WO2016131893A1 - Incretin fusion polypeptides - Google Patents
Incretin fusion polypeptides Download PDFInfo
- Publication number
- WO2016131893A1 WO2016131893A1 PCT/EP2016/053400 EP2016053400W WO2016131893A1 WO 2016131893 A1 WO2016131893 A1 WO 2016131893A1 EP 2016053400 W EP2016053400 W EP 2016053400W WO 2016131893 A1 WO2016131893 A1 WO 2016131893A1
- Authority
- WO
- WIPO (PCT)
- Prior art keywords
- seq
- polypeptide
- modified
- lipid
- amino acid
- Prior art date
- Legal status (The legal status is an assumption and is not a legal conclusion. Google has not performed a legal analysis and makes no representation as to the accuracy of the status listed.)
- Ceased
Links
Classifications
-
- C—CHEMISTRY; METALLURGY
- C07—ORGANIC CHEMISTRY
- C07K—PEPTIDES
- C07K14/00—Peptides having more than 20 amino acids; Gastrins; Somatostatins; Melanotropins; Derivatives thereof
- C07K14/435—Peptides having more than 20 amino acids; Gastrins; Somatostatins; Melanotropins; Derivatives thereof from animals; from humans
- C07K14/575—Hormones
- C07K14/605—Glucagons
-
- A—HUMAN NECESSITIES
- A61—MEDICAL OR VETERINARY SCIENCE; HYGIENE
- A61K—PREPARATIONS FOR MEDICAL, DENTAL OR TOILETRY PURPOSES
- A61K38/00—Medicinal preparations containing peptides
- A61K38/16—Peptides having more than 20 amino acids; Gastrins; Somatostatins; Melanotropins; Derivatives thereof
- A61K38/17—Peptides having more than 20 amino acids; Gastrins; Somatostatins; Melanotropins; Derivatives thereof from animals; from humans
- A61K38/22—Hormones
- A61K38/28—Insulins
-
- A—HUMAN NECESSITIES
- A61—MEDICAL OR VETERINARY SCIENCE; HYGIENE
- A61K—PREPARATIONS FOR MEDICAL, DENTAL OR TOILETRY PURPOSES
- A61K45/00—Medicinal preparations containing active ingredients not provided for in groups A61K31/00 - A61K41/00
- A61K45/06—Mixtures of active ingredients without chemical characterisation, e.g. antiphlogistics and cardiaca
Definitions
- Diabetes mellitus type 2 (type-2 diabetes) is characterized by high blood glucose and insulin resistance. Type-2 diabetes makes up about 90% of cases of diabetes. Type-2 diabetes is frequently associated with obesity.
- Incretin hormones e.g., glucagon and glucagon-like peptide- 1 are hormones that provide glycemic control during digestion.
- Incretin mimetics are a class of pharmacological agents currently available or in clinical trials for treatment of type-2 diabetes. Incretin mimetics have multiple antihyperglycemic actions that mimic several of the actions of incretin hormones originating in the gut, such as glucagon-like peptide (GLP)-l.
- GLP glucagon-like peptide
- Glucagon-like peptide- 1 derives from pre-pro glucagon, a 158 amino acid precursor polypeptide that is processed in different tissues to form a number of different proglucagon-derived peptides, including glucagon, glucagon-like peptide-1 (GLP-1), glucagon- like peptide-2 (GLP-2) and oxyntomodulin (OXM), that are involved in a wide variety of physiological functions, including glucose homeostasis, insulin secretion, gastric emptying, and intestinal growth, as well as the regulation of food intake.
- GLP-1 glucagon-like peptide-1
- GLP-2 glucagon- like peptide-2
- OXM oxyntomodulin
- GLP-1 is produced as a 37-amino acid peptide that corresponds to amino acids 72 through 108 of proglucagon (92 to 128 of preproglucagon).
- GLP-1 (7-36) amide or GLP-1 (7-37) acid are biologically active forms of GLP- 1, that demonstrate essentially equivalent activity at the GLP-1 receptor.
- GLP-1 is secreted from gut L cells and binds to the GLP-1 receptor. Its activities include stimulation of insulin synthesis and secretion, inhibition of glucagon secretion, and inhibition of food intake.
- GLP-1 and GLP-1 analogues acting as agonists at the GLP-1 receptor, have been shown to be effective hypoglycemic control, e.g., type-2 diabetes.
- Certain GLP-1 analogues are being sold or are in development for treatment of type-2 diabetes including, e.g., liraglutide (Victoza® from Novo Nordisk), dulaglutide (Eli Lilly), Bydureon (AZ/BMS), Aliblutide (GSK) and Exenatide (Byetta® from Eli Lilly/ Amylin).
- Gastric inhibitory peptide also known as glucose-dependent insulinotropic polypeptide (GIP) is a 42-amino acid peptide hormone secreted from K cells in the intestinal epithelium. GIP secretion is regulated by food intake. GIP is also expressed in pancreatic islet a-cells and promotes insulin secretion. GIP acts at the GIP receptor, and its activities include, without limitation, stimulation of glucose-dependent insulin secretion, an increase in ⁇ -cell mass, and a decrease in gastric acid secretion.
- GIP glucose-dependent insulinotropic polypeptide
- Xi X 2 E G X 5 X 6 X 7 S X9 Xio S I L X 14 X15 X 16 X 1 A I X 20 X 21 F X 23 X 24 X 25 L X 27 X 28 X 29 X 30 (SEQ ID NO: 1); wherein Xi is Y or H; X 2 is S or G; X5 is T or M; X 6 is F or H; X 7 is T or I; X9 is D or L; Xio is L or Y; X 14 is K, L, or R; X15 is E or D; X 16 is R, E, K, or I; X 17 is E or Q; X 20 is D or E; X 21 is E, L, or A; X 23 is I, V or A; X 24 is A, E, or N; X 25 is W, D, E, L, F, I, S, N, G, M, H, K, or R; X 27
- Xi X 2 E G X5 X 6 X 7 S X 9 Xio Xn X 12 X 13 X 14 X 15 X1 ⁇ 2 X17 A I X20 E F V N X 25 L X 27 X 28 X 29 X 30 (SEQ ID NO: 2); wherein Xi is Y or H; X 2 is S or G; X5 is T or M; X 6 is F or H; X 7 is T or I; X 9 is D or L; Xio is L or Y; Xn is S, A, or R, X 12 is S, K, I, A, M, or Q; X 13 is Y, L, A, or H; X 14 is K, L, or R; X 15 is E or D; X 16 is R, E, K, or I; X 17 is E or Q; X 20 is D or E; X 25 is W, D, E, L, F, I, S, N, G,
- X 12 is I or K. In some embodiments, X 12 is I. In some embodiments, X 13 is L. In certain embodiments of the polypeptide of SEQ ID NO: 1 or SEQ ID NO: 2, X 10 is L. In some embodiments, X 14 is K. In some embodiments, X 20 is D.
- YSEGTFTSDLSILKE X16 X17 AIDEFVNWLLKGG (SEQ ID NO: 461); wherein X16 is I, M, K, S, R, or T and X17 is Q, H, N, K, D or Y.
- X16 is M and X17 is H, X16 is K and X17 is N, X16 is S and X17 is Q, or X16 is I and X 17 is K. In certain other embodiments of SEQ ID NO: 461, X16 is I and X17 is Q, X16 is R and X17 is D, or X16 is T and X17 is Y.
- YSEGTFTSDLSIL X 14 ERQAIDEFVNWLLKGG (SEQ ID NO: 3); wherein X 14 is L, K, or R.
- the isolated polypeptide comprises the amino acid sequence of SEQ ID NO: 276 (combo 0062), SEQ ID NO: 285 (combo 0094), SEQ ID NO: 291 (combo 0095), SEQ ID NO: 295 (combo 0154), SEQ ID NO: 302 (combo 0099), SEQ ID NO: 303 (combo 0101), SEQ ID NO: 304 (combo 0104), SEQ ID NO: 9 (IP0574_pm), SEQ ID NO: 10 (combo0005_pm), and SEQ ID NO: 15 (combo0011_pm).
- X10 is L.
- X 14 is R.
- X 17 is Q.
- X 17 is E.
- X 14 is R, and X 17 is Q or E.
- X 20 is D.
- X 10 is L.
- X 12 is I or K.
- X 13 is L.
- X 14 is R.
- X 17 is Q.
- X 17 is E.
- X 14 is R and X 17 is Q or E.
- X 20 is D.
- a polypeptide of SEQ ID NO: 459 or SEQ ID NO: 460 further comprises the amino acid sequence PSSGA PPPX (SEQ ID NO: 477) fused to the C Terminus of the polypeptide, wherein X is no amino acid, any natural amino acid, a lipid-modified K, or a maleimide-modified K.
- X is S (SEQ ID NO: 146) or G (SEQ ID NO: 479).
- the polypeptide is produced synthetically.
- the unnatural amino acid of X 2 is Aib.
- the polypeptide further comprises a lipid-modified K at the C terminus of the polypeptide.
- one or two of X 10 , X 12 , X 13 , X 14 , X 17 , X 18 , X 2 o, X 2 i, X 2 4, X 2 5, or the C terminus is a lipid-modified K.
- one or two of X 10 , Xi2, X21, or the C terminus is a lipid-modified K.
- the lipid-modified K comprises a gamma glutamine ( ⁇ ) and/or a PEG 4 linker.
- the lipid is selected from the group consisting of a nonanoic (C9), decanoic (CIO), undecanoic (Cl l), lauric (C12), tridecanoic (C13), myristic (C14), pentadecanoic (C15), palmitic (C16), heptadecanoic (C17), stearic (C18), nonadecanoic (C19), and any combination thereof.
- the lipid is selected from the group consisting of a undecanoic (Cl l), lauric (C12), tridecanoic (C13), myristic (C14), pentadecanoic (C15), palmitic (C16) heptadecanoic (C17), stearic (C18), nonadecanoic (CI 9), and any combination thereof.
- the lipid is palmitic (C16).
- the lipid-modified K is K(yE-palm), K(PEG 4 -palm), or PEG 4 - K(yE-palm).
- an unnatural amino acid is selected from the group consisting of Aib, aMeGlu, aMePhe, aMeLeu, Nle, and any combination thereof.
- the polypeptide comprises at least 2, at least 3, or at least 4 unnatural amino acids.
- X 13 is aMeLeu.
- X 6 is Nle
- X n is Aib
- X 17 is Aib
- X 18 is Aib
- X 27 is Nle.
- X 13 is a lipid-modified K
- X 22 is aMePhe
- X 2 5 is aMePhe.
- the isolated polypeptide comprises the amino acid sequence of SEQ ID NO: 309 (gl681), SEQ ID NO: 310 (gl711), SEQ ID NO: 311 (gl677), SEQ ID NO: 313 (gl685), SEQ ID NO: 315 (gl734), SEQ ID NO: 378 (gl931), SEQ ID NO: 320 (gl896), SEQ ID NO: 322 (g2017), SEQ ID NO: 323 (gl 897), SEQ ID NO: 324 (g2018), SEQ ID NO: 326 (g2020), SEQ ID NO: 327 (g2021), SEQ ID NO: 328 (g2022), SEQ ID NO: 330 (gl898), SEQ ID NO: 331 (g2024), SEQ ID NO: 334 (gl 899), SEQ ID NO: 335 (g2286), SEQ ID NO: 342 (gl577), SEQ ID NO: 345 (gl72)
- the isolated polypeptide comprises the amino acid sequence of SEQ ID NO: 311 (gl677), SEQ ID NO: 345 (gl721), SEQ ID NO: 315 (gl734), SEQ ID NO: 415 (gl897), SEQ ID NO: 331 (g2024), and SEQ ID NO: 350 (g2029).
- the polypeptide is a synthetically produced polypeptide conjugated to a heterologous moiety selected from the group consisting of a lipid moiety, an organic polymer, an inorganic polymer, a polyethylene glycol (PEG), biotin, an albumin, a human serum albumin (HSA), a HSA FcRn binding portion, an antibody, a domain of an antibody, an antibody fragment, a single chain antibody, a domain antibody, an albumin binding domain, an enzyme, a ligand, a receptor, a binding peptide, a non-FnIII scaffold, an epitope tag, a recombinant polypeptide polymer, a cytokine, or a combination of two or more of the recited moieties.
- a heterologous moiety selected from the group consisting of a lipid moiety, an organic polymer, an inorganic polymer, a polyethylene glycol (PEG), biotin, an albumin, a human serum albumin (HSA),
- the heterologous moiety is an Fc domain.
- the synthetically produced polypeptide is conjugated to the Fc domain via a free cysteine.
- the synthetically produced polypeptide is conjugated at position 239C, 268C, or 442C of the Fc domain.
- the synthetically produced polypeptide is conjugated to the Fc domain via a maleimide group.
- the polypeptide comprises a maleimide-modified K and in certain embodiments, one of X 24 , X 2 8, or the C terminus is a maleimide-modified K conjugated to the Fc domain.
- the maleimide-modified K comprises a PEG 4 linker.
- the polypeptide is lipidated and is conjugated to the Fc domain.
- X 24 or the C terminus is a maleimide-modified K conjugated to an Fc domain and Xio is a palmitoylated K.
- the C terminus is a maleimide-modified K conjugated to an Fc domain and X 12 is a palmitoylated K.
- X 28 or the C terminus is a maleimide-modified K conjugated to an Fc domain and X 13 is a palmitoylated K.
- the palmitoylated K is K(yE-palm).
- X 24 or the C terminus is a maleimide- modified K conjugated to an Fc domain and one of X 10 , X 12 , X 21 , or X 24 is K(PEG 2 -PEG 2 -stear).
- the C terminus is a maleimide-modified K conjugated to an Fc domain and one of X 10 , X 12 , or X 21 , is K(PEG 2 -PEG 2 -stear).
- the isolated polypeptide comprises the amino acid sequence of SEQ ID NO: 436 (combo0051), SEQ ID NO: 437 (combo0052), SEQ ID NO: 438 (combo077), SEQ ID NO: 439 (combo0112), SEQ ID NO: 443 (combo0211), SEQ ID NO: 444 (combo0212), SEQ ID NO: 445 (combo0213), SEQ ID NO: 446 (combo0214), SEQ ID NO: 447 (combo0215), and SEQ ID NO: 452 (combo0121).
- the isolated polypeptide comprises the amino acid sequence of SEQ ID NO: 437 (combo0052).
- the polypeptide can further comprise a heterologous moiety attached thereto.
- the heterologous moiety comprises a heterologous polypeptide that is fused thereto via a peptide bond.
- the heterologous polypeptide comprises a linker, a hinge, an Fc domain, or a combination thereof.
- the linker comprises (GGGGS)n, wherein n is 1, 2, 3, 4, 5, 6, 7, or 8.
- the linker comprises the amino acid sequence: G GGGGS GGGGS GGGGS GGGGS A (SEQ ID NO: 111), A PPGGS GGGGS GGGGS A (SEQ ID NO: 112), GT GGGGS GGGGS GGGGS A (SEQ ID NO: 113), G GGGGS GGGGS GGGGS A (SEQ ID NO: 114), G GGGGS A (SEQ ID NO: 115), G GGGGS GGGGS A (SEQ ID NO: 116), G GGGGS GGGGS GGGGS A (SEQ ID NO: 117), G KGGGS GGGGS GGGGS GGGGS A (SEQ ID NO: 118), G GGGGS GGGGS GGGGS A (SEQ ID NO: 119), G GGGGGGGGGGGGGGGG A (SEQ ID NO: 120), GG SGSTA SSGSG SATGG GGAA (SEQ ID NO: 197), AAAGG SGSTA SSG
- the linker comprises AAA GGGGS GGGGS GGGGS GGGGS (SEQ ID NO: 121), AAA PAPAP APAPA PAPAP APAPA G (SEQ ID NO: 122), AAA GGKGG GGKGG GGKGG GGKGG G (SEQ ID NO: 474), AAA GKGKGKGKGK GKGKGKGKGKGKGK G (SEQ ID NO: 123), any variant thereof, or any fragment thereof.
- the linker comprises AAA GGGGS GGGGS GGGGS (SEQ ID NO: 121).
- the linker comprises (PA) n and wherein n is between 1 and 20. In certain embodiments, n is between 5 and 15.
- the linker comprises AAA PAPAP APAPA PAPAP APAPA G (SEQ ID NO: 122).
- the hinge comprises an amino acid sequence of an IgGl hinge, an IgG4 hinge, a fragment thereof, a variant thereof, or any combination thereof.
- the hinge comprises ESKYGPPCPPCPAPEAA (SEQ ID NO: 124), THTCPPCPAPEF (SEQ ID NO: 125), THTCPPC (SEQ ID NO: 126), CPPCPAPEF (SEQ ID NO: 127), TYTCPPCPAPEF (SEQ ID NO: 128), TSTCPPCPAPEF (SEQ ID NO: 129), PPCPPCPAPEF (SEQ ID NO: 130), ESKYGPPCPPCPAPEF (SEQ ID NO: 131), APEF (SEQ ID NO: 132), ESKYGPPCPPC (SEQ ID NO: 133), THTCPPCPAPELL (SEQ ID NO: 134), CPPC (SEQ ID NO: 135), any variant thereof, any fragment thereof, or any combination thereof.
- the hinge comprises ESKYGPPCPPCPAPEAA (S
- the Fc region comprises an IgGl Fc region, an IgGl-TM Fc region, an IgGl-TM ( ⁇ ) Fc region, an IgGl-FQQ Fc region, an IgG4 Fc region, an IgGl-YTE Fc region, any fragment thereof, any variant thereof, or any combination thereof.
- the polypeptide comprises a TrpCage sequence.
- TrpCage sequence is PSSGA PPPS (SEQ ID NO: 146) or PSSGA PPPG (SEQ ID NO: 479).
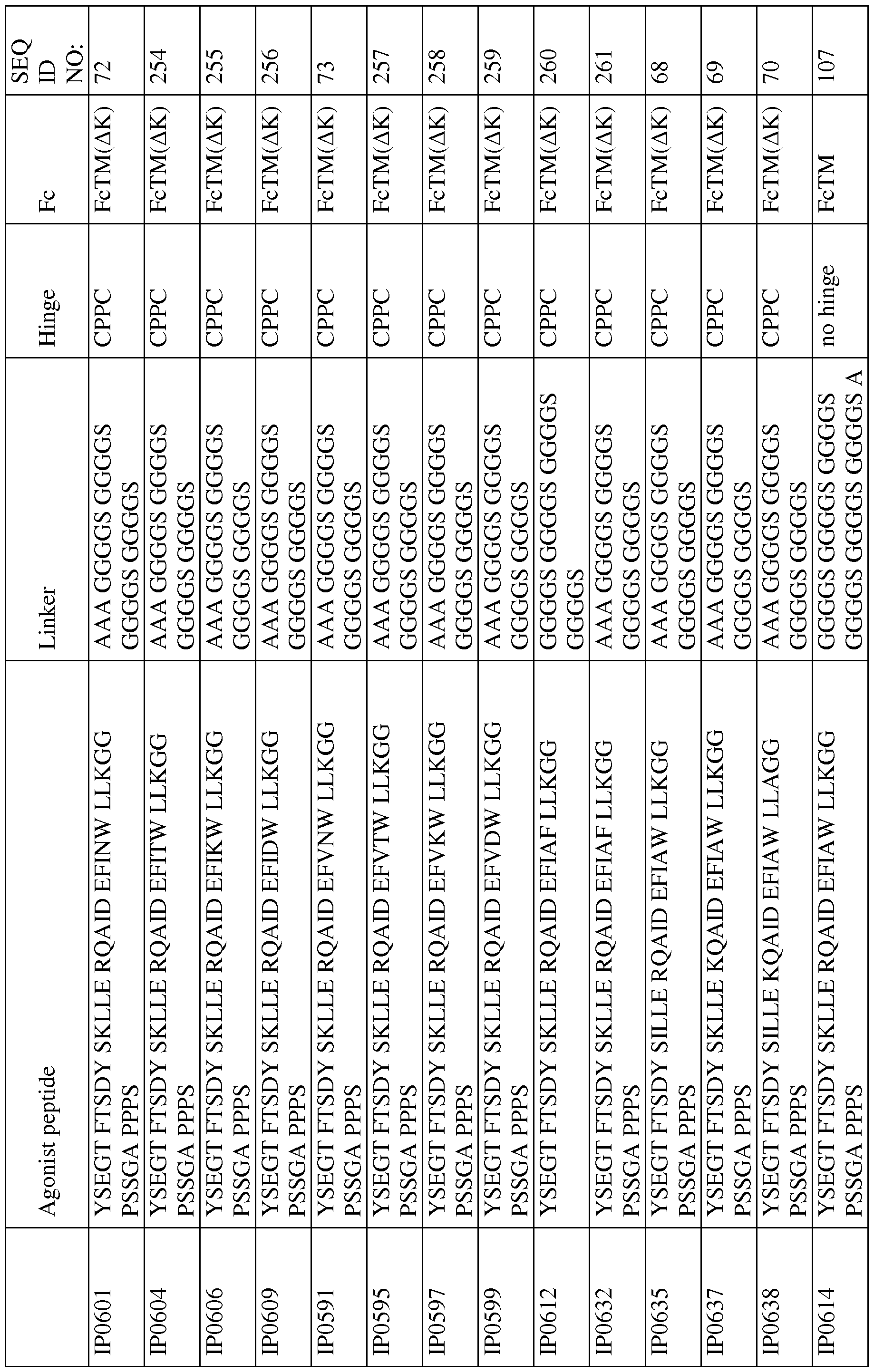
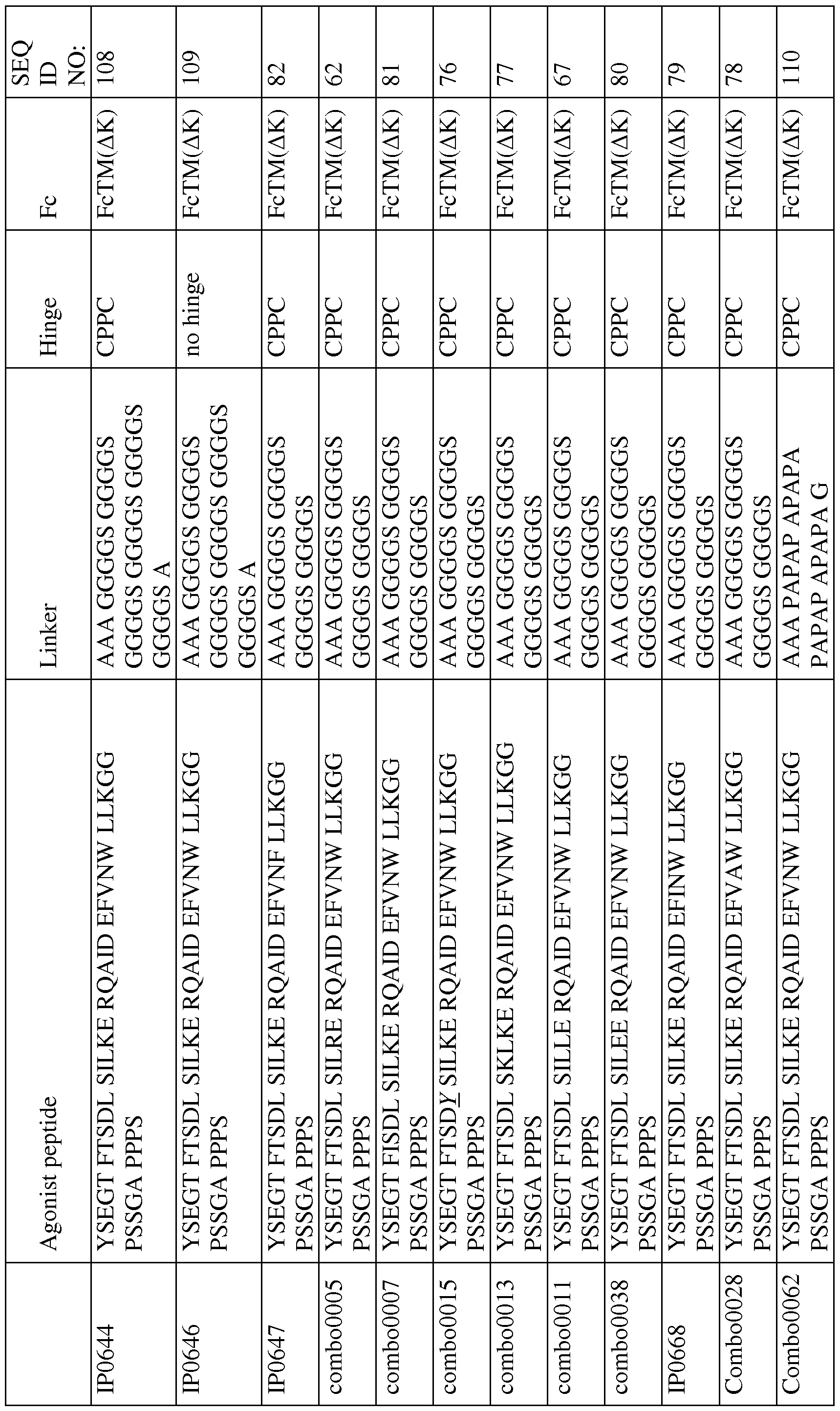
- the isolated polypeptide comprises the amino acid sequence of SEQ ID NO: 302 (combo0099), SEQ ID NO: 303 (comboOlOl), SEQ ID NO: 304 (combo0104), SEQ ID NO: 295 (combo0154), SEQ ID NO: 299 (combo0102), SEQ ID NO: 300 (combo0105), SEQ ID NO: 291 (combo0095), SEQ ID NO: 285 (combo0094), SEQ ID NO: 61 (IP0574), SEQ ID NO: 62 (combo0005), SEQ ID NO: 67 (comboOOl l), SEQ ID NO: 108 (IP0644), SEQ ID NO: 109 (IP0646), and SEQ ID NO: 110 (combo0062).
- the isolated polypeptide comprises the amino acid sequence of SEQ ID NO: 302 (combo0099) and SEQ ID NO: 303 (comboOlOl).
- the heterologous moiety is a lipid moiety, an organic polymer, an inorganic polymer, a polyethylene glycol (PEG), biotin, an albumin, a human serum albumin (HSA), a HSA FcRn binding portion, an antibody, a domain of an antibody, an antibody fragment, a single chain antibody, a domain antibody, an albumin binding domain, an enzyme, a ligand, a receptor, a binding peptide, a non-FnIII scaffold, an epitope tag, a recombinant polypeptide polymer, a cytokine, or a combination of two or more of the recited moieties.
- PEG polyethylene glycol
- HSA human serum albumin
- HSA FcRn binding portion an antibody, a domain of an antibody, an antibody fragment, a single chain antibody, a domain antibody, an albumin binding domain
- an enzyme a ligand, a receptor, a binding peptide, a non-FnIII scaffold,
- the heterologous moiety is polyethylene glycol (PEG). In certain embodiments, the heterologous moiety is a lipid moiety. In certain embodiments, the heterologous moiety comprises a polyethylene glycol (PEG) attached to a lipid moiety. In certain embodiments, the heterologous moiety is attached via a lysine or a cysteine residue.
- a polypeptide as provided herein can bind to a GIP receptor, bind to a GLP-1 receptor, or bind to both a GIP receptor and a GLP-1 receptor.
- the polypeptide binds to a GIP receptor.
- the GIP receptor is a mouse GIP receptor, a rat GIP receptor, a non-human primate GIP receptor, or a human GIP receptor.
- the polypeptide binds to a GLP-1 receptor.
- the GLP-1 receptor is a mouse GLP-1 receptor, a rat GLP-1 receptor, a non-human primate GLP-1 receptor, or a human GLP-1 receptor.
- the polypeptide is an agonist of a GLP-1 receptor, an agonist of a GIP receptor, or an agonist of both a GLP-1 and a GIP receptor.
- the polypeptide is an agonist of a human GIP or GLP-1 receptor with an EC50 in the cAMP assay 1 of less than 10,000 pM, less than 5000 pM, less than 2500 pM, less than 1000 pM, less than 900 pM, less than 800 pM, less than 700 pM, less than 600 pM, less than 500 pM, less than 400 pM, less than 300 pM, less than 200 pM, less than 100 pM, less than 50 pM, less than 25 pM, less than 20 pM, less than 15 pM, less than 10 pM, less than 5 pM, less than 4 pM, less than 3 pM, less than 2 pM, or less than 1 pM.
- the polypeptide is an agonist
- a polypeptide as provided herein can bind to a rat endogenous cell line INS-IE, with an EC50 in the cAMP assay 1 of less than 25,000 pM, less than 5000 pM, less than 2500 pM, less than 1000 pM, less than 900 pM, less than 800 pM, less than 700 pM, less than 600 pM, less than 500 pM, less than 400 pM, less than 300 pM, less than 200 pM, less than 100 pM, less than 50 pM, less than 25 pM, less than 20 pM, less than 15 pM, less than 10 pM, or less than 5 pM.
- a polypeptide as provided herein is an agonist in both a knock out GLP-lr cell line and a knock out GIPr cell line, with an EC50 in the cAMP assay 1 of less than 350,000 pM, less than 100,000 pM, less than 10,000 pM, less than 5000 pM, less than 2500 pM, less than 1000 pM, less than 900 pM, less than 800 pM, less than 700 pM, less than 600 pM, less than 500 pM, less than 400 pM, less than 300 pM, less than 200 pM, less than 100 pM, less than 50 pM, less than 25 pM, less than 20 pM, less than 15 pM, less than 10 pM, or less than 5 pM.
- Certain aspects provide for an isolated polynucleotide encoding any of the above polypeptides, a vector comprising the polynucleotide, and a host cell comprising the polynucleotide or the vector. Certain aspects provide for a method of making the polypeptide, comprising culturing the host cell under conditions allowing expression of the polypeptide, and recovering the polypeptide.
- compositions comprising any of the above polypeptides, and a carrier. And, certain aspects provide for a kit comprising the composition.
- Certain aspects provide for a method of treating or preventing a disease or condition caused or characterized by hypoglycemia or impaired insulin release, comprising administering to a subject in need of treatment an effective amount of a polypeptide or composition described herein.
- the disease or condition is diabetes.
- the disease or condition is type-2 diabetes.
- the administration further improves glycemic control, provides body weight control, improves ⁇ -cell function and mass, reduces the rate of gastric acid secretion and gastric emptying, or any combination thereof.
- the polypeptide or composition is administered orally or by injection. In certain embodiments, the injection is administered subcutaneously or intravenously.
- the polypeptide or composition is administered once per week. In certain embodiments, the polypeptide or composition is administered once per day. In certain embodiments, the method of treating or preventing further comprises administering one or more additional therapies.
- the additional therapy comprises blood sugar monitoring, diet modifications, exercise, insulin, a thiazolidinedione, a sulfonylurea, an incretin, metformin, a glyburide, a dipeptidyl peptidase 4 inhibitor, a bile acid sequestrant, or any combination thereof.
- the subject is human.
- FIGURE 1 shows the structure of an exemplary GIP/GLP-1 agonist polypeptide as provided herein.
- FIGURE 2 shows an alignment of various incretin peptides.
- FIGURE 3 shows the effect of the TrpCage on body weight reduction in lean rats.
- FIGURE 4 is a representation of the results mini-library of X14 (based on IP0281).
- FIGURE 5 shows the results of a lean mice PK study on the IP0574 (SEQ ID NO: 61) and
- IP0640 (SEQ ID NO: 220).
- FIGURE 6 is a representation of the results of mini-library X16X17 (based on IP0574).
- FIGURE 7A shows the results of an ipGTT in lean mice with certain agonist polypeptides disclosed herein (blood glucose).
- FIGURE 7B shows the results of an ipGTT in lean mice with certain agonist polypeptides disclosed herein (blood glucose AUC).
- FIGURE 8A shows the results of an ipGTT in wild type mice with certain agonist polypeptides disclosed herein (blood glucose).
- FIGURE 8B shows the results of an ipGTT in GLP-lr knock out mice with certain agonist polypeptides disclosed herein (blood glucose)
- FIGURE 8C shows the results of an ipGTT in wild type mice with certain agonist polypeptides disclosed herein (blood glucose AUC).
- FIGURE 8D shows the results of an ipGTT in GLP-lr knock out mice with certain agonist polypeptides disclosed herein (blood glucose AUC).
- FIGURE 9 illustrates various representative examples of lipids, lipid moieties, and linkers.
- a or “an” entity refers to one or more of that entity; for example, “a polynucleotide,” is understood to represent one or more polynucleotides.
- the terms “a” (or “an”), “one or more,” and “at least one” can be used interchangeably herein.
- polypeptide is intended to encompass a singular “polypeptide” as well as plural “polypeptides,” and comprises any chain or chains of two or more amino acids produced by any means.
- a “peptide,” a “peptide subunit,” a “protein,” an “amino acid chain,” an “amino acid sequence,” or any other term used to refer to a chain or chains of two or more amino acids are included in the definition of a "polypeptide,” even though each of these terms can have a more specific meaning.
- the term “polypeptide” can be used instead of, or interchangeably with any of these terms.
- amino acid polymers in which one or more amino acid residues is an artificial chemical mimetic of a corresponding naturally occurring amino acid, as well as to naturally occurring amino acid polymers and non-naturally occurring amino acid polymers.
- the term further includes polypeptides that have undergone post-translational or post-synthesis modifications, for example, glycosylation, acetylation, phosphorylation, amidation, derivatization by known protecting/blocking groups, proteolytic cleavage, and/or modification by unnatural amino acids.
- polypeptide encompasses full length peptides and fragments, variants or derivatives thereof, e.g., a GIP/GLP-1 agonist polypeptide (e.g., 29, 30, or 31 amino acids in length).
- a "polypeptide” as disclosed herein, e.g., a GIP/GLP- 1 agonist polypeptide can comprise a recombinant fusion polypeptide or a synthetic conjugated polypeptide comprising one or more additional components such as, e.g., a linker, a hinge, an Fc domain or an albumin domain, to increase half-life, impart flexibility, allow for dimerization or other desired properties.
- a polypeptide as described herein can also be derivatized in a number of different ways. Chemical modifications intended to improve metabolic stability of peptides can involve additional chemical manipulation following synthesis of the main peptide chain. Examples of manipulation include lipidation and/or PEGylation.
- a polypeptide as provided herein can be multimeric.
- the terms “multimer,” “multimeric” and “multivalent” refer to a molecule, e.g., a GIP/GLP-1 agonist polypeptide that comprises at least GIP/GLP-1 agonist polypeptides in association.
- the multimer e.g., a dimer, trimer, tetramer, or larger polypeptide, can be linked through disulfide bonds, hydrogen bonds, or other covalent or non-covalent linkages.
- fragment when referring to a GIP/GLP-1 agonist polypeptide includes any polypeptide that retains at least some desirable activity, e.g., binding to GIP and/or GLP-1 receptors. Fragments of GIP/GLP-1 agonist polypeptides provided herein include proteolytic fragments and deletion fragments that exhibit desirable properties during expression, purification, and or administration to a subject.
- variants can refer to a polypeptide that differs from a reference polypeptide due to amino acid substitutions, deletions, insertions, and/or modifications. Variants can be produced using art-known mutagenesis techniques. Variants can also, or alternatively, contain other modifications-for example a polypeptide can be fused or conjugated to a heterologous amino acid sequence or other moiety, e.g., for increasing half-life, solubility, or stability.
- moieties to be conjugated or fused to a polypeptide include, but are not limited to a linker, a hinge, albumin, an immunoglobulin Fc region, polyethylene glycol (PEG), and the like.
- the polypeptide can also be produced coupled to an element for ease of synthesis, purification or identification of the polypeptide (e.g., 6-His), or to enhance binding of the polypeptide to a solid support.
- Synthetically produced peptides described herein can be of any length, e.g., any number of amino acids in length, e.g., about 5 amino acids to about 200 amino acids in length, about 10 amino acids to about 150 amino acids in length, about 20 amino acids to about 100 amino acids in length, about 30 amino acids to about 75 amino acids in length, or about 20 amino acids, about 30 amino acids, about 40 amino acids, about 50 amino acids, about 60 amino acids, about 70 amino acids, about 80 amino acids, about 90 amino acids, or about 100 amino acids in length.
- any number of amino acids in length e.g., about 5 amino acids to about 200 amino acids in length, about 10 amino acids to about 150 amino acids in length, about 20 amino acids to about 100 amino acids in length, about 30 amino acids to about 75 amino acids in length, or about 20 amino acids, about 30 amino acids, about 40 amino acids, about 50 amino acids, about 60 amino acids, about 70 amino acids, about 80 amino acids, about 90 amino acids, or about 100 amino acids in length.
- amino acid refers to naturally occurring and unnatural amino acids (also referred to herein as “non-naturally occurring amino acids”), e.g., amino acid analogues and amino acid mimetics that function similarly to the naturally occurring amino acids.
- Naturally occurring amino acids are those encoded by the genetic code, as well as those amino acids that are later modified, e.g., hydroxyproline, gamma-carboxyglutamate, and O-phosphoserine.
- Amino acid analogues refer to compounds that have the same basic chemical structure as a naturally occurring amino acid, e.g., an alpha carbon that is bound to a hydrogen, a carboxyl group, an amino group, and an R group, e.g., homoserine, norleucine, methionine sulfoxide, methionine methyl sulfonium. Such analogues can have modified R groups (e.g., norleucine) or modified peptide backbones, but retain the same basic chemical structure as a naturally occurring amino acid.
- Amino acid mimetics refer to chemical compounds that have a structure that is different from the general chemical structure of an amino acid, but that function similarly to a naturally occurring amino acid.
- amino acid and “amino acid residue” are used interchangeably throughout. Substitution refers to the replacement of a naturally occurring amino acid either with another naturally occurring amino acid or with an unnatural amino acid. For example, during chemical synthesis of a synthetic peptide, the native amino acid can be readily replaced by an unnatural amino acid or another naturally occurring amino acid.
- lipid-modified amino acid and “lipidated amino acid” are used interchangeably herein, and refer to an amino acid, typically a lysine (K) or cysteine (C), which has a lipid or lipid moiety attached.
- lipidated polypeptide refers to a peptide or polypeptide that includes one or more lipid-modified amino acids.
- Figure 9 illustrates various representative examples of lipids, lipid moieties, and linkers.
- a lipidated polypeptide comprises one or more, e.g., one or two, attached lipids or lipid moieties.
- maleimide-modified amino acid refers to an amino acid, typically a lysine (K) or cysteine (C), which has a maleimide group attached. The attachment may be direct or through a linker such as PEG 4 .
- a "maleimide-modified amino acid” is also a "lipid-modified amino acid,” such as where a lipid or lipid moiety is attached to the amino acid or attached to the amino acid via a linker and the maleimide group is indirectly attached to the amino acid via the lipid.
- the terms “maleimide-modified polypeptide,” “maleimide polypeptide,” and the like refer to a peptide or polypeptide that includes one or more maleimide- modified amino acids.
- a maleimide-modified amino acid is used to conjugate an agonist polypeptide to another protein.
- sequence identity refers to a relationship between two or more polynucleotide sequences or between two or more polypeptide sequences. When a position in one sequence is occupied by the same nucleic acid base or amino acid in the corresponding position of the comparator sequence, the sequences are said to be “identical” at that position.
- the percentage “sequence identity” is calculated by determining the number of positions at which the identical nucleic acid base or amino acid occurs in both sequences to yield the number of "identical" positions.
- the number of "identical” positions is then divided by the total number of positions in the comparison window and multiplied by 100 to yield the percentage of "sequence identity.” Percentage of "sequence identity" is determined by comparing two optimally aligned sequences over a comparison window.
- the portion of a polynucleotide or polypeptide sequence in the comparison window can comprise additions or deletions termed gaps while the reference sequence is kept constant.
- An optimal alignment is that alignment that, even with gaps, produces the greatest possible number of "identical” positions between the reference and comparator sequences.
- Sequence identity between two sequences can be determined using the version of the program "BLAST 2 Sequences” that was available from the National Center for Biotechnology Information as of September 1, 2004, which program incorporates the programs BLASTN (for nucleotide sequence comparison) and BLASTP (for polypeptide sequence comparison), which programs are based on the algorithm of Karlin and Altschul (Proc. Natl. Acad. Sci. USA 90(12):5873- 5877, 1993).
- BLASTN for nucleotide sequence comparison
- BLASTP for polypeptide sequence comparison
- polynucleotide and “nucleotide” as used herein are intended to encompass a singular nucleic acid as well as plural nucleic acids, and refers to an isolated nucleic acid molecule or construct, e.g., messenger RNA (mRNA) or plasmid DNA (pDNA).
- mRNA messenger RNA
- pDNA plasmid DNA
- a polynucleotide comprises a conventional phosphodiester bond or a non-conventional bond (e.g., an amide bond, such as found in peptide nucleic acids (PNA)).
- PNA peptide nucleic acids
- nucleic acid refers to any one or more nucleic acid segments, e.g., DNA or RNA fragments, present in a polynucleotide.
- isolated refers to a nucleic acid molecule, DNA or RNA that has been removed from its native environment, for example, a recombinant polynucleotide encoding an polypeptide comprising a variant Fc domain contained in a vector is considered isolated for the purposes of the present disclosure.
- an isolated polynucleotide include recombinant polynucleotides maintained in heterologous host cells or purified (partially or substantially) from other polynucleotides in a solution.
- Isolated RNA molecules include in vivo or in vitro RNA transcripts of polynucleotides of the present disclosure.
- Isolated polynucleotides or nucleic acids according to the present disclosure further include such molecules produced synthetically.
- a polynucleotide or a nucleic acid can include regulatory elements such as promoters, enhancers, ribosome binding sites, or transcription termination signals.
- vector means a construct that is capable of delivering, and in some aspects, expressing, one or more gene(s) or sequence(s) of interest in a host cell.
- vectors include, but are not limited to, viral vectors, naked DNA or RNA expression vectors, plasmid, cosmid or phage vectors, DNA or RNA expression vectors associated with cationic condensing agents, DNA or RNA expression vectors encapsulated in liposomes, and certain eukaryotic cells, such as producer cells.
- the term "host cell” refers to a cell or a population of cells harboring or capable of harboring a recombinant nucleic acid.
- Host cells can be a prokaryotic cells (e.g., E. coli), or alternatively, the host cells can be eukaryotic, for example, fungal cells (e.g., yeast cells such as Saccharomyces cerevisiae, Pichia pastoris, or Schizosaccharomyces pombe), and various animal cells, such as insect cells (e.g., Sf-9) or mammalian cells (e.g., HEK293F, CHO, COS-7, NIH-3T3).
- fungal cells e.g., yeast cells such as Saccharomyces cerevisiae, Pichia pastoris, or Schizosaccharomyces pombe
- insect cells e.g., Sf-9
- mammalian cells e.g., HEK293F,
- compositions and “pharmaceutical composition” refer to compositions containing a polypeptide comprising a GIP/GLP-1 agonist polypeptide provided herein, along with e.g., pharmaceutically acceptable carriers, excipients, or diluents for administration to a subject in need of treatment, e.g., a human subject being treated for a hypoglycemic condition, e.g., type-2 diabetes.
- compositions that are, within the scope of sound medical judgment, suitable for contact with the tissues of human beings and animals without excessive toxicity or other complications commensurate with a reasonable benefit/risk ratio.
- an "effective amount” is that amount of a polypeptide comprising a GIP/GLP-1 agonist polypeptide provided herein, the administration of which to a subject, either in a single dose or as part of a series, is effective for treatment, e.g., treatment of type-2 diabetes.
- An amount is effective, for example, when its administration results in one or more of prevention or modulation of hyperglycemia, promotion of insulin synthesis, an increase in ⁇ -cell mass, weight loss or weight maintenance (e.g., prevention of weight gain), reduction in food intake, modulation of gastric acid secretion, or modulation of gastric emptying.
- This amount can be a fixed dose for subjects being treated, or can vary depending upon the weight, health, and physical condition of the subject to be treated, the extent of glycemic control desired, the formulation of polypeptide, a professional assessment of the medical situation, and other relevant factors.
- subject is meant any subject, particularly a mammalian subject, in need of treatment with a GIP/GLP-1 agonist polypeptide provided herein.
- Mammalian subjects include, but are not limited to, humans, dogs, cats, guinea pigs, rabbits, rats, mice, horses, cattle, bears, cows, apes, monkeys, orangutans, and chimpanzees, and so on.
- the subject is a human subject.
- a "subject in need thereof” refers to an individual for whom it is desirable to treat, e.g., a subject diagnosed with a hypoglycemic condition, e.g., type-2 diabetes, or a subject prone to contract a hypoglycemic condition, e.g., type-2 diabetes.
- GIP/GLP-1 agonist polypeptide is a chimeric polypeptide that exhibits activity at the GIP receptor of at least about 1%, 5%, 10%, 20%, 30%, 40%, 50%, 60%, 70%, 80%, 90%, 95%, 99%, 100%, or more relative to native GIP and also exhibits activity at the GLP-1 receptor of about at least about 1%, 5%, 10%, 20%, 30%, 40%, 50%, 60%, 70%, 80%, 90%, 95%, 99%, 100%, or more relative to native GLP-1, under conditions provided elsewhere herein, e.g., the cAMP assay performed in Hanks Balanced Salt Solution supplemented with bovine serum albumin ("BSA-cAMP assay"), described in Example 2.
- BSA-cAMP assay bovine serum albumin
- the term “native GIP” refers to naturally-occurring GIP, e.g., human GIP (i.e., GIPi_4 2 ), comprising the sequence of SEQ ID NO: 6, or an active fragment thereof.
- the term “native GLP-1” refers to naturally-occurring GLP-1, e.g., human GLP-1, and is a generic term that encompasses, e.g., GLP-1 (7-36) amide (SEQ ID NO: 4), or active fragments thereof, or a mixture of those two compounds.
- GIP GLP-1
- GLP-1 native human GLP-1
- GIP human GIP
- GLP-1 human GLP- 1.
- TrpCage refers to the native extension of the peptide Exendin-4, which is 9 amino acids long and folds back on W25. Without being bound by theory, it is believed to protect the peptide from proteolysis.
- TrpCage sequences and TrpCage related and/or derived sequences include, but are not limited to, PSSGA PPG (SEQ ID NO: 138), PSSGA PPPGE G (SEQ ID NO: 139), PSSGA PPEGG (SEQ ID NO: 140), PSSGA PPCS (SEQ ID NO: 141), PSSGA PPPSC (SEQ ID NO: 142), PGGGA PPPGC (SEQ ID NO: 143), PSSGR PPPS (SEQ ID NO: 145), PSSGA PPPX wherein X can be no amino acid or any natural amino acid (SEQ ID NO: 476) or PSSGA PPPX wherein X can also be a lipid- modified K or maleimide-modified K (SEQ ID NO: 477), PSSGA PPPS (SEQ ID NO: 146), and PSSGA PPPG (SEQ ID NO: 479).
- PSSGA PPG SEQ ID NO: 138
- PSSGA PPPGE G SEQ ID
- polypeptides that bind both to a GIP receptor and to a GLP-1 receptor.
- the peptides provided herein are dual-agonists of GIP and GLP-1 activity. Such peptides are referred to herein as GIP/GLP-1 agonist polypeptides.
- GIP/GLP-1 agonist polypeptides as provided herein possess GLP-1 and GIP activities with favorable ratios to promote enhanced control of a hypoglycemic condition, e.g., type-2 diabetes.
