WO2016098123A2 - A recycling process for preparing (s)-2-[(substituted-phenoxy)-phenoxy- phosphorylamino] propionic acid isopropyl ester diastereomers - Google Patents
A recycling process for preparing (s)-2-[(substituted-phenoxy)-phenoxy- phosphorylamino] propionic acid isopropyl ester diastereomers Download PDFInfo
- Publication number
- WO2016098123A2 WO2016098123A2 PCT/IN2015/050198 IN2015050198W WO2016098123A2 WO 2016098123 A2 WO2016098123 A2 WO 2016098123A2 IN 2015050198 W IN2015050198 W IN 2015050198W WO 2016098123 A2 WO2016098123 A2 WO 2016098123A2
- Authority
- WO
- WIPO (PCT)
- Prior art keywords
- diastereomer
- mixture
- phenoxy
- group
- diastereomers
- Prior art date
- Legal status (The legal status is an assumption and is not a legal conclusion. Google has not performed a legal analysis and makes no representation as to the accuracy of the status listed.)
- Ceased
Links
Classifications
-
- C—CHEMISTRY; METALLURGY
- C07—ORGANIC CHEMISTRY
- C07H—SUGARS; DERIVATIVES THEREOF; NUCLEOSIDES; NUCLEOTIDES; NUCLEIC ACIDS
- C07H19/00—Compounds containing a hetero ring sharing one ring hetero atom with a saccharide radical; Nucleosides; Mononucleotides; Anhydro-derivatives thereof
- C07H19/02—Compounds containing a hetero ring sharing one ring hetero atom with a saccharide radical; Nucleosides; Mononucleotides; Anhydro-derivatives thereof sharing nitrogen
- C07H19/04—Heterocyclic radicals containing only nitrogen atoms as ring hetero atom
- C07H19/06—Pyrimidine radicals
-
- C—CHEMISTRY; METALLURGY
- C07—ORGANIC CHEMISTRY
- C07F—ACYCLIC, CARBOCYCLIC OR HETEROCYCLIC COMPOUNDS CONTAINING ELEMENTS OTHER THAN CARBON, HYDROGEN, HALOGEN, OXYGEN, NITROGEN, SULFUR, SELENIUM OR TELLURIUM
- C07F9/00—Compounds containing elements of Groups 5 or 15 of the Periodic Table
- C07F9/02—Phosphorus compounds
- C07F9/06—Phosphorus compounds without P—C bonds
- C07F9/22—Amides of acids of phosphorus
- C07F9/24—Esteramides
- C07F9/2404—Esteramides the ester moiety containing a substituent or a structure which is considered as characteristic
- C07F9/242—Esteramides the ester moiety containing a substituent or a structure which is considered as characteristic of hydroxyaryl compounds
-
- C—CHEMISTRY; METALLURGY
- C07—ORGANIC CHEMISTRY
- C07F—ACYCLIC, CARBOCYCLIC OR HETEROCYCLIC COMPOUNDS CONTAINING ELEMENTS OTHER THAN CARBON, HYDROGEN, HALOGEN, OXYGEN, NITROGEN, SULFUR, SELENIUM OR TELLURIUM
- C07F9/00—Compounds containing elements of Groups 5 or 15 of the Periodic Table
- C07F9/02—Phosphorus compounds
- C07F9/547—Heterocyclic compounds, e.g. containing phosphorus as a ring hetero atom
- C07F9/6558—Heterocyclic compounds, e.g. containing phosphorus as a ring hetero atom containing at least two different or differently substituted hetero rings neither condensed among themselves nor condensed with a common carbocyclic ring or ring system
- C07F9/65586—Heterocyclic compounds, e.g. containing phosphorus as a ring hetero atom containing at least two different or differently substituted hetero rings neither condensed among themselves nor condensed with a common carbocyclic ring or ring system at least one of the hetero rings does not contain nitrogen as ring hetero atom
-
- C—CHEMISTRY; METALLURGY
- C07—ORGANIC CHEMISTRY
- C07H—SUGARS; DERIVATIVES THEREOF; NUCLEOSIDES; NUCLEOTIDES; NUCLEIC ACIDS
- C07H19/00—Compounds containing a hetero ring sharing one ring hetero atom with a saccharide radical; Nucleosides; Mononucleotides; Anhydro-derivatives thereof
- C07H19/02—Compounds containing a hetero ring sharing one ring hetero atom with a saccharide radical; Nucleosides; Mononucleotides; Anhydro-derivatives thereof sharing nitrogen
- C07H19/04—Heterocyclic radicals containing only nitrogen atoms as ring hetero atom
- C07H19/06—Pyrimidine radicals
- C07H19/10—Pyrimidine radicals with the saccharide radical esterified by phosphoric or polyphosphoric acids
Definitions
- the present invention generally relates to a recycling process for preparation of 2- [(substituted-phenoxy)-phenoxy-phosphorylamino] propionic acid isopropyl ester diastereomers, which are useful phosphoramidate pronucleotides (ProTide) in the preparation of medicament, particularly in the preparation of Sofosbuvir.
- ProTide phosphoramidate pronucleotides
- the compound being a phosphate, has an asymmetric centre in the phosphorus atom and may exist as a racemic mixture of its two single diastereomers, the S ⁇ -diastreomer and the R p -diastereomer.
- the diastereomers of the compound, particularly the S ⁇ -diastereomer, are believed to possess certain advantages over the racemic form and the other diastereomer.
- Sofosbuvir is chemically known as (S)-Isopropyl 2-((S)-(((2R,3R,4R,5R)-5-(2,4-dioxo- 3,4-dihydropyrimidin-l(2H)-yl)-4-fluoro-3-hydroxy-4-methyltetrahydrofuran-2- yl)methoxy)-(phenoxy)phosphorylamino)propanoate; represented by the following structure:
- Sofosbuvir is approved as S ⁇ -diastereomer free base and marketed by Gilead Sciences under the trade name Sovaldi ® and with combination of ledipasvir: sofosbuvir under the trade name Harvoni ® is a nucleotide analog inhibitor of HCV NS5B polymerase and indicated for the treatment of chronic hepatitis C (CHC) infection as a component of a combination antiviral treatment regimen.
- CHC chronic hepatitis C
- the '580 patent discloses synthesis of Sofosbuvir resulted in formation of equal amounts of two diastereomers. These two diastereomers, GS-7977 and GS-7976 were typically separated at final stage of the synthesis by preparative HPLC. Of these, GS-7977 is desired diastereomer for therapeutic use, while the other GS-7976 is undesired diastereomer, which is the major chiral impurity in the active pharmaceutical ingredient. Separation of diastereomers at last stage of the synthesis leads to almost 50% yield loss and decreased chiral purity, thereby repeated purifications are required in order to obtain desired quality.
- the two diastereomers are represented by the following structures:
- U.S. Patent No. 8629263 discloses 2-[(substituted-phenoxy)- phenoxy-phosphorylamino] propionic acid isopropyl ester as its racemic form and its individual diastereomers, processes for its preparation and use thereof for the preparation of Sofosbuvir.
- the '263 patent specifically discloses phenoxy compounds substituted with electron withdrawing groups, which are represented by the following structure:
- the '263 patent further discloses processes for the preparation of phenoxy compounds substituted with electron withdrawing groups, specifically nitro, fluoro or chloro, which involves reaction of substituted-phenyl phosphorodichloridate with L-alanine isopropyl ester hydrochloride salt and phenol in presence of triethyl amine to obtain diastereomeric mixtures of 2-[(substituted-phenoxy)-phenoxy-phosphoryl amino] propionic acid isopropyl ester compounds.
- the process disclosed in the '263 patent is schematically represented as follows:
- the '263 patent further discloses separation of individual diastereomers from the racemic compound either by column chromatography such as Supercritical Fluid Chromatography (SFC) or by solvent crystallization.
- SFC Supercritical Fluid Chromatography
- the SFC method using chiralpak AD-H (2x15cm) column and 35% isopropanol in carbon dioxide as eluent at 100 bar pressure.
- the solvent crystallization method includes first and second crystallizations using isopropyl ether as solvent which yields S p : R p was 9.65: 1 and 48/1 based on P-NMR respectively.
- U.S. Patent No. 8735569 (“the ' 569 patent”) specifically discloses preparation of specific S -diastereomer of (S)-2-[(S)-(2,3,4,5,6-pentafluoro-phenoxy)-phenoxy- phosphorylamino]propionic acid isopropyl ester, which involves reaction of phenyl dichlorophosphate with alanine isopropyl ester hydrochloride salt and pentafluoro phenol in presence of triethyl amine in methylene chloride to obtain diastereomeric mixtures of 2-[(2,3,4,5,6-pentafluoro-phenoxy)-phenoxy-phosphorylamino]propionic acid isopropyl ester, which was separated by triturating with t-butyl methyl ether to obtain desired Sp- diastereomer as solid.
- the filtrate containing mixture of S p and R p diastereomers was concentrated and crystallizing the residue with ethyl acetate and hexane to obtain Sp- diastereomer as solid and again remaining Sp-diastereomer in the mother liquors separated by the above process using ethyl acetate and hexane.
- the '263 patent and the '569 patent discloses separation of diastereomeric mixtures or recycling of required diastereomer from the mother liquors by way of either by chromatography or by solvent crystallization. These methods yields only desired diastereomer while the left over undesired diastereomer is discarded, which contributes substantial product loss, thereby the process uneconomical, particularly in commercial scale operations. It is beneficial to convert the undesired diastereomer in to desired one, results to an increase in the product yield thereby decreasing the manufacturing cost.
- the object of the present invention is to develop a simple iterative process, whereby the undesired diastereomer can be recycled to produce the desired diastereomer with higher yield and greater purity in a simple manner, which is economical and applicable on an industrial scale.
- the present invention provides simple and convenient recycling process of undesired diastereomer in to desired one by racemization of the undesired diastereomer or mixture of desired and undesired diastereomers in to its racemic mixtures by the process of present invention; and then separating the desired diastereomer from the racemic mixtures by known methods.
- the process described in the present invention permits convenient recycling of the undesired diastereomer on a commercial scale as the entire process is simple, improved overall recoveries of the desired diastereomer.
- the present invention relates to a recycling process for preparation of 2-[(substituted- phenoxy)-phenoxy-phosphorylamino] propionic acid isopropyl ester of Formula I diastereomers by an iterative process via racemization of Rp-diastereomer or a mixture having R and Sp-diastereomers, followed by separation of the Sp-diastereomer to increase the overall yield and diastereomeric purity of the Formula I, thereby increasing the yield of final product of Sofosbuvir.
- the present invention provides a process for racemization of Rp-diastereomer or a mixture having Rp and Sp-diastereomers of Formula I:
- substitute represents one or more suitable electron withdrawing groups; said method comprising treating the Rp-diastereomer or the mixture having Rp and Sp-diastereomers with a suitable base.
