WO2016126876A2 - Listeria-based adjuvants - Google Patents
Listeria-based adjuvants Download PDFInfo
- Publication number
- WO2016126876A2 WO2016126876A2 PCT/US2016/016452 US2016016452W WO2016126876A2 WO 2016126876 A2 WO2016126876 A2 WO 2016126876A2 US 2016016452 W US2016016452 W US 2016016452W WO 2016126876 A2 WO2016126876 A2 WO 2016126876A2
- Authority
- WO
- WIPO (PCT)
- Prior art keywords
- another embodiment
- listeria
- gene
- subject
- transplant
- Prior art date
- Legal status (The legal status is an assumption and is not a legal conclusion. Google has not performed a legal analysis and makes no representation as to the accuracy of the status listed.)
- Ceased
Links
Classifications
-
- A—HUMAN NECESSITIES
- A61—MEDICAL OR VETERINARY SCIENCE; HYGIENE
- A61K—PREPARATIONS FOR MEDICAL, DENTAL OR TOILETRY PURPOSES
- A61K35/00—Medicinal preparations containing materials or reaction products thereof with undetermined constitution
- A61K35/66—Microorganisms or materials therefrom
- A61K35/74—Bacteria
-
- A—HUMAN NECESSITIES
- A61—MEDICAL OR VETERINARY SCIENCE; HYGIENE
- A61K—PREPARATIONS FOR MEDICAL, DENTAL OR TOILETRY PURPOSES
- A61K39/00—Medicinal preparations containing antigens or antibodies
- A61K39/0005—Vertebrate antigens
- A61K39/001—Preparations to induce tolerance to non-self, e.g. prior to transplantation
-
- A—HUMAN NECESSITIES
- A61—MEDICAL OR VETERINARY SCIENCE; HYGIENE
- A61K—PREPARATIONS FOR MEDICAL, DENTAL OR TOILETRY PURPOSES
- A61K39/00—Medicinal preparations containing antigens or antibodies
- A61K39/02—Bacterial antigens
- A61K39/0208—Specific bacteria not otherwise provided for
-
- A—HUMAN NECESSITIES
- A61—MEDICAL OR VETERINARY SCIENCE; HYGIENE
- A61K—PREPARATIONS FOR MEDICAL, DENTAL OR TOILETRY PURPOSES
- A61K39/00—Medicinal preparations containing antigens or antibodies
- A61K39/39—Medicinal preparations containing antigens or antibodies characterised by the immunostimulating additives, e.g. chemical adjuvants
-
- C—CHEMISTRY; METALLURGY
- C07—ORGANIC CHEMISTRY
- C07K—PEPTIDES
- C07K14/00—Peptides having more than 20 amino acids; Gastrins; Somatostatins; Melanotropins; Derivatives thereof
- C07K14/195—Peptides having more than 20 amino acids; Gastrins; Somatostatins; Melanotropins; Derivatives thereof from bacteria
-
- C—CHEMISTRY; METALLURGY
- C07—ORGANIC CHEMISTRY
- C07K—PEPTIDES
- C07K14/00—Peptides having more than 20 amino acids; Gastrins; Somatostatins; Melanotropins; Derivatives thereof
- C07K14/195—Peptides having more than 20 amino acids; Gastrins; Somatostatins; Melanotropins; Derivatives thereof from bacteria
- C07K14/335—Peptides having more than 20 amino acids; Gastrins; Somatostatins; Melanotropins; Derivatives thereof from bacteria from Lactobacillus (G)
-
- A—HUMAN NECESSITIES
- A61—MEDICAL OR VETERINARY SCIENCE; HYGIENE
- A61K—PREPARATIONS FOR MEDICAL, DENTAL OR TOILETRY PURPOSES
- A61K39/00—Medicinal preparations containing antigens or antibodies
- A61K2039/51—Medicinal preparations containing antigens or antibodies comprising whole cells, viruses or DNA/RNA
- A61K2039/52—Bacterial cells; Fungal cells; Protozoal cells
- A61K2039/522—Bacterial cells; Fungal cells; Protozoal cells avirulent or attenuated
-
- A—HUMAN NECESSITIES
- A61—MEDICAL OR VETERINARY SCIENCE; HYGIENE
- A61K—PREPARATIONS FOR MEDICAL, DENTAL OR TOILETRY PURPOSES
- A61K39/00—Medicinal preparations containing antigens or antibodies
- A61K2039/57—Medicinal preparations containing antigens or antibodies characterised by the type of response, e.g. Th1, Th2
- A61K2039/577—Medicinal preparations containing antigens or antibodies characterised by the type of response, e.g. Th1, Th2 tolerising response
-
- A—HUMAN NECESSITIES
- A61—MEDICAL OR VETERINARY SCIENCE; HYGIENE
- A61K—PREPARATIONS FOR MEDICAL, DENTAL OR TOILETRY PURPOSES
- A61K39/00—Medicinal preparations containing antigens or antibodies
- A61K2039/58—Medicinal preparations containing antigens or antibodies raising an immune response against a target which is not the antigen used for immunisation
- A61K2039/585—Medicinal preparations containing antigens or antibodies raising an immune response against a target which is not the antigen used for immunisation wherein the target is cancer
Definitions
- This disclosure provides methods and compositions for using Listeria monocytogenes as an adjuvant for enhancing immune responses in a subject.
- the subject is receiving a transplant.
- Adjuvants have extensive use in immunotherapy. The majority of cellular based immunotherapies administer adjuvants prior to giving antigen specific treatment. Typically these antigens include GM-CSF, IL-1, QP-100, Keyhole Limpet Cynanin, and others. These adjuvants are typically administered systemically via IV, EVI, ID or similar routes.
- Listeria monocytogenes ⁇ Lm is an intracellular pathogen that primarily infects antigen presenting cells and has adapted for life in the cytoplasm of these cells.
- Listeria monocytogenes and a protein it produces named listeriolysin O (LLO) have strong adjuvant properties that unlike the majority of adjuvants used for cellular based immunotherapies, can be administered after providing an antigen specific treatment.
- a method of improving the maturation of immunity or improving engraftment in a subject receiving a transplant is needed in order to decrease the time period of immune- incompetence in the transplant subject, and decrease infection and mortality resulting thereof.
- Treatment of these transplant patients with an attenuated strain of Lm could accelerate or shorten the time it takes to achieve full immunocompetence of the transplanted immune system cells and thereby accelerate the time to where the patient is fully protected by the transplanted immune system.
- This type of could be administered to a human patient or an animal, including an immunologically incompetent animal like a SCID Mouse or a SCDI-NOD mouse that receives a transplanted xenograft or allograft.
- the present disclosure provides methods of improving the maturation of immunity and enhancing an engraftment in subjects, for example those receiving a transplant, wherein subjects include human adults and children, and non-human mammals.
- the present disclosure takes advantage of the adjuvant properties provided by live attenuated Lm vaccines that secrete non-hemolytic LLO or a truncated ActA.
- the same method is provided to reconstitute the immune response or facilitate the recovery of an immune response to normal or approximately normal levels in subjects that have received a transplant as a result of cancer.
- the present disclosure relates to a method of enhancing engraftment of a transplant in a subject, the method comprising the step of administering a live attenuated Listeria vaccine strain to the subject.
- the disclosure relates to a method of enhancing engraftment of a transplant in a subject, the method comprising the step of administering a live attenuated Listeria vaccine strain to the subject, the Listeria strain comprising a nucleic acid molecule, wherein the nucleic acid molecule comprises a first open reading frame encoding a PEST-containing polypeptide.
- the present disclosure relates to a method of improving maturation of immunity in a subject, the method comprising administering a live attenuated Listeria vaccine strain to the subject.
- the subject is receiving a transplant.
- the Listeria strain comprising a nucleic acid molecule, wherein the nucleic acid molecule comprises a first open reading frame encoding a PEST-containing polypeptide.
- the subject is receiving a transplant.
- the present disclosure relates to a method of decreasing the time to immune-competence in a subject receiving a transplant, said method comprising administering a live attenuated Listeria vaccine strain to the subject.
- the Listeria strain comprising a nucleic acid molecule, wherein the nucleic acid molecule comprises a first open reading frame encoding a PEST-containing polypeptide.
- the disclosure relates to a method of improving maturation of immunity in a subject in an antigen-independent manner, said method comprising administering a Listeria- based adjuvant to the subject.
- a subject is receiving a transplant as a treatment for cancer or a hematopoietic disease.
- a hematopoietic disease is a hematopoietic malignancy.
- a transplant comprises a bone marrow transplant.
- a bone marrow transplant is a hematopoietic stem cell transplantation (HSCT).
- HSCT hematopoietic stem cell transplantation
- a transplant may be an autologous, an allogeneic or an xenogeneic transplant.
- a subject is a human.
- a subject is a non-human mammal.
- Figures 1A and IB present schematic maps of E. coli-Listeria shuttle plasmids pGG55 ( Figure 1A) and pTV3 ( Figure IB).
- CAT(-) E. coli chloramphenicol transferase
- CAT(+) Listeria chloramphenicol transferase
- Ori Lm replication origin for Listeria
- Ori Ec pl5 origin of replication for E. coli
- prfA Listeria pathogenicity regulating factor A
- LLO C-terminally truncated listeriolysin O, including its promoter
- E7 HPV E7
- p60-dal expression cassette of p60 promoter and Listeria dal gene. Selected restriction sites are also depicted.
- Figure 2 shows the DNA sequences present upstream and downstream of the inlC region on the genome of Listeria strain EGD. DNA-upstream ⁇ italics), inlC gene (bold) and DNA- downstream (underline).
- Figure 3 shows the sequence of DNA that is cloned in the temperature sensitive plasmid, pKSV7 to create inl C deletion mutant.
- the restriction enzyme sites used for cloning of these regions are indicated in caps and underlined.
- the EcoRI-PstI insert is cloned in the vector, pKSV7.
- Figures 4A-4D show schematic representation of the Lm-dd ( Figure 4A) and Lm-ddA actA ( Figure 4B) strains.
- Figures 4C and 4D present gels showing the size of PCR products using oligo's 1/2 ( Figure 4C) and oligo's 3/4 ( Figure 4D) obtained using chromosomal DNA of the strains Lm-dd and Lm-ddAactA as template.
- Figure 5 shows the DNA sequence present upstream and downstream of the actA gene in the Listeria chromosome.
- the region in italics contains the residual actA sequence element that is present in the LmddAactA strain.
- the underlined sequence gtcgac represent the restriction site of Xhol, which is the junction between the N-T and C-T region of actA.
- Figure 6 depicts tumor regression in response to administration of Lm vaccine strains. Circles represent naive mice, inverted triangles represent mice administered Lmdd-TV3, and crosses represent mice administered Lm-LLOE7.
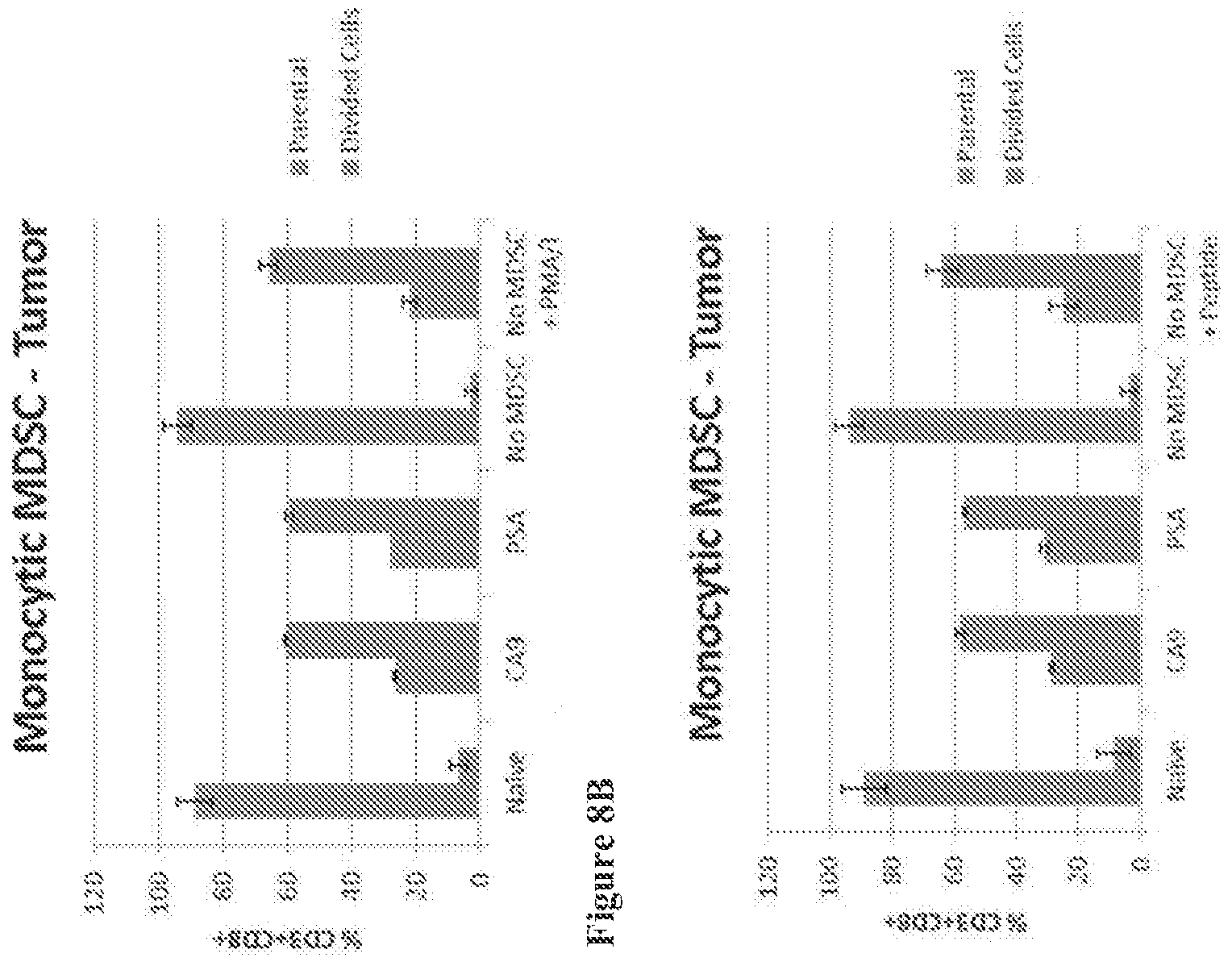
- Figures 7A and 7B show a decrease in MDSCs and Tregs in tumors.
- FIGS 8A-8D show suppressor assay data demonstrating that monocytic MDSCs from TPSA23 tumors (PSA expressing tumor) are less suppressive after Listeria vaccination. This change in the suppressive ability of the MDSCs is not antigen specific as the same decrease in suppression is seen with PSA-antigen specific T cells and also with non-specifically stimulated T cells.
- PMA/I Phorbol-Myristate- Acetate and Ionomycin
- the term "peptide” represents specific antigen stimulation.
- Percent (%) CD3+CD8+ represents % effector (responder) T cells.
- the No MDSC group shows the lack of division of the responder T cells when they are left unstimulated and the last group (PMA/I or peptide added) shows the division of stimulated cells in the absence of MDSCs.
- Figures 8A and 8C show individual cell division cycles for each group.
- Figures 8B and 8D show pooled division cycles.
- Figures 9A-9D show suppressor assay data demonstrating that Listeria has no effect on splenic monocytic MDSCs and they are only suppressive in an antigen- specific manner.
- PMA/I represents non-specific stimulation.
- the term "peptide" represents specific antigen stimulation.
- Percent (%) CD3+CD8+ represents % effector (responder) T cells.
- the No MDSC group shows the lack of division of the responder T cells when they are left unstimulated and the last group (PMA/I or peptide added) shows the division of stimulated cells in the absence of MDSCs.
- Figures 9A and 9C show individual cell division cycles for each group.
- Figures 9B and 9D show pooled division cycles.
- Figures 10A-10D show suppressor assay data demonstrating that granulocytic MDSCs from tumors have a reduced ability to suppress T cells after Listeria vaccination. This change in the suppressive ability of the MDSCs is not antigen specific as the same decrease in suppression is seen with PSA-antigen specific T cells and also with non-specifically stimulated T cells.
- PMA/I represents non-specific stimulation.
- the term "peptide" represents specific antigen stimulation.
- Percent (%) CD3+CD8+ represents % effector (responder) T cells.
- the No MDSC group shows the lack of division of the responder T cells when they are left unstimulated and the last group (PMA/I or peptide added) shows the division of stimulated cells in the absence of MDSCs.
- Figures 10A and IOC show individual cell division cycles for each group.
- Figures 10B and 10D show pooled percentage division.
- Figures 11A -11D show suppressor assay data demonstrating that Listeria has no effect on splenic granulocytic MDSCs and they are only suppressive in an antigen- specific manner.
- PMA/I represents non-specific stimulation.
- the term "peptide" represents specific antigen stimulation.
- Percent (%) CD3+CD8+ represents % effector (responder) T cells.
- the No MDSC group shows the lack of division of the responder T cells when they are left unstimulated and the last group (PMA/I or peptide added) shows the division of stimulated cells in the absence of MDSCs.
- Figures 11A and 11C show individual cell division cycles for each group.
- Figures 11B and 11D show pooled percentage division.
- Figures 12A-12D show suppressor assay data demonstrating that Tregs from tumors are still suppressive. There is a slight decrease in the suppressive ability of Tregs in a non-antigen specific manner, in this tumor model.
- PMA/I represents non-specific stimulation.
- the term "peptide" represents specific antigen stimulation.
- Percent (%) CD3+CD8+ represents % effector (responder) T cells.
- the No Treg group shows the lack of division of the responder T cells when they are left unstimulated and the last group (PMA/I or peptide added) shows the division of stimulated cells in the absence of Tregs.
- Figures 12A and 12C show individual cell division cycles for each group.
- Figures 12B and 12D show pooled percentage division.
- Figures 13A-13D shows suppressor assay data demonstrating that splenic Tregs are still suppressive.
- PMA/I represents non-specific stimulation.
- the term "peptide" represents specific antigen stimulation.
- Percent (%) CD3+CD8+ represents % effector (responder) T cells.
- the No Treg group shows the lack of division of the responder T cells when they are left unstimulated and the last group (PMA/I or peptide added) shows the division of stimulated cells in the absence of Tregs.
- Figures 13A and 13C show individual cell division cycles for each group.
- Figures 13B and 13D show pooled percentage division.
- Figures 14A-14D show suppressor assay data demonstrating that conventional CD4+ T cells have no effect on cell division regardless whether they are found in the tumors or spleens of mice.
- PMA/I represents non-specific stimulation.
- the term "peptide" represents specific antigen stimulation.
- Percent (%) CD3+CD8+ represents % effector (responder) T cells.
- the No Treg group shows the lack of division of the responder T cells when they are left unstimulated and the last group (PMA/I or peptide added) shows the division of stimulated cells in the absence of Tregs.
- Figures 14C-14D show data from pooled percentage division.
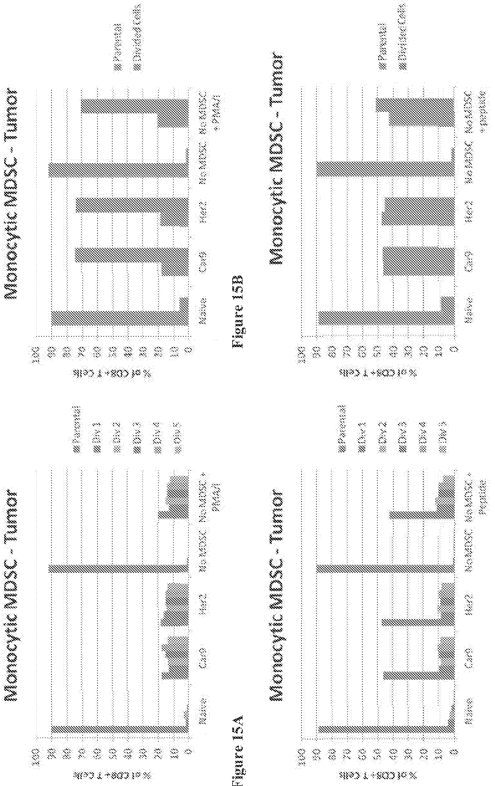
- Figures 15A-15D show suppressor assay data demonstrating that monocytic MDSCs from 4T1 tumors (Her2 expressing tumors) have decreased suppressive ability after Listeria vaccination. This change in the suppressive ability of the MDSCs is not antigen specific as the same decrease in suppression is seen with Her2/neu-antigen specific T cells and also with non- specifically stimulated T cells.
- PMA/I represents non-specific stimulation.
- the term "peptide" represents specific antigen stimulation.
- Percent (%) CD8+ represents % effector (responder) T cells.
- the No MDSC group shows the lack of division of the responder T cells when they are left unstimulated and the last group (PMA/I or peptide added) shows the division of stimulated cells in the absence of MDSCs.
- Figures 15A and 15C show individual cell division cycles for each group.
- Figures 15B and 15D show pooled percentage division.
- Figures 16A-16D show suppressor assay data demonstrating that there is no Listeria- specific effect on splenic monocytic MDSCs.
- PMA/I represents nonspecific stimulation.
- the term "peptide" represents specific antigen stimulation.
- Percent (%) CD8+ represents % effector (responder) T cells.
- the No MDSC group shows the lack of division of the responder T cells when they are left unstimulated and the last group (PMA/I or peptide added) shows the division of stimulated cells in the absence of MDSC.
- Figures 16A and 16C show individual cell division cycles for each group.
- Figures 16B and 16D show pooled percentage division.
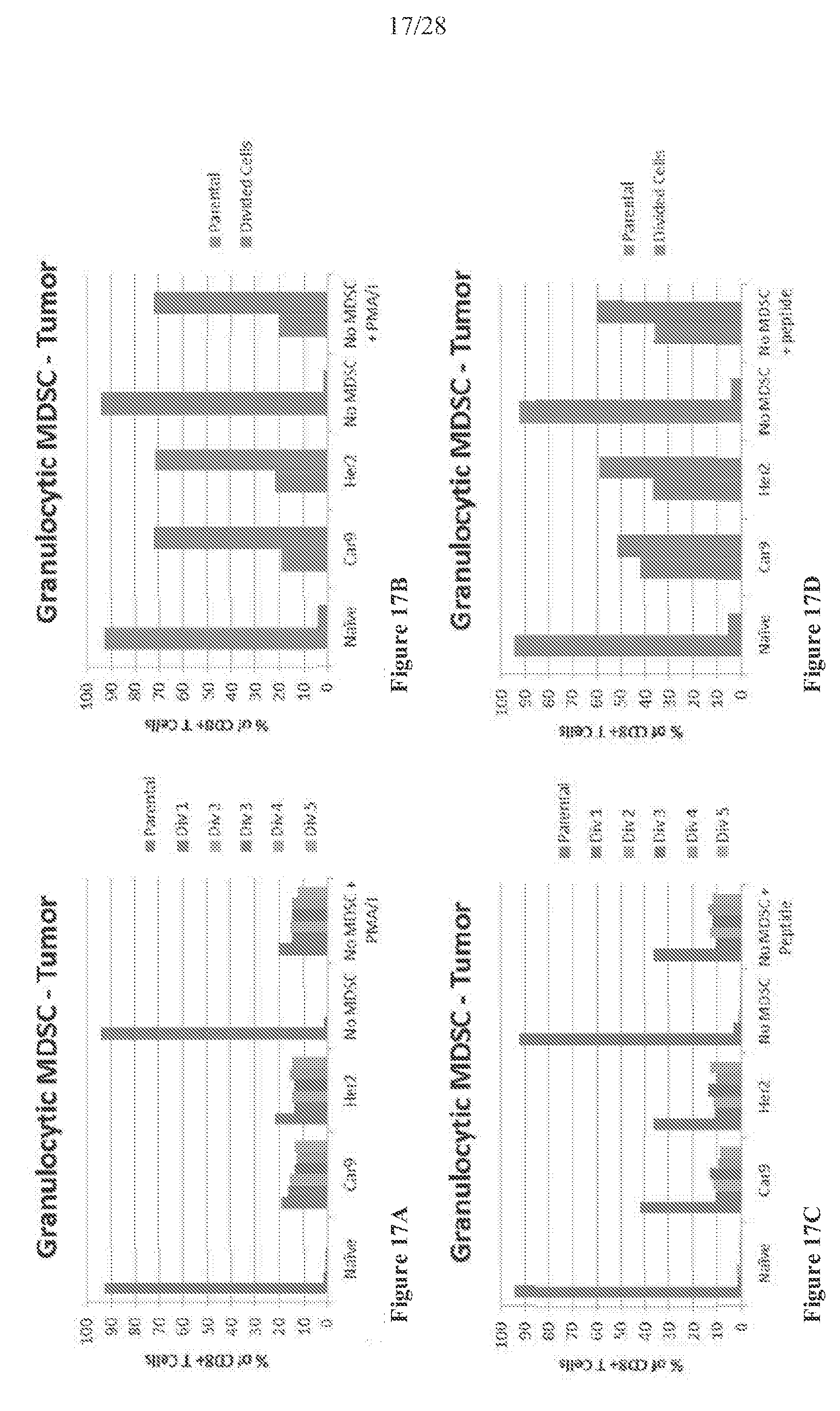
- Figures 17A-17D show suppressor assay data demonstrating that granulocytic MDSCs from 4T1 tumors (Her2 expressing tumors) have decreased suppressive ability after Listeria vaccination. This change in the suppressive ability of the MDSCs is not antigen specific as the same decrease in suppression is seen with Her2/neu- antigen specific T cells and also with non- specifically stimulated T cells.
- PMA/I represents non-specific stimulation.
- the term "peptide" represents specific antigen stimulation.
- Percent (%) CD8+ represents % effector (responder) T cells.
- the No MDSC group shows the lack of division of the responder T cells when they are left unstimulated and the last group (PMA/I or peptide added) shows the division of stimulated cells in the absence of MDSCs.
- Figures 17A and 17C show individual cell division cycles for each group.
- Figures 17B and 17D shows pooled percentage division.
- Figures 18A-18D showed suppressor assay data demonstrating that there is no Listeria- specific effect on splenic granulocytic MDSCs.
- PMA/I represents nonspecific stimulation.
- the term "peptide" represents specific antigen stimulation.
- Percent (%) CD8+ represents % effector (responder) T cells.
- the No MDSC group shows the lack of division of the responder T cells when they are left unstimulated and the last group (PMA/I or peptide added) shows the division of stimulated cells in the absence of MDSCs.
- Figures 18A and 18C show individual cell division cycles for each group.
- Figures 18B and 18D show pooled percentage division.
- Figures 19A-19D show suppressor assay data demonstrating that decrease in the suppressive ability of Tregs from 4T1 tumors (Her2 expressing tumors) after Listeria vaccination.
- PMA/I represents non-specific stimulation.
- the term "peptide" represents specific antigen stimulation.
- Percent (%) CD8+ represents % effector (responder) T cells. This decrease is not antigen specific, as the change in Treg suppressive ability is seen with both Her2/neu-specific and non-specific responder T cells.
- Figures 19A and 19C show individual cell division cycles for each group.
- Figures 19B and 19D show pooled percentage division.
- Figures 20A-20D show suppressor assay data demonstrating that there is no Listeria- specific effect on splenic Tregs.
- the responder T cells are all capable of dividing, regardless of the whether or not they are antigen specific.
- PMA/I represents nonspecific stimulation.
- the term "peptide" represents specific antigen stimulation.
- Percent (%) CD8+ represents % effector (responder) T cells.
- Figures 20A and 20C show individual cell division cycles for each group.
- Figures 20B and 20D show pooled percentage division.
- Figures 21A-21D show suppressor assay data demonstrating that suppressive ability of the granulocytic MDSC is due to the overexpression of tLLO and is independent of the partnering fusion antigen.
- Left-hand panels ( Figures 21A and 21C) show individual cell division cycles for each group.
- Right-hand panels ( Figures 21B and 21D) show pooled percentage division.
- Figures 22A-22D show suppressor assay data also demonstrating that suppressive ability of the monocytic MDSC is due to the overexpression of tLLO and is independent of the partnering fusion antigen.
- Left-hand panels ( Figures 22A and 22C) show individual cell division cycles for each group.
- Right-hand panels ( Figures 22B and 22D) show pooled percentage division.
- Figures 23A-23D show suppressor assay data demonstrating that granulocytic MDSC purified from the spleen retain their ability to suppress the division of the antigen- specific responder T cells after Lm vaccination ( Figure 23A and 23B). However, after non-specific stimulation, activated T cells (with PMA/ionomycin) are still capable of dividing ( Figures 23C and 23D). Left-hand panels show individual cell division cycles for each group. Right-hand panels show pooled percentage division.
- Figures 24A-24D show suppressor assay data demonstrating that monocytic MDSC purified from the spleen retain their ability to suppress the division of the antigen- specific responder T cells after Lm vaccination ( Figures 24A and 24B). However, after non-specific activation (stimulated by PMA/ionomycin), T cells are still capable of dividing ( Figures 24C and 24D). Left-hand panels show individual cell division cycles for each group. Right-hand panels show pooled percentage division.
- Figures 25A-25D show suppressor assay data demonstrating that Tregs purified from the tumors of any of the Lm-treated groups have a slightly diminished ability to suppress the division of the responder T cells, regardless of whether the responder cells are antigen specific (Figures 25A and 25B) or non-specifically ( Figures 25C and 25D) activated. Left-hand panels show individual cell division cycles for each group. Right-hand panels show pooled percentage division.
- Figures 26A-26D show suppressor assay data demonstrating that Tregs purified from the spleen are still capable of suppressing the division of both antigen specific ( Figures 26A-26B) and non-specifically ( Figures 26C and 26D) activated responder T cells.
- Figures 27A-27D show suppressor assay data demonstrating that tumor Tcon cells are not capable of suppressing the division of T cells regardless of whether the responder cells are antigens specific ( Figures 27A and 27B) or non-specifically activated ( Figures 27C and 27D).
- Figures 28A-28D show suppressor assay data demonstrating that spleen Tcon cells are not capable of suppressing the division of T cells regardless of whether the responder cells are antigens specific ( Figures 28A and 28B) or non-specifically activated ( Figures 28C and 28D).
- a novel and heretofore unexplored use is to create a live attenuated Listeria vaccine strain devoid of exogenous antigen.
- a novel and heretofore unexplored use is to create a live attenuated Listeria vaccine strain devoid of antigen that enables the Listeria to secrete only the non-hemolytic, truncated form of LLO (Lm-LLO), or a truncated ActA (Lm-ActA), or a PEST-containing amino acid sequence, as an adjuvant.
- LLO non-hemolytic, truncated form of LLO
- Lm-ActA truncated ActA
- PEST-containing amino acid sequence a novel and heretofore unexplored use is to create a live attenuated Listeria vaccine strain devoid of antigen that enables the Listeria to secrete only the non-hemolytic, truncated form of LLO (Lm-LLO), or a truncated ActA (Lm-ActA), or a PEST-containing amino acid sequence, as an adjuvant.
- LLO non-hemolytic, truncated form of
- a method of improving maturation of immunity in a subject comprising the step of administering a live attenuated Listeria vaccine strain to the subject.
- the Listeria strain comprises a nucleic acid molecule, wherein the nucleic acid molecule comprises a first open reading frame encoding a
- a method of enhancing engraftment of a transplant in a subject comprising the step of administering a live attenuated Listeria vaccine strain to the subject.
- the Listeria strain comprises a nucleic acid molecule, wherein the nucleic acid molecule comprises a first open reading frame encoding a PEST-containing polypeptide.
- the method comprising the step of administering a live attenuated Listeria vaccine strain to the subject.
- the Listeria strain comprises a nucleic acid molecule, wherein the nucleic acid molecule comprises a first open reading frame encoding a PEST-containing polypeptide.
- the Listeria expresses said PEST- containing polypeptide. In other embodiment, the Listeria expresses and secretes said PEST- containing polypeptide. In another embodiment, the PEST-containing polypeptide is a nonhemolytic LLO protein or immunogenic fragment thereof, an ActA protein or truncated fragment thereof, or a PEST-containing amino acid sequence.
- the Listeria strain comprises a nucleic acid molecule, wherein the nucleic acid molecule comprises a first open reading frame encoding a PEST-containing polypeptide.
- a method of improving maturation of an immune response in an antigen-independent manner in a subject comprising administering a Listeria-based adjuvant to the subject.
- a composition and method for bioengineering a live Lm bacterium that infects specific cells, including; antigen processing cells (APC), Kupffer cells, vascular endothelium, bone marrow, and others; as well as structures such as solid tumors and spleen.
- the live Lm adjuvant then synthesizes and secretes a modified LLO fragment in situ where the adjuvant is needed and used to stimulate immune responses.
- the instant disclosure administers the ability to make an adjuvant in situ and does not involve the systemic administration of an immune adjuvant.
- a Listeria-based adjuvant refers to a live-attenuated Listeria vaccine strain.
- the Listeria-based adjuvant is an Lm-LLO or an Lm-ActA.
- Lm-LLO expresses a non-hemolytic LLO.
- Lm- ActA expresses a truncated ActA protein.
- Lm-LLO or Lm-ActA can be used alone, or in combination with any therapy in which an adjuvant is appropriate, and may have utility in settings where no adjuvant has been commonly used, such as chemotherapy or radiotherapy, or following a transplant.
- the Listeria strain disclosed herein further comprises a second open reading frame encoding a metabolic enzyme.
- the metabolic enzyme is an amino acid metabolism enzyme.
- the metabolic enzyme encoded by the second open reading frame is an alanine racemase enzyme or a D-amino acid transferase enzyme.
- the metabolic enzyme encoded by the second open reading frame is an alanine racemase enzyme or a D-amino acid transferase enzyme.
- the metabolic enzyme is encoded dal gene, where in another embodiment the dal gene is from B. subtilis.
- the metabolic enzyme is encoded by the dat gene.
- the recombinant Listeria is an attenuated auxotrophic strain.
- the present disclosure provides a number of Listeria! species and strains for making or engineering an attenuated Listeria of the present disclosure.
- the Listeria strain is L. monocytogenes 10403S wild type (see Bishop and Hinrichs (1987) J. Immunol. 139: 2005-2009; Lauer, et al. (2002) J. Bact. 184: 4177-4186.)
- the Listeria strain is L. monocytogenes DP-L4056 (phage cured) (see Lauer, et al. (2002) J. Bact. 184: 4177- 4186).
- the Listeria strain is L.
- the Listeria strain is L. monocytogenes DP-L4029, which is phage cured, deleted in ActA (see Lauer, et al. (2002) J. Bact. 184: 4177-4186; Skoble, et al. (2000) J. Cell Biol. 150: 527-538).
- the Listeria strain is L.
- the Listeria strain is L. monocytogenes DP-L4097 (LLO-S44A) (see Brockstedt, et al. (2004) Proc. Natl. Acad. Sci. USA 101: 13832-13837; supporting information).
- the Listeria strain is L. monocytogenes DP-L4364 (delta lplA; lipoate protein ligase) (see Brockstedt, et al. (2004) Proc. Natl. Acad. Sci.
- the Listeria strain is L. monocytogenes DP-L4405 (delta MA) (see Brockstedt, et al. (2004) Proc. Natl. Acad. Sci. USA 101: 13832-13837; supporting information).
- the Listeria strain is L. monocytogenes DP-L4406 (delta MB) (see Brockstedt, et al. (2004) Proc. Natl. Acad. Sci. USA 101: 13832-13837; supporting information).
- the Listeria strain is L. monocytogenes CS-L0001 (delta ActA-delta MB) (see Brockstedt, et al. (2004) Proc.
- the Listeria strain is L. monocytogenes CS- L0002 (delta ActA-delta lplA) (see Brockstedt, et al. (2004) Proc. Natl. Acad. Sci. USA 101: 13832-13837; supporting information).
- the Listeria strain is L. monocytogenes CS-L0003 (L461T-delta lplA) (see Brockstedt, et al. (2004) Proc. Natl. Acad. Sci. USA 101: 13832-13837; supporting information).
- the Listeria strain is L.
- the Listeria strain is L. monocytogenes DP-L4038 (delta ActA-LLO L461T) (see Brockstedt, et al. (2004) Proc. Natl. Acad. Sci. USA 101: 13832-13837; supporting information).
- the Listeria strain is L. monocytogenes DP-L4384 (S44A-LLO L461T) (see Brockstedt, et al. (2004) Proc. Natl. Acad. Sci. USA 101: 13832-13837; supporting information).
- the Listeria strain is L. monocytogenes. Mutation in lipoate protein (see O'Riordan, et al. (2003) Science 302: 462-464).
- the Listeria strain is L.
- the Listeria strain is L. monocytogenes EGO (see GenBank Acc. No. AL591824).
- the Listeria strain is L. monocytogenes EGD-e (see GenBank Acc. No. NC_003210. ATCC Acc. No. BAA-679).
- the Listeria strain is any Listeria strain known in the art.
- the Listeria strain is L.
- the Listeria strain is L. monocytogenes ActA-/inlB - double mutant (see ATCC Acc. No. PTA-5562).
- the Listeria strain is L. monocytogenes lpl A mutant or hly mutant (see U.S. Pat. Appl. Publ. No. 20040013690 of Portnoy, et. al).
- the Listeria strain is L.
- the present disclosure encompasses reagents and methods that comprise the above Listerial strains, as well as these strains that are modified, e.g., by a plasmid and/or by genomic integration, to contain a nucleic acid encoding one of, or any combination of, the following genes: hly (LLO; listeriolysin); iap (p60); inlA; inlB; inlC; dal (alanine racemase); dat (D-amino acid aminotransferase); plcA; plcB; actA; or any nucleic acid that mediates growth, spread, breakdown of a single walled vesicle, breakdown of a double walled vesicle, binding to a host cell, uptake by a host cell.
- the present disclosure is not to be limited by the particular strains disclosed above
- the attenuated strain is Lmdd. ( Figure 4A). In another embodiment the attenuated strain is LmddA. ( Figure 4B). In another embodiment, the attenuated strain is LmAprfA. In another embodiment, the attenuated strain is LmAplcB. In another embodiment, the attenuated strain is LmAplcA. In another embodiment, the attenuated strain is LmddAAinlC. In another embodiment, the LmddAAinlC mutant strain is created using EGD strain of Lm, which is different from the background strain 10403S, the parent strain for Lm dal dat actA (LmddA). In another embodiment, this strain exerts a strong adjuvant effect which is an inherent property of Listeria -based vaccines. In another embodiment, this strain is constructed from the EGD Listeria backbone.
- the strain used in the disclosure is a Listeria strain that expresses a non-hemolytic LLO.
- the Listeria strain is a prfA mutant, actA mutant, a plcB deletion mutant, or a double mutant lacking both plcA and plcB. All these Listeria strain are contemplated for use in the methods disclosed herein.
- the Listeria vaccine strain is LmddAinlC142 strain. LmddAinlC142 is based on a Listeria vaccine vector which is attenuated due to the deletion of inlC gene and retains the plasmid for PSA expression in vivo and in vitro by complementation of dal gene.
- LmddAinlC142 exerts strong and antigen specific anti-tumor responses with ability to break tolerance toward a heterologous antigen in a subject.
- the LmddAinlC142 strain is highly attenuated and has a better safety profile than previous Listeria vaccine generation, as it is more rapidly cleared from the spleens of the immunized mice.
- LmddAinlC142 strain is highly immunogenic, able to break tolerance toward a heterologous antigen and prevents tumor formation in a subject.
- the LmddAAinlC mutant strain is safe for use in humans and induces high levels of innate immune responses.
- the inlC deletion mutant generates an enhanced level of innate immune responses that are not antigen specific.
- translocation of Listeria to adjacent cells is inhibited by two separate mechanisms, deletion of actA and inlC genes, both of which are involved in the process, thereby resulting in unexpectedly high levels of attenuation with increased immunogenicity and utility as a vaccine backbone.
- translocation of Listeria to adjacent cells is inhibited by two separate mechanisms, deletion of actA or inlC genes, both of which are involved in the process, thereby resulting in unexpectedly high levels of attenuation with increased immunogenicity and utility as a vaccine backbone.
- the present disclosure provides the novelty that the inlC genes are excised from a vector in which actA is deleted, thereby removing both, the ability to form actin flagella necessary for movement through the host cell membrane and into the neighboring cell, and the ability for transmembrane passage. Therefore, the combination of these two deletions yields the surprising result of decreased virulence and increased immunogenicity of a Listeria vaccine vector over a wild-type Listeria strain or a single mutant strain.
- the nucleic acid molecule disclosed herein is integrated into the Listeria genome.
- the nucleic acid molecule is in a plasmid in the recombinant Listeria vaccine strain also disclosed herein.
- the plasmid disclosed herein is stably maintained in the recombinant Listeria vaccine strain in the absence of antibiotic selection.
- the plasmid does not confer antibiotic resistance upon said recombinant Listeria.
- the recombinant Listeria strain disclosed herein is attenuated.
- the recombinant Listeria lacks the actA virulence gene.
- the recombinant Listeria lacks the prfA virulence gene.
- the recombinant Listeria vaccine strain comprises an adjuvant, wherein the adjuvant is listeriolysin O. In another embodiment, the recombinant Listeria vaccine strain comprises an adjuvant, wherein the adjuvant is ActA.
- the Listeria-based adjuvant is an LLO-expressing Listeria strain or an LLO protein or a non-hemolytic fragment thereof. In another embodiment, the Listeria- based adjuvant is an ActA-expressing Listeria strain or an ActA protein or a truncated fragment thereof. In another embodiment, Listeria-based adjuvant is used alone or is combined with an additional adjuvant.
- the additional adjuvant is a non-nucleic acid adjuvant including aluminum adjuvant, Freund's adjuvant, MPL, emulsion, GM-CSF, QS21, SBAS2, CpG-containing oligonucleotide, a nucleotide molecule encoding an immune- stimulating cytokine, the adjuvant is or comprises a bacterial mitogen, or a bacterial toxin.
- the adjuvant of the present disclosure is co-administered with an additional adjuvant.
- the additional adjuvant utilized in methods and compositions of the present disclosure is, in another embodiment, a granulocyte/macrophage colony- stimulating factor (GM-CSF) protein.
- the adjuvant comprises a GM-CSF protein.
- the adjuvant is a nucleotide molecule encoding GM- CSF.
- the adjuvant comprises a nucleotide molecule encoding GM-CSF.
- the adjuvant is saponin QS21.
- the adjuvant comprises saponin QS21.
- the adjuvant is monophosphoryl lipid A. In another embodiment, the adjuvant comprises monophosphoryl lipid A. In another embodiment, the adjuvant is SBAS2. In another embodiment, the adjuvant comprises SBAS2. In another embodiment, the adjuvant is an unmethylated CpG-containing oligonucleotide. In another embodiment, the adjuvant comprises an unmethylated CpG-containing oligonucleotide. In another embodiment, the adjuvant is an immune- stimulating cytokine. In another embodiment, the adjuvant comprises an immune- stimulating cytokine. In another embodiment, the adjuvant is a nucleotide molecule encoding an immune-stimulating cytokine.
- the adjuvant comprises a nucleotide molecule encoding an immune- stimulating cytokine. In another embodiment, the adjuvant is or comprises a quill glycoside. In another embodiment, the adjuvant is or comprises a bacterial mitogen. In another embodiment, the adjuvant is or comprises a bacterial toxin. In another embodiment, the adjuvant is or comprises any other adjuvant known in the art.
- nucleic acid molecule that encodes the adjuvant of the present disclosure.
- the nucleic acid molecule is used to transform the Listeria in order to arrive at a recombinant Listeria.
- nucleic acid disclosed herein used to transform Listeria lacks a virulence gene.
- nucleic acid molecule integrated into the Listeria genome carries a non-functional virulence gene.
- the Listeria comprises a mutation in a virulence gene.
- nucleic acid molecule is used to inactivate a gene (e.g. metabolic, virulence gene, or any other gene) present in the Listeria genome.
- the virulence gene disclosed herein is an actA gene, an inlA gene, an inlB gene, an inlC gene or a prfA gene.
- the virulence gene can be any gene known in the art to be associated with virulence in the recombinant Listeria.
- the metabolic gene, the virulence gene, etc. is lacking in a chromosome of the Listeria strain. In another embodiment, the metabolic gene, virulence gene, etc., or a fragment thereof is lacking in the chromosome and in any episomal genetic element of the Listeria strain. In another embodiment, the metabolic gene, virulence gene, etc., or a fragment thereof is lacking in the genome of the virulence strain. In one embodiment, the virulence gene is mutated in the chromosome. In another embodiment, the virulence gene is deleted from the chromosome. In another embodiment, the virulence gene is inactivated in the chromosome. In another embodiment, the virulence gene is not expressed.
- nucleic acids and plasmids disclosed herein do not confer antibiotic resistance upon the recombinant Listeria.
- Nucleic acid molecule refers, in another embodiment, to a plasmid.
- the term refers to an integration vector.
- the term refers to a plasmid comprising an integration vector.
- the integration vector is a site- specific integration vector.
- a nucleic acid molecule of methods and compositions of the present disclosure are composed of any type of nucleotide known in the art.
- Metal enzyme refers, in another embodiment, to an enzyme involved in synthesis of a nutrient required by the host bacteria. In another embodiment, the term refers to an enzyme required for synthesis of a nutrient required by the host bacteria. In another embodiment, the term refers to an enzyme involved in synthesis of a nutrient utilized by the host bacteria. In another embodiment, the term refers to an enzyme involved in synthesis of a nutrient required for sustained growth of the host bacteria. In another embodiment, the enzyme is required for synthesis of the nutrient.
- “Stably maintained” refers, in another embodiment, to maintenance of a nucleic acid molecule or plasmid in the absence of selection (e.g. antibiotic selection) for 10 generations, without detectable loss.
- the period is 15 generations.
- the period is 20 generations.
- the period is 25 generations.
- the period is 30 generations.
- the period is 40 generations.
- the period is 50 generations.
- the period is 60 generations.
- the period is 80 generations.
- the period is 100 generations.
- the period is 150 generations.
- the period is 200 generations.
- the period is 300 generations.
- the period is 500 generations.
- the period is more than generations.
- the nucleic acid molecule or plasmid is maintained stably in vitro (e.g. in culture). In another embodiment, the nucleic acid molecule or plasmid is maintained stably in vivo. In another embodiment, the nucleic acid molecule or plasmid is maintained stably both in vitro and in vitro.
- the metabolic enzyme of the methods and compositions disclosed herein is an amino acid metabolism enzyme, where, in another embodiment, the metabolic enzyme is an alanine racemase enzyme. In another embodiment, the metabolic enzyme is a D-amino acid transferase enzyme. In another embodiment, the metabolic enzyme catalyzes a formation of an amino acid used for a cell wall synthesis in the recombinant Listeria strain, where in another embodiment the metabolic enzyme is an alanine racemase enzyme.
- the gene encoding the metabolic enzyme is expressed under the control of the Listeria p60 promoter.
- the MA encodes internalin
- the hly promoter is used.
- the ActA promoter is used.
- the integrase gene is expressed under the control of any other gram positive promoter.
- the gene encoding the metabolic enzyme is expressed under the control of any other promoter that functions in Listeria.
- promoters or polycistronic expression cassettes may be used to drive the expression of the gene.
- the LLO utilized in the methods and compositions disclosed herein is, in one embodiment, a Listeria LLO.
- the Listeria from which the LLO is derived is Listeria monocytogenes (Lm).
- the Listeria is Listeria ivanovii.
- the Listeria is Listeria welshimeri.
- the Listeria is Listeria seeligeri.
- a recombinant Listeria disclosed herein comprises a nucleic acid encoding an LLO fused to an antigen.
- the nucleic acid encodes LLO alone (not fused to an antigen).
- the LLO protein is encoded by the following nucleic acid sequence set forth in (SEQ ID NO: 1).
- the LLO protein has the sequence SEQ ID NO: 2
- the LLO protein has the sequence SEQ ID NO: 3:
- the first 25 amino acids of the proprotein corresponding to the sequences of SEQ ID NO: 2 and SEQ ID NO: 3 are the signal sequence and are cleaved from LLO when it is secreted by the bacterium.
- the full length active LLO protein is 504 residues long.
- the LLO protein has an amino acid sequence encoded by the sequences set forth in GenBank Accession No. DQ054588, DQ054589, AY878649, U25452n another embodiment, the LLO protein is a variant of an LLO protein. In another embodiment, the LLO protein is a homologue of an LLO protein.
- the LLO protein is a variant of an LLO protein. In another embodiment, the LLO protein is a homologue of an LLO protein.
- truncated LLO or "tLLO” refers to a fragment of LLO that comprises the PEST amino acid sequence domain.
- the terms refer to an LLO fragment that does not contain the activation domain at the amino terminus and does not include cystine 484.
- the LLO fragment consists of a PEST sequence.
- the LLO fragment comprises a PEST sequence.
- the LLO fragment consists of about the first 400 to 441 amino acids of the 529 amino acid full- length LLO protein.
- the LLO fragment is a non-hemolytic form of the LLO protein.
- N- terminal fragment of an LLO protein utilized in compositions and methods of the present disclosure has the sequence:
- IETTS KA YTDGKINIDHS GGY VAQFNIS WDE VN YD SEQ ID NO: 4.
- the LLO fragment corresponds to about AA 20-442 of an LLO protein utilized herein.
- the LLO fragment has the sequence:
- truncated LLO or "ALLO” refers to a fragment of LLO that comprises the PEST sequence domain. In another embodiment, the terms refer to an LLO fragment that comprises a PEST sequence.
