLC 1000 for online sample handling and peptide separations. Approximately 5 μg of peptide resuspended in 5% formic acid + 5% acetonitrile was loaded onto a 100 μιτι inner diameter fused-silica micro capillary with a needle tip pulled to an internal diameter less than 5 μιτι. The column was packed in-house to a length of 35 cm with a Ci8 reverse phase resin (GP 118 resin 1.8 μιτι, 120 A, Sepax Technologies). The peptides were separated using a 120 min linear gradient from 3% to 25% buffer B (100% ACN + 0.125% formic acid) equilibrated with buffer A (3% ACN + 0.125% formic acid) at a flow rate of 600 nL/min across the column. The scan sequence for the Fusion Orbitrap began with an MS I spectrum (Orbitrap analysis, resolution 120,000, 400-1400 m/z scan range, AGC target 2 χ 105, maximum injection time 100 ms, dynamic exclusion of 75 seconds). "Top N" (the top 10 precursors) was selected for MS2 analysis, which consisted of CID (quadrupole isolation set at 0.5 Da and ion trap analysis, AGC 4 χ 103, NCE 35, maximum injection time 150 ms). The top ten precursors from each MS2 scan were selected for MS3 analysis (synchronous precursor selection), in which precursors were fragmented by HCD prior to Orbitrap analysis (NCE 55, max AGC 5 χ 104, maximum injection time 150 ms, isolation window 2.5 Da, resolution 60,000.
LC-MS3 data analysis
A suite of in-house software tools were used to for RAW file processing and controlling peptide and protein level false discovery rates, assembling proteins from peptides, and protein quantification from peptides as previously described. MS/MS spectra were
SUBSTITUTE SHEET (RULE 26)
searched against a Uniprot human database (February 2014) with both the forward and reverse sequences. Database search criteria are as follows: tryptic with two missed cleavages, a precursor mass tolerance of 50 ppm, fragment ion mass tolerance of 1.0 Da, static alkylation of cysteine (57.02146 Da), static TMT labeling of lysine residues and N- termini of peptides (229.162932 Da), and variable oxidation of methionine (15.99491 Da). TMT reporter ion intensities were measured using a 0.003 Da window around the theoretical m/z for each reporter ion in the MS3 scan. Peptide spectral matches with poor quality MS3 spectra were excluded from quantitation (<200 summed signal-to-noise across 10 channels and <0.5 precursor isolation specificity).
MV4-11 Xenograft experiment
lxl 0e7 MV4-11 cells were injected subcutaneously in a volume of 200ul of PBS per mouse (NSG). Successful engraftment was monitored via bioluminescence and caliper measurement. 11 days post injection of MV4-11 cells, tumors were palpable and mice were distributed in either the control (vehicle) or the dBETl treated groups. Mice were treated once daily with 50 mg/kg dBETl or vehicle (captisol) via intraperitoneal injection. Tumor volume was recorded via caliper measurement. The study was terminated 14 days post treatment start when the tumor size of a vehicle treated mouse reached institutional limits. Expression proteomics
5xl06 cells have been treated with DMSO, 250 nM dBETl or 250 nM JQ1 in triplicate for 2 hours, washed with 3 times with ice-cold PBS and snap-frozen in liquid N2. Next, samples were mechanically homogenized in lysis buffer (8 M Urea, 1% SDS, 50mM Tris, pH 8.5, protease and phosphatase inhibitors) and protein quantification was performed using the micro-BCA kit (Pierce). After protein quantification lysates were immediately reduced with DTT and alkylated with iodoacetimide. 600μg protein was precipitated by methanol/chloroform and digestion was performed using LysC and trypsin. 50 μg of each sample was labeled with Tandem Mass Tag (TMT, Thermo Scientific) reagent and fractionated for total proteomic analysis.
Reverse-Phase fractionation was conducted under the following conditions: Buffer A: 5% ACN, 50 mM AmBic pH 8.0, Buffer B: 90% ACN, 50 mM AmBic pH 8.0 (Fraction size - 37 seconds (-300 μΐ,))
Proteins were fractionated by bRP and collected into two sets of 12 fractions each. One complete set (12 fractions) from HPRP was analyzed on an Orbitrap Fusion mass spectrometer. Peptides were separated using a gradient of 3 to 25% acetonitrile in 0.125% formic acid over 200 minutes. Peptides were detected (MS I) and quantified (MS3) in the
SUBSTITUTE SHEET (RULE 26)
Orbitrap, peptides were sequenced (MS2) in the ion trap.MS2 spectra were searched using the SEQUEST algorithm against a Uniprot composite database derived from the human proteome containing its reversed complement and known contaminants. All peptide spectral matches were filtered to a 1% false discovery rate (FDR) using the target-decoy strategy combined with linear discriminant analysis. Proteins were quantified only from peptides with a summed SN threshold of >=200 and MS2 isolation specificity of 0.5.
Immunoblotting
Cells have been lysed using RIPA buffer supplemented with protease inhibitor cocktail (Roche) and 0.1% benzonase (Novagen) on ice for 15 minutes. The lysates were spun at 16000xg for 15 minutes on 4°C and protein concentration was determined using BCA assay (Pierce). The following primary antibodies were used in this study: BRD2 (Bethyl labs), BRD3 (abeam), BRD4 (Bethyl labs), MYC, tubulin and vinculin (all Santa Cruz) as well as PIM1 (Cell Signaling Technology) and IKZF3 (Novus Biologicals). Blots were imaged using fluorescence-labeled secondary antibodies (LI-COR) on the
Odyssey CLxImager (LI-COR). Quantification of band intensities has been performed using OdysseyCLx software (LI-COR).
Immunohistochemistry
BRD4 staining was performed using the A301-985A antibody (Bethyl labs) following the recommended parameters at a concentration of 1:2000. MYC and Ki67 stainings were performed as described previously. Quantification of positively stained nuclei was conducted using the aperio software (Leica Biosystems).
EQUIVALENTS
Those skilled in the art will recognize, or be able to ascertain using no more than routine experimentation, many equivalents to the specific embodiments and methods described herein. Such equivalents are intended to be encompassed by the scope of the present application.
All patents, patent applications, and literature references cited herein are hereby expressly incorporated by reference.
SUBSTITUTE SHEET (RULE 26)
Claims
1. A polynucleotide comprising a first nucleotide sequence encoding a first polypeptide to which a Targeting Ligand is capable of binding, and a second nucleotide sequence encoding a second polypeptide, wherein the first polypeptide and the second poly peptide are linked together with a peptide bond to form a fused polypeptide, and
wherein the Targeting Ligand is:
(1) a compound of Fo
Ai is S or C=C;
A2 is NRa5 or O;
nnl is 0, I , or 2;
each Rai is independently C C3 alkyl, (CH2)0-3-CN, (CH2)0-3-halogen, (CH2)o-3-OH, ( CI 1; )„. ;-(>(' ; alkoxy, C(0)NRa5L, OL, NRa5L, or L;
Ra2 is H, Ci-Ce alkyl, (CH2)o-3-heterocyclyi, (CH2)o-3-phenyl, or L, wherein the heterocyclyl comprises one saturated 5- or 6-membered ring and 1 -2 heteroatoms selected from N, O, and S and is optionally substituted with Cj -C3 alkyl, L, or C(0)L, and wherein the phenyl is optionally substituted with (>. -(>, alkyl, CN, halogen, OH, (>. -(>, alkoxy, or L; nn2 is 0, 1 , 2, or 3;
each Ra3 is independently C j-Cj alkyl, (CH2)o-3-CN, (CH2)o-3-halogen, L, or
C(0)NRa5L;
Ra4 is C1-C3 alkyl;
Ras is H or C1-C3 alkyl ; and
L is a Linker,
provided that the compound of Formula TL-I is substituted with only one L, or
(II) a compound of Formula TL-II:
or a pharmaceutically acceptable salt thereof, wherein:
Rb-,, Rb?., and Rbs are each independently H or C1-C3 alkyl;
Rb3 is (>,-C6 cycloalkyl;
each Rb4 is independently H, -C3 alkyl, C1-C3 alkoxy, CN, or halogen; nn3 is 0, 1, 2, or 3;
each Rb6 is independently Cj-C3 alkyl, Cj-Cs alkoxy, CN, or halogen; Rb- is C(0)NRb8L, OL, NRbsL, or L;
Rbg is H or C V ; alkyl; and
L is a Linker, or
(III) a compound of
or a pharmaceutically acceptable salt thereof, wherein:
nn-4 is 0 or 1 ;
Rcj is C(0)NRc6L, OL, NRc6L, or L;
Rc2 is H, C1-C3 alkyl, C(0)NRc6L, OL, NRc6L, or L;
Rc3 is H, C 1-C3 alkyl, C(0)L, or L;
nn5 is 0, 1, or 2;
each Rc4 is independently Cj-C3 alkyl or Cj-O, alkoxy;
each Rc-5 is independently H or C1-C3 alky] ;
Rce is independently H or C y ; alkyl; and
L is a Linker,
provided that the compound of Formula TL-III is substituted with only one L, or
a compoun
each Rdi is independently H or (.'■■■■(.' : alkyl;
nn6 is 0, 1, 2, or 3;
nn7 is 0, I , 2, or 3;
each Rd2 is independently C1-C3 alkyl, Ci-C:? alkoxy, CN, or halogen; Rd ; is C(0)NRd4L, OL, NRd4L, or L;
Rd4 is H or C1-C3 alkyl; and
L is a Linker, or
(V) a compound of Formula TL-V:
or a pharmaceutically acceptable salt thereof, wherein:
each Rei is independently H or C C3 alkyl;
nn8 is 0, 1, 2, or 3;
nn9 is 0, 1, 2, or 3;
each Re? is independently Ci-Cs alkyl, C1-C3 alkoxy, CN, or halogen; Re; is NH-(CH2)i_3-C(0)NRe4L, C(0)NRe4L, OL, NRe4L, or L; Re4 is H or C 1 -C3 alkyl; and
L is a Linker, or
(VI) a compound of Formula TL-VI:
pharmaceutically acceptable salt thereof, wherein:
Rfi is C(0)NRf2L, OL, NRf2L, or L;
Rf? is independently H or Cj -Cs alkyl; and
L is a Linker, or
(VII) a compo
or a pharmaceutically acceptable salt thereof, wherein:
T- is ( ! !■ or CH2CH2;
Rgi is C(0)Rg5 or (CH2)i..3Rg6;
nnl O is O, 1, 2, or 3;
nnl 1 is 0, 1, 2, or 3;
each Rg2 is independently C1-C3 alkyl, C1-C3 alkoxy, CN, or halogen;
Rg3 is C(0)NRg4L, OL, NRg4L, L, 0-(CH2)i-3-C(0)NRg4L, or NHC(0)-(CH2)i-3- C(0)NRg4L;
Rg4 is H or C 1-C3 alkyl;
Rg5 is ( · ]-(".-. alkyl;
Rg6 is phenyl optionally substituted with C1-C3 alkyl, C1-C3 alkoxy, CN, or halogen; and
L is a Linker,
enantiomer, diastereoraer, or siereoisomer thereof, wherein
pi is an integer selected from 0 to 12;
p2 is an integer selected from 0 to 12;
p3 is an integer selected from 1 to 6;
each W is independently absent, CH2, O, S, NH or NR5;
Z is absent, CH2, O, NH or NR5;
each R5 is independently C1-C3 alkyl; and
Q is absent or -CH2C(0)NH~,
wherein the Linker is covalentiv bonded to the Degron with the ¾ next to Q, and covalentiv bonded to the Targeting Ligand with the ¾ next to Z, and wherein number of chain atoms in the Linker is less than 20, and
wherein the Degron is a compound of Formula D;
X is C(O) or C(R3)2;
each Ri is independently halogen, OH, Cj-C6 alkyl, or Ci-C , alkoxy:
R2 is Ci-Ce alkyl, C(0)-Ci-C6 alkyl, or C(0)-C3-C6 cycloalkyl;
R2' is H o Ci-C6 alkyl;
each R3 is independently H or Ci~C3 alkyl;
each R3 * is independently Ci-C3 alkyl:
each R4 is independently H or Ci-C3 alkyl; or two R4, together with the carbon atom to which they are attached, form C(O), a C3-C6 carbocycle, or a 4-, 5-, or 6-membered heterocycle comprising 1 or 2 heteroatoms selected from N and O;
Rs is H, deuterium, C]-C3 alkyl, F, or CI;
m is 0, 1 , 2 or 3; and
n is 0, I or 2;
wherein the ound is covalentiv bonded to another moiety (e.g., a compound, or a
2. The polynucleotide of claim 1, further comprising a third nucleotide sequence encoding a third polypeptide which allows the fused polypeptide to be detected or quantified.
