WO2016052069A1 - Thiol compound, method for producing thiol compound, polymer, composition, curable composition, color composition, cured film, and color filter - Google Patents
Thiol compound, method for producing thiol compound, polymer, composition, curable composition, color composition, cured film, and color filter Download PDFInfo
- Publication number
- WO2016052069A1 WO2016052069A1 PCT/JP2015/075048 JP2015075048W WO2016052069A1 WO 2016052069 A1 WO2016052069 A1 WO 2016052069A1 JP 2015075048 W JP2015075048 W JP 2015075048W WO 2016052069 A1 WO2016052069 A1 WO 2016052069A1
- Authority
- WO
- WIPO (PCT)
- Prior art keywords
- group
- compound
- atom
- composition
- thiol compound
- Prior art date
- Legal status (The legal status is an assumption and is not a legal conclusion. Google has not performed a legal analysis and makes no representation as to the accuracy of the status listed.)
- Ceased
Links
Classifications
-
- C—CHEMISTRY; METALLURGY
- C07—ORGANIC CHEMISTRY
- C07C—ACYCLIC OR CARBOCYCLIC COMPOUNDS
- C07C319/00—Preparation of thiols, sulfides, hydropolysulfides or polysulfides
- C07C319/02—Preparation of thiols, sulfides, hydropolysulfides or polysulfides of thiols
-
- C—CHEMISTRY; METALLURGY
- C07—ORGANIC CHEMISTRY
- C07C—ACYCLIC OR CARBOCYCLIC COMPOUNDS
- C07C323/00—Thiols, sulfides, hydropolysulfides or polysulfides substituted by halogen, oxygen or nitrogen atoms, or by sulfur atoms not being part of thio groups
- C07C323/10—Thiols, sulfides, hydropolysulfides or polysulfides substituted by halogen, oxygen or nitrogen atoms, or by sulfur atoms not being part of thio groups containing thio groups and singly-bound oxygen atoms bound to the same carbon skeleton
- C07C323/11—Thiols, sulfides, hydropolysulfides or polysulfides substituted by halogen, oxygen or nitrogen atoms, or by sulfur atoms not being part of thio groups containing thio groups and singly-bound oxygen atoms bound to the same carbon skeleton having the sulfur atoms of the thio groups bound to acyclic carbon atoms of the carbon skeleton
- C07C323/12—Thiols, sulfides, hydropolysulfides or polysulfides substituted by halogen, oxygen or nitrogen atoms, or by sulfur atoms not being part of thio groups containing thio groups and singly-bound oxygen atoms bound to the same carbon skeleton having the sulfur atoms of the thio groups bound to acyclic carbon atoms of the carbon skeleton the carbon skeleton being acyclic and saturated
-
- C—CHEMISTRY; METALLURGY
- C07—ORGANIC CHEMISTRY
- C07C—ACYCLIC OR CARBOCYCLIC COMPOUNDS
- C07C323/00—Thiols, sulfides, hydropolysulfides or polysulfides substituted by halogen, oxygen or nitrogen atoms, or by sulfur atoms not being part of thio groups
- C07C323/50—Thiols, sulfides, hydropolysulfides or polysulfides substituted by halogen, oxygen or nitrogen atoms, or by sulfur atoms not being part of thio groups containing thio groups and carboxyl groups bound to the same carbon skeleton
- C07C323/51—Thiols, sulfides, hydropolysulfides or polysulfides substituted by halogen, oxygen or nitrogen atoms, or by sulfur atoms not being part of thio groups containing thio groups and carboxyl groups bound to the same carbon skeleton having the sulfur atoms of the thio groups bound to acyclic carbon atoms of the carbon skeleton
- C07C323/52—Thiols, sulfides, hydropolysulfides or polysulfides substituted by halogen, oxygen or nitrogen atoms, or by sulfur atoms not being part of thio groups containing thio groups and carboxyl groups bound to the same carbon skeleton having the sulfur atoms of the thio groups bound to acyclic carbon atoms of the carbon skeleton the carbon skeleton being acyclic and saturated
-
- C—CHEMISTRY; METALLURGY
- C07—ORGANIC CHEMISTRY
- C07D—HETEROCYCLIC COMPOUNDS
- C07D251/00—Heterocyclic compounds containing 1,3,5-triazine rings
- C07D251/02—Heterocyclic compounds containing 1,3,5-triazine rings not condensed with other rings
- C07D251/12—Heterocyclic compounds containing 1,3,5-triazine rings not condensed with other rings having three double bonds between ring members or between ring members and non-ring members
- C07D251/26—Heterocyclic compounds containing 1,3,5-triazine rings not condensed with other rings having three double bonds between ring members or between ring members and non-ring members with only hetero atoms directly attached to ring carbon atoms
- C07D251/40—Nitrogen atoms
- C07D251/54—Three nitrogen atoms
-
- C—CHEMISTRY; METALLURGY
- C07—ORGANIC CHEMISTRY
- C07D—HETEROCYCLIC COMPOUNDS
- C07D251/00—Heterocyclic compounds containing 1,3,5-triazine rings
- C07D251/02—Heterocyclic compounds containing 1,3,5-triazine rings not condensed with other rings
- C07D251/12—Heterocyclic compounds containing 1,3,5-triazine rings not condensed with other rings having three double bonds between ring members or between ring members and non-ring members
- C07D251/26—Heterocyclic compounds containing 1,3,5-triazine rings not condensed with other rings having three double bonds between ring members or between ring members and non-ring members with only hetero atoms directly attached to ring carbon atoms
- C07D251/40—Nitrogen atoms
- C07D251/54—Three nitrogen atoms
- C07D251/70—Other substituted melamines
-
- C—CHEMISTRY; METALLURGY
- C07—ORGANIC CHEMISTRY
- C07D—HETEROCYCLIC COMPOUNDS
- C07D309/00—Heterocyclic compounds containing six-membered rings having one oxygen atom as the only ring hetero atom, not condensed with other rings
- C07D309/02—Heterocyclic compounds containing six-membered rings having one oxygen atom as the only ring hetero atom, not condensed with other rings having no double bonds between ring members or between ring members and non-ring members
- C07D309/08—Heterocyclic compounds containing six-membered rings having one oxygen atom as the only ring hetero atom, not condensed with other rings having no double bonds between ring members or between ring members and non-ring members with hetero atoms or with carbon atoms having three bonds to hetero atoms with at the most one bond to halogen, e.g. ester or nitrile radicals, directly attached to ring carbon atoms
- C07D309/10—Oxygen atoms
-
- C—CHEMISTRY; METALLURGY
- C08—ORGANIC MACROMOLECULAR COMPOUNDS; THEIR PREPARATION OR CHEMICAL WORKING-UP; COMPOSITIONS BASED THEREON
- C08F—MACROMOLECULAR COMPOUNDS OBTAINED BY REACTIONS ONLY INVOLVING CARBON-TO-CARBON UNSATURATED BONDS
- C08F2/00—Processes of polymerisation
- C08F2/38—Polymerisation using regulators, e.g. chain terminating agents, e.g. telomerisation
-
- G—PHYSICS
- G02—OPTICS
- G02B—OPTICAL ELEMENTS, SYSTEMS OR APPARATUS
- G02B5/00—Optical elements other than lenses
- G02B5/20—Filters
-
- G—PHYSICS
- G03—PHOTOGRAPHY; CINEMATOGRAPHY; ANALOGOUS TECHNIQUES USING WAVES OTHER THAN OPTICAL WAVES; ELECTROGRAPHY; HOLOGRAPHY
- G03F—PHOTOMECHANICAL PRODUCTION OF TEXTURED OR PATTERNED SURFACES, e.g. FOR PRINTING, FOR PROCESSING OF SEMICONDUCTOR DEVICES; MATERIALS THEREFOR; ORIGINALS THEREFOR; APPARATUS SPECIALLY ADAPTED THEREFOR
- G03F7/00—Photomechanical, e.g. photolithographic, production of textured or patterned surfaces, e.g. printing surfaces; Materials therefor, e.g. comprising photoresists; Apparatus specially adapted therefor
- G03F7/004—Photosensitive materials
-
- Y—GENERAL TAGGING OF NEW TECHNOLOGICAL DEVELOPMENTS; GENERAL TAGGING OF CROSS-SECTIONAL TECHNOLOGIES SPANNING OVER SEVERAL SECTIONS OF THE IPC; TECHNICAL SUBJECTS COVERED BY FORMER USPC CROSS-REFERENCE ART COLLECTIONS [XRACs] AND DIGESTS
- Y02—TECHNOLOGIES OR APPLICATIONS FOR MITIGATION OR ADAPTATION AGAINST CLIMATE CHANGE
- Y02P—CLIMATE CHANGE MITIGATION TECHNOLOGIES IN THE PRODUCTION OR PROCESSING OF GOODS
- Y02P20/00—Technologies relating to chemical industry
- Y02P20/50—Improvements relating to the production of bulk chemicals
- Y02P20/55—Design of synthesis routes, e.g. reducing the use of auxiliary or protecting groups
Definitions
- the present invention relates to a novel thiol compound. Moreover, it is related with the manufacturing method of a thiol compound, a polymer, a composition, a curable composition, and a coloring composition. Furthermore, it is related with the cured film using a curable composition or a coloring composition, and the color filter using a coloring composition.
- Patent Document 1 discloses the following compound.
- R is a hydrogen atom or an alkyl group
- a is an integer of 1 to 4
- b is an integer of 1 to 4.
- Patent Documents 2 and 3 describe using a polyfunctional thiol compound as a raw material for the synthesis of a dispersant.
- the object of the present invention is to provide a thiol compound having excellent heat resistance. Moreover, it aims at providing the manufacturing method of a thiol compound, a composition, a curable composition, a coloring composition, a cured film, and a color filter.
- a predetermined linking group and a thiol are separated by separating the predetermined linking group and the thiol group (SH) by 5 atoms or more by a group such as an alkylene group. It has been found that thermal decomposition between groups is suppressed and heat resistance can be improved, and the present invention has been completed. Specifically, the above problem has been solved by the following means ⁇ 1>, preferably ⁇ 2> to ⁇ 17>.
- a thiol compound represented by the following formula (1) (HS-R 1 -M 1- ) n L 1 (1)
- L 1 represents an n-valent organic linking group
- n represents an integer of 3 to 15
- M 1 represents —O—, —S—, —N (R 2 ) —, —C ( ⁇ O) —, —C ( ⁇ O) —O—, —O—C ( ⁇ O) —O—, —C ( ⁇ O) —NH—, —O—C ( ⁇ O) —NH—, —S ( ⁇ O) —, —S ( ⁇ O) —O—, —S ( ⁇ O) 2 —, — S ( ⁇ O) 2 —O— or —CH ⁇ N—
- R 1 represents an alkylene group or a group consisting of a combination of an alkylene group and an etheric oxygen atom
- R 2 represents a hydrogen atom, an alkyl group having 1 to 10 carbon atoms which may contain an
- R 1 is a linear alkylene group having 5 to 30 carbon atoms, a branched alkylene group having 6 to 30 carbon atoms, a group consisting of a combination of a linear alkylene group having 3 to 27 carbon atoms and an etheric oxygen atom, or
- the thiol compound according to ⁇ 1> which represents a group consisting of a combination of a branched alkylene group having 4 to 28 carbon atoms and an etheric oxygen atom.
- R 1 is a linear alkylene group having 5 to 20 carbon atoms, an alkylene group having 5 to 20 carbon atoms including an ethyleneoxy chain, or an alkylene group having 5 to 20 carbon atoms including an isopropyleneoxy chain.
- the thiol compound according to ⁇ 1>, which represents ⁇ 4> The thiol compound according to any one of ⁇ 1> to ⁇ 3>, wherein L 1 is a linking group derived from a polyhydric alcohol.
- L 1 is 1 to 100 carbon atoms, 0 to 10 nitrogen atoms, 0 to 50 oxygen atoms, 1 to 200 hydrogen atoms, and 0 to The thiol compound according to any one of ⁇ 1> to ⁇ 4>, comprising a group consisting of up to 20 sulfur atoms.
- L 1 is a thiol compound according to any one of ⁇ 1> to ⁇ 4>, selected from the structures represented by any of (L-1) to (L-21) below;
- r is an integer of 0 to 10
- R 31 to R 41 each independently represents an alkyl group
- R 42 represents a hydrogen atom, an alkyl group or an alkoxy group
- R 43 and R 44 each represent Independently, it is a hydrogen atom or an alkyl group having 1 to 6 carbon atoms
- s is an integer of 0 to 9
- L 4 represents —O— or —C ( ⁇ O) —.
- L 1 is selected from the structures represented by any of the following, the thiol compound according to any one of ⁇ 1> to ⁇ 4>;
- r is an integer of 0 to 10
- R 42 , R 43 and R 44 are ethyl groups.
- a compound represented by the following formula (3) and a compound represented by the following formula (4) are reacted, and the resulting product is reacted with a sulfur-containing compound having a protecting group Z, followed by protection.
- L 1 represents an n-valent organic linking group
- R H represents at least one of an oxygen atom, a nitrogen atom, and a sulfur atom, and represents a group that includes a hydrogen atom linked to any one of an oxygen atom, a nitrogen atom, and a sulfur atom
- n represents an integer of 3 to 15
- Y represents a group capable of leaving by reaction with a sulfur-containing compound having a protecting group Z
- R 1 is an alkylene group, or a group composed of a combination of an alkylene group and an etheric oxygen atom, the R 1 and the atoms connecting the M a R 1 a bond to atoms Y, 5 or more of R 1 Separated by M a represents a single bond
- a method for producing a thiol compound comprising generating a thiol group by removing the group Z;
- Y represents a group capable of leaving by reaction with a sulfur-containing compound having a protecting group Z;
- R 1 represents an alkylene group or a group composed of a combination of an alkylene group and an etheric oxygen atom, and the atom bonded to R 1 of Y and the atom bonded to R 1 of M a1 are 5 or more of R 1 Separated by M a1 represents —C ( ⁇ O) —,
- X represents a group containing at least one of a halogen atom and a sulfonate.
- a method for producing a thiol compound comprising generating a thiol group by removing the group Z;
- Y represents a group capable of leaving by reaction with a sulfur-containing compound having a protecting group Z;
- R 1 represents an alkylene group or a group consisting of a combination of an alkylene group and an etheric oxygen atom, and the atom bonded to R 1 of Y and the atom bonded to R 1 of X are 5 or more of R 1 Separated by atoms,
- X represents a group containing at least one of a halogen atom and a sulfonate.
- the protecting group Z is a group represented by the following formula (5), a group represented by the following formula (6), or a salt of a group represented by the following formula (6), ⁇ 8> A process for producing a thiol compound according to any one of ⁇ 10>;
- R 4 represents a hydrogen atom, an alkyl group having 1 to 30 carbon atoms, an aryl group having 6 to 30 carbon atoms, or a heteroaryl group having 3 to 30 carbon atoms.
- L 1 represents an (n1 + n2) -valent organic linking group
- n1 represents 1 to
- n2 represents 0 to 14
- M 1 represents —O—, —S—, —N (R 2 ) —, — C ( ⁇ O) —, —C ( ⁇ O) —O—, —O—C ( ⁇ O) —O—, —C ( ⁇ O) —NH—, —O—C ( ⁇ O) —NH— , —S ( ⁇ O) —, —S ( ⁇ O) —O—, —S ( ⁇ O) 2 —, —S ( ⁇ O) 2 —O—, or —CH ⁇ N—
- R 1 represents an alkylene group or a group consisting of a combination of an alkylene group and an etheric oxygen atom
- R 2 represents a hydrogen atom, an alkyl group having 1 to 10 carbon atoms which may contain an ether
- a composition comprising the thiol compound produced by the method for producing a thiol compound according to any one of ⁇ 8> to ⁇ 11>, wherein 50% by mass or more of the composition is represented by formula (1):
- a composition which is a specific one of the thiol compounds to be produced.
- a composition comprising the thiol compound according to any one of ⁇ 1> to ⁇ 7>, wherein 50% by mass or more of the composition is a specific thiol compound represented by formula (1).
- One type of composition is ⁇ 15> A composition comprising the polymer according to ⁇ 12>.
- ⁇ 16> The thiol compound according to any one of ⁇ 1> to ⁇ 7>, the thiol compound obtained by the method for producing a thiol compound according to any one of ⁇ 8> to ⁇ 11>, A curable composition comprising a polymer and at least one of the compositions according to any one of ⁇ 13> to ⁇ 15>, and a polymerizable compound.
- ⁇ 17> The thiol compound according to any one of ⁇ 1> to ⁇ 7>, the thiol compound obtained by the method for producing a thiol compound according to any one of ⁇ 8> to ⁇ 11>, A colored composition comprising a polymer, at least one of the compositions according to any one of ⁇ 13> to ⁇ 15>, a polymerizable compound, and a colorant.
- ⁇ 19> A color filter obtained using the colored composition according to ⁇ 17>.
- a thiol compound having excellent heat resistance can be provided.
- a cured film and a color filter having excellent heat resistance can be provided.
- the description which does not describe substitution and unsubstituted includes the thing which has a substituent with the thing which does not have a substituent.
- the “alkyl group” includes not only an alkyl group having no substituent (unsubstituted alkyl group) but also an alkyl group having a substituent (substituted alkyl group).
- active light or “radiation” means, for example, the emission line spectrum of a mercury lamp, far ultraviolet rays represented by excimer laser, extreme ultraviolet rays (EUV light), X-rays, electron beams, and the like.
- light means actinic rays or radiation.
- exposure in this specification is not limited to exposure with an emission line spectrum of a mercury lamp, far ultraviolet rays typified by excimer laser, X-rays, EUV light, etc., but also particles such as electron beams and ion beams. Line drawing is also included in the exposure.
- a numerical range expressed using “to” means a range including numerical values described before and after “to” as a lower limit value and an upper limit value.
- the total solid content refers to the total mass of components excluding the solvent from the total composition of the colored composition.
- (meth) acrylate represents both and / or acrylate and methacrylate
- (meth) acryl represents both and / or acryl
- (meth) acryloyl "Represents both acryloyl and / or methacryloyl.
- the monomer in this specification is distinguished from an oligomer and a polymer, and refers to a compound having a weight average molecular weight of 2,000 or less.
- the polymerizable compound means a compound having a polymerizable functional group, and may be a monomer or a polymer.
- the polymerizable functional group refers to a group that participates in a polymerization reaction.
- Me in the chemical formula represents a methyl group
- Et represents an ethyl group
- Pr represents a propyl group
- Bu represents a butyl group
- Ph and PH represent a phenyl group.
- NMR nuclear magnetic resonance resonance
- DMSO means dimethyl sulfoxide
- MALDI Matrix Assisted Laser Desorption / Ionization
- MS means mass spectrum
- HPLC High performance liquid chromatography
- PGMEA means propylene glycol-1-methyl ether acetate.
- process is not limited to an independent process, and is included in the term if the intended action of the process is achieved even when it cannot be clearly distinguished from other processes. .
- the weight average molecular weight and the number average molecular weight are defined as polystyrene conversion values by GPC (gel permeation chromatography) measurement.
- the weight average molecular weight (Mw) and the number average molecular weight (Mn) are, for example, HLC-8220 (manufactured by Tosoh), and TSKgel Super Super AWM-H (manufactured by Tosoh, 6.0 mm (inner diameter) ⁇ 15.0 cm) can be obtained by using a 10 mmol / L lithium bromide NMP (N-methylpyrrolidinone) solution as an eluent.
- the thiol compound of the present invention is represented by the following formula (1).
- L 1 represents an n-valent organic linking group
- n represents an integer of 3 to 15
- M 1 represents —O—, —S—, —N (R 2 ) —, —C ( ⁇ O) —, —C ( ⁇ O) —O—, —O—C ( ⁇ O) —O—, —C ( ⁇ O) —NH—, —O—C ( ⁇ O) —NH—, —S ( ⁇ O) —, —S ( ⁇ O) —O—, —S ( ⁇ O) 2 —, —S ( ⁇ O) 2 —O—, or —CH ⁇ N—, wherein R 1 is , An alkylene group, or a group composed of a combination of an alkylene group and an etheric oxygen atom, SH represents a thiol group, and R 2
- the polyfunctional thiol compound having a plurality of SH groups acts as a chain transfer agent in the presence of a polymerizable compound, for example.
- the polyfunctional thiol compound in the cured product is sterically crowded because of its polyfunctionality, and as the curing proceeds, nearby polymerization occurs.
- heat resistance is improved by providing an alkylene group or a group consisting of a combination of an alkylene group and an etheric oxygen atom between the predetermined linking group represented by M 1 and the SH group. I am letting. This is because the presence of an alkylene group having 5 or more carbon atoms between the predetermined linking group and the SH group makes it difficult for the reaction between them to proceed even when heated.
- L 1 represents an n-valent organic linking group, 1 to 100 carbon atoms, 0 to 10 nitrogen atoms, 0 to 50 oxygen atoms, 1 to It is a group consisting of up to 200 hydrogen atoms and 0 to 20 sulfur atoms, which may be unsubstituted or substituted.
- L 1 include a group (which may form a cyclic structure) formed by combining two or more of the following structural units or the following structural units.
- L 1 is 1 to 60 carbon atoms, 0 to 10 nitrogen atoms, 0 to 40 oxygen atoms, 1 to 120 hydrogen atoms, and 0 to 10 atoms.
- Groups consisting of up to sulfur atoms are preferred. More preferably, 1 to 50 carbon atoms, 0 to 10 nitrogen atoms, 0 to 30 oxygen atoms, 1 to 100 hydrogen atoms, and 0 to 7 atoms. It is a group consisting of the sulfur atom. More preferably, 1 to 40 carbon atoms, 0 to 8 nitrogen atoms, 0 to 20 oxygen atoms, 1 to 80 hydrogen atoms, and 0 to 5 atoms. It is a group consisting of the sulfur atom.
- L 1 may have a substituent.
- substituents include an alkyl group having 1 to 20 carbon atoms such as a methyl group and an ethyl group, an aryl group having 6 to 16 carbon atoms such as a phenyl group and a naphthyl group, a hydroxyl group, an amino group, a carboxyl group, and a sulfonamide group.
- C1-C6 acyloxy groups such as N-sulfonylamido and acetoxy groups, C1-C6 alkoxy groups such as methoxy and ethoxy groups, halogen atoms such as chlorine and bromine, methoxycarbonyl groups and ethoxycarbonyl Group, a C2-C7 alkoxycarbonyl group such as cyclohexyloxycarbonyl group, a cyano group, a carbonic acid ester group such as t-butyl carbonate, and the like. However, it is preferable not to have a substituent.
- L 1 as described above is derived from, for example, a polyhydric alcohol.
- the valence of the polyhydric alcohol is preferably 3 to 15.
- L 1 is preferably represented by any of (L-1) to (L-21) below. * Indicates a binding site with M 1 .
- r is an integer of 0 to 10, preferably an integer of 1 to 10, and more preferably an integer of 1 to 5.
- R 31 to R 41 each independently represents an alkyl group, preferably a branched alkyl group having 3 to 10 carbon atoms, and more preferably a t-butyl group. R 31 to R 41 may be different from each other but are preferably the same group.
- R42 represents a hydrogen atom, an alkyl group or an alkoxy group, preferably a hydrogen atom, a methyl group, an ethyl group or a methoxy group, more preferably an ethyl group.
- R 43 and R 44 are each independently a hydrogen atom or an alkyl group having 1 to 6 carbon atoms, more preferably an alkyl group having 1 to 3 carbon atoms, and even more preferably an ethyl group.
- s is an integer of 0 to 9, preferably an integer of 1 to 5, and more preferably an integer of 1 to 3.
- L 4 represents —O— or —C ( ⁇ O) —.
- n represents an integer of 3 to 15.
- the lower limit of n is preferably 4 or more, and more preferably 5 or more.
- the upper limit of n is preferably 10 or less, and more preferably 8 or less.
- M 1 represents —O—, —S—, —N (R 2 ) —, —C ( ⁇ O) —, —C ( ⁇ O) —O—, —O—C ( ⁇ O) —O—, —C ( ⁇ O) —NH—, —O—C ( ⁇ O) —NH—, —S ( ⁇ O) —, —S ( ⁇ O) —O—, —S ( ⁇ O) 2 —, — Represents S ( ⁇ O) 2 —O— or —CH ⁇ N— and represents —O—, —S—, —C ( ⁇ O) —, —C ( ⁇ O) —O—, —O—C ( ⁇ O) —O—, —C ( ⁇ O)
- the n M 1 s may be the same or different.
- the n M 1 are preferably the same.
- the linking group represented by M 1 has one end bonded to R 1 and the other end bonded to L 1 , but either end may be bonded to which group.
- -C ( O)
- carbon atoms may be bonded to R 1
- the oxygen atom may be bonded with R 1.
- R 2 represents a hydrogen atom, an alkyl group having 1 to 10 carbon atoms which may contain an etheric oxygen atom, or an aromatic hydrocarbon group which may contain an etheric oxygen atom, A methyl group is preferred, and a hydrogen atom is more preferred.
- R 1 represents an alkylene group or a group comprising a combination of an alkylene group and an etheric oxygen atom
- SH represents a thiol group
- the atom bonded to the sulfur atom of SH and R 1 of M 1 is R 1.
- An etheric oxygen atom refers to an oxygen atom contained between an alkylene group and an alkylene group, and an etheric oxygen atom means that the two oxygen atoms are not continuous.
- the n R 1 s may be the same or different. The n R 1 s are preferably the same.
- the alkylene group as R 1 is a linear, branched or cyclic alkylene group, preferably a linear or branched alkylene group, and more preferably a linear alkylene group or a branched alkylene group having a methyl chain as a branched chain.
- the group comprising a combination of an alkylene group and an etheric oxygen atom is also preferably a group comprising a combination of a linear or branched alkylene group and an etheric oxygen atom, and a branched alkylene having a linear alkylene group or a methyl chain as a branched chain.
- a group composed of a combination of a group and an etheric oxygen atom is more preferable.
- the alkylene group may have a substituent, but preferably has no substituent.
- examples of the substituent that L 1 may have are exemplified.
- R 1 is a linear alkylene group
- the lower limit of the carbon number can be 5 or more, 6 or more, or 7 or more.
- the upper limit is preferably 50 or less, more preferably 40 or less, still more preferably 30 or less, and particularly preferably 20 or less.
- the upper limit may be 12 or less, 10 or less, or 8 or less.
- R 1 is a branched alkylene group
- the lower limit of the carbon number can be 6 or more, 7 or more, or 8 or more.
- the upper limit is preferably 50 or less, more preferably 40 or less, still more preferably 30 or less, and particularly preferably 20 or less.
- the upper limit may be 12 or less, and may be 10 or less.
- R 1 is a cyclic alkylene group, it is usually a group comprising a combination of the linear or branched alkylene group and the cyclic alkylene group.
- the number of carbon atoms constituting the ring of the cyclic alkylene group is preferably 3 to 8, and more preferably 6.
- R 1 is a group consisting of a combination of a linear alkylene group and an etheric oxygen atom
- the lower limit of the carbon number can be 3 or more, preferably 4 or more, and more preferably 5 or more.
- the upper limit is preferably 50 or less, more preferably 40 or less, further preferably 27 or less, and particularly preferably 20 or less.
- the upper limit can be 10 or less, 8 or less, or 6 or less.
- R 1 is a group composed of a combination of a linear alkylene group and an etheric oxygen atom
- the number of atoms including an ethyleneoxy chain and separating the sulfur atom of SH and the atom bonded to R 1 of M 1 Examples are 5 to 20 groups, and it is preferable that 2 to 5 ethyleneoxy chains are repeated.
- R 1 is a group composed of a combination of a branched alkylene group and an etheric oxygen atom
- the lower limit of the carbon number can be 4 or more, 5 or more, or 6 or more.
- the upper limit is preferably 50 or less, more preferably 40 or less, still more preferably 28 or less, particularly preferably 20 or less, and may be 10 or less, or may be 8 or less.
- R 1 is a group consisting of a combination of a branched alkylene group and an etheric oxygen atom
- the number of atoms that contains an isopropyleneoxy chain and separates the sulfur atom of SH and the atom bonded to R 1 of M 1 5 to 20 groups are exemplified, and an embodiment including a structure in which 2 to 5 isopropyleneoxy chains are repeated is exemplified.
- R 1 is a group comprising a combination of a cyclic alkylene group and an etheric oxygen atom, it is usually a group comprising a combination of the above linear or branched alkylene group and a etheric oxygen atom and a cyclic alkylene group.
- R 1 is particularly a linear alkylene group having 5 to 20 carbon atoms, an alkylene group having 5 to 20 carbon atoms including an ethyleneoxy chain, or an alkylene group having 5 to 20 carbon atoms including an isopropyleneoxy chain. It preferably represents an alkylene group, more preferably a linear alkylene group having 5 to 20 carbon atoms or an alkylene group containing 5 to 20 carbon atoms including an ethyleneoxy chain, and further preferably a linear alkylene group having 5 to 20 carbon atoms. .
- the number of atoms connecting the R 1 of M 1 and the atom to be bonded at the shortest is 5 or more.
- This atom consists of a carbon atom or a carbon atom and an oxygen atom, and the total number is 5 atoms or more.
- the number of atoms from which SH and M 1 are separated is 6 atoms
- the number of atoms from which SH and M 1 are separated Becomes 6 atoms.
- the molecular weight of the thiol compound of the present invention is preferably 300 to 3000, more preferably 500 to 2500.
- the thiol compound of the present invention preferably has no following group. By not having the following groups, the heat resistance tends to be further improved.
- Acid anhydride group (—C ( ⁇ O) —O—C ( ⁇ O) —, —S ( ⁇ O) 2 —O—S ( ⁇ O) 2 —, —P ( ⁇ O) (OH) —O —P ( ⁇ O) (OH) —, —S ( ⁇ O) 2 —O—C ( ⁇ O) —), phosphate ester group (—P ( ⁇ O) (OH) —O—), dioxy group (—O—O—), disulfide group (—S—S—), methylenedioxy group (—OCH 2 O—), oxalyl group (—C ( ⁇ O) C ( ⁇ O) —), malonyl group ( —C ( ⁇ O) CH 2 C ( ⁇ O) —), ureylene group (—NH—C ( ⁇ O) —NH—), hydrazinylene group (—NHNH—), —C ( ⁇ O) —S—, —O—C ( ⁇ O) —S—, —C
- n is an integer of 1 to 13.
- n is an integer of 1 to 13.
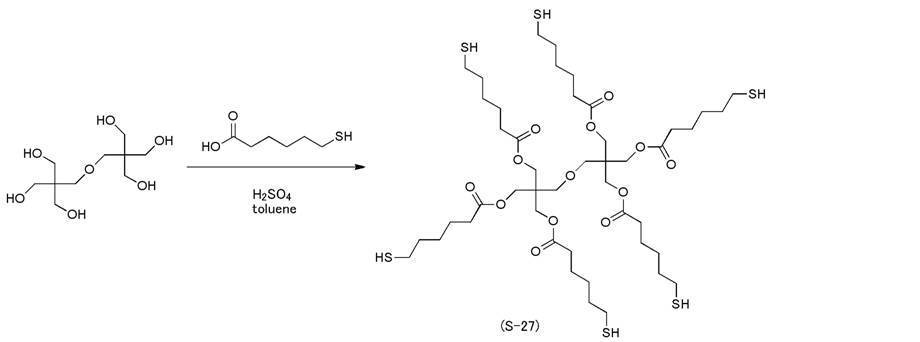
- n is an integer of 1 to 13. In the above (S-32), n is an integer of 1 to 13.
- (S-1) to (S-48) and (S-51) are preferable, and (S-1) to (S-3), (S-4) to (S-16), ( (S-22) to (S-38), (S-41) to (S-48), and (S-51) are more preferable, (S-2) to (S-3), (S-5) (S-8), (S-13), (S-22) to (S-24), (S-26) to (S-28), (S-31), (S-37) to (S More preferred are S-38), (S-41), and (S-44).
- the thiol compound of the present invention reacts a compound represented by the following formula (3) with a compound represented by the following formula (4), and reacts the resulting product with a sulfur-containing compound having a protecting group Z. And then producing a thiol group by removing the protecting group Z.
- L 1 represents an n-valent organic linking group
- R H represents at least one of an oxygen atom, a nitrogen atom, and a sulfur atom, and represents a group that includes a hydrogen atom linked to any one of an oxygen atom, a nitrogen atom, and a sulfur atom
- n represents an integer of 3 to 15
- Y represents a group capable of leaving by reaction with a sulfur-containing compound having a protecting group Z
- R 1 is an alkylene group, or a group composed of a combination of an alkylene group and an etheric oxygen atom, the R 1 and the atoms connecting the M a R 1 a bond to atoms Y, 5 or more of R 1 Separated by M a represents a single bond or a divalent linking group
- X represents a group containing at least one of a halogen atom and a sulfonate.
- R H is a group containing at least one of an oxygen atom, a nitrogen atom, and a sulfur atom, and a hydrogen atom linked to any one of the oxygen atom, the nitrogen atom, and the sulfur atom, preferably a hydroxyl group, a thiol group, a substituted or non-substituted group. Substituted amino groups and carboxyl groups are included.
- X represents a group containing at least one of a halogen atom or a sulfonate, and is preferably a halogen atom.
- a halogen atom a fluorine atom, a chlorine atom, and a bromine atom are preferable, a chlorine atom or a bromine atom is more preferable, and a chlorine atom is further more preferable.
- X is specifically trifluoromethanesulfonate, p-toluenesulfonate, benzenesulfonate, methanesulfonate, Cl—C ( ⁇ O) —, Br—C ( ⁇ O) —, p-toluenesulfonyloxycarbonyl, methanesulfonyl Examples are oxycarbonyl.
- M a is preferably a single bond, —C ( ⁇ O) —, —O—, —C ( ⁇ O) —O—, —NH— or —S ( ⁇ O) —, and is preferably a single bond or —C ( ⁇ O)-is more preferable.
- Y represents a group capable of leaving by reaction with a sulfur-containing compound having a protecting group Z, and more preferably a group leaving by reaction with an acyl group or an amidino group.
- Specific examples include halogen atoms, trifluoromethane sulfonate, p-toluene sulfonate, benzene sulfonate, methane sulfonate, and the like.
- a halogen atom a chlorine atom, a bromine atom, and an iodine atom are preferable, and a bromine atom is more preferable.
- the sulfur-containing compound containing a protecting group Z is not particularly defined as long as it contains a sulfur atom and a protecting group Z, but is preferably composed of a sulfur atom and a protecting group Z.
- the protecting group include an acyl group, an amidino group, and a salt of an amidino group, a group represented by the following formula (5), a group represented by the following formula (6), or a group represented by the following formula (6).
- R 4 represents a hydrogen atom, an alkyl group having 1 to 30 carbon atoms, an aryl group having 6 to 30 carbon atoms, or a heteroaryl group having 3 to 30 carbon atoms.
- R 4 is preferably an alkyl group having 1 to 10 carbon atoms or an aryl group having 6 to 10 carbon atoms, and more preferably an alkyl group having 1 to 5 carbon atoms or a phenyl group.
- amidino group salts include sodium salts, potassium salts, calcium salts, and magnesium salts.
- a trivalent to 15-valent polyhydric alcohol is reacted with a compound represented by the following formula (4-1), and the resulting product is protected.
- An example is a method of producing a thiol group by reacting a sulfur-containing compound having a group Z and then removing the protecting group Z.
- R 1 represents an alkylene group or a group composed of a combination of an alkylene group and an etheric oxygen atom
- the atom bonded to R 1 of Y and the atom bonded to R 1 of M a1 are 5 or more of R 1 Separated by M a1 represents —C ( ⁇ O) —
- X represents a group containing at least one of a halogen atom and a sulfonate.
- a trivalent to 15-valent polyhydric alcohol is reacted with a compound represented by the following formula (4-2), and the resulting product is protected.
- An example is a method in which a sulfur-containing compound having a group Z is reacted and then a protecting group Z is eliminated to generate a thiol group.
- Y represents a group capable of leaving by reaction with a sulfur-containing compound having a protecting group Z
- R 1 represents an alkylene group or a group consisting of a combination of an alkylene group and an etheric oxygen atom, and the atom bonded to R 1 of Y and the atom bonded to R 1 of X are 5 or more of R 1 Separated by atoms
- X represents a group containing at least one of a halogen atom and a sulfonate.
- the polyhydric alcohol is exemplified by the polyhydric alcohol having an OH group bonded to the portion * in the structure represented by the above (L-1) to (L-21). Is done.
- the preferred range is the same as the description of the structures represented by the above (L-1) to (L-21).
- the valence of the polyhydric alcohol is synonymous with n in the formula (1), and the preferred range is also the same.
- X and Y in the above formulas (4-1) and (4-2) have the same meanings as X and Y in the formula (4), and the preferred ranges are also the same.
- R 1 in formula (4-1) and formula (4-2) has the same meaning as R 1 in formula (1), and the preferred range is also the same.
- the sulfur-containing compound having a protecting group Z is synonymous with the above-described sulfur-containing compound having a protecting group Z, and the preferred range is also the same.
- a polyhydric alcohol and a compound represented by HS—R 1 —COOH are directly condensed.
- the polyhydric alcohol in the present embodiment include polyhydric alcohols in which OH is bonded to the portion * in the structures represented by the above (L-1) to (L-21).
- the preferred range is the same as the description of the structures represented by the above (L-1) to (L-21).
- the valence of the polyhydric alcohol is synonymous with n in the formula (1), and the preferred range is also the same.
- the valence of the polyhydric alcohol is synonymous with n in the formula (1), and the preferred range is also the same.
- R 1 in this embodiment has the same meaning as R 1 in the formula (1), and preferred ranges are also the same. In the present embodiment, since it is obtained by dehydration condensation, there is an advantage that the production process may be reduced. The method is more preferred.
- Applications Applications of the thiol compound of the present invention include pigment raw materials, resin (polymer) raw materials such as dispersants, curing agents and crosslinking agents, resin stabilizers, rubber vulcanizers, adhesive raw materials, mercury and lead. Materials for heavy metal elements and ion removing agents such as, and materials for functionalizing metal surfaces such as sensors can be considered.
- the polyfunctional thiol compound in Patent Document 1 International Publication WO2009 / 129221 pamphlet
- Patent Document 2 JP 2007-277514 A
- Patent Document 3 JP 2013-79380 A
- the thiol compound of the present invention can be used.
- Examples of the use of the curing agent or the crosslinking agent include curing agents of a compound having an epoxy group or a compound having an isocyanate group.
- a compound having an epoxy group also referred to as an epoxy compound
- a compound having two or more epoxy groups in one molecule is preferable.
- Specific examples of the epoxy compound include compounds having an epoxy group described in the curable composition described later.
- the thiol compound of the present invention is used as a curing agent for an epoxy compound, it is preferably blended so that the SH group is 70 to 120 mol with respect to 100 mol of the epoxy group of the epoxy compound. More preferably, the SH group is blended in an amount of 80 to 110 moles per 100 moles.
- the epoxy group consumed by the other curing agent is subtracted, and with respect to 100 mol of the remaining epoxy group, It is preferable to blend so that the SH group is 70 to 120 mol (preferably 80 to 110 mol).
- the isocyanate compound may be either an aromatic compound or an aliphatic compound.
- Specific examples of the isocyanate compound include, for example, 2,4-tolylene diisocyanate, dimer of 2,4-tolylene diisocyanate, 2,6-tolylene diisocyanate, p-xylylene diisocyanate, m-xylylene diisocyanate, Aromatic diisocyanate compounds such as 4,4'-diphenylmethane diisocyanate, 1,5-naphthylene diisocyanate, 3,3'-dimethylbiphenyl-4,4'-diisocyanate; hexamethylene diisocyanate, trimethylhexamethylene diisocyanate, lysine diisocyanate Aliphatic diisocyanate compounds such as dimer acid di
- the thiol compound of the present invention is used as a curing agent for a compound having an isocyanate group, it is preferably blended so that the SH group is 50 to 300 mol with respect to 100 mol of the isocyanate group, More preferably, the SH group is blended in an amount of 50 to 150 mol.
- the SH group is 50 to 300 mol (preferably 50 to 150 mol).