- the terms refer to an LLO fragment that does not contain the activation domain at the amino terminus and does not include cysteine 484. In another embodiment, the terms refer to an LLO fragment that is not hemolytic. In another embodiment, the LLO fragment is rendered non-hemolytic by deletion or mutation of the activation domain. In another embodiment, the LLO fragment is rendered non-hemolytic by deletion or mutation of cysteine 484. In another embodiment, the LLO fragment is rendered non-hemolytic by deletion or mutation at another location. In another embodiment, the LLO is rendered non-hemolytic by a deletion or mutation of the cholesterol binding domain (CBD) as detailed in US Patent No. 8,771,702, which is incorporated by reference herein.
- CBD cholesterol binding domain
- the LLO fragment consists of about the first 441 AA of the LLO protein. In another embodiment, the LLO fragment consists of about the first 420 AA of LLO. In another embodiment, the LLO fragment is a non-hemolytic form of the LLO protein.
- the LLO fragment consists of about residues 1-25. In another embodiment, the LLO fragment consists of about residues 1-50. In another embodiment, the LLO fragment consists of about residues 1-75. In another embodiment, the LLO fragment consists of about residues 1-100. In another embodiment, the LLO fragment consists of about residues 1-125. In another embodiment, the LLO fragment consists of about residues 1-150. In another embodiment, the LLO fragment consists of about residues 1175. In another embodiment, the LLO fragment consists of about residues 1-200. In another embodiment, the LLO fragment consists of about residues 1-225. In another embodiment, the LLO fragment consists of about residues 1-250.
- the LLO fragment consists of about residues 1-275. In another embodiment, the LLO fragment consists of about residues 1-300. In another embodiment, the LLO fragment consists of about residues 1-325. In another embodiment, the LLO fragment consists of about residues 1-350. In another embodiment, the LLO fragment consists of about residues 1-375. In another embodiment, the LLO fragment consists of about residues 1-400. In another embodiment, the LLO fragment consists of about residues 1-425.
- the LLO fragment contains residues of a homologous LLO protein that correspond to one of the above AA ranges.
- the residue numbers need not, in another embodiment, correspond exactly with the residue numbers enumerated above; e.g. if the homologous LLO protein has an insertion or deletion, relative to an LLO protein utilized herein, then the residue numbers can be adjusted accordingly.
- the LLO fragment is any other LLO fragment known in the art.
- a homologous LLO refers to identity to an LLO sequence (e.g. to one of SEQ ID No: 2-5) of greater than 70%.
- a homologous LLO refers to identity to one of SEQ ID No: 2-5 of greater than 72%.
- a homologous LLO refers to identity to one of SEQ ID No: 2-5of greater than 75%.
- a homologous LLO refers to identity to one of SEQ ID No: 2-5 of greater than 78%.
- a homologous LLO refers to identity to one of SEQ ID No: 2-5 of greater than 80%.
- a homologous LLO refers to identity to one of SEQ ID No: 2-5 of greater than 82%. In another embodiment, a homologous LLO refers to identity to one of SEQ ID No: 2-5 of greater than 83%. In another embodiment, a homologous LLO refers to identity to one of SEQ ID No: 2-5 of greater than 85%. In another embodiment, a homologous LLO refers to identity to one of SEQ ID No: 2-5 of greater than 87%. In another embodiment, a homologous LLO refers to identity to one of SEQ ID No: 2-5 of greater than 88%. In another embodiment, a homologous LLO refers to identity to one of SEQ ID No: 2-5 of greater than 90%.
- a homologous LLO refers to identity to one of SEQ ID No: 2-5 of greater than 92%. In another embodiment, a homologous LLO refers to identity to one of SEQ ID No: 2-5 of greater than 93%. In another embodiment, a homologous LLO refers to identity to one of SEQ ID No: 2-5 of greater than 95%. In another embodiment, a homologous LLO refers to identity to one of SEQ ID No: 2-5 of greater than 96%. In another embodiment, a homologous LLO refers to identity to one of SEQ ID No: 2-5 of greater than 97%. In another embodiment, a homologous LLO refers to identity to one of SEQ ID No: 2-5 of greater than 98%. In another embodiment, a homologous LLO refers to identity to one of SEQ ID No: 2-5 of greater than 99%. In another embodiment, a homologous LLO refers to identity to one of SEQ ID No: 2-5 of 100%.
- a live attenuated recombinant Listeria disclosed herein expresses an ActA protein or a fragment thereof.
- a fragment of an ActA protein is fused to a heterologous antigen or a fragment thereof also disclosed herein.
- the truncated ActA protein is not fused to an antigen.
- a recombinant nucleotide encoding a truncated ActA protein disclosed herein comprises SEQ ID NO: 6:
- an ActA protein comprises SEQ ID NO: 7
- an ActA protein comprises SEQ ID NO: 7.
- the first 29 AA of the proprotein corresponding to this sequence are the signal sequence and are cleaved from ActA protein when it is secreted by the bacterium.
- an ActA polypeptide or peptide comprises the signal sequence, AA 1-29 of SEQ ID NO: 7 above.
- an ActA polypeptide or peptide does not include the signal sequence, AA 1-29 of SEQ ID NO: 7 above.
- an ActA protein comprises SEQ ID NO: 8
- the first 29 AA of the proprotein corresponding to this sequence are the signal sequence and are cleaved from ActA protein when it is secreted by the bacterium.
- an ActA polypeptide or peptide comprises the signal sequence, AA 1-29 of SEQ ID NO: 8.
- an ActA polypeptide or peptide does not include the signal sequence, AA 1-29 of SEQ ID NO: 8.
- a truncated ActA protein comprises SEQ ID NO: 9:
- the ActA fragment is any other ActA fragment known in the art.
- a truncated ActA protein comprises SEQ ID NO: 10
- a truncated ActA protein comprises SEQ ID NO: 11: MGLNRFMRAMM VVFIT ANCmNPDIIFA ATDS EDS S LNTDEWEEEKTEEQPS E
- VNTGPRYETAREVSSRDIKELEKSNKVRNTNKADLIAMLKEKAEKG (SEQ ID NO: 11).
- a truncated ActA protein comprises SEQ ID NO: 12
- a truncated ActA as set forth in SEQ ID NO: 12 is referred to as ActA/PESTl.
- a truncated ActA comprises from the first 30 to amino acid 122 of the full length ActA sequence.
- SEQ ID NO: 12 comprises from the first 30 to amino acid 122 of the full length ActA sequence.
- a truncated ActA comprises from the first 30 to amino acid 122 of SEQ ID NO: 8.
- SEQ ID NO: 12 comprises from the first 30 to amino acid 122 of SEQ ID NO: 8.
- a truncated ActA protein comprises SEQ ID NO: 13
- a truncated ActA as set forth in SEQ ID NO: 13 is referred to as ActA/PEST2.
- a truncated ActA comprises from amino acid 30 to amino acid 229 of the full length ActA sequence.
- SEQ ID NO: 14 comprises from about amino acid 30 to about amino acid 229 of the full length ActA sequence.
- a truncated ActA comprises from about amino acid 30 to amino acid 229 of SEQ ID NO: 8.
- SEQ ID NO: 13 comprises from amino acid 30 to amino acid 229 of SEQ ID NO: 8.
- a truncated ActA protein comprises SEQ ID NO: 14
- a truncated ActA as set forth in SEQ ID NO: 14 is referred to as ActA/PEST3.
- this truncated ActA comprises from the first 30 to amino acid 332 of the full length ActA sequence.
- SEQ ID NO: 14 comprises from the first 30 to amino acid 332 of the full length ActA sequence.
- a truncated ActA comprises from about the first 30 to amino acid 332 of SEQ ID NO: 8.
- SEQ ID NO: 14 comprises from the first 30 to amino acid 332 of SEQ ID NO: 8.
- a truncated ActA protein comprises SEQ ID NO: 15
- a truncated ActA as set forth in SEQ ID NO: 15 is referred to as ActA/PEST4.
- this truncated ActA comprises from the first 30 to amino acid 399 of the full length ActA sequence.
- SEQ ID NO: 15 comprises from the first 30 to amino acid 399 of the full length ActA sequence.
- a truncated ActA comprises from the first 30 to amino acid 399 of SEQ ID NO: 8.
- SEQ ID NO: 15 comprises from the first 30 to amino acid 399 of SEQ ID NO: 8.
- a truncated ActA sequence disclosed herein is further fused to an hly signal peptide at the N-terminus.
- the truncated ActA fused to hly signal peptide comprises SEQ ID NO: 16
- a truncated ActA as set forth in SEQ ID NO: 16 is referred to as LA229.
- a truncated ActA fused to hly signal peptide is encoded by a sequence comprising SEQ ID NO: 17
- SEQ ID NO: 17 comprises a sequence encoding a linker region (see bold, italic text) that is used to create a unique restriction enzyme site for Xbal so that different polypeptides, heterologous antigens, etc. can be cloned after the signal sequence.
- linker region see bold, italic text
- signal peptidases act on the sequences before the linker region to cleave signal peptide.
- the recombinant nucleotide encoding a truncated ActA protein comprises the sequence set forth in SEQ ID NO: 18.
- the recombinant nucleotide has the sequence set forth in SEQ ID NO: 18. In another embodiment, the recombinant nucleotide comprises other sequences that encode a fragment of an ActA protein.
- a truncated ActA protein is a fragment of an ActA protein.
- the truncated ActA protein is an N- terminal fragment of an ActA protein.
- the terms "truncated ActA,” “N-terminal ActA fragment” or “AActA” are used interchangeably herein and refer to a fragment of ActA that comprises a PEST domain.
- the terms refer to an ActA fragment that comprises a PEST sequence.
- the terms refer to an immunogenic fragment of the ActA protein.
- the terms refer to a truncated ActA fragment encoded by SEQ ID NO: 9-17 disclosed herein.
- the N-terminal ActA protein fragment of methods and compositions of the present disclosure comprises, in one embodiment, a sequence selected from SEQ ID No: 9-16.
- the ActA fragment comprises an ActA signal peptide.
- the ActA fragment consists approximately of a sequence selected from SEQ ID NO: 9-16.
- the ActA fragment consists essentially of a sequence selected from SEQ ID NO: 9-16.
- the ActA fragment corresponds to a sequence selected from SEQ ID NO: 9-16.
- the ActA fragment is homologous to a sequence selected from SEQ ID NO: 9-16.
- a PEST-sequence is any PEST-AA sequence derived from a prokaryotic organism.
- the PEST- sequence may be other PEST- sequences known in the art.
- an ActA fragment consists of about the first 100 AA of the wild-type ActA protein. In another embodiment, an ActA fragment consists of about the first 100 AA of an ActA protein disclosed herein.
- the ActA fragment consists of about residues 1-25, 1-50, 1- 75, 1-100, 1-125, 1-150, 1-175, 1-200, 1-225, 1-250, 1-275, 1-300, 1-325, 1-338, 1-350, 1-375, 1-400, 1-450, 1-500, 1-550, 1-600, 1-639.
- the ActA fragment consists of about residues 30-100, 30-125, 30-150, 30-175, 30-200, 30-225, 30-250, 30-275, 30-300, 30- 325, 30-338, 30-350, 30-375, 30-400, 30-450, 30-500, 30-550, 30-600, or 30-604.
- an ActA fragment disclosed herein contains residues of a homologous ActA protein that correspond to one of the above AA ranges.
- the residue numbers need not, in another embodiment, correspond exactly with the residue numbers enumerated above; e.g. if the homologous ActA protein has an insertion or deletion, relative to an ActA protein utilized herein, then the residue numbers can be adjusted accordingly.
- a homologous ActA refers to identity of an ActA sequence (e.g. to one of SEQ ID NO: 6-18) of greater than 70%.
- a homologous ActA refers to identity to one of SEQ ID NO: 6-18 of greater than 72%.
- a homologous refers to identity to one of SEQ ID No: 6-18 of greater than 75%.
- a homologous refers to identity to one of SEQ ID NO: 6-18 of greater than 78%.
- a homologous refers to identity to one of SEQ ID NO: 6-18 of greater than 80%.
- a homologous refers to identity to one of SEQ ID NO: 6-18 of greater than 82%.
- a homologous refers to identity to one of SEQ ID NO: 6-18 of greater than 83%. In another embodiment, a homologous refers to identity to one of SEQ ID NO: 6-18 of greater than 85%. In another embodiment, a homologous refers to identity to one of SEQ ID NO: 6-18 of greater than 87%. In another embodiment, a homologous refers to identity to one of SEQ ID NO: 6-18 of greater than 88%. In another embodiment, a homologous refers to identity to one of SEQ ID NO: 6-18 of greater than 90%. In another embodiment, a homologous refers to identity to one of SEQ ID NO: 6-18 of greater than 92%.
- a homologous refers to identity to one of SEQ ID NO: 6-18 of greater than 93%. In another embodiment, a homologous refers to identity to one of SEQ ID NO: 6-18 of greater than 95%. In another embodiment, a homologous refers to identity to one of SEQ ID NO: 6-18 of greater than 96%. In another embodiment, a homologous refers to identity to one of SEQ ID NO: 6-18 of greater than 97%. In another embodiment, a homologous refers to identity to one of SEQ ID NO: 6-18 of greater than 98%. In another embodiment, a homologous refers to identity to one of SEQ ID NO: 6-18 of greater than 99%. In another embodiment, a homologous refers to identity to one of SEQ ID NO: 6-18 of 100%.
- a fragment of an ActA protein is fused to a heterologous antigen or fragment thereof.
- the fragment of an ActA protein has the sequence as set forth in Genbank Accession No. AAF04762.
- an ActA AA sequence of methods and compositions of the present disclosure comprises the sequence set forth in Genbank Accession No. AAF04762.
- the ActA AA sequence is a homologue of Genbank Accession No. AAF04762.
- the ActA AA sequence is a variant of Genbank Accession No. AAF04762.
- the ActA AA sequence is a fragment of Genbank Accession No. AAF04762.
- the ActA AA sequence is an isoform of Genbank Accession No. AAF04762.
- the ActA fragment is any other ActA fragment known in the art.
- a recombinant nucleotide of the present disclosure comprises any other sequence that encodes a fragment of an ActA protein.
- the recombinant nucleotide comprises any other sequence that encodes an entire ActA protein.
- truncated ActA or "AActA” refers to a fragment of ActA that comprises the PEST sequence domain.
- the terms refer to an ActA fragment that comprises a PEST sequence.
- the PEST amino acid (AA) sequence is another PEST AA sequence derived from a prokaryotic organism.
- the PEST AA sequence is any other PEST AA sequence known in the art.
- the ActA fragment consists of about the first 100 AA of the ActA protein.
- the ActA fragment consists of about residues 1-25. In another embodiment, the ActA fragment consists of about residues 1-50. In another embodiment, the ActA fragment consists of about residues 1-75. In another embodiment, the ActA fragment consists of about residues 1-100. In another embodiment, the ActA fragment consists of about residues 1-125. In another embodiment, the ActA fragment consists of about residues 1-150. In another embodiment, the ActA fragment consists of about residues 1-175. In another embodiment, the ActA fragment consists of about residues 1-200. In another embodiment, the ActA fragment consists of about residues 1-225. In another embodiment, the ActA fragment consists of about residues 1-250.
- the ActA fragment consists of about residues 1-275. In another embodiment, the ActA fragment consists of about residues 1-300. In another embodiment, the ActA fragment consists of about residues 1-325. In another embodiment, the ActA fragment consists of about residues 1-338. In another embodiment, the ActA fragment consists of about residues 1-350. In another embodiment, the ActA fragment consists of about residues 1-375. In another embodiment, the ActA fragment consists of about residues 1-400. In another embodiment, the ActA fragment consists of about residues 1-450. In another embodiment, the ActA fragment consists of about residues 1-500. In another embodiment, the ActA fragment consists of about residues 1-550. In another embodiment, the ActA fragment consists of about residues 1-600.
- the ActA fragment consists of about residues 1-639. In another embodiment, the ActA fragment consists of about residues 30-100. In another embodiment, the ActA fragment consists of about residues 30-125. In another embodiment, the ActA fragment consists of about residues 30-150. In another embodiment, the ActA fragment consists of about residues 30-175. In another embodiment, the ActA fragment consists of about residues 30-200. In another embodiment, the ActA fragment consists of about residues 30-225. In another embodiment, the ActA fragment consists of about residues 30-250. In another embodiment, the ActA fragment consists of about residues 30-275. In another embodiment, the ActA fragment consists of about residues 30-300. In another embodiment, the ActA fragment consists of about residues 30-325.
- the ActA fragment consists of about residues 30-338. In another embodiment, the ActA fragment consists of about residues 30-350. In another embodiment, the ActA fragment consists of about residues 30-375. In another embodiment, the ActA fragment consists of about residues 30-400. In another embodiment, the ActA fragment consists of about residues 30-450. In another embodiment, the ActA fragment consists of about residues 30-500. In another embodiment, the ActA fragment consists of about residues 30-550. In another embodiment, the ActA fragment consists of about residues 1-600. In another embodiment, the ActA fragment consists of about residues 30-604.
- the ActA fragment contains residues of a homologous ActA protein that correspond to one of the above AA ranges.
- the residue numbers need not, in another embodiment, correspond exactly with the residue numbers enumerated above; e.g. if the homologous ActA protein has an insertion or deletion, relative to an ActA protein utilized herein, then the residue numbers can be adjusted accordingly.
- the ActA fragment is any other ActA fragment known in the art.
- the live attenuated Listeria or recombinant Listeria disclosed herein expresses a PEST sequence peptide.
- a PEST AA sequence is fused to the heterologous antigen or fragment.
- the PEST AA sequence is
- KENS IS S M APP ASPP ASPKTPIEKKH ADEIDK SEQ ID NO: 19
- the PEST sequence is KENSISSMAPPASPPASPK (SEQ ID No: 20).
- the PEST AA sequence is a PEST sequence from a Listeria ActA protein.
- the PEST sequence is KTEEQPSEVNTGPR (SEQ ID NO: 21), KASVTDTSEGDLDSSMQSADESTPQPLK (SEQ ID NO: 22), KNEEVNASDFPPPPTDEELR (SEQ ID NO: 23), or
- PvGGIPTSEEFSSLNSGDFTDDENSETTEEEIDR (SEQ ID NO: 24).
- the PEST AA sequence is a variant of the PEST sequence described hereinabove, which in one embodiment, is KESVVDASESDLDSSMQSADESTPQPLK (SEQ ID NO: 25, KSEE VNAS DFPPPPTDEELR (SEQ ID NO: 26), or
- the PEST AA sequence is from Listeria seeligeri cytolysin, encoded by the lso gene.
- the PEST sequence is RSEVTISPAETPESPPATP (SEQ ID NO: 28).
- the PEST sequence is from Streptolysin O protein of Streptococcus sp.
- the PEST sequence is from Streptococcus pyogenes Streptolysin O, e.g. KQNTASTETTTTNEQPK (SEQ ID NO: 29) at AA 35-51.
- the PEST AA sequence is from Streptococcus equisimilis Streptolysin O, e.g. KQNTANTETTTTNEQPK (SEQ ID NO: 30) at AA 38-54.
- the PEST AA sequence has a sequence selected from SEQ ID NO: 19-30.
- the PEST sequence is another PEST AA sequence derived from a prokaryotic organism.
- PEST sequence refers, in another embodiment, to a region rich in proline (P), glutamic acid (E), serine (S), and threonine (T) residues.
- PEST sequence is flanked by one or more clusters containing several positively charged amino acids.
- the PEST sequence mediates rapid intracellular degradation of proteins containing it.
- the PEST sequence fits an algorithm disclosed in Rogers et al.
- the PEST sequence fits an algorithm disclosed in Rechsteiner et al.
- the PEST sequence contains one or more internal phosphorylation sites, and phosphorylation at these sites precedes protein degradation.
- PEST sequences of prokaryotic organisms are identified in accordance with methods such as described by, for example Rechsteiner and Rogers (1996, Trends Biochem. Sci. 21:267-271) for Lm and in Rogers S et al (Science 1986; 234(4774):364- 8).
- PEST AA sequences from other prokaryotic organisms can also be identified based on this method.
- the PEST sequence fits an algorithm disclosed in Rogers et al.
- the PEST sequence fits an algorithm disclosed in Rechsteiner et al.
- the PEST sequence is identified using the PEST-find program.
- identification of PEST motifs is achieved by an initial scan for positively charged AA R, H, and K within the specified protein sequence. All AA between the positively charged flanks are counted and only those motifs are considered further, which contain a number of AA equal to or higher than the window-size parameter.
- a PEST AA sequence must contain at least 1 P, 1 D or E, and at least 1 S or T.
- the quality of a PEST motif is refined by means of a scoring parameter based on the local enrichment of critical AA as well as the motifs hydrophobicity.
- Enrichment of D, E, P, S and T is expressed in mass percent (w/w) and corrected for 1 equivalent of D or E, 1 of P and 1 of S or T.
- calculation of hydrophobicity follows in principle the method of J. Kyte and R.F. Doolittle (Kyte, J and Dootlittle, RF. J. Mol. Biol. 157, 105 (1982).
- a potential PEST motif's hydrophobicity is calculated as the sum over the products of mole percent and hydrophobicity index for each AA species.
- the desired PEST score is obtained as combination of local enrichment term and hydrophobicity term as expressed by the following equation:
- PEST score 0.55 * DEPST - 0.5 * hydrophobicity index.
- PEST sequence refers to a peptide having a score of at least +5, using the above algorithm.
- the term refers to a peptide having a score of at least 6.
- the peptide has a score of at least 7.
- the score is at least 8.
- the score is at least 9.
- the score is at least 10.
- the score is at least 11.
- the score is at least 12.
- the score is at least 13.
- the score is at least 14.
- the score is at least 15.
- the score is at least 16. In another embodiment, the score is at least 17.
- the score is at least 18. In another embodiment, the score is at least 19. In another embodiment, the score is at least 20. In another embodiment, the score is at least 21. In another embodiment, the score is at least 22. In another embodiment, the score is at least 22. In another embodiment, the score is at least 24. In another embodiment, the score is at least 24. In another embodiment, the score is at least 25. In another embodiment, the score is at least 26. In another embodiment, the score is at least 27. In another embodiment, the score is at least 28. In another embodiment, the score is at least 29. In another embodiment, the score is at least 30. In another embodiment, the score is at least 32. In another embodiment, the score is at least 35. In another embodiment, the score is at least 38. In another embodiment, the score is at least 40. In another embodiment, the score is at least 45.
- the PEST sequence is identified using any other method or algorithm known in the art, e.g the CaSPredictor (Garay-Malpartida HM, Occhiucci JM, Alves J, Belizario JE. Bioinformatics. 2005 Jun;21 Suppl l:il69-76). In another embodiment, the following method is used:
- a PEST index is calculated for each stretch of appropriate length (e.g. a 30-35 AA stretch) by assigning a value of 1 to the AA Ser, Thr, Pro, Glu, Asp, Asn, or Gin.
- the coefficient value (CV) for each of the PEST residue is 1 and for each of the other AA (non-PEST) is 0.
- the PEST sequence is any other PEST sequence known in the art.
- Fusion to a PEST sequence refers, in another embodiment, to fusion to a protein fragment comprising a PEST sequence.
- the term includes cases wherein the protein fragment comprises surrounding sequence other than the PEST sequence.
- the protein fragment consists of the PEST sequence.
- fusion refers to two peptides or protein fragments either linked together at their respective ends or embedded one within the other.
- composition comprising a recombinant form of Listeria of the present disclosure.
- a vaccine comprising a recombinant form of Listeria of the present disclosure.
- the Listeria of methods and compositions of the present disclosure is Listeria monocytogenes.
- the Listeria is Listeria ivanovii.
- the Listeria is Listeria welshimeri.
- the Listeria is Listeria seeligeri.
- Attenuated Listeria strains such as Lm ddta-actA mutant (Brundage et al, 1993, Proc. Natl. Acad. Sci., USA, 90:11890-11894), L. monocytogenes delta- plcA (Camilli et al, 1991, J. Exp. Med., 173:751-754), or delta-ActA, delta INL-b (Brockstedt et 5 al, 2004, PNAS, 101:13832-13837) are used in the present disclosure.
- attenuated Listeria strains are constructed by introducing one or more attenuating mutations, as will be understood by one of average skill in the art when equipped with the disclosure herein.
- strains include, but are not limited to Listeria strains auxotrophic for aromatic amino acids (Alexander et al, 1993, Infection and Immunity 10 61:2245-2248) and mutant for the formation of lipoteichoic acids (Abachin et al, 2002, Mol. Microbiol. 43:1-14) and those attenuated by a lack of a virulence gene (see examples herein).
- nucleic acid molecule of methods and compositions of the present disclosure is operably linked to a promoter/regulatory sequence.
- first open reading frame of methods and compositions of the present disclosure is operably linked to a promoter/regulatory sequence.
- second open reading frame of methods and compositions of the present disclosure is operably linked to a promoter/regulatory sequence.
- each of the open reading frames are operably linked to a promoter/regulatory sequence.
- transcriptional promoters e.g. those in commercially available cloning vectors
- these functionalities are provided in, for example, the commercially available vectors known as the pUC series.
- non-essential DNA sequences e.g. antibiotic resistance genes
- a commercially available plasmid is used in the present disclosure.
- Such plasmids are available from a variety of sources, for example, Invitrogen (La Jolla, CA), Stratagene (La Jolla, CA), Clontech (Palo Alto, CA), or can be constructed using methods well known in the art.
- plasmid such as pCR2.1 (Invitrogen, La Jolla, CA), which is a prokaryotic expression vector with a prokaryotic origin of replication and promoter/regulatory elements to facilitate expression in a prokaryotic organism.
- extraneous nucleotide sequences are removed to decrease the size of the plasmid and increase the size of the cassette that can be placed therein.
- Antibiotic resistance genes are used in the conventional selection and cloning processes commonly employed in molecular biology and vaccine preparation.
- Antibiotic resistance genes contemplated in the present disclosure include, but are not limited to, gene products that confer resistance to ampicillin, penicillin, methicillin, streptomycin, erythromycin, kanamycin, tetracycline, cloramphenicol (CAT), neomycin, hygromycin, gentamicin and others well known in the art.
- Methods for transforming bacteria are well known in the art, and include calcium- chloride competent cell-based methods, electroporation methods, bacteriophage-mediated transduction, chemical, and physical transformation techniques (de Boer et al, 1989, Cell 56:641- 649; Miller et al, 1995, FASEB J., 9:190-199; Sambrook et al.
- the Listeria vaccine strain of the present disclosure is transformed by electroporation.
- conjugation is used to introduce genetic material and/or plasmids into bacteria.
- Methods for conjugation are well known in the art, and are described, for example, in Nikodinovic J et al. (A second generation snp-derived Escherichia coli-Streptomyces shuttle expression vector that is generally transferable by conjugation. Plasmid. 2006 Nov;56(3):223-7) and Auchtung JM et al (Regulation of a Bacillus subtilis mobile genetic element by intercellular signaling and the global DNA damage response. Proc Natl Acad Sci U S A. 2005 Aug 30; 102 (35): 12554-9).
- Transforming in one embodiment, is used identically with the term “transfecting,” and refers to engineering a bacterial cell to take up a plasmid or other heterologous DNA molecule.
- transforming refers to engineering a bacterial cell to express a gene of a plasmid or other heterologous DNA molecule.
- Plasmids and other expression vectors useful in the present disclosure are described elsewhere herein, and can include such features as a promoter/regulatory sequence, an origin of replication for gram negative and gram positive bacteria, an isolated nucleic acid encoding a fusion protein and an isolated nucleic acid encoding an amino acid metabolism gene. Further, an isolated nucleic acid encoding a fusion protein and an amino acid metabolism gene will have a promoter suitable for driving expression of such an isolated nucleic acid.
- Promoters useful for driving expression in a bacterial system include bacteriophage lambda, the bla promoter of the beta-lactamase gene of pBR322, and the CAT promoter of the chloramphenicol acetyl transferase gene of pBR325.
- prokaryotic promoters include the major right and left promoters of 5 bacteriophage lambda (PL and PR), the trp, recA, lacZ, lad, and gal promoters of E. coli, the alpha-amylase (Ulmanen et al, 1985. J. Bacteriol. 162:176-182) and the S28-specific promoters of B.
- subtilis (Gilman et al, 1984 Gene 32: 11- 20), the promoters of the bacteriophages of Bacillus (Gryczan, 1982, In: The Molecular Biology of the Bacilli, Academic Press, Inc., New York), and Streptomyces promoters (Ward et al, 1986, Mol. Gen. Genet. 203:468-478). Additional prokaryotic promoters contemplated in the present disclosure are reviewed in, for example, Glick (1987, J. Ind. Microbiol. 1:277-282); Cenatiempo, (1986, Biochimie, 68:505-516); and Gottesman, (1984, Ann. Rev. Genet. 18:415-442).
- promoter/regulatory elements contemplated in the present disclosure include, but are not limited to the Listerial prf A promoter, the Listerial hly promoter, the Listerial p60 promoter and the Listerial ActA promoter (GenBank Acc. No. NC_003210) or fragments thereof.
- DNA encoding the recombinant non-hemolytic LLO is produced using DNA amplification methods, for example polymerase chain reaction (PCR).
- PCR polymerase chain reaction
- the segments of the native DNA on either side of the new terminus are amplified separately.
- the 5' end of the one amplified sequence encodes the peptide linker, while the 3' end of the other amplified sequence also encodes the peptide linker. Since the 5' end of the first fragment is complementary to the 3' end of the second fragment, the two fragments (after partial purification, e.g. on LMP agarose) can be used as an overlapping template in a third PCR reaction.
- the amplified sequence will contain codons, the segment on the carboxy side of the opening site (now forming the amino sequence), the linker, and the sequence on the amino side of the opening site (now forming the carboxyl sequence).
- the antigen is ligated into a plasmid.
- the present disclosure further comprises a phage based chromosomal integration system for clinical applications.
- a host strain that is auxotrophic for essential enzymes including, but not limited to, d-alanine racemase will be used, for example Lmdal(-)dat(-).
- a phage integration system based on PSA is used (Lauer, et al., 2002 J Bacterid, 184:4177-4186). This requires, in another embodiment, continuous selection by antibiotics to maintain the integrated gene.
- the current disclosure enables the establishment of a phage based chromosomal integration system that does not require selection with antibiotics. Instead, an auxotrophic host strain will be complemented.
- the recombinant proteins of the present disclosure are synthesized, in another embodiment, using recombinant DNA methodology. This involves, in one embodiment, creating a DNA sequence, placing the DNA in an expression cassette, such as the plasmid of the present disclosure, under the control of a particular promoter/regulatory element, and expressing the protein.
- DNA encoding the protein (e.g. non-hemolytic LLO) of the present disclosure is prepared, in another embodiment, by any suitable method, including, for example, cloning and restriction of appropriate sequences or direct chemical synthesis by methods such as the phosphotriester method of Narang et al. (1979, Meth. Enzymol. 68: 90-99); the phosphodiester method of Brown et al.
- chemical synthesis is used to produce a single stranded oligonucleotide.
- This single stranded oligonucleotide is converted, in various embodiments, into double stranded DNA by hybridization with a complementary sequence, or by polymerization with a DNA polymerase using the single strand as a template.
- a complementary sequence or by polymerization with a DNA polymerase using the single strand as a template.
- One of skill in the art would recognize that while chemical synthesis of DNA is limited to sequences of about 100 bases, longer sequences can be obtained by the ligation of shorter sequences.
- subsequences are cloned and the appropriate subsequences cleaved using appropriate restriction enzymes. The fragments are then be ligated to produce the desired DNA sequence.
- DNA encoding the recombinant protein of the present disclosure is cloned using DNA amplification methods such as polymerase chain reaction (PCR).
- PCR polymerase chain reaction
- the gene for non-hemolytic LLO is PCR amplified, using a sense primer comprising a suitable restriction site and an antisense primer comprising another restriction site, e.g. a non- identical restriction site to facilitate cloning.
- the recombinant fusion protein gene is operably linked to appropriate expression control sequences for each host.
- Promoter/ regulatory sequences are described in detail elsewhere herein.
- the plasmid further comprises additional promoter regulatory elements, as well as a ribosome binding site and a transcription termination signal.
- the control sequences will include a promoter and an enhancer derived from e.g. immunoglobulin genes, SV40, cytomegalovirus, etc., and a polyadenylation sequence.
- the sequences include splice donor and acceptor sequences.
- operably linked refers to a juxtaposition wherein the components so described are in a relationship permitting them to function in their intended manner.
- a control sequence "operably linked" to a coding sequence is ligated in such a way that expression of the coding sequence is achieved under conditions compatible with the control sequences.
- transformed auxotrophic bacteria are grown on a media that will select for expression of the amino acid metabolism gene.
- a bacteria auxotrophic for D-glutamic acid synthesis is transformed with a plasmid comprising a gene for D-glutamic acid synthesis, and the auxotrophic bacteria will grow in the absence of D-glutamic acid, whereas auxotrophic bacteria that have not been transformed with the plasmid, or are not expressing the plasmid encoding a protein for D-glutamic acid synthesis, will not grow.
- a bacterium auxotrophic for D-alanine synthesis will grow in the absence of D-alanine when transformed and expressing the plasmid of the present disclosure if the plasmid comprises an isolated nucleic acid encoding an amino acid metabolism enzyme for D-alanine synthesis.
- Such methods for making appropriate media comprising or lacking necessary growth factors, supplements, amino acids, vitamins, antibiotics, and the like are well known in the art, and are available commercially (Becton-Dickinson, Franklin Lakes, NJ).
- the bacteria are propagated in the presence of a selective pressure. Such propagation comprises growing the bacteria in media without the auxotrophic factor.
- the presence of the plasmid expressing an amino acid metabolism enzyme in the auxotrophic bacteria ensures that the plasmid will replicate along with the bacteria, thus continually selecting for bacteria harboring the plasmid.
- the skilled artisan when equipped with the present disclosure and methods herein will be readily able to scale-up the production of the Listeria vaccine vector by adjusting the volume of the media in which the auxotrophic bacteria comprising the plasmid are growing.
- the construct or nucleic acid molecule is integrated into the Listerial chromosome using homologous recombination.
- Techniques for homologous recombination are well known in the art, and are described, for example, in Baloglu S, Boyle SM, et al. (Immune responses of mice to vaccinia virus recombinants expressing either Listeria monocytogenes partial listeriolysin or Brucella abortus ribosomal L7/L12 protein. Vet Microbiol 2005, 109(1-2): 11-7); and Jiang LL, Song HH, et al., (Characterization of a mutant Listeria monocytogenes strain expressing green fluorescent protein.
- homologous recombination is performed as described in United States Patent No. 6,855,320.
- a recombinant Lm strain that expresses E7 was made by chromosomal integration of the E7 gene under the control of the hly promoter and with the inclusion of the hly signal sequence to ensure secretion of the gene product, yielding the recombinant referred to as Lm-AZ/E7.
- a temperature sensitive plasmid is used to select the recombinants.
- the construct or nucleic acid molecule is integrated into the Listerial chromosome using transposon insertion.
- Techniques for transposon insertion are well known in the art, and are described, inter alia, by Sun et al. (Infection and Immunity 1990, 58: 3770-3778) in the construction of DP-L967.
- Transposon mutagenesis has the advantage, in another embodiment, that a stable genomic insertion mutant can be formed but the disadvantage that the position in the genome where the foreign gene has been inserted is unknown.
- the construct or nucleic acid molecule is integrated into the Listerial chromosome using phage integration sites (Lauer P, Chow MY et al, Construction, characterization, and use of two Listeria monocytogenes site-specific phage integration vectors. J Bacterid 2002; 184(15): 4177-86).
- an integrase gene and attachment site of a bacteriophage e.g. U153 or PSA listeriophage
- endogenous prophages are cured from the attachment site utilized prior to integration of the construct or heterologous gene.
- this method results in single-copy integrants.
- one of various promoters is used to express protein containing same.
- an Lm promoter is used, e.g. promoters for the genes hly, actA, plcA, plcB and mpl, which encode the Listerial proteins hemolysin, ActA, phosphotidylinositol- specific phospholipase, phospholipase C, and metalloprotease, respectively.
- the construct or nucleic acid molecule is expressed from an episomal vector, with an endogenous nucleic acid sequence encoding an LLO, PEST or ActA sequence or functional fragments thereof.
- the construct or nucleic acid molecule comprises a first and at least a second open reading frame each encoding a first and at least a second polypeptide, wherein the first and the at least second polypeptide each comprise a heterologous antigen or a functional fragment thereof fused to an endogenous PEST-containing polypeptide.
- Such compositions are described in US Patent application serial no. 13/290,783, incorporated by reference herein in its entirety.
- the PEST-containing polypeptide is a truncated nonhemolytic LLO, an N-terminal ActA, or a PEST-containing amino acid sequence.
- a recombinant Listeria strain comprising an episomal recombinant nucleic acid molecule, the nucleic acid molecule comprising a first and at least a second open reading frame each encoding a first and at least a second polypeptide, wherein the first and the at least second polypeptide each comprise a heterologous antigen or a functional fragment thereof fused to an endogenous PEST-containing polypeptide, wherein the nucleic acid further comprises an open reading frame encoding a plasmid replication control region.
- Such compositions are described in US Patent Application Publication No. US-2012- 0135033-A1, incorporated by reference herein in its entirety.
- methods and compositions of the present disclosure utilize a homologue of a heterologous antigen or LLO or Act A or PEST containing sequence of the present disclosure.
- the terms "homology,” “homologous,” etc, when in reference to any protein or peptide, refer in one embodiment, to a percentage of amino acid residues in the candidate sequence that are identical with the residues of a corresponding native polypeptide, after aligning the sequences and introducing gaps, if necessary, to achieve the maximum percent homology, and not considering any conservative substitutions as part of the sequence identity. Methods and computer programs for the alignment are well known in the art.
- Homology is, in one embodiment, determined by computer algorithm for sequence alignment, by methods well described in the art.
- computer algorithm analysis of nucleic acid sequence homology may include the utilization of any number of software packages available, such as, for example, the BLAST, DOMAIN, BEAUTY (BLAST Enhanced Alignment Utility), GENPEPT and TREMBL packages.
- identity refers to identity to a sequence selected from SEQ ID No: 1-52 of greater than about 70%.
- identity refers to identity to a sequence selected from SEQ ID No: 1-52 of greater than about 70%.
- identity is greater than about 75%. In another embodiment, the identity is greater than about 78%. In another embodiment, the identity is greater than about 80%. In another embodiment, the identity is greater than about 82%. In another embodiment, the identity is greater than about 83%. In another embodiment, the identity is greater than about 85%. In another embodiment, the identity is greater than about 87%. In another embodiment, the identity is greater than about 88%. In another embodiment, the identity is greater than about 90%.
- the identity is greater than about 92%. In another embodiment, the identity is greater than about 93%. In another embodiment, the identity is greater than about 95%. In another embodiment, the identity is greater than about 96%. In another embodiment, the identity is greater than about 97%. In another embodiment, the identity is greater than 98%. In another embodiment, the identity is greater than about 99%. In another embodiment, the identity is 100%.
- homology is determined via determination of candidate sequence hybridization, methods of which are well described in the art (See, for example, “Nucleic Acid Hybridization” Hames, B. D., and Higgins S. J., Eds. (1985); Sambrook et al., 2001, Molecular Cloning, A Laboratory Manual, Cold Spring Harbor Press, N.Y.; and Ausubel et al., 1989, Current Protocols in Molecular Biology, Green Publishing Associates and Wiley Interscience, N.Y).
- methods of hybridization may be carried out under moderate to stringent conditions, to the complement of a DNA encoding a native caspase peptide.
- Hybridization conditions being, for example, overnight incubation at 42 °C in a solution comprising: 10-20 % formamide, 5 X SSC (150 mM NaCl, 15 mM trisodium citrate), 50 mM sodium phosphate (pH 7. 6), 5 X Denhardt's solution, 10 % dextran sulfate, and 20 ⁇ g/ml denatured, sheared salmon sperm DNA.
- nucleic acids refers to a string of at least two base-sugar-phosphate combinations.
- the term includes, in one embodiment, DNA and RNA.
- Nucleotides refers, in one embodiment, to the monomeric units of nucleic acid polymers.
- RNA may be, in one embodiment, in the form of a tRNA (transfer RNA), snRNA (small nuclear RNA), rRNA (ribosomal RNA), mRNA (messenger RNA), anti-sense RNA, small inhibitory RNA (siRNA), micro RNA (miRNA) and ribozymes.
- DNA may be in form of plasmid DNA, viral DNA, linear DNA, or chromosomal DNA or derivatives of these groups.
- these forms of DNA and RNA may be single, double, triple, or quadruple stranded.
- the term also includes, in another embodiment, artificial nucleic acids that may contain other types of backbones but the same bases.
- the artificial nucleic acid is a PNA (peptide nucleic acid).
- PNA contain peptide backbones and nucleotide bases and are able to bind, in one embodiment, to both DNA and RNA molecules.
- the nucleotide is oxetane modified. In another embodiment, the nucleotide is modified by replacement of one or more phosphodiester bonds with a phosphorothioate bond.
- the artificial nucleic acid contains any other variant of the phosphate backbone of native nucleic acids known in the art. The use of phosphothiorate nucleic acids and DNA are known to those skilled in the art, and are described in, for example, Neilsen PE, Curr Opin Struct Biol 9:353-57; and Raz NK et al Biochem Biophys Res Commun. 297:1075-84.
- nucleic acids The production and use of nucleic acids is known to those skilled in art and is described, for example, in Molecular Cloning, (2001), Sambrook and Russell, eds. and Methods in Enzymology: Methods for molecular cloning in eukaryotic cells (2003) Purchio and G. C. Fareed.
- the terms "gene” and “recombinant gene” refer to nucleic acid molecules comprising an open reading frame encoding a polypeptide of the disclosure.
- Such natural allelic variations can typically result in 1-5% variance in the nucleotide sequence of a given gene.
- Alternative alleles can be identified by sequencing the gene of interest in a number of different individuals or organisms. This can be readily carried out by using hybridization probes to identify the same genetic locus in a variety of individuals or organisms. Any and all such nucleotide variations and resulting amino acid polymorphisms or variations that are the result of natural allelic variation and that do not alter the functional activity are intended to be within the scope of the disclosure.
- Protein and/or peptide homology for any amino acid sequence listed herein is determined, in one embodiment, by methods well described in the art, including immunoblot analysis, or via computer algorithm analysis of amino acid sequences, utilizing any of a number of software packages available, via established methods. Some of these packages may include the FASTA, BLAST, MPsrch or Scanps packages, and may employ the use of the Smith and Waterman algorithms, and/or global/local or BLOCKS alignments for analysis, for example. Compositions
- a composition for use in the methods of the present disclosure comprises a recombinant Listeria monocytogenes, in any form or embodiment as described herein.
- the composition for use in the present disclosure consists of a recombinant Listeria monocytogenes of the present disclosure, in any form or embodiment as described herein.
- the composition for use in the methods of the present disclosure consists essentially of a recombinant Listeria monocytogenes of the present disclosure, in any form or embodiment as described herein.
- the term "comprise” refers to the inclusion of a recombinant Listeria monocytogenes in the composition, as well as inclusion of other composition or treatments that may be known in the art.
- the term "consisting essentially of refers to a composition, whose functional component is the recombinant Listeria monocytogenes, however, other components of the composition may be included that are not involved directly in the therapeutic effect of the composition and may, for example, refer to components which facilitate the effect of the recombinant Listeria monocytogenes (e.g. stabilizing, preserving, etc.).
- the term “consisting” refers to a composition, which contains the recombinant Listeria monocytogenes.
- the immune response elicited by the compositions and methods disclosed herein is not antigen specific.
- the recombinant Listeria monocytogenes for use in the compositions, vaccines and methods of the present disclosure does not secrete a heterologous peptide.
- the recombinant Listeria monocytogenes for use in the compositions, vaccines and methods of the present disclosure does not express a heterologous peptide.
- the recombinant Listeria monocytogenes for use in the present disclosure expresses and secretes a non-hemolytic LLO, as described herein.
- the recombinant Listeria monocytogenes for use in the present disclosure expresses and secretes a truncated ActA polypeptide, as described herein.
- the recombinant Listeria monocytogenes for use in the present disclosure expresses and secretes a PEST-containing polypeptide, as described herein.
- the recombinant Listeria monocytogenes for use in the compositions, vaccines and methods of the present disclosure secretes a heterologous peptide.
- the recombinant Listeria monocytogenes for use in the present disclosure expresses a heterologous peptide.
- the recombinant Listeria monocytogenes for use in the present disclosure expresses and secretes a non-hemolytic LLO, as described herein.
- the recombinant Listeria monocytogenes for use in the present disclosure expresses and secretes a truncated ActA polypeptide, as described herein.
- the recombinant Listeria monocytogenes for use in the present disclosure expresses and secretes a PEST-containing polypeptide, as described herein.
- compositions of the present disclosure are immunogenic compositions.
- compositions of the present disclosure induce a strong innate stimulation of interferon-gamma, which in one embodiment, has anti-angiogenic properties.
- a Listeria of the present disclosure induces a strong innate stimulation of interferon-gamma, which in one embodiment, has anti-angiogenic properties (Dominiecki et al., Cancer Immunol Immunother. 2005 May;54(5):477-88. Epub 2004 Oct 6, incorporated herein by reference in its entirety; Beatty and Paterson, J. Immunol. 2001 Feb 15;166(4):2276-82, incorporated herein by reference in its entirety).
- anti-angiogenic properties of Listeria are mediated by CD4 + T cells (Beatty and Paterson, 2001). In another embodiment, anti-angiogenic properties of Listeria are mediated by CD8 + T cells. In another embodiment, IFN-gamma secretion as a result of Listeria vaccination is mediated by NK cells, NKT cells, Thl CD4 + T cells, TCI CD8 + T cells, or a combination thereof.
- compositions of the present disclosure induce production of one or more anti-angiogenic proteins or factors.
- the anti-angiogenic protein is IFN-gamma.
- the anti-angiogenic protein is pigment epithelium-derived factor (PEDF); angiostatin; endostatin; fms-like tyrosine kinase (sFlt)-l; or soluble endoglin (sEng).
- PEDF pigment epithelium-derived factor
- angiostatin angiostatin
- endostatin endostatin
- sFlt fms-like tyrosine kinase
- sEng soluble endoglin
- a Listeria of the present disclosure is involved in the release of anti-angiogenic factors, and, therefore, in one embodiment, has a therapeutic role in addition to its role as a vector for introducing an antigen to a subject.
- the immune response induced by methods and compositions as disclosed herein is, in another embodiment, a T cell response.
- the immune response comprises a T cell response.
- the response is a CD8+ T cell response.
- the response comprises a CD8 + T cell response.
- compositions of the present disclosure increase the number of T cells.
- administration of compositions activates co- stimulatory receptors on T cells.
- administration of compositions induces proliferation of memory and/or effector T cells.
- administration of compositions increases proliferation of T cells.
- composition and “immunogenic composition” are interchangeable having all the same meanings and qualities.
- pharmaceutical composition refers, in some embodiments, to a composition suitable for pharmaceutical use, for example, to administer to a subject in need.
- compositions of this disclosure may be used in methods of this disclosure in order to improve maturation of immunity in a subject, in order enhance engraftment of a transplant in a subject, or for decreasing time to immune-competence in a subject, or for accelerating immunogenic competence, or any combination thereof.
- a composition comprising a Listeria strain of the present disclosure further comprises an adjuvant.
- a composition of the present disclosure further comprises an adjuvant.
- the adjuvant utilized in methods and compositions of the present disclosure is, in another embodiment, a granulocyte/macrophage colony- stimulating factor (GM-CSF) protein.
- the adjuvant comprises a GM-CSF protein.
- the adjuvant is a nucleotide molecule encoding GM-CSF.
- the adjuvant comprises a nucleotide molecule encoding GM-CSF.
- the adjuvant is saponin QS21.
- the adjuvant comprises saponin QS21. In another embodiment, the adjuvant is monophosphoryl lipid A. In another embodiment, the adjuvant comprises monophosphoryl lipid A. In another embodiment, the adjuvant is SBAS2. In another embodiment, the adjuvant comprises SBAS2. In another embodiment, the adjuvant is an unmethylated CpG-containing oligonucleotide. In another embodiment, the adjuvant comprises an unmethylated CpG-containing oligonucleotide. In another embodiment, the adjuvant is an immune- stimulating cytokine. In another embodiment, the adjuvant comprises an immune- stimulating cytokine.
- the adjuvant is a nucleotide molecule encoding an immune-stimulating cytokine. In another embodiment, the adjuvant comprises a nucleotide molecule encoding an immune- stimulating cytokine. In another embodiment, the adjuvant is or comprises a quill glycoside. In another embodiment, the adjuvant is or comprises a bacterial mitogen. In another embodiment, the adjuvant is or comprises a bacterial toxin. In another embodiment, the adjuvant is or comprises any other adjuvant known in the art.
- an immunogenic composition of this disclosure comprises a recombinant Listeria strain comprising a nucleic acid molecule, said nucleic acid molecule comprising a first open reading frame encoding a fusion polypeptide, wherein said fusion polypeptide comprises a PEST sequence-containing polypeptide.
- an "immunogenic fragment” is one that elicits an immune response when administered to a subject alone or in a vaccine or composition as disclosed herein.
- a fragment contains, in another embodiment, the necessary epitopes in order to elicit an adaptive immune response.
- composition of this disclosure comprises a recombinant Listeria monocytogenes (Lm) strain.