3. A polypeptide comprising a first polypeptide to which a Targeting Ligand is capable of binding and a second polypeptide, wherein the first polypeptide and the second polypeptide are linked together with a peptide bond to form a fused polypeptide,
and wherein the Targeting Ligand is:
(I) a compound of Formula TL-I:
Ai is S or C=C;
A2 is NRa5 or O;
nnl is 0, 1 , or 2;
each Rai is independently C j-Cj alkyl, (CH2)o-3-CN, (CH2)o-3-halogen, (CH2)o-3-OH, (CH2)o_rCrC3 alkoxy, C(0)NRa5L, OL, NRa5L, or L;
Ra2 is H, Ci-Ce alkyl, (CH2)o-3-heterocyclyl, (CH2)o-3-phenyl, or L, wherein the heterocyclyl comprises one saturated 5- or 6-membered ring and 1 -2 heteroatoms selected from N, O, and S and is optionally substituted with Cy- i alkyl, L, or C(0)L, and wherein the phenyl is optionally substituted with (>. -(>, alkyl, CN, halogen, OH, (>. -(>, alkoxy, or L; nn2 is 0, 1 , 2, or 3;
each Ra3 is independently Ci-Cs alkyl, (CH2)o-3-CN, (CH2)o-3-halogen, L, or
C(0)NRa5L;
R¾. is C1-C3 alkyl;
Ra5 is H or CrC3 alkyl ; and
L is a Linker,
provided that the compound of Formula TL-I is substituted with only one L, or
(II) a compound of Formula TL-II:
or a pharmaceutically acceptable salt thereof, wherein:
Rb-,, Rb?., and Rbs are each independently H or C1-C3 alkyl;
Rb3 is (>,-C6 cycloalkyl;
each Rb4 is independently H, -C3 alkyl, C1-C3 alkoxy, CN, or halogen; nn3 is 0, 1, 2, or 3;
each Rb6 is independently Cj-C3 alkyl, Cj-Cs alkoxy, CN, or halogen; Rb- is C(0)NRb8L, OL, NRbsL, or L;
Rbg is H or C V ; alkyl; and
L is a Linker, or
(III) a compound of
or a pharmaceutically acceptable salt thereof, wherein:
nn-4 is 0 or 1 ;
Rcj is C(0)NRc6L, OL, NRc6L, or L;
Rc2 is H, C1-C3 alkyl, C(0)NRc6L, OL, NRc6L, or L;
Rc3 is H, C 1-C3 alkyl, C(0)L, or L;
nn5 is 0, 1, or 2;
each Rc4 is independently Cj-C3 alkyl or Cj-O, alkoxy;
each Rc-5 is independently H or C1-C3 alky] ;
Rce is independently H or C y ; alkyl; and
L is a Linker,
provided that the compound of Formula TL-III is substituted with only one L, or
a compoun
each Rdi is independently H or (.'■■■■(.' : alkyl;
nn6 is 0, 1, 2, or 3;
nn7 is 0, I , 2, or 3;
each Rd2 is independently C1-C3 alkyl, Ci-C:? alkoxy, CN, or halogen; Rd ; is C(0)NRd4L, OL, NRd4L, or L;
Rd4 is H or C1-C3 alkyl; and
L is a Linker, or
(V) a compound of Formula TL-V:
or a pharmaceutically acceptable salt thereof, wherein:
each Rei is independently H or C C3 alkyl;
nn8 is 0, 1, 2, or 3;
nn9 is 0, 1, 2, or 3;
each Re? is independently Ci-Cs alkyl, C1-C3 alkoxy, CN, or halogen; Re; is NH-(CH2)i_3-C(0)NRe4L, C(0)NRe4L, OL, NRe4L, or L; Re4 is H or C 1 -C3 alkyl; and
L is a Linker, or
(VI) a compound of Formula TL-VI:
pharmaceutically acceptable salt thereof, wherein:
Rfi is C(0)NRf2L, OL, NRf2L, or L;
Rf? is independently H or Cj -Cs alkyl; and
L is a Linker, or
(VII) a compo
or a pharmaceutically acceptable salt thereof, wherein:
T- is ( ! !■ or CH2CH2;
Rgi is C(0)Rg5 or (CH2)i..3Rg6;
nnl O is O, 1, 2, or 3;
nnl 1 is 0, 1, 2, or 3;
each Rg2 is independently C1-C3 alkyl, C1-C3 alkoxy, CN, or halogen;
Rg3 is C(0)NRg4L, OL, NRg4L, L, 0-(CH2)i-3-C(0)NRg4L, or NHC(0)-(CH2)i-3- C(0)NRg4L;
Rg4 is H or C 1-C3 alkyl;
Rg5 is ( · ]-(".-. alkyl;
Rg6 is phenyl optionally substituted with C1-C3 alkyl, C1-C3 alkoxy, CN, or halogen; and
L is a Linker,
enantiomer, diastereoraer, or stereoisomer thereof, wherein
pi is an integer selected from 0 to 12;
p2 is an integer selected from 0 to 12;
p3 is an integer selected from 1 to 6;
each W is independently absent, CH2, O, S, NH or NR5;
Z is absent, CH2, O, NH or NR5;
each R5 is independently C1-C3 alkyl; and
Q is absent or -CH2C(0)NH~,
wherein the Linker is covalentiv bonded to the Degron with the ¾ next to Q, and covalentiv bonded to the Targeting Ligand with the ¾ next to Z, and wherein number of chain atoms in the Linker is less than 20, and
wherein the Degron is a compound of Formula D;
X is C(O) or C(R3)2;
each Ri is independently halogen, OH, Cj-C6 alkyl, or Ci-C , alkoxy:
R2 is Ci-Ce alkyl, C(0)-Ci-C6 alkyl, or C(0)-C3-C6 cycloalkyl;
R2' is H o Ci-C6 alkyl;
each R3 is independently H or Ci~C3 alkyl;
each R3 * is independently Ci-C3 alkyl:
each R4 is independently H or Ci-C3 alkyl; or two R4, together with the carbon atom to which they are attached, form C(O), a C3-C6 carbocycle, or a 4-, 5-, or 6-membered heterocycle comprising 1 or 2 heteroatoms selected from N and O;
Rs is H, deuterium, C]-C3 alkyl, F, or CI;
m is 0, 1 , 2 or 3; and
n is 0, I or 2;
wherein the ound is covalentiv bonded to another moiety (e.g., a compound, or a
4. The polypeptide of claim 3, further comprising a third polypeptide which allows the fused polypeptide to he detected or quantified.
5. The polynucleotide of claim 1 or the polypeptide of claim 3, wherein the first polypepiide is fused to either the N-terminal or the C-terminal of the second polypeptide.
6. The polynucleotide of claim 1 or the polypeptide of claim 3, wherein the first polypeptide is a cytosolic signaling protein FKBP12.
7. The polynucleotide of claim 1 or the polypeptide of claim 3, wherein the first polypeptide is a mutant cytosolic signaling protein FKBP12.
8. The polynucleotide of claim 1 or the polypeptide of claim 3, wherein the second polypeptide is a cell surface receptor, an oncogenic protein, or an enzyme capable of modifying the nucleotide sequence of a DNA.
9. The polynucleotide or polypeptide of claim 8, wherein the cell surface receptor is a T~ ceil surface receptor.
10. The polynucleotide or polypeptide of claim 8, wherein the oncogenic protein is selected from RAS, WNT, MYC, ERK, and TRK.
1 1 . The polynucleotide or polypeptide of claim 1 0, wherein the oncogenic protein is KRAS.
12. The polynucleotide or polypepiide of claim 8, wherein the enzyme is a DNA nuclease, a DNA integrase, a DNA recombinase, a reverse transcriptase, or a transposase.
13. The polynucleotide of claim 1 or the polypeptide of claim 3, wherein the Targeting Ligand is a compound of Formula TL-VII.
14. The polynucleotide or polypeptide of claim 13, wherein the Targeting Ligand is selected from:
dF BP-8, and
1 5. A cell comprising the polynucleotide or polypeptide of any one of claims 1-14.
16. The cell of claim 15, wherein the ceil is a T-eeil.
17. A method of modulating the amount of a second polypeptide, comprising linking the second polypeptide and a first polypeptide to which a Targeting Ligand is capable of binding with a peptide bond to form a fused polypeptide, and treating the fused polypeptide with a Afunctional compound having the structure: Degron-Linker-Targeting Ligand.
18. A method of modulating the amount of a second polypeptide in a cell, comprising: a) introducing into the cell a first nucleotide sequence encoding a first polypeptide to which a Targeting Ligand is capable of binding, and a second nucleotide sequence encoding the second polypeptide, wherein the first polypeptide and the second polypeptide are linked together with a peptide bond to form a fused polypeptide; and
b) exposing the cell to a Afunctional compound having the structure: Degron-Linker- Targeting Ligand.
19. A method of modulating the amount of a second polypeptide in a cell, comprising: a) introducing into the cell a first nucleotide sequence encoding a first polypeptide to which a Targeting Ligand is capable of binding, wherein the first polypeptide and the second polypeptide are linked together with a peptide bond to form a fused polypeptide; and
b) exposing the cell to a bifunctional compound having the structure: Degron-Linker- Targeting Ligand.
20. The method of claim 18 or 19, wherein the second polypeptide is an exogenous polypeptide which is not naturally expressed by the ceil.
21. The method of claim 18, wherein the second nucleotide sequence encodes a second polypeptide that is a mutant of the endogenous second polypeptide.
22. The method of claim 18, wherein the second nucleotide sequence replaces the endogenous nucleotide sequence in the cell that encodes the second polypeptide.
23. A method of modulating the amount of a second polypeptide encoded by a target nucleotide sequence in a cell, comprising:
introducing into the cell one or more vectors comprising:
a) a first polynucleotide encoding an enzyme that modifies the target nucleotide sequence, and
b) a second polynucleotide comprising a tag nucleotide sequence encoding a first polypeptide to which a Targeting Ligand is capable of binding, wherein the tag nucleotide sequence is inserted at the 5 '-terminal or 3'-terminal of the target nucleotide sequence; and
exposing the ceil to a bifunctional compound having the structure: Degron-Linker- Targeting Ligand,
wherein the tag nucleotide sequence and the target nucleotide sequence together encode a fused polypeptide comprising the second polypeptide and the first polypeptide linked together with a peptide bond.
24. The method of claim 23, wherein the tag nucleotide sequence is inserted at the 5'- terminal or 3 '-terminal of the target nucleotide sequence through homology directed repair or non-homology directed repair.
A method of modulating the amount of a second polypeptide in a cell, comprising introducing into the ceil one or more vectors comprising:
a) a first polynucleotide encoding an enzyme that modifies a target nucleotide sequence in the cell, and
b) a second polynucleotide comprising a tag nucleotide sequence encoding a first polypeptide to which a Targeting Ligand is capable of binding, and a second nucleotide sequence, wherein the second polynucleotide replaces the target nucleotide sequence; and
exposing the ceil to a Afunctional compound having the structure: Degron-Linker- Targeting Ligand.
26. The method of claim 25, wherein the second nucleotide sequence encodes the second polypeptide.
27. The method of claim 25, wherein the second nucleotide sequence encodes a mutant of the second polypeptide.
28. The method of any one of claims 23-27, wherein the enzyme is a DNA nuclease, a DNA integrase, a DNA recombinase, a reverse transcriptase, or a transposase.
29. The method of claim 28, wherein the DNA nuclease is selected from ZFN, TALEN, a homing endonuclease, and a CRISP enzyme.
30. A method of treating a disease or condition in a subject in need thereof, comprising: introducing into a cell a nucleic acid comprising a first nucleotide sequence encoding a first polypeptide to which a Targeting Ligand is capable of binding, and a second nucleotide sequence encoding a second polypeptide, wherein the first polypeptide and the second polypepiide are linked together with a peptide bond to form a fused polypepiide, wherein the second polypeptide plays a role in regulating the disease or condition; and
administering the cell into the subject.
31. The method of claim 30, wherein the cell is a T cell.
32. The method of claim 31, wherein the T cell is isolated from the subject.
33. The method of claim 30, wherein the second polypeptide is a T cell surface receptor.
34. The method of claim 33, wherein the T cell surface receptor is capable of binding to an antigen present in a target cell from the subject.
35. The method of claim 30, further comprising administering to the subject a bifunctional compound having the structure: Degron-Linker-Targeting Ligand.
36. A method of determining the efficacy of a therapeutic agent in treating a disease or condition in a subject, or determining the response of a subject that is suffering from or is at a risk of developing a disease or condition to a therapeutic agent, comprising:
a) introducing into the subject one or more vectors, wherein the one or more vectors comprise a first nucleotide sequence encoding a first polypeptide to which a Targeting Ligand is capable of binding, and at least a second nucleotide sequence encoding at least a second polypeptide that plays a role in the disease or condition, wherein the first polypeptide and the at least second polypeptide are linked together with a peptide bond to form a fused polypeptide, and wherein the therapeutic agent is capable of decreasing the amount of or inhibiting the activity of the at least second polypeptide; b) determining the amount of the fused polypeptide in the subject;
c) administering to the subject a bifunctional compound having the structure: Degron- Linker-Targeting Ligand; and
d) determining the amount of the fused polypeptide in the subject;
wherein a decrease in the amount in d) relative to the amount in b) indicates that the therapeutic agent is effective in treating the disease or condition or that the subject will respond to the therapeutic agent.