- the thiol compound of the present invention can be preferably used as a raw material for a resin (polymer). In particular, it can be preferably used as a raw material for alkali-soluble resins.
- the polymer obtained using the thiol compound of the present invention is excellent in heat resistance. Moreover, this polymer has a low viscosity compared with a linear polymer, and is excellent in leveling property. For this reason, when a color filter is formed using a colored composition containing this polymer, a difference in height can hardly be generated in one pixel (suppression of dishing). Further, the thiol compound of the present invention can be used as a raw material for a dye.
- the polymer of the present invention is represented by the following formula (7).
- L 1 represents an (n1 + n2) -valent organic linking group
- n1 represents 1 to
- n2 represents 0 to 14
- M 1 represents —O—, —S—, —N (R 2 ) —, — C ( ⁇ O) —, —C ( ⁇ O) —O—, —O—C ( ⁇ O) —O—, —C ( ⁇ O) —NH—, —O—C ( ⁇ O) —NH— , —S ( ⁇ O) —, —S ( ⁇ O) —O—, —S ( ⁇ O) 2 —, —S ( ⁇ O) 2 —O—, or —CH ⁇ N—
- R 1 represents an alkylene group or a group consisting of a combination of an alkylene group and an etheric oxygen atom
- R 2 represents a hydrogen atom, an alkyl group having 1 to 10 carbon atoms which may contain an ether
- L 1 , M 1 , R 1 and R 2 in the formula (7) are synonymous with L 1 , M 1 , R 1 and R 2 described in the formula (1), and preferred ranges are also the same.
- n1 represents 1 to 15, n2 represents 0 to 14, and the total of n1 and n2 is 3 to 15.
- N1 and n2 in one polymer are integers, respectively, but the polymer of the present invention may include a plurality of polymers in which n1 and n2 in formula (7) are different.
- n1 is preferably 2 or more, and more preferably 3 or more.
- P 1 in formula (7) represents a monovalent substituent having a repeating unit derived from a compound having an ethylenically unsaturated bond.
- P 1 s may be the same or different from each other.
- P 1 preferably has 2 or more repeating units derived from a compound having an ethylenically unsaturated bond, more preferably 2 to 10,000 repeating units, and still more preferably 2 to 1,000. .
- the compounds having an ethylenically unsaturated bond include (meth) acrylic acid esters, crotonic acid esters, vinyl esters, maleic acid diesters, fumaric acid diesters, itaconic acid diesters, (meth) acrylamides, and styrene. , Vinyl ethers, vinyl ketones, olefins, maleimides, (meth) acrylonitrile and vinyl compounds having an acidic group. These compounds can be used alone or in combination of two or more. Examples of the vinyl compound having an acid group include a vinyl compound having a carboxyl group, a vinyl compound having a sulfo group, and a vinyl compound having a phosphate group.
- the weight average molecular weight of the polymer of the present invention is preferably 3,000 to 1,000,000, more preferably 4,000 to 500,000, and further preferably 5,000 to 300,000.
- the acid value of the polymer of the present invention is not particularly limited, but when the polymer of the present invention is used as an alkali-soluble resin, 10 to 200 mgKOH / g is preferable, 20 to 160 mgKOH / g is more preferable, and 30 to 140 mgKOH / g is particularly preferable. preferable.
- the acid value is 10 mgKOH / g or more, the alkali developability is good.
- the acid value is less than 200 mgKOH / g, the dispersion stability of the composition is good.
- the polymer of the present invention can be obtained, for example, by radical polymerization of a compound having an ethylenically unsaturated bond in the presence of the thiol compound represented by the above formula (1).
- the compound having an ethylenically unsaturated bond is not particularly limited, but a compound containing one or more acid groups is preferable.
- Compounds having an ethylenically unsaturated bond include (meth) acrylic acid esters, crotonic acid esters, vinyl esters, maleic acid diesters, fumaric acid diesters, itaconic acid diesters, (meth) acrylamides, styrene , Vinyl ethers, vinyl ketones, olefins, maleimides, (meth) acrylonitrile, vinyl monomers having acidic groups, (meth) acrylic acid esters, (meth) acrylamides, styrenes, vinyl ethers, Maleimides and vinyl monomers having acidic groups are preferred, (meth) acrylic acid esters, styrenes, and vinyl monomers having acidic groups are more preferred.
- the monomer demonstrated with the alkali-soluble resin mentioned later can also be used as a compound which has an ethylenically unsaturated bond.
- the polymer production conditions are not particularly limited, but a thiol compound and a compound having an ethylenically unsaturated bond are dissolved in a suitable solvent, and a polymerization initiator is added thereto at about 50 ° C. to 220 ° C.
- a polymerization initiator is added thereto at about 50 ° C. to 220 ° C.
- Examples include a method of polymerizing in a solution (solution polymerization method).
- the solvent used in the solution polymerization method can be arbitrarily selected according to the solubility of the raw material compound used and the solubility of the polymer to be produced.
- solvents may be used as a mixture of two or more.
- polymerization initiator examples include 2,2′-azobis (isobutyronitrile) (AIBN), 2,2′-azobis- (2,4′-dimethylvaleronitrile), dimethyl 2,2′-azobis ( Azo compounds such as 2-methylpropionate), peroxides such as benzoyl peroxide, and persulfates such as potassium persulfate and ammonium persulfate can be used.
- AIBN 2,2′-azobis (isobutyronitrile)
- 2,2′-azobis- (2,4′-dimethylvaleronitrile) dimethyl 2,2′-azobis ( Azo compounds such as 2-methylpropionate)
- peroxides such as benzoyl peroxide
- persulfates such as potassium persulfate and ammonium persulfate can be used.
- composition of the present invention is a composition containing the thiol compound of the present invention, and 50% by mass or more of the composition is preferably a specific one of the thiol compounds.
- the composition of the present invention is a composition containing a thiol compound produced by a method using a sulfur-containing compound having the protecting group Z, and 50% by mass or more of the composition is composed of the thiol compound. It is preferable that it is one specific type of them.
- a compound having a thioester structure is easily decomposed by a thioester structure by heating, but since the composition of the present invention has few such impurities, a molded product having higher heat resistance can be obtained.
- the specific one type means any one of the compounds represented by the formula (1).
- the upper limit of the amount of the specific one kind of thiol compound is not particularly defined and is ideally 100% by mass, but for example, 80% by mass or less is sufficient for practical use. It becomes a composition with the property.
- the composition of this invention contains the polymer represented by said (7). Since the polymer of the present invention is excellent in heat resistance, a molded product having higher heat resistance can be obtained. Furthermore, since the polymer of the present invention has low viscosity and excellent leveling properties, when a color filter is formed using a coloring composition containing the composition of the present invention, a difference in height occurs in one pixel. Can be difficult (suppression of dishing).
- the curable composition of this invention contains the thiol compound of this invention, the thiol compound obtained by the manufacturing method of this invention, at least 1 sort (s) of the composition of this invention, and a polymeric compound.
- the polyfunctional thiol compound acts as a chain transfer agent when the polymerizable compound is cured, but an unreacted thiol group remains in the obtained cured product.
- unreacted thiol groups react with other groups, causing thermal decomposition.
- the present invention is advantageous because it can hardly cause such thermal decomposition.
- the content of the thiol compound of the present invention in the curable composition of the present invention is preferably 0.1 to 20% by mass, more preferably 0.5 to 10% by mass, based on the solid content. More preferably, it is 5 mass%.
- the curable composition of the present invention can be used for coloring compositions, antireflection film forming compositions, antifouling layer forming compositions, dental and bone shaping materials such as glass ionomer cements, and the like.
- at least one of the thiol compound of the present invention, the thiol compound obtained by the production method of the present invention, and the composition of the present invention, a repeating unit having a polyether structure having a fluorine atom, and four or more It can also be used as a polymerizable composition containing a compound having a polymerizable group, a photopolymerization initiator, and a solvent.
- Such a polymerizable composition can be used as a composition for forming a low refractive index layer.
- the polymerizable composition is more preferably exemplified by a composition containing a perfluoroolefin copolymer, hollow silica particles, a polymerizable compound (preferably a polymerizable monomer), a photopolymerization initiator, and a fluorine-containing monomer. Is done. Details thereof are described in paragraphs 0024 to 0060 of JP 2014-167596 A, paragraphs 0027 to 0126 of JP 2014-070165 A, paragraphs 0018 to 0167 of JP 2003-228741 A (in particular, paragraph 0043). -Description of -0048), the contents of which are incorporated herein.
- Examples of the perfluoroolefin copolymer include a structure represented by the following formula (1). In the structural formula, 50:50 represents a molar ratio.
- hollow silica particles examples include isopropyl alcohol silica sol.
- examples of commercially available products include “CS60-IPA” (manufactured by Catalyst Kasei Kogyo).
- Specific examples of the fluorine-containing monomer include the structures shown below.
- the curable composition of the present invention includes, for example, the thiol compound of the present invention and an epoxy compound, and further contains 3-aminomethyl. And a composition containing a curing accelerator such as ⁇ 3,5,5-trimethylcyclohexylamine.
- a curing accelerator such as ⁇ 3,5,5-trimethylcyclohexylamine.
- the curable composition of the present invention includes, for example, at least the thiol compound of the present invention and an isocyanate compound, and further dibutyltin dichloride.
- the composition containing hardening accelerators, such as these, is mentioned.
- the colored composition of the present invention contains the thiol compound of the present invention, the thiol compound obtained by the production method of the present invention, at least one of the compositions of the present invention, a polymerizable compound, and a colorant.
- the content of the thiol compound of the present invention in the colored composition of the present invention is preferably 0.1 to 20% by mass, more preferably 0.5 to 10% by mass, based on the solid content. More preferably, it is mass%.
- the coloring composition of the present invention contains a polymerizable compound.
- a polymerizable compound a known polymerizable compound that can be crosslinked by a radical, an acid, or heat can be used.
- polymerizable compounds containing an ethylenically unsaturated bond, cyclic ether (epoxy, oxetane), methylol and the like can be mentioned.
- the polymerizable compound is suitably selected from compounds having at least one terminal ethylenically unsaturated bond, preferably two or more, from the viewpoint of sensitivity.
- a polyfunctional polymerizable compound having 4 or more functional groups is preferable, and a polyfunctional polymerizable compound having 5 or more functional groups is more preferable.
- Such a group of compounds is widely known, and these can be used without any particular limitation in the present invention. These may be in any chemical form such as, for example, monomers, prepolymers, ie dimers, trimers and oligomers or mixtures thereof and multimers thereof.
- the polymeric compound in this invention may be used individually by 1 type, and may use 2 or more types together.
- Examples of monomers and prepolymers include unsaturated carboxylic acids (eg, acrylic acid, methacrylic acid, itaconic acid, crotonic acid, isocrotonic acid, maleic acid, etc.), esters, amides, and multimers thereof.
- unsaturated carboxylic acids eg, acrylic acid, methacrylic acid, itaconic acid, crotonic acid, isocrotonic acid, maleic acid, etc.
- esters of unsaturated carboxylic acids and aliphatic polyhydric alcohol compounds amides of unsaturated carboxylic acids and aliphatic polyvalent amine compounds, and multimers thereof.
- a dehydration condensation reaction product with a functional carboxylic acid is also preferably used.
- Reaction products of unsaturated carboxylic acid esters or amides having electrophilic substituents such as isocyanate groups and epoxy groups with monofunctional or polyfunctional alcohols, amines and thiols, halogen groups and tosyloxy groups A reaction product of an unsaturated carboxylic acid ester or amide having a leaving substituent such as monofunctional or polyfunctional alcohols, amines or thiols is also suitable.
- polymerizable compound a compound having at least one addition-polymerizable ethylene group and having an ethylenically unsaturated group having a boiling point of 100 ° C. or higher under normal pressure is also preferable.
- paragraph 0227 of JP 2013-29760 A can be referred to, the contents of which are incorporated herein.
- Examples of the compound having a boiling point of 100 ° C. or higher under normal pressure and having at least one ethylenically unsaturated group capable of addition polymerization include compounds described in paragraphs 0254 to 0257 of JP-A-2008-292970. Which is incorporated herein by reference.
- dipentaerythritol triacrylate (as a commercially available product, KAYARAD D-330; manufactured by Nippon Kayaku), dipentaerythritol tetraacrylate (as a commercially available product, KAYARAD D-320; manufactured by Nippon Kayaku), Dipentaerythritol penta (meth) acrylate (as a commercial product, KAYARAD D-310; manufactured by Nippon Kayaku), dipentaerythritol hexa (meth) acrylate (as a commercially available product, KAYARAD DPHA; manufactured by Nippon Kayaku), ethyleneoxy modified di Pentaerythritol hexaacrylate (A-DPH-12E as a commercial product; manufactured by Shin-Nakamura Chemical Co., Ltd.) and a structure in which these (meth) acryloyl groups are mediated by ethylene glycol and prop
- the polymerizable compound may have an acid group such as a carboxyl group, a sulfonic acid group, or a phosphoric acid group. If the polymerizable compound has an unreacted carboxyl group or the like, it can be used as it is. However, if necessary, a non-aromatic carboxylic acid anhydride is reacted with the hydroxyl group of the polymerizable compound. An acid group may be introduced.
- non-aromatic carboxylic acid anhydrides include tetrahydrophthalic anhydride, alkylated tetrahydrophthalic anhydride, hexahydrophthalic anhydride, alkylated hexahydrophthalic anhydride, succinic anhydride, maleic anhydride, and the like.
- the polymerizable compound having an acid group is preferably an ester of an aliphatic polyhydroxy compound and an unsaturated carboxylic acid, and is obtained by reacting a non-aromatic carboxylic acid anhydride with an unreacted hydroxyl group of the aliphatic polyhydroxy compound.
- the polymerizable compound having an acid group thus obtained is more preferred, and particularly preferably, in this ester, the aliphatic polyhydroxy compound is pentaerythritol and / or dipentaerythritol.
- Examples of commercially available products include M-510 and M-520 as polybasic acid-modified acrylic oligomers manufactured by Toagosei.
- a preferable acid value of the polymerizable compound having an acid group is 0.1 mgKOH / g to 40 mgKOH / g, and particularly preferably 5 mgKOH / g to 30 mgKOH / g.
- the acid value of the polyfunctional monomer is 0.1 mgKOH / g or more, the development and dissolution characteristics are good, and when it is 40 mgKOH / g or less, it is advantageous in production and handling. Furthermore, the photopolymerization performance is good and the curability such as the surface smoothness of the pixels is excellent.
- the acid group as the entire polymerizable compound is It is preferable to adjust so that it may enter into the said range.
- polymeric compound which has a caprolactone structure as a polymeric compound.
- the polymerizable compound having a caprolactone structure is not particularly limited as long as it has a caprolactone structure in the molecule.
- a polymerizable compound having a caprolactone structure represented by the following general formula (Z-1) is preferable.
- R 1 represents a hydrogen atom or a methyl group
- m represents a number of 1 or 2
- “*” represents a bond
- R 1 represents a hydrogen atom or a methyl group
- “*” represents a bond
- the polymeric compound which has a caprolactone structure can be used individually or in mixture of 2 or more types.
- polymerizable compound a compound represented by the following general formula (Z-4) or (Z-5) can also be used.
- each E independently represents — ((CH 2 ) y CH 2 O) — or — ((CH 2 ) y CH (CH 3 ) O).
- — Each independently represents an integer of 0 to 10
- each X independently represents an acryloyl group, a methacryloyl group, a hydrogen atom, or a carboxyl group.
- the total number of acryloyl groups and methacryloyl groups is 3 or 4
- each m independently represents an integer of 0 to 10
- the total of each m is an integer of 0 to 40 .
- any one of X is a carboxyl group.
- the total number of acryloyl groups and methacryloyl groups is 5 or 6, each n independently represents an integer of 0 to 10, and the total of each n is an integer of 0 to 60 . However, when the total of each n is 0, any one of X is a carboxyl group.
- m is preferably an integer of 0 to 6, and more preferably an integer of 0 to 4.
- the total of each m is preferably an integer of 2 to 40, more preferably an integer of 2 to 16, and particularly preferably an integer of 4 to 8.
- n is preferably an integer of 0 to 6, and more preferably an integer of 0 to 4.
- the total of each n is preferably an integer of 3 to 60, more preferably an integer of 3 to 24, and particularly preferably an integer of 6 to 12.
- — ((CH 2 ) y CH 2 O) — or — ((CH 2 ) y CH (CH 3 ) O) — represents oxygen
- a form in which the end on the atom side is bonded to X is preferred.
- the compounds represented by formula (Z-4) or formula (Z-5) may be used alone or in combination of two or more.
- a form in which all six Xs are acryloyl groups is preferable.
- the total content of the compound represented by the general formula (Z-4) or (Z-5) in the polymerizable compound is preferably 20% by mass or more, and more preferably 50% by mass or more.
- the compound represented by the general formula (Z-4) or (Z-5) is a conventionally known process, which is a ring-opening addition of ethylene oxide or propylene oxide to pentaerythritol or dipentaerythritol. It can be synthesized from a step of bonding a ring-opening skeleton by a reaction and a step of introducing a (meth) acryloyl group by reacting, for example, (meth) acryloyl chloride with a terminal hydroxyl group of the ring-opening skeleton. Each step is a well-known step, and a person skilled in the art can easily synthesize a compound represented by the general formula (Z-4) or (Z-5).
- a pentaerythritol derivative and / or a dipentaerythritol derivative are more preferable.
- Specific examples include compounds represented by the following formulas (a) to (f) (hereinafter also referred to as “exemplary compounds (a) to (f)”).
- exemplary compounds (a), (f) b), (e) and (f) are preferred.
- Examples of commercially available polymerizable compounds represented by the general formulas (Z-4) and (Z-5) include SR-494, a tetrafunctional acrylate having four ethyleneoxy chains manufactured by Sartomer, manufactured by Nippon Kayaku Co., Ltd. DPCA-60, which is a hexafunctional acrylate having six pentyleneoxy chains, and TPA-330, which is a trifunctional acrylate having three isobutyleneoxy chains.
- a compound having an epoxy group can also be used as the polymerizable compound.
- the compound having an epoxy group one having two or more epoxy groups in one molecule is preferable.
- the number of epoxy groups is preferably 2 to 10, more preferably 2 to 5, and particularly preferably 3 in one molecule. Details of these are described in paragraphs 0034 to 0036 of JP2013-011869A, paragraphs 0091 to 0103 of JP2014-153554A, and paragraphs 0084 to 0095 of JP2014-089408A. Which are incorporated herein by reference.
- an oligomer or polymer having an epoxy group in the side chain can also be preferably used.
- examples of such compounds include bisphenol A type epoxy resins, bisphenol F type epoxy resins, phenol novolac type epoxy resins, cresol novolac type epoxy resins, and aliphatic epoxy resins. These compounds may be used as commercial products or can be obtained by introducing an epoxy group into the side chain of the polymer.
- jER825, jER827, jER828, jER834, jER1001, jER1002, jER1003, jER1055, jER1007, jER1009, jER1010 (above, manufactured by Japan Epoxy Resins Co., Ltd.), EPICLON860, EPICLON 1050, EPICLON 1051, EPICLON 1055 (manufactured by DIC Corporation), etc.
- bisphenol F type epoxy resins are jER806, jER807, jER4004, jER4005, jER4007, jER4010 (above, Japan Epoxy Resin Corporation), EPICLON830 , EPICLON 835 (above, manufactured by DIC Corporation), LCE-21, RE-602S As described above, jER152, jER154, jER157S70, jER157S65 (above, Japan Epoxy Resin Co
- EPICLON N-775 (manufactured by DIC Corporation), etc.
- cresol novolac type epoxy resins include EPICLON N-660, EPICLON N-665, EPICLON N-670, EPICLON N-673, EPICLON N-680 , EPICLON N-690, EPICLON N-695 (manufactured by DIC Corporation), EOCN-1020 (manufactured by Nippon Kayaku Co., Ltd.), etc., and ADEKA RESIN EP-4 as an aliphatic epoxy resin 80S, EP-4085S, EP-4088S (manufactured by ADEKA Corporation), Celoxide 2021P, Celoxide 2081, Celoxide 2083, Celoxide 2085, EHPE3150, EPOLEEAD PB 3600, PB 4700 (above, Daicel Chemical Industries, Ltd.) ), Denacol EX-212L, EX-214L, EX-216L, EX-321L, EX
- ADEKA RESIN EP-4000S, EP-4003S, EP-4010S, EP-4010S, EP-4011S (above, manufactured by ADEKA Corporation), NC-2000, NC-3000, NC-7300, XD-1000, EPPN-501, EPPN-502 (above, manufactured by ADEKA Corporation), jER1031S (manufactured by Japan Epoxy Resin Co., Ltd.) and the like.
- jER1031S Mitsubishi Chemical Corporation
- jER1032H60 Mitsubishi Chemical Corporation
- EPICLON HP-4700 DIC Corporation
- EPICLON N-695 DIC Corporation
- EPICLON 840 DIC Corporation
- EPICLON N660 DIC Corporation
- EPICLON HP7200 DIC Corporation
- the like can be preferably used.
- the compounds having an epoxy group may be used singly or in combination of two or more.
- the polymerizable compound is described in JP-B-48-41708, JP-A-51-37193, JP-B-2-32293, and JP-B-2-16765.
- Urethane acrylates and urethane compounds having an ethylene oxide skeleton described in JP-B-58-49860, JP-B-56-17654, JP-B-62-39417, and JP-B-62-39418 are also suitable. is there.
- addition polymerizable compounds having an amino structure or a sulfide structure in the molecule described in JP-A-63-277653, JP-A-63-260909, and JP-A-1-105238 as polymerizable compounds.
- a compound having an oxetane group can also be used as the polymerizable compound.
- the compound having an oxetane group include the compounds described in paragraphs 0134 to 0145 of JP-A-2008-224970, the contents of which are incorporated herein.
- Aron Oxetane OXT-121, OXT-221, OX-SQ, and PNOX can be used.
- polymerizable compounds include urethane oligomers UAS-10, UAB-140 (manufactured by Sanyo Kokusaku Pulp), UA-7200 (manufactured by Shin-Nakamura Chemical), DPHA-40H (manufactured by Nippon Kayaku), UA-306H, UA -306T, UA-306I, AH-600, T-600, AI-600 (manufactured by Kyoeisha) and the like.
- the blending amount of the polymerizable compound in the curable composition or colored composition of the present invention is preferably 5 to 50% by mass, more preferably 10 to 30% by mass with respect to the solid content.
- the colorant used in the coloring composition of the present invention is not particularly defined, and may be a pigment, a dye, or a combination of a pigment and a dye. Only one colorant may be used, or two or more colorants may be used.
- the amount of the colorant is preferably 10 to 90% by mass, more preferably 30 to 85% by mass, and further preferably 60 to 80% by mass of the solid content of the coloring composition of the present invention.
- the dye that can be used as the colorant contained in the coloring composition is not particularly limited, and conventionally known dyes for color filters can be used.
- an acidic dye and / or its derivative may be used suitably from a viewpoint that the binder and / or dye of a light non-irradiation part are removed completely by image development.
- direct dyes, basic dyes, mordant dyes, acid mordant dyes, azoic dyes, disperse dyes, oil-soluble dyes, food dyes, and / or derivatives thereof can also be used effectively.
- acid dye examples include 1, 2, 24, 48; acid blue 1, 7, 9, 15, 18, 23, 25, 27, 29, 40 to 45, 62, 70, 74, 80, 83, 86 , 87, 90, 92, 103, 112, 113, 120, 129, 138, 147, 158, 171, 182, 192, 243, 324: 1; acid chroma violet K; acid Fuchsin; acid green 1, 3, 5 , 9, 16, 25, 27, 50; acid orange 6, 7, 8, 10, 12, 50, 51, 52, 56, 63, 74, 95; acidred 1, 4, 8, 14, 17, 18, 26, 27, 29, 31, 34, 35, 37, 42, 44, 50, 51, 52, 57, 66, 73, 8 0, 87, 88, 91, 92, 94, 97, 103, 111, 114, 129, 133, 134, 138, 143, 145, 150, 151, 158, 176, 183,
- azo, xanthene and phthalocyanine acid dyes are also preferred.
- I. Acid dyes such as Solvent range 45; Rhodamine B and Rhodamine 110 and derivatives of these dyes are also preferably used.
- the colorant triarylmethane, anthraquinone, azomethine, benzylidene, oxonol, cyanine, phenothiazine, pyrrolopyrazole azomethine, xanthene, phthalocyanine, benzopyran, indigo, pyrazole azo
- the colorant is selected from a series, anilinoazo, pyrazolotriazole azo, pyridone azo, anthrapyridone, and pyromethene.
- a dipyrromethene dye in which a compound represented by the following general formula (1) is coordinated to a metal atom or a metal compound is preferably used in terms of light resistance and heat resistance.
- R 1 to R 6 each independently represents a hydrogen atom or a monovalent substituent
- R 7 represents a hydrogen atom, a halogen atom, an alkyl group, an aryl group, or a heterocyclic group. Represents.
- Known dyes other than the above-mentioned pigment (A) include, for example, JP-A 64-90403, JP-A 64-91102, JP-A-1-94301, JP-A-6-11614, No. 2592207, U.S. Pat. No. 4,808,501, U.S. Pat. No. 5,667,920, U.S. Pat.No. 505950, U.S. Pat.
- the dyes disclosed in JP-A-6-51115 and JP-A-6-194828 can be used.
- the chemical structure includes pyrazole azo, pyromethene, anilinoazo, triarylmethane, anthraquinone, benzylidene, oxonol, pyrazolotriazole azo, pyridone azo, cyanine, phenothiazine, pyrrolopyrazole azomethine, etc.
- Dyes can be used.
- a dye multimer may be used as the dye. Examples of the dye multimer include compounds described in JP2011-213925A and JP2013-041097A. Compound A-1 used in Examples described later also corresponds to an example of a preferred pyromethene dye used in the present invention.
- the pigment used in the present invention may be an organic pigment or an inorganic pigment.
- inorganic pigments include metal compounds represented by metal oxides, metal complex salts, and the like. Specifically, iron, cobalt, aluminum, cadmium, lead, copper, titanium, magnesium, chromium, zinc, antimony, etc. And black pigments such as the above-described metal complex oxides, carbon black, and titanium black.
- organic pigment for example, C. I. Pigment yellow 11,24,31,53,83,93,99,108,109,110,138,139,147,150,151,154,155,167,180,185,199; C. I. Pigment orange 36, 38, 43, 71; C. I. Pigment red 81,105,122,149,150,155,171,175,176,177,179,209,220,224,242,254,255,264,270; C. I. Pigment violet 19, 23, 32, 39; C. I. Pigment Blue 1, 2, 15, 15: 1, 15: 3, 15: 6, 16, 22, 60, 66; C. I. Pigment green 7, 36, 37, 58; C. I. Pigment brown 25, 28; C. I. Pigment black 1; and the like.
- Examples of the pigment that can be preferably used in the present invention include the following. However, the present invention is not limited to these.
- organic pigments can be used alone or in various combinations in order to adjust the spectrum and increase the color purity. Specific examples of the above combinations are shown below.
- a red pigment an anthraquinone pigment, a perylene pigment, a diketopyrrolopyrrole pigment alone or at least one of them, a disazo yellow pigment, an isoindoline yellow pigment, a quinophthalone yellow pigment or a perylene red pigment
- an anthraquinone pigment C.I. I. Pigment red 177
- perylene pigments include C.I. I. Pigment red 155, C.I. I.
- Pigment Red 224, and diketopyrrolopyrrole pigments include C.I. I. Pigment Red 254, and C.I. I. Mixing with Pigment Yellow 139 is preferred.
- the mass ratio of the red pigment to the yellow pigment is preferably from 100: 5 to 100: 50, and more preferably from 100: 10 to 100: 30. In the case of a combination of red pigments, it can be adjusted in accordance with the desired spectrum.
- a halogenated phthalocyanine pigment can be used alone, or a mixture thereof with a disazo yellow pigment, a quinophthalone yellow pigment, an azomethine yellow pigment or an isoindoline yellow pigment can be used.
- a disazo yellow pigment e.g., a quinophthalone yellow pigment, an azomethine yellow pigment or an isoindoline yellow pigment
- C.I. I. Pigment Green 7, 36, 37 and C.I. I. Pigment yellow 83 e. I. Pigment yellow 138, C.I. I. Pigment yellow 139, C.I. I. Pigment yellow 150, C.I. I. Pigment yellow 180 or C.I. I. Mixing with Pigment Yellow 185 is preferred.
- the mass ratio of the green pigment to the yellow pigment is preferably 100: 5 to 100: 150, and more preferably 100: 30 to 100: 120.
- a phthalocyanine pigment can be used alone, or a mixture of this with a dioxazine purple pigment can be used.
- C.I. I. Pigment blue 15: 6 and C.I. I. Mixing with pigment violet 23 is preferred.
- the mass ratio of the blue pigment to the violet pigment is preferably 100: 0 to 100: 100.
- the pigment for the black matrix carbon, titanium black, iron oxide, titanium oxide alone or a mixture thereof is used, and a combination of carbon and titanium black is preferable.
- the mass ratio of carbon to titanium black is preferably in the range of 100: 0 to 100: 60.
- the primary particle diameter of the pigment is preferably 100 nm or less from the viewpoint of color unevenness and contrast, and is preferably 5 nm or more from the viewpoint of dispersion stability. preferable.
- the average primary particle diameter of the pigment is more preferably 5 to 75 nm, further preferably 5 to 55 nm, and particularly preferably 5 to 35 nm.
- the average primary particle diameter of the pigment can be measured by a known method such as an electron microscope.
- pigment dispersant When the coloring composition of the present invention has a pigment, a pigment dispersant can be used in combination as desired.
- pigment dispersants include polymer dispersants [for example, polyamidoamines and salts thereof, polycarboxylic acids and salts thereof, high molecular weight unsaturated acid esters, modified polyurethanes, modified polyesters, and modified poly (meth) acrylates. , (Meth) acrylic copolymers, naphthalenesulfonic acid formalin condensates], and surfactants such as polyoxyethylene alkyl phosphate esters, polyoxyethylene alkyl amines, alkanol amines, and pigment derivatives, etc. Can do.
- the polymer dispersant can be further classified into a linear polymer, a terminal-modified polymer, a graft polymer, and a block polymer according to the structure. Details of the dispersant can be referred to the description in paragraphs 0098 to 0102 of JP-A-2014-130344, and the contents thereof are incorporated in the present specification.
- pigment dispersants may be used alone or in combination of two or more. In the present invention, it is particularly preferable to use a combination of a pigment derivative and a polymer dispersant.
- the pigment dispersant may be used in combination with an alkali-soluble resin together with the terminal-modified polymer, graft polymer, or block polymer having an anchor site to the pigment surface.
- Alkali-soluble resins include (meth) acrylic acid copolymer, itaconic acid copolymer, crotonic acid copolymer, maleic acid copolymer, partially esterified maleic acid copolymer, etc., and carboxylic acid in the side chain. Examples thereof include acidic cellulose derivatives, and (meth) acrylic acid copolymers are particularly preferable.
- An alkali-soluble resin containing is also preferred.
- an alkali-soluble resin: benzyl methacrylate / methacrylic acid / methacrylic acid-2-hydroxyethyl copolymer is exemplified. Examples of commercially available products include BY-161 (manufactured by BYK).
- the total content of the pigment dispersant is preferably 1 part by weight to 80 parts by weight with respect to 100 parts by weight of the pigment, and 5 parts by weight to 70 parts by weight. More preferred is 10 parts by mass to 60 parts by mass.
- the specific dispersing resin is preferably 50% by mass or more, more preferably 60% by mass or more, and further preferably 70% by mass or more, among the dispersant components contained in the coloring composition.
- the coloring composition of the present invention may contain only one type of pigment dispersant, or two or more types of pigment dispersants. When two or more types are included, the total amount is preferably within the above range.
- the curable composition or colored composition of the present invention may further contain an alkali-soluble resin.
- the alkali-soluble resin can also be used as a pigment dispersant.
- the alkali-soluble resin is a linear organic polymer, and promotes at least one alkali-solubility in a molecule (preferably a molecule having an acrylic copolymer or a styrene copolymer as a main chain). It can be suitably selected from alkali-soluble resins having a group. From the viewpoint of heat resistance, polyhydroxystyrene resins, polysiloxane resins, acrylic resins, acrylamide resins, and acryl / acrylamide copolymer resins are preferable. From the viewpoint of development control, acrylic resins and acrylamide resins are preferable. Resins and acrylic / acrylamide copolymer resins are preferred.
- Examples of the group that promotes alkali solubility include a carboxyl group, a phosphoric acid group, a sulfonic acid group, and a phenolic hydroxyl group, but are soluble in a solvent and can be developed with a weak alkaline aqueous solution.
- (meth) acrylic acid is particularly preferred.
- These acid groups may be used alone or in combination of two or more.
- Examples of the monomer that can give an acid group after polymerization include, for example, a monomer having a hydroxyl group such as 2-hydroxyethyl (meth) acrylate, a monomer having an epoxy group such as glycidyl (meth) acrylate, and 2-isocyanatoethyl (meth). And monomers having an isocyanate group such as acrylate. Only one type of monomer for introducing these acid groups may be used, or two or more types may be used. In order to introduce an acid group into the alkali-soluble resin, for example, a monomer having an acid group and / or a monomer capable of giving an acid group after polymerization may be polymerized as a monomer component.
- a known radical polymerization method can be applied.
- Polymerization conditions such as temperature, pressure, type and amount of radical initiator, type of solvent, etc. when producing an alkali-soluble resin by radical polymerization can be easily set by those skilled in the art, and the conditions are determined experimentally. It can also be done.
- a polymer having a carboxylic acid in the side chain is preferable, such as a methacrylic acid copolymer, an acrylic acid copolymer, an itaconic acid copolymer, and a crotonic acid copolymer.
- a copolymer of (meth) acrylic acid and another monomer copolymerizable therewith is suitable as the alkali-soluble resin.
- examples of other monomers copolymerizable with (meth) acrylic acid include alkyl (meth) acrylates, aryl (meth) acrylates, and vinyl compounds.
- alkyl (meth) acrylate and aryl (meth) acrylate methyl (meth) acrylate, ethyl (meth) acrylate, propyl (meth) acrylate, butyl (meth) acrylate, isobutyl (meth) acrylate, pentyl (meth) acrylate,
- vinyl compounds such as hexyl (meth) acrylate, octyl (meth) acrylate, phenyl (meth) acrylate, benzyl (meth) acrylate, tolyl (meth) acrylate, naphthyl (meth) acrylate, cyclohexyl (meth) acrylate, styrene, ⁇ -methylstyrene, vinyltoluene, glycidyl methacrylate, acrylonitrile, vinyl acetate, N-vinylpyrrolidone, tetrahydrofurfury
- a compound represented by the following general formula (ED) and / or a compound represented by the following general formula (ED2) (hereinafter, these compounds may be referred to as “ether dimers”) are essential. It is also preferable to include a polymer (a) obtained by polymerizing a monomer component as a component.
- R 1 and R 2 each independently represent a hydrogen atom or a hydrocarbon group having 1 to 25 carbon atoms which may have a substituent.
- R represents a hydrogen atom or an organic group having 1 to 30 carbon atoms.
- ED2 general formula (ED2)
- JP 2010-168539 A the description in JP 2010-168539 A can be referred to.
- the curable composition or coloring composition of this invention can form the cured film which was extremely excellent also in heat resistance and transparency.
- the hydrocarbon group having 1 to 25 carbon atoms which may have a substituent represented by R 1 and R 2 is not particularly limited, and examples thereof include methyl, ethyl, linear or branched alkyl groups such as n-propyl, isopropyl, n-butyl, isobutyl, tert-butyl, tert-amyl, stearyl, lauryl, 2-ethylhexyl; aryl groups such as phenyl; cyclohexyl, tert-butyl An alicyclic group such as cyclohexyl, dicyclopentadienyl, tricyclodecanyl, isobornyl, adamantyl and 2-methyl-2-adamantyl; an alkyl group substituted with alkoxy such as 1-methoxyeth
- ether dimer for example, the description in paragraph 0042 of JP-A-2014-041301 can be referred to, and the contents thereof are incorporated in the present specification.
- These ether dimers may be only one kind or two or more kinds.
- the structure derived from the compound represented by the general formula (ED) may be copolymerized with other monomers.
- the alkali-soluble resin may contain a structural unit derived from an ethylenically unsaturated compound represented by the following formula (X).
- R 1 represents a hydrogen atom or a methyl group
- R 2 represents an alkylene group having 2 to 10 carbon atoms
- R 3 represents a hydrogen atom or a benzene ring which may contain a benzene ring.
- n represents an integer of 1 to 15.
- the alkylene group of R 2 preferably has 2 to 3 carbon atoms.
- the alkyl group of R 3 has 1 to 20 carbon atoms, more preferably 1 to 10, and the alkyl group of R 3 may contain a benzene ring.
- Examples of the alkyl group containing a benzene ring represented by R 3 include a benzyl group and a 2-phenyl (iso) propyl group.
- an alkali-soluble resin having a polymerizable group may be used.
- an alkali-soluble resin having a polymerizable group an alkali-soluble resin containing an allyl group, a (meth) acryl group, an allyloxyalkyl group or the like in the side chain is useful.
- the alkali-soluble resin containing a polymerizable group as described above include: Dial NR series (manufactured by Mitsubishi Rayon), Photomer 6173 (COOH-containing polyurethane acrylic oligomer.
- the resin having an ester group having a leaving group such as a halogen atom or a sulfonate group at the ⁇ -position or ⁇ -position described in JP-A-229207 and JP-A-2003-335814 is obtained by basic treatment. Resins that can be used are preferred. Further, ACRYCURE-RD-F8 (manufactured by Nippon Shokubai) is also preferable.
- alkali-soluble resin in particular, a benzyl (meth) acrylate / (meth) acrylic acid copolymer or a multi-component copolymer composed of benzyl (meth) acrylate / (meth) acrylic acid / other monomers is suitable. .
- benzyl (meth) acrylate / (meth) acrylic acid / (meth) acrylic acid-2-hydroxyethyl copolymer copolymerized with 2-hydroxyethyl methacrylate 2 described in JP-A-7-140654 -Hydroxypropyl (meth) acrylate / polystyrene macromonomer / benzyl methacrylate / methacrylic acid copolymer, 2-hydroxy-3-phenoxypropyl acrylate / polymethyl methacrylate macromonomer / benzyl methacrylate / methacrylic acid copolymer, 2-hydroxyethyl Methacrylate / polystyrene macromonomer / methyl methacrylate / methacrylic acid copolymer, 2-hydroxyethyl methacrylate / polystyrene macromonomer / benzyl methacrylate / methacrylic acid copolymer, etc.
- alkali-soluble resin descriptions from JP2012-208494A paragraphs 0558 to 0571 (corresponding to ⁇ 0685> to ⁇ 0700> in the corresponding US Patent Application Publication No. 2012/0235099) can be referred to, and the contents thereof can be referred to. Are incorporated herein. Further, the copolymer (B) described in paragraph Nos. 0029 to 0063 described in JP 2012-32767 A and the alkali-soluble resin used in Examples, paragraph Nos. 0088 to 2020 of JP 2012-208474 A The binder resin described in 0098 and the binder resin used in Examples, the binder resin described in Paragraph Nos.
- the following polymers can be used.
- the acid value of the alkali-soluble resin is preferably 30 mgKOH / g to 200 mgKOH / g, more preferably 50 mgKOH / g to 150 mgKOH / g, and particularly preferably 70 mgKOH / g to 120 mgKOH / g.
- the weight average molecular weight (Mw) of the alkali-soluble resin is preferably 2,000 to 50,000, more preferably 5,000 to 30,000, and particularly preferably 7,000 to 20,000.
- the content of the alkali-soluble resin is preferably 1 to 15% by mass with respect to the total solid content of the colored composition, The content is preferably 2 to 12% by mass, and particularly preferably 3 to 10% by mass. Further, when the polymer of the present invention is used as the alkali-soluble resin, it is preferable to contain 5 to 100% by mass of the polymer of the present invention in the total solid content of the alkali-soluble resin.
- the lower limit is preferably 10% by mass or more, more preferably 20% by mass or more, and further preferably 50% by mass or more.