- the present invention provides a process for racemization of Rp-diastereomer or a mixture having Rp and Sp-diastereomers of Formula I:
- substitute represents one or more suitable electron withdrawing groups selected from the group comprising halo group selected from fluoro, bromo, chloro or iodo; trifluoro methyl, cyano, nitro and the like; said method comprising treating the Rp-diastereomer or the mixture having Rp and Sp-diastereomers with a suitable base.
- the present invention provides a process for racemization of Rp-diastereomer or a mixture having Rp and Sp-diastereomers of Formula I:
- substitute represents one or more suitable electron withdrawing groups selected from the group comprising halo group selected from fluoro, bromo, chloro or iodo; trifluoro methyl, cyano, nitro and the like; said method comprising treating the Rp-diastereomer or the mixture having Rp and Sp-diastereomers with a suitable base in a suitable solvent.
- the present invention provides a process for preparation of Sp-diaster
- substitute represents one or more suitable electron withdrawing groups selected from the group comprising halo group selected from fluoro, bromo, chloro or iodo; trifluoro methyl, cyano, nitro and the like; comprising:
- the present invention provides a process for preparation of Sp-diastereomer of Formula la, wherein "sub" represents one or more suitable electron withdrawing groups as defined above, comprising:
- step b) reacting the step a) mixture with a suitable base to obtain a racemate
- step b) crystallizing the racemic mixture of step b) in a suitable organic solvent, and d) isolating the Sp-diastereomer of Formula la.
- the present invention provides a process for preparation of Sp-diastereomer of Formula la, wherein "sub" represents one or more suitable electron withdrawing groups as defined above, comprising:
- step b) reacting the step a) mixture with a suitable base to obtain a racemate
- step b) crystallizing the racemic mixture of step b) in a suitable organic solvent, and d) isolating the Sp-diastereomer of Formula la;
- the suitable base is selected from the group consisting of organic amine bases such as primary, secondary, tertiary amines, cyclic amines and the like; or inorganic bases such as alkali metal hydroxide, alkali metal carbonates, alkali metal alkoxides, alkali metal aryloxides and the like;
- the suitable solvent of step a) is selected from the group consisting of amides, alkylated glycols, ethers, esters, ketones, aromatic hydrocarbons, halogenated hydrocarbons, nitriles, sulfoxides, sulfones and the like;
- the suitable organic solvent of step c) is selected from the group consisting of ethers, aliphatic hydrocarbons, alicyclic hydrocarbons, aromatic hydrocarbons and the like and mixtures thereof.
- the present invention provides a process for preparation of Sp-diastereo
- substitute represents one or more suitable electron withdrawing groups selected from the group comprising halo group selected from fluoro, bromo, chloro or iodo; trifluoro methyl, cyano, nitro and the like; comprising:
- step b) reacting the step a) mixture with a suitable base to obtain a racemate
- the present invention provides a process for preparation of Sp-diastereomer of 2-[(nitrophenoxy)-phenoxy-phosphorylamino] propionic acid isopropyl ester of Formula:
- step b) reacting the step a) mixture with a suitable base to obtain a racemate
- step b) crystallizing the racemic mixture of step b) in a suitable organic solvent, and d) isolating the Sp-diastereomer of 2-[(nitrophenoxy)-phenoxy-phosphorylamino] propionic acid isopropyl ester;
- the suitable base is selected from the group consisting of organic amine bases such as primary, secondary, tertiary amines, cyclic amines and the like; or inorganic bases such as alkali metal hydroxide, alkali metal carbonates, alkali metal alkoxides, alkali metal aryloxides and the like;
- step a) is selected from the group consisting of amides, alkylated glycols, ethers, esters, ketones, aromatic hydrocarbons, halogenated hydrocarbons, nitriles, sulfoxides, sulfones and the like;
- the suitable organic solvent of step c) is selected from the group consisting of ethers, aliphatic hydrocarbons, alicyclic hydrocarbons, aromatic hydrocarbons and the like and mixtures thereof.
- the present invention provides a process for preparation of Sp-diastereomer of 2-[(nitrophenoxy)-phenoxy-phosphorylamino] propionic acid isopropyl ester of Formula:
- step b) reacting the step a) mixture with a suitable base to obtain a racemate
- the present invention provides a process for preparation of Sofosbuvir, comprising: preparing the Sp-diastereomer according to racemization process as described above and converting the Sp-diastereomer in to Sofosbuvir.
- the present invention provides a pharmaceutical composition
- a pharmaceutical composition comprising Sofosbuvir prepared by the process according to racemization process as described above, and at least one pharmaceutically acceptable excipient.
- the present invention provides a process for recycling undesired diastereomer of 2- [(substituted-phenoxy)-phenoxy-phosphorylamino] propionic acid isopropyl ester of Formula I produced during the manufacturing process or the purification process by an iterative process via racemization of undesired diastereomer in to racemic compound followed by separation of the desired diastereomer to increase the overall yield and diastereomeric purity of t of Sofosbuvir.
- the present invention provides a process for racemization of Rp diastereomer or a mixture having Rp and Sp-diastereomers of Formula I:
- substitute represents one or more suitable electron withdrawing groups; said method comprising treating the Rp-diastereomer or the mixture having Rp and Sp-diastereomers with a suitable base.
- the one or more suitable electron withdrawing groups include, but are not limited to halo group selected from fluoro, bromo, chloro or iodo; trifluoro methyl, cyano, nitro and the like.
- the compound of Formula I specifically include, but are not limited to the following compounds:
- the present invention provides a process for preparation of S -diastereomer of Formula la, wherein "sub" represents one or more suitable electron withdrawing groups as defined above, comprising:
- step b) reacting the step a) mixture with a suitable base to obtain a racemate, and c) separating the Sp-diastereomer of Formula la from the racemic mixture.
- the starting compound either Rp-diastereomer or a mixture having Rp and Sp- diastereomers can be prepared by any known methods, for example starting compound can be prepared by using an adaptation of literature methods, such as described in US8629263 or J. Org. Chem. 2011, 76, 8311-8319.
- racemate relates to a mixture of about 1 : 1 ratio of Rp and Sp- diastereomers.
- mixture having Rp and Sp-diastereomers relates to any quantity of Rp and Sp -diastereomers in the mixture.
- catalytic amount when referring to a base, relates to 0.005 to about 0.2 equivalents compared to the starting compound of 2-[(substituted-phenoxy)- phenoxy-phosphorylamino] propionic acid isopropyl ester.
- Step a) of the foregoing process includes suspending or dissolving Rp- diastereomer or a mixture having Rp and Sp-diastereomer in a suitable solvent; preferably the quantity of Rp-diastereomer is excess when compared to Sp-diastereomer in the mixture; more preferably up to about 85% of Rp-diastereomer in the mixture.
- suitable solvent examples include but are not limited to amides such as dimethylformamide, diethylformamide, dimethylacetamide, diethylacetamide, dimethylpropionamide and the like; alkylated glycols such as 1 , 1 -diethoxymethane, 1,2- dimethoxyethane, 2-ethoxyethanol, 2-n-butoxyethanol and the like; ethers such as diisopropyl ether, di n-butyl ether, dimethoxy ethane, methyl tert-butyl ether, ethyl isopropyl ether, tetrahydrofuran, 2-methyl tetrahydrofuran, dioxane, anisole and the like; esters such as ethyl acetate, methyl acetate, isopropyl acetate and the like; ketones such as acetone, methyl ethyl ketone and the like; aromatic hydrocarbons such as toluene, xy
- bases used herein for the foregoing process includes but are not limited to organic amine bases such as primary, secondary, tertiary amines, cyclic amines and the like; or inorganic bases such as alkali metal hydroxide, alkali metal carbonates, alkali metal alkoxide, alkali metal aryloxide and the like; and mixtures thereof.
- Suitable organic amines include but are not limited to trimethylamine, butylamine, isopropylamine, diethylamine, ethanolamine, dicyclohexylamine and the like; and mixtures thereof.
- Suitable inorganic bases include but are not limited to sodium hydroxide, potassium hydroxide, sodium carbonate, potassium carbonate, sodium methoxide, potassium tert- butoxide, sodium phenoxide and the like and mixture thereof; preferably sodium hydroxide, potassium hydroxide, potassium teri-butoxide, sodium phenoxide and mixtures thereof; more preferably sodium hydroxide.
- the base herein used is a catalytic amount. More preferably, the base is an amount of about 0.005 to about 0.2 equivalents of the starting diastereomers.
- the reaction may be advantageously carried out at a temperature of about 0°C to reflux temperature.
- the reaction is carried out at a temperature of about 10°C to 65°C; preferably at about 25°C to 35°C.
- the reaction is allowed to stir for a period of time from about 30 mins to until complete racemization, preferably about 45 mins to about 6 hrs.
- the resultant reaction mass may be diluted with water and extracted with suitable water immiscible organic solvent such as ethyl acetate, toluene, chloroform, dichloromethane and the like and the resultant water immiscible organic solvent layer may be optionally treated with a suitable aqueous base solution such as sodium carbonate, potassium carbonate, sodium bicarbonate, potassium bicarbonate and the like and then concentrated the water immiscible organic solvent under reduced pressure to obtain racemic mixtures of Rp and Sp-diastereomers as residue.
- suitable aqueous base solution such as sodium carbonate, potassium carbonate, sodium bicarbonate, potassium bicarbonate and the like
- the racemic mixtures of Rp and Sp-diastereomers obtained according to the racemization process of the present invention is having about 50-55% of Rp.diastereomer and about 45-50% of Sp-diastereomer.
- the desired Sp-diastereomer can be separated from the resultant racemic mixtures of Rp and Sp-diastereomers obtained just as above, by a solvent crystallization method.
- the present invention provides a process for crystallizing the racemic mixture of Rp and Sp-diastereomers obtained by the racemization process described as above in a suitable organic solvent, and isolating the diastereomerically pure S -diastereomer.
- the crystallization step further comprises:
- the suitable organic solvent for crystallization of racemic mixture of Rp and Sp- diastereomers include ethers such as dimethyl ether, diethyl ether, methyl ethyl ether, diisopropyl ether, methyl tertiary butyl ether, tetrahydrofuran, 1,4-dioxane and the like; aliphatic hydrocarbons such as hexane, heptane, propane and the like; alicyclic hydrocarbons such as cyclopropane, cyclobutane, cyclopentane, cyclohexane, cycloheptane, cyclooctane and the like; aromatic hydrocarbons such as toluene, xylene, chlorobenzene and the like and mixtures thereof; preferably diisopropyl ether, 1,4- dioxane, hexane, heptane, cyclohexane, cyclohept
- the suitable temperature for dissolution of the racemic mixture of Rp and Sp- diastereomers is at about 25 °C to about reflux temperature; preferably about 25 °C to 45°C.