37. A method of treating a disease or condition in a subject that is suffering from or is at a risk of developing the disease or condition, comprising:
a) introducing into the subject one or more vectors comprising a first nucleotide sequence encoding a first poly peptide to which a Targeting Ligand is capable of binding, and a second nucleotide sequence encoding a second polypeptide that plays a role in the disease or condition, wherein the first polypeptide and the second polypeptide are linked together with a peptide bond to form a fused polypeptide, and wherein a therapeutic agent is capable of decreasing the amount of or inhibiting the activity of the second polypeptide;
b) determining the amount of the fused polypeptide in the subject;
c) administering to the subject a Afunctional compound having the structure: Degron- Linker-Targeting Ligand;
d) determining the amount of the fused polypeptide in the subject; and
e) administering or increasing the administered amount of the therapeutic agent to the subject, if the amount in d) less tha the amount in b),
38. The method of claim 36 or 37, comprising introducing the one or more vectors to a cell and administering the cell to the subject
39. The method of claim 37, further comprising assessing one or more symptoms of the disease or condition in the subject.
40. The method of claim 36 or 37, wherein the second polypeptide is an exogenous polypeptide that is not naturally expressed in the cell from the subject.
41. The method of claim 36 or 37, wherein the second nucleotide sequence replaces the endogenous nucleotide sequence in the cell that encodes the second polypeptide.
42. The method of claim 36 or 37, wherein the second nucleotide sequence encodes a second polypeptide that is a mutant of the endogenous second polypeptide.
43. The method of claim 36, wherein the second polypeptide plays a role in the disease or condition.
44. A method of selecting a polypeptide for degradation by a Afunctional compound having the structure: Degron-Linker-Targeting Ligand, comprising:
a) linking the polypeptide and a target polypeptide to which a Targeting Ligand is capable of binding with a peptide bond to form a fused polypeptide;
b) treating the fused polypeptide with the Afunctional compound;
c) determining the amount of the fused polypeptide; and
d) selecting the fused polypeptide of which the amount is reduced.
45. The method of any one of claims 17-19, 23, 25, 30, 35-37, and 44, wherein:
the Targeting Ligand is:
(I) a compound of F
Ai is S or ( €;
A? is NRa5 or O;
nnl is 0, 1, or 2:
each Rai is independently (' ···( :. alkyl, (CH2)o-3-CN, (CH2)0-3-halogen, (CH2)0-3-OH, (CH2)o-3-C C3 alkoxy, C(0)NRa5L, OL, NRa5L, or L;
Ra2 is H, Ci-Ce alkyl, (CH2)o.3-heterocyclyl, (CH2)o.3~phenyl, or L, wherein the heterocyclyl comprises one saturated 5- or 6-membered ring and 1-2 heteroatoms selected from N, O, and S and is optionally substituted with C1-C3 alkyl, L, or C(0)L, and wherein the phenyl is optionally substituted with C 1 -C3 alkyl, CN, halogen, OH, C 1 -C3 alkoxy, or L; nn2 is 0, 1, 2, or 3:
each Ra3 is independently (' ···( :. alkyl, (CH2)o-3-CN, (CH2)0-3-halogen, L, or
C(0)NRa5L;
Ra4 is C1-C3 alkyl;
as is H or C1 -C3 alkyl; and
L is a Linker,
provided that the compound of Formula TL-I is substituted with only one L, or
(II) a compound of Formula TL-II:
or a pharmaceutically acceptable salt thereof, wherein:
T6 is CRb4 or N;
Rbi, Rb2, and Rb¾ are each independently H or C1-C3 alkyl;
Kb ; is ( >(',·, cycloalkyl;
each Rb4 is independently H, C1-C3 alky I. C1-C3 alkoxy, CN, or halogen; nn3 is 0, 1, 2, or 3;
each Rbe is independently C1-C3 alkyl, C1-C3 alkoxy, CN, or halogen; Rh- is C(0)NRb8L, OL, NRbsL, or L;
Rb8 is H or ( ··( ' : alkyl; and
L is a Linker, or
(III) a compound of
or a pharmaceutically acceptable salt thereof, wherein:
nn4 is 0 or 1 ;
Rd is C(0)NRc6L, OL, NRc6L, or L;
Rc2 is H, CVC ; alkyl, C(0)NRc6L, OL, NRc6L, or L;
d is H, C1 -C3 alkyl, C(())L, or L;
nn5 is 0, 1 , or 2;
each Rc4 is independently C C3 alkyl or C1-C3 alkoxy;
each Res is independently H or C C3 alkyl;
Rc6 is independently H or C1-C3 alkyl; and
L is a Linker,
provided that the compound of Formula Π .-Η! is substituted with only one L, or (IV) a compound of Formula TL-1V:
each di is independently H or C 1-C3 alkyl;
nn6 i s 0, 1, 2, or 3;
nn7 is 0, 1, 2, or 3:
each Rd?, is independently C1-C3 alkyl, C1-C3 alkoxy, CN, or halogen; Rd3 is C(0)NRd4L, OL, NRd4L, or L;
Rd4 is H or Cj-C3 alkyl; and
L is a Linker, or
(V) a compound of Formula TL-V:
or a pharmaceutically acceptable salt thereof, wherein:
each Re1 is independently H or C1-C3 alky] ;
nn8 is 0, 1, 2, or 3;
nn9 is 0, 1, 2, or 3;
each Re2 is independently C 1-C3 alkyl, C1-C3 alkoxy, CN, or halogen; Re3 is NH-(CH2)i..3-C(0)NRe4L, C(Q)NRe4L, OL, NRe4L, or L; Re4 is H or C 1-C3 alkyl; and
L is a Linker, or
(VI) a compound of Formula TL-VI:
or a pharmaceutically acceptable salt thereof, wherein:
R fi is C(0)NRf2L, OL, NRf2L, or L;
Rf2 is independently H or C1-C3 alkyl; and
L is a Linker, or
or a pharmaceutically acceptable salt thereof, wherein:
T7 is ( ! ! . or CH2CH2;
Rgi is C(0)Rgs or (CH2)3_3Rg6;
nnlO is 0, 1 , 2, or 3;
nn'l l is 0, 1, 2, or 3;
each Rg2 is independently C1-C3 alkyl, C1-C3 alkoxy, CN, or halogen;
Rg3 is C(0)NRg4L, OL, NRg4L, L, 0-(CH2)1-3-C(0)NRg4L, or NHC(0)-(CH2)i-3- C(0)NRg4L;
Rg4 is H or C j-C : alkyl;
Rgs is C]-C6 alkyl;
Rg6 is phenyl optionally substituted with C1-C3 alkyl, C1-C3 alkoxy, CN, or halogen; and
L is a Linker,
or an enantiomer, diastereomer, or stereoisomer thereof, wherein
i is an integer selected from 0 to 12;
p2 is an integer selected from 0 to 12;
p3 is an integer selected from 1 to 6;
each W is independently absent, CH2, O, S, NH or NR5;
Z is absent, CH2, O, NH or NR5;
each R5 is independently C1-C3 alkyl; and
Q is absent or -CH2C(0)NH-, wherein the Linker is covalentiv bonded to the Degron with the ^ next to Q, and covalentiv bonded to the Targeting Ligand with the ^ next to Z, and wherein the total number of chain atoms in the Linker is less than 20, and
the Degron is a compound of Formula D:
antiomer, diastereomer, or stereoisomer thereof, wherein:
X is C(O) or C(R3)2;
Xi-X2 is C(R3)=N or C(R3)2-C(R3)2;
each Ri is independently halogen, OH, Ci-Ce alkyl, or Cr-C6 alkoxy;
R2 is Ci-Ce alkyl, C(0)-Ci-C6 alkyl, or C(0)-C3-C6 cycloalkyl:
R -." is 1 1 or C : ·(',, alkyl;
each R3 is independently H or Ci-C3 alkyl;
each R3' is independently Cj-C3 alkyl;
each R4 is independently H or Cj-C3 alkyl; or two R4, together with the carbon atom to which they are attached, form C(O), a C3-Ce carbocycle, or a 4-, 5-, or 6-membered heterocycle comprising 1 or 2 heteroatoms selected from N and O;
R.5 is H, deuterium, C1-C3 alkyl, F, or CI:
m is 0, 1, 2 or 3; and
n is 0, 1 or 2;
wherein the ound is covalentiy bonded to another moiety (e.g. , a compound, or a
46. The method of any one of claims 17-19, 23, 25, 30, 36, and 37, wherem the first polypeptide is a cytosolic signaling protein F BP12.
47. The method of any one of claims 17-19, 23, 25, 30, 36, and 37, wherein the first polypeptide is a mutant cytosolic signaling protein FKBP12.
48. The method of any one of claims 17-19, 23, 25, 30, 36, and 37, wherein the second polypeptide is a cell surface receptor, an oncogenic protein, or an enzyme capable of modifying the nucleotide sequence of a DNA.
49. The method of claim 48, wherein the cell surface receptor is a T-cell surface receptor.
50. The method of claim 48, wherein the oncogenic protein is selected from RAS, WNT, MYC, ERK, and TRK.
51. The method of claim 50, wherein the oncogenic protein is KRAS.
52. The method of claim 48, w herein the enzyme is a DNA nuclease, a DNA integrase, a DNA recombinase, a reverse transcriptase, or a transposase.
53. The method of any one of claims 17-19, 23, 25, 30, 35-37, and 44, wherein the Targeting Ligand is a compound of Formula TL-VII.
54. The method of any one of claims 17-19, 23, 25, 30, 35-37, and 44, wherein the Targeting Ligand is selected from: dFKBP-l ,
dFKBP-2,
55. The method of claim 44, wherein the target polypeptide is a cytosolic signaling protein FKBP12.
56. The method of claim 44, wherein the target polypeptide is a mutant cy tosolic signaling protein FKBP 12.
57. The method of claim 44, wherein the polypeptide is a cell surface receptor, an oncogenic protein, or an enzyme capable of modifying the nucleotide sequence of a DNA.
58. The method of claim 57, wherein the cell surface receptor is a T-celi surface receptor.
59. The method of claim 57, wherein the oncogenic protein is selected from RAS, WNT, MYC, ERK, and TR .
60. The method of claim 59, wherein the oncogenic protein is KRAS.
61. The method of claim 57, wherein the enzyme is a DNA nuclease, a DNA integrase, a DNA recombinase, a reverse transcriptase, or a transposase.