- An upper limit can be 95 mass% or less, for example, and can also be 90 mass% or less.
- the curable composition or colored composition of the present invention may contain only one type of alkali-soluble resin, or may contain two or more types. When two or more types are included, the total amount is preferably within the above range.
- the curable composition or colored composition of the present invention preferably further contains a photopolymerization initiator.
- the photopolymerization initiator is not particularly limited as long as it has the ability to initiate polymerization of a polymerizable compound, and can be appropriately selected from known photopolymerization initiators. For example, those having photosensitivity to visible light from the ultraviolet region are preferable. Further, it may be an activator that generates some action with a photoexcited sensitizer and generates an active radical, or may be an initiator that initiates cationic polymerization according to the type of monomer.
- the photopolymerization initiator preferably contains at least one compound having a molecular extinction coefficient of at least about 50 within a range of about 300 nm to 800 nm (more preferably 330 nm to 500 nm).
- the photopolymerization initiator examples include halogenated hydrocarbon derivatives (for example, those having a triazine skeleton, those having an oxadiazole skeleton, etc.), acylphosphine compounds such as acylphosphine oxide, hexaarylbiimidazole, and oxime derivatives.
- Oxime compounds such as organic peroxides, thio compounds, ketone compounds, aromatic onium salts, ketoxime ethers, aminoacetophenone compounds, and hydroxyacetophenones.
- trihalomethyltriazine compounds trihalomethyltriazine compounds, benzyldimethylketal compounds, ⁇ -hydroxyketone compounds, ⁇ -aminoketone compounds, acylphosphine compounds, phosphine oxide compounds, metallocene compounds, oxime compounds, triallylimidazole dimers, oniums
- compounds selected from the group consisting of compounds, benzothiazole compounds, benzophenone compounds, acetophenone compounds and derivatives thereof, cyclopentadiene-benzene-iron complexes and salts thereof, halomethyloxadiazole compounds, and 3-aryl substituted coumarin compounds are preferred.
- trihalomethyltriazine compound More preferred are trihalomethyltriazine compound, ⁇ -aminoketone compound, acylphosphine compound, phosphine oxide compound, oxime compound, triallylimidazole dimer, onium compound, benzophenone compound, acetophenone compound, trihalomethyltriazine compound, ⁇ -aminoketone
- the colored composition of the present invention when used for the production of a color filter for a solid-state imaging device, it is necessary to form a fine pattern with a sharp shape. It is important that it be developed. From such a viewpoint, it is particularly preferable to use an oxime compound as the photopolymerization initiator.
- an oxime compound as the photopolymerization initiator.
- stepper exposure is used for curing exposure, but this exposure machine may be damaged by halogen, and the amount of photopolymerization initiator added must be kept low. Therefore, in view of these points, it is particularly preferable to use an oxime compound as a photopolymerization initiator for forming a fine pattern such as a solid-state imaging device.
- oxime compound can improve the color transfer.
- paragraphs 0265 to 0268 of JP2013-29760A can be referred to, the contents of which are incorporated herein.
- hydroxyacetophenone compounds As the photopolymerization initiator, hydroxyacetophenone compounds, aminoacetophenone compounds, and acylphosphine compounds can also be suitably used. More specifically, for example, aminoacetophenone initiators described in JP-A-10-291969 and acylphosphine oxide initiators described in Japanese Patent No. 4225898 can also be used.
- hydroxyacetophenone initiator IRGACURE-184, DAROCUR-1173, IRGACURE-500, IRGACURE-2959, IRGACURE-127 (trade names; all manufactured by BASF) can be used.
- aminoacetophenone-based initiator commercially available products IRGACURE-907, IRGACURE-369, and IRGACURE-379 (trade names; all manufactured by BASF) can be used.
- aminoacetophenone-based initiator a compound described in JP-A-2009-191179 in which an absorption wavelength is matched with a long-wave light source such as 365 nm or 405 nm can also be used.
- acylphosphine-based initiator commercially available products such as IRGACURE-819 and DAROCUR-TPO (trade names; both manufactured by BASF) can be used.
- photopolymerization initiator examples include oxime compounds.
- oxime compounds compounds described in JP-A No. 2001-233842, compounds described in JP-A No. 2000-80068, and compounds described in JP-A No. 2006-342166 can be used.
- oxime compounds include J.M. C. S. Perkin II (1979) pp. 1653-1660, J.A. C. S. Perkin II (1979) pp. 156-162, Journal of Photopolymer Science and Technology (1995) pp. Examples thereof include compounds described in 202-232, JP-A No. 2000-66385, JP-A No. 2000-80068, JP-T 2004-534797, JP-A No. 2006-342166, and the like.
- IRGACURE-OXE01 manufactured by BASF
- IRGACURE-OXE02 manufactured by BASF
- TRONLY TR-PBG-304 TRONLY TR-PBG-309, TRONLY TR-PBG-305 (manufactured by CHANGZHOU TRONLY NEW ELECTRONIC MATERIALS CO., LTD), Adeka Arcs NCI-31 Adeka Arkles NCI-930 (manufactured by ADEKA) can also be used.
- oxime compounds other than those described above compounds described in JP-A-2009-519904 in which an oxime is linked to the carbazole N-position, compounds described in US Pat. No. 7,626,957 in which a hetero substituent is introduced into the benzophenone moiety, Compounds described in Japanese Patent Application Laid-Open No. 2010-15025 and US Patent Publication No. 2009-292039, in which a nitro group is introduced into the dye moiety, ketoxime compounds described in International Patent Publication No. 2009-131189, a triazine skeleton and an oxime skeleton in the same molecule A compound described in US Pat. No.
- the oxime compound is preferably a compound represented by the following formula (OX-1).
- the oxime N—O bond may be an (E) oxime compound, a (Z) oxime compound, or a mixture of (E) and (Z) isomers. .
- R and B each independently represent a monovalent substituent
- A represents a divalent organic group
- Ar represents an aryl group.
- the monovalent substituent represented by R is preferably a monovalent nonmetallic atomic group.
- the monovalent nonmetallic atomic group include an alkyl group, an aryl group, an acyl group, an alkoxycarbonyl group, an aryloxycarbonyl group, a heterocyclic group, an alkylthiocarbonyl group, and an arylthiocarbonyl group.
- these groups may have one or more substituents.
- the substituent mentioned above may be further substituted by another substituent.
- the substituent examples include a halogen atom, an aryloxy group, an alkoxycarbonyl group or an aryloxycarbonyl group, an acyloxy group, an acyl group, an alkyl group, and an aryl group.
- the monovalent substituent represented by B is preferably an aryl group, a heterocyclic group, an arylcarbonyl group, or a heterocyclic carbonyl group. These groups may have one or more substituents. Examples of the substituent include the above-described substituents.
- the divalent organic group represented by A is preferably an alkylene group having 1 to 12 carbon atoms, a cycloalkylene group, or an alkynylene group. These groups may have one or more substituents. Examples of the substituent include the above-described substituents.
- an oxime compound having a fluorine atom can also be used as a photopolymerization initiator.
- Specific examples of the oxime compound having a fluorine atom include compounds described in JP 2010-262028 A, compounds 24 and 36 to 40 described in JP-A-2014-500852, and compounds described in JP-A 2013-164471 ( C-3). This content is incorporated herein.
- the oxime compound has a maximum absorption wavelength in a wavelength region of 350 nm to 500 nm, preferably has a maximum absorption wavelength in a wavelength region of 360 nm to 480 nm, and particularly preferably has a high absorbance at 365 nm and 455 nm. .
- the molar extinction coefficient at 365 nm or 405 nm of the oxime compound is preferably from 1,000 to 300,000, more preferably from 2,000 to 300,000, more preferably from 5,000 to 200, from the viewpoint of sensitivity. Is particularly preferred.
- a known method can be used. Specifically, for example, in an ultraviolet-visible spectrophotometer (Vary Carry-5 spectrophotometer), an ethyl acetate solvent is used. It is preferable to measure at a concentration of 01 g / L. You may use the photoinitiator used for this invention in combination of 2 or more type as needed.
- the content of the photopolymerization initiator is preferably 0.1 to 50% by mass relative to the total solid content of the colored composition, and more The content is preferably 0.5 to 30% by mass, and more preferably 1 to 20% by mass. Within this range, better sensitivity and pattern formability can be obtained.
- the composition of the present invention may contain only one type of photopolymerization initiator, or may contain two or more types. When two or more types are included, the total amount is preferably within the above range.
- the curable composition or the colored composition of the present invention includes, in addition to the above-described components, a solvent, a polymerization inhibitor, a surfactant, an organic carboxylic acid, and an organic carboxylic acid as long as the effects of the present invention are not impaired.
- Other components such as anhydrides may be included.
- the curable composition or colored composition of the present invention may contain a solvent.
- the solvent is basically not particularly limited as long as the solubility of each component and the coating property of the coloring composition are satisfied, but considering the solubility, coating property, and safety of the dye (A) and the curable compound. Are preferably selected.
- the solvent examples include esters such as ethyl acetate, n-butyl acetate, isobutyl acetate, cyclohexyl acetate, amyl formate, isoamyl acetate, butyl propionate, isopropyl butyrate, ethyl butyrate, butyl butyrate, methyl lactate, ethyl lactate, Alkyl oxyacetates (eg, methyl oxyacetate, ethyl oxyacetate, butyl oxyacetate (eg, methyl methoxyacetate, ethyl methoxyacetate, butyl methoxyacetate, methyl ethoxyacetate, ethyl ethoxyacetate)), 3-oxypropionic acid alkyl esters (Eg, methyl 3-oxypropionate, ethyl 3-oxypropionate, etc.
- esters such as ethyl acetate, n-butyl
- Oxypropionic acid alkyl esters eg, methyl 2-oxypropionate, ethyl 2-oxypropionate, propyl 2-oxypropionate, etc.
- ethers For example, diethylene glycol dimethyl ether, tetrahydrofuran, ethylene glycol monomethyl ether, ethylene glycol monoethyl ether, methyl cellosolve acetate, ethyl cellosolve acetate, diethylene glycol monomethyl ether, diethylene glycol monoethyl ether, diethylene glycol monobutyl ether, propylene glycol monomethyl ether, propylene glycol methyl ether Acetate, propylene glycol ethyl ether acetate, propylene glycol propyl ether acetate and the like and ketones such as methyl ethyl ketone, cyclohexanone, cyclopentanone, 2-heptanone and 3-heptanone, and aromatic hydrocarbons such as , Preferable examples include toluene and xylene.
- the organic solvent preferably has a peroxide content of 0.8 mmol / L or less, and more preferably contains substantially no peroxide.
- the content of the solvent in the coloring composition is preferably such that the total solid concentration of the coloring composition is 5% by mass to 80% by mass, and more preferably 5% by mass to 60% by mass, from the viewpoint of applicability. 10 to 50% by mass is particularly preferable.
- the curable composition or colored composition of the present invention may contain only one type of solvent or two or more types of solvents. When two or more types are included, the total amount is preferably within the above range.
- ⁇ Polymerization inhibitor >>> In the curable composition or colored composition of the present invention, it is desirable to add a small amount of a polymerization inhibitor in order to prevent unnecessary thermal polymerization of the polymerizable compound during the production or storage of the colored composition.
- the polymerization inhibitor that can be used in the present invention include hydroquinone, p-methoxyphenol, di-t-butyl-p-cresol, pyrogallol, t-butylcatechol, benzoquinone, 4,4′-thiobis (3-methyl-6- t-butylphenol), 2,2′-methylenebis (4-methyl-6-t-butylphenol), N-nitrosophenylhydroxyamine primary cerium salt and the like.
- the content of the polymerization inhibitor is preferably about 0.01 to 5% by mass relative to the mass of the colored composition.
- the curable composition or colored composition of the present invention may contain only one type of polymerization inhibitor or two or more types of polymerization inhibitors. When two or more types are included, the total amount is preferably within the above range.
- Various surfactants may be added to the composition of the present invention from the viewpoint of further improving coatability.
- various surfactants such as a fluorine-based surfactant, a nonionic surfactant, a cationic surfactant, an anionic surfactant, and a silicone-based surfactant can be used.
- the composition of the present invention contains a fluorosurfactant
- the liquid properties (particularly fluidity) when prepared as a coating liquid are further improved. Sex can be improved more. That is, when a film is formed using a coating liquid to which a composition containing a fluorosurfactant is applied, the wettability to the coated surface is reduced by reducing the interfacial tension between the coated surface and the coating liquid. Is improved, and the coating property to the coated surface is improved. For this reason, even when a thin film of about several ⁇ m is formed with a small amount of liquid, it is effective in that it is possible to more suitably form a film having a uniform thickness with small thickness unevenness.
- the fluorine content in the fluorosurfactant is preferably 3% by mass to 40% by mass, more preferably 5% by mass to 30% by mass, and particularly preferably 7% by mass to 25% by mass.
- a fluorine-based surfactant having a fluorine content within this range is effective in terms of uniformity of coating film thickness and liquid-saving properties, and has good solubility in the composition.
- fluorosurfactant examples include Megafac F171, F172, F173, F176, F176, F177, F141, F142, F143, F144, R30, F437, F475, F479, F482, F554, F780, F780, F781 (above DIC), Florard FC430, FC431, FC171 (above, Sumitomo 3M), Surflon S-382, SC-101, SC-103, SC-104, SC-105, SC-1068, SC-381, SC-383, S393, K393, KH-40 (above, manufactured by Asahi Glass), PF636, PF656, PF6320, PF6520, PF7002 (manufactured by OMNOVA), etc. Is mentioned. The following compounds are also exemplified as the fluorosurfactant used in the present invention.
- nonionic surfactant examples include glycerol, trimethylolpropane, trimethylolethane, and ethoxylates and propoxylates thereof (for example, glycerol propoxylate, glycerol ethoxylate, etc.), polyoxyethylene lauryl ether, polyoxyethylene Stearyl ether, polyoxyethylene oleyl ether, polyoxyethylene octylphenyl ether, polyoxyethylene nonylphenyl ether, polyethylene glycol dilaurate, polyethylene glycol distearate, sorbitan fatty acid ester (Pluronic L10, L31, L61, L62, 10R5 manufactured by BASF) 17R2, 25R2, Tetronic 304, 701, 704, 901, 904, 150R1), Rusupasu 20000 (Lubrizol), and the like.
- glycerol trimethylolpropane
- ethoxylates and propoxylates thereof for example, glyce
- cationic surfactant examples include phthalocyanine derivatives (trade name: EFKA-745, manufactured by Morishita Sangyo), organosiloxane polymer KP341 (manufactured by Shin-Etsu Chemical Co., Ltd.), (meth) acrylic acid (co) polymer polyflow No. . 75, no. 90, no. 95 (manufactured by Kyoeisha Chemical), W001 (manufactured by Yusho) and the like.
- phthalocyanine derivatives trade name: EFKA-745, manufactured by Morishita Sangyo
- organosiloxane polymer KP341 manufactured by Shin-Etsu Chemical Co., Ltd.
- acrylic acid co
- polymer polyflow No. . 75, no. 90, no. 95 manufactured by Kyoeisha Chemical
- W001 manufactured by Yusho
- anionic surfactants include W004, W005, W017 (manufactured by Yusho) and the like.
- silicone surfactant examples include “Toray Silicone DC3PA”, “Toray Silicone SH7PA”, “Tore Silicone DC11PA”, “Tore Silicone SH21PA”, “Tore Silicone SH28PA”, and “Toray Silicone SH29PA” manufactured by Toray Dow Corning.
- Toray Silicone SH30PA examples include “Tole Silicone SH8400”, Momentive Performance Materials “TSF-4440”, “TSF-4300”, “TSF-4445”, “TSF-4460”, “TSF-4442”, Examples include “KP341”, “KF6001”, “KF6002” manufactured by Shin-Etsu Silicone, “BYK307”, “BYK323”, “BYK330” manufactured by BYK Chemie.
- the addition amount of the surfactant is preferably 0.001% by mass to 2.0% by mass, more preferably 0.001% by mass relative to the total mass of the composition. 005 mass% to 1.0 mass%.
- the composition of the present invention may contain only one type of surfactant or two or more types of surfactant. When two or more types are included, the total amount is preferably within the above range.
- the curable composition or colored composition of the present invention may contain an organic carboxylic acid having a molecular weight of 1000 or less and / or an organic carboxylic acid anhydride.
- an organic carboxylic acid and the organic carboxylic acid anhydride for example, paragraphs 0338 to 0340 of JP-A-2013-29760 can be referred to, the contents of which are incorporated herein.
- the curable composition or the colored composition of the present invention contains an organic carboxylic acid or an organic carboxylic acid anhydride, the amount of the organic carboxylic acid and / or organic carboxylic acid anhydride added is usually 0.00 in the total solid content.
- the range is from 01 to 10% by mass, preferably from 0.03 to 5% by mass, and more preferably from 0.05 to 3% by mass.
- the curable composition or colored composition of the present invention may contain only one type or two or more types of organic carboxylic acids and / or organic carboxylic anhydrides. When two or more types are included, the total amount is preferably within the above range.
- the curable composition or colored composition of the present invention may contain various additives such as fillers, adhesion promoters, antioxidants, ultraviolet absorbers, anti-aggregation agents, etc., as necessary. can do.
- additives include those described in JP-A No. 2004-295116, paragraphs 0155 to 0156, the contents of which are incorporated herein.
- the following compound can also be contained.
- the curable composition or colored composition of the present invention contains a sensitizer and a light stabilizer described in paragraph 0078 of JP-A No. 2004-295116, and a thermal polymerization inhibitor described in paragraph 0081 of the same publication. be able to. Further, a resin containing a monomer represented by the general formula (1) of JP-A-2006-215453 as a copolymer component can be contained as a binder.
- the colored composition may contain a metal element, but from the viewpoint of suppressing the occurrence of defects, the content of Group 2 elements (calcium, magnesium, etc.) in the colored composition is 50 ppm or less. It is preferable to control to 0.01 to 10 ppm.
- the total amount of the inorganic metal salt in the coloring composition is preferably 100 ppm or less, and more preferably controlled to 0.5 to 50 ppm.
- the curable composition and coloring composition of the present invention are prepared by mixing the aforementioned components.
- the components constituting the curable composition or the colored composition may be combined at once, or the components may be combined sequentially after dissolving and dispersing each component in a solvent. May be.
- the composition may be prepared by dissolving and dispersing all components in a solvent at the same time. If necessary, each component may be suitably used as two or more solutions / dispersions at the time of use (at the time of application). ) May be mixed to prepare a composition.
- the curable composition or colored composition of the present invention is preferably filtered with a filter for the purpose of removing foreign substances or reducing defects. If it is conventionally used for the filtration use etc., it can use without being specifically limited.
- fluorine resins such as PTFE (polytetrafluoroethylene), polyamide resins such as nylon-6 and nylon-6,6, polyolefin resins such as polyethylene and polypropylene (PP) (including those with high density and ultra high molecular weight) ) And the like.
- PP polypropylene
- polypropylene including high density polypropylene
- the pore size of the filter is suitably about 0.01 to 7.0 ⁇ m, preferably about 0.01 to 3.0 ⁇ m, more preferably about 0.05 to 0.5 ⁇ m. By setting it as this range, it becomes possible to remove reliably the fine foreign material which inhibits preparation of the uniform and smooth curable composition or coloring composition in a post process.
- the filtering by the first filter may be performed only once or may be performed twice or more.
- the pore diameter here can refer to the nominal value of the filter manufacturer.
- a commercially available filter for example, it can be selected from various filters provided by Nippon Pole Co., Ltd., Advantech Toyo Co., Ltd., Japan Entegris Co., Ltd. (formerly Japan Microlith Co., Ltd.) or KITZ Micro Filter Co., Ltd. .
- the second filter a filter formed of the same material as the first filter described above can be used.
- the filtering by the first filter may be performed only with the dispersion, and the second filtering may be performed after mixing other components.
- the cured film of the present invention can be obtained by curing the curable composition of the present invention or the colored composition of the present invention.
- a cured film having excellent heat resistance and color transfer can be formed, and therefore, it is preferably used for forming a colored layer of a color filter.
- the colored composition of the present invention is a color used for an image display device such as a solid-state imaging device (for example, a charge coupled device (CCD), a complementary metal-oxide semiconductor (CMOS), etc.) or a liquid crystal display device (LCD). It can be suitably used for forming a colored pattern such as a filter. Furthermore, it can be suitably used as a production application for printing ink, inkjet ink, paint, and the like. Especially, it can use suitably for manufacture of the color filter for solid-state image sensors, such as CCD and CMOS.
- the color filter of the present invention is obtained using the colored composition of the present invention.
- a method for producing the color filter is not particularly defined, but a photolithography method and a dry etching method are preferably used.
- a photolithography method and a dry etching method are preferably used.
- the color filter of the present invention can be used for a solid-state imaging device. Details of the solid-state imaging device are described in paragraphs 0155 to 0156 of JP2014-080589A, descriptions of paragraphs 0291 to 0305 of JP2013-257543A, and paragraphs 0312 to 0314 of JP2013-257543A. The contents of which are incorporated herein by reference.
- the color filter of the present invention can be used for an image display device such as a liquid crystal display device or an organic light emitting display device, and is particularly suitable for use in a liquid crystal display device.
- image display device such as a liquid crystal display device or an organic light emitting display device
- description in paragraphs 0150 to 0154 of JP2014-080589A and the description of paragraphs 0307 to 0311 in JP2013-257543A can be referred to, and the contents thereof are incorporated in this specification. It is.
- DPE dipentaerythritol
- DMAc N, N-dimethylacetamide
- the reaction was added little by little to 350 parts of 1N aqueous hydrochloric acid to stop the reaction, and 500 parts of ethyl acetate was added to carry out a liquid separation operation. Subsequently, the organic layer was washed with 250 parts of saturated sodium bicarbonate water, 250 parts of water and 150 parts of saturated saline. Sodium sulfate was added to the obtained organic layer, followed by filtration, and the filtrate was concentrated under reduced pressure to obtain 24 parts of intermediate S-27-1 (yield 93%).
- Synthesis was performed in the same manner as in Synthesis Example 1 of (S-27), except that 5.3 parts of trimethylolpropane (manufactured by Tokyo Chemical Industry Co., Ltd.) was used instead of dipentaerythritol in Synthesis Example 1 of (S-27). And 23.1 parts of intermediate S-3-1 were obtained (88% yield). Synthesis of (S-27) in Synthesis Example 1 except that 20 parts of intermediate S-3-1, 8.2 parts of thiourea, 200 parts of ethanol, and 18 parts of potassium iodide were used. Synthesis was performed in the same manner as in Example 1 to obtain 11.8 parts of S-3 (yield 75%).
- Synthesis Example 1 of (S-27) 5.3 parts of trimethylolpropane (manufactured by Tokyo Chemical Industry Co., Ltd.) instead of dipentaerythritol was replaced with 10-bromodecanoic acid chloride (10-bromodecane instead of 6-bromohexanoic acid chloride). Synthesis was performed in the same manner as in Synthesis Example 1 of (S-27) except that 38.1 parts of acid (produced from Tokyo Kasei Kogyo Co., Ltd. according to a known method) was used. 29.4 parts were obtained (89% yield). Synthesis was performed in the same manner as in Synthesis Example 1 except that 25 parts of Intermediate S-8-1 was used instead of Intermediate S-27-1 in Synthesis Example 1 of (S-27).
- Synthesis was performed in the same manner as in Synthesis Example 1 of (S-27) except that 4 parts of pentaerythritol (manufactured by Tokyo Chemical Industry Co., Ltd.) was used instead of dipentaerythritol in Synthesis Example 1 of (S-27). 22.8 parts of the product S-24-1 was obtained (yield 92%).
- Synthesis was performed in the same manner as in Synthesis Example 1 of (S-27) except that 3.6 parts of D-sorbitol (manufactured by Kanto Chemical) was used in place of dipentaerythritol in Synthesis Example 1 of (S-27). 18.8 parts of intermediate S-31-1 was obtained (76% yield). Synthesis of (S-27) in Synthesis Example 1 except that 10 parts of intermediate S-31-1, 4.4 parts of thiourea, 100 parts of ethanol, and 9 parts of potassium iodide were used. Synthesis was carried out in the same manner as in Example 1 to obtain 5.7 parts of S-31 (yield 74%).
- Synthesis Example 1 of (S-27) Synthesis Example 1 of (S-27) was used except that 3.5 parts of D (+)-glucose (manufactured by Wako Pure Chemical Industries, Ltd.) was used instead of dipentaerythritol. In the same manner as above, 16.1 parts of intermediate S-45-1 was obtained (yield 77%).
- Synthesis Example 1 of (S-27) similar to Synthesis Example 1 of (S-27), except that 16.2 parts of Intermediate S-45-1 was used instead of Intermediate S-27-1. To obtain 10.7 parts of S-45 (yield 85%).
- Synthesis was similar to Synthesis Example 1 of (S-27) except that 7.4 parts of ditrimethylolpropane (Mitsubishi Gas Chemical) was used instead of dipentaerythritol in Synthesis Example 1 of (S-27). To obtain 22.9 parts of intermediate S-51-1 (yield 81%).
- Synthesis Example 1 of (S-27) similar to Synthesis Example 1 of (S-27), except that 21.8 parts of Intermediate S-51-1 were used instead of Intermediate S-27-1
- To obtain 14.9 parts of S-51 Yield 85%).
- MALDI-MS m / z calcd. 793 [M + Na], found 793. The purity measured by HPLC was 73%.
- Dipentaerythritol (DPE, manufactured by Tokyo Chemical Industry Co., Ltd.) 7.6 parts, thioglycolic acid (manufactured by Wako Pure Chemical Industries) 16.6 parts, toluene 75 parts, p-toluenesulfonic acid monohydrate (manufactured by Wako Pure Chemical Industries, Ltd.) ) 0.29 part was added to the flask and heated to reflux under a nitrogen atmosphere. After 8 hours, the outflow of water had stopped.
- Coloring composition 3-1 The following components were mixed and dissolved, and filtered through a nylon filter having a pore diameter of 0.45 ⁇ m to prepare a coloring composition.
- Organic solvent 1 cyclohexanone
- Dye solution 1 was prepared by mixing and dissolving the following components.
- Organic solvent 1 (cyclohexanone) 21.55 parts
- Dye (A-1) 3.02 parts
- Pigment Dispersion Liquid P1 (CI Pigment Blue 15: 6 Dispersion)
- Pigment Dispersion Liquid P1 (CI Pigment Blue 15: 6 Dispersion) was prepared as follows.
- C. I. Pigment Blue 15: 6 (blue pigment; hereinafter also referred to as “PB15: 6”) 19.4 parts by mass (average primary particle size 55 nm), and pigment dispersant BY-161 (manufactured by BYK) 2.95 parts by mass, 2.95 parts by mass (solution 9.93) of alkali-soluble resin 1 (benzyl methacrylate / methacrylic acid (47/53 [mass ratio]), 30% propylene glycol monomethyl ether solution, Mw 11,000) in terms of solid content.
- the mixed liquid obtained by mixing 165.3 parts by mass of propylene glycol monomethyl ether was dispersed by mixing for 3 hours with beads mill (zirconia beads 0.3 mm diameter). Thereafter, dispersion treatment was further performed at a flow rate of 500 g / min under a pressure of 2000 kg / cm 3 using a high-pressure disperser NANO-3000-10 (manufactured by Nippon BEE Co., Ltd.) with a decompression mechanism. This dispersion treatment was repeated 10 times to obtain C.I. I. Pigment Blue 15: 6 dispersion was obtained. The obtained C.I. I.
- Pigment Blue 15 6 dispersion, the average primary particle diameter of the pigment was measured by a dynamic light scattering method (Microtrac Nanotrac UPA-EX150 (manufactured by Nikkiso Co., Ltd.)) and found to be 24 nm.
- Preparation of colored cured film 4-1 Preparation of colored cured film using colored composition
- the colored composition prepared above was applied onto the undercoat layer of the silicon wafer substrate with the undercoat layer prepared above, and colored. A layer (coating film) was formed. Then, heat treatment (pre-baking) was performed for 120 seconds using a hot plate at 100 ° C. so that the dry film thickness of the coating film became 1 ⁇ m. Next, the pre-baked silicon wafer substrate was heated at 200 ° C. for 5 minutes, and the coating film was cured to produce a colored cured film.
- the above-prepared silicon wafer substrate with a colored cured film was heated on a hot plate at 280 ° C. for 30 minutes and then immersed in cyclohexanone for 10 minutes.
- the visible light transmittance difference ( ⁇ T) at 400 to 700 nm of the silicon wafer substrate with a colored cured film before and after being immersed in cyclohexanone was measured using a chromaticity meter MCPD-1000 (manufactured by Otsuka Electronics Co., Ltd.). Based on the measured ⁇ T, the heat resistance was evaluated according to the following evaluation criteria.
- ⁇ T is less than 5%
- B ⁇ T is 5% or more and less than 10%
- C ⁇ T is 10% or more and less than 20%
- D ⁇ T is 20% or more
- Example 1 A colored cured film was produced in the same manner as in Example 1 except that the colored composition was prepared by changing the thiol compound to the thiol compound shown in the following table in Example 1, and the heat resistance was evaluated.
- T-1, T-3, T-4 or commercially available product T-2 synthesized in the above synthesis example was used.
- Compound T-2 is dipentaerythritol hexakis (3-mercaptopropionate) (product name DPMP, manufactured by SC Organic Chemical Industry).
- the colored composition of the present invention was excellent in heat resistance.
- a coloring obtained by using the same amount of KAYARAD DPHA (manufactured by Nippon Kayaku Co., Ltd., dipentaerythritol hexaacrylate) in place of the polymerizable compound 1 in place of the NK ester A-DPH-12E Similar results were obtained for the cured film.
- the colored cured film obtained by using IRGACURE OXE-01 manufactured by BASF having the same mass in place of IRGACURE OXE-02 as photopolymerization initiator 1, Similar results were obtained.
- 50:50 represents a molar ratio
- Hollow silica particle fine particle sol isopropyl alcohol silica sol, manufactured by Catalyst Kasei Kogyo Co., Ltd., CS60-IPA, average particle diameter 60 nm, shell thickness 10 nm, silica concentration 20 mass%, silica particle refractive index 1.31
- 500 parts by mass of acryloyloxy After adding 30 parts by mass of propyltrimethoxysilane and 1.51 parts by mass of diisopropoxyaluminum ethyl acetate, 9 parts by mass of ion-exchanged water was added thereto. The mixed solution was reacted at 60 ° C.
- IPA isopropyl alcohol
- -Perfluoroolefin copolymer (1) 15 parts-Hollow silica dispersion A 50 parts-Multifunctional monomer 1 (compound (A-2) below) 20 parts-Multifunctional monomer 2 (dipentaerythritol pentaacrylate and dipenta Mixture of erythritol hexaacrylate, manufactured by Nippon Kayaku Co., Ltd.
- Photopolymerization initiator BASF, Irgacure 127) 2.5 parts Thiol compound (synthesized in Synthesis Example 1 (S-27)) 0.5 part Fluorine-containing monomer (the following compound (A-3)) 5 parts
- the coating solution prepared above was applied onto a glass substrate having an area of 100 cm 2 using a gravure coater to form a coating film.
- the coating film was irradiated with ultraviolet rays.
- Ultraviolet irradiation was performed using a 240 W / cm air-cooled metal halide lamp (manufactured by Eye Graphics) while purging with nitrogen so that the atmosphere had an oxygen concentration of 0.1% by volume or less.
- the irradiated ultraviolet rays were ultraviolet rays having an illuminance of 600 mW / cm 2 and an irradiation amount of 600 mJ / cm 2 .
- the coating film was cured by irradiation with ultraviolet rays to form a cured film having a thickness of 150 nm to obtain a glass substrate with a colorless cured film.
- the film thickness was calculated using a reflection spectral film thickness meter “FE-3000” (manufactured by Otsuka Electronics).
- the mass of the fluorinated monomer (A-3) eluted in cyclohexanone (the amount of elution A-3) was calculated according to the following (formula 1).
- the heat resistance was evaluated based on the following evaluation criteria.
- a cured film was prepared in the same manner as in Example 14 except that the coating solution was prepared by changing the thiol compound to the thiol compound shown in the following table in Example 14, and the heat resistance was evaluated.
- the colored composition of the present invention was found to be excellent in heat resistance.
- Example 20> 1. 102 parts by mass of the thiol compound S-27 obtained in Synthesis Example 2, 100 parts by mass of an epoxy compound (manufactured by Mitsubishi Chemical, epoxy resin jER825, epoxy equivalent 170 [g / eq]), and a curing accelerator (Wako Pure Chemical Industries, Ltd.) A curable composition was obtained by mixing 4 parts by mass of 3-aminomethyl-3,5,5-trimethylcyclohexylamine (IPDA) manufactured by Kogyo. The mechanical strength of the cured product obtained using the obtained curable composition was evaluated by the following evaluation method.
- IPDA 3-aminomethyl-3,5,5-trimethylcyclohexylamine
- Example 9 A cured product was prepared in the same manner as in Example 20 except that the thiol compound was changed to the thiol compound shown in the following table to prepare a curable composition, and the heat resistance was evaluated.
- Example 20 the epoxy compound was replaced with 100 parts by mass of jER825, and 3 ′, 4′-epoxycyclohexylmethyl-3,4-epoxycyclohexanecarboxylate (Daicel Chemical Industries, Celoxide 2021P, epoxy equivalent 130 [g / eq]) Similar results were obtained for the curable composition obtained using 76.5 parts by mass.
- Examples 26 to 29, Comparative Example 10> A cured product was produced in the same manner as in Example 25 except that the thiol compound was changed to the thiol compound shown in the following table to prepare a curable composition, and the heat resistance was evaluated.
- ⁇ Synthesis Example 17> Synthesis of alkali-soluble resin 15.3 parts by mass of the thiol compound S-27 obtained in Synthesis Example 2, 30 parts by mass of methacrylic acid (manufactured by Wako Pure Chemical Industries), 70 masses of benzyl methacrylate (manufactured by Wako Pure Chemical Industries) And 117 parts by mass of propylene glycol monomethyl ether acetate were mixed with a polymerization initiator (manufactured by Wako Pure Chemical Industries, dimethyl 2,2′-azobis (2-methylpropionate), product name V-601). 1.5 parts by mass were mixed to obtain a monomer solution.
- a polymerization initiator manufactured by Wako Pure Chemical Industries, dimethyl 2,2′-azobis (2-methylpropionate
- Coloring composition 2-1 Blue coloring composition
- Organic solvent 1 cyclohexanone
- Alkali-soluble resin 1 alkali-soluble resin synthesized in Synthesis Example 17
- Alkali-soluble resin 2 Alkali-soluble resin 2
- Acrycure-RD-F8 manufactured by Nippon Shokubai
- NK ester A-DPH-12E 1.96 parts-polymerization inhibitor (p-methoxyphenol) 0.0007 parts-photopolymerization initiator 1 (IRGACURE)
- OXE-02 manufactured by BASF
- Fluorosurfactant manufactured by DIC, trade name: Megafac F-475
- a mixture of 2.7 parts of resin (P-1) as a solvent and 78.3 parts of propylene glycol monomethyl ether acetate as a solvent is mixed and dispersed for 15 hours using a bead mill, and the Green pigment dispersion P2 Was prepared.
- each component was mixed so as to have the following composition to obtain a solution.
- Green coloring composition ⁇ Composition> -Green pigment dispersion P2 83.3 parts-Alkali-soluble resin (resin (P-1)) 1.0 part-Photopolymerization initiator (IRGACURE OX-01, manufactured by BASF) 1.2 parts-Polymerizable compound 1 (Compound M-1 below) 1.4 parts / polymerizable compound 2 (M-305, manufactured by Toagosei Co., Ltd.) 1.4 parts / 80% solution of compound (A-8) (manufactured by Sigma-Aldrich) 1.3 Parts ⁇ p-methoxyphenol 0.001 part ⁇ polyethylene glycol methyl ether acetate 7.4 parts ⁇ surfactant (PGMEA 0.2% solution) 4.2 parts
- Polymerizable compound 1 structure shown below
- Polymerizable compound 2 the following structure
- a 1.0 ⁇ m square Bayer pattern mask is passed through a wavelength of 365 nm and an exposure amount capable of forming a 1.0 ⁇ m square Bayer pattern ( Irradiation was performed in advance (selected from 50 to 1000 mJ / cm 2 ). Thereafter, the silicon wafer on which the irradiated coating film is formed is placed on a horizontal rotary table of a spin shower developing machine (DW-30 type; manufactured by Chemitronics), and a developer CD-2000 (Fuji A green colored pattern was formed on the silicon wafer by paddle development at 23 ° C.
- DW-30 type manufactured by Chemitronics
- a silicon wafer on which a green coloring pattern is formed is fixed to a horizontal rotary table by a vacuum chuck method, and the silicon wafer is rotated at a rotation speed of 50 rpm by a rotating device, and pure water is ejected from above the rotation center from a jet nozzle. And then rinsed and then spray dried.
- the silicon wafer on which the green coloring pattern was formed was heated on a hot plate at 200 ° C. for 5 minutes to form a green pattern.
- a blue pattern is formed in the same manner as the formation of the green pattern except that the exposure is performed using a 1.0 ⁇ m square island pattern mask instead of the Bayer pattern mask.
- a color filter was prepared.
- ⁇ T is less than 5%
- B ⁇ T is 5% or more and less than 10%
- C ⁇ T is 10% or more and less than 20%
- D ⁇ T is 20% or more
- dishing The height of the blue pixel of the color filter produced above was measured along the diagonal line of the pixel using an atomic force microscope (AFM, manufactured by Seiko Instruments Inc., SPA-400AFM). Based on the measured values, dishing was evaluated based on the following evaluation criteria, with the difference in height between the highest point and the center as the dishing depth.
- dishing depth is 100 nm or more
- Example 31 Comparative Examples 11 to 12>
- the alkali-soluble resin 1 used in the Blue coloring composition was replaced with the alkali-soluble resin synthesized in Synthesis Example 17, except that the alkali-soluble resin synthesized in Synthesis Examples 18 to 20 was used.
- a blue colored composition was prepared in the same manner as in No. 30, and dishing was evaluated in the same manner as in Example 30.
- Examples containing an alkali-soluble resin produced using the thiol compound of the present invention were excellent in heat resistance. Furthermore, the dishing reduction performance was also excellent.
- the polymerizable compound 1 is obtained using KAYARAD DPHA (manufactured by Nippon Kayaku Co., Ltd., dipentaerythritol hexaacrylate) instead of the NK ester A-DPH-12E. Similar results were obtained for the colored composition. Similar results were obtained with a colored composition obtained by using IRGACURE OXE-01 (manufactured by BASF) having the same mass in place of the photopolymerization initiator instead of IRGACURE OXE-02.
Landscapes
- Chemical & Material Sciences (AREA)
- Organic Chemistry (AREA)
- Physics & Mathematics (AREA)
- General Physics & Mathematics (AREA)
- Chemical Kinetics & Catalysis (AREA)
- Health & Medical Sciences (AREA)
- Optics & Photonics (AREA)
- Medicinal Chemistry (AREA)
- Polymers & Plastics (AREA)
- Organic Low-Molecular-Weight Compounds And Preparation Thereof (AREA)
- Saccharide Compounds (AREA)
- Optical Filters (AREA)
- Heterocyclic Carbon Compounds Containing A Hetero Ring Having Oxygen Or Sulfur (AREA)
- Materials For Photolithography (AREA)
Abstract
Description
本発明は新規チオール化合物に関する。また、チオール化合物の製造方法、ポリマー、組成物、硬化性組成物および着色組成物に関する。さらに、硬化性組成物または着色組成物を用いた硬化膜、および、着色組成物を用いたカラーフィルタに関する。 The present invention relates to a novel thiol compound. Moreover, it is related with the manufacturing method of a thiol compound, a polymer, a composition, a curable composition, and a coloring composition. Furthermore, it is related with the cured film using a curable composition or a coloring composition, and the color filter using a coloring composition.
従来から、多官能チオール化合物が用いられている。例えば、特許文献1には、下記化合物が開示されている。 Conventionally, polyfunctional thiol compounds have been used. For example, Patent Document 1 discloses the following compound.