- Polypeptides as provide herein can promote one or more of glycemic control, increased insulin production, decreased glucagon production, increased ⁇ -cell mass, or decreased body fat.
- GIP/GLP-1 agonist polypeptides as provided herein can further possess optimized solubility, formulatability, and stability.
- GIP/GLP-1 agonist polypeptides as provided herein are active at the human GLP-1 and human GIP receptors.
- GIP/GLP-1 agonist polypeptides as provided herein are also active at rodent GLP-1 and rodent GIP receptors, e.g., rat or mouse GLP-1 receptor or rat or mouse GIP receptor.
- GIP/GLP-1 agonist polypeptides as provided herein are also active at non-human primate GLP-1 and GIP receptors, e.g., cynomolgus monkey GLP-1 and GIP receptors.
- GIP/GLP-1 agonist peptides provided herein are fusion proteins or conjugated proteins comprising a GIP/GLP-1 -like peptide domain, and one or more additional domains including, but not limited to one or more of a linker, a hinge, or an Fc domain. Suitable linkers, hinges, and Fc domains are described elsewhere in this disclosure. Additional linkers, hinges, and Fc domains are well-known to those of ordinary skill in the art and can be incorporated into GIP-GLP-1 agonist polypeptides as described herein, and tested for potency, activity, and efficacy in treating hypoglycemic conditions, e.g., type-2 diabetes without undue experimentation according to the methods provided herein.
- GIP/GLP-1 agonist peptides represent an optimized family of dual agonists that exhibit improved potency in recombinant over-expressing human GIP receptor (hGIPr) and human GLP-1 receptor (hGLP-lr) cell lines, as well as in the rat endogenous ⁇ -cell line INS- IE, which expresses both GIPr and GLP-lr. Further, it has been discovered that for certain GIP/GLP-1 agonist peptides, their half-life can be extended by the addition of an Fc domain.
- this disclosure provides a GIP/GLP-1 agonist polypeptide comprising a peptide sequence derived from the "AID" peptide.
- the AID peptide was selected from a phage display library of peptides based on GLP-1, by binding to GLP-lr and GIPr and confirmed in a cAMP selectivity assay.
- AID has 7 amino acid substitutions relative to human GLP-1 (1-29).
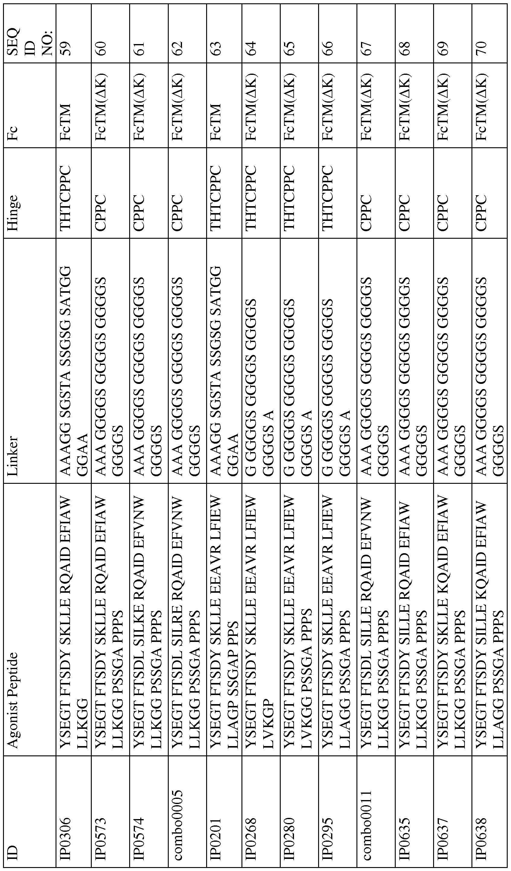
- GIP/GLP-1 agonist polypeptides are based on the peptide moiety of IP0306. Representative examples of agonist polypeptides based on the peptide moiety of IP0306 are shown in Table B.
- GIP/GLP-1 agonist polypeptides and/or their Fc fusions are improved over, such as more potent than, IP0306_pm (SEQ ID NO: 7) and/or IP0306 (SEQ ID NO: 59).
- Xi X 2 E G X 5 X 6 X 7 S X 9 Xio S I L X 14 X 15 X 16 X 1 A I X 20 X 21 F X 23 X 24 X 25 L X 27 X 28 X 29 X 30 (SEQ ID NO: 1); wherein Xi is Y or H; X 2 is S or G; X 5 is T or M; X 6 is F or H; X 7 is T or I; X 9 is D or L; X 10 is L or Y; X 14 is K, L, or R; X ⁇ is E or D; X 16 is R, E, K, or I; X 17 is E or Q; X 20 is D or E; X 21 is E, L, or A; X 23 is I, V or A; X 24 is A, E, or N; X 25 is W, D, E, L, F, I, S, N, G, M, H, K, or R; X 27 is
- This disclosure further provides an isolated polypeptide comprising the amino acid sequence:
- Xi X 2 E G X 5 X 6 X 7 S Xg Xio Xii X 12 X 13 X 14 X 15 Xi6 Xn A I X 2 o E F V N X 25 L X 27 X 28 X 29 X 30 (SEQ ID NO: 2); wherein Xi is Y or H; X 2 is S or G; X 5 is T or M; X 6 is F or H; X 7 is T or I; X 9 is D or L; X 10 is L or Y; Xn is S, A, or R, X 12 is S, K, I, A, M, or Q; X 13 is Y, L, A, or H; X 14 is K, L, or R; X 15 is E or D; X 16 is R, E, K, or I; X 17 is E or Q; X 20 is D or E; X 25 is W, D, E, L, F, I, S, N, G
- X 12 is I or K. In certain embodiments, X 13 is L. In certain embodiments, X 14 is R. In certain embodiments, X 17 is Q. In certain embodiments, X 14 is R and X 17 is Q or X 17 is E.
- X 10 is L.
- X 14 is K.
- X 20 is D.
- X M can be Y, M, I, H, A, or V
- X i6 can be Y
- X 17 can be I or L
- X 2 o can be O
- X 24 can be S
- X 27 can be M
- X 2 8 can be R.
- X 24 X 25 L X 27 X 28 X 29 X 30 (SEQ ID NO: 468); wherein Xi is Y or H; X 2 is S or G; X 5 is T or M; X 6 is F or H; X 7 is T or I; X 9 is D or L; X 10 is L or Y; X 14 is K, L, R, Y, M, I, H, A, or V; X 15 is E or D; X 16 is R, E, K, I, or Y; X 17 is I, E, Q, or L; X 20 is D, E, or O; X 21 is E or A; X 23 is I, V or A; X 24 is A, N or S; X 25 is W, D, E, L, F, I, S, N, G, M, H, K, or R; X 27 is L, A, or M; X 28 is A, K, R, or G; X 29 is G, Q, or A;
- X M can be Y, M, I, H, A, or V
- X 16 can be Y
- X i7 can be I or L
- X 20 can be Q
- X 27 can be V
- X 28 can be R.
- Xi is Y or H
- X 2 is S or G
- X5 is T or M
- X 6 is F or H
- X 7 is T or I
- X 9 is D or L
- X 10 is L or Y
- Xn is S, A, or R
- X 12 is S, K, I, A, M, or Q
- X 13 is Y, L, A, or H
- X 14 is K, L, R, Y, M, I, H, A, or V
- X 15 is E or D
- X 16 is R, E, K, I, or Y
- X 17 is I, E, Q, or L
- X 2 o is D, E, or Q
- X 25 is W, D, E, L, F, I, S, N, G, M, H, K, or R
- X 27 is L, A or V
- X 28 is A, K, R, or
- X 12 is I or K. In certain embodiments, X 13 is L. In certain embodiments, X 14 is R. In certain embodiments, X 17 is Q. In certain embodiments, X 14 is R and X 17 is Q or X 17 is E.
- Xio is L.
- X 14 is K.
- X 20 is D.
- X 14 is R
- X 17 is E
- X 24 is A
- X 28 is R.
- X 14 is R
- X 17 is E
- X 28 is R
- X i7 is I.
- This disclosure also provides for an isolated polypeptide comprising the amino acid sequence: YSEGTFTSDLSILKE X16 X17 AIDEFVNWLLKGG
- X16 is M and X17 is H, X16 is K and X17 is N, X16 is S and X17 is Q, or X16 is I and X17 is K.
- X16 is I and X17 is Q, X16 is R and X17 is D, or X16 is T and X17 is Y.
- YSEGTFTSDLSIL X 14 ERQAIDEFVNWLLKGG (SEQ ID NO: 3); wherein X 14 is L, K, or R.
- Certain embodiments are directed to an isolated polypeptide comprising an amino acid sequence selected from the group consisting of SEQ ID NO: 276 (combo 0062), SEQ ID NO: 285 (combo 0094), SEQ ID NO: 291 (combo 0095), SEQ ID NO: 295 (combo 0154), SEQ ID NO: 302 (combo 0099), SEQ ID NO: 303 (combo 0101), SEQ ID NO: 304 (combo 0104), SEQ ID NO: 9 (IP0574_pm), SEQ ID NO: 10 (combo0005_pm), SEQ ID NO: 15 (combo0011_pm), and any combination thereof.
- lipidation of amino acid residues and/or substitution of unnatural amino acids for native amino acids can occur at native amino acid residues, e.g., at positions that are susceptible to proteolytic cleavage.
- GIP/GLP-1 agonist polypeptides are provided with the selective and strategic positioning of the lipidation of one or more amino acid residues.
- a GIP/GLP-1 agonist polypeptide corresponding to SEQ ID NO: 1, SEQ ID NO: 2, SEQ ID NO: 468, or SEQ ID NO: 469 is lipidated at any one of positions X 10 to X 30 .
- a lipidated polypeptide comprises at least one lipidated amino acid residue.
- the lipidated polypeptide comprises at least two lipidated amino acid residues.
- the lipidated polypeptide contains only one lipidated amino acid residue.
- the lipidated polypeptide is a synthetically produced polypeptide.
- the lipidated synthetic polypeptide comprises at least one substitution of an unnatural amino acid for a native amino acid residue.
- this disclosure provides an isolated lipidated polypeptide comprising the amino acid sequence:
- Xi X 2 E G X 5 X 6 X 7 S Xg Xio Xii X 12 X 13 X 14 X 15 Xi6 Xn is X19 X20 X21 X22 X 23 X24 X25 X26 X27 X 2 8 X29 X30 (SEQ ID NO: 470); wherein Xi is Y or H; X 2 is S, G, or an unnatural amino acid; X5 is T or M; X 6 is F or H; X 7 is T or I; X 9 is D or L; Xi 0 is L, Y, or a lipid-modified K; Xn is S or a lipid-modified K; Xi 2 is I or a lipid-modified K; X13 is L or a lipid-modified K; X14 is K, L, R, Y, M, I, H, A, V, or a lipid- modified K; X
- This disclosure further provides an isolated lipidated polypeptide comprising the amino acid sequence:
- Xi 2 is I or K. In certain embodiments, Xi 3 is L. In certain embodiments, Xi 4 is R. In certain embodiments, Xi 7 is Q. In certain embodiments, Xi 4 is R and Xi 7 is Q or Xi 7 is E.
- X 10 is L.
- X 14 is K.
- X 20 is D.
- X 14 is R, X 17 is E, X 24 is A, and/or X 28 is R.
- SEQ ID NO: 471 In certain embodiments of SEQ ID NO: 471, X 14 is R, X 17 is E, and/or X 28 is R. In certain embodiments of SEQ ID NO: 470 or SEQ ID NO: 471, X i7 is I.
- the lipidated peptide comprises at least one substitution of an unnatural amino acid for a native amino acid residue. In other embodiments, a lipidated peptide comprises at least two, three, four, five or more substitutions of unnatural amino acids.
- a GIP/GLP-1 agonist polypeptide comprises a maleimide-modified amino acid to which, for example, a heterologous moiety such as an Fc domain or region, as described elsewhere herein, is conjugated via the maleimide group.
- the maleimide-modified amino acid for example a maleimide-modified K, comprises a linker.
- the linker is PEG 4 .
- This disclosure further provides an isolated polypeptide comprising the amino acid sequence: Xi X 2 E G X 5 X 6 X7 S X9 X10 X11 X 12 X 13 X 14 X 15 X1 ⁇ 2 X17 Xi8 X19 3 ⁇ 4o
- X 12 is I or K. In certain embodiments, X 13 is L. In certain embodiments, X 14 is R. In certain embodiments, X 17 is Q. In certain embodiments, X 14 is R and X 17 is Q or X 17 is E.
- X 10 is L.
- X 14 is K.
- X 20 is D.
- X 14 is R
- X 17 is E
- X 24 is A
- X 28 is R.
- X 14 is R
- X 17 is E
- X 28 is R
- X 17 is I.
- a lipidated polypeptide comprises a lipid-modified K at the C terminus of the polypeptide.
- the lipidated polypeptide comprises a TrpCage sequence, such as PSSGA PPPX (SEQ ID NO: 477) fused to the C terminus of the polypeptide wherein X is no amino acid, any natural amino acid, a lipid-modified K, or a maleimide-modified K.
- the TrpCage sequence is PSSGA PPPS (SEQ ID NO: 146), or PSSGA PPPG (SEQ ID NO: 479).
- the polypeptide comprising a TrpCage comprises a lipid-modified K at the C terminus of the polypeptide.
- the polypeptide comprises a lipid- modified K at one or two of positions X 10 , Xi2, Xi3, Xi4, Xi7, Xi8, X20, X 2 i, X24, X 2 5, or the C terminus.
- a polypeptide comprising the sequence of any one of SEQ ID NO: 459, SEQ ID NO: 460, SEQ ID NO: 470, or SEQ ID NO: 471, one or two of X 10 , X 12 , X 21 , or the C terminus is a lipid-modified K.
- a lipid-modified K comprises a linker, for example, gamma glutamine ( ⁇ ) or PEG 4 .
- the lipid or lipid moiety can range in length from C9 (nonanoic) to C19 (nonadecanoic).
- the lipid is one or more of nonanoic (C9), decanoic (CIO), undecanoic (Cl l), lauric (C12), tridecanoic (C13), myristic (C14), pentadecanoic (C15), palmitic (C16), heptadecanoic (C17), stearic (C18), and nonadecanoic (C19).
- lipidation with longer chains increases potency.
- the lipid or lipid moiety ranges in length from Cl l to CI 9, i.e., undecanoic (Cl l), lauric (C12), tridecanoic (C13), myristic (C14), pentadecanoic (C15), palmitic (C16), heptadecanoic (C17), stearic (C18), and nonadecanoic (C19).
- palmitoylation (CI 6) increases in vitro potency and thus the lipidated polypeptide is palmitoylated.
- the lipid-modified K is K(yE-palm), K(PEG 4 -palm), or PEG 4 -K(yE-palm).
- unnatural amino acids include a-aminoisobutyric acid (Aib), alpha-methyl glutamine (aMeGlu), alpha-methyl phenylalanine (aMePhe), alpha-methyl leucine (aMeLeu), and norleucine (Nle).
- the unnatural amino acid can be Aib, aMeGlu, aMePhe, aMeLeu, Nle, or any combination thereof.
- the polypeptide comprises at least 2, at least 3, at least 4, at least 5, or at least 6 unnatural amino acids.
- X 13 is aMeLeu.
- X 6 is Nle
- X n is Aib
- X n is Aib
- Xi 8 is Aib
- X 27 is Nle.
- X 13 is a lipid- modified K
- X 22 is aMePhe
- X 2 5 is aMePhe.
- a GIP/GLP-1 agonist polypeptide can be described by the substitution of unnatural amino acids, independent of lipidation although the polypeptide can be lipidated and/or maleimide-modified at positions and in the manner described elsewhere herein. [0326] Accordingly, this disclosure provides an isolated polypeptide comprising the amino acid sequence:
- the polypeptide comprises 1, 2, 3, 4, 5, or more unnatural amino acids.
- one or more of X 2 , X 6 , X11, Xi 3 , or X 22 is an unnatural amino acid.
- X 12 is I or K. In certain embodiments, X 13 is L. In certain embodiments, X 14 is R. In certain embodiments, X 17 is Q. In certain embodiments, X 14 is R and X 17 is Q or X 17 is E. [0329] In certain embodiments of either SEQ ID NO: 472 or SEQ ID NO: 473, X i0 is L. In certain embodiments of either SEQ ID NO: 472 or SEQ ID NO: 473, X 14 is K. In certain embodiments of either SEQ ID NO: 472 or SEQ ID NO: 473, X 20 is D.
- X 14 is R
- X 17 is E
- X 24 is A
- X 28 is R.
- X 14 is R
- X 17 is E
- X 28 is R
- X i7 is I.
- the polypeptide comprises 1, 2, 3, 4, 5, or more unnatural amino acids.
- one or more of X 2 , X 6 , Xii, X13, or X 22 is an unnatural amino acid.
- X i3 is aMeLeu.
- X 6 is Nle
- X n is Aib
- X i7 is Aib
- Xi8 is Aib
- X 27 is Nle.
- Certain embodiments are directed to an isolated polypeptide comprising an amino acid sequence selected from the group consisting of SEQ ID NO: 309 (gl681), SEQ ID NO: 310 (gl711), SEQ ID NO: 311 (gl677), SEQ ID NO: 313 (gl685), SEQ ID NO: 315 (gl734), SEQ ID NO: 378 (gl931), SEQ ID NO: 320 (gl896), SEQ ID NO: 322 (g2017), SEQ ID NO: 323 (gl897), SEQ ID NO: 324 (g2018), SEQ ID NO: 326 (g2020), SEQ ID NO: 327 (g2021), SEQ ID NO: 328 (g2022), SEQ ID NO: 330 (gl898), SEQ ID NO: 331 (g2024), SEQ ID NO: 334 (gl899), SEQ ID NO: 335 (g2286), SEQ ID NO: 342 (gl577), SEQ ID NO: 30
- certain embodiments are directed to an isolated polypeptide comprising an amino acid sequence selected from the group consisting of SEQ ID NO: 311 (gl677), SEQ ID NO: 345 (gl721), SEQ ID NO: 315 (gl734), SEQ ID NO: 415 (gl897), SEQ ID NO: 331 (g2024), SEQ ID NO: 350 (g2029), and any combination thereof.
- a GIP/GLP-1 agonist polypeptide disclosed herein is a synthetically produced polypeptide conjugated to a heterologous moiety.
- the heterologous moiety is a lipid moiety, an organic polymer, an inorganic polymer, a polyethylene glycol (PEG), biotin, an albumin, a human serum albumin (HSA), a HSA FcRn binding portion, an antibody, a domain of an antibody, an antibody fragment, a single chain antibody, a domain antibody, an albumin binding domain, an enzyme, a ligand, a receptor, a binding peptide, a non- Fnlll scaffold, an epitope tag, a recombinant polypeptide polymer, a cytokine, or a combination of two or more of the recited moieties.
- the synthetic polypeptide is conjugated to an Fc domain which is described elsewhere in detail herein.
- the agonist polypeptide is conjugated to the Fc via a free cysteine of the Fc domain.
- the free cysteine is at position 239C, 268C, or 442C of the Fc domain.
- the polypeptide is conjugated to the Fc domain via a maleimide group and a free cysteine of the Fc domain.
- position X 24 , X 28 , and/or the C terminus is a maleimide- modified K conjugated to an Fc domain.
- the polypeptide comprises a maleimide- modified K at the C terminus conjugated to an Fc domain.
- the maleimide group is indirectly attached to the amino acid via a lipid.
- the maleimide-modified amino acid comprises a linker such as PEG 4 .
- the polypeptide is lipidated and is conjugated to an Fc domain.
- the polypeptide comprises a maleimide-modified K at X 24 or at the C terminus conjugated to an Fc domain and Xio is a palmitoylated K.
- the polypeptide comprises a maleimide-modified K at the C terminus conjugated to an Fc domain and X 10 is a palmitoylated K.
- the polypeptide comprises a maleimide-modified K at the C terminus conjugated to an Fc domain and Xi2 is a palmitoylated K. In certain embodiments of SEQ ID NO: 459 or SEQ ID NO: 460, the polypeptide comprises a maleimide-modified K at X 28 or at the C terminus conjugated to an Fc domain and X 13 is a palmitoylated K. In certain embodiments of SEQ ID NO: 459 or SEQ ID NO: 460, the polypeptide comprises a maleimide-modified K at the C terminus conjugated to an Fc domain and X 13 is a palmitoylated K.
- Xio is K(yE-palm).
- position X 24 or the C terminus is a maleimide-modified K conjugated to an Fc domain and one of X 10 , X 12 , X 21 , or X 24 is K(PEG 2 -PEG 2 -stear).
- the C terminus is a maleimide-modified K conjugated to an Fc domain and one of X 10 , X 12 , or X 21 , is K(PEG 2 -PEG 2 -stear).
- Certain embodiments are directed to an isolated polypeptide comprising the amino acid sequence SEQ ID NO: 436 (combo0051), SEQ ID NO: 437 (combo0052), SEQ ID NO: 438 (combo077), SEQ ID NO: 439 (combo0112), SEQ ID NO: 443 (combo0211), SEQ ID NO: 444 (combo0212), SEQ ID NO: 445 (combo0213), SEQ ID NO: 446 (combo0214), SEQ ID NO: 447 (combo0215), SEQ ID NO: 452 (combo0121), or any combination thereof.
- the isolated polypeptide comprises the amino acid sequence SEQ ID NO: 437 (combo0052).
- a GIP/GLP-1 agonist polypeptide comprises a TrpCage sequence or a TrpCage-related and/or TrpCage-derived sequence.
- the TrpCage is attached by a peptide bond directly to the C-terminal end of the agonist polypeptide.
- the TrpCage is attached between an agonist polypeptide and a heterologous moiety such as a linker, hinge, and/or an Fc domain.
- such a sequence comprises the amino acid sequence PSSGA PPG (SEQ ID NO: 138), PSSGA PPPGE G (SEQ ID NO: 139), PSSGA PPEGG (SEQ ID NO: 140), PSSGA PPCS (SEQ ID NO: 141), PSSGA PPPSC (SEQ ID NO: 142), PGGGA PPPGC (SEQ ID NO: 143), PSSGR PPPS (SEQ ID NO: 145), or PSSGA PPPS (SEQ ID NO: 146).
- the sequence comprises PSSGA PPPX (SEQ ID NO: 476), wherein X is no amino acid or any natural amino acid.
- the sequence comprises PSSGA PPPX (SEQ ID NO: 477), wherein X is no amino acid, any natural amino acid, a lipid- modified K, or a maleimide-modified K.
- the sequence is PSSGA PPPS (SEQ ID NO: 146) or PSSGA PPPG (SEQ ID NO: 479).
- any one or more GIP/GLP-1 agonist peptides as described above can be fused to one or more heterologous moieties.
- any one or more GIP/GLP-1 agonist peptides as described above can be fused to one or more additional heterologous polypeptide domains.
- additional polypeptide regions can facilitate, e.g., activity, efficacy, stability, or in vivo half-life.
- a heterologous polypeptide domain can comprise a linker, a hinge, an Fc domain, or a combination thereof.
- the agonist peptide is fused to the additional heterologous polypeptide via a peptide bond.
- Linkers used in various GIP/GLP-1 agonist polypeptides provided herein can facilitate formation of a desired structure.
- the linker is a polypeptide linker.
- a polypeptide linker can comprise 1-50 amino acids, 1-25 amino acids, 25-50 amino acids, or 30-50 amino acids.
- Linkers can comprise, e.g., (Gly-Ser) n , residues, where n is an integer of at least one, and up to, e.g., 4, 5, 6, 10, 20, 50, 100, or more, optionally with some Glu or Lys residues dispersed throughout to increase solubility.
- certain linkers do not comprise any Serine residues.
- linkers can contain cysteine residues, for example, if dimerization of linkers is used to bring two or more GIP/GLP- 1 agonist polypeptides into a dimeric configuration.
- a GIP/GLP-1 agonist polypeptide can comprise at least one, two, three, four, or more linkers. The length and amino acid sequence of a linker can be readily selected and optimized.
- the linker comprises (GGGGS)n, wherein n is 1, 2, 3, 4, 5, 6, 7, or 8.
- linkers comprise the amino acid sequence: G GGGGS GGGGS GGGGS GGGGS A (SEQ ID NO: 111), A PPGGS GGGGS GGGGS GGGGS A (SEQ ID NO: 112), GT GGGGS GGGGS GGGGS A (SEQ ID NO: 113), G GGGGS GGGGS GGGGS A (SEQ ID NO: 114), G GGGGS A (SEQ ID NO: 115), G GGGGS GGGGS A (SEQ ID NO: 116), G GGGGS GGGGS GGGGS A (SEQ ID NO: 117), G KGGGS GGGGS GGGGS GGGGS A (SEQ ID NO: 118), G GGGGS GGGGS GGGGS GGGGSA (SEQ ID NO: 119), G GGGGGGGGGGGGGGGG A (SEQ ID NO: 120), any combination thereof, any fragment thereof, or any variant thereof.
- the linker comprises the amino acid sequence GG SGSTA SSGSG SATGG GGAA (SEQ ID NO: 197), AAAGG SGSTA SSGSG SATGG GGAA (SEQ ID NO: 198), APPGG SGSTA SSGSG SATGG GGAA (SEQ ID NO: 199), AAA GGGGS GGGGS GGGGS (SEQ ID NO: 121), AAA PAPAP APAPA PAPAP APAPA G (SEQ ID NO: 122), AAA GKGKGKGKGKGK GKGKGKGKGKGKGKGKGKGK G (SEQ ID NO: 123), AAA GGKGG GGKGG GGKGG GGKGG G (SEQ ID NO: 474), AAA PKPAP KPAPK PAPKP APKPA G (SEQ ID NO: 475), any combination thereof, any fragment thereof, or any variant thereof.
- the linker comprises the amino acid sequence AAA GGGGS GGGGS GGGGS GGGGS (SEQ ID NO: 121), AAA PAPAP APAPA PAPAP APAPA G (SEQ ID NO: 122), AAA GGKGG GGKGG GGKGG GGKGG G (SEQ ID NO: 474), any combination thereof, any fragment thereof, or any variant thereof.
- the linker comprises the amino acid sequence AAA GGGGS GGGGS GGGGS (SEQ ID NO: 121), any fragment thereof, or any variant thereof.
- the linker comprises (PA) n wherein n is between 1 and 20. In certain embodiments, n is between 5 and 15.
- the linker comprises the amino acid sequence AAA PAPAP APAPA PAPAP APAPA G (SEQ ID NO: 122), any fragment thereof, or any variant thereof. [0344] In certain aspects, the linker can comprise a combination of any of the linkers disclosed herein.
- Hinges used in various GIP/GLP-1 agonist polypeptides provided herein can facilitate formation of a desired structure.
- the hinge comprises an amino acid sequence of an IgGl hinge, an IgG4 hinge, a fragment thereof, a variant thereof, or any combination thereof.
- the hinge comprises the amino acid sequence ESKYGPPCPPCPAPEAA (SEQ ID NO: 124), THTCPPCPAPEF (SEQ ID NO: 125), THTCPPC (SEQ ID NO: 126), CPPCPAPEF (SEQ ID NO: 127), TYTCPPCPAPEF (SEQ ID NO: 128), TSTCPPCPAPEF (SEQ ID NO: 129), PPCPPCPAPEF (SEQ ID NO: 130), ESKYGPPCPPCPAPEF (SEQ ID NO: 131), APEF (SEQ ID NO: 132), ESKYGPPCPPC (SEQ ID NO: 133), THTCPPCPAPELL (SEQ ID NO: 134), CPPC (SEQ ID NO: 135), any variant thereof, any fragment thereof, or any combination thereof.
- the hinge comprises the amino acid sequence CPPC (SEQ ID NO: 135), any fragment thereof, or any variant thereof.
- Fc regions used in various GIP/GLP-1 agonist polypeptides provided herein can facilitate formation of a desired structure and to enhance or eliminate various desired or undesired effector functions.
- the Fc region is a native immunoglobulin Fc region.
- Fc domain and IgG Fc domain refer to the portion of an immunoglobulin, e.g., an IgG molecule that correlates to a crystallizable fragment obtained by papain digestion of an IgG molecule.
- the Fc region comprises the C-terminal half of two heavy chains of an IgG molecule that are linked by disulfide bonds.
- an Fc domain can comprise the entire second constant domain CH2 and the third constant domain CH3.
- GIP/GLP-1 agonist polypeptides provided herein can comprise a "wild type IgG Fc domain," e.g., any naturally occurring IgG Fc region (any allele).
- the IgG Fc domain is an IgGl domain (SEQ ID NO: 202), in some aspects the IgG Fc domain is an IgG4 Fc domain (SEQ ID NO: 203).
- GIP/GLP-1 agonist polypeptides provided herein can comprise a "variant IgG Fc domain," an IgG Fc domain comprising one or more amino acid substitutions, deletions, insertions or modifications introduced at any position within the Fc domain.
- a variant IgG Fc domain comprises one or more amino acid substitutions resulting in decreased or ablated binding affinity for an FcyR and/or Clq as compared to the wild type Fc domain not comprising the one or more amino acid substitutions.
- the Fc domain comprises a free cysteine that can be used for site specific conjugation to an agonist polypeptide disclosed herein.
- the Fc domain can be conjugated to the polypeptide via the free cysteine and a maleimide group attached to the polypeptide.
- the Fc domain comprises a free cysteine group at one or more of position 239C, 268C, or 442C, which can be used for conjugation.
- GIP/GLP-1 agonist polypeptides provided herein can comprise a "TM" Fc domain.
- TM or “TM mutant” refer to a set of mutations in an IgG Fc domain that result in ablation of effector function, namely elimination of the Fc domain's ability to mediate antibody-dependent cell-mediated cytotoxicity and complement-mediated cytotoxicity.
- a TM mutant can comprise a combination of three "TM mutations": L234F, L235E, and P331S, where the numbering is according to the EU index as in Kabat.
- the GIP/GLP-1 agonist polypeptides provided herein can comprise a "TM" ( ⁇ ) Fc domain.
- This Fc domain comprises the set of mutations as described above for the "TM" Fc domain, but also includes deletion of the terminal Lysine residue.
- a human IgGlTM ( ⁇ ) Fc domain is shown as SEQ ID NO: 483.
- the GIP/GLP-1 agonist polypeptides provided herein can comprise a "YTE" Fc domain (SEQ ID NO: 205).
- YTE or “YTE mutant” refer to a set of mutations in an IgGl Fc domain that results in an increase in the binding to human FcRn and improves the serum half-life of the antibody having the mutation.
- a YTE mutant comprises a combination of three "YTE mutations": M252Y, S254T, and T256E, wherein the numbering is according to the EU index as in Kabat, introduced into the heavy chain of an IgG. See U.S. Patent No. 7,658,921, which is incorporated by reference herein.
- the YTE mutant has been shown to increase the serum half-life of antibodies compared to wild-type versions of the same antibody. See, e.g., Dall'Acqua et al., J. Biol. Chem. 281:23514-24 (2006) and U.S. Patent No. 7,083,784, which are hereby incorporated by reference in their entireties.
- GIP/GLP-1 agonist polypeptides provided herein can comprise a "TM-YTE IgG Fc domain.”
- TM-YTE IgG Fc domain refers to an IgG Fc domain comprising one or more of the three "TM” mutations (L234F/L235E/P331S) and one or more of the three "YTE” mutations (M252Y/S254T/T256E), where all the numbering is according to the EU index as in Kabat.
- GIP/GLP-1 agonist polypeptides provided herein can comprise an Fc domain with additional mutations to provide additional stability.
- the variant IgG Fc domain can comprise, alone or in addition to YTE and/or TM mutations one or more of the following mutations:
- GIP/GLP-1 agonist polypeptides provided herein can comprise an "FQQ" mutation: an IgGl Fc domain with a phenylalanine (F) amino acid at EU position 234, a glutamine (Q) amino acid at EU position 235, and a glutamine (Q) amino acid at EU position 322.
- the FQQ mutation can be in combination with a YTE mutation, an TM mutation, or both a YTE mutation and a TM mutation.
- a human IgGl Fc domain comprising the FQQ mutations is shown as SEQ ID NO: 466.
- a GIP/GLP-1 agonist polypeptide as provided herein can comprise, without limitation, an Fc domain, e.g., an IgGl Fc domain, an IgTM Fc domain, IgGl-FQQ Fc domain, an IgG4 Fc domain, a YTE Fc domain, an IgTM ( ⁇ ) Fc domain, or any fragment thereof, or any variant thereof, or any combination thereof.
- an Fc domain e.g., an IgGl Fc domain, an IgTM Fc domain, IgGl-FQQ Fc domain, an IgG4 Fc domain, a YTE Fc domain, an IgTM ( ⁇ ) Fc domain, or any fragment thereof, or any variant thereof, or any combination thereof.
- a GIP/GLP-1 agonist polypeptide comprising a linker, a hinge, and an Fc domain can comprise one or more of the AID-based polypeptides provided in Table C.
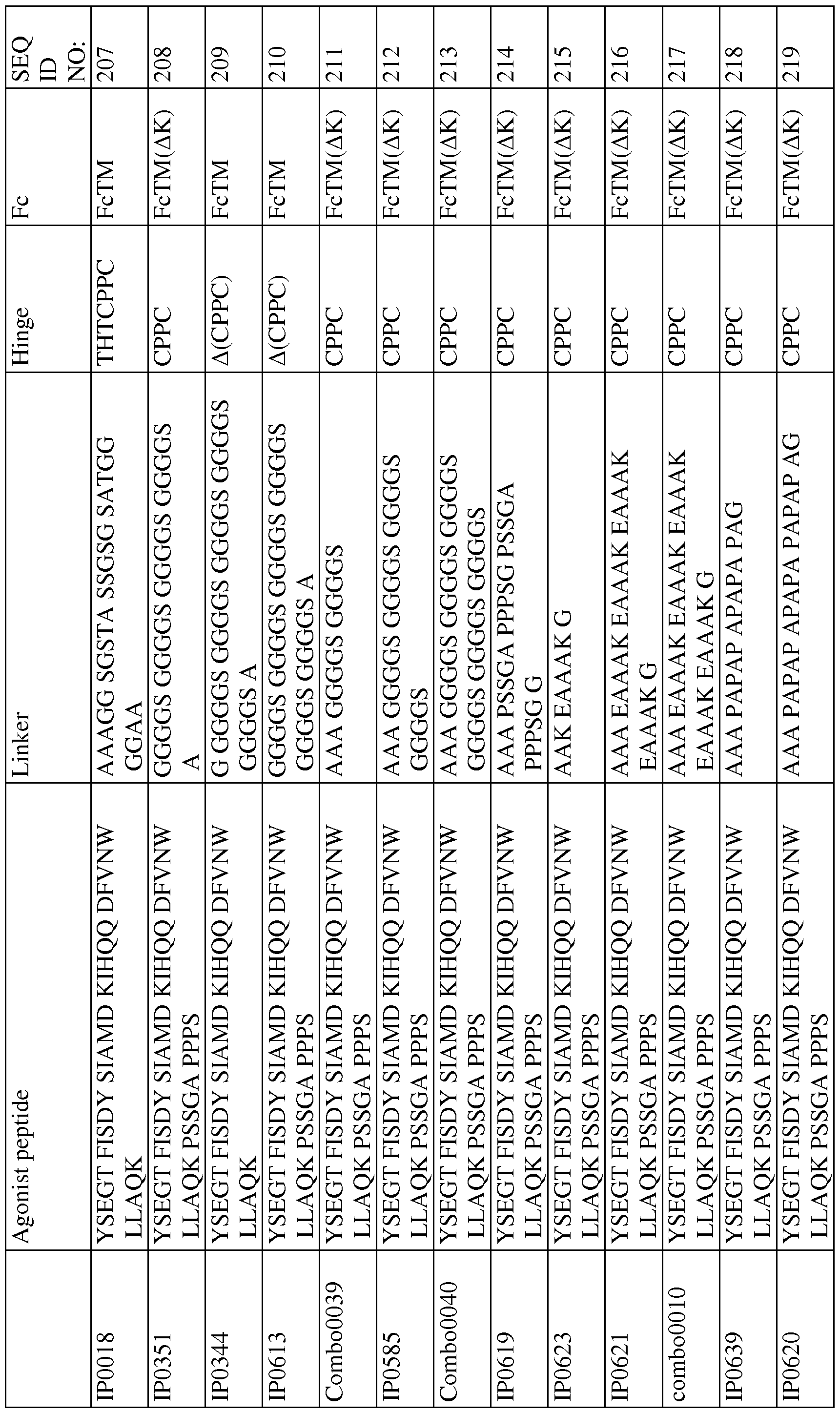
- a GIP/GLP-1 agonist polypeptide comprising a linker, a hinge, and an Fc domain comprises the amino acid sequence of SEQ ID NO: 302 (combo0099), SEQ ID NO: 303 (comboOlOl), SEQ ID NO: 304 (combo0104), SEQ ID NO: 295 (combo0154), SEQ ID NO: 299 (combo0102), SEQ ID NO: 300 (combo0105), SEQ ID NO: 291 (combo0095), SEQ ID NO: 285 (combo0094), SEQ ID NO: 61 (IP0574), SEQ ID NO: 62 (combo0005), SEQ ID NO: 67 (comboOOl l), SEQ ID NO: 108 (IP0644), SEQ
- a GIP/GLP-1 agonist polypeptide as described above can form multimers.
- two or more GIP/GLP-1 monomer polypeptides can be joined through disulfide bonds, through cysteines contained, e.g., in the linker or hinge regions of two or more polypeptide monomers.
- two or more monomers can be identical, resulting in, e.g., a homodimer.
- the two or more polypeptide monomers can be different, resulting in a, e.g., a heterodimer.
- GIP/GLP-1 agonist polypeptides as disclosed have desirable potencies at the GIP and GLP-1 receptors for controlling symptoms of a hypoglycemic condition, e.g., type-2 diabetes.
- GIP/GLP-1 agonist polypeptides as disclosed exhibit in vitro potencies at the GLP-1 receptor as shown by an EC50 in the BSA-cAMP assay of less than 10,000 pM, less than 5000 pM, less than 2500 pM, less than 1000 pM, less than 900 pM, less than 800 pM, less than 700 pM, less than 600 pM, less than 500 pM, less than 400 pM, less than 300 pM, less than 200 pM, less than 100 pM, less than 50 pM, less than 25 pM, less than 20 pM, less than 15 pM, less than 10 pM, less than 5 pM, less than 4 pM, less than 3 pM
- GIP/GLP-1 agonist polypeptides as disclosed exhibit in vitro potencies at the GIP receptor as shown by an EC50 in the BSA-cAMP assay of less than 10,000 pM, less than 5000 pM, less than 2500 pM, less than 1000 pM, less than 900 pM, less than 800 pM, less than 700 pM, less than 600 pM, less than 500 pM, less than 400 pM, less than 300 pM, less than 200 pM, less than 100 pM, less than 50 pM, less than 25 pM, less than 20 pM, less than 15 pM, less than 10 pM, less than 5 pM, less than 4 pM, less than 3 pM, less than 2 pM, or less than 1 pM.
- GCGr glucagon receptor
- a GIP/GLP-1 agonist polypeptide as disclosed herein exhibit reduced potency for GCGr relative to either GIPr or GLP-lr, or both GIPr and GLP-lr.
- the polypeptide can exhibit an EC50 for GCGr, as measured by the BSA-cAMP assay, of at least 10-fold higher, at least 100-fold higher, at least 1000-fold higher, or at least 10,000 or more-fold higher than the polypeptide's EC50 for GIPr, GLP-lr, or both, as measured by the BSA-cAMP assay.
- GIP/GLP-1 agonist polypeptides as disclosed exhibit in vitro potencies at GCGr as shown by an EC50 in the BSA-cAMP assay of greater than 0.1 nM, greater than 1 nM, greater than 5 nM, greater than 10 nM, greater than 50 nM, greater than 100 nM, greater than 200 nM, greater than 300 nM, greater than 400 nM, greater than 500 nM, greater than 600 nM, greater than 700 nM, greater than 800 nM, greater than 900 nM, greater than 1000 nM, greater than 2000 nM, greater than 3000 nM, greater than 4000 nM, greater than 5000 nM, greater than 6000 nM, greater than 7000 nM, greater than 8000 nM, greater than 9000 nM, or greater than 10,000 nM.
- GIP/GLP-1 agonist polypeptides as disclosed are agonists in a rat endogenous cell line INS- IE, with an EC50 in the cAMP assay 1 of less than 25,000 pM, less than 5000 pM, less than 2500 pM, less than 1000 pM, less than 900 pM, less than 800 pM, less than 700 pM, less than 600 pM, less than 500 pM, less than 400 pM, less than 300 pM, less than 200 pM, less than 100 pM, less than 50 pM, less than 25 pM, less than 20 pM, less than 15 pM, less than 10 pM, or less than 5 pM.
- GIP/GLP-1 agonist polypeptides as disclosed are agonists in both a knock out GLP-lr cell line and a knock out GIPr cell line, with an EC50 in the cAMP assay 1 of less than 350,000 pM, less than 100,000 pM, less than 10,000 pM, less than 5000 pM, less than 2500 pM, less than 1000 pM, less than 900 pM, less than 800 pM, less than 700 pM, less than 600 pM, less than 500 pM, less than 400 pM, less than 300 pM, less than 200 pM, less than 100 pM, less than 50 pM, less than 25 pM, less than 20 pM, less than 15 pM, less than 10 pM, or less than 5 pM.
- GIP/GLP-1 agonist polypeptides provided herein can be made by any suitable method.
- GIP/GLP-1 agonist polypeptides provided herein can be produced recombinantly using a convenient vector/host cell combination as would be well known to the person of ordinary skill in the art.
- a variety of methods are available for recombinantly producing GIP/GLP-1 agonist polypeptides.
- a polynucleotide sequence encoding the GIP/GLP-1 agonist polypeptide is inserted into an appropriate expression vehicle, e.g., a vector that contains the necessary elements for the transcription and translation of the inserted coding sequence.
- the nucleic acid encoding the GIP/GLP-1 agonist polypeptide is inserted into the vector in proper reading frame.
- the expression vector is then transfected into a suitable host cell that will express the GIP/GLP-1 agonist polypeptide.
- suitable host cells include without limitation bacteria, yeast, or mammalian cells.
- a variety of commercially available host- expression vector systems can be utilized to express the GIP/GLP-1 agonist polypeptides described herein.
- the recombinant expression of a GIP/GLP-1 agonist polypeptide, derivative, analogue or fragment thereof as described herein can be accomplished through the construction of an expression vector containing a polynucleotide that encodes the polypeptide. Once a polynucleotide encoding the GIP/GLP-1 agonist polypeptide has been obtained, the vector for the production of the polypeptide can be produced by recombinant DNA technology using techniques well known in the art.
- the expression vector is transferred to a host cell by conventional techniques and the transfected cells are then cultured by conventional techniques to produce a GIP/GLP-1 agonist polypeptide.
- host cells are provided that contain a polynucleotide encoding a GIP/GLP-1 agonist polypeptide operably linked to a heterologous promoter.
- a variety of host-expression vector systems can be utilized to express a GIP/GLP-1 agonist polypeptide.
- Such host-expression systems represent vehicles by which the coding sequences of interest can be produced and subsequently purified, but also represent cells which can, when transformed or transfected with the appropriate nucleotide coding sequences, express a polypeptide comprising a GIP/GLP-1 agonist polypeptide in situ.
- These include but are not limited to microorganisms such as bacteria (e.g., E. coli and B.
- subtilis transformed with recombinant bacteriophage DNA, plasmid DNA or cosmid DNA expression vectors containing a sequence or sequences encoding a GIP/GLP-1 agonist polypeptide; yeast (e.g., Saccharomyces Pichia) transformed with recombinant yeast expression vectors containing a sequence or sequences encoding a GIP/GLP-1 agonist polypeptide; insect cell systems infected with recombinant virus expression vectors (e.g., baculovirus) containing a sequence or sequences encoding a GIP/GLP-1 agonist polypeptide; plant cell systems infected with recombinant virus expression vectors (e.g., cauliflower mosaic virus, CaMV; tobacco mosaic virus, TMV) or transformed with recombinant plasmid expression vectors (e.g., Ti plasmid) containing a sequence or sequences encoding a GIP/GLP-1 agonist polypeptide; or mammalian cell systems
- a host cell strain can be chosen that modulates the expression of the inserted sequences, or modifies and processes the gene product in the specific fashion desired. Such modifications (e.g., glycosylation) and processing (e.g., cleavage) of protein products can be important for the function of the protein. Different host cells have characteristic and specific mechanisms for the post-translational processing and modification of proteins and gene products. Eukaryotic host cells that possess the cellular machinery for proper processing of the primary transcript, glycosylation, and phosphorylation of the gene product can be used.
- Such mammalian host cells include but are not limited to CHO, VERY, BHK, HeLa, COS, MDCK, 293, 3T3, W138, BT483, Hs578T, HTB2, BT20 and T47D, NSO, CRL7030 and HsS78Bst cells.
- GIP/GLP-1 agonist polypeptide Once a GIP/GLP-1 agonist polypeptide has been produced by recombinant expression, it can be purified by any method known in the art for purification of a protein, for example, by chromatography (e.g. , ion exchange, affinity, particularly by affinity for the specific antigen after Protein A, and sizing column chromatography), centrifugation, differential solubility, or by any other standard technique for the purification of proteins.
- chromatography e.g. , ion exchange, affinity, particularly by affinity for the specific antigen after Protein A, and sizing column chromatography
- centrifugation e.g., centrifugation, differential solubility, or by any other standard technique for the purification of proteins.
- a GIP/GLP- 1 agonist polypeptides provided herein can be chemically synthesized by methods well known to those of ordinary skill in the art, e.g. , by solid phase synthesis as described by Merrifield (1963, J. Am. Chem. Soc. 85:2149-2154). Solid phase peptide synthesis can be accomplished, e.g. , by using automated synthesizers, using standard reagents.
- a GIP/GLP-1 agonist polypeptide can be characterized in a variety of ways.
- a GIP/GLP-1 agonist polypeptide can be assayed for potency in a cAMP assay as described elsewhere herein.
- GIP/GLP-1 agonist polypeptides provided herein can be stabilized via amino acid modifications.
- the carboxyl group of the C-terminal amino acid is amidated.
- the C-terminal amino acid is amidated glycine.
- the C-terminal glycine is the unmodified acid.
- GIP/GLP-1 agonist polypeptides are provided in which one or more amino acid residues are acylated.
- GIP/GLP-1 agonist polypeptides provided herein contain one or more lysine residues, in which a lipid moiety is attached to the N(epsilon) group.
- a linker is incorporated between lysine and the lipid group.
- This linker can be a gamma ( ⁇ ) glutamic acid group, or an alternative linker such as, but not limited to, beta alanine and aminohexanoic acid.
- Different acylation methods can be used such as addition of cholesterol or myristoyl groups.
- a GIP/GLP-1 agonist polypeptide as disclosed herein can be associated with a heterologous moiety, e.g., to extend half-life.