- compositions of this disclosure are administered to a subject by any method known to a person skilled in the art, such as parenterally, paracancerally, transmucosally, transdermally, intramuscularly, intravenously, intra-dermally, subcutaneously, intra-peritonealy, intra-ventricularly, intra-cranially, intra-vaginally or intra-tumorally.
- compositions are administered orally, and are thus formulated in a form suitable for oral administration, i.e. as a solid or a liquid preparation.
- suitable solid oral formulations include tablets, capsules, pills, granules, pellets and the like.
- Suitable liquid oral formulations include solutions, suspensions, dispersions, emulsions, oils and the like.
- the active ingredient is formulated in a capsule.
- the compositions of the present disclosure comprise, in addition to the active compound and the inert carrier or diluent, a hard gelating capsule.
- compositions are administered by intravenous, intra-arterial, or intra-muscular injection of a liquid preparation.
- suitable liquid formulations include solutions, suspensions, dispersions, emulsions, oils and the like.
- the pharmaceutical compositions are administered intravenously and are thus formulated in a form suitable for intravenous administration.
- the pharmaceutical compositions are administered intra-arterially and are thus formulated in a form suitable for intra-arterial administration.
- the pharmaceutical compositions are administered intramuscularly and are thus formulated in a form suitable for intra-muscular administration.
- an immunogenic composition comprises a recombinant Listeria disclosed herein.
- an immunogenic composition comprises an adjuvant known in the art or as disclosed herein. It is also to be understood that administration of such compositions improves maturation of immunity, enhance an immune response, or increase a T effector cell to regulatory T cell ratio, or enhances engraftment of a transplant, or decreases time to immune-competence or elicit an anti-tumor immune response, or any combination thereof.
- this disclosure provides methods of use which comprise administering a composition comprising the described Listeria strains.
- the term "pharmaceutical composition” encompasses a therapeutically effective amount of the active ingredient or ingredients including the Listeria strain, together with a pharmaceutically acceptable carrier or diluent. It is to be understood that the term a “therapeutically effective amount” refers to that amount which provides a therapeutic effect for a given condition and administration regimen.
- administering encompasses bringing a subject in contact with a composition of the present disclosure.
- administration can be accomplished in vitro, i.e. in a test tube, or in vivo, i.e. in cells or tissues of living organisms, for example humans.
- the present disclosure encompasses administering the Listeria strains and compositions thereof of the present disclosure to a subject.
- the vaccines and immunogenic compositions utilized in any of the methods described above have any of the characteristics of vaccines and immunogenic compositions of the present disclosure.
- the dosage in the range of 0.4 LDso/dose. In another embodiment, the dosage is from about 0.4-4.9 LDso/dose. In another embodiment the dosage is from about 0.5-0.59 LDso/dose. In another embodiment the dosage is from about 0.6- 0.69 LDso/dose. In another embodiment the dosage is from about 0.7-0.79 LDso/dose. In another embodiment the dosage is about 0.8 LDso/dose. In another embodiment, the dosage is 0.4 LDso/dose to 0.8 of the LDso/dose.
- the dosage is 10 bacteria/dose. In another embodiment, the dosage is 1.5 x 10 7 bacteria/dose. In another embodiment, the dosage is 2 x 107 bacteria/dose. In another embodiment, the dosage is 3 x 10 bacteria/dose. In another embodiment, the dosage is 4 x 10 7 bacteria/dose. In another embodiment, the dosage is 6 x 107 bacteria/dose. In another embodiment, the dosage is 8 x 10 7 bacteria/dose. In another embodiment, the dosage is 1 x 108 bacteria/dose. In another embodiment, the dosage is 1.5 x 10 bacteria/dose. In another embodiment, the dosage is 2 x 10 8 bacteria/dose. In another embodiment, the dosage is 3 x 108 bacteria/dose. In another embodiment, the dosage is 4 x 10 bacteria/dose.
- the dosage is 6 x 10 8 bacteria/dose. In another embodiment, the dosage is 8 x 108 bacteria/dose. In another embodiment, the dosage is 1 x 10 9 bacteria/dose. In another embodiment, the dosage is 1.5 x 10 9 bacteria/dose. In another embodiment, the dosage is 2 x 10 9 bacteria/dose. In another embodiment, the dosage is 3 x 10 9 bacteria/dose. In another embodiment, the dosage is 5 x 10 9 bacteria/dose. In another embodiment, the dosage is 6 x 10 9 bacteria/dose. In another embodiment, the dosage is 8 x 10 9 bacteria/dose. In another embodiment, the dosage is 1 x 10 10 bacteria/dose. In another embodiment, the dosage is 1.5 x
- the dosage is 2 x 10 10 bacteria/dose. In another embodiment, the dosage is 3 x 10 10 bacteria/dose. In another embodiment, the dosage is 5 x 10 10 bacteria/dose. In another embodiment, the dosage is 6 x 10 10 bacteria/dose. In another embodiment, the dosage is 8 x 10 10 bacteria/dose. In another embodiment, the dosage is 8 x 10 9 bacteria/dose. In another embodiment, the dosage is 1 x 10 11 bacteria/dose. In another embodiment, the dosage is 1.5 x 10 11 bacteria/dose. In another embodiment, the dosage is 2 x
- the dosage is 3 x 10 11 bacteria/dose. In another embodiment, the dosage is 5 x 10 11 bacteria/dose. In another embodiment, the dosage is 6 x 10 11 bacteria/dose. In another embodiment, the dosage is 8 x 10 11 bacteria/dose.
- the adjuvant vaccine of the present disclosure comprise a vaccine given in conjunction.
- the adjuvant vaccine of the present disclosure is administered following administration of a vaccine regimen, wherein the vaccine regimen is a viral, bacteria, nucleic acid, or recombinant polypeptide vaccine formulation.
- adjuvant typically refers, in another embodiment, to compounds that, when administered to an individual or tested in vitro, increase the immune response to an antigen in the individual or test system to which the antigen is administered.
- an immune adjuvant enhances an immune response to an antigen that is weakly immunogenic when administered alone, i.e., inducing no or weak antibody titers or cell-mediated immune response.
- the adjuvant increases antibody titers to the antigen.
- the adjuvant lowers the dose of the antigen effective to achieve an immune response in the individual.
- the adjuvant enhances an immune response in an antigen-unspecific manner in order to enable a heightened state of an immune response, as it applies to neonates, or in order to enable the recovery of the immune response following cytotoxic treatment, as it applies to older children and adults and also as further disclosed herein.
- the methods of the present disclosure further comprise the step of administering to the subject a booster vaccination.
- the booster vaccination follows a single priming vaccination.
- a single booster vaccination is administered after the priming vaccinations.
- two booster vaccinations are administered after the priming vaccinations.
- three booster vaccinations are administered after the priming vaccinations.
- the period between a prime and a boost vaccine is experimentally determined by the skilled artisan.
- the period between a prime and a boost vaccine is 1 week, in another embodiment it is 2 weeks, in another embodiment, it is 3 weeks, in another embodiment, it is 4 weeks, in another embodiment, it is 5 weeks, in another embodiment it is 6-8 weeks, in yet another embodiment, the boost vaccine is administered 8-10 weeks after the prime vaccine.
- a vaccine or immunogenic composition of the present disclosure is administered alone to a subject.
- the vaccine or immunogenic composition is administered together with another therapy, for example a cancer therapy.
- the cancer therapy is chemotherapy, immuno therapy, radiation, surgery or any other type of therapy available in the art as will be understood by a skilled artisan.
- the present disclosure provides a kit comprising a reagent utilized in performing a method of the present disclosure.
- the present disclosure provides a kit comprising a composition, vaccine, tool, or instrument of the present disclosure.
- contacting refers to directly contacting a cell or tissue of a subject with a composition of the present disclosure. In another embodiment, the terms refer to indirectly contacting a cell or tissue of a subject with a composition of the present disclosure.
- the Listeria strain comprising a nucleic acid molecule, wherein the nucleic acid molecule comprises a first open reading frame encoding a non-hemolytic listeriolysin O (LLO) or ActA, wherein the nucleic acid molecule further comprises a second open reading frame encoding a metabolic enzyme, wherein the metabolic enzyme complements an endogenous gene that is lacking in the chromosome of the recombinant Listeria strain.
- LLO listeriolysin O
- ActA the nucleic acid molecule further comprises a second open reading frame encoding a metabolic enzyme, wherein the metabolic enzyme complements an endogenous gene that is lacking in the chromosome of the recombinant Listeria strain.
- a subject is receiving or has received immunosuppressive agents prior to transplantation.
- a subject has a defective immune system.
- a subject has a suppressed immune system.
- a subject has a suppressed immune response.
- a subject is at risk for infection.
- the method comprising the step of administering a recombinant Listeria strain to the subject.
- the Listeria strain comprising a nucleic acid molecule, wherein the nucleic acid molecule comprises a first open reading frame encoding a non-hemolytic listeriolysin O or ActA, wherein the nucleic acid molecule further comprises a second open reading frame encoding a metabolic enzyme, wherein the metabolic enzyme complements an endogenous gene that is lacking in the chromosome of said recombinant Listeria strain.
- the subject is a human.
- the subject is a non-human mammal.
- the non-human mammal is an immune- incompetent mouse (for example a "humanized" mouse).
- improvement of maturation of immunity follows replacement of a portion of a subject's immune system.
- improving maturation follows a period of time of immunosuppression of a subject's immune system.
- improving maturation of an immune system in a subject comprises achieving full immunocompetence.
- improving maturation of an immune system in a subject comprises achieving partial immunocompetence.
- improving maturation shortens the time to achieve full or partial immunocompetence in a subject.
- the method comprising the step of administering a recombinant Listeria strain to the subject.
- the Listeria strain comprising a nucleic acid molecule, wherein the nucleic acid molecule comprises a first open reading frame encoding a non-hemolytic listeriolysin O or ActA, wherein the nucleic acid molecule further comprises a second open reading frame encoding a metabolic enzyme, wherein the metabolic enzyme complements an endogenous gene that is lacking in the chromosome of said recombinant Listeria strain.
- the subject is a human.
- the subject is a non-human mammal.
- the non-human mammal is an immune- incompetent mouse (for example a "humanized" mouse).
- an adjuvant to increase the immune response to an antigen is typically manifested by a significant increase in immune-mediated protection.
- an increase in humoral immunity is typically manifested by a significant increase in the titer of antibodies raised to the antigen
- an increase in T-cell activity is typically manifested in increased cell proliferation, increased cytokine production and/or antigen specific cytolytic activity.
- An adjuvant may also alter an immune response, for example, by enabling a Thl response against a background of a persistent Th2 phenotype.
- a subject receiving a recombinant Lm of this disclosure or a composition thereof is a human.
- the subject is a non-human mammal.
- the non-human mammal is an immune-incompetent mouse (for example a "humanized" mouse).
- the immune-incompetent mouse is a SCID mouse or a SCDI-NOD mouse.
- a non-human mammal may be a dog, a cat, a pig, a cow, a sheep, a goat, a horse, a rat, a mouse.
- a subject is immune-compromised.
- a subject is immune-incompetent.
- the term "subject" does not exclude an individual that is normal in all respects.
- this disclosure provides methods and compositions for subjects receiving a transplant.
- a subject is receiving a transplant as a treatment for a cancer or a hematopoietic disease.
- a hematopoietic disease is a hematopoietic malignancy.
- a hematopoietic malignancy comprises leukemia, myelodysplastic syndrome (MDS), lymphoma, multiple myeloma, acute lymphoblastic leukemia (ALL), acute myeloid leukemia (AML) or chronic myelogenous leukemia (CML), or any combination thereof.
- MDS myelodysplastic syndrome
- ALL acute lymphoblastic leukemia
- AML acute myeloid leukemia
- CML chronic myelogenous leukemia
- a transplant is autologous. In another embodiment, a transplant is allogeneic. In another embodiment, a transplant is xenogeneic. In another embodiment, a transplant is a bone marrow transplant. In another embodiment, a bone marrow transplant is a hematopoietic stem cell transplant (HSCT).
- HSCT hematopoietic stem cell transplant
- a subject is an immune-incompetent mouse receiving a human transplant.
- the transplant comprises a fetal liver transplant.
- a fetal liver transplant provides bone marrow stem cells.
- administration of a recombinant Listeria of this disclosure, or a vaccine comprising a composition comprising a Listeria of this disclosure or a recombinant Listeria enhances maturation of immune competent cells present in the transplant.
- the present disclosure is directed to enhancing immune response, or decreasing time to immunocompetence or improving maturation of immunity in an adult human, a human child, or a human neonate, or a non-human mammal that has received a transplant as a result of cancer.
- recombinant attenuated, antibiotic-free Listerias expressing a truncated listeriolysin O in combination with other therapeutic modalities are useful for enhancing an immune response.
- recombinant attenuated, antibiotic-free Listerias expressing truncated listeriolysin O alone, or in combination with other therapeutics are useful for preventing, and treating infectious diseases in a subject.
- recombinant attenuated, antibiotic-free Listerias expressing N- terminal Act A polypeptide in combination with other therapeutic modalities are useful for enhancing an immune response.
- recombinant attenuated, antibiotic-free Listerias expressing N-terminal ActA polypeptide alone, or in combination with other therapeutics are useful for preventing, and treating infectious diseases in a subject.
- the immune response induced by the methods and compositions disclosed herein is a therapeutic one. In another embodiment it is a prophylactic immune response. In another embodiment, it is an enhanced immune response over methods available in the art for inducing an immune response in a subject afflicted with the conditions disclosed herein. In another embodiment, in enhances engraftment of a transplant. In another embodiment, the immune response leads to clearance of a disease disclosed herein that is afflicting the subject.
- the methods of the present disclosure may be used to treat any infectious disease, which in one embodiment, is bacterial, viral, microbial, microorganism, pathogenic, or combination thereof, infection.
- the methods of the present disclosure are for inhibiting or suppressing a bacterial, viral, microbial, microorganism, pathogenic, or combination thereof, infection in a subject.
- the present disclosure provides a method of eliciting a cytotoxic T-cell response against a bacterial, viral, microbial, microorganism, pathogenic, or combination thereof, infection in a subject.
- the present disclosure provides a method of inducing a Thl immune response against a bacterial, viral, microbial, microorganism, pathogenic, or combination thereof, infection in a Thl unresponsive subject.
- the infection is viral, which in one embodiment, is HIV.
- the infection is bacterial, which in one embodiment, is mycobacteria, which in one embodiment, is tuberculosis.
- the infection is eukaryotic, which in one embodiment, is Plasmodium, which in one embodiment, is malaria.
- a method of improving the immunogenicity of a vaccine comprising co-administering the vaccine and a Listeria-based adjuvant to a subject, wherein the Listeria-based adjuvant enhances the immunogenicity of the vaccine, thereby improving the immunogenicity of the vaccine.
- the method enables the treatment of a disease for which said vaccine is specific against.
- a method of enhancing an immune response against a disease in an antigen-independent manner comprising administering a Listeria-based adjuvant to a subject.
- the methods of the present disclosure comprise the step of administering a recombinant Listeria monocytogenes, in any form or embodiment as described herein. In one embodiment, the methods of the present disclosure consist of the step of administering a recombinant Listeria monocytogenes of the present disclosure, in any form or embodiment as described herein. In another embodiment, the methods of the present disclosure consist essentially of the step of administering a recombinant Listeria monocytogenes of the present disclosure, in any form or embodiment as described herein.
- the term “comprise” refers to the inclusion of the step of administering a recombinant Listeria monocytogenes in the methods, as well as inclusion of other methods or treatments that may be known in the art.
- the term “consisting essentially of” refers to a method, whose functional component is the administration of recombinant Listeria monocytogenes, however, other steps of the methods may be included that are not involved directly in the therapeutic effect of the methods and may, for example, refer to steps which facilitate the effect of the administration of recombinant Listeria monocytogenes.
- the term “consisting” refers to a method of administering recombinant Listeria monocytogenes with no additional steps.
- the immune response elicited by methods and compositions of the present disclosure comprises a CD8 + T cell-mediated response.
- the immune response consists primarily of a CD8 + T cell-mediated response.
- the only detectable component of the immune response is a CD8 + T cell-mediated response (see Examples 7-11).
- the immune response elicited by methods and compositions disclosed herein comprises a CD4 + T cell-mediated response.
- the immune response consists primarily of a CD4 + T cell-mediated response.
- the only detectable component of the immune response is a CD4 + T cell-mediated response.
- the CD4 + T cell-mediated response is accompanied by a measurable antibody response against the antigen.
- the CD4 + T cell- mediated response is not accompanied by a measurable antibody response against the antigen (see Examples 7-11).
- the immune response elicited by methods and compositions disclosed herein comprises an innate immune response wherein Ml macrophages and dendritic cells (DCs) are activated.
- DCs dendritic cells
- a method of increasing intratumoral ratio of CD8+/T regulatory cells comprising the step of administering to the subject a composition comprising the recombinant polypeptide, recombinant Listeria, or recombinant vector of the present disclosure (see Examples 7-11).
- the method comprises the step of administering to the subject a composition comprising the recombinant polypeptide, recombinant Listeria, or recombinant vector of the present disclosure (see Examples 7-11).
- a method of increasing intratumoral ratio of CD8+/ myeloid-derived suppressor cells comprising the step of administering to the subject a composition comprising the recombinant Listeria, or recombinant vector of the present disclosure.
- a method of increasing the ratio of CD8+/ myeloid-derived suppressor cells (MDSC) at sites of disease comprises the step of administering to the subject a composition comprising the recombinant Listeria, or recombinant vector of the present disclosure.
- MDSC myeloid-derived suppressor cells
- Common plasma markers in human MDSCs include CD33, CDl lb, CD15, CD14 negative, MHC class II negative, HLA DR low or " .
- Common intracellular markers include arginase, and iNOS.
- human MDSCs' suppressive activity or mechanism includes use of nitric oxide (NO), arginase, or nitrotyrosine.
- myeloid-derived suppressor cells MDSC
- MDSC myeloid-derived suppressor cells
- CDl lb and Gr-1 double positive have also have been described as F4/80 mt , CDl lc low , MHCII-/ low , Ly6C+.
- CDl lb+/Gr-l+ cells that have immunosuppressive ability have been described to produce IFN-g.
- MDSCs can be monocytic and/or granulocytic as well.
- MDSCs at disease sites can unexpectedly inhibit both, the function of antigen- specific and non-specific T cell function, while spleen MDSCs can only inhibit the function of antigen- specific T cells.
- the live attenuated Listeria disclosed herein reduces the amount or quantity of suppressor cells in a disease thereby allowing CD 8 T cell replication and infiltration at the disease site, for example, a tumor site.
- Lm or sublytic doses of LLO in human epithelial Caco-2 cells induce the expression of IL-6 that reduces bacterial intracellular growth and causes over expression of inducible nitric oxide synthase (NOS).
- NOS inducible nitric oxide synthase
- Nitric oxide appears to be an essential component of the innate immune response to Lm, having an important role in listericidal activity of neutrophils and macrophages, with a deficiency of inducible NO synthase (iNOS) causing susceptibility to Lm infection.
- Lm infection also results in the generation of robust MHC Class 2 restricted CD4 + T cell responses, and shifts the phenotype of CD4 + T cells to Th-1. Further, CD4 + T cell help is required for the generation and maintenance of functional CD8 + T cell memory against Lm. Moreover, it has been reported infection of mice intraperitoneally with Lm caused a local induction of CD4 + ⁇ ⁇ cells associated with IL-17 secretion in the peritoneal cavity however no changes were observed in the splenic or lymph node T cell populations after these injections. In addition, Listeria infection also involves other systems not essentially a part of the immune system but which support immune function to affect a therapeutic outcome, such as myelopoesis and vascular endothelial cell function.
- Lm infected macrophages produce TNF-a, IL-18 and IL-12, all of which are important in inducing the production of IFN- ⁇ and subsequent killing and degradation of Lm in the phagosome.
- IL-12 deficiency results in an increased susceptibility to listeriosis, which can be reversed through administration of IFN- ⁇ .
- NK cells are the major source of IFN- ⁇ in early infection.
- CD8 + T cells Upon reinfection memory have the ability to produce IFN- ⁇ in response to IL-12 and IL-18 in the absence of the cognate antigen.
- CD8 + T cells co-localize with the macrophages and Lm in the T cell area of the spleen where they produce IFN- ⁇ independent of antigen. IFN- ⁇ production by CD8 + T cells depends partially on the expression of LLO.
- IFN- ⁇ plays an important role in anti-tumor responses obtained by Lm-based vaccines. Although produced initially by NK cells, IFN- ⁇ levels are subsequently maintained by CD4 + T- helper cells for a longer period. Lm vaccines require IFN- ⁇ for effective tumor regression, and IFN- ⁇ is specifically required for tumor infiltration of lymphocytes. IFN- ⁇ also inhibits angiogenesis at the tumor site in the early effector phase following vaccination.
- LLO LLO-induced protein Kinase pathway
- LLO is also a potent inducer of inflammatory cytokines such as IL-6, IL-8, IL-12, IL- 18, TNF-a, and IFN- ⁇ , GM-CSF as well as NO, chemokines, and costimulatory molecules that are important for innate and adaptive immune responses.
- the proinflammatory cytokine- inducing property of LLO is thought to be a consequence of the activation of the TLR4 signal pathway.
- One evidence of the high Thl cytokine-inducing activity of LLO is in that protective immunity to Lm can be induced with killed or avirulent Lm when administered together with LLO, whereas the protection is not generated in the absence of LLO.
- Macrophages in the presence of LLO release IL-loc, TNF-a, IL-12 and IL-18, which in turn activate NK cells to release IFN- ⁇ resulting in enhanced macrophage activation.
- IL-18 is also critical to resistance to Lm, even in the absence of IFN- ⁇ , and is required for TNF-a and NO production by infected macrophages.
- a deficiency of caspase-1 impairs the ability of macrophages to clear Lm and causes a significant reduction in IFN- ⁇ production and listericidal activity that can be reversed by IL-18.
- Recombinant IFN- ⁇ injection restores innate resistance to listeriosis in caspase- ⁇ 7" mice. Caspase-1 activation precedes the cell death of macrophages infected with Lm, and LLO deficient mutants that cannot escape the phagolysosome have an impaired ability to activate caspase-1.
- LLO secreted by cytosolic Lm causes specific gene upregulation in macrophages resulting in significant IFN- ⁇ transcription and secretion.
- Cytosolic LLO activates a potent type I interferon response to invasive Lm independent of Toll-like receptors (TLR) without detectable activation of NF-KB and MAPK.
- TLR Toll-like receptors
- MAPK Toll-like receptors
- IFN I-specific apoptotic genes TNF-a related apoptosis-inducing ligand (TRAIL)
- TRAIL TNF-a related apoptosis-inducing ligand
- Lm also secretes P60 which acts directly on naive DCs to stimulate their maturation in a manner that permits activation of NK cells. Both activated DCs and IFN-y that is produced by NK cells can boost cellular (Thl-type) immune responses. ActA stimulate toll receptors, for example TLR-5, which plays a fundamental role in pathogen recognition and activation of innate immune response.
- the Lm vaccines disclosed herein reduce the number of Tregs and MDSCs in a disease further disclosed herein.
- Lm vaccines disclosed herein are useful to improve immune responses by reducing the number of Tregs and MDSCs at a specific site in a subject.
- a site can be an inflammation site due to allergies, trauma, infection, disease or the site can be a tumor site.
- both monocytic and granulocytic MDSCs purified from the tumors of Listeria-treated mice are less able to suppress the division of CD8+ T cells than MDSCs purified from the tumors of untreated mice, whereas monocytic and granulocytic MDSCs purified from the spleens of these same tumor-bearing mice show no change in their function after vaccination with Listeria (see Examples 7-11 herein).
- this effect is seen because splenic MDSCs are only suppressive in an antigen- specific manner.
- treatment with Listeria has the distinct advantage that it allows for tumor- specific inhibition of tumor suppressive cells such as Tregs and MDSCs (see Examples 7-11 herein).
- Another unexpected advantage provided by the live attenuated Listeria of the methods and compositions disclosed herein is that there are lower amount of Tregs in the tumor, and the ones that persist lose the ability to suppress T cell replication (see Examples 7-11 herein).
- a method of reducing the percentage of suppressor cells in a disease site in a subject comprising the step of administering a live attenuated Listeria vaccine strain to the subject.
- a method of reducing suppressor cells' ability to suppress T cell replication in a disease site in a subject comprising the step of administering a live attenuated Listeria vaccine strain to said subject.
- reducing the number of the suppressor cells at a disease site effectively treats the disease. In another embodiment, reducing the number of the suppressor cells at the disease site enhances an anti-disease immune response in the subject having the disease at the disease site.
- the immune response is a cell-mediated immune response. In another embodiment, the immune response is a tumor infiltrating T- lymphocytes (TILs) immune response.
- TILs tumor infiltrating T- lymphocytes
- a method of reducing the percentage of suppressor cells in a disease in a subject and enhancing a therapeutic response against the disease in the subject comprising the step of administering a live attenuated Listeria vaccine strain to the subject, thereby reducing the percentage of suppressor cells in the disease and enhancing a therapeutic response against the disease in the subject.
- a method of reducing suppressor cells' ability to suppress replication of T cells in a disease in a subject and enhancing a therapeutic response against the disease in the subject comprising the step of administering a live attenuated Listeria vaccine strain to the subject.
- the term “percentage” is representative of the amount, quantity, or numbers, etc., of either Tregs, MDSCs, or CD8/CD4 T cells measures in an assay or in an immune response. In another embodiment, it refers to the amount, quantity, percentage, etc. of any composition, cell, protein, bacteria or Listeria cell disclosed herein.
- a method of attenuating a recombinant Listeria vaccine strain comprising deleting the genomic prfA, inlC and actA genes, where in another embodiment, the attenuation is relative to the wild-type strain or a mutant strain having a mutant prfA, inlC, or actA, or any virulence gene thereof.
- a method of further enhancing the immunogenicity of a recombinant Listeria vaccine strain also disclosed herein, wherein the method comprises deleting the genomic prfA, inlC and actA genes.
- a method of attenuating a recombinant Listeria vaccine strain comprising deleting the genomic prfA, inlC or actA genes, where in another embodiment, the attenuation is relative to the wild- type strain or a mutant strain having a mutant prfA, inlC, or actA, or any virulence gene thereof.
- a method of further enhancing the immunogenicity of a recombinant Listeria vaccine strain also disclosed herein, wherein the method comprises deleting the genomic prfA, inlC or actA genes.
- the recombinant Listeria strain comprises a mutation or deletion of the inlC gene, an actA gene, a prfA gene, a PlcA gene, a PLcB gene, a dal gene or a dal/dat gene.
- the recombinant Listeria strain comprises an inlC and actA mutation or deletion.
- the recombinant Listeria strain comprises an inlC or actA mutation or deletion.
- the recombinant Listeria strain consists of an inlC or actA mutation or deletion.
- disclosed herein is a method of administering the composition of the present disclosure. In another embodiment, disclosed herein is a method of administering the vaccine of the present disclosure. In another embodiment, disclosed herein is a method of administering the recombinant polypeptide or recombinant nucleotide of the present disclosure. In another embodiment, the step of administering the composition, vaccine, recombinant polypeptide or recombinant nucleotide of the present disclosure is performed with an attenuated recombinant form of Listeria comprising the composition, vaccine, recombinant nucleotide or expressing the recombinant polypeptide, each in its own discrete embodiment.
- the administering is performed with a different attenuated bacterial vector.
- the administering is performed with a DNA vaccine (e.g. a naked DNA vaccine).
- administration of a recombinant polypeptide of the present disclosure is performed by producing the recombinant protein, then administering the recombinant protein to a subject.
- Subjects for which methods of this disclosure may be helpful include those receiving a transplant.
- administration of a composition of this disclosure, a recombinant Listeria of this disclosure, or a vaccine comprising a composition or recombinant Listeria of this disclosure is carried out at the same time as the transplantation.
- a recombinant Listeria of this disclosure, a vaccine comprising a composition or recombinant Listeria of this disclosure is administered 1, 2, 3, 4, 5, 6 or more days after the subject receives a transplant.
- a composition, a recombinant Listeria, or a vaccine comprising a composition or recombinant Listeria is administered until at least 15 days following the transplant.
- administration is at the time of the transplantation and at later dates as a booster administration.
- follow-up administration of a composition of this disclosure, a recombinant Listeria of this disclosure, or a vaccine comprising a composition or recombinant Listeria of this disclosure is within a month of the transplantation, within two months of the transplantation, within three months of the transplantation, within four months of the transplantation, within five months of the transplantation, within six months of the transplantation, within one year of the transplantation, or within two years, or any combination thereof.
- a subject may receive multiple administrations of a composition of this disclosure, a recombinant Listeria of this disclosure, or a vaccine comprising a composition or recombinant Listeria of this disclosure.
- a subject receives a single administration, In another embodiment, a subject receives at least two administrations. In another embodiment, a subject receives at least three, at least four, at least five, or at least 10 administrations of a composition of this disclosure, a recombinant Listeria of this disclosure, or a vaccine comprising a composition or recombinant Listeria of this disclosure.
- administration of a recombinant Listeria of this disclosure, a vaccine comprising a composition or recombinant Listeria of this disclosure is followed by administration of an antibiotic agent.
- the present disclosure provides a method of reducing an incidence of cancer or infectious disease, comprising administering a composition of the present disclosure. In another embodiment, the present disclosure provides a method of ameliorating cancer or infectious disease, comprising administering a composition of the present disclosure.
- the cancer treated by a method of the present disclosure is breast cancer.
- the cancer is a cervix cancer.
- the cancer is an Her2 containing cancer.
- the cancer is a melanoma.
- the cancer is pancreatic cancer.
- the cancer is ovarian cancer.
- the cancer is gastric cancer.
- the cancer is a carcinomatous lesion of the pancreas.
- the cancer is pulmonary adenocarcinoma.
- it is a glioblastoma multiforme.
- it is a hypoxic solid tumor.
- the cancer is colorectal adenocarcinoma. In another embodiment, the cancer is pulmonary squamous adenocarcinoma. In another embodiment, the cancer is gastric adenocarcinoma. In another embodiment, the cancer is an ovarian surface epithelial neoplasm (e.g. a benign, proliferative or malignant variety thereof). In another embodiment, the cancer is an oral squamous cell carcinoma. In another embodiment, the cancer is non small-cell lung carcinoma. In another embodiment, the cancer is an endometrial carcinoma. In another embodiment, the cancer is a bladder cancer. In another embodiment, the cancer is a head and neck cancer. In another embodiment, the cancer is a prostate carcinoma.
- ovarian surface epithelial neoplasm e.g. a benign, proliferative or malignant variety thereof.
- the cancer is an oral squamous cell carcinoma.
- the cancer is non small-cell lung carcinoma.
- the cancer is an endometrial carcinoma.
- the methods of the present disclosure may be used to treat any infectious disease, which in one embodiment, is bacterial, viral, microbial, microorganism, pathogenic, or combination thereof, infection.
- the methods of the present disclosure are for inhibiting or suppressing a bacterial, viral, microbial, microorganism, pathogenic, or combination thereof, infection in a subject.
- the present disclosure provides a method of eliciting a cytotoxic T-cell response against a bacterial, viral, microbial, microorganism, pathogenic, or combination thereof, infection in a subject.
- the present disclosure provides a method of inducing an immune response against a bacterial, viral, microbial, microorganism, pathogenic, or combination thereof, infection in a subject.
- the infection is viral, which in one embodiment, is HIV.
- the infection is bacterial, which in one embodiment, is mycobacterial, which in one embodiment, is tuberculosis.
- the infection is eukaryotic, which in one embodiment, is Plasmodium, which in one embodiment, is malaria.
- the present disclosure provides a method of enhancing an innate immune response against an infectious disease in a subject, the method comprising the step of administering to the subject a therapeutically effective dose of the composition comprising the Listeria vaccine vector disclosed herein.
- the present disclosure provides a method of eliciting an enhanced immune response to an infectious disease in a subject, the method comprising administering to the subject a therapeutically effective dose of the composition comprising the Listeria vaccine vector disclosed herein.
- the immune response is not antigen specific.
- the present disclosure provides a method of preventing the onset of an infectious disease in a subject, the method comprising the step of administering to the subject a therapeutically effective dose of the composition comprising the Listeria vaccine vector disclosed herein.
- the immune response is not antigen specific.
- the present disclosure provides a method of treating an infectious disease in a subject, the method comprising the step of administering to the subject a therapeutically effective dose of the composition comprising the Listeria vaccine vector disclosed herein.
- the immune response is not antigen specific.
- the infectious disease is one caused by, but not limited to, any one of the following pathogens: BCG/Tuberculosis, Malaria, Plasmodium falciparum, Plasmodium malariae, Plasmodium vivax, Rotavirus, Cholera, Diptheria-Tetanus, Pertussis, Haemophilus influenzae, Hepatitis B, Human papilloma virus, Influenza seasonal), Influenza A (H1N1) Pandemic, Measles and Rubella, Mumps, Meningococcus A+C, Oral Polio Vaccines, mono, bi and trivalent, Pneumococcal, Rabies, Tetanus Toxoid, Yellow Fever, Bacillus anthracis (anthrax), Clostridium botulinum toxin (botulism), Yersinia pestis (plague), Variola major (smallpox) and other related pox viruses, Francisella tularen
- the infectious disease is a livestock infectious disease.
- livestock diseases can be transmitted to man and are called "zoonotic diseases.”
- these diseases include, but are not limited to, Foot and mouth disease, West Nile Virus, rabies, canine parvovirus, feline leukemia virus, equine influenza virus, infectious bovine rhinotracheitis (IBR), pseudorabies, classical swine fever (CSF), IBR, caused by bovine herpesvirus type 1 (BHV-1) infection of cattle, and pseudorabies (Aujeszky's disease) in pigs, toxoplasmosis, anthrax, vesicular stomatitis virus, rhodococcus equi, Tularemia, Plague (Yersinia pestis), trichomonas.
- BHV-1 bovine herpesvirus type 1
- the subject mounts an immune response against an antigen-expressing tumor or target antigen, thereby mediating anti- tumor effects.
- a treatment protocol of the present disclosure is therapeutic.
- the protocol is prophylactic.
- the vaccines of the present disclosure are used to protect people at risk for cancer such as breast cancer or other types of tumors because of familial genetics or other circumstances that predispose them to these types of ailments as will be understood by a skilled artisan.
- the vaccines of the present disclosure are used to protect people at risk for infectious disease; such as tuberculosis, malaria, influenza, and leishmaniasis.
- the vaccines are used as a cancer immunotherapy in early stage disease, or after debulking of tumor growth by surgery, conventional chemotherapy or radiation treatment.
- vaccines of the present disclosure are administered so that the CTL response to the tumor antigen of the vaccine destroys remaining metastases and prolongs remission from the cancer.
- vaccines of the present disclosure are used to effect the growth of previously established tumors and to kill existing tumor cells.
- E. coli strain MB2159 was used for transformations, using standard protocols. Bacterial cells were prepared for electroporation by washing with H 2 0.
- E. coli strain MB2159 (Strych U et al, FEMS Microbiol Lett. 2001 Mar 15;196(2):93-8) is an air (-)/dadX (-) deficient mutant that is not able to synthesize D-alanine racemase.
- Listeria strain Lm dal(-)/dat(-) (Lmdd) similarly is not able to synthesize D-alanine racemase due to partial deletions of the dal and the dat genes.
- PCR was used to amplify the gene from chromosomal DNA.
- the amplified product was then ligated into pAM401 using Sail- and Xbal-generated DNA ends to generate pDP1462.
- Plasmid pDP1500 containing prfA alone, was constructed by deleting the pic A gene, bases 429 to 1349 (Mengaud et al., supra), from pDP1462 after restriction with Xbal and PstI, treatment of the DNA ends with T4 DNA polymerase to make them blunt, and intramolecular ligation.
- Plasmid pDP1499 containing the plcA promoter and a portion of the 3' end of plcA, was constructed by deleting a plcA internal fragment, bases 428 to 882 (Mengaud et al., Infect. Immun. 1989 57, 3695-3701), from pDP1339 after restriction with PstI and Nsil and intramolecular ligation.
- pDP1526 (pKSV7::ziplcA) was constructed by a single three-part ligation of pKSV7 restricted with BAMHI and Xbal, the 468 bp Xbal and Nsil-generated fragment from pAM401::plcA containing the 5' end of plcA (bases 882 to 1351; Mengaud et al., supra) and, the 501 bp PstI- and BamHI-generated fragment from pAM401::plcA prfA containing the 3' end of plcA (bases 77 to 429; Mengaud et al., supra).
- the prfA promoter, bases 1-429 (Mengaud et al., supra), was isolated by EcoRI and PstI double digestion of pDP1462 and the fragment was subsequently ligated into EcoRI-and Pstl-restricted pKSV7 to generate pDP1498.
- L. monocytogenes strain DP-L1387 was isolated as a mutant with reduced lecithinase (PC -PLC) from a Tn917-LTV3 bank of SLCC 5764, constructed as previously described (Camilli et al., J. Bacteriol. 1990, 172,3738-3744). The site of Tn917-LTV3 insertion was determined by sequencing one transposon-chromosomal DNA junction as previously described (Sun et al., Infect. Immun. 1990 58, 3770-3778). L. monocytogenes was transformed with plasmid DNA as previously described (Camilli et al., supra).
- Integration of pKSV7 derivatives into the L. monocytogenes chromosome occurred by homologous recombination between L. monocytogenes DNA sequences on the plasmids and their corresponding chromosomal alleles. Integration mutants were enriched by growth for approximately 30 generations at 40°C, a non-permissive temperature for pKSV7 replication, in Brain Heart Infusion (BHI) broth containing 10 ⁇ g chloramphenicol per ml of media. Each integration strain was subsequently colony purified on BHI agar containing 10 ⁇ g chloramphenicol per ml of media and incubated at 40°C. Southern blot analyses of chromosomal DNA isolated from each integration strain confirmed the presence of the integrated plasmid.
- BHI Brain Heart Infusion
- DP-L1552 is achieved by integration of the pKSV7 derivative, pDP1526, to generate a merodiploid intermediate was done as described above. Spontaneous excision of the integrated plasmid, through intramolecular homologous recombination, occurred at a low frequency. Bacteria in which the plasmid had excised from the chromosome were enriched by growth at 30°C. in BHI broth for approximately 50 generations. The nature of the selective pressure during this step was not known but may be due to a slight growth defect of strains containing integrated temperature- sensitive plasmids. Approximately 50% of excision events, i.e., those resulting from homologous recombination between sequences 3' of the deletion, resulted in allelic exchange of AplcA for the wild-type allele on the chromosome.
- the excised plasmids were cured by growing the bacteria at 40°C in BHI for approximately 30 generations. Bacteria cured of the plasmid retaining the AplcA allele on the chromosome were identified by their failure to produce a zone of turbidity surrounding colonies after growth on BHI agar plates containing a 5 ml overlay of BHI agar/2.5% egg yolk/2.5% phosphate-buffered saline (PBS) (BHI/egg yolk agar). The turbid zones resulted from PI-PLC hydrolysis of PI in the egg yolk, giving an insoluble diacylglycerol precipitate. The correct plcA deletion on the L.
- PBS phosphate-buffered saline
- PI-PLC negative mutants may be used according to the present disclosure to generate attenuated L. monocytogenes vaccines.
- Other mutants were made using the same method, namely, an actA deletion mutant, a plcB deletion mutant, and a double mutant lacking both plcA and plcB, all of which may also be used according to the present disclosure to generate attenuated L. monocytogenes vaccines.
- an actA deletion mutant a plcB deletion mutant
- a double mutant lacking both plcA and plcB all of which may also be used according to the present disclosure to generate attenuated L. monocytogenes vaccines.
- one skilled in the art would be able to create other attenuated mutants in addition to those mentioned above.
- the dal gene was initially inactivated by means of a double-allelic exchange between the chromosomal gene and the temperature- sensitive shuttle plasmid pKSV7 (Smith K et al, Biochimie. 1992 Jul-Aug;74(7-8):705-l l) carrying an erythromycin resistance gene between a 450-bp fragment from the 5' end of the original 850-bp dal gene PCR product and a 450-bp fragment from the 3' end of the dal gene PCR product.
- a dal deletion mutant covering 82% of the gene was constructed by a similar exchange reaction with pKSV7 carrying homology regions from the 5' and 3' ends of the intact gene (including sequences upstream and downstream of the gene) surrounding the desired deletion.
- PCR analysis was used to confirm the structure of this chromosomal deletion.
- the chromosomal dat gene was inactivated by a similar allelic exchange reaction.
- pKSV7 was modified to carry 450-bp fragments derived by PCR from both the 5' and 3' ends of the intact dat gene (including sequences upstream and downstream of the gene). These two fragments were ligated by appropriate PCR. Exchange of this construct into the chromosome resulted in the deletion of 30% of the central bases of the dat gene, which was confirmed by PCR analysis.
- E. coli were cultured following standard methods. Listeria were grown at 37° C, 250 rpm shaking in LB media (Difco, Detroit, MI)+ 50 ⁇ g streptomycin, and harvested during exponential growth phase. For Lm-LLO-E7, 37 ⁇ g chloramphenicol was added to the media. For growth kinetics determinations, bacteria were grown for 16 hours in 10 ml of LB + antibiotics. The OD 6 oonm was measured and culture densities were normalized between the strains. The culture was diluted 1:50 into LB + suitable antibiotics and D-alanine if applicable. Passaging ofLm in mice
- the first step in the construction of the antibiotic resistance gene-free vector was construction of a fusion of a truncated p60 promoter to the dal gene.
- the Lm alanine racemase (dal) gene (forward primer: 5'-CCA TGG TGA CAG GCT GGC ATC-3'; SEQ ID NO: 31) (reverse primer: 5'-GCT AGC CTA ATG GAT GTA TTT TCT AGG- 3'; SEQ ID NO: 32) and a minimal p60 promoter sequence (forward primer: 5'-TTA ATT AAC AAA TAG TTG GTA TAG TCC-3'; SEQ ID No: 33) (reverse primer: 5'-GAC GAT GCC AGC CTG TCA CCA TGG AAA ACT CCT CTC-3'; SEQ ID No: 34) were isolated by PCR amplification from the genome of Lm strain 10403S.
- the primers introduced a Pad site upstream of the p60 sequence, an Nhel site downstream of the dal sequence (restriction sites in bold type), and an overlapping dal sequence (the first 18 bp) downstream of the p60 promoter for subsequent fusion of p60 and dal by splice overlap extension (SOE)-PCR.
- the sequence of the truncated p60 promoter was:
- the oriRep was PCR-amplified from pGG55, using a 5'- primer that added a Narl/Ehel site upstream of the sequence (GGCGCCACTAACTCAACGCTAGTAG, SEQ ID NO: 36) and a 3'-primer that added a Nhel site downstream of the sequence (GCTAGCCAGCAAAGAAAAACAAACACG, SEQ ID NO: 37).
- the PCR product was cloned into cloning vector pCR2.1 and sequence verified.
- the p60-dal expression cassette was excised from pCR-p60dal by Pacl/Nhel double digestion.
- the replication region for gram-positive bacteria in pGG55 was amplified from pCR-oriRep by PCR (primer 1, 5'-GTC GAC GGT CAC CGG CGC CAC TAA CTC AAC GCT AGT AG-3'; SEQ ID No: 38); (primer 2, 5'-TTA ATT AAG CTA GCC AGC AAA GAA AAA CAA ACA CG-3'; SEQ ID No: 39) to introduce additional restriction sites for Ehel and Nhel.
- pTV3 also contains a prfA (pathogenicity regulating factor A) gene. This gene is not necessary for the function of pTV3, but can be used in situations wherein an additional selected marker is required or desired.
- Total Listeria DNA was prepared using the Masterpure® Total DNA kit (Epicentre, Madison, WI). Listeria were cultured for 24 hours at 37° C and shaken at 250 rpm in 25 ml of Luria-Bertoni broth (LB). Bacterial cells were pelleted by centrifugation, resuspended in PBS supplemented with 5 mg/ml of lysozyme and incubated for 20 minutes at 37° C, after which DNA was isolated.
- LB Luria-Bertoni broth
- the LLO-E7 gene was PCR amplified from pGG55 (5'-ATGAAAAAAATAATGCTAGTTTTTATTAC-3' (SEQ ID NO: 40); 5'-GCGGCCGCTTAATGATGATGATGATGATGTGGTTTCTG AGAACAGATG- 3' (SEQ ID NO: 41)) and cloned into vector pETbluel (Novagen, San Diego, CA). Similarly, the plcA amplicon was cloned into pCR2.1. E. coli were transformed with pET-LLOE7 and pCR-plcA, respectively, and purified plasmid DNA was prepared for use in real-time PCR.
- Taqman primer-probe sets (Applied Biosystems, Foster City, CA) were designed using the ABI PrimerExpress software (Applied Biosystems) with E7 as a plasmid target, using the following primers: 5'-GCAAGTGTGACTCTACGCTTCG-3' (SEQ ID NO: 42); 5'- TGCCCATTAACAGGTCTTCCA-3' (SEQ ID NO: 43); 5'-FAM-TGCGTA CAAAGCACACACGTAGACATTCGTAC-TAMRA-3' (SEQ ID NO: 44) and the one-copy gene plcA (TGACATCGTTTGTGTTTGAGCTAG -3' (SEQ ID NO: 45, 5'- GCAGCGCTCTCTATACCAGGTAC-3' (SEQ ID NO: 46); 5'-TET-TTAATGTCCATGTTA TGTCTCCGTTATAGCTCATCGTA-TAMRA-3'; SEQ ID NO: 47) as a Listeria genome target.
- Bacteria were grown at 37°C, 250 rpm shaking in Luria Bertani (LB) Medium +/- 100 micrograms ⁇ g)/ml D-alanine and/or 37 ⁇ g/ml chloramphenicol. The starting inoculum was adjusted based on OD 600 nm measurements to be the same for all strains.
- Defibrinated total sheep blood (Cedarlane, Hornby, Ontario, Canada) was washed twice with 5 volumes of PBS and three to four times with 6 volumes of PBS -Cysteine until the supernatant remained clear, pelleting cells at 3000 x g for 8 minutes between wash steps, then resuspended to a final concentration of 10 % (v/v) in PBS-Cysteine. 100 ⁇ of 10% washed blood cells were mixed with 100 ⁇ of Listeria suspension and incubated for additional 45 minutes at 37° C. Un-lysed blood cells were then pelleted by centrifugation (10 minutes, 1000 x g). 100 ⁇ of supernatant was transferred into a new plate and the ODs30nm was determined and plotted against the sample dilution.
- TC-1 is a C57BL/6 epithelial cell line that was immortalized with HPV E6 and E7 and transformed with activated ras, which forms tumors upon subcutaneous implantation. Mice were immunized with 0.1 LD 50 of the appropriate Listeria strain on days 7 and 14 following implantation of tumor cells. A non-immunized control group (naive) was also included. Tumor growth was measured with electronic calipers.
- DNA fragments that are present upstream and downstream of inl C region (indicated in the figure is amplified by PCR (indicated in Fig. 2 and 3 and respective SEQ ID NO: 48 and SEQ ID NO: 49).
- the inl C gene codes for 296 amino acid protein and the entire gene for this protein is deleted.
- the DNA fragments, DNA-up and DNA-down are amplified by PCR and cloned sequentially in the plasmid, pNEB193 using restriction enzyme sites EcoRI/BamHI and BamHl/Pstl, respectively as indicated in Figure 3.
- the DNA cassette up-down (EcoRl and Pstl fragment) is excised and further cloned in the temperature sensitive shuttle vector, pKSV7. After cloning, the plasmid, pKSV7/up-down is transformed in the strain Lm dal dat actA and the resulting colonies are tested for the presence of plasmid using colony PCR.
- the bacteria is cultured repeatedly for 5 days under chloramphenicol (Cm) selection at 30°C, conditions permissive for plasmid replication and during which time random DNA crossover events occur. This incubation step allowed for the integration of the shuttle plasmid into the genome, thus initially transferring Cm resistance.
- Bacteria containing a chromosomally integrated plasmid copy are selected by growth under Cm selective pressure during a temperature shift to 42°C, conditions not permissive for plasmid replication.
- the colonies are verified for the first recombination using PCR and the growth temperature are again shifted to 30°C to allow for a second DNA cross over occurring at homologous sites, thus excising unwanted plasmid sequences and leaving only the recombinant gene copy behind in the Lm chromosome.
- the excised plasmid is prohibited from replicating, so that it is diluted out during expansion of the bacterial culture.
- subsequent replica plating is used for selecting the Cm sensitive bacteria.
- the Cm sensitive colonies are analyzed for the deletion of inl C gene using colony PCR.
- the strain Lm dal dat (Lmdd) was attenuated by the irreversible deletion of the virulence factor, ActA.
- An in frame deletion of actA in the Lmdaldat (Lmdd) background was constructed to avoid any polar effects on the expression of downstream genes.
- the Lm dal dat AactA contains the first 19 amino acids at the N-terminal and 28 amino acid residues of the C- terminal with a deletion of 591 amino acids of ActA.
- the deletion of the gene into the chromosomal spot was verified using primers that anneal external to the actA deletion region.
- primers 3 (Adv 305-tgggatggccaagaaattc) (SEQ ID NO: 50) and 4 (Adv304- ctaccatgtcttccgttgcttg) (SEQ ID NO: 51) as shown in the Figure 4B.
- the PCR analysis was performed on the chromosomal DNA isolated from Lmdd and Lm-ddAactA.
- the sizes of the DNA fragments after amplification with two different set of primer pairs 1, 2 and 3, 4 in Lm-dd chromosomal DNA was expected to be 3.0 Kb and 3.4 Kb.