Applications Claiming Priority (2)
| Application Number | Priority Date | Filing Date | Title |
|---|---|---|---|
| US201562202076P | 2015-08-06 | 2015-08-06 | |
| US62/202,076 | 2015-08-06 |
Publications (2)
| Publication Number | Publication Date |
|---|---|
| WO2017024317A2 true WO2017024317A2 (en) | 2017-02-09 |
| WO2017024317A3 WO2017024317A3 (en) | 2017-04-27 |
Family
ID=56990946
Family Applications (1)
| Application Number | Title | Priority Date | Filing Date |
|---|---|---|---|
| PCT/US2016/046087 Ceased WO2017024317A2 (en) | 2015-08-06 | 2016-08-08 | Methods to induce targeted protein degradation through bifunctional molecules |
Country Status (1)
| Country | Link |
|---|---|
| WO (1) | WO2017024317A2 (en) |
Cited By (91)
| Publication number | Priority date | Publication date | Assignee | Title |
|---|---|---|---|---|
| US20160214972A1 (en) * | 2015-01-20 | 2016-07-28 | Arvinas, Inc. | Compounds and methods for the targeted degradation of androgen receptor |
| WO2017185036A1 (en) | 2016-04-22 | 2017-10-26 | Dana Farber Cancer Institute, Inc. | Bifunctional molecules for degradation of egfr and methods of use |
| WO2017197051A1 (en) | 2016-05-10 | 2017-11-16 | C4 Therapeutics, Inc. | Amine-linked c3-glutarimide degronimers for target protein degradation |
| WO2017197046A1 (en) | 2016-05-10 | 2017-11-16 | C4 Therapeutics, Inc. | C3-carbon linked glutarimide degronimers for target protein degradation |
| WO2017197036A1 (en) | 2016-05-10 | 2017-11-16 | C4 Therapeutics, Inc. | Spirocyclic degronimers for target protein degradation |
| US10125114B2 (en) | 2014-12-23 | 2018-11-13 | Dana-Farber Cancer Institute, Inc. | Methods to induce targeted protein degradation through bifunctional molecules |
| US10239888B2 (en) | 2016-09-29 | 2019-03-26 | Dana-Farber Cancer Institute, Inc. | Targeted protein degradation using a mutant E3 ubiquitin ligase |
| WO2019165229A1 (en) * | 2018-02-23 | 2019-08-29 | Dana-Farber Cancer Institute, Inc. | Small molecules for inducing selective protein degradation and uses thereof |
| US10464925B2 (en) | 2015-07-07 | 2019-11-05 | Dana-Farber Cancer Institute, Inc. | Methods to induce targeted protein degradation through bifunctional molecules |
| WO2019238886A1 (en) | 2018-06-13 | 2019-12-19 | University Of Dundee | Bifunctional molecules for targeting usp14 |
| WO2019238817A1 (en) | 2018-06-13 | 2019-12-19 | University Of Dundee | Bifunctional molecules for targeting rpn11 |
| WO2019238816A1 (en) | 2018-06-13 | 2019-12-19 | University Of Dundee | Bifunctional molecules for targeting uchl5 |
| WO2020041387A1 (en) * | 2018-08-20 | 2020-02-27 | The Brigham And Women's Hospital, Inc. | Degradation domain modifications for spatio-temporal control of rna-guided nucleases |
| EP3641762A1 (en) | 2017-06-20 | 2020-04-29 | C4 Therapeutics, Inc. | N/o-linked degrons and degronimers for protein degradation |
| US10646575B2 (en) | 2016-05-10 | 2020-05-12 | C4 Therapeutics, Inc. | Heterocyclic degronimers for target protein degradation |
| WO2020146250A1 (en) | 2019-01-07 | 2020-07-16 | Dana-Farber Cancer Institute, Inc. | SMALL MOLECULE DEGRADERS OF FKBP12 VIA RECRUITMENT OF VON HIPPEL-LINDAU E3 UBIQUITIN LIGASE (VHL) E3 UBIQUITIN LIGASE, AND USES IN dTAG SYSTEMS |
| US10723717B2 (en) | 2016-12-23 | 2020-07-28 | Arvinas Operations, Inc. | Compounds and methods for the targeted degradation of rapidly accelerated fibrosarcoma polypeptides |
| WO2020156017A1 (en) * | 2019-02-02 | 2020-08-06 | 石药集团中奇制药技术(石家庄)有限公司 | Targeted ubiquitination degradation brd4 protein compound, preparation method therefor and application thereof |
| US10772962B2 (en) | 2015-08-19 | 2020-09-15 | Arvinas Operations, Inc. | Compounds and methods for the targeted degradation of bromodomain-containing proteins |
| WO2020191377A1 (en) | 2019-03-21 | 2020-09-24 | Codiak Biosciences, Inc. | Extracellular vesicle conjugates and uses thereof |
| WO2020191369A1 (en) | 2019-03-21 | 2020-09-24 | Codiak Biosciences, Inc. | Process for preparing extracellular vesicles |
| WO2020200291A1 (en) * | 2019-04-02 | 2020-10-08 | Cullgen (Shanghai) , Inc. | Compounds and methods of treating cancers |
| WO2020163823A3 (en) * | 2019-02-08 | 2020-10-29 | University Of Florida Research Foundation, Incorporated | Therapeutic agents and methods of treatment |
| US10844039B2 (en) | 2018-11-13 | 2020-11-24 | Biotheryx, Inc. | Substituted isoindolinones |
| US10849980B2 (en) | 2014-12-23 | 2020-12-01 | Dana-Farber Cancer Institute, Inc. | Methods to induce targeted protein degradation through bifunctional molecules |
| JP2021514400A (en) * | 2018-02-20 | 2021-06-10 | デイナ ファーバー キャンサー インスティチュート,インコーポレイテッド | EGFR Inhibitors and Their Usage |
| CN112955182A (en) * | 2018-10-09 | 2021-06-11 | 嘉兴优博生物技术有限公司 | Targeted protease degradation platform (TED) |
| WO2021127561A1 (en) | 2019-12-20 | 2021-06-24 | C4 Therapeutics, Inc. | Isoindolinone and indazole compounds for the degradation of egfr |
| EP3755697A4 (en) * | 2018-02-20 | 2021-10-27 | Dana-Farber Cancer Institute, Inc. | EGFR DEGRADER AND METHOD OF USE THEREOF |
| EP3755698A4 (en) * | 2018-02-20 | 2021-10-27 | Dana-Farber Cancer Institute, Inc. | EGFR INHIBITORS AND METHOD OF USE THEREOF |
| WO2021222138A1 (en) * | 2020-04-27 | 2021-11-04 | Development Center For Biotechnology | Compounds for mutant ras protein degradation |
| JP2021529807A (en) * | 2018-07-05 | 2021-11-04 | アイカーン スクール オブ メディスン アット マウント シナイ | Protein Tyrosine Kinase 6 (PTK6) Degradation / Disruption Compound and Usage |
| US11173211B2 (en) | 2016-12-23 | 2021-11-16 | Arvinas Operations, Inc. | Compounds and methods for the targeted degradation of rapidly accelerated Fibrosarcoma polypeptides |
| WO2021237100A1 (en) | 2020-05-21 | 2021-11-25 | Codiak Biosciences, Inc. | Methods of targeting extracellular vesicles to lung |
| US11242344B2 (en) | 2017-10-24 | 2022-02-08 | Genentech, Inc. | (4-hydroxypyrrolidin-2-yl)-heterocyclic compounds and methods of use thereof |
| EP3953332A1 (en) | 2019-04-12 | 2022-02-16 | C4 Therapeutics, Inc. | Tricyclic degraders of ikaros and aiolos |
| US11254672B2 (en) | 2017-09-04 | 2022-02-22 | C4 Therapeutics, Inc. | Dihydrobenzimidazolones for medical treatment |
| WO2022066928A2 (en) | 2020-09-23 | 2022-03-31 | Codiak Biosciences, Inc. | Process for preparing extracellular vesicles |
| WO2022068933A1 (en) * | 2020-09-30 | 2022-04-07 | Cullgen (Shanghai) , Inc. | Compounds and methods of treating diseases |
| WO2022078350A1 (en) * | 2020-10-14 | 2022-04-21 | Ranok Therapeutics (Hangzhou) Co. Ltd. | Methods and compositions for targeted protein degradation |
| WO2022117782A1 (en) | 2020-12-03 | 2022-06-09 | Eisbach Bio Gmbh | Alc1 inhibitors and synergy with parpi |
| US11358952B2 (en) | 2018-04-23 | 2022-06-14 | Celgene Corporation | Substituted 4-aminoisoindoline-1,3-dione compounds, compositions thereof, and methods of treatment therewith |
| WO2022125804A1 (en) * | 2020-12-09 | 2022-06-16 | Kymera Therapeutics, Inc. | Smarca degraders and uses thereof |
| US20220213115A1 (en) * | 2019-05-31 | 2022-07-07 | Celgene Corporation | Substituted 1-oxo-isoindoline-5-carboxamide compounds, compositions thereof, and methods of treatment therewith |
| US11401256B2 (en) | 2017-09-04 | 2022-08-02 | C4 Therapeutics, Inc. | Dihydroquinolinones for medical treatment |
| US11427548B2 (en) | 2015-01-20 | 2022-08-30 | Arvinas Operations, Inc. | Compounds and methods for the targeted degradation of androgen receptor |
| EP3864030A4 (en) * | 2018-10-12 | 2022-09-21 | The Scripps Research Institute | COMPOUNDS AND METHODS FOR DCAF-MEDIATED PROTEIN DEGRADATION |
| US11524949B2 (en) | 2017-11-16 | 2022-12-13 | C4 Therapeutics, Inc. | Degraders and Degrons for targeted protein degradation |
| WO2023283130A1 (en) | 2021-07-04 | 2023-01-12 | Newave Pharmaceutical Inc. | Isoquinoline derivatives as mutant egfr modulators and uses thereof |
| CN115677667A (en) * | 2021-07-30 | 2023-02-03 | 海创药业股份有限公司 | Bifunctional chimera heterocyclic compound and application thereof as androgen receptor degrading agent |
| US11584748B2 (en) | 2018-04-16 | 2023-02-21 | C4 Therapeutics, Inc. | Spirocyclic compounds |
| US11623929B2 (en) | 2018-06-04 | 2023-04-11 | C4 Therapeutics, Inc. | Spirocyclic compounds |
| US11679109B2 (en) | 2019-12-23 | 2023-06-20 | Kymera Therapeutics, Inc. | SMARCA degraders and uses thereof |
| US11691972B2 (en) | 2020-03-05 | 2023-07-04 | C4 Therapeutics, Inc. | Compounds for targeted degradation of BRD9 |
| US11707452B2 (en) | 2018-08-20 | 2023-07-25 | Arvinas Operations, Inc. | Modulators of alpha-synuclein proteolysis and associated methods of use |
| US11753397B2 (en) | 2018-03-26 | 2023-09-12 | C4 Therapeutics, Inc. | Cereblon binders for the degradation of ikaros |
| WO2023172889A1 (en) * | 2022-03-07 | 2023-09-14 | The University Of North Carolina At Chapel Hill | Use of chemical epigenetic modifiers to modulate gene expression |
| US11802131B2 (en) | 2017-09-04 | 2023-10-31 | C4 Therapeutics, Inc. | Glutarimides for medical treatment |
| WO2023213833A1 (en) | 2022-05-02 | 2023-11-09 | Eisbach Bio Gmbh | Use of alc1 inhibitors and synergy with parpi |
| WO2023242176A1 (en) * | 2022-06-13 | 2023-12-21 | Julius-Maximilians-Universität Würzburg | Transposase fusion proteins for use in cell and gene therapy |
| US11912682B2 (en) | 2021-01-13 | 2024-02-27 | Monte Rosa Therapeutics, Inc. | Isoindolinone compounds |
| US11912699B2 (en) | 2019-07-17 | 2024-02-27 | Arvinas Operations, Inc. | Tau-protein targeting compounds and associated |
| US11957759B1 (en) | 2022-09-07 | 2024-04-16 | Arvinas Operations, Inc. | Rapidly accelerated fibrosarcoma (RAF) degrading compounds and associated methods of use |
| WO2024081913A1 (en) * | 2022-10-14 | 2024-04-18 | 76Bio, Inc. | Dual-specific bifunctional fusion proteins for ubiquitin-mediated degradation |
| US11986532B2 (en) | 2021-04-16 | 2024-05-21 | Arvinas Operations, Inc. | Modulators of BCL6 proteolysis and associated methods of use |
| JP2024521966A (en) * | 2021-06-08 | 2024-06-04 | ハンチョウ グルビオ ファーマシューティカル カンパニー,リミティド | Isoindolinone compounds and uses thereof |
| US12097261B2 (en) | 2021-05-07 | 2024-09-24 | Kymera Therapeutics, Inc. | CDK2 degraders and uses thereof |
| US12103924B2 (en) | 2020-06-01 | 2024-10-01 | Icahn School Of Medicine At Mount Sinai | Mitogen-activated protein kinase kinase (MEK) degradation compounds and methods of use |
| US12110295B2 (en) | 2018-06-21 | 2024-10-08 | Icahn School Of Medicine At Mount Sinai | WD40 repeat domain protein 5 (WDR5) degradation/disruption compounds and methods of use |
| WO2024240078A1 (en) * | 2023-05-19 | 2024-11-28 | The Chinese University Of Hong Kong | Compositions and methods related to protein labeling |
| US12180193B2 (en) | 2020-08-28 | 2024-12-31 | Arvinas Operations, Inc. | Accelerating fibrosarcoma protein degrading compounds and associated methods of use |