- the heterologous moiety can be a lipid, a peptide, a protein domain, a linker, an organic polymer, an inorganic polymer, a polyethylene glycol (PEG), biotin, an albumin, a human serum albumin (HSA), a HSA FcRn binding portion, an antibody, a domain of an antibody, an antibody fragment, a single chain antibody, a domain antibody, an albumin binding domain, an enzyme, a ligand, a receptor, a binding peptide, a non- Fnlll scaffold, an epitope tag, a recombinant polypeptide polymer, a cytokine, and a combination of two or more of such moieties.
- a GIP/GLP-1 agonist polypeptide can be fused with or conjugated to a heterologous polypeptide, e.g., a linker, a hinge, an Fc, or a combination thereof, as described above or in additional ways.
- the peptides can be attached to proteins, either through recombinant gene fusion and expression or by chemical conjugation. Proteins that are suitable as partners for fusion or conjugation include, without limitation, serum albumin, e.g., human serum albumin, antibodies and antibody fragments including fusion to the Fc portion of the antibodies (as described above).
- GLP-1 has been fused to these proteins with retention of potency (L. Baggio et al, Diabetes 53:2492-2500 (2004); P.
- GIP/GLP-1 agonist polypeptides are incorporated as the N-terminal part of a fusion protein, with the fusion partner, e.g., an Fc domain as described above, or an albumin domain, at the C-terminal end.
- GIP/GLP-1 agonist polypeptides as described herein can also be fused to peptides or protein domains, such as 'Albudabs' that have affinity for human serum albumin (M.S. Dennis et al., J Biol Chem 277:35035-35043 (2002); A. Walker et al., Protein Eng Design Selection 23:271-278 (2010)).
- Methods for fusing GIP/GLP-1 agonist polypeptides as disclosed herein with a heterologous polypeptide, e.g., albumin or an Fc region are well known to those of ordinary skill in the art.
- heterologous moieties can be conjugated to GIP/GLP-1 agonist polypeptides to further stabilize or increase half-life.
- certain aspects feature maintenance of a free N-terminus, but alternative points for derivatization can be made.
- a further alternative method is to derivatize the peptide with a large chemical moiety such as high molecular weight polyethylene glycol (PEG).
- PEG polyethylene glycol
- a "pegylated GIP/GLP-1 agonist polypeptide" has a PEG chain covalently bound thereto.
- GIP/GLP-1 agonist polypeptides e.g., pegylation
- Derivatization of GIP/GLP-1 agonist polypeptides can be done at the lysine that is lipidated, or alternatively at a residue such as cysteine, that is substituted or incorporated by extension to allow derivatization.
- GIP/GLP-1 agonist polypeptide formats above can be characterized in vitro and/or in vivo for relative potency and the balance between GLP-1 and GIP receptor activation.
- polyethylene glycol chain refers to mixtures of condensation polymers of ethylene oxide and water, in a branched or straight chain, represented by the general formula H(OCH 2 CH 2 ) n OH, where n is an integer of 3, 4, 5, 6, 7, 8, 9, or more.
- PEG chains include polymers of ethylene glycol with an average total molecular weight selected from the range of about 500 to about 40,000 Daltons. The average molecular weight of a PEG chain is indicated by a number. For example, PEG-5,000 refers to polyethylene glycol chain having a total molecular weight average of about 5,000.
- PEGylation can be carried out by any of the PEGylation reactions known in the art. See, e.g., Focus on Growth Factors, 3: 4-10, 1992 and European patent applications EP 0 154 316 and EP 0 401 384. PEGylation can be carried out using an acylation reaction or an alkylation reaction with a reactive polyethylene glycol molecule (or an analogous reactive water-soluble polymer).
- Methods for preparing a PEGylated GIP/GLP-1 agonist polypeptides generally include the steps of (a) reacting a GIP/GLP-1 agonist polypeptide or with polyethylene glycol (such as a reactive ester or aldehyde derivative of PEG) under conditions whereby the molecule becomes attached to one or more PEG groups, and (b) obtaining the reaction product(s).
- polyethylene glycol such as a reactive ester or aldehyde derivative of PEG
- GIP/GLP-1 agonist polypeptides provided herein possess one or more criteria of acceptable solubility, ease in formulatability, plasma stability, and improved pharmacokinetic properties.
- GIP/GLP-1 agonist polypeptides as disclosed are soluble in standard buffers over a broad pH range.
- GIP/GLP-1 agonist polypeptides as disclosed are acceptably stable against proteases in serum or plasma.
- Common degradation products of GIP or GLP-1 include +1 products (acid) and the DPP rV-cleavage products. Cleavage products arise from the action of proteases, e.g., DPP IV in plasma.
- GIP/GLP-1 agonist polypeptides as disclosed are remain stable in plasma at levels up to 30%, 40%, 50%, 60%, 70%, 80%, 90%, or 100% after 24, 36 hours, 48 hours, or more hours in plasma at 37°C.
- compositions e.g., pharmaceutical compositions, that contain an effective amount of a GIP/GLP-1 agonist polypeptide as provided herein, formulated for the treatment of metabolic diseases, e.g., obesity.
- compositions of the disclosure can be formulated according to known methods. Suitable preparation methods are described, for example, in Remington's Pharmaceutical Sciences, 19th Edition, A.R. Gennaro, ed., Mack Publishing Co., Easton, PA (1995), which is incorporated herein by reference in its entirety.
- Composition can be in a variety of forms, including, but not limited to an aqueous solution, an emulsion, a gel, a suspension, lyophilized form, or any other form known in the art.
- the composition can contain pharmaceutically acceptable additives including, for example, diluents, binders, stabilizers, and preservatives. Once formulated, compositions of the disclosure can be administered directly to the subject.
- Carriers that can be used with compositions of the disclosure are well known in the art, and include, without limitation, e.g., thyroglobulin, albumins such as human serum albumin, tetanus toxoid, and polyamino acids such as poly L-lysine, poly L-glutamic acid, influenza, hepatitis B virus core protein, and the like.
- aqueous carriers can be used, e.g., water, buffered water, 0.8% saline, 0.3% glycine, hyaluronic acid and the like.
- Compositions can be sterilized by conventional, well known sterilization techniques, or can be sterile filtered.
- compositions can be packaged for use as is, or lyophilized, the lyophilized preparation being combined with a sterile solution prior to administration.
- Compositions can contain pharmaceutically acceptable auxiliary substances as required to approximate physiological conditions, such as pH adjusting and buffering agents, tonicity adjusting agents, wetting agents and the like, for example, sodium acetate, sodium lactate, sodium chloride, potassium chloride, calcium chloride, sorbitan monolaurate, triethanolamineoleate, etc.
- auxiliary substances as required to approximate physiological conditions, such as pH adjusting and buffering agents, tonicity adjusting agents, wetting agents and the like, for example, sodium acetate, sodium lactate, sodium chloride, potassium chloride, calcium chloride, sorbitan monolaurate, triethanolamineoleate, etc.
- GIP/GLP-1 agonist polypeptides can combine the effect of GIP and GLP-1 to provide one or more of prevention or modulation of hyperglycemia, promotion of insulin synthesis, inhibition of glucagon synthesis, an increase in ⁇ -cell mass, weight loss or weight maintenance (e.g., prevention of weight gain), reduction in food intake, modulation of gastric acid secretion, or modulation of gastric emptying.
- This disclosure provides a method of treating a hypoglycemic condition, e.g., type-2 diabetes, comprising administering to a subject in need of treatment a GIP/GLP-1 agonist polypeptide, or a composition thereof, as disclosed herein. Further provided is a GIP/GLP-1 agonist polypeptide, or composition thereof, for treatment of a hypoglycemic condition, e.g., type-2 diabetes. Further provided is use of a GIP/GLP-1 agonist polypeptide, or composition thereof, as provided herein in the manufacture of a medicament for the treatment of a hypoglycemic condition, e.g., type-2 diabetes.
- GIP/GLP-1 agonist polypeptides provided herein, or compositions thereof can be administered for glycemic control, promoting insulin production, promoting ⁇ -cell mass, promoting weight loss, or reducing excess body weight.
- GIP/GLP-1 agonist polypeptides provided herein, or compositions thereof can be used for treatment of related disorders. Examples of related disorders include without limitation: insulin resistance, glucose intolerance, pre-diabetes, increased fasting glucose, hypertension, dyslipidemia (or a combination of these metabolic risk factors), glucagonomas, cardiovascular diseases such as congestive heart failure, atherosclerosis, arteriosclerosis, coronary heart disease, or peripheral artery disease, stroke, respiratory dysfunction, or renal disease.
- Treatment is an approach for obtaining beneficial or desired clinical results.
- beneficial or desired clinical results from the disclosed GIP/GLP-1 agonist polypeptides include, without limitation, stabilized serum glucose and serum insulin levels, increased ⁇ -cell mass, or amelioration, palliation, stabilization, diminishment of weight gain.
- Treatment refers to both therapeutic treatment and prophylactic or preventative measures in certain aspects. Those in need of treatment include those already with the disorder as well as those in which the disorder is to be prevented. By treatment is meant improved glycemic control in type-2 diabetes, and is not necessarily meant to imply complete cure of the relevant condition.
- the route of administration of GIP/GLP-1 agonist polypeptides provided herein, or compositions thereof can be, for example, oral, parenteral, by inhalation or topical.
- parenteral as used herein includes, e.g., intravenous, intraarterial, intraperitoneal, intramuscular, subcutaneous, rectal, or vaginal administration.
- Another example of a form for administration is a solution for injection, in particular for intravenous or intraarterial injection or drip.
- GIP/GLP-1 agonist polypeptides provided herein, or compositions thereof can be administered as a single dose or as multiple doses.
- a GIP/GLP-1 agonist polypeptide, or a composition thereof is administered orally or by subcutaneous injection.
- Parenteral formulations can be a single bolus dose, an infusion or a loading bolus dose followed with a maintenance dose. These compositions can be administered at specific fixed or variable intervals, e.g., once a day, once a week, or on an "as needed" basis, e.g., based on patient-initiated blood glucose measurements. Dosage regimens also can be adjusted to provide the optimum desired response (e.g., a therapeutic or prophylactic response).
- the amount of a GIP/GLP-1 agonist polypeptide, or a composition thereof, to be administered can be readily determined by one of ordinary skill in the art without undue experimentation given the disclosure herein.
- Factors influencing the mode of administration and the respective amount of a GIP/GLP-1 agonist polypeptide, or a composition thereof include, but are not limited to, the severity of the disease (e.g., the extent of obesity), the subject's history, and the age, height, weight, health, and physical condition of the subject undergoing therapy.
- GIP/GLP-1 agonist polypeptide or a composition thereof, to be administered will be dependent upon the mode of administration and whether the subject will undergo a single dose or multiple doses of this agent.
- GIP/GLP-1 agonist polypeptides provided herein, or compositions thereof can be administered once per day via injection.
- GIP/GLP-1 agonist polypeptides provided herein, or compositions thereof can be administered once per week via injection.
- a GIP/GLP1 agonist polypeptide as provided herein, or a composition thereof can be administered in combination with one or more additional therapies.
- the additional therapy can include one or more existing standard therapies type-2 diabetes or other hypoglycemic condition, or new therapies.
- the one or more additional therapies can include, without limitation, blood sugar monitoring, diet modifications, exercise, insulin, a thiazolidinedione, a sulfonylurea, an incretin, metformin, a glyburide, a dipeptidyl peptidase-4 inhibitor, a bile acid sequestrant, or any combination thereof.
- kits comprising GIP/GLP-1 agonist polypeptides, which can be used to perform the methods described herein.
- a kit comprises a GIP/GLP-1 agonist polypeptide disclosed herein in one or more containers.
- a kit as provided herein can contain additional compositions for combination therapies.
- One skilled in the art will readily recognize that the disclosed GIP/GLP-1 agonist polypeptides can be readily incorporated into one of the established kit formats that are well known in the art.
- Dual-active GIP/GLP-1 agonist polypeptides were prepared according to the following methods.
- GIP/GLP-1 dual agonist peptides were designed from the AID backbone peptides. A combination of rational substitutions and mini-library randomized mutations were made to allow specificity at GLP-lr and GIPr.
- the backbone peptides can be subjected to random mutagenesis, expressed in phage, and selected based on binding to the various receptors.
- peptide-linker-hinge-Fc CH2 and CH3 regions, from either IgGl or IgG4, with various mutations to improve stability and reduce effector function, such as IgGl-TM, or IgGl-FQQ, as described elsewhere herein.
- peptide-linker-hinge-Fc CH2 and CH3 regions, from either IgGl or IgG4, with various mutations to improve stability and reduce effector function, such as IgGl-TM, or IgGl-FQQ, as described elsewhere herein.
- Such a construct will form a dimer through disulfide linkages in the hinge region.
- Various peptide-linker-hinge-Fc combinations were constructed as shown in Table C.
- An exemplary bivalent GIP/GLP-1 agonist polypeptide is shown in FIG. 1.
- Proteins were purified using an automated system by affinity chromatography, where the Fc region of the protein binds to the column matrix. Columns were equilibrated in lx DPBS. Elution of the bound material was performedat low pH.
- Biological activity of peptides in cell-based cAMP activity assay The biological activity of GIP/GLP-1 agonist polypeptides produced by the method of Example 1 were tested for biological activity, e.g., stimulation of one or more cellular receptor responses, by the following methods.
- Stable cell lines expressing human, mouse, or rat GLP-1 receptor (GLP-lr), GIP receptor (GIPr) or glucagon receptor (GCGr) were generated in HEK293 cells or CHO cells by standard methods.
- GIPr and GLP-lr were studied in immortalized rat ⁇ -cell lines (INS- IE or INS-1 832/3). Peptide activation of these various receptors results in downstream production of cAMP second messenger that can be measured in a functional activity assay.
- BSA-based assay medium 0.1% bovine serum albumin (BSA) in Hanks Balanced Salt Solution (GIBCO or Sigma), containing 0.5 mM IBMX (Sigma # 17018);
- the assay can also be carried out in medium supplemented with serum albumin that corresponds to the receptor being tested, e.g., human serum albumin for testing cAMP activity at hGIPr or hGLP-lr, rat serum albumin for testing cAMP activity at rGIPr or rGLP-lr, and so on.
- serum albumin that corresponds to the receptor being tested
- serum albumin e.g., human serum albumin for testing cAMP activity at hGIPr or hGLP-lr
- rat serum albumin for testing cAMP activity at rGIPr or rGLP-lr e.g., human serum albumin for testing cAMP activity at hGIPr or hGLP-lr
- rat serum albumin for testing cAMP activity at rGIPr or rGLP-lr e.g., human serum albumin for testing cAMP activity at hGIPr or hGLP-lr
- BRAVO
- test samples were made directly in 5 assay medium in black shallow- well u-bottom 384-well plate (Corning # 3676) using a non-contact liquid dispenser (ECHOTM, Labcyte). All sample dilutions were made in duplicate.
- a frozen cryo-vial of cells expressing the receptor of interest was thawed rapidly in a water-bath, transferred to pre- warmed assay media and spun at 240xg for 5 minutes. Cells were re-suspended in assay buffer at an optimized concentration (e.g., hGLP- lr and hGIPr cells at 2.0 x 10 5 cells /ml).
- a 5 cell suspension was added to assay plates already containing 5 serially diluted test samples and the plates incubated at room temperature for 30 minutes.
- cAMP levels were measured using a commercially available cAMP dynamic 2 HTRF kit (Cisbio, Cat # 62AM4PEJ), following the two step protocol as per manufacturer's recommendations.
- anti-cAMP cryptate donor fluorophore
- cAMP-d2 acceptor fluorophore
- TrpCage is partly responsible for the extended half-life of Ex-4 compared to GLP-1.
- the effect of TrpCage addition on several peptides was studied (see Table E).
- CD rats were injected subcutaneously at day 0 with 1.5 mg/kg, 1.6 mg/kg, 1.2 mg/kg, or 1.5 mg/kg of IP0201, IP0295, IP0280, and IP0268, respectively.
- the doses were normalized on the rat h-GLP-lr potency. Serum samples were taken over time (6 animals per time point). The serum samples were then measured for activity at the h-GLP-lr by the cAMP assay in HBSS/HEPES 0.1% BSA, as described above. The serum concentrations were calculated from the activity.
- a TrpCage was added to IP0306.
- the AAAGG SGSTA SSGSG SATGG GGAA (SEQ ID NO: 198) linker of IP0306 was also replaced by the AAA GGGGS GGGGS GGGGS GGGGS (SEQ ID NO: 121) linker and the THT motif of the hinge was also removed (see Table F). This generated the sequence IP0573 (SEQ ID NO: 60). These changes improved the in vitro potency of the molecule in the endogenous ⁇ -cell line as shown in Table 4. Table F.
- Example 4 Recombinant GIP/GLP-1 dual agonist peptide Fc fusions analogues 13] Modifications were made to IP0306 to increase the potency in the low expressing cell GIPr cell line (C3), to achieve a more potent and balanced dual agonist. Using a rational design approach, several residues were mutated back to native GIP or Ex-4 sequence (see Table G). Point mutations often did not affect the potencies in the recombinant cell lines. However, when the point mutations are combined (comboOOl l; SEQ ID NO: 67), the potency was improved, especially on GLP-lr (see Table 5). Table G. Native GIP or Ex-4 -based mutations.
- mini-libraries were used to identify novel single point mutations in search of peptides with improved potency. Mini-libraries were cloned, expressed and screened directly from the CHO cell supernatant for the dual agonist IP0281 to increase its cross-reactivity on the recombinant m-GIPr cell line.
- Mini-library X14 was generated using site directed mutagenesis. Two complementary nucleotides were designed and synthesized:
- IP0574 (SEQ ID NO: 61) was further characterized in the mouse and rat GLP-lr and GIPr overexpressing cell lines (see Table 8).
- the peptide moiety portion of the dual-agonist Fc Fusion IP0574 (SEQ ID NO: 61) was subjected to further optimization using mini-libraries.
- a mini-library was constructed of the two consecutive residues XI 6X17 on IP0574 (see Figure 6). The aim of the library was to find a balanced dual agonist (more potent on GIPr and less potent on GLP-lr compared to the parent).
- I16Q17 mutant is less potent than IP0574 but more balanced (see Table 9). It is thus contemplated that in combination with other mutations, 116 might lead to a balanced and potent dual-agonist.
- Example 5 Effect of recombinant fusion linker on potency. 22] It was discovered that the linker influences potency on the low expressing h-GIPr cell line and in the endogenous rat cell lines (see Table 11). Changing the linker can increase the potency 10-fold.
- Example 6 in vivo stability of IP0574 and IP0640.
- IP0574 stability was analyzed in a mouse PK study alongside IP0640 (GIP-TrpCage Fc) and appeared to be more stable.
- Preliminary pharmacokinetics in mouse was examined as follows: C57 B1/6J mice were injected with 3 mg/kg (subcutaneously) with either IP0640 or IP0574, and serum samples were taken over time (3 animals per time point) (see Table 14). The serum samples were then measured for activity at the h-GIPr by the cAMP assay in HBSS/HEPES 0.1% BSA, as described above. The results are shown in Figure 5. The results show that the GIP/GLP-1 agonist polypeptide Fc fusion IP0574 is twice more stable than the GIP-TrpCage Fc fusion IP0640.
- N-a-Fmoc-L-amino acids were purchased from Bachem AG, Switzerland, Iris Biotech AG, Germany or Pharmaron, China, and NovaSyn ® TGR (TentaGel Rink) and NovaSyn® TGA (TentaGel Wang) from Novabiochem, Merck Biosciences, Darmstadt, Germany.
- the following amino acid derivatives were used: Fomc-Asn(Trt)-OH, Fmoc-Gln(Trt)-OH, Fmoc-Trp(Boc)- OH, Fmoc-Lys(Boc)-OH, Fmoc-Ser(tBu)-OH.
- peptides were prepared as C-terminal carboxamides on NovaSyn ® TGR resin (0.24 mmole/g). Fmoc- amino acids were coupled to the resin with aid of HCTU/DIPEA in NMP at ambient temperature, and then the residual free a-amino groups capped with acetic anhydride/pyridine. Fmoc-deprotection was performed using piperidine in DMF (20% v/v) at ambient temperature.
- Peptides were cleaved from the resin using a cocktail consisting of TFA (95% v/v), TIPS (2.5% v/v) and water (2.5% v/v). Subsequently, cleavage solutes were combined, concentrated by rotary evaporation and peptides precipitated with cold diethyl ether and filtered.
- Conjugated molecules were made using site-specific conjugation technology where the synthetic peptide was conjugated to specific cysteines engineered into the Fc.
- the Fc was first reduced (in solution in PBS at 5-10 mg/ml) using tris(2- carboxyethyl)phosphine (TCEP).
- TCEP tris(2- carboxyethyl)phosphine
- the peptide was then added to the de-capped antibody.
- the peptide/Fc solution was incubated at 20 °C for 1 hour and the conjugation reaction was quenched by the addition of N- acetylcysteine (NAC) and subsequent incubation at 20 °C for 15 minutes.
- NAC N- acetylcysteine
- the peptide Fc conjugate was then affinity purified using protein A to separate the Fc from the unconjugated free peptide.
- the positive fractions were combined and buffer exchanged against PBS using dialysis overnight.
- the free synthetic peptides can be more potent than recombinant peptide Fc fusions (e.g., about 5 times more potent on GLP-lr and about 20/30 times more potent on GIPr in vitro; Table 15).
- Palmitoylation at certain positions of the dual-agonist peptides was examined (Table N). Palmitoylation at certain positions, (e.g, 10, 12, 13, 17, 18, 21 and 40) was observed to increase the potency on both receptors (Table 16).
- Analogues of g 1681 were synthesized and tested (Table O and Table 17). Notable analogues included: gl721 (SEQ ID NO: 345), gl722 (SEQ ID NO: 341) and g2029 (SEQ ID NO: 350).
- Unnatural amino acids as described elsewhere herein can be incorporated into an agonist peptide to increase its stability in vivo (e.g., to protect against proteolytic cleavage).
- Table P and Table 18 show representative sequences and functional testing data, respectively.
- L13aMeLeu e.g., gl726; SEQ ID NO: 362.
- F6Nle e.g., g2008; SEQ ID NO: 380
- Sl lAib e.g., g2033; SEQ ID NO: 391. This property could be used to change the balance of GIPr/GLP-lr activation.
- GIP >50700 27 35 22 691 16 gl681 3.0 2 8.0 2 33 2 gl718 25.5 2 19.7 2
- SEQ ID NO: 400 Compound gl736 (lipidation at position 10 and W25aMePhe; SEQ ID NO:393) and compound gl682 (lipidation at C terminus and W25aMePhe; SEQ ID NO: 403) retain high potency and are expected to be more stable in vivo.
- Lipids of different lengths can be attached to the peptides. Maximum activation of GLP- lr was observed with lipids between C16 and Cl l. For GIPr, higher activation was observed as lipid length increased. Table R and Table 20.
- Table S and Table 21 show additional representative example peptide sequences and functional data, respectively, of synthetic peptides having lipidation or PEGylation.
- Lipidated peptides can also be conjugated to a protein using maleimide.
- the precursor peptides retain high potency in vitro as shown in Table U and Table 23.
- Peptides can also be synthesised with lipid that contains a maleimide group. These constructs were observed to generally be less potent (Table W and Table 25)
- Example 11 Endogenous cell lines screen
- the synthetic dual GIP/GLP-1 agonist peptides were observed to be more potent than native GLP-1 in rat beta cells (INS- IE cell line) and have the characteristics of balanced dual agonists.
- Recombinant dual GIP/GLP-1 agonist peptides are almost as potent as native GLP-1, but are not as balanced as the synthetic duals.
- INS- IE rat immortalized pancreatic ⁇ cell line
- INS-IE cells express both GLP-lr and GIPr endogenously.
- the synthetic dual GIP/GLP- 1 peptides were observed to be more potent than GLP-1 native peptide in this cell line (Table Y and Table 27).
- the recombinant peptides combo0099 (SEQ ID NO: 302) and comboOlOl (SEQ ID NO: 303) are only 2 fold less potent than native GLP-1 in INS- IE.
- Knock out cell lines were generated to isolate the response of each receptor to various compounds disclosed herein and to confirm that the dual agonist molecules are balanced.
- Knock out cell lines data shows that the synthetic duals are balanced dual (i.e., similar potency in WT and both KO cell lines), while the recombinant fusions and conjugates tested are more active through GLP-lr activation than GIPr activation (Table Z and Table 28).
- Example 12 In vivo characterization
- Lean C57B1/6J mice were purchased from Jackson Laboratories at 8 weeks of age, maintained on a standard chow diet (LabDiet; #5008) and allowed to acclimatize for at least 1 week prior to glucose tolerance testing and for 2 weeks prior to food intake studies. GLP-1 KO mice have previously been described (Scrocchi, Brown et al., Nature Medicine. 1996). They were also maintained on a standard chow diet (LabDiet; #5008). For DIO mouse studies, lean C57B1/6J mice were purchased from Jackson at 8 weeks of age and placed on a 60% high fat diet (Research Diets, RD12492) for 16-20 weeks prior to the initiation of dosing.
- mice on high fat diet for 12-18 weeks were purchased directly from Jackson laboratories.
- the db/db mice were purchased from Jackson laboratories at 6 weeks of age, maintained on standard chow diet and allowed to acclimatize for 2-3 weeks prior to the initiation of dosing. Prior to all single and repeated dosing studies, mice were sham dosed 3-5 times with saline. ipGTT
- mice were grouped based on body weight and typically fasted for 6 hours prior to intraperitoneal injection of glucose at a dose of 2 g/kg and a dose volume of 5-10 mL/kg. Compounds were dosed subcutaneously at the indicated dose and a dose volume of 5-10 mL/kg either 4 or 24 hours prior to the administration of glucose. Glucose was measured from tail blood at the specified time points using the Bayer Ascensia Breeze 2 blood glucose monitoring system.
- the glucose lowering effect could be caused by GLP-lr and/or GIPr activation.
- GLP-lr knock out mice the glucose lowering effect is mediated through GIPr activation only.
- the recombinant GLP-1 Fc fusion IP118; HGEGTFTSDVSSYLEEQAAKEFIAWLVKGG GGGGGSGGGGSGGGGS AESKYGPPCPPC PAPEAAGGPSVFLFPPKPKDTLMISRTPEV TCVVVDVSQEDPEVQFNWYVDGVEVHNAKTKPREEQFNSTYRVVSVLTVLHQDWLN GKEYKCKVSNKGLPSSIEKTISKAKGQPREPQVYTLPPSQEEMTKNQVSLTCLVKGFYPS DIAVEWESNGQPENNYKTTPPVLDSDGSFFLYSRLTVDKSRWQEGNV
- Example 13 Summary 1] Table AA, Table BB, and Table 29 show a summary of the sequences and results of GLP/GLP-1 agonist polypeptide fusions disclosed herein.
- hGlucagonR hGLP-lR low expressing INS-IE INS1 832/3 hGJPR (Rat ⁇ -Cell) (Rat ⁇ -Cell)
- Table CC and Table 30 show a summary of the sequences and results of GLP/GLP-1 agonist polypeptide conjugates disclosed herein. Table CC.
Landscapes
- Health & Medical Sciences (AREA)
- Life Sciences & Earth Sciences (AREA)
- Chemical & Material Sciences (AREA)
- General Health & Medical Sciences (AREA)
- Medicinal Chemistry (AREA)
- Proteomics, Peptides & Aminoacids (AREA)
- Public Health (AREA)
- Organic Chemistry (AREA)
- Veterinary Medicine (AREA)
- Gastroenterology & Hepatology (AREA)
- Zoology (AREA)
- Pharmacology & Pharmacy (AREA)
- Endocrinology (AREA)
- Epidemiology (AREA)
- Animal Behavior & Ethology (AREA)
- Diabetes (AREA)
- Immunology (AREA)
- Bioinformatics & Cheminformatics (AREA)
- Toxicology (AREA)
- Biochemistry (AREA)
- Biophysics (AREA)
- Genetics & Genomics (AREA)
- Molecular Biology (AREA)
- Engineering & Computer Science (AREA)
- Peptides Or Proteins (AREA)
- Medicines That Contain Protein Lipid Enzymes And Other Medicines (AREA)
Abstract
This disclosure provides GIP/GLP- 1 dual agonist polypeptides, fusion proteins, and synthetic and conjugated proteins for the treatment of hypoglycemic conditions, e.g., type-2 diabetes.
Description
INCRETIN FUSION POLYPEPTIDES
CROSS-REFERENCE AND RELATED APPLICATIONS
[0211] This International Application claims priority from US Provisional Application 62/117,587, filed on 18 February 2015, which is herein incorporated by reference.
BACKGROUND
[0212] Diabetes mellitus type 2 (type-2 diabetes) is characterized by high blood glucose and insulin resistance. Type-2 diabetes makes up about 90% of cases of diabetes. Type-2 diabetes is frequently associated with obesity.
[0213] Incretin hormones, e.g., glucagon and glucagon-like peptide- 1 are hormones that provide glycemic control during digestion. Incretin mimetics are a class of pharmacological agents currently available or in clinical trials for treatment of type-2 diabetes. Incretin mimetics have multiple antihyperglycemic actions that mimic several of the actions of incretin hormones originating in the gut, such as glucagon-like peptide (GLP)-l.
[0214] Glucagon-like peptide- 1 (GLP-1) derives from pre-pro glucagon, a 158 amino acid precursor polypeptide that is processed in different tissues to form a number of different proglucagon-derived peptides, including glucagon, glucagon-like peptide-1 (GLP-1), glucagon- like peptide-2 (GLP-2) and oxyntomodulin (OXM), that are involved in a wide variety of physiological functions, including glucose homeostasis, insulin secretion, gastric emptying, and intestinal growth, as well as the regulation of food intake. GLP-1 is produced as a 37-amino acid peptide that corresponds to amino acids 72 through 108 of proglucagon (92 to 128 of preproglucagon). GLP-1 (7-36) amide or GLP-1 (7-37) acid are biologically active forms of GLP- 1, that demonstrate essentially equivalent activity at the GLP-1 receptor.
[0215] GLP-1 is secreted from gut L cells and binds to the GLP-1 receptor. Its activities include stimulation of insulin synthesis and secretion, inhibition of glucagon secretion, and inhibition of food intake.
[0216] GLP-1 and GLP-1 analogues, acting as agonists at the GLP-1 receptor, have been shown to be effective hypoglycemic control, e.g., type-2 diabetes. Certain GLP-1 analogues are being sold or are in development for treatment of type-2 diabetes including, e.g., liraglutide (Victoza® from Novo Nordisk), dulaglutide (Eli Lilly), Bydureon (AZ/BMS), Aliblutide (GSK) and Exenatide (Byetta® from Eli Lilly/ Amylin).
[0217] Gastric inhibitory peptide, also known as glucose-dependent insulinotropic polypeptide (GIP) is a 42-amino acid peptide hormone secreted from K cells in the intestinal epithelium. GIP secretion is regulated by food intake. GIP is also expressed in pancreatic islet a-cells and promotes insulin secretion. GIP acts at the GIP receptor, and its activities include, without limitation, stimulation of glucose-dependent insulin secretion, an increase in β-cell mass, and a decrease in gastric acid secretion.
[0218] A recent study shows that GLP-1 and GIP, alone or in combination, have shown increased expression of PDX-1, Bcl-2 and insulin in pancreatic islet cells, in both normal subjects and subjects with type-2 diabetes. Lupi et al., (2010) Regulatory peptides 165: 129-132 (2010).
[0219] There remains a need for more agents for effective treatment, including improved incretin mimetics of hypoglycemic conditions such as type-2 diabetes.
SUMMARY
[0220] This disclosure provides an isolated polypeptide comprising the amino acid sequence:
Xi X2 E G X5 X6 X7 S X9 Xio S I L X14 X15 X16 X1 A I X20 X21 F X23 X24 X25 L X27 X28 X29 X30 (SEQ ID NO: 1); wherein Xi is Y or H; X2 is S or G; X5 is T or M; X6 is F or H; X7 is T or I; X9 is D or L; Xio is L or Y; X14 is K, L, or R; X15 is E or D; X16 is R, E, K, or I; X17 is E or Q; X20 is D or E; X21 is E, L, or A; X23 is I, V or A; X24 is A, E, or N; X25 is W, D, E, L, F, I, S, N, G, M, H, K, or R; X27 is L or A; X2g is A, K, or G; X29 is G, Q, or A; and X3o is no amino acid, G, K, A, or E.
[0221] This disclosure also provides for an isolated polypeptide comprising the amino acid sequence:
Xi X2 E G X5 X6 X7 S X9 Xio Xn X12 X13 X14 X15 X½ X17 A I X20 E F V N X25 L X27 X28 X29 X30 (SEQ ID NO: 2); wherein Xi is Y or H; X2 is S or G; X5 is T or M; X6 is F or H; X7 is T or I; X9 is D or L; Xio is L or Y; Xn is S, A, or R, X12 is S, K, I, A, M, or Q; X13 is Y, L, A, or H; X14 is K, L, or R; X15 is E or D; X16 is R, E, K, or I; X17 is E or Q; X20 is D or E; X25 is W, D, E, L, F, I, S, N, G, M, H, K, or R; X27 is L or A; X2g is A, K, or G; X29 is G, Q, or A; and X3o is no amino acid, G, K, A, or E. In certain embodiments of the polypeptide of SEQ ID NO: 2, X12 is I or K. In some embodiments, X12 is I. In some embodiments, X13 is L. In certain embodiments of the
polypeptide of SEQ ID NO: 1 or SEQ ID NO: 2, X10 is L. In some embodiments, X14 is K. In some embodiments, X20 is D.
[0222] This disclosure also provides for an isolated polypeptide comprising the amino acid sequence:
YSEGTFTSDLSILKE X16 X17 AIDEFVNWLLKGG (SEQ ID NO: 461); wherein X16 is I, M, K, S, R, or T and X17 is Q, H, N, K, D or Y.
[0223] In certain embodiments of SEQ ID NO: 461, X16 is M and X17 is H, X16 is K and X17 is N, X16 is S and X17 is Q, or X16 is I and X 17 is K. In certain other embodiments of SEQ ID NO: 461, X16 is I and X17 is Q, X16 is R and X17 is D, or X16 is T and X17 is Y.
[0224] This disclosure also provides for an isolated polypeptide comprising the amino acid sequence:
YSEGTFTSDLSIL X14 ERQAIDEFVNWLLKGG (SEQ ID NO: 3); wherein X14 is L, K, or R.
[0225] In certain embodiments, the isolated polypeptide comprises the amino acid sequence of SEQ ID NO: 276 (combo 0062), SEQ ID NO: 285 (combo 0094), SEQ ID NO: 291 (combo 0095), SEQ ID NO: 295 (combo 0154), SEQ ID NO: 302 (combo 0099), SEQ ID NO: 303 (combo 0101), SEQ ID NO: 304 (combo 0104), SEQ ID NO: 9 (IP0574_pm), SEQ ID NO: 10 (combo0005_pm), and SEQ ID NO: 15 (combo0011_pm).
[0226] This disclosure also provides for an isolated polypeptide comprising the amino acid sequence:
Xi X2 E G X5 X6 X7 S X9 Xio Xn X12 X13 X14 X15 X½ X17 Xis X19 X20 X21 X22 X23 X24 X25 X26 X27 X28 X29 X30 (SEQ ID NO: 459);
wherein Xi is Y or H; X2 is S, G, or an unnatural amino acid; X5 is T or M; X6 is F, H, or an unnatural amino acid; X7 is T or I; X9 is D or L; X10 is L, Y, an unnatural amino acid, or a lipid- modified K ; Xn is S, an unnatural amino acid, or a lipid- modified K; X12 is I, an unnatural amino acid, or a lipid-modified K; X13 is L, an unnatural amino acid, or a lipid-modified K; X14 is K, L, R, Y, M, I, H, A, V, or a lipid-modified K; X15 is E, D, or a lipid-modified K; X16 is R, E, K, I, Y, or a lipid-modified K; X17 is I, E, Q, L, an unnatural amino acid, or a lipid-modified K; X18 is A, an unnatural amino acid, or a lipid-modified K; X19 is I or a lipid-modified K; X2o is D, E, Q, or a lipid-modified K; X21 is E, A, an unnatural amino acid, or a lipid-modified K; X22 is F, an unnatural amino acid, or a lipid-modified K; X23 is I, V, A, or a lipid-modified K; X24 is
A, N, S, a lipid-modified K, or a maleimide-modified K; X25 is W, D, E, L, F, I, S, N, G, M, H, K, R, an unnatural amino acid, or a lipid-modified K; X¾ is L, an unnatural amino acid, or a lipid-modified K; X27 is L, A, V, an unnatural amino acid, or a lipid-modified K; X28 is A, K, G, R, a lipid-modified K, or a maleimide-modified K; X29 is G, Q, A, or a lipid-modified K; and X30 is no amino acid, G, K, A, E, or a lipid-modified K.
[0227] In certain embodiments of SEQ ID NO: 459, X10 is L. In certain embodiments of SEQ ID NO: 459, X14 is R. In certain embodiments of SEQ ID NO: 459, X17 is Q. In certain embodiments of SEQ ID NO: 459, X17 is E. In certain embodiments of SEQ ID NO: 459, X14 is R, and X17 is Q or E. In certain embodiments of SEQ ID NO: 459, X20 is D.
[0228] This disclosure also provides for an isolated polypeptide comprising the amino acid sequence:
Xi X2 E G X5 X6 X7 S X9 X10 X11 X12 X13 X14 X15 X½ X17 Xi8 X19 X20 X21 X22 X23 X24 X25 X26 X27 X28 X29 X30 (SEQ ID NO: 460);
wherein Xi is Y or H; X2 is S, G, or an unnatural amino acid; X5 is T or M; X6 is F, H, or an unnatural amino acid; X7 is T or I; X9 is D or L; X10 is L, Y, an unnatural amino acid, or a lipid- modified K; X11 is S, A, R, an unnatural amino acid, or a lipid-modified K; X12 is S, K, I, A, M, Q, an unnatural amino acid, or a lipid-modified K; X13 is Y, L, A, H, an unnatural amino acid, or a lipid-modified K; X14 is K, L, R, Y, M, I, H, A, V, or a lipid-modified K; X15 is E, D, or a lipid-modified K; X16 is R, E, K, I, Y, or a lipid-modified K; X17 is I, E, Q, L, an unnatural amino acid, or a lipid-modified K; X18 is A, an unnatural amino acid, or a lipid-modified K; X19 is I or a lipid-modified K; X20 is D, E, Q, or a lipid-modified K; X21 is E, an unnatural amino acid, or a lipid-modified K; X22 is F, an unnatural amino acid, or a lipid-modified K; X23 is V or a lipid-modified K; X24 is N, a lipid-modified K, or a maleimide-modified K; X25 is W, D, E, L, F, I, S, N, G, M, H, K, R, an unnatural amino acid, or a lipid-modified K; X¾ is L, an unnatural amino acid, or a lipid-modified K; X27 is L, A, V, an unnatural amino acid, or a lipid-modified K; X28 is A, K, G, R, a lipid-modified K, or a maleimide-modified K; X29 is G, Q, A, or a lipid- modified K; and X3o is no amino acid, G, K, A, E, or a lipid modified K.
[0229] In certain embodiments of SEQ ID NO: 460, X10 is L. In certain embodiments of SEQ ID NO: 460, X12 is I or K. In certain embodiments of SEQ ID NO: 460, X13 is L. In certain embodiments of SEQ ID NO: 460, X14 is R. In certain embodiments of SEQ ID NO: 460, X17 is Q. In certain embodiments of SEQ ID NO: 460, X17 is E. In certain embodiments of SEQ ID NO: 460, X14 is R and X17 is Q or E. In certain embodiments of SEQ ID NO: 460, X20 is D.
[0230] In certain aspects, a polypeptide of SEQ ID NO: 459 or SEQ ID NO: 460 further comprises the amino acid sequence PSSGA PPPX (SEQ ID NO: 477) fused to the C Terminus of the polypeptide, wherein X is no amino acid, any natural amino acid, a lipid-modified K, or a maleimide-modified K. In certain embodiments, X is S (SEQ ID NO: 146) or G (SEQ ID NO: 479).
[0231] In certain aspects, the polypeptide is produced synthetically. In certain embodiments of a polypeptide of SEQ ID NO: 459 or SEQ ID NO: 460, the unnatural amino acid of X2 is Aib. In certain embodiments, the polypeptide further comprises a lipid-modified K at the C terminus of the polypeptide. In certain embodiments, one or two of X10, X12, X13, X14, X17, X18, X2o, X2i, X24, X25, or the C terminus is a lipid-modified K. In certain embodiments, one or two of X10, Xi2, X21, or the C terminus is a lipid-modified K. In certain embodiments, the lipid-modified K comprises a gamma glutamine (γΕ) and/or a PEG4 linker.
[0232] In certain embodiments of a lipid-modified polypeptide, the lipid is selected from the group consisting of a nonanoic (C9), decanoic (CIO), undecanoic (Cl l), lauric (C12), tridecanoic (C13), myristic (C14), pentadecanoic (C15), palmitic (C16), heptadecanoic (C17), stearic (C18), nonadecanoic (C19), and any combination thereof. In certain embodiments, the lipid is selected from the group consisting of a undecanoic (Cl l), lauric (C12), tridecanoic (C13), myristic (C14), pentadecanoic (C15), palmitic (C16) heptadecanoic (C17), stearic (C18), nonadecanoic (CI 9), and any combination thereof. In certain embodiments, the lipid is palmitic (C16). In certain embodiments, the lipid-modified K is K(yE-palm), K(PEG4-palm), or PEG4- K(yE-palm).
[0233] In certain aspects, an unnatural amino acid is selected from the group consisting of Aib, aMeGlu, aMePhe, aMeLeu, Nle, and any combination thereof. In certain embodiments of a polypeptide of SEQ ID NO: 459 or SEQ ID NO: 460, the polypeptide comprises at least 2, at least 3, or at least 4 unnatural amino acids. In certain embodiments, X13 is aMeLeu. In certain embodiments, X6 is Nle, Xn is Aib, X17 is Aib, X18 is Aib, and/or X27 is Nle. In certain embodiments, X13 is a lipid-modified K, X22 is aMePhe, and X25 is aMePhe.
[0234] In certain embodiments, the isolated polypeptide comprises the amino acid sequence of SEQ ID NO: 309 (gl681), SEQ ID NO: 310 (gl711), SEQ ID NO: 311 (gl677), SEQ ID NO: 313 (gl685), SEQ ID NO: 315 (gl734), SEQ ID NO: 378 (gl931), SEQ ID NO: 320 (gl896), SEQ ID NO: 322 (g2017), SEQ ID NO: 323 (gl 897), SEQ ID NO: 324 (g2018), SEQ ID NO: 326 (g2020), SEQ ID NO: 327 (g2021), SEQ ID NO: 328 (g2022), SEQ ID NO: 330 (gl898), SEQ ID NO: 331 (g2024), SEQ ID NO: 334 (gl 899), SEQ ID NO: 335 (g2286), SEQ ID NO:
342 (gl577), SEQ ID NO: 345 (gl721), SEQ ID NO: 346 (gl722), SEQ ID NO: 348 (gl724), SEQ ID NO: 350 (g2029), SEQ ID NO: 359 (gl719), SEQ ID NO: 362 (gl726), SEQ ID NO: 369 (gl891), SEQ ID NO: 371 (gl893), SEQ ID NO: 380 (g2008), SEQ ID NO: 393 (gl736), SEQ ID NO: 400 (g2007), SEQ ID NO: 403 (gl682), SEQ ID NO: 389 (g2028), SEQ ID NO: 411 (g2066), SEQ ID NO: 412 (g2075), SEQ ID NO: 413 (g2067), SEQ ID NO: 414 (g2076), SEQ ID NO: 415 (gl897), SEQ ID NO: 416 (g2077), SEQ ID NO: 417 (g2065), and SEQ ID NO: 418 (g2078). In certain embodiments, the isolated polypeptide comprises the amino acid sequence of SEQ ID NO: 311 (gl677), SEQ ID NO: 345 (gl721), SEQ ID NO: 315 (gl734), SEQ ID NO: 415 (gl897), SEQ ID NO: 331 (g2024), and SEQ ID NO: 350 (g2029).
5] In certain aspects, the polypeptide is a synthetically produced polypeptide conjugated to a heterologous moiety selected from the group consisting of a lipid moiety, an organic polymer, an inorganic polymer, a polyethylene glycol (PEG), biotin, an albumin, a human serum albumin (HSA), a HSA FcRn binding portion, an antibody, a domain of an antibody, an antibody fragment, a single chain antibody, a domain antibody, an albumin binding domain, an enzyme, a ligand, a receptor, a binding peptide, a non-FnIII scaffold, an epitope tag, a recombinant polypeptide polymer, a cytokine, or a combination of two or more of the recited moieties. In cetain embodiments, the heterologous moiety is an Fc domain. In certain embodiments, the synthetically produced polypeptide is conjugated to the Fc domain via a free cysteine. In certain embodiments, the synthetically produced polypeptide is conjugated at position 239C, 268C, or 442C of the Fc domain. In certain embodiments, the synthetically produced polypeptide is conjugated to the Fc domain via a maleimide group. In certain embodiments of the polypeptide of SEQ ID NO: 459 or SEQ ID NO: 460, the polypeptide comprises a maleimide-modified K and in certain embodiments, one of X24, X28, or the C terminus is a maleimide-modified K conjugated to the Fc domain. In certain embodiments, the maleimide-modified K comprises a PEG4 linker. In certain embodiments, the polypeptide is lipidated and is conjugated to the Fc domain. In certain specific embodiments, X24 or the C terminus is a maleimide-modified K conjugated to an Fc domain and Xio is a palmitoylated K. In certain specific embodiments, the C terminus is a maleimide-modified K conjugated to an Fc domain and X12 is a palmitoylated K. In certain specific embodiments, X28 or the C terminus is a maleimide-modified K conjugated to an Fc domain and X13 is a palmitoylated K. In certain specific embodiments, the palmitoylated K is K(yE-palm). In certain other specific embodiments X24 or the C terminus is a maleimide- modified K conjugated to an Fc domain and one of X10, X12, X21, or X24 is K(PEG2-PEG2-stear).
In another specific embodiment, the C terminus is a maleimide-modified K conjugated to an Fc domain and one of X10, X12, or X21, is K(PEG2-PEG2-stear).
[0236] In certain embodiments, the isolated polypeptide comprises the amino acid sequence of SEQ ID NO: 436 (combo0051), SEQ ID NO: 437 (combo0052), SEQ ID NO: 438 (combo077), SEQ ID NO: 439 (combo0112), SEQ ID NO: 443 (combo0211), SEQ ID NO: 444 (combo0212), SEQ ID NO: 445 (combo0213), SEQ ID NO: 446 (combo0214), SEQ ID NO: 447 (combo0215), and SEQ ID NO: 452 (combo0121). In certain embodiments, the isolated polypeptide comprises the amino acid sequence of SEQ ID NO: 437 (combo0052).
[0237] In certain embodiments of any of the above, whether recombinantly produced or synthetically produced, the polypeptide can further comprise a heterologous moiety attached thereto. In certain embodiments, the heterologous moiety comprises a heterologous polypeptide that is fused thereto via a peptide bond. In certain embodiments, the heterologous polypeptide comprises a linker, a hinge, an Fc domain, or a combination thereof.