- the expected sizes of PCR using the primer pairs 1, 2 and 3, 4 was 1.2 Kb and 1.6 Kb.
- Macrophages such as RAW 264.7 are infected with different Listeria backbones such as Lm dal dat, Lm dal dot actA, Lm dal dat actA ⁇ inlC and Lm dal dot ⁇ inlC and supernatant is harvested at different time points to quantify the level of various cytokines using different ELISA based kits.
- the cytokines that are quantified include IFN- ⁇ , TNF-a and IL-6.
- C57BL/6 mice are injected intraperitoneally with different 10 CFU of inlC mutant, Listeria control or an equivalent volume of saline. After 12 h mice are killed and peritoneal cavities are washed with 2 mL of PBS. The peritoneal washes are examined for bacterial load after plating on growth medium and analysis of proinflammatory cytokines such as MIP-la, KC, MCP etc. Using flow cytometry the number of neutrophils and macrophages is determine after staining with markers such as Gr-1, CD l ib and F4/80 and further these populations are quantified using CellQuest software.
- markers such as Gr-1, CD l ib and F4/80
- This assay is done to determine if there is an increase in the migration of neutrophils following infection of bone marrow derived macrophages or dendritic cells with the inlC deletion strain.
- Bone marrow-derived macrophages or dendritic cells are isolated from mice such as C57BL/6 and are infected with the inlC deletion mutants or control Listeria.
- the transwell assay is set up using corning costar Transwell plates. The assay is initially standardize using 3, 5, or 8 micron pore transwell plates.
- human Prostate specific antigen PSA
- the backbone Lm dal dat actA inlC are transformed with the plasmid, pAdvl42 that contains expression cassette for human PSA resulting in LmddAinlC142.
- the strain LmddAinlC142 is characterized for the expression and secretion of fusion protein, tLLO-PSA. Further the strain LmddAinlC142 are passaged twice in vivo in mice and the colonies obtained after two in vivo passages are examined for the expression and secretion of fusion protein, tLLO-PSA.
- the vaccine working stock are prepared from the colonies obtained after second in vivo passage and this are used for the assessment of therapeutic effects and immunogenicity.
- - Impact on tumor microenvironment [00326] The ability of LmddA inlC142, LmddA142 and other control strains to cause infiltration of immune cells in the tumor microenvironment are determined. In this study mice are inoculated with 1 x 10 6 TPSA23 tumor cells on day 0 and are vaccinated on day 7, 14 and 21 with 10 CFU of LmddA inlC142, LmddA142 and other control strains.
- Tumors are harvested on day 28 and processed for further staining with different cell surface markers such as Gr-1, CD l ib, CD3, CD4, CD8, CD25, Foxp3, NKl.l and CD62L.
- different cell populations that are examined include macrophages (CDl lb + ), NK cells (NK1.1 + ), neutrophils (Gr-l + CDl lb + ), myeloid derived suppressor cells (MDSCs) (Gr-l + CDl lb + ), regulatory T cells (CD4 + CD25 + Foxp3 + ) and effector T cells (CD8 + CD3 + CD62L low ).
- Further effector T cells are characterized for their functional ability to produce effector cytokines such as IFN- ⁇ , TNF-oc and IL-2.
- the intratumoral regulatory T cells and MDSCs are tested for their ability to cause suppression of T cell proliferation.
- mice Female (6-8 weeks old) BALB/c mice were maintained as naive (un-infected) or infected with S. mansoni. For infection, mice were injected i.p. with 50 cercariae. Eight weeks later, both infected and un-infected mice were immunized i.p. (100 ⁇ g/injection) with 0.1 LD50 Lm-gag, 0.2 LD50 Lm-gag, or 1 LD50 Lm-gag, or orally with 10 LD50 Lm-gag or 100 LD50 Lm-gag. Two weeks later, some groups of mice were boosted i.p.
- mice were implanted in mice on the flank or a physiological site depending on the tumor model. After 7 days, mice were then vaccinated, the initial vaccination day depends on the tumor model being used. The mice were then administered a booster vaccine one week after the vaccine was given.
- mice were then sacrificed and tumors and spleen were harvested 1 week after the boost or, in the case of an aggressive tumor model, 3-4 days after the boost. Five days before harvesting the tumor, non-tumor bearing mice were vaccinated to use for responder T cells. Splenocytes were prepared using standard methodology.
- MDSCs were purified from tumors and spleens using a Miltenyi kit and columns or the autoMACs separator. Cells were then counted.
- splenocytes were harvested and plated at 1.5 million cells per well in 48-well plates in the presence of media, SEA or conA (as a positive control). After incubation for 72 hours, supernatants were harvested and analyzed for cytokine level by ELISA (BD).
- BD ELISA
- IFN- ⁇ ELISpot splenocytes were harvested and plated at 300K and 150K cells per well in IFN- ⁇ ELISpot plates in the presence of media, specific CTL peptide, irrelevant peptide, specific helper peptide or conA (as a positive control). After incubation for 20 hours, ELISpots (BD) were performed and spots counted by the Immunospot analyzer (C.T.L.). Number of spots per million splenocytes were graphed.
- Plates were developed using a peroxidase-conjugated goat anti-rabbit IgG Ab (IFN- ⁇ ). Plates were then read at 405 nm. The lower limit of detection for the assays was 30 pg/ml. The lower limit of detection for the assays was 30 pg/ml. RESULTS
- EXAMPLE 1 A PLASMID CONTAINING AN AMINO ACID METABOLISM ENZYME INSTEAD OF AN ANTIBIOTIC RESISTANCE GENE IS RETAINED IN E.
- E. coli strain MB2159 is an air (-)/dadX (-) deficient mutant that is not able to synthesize D-alanine racemase.
- Listeria strain Lm dal(-)/dat(-) (Lmdd) similarly is not able to synthesize D-alanine racemase due to partial deletions of the dal and the dat genes.
- Plasmid pGG55 which is based on E.
- coli- Listeria shuttle vector pAM401 was modified by removing both CAT genes and replacing them with a p60-dal expression cassette under control of the Listeria p60 promoter to generate pTV3 ( Figures 1A and IB). DNA was purified from several colonies.
- Efficacy of the metabolic enzyme-containing plasmid as a cancer vaccine was determined in a tumor regression model.
- the TC-1 cell line model which is well characterized for HPV vaccine development and which allowed for a controlled comparison of the regression of established tumors of similar size after immunization with Lmdd-TV3 or Lm-LLO-E7, was used.
- immunization of mice with Lmdd-TV3 and Lm-LLO-E7 resulted in similar tumor regression ( Figure 6) with no statistically significant difference (p ⁇ 0.05) between vaccinated groups. All immunized mice were still alive after 63 days, whereas non-immunized mice had to be sacrificed when their tumors reached 20 mm diameter. Cured mice remained tumor-free until the termination of the experiment.
- metabolic enzyme-containing plasmids are efficacious as a therapeutic cancer vaccine. Because immune responses required for a therapeutic cancer vaccine are stronger than those required for a prophylactic cancer vaccine, these results demonstrate utility as well for a prophylactic cancer vaccine.
- EXAMPLE 4 inlC-DELETION MUTANT GENERATE SIGNIFICANTLY HIGH
- inlC deletion mutant generates significantly high levels of the chemokines such as MIP-l ⁇ , KC (mouse homolog of IL-8), MCP resulting in infiltration of neutrophils and leukocytes towards the site of infection.
- the inlC mutant demonstrate an increase production of these cytokines and chemokines, which attract neutrophils and macrophages in the peritoneal fluid obtained 12 h after injection.
- inlC deletion mutant generate significantly high levels of the inflammatory cytokines when compared to control strains.
- EXAMPLE 5 inlC-DELETION MUTANTS INDUCE NEUTROPHIL MIGRATION
- the macrophages infected with inlC deletion mutant show significant increase in the migration of neutrophils at different time points when compared to other control strains.
- the results of this experiment strongly support the ability of this strain to attract immune cells such as neutrophils during infection.
- Isolated splenocytes and tumor-infiltrating lymphocytes (TILs) extracted from tumor bearing mice in the above experiment were pooled and stained for CD3, and CD8 to elucidate the effect of immunization with Lm-LLO-E7, Lm-LLO-PSA and Lm-LLO- CA9, Lm-LLO- Her2 ( Figure 8-20) on the presence of MDSCs and Tregs (both splenic and tumoral MDSCs and Tregs) in the tumor.
- Each column represents the % of T cell population at a particular cell division stage and is subgrouped under a particular treatment group (naive, peptide -CA9 or PSA- treated, no MDSC/Treg, and no MDSC + PMA/ionomycin) (see Figures 8-20).
- mice were implanted in mice.
- mice were vaccinated with Lmdda- E7 or LmddA-PSA.
- tumors were harvested and MDSCs and Treg percentages and numbers were measured for vaccinated and naive groups. It was found that there is a decrease in the percentages of both MDSC and Tregs in the tumors of Listeria-treated mice, whereas the same effect is not observed in the spleens or the draining lymph nodes (TLDN) ( Figures 7A and 7B).
- TLDN draining lymph nodes
- Isolated splenocytes and tumor-infiltrating lymphocytes (TILs) extracted from tumor bearing mice in the above experiment were pooled and stained for CD3, and CD8 to elucidate the effect of immunization with Lm-LLO-E7, Lm-LLO-PSA and Lm-LLO- CA9, Lm-LLO- Her2 ( Figures 8-20) on the presence of MDSCs and Tregs (both splenic and tumoral MDSCs and Tregs) in the tumor.
- Each column represents the % of T cell population at a particular cell division stage and is subgrouped under a particular treatment group (naive, peptide -CA9 or PSA- treated, no MDSC/Treg, and no MDSC + PMA/ionomycin) (see Figures 8-20). Analysis of cells in the blood of tumor-bearing mice
- T responder cells from untreated mice where no MDSCs were present and where the cells were unstimulated/activated remained in their parental (resting) state ( Figures 8C-8D and IOC and 10D), whereas T cells stimulated with PMA or ionomycin were observed to replicate ( Figures 8A and 8B and 10A and 10B).
- the Gr+Ly6G+ and the GrdimLy6G- MDSCs are less suppressive after treatment with Listeria vaccines. This applies to their decreased abilities to suppress both the division of activated PSA-specific T cells and non-specific (PMA/ionomycin stimulated) T cells.
- EXAMPLE 11 CHANGE IN THE SUPPRESSIVE ABILITY OF THE GRANULOCITY AND MONOCYTIC MDSC IS DUE TO THE OVEREXPRESSION OF tLLO.
- the LLO plasmid shows similar results as the Listeria vaccines with either the TAA or an irrelevant antigen ( Figures 21A-21D). This means that the change in the suppressive ability of the granulocytic MDSC is due to the overexpression of tLLO and is independent of the partnering fusion antigen.
- the empty plasmid construct alone also led to a change in the suppressive ability of the MDSC, although not to exactly the same level as any of the vaccines that contain the truncated LLO on the plasmid.
- the average of the 3 independent experiments show that the difference in suppression between the empty plasmid and the other plasmids with tLLO (with and without a tumor antigen) are significant. Reduction in MDSC suppressive ability was identical regardless of the fact if antigen specific or non-specific stimulated responder T cells were used.
- Tregs purified from the tumors of any of the Lm-treated groups have a slightly diminished ability to suppress the division of the responder T cells, regardless of whether the responder cells are antigen specific or non-specifically activated. Especially for the non- specifically activated responder T cells, it looks as though the vaccine with the empty plasmid shows the same results as all the vaccines that contain LLO on the plasmid. Averaging this experiment with the others shows that the differences are not significant ( Figures 25A-25D).
- Tregs purified from the spleen are still capable of suppressing the division of both antigen specific and non-specifically activated responder T cells. There is no effect of Lm treatment on the suppressive ability of splenic Tregs ( Figures 26A-26D).
- Tcon cells are not capable of suppressing the division of T cells regardless of whether the responder cells are antigens specific or non-specifically activated, which is consistent with the fact that these cells are non-suppressive. Lm has no effect on these cells and there was no difference if the cells were purified from the tumors or the spleen of mice ( Figures 27A-27D and Figures 28A-28D).
Landscapes
- Health & Medical Sciences (AREA)
- Life Sciences & Earth Sciences (AREA)
- Chemical & Material Sciences (AREA)
- General Health & Medical Sciences (AREA)
- Medicinal Chemistry (AREA)
- Epidemiology (AREA)
- Mycology (AREA)
- Veterinary Medicine (AREA)
- Public Health (AREA)
- Animal Behavior & Ethology (AREA)
- Pharmacology & Pharmacy (AREA)
- Organic Chemistry (AREA)
- Microbiology (AREA)
- Molecular Biology (AREA)
- Immunology (AREA)
- Biophysics (AREA)
- Proteomics, Peptides & Aminoacids (AREA)
- Gastroenterology & Hepatology (AREA)
- Biochemistry (AREA)
- Genetics & Genomics (AREA)
- General Chemical & Material Sciences (AREA)
- Chemical Kinetics & Catalysis (AREA)
- Transplantation (AREA)
- Medicines Containing Antibodies Or Antigens For Use As Internal Diagnostic Agents (AREA)
- Peptides Or Proteins (AREA)
- Micro-Organisms Or Cultivation Processes Thereof (AREA)
Abstract
This disclosure provides methods and compositions for using Listeria monocytogenes as an adjuvant for enhancing immune responses in a subject. In certain instances, methods of this disclosure may be useful for subjects receiving a transplant.
Description
LIS TERIA-B ASED ADJUVANTS
FIELD OF INTEREST
[001] This disclosure provides methods and compositions for using Listeria monocytogenes as an adjuvant for enhancing immune responses in a subject. In some instances, the subject is receiving a transplant.
BACKGROUND
[002] Adjuvants have extensive use in immunotherapy. The majority of cellular based immunotherapies administer adjuvants prior to giving antigen specific treatment. Typically these antigens include GM-CSF, IL-1, QP-100, Keyhole Limpet Cynanin, and others. These adjuvants are typically administered systemically via IV, EVI, ID or similar routes.
[003] Listeria monocytogenes {Lm) is an intracellular pathogen that primarily infects antigen presenting cells and has adapted for life in the cytoplasm of these cells. Listeria monocytogenes and a protein it produces named listeriolysin O (LLO) have strong adjuvant properties that unlike the majority of adjuvants used for cellular based immunotherapies, can be administered after providing an antigen specific treatment.
[004] In the case of bone marrow transplants, patients are typically treated with very immunosuppressive agents to eliminate immune cells from their old immune system which are defective. Sometimes there is difficulty in achieving or there is a delay in achieving the complete reconstitution of immunity of the transplanted immune system cells that can leave the subjects at an increased risk of acquiring what could be a fatal infection.
[005] A method of improving the maturation of immunity or improving engraftment in a subject receiving a transplant is needed in order to decrease the time period of immune- incompetence in the transplant subject, and decrease infection and mortality resulting thereof. Treatment of these transplant patients with an attenuated strain of Lm could accelerate or shorten the time it takes to achieve full immunocompetence of the transplanted immune system cells and thereby accelerate the time to where the patient is fully protected by the transplanted immune system. This type of could be administered to a human patient or an animal, including an immunologically incompetent animal like a SCID Mouse or a SCDI-NOD mouse that receives a transplanted xenograft or allograft.
[006] Thus, the present disclosure provides methods of improving the maturation of immunity and enhancing an engraftment in subjects, for example those receiving a transplant, wherein subjects include human adults and children, and non-human mammals. The present disclosure
takes advantage of the adjuvant properties provided by live attenuated Lm vaccines that secrete non-hemolytic LLO or a truncated ActA.
[007] Further, the same method is provided to reconstitute the immune response or facilitate the recovery of an immune response to normal or approximately normal levels in subjects that have received a transplant as a result of cancer.
SUMMARY
[008] In one aspect, the present disclosure relates to a method of enhancing engraftment of a transplant in a subject, the method comprising the step of administering a live attenuated Listeria vaccine strain to the subject.
[009] In one aspect the disclosure relates to a method of enhancing engraftment of a transplant in a subject, the method comprising the step of administering a live attenuated Listeria vaccine strain to the subject, the Listeria strain comprising a nucleic acid molecule, wherein the nucleic acid molecule comprises a first open reading frame encoding a PEST-containing polypeptide.
[0010] In one aspect the present disclosure relates to a method of improving maturation of immunity in a subject, the method comprising administering a live attenuated Listeria vaccine strain to the subject. In another aspect, the subject is receiving a transplant. In another embodiment the Listeria strain comprising a nucleic acid molecule, wherein the nucleic acid molecule comprises a first open reading frame encoding a PEST-containing polypeptide. In another aspect, the subject is receiving a transplant.
[0011] In one aspect, the present disclosure relates to a method of decreasing the time to immune-competence in a subject receiving a transplant, said method comprising administering a live attenuated Listeria vaccine strain to the subject. In another embodiment the Listeria strain comprising a nucleic acid molecule, wherein the nucleic acid molecule comprises a first open reading frame encoding a PEST-containing polypeptide.
[0012] In one aspect, the disclosure relates to a method of improving maturation of immunity in a subject in an antigen-independent manner, said method comprising administering a Listeria- based adjuvant to the subject.
[0013] In one aspect, a subject is receiving a transplant as a treatment for cancer or a hematopoietic disease. In another aspect, a hematopoietic disease is a hematopoietic malignancy. In another aspect, a transplant comprises a bone marrow transplant. In another aspect, a bone marrow transplant is a hematopoietic stem cell transplantation (HSCT). In another aspect, a transplant may be an autologous, an allogeneic or an xenogeneic transplant. In one aspect, a
subject is a human. In another aspect, a subject is a non-human mammal.
[0014] Other features and advantages of the present disclosure will become apparent from the following detailed description examples and figures. It should be understood, however, that the detailed description and the specific examples while indicating preferred embodiments of the disclosure are given by way of illustration only, since various changes and modifications within the spirit and scope of the disclosure will become apparent to those skilled in the art from this detailed description.
BRIEF DESCRIPTION OF THE DRAWINGS
[0015] The subject matter regarded as the disclosure is particularly pointed out and distinctly claimed in the concluding portion of the specification. The disclosure, however, both as to organization and method of operation, together with objects, features, and advantages thereof, may best be understood by reference to the following detailed description when read with the accompanying drawings in which:
[0016] Figures 1A and IB present schematic maps of E. coli-Listeria shuttle plasmids pGG55 (Figure 1A) and pTV3 (Figure IB). CAT(-): E. coli chloramphenicol transferase; CAT(+): Listeria chloramphenicol transferase; Ori Lm: replication origin for Listeria; Ori Ec: pl5 origin of replication for E. coli; prfA: Listeria pathogenicity regulating factor A; LLO: C-terminally truncated listeriolysin O, including its promoter; E7: HPV E7; p60-dal; expression cassette of p60 promoter and Listeria dal gene. Selected restriction sites are also depicted.
[0017] Figure 2 shows the DNA sequences present upstream and downstream of the inlC region on the genome of Listeria strain EGD. DNA-upstream {italics), inlC gene (bold) and DNA- downstream (underline).
[0018] Figure 3 shows the sequence of DNA that is cloned in the temperature sensitive plasmid, pKSV7 to create inl C deletion mutant. The restriction enzyme sites used for cloning of these regions are indicated in caps and underlined. GAATTC- EcoRI, GGATCC-BamHI and CTGCAg-Pstl. The EcoRI-PstI insert is cloned in the vector, pKSV7.
[0019] Figures 4A-4D. Figure 4A and 4B show schematic representation of the Lm-dd (Figure 4A) and Lm-ddA actA (Figure 4B) strains. Figures 4C and 4D present gels showing the size of PCR products using oligo's 1/2 (Figure 4C) and oligo's 3/4 (Figure 4D) obtained using chromosomal DNA of the strains Lm-dd and Lm-ddAactA as template.
[0020] Figure 5 shows the DNA sequence present upstream and downstream of the actA gene in the Listeria chromosome. The region in italics contains the residual actA sequence element that
is present in the LmddAactA strain. The underlined sequence gtcgac represent the restriction site of Xhol, which is the junction between the N-T and C-T region of actA.
[0021] Figure 6 depicts tumor regression in response to administration of Lm vaccine strains. Circles represent naive mice, inverted triangles represent mice administered Lmdd-TV3, and crosses represent mice administered Lm-LLOE7.
[0022] Figures 7A and 7B show a decrease in MDSCs and Tregs in tumors. The number of MDSCs (Figure 7A) and Tregs (Figure 7B) following Lm vaccination (LmddAPSA and LmddAE7).
[0023] Figures 8A-8D show suppressor assay data demonstrating that monocytic MDSCs from TPSA23 tumors (PSA expressing tumor) are less suppressive after Listeria vaccination. This change in the suppressive ability of the MDSCs is not antigen specific as the same decrease in suppression is seen with PSA-antigen specific T cells and also with non-specifically stimulated T cells. In Figures 8A and 8B Phorbol-Myristate- Acetate and Ionomycin (PMA/I) represents non-specific stimulation. In Figures 8C and 8D the term "peptide" represents specific antigen stimulation. Percent (%) CD3+CD8+ represents % effector (responder) T cells. The No MDSC group shows the lack of division of the responder T cells when they are left unstimulated and the last group (PMA/I or peptide added) shows the division of stimulated cells in the absence of MDSCs. Figures 8A and 8C show individual cell division cycles for each group. Figures 8B and 8D show pooled division cycles.
[0024] Figures 9A-9D show suppressor assay data demonstrating that Listeria has no effect on splenic monocytic MDSCs and they are only suppressive in an antigen- specific manner. In Figures 9A and 9B PMA/I represents non-specific stimulation. In Figures 9C and 9D the term "peptide" represents specific antigen stimulation. Percent (%) CD3+CD8+ represents % effector (responder) T cells. The No MDSC group shows the lack of division of the responder T cells when they are left unstimulated and the last group (PMA/I or peptide added) shows the division of stimulated cells in the absence of MDSCs. Figures 9A and 9C show individual cell division cycles for each group. Figures 9B and 9D show pooled division cycles.
[0025] Figures 10A-10D show suppressor assay data demonstrating that granulocytic MDSCs from tumors have a reduced ability to suppress T cells after Listeria vaccination. This change in the suppressive ability of the MDSCs is not antigen specific as the same decrease in suppression is seen with PSA-antigen specific T cells and also with non-specifically stimulated T cells. In Figures 10A and 10B PMA/I represents non-specific stimulation. In Figures IOC and 10D the term "peptide" represents specific antigen stimulation. Percent (%) CD3+CD8+ represents %
effector (responder) T cells. The No MDSC group shows the lack of division of the responder T cells when they are left unstimulated and the last group (PMA/I or peptide added) shows the division of stimulated cells in the absence of MDSCs. Figures 10A and IOC show individual cell division cycles for each group. Figures 10B and 10D show pooled percentage division.
[0026] Figures 11A -11D show suppressor assay data demonstrating that Listeria has no effect on splenic granulocytic MDSCs and they are only suppressive in an antigen- specific manner. In Figures 11A and 11B PMA/I represents non-specific stimulation. In Figures 11C and 11D the term "peptide" represents specific antigen stimulation. Percent (%) CD3+CD8+ represents % effector (responder) T cells. The No MDSC group shows the lack of division of the responder T cells when they are left unstimulated and the last group (PMA/I or peptide added) shows the division of stimulated cells in the absence of MDSCs. Figures 11A and 11C show individual cell division cycles for each group. Figures 11B and 11D show pooled percentage division.
[0027] Figures 12A-12D show suppressor assay data demonstrating that Tregs from tumors are still suppressive. There is a slight decrease in the suppressive ability of Tregs in a non-antigen specific manner, in this tumor model. In Figures 12A and 12B PMA/I represents non-specific stimulation. In Figures 12C and 12D the term "peptide" represents specific antigen stimulation. Percent (%) CD3+CD8+ represents % effector (responder) T cells. The No Treg group shows the lack of division of the responder T cells when they are left unstimulated and the last group (PMA/I or peptide added) shows the division of stimulated cells in the absence of Tregs. Figures 12A and 12C show individual cell division cycles for each group. Figures 12B and 12D show pooled percentage division.
[0028] Figures 13A-13D shows suppressor assay data demonstrating that splenic Tregs are still suppressive. In Figures 13A and 13B PMA/I represents non-specific stimulation. In Figures 13C and 13D the term "peptide" represents specific antigen stimulation. Percent (%) CD3+CD8+ represents % effector (responder) T cells. The No Treg group shows the lack of division of the responder T cells when they are left unstimulated and the last group (PMA/I or peptide added) shows the division of stimulated cells in the absence of Tregs. Figures 13A and 13C show individual cell division cycles for each group. Figures 13B and 13D show pooled percentage division.
[0029] Figures 14A-14D show suppressor assay data demonstrating that conventional CD4+ T cells have no effect on cell division regardless whether they are found in the tumors or spleens of mice. In Figures 14A and 14B PMA/I represents non-specific stimulation. In Figures 14C and 14D the term "peptide" represents specific antigen stimulation. Percent (%) CD3+CD8+
represents % effector (responder) T cells. The No Treg group shows the lack of division of the responder T cells when they are left unstimulated and the last group (PMA/I or peptide added) shows the division of stimulated cells in the absence of Tregs. Figures 14C-14D show data from pooled percentage division.
[0030] Figures 15A-15D show suppressor assay data demonstrating that monocytic MDSCs from 4T1 tumors (Her2 expressing tumors) have decreased suppressive ability after Listeria vaccination. This change in the suppressive ability of the MDSCs is not antigen specific as the same decrease in suppression is seen with Her2/neu-antigen specific T cells and also with non- specifically stimulated T cells. In Figures 15A and 15B PMA/I represents non-specific stimulation. In Figures 15C and 15D the term "peptide" represents specific antigen stimulation. Percent (%) CD8+ represents % effector (responder) T cells. The No MDSC group shows the lack of division of the responder T cells when they are left unstimulated and the last group (PMA/I or peptide added) shows the division of stimulated cells in the absence of MDSCs. Figures 15A and 15C show individual cell division cycles for each group. Figures 15B and 15D show pooled percentage division.
[0031] Figures 16A-16D show suppressor assay data demonstrating that there is no Listeria- specific effect on splenic monocytic MDSCs. In Figures 16A and 16B PMA/I represents nonspecific stimulation. In Figures 16C and 16D the term "peptide" represents specific antigen stimulation. Percent (%) CD8+ represents % effector (responder) T cells. The No MDSC group shows the lack of division of the responder T cells when they are left unstimulated and the last group (PMA/I or peptide added) shows the division of stimulated cells in the absence of MDSC. Figures 16A and 16C show individual cell division cycles for each group. Figures 16B and 16D show pooled percentage division.
[0032] Figures 17A-17D show suppressor assay data demonstrating that granulocytic MDSCs from 4T1 tumors (Her2 expressing tumors) have decreased suppressive ability after Listeria vaccination. This change in the suppressive ability of the MDSCs is not antigen specific as the same decrease in suppression is seen with Her2/neu- antigen specific T cells and also with non- specifically stimulated T cells. In Figures 17 A and 17B PMA/I represents non-specific stimulation. In Figures 17C and 17D the term "peptide" represents specific antigen stimulation. Percent (%) CD8+ represents % effector (responder) T cells. The No MDSC group shows the lack of division of the responder T cells when they are left unstimulated and the last group (PMA/I or peptide added) shows the division of stimulated cells in the absence of MDSCs. Figures 17A and 17C show individual cell division cycles for each group. Figures 17B and
17D shows pooled percentage division.
[0033] Figures 18A-18D showed suppressor assay data demonstrating that there is no Listeria- specific effect on splenic granulocytic MDSCs. In Figures 18A and 18B PMA/I represents nonspecific stimulation. In Figures 18C and 18D the term "peptide" represents specific antigen stimulation. Percent (%) CD8+ represents % effector (responder) T cells. The No MDSC group shows the lack of division of the responder T cells when they are left unstimulated and the last group (PMA/I or peptide added) shows the division of stimulated cells in the absence of MDSCs. Figures 18A and 18C show individual cell division cycles for each group. Figures 18B and 18D show pooled percentage division.
[0034] Figures 19A-19D show suppressor assay data demonstrating that decrease in the suppressive ability of Tregs from 4T1 tumors (Her2 expressing tumors) after Listeria vaccination. . In Figures 19A and 19B PMA/I represents non-specific stimulation. In Figures 19C and 19D the term "peptide" represents specific antigen stimulation. Percent (%) CD8+ represents % effector (responder) T cells. This decrease is not antigen specific, as the change in Treg suppressive ability is seen with both Her2/neu-specific and non-specific responder T cells. Figures 19A and 19C show individual cell division cycles for each group. Figures 19B and 19D show pooled percentage division.
[0035] Figures 20A-20D show suppressor assay data demonstrating that there is no Listeria- specific effect on splenic Tregs. The responder T cells are all capable of dividing, regardless of the whether or not they are antigen specific. In Figures 20A and 20B PMA/I represents nonspecific stimulation. In Figures 20C and 20D the term "peptide" represents specific antigen stimulation. Percent (%) CD8+ represents % effector (responder) T cells. Figures 20A and 20C show individual cell division cycles for each group. Figures 20B and 20D show pooled percentage division.
[0036] Figures 21A-21D show suppressor assay data demonstrating that suppressive ability of the granulocytic MDSC is due to the overexpression of tLLO and is independent of the partnering fusion antigen. Left-hand panels (Figures 21A and 21C) show individual cell division cycles for each group. Right-hand panels (Figures 21B and 21D) show pooled percentage division.
[0037] Figures 22A-22D show suppressor assay data also demonstrating that suppressive ability of the monocytic MDSC is due to the overexpression of tLLO and is independent of the partnering fusion antigen. Left-hand panels (Figures 22A and 22C) show individual cell division cycles for each group. Right-hand panels (Figures 22B and 22D) show pooled
percentage division.
[0038] Figures 23A-23D show suppressor assay data demonstrating that granulocytic MDSC purified from the spleen retain their ability to suppress the division of the antigen- specific responder T cells after Lm vaccination (Figure 23A and 23B). However, after non-specific stimulation, activated T cells (with PMA/ionomycin) are still capable of dividing (Figures 23C and 23D). Left-hand panels show individual cell division cycles for each group. Right-hand panels show pooled percentage division.
[0039] Figures 24A-24D show suppressor assay data demonstrating that monocytic MDSC purified from the spleen retain their ability to suppress the division of the antigen- specific responder T cells after Lm vaccination (Figures 24A and 24B). However, after non-specific activation (stimulated by PMA/ionomycin), T cells are still capable of dividing (Figures 24C and 24D). Left-hand panels show individual cell division cycles for each group. Right-hand panels show pooled percentage division.
[0040] Figures 25A-25D show suppressor assay data demonstrating that Tregs purified from the tumors of any of the Lm-treated groups have a slightly diminished ability to suppress the division of the responder T cells, regardless of whether the responder cells are antigen specific (Figures 25A and 25B) or non-specifically (Figures 25C and 25D) activated. Left-hand panels show individual cell division cycles for each group. Right-hand panels show pooled percentage division.
[0041] Figures 26A-26D show suppressor assay data demonstrating that Tregs purified from the spleen are still capable of suppressing the division of both antigen specific (Figures 26A-26B) and non-specifically (Figures 26C and 26D) activated responder T cells.
[0042] Figures 27A-27D show suppressor assay data demonstrating that tumor Tcon cells are not capable of suppressing the division of T cells regardless of whether the responder cells are antigens specific (Figures 27A and 27B) or non-specifically activated (Figures 27C and 27D).
[0043] Figures 28A-28D show suppressor assay data demonstrating that spleen Tcon cells are not capable of suppressing the division of T cells regardless of whether the responder cells are antigens specific (Figures 28A and 28B) or non-specifically activated (Figures 28C and 28D).
[0044] It will be appreciated that for simplicity and clarity of illustration, elements shown in the figures have not necessarily been drawn to scale. For example, the dimensions of some of the elements may be exaggerated relative to other elements for clarity. Further, where considered appropriate, reference numerals may be repeated among the figures to indicate corresponding or analogous elements.
DETAILED DESCRIPTION
[0045] In the following detailed description, numerous specific details are set forth in order to provide a thorough understanding of the disclosure. However, it will be understood by those skilled in the art that the present disclosure may be practiced without these specific details. In other instances, well-known methods, procedures, and components have not been described in detail so as not to obscure the present disclosure.
[0046] A novel and heretofore unexplored use is to create a live attenuated Listeria vaccine strain devoid of exogenous antigen.
[0047] A novel and heretofore unexplored use is to create a live attenuated Listeria vaccine strain devoid of antigen that enables the Listeria to secrete only the non-hemolytic, truncated form of LLO (Lm-LLO), or a truncated ActA (Lm-ActA), or a PEST-containing amino acid sequence, as an adjuvant. The disclosure disclosed herein addresses the first live adjuvant.
[0048] In one embodiment, disclosed herein is a method of improving maturation of immunity in a subject, the method comprising the step of administering a live attenuated Listeria vaccine strain to the subject. In another embodiment the Listeria strain comprises a nucleic acid molecule, wherein the nucleic acid molecule comprises a first open reading frame encoding a
PEST-containing polypeptide.
[0049] In one embodiment, disclosed herein is a method of enhancing engraftment of a transplant in a subject, the method comprising the step of administering a live attenuated Listeria vaccine strain to the subject. In another embodiment the Listeria strain comprises a nucleic acid molecule, wherein the nucleic acid molecule comprises a first open reading frame encoding a PEST-containing polypeptide.
[0050] In one embodiment, disclosed herein is a method of decreasing time to immune- competence in a subject, the method comprising the step of administering a live attenuated Listeria vaccine strain to the subject. In another embodiment the Listeria strain comprises a nucleic acid molecule, wherein the nucleic acid molecule comprises a first open reading frame encoding a PEST-containing polypeptide.
[0051] In some embodiments of methods of this disclosure, the Listeria expresses said PEST- containing polypeptide. In other embodiment, the Listeria expresses and secretes said PEST- containing polypeptide. In another embodiment, the PEST-containing polypeptide is a nonhemolytic LLO protein or immunogenic fragment thereof, an ActA protein or truncated fragment thereof, or a PEST-containing amino acid sequence.
[0052] In one embodiment, disclosed herein is a method of facilitating recovery of immune
responses after a subject receives a transplant, the method comprising administering a live attenuated Listeria vaccine strain to the subject. In another embodiment, the Listeria strain comprises a nucleic acid molecule, wherein the nucleic acid molecule comprises a first open reading frame encoding a PEST-containing polypeptide.
[0053] In one embodiment, disclosed herein is a method of improving maturation of an immune response in an antigen-independent manner in a subject, the method comprising administering a Listeria-based adjuvant to the subject.
[0054] In one embodiment, disclosed herein is a composition and method for bioengineering a live Lm bacterium that infects specific cells, including; antigen processing cells (APC), Kupffer cells, vascular endothelium, bone marrow, and others; as well as structures such as solid tumors and spleen. In another embodiment, the live Lm adjuvant then synthesizes and secretes a modified LLO fragment in situ where the adjuvant is needed and used to stimulate immune responses. In another embodiment the live Lm synthesizes ActA. In another embodiment, unlike previous adjuvants, the instant disclosure administers the ability to make an adjuvant in situ and does not involve the systemic administration of an immune adjuvant.
[0055] In one embodiment, a Listeria-based adjuvant refers to a live-attenuated Listeria vaccine strain. In another embodiment, the Listeria-based adjuvant is an Lm-LLO or an Lm-ActA. In another embodiment, Lm-LLO expresses a non-hemolytic LLO. In another embodiment, Lm- ActA expresses a truncated ActA protein. In another embodiment, Lm-LLO or Lm-ActA can be used alone, or in combination with any therapy in which an adjuvant is appropriate, and may have utility in settings where no adjuvant has been commonly used, such as chemotherapy or radiotherapy, or following a transplant.
[0056] In another embodiment, the Listeria strain disclosed herein further comprises a second open reading frame encoding a metabolic enzyme.
[0057] In one embodiment, the metabolic enzyme is an amino acid metabolism enzyme. In another embodiment, the metabolic enzyme encoded by the second open reading frame is an alanine racemase enzyme or a D-amino acid transferase enzyme. In another embodiment, the metabolic enzyme encoded by the second open reading frame is an alanine racemase enzyme or a D-amino acid transferase enzyme. In another embodiment, the metabolic enzyme is encoded dal gene, where in another embodiment the dal gene is from B. subtilis. In another embodiment, the metabolic enzyme is encoded by the dat gene.
[0058] In another embodiment, the recombinant Listeria is an attenuated auxotrophic strain.
[0059] The present disclosure provides a number of Listeria! species and strains for making or
engineering an attenuated Listeria of the present disclosure. In one embodiment, the Listeria strain is L. monocytogenes 10403S wild type (see Bishop and Hinrichs (1987) J. Immunol. 139: 2005-2009; Lauer, et al. (2002) J. Bact. 184: 4177-4186.) In another embodiment, the Listeria strain is L. monocytogenes DP-L4056 (phage cured) (see Lauer, et al. (2002) J. Bact. 184: 4177- 4186). In another embodiment, the Listeria strain is L. monocytogenes DP-L4027, which is phage cured and deleted in the hly gene (see Lauer, et al. (2002) J. Bact. 184: 4177^4186; Jones and Portnoy (1994) Infect. Immunity 65: 5608-5613.). In another embodiment, the Listeria strain is L. monocytogenes DP-L4029, which is phage cured, deleted in ActA (see Lauer, et al. (2002) J. Bact. 184: 4177-4186; Skoble, et al. (2000) J. Cell Biol. 150: 527-538). In another embodiment, the Listeria strain is L. monocytogenes DP-L4042 (delta PEST) (see Brockstedt, et al. (2004) Proc. Natl. Acad. Sci. USA 101: 13832-13837; supporting information). In another embodiment, the Listeria strain is L. monocytogenes DP-L4097 (LLO-S44A) (see Brockstedt, et al. (2004) Proc. Natl. Acad. Sci. USA 101: 13832-13837; supporting information). In another embodiment, the Listeria strain is L. monocytogenes DP-L4364 (delta lplA; lipoate protein ligase) (see Brockstedt, et al. (2004) Proc. Natl. Acad. Sci. USA 101: 13832-13837; supporting information). In another embodiment, the Listeria strain is L. monocytogenes DP-L4405 (delta MA) (see Brockstedt, et al. (2004) Proc. Natl. Acad. Sci. USA 101: 13832-13837; supporting information). In another embodiment, the Listeria strain is L. monocytogenes DP-L4406 (delta MB) (see Brockstedt, et al. (2004) Proc. Natl. Acad. Sci. USA 101: 13832-13837; supporting information). In another embodiment, the Listeria strain is L. monocytogenes CS-L0001 (delta ActA-delta MB) (see Brockstedt, et al. (2004) Proc. Natl. Acad. Sci. USA 101: 13832-13837; supporting information). In another embodiment, the Listeria strain is L. monocytogenes CS- L0002 (delta ActA-delta lplA) (see Brockstedt, et al. (2004) Proc. Natl. Acad. Sci. USA 101: 13832-13837; supporting information). In another embodiment, the Listeria strain is L. monocytogenes CS-L0003 (L461T-delta lplA) (see Brockstedt, et al. (2004) Proc. Natl. Acad. Sci. USA 101: 13832-13837; supporting information). In another embodiment, the Listeria strain is L. monocytogenes DP-L4038 (delta ActA-LLO L461T) (see Brockstedt, et al. (2004) Proc. Natl. Acad. Sci. USA 101: 13832-13837; supporting information). In another embodiment, the Listeria strain is L. monocytogenes DP-L4384 (S44A-LLO L461T) (see Brockstedt, et al. (2004) Proc. Natl. Acad. Sci. USA 101: 13832-13837; supporting information). In another embodiment, the Listeria strain is L. monocytogenes. Mutation in lipoate protein (see O'Riordan, et al. (2003) Science 302: 462-464). In another embodiment, the Listeria strain is L. monocytogenes DP-L4017 (10403S hly (L461T), having a point mutation in hemolysin gene (see
U.S. Provisional Pat. Appl. Ser. No. 60/490,089 filed Jul. 24, 2003). In another embodiment, the Listeria strain is L. monocytogenes EGO (see GenBank Acc. No. AL591824). In another embodiment, the Listeria strain is L. monocytogenes EGD-e (see GenBank Acc. No. NC_003210. ATCC Acc. No. BAA-679). In another embodiment, the Listeria strain is any Listeria strain known in the art. In another embodiment, the Listeria strain is L. monocytogenes DP-L4029 deleted in uvrAB (see U.S. Provisional Pat. Appl. Ser. No. 60/541,515 filed Feb. 2, 2004; US Provisional Pat. Appl. Ser. No. 60/490,080 filed Jul. 24, 2003). In another embodiment, the Listeria strain is L. monocytogenes ActA-/inlB - double mutant (see ATCC Acc. No. PTA-5562). In another embodiment, the Listeria strain is L. monocytogenes lpl A mutant or hly mutant (see U.S. Pat. Appl. Publ. No. 20040013690 of Portnoy, et. al). In another embodiment, the Listeria strain is L. monocytogenes DAL/DAT double mutant, (see U.S. Pat. Appl. No. 20050048081 of Frankel and Portnoy. The present disclosure encompasses reagents and methods that comprise the above Listerial strains, as well as these strains that are modified, e.g., by a plasmid and/or by genomic integration, to contain a nucleic acid encoding one of, or any combination of, the following genes: hly (LLO; listeriolysin); iap (p60); inlA; inlB; inlC; dal (alanine racemase); dat (D-amino acid aminotransferase); plcA; plcB; actA; or any nucleic acid that mediates growth, spread, breakdown of a single walled vesicle, breakdown of a double walled vesicle, binding to a host cell, uptake by a host cell. The present disclosure is not to be limited by the particular strains disclosed above.
[0060] In one embodiment the attenuated strain is Lmdd. (Figure 4A). In another embodiment the attenuated strain is LmddA. (Figure 4B). In another embodiment, the attenuated strain is LmAprfA. In another embodiment, the attenuated strain is LmAplcB. In another embodiment, the attenuated strain is LmAplcA. In another embodiment, the attenuated strain is LmddAAinlC. In another embodiment, the LmddAAinlC mutant strain is created using EGD strain of Lm, which is different from the background strain 10403S, the parent strain for Lm dal dat actA (LmddA). In another embodiment, this strain exerts a strong adjuvant effect which is an inherent property of Listeria -based vaccines. In another embodiment, this strain is constructed from the EGD Listeria backbone.
[0061] In another embodiment, the strain used in the disclosure is a Listeria strain that expresses a non-hemolytic LLO. In yet another embodiment the Listeria strain is a prfA mutant, actA mutant, a plcB deletion mutant, or a double mutant lacking both plcA and plcB. All these Listeria strain are contemplated for use in the methods disclosed herein.
[0062] In one embodiment, the Listeria vaccine strain is LmddAinlC142 strain. LmddAinlC142 is based on a Listeria vaccine vector which is attenuated due to the deletion of inlC gene and retains the plasmid for PSA expression in vivo and in vitro by complementation of dal gene. In another embodiment, LmddAinlC142 exerts strong and antigen specific anti-tumor responses with ability to break tolerance toward a heterologous antigen in a subject. In another embodiment, the LmddAinlC142 strain is highly attenuated and has a better safety profile than previous Listeria vaccine generation, as it is more rapidly cleared from the spleens of the immunized mice. In another embodiment, LmddAinlC142 strain is highly immunogenic, able to break tolerance toward a heterologous antigen and prevents tumor formation in a subject.
[0063] In one embodiment, the LmddAAinlC mutant strain is safe for use in humans and induces high levels of innate immune responses. In one embodiment, the inlC deletion mutant generates an enhanced level of innate immune responses that are not antigen specific.
[0064] In one embodiment, translocation of Listeria to adjacent cells is inhibited by two separate mechanisms, deletion of actA and inlC genes, both of which are involved in the process, thereby resulting in unexpectedly high levels of attenuation with increased immunogenicity and utility as a vaccine backbone. In another embodiment, translocation of Listeria to adjacent cells is inhibited by two separate mechanisms, deletion of actA or inlC genes, both of which are involved in the process, thereby resulting in unexpectedly high levels of attenuation with increased immunogenicity and utility as a vaccine backbone.
[0065] Internalins are associated with increased virulence and their presence is associated with increased immunogenicity of Listeria, however, in the present disclosure, excising the inlC gene increases immunogenicity of the Listeria vaccine vector disclosed herein. In another embodiment, the present disclosure provides the novelty that the inlC genes are excised from a vector in which actA is deleted, thereby removing both, the ability to form actin flagella necessary for movement through the host cell membrane and into the neighboring cell, and the ability for transmembrane passage. Therefore, the combination of these two deletions yields the surprising result of decreased virulence and increased immunogenicity of a Listeria vaccine vector over a wild-type Listeria strain or a single mutant strain.
[0066] In another embodiment, the nucleic acid molecule disclosed herein is integrated into the Listeria genome. In another embodiment, the nucleic acid molecule is in a plasmid in the recombinant Listeria vaccine strain also disclosed herein. In another embodiment, the plasmid disclosed herein is stably maintained in the recombinant Listeria vaccine strain in the absence of antibiotic selection. In another embodiment, the plasmid does not confer antibiotic resistance
upon said recombinant Listeria.
[0067] In one embodiment, the recombinant Listeria strain disclosed herein is attenuated. In another embodiment, the recombinant Listeria lacks the actA virulence gene. In another embodiment, the recombinant Listeria lacks the prfA virulence gene.
[0068] In another embodiment, the recombinant Listeria vaccine strain comprises an adjuvant, wherein the adjuvant is listeriolysin O. In another embodiment, the recombinant Listeria vaccine strain comprises an adjuvant, wherein the adjuvant is ActA.
[0069] In another embodiment, the Listeria-based adjuvant is an LLO-expressing Listeria strain or an LLO protein or a non-hemolytic fragment thereof. In another embodiment, the Listeria- based adjuvant is an ActA-expressing Listeria strain or an ActA protein or a truncated fragment thereof. In another embodiment, Listeria-based adjuvant is used alone or is combined with an additional adjuvant. In another embodiment, the additional adjuvant is a non-nucleic acid adjuvant including aluminum adjuvant, Freund's adjuvant, MPL, emulsion, GM-CSF, QS21, SBAS2, CpG-containing oligonucleotide, a nucleotide molecule encoding an immune- stimulating cytokine, the adjuvant is or comprises a bacterial mitogen, or a bacterial toxin.
[0070] In another embodiment, the adjuvant of the present disclosure is co-administered with an additional adjuvant. In another embodiment, the additional adjuvant utilized in methods and compositions of the present disclosure is, in another embodiment, a granulocyte/macrophage colony- stimulating factor (GM-CSF) protein. In another embodiment, the adjuvant comprises a GM-CSF protein. In another embodiment, the adjuvant is a nucleotide molecule encoding GM- CSF. In another embodiment, the adjuvant comprises a nucleotide molecule encoding GM-CSF. In another embodiment, the adjuvant is saponin QS21. In another embodiment, the adjuvant comprises saponin QS21. In another embodiment, the adjuvant is monophosphoryl lipid A. In another embodiment, the adjuvant comprises monophosphoryl lipid A. In another embodiment, the adjuvant is SBAS2. In another embodiment, the adjuvant comprises SBAS2. In another embodiment, the adjuvant is an unmethylated CpG-containing oligonucleotide. In another embodiment, the adjuvant comprises an unmethylated CpG-containing oligonucleotide. In another embodiment, the adjuvant is an immune- stimulating cytokine. In another embodiment, the adjuvant comprises an immune- stimulating cytokine. In another embodiment, the adjuvant is a nucleotide molecule encoding an immune-stimulating cytokine. In another embodiment, the adjuvant comprises a nucleotide molecule encoding an immune- stimulating cytokine. In another embodiment, the adjuvant is or comprises a quill glycoside. In another embodiment, the adjuvant is or comprises a bacterial mitogen. In another embodiment, the adjuvant is or comprises a
bacterial toxin. In another embodiment, the adjuvant is or comprises any other adjuvant known in the art.
[0071] In one embodiment, disclosed herein is a nucleic acid molecule that encodes the adjuvant of the present disclosure. In another embodiment, the nucleic acid molecule is used to transform the Listeria in order to arrive at a recombinant Listeria. In another embodiment, the nucleic acid disclosed herein used to transform Listeria lacks a virulence gene. In another embodiment, the nucleic acid molecule integrated into the Listeria genome carries a non-functional virulence gene. In another embodiment, the Listeria comprises a mutation in a virulence gene. In yet another embodiment, the nucleic acid molecule is used to inactivate a gene (e.g. metabolic, virulence gene, or any other gene) present in the Listeria genome. In yet another embodiment, the virulence gene disclosed herein is an actA gene, an inlA gene, an inlB gene, an inlC gene or a prfA gene. As will be understood by a skilled artisan, the virulence gene can be any gene known in the art to be associated with virulence in the recombinant Listeria.
[0072] In one embodiment, the metabolic gene, the virulence gene, etc. is lacking in a chromosome of the Listeria strain. In another embodiment, the metabolic gene, virulence gene, etc., or a fragment thereof is lacking in the chromosome and in any episomal genetic element of the Listeria strain. In another embodiment, the metabolic gene, virulence gene, etc., or a fragment thereof is lacking in the genome of the virulence strain. In one embodiment, the virulence gene is mutated in the chromosome. In another embodiment, the virulence gene is deleted from the chromosome. In another embodiment, the virulence gene is inactivated in the chromosome. In another embodiment, the virulence gene is not expressed.