- the solution may be cooled to less than 10°C to selectively crystallizing the desired Sp-diastereomer, preferably less than 0°C, more preferably less than -10°C.
- the solution may be seeding with a seed crystals of diastereomerically pure Sp- diastereomer prior to or during the precipitation.
- the obtained solids may be separated by conventional techniques known in the art for example filtration.
- the temperature during stirring can range from about 10°C to -10°C.
- the resultant product may optionally be further dried. Drying can be suitably carried out in a tray dryer, vacuum oven, air oven and the like. The drying can be carried out at a temperature ranging from about 30°C to about 60°C. The drying can be carried out for any desired time until the required product purity is achieved, e.g., a time period ranging from about 1 hour to about 10 hours.
- the desired S p-diastereomer obtained according to the process of the present invention having chiral purity of about 95% by chiral HPLC.
- the chiral purity of the S diastereomer may be further improved with one or more crystallizations using a suitable solvent as described above.
- the present invention provides a S ⁇ -diastereomer prepared by the process as described above having a chiral purity of at least about 97%, as measured by chiral HPLC, preferably at least about 98% as measured by HPLC, and more preferably at least about 99.5%, as measured by HPLC; and content of R ⁇ -diastereomer is less than about 0.5%, as measured by chiral HPLC, more preferably less than about 0.3% as measured by chiral HPLC.
- the undesired Rp-diastereomer must be separated from the mixture by improving the ratio of desired diastereomer by racemizing the undesired diastereomer and separated from the mixture.
- the resulting mother liquors containing undesired diastereomer can be recycled as per the procedure described above after the separation step to produce more of the desired diastereomer.
- the recycling step can be repeated many times to recycle as much of the undesired diastereomer as possible.
- the present invention provides a process for preparation of Sp-diastereomer of 2-[(nitrophenoxy)-phenoxy-phosphorylamino] propionic acid isopropyl ester of Formula:
- step b) reacting the step a) mixture with a suitable base to obtain a racemate
- Step a) of the foregoing process includes suspending or dissolving R - diastereomer or a mixture having R and Sp-diastereomer of 2-[(nitrophenoxy)-phenoxy-phosphorylamino] propionic acid isopropyl ester in a suitable solvent.
- suitable solvent examples include but are not limited to amides such as dimethylformamide, diethylformamide, dimethylacetamide, diethylacetamide, dimethylpropionamide and the like; alkylated glycols such as 1 , 1 -diethoxymethane, 1,2- dimethoxyethane, 2-ethoxyethanol, 2-n-butoxyethanol and the like; ethers such as diisopropyl ether, di n-butyl ether, dimethoxy ethane, methyl tert-butyl ether, ethyl isopropyl ether, tetrahydrofuran, 2-methyl tetrahydrofuran, dioxane, anisole and the like; esters such as ethyl acetate, methyl acetate, isopropyl acetate and the like; ketones such as acetone, methyl ethyl ketone and the like; aromatic hydrocarbons such as toluene, xy
- bases used herein for the foregoing process includes but are not limited to organic amine bases such as primary, secondary, tertiary amines, cyclic amines and the like; or inorganic bases such as alkali metal hydroxide, alkali metal carbonates, alkali metal alkoxide, alkali metal aryloxide and the like; and mixtures thereof.
- Suitable organic amines include but are not limited to trimethylamine, butylamine, isopropylamine, diethylamine, ethanolamine, dicyclohexylamine and the like; and mixtures thereof.
- Suitable inorganic bases include but are not limited to sodium hydroxide, potassium hydroxide, sodium carbonate, potassium carbonate, sodium methoxide, potassium tert- butoxide, sodium phenoxide and the like and mixture thereof; preferably trimethylamine, sodium hydroxide, potassium hydroxide, potassium feri-butoxide, sodium phenoxide and mixtures thereof; more preferably sodium hydroxide.
- the reaction may be advantageously carried out at a temperature of about 0°C to reflux temperature.
- the reaction is carried out at a temperature of about 10°C to 65°C; preferably at about 25°C to 35°C.
- the reaction is allowed to stir for a period of time from about 30 mins to until complete racemization, preferably about 45 mins to about 6 hrs.
- the resultant reaction mass may be diluted with water and extracted with suitable water immiscible organic solvent such as ethyl acetate, toluene, chloroform, dichloromethane and the like and the resultant water immiscible organic solvent layer may be optionally treated with a suitable aqueous base solution such as sodium carbonate, potassium carbonate, sodium bicarbonate, potassium bicarbonate and the like and then concentrated the water immiscible organic solvent under reduced pressure to obtain racemic mixtures of Rp and Sp-diastereomers of 2-[(nitrophenoxy)- phenoxy-phosphorylamino] propionic acid isopropyl ester as residue.
- suitable water immiscible organic solvent such as ethyl acetate, toluene, chloroform, dichloromethane and the like
- a suitable aqueous base solution such as sodium carbonate, potassium carbonate, sodium bicarbonate, potassium bicarbonate and the like and then concentrated the water immiscible organic solvent under
- the present invention provides a process for crystallizing the racemic mixture of Rp and Sp-diastereomers of 2-[(nitrophenoxy)-phenoxy- phosphorylamino] propionic acid isopropyl ester obtained by the racemization process described as above in a suitable organic solvent, and isolating the diastereomerically pure Sp-diastereomer of 2-[(nitrophenoxy)-phenoxy-phosphorylamino] propionic acid isopropyl ester.
- the suitable organic solvent for crystallization of racemic mixture of Rp and Sp- diastereomers of 2-[(nitrophenoxy)-phenoxy-phosphorylamino] propionic acid isopropyl ester include ethers such as dimethyl ether, diethyl ether, methyl ethyl ether, diisopropyl ether, methyl tertiary butyl ether, tetrahydrofuran, 1,4-dioxane and the like; aliphatic hydrocarbons such as hexane, heptane, propane and the like; alicyclic hydrocarbons such as cyclopropane, cyclobutane, cyclopentane, cyclohexane, cycloheptane, cyclooctane and the like; aromatic hydrocarbons such as toluene, xylene, chlorobenzene and the like and mixtures thereof; preferably diisopropyl ether, 1,4-di
- the suitable temperature for dissolution of the racemic mixture of Rp and Sp- diastereomers is at about 25 °C to about reflux temperature; preferably about 25 °C to 45°C.
- the solution may be cooled to less than 10°C to selectively crystallizing the desired Sp-diastereomer of 2-[(nitrophenoxy)-phenoxy-phosphorylamino] propionic acid isopropyl ester, preferably less than 0°C, more preferably less than - 10°C.
- the solution may be seeding with a seed crystals of diastereomerically pure S p-diastereomer of 2-[(nitrophenoxy)-phenoxy-phosphorylamino] propionic acid isopropyl ester prior to or during the precipitation.
- the obtained solids may be separated by conventional techniques known in the art for example filtration.
- the temperature during stirring can range from about 10°C to -10°C.
- the resultant product may optionally be further dried. Drying can be suitably carried out in a tray dryer, vacuum oven, air oven and the like. The drying can be carried out at a temperature ranging from about 30°C to about 40°C. The drying can be carried out for any desired time until the required product purity is achieved, e.g., a time period ranging from about 1 hour to about 10 hours.
- the present invention provides S ⁇ -diastereomer of 2- [(nitrophenoxy)-phenoxy-phosphorylamino] propionic acid isopropyl ester prepared by the process as described above having a chiral purity of at least about 97%, as measured by chiral HPLC, preferably at least about 98% as measured by HPLC, and more preferably at least about 99.5%, as measured by HPLC; and content of R ⁇ -diastereomer is less than about 0.5%, as measured by chiral HPLC, more preferably less than about 0.3% as measured by chiral HPLC.
- the present invention provides a process for preparation of a medicament, particularly Sofosbuvir, comprising: preparing the diastereomerically pure Sp-diastereomer according to racemization process as described above and converting the S -diastereomer in to Sofosbuvir.
- the present invention provides convertion of the above obtained Sp- diastereomer in to Sofosbuvir by any process known in the art for example US8629263 or . Org. Chem. 2011, 76, 8311-8319.
- the present invention provides an improved process for the preparation of Sofosbuvir, comprising providing a diastereomerically pure Sp- diastereomer of compound of Formula I as obtained by the process described above, as a starting material or as an intermediate.
- the yield and purity of the Sofosbuvir prepared from compound of Formula I may have chiral purity equal to or greater than about 99.5% as measured by HPLC.
- the present invention provides compound of Formula I, obtained by the above process, as analyzed using chiral high performance liquid chromatography (“HPLC”) with the conditions are tabulated below:
- the present invention provides a pharmaceutical composition
- a pharmaceutical composition comprising Sofosbuvir prepared from the diastereomerically pure Sp-diastereomer of Formula I according to racemization process as described above, and at least one pharmaceutically acceptable excipient.
- the racemic compound (2.2 gms) was dissolved in diisopropylether (12 ml) and allowed to cool to -10°C. Reaction mass was seeded with Sp-diastereomer (99%) and allowed to stir for 4 hr at -10°C. The obtained solid was filtered and washed with pre cooled diisopropylether. The wet product was dried under vacuum to get the title compound. Yield: 200 mg; Chemical purity: 97.53%; Chiral Purity by HPLC (% area): 90.03%: 9.97% (S P : R P ).
Landscapes
- Chemical & Material Sciences (AREA)
- Organic Chemistry (AREA)
- Health & Medical Sciences (AREA)
- Life Sciences & Earth Sciences (AREA)
- Biochemistry (AREA)
- General Health & Medical Sciences (AREA)
- Molecular Biology (AREA)
- Engineering & Computer Science (AREA)
- Biotechnology (AREA)
- Genetics & Genomics (AREA)
- Organic Low-Molecular-Weight Compounds And Preparation Thereof (AREA)
- Epoxy Compounds (AREA)
Abstract
The present invention relates to an efficient and economical process to recycle the desired diastereomer of (2-[(substituted–phenoxy)-phenoxy-phosphorylamino] propionic acid isopropyl ester of Formula I from undesired diastereomer by first racemization of the undesired diastereomer followed by separation of the desired diastereomer from the racemic mixture.
Description
"A RECYCLING PROCESS FOR PREPARING (S)-2-[(SUBSTITUTED- PHENOXY)-PHENOXY- PHOSPHORYLAMINO] PROPIONIC ACID ISOPROPYL ESTER DIASTEREOMERS"
PRIORITY
This application claims the benefit under Indian Provisional Application No. 6327/CHE/2014 filed on 16 Dec, 2014 entitled "A Recycling process for preparing (S)-2- [(substituted-phenoxy)-phenoxy- phosphorylamino] propionic acid isopropyl ester diastereomers", the contents of which is incorporated by reference herein.