[0238] In certain aspects, the linker comprises (GGGGS)n, wherein n is 1, 2, 3, 4, 5, 6, 7, or 8.
In certain embodiments, the linker comprises the amino acid sequence: G GGGGS GGGGS GGGGS GGGGS A (SEQ ID NO: 111), A PPGGS GGGGS GGGGS GGGGS A (SEQ ID NO: 112), GT GGGGS GGGGS GGGGS GGGGS A (SEQ ID NO: 113), G GGGGS GGGGS GGGGS GGGGS A (SEQ ID NO: 114), G GGGGS A (SEQ ID NO: 115), G GGGGS GGGGS A (SEQ ID NO: 116), G GGGGS GGGGS GGGGS A (SEQ ID NO: 117), G KGGGS GGGGS GGGGS GGGGS A (SEQ ID NO: 118), G GGGGS GGGGS GGGGS GGGGS A (SEQ ID NO: 119), G GGGG GGGG GGGG GGGG A (SEQ ID NO: 120), GG SGSTA SSGSG SATGG GGAA (SEQ ID NO: 197), AAAGG SGSTA SSGSG SATGG GGAA (SEQ ID NO: 198), APPGG SGSTA SSGSG SATGG GGAA (SEQ ID NO: 199), AAA GGGGS GGGGS GGGGS GGGGS (SEQ ID NO: 121), AAA PAPAP APAPA PAPAP APAPA G (SEQ ID NO: 122), AAA GKGKG KGKGK GKGKG KGKGK G (SEQ ID NO: 123), AAA GGKGG GGKGG GGKGG GGKGG G (SEQ ID NO: 474), AAA PKPAP KPAPK PAPKP APKPA G (SEQ ID NO: 475), a variant thereof, a fragment thereof, or a combination thereof. In certain embodiments, the linker comprises AAA GGGGS GGGGS GGGGS GGGGS (SEQ ID NO: 121), AAA PAPAP APAPA PAPAP APAPA G (SEQ ID NO: 122), AAA GGKGG GGKGG GGKGG GGKGG G (SEQ ID NO: 474), AAA GKGKG KGKGK GKGKG KGKGK G (SEQ ID NO: 123), any variant thereof, or any fragment thereof. In certain embodiments, the linker comprises AAA GGGGS GGGGS GGGGS GGGGS (SEQ ID NO: 121). In certain embodiments, the linker comprises (PA)n and wherein n is between 1 and 20. In certain
embodiments, n is between 5 and 15. In certain embodiments, the linker comprises AAA PAPAP APAPA PAPAP APAPA G (SEQ ID NO: 122).
[0239] In certain aspects, the hinge comprises an amino acid sequence of an IgGl hinge, an IgG4 hinge, a fragment thereof, a variant thereof, or any combination thereof. In certain embodiments, the hinge comprises ESKYGPPCPPCPAPEAA (SEQ ID NO: 124), THTCPPCPAPEF (SEQ ID NO: 125), THTCPPC (SEQ ID NO: 126), CPPCPAPEF (SEQ ID NO: 127), TYTCPPCPAPEF (SEQ ID NO: 128), TSTCPPCPAPEF (SEQ ID NO: 129), PPCPPCPAPEF (SEQ ID NO: 130), ESKYGPPCPPCPAPEF (SEQ ID NO: 131), APEF (SEQ ID NO: 132), ESKYGPPCPPC (SEQ ID NO: 133), THTCPPCPAPELL (SEQ ID NO: 134), CPPC (SEQ ID NO: 135), any variant thereof, any fragment thereof, or any combination thereof. In certain embodiments, the hinge comprises CPPC (SEQ ID NO: 135).
[0240] In certain aspects, the Fc region comprises an IgGl Fc region, an IgGl-TM Fc region, an IgGl-TM (ΔΚ) Fc region, an IgGl-FQQ Fc region, an IgG4 Fc region, an IgGl-YTE Fc region, any fragment thereof, any variant thereof, or any combination thereof.
[0241] In certain aspects, the polypeptide comprises a TrpCage sequence. Non-limiting examples include the amino acid sequences PSSGA PPG (SEQ ID NO: 138), PSSGA PPPGE G (SEQ ID NO: 139), PSSGA PPEGG (SEQ ID NO: 140), PSSGA PPCS (SEQ ID NO: 141), PSSGA PPPSC (SEQ ID NO: 142), PGGGA PPPGC (SEQ ID NO: 143), PSSGR PPPS (SEQ ID NO: 145), PSSGA PPPX, wherein X is no amino acid, any natural amino acid, a lipid- modified K, or a maleimide-modified K (SEQ ID NO: 477), any fragment thereof, any variant thereof, or any combination thereof. In certain aspects, the TrpCage sequence is PSSGA PPPS (SEQ ID NO: 146) or PSSGA PPPG (SEQ ID NO: 479).
[0242] In certain embodiments, the isolated polypeptide comprises the amino acid sequence of SEQ ID NO: 302 (combo0099), SEQ ID NO: 303 (comboOlOl), SEQ ID NO: 304 (combo0104), SEQ ID NO: 295 (combo0154), SEQ ID NO: 299 (combo0102), SEQ ID NO: 300 (combo0105), SEQ ID NO: 291 (combo0095), SEQ ID NO: 285 (combo0094), SEQ ID NO: 61 (IP0574), SEQ ID NO: 62 (combo0005), SEQ ID NO: 67 (comboOOl l), SEQ ID NO: 108 (IP0644), SEQ ID NO: 109 (IP0646), and SEQ ID NO: 110 (combo0062). In certain embodiments, the isolated polypeptide comprises the amino acid sequence of SEQ ID NO: 302 (combo0099) and SEQ ID NO: 303 (comboOlOl).
[0243] In certain embodiments, the heterologous moiety is a lipid moiety, an organic polymer, an inorganic polymer, a polyethylene glycol (PEG), biotin, an albumin, a human serum albumin (HSA), a HSA FcRn binding portion, an antibody, a domain of an antibody, an antibody
fragment, a single chain antibody, a domain antibody, an albumin binding domain, an enzyme, a ligand, a receptor, a binding peptide, a non-FnIII scaffold, an epitope tag, a recombinant polypeptide polymer, a cytokine, or a combination of two or more of the recited moieties. In certain embodiments, the heterologous moiety is polyethylene glycol (PEG). In certain embodiments, the heterologous moiety is a lipid moiety. In certain embodiments, the heterologous moiety comprises a polyethylene glycol (PEG) attached to a lipid moiety. In certain embodiments, the heterologous moiety is attached via a lysine or a cysteine residue.
[0244] In certain aspects, a polypeptide as provided herein can bind to a GIP receptor, bind to a GLP-1 receptor, or bind to both a GIP receptor and a GLP-1 receptor. In certain embodiments, the polypeptide binds to a GIP receptor. In certain embodiments, the GIP receptor is a mouse GIP receptor, a rat GIP receptor, a non-human primate GIP receptor, or a human GIP receptor. In certain embodiments, the polypeptide binds to a GLP-1 receptor. In certain embodiments, the GLP-1 receptor is a mouse GLP-1 receptor, a rat GLP-1 receptor, a non-human primate GLP-1 receptor, or a human GLP-1 receptor. In certain embodiments, the polypeptide is an agonist of a GLP-1 receptor, an agonist of a GIP receptor, or an agonist of both a GLP-1 and a GIP receptor. In certain embodiments, the polypeptide is an agonist of a human GIP or GLP-1 receptor with an EC50 in the cAMP assay 1 of less than 10,000 pM, less than 5000 pM, less than 2500 pM, less than 1000 pM, less than 900 pM, less than 800 pM, less than 700 pM, less than 600 pM, less than 500 pM, less than 400 pM, less than 300 pM, less than 200 pM, less than 100 pM, less than 50 pM, less than 25 pM, less than 20 pM, less than 15 pM, less than 10 pM, less than 5 pM, less than 4 pM, less than 3 pM, less than 2 pM, or less than 1 pM. In certain embodiments, the polypeptide is an agonist of a human glucagon receptor with at least 1000-fold lower affinity than its binding affinity for a human GIP or GLP-1 receptor, as measured in the cAMP assay.
[0245] In certain aspects, a polypeptide as provided herein can bind to a rat endogenous cell line INS-IE, with an EC50 in the cAMP assay 1 of less than 25,000 pM, less than 5000 pM, less than 2500 pM, less than 1000 pM, less than 900 pM, less than 800 pM, less than 700 pM, less than 600 pM, less than 500 pM, less than 400 pM, less than 300 pM, less than 200 pM, less than 100 pM, less than 50 pM, less than 25 pM, less than 20 pM, less than 15 pM, less than 10 pM, or less than 5 pM.
[0246] In certain aspects, a polypeptide as provided herein is an agonist in both a knock out GLP-lr cell line and a knock out GIPr cell line, with an EC50 in the cAMP assay 1 of less than 350,000 pM, less than 100,000 pM, less than 10,000 pM, less than 5000 pM, less than 2500 pM, less than 1000 pM, less than 900 pM, less than 800 pM, less than 700 pM, less than 600 pM, less
than 500 pM, less than 400 pM, less than 300 pM, less than 200 pM, less than 100 pM, less than 50 pM, less than 25 pM, less than 20 pM, less than 15 pM, less than 10 pM, or less than 5 pM.
[0247] Certain aspects provide for an isolated polynucleotide encoding any of the above polypeptides, a vector comprising the polynucleotide, and a host cell comprising the polynucleotide or the vector. Certain aspects provide for a method of making the polypeptide, comprising culturing the host cell under conditions allowing expression of the polypeptide, and recovering the polypeptide.
[0248] Certain aspects provide for a pharmaceutical composition comprising any of the above polypeptides, and a carrier. And, certain aspects provide for a kit comprising the composition.
[0249] Certain aspects provide for a method of treating or preventing a disease or condition caused or characterized by hypoglycemia or impaired insulin release, comprising administering to a subject in need of treatment an effective amount of a polypeptide or composition described herein. In certain embodiments, the disease or condition is diabetes. In certain embodiments, the disease or condition is type-2 diabetes. In certain embodiments, the administration further improves glycemic control, provides body weight control, improves β-cell function and mass, reduces the rate of gastric acid secretion and gastric emptying, or any combination thereof. In certain embodiments, the polypeptide or composition is administered orally or by injection. In certain embodiments, the injection is administered subcutaneously or intravenously. In certain embodiments, the polypeptide or composition is administered once per week. In certain embodiments, the polypeptide or composition is administered once per day. In certain embodiments, the method of treating or preventing further comprises administering one or more additional therapies. In certain embodiments, the additional therapy comprises blood sugar monitoring, diet modifications, exercise, insulin, a thiazolidinedione, a sulfonylurea, an incretin, metformin, a glyburide, a dipeptidyl peptidase 4 inhibitor, a bile acid sequestrant, or any combination thereof. In certain embodiments, the subject is human.
BRIEF DESCRIPTION OF THE DRAWINGS/FIGURES
[0250] FIGURE 1 shows the structure of an exemplary GIP/GLP-1 agonist polypeptide as provided herein.
[0251] FIGURE 2 shows an alignment of various incretin peptides.
[0252] FIGURE 3 shows the effect of the TrpCage on body weight reduction in lean rats.
[0253] FIGURE 4 is a representation of the results mini-library of X14 (based on IP0281).
[0254] FIGURE 5 shows the results of a lean mice PK study on the IP0574 (SEQ ID NO: 61) and
IP0640 (SEQ ID NO: 220).
[0255] FIGURE 6 is a representation of the results of mini-library X16X17 (based on IP0574).
[0256] FIGURE 7A shows the results of an ipGTT in lean mice with certain agonist polypeptides disclosed herein (blood glucose).
[0257] FIGURE 7B shows the results of an ipGTT in lean mice with certain agonist polypeptides disclosed herein (blood glucose AUC).
[0258] FIGURE 8A shows the results of an ipGTT in wild type mice with certain agonist polypeptides disclosed herein (blood glucose).
[0259] FIGURE 8B shows the results of an ipGTT in GLP-lr knock out mice with certain agonist polypeptides disclosed herein (blood glucose)
[0260] FIGURE 8C shows the results of an ipGTT in wild type mice with certain agonist polypeptides disclosed herein (blood glucose AUC).
[0261] FIGURE 8D shows the results of an ipGTT in GLP-lr knock out mice with certain agonist polypeptides disclosed herein (blood glucose AUC).
[0262] FIGURE 9 illustrates various representative examples of lipids, lipid moieties, and linkers.
DETAILED DESCRIPTION
Definitions
[0263] Throughout this disclosure, the term "a" or "an" entity refers to one or more of that entity; for example, "a polynucleotide," is understood to represent one or more polynucleotides. As such, the terms "a" (or "an"), "one or more," and "at least one" can be used interchangeably herein.
[0264] Furthermore, "and/or" where used herein is to be taken as specific disclosure of each of the two specified features or components with or without the other. Thus, the term "and/or" as used in a phrase such as "A and/or B" herein is intended to include "A and B," "A or B," "A" (alone), and "B" (alone). Likewise, the term "and/or" as used in a phrase such as "A, B, and/or C" is intended to encompass each of the following aspects: A, B, and C; A, B, or C; A or C; A or B; B or C; A and C; A and B; B and C; A (alone); B (alone); and C (alone).
[0265] It is understood that wherever aspects are described herein with the language "comprising," otherwise analogous aspects described in terms of "consisting of" and/or "consisting essentially of" are also provided.
[0266] Unless defined otherwise, all technical and scientific terms used herein have the same meaning as commonly understood by one of ordinary skill in the art to whom this disclosure is directed. For example, the Concise Dictionary of Biomedicine and Molecular Biology, Juo, Pei- Show, 2nd ed., 2002, CRC Press; The Dictionary of Cell and Molecular Biology, 3rd ed., 1999, Academic Press; and the Oxford Dictionary Of Biochemistry And Molecular Biology, Revised, 2000, Oxford University Press, provide one of skill with a general dictionary of many of the terms used in this disclosure.
[0267] Units, prefixes, and symbols are denoted in their Systeme International de Unites (SI) accepted form. Numeric ranges are inclusive of the numbers defining the range. Unless otherwise indicated, amino acid sequences are written left to right in amino to carboxy orientation.
[0268] The headings provided herein are not limitations of the various aspects of the disclosure, which can be had by reference to the specification as a whole. Accordingly, the terms defined immediately below are more fully defined by reference to the specification in its entirety.
[0269] As used herein, the term "polypeptide" is intended to encompass a singular "polypeptide" as well as plural "polypeptides," and comprises any chain or chains of two or more amino acids produced by any means. Thus, as used herein, a "peptide," a "peptide subunit," a "protein," an "amino acid chain," an "amino acid sequence," or any other term used to refer to a chain or chains of two or more amino acids, are included in the definition of a "polypeptide," even though each of these terms can have a more specific meaning. The term "polypeptide" can be used instead of, or interchangeably with any of these terms. These terms also apply to amino acid polymers in which one or more amino acid residues is an artificial chemical mimetic of a corresponding naturally occurring amino acid, as well as to naturally occurring amino acid polymers and non-naturally occurring amino acid polymers. The term further includes polypeptides that have undergone post-translational or post-synthesis modifications, for example, glycosylation, acetylation, phosphorylation, amidation, derivatization by known protecting/blocking groups, proteolytic cleavage, and/or modification by unnatural amino acids.
[0270] More specifically, the term "polypeptide" as used herein encompasses full length peptides and fragments, variants or derivatives thereof, e.g., a GIP/GLP-1 agonist polypeptide (e.g., 29, 30, or 31 amino acids in length). A "polypeptide" as disclosed herein, e.g., a GIP/GLP- 1 agonist polypeptide, can comprise a recombinant fusion polypeptide or a synthetic conjugated polypeptide comprising one or more additional components such as, e.g., a linker, a hinge, an Fc domain or an albumin domain, to increase half-life, impart flexibility, allow for dimerization or
other desired properties. A polypeptide as described herein can also be derivatized in a number of different ways. Chemical modifications intended to improve metabolic stability of peptides can involve additional chemical manipulation following synthesis of the main peptide chain. Examples of manipulation include lipidation and/or PEGylation.
[0271] A polypeptide as provided herein can be multimeric. As used herein, the terms "multimer," "multimeric" and "multivalent" refer to a molecule, e.g., a GIP/GLP-1 agonist polypeptide that comprises at least GIP/GLP-1 agonist polypeptides in association. The multimer, e.g., a dimer, trimer, tetramer, or larger polypeptide, can be linked through disulfide bonds, hydrogen bonds, or other covalent or non-covalent linkages. Figure 1.
[0272] The terms "fragment," "analogue," "derivative," and "variant" when referring to a GIP/GLP-1 agonist polypeptide includes any polypeptide that retains at least some desirable activity, e.g., binding to GIP and/or GLP-1 receptors. Fragments of GIP/GLP-1 agonist polypeptides provided herein include proteolytic fragments and deletion fragments that exhibit desirable properties during expression, purification, and or administration to a subject.
[0273] The terms "variant" and "analogue" as used herein, can refer to a polypeptide that differs from a reference polypeptide due to amino acid substitutions, deletions, insertions, and/or modifications. Variants can be produced using art-known mutagenesis techniques. Variants can also, or alternatively, contain other modifications-for example a polypeptide can be fused or conjugated to a heterologous amino acid sequence or other moiety, e.g., for increasing half-life, solubility, or stability. Examples of moieties to be conjugated or fused to a polypeptide provided herein include, but are not limited to a linker, a hinge, albumin, an immunoglobulin Fc region, polyethylene glycol (PEG), and the like. The polypeptide can also be produced coupled to an element for ease of synthesis, purification or identification of the polypeptide (e.g., 6-His), or to enhance binding of the polypeptide to a solid support.
[0274] Both the terms "synthetically produced peptide" and "synthetic peptide" as used interchangeably herein, refer to a polymer of amino acid residues that has been generated by chemically coupling a carboxyl group or C-terminus of one amino acid to an amino group or N- terminus of another. Chemical peptide synthesis typically starts at the C-terminus of the peptide and ends at the N-terminus and various methods for generating synthetic peptides are well known in the art. Synthetically produced peptides described herein can be of any length, e.g., any number of amino acids in length, e.g., about 5 amino acids to about 200 amino acids in length, about 10 amino acids to about 150 amino acids in length, about 20 amino acids to about 100 amino acids in length, about 30 amino acids to about 75 amino acids in length, or about 20
amino acids, about 30 amino acids, about 40 amino acids, about 50 amino acids, about 60 amino acids, about 70 amino acids, about 80 amino acids, about 90 amino acids, or about 100 amino acids in length.
[0275] The term "amino acid" refers to naturally occurring and unnatural amino acids (also referred to herein as "non-naturally occurring amino acids"), e.g., amino acid analogues and amino acid mimetics that function similarly to the naturally occurring amino acids. Naturally occurring amino acids are those encoded by the genetic code, as well as those amino acids that are later modified, e.g., hydroxyproline, gamma-carboxyglutamate, and O-phosphoserine. Amino acid analogues refer to compounds that have the same basic chemical structure as a naturally occurring amino acid, e.g., an alpha carbon that is bound to a hydrogen, a carboxyl group, an amino group, and an R group, e.g., homoserine, norleucine, methionine sulfoxide, methionine methyl sulfonium. Such analogues can have modified R groups (e.g., norleucine) or modified peptide backbones, but retain the same basic chemical structure as a naturally occurring amino acid. Amino acid mimetics refer to chemical compounds that have a structure that is different from the general chemical structure of an amino acid, but that function similarly to a naturally occurring amino acid. The terms "amino acid" and "amino acid residue" are used interchangeably throughout. Substitution refers to the replacement of a naturally occurring amino acid either with another naturally occurring amino acid or with an unnatural amino acid. For example, during chemical synthesis of a synthetic peptide, the native amino acid can be readily replaced by an unnatural amino acid or another naturally occurring amino acid.
[0276] The terms "lipid-modified amino acid" and "lipidated amino acid" are used interchangeably herein, and refer to an amino acid, typically a lysine (K) or cysteine (C), which has a lipid or lipid moiety attached. The terms "lipidated polypeptide," "lipid-modified polypeptide," "lipoprotein," and the like refer to a peptide or polypeptide that includes one or more lipid-modified amino acids. Figure 9 illustrates various representative examples of lipids, lipid moieties, and linkers. In certain embodiments, a lipidated polypeptide comprises one or more, e.g., one or two, attached lipids or lipid moieties.
[0277] The term "maleimide-modified amino acid," refers to an amino acid, typically a lysine (K) or cysteine (C), which has a maleimide group attached. The attachment may be direct or through a linker such as PEG4. In certain embodiments, a "maleimide-modified amino acid" is also a "lipid-modified amino acid," such as where a lipid or lipid moiety is attached to the amino acid or attached to the amino acid via a linker and the maleimide group is indirectly attached to the amino acid via the lipid. The terms "maleimide-modified polypeptide," "maleimide
polypeptide," and the like refer to a peptide or polypeptide that includes one or more maleimide- modified amino acids. In certain embodiments, a maleimide-modified amino acid is used to conjugate an agonist polypeptide to another protein.
[0278] The term "sequence identity" as used herein refers to a relationship between two or more polynucleotide sequences or between two or more polypeptide sequences. When a position in one sequence is occupied by the same nucleic acid base or amino acid in the corresponding position of the comparator sequence, the sequences are said to be "identical" at that position. The percentage "sequence identity" is calculated by determining the number of positions at which the identical nucleic acid base or amino acid occurs in both sequences to yield the number of "identical" positions. The number of "identical" positions is then divided by the total number of positions in the comparison window and multiplied by 100 to yield the percentage of "sequence identity." Percentage of "sequence identity" is determined by comparing two optimally aligned sequences over a comparison window. In order to optimally align sequences for comparison, the portion of a polynucleotide or polypeptide sequence in the comparison window can comprise additions or deletions termed gaps while the reference sequence is kept constant. An optimal alignment is that alignment that, even with gaps, produces the greatest possible number of "identical" positions between the reference and comparator sequences. Percentage "sequence identity" between two sequences can be determined using the version of the program "BLAST 2 Sequences" that was available from the National Center for Biotechnology Information as of September 1, 2004, which program incorporates the programs BLASTN (for nucleotide sequence comparison) and BLASTP (for polypeptide sequence comparison), which programs are based on the algorithm of Karlin and Altschul (Proc. Natl. Acad. Sci. USA 90(12):5873- 5877, 1993). When utilizing "BLAST 2 Sequences," parameters that were default parameters as of September 1, 2004, can be used for word size (3), open gap penalty (11), extension gap penalty (1), gap drop-off (50), expect value (10), and any other required parameter including but not limited to matrix option.
[0279] The terms "polynucleotide" and "nucleotide" as used herein are intended to encompass a singular nucleic acid as well as plural nucleic acids, and refers to an isolated nucleic acid molecule or construct, e.g., messenger RNA (mRNA) or plasmid DNA (pDNA). In certain aspects, a polynucleotide comprises a conventional phosphodiester bond or a non-conventional bond (e.g., an amide bond, such as found in peptide nucleic acids (PNA)).
[0280] The term "nucleic acid" refers to any one or more nucleic acid segments, e.g., DNA or RNA fragments, present in a polynucleotide. When applied to a nucleic acid or polynucleotide,
the term "isolated" refers to a nucleic acid molecule, DNA or RNA that has been removed from its native environment, for example, a recombinant polynucleotide encoding an polypeptide comprising a variant Fc domain contained in a vector is considered isolated for the purposes of the present disclosure. Further examples of an isolated polynucleotide include recombinant polynucleotides maintained in heterologous host cells or purified (partially or substantially) from other polynucleotides in a solution. Isolated RNA molecules include in vivo or in vitro RNA transcripts of polynucleotides of the present disclosure. Isolated polynucleotides or nucleic acids according to the present disclosure further include such molecules produced synthetically. In addition, a polynucleotide or a nucleic acid can include regulatory elements such as promoters, enhancers, ribosome binding sites, or transcription termination signals.
[0281] The term "vector" means a construct that is capable of delivering, and in some aspects, expressing, one or more gene(s) or sequence(s) of interest in a host cell. Examples of vectors include, but are not limited to, viral vectors, naked DNA or RNA expression vectors, plasmid, cosmid or phage vectors, DNA or RNA expression vectors associated with cationic condensing agents, DNA or RNA expression vectors encapsulated in liposomes, and certain eukaryotic cells, such as producer cells.
[0282] As used herein, the term "host cell" refers to a cell or a population of cells harboring or capable of harboring a recombinant nucleic acid. Host cells can be a prokaryotic cells (e.g., E. coli), or alternatively, the host cells can be eukaryotic, for example, fungal cells (e.g., yeast cells such as Saccharomyces cerevisiae, Pichia pastoris, or Schizosaccharomyces pombe), and various animal cells, such as insect cells (e.g., Sf-9) or mammalian cells (e.g., HEK293F, CHO, COS-7, NIH-3T3).
[0283] The terms "composition" and "pharmaceutical composition" refer to compositions containing a polypeptide comprising a GIP/GLP-1 agonist polypeptide provided herein, along with e.g., pharmaceutically acceptable carriers, excipients, or diluents for administration to a subject in need of treatment, e.g., a human subject being treated for a hypoglycemic condition, e.g., type-2 diabetes.
[0284] The term "pharmaceutically acceptable" refers to compositions that are, within the scope of sound medical judgment, suitable for contact with the tissues of human beings and animals without excessive toxicity or other complications commensurate with a reasonable benefit/risk ratio.
[0285] An "effective amount" is that amount of a polypeptide comprising a GIP/GLP-1 agonist polypeptide provided herein, the administration of which to a subject, either in a single dose or
as part of a series, is effective for treatment, e.g., treatment of type-2 diabetes. An amount is effective, for example, when its administration results in one or more of prevention or modulation of hyperglycemia, promotion of insulin synthesis, an increase in β-cell mass, weight loss or weight maintenance (e.g., prevention of weight gain), reduction in food intake, modulation of gastric acid secretion, or modulation of gastric emptying. This amount can be a fixed dose for subjects being treated, or can vary depending upon the weight, health, and physical condition of the subject to be treated, the extent of glycemic control desired, the formulation of polypeptide, a professional assessment of the medical situation, and other relevant factors.
[0286] The term "subject" is meant any subject, particularly a mammalian subject, in need of treatment with a GIP/GLP-1 agonist polypeptide provided herein. Mammalian subjects include, but are not limited to, humans, dogs, cats, guinea pigs, rabbits, rats, mice, horses, cattle, bears, cows, apes, monkeys, orangutans, and chimpanzees, and so on. In one aspect, the subject is a human subject.
[0287] As used herein, a "subject in need thereof" refers to an individual for whom it is desirable to treat, e.g., a subject diagnosed with a hypoglycemic condition, e.g., type-2 diabetes, or a subject prone to contract a hypoglycemic condition, e.g., type-2 diabetes.
[0288] As used herein a "GIP/GLP-1 agonist polypeptide" is a chimeric polypeptide that exhibits activity at the GIP receptor of at least about 1%, 5%, 10%, 20%, 30%, 40%, 50%, 60%, 70%, 80%, 90%, 95%, 99%, 100%, or more relative to native GIP and also exhibits activity at the GLP-1 receptor of about at least about 1%, 5%, 10%, 20%, 30%, 40%, 50%, 60%, 70%, 80%, 90%, 95%, 99%, 100%, or more relative to native GLP-1, under conditions provided elsewhere herein, e.g., the cAMP assay performed in Hanks Balanced Salt Solution supplemented with bovine serum albumin ("BSA-cAMP assay"), described in Example 2.
[0289] As used herein the term "native GIP" refers to naturally-occurring GIP, e.g., human GIP (i.e., GIPi_42), comprising the sequence of SEQ ID NO: 6, or an active fragment thereof. The term "native GLP-1 " refers to naturally-occurring GLP-1, e.g., human GLP-1, and is a generic term that encompasses, e.g., GLP-1 (7-36) amide (SEQ ID NO: 4), or active fragments thereof, or a mixture of those two compounds. As used herein, a general reference to "GIP" or "GLP-1" in the absence of any further designation is intended to mean native human GIP or native human GLP-1, respectively. Unless otherwise indicated, "GIP" refers to human GIP, and "GLP-1 " refers to human GLP- 1.
[0290] As used herein, the term "TrpCage" refers to the native extension of the peptide Exendin-4, which is 9 amino acids long and folds back on W25. Without being bound by theory, it is believed to protect the peptide from proteolysis. Exemplary examples of TrpCage sequences and TrpCage related and/or derived sequences include, but are not limited to, PSSGA PPG (SEQ ID NO: 138), PSSGA PPPGE G (SEQ ID NO: 139), PSSGA PPEGG (SEQ ID NO: 140), PSSGA PPCS (SEQ ID NO: 141), PSSGA PPPSC (SEQ ID NO: 142), PGGGA PPPGC (SEQ ID NO: 143), PSSGR PPPS (SEQ ID NO: 145), PSSGA PPPX wherein X can be no amino acid or any natural amino acid (SEQ ID NO: 476) or PSSGA PPPX wherein X can also be a lipid- modified K or maleimide-modified K (SEQ ID NO: 477), PSSGA PPPS (SEQ ID NO: 146), and PSSGA PPPG (SEQ ID NO: 479).
GIP/GLP-1 agonist polypeptides
[0291] Provided herein are polypeptides that bind both to a GIP receptor and to a GLP-1 receptor. In certain aspects, the peptides provided herein are dual-agonists of GIP and GLP-1 activity. Such peptides are referred to herein as GIP/GLP-1 agonist polypeptides. GIP/GLP-1 agonist polypeptides as provided herein possess GLP-1 and GIP activities with favorable ratios to promote enhanced control of a hypoglycemic condition, e.g., type-2 diabetes. Polypeptides as provide herein can promote one or more of glycemic control, increased insulin production, decreased glucagon production, increased β-cell mass, or decreased body fat. Polypeptides provided herein can further possess optimized solubility, formulatability, and stability. In certain aspects, GIP/GLP-1 agonist polypeptides as provided herein are active at the human GLP-1 and human GIP receptors. In certain aspects, GIP/GLP-1 agonist polypeptides as provided herein are also active at rodent GLP-1 and rodent GIP receptors, e.g., rat or mouse GLP-1 receptor or rat or mouse GIP receptor. In certain aspects, GIP/GLP-1 agonist polypeptides as provided herein are also active at non-human primate GLP-1 and GIP receptors, e.g., cynomolgus monkey GLP-1 and GIP receptors.
[0292] Certain GIP/GLP-1 agonist peptides provided herein are fusion proteins or conjugated proteins comprising a GIP/GLP-1 -like peptide domain, and one or more additional domains including, but not limited to one or more of a linker, a hinge, or an Fc domain. Suitable linkers, hinges, and Fc domains are described elsewhere in this disclosure. Additional linkers, hinges, and Fc domains are well-known to those of ordinary skill in the art and can be incorporated into GIP-GLP-1 agonist polypeptides as described herein, and tested for potency, activity, and
efficacy in treating hypoglycemic conditions, e.g., type-2 diabetes without undue experimentation according to the methods provided herein.
[0293] Certain GIP/GLP-1 agonist peptides provided herein represent an optimized family of dual agonists that exhibit improved potency in recombinant over-expressing human GIP receptor (hGIPr) and human GLP-1 receptor (hGLP-lr) cell lines, as well as in the rat endogenous β-cell line INS- IE, which expresses both GIPr and GLP-lr. Further, it has been discovered that for certain GIP/GLP-1 agonist peptides, their half-life can be extended by the addition of an Fc domain.
[0294] In one aspect, this disclosure provides a GIP/GLP-1 agonist polypeptide comprising a peptide sequence derived from the "AID" peptide. The AID peptide was selected from a phage display library of peptides based on GLP-1, by binding to GLP-lr and GIPr and confirmed in a cAMP selectivity assay. AID has 7 amino acid substitutions relative to human GLP-1 (1-29).
[0295] Representative examples of AID-related GIP/GLP-1 agonist polypeptides amino acid sequences are listed in Table A.
Table A. GIP/GLP-1 Agonist Peptides based on "AID"
Peptide SEQ ID NO
HGEGT FTSDV SSYME RQAID EFIAW LLAG 148
HGEGT FTSDV SSYME RQAID EFIAW LLKGG 149
YSEGT FTSDV SSYME RQAID EFIAW LLAG 150
YSEGT FTSDV SSYME RQAID EFIAW LLKGG 151
YSEGT FTSDY SSYME RQAID EFIAW LLKGG 152
YSEGT FTSDV SKLLE RQAID EFIAW LLKGG 153
YSEGT FTSDV SIAMD RQAID EFIAW LLKGG 154
YSEGT FTSDV SSYME EEAID EFIAW LLKGG 155
YSEGT FTSDV SSYME RQAID EFVND LLKGG 156
YSEGT FTSDV SSYME RQAID EFIAW LLGGG 157
YSEGT FTSDV SSYME RQAID EFIAW LLAQK 158
YSEGT FTSDV SSYLE RQAID EFIAW LLKGG 159
YSEGT FTSDV SSYLE REAID EFIAW LLKGG 160
YSEGT FTSDV SSYLE RQAIE EFIAW LLKGG 161
YSEGT FTSDY SKLLE RQAID EFIAW LLKGG 162
YSEGT FTSDV SSYME RQAID EFIAW LLKQG 163
YSEGT FISDV SSYLE RQAID EFIAW LLKGG 164
YSEGT FTSDV SSYME RQAID EFIAW LLKGK 165
Peptide SEQ ID NO
YSEGT FISDV SSYME RQAID EFIAW LLKGG 166
YSEGT FISDY SSYLE RQAID EFIAW LLKGG 167
YSEGT FTSDV SSYLE KQAID EFIAW LLKGG 168
YSEGT FTSDY SKLLE RQAID EFIAE LLKGG 169
YSEGT FTSDY SKLLE RQAID EFIAL LLKGG 170
YSEGT FTSDY SKLLE RQAID EFIAD LLKGG 171
YSEGT FTSDY AAAAE RQAID AFAAW LAAAA 172
YSEGT FTSDY SKLLE RQAID EFIAF LLKGG 173
YSEGT FTSDY SKLLE RQAID EFIAI LLKGG 174
YSEGT FTSDY SKLLE RQAID EFIAS LLKGG 175
YSEGT FTSDY SKLLE RQAID EFIAN LLKGG 176
YSEGT FTSDY SKLLE RQAID EFIAG LLKGG 177
YSEGT FTSDY SKLLE RQAID EFIAM LLKGE 178
YSEGT FTSDF SKLLE RQAID EFIAW LLKGG 179
YSEGM HTSDF SKLLE RQAID EFIAW LLKGG 180
YSEGT FTSDY RMLKE RQAID EFIAW LLKGG 181
YSEGT FTSDY RILKE RQAID EFIAW LLKGG 182
YSEGT FTSDY RQAID RQAID EFIAW LLKGG 183
YSEGT FTSDY SKLLE RQAID EFIAH LLKGG 184
YSEGT HTSDF SKLLE RQAID EFIAW LLKGG 185
YSEGT HTSLF SKLLE RQAID EFIAW LLKGG 186
YSEGT FTSLF SKLLE RQAID EFIAW LLKGG 187
YSEGT FTSLY RILLE RQAID EFIAW LLKGG 188
YSEGT FTSDY SIYLD RQAID EFIAW LLKGG 189
YSEGM HTSDL SKLLE RQAID EFIAW LLKGG 190
YSEGT FTSDY SKLLE RQAID EFIAH LLKGG 191
YSEGT FTSDY SKLLE RQAID EFIAW LLKGG 192
YSEGT HTSDL SKLLE RQAID EFIAW LLKGG 193
YSEGT FTSLY RIHKE RQAID EFIAK LLKGG 194
YSEGT HTSDL RILLE RQAID EFIAK LLKGG 195
YSEGT HTSDL RILLE RQAID EFIAF LLKGG 196
YSEGT FTSDL SILRE RQAID EFVNW LLKGG 489
YSEGT FTSDL SILKE RQAID EFVNW LLKGG 490
YSEGT FTSDL SILRE REAID EFVNW LLKGG 491
96] The GIP/GLP-1 agonist peptide moiety (IP0306_pm; SEQ ID NO: 7) of the fusion polypeptide, referred to herein as IP0306 (SEQ ID NO: 59), is an AID peptide originally based on GLP-1. In certain embodiments, GIP/GLP-1 agonist polypeptides are based on the peptide moiety of IP0306. Representative examples of agonist polypeptides based on the peptide moiety of IP0306 are shown in Table B.
Table B. IP0306 peptide moiety-based sequences
ID* Peptide Moiety (pm) SEQ
ID
NO:
GLP-1 (7-36) HAEGT FTSDV SSYLE GQAAK EFIAW LVKGR 4
Exendin-4 (1-39) HGEGT FTSDL SKQME EEAVR LFIEW LKNGG PSSGA PPPS 5
GIP (1-30) YAEGT FISDY SIAMD KIHQQ DFVNW LLAQK 6
IP0306_pm YSEGT FTSDY SKLLE RQAID EFIAW LLKGG 7
IP0573_pm YSEGT FTSDY SKLLE RQAID EFIAW LLKGG PSSGA PPPS 8
IP0574_pm YSEGT FTSDL SILKE RQAID EFVNW LLKGG PSSGA PPPS 9 combo0005_pm YSEGT FTSDL SILRE RQAID EFVNW LLKGG PSSGA PPPS 10
IP0201_pm YSEGT FTSDY SKLLE EEAVR LFIEW LLAGP SSGAP PPS 11
IP0268_pm YSEGT FTSDY SKLLE EEAVR LFIEW LVKGP 12
IP0280_pm YSEGT FTSDY SKLLE EEAVR LFIEW LVKGG PSSGA PPPS 13
IP0295_pm YSEGT FTSDY SKLLE EEAVR LFIEW LLAGG PSSGA PPPS 14 combo0011_pm YSEGT FTSDL SILLE RQAID EFVNW LLKGG PSSGA PPPS 15
IP0635_pm YSEGT FTSDY SILLE RQAID EFIAW LLKGG PSSGA PPPS 16
IP0637_pm YSEGT FTSDY SKLLE KQAID EFIAW LLKGG PSSGA PPPS 17
IP0638-pm YSEGT FTSDY SILLE KQAID EFIAW LLAGG PSSGA PPPS 18
IP0615_pm YSEGT FTSDY SKLLE RQAID EFVAW LLKGG PSSGA PPPS 19
IP0601_pm YSEGT FTSDY SKLLE RQAID EFINW LLKGG PSSGA PPPS 20
IP0591_pm YSEGT FTSDY SKLLE RQAID EFVNW LLKGG PSSGA PPPS 21
IP0570_pm YSEGT FTSDY SKLKE RQAID EFIAW LLKGG PSSGA PPPS 22
IP0571_pm YSEGT FTSDL SKLKE RQAID EFIAW LLKGG PSSGA PPPS 23 combo0015_pm YSEGT FTSDY SILKE RQAID EFVNW LLKGG PSSGA PPPS 24 combo0013_pm YSEGT FTSDL SKLKE RQAID EFVNW LLKGG PSSGA PPPS 25
Combo0028_pm YSEGT FTSDL SILKE RQAID EFVAW LLKGG PSSGA PPPS 26
IP0668_pm YSEGT FTSDL SILKE RQAID EFINW LLKGG PSSGA PPPS 27 combo0038_pm YSEGT FTSDL SILEE RQAID EFVNW LLKGG PSSGA PPPS 28 combo0007_pm YSEGT FISDL SILKE RQAID EFVNW LLKGG PSSGA PPPS 29
IP0647_pm YSEGT FTSDL SILKE RQAID EFVNF LLKGG PSSGA PPPS 30
IP0614_pm YSEGT FTSDY SKLLE RQAID EFIAW LLKGG PSSGA PPPS 55
IP0644_pm YSEGT FTSDL SILKE RQAID EFVNW LLKGG PSSGA PPPS 56
IP0646_pm YSEGT FTSDL SILKE RQAID EFVNW LLKGG PSSGA PPPS 57
Combo0062_pm YSEGT FTSDL SILKE RQAID EFVNW LLKGG PSSGA PPPS 58
ID* Peptide Moiety (pm) SEQ
ID
NO:
Combo0095 YSEGT FTSDL SILRE REAID EFVNW LLKGG PSSGA PPPS 291
*IDs provided anywhere throughout this disclosure are for reference only and are not to be interpreted as limiting.
[0297] In certain embodiments, GIP/GLP-1 agonist polypeptides and/or their Fc fusions are improved over, such as more potent than, IP0306_pm (SEQ ID NO: 7) and/or IP0306 (SEQ ID NO: 59).
[0298] This disclosure provides an isolated polypeptide comprising the amino acid sequence:
Xi X2 E G X5 X6 X7 S X9 Xio S I L X14 X15 X16 X1 A I X20 X21 F X23 X24 X25 L X27 X28 X29 X30 (SEQ ID NO: 1); wherein Xi is Y or H; X2 is S or G; X5 is T or M; X6 is F or H; X7 is T or I; X9 is D or L; X10 is L or Y; X14 is K, L, or R; X^ is E or D; X16 is R, E, K, or I; X17 is E or Q; X20 is D or E; X21 is E, L, or A; X23 is I, V or A; X24 is A, E, or N; X25 is W, D, E, L, F, I, S, N, G, M, H, K, or R; X27 is L or A; X2g is A, K, or G; X29 is G, Q, or A; and X3o is no amino acid, G, K, A, or E. In certain embodiments, X14 is R. In certain embodiments, X17 is Q. In certain embodiments, X14 is R and X17 is Q or X17 is E.
[0299] This disclosure further provides an isolated polypeptide comprising the amino acid sequence:
Xi X2 E G X5 X6 X7 S Xg Xio Xii X12 X13 X14 X15 Xi6 Xn A I X2o E F V N X25 L X27 X28 X29 X30 (SEQ ID NO: 2); wherein Xi is Y or H; X2 is S or G; X5 is T or M; X6 is F or H; X7 is T or I; X9 is D or L; X10 is L or Y; Xn is S, A, or R, X12 is S, K, I, A, M, or Q; X13 is Y, L, A, or H; X14 is K, L, or R; X15 is E or D; X16 is R, E, K, or I; X17 is E or Q; X20 is D or E; X25 is W, D, E, L, F, I, S, N, G, M, H, K, or R; X27 is L or A; X28 is A, K, or G; X29 is G, Q, or A; and X30 is no amino acid, G, K, A, or E. In certain embodiments, X12 is I or K. In certain embodiments, X13 is L. In certain embodiments, X14 is R. In certain embodiments, X17 is Q. In certain embodiments, X14 is R and X17 is Q or X17 is E.
[0300] In certain embodiments of either SEQ ID NO: 1 or SEQ ID NO: 2, X10 is L. In certain embodiments of either SEQ ID NO: 1 or SEQ ID NO: 2, X14 is K. In certain embodiments of either SEQ ID NO: 1 or SEQ ID NO: 2, X20 is D.
[0301] In certain variants of SEQ ID NO : 1, XM can be Y, M, I, H, A, or V, Xi6 can be Y, X17 can be I or L, X2o can be O, X24 can be S, X27 can be M, and/or X28 can be R. This disclosure provides an isolated polypeptide comprising the amino acid sequence:
Xi X2 E G X5 X6 X7 S X9 Xio S I L X14 X15 X16 X17 A I X20 X21 F X23
X24 X25 L X27 X28 X29 X30 (SEQ ID NO: 468); wherein Xi is Y or H; X2 is S or G; X5 is T or M; X6 is F or H; X7 is T or I; X9 is D or L; X10 is L or Y; X14 is K, L, R, Y, M, I, H, A, or V; X15 is E or D; X16 is R, E, K, I, or Y; X17 is I, E, Q, or L; X20 is D, E, or O; X21 is E or A; X23 is I, V or A; X24 is A, N or S; X25 is W, D, E, L, F, I, S, N, G, M, H, K, or R; X27 is L, A, or M; X28 is A, K, R, or G; X29 is G, Q, or A; and X30 is no amino acid, G, K, A, or E. In certain embodiments, X14 is R. In certain embodiments, X17 is Q. In certain embodiments, X14 is R and X17 is Q or X17 is E.
[0302] In certain variants of SEQ ID NO: 2, XM can be Y, M, I, H, A, or V, X16 can be Y, Xi7 can be I or L, X20 can be Q, X27 can be V, and/or X28 can be R. This disclosure provides an isolated polypeptide comprising the amino acid sequence:
Xi X2 E G X5 X6 X7 S Xg Xio Xii X12 X13 X14 X15 ½ Xn A I X2o E F
V N X25 L X27 X28 X29 X30 (SEQ ID NO: 469); wherein Xi is Y or H; X2 is S or G; X5 is T or M; X6 is F or H; X7 is T or I; X9 is D or L; X10 is L or Y; Xn is S, A, or R, X12 is S, K, I, A, M, or Q; X13 is Y, L, A, or H; X14 is K, L, R, Y, M, I, H, A, or V; X15 is E or D; X16 is R, E, K, I, or Y; X17 is I, E, Q, or L; X2o is D, E, or Q; X25 is W, D, E, L, F, I, S, N, G, M, H, K, or R; X27 is L, A or V; X28 is A, K, R, or G; X29 is G, Q, or A; and X30 is no amino acid, G, K, A, or E. In certain embodiments, X12 is I or K. In certain embodiments, X13 is L. In certain embodiments, X14 is R. In certain embodiments, X17 is Q. In certain embodiments, X14 is R and X17 is Q or X17 is E.
[0303] In certain embodiments of either SEQ ID NO: 468 or SEQ ID NO: 469, Xio is L. In certain embodiments of either SEQ ID NO: 468 or SEQ ID NO: 469, X14 is K. In certain embodiments of either SEQ ID NO: 468 or SEQ ID NO: 469, X20 is D.
[0304] In certain embodiments of SEQ ID NO: 468, X14 is R, X17 is E, X24 is A, and/or X28 is R.
In certain embodiments of SEQ ID NO: 469, X14 is R, X17 is E, and/or X28 is R. In certain embodiments of SEQ ID NO: 468 or SEQ ID NO: 469, Xi7 is I.
[0305] This disclosure also provides for an isolated polypeptide comprising the amino acid sequence:
YSEGTFTSDLSILKE X16 X17 AIDEFVNWLLKGG
(SEQ ID NO: 461); wherein X16 is I, M, K, S, R, or T and X17 is Q, H, N, K, D or Y.
[0306] In certain embodiments of SEQ ID NO: 461, X16 is M and X17 is H, X16 is K and X17 is N, X16 is S and X17 is Q, or X16 is I and X17 is K. In certain embodiments of SEQ ID NO: 461, X16 is I and X17 is Q, X16 is R and X17 is D, or X16 is T and X17 is Y.
[0307] This disclosure provides an isolated polypeptide comprising the amino acid sequence:
YSEGTFTSDLSIL X14 ERQAIDEFVNWLLKGG (SEQ ID NO: 3); wherein X14 is L, K, or R.
[0308] Certain embodiments are directed to an isolated polypeptide comprising an amino acid sequence selected from the group consisting of SEQ ID NO: 276 (combo 0062), SEQ ID NO: 285 (combo 0094), SEQ ID NO: 291 (combo 0095), SEQ ID NO: 295 (combo 0154), SEQ ID NO: 302 (combo 0099), SEQ ID NO: 303 (combo 0101), SEQ ID NO: 304 (combo 0104), SEQ ID NO: 9 (IP0574_pm), SEQ ID NO: 10 (combo0005_pm), SEQ ID NO: 15 (combo0011_pm), and any combination thereof.