| WO2025006753A2 (en) | 2023-06-30 | 2025-01-02 | Merck Patent Gmbh | Heterobifunctional compounds for the degradation of kras protein |
| WO2025006783A2 (en) | 2023-06-30 | 2025-01-02 | Merck Patent Gmbh | Heterobifunctional compounds for the degradation of kras |
| US12274697B2 (en) | 2016-10-28 | 2025-04-15 | Icahn School Of Medicine At Mount Sinai | Compositions and methods for treating EZH2-mediated cancer |
| US12310975B2 (en) | 2019-10-17 | 2025-05-27 | Arvinas Operations, Inc. | Modulators of BCL6 proteolysis and associated methods of use |
| US12329823B2 (en) | 2021-06-09 | 2025-06-17 | The Scripps Research Institute | Long-acting dual GIP/GLP-1 peptide conjugates and methods of use |
| US12337028B2 (en) | 2013-12-18 | 2025-06-24 | The Scripps Research Institute | Modified therapeutic agents, stapled peptide lipid conjugates, and compositions thereof |
| US12351579B2 (en) | 2019-01-29 | 2025-07-08 | Foghorn Therapeutics Inc. | Compounds and uses thereof |
| US12384776B2 (en) | 2019-01-29 | 2025-08-12 | Foghorn Therapeutics Inc. | Compounds and uses thereof |
| US12421220B2 (en) | 2022-06-06 | 2025-09-23 | C4 Therapeutics, Inc. | Bicyclic-substituted glutarimide cereblon binders |
| US12441722B2 (en) | 2020-01-15 | 2025-10-14 | University Of Florida Research Foundation, Incorporated | Therapeutic agents and methods of treatment |
| US12454520B2 (en) | 2018-07-06 | 2025-10-28 | Kymera Therapeutics, Inc. | Protein degraders and uses thereof |
| US12454521B2 (en) | 2018-12-20 | 2025-10-28 | C4 Therapeutics, Inc. | Targeted protein degradation |
| US12465648B2 (en) | 2019-05-06 | 2025-11-11 | Icahn School Of Medicine At Mount Sinai | Heterobifunctional compounds as degraders of HPK1 |
| US12486253B2 (en) | 2021-06-08 | 2025-12-02 | C4 Therapeutics, Inc. | Therapeutics for the degradation of mutant BRAF |
| EP4426687A4 (en) * | 2021-11-04 | 2025-12-10 | Brigham & Womens Hospital Inc | Targeted Degron molecules and applications thereof |
| US12516068B2 (en) | 2018-01-12 | 2026-01-06 | Kymera Therapeutics, Inc. | Protein degraders and uses thereof |
| US12521438B2 (en) | 2019-06-10 | 2026-01-13 | Kymera Therapeutics, Inc. | SMARCA degraders and uses thereof |
| US12528797B2 (en) | 2019-03-06 | 2026-01-20 | C4 Therapeutics, Inc. | Heterocyclic compounds for medical treatment |
| US12540143B2 (en) | 2019-04-09 | 2026-02-03 | Ranok Therapeutics (Hangzhou) Co. Ltd. | Methods and compositions for targeted protein degradation |
| US12539292B2 (en) | 2018-04-01 | 2026-02-03 | Arvinas Operations, Inc. | BRM targeting compounds and associated methods of use |
Citations (35)
| Publication number | Priority date | Publication date | Assignee | Title |
|---|---|---|---|---|
| US4186183A (en) | 1978-03-29 | 1980-01-29 | The United States Of America As Represented By The Secretary Of The Army | Liposome carriers in chemotherapy of leishmaniasis |
| US4217344A (en) | 1976-06-23 | 1980-08-12 | L'oreal | Compositions containing aqueous dispersions of lipid spheres |
| US4235871A (en) | 1978-02-24 | 1980-11-25 | Papahadjopoulos Demetrios P | Method of encapsulating biologically active materials in lipid vesicles |
| US4261975A (en) | 1979-09-19 | 1981-04-14 | Merck & Co., Inc. | Viral liposome particle |
| US4485054A (en) | 1982-10-04 | 1984-11-27 | Lipoderm Pharmaceuticals Limited | Method of encapsulating biologically active materials in multilamellar lipid vesicles (MLV) |
| US4501728A (en) | 1983-01-06 | 1985-02-26 | Technology Unlimited, Inc. | Masking of liposomes from RES recognition |
| EP0264166A1 (en) | 1986-04-09 | 1988-04-20 | Genzyme Corporation | Transgenic animals secreting desired proteins into milk |
| US4774085A (en) | 1985-07-09 | 1988-09-27 | 501 Board of Regents, Univ. of Texas | Pharmaceutical administration systems containing a mixture of immunomodulators |
| US4797368A (en) | 1985-03-15 | 1989-01-10 | The United States Of America As Represented By The Department Of Health And Human Services | Adeno-associated virus as eukaryotic expression vector |
| US4837028A (en) | 1986-12-24 | 1989-06-06 | Liposome Technology, Inc. | Liposomes with enhanced circulation time |
| US4873316A (en) | 1987-06-23 | 1989-10-10 | Biogen, Inc. | Isolation of exogenous recombinant proteins from the milk of transgenic mammals |
| US4897355A (en) | 1985-01-07 | 1990-01-30 | Syntex (U.S.A.) Inc. | N[ω,(ω-1)-dialkyloxy]- and N-[ω,(ω-1)-dialkenyloxy]-alk-1-yl-N,N,N-tetrasubstituted ammonium lipids and uses therefor |
| US4946787A (en) | 1985-01-07 | 1990-08-07 | Syntex (U.S.A.) Inc. | N-(ω,(ω-1)-dialkyloxy)- and N-(ω,(ω-1)-dialkenyloxy)-alk-1-yl-N,N,N-tetrasubstituted ammonium lipids and uses therefor |
| US5049386A (en) | 1985-01-07 | 1991-09-17 | Syntex (U.S.A.) Inc. | N-ω,(ω-1)-dialkyloxy)- and N-(ω,(ω-1)-dialkenyloxy)Alk-1-YL-N,N,N-tetrasubstituted ammonium lipids and uses therefor |
| WO1991016024A1 (en) | 1990-04-19 | 1991-10-31 | Vical, Inc. | Cationic lipids for intracellular delivery of biologically active molecules |
| WO1991017424A1 (en) | 1990-05-03 | 1991-11-14 | Vical, Inc. | Intracellular delivery of biologically active substances by means of self-assembling lipid complexes |
| US5173414A (en) | 1990-10-30 | 1992-12-22 | Applied Immune Sciences, Inc. | Production of recombinant adeno-associated virus vectors |
| WO1993024641A2 (en) | 1992-06-02 | 1993-12-09 | The United States Of America, As Represented By The Secretary, Department Of Health & Human Services | Adeno-associated virus with inverted terminal repeat sequences as promoter |
| US5304121A (en) | 1990-12-28 | 1994-04-19 | Boston Scientific Corporation | Drug delivery system making use of a hydrogel polymer coating |
| US5837313A (en) | 1995-04-19 | 1998-11-17 | Schneider (Usa) Inc | Drug release stent coating process |
| US5886026A (en) | 1993-07-19 | 1999-03-23 | Angiotech Pharmaceuticals Inc. | Anti-angiogenic compositions and methods of use |
| US5891507A (en) | 1997-07-28 | 1999-04-06 | Iowa-India Investments Company Limited | Process for coating a surface of a metallic stent |
| US6071305A (en) | 1996-11-25 | 2000-06-06 | Alza Corporation | Directional drug delivery stent and method of use |
| US6099562A (en) | 1996-06-13 | 2000-08-08 | Schneider (Usa) Inc. | Drug coating with topcoat |
| US6153252A (en) | 1998-06-30 | 2000-11-28 | Ethicon, Inc. | Process for coating stents |
| US6203551B1 (en) | 1999-10-04 | 2001-03-20 | Advanced Cardiovascular Systems, Inc. | Chamber for applying therapeutic substances to an implant device |
| US6231600B1 (en) | 1995-02-22 | 2001-05-15 | Scimed Life Systems, Inc. | Stents with hybrid coating for medical devices |
| US6248127B1 (en) | 1998-08-21 | 2001-06-19 | Medtronic Ave, Inc. | Thromboresistant coated medical device |
| US6251136B1 (en) | 1999-12-08 | 2001-06-26 | Advanced Cardiovascular Systems, Inc. | Method of layering a three-coated stent using pharmacological and polymeric agents |
| US6258121B1 (en) | 1999-07-02 | 2001-07-10 | Scimed Life Systems, Inc. | Stent coating |
| US6273913B1 (en) | 1997-04-18 | 2001-08-14 | Cordis Corporation | Modified stent useful for delivery of drugs along stent strut |
| US6517889B1 (en) | 2001-11-26 | 2003-02-11 | Swaminathan Jayaraman | Process for coating a surface of a stent |
| US20030087817A1 (en) | 1999-01-12 | 2003-05-08 | Sangamo Biosciences, Inc. | Regulation of endogenous gene expression in cells using zinc finger proteins |
| US8697359B1 (en) | 2012-12-12 | 2014-04-15 | The Broad Institute, Inc. | CRISPR-Cas systems and methods for altering expression of gene products |
| US9405700B2 (en) | 2010-11-04 | 2016-08-02 | Sonics, Inc. | Methods and apparatus for virtualization in an integrated circuit |
Family Cites Families (3)
| Publication number | Priority date | Publication date | Assignee | Title |
|---|---|---|---|---|
| AU2002362537A1 (en) * | 2001-10-01 | 2003-04-14 | Bioimage A/S | A method of detecting intracellular protein-protein interactions using three heterologous conjugates |
| CN104105964B (en) * | 2011-12-05 | 2016-08-24 | 株式会社医学生物学研究所 | Methods for the detection of protein-protein interactions |
| WO2014159312A2 (en) * | 2013-03-14 | 2014-10-02 | University Of Florida Research Foundation, Incorporated | A novel single chain antibody reduced mutant alpha-1 antitrypsin aggregation and toxicity |
-
2016
- 2016-08-08 WO PCT/US2016/046087 patent/WO2017024317A2/en not_active Ceased
Patent Citations (36)
| Publication number | Priority date | Publication date | Assignee | Title |
|---|---|---|---|---|
| US4217344A (en) | 1976-06-23 | 1980-08-12 | L'oreal | Compositions containing aqueous dispersions of lipid spheres |
| US4235871A (en) | 1978-02-24 | 1980-11-25 | Papahadjopoulos Demetrios P | Method of encapsulating biologically active materials in lipid vesicles |
| US4186183A (en) | 1978-03-29 | 1980-01-29 | The United States Of America As Represented By The Secretary Of The Army | Liposome carriers in chemotherapy of leishmaniasis |
| US4261975A (en) | 1979-09-19 | 1981-04-14 | Merck & Co., Inc. | Viral liposome particle |
| US4485054A (en) | 1982-10-04 | 1984-11-27 | Lipoderm Pharmaceuticals Limited | Method of encapsulating biologically active materials in multilamellar lipid vesicles (MLV) |
| US4501728A (en) | 1983-01-06 | 1985-02-26 | Technology Unlimited, Inc. | Masking of liposomes from RES recognition |
| US4946787A (en) | 1985-01-07 | 1990-08-07 | Syntex (U.S.A.) Inc. | N-(ω,(ω-1)-dialkyloxy)- and N-(ω,(ω-1)-dialkenyloxy)-alk-1-yl-N,N,N-tetrasubstituted ammonium lipids and uses therefor |
| US4897355A (en) | 1985-01-07 | 1990-01-30 | Syntex (U.S.A.) Inc. | N[ω,(ω-1)-dialkyloxy]- and N-[ω,(ω-1)-dialkenyloxy]-alk-1-yl-N,N,N-tetrasubstituted ammonium lipids and uses therefor |
| US5049386A (en) | 1985-01-07 | 1991-09-17 | Syntex (U.S.A.) Inc. | N-ω,(ω-1)-dialkyloxy)- and N-(ω,(ω-1)-dialkenyloxy)Alk-1-YL-N,N,N-tetrasubstituted ammonium lipids and uses therefor |
| US4797368A (en) | 1985-03-15 | 1989-01-10 | The United States Of America As Represented By The Department Of Health And Human Services | Adeno-associated virus as eukaryotic expression vector |
| US4774085A (en) | 1985-07-09 | 1988-09-27 | 501 Board of Regents, Univ. of Texas | Pharmaceutical administration systems containing a mixture of immunomodulators |
| EP0264166A1 (en) | 1986-04-09 | 1988-04-20 | Genzyme Corporation | Transgenic animals secreting desired proteins into milk |
| US4837028A (en) | 1986-12-24 | 1989-06-06 | Liposome Technology, Inc. | Liposomes with enhanced circulation time |
| US4873316A (en) | 1987-06-23 | 1989-10-10 | Biogen, Inc. | Isolation of exogenous recombinant proteins from the milk of transgenic mammals |
| WO1991016024A1 (en) | 1990-04-19 | 1991-10-31 | Vical, Inc. | Cationic lipids for intracellular delivery of biologically active molecules |