FIELD OF THE INVENTION
The present invention generally relates to a recycling process for preparation of 2- [(substituted-phenoxy)-phenoxy-phosphorylamino] propionic acid isopropyl ester diastereomers, which are useful phosphoramidate pronucleotides (ProTide) in the preparation of medicament, particularly in the preparation of Sofosbuvir.
BACKGROUND OF THE INVENTION The compound, 2-[(substituted-phenoxy)-phenoxy-phosphorylamino] propionic acid isopropyl ester is also known as ProTide used in the synthesis of Sofosbuvir. The structural identification of 2-[(substituted-phenoxy)-phenoxy-phosphorylamino] propionic acid isopropyl ester is represented as follows:
The compound, being a phosphate, has an asymmetric centre in the phosphorus atom and may exist as a racemic mixture of its two single diastereomers, the S^-diastreomer and the Rp-diastereomer. The diastereomers of the compound, particularly the S^-diastereomer, are believed to possess certain advantages over the racemic form and the other diastereomer.
The diastereomers of 2-[(substituted-phenoxy)-phenoxy-phosphorylamino] propionic acid isopropyl ester are represented as follows:
Sofosbuvir is chemically known as (S)-Isopropyl 2-((S)-(((2R,3R,4R,5R)-5-(2,4-dioxo- 3,4-dihydropyrimidin-l(2H)-yl)-4-fluoro-3-hydroxy-4-methyltetrahydrofuran-2- yl)methoxy)-(phenoxy)phosphorylamino)propanoate; represented by the following structure:
Sofosbuvir
Sofosbuvir is approved as S^-diastereomer free base and marketed by Gilead Sciences under the trade name Sovaldi® and with combination of ledipasvir: sofosbuvir under the trade name Harvoni® is a nucleotide analog inhibitor of HCV NS5B polymerase and indicated for the treatment of chronic hepatitis C (CHC) infection as a component of a combination antiviral treatment regimen.
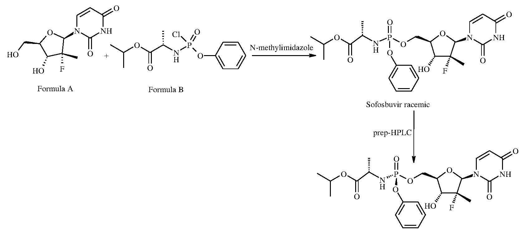
U.S. Patent No (s). 7964580 ("the '580 patent"), 8334270 ("the '270 patent") and 8580765 ("the '765 patent") discloses a variety of nucleoside phosphoramidate prodrugs such as Sofosbuvir, processes for their preparation, pharmaceutical compositions, and method of use thereof. Method for chemically synthesizing Sofosbuvir analog is disclosed in this patent by reacting diastereomeric mixture of phenyl-isopropyloxy- alaninyl-phosphorochloridate of Formula B with 2'-deoxy-2'-fluoro-2'C-methyluridine of Formula A in presence of N-methylimidazole in tetrahydrofuran and followed by separation of diastereomeric mixture of the obtained final compound by preparative HPLC on a YMC 25x30x2mm column using water/acetonitrile gradient elution mobile phase. The process disclosed in the '580 patent is schematically represented as follows:
The '580 patent discloses synthesis of Sofosbuvir resulted in formation of equal amounts of two diastereomers. These two diastereomers, GS-7977 and GS-7976 were typically separated at final stage of the synthesis by preparative HPLC. Of these, GS-7977 is desired diastereomer for therapeutic use, while the other GS-7976 is undesired diastereomer, which is the major chiral impurity in the active pharmaceutical ingredient. Separation of diastereomers at last stage of the synthesis leads to almost 50% yield loss and decreased chiral purity, thereby repeated purifications are required in order to obtain desired quality. The two diastereomers are represented by the following structures:
GS-7977 (Sp-diastereomer) GS-7976 (R„-diastereomer)
U.S. Patent No. 8629263 ("the '263 patent") discloses 2-[(substituted-phenoxy)- phenoxy-phosphorylamino] propionic acid isopropyl ester as its racemic form and its individual diastereomers, processes for its preparation and use thereof for the preparation of Sofosbuvir. The '263 patent specifically discloses phenoxy compounds substituted with electron withdrawing groups, which are represented by the following structure:
Sub: Nitro, fluoro or chloro.
The '263 patent further discloses processes for the preparation of phenoxy compounds substituted with electron withdrawing groups, specifically nitro, fluoro or chloro, which involves reaction of substituted-phenyl phosphorodichloridate with L-alanine isopropyl ester hydrochloride salt and phenol in presence of triethyl amine to obtain diastereomeric mixtures of 2-[(substituted-phenoxy)-phenoxy-phosphoryl amino] propionic acid isopropyl ester compounds. The process disclosed in the '263 patent is schematically represented as follows:
Sub: Nitro, fluoro or chloro.
The '263 patent further discloses separation of individual diastereomers from the racemic compound either by column chromatography such as Supercritical Fluid Chromatography (SFC) or by solvent crystallization. The SFC method using chiralpak AD-H (2x15cm) column and 35% isopropanol in carbon dioxide as eluent at 100 bar pressure. The solvent crystallization method includes first and second crystallizations using isopropyl ether as solvent which yields Sp: Rp was 9.65: 1 and 48/1 based on P-NMR respectively.
U.S. Patent No. 8735569 ("the ' 569 patent") specifically discloses preparation of specific S -diastereomer of (S)-2-[(S)-(2,3,4,5,6-pentafluoro-phenoxy)-phenoxy- phosphorylamino]propionic acid isopropyl ester, which involves reaction of phenyl dichlorophosphate with alanine isopropyl ester hydrochloride salt and pentafluoro phenol in presence of triethyl amine in methylene chloride to obtain diastereomeric mixtures of 2-[(2,3,4,5,6-pentafluoro-phenoxy)-phenoxy-phosphorylamino]propionic acid isopropyl ester, which was separated by triturating with t-butyl methyl ether to obtain desired Sp- diastereomer as solid. The filtrate containing mixture of Sp and Rp diastereomers was concentrated and crystallizing the residue with ethyl acetate and hexane to obtain Sp- diastereomer as solid and again remaining Sp-diastereomer in the mother liquors separated by the above process using ethyl acetate and hexane.
The '263 patent and the '569 patent discloses separation of diastereomeric mixtures or recycling of required diastereomer from the mother liquors by way of either by chromatography or by solvent crystallization. These methods yields only desired diastereomer while the left over undesired diastereomer is discarded, which contributes substantial product loss, thereby the process uneconomical, particularly in commercial scale operations. It is beneficial to convert the undesired diastereomer in to desired one, results to an increase in the product yield thereby decreasing the manufacturing cost.
C.N. publication No. 104151352 ("the '352 publication") disclosed process for preparation of Sofosbuvir intermediate (S)-2-[(S)-(2, 3,4,5, 6-pentafluoro-phenoxy)- phenoxy-phosphorylamino]propionic acid isopropyl ester by dynamic kinetic resolution of a mixture of Sp: Rp isomers in presence of solvent such as ethylacetate, heptane, methyl tert-butyl ether, acetone and base such as triethylamine, potassium t-butoxide and DBU and the finally obtained compound was purified by passing the reaction mass through silica gel column or by treating the reaction mass with ammonium chloride or by adding heptane to obtain pure S^-isomer.
It is therefore the object of the present invention is to develop a simple iterative process, whereby the undesired diastereomer can be recycled to produce the desired diastereomer with higher yield and greater purity in a simple manner, which is economical and applicable on an industrial scale.
The present invention provides simple and convenient recycling process of undesired diastereomer in to desired one by racemization of the undesired diastereomer or mixture of desired and undesired diastereomers in to its racemic mixtures by the process of present invention; and then separating the desired diastereomer from the racemic mixtures by known methods. The process described in the present invention permits convenient recycling of the undesired diastereomer on a commercial scale as the entire process is simple, improved overall recoveries of the desired diastereomer.
SUMMARY OF THE INVENTION
The present invention relates to a recycling process for preparation of 2-[(substituted- phenoxy)-phenoxy-phosphorylamino] propionic acid isopropyl ester of Formula I diastereomers by an iterative process via racemization of Rp-diastereomer or a mixture having R and Sp-diastereomers, followed by separation of the Sp-diastereomer to increase the overall yield and diastereomeric purity of the Formula I, thereby increasing the yield of final product of Sofosbuvir.
Formula I
wherein "sub" represents one or more suitable electron withdrawing groups.
In accordance with one embodiment, the present invention provides a process for racemization of Rp-diastereomer or a mixture having Rp and Sp-diastereomers of Formula I:
Formula I
wherein "sub" represents one or more suitable electron withdrawing groups; said method comprising treating the Rp-diastereomer or the mixture having Rp and Sp-diastereomers with a suitable base.
In accordance with another embodiment, the present invention provides a process for racemization of Rp-diastereomer or a mixture having Rp and Sp-diastereomers of Formula I:
Formula I
wherein "sub" represents one or more suitable electron withdrawing groups selected from the group comprising halo group selected from fluoro, bromo, chloro or iodo; trifluoro methyl, cyano, nitro and the like; said method comprising treating the Rp-diastereomer or the mixture having Rp and Sp-diastereomers with a suitable base.
In accordance with another embodiment, the present invention provides a process for racemization of Rp-diastereomer or a mixture having Rp and Sp-diastereomers of Formula I:
Formula I
wherein "sub" represents one or more suitable electron withdrawing groups selected from the group comprising halo group selected from fluoro, bromo, chloro or iodo; trifluoro
methyl, cyano, nitro and the like; said method comprising treating the Rp-diastereomer or the mixture having Rp and Sp-diastereomers with a suitable base in a suitable solvent.
In accordance with another embodiment, the present invention provides a process for preparation of Sp-diaster
Formula la
wherein "sub" represents one or more suitable electron withdrawing groups selected from the group comprising halo group selected from fluoro, bromo, chloro or iodo; trifluoro methyl, cyano, nitro and the like; comprising:
a) suspending or dissolving Rp-diastereomer or a mixture having Rp and Sp- diastereomers of Formula la in a suitable solvent,
b) reacting the step a) mixture with a suitable base to obtain a racemate, and c) separating the Sp-diastereomer of Formula la from the racemic mixture. In accordance with another embodiment, the present invention provides a process for preparation of Sp-diastereomer of Formula la, wherein "sub" represents one or more suitable electron withdrawing groups as defined above, comprising:
a) suspending or dissolving Rp-diastereomer or a mixture having Rp and Sp- diastereomers of Formula la in a suitable solvent,
b) reacting the step a) mixture with a suitable base to obtain a racemate,
c) crystallizing the racemic mixture of step b) in a suitable organic solvent, and d) isolating the Sp-diastereomer of Formula la.