[0309] As described herein, including in various embodiments provided throughout, lipidation of amino acid residues and/or substitution of unnatural amino acids for native amino acids can occur at native amino acid residues, e.g., at positions that are susceptible to proteolytic cleavage.
[0310] In certain aspects, GIP/GLP-1 agonist polypeptides are provided with the selective and strategic positioning of the lipidation of one or more amino acid residues. For example, in certain embodiments, a GIP/GLP-1 agonist polypeptide corresponding to SEQ ID NO: 1, SEQ ID NO: 2, SEQ ID NO: 468, or SEQ ID NO: 469 is lipidated at any one of positions X10 to X30. In certain embodiments, a lipidated polypeptide comprises at least one lipidated amino acid residue. In certain embodiments, the lipidated polypeptide comprises at least two lipidated amino acid residues. In certain embodiments, the lipidated polypeptide contains only one lipidated amino acid residue. In certain embodiments, the lipidated polypeptide is a synthetically produced polypeptide. And, in certain embodiments, the lipidated synthetic polypeptide comprises at least one substitution of an unnatural amino acid for a native amino acid residue.
[0311] Accordingly, this disclosure provides an isolated lipidated polypeptide comprising the amino acid sequence:
Xi X2 E G X5 X6 X7 S Xg Xio Xii X12 X13 X14 X15 Xi6 Xn is X19 X20 X21 X22 X23 X24 X25 X26 X27 X28 X29 X30 (SEQ ID NO: 470);
wherein Xi is Y or H; X2 is S, G, or an unnatural amino acid; X5 is T or M; X6 is F or H; X7 is T or I; X9 is D or L; Xi0 is L, Y, or a lipid-modified K; Xn is S or a lipid-modified K; Xi2 is I or a lipid-modified K; X13 is L or a lipid-modified K; X14 is K, L, R, Y, M, I, H, A, V, or a lipid- modified K; Xi5 is E, D, or a lipid-modified K; Xi6 is R, E, K, I, Y, or a lipid-modified K; Xi7 is I, E, Q, L, or a lipid-modified K; Xi8 is A or a lipid-modified K; X19 is I or a lipid-modified K; X2o is D, E, O, or a lipid-modified K; X2i is E, A, or a lipid-modified K; X22 is F or a lipid- modified K; X23 is I, V, A, or a lipid-modified K; X24 is A, N, S, or a lipid-modified K; X25 is W, D, E, L, F, I, S, N, G, M, H, K, R, or a lipid-modified K; X26 is L or a lipid-modified K; X27 is L, A, M, or a lipid-modified K; X28 is A, K, G, R, or a lipid-modified K; X29 is G, Q, A, or a lipid-modified K; and X30 is no amino acid, G, K, A, E, or a lipid-modified K. In certain embodiments, Xi4 is R. In certain embodiments, Xi7 is Q. In certain embodiments, Xi4 is R and Xi7 is Q or Xi7 is E.
[0312] This disclosure further provides an isolated lipidated polypeptide comprising the amino acid sequence:
Xi X2 E G X5 X6 X7 S X9 X10 Xn Xi2 X13 Xi4 X15 X½ X17 Xi8 X19 X20 X21 X22 X23 X24 X25 X26 X27 X28 X29 X30 (SEQ ID NO: 471);
wherein Xi is Y or H; X2 is S, G, or an unnatural amino acid; X5 is T or M; X6 is F or H; X7 is T or I; X9 is D or L; Xi0 is L, Y, or a lipid-modified K; Xn is S, A, R, or a lipid-modified K; Xi2 is S, K, I, A, M, Q, or a lipid-modified K; Xi3 is Y, L, A, H, or a lipid-modified K; Xi4 is K, L, R, Y, M, I, H, A, V, or a lipid-modified K; X15 is E, D, or a lipid-modified K; Xi6 is R, E, K, I, Y, or a lipid-modified K; Xi7 is I, E, Q L, or a lipid-modified K; Xi8 is A or a lipid-modified K; X19 I or a lipid-modified K; X20 is D, E, Q, or a lipid-modified K; X2i is E or a lipid-modified K; X22 is F or a lipid-modified K; X23 is V or a lipid-modified K; X24 is N or a lipid-modified K; X25 is W, D, E, L, F, I, S, N, G, M, H, K, R, or a lipid-modified K; X26 is L or a lipid-modified K; X27 is L, A, V, or a lipid-modified K; X28 is A, K, G, R, or a lipid-modified K; X29 is G, Q, A, or a lipid-modified K; and X30 is no amino acid, G, K, A, E, or a lipid-modified K. In certain embodiments, Xi2 is I or K. In certain embodiments, Xi3 is L. In certain embodiments, Xi4 is R. In certain embodiments, Xi7 is Q. In certain embodiments, Xi4 is R and Xi7 is Q or Xi7 is E.
[0313] In certain embodiments of either SEQ ID NO: 470 or SEQ ID NO: 471, X10 is L. In certain embodiments of either SEQ ID NO: 470 or SEQ ID NO: 471, X14 is K. In certain embodiments of either SEQ ID NO: 470 or SEQ ID NO: 471, X20 is D.
[0314] In certain embodiments of SEQ ID NO: 470, X14 is R, X17 is E, X24 is A, and/or X28 is R.
In certain embodiments of SEQ ID NO: 471, X14 is R, X17 is E, and/or X28 is R. In certain embodiments of SEQ ID NO: 470 or SEQ ID NO: 471, Xi7 is I.
[0315] As noted above, in certain embodiments, the lipidated peptide comprises at least one substitution of an unnatural amino acid for a native amino acid residue. In other embodiments, a lipidated peptide comprises at least two, three, four, five or more substitutions of unnatural amino acids.
[0316] In certain aspects, a GIP/GLP-1 agonist polypeptide comprises a maleimide-modified amino acid to which, for example, a heterologous moiety such as an Fc domain or region, as described elsewhere herein, is conjugated via the maleimide group. In certain embodiments, the maleimide-modified amino acid, for example a maleimide-modified K, comprises a linker. In certain embodiments, the linker is PEG4.
[0317] Accordingly, this disclosure provides an isolated polypeptide comprising the amino acid sequence:
Xi X2 E G X5 X6 X7 S X9 Xio Xii X12 X13 X14 X15 ½ Xn Xis X19 X20 X21 X22 X23 X24 X25 26 X27 28 X29 X30 (SEQ ID NO: 459);
wherein Xi is Y or H; X2 is S, G, or an unnatural amino acid; X5 is T or M; X6 is F, H, or an unnatural amino acid; X7 is T or I; X9 is D or L; X10 is L, Y, an unnatural amino acid, or a lipid- modified K ; Xn is S, an unnatural amino acid, or a lipid- modified K; X12 is I, an unnatural amino acid, or a lipid-modified K; X13 is L, an unnatural amino acid, or a lipid-modified K; X14 is K, L, R, Y, M, I, H, A, V, or a lipid-modified K; X15 is E, D, or a lipid-modified K; X16 is R, E, K, I, Y, or a lipid-modified K; X17 is I, E, Q, L, an unnatural amino acid, or a lipid-modified K; Xis is A, an unnatural amino acid, or a lipid-modified K; X19 is I or a lipid-modified K; X2o is D, E, O, or a lipid-modified K; X21 is E, A, an unnatural amino acid, or a lipid-modified K; X22 is F, an unnatural amino acid, or a lipid-modified K; X23 is I, V, A, or a lipid-modified K; X24 is A, N, S, a lipid-modified K, or a maleimide-modified K; 2s is W, D, E, L, F, I, S, N, G, M, H, K, R, an unnatural amino acid, or a lipid-modified K; X¾ is L, an unnatural amino acid, or a lipid-modified K; X27 is L, A, M, an unnatural amino acid, or a lipid-modified K; X2g is A, K, G, R, a lipid-modified K, or a maleimide-modified K; X29 is G, Q, A, or a lipid-modified K; and X3o is no amino acid, G, K, A, E, or a lipid-modified K. In certain embodiments, X14 is R. In certain embodiments, X17 is Q. In certain embodiments ,X14 is R and X17 is Q or X17 is E.
[0318] This disclosure further provides an isolated polypeptide comprising the amino acid sequence:
Xi X2 E G X5 X6 X7 S X9 X10 X11 X12 X13 X14 X15 X½ X17 Xi8 X19 ¾o
X21 X22 X23 X24 X25 X26 X27 X28 X29 X30 (SEQ ID NO: 460);
wherein Xi is Y or H; X2 is S, G, or an unnatural amino acid; X5 is T or M; X6 is F, H, or an unnatural amino acid; X7 is T or I; X9 is D or L; X10 is L, Y, an unnatural amino acid, or a lipid- modified K; X11 is S, A, R, an unnatural amino acid, or a lipid-modified K; X12 is S, K, I, A, M, Q, an unnatural amino acid, or a lipid-modified K; X13 is Y, L, A, H, an unnatural amino acid, or a lipid-modified K; X14 is K, L, R, Y, M, I, H, A, V, or a lipid-modified K; X15 is E, D, or a lipid-modified K; X16 is R, E, K, I, Y, or a lipid-modified K; X17 is I, E, Q, L, an unnatural amino acid, or a lipid-modified K; X18 is A, an unnatural amino acid, or a lipid-modified K; X19 I or a lipid-modified K; X20 is D, E, Q, or a lipid-modified K; X21 is E, an unnatural amino acid, or a lipid-modified K; X22 is F, an unnatural amino acid, or a lipid-modified K; X23 is V or a lipid-modified K; X24 is N, a lipid-modified K, or a maleimide-modified K; X25 is W, D, E, L, F, I, S, N, G, M, H, K, R, an unnatural amino acid, or a lipid-modified K; X26 is L, an unnatural amino acid, or a lipid-modified K; X27 is L, A, V, an unnatural amino acid, or a lipid-modified K; X28 is A, K, G, R, a lipid-modified K, or a maleimide-modified K; X29 is G, Q, A, or a lipid- modified K; and X3o is no amino acid, G, K, A, E, or a lipid-modified K. In certain embodiments, X12 is I or K. In certain embodiments, X13 is L. In certain embodiments, X14 is R. In certain embodiments, X17 is Q. In certain embodiments, X14 is R and X17 is Q or X17 is E.
[0319] In certain embodiments of either SEQ ID NO: 459 or SEQ ID NO: 460, X10 is L. In certain embodiments of either SEQ ID NO: 459 or SEQ ID NO: 460, X14 is K. In certain embodiments of either SEQ ID NO: 459 or SEQ ID NO: 460, X20 is D.
[0320] In certain embodiments of SEQ ID NO: 459, X14 is R, X17 is E, X24 is A, and/or X28 is R.
In certain embodiments of SEQ ID NO: 460, X14 is R, X17 is E, and/or X28 is R. In certain embodiments of SEQ ID NO: 459 or SEQ ID NO: 460, X17 is I.
[0321] In certain embodiments of any one of SEQ ID NO: 459, SEQ ID NO: 460, SEQ ID NO:
470, or SEQ ID NO: 471, the unnatural amino acid of X2 is Aib. In certain embodiments, a lipidated polypeptide comprises a lipid-modified K at the C terminus of the polypeptide. In certain embodiments, the lipidated polypeptide comprises a TrpCage sequence, such as PSSGA PPPX (SEQ ID NO: 477) fused to the C terminus of the polypeptide wherein X is no amino acid, any natural amino acid, a lipid-modified K, or a maleimide-modified K. In certain embodiments, the TrpCage sequence is PSSGA PPPS (SEQ ID NO: 146), or PSSGA PPPG (SEQ ID NO: 479). In certain embodiments, the polypeptide comprising a TrpCage comprises a lipid-modified K at the C terminus of the polypeptide. In certain embodiments of a polypeptide
comprising the sequence of any one of SEQ ID NO: 459, SEQ ID NO: 460, SEQ ID NO: 470, or SEQ ID NO: 471, the polypeptide comprises a lipid- modified K at one or two of positions X10, Xi2, Xi3, Xi4, Xi7, Xi8, X20, X2i, X24, X25, or the C terminus. In certain embodiments of a polypeptide comprising the sequence of any one of SEQ ID NO: 459, SEQ ID NO: 460, SEQ ID NO: 470, or SEQ ID NO: 471, one or two of X10, X12, X21, or the C terminus is a lipid-modified K.
[0322] In certain embodiments, a lipid-modified K comprises a linker, for example, gamma glutamine (γΕ) or PEG4.
[0323] The lipid or lipid moiety can range in length from C9 (nonanoic) to C19 (nonadecanoic).
Thus, in certain embodiments, the lipid is one or more of nonanoic (C9), decanoic (CIO), undecanoic (Cl l), lauric (C12), tridecanoic (C13), myristic (C14), pentadecanoic (C15), palmitic (C16), heptadecanoic (C17), stearic (C18), and nonadecanoic (C19). In certain embodiments, lipidation with longer chains increases potency. Therefore, in certain embodiments, the lipid or lipid moiety ranges in length from Cl l to CI 9, i.e., undecanoic (Cl l), lauric (C12), tridecanoic (C13), myristic (C14), pentadecanoic (C15), palmitic (C16), heptadecanoic (C17), stearic (C18), and nonadecanoic (C19). In certain embodiments, palmitoylation (CI 6) increases in vitro potency and thus the lipidated polypeptide is palmitoylated. In certain embodiments, the lipid-modified K is K(yE-palm), K(PEG4-palm), or PEG4-K(yE-palm).
[0324] Representative examples of unnatural (also referred to as non-natural or non-naturally occurring) amino acids include a-aminoisobutyric acid (Aib), alpha-methyl glutamine (aMeGlu), alpha-methyl phenylalanine (aMePhe), alpha-methyl leucine (aMeLeu), and norleucine (Nle). Thus, in certain embodiments, the unnatural amino acid can be Aib, aMeGlu, aMePhe, aMeLeu, Nle, or any combination thereof. In certain embodiments, the polypeptide comprises at least 2, at least 3, at least 4, at least 5, or at least 6 unnatural amino acids. In certain embodiments of SEQ ID NO: 459 or SEQ ID NO: 460, X13 is aMeLeu. In other embodiments of SEQ ID NO: 459 or SEQ ID NO: 460, X6 is Nle, Xn is Aib, Xn is Aib, Xi8 is Aib, and/or X27 is Nle. And, in other embodiments of SEQ ID NO: 459 or SEQ ID NO: 460, X13 is a lipid- modified K, X22 is aMePhe, and X25 is aMePhe.
[0325] In certain aspects, a GIP/GLP-1 agonist polypeptide can be described by the substitution of unnatural amino acids, independent of lipidation although the polypeptide can be lipidated and/or maleimide-modified at positions and in the manner described elsewhere herein.
[0326] Accordingly, this disclosure provides an isolated polypeptide comprising the amino acid sequence:
Xi X2 E G X5 X6 X7 S Xg Xio Xii X12 X13 X14 X15 X½ X17 Xi8 I X2o X21 X22 X23 X24 X25 X26 X27 X28 X29 X30 (SEQ ID NO: 472);
wherein Xi is Y or H; X2 is S, G, or an unnatural amino acid; X5 is T or M; X6 is F, H, or an unnatural amino acid; X7 is T or I; X9 is D or L; Xi0 is L, Y, or an unnatural amino acid; Xn is S or an unnatural amino acid; X12 is I or an unnatural amino acid; X13 is L or an unnatural amino acid; X14 is K, L, R, Y, M, I, H, A, or V; X15 is E or D; X16 is R, E, K, Y, or I; X17 is I, E, Q, L, or an unnatural amino acid; X18 is A or an unnatural amino acid; X20 is D, O, or E; X21 is E, A, or an unnatural amino acid; X22 is F or an unnatural amino acid; X23 is I, V, or A; X24 is A, S, or N; X25 is W, D, E, L, F, I, S, N, G, M, H, K, R, or an unnatural amino acid; X26 is L or an unnatural amino acid; X27 is L, A, M, or an unnatural amino acid; X28 is A, K, G, or R; X29 is G, Q, or A; and X30 is no amino acid, G, K, A, or E. In certain embodiments, X14 is R. In certain embodiments, X17 is Q. In certain embodiments, X14 is R and X17 is Q or X17 is E.
[0327] In certain embodiments, the polypeptide comprises 1, 2, 3, 4, 5, or more unnatural amino acids. In certain embodiments of SEQ ID NO: 472, one or more of X2, X6, X11, Xi3, or X22 is an unnatural amino acid.
[0328] This disclosure further provides an isolated polypeptide comprising the amino acid sequence:
Xi X2 E G X5 X6 X7 S X9 Xio Xn X12 X13 X14 X15 X½ X17 Xi8 I X2o X21 X22 V N X25 X26 X27 X28 X29 30 (SEQ ID NO: 473);
wherein Xi is Y or H; X2 is S, G, or an unnatural amino acid; X5 is T or M; X6 is F, H, or an unnatural amino acid; X7 is T or I; X9 is D or L; Xio is L, Y, or an unnatural amino acid; Xn is S, A, R, or an unnatural amino acid; X12 is S, K, I, A, M, Q, or an unnatural amino acid; X13 is Y, L, A, H, or an unnatural amino acid; X14 is K, L, R, Y, M, I, H, A, or V; X15 is E or D; X16 is R, E, K, Y, or I; X17 is I, E, Q, L, or an unnatural amino acid; X18 is A or an unnatural amino acid; X2o is D, Q, or E; X21 is E or an unnatural amino acid; X22 is F or an unnatural amino acid; X25 is W, D, E, L, F, I, S, N, G, M, H, K, R, or an unnatural amino acid; X26 is L or an unnatural amino acid; X27 is L, A, V, or an unnatural amino acid; X28 is A, K, G, or R; X29 is G, Q, or A; and X30 is no amino acid, G, K, A, or E. In certain embodiments, X12 is I or K. In certain embodiments, X13 is L. In certain embodiments, X14 is R. In certain embodiments, X17 is Q. In certain embodiments, X14 is R and X17 is Q or X17 is E.
[0329] In certain embodiments of either SEQ ID NO: 472 or SEQ ID NO: 473, Xi0 is L. In certain embodiments of either SEQ ID NO: 472 or SEQ ID NO: 473, X14 is K. In certain embodiments of either SEQ ID NO: 472 or SEQ ID NO: 473, X20 is D.
[0330] In certain embodiments of SEQ ID NO: 472, X14 is R, X17 is E, X24 is A, and/or X28 is R.
In certain embodiments of SEQ ID NO: 473, X14 is R, X17 is E, and/or X28 is R. In certain embodiments of SEQ ID NO: 472 or SEQ ID NO: 473, Xi7 is I.
[0331] In certain embodiments, the polypeptide comprises 1, 2, 3, 4, 5, or more unnatural amino acids. In certain embodiments of SEQ ID NO: 473, one or more of X2, X6, Xii, X13, or X22 is an unnatural amino acid.
[0332] In certain embodiments of SEQ ID NO: 472 or SEQ ID NO: 473, Xi3 is aMeLeu. In other embodiments of SEQ ID NO: 472 or SEQ ID NO: 473, X6 is Nle, Xn is Aib, Xi7 is Aib, Xi8 is Aib, and/or X27 is Nle.
[0333] Certain embodiments are directed to an isolated polypeptide comprising an amino acid sequence selected from the group consisting of SEQ ID NO: 309 (gl681), SEQ ID NO: 310 (gl711), SEQ ID NO: 311 (gl677), SEQ ID NO: 313 (gl685), SEQ ID NO: 315 (gl734), SEQ ID NO: 378 (gl931), SEQ ID NO: 320 (gl896), SEQ ID NO: 322 (g2017), SEQ ID NO: 323 (gl897), SEQ ID NO: 324 (g2018), SEQ ID NO: 326 (g2020), SEQ ID NO: 327 (g2021), SEQ ID NO: 328 (g2022), SEQ ID NO: 330 (gl898), SEQ ID NO: 331 (g2024), SEQ ID NO: 334 (gl899), SEQ ID NO: 335 (g2286), SEQ ID NO: 342 (gl577), SEQ ID NO: 345 (gl721), SEQ ID NO: 346 (gl722), SEQ ID NO: 348 (gl724), SEQ ID NO: 350 (g2029), SEQ ID NO: 359 (gl719), SEQ ID NO: 362 (gl726), SEQ ID NO: 369 (gl891), SEQ ID NO: 371 (gl893), SEQ ID NO: 380 (g2008), SEQ ID NO: 393 (gl736), SEQ ID NO: 400 (g2007), SEQ ID NO: 403 (gl682), SEQ ID NO: 389 (g2028), SEQ ID NO: 411 (g2066), SEQ ID NO: 412 (g2075), SEQ ID NO: 413 (g2067), SEQ ID NO: 414 (g2076), SEQ ID NO: 415 (gl897), SEQ ID NO: 416 (g2077), SEQ ID NO: 417 (g2065), SEQ ID NO: 418 (g2078), and any combination thereof. Further, certain embodiments are directed to an isolated polypeptide comprising an amino acid sequence selected from the group consisting of SEQ ID NO: 311 (gl677), SEQ ID NO: 345 (gl721), SEQ ID NO: 315 (gl734), SEQ ID NO: 415 (gl897), SEQ ID NO: 331 (g2024), SEQ ID NO: 350 (g2029), and any combination thereof.
[0334] In certain aspects, a GIP/GLP-1 agonist polypeptide disclosed herein is a synthetically produced polypeptide conjugated to a heterologous moiety. In certain embodiments, the heterologous moiety is a lipid moiety, an organic polymer, an inorganic polymer, a polyethylene glycol (PEG), biotin, an albumin, a human serum albumin (HSA), a HSA FcRn binding portion,
an antibody, a domain of an antibody, an antibody fragment, a single chain antibody, a domain antibody, an albumin binding domain, an enzyme, a ligand, a receptor, a binding peptide, a non- Fnlll scaffold, an epitope tag, a recombinant polypeptide polymer, a cytokine, or a combination of two or more of the recited moieties. In certain aspects, the synthetic polypeptide is conjugated to an Fc domain which is described elsewhere in detail herein. In certain embodiments, the agonist polypeptide is conjugated to the Fc via a free cysteine of the Fc domain. In certain embodiments, the free cysteine is at position 239C, 268C, or 442C of the Fc domain. In certain embodiments, the polypeptide is conjugated to the Fc domain via a maleimide group and a free cysteine of the Fc domain. In certain embodiments of a polypeptide comprising the sequence of SEQ ID NO: 459 or SEQ ID NO: 460, position X24, X28, and/or the C terminus is a maleimide- modified K conjugated to an Fc domain. In certain embodiments of a polypeptide comprising the sequence of SEQ ID NO: 459 or SEQ ID NO: 460, the polypeptide comprises a maleimide- modified K at the C terminus conjugated to an Fc domain.
[0335] In certain embodiments, the maleimide group is indirectly attached to the amino acid via a lipid. In certain embodiments, the maleimide-modified amino acid comprises a linker such as PEG4.
[0336] In certain embodiments, the polypeptide is lipidated and is conjugated to an Fc domain.
In certain embodiments of the polypeptide comprising the sequence of SEQ ID NO: 459 or SEQ ID NO: 460, the polypeptide comprises a maleimide-modified K at X24 or at the C terminus conjugated to an Fc domain and Xio is a palmitoylated K. In certain embodiments of the polypeptide comprising the sequence of SEQ ID NO: 459 or SEQ ID NO: 460, the polypeptide comprises a maleimide-modified K at the C terminus conjugated to an Fc domain and X10 is a palmitoylated K. In certain embodiments of SEQ ID NO: 459 or SEQ ID NO: 460, the polypeptide comprises a maleimide-modified K at the C terminus conjugated to an Fc domain and Xi2 is a palmitoylated K. In certain embodiments of SEQ ID NO: 459 or SEQ ID NO: 460, the polypeptide comprises a maleimide-modified K at X28 or at the C terminus conjugated to an Fc domain and X13 is a palmitoylated K. In certain embodiments of SEQ ID NO: 459 or SEQ ID NO: 460, the polypeptide comprises a maleimide-modified K at the C terminus conjugated to an Fc domain and X13 is a palmitoylated K. In certain embodiments of a polypeptide comprising a maleimide-modified K conjugated to an Fc group, Xio is K(yE-palm). In certain embodiments of the polypeptide comprising the sequence of SEQ ID NO: 459 or SEQ ID NO: 460, position X24 or the C terminus is a maleimide-modified K conjugated to an Fc domain and one of X10, X12, X21, or X24 is K(PEG2-PEG2-stear). In certain embodiments of the polypeptide comprising the
sequence of SEQ ID NO: 459 or SEQ ID NO: 460, the C terminus is a maleimide-modified K conjugated to an Fc domain and one of X10, X12, or X21, is K(PEG2-PEG2-stear).
[0337] Certain embodiments are directed to an isolated polypeptide comprising the amino acid sequence SEQ ID NO: 436 (combo0051), SEQ ID NO: 437 (combo0052), SEQ ID NO: 438 (combo077), SEQ ID NO: 439 (combo0112), SEQ ID NO: 443 (combo0211), SEQ ID NO: 444 (combo0212), SEQ ID NO: 445 (combo0213), SEQ ID NO: 446 (combo0214), SEQ ID NO: 447 (combo0215), SEQ ID NO: 452 (combo0121), or any combination thereof. In one embodiment the isolated polypeptide comprises the amino acid sequence SEQ ID NO: 437 (combo0052).
[0338] In certain aspects, a GIP/GLP-1 agonist polypeptide comprises a TrpCage sequence or a TrpCage-related and/or TrpCage-derived sequence. In certain embodiments, the TrpCage is attached by a peptide bond directly to the C-terminal end of the agonist polypeptide. In certain embodiments, the TrpCage is attached between an agonist polypeptide and a heterologous moiety such as a linker, hinge, and/or an Fc domain. In certain embodiments, such a sequence comprises the amino acid sequence PSSGA PPG (SEQ ID NO: 138), PSSGA PPPGE G (SEQ ID NO: 139), PSSGA PPEGG (SEQ ID NO: 140), PSSGA PPCS (SEQ ID NO: 141), PSSGA PPPSC (SEQ ID NO: 142), PGGGA PPPGC (SEQ ID NO: 143), PSSGR PPPS (SEQ ID NO: 145), or PSSGA PPPS (SEQ ID NO: 146). In certain aspects, the sequence comprises PSSGA PPPX (SEQ ID NO: 476), wherein X is no amino acid or any natural amino acid. In certain aspects, the sequence comprises PSSGA PPPX (SEQ ID NO: 477), wherein X is no amino acid, any natural amino acid, a lipid- modified K, or a maleimide-modified K. In certain embodiments, the sequence is PSSGA PPPS (SEQ ID NO: 146) or PSSGA PPPG (SEQ ID NO: 479).
[0339] In certain aspects, any one or more GIP/GLP-1 agonist peptides as described above can be fused to one or more heterologous moieties. For example, in certain aspects, any one or more GIP/GLP-1 agonist peptides as described above can be fused to one or more additional heterologous polypeptide domains. Such additional polypeptide regions can facilitate, e.g., activity, efficacy, stability, or in vivo half-life. For example, a heterologous polypeptide domain can comprise a linker, a hinge, an Fc domain, or a combination thereof. In certain embodiments, the agonist peptide is fused to the additional heterologous polypeptide via a peptide bond.
[0340] Linkers used in various GIP/GLP-1 agonist polypeptides provided herein can facilitate formation of a desired structure. In certain aspects, the linker is a polypeptide linker. In some embodiments, a polypeptide linker can comprise 1-50 amino acids, 1-25 amino acids, 25-50 amino acids, or 30-50 amino acids. Linkers can comprise, e.g., (Gly-Ser)n, residues, where n is
an integer of at least one, and up to, e.g., 4, 5, 6, 10, 20, 50, 100, or more, optionally with some Glu or Lys residues dispersed throughout to increase solubility. Alternatively, certain linkers do not comprise any Serine residues. In some aspects, linkers can contain cysteine residues, for example, if dimerization of linkers is used to bring two or more GIP/GLP- 1 agonist polypeptides into a dimeric configuration. In some aspects, a GIP/GLP-1 agonist polypeptide can comprise at least one, two, three, four, or more linkers. The length and amino acid sequence of a linker can be readily selected and optimized.
[0341] In certain aspects, the linker comprises (GGGGS)n, wherein n is 1, 2, 3, 4, 5, 6, 7, or 8.
For example, certain linkers comprise the amino acid sequence: G GGGGS GGGGS GGGGS GGGGS A (SEQ ID NO: 111), A PPGGS GGGGS GGGGS GGGGS A (SEQ ID NO: 112), GT GGGGS GGGGS GGGGS GGGGS A (SEQ ID NO: 113), G GGGGS GGGGS GGGGS GGGGS A (SEQ ID NO: 114), G GGGGS A (SEQ ID NO: 115), G GGGGS GGGGS A (SEQ ID NO: 116), G GGGGS GGGGS GGGGS A (SEQ ID NO: 117), G KGGGS GGGGS GGGGS GGGGS A (SEQ ID NO: 118), G GGGGS GGGGS GGGGS GGGGSA (SEQ ID NO: 119), G GGGG GGGG GGGG GGGG A (SEQ ID NO: 120), any combination thereof, any fragment thereof, or any variant thereof.
[0342] In certain aspects, the linker comprises the amino acid sequence GG SGSTA SSGSG SATGG GGAA (SEQ ID NO: 197), AAAGG SGSTA SSGSG SATGG GGAA (SEQ ID NO: 198), APPGG SGSTA SSGSG SATGG GGAA (SEQ ID NO: 199), AAA GGGGS GGGGS GGGGS GGGGS (SEQ ID NO: 121), AAA PAPAP APAPA PAPAP APAPA G (SEQ ID NO: 122), AAA GKGKG KGKGK GKGKG KGKGK G (SEQ ID NO: 123), AAA GGKGG GGKGG GGKGG GGKGG G (SEQ ID NO: 474), AAA PKPAP KPAPK PAPKP APKPA G (SEQ ID NO: 475), any combination thereof, any fragment thereof, or any variant thereof.
[0343] In certain aspects, the linker comprises the amino acid sequence AAA GGGGS GGGGS GGGGS GGGGS (SEQ ID NO: 121), AAA PAPAP APAPA PAPAP APAPA G (SEQ ID NO: 122), AAA GGKGG GGKGG GGKGG GGKGG G (SEQ ID NO: 474), any combination thereof, any fragment thereof, or any variant thereof. In one embodiment, the linker comprises the amino acid sequence AAA GGGGS GGGGS GGGGS GGGGS (SEQ ID NO: 121), any fragment thereof, or any variant thereof. In certain embodiments, the linker comprises (PA)n wherein n is between 1 and 20. In certain embodiments, n is between 5 and 15. In one embodiment, the linker comprises the amino acid sequence AAA PAPAP APAPA PAPAP APAPA G (SEQ ID NO: 122), any fragment thereof, or any variant thereof.
[0344] In certain aspects, the linker can comprise a combination of any of the linkers disclosed herein.
[0345] Hinges used in various GIP/GLP-1 agonist polypeptides provided herein can facilitate formation of a desired structure. In certain aspects, the hinge comprises an amino acid sequence of an IgGl hinge, an IgG4 hinge, a fragment thereof, a variant thereof, or any combination thereof. In certain aspects, the hinge comprises the amino acid sequence ESKYGPPCPPCPAPEAA (SEQ ID NO: 124), THTCPPCPAPEF (SEQ ID NO: 125), THTCPPC (SEQ ID NO: 126), CPPCPAPEF (SEQ ID NO: 127), TYTCPPCPAPEF (SEQ ID NO: 128), TSTCPPCPAPEF (SEQ ID NO: 129), PPCPPCPAPEF (SEQ ID NO: 130), ESKYGPPCPPCPAPEF (SEQ ID NO: 131), APEF (SEQ ID NO: 132), ESKYGPPCPPC (SEQ ID NO: 133), THTCPPCPAPELL (SEQ ID NO: 134), CPPC (SEQ ID NO: 135), any variant thereof, any fragment thereof, or any combination thereof. In one embodiment, the hinge comprises the amino acid sequence CPPC (SEQ ID NO: 135), any fragment thereof, or any variant thereof.
[0346] Fc regions used in various GIP/GLP-1 agonist polypeptides provided herein can facilitate formation of a desired structure and to enhance or eliminate various desired or undesired effector functions. In certain aspects the Fc region is a native immunoglobulin Fc region.
[0347] The terms "Fc domain" and "IgG Fc domain" as used herein refer to the portion of an immunoglobulin, e.g., an IgG molecule that correlates to a crystallizable fragment obtained by papain digestion of an IgG molecule. The Fc region comprises the C-terminal half of two heavy chains of an IgG molecule that are linked by disulfide bonds. For example, an Fc domain can comprise the entire second constant domain CH2 and the third constant domain CH3.
[0348] In certain aspects, GIP/GLP-1 agonist polypeptides provided herein can comprise a "wild type IgG Fc domain," e.g., any naturally occurring IgG Fc region (any allele). In certain aspects the IgG Fc domain is an IgGl domain (SEQ ID NO: 202), in some aspects the IgG Fc domain is an IgG4 Fc domain (SEQ ID NO: 203).
[0349] In certain aspects, GIP/GLP-1 agonist polypeptides provided herein can comprise a "variant IgG Fc domain," an IgG Fc domain comprising one or more amino acid substitutions, deletions, insertions or modifications introduced at any position within the Fc domain. In certain aspects a variant IgG Fc domain comprises one or more amino acid substitutions resulting in decreased or ablated binding affinity for an FcyR and/or Clq as compared to the wild type Fc domain not comprising the one or more amino acid substitutions.
[0350] In certain aspects, the Fc domain comprises a free cysteine that can be used for site specific conjugation to an agonist polypeptide disclosed herein. For example, the Fc domain can be conjugated to the polypeptide via the free cysteine and a maleimide group attached to the polypeptide. In certain embodiments, the Fc domain comprises a free cysteine group at one or more of position 239C, 268C, or 442C, which can be used for conjugation.
[0351] In certain aspects, GIP/GLP-1 agonist polypeptides provided herein can comprise a "TM" Fc domain. The terms "TM" or "TM mutant" refer to a set of mutations in an IgG Fc domain that result in ablation of effector function, namely elimination of the Fc domain's ability to mediate antibody-dependent cell-mediated cytotoxicity and complement-mediated cytotoxicity. In certain aspects, a TM mutant can comprise a combination of three "TM mutations": L234F, L235E, and P331S, where the numbering is according to the EU index as in Kabat. These mutations cause a profound decrease Fc domain binding to human FcyRI (CD64), FcyRIIA (CD32A), FcyRIII (CD16) and Clq. See, e.g., US 2011/0059078 and Oganesyan et al. Acta Crystallographica D 64:100-104 (2008), which are hereby incorporated by reference in their entireties. A human IgGl Fc domain comprising the TM mutations is shown as SEQ ID NO: 204.
[0352] In certain aspects, the GIP/GLP-1 agonist polypeptides provided herein can comprise a "TM" (ΔΚ) Fc domain. This Fc domain comprises the set of mutations as described above for the "TM" Fc domain, but also includes deletion of the terminal Lysine residue. A human IgGlTM (ΔΚ) Fc domain is shown as SEQ ID NO: 483.
[0353] In certain aspects, the GIP/GLP-1 agonist polypeptides provided herein can comprise a "YTE" Fc domain (SEQ ID NO: 205). The terms "YTE" or "YTE mutant" refer to a set of mutations in an IgGl Fc domain that results in an increase in the binding to human FcRn and improves the serum half-life of the antibody having the mutation. A YTE mutant comprises a combination of three "YTE mutations": M252Y, S254T, and T256E, wherein the numbering is according to the EU index as in Kabat, introduced into the heavy chain of an IgG. See U.S. Patent No. 7,658,921, which is incorporated by reference herein. The YTE mutant has been shown to increase the serum half-life of antibodies compared to wild-type versions of the same antibody. See, e.g., Dall'Acqua et al., J. Biol. Chem. 281:23514-24 (2006) and U.S. Patent No. 7,083,784, which are hereby incorporated by reference in their entireties.
[0354] In certain aspects, GIP/GLP-1 agonist polypeptides provided herein can comprise a "TM-YTE IgG Fc domain." (SEQ ID NO: 206) The term "TM-YTE IgG Fc domain" refers to an IgG Fc domain comprising one or more of the three "TM" mutations (L234F/L235E/P331S) and
one or more of the three "YTE" mutations (M252Y/S254T/T256E), where all the numbering is according to the EU index as in Kabat.
[0355] In certain aspects, GIP/GLP-1 agonist polypeptides provided herein can comprise an Fc domain with additional mutations to provide additional stability. In some aspects the variant IgG Fc domain can comprise, alone or in addition to YTE and/or TM mutations one or more of the following mutations:
(i) a phenylalanine (F) amino acid at EU position 234,
(ii) an alanine (A), asparagine (N), phenylalanine (F), a glutamine
(Q) or a valine (V) amino acid at EU position 235, and
(iii) an alanine (A), aspartic acid (D), glutamic acid (E), histidine
(H), asparagine (N), or glutamine (Q) amino acid at EU
position 322, or -in the alternative- an alanine (A) or glycine
(G) amino acid at EU position 331.
[0356] In certain aspects, GIP/GLP-1 agonist polypeptides provided herein can comprise an "FQQ" mutation: an IgGl Fc domain with a phenylalanine (F) amino acid at EU position 234, a glutamine (Q) amino acid at EU position 235, and a glutamine (Q) amino acid at EU position 322. The FQQ mutation can be in combination with a YTE mutation, an TM mutation, or both a YTE mutation and a TM mutation. A human IgGl Fc domain comprising the FQQ mutations is shown as SEQ ID NO: 466.
[0357] In sum, a GIP/GLP-1 agonist polypeptide as provided herein can comprise, without limitation, an Fc domain, e.g., an IgGl Fc domain, an IgTM Fc domain, IgGl-FQQ Fc domain, an IgG4 Fc domain, a YTE Fc domain, an IgTM (ΔΚ) Fc domain, or any fragment thereof, or any variant thereof, or any combination thereof.
[0358] In certain aspects, a GIP/GLP-1 agonist polypeptide comprising a linker, a hinge, and an Fc domain can comprise one or more of the AID-based polypeptides provided in Table C. In certain aspects, a GIP/GLP-1 agonist polypeptide comprising a linker, a hinge, and an Fc domain comprises the amino acid sequence of SEQ ID NO: 302 (combo0099), SEQ ID NO: 303 (comboOlOl), SEQ ID NO: 304 (combo0104), SEQ ID NO: 295 (combo0154), SEQ ID NO: 299 (combo0102), SEQ ID NO: 300 (combo0105), SEQ ID NO: 291 (combo0095), SEQ ID NO: 285 (combo0094), SEQ ID NO: 61 (IP0574), SEQ ID NO: 62 (combo0005), SEQ ID NO: 67 (comboOOl l), SEQ ID NO: 108 (IP0644), SEQ ID NO: 109 (IP0646), or SEQ ID NO: 110
(combo0062). In certain embodiments, the amino acid sequence is SEQ ID NO: 302 (combo0099) or SEQ ID NO: 303 (comboOlOl).
Table C. IP0306-based GIP/GLP-1 Agonist Fusion Polypeptides
[0359] In certain aspects, a GIP/GLP-1 agonist polypeptide as described above can form multimers. For example, two or more GIP/GLP-1 monomer polypeptides can be joined through disulfide bonds, through cysteines contained, e.g., in the linker or hinge regions of two or more polypeptide monomers. In certain aspects two or more monomers can be identical, resulting in, e.g., a homodimer. Alternatively the two or more polypeptide monomers can be different, resulting in a, e.g., a heterodimer.
[0360] In certain aspects, GIP/GLP-1 agonist polypeptides as disclosed have desirable potencies at the GIP and GLP-1 receptors for controlling symptoms of a hypoglycemic condition, e.g., type-2 diabetes. In certain aspects, GIP/GLP-1 agonist polypeptides as disclosed exhibit in vitro potencies at the GLP-1 receptor as shown by an EC50 in the BSA-cAMP assay of less than 10,000 pM, less than 5000 pM, less than 2500 pM, less than 1000 pM, less than 900 pM, less than 800 pM, less than 700 pM, less than 600 pM, less than 500 pM, less than 400 pM, less than 300 pM, less than 200 pM, less than 100 pM, less than 50 pM, less than 25 pM, less than 20 pM, less than 15 pM, less than 10 pM, less than 5 pM, less than 4 pM, less than 3 pM, less than 2 pM, or less than 1 pM.
[0361] In certain aspects, GIP/GLP-1 agonist polypeptides as disclosed exhibit in vitro potencies at the GIP receptor as shown by an EC50 in the BSA-cAMP assay of less than 10,000 pM, less than 5000 pM, less than 2500 pM, less than 1000 pM, less than 900 pM, less than 800 pM, less than 700 pM, less than 600 pM, less than 500 pM, less than 400 pM, less than 300 pM, less than 200 pM, less than 100 pM, less than 50 pM, less than 25 pM, less than 20 pM, less than 15 pM, less than 10 pM, less than 5 pM, less than 4 pM, less than 3 pM, less than 2 pM, or less than 1 pM.
[0362] Activity at the glucagon receptor (GCGr) (which promotes glucose production) can be undesirable in the control of hypoglycemic conditions, e.g., type-2 diabetes. See, e.g, D'Alessio, D., Diabetes Obes. Metab. Suppl 1: 126-32 (2011). Accordingly, In certain aspects, a GIP/GLP-1 agonist polypeptide as disclosed herein exhibit reduced potency for GCGr relative to either GIPr or GLP-lr, or both GIPr and GLP-lr. For example, the polypeptide can exhibit an EC50 for GCGr, as measured by the BSA-cAMP assay, of at least 10-fold higher, at least 100-fold higher, at least 1000-fold higher, or at least 10,000 or more-fold higher than the polypeptide's EC50 for GIPr, GLP-lr, or both, as measured by the BSA-cAMP assay.
[0363] In certain aspects, GIP/GLP-1 agonist polypeptides as disclosed exhibit in vitro potencies at GCGr as shown by an EC50 in the BSA-cAMP assay of greater than 0.1 nM, greater than 1 nM, greater than 5 nM, greater than 10 nM, greater than 50 nM, greater than 100
nM, greater than 200 nM, greater than 300 nM, greater than 400 nM, greater than 500 nM, greater than 600 nM, greater than 700 nM, greater than 800 nM, greater than 900 nM, greater than 1000 nM, greater than 2000 nM, greater than 3000 nM, greater than 4000 nM, greater than 5000 nM, greater than 6000 nM, greater than 7000 nM, greater than 8000 nM, greater than 9000 nM, or greater than 10,000 nM.
[0364] In certain aspects, GIP/GLP-1 agonist polypeptides as disclosed are agonists in a rat endogenous cell line INS- IE, with an EC50 in the cAMP assay 1 of less than 25,000 pM, less than 5000 pM, less than 2500 pM, less than 1000 pM, less than 900 pM, less than 800 pM, less than 700 pM, less than 600 pM, less than 500 pM, less than 400 pM, less than 300 pM, less than 200 pM, less than 100 pM, less than 50 pM, less than 25 pM, less than 20 pM, less than 15 pM, less than 10 pM, or less than 5 pM.
[0365] In certain aspects, GIP/GLP-1 agonist polypeptides as disclosed are agonists in both a knock out GLP-lr cell line and a knock out GIPr cell line, with an EC50 in the cAMP assay 1 of less than 350,000 pM, less than 100,000 pM, less than 10,000 pM, less than 5000 pM, less than 2500 pM, less than 1000 pM, less than 900 pM, less than 800 pM, less than 700 pM, less than 600 pM, less than 500 pM, less than 400 pM, less than 300 pM, less than 200 pM, less than 100 pM, less than 50 pM, less than 25 pM, less than 20 pM, less than 15 pM, less than 10 pM, or less than 5 pM.
[0366] Methods of making. This disclosure provides a method of making a GIP/GLP-1 agonist polypeptide. GIP/GLP-1 agonist polypeptides provided herein can be made by any suitable method. For example, GIP/GLP-1 agonist polypeptides provided herein can be produced recombinantly using a convenient vector/host cell combination as would be well known to the person of ordinary skill in the art. A variety of methods are available for recombinantly producing GIP/GLP-1 agonist polypeptides. Generally, a polynucleotide sequence encoding the GIP/GLP-1 agonist polypeptide is inserted into an appropriate expression vehicle, e.g., a vector that contains the necessary elements for the transcription and translation of the inserted coding sequence. The nucleic acid encoding the GIP/GLP-1 agonist polypeptide is inserted into the vector in proper reading frame. The expression vector is then transfected into a suitable host cell that will express the GIP/GLP-1 agonist polypeptide. Suitable host cells include without limitation bacteria, yeast, or mammalian cells. A variety of commercially available host- expression vector systems can be utilized to express the GIP/GLP-1 agonist polypeptides described herein.
[0367] The recombinant expression of a GIP/GLP-1 agonist polypeptide, derivative, analogue or fragment thereof as described herein can be accomplished through the construction of an expression vector containing a polynucleotide that encodes the polypeptide. Once a polynucleotide encoding the GIP/GLP-1 agonist polypeptide has been obtained, the vector for the production of the polypeptide can be produced by recombinant DNA technology using techniques well known in the art.
[0368] Thus, methods for preparing a protein by expressing a polynucleotide containing a nucleotide sequence encoding a GIP/GLP-1 agonist polypeptide are described herein. Methods that are well known to those skilled in the art can be used to construct expression vectors containing coding sequences and appropriate transcriptional and translational control signals. These methods include, for example, in vitro recombinant DNA techniques, synthetic techniques, and in vivo genetic recombination. Thus, replicable vectors are provided that comprise a nucleotide sequence encoding a GIP/GLP- 1 agonist polypeptide, operably linked to a promoter.
[0369] The expression vector is transferred to a host cell by conventional techniques and the transfected cells are then cultured by conventional techniques to produce a GIP/GLP-1 agonist polypeptide. Thus, host cells are provided that contain a polynucleotide encoding a GIP/GLP-1 agonist polypeptide operably linked to a heterologous promoter.
[0370] A variety of host-expression vector systems can be utilized to express a GIP/GLP-1 agonist polypeptide. Such host-expression systems represent vehicles by which the coding sequences of interest can be produced and subsequently purified, but also represent cells which can, when transformed or transfected with the appropriate nucleotide coding sequences, express a polypeptide comprising a GIP/GLP-1 agonist polypeptide in situ. These include but are not limited to microorganisms such as bacteria (e.g., E. coli and B. subtilis) transformed with recombinant bacteriophage DNA, plasmid DNA or cosmid DNA expression vectors containing a sequence or sequences encoding a GIP/GLP-1 agonist polypeptide; yeast (e.g., Saccharomyces Pichia) transformed with recombinant yeast expression vectors containing a sequence or sequences encoding a GIP/GLP-1 agonist polypeptide; insect cell systems infected with recombinant virus expression vectors (e.g., baculovirus) containing a sequence or sequences encoding a GIP/GLP-1 agonist polypeptide; plant cell systems infected with recombinant virus expression vectors (e.g., cauliflower mosaic virus, CaMV; tobacco mosaic virus, TMV) or transformed with recombinant plasmid expression vectors (e.g., Ti plasmid) containing a sequence or sequences encoding a GIP/GLP-1 agonist polypeptide; or mammalian cell systems
(e.g. , COS, CHO, BHK, 293, NSO, 3T3 cells) harboring recombinant expression constructs containing promoters derived from the genome of mammalian cells or from mammalian viruses.