上記において、Rは水素原子またはアルキル基であり、aは1~4の整数であり、bは1~4の整数である。
In the above, R is a hydrogen atom or an alkyl group, a is an integer of 1 to 4, and b is an integer of 1 to 4.
また、特許文献2および3には、多官能チオール化合物を、分散剤の合成原料として用いることが記載されている。 Patent Documents 2 and 3 describe using a polyfunctional thiol compound as a raw material for the synthesis of a dispersant.
しかしながら、本発明者が検討したところ、特許文献1~3に記載の多官能チオール化合物はいずれも耐熱性が劣ることが分かった。本発明は、かかる課題を解決することを目的としたものであって、耐熱性に優れたチオール化合物を提供することを目的とする。また、チオール化合物の製造方法、組成物、硬化性組成物、着色組成物、硬化膜およびカラーフィルタを提供することを目的とする。 However, as a result of studies by the present inventors, it has been found that all of the polyfunctional thiol compounds described in Patent Documents 1 to 3 have poor heat resistance. The object of the present invention is to provide a thiol compound having excellent heat resistance. Moreover, it aims at providing the manufacturing method of a thiol compound, a composition, a curable composition, a coloring composition, a cured film, and a color filter.
上記課題のもと、本発明者が鋭意検討を行った結果、所定の連結基とチオール基(SH)の間をアルキレン基等の基によって、5原子以上隔てることにより、所定の連結基とチオール基の間での熱による分解が抑制され、耐熱性を向上可能であることを見出し、本発明を完成させるに至った。
具体的には、下記手段<1>により、好ましくは<2>~<17>により、上記課題は解決された。
<1>下記式(1)で表されるチオール化合物;
(HS-R1-M1-)nL1 (1)
式(1)において、L1はn価の有機連結基を表し、
nは3~15の整数を表し、
M1は、-O-、-S-、-N(R2)-、-C(=O)-、-C(=O)-O-、-O-C(=O)-O-、-C(=O)-NH-、-O-C(=O)-NH-、-S(=O)-、-S(=O)-O-、-S(=O)2-、-S(=O)2-O-、または-CH=N-を表し、
R1は、アルキレン基、または、アルキレン基とエーテル性酸素原子の組み合わせからなる基を表し、
R2は、水素原子、エーテル性酸素原子を含んでもいてもよい炭素数1~10のアルキル基、または、エーテル性酸素原子を含んでもいてもよい芳香族性炭化水素基を表し、
SHはチオール基を表し、SHの硫黄原子とM1のR1と結合する原子とは、R1の5以上の原子によって隔てられている。
<2>R1は、炭素数5~30の直鎖アルキレン基、炭素数6~30の分岐アルキレン基、炭素数3~27の直鎖アルキレン基とエーテル性酸素原子の組み合わせからなる基、または、炭素数4~28の分岐アルキレン基とエーテル性酸素原子の組み合わせからなる基を表す、<1>に記載のチオール化合物。
<3>R1は、炭素数5~20の直鎖アルキレン基、エチレンオキシ鎖を含む、炭素数5~20のアルキレン基、または、イソプロピレンオキシ鎖を含む、炭素数5~20のアルキレン基を表す、<1>に記載のチオール化合物。
<4>L1は、多価アルコールから誘導される連結基である、<1>~<3>のいずれかに記載のチオール化合物。
<5>L1は、1から100個までの炭素原子、0個から10個までの窒素原子、0個から50個までの酸素原子、1個から200個までの水素原子、および0個から20個までの硫黄原子からなる基からなる、<1>~<4>のいずれかに記載のチオール化合物。
<6>L1は、下記(L-1)~(L-21)のいずれかで表される構造から選択される、<1>~<4>のいずれかに記載のチオール化合物;
As a result of intensive studies by the present inventors under the above-mentioned problems, a predetermined linking group and a thiol are separated by separating the predetermined linking group and the thiol group (SH) by 5 atoms or more by a group such as an alkylene group. It has been found that thermal decomposition between groups is suppressed and heat resistance can be improved, and the present invention has been completed.
Specifically, the above problem has been solved by the following means <1>, preferably <2> to <17>.
<1> A thiol compound represented by the following formula (1);
(HS-R 1 -M 1- ) n L 1 (1)
In Formula (1), L 1 represents an n-valent organic linking group,
n represents an integer of 3 to 15,
M 1 represents —O—, —S—, —N (R 2 ) —, —C (═O) —, —C (═O) —O—, —O—C (═O) —O—, —C (═O) —NH—, —O—C (═O) —NH—, —S (═O) —, —S (═O) —O—, —S (═O) 2 —, — S (═O) 2 —O— or —CH═N—
R 1 represents an alkylene group or a group consisting of a combination of an alkylene group and an etheric oxygen atom,
R 2 represents a hydrogen atom, an alkyl group having 1 to 10 carbon atoms which may contain an etheric oxygen atom, or an aromatic hydrocarbon group which may contain an etheric oxygen atom,
SH represents a thiol group, and the sulfur atom of SH and the atom bonded to R 1 of M 1 are separated by 5 or more atoms of R 1 .
<2> R 1 is a linear alkylene group having 5 to 30 carbon atoms, a branched alkylene group having 6 to 30 carbon atoms, a group consisting of a combination of a linear alkylene group having 3 to 27 carbon atoms and an etheric oxygen atom, or The thiol compound according to <1>, which represents a group consisting of a combination of a branched alkylene group having 4 to 28 carbon atoms and an etheric oxygen atom.
<3> R 1 is a linear alkylene group having 5 to 20 carbon atoms, an alkylene group having 5 to 20 carbon atoms including an ethyleneoxy chain, or an alkylene group having 5 to 20 carbon atoms including an isopropyleneoxy chain. The thiol compound according to <1>, which represents
<4> The thiol compound according to any one of <1> to <3>, wherein L 1 is a linking group derived from a polyhydric alcohol.
<5> L 1 is 1 to 100 carbon atoms, 0 to 10 nitrogen atoms, 0 to 50 oxygen atoms, 1 to 200 hydrogen atoms, and 0 to The thiol compound according to any one of <1> to <4>, comprising a group consisting of up to 20 sulfur atoms.
<6> L 1 is a thiol compound according to any one of <1> to <4>, selected from the structures represented by any of (L-1) to (L-21) below;
上記において、rは0~10の整数であり、R31~R41はそれぞれ独立にアルキル基を表し、R42は、水素原子、アルキル基またはアルコキシ基を表し、R43およびR44は、それぞれ独立に、水素原子、または炭素数1~6のアルキル基であり、sは、0~9の整数であり、L4は、-O-または-C(=O)-を表す。
<7>L1は、下記のいずれかで表される構造から選択される、<1>~<4>のいずれかに記載のチオール化合物;
In the above, r is an integer of 0 to 10, R 31 to R 41 each independently represents an alkyl group, R 42 represents a hydrogen atom, an alkyl group or an alkoxy group, and R 43 and R 44 each represent Independently, it is a hydrogen atom or an alkyl group having 1 to 6 carbon atoms, s is an integer of 0 to 9, and L 4 represents —O— or —C (═O) —.
<7> L 1 is selected from the structures represented by any of the following, the thiol compound according to any one of <1> to <4>;
上記において、rは0~10の整数であり、R42、R43およびR44は、エチル基である。
<8>下記式(3)で表される化合物と下記式(4)で表される化合物とを反応させ、得られた生成物と保護基Zを有する含硫黄化合物を反応させた後、保護基Zを脱離させることによりチオール基を生成させることを含む、<1>~<7>のいずれかに記載のチオール化合物の製造方法;
L1-(RH)n (3)
X-Ma-R1-Y (4)
式中、L1は、n価の有機連結基を表し、
RHは酸素原子、窒素原子および硫黄原子の少なくとも1つを含み、酸素原子、窒素原子および硫黄原子のいずれかと連結する水素原子を含む基を表し、
nは3~15の整数を表し、
Yは保護基Zを有する含硫黄化合物との反応で脱離する基を表し、
R1は、アルキレン基、または、アルキレン基とエーテル性酸素原子の組み合わせからなる基を表し、YのR1と結合する原子とMaのR1と結合する原子とは、R1の5以上の原子によって隔てられており、
Maは、単結合または2価の連結基を表し、Xは、ハロゲン原子またはスルホネートの少なくとも一つを含む基を表す。
<9>3~15価の多価アルコールと下記式(4-1)で表される化合物とを反応させ、得られた生成物と保護基Zを有する含硫黄化合物を反応させた後、保護基Zを脱離させることによりチオール基を生成させることを含む、チオール化合物の製造方法;
X-Ma1-R1-Y (4-1)
式中、Yは保護基Zを有する含硫黄化合物との反応で脱離する基を表し、
R1は、アルキレン基、または、アルキレン基とエーテル性酸素原子の組み合わせからなる基を表し、YのR1と結合する原子とMa1のR1と結合する原子とは、R1の5以上の原子によって隔てられており、
Ma1は、-C(=O)-を表し、
Xは、ハロゲン原子またはスルホネートの少なくとも一つを含む基を表す。
<10>3~15価の多価アルコールと下記式(4-2)で表される化合物とを反応させ、得られた生成物と保護基Zを有する含硫黄化合物を反応させた後、保護基Zを脱離させることによりチオール基を生成させることを含む、チオール化合物の製造方法;
X-R1-Y (4-2)
式中、Yは保護基Zを有する含硫黄化合物との反応で脱離する基を表し、
R1は、アルキレン基、または、アルキレン基とエーテル性酸素原子の組み合わせからなる基を表し、YのR1と結合する原子とXのR1と結合する原子とは、R1の5以上の原子によって隔てられており、
Xは、ハロゲン原子またはスルホネートの少なくとも一つを含む基を表す。
<11>保護基Zが、下記式(5)で表される基、下記式(6)で表される基、または、下記式(6)で表される基の塩である、<8>~<10>のいずれかに記載のチオール化合物の製造方法;
In the above, r is an integer of 0 to 10, and R 42 , R 43 and R 44 are ethyl groups.
<8> A compound represented by the following formula (3) and a compound represented by the following formula (4) are reacted, and the resulting product is reacted with a sulfur-containing compound having a protecting group Z, followed by protection. The method for producing a thiol compound according to any one of <1> to <7>, comprising generating a thiol group by removing the group Z;
L 1- (R H ) n (3)
X-M a -R 1 -Y (4)
In the formula, L 1 represents an n-valent organic linking group,
R H represents at least one of an oxygen atom, a nitrogen atom, and a sulfur atom, and represents a group that includes a hydrogen atom linked to any one of an oxygen atom, a nitrogen atom, and a sulfur atom;
n represents an integer of 3 to 15,
Y represents a group capable of leaving by reaction with a sulfur-containing compound having a protecting group Z;
R 1 is an alkylene group, or a group composed of a combination of an alkylene group and an etheric oxygen atom, the R 1 and the atoms connecting the M a R 1 a bond to atoms Y, 5 or more of R 1 Separated by
M a represents a single bond or a divalent linking group, and X represents a group containing at least one of a halogen atom and a sulfonate.
<9> After reacting a tri- to 15-valent polyhydric alcohol with a compound represented by the following formula (4-1), reacting the resulting product with a sulfur-containing compound having a protecting group Z, followed by protection. A method for producing a thiol compound, comprising generating a thiol group by removing the group Z;
X-M a1 -R 1 -Y (4-1)
In the formula, Y represents a group capable of leaving by reaction with a sulfur-containing compound having a protecting group Z;
R 1 represents an alkylene group or a group composed of a combination of an alkylene group and an etheric oxygen atom, and the atom bonded to R 1 of Y and the atom bonded to R 1 of M a1 are 5 or more of R 1 Separated by
M a1 represents —C (═O) —,
X represents a group containing at least one of a halogen atom and a sulfonate.
<10> After reacting a tri- to 15-valent polyhydric alcohol with a compound represented by the following formula (4-2), reacting the resulting product with a sulfur-containing compound having a protecting group Z, followed by protection. A method for producing a thiol compound, comprising generating a thiol group by removing the group Z;
XR 1 -Y (4-2)
In the formula, Y represents a group capable of leaving by reaction with a sulfur-containing compound having a protecting group Z;
R 1 represents an alkylene group or a group consisting of a combination of an alkylene group and an etheric oxygen atom, and the atom bonded to R 1 of Y and the atom bonded to R 1 of X are 5 or more of R 1 Separated by atoms,
X represents a group containing at least one of a halogen atom and a sulfonate.
<11> The protecting group Z is a group represented by the following formula (5), a group represented by the following formula (6), or a salt of a group represented by the following formula (6), <8> A process for producing a thiol compound according to any one of <10>;
式(5)中、R4は、水素原子、炭素数1~30のアルキル基、炭素数6~30のアリール基、または、炭素数3~30のヘテロアリール基を表す。
<12> 下式(7)で表されるポリマー;
In formula (5), R 4 represents a hydrogen atom, an alkyl group having 1 to 30 carbon atoms, an aryl group having 6 to 30 carbon atoms, or a heteroaryl group having 3 to 30 carbon atoms.
<12> a polymer represented by the following formula (7);
式(7)において、L1は(n1+n2)価の有機連結基を表し、
n1は1~15を表し、n2は0~14を表し、n1とn2との合計は3~15であり、M1は、-O-、-S-、-N(R2)-、-C(=O)-、-C(=O)-O-、-O-C(=O)-O-、-C(=O)-NH-、-O-C(=O)-NH-、-S(=O)-、-S(=O)-O-、-S(=O)2-、-S(=O)2-O-、または-CH=N-を表し、
R1は、アルキレン基、または、アルキレン基とエーテル性酸素原子の組み合わせからなる基を表し、
R2は、水素原子、エーテル性酸素原子を含んでもいてもよい炭素数1~10のアルキル基、または、エーテル性酸素原子を含んでもいてもよい芳香族性炭化水素基を表し、
SHはチオール基を表し、SHの硫黄原子とM1のR1と結合する原子とは、R1の5以上の原子によって隔てられており、
Sは硫黄原子を表し、該硫黄原子とM1のR1と結合する原子とは、R1の5以上の原子によって隔てられており、
P1はエチレン性不飽和結合を有する化合物由来の繰り返し単位を有する1価の置換基を表す。
<13><8>~<11>のいずれかに記載のチオール化合物の製造方法で製造されたチオール化合物を含む組成物であって、組成物の50質量%以上が、式(1)で表されるチオール化合物のうちの特定の1種類である、組成物。
<14><1>~<7>のいずれかに記載のチオール化合物を含む組成物であって、組成物の50質量%以上が、式(1)で表されるチオール化合物のうちの特定の1種類である、組成物。
<15><12>に記載のポリマーを含む組成物。
<16><1>~<7>のいずれかに記載のチオール化合物、<8>~<11>のいずれかに記載のチオール化合物の製造方法で得られたチオール化合物、<12>に記載のポリマー、および、<13>~<15>のいずれかに記載の組成物の少なくとも1種と、重合性化合物を含む硬化性組成物。
<17><1>~<7>のいずれかに記載のチオール化合物、<8>~<11>のいずれかに記載のチオール化合物の製造方法で得られたチオール化合物、<12>に記載のポリマー、および、<13>~<15>のいずれかに記載の組成物の少なくとも1種と、重合性化合物と、着色剤とを含む着色組成物。
<18><16>に記載の硬化性組成物または<17>に記載の着色組成物を硬化して得られる硬化膜。
<19><17>に記載の着色組成物を用いて得られるカラーフィルタ。
In Formula (7), L 1 represents an (n1 + n2) -valent organic linking group,
n1 represents 1 to 15, n2 represents 0 to 14, the sum of n1 and n2 is 3 to 15, and M 1 represents —O—, —S—, —N (R 2 ) —, — C (═O) —, —C (═O) —O—, —O—C (═O) —O—, —C (═O) —NH—, —O—C (═O) —NH— , —S (═O) —, —S (═O) —O—, —S (═O) 2 —, —S (═O) 2 —O—, or —CH═N—,
R 1 represents an alkylene group or a group consisting of a combination of an alkylene group and an etheric oxygen atom,
R 2 represents a hydrogen atom, an alkyl group having 1 to 10 carbon atoms which may contain an etheric oxygen atom, or an aromatic hydrocarbon group which may contain an etheric oxygen atom,
SH represents a thiol group, and the sulfur atom of SH and the atom bonded to R 1 of M 1 are separated by 5 or more atoms of R 1 ,
S represents a sulfur atom, and the sulfur atom and the atom bonded to R 1 of M 1 are separated by 5 or more atoms of R 1 ;
P 1 represents a monovalent substituent having a repeating unit derived from a compound having an ethylenically unsaturated bond.
<13> A composition comprising the thiol compound produced by the method for producing a thiol compound according to any one of <8> to <11>, wherein 50% by mass or more of the composition is represented by formula (1): A composition, which is a specific one of the thiol compounds to be produced.
<14> A composition comprising the thiol compound according to any one of <1> to <7>, wherein 50% by mass or more of the composition is a specific thiol compound represented by formula (1). One type of composition.
<15> A composition comprising the polymer according to <12>.
<16> The thiol compound according to any one of <1> to <7>, the thiol compound obtained by the method for producing a thiol compound according to any one of <8> to <11>, A curable composition comprising a polymer and at least one of the compositions according to any one of <13> to <15>, and a polymerizable compound.
<17> The thiol compound according to any one of <1> to <7>, the thiol compound obtained by the method for producing a thiol compound according to any one of <8> to <11>, A colored composition comprising a polymer, at least one of the compositions according to any one of <13> to <15>, a polymerizable compound, and a colorant.
<18> A cured film obtained by curing the curable composition according to <16> or the colored composition according to <17>.
<19> A color filter obtained using the colored composition according to <17>.
本発明により、耐熱性に優れたチオール化合物が提供可能になった。また、チオール化合物の製造方法、ポリマー、組成物、硬化性組成物および着色組成物を提供可能になった。さらに、耐熱性に優れた硬化膜およびカラーフィルタを提供可能になった。 According to the present invention, a thiol compound having excellent heat resistance can be provided. In addition, it is possible to provide a method for producing a thiol compound, a polymer, a composition, a curable composition, and a coloring composition. Furthermore, a cured film and a color filter having excellent heat resistance can be provided.
以下において、本発明の内容について詳細に説明する。
本明細書における基(原子団)の表記に於いて、置換および無置換を記していない表記は、置換基を有さないものと共に置換基を有するものをも包含するものである。例えば、「アルキル基」とは、置換基を有さないアルキル基(無置換アルキル基)のみならず、置換基を有するアルキル基(置換アルキル基)をも包含するものである。
Hereinafter, the contents of the present invention will be described in detail.
In the description of the group (atomic group) in this specification, the description which does not describe substitution and unsubstituted includes the thing which has a substituent with the thing which does not have a substituent. For example, the “alkyl group” includes not only an alkyl group having no substituent (unsubstituted alkyl group) but also an alkyl group having a substituent (substituted alkyl group).
本明細書中における「活性光線」または「放射線」とは、例えば、水銀灯の輝線スペクトル、エキシマレーザーに代表される遠紫外線、極紫外線(EUV光)、X線、電子線等を意味する。また、本発明において光とは、活性光線または放射線を意味する。本明細書中における「露光」とは、特に断らない限り、水銀灯の輝線スペクトル、エキシマレーザーに代表される遠紫外線、X線、EUV光などによる露光のみならず、電子線、イオンビーム等の粒子線による描画も露光に含める。 In the present specification, “active light” or “radiation” means, for example, the emission line spectrum of a mercury lamp, far ultraviolet rays represented by excimer laser, extreme ultraviolet rays (EUV light), X-rays, electron beams, and the like. In the present invention, light means actinic rays or radiation. Unless otherwise specified, “exposure” in this specification is not limited to exposure with an emission line spectrum of a mercury lamp, far ultraviolet rays typified by excimer laser, X-rays, EUV light, etc., but also particles such as electron beams and ion beams. Line drawing is also included in the exposure.
本明細書において「~」を用いて表される数値範囲は、「~」の前後に記載される数値を下限値および上限値として含む範囲を意味する。
本明細書において、全固形分とは、着色組成物の全組成から溶剤を除いた成分の総質量をいう。
In this specification, a numerical range expressed using “to” means a range including numerical values described before and after “to” as a lower limit value and an upper limit value.
In this specification, the total solid content refers to the total mass of components excluding the solvent from the total composition of the colored composition.
本明細書において、「(メタ)アクリレート」はアクリレートおよびメタクリレートの双方、または、いずれかを表し、「(メタ)アクリル」はアクリルおよびメタクリルの双方、または、いずれかを表し、「(メタ)アクリロイル」はアクリロイルおよびメタクリロイルの双方、または、いずれかを表す。 In the present specification, “(meth) acrylate” represents both and / or acrylate and methacrylate, “(meth) acryl” represents both and / or acryl, and “(meth) acryloyl” "Represents both acryloyl and / or methacryloyl.
本明細書において、「単量体」と「モノマー」とは同義である。本明細書における単量体は、オリゴマーおよびポリマーと区別され、重量平均分子量が2,000以下の化合物をいう。本明細書において、重合性化合物とは、重合性官能基を有する化合物のことをいい、単量体であっても、ポリマーであってもよい。重合性官能基とは、重合反応に関与する基を言う。 In this specification, “monomer” and “monomer” are synonymous. The monomer in this specification is distinguished from an oligomer and a polymer, and refers to a compound having a weight average molecular weight of 2,000 or less. In the present specification, the polymerizable compound means a compound having a polymerizable functional group, and may be a monomer or a polymer. The polymerizable functional group refers to a group that participates in a polymerization reaction.
本明細書において、化学式中のMeはメチル基を、Etはエチル基を、Prはプロピル基を、Buはブチル基を、PhおよびPHはフェニル基をそれぞれ示す。本明細書において、NMRは、nuclear magnetic resonance analysisを意味し、DMSOは、ジメチル・スルホキシドを意味し、MALDIは、Matrix Assisted Laser Desorption/Ionizationを意味し、MSはマススペクトルを意味し、HPLCはHigh performance liquid chromatographyを意味し、PGMEAは、プロピレングリコール-1-メチルエーテルアセテートを意味する。 In this specification, Me in the chemical formula represents a methyl group, Et represents an ethyl group, Pr represents a propyl group, Bu represents a butyl group, and Ph and PH represent a phenyl group. In the present specification, NMR means nuclear magnetic resonance resonance, DMSO means dimethyl sulfoxide, MALDI means Matrix Assisted Laser Desorption / Ionization, MS means mass spectrum, HPLC means High performance liquid chromatography, PGMEA means propylene glycol-1-methyl ether acetate.
本明細書において「工程」との語は、独立した工程だけではなく、他の工程と明確に区別できない場合であってもその工程の所期の作用が達成されれば、本用語に含まれる。 In this specification, the term “process” is not limited to an independent process, and is included in the term if the intended action of the process is achieved even when it cannot be clearly distinguished from other processes. .
本明細書において、重量平均分子量および数平均分子量は、GPC(gel permeation chromatography)測定によるポリスチレン換算値として定義される。本明細書において、重量平均分子量(Mw)及び数平均分子量(Mn)は、例えば、HLC-8220(東ソー製)を用い、カラムとしてTSKgel Super AWM―H(東ソー製、6.0mm(内径)×15.0cm)を、溶離液として10mmol/L リチウムブロミドNMP(N-メチルピロリジノン)溶液を用いることによって求めることができる。 In the present specification, the weight average molecular weight and the number average molecular weight are defined as polystyrene conversion values by GPC (gel permeation chromatography) measurement. In this specification, the weight average molecular weight (Mw) and the number average molecular weight (Mn) are, for example, HLC-8220 (manufactured by Tosoh), and TSKgel Super Super AWM-H (manufactured by Tosoh, 6.0 mm (inner diameter) × 15.0 cm) can be obtained by using a 10 mmol / L lithium bromide NMP (N-methylpyrrolidinone) solution as an eluent.
チオール化合物
本発明のチオール化合物は、下記式(1)で表される。
(HS-R1-M1-)nL1
式(1)において、L1はn価の有機連結基を表し、nは3~15の整数を表し、M1は、-O-、-S-、-N(R2)-、-C(=O)-、-C(=O)-O-、-O-C(=O)-O-、-C(=O)-NH-、-O-C(=O)-NH-、-S(=O)-、-S(=O)-O-、-S(=O)2-、-S(=O)2-O-、または-CH=N-を表し、R1は、アルキレン基、または、アルキレン基とエーテル性酸素原子の組み合わせからなる基を表し、SHはチオール基を表し、R2は、水素原子、エーテル性酸素原子を含んでもいてもよい炭素数1~10のアルキル基、または、エーテル性酸素原子を含んでもいてもよい芳香族性炭化水素基を表し、SHの硫黄原子とM1のR1と結合する原子とは、R1の5以上の原子によって隔てられている。
このような構成を採用することにより、耐熱性に優れたチオール化合物となる。すなわち、SH基を複数有する多官能チオール化合物は、例えば、重合性化合物の存在下で連鎖移動剤として働く。ここで、重合性化合物と多官能チオール化合物を含む組成物を硬化させる際、硬化物中の多官能チオール化合物は、多官能であるが故に立体的に込み合い、また硬化が進行するにつれて近傍の重合性化合物の量が減少するために、硬化処理後において、多官能チオール化合物のチオール基の平均1~5個程度が未反応のまま残存していると、推測される。
ここで、上述のとおり、複数のSH基を有する多官能チオール化合物は知られている。しかしながら、上記特許文献1(国際公開WO2009/129221号パンフレット)では、SH基とエステル基の間が短いため、熱により容易に切れてしまう。特許文献2(特開2007-277514号公報)、特許文献3(特開2013-79380号公報)では、SH基とエステル基等の所定の連結基間で反応してしまい、多官能チオール化合物の分解が進む。
これに対し、本発明では、M1で表される所定の連結基とSH基の間にアルキレン基、または、アルキレン基とエーテル性酸素原子の組み合わせからなる基を設けることによって、耐熱性を向上させている。これは、所定の連結基とSH基の間に炭素数5以上のアルキレン基等があることにより、加熱しても両者の間での反応が進行しにくくなるためである。
Thiol Compound The thiol compound of the present invention is represented by the following formula (1).
(HS-R 1 -M 1- ) n L 1
In the formula (1), L 1 represents an n-valent organic linking group, n represents an integer of 3 to 15, and M 1 represents —O—, —S—, —N (R 2 ) —, —C (═O) —, —C (═O) —O—, —O—C (═O) —O—, —C (═O) —NH—, —O—C (═O) —NH—, —S (═O) —, —S (═O) —O—, —S (═O) 2 —, —S (═O) 2 —O—, or —CH═N—, wherein R 1 is , An alkylene group, or a group composed of a combination of an alkylene group and an etheric oxygen atom, SH represents a thiol group, and R 2 has 1 to 10 carbon atoms which may contain a hydrogen atom or an etheric oxygen atom. Or an aromatic hydrocarbon group which may contain an etheric oxygen atom, and the sulfur atom of SH and the atom bonded to R 1 of M 1 are defined by 5 or more atoms of R 1 Interval It has been done.
By adopting such a configuration, a thiol compound having excellent heat resistance is obtained. That is, the polyfunctional thiol compound having a plurality of SH groups acts as a chain transfer agent in the presence of a polymerizable compound, for example. Here, when a composition containing a polymerizable compound and a polyfunctional thiol compound is cured, the polyfunctional thiol compound in the cured product is sterically crowded because of its polyfunctionality, and as the curing proceeds, nearby polymerization occurs. Since the amount of the functional compound decreases, it is estimated that an average of about 1 to 5 thiol groups of the polyfunctional thiol compound remain unreacted after the curing treatment.
Here, as described above, polyfunctional thiol compounds having a plurality of SH groups are known. However, in the said patent document 1 (international publication WO2009 / 129221 pamphlet), since it is short between SH group and ester group, it will cut easily with heat. In Patent Document 2 (Japanese Patent Laid-Open No. 2007-277514) and Patent Document 3 (Japanese Patent Laid-Open No. 2013-79380), a reaction occurs between a predetermined linking group such as an SH group and an ester group. Decomposition proceeds.
In contrast, in the present invention, heat resistance is improved by providing an alkylene group or a group consisting of a combination of an alkylene group and an etheric oxygen atom between the predetermined linking group represented by M 1 and the SH group. I am letting. This is because the presence of an alkylene group having 5 or more carbon atoms between the predetermined linking group and the SH group makes it difficult for the reaction between them to proceed even when heated.
式(1)において、L1はn価の有機連結基を表し、1から100個までの炭素原子、0個から10個までの窒素原子、0個から50個までの酸素原子、1個から200個までの水素原子、および0個から20個までの硫黄原子からなる基であり、無置換でも置換基を有していてもよい。 In formula (1), L 1 represents an n-valent organic linking group, 1 to 100 carbon atoms, 0 to 10 nitrogen atoms, 0 to 50 oxygen atoms, 1 to It is a group consisting of up to 200 hydrogen atoms and 0 to 20 sulfur atoms, which may be unsubstituted or substituted.
L1は、具体的な例として、下記の構造単位または以下の構造単位が2以上組み合わさって構成される基(環状構造を形成していてもよい)を挙げることができる。 Specific examples of L 1 include a group (which may form a cyclic structure) formed by combining two or more of the following structural units or the following structural units.
L1としては、1から60個までの炭素原子、0個から10個までの窒素原子、0個から40個までの酸素原子、1個から120個までの水素原子、および0個から10個までの硫黄原子からなる基が好ましい。より好ましくは、1から50個までの炭素原子、0個から10個までの窒素原子、0個から30個までの酸素原子、1個から100個までの水素原子、および0個から7個までの硫黄原子からなる基である。更に好ましくは、1から40個までの炭素原子、0個から8個までの窒素原子、0個から20個までの酸素原子、1個から80個までの水素原子、および0個から5個までの硫黄原子からなる基である。特に好ましくは、上記において、炭素原子と水素原子からなる態様、炭素原子と水素原子と酸素原子からなる態様、又は上記態様において、さらに、-NH-および/または-S-が炭素原子と炭素原子の間に1つ以上含まれている態様が好ましい。 L 1 is 1 to 60 carbon atoms, 0 to 10 nitrogen atoms, 0 to 40 oxygen atoms, 1 to 120 hydrogen atoms, and 0 to 10 atoms. Groups consisting of up to sulfur atoms are preferred. More preferably, 1 to 50 carbon atoms, 0 to 10 nitrogen atoms, 0 to 30 oxygen atoms, 1 to 100 hydrogen atoms, and 0 to 7 atoms. It is a group consisting of the sulfur atom. More preferably, 1 to 40 carbon atoms, 0 to 8 nitrogen atoms, 0 to 20 oxygen atoms, 1 to 80 hydrogen atoms, and 0 to 5 atoms. It is a group consisting of the sulfur atom. Particularly preferably, in the above-described embodiment consisting of a carbon atom and a hydrogen atom, in the embodiment consisting of a carbon atom, a hydrogen atom and an oxygen atom, or in the above-described embodiment, -NH- and / or -S- is further replaced with a carbon atom and a carbon atom. An embodiment in which one or more of them are included is preferable.
L1は、置換基を有していてもよい。置換基としては、例えば、メチル基、エチル基等の炭素数1~20のアルキル基、フェニル基、ナフチル基等の炭素数6~16のアリール基、水酸基、アミノ基、カルボキシル基、スルホンアミド基、N-スルホニルアミド基、アセトキシ基等の炭素数1~6のアシルオキシ基、メトキシ基、エトキシ基等の炭素数1~6のアルコキシ基、塩素、臭素等のハロゲン原子、メトキシカルボニル基、エトキシカルボニル基、シクロヘキシルオキシカルボニル基等の炭素数2~7のアルコキシカルボニル基、シアノ基、t-ブチルカーボネート等の炭酸エステル基、等が挙げられる。しかしながら、置換基を有さない方が好ましい。 L 1 may have a substituent. Examples of the substituent include an alkyl group having 1 to 20 carbon atoms such as a methyl group and an ethyl group, an aryl group having 6 to 16 carbon atoms such as a phenyl group and a naphthyl group, a hydroxyl group, an amino group, a carboxyl group, and a sulfonamide group. C1-C6 acyloxy groups such as N-sulfonylamido and acetoxy groups, C1-C6 alkoxy groups such as methoxy and ethoxy groups, halogen atoms such as chlorine and bromine, methoxycarbonyl groups and ethoxycarbonyl Group, a C2-C7 alkoxycarbonyl group such as cyclohexyloxycarbonyl group, a cyano group, a carbonic acid ester group such as t-butyl carbonate, and the like. However, it is preferable not to have a substituent.
上述のようなL1は、例えば、多価アルコールから誘導される。多価アルコールの価数は好ましくは3~15価である。
また、L1は、下記(L-1)~(L-21)のいずれかで表されることが好ましい。
*はM1との結合部位を示している。
L 1 as described above is derived from, for example, a polyhydric alcohol. The valence of the polyhydric alcohol is preferably 3 to 15.
L 1 is preferably represented by any of (L-1) to (L-21) below.
* Indicates a binding site with M 1 .
上記において、rは0~10の整数であり、1~10の整数が好ましく、1~5の整数がより好ましい。特に、r=1、r=2、r=3、r=4、r=5、r=6、r=7の場合がそれぞれ好ましく、r=1、r=2、r=3、r=4、r=5、r=6の場合がより好ましい。
R31~R41はそれぞれ独立にアルキル基を表し、炭素数3~10の分岐アルキル基が好ましく、t-ブチル基がより好ましい。R31~R41はそれぞれ異なっていても良いが、同じ基であることが好ましい。
R42は、水素原子、アルキル基またはアルコキシ基を表し、水素原子、メチル基、エチル基、メトキシ基が好ましく、エチル基がより好ましい。
R43およびR44は、それぞれ独立に、水素原子、または炭素数1~6のアルキル基であり、炭素数1~3のアルキル基がより好ましく、エチル基がさらに好ましい。
sは、0~9の整数であり、1~5の整数が好ましく、1~3の整数がより好ましい。
In the above, r is an integer of 0 to 10, preferably an integer of 1 to 10, and more preferably an integer of 1 to 5. Particularly, r = 1, r = 2, r = 3, r = 4, r = 5, r = 6, and r = 7 are preferable, respectively, and r = 1, r = 2, r = 3, and r = 4. , R = 5, r = 6 are more preferable.
R 31 to R 41 each independently represents an alkyl group, preferably a branched alkyl group having 3 to 10 carbon atoms, and more preferably a t-butyl group. R 31 to R 41 may be different from each other but are preferably the same group.
R42 represents a hydrogen atom, an alkyl group or an alkoxy group, preferably a hydrogen atom, a methyl group, an ethyl group or a methoxy group, more preferably an ethyl group.
R 43 and R 44 are each independently a hydrogen atom or an alkyl group having 1 to 6 carbon atoms, more preferably an alkyl group having 1 to 3 carbon atoms, and even more preferably an ethyl group.
s is an integer of 0 to 9, preferably an integer of 1 to 5, and more preferably an integer of 1 to 3.
L4は、-O-または-C(=O)-を表す。 L 4 represents —O— or —C (═O) —.
上記(L-1)~(L-21)において、(L-1)、(L-4)~(L-7)、(L-13)~(L-15)が好ましく、(L-1)、(L-5)~(L-6)、(L-13)~(L-14)がより好ましく、(L-1)および(L-13)がさらに好ましい。 In the above (L-1) to (L-21), (L-1), (L-4) to (L-7), (L-13) to (L-15) are preferable, and (L-1) ), (L-5) to (L-6), and (L-13) to (L-14) are more preferred, and (L-1) and (L-13) are more preferred.
nは3~15の整数を表す。nの下限値は、4以上が好ましく、5以上がより好ましい。nの上限値は、10以下が好ましく、8以下がより好ましい。
M1は、-O-、-S-、-N(R2)-、-C(=O)-、-C(=O)-O-、-O-C(=O)-O-、-C(=O)-NH-、-O-C(=O)-NH-、-S(=O)-、-S(=O)-O-、-S(=O)2-、-S(=O)2-O-、または-CH=N-を表し、-O-、-S-、-C(=O)-、-C(=O)-O-、-O-C(=O)-O-、-C(=O)-NH-、-O-C(=O)-NH-が好ましく、-O-、-S-、-C(=O)-、-C(=O)-O-がより好ましく、-O-または-C(=O)-O-がさらに好ましく、-C(=O)-O-が特に好ましい。
n個のM1はそれぞれ同一でもよいし、異なっていても良い。n個のM1はいずれも同じであることが好ましい。
M1で表される連結基は、一方の端がR1と他方の端がL1と結合しているが、どちらの端がどちらの基と結合していてもよい。例えば、-C(=O)-O-の場合、炭素原子がR1と結合していてもよいし、酸素原子がR1と結合していてもよい。
R2は、水素原子、エーテル性酸素原子を含んでもいてもよい炭素数1~10のアルキル基、または、エーテル性酸素原子を含んでもいてもよい芳香族性炭化水素基を表し、水素原子またはメチル基が好ましく、水素原子がさらに好ましい。
n represents an integer of 3 to 15. The lower limit of n is preferably 4 or more, and more preferably 5 or more. The upper limit of n is preferably 10 or less, and more preferably 8 or less.
M 1 represents —O—, —S—, —N (R 2 ) —, —C (═O) —, —C (═O) —O—, —O—C (═O) —O—, —C (═O) —NH—, —O—C (═O) —NH—, —S (═O) —, —S (═O) —O—, —S (═O) 2 —, — Represents S (═O) 2 —O— or —CH═N— and represents —O—, —S—, —C (═O) —, —C (═O) —O—, —O—C ( ═O) —O—, —C (═O) —NH—, —O—C (═O) —NH— are preferred, —O—, —S—, —C (═O) —, —C ( ═O) —O— is more preferable, —O— or —C (═O) —O— is further preferable, and —C (═O) —O— is particularly preferable.
The n M 1 s may be the same or different. The n M 1 are preferably the same.
The linking group represented by M 1 has one end bonded to R 1 and the other end bonded to L 1 , but either end may be bonded to which group. For example, -C (= O) For -O-, carbon atoms may be bonded to R 1, the oxygen atom may be bonded with R 1.
R 2 represents a hydrogen atom, an alkyl group having 1 to 10 carbon atoms which may contain an etheric oxygen atom, or an aromatic hydrocarbon group which may contain an etheric oxygen atom, A methyl group is preferred, and a hydrogen atom is more preferred.