[0073] In another embodiment, the nucleic acids and plasmids disclosed herein do not confer antibiotic resistance upon the recombinant Listeria.
[0074] "Nucleic acid molecule" refers, in another embodiment, to a plasmid. In another embodiment, the term refers to an integration vector. In another embodiment, the term refers to a plasmid comprising an integration vector. In another embodiment, the integration vector is a site- specific integration vector. In another embodiment, a nucleic acid molecule of methods and compositions of the present disclosure are composed of any type of nucleotide known in the art.
[0075] "Metabolic enzyme" refers, in another embodiment, to an enzyme involved in synthesis of a nutrient required by the host bacteria. In another embodiment, the term refers to an enzyme required for synthesis of a nutrient required by the host bacteria. In another embodiment, the term refers to an enzyme involved in synthesis of a nutrient utilized by the host bacteria. In another embodiment, the term refers to an enzyme involved in synthesis of a nutrient required for
sustained growth of the host bacteria. In another embodiment, the enzyme is required for synthesis of the nutrient.
[0076] "Stably maintained" refers, in another embodiment, to maintenance of a nucleic acid molecule or plasmid in the absence of selection (e.g. antibiotic selection) for 10 generations, without detectable loss. In another embodiment, the period is 15 generations. In another embodiment, the period is 20 generations. In another embodiment, the period is 25 generations. In another embodiment, the period is 30 generations. In another embodiment, the period is 40 generations. In another embodiment, the period is 50 generations. In another embodiment, the period is 60 generations. In another embodiment, the period is 80 generations. In another embodiment, the period is 100 generations. In another embodiment, the period is 150 generations. In another embodiment, the period is 200 generations. In another embodiment, the period is 300 generations. In another embodiment, the period is 500 generations. In another embodiment, the period is more than generations. In another embodiment, the nucleic acid molecule or plasmid is maintained stably in vitro (e.g. in culture). In another embodiment, the nucleic acid molecule or plasmid is maintained stably in vivo. In another embodiment, the nucleic acid molecule or plasmid is maintained stably both in vitro and in vitro.
[0077] In another embodiment, the metabolic enzyme of the methods and compositions disclosed herein is an amino acid metabolism enzyme, where, in another embodiment, the metabolic enzyme is an alanine racemase enzyme. In another embodiment, the metabolic enzyme is a D-amino acid transferase enzyme. In another embodiment, the metabolic enzyme catalyzes a formation of an amino acid used for a cell wall synthesis in the recombinant Listeria strain, where in another embodiment the metabolic enzyme is an alanine racemase enzyme.
[0078] In another embodiment, the gene encoding the metabolic enzyme is expressed under the control of the Listeria p60 promoter. In another embodiment, the MA (encodes internalin) promoter is used. In another embodiment, the hly promoter is used. In another embodiment, the ActA promoter is used. In another embodiment, the integrase gene is expressed under the control of any other gram positive promoter. In another embodiment, the gene encoding the metabolic enzyme is expressed under the control of any other promoter that functions in Listeria. The skilled artisan will appreciate that other promoters or polycistronic expression cassettes may be used to drive the expression of the gene.
[0079] The LLO utilized in the methods and compositions disclosed herein is, in one embodiment, a Listeria LLO. In one embodiment, the Listeria from which the LLO is derived is Listeria monocytogenes (Lm). In another embodiment, the Listeria is Listeria ivanovii. In
another embodiment, the Listeria is Listeria welshimeri. In another embodiment, the Listeria is Listeria seeligeri.
[0080] In one embodiment, a recombinant Listeria disclosed herein comprises a nucleic acid encoding an LLO fused to an antigen. In another embodiment, the nucleic acid encodes LLO alone (not fused to an antigen).
[0081] In one embodiment, the LLO protein is encoded by the following nucleic acid sequence set forth in (SEQ ID NO: 1).
[0082] atgaaaaaaataatgctagtttttattacacttatattagttagtctaccaattgcgcaacaaactgaagcaaaggatgcatctgcatt caataaagaaaattcaatttcatccatggcaccaccagcatctccgcctgcaagtcctaagacgccaatcgaaaagaaacacgcggatgaa atcgataagtatatacaaggattggattacaataaaaacaatgtattagtataccacggagatgcagtgacaaatgtgccgccaagaaaaggt tacaaagatggaaatgaatatattgttgtggagaaaaagaagaaatccatcaatcaaaataatgcagacattcaagttgtgaatgcaatttcga gcctaacctatccaggtgctctcgtaaaagcgaattcggaattagtagaaaatcaaccagatgttctccctgtaaaacgtgattcattaacactc agcattgatttgccaggtatgactaatcaagacaataaaatagttgtaaaaaatgccactaaatcaaacgttaacaacgcagtaaatacattagt ggaaagatggaatgaaaaatatgctcaagcttatccaaatgtaagtgcaaaaattgattatgatgacgaaatggcttacagtgaatcacaatta attgcgaaatttggtacagcatttaaagctgtaaataatagcttgaatgtaaacttcggcgcaatcagtgaagggaaaatgcaagaagaagtc attagttttaaacaaatttactataacgtgaatgttaatgaacctacaagaccttccagatttttcggcaaagctgttactaaagagcagttgcaag cgcttggagtgaatgcagaaaatcctcctgcatatatctcaagtgtggcgtatggccgtcaagtttatttgaaattatcaactaattcccatagta ctaaagtaaaagctgcttttgatgctgccgtaagcggaaaatctgtctcaggtgatgtagaactaacaaatatcatcaaaaattcttccttcaaa gccgtaatttacggaggttccgcaaaagatgaagttcaaatcatcgacggcaacctcggagacttacgcgatattttgaaaaaaggcgctac ttttaatcgagaaacaccaggagttcccattgcttatacaacaaacttcctaaaagacaatgaattagctgttattaaaaacaactcagaatatat tgaaacaacttcaaaagcttatacagatggaaaaattaacatcgatcactctggaggatacgttgctcaattcaacatttcttgggatgaagtaa attatgatctcgag (SEQ ID NO: 1).
[0083] In another embodiment, the LLO protein has the sequence SEQ ID NO: 2
[0084] M K K I M L V F I T L I L V S L P I A Q Q T E A K D A S A F N K E N S I S S M A P P A S P P A S P K T P I E K K H A D E I D K Y I Q G L D Y N K N N V L V Y H G D A V T N V P P R K G Y K D G N E Y I V V E K K K K S I N Q N N A D I Q V V N A I S S L T Y P G A L V K A N S E L V E N Q P D V L P V K R D S L T L S I D L P G M T N Q D N K I V V K N A T K S N V N N A V N T L V E R W N E K Y A Q A Y P N V S A K I D Y D D E M A Y S E S Q L I A K F G T A F K A V N N S L N V N F G A I S E G K M Q E E V I S F K Q I Y Y N V N V N E P T R P S R F F G K A V T K E Q L Q A L G V N A E N P P A Y I S S V A Y G R Q V Y L K L S T N S H S T K V K A A F D A A V S G K S V S G D V E L
T N I I K N S S F K A V I Y G G S A K D E V Q I I D G N L G D L R D I L K K G A T F N R E T P G V P I A Y T T N F L K D N E L A V I K N N S E Y I E T T S K A Y T D G K I N I D H S G G Y V A Q F N I S W D E V N Y D L (SEQ ID NO: 2)
[0085] In another embodiment, the LLO protein has the sequence SEQ ID NO: 3:
[0086] MKKIMLVFITLILVSLPIAQQTEAKDASAFNKENSISSMAPPASPPASPKTPIEKK HADEIDKYIQGLDYNKNNVLVYHGDAVTNVPPRKGYKDGNEYIVVEKKKKSINQNNA DIQVVNAISSLTYPGALVKANSELVENQPDVLPVKRDSLTLSIDLPGMTNQDNKIVVKN ATKS NVNN A VNTLVERWNEKY AQ A YPN VS ΑΚΠ3 YDDEM A YS ES QLIAKFGT AFKA V NNS LNVNFG AIS EGKMQEE VIS FKQIYYNVN VNEPTRPSRFFGKA VTKEQLQ ALGVNA ENPP A YIS S VA YGRQVYLKLS TNS HS TKVKAAFD A A VS GKS VS GD VELTNIIKNS SFKA VIYGGSAKDEVQIIDGNLGDLRDILKKGATFNRETPGVPIAYTTNFLKDNELAVIKNNSE YIETTS KA YTDGKINIDHS GG YV AQFNIS WDE VNYDPEGNErVQHKNWS ENNKS KLAH FTSSIYLPGNARNINVYAKECTGLAWEWWRTVIDDRNLPLVKNRNISrWGTTLYPKYS NKVDNPIE (GenBank Accession No. P13128; SEQ ID NO: 3)
[0087] The first 25 amino acids of the proprotein corresponding to the sequences of SEQ ID NO: 2 and SEQ ID NO: 3 are the signal sequence and are cleaved from LLO when it is secreted by the bacterium. In one embodiment, the full length active LLO protein is 504 residues long.
[0088] In another embodiment, the LLO protein has an amino acid sequence encoded by the sequences set forth in GenBank Accession No. DQ054588, DQ054589, AY878649, U25452n another embodiment, the LLO protein is a variant of an LLO protein. In another embodiment, the LLO protein is a homologue of an LLO protein.
[0089] In another embodiment, the LLO protein is a variant of an LLO protein. In another embodiment, the LLO protein is a homologue of an LLO protein.
[0090] In another embodiment, "truncated LLO" or "tLLO" refers to a fragment of LLO that comprises the PEST amino acid sequence domain. In another embodiment, the terms refer to an LLO fragment that does not contain the activation domain at the amino terminus and does not include cystine 484. In another embodiment, the LLO fragment consists of a PEST sequence. In another embodiment, the LLO fragment comprises a PEST sequence. In another embodiment, the LLO fragment consists of about the first 400 to 441 amino acids of the 529 amino acid full- length LLO protein. In another embodiment, the LLO fragment is a non-hemolytic form of the LLO protein.
[0091] In another embodiment, the N- terminal fragment of an LLO protein utilized in
compositions and methods of the present disclosure has the sequence:
[0092] MKKIMLVFITLILVSLPIAQQTEAKDASAFNKENSISSVAPPASPPASPKTPIEKKH
ADEIDKYIQGLDYNKNNVLVYHGDAVTNVPPRKGYKDGNEYrVVEKKKKSINQNNAD
IQVVNAISSLTYPGALVKANSELVENQPDVLPVKRDSLTLSIDLPGMTNQDNKrVVKNA
TKSNVNNAVNTLVERWNEKYAQAYSNVSAKIDYDDEMAYSESQLIAKFGTAFKAVN
NSLNVNFGAISEGKMQEEVISFKQrYYNVNVNEPTRPSRFFGKAVTKEQLQALGVNAE
NPP A YIS S VA YGRQVYLKLS TNS HS TKVKAAFD A A VS GKS VS GD VELTNIIKNS SFKA V
IYGGS AKDE VQIIDGNLGDLRDILKKG ATFNRETPG VPIA YTTNFLKDNELA VIKNNS E Y
IETTS KA YTDGKINIDHS GGY VAQFNIS WDE VN YD (SEQ ID NO: 4).
[0093] In another embodiment, the LLO fragment corresponds to about AA 20-442 of an LLO protein utilized herein.
[0094] In another embodiment, the LLO fragment has the sequence:
[0095] MKKIMLVFITLILVSLPIAQQTEAKDASAFNKENSISSVAPPASPPASPKTPIEKKH ADEIDKYIQGLDYNKNNVLVYHGDAVTNVPPRKGYKDGNEYIVVEKKKKSINQNNAD IQVVNAISSLTYPGALVKANSELVENQPDVLPVKRDSLTLSIDLPGMTNQDNKIVVKNA TKSNVNNAVNTLVERWNEKYAQAYSNVSAKIDYDDEMAYSESQLIAKFGTAFKAVN NSLNVNFGAISEGKMQEEVISFKQrYYNVNVNEPTRPSRFFGKAVTKEQLQALGVNAE NPP A YIS S VA YGRQVYLKLS TNS HS TKVKAAFD A A VS GKS VS GD VELTNIIKNS SFKA V IYGGS AKDE VQIIDGNLGDLRDILKKG ATFNRETPG VPIA YTTNFLKDNELA VIKNNS E Y IETTS KAYTD (SEQ ID NO: 5).
[0096] In another embodiment, "truncated LLO" or "ALLO" refers to a fragment of LLO that comprises the PEST sequence domain. In another embodiment, the terms refer to an LLO fragment that comprises a PEST sequence.
[0097] In another embodiment, the terms refer to an LLO fragment that does not contain the activation domain at the amino terminus and does not include cysteine 484. In another embodiment, the terms refer to an LLO fragment that is not hemolytic. In another embodiment, the LLO fragment is rendered non-hemolytic by deletion or mutation of the activation domain. In another embodiment, the LLO fragment is rendered non-hemolytic by deletion or mutation of cysteine 484. In another embodiment, the LLO fragment is rendered non-hemolytic by deletion or mutation at another location. In another embodiment, the LLO is rendered non-hemolytic by a deletion or mutation of the cholesterol binding domain (CBD) as detailed in US Patent No. 8,771,702, which is incorporated by reference herein.
[0098] In another embodiment, the LLO fragment consists of about the first 441 AA of the LLO
protein. In another embodiment, the LLO fragment consists of about the first 420 AA of LLO. In another embodiment, the LLO fragment is a non-hemolytic form of the LLO protein.
[0099] In another embodiment, the LLO fragment consists of about residues 1-25. In another embodiment, the LLO fragment consists of about residues 1-50. In another embodiment, the LLO fragment consists of about residues 1-75. In another embodiment, the LLO fragment consists of about residues 1-100. In another embodiment, the LLO fragment consists of about residues 1-125. In another embodiment, the LLO fragment consists of about residues 1-150. In another embodiment, the LLO fragment consists of about residues 1175. In another embodiment, the LLO fragment consists of about residues 1-200. In another embodiment, the LLO fragment consists of about residues 1-225. In another embodiment, the LLO fragment consists of about residues 1-250. In another embodiment, the LLO fragment consists of about residues 1-275. In another embodiment, the LLO fragment consists of about residues 1-300. In another embodiment, the LLO fragment consists of about residues 1-325. In another embodiment, the LLO fragment consists of about residues 1-350. In another embodiment, the LLO fragment consists of about residues 1-375. In another embodiment, the LLO fragment consists of about residues 1-400. In another embodiment, the LLO fragment consists of about residues 1-425.
[00100] In another embodiment, the LLO fragment contains residues of a homologous LLO protein that correspond to one of the above AA ranges. The residue numbers need not, in another embodiment, correspond exactly with the residue numbers enumerated above; e.g. if the homologous LLO protein has an insertion or deletion, relative to an LLO protein utilized herein, then the residue numbers can be adjusted accordingly. In another embodiment, the LLO fragment is any other LLO fragment known in the art.
[00101] In another embodiment, a homologous LLO refers to identity to an LLO sequence (e.g. to one of SEQ ID No: 2-5) of greater than 70%. In another embodiment, a homologous LLO refers to identity to one of SEQ ID No: 2-5 of greater than 72%. In another embodiment, a homologous LLO refers to identity to one of SEQ ID No: 2-5of greater than 75%. In another embodiment, a homologous LLO refers to identity to one of SEQ ID No: 2-5 of greater than 78%. In another embodiment, a homologous LLO refers to identity to one of SEQ ID No: 2-5 of greater than 80%. In another embodiment, a homologous LLO refers to identity to one of SEQ ID No: 2-5 of greater than 82%. In another embodiment, a homologous LLO refers to identity to one of SEQ ID No: 2-5 of greater than 83%. In another embodiment, a homologous LLO refers to identity to one of SEQ ID No: 2-5 of greater than 85%. In another embodiment, a homologous LLO refers to identity to one of SEQ ID No: 2-5 of greater than 87%. In another embodiment, a
homologous LLO refers to identity to one of SEQ ID No: 2-5 of greater than 88%. In another embodiment, a homologous LLO refers to identity to one of SEQ ID No: 2-5 of greater than 90%. In another embodiment, a homologous LLO refers to identity to one of SEQ ID No: 2-5 of greater than 92%. In another embodiment, a homologous LLO refers to identity to one of SEQ ID No: 2-5 of greater than 93%. In another embodiment, a homologous LLO refers to identity to one of SEQ ID No: 2-5 of greater than 95%. In another embodiment, a homologous LLO refers to identity to one of SEQ ID No: 2-5 of greater than 96%. In another embodiment, a homologous LLO refers to identity to one of SEQ ID No: 2-5 of greater than 97%. In another embodiment, a homologous LLO refers to identity to one of SEQ ID No: 2-5 of greater than 98%. In another embodiment, a homologous LLO refers to identity to one of SEQ ID No: 2-5 of greater than 99%. In another embodiment, a homologous LLO refers to identity to one of SEQ ID No: 2-5 of 100%.
[00102] In one embodiment, a live attenuated recombinant Listeria disclosed herein expresses an ActA protein or a fragment thereof. In another embodiment of the methods and compositions of the present disclosure, a fragment of an ActA protein is fused to a heterologous antigen or a fragment thereof also disclosed herein. In another embodiment, the truncated ActA protein is not fused to an antigen.
[00103] In another embodiment, a recombinant nucleotide encoding a truncated ActA protein disclosed herein comprises SEQ ID NO: 6:
[00104] Atgcgtgcgatgatggtggttttcattactgccaattgcattacgattaaccccgacataatatttgcagcgacagatagcgaa gattctagtctaaacacagatgaatgggaagaagaaaaaacagaagagcaaccaagcgaggtaaatacgggaccaagatacgaaactg cacgtgaagtaagttcacgtgatattaaagaactagaaaaatcgaataaagtgagaaatacgaacaaagcagacctaatagcaatgttgaaa gaaaaagcagaaaaaggtccaaatatcaataataacaacagtgaacaaactgagaatgcggctataaatgaagaggcttcaggagccgac cgaccagctatacaagtggagcgtcgtcatccaggattgccatcggatagcgcagcggaaattaaaaaaagaaggaaagccatagcatca tcggatagtgagcttgaaagccttacttatccggataaaccaacaaaagtaaataagaaaaaagtggcgaaagagtcagttgcggatgcttc tgaaagtgacttagattctagcatgcagtcagcagatgagtcttcaccacaacctttaaaagcaaaccaacaaccatttttccctaaagtattta aaaaaataaaagatgcggggaaatgggtacgtgataaaatcgacgaaaatcctgaagtaaagaaagcgattgttgataaaagtgcagggtt aattgaccaattattaaccaaaaagaaaagtgaagaggtaaatgcttcggacttcccgccaccacctacggatgaagagttaagacttgcttt gccagagacaccaatgcttcttggttttaatgctcctgctacatcagaaccgagctcattcgaatttccaccaccacctacggatgaagagtta agacttgctttgccagagacgccaatgcttcttggttttaatgctcctgctacatcggaaccgagctcgttcgaatttccaccgcctccaacaga agatgaactagaaatcatccgggaaacagcatcctcgctagattctagttttacaagaggggatttagctagtttgagaaatgctattaatcgc catagtcaaaatttctctgatttcccaccaatcccaacagaagaagagttgaacgggagaggcggtagacca (SEQ ID NO: 6). In another embodiment, the recombinant nucleotide has the sequence set forth in SEQ ID NO: 6. In
another embodiment, the recombinant nucleotide comprises any other sequence that encodes a fragment of an ActA protein.
[00105] In one embodiment, an ActA protein comprises SEQ ID NO: 7
[00106] MGLNRFMRAMMVVFITANCITINPDIIFAATDSEDSSLNTDEWEEEKTEEQPS E VNTGPRYET ARE VS SRDIKELEKS NKVRNTNKADLIAMLKEKAEKGPNINNNNS EQT ENAAINEE AS GADRPAIQ VERRHPGLPS DS AAEIKKRRKAIAS S DS ELES LT YPDKPTKV NKKKVAKESVADASESDLDSSMQSADESSPQPLKANQQPFFPKVFKKIKDAGKWVRD KIDENPEVKKAIVDKSAGLIDQLLTKKKSEEVNASDFPPPPTDEELRLALPETPMLLGFN APATSEPSSFEFPPPPTDEELRLALPETPMLLGFNAPATSEPSSFEFPPPPTEDELEIIRETA S SLDS S FTRGDLAS LRN AINRHS QNFS DFPPIPTEEELNGRGGRPTSEEFS S LNS GDFTDD ENSETTEEEIDRLADLRDRGTGKHSRNAGFLPLNPFASSPVPSLSPKVSKISDRALISDIT KKTPFKNPSQPLNVFNKKTTTKTVTKKPTPVKTAPKLAELPATKPQETVLRENKTPFIE KQAETNKQSINMPSLPVIQKEATESDKEEMKPQTEEKMVEESESANNANGKNRSAGIE EGKLIAKSAEDEKAKEEPGNHTTLILAMLAIGVFSLGAFIKIIQLRKNN (SEQ ID NO: 7). In another embodiment, an ActA protein comprises SEQ ID NO: 7. The first 29 AA of the proprotein corresponding to this sequence are the signal sequence and are cleaved from ActA protein when it is secreted by the bacterium. In one embodiment, an ActA polypeptide or peptide comprises the signal sequence, AA 1-29 of SEQ ID NO: 7 above. In another embodiment, an ActA polypeptide or peptide does not include the signal sequence, AA 1-29 of SEQ ID NO: 7 above.
[00107] In another embodiment, an ActA protein comprises SEQ ID NO: 8
[00108] MGLNRFM R A M M V V F I T A N C I T I N P D I I F A A T D
S E D S S L N T D E W E E E K T E E Q P S E V N T G P R Y E T A R E
V S S R D I E E L E K S N K V K N T N K A D L I A M L K A K A E K G P N N N N N N G E Q T G N V A I N E E A S G V D R P T L Q V E R R H P G L S S D S A A E I K K R R K A I A S S D S E L E S L T Y P D K P T K A N K R K V A K E S V V D A S E S D L D S S M Q S A D E S T P Q P L K A N Q K P F F P K V F K K I K D A G K W V R D K I D E N P E V K K A I V D K S A G L I D Q L L T K K K S E E V N A S D F P P P P T D E E L R L A L P E T P M L L G F N A P T P S E P S S F E F P P P P T D E E L R L A L P E T P M L L G F N A P A T S E P S S F E F P P P P T E D E L E I M R E T A P S L D S S F T S G D L A S L R S A I N R H S E N F S D F P P I P T E E E L N G R G G R P T S E E F S S L N S G D F
T D D E N S E T T E E E I D R L A D L R D R G T G K H S R N A G F L P L N P F I S S P V P S L T P K V P K I S A P A L I S D I T K K A P F K N P S Q P L N V F N K K T T T K T V T K K P T P V K T A P K L A E L P A T K P Q E T V L R E N K T P F I E K Q A E T N K Q S I N M P S L P V I Q K E A T E S D K E E M K P Q T E E K M V E E S E S A N N A N G K N R S A G I E E G K L I A K S A E D E K A K E E P G N H T T L I L A M L A I G V F S L G A F I K I I Q L R K N N (SEQ ID NO: 8). The first 29 AA of the proprotein corresponding to this sequence are the signal sequence and are cleaved from ActA protein when it is secreted by the bacterium. In one embodiment, an ActA polypeptide or peptide comprises the signal sequence, AA 1-29 of SEQ ID NO: 8. In another embodiment, an ActA polypeptide or peptide does not include the signal sequence, AA 1-29 of SEQ ID NO: 8.
[00109] In another embodiment, a truncated ActA protein comprises SEQ ID NO: 9:
[00110] MGLNRFMRAMMVVFITANCITINPDIIFAATDSEDSSLNTDEWEEEKTEEQPS EVNTGPRYETAREVSSRDIKELEKSNKVRNTNKADLIAMLKEKAEKG (SEQ ID NO: 9).
[00111] In another embodiment, the ActA fragment is any other ActA fragment known in the art.
[00112] In one embodiment, a truncated ActA protein comprises SEQ ID NO: 10
[00113] MRAMMVVFITANCITINPDIIFAATDSEDSSLNTDEWEEEKTEEQPSEVNTGP RYET ARE VS S RDIKELEKS NKVRNTNKADLIAMLKEKAEKGPNINNNNSEQTEN AAINE E AS G ADRP AIQ VERRHPGLPS DS AAEIKKRRKAIAS S DS ELES LT YPDKPTKVNKKKV A KESVADASESDLDSSMQSADESSPQPLKANQQPFFPKVFKKIKDAGKWVRDKIDENPE VKKArVDKSAGLIDQLLTKKKSEEVNASDFPPPPTDEELRLALPETPMLLGFNAPATSEP SSFEFPPPPTDEELRLALPETPMLLGFNAPATSEPSSFEFPPPPTEDELEIIRETASSLDSSFT RGDLAS LRNAINRHS QNFS DFPPIPTEEELNGRGGRP (SEQ ID NO: 10).
[00114] In another embodiment, a truncated ActA protein comprises SEQ ID NO: 11: MGLNRFMRAMM VVFIT ANCmNPDIIFA ATDS EDS S LNTDEWEEEKTEEQPS E
VNTGPRYETAREVSSRDIKELEKSNKVRNTNKADLIAMLKEKAEKG (SEQ ID NO: 11).
[00115] In another embodiment, a truncated ActA protein comprises SEQ ID NO: 12
[00116] A T D S E D S S L N T D E W E E E K T E E Q P S E V N T G P R Y E T A R E V S S R D I E E L E K S N K V K N T N K A D L I A M L K A K A E K G P N N N N N N G E Q T G N V A I N E E A S G (SEQ ID NO: 12). In another embodiment, a truncated ActA as set forth in SEQ ID NO: 12 is referred to
as ActA/PESTl. In another embodiment, a truncated ActA comprises from the first 30 to amino acid 122 of the full length ActA sequence. In another embodiment, SEQ ID NO: 12 comprises from the first 30 to amino acid 122 of the full length ActA sequence. In another embodiment, a truncated ActA comprises from the first 30 to amino acid 122 of SEQ ID NO: 8. In another embodiment, SEQ ID NO: 12 comprises from the first 30 to amino acid 122 of SEQ ID NO: 8.
[00117] In another embodiment, a truncated ActA protein comprises SEQ ID NO: 13
[00118] A T D S E D S S L N T D E W E E E K T E E Q P S E V N T G P R Y E T A R E V S S R D I E E L E K S N K V K N T N K A D L I A M L K A K A E K G P N N N N N N G E Q T G N V A I N E E A S G V D R P T L Q V E R R H P G L S S D S A A E I K K R R K A I A S S D S E L E S L T Y P D K P T K A N K R K V A K E S V V D A S E S D L D S S M Q S A D E S T P Q P L K A N Q K P F F P K V F K K I K D A G K W V R D
K (SEQ ID NO: 13). In another embodiment, a truncated ActA as set forth in SEQ ID NO: 13 is referred to as ActA/PEST2. In another embodiment, a truncated ActA comprises from amino acid 30 to amino acid 229 of the full length ActA sequence. In another embodiment, SEQ ID NO: 14 comprises from about amino acid 30 to about amino acid 229 of the full length ActA sequence. In another embodiment, a truncated ActA comprises from about amino acid 30 to amino acid 229 of SEQ ID NO: 8. In another embodiment, SEQ ID NO: 13 comprises from amino acid 30 to amino acid 229 of SEQ ID NO: 8.
[00119] In another embodiment, a truncated ActA protein comprises SEQ ID NO: 14
[00120] A T D S E D S S L N T D E W E E E K T E E Q P S E V N T G P R Y E T A R E V S S R D I E E L E K S N K V K N T N K A D L I A M L K A K A E K G P N N N N N N G E Q T G N V A I N E E A S G V D R P T L Q V E R R H P G L S S D S A A E I K K R R K A I A S S D S E L E S L T Y P D K P T K A N K R K V A K E S V V D A S E S D L D S S M Q S A D E S T P Q P L K A N Q K P F F P K V F K K I K D A G K W V R D K I D E N P E V K K A I V D K S A G L I D Q L L T K K K S E E V N A S D F P P P P T D E E L R L A L P E T P M L L G F N A P T P S E P S S F E F P P P P T D E E L R L A L P E T P M L L G F N A P A T S E P S S
(SEQ ID NO: 14). In another embodiment, a truncated ActA as set forth in SEQ ID NO: 14 is referred to as ActA/PEST3. In another embodiment, this truncated ActA comprises from the first 30 to amino acid 332 of the full length ActA sequence. In another embodiment, SEQ ID NO: 14 comprises from the first 30 to amino acid 332 of the full length ActA sequence. In another
embodiment, a truncated ActA comprises from about the first 30 to amino acid 332 of SEQ ID NO: 8. In another embodiment, SEQ ID NO: 14 comprises from the first 30 to amino acid 332 of SEQ ID NO: 8.
[00121] In another embodiment, a truncated ActA protein comprises SEQ ID NO: 15
[00122] A T D S E D S S L N T D E W E E E K T E E Q P S E V N T G P Pv Y E T A R E V S S Pv D I E E L E K S N K V K N T N K A D L I A M L K A K A E K G P N N N N N N G E Q T G N V A I N E E A S G V D R P T L Q V E R R H P G L S S D S A A E I K K R R K A I A S S D S E L E S L T Y P D K P T K A N K R K V A K E S V V D A S E S D L D S S M Q S A D E S T P Q P L K A N Q K P F F P K V F K K I K D A G K W V R D K I D E N P E V K K A I V D K S A G L I D Q L L T K K K S E E V N A S D F P P P P T D E E L R L A L P E T P M L L G F N A P T P S E P S S F E F P P P P T D E E L R L A L P E T P M L L G F N A P A T S E P S S F E F P P P P T E D E L E I M R E T A P S L D S S F T S G D L A S L R S A I N R H S E N F S D F P L I P T E E E L N G R G G R P T S E (SEQ ID NO: 15). In another embodiment, a truncated ActA as set forth in SEQ ID NO: 15 is referred to as ActA/PEST4. In another embodiment, this truncated ActA comprises from the first 30 to amino acid 399 of the full length ActA sequence. In another embodiment, SEQ ID NO: 15 comprises from the first 30 to amino acid 399 of the full length ActA sequence. In another embodiment, a truncated ActA comprises from the first 30 to amino acid 399 of SEQ ID NO: 8. In another embodiment, SEQ ID NO: 15 comprises from the first 30 to amino acid 399 of SEQ ID NO: 8.
[00123] In another embodiment, a truncated ActA sequence disclosed herein is further fused to an hly signal peptide at the N-terminus. In another embodiment, the truncated ActA fused to hly signal peptide comprises SEQ ID NO: 16
[00124] M K K I M L V F I T L I L V S L P I A Q Q T E A S R A T D S E D S S L N T D E W E E E K T E E Q P S E V N T G P R Y E T A R E V S S R DI E E L E K S N K V K N T N K A D L I A M L K A K A E K G P N N N N N N G E Q T G N V A I N E E A S G V D R P T L Q V E R R H P G L S SD SA A E I K K R R K A I A S S D S E L E S L T Y P D K P T K A N K R K V A K E S V V D A S E S D L D S S M Q S A D E S T P Q P L K A N Q K P F F P K V F K K I K D A G K W V R D K. In another embodiment, a truncated ActA as set forth in SEQ ID NO: 16 is referred to as LA229.
[00125] In another embodiment, a truncated ActA fused to hly signal peptide is encoded by a sequence comprising SEQ ID NO: 17
Atgaaaaaaataatgctagtttttattacacttatattagttagtctaccaattgcgcaacaaactgaagcatctagagcgacagatagcgaag attccagtctaaacacagatgaatgggaagaagaaaaaacagaagagcagccaagcgaggtaaatacgggaccaagatacgaaactgc acgtgaagtaagttcacgtgatattgaggaactagaaaaatcgaataaagtgaaaaatacgaacaaagcagacctaatagcaatgttgaaa gcaaaagcagagaaaggtccgaataacaataataacaacggtgagcaaacaggaaatgtggctataaatgaagaggcttcaggagtcga ccgaccaactctgcaagtggagcgtcgtcatccaggtctgtcatcggatagcgcagcggaaattaaaaaaagaagaaaagccatagcgtc gtcggatagtgagcttgaaagccttacttatccagataaaccaacaaaagcaaataagagaaaagtggcgaaagagtcagttgtggatgctt ctgaaagtgacttagattctagcatgcagtcagcagacgagtctacaccacaacctttaaaagcaaatcaaaaaccatttttccctaaagtattt aaaaaaataaaagatgcggggaaatgggtacgtgataaa (SEQ ID NO: 17). In another embodiment, SEQ ID NO: 17 comprises a sequence encoding a linker region (see bold, italic text) that is used to create a unique restriction enzyme site for Xbal so that different polypeptides, heterologous antigens, etc. can be cloned after the signal sequence. Hence, it will be appreciated by a skilled artisan that signal peptidases act on the sequences before the linker region to cleave signal peptide.
[00126] In another embodiment, the recombinant nucleotide encoding a truncated ActA protein comprises the sequence set forth in SEQ ID NO: 18.
[00127] atgcgtgcgatgatggtggttttcattactgccaattgcattacgattaaccccgacataatatttgcagcgacagatagcgaa gattctagtctaaacacagatgaatgggaagaagaaaaaacagaagagcaaccaagcgaggtaaatacgggaccaagatacgaaactg cacgtgaagtaagttcacgtgatattaaagaactagaaaaatcgaataaagtgagaaatacgaacaaagcagacctaatagcaatgttgaaa gaaaaagcagaaaaaggtccaaatatcaataataacaacagtgaacaaactgagaatgcggctataaatgaagaggcttcaggagccgac cgaccagctatacaagtggagcgtcgtcatccaggattgccatcggatagcgcagcggaaattaaaaaaagaaggaaagccatagcatca tcggatagtgagcttgaaagccttacttatccggataaaccaacaaaagtaaataagaaaaaagtggcgaaagagtcagttgcggatgcttc tgaaagtgacttagattctagcatgcagtcagcagatgagtcttcaccacaacctttaaaagcaaaccaacaaccatttttccctaaagtattta aaaaaataaaagatgcggggaaatgggtacgtgataaaatcgacgaaaatcctgaagtaaagaaagcgattgttgataaaagtgcagggtt aattgaccaattattaaccaaaaagaaaagtgaagaggtaaatgcttcggacttcccgccaccacctacggatgaagagttaagacttgcttt gccagagacaccaatgcttcttggttttaatgctcctgctacatcagaaccgagctcattcgaatttccaccaccacctacggatgaagagtta agacttgctttgccagagacgccaatgcttcttggttttaatgctcctgctacatcggaaccgagctcgttcgaatttccaccgcctccaacaga agatgaactagaaatcatccgggaaacagcatcctcgctagattctagttttacaagaggggatttagctagtttgagaaatgctattaatcgc catagtcaaaatttctctgatttcccaccaatcccaacagaagaagagttgaacgggagaggcggtagacca (SEQ ID NO: 18).
[00128] In another embodiment, the recombinant nucleotide has the sequence set forth in SEQ ID NO: 18. In another embodiment, the recombinant nucleotide comprises other sequences that encode a fragment of an ActA protein.
[00129] In another embodiment, a truncated ActA protein is a fragment of an ActA protein. In
another embodiment, the truncated ActA protein is an N- terminal fragment of an ActA protein. In another embodiment, the terms "truncated ActA," "N-terminal ActA fragment" or "AActA" are used interchangeably herein and refer to a fragment of ActA that comprises a PEST domain. In another embodiment, the terms refer to an ActA fragment that comprises a PEST sequence. In another embodiment, the terms refer to an immunogenic fragment of the ActA protein. In another embodiment, the terms refer to a truncated ActA fragment encoded by SEQ ID NO: 9-17 disclosed herein.
[00130] The N-terminal ActA protein fragment of methods and compositions of the present disclosure comprises, in one embodiment, a sequence selected from SEQ ID No: 9-16. In another embodiment, the ActA fragment comprises an ActA signal peptide. In another embodiment, the ActA fragment consists approximately of a sequence selected from SEQ ID NO: 9-16. In another embodiment, the ActA fragment consists essentially of a sequence selected from SEQ ID NO: 9-16. In another embodiment, the ActA fragment corresponds to a sequence selected from SEQ ID NO: 9-16. In another embodiment, the ActA fragment is homologous to a sequence selected from SEQ ID NO: 9-16.
[00131] In another embodiment, a PEST-sequence is any PEST-AA sequence derived from a prokaryotic organism. The PEST- sequence may be other PEST- sequences known in the art.
[00132] In another embodiment, an ActA fragment consists of about the first 100 AA of the wild-type ActA protein. In another embodiment, an ActA fragment consists of about the first 100 AA of an ActA protein disclosed herein.
[00133] In another embodiment, the ActA fragment consists of about residues 1-25, 1-50, 1- 75, 1-100, 1-125, 1-150, 1-175, 1-200, 1-225, 1-250, 1-275, 1-300, 1-325, 1-338, 1-350, 1-375, 1-400, 1-450, 1-500, 1-550, 1-600, 1-639. In another embodiment, the ActA fragment consists of about residues 30-100, 30-125, 30-150, 30-175, 30-200, 30-225, 30-250, 30-275, 30-300, 30- 325, 30-338, 30-350, 30-375, 30-400, 30-450, 30-500, 30-550, 30-600, or 30-604.
[00134] In another embodiment, an ActA fragment disclosed herein contains residues of a homologous ActA protein that correspond to one of the above AA ranges. The residue numbers need not, in another embodiment, correspond exactly with the residue numbers enumerated above; e.g. if the homologous ActA protein has an insertion or deletion, relative to an ActA protein utilized herein, then the residue numbers can be adjusted accordingly.
[00135] In another embodiment, a homologous ActA refers to identity of an ActA sequence (e.g. to one of SEQ ID NO: 6-18) of greater than 70%. In another embodiment, a homologous ActA refers to identity to one of SEQ ID NO: 6-18 of greater than 72%. In another embodiment,
a homologous refers to identity to one of SEQ ID No: 6-18 of greater than 75%. In another embodiment, a homologous refers to identity to one of SEQ ID NO: 6-18 of greater than 78%. In another embodiment, a homologous refers to identity to one of SEQ ID NO: 6-18 of greater than 80%. In another embodiment, a homologous refers to identity to one of SEQ ID NO: 6-18 of greater than 82%. In another embodiment, a homologous refers to identity to one of SEQ ID NO: 6-18 of greater than 83%. In another embodiment, a homologous refers to identity to one of SEQ ID NO: 6-18 of greater than 85%. In another embodiment, a homologous refers to identity to one of SEQ ID NO: 6-18 of greater than 87%. In another embodiment, a homologous refers to identity to one of SEQ ID NO: 6-18 of greater than 88%. In another embodiment, a homologous refers to identity to one of SEQ ID NO: 6-18 of greater than 90%. In another embodiment, a homologous refers to identity to one of SEQ ID NO: 6-18 of greater than 92%. In another embodiment, a homologous refers to identity to one of SEQ ID NO: 6-18 of greater than 93%. In another embodiment, a homologous refers to identity to one of SEQ ID NO: 6-18 of greater than 95%. In another embodiment, a homologous refers to identity to one of SEQ ID NO: 6-18 of greater than 96%. In another embodiment, a homologous refers to identity to one of SEQ ID NO: 6-18 of greater than 97%. In another embodiment, a homologous refers to identity to one of SEQ ID NO: 6-18 of greater than 98%. In another embodiment, a homologous refers to identity to one of SEQ ID NO: 6-18 of greater than 99%. In another embodiment, a homologous refers to identity to one of SEQ ID NO: 6-18 of 100%.
[00136] In another embodiment of methods and compositions of the present disclosure, a fragment of an ActA protein is fused to a heterologous antigen or fragment thereof. In another embodiment, the fragment of an ActA protein has the sequence as set forth in Genbank Accession No. AAF04762. In another embodiment, an ActA AA sequence of methods and compositions of the present disclosure comprises the sequence set forth in Genbank Accession No. AAF04762. In another embodiment, the ActA AA sequence is a homologue of Genbank Accession No. AAF04762. In another embodiment, the ActA AA sequence is a variant of Genbank Accession No. AAF04762. In another embodiment, the ActA AA sequence is a fragment of Genbank Accession No. AAF04762. In another embodiment, the ActA AA sequence is an isoform of Genbank Accession No. AAF04762.
[00137]
[00138]
[00139] In another embodiment, the ActA fragment is any other ActA fragment known in the art. In another embodiment, a recombinant nucleotide of the present disclosure comprises any
other sequence that encodes a fragment of an ActA protein. In another embodiment, the recombinant nucleotide comprises any other sequence that encodes an entire ActA protein.
[00140] In another embodiment, "truncated ActA" or "AActA" refers to a fragment of ActA that comprises the PEST sequence domain. In another embodiment, the terms refer to an ActA fragment that comprises a PEST sequence.
[00141] In another embodiment, the PEST amino acid (AA) sequence is another PEST AA sequence derived from a prokaryotic organism. In another embodiment, the PEST AA sequence is any other PEST AA sequence known in the art.
[00142] In another embodiment, the ActA fragment consists of about the first 100 AA of the ActA protein.
[00143] In another embodiment, the ActA fragment consists of about residues 1-25. In another embodiment, the ActA fragment consists of about residues 1-50. In another embodiment, the ActA fragment consists of about residues 1-75. In another embodiment, the ActA fragment consists of about residues 1-100. In another embodiment, the ActA fragment consists of about residues 1-125. In another embodiment, the ActA fragment consists of about residues 1-150. In another embodiment, the ActA fragment consists of about residues 1-175. In another embodiment, the ActA fragment consists of about residues 1-200. In another embodiment, the ActA fragment consists of about residues 1-225. In another embodiment, the ActA fragment consists of about residues 1-250. In another embodiment, the ActA fragment consists of about residues 1-275. In another embodiment, the ActA fragment consists of about residues 1-300. In another embodiment, the ActA fragment consists of about residues 1-325. In another embodiment, the ActA fragment consists of about residues 1-338. In another embodiment, the ActA fragment consists of about residues 1-350. In another embodiment, the ActA fragment consists of about residues 1-375. In another embodiment, the ActA fragment consists of about residues 1-400. In another embodiment, the ActA fragment consists of about residues 1-450. In another embodiment, the ActA fragment consists of about residues 1-500. In another embodiment, the ActA fragment consists of about residues 1-550. In another embodiment, the ActA fragment consists of about residues 1-600. In another embodiment, the ActA fragment consists of about residues 1-639. In another embodiment, the ActA fragment consists of about residues 30-100. In another embodiment, the ActA fragment consists of about residues 30-125. In another embodiment, the ActA fragment consists of about residues 30-150. In another embodiment, the ActA fragment consists of about residues 30-175. In another embodiment, the ActA fragment consists of about residues 30-200. In another embodiment, the ActA fragment
consists of about residues 30-225. In another embodiment, the ActA fragment consists of about residues 30-250. In another embodiment, the ActA fragment consists of about residues 30-275. In another embodiment, the ActA fragment consists of about residues 30-300. In another embodiment, the ActA fragment consists of about residues 30-325. In another embodiment, the ActA fragment consists of about residues 30-338. In another embodiment, the ActA fragment consists of about residues 30-350. In another embodiment, the ActA fragment consists of about residues 30-375. In another embodiment, the ActA fragment consists of about residues 30-400. In another embodiment, the ActA fragment consists of about residues 30-450. In another embodiment, the ActA fragment consists of about residues 30-500. In another embodiment, the ActA fragment consists of about residues 30-550. In another embodiment, the ActA fragment consists of about residues 1-600. In another embodiment, the ActA fragment consists of about residues 30-604.
[00144] In another embodiment, the ActA fragment contains residues of a homologous ActA protein that correspond to one of the above AA ranges. The residue numbers need not, in another embodiment, correspond exactly with the residue numbers enumerated above; e.g. if the homologous ActA protein has an insertion or deletion, relative to an ActA protein utilized herein, then the residue numbers can be adjusted accordingly. In another embodiment, the ActA fragment is any other ActA fragment known in the art.
[00145] In one embodiment, the live attenuated Listeria or recombinant Listeria disclosed herein expresses a PEST sequence peptide. In another embodiment of methods and compositions of the present disclosure, a PEST AA sequence is fused to the heterologous antigen or fragment. In another embodiment, the PEST AA sequence is
KENS IS S M APP ASPP ASPKTPIEKKH ADEIDK (SEQ ID NO: 19). In another embodiment, the PEST sequence is KENSISSMAPPASPPASPK (SEQ ID No: 20).
[00146] In another embodiment, the PEST AA sequence is a PEST sequence from a Listeria ActA protein. In another embodiment, the PEST sequence is KTEEQPSEVNTGPR (SEQ ID NO: 21), KASVTDTSEGDLDSSMQSADESTPQPLK (SEQ ID NO: 22), KNEEVNASDFPPPPTDEELR (SEQ ID NO: 23), or
PvGGIPTSEEFSSLNSGDFTDDENSETTEEEIDR (SEQ ID NO: 24). In another embodiment, the PEST AA sequence is a variant of the PEST sequence described hereinabove, which in one embodiment, is KESVVDASESDLDSSMQSADESTPQPLK (SEQ ID NO: 25, KSEE VNAS DFPPPPTDEELR (SEQ ID NO: 26), or
RGGRPTSEEFS S LNS GDFTDDENS ETTEEEIDR (SEQ ID NO: 27), as would be understood
by a skilled artisan. In another embodiment, the PEST AA sequence is from Listeria seeligeri cytolysin, encoded by the lso gene. In another embodiment, the PEST sequence is RSEVTISPAETPESPPATP (SEQ ID NO: 28). In another embodiment, the PEST sequence is from Streptolysin O protein of Streptococcus sp. In another embodiment, the PEST sequence is from Streptococcus pyogenes Streptolysin O, e.g. KQNTASTETTTTNEQPK (SEQ ID NO: 29) at AA 35-51. In another embodiment, the PEST AA sequence is from Streptococcus equisimilis Streptolysin O, e.g. KQNTANTETTTTNEQPK (SEQ ID NO: 30) at AA 38-54. In another embodiment, the PEST AA sequence has a sequence selected from SEQ ID NO: 19-30. In another embodiment, the PEST sequence is another PEST AA sequence derived from a prokaryotic organism.
[00147] Identification of PEST sequences is well known in the art, and is described, for example in Rogers S et al (Amino acid sequences common to rapidly degraded proteins: the PEST hypothesis. Science 1986; 234(4774):364-8) and Rechsteiner M et al (PEST sequences and regulation by proteolysis. Trends Biochem Sci 1996; 21(7):267-71). "PEST sequence" refers, in another embodiment, to a region rich in proline (P), glutamic acid (E), serine (S), and threonine (T) residues. In another embodiment, the PEST sequence is flanked by one or more clusters containing several positively charged amino acids. In another embodiment, the PEST sequence mediates rapid intracellular degradation of proteins containing it. In another embodiment, the PEST sequence fits an algorithm disclosed in Rogers et al. In another embodiment, the PEST sequence fits an algorithm disclosed in Rechsteiner et al. In another embodiment, the PEST sequence contains one or more internal phosphorylation sites, and phosphorylation at these sites precedes protein degradation.
[00148] In one embodiment, PEST sequences of prokaryotic organisms are identified in accordance with methods such as described by, for example Rechsteiner and Rogers (1996, Trends Biochem. Sci. 21:267-271) for Lm and in Rogers S et al (Science 1986; 234(4774):364- 8). Alternatively, PEST AA sequences from other prokaryotic organisms can also be identified based on this method. Other prokaryotic organisms wherein PEST AA sequences would be expected to include, but are not limited to, other Listeria species. In one embodiment, the PEST sequence fits an algorithm disclosed in Rogers et al. In another embodiment, the PEST sequence fits an algorithm disclosed in Rechsteiner et al. In another embodiment, the PEST sequence is identified using the PEST-find program.
[00149] In another embodiment, identification of PEST motifs is achieved by an initial scan for positively charged AA R, H, and K within the specified protein sequence. All AA between
the positively charged flanks are counted and only those motifs are considered further, which contain a number of AA equal to or higher than the window-size parameter. In another embodiment, a PEST AA sequence must contain at least 1 P, 1 D or E, and at least 1 S or T.
[00150] In another embodiment, the quality of a PEST motif is refined by means of a scoring parameter based on the local enrichment of critical AA as well as the motifs hydrophobicity. Enrichment of D, E, P, S and T is expressed in mass percent (w/w) and corrected for 1 equivalent of D or E, 1 of P and 1 of S or T. In another embodiment, calculation of hydrophobicity follows in principle the method of J. Kyte and R.F. Doolittle (Kyte, J and Dootlittle, RF. J. Mol. Biol. 157, 105 (1982).
[00151] In another embodiment, a potential PEST motif's hydrophobicity is calculated as the sum over the products of mole percent and hydrophobicity index for each AA species. The desired PEST score is obtained as combination of local enrichment term and hydrophobicity term as expressed by the following equation:
[00152] PEST score = 0.55 * DEPST - 0.5 * hydrophobicity index.
[00153] In another embodiment, "PEST sequence", "PEST AA sequence" or "PEST AA sequence peptide" refers to a peptide having a score of at least +5, using the above algorithm. In another embodiment, the term refers to a peptide having a score of at least 6. In another embodiment, the peptide has a score of at least 7. In another embodiment, the score is at least 8. In another embodiment, the score is at least 9. In another embodiment, the score is at least 10. In another embodiment, the score is at least 11. In another embodiment, the score is at least 12. In another embodiment, the score is at least 13. In another embodiment, the score is at least 14. In another embodiment, the score is at least 15. In another embodiment, the score is at least 16. In another embodiment, the score is at least 17. In another embodiment, the score is at least 18. In another embodiment, the score is at least 19. In another embodiment, the score is at least 20. In another embodiment, the score is at least 21. In another embodiment, the score is at least 22. In another embodiment, the score is at least 22. In another embodiment, the score is at least 24. In another embodiment, the score is at least 24. In another embodiment, the score is at least 25. In another embodiment, the score is at least 26. In another embodiment, the score is at least 27. In another embodiment, the score is at least 28. In another embodiment, the score is at least 29. In another embodiment, the score is at least 30. In another embodiment, the score is at least 32. In another embodiment, the score is at least 35. In another embodiment, the score is at least 38. In another embodiment, the score is at least 40. In another embodiment, the score is at least 45.