[0371] A host cell strain can be chosen that modulates the expression of the inserted sequences, or modifies and processes the gene product in the specific fashion desired. Such modifications (e.g., glycosylation) and processing (e.g., cleavage) of protein products can be important for the function of the protein. Different host cells have characteristic and specific mechanisms for the post-translational processing and modification of proteins and gene products. Eukaryotic host cells that possess the cellular machinery for proper processing of the primary transcript, glycosylation, and phosphorylation of the gene product can be used. Such mammalian host cells include but are not limited to CHO, VERY, BHK, HeLa, COS, MDCK, 293, 3T3, W138, BT483, Hs578T, HTB2, BT20 and T47D, NSO, CRL7030 and HsS78Bst cells.
[0372] For long-term, high-yield production of recombinant proteins, stable expression is often preferred. For example, cell lines that stably express a GIP/GLP-1 agonist polypeptide can be engineered using methods known in the art.
[0373] Once a GIP/GLP-1 agonist polypeptide has been produced by recombinant expression, it can be purified by any method known in the art for purification of a protein, for example, by chromatography (e.g. , ion exchange, affinity, particularly by affinity for the specific antigen after Protein A, and sizing column chromatography), centrifugation, differential solubility, or by any other standard technique for the purification of proteins.
[0374] Alternatively, a GIP/GLP- 1 agonist polypeptides provided herein can be chemically synthesized by methods well known to those of ordinary skill in the art, e.g. , by solid phase synthesis as described by Merrifield (1963, J. Am. Chem. Soc. 85:2149-2154). Solid phase peptide synthesis can be accomplished, e.g. , by using automated synthesizers, using standard reagents.
[0375] A GIP/GLP-1 agonist polypeptide can be characterized in a variety of ways. In particular, a GIP/GLP-1 agonist polypeptide can be assayed for potency in a cAMP assay as described elsewhere herein.
Modifications, Conjugates, Fusions, and Derivations
[0376] In certain aspects, GIP/GLP-1 agonist polypeptides provided herein can be stabilized via amino acid modifications. In certain aspects, the carboxyl group of the C-terminal amino acid is amidated. In certain aspects, the C-terminal amino acid is amidated glycine. In certain aspects the C-terminal glycine is the unmodified acid. Thus for any polypeptide sequence disclosed
herein, it is understood that the polypeptide could be amidated or not wherein the particular embodiment listed may indicate -amide or -acid. In certain aspects, GIP/GLP-1 agonist polypeptides are provided in which one or more amino acid residues are acylated. For example, in certain aspects GIP/GLP-1 agonist polypeptides provided herein contain one or more lysine residues, in which a lipid moiety is attached to the N(epsilon) group. In certain aspects a linker is incorporated between lysine and the lipid group. This linker can be a gamma (γ) glutamic acid group, or an alternative linker such as, but not limited to, beta alanine and aminohexanoic acid. Different acylation methods can be used such as addition of cholesterol or myristoyl groups.
[0377] A GIP/GLP-1 agonist polypeptide as disclosed herein can be associated with a heterologous moiety, e.g., to extend half-life. The heterologous moiety can be a lipid, a peptide, a protein domain, a linker, an organic polymer, an inorganic polymer, a polyethylene glycol (PEG), biotin, an albumin, a human serum albumin (HSA), a HSA FcRn binding portion, an antibody, a domain of an antibody, an antibody fragment, a single chain antibody, a domain antibody, an albumin binding domain, an enzyme, a ligand, a receptor, a binding peptide, a non- Fnlll scaffold, an epitope tag, a recombinant polypeptide polymer, a cytokine, and a combination of two or more of such moieties.
[0378] For example, a GIP/GLP-1 agonist polypeptide can be fused with or conjugated to a heterologous polypeptide, e.g., a linker, a hinge, an Fc, or a combination thereof, as described above or in additional ways. The peptides can be attached to proteins, either through recombinant gene fusion and expression or by chemical conjugation. Proteins that are suitable as partners for fusion or conjugation include, without limitation, serum albumin, e.g., human serum albumin, antibodies and antibody fragments including fusion to the Fc portion of the antibodies (as described above). GLP-1 has been fused to these proteins with retention of potency (L. Baggio et al, Diabetes 53:2492-2500 (2004); P. Barrington et al., Diabetes, Obesity and Metabolism 13:426-433 (2011); P. Paulik et al., American Diabetes Association 2012, Poster 1946). Extended recombinant peptide sequences have also been described to give the peptide high molecular mass (V. Schellenberger et al., Nature Biotechnology 27: 1186-1190 (2009). In certain aspects GIP/GLP-1 agonist polypeptides are incorporated as the N-terminal part of a fusion protein, with the fusion partner, e.g., an Fc domain as described above, or an albumin domain, at the C-terminal end. GIP/GLP-1 agonist polypeptides as described herein can also be fused to peptides or protein domains, such as 'Albudabs' that have affinity for human serum albumin (M.S. Dennis et al., J Biol Chem 277:35035-35043 (2002); A. Walker et al., Protein Eng Design Selection 23:271-278 (2010)). Methods for fusing GIP/GLP-1 agonist polypeptides
as disclosed herein with a heterologous polypeptide, e.g., albumin or an Fc region, are well known to those of ordinary skill in the art.
[0379] Other heterologous moieties can be conjugated to GIP/GLP-1 agonist polypeptides to further stabilize or increase half-life. For chemical conjugation, certain aspects feature maintenance of a free N-terminus, but alternative points for derivatization can be made. A further alternative method is to derivatize the peptide with a large chemical moiety such as high molecular weight polyethylene glycol (PEG). A "pegylated GIP/GLP-1 agonist polypeptide" has a PEG chain covalently bound thereto. Derivatization of GIP/GLP-1 agonist polypeptides, e.g., pegylation, can be done at the lysine that is lipidated, or alternatively at a residue such as cysteine, that is substituted or incorporated by extension to allow derivatization. GIP/GLP-1 agonist polypeptide formats above can be characterized in vitro and/or in vivo for relative potency and the balance between GLP-1 and GIP receptor activation.
[0380] The general term "polyethylene glycol chain" or "PEG chain", refers to mixtures of condensation polymers of ethylene oxide and water, in a branched or straight chain, represented by the general formula H(OCH2CH2)nOH, where n is an integer of 3, 4, 5, 6, 7, 8, 9, or more. PEG chains include polymers of ethylene glycol with an average total molecular weight selected from the range of about 500 to about 40,000 Daltons. The average molecular weight of a PEG chain is indicated by a number. For example, PEG-5,000 refers to polyethylene glycol chain having a total molecular weight average of about 5,000.
[0381] PEGylation can be carried out by any of the PEGylation reactions known in the art. See, e.g., Focus on Growth Factors, 3: 4-10, 1992 and European patent applications EP 0 154 316 and EP 0 401 384. PEGylation can be carried out using an acylation reaction or an alkylation reaction with a reactive polyethylene glycol molecule (or an analogous reactive water-soluble polymer).
[0382] Methods for preparing a PEGylated GIP/GLP-1 agonist polypeptides generally include the steps of (a) reacting a GIP/GLP-1 agonist polypeptide or with polyethylene glycol (such as a reactive ester or aldehyde derivative of PEG) under conditions whereby the molecule becomes attached to one or more PEG groups, and (b) obtaining the reaction product(s).
Formulations and Pharmaceutical Compositions
[0383] In certain aspects, GIP/GLP-1 agonist polypeptides provided herein possess one or more criteria of acceptable solubility, ease in formulatability, plasma stability, and improved
pharmacokinetic properties. In certain aspects, GIP/GLP-1 agonist polypeptides as disclosed are soluble in standard buffers over a broad pH range.
[0384] In certain aspects, GIP/GLP-1 agonist polypeptides as disclosed are acceptably stable against proteases in serum or plasma. Common degradation products of GIP or GLP-1 include +1 products (acid) and the DPP rV-cleavage products. Cleavage products arise from the action of proteases, e.g., DPP IV in plasma. In certain aspects, GIP/GLP-1 agonist polypeptides as disclosed are remain stable in plasma at levels up to 30%, 40%, 50%, 60%, 70%, 80%, 90%, or 100% after 24, 36 hours, 48 hours, or more hours in plasma at 37°C.
[0385] Further provided are compositions, e.g., pharmaceutical compositions, that contain an effective amount of a GIP/GLP-1 agonist polypeptide as provided herein, formulated for the treatment of metabolic diseases, e.g., obesity.
[0386] Compositions of the disclosure can be formulated according to known methods. Suitable preparation methods are described, for example, in Remington's Pharmaceutical Sciences, 19th Edition, A.R. Gennaro, ed., Mack Publishing Co., Easton, PA (1995), which is incorporated herein by reference in its entirety. Composition can be in a variety of forms, including, but not limited to an aqueous solution, an emulsion, a gel, a suspension, lyophilized form, or any other form known in the art. In addition, the composition can contain pharmaceutically acceptable additives including, for example, diluents, binders, stabilizers, and preservatives. Once formulated, compositions of the disclosure can be administered directly to the subject.
[0387] Carriers that can be used with compositions of the disclosure are well known in the art, and include, without limitation, e.g., thyroglobulin, albumins such as human serum albumin, tetanus toxoid, and polyamino acids such as poly L-lysine, poly L-glutamic acid, influenza, hepatitis B virus core protein, and the like. A variety of aqueous carriers can be used, e.g., water, buffered water, 0.8% saline, 0.3% glycine, hyaluronic acid and the like. Compositions can be sterilized by conventional, well known sterilization techniques, or can be sterile filtered. A resulting composition can be packaged for use as is, or lyophilized, the lyophilized preparation being combined with a sterile solution prior to administration. Compositions can contain pharmaceutically acceptable auxiliary substances as required to approximate physiological conditions, such as pH adjusting and buffering agents, tonicity adjusting agents, wetting agents and the like, for example, sodium acetate, sodium lactate, sodium chloride, potassium chloride, calcium chloride, sorbitan monolaurate, triethanolamineoleate, etc.
Method of treating hypoglycemic conditions, e.g., type-2 diabetes, model systems
[0388] GIP/GLP-1 agonist polypeptides can combine the effect of GIP and GLP-1 to provide one or more of prevention or modulation of hyperglycemia, promotion of insulin synthesis, inhibition of glucagon synthesis, an increase in β-cell mass, weight loss or weight maintenance (e.g., prevention of weight gain), reduction in food intake, modulation of gastric acid secretion, or modulation of gastric emptying.
[0389] This disclosure provides a method of treating a hypoglycemic condition, e.g., type-2 diabetes, comprising administering to a subject in need of treatment a GIP/GLP-1 agonist polypeptide, or a composition thereof, as disclosed herein. Further provided is a GIP/GLP-1 agonist polypeptide, or composition thereof, for treatment of a hypoglycemic condition, e.g., type-2 diabetes. Further provided is use of a GIP/GLP-1 agonist polypeptide, or composition thereof, as provided herein in the manufacture of a medicament for the treatment of a hypoglycemic condition, e.g., type-2 diabetes.
[0390] GIP/GLP-1 agonist polypeptides provided herein, or compositions thereof, can be administered for glycemic control, promoting insulin production, promoting β-cell mass, promoting weight loss, or reducing excess body weight. In addition, GIP/GLP-1 agonist polypeptides provided herein, or compositions thereof, can be used for treatment of related disorders. Examples of related disorders include without limitation: insulin resistance, glucose intolerance, pre-diabetes, increased fasting glucose, hypertension, dyslipidemia (or a combination of these metabolic risk factors), glucagonomas, cardiovascular diseases such as congestive heart failure, atherosclerosis, arteriosclerosis, coronary heart disease, or peripheral artery disease, stroke, respiratory dysfunction, or renal disease.
[0391] "Treatment" is an approach for obtaining beneficial or desired clinical results. As provided herein, beneficial or desired clinical results from the disclosed GIP/GLP-1 agonist polypeptides include, without limitation, stabilized serum glucose and serum insulin levels, increased β-cell mass, or amelioration, palliation, stabilization, diminishment of weight gain. "Treatment" refers to both therapeutic treatment and prophylactic or preventative measures in certain aspects. Those in need of treatment include those already with the disorder as well as those in which the disorder is to be prevented. By treatment is meant improved glycemic control in type-2 diabetes, and is not necessarily meant to imply complete cure of the relevant condition.
[0392] The route of administration of GIP/GLP-1 agonist polypeptides provided herein, or compositions thereof, can be, for example, oral, parenteral, by inhalation or topical. The term parenteral as used herein includes, e.g., intravenous, intraarterial, intraperitoneal, intramuscular,
subcutaneous, rectal, or vaginal administration. Another example of a form for administration is a solution for injection, in particular for intravenous or intraarterial injection or drip. GIP/GLP-1 agonist polypeptides provided herein, or compositions thereof, can be administered as a single dose or as multiple doses. In certain aspects, a GIP/GLP-1 agonist polypeptide, or a composition thereof, is administered orally or by subcutaneous injection.
[0393] Parenteral formulations can be a single bolus dose, an infusion or a loading bolus dose followed with a maintenance dose. These compositions can be administered at specific fixed or variable intervals, e.g., once a day, once a week, or on an "as needed" basis, e.g., based on patient-initiated blood glucose measurements. Dosage regimens also can be adjusted to provide the optimum desired response (e.g., a therapeutic or prophylactic response).
[0394] The amount of a GIP/GLP-1 agonist polypeptide, or a composition thereof, to be administered can be readily determined by one of ordinary skill in the art without undue experimentation given the disclosure herein. Factors influencing the mode of administration and the respective amount of a GIP/GLP-1 agonist polypeptide, or a composition thereof, include, but are not limited to, the severity of the disease (e.g., the extent of obesity), the subject's history, and the age, height, weight, health, and physical condition of the subject undergoing therapy. Similarly, the amount of a GIP/GLP-1 agonist polypeptide, or a composition thereof, to be administered will be dependent upon the mode of administration and whether the subject will undergo a single dose or multiple doses of this agent. In certain aspects, GIP/GLP-1 agonist polypeptides provided herein, or compositions thereof, can be administered once per day via injection. In certain aspects, GIP/GLP-1 agonist polypeptides provided herein, or compositions thereof, can be administered once per week via injection.
[0395] In certain aspects a GIP/GLP1 agonist polypeptide as provided herein, or a composition thereof, can be administered in combination with one or more additional therapies. The additional therapy can include one or more existing standard therapies type-2 diabetes or other hypoglycemic condition, or new therapies. In certain aspects, the one or more additional therapies can include, without limitation, blood sugar monitoring, diet modifications, exercise, insulin, a thiazolidinedione, a sulfonylurea, an incretin, metformin, a glyburide, a dipeptidyl peptidase-4 inhibitor, a bile acid sequestrant, or any combination thereof.
Kits
[0396] In yet other aspects, the present disclosure provides kits comprising GIP/GLP-1 agonist polypeptides, which can be used to perform the methods described herein. In certain aspects, a
kit comprises a GIP/GLP-1 agonist polypeptide disclosed herein in one or more containers. A kit as provided herein can contain additional compositions for combination therapies. One skilled in the art will readily recognize that the disclosed GIP/GLP-1 agonist polypeptides can be readily incorporated into one of the established kit formats that are well known in the art.
Examples
Example 1 : Synthesis, modifications, and characterization of GIP/GLP-1 agonist polypeptides
[0397] Dual-active GIP/GLP-1 agonist polypeptides were prepared according to the following methods. GIP/GLP-1 dual agonist peptides were designed from the AID backbone peptides. A combination of rational substitutions and mini-library randomized mutations were made to allow specificity at GLP-lr and GIPr. Alternatively, the backbone peptides can be subjected to random mutagenesis, expressed in phage, and selected based on binding to the various receptors.
[0398] A large number of peptides were produced, and were expressed as fusion proteins, extending from N-terminus to C-terminus: peptide-linker-hinge-Fc (CH2 and CH3 regions, from either IgGl or IgG4, with various mutations to improve stability and reduce effector function, such as IgGl-TM, or IgGl-FQQ, as described elsewhere herein). Such a construct will form a dimer through disulfide linkages in the hinge region. Various peptide-linker-hinge-Fc combinations were constructed as shown in Table C. An exemplary bivalent GIP/GLP-1 agonist polypeptide is shown in FIG. 1.
[0399] The various GIP/GLP-1 agonist polypeptides were expressed in CHO cells by standard methods (as described in Daramola et al (2014), Biotechnol. Prog. 30:132-141).
[0400] Proteins were purified using an automated system by affinity chromatography, where the Fc region of the protein binds to the column matrix. Columns were equilibrated in lx DPBS. Elution of the bound material was performedat low pH.
[0401] Finally, purified protein was buffer exchanged to PBS.
Example 2: GIP and GLP-1 receptor mediated cAMP production
[0402] Biological activity of peptides in cell-based cAMP activity assay. The biological activity of GIP/GLP-1 agonist polypeptides produced by the method of Example 1 were tested for biological activity, e.g., stimulation of one or more cellular receptor responses, by the following methods. Stable cell lines expressing human, mouse, or rat GLP-1 receptor (GLP-lr), GIP receptor (GIPr) or glucagon receptor (GCGr) were generated in HEK293 cells or CHO cells by standard methods. Alternatively native GIPr and GLP-lr were studied in immortalized rat β-cell lines (INS- IE or INS-1 832/3). Peptide activation of these various receptors results in
downstream production of cAMP second messenger that can be measured in a functional activity assay.
[0403] One basic cAMP assay was performed, differing in the medium used for the assay, the "BSA-cAMP assay":
BSA-based assay medium: 0.1% bovine serum albumin (BSA) in Hanks Balanced Salt Solution (GIBCO or Sigma), containing 0.5 mM IBMX (Sigma # 17018);
In certain aspects, the assay can also be carried out in medium supplemented with serum albumin that corresponds to the receptor being tested, e.g., human serum albumin for testing cAMP activity at hGIPr or hGLP-lr, rat serum albumin for testing cAMP activity at rGIPr or rGLP-lr, and so on. Low protein binding 384-well plates (Greiner # 781280) were used to perform eleven 1 in 5 serial dilutions of test samples that were made in assay medium (BRAVO, Agilent). From the dilution plate, a 5 replica was transferred into a black shallow- well u- bottom 384-well plate (Corning # 3676). Alternatively eleven point serial dilutions of test samples were made directly in 5 assay medium in black shallow- well u-bottom 384-well plate (Corning # 3676) using a non-contact liquid dispenser (ECHO™, Labcyte). All sample dilutions were made in duplicate.
[0404] A frozen cryo-vial of cells expressing the receptor of interest was thawed rapidly in a water-bath, transferred to pre- warmed assay media and spun at 240xg for 5 minutes. Cells were re-suspended in assay buffer at an optimized concentration (e.g., hGLP- lr and hGIPr cells at 2.0 x 105 cells /ml).
[0405] A 5 cell suspension was added to assay plates already containing 5 serially diluted test samples and the plates incubated at room temperature for 30 minutes.
[0406] cAMP levels were measured using a commercially available cAMP dynamic 2 HTRF kit (Cisbio, Cat # 62AM4PEJ), following the two step protocol as per manufacturer's recommendations. In brief; anti-cAMP cryptate (donor fluorophore) and cAMP-d2 (acceptor fluorophore) were made up separately by diluting each 1/20 in conjugate & lysis buffer provided in the kit. 5 anti-cAMP cryptate was added to all wells of the assay plate, and 5 cAMP-d2 added to all wells except non-specific binding (NSB) wells, to which conjugate and lysis buffer was added. Plates were incubated at room temperature for one hour and then read on an Envision (Perkin Elmer) using excitation wavelength of 320 nm and emission wavelengths of 620 nm & 665 nm. Data was transformed to % Delta F as described in manufacturer' s guidelines
and then transformed to percent activation of maximal native agonist response and analysed by 4-parameter logistic fit to determine EC50 values.
7] EC50 values for certain GIP/GLP-1 agonist polypeptides disclosed herein (see Table D) as determined in cAMP assays are shown in Table 1. The results are compared to corresponding results for native GIP, GLP-1, and glucagon. We used unconstrained 4 parameter logistic fit of data, curve mid-point to determine EC50. This was tested on two occasions, not two batches.
Table D.
Table 1. Comparison of the in vitro potencies of two dual-agonists Fc fusions to the parent IP0306.
Example 3: Effect of TrpCage on body weight reduction
[0408] Exendin-4's natural extension is the TrpCage. It is believed that the TrpCage is partly responsible for the extended half-life of Ex-4 compared to GLP-1. The effect of TrpCage addition on several peptides was studied (see Table E). CD rats were injected subcutaneously at day 0 with 1.5 mg/kg, 1.6 mg/kg, 1.2 mg/kg, or 1.5 mg/kg of IP0201, IP0295, IP0280, and IP0268, respectively. The doses were normalized on the rat h-GLP-lr potency. Serum samples were taken over time (6 animals per time point). The serum samples were then measured for activity at the h-GLP-lr by the cAMP assay in HBSS/HEPES 0.1% BSA, as described above. The serum concentrations were calculated from the activity.
Table E.
[0409] The in vitro potencies of these four constructs are very similar in the rat endogenous β- cells, so the difference in the in vivo effects was neither predicted nor expected (see Table 2).
Table 2. In vitro potency in the INS- IE cell line
[0410] The half-lives of these four constructs are also similar (see Table 3).
Table 3.
[0411] The results show that equipotent constructs in the INS- IE rat β-cell line only cause body weight reduction if they have a functional TrpCage (position 31-39). Up to 10% body weight loss was observed for the two peptide Fc fusions with the TrpCage at the correct position (31- 39), while no body weight effect was observed for the same peptide Fc fusions without the TrpCage or with the TrpCage at the wrong position, IP0268 and IP0201, respectively (see Figure 3).
[0412] A TrpCage was added to IP0306. The AAAGG SGSTA SSGSG SATGG GGAA (SEQ ID NO: 198) linker of IP0306 was also replaced by the AAA GGGGS GGGGS GGGGS GGGGS (SEQ ID NO: 121) linker and the THT motif of the hinge was also removed (see Table F). This generated the sequence IP0573 (SEQ ID NO: 60). These changes improved the in vitro potency of the molecule in the endogenous β-cell line as shown in Table 4.
Table F.
Table 4. Effect of TrpCage and linker on potency.
Example 4: Recombinant GIP/GLP-1 dual agonist peptide Fc fusions analogues 13] Modifications were made to IP0306 to increase the potency in the low expressing cell GIPr cell line (C3), to achieve a more potent and balanced dual agonist. Using a rational design approach, several residues were mutated back to native GIP or Ex-4 sequence (see Table G). Point mutations often did not affect the potencies in the recombinant cell lines. However, when the point mutations are combined (comboOOl l; SEQ ID NO: 67), the potency was improved, especially on GLP-lr (see Table 5).
Table G. Native GIP or Ex-4 -based mutations.
Table 5. Rational Design results for improvement of IP0306.
[0414] In addition to rational design, mini-libraries were used to identify novel single point mutations in search of peptides with improved potency. Mini-libraries were cloned, expressed and screened directly from the CHO cell supernatant for the dual agonist IP0281 to increase its cross-reactivity on the recombinant m-GIPr cell line.
[0415] Mini-library X14 was generated using site directed mutagenesis. Two complementary nucleotides were designed and synthesized:
5 ' -CC AGCGACTAC AGC AAGCTGNNBGAGG AGGAGGCCGTGAGGC-3 ' (SEQ ID NO: 200) and
5'- GCCTC ACGGCCTCCTCCTC VNNC AGCTTGCTGTAGTCGCTGG- 3 ' (SEQ ID NO: 201).
[0416] High throughput DNA prep from a 96 well plate is performed with the Biomek® FXP Laboratory Automation Workstation. Transient expression in CHO cells is performed as described in Daramola et al (2014), Biotechnol. Prog. 30:132-141 (300 μΐ cultures). After 7 days expression, the supernatant are clarified by centrifugation and the peptide Fc fusions are quantified from the supernatant using Octet (similar purified peptide Fc fusion used for the standard curve). The peptide Fc fusions were then screened directly from the supernatant (see Figure 4 and Table 6).
Table 6. in vitro screen of mini-library X14 (based on IP0281).
Sample h-GLP-lR (M) h-GIPR (M) m-GIPR (M)
IP0281 3.38E-11 2.89E-12 4.37E-08
IP0295 3.48E-11 2.64E-12 2.35E-10
M14 clone 1 1.36E-11 3.20E-12 >1.30E-08
K14 clone 1 9.81E-12 1.12E-11 2.13E-09
K14 clone 2 1.25E-11 1.34E-11 2.53E-09
R14 clone 1 3.21E-11 9.44E-12 1.82E-09
R14 clone 2 3.18E-11 1.14E-11 2.14E-09
R14 clone 3 3.16E-11 1.19E-11 3.51E-09
H14 clone 1 1.04E-10 6.46E-11 >1.41E-08
H14 clone 2 1.60E-10 1.12E-10 4.51E-08
H14 clone 3 1.64E-10 1.78E-10 >2.28E-08
A14 clone 1 9.06E-11 1.41E-10 >2.29E-08
A14 clone 2 1.04E-10 1.79E-10 >5.24E-08
A14 clone 3 6.51E-11 1.17E-10 4.12E-08
F14 clone 1 l. lOE-10 8.77E-11 >1.96E-08
W14 clone 1 3.00E-10 4.11E-11 >1.72E-08
W14 clone 2 2.00E-10 3.97E-11 >1.97E-08
W14 clone 3 3.21E-10 4.39E-11 >2.69E-08
Sample h-GLP-lR (M) h-GIPR (M) m-GIPR (M)
114 clone 1 4.99E-10 1.18E-11 >1.82E-08
114 clone 2 6.23E-10 1.22E-11 >1.71E-08
114 clone 3 7.65E-10 1.20E-11 >3.16E-08
V14 clone 1 7.66E-10 1.88E-11 >1.18E-08
V14 clone 2 1.05E-09 2.83E-11 >1.63E-08
N14 clone 1 1.38E-09 6.01E-11 >2.46E-08
N14 clone 2 1.35E-09 5.82E-11 >1.91E-08
N14 clone 3 8.37E-10 4.56E-11 >1.06E-08
G14 clone 1 3.27E-11 3.59E-11 5.38E-09
G14 clone 2 6.47E-11 9.07E-10 >l. l lE-08
G14 clone 3 4.97E-11 1.18E-09 >2.23E-08
Y14 clone 1 1.62E-10 2.01E-10 >2.17E-08
Y14 clone 2 1.74E-10 2.12E-10 >1.97E-08
E14 clone 3 2.14E-09 5.46E-10 >3.88E-08
S14 clone 1 1.29E-09 7.97E-10 >2.87E-08
S14 clone 2 7.38E-10 4.30E-10 1.46E-08
S14 clone 3 1.11E-09 6.51E-10 >1.91E-08
T14 clone 1 >9.82E-09 5.69E-10 >9.82E-09
T14 clone 2 >1.43E-08 6.35E-10 >1.43E-08
P14 clone 1 >1.75E-08 1.71E-09 >1.75E-08
P14 clone 2 >1.75E-08 1.57E-09 >1.75E-08
P14 clone 3 >1.02E-08 1.31E-09 >1.02E-08
D14 clone 1 >5.94E-08 2.24E-09 >5.94E-08
C14 clone 1 6.75E-09 7.00E-09 >2.85E-08
C14 clone 2 5.38E-09 5.91E-09 >2.59E-08
C14 clone 3 5.31E-09 4.73E-09 >2.59E-08 7] L14K and L14R were selected from this library as they increased cross-reactivity. When these mutations were cloned into IP0306, they caused an increase in potency in the h-GIPr (C3) cell line, but only when combined with the rationally designed mutations (see Table H and Table 7).
Table 7. Effect of the X14 mutations within the peptide/Fc fusions with rationally designed mutations. hGlucagonR hGLP-lR low expressing INS- IE (Rat INSl 832/3 (Rat h-GIPR C3 β-Cell) β-Cell)
EC50 pM EC50 pM EC50 pM EC50 pM EC50 pM
Glucagon 1.3 10168.3 1580.0
GLP-1 (7- 356.1 1.9 24.5 19.4
36)
GIP (1-42) 47.6 238.6 621.7
IP0306 87950.0 26.9 339.0 3775.0 not tested
IP0573 181500.0 28.6 201.5 506.5 716.0
IP0570 124500.0 25.2 1435.0 not tested not tested
IP0571 69.4 589.0 254.5 983.0 combo0015 5.1 1025.5 not tested not tested combo0013 89.4 2170.0 not tested not tested
Combo0028 12.1 351.0 not tested not tested
IP0668 5.6 148.0 not tested not tested comboOOl l 9.0 176.5 not tested not tested combo0005 8.6 81.0 not tested not tested
IP0574 16.0 139.5 170.1 384.3 combo0038 4290.0 1318.0 not tested not tested combo0007 4765.0 44.6 not tested not tested
IP0647 16.9 917.5 not tested not tested
Table H.
[0418] IP0574 (SEQ ID NO: 61) was further characterized in the mouse and rat GLP-lr and GIPr overexpressing cell lines (see Table 8).
[0419] The peptide moiety portion of the dual-agonist Fc Fusion IP0574 (SEQ ID NO: 61) was subjected to further optimization using mini-libraries. A mini-library was constructed of the two consecutive residues XI 6X17 on IP0574 (see Figure 6). The aim of the library was to find a balanced dual agonist (more potent on GIPr and less potent on GLP-lr compared to the parent).
[0420] It was observed that the I16Q17 mutant is less potent than IP0574 but more balanced (see Table 9). It is thus contemplated that in combination with other mutations, 116 might lead to a balanced and potent dual-agonist.
Table 9. Mini-library at positions X16X17 based on IP0574.
Sample hGLP-lR hGIPR(C3) ratio
GLP-1 3.3
GIP 127.0
IP0574 RQ (n=3) 11.9 210.3 17.7
IQ (n=2) 147.5 548.5 3.7
KH 258.0 1130.0 4.4
MH 17.8 881.0 49.5
KN 32.5 1870.0 57.5
SQ 74.4 2440.0 32.8
IK (n=2) 76.1 6490.0 85.3
TQ 134.0 2270.0 16.9
KD 253.0 2200.0 8.7
IN 345.0 5130.0 14.9
SH 361.0 6990.0 19.4
RD 593.0 1800.0 3.0
TN 829.0 31500.0 38.0
RK (n=2) 880.0 7220.0 7.8
TE 1370.0 5930.0 4.3
IE 2000.0 1180.0 0.6
ID 2810.0 5390.0 1.9
IY (n=2) 3375.0 3655.0 1.2
TY (n=2) 4135.0 12250.0 3.0
NY 4720.0 5210.0 1.1
1] Recombinant GIP/GLP-1 dual-agonist Fc fusion constructs were made to assess a number of mutations and combinations of mutations (Table I and Table 10). One mutation of interest was Q17E, which retained its potency on the GIPr cell line but lost ~7 fold on the GLP- lr cell line.
Table I.
Table 10. Recombinant GIP/GLP-1 Dual-agonist Analogues
Example 5 : Effect of recombinant fusion linker on potency. 22] It was discovered that the linker influences potency on the low expressing h-GIPr cell line and in the endogenous rat cell lines (see Table 11). Changing the linker can increase the potency 10-fold. For the GIP-TrpCage Fc fusions tested (see Table J and Table K), the best results were achieved with long flexible linkers, e.g., AAA GGGGS GGGGS GGGGS GGGGS (SEQ ID NO: 121), positively charged linkers, e.g., AAA GGKGG GGKGG GGKGG GGKGG G (SEQ ID NO: 474), and rigid linkers with proline, e.g., AAA PAPAP APAPA PAPAP APAPA G (SEQ ID NO: 122).
Table J.
Linker SEQ ID
NO:
AAAGG SGSTA SSGSG SATGG GGAA 231
GGGGS GGGGS GGGGS GGGGS A 232
G GGGGS GGGGS GGGGS GGGGS GGGGS A 233
GGGGS GGGGS GGGGS GGGGS GGGGS GGGGS A 234
AAA GGGGS GGGGS 235
AAA GGGGS GGGGS GGGGS GGGGS 121
AAA GGGGS GGGGS GGGGS GGGGS GGGGS GGGGS 236
AAA PSSGA PPPSG PSSGA PPPSG G 237
AAK EAAAK G 238
AAA EAAAK EAAAK EAAAK EAAAK G 239
AAA EAAAK EAAAK EAAAK EAAAK EAAAK G 240
AAA PAPAP APAPA PAG 241
AAA PAPAP APAPA PAPAP AG 242
AAA PAPAP APAPA PAPAP APAPA G 122
AAA PAPAP APAPA PAPAP APVPA G 243
AAA PAPEP APEPA PEPAP EPAPE G 244
AAA PEPEP EPEPE PE 245
AAA PEPEP EPEPE PEPEP EPEPE G 246
AAA DAD AD AD ADA DAD AD AD ADA G 247
AAA HEHEH EHEHE HEHEH EHEHE G 248
AAA GSTGS TGSTG STGST GSTGS G 249
AAA GEGEG EGEGE GEGEG EGEGE G 250
AAA GKGKG KGKGK GKGKG KGKGK G 123
AAA PSPSP SPSPS PSPSP SPSPS G 251
AAA GHGHG HGHGH GHGHG HGHGH G 480
AAA GRGRG RGRGR GRGRG RGRGR G 481
AAA GGKGG GGKGG GGKGG GGKGG G 474
AAA PKPAP KPAPK PAPKP APKPA G 475
Table K.
Table 11. Linker scan for GIP-TrpCage Fc fusions.
3] Selected linkers were used with dual-agonist Fc fusions resulting in an observed 3 to 5 fold increase in potency. The peptide Fc fusion Combo0062 (SEQ ID NO: 110), was 10-fold more potent than its parent IP0574 (see Table L and Table 12).
Table L.
Table 12. Effect of linker and hinge modifications on the in vitro potency of the dual agonist
Fc fusions.
[0214] Different linkers were tried in combination with mutations in recombinant GIP/GLP-1 dual-agonist peptide Fc fusions (Table M and Table 13). Notably, the in vitro potency was improved by combining the K14R mutation with the PAio linker (e.g., combo0099; SEQ ID NO: 302), the GGKGG4 linker (e.g., comboOlOl; SEQ ID NO: 303) or the PKPA5 linker (e.g., combo0104; SEQ ID NO: 304).
Table M. Recombinant dual peptide Fc fusions
Table 13. Recombinant dual peptide Fc fusions
Example 6: in vivo stability of IP0574 and IP0640.
[0215] IP0574 stability was analyzed in a mouse PK study alongside IP0640 (GIP-TrpCage Fc) and appeared to be more stable. Preliminary pharmacokinetics in mouse was examined as follows: C57 B1/6J mice were injected with 3 mg/kg (subcutaneously) with either IP0640 or IP0574, and serum samples were taken over time (3 animals per time point) (see Table 14). The serum samples were then measured for activity at the h-GIPr by the cAMP assay in HBSS/HEPES 0.1% BSA, as described above. The results are shown in Figure 5. The results show that the GIP/GLP-1 agonist polypeptide Fc fusion IP0574 is twice more stable than the GIP-TrpCage Fc fusion IP0640.
Table 14.
Example 7: Peptide Synthesis
Materials
[0216] N-a-Fmoc-L-amino acids were purchased from Bachem AG, Switzerland, Iris Biotech AG, Germany or Pharmaron, China, and NovaSyn® TGR (TentaGel Rink) and NovaSyn® TGA (TentaGel Wang) from Novabiochem, Merck Biosciences, Darmstadt, Germany. The following amino acid derivatives were used: Fomc-Asn(Trt)-OH, Fmoc-Gln(Trt)-OH, Fmoc-Trp(Boc)- OH, Fmoc-Lys(Boc)-OH, Fmoc-Ser(tBu)-OH. Fmoc-Thr(tBu)-OH, Fmoc-Tyr(tBu)-OH, Fmoc- Asp(OtBu)-OH, Fmoc-Glu(tBu)-OH and Fmoc-Arg(Pbf)-OH. Reagents for the syntheses and solvents were purchased from Sigma-Aldrich, Dorset, United Kingdom and Merck, Darmstadt,
1
Germany, respectively. All peptides were prepared by automated syntheses (Biotage Syro II) using the Fmoc/tBu protocols.
General procedure for chemical synthesis of peptides
[0217] Unless otherwise stated, peptides were prepared as C-terminal carboxamides on NovaSyn® TGR resin (0.24 mmole/g). Fmoc- amino acids were coupled to the resin with aid of HCTU/DIPEA in NMP at ambient temperature, and then the residual free a-amino groups capped with acetic anhydride/pyridine. Fmoc-deprotection was performed using piperidine in DMF (20% v/v) at ambient temperature.
Cleavage and purification of peptides
[0218] Peptides were cleaved from the resin using a cocktail consisting of TFA (95% v/v), TIPS (2.5% v/v) and water (2.5% v/v). Subsequently, cleavage solutes were combined, concentrated by rotary evaporation and peptides precipitated with cold diethyl ether and filtered. Crude peptides were dried under a flow of nitrogen, reconstituted in 20% MeCN/water (v/v) and RP HPLC purified on a Varian SD-1 Prep Star system using a Agilent Polaris C8-A column (21.2 x 250 mm, 5 micron); a linear solvent gradient from 10% to 70% of B in A was applied in 30 min - A: 0.1% TFA/water v/v, B: 0.1% TFA/MeCN v/v.) The desired peptide-containing fractions were pooled, frozen (dry-ice/acetone) and lyophilized.
Peptide analysis and characterisation
[0219] Purified peptides were identified by single quadripolar LC/MS using a Waters Mass Lynx 3100 platform. Analytes were chromato graphed by elution on a Waters X-Bridge C18 stationary phase (4.6 x 100 mm, 3 micron) using a linear binary gradient 10-90% B in A at 1.5 ml/min over 10 min; A: 0.1% TFA/water v/v, B: 0.1% TFA/MeCN v/v. Analytes were detected by both UV absorption at 210 nm and ionization using a Waters 3100 mass detector (ESI+ mode.) Analytical RP-HPLC spectra were recorded using an Agilent 1260 Infinity system.
Example 8: Peptide conjugation
[0220] Conjugated molecules were made using site- specific conjugation technology where the synthetic peptide was conjugated to specific cysteines engineered into the Fc.
[0221] The Fc was first reduced (in solution in PBS at 5-10 mg/ml) using tris(2- carboxyethyl)phosphine (TCEP). The Fc/TCEP solution was incubated at 37°C for 3 hours. The
1
reduced Fc was buffer exchanged into conjugation reaction buffer (PBS, 1 mM EDTA, pH 7.2) using dialysis overnight. Re-oxidation was initiated by the addition of dehydroascorbic acid (dHAA) dissolved in DMSO solution, and incubation at 20 °C for 4 hours.
[0222] The peptide was then added to the de-capped antibody. The peptide/Fc solution was incubated at 20 °C for 1 hour and the conjugation reaction was quenched by the addition of N- acetylcysteine (NAC) and subsequent incubation at 20 °C for 15 minutes.
[0223] The peptide Fc conjugate was then affinity purified using protein A to separate the Fc from the unconjugated free peptide. The positive fractions were combined and buffer exchanged against PBS using dialysis overnight.
[0224] The biochemical properties of the resulting peptide Fc conjugates were characterized using SDS PAGE, size-exclusion chromatography high pressure liquid chromatography (SEC- HPLC) to determine purity and aggregation content, and by using MALDI-MS to confirm drug loading. Liquid chromatography-mass spectrometry (LC-MS) was conducted to determine the peptide:Fc ratio. Typically the conjugation reactions produced peptide-Fcs with >95 monomer, with a conjugation efficiency of >90 .
Example 9: Synthetic Peptides
[0225] The free synthetic peptides can be more potent than recombinant peptide Fc fusions (e.g., about 5 times more potent on GLP-lr and about 20/30 times more potent on GIPr in vitro; Table 15).
Table 15.
Lipidation scan
[0226] The effect of palmitoylation at certain positions of the dual-agonist peptides was examined (Table N). Palmitoylation at certain positions, (e.g, 10, 12, 13, 17, 18, 21 and 40) was observed to increase the potency on both receptors (Table 16).
1
Table N.
SEQ
Agonist peptide ID
NO:
Y(Aib)2 EGT FTSDL SILKE RQAID EFVNW LLKGG PSSGA PPPS- 309 gl681
amide
Y(Aib)2 EGT FTSD K(PEG4-palm)lu SILKE RQAID EFVNW LLKGG 320 gl896
PSSGA PPPS-amide
Y(Aib)2 EGT FTSDL K(PEG4-palm)n ILKE RQAID EFVNW LLKGG 321 g2016 PSSGA PPPS-amide
Y(Aib)2 EGT FTSDL S K(PEG4-palm)12 LKE RQAID EFVNW LLKGG 322 g2017
PSSGA PPPS-amide
Y(Aib)2 EGT FTSDL SI K(PEG4-palm)13 KE RQAID EFVNW LLKGG 323 gl897
PSSGA PPPS-amide
Y(Aib)2 EGT FTSDL SIL K(PEG4-palm)14 E RQAID EFVNW LLKGG 324 g2018 PSSGA PPPS-amide
Y(Aib)2 EGT FTSDL SILK K(PEG4-palm)15 RQAID EFVNW LLKGG 325 g2019
PSSGA PPPS-amide
Y(Aib)2 EGT FTSDL SILKE K(PEG4-palm)lb QAID EFVNW LLKGG 326 g2020 PSSGA PPPS-amide
Y(Aib)2 EGT FTSDL SILKE R K(PEG4-palm)lv AID EFVNW LLKGG 327 g2021
PSSGA PPPS-amide
Y(Aib)2 EGT FTSDL SILKE RQ K(PEG4-palm)18 ID EFVNW LLKGG 328 g2022
PSSGA PPPS-amide
Y(Aib)2 EGT FTSDL SILKE RQA K(PEG4-palm)19 D EFVNW LLKGG 329 g2023 PSSGA PPPS-amide
Y(Aib)2 EGT FTSDL SILKE RQAI K(PEG4-palm)2U EFVNW LLKGG 330 gl898
PSSGA PPPS-amide
Y(Aib)2 EGT FTSDL SILKE RQAID K(PEG4-palm)21 FVNW LLKGG 331 g2024
PSSGA PPPS-amide
Y(Aib)2 EGT FTSDL SILKE RQAID E K(PEG4-palm)22 NW LLKGG 332 g2025
PSSGA PPPS-amide
Y(Aib)2 EGT FTSDL SILKE RQAID EF K(PEG4-palm)23 NW LLKGG 333 g2026 PSSGA PPPS-amide
Y(Aib)2 EGT FTSDL SILKE RQAID EFV K(PEG4-palm)24 W LLKGG 334 gl899 PSSGA PPPS-amide
Y(Aib)2 EGT FTSDL SILKE RQAID EFVN K(PEG4-palm)2S LLKGG 335 g2286 PSSGA PPPS-amide
Y(Aib)2 EGT FTSDL SILKE RQAID EFVNW K(PEG4-palm) b LKGG 336 g2287 PSSGA PPPS-amide
Y(Aib)2 EGT FTSDL SILKE RQAID EFVNW L K(PEG4-palm) / KGG 337 g2288 PSSGA PPPS-amide
Y(Aib)2 EGT FTSDL SILKE RQAID EFVNW LL K(PEG4-palm)28 GG 338 g2289 PSSGA PPPS-amide
Y(Aib)2 EGT FTSDL SILKE RQAID EFVNW LLKGG PSSGA PPPS 313 gl685
K(YE-Palm) -amide
SEQ
Agonist peptide ID
NO:
Y(Aib)2 EGT FTSDL SILKE RQAID EFVNW LLKGG PSSGA PPPS- 315 gl734
PEG4-K(YE-Palm)-amide
Table 16. Lipidation position scan
Analogues
27] Analogues of g 1681 (SEQ ID NO: 309) were synthesized and tested (Table O and Table 17). Notable analogues included: gl721 (SEQ ID NO: 345), gl722 (SEQ ID NO: 341) and g2029 (SEQ ID NO: 350).
1
Table O.
1
Table 17. gl681 and analogues
Analogues with unnatural amino acids
[0228] Unnatural amino acids as described elsewhere herein can be incorporated into an agonist peptide to increase its stability in vivo (e.g., to protect against proteolytic cleavage). Table P and Table 18 show representative sequences and functional testing data, respectively.
[0229] One substitution isolated here that significantly increased potency was L13aMeLeu (e.g., gl726; SEQ ID NO: 362).
[0230] Some mutations were observed to increase potency on one receptor but not the other, including: F6Nle (e.g., g2008; SEQ ID NO: 380); and Sl lAib (e.g., g2033; SEQ ID NO: 391). This property could be used to change the balance of GIPr/GLP-lr activation.
1
Table P.
Table 18. Potency of constructs with unnatural amino acids hGLPIR GLP1R hGIPR GIPR INS-1 INS-1
EC50 Count EC50 Count 832/3 832/3
(pM) (pM) EC50 (pM) Count
GLP-1 2 71 >23600 61 33 34
GIP >50700 27 35 22 691 16 gl681 3.0 2 8.0 2 33 2 gl718 25.5 2 19.7 2
gl719 1.9 2 14.3 2
gl725 5.8 3 136.3 3
gl726 0.5 2 1.4 2
hGLPIR GLP1R hGIPR GIPR INS-1 INS-1
EC50 Count EC50 Count 832/3 832/3
(pM) (pM) EC50 (pM) Count gl770 17.9 3 76 3
gl771 15.2 2 86.4 2
gl891 7.4 2 6 2
gl893 12.9 2 5.9 2
gl906 26900 2 6939.3 2
g2008 28.1 2 1.8 2
g2032 779.6 2 4413.8 2
g2033 2.7 2 31.2 2
g2034 38.1 2 23 2
[0231] The incorporation of unnatural amino acids and lipidation (Table Q and Table 19) can be used in combination to create peptides with increased in vivo stability.
[0232] Compounds g2006 and g2007 (lipidation at position 13, F22aMePhe and W25aMePhe;
SEQ ID NO: 400),compound gl736 (lipidation at position 10 and W25aMePhe; SEQ ID NO:393) and compound gl682 (lipidation at C terminus and W25aMePhe; SEQ ID NO: 403) retain high potency and are expected to be more stable in vivo.
Table Q.
1
Agonist peptide SEQ
ID
NO:
g2007 Y(Aib)2 EGT FTSDL SI K(PEG4-palm)13 KE RQAID E (aMePhe)22 400
VN (aMePhe)25 LLKGG -amide
Table 19. Unnatural amino acids and lipidation combined
Lipid length scan
3] Lipids of different lengths can be attached to the peptides. Maximum activation of GLP- lr was observed with lipids between C16 and Cl l. For GIPr, higher activation was observed as lipid length increased. Table R and Table 20.
Table R.