R1は、アルキレン基、または、アルキレン基とエーテル性酸素原子の組み合わせからなる基を表し、SHはチオール基を表し、SHの硫黄原子とM1のR1と結合する原子とは、R1の5以上の原子によって隔てられている。エーテル性酸素原子とは、アルキレン基とアルキレン基の間に含まれる酸素原子を言い、エーテル性酸素原子は、当該酸素原子が2つ連続することはないことを意味する。
n個のR1はそれぞれ同一でもよいし、異なっていても良い。n個のR1はいずれも同じであることが好ましい。
R1としてのアルキレン基は、直鎖、分岐または環状のアルキレン基であり、直鎖または分岐のアルキレン基が好ましく、直鎖のアルキレン基またはメチル鎖を分岐鎖として有する分岐アルキレン基がより好ましい。アルキレン基とエーテル性酸素原子の組み合わせからなる基についても、直鎖または分岐のアルキレン基とエーテル性酸素原子の組み合わせからなる基が好ましく、直鎖のアルキレン基またはメチル鎖を分岐鎖として有する分岐アルキレン基とエーテル性酸素原子の組み合わせからなる基がより好ましい。
アルキレン基は置換基を有していてもよいが、置換基を有さない方が好ましい。アルキレン基が置換基を有する場合、上述のL1が有していても良い置換基が例示される。
R1が直鎖アルキレン基の場合、炭素数の下限値は、5以上とすることができ、6以上であってもよく、7以上であってもよい。上限値は、50以下が好ましく、40以下がより好ましく、30以下がさらに好ましく、20以下が特に好ましい。上限値は、12以下であってもよく、10以下であってもよく、8以下とすることもできる。
R1が分岐アルキレン基の場合、炭素数の下限値は、6以上とすることができ、7以上であってもよく、8以上であってもよい。上限値は、50以下が好ましく、40以下がより好ましく、30以下がさらに好ましく、20以下が特に好ましい。上限値は、12以下であってもよく、10以下とすることもできる。
R1が環状アルキレン基の場合、通常、上記直鎖または分岐アルキレン基と環状アルキレン基の組み合わせからなる基となる。環状アルキレン基の環を構成する炭素数は3~8が好ましく、6がより好ましい。
R1が直鎖アルキレン基とエーテル性酸素原子の組み合わせからなる基の場合、炭素数の下限値は、3以上とすることができ、4以上が好ましく、5以上がより好ましい。上限値は、50以下が好ましく、40以下がより好ましく、27以下がさらに好ましく、20以下が特に好ましい。上限値は、10以下とすることもでき、8以下とすることもでき、6以下とすることもできる。R1が直鎖アルキレン基とエーテル性酸素原子の組み合わせからなる基の場合の好ましい実施形態として、エチレンオキシ鎖を含み、SHの硫黄原子とM1のR1と結合する原子とを隔てる原子数5~20の基が例示され、エチレンオキシ鎖が2~5個繰り返していることが好ましい。
R1が分岐アルキレン基とエーテル性酸素原子の組み合わせからなる基の場合、炭素数の下限値は、4以上とすることができ、5以上とすることもでき、6以上とすることもできる。上限値は、50以下が好ましく、40以下がより好ましく、28以下がさらに好ましく、20以下が特に好ましく、10以下とすることもでき、8以下とすることもできる。
R1が分岐アルキレン基とエーテル性酸素原子の組み合わせからなる基の場合の好ましい実施形態として、イソプロピレンオキシ鎖を含み、SHの硫黄原子とM1のR1と結合する原子とを隔てる原子数5~20の基が例示され、イソプロピレンオキシ鎖が2~5個繰り返している構造を含む態様が例示される。
R1が環状アルキレン基とエーテル性酸素原子の組み合わせからなる基の場合、通常、上記直鎖または分岐アルキレン基とエーテル性酸素原子の組み合わせからなる基と環状アルキレン基の組み合わせからなる基となる。
本発明におけるR1は、特に、炭素数5~20の直鎖アルキレン基、エチレンオキシ鎖を含む、炭素数5~20のアルキレン基、または、イソプロピレンオキシ鎖を含む、炭素数5~20のアルキレン基を表すことが好ましく、炭素数5~20の直鎖アルキレン基またはエチレンオキシ鎖を含む、炭素数5~20のアルキレン基がより好ましく、炭素数5~20の直鎖アルキレン基がさらに好ましい。
R 1 represents an alkylene group or a group comprising a combination of an alkylene group and an etheric oxygen atom, SH represents a thiol group, and the atom bonded to the sulfur atom of SH and R 1 of M 1 is R 1. Separated by 5 or more atoms. An etheric oxygen atom refers to an oxygen atom contained between an alkylene group and an alkylene group, and an etheric oxygen atom means that the two oxygen atoms are not continuous.
The n R 1 s may be the same or different. The n R 1 s are preferably the same.
The alkylene group as R 1 is a linear, branched or cyclic alkylene group, preferably a linear or branched alkylene group, and more preferably a linear alkylene group or a branched alkylene group having a methyl chain as a branched chain. The group comprising a combination of an alkylene group and an etheric oxygen atom is also preferably a group comprising a combination of a linear or branched alkylene group and an etheric oxygen atom, and a branched alkylene having a linear alkylene group or a methyl chain as a branched chain. A group composed of a combination of a group and an etheric oxygen atom is more preferable.
The alkylene group may have a substituent, but preferably has no substituent. When the alkylene group has a substituent, examples of the substituent that L 1 may have are exemplified.
When R 1 is a linear alkylene group, the lower limit of the carbon number can be 5 or more, 6 or more, or 7 or more. The upper limit is preferably 50 or less, more preferably 40 or less, still more preferably 30 or less, and particularly preferably 20 or less. The upper limit may be 12 or less, 10 or less, or 8 or less.
When R 1 is a branched alkylene group, the lower limit of the carbon number can be 6 or more, 7 or more, or 8 or more. The upper limit is preferably 50 or less, more preferably 40 or less, still more preferably 30 or less, and particularly preferably 20 or less. The upper limit may be 12 or less, and may be 10 or less.
When R 1 is a cyclic alkylene group, it is usually a group comprising a combination of the linear or branched alkylene group and the cyclic alkylene group. The number of carbon atoms constituting the ring of the cyclic alkylene group is preferably 3 to 8, and more preferably 6.
When R 1 is a group consisting of a combination of a linear alkylene group and an etheric oxygen atom, the lower limit of the carbon number can be 3 or more, preferably 4 or more, and more preferably 5 or more. The upper limit is preferably 50 or less, more preferably 40 or less, further preferably 27 or less, and particularly preferably 20 or less. The upper limit can be 10 or less, 8 or less, or 6 or less. As a preferred embodiment in the case where R 1 is a group composed of a combination of a linear alkylene group and an etheric oxygen atom, the number of atoms including an ethyleneoxy chain and separating the sulfur atom of SH and the atom bonded to R 1 of M 1 Examples are 5 to 20 groups, and it is preferable that 2 to 5 ethyleneoxy chains are repeated.
When R 1 is a group composed of a combination of a branched alkylene group and an etheric oxygen atom, the lower limit of the carbon number can be 4 or more, 5 or more, or 6 or more. The upper limit is preferably 50 or less, more preferably 40 or less, still more preferably 28 or less, particularly preferably 20 or less, and may be 10 or less, or may be 8 or less.
As a preferred embodiment in the case where R 1 is a group consisting of a combination of a branched alkylene group and an etheric oxygen atom, the number of atoms that contains an isopropyleneoxy chain and separates the sulfur atom of SH and the atom bonded to R 1 of M 1 5 to 20 groups are exemplified, and an embodiment including a structure in which 2 to 5 isopropyleneoxy chains are repeated is exemplified.
When R 1 is a group comprising a combination of a cyclic alkylene group and an etheric oxygen atom, it is usually a group comprising a combination of the above linear or branched alkylene group and a etheric oxygen atom and a cyclic alkylene group.
In the present invention, R 1 is particularly a linear alkylene group having 5 to 20 carbon atoms, an alkylene group having 5 to 20 carbon atoms including an ethyleneoxy chain, or an alkylene group having 5 to 20 carbon atoms including an isopropyleneoxy chain. It preferably represents an alkylene group, more preferably a linear alkylene group having 5 to 20 carbon atoms or an alkylene group containing 5 to 20 carbon atoms including an ethyleneoxy chain, and further preferably a linear alkylene group having 5 to 20 carbon atoms. .
SHの硫黄原子と、M1のR1と結合する原子とが、R1の5以上の原子によって隔てられているとは、SHとM1とを連結するR1の、SHの硫黄原子と、M1のR1と結合する原子との間を最短でつなぐ原子数が5以上であることをいう。この原子は、炭素原子または、炭素原子と酸素原子からなり、合計数が5原子以上である。例えば、下記化合物(A)の場合、SHとM1とが隔てられている原子数は、6原子となり、下記化合物(B)の場合もまた、SHとM1とが隔てられている原子数は、6原子となる。 And SH sulfur atoms, and the atom bonded to the R 1 of M 1, and are separated by 5 or more atoms of R 1, the R 1 that links the SH and M 1, and a sulfur atom of SH , The number of atoms connecting the R 1 of M 1 and the atom to be bonded at the shortest is 5 or more. This atom consists of a carbon atom or a carbon atom and an oxygen atom, and the total number is 5 atoms or more. For example, in the case of the following compound (A), the number of atoms from which SH and M 1 are separated is 6 atoms, and in the case of the following compound (B), the number of atoms from which SH and M 1 are separated. Becomes 6 atoms.
本発明のチオール化合物の分子量は、好ましくは300~3000であり、より好ましくは500~2500である。
本発明のチオール化合物は、以下の基を有さない方が好ましい。以下の基を有さないことにより、耐熱性がより向上する傾向にある。
酸無水物基(-C(=O)-O-C(=O)-、-S(=O)2-O-S(=O)2-、-P(=O)(OH)-O-P(=O)(OH)-、-S(=O)2-O-C(=O)-)、リン酸エステル基(-P(=O)(OH)-O-)、ジオキシ基(-O-O-)、ジスルフィド基(-S-S-)、メチレンジオキシ基(-OCH2O-)、オキサリル基(-C(=O)C(=O)-)、マロニル基(-C(=O)CH2C(=O)-)、ウレイレン基(-NH-C(=O)-NH-)、ヒドラジニレン基(-NHNH-)、―C(=O)-S-、-O-C(=O)-S-、-C(=S)-O-、-O-C(=S)-O-、-C(=S)-S-、-O-C(=S)-S-、-S-C(=S)-S-
The molecular weight of the thiol compound of the present invention is preferably 300 to 3000, more preferably 500 to 2500.
The thiol compound of the present invention preferably has no following group. By not having the following groups, the heat resistance tends to be further improved.
Acid anhydride group (—C (═O) —O—C (═O) —, —S (═O) 2 —O—S (═O) 2 —, —P (═O) (OH) —O —P (═O) (OH) —, —S (═O) 2 —O—C (═O) —), phosphate ester group (—P (═O) (OH) —O—), dioxy group (—O—O—), disulfide group (—S—S—), methylenedioxy group (—OCH 2 O—), oxalyl group (—C (═O) C (═O) —), malonyl group ( —C (═O) CH 2 C (═O) —), ureylene group (—NH—C (═O) —NH—), hydrazinylene group (—NHNH—), —C (═O) —S—, —O—C (═O) —S—, —C (═S) —O—, —O—C (═S) —O—, —C (═S) —S—, —O—C (= S) -S-, -SC (= S) -S-
以下、本発明のチオール化合物の好ましい例を示すが、本発明はこれらに限定されない。 Hereinafter, although the preferable example of the thiol compound of this invention is shown, this invention is not limited to these.
上記(S-15)において、nは1~13の整数である。
In the above (S-15), n is an integer of 1 to 13.
上記(S-16)において、nは1~13の整数である。
In the above (S-16), n is an integer of 1 to 13.
上記(S-29)において、nは1~13の整数である。
上記(S-32)において、nは1~13の整数である。
In the above (S-29), n is an integer of 1 to 13.
In the above (S-32), n is an integer of 1 to 13.
また、以下に示す化合物も好ましい。
(HS-R1-M1-)nL1
Moreover, the compound shown below is also preferable.
(HS-R 1 -M 1- ) n L 1
上記化合物の中でも、(S-1)~(S-48)および(S-51)が好ましく、(S-1)~(S-3)、(S-4)~(S-16)、(S-22)~(S-38)、(S-41)~(S-48)、および(S-51)がより好ましく、(S-2)~(S-3)、(S-5)~(S-8)、(S-13)、(S-22)~(S-24)、(S-26)~(S-28)、(S-31)、(S-37)~(S-38)、(S-41)、および(S-44)がさらに好ましい。 Among the above compounds, (S-1) to (S-48) and (S-51) are preferable, and (S-1) to (S-3), (S-4) to (S-16), ( (S-22) to (S-38), (S-41) to (S-48), and (S-51) are more preferable, (S-2) to (S-3), (S-5) (S-8), (S-13), (S-22) to (S-24), (S-26) to (S-28), (S-31), (S-37) to (S More preferred are S-38), (S-41), and (S-44).
チオール化合物の製造方法
次に本発明のチオール化合物の製造方法について説明する。
上記本発明のチオール化合物は、下記式(3)で表される化合物と下記式(4)で表される化合物とを反応させ、得られた生成物と保護基Zを有する含硫黄化合物を反応させた後、保護基Zを脱離させることによりチオール基を生成させることによって製造可能である。
L1-(RH)n (3)
X-Ma-R1-Y (4)
式中、L1は、n価の有機連結基を表し、
RHは酸素原子、窒素原子および硫黄原子の少なくとも1つを含み、酸素原子、窒素原子および硫黄原子のいずれかと連結する水素原子を含む基を表し、
nは3~15の整数を表し、
Yは保護基Zを有する含硫黄化合物との反応で脱離する基を表し、
R1は、アルキレン基、または、アルキレン基とエーテル性酸素原子の組み合わせからなる基を表し、YのR1と結合する原子とMaのR1と結合する原子とは、R1の5以上の原子によって隔てられており、
Maは、単結合または2価の連結基を表し、
Xは、ハロゲン原子またはスルホネートの少なくとも一つを含む基を表す。
Next, the manufacturing method of the thiol compound of this invention is demonstrated.
The thiol compound of the present invention reacts a compound represented by the following formula (3) with a compound represented by the following formula (4), and reacts the resulting product with a sulfur-containing compound having a protecting group Z. And then producing a thiol group by removing the protecting group Z.
L 1- (R H ) n (3)
X-M a -R 1 -Y (4)
In the formula, L 1 represents an n-valent organic linking group,
R H represents at least one of an oxygen atom, a nitrogen atom, and a sulfur atom, and represents a group that includes a hydrogen atom linked to any one of an oxygen atom, a nitrogen atom, and a sulfur atom;
n represents an integer of 3 to 15,
Y represents a group capable of leaving by reaction with a sulfur-containing compound having a protecting group Z;
R 1 is an alkylene group, or a group composed of a combination of an alkylene group and an etheric oxygen atom, the R 1 and the atoms connecting the M a R 1 a bond to atoms Y, 5 or more of R 1 Separated by
M a represents a single bond or a divalent linking group,
X represents a group containing at least one of a halogen atom and a sulfonate.
式(3)のn、L1および、式(4)のR1は、それぞれ、上記式(1)におけるn、L1およびR1と同義であり、好ましい範囲も同様である。
RHは酸素原子、窒素原子および硫黄原子の少なくとも1つを含み、酸素原子、窒素原子および硫黄原子のいずれかと連結する水素原子を含む基であり、好ましくは、水酸基、チオール基、置換または無置換のアミノ基、カルボキシル基が含まれる。
N and L 1 in the formula (3) and R 1 in the formula (4) are respectively synonymous with n, L 1 and R 1 in the formula (1), and preferred ranges are also the same.
R H is a group containing at least one of an oxygen atom, a nitrogen atom, and a sulfur atom, and a hydrogen atom linked to any one of the oxygen atom, the nitrogen atom, and the sulfur atom, preferably a hydroxyl group, a thiol group, a substituted or non-substituted group. Substituted amino groups and carboxyl groups are included.
Xは、ハロゲン原子またはスルホネートの少なくとも一つを含む基を表し、ハロゲン原子が好ましい。ハロゲン原子としては、フッ素原子、塩素原子、臭素原子が好ましく、塩素原子または臭素原子がより好ましく、塩素原子がさらに好ましい。
Xは、具体的には、トリフルオロメタンスルホネート、p-トルエンスルホネート、ベンゼンスルホネート、メタンスルホネート、Cl-C(=O)-、Br-C(=O)-、p-トルエンスルホニルオキシカルボニル、メタンスルホニルオキシカルボニルが例示される。
Maは、単結合、-C(=O)-、-O-、-C(=O)-O-、-NH-または-S(=O)-が好ましく、単結合または-C(=O)-がより好ましい。
X represents a group containing at least one of a halogen atom or a sulfonate, and is preferably a halogen atom. As a halogen atom, a fluorine atom, a chlorine atom, and a bromine atom are preferable, a chlorine atom or a bromine atom is more preferable, and a chlorine atom is further more preferable.
X is specifically trifluoromethanesulfonate, p-toluenesulfonate, benzenesulfonate, methanesulfonate, Cl—C (═O) —, Br—C (═O) —, p-toluenesulfonyloxycarbonyl, methanesulfonyl Examples are oxycarbonyl.
M a is preferably a single bond, —C (═O) —, —O—, —C (═O) —O—, —NH— or —S (═O) —, and is preferably a single bond or —C (═ O)-is more preferable.
Yは、保護基Zを有する含硫黄化合物との反応で脱離する基を表し、アシル基またはアミジノ基との反応で脱離する基がより好ましい。具体的には、ハロゲン原子、トリフルオロメタンスルホネート、p-トルエンスルホネート、ベンゼンスルホネート、メタンスルホネートなどが例示される。ハロゲン原子としては、塩素原子、臭素原子、ヨウ素原子が好ましく、臭素原子がさらに好ましい。 Y represents a group capable of leaving by reaction with a sulfur-containing compound having a protecting group Z, and more preferably a group leaving by reaction with an acyl group or an amidino group. Specific examples include halogen atoms, trifluoromethane sulfonate, p-toluene sulfonate, benzene sulfonate, methane sulfonate, and the like. As a halogen atom, a chlorine atom, a bromine atom, and an iodine atom are preferable, and a bromine atom is more preferable.
保護基Zを含む含硫黄化合物としては、硫黄原子と保護基Zを含む限り、特に定めるものでは無いが、硫黄原子と保護基Zからなるものが好ましい。
保護基としては、アシル基、アミジノ基、アミジノ基の塩が例示され、下記式(5)で表される基、下記式(6)で表される基、または、下記式(6)で表される基の塩が好ましい。
The sulfur-containing compound containing a protecting group Z is not particularly defined as long as it contains a sulfur atom and a protecting group Z, but is preferably composed of a sulfur atom and a protecting group Z.
Examples of the protecting group include an acyl group, an amidino group, and a salt of an amidino group, a group represented by the following formula (5), a group represented by the following formula (6), or a group represented by the following formula (6). Preferred are salts of the groups
式(5)中、R4は、水素原子、炭素数1~30のアルキル基、炭素数6~30のアリール基、または、炭素数3~30のヘテロアリール基を表す。
R4は、炭素数1~10のアルキル基、または炭素数6~10のアリール基が好ましく、炭素数1~5のアルキル基またはフェニル基がより好ましい。
アミジノ基の塩としては、ナトリウム塩、カリウム塩、カルシウム塩、マグネシウム塩が例示される。
In formula (5), R 4 represents a hydrogen atom, an alkyl group having 1 to 30 carbon atoms, an aryl group having 6 to 30 carbon atoms, or a heteroaryl group having 3 to 30 carbon atoms.
R 4 is preferably an alkyl group having 1 to 10 carbon atoms or an aryl group having 6 to 10 carbon atoms, and more preferably an alkyl group having 1 to 5 carbon atoms or a phenyl group.
Examples of amidino group salts include sodium salts, potassium salts, calcium salts, and magnesium salts.
以下、本発明で用いられる保護基Zを含む含硫黄化合物の好ましい例を示すが、本発明は以下の化合物に限定されない。 Hereinafter, although the preferable example of the sulfur-containing compound containing the protecting group Z used by this invention is shown, this invention is not limited to the following compounds.
本発明のチオール化合物の製造方法の好ましい第1の実施形態として、3~15価の多価アルコールと下記式(4-1)で表される化合物とを反応させ、得られた生成物と保護基Zを有する含硫黄化合物を反応させた後、保護基Zを脱離させることによりチオール基を生成させる方法が例示される。
X-Ma1-R1-Y (4-1)
R1は、アルキレン基、または、アルキレン基とエーテル性酸素原子の組み合わせからなる基を表し、YのR1と結合する原子とMa1のR1と結合する原子とは、R1の5以上の原子によって隔てられており、
Ma1は、-C(=O)-を表し、
Xは、ハロゲン原子またはスルホネートの少なくとも一つを含む基を表す。
As a preferred first embodiment of the method for producing a thiol compound of the present invention, a trivalent to 15-valent polyhydric alcohol is reacted with a compound represented by the following formula (4-1), and the resulting product is protected. An example is a method of producing a thiol group by reacting a sulfur-containing compound having a group Z and then removing the protecting group Z.
X-M a1 -R 1 -Y (4-1)
R 1 represents an alkylene group or a group composed of a combination of an alkylene group and an etheric oxygen atom, and the atom bonded to R 1 of Y and the atom bonded to R 1 of M a1 are 5 or more of R 1 Separated by
M a1 represents —C (═O) —,
X represents a group containing at least one of a halogen atom and a sulfonate.
本発明のチオール化合物の製造方法の好ましい第2の実施形態として、3~15価の多価アルコールと下記式(4-2)で表される化合物とを反応させ、得られた生成物と保護基Zを有する含硫黄化合物を反応させた後、保護基Zを脱離させることによりチオール基を生成させる方法が例示される。
X-R1-Y (4-2)
式中、Yは保護基Zを有する含硫黄化合物との反応で脱離する基を表し、
R1は、アルキレン基、または、アルキレン基とエーテル性酸素原子の組み合わせからなる基を表し、YのR1と結合する原子とXのR1と結合する原子とは、R1の5以上の原子によって隔てられており、
Xは、ハロゲン原子またはスルホネートの少なくとも一つを含む基を表す。
As a second preferred embodiment of the method for producing a thiol compound of the present invention, a trivalent to 15-valent polyhydric alcohol is reacted with a compound represented by the following formula (4-2), and the resulting product is protected. An example is a method in which a sulfur-containing compound having a group Z is reacted and then a protecting group Z is eliminated to generate a thiol group.
XR 1 -Y (4-2)
In the formula, Y represents a group capable of leaving by reaction with a sulfur-containing compound having a protecting group Z;
R 1 represents an alkylene group or a group consisting of a combination of an alkylene group and an etheric oxygen atom, and the atom bonded to R 1 of Y and the atom bonded to R 1 of X are 5 or more of R 1 Separated by atoms,
X represents a group containing at least one of a halogen atom and a sulfonate.
上記第1および第2の実施形態において、多価アルコールは、上述の(L-1)~(L-21)で表される構造において、*の部分にOH基が結合した多価アルコールが例示される。好ましい範囲も、上記(L-1)~(L-21)で表される構造の説明と同様である。多価アルコールの価数は、式(1)におけるnと同義であり、好ましい範囲も同様である。
上記式(4-1)および式(4-2)におけるX、Yは、式(4)におけるX、Yと同義であり、好ましい範囲も同様である。式(4-1)および式(4-2)におけるR1は、上記式(1)におけるR1と同義であり、好ましい範囲も同様である。
保護基Zを有する含硫黄化合物は、上述の保護基Zを有する含硫黄化合物と同義であり、好ましい範囲も同様である。
In the first and second embodiments, the polyhydric alcohol is exemplified by the polyhydric alcohol having an OH group bonded to the portion * in the structure represented by the above (L-1) to (L-21). Is done. The preferred range is the same as the description of the structures represented by the above (L-1) to (L-21). The valence of the polyhydric alcohol is synonymous with n in the formula (1), and the preferred range is also the same.
X and Y in the above formulas (4-1) and (4-2) have the same meanings as X and Y in the formula (4), and the preferred ranges are also the same. R 1 in formula (4-1) and formula (4-2) has the same meaning as R 1 in formula (1), and the preferred range is also the same.
The sulfur-containing compound having a protecting group Z is synonymous with the above-described sulfur-containing compound having a protecting group Z, and the preferred range is also the same.
本発明のチオール化合物の製造方法の他の実施形態として、多価アルコールとHS-R1-COOHで表される化合物を直接縮合させて製造する方法が例示される。本実施形態における多価アルコールも、上述の(L-1)~(L-21)で表される構造において、*の部分にOHが結合した多価アルコールが例示される。好ましい範囲も、上記(L-1)~(L-21)で表される構造の説明と同様である。多価アルコールの価数は、式(1)におけるnと同義であり、好ましい範囲も同様である。多価アルコールの価数は、式(1)におけるnと同義であり、好ましい範囲も同様である。本実施形態におけるR1は、上記式(1)におけるR1と同義であり、好ましい範囲も同様である。本実施形態では、脱水縮合で得られるため、製造工程が少なくて済む利点があるが、チオエステル付加体等の不純物の生成を抑制する観点から、上記保護基Zを有する含硫黄化合物を用いた製造方法がより好ましい。 As another embodiment of the method for producing a thiol compound of the present invention, there is exemplified a method in which a polyhydric alcohol and a compound represented by HS—R 1 —COOH are directly condensed. Examples of the polyhydric alcohol in the present embodiment include polyhydric alcohols in which OH is bonded to the portion * in the structures represented by the above (L-1) to (L-21). The preferred range is the same as the description of the structures represented by the above (L-1) to (L-21). The valence of the polyhydric alcohol is synonymous with n in the formula (1), and the preferred range is also the same. The valence of the polyhydric alcohol is synonymous with n in the formula (1), and the preferred range is also the same. R 1 in this embodiment has the same meaning as R 1 in the formula (1), and preferred ranges are also the same. In the present embodiment, since it is obtained by dehydration condensation, there is an advantage that the production process may be reduced. The method is more preferred.
用途
本発明のチオール化合物の用途としては、色素の原料、分散剤などの樹脂(ポリマー)の原料、硬化剤や架橋剤、樹脂の安定剤、ゴムの加硫剤、接着剤原料、水銀や鉛などの重金属元素・イオン除去剤の原料、センサーなどの金属表面の機能化剤の原料などが考えられる。
具体的には、上記特許文献1(国際公開WO2009/129221号パンフレット)、特許文献2(特開2007-277514号公報)、特許文献3(特開2013-79380号公報)における多官能チオール化合物に代えて、本発明のチオール化合物を用いることができる。
Applications Applications of the thiol compound of the present invention include pigment raw materials, resin (polymer) raw materials such as dispersants, curing agents and crosslinking agents, resin stabilizers, rubber vulcanizers, adhesive raw materials, mercury and lead. Materials for heavy metal elements and ion removing agents such as, and materials for functionalizing metal surfaces such as sensors can be considered.
Specifically, the polyfunctional thiol compound in Patent Document 1 (International Publication WO2009 / 129221 pamphlet), Patent Document 2 (JP 2007-277514 A), Patent Document 3 (JP 2013-79380 A) is used. Instead, the thiol compound of the present invention can be used.
硬化剤又は架橋剤(両者を合わせて硬化剤類という)の用途としては、例えば、エポキシ基を有する化合物やイソシアネート基を有する化合物の硬化剤類が挙げられる。 Examples of the use of the curing agent or the crosslinking agent (referred to as a curing agent together) include curing agents of a compound having an epoxy group or a compound having an isocyanate group.
エポキシ基を有する化合物(エポキシ化合物ともいう)としては、1分子内にエポキシ基を2つ以上有する化合物が好ましい。エポキシ化合物の具体例としては、後述する硬化性組成物で説明するエポキシ基を有する化合物が挙げられる。
本発明のチオール化合物を、エポキシ化合物の硬化剤類として用いる場合、エポキシ化合物のエポキシ基100モルに対して、SH基が70~120モルとなるように配合することが好ましく、エポキシ化合物のエポキシ基100モルに対しSH基が80~110モルとなるように配合することが更に好ましい。酸無水物などのチオール化合物以外の硬化剤類(他の硬化剤類ともいう)を併用する場合は、他の硬化剤類が消費するエポキシ基を差し引き、残ったエポキシ基100モルに対して、SH基が70~120モル(好ましくは80~110モル)となるように配合することが好ましい。
As a compound having an epoxy group (also referred to as an epoxy compound), a compound having two or more epoxy groups in one molecule is preferable. Specific examples of the epoxy compound include compounds having an epoxy group described in the curable composition described later.
When the thiol compound of the present invention is used as a curing agent for an epoxy compound, it is preferably blended so that the SH group is 70 to 120 mol with respect to 100 mol of the epoxy group of the epoxy compound. More preferably, the SH group is blended in an amount of 80 to 110 moles per 100 moles. When using a curing agent other than a thiol compound such as an acid anhydride (also referred to as another curing agent), the epoxy group consumed by the other curing agent is subtracted, and with respect to 100 mol of the remaining epoxy group, It is preferable to blend so that the SH group is 70 to 120 mol (preferably 80 to 110 mol).
イソシアネート基を有する化合物(イソシアネート化合物ともいう)としては、1分子内にイソシアネート基を2つ以上有する化合物が好ましい。イソシアネート化合物は、芳香族系化合物、脂肪族系化合物のいずれの化合物でもよい。
イソシアネート化合物の具体例としては、例えば、2,4-トリレンジイソシアネート、2,4-トリレンジイソシアネートの二量体、2,6-トリレンジイソシアネート、p-キシリレンジイソシアネート、m-キシリレンジイソシアネート、4,4’-ジフェニルメタンジイソシアネート、1,5-ナフチレンジイソシアネート、3,3’-ジメチルビフェニル-4,4’-ジイソシアネート等のような芳香族ジイソシアネート化合物;ヘキサメチレンジイソシアネート、トリメチルヘキサメチレンジイソシアネート、リジンジイソシアネート、ダイマー酸ジイソシアネート等の脂肪族ジイソシアネート化合物;イソホロンジイソシアネート、4,4’-メチレンビス(シクロヘキシルイソシアネート)、メチルシクロヘキサン-2,4(又は2,6)ジイソシアネート、1,3-(イソシアネートメチル)シクロヘキサン等の脂環族ジイソシアネート化合物;1,3-ブチレングリコール1モルとトリレンジイソシアネート2モルとの付加体等のジオールとジイソシアネートとの反応物であるジイソシアネート化合物;ヘキサメチレンジイソシアネートのビウレット化反応生成物;ヘキサメチレンジイソシアネートとトリメチロールプロパンとのアダクト反応生成物などが挙げられる。
本発明のチオール化合物を、イソシアネート基を有する化合物の硬化剤類として用いる場合、イソシアネート基100モルに対してSH基が50~300モルとなるように配合することが好ましく、イソシアネート基100モルに対しSH基が50~150モルとなるように配合することが更に好ましい。酸無水物などのチオール化合物以外の硬化剤類(他の硬化剤類ともいう)を併用する場合は、他の硬化剤類が消費するイソシアネート基を差し引き、残ったイソシアネート基100モルに対して、SH基が50~300モル(好ましくは50~150モル)となるように配合することが好ましい。
As the compound having an isocyanate group (also referred to as an isocyanate compound), a compound having two or more isocyanate groups in one molecule is preferable. The isocyanate compound may be either an aromatic compound or an aliphatic compound.
Specific examples of the isocyanate compound include, for example, 2,4-tolylene diisocyanate, dimer of 2,4-tolylene diisocyanate, 2,6-tolylene diisocyanate, p-xylylene diisocyanate, m-xylylene diisocyanate, Aromatic diisocyanate compounds such as 4,4'-diphenylmethane diisocyanate, 1,5-naphthylene diisocyanate, 3,3'-dimethylbiphenyl-4,4'-diisocyanate; hexamethylene diisocyanate, trimethylhexamethylene diisocyanate, lysine diisocyanate Aliphatic diisocyanate compounds such as dimer acid diisocyanate; isophorone diisocyanate, 4,4′-methylenebis (cyclohexyl isocyanate), methylcyclohexane-2,4 (or 2,6) Alicyclic diisocyanate compounds such as diisocyanate and 1,3- (isocyanatomethyl) cyclohexane; reaction products of diol and diisocyanate such as an adduct of 1 mol of 1,3-butylene glycol and 2 mol of tolylene diisocyanate A diuretate compound of hexamethylene diisocyanate; an adduct reaction product of hexamethylene diisocyanate and trimethylolpropane; and the like.
When the thiol compound of the present invention is used as a curing agent for a compound having an isocyanate group, it is preferably blended so that the SH group is 50 to 300 mol with respect to 100 mol of the isocyanate group, More preferably, the SH group is blended in an amount of 50 to 150 mol. When using curing agents other than thiol compounds such as acid anhydrides (also referred to as other curing agents), the isocyanate groups consumed by other curing agents are subtracted, and with respect to 100 moles of the remaining isocyanate groups, It is preferable to blend so that the SH group is 50 to 300 mol (preferably 50 to 150 mol).
本発明のチオール化合物は、樹脂(ポリマー)の原料として好ましく用いることができる。特に、アルカリ可溶性樹脂の原料として好ましく用いることができる。本発明のチオール化合物を用いて得られるポリマーは、耐熱性に優れている。また、このポリマーは、線状ポリマーに比べて低粘度であり、レベリング性に優れる。このため、このポリマーを含む着色組成物を用いてカラーフィルタを形成した場合、一つの画素中に高低差が生じ難くできる(ディッシングの抑制)。
また、本発明のチオール化合物は、色素の原料として用いることができる。
The thiol compound of the present invention can be preferably used as a raw material for a resin (polymer). In particular, it can be preferably used as a raw material for alkali-soluble resins. The polymer obtained using the thiol compound of the present invention is excellent in heat resistance. Moreover, this polymer has a low viscosity compared with a linear polymer, and is excellent in leveling property. For this reason, when a color filter is formed using a colored composition containing this polymer, a difference in height can hardly be generated in one pixel (suppression of dishing).
Further, the thiol compound of the present invention can be used as a raw material for a dye.
ポリマー
次に、本発明のポリマーについて説明する。本発明のポリマーは、下式(7)で表される。
Polymer Next, the polymer of the present invention will be described. The polymer of the present invention is represented by the following formula (7).
式(7)において、L1は(n1+n2)価の有機連結基を表し、
n1は1~15を表し、n2は0~14を表し、n1とn2との合計は3~15であり、M1は、-O-、-S-、-N(R2)-、-C(=O)-、-C(=O)-O-、-O-C(=O)-O-、-C(=O)-NH-、-O-C(=O)-NH-、-S(=O)-、-S(=O)-O-、-S(=O)2-、-S(=O)2-O-、または-CH=N-を表し、
R1は、アルキレン基、または、アルキレン基とエーテル性酸素原子の組み合わせからなる基を表し、
R2は、水素原子、エーテル性酸素原子を含んでもいてもよい炭素数1~10のアルキル基、または、エーテル性酸素原子を含んでもいてもよい芳香族性炭化水素基を表し、
SHはチオール基を表し、SHとM1は、R1の5以上の原子によって隔てられており、
Sは硫黄原子を表し、該硫黄原子とM1のR1と結合する原子とは、R1の5以上の原子によって隔てられており、
P1はエチレン性不飽和結合を有する化合物由来の繰り返し単位を有する1価の置換基を表す。
In Formula (7), L 1 represents an (n1 + n2) -valent organic linking group,
n1 represents 1 to 15, n2 represents 0 to 14, the sum of n1 and n2 is 3 to 15, and M 1 represents —O—, —S—, —N (R 2 ) —, — C (═O) —, —C (═O) —O—, —O—C (═O) —O—, —C (═O) —NH—, —O—C (═O) —NH— , —S (═O) —, —S (═O) —O—, —S (═O) 2 —, —S (═O) 2 —O—, or —CH═N—,
R 1 represents an alkylene group or a group consisting of a combination of an alkylene group and an etheric oxygen atom,
R 2 represents a hydrogen atom, an alkyl group having 1 to 10 carbon atoms which may contain an etheric oxygen atom, or an aromatic hydrocarbon group which may contain an etheric oxygen atom,
SH represents a thiol group, and SH and M 1 are separated by 5 or more atoms of R 1 ;
S represents a sulfur atom, and the sulfur atom and the atom bonded to R 1 of M 1 are separated by 5 or more atoms of R 1 ;
P 1 represents a monovalent substituent having a repeating unit derived from a compound having an ethylenically unsaturated bond.
式(7)のL1、M1、R1およびR2は、式(1)で説明したL1、M1、R1およびR2と同義であり、好ましい範囲も同様である。
n1は1~15を表し、n2は0~14を表し、n1とn2との合計は3~15である。1つのポリマーにおける、n1およびn2は、それぞれ整数であるが、本発明のポリマーは、式(7)におけるn1およびn2が異なるものを複数含んでいてもよい。n1は2以上が好ましく、3以上がより好ましい。
式(7)のP1は、エチレン性不飽和結合を有する化合物由来の繰り返し単位を有する1価の置換基を表す。n個のP1は、同一であってもよく、互いに異なってもよい。P1は、好ましくはエチレン性不飽和結合を有する化合物由来の繰り返し単位を2個以上有し、より好ましくは繰り返し単位を2~10,000個有し、さらに好ましくは2~1,000個有する。
L 1 , M 1 , R 1 and R 2 in the formula (7) are synonymous with L 1 , M 1 , R 1 and R 2 described in the formula (1), and preferred ranges are also the same.
n1 represents 1 to 15, n2 represents 0 to 14, and the total of n1 and n2 is 3 to 15. N1 and n2 in one polymer are integers, respectively, but the polymer of the present invention may include a plurality of polymers in which n1 and n2 in formula (7) are different. n1 is preferably 2 or more, and more preferably 3 or more.
P 1 in formula (7) represents a monovalent substituent having a repeating unit derived from a compound having an ethylenically unsaturated bond. The n P 1 s may be the same or different from each other. P 1 preferably has 2 or more repeating units derived from a compound having an ethylenically unsaturated bond, more preferably 2 to 10,000 repeating units, and still more preferably 2 to 1,000. .
エチレン性不飽和結合を有する化合物としては、(メタ)アクリル酸エステル類、クロトン酸エステル類、ビニルエステル類、マレイン酸ジエステル類、フマル酸ジエステル類、イタコン酸ジエステル類、(メタ)アクリルアミド類、スチレン類、ビニルエーテル類、ビニルケトン類、オレフィン類、マレイミド類、(メタ)アクリロニトリルおよび酸性基を有するビニル化合物などが挙げられる。これらの化合物を1種または2種以上を組み合わせて用いることができる。酸基を有するビニル化合物の例としては、カルボキシル基を有するビニル化合物、スルホ基を有するビニル化合物、リン酸基を有するビニル化合物などが挙げられる。エチレン性不飽和結合を有する化合物の詳細については、特開2007-277514号公報の段落番号0089~0098の記載を参酌でき、この内容は本明細書に組み込まれることとする。
また、エチレン性不飽和結合を有する化合物として、後述するアルカリ可溶性樹脂で説明するモノマーを用いることもできる。
具体例としては、例えば、メタクリル酸、ベンジルメタクリレートなどが挙げられる。
The compounds having an ethylenically unsaturated bond include (meth) acrylic acid esters, crotonic acid esters, vinyl esters, maleic acid diesters, fumaric acid diesters, itaconic acid diesters, (meth) acrylamides, and styrene. , Vinyl ethers, vinyl ketones, olefins, maleimides, (meth) acrylonitrile and vinyl compounds having an acidic group. These compounds can be used alone or in combination of two or more. Examples of the vinyl compound having an acid group include a vinyl compound having a carboxyl group, a vinyl compound having a sulfo group, and a vinyl compound having a phosphate group. Details of the compound having an ethylenically unsaturated bond can be referred to the description in paragraph numbers 0089 to 0098 of JP-A-2007-277514, the contents of which are incorporated herein.
Moreover, the monomer demonstrated with the alkali-soluble resin mentioned later can also be used as a compound which has an ethylenically unsaturated bond.
Specific examples include methacrylic acid and benzyl methacrylate.
本発明のポリマーの重量平均分子量は、好ましくは3,000~1,000,000であり、より好ましくは4,000~500,000であり、さらに好ましくは5,000~300,000である。 The weight average molecular weight of the polymer of the present invention is preferably 3,000 to 1,000,000, more preferably 4,000 to 500,000, and further preferably 5,000 to 300,000.
本発明のポリマーの酸価は特に限定されないが、本発明のポリマーをアルカリ可溶性樹脂として使用する場合、10~200mgKOH/gが好ましく、20~160mgKOH/gがより好ましく、30~140mgKOH/gが特に好ましい。酸価が10mgKOH/g以上であれば、アルカリ現像性が良好である。酸価が200mgKOH/g未満であれば、組成物の分散安定性が良好である。 The acid value of the polymer of the present invention is not particularly limited, but when the polymer of the present invention is used as an alkali-soluble resin, 10 to 200 mgKOH / g is preferable, 20 to 160 mgKOH / g is more preferable, and 30 to 140 mgKOH / g is particularly preferable. preferable. When the acid value is 10 mgKOH / g or more, the alkali developability is good. When the acid value is less than 200 mgKOH / g, the dispersion stability of the composition is good.