[00154] In another embodiment, the PEST sequence is identified using any other method or
algorithm known in the art, e.g the CaSPredictor (Garay-Malpartida HM, Occhiucci JM, Alves J, Belizario JE. Bioinformatics. 2005 Jun;21 Suppl l:il69-76). In another embodiment, the following method is used:
[00155] A PEST index is calculated for each stretch of appropriate length (e.g. a 30-35 AA stretch) by assigning a value of 1 to the AA Ser, Thr, Pro, Glu, Asp, Asn, or Gin. The coefficient value (CV) for each of the PEST residue is 1 and for each of the other AA (non-PEST) is 0.
[00156]
[00157] In another embodiment, the PEST sequence is any other PEST sequence known in the art.
[00158] "Fusion to a PEST sequence" refers, in another embodiment, to fusion to a protein fragment comprising a PEST sequence. In another embodiment, the term includes cases wherein the protein fragment comprises surrounding sequence other than the PEST sequence. In another embodiment, the protein fragment consists of the PEST sequence. Thus, in another embodiment, "fusion" refers to two peptides or protein fragments either linked together at their respective ends or embedded one within the other.
[00159] In another embodiment, disclosed herein, is a composition comprising a recombinant form of Listeria of the present disclosure.
[00160] In another embodiment, disclosed herein, is a vaccine comprising a recombinant form of Listeria of the present disclosure.
[00161] In another embodiment, disclosed herein, is a culture of a recombinant form of Listeria of the present disclosure.
[00162] In another embodiment, the Listeria of methods and compositions of the present disclosure is Listeria monocytogenes. In another embodiment, the Listeria is Listeria ivanovii. In another embodiment, the Listeria is Listeria welshimeri. In another embodiment, the Listeria is Listeria seeligeri.
[00163] In one embodiment, attenuated Listeria strains, such as Lm ddta-actA mutant (Brundage et al, 1993, Proc. Natl. Acad. Sci., USA, 90:11890-11894), L. monocytogenes delta- plcA (Camilli et al, 1991, J. Exp. Med., 173:751-754), or delta-ActA, delta INL-b (Brockstedt et 5 al, 2004, PNAS, 101:13832-13837) are used in the present disclosure. In another embodiment, attenuated Listeria strains are constructed by introducing one or more attenuating mutations, as will be understood by one of average skill in the art when equipped with the disclosure herein. Examples of such strains include, but are not limited to Listeria strains auxotrophic for aromatic amino acids (Alexander et al, 1993, Infection and Immunity 10 61:2245-2248) and mutant for
the formation of lipoteichoic acids (Abachin et al, 2002, Mol. Microbiol. 43:1-14) and those attenuated by a lack of a virulence gene (see examples herein).
[00164] In another embodiment, the nucleic acid molecule of methods and compositions of the present disclosure is operably linked to a promoter/regulatory sequence. In another embodiment, the first open reading frame of methods and compositions of the present disclosure is operably linked to a promoter/regulatory sequence. In another embodiment, the second open reading frame of methods and compositions of the present disclosure is operably linked to a promoter/regulatory sequence. In another embodiment, each of the open reading frames are operably linked to a promoter/regulatory sequence.
[00165] The skilled artisan, when equipped with the present disclosure and the methods disclosed herein, will readily understand that different transcriptional promoters, terminators, carrier vectors or specific gene sequences (e.g. those in commercially available cloning vectors) can be used successfully in methods and compositions of the present disclosure. As is contemplated in the present disclosure, these functionalities are provided in, for example, the commercially available vectors known as the pUC series. In another embodiment, non-essential DNA sequences (e.g. antibiotic resistance genes) are removed. In another embodiment, a commercially available plasmid is used in the present disclosure. Such plasmids are available from a variety of sources, for example, Invitrogen (La Jolla, CA), Stratagene (La Jolla, CA), Clontech (Palo Alto, CA), or can be constructed using methods well known in the art.
[00166] Another embodiment is a plasmid such as pCR2.1 (Invitrogen, La Jolla, CA), which is a prokaryotic expression vector with a prokaryotic origin of replication and promoter/regulatory elements to facilitate expression in a prokaryotic organism. In another embodiment, extraneous nucleotide sequences are removed to decrease the size of the plasmid and increase the size of the cassette that can be placed therein.
[00167] Such methods are well known in the art, and are described in, for example, Sambrook et al. (1989, Molecular Cloning: A Laboratory Manual, Cold Spring Harbor Laboratory Press, New York) and Ausubei et al. (1997, Current Protocols in Molecular Biology, Green & Wiley, New York).
[00168] Antibiotic resistance genes are used in the conventional selection and cloning processes commonly employed in molecular biology and vaccine preparation. Antibiotic resistance genes contemplated in the present disclosure include, but are not limited to, gene products that confer resistance to ampicillin, penicillin, methicillin, streptomycin, erythromycin, kanamycin, tetracycline, cloramphenicol (CAT), neomycin, hygromycin, gentamicin and others
well known in the art.
[00169] Methods for transforming bacteria are well known in the art, and include calcium- chloride competent cell-based methods, electroporation methods, bacteriophage-mediated transduction, chemical, and physical transformation techniques (de Boer et al, 1989, Cell 56:641- 649; Miller et al, 1995, FASEB J., 9:190-199; Sambrook et al. 1989, Molecular Cloning: A Laboratory Manual, Cold Spring Harbor Laboratory, New York; Ausubel et al., 1997, Current Protocols in Molecular Biology, John Wiley & Sons, New York; Gerhardt et al., eds., 1994, Methods for General and Molecular Bacteriology, American Society for Microbiology, Washington, DC; Miller, 1992, A Short Course in Bacterial Genetics, Cold Spring Harbor Laboratory Press, Cold Spring Harbor, N.Y.) In another embodiment, the Listeria vaccine strain of the present disclosure is transformed by electroporation.
[00170] In another embodiment, conjugation is used to introduce genetic material and/or plasmids into bacteria. Methods for conjugation are well known in the art, and are described, for example, in Nikodinovic J et al. (A second generation snp-derived Escherichia coli-Streptomyces shuttle expression vector that is generally transferable by conjugation. Plasmid. 2006 Nov;56(3):223-7) and Auchtung JM et al (Regulation of a Bacillus subtilis mobile genetic element by intercellular signaling and the global DNA damage response. Proc Natl Acad Sci U S A. 2005 Aug 30; 102 (35): 12554-9).
[00171] "Transforming," in one embodiment, is used identically with the term "transfecting," and refers to engineering a bacterial cell to take up a plasmid or other heterologous DNA molecule. In another embodiment, "transforming" refers to engineering a bacterial cell to express a gene of a plasmid or other heterologous DNA molecule.
[00172] Plasmids and other expression vectors useful in the present disclosure are described elsewhere herein, and can include such features as a promoter/regulatory sequence, an origin of replication for gram negative and gram positive bacteria, an isolated nucleic acid encoding a fusion protein and an isolated nucleic acid encoding an amino acid metabolism gene. Further, an isolated nucleic acid encoding a fusion protein and an amino acid metabolism gene will have a promoter suitable for driving expression of such an isolated nucleic acid. Promoters useful for driving expression in a bacterial system are well known in the art, and include bacteriophage lambda, the bla promoter of the beta-lactamase gene of pBR322, and the CAT promoter of the chloramphenicol acetyl transferase gene of pBR325. Further examples of prokaryotic promoters include the major right and left promoters of 5 bacteriophage lambda (PL and PR), the trp, recA, lacZ, lad, and gal promoters of E. coli, the alpha-amylase (Ulmanen et al, 1985. J. Bacteriol.
162:176-182) and the S28-specific promoters of B. subtilis (Gilman et al, 1984 Gene 32: 11- 20), the promoters of the bacteriophages of Bacillus (Gryczan, 1982, In: The Molecular Biology of the Bacilli, Academic Press, Inc., New York), and Streptomyces promoters (Ward et al, 1986, Mol. Gen. Genet. 203:468-478). Additional prokaryotic promoters contemplated in the present disclosure are reviewed in, for example, Glick (1987, J. Ind. Microbiol. 1:277-282); Cenatiempo, (1986, Biochimie, 68:505-516); and Gottesman, (1984, Ann. Rev. Genet. 18:415-442). Further examples of promoter/regulatory elements contemplated in the present disclosure include, but are not limited to the Listerial prf A promoter, the Listerial hly promoter, the Listerial p60 promoter and the Listerial ActA promoter (GenBank Acc. No. NC_003210) or fragments thereof.
[00173] In one embodiment, DNA encoding the recombinant non-hemolytic LLO is produced using DNA amplification methods, for example polymerase chain reaction (PCR). First, the segments of the native DNA on either side of the new terminus are amplified separately. The 5' end of the one amplified sequence encodes the peptide linker, while the 3' end of the other amplified sequence also encodes the peptide linker. Since the 5' end of the first fragment is complementary to the 3' end of the second fragment, the two fragments (after partial purification, e.g. on LMP agarose) can be used as an overlapping template in a third PCR reaction. The amplified sequence will contain codons, the segment on the carboxy side of the opening site (now forming the amino sequence), the linker, and the sequence on the amino side of the opening site (now forming the carboxyl sequence). The antigen is ligated into a plasmid.
[00174] In another embodiment, the present disclosure further comprises a phage based chromosomal integration system for clinical applications. A host strain that is auxotrophic for essential enzymes, including, but not limited to, d-alanine racemase will be used, for example Lmdal(-)dat(-). In another embodiment, in order to avoid a "phage curing step," a phage integration system based on PSA is used (Lauer, et al., 2002 J Bacterid, 184:4177-4186). This requires, in another embodiment, continuous selection by antibiotics to maintain the integrated gene. Thus, in another embodiment, the current disclosure enables the establishment of a phage based chromosomal integration system that does not require selection with antibiotics. Instead, an auxotrophic host strain will be complemented.
[00175] The recombinant proteins of the present disclosure are synthesized, in another embodiment, using recombinant DNA methodology. This involves, in one embodiment, creating a DNA sequence, placing the DNA in an expression cassette, such as the plasmid of the present disclosure, under the control of a particular promoter/regulatory element, and expressing the protein. DNA encoding the protein (e.g. non-hemolytic LLO) of the present disclosure is
prepared, in another embodiment, by any suitable method, including, for example, cloning and restriction of appropriate sequences or direct chemical synthesis by methods such as the phosphotriester method of Narang et al. (1979, Meth. Enzymol. 68: 90-99); the phosphodiester method of Brown et al. (1979, Meth. Enzymol 68: 109-151); the diethylphosphoramidite method of Beaucage et al. (1981, Tetra. Lett., 22: 15 1859-1862); and the solid support method of U.S. Pat. No. 4,458,066.
[00176] In another embodiment, chemical synthesis is used to produce a single stranded oligonucleotide. This single stranded oligonucleotide is converted, in various embodiments, into double stranded DNA by hybridization with a complementary sequence, or by polymerization with a DNA polymerase using the single strand as a template. One of skill in the art would recognize that while chemical synthesis of DNA is limited to sequences of about 100 bases, longer sequences can be obtained by the ligation of shorter sequences. In another embodiment, subsequences are cloned and the appropriate subsequences cleaved using appropriate restriction enzymes. The fragments are then be ligated to produce the desired DNA sequence.
[00177] In another embodiment, DNA encoding the recombinant protein of the present disclosure is cloned using DNA amplification methods such as polymerase chain reaction (PCR). Thus, the gene for non-hemolytic LLO is PCR amplified, using a sense primer comprising a suitable restriction site and an antisense primer comprising another restriction site, e.g. a non- identical restriction site to facilitate cloning.
[00178] In another embodiment, the recombinant fusion protein gene is operably linked to appropriate expression control sequences for each host. Promoter/ regulatory sequences are described in detail elsewhere herein. In another embodiment, the plasmid further comprises additional promoter regulatory elements, as well as a ribosome binding site and a transcription termination signal. For eukaryotic cells, the control sequences will include a promoter and an enhancer derived from e.g. immunoglobulin genes, SV40, cytomegalovirus, etc., and a polyadenylation sequence. In another embodiment, the sequences include splice donor and acceptor sequences.
[00179] In one embodiment, the term "operably linked" refers to a juxtaposition wherein the components so described are in a relationship permitting them to function in their intended manner. A control sequence "operably linked" to a coding sequence is ligated in such a way that expression of the coding sequence is achieved under conditions compatible with the control sequences.
[00180] In another embodiment, in order to select for an auxotrophic bacteria comprising the
plasmid, transformed auxotrophic bacteria are grown on a media that will select for expression of the amino acid metabolism gene. In another embodiment, a bacteria auxotrophic for D-glutamic acid synthesis is transformed with a plasmid comprising a gene for D-glutamic acid synthesis, and the auxotrophic bacteria will grow in the absence of D-glutamic acid, whereas auxotrophic bacteria that have not been transformed with the plasmid, or are not expressing the plasmid encoding a protein for D-glutamic acid synthesis, will not grow. In another embodiment, a bacterium auxotrophic for D-alanine synthesis will grow in the absence of D-alanine when transformed and expressing the plasmid of the present disclosure if the plasmid comprises an isolated nucleic acid encoding an amino acid metabolism enzyme for D-alanine synthesis. Such methods for making appropriate media comprising or lacking necessary growth factors, supplements, amino acids, vitamins, antibiotics, and the like are well known in the art, and are available commercially (Becton-Dickinson, Franklin Lakes, NJ).
[00181] In another embodiment, once the auxotrophic bacteria comprising the plasmid of the present disclosure have been selected on appropriate media, the bacteria are propagated in the presence of a selective pressure. Such propagation comprises growing the bacteria in media without the auxotrophic factor. The presence of the plasmid expressing an amino acid metabolism enzyme in the auxotrophic bacteria ensures that the plasmid will replicate along with the bacteria, thus continually selecting for bacteria harboring the plasmid. The skilled artisan, when equipped with the present disclosure and methods herein will be readily able to scale-up the production of the Listeria vaccine vector by adjusting the volume of the media in which the auxotrophic bacteria comprising the plasmid are growing.
[00182] The skilled artisan will appreciate that, in another embodiment, other auxotroph strains and complementation systems are adopted for the use with this disclosure.
[00183] In one embodiment, the construct or nucleic acid molecule is integrated into the Listerial chromosome using homologous recombination. Techniques for homologous recombination are well known in the art, and are described, for example, in Baloglu S, Boyle SM, et al. (Immune responses of mice to vaccinia virus recombinants expressing either Listeria monocytogenes partial listeriolysin or Brucella abortus ribosomal L7/L12 protein. Vet Microbiol 2005, 109(1-2): 11-7); and Jiang LL, Song HH, et al., (Characterization of a mutant Listeria monocytogenes strain expressing green fluorescent protein. Acta Biochim Biophys Sin (Shanghai) 2005, 37(1): 19-24). In another embodiment, homologous recombination is performed as described in United States Patent No. 6,855,320. In this case, a recombinant Lm strain that expresses E7 was made by chromosomal integration of the E7 gene under the control
of the hly promoter and with the inclusion of the hly signal sequence to ensure secretion of the gene product, yielding the recombinant referred to as Lm-AZ/E7. In another embodiment, a temperature sensitive plasmid is used to select the recombinants.
[00184] In another embodiment, the construct or nucleic acid molecule is integrated into the Listerial chromosome using transposon insertion. Techniques for transposon insertion are well known in the art, and are described, inter alia, by Sun et al. (Infection and Immunity 1990, 58: 3770-3778) in the construction of DP-L967. Transposon mutagenesis has the advantage, in another embodiment, that a stable genomic insertion mutant can be formed but the disadvantage that the position in the genome where the foreign gene has been inserted is unknown.
[00185] In another embodiment, the construct or nucleic acid molecule is integrated into the Listerial chromosome using phage integration sites (Lauer P, Chow MY et al, Construction, characterization, and use of two Listeria monocytogenes site-specific phage integration vectors. J Bacterid 2002; 184(15): 4177-86). In certain embodiments of this method, an integrase gene and attachment site of a bacteriophage (e.g. U153 or PSA listeriophage) is used to insert the heterologous gene into the corresponding attachment site, which may be any appropriate site in the genome (e.g. comK or the 3' end of the arg tRNA gene). In another embodiment, endogenous prophages are cured from the attachment site utilized prior to integration of the construct or heterologous gene. In another embodiment, this method results in single-copy integrants.
[00186] In another embodiment, one of various promoters is used to express protein containing same. In one embodiment, an Lm promoter is used, e.g. promoters for the genes hly, actA, plcA, plcB and mpl, which encode the Listerial proteins hemolysin, ActA, phosphotidylinositol- specific phospholipase, phospholipase C, and metalloprotease, respectively.
[00187] In another embodiment, the construct or nucleic acid molecule is expressed from an episomal vector, with an endogenous nucleic acid sequence encoding an LLO, PEST or ActA sequence or functional fragments thereof. In another embodiment, the construct or nucleic acid molecule comprises a first and at least a second open reading frame each encoding a first and at least a second polypeptide, wherein the first and the at least second polypeptide each comprise a heterologous antigen or a functional fragment thereof fused to an endogenous PEST-containing polypeptide. Such compositions are described in US Patent application serial no. 13/290,783, incorporated by reference herein in its entirety.
[00188] In another embodiment, the PEST-containing polypeptide is a truncated nonhemolytic LLO, an N-terminal ActA, or a PEST-containing amino acid sequence.
[00189] In another embodiment, disclosed herein is a recombinant Listeria strain comprising an episomal recombinant nucleic acid molecule, the nucleic acid molecule comprising a first and at least a second open reading frame each encoding a first and at least a second polypeptide, wherein the first and the at least second polypeptide each comprise a heterologous antigen or a functional fragment thereof fused to an endogenous PEST-containing polypeptide, wherein the nucleic acid further comprises an open reading frame encoding a plasmid replication control region. Such compositions are described in US Patent Application Publication No. US-2012- 0135033-A1, incorporated by reference herein in its entirety.
[00190] In another embodiment, methods and compositions of the present disclosure utilize a homologue of a heterologous antigen or LLO or Act A or PEST containing sequence of the present disclosure. The terms "homology," "homologous," etc, when in reference to any protein or peptide, refer in one embodiment, to a percentage of amino acid residues in the candidate sequence that are identical with the residues of a corresponding native polypeptide, after aligning the sequences and introducing gaps, if necessary, to achieve the maximum percent homology, and not considering any conservative substitutions as part of the sequence identity. Methods and computer programs for the alignment are well known in the art.
[00191] In another embodiment, the term "homology," when in reference to any nucleic acid sequence similarly indicates a percentage of nucleotides in a candidate sequence that are identical with the nucleotides of a corresponding native nucleic acid sequence.
[00192] Homology is, in one embodiment, determined by computer algorithm for sequence alignment, by methods well described in the art. For example, computer algorithm analysis of nucleic acid sequence homology may include the utilization of any number of software packages available, such as, for example, the BLAST, DOMAIN, BEAUTY (BLAST Enhanced Alignment Utility), GENPEPT and TREMBL packages.
[00193] In another embodiment, "homology" refers to identity to a sequence selected from SEQ ID No: 1-52 of greater than about 70%. In another embodiment, "homology" refers to identity to a sequence selected from SEQ ID No: 1-52 of greater than about 70%. In another embodiment, the identity is greater than about 75%. In another embodiment, the identity is greater than about 78%. In another embodiment, the identity is greater than about 80%. In another embodiment, the identity is greater than about 82%. In another embodiment, the identity is greater than about 83%. In another embodiment, the identity is greater than about 85%. In another embodiment, the identity is greater than about 87%. In another embodiment, the identity is greater than about 88%. In another embodiment, the identity is greater than about 90%. In
another embodiment, the identity is greater than about 92%. In another embodiment, the identity is greater than about 93%. In another embodiment, the identity is greater than about 95%. In another embodiment, the identity is greater than about 96%. In another embodiment, the identity is greater than about 97%. In another embodiment, the identity is greater than 98%. In another embodiment, the identity is greater than about 99%. In another embodiment, the identity is 100%.
[00194] In another embodiment, homology is determined via determination of candidate sequence hybridization, methods of which are well described in the art (See, for example, "Nucleic Acid Hybridization" Hames, B. D., and Higgins S. J., Eds. (1985); Sambrook et al., 2001, Molecular Cloning, A Laboratory Manual, Cold Spring Harbor Press, N.Y.; and Ausubel et al., 1989, Current Protocols in Molecular Biology, Green Publishing Associates and Wiley Interscience, N.Y). For example methods of hybridization may be carried out under moderate to stringent conditions, to the complement of a DNA encoding a native caspase peptide. Hybridization conditions being, for example, overnight incubation at 42 °C in a solution comprising: 10-20 % formamide, 5 X SSC (150 mM NaCl, 15 mM trisodium citrate), 50 mM sodium phosphate (pH 7. 6), 5 X Denhardt's solution, 10 % dextran sulfate, and 20 μg/ml denatured, sheared salmon sperm DNA.
[00195] In one embodiment of the present disclosure, "nucleic acids" refers to a string of at least two base-sugar-phosphate combinations. The term includes, in one embodiment, DNA and RNA. "Nucleotides" refers, in one embodiment, to the monomeric units of nucleic acid polymers. RNA may be, in one embodiment, in the form of a tRNA (transfer RNA), snRNA (small nuclear RNA), rRNA (ribosomal RNA), mRNA (messenger RNA), anti-sense RNA, small inhibitory RNA (siRNA), micro RNA (miRNA) and ribozymes. The use of siRNA and miRNA has been described (Caudy AA et al, Genes & Devel 16: 2491-96 and references cited therein). DNA may be in form of plasmid DNA, viral DNA, linear DNA, or chromosomal DNA or derivatives of these groups. In addition, these forms of DNA and RNA may be single, double, triple, or quadruple stranded. The term also includes, in another embodiment, artificial nucleic acids that may contain other types of backbones but the same bases. In one embodiment, the artificial nucleic acid is a PNA (peptide nucleic acid). PNA contain peptide backbones and nucleotide bases and are able to bind, in one embodiment, to both DNA and RNA molecules. In another embodiment, the nucleotide is oxetane modified. In another embodiment, the nucleotide is modified by replacement of one or more phosphodiester bonds with a phosphorothioate bond. In another embodiment, the artificial nucleic acid contains any other variant of the phosphate
backbone of native nucleic acids known in the art. The use of phosphothiorate nucleic acids and DNA are known to those skilled in the art, and are described in, for example, Neilsen PE, Curr Opin Struct Biol 9:353-57; and Raz NK et al Biochem Biophys Res Commun. 297:1075-84. The production and use of nucleic acids is known to those skilled in art and is described, for example, in Molecular Cloning, (2001), Sambrook and Russell, eds. and Methods in Enzymology: Methods for molecular cloning in eukaryotic cells (2003) Purchio and G. C. Fareed.
[00196] In another embodiment, the terms "gene" and "recombinant gene" refer to nucleic acid molecules comprising an open reading frame encoding a polypeptide of the disclosure. Such natural allelic variations can typically result in 1-5% variance in the nucleotide sequence of a given gene. Alternative alleles can be identified by sequencing the gene of interest in a number of different individuals or organisms. This can be readily carried out by using hybridization probes to identify the same genetic locus in a variety of individuals or organisms. Any and all such nucleotide variations and resulting amino acid polymorphisms or variations that are the result of natural allelic variation and that do not alter the functional activity are intended to be within the scope of the disclosure.
[00197] Protein and/or peptide homology for any amino acid sequence listed herein is determined, in one embodiment, by methods well described in the art, including immunoblot analysis, or via computer algorithm analysis of amino acid sequences, utilizing any of a number of software packages available, via established methods. Some of these packages may include the FASTA, BLAST, MPsrch or Scanps packages, and may employ the use of the Smith and Waterman algorithms, and/or global/local or BLOCKS alignments for analysis, for example. Compositions
[00198] In one embodiment, a composition for use in the methods of the present disclosure comprises a recombinant Listeria monocytogenes, in any form or embodiment as described herein. In one embodiment, the composition for use in the present disclosure consists of a recombinant Listeria monocytogenes of the present disclosure, in any form or embodiment as described herein. In another embodiment, the composition for use in the methods of the present disclosure consists essentially of a recombinant Listeria monocytogenes of the present disclosure, in any form or embodiment as described herein. In one embodiment, the term "comprise" refers to the inclusion of a recombinant Listeria monocytogenes in the composition, as well as inclusion of other composition or treatments that may be known in the art. In another embodiment, the term "consisting essentially of refers to a composition, whose functional component is the recombinant Listeria monocytogenes, however, other components of the composition may be
included that are not involved directly in the therapeutic effect of the composition and may, for example, refer to components which facilitate the effect of the recombinant Listeria monocytogenes (e.g. stabilizing, preserving, etc.). In another embodiment, the term "consisting" refers to a composition, which contains the recombinant Listeria monocytogenes.
[00199] In one embodiment, the immune response elicited by the compositions and methods disclosed herein is not antigen specific.
[00200] In one embodiment, the recombinant Listeria monocytogenes for use in the compositions, vaccines and methods of the present disclosure does not secrete a heterologous peptide. In another embodiment, the recombinant Listeria monocytogenes for use in the compositions, vaccines and methods of the present disclosure does not express a heterologous peptide. In another embodiment, the recombinant Listeria monocytogenes for use in the present disclosure expresses and secretes a non-hemolytic LLO, as described herein. In another embodiment, the recombinant Listeria monocytogenes for use in the present disclosure expresses and secretes a truncated ActA polypeptide, as described herein. In another embodiment, the recombinant Listeria monocytogenes for use in the present disclosure expresses and secretes a PEST-containing polypeptide, as described herein.
[00201] In one embodiment, the recombinant Listeria monocytogenes for use in the compositions, vaccines and methods of the present disclosure secretes a heterologous peptide. In another embodiment, the recombinant Listeria monocytogenes for use in the present disclosure expresses a heterologous peptide. In another embodiment, the recombinant Listeria monocytogenes for use in the present disclosure expresses and secretes a non-hemolytic LLO, as described herein. In another embodiment, the recombinant Listeria monocytogenes for use in the present disclosure expresses and secretes a truncated ActA polypeptide, as described herein. In another embodiment, the recombinant Listeria monocytogenes for use in the present disclosure expresses and secretes a PEST-containing polypeptide, as described herein.
[00202] In one embodiment, compositions of the present disclosure are immunogenic compositions. In one embodiment, compositions of the present disclosure induce a strong innate stimulation of interferon-gamma, which in one embodiment, has anti-angiogenic properties. In one embodiment, a Listeria of the present disclosure induces a strong innate stimulation of interferon-gamma, which in one embodiment, has anti-angiogenic properties (Dominiecki et al., Cancer Immunol Immunother. 2005 May;54(5):477-88. Epub 2004 Oct 6, incorporated herein by reference in its entirety; Beatty and Paterson, J. Immunol. 2001 Feb 15;166(4):2276-82, incorporated herein by reference in its entirety). In one embodiment, anti-angiogenic properties
of Listeria are mediated by CD4+ T cells (Beatty and Paterson, 2001). In another embodiment, anti-angiogenic properties of Listeria are mediated by CD8+ T cells. In another embodiment, IFN-gamma secretion as a result of Listeria vaccination is mediated by NK cells, NKT cells, Thl CD4+ T cells, TCI CD8+ T cells, or a combination thereof.
[00203] In another embodiment, administration of compositions of the present disclosure induce production of one or more anti-angiogenic proteins or factors. In one embodiment, the anti-angiogenic protein is IFN-gamma. In another embodiment, the anti-angiogenic protein is pigment epithelium-derived factor (PEDF); angiostatin; endostatin; fms-like tyrosine kinase (sFlt)-l; or soluble endoglin (sEng). In one embodiment, a Listeria of the present disclosure is involved in the release of anti-angiogenic factors, and, therefore, in one embodiment, has a therapeutic role in addition to its role as a vector for introducing an antigen to a subject.
[00204] The immune response induced by methods and compositions as disclosed herein is, in another embodiment, a T cell response. In another embodiment, the immune response comprises a T cell response. In another embodiment, the response is a CD8+ T cell response. In another embodiment, the response comprises a CD8+ T cell response.
[00205] In another embodiment, administration of compositions of the present disclosure increase the number of T cells. In another embodiment, administration of compositions activates co- stimulatory receptors on T cells. In another embodiment, administration of compositions induces proliferation of memory and/or effector T cells. In another embodiment, administration of compositions increases proliferation of T cells.
[00206] As used throughout, the terms "composition" and "immunogenic composition" are interchangeable having all the same meanings and qualities. The term "pharmaceutical composition" refers, in some embodiments, to a composition suitable for pharmaceutical use, for example, to administer to a subject in need.
[00207] Compositions of this disclosure may be used in methods of this disclosure in order to improve maturation of immunity in a subject, in order enhance engraftment of a transplant in a subject, or for decreasing time to immune-competence in a subject, or for accelerating immunogenic competence, or any combination thereof.
[00208] In another embodiment, a composition comprising a Listeria strain of the present disclosure further comprises an adjuvant. In one embodiment, a composition of the present disclosure further comprises an adjuvant. The adjuvant utilized in methods and compositions of the present disclosure is, in another embodiment, a granulocyte/macrophage colony- stimulating factor (GM-CSF) protein. In another embodiment, the adjuvant comprises a GM-CSF protein. In
another embodiment, the adjuvant is a nucleotide molecule encoding GM-CSF. In another embodiment, the adjuvant comprises a nucleotide molecule encoding GM-CSF. In another embodiment, the adjuvant is saponin QS21. In another embodiment, the adjuvant comprises saponin QS21. In another embodiment, the adjuvant is monophosphoryl lipid A. In another embodiment, the adjuvant comprises monophosphoryl lipid A. In another embodiment, the adjuvant is SBAS2. In another embodiment, the adjuvant comprises SBAS2. In another embodiment, the adjuvant is an unmethylated CpG-containing oligonucleotide. In another embodiment, the adjuvant comprises an unmethylated CpG-containing oligonucleotide. In another embodiment, the adjuvant is an immune- stimulating cytokine. In another embodiment, the adjuvant comprises an immune- stimulating cytokine. In another embodiment, the adjuvant is a nucleotide molecule encoding an immune-stimulating cytokine. In another embodiment, the adjuvant comprises a nucleotide molecule encoding an immune- stimulating cytokine. In another embodiment, the adjuvant is or comprises a quill glycoside. In another embodiment, the adjuvant is or comprises a bacterial mitogen. In another embodiment, the adjuvant is or comprises a bacterial toxin. In another embodiment, the adjuvant is or comprises any other adjuvant known in the art.
[00209] In one embodiment, an immunogenic composition of this disclosure comprises a recombinant Listeria strain comprising a nucleic acid molecule, said nucleic acid molecule comprising a first open reading frame encoding a fusion polypeptide, wherein said fusion polypeptide comprises a PEST sequence-containing polypeptide.
[00210] In another embodiment, an "immunogenic fragment" is one that elicits an immune response when administered to a subject alone or in a vaccine or composition as disclosed herein. Such a fragment contains, in another embodiment, the necessary epitopes in order to elicit an adaptive immune response.
[00211] In one embodiment, a composition of this disclosure comprises a recombinant Listeria monocytogenes (Lm) strain.
[00212] The compositions of this disclosure, in another embodiment, are administered to a subject by any method known to a person skilled in the art, such as parenterally, paracancerally, transmucosally, transdermally, intramuscularly, intravenously, intra-dermally, subcutaneously, intra-peritonealy, intra-ventricularly, intra-cranially, intra-vaginally or intra-tumorally.
[00213] In another embodiment, the compositions are administered orally, and are thus formulated in a form suitable for oral administration, i.e. as a solid or a liquid preparation. Suitable solid oral formulations include tablets, capsules, pills, granules, pellets and the like.
Suitable liquid oral formulations include solutions, suspensions, dispersions, emulsions, oils and the like. In another embodiment of the present disclosure, the active ingredient is formulated in a capsule. In accordance with this embodiment, the compositions of the present disclosure comprise, in addition to the active compound and the inert carrier or diluent, a hard gelating capsule.
[00214] In another embodiment, compositions are administered by intravenous, intra-arterial, or intra-muscular injection of a liquid preparation. Suitable liquid formulations include solutions, suspensions, dispersions, emulsions, oils and the like. In one embodiment, the pharmaceutical compositions are administered intravenously and are thus formulated in a form suitable for intravenous administration. In another embodiment, the pharmaceutical compositions are administered intra-arterially and are thus formulated in a form suitable for intra-arterial administration. In another embodiment, the pharmaceutical compositions are administered intramuscularly and are thus formulated in a form suitable for intra-muscular administration.
[00215] In one embodiment, an immunogenic composition comprises a recombinant Listeria disclosed herein. In another embodiment, an immunogenic composition comprises an adjuvant known in the art or as disclosed herein. It is also to be understood that administration of such compositions improves maturation of immunity, enhance an immune response, or increase a T effector cell to regulatory T cell ratio, or enhances engraftment of a transplant, or decreases time to immune-competence or elicit an anti-tumor immune response, or any combination thereof.
[00216] In one embodiment, this disclosure provides methods of use which comprise administering a composition comprising the described Listeria strains.
[00217] In one embodiment, the term "pharmaceutical composition" encompasses a therapeutically effective amount of the active ingredient or ingredients including the Listeria strain, together with a pharmaceutically acceptable carrier or diluent. It is to be understood that the term a "therapeutically effective amount" refers to that amount which provides a therapeutic effect for a given condition and administration regimen.
[00218] It will be understood by the skilled artisan that the term "administering" encompasses bringing a subject in contact with a composition of the present disclosure. In one embodiment, administration can be accomplished in vitro, i.e. in a test tube, or in vivo, i.e. in cells or tissues of living organisms, for example humans. In one embodiment, the present disclosure encompasses administering the Listeria strains and compositions thereof of the present disclosure to a subject.
[00219] The term "about" as used herein means in quantitative terms plus or minus 5%, or in another embodiment plus or minus 10%, or in another embodiment plus or minus 15%, or in
another embodiment plus or minus 20%.
[00220] In another embodiment, the vaccines and immunogenic compositions utilized in any of the methods described above have any of the characteristics of vaccines and immunogenic compositions of the present disclosure.
[00221] Various embodiments of dosage ranges are contemplated by this disclosure. In one embodiment, in the case of vaccine vectors, the dosage is in the range of 0.4 LDso/dose. In another embodiment, the dosage is from about 0.4-4.9 LDso/dose. In another embodiment the dosage is from about 0.5-0.59 LDso/dose. In another embodiment the dosage is from about 0.6- 0.69 LDso/dose. In another embodiment the dosage is from about 0.7-0.79 LDso/dose. In another embodiment the dosage is about 0.8 LDso/dose. In another embodiment, the dosage is 0.4 LDso/dose to 0.8 of the LDso/dose.
[00222] In another embodiment, the dosage is 10 bacteria/dose. In another embodiment, the dosage is 1.5 x 10 7 bacteria/dose. In another embodiment, the dosage is 2 x 107 bacteria/dose. In another embodiment, the dosage is 3 x 10 bacteria/dose. In another embodiment, the dosage is 4 x 10 7 bacteria/dose. In another embodiment, the dosage is 6 x 107 bacteria/dose. In another embodiment, the dosage is 8 x 10 7 bacteria/dose. In another embodiment, the dosage is 1 x 108 bacteria/dose. In another embodiment, the dosage is 1.5 x 10 bacteria/dose. In another embodiment, the dosage is 2 x 10 8 bacteria/dose. In another embodiment, the dosage is 3 x 108 bacteria/dose. In another embodiment, the dosage is 4 x 10 bacteria/dose. In another embodiment, the dosage is 6 x 10 8 bacteria/dose. In another embodiment, the dosage is 8 x 108 bacteria/dose. In another embodiment, the dosage is 1 x 109 bacteria/dose. In another embodiment, the dosage is 1.5 x 109 bacteria/dose. In another embodiment, the dosage is 2 x 109 bacteria/dose. In another embodiment, the dosage is 3 x 109 bacteria/dose. In another embodiment, the dosage is 5 x 109 bacteria/dose. In another embodiment, the dosage is 6 x 109 bacteria/dose. In another embodiment, the dosage is 8 x 109 bacteria/dose. In another embodiment, the dosage is 1 x 1010 bacteria/dose. In another embodiment, the dosage is 1.5 x
1010 bacteria/dose. In another embodiment, the dosage is 2 x 1010 bacteria/dose. In another embodiment, the dosage is 3 x 1010 bacteria/dose. In another embodiment, the dosage is 5 x 1010 bacteria/dose. In another embodiment, the dosage is 6 x 1010 bacteria/dose. In another embodiment, the dosage is 8 x 1010 bacteria/dose. In another embodiment, the dosage is 8 x 109 bacteria/dose. In another embodiment, the dosage is 1 x 1011 bacteria/dose. In another embodiment, the dosage is 1.5 x 1011 bacteria/dose. In another embodiment, the dosage is 2 x
1011 bacteria/dose. In another embodiment, the dosage is 3 x 1011 bacteria/dose. In another
embodiment, the dosage is 5 x 1011 bacteria/dose. In another embodiment, the dosage is 6 x 1011 bacteria/dose. In another embodiment, the dosage is 8 x 1011 bacteria/dose.
[00223] In one embodiment, the adjuvant vaccine of the present disclosure comprise a vaccine given in conjunction. In another embodiment, the adjuvant vaccine of the present disclosure is administered following administration of a vaccine regimen, wherein the vaccine regimen is a viral, bacteria, nucleic acid, or recombinant polypeptide vaccine formulation.
[00224] "Adjuvant" typically refers, in another embodiment, to compounds that, when administered to an individual or tested in vitro, increase the immune response to an antigen in the individual or test system to which the antigen is administered. In another embodiment, an immune adjuvant enhances an immune response to an antigen that is weakly immunogenic when administered alone, i.e., inducing no or weak antibody titers or cell-mediated immune response. In another embodiment, the adjuvant increases antibody titers to the antigen. In another embodiment, the adjuvant lowers the dose of the antigen effective to achieve an immune response in the individual. However, in one embodiment, in the present disclosure, the adjuvant enhances an immune response in an antigen-unspecific manner in order to enable a heightened state of an immune response, as it applies to neonates, or in order to enable the recovery of the immune response following cytotoxic treatment, as it applies to older children and adults and also as further disclosed herein.
[00225] In another embodiment, the methods of the present disclosure further comprise the step of administering to the subject a booster vaccination. In one embodiment, the booster vaccination follows a single priming vaccination. In another embodiment, a single booster vaccination is administered after the priming vaccinations. In another embodiment, two booster vaccinations are administered after the priming vaccinations. In another embodiment, three booster vaccinations are administered after the priming vaccinations. In one embodiment, the period between a prime and a boost vaccine is experimentally determined by the skilled artisan. In another embodiment, the period between a prime and a boost vaccine is 1 week, in another embodiment it is 2 weeks, in another embodiment, it is 3 weeks, in another embodiment, it is 4 weeks, in another embodiment, it is 5 weeks, in another embodiment it is 6-8 weeks, in yet another embodiment, the boost vaccine is administered 8-10 weeks after the prime vaccine.
[00226] In one embodiment, a vaccine or immunogenic composition of the present disclosure is administered alone to a subject. In another embodiment, the vaccine or immunogenic composition is administered together with another therapy, for example a cancer therapy. In another embodiment, the cancer therapy is chemotherapy, immuno therapy, radiation, surgery or
any other type of therapy available in the art as will be understood by a skilled artisan.
[00227] In another embodiment, the present disclosure provides a kit comprising a reagent utilized in performing a method of the present disclosure. In another embodiment, the present disclosure provides a kit comprising a composition, vaccine, tool, or instrument of the present disclosure.
[00228] The terms "contacting" or "administering," in one embodiment, refer to directly contacting a cell or tissue of a subject with a composition of the present disclosure. In another embodiment, the terms refer to indirectly contacting a cell or tissue of a subject with a composition of the present disclosure.
Methods of Use
[00229] In one embodiment, disclosed herein is a method of enhancing engraftment of a transplant in a subject, the method comprising the step of administering a recombinant Listeria strain to the subject. In another embodiment, the Listeria strain comprising a nucleic acid molecule, wherein the nucleic acid molecule comprises a first open reading frame encoding a non-hemolytic listeriolysin O (LLO) or ActA, wherein the nucleic acid molecule further comprises a second open reading frame encoding a metabolic enzyme, wherein the metabolic enzyme complements an endogenous gene that is lacking in the chromosome of the recombinant Listeria strain.
[00230] In another embodiment, a subject is receiving or has received immunosuppressive agents prior to transplantation. In another embodiment, a subject has a defective immune system. In another embodiment, a subject has a suppressed immune system. In another embodiment, a subject has a suppressed immune response. In another embodiment, a subject is at risk for infection.
[00231] In one embodiment, disclosed herein is a method of improving maturation of immunity in a subject, the method comprising the step of administering a recombinant Listeria strain to the subject. In another embodiment, the Listeria strain comprising a nucleic acid molecule, wherein the nucleic acid molecule comprises a first open reading frame encoding a non-hemolytic listeriolysin O or ActA, wherein the nucleic acid molecule further comprises a second open reading frame encoding a metabolic enzyme, wherein the metabolic enzyme complements an endogenous gene that is lacking in the chromosome of said recombinant Listeria strain. In one embodiment, the subject is a human. In another embodiment, the subject is a non-human mammal. In another embodiment, the non-human mammal is an immune- incompetent mouse (for example a "humanized" mouse). In another embodiment, improvement
of maturation of immunity follows replacement of a portion of a subject's immune system. In another embodiment, improving maturation follows a period of time of immunosuppression of a subject's immune system. In some embodiments, improving maturation of an immune system in a subject comprises achieving full immunocompetence. In other embodiments, improving maturation of an immune system in a subject comprises achieving partial immunocompetence. In another embodiment, improving maturation shortens the time to achieve full or partial immunocompetence in a subject.
[00232] In one embodiment, disclosed herein is a method of deceasing time to immune- competence in a subject, the method comprising the step of administering a recombinant Listeria strain to the subject. In another embodiment, the Listeria strain comprising a nucleic acid molecule, wherein the nucleic acid molecule comprises a first open reading frame encoding a non-hemolytic listeriolysin O or ActA, wherein the nucleic acid molecule further comprises a second open reading frame encoding a metabolic enzyme, wherein the metabolic enzyme complements an endogenous gene that is lacking in the chromosome of said recombinant Listeria strain. In one embodiment, the subject is a human. In another embodiment, the subject is a non-human mammal. In another embodiment, the non-human mammal is an immune- incompetent mouse (for example a "humanized" mouse).
[00233] The ability of an adjuvant to increase the immune response to an antigen is typically manifested by a significant increase in immune-mediated protection. For example, an increase in humoral immunity is typically manifested by a significant increase in the titer of antibodies raised to the antigen, and an increase in T-cell activity is typically manifested in increased cell proliferation, increased cytokine production and/or antigen specific cytolytic activity. An adjuvant may also alter an immune response, for example, by enabling a Thl response against a background of a persistent Th2 phenotype.
[00234] In one embodiment, a subject receiving a recombinant Lm of this disclosure or a composition thereof, is a human. In another embodiment, the subject is a non-human mammal. In another embodiment, the non-human mammal is an immune-incompetent mouse (for example a "humanized" mouse). In another embodiment, the immune-incompetent mouse is a SCID mouse or a SCDI-NOD mouse. In another embodiment, a non-human mammal may be a dog, a cat, a pig, a cow, a sheep, a goat, a horse, a rat, a mouse. In another embodiment, a subject is immune-compromised. In another embodiment, a subject is immune-incompetent. The term "subject" does not exclude an individual that is normal in all respects. In another embodiment, this disclosure provides methods and compositions for subjects receiving a transplant.
[00235] In one embodiment, a subject is receiving a transplant as a treatment for a cancer or a hematopoietic disease. In another embodiment, a hematopoietic disease is a hematopoietic malignancy. In one embodiment a hematopoietic malignancy comprises leukemia, myelodysplastic syndrome (MDS), lymphoma, multiple myeloma, acute lymphoblastic leukemia (ALL), acute myeloid leukemia (AML) or chronic myelogenous leukemia (CML), or any combination thereof.
[00236] In another embodiment, a transplant is autologous. In another embodiment, a transplant is allogeneic. In another embodiment, a transplant is xenogeneic. In another embodiment, a transplant is a bone marrow transplant. In another embodiment, a bone marrow transplant is a hematopoietic stem cell transplant (HSCT).
[00237] In one embodiment, a subject is an immune-incompetent mouse receiving a human transplant. In another embodiment, when a subject is immune-incompetent, the transplant comprises a fetal liver transplant. In another embodiment, a fetal liver transplant provides bone marrow stem cells. In another embodiment, administration of a recombinant Listeria of this disclosure, or a vaccine comprising a composition comprising a Listeria of this disclosure or a recombinant Listeria, enhances maturation of immune competent cells present in the transplant.
[00238] In another embodiment, the present disclosure is directed to enhancing immune response, or decreasing time to immunocompetence or improving maturation of immunity in an adult human, a human child, or a human neonate, or a non-human mammal that has received a transplant as a result of cancer.
[00239] In one embodiment, recombinant attenuated, antibiotic-free Listerias expressing a truncated listeriolysin O in combination with other therapeutic modalities are useful for enhancing an immune response. In another embodiment, recombinant attenuated, antibiotic-free Listerias expressing truncated listeriolysin O alone, or in combination with other therapeutics are useful for preventing, and treating infectious diseases in a subject.
[00240] In one embodiment, recombinant attenuated, antibiotic-free Listerias expressing N- terminal Act A polypeptide in combination with other therapeutic modalities are useful for enhancing an immune response. In another embodiment, recombinant attenuated, antibiotic-free Listerias expressing N-terminal ActA polypeptide alone, or in combination with other therapeutics are useful for preventing, and treating infectious diseases in a subject.
[00241] In one embodiment, the immune response induced by the methods and compositions disclosed herein is a therapeutic one. In another embodiment it is a prophylactic immune response. In another embodiment, it is an enhanced immune response over methods available in
the art for inducing an immune response in a subject afflicted with the conditions disclosed herein. In another embodiment, in enhances engraftment of a transplant. In another embodiment, the immune response leads to clearance of a disease disclosed herein that is afflicting the subject.
[00242] It is to be understood that the methods of the present disclosure may be used to treat any infectious disease, which in one embodiment, is bacterial, viral, microbial, microorganism, pathogenic, or combination thereof, infection. In another embodiment, the methods of the present disclosure are for inhibiting or suppressing a bacterial, viral, microbial, microorganism, pathogenic, or combination thereof, infection in a subject. In another embodiment, the present disclosure provides a method of eliciting a cytotoxic T-cell response against a bacterial, viral, microbial, microorganism, pathogenic, or combination thereof, infection in a subject. In another embodiment, the present disclosure provides a method of inducing a Thl immune response against a bacterial, viral, microbial, microorganism, pathogenic, or combination thereof, infection in a Thl unresponsive subject. In one embodiment, the infection is viral, which in one embodiment, is HIV. In one embodiment, the infection is bacterial, which in one embodiment, is mycobacteria, which in one embodiment, is tuberculosis. In one embodiment, the infection is eukaryotic, which in one embodiment, is Plasmodium, which in one embodiment, is malaria.
[00243] In another embodiment, disclosed herein is a method of improving the immunogenicity of a vaccine, the method comprising co-administering the vaccine and a Listeria-based adjuvant to a subject, wherein the Listeria-based adjuvant enhances the immunogenicity of the vaccine, thereby improving the immunogenicity of the vaccine. In one embodiment, the method enables the treatment of a disease for which said vaccine is specific against.
[00244] In one embodiment, disclosed herein is a method of enhancing an immune response against a disease in an antigen-independent manner, the method comprising administering a Listeria-based adjuvant to a subject.
[00245] In another embodiment, the methods of the present disclosure comprise the step of administering a recombinant Listeria monocytogenes, in any form or embodiment as described herein. In one embodiment, the methods of the present disclosure consist of the step of administering a recombinant Listeria monocytogenes of the present disclosure, in any form or embodiment as described herein. In another embodiment, the methods of the present disclosure consist essentially of the step of administering a recombinant Listeria monocytogenes of the present disclosure, in any form or embodiment as described herein. In one embodiment, the term "comprise" refers to the inclusion of the step of administering a recombinant Listeria
monocytogenes in the methods, as well as inclusion of other methods or treatments that may be known in the art. In another embodiment, the term "consisting essentially of refers to a method, whose functional component is the administration of recombinant Listeria monocytogenes, however, other steps of the methods may be included that are not involved directly in the therapeutic effect of the methods and may, for example, refer to steps which facilitate the effect of the administration of recombinant Listeria monocytogenes. In one embodiment, the term "consisting" refers to a method of administering recombinant Listeria monocytogenes with no additional steps.
[00246] In another embodiment, the immune response elicited by methods and compositions of the present disclosure comprises a CD8+ T cell-mediated response. In another embodiment, the immune response consists primarily of a CD8+ T cell-mediated response. In another embodiment, the only detectable component of the immune response is a CD8+ T cell-mediated response (see Examples 7-11).