In accordance with another embodiment, the present invention provides a process for preparation of Sp-diastereomer of Formula la, wherein "sub" represents one or more suitable electron withdrawing groups as defined above, comprising:
a) suspending or dissolving Rp-diastereomer or a mixture having Rp and Sp- diastereomers of Formula la in a suitable solvent,
b) reacting the step a) mixture with a suitable base to obtain a racemate,
c) crystallizing the racemic mixture of step b) in a suitable organic solvent, and d) isolating the Sp-diastereomer of Formula la;
wherein the suitable base is selected from the group consisting of organic amine bases such as primary, secondary, tertiary amines, cyclic amines and the like; or inorganic bases such as alkali metal hydroxide, alkali metal carbonates, alkali metal alkoxides, alkali metal aryloxides and the like;
wherein the suitable solvent of step a) is selected from the group consisting of amides, alkylated glycols, ethers, esters, ketones, aromatic hydrocarbons, halogenated hydrocarbons, nitriles, sulfoxides, sulfones and the like;
wherein the suitable organic solvent of step c) is selected from the group consisting of ethers, aliphatic hydrocarbons, alicyclic hydrocarbons, aromatic hydrocarbons and the like and mixtures thereof.
In accordance with another embodiment, the present invention provides a process for preparation of Sp-diastereo
Formula la
wherein "sub" represents one or more suitable electron withdrawing groups selected from the group comprising halo group selected from fluoro, bromo, chloro or iodo; trifluoro methyl, cyano, nitro and the like; comprising:
a) suspending or dissolving Rp-diastereomer or a mixture having Rp and Sp- diastereomers of Formula la in a suitable solvent,
b) reacting the step a) mixture with a suitable base to obtain a racemate,
c) dissolving the racemate in a suitable organic solvent at a suitable temperature, d) optionally cooling the solution, and
e) filtering the diastereomerically pure Sp-diastereomer.
In accordance with another embodiment, the present invention provides a process for preparation of Sp-diastereomer of 2-[(nitrophenoxy)-phenoxy-phosphorylamino] propionic acid isopropyl ester of Formula:
a) suspending or dissolving Rp-diastereomer or a mixture having Rp and Sp- diastereomers of 2-[(nitrophenoxy)-phenoxy-phosphorylamino] propionic acid isopropyl ester in a suitable solvent,
b) reacting the step a) mixture with a suitable base to obtain a racemate,
c) crystallizing the racemic mixture of step b) in a suitable organic solvent, and
d) isolating the Sp-diastereomer of 2-[(nitrophenoxy)-phenoxy-phosphorylamino] propionic acid isopropyl ester;
wherein the suitable base is selected from the group consisting of organic amine bases such as primary, secondary, tertiary amines, cyclic amines and the like; or inorganic bases such as alkali metal hydroxide, alkali metal carbonates, alkali metal alkoxides, alkali metal aryloxides and the like;
wherein the suitable solvent of step a) is selected from the group consisting of amides, alkylated glycols, ethers, esters, ketones, aromatic hydrocarbons, halogenated hydrocarbons, nitriles, sulfoxides, sulfones and the like;
wherein the suitable organic solvent of step c) is selected from the group consisting of ethers, aliphatic hydrocarbons, alicyclic hydrocarbons, aromatic hydrocarbons and the like and mixtures thereof.
In accordance with another embodiment, the present invention provides a process for preparation of Sp-diastereomer of 2-[(nitrophenoxy)-phenoxy-phosphorylamino] propionic acid isopropyl ester of Formula:
comprising:
a) suspending or dissolving Rp-diastereomer or a mixture having Rp and Sp- diastereomers of 2-[(nitrophenoxy)-phenoxy-phosphorylamino] propionic acid isopropyl ester in a suitable solvent,
b) reacting the step a) mixture with a suitable base to obtain a racemate,
c) dissolving the racemate in a suitable organic solvent at a suitable temperature, d) optionally cooling the solution, and
e) filtering the diastereomerically pure Sp-diastereomer of 2-[(nitrophenoxy)- phenoxy-phosphorylamino] propionic acid isopropyl ester.
In accordance with another embodiment, the present invention provides a process for preparation of Sofosbuvir, comprising: preparing the Sp-diastereomer according to racemization process as described above and converting the Sp-diastereomer in to Sofosbuvir.
In accordance with another embodiment, the present invention provides a pharmaceutical composition comprising Sofosbuvir prepared by the process according to racemization process as described above, and at least one pharmaceutically acceptable excipient.
DETAILED DESCRIPTION OF THE INVENTION
The present invention provides a process for recycling undesired diastereomer of 2- [(substituted-phenoxy)-phenoxy-phosphorylamino] propionic acid isopropyl ester of Formula I produced during the manufacturing process or the purification process by an iterative process via racemization of undesired diastereomer in to racemic compound followed by separation of the desired diastereomer to increase the overall yield and diastereomeric purity of t of Sofosbuvir.
Formula I
wherein "sub" represents one or more suitable electron withdrawing groups.
In one embodiment, the present invention provides a process for racemization of Rp diastereomer or a mixture having Rp and Sp-diastereomers of Formula I:
Formula I
wherein "sub" represents one or more suitable electron withdrawing groups; said method comprising treating the Rp-diastereomer or the mixture having Rp and Sp-diastereomers with a suitable base. In a preferred embodiment, the one or more suitable electron withdrawing groups include, but are not limited to halo group selected from fluoro, bromo, chloro or iodo; trifluoro methyl, cyano, nitro and the like.
In a preferred embodiment, the compound of Formula I specifically include, but are not limited to the following compounds:
11
Represents chiral centre
In a preferred embodiment, the present invention provides a process for preparation of S -diastereomer of Formula la, wherein "sub" represents one or more suitable electron withdrawing groups as defined above, comprising:
Formula la
a) suspending or dissolving Rp-diastereomer or a mixture having Rp and Sp- diastereomers of Formula la in a suitable solvent,
b) reacting the step a) mixture with a suitable base to obtain a racemate, and c) separating the Sp-diastereomer of Formula la from the racemic mixture.
The starting compound, either Rp-diastereomer or a mixture having Rp and Sp- diastereomers can be prepared by any known methods, for example starting compound can be prepared by using an adaptation of literature methods, such as described in US8629263 or J. Org. Chem. 2011, 76, 8311-8319.
As used herein, the term "racemate", relates to a mixture of about 1 : 1 ratio of Rp and Sp- diastereomers. As used herein, the term "mixture having Rp and Sp-diastereomers", relates to any quantity of Rp and Sp -diastereomers in the mixture.
As used herein, the term "catalytic amount" when referring to a base, relates to 0.005 to about 0.2 equivalents compared to the starting compound of 2-[(substituted-phenoxy)- phenoxy-phosphorylamino] propionic acid isopropyl ester.
Step a) of the foregoing process includes suspending or dissolving Rp- diastereomer or a mixture having Rp and Sp-diastereomer in a suitable solvent; preferably the quantity of Rp-diastereomer is excess when compared to Sp-diastereomer in the mixture; more preferably up to about 85% of Rp-diastereomer in the mixture.
Examples of suitable solvent include but are not limited to amides such as dimethylformamide, diethylformamide, dimethylacetamide, diethylacetamide, dimethylpropionamide and the like; alkylated glycols such as 1 , 1 -diethoxymethane, 1,2- dimethoxyethane, 2-ethoxyethanol, 2-n-butoxyethanol and the like; ethers such as diisopropyl ether, di n-butyl ether, dimethoxy ethane, methyl tert-butyl ether, ethyl isopropyl ether, tetrahydrofuran, 2-methyl tetrahydrofuran, dioxane, anisole and the like; esters such as ethyl acetate, methyl acetate, isopropyl acetate and the like; ketones such as acetone, methyl ethyl ketone and the like; aromatic hydrocarbons such as toluene, xylene and the like; halogenated hydrocarbons such as dichlorome thane, dichloroe thane, chloroform and the like; nitriles such as acetonitrile, propionitrile and the like; sulfoxides
and sulfones such as dimethyl sulfoxide, sulfolane and the like; water; and mixtures thereof; preferably diethylformamide, dimethylacetamide, methyl tert-butyl ether, tetrahydrofuran, ethyl acetate, dimethyl sulfoxide and mixtures thereof; more preferably dimethyl sulfoxide. Examples of bases used herein for the foregoing process includes but are not limited to organic amine bases such as primary, secondary, tertiary amines, cyclic amines and the like; or inorganic bases such as alkali metal hydroxide, alkali metal carbonates, alkali metal alkoxide, alkali metal aryloxide and the like; and mixtures thereof. Suitable organic amines include but are not limited to trimethylamine, butylamine, isopropylamine, diethylamine, ethanolamine, dicyclohexylamine and the like; and mixtures thereof. Suitable inorganic bases include but are not limited to sodium hydroxide, potassium hydroxide, sodium carbonate, potassium carbonate, sodium methoxide, potassium tert- butoxide, sodium phenoxide and the like and mixture thereof; preferably sodium hydroxide, potassium hydroxide, potassium teri-butoxide, sodium phenoxide and mixtures thereof; more preferably sodium hydroxide.
In a preferred embodiment, the base herein used is a catalytic amount. More preferably, the base is an amount of about 0.005 to about 0.2 equivalents of the starting diastereomers.
The reaction may be advantageously carried out at a temperature of about 0°C to reflux temperature. Preferably, the reaction is carried out at a temperature of about 10°C to 65°C; preferably at about 25°C to 35°C. The reaction is allowed to stir for a period of time from about 30 mins to until complete racemization, preferably about 45 mins to about 6 hrs.
After completion of the racemization, the resultant reaction mass may be diluted with water and extracted with suitable water immiscible organic solvent such as ethyl acetate, toluene, chloroform, dichloromethane and the like and the resultant water immiscible organic solvent layer may be optionally treated with a suitable aqueous base solution such as sodium carbonate, potassium carbonate, sodium bicarbonate, potassium bicarbonate and the like and then concentrated the water immiscible organic solvent under reduced pressure to obtain racemic mixtures of Rp and Sp-diastereomers as residue. The racemic mixtures of Rp and Sp-diastereomers obtained according to the racemization process of the present invention is having about 50-55% of Rp.diastereomer and about 45-50% of Sp-diastereomer.
Then, the desired Sp-diastereomer can be separated from the resultant racemic mixtures of Rp and Sp-diastereomers obtained just as above, by a solvent crystallization method.
In another embodiment, the present invention provides a process for crystallizing the racemic mixture of Rp and Sp-diastereomers obtained by the racemization process described as above in a suitable organic solvent, and isolating the diastereomerically pure S -diastereomer. In another embodiment, the crystallization step further comprises:
a) dissolving the racemic mixture of Rp and Sp-diastereomers obtained by the racemization process described as above in a suitable organic solvent at a suitable temperature,
b) optionally cooling the solution, and
c) filtering the diastereomerically pure Sp-diastereomer.