本発明のポリマーは、例えば上記式(1)で表されるチオール化合物の存在下で、エチレン性不飽和結合を有する化合物をラジカル重合させることで、得られる。
エチレン性不飽和結合を有する化合物としては、特に限定されないが、酸基を1種類またはそれ以上含む化合物が好ましい。
エチレン性不飽和結合を有する化合物としては、(メタ)アクリル酸エステル類、クロトン酸エステル類、ビニルエステル類、マレイン酸ジエステル類、フマル酸ジエステル類、イタコン酸ジエステル類、(メタ)アクリルアミド類、スチレン類、ビニルエーテル類、ビニルケトン類、オレフィン類、マレイミド類、(メタ)アクリロニトリル、酸性基を有するビニルモノマーなどが挙げられ、(メタ)アクリル酸エステル類、(メタ)アクリルアミド類、スチレン類、ビニルエーテル類、マレイミド類、酸性基を有するビニルモノマーが好ましく、(メタ)アクリル酸エステル類、スチレン類、酸性基を有するビニルモノマーがより好ましい。また、エチレン性不飽和結合を有する化合物として、後述するアルカリ可溶性樹脂で説明するモノマーを用いることもできる。
The polymer of the present invention can be obtained, for example, by radical polymerization of a compound having an ethylenically unsaturated bond in the presence of the thiol compound represented by the above formula (1).
The compound having an ethylenically unsaturated bond is not particularly limited, but a compound containing one or more acid groups is preferable.
Compounds having an ethylenically unsaturated bond include (meth) acrylic acid esters, crotonic acid esters, vinyl esters, maleic acid diesters, fumaric acid diesters, itaconic acid diesters, (meth) acrylamides, styrene , Vinyl ethers, vinyl ketones, olefins, maleimides, (meth) acrylonitrile, vinyl monomers having acidic groups, (meth) acrylic acid esters, (meth) acrylamides, styrenes, vinyl ethers, Maleimides and vinyl monomers having acidic groups are preferred, (meth) acrylic acid esters, styrenes, and vinyl monomers having acidic groups are more preferred. Moreover, the monomer demonstrated with the alkali-soluble resin mentioned later can also be used as a compound which has an ethylenically unsaturated bond.
ポリマーの製造条件は、特に限定はないが、チオール化合物と、エチレン性不飽和結合を有する化合物を適当な溶剤に溶解し、ここに重合開始剤を添加して、約50℃~220℃で、溶液中で重合させる方法(溶液重合法)などが挙げられる。
溶液重合法で用いられる溶剤としては、用いる原料化合物の溶解性、生成するポリマーの溶解性に応じて任意に選択できる。例えば、メタノール、エタノール、プロパノール、イソプロパノール、1-メトキシ-2-プロパノール、プロピレングリコールモノメチルエーテルアセテート、アセトン、メチルエチルケトン、メチルイソブチルケトン、メトキシプロピルアセテート、乳酸エチル、酢酸エチル、アセトニトリル、テトラヒドロフラン、ジメチルホルムアミド、クロロホルム、トルエンが挙げられる。これらの溶剤は、二種以上を混合して使用してもよい。また、重合開始剤としては、2,2'-アゾビス(イソブチロニトリル)(AIBN)、2,2'-アゾビス-(2,4'-ジメチルバレロニトリル)、ジメチル 2,2' -アゾビス(2-メチルプロピオネート)などのアゾ化合物、ベンゾイルパーオキシドなどの過酸化物、および、過硫酸カリウム、過硫酸アンモニウムなどの過硫酸塩が利用できる。
The polymer production conditions are not particularly limited, but a thiol compound and a compound having an ethylenically unsaturated bond are dissolved in a suitable solvent, and a polymerization initiator is added thereto at about 50 ° C. to 220 ° C. Examples include a method of polymerizing in a solution (solution polymerization method).
The solvent used in the solution polymerization method can be arbitrarily selected according to the solubility of the raw material compound used and the solubility of the polymer to be produced. For example, methanol, ethanol, propanol, isopropanol, 1-methoxy-2-propanol, propylene glycol monomethyl ether acetate, acetone, methyl ethyl ketone, methyl isobutyl ketone, methoxypropyl acetate, ethyl lactate, ethyl acetate, acetonitrile, tetrahydrofuran, dimethylformamide, chloroform And toluene. These solvents may be used as a mixture of two or more. Examples of the polymerization initiator include 2,2′-azobis (isobutyronitrile) (AIBN), 2,2′-azobis- (2,4′-dimethylvaleronitrile), dimethyl 2,2′-azobis ( Azo compounds such as 2-methylpropionate), peroxides such as benzoyl peroxide, and persulfates such as potassium persulfate and ammonium persulfate can be used.
組成物
本発明の組成物は、本発明のチオール化合物を含む組成物であって、組成物の50質量%以上が、上記チオール化合物のうちの特定の1種類であることが好ましい。
また、本発明の組成物は、上記保護基Zを有する含硫黄化合物を用いた方法で製造されたチオール化合物を含む組成物であって、上記組成物の50質量%以上が、上記チオール化合物のうちの特定の1種類であることが好ましい。チオエステル構造を有する化合物は、加熱により、チオエステル構造で分解しやすいが、本発明の組成物はそのような不純物が少ないため、より耐熱性の高い成形品が得られる。
特定の1種類とは、式(1)で表される化合物のうちのいずれか1種類を意味する。
本発明のチオール化合物を含む組成物において、上記チオール化合物の特定の1種類の化合物の量の上限は特に定めるものでは無く理想は100質量%であるが、例えば、80質量%以下でも十分の実用性がある組成物となる。
また、本発明の組成物は、上記(7)で表されるポリマーを含む。本発明のポリマーは、耐熱性に優れているので、より耐熱性の高い成形品が得られる。更には、本発明のポリマーは、低粘度で、レベリング性に優れているので、本発明の組成物を含む着色組成物を用いてカラーフィルタを形成した場合、一つの画素中に高低差が生じ難くできる(ディッシングの抑制)。
Composition The composition of the present invention is a composition containing the thiol compound of the present invention, and 50% by mass or more of the composition is preferably a specific one of the thiol compounds.
Further, the composition of the present invention is a composition containing a thiol compound produced by a method using a sulfur-containing compound having the protecting group Z, and 50% by mass or more of the composition is composed of the thiol compound. It is preferable that it is one specific type of them. A compound having a thioester structure is easily decomposed by a thioester structure by heating, but since the composition of the present invention has few such impurities, a molded product having higher heat resistance can be obtained.
The specific one type means any one of the compounds represented by the formula (1).
In the composition containing the thiol compound of the present invention, the upper limit of the amount of the specific one kind of thiol compound is not particularly defined and is ideally 100% by mass, but for example, 80% by mass or less is sufficient for practical use. It becomes a composition with the property.
Moreover, the composition of this invention contains the polymer represented by said (7). Since the polymer of the present invention is excellent in heat resistance, a molded product having higher heat resistance can be obtained. Furthermore, since the polymer of the present invention has low viscosity and excellent leveling properties, when a color filter is formed using a coloring composition containing the composition of the present invention, a difference in height occurs in one pixel. Can be difficult (suppression of dishing).
<硬化性組成物>
以下、本発明の硬化性組成物および着色組成物について説明する。
本発明の硬化性組成物は、本発明のチオール化合物、本発明の製造方法で得られたチオール化合物、および、本発明の組成物の少なくとも1種と、重合性化合物とを含む。
上述のとおり、多官能チオール化合物は、重合性化合物の硬化時に、連鎖移動剤として作用するが、得られた硬化物においても、未反応のチオール基が残ってしまう。公知のチオール化合物では、未反応のチオール基が他の基と反応し、熱分解を引き起こしていた。しかしながら、本発明では、かかる熱分解を引き起こしにくくできるため、有益である。
本発明の硬化性組成物における本発明のチオール化合物の含有量は、固形分の0.1~20質量%であることが好ましく、0.5~10質量%であることがより好ましく、1~5質量%であることがさらに好ましい。
<Curable composition>
Hereinafter, the curable composition and coloring composition of the present invention will be described.
The curable composition of this invention contains the thiol compound of this invention, the thiol compound obtained by the manufacturing method of this invention, at least 1 sort (s) of the composition of this invention, and a polymeric compound.
As described above, the polyfunctional thiol compound acts as a chain transfer agent when the polymerizable compound is cured, but an unreacted thiol group remains in the obtained cured product. In known thiol compounds, unreacted thiol groups react with other groups, causing thermal decomposition. However, the present invention is advantageous because it can hardly cause such thermal decomposition.
The content of the thiol compound of the present invention in the curable composition of the present invention is preferably 0.1 to 20% by mass, more preferably 0.5 to 10% by mass, based on the solid content. More preferably, it is 5 mass%.
本発明の硬化性組成物は、着色組成物、反射防止フィルム形成用組成物、防汚層形成用組成物、グラスイオノマーセメント等の歯科及び骨整形材料、等に用いることができる。
一例として、本発明のチオール化合物、本発明の製造方法で得られたチオール化合物、および、本発明の組成物の少なくとも1種と、フッ素原子を有するポリエーテル構造を有する繰り返し単位及び4つ以上の重合性基を有する化合物、光重合開始剤および溶剤を含む重合性組成物としても用いることができる。このような重合性組成物は、低屈折率層形成用組成物として用いることができる。重合性組成物は、より好ましくは、パーフルオロオレフィン共重合体と、中空シリカ粒子と、重合性化合物(好ましくは重合性モノマー)と、光重合開始剤と、含フッ素モノマーを含む組成物が例示される。これらの詳細は、特開2014-167596号公報の段落0024~0060、特開2014-070165号公報の段落0027~0126、特開2003-228741号公報の段落0018~0167の記載(特に、段落0043~0048の記載)を参酌でき、これらの内容は本明細書に組み込まれる。
上記パーフルオロオレフィン共重合体としては、下式(1)に示す構造が挙げられる。構造式中、50:50はモル比を表す。
The curable composition of the present invention can be used for coloring compositions, antireflection film forming compositions, antifouling layer forming compositions, dental and bone shaping materials such as glass ionomer cements, and the like.
As an example, at least one of the thiol compound of the present invention, the thiol compound obtained by the production method of the present invention, and the composition of the present invention, a repeating unit having a polyether structure having a fluorine atom, and four or more It can also be used as a polymerizable composition containing a compound having a polymerizable group, a photopolymerization initiator, and a solvent. Such a polymerizable composition can be used as a composition for forming a low refractive index layer. The polymerizable composition is more preferably exemplified by a composition containing a perfluoroolefin copolymer, hollow silica particles, a polymerizable compound (preferably a polymerizable monomer), a photopolymerization initiator, and a fluorine-containing monomer. Is done. Details thereof are described in paragraphs 0024 to 0060 of JP 2014-167596 A, paragraphs 0027 to 0126 of JP 2014-070165 A, paragraphs 0018 to 0167 of JP 2003-228741 A (in particular, paragraph 0043). -Description of -0048), the contents of which are incorporated herein.
Examples of the perfluoroolefin copolymer include a structure represented by the following formula (1). In the structural formula, 50:50 represents a molar ratio.
上記中空シリカ粒子としては、イソプロピルアルコールシリカゾルが挙げられる。市販品としては、「CS60-IPA」(触媒化成工業製)などが挙げられる。
上記含フッ素モノマーの具体例としては、以下に示す構造が挙げられる。
Examples of the hollow silica particles include isopropyl alcohol silica sol. Examples of commercially available products include “CS60-IPA” (manufactured by Catalyst Kasei Kogyo).
Specific examples of the fluorine-containing monomer include the structures shown below.
また、本発明のチオール化合物をエポキシ化合物の硬化剤類として使用する場合、本発明の硬化性組成物としては、例えば、本発明のチオール化合物と、エポキシ化合物を少なくとも含み、更に、3-アミノメチル-3,5,5-トリメチルシクロヘキシルアミン等の硬化促進剤を含む組成物が挙げられる。
また、本発明のチオール化合物をイソシアネート化合物の硬化剤類として使用する場合、本発明の硬化性組成物としては、例えば、本発明のチオール化合物と、イソシアネート化合物とを少なくとも含み、更に、ジブチルすずジクロリド等の硬化促進剤を含む組成物が挙げられる。
Further, when the thiol compound of the present invention is used as a curing agent for epoxy compounds, the curable composition of the present invention includes, for example, the thiol compound of the present invention and an epoxy compound, and further contains 3-aminomethyl. And a composition containing a curing accelerator such as −3,5,5-trimethylcyclohexylamine.
When the thiol compound of the present invention is used as a curing agent for an isocyanate compound, the curable composition of the present invention includes, for example, at least the thiol compound of the present invention and an isocyanate compound, and further dibutyltin dichloride. The composition containing hardening accelerators, such as these, is mentioned.
<着色組成物>
本発明の着色組成物は、本発明のチオール化合物、本発明の製造方法で得られたチオール化合物、および、本発明の組成物の少なくとも1種と、重合性化合物と、着色剤とを含む。
本発明の着色組成物における本発明のチオール化合物の含有量は、固形分の0.1~20質量%であることが好ましく、0.5~10質量%であることがより好ましく、1~5質量%であることがさらに好ましい。
<Coloring composition>
The colored composition of the present invention contains the thiol compound of the present invention, the thiol compound obtained by the production method of the present invention, at least one of the compositions of the present invention, a polymerizable compound, and a colorant.
The content of the thiol compound of the present invention in the colored composition of the present invention is preferably 0.1 to 20% by mass, more preferably 0.5 to 10% by mass, based on the solid content. More preferably, it is mass%.
<<重合性化合物>>>
本発明の着色組成物は、重合性化合物を含有する。重合性化合物としては、ラジカル、酸、熱により架橋可能な公知の重合性化合物を用いることができる。例えば、エチレン性不飽和結合、環状エーテル(エポキシ、オキセタン)、メチロール等を含む重合性化合物が挙げられる。重合性化合物は、感度の観点から、末端エチレン性不飽和結合を少なくとも1個、好ましくは2個以上有する化合物から好適に選ばれる。中でも、4官能以上の多官能重合性化合物が好ましく、5官能以上の多官能重合性化合物がさらに好ましい。
<< polymerizable compound >>
The coloring composition of the present invention contains a polymerizable compound. As the polymerizable compound, a known polymerizable compound that can be crosslinked by a radical, an acid, or heat can be used. For example, polymerizable compounds containing an ethylenically unsaturated bond, cyclic ether (epoxy, oxetane), methylol and the like can be mentioned. The polymerizable compound is suitably selected from compounds having at least one terminal ethylenically unsaturated bond, preferably two or more, from the viewpoint of sensitivity. Among them, a polyfunctional polymerizable compound having 4 or more functional groups is preferable, and a polyfunctional polymerizable compound having 5 or more functional groups is more preferable.
このような化合物群は広く知られているものであり、本発明においてはこれらを特に限定なく用いることができる。これらは、例えば、モノマー、プレポリマー、すなわち2量体、3量体およびオリゴマーまたはそれらの混合物並びにそれらの多量体などの化学的形態のいずれであってもよい。
本発明における重合性化合物は1種単独で用いてもよいし、2種以上を併用してもよい。
Such a group of compounds is widely known, and these can be used without any particular limitation in the present invention. These may be in any chemical form such as, for example, monomers, prepolymers, ie dimers, trimers and oligomers or mixtures thereof and multimers thereof.
The polymeric compound in this invention may be used individually by 1 type, and may use 2 or more types together.
モノマー、プレポリマーの例としては、不飽和カルボン酸(例えば、アクリル酸、メタクリル酸、イタコン酸、クロトン酸、イソクロトン酸、マレイン酸など)やそのエステル類、アミド類、並びにこれらの多量体が挙げられ、好ましくは、不飽和カルボン酸と脂肪族多価アルコール化合物とのエステル、および不飽和カルボン酸と脂肪族多価アミン化合物とのアミド類、並びにこれらの多量体である。また、ヒドロキシル基、アミノ基、メルカプト基等の求核性置換基を有する不飽和カルボン酸エステル或いはアミド類と、単官能若しくは多官能イソシアネート類或いはエポキシ類との付加反応物や、単官能若しくは多官能のカルボン酸との脱水縮合反応物等も好適に使用される。また、イソシアネート基、エポキシ基等の親電子性置換基を有する不飽和カルボン酸エステル或いはアミド類と、単官能若しくは多官能のアルコール類、アミン類、チオール類との反応物、ハロゲン基やトシルオキシ基等の脱離性置換基を有する不飽和カルボン酸エステル或いはアミド類と、単官能若しくは多官能のアルコール類、アミン類、チオール類との反応物も好適である。また、上記の不飽和カルボン酸の代わりに、不飽和ホスホン酸、スチレン等のビニルベンゼン誘導体、ビニルエーテル、アリルエーテル等に置き換えた化合物群を使用することも可能である。
これらの具体的な化合物としては、特開2009-288705号公報の段落番号〔0095〕~〔0108〕に記載されている化合物を本発明においても好適に用いることができる。
Examples of monomers and prepolymers include unsaturated carboxylic acids (eg, acrylic acid, methacrylic acid, itaconic acid, crotonic acid, isocrotonic acid, maleic acid, etc.), esters, amides, and multimers thereof. Preferred are esters of unsaturated carboxylic acids and aliphatic polyhydric alcohol compounds, amides of unsaturated carboxylic acids and aliphatic polyvalent amine compounds, and multimers thereof. In addition, addition reaction products of monofunctional or polyfunctional isocyanates or epoxies with unsaturated carboxylic acid esters or amides having a nucleophilic substituent such as hydroxyl group, amino group, mercapto group, monofunctional or polyfunctional. A dehydration condensation reaction product with a functional carboxylic acid is also preferably used. Reaction products of unsaturated carboxylic acid esters or amides having electrophilic substituents such as isocyanate groups and epoxy groups with monofunctional or polyfunctional alcohols, amines and thiols, halogen groups and tosyloxy groups A reaction product of an unsaturated carboxylic acid ester or amide having a leaving substituent such as monofunctional or polyfunctional alcohols, amines or thiols is also suitable. Moreover, it is also possible to use a compound group in which the unsaturated carboxylic acid is replaced with an unsaturated phosphonic acid, a vinylbenzene derivative such as styrene, vinyl ether, allyl ether or the like.
As these specific compounds, compounds described in paragraphs [0095] to [0108] of JP-A-2009-288705 can be preferably used in the present invention.
また、重合性化合物としては、少なくとも1個の付加重合可能なエチレン基を有する、常圧下で100℃以上の沸点を持つエチレン性不飽和基を持つ化合物も好ましい。その例としては、例えば、特開2013-29760号公報の段落0227を参酌することができ、この内容は本明細書に組み込まれる。 As the polymerizable compound, a compound having at least one addition-polymerizable ethylene group and having an ethylenically unsaturated group having a boiling point of 100 ° C. or higher under normal pressure is also preferable. As an example thereof, for example, paragraph 0227 of JP 2013-29760 A can be referred to, the contents of which are incorporated herein.
また、常圧下で100℃以上の沸点を有し、少なくとも1個の付加重合可能なエチレン性不飽和基を持つ化合物としては、特開2008-292970号公報の段落番号0254~0257に記載の化合物を参酌でき、この内容は本明細書に組み込まれる。 Examples of the compound having a boiling point of 100 ° C. or higher under normal pressure and having at least one ethylenically unsaturated group capable of addition polymerization include compounds described in paragraphs 0254 to 0257 of JP-A-2008-292970. Which is incorporated herein by reference.
中でも、重合性化合物としては、ジペンタエリスリトールトリアクリレート(市販品としてはKAYARAD D-330;日本化薬製)、ジペンタエリスリトールテトラアクリレート(市販品としてはKAYARAD D-320;日本化薬製)、ジペンタエリスリトールペンタ(メタ)アクリレート(市販品としてはKAYARAD D-310;日本化薬製)、ジペンタエリスリトールヘキサ(メタ)アクリレート(市販品としてはKAYARAD DPHA;日本化薬製)、エチレンオキシ変性ジペンタエリスリトールヘキサアクリレート(市販品としてはA-DPH-12E;新中村化学製)、およびこれらの(メタ)アクリロイル基がエチレングリコール、プロピレングリコール残基を介している構造(例えば、サートマー社から市販されている、SR454、SR499)が好ましい。これらのオリゴマータイプも使用できる。以下に好ましい重合性化合物の態様を示す。 Among these, as the polymerizable compound, dipentaerythritol triacrylate (as a commercially available product, KAYARAD D-330; manufactured by Nippon Kayaku), dipentaerythritol tetraacrylate (as a commercially available product, KAYARAD D-320; manufactured by Nippon Kayaku), Dipentaerythritol penta (meth) acrylate (as a commercial product, KAYARAD D-310; manufactured by Nippon Kayaku), dipentaerythritol hexa (meth) acrylate (as a commercially available product, KAYARAD DPHA; manufactured by Nippon Kayaku), ethyleneoxy modified di Pentaerythritol hexaacrylate (A-DPH-12E as a commercial product; manufactured by Shin-Nakamura Chemical Co., Ltd.) and a structure in which these (meth) acryloyl groups are mediated by ethylene glycol and propylene glycol residues (for example, Sartomer) Are al marketed, SR454, SR499) is preferred. These oligomer types can also be used. Preferred embodiments of the polymerizable compound are shown below.
重合性化合物は、カルボキシル基、スルホン酸基、リン酸基等の酸基を有していてもよい。重合性化合物が、未反応のカルボキシル基などを有するものであれば、これをそのまま利用することができるが、必要において、重合性化合物のヒドロキシル基に、非芳香族カルボン酸無水物を反応させて酸基を導入してもよい。非芳香族カルボン酸無水物の具体例としては、無水テトラヒドロフタル酸、アルキル化無水テトラヒドロフタル酸、無水ヘキサヒドロフタル酸、アルキル化無水ヘキサヒドロフタル酸、無水コハク酸、無水マレイン酸などが挙げられる。 The polymerizable compound may have an acid group such as a carboxyl group, a sulfonic acid group, or a phosphoric acid group. If the polymerizable compound has an unreacted carboxyl group or the like, it can be used as it is. However, if necessary, a non-aromatic carboxylic acid anhydride is reacted with the hydroxyl group of the polymerizable compound. An acid group may be introduced. Specific examples of non-aromatic carboxylic acid anhydrides include tetrahydrophthalic anhydride, alkylated tetrahydrophthalic anhydride, hexahydrophthalic anhydride, alkylated hexahydrophthalic anhydride, succinic anhydride, maleic anhydride, and the like. .
酸基を有する重合性化合物としては、脂肪族ポリヒドロキシ化合物と不飽和カルボン酸とのエステルが好ましく、脂肪族ポリヒドロキシ化合物の未反応のヒドロキシル基に非芳香族カルボン酸無水物を反応させて得られた酸基を有する重合性化合物がより好ましく、特に好ましくは、このエステルにおいて、脂肪族ポリヒドロキシ化合物がペンタエリスリトール及び/又はジペンタエリスリトールである。市販品としては、例えば、東亞合成製の多塩基酸変性アクリルオリゴマーとして、M-510、M-520などが挙げられる。 The polymerizable compound having an acid group is preferably an ester of an aliphatic polyhydroxy compound and an unsaturated carboxylic acid, and is obtained by reacting a non-aromatic carboxylic acid anhydride with an unreacted hydroxyl group of the aliphatic polyhydroxy compound. The polymerizable compound having an acid group thus obtained is more preferred, and particularly preferably, in this ester, the aliphatic polyhydroxy compound is pentaerythritol and / or dipentaerythritol. Examples of commercially available products include M-510 and M-520 as polybasic acid-modified acrylic oligomers manufactured by Toagosei.
酸基を有する重合性化合物は1種を単独で用いてもよいが、製造上、単一の化合物を用いることは難しいことから、2種以上を混合して用いてもよい。
酸基を有する重合性化合物の好ましい酸価としては、0.1mgKOH/g~40mgKOH/gであり、特に好ましくは5mgKOH/g~30mgKOH/gである。多官能モノマーの酸価が0.1mgKOH/g以上であれば、現像溶解特性が良好であり、40mgKOH/g以下であれば、製造や取扱い上、有利である。さらには、光重合性能が良好で、画素の表面平滑性等の硬化性に優れる。従って、異なる酸基の重合性化合物を2種以上併用する場合、或いは酸基を有しない重合性化合物と酸基を有する重合性化合物とを併用する場合、全体の重合性化合物としての酸基が上記範囲に入るように調整することが好ましい。
Although the polymeric compound which has an acid group may be used individually by 1 type, since it is difficult to use a single compound on manufacture, you may mix and use 2 or more types.
A preferable acid value of the polymerizable compound having an acid group is 0.1 mgKOH / g to 40 mgKOH / g, and particularly preferably 5 mgKOH / g to 30 mgKOH / g. When the acid value of the polyfunctional monomer is 0.1 mgKOH / g or more, the development and dissolution characteristics are good, and when it is 40 mgKOH / g or less, it is advantageous in production and handling. Furthermore, the photopolymerization performance is good and the curability such as the surface smoothness of the pixels is excellent. Therefore, when two or more kinds of polymerizable compounds having different acid groups are used in combination, or when a polymerizable compound having no acid group and a polymerizable compound having an acid group are used in combination, the acid group as the entire polymerizable compound is It is preferable to adjust so that it may enter into the said range.
また、重合性化合物として、カプロラクトン構造を有する重合性化合物を含有することも好ましい態様である。
カプロラクトン構造を有する重合性化合物としては、分子内にカプロラクトン構造を有する限り特に限定されるものではないが、例えば、トリメチロールエタン、ジトリメチロールエタン、トリメチロールプロパン、ジトリメチロールプロパン、ペンタエリスリトール、ジペンタエリスリトール、トリペンタエリスリトール、グリセリン、ジグリセロール、トリメチロールメラミン等の多価アルコールと、(メタ)アクリル酸及びε-カプロラクトンをエステル化することにより得られる、ε-カプロラクトン変性多官能(メタ)アクリレートを挙げることができる。なかでも下記一般式(Z-1)で表されるカプロラクトン構造を有する重合性化合物が好ましい。
Moreover, it is also a preferable aspect to contain the polymeric compound which has a caprolactone structure as a polymeric compound.
The polymerizable compound having a caprolactone structure is not particularly limited as long as it has a caprolactone structure in the molecule. For example, trimethylolethane, ditrimethylolethane, trimethylolpropane, ditrimethylolpropane, pentaerythritol, dipenta Ε-caprolactone modified polyfunctional (meth) acrylate obtained by esterifying polyhydric alcohol such as erythritol, tripentaerythritol, glycerin, diglycerol, trimethylolmelamine, (meth) acrylic acid and ε-caprolactone Can be mentioned. Among these, a polymerizable compound having a caprolactone structure represented by the following general formula (Z-1) is preferable.
一般式(Z-1)中、6個のRは全てが下記一般式(Z-2)で表される基であるか、又は6個のRのうち1~5個が下記一般式(Z-2)で表される基であり、残余が下記一般式(Z-3)で表される基である。 In the general formula (Z-1), all six R are groups represented by the following general formula (Z-2), or 1 to 5 of the six R are represented by the following general formula (Z -2), and the remainder is a group represented by the following general formula (Z-3).
一般式(Z-2)中、R1は水素原子又はメチル基を示し、mは1又は2の数を示し、「*」は結合手であることを示す。 In general formula (Z-2), R 1 represents a hydrogen atom or a methyl group, m represents a number of 1 or 2, and “*” represents a bond.
一般式(Z-3)中、R1は水素原子又はメチル基を示し、「*」は結合手であることを示す。 In general formula (Z-3), R 1 represents a hydrogen atom or a methyl group, and “*” represents a bond.
カプロラクトン構造を有する重合性化合物は、例えば、日本化薬からKAYARAD DPCAシリーズとして市販されており、DPCA-20(上記式(Z-1)~(Z-3)においてm=1、式(Z-2)で表される基の数=2、R1が全て水素原子である化合物)、DPCA-30(同式、m=1、式(Z-2)で表される基の数=3、R1が全て水素原子である化合物)、DPCA-60(同式、m=1、式(Z-2)で表される基の数=6、R1が全て水素原子である化合物)、DPCA-120(同式においてm=2、式(Z-2)で表される基の数=6、R1が全て水素原子である化合物)等が挙げられる。
本発明において、カプロラクトン構造を有する重合性化合物は、単独で又は2種以上を混合して使用することができる。
Polymerizable compounds having a caprolactone structure are commercially available, for example, from Nippon Kayaku as the KAYARAD DPCA series, and DPCA-20 (m = 1 in the above formulas (Z-1) to (Z-3), the formula (Z— 2) the number of groups represented by 2 and a compound in which R 1 is all hydrogen atoms), DPCA-30 (same formula, m = 1, the number of groups represented by formula (Z-2) = 3, Compound in which R 1 is all hydrogen atoms), DPCA-60 (formula, m = 1, number of groups represented by formula (Z-2) = 6, compound in which R 1 is all hydrogen atoms), DPCA -120 (a compound in which m = 2 in the formula, the number of groups represented by formula (Z-2) = 6, and all R 1 are hydrogen atoms).
In this invention, the polymeric compound which has a caprolactone structure can be used individually or in mixture of 2 or more types.
また、重合性化合物は、下記一般式(Z-4)又は(Z-5)で表される化合物を用いることもできる。 Further, as the polymerizable compound, a compound represented by the following general formula (Z-4) or (Z-5) can also be used.
一般式(Z-4)及び(Z-5)中、Eは、各々独立に、-((CH2)yCH2O)-、又は-((CH2)yCH(CH3)O)-を表し、yは、各々独立に0~10の整数を表し、Xは、各々独立に、アクリロイル基、メタクリロイル基、水素原子、又はカルボキシル基を表す。
一般式(Z-4)中、アクリロイル基及びメタクリロイル基の合計は3個又は4個であり、mは各々独立に0~10の整数を表し、各mの合計は0~40の整数である。但し、各mの合計が0の場合、Xのうちいずれか1つはカルボキシル基である。
一般式(Z-5)中、アクリロイル基及びメタクリロイル基の合計は5個又は6個であり、nは各々独立に0~10の整数を表し、各nの合計は0~60の整数である。但し、各nの合計が0の場合、Xのうちいずれか1つはカルボキシル基である。
In general formulas (Z-4) and (Z-5), each E independently represents — ((CH 2 ) y CH 2 O) — or — ((CH 2 ) y CH (CH 3 ) O). —, Each independently represents an integer of 0 to 10, and each X independently represents an acryloyl group, a methacryloyl group, a hydrogen atom, or a carboxyl group.
In general formula (Z-4), the total number of acryloyl groups and methacryloyl groups is 3 or 4, each m independently represents an integer of 0 to 10, and the total of each m is an integer of 0 to 40 . However, when the total of each m is 0, any one of X is a carboxyl group.
In general formula (Z-5), the total number of acryloyl groups and methacryloyl groups is 5 or 6, each n independently represents an integer of 0 to 10, and the total of each n is an integer of 0 to 60 . However, when the total of each n is 0, any one of X is a carboxyl group.
一般式(Z-4)中、mは、0~6の整数が好ましく、0~4の整数がより好ましい。
また、各mの合計は、2~40の整数が好ましく、2~16の整数がより好ましく、4~8の整数が特に好ましい。
一般式(Z-5)中、nは、0~6の整数が好ましく、0~4の整数がより好ましい。
また、各nの合計は、3~60の整数が好ましく、3~24の整数がより好ましく、6~12の整数が特に好ましい。
また、一般式(Z-4)又は一般式(Z-5)中の-((CH2)yCH2O)-又は-((CH2)yCH(CH3)O)-は、酸素原子側の末端がXに結合する形態が好ましい。
In general formula (Z-4), m is preferably an integer of 0 to 6, and more preferably an integer of 0 to 4.
The total of each m is preferably an integer of 2 to 40, more preferably an integer of 2 to 16, and particularly preferably an integer of 4 to 8.
In general formula (Z-5), n is preferably an integer of 0 to 6, and more preferably an integer of 0 to 4.
The total of each n is preferably an integer of 3 to 60, more preferably an integer of 3 to 24, and particularly preferably an integer of 6 to 12.
In the general formula (Z-4) or the general formula (Z-5), — ((CH 2 ) y CH 2 O) — or — ((CH 2 ) y CH (CH 3 ) O) — represents oxygen A form in which the end on the atom side is bonded to X is preferred.
一般式(Z-4)又は一般式(Z-5)で表される化合物は1種単独で用いてもよいし、2種以上併用してもよい。特に、一般式(Z-5)において、6個のX全てがアクリロイル基である形態が好ましい。 The compounds represented by formula (Z-4) or formula (Z-5) may be used alone or in combination of two or more. In particular, in the general formula (Z-5), a form in which all six Xs are acryloyl groups is preferable.
また、一般式(Z-4)又は一般式(Z-5)で表される化合物の重合性化合物中における全含有量としては、20質量%以上が好ましく、50質量%以上がより好ましい。 The total content of the compound represented by the general formula (Z-4) or (Z-5) in the polymerizable compound is preferably 20% by mass or more, and more preferably 50% by mass or more.
一般式(Z-4)又は一般式(Z-5)で表される化合物は、従来公知の工程である、ペンタエリスリト-ル又はジペンタエリスリト-ルにエチレンオキシド又はプロピレンオキシドを開環付加反応により開環骨格を結合する工程と、開環骨格の末端水酸基に、例えば(メタ)アクリロイルクロライドを反応させて(メタ)アクリロイル基を導入する工程と、から合成することができる。各工程は良く知られた工程であり、当業者は容易に一般式(Z-4)又は(Z-5)で表される化合物を合成することができる。 The compound represented by the general formula (Z-4) or (Z-5) is a conventionally known process, which is a ring-opening addition of ethylene oxide or propylene oxide to pentaerythritol or dipentaerythritol. It can be synthesized from a step of bonding a ring-opening skeleton by a reaction and a step of introducing a (meth) acryloyl group by reacting, for example, (meth) acryloyl chloride with a terminal hydroxyl group of the ring-opening skeleton. Each step is a well-known step, and a person skilled in the art can easily synthesize a compound represented by the general formula (Z-4) or (Z-5).
一般式(Z-4)又は一般式(Z-5)で表される化合物の中でも、ペンタエリスリトール誘導体及び/又はジペンタエリスリトール誘導体がより好ましい。
具体的には、下記式(a)~(f)で表される化合物(以下、「例示化合物(a)~(f)」とも称する。)が挙げられ、中でも、例示化合物(a)、(b)、(e)、(f)が好ましい。
Among the compounds represented by the general formula (Z-4) or the general formula (Z-5), a pentaerythritol derivative and / or a dipentaerythritol derivative are more preferable.
Specific examples include compounds represented by the following formulas (a) to (f) (hereinafter also referred to as “exemplary compounds (a) to (f)”). Among them, exemplary compounds (a), (f) b), (e) and (f) are preferred.
一般式(Z-4)、(Z-5)で表される重合性化合物の市販品としては、例えばサートマー製のエチレンオキシ鎖を4個有する4官能アクリレートであるSR-494、日本化薬製のペンチレンオキシ鎖を6個有する6官能アクリレートであるDPCA-60、イソブチレンオキシ鎖を3個有する3官能アクリレートであるTPA-330などが挙げられる。 Examples of commercially available polymerizable compounds represented by the general formulas (Z-4) and (Z-5) include SR-494, a tetrafunctional acrylate having four ethyleneoxy chains manufactured by Sartomer, manufactured by Nippon Kayaku Co., Ltd. DPCA-60, which is a hexafunctional acrylate having six pentyleneoxy chains, and TPA-330, which is a trifunctional acrylate having three isobutyleneoxy chains.
また、本発明では、重合性化合物として、エポキシ基を有する化合物を用いることもできる。エポキシ基を有する化合物としては、1分子内にエポキシ基を2つ以上有するものが好ましい。1分子内にエポキシ基を2つ以上有する化合物を用いることにより、本発明の効果をより効果的に達成することができる。エポキシ基は、1分子内に2~10個が好ましく、2~5個がより好ましく、3個が特に好ましい。
これらの詳細は、特開2013-011869号公報の段落0034~0036の記載、特開2014-153554号公報の段落0091~0103の記載、特開2014-089408号公報の段落0084~0095の記載を参酌でき、これらの内容は本明細書に組み込まれる。
In the present invention, a compound having an epoxy group can also be used as the polymerizable compound. As the compound having an epoxy group, one having two or more epoxy groups in one molecule is preferable. By using a compound having two or more epoxy groups in one molecule, the effect of the present invention can be achieved more effectively. The number of epoxy groups is preferably 2 to 10, more preferably 2 to 5, and particularly preferably 3 in one molecule.
Details of these are described in paragraphs 0034 to 0036 of JP2013-011869A, paragraphs 0091 to 0103 of JP2014-153554A, and paragraphs 0084 to 0095 of JP2014-089408A. Which are incorporated herein by reference.
以下にエポキシ基を有する化合物の具体例を例示するが、本発明はこれらに限定されない。 Specific examples of the compound having an epoxy group are illustrated below, but the present invention is not limited thereto.
エポキシ基を有する化合物としては、側鎖にエポキシ基を有するオリゴマーやポリマーも好ましく用いることができる。このような化合物としては、ビスフェノールA型エポキシ樹脂、ビスフェノールF型エポキシ樹脂、フェノールノボラック型エポキシ樹脂、クレゾールノボラック型エポキシ樹脂、脂肪族エポキシ樹脂等を挙げることができる。
これらの化合物は、市販品を用いてもよいし、ポリマーの側鎖へエポキシ基を導入することによっても得られる。
As the compound having an epoxy group, an oligomer or polymer having an epoxy group in the side chain can also be preferably used. Examples of such compounds include bisphenol A type epoxy resins, bisphenol F type epoxy resins, phenol novolac type epoxy resins, cresol novolac type epoxy resins, and aliphatic epoxy resins.
These compounds may be used as commercial products or can be obtained by introducing an epoxy group into the side chain of the polymer.
市販品としては、例えば、ビスフェノールA型エポキシ樹脂としては、jER825、jER827、jER828、jER834、jER1001、jER1002、jER1003、jER1055、jER1007、jER1009、jER1010(以上、ジャパンエポキシレジン(株)製)、EPICLON860、EPICLON1050、EPICLON1051、EPICLON1055(以上、DIC(株)製)等であり、ビスフェノールF型エポキシ樹脂としては、jER806、jER807、jER4004、jER4005、jER4007、jER4010(以上、ジャパンエポキシレジン(株)製)、EPICLON830、EPICLON835(以上、DIC(株)製)、LCE-21、RE-602S(以上、日本化薬(株)製)等であり、フェノールノボラック型エポキシ樹脂としては、jER152、jER154、jER157S70、jER157S65(以上、ジャパンエポキシレジン(株)製)、EPICLON N-740、EPICLON N-770、EPICLON N-775(以上、DIC(株)製)等であり、クレゾールノボラック型エポキシ樹脂としては、EPICLON N-660、EPICLON N-665、EPICLON N-670、EPICLON N-673、EPICLON N-680、EPICLON N-690、EPICLON N-695(以上、DIC(株)製)、EOCN-1020(以上、日本化薬(株)製)等であり、脂肪族エポキシ樹脂としては、ADEKA RESIN EP-4080S、同EP-4085S、同EP-4088S(以上、(株)ADEKA製)、セロキサイド2021P、セロキサイド2081、セロキサイド2083、セロキサイド2085、EHPE3150、EPOLEAD PB 3600、同PB 4700(以上、ダイセル化学工業(株)製)、デナコール EX-212L、EX-214L、EX-216L、EX-321L、EX-850L(以上、ナガセケムテックス(株)製)等である。その他にも、ADEKA RESIN EP-4000S、同EP-4003S、同EP-4010S、同EP-4011S(以上、(株)ADEKA製)、NC-2000、NC-3000、NC-7300、XD-1000、EPPN-501、EPPN-502(以上、(株)ADEKA製)、jER1031S(ジャパンエポキシレジン(株)製)等が挙げられる。
また、エポキシ基を有する化合物の市販品としては、jER1031S(三菱化学(株)製)、jER1032H60(三菱化学(株)製)、EPICLON HP-4700(DIC(株)製)、EPICLON N-695(DIC(株)製)、EPICLON840(DIC(株)製)、EPICLON N660(DIC(株)製)、EPICLON HP7200(DIC(株)製)等も好ましく用いることができる。
As commercially available products, for example, as bisphenol A type epoxy resin, jER825, jER827, jER828, jER834, jER1001, jER1002, jER1003, jER1055, jER1007, jER1009, jER1010 (above, manufactured by Japan Epoxy Resins Co., Ltd.), EPICLON860, EPICLON 1050, EPICLON 1051, EPICLON 1055 (manufactured by DIC Corporation), etc., and bisphenol F type epoxy resins are jER806, jER807, jER4004, jER4005, jER4007, jER4010 (above, Japan Epoxy Resin Corporation), EPICLON830 , EPICLON 835 (above, manufactured by DIC Corporation), LCE-21, RE-602S As described above, jER152, jER154, jER157S70, jER157S65 (above, Japan Epoxy Resin Co., Ltd.), EPICLON N-740, EPICLON N-770 are available. EPICLON N-775 (manufactured by DIC Corporation), etc., and cresol novolac type epoxy resins include EPICLON N-660, EPICLON N-665, EPICLON N-670, EPICLON N-673, EPICLON N-680 , EPICLON N-690, EPICLON N-695 (manufactured by DIC Corporation), EOCN-1020 (manufactured by Nippon Kayaku Co., Ltd.), etc., and ADEKA RESIN EP-4 as an aliphatic epoxy resin 80S, EP-4085S, EP-4088S (manufactured by ADEKA Corporation), Celoxide 2021P, Celoxide 2081, Celoxide 2083, Celoxide 2085, EHPE3150, EPOLEEAD PB 3600, PB 4700 (above, Daicel Chemical Industries, Ltd.) ), Denacol EX-212L, EX-214L, EX-216L, EX-321L, EX-850L (above, manufactured by Nagase ChemteX Corporation). In addition, ADEKA RESIN EP-4000S, EP-4003S, EP-4010S, EP-4010S, EP-4011S (above, manufactured by ADEKA Corporation), NC-2000, NC-3000, NC-7300, XD-1000, EPPN-501, EPPN-502 (above, manufactured by ADEKA Corporation), jER1031S (manufactured by Japan Epoxy Resin Co., Ltd.) and the like.