[00247] In another embodiment, the immune response elicited by methods and compositions disclosed herein comprises a CD4+ T cell-mediated response. In another embodiment, the immune response consists primarily of a CD4+ T cell-mediated response. In another embodiment, the only detectable component of the immune response is a CD4+ T cell-mediated response. In another embodiment, the CD4+ T cell-mediated response is accompanied by a measurable antibody response against the antigen. In another embodiment, the CD4+ T cell- mediated response is not accompanied by a measurable antibody response against the antigen (see Examples 7-11).
[00248] In another embodiment, the immune response elicited by methods and compositions disclosed herein comprises an innate immune response wherein Ml macrophages and dendritic cells (DCs) are activated.
[00249] In one embodiment, disclosed herein is a method of increasing intratumoral ratio of CD8+/T regulatory cells, whereby and in another embodiment, the method comprising the step of administering to the subject a composition comprising the recombinant polypeptide, recombinant Listeria, or recombinant vector of the present disclosure (see Examples 7-11).
[00250] In another embodiment, disclosed herein is a method of increasing intratumoral ratio of CD8+/T regulatory cells, whereby and in another embodiment, the method comprises the step of administering to the subject a composition comprising the recombinant polypeptide, recombinant Listeria, or recombinant vector of the present disclosure (see Examples 7-11).
[00251] In one embodiment, disclosed herein is a method of increasing intratumoral ratio of
CD8+/ myeloid-derived suppressor cells (MDSC), whereby and in another embodiment, the method comprises the step of administering to the subject a composition comprising the recombinant Listeria, or recombinant vector of the present disclosure.
[00252] In another embodiment, disclosed herein is a method of increasing the ratio of CD8+/ myeloid-derived suppressor cells (MDSC) at sites of disease, whereby and in another embodiment, the method comprises the step of administering to the subject a composition comprising the recombinant Listeria, or recombinant vector of the present disclosure.
[00253] Common plasma markers in human MDSCs include CD33, CDl lb, CD15, CD14 negative, MHC class II negative, HLA DR low or ". Common intracellular markers include arginase, and iNOS. Further, human MDSCs' suppressive activity or mechanism includes use of nitric oxide (NO), arginase, or nitrotyrosine. In mice, myeloid-derived suppressor cells (MDSC) are CDl lb and Gr-1 double positive and have also have been described as F4/80mt, CDl lclow, MHCII-/low, Ly6C+. CDl lb+/Gr-l+ cells that have immunosuppressive ability have been described to produce IFN-g. MDSCs can be monocytic and/or granulocytic as well.
[00254] In one embodiment, MDSCs at disease sites can unexpectedly inhibit both, the function of antigen- specific and non-specific T cell function, while spleen MDSCs can only inhibit the function of antigen- specific T cells. As demonstrated in the Examples below (see Examples 21-24), the live attenuated Listeria disclosed herein reduces the amount or quantity of suppressor cells in a disease thereby allowing CD 8 T cell replication and infiltration at the disease site, for example, a tumor site.
[00255] Lm or sublytic doses of LLO in human epithelial Caco-2 cells induce the expression of IL-6 that reduces bacterial intracellular growth and causes over expression of inducible nitric oxide synthase (NOS). Nitric oxide appears to be an essential component of the innate immune response to Lm, having an important role in listericidal activity of neutrophils and macrophages, with a deficiency of inducible NO synthase (iNOS) causing susceptibility to Lm infection.
[00256] Lm infection also results in the generation of robust MHC Class 2 restricted CD4+ T cell responses, and shifts the phenotype of CD4+ T cells to Th-1. Further, CD4+ T cell help is required for the generation and maintenance of functional CD8+ T cell memory against Lm. Moreover, it has been reported infection of mice intraperitoneally with Lm caused a local induction of CD4+ Τγδ cells associated with IL-17 secretion in the peritoneal cavity however no changes were observed in the splenic or lymph node T cell populations after these injections. In addition, Listeria infection also involves other systems not essentially a part of the immune system but which support immune function to affect a therapeutic outcome, such as myelopoesis
and vascular endothelial cell function.
[00257] Lm infected macrophages produce TNF-a, IL-18 and IL-12, all of which are important in inducing the production of IFN- γ and subsequent killing and degradation of Lm in the phagosome. IL-12 deficiency results in an increased susceptibility to listeriosis, which can be reversed through administration of IFN- γ. NK cells are the major source of IFN- γ in early infection. Upon reinfection memory CD8+ T cells have the ability to produce IFN- γ in response to IL-12 and IL-18 in the absence of the cognate antigen. CD8+ T cells co-localize with the macrophages and Lm in the T cell area of the spleen where they produce IFN- γ independent of antigen. IFN-γ production by CD8+ T cells depends partially on the expression of LLO.
[00258] IFN-γ plays an important role in anti-tumor responses obtained by Lm-based vaccines. Although produced initially by NK cells, IFN-γ levels are subsequently maintained by CD4+ T- helper cells for a longer period. Lm vaccines require IFN-γ for effective tumor regression, and IFN-γ is specifically required for tumor infiltration of lymphocytes. IFN-γ also inhibits angiogenesis at the tumor site in the early effector phase following vaccination.
[00259] A poorly described property of LLO, is its ability to induce epigenetic modifications affecting control of DNA expression. Extracellular LLO induces a dephosphorylation of the histone protein H3 and a similar deacetylation of the histone H4 in early phases of Listeria infection. This epigenetic effect results in reduced transcription of certain genes involved in immune function, thus providing a mechanism by which LLO may regulate the expression of gene products required for immune responses. Another genomic effect of LLO is its ability to increase NF-κβ translocation in association with the expression of ICAM and E-selectin, and the secretion of IL-8 and MCP-1. Another signaling cascade affected by LLO is the Mitogen Activated Protein Kinase (MAPK) pathway, resulting in increase of Ca2+ influx across the cell membrane, which facilitates the entry of Listeria into endothelial cells and their subsequent infection.
[00260] LLO is also a potent inducer of inflammatory cytokines such as IL-6, IL-8, IL-12, IL- 18, TNF-a, and IFN-γ , GM-CSF as well as NO, chemokines, and costimulatory molecules that are important for innate and adaptive immune responses. The proinflammatory cytokine- inducing property of LLO is thought to be a consequence of the activation of the TLR4 signal pathway. One evidence of the high Thl cytokine-inducing activity of LLO is in that protective immunity to Lm can be induced with killed or avirulent Lm when administered together with LLO, whereas the protection is not generated in the absence of LLO. Macrophages in the presence of LLO release IL-loc, TNF-a, IL-12 and IL-18, which in turn activate NK cells to
release IFN-γ resulting in enhanced macrophage activation.
[00261] IL-18 is also critical to resistance to Lm, even in the absence of IFN-γ, and is required for TNF-a and NO production by infected macrophages. A deficiency of caspase-1 impairs the ability of macrophages to clear Lm and causes a significant reduction in IFN-γ production and listericidal activity that can be reversed by IL-18. Recombinant IFN-γ injection restores innate resistance to listeriosis in caspase-Γ7" mice. Caspase-1 activation precedes the cell death of macrophages infected with Lm, and LLO deficient mutants that cannot escape the phagolysosome have an impaired ability to activate caspase-1.
[00262] LLO secreted by cytosolic Lm causes specific gene upregulation in macrophages resulting in significant IFN-γ transcription and secretion. Cytosolic LLO activates a potent type I interferon response to invasive Lm independent of Toll-like receptors (TLR) without detectable activation of NF-KB and MAPK. One of the IFN I-specific apoptotic genes, TNF-a related apoptosis-inducing ligand (TRAIL), is up-regulated during Lm infection in the spleen. Mice lacking TRAIL are also more resistant to primary listeriosis coincident with lymphoid and myeloid cell death in the spleen.
[00263] Lm also secretes P60 which acts directly on naive DCs to stimulate their maturation in a manner that permits activation of NK cells. Both activated DCs and IFN-y that is produced by NK cells can boost cellular (Thl-type) immune responses. ActA stimulate toll receptors, for example TLR-5, which plays a fundamental role in pathogen recognition and activation of innate immune response.
[00264] In one embodiment, the Lm vaccines disclosed herein reduce the number of Tregs and MDSCs in a disease further disclosed herein. In another embodiment, Lm vaccines disclosed herein are useful to improve immune responses by reducing the number of Tregs and MDSCs at a specific site in a subject. Such a site can be an inflammation site due to allergies, trauma, infection, disease or the site can be a tumor site.
[00265] In another embodiment, both monocytic and granulocytic MDSCs purified from the tumors of Listeria-treated mice are less able to suppress the division of CD8+ T cells than MDSCs purified from the tumors of untreated mice, whereas monocytic and granulocytic MDSCs purified from the spleens of these same tumor-bearing mice show no change in their function after vaccination with Listeria (see Examples 7-11 herein). In one embodiment, this effect is seen because splenic MDSCs are only suppressive in an antigen- specific manner. Hence, treatment with Listeria has the distinct advantage that it allows for tumor- specific inhibition of tumor suppressive cells such as Tregs and MDSCs (see Examples 7-11 herein).
Another unexpected advantage provided by the live attenuated Listeria of the methods and compositions disclosed herein is that there are lower amount of Tregs in the tumor, and the ones that persist lose the ability to suppress T cell replication (see Examples 7-11 herein).
[00266] In one embodiment, disclosed herein is a method of reducing the percentage of suppressor cells in a disease site in a subject, the method comprising the step of administering a live attenuated Listeria vaccine strain to the subject.
[00267] In another embodiment, disclosed herein is a method of reducing suppressor cells' ability to suppress T cell replication in a disease site in a subject, the method comprising the step of administering a live attenuated Listeria vaccine strain to said subject.
[00268] In one embodiment, reducing the number of the suppressor cells at a disease site effectively treats the disease. In another embodiment, reducing the number of the suppressor cells at the disease site enhances an anti-disease immune response in the subject having the disease at the disease site. In another embodiment, the immune response is a cell-mediated immune response. In another embodiment, the immune response is a tumor infiltrating T- lymphocytes (TILs) immune response.
[00269] In one embodiment, disclosed herein is a method of reducing the percentage of suppressor cells in a disease in a subject and enhancing a therapeutic response against the disease in the subject, the method comprising the step of administering a live attenuated Listeria vaccine strain to the subject, thereby reducing the percentage of suppressor cells in the disease and enhancing a therapeutic response against the disease in the subject.
[00270] In another embodiment, disclosed herein is a method of reducing suppressor cells' ability to suppress replication of T cells in a disease in a subject and enhancing a therapeutic response against the disease in the subject, the method comprising the step of administering a live attenuated Listeria vaccine strain to the subject.
[00271] In one embodiment, the term "percentage" is representative of the amount, quantity, or numbers, etc., of either Tregs, MDSCs, or CD8/CD4 T cells measures in an assay or in an immune response. In another embodiment, it refers to the amount, quantity, percentage, etc. of any composition, cell, protein, bacteria or Listeria cell disclosed herein.
[00272] In one embodiment, disclosed herein is a method of attenuating a recombinant Listeria vaccine strain, wherein the method comprises deleting the genomic prfA, inlC and actA genes, where in another embodiment, the attenuation is relative to the wild-type strain or a mutant strain having a mutant prfA, inlC, or actA, or any virulence gene thereof. In another embodiment, disclosed herein is a method of further enhancing the immunogenicity of a recombinant Listeria
vaccine strain also disclosed herein, wherein the method comprises deleting the genomic prfA, inlC and actA genes. In one embodiment, disclosed herein is a method of attenuating a recombinant Listeria vaccine strain, wherein the method comprises deleting the genomic prfA, inlC or actA genes, where in another embodiment, the attenuation is relative to the wild- type strain or a mutant strain having a mutant prfA, inlC, or actA, or any virulence gene thereof. In another embodiment, disclosed herein is a method of further enhancing the immunogenicity of a recombinant Listeria vaccine strain also disclosed herein, wherein the method comprises deleting the genomic prfA, inlC or actA genes.
[00273] In another embodiment, disclosed herein is a method of eliciting an enhanced immune response in a subject recovering from cytotoxic treatment to a tumor or a cancer, the method comprising administering to said subject a composition comprising the recombinant Listeria strain disclosed herein. In another embodiment, the recombinant Listeria strain comprises a mutation or deletion of the inlC gene, an actA gene, a prfA gene, a PlcA gene, a PLcB gene, a dal gene or a dal/dat gene. In another embodiment, the recombinant Listeria strain comprises an inlC and actA mutation or deletion. In another embodiment, the recombinant Listeria strain comprises an inlC or actA mutation or deletion. In another embodiment, the recombinant Listeria strain consists of an inlC or actA mutation or deletion.
[00274] In one embodiment, disclosed herein is a method of administering the composition of the present disclosure. In another embodiment, disclosed herein is a method of administering the vaccine of the present disclosure. In another embodiment, disclosed herein is a method of administering the recombinant polypeptide or recombinant nucleotide of the present disclosure. In another embodiment, the step of administering the composition, vaccine, recombinant polypeptide or recombinant nucleotide of the present disclosure is performed with an attenuated recombinant form of Listeria comprising the composition, vaccine, recombinant nucleotide or expressing the recombinant polypeptide, each in its own discrete embodiment. In another embodiment, the administering is performed with a different attenuated bacterial vector. In another embodiment, the administering is performed with a DNA vaccine (e.g. a naked DNA vaccine). In another embodiment, administration of a recombinant polypeptide of the present disclosure is performed by producing the recombinant protein, then administering the recombinant protein to a subject.
[00275] Subjects for which methods of this disclosure may be helpful include those receiving a transplant. In one embodiment, administration of a composition of this disclosure, a recombinant Listeria of this disclosure, or a vaccine comprising a composition or recombinant Listeria of this
disclosure is carried out at the same time as the transplantation. In another embodiment, a recombinant Listeria of this disclosure, a vaccine comprising a composition or recombinant Listeria of this disclosure is administered 1, 2, 3, 4, 5, 6 or more days after the subject receives a transplant. In another embodiment, a composition, a recombinant Listeria, or a vaccine comprising a composition or recombinant Listeria is administered until at least 15 days following the transplant. In another embodiment, administration is at the time of the transplantation and at later dates as a booster administration. In another embodiment, follow-up administration of a composition of this disclosure, a recombinant Listeria of this disclosure, or a vaccine comprising a composition or recombinant Listeria of this disclosure is within a month of the transplantation, within two months of the transplantation, within three months of the transplantation, within four months of the transplantation, within five months of the transplantation, within six months of the transplantation, within one year of the transplantation, or within two years, or any combination thereof. In another embodiment, a subject may receive multiple administrations of a composition of this disclosure, a recombinant Listeria of this disclosure, or a vaccine comprising a composition or recombinant Listeria of this disclosure. In one embodiment, a subject receives a single administration, In another embodiment, a subject receives at least two administrations. In another embodiment, a subject receives at least three, at least four, at least five, or at least 10 administrations of a composition of this disclosure, a recombinant Listeria of this disclosure, or a vaccine comprising a composition or recombinant Listeria of this disclosure. In some embodiments, administration of a recombinant Listeria of this disclosure, a vaccine comprising a composition or recombinant Listeria of this disclosure is followed by administration of an antibiotic agent.
[00276] In another embodiment, the present disclosure provides a method of reducing an incidence of cancer or infectious disease, comprising administering a composition of the present disclosure. In another embodiment, the present disclosure provides a method of ameliorating cancer or infectious disease, comprising administering a composition of the present disclosure.
[00277] In one embodiment, the cancer treated by a method of the present disclosure is breast cancer. In another embodiment, the cancer is a cervix cancer. In another embodiment, the cancer is an Her2 containing cancer. In another embodiment, the cancer is a melanoma. In another embodiment, the cancer is pancreatic cancer. In another embodiment, the cancer is ovarian cancer. In another embodiment, the cancer is gastric cancer. In another embodiment, the cancer is a carcinomatous lesion of the pancreas. In another embodiment, the cancer is pulmonary adenocarcinoma. In another embodiment, it is a glioblastoma multiforme. In another
embodiment, it is a hypoxic solid tumor. In another embodiment, the cancer is colorectal adenocarcinoma. In another embodiment, the cancer is pulmonary squamous adenocarcinoma. In another embodiment, the cancer is gastric adenocarcinoma. In another embodiment, the cancer is an ovarian surface epithelial neoplasm (e.g. a benign, proliferative or malignant variety thereof). In another embodiment, the cancer is an oral squamous cell carcinoma. In another embodiment, the cancer is non small-cell lung carcinoma. In another embodiment, the cancer is an endometrial carcinoma. In another embodiment, the cancer is a bladder cancer. In another embodiment, the cancer is a head and neck cancer. In another embodiment, the cancer is a prostate carcinoma.
[00278] It is to be understood that the methods of the present disclosure may be used to treat any infectious disease, which in one embodiment, is bacterial, viral, microbial, microorganism, pathogenic, or combination thereof, infection. In another embodiment, the methods of the present disclosure are for inhibiting or suppressing a bacterial, viral, microbial, microorganism, pathogenic, or combination thereof, infection in a subject. In another embodiment, the present disclosure provides a method of eliciting a cytotoxic T-cell response against a bacterial, viral, microbial, microorganism, pathogenic, or combination thereof, infection in a subject. In another embodiment, the present disclosure provides a method of inducing an immune response against a bacterial, viral, microbial, microorganism, pathogenic, or combination thereof, infection in a subject. In one embodiment, the infection is viral, which in one embodiment, is HIV. In one embodiment, the infection is bacterial, which in one embodiment, is mycobacterial, which in one embodiment, is tuberculosis. In one embodiment, the infection is eukaryotic, which in one embodiment, is Plasmodium, which in one embodiment, is malaria.
[00279] In another embodiment, the present disclosure provides a method of enhancing an innate immune response against an infectious disease in a subject, the method comprising the step of administering to the subject a therapeutically effective dose of the composition comprising the Listeria vaccine vector disclosed herein.
[00280] In one embodiment, the present disclosure provides a method of eliciting an enhanced immune response to an infectious disease in a subject, the method comprising administering to the subject a therapeutically effective dose of the composition comprising the Listeria vaccine vector disclosed herein. In another embodiment, the immune response is not antigen specific.
[00281] In another embodiment, the present disclosure provides a method of preventing the onset of an infectious disease in a subject, the method comprising the step of administering to the subject a therapeutically effective dose of the composition comprising the Listeria vaccine vector disclosed herein. In another embodiment, the immune response is not antigen specific.
[00282] In one embodiment, the present disclosure provides a method of treating an infectious disease in a subject, the method comprising the step of administering to the subject a therapeutically effective dose of the composition comprising the Listeria vaccine vector disclosed herein. In another embodiment, the immune response is not antigen specific.
[00283] In one embodiment, the infectious disease is one caused by, but not limited to, any one of the following pathogens: BCG/Tuberculosis, Malaria, Plasmodium falciparum, Plasmodium malariae, Plasmodium vivax, Rotavirus, Cholera, Diptheria-Tetanus, Pertussis, Haemophilus influenzae, Hepatitis B, Human papilloma virus, Influenza seasonal), Influenza A (H1N1) Pandemic, Measles and Rubella, Mumps, Meningococcus A+C, Oral Polio Vaccines, mono, bi and trivalent, Pneumococcal, Rabies, Tetanus Toxoid, Yellow Fever, Bacillus anthracis (anthrax), Clostridium botulinum toxin (botulism), Yersinia pestis (plague), Variola major (smallpox) and other related pox viruses, Francisella tularensis (tularemia), Viral hemorrhagic fevers, Arena viruses (LCM, Junin virus, Machupo virus, Guanarito virus, Lassa Fever), Bunyaviruses (Hantaviruses, Rift Valley Fever), Flaviruses (Dengue), Filo viruses (Ebola , Marburg), Burkholderia pseudomallei, Coxiella burnetii (Q fever), Brucella species (brucellosis), Burkholderia mallei (glanders), Chlamydia psittaci (Psittacosis), Ricin toxin (from Ricinus communis), Epsilon toxin of Clostridium perfringens, Staphylococcus enterotoxin B, Typhus fever (Rickettsia prowazekii), other Rickettsias, Food- and Waterborne Pathogens, Bacteria (Diarrheagenic E.coli, Pathogenic Vibrios, Shigella species, Salmonella BCG/, Campylobacter jejuni, Yersinia enterocolitica), Viruses (Caliciviruses, Hepatitis A, West Nile Virus, LaCrosse, California encephalitis, VEE, EEE, WEE, Japanese Encephalitis Virus, Kyasanur Forest Virus, Nipah virus, hantaviruses, Tick borne hemorrhagic fever viruses, Chikungunya virus, Crimean- Congo Hemorrhagic fever virus, Tick borne encephalitis viruses, Hepatitis B virus, Hepatitis C virus, Herpes Simplex virus (HSV), Human immunodeficiency virus (HrV), Human papillomavirus (HPV)), Protozoa (Cryptosporidium parvum, Cyclospora cayatanensis, Giardia lamblia, Entamoeba histolytica, Toxoplasma), Fungi (Micro sporidia), Yellow fever, Tuberculosis, including drug-resistant TB, Rabies, Prions, Severe acute respiratory syndrome associated coronavirus (SARS-CoV), Coccidioides posadasii, Coccidioides immitis, Bacterial vaginosis, Chlamydia trachomatis, Cytomegalovirus, Granuloma inguinale, Hemophilus ducreyi, Neisseria gonorrhea, Treponema pallidum, Trichomonas vaginalis, or any other infectious disease known in the art that is not listed herein. In another embodiment, an infection occurs following a transplantation when a subject immune system may be compromised.
[00284] In another embodiment, the infectious disease is a livestock infectious disease. In
another embodiment, livestock diseases can be transmitted to man and are called "zoonotic diseases." In another embodiment, these diseases include, but are not limited to, Foot and mouth disease, West Nile Virus, rabies, canine parvovirus, feline leukemia virus, equine influenza virus, infectious bovine rhinotracheitis (IBR), pseudorabies, classical swine fever (CSF), IBR, caused by bovine herpesvirus type 1 (BHV-1) infection of cattle, and pseudorabies (Aujeszky's disease) in pigs, toxoplasmosis, anthrax, vesicular stomatitis virus, rhodococcus equi, Tularemia, Plague (Yersinia pestis), trichomonas.
[00285] In another embodiment of the methods of the present disclosure, the subject mounts an immune response against an antigen-expressing tumor or target antigen, thereby mediating anti- tumor effects.
[00286] In one embodiment, a treatment protocol of the present disclosure is therapeutic. In another embodiment, the protocol is prophylactic. In another embodiment, the vaccines of the present disclosure are used to protect people at risk for cancer such as breast cancer or other types of tumors because of familial genetics or other circumstances that predispose them to these types of ailments as will be understood by a skilled artisan. Similarly, in another embodiment, the vaccines of the present disclosure are used to protect people at risk for infectious disease; such as tuberculosis, malaria, influenza, and leishmaniasis. In another embodiment, the vaccines are used as a cancer immunotherapy in early stage disease, or after debulking of tumor growth by surgery, conventional chemotherapy or radiation treatment. Following such treatments, the vaccines of the present disclosure are administered so that the CTL response to the tumor antigen of the vaccine destroys remaining metastases and prolongs remission from the cancer. In another embodiment, vaccines of the present disclosure are used to effect the growth of previously established tumors and to kill existing tumor cells.
[00287] In the following examples, numerous specific details are set forth in order to provide a thorough understanding of the disclosure. However, it will be understood by those skilled in the art that the present disclosure may be practiced without these specific details. In other instances, well-known methods, procedures, and components have not been described in detail so as not to obscure the present disclosure. Thus these examples should in no way be construed, as limiting the broad scope of the disclosure.
EXAMPLES
MATERIALS AND EXPERIMENTAL METHODS
Bacterial strains, transformation and selection
[00288] E. coli strain MB2159 was used for transformations, using standard protocols. Bacterial cells were prepared for electroporation by washing with H20.
[00289] E. coli strain MB2159 (Strych U et al, FEMS Microbiol Lett. 2001 Mar 15;196(2):93-8) is an air (-)/dadX (-) deficient mutant that is not able to synthesize D-alanine racemase. Listeria strain Lm dal(-)/dat(-) (Lmdd) similarly is not able to synthesize D-alanine racemase due to partial deletions of the dal and the dat genes.
Plasmid Constructions
[00290] Using the published sequence of the plcA gene (Mengaud et al., Infect. Immun. 1989 57, 3695-3701), PCR was used to amplify the gene from chromosomal DNA. The amplified product was then ligated into pAM401 using Sail- and Xbal-generated DNA ends to generate pDP1462.
[00291] Plasmid pDP1500, containing prfA alone, was constructed by deleting the pic A gene, bases 429 to 1349 (Mengaud et al., supra), from pDP1462 after restriction with Xbal and PstI, treatment of the DNA ends with T4 DNA polymerase to make them blunt, and intramolecular ligation.
[00292] Plasmid pDP1499, containing the plcA promoter and a portion of the 3' end of plcA, was constructed by deleting a plcA internal fragment, bases 428 to 882 (Mengaud et al., Infect. Immun. 1989 57, 3695-3701), from pDP1339 after restriction with PstI and Nsil and intramolecular ligation.
[00293] pDP1526 (pKSV7::ziplcA) was constructed by a single three-part ligation of pKSV7 restricted with BAMHI and Xbal, the 468 bp Xbal and Nsil-generated fragment from pAM401::plcA containing the 5' end of plcA (bases 882 to 1351; Mengaud et al., supra) and, the 501 bp PstI- and BamHI-generated fragment from pAM401::plcA prfA containing the 3' end of plcA (bases 77 to 429; Mengaud et al., supra).
[00294] The prfA promoter, bases 1-429 (Mengaud et al., supra), was isolated by EcoRI and PstI double digestion of pDP1462 and the fragment was subsequently ligated into EcoRI-and Pstl-restricted pKSV7 to generate pDP1498. Two random Hindlll-generated 10403S chromosomal DNA fragments, approximately 3kb in length, were ligated into Hindlll-restricted pKSV7, to generate the random integration control plasmids pDP1519 and pDP1521.
Construction ofL. Monocytogenes Mutant Strains
[00295] L. monocytogenes strain DP-L1387 was isolated as a mutant with reduced lecithinase (PC -PLC) from a Tn917-LTV3 bank of SLCC 5764, constructed as previously described
(Camilli et al., J. Bacteriol. 1990, 172,3738-3744). The site of Tn917-LTV3 insertion was determined by sequencing one transposon-chromosomal DNA junction as previously described (Sun et al., Infect. Immun. 1990 58, 3770-3778). L. monocytogenes was transformed with plasmid DNA as previously described (Camilli et al., supra). Selective pressure for maintenance of pAM401, pKSV7, and their derivatives in L. monocytogenes was exerted in the presence of 10 μg of chloramphenicol per ml of media. In addition, maintenance of pKSV7 derivatives required growth at 30°C, a permissive temperature for plasmid replication in Gram-positive bacteria.
[00296] Integration of pKSV7 derivatives into the L. monocytogenes chromosome occurred by homologous recombination between L. monocytogenes DNA sequences on the plasmids and their corresponding chromosomal alleles. Integration mutants were enriched by growth for approximately 30 generations at 40°C, a non-permissive temperature for pKSV7 replication, in Brain Heart Infusion (BHI) broth containing 10 μg chloramphenicol per ml of media. Each integration strain was subsequently colony purified on BHI agar containing 10 μg chloramphenicol per ml of media and incubated at 40°C. Southern blot analyses of chromosomal DNA isolated from each integration strain confirmed the presence of the integrated plasmid.
[00297] Construction of DP-L1552 is achieved by integration of the pKSV7 derivative, pDP1526, to generate a merodiploid intermediate was done as described above. Spontaneous excision of the integrated plasmid, through intramolecular homologous recombination, occurred at a low frequency. Bacteria in which the plasmid had excised from the chromosome were enriched by growth at 30°C. in BHI broth for approximately 50 generations. The nature of the selective pressure during this step was not known but may be due to a slight growth defect of strains containing integrated temperature- sensitive plasmids. Approximately 50% of excision events, i.e., those resulting from homologous recombination between sequences 3' of the deletion, resulted in allelic exchange of AplcA for the wild-type allele on the chromosome.
[00298] The excised plasmids were cured by growing the bacteria at 40°C in BHI for approximately 30 generations. Bacteria cured of the plasmid retaining the AplcA allele on the chromosome were identified by their failure to produce a zone of turbidity surrounding colonies after growth on BHI agar plates containing a 5 ml overlay of BHI agar/2.5% egg yolk/2.5% phosphate-buffered saline (PBS) (BHI/egg yolk agar). The turbid zones resulted from PI-PLC hydrolysis of PI in the egg yolk, giving an insoluble diacylglycerol precipitate. The correct plcA deletion on the L. monocytogenes chromosome was confirmed by amplifying the deleted allele using PCR and sequencing across the deletion.
[00299] Thus, PI-PLC negative mutants (plcA deletion mutants) may be used according to the present disclosure to generate attenuated L. monocytogenes vaccines. Other mutants were made using the same method, namely, an actA deletion mutant, a plcB deletion mutant, and a double mutant lacking both plcA and plcB, all of which may also be used according to the present disclosure to generate attenuated L. monocytogenes vaccines. Given the present disclosure, one skilled in the art would be able to create other attenuated mutants in addition to those mentioned above.
Construction ofLmdd
[00300] The dal gene was initially inactivated by means of a double-allelic exchange between the chromosomal gene and the temperature- sensitive shuttle plasmid pKSV7 (Smith K et al, Biochimie. 1992 Jul-Aug;74(7-8):705-l l) carrying an erythromycin resistance gene between a 450-bp fragment from the 5' end of the original 850-bp dal gene PCR product and a 450-bp fragment from the 3' end of the dal gene PCR product. Subsequently, a dal deletion mutant covering 82% of the gene was constructed by a similar exchange reaction with pKSV7 carrying homology regions from the 5' and 3' ends of the intact gene (including sequences upstream and downstream of the gene) surrounding the desired deletion. PCR analysis was used to confirm the structure of this chromosomal deletion.
[00301] The chromosomal dat gene was inactivated by a similar allelic exchange reaction. pKSV7 was modified to carry 450-bp fragments derived by PCR from both the 5' and 3' ends of the intact dat gene (including sequences upstream and downstream of the gene). These two fragments were ligated by appropriate PCR. Exchange of this construct into the chromosome resulted in the deletion of 30% of the central bases of the dat gene, which was confirmed by PCR analysis.
Bacterial culture and in vivo passaging of Listeria
[00302] E. coli were cultured following standard methods. Listeria were grown at 37° C, 250 rpm shaking in LB media (Difco, Detroit, MI)+ 50 μg streptomycin, and harvested during exponential growth phase. For Lm-LLO-E7, 37 μg chloramphenicol was added to the media. For growth kinetics determinations, bacteria were grown for 16 hours in 10 ml of LB + antibiotics. The OD6oonm was measured and culture densities were normalized between the strains. The culture was diluted 1:50 into LB + suitable antibiotics and D-alanine if applicable. Passaging ofLm in mice
[00303] 1 x 10° CFU were injected intraperitoneally (ip.) into C57BL/6 mice. On day three, spleens were isolated and homogenized in PBS. An aliquot of the spleen suspension was plated
on LB plates with antibiotics as applicable. Several colonies were expanded and mixed to establish an injection stock.
Construction of antibiotic resistance factor free plasmid pTV3
[00304] Construction of p60-dal cassette. The first step in the construction of the antibiotic resistance gene-free vector was construction of a fusion of a truncated p60 promoter to the dal gene. The Lm alanine racemase (dal) gene (forward primer: 5'-CCA TGG TGA CAG GCT GGC ATC-3'; SEQ ID NO: 31) (reverse primer: 5'-GCT AGC CTA ATG GAT GTA TTT TCT AGG- 3'; SEQ ID NO: 32) and a minimal p60 promoter sequence (forward primer: 5'-TTA ATT AAC AAA TAG TTG GTA TAG TCC-3'; SEQ ID No: 33) (reverse primer: 5'-GAC GAT GCC AGC CTG TCA CCA TGG AAA ACT CCT CTC-3'; SEQ ID No: 34) were isolated by PCR amplification from the genome of Lm strain 10403S. The primers introduced a Pad site upstream of the p60 sequence, an Nhel site downstream of the dal sequence (restriction sites in bold type), and an overlapping dal sequence (the first 18 bp) downstream of the p60 promoter for subsequent fusion of p60 and dal by splice overlap extension (SOE)-PCR. The sequence of the truncated p60 promoter was:
CAAATAGTTGGTATAGTCCTCTTTAGCCTTTGGAGTATTATCTCATCATTTGTTTTTT AGGTGAAAACTGGGTAAACTTAGTATTATCAATATAAAATTAATTCTCAAATACTT AATTACGTACTGGGATTTTCTGAAAAAAGAGAGGAGTTTTCC (SEQ ID NO: 35 Kohler et al, J Bacterid 173: 4668-74, 1991). Using SOE-PCR, the p60 and dal PCR products were fused and cloned into cloning vector pCR2.1 (Invitrogen, La Jolla, CA).
[00305] Removal of antibiotic resistance genes from pGG55. The subsequent cloning strategy for removing the Chloramphenicol acetyltransferase (CAT) genes from pGG55 and introducing the p60-dal cassette also intermittently resulted in the removal of the gram-positive replication region (oriRep; Brantl et al, Nucleic Acid Res 18: 4783-4790, 1990). In order to re- introduce the gram-positive oriRep, the oriRep was PCR-amplified from pGG55, using a 5'- primer that added a Narl/Ehel site upstream of the sequence (GGCGCCACTAACTCAACGCTAGTAG, SEQ ID NO: 36) and a 3'-primer that added a Nhel site downstream of the sequence (GCTAGCCAGCAAAGAAAAACAAACACG, SEQ ID NO: 37). The PCR product was cloned into cloning vector pCR2.1 and sequence verified.
[00306] In order to incorporate the p60-dal sequence into the pGG55 vector, the p60-dal expression cassette was excised from pCR-p60dal by Pacl/Nhel double digestion. The replication region for gram-positive bacteria in pGG55 was amplified from pCR-oriRep by PCR (primer 1, 5'-GTC GAC GGT CAC CGG CGC CAC TAA CTC AAC GCT AGT AG-3'; SEQ
ID No: 38); (primer 2, 5'-TTA ATT AAG CTA GCC AGC AAA GAA AAA CAA ACA CG-3'; SEQ ID No: 39) to introduce additional restriction sites for Ehel and Nhel. The PCR product was ligated into pCR2.1-TOPO (Invitrogen, Carlsbad, Calif.), and the sequence was verified. The replication region was excised by Ehel/Nhel digestion, and vector pGG55 was double digested with Ehel and Nhel, removing both CAT genes from the plasmid simultaneously. The two inserts, p60-dal and oriRep, and the pGG55 fragment were ligated together, yielding pTV3 (Figure IB). pTV3 also contains a prfA (pathogenicity regulating factor A) gene. This gene is not necessary for the function of pTV3, but can be used in situations wherein an additional selected marker is required or desired.
Preparation ofDNA for real-time PCR
[00307] Total Listeria DNA was prepared using the Masterpure® Total DNA kit (Epicentre, Madison, WI). Listeria were cultured for 24 hours at 37° C and shaken at 250 rpm in 25 ml of Luria-Bertoni broth (LB). Bacterial cells were pelleted by centrifugation, resuspended in PBS supplemented with 5 mg/ml of lysozyme and incubated for 20 minutes at 37° C, after which DNA was isolated.
[00308] In order to obtain standard target DNA for real-time PCR, the LLO-E7 gene was PCR amplified from pGG55 (5'-ATGAAAAAAATAATGCTAGTTTTTATTAC-3' (SEQ ID NO: 40); 5'-GCGGCCGCTTAATGATGATGATGATGATGTGGTTTCTG AGAACAGATG- 3' (SEQ ID NO: 41)) and cloned into vector pETbluel (Novagen, San Diego, CA). Similarly, the plcA amplicon was cloned into pCR2.1. E. coli were transformed with pET-LLOE7 and pCR-plcA, respectively, and purified plasmid DNA was prepared for use in real-time PCR. Real-time PCR
[00309] Taqman primer-probe sets (Applied Biosystems, Foster City, CA) were designed using the ABI PrimerExpress software (Applied Biosystems) with E7 as a plasmid target, using the following primers: 5'-GCAAGTGTGACTCTACGCTTCG-3' (SEQ ID NO: 42); 5'- TGCCCATTAACAGGTCTTCCA-3' (SEQ ID NO: 43); 5'-FAM-TGCGTA CAAAGCACACACGTAGACATTCGTAC-TAMRA-3' (SEQ ID NO: 44) and the one-copy gene plcA (TGACATCGTTTGTGTTTGAGCTAG -3' (SEQ ID NO: 45, 5'- GCAGCGCTCTCTATACCAGGTAC-3' (SEQ ID NO: 46); 5'-TET-TTAATGTCCATGTTA TGTCTCCGTTATAGCTCATCGTA-TAMRA-3'; SEQ ID NO: 47) as a Listeria genome target.
[00310] 0.4 μΜ primer and 0.05 mM probe were mixed with PuRE Taq RTG PCR beads (Amersham, Piscataway, NJ) as recommended by the manufacturer. Standard curves were
prepared for each target with purified plasmid DNA, pET-LLOE7 and pCR-plcA (internal standard) and used to calculate gene copy numbers in unknown samples. Mean ratios of E7 copies / plcA copies were calculated based on the standard curves and calibrated by dividing the results for Lmdd-TV3 and Lm-LLO-E7 with the results from Lm-E7, a Listeria strain with a single copy of the E7 gene integrated into the genome. All samples were run in triplicate in each qPCR assay which was repeated three times. Variation between samples was analyzed by Two-Way ANOVA using the KyPlot software. Results were deemed statistically significant if p < 0.05.
Growth measurements
[00311] Bacteria were grown at 37°C, 250 rpm shaking in Luria Bertani (LB) Medium +/- 100 micrograms ^g)/ml D-alanine and/or 37 μg/ml chloramphenicol. The starting inoculum was adjusted based on OD600 nm measurements to be the same for all strains.
Hemolytic Lysis Assay
[00312] 4 x 109 CFU of Listeria were thawed, pelleted by centrifugation (1 minute, 14000 rpm) and resuspended in 100 μΐ PBS, pH 5.5 with 1 M cysteine. Bacteria were serially diluted 1:2 and incubated for 45 minutes at 37° C in order to activate secreted LLO. Defibrinated total sheep blood (Cedarlane, Hornby, Ontario, Canada) was washed twice with 5 volumes of PBS and three to four times with 6 volumes of PBS -Cysteine until the supernatant remained clear, pelleting cells at 3000 x g for 8 minutes between wash steps, then resuspended to a final concentration of 10 % (v/v) in PBS-Cysteine. 100 μΐ of 10% washed blood cells were mixed with 100 μΐ of Listeria suspension and incubated for additional 45 minutes at 37° C. Un-lysed blood cells were then pelleted by centrifugation (10 minutes, 1000 x g). 100 μΐ of supernatant was transferred into a new plate and the ODs30nm was determined and plotted against the sample dilution.
Therapeutic efficacy of Lmdd-Tv3
[00313] 105 TC-1 (ATCC, Manassas, VA) were implanted subcutaneously in C57BL/6 mice (n=8) and allowed to grow for about 7 days, after which tumors were palpable. TC-1 is a C57BL/6 epithelial cell line that was immortalized with HPV E6 and E7 and transformed with activated ras, which forms tumors upon subcutaneous implantation. Mice were immunized with 0.1 LD50 of the appropriate Listeria strain on days 7 and 14 following implantation of tumor cells. A non-immunized control group (naive) was also included. Tumor growth was measured with electronic calipers.
Construction ofLmddAinlC
[00314] The deletions in the Listeria chromosome are introduced by homologous recombination between a target gene and homologous sequences present on the plasmid, which is temperature sensitive for DNA replication. After transformation of plasmid into the host, the integration of the plasmid into the chromosome by single crossover event is selected during growth at non-permissive temperature (42°C) while maintaining selective pressure. Subsequent growth of co-integrates at permissive temperatures (30°C) leads to second recombination event, resulting in their resolution.
[00315] To create deletion mutant, DNA fragments that are present upstream and downstream of inl C region (indicated in the figure is amplified by PCR (indicated in Fig. 2 and 3 and respective SEQ ID NO: 48 and SEQ ID NO: 49).
[00316] atggcgcgggatggtatactatacaagcgtatggttcaaaaagatactttgaattaagaagtacaataaagttaacttcattag acaaaaagaaaaaacaaggaagaatagtacatagttataaatacttggagagtgaggtgtaatatgggggcagctgatttttggggtttcata tatgtagtttcaagattagccattgttgcggcagtagtttacttcttatacttattgagaaaaattgcaaataaatagaaaaaaagccttgtcaaac gaggctttttttatgcaaaaaatacgacgaatgaagccatgtgagacaatttggaatagcagacaacaaggaaggtagaacatgttttgaaaa atttactgattttcgattattattaacgcttgttaatttaaacatctcttatttttgctaacatataagtatacaaagggacataaaaaggttaacagcg tttgttaaataggaagtatatgaaaatcctcttttgtgtttctaaatttatttttaaggagtggagaatgttgaaaaaaaataattggttacaaaa tgcagtaatagcaatgctagtgttaattgtaggtctgtgcattaatatgggttctggaacaaaagtacaagctgagagtattcaacg accaacgcctattaaccaagtttttccagatcccggcctagcgaatgcagtgaaacaaaatttagggaagcaaagtgttacagacc ttgtatcacaaaaggaactatctggagtacaaaatttcaatggagataatagcaacattcaatctcttgcgggaatgcaatttttcac taatttaaaagaacttcatctatcccataatcaaataagtgaccttagtcctttaaaggatctaactaagttagaagagctatctgtg aatagaaacagactgaaaaatttaaacggaattccaagtgcttgtttatctcgcttgtttttagataacaacgaactcagagatactg actcgcttattcatttgaaaaatctagaaatcttatctattcgtaataataagttaaaaagtattgtgatgcttggttttttatcaaaact agaggtattagatttgcatggtaatgaaataacaaatacaggtggactaactagattgaagaaagttaactggatagatttaactg gtcagaaatgtgtgaatgaaccagtaaaataccaaccagaattgtatataacaaatactgtcaaagacccagatggaagatggat atctccatattacatcagtaatggtgggagttatgtagatggttgtgtcctgtgggaattgccagtttatacagatgaagtaagctata agtttagcgaatatataaacgttggggagactgaggctatatttgatggaacagttacacaacctatcaagaattaggacttgtgca cacctgtatactttgagctctcgtataatcacgagagctttttaaatatgtaagtcttaattatctcttgacaaaaagaacgtttattcgtataaggtt accaagagatgaagaaactattttatttacaattcaccttgacaccaaaaactccatatgatatagtaaataaggttattaaacaagaaagaaga agcaacccgcttctcgcctcgttaacacgaacgttttcaggcaaaaaattcaaactttcgtcgcgtagcttacgcgattttgaatgtgcgggatt gctgaaaagcagcccgtttttttatggcctccgaacgaatgagttagcaggccgcagatttgaacagctattttctatcttgttgtaacaaaatta agtggaggtggctcaccattagcaaagacatgttggtaaacgatgggattcgtgcacgtgaagtaagattgatcgaccaagacggtgaaca attaggcgtgaagagtaaaatcgatgcgcttcaaattgctgaaaaggctaatcttgatctagtgcttgttgctccaacagcgaaaccgccagt agctcgta (SEQ ID NO: 48).
[00317] GAATTCatggcgcgggatggtatactatacaagcgtatggttcaaaaagatactttgaattaagaagtacaataaagtta acttcattagacaaaaagaaaaaacaaggaagaatagtacatagttataaatacttggagagtgaggtgtaatatgggggcagctgatttttg gggtttcatatatgtagtttcaagattagccattgttgcggcagtagtttacttcttatacttattgagaaaaattgcaaataaatagaaaaaaagc cttgtcaaacgaggctttttttatgcaaaaaatacgacgaatgaagccatgtgagacaatttggaatagcagacaacaaggaaggtagaaca tgttttgaaaaatttactgattttcgattattattaacgcttgttaatttaaacatctcttatttttgctaacatataagtatacaaagggacataaaaag gttaacagcgtttgttaaataggaagtatatgaaaatcctcttttgtgtttctaaatttatttttaaggagtggagaGGATCCggacttgtgca cacctgtatactttgagctctcgtataatcacgagagctttttaaatatgtaagtcttaattatctcttgacaaaaagaacgtttattcgtataaggtt accaagagatgaagaaactattttatttacaattcaccttgacaccaaaaactccatatgatatagtaaataaggttattaaacaagaaagaaga agcaacccgcttctcgcctcgttaacacgaacgttttcaggcaaaaaattcaaactttcgtcgcgtagcttacgcgattttgaatgtgcgggatt gctgaaaagcagcccgtttttttatggcctccgaacgaatgagttagcaggccgcagatttgaacagctattttctatcttgttgtaacaaaatta agtggaggtggctcaccattagcaaagacatgttggtaaacgatgggattcgtgcacgtgaagtaagattgatcgaccaagacggtgaaca attaggcgtgaagagtaaaatcgatgcgcttcaaattgctgaaaaggctaatcttgatctagtgcttgttgctccaacagcgaaaccgccagt agctcgtaCTGCAG (SEQ ID NO: 49).
[00318] The inl C gene codes for 296 amino acid protein and the entire gene for this protein is deleted. The DNA fragments, DNA-up and DNA-down are amplified by PCR and cloned sequentially in the plasmid, pNEB193 using restriction enzyme sites EcoRI/BamHI and BamHl/Pstl, respectively as indicated in Figure 3. The DNA cassette up-down (EcoRl and Pstl fragment) is excised and further cloned in the temperature sensitive shuttle vector, pKSV7. After cloning, the plasmid, pKSV7/up-down is transformed in the strain Lm dal dat actA and the resulting colonies are tested for the presence of plasmid using colony PCR.
[00319] For homologous recombination, the bacteria is cultured repeatedly for 5 days under chloramphenicol (Cm) selection at 30°C, conditions permissive for plasmid replication and during which time random DNA crossover events occur. This incubation step allowed for the integration of the shuttle plasmid into the genome, thus initially transferring Cm resistance. Bacteria containing a chromosomally integrated plasmid copy are selected by growth under Cm selective pressure during a temperature shift to 42°C, conditions not permissive for plasmid replication. The colonies are verified for the first recombination using PCR and the growth temperature are again shifted to 30°C to allow for a second DNA cross over occurring at homologous sites, thus excising unwanted plasmid sequences and leaving only the recombinant gene copy behind in the Lm chromosome. By employing an additional temperature shift to 42°C, the excised plasmid is prohibited from replicating, so that it is diluted out during expansion of the bacterial culture. Furthermore, subsequent replica plating is used for selecting the Cm sensitive bacteria. The Cm sensitive colonies are analyzed for the deletion of inl C gene using colony
PCR.
Generation of an ActA deletion mutant
[00320] The strain Lm dal dat (Lmdd) was attenuated by the irreversible deletion of the virulence factor, ActA. An in frame deletion of actA in the Lmdaldat (Lmdd) background was constructed to avoid any polar effects on the expression of downstream genes. The Lm dal dat AactA contains the first 19 amino acids at the N-terminal and 28 amino acid residues of the C- terminal with a deletion of 591 amino acids of ActA. The deletion of the gene into the chromosomal spot was verified using primers that anneal external to the actA deletion region. These are primers 3 (Adv 305-tgggatggccaagaaattc) (SEQ ID NO: 50) and 4 (Adv304- ctaccatgtcttccgttgcttg) (SEQ ID NO: 51) as shown in the Figure 4B. The PCR analysis was performed on the chromosomal DNA isolated from Lmdd and Lm-ddAactA. The sizes of the DNA fragments after amplification with two different set of primer pairs 1, 2 and 3, 4 in Lm-dd chromosomal DNA was expected to be 3.0 Kb and 3.4 Kb. However, for the Lm-ddAactA the expected sizes of PCR using the primer pairs 1, 2 and 3, 4 was 1.2 Kb and 1.6 Kb. Thus, PCR analysis in Figure 3 confirms that 1.8 kb region of actA was deleted in the strain, Lm-ddAaciA. DNA sequencing was also performed on PCR products to confirm the deletion of actA containing region in the strain, Lm-ddAactA (Figure 5).
[00321] gcgccaaatcattggttgattggtgaggatgtctgtgtgcgtgggtcgcgagatgggcgaataagaagcattaaagatcctg acaaatataatcaagcggctcatatgaaagattacgaatcgcttccactcacagaggaaggcgactggggcggagttcattataatagtggt atcccgaataaagcagcctataatactatcactaaacttggaaaagaaaaaacagaacagctttattttcgcgccttaaagtactatttaacgaa aaaatcccagtttaccgatgcgaaaaaagcgcttcaacaagcagcgaaagatttatatggtgaagatgcttctaaaaaagttgctgaagcttg ggaagcagttggggttaactgattaacaaatgttagagaaaaattaattctccaagtgatattcttaaaataattcatgaatattttttcttatattag ctaattaagaagataactaactgctaatccaatttttaacggaacaaattagtgaaaatgaaggccgaattttccttgttctaaaaaggttgtatta gcgtatcacgaggagggagtataagtgggattaaacagatttatgcgtgcgatgatggtggttttcattactgccaattgcattacgattaa ccccgacgtcgacccatacgacgttaattcttgcaatgttagctattggcgtgttctctttaggggcgtttatcaaaattattcaattaagaa (3(3(3(3to(3itoaaaacacagaacgaaagaaaaagtgaggtgaatgatatgaaattcaaaaaggtggttctaggtatgtgcttgatcgcaagt gttctagtctttccggtaacgataaaagcaaatgcctgttgtgatgaatacttacaaacacccgcagctccgcatgatattgacagcaaattacc acataaacttagttggtccgcggataacccgacaaatactgacgtaaatacgcactattggctttttaaacaagcggaaaaaatactagctaaa gatgtaaatcatatgcgagctaatttaatgaatgaacttaaaaaattcgataaacaaatagctcaaggaatatatgatgcggatcataaaaatcc atattatgatactagtacatttttatctcatttttataatcctgatagagataatacttatttgccgggttttgctaatgcgaaaataacaggagcaaa gtatttcaatcaatcggtgactgattaccgagaagggaa (SEQ ID NO: 52).