| WO1991017424A1 (en) | 1990-05-03 | 1991-11-14 | Vical, Inc. | Intracellular delivery of biologically active substances by means of self-assembling lipid complexes |
| US5173414A (en) | 1990-10-30 | 1992-12-22 | Applied Immune Sciences, Inc. | Production of recombinant adeno-associated virus vectors |
| US5304121A (en) | 1990-12-28 | 1994-04-19 | Boston Scientific Corporation | Drug delivery system making use of a hydrogel polymer coating |
| WO1993024641A2 (en) | 1992-06-02 | 1993-12-09 | The United States Of America, As Represented By The Secretary, Department Of Health & Human Services | Adeno-associated virus with inverted terminal repeat sequences as promoter |
| US5886026A (en) | 1993-07-19 | 1999-03-23 | Angiotech Pharmaceuticals Inc. | Anti-angiogenic compositions and methods of use |
| US6231600B1 (en) | 1995-02-22 | 2001-05-15 | Scimed Life Systems, Inc. | Stents with hybrid coating for medical devices |
| US5837313A (en) | 1995-04-19 | 1998-11-17 | Schneider (Usa) Inc | Drug release stent coating process |
| US6099562A (en) | 1996-06-13 | 2000-08-08 | Schneider (Usa) Inc. | Drug coating with topcoat |
| US6071305A (en) | 1996-11-25 | 2000-06-06 | Alza Corporation | Directional drug delivery stent and method of use |
| US6273913B1 (en) | 1997-04-18 | 2001-08-14 | Cordis Corporation | Modified stent useful for delivery of drugs along stent strut |
| US20010027340A1 (en) | 1997-04-18 | 2001-10-04 | Carol Wright | Stent with therapeutically active dosage of rapamycin coated thereon |
| US5891507A (en) | 1997-07-28 | 1999-04-06 | Iowa-India Investments Company Limited | Process for coating a surface of a metallic stent |
| US6153252A (en) | 1998-06-30 | 2000-11-28 | Ethicon, Inc. | Process for coating stents |
| US6248127B1 (en) | 1998-08-21 | 2001-06-19 | Medtronic Ave, Inc. | Thromboresistant coated medical device |
| US20030087817A1 (en) | 1999-01-12 | 2003-05-08 | Sangamo Biosciences, Inc. | Regulation of endogenous gene expression in cells using zinc finger proteins |
| US6258121B1 (en) | 1999-07-02 | 2001-07-10 | Scimed Life Systems, Inc. | Stent coating |
| US6203551B1 (en) | 1999-10-04 | 2001-03-20 | Advanced Cardiovascular Systems, Inc. | Chamber for applying therapeutic substances to an implant device |
| US6251136B1 (en) | 1999-12-08 | 2001-06-26 | Advanced Cardiovascular Systems, Inc. | Method of layering a three-coated stent using pharmacological and polymeric agents |
| US6517889B1 (en) | 2001-11-26 | 2003-02-11 | Swaminathan Jayaraman | Process for coating a surface of a stent |
| US9405700B2 (en) | 2010-11-04 | 2016-08-02 | Sonics, Inc. | Methods and apparatus for virtualization in an integrated circuit |
| US8697359B1 (en) | 2012-12-12 | 2014-04-15 | The Broad Institute, Inc. | CRISPR-Cas systems and methods for altering expression of gene products |
Non-Patent Citations (86)
| Title |
|---|
| "Piggybac Transposon System", TRANSPOSAGEN BIOPHARMACEUTICALS, INC. |
| "Remington's Pharmaceutical Sciences, 18th ed.", 1990, MACK PUBLISHING CO. |
| "The Merck Manual, 17th ed.", 1999, . |
| AHMAD ET AL., CANCER RES., vol. 52, 1992, pages 4817 - 4820 |
| AMRANN ET AL., GENE, vol. 69, 1988, pages 301 - 315 |
| AUSUBEL ET AL.: "Current Protocols in Molecular Biology", 2005, JOHN WILEY AND SONS, INC. |
| B. CHAPUY ET AL., CANCER CELL, vol. 24, 2013, pages 777 - 790 |
| BALBACH ET AL.: "Mechanisms of protein folding, 2nd ed.", 2000, OXFORD UNIVERSITY PRESS, pages: 212 - 237 |
| BALDARI ET AL., EMBO J., vol. 6, 1987, pages 229 - 234 |
| BANEIJI ET AL., CELL, vol. 33, 1983, pages 729 - 740 |
| BEHR ET AL., BIOCONJUGATE CHEM, vol. 5, 1994, pages 382 - 389 |
| BIBIKOVA ET AL., SCIENCE, vol. 300, 2003, pages 764 |
| BLAESE ET AL., CANCER GENE THER., vol. 2, 1995, pages 291 - 297 |
| BOCH ET AL., NAT. BIOTECHNOL., vol. 29, 2011, pages 135 |
| BUCHSCHER ET AL., J. VIROL., vol. 66, 1992, pages 2731 - 2739 |
| BUYUKTIMKIN ET AL.: "Chemical Means of Transdermal Drug Permeation Enhancement in Transdermal and Topical Drug Delivery Systems", 1997, INTERPHARM PRESS INC. |
| BYRNE; RUDDLE, PROC. NATL. ACAD. SCI. USA, vol. 86, 1989, pages 5473 - 5477 |
| CALAME; EATON, ADV. IMMUNOL., vol. 43, 1988, pages 235 - 275 |
| CAMPES; TILGHMAN, GENES DEV., vol. 3, 1989, pages 537 - 546 |
| CHANG X., INT J BIOCHEM MOL BIOL., vol. 2, no. 3, 2011, pages 287 - 294 |
| CHRISTIAN ET AL., GENETICS, vol. 186, 2010, pages 757 |
| COLIGAN: "Current Protocols in Immunology", JOHN WILEY & SONS |
| CREWS C., CHEMISTRY & BIOLOGY, vol. 17, no. 6, 2010, pages 551 - 555 |
| CRYSTAL, SCIENCE, vol. 270, 1995, pages 404 - 410 |
| E. NICODEME ET AL., NATURE, vol. 468, 2010, pages 1119 - 1123 |
| E. W. MARTIN: "Remington's Pharmaceutical Sciences, 16th ed.", 1980, MACK PUBLISHING CO. |
| E. W. MARTIN: "Remington's Pharmaceutical Sciences, 17th ed", 1985, MACK PUBLISHING COMPANY |
| EDLUND ET AL., SCIENCE, vol. 230, 1985, pages 912 - 916 |
| EDWARD B. ROCHE: "Bioreversible Carriers in Drug Design", 1987, AMERICAN PHARMACEUTICAL ASSOCIATION AND PERGAMON PRESS |
| ENNA ET AL.: "Current Protocols in Pharmacology", JOHN WILEY & SONS |
| ESVELT; WANG, MOL. SYS. BIOL., vol. 9, 2013, pages 641 |
| FINGL ET AL.: "The Pharmacological Basis of Therapeutics", 1975 |
| FISCHER ET AL., NATURE, vol. 512, 2014, pages 49 |
| FISCHER ET AL., NATURE, vol. 512, 2014, pages 49 - 53 |
| GAO ET AL., GENE THERAPY, vol. 2, 1995, pages 710 - 722 |
| GENE, vol. 67, pages 31 - 40 |
| GOODMAN; GILMAN'S: "The Pharmacological Basis of Therapeutics, 10th ed.", 2001, MCGRAW-HILL PRESS, pages: 155 - 173 |
| HERMONAT; MUZYCZKA, PNAS, vol. 81, 1984, pages 6466 - 6470 |
| HOLT, J. AM. CHEM. SOC., vol. 115, 1993, pages 9925 |
| IVICS, CELL, vol. 91, 1997, pages 501 |
| J PHARMACEUTICAL SCIENCES, vol. 66, 1977, pages 1 - 19 |
| J. D. BROWN ET AL., MOL. CELL, vol. 56, 2014, pages 219 - 231 |
| J. E. DELMORE ET AL., CELL, vol. 146, 2011, pages 904 - 917 |
| J. LOVDN ET AL., CELL, vol. 153, 2013, pages 320 - 334 |
| J. ZUBER ET AL., NATURE, vol. 478, 2011, pages 524 - 528 |
| JOHANN ET AL., J. VIROL., vol. 66, 1992, pages 1635 - 1640 |
| KAUFMAN ET AL., EMBO J., vol. 6, 1987, pages 187 - 195 |
| KESSEL; GRUSS, SCIENCE, vol. 249, 1990, pages 374 - 379 |
| KOTIN, HUMAN GENE THERAPY, vol. 5, 1994, pages 793 - 801 |
| KUIJAN; HERSKOWITZ, CELL, vol. 30, 1982, pages 933 - 943 |
| LIU ET AL., CELL, vol. 66, no. 4, 1991, pages 807 - 15 |
| MAIBACH H. I. AND SMITH H. E.: "Percutaneous Penetration Enhancers", 1995, CRC PRESS, INC. |
| MARX S. O. ET AL.: "Bench to bedside: the development of rapamycin and its application to stent restenosis", CIRCULATION, vol. 104, no. 8, 2001, pages 852 - 855, XP002338846 |
| MAYER ET AL., TRANSPLANTATION, vol. 64, no. 3, 1997, pages 436 - 43 |
| MCKEOWN ET AL., J. MED. CHEM, vol. 57, 2014, pages 9019 |
| MILLER ET AL., J. VIROL., vol. 65, 1991, pages 2220 - 2224 |
| MUZYCZKA, J., CLIN. INVEST., vol. 94, 1994, pages 1351 |
| P. ANAND ET AL., CELL, vol. 154, 2013, pages 569 - 582 |
| P. FILIPPAKOPOULOS ET AL., NATURE, vol. 468, 2010, pages 1067 - 1073 |
| PABO ET AL., ANNU. REV. BIOCHEM, vol. 70, 2001, pages 313 |
| PINKERT ET AL., GENES DEV., vol. 1, 1987, pages 268 - 277 |
| PLASTERK, CELL, vol. 74, 1993, pages 781 |
| PRESBITERO P. ET AL.: "Drug eluting stents do they make the difference?", MINERVA CARDIOANGIOL, vol. 50, no. 5, 2002, pages 431 - 442 |
| QUEEN; BALTIMORE, CELL, vol. 33, 1983, pages 741 - 748 |
| REMY ET AL., BIOCONJUGATE CHEM, vol. 5, 1994, pages 647 - 654 |
| RUYGROK P. N.: "Rapamycin in cardiovascular medicine", INTERN. MED. J., vol. 33, no. 3, 2003, pages 103 - 109 |
| SAMBROOK ET AL.: "Molecular Cloning, A Laboratory Manual", 2000, COLD SPRING HARBOR PRESS |
| SAMBROOK ET AL.: "MOLECULAR CLONING: A LABORATORY MANUAL, 2nd ed.", 1989, COLD SPRING HARBOR LABORATORY |
| SAMULSKI ET AL., J. VIROL., vol. 63, 1989, pages 03822 - 3828 |
| SANDER; JOUNG, NAT. BIOTECHOL., vol. 32, 2014, pages 347 |
| SCHNNEKLOTH JS JR., CHEMBIOCHEM, vol. 6, no. L, 2005, pages 40 - 46 |
| SCHULTZ ET AL., GENE, vol. 54, 1987, pages 113 - 123 |
| SEED, NATURE, vol. 329, 1987, pages 840 |
| SIEKIERKA ET AL., NATURE, vol. 341, no. 6244, 1989, pages 755 - 7 |
| SMITH; JOHNSON, PHARMACIA BIOTECH INC, 1988 |
| SOMMNERFELT ET AL., VIROL., vol. 176, 1990, pages 58 - 59 |
| STODDARD, QUARTERLY REV. BIOPHYS., vol. 38, 2006, pages 49 |
| STUDIER ET AL.: "GENE EXPRESSION TECHNOLOGY: METHODS IN ENZYMOLOGY", vol. 185, 1990, ACADEMIC PRESS, pages: 60 - 89 |
| T. HIGUCHI; V. STELLA: "A.C.S. Symposium Series", vol. 14, article "Pro-drugs as Novel Delivery Systems" |
| TRATSCHIN ET AL., MOL. CELL. BIOL., vol. 4, 1984, pages 2072 - 2081 |
| TRATSCHIN ET AL., MOL. CELL. BIOL., vol. 5, 1985, pages 3251 - 3260 |
| WANG ET AL., SCIENCE, vol. 265, no. 5172, 1994, pages 674 - 6 |
| WEST ET AL., VIROLOGY, vol. 160, 1987, pages 38 - 47 |
| WILSON ET AL., J. VIROL., vol. 63, 1989, pages 2374 - 2378 |
| WINOTO; BALTIMORE, EMBO J., vol. 8, 1989, pages 729 - 733 |
| ZHANG ET AL., NAT. BIOTECHNOL., vol. 29, 2011, pages 149 |
Cited By (147)
| Publication number | Priority date | Publication date | Assignee | Title |
|---|---|---|---|---|
| US12337028B2 (en) | 2013-12-18 | 2025-06-24 | The Scripps Research Institute | Modified therapeutic agents, stapled peptide lipid conjugates, and compositions thereof |
| US11583586B2 (en) | 2014-12-23 | 2023-02-21 | Dana-Farber Cancer Institute, Inc. | Methods to induce targeted protein degradation through bifunctional molecules |
| US10669253B2 (en) | 2014-12-23 | 2020-06-02 | Dana-Farber Cancer Institute, Inc. | Methods to induce targeted protein degradation through bifunctional molecules |
| US10849980B2 (en) | 2014-12-23 | 2020-12-01 | Dana-Farber Cancer Institute, Inc. | Methods to induce targeted protein degradation through bifunctional molecules |
| US10125114B2 (en) | 2014-12-23 | 2018-11-13 | Dana-Farber Cancer Institute, Inc. | Methods to induce targeted protein degradation through bifunctional molecules |
| US11059801B2 (en) | 2014-12-23 | 2021-07-13 | Dana-Farber Cancer Institute, Inc. | Methods to induce targeted protein degradation through bifunctional molecules |
| US12312316B2 (en) | 2015-01-20 | 2025-05-27 | Arvinas Operations, Inc. | Compounds and methods for the targeted degradation of androgen receptor |
| US11427548B2 (en) | 2015-01-20 | 2022-08-30 | Arvinas Operations, Inc. | Compounds and methods for the targeted degradation of androgen receptor |
| US20160214972A1 (en) * | 2015-01-20 | 2016-07-28 | Arvinas, Inc. | Compounds and methods for the targeted degradation of androgen receptor |
| US11352351B2 (en) | 2015-01-20 | 2022-06-07 | Arvinas Operations, Inc. | Compounds and methods for the targeted degradation of androgen receptor |