1
Agonist peptide SEQ
ID
NO:
G2074 Y(Aib)2 EGT FTSDL SI K(PEG4-undecanoic)13 KE RQAID 410
EFVNW LLKGG PSSGA PPPS-amide (CI 1)
G2066 Y(Aib)2 EGT FTSDL SI K(PEG4-lauric)13 KE RQAID EFVNW 411
LLKGG PSSGA PPPS-amide (C12)
G2075 Y(Aib)2 EGT FTSDL SI K(PEG4-tridecanoic)13 KE RQAID 412
EFVNW LLKGG PSSGA PPPS-amide (CI 3)
G2067 Y(Aib)2 EGT FTSDL SI K(PEG4-myristic)13 KE RQAID EFVNW 413
LLKGG PSSGA PPPS-amide (C14)
G2076 Y(Aib)2 EGT FTSDL SI K(PEG4-pentadecanoic)13 KE RQAID 414
EFVNW LLKGG PSSGA PPPS-amide (CI 5)
G1897 Y(Aib)2 EGT FTSDL SI K(PEG4-palmitic)13 KE RQAID EFVNW 415
LLKGG PSSGA PPPS-amide (CI 6)
G2077 Y(Aib)2 EGT FTSDL SI K(PEG4-heptadecanoic)13 KE RQAID 416
EFVNW LLKGG PSSGA PPPS-amide (C17)
G2065 Y(Aib)2 EGT FTSDL SI K(PEG4-stearic)13 KE RQAID EFVNW 417
LLKGG PSSGA PPPS-amide (CI 8)
G2078 Y(Aib)2 EGT FTSDL SI K(PEG4-nonadecanoic)1J KE RQAID 418
EFVNW LLKGG PSSGA PPPS-amide (CI 9)
Table 20. Lipid length scan
1
4] Table S and Table 21 show additional representative example peptide sequences and functional data, respectively, of synthetic peptides having lipidation or PEGylation.
Table S.
Table 21. Additional peptides
1
Example 10: Peptide Fc Conjugates
[0235] Synthetic peptides with a maleimide group were conjugated to Fc molecules with engineered free cysteines.
Conjugation at different positions on the Fc
[0236] Conjugates lost 5-20 times potency compared to the parent synthetic peptide (similar to loss upon recombinant fusion). (Table T and Table 22)
[0237] The position of conjugation on the Fc can affect the potency on both receptors (Table T and Table 22). Conjugates at positions 442C or 268C retained the most potency. For example, combo0052 (conjugated to Fc at 442C; SEQ ID NO: 437) and combo0051 (conjugated to Fc at 442C; SEQ ID NO: 436) have similar potencies to IP0574 on GLP-lr, and were observed to be more potent on GIPr (2x).
Table T.
1
Description Format SEQ
ID
NO:
Combo0052 Y(Aib)2 EGT FTSDL SILKE RQAID Synthetic peptide 437
EFVNW LLKGG PSSGA PPPS-PEG4- conjugated to Fc at K(maleimide-con003(442C))-amide 442C
Table 22. Conjugation at different positions on the Fc
Fc conjugation of lipidated peptides
38] Lipidated peptides can also be conjugated to a protein using maleimide. The precursor peptides retain high potency in vitro as shown in Table U and Table 23.
Table U.
1
Agonist peptide SEQ
ID
NO: g2057 Y(Aib)2 EGT FTSDL SI K(7E-palm)13 KE RQAID EFVNW LLKGG 423
PSSGA PPPS K(PEG4)40-amide
g2059 Y(Aib)2 EGT FTSDL SI K(7E-palm)13 KE RQAID EFVNW LL 424
K(PEG4)28-GG PSSGA PPPS-amide
g2386 Y(Aib)2 EGT FTSDL SILKE REAID K(PEG2-PEG2-stear)21 FVAW 425
LLKGG PSSGA PPPS K(PEG4)-amide
g2387 Y(Aib)2 EGT FTSDL SILKE REAID EFV K(PEG2-PEG2-stear)24 W 426
LLKGG PSSGA PPPS K(PEG4)-amide
g2071 Y(Aib)2 EGT FTSDL SI K(PEG4-CO-(CH2)15-NH2)13 KE RQAID 427
EFVNW LLKGG PSSGA PPPS-amide
g2072 Y(Aib)2 EGT FTSD K(PEG4-C0-(CH2)15-NH2)1U SILKE RQAID 428
EFVNW LLKGG PSSGA PPPS-amide
g2090 Y(Aib)2 EGT FTSD SILKE R K(PEG4-C0-(CH2)15-NH2)1V AID EFVNW 429
LLKGG PSSGA PPPS-amide
g2092 Y(Aib)2 EGT FTSDL SILKE RQAID EFV K(PEG4-CO-(CH2)15-NH2)24 430
W LLKGG PSSGA PPPS-amide
g2094 Y(Aib)2 EGT FTSDL SILKE RQAID EFVNW LLKGG PSSGA PPPS 431
K(PEG4-CO-(CH2)15-NH2)-amide
Table 23. Lipidated peptide precursors for conjugation
hGLPIR GLP1R hGIPR GIPR INS-1 INS-1
EC50 (pM) Count EC50 (pM) Count 832/3 832/3
EC50 Count (pM)
GLP-1 2 71 >23600 61 33 34
GIP >50700 27 35 22 691 16 g2383 1.0 2 1.0 2
g2384 0.0 2 1.0 2
g2061 13.0 2 7.0 2
g2385 1.0 2 1.0 2
g2057 3.0 2 43.0 2
g2059 4.0 2 38.0 2
g2386 1.0 2 2.0 2
g2387 1.0 2 3.0 2
g2071 5.0 2 188.0 2
g2072 2.0 2 280.0 2
g2090 1.0 2 54.0 2
g2092 4.0 2 36.0 2
g2094 3.0 2 10.0 2
[0239] Some lipidated peptides conjugates (e.g., comboOOW (SEQ ID NO: 438) and combo0112 (SEQ ID NO: 439)) were observed to be 2 to 3 times more potent than combo0052 (SEQ ID NO: 437) on the GIPr cell line (Table V and Table 24).
[0240] Conjugation at the C terminus or at position 24 of peptides palmitoylated at position 10 gave the best results.
Table V.
1
Table 24. Fc conjugation of lipidated peptides
Conjugation and lipidation at the same position
41] Peptides can also be synthesised with lipid that contains a maleimide group. These constructs were observed to generally be less potent (Table W and Table 25)
Table W.
1
Agonist peptide Format SEQ
ID
NO: combo0117 Y(Aib)2 EGT FTSDL SI K(PEG4-CO- Synthetic peptide 448
(CH2)15-NH-maleimide-con003(442C))13 conjugated to Fc at
KE RQAID EFVNW LLKGG PSSGA 442C
PPPS-amide
combo0119 Y(Aib)2 EGT FTSD SILKE R K(PEG4- Synthetic peptide 450
CO-(CH2)15-NH-maleimide- conjugated to Fc at con003(442C))17 AID EFVNW LLKGG 442C
PSSGA PPPS-amide
combo0120 Y(Aib)2 EGT FTSDL SILKE RQAID EFV Synthetic peptide 451
K(PEG4-CO-(CH2)15-NH-inaleimide- conjugated to Fc at con003(442C))24 W LLKGG PSSGA PPPS- 442C
amide
combo0121 Y(Aib)2 EGT FTSDL SILKE RQAID Synthetic peptide 452
EFVNW LLKGG PSSGA PPPS K(PEG4- conjugated to Fc at CO-(CH2)15-NH-maleimide- 442C
con003(442C))-amide
Table 25.
Conjugation of peptides with longer lipidic chains exhibited increased potency in vitro
42] It was observed that synthetic peptides with longer lipidic chains have increased potency in vitro, especially on hGIPr. Once conjugated to an Fc, they remained very potent (low pM on
1
both cell lines), e.g., combo0211 (SEQ ID NO: 443), combo0213 (SEQ ID NO: 445), and combo0214 (SEQ ID NO: 446) (Table X and Table 26).
Table X.
1
Table 26.
Example 11 : Endogenous cell lines screen
[0243] The synthetic dual GIP/GLP-1 agonist peptides were observed to be more potent than native GLP-1 in rat beta cells (INS- IE cell line) and have the characteristics of balanced dual agonists. Recombinant dual GIP/GLP-1 agonist peptides are almost as potent as native GLP-1, but are not as balanced as the synthetic duals.
INS- IE (rat immortalized pancreatic β cell line)
[0244] INS-IE cells express both GLP-lr and GIPr endogenously. The synthetic dual GIP/GLP- 1 peptides were observed to be more potent than GLP-1 native peptide in this cell line (Table Y and Table 27). The recombinant peptides combo0099 (SEQ ID NO: 302) and comboOlOl (SEQ ID NO: 303) are only 2 fold less potent than native GLP-1 in INS- IE.
Table Y.
1
Agonist peptide Format SEQ
ID
NO:
GIP Free-YAEGT FISDY SIAMD KIHQQ Synthetic peptide 263
DFVNW LLAQK GKKND WKHNI TQ-acid
GIP Fc YSEGT FISDY SIAMD KIHQQ DFVNW Recombinant peptide 264 (IP0585) LLAQK - (G4S)4 - FcTM(AK) Fc fusion
combo0070 YSEGT FISDY SIAMD KIHQQ DFVNW Recombinant peptide 273
LLAQK PSSGA PPPS - AAA (GGKGG)4 G - Fc fusion
FcTM(AK)
combo0073 YSEGT FISDY SIAMD KIHQQ DFVNW Recombinant peptide 270
LLAQK PSSGA PPPS - AAA (PA)10 G - Fc fusion
FcTM(ACPPC, ΔΚ)
IP0638 YSEGT FTSDY SILLE KQAID EFIAW Recombinant peptide 454
LLAGG PSSGA PPPS - AAA (G4S)4 G - Fc fusion
FcTM(AK)
IP0574 YSEGT FTSDL SILKE RQAID EFVNW Recombinant peptide 275
LLKGG PSSGA PPPS - AAA (G4S)4 G - Fc fusion
FcTM(AK)
combo0062 YSEGT FTSDL SILKE RQAID EFVNW Recombinant peptide 276
LLKGG PSSGA PPPS - AAA (PA)10 G - Fc fusion
FcTM(AK)
combo0071 YSEGT FTSDL SILKE RQAID EFVNW Recombinant peptide 297
LLKGG PSSGA PPPS - AAA (PA)6 G - Fc fusion
FcTM(AK)
combo0005 YSEGT FTSDL SILRE RQAID EFVNW Recombinant peptide 277
LLKGG PSSGA PPPS - AAA (G4S)4 G - Fc fusion
FcTM(AK)
combo0099 YSEGT FTSDL SILRE RQAID EFVNW Recombinant peptide 302
LLKGG PSSGA PPPS - AAA (PA)10 G - Fc fusion
FcTM(AK)
comboOlOl YSEGT FTSDL SILRE RQAID EFVNW Recombinant peptide 303
LLKGG PSSGA PPPS - AAA (PA)6 G - Fc fusion
FcTM(AK)
combo0053 Y(Aib)2 EGT FTSDL SILKE RQAID Peptide Fc Conjugate 434
EFVNW LLKGG PSSGA PPPS
K(maleimide-con007(268C))-amide
combo0051 Y(Aib)2 EGT FTSDL SILKE RQAID Peptide Fc Conjugate 436
EFVNW LLKGG PSSGA PPPS
K(maleimide-con003(442C))-amide
combo0054 Y(Aib)2 EGT FTSDL SILKE RQAID Peptide Fc Conjugate 435
EFVNW LLKGG PSSGA PPPS-PEG4- K(maleimide-con007(268C))-amide
Combo0052 Y(Aib)2 EGT FTSDL SILKE RQAID Peptide Fc Conjugate 437
EFVNW LLKGG PSSGA PPPS-PEG4- K(maleimide-con003(442C))-amide
1
Agonist peptide Format SEQ
ID
NO:
ComboOOW Y(Aib)2 EGT FTSDK(yE-palm)lu SILKE Peptide Fc Conjugate 438
RQAID EFVK(PEG4-maleimide- con003(442C))W LLKGG PSSGA PPPS - amide
gl711 Y(Aib)2 EGT FTSDL SILKE RQAID Synthetic peptide 310
EFVNW LLKGG -amide
gl681 Y(Aib)2 EGT FTSDL SILKE RQAID Synthetic peptide 309
EFVNW LLKGG PSSGA PPPS-amide
gl677 Y(Aib)2 EGT FTSDK(yE-palm)lu SILKE Synthetic peptide 311
RQAID EFVNW LLKGG PSSGA PPPS - amide
gl736 Y(Aib)2 EGT FTSD K(yE-Palm)lu SILKE Synthetic peptide 393
RQAID EZVN (aMePhe)25 LLKGG PSSGA
PPPS-amide
gl896 Y(Aib)2 EGT FTSD K(PEG4-palm)lu SILKE Synthetic peptide 320
RQAID EFVNW LLKGG PSSGA PPPS- amide
gl897 Y(Aib)2 EGT FTSDL SI K(PEG4-palm)13 KE Synthetic peptide 323
RQAID EFVNW LLKGG PSSGA PPPS- amide
gl898 Y(Aib)2 EGT FTSDL SILKE RQAI K(PEG4- Synthetic peptide 330 palm)20 EFVNW LLKGG PSSGA PPPS- amide
gl899 Y(Aib)2 EGT FTSDL SILKE RQAID EFV Synthetic peptide 334
K(PEG4-palm)24 W LLKGG PSSGA PPPS- amide
gl682 Y(Aib)2 EGT FTSDL SILKE RQAID EFVN Synthetic peptide 403
(aMePhe)25 LLKGG PSSGA PPPS Κ(γΕ- Palm)-amide
gl685 Y(Aib)2 EGT FTSDL SILKE RQAID Synthetic peptide 313
EFVNW LLKGG PSSGA PPPSK(yE-Palm)- amide
gl734 Y(Aib)2 EGT FTSDL SILKE RQAID Synthetic peptide 315
EFVNW LLKGG PSSGA PPPS-PEG4-K(yE- Palm)-amide
gl779 Y(Aib)2 EGT FTSDL SILKE RQAID PEGylated peptide 316
EFVNW LLKGG PSSGA PPPS Cys(30kD
PEG)-amide
1
Table 27.
Knock out INS- IE cell lines
5] Knock out cell lines were generated to isolate the response of each receptor to various compounds disclosed herein and to confirm that the dual agonist molecules are balanced.
1
46] Knock out cell lines data shows that the synthetic duals are balanced dual (i.e., similar potency in WT and both KO cell lines), while the recombinant fusions and conjugates tested are more active through GLP-lr activation than GIPr activation (Table Z and Table 28).
Table Z.
1
Agonist peptide Format SEQ
ID
NO: gl898 Y(Aib)2 EGT FTSDL SILKE RQAI K(PEG4- Synthetic peptide 330 palm)20 EFVNW LLKGG PSSGA PPPS- amide
gl899 Y(Aib)2 EGT FTSDL SILKE RQAID EFV Synthetic peptide 334
K(PEG4-palm)24 W LLKGG PSSGA PPPS- amide
gl682 Y(Aib)2 EGT FTSDL SILKE RQAID EFVN Synthetic peptide 403
(aMePhe)25 LLKGG PSSGA PPPS Κ(γΕ- Palm)-amide
gl685 Y(Aib)2 EGT FTSDL SILKE RQAID Synthetic peptide 313
EFVNW LLKGG PSSGA PPPSK(yE-Palm)- amide
gl734 Y(Aib)2 EGT FTSDL SILKE RQAID Synthetic peptide 315
EFVNW LLKGG PSSGA PPPS-PEG4-K(yE- Palm)-amide
gl779 Y(Aib)2 EGT FTSDL SILKE RQAID PEGylated peptide 316
EFVNW LLKGG PSSGA PPPS Cys(30kD
PEG)-amide
combo0051 Y(Aib)2 EGT FTSDL SILKE RQAID Peptide Fc Conjugate 436
EFVNW LLKGG PSSGA PPPS
K(maleimide-con003(442C))-amide
combo0052 Y(Aib)2 EGT FTSDL SILKE RQAID Peptide Fc Conjugate 437
EFVNW LLKGG PSSGA PPPS-PEG4- K(maleimide-con003(442C))-amide
combo0053 Y(Aib)2 EGT FTSDL SILKE RQAID Peptide Fc Conjugate 434
EFVNW LLKGG PSSGA PPPS
K(maleimide-con007(268C))-amide
combo0054 Y(Aib)2 EGT FTSDL SILKE RQAID Peptide Fc Conjugate 435
EFVNW LLKGG PSSGA PPPS-PEG4- K(maleimide-con007(268C))-amide
1
Table 28.
Example 12: In vivo characterization
Mice
[0247] Lean C57B1/6J mice were purchased from Jackson Laboratories at 8 weeks of age, maintained on a standard chow diet (LabDiet; #5008) and allowed to acclimatize for at least 1 week prior to glucose tolerance testing and for 2 weeks prior to food intake studies. GLP-1 KO mice have previously been described (Scrocchi, Brown et al., Nature Medicine. 1996). They
were also maintained on a standard chow diet (LabDiet; #5008). For DIO mouse studies, lean C57B1/6J mice were purchased from Jackson at 8 weeks of age and placed on a 60% high fat diet (Research Diets, RD12492) for 16-20 weeks prior to the initiation of dosing. In some cases, DIO mice on high fat diet for 12-18 weeks were purchased directly from Jackson laboratories. The db/db mice were purchased from Jackson laboratories at 6 weeks of age, maintained on standard chow diet and allowed to acclimatize for 2-3 weeks prior to the initiation of dosing. Prior to all single and repeated dosing studies, mice were sham dosed 3-5 times with saline. ipGTT
[0248] Mice were grouped based on body weight and typically fasted for 6 hours prior to intraperitoneal injection of glucose at a dose of 2 g/kg and a dose volume of 5-10 mL/kg. Compounds were dosed subcutaneously at the indicated dose and a dose volume of 5-10 mL/kg either 4 or 24 hours prior to the administration of glucose. Glucose was measured from tail blood at the specified time points using the Bayer Ascensia Breeze 2 blood glucose monitoring system.
Recombinant vs conjugated GIP/GLP-1 dual agonist peptides (glucose challenge 4h post injection)
[0249] In vivo, the recombinant duals combo0099 (SEQ ID NO: 302) and comboOlOl (SEQ ID NO: 303) were more efficacious on both glucose control and body weight reduction compared to the conjugated duals and the GLP-1 Fc control. See Figures 7 A and 7B.
Recombinant duals in an ipGTT study (lean vs GLP-lr knock out mice, glucose challenge 4h post injection)
[0250] In the wild type mice, the glucose lowering effect could be caused by GLP-lr and/or GIPr activation. In GLP-lr knock out mice, the glucose lowering effect is mediated through GIPr activation only. In the wild type mice, both recombinant dual GIP/GLP-1 Fc fusions, the recombinant GLP-1 Fc fusion (IP118; HGEGTFTSDVSSYLEEQAAKEFIAWLVKGG GGGGGSGGGGSGGGGS AESKYGPPCPPC PAPEAAGGPSVFLFPPKPKDTLMISRTPEV TCVVVDVSQEDPEVQFNWYVDGVEVHNAKTKPREEQFNSTYRVVSVLTVLHQDWLN GKEYKCKVSNKGLPSSIEKTISKAKGQPREPQVYTLPPSQEEMTKNQVSLTCLVKGFYPS DIAVEWESNGQPENNYKTTPPVLDSDGSFFLYSRLTVDKSRWQEGNVFSCSVMHEALH NHYTQKSLSLSLG (IgG4 Fc) (SEQ ID NO: 136)) and the recombinant GIP Fc fusion (IPO 18; YSEGT FISDY SIAMD KIHQQ DFVNW LLAQK AAA G GGGGS GGGGS GGGGS
1
GGGGS A THTCPPC FcTM (SEQ ID NO: 137)) have a glucose lowering effect. In the GLP-lr Knock out mice, only the dual GIP/GLP-1 Fc and GIP Fc lower glucose efficiently. The recombinant dual agonist peptides disclosed and examined herein mediate glucose control lowering by activation of both receptors. See Figure 8A, 8B, 8C and 8D.
Example 13: Summary 1] Table AA, Table BB, and Table 29 show a summary of the sequences and results of GLP/GLP-1 agonist polypeptide fusions disclosed herein.
1
Table AA.
Table BB
Table 29.
hGlucagonR hGLP-lR low expressing INS-IE INS1 832/3 hGJPR (Rat β-Cell) (Rat β-Cell)
EC50 pM EC50 pM EC50 pM EC50 pM EC50 pM
Glucagon 1.3 10168.3 1580.0
GLP-1 (7-36) 356.1 1.9 24.5 19.4
GIP (1-42) 47.6 238.6 621.7
IP0201 not tested not tested not tested 5225.0 not tested
IP0268 3815.0 2053.3 not tested
IP0280 47.0 6485.0 2788.0 5780.0
IP0295 19150.0 62.6 1275.0 4575.0 28600.0
IP0306 87950.0 26.9 339.0 3775.0 not tested
IP0570 124500.0 25.2 1435.0 not tested not tested
IP0571 69.4 589.0 254.5 983.0
IP0573 181500.0 28.6 201.5 506.5 716.0
IP0574 16.0 139.5 170.1 384.3
IP0615 43.9 1375.0 not tested not tested
IP0601 82550.0 20.6 360.5 not tested not tested
IP0604 215500.0 31.1 509.5 not tested not tested
IP0606 168500.0 24.2 579.5 not tested not tested
IP0609 123500.0 36.8 452.0 not tested not tested
IP0591 25.0 703.0 not tested not tested
IP0595 48.3 914.5 not tested not tested
IP0597 21.8 1105.0 not tested not tested
IP0599 88.4 764.5 not tested not tested
IP0612 238.0 9265.0 not tested not tested
IP0632 123000.0 23.3 264.5 not tested not tested
IP0635 19.7 238.0 not tested not tested
IP0637 247000.0 20.8 378.5 not tested not tested
IP0638 29.1 170.5 278.0 439.0
IP0614 87200.0 25.1 332.0 not tested not tested
IP0644 4.9 175.5 74.2 not tested
IP0646 9.2 217.0 54.6 not tested
IP0647 16.9 917.5 not tested not tested combo0005 8.6 81.0 not tested not tested combo0007 4765.0 44.6 not tested not tested combo0015 5.1 1025.5 not tested not tested combo0013 89.4 2170.0 not tested not tested comboOOl l 9.0 176.5 not tested not tested combo0038 4290.0 1318.0 not tested not tested
IP0668 5.6 148.0 not tested not tested
Combo0028 12.1 351.0 not tested not tested
hGlucagonR hGLP-lR low expressing INS- IE INS1 832/3 hGIPR (Rat β-Cell) (Rat β-Cell)
Combo0062 2.8 43.0 not tested 222
Combo0091 4418 38 not tested not tested combo0201 726 1022 not tested not tested combo0202 420 419 not tested not tested combo0203 19 141 not tested not tested combo0204 20 208 not tested not tested
Combo0093 244 564 not tested not tested combo0216 101 395 not tested not tested
Combo0094 100 272 not tested not tested combo0208 92 171 not tested not tested combo0205 11 179 not tested not tested combo0206 14 417 not tested not tested combo0207 13 254 not tested not tested
Combo0092 328 605 not tested not tested
Combo0095 102 72 not tested not tested combo0134 3132 790 not tested not tested
Combo0096 4079 451 not tested not tested
Combo0106 13 437 not tested not tested
Combo0154 4 54 not tested not tested
Combo0139 23 229 not tested not tested
Combo0071 7 71 not tested 722
Combo0107 12 169 not tested not tested
Combo0102 7 92 not tested not tested
Combo0105 4 68 not tested not tested
ComboOlOO 10 60 not tested not tested
Combo0099 5 35 not tested 76
ComboOlOl 8 53 not tested 64
Combo0104 5 27 not tested not tested
Combo0315 452 325 not tested not tested
Combo0319 2550 825 not tested not tested
Combo0321 1663 1752 not tested not tested
Combo0322 682 145 not tested not tested 2] Table CC and Table 30 show a summary of the sequences and results of GLP/GLP-1 agonist polypeptide conjugates disclosed herein.
Table CC.
Description Format SEQ
ID
NO:
IP0492 Y(Aib)2 EGT FTSDL SILKE RQAID Synthetic peptide 432
EFVNW LLKGG PSSGA PPPS conjugated to Fc at
K(maleimide-con001(239C))-amide 239C
IP0943 Y(Aib)2 EGT FTSDL SILKE RQAID Synthetic peptide 433
EFVNW LLKGG PSSGA PPPS-PEG4- conjugated to Fc
K(maleimide-con001(239C))-amide at239C
Combo0053 Y(Aib)2 EGT FTSDL SILKE RQAID Synthetic peptide 434
EFVNW LLKGG PSSGA PPPS conjugated to Fc at
K(maleimide-con007(269C))-amide 268C
Combo0054 Y(Aib)2 EGT FTSDL SILKE RQAID Synthetic peptide 435
EFVNW LLKGG PSSGA PPPS-PEG4- conjugated to Fc at
K(maleimide-con007(268C))-amide 268C
Combo0051 Y(Aib)2 EGT FTSDL SILKE RQAID Synthetic peptide 436
EFVNW LLKGG PSSGA PPPS conjugated to Fc at
K(maleimide-con003(442C))-amide 442C combo0052 Y(Aib)2 EGT FTSDL SILKE RQAID Synthetic peptide 437
EFVNW LLKGG PSSGA PPPS-PEG4- conjugated to Fc at
K(maleimide)-amide 442C comboOOW Y(Aib)2 EGT FTSD K(yE-palm)lu SILKE Synthetic peptide 438
RQAID EFV K(PEG4-maleimide- conjugated to Fc at con003(442C))24W LLKGG PSSGA PPPS 442C
-amide combo0112 Y(Aib)2 EGT FTSD K(yE-palm)lu SILKE Synthetic peptide 439
RQAID EFVNW LLKGG PSSGA PPPS conjugated to Fc at
K(PEG4-maleimide-con003(442C))- 442C
amide combo0116 Y(Aib)2 EGT FTSDL K(yE-palm)11 ILKE Synthetic peptide 462
RQAID EFVNW LLKGG PSSGA PPPS conjugated to Fc at
K(PEG4-maleimide)-amide 442C
Description Format SEQ
ID
NO: combo0115 Y(Aib)2 EGT FTSDL S K(yE-palm) 12LKE Synthetic peptide 440
RQAID EFVNW LLKGG PSSGA PPPS conjugated to Fc at
K(PEG4-maleimide-con003(442C))- 442C
amide combo0114 Y(Aib)2 EGT FTSDL SI K(yE-palm)13KE Synthetic peptide 441
RQAID EFVNW LL K(PEG4-maleimide- conjugated to Fc at con003(442C))28GG PSSGA PPPS amide 442C
combo0113 Y(Aib)2 EGT FTSDL SI K(yE-palm)13KE Synthetic peptide 442
RQAID EFVNW LLKGG PSSGA PPPS conjugated to Fc at
K(PEG4-maleimide-con003(442C))- 442C
amide combo0118 Y(Aib)2 EGT FTSD K(PEG4-CO-(CH2)15- Synthetic peptide 449
NH-maleimide-con003(442C))10 SILKE conjugated to Fc at RQAID EFVNW LLKGG PSSGA PPPS- 442C
amide
combo0117 Y(Aib)2 EGT FTSDL SI K(PEG4-CO- Synthetic peptide 448
(CH2)15-NH-maleimide-con003(442C))13 conjugated to Fc at
KE RQAID EFVNW LLKGG PSSGA 442C
PPPS-amide
combo0119 Y(Aib)2 EGT FTSD SILKE R K(PEG4- Synthetic peptide 450
CO-(CH2)15-NH-maleimide- conjugated to Fc at con003(442C))17 AID EFVNW LLKGG 442C
PSSGA PPPS-amide combo0120 Y(Aib)2 EGT FTSDL SILKE RQAID EFV Synthetic peptide 451
K(PEG4-CO-(CH2)15-NH-maleimide- conjugated to Fc at con003(442C))24 W LLKGG PSSGA 442C
PPPS-amide combo0121 Y(Aib)2 EGT FTSDL SILKE RQAID Synthetic peptide 452
EFVNW LLKGG PSSGA PPPS K(PEG4- conjugated to Fc at
CO-(CH2)15-NH-maleimide- 442C
con003(442C))-amide
Table 30.
Table DD and Table 31 show a summary of the sequences and results of GLP/GLP-1 agonist synthetic peptides disclosed herein.
Table DD.
Agonist peptide SEQ
ID
NO:
gl576 YSEGT FTSDY SKLLE RQAID EFVNW LLKGG PSSGA 340
PPPS-amide
gl577 Y(Aib)2EGT FTSDY SIYLE RQAID EFIAW LLKGG 342
PSSGA PPPS-amide
gl681 Y(Aib)2 EGT FTSDL SILKE RQAID EFVNW LLKGG 309
PSSGA PPPS-amide
Agonist peptide SEQ
ID
NO: gl682 Y(Aib)2 EGT FTSDL SILKE RQAID EFVN (aMePhe)2' 403
LLKGG PSSGA PPPS K(gE-Palm)-amide
gl683 Y(Aib)2 EGT FTSDL SILKE RQAID EFVNW LLKGG 312
PSSGA PPPSK-amide
gl685 Y(Aib)2 EGT FTSDL SILKE RQAID EFVNW LLKGG 313
PSSGA PPPS K(gE-Palm) -amide
gl711 Y(Aib)2 EGT FTSDL SILKE RQAID EFVNW LLKGG - 310 amide
gl718 Y(Aib) EGT FTSDL SILKE RQAID EFVNW (Nle) LKGG 358
PSSGA PPPS-amide
gl719 Y(Aib) EGT FTSDL SILKE RQAID EFVNW L (Nle) KGG 359
PSSGA PPPS-amide
gl721 Y(Aib)2 EGT FTSDL SILRE RQAID EFVNW LLKGG 345
PSSGA PPPS-amide
gl722 Y(Aib)2 EGT FTSDL SILKE REAID EFVNW LLKGG 346
PSSGA PPPS-amide
gl723 Y(Aib)2 EGT FTSDL SILKE RQAID EFVNW LVKGG 347
PSSGA PPPS-amide
gl724 Y(Aib)2 EGT FTSDL SILKE RQAID EFVNW LLRGG 348
PSSGA PPPS-amide
gl725 Y(Aib) EGT FTSDL SILKE RQAID EFVNW L (aMeLeu) 361
KGG PSSGA PPPS-amide
gl726 Y(Aib) EGT FTSDL SI (aMeLeu) KE RQAID EFVNW 362
LLKGG PSSGA PPPS-amide
gl732 Y(Aib)2 EGT FTSDL SILKE RQAID EFVNW LLKGG 314
PSSGA PPPS-PEG4-K-amide
gl734 Y(Aib)2 EGT FTSDL SILKE RQAID EFVNW LLKGG 315
PSSGA PPPS-PEG4-K(gE-Palm)-amide
gl736 Y(Aib)2 EGT FTSD K(gE-Palm)lu SILKE RQAID EZVN 393
(aMePhe)25 LLKGG PSSGA PPPS-amide
gl740 Y(Aib)2 EGT FTSDL SILKE RQAID EFVNW 317
LLKGG(PEG4)-amide
gl741 Y(Aib)2 EGT FTSDL SILKE RQAID EFVNW LLKGG 318
(PEG4) (PEG4)-amide
gl742 Y(Aib)2 EGT FTSDL SILKE RQAID EFVNW LLK 319
(PEG4)-amide
gl770 Y(Aib) EGT FTSDL SILKE RQAID (Aib) FVNW LLKGG 363
PSSGA PPPS-amide
gl771 Y(Aib) EGT FTSDL SILKE RQAID EFV (Aib) W LLKGG 364
PSSGA PPPS-amide
gl772 Y(Aib)2 EGT FTSDL SRLKE RQAID EFVNW LLKGG 341
PSSGA PPPS-amide
gl773 Y(Aib)2 EGT FTSDY SILKE RQAID EFVNW LLKGG 339
PSSGA PPPS-amide
Agonist peptide SEQ
ID
NO: gl779 Y(Aib)2 EGT FTSDL SILKE RQAID EFVNW LLKGG 316
PSSGA PPPS Cys(30kD PEG)-amide
gl890 Y(Aib)2 EGT FTSDL SILRE REAID EFVNW LLRGG 349
PSSGA PPPS-amide
gl891 Y(Aib) EGT FTSDL SILRE R (Aib) AID EFVNW LLRGG 369
PSSGA PPPS-amide
gl893 Y(Aib) EGT FTSDL SILRE RE (Aib) ID EFVNW LLRGG 371
PSSGA PPPS-amide
gl896 Y(Aib)2 EGT FTSD K(PEG4-palm)lu SILKE RQAID 320
EFVNW LLKGG PSSGA PPPS-amide
gl897 Y(Aib)2 EGT FTSDL SI K(PEG4-palm)13 KE RQAID 323
EFVNW LLKGG PSSGA PPPS-amide
gl898 Y(Aib)2 EGT FTSDL SILKE RQAI K(PEG4-palm) U 330
EFVNW LLKGG PSSGA PPPS-amide
gl899 Y(Aib)2 EGT FTSDL SILKE RQAID EFV K(PEG4- 334
palm)24 W LLKGG PSSGA PPPS-amide
gl902 Y(Aib)2 EGT FTSDL SILKE R (Aib)17 AID EFVNW 404
LLKGG PSSGA PPPS K(gE-palm)-amide
gl904 Y(Aib)2 EGT FTSDL SI (aMeLeu)13 KE RQAID E 407
(aMePhe)22 VN (aMePhe)25 LLKGG PSSGA PPPS K(gE- Palm)-amide
gl905 YA (aMeGlu)3 GT FTSDL SILKE RQAID EFVNW 406
LLKGG PSSGA PPPS K(gE-palm)-amide
gl906 Y(Aib) EGT FTSDL SI (aMeLeu) KE RQAID E (aMePhe) 374
VN (aMePhe) LLKGG -amide
gl918 Y(Aib)2 EGT FTSDL SIYKE RQAID EFVNW LLKGG 343
PSSGA PPPS-amide
gl919 Y(Aib)2 EGT FTSDL SIAKE RQAID EFVNW LLKGG 344
PSSGA PPPS-amide
gl930 YA (aMeGlu)3 GT FTSD K(gE-Palm)lu SILKE RQAID 394
EFVNW LLKGG PSSGA PPPS-amide
gl931 YAIGT FTSD K(gE-Palm)lu SILKE RQAID EFVNW 378
LLKGG PSSGA PPPS-amide
gl932 Y(Aib)2 QGT FTSD K(gE-palm)lu SILKE RQAID EFVNW 379
LLKGG PSSGA PPPS -amide
g2005 Y(Aib)2 EGT FTSDL SI K(gE-palm)13 KE RQAID E 398
(aMePhe)22 VN (aMePhe)25 LLKGG -amide
g2006 Y(Aib)2 EGT FTSDL SI K(gE-stearyl)13 KE RQAID E 399
(aMePhe)22 VN (aMePhe)25 LLKGG -amide
g2007 Y(Aib)2 EGT FTSDL SI K(PEG4-palm)13 KE RQAID E 400
(aMePhe)22 VN (aMePhe)25 LLKGG -amide
g2008 Y(Aib) EGT (Nle) TSDL SILKE RQAID EFVNW LLKGG 380
PSSGA PPPS-amide
g2016 Y(Aib)2 EGT FTSDL K(PEG4-palm)n ILKE RQAID 321
EFVNW LLKGG PSSGA PPPS-amide
Agonist peptide SEQ
ID
NO: g2017 Y(Aib)2 EGT FTSDL S K(PEG4-palm)12 LKE RQAID 322
EFVNW LLKGG PSSGA PPPS-amide
g2018 Y(Aib)2 EGT FTSDL SIL K(PEG4-palm)14 E RQAID 324
EFVNW LLKGG PSSGA PPPS-amide
g2019 Y(Aib)2 EGT FTSDL SILK K(PEG4-palm)ls RQAID 325
EFVNW LLKGG PSSGA PPPS-amide
g2020 Y(Aib)2 EGT FTSDL SILKE K(PEG4-palm)lb QAID 326
EFVNW LLKGG PSSGA PPPS-amide
g2021 Y(Aib)2 EGT FTSDL SILKE R K(PEG4-palm)lv AID 327
EFVNW LLKGG PSSGA PPPS-amide
g2022 Y(Aib)2 EGT FTSDL SILKE RQ K(PEG4-palm)18 ID 328
EFVNW LLKGG PSSGA PPPS-amide
g2023 Y(Aib)2 EGT FTSDL SILKE RQA K(PEG4-palm)iy D 329
EFVNW LLKGG PSSGA PPPS-amide
g2024 Y(Aib)2 EGT FTSDL SILKE RQAID K(PEG4-palm)21 331
FVNW LLKGG PSSGA PPPS-amide
g2025 Y(Aib)2 EGT FTSDL SILKE RQAID E K(PEG4-palm)22 332
NW LLKGG PSSGA PPPS-amide
g2026 Y(Aib)2 EGT FTSDL SILKE RQAID EF K(PEG4-palm)23 333
NW LLKGG PSSGA PPPS-amide
g2028 Y(Aib)2 EGT FTSDL SI K(gE-palm)13 RE REAID EFVAW 389
LLRGG PSSGA PPPS-amide
g2029 Y(Aib)2 EGT FTSDL SILRE REAID EFVAW LLRGG 350
PSSGA PPPS-amide
g2030 Y(Aib)2 EGT FTSDL SILRE REAID EFVAW LLRGG - 351 amide
g2032 Y(Aib) EGT FTSD (Aib) SILKE RQAID EFVNW LLKGG 390
PSSGA PPPS-amide
g2033 Y(Aib) EGT FTSDL (Aib) ILKE RQAID EFVNW LLKGG 391
PSSGA PPPS-amide
g2034 Y(Aib) EGT FTSDL S (Aib) LKE RQAID EFVNW 392
LLKGG PSSGA) PPPS-amide
G2065 Y(Aib)2 EGT FTSDL SI K(PEG 4-stearic)13 KE RQAID 417
EFVNW LLKGG PSSGA PPPS-amide (CI 8)
G2066 Y(Aib)2 EGT FTSDL SI K(PEG4-lauric)13 KE RQAID 411
EFVNW LLKGG PSSGA PPPS-amide (C12)
G2067 Y(Aib)2 EGT FTSDL SI K(PEG4-myristic)13 KE RQAID 413
EFVNW LLKGG PSSGA PPPS-amide (C14)
G2068 Y(Aib)2 EGT FTSDL SI K(PEG4-caproic)13 KE RQAID 408
EFVNW LLKGG PSSGA PPPS-amide (C6)
G2073 Y(Aib)2 EGT FTSDL SI K(PEG4-nonanoic)13 KE RQAID 409
EFVNW LLKGG PSSGA PPPS-amide (C9)
G2074 Y(Aib)2 EGT FTSDL SI K(PEG4-undecanoic)13 KE 410
RQAID EFVNW LLKGG PSSGA PPPS-amide (CI 1)
Agonist peptide SEQ
ID
NO:
G2075 Y(Aib)2 EGT FTSDL SI K(PEG4-tridecanoic)13 KE 412
RQAID EFVNW LLKGG PSSGA PPPS-amide (CI 3)
G2076 Y(Aib)2 EGT FTSDL SI K(PEG4-pentadecanoic)13 KE 414
RQAID EFVNW LLKGG PSSGA PPPS-amide (CI 5)
G2077 Y(Aib)2 EGT FTSDL SI K(PEG4-heptadecanoic)13 KE 416
RQAID EFVNW LLKGG PSSGA PPPS-amide (C17)
G2078 Y(Aib)2 EGT FTSDL SI K(PEG4-nonadecanoic)1J KE 418
RQAID EFVNW LLKGG PSSGA PPPS-amide (CI 9) g2286 Y(Aib)2 EGT FTSDL SILKE RQAID EFVN K(PEG4- 335
palm)25 LLKGG PSSGA PPPS-amide
g2287 Y(Aib)2 EGT FTSDL SILKE RQAID EFVNW K(PEG4- 336
palm)26 LKGG PSSGA PPPS-amide
g2288 Y(Aib)2 EGT FTSDL SILKE RQAID EFVNW L K(PEG4- 337
palm)27 KGG PSSGA PPPS-amide
g2289 Y(Aib)2 EGT FTSDL SILKE RQAID EFVNW LL 338
K(PEG4-palm)28 GG PSSGA PPPS-amide
Table 31
Fc Sequences
Fc(IgGl)
DNA (SEQ ID NO: 463):
CCAGCACCTGAACTCCTGGGGGGACCGTCAGTCTTCCTCTTCCCCCCAAAACCCAAG GACACCCTCATGATCTCCCGGACCCCTGAGGTCACATGCGTGGTGGTGGACGTGAG CCACGAAGACCCTGAGGTCAAGTTCAACTGGTACGTGGACGGCGTGGAGGTGCATA ATGCCAAGACAAAGCCGCGGGAGGAGCAGTACAACAGCACGTACCGTGTGGTCAG
CGTCCTCACCGTCCTGCACCAGGACTGGCTGAATGGCAAGGAGTACAAGTGCAAGG
TCTCCAACAAAGCCCTCCCAGCCCCCATCGAGAAAACCATCTCCAAAGCCAAAGGG
CAGCCCCGAGAACCACAGGTCTACACCCTGCCCCCATCCCGGGAGGAGATGACCAA
GAACCAGGTCAGCCTGACCTGCCTGGTCAAAGGCTTCTATCCCAGCGACATCGCCG
TGGAGTGGGAGAGCAATGGGCAGCCGGAGAACAACTACAAGACCACGCCTCCCGT
GCTGGACTCCGACGGCTCCTTCTTCCTCTATAGCAAGCTCACCGTGGACAAGAGCAG
GTGGCAGCAGGGGAACGTCTTCTCATGCTCCGTGATGCATGAGGCTCTGCACAACC
ACTACACGCAGAAGAGCTTAAGCCTGTCTCCGGGTAAA
Fc(IgGl)
Protein (SEQ ID NO: 202):
PAPELLGGPSVFLFPPKPKDTLMISRTPEVTCVVVDVSHEDPEVKFNWYVDGVEVHNA KTKPREEQYNSTYRVVSVLTVLHQDWLNGKEYKCKVSNKALPAPIEKTISKAKGQPRE PQVYTLPPSREEMTKNQVSLTCLVKGFYPSDIAVEWESNGQPENNYKTTPPVLDSDGSF FLYSKLTVDKSRWQQGNVFSCSVMHEALHNHYTQKSLSLSPGK
Fc(IgGlTM)
DNA (SEQ ID NO: 465):
CCTGCCCCTGAGTTCGAGGGCGGACCCTCCGTGTTCCTGTTCCCCCCAAAGCCCAAG
GACACCCTGATGATCTCCCGGACCCCCGAAGTGACCTGCGTGGTGGTGGACGTGTC
CCACGAGGACCCTGAAGTGAAGTTCAATTGGTACGTGGACGGCGTGGAAGTGCACA
ACGCCAAGACCAAGCCCAGAGAGGAACAGTACAACTCCACCTACCGGGTGGTGTCC
GTGCTGACCGTGCTGCACCAGGACTGGCTGAACGGCAAAGAGTACAAGTGCAAGGT
CTCCAACAAGGCCCTGCCCGCCTCCATCGAAAAGACCATCTCCAAGGCCAAGGGCC
AGCCCCGCGAGCCTCAGGTGTACACACTGCCCCCCAGCCGGGAAGAGATGACCAAG
AACCAGGTGTCCCTGACCTGTCTGGTGAAAGGCTTCTACCCCTCCGATATCGCTGTG
GAATGGGAGTCCAACGGCCAGCCCGAGAACAACTACAAGACCACCCCCCCTGTGCT
GGACTCCGACGGCTCATTCTTCCTGTACTCCAAGCTGACCGTGGACAAGTCCCGGTG
GCAGCAGGGCAACGTGTTCTCCTGCTCCGTGATGCACGAGGCCCTGCACAACCACT
ACACCCAGAAGTCTCTGTCCCTGAGCCCCGGCAAA
Fc(IgGlTM)
Protein (SEQ ID NO: 204):
PAPEFEGGPSVFLFPPKPKDTLMISRTPEVTCVVVDVSHEDPEVKFNWYVDGVEVHNAK TKPREEQYNSTYRVVSVLTVLHQDWLNGKEYKCKVSNKALPASIEKTISKAKGQPREP QVYTLPPSREEMTKNQVSLTCLVKGFYPSDIAVEWESNGQPENNYKTTPPVLDSDGSFF LYSKLTVDKSRWQQGNVFSCSVMHEALHNHYTQKSLSLSPGK
Fc(IgGlFQQ)
DNA (SEQ ID NO: 467):
CCGGCGCCTGAGTTCCAGGGCGGACCCTCCGTGTTCCTGTTCCCCCCAAAGCCCAA
GGACACCCTGATGATCTCCCGGACCCCCGAAGTGACCTGCGTGGTGGTGGACGTGT
CCCACGAGGACCCTGAAGTGAAGTTCAATTGGTACGTGGACGGCGTGGAAGTGCAC
AACGCCAAGACCAAGCCCAGAGAGGAACAGTACAACTCCACCTACCGGGTGGTGTC
CGTGCTGACCGTGCTGCACCAGGACTGGCTGAACGGCAAAGAGTACAAGTGCCAGG
TCTCCAACAAGGCCCTGCCCGCCCCCATCGAAAAGACCATCTCCAAGGCCAAGGGC
CAGCCCCGCGAGCCTCAGGTGTACACACTGCCCCCCAGCCGGGAAGAGATGACCAA
GAACCAGGTGTCCCTGACCTGTCTGGTGAAAGGCTTCTACCCCTCCGATATCGCTGT
GGAATGGGAGTCCAACGGCCAGCCCGAGAACAACTACAAGACCACCCCCCCTGTGC
TGGACTCCGACGGCTCATTCTTCCTGTACTCCAAGCTGACCGTGGACAAGTCCCGGT
GGCAGCAGGGCAACGTGTTCTCCTGCTCCGTGATGCACGAGGCCCTGCACAACCAC
TACACCCAGAAGTCTCTGTCCCTGAGCCCCGGCAAA
Fc(IgGlFQQ)
Protein (SEQ ID NO: 466):
PAPEFQGGPSVFLFPPKPKDTLMISRTPEVTCVVVDVSHEDPEVKFNWYVDGVEVHNA KTKPREEQYNSTYRVVSVLTVLHQDWLNGKEYKCQVSNKALPAPIEKTISKAKGQPRE PQVYTLPPSREEMTKNQVSLTCLVKGFYPSDIAVEWESNGQPENNYKTTPPVLDSDGSF FLYSKLTVDKSRWQQGNVFSCSVMHEALHNHYTQKSLSLSPGK
Fc(IgG4)
DNA (SEQ ID NO: 464):
CCTGCCCCTGAGGCCGCGGGCGGACCCAGCGTGTTCCTGTTCCCTCCTAAGCCTAAG GACACCCTGATGATCTCCCGGACCCCTGAAGTGACCTGCGTGGTGGTGGACGTGTC
CCAGGAAGATCCTGAGGTCCAGTTCAATTGGTACGTGGACGGCGTGGAGGTGCACA
ACGCCAAGACCAAGCCTCGGGAGGAACAGTTCAACTCCACCTACCGGGTGGTGTCC
GTGCTGACCGTGCTGCACCAGGACTGGCTGAACGGCAAAGAATACAAGTGCAAGGT
GTCCAACAAGGGCCTGCCCTCCTCCATCGAAAAGACCATCTCCAAGGCCAAGGGCC
AGCCTCGGGAACCTCAGGTGTACACCCTGCCTCCCTCTCAGGAAGAGATGACCAAG
AACCAGGTGTCCCTGACCTGTCTGGTGAAGGGCTTCTACCCTTCCGATATCGCCGTG
GAGTGGGAGTCTAACGGCCAGCCTGAGAACAACTACAAGACCACCCCTCCTGTGCT
GGACTCCGACGGCTCCTTCTTCCTGTACTCCAGGCTGACCGTGGACAAGTCCCGGTG
GCAGGAAGGCAACGTCTTTTCCTGCTCCGTGATGCACGAGGCCCTGCACAACCACT
ACACCCAGAAGTCCCTGTCCCTGTCTCTGGGC
Fc(IgG4)
Protein (SEQ ID NO: 203)
PAPEAAGGPSVFLFPPKPKDTLMISRTPEVTCVVVDVSOEDPEVQFNWYVDGVEVHNA KTKPREEQFNSTYRVVSVLTVLHQDWLNGKEYKCKVSNKGLPSSIEKTISKAKGQPREP QVYTLPPSQEEMTKNQVSLTCLVKGFYPSDIAVEWESNGQPENNYKTTPPVLDSDGSFF LYSRLTVDKSRWQEGNVFSCSVMHEALHNHYTQKSLSLSLG
Fc(IgGlTM (ΔΚ))
DNA (SEQ ID NO: 482):
CCTGCCCCTGAGTTCGAGGGCGGACCCTCCGTGTTCCTGTTCCCCCCAAAGCCCAAG
GACACCCTGATGATCTCCCGGACCCCCGAAGTGACCTGCGTGGTGGTGGACGTGTC
CCACGAGGACCCTGAAGTGAAGTTCAATTGGTACGTGGACGGCGTGGAAGTGCACA
ACGCCAAGACCAAGCCCAGAGAGGAACAGTACAACTCCACCTACCGGGTGGTGTCC
GTGCTGACCGTGCTGCACCAGGACTGGCTGAACGGCAAAGAGTACAAGTGCAAGGT
CTCCAACAAGGCCCTGCCCGCCTCCATCGAAAAGACCATCTCCAAGGCCAAGGGCC
AGCCCCGCGAGCCTCAGGTGTACACACTGCCCCCCAGCCGGGAAGAGATGACCAAG
AACCAGGTGTCCCTGACCTGTCTGGTGAAAGGCTTCTACCCCTCCGATATCGCTGTG
GAATGGGAGTCCAACGGCCAGCCCGAGAACAACTACAAGACCACCCCCCCTGTGCT
GGACTCCGACGGCTCATTCTTCCTGTACTCCAAGCTGACCGTGGACAAGTCCCGGTG
GCAGCAGGGCAACGTGTTCTCCTGCTCCGTGATGCACGAGGCCCTGCACAACCACT
ACACCCAGAAGTCTCTGTCCCTGAGCCCCGGC
Fc(IgGlTM (ΔΚ))
Protein (SEQ ID NO: 483):
PAPEFEGGPSVFLFPPKPKDTLMISRTPEVTCVVVDVSHEDPEVKFNWYVDGVEVHNAK TKPREEQYNSTYRVVSVLTVLHQDWLNGKEYKCKVSNKALPASIEKTISKAKGQPREP QVYTLPPSREEMTKNQVSLTCLVKGFYPSDIAVEWESNGQPENNYKTTPPVLDSDGSFF LYSKLTVDKSRWQQGNVFSCSVMHEALHNHYTQKSLSLSPG
Fc(IgGlTM (239Q)
Protein (SEQ ID NO: 486):
AAAAGGSGSTASSGSGSATGGGGAATHTCPPCPAPEFEGGPCVFLFPPKPKDTLMISRTP EVTCVVVDVSHEDPEVKFNWYVDGVEVHNAKTKPREEQYNSTYRVVSVLTVLHQDW LNGKEYKCKVSNKALPASIEKTISKAKGQPREPQVYTLPPSREEMTKNQVSLTCLVKGF YPSDIAVEWESNGQPENNYKTTPPVLDSDGSFFLYSKLTVDKSRWQQGNVFSCSVMHE ALHNH YTQKS LS LSPGK
Fc(IgGlTM (268Q)
Protein (SEQ ID NO: 487):
AAAAGGSGSTASSGSGSATGGGGAATHTCPPCPAPEFEGGPSVFLFPPKPKDTLMISRTP EVTCVVVDVSCEDPEVKFNWYVDGVEVHNAKTKPREEQYNSTYRVVSVLTVLHQDW LNGKEYKCKVSNKALPASIEKTISKAKGQPREPQVYTLPPSREEMTKNQVSLTCLVKGF YPSDIAVEWESNGQPENNYKTTPPVLDSDGSFFLYSKLTVDKSRWQQGNVFSCSVMHE ALHNH YTQKS LS LSPGK
Fc(IgGlTM (442C))
Protein (SEQ ID NO: 488):
AAAGGSGSTASSGSGSATGGGGAATHTCPPCPAPEFEGGPSVFLFPPKPKDTLMISRTPE VTCVVVDVSHEDPEVKFNWYVDGVEVHNAKTKPREEQYNSTYRVVSVLTVLHQDWL NGKEYKCKVSNKALPASIEKTISKAKGQPREPQVYTLPPSREEMTKNQVSLTCLVKGFY PSDIAVEWESNGQPENNYKTTPPVLDSDGSFFLYSKLTVDKSRWQQGNVFSCSVMHEA LHNHYTQKSLCLSPGK
Fc(IgGl YTE)
Protein (SEQ ID NO: 205)
PAPELLGGPSVFLFPPKPKDTLYITREPEVTCVVVDVSHEDPEVKFNWYVDGVEVHNAK TKPREEQYNSTYRVVSVLTVLHQDWLNGKEYKCKVSNKALPAPIEKTISKAKGQPREP QVYTLPPSREEMTKNQVSLTCLVKGFYPSDIAVEWESNGQPENNYKTTPPVLDSDGSFF LYSKLTVDKSRWQQGNVFSCSVMHEALHNHYTQKSLSLSPGK
Fc(IgGl TM/YTE)
Protein (SEQ ID NO: 206)
PAPEFEGGPSVFLFPPKPKDTLYITREPEVTCVVVDVSHEDPEVKFNWYVDGVEVHNAK TKPREEQYNSTYRVVSVLTVLHQDWLNGKEYKCKVSNKALPASIEKTISKAKGQPREP QVYTLPPSREEMTKNQVSLTCLVKGFYPSDIAVEWESNGQPENNYKTTPPVLDSDGSFF LYSKLTVDKSRWQQGNVFSCSVMHEALHNHYTQKSLSLSPGK 4] The breadth and scope of the present disclosure should not be limited by any of the above-described exemplary embodiments, but should be defined only in accordance with the following claims and their equivalents.