The suitable organic solvent for crystallization of racemic mixture of Rp and Sp- diastereomers include ethers such as dimethyl ether, diethyl ether, methyl ethyl ether, diisopropyl ether, methyl tertiary butyl ether, tetrahydrofuran, 1,4-dioxane and the like; aliphatic hydrocarbons such as hexane, heptane, propane and the like; alicyclic hydrocarbons such as cyclopropane, cyclobutane, cyclopentane, cyclohexane, cycloheptane, cyclooctane and the like; aromatic hydrocarbons such as toluene, xylene, chlorobenzene and the like and mixtures thereof; preferably diisopropyl ether, 1,4- dioxane, hexane, heptane, cyclohexane, cycloheptane and mixture thereof; more preferably diisopropyl ether, heptane and mixture thereof.
The suitable temperature for dissolution of the racemic mixture of Rp and Sp- diastereomers is at about 25 °C to about reflux temperature; preferably about 25 °C to 45°C.
Then, the solution may be cooled to less than 10°C to selectively crystallizing the desired Sp-diastereomer, preferably less than 0°C, more preferably less than -10°C. Optionally the solution may be seeding with a seed crystals of diastereomerically pure Sp- diastereomer prior to or during the precipitation. The obtained solids may be separated by conventional techniques known in the art for example filtration. Typically, if stirring is involved, the temperature during stirring can range from about 10°C to -10°C.
The resultant product may optionally be further dried. Drying can be suitably carried out in a tray dryer, vacuum oven, air oven and the like. The drying can be carried out at a temperature ranging from about 30°C to about 60°C. The drying can be carried out for any desired time until the required product purity is achieved, e.g., a time period ranging from about 1 hour to about 10 hours.
The desired S p-diastereomer obtained according to the process of the present invention having chiral purity of about 95% by chiral HPLC. The chiral purity of the S
diastereomer may be further improved with one or more crystallizations using a suitable solvent as described above.
In another embodiment, the present invention provides a S^-diastereomer prepared by the process as described above having a chiral purity of at least about 97%, as measured by chiral HPLC, preferably at least about 98% as measured by HPLC, and more preferably at least about 99.5%, as measured by HPLC; and content of R^-diastereomer is less than about 0.5%, as measured by chiral HPLC, more preferably less than about 0.3% as measured by chiral HPLC. To get higher yields of the desired Sp-diastereomer according to the present invention, the undesired Rp-diastereomer must be separated from the mixture by improving the ratio of desired diastereomer by racemizing the undesired diastereomer and separated from the mixture. Again the resulting mother liquors containing undesired diastereomer can be recycled as per the procedure described above after the separation step to produce more of the desired diastereomer. As one of skilled in the art would appreciate, the recycling step can be repeated many times to recycle as much of the undesired diastereomer as possible.
The process, unlike conventional resolution methods, yields, after recycle over several batches, the desired Sp-diastereomer in high yields with high diastereomeric purity. Such racemization is environmentally desirable, and permits direct recycle of the undesired diastereomer, thus ultimately resulting in virtually complete conversion of undesired diastereomer to the desired diastereomer. In another preferred embodiment, the present invention provides a process for preparation of Sp-diastereomer of 2-[(nitrophenoxy)-phenoxy-phosphorylamino] propionic acid isopropyl ester of Formula:
comprising:
a) suspending or dissolving Rp-diastereomer or a mixture having Rp and Sp- diastereomers of 2-[(nitrophenoxy)-phenoxy-phosphorylamino] propionic acid isopropyl ester in a suitable solvent,
b) reacting the step a) mixture with a suitable base to obtain a racemate,
c) crystallizing the racemic mixture of step b) in a suitable organic solvent, and d) isolating the Sp-diastereomer of 2-[(nitrophenoxy)-phenoxy-phosphorylamino] propionic acid isopropyl ester.
Step a) of the foregoing process includes suspending or dissolving R - diastereomer or a mixture having R and Sp-diastereomer of 2-[(nitrophenoxy)-phenoxy-phosphorylamino] propionic acid isopropyl ester in a suitable solvent.
Examples of suitable solvent include but are not limited to amides such as dimethylformamide, diethylformamide, dimethylacetamide, diethylacetamide, dimethylpropionamide and the like; alkylated glycols such as 1 , 1 -diethoxymethane, 1,2- dimethoxyethane, 2-ethoxyethanol, 2-n-butoxyethanol and the like; ethers such as diisopropyl ether, di n-butyl ether, dimethoxy ethane, methyl tert-butyl ether, ethyl isopropyl ether, tetrahydrofuran, 2-methyl tetrahydrofuran, dioxane, anisole and the like; esters such as ethyl acetate, methyl acetate, isopropyl acetate and the like; ketones such as acetone, methyl ethyl ketone and the like; aromatic hydrocarbons such as toluene, xylene and the like; halogenated hydrocarbons such as dichlorome thane, dichloroe thane, chloroform and the like; nitriles such as acetonitrile, propionitrile and the like; sulfoxides and sulfones such as dimethyl sulfoxide, sulfolane and the like; water; and mixtures thereof; preferably diethylformamide, dimethylacetamide, methyl tert-butyl ether, tetrahydrofuran, ethyl acetate, dimethyl sulfoxide and mixtures thereof; more preferably dimethyl sulfoxide.
Examples of bases used herein for the foregoing process includes but are not limited to organic amine bases such as primary, secondary, tertiary amines, cyclic amines and the like; or inorganic bases such as alkali metal hydroxide, alkali metal carbonates, alkali metal alkoxide, alkali metal aryloxide and the like; and mixtures thereof. Suitable organic amines include but are not limited to trimethylamine, butylamine, isopropylamine, diethylamine, ethanolamine, dicyclohexylamine and the like; and mixtures thereof. Suitable inorganic bases include but are not limited to sodium hydroxide, potassium hydroxide, sodium carbonate, potassium carbonate, sodium methoxide, potassium tert- butoxide, sodium phenoxide and the like and mixture thereof; preferably trimethylamine, sodium hydroxide, potassium hydroxide, potassium feri-butoxide, sodium phenoxide and mixtures thereof; more preferably sodium hydroxide.
The reaction may be advantageously carried out at a temperature of about 0°C to reflux temperature. Preferably, the reaction is carried out at a temperature of about 10°C to 65°C; preferably at about 25°C to 35°C. The reaction is allowed to stir for a period of time from about 30 mins to until complete racemization, preferably about 45 mins to about 6 hrs.
After completion of the racemization, the resultant reaction mass may be diluted with water and extracted with suitable water immiscible organic solvent such as ethyl acetate, toluene, chloroform, dichloromethane and the like and the resultant water immiscible organic solvent layer may be optionally treated with a suitable aqueous base solution such as sodium carbonate, potassium carbonate, sodium bicarbonate, potassium bicarbonate
and the like and then concentrated the water immiscible organic solvent under reduced pressure to obtain racemic mixtures of Rp and Sp-diastereomers of 2-[(nitrophenoxy)- phenoxy-phosphorylamino] propionic acid isopropyl ester as residue.
In another embodiment, the present invention provides a process for crystallizing the racemic mixture of Rp and Sp-diastereomers of 2-[(nitrophenoxy)-phenoxy- phosphorylamino] propionic acid isopropyl ester obtained by the racemization process described as above in a suitable organic solvent, and isolating the diastereomerically pure Sp-diastereomer of 2-[(nitrophenoxy)-phenoxy-phosphorylamino] propionic acid isopropyl ester.
The suitable organic solvent for crystallization of racemic mixture of Rp and Sp- diastereomers of 2-[(nitrophenoxy)-phenoxy-phosphorylamino] propionic acid isopropyl ester include ethers such as dimethyl ether, diethyl ether, methyl ethyl ether, diisopropyl ether, methyl tertiary butyl ether, tetrahydrofuran, 1,4-dioxane and the like; aliphatic hydrocarbons such as hexane, heptane, propane and the like; alicyclic hydrocarbons such as cyclopropane, cyclobutane, cyclopentane, cyclohexane, cycloheptane, cyclooctane and the like; aromatic hydrocarbons such as toluene, xylene, chlorobenzene and the like and mixtures thereof; preferably diisopropyl ether, 1,4-dioxane, hexane, heptane, cyclohexane, cycloheptane and mixture thereof; more preferably diisopropyl ether, heptane and mixture thereof.
The suitable temperature for dissolution of the racemic mixture of Rp and Sp- diastereomers is at about 25 °C to about reflux temperature; preferably about 25 °C to 45°C.
Then, the solution may be cooled to less than 10°C to selectively crystallizing the desired Sp-diastereomer of 2-[(nitrophenoxy)-phenoxy-phosphorylamino] propionic acid isopropyl ester, preferably less than 0°C, more preferably less than - 10°C. Optionally the solution may be seeding with a seed crystals of diastereomerically pure S p-diastereomer of 2-[(nitrophenoxy)-phenoxy-phosphorylamino] propionic acid isopropyl ester prior to or during the precipitation. The obtained solids may be separated by conventional techniques known in the art for example filtration. Typically, if stirring is involved, the temperature during stirring can range from about 10°C to -10°C. The resultant product may optionally be further dried. Drying can be suitably carried out in a tray dryer, vacuum oven, air oven and the like. The drying can be carried out at a temperature ranging from about 30°C to about 40°C. The drying can be carried out for any desired time until the required product purity is achieved, e.g., a time period ranging from about 1 hour to about 10 hours.
In another embodiment, the present invention provides S^-diastereomer of 2- [(nitrophenoxy)-phenoxy-phosphorylamino] propionic acid isopropyl ester prepared by the process as described above having a chiral purity of at least about 97%, as measured by chiral HPLC, preferably at least about 98% as measured by HPLC, and more preferably at least about 99.5%, as measured by HPLC; and content of R^-diastereomer is less than about 0.5%, as measured by chiral HPLC, more preferably less than about 0.3% as measured by chiral HPLC.
In another embodiment, the present invention provides a process for preparation of a medicament, particularly Sofosbuvir, comprising: preparing the diastereomerically pure Sp-diastereomer according to racemization process as described above and converting the S -diastereomer in to Sofosbuvir.
In another embodiment, the present invention provides convertion of the above obtained Sp- diastereomer in to Sofosbuvir by any process known in the art for example US8629263 or . Org. Chem. 2011, 76, 8311-8319.
In another embodiment, the present invention provides an improved process for the preparation of Sofosbuvir, comprising providing a diastereomerically pure Sp- diastereomer of compound of Formula I as obtained by the process described above, as a starting material or as an intermediate. The yield and purity of the Sofosbuvir prepared from compound of Formula I may have chiral purity equal to or greater than about 99.5% as measured by HPLC.