| US10464925B2 (en) | 2015-07-07 | 2019-11-05 | Dana-Farber Cancer Institute, Inc. | Methods to induce targeted protein degradation through bifunctional molecules |
| US12171831B2 (en) | 2015-08-19 | 2024-12-24 | Arvinas Operations, Inc. | Compounds and methods for the targeted degradation of bromodomain- containing proteins |
| US11554171B2 (en) | 2015-08-19 | 2023-01-17 | Arvinas Operations, Inc. | Compounds and methods for the targeted degradation of bromodomain-containing proteins |
| US10772962B2 (en) | 2015-08-19 | 2020-09-15 | Arvinas Operations, Inc. | Compounds and methods for the targeted degradation of bromodomain-containing proteins |
| WO2017185036A1 (en) | 2016-04-22 | 2017-10-26 | Dana Farber Cancer Institute, Inc. | Bifunctional molecules for degradation of egfr and methods of use |
| US10450310B2 (en) | 2016-04-22 | 2019-10-22 | Dana-Farber Cancer Institute, Inc. | Bifunctional molecules for degradation of EGFR and methods of use |
| US11161842B2 (en) | 2016-04-22 | 2021-11-02 | Dana-Farber Cancer Institute, Inc. | Bifunctional molecules for degradation of EGFR and methods of use |
| EP3892272A1 (en) | 2016-04-22 | 2021-10-13 | Dana-Farber Cancer Institute, Inc. | Bifunctional molecules for degradation of egfr and methods of use |
| US10660968B2 (en) | 2016-05-10 | 2020-05-26 | C4 Therapeutics, Inc. | Spirocyclic degronimers for target protein degradation |
| WO2017197036A1 (en) | 2016-05-10 | 2017-11-16 | C4 Therapeutics, Inc. | Spirocyclic degronimers for target protein degradation |
| US12048748B2 (en) | 2016-05-10 | 2024-07-30 | C4 Therapeutics, Inc. | Spirocyclic degronimers for target protein degradation |
| US10646575B2 (en) | 2016-05-10 | 2020-05-12 | C4 Therapeutics, Inc. | Heterocyclic degronimers for target protein degradation |
| WO2017197051A1 (en) | 2016-05-10 | 2017-11-16 | C4 Therapeutics, Inc. | Amine-linked c3-glutarimide degronimers for target protein degradation |
| EP4483875A2 (en) | 2016-05-10 | 2025-01-01 | C4 Therapeutics, Inc. | Spirocyclic degronimers for target protein degradation |
| US12048747B2 (en) | 2016-05-10 | 2024-07-30 | C4 Therapeutics, Inc. | Substituted piperidine Degronimers for Target Protein degradation |
| US11185592B2 (en) | 2016-05-10 | 2021-11-30 | C4 Therapeutics, Inc. | Spirocyclic degronimers for target protein degradation |
| US12076405B2 (en) | 2016-05-10 | 2024-09-03 | C4 Therapeutics, Inc. | Heterocyclic degronimers for target protein degradation |
| US10849982B2 (en) | 2016-05-10 | 2020-12-01 | C4 Therapeutics, Inc. | C3-carbon linked glutarimide degronimers for target protein degradation |
| US11992531B2 (en) | 2016-05-10 | 2024-05-28 | C4 Therapeutics, Inc. | C3-carbon linked glutarimide degronimers for target protein degradation |
| US10905768B1 (en) | 2016-05-10 | 2021-02-02 | C4 Therapeutics, Inc. | Heterocyclic degronimers for target protein degradation |
| WO2017197046A1 (en) | 2016-05-10 | 2017-11-16 | C4 Therapeutics, Inc. | C3-carbon linked glutarimide degronimers for target protein degradation |
| US10239888B2 (en) | 2016-09-29 | 2019-03-26 | Dana-Farber Cancer Institute, Inc. | Targeted protein degradation using a mutant E3 ubiquitin ligase |
| US12274697B2 (en) | 2016-10-28 | 2025-04-15 | Icahn School Of Medicine At Mount Sinai | Compositions and methods for treating EZH2-mediated cancer |
| US11173211B2 (en) | 2016-12-23 | 2021-11-16 | Arvinas Operations, Inc. | Compounds and methods for the targeted degradation of rapidly accelerated Fibrosarcoma polypeptides |
| US10723717B2 (en) | 2016-12-23 | 2020-07-28 | Arvinas Operations, Inc. | Compounds and methods for the targeted degradation of rapidly accelerated fibrosarcoma polypeptides |
| US11986531B2 (en) | 2016-12-23 | 2024-05-21 | Arvinas Operations, Inc. | Compounds and methods for the targeted degradation of rapidly accelerated fibrosarcoma polypeptides |
| EP3641762A1 (en) | 2017-06-20 | 2020-04-29 | C4 Therapeutics, Inc. | N/o-linked degrons and degronimers for protein degradation |
| US12180225B2 (en) | 2017-06-20 | 2024-12-31 | C4 Therapeutics, Inc. | N/O-linked degrons and degronimers for protein degradation |
| US11459335B2 (en) | 2017-06-20 | 2022-10-04 | C4 Therapeutics, Inc. | N/O-linked Degrons and Degronimers for protein degradation |
| US12441740B2 (en) | 2017-06-20 | 2025-10-14 | C4 Therapeutics, Inc. | N/O-linked degrons and degronimers for protein degradation |
| US12365681B2 (en) | 2017-09-04 | 2025-07-22 | C4 Therapeutics, Inc. | Dihydrobenzimidazolones for medical treatment |
| US12091397B2 (en) | 2017-09-04 | 2024-09-17 | C4 Therapeutics, Inc. | Dihydroquinolinones for medical treatment |
| US11401256B2 (en) | 2017-09-04 | 2022-08-02 | C4 Therapeutics, Inc. | Dihydroquinolinones for medical treatment |
| US11802131B2 (en) | 2017-09-04 | 2023-10-31 | C4 Therapeutics, Inc. | Glutarimides for medical treatment |
| US11787802B2 (en) | 2017-09-04 | 2023-10-17 | C4 Therapeutics, Inc. | Dihydrobenzimidazolones for medical treatment |
| US11254672B2 (en) | 2017-09-04 | 2022-02-22 | C4 Therapeutics, Inc. | Dihydrobenzimidazolones for medical treatment |
| US11242344B2 (en) | 2017-10-24 | 2022-02-08 | Genentech, Inc. | (4-hydroxypyrrolidin-2-yl)-heterocyclic compounds and methods of use thereof |
| US11524949B2 (en) | 2017-11-16 | 2022-12-13 | C4 Therapeutics, Inc. | Degraders and Degrons for targeted protein degradation |
| US12516068B2 (en) | 2018-01-12 | 2026-01-06 | Kymera Therapeutics, Inc. | Protein degraders and uses thereof |
| EP3755697A4 (en) * | 2018-02-20 | 2021-10-27 | Dana-Farber Cancer Institute, Inc. | EGFR DEGRADER AND METHOD OF USE THEREOF |
| EP3755698A4 (en) * | 2018-02-20 | 2021-10-27 | Dana-Farber Cancer Institute, Inc. | EGFR INHIBITORS AND METHOD OF USE THEREOF |
| JP2021514400A (en) * | 2018-02-20 | 2021-06-10 | デイナ ファーバー キャンサー インスティチュート,インコーポレイテッド | EGFR Inhibitors and Their Usage |
| EP3755690A4 (en) * | 2018-02-20 | 2021-10-27 | Dana-Farber Cancer Institute, Inc. | EGFR INHIBITORS AND METHOD OF USE THEREOF |
| JP2021514958A (en) * | 2018-02-23 | 2021-06-17 | デイナ ファーバー キャンサー インスティチュート,インコーポレイテッド | Small molecules and their uses for inducing selective proteolysis |
| US11802132B2 (en) | 2018-02-23 | 2023-10-31 | Dana-Farber Cancer Institute, Inc. | Small molecules for inducing selective protein degradation and uses thereof |
| JP7472026B2 (en) | 2018-02-23 | 2024-04-22 | デイナ ファーバー キャンサー インスティチュート,インコーポレイテッド | Small molecules for inducing selective protein degradation and methods of use thereof - Patents.com |
| WO2019165229A1 (en) * | 2018-02-23 | 2019-08-29 | Dana-Farber Cancer Institute, Inc. | Small molecules for inducing selective protein degradation and uses thereof |
| US11753397B2 (en) | 2018-03-26 | 2023-09-12 | C4 Therapeutics, Inc. | Cereblon binders for the degradation of ikaros |
| US12539292B2 (en) | 2018-04-01 | 2026-02-03 | Arvinas Operations, Inc. | BRM targeting compounds and associated methods of use |
| US11584748B2 (en) | 2018-04-16 | 2023-02-21 | C4 Therapeutics, Inc. | Spirocyclic compounds |
| US12227504B2 (en) | 2018-04-16 | 2025-02-18 | C4 Therepeutics, Inc. | Spirocyclic compounds |
| US11358952B2 (en) | 2018-04-23 | 2022-06-14 | Celgene Corporation | Substituted 4-aminoisoindoline-1,3-dione compounds, compositions thereof, and methods of treatment therewith |
| US11945804B2 (en) | 2018-04-23 | 2024-04-02 | Celgene Corporation | Substituted 4-aminoisoindoline-1,3-dione compounds, compositions thereof, and methods of treatment therewith |
| US11623929B2 (en) | 2018-06-04 | 2023-04-11 | C4 Therapeutics, Inc. | Spirocyclic compounds |
| WO2019238817A1 (en) | 2018-06-13 | 2019-12-19 | University Of Dundee | Bifunctional molecules for targeting rpn11 |
| US11925690B2 (en) | 2018-06-13 | 2024-03-12 | Amphista Therapeutics Limited | Bifunctional molecules for targeting Rpn11 |
| WO2019238886A1 (en) | 2018-06-13 | 2019-12-19 | University Of Dundee | Bifunctional molecules for targeting usp14 |
| WO2019238816A1 (en) | 2018-06-13 | 2019-12-19 | University Of Dundee | Bifunctional molecules for targeting uchl5 |
| US12110295B2 (en) | 2018-06-21 | 2024-10-08 | Icahn School Of Medicine At Mount Sinai | WD40 repeat domain protein 5 (WDR5) degradation/disruption compounds and methods of use |
| JP2021529807A (en) * | 2018-07-05 | 2021-11-04 | アイカーン スクール オブ メディスン アット マウント シナイ | Protein Tyrosine Kinase 6 (PTK6) Degradation / Disruption Compound and Usage |
| US12454520B2 (en) | 2018-07-06 | 2025-10-28 | Kymera Therapeutics, Inc. | Protein degraders and uses thereof |
| WO2020041387A1 (en) * | 2018-08-20 | 2020-02-27 | The Brigham And Women's Hospital, Inc. | Degradation domain modifications for spatio-temporal control of rna-guided nucleases |
| US11707452B2 (en) | 2018-08-20 | 2023-07-25 | Arvinas Operations, Inc. | Modulators of alpha-synuclein proteolysis and associated methods of use |
| EP3865152A4 (en) * | 2018-10-09 | 2022-11-16 | Eubulus Biotherapeutics Inc. | Targeted protease degradation platform |
| CN112955182A (en) * | 2018-10-09 | 2021-06-11 | 嘉兴优博生物技术有限公司 | Targeted protease degradation platform (TED) |
| EP3864030A4 (en) * | 2018-10-12 | 2022-09-21 | The Scripps Research Institute | COMPOUNDS AND METHODS FOR DCAF-MEDIATED PROTEIN DEGRADATION |
| US11691984B2 (en) | 2018-10-12 | 2023-07-04 | The Scripps Research Institute | Compounds and methods for DCAF-mediated protein degradation |
| US10844039B2 (en) | 2018-11-13 | 2020-11-24 | Biotheryx, Inc. | Substituted isoindolinones |
| US11352338B2 (en) | 2018-11-13 | 2022-06-07 | Biotheryx, Inc. | Substituted isoindolinones |
| US12454521B2 (en) | 2018-12-20 | 2025-10-28 | C4 Therapeutics, Inc. | Targeted protein degradation |
| EP3908291A4 (en) * | 2019-01-07 | 2023-01-11 | Dana-Farber Cancer Institute, Inc. | SMALL MOLECULAR DEGRADERS OF FKBP12 VIA RECRUITMENT OF THE VON HIPPEL-LINDAU E3 UBIQUITIN LIGASE (VHL) AND USE IN DTAG SYSTEMS |
| WO2020146250A1 (en) | 2019-01-07 | 2020-07-16 | Dana-Farber Cancer Institute, Inc. | SMALL MOLECULE DEGRADERS OF FKBP12 VIA RECRUITMENT OF VON HIPPEL-LINDAU E3 UBIQUITIN LIGASE (VHL) E3 UBIQUITIN LIGASE, AND USES IN dTAG SYSTEMS |
| US12384776B2 (en) | 2019-01-29 | 2025-08-12 | Foghorn Therapeutics Inc. | Compounds and uses thereof |
| US12351579B2 (en) | 2019-01-29 | 2025-07-08 | Foghorn Therapeutics Inc. | Compounds and uses thereof |
| US12358925B2 (en) | 2019-02-02 | 2025-07-15 | Cspc Zhongqi Pharmaceutical Technology (Shijiazhuang) Co., Ltd | Targeted ubiquitination degradation BRD4 protein compound, preparation method therefor and application thereof |
| WO2020156017A1 (en) * | 2019-02-02 | 2020-08-06 | 石药集团中奇制药技术(石家庄)有限公司 | Targeted ubiquitination degradation brd4 protein compound, preparation method therefor and application thereof |
| JP2022523738A (en) * | 2019-02-02 | 2022-04-26 | シーエスピーシー ゾンチー ファーマシューティカル テクノロジー(シージアチュアン)カンパニー,リミテッド | Target ubiquitination degradation BRD4 protein compound, its preparation method and application |