Production of Inflammatory cytokines:
[00322] Macrophages such as RAW 264.7 are infected with different Listeria backbones such
as Lm dal dat, Lm dal dot actA, Lm dal dat actA Δ inlC and Lm dal dot Δ inlC and supernatant is harvested at different time points to quantify the level of various cytokines using different ELISA based kits. The cytokines that are quantified include IFN-γ, TNF-a and IL-6.
In vivo cytokine production:
[00323] To measure the in vivo cytokine production and recruitment of neutrophils, C57BL/6 mice are injected intraperitoneally with different 10 CFU of inlC mutant, Listeria control or an equivalent volume of saline. After 12 h mice are killed and peritoneal cavities are washed with 2 mL of PBS. The peritoneal washes are examined for bacterial load after plating on growth medium and analysis of proinflammatory cytokines such as MIP-la, KC, MCP etc. Using flow cytometry the number of neutrophils and macrophages is determine after staining with markers such as Gr-1, CD l ib and F4/80 and further these populations are quantified using CellQuest software.
Transwell migration assay:
[00324] This assay is done to determine if there is an increase in the migration of neutrophils following infection of bone marrow derived macrophages or dendritic cells with the inlC deletion strain. Bone marrow-derived macrophages or dendritic cells are isolated from mice such as C57BL/6 and are infected with the inlC deletion mutants or control Listeria. Using infected cells the transwell assay is set up using corning costar Transwell plates. The assay is initially standardize using 3, 5, or 8 micron pore transwell plates. To test neutrophil migration, plate the infected APCs in the bottom of the plate and the neutrophils in the top of the well in the chamber. At different time points the cells are counted to determine the number of neutrophils that have migrated to the bottom.
Therapeutic efficacy of the Lm dal dat actA Δ InlC mutant:
[00325] To determine the therapeutic efficacy of inlC mutant, human Prostate specific antigen (PSA) is used as tumor antigen as proof of concept. The backbone Lm dal dat actA inlC are transformed with the plasmid, pAdvl42 that contains expression cassette for human PSA resulting in LmddAinlC142. The strain LmddAinlC142 is characterized for the expression and secretion of fusion protein, tLLO-PSA. Further the strain LmddAinlC142 are passaged twice in vivo in mice and the colonies obtained after two in vivo passages are examined for the expression and secretion of fusion protein, tLLO-PSA. The vaccine working stock are prepared from the colonies obtained after second in vivo passage and this are used for the assessment of therapeutic effects and immunogenicity. - Impact on tumor microenvironment:
[00326] The ability of LmddA inlC142, LmddA142 and other control strains to cause infiltration of immune cells in the tumor microenvironment are determined. In this study mice are inoculated with 1 x 106 TPSA23 tumor cells on day 0 and are vaccinated on day 7, 14 and 21 with 10 CFU of LmddA inlC142, LmddA142 and other control strains. Tumors are harvested on day 28 and processed for further staining with different cell surface markers such as Gr-1, CD l ib, CD3, CD4, CD8, CD25, Foxp3, NKl.l and CD62L. Using these markers different cell populations that are examined include macrophages (CDl lb+), NK cells (NK1.1+), neutrophils (Gr-l+ CDl lb+), myeloid derived suppressor cells (MDSCs) (Gr-l+ CDl lb+), regulatory T cells (CD4+ CD25+ Foxp3+) and effector T cells (CD8+ CD3+ CD62Llow). Further effector T cells are characterized for their functional ability to produce effector cytokines such as IFN-γ, TNF-oc and IL-2. The intratumoral regulatory T cells and MDSCs are tested for their ability to cause suppression of T cell proliferation.
Listeria immunization and 5. mansoni infection
[00327] Female (6-8 weeks old) BALB/c mice were maintained as naive (un-infected) or infected with S. mansoni. For infection, mice were injected i.p. with 50 cercariae. Eight weeks later, both infected and un-infected mice were immunized i.p. (100 μg/injection) with 0.1 LD50 Lm-gag, 0.2 LD50 Lm-gag, or 1 LD50 Lm-gag, or orally with 10 LD50 Lm-gag or 100 LD50 Lm-gag. Two weeks later, some groups of mice were boosted i.p. with 0.1 LD50 Lm-gag or 0.2 LD50 Lm-gag or orally with 10 LD50 Lm-gag or 100 LD50 Lm-gag in a similar manner. Lm-E7 was used as a negative control. Two weeks after the final immunization, the T-cell immune response was analyzed as described below. Infection was confirmed at the time of sacrifice by examining the mice for the presence of worms, liver eggs and hepatosplenomegally.
MDSC and Treg Function
[00328] Tumors were implanted in mice on the flank or a physiological site depending on the tumor model. After 7 days, mice were then vaccinated, the initial vaccination day depends on the tumor model being used. The mice were then administered a booster vaccine one week after the vaccine was given.
[00329] Mice were then sacrificed and tumors and spleen were harvested 1 week after the boost or, in the case of an aggressive tumor model, 3-4 days after the boost. Five days before harvesting the tumor, non-tumor bearing mice were vaccinated to use for responder T cells. Splenocytes were prepared using standard methodology.
[00330] Briefly, single cell suspensions of both the tumors and the spleens were prepared. Spleens were crushed manually and red blood cells were lysed. Tumors were minced and
incubated with collagenase/DNase. Alternatively, the GENTLEMACS™ dissociator was used with the tumor dissociation kit.
[00331] MDSCs were purified from tumors and spleens using a Miltenyi kit and columns or the autoMACs separator. Cells were then counted.
[00332] Single cell suspension was prepared and the red blood cells were lysed. Responder T cells were then labeled with CFSE.
[00333] Cells were plated together at a 2:1 ratio of responder T cells (from all division cycle stages) to MDSCs at a density of lxlO5 T cells per well in 96 well plates. Responder T cells were then stimulated with either the appropriate peptide (PSA OR CA9) or non-specifically with PMA/ionomycin. Cells were incubated in the dark for 2 days at 37°C with 5% C02. Two days later, the cells were stained for FACS and analyzed on a FACS machine.
Analysis of T-cell responses
[00334] For cytokine analysis by ELISA, splenocytes were harvested and plated at 1.5 million cells per well in 48-well plates in the presence of media, SEA or conA (as a positive control). After incubation for 72 hours, supernatants were harvested and analyzed for cytokine level by ELISA (BD). For antigen- specific IFN-γ ELISpot, splenocytes were harvested and plated at 300K and 150K cells per well in IFN-γ ELISpot plates in the presence of media, specific CTL peptide, irrelevant peptide, specific helper peptide or conA (as a positive control). After incubation for 20 hours, ELISpots (BD) were performed and spots counted by the Immunospot analyzer (C.T.L.). Number of spots per million splenocytes were graphed.
[00335] Splenocytes were counted using a Coulter Counter, Zl. The frequency of IFN-γ producing CD8+ T cells after re- stimulation with gag-CTL, gag-helper, medium, an irrelevant antigen, and con A (positive control) was determined using a standard IFN-γ-based ELISPOT assay. [00336] Briefly, IFN-γ was detected using the niAb R46-A2 at 5 mg/ml and polyclonal rabbit anti- IFN-γ used at an optimal dilution (kindly provided by Dr. Phillip Scott, University of Pennsylvania, Philadelphia, PA). The levels of IFN-γ were calculated by comparison with a standard curve using murine rIFN-γ (Life Technologies, Gaithersburg, MD). Plates were developed using a peroxidase-conjugated goat anti-rabbit IgG Ab (IFN-γ). Plates were then read at 405 nm. The lower limit of detection for the assays was 30 pg/ml. The lower limit of detection for the assays was 30 pg/ml.
RESULTS
EXAMPLE 1: A PLASMID CONTAINING AN AMINO ACID METABOLISM ENZYME INSTEAD OF AN ANTIBIOTIC RESISTANCE GENE IS RETAINED IN E.
COLI AND Lm BOTH IN VITRO AND IN VIVO [00337] An auxotroph complementation system based on D-alanine racemase was utilized to mediate plasmid retention in Lm without the use of an antibiotic resistance gene. E. coli strain MB2159 is an air (-)/dadX (-) deficient mutant that is not able to synthesize D-alanine racemase. Listeria strain Lm dal(-)/dat(-) (Lmdd) similarly is not able to synthesize D-alanine racemase due to partial deletions of the dal and the dat genes. Plasmid pGG55, which is based on E. coli- Listeria shuttle vector pAM401, was modified by removing both CAT genes and replacing them with a p60-dal expression cassette under control of the Listeria p60 promoter to generate pTV3 (Figures 1A and IB). DNA was purified from several colonies.
EXAMPLE 2: PLASMIDS CONTAINING A METABOLIC ENZYME DO NOT
INCREASE THE VIRULENCE OF BACTERIA
[00338] As virulence is linked to LLO function, the hemolytic lysis activity between Lmdd- TV3 and Lm-LLOE7 was compared. This assay tests LLO function by lysis of red blood cells and can be performed with culture supernatant, purified LLO or bacterial cells. Lmdd-TV3 displayed higher hemolytic lysis activity than Lm-LLOE7.
[00339] In vivo virulence was also measured by determining LD50 values, a more direct, and therefore accurate, means of measuring virulence. The LD50 of Lmdd-TV3 (0.75 x 109) was very close to that of Lm-LLOE7 (1 x 109), showing that plasmids containing a metabolic enzyme do not increase the virulence of bacteria. EXAMPLE 3: INDUCTION OF ANTI-TUMOR IMMUNITY BY PLASMIDS
CONTAINING A METABOLIC ENZYME
[00340] Efficacy of the metabolic enzyme-containing plasmid as a cancer vaccine was determined in a tumor regression model. The TC-1 cell line model, which is well characterized for HPV vaccine development and which allowed for a controlled comparison of the regression of established tumors of similar size after immunization with Lmdd-TV3 or Lm-LLO-E7, was used. In two separate experiments, immunization of mice with Lmdd-TV3 and Lm-LLO-E7
resulted in similar tumor regression (Figure 6) with no statistically significant difference (p < 0.05) between vaccinated groups. All immunized mice were still alive after 63 days, whereas non-immunized mice had to be sacrificed when their tumors reached 20 mm diameter. Cured mice remained tumor-free until the termination of the experiment.
[00341] Thus, metabolic enzyme-containing plasmids are efficacious as a therapeutic cancer vaccine. Because immune responses required for a therapeutic cancer vaccine are stronger than those required for a prophylactic cancer vaccine, these results demonstrate utility as well for a prophylactic cancer vaccine. EXAMPLE 4: inlC-DELETION MUTANT GENERATE SIGNIFICANTLY HIGH
LEVELS OF THE CHEMOKINES AND CYTOKINES.
[00342] inlC deletion mutant generates significantly high levels of the chemokines such as MIP-lα, KC (mouse homolog of IL-8), MCP resulting in infiltration of neutrophils and leukocytes towards the site of infection. Thus when different Listeria strains are administered intraperitoneally, the inlC mutant demonstrate an increase production of these cytokines and chemokines, which attract neutrophils and macrophages in the peritoneal fluid obtained 12 h after injection. Further, inlC deletion mutant generate significantly high levels of the inflammatory cytokines when compared to control strains. EXAMPLE 5: inlC-DELETION MUTANTS INDUCE NEUTROPHIL MIGRATION
[00343] The macrophages infected with inlC deletion mutant show significant increase in the migration of neutrophils at different time points when compared to other control strains. The results of this experiment strongly support the ability of this strain to attract immune cells such as neutrophils during infection.
EXAMPLE 6: inlC-DELETION MUTANTS EFFECT A THERAPEUTIC ANTI- TUMOR RESPONSE
[00344] The results of anti-tumor studies using both LmddA142 and LmddAinlC142 are very comparable to each other and therapeutic regression of tumors is observed. Further, two doses of LmddA inlC142 are comparable to three doses of the strain LmddA142 because of its ability to generate high levels of innate responses and increased secretion of proinflammatory cytokines.
[00345] At day 0 tumors were implanted in mice. At day 7 mice were vaccinated with Lmdda- E7 or LmddA-PSA. At day 14 tumors were harvested and MDSCs and Treg percentages and numbers were measured for vaccinated and naive groups. It was found that there is a decrease in the percentages of both MDSC and Tregs in the tumors of Listeria-treated mice, whereas the same effect is not observed in the spleens or the draining lymph nodes (TLDN) (Figures 7 A and 7B).
[00346] Isolated splenocytes and tumor-infiltrating lymphocytes (TILs) extracted from tumor bearing mice in the above experiment were pooled and stained for CD3, and CD8 to elucidate the effect of immunization with Lm-LLO-E7, Lm-LLO-PSA and Lm-LLO- CA9, Lm-LLO- Her2 (Figure 8-20) on the presence of MDSCs and Tregs (both splenic and tumoral MDSCs and Tregs) in the tumor. Each column represents the % of T cell population at a particular cell division stage and is subgrouped under a particular treatment group (naive, peptide -CA9 or PSA- treated, no MDSC/Treg, and no MDSC + PMA/ionomycin) (see Figures 8-20).
Analysis of cells in the blood of tumor-bearing mice [00347] Blood from tumor-bearing mice was analyzed for the percentages of Tregs and MDSCs present. There is a decrease in both MDSC and Tregs in the blood of mice after Lm vaccination.
EXAMPLE 7: SUPPRESSOR CELL FUNCTION AFTER LISTERIA VACCINE
TREATMENT
[00348] At day 0 tumors were implanted in mice. At day 7 mice were vaccinated with Lmdda- E7 or LmddA-PSA. At day 14 tumors were harvested and MDSCs and Treg percentages and numbers were measured for vaccinated and naive groups. It was found that there is a decrease in the percentages of both MDSC and Tregs in the tumors of Listeria-treated mice, whereas the same effect is not observed in the spleens or the draining lymph nodes (TLDN) (Figures 7A and 7B).
[00349] Isolated splenocytes and tumor-infiltrating lymphocytes (TILs) extracted from tumor bearing mice in the above experiment were pooled and stained for CD3, and CD8 to elucidate the effect of immunization with Lm-LLO-E7, Lm-LLO-PSA and Lm-LLO- CA9, Lm-LLO- Her2 (Figures 8-20) on the presence of MDSCs and Tregs (both splenic and tumoral MDSCs
and Tregs) in the tumor. Each column represents the % of T cell population at a particular cell division stage and is subgrouped under a particular treatment group (naive, peptide -CA9 or PSA- treated, no MDSC/Treg, and no MDSC + PMA/ionomycin) (see Figures 8-20). Analysis of cells in the blood of tumor-bearing mice
[00350] Blood from tumor-bearing mice was analyzed for the percentages of Tregs and MDSCs present. There is a decrease in both MDSC and Tregs in the blood of mice after Lm vaccination. EXAMPLE 8: MDSCs FROM TPSA23 TUMORS BUT NOT SPLEENS ARE LESS
SUPPRESSIVE AFTER LISTERIA VACCINATION
[00351] Suppressor assays were carried out using monocytic and granulocytic MDSCs isolated from TPSA23 tumors with non-specifically activated naive murine cells, and specifically activated cells (PSA, CA9, PMA/ionomycyn). Results demonstrated that the MDSCs isolated from tumors from the Lm vaccinated groups have a diminished capacity to suppress the division of activated T cells as compared to MDSC from the tumors of naive mice, (see Lm-LLO-PSA and Lm-LLO-treated Groups in Figure 8 and Figure 10, right-hand panel in figures represents pooled cell division data from left-hand panel). In addition, T responder cells from untreated mice where no MDSCs were present and where the cells were unstimulated/activated, remained in their parental (resting) state (Figures 8C-8D and IOC and 10D), whereas T cells stimulated with PMA or ionomycin were observed to replicate (Figures 8A and 8B and 10A and 10B). Further, it was observed that both, the Gr+Ly6G+ and the GrdimLy6G- MDSCs are less suppressive after treatment with Listeria vaccines. This applies to their decreased abilities to suppress both the division of activated PSA-specific T cells and non-specific (PMA/ionomycin stimulated) T cells.
[00352] Moreover, suppressor assays carried out using MDSCs isolated from TPSA23 tumors with non-specifically activated naive murine cells demonstrated that the MDSCs isolated from tumors from the Lm vaccinated groups have a diminished capacity to suppress the division of activated T cells as compared to MDSC from the tumors of naive mice (see Figures 8A-8D and 10A-10D).
[00353] In addition, the observations discussed immediately above relating to Figures 8A-8D and 10A-10D were not observed when using splenic MDSCs. In the latter, splenocytes/ T cells
from the naive group, the Listeria-treated group (PSA, CA9), and the PMA/ionomycin stimulated group (positive control) all demonstrated the same level of replication (Figures 9A- 9D and 11A-11D). Hence, these results show that Listeria-mediated inhibition of suppressor cells in tumors worked in an antigen- specific and non-specific manner, whereas Listeria has no effect on splenic granulocytic MDSCs as they are only suppressive in an antigen- specific manner.
EXAMPLE 9: TUMOR T REGULATORY CELLS' REDUCED SUPPRESSION BUT
NOT THOSE FROM SPLEENS
[00354] Suppressor assays were carried out using Tregs isolated from TPSA23 tumors after Listeria treatment. It was observed that after treatment with Listeria there is a reduction of the suppressive ability of Tregs from tumors (Figure 12A-12D), however, it was found that splenic Tregs are still suppressive (Figure 13A-13D).
[00355] As a control conventional CD4+ T cells were used in place of MDSCs or Tregs and were found not to have an effect on cell division (Figure 14A-14D).
EXAMPLE 10: MDSCs AND TREGS FROM 4T1 TUMORS BUT NOT SPLEENS
ARE LESS SUPPRESSIVE AFTER LISTERIA VACCINATION.
[00356] As in the above, the same experiments were carried out using 4T1 tumors and the same observations were made, namely, that MDSCs are less suppressive after Listeria vaccination (Figures 15A-15D and 17A-17D), that Listeria has no specific effect on splenic monocytic MDSCs (Figures 16A-16D and 18A-18D), that there is a decrease in the suppressive ability of Tregs from 4T1 tumors after Listeria vaccination (Figure 19A-19D), and that Listeria has no effect on the suppressive ability of splenic Tregs (Figure 20A-20D).
[00357] Finally, it was observed that Listeria has no effect on the suppressive ability of splenic Tregs.
EXAMPLE 11: CHANGE IN THE SUPPRESSIVE ABILITY OF THE GRANULOCITY AND MONOCYTIC MDSC IS DUE TO THE OVEREXPRESSION OF tLLO.
[00358] The LLO plasmid shows similar results as the Listeria vaccines with either the TAA or an irrelevant antigen (Figures 21A-21D). This means that the change in the suppressive ability of the granulocytic MDSC is due to the overexpression of tLLO and is independent of the
partnering fusion antigen. The empty plasmid construct alone also led to a change in the suppressive ability of the MDSC, although not to exactly the same level as any of the vaccines that contain the truncated LLO on the plasmid. The average of the 3 independent experiments show that the difference in suppression between the empty plasmid and the other plasmids with tLLO (with and without a tumor antigen) are significant. Reduction in MDSC suppressive ability was identical regardless of the fact if antigen specific or non-specific stimulated responder T cells were used.
[00359] Similar to the granulocytic MDSC, the average of the 3 independent experiments shows that the differences observed in the suppressive ability of the monocytic MDSCs purified from the tumors after vaccination with the Lm-empty plasmid vaccine are significant when compared to the other vaccine constructs (Figures 22A-22D).
[00360] Similar to the above observations, granulocytic MDSC purified from the spleen retain their ability to suppress the division of the antigen- specific responder T cells after Lm vaccination (Figures 23A-23D). However, after non-specific stimulation, activated T cells (with PMA/ionomycin) are still capable of dividing. None of these results are altered with the use of the LLO only or the empty plasmid vaccines showing that the Lm-based vaccines are not affecting the splenic granulocytic MDSC (Figures 23A-23D).
[00361] Similarly, monocytic MDSC purified from the spleen retain their ability to suppress the division of the antigen- specific responder T cells after Lm vaccination. However, after non- specific activation (stimulated by PMA/ionomycin), T cells are still capable of dividing. None of these results are altered with the use of the LLO only or the empty plasmid vaccines showing that the Lm vaccines are not affecting the splenic monocytic MDSC (Figures 24A-24D).
[00362] Tregs purified from the tumors of any of the Lm-treated groups have a slightly diminished ability to suppress the division of the responder T cells, regardless of whether the responder cells are antigen specific or non-specifically activated. Especially for the non- specifically activated responder T cells, it looks as though the vaccine with the empty plasmid shows the same results as all the vaccines that contain LLO on the plasmid. Averaging this experiment with the others shows that the differences are not significant (Figures 25A-25D).
[00363] Tregs purified from the spleen are still capable of suppressing the division of both antigen specific and non-specifically activated responder T cells. There is no effect of Lm treatment on the suppressive ability of splenic Tregs (Figures 26A-26D).
[00364] Tcon cells are not capable of suppressing the division of T cells regardless of whether the responder cells are antigens specific or non-specifically activated, which is consistent with
the fact that these cells are non-suppressive. Lm has no effect on these cells and there was no difference if the cells were purified from the tumors or the spleen of mice (Figures 27A-27D and Figures 28A-28D).
[00365] The preceding examples are presented in order to more fully illustrate the embodiments of the disclosure. They should in no way be construed, however, as limiting the broad scope of the disclosure.
[00366] While certain features of the disclosure have been illustrated and described herein, many modifications, substitutions, changes, and equivalents will now occur to those of ordinary skill in the art. It is, therefore, to be understood that the appended claims are intended to cover all such modifications and changes as fall within the true spirit of the disclosure.
Claims
1. A method of enhancing engraftment of a transplant in a subject, the method comprising the step of administering a live attenuated recombinant Listeria strain to said subject, wherein said administration enhances engraftment of said transplant.
2. The method of claim 1, wherein said Listeria strain comprises a nucleic acid molecule, wherein said nucleic acid molecule comprises a first open reading frame encoding a PEST-containing polypeptide.
3. The method of claim 2, wherein said Listeria expresses and secretes said PEST- containing polypeptide.
4. The method of any one of claims 2-3, wherein said PEST-containing polypeptide is a non-hemolytic LLO protein or immunogenic fragment thereof, an ActA protein or truncated fragment thereof, or a PEST amino acid sequence.
5. The method of any one of claims 2-4, wherein said nucleic acid molecule further comprises a second open reading frame encoding a metabolic enzyme, wherein said metabolic enzyme complements a mutation in the chromosome of said recombinant Listeria strain.
6. The method of claim 5, wherein said mutation comprises a mutation in the dal or dat gene, or any combination thereof.
7. The method of claim 6, wherein said Listeria further comprises a mutation in the actA gene.
8. The method of any one of claims 5-7, wherein said metabolic enzyme comprises an alanine racemase enzyme or a D-amino acid transferase enzyme.
9. The method of any one of claims 5-8, wherein said metabolic enzyme complements a dal/dat gene mutation in said Listeria.
10. The method of any one of claims 2-9, wherein said nucleic acid molecule is integrated into the Listeria genome.
11. The method of any one of claims 2-9, wherein said nucleic acid molecule is in a plasmid that is stably maintained in said recombinant Listeria vaccine strain in the absence of antibiotic selection.
12. The method of any one of claims 1-11, wherein said recombinant Listeria comprises a mutation or a deletion of a genomic internalin B (MB) gene, an actA gene, a plcA gene, a prfA gene or a plcB gene.
13. The method of any one of claims 1-12, wherein said subject is an adult human, a child or a non-human mammal.
14. The method of claim 13, wherein said non-human mammal is a mouse.
15. The method of any one of claims 1-14, wherein said method accelerates immunogenic competence in said subject.
16. The method of any one of claims 1-15, wherein said method decreases the time to full immunogenic engraftment.
17. The method of any one of claims 1-16, wherein said subject is receiving said transplant as a treatment for a cancer or hematopoietic disease.
18. The method of claim 17, wherein said hematopoietic disease is a hematopoietic malignancy.
19. The method of claim 18, wherein said hematopoietic malignancy is selected from the group consisting of leukemia, myelodysplastic syndrome (MDS), lymphoma, multiple myeloma, acute lymphoblastic leukemia (ALL), acute myeloid leukemia (AML) and chronic myelogenous leukemia (CML).
20. The method of any one of claims 1-19, wherein said transplant comprises a bone marrow transplant.
21. The method of claim 20, wherein said bone marrow transplant comprises hematopoietic stem cell transplantation (HSCT).
22. The method of claim 21, wherein the HSCT comprises an autologous, allogeneic, or xenogeneic HSCT.
23. The method of claim 22, wherein said transplant is xenogeneic and said subject is an immune-incompetent mouse.
24. The method of any one of claims 1-23, wherein the administering is carried out at the same time as the transplantation of said transplant, or 1, 2, 3, 4,5 or 6 days following said transplant..
25. The method of any one of claims 1-23, wherein the Listeria strain is administered until at least 15 days following said transplantation.
26. The method of any one of claims 1-23, wherein the Listeria strain is administered as a booster at least one month after the transplantation.
27. A method of improving maturation of immunity in a subject, the method comprising the step of administering a live attenuated recombinant Listeria strain to said subject, wherein said subject is receiving a transplant as a treatment for a cancer or
hematopoietic disease, wherein said administration improves maturation of immunity in said subject.
28. The method of claim 27, wherein said Listeria strain comprises a nucleic acid molecule, wherein said nucleic acid molecule comprises a first open reading frame encoding a PEST-containing polypeptide.
29. The method of claim 28, wherein said Listeria expresses and secretes said PEST- containing polypeptide.
30. The method of any one of claims 28-29, wherein said PEST-containing polypeptide is a non-hemolytic LLO protein or immunogenic fragment thereof, an ActA protein or truncated fragment thereof, or a PEST amino acid sequence.
31. The method of any one of claims 28-30, wherein said nucleic acid molecule further comprises a second open reading frame encoding a metabolic enzyme, wherein said metabolic enzyme complements an mutation in the chromosome of said recombinant Listeria strain.
32. The method of claim 31, wherein said mutation comprises a mutation in the dal or dat genes, or any combination thereof.
33. The method of claim 32, wherein said Listeria further comprises a mutation in the actA gene.
34. The method of any one of claims 31-33, wherein said metabolic enzyme comprises an alanine racemase enzyme or a D-amino acid transferase enzyme.
35. The method of any one of claims 31-34, wherein said metabolic enzyme complements a dal/dat gene mutation in said Listeria.
36. The method of any one of claims 28-35, wherein said nucleic acid molecule is integrated into the Listeria genome.
37. The method of any one of claims 28-35, wherein said nucleic acid molecule is in a plasmid that is stably maintained in said recombinant Listeria vaccine strain in the absence of antibiotic selection.
38. The method of any one of claims 27-37, wherein said recombinant Listeria comprises a mutation or a deletion of a genomic internalin B (MB) gene, an actA gene, a plcA gene, a prfA gene or a plcB gene.
39. The method of any one of claims 27-38, wherein said subject is an adult human, a child, or a non-human mammal.
40. The method of claim 39, wherein said non-human mammal is a mouse.
41. The method of claim 40, wherein said mouse is an immune-incompetent mouse receiving a xenogeneic transplant.
42. The method of any one of claims 27-41, wherein said method accelerates immunogenic competence in said subject.
43. The method of any one of claims 27—42, wherein said hematopoietic disease is a hematopoietic malignancy.
44. The method of claim 43, wherein said hematopoietic malignancy is selected from the group consisting of leukemia, myelodysplastic syndrome (MDS), lymphoma, multiple myeloma, acute lymphoblastic leukemia (ALL), acute myeloid leukemia (AML) and chronic myelogenous leukemia (CML).
45. The method of any one of claims 27-44, wherein said transplant comprises a bone marrow transplant.
46. The method of claim 45, wherein said bone marrow transplant comprises hematopoietic stem cell transplantation (HSCT).
47. The method of claim 46, wherein the HSCT comprises an autologous, an allogeneic, or a xenogeneic HSCT.
48. The method of any one of claims 27-47, wherein the administering is carried out at the same time as the transplantation of said transplant, or 1, 2, 3, 4, 5, or 6 days after said transplantation.
49. The method of any one of claims 27-47, wherein the Listeria strain is administered as a booster at least one month following said transplantation.
50. A method of decreasing time to immuno-competence in a subject receiving a transplant, the method comprising the step of administering a live attenuated recombinant Listeria strain to said subject, wherein said administering decreases time for said subject to reach immune-competence.
51. The method of claim 50, wherein said Listeria strain comprises a nucleic acid molecule, wherein said nucleic acid molecule comprises a first open reading frame encoding a PEST-containing polypeptide.
52. The method of claim 51, wherein said Listeria expresses and secretes said PEST- containing polypeptide.
53. The method of any one of claims 51-52, wherein said PEST-containing polypeptide is a non-hemolytic LLO protein or immunogenic fragment thereof, an ActA protein or truncated fragment thereof, or a PEST amino acid sequence.
54. The method of any one of claims 51-53, wherein said nucleic acid molecule further comprises a second open reading frame encoding a metabolic enzyme, wherein said metabolic enzyme complements an mutation in the chromosome of said recombinant Listeria strain.
55. The method of claim 54, wherein said mutation comprises a mutation in the dal or dat genes, or any combination thereof.
56. The method of claim 55, wherein said Listeria further comprises a mutation in the actA gene.
57. The method of any one of claims 54-56, wherein said metabolic enzyme is an alanine racemase enzyme or a D-amino acid transferase enzyme.
58. The method of any one of claims 54-57, wherein said metabolic enzyme complements a dal/dat gene mutation in said Listeria.
59. The method of any one of claims 51-58, wherein said nucleic acid molecule is integrated into the Listeria genome.
60. The method of any one of claims 51-58, wherein said nucleic acid molecule is in a plasmid that is stably maintained in said recombinant Listeria vaccine strain in the absence of antibiotic selection.
61. The method of any one of claims 50-60, wherein said recombinant Listeria comprises a mutation or a deletion of a genomic internalin B (MB) gene, an actA gene, a plcA gene, a prfA gene or a plcB gene.
62. The method of any one of claims 50-61, wherein said subject is an adult human, a child, or a non-human mammal.
63. The method of claim 62, wherein said non-human mammal is a mouse.
64. The method of any one of claims 50-63, wherein said method accelerates immunogenic competence in said subject.
65. The method of any one of claims 50-64, wherein said subject is receiving a transplant as a treatment for a cancer or hematopoietic disease.
66. The method of claim 65, wherein said hematopoietic disease is a hematopoietic malignancy.
67. The method of claim 66, wherein said hematopoietic malignancy is selected from the group consisting of leukemia, myelodysplastic syndrome (MDS), lymphoma, multiple myeloma, acute lymphoblastic leukemia (ALL), acute myeloid leukemia (AML) and chronic myelogenous leukemia (CML).
68. The method of any one of claims 65-66, wherein said transplant comprises a bone marrow transplant.
69. The method of claim 68, wherein said bone marrow transplant comprises hematopoietic stem cell transplantation (HSCT).
70. The method of claim 69, wherein the HSCT comprises an autologous, an allogeneic, or a xenogeneic HSCT.
71. The method of claim 50, wherein said transplant is xenogeneic and said subject is an immune-incompetent mouse.
72. The method of any one of claims 50-71, wherein the administering is carried out at the same time as the transplantation of said transplant, or 1, 2, 3, 4, 5, or 6 days following said transplant.
73. The method of any one of claims 50-72, wherein the Listeria strain is administered as a booster at least one month following said transplantation.
74. Use of a live attenuated recombinant Listeria strain for enhancing engraftment of a transplant in a subject, the use comprising the step of administering said live attenuated recombinant Listeria to said subject, wherein said administration enhances engraftment of said transplant.
75. The use of claim 74, wherein said Listeria strain comprises a nucleic acid molecule, wherein said nucleic acid molecule comprises a first open reading frame encoding a PEST-containing polypeptide.
76. The use of claim 75, wherein said Listeria expresses and secretes said PEST- containing polypeptide.
77. The use of any one of claims 74-76, wherein said PEST-containing polypeptide is a non-hemolytic LLO protein or immunogenic fragment thereof, an ActA protein or truncated fragment thereof, or a PEST amino acid sequence.
78. The use of any one of claims 75-77, wherein said nucleic acid molecule further comprises a second open reading frame encoding a metabolic enzyme, wherein said metabolic enzyme complements a mutation in the chromosome of said recombinant Listeria strain.
79. The use of claim 78, wherein said mutation comprises a mutation in the dal or dat gene, or any combination thereof.
80. The use of claim 79, wherein said Listeria further comprises a mutation in the actA gene.
81. The use of any one of claims 78-80, wherein said metabolic enzyme comprises an alanine racemase enzyme or a D-amino acid transferase enzyme.
82. The use of any one of claims 78-81, wherein said metabolic enzyme complements a dal/dat gene mutation in said Listeria.
83. The use of any one of claims 74-82, wherein said nucleic acid molecule is integrated into the Listeria genome.
84. The use of any one of claims 74-82, wherein said nucleic acid molecule is in a plasmid that is stably maintained in said recombinant Listeria vaccine strain in the absence of antibiotic selection.
85. The use of any one of claims 74-84, wherein said recombinant Listeria comprises a mutation or a deletion of a genomic internalin B (MB) gene, an actA gene, a plcA gene, a prfA gene or a plcB gene.
86. The use of any one of claims 74-85, wherein said subject is an adult human, a child or a non-human mammal.
87. The use of claim 86, wherein said non-human mammal is a mouse.
88. The use of any one of claims 74-87, wherein said use accelerates immunogenic competence in said subject.
89. The use of any one of claims 74-87, wherein said use decreases the time to full immunogenic engraftment.
90. The use of any one of claims 74-89, wherein said subject is receiving said transplant as a treatment for a cancer or hematopoietic disease.
91. The use of claim 90, wherein said hematopoietic disease is a hematopoietic malignancy.
92. The use of claim 91, wherein said hematopoietic malignancy is selected from the group consisting of leukemia, myelodysplastic syndrome (MDS), lymphoma, multiple myeloma, acute lymphoblastic leukemia (ALL), acute myeloid leukemia (AML) and chronic myelogenous leukemia (CML).
93. The use of any one of claims 74-92, wherein said transplant comprises a bone marrow transplant.
94. The use of claim 93, wherein said bone marrow transplant comprises hematopoietic stem cell transplantation (HSCT).
95. The use of claim 94, wherein the HSCT comprises an autologous, allogeneic, or xenogeneic HSCT.
96. The use of claim 95, wherein said transplant is xenogeneic and said subject is an immune-incompetent mouse.
97. The use of any one of claims 74-96, wherein the administering is carried out at the same time as the transplantation of said transplant, or 1, 2, 3, 4,5 or 6 days following said transplant.
98. The use of any one of claims 74-97, wherein the Listeria strain is administered until at least 15 days following said transplantation.
99. The use of any one of claims 74-98, wherein the Listeria strain is administered as a booster at least one month after the transplantation.
100. Use of a live attenuated recombinant Listeria strain for improving maturation of immunity following a transplant in a subject, the method comprising the step of administering a live attenuated recombinant Listeria strain to said subject, wherein said subject is receiving a transplant as a treatment for a cancer or hematopoietic disease, wherein said administration improves maturation of immunity in said subject.
101. The use of claim 100, wherein said Listeria strain comprises a nucleic acid molecule, wherein said nucleic acid molecule comprises a first open reading frame encoding a PEST-containing polypeptide.
102. The use of claim 101, wherein said Listeria expresses and secretes said PEST- containing polypeptide.
103. The use of any one of claims 100-102, wherein said PEST-containing polypeptide is a non-hemolytic LLO protein or immunogenic fragment thereof, an ActA protein or truncated fragment thereof, or a PEST amino acid sequence.
104. The use of any one of claims 100-103, wherein said nucleic acid molecule further comprises a second open reading frame encoding a metabolic enzyme, wherein said metabolic enzyme complements an mutation in the chromosome of said recombinant Listeria strain.
105. The use of claim 104, wherein said mutation comprises a mutation in the dal or dat genes, or any combination thereof.
106. The use of claim 105, wherein said Listeria further comprises a mutation in the actA gene.
107. The use of any one of claims 100-106, wherein said metabolic enzyme comprises an alanine racemase enzyme or a D-amino acid transferase enzyme.
108. The use of any one of claims 100-107, wherein said metabolic enzyme complements a
dal/dat gene mutation in said Listeria.
109. The use of any one of claims 100-108, wherein said nucleic acid molecule is integrated into the Listeria genome.
110. The use of any one of claims 100-109, wherein said nucleic acid molecule is in a plasmid that is stably maintained in said recombinant Listeria vaccine strain in the absence of antibiotic selection.
111. The use of any one of claims 100-110, wherein said recombinant Listeria comprises a mutation or a deletion of a genomic internalin B (MB) gene, an actA gene, a plcA gene, a prfA gene or a plcB gene.
112. The use of any one of claims 100-111, wherein said subject is an adult human, a child, or a non-human mammal.
113. The use of claim 112, wherein said non-human mammal is a mouse.
114. The use of claim 113, wherein said mouse is an immune-incompetent mouse receiving a xenogeneic transplant.
115. The use of any one of claims 100-114, wherein said use accelerates immunogenic competence in said subject.
116. The use of claim 115, wherein said hematopoietic disease is a hematopoietic malignancy.
117. The use of claim 116, wherein said hematopoietic malignancy is selected from the group consisting of leukemia, myelodysplastic syndrome (MDS), lymphoma, multiple myeloma, acute lymphoblastic leukemia (ALL), acute myeloid leukemia (AML) and chronic myelogenous leukemia (CML).
118. The use of any one of claims 100-117, wherein said transplant comprises a bone marrow transplant.
119. The use of claim 118, wherein said bone marrow transplant comprises hematopoietic stem cell transplantation (HSCT).
120. The use of claim 119, wherein the HSCT comprises an autologous, an allogeneic, or a xenogeneic HSCT.
121. The use of any one of claims 100-120, wherein the administering is carried out at the same time as the transplantation of said transplant, or 1, 2, 3, 4, 5, or 6 days after said transplantation.
122. The use of any one of claims 100-120, wherein the Listeria strain is administered as a booster at least one month following said transplantation.
123. Use of a live attenuated recombinant Listeria strain for decreasing time to immuno- competence in a subject receiving a transplant, comprising the step of administering said live attenuated recombinant Listeria strain to said subject, wherein said administering decreases time for said subject to reach immune-competence.
124. The use of claim 123, wherein said Listeria strain comprises a nucleic acid molecule, wherein said nucleic acid molecule comprises a first open reading frame encoding a PEST-containing polypeptide.
The use of claim 124, wherein said Listeria expresses and secretes said PEST- containing polypeptide.
The use of any one of claims 124-125, wherein said PEST-containing polypeptide is a non-hemolytic LLO protein or immunogenic fragment thereof, an ActA protein or truncated fragment thereof, or a PEST amino acid sequence.
The use of any one of claims 123-126, wherein said nucleic acid molecule further comprises a second open reading frame encoding a metabolic enzyme, wherein said metabolic enzyme complements an mutation in the chromosome of said recombinant Listeria strain.
The use of claim 127, wherein said mutation comprises a mutation in the dal or dat genes, or any combination thereof.
The use of claim 128, wherein said Listeria further comprises a mutation in the actA gene.
The use of any one of claims 127-129, wherein said metabolic enzyme is an alanine racemase enzyme or a D-amino acid transferase enzyme.
1. The use of any one of claims 127-130, wherein said metabolic enzyme complements a dal/dat gene mutation in said Listeria.
2. The use of any one of claims 123-131, wherein said nucleic acid molecule is integrated into the Listeria genome.
3. The use of any one of claims 123-131, wherein said nucleic acid molecule is in a plasmid that is stably maintained in said recombinant Listeria vaccine strain in the absence of antibiotic selection.
4. The use of any one of claims 123-133, wherein said recombinant Listeria comprises a mutation or a deletion of a genomic internalin B (inlB) gene, an actA gene, a plcA gene, a prfA gene or a plcB gene.
5. The use of any one of claims 123-134, wherein said subject is an adult human, a child,
or a non-human mammal.
136. The use of claim 135, wherein said non-human mammal is a mouse.
137. The use of any one of claims 123-136, wherein said use accelerates immunogenic competence in said subject.
138. The use of any one of claims 123-137, wherein said subject is receiving a transplant as a treatment for a cancer or hematopoietic disease.
139. The use of claim 138, wherein said hematopoietic disease is a hematopoietic malignancy.
140. The use of claim 139, wherein said hematopoietic malignancy is selected from the group consisting of leukemia, myelodysplastic syndrome (MDS), lymphoma, multiple myeloma, acute lymphoblastic leukemia (ALL), acute myeloid leukemia (AML) and chronic myelogenous leukemia (CML).
141. The use of any one of claims 123-140, wherein said transplant comprises a bone marrow transplant.
142. The use of claim 141, wherein said bone marrow transplant comprises hematopoietic stem cell transplantation (HSCT).
143. The use of claim 142, wherein the HSCT comprises an autologous, an allogeneic, or a xenogeneic HSCT.
144. The use of claim 143, wherein said transplant is xenogeneic and said subject is an immune-incompetent mouse.
145. The use of any one of claims 123-144, wherein the administering is carried out at the same time as the transplantation of said transplant, or 1, 2, 3, 4, 5, or 6 days following said transplant.
146. The use of any one of claims 123-144, wherein the Listeria strain is administered as a booster at least one month following said transplantation.
Applications Claiming Priority (2)
| Application Number | Priority Date | Filing Date | Title |
|---|---|---|---|
| US201562111147P | 2015-02-03 | 2015-02-03 | |
| US62/111,147 | 2015-02-03 |
Publications (2)
| Publication Number | Publication Date |
|---|---|
| WO2016126876A2 true WO2016126876A2 (en) | 2016-08-11 |
| WO2016126876A3 WO2016126876A3 (en) | 2016-10-27 |
Family
ID=56564870
Family Applications (1)
| Application Number | Title | Priority Date | Filing Date |
|---|---|---|---|
| PCT/US2016/016452 Ceased WO2016126876A2 (en) | 2015-02-03 | 2016-02-03 | Listeria-based adjuvants |
Country Status (1)
| Country | Link |
|---|---|
| WO (1) | WO2016126876A2 (en) |
Cited By (11)
| Publication number | Priority date | Publication date | Assignee | Title |
|---|---|---|---|---|
| US10055540B2 (en) | 2015-12-16 | 2018-08-21 | Gritstone Oncology, Inc. | Neoantigen identification, manufacture, and use |
| US10058599B2 (en) | 2012-03-12 | 2018-08-28 | Advaxis, Inc. | Suppressor cell function inhibition following Listeria vaccine treatment |
| US10064898B2 (en) | 2011-03-11 | 2018-09-04 | Advaxis, Inc. | Listeria-based adjuvants |
| US10143734B2 (en) | 2014-02-18 | 2018-12-04 | Advaxis, Inc. | Biomarker directed multi-target immunotherapy |
| US10258679B2 (en) | 2014-04-24 | 2019-04-16 | Advaxis, Inc. | Recombinant Listeria vaccine strains and methods of producing the same |
| US10900044B2 (en) | 2015-03-03 | 2021-01-26 | Advaxis, Inc. | Listeria-based compositions comprising a peptide minigene expression system and methods of use thereof |
| US11179339B2 (en) | 2017-09-19 | 2021-11-23 | Advaxis, Inc. | Compositions and methods for lyophilization of bacteria or listeria strains |
| US11264117B2 (en) | 2017-10-10 | 2022-03-01 | Gritstone Bio, Inc. | Neoantigen identification using hotspots |
| US11446369B2 (en) | 2007-05-10 | 2022-09-20 | Advaxis, Inc. | Compositions and methods comprising KLK3 or FOLH1 antigen |
| US11885815B2 (en) | 2017-11-22 | 2024-01-30 | Gritstone Bio, Inc. | Reducing junction epitope presentation for neoantigens |
| US11897927B2 (en) | 2016-11-30 | 2024-02-13 | Advaxis, Inc. | Immunogenic compositions targeting recurrent cancer mutations and methods of use thereof |
-
2016
- 2016-02-03 WO PCT/US2016/016452 patent/WO2016126876A2/en not_active Ceased
Cited By (16)
| Publication number | Priority date | Publication date | Assignee | Title |
|---|---|---|---|---|
| US11446369B2 (en) | 2007-05-10 | 2022-09-20 | Advaxis, Inc. | Compositions and methods comprising KLK3 or FOLH1 antigen |
| US10064898B2 (en) | 2011-03-11 | 2018-09-04 | Advaxis, Inc. | Listeria-based adjuvants |
| US10058599B2 (en) | 2012-03-12 | 2018-08-28 | Advaxis, Inc. | Suppressor cell function inhibition following Listeria vaccine treatment |
| US10143734B2 (en) | 2014-02-18 | 2018-12-04 | Advaxis, Inc. | Biomarker directed multi-target immunotherapy |
| US10258679B2 (en) | 2014-04-24 | 2019-04-16 | Advaxis, Inc. | Recombinant Listeria vaccine strains and methods of producing the same |
| US11702664B2 (en) | 2015-03-03 | 2023-07-18 | Advaxis, Inc. | Listeria-based compositions comprising a peptide minigene expression system and methods of use thereof |
| US10900044B2 (en) | 2015-03-03 | 2021-01-26 | Advaxis, Inc. | Listeria-based compositions comprising a peptide minigene expression system and methods of use thereof |
| US10847252B2 (en) | 2015-12-16 | 2020-11-24 | Gritstone Oncology, Inc. | Neoantigen identification, manufacture, and use |
| US11183286B2 (en) | 2015-12-16 | 2021-11-23 | Gritstone Bio, Inc. | Neoantigen identification, manufacture, and use |
| US10847253B2 (en) | 2015-12-16 | 2020-11-24 | Gritstone Oncology, Inc. | Neoantigen identification, manufacture, and use |
| US10055540B2 (en) | 2015-12-16 | 2018-08-21 | Gritstone Oncology, Inc. | Neoantigen identification, manufacture, and use |
| US11897927B2 (en) | 2016-11-30 | 2024-02-13 | Advaxis, Inc. | Immunogenic compositions targeting recurrent cancer mutations and methods of use thereof |
| US11179339B2 (en) | 2017-09-19 | 2021-11-23 | Advaxis, Inc. | Compositions and methods for lyophilization of bacteria or listeria strains |
| US12239738B2 (en) | 2017-09-19 | 2025-03-04 | Advaxis, Inc. | Compositions and methods for lyophilization of bacteria or listeria strains |
| US11264117B2 (en) | 2017-10-10 | 2022-03-01 | Gritstone Bio, Inc. | Neoantigen identification using hotspots |
| US11885815B2 (en) | 2017-11-22 | 2024-01-30 | Gritstone Bio, Inc. | Reducing junction epitope presentation for neoantigens |
Also Published As
| Publication number | Publication date |
|---|---|
| WO2016126876A3 (en) | 2016-10-27 |
Similar Documents
| Publication | Publication Date | Title |
|---|---|---|
| US9463227B2 (en) | Listeria-based adjuvants | |
| US10064898B2 (en) | Listeria-based adjuvants | |
| US10058599B2 (en) | Suppressor cell function inhibition following Listeria vaccine treatment | |
| WO2016126876A2 (en) | Listeria-based adjuvants | |
| JP5985397B2 (en) | Recombinant Listeria strain and immunogenic composition containing the same | |
| US20110223187A1 (en) | Live listeria-based vaccines for central nervous system therapy | |
| US10143734B2 (en) | Biomarker directed multi-target immunotherapy | |
| WO2016126878A2 (en) | Listeria-based immunomodulation | |
| US20110305724A1 (en) | Immunotherapeutic, anti-tumorigenic compositions and methods of use thereof | |
| US20150297702A1 (en) | Compositions and methods for prevention of escape mutation in the treatment of her2/neu over-expressing tumors | |
| US20150238584A1 (en) | Compositions and methods for prevention of escape mutation in the treatment of her2/neu over-expressing tumors | |
| JP6329211B2 (en) | Use of recombinant Listeria strains in the manufacture of a medicament for delaying the onset of brain tumors or breast tumors | |
| HK1196527A (en) | Listeria-based adjuvants | |
| TW201437370A (en) | Suppressor cell function inhibition following Listeria vaccine treatment |
Legal Events
| Date | Code | Title | Description |
|---|---|---|---|
| 121 | Ep: the epo has been informed by wipo that ep was designated in this application |
Ref document number: 16747232 Country of ref document: EP Kind code of ref document: A2 |
|
| NENP | Non-entry into the national phase |
Ref country code: DE |
|
| 122 | Ep: pct application non-entry in european phase |
Ref document number: 16747232 Country of ref document: EP Kind code of ref document: A2 |


