In another embodiment, the present invention provides compound of Formula I, obtained by the above process, as analyzed using chiral high performance liquid chromatography ("HPLC") with the conditions are tabulated below:
In another embodiment, the present invention provides a pharmaceutical composition comprising Sofosbuvir prepared from the diastereomerically pure Sp-diastereomer of Formula I according to racemization process as described above, and at least one pharmaceutically acceptable excipient.
EXAMPLES
The present invention is further illustrated by the following examples, which are provided by way of illustration only and should not be construed to limit the scope of the invention.
Example 1;
Racemization of (S)-2-[(4-nitro-phenoxy)-phenoxy-phosphorylamino] propionic acid isopropyl ester
To a 2 lit round bottom flask fitted with a mechanical stirrer, thermometer was charged solution of sodium hydroxide (O.Olw/w) and dimethylsulfoxide (500 ml) at room temperature. To the reaction mass (S)-2-[(4-nitro-phenoxy)-phenoxy-phosphorylamino] propionic acid isopropyl ester (100 gms; Rp: Sp - 63%: 37%; dissolved in 500 ml dimethylsulfoxide) was added at room temperature and stirred for 2 hrs at same temperature. After completion of the reaction, charged ice cold water (1 lit) and ethyl acetate (2x1 lit). To the separated organic layer given 10% sodium bicarbonate solution (3x1 lit), water (2x1 lit) and followed by brine solution (500 ml) washings sequentially. The organic layer was dried over anhydrous sodium sulphate and concentrated under reduced pressure to get racemic compound of (S)-2-[(4-nitro-phenoxy)-phenoxy- phosphorylamino] propionic acid isopropyl ester as residue. Yield: 77 gms; Chemical purity: 95.48%; Chiral Purity by HPLC (% area): 48.04%: 51.96% (SP: RP).
Example 2:
Crystallization of (Sp)-diastereomer of (S)-2-[(4-nitro-phenoxy)-phenoxy- phosphorylamino] propionic acid isopropyl ester from racemic (Rp) and (Sp)- diastereomers Racemic (S)-2-[(4-nitro-phenoxy)-phenoxy-phosphorylamino] propionic acid isopropyl ester obtained as per example- 1 (77 gms) was dissolved in diisopropyl ether (308 ml) at room temperature and allowed to cooled to -10°C. Reaction mass was seeded with Sp- diastereomer (385 mg; 99%) and stirred for 4 hr at -10°C. The obtained solid was filtered and washed with pre cooled diisopropylether (38.5 ml). The wet product was dried under vacuum to get the title compound. Yield: 52 gms; Chemical purity: 99.31%; Chiral Purity by HPLC (% area): 93.4%: 6.6% (S : Rp). The diastereomeric mixture was triturated with diisopropylether (356 ml) and heptane (356 ml) at -10°C for a period of 4 hr. Then the obtained solid was filtered and washed with pre cooled diisopropylether and heptane (104 ml) and was dried under vacuum to get the title compound. Yield: 15 gms, Chemical purity: 99.98%, Chiral Purity by HPLC (% area): 99.46%: 0.54% (SP: RP).
Example 3:
Racemization of (S)-2-[(4-nitro-phenoxy)-phenoxy-phosphorylamino] propionic acid isopropyl ester To a 250 ml round bottom flask fitted with a mechanical stirrer, thermometer was charged (S)-2-[(4-nitro-phenoxy)-phenoxy-phosphorylamino] propionic acid isopropyl ester (3.0 gms; R : Sp-diastereomers- 63%: 37%), dimethylsulfoxide (30 ml), sodium hydroxide (O.Olw/w) at room temperature and allowed to stir for 3 hrs. After 3 hrs reaction mass was diluted with ice cold water and extracted with ethyl acetate (2x40ml), combined organic layer was washed with water (1x40ml). Separated organic layer was dried with anhydrous sodium sulphate and concentrated under reduced pressure to get racemic compound of (S)-2-[(4-nitro-phenoxy)-phenoxy-phosphorylamino] propionic acid isopropyl ester as residue. Yield: 2.2 gms; Chemical purity: 86.28%; Chiral Purity by HPLC (% area): 48.07%: 51.93% (SP: RP). The racemic compound (2.2 gms) was dissolved in diisopropylether (12 ml) and allowed to cool to -10°C. Reaction mass was seeded with Sp-diastereomer (99%) and allowed to stir for 4 hr at -10°C. The obtained solid was filtered and washed with pre cooled diisopropylether. The wet product was dried under vacuum to get the title compound. Yield: 200 mg; Chemical purity: 97.53%; Chiral Purity by HPLC (% area): 90.03%: 9.97% (SP: RP).
Example 4:
Preparation of Sofosbuvir To a 1000 ml round bottom flask fitted with a mechanical stirrer, thermometer was charged was charged l-((2R,3R,4R,5R)-3-fluoro-4-hydroxy-5-hydroxymethyl-3-methyl- tetrahydrofuran-2-yl)-lH-pyrimidine-2,4-dione (6gms), tetrahydrofuran (60ml). To the reaction mass was added t-butylmagnesium chloride (2.5M, 220 ml) at room temperature and stirred for 30 min at same temperature. After 30 min, to the reaction mass was added drop wise tetrahydrofuran solution of (S)-2-[(4-nitro-phenoxy)-phenoxy- phosphorylamino] propionic acid isopropyl ester obtained in ex-2 (15 gms) over a period of 2 min and stirred for 40 hrs at room temperature. After completion of the reaction, reaction mass was quenched with ammonium chloride solution and product was extracted with ethyl acetate and the organic layer was concentrated under vacuum and the obtained compound was crystallized from methylene chloride to obtain title compound. Yield: 70gms.
It will be understood that various modifications may be made to the embodiments disclosed herein. Therefore the above description should not be construed as limiting, but merely as exemplifications of preferred embodiments. For example, the functions described above and implemented as the best mode for operating the present invention
are for illustration purposes only. Other arrangements and methods may be implemented by those skilled in the art without departing from the scope and spirit of this invention. Moreover, those skilled in the art will envision other modifications within the scope and spirit of the specification appended hereto.
Claims
WE CLAIM
Claim 1 : A process for racemization of Rp-diastereomer or a mixture having Rp and Sp-diastereomers of Formu
Formula I
wherein "sub" represents one or more suitable electron withdrawing groups; said method comprising treating the Rp-diastereomer or the mixture having Rp and Sp-diastereomers with a suitable base. Claim 2: The process of claim 1 , wherein the one or more suitable electron withdrawing groups are selected from the group comprising halo group selected from fluoro, bromo, chloro or iodo; trifluoro methyl, cyano and nitro.
Claim 3: The process of claim 2, wherein the one or more suitable electron withdrawing group is Nitro.
Claim 4: The process of claim 1 , wherein the base is selected from the group consisting of alkali metal hydroxides, alkali metal carbonates, alkali metal alkoxides, alkali metal aryloxides and mixture thereof.
Claim 5: The process of claim 4, wherein the base is selected from the group consisting of sodium hydroxide, potassium hydroxide, sodium carbonate, potassium carbonate, sodium methoxide, potassium tert-butoxide, sodium phenoxide and mixture thereof.
Claim 6: The process of claim 5, wherein the base is sodium hydroxide.
Claim 7: The process of claim 1, wherein the base is in an amount of about 0.005 to about 0.2 mole equivalents of the starting diastereomers.
Claim 8: The process of claim 7, wherein the base is in an amount of about 0.01 mole equivalents of the starting diastereomers.
Claim 9: The process of claim 1, further comprising racemization step is optionally carried out in a suitable solvent.
Claim 10: The process of claim 9, wherein the suitable solvent is selected from the group consisting of amides, alkylated glycols, ethers, esters, ketones, aromatic hydrocarbons, halogenated hydrocarbons, nitriles, sulfoxides and sulfones, water and mixtures thereof. Claim 11 : The process of claim 10, wherein the suitable solvent is selected from the group consisting of diethylformamide, dimethylacetamide, methyl tert-butyl ether, tetrahydrofuran, ethyl acetate, dimethyl sulfoxide and mixtures thereof.
Claim 12: The process of claim 11, wherein the suitable solvent is dimethyl sulfoxide.
Claim 13: The process of claim 1, wherein the racemization is carried out at a temperature of about 10°C to 65°C. Claim 14: The process of claim 1, further comprising the steps of:
a) dissolving the racemic mixture of RP and Sp-diastereomers obtained according to claims 1 - 13, in a suitable organic solvent at a suitable temperature,
b) optionally cooling the solution, and
c) filtering the diastereomerically pure Sp-diastereomer.
Claim 15: The process of claim 14, wherein the suitable organic solvent is selected from the group consisting of ethers, aliphatic hydrocarbons, alicyclic hydrocarbons, aromatic hydrocarbons and mixture thereof. Claim 16: The process of claim 15, wherein the suitable organic solvent is selected from the group consisting of dimethyl ether, diethyl ether, methyl ethyl ether, diisopropyl ether, methyl tertiary butyl ether, tetrahydrofuran, 1,4-dioxane, hexane, heptane, propane, cyclopropane, cyclobutane, cyclopentane, cyclohexane, cycloheptane, cyclooctane, toluene, xylene, chlorobenzene and mixtures thereof.
Claim 17: The process of claim 16, wherein the suitable organic solvent is diisopropyl ether or a mixture of diisopropyl ether and heptane.
Claim 18: The process of claim 14, wherein the step a) is carried out at a temperature of about 25°C to 45°C.
Claim 19: The process of claim 14, wherein the step b) is carried out at a temperature of less than 0°C. Claim 20: A process for preparation of Sp-diastereomer of 2-[(nitrophenoxy)- phenoxy-phosphorylamino] propionic acid isopropyl ester of Formula:
comprising:
a) suspending or dissolving R -diastereomer or a mixture having R and Sp- diastereomers of 2-[(nitrophenoxy)-phenoxy-phosphorylamino] propionic acid isopropyl ester in a suitable solvent,
b) reacting the step a) mixture with a suitable base to obtain a racemate,
c) dissolving the racemate in a suitable organic solvent at a suitable temperature, d) optionally cooling the solution, and
e) filtering the diastereomerically pure S -diastereomer of 2-[(nitrophenoxy)- phenoxy-phosphorylamino] propionic acid isopropyl ester.
Claim 21 : The process of claim 20, wherein the suitable solvent of step a) is selected from the group consisting of amides, alkylated glycols, ethers, esters, ketones, aromatic hydrocarbons, halogenated hydrocarbons, nitriles, sulfoxides and sulfones, water and mixtures thereof.
Claim 22: The process of claim 21, wherein the suitable solvent is selected from the group consisting of diethylformamide, dimethylacetamide, methyl tert-butyl ether, tetrahydrofuran, ethyl acetate, dimethyl sulfoxide and mixtures thereof. Claim 23: The process of claim 22, wherein the suitable solvent is dimethyl sulfoxide.