Commercially available compounds having an epoxy group include jER1031S (Mitsubishi Chemical Corporation), jER1032H60 (Mitsubishi Chemical Corporation), EPICLON HP-4700 (DIC Corporation), EPICLON N-695 ( DIC Corporation), EPICLON 840 (DIC Corporation), EPICLON N660 (DIC Corporation), EPICLON HP7200 (DIC Corporation), and the like can be preferably used.
本発明において、エポキシ基を有する化合物は、単独で用いてもよいし、2種以上組み合わせて用いてもよい。 In the present invention, the compounds having an epoxy group may be used singly or in combination of two or more.
また、本発明では重合性化合物としては、特公昭48-41708号公報、特開昭51-37193号公報、特公平2-32293号公報、特公平2-16765号公報に記載されているようなウレタンアクリレート類や、特公昭58-49860号公報、特公昭56-17654号公報、特公昭62-39417号公報、特公昭62-39418号公報記載のエチレンオキサイド系骨格を有するウレタン化合物類も好適である。更に、重合性化合物として、特開昭63-277653号公報、特開昭63-260909号公報、特開平1-105238号公報に記載される、分子内にアミノ構造やスルフィド構造を有する付加重合性化合物類を用いることによって、非常に感光スピードに優れた着色組成物を得ることができる。
また、本発明では重合性化合物としてオキセタン基を有する化合物を用いることもできる。オキセタン基を有する化合物としては、特開2008-224970号公報の段落0134~0145記載の化合物が挙げられ、その内容は本明細書に組み込まれる。具体例としては、アロンオキセタンOXT-121、OXT-221、OX-SQ、PNOX(以上、東亞合成(株)製)を用いることができる。
重合性化合物の市販品としては、ウレタンオリゴマーUAS-10、UAB-140(山陽国策パルプ製)、UA-7200(新中村化学製)、DPHA-40H(日本化薬製)、UA-306H、UA-306T、UA-306I、AH-600、T-600、AI-600(共栄社製)などが挙げられる。
In the present invention, the polymerizable compound is described in JP-B-48-41708, JP-A-51-37193, JP-B-2-32293, and JP-B-2-16765. Urethane acrylates and urethane compounds having an ethylene oxide skeleton described in JP-B-58-49860, JP-B-56-17654, JP-B-62-39417, and JP-B-62-39418 are also suitable. is there. Furthermore, addition polymerizable compounds having an amino structure or a sulfide structure in the molecule described in JP-A-63-277653, JP-A-63-260909, and JP-A-1-105238 as polymerizable compounds. By using the compounds, it is possible to obtain a colored composition having an extremely excellent photosensitive speed.
In the present invention, a compound having an oxetane group can also be used as the polymerizable compound. Examples of the compound having an oxetane group include the compounds described in paragraphs 0134 to 0145 of JP-A-2008-224970, the contents of which are incorporated herein. As specific examples, Aron Oxetane OXT-121, OXT-221, OX-SQ, and PNOX (above, manufactured by Toagosei Co., Ltd.) can be used.
Commercially available polymerizable compounds include urethane oligomers UAS-10, UAB-140 (manufactured by Sanyo Kokusaku Pulp), UA-7200 (manufactured by Shin-Nakamura Chemical), DPHA-40H (manufactured by Nippon Kayaku), UA-306H, UA -306T, UA-306I, AH-600, T-600, AI-600 (manufactured by Kyoeisha) and the like.
本発明の硬化性組成物または着色組成物における重合性化合物の配合量は、固形分に対し、5~50質量%であることが好ましく、10~30質量%であることがより好ましい。 The blending amount of the polymerizable compound in the curable composition or colored composition of the present invention is preferably 5 to 50% by mass, more preferably 10 to 30% by mass with respect to the solid content.
<<着色剤>>
本発明の着色組成物に用いられる着色剤は特に定めるものではなく、顔料であってもよいし、染料であってもよいし、顔料と染料を併用してもよい。着色剤は1種類のみ用いても良いし、2種類以上用いても良い。
着色剤の量は、本発明の着色組成物の固形分の10~90質量%が好ましく、30~85質量%がより好ましく、60~80質量%がさらに好ましい。
<< Colorant >>
The colorant used in the coloring composition of the present invention is not particularly defined, and may be a pigment, a dye, or a combination of a pigment and a dye. Only one colorant may be used, or two or more colorants may be used.
The amount of the colorant is preferably 10 to 90% by mass, more preferably 30 to 85% by mass, and further preferably 60 to 80% by mass of the solid content of the coloring composition of the present invention.
<<<染料>>>
着色組成物に含有される着色剤として使用できる染料は、特に制限はなく、従来カラーフィルタ用として公知の染料が使用できる。例えば、ピラゾールアゾ系、アニリノアゾ系、トリフェニルメタン系、アントラキノン系、アントラピリドン系、ベンジリデン系、オキソノール系、ピラゾロトリアゾールアゾ系、ピリドンアゾ系、シアニン系、フェノチアジン系、ピロロピラゾールアゾメチン系、キサンテン系、フタロシアニン系、ベンゾピラン系、インジゴ系、ピロメテン系等の染料が使用できる。また、これらの染料の多量体を用いてもよい。
<<< Dye >>>
The dye that can be used as the colorant contained in the coloring composition is not particularly limited, and conventionally known dyes for color filters can be used. For example, pyrazole azo, anilinoazo, triphenylmethane, anthraquinone, anthrapyridone, benzylidene, oxonol, pyrazolotriazole azo, pyridone azo, cyanine, phenothiazine, pyrrolopyrazole azomethine, xanthene, Dyes such as phthalocyanine, benzopyran, indigo, and pyromethene can be used. Moreover, you may use the multimer of these dyes.
また、水又はアルカリ現像を行う場合、現像により光未照射部のバインダー及び/又は染料を完全に除去するという観点では、酸性染料及び/又はその誘導体が好適に使用できる場合がある。
その他、直接染料、塩基性染料、媒染染料、酸性媒染染料、アゾイック染料、分散染料、油溶染料、食品染料、及び/又は、これらの誘導体等も有用に使用することができる。
Moreover, when performing water or alkali image development, an acidic dye and / or its derivative may be used suitably from a viewpoint that the binder and / or dye of a light non-irradiation part are removed completely by image development.
In addition, direct dyes, basic dyes, mordant dyes, acid mordant dyes, azoic dyes, disperse dyes, oil-soluble dyes, food dyes, and / or derivatives thereof can also be used effectively.
以下に酸性染料の具体例を挙げるが、これらに限定されるものではない。例えば、
acid alizarin violet N;acid black 1,2,24,48;acid blue 1,7,9,15,18,23,25,27,29,40~45,62,70,74,80,83,86,87,90,92,103,112,113,120,129,138,147,158,171,182,192,243,324:1;acid chrome violet K;acid Fuchsin;acid green 1,3,5,9,16,25,27,50;acid orange 6,7,8,10,12,50,51,52,56,63,74,95;acidred 1,4,8,14,17,18,26,27,29,31,34,35,37,42,44,50,51,52,57,66,73,80,87,88,91,92,94,97,103,111,114,129,133,134,138,143,145,150,151,158,176,183,198,211,215,216,217,249,252,257,260,266,274;acid violet 6B,7,9,17,19;acid yellow 1,3,7,9,11,17,23,25,29,34,36,42,54,72,73,76,79,98,99,111,112,114,116,184,243;Food Yellow 3;及びこれらの染料の誘導体が挙げられる。
Specific examples of the acid dye are shown below, but are not limited thereto. For example,
acid alias 1, 2, 24, 48; acid blue 1, 7, 9, 15, 18, 23, 25, 27, 29, 40 to 45, 62, 70, 74, 80, 83, 86 , 87, 90, 92, 103, 112, 113, 120, 129, 138, 147, 158, 171, 182, 192, 243, 324: 1; acid chroma violet K; acid Fuchsin; acid green 1, 3, 5 , 9, 16, 25, 27, 50; acid orange 6, 7, 8, 10, 12, 50, 51, 52, 56, 63, 74, 95; acidred 1, 4, 8, 14, 17, 18, 26, 27, 29, 31, 34, 35, 37, 42, 44, 50, 51, 52, 57, 66, 73, 8 0, 87, 88, 91, 92, 94, 97, 103, 111, 114, 129, 133, 134, 138, 143, 145, 150, 151, 158, 176, 183, 198, 211, 215, 216 217,249,252,257,260,266,274; acid violet 6B, 7,9,17,19; acid yellow 1,3,7,9,11,17,23,25,29,34,36, 42, 54, 72, 73, 76, 79, 98, 99, 111, 112, 114, 116, 184, 243; Food Yellow 3; and derivatives of these dyes.
また、上記以外の、アゾ系、キサンテン系、フタロシアニン系の酸性染料も好ましく、C.I.(カラーインデックス)Solvent Blue 44、38;C.I.Solvent orange 45;Rhodamine B、Rhodamine 110等の酸性染料及びこれらの染料の誘導体も好ましく用いられる。 Other than the above, azo, xanthene and phthalocyanine acid dyes are also preferred. I. (Color Index) Solvent Blue 44, 38; I. Acid dyes such as Solvent range 45; Rhodamine B and Rhodamine 110 and derivatives of these dyes are also preferably used.
なかでも、着色剤としては、トリアリールメタン系、アントラキノン系、アゾメチン系、ベンジリデン系、オキソノール系、シアニン系、フェノチアジン系、ピロロピラゾールアゾメチン系、キサンテン系、フタロシアニン系、ベンゾピラン系、インジゴ系、ピラゾールアゾ系、アニリノアゾ系、ピラゾロトリアゾールアゾ系、ピリドンアゾ系、アントラピリドン系、ピロメテン系から選ばれる着色剤であることが好ましい。 Among them, as the colorant, triarylmethane, anthraquinone, azomethine, benzylidene, oxonol, cyanine, phenothiazine, pyrrolopyrazole azomethine, xanthene, phthalocyanine, benzopyran, indigo, pyrazole azo It is preferable that the colorant is selected from a series, anilinoazo, pyrazolotriazole azo, pyridone azo, anthrapyridone, and pyromethene.
より具体的には、下記一般式(1)で表される化合物が金属原子又は金属化合物に配位したジピロメテン系色素が、耐光性、耐熱性の点で、好適に用いられる。 More specifically, a dipyrromethene dye in which a compound represented by the following general formula (1) is coordinated to a metal atom or a metal compound is preferably used in terms of light resistance and heat resistance.
上記一般式(1)中、R1~R6は、各々独立に、水素原子、又は1価の置換基を表し、R7は水素原子、ハロゲン原子、アルキル基、アリール基、又はヘテロ環基を表す。 In the general formula (1), R 1 to R 6 each independently represents a hydrogen atom or a monovalent substituent, and R 7 represents a hydrogen atom, a halogen atom, an alkyl group, an aryl group, or a heterocyclic group. Represents.
一般式(1)で表される化合物の詳細については、特開2011-095732号公報の段落0035~0075の記載を参酌でき、これらの内容は本明細書に組み込まれる。さらに、本発明で好ましく用いられるピロメテン系色素の具体例としては、特開2011-095732号公報の段落0118~0130に記載の色素ユニットおよびその原料モノマーが例示され、これらの内容は本明細書に組み込まれる。
一例として、後述する実施例で用いられる染料(A-1)が例示される。
上述した色素(A)以外の公知の染料としては、例えば特開昭64-90403号公報、特開昭64-91102号公報、特開平1-94301号公報、特開平6-11614号公報、特登2592207号、米国特許4808501号明細書、米国特許5667920号明細書、米国特許505950号明細書、米国特許5667920号明細書、特開平5-333207号公報、特開平6-35183号公報、特開平6-51115号公報、特開平6-194828号公報等に開示されている色素を使用できる。化学構造としては、ピラゾールアゾ系、ピロメテン系、アニリノアゾ系、トリアリールメタン系、アントラキノン系、ベンジリデン系、オキソノール系、ピラゾロトリアゾールアゾ系、ピリドンアゾ系、シアニン系、フェノチアジン系、ピロロピラゾールアゾメチン系等の染料を使用できる。
また、染料としては色素多量体を用いてもよい。色素多量体としては、特開2011-213925号公報、特開2013-041097号公報に記載されている化合物が挙げられる。後述する実施例で使用する化合物A-1も本発明で用いる好ましいピロメテン色素の例に該当する。
Details of the compound represented by the general formula (1) can be referred to the descriptions in paragraphs 0035 to 0075 of JP2011-095732A, the contents of which are incorporated herein. Furthermore, specific examples of the pyromethene dyes preferably used in the present invention include the dye units and raw material monomers described in paragraphs 0118 to 0130 of JP2011-095732A, the contents of which are described in this specification. Incorporated.
As an example, a dye (A-1) used in Examples described later is exemplified.
Known dyes other than the above-mentioned pigment (A) include, for example, JP-A 64-90403, JP-A 64-91102, JP-A-1-94301, JP-A-6-11614, No. 2592207, U.S. Pat. No. 4,808,501, U.S. Pat. No. 5,667,920, U.S. Pat.No. 505950, U.S. Pat. The dyes disclosed in JP-A-6-51115 and JP-A-6-194828 can be used. The chemical structure includes pyrazole azo, pyromethene, anilinoazo, triarylmethane, anthraquinone, benzylidene, oxonol, pyrazolotriazole azo, pyridone azo, cyanine, phenothiazine, pyrrolopyrazole azomethine, etc. Dyes can be used.
A dye multimer may be used as the dye. Examples of the dye multimer include compounds described in JP2011-213925A and JP2013-041097A. Compound A-1 used in Examples described later also corresponds to an example of a preferred pyromethene dye used in the present invention.
<<<顔料>>>
本発明で用いられる顔料としては、有機顔料でも無機顔料でもよい。
無機顔料としては、金属酸化物、金属錯塩等で示される金属化合物を挙げることができ、具体的には、鉄、コバルト、アルミニウム、カドミウム、鉛、銅、チタン、マグネシウム、クロム、亜鉛、アンチモン等の金属酸化物、および上述した金属の複合酸化物、カーボンブラック、チタンブラック等の黒色顔料を挙げることができる。
<<< Pigment >>>>
The pigment used in the present invention may be an organic pigment or an inorganic pigment.
Examples of inorganic pigments include metal compounds represented by metal oxides, metal complex salts, and the like. Specifically, iron, cobalt, aluminum, cadmium, lead, copper, titanium, magnesium, chromium, zinc, antimony, etc. And black pigments such as the above-described metal complex oxides, carbon black, and titanium black.
有機顔料としては、例えば、
C.I.ピグメントイエロー11,24,31,53,83,93,99,108,109,110,138,139,147,150,151,154,155,167,180,185,199;
C.I.ピグメントオレンジ36,38,43,71;
C.I.ピグメントレッド81,105,122,149,150,155,171,175,176,177,179,209,220,224,242,254,255,264,270;
C.I.ピグメントバイオレット19,23,32,39;
C.I.ピグメントブルー1,2,15,15:1,15:3,15:6,16,22,60,66;
C.I.ピグメントグリーン7,36,37,58;
C.I.ピグメントブラウン25,28;
C.I.ピグメントブラック1;等を挙げることができる。
As an organic pigment, for example,
C. I. Pigment yellow 11,24,31,53,83,93,99,108,109,110,138,139,147,150,151,154,155,167,180,185,199;
C. I. Pigment orange 36, 38, 43, 71;
C. I. Pigment red 81,105,122,149,150,155,171,175,176,177,179,209,220,224,242,254,255,264,270;
C. I. Pigment violet 19, 23, 32, 39;
C. I. Pigment Blue 1, 2, 15, 15: 1, 15: 3, 15: 6, 16, 22, 60, 66;
C. I. Pigment green 7, 36, 37, 58;
C. I. Pigment brown 25, 28;
C. I. Pigment black 1; and the like.
本発明において好ましく用いることができる顔料として、以下のものを挙げることができる。但し本発明は、これらに限定されるものではない。
C.I.ピグメントイエロー11,24,108,109,110,138,139,150,151,154,167,180,185,
C.I.ピグメントオレンジ36,71,
C.I.ピグメントレッド122,150,171,175,177,209,224,242,254,255,264,
C.I.ピグメントバイオレット19,23,32,
C.I.ピグメントブルー15:1,15:3,15:6,16,22,60,66,
C.I.ピグメントグリーン7,36,37,58;
C.I.ピグメントブラック1,7
Examples of the pigment that can be preferably used in the present invention include the following. However, the present invention is not limited to these.
C. I. Pigment Yellow 11, 24, 108, 109, 110, 138, 139, 150, 151, 154, 167, 180, 185
C. I. Pigment orange 36, 71,
C. I. Pigment Red 122, 150, 171, 175, 177, 209, 224, 242, 254, 255, 264
C. I. Pigment violet 19, 23, 32,
C. I. Pigment Blue 15: 1, 15: 3, 15: 6, 16, 22, 60, 66,
C. I. Pigment green 7, 36, 37, 58;
C. I. Pigment Black 1,7
これら有機顔料は、単独もしくは、分光の調整や色純度を上げるために種々組合せて用いることができる。上記組合せの具体例を以下に示す。例えば、赤の顔料として、アントラキノン系顔料、ペリレン系顔料、ジケトピロロピロール系顔料単独またはそれらの少なくとも一種と、ジスアゾ系黄色顔料、イソインドリン系黄色顔料、キノフタロン系黄色顔料またはペリレン系赤色顔料との混合などを用いることができる。例えば、アントラキノン系顔料としては、C.I.ピグメントレッド177が挙げられ、ペリレン系顔料としては、C.I.ピグメントレッド155、C.I.ピグメントレッド224が挙げられ、ジケトピロロピロール系顔料としては、C.I.ピグメントレッド254が挙げられ、色分解性の点でC.I.ピグメントイエロー139との混合が好ましい。また、赤色顔料と黄色顔料との質量比は、100:5~100:50が好ましく、100:10~100:30の範囲がより好ましい。赤色顔料同士の組み合わせの場合は、求める分光に併せて調整することができる。 These organic pigments can be used alone or in various combinations in order to adjust the spectrum and increase the color purity. Specific examples of the above combinations are shown below. For example, as a red pigment, an anthraquinone pigment, a perylene pigment, a diketopyrrolopyrrole pigment alone or at least one of them, a disazo yellow pigment, an isoindoline yellow pigment, a quinophthalone yellow pigment or a perylene red pigment A mixture of these can be used. For example, as an anthraquinone pigment, C.I. I. Pigment red 177, and perylene pigments include C.I. I. Pigment red 155, C.I. I. Pigment Red 224, and diketopyrrolopyrrole pigments include C.I. I. Pigment Red 254, and C.I. I. Mixing with Pigment Yellow 139 is preferred. The mass ratio of the red pigment to the yellow pigment is preferably from 100: 5 to 100: 50, and more preferably from 100: 10 to 100: 30. In the case of a combination of red pigments, it can be adjusted in accordance with the desired spectrum.
また、緑色顔料としては、ハロゲン化フタロシアニン系顔料を単独で、または、これとジスアゾ系黄色顔料、キノフタロン系黄色顔料、アゾメチン系黄色顔料若しくはイソインドリン系黄色顔料との混合を用いることができる。例えば、このような例としては、C.I.ピグメントグリーン7、36、37とC.I.ピグメントイエロー83、C.I.ピグメントイエロー138、C.I.ピグメントイエロー139、C.I.ピグメントイエロー150、C.I.ピグメントイエロー180またはC.I.ピグメントイエロー185との混合が好ましい。緑色顔料と黄色顔料との質量比は、100:5~100:150が好ましく、100:30~100:120の範囲がより好ましい。 Further, as the green pigment, a halogenated phthalocyanine pigment can be used alone, or a mixture thereof with a disazo yellow pigment, a quinophthalone yellow pigment, an azomethine yellow pigment or an isoindoline yellow pigment can be used. For example, C.I. I. Pigment Green 7, 36, 37 and C.I. I. Pigment yellow 83, C.I. I. Pigment yellow 138, C.I. I. Pigment yellow 139, C.I. I. Pigment yellow 150, C.I. I. Pigment yellow 180 or C.I. I. Mixing with Pigment Yellow 185 is preferred. The mass ratio of the green pigment to the yellow pigment is preferably 100: 5 to 100: 150, and more preferably 100: 30 to 100: 120.
青色顔料としては、フタロシアニン系顔料を単独で、若しくはこれとジオキサジン系紫色顔料との混合を用いることができる。例えばC.I.ピグメントブルー15:6とC.I.ピグメントバイオレット23との混合が好ましい。青色顔料と紫色顔料との質量比は、100:0~100:100が好ましい。 As the blue pigment, a phthalocyanine pigment can be used alone, or a mixture of this with a dioxazine purple pigment can be used. For example, C.I. I. Pigment blue 15: 6 and C.I. I. Mixing with pigment violet 23 is preferred. The mass ratio of the blue pigment to the violet pigment is preferably 100: 0 to 100: 100.
また、ブラックマトリックス用の顔料としては、カーボン、チタンブラック、酸化鉄、酸化チタン単独または混合が用いられ、カーボンとチタンブラックとの組合せが好ましい。また、カーボンとチタンブラックとの質量比は、100:0~100:60の範囲が好ましい。 Further, as the pigment for the black matrix, carbon, titanium black, iron oxide, titanium oxide alone or a mixture thereof is used, and a combination of carbon and titanium black is preferable. The mass ratio of carbon to titanium black is preferably in the range of 100: 0 to 100: 60.
顔料の一次粒子径は、着色組成物をカラーフィルタ用として用いる場合には、色ムラやコントラストの観点から、100nm以下であることが好ましく、また、分散安定性の観点から5nm以上であることが好ましい。顔料の平均一次粒子径としてより好ましくは、5~75nmであり、さらに好ましくは5~55nmであり、特に好ましくは5~35nmである。
顔料の平均一次粒子径は、電子顕微鏡等の公知の方法で測定することができる。
When the colored composition is used for a color filter, the primary particle diameter of the pigment is preferably 100 nm or less from the viewpoint of color unevenness and contrast, and is preferably 5 nm or more from the viewpoint of dispersion stability. preferable. The average primary particle diameter of the pigment is more preferably 5 to 75 nm, further preferably 5 to 55 nm, and particularly preferably 5 to 35 nm.
The average primary particle diameter of the pigment can be measured by a known method such as an electron microscope.
<<顔料分散剤>>
本発明の着色組成物が顔料を有する場合は、顔料分散剤を、所望により併用することができる。
本発明に用いうる顔料分散剤としては、高分子分散剤〔例えば、ポリアミドアミンとその塩、ポリカルボン酸とその塩、高分子量不飽和酸エステル、変性ポリウレタン、変性ポリエステル、変性ポリ(メタ)アクリレート、(メタ)アクリル系共重合体、ナフタレンスルホン酸ホルマリン縮合物〕、および、ポリオキシエチレンアルキルリン酸エステル、ポリオキシエチレンアルキルアミン、アルカノールアミン等の界面活性剤、および、顔料誘導体等を挙げることができる。
高分子分散剤は、その構造からさらに直鎖状高分子、末端変性型高分子、グラフト型高分子、ブロック型高分子に分類することができる。
分散剤の詳細としては、特開2014-130344号公報の段落0098~0102の記載を参酌でき、これらの内容は本明細書に組み込まれる。
<< Pigment dispersant >>
When the coloring composition of the present invention has a pigment, a pigment dispersant can be used in combination as desired.
Examples of pigment dispersants that can be used in the present invention include polymer dispersants [for example, polyamidoamines and salts thereof, polycarboxylic acids and salts thereof, high molecular weight unsaturated acid esters, modified polyurethanes, modified polyesters, and modified poly (meth) acrylates. , (Meth) acrylic copolymers, naphthalenesulfonic acid formalin condensates], and surfactants such as polyoxyethylene alkyl phosphate esters, polyoxyethylene alkyl amines, alkanol amines, and pigment derivatives, etc. Can do.
The polymer dispersant can be further classified into a linear polymer, a terminal-modified polymer, a graft polymer, and a block polymer according to the structure.
Details of the dispersant can be referred to the description in paragraphs 0098 to 0102 of JP-A-2014-130344, and the contents thereof are incorporated in the present specification.
これらの顔料分散剤は、単独で使用してもよく、2種以上を組み合わせて使用してもよい。本発明においては、特に、顔料誘導体と高分子分散剤とを組み合わせて使用することが好ましい。また、顔料分散剤は、上記顔料表面へのアンカー部位を有する末端変性型高分子、グラフト型高分子、ブロック型高分子と伴に、アルカリ可溶性樹脂と併用して用いても良い。アルカリ可溶性樹脂としては、(メタ)アクリル酸共重合体、イタコン酸共重合体、クロトン酸共重合体、マレイン酸共重合体、部分エステル化マレイン酸共重合体等、並びに側鎖にカルボン酸を有する酸性セルロース誘導体、が挙げられるが、特に(メタ)アクリル酸共重合体が好ましい。また、特開平10-300922号公報に記載のN位置換マレイミドモノマー共重合体、特開2004-300204号公報に記載のエーテルダイマー共重合体、特開平7-319161号公報に記載の重合性基を含有するアルカリ可溶性樹脂も好ましい。具体的には、アルカリ可溶性樹脂:メタクリル酸ベンジル/メタクリル酸/メタクリル酸-2-ヒドロキシエチル共重合体が例示される。
市販品としては、BY-161(BYK製)が例示される。
These pigment dispersants may be used alone or in combination of two or more. In the present invention, it is particularly preferable to use a combination of a pigment derivative and a polymer dispersant. The pigment dispersant may be used in combination with an alkali-soluble resin together with the terminal-modified polymer, graft polymer, or block polymer having an anchor site to the pigment surface. Alkali-soluble resins include (meth) acrylic acid copolymer, itaconic acid copolymer, crotonic acid copolymer, maleic acid copolymer, partially esterified maleic acid copolymer, etc., and carboxylic acid in the side chain. Examples thereof include acidic cellulose derivatives, and (meth) acrylic acid copolymers are particularly preferable. Further, N-substituted maleimide monomer copolymers described in JP-A-10-300922, an ether dimer copolymer described in JP-A-2004-300204, and a polymerizable group described in JP-A-7-319161. An alkali-soluble resin containing is also preferred. Specifically, an alkali-soluble resin: benzyl methacrylate / methacrylic acid / methacrylic acid-2-hydroxyethyl copolymer is exemplified.
Examples of commercially available products include BY-161 (manufactured by BYK).
着色組成物において、顔料分散剤を含有する場合、顔料分散剤の総含有量としては、顔料100質量部に対して、1質量部~80質量部であることが好ましく、5質量部~70質量部がより好ましく、10質量部~60質量部であることがさらに好ましい。特定分散樹脂は、着色組成物に含有される分散剤成分のうち、50質量%以上であることが好ましく、60質量%以上であることがより好ましく、70質量%以上であることがさらに好ましい。
本発明の着色組成物は、顔料分散剤を、それぞれ、1種類のみを含んでいてもよいし、2種類以上含んでいてもよい。2種類以上含む場合は、その合計量が上記範囲となることが好ましい。
When the coloring composition contains a pigment dispersant, the total content of the pigment dispersant is preferably 1 part by weight to 80 parts by weight with respect to 100 parts by weight of the pigment, and 5 parts by weight to 70 parts by weight. More preferred is 10 parts by mass to 60 parts by mass. The specific dispersing resin is preferably 50% by mass or more, more preferably 60% by mass or more, and further preferably 70% by mass or more, among the dispersant components contained in the coloring composition.
The coloring composition of the present invention may contain only one type of pigment dispersant, or two or more types of pigment dispersants. When two or more types are included, the total amount is preferably within the above range.
<<アルカリ可溶性樹脂>>
本発明の硬化性組成物または着色組成物は、さらに、アルカリ可溶性樹脂を含有してもよい。なお、アルカリ可溶性樹脂は、顔料分散剤として用いることもできる。
アルカリ可溶性樹脂としては、線状有機高分子重合体であって、分子(好ましくは、アクリル系共重合体、スチレン系共重合体を主鎖とする分子)中に少なくとも1つのアルカリ可溶性を促進する基を有するアルカリ可溶性樹脂の中から適宜選択することができる。耐熱性の観点からは、ポリヒドロキシスチレン系樹脂、ポリシロキサン系樹脂、アクリル系樹脂、アクリルアミド系樹脂、アクリル/アクリルアミド共重合体樹脂が好ましく、現像性制御の観点からは、アクリル系樹脂、アクリルアミド系樹脂、アクリル/アクリルアミド共重合体樹脂が好ましい。
<< Alkali-soluble resin >>
The curable composition or colored composition of the present invention may further contain an alkali-soluble resin. The alkali-soluble resin can also be used as a pigment dispersant.
The alkali-soluble resin is a linear organic polymer, and promotes at least one alkali-solubility in a molecule (preferably a molecule having an acrylic copolymer or a styrene copolymer as a main chain). It can be suitably selected from alkali-soluble resins having a group. From the viewpoint of heat resistance, polyhydroxystyrene resins, polysiloxane resins, acrylic resins, acrylamide resins, and acryl / acrylamide copolymer resins are preferable. From the viewpoint of development control, acrylic resins and acrylamide resins are preferable. Resins and acrylic / acrylamide copolymer resins are preferred.
アルカリ可溶性を促進する基(以下、酸基ともいう)としては、例えば、カルボキシル基、リン酸基、スルホン酸基、フェノール性水酸基などが挙げられるが、溶剤に可溶で弱アルカリ水溶液により現像可能なものが好ましく、(メタ)アクリル酸が特に好ましいものとして挙げられる。これら酸基は、1種のみであってもよいし、2種以上であってもよい。 Examples of the group that promotes alkali solubility (hereinafter also referred to as an acid group) include a carboxyl group, a phosphoric acid group, a sulfonic acid group, and a phenolic hydroxyl group, but are soluble in a solvent and can be developed with a weak alkaline aqueous solution. Of these, (meth) acrylic acid is particularly preferred. These acid groups may be used alone or in combination of two or more.
重合後に酸基を付与しうるモノマーとしては、例えば、2-ヒドロキシエチル(メタ)アクリレート等の水酸基を有するモノマー、グリシジル(メタ)アクリレート等のエポキシ基を有するモノマー、2-イソシアナートエチル(メタ)アクリレート等のイソシアネート基を有するモノマー等が挙げられる。これら酸基を導入するためのモノマーは、1種のみであってもよいし、2種以上であってもよい。アルカリ可溶性樹脂に酸基を導入するには、例えば、酸基を有するモノマーおよび/または重合後に酸基を付与しうるモノマーを、モノマー成分として重合するようにすればよい。 Examples of the monomer that can give an acid group after polymerization include, for example, a monomer having a hydroxyl group such as 2-hydroxyethyl (meth) acrylate, a monomer having an epoxy group such as glycidyl (meth) acrylate, and 2-isocyanatoethyl (meth). And monomers having an isocyanate group such as acrylate. Only one type of monomer for introducing these acid groups may be used, or two or more types may be used. In order to introduce an acid group into the alkali-soluble resin, for example, a monomer having an acid group and / or a monomer capable of giving an acid group after polymerization may be polymerized as a monomer component.
アルカリ可溶性樹脂の製造には、例えば、公知のラジカル重合法による方法を適用することができる。ラジカル重合法でアルカリ可溶性樹脂を製造する際の温度、圧力、ラジカル開始剤の種類およびその量、溶媒の種類等々の重合条件は、当業者において容易に設定可能であり、実験的に条件を定めるようにすることもできる。 For the production of the alkali-soluble resin, for example, a known radical polymerization method can be applied. Polymerization conditions such as temperature, pressure, type and amount of radical initiator, type of solvent, etc. when producing an alkali-soluble resin by radical polymerization can be easily set by those skilled in the art, and the conditions are determined experimentally. It can also be done.
アルカリ可溶性樹脂として用いられる線状有機高分子重合体としては、側鎖にカルボン酸を有するポリマーが好ましく、メタクリル酸共重合体、アクリル酸共重合体、イタコン酸共重合体、クロトン酸共重合体、マレイン酸共重合体、部分エステル化マレイン酸共重合体、ノボラック型樹脂などのアルカリ可溶性フェノール樹脂等、並びに側鎖にカルボン酸を有する酸性セルロース誘導体、水酸基を有するポリマーに酸無水物を付加させたもの挙げられる。特に、(メタ)アクリル酸と、これと共重合可能な他のモノマーとの共重合体が、アルカリ可溶性樹脂として好適である。(メタ)アクリル酸と共重合可能な他のモノマーとしては、アルキル(メタ)アクリレート、アリール(メタ)アクリレート、ビニル化合物などが挙げられる。アルキル(メタ)アクリレートおよびアリール(メタ)アクリレートとしては、メチル(メタ)アクリレート、エチル(メタ)アクリレート、プロピル(メタ)アクリレート、ブチル(メタ)アクリレート、イソブチル(メタ)アクリレート、ペンチル(メタ)アクリレート、ヘキシル(メタ)アクリレート、オクチル(メタ)アクリレート、フェニル(メタ)アクリレート、ベンジル(メタ)アクリレート、トリル(メタ)アクリレート、ナフチル(メタ)アクリレート、シクロヘキシル(メタ)アクリレート等、ビニル化合物としては、スチレン、α-メチルスチレン、ビニルトルエン、グリシジルメタクリレート、アクリロニトリル、ビニルアセテート、N-ビニルピロリドン、テトラヒドロフルフリルメタクリレート、ポリスチレンマクロモノマー、ポリメチルメタクリレートマクロモノマー等、特開平10-300922号公報に記載のN位置換マレイミドモノマーとして、N―フェニルマレイミド、N-シクロヘキシルマレイミド等を挙げることができる。なお、これらの(メタ)アクリル酸と共重合可能な他のモノマーは1種のみであってもよいし、2種以上であってもよい。 As the linear organic polymer used as the alkali-soluble resin, a polymer having a carboxylic acid in the side chain is preferable, such as a methacrylic acid copolymer, an acrylic acid copolymer, an itaconic acid copolymer, and a crotonic acid copolymer. , Maleic acid copolymers, partially esterified maleic acid copolymers, alkali-soluble phenolic resins such as novolak resins, etc., acid cellulose derivatives having a carboxylic acid in the side chain, and acid anhydrides added to polymers having a hydroxyl group. Can be mentioned. In particular, a copolymer of (meth) acrylic acid and another monomer copolymerizable therewith is suitable as the alkali-soluble resin. Examples of other monomers copolymerizable with (meth) acrylic acid include alkyl (meth) acrylates, aryl (meth) acrylates, and vinyl compounds. As alkyl (meth) acrylate and aryl (meth) acrylate, methyl (meth) acrylate, ethyl (meth) acrylate, propyl (meth) acrylate, butyl (meth) acrylate, isobutyl (meth) acrylate, pentyl (meth) acrylate, Examples of vinyl compounds such as hexyl (meth) acrylate, octyl (meth) acrylate, phenyl (meth) acrylate, benzyl (meth) acrylate, tolyl (meth) acrylate, naphthyl (meth) acrylate, cyclohexyl (meth) acrylate, styrene, α-methylstyrene, vinyltoluene, glycidyl methacrylate, acrylonitrile, vinyl acetate, N-vinylpyrrolidone, tetrahydrofurfuryl methacrylate, polystyrene Macromonomer, polymethylmethacrylate macromonomer, as N-position-substituted maleimide monomer described in JP-A-10-300922, may be mentioned N- phenylmaleimide, an N- cyclohexyl maleimide and the like. In addition, only 1 type may be sufficient as the other monomer copolymerizable with these (meth) acrylic acids, and 2 or more types may be sufficient as it.
アルカリ可溶性樹脂としては、下記一般式(ED)で示される化合物および/または下記一般式(ED2)で表される化合物(以下、これらの化合物を「エーテルダイマー」と称することもある。)を必須成分とするモノマー成分を重合してなるポリマー(a)を含むことも好ましい。 As the alkali-soluble resin, a compound represented by the following general formula (ED) and / or a compound represented by the following general formula (ED2) (hereinafter, these compounds may be referred to as “ether dimers”) are essential. It is also preferable to include a polymer (a) obtained by polymerizing a monomer component as a component.
一般式(ED)中、R1およびR2は、それぞれ独立して、水素原子または置換基を有していてもよい炭素数1~25の炭化水素基を表す。 In general formula (ED), R 1 and R 2 each independently represent a hydrogen atom or a hydrocarbon group having 1 to 25 carbon atoms which may have a substituent.
一般式(ED2)中、Rは、水素原子または炭素数1~30の有機基を表す。一般式(ED2)の具体例としては、特開2010-168539号公報の記載を参酌できる。
In general formula (ED2), R represents a hydrogen atom or an organic group having 1 to 30 carbon atoms. As a specific example of the general formula (ED2), the description in JP 2010-168539 A can be referred to.
これにより、本発明の硬化性組成物または着色組成物は、耐熱性とともに透明性にも極めて優れた硬化膜を形成しうる。一般式(ED)中、R1およびR2で表される、置換基を有していてもよい炭素数1~25の炭化水素基としては、特に制限はないが、例えば、メチル、エチル、n-プロピル、イソプロピル、n-ブチル、イソブチル、tert-ブチル、tert-アミル、ステアリル、ラウリル、2-エチルヘキシル等の直鎖状または分岐状のアルキル基;フェニル等のアリール基;シクロヘキシル、tert-ブチルシクロヘキシル、ジシクロペンタジエニル、トリシクロデカニル、イソボルニル、アダマンチル、2-メチル-2-アダマンチル等の脂環式基;1-メトキシエチル、1-エトキシエチル等のアルコキシで置換されたアルキル基;ベンジル等のアリール基で置換されたアルキル基;等が挙げられる。これらの中でも特に、メチル、エチル、シクロヘキシル、ベンジル等のような酸や熱で脱離しにくい1級または2級炭素の置換基が耐熱性の点で好ましい。 Thereby, the curable composition or coloring composition of this invention can form the cured film which was extremely excellent also in heat resistance and transparency. In the general formula (ED), the hydrocarbon group having 1 to 25 carbon atoms which may have a substituent represented by R 1 and R 2 is not particularly limited, and examples thereof include methyl, ethyl, linear or branched alkyl groups such as n-propyl, isopropyl, n-butyl, isobutyl, tert-butyl, tert-amyl, stearyl, lauryl, 2-ethylhexyl; aryl groups such as phenyl; cyclohexyl, tert-butyl An alicyclic group such as cyclohexyl, dicyclopentadienyl, tricyclodecanyl, isobornyl, adamantyl and 2-methyl-2-adamantyl; an alkyl group substituted with alkoxy such as 1-methoxyethyl and 1-ethoxyethyl; An alkyl group substituted with an aryl group such as benzyl; and the like. Among these, an acid such as methyl, ethyl, cyclohexyl, benzyl or the like, or a primary or secondary carbon substituent which is difficult to be removed by heat is preferable from the viewpoint of heat resistance.