| JP2022520061A (en) * | 2019-02-08 | 2022-03-28 | ユニバーシティ オブ フロリダ リサーチ ファウンデーション,インコーポレイティド | Therapeutic agents and methods |
| CN113660937A (en) * | 2019-02-08 | 2021-11-16 | 佛罗里达大学研究基金公司 | Therapeutic agents and methods of treatment |
| WO2020163823A3 (en) * | 2019-02-08 | 2020-10-29 | University Of Florida Research Foundation, Incorporated | Therapeutic agents and methods of treatment |
| US12528797B2 (en) | 2019-03-06 | 2026-01-20 | C4 Therapeutics, Inc. | Heterocyclic compounds for medical treatment |
| WO2020191377A1 (en) | 2019-03-21 | 2020-09-24 | Codiak Biosciences, Inc. | Extracellular vesicle conjugates and uses thereof |
| EP4671268A2 (en) | 2019-03-21 | 2025-12-31 | Lonza Sales AG | METHOD FOR THE PRODUCTION OF EXTRACELLULAR VESCLES |
| WO2020191369A1 (en) | 2019-03-21 | 2020-09-24 | Codiak Biosciences, Inc. | Process for preparing extracellular vesicles |
| CN113710661A (en) * | 2019-04-02 | 2021-11-26 | 上海睿跃生物科技有限公司 | Compounds and methods for treating cancer |
| CN113710661B (en) * | 2019-04-02 | 2022-11-22 | 上海睿跃生物科技有限公司 | Compounds and methods for treating cancer |
| WO2020200291A1 (en) * | 2019-04-02 | 2020-10-08 | Cullgen (Shanghai) , Inc. | Compounds and methods of treating cancers |
| US12540143B2 (en) | 2019-04-09 | 2026-02-03 | Ranok Therapeutics (Hangzhou) Co. Ltd. | Methods and compositions for targeted protein degradation |
| EP3953332A1 (en) | 2019-04-12 | 2022-02-16 | C4 Therapeutics, Inc. | Tricyclic degraders of ikaros and aiolos |
| US12465648B2 (en) | 2019-05-06 | 2025-11-11 | Icahn School Of Medicine At Mount Sinai | Heterobifunctional compounds as degraders of HPK1 |
| US12486281B2 (en) * | 2019-05-31 | 2025-12-02 | Celgene Corporation | Substituted 1-oxo-isoindoline-5-carboxamide compounds, compositions thereof, and methods of treatment therewith |
| US20220213115A1 (en) * | 2019-05-31 | 2022-07-07 | Celgene Corporation | Substituted 1-oxo-isoindoline-5-carboxamide compounds, compositions thereof, and methods of treatment therewith |
| US12521438B2 (en) | 2019-06-10 | 2026-01-13 | Kymera Therapeutics, Inc. | SMARCA degraders and uses thereof |
| US11912699B2 (en) | 2019-07-17 | 2024-02-27 | Arvinas Operations, Inc. | Tau-protein targeting compounds and associated |
| US12310975B2 (en) | 2019-10-17 | 2025-05-27 | Arvinas Operations, Inc. | Modulators of BCL6 proteolysis and associated methods of use |
| WO2021127561A1 (en) | 2019-12-20 | 2021-06-24 | C4 Therapeutics, Inc. | Isoindolinone and indazole compounds for the degradation of egfr |
| US12486290B2 (en) | 2019-12-20 | 2025-12-02 | C4 Therapeutics, Inc. | Isoindolinone and indazole compounds for the degradation of EGFR |
| US11673902B2 (en) | 2019-12-20 | 2023-06-13 | C4 Therapeutics, Inc. | Isoindolinone and indazole compounds for the degradation of EGFR |
| US12371442B2 (en) | 2019-12-20 | 2025-07-29 | C4 Therapeutics, Inc. | Isoindolinone and indazole compounds for the degradation of EGFR |
| EP4681715A2 (en) | 2019-12-20 | 2026-01-21 | C4 Therapeutics, Inc. | Isoindolinone and indazole compounds for the degradation of egfr |
| US11679109B2 (en) | 2019-12-23 | 2023-06-20 | Kymera Therapeutics, Inc. | SMARCA degraders and uses thereof |
| US12441722B2 (en) | 2020-01-15 | 2025-10-14 | University Of Florida Research Foundation, Incorporated | Therapeutic agents and methods of treatment |
| US11691972B2 (en) | 2020-03-05 | 2023-07-04 | C4 Therapeutics, Inc. | Compounds for targeted degradation of BRD9 |
| US12157735B2 (en) | 2020-03-05 | 2024-12-03 | C4 Therapeutics, Inc. | Compounds for targeted degradation of BRD9 |
| US12049464B2 (en) | 2020-03-05 | 2024-07-30 | C4 Therapeutics, Inc. | Compounds for targeted degradation of BRD9 |
| WO2021222138A1 (en) * | 2020-04-27 | 2021-11-04 | Development Center For Biotechnology | Compounds for mutant ras protein degradation |
| WO2021237100A1 (en) | 2020-05-21 | 2021-11-25 | Codiak Biosciences, Inc. | Methods of targeting extracellular vesicles to lung |
| US12103924B2 (en) | 2020-06-01 | 2024-10-01 | Icahn School Of Medicine At Mount Sinai | Mitogen-activated protein kinase kinase (MEK) degradation compounds and methods of use |
| US12180193B2 (en) | 2020-08-28 | 2024-12-31 | Arvinas Operations, Inc. | Accelerating fibrosarcoma protein degrading compounds and associated methods of use |
| WO2022066928A2 (en) | 2020-09-23 | 2022-03-31 | Codiak Biosciences, Inc. | Process for preparing extracellular vesicles |
| CN116323570A (en) * | 2020-09-30 | 2023-06-23 | 上海睿跃生物科技有限公司 | Compounds and methods for treating disease |
| WO2022068933A1 (en) * | 2020-09-30 | 2022-04-07 | Cullgen (Shanghai) , Inc. | Compounds and methods of treating diseases |
| WO2022078350A1 (en) * | 2020-10-14 | 2022-04-21 | Ranok Therapeutics (Hangzhou) Co. Ltd. | Methods and compositions for targeted protein degradation |
| CN116615429A (en) * | 2020-10-14 | 2023-08-18 | 珃诺生物医药科技(杭州)有限公司 | Methods and compositions for targeting protein degradation |
| WO2022117782A1 (en) | 2020-12-03 | 2022-06-09 | Eisbach Bio Gmbh | Alc1 inhibitors and synergy with parpi |
| WO2022125804A1 (en) * | 2020-12-09 | 2022-06-16 | Kymera Therapeutics, Inc. | Smarca degraders and uses thereof |
| US11912682B2 (en) | 2021-01-13 | 2024-02-27 | Monte Rosa Therapeutics, Inc. | Isoindolinone compounds |
| US12391663B2 (en) | 2021-01-13 | 2025-08-19 | Monte Rosa Therapeutics Ag | Isoindolinone compounds |
| US11986532B2 (en) | 2021-04-16 | 2024-05-21 | Arvinas Operations, Inc. | Modulators of BCL6 proteolysis and associated methods of use |
| US12097261B2 (en) | 2021-05-07 | 2024-09-24 | Kymera Therapeutics, Inc. | CDK2 degraders and uses thereof |
| JP2024521966A (en) * | 2021-06-08 | 2024-06-04 | ハンチョウ グルビオ ファーマシューティカル カンパニー,リミティド | Isoindolinone compounds and uses thereof |
| US12486253B2 (en) | 2021-06-08 | 2025-12-02 | C4 Therapeutics, Inc. | Therapeutics for the degradation of mutant BRAF |
| US12329823B2 (en) | 2021-06-09 | 2025-06-17 | The Scripps Research Institute | Long-acting dual GIP/GLP-1 peptide conjugates and methods of use |
| WO2023283130A1 (en) | 2021-07-04 | 2023-01-12 | Newave Pharmaceutical Inc. | Isoquinoline derivatives as mutant egfr modulators and uses thereof |
| CN115677667A (en) * | 2021-07-30 | 2023-02-03 | 海创药业股份有限公司 | Bifunctional chimera heterocyclic compound and application thereof as androgen receptor degrading agent |
| CN115677667B (en) * | 2021-07-30 | 2024-11-15 | 海创药业股份有限公司 | Bifunctional chimeric heterocyclic compound and application thereof as androgen receptor degradation agent |
| EP4426687A4 (en) * | 2021-11-04 | 2025-12-10 | Brigham & Womens Hospital Inc | Targeted Degron molecules and applications thereof |
| WO2023172889A1 (en) * | 2022-03-07 | 2023-09-14 | The University Of North Carolina At Chapel Hill | Use of chemical epigenetic modifiers to modulate gene expression |
| WO2023213833A1 (en) | 2022-05-02 | 2023-11-09 | Eisbach Bio Gmbh | Use of alc1 inhibitors and synergy with parpi |
| US12421220B2 (en) | 2022-06-06 | 2025-09-23 | C4 Therapeutics, Inc. | Bicyclic-substituted glutarimide cereblon binders |
| WO2023242176A1 (en) * | 2022-06-13 | 2023-12-21 | Julius-Maximilians-Universität Würzburg | Transposase fusion proteins for use in cell and gene therapy |
| US11957759B1 (en) | 2022-09-07 | 2024-04-16 | Arvinas Operations, Inc. | Rapidly accelerated fibrosarcoma (RAF) degrading compounds and associated methods of use |
| US12156916B2 (en) | 2022-09-07 | 2024-12-03 | Arvinas Operations, Inc. | Rapid accelerated fibrosarcoma (RAF) degrading compounds and associated methods of use |
| WO2024081913A1 (en) * | 2022-10-14 | 2024-04-18 | 76Bio, Inc. | Dual-specific bifunctional fusion proteins for ubiquitin-mediated degradation |
| WO2024240078A1 (en) * | 2023-05-19 | 2024-11-28 | The Chinese University Of Hong Kong | Compositions and methods related to protein labeling |
| WO2025006783A2 (en) | 2023-06-30 | 2025-01-02 | Merck Patent Gmbh | Heterobifunctional compounds for the degradation of kras |
| WO2025006753A2 (en) | 2023-06-30 | 2025-01-02 | Merck Patent Gmbh | Heterobifunctional compounds for the degradation of kras protein |
Also Published As
| Publication number | Publication date |
|---|---|
| WO2017024317A3 (en) | 2017-04-27 |
Similar Documents
| Publication | Publication Date | Title |
|---|---|---|
| WO2017024317A2 (en) | Methods to induce targeted protein degradation through bifunctional molecules | |
| US11059801B2 (en) | Methods to induce targeted protein degradation through bifunctional molecules | |
| US11583586B2 (en) | Methods to induce targeted protein degradation through bifunctional molecules | |
| US10464925B2 (en) | Methods to induce targeted protein degradation through bifunctional molecules | |
| Zhang et al. | Proteolysis targeting chimeras (PROTACs) of anaplastic lymphoma kinase (ALK) | |
| Shen et al. | Bicyclic-capped histone deacetylase 6 inhibitors with improved activity in a model of axonal Charcot–Marie–Tooth disease | |
| US20230310400A9 (en) | Synthesis of small molecule histone deacetylase 6 degraders, compounds formed thereby, and pharmaceutical compositions containing them | |
| AU2019368263B2 (en) | USP7 inhibition | |
| Hu et al. | Precise conformational control yielding highly potent and exceptionally selective BRD4 degraders with strong antitumor activity | |
| Wilms et al. | Discovery and functional characterization of a potent, selective, and metabolically stable PROTAC of the protein kinases DYRK1A and DYRK1B | |
| US12186401B2 (en) | Amide-based proteolysis modulators of B-rapidly accelerated fibrosarcoma (BRAF) and associated uses | |
| Li et al. | Design, Synthesis, and Biological Evaluation of 3, 4-Dihydroisoquinolin-1 (2H)-one Derivatives as Protein Arginine Methyltransferase 5 Inhibitors for the Treatment of Non-Hodgkin’s Lymphoma | |
| Liu et al. | Re-evaluating PIN1 as a therapeutic target in oncology using neutral inhibitors and PROTACs |
Legal Events
| Date | Code | Title | Description |
|---|---|---|---|
| 121 | Ep: the epo has been informed by wipo that ep was designated in this application |
Ref document number: 16770585 Country of ref document: EP Kind code of ref document: A2 |
|
| NENP | Non-entry into the national phase |
Ref country code: DE |
|
| 122 | Ep: pct application non-entry in european phase |
Ref document number: 16770585 Country of ref document: EP Kind code of ref document: A2 |








































































































































































































































































































































