Claim 24: The process of claim 20, wherein the base is selected from the group consisting of alkali metal hydroxides, alkali metal carbonates, alkali metal alkoxides, alkali metal aryloxides and mixture thereof.
Claim 25 : The process of claim 24, wherein the base is selected from the group consisting of sodium hydroxide, potassium hydroxide, sodium carbonate, potassium carbonate, sodium methoxide, potassium tert-butoxide, sodium phenoxide and mixture thereof.
Claim 26: The process of claim 25, wherein the base is sodium hydroxide.
Claim 27: The process of claim 20, wherein the base is in an amount of about 0.005 to about 0.2 mole equivalents of the starting diastereomers.
Claim 28: The process of claim 27, wherein the base is in an amount of about 0.01 mole equivalents of the starting diastereomers.
Claim 29: The process of claim 20, wherein the step b) is carried out at a temperature of about 10°C to 65 °C.
Claim 30: The process of claim 20, wherein the suitable organic solvent of step c) is selected from the group consisting of ethers, aliphatic hydrocarbons, alicyclic hydrocarbons, aromatic hydrocarbons and mixture thereof. Claim 31 : The process of claim 30, wherein the suitable organic solvent is selected from the group consisting of dimethyl ether, diethyl ether, methyl ethyl ether, diisopropyl ether, methyl tertiary butyl ether, tetrahydrofuran, 1,4-dioxane, hexane, heptane, propane, cyclopropane, cyclobutane, cyclopentane, cyclohexane, cycloheptane, cyclooctane, toluene, xylene, chlorobenzene and mixtures thereof.
Claim 32: The process of claim 31, wherein the suitable organic solvent is diisopropyl ether or a mixture of diisopropyl ether and heptane.
Claim 33: The process of claim 20, wherein the step c) is carried out at a temperature of about 25°C to 45°C.
Claim 34: The process of claim 20, wherein the step d) is carried out at a temperature of less than 0°C. Claim 35: A process for preparation of Sofosbuvir, comprising: preparing the diastereomerically pure S -diastereomer according to claims 1 to 34 and converting the S -diastereomer of Formula la in to Sofosbuvir.
Applications Claiming Priority (2)
| Application Number | Priority Date | Filing Date | Title |
|---|---|---|---|
| IN6327/CHE/2014 | 2014-12-16 | ||
| IN6327CH2014 | 2014-12-16 |
Publications (2)
| Publication Number | Publication Date |
|---|---|
| WO2016098123A2 true WO2016098123A2 (en) | 2016-06-23 |
| WO2016098123A3 WO2016098123A3 (en) | 2016-08-18 |
Family
ID=56127790
Family Applications (1)
| Application Number | Title | Priority Date | Filing Date |
|---|---|---|---|
| PCT/IN2015/050198 Ceased WO2016098123A2 (en) | 2014-12-16 | 2015-12-14 | A recycling process for preparing (s)-2-[(substituted-phenoxy)-phenoxy- phosphorylamino] propionic acid isopropyl ester diastereomers |
Country Status (1)
| Country | Link |
|---|---|
| WO (1) | WO2016098123A2 (en) |
Cited By (4)
| Publication number | Priority date | Publication date | Assignee | Title |
|---|---|---|---|---|
| WO2018025195A1 (en) * | 2016-08-02 | 2018-02-08 | Alembic Pharmaceuticals Limited | PROCESS FOR THE PREPARATION OF (Sp)-SOFOSBUVIR AND INTERMEDIATES THEREOF |
| WO2018229493A3 (en) * | 2017-06-14 | 2019-02-07 | NuCana plc | Synthesis of substantially diastereomerically pure phosphate protides |
| CN114621163A (en) * | 2020-12-11 | 2022-06-14 | 余购粮 | Refining method of sofosbuvir intermediate |
| KR102920287B1 (en) * | 2017-06-14 | 2026-01-30 | 뉴카나 피엘씨 | Synthesis of phosphate derivatives |
Family Cites Families (2)
| Publication number | Priority date | Publication date | Assignee | Title |
|---|---|---|---|---|
| MX2012011171A (en) * | 2010-03-31 | 2013-02-01 | Gilead Pharmasset Llc | Nucleoside phosphoramidates. |
| CN105705511A (en) * | 2013-04-12 | 2016-06-22 | 艾其林医药公司 | Deuterated nucleoside prodrugs useful for treating HCV |
-
2015
- 2015-12-14 WO PCT/IN2015/050198 patent/WO2016098123A2/en not_active Ceased
Cited By (19)
| Publication number | Priority date | Publication date | Assignee | Title |
|---|---|---|---|---|
| WO2018025195A1 (en) * | 2016-08-02 | 2018-02-08 | Alembic Pharmaceuticals Limited | PROCESS FOR THE PREPARATION OF (Sp)-SOFOSBUVIR AND INTERMEDIATES THEREOF |
| US11414452B2 (en) | 2017-06-14 | 2022-08-16 | NuCana plc | Synthesis of phosphate derivatives |
| JP2023095954A (en) * | 2017-06-14 | 2023-07-06 | ニューカナ パブリック リミテッド カンパニー | Synthesis of phosphate derivatives |
| CN110785425A (en) * | 2017-06-14 | 2020-02-11 | 努卡那有限公司 | Synthesis of 3'-deoxyadenosine-5'-O-[phenyl(benzyloxy-L-alanyl)]phosphate (NUC-7738) |
| KR20200016864A (en) * | 2017-06-14 | 2020-02-17 | 뉴카나 피엘씨 | Synthesis of Phosphate Derivatives |
| JP2020523378A (en) * | 2017-06-14 | 2020-08-06 | ニューカナ パブリック リミテッド カンパニー | Synthesis of phosphate derivatives |
| AU2018284131B2 (en) * | 2017-06-14 | 2022-04-07 | NuCana plc | Synthesis of substantially diastereomerically pure phosphate protides |
| KR102920287B1 (en) * | 2017-06-14 | 2026-01-30 | 뉴카나 피엘씨 | Synthesis of phosphate derivatives |
| WO2018229493A3 (en) * | 2017-06-14 | 2019-02-07 | NuCana plc | Synthesis of substantially diastereomerically pure phosphate protides |
| CN110753697A (en) * | 2017-06-14 | 2020-02-04 | 努卡那有限公司 | Synthesis of Phosphate Derivatives |
| JP7279991B2 (en) | 2017-06-14 | 2023-05-23 | ニューカナ パブリック リミテッド カンパニー | Synthesis of phosphate derivatives |
| IL271159B1 (en) * | 2017-06-14 | 2023-06-01 | NuCana plc | Synthesis of substantially diastereomerically pure phosphate protides |
| IL271159B2 (en) * | 2017-06-14 | 2023-10-01 | NuCana plc | Synthesis of substantially diastereomerically pure phosphate protides |
| CN110753697B (en) * | 2017-06-14 | 2023-10-13 | 努卡那有限公司 | Synthesis of Phosphate Derivatives |
| CN110785425B (en) * | 2017-06-14 | 2023-11-21 | 努卡那有限公司 | Synthesis of 3′-deoxyadenosine-5′-O-[phenyl(benzyloxy-L-alanyl)]phosphate (NUC-7738) |
| CN117486959A (en) * | 2017-06-14 | 2024-02-02 | 努卡那有限公司 | Synthesis of Phosphate Derivatives |
| JP7525687B2 (en) | 2017-06-14 | 2024-07-30 | ニューカナ パブリック リミテッド カンパニー | Synthesis of phosphate derivatives |
| KR102695300B1 (en) * | 2017-06-14 | 2024-08-16 | 뉴카나 피엘씨 | Synthesis of phosphate derivatives |
| CN114621163A (en) * | 2020-12-11 | 2022-06-14 | 余购粮 | Refining method of sofosbuvir intermediate |
Also Published As
| Publication number | Publication date |
|---|---|
| WO2016098123A3 (en) | 2016-08-18 |
Similar Documents
| Publication | Publication Date | Title |
|---|---|---|
| US8895723B2 (en) | Methods of preparing substituted nucleotide analogs | |
| EP3077404B1 (en) | Purification of tenofovir alafenamide and its intermediates | |
| KR102366697B1 (en) | Synthesis of a macrocyclic hcv ns3 inhibiting tripeptide | |
| CN110785425B (en) | Synthesis of 3′-deoxyadenosine-5′-O-[phenyl(benzyloxy-L-alanyl)]phosphate (NUC-7738) | |
| CN104151352B (en) | Preparation method of sofosbuvir intermediate | |
| CN111205294A (en) | Preparation method of Reidesciclovir intermediate | |
| KR100708221B1 (en) | Method for producing epoxide crystal | |
| US20150011755A1 (en) | Amine salts of prostaglandin analogs | |
| JP2017522387A (en) | Method for producing gemcitabine- [phenyl (benzoxy-L-alaninyl)] phosphate Method for producing a phosphate derivative | |
| WO2016098123A2 (en) | A recycling process for preparing (s)-2-[(substituted-phenoxy)-phenoxy- phosphorylamino] propionic acid isopropyl ester diastereomers | |
| US20170218006A1 (en) | Synthesis of Phosphoramidates | |
| JP7004480B2 (en) | Improved manufacturing method for the preparation of sofosbuvir | |
| WO2017045581A1 (en) | Phosphoramidate compound and preparation method and crystal thereof | |
| CN106146433A (en) | A kind of preparation method of the intermediate of Suo Feibuwei | |
| WO2020161743A1 (en) | Process for the preparation of bedaquiline fumarate | |
| WO2016189040A1 (en) | Selective process for synthesis of nucleoside phosphoramidates | |
| US6570039B2 (en) | Process for producing α-aminoketones | |
| KR20070061850A (en) | Synthesis of benzoxazinone | |
| JPWO2000044706A1 (en) | Method for producing α-aminoketones | |
| EP2814806B1 (en) | An improved process for the preparation of aliskiren | |
| JP3766463B2 (en) | Process for producing enantiomers of 2- (2-fluoro-4-biphenyl) propionic acid | |
| WO2017077552A1 (en) | Process for the preparation of sofosbuvir | |
| CN107868105A (en) | A kind of preparation method of Suo Feibuwei key intermediates | |
| JPH11322665A (en) | Method for purifying optically active α-trifluoromethyl lactic acid | |
| CN115894588A (en) | L-2 '-deoxy-2' -beta-fluorothymidine prodrug derivative and application thereof |
Legal Events
| Date | Code | Title | Description |
|---|---|---|---|
| NENP | Non-entry into the national phase in: |
Ref country code: DE |
|
| 122 | Ep: pct application non-entry in european phase |
Ref document number: 15869478 Country of ref document: EP Kind code of ref document: A2 |

