Claims
1. An isolated polypeptide comprising the amino acid sequence:
Xi X2 E G X5 X6 X7 S X9 X10 X11 X12 X13 X14 X15 X½ X17 Xis X1 X20 X2i X22 X23 X24 X2 X27 X28 X29 30 (SEQ ID NO: 459); wherein
X! is Y or H;
X2 is S, G, or an unnatural amino acid;
X5 is T or M;
X6 is F, H, or an unnatural amino acid;
X7 is T or I;
X10 is L, Y, an unnatural amino acid, or a lipid-modified K;
X11 is S, an unnatural amino acid, or a lipid-modified K;
X12 is I, an unnatural amino acid, or a lipid-modified K;
X13 is L, an unnatural amino acid, or a lipid-modified K;
X14 is K, L, R, Y, M, I, H, A, V, or a lipid-modified K;
X15 is E, D, or a lipid-modified K;
Xi6 is R, E, K, I, Y, or a lipid-modified K;
X17 is I, E, Q, L, an unnatural amino acid, or a lipid-modified K;
Xis is A, an unnatural amino acid, or a lipid-modified K;
X19 is I or a lipid-modified K;
X20 is D, E, Q or a lipid-modified K;
X21 is E, A, an unnatural amino acid, or a lipid-modified K;
X22 is F, an unnatural amino acid, or a lipid-modified K;
X23 is I, V, A, or a lipid-modified K;
X24 is A, N, S, a lipid-modified K, or a maleimide-modified K;
X25 is W, D, E, L, F, I, S, N, G, M, H, K, R, an unnatural amino acid, or a lipid-modified K;
X26 is L, an unnatural amino acid, or a lipid-modified K;
X27 is L, A, V, an unnatural amino acid, or a lipid-modified K;
X28 is A, K, G, R, a lipid-modified K, or a maleimide-modified K;
X29 is G, Q, A, or a lipid-modified K; and
X30 is no amino acid, G, K, A, E, or a lipid-modified K.
2. The polypeptide of claim 1, wherein X10 is L.
3. The polypeptide of claim 1 or 2, wherein X14 is R.
4. The polypeptide of any one of claims 1 to 3, wherein X17 is Q.
5. The polypeptide of claim 3, wherein Xi7 is E.
6. The polypeptide of any one of claims 1 to 5[0227], wherein X2o is D.
7. An isolated polypeptide comprising the amino acid sequence:
Xi X2 E G X5 X6 X7 S X9 X10 X11 X12 X13 X14 X15 X½ X17 Xi8 X19 X20 X21 X22 X23 X24 X25 X26 X27 X28 X29 X30 (SEQ ID NO: 460); wherein
Xi is Y or H;
X2 is S, G, or an unnatural amino acid;
X5 is T or M;
X6 is F, H, or an unnatural amino acid;
X7 is T or I;
X9 is D or L;
X10 is L, Y, an unnatural amino acid, or a lipid-modified K;
X11 is S, A, R, an unnatural amino acid, or a lipid-modified K;
X12 is S, K, I, A, M, Q, an unnatural amino acid, or a lipid-modified K;
Xi3 is Y, L, A, H, an unnatural amino acid, or a lipid-modified K;
Xi4 is K, L, R, Y, M, I, H, A, V, or a lipid-modified K;
Xi5 is E, D, or a lipid-modified K;
X16 is R, E, K, I, Y, or a lipid-modified K;
Xi7 is I, E, Q, L, an unnatural amino acid, or a lipid-modified K;
Xi8 is A, an unnatural amino acid, or a lipid-modified K;
X19 I or a lipid-modified K;
X20 is D, E, Q, or a lipid-modified K;
X21 is E, an unnatural amino acid, or a lipid-modified K;
X22 is F, an unnatural amino acid, or a lipid-modified K;
X23 is V or a lipid-modified K;
X24 is N, a lipid-modified K, or a maleimide-modified K;
X25 is W, D, E, L, F, I, S, N, G, M, H, K, R, an unnatural amino acid, or a lipid-modified K;
X26 is L, an unnatural amino acid, or a lipid-modified K;
X27 is L, A, V, an unnatural amino acid, or a lipid-modified K;
X28 is A, K, G, R, a lipid-modified K, or a maleimide-modified K;
X29 is G, Q, A, or a lipid-modified K; and
X30 is no amino acid, G, K, A, E, or a lipid modified K.
8. The polypeptide of claim 7, wherein X10 is L.
9. The polypeptide of claim 7 or8, wherein X12 is I or K.
10. The polypeptide of any one of claims 7 to 9, wherein X13 is L.
11. The polypeptide of any one of claims 7 to 10, wherein X14 is R.
12. The polypeptide of any one of claims 7 to 11, wherein X17 is Q.
13. The polypeptide of claim 11, wherein X1 is E.
14. The polypeptide of any one of claims 7 to [0229], wherein X2o is D.
15. The polypeptide of any one of claims 1 to 14, further comprising the amino acid sequence PSSGA PPPX (SEQ ID NO: 477) fused to the C Terminus of the polypeptide, wherein X is no amino acid, any natural amino acid, a lipid-modified K, or a maleimide-modified K.
16. The polypeptide of claim 15, wherein X is S (SEQ ID NO: 146) or G (SEQ ID NO: 479).
17. The polypeptide of any one of claims 1 to 16, wherein the polypeptide is produced synthetically.
18. The polypeptide of any one of claims 1 to 17, wherein X2 is Aib.
19. The polypeptide of any one of claims 15 to 18, further comprising a lipid-modified K at the C terminus of the polypeptide.
20. The polypeptide of any one of claims 1 to 19[0231], wherein one or two of X10, X12, X13, X14, Xi7, Xi8, X2o, X21, X24, X25, or the C terminus is a lipid-modified K.
21. The polypeptide of any one of claims 1 tol9, wherein one or two of X10, X12, X21, or the C terminus is a lipid-modified K.
22. The polypeptide of any one of claims 1 to 21, wherein the lipid-modified K comprises a gamma glutamine (γΕ) and/or a PEG4 linker.
23. The polypeptide of any one of claims 1 to [0231], wherein the lipid is selected from the group consisting of a nonanoic (C9), decanoic (CIO), undecanoic (Cl l), lauric (C12), tridecanoic (C13), myristic (C14), pentadecanoic (C15), palmitic (C16), heptadecanoic (C17), stearic (C18), and nonadecanoic (CI 9).
24. The polypeptide of any one of claims 1 to 22, wherein the lipid is selected from the group consisting of a undecanoic (Cl l), lauric (C12), tridecanoic (C13), myristic (C14), pentadecanoic (C15), palmitic (C16) heptadecanoic (C17), stearic (C18), and nonadecanoic (C19).
25. The polypeptide of any one of claim 1 to 22, wherein the lipid is palmitic (CI 6).
26. The polypeptide of any one of claims 1 to 25, wherein the lipid-modified K is K(yE-palm), K(PEG4-palm), or PEG4-K(yE-palm).
27. The polypeptide of any one of claims 1 to 26, wherein the unnatural amino acid is selected from the group consisting of Aib, aMeGlu, aMePhe, aMeLeu, and Nle.
28. The polypeptide of any one of claims 1 to 27, wherein the polypeptide comprises at least 2, at least 3, or at least 4 unnatural amino acids.
29. The polypeptide of any one of claims 1 to 28, wherein X13 is aMeLeu.
30. The polypeptide of any one of claim 1 to 29, wherein X6 is Nle, Xn is Aib, X1 is Aib, X18 is Aib, and/or X27 is Nle.
31. The polypeptide of any one of claims 1 to 28, wherein X13 is a lipid-modified K, X22 is aMePhe, and X25 is aMePhe.
32. The polypeptide of any one of claims 16 to 28, comprising an amino acid sequence selected from the group consisting of SEQ ID NO: 309 (gl681), SEQ ID NO: 310 (gl711), SEQ ID NO: 311 (gl677), SEQ ID NO: 313 (gl685), SEQ ID NO: 315 (gl734), SEQ ID NO: 378 (gl931), SEQ ID NO: 320 (gl896), SEQ ID NO: 322 (g2017), SEQ ID NO: 323 (gl897), SEQ ID NO:
324 (g2018), SEQ ID NO: 326 (g2020), SEQ ID NO: 327 (g2021), SEQ ID NO: 328 (g2022), SEQ ID NO: 330 (gl898), SEQ ID NO: 331 (g2024), SEQ ID NO: 334 (gl899), SEQ ID NO: 335 (g2286), SEQ ID NO: 342 (gl577), SEQ ID NO: 345 (gl721), SEQ ID NO: 346 (gl722), SEQ ID NO: 348 (gl724), SEQ ID NO: 350 (g2029), SEQ ID NO: 359 (gl719), SEQ ID NO: 362 (gl726), SEQ ID NO: 369 (gl891), SEQ ID NO: 371 (gl893), SEQ ID NO: 380 (g2008), SEQ ID NO: 393 (gl736), SEQ ID NO: 400 (g2007), SEQ ID NO: 403 (gl682), SEQ ID NO: 389 (g2028), SEQ ID NO: 411 (g2066), SEQ ID NO: 412 (g2075), SEQ ID NO: 413 (g2067), SEQ ID NO: 414 (g2076), SEQ ID NO: 415 (gl897), SEQ ID NO: 416 (g2077), SEQ ID NO: 417 (g2065), and SEQ ID NO: 418 (g2078).
33. The polypeptide of claim 32[0234], comprising an amino acid sequence selected from the group consisting of SEQ ID NO: 311 (gl677), SEQ ID NO: 345 (gl721), SEQ ID NO: 315 (gl734), SEQ ID NO: 415 (gl897), SEQ ID NO: 331 (g2024), and SEQ ID NO: 350 (g2029).
34. An isolated polypeptide comprising the amino acid sequence:
YSEGTFTSDLSILKE X16 X17 AIDEFVNWLLKGG (SEQ ID
NO: 461); wherein Xi6 is I, M, K, S, R, or T and Xn is Q, H, N, K, D or Y.
35. The polypeptide of claim 34, wherein X16 is M and X1 is H, X16 is K and X1 is N, X16 is S and X17 is Q, or X16 is I and X17 is K.
36. The polypeptide of claim 34, wherein X16 is I and X17 is Q, X16 is R and X17 is D, or X16 is T and Xi7 is Y.
37. The polypeptide of claim 1, comprising the amino acid sequence:
YSEGTFTSDLSIL X14 ERQAIDEFVNWLLKGG (SEQ ID NO: 3); wherein X14 is L, K, or R.
38. The polypeptide of claim 37, comprising an amino acid sequence selected from the group consisting of SEQ ID NO: 276 (combo 0062), SEQ ID NO: 285 (combo 0094), SEQ ID NO: 291 (combo 0095), SEQ ID NO: 295 (combo 0154), SEQ ID NO: 302 (combo 0099), SEQ ID NO: 303 (combo 0101), SEQ ID NO: 304 (combo 0104), SEQ ID NO: 9 (IP0574_pm), SEQ ID NO: 10 (combo0005_pm), and SEQ ID NO: 15 (combo0011_pm).
39. The polypeptide of any one of claims 1 to 37, wherein the polypeptide is a synthetically produced polypeptide conjugated to a heterologous moiety selected from the group consisting of a lipid moiety, an organic polymer, an inorganic polymer, a polyethylene glycol (PEG), biotin, an albumin, a human serum albumin (HSA), a HSA FcRn binding portion, an antibody, a domain of an antibody, an antibody fragment, a single chain antibody, a domain antibody, an albumin binding domain, an enzyme, a ligand, a receptor, a binding peptide, a non-FnIII scaffold, an epitope tag, a recombinant polypeptide polymer, a cytokine, or a combination of two or more of the recited moieties.
40. The polypeptide of claim 39, wherein the heterologous moiety is an Fc domain.
41. The polypeptide of claim 40, wherein the synthetically produced polypeptide is conjugated to the Fc domain via a free cysteine.
42. The polypeptide of claim 41, wherein the synthetically produced polypeptide is conjugated to the Fc domain at position 239C, 268C, or 442C of the Fc domain.
43. The polypeptide of any one of claims 39 to 42, wherein the synthetically produced polypeptide is conjugated to the Fc domain via a maleimide group.
44. The polypeptide of any one of claims 39 to 43, further comprising a maleimide-modified K.
45. The polypeptide of claim 44, wherein one of X24, X28, or the C terminus is a maleimide- modified K conjugated to the Fc domain.
46. The polypeptide of claim 44 or 45, wherein the maleimide-modified K comprises a PEG4 linker.
47. The polypeptide of any one of claims 44 to 46, wherein the polypeptide is lipidated and is conjugated to the Fc domain.
48. The polypeptide of any one of claims 44 to 47, wherein X24 or the C terminus is a maleimide- modified K conjugated to an Fc domain and Xio is a palmitoylated K.
49. The polypeptide of any one of claims 44 to 47, wherein the C terminus is a maleimide-modified K conjugated to an Fc domain and X12 or X10 is a palmitoylated K.
50. The polypeptide of any one of claims 44 to 47, wherein X28 or the C terminus is a maleimide- modified K conjugated to an Fc domain and X13 is a palmitoylated K.
The polypeptide of any one of claims 48 to 50, wherein the palmitoylated K is K(yE-palm).
52. The polypeptide of any one of claims 44 to 45, wherein X24 or the C terminus is a maleimide- modified K conjugated to an Fc domain and one of X10, X12, X21, or X24 is K(PEG2-PEG2-stear).
53. The polypeptide of claim 52, wherein the C terminus is a maleimide-modified K conjugated to an Fc domain and one of Xio, X12, or X21, is K(PEG2-PEG2-stear).
54. The polypeptide of any one of claims 39 to 50, comprising an amino acid sequence selected from the group consisting of SEQ ID NO: 436 (combo0051), SEQ ID NO: 437 (combo0052), SEQ ID NO: 438 (combo077), SEQ ID NO: 439 (combo0112), SEQ ID NO: 443 (combo0211), SEQ ID NO: 444 (combo0212), SEQ ID NO: 445 (combo0213), SEQ ID NO: 446 (combo0214), SEQ ID NO: 447 (combo0215), and SEQ ID NO: 452 (combo0121).
55. The polypeptide of claim 54, comprising the amino acid sequence SEQ ID NO: 437 (combo0052).
56. The polypeptide of any one of claims 1 to 55, further comprising a heterologous moiety attached thereto.
57. The polypeptide of claim 56, wherein the heterologous moiety comprises a heterologous polypeptide that is fused thereto via a peptide bond.
58. The polypeptide of claim 56 or 57, wherein the heterologous polypeptide comprises a linker, a hinge, an Fc domain, or a combination thereof.
59. The polypeptide of claim 58, wherein the linker comprises (GGGGS)n, wherein n is 1, 2, 3, 4, 5, 6, 7, or 8.
60. The polypeptide of claim 58 or claim 59, wherein the linker comprises the amino acid sequence:
G GGGGS GGGGS GGGGS GGGGS A (SEQ ID NO: 111), A PPGGS GGGGS GGGGS GGGGS A (SEQ ID NO: 112), GT GGGGS GGGGS GGGGS GGGGS A (SEQ ID NO: 113), G GGGGS GGGGS GGGGS GGGGS A (SEQ ID NO: 114), G GGGGS A (SEQ ID NO: 115), G GGGGS GGGGS A (SEQ ID NO: 116), G GGGGS GGGGS GGGGS A (SEQ ID NO: 117), G KGGGS GGGGS GGGGS GGGGS A (SEQ ID NO: 118), G GGGGS GGGGS GGGGS GGGGSA (SEQ ID NO: 119), G GGGG GGGG GGGG GGGG A (SEQ ID NO: 120), GG SGSTA SSGSG SATGG GGAA (SEQ ID NO: 197), AAAGG SGSTA SSGSG SATGG GGAA
(SEQ ID NO: 198), APPGG SGSTA SSGSG SATGG GGAA (SEQ ID NO: 199), AAA GGGGS GGGGS GGGGS GGGGS (SEQ ID NO: 121), AAA PAPAP APAPA PAPAP APAPA G (SEQ ID NO: 122), AAA GKGKG KGKGK GKGKG KGKGK G (SEQ ID NO: 123), AAA GGKGG GGKGG GGKGG GGKGG G (SEQ ID NO: 474), AAA PKPAP KPAPK PAPKP APKPA G (SEQ ID NO: 475), a variant thereof, a fragment thereof, or a combination thereof.
61. The polypeptide of claim 60, wherein the linker comprises AAA GGGGS GGGGS GGGGS GGGGS (SEQ ID NO: 121), AAA PAPAP APAPA PAPAP APAPA G (SEQ ID NO: 122), AAA GGKGG GGKGG GGKGG GGKGG G (SEQ ID NO: 474), AAA GKGKG KGKGK GKGKG KGKGK G (SEQ ID NO: 123), any variant thereof, or any fragment thereof.
62. The polypeptide of claim 61, wherein the linker comprises AAA GGGGS GGGGS GGGGS GGGGS (SEQ ID NO: 121).
63. The polypeptide of claim 58, wherein the linker comprises (PA)n and wherein n is between 1 and 20.
64. The polypeptide of claim 63, wherein n is between 5 and 15.
65. The polypeptide of claim 61, wherein the linker comprises AAA PAPAP APAPA PAPAP APAPA G (SEQ ID NO: 122).
66. The polypeptide of any one of claims 58 to 63, wherein the hinge comprises an amino acid sequence of an IgGl hinge, an IgG4 hinge, a fragment thereof, a variant thereof, or any combination thereof.
67. The polypeptide of any one of claims 58 to 63 wherein the hinge comprises ESKYGPPCPPCPAPEAA (SEQ ID NO: 124), THTCPPCPAPEF (SEQ ID NO: 125), THTCPPC (SEQ ID NO: 126), CPPCPAPEF (SEQ ID NO: 127), TYTCPPCPAPEF (SEQ ID NO: 128), TSTCPPCPAPEF (SEQ ID NO: 129), PPCPPCPAPEF (SEQ ID NO: 130), ESKYGPPCPPCPAPEF (SEQ ID NO: 131), APEF (SEQ ID NO: 132), ESKYGPPCPPC (SEQ ID NO: 133), THTCPPCPAPELL (SEQ ID NO: 134), CPPC (SEQ ID NO: 135), any variant thereof, any fragment thereof, or any combination thereof.
68. The polypeptide of claim 67, wherein the hinge comprises CPPC (SEQ ID NO: 135).
69. The polypeptide of any one of claims 58 to 68, wherein the Fc region comprises an IgGl Fc region, an IgGl-TM Fc region, an IgGl-TM (ΔΚ) Fc region, an IgGl-FQQ Fc region, an IgG4 Fc region, an IgGl-YTE Fc region, any fragment thereof, any variant thereof, or any combination thereof.
70. The polypeptide of claim 56 or 57, comprising a TrpCage sequence selected from the group consisting of amino acid sequence PSSGA PPG (SEQ ID NO: 138), PSSGA PPPGE G (SEQ ID NO: 139), PSSGA PPEGG (SEQ ID NO: 140), PSSGA PPCS (SEQ ID NO: 141), PSSGA PPPSC (SEQ ID NO: 142), PGGGA PPPGC (SEQ ID NO: 143), PSSGR PPPS (SEQ ID NO: 145), PSSGA PPPX, wherein X is no amino acid, any natural amino acid, a lipid-modified K, or a maleimide-modified K (SEQ ID NO: 477), any fragment thereof, or any variant thereof.
71. The polypeptide of claim 70, wherein the TrpCage sequence is PSSGA PPPS (SEQ ID NO: 146) or PSSGA PPPG (SEQ ID NO: 479).
72. The polypeptide of any one of claims 56 to 71, comprising an amino acid sequence selected from the group consisting of SEQ ID NO: 302 (combo0099), SEQ ID NO: 303 (comboOlOl), SEQ ID NO: 304 (combo0104), SEQ ID NO: 295 (combo0154), SEQ ID NO: 299 (combo0102), SEQ ID NO: 300 (combo0105), SEQ ID NO: 291 (combo0095), SEQ ID NO: 285 (combo0094), SEQ ID NO: 61 (IP0574), SEQ ID NO: 62 (combo0005), SEQ ID NO: 67 (comboOOl l), SEQ ID NO: 108 (IP0644), SEQ ID NO: 109 (IP0646), and SEQ ID NO: 110 (combo0062).
73. The polypeptide of any claim 72, comprising an amino acid sequence selected from the group consisting of SEQ ID NO: 302 (combo0099) and SEQ ID NO: 303 (comboOlOl).
74. The polypeptide of claim 56, wherein the heterologous moiety is a lipid moiety, an organic polymer, an inorganic polymer, a polyethylene glycol (PEG), biotin, an albumin, a human serum albumin (HSA), a HSA FcRn binding portion, an antibody, a domain of an antibody, an antibody fragment, a single chain antibody, a domain antibody, an albumin binding domain, an enzyme, a ligand, a receptor, a binding peptide, a non-FnIII scaffold, an epitope tag, a recombinant polypeptide polymer, a cytokine, or a combination of two or more of the recited moieties.
75. The polypeptide of claim 74, wherein the heterologous moiety is polyethylene glycol (PEG).
76. The polypeptide of claim 74, wherein the heterologous moiety is a lipid moiety.
77. The polypeptide of claim 74, wherein the heterologous moiety comprises a polyethylene glycol (PEG) attached to a lipid moiety.
78. The polypeptide of any of claims 74 to 77, wherein the heterologous moiety is attached via a lysine or a cysteine residue.
79. The polypeptide of any one of claims 1 to 78, wherein the polypeptide binds to a GIP receptor, binds to a GLP-1 receptor, or binds to both a GIP and a GLP-1 receptor.
80. The polypeptide of claim 79, wherein the GIP receptor is a mouse GIP receptor, a rat GIP receptor, a non-human primate GIP receptor, or a human GIP receptor.
81. The polypeptide of claim 79, wherein the GLP-1 receptor is a mouse GLP-1 receptor, a rat GLP- 1 receptor, a non-human primate GLP-1 receptor, or a human GLP-1 receptor.
82. The polypeptide of any one of claims 79 to 81, which is an agonist of a GLP-1 receptor, an agonist of a GIP receptor, or an agonist of both a GLP-1 and a GIP receptor.
83. The polypeptide any one of claims 79 to 82, which is an agonist of a human GIP or GLP-1 receptor with an EC50 in the cAMP assay 1 of less than 10,000 pM, less than 5000 pM, less than 2500 pM, less than 1000 pM, less than 900 pM, less than 800 pM, less than 700 pM, less than 600 pM, less than 500 pM, less than 400 pM, less than 300 pM, less than 200 pM, less than 100 pM, less than 50 pM, less than 25 pM, less than 20 pM, less than 15 pM, less than 10 pM, less than 5 pM, less than 4 pM, less than 3 pM, less than 2 pM, or less than 1 pM.
84. The polypeptide of any one of claims 79 to 83, which is an agonist of a human glucagon receptor with at least 1000-fold lower affinity than its binding affinity for a human GIP or GLP- 1 receptor, as measured in the cAMP assay.
85. The polypeptide of claims 79 to 84, which is an agonist in a rat endogenous cell line INS- IE, with an EC50 in the cAMP assay 1 of less than 25,000 pM, less than 5000 pM, less than 2500 pM, less than 1000 pM, less than 900 pM, less than 800 pM, less than 700 pM, less than 600 pM, less than 500 pM, less than 400 pM, less than 300 pM, less than 200 pM, less than 100 pM, less than 50 pM, less than 25 pM, less than 20 pM, less than 15 pM, less than 10 pM, or less than 5 pM.
86. The polypeptide of claims 79 to 85, which is an agonist in both a knock out GLP-lr cell line and a knock out GIPr cell line, with an EC50 in the cAMP assay 1 of less than 350,000 pM, less than 100,000 pM, less than 10,000 pM, less than 5000 pM, less than 2500 pM, less than 1000 pM, less than 900 pM, less than 800 pM, less than 700 pM, less than 600 pM, less than 500 pM, less than 400 pM, less than 300 pM, less than 200 pM, less than 100 pM, less than 50 pM, less than 25 pM, less than 20 pM, less than 15 pM, less than 10 pM, or less than 5 pM.
87. An isolated polynucleotide encoding the polypeptide of any one of claims 1 to 86.
88. A vector comprising the polynucleotide of claim 87.
89. A host cell comprising the polynucleotide of claim 87 or the vector of claim 88.
90. A method of making the polypeptide of any one of claims 1 to 82, comprising culturing the host cell of claim 89 under conditions allowing expression of the polypeptide, and recovering the polypeptide.
91. A pharmaceutical composition comprising the polypeptide of any one of claims 1 to 86, and a carrier.
92. A kit comprising the composition of claim 91.
93. A method of treating or preventing a disease or condition caused or characterized by hypoglycemia or impaired insulin release, comprising administering to a subject in need of treatment an effective amount of the polypeptide of any one of claims 1 to 86 or the composition of claim 91.
94. The method of claim 93, wherein the disease or condition is diabetes.
95. The method of claim 94, wherein the disease or condition is type-2 diabetes.
96. The method of any one of claims 93 to 95, wherein the administration further improves glycemic control, provides body weight control, improves β-cell function and mass, reduces the rate of gastric acid secretion and gastric emptying, or any combination thereof.
97. The method of any one of claims 93 to 96, wherein the polypeptide or composition is administered orally or by injection.
98. The method of claim 97, wherein the injection is administered subcutaneously or intravenously.
99. The method of any one of claims 93 to 98, wherein the polypeptide or composition is administered once per week.
100. The method of any one of claims 93 to 98, wherein the polypeptide or composition is administered once per day.
101. The method of any one of claims 93 to 100, further comprising administering one or more additional therapies.
102. The method of claim 101, wherein the additional therapy comprises blood sugar monitoring, diet modifications, exercise, insulin, a thiazolidinedione, a sulfonylurea, an incretin, metformin, a glyburide, a dipeptidyl peptidase 4 inhibitor, a bile acid sequestrant, or any combination thereof.
103. The method of any one of claims 93 to 102, wherein the subject is human.
Applications Claiming Priority (2)
| Application Number | Priority Date | Filing Date | Title |
|---|---|---|---|
| US201562117587P | 2015-02-18 | 2015-02-18 | |
| US62/117,587 | 2015-02-18 |
Publications (1)
| Publication Number | Publication Date |
|---|---|
| WO2016131893A1 true WO2016131893A1 (en) | 2016-08-25 |
Family
ID=55453137
Family Applications (1)
| Application Number | Title | Priority Date | Filing Date |
|---|---|---|---|
| PCT/EP2016/053400 Ceased WO2016131893A1 (en) | 2015-02-18 | 2016-02-17 | Incretin fusion polypeptides |
Country Status (1)
| Country | Link |
|---|---|
| WO (1) | WO2016131893A1 (en) |
Cited By (15)
| Publication number | Priority date | Publication date | Assignee | Title |
|---|---|---|---|---|
| WO2019140021A1 (en) * | 2018-01-12 | 2019-07-18 | Eli Lilly And Company | Combination therapy |
| CN113214404A (en) * | 2020-01-21 | 2021-08-06 | 杭州芳韵生物科技有限公司 | Epidermal growth factor-lysozyme fusion protein and application thereof |
| US11104711B2 (en) | 2018-04-06 | 2021-08-31 | Eli Lilly And Company | Growth differentiation factor 15 agonist compounds and methods of using the same |
| WO2021175974A1 (en) | 2020-03-06 | 2021-09-10 | Sanofi | Peptides as selective gip receptor agonists |
| WO2022068920A1 (en) * | 2020-09-30 | 2022-04-07 | Beijing Ql Biopharmaceutical Co., Ltd. | Polypeptide conjugates and methods of uses |
| WO2022241287A2 (en) | 2021-05-13 | 2022-11-17 | Carmot Therapeutics, Inc. | Modulators of g-protein coupled receptors |
| US11535660B1 (en) | 2018-03-23 | 2022-12-27 | Cannot Therapeutics, Inc. | Modulators of G-protein coupled receptors |
| US11591365B2 (en) * | 2017-11-09 | 2023-02-28 | Wntrx Pharmaceuticals Inc. | BCL9 peptides and variants thereof |
| WO2023030444A1 (en) * | 2021-09-02 | 2023-03-09 | 广东东阳光药业有限公司 | Glp-1/gip dual-targeted polypeptide and fusion protein and applications thereof |
| WO2023031455A1 (en) | 2021-09-06 | 2023-03-09 | Sanofi Sa | New peptides as potent and selective gip receptor agonists |
| JP2023526973A (en) * | 2020-05-29 | 2023-06-26 | 北京拓界生物医薬科技有限公司 | GLP-1 and GIP receptor dual agonist compound and its application |
| US11779648B2 (en) | 2020-07-22 | 2023-10-10 | Novo Nordisk A/S | Co-agonists at GLP-1 and GIP receptors suitable for oral delivery |
| US11840560B2 (en) | 2022-01-20 | 2023-12-12 | Novo Nordisk A/S | Prodrugs and uses thereof |
| WO2024264014A1 (en) | 2023-06-22 | 2024-12-26 | Carmot Therapeutics Inc. | Synthesis of glp-1r/gipr agonists and precursors thereof |
| US12383623B2 (en) | 2022-03-30 | 2025-08-12 | Beijing Ql Biopharmaceutical Co., Ltd. | Liquid pharmaceutical compositions of polypeptide conjugates and methods of uses thereof |
Citations (9)
| Publication number | Priority date | Publication date | Assignee | Title |
|---|---|---|---|---|
| EP0154316A2 (en) | 1984-03-06 | 1985-09-11 | Takeda Chemical Industries, Ltd. | Chemically modified lymphokine and production thereof |
| EP0401384A1 (en) | 1988-12-22 | 1990-12-12 | Kirin-Amgen, Inc. | Chemically modified granulocyte colony stimulating factor |
| WO2002098348A2 (en) * | 2001-06-01 | 2002-12-12 | Eli Lilly And Company | Glp-1 formulations with protracted time action |
| US7083784B2 (en) | 2000-12-12 | 2006-08-01 | Medimmune, Inc. | Molecules with extended half-lives, compositions and uses thereof |
| US7658921B2 (en) | 2000-12-12 | 2010-02-09 | Medimmune, Llc | Molecules with extended half-lives, compositions and uses thereof |
| US20110059078A1 (en) | 2008-02-08 | 2011-03-10 | Medimmune, Llc | Anti-ifnar1 antibodies with reduced fc ligand affinity |
| WO2012138941A1 (en) * | 2011-04-05 | 2012-10-11 | Longevity Biotech, Inc. | Compositions comprising glucagon analogs and methods of making and using the same |
| WO2013192131A1 (en) * | 2012-06-21 | 2013-12-27 | Indiana University Research And Technology Corporation | Incretin receptor ligand polypeptide fc-region fusion polypeptides and conjugates with altered fc-effector function |
| WO2014152460A2 (en) * | 2013-03-15 | 2014-09-25 | Indiana University Research And Technology Corporation | Prodrugs with prolonged action |
-
2016
- 2016-02-17 WO PCT/EP2016/053400 patent/WO2016131893A1/en not_active Ceased
Patent Citations (9)
| Publication number | Priority date | Publication date | Assignee | Title |
|---|---|---|---|---|
| EP0154316A2 (en) | 1984-03-06 | 1985-09-11 | Takeda Chemical Industries, Ltd. | Chemically modified lymphokine and production thereof |
| EP0401384A1 (en) | 1988-12-22 | 1990-12-12 | Kirin-Amgen, Inc. | Chemically modified granulocyte colony stimulating factor |
| US7083784B2 (en) | 2000-12-12 | 2006-08-01 | Medimmune, Inc. | Molecules with extended half-lives, compositions and uses thereof |
| US7658921B2 (en) | 2000-12-12 | 2010-02-09 | Medimmune, Llc | Molecules with extended half-lives, compositions and uses thereof |
| WO2002098348A2 (en) * | 2001-06-01 | 2002-12-12 | Eli Lilly And Company | Glp-1 formulations with protracted time action |
| US20110059078A1 (en) | 2008-02-08 | 2011-03-10 | Medimmune, Llc | Anti-ifnar1 antibodies with reduced fc ligand affinity |
| WO2012138941A1 (en) * | 2011-04-05 | 2012-10-11 | Longevity Biotech, Inc. | Compositions comprising glucagon analogs and methods of making and using the same |
| WO2013192131A1 (en) * | 2012-06-21 | 2013-12-27 | Indiana University Research And Technology Corporation | Incretin receptor ligand polypeptide fc-region fusion polypeptides and conjugates with altered fc-effector function |
| WO2014152460A2 (en) * | 2013-03-15 | 2014-09-25 | Indiana University Research And Technology Corporation | Prodrugs with prolonged action |
Non-Patent Citations (20)
| Title |
|---|
| "Oxford Dictionary Of Biochemistry And Molecular Biology", 2000, OXFORD UNIVERSITY PRESS |
| "Remington's Pharmaceutical Sciences", 1995, MACK PUBLISHING CO. |
| "The Dictionary of Cell and Molecular Biology", 1999, ACADEMIC PRESS |
| A. WALKER ET AL., PROTEIN ENG DESIGN SELECTION, vol. 23, 2010, pages 271 - 278 |
| D'ALESSIO, D., DIABETES OBES. METAB., vol. 1, 2011, pages 126 - 132 |
| DALL'ACQUA ET AL., J. BIOL. CHEM., vol. 281, 2006, pages 23514 - 23524 |
| DARAMOLA ET AL., BIOTECHNOL. PROG., vol. 30, 2014, pages 132 - 141 |
| FOCUS ON GROWTH FACTORS, vol. 3, 1992, pages 4 - 10 |
| JUO, PEI-SHOW: "Concise Dictionary of Biomedicine and Molecular Biology", 2002, CRC PRESS |
| KARLIN; ALTSCHUL, PROC. NATL. ACAD. SCI. USA, vol. 90, no. 12, 1993, pages 5873 - 5877 |
| L. BAGGIO ET AL., DIABETES, vol. 53, 2004, pages 2492 - 2500 |
| LUPI ET AL., REGULATORY PEPTIDES, vol. 165, 2010, pages 129 - 132 |
| LUPI R ET AL: "The direct effects of GLP-1 and GIP, alone or in combination, on human pancreatic islets", REGULATORY PEPTIDES, ELSEVIER SCIENCE BV, NL, vol. 165, no. 2-3, 10 December 2010 (2010-12-10), pages 129 - 132, XP027547348, ISSN: 0167-0115, [retrieved on 20100520] * |
| M.S. DENNIS ET AL., J BIOL CHEM, vol. 277, 2002, pages 35035 - 35043 |
| MERRIFIELD, J. AM. CHEM. SOC., vol. 85, 1963, pages 2149 - 2154 |
| OGANESYAN ET AL., ACTA CRYSTALLOGRAPHICA D, vol. 64, 2008, pages 700 - 704 |
| P. BARRINGTON ET AL., DIABETES, OBESITY AND METABOLISM, vol. 13, 2011, pages 426 - 433 |
| P. PAULIK ET AL., POSTER 1946, 2012 |
| SCROCCHI, BROWN ET AL., NATURE MEDICINE, 1996 |
| V. SCHELLENBERGER ET AL., NATURE BIOTECHNOLOGY, vol. 27, 2009, pages 1186 - 1190 |
Cited By (19)
| Publication number | Priority date | Publication date | Assignee | Title |
|---|---|---|---|---|
| US11591365B2 (en) * | 2017-11-09 | 2023-02-28 | Wntrx Pharmaceuticals Inc. | BCL9 peptides and variants thereof |
| WO2019140021A1 (en) * | 2018-01-12 | 2019-07-18 | Eli Lilly And Company | Combination therapy |
| US11535660B1 (en) | 2018-03-23 | 2022-12-27 | Cannot Therapeutics, Inc. | Modulators of G-protein coupled receptors |
| US11104711B2 (en) | 2018-04-06 | 2021-08-31 | Eli Lilly And Company | Growth differentiation factor 15 agonist compounds and methods of using the same |
| CN113214404A (en) * | 2020-01-21 | 2021-08-06 | 杭州芳韵生物科技有限公司 | Epidermal growth factor-lysozyme fusion protein and application thereof |
| WO2021175974A1 (en) | 2020-03-06 | 2021-09-10 | Sanofi | Peptides as selective gip receptor agonists |
| JP2023526973A (en) * | 2020-05-29 | 2023-06-26 | 北京拓界生物医薬科技有限公司 | GLP-1 and GIP receptor dual agonist compound and its application |
| US11779648B2 (en) | 2020-07-22 | 2023-10-10 | Novo Nordisk A/S | Co-agonists at GLP-1 and GIP receptors suitable for oral delivery |
| US11529394B2 (en) | 2020-09-30 | 2022-12-20 | Beijing Ql Biopharmaceutical Co., Ltd. | Polypeptide conjugates and methods of uses |
| CN114729060B (en) * | 2020-09-30 | 2022-11-25 | 北京质肽生物医药科技有限公司 | Polypeptide Conjugates and Methods of Use |
| CN114729060A (en) * | 2020-09-30 | 2022-07-08 | 北京质肽生物医药科技有限公司 | Polypeptide conjugates and methods of use |
| WO2022068920A1 (en) * | 2020-09-30 | 2022-04-07 | Beijing Ql Biopharmaceutical Co., Ltd. | Polypeptide conjugates and methods of uses |
| WO2022241287A2 (en) | 2021-05-13 | 2022-11-17 | Carmot Therapeutics, Inc. | Modulators of g-protein coupled receptors |
| US12281149B2 (en) | 2021-05-13 | 2025-04-22 | Carmot Therapeutics, Inc. | Modulators of G-protein coupled receptors |
| WO2023030444A1 (en) * | 2021-09-02 | 2023-03-09 | 广东东阳光药业有限公司 | Glp-1/gip dual-targeted polypeptide and fusion protein and applications thereof |
| WO2023031455A1 (en) | 2021-09-06 | 2023-03-09 | Sanofi Sa | New peptides as potent and selective gip receptor agonists |
| US11840560B2 (en) | 2022-01-20 | 2023-12-12 | Novo Nordisk A/S | Prodrugs and uses thereof |
| US12383623B2 (en) | 2022-03-30 | 2025-08-12 | Beijing Ql Biopharmaceutical Co., Ltd. | Liquid pharmaceutical compositions of polypeptide conjugates and methods of uses thereof |
| WO2024264014A1 (en) | 2023-06-22 | 2024-12-26 | Carmot Therapeutics Inc. | Synthesis of glp-1r/gipr agonists and precursors thereof |
Similar Documents
| Publication | Publication Date | Title |
|---|---|---|
| WO2016131893A1 (en) | Incretin fusion polypeptides | |
| US20160185837A1 (en) | Gip and glp-1 receptor dual-agonists for the treatment of diabetes | |
| AU2017261505C1 (en) | Glucagon/glp-1 agonists for the treatment of obesity | |
| US9714277B2 (en) | Pegylated glucagon and GLP-1 co-agonists for the treatment of obesity | |
| CN101993496B (en) | Dual blood sugar and blood fat adjusting fusion protein and preparation method and application thereof | |
| JP6006309B2 (en) | Engineered polypeptides with increased duration of action and reduced immunogenicity | |
| KR20110039230A (en) | Glucagon analogues showing enhanced solubility and stability in physiological pH buffer | |
| KR20110040760A (en) | JP-based mixed antidepressant for the treatment of metabolic diseases and obesity | |
| SG176858A1 (en) | Gip receptor-active glucagon compounds | |
| TW202346323A (en) | Glp-1 and glucagon dual agonist peptides with improved biological stability | |
| HK40010017B (en) | Glucagon and glp-1 co-agonists for the treatment of obesity | |
| HK40010017A (en) | Glucagon and glp-1 co-agonists for the treatment of obesity | |
| HK1216179B (en) | Glucagon/glp-1 agonists for the treatment of obesity |
Legal Events
| Date | Code | Title | Description |
|---|---|---|---|
| 121 | Ep: the epo has been informed by wipo that ep was designated in this application |
Ref document number: 16707663 Country of ref document: EP Kind code of ref document: A1 |
|
| NENP | Non-entry into the national phase |
Ref country code: DE |
|
| 122 | Ep: pct application non-entry in european phase |
Ref document number: 16707663 Country of ref document: EP Kind code of ref document: A1 |





























