エーテルダイマーの具体例としては、例えば、特開2014-041301号公報の段落0042の記載を参酌でき、これらの内容は本明細書に組み込まれる。
これらエーテルダイマーは、1種のみであってもよいし、2種以上であってもよい。一般式(ED)で示される化合物由来の構造体は、その他のモノマーを共重合させてもよい。
As specific examples of the ether dimer, for example, the description in paragraph 0042 of JP-A-2014-041301 can be referred to, and the contents thereof are incorporated in the present specification.
These ether dimers may be only one kind or two or more kinds. The structure derived from the compound represented by the general formula (ED) may be copolymerized with other monomers.
アルカリ可溶性樹脂は、下記式(X)で示されるエチレン性不飽和化合物に由来する構造単位を含んでいてもよい。
一般式(X)
The alkali-soluble resin may contain a structural unit derived from an ethylenically unsaturated compound represented by the following formula (X).
Formula (X)
(式(X)において、R1は、水素原子またはメチル基を表し、R2は炭素数2~10のアルキレン基を表し、R3は、水素原子またはベンゼン環を含んでもよい炭素数1~20のアルキル基を表す。nは1~15の整数を表す。)
(In Formula (X), R 1 represents a hydrogen atom or a methyl group, R 2 represents an alkylene group having 2 to 10 carbon atoms, and R 3 represents a hydrogen atom or a benzene ring which may contain a benzene ring. And represents an alkyl group of 20. n represents an integer of 1 to 15.)
上記式(X)において、R2のアルキレン基の炭素数は、2~3が好ましい。また、R3のアルキル基の炭素数は1~20であるが、より好ましくは1~10であり、R3のアルキル基はベンゼン環を含んでもよい。R3で表されるベンゼン環を含むアルキル基としては、ベンジル基、2-フェニル(イソ)プロピル基等を挙げることができる。 In the above formula (X), the alkylene group of R 2 preferably has 2 to 3 carbon atoms. The alkyl group of R 3 has 1 to 20 carbon atoms, more preferably 1 to 10, and the alkyl group of R 3 may contain a benzene ring. Examples of the alkyl group containing a benzene ring represented by R 3 include a benzyl group and a 2-phenyl (iso) propyl group.
また、本発明における着色組成物の架橋効率を向上させるために、重合性基を有したアルカリ可溶性樹脂を使用してもよい。重合性基を有したアルカリ可溶性樹脂としては、アリル基、(メタ)アクリル基、アリルオキシアルキル基等を側鎖に含有したアルカリ可溶性樹脂等が有用である。上述の重合性基を含有するアルカリ可溶性樹脂の例としては、ダイヤナ-ルNRシリーズ(三菱レイヨン製)、Photomer6173(COOH含有 polyurethane acrylic oligomer. Diamond Shamrock Co.Ltd.,製)、ビスコートR-264、KSレジスト106(いずれも大阪有機化学工業製)、サイクロマーPシリーズ、プラクセル CF200シリーズ(いずれもダイセル化学工業製)、Ebecryl3800(ダイセルユーシービー製)などが挙げられる。これら重合性基を含有するアルカリ可溶性樹脂としては、予めイソシアネート基とOH基を反応させ、未反応のイソシアネート基を1つ残し、かつ(メタ)アクリロイル基を含む化合物とカルボキシル基を含むアクリル系樹脂との反応によって得られるウレタン変性した重合性二重結合含有アクリル系樹脂、カルボキシル基を含むアクリル系樹脂と分子内にエポキシ基および重合性二重結合を共に有する化合物との反応によって得られる不飽和基含有アクリル系樹脂、酸ペンダント型エポキシアクリレート樹脂、OH基を含むアクリル系樹脂と重合性二重結合を有する2塩基酸無水物を反応させた重合性二重結合含有アクリル系樹脂、OH基を含むアクリル系樹脂とイソシアネートと重合性基を有する化合物を反応させた樹脂、特開2002-229207号公報および特開2003-335814号公報に記載されるα位またはβ位にハロゲン原子或いはスルホネート基などの脱離基を有するエステル基を側鎖に有する樹脂を、塩基性処理することで得られる樹脂などが好ましい。また、アクリキュア-RD-F8(日本触媒製)も好ましい。 Moreover, in order to improve the crosslinking efficiency of the colored composition in the present invention, an alkali-soluble resin having a polymerizable group may be used. As the alkali-soluble resin having a polymerizable group, an alkali-soluble resin containing an allyl group, a (meth) acryl group, an allyloxyalkyl group or the like in the side chain is useful. Examples of the alkali-soluble resin containing a polymerizable group as described above include: Dial NR series (manufactured by Mitsubishi Rayon), Photomer 6173 (COOH-containing polyurethane acrylic oligomer. Diamond Shamrock Co.Ltd.), Biscote R-264, KS resist 106 (all manufactured by Osaka Organic Chemical Industry), Cyclomer P series, Plaxel CF200 series (all manufactured by Daicel Chemical Industries), Ebecryl 3800 (manufactured by Daicel UCB), and the like. As the alkali-soluble resin containing these polymerizable groups, an isocyanate resin and an OH group are reacted in advance to leave one unreacted isocyanate group, and a compound containing a (meth) acryloyl group and an acrylic resin containing a carboxyl group. Unsaturation obtained by reaction of urethane-modified polymerizable double bond-containing acrylic resin obtained by reaction with acryl, acrylic resin containing carboxyl group and compound having both epoxy group and polymerizable double bond in the molecule Group-containing acrylic resin, acid pendant type epoxy acrylate resin, polymerizable double bond-containing acrylic resin obtained by reacting acrylic resin containing OH group with dibasic acid anhydride having polymerizable double bond, OH group A resin obtained by reacting an acrylic resin containing an isocyanate with a compound having a polymerizable group, The resin having an ester group having a leaving group such as a halogen atom or a sulfonate group at the α-position or β-position described in JP-A-229207 and JP-A-2003-335814 is obtained by basic treatment. Resins that can be used are preferred. Further, ACRYCURE-RD-F8 (manufactured by Nippon Shokubai) is also preferable.
アルカリ可溶性樹脂としては、特に、(メタ)アクリル酸ベンジル/(メタ)アクリル酸共重合体や(メタ)アクリル酸ベンジル/(メタ)アクリル酸/他のモノマーからなる多元共重合体が好適である。この他、2-ヒドロキシエチルメタクリレートを共重合した(メタ)アクリル酸ベンジル/(メタ)アクリル酸/(メタ)アクリル酸-2-ヒドロキシエチル共重合体、特開平7-140654号公報に記載の2-ヒドロキシプロピル(メタ)アクリレート/ポリスチレンマクロモノマー/ベンジルメタクリレート/メタクリル酸共重合体、2-ヒドロキシ-3-フェノキシプロピルアクリレート/ポリメチルメタクリレートマクロモノマー/ベンジルメタクリレート/メタクリル酸共重合体、2-ヒドロキシエチルメタクリレート/ポリスチレンマクロモノマー/メチルメタクリレート/メタクリル酸共重合体、2-ヒドロキシエチルメタクリレート/ポリスチレンマクロモノマー/ベンジルメタクリレート/メタクリル酸共重合体などが挙げられ、特に好ましくはメタクリル酸ベンジル/メタクリル酸の共重合体等が挙げられる。 As the alkali-soluble resin, in particular, a benzyl (meth) acrylate / (meth) acrylic acid copolymer or a multi-component copolymer composed of benzyl (meth) acrylate / (meth) acrylic acid / other monomers is suitable. . In addition, benzyl (meth) acrylate / (meth) acrylic acid / (meth) acrylic acid-2-hydroxyethyl copolymer copolymerized with 2-hydroxyethyl methacrylate, 2 described in JP-A-7-140654 -Hydroxypropyl (meth) acrylate / polystyrene macromonomer / benzyl methacrylate / methacrylic acid copolymer, 2-hydroxy-3-phenoxypropyl acrylate / polymethyl methacrylate macromonomer / benzyl methacrylate / methacrylic acid copolymer, 2-hydroxyethyl Methacrylate / polystyrene macromonomer / methyl methacrylate / methacrylic acid copolymer, 2-hydroxyethyl methacrylate / polystyrene macromonomer / benzyl methacrylate / methacrylic acid copolymer, etc. Gerare, particularly preferred examples include a copolymer of benzyl methacrylate / methacrylic acid.
アルカリ可溶性樹脂としては、特開2012-208494号公報段落0558~0571(対応する米国特許出願公開第2012/0235099号明細書の<0685>~<0700>)以降の記載を参酌でき、これらの内容は本明細書に組み込まれる。
さらに、特開2012-32767号公報に記載の段落番号0029~0063に記載の共重合体(B)および実施例で用いられているアルカリ可溶性樹脂、特開2012-208474号公報の段落番号0088~0098に記載のバインダー樹脂および実施例で用いられているバインダー樹脂、特開2012-137531号公報の段落番号0022~0032に記載のバインダー樹脂および実施例で用いられているバインダー樹脂、特開2013-024934号公報の段落番号0132~0143に記載のバインダー樹脂および実施例で用いられているバインダー樹脂、特開2011-242752号公報の段落番号0092~0098に記載のバインダー樹脂および実施例で用いられているバインダー樹脂、特開2012-032770号公報の段落番号0030~0072の記載のバインダー樹脂を用いること好ましい。これらの内容は本明細書に組み込まれる。より具体的には、下記の樹脂が好ましい。
下記において、nは1~10の整数である。
As the alkali-soluble resin, descriptions from JP2012-208494A paragraphs 0558 to 0571 (corresponding to <0685> to <0700> in the corresponding US Patent Application Publication No. 2012/0235099) can be referred to, and the contents thereof can be referred to. Are incorporated herein.
Further, the copolymer (B) described in paragraph Nos. 0029 to 0063 described in JP 2012-32767 A and the alkali-soluble resin used in Examples, paragraph Nos. 0088 to 2020 of JP 2012-208474 A The binder resin described in 0098 and the binder resin used in Examples, the binder resin described in Paragraph Nos. 0022 to 0032 of JP 2012-137531 B, and the binder resin used in Examples, Binder resin described in paragraph Nos. 0132 to 0143 of JP024934 A and binder resin used in Examples, and used in binder resin and Examples described in JP-A-2011-242752 paragraph Nos. 0092 to 0098 Binder resin, JP2012-032 It preferred to use a binder resin described in 70 JP paragraphs 0030-0072. These contents are incorporated herein. More specifically, the following resins are preferable.
In the following, n is an integer of 1 to 10.
また、以下に示すポリマーを用いることもできる。 Also, the following polymers can be used.
アルカリ可溶性樹脂は、本発明のポリマーを用いることも好ましい。本発明のポリマーは、耐熱性に優れているため、より耐熱性に優れた硬化膜を形成できる。
アルカリ可溶性樹脂の酸価は、30mgKOH/g~200mgKOH/gが好ましく、50mgKOH/g~150mgKOH/gがより好ましく、70mgKOH/g~120mgKOH/gが特に好ましい。
また、アルカリ可溶性樹脂の重量平均分子量(Mw)としては、2,000~50,000が好ましく、5,000~30,000がさらに好ましく、7,000~20,000が特に好ましい。
It is also preferable to use the polymer of the present invention as the alkali-soluble resin. Since the polymer of this invention is excellent in heat resistance, it can form the cured film more excellent in heat resistance.
The acid value of the alkali-soluble resin is preferably 30 mgKOH / g to 200 mgKOH / g, more preferably 50 mgKOH / g to 150 mgKOH / g, and particularly preferably 70 mgKOH / g to 120 mgKOH / g.
The weight average molecular weight (Mw) of the alkali-soluble resin is preferably 2,000 to 50,000, more preferably 5,000 to 30,000, and particularly preferably 7,000 to 20,000.
本発明の硬化性組成物または着色組成物中にアルカリ可溶性樹脂を含有する場合、アルカリ可溶性樹脂の含有量としては、着色組成物の全固形分に対して、1~15質量%が好ましく、より好ましくは、2~12質量%であり、特に好ましくは、3~10質量%である。また、アルカリ可溶性樹脂として、本発明のポリマーを用いる場合、アルカリ可溶性樹脂の全固形分中に、本発明のポリマーを5~100質量%含有することが好ましい。下限は、10質量%以上がこのましく、20質量%以上がより好ましく、50質量%以上が更に好ましい。上限は、例えば95質量%以下とすることができ、90質量%以下とすることもできる。
本発明の硬化性組成物または着色組成物は、アルカリ可溶性樹脂を、1種類のみを含んでいてもよいし、2種類以上含んでいてもよい。2種類以上含む場合は、その合計量が上記範囲となることが好ましい。
When the curable composition or colored composition of the present invention contains an alkali-soluble resin, the content of the alkali-soluble resin is preferably 1 to 15% by mass with respect to the total solid content of the colored composition, The content is preferably 2 to 12% by mass, and particularly preferably 3 to 10% by mass. Further, when the polymer of the present invention is used as the alkali-soluble resin, it is preferable to contain 5 to 100% by mass of the polymer of the present invention in the total solid content of the alkali-soluble resin. The lower limit is preferably 10% by mass or more, more preferably 20% by mass or more, and further preferably 50% by mass or more. An upper limit can be 95 mass% or less, for example, and can also be 90 mass% or less.
The curable composition or colored composition of the present invention may contain only one type of alkali-soluble resin, or may contain two or more types. When two or more types are included, the total amount is preferably within the above range.
<<光重合開始剤>>
本発明の硬化性組成物または着色組成物は、さらに光重合開始剤を含有することが好ましい。
光重合開始剤としては、重合性化合物の重合を開始する能力を有する限り、特に制限はなく、公知の光重合開始剤の中から適宜選択することができる。例えば、紫外線領域から可視の光線に対して感光性を有するものが好ましい。また、光励起された増感剤と何らかの作用を生じ、活性ラジカルを生成する活性剤であってもよく、モノマーの種類に応じてカチオン重合を開始させるような開始剤であってもよい。
また、光重合開始剤は、約300nm~800nm(330nm~500nmがより好ましい。)の範囲内に少なくとも約50の分子吸光係数を有する化合物を、少なくとも1種含有していることが好ましい。
<< photopolymerization initiator >>
The curable composition or colored composition of the present invention preferably further contains a photopolymerization initiator.
The photopolymerization initiator is not particularly limited as long as it has the ability to initiate polymerization of a polymerizable compound, and can be appropriately selected from known photopolymerization initiators. For example, those having photosensitivity to visible light from the ultraviolet region are preferable. Further, it may be an activator that generates some action with a photoexcited sensitizer and generates an active radical, or may be an initiator that initiates cationic polymerization according to the type of monomer.
The photopolymerization initiator preferably contains at least one compound having a molecular extinction coefficient of at least about 50 within a range of about 300 nm to 800 nm (more preferably 330 nm to 500 nm).
光重合開始剤としては、例えば、ハロゲン化炭化水素誘導体(例えば、トリアジン骨格を有するもの、オキサジアゾール骨格を有するもの、など)、アシルホスフィンオキサイド等のアシルホスフィン化合物、ヘキサアリールビイミダゾール、オキシム誘導体等のオキシム化合物、有機過酸化物、チオ化合物、ケトン化合物、芳香族オニウム塩、ケトオキシムエーテル、アミノアセトフェノン化合物、ヒドロキシアセトフェノンなどが挙げられる。 Examples of the photopolymerization initiator include halogenated hydrocarbon derivatives (for example, those having a triazine skeleton, those having an oxadiazole skeleton, etc.), acylphosphine compounds such as acylphosphine oxide, hexaarylbiimidazole, and oxime derivatives. Oxime compounds such as organic peroxides, thio compounds, ketone compounds, aromatic onium salts, ketoxime ethers, aminoacetophenone compounds, and hydroxyacetophenones.
また、露光感度の観点から、トリハロメチルトリアジン化合物、ベンジルジメチルケタール化合物、α-ヒドロキシケトン化合物、α-アミノケトン化合物、アシルホスフィン化合物、フォスフィンオキサイド化合物、メタロセン化合物、オキシム化合物、トリアリルイミダゾールダイマー、オニウム化合物、ベンゾチアゾール化合物、ベンゾフェノン化合物、アセトフェノン化合物及びその誘導体、シクロペンタジエン-ベンゼン-鉄錯体及びその塩、ハロメチルオキサジアゾール化合物、3-アリール置換クマリン化合物からなる群より選択される化合物が好ましい。 From the viewpoint of exposure sensitivity, trihalomethyltriazine compounds, benzyldimethylketal compounds, α-hydroxyketone compounds, α-aminoketone compounds, acylphosphine compounds, phosphine oxide compounds, metallocene compounds, oxime compounds, triallylimidazole dimers, oniums Compounds selected from the group consisting of compounds, benzothiazole compounds, benzophenone compounds, acetophenone compounds and derivatives thereof, cyclopentadiene-benzene-iron complexes and salts thereof, halomethyloxadiazole compounds, and 3-aryl substituted coumarin compounds are preferred.
さらに好ましくは、トリハロメチルトリアジン化合物、α-アミノケトン化合物、アシルホスフィン化合物、フォスフィンオキサイド化合物、オキシム化合物、トリアリルイミダゾールダイマー、オニウム化合物、ベンゾフェノン化合物、アセトフェノン化合物であり、トリハロメチルトリアジン化合物、α-アミノケトン化合物、オキシム化合物、トリアリルイミダゾールダイマー、ベンゾフェノン化合物からなる群より選ばれる少なくとも一種の化合物が特に好ましい。市販品としては、TAZ-107(みどり化学製)が例示される。 More preferred are trihalomethyltriazine compound, α-aminoketone compound, acylphosphine compound, phosphine oxide compound, oxime compound, triallylimidazole dimer, onium compound, benzophenone compound, acetophenone compound, trihalomethyltriazine compound, α-aminoketone Particularly preferred is at least one compound selected from the group consisting of compounds, oxime compounds, triallylimidazole dimer, and benzophenone compounds. Examples of commercially available products include TAZ-107 (manufactured by Midori Chemical).
特に、本発明の着色組成物を固体撮像素子のカラーフィルタの作製に使用する場合には、微細なパターンをシャープな形状で形成する必要があるために、硬化性とともに未露光部に残渣がなく現像されることが重要である。このような観点からは、光重合開始剤としてはオキシム化合物を使用することが特に好ましい。特に、固体撮像素子において微細なパターンを形成する場合、硬化用露光にステッパー露光を用いるが、この露光機はハロゲンにより損傷される場合があり、光重合開始剤の添加量も低く抑える必要があるため、これらの点を考慮すれば、固体撮像素子の如き微細パターンを形成するには光重合開始剤としては、オキシム化合物を用いるのが特に好ましい。また、オキシム化合物を用いることにより、色移り性をより良化できる。
本発明に用いられる光重合開始剤の具体例としては、例えば、特開2013-29760号公報の段落0265~0268を参酌することができ、この内容は本明細書に組み込まれる。
In particular, when the colored composition of the present invention is used for the production of a color filter for a solid-state imaging device, it is necessary to form a fine pattern with a sharp shape. It is important that it be developed. From such a viewpoint, it is particularly preferable to use an oxime compound as the photopolymerization initiator. In particular, when a fine pattern is formed in a solid-state imaging device, stepper exposure is used for curing exposure, but this exposure machine may be damaged by halogen, and the amount of photopolymerization initiator added must be kept low. Therefore, in view of these points, it is particularly preferable to use an oxime compound as a photopolymerization initiator for forming a fine pattern such as a solid-state imaging device. Further, the use of an oxime compound can improve the color transfer.
As specific examples of the photopolymerization initiator used in the present invention, for example, paragraphs 0265 to 0268 of JP2013-29760A can be referred to, the contents of which are incorporated herein.
光重合開始剤としては、ヒドロキシアセトフェノン化合物、アミノアセトフェノン化合物、及び、アシルホスフィン化合物も好適に用いることができる。より具体的には、例えば、特開平10-291969号公報に記載のアミノアセトフェノン系開始剤、特許第4225898号公報に記載のアシルホスフィンオキシド系開始剤も用いることができる。
ヒドロキシアセトフェノン系開始剤としては、IRGACURE-184、DAROCUR-1173、IRGACURE-500、IRGACURE-2959,IRGACURE-127(商品名;いずれもBASF製)を用いることができる。アミノアセトフェノン系開始剤としては、市販品であるIRGACURE-907、IRGACURE-369、及び、IRGACURE-379(商品名;いずれもBASF製)を用いることができる。アミノアセトフェノン系開始剤として、365nm又は405nm等の長波光源に吸収波長がマッチングされた特開2009-191179公報に記載の化合物も用いることができる。また、アシルホスフィン系開始剤としては市販品であるIRGACURE-819やDAROCUR-TPO(商品名;いずれもBASF製)を用いることができる。
As the photopolymerization initiator, hydroxyacetophenone compounds, aminoacetophenone compounds, and acylphosphine compounds can also be suitably used. More specifically, for example, aminoacetophenone initiators described in JP-A-10-291969 and acylphosphine oxide initiators described in Japanese Patent No. 4225898 can also be used.
As the hydroxyacetophenone initiator, IRGACURE-184, DAROCUR-1173, IRGACURE-500, IRGACURE-2959, IRGACURE-127 (trade names; all manufactured by BASF) can be used. As the aminoacetophenone-based initiator, commercially available products IRGACURE-907, IRGACURE-369, and IRGACURE-379 (trade names; all manufactured by BASF) can be used. As the aminoacetophenone-based initiator, a compound described in JP-A-2009-191179 in which an absorption wavelength is matched with a long-wave light source such as 365 nm or 405 nm can also be used. As the acylphosphine-based initiator, commercially available products such as IRGACURE-819 and DAROCUR-TPO (trade names; both manufactured by BASF) can be used.
光重合開始剤として、より好ましくはオキシム化合物が挙げられる。オキシム開始剤の具体例としては、特開2001-233842号公報記載の化合物、特開2000-80068号公報記載の化合物、特開2006-342166号公報記載の化合物を用いることができる。 More preferable examples of the photopolymerization initiator include oxime compounds. As specific examples of the oxime initiator, compounds described in JP-A No. 2001-233842, compounds described in JP-A No. 2000-80068, and compounds described in JP-A No. 2006-342166 can be used.
本発明における光重合開始剤として好適に用いられるオキシム誘導体等のオキシム化合物としては、例えば、3-ベンゾイロキシイミノブタン-2-オン、3-アセトキシイミノブタン-2-オン、3-プロピオニルオキシイミノブタン-2-オン、2-アセトキシイミノペンタン-3-オン、2-アセトキシイミノ-1-フェニルプロパン-1-オン、2-ベンゾイロキシイミノ-1-フェニルプロパン-1-オン、3-(4-トルエンスルホニルオキシ)イミノブタン-2-オン、及び2-エトキシカルボニルオキシイミノ-1-フェニルプロパン-1-オンなどが挙げられる。 Examples of oxime compounds such as oxime derivatives that are preferably used as the photopolymerization initiator in the present invention include 3-benzoyloxyiminobutan-2-one, 3-acetoxyiminobutan-2-one, and 3-propionyloxyimino. Butan-2-one, 2-acetoxyiminopentan-3-one, 2-acetoxyimino-1-phenylpropan-1-one, 2-benzoyloxyimino-1-phenylpropan-1-one, 3- (4 -Toluenesulfonyloxy) iminobutan-2-one and 2-ethoxycarbonyloxyimino-1-phenylpropan-1-one.
オキシム化合物としては、J.C.S.Perkin II(1979年)pp.1653-1660、J.C.S.Perkin II(1979年)pp.156-162、Journal of Photopolymer Science and Technology(1995年)pp.202-232、特開2000-66385号公報記載の化合物、特開2000-80068号公報、特表2004-534797号公報、特開2006-342166号公報の各公報に記載の化合物等が挙げられる。
市販品ではIRGACURE-OXE01(BASF製)、IRGACURE-OXE02(BASF製)も好適に用いられる。また、TRONLY TR-PBG-304、TRONLY TR-PBG-309、TRONLY TR-PBG-305(常州強力電子新材料有限公司(CHANGZHOU TRONLY NEW ELECTRONIC MATERIALS CO.,LTD)製)、アデカアークルズNCI-831およびアデカアークルズNCI-930(ADEKA製)も用いることができる。
Examples of oxime compounds include J.M. C. S. Perkin II (1979) pp. 1653-1660, J.A. C. S. Perkin II (1979) pp. 156-162, Journal of Photopolymer Science and Technology (1995) pp. Examples thereof include compounds described in 202-232, JP-A No. 2000-66385, JP-A No. 2000-80068, JP-T 2004-534797, JP-A No. 2006-342166, and the like.
As commercially available products, IRGACURE-OXE01 (manufactured by BASF) and IRGACURE-OXE02 (manufactured by BASF) are also preferably used. Also, TRONLY TR-PBG-304, TRONLY TR-PBG-309, TRONLY TR-PBG-305 (manufactured by CHANGZHOU TRONLY NEW ELECTRONIC MATERIALS CO., LTD), Adeka Arcs NCI-31 Adeka Arkles NCI-930 (manufactured by ADEKA) can also be used.
また上記記載以外のオキシム化合物として、カルバゾールN位にオキシムが連結した特表2009-519904号公報に記載の化合物、ベンゾフェノン部位にヘテロ置換基が導入された米国特許第7626957号公報に記載の化合物、色素部位にニトロ基が導入された特開2010-15025号公報及び米国特許公開2009-292039号記載の化合物、国際公開特許2009-131189号公報に記載のケトオキシム化合物、トリアジン骨格とオキシム骨格を同一分子内に含有する米国特許7556910号公報に記載の化合物、405nmに吸収極大を有しg線光源に対して良好な感度を有する特開2009-221114号公報記載の化合物、などを用いてもよい。
好ましくは、例えば、特開2013-29760号公報の段落0274~0275を参酌することができ、この内容は本明細書に組み込まれる。
具体的には、オキシム化合物としては、下記式(OX-1)で表される化合物が好ましい。なお、オキシムのN-O結合が(E)体のオキシム化合物であっても、(Z)体のオキシム化合物であっても、(E)体と(Z)体との混合物であってもよい。
Further, as oxime compounds other than those described above, compounds described in JP-A-2009-519904 in which an oxime is linked to the carbazole N-position, compounds described in US Pat. No. 7,626,957 in which a hetero substituent is introduced into the benzophenone moiety, Compounds described in Japanese Patent Application Laid-Open No. 2010-15025 and US Patent Publication No. 2009-292039, in which a nitro group is introduced into the dye moiety, ketoxime compounds described in International Patent Publication No. 2009-131189, a triazine skeleton and an oxime skeleton in the same molecule A compound described in US Pat. No. 7,556,910 contained therein, a compound described in JP-A-2009-221114 having an absorption maximum at 405 nm and good sensitivity to a g-line light source, and the like may be used.
Preferably, for example, paragraphs 0274 to 0275 of JP 2013-29760 A can be referred to, the contents of which are incorporated herein.
Specifically, the oxime compound is preferably a compound represented by the following formula (OX-1). The oxime N—O bond may be an (E) oxime compound, a (Z) oxime compound, or a mixture of (E) and (Z) isomers. .
一般式(OX-1)中、RおよびBは各々独立に一価の置換基を表し、Aは二価の有機基を表し、Arはアリール基を表す。
一般式(OX-1)中、Rで表される一価の置換基としては、一価の非金属原子団であることが好ましい。
一価の非金属原子団としては、アルキル基、アリール基、アシル基、アルコキシカルボニル基、アリールオキシカルボニル基、複素環基、アルキルチオカルボニル基、アリールチオカルボニル基等が挙げられる。また、これらの基は、1以上の置換基を有していてもよい。また、前述した置換基は、さらに他の置換基で置換されていてもよい。
置換基としてはハロゲン原子、アリールオキシ基、アルコキシカルボニル基またはアリールオキシカルボニル基、アシルオキシ基、アシル基、アルキル基、アリール基等が挙げられる。
一般式(OX-1)中、Bで表される一価の置換基としては、アリール基、複素環基、アリールカルボニル基、又は、複素環カルボニル基が好ましい。これらの基は1以上の置換基を有していてもよい。置換基としては、前述した置換基が例示できる。
一般式(OX-1)中、Aで表される二価の有機基としては、炭素数1~12のアルキレン基、シクロアルキレン基、アルキニレン基が好ましい。これらの基は1以上の置換基を有していてもよい。置換基としては、前述した置換基が例示できる。
In general formula (OX-1), R and B each independently represent a monovalent substituent, A represents a divalent organic group, and Ar represents an aryl group.
In the general formula (OX-1), the monovalent substituent represented by R is preferably a monovalent nonmetallic atomic group.
Examples of the monovalent nonmetallic atomic group include an alkyl group, an aryl group, an acyl group, an alkoxycarbonyl group, an aryloxycarbonyl group, a heterocyclic group, an alkylthiocarbonyl group, and an arylthiocarbonyl group. Moreover, these groups may have one or more substituents. Moreover, the substituent mentioned above may be further substituted by another substituent.
Examples of the substituent include a halogen atom, an aryloxy group, an alkoxycarbonyl group or an aryloxycarbonyl group, an acyloxy group, an acyl group, an alkyl group, and an aryl group.
In General Formula (OX-1), the monovalent substituent represented by B is preferably an aryl group, a heterocyclic group, an arylcarbonyl group, or a heterocyclic carbonyl group. These groups may have one or more substituents. Examples of the substituent include the above-described substituents.
In the general formula (OX-1), the divalent organic group represented by A is preferably an alkylene group having 1 to 12 carbon atoms, a cycloalkylene group, or an alkynylene group. These groups may have one or more substituents. Examples of the substituent include the above-described substituents.
一般式(OX-1)で表される化合物の具体例(C-4)~(C-13)を以下に示すが、本発明はこれらに限定されるものではない。 Specific examples (C-4) to (C-13) of the compound represented by the general formula (OX-1) are shown below, but the present invention is not limited thereto.
本発明は、光重合開始剤として、フッ素原子を有するオキシム化合物を用いることもできる。フッ素原子を有するオキシム化合物の具体例としては、特開2010-262028号公報記載の化合物、特表2014-500852号公報記載の化合物24、36~40、特開2013-164471号公報記載の化合物(C-3)などが挙げられる。この内容は本明細書に組み込まれることとする。 In the present invention, an oxime compound having a fluorine atom can also be used as a photopolymerization initiator. Specific examples of the oxime compound having a fluorine atom include compounds described in JP 2010-262028 A, compounds 24 and 36 to 40 described in JP-A-2014-500852, and compounds described in JP-A 2013-164471 ( C-3). This content is incorporated herein.
オキシム化合物は、350nm~500nmの波長領域に極大吸収波長を有するものであり、360nm~480nmの波長領域に極大吸収波長を有するものであることが好ましく、365nm及び455nmの吸光度が高いものが特に好ましい。 The oxime compound has a maximum absorption wavelength in a wavelength region of 350 nm to 500 nm, preferably has a maximum absorption wavelength in a wavelength region of 360 nm to 480 nm, and particularly preferably has a high absorbance at 365 nm and 455 nm. .
オキシム化合物は、365nm又は405nmにおけるモル吸光係数は、感度の観点から、1,000~300,000であることが好ましく、2,000~300,000であることがより好ましく、5,000~200,000であることが特に好ましい。
化合物のモル吸光係数の測定は、公知の方法を用いることができるが、具体的には、例えば、紫外可視分光光度計(Varian製Carry-5 spectrophotometer)にて、酢酸エチル溶媒を用い、0.01g/Lの濃度で測定することが好ましい。
本発明に用いられる光重合開始剤は、必要に応じて2種以上を組み合わせて使用しても良い。
The molar extinction coefficient at 365 nm or 405 nm of the oxime compound is preferably from 1,000 to 300,000, more preferably from 2,000 to 300,000, more preferably from 5,000 to 200, from the viewpoint of sensitivity. Is particularly preferred.
For the measurement of the molar extinction coefficient of the compound, a known method can be used. Specifically, for example, in an ultraviolet-visible spectrophotometer (Vary Carry-5 spectrophotometer), an ethyl acetate solvent is used. It is preferable to measure at a concentration of 01 g / L.
You may use the photoinitiator used for this invention in combination of 2 or more type as needed.
本発明の硬化性組成物または着色組成物が光重合開始剤を含有する場合、光重合開始剤の含有量は、着色組成物の全固形分に対し0.1~50質量%が好ましく、より好ましくは0.5~30質量%であり、さらに好ましくは1~20質量%である。この範囲で、より良好な感度とパターン形成性が得られる。
本発明の組成物は、光重合開始剤を、1種類のみを含んでいてもよいし、2種類以上含んでいてもよい。2種類以上含む場合は、その合計量が上記範囲となることが好ましい。
When the curable composition or colored composition of the present invention contains a photopolymerization initiator, the content of the photopolymerization initiator is preferably 0.1 to 50% by mass relative to the total solid content of the colored composition, and more The content is preferably 0.5 to 30% by mass, and more preferably 1 to 20% by mass. Within this range, better sensitivity and pattern formability can be obtained.
The composition of the present invention may contain only one type of photopolymerization initiator, or may contain two or more types. When two or more types are included, the total amount is preferably within the above range.
<<他の成分>>
本発明の硬化性組成物または着色組成物は、上述の各成分に加えて、本発明の効果を損なわない範囲で、さらに、溶剤、重合禁止剤、界面活性剤、有機カルボン酸、有機カルボン酸無水物などの他の成分を含んでいてもよい。
<< other ingredients >>
The curable composition or the colored composition of the present invention includes, in addition to the above-described components, a solvent, a polymerization inhibitor, a surfactant, an organic carboxylic acid, and an organic carboxylic acid as long as the effects of the present invention are not impaired. Other components such as anhydrides may be included.
<<<溶剤>>>
本発明の硬化性組成物または着色組成物は、溶剤を含有してもよい。
溶剤は、各成分の溶解性や着色組成物の塗布性を満足すれば基本的には特に制限はないが、色素(A)、硬化性化合物等の溶解性、塗布性、安全性を考慮して選ばれることが好ましい。また、本発明における着色組成物を調製する際には、少なくとも2種類の溶剤を含むことが好ましい。
<<< Solvent >>>
The curable composition or colored composition of the present invention may contain a solvent.
The solvent is basically not particularly limited as long as the solubility of each component and the coating property of the coloring composition are satisfied, but considering the solubility, coating property, and safety of the dye (A) and the curable compound. Are preferably selected. Moreover, when preparing the coloring composition in this invention, it is preferable that at least 2 type of solvent is included.
溶剤としては、エステル類として、例えば、酢酸エチル、酢酸-n-ブチル、酢酸イソブチル、酢酸シクロヘキシル、ギ酸アミル、酢酸イソアミル、プロピオン酸ブチル、酪酸イソプロピル、酪酸エチル、酪酸ブチル、乳酸メチル、乳酸エチル、オキシ酢酸アルキル(例:オキシ酢酸メチル、オキシ酢酸エチル、オキシ酢酸ブチル(例えば、メトキシ酢酸メチル、メトキシ酢酸エチル、メトキシ酢酸ブチル、エトキシ酢酸メチル、エトキシ酢酸エチル等))、3-オキシプロピオン酸アルキルエステル類(例:3-オキシプロピオン酸メチル、3-オキシプロピオン酸エチル等(例えば、3-メトキシプロピオン酸メチル、3-メトキシプロピオン酸エチル、3-エトキシプロピオン酸メチル、3-エトキシプロピオン酸エチル等))、2-オキシプロピオン酸アルキルエステル類(例:2-オキシプロピオン酸メチル、2-オキシプロピオン酸エチル、2-オキシプロピオン酸プロピル等(例えば、2-メトキシプロピオン酸メチル、2-メトキシプロピオン酸エチル、2-メトキシプロピオン酸プロピル、2-エトキシプロピオン酸メチル、2-エトキシプロピオン酸エチル))、2-オキシ-2-メチルプロピオン酸メチルおよび2-オキシ-2-メチルプロピオン酸エチル(例えば、2-メトキシ-2-メチルプロピオン酸メチル、2-エトキシ-2-メチルプロピオン酸エチル等)、ピルビン酸メチル、ピルビン酸エチル、ピルビン酸プロピル、アセト酢酸メチル、アセト酢酸エチル、2-オキソブタン酸メチル、2-オキソブタン酸エチル等、並びに、エーテル類として、例えば、ジエチレングリコールジメチルエーテル、テトラヒドロフラン、エチレングリコールモノメチルエーテル、エチレングリコールモノエチルエーテル、メチルセロソルブアセテート、エチルセロソルブアセテート、ジエチレングリコールモノメチルエーテル、ジエチレングリコールモノエチルエーテル、ジエチレングリコールモノブチルエーテル、プロピレングリコールモノメチルエーテル、プロピレングリコールメチルエーテルアセテート、プロピレングリコールエチルエーテルアセテート、プロピレングリコールプロピルエーテルアセテート等、並びに、ケトン類として、例えば、メチルエチルケトン、シクロヘキサノン、シクロペンタノン、2-ヘプタノン、3-ヘプタノン等、並びに、芳香族炭化水素類として、例えば、トルエン、キシレン等が好適に挙げられる。 Examples of the solvent include esters such as ethyl acetate, n-butyl acetate, isobutyl acetate, cyclohexyl acetate, amyl formate, isoamyl acetate, butyl propionate, isopropyl butyrate, ethyl butyrate, butyl butyrate, methyl lactate, ethyl lactate, Alkyl oxyacetates (eg, methyl oxyacetate, ethyl oxyacetate, butyl oxyacetate (eg, methyl methoxyacetate, ethyl methoxyacetate, butyl methoxyacetate, methyl ethoxyacetate, ethyl ethoxyacetate)), 3-oxypropionic acid alkyl esters (Eg, methyl 3-oxypropionate, ethyl 3-oxypropionate, etc. (eg, methyl 3-methoxypropionate, ethyl 3-methoxypropionate, methyl 3-ethoxypropionate, ethyl 3-ethoxypropionate, etc.)) ) 2 Oxypropionic acid alkyl esters (eg, methyl 2-oxypropionate, ethyl 2-oxypropionate, propyl 2-oxypropionate, etc. (eg, methyl 2-methoxypropionate, ethyl 2-methoxypropionate, 2-methoxy) Propyl propionate, methyl 2-ethoxypropionate, ethyl 2-ethoxypropionate)), methyl 2-oxy-2-methylpropionate and ethyl 2-oxy-2-methylpropionate (for example, 2-methoxy-2- Methyl methyl propionate, ethyl 2-ethoxy-2-methylpropionate, etc.), methyl pyruvate, ethyl pyruvate, propyl pyruvate, methyl acetoacetate, ethyl acetoacetate, methyl 2-oxobutanoate, ethyl 2-oxobutanoate, etc. And ethers For example, diethylene glycol dimethyl ether, tetrahydrofuran, ethylene glycol monomethyl ether, ethylene glycol monoethyl ether, methyl cellosolve acetate, ethyl cellosolve acetate, diethylene glycol monomethyl ether, diethylene glycol monoethyl ether, diethylene glycol monobutyl ether, propylene glycol monomethyl ether, propylene glycol methyl ether Acetate, propylene glycol ethyl ether acetate, propylene glycol propyl ether acetate and the like and ketones such as methyl ethyl ketone, cyclohexanone, cyclopentanone, 2-heptanone and 3-heptanone, and aromatic hydrocarbons such as , Preferable examples include toluene and xylene.
これらの溶剤は、色素(A)、硬化性化合物等の溶解性、塗布面状の改良などの観点から、2種以上を混合することも好ましい。この場合、特に好ましくは、上記の3-エトキシプロピオン酸メチル、3-エトキシプロピオン酸エチル、エチルセロソルブアセテート、乳酸エチル、ジエチレングリコールジメチルエーテル、酢酸ブチル、3-メトキシプロピオン酸メチル、2-ヘプタノン、シクロヘキサノン、エチルカルビトールアセテート、ブチルカルビトールアセテート、プロピレングリコールメチルエーテル、及びプロピレングリコールメチルエーテルアセテートから選択される2種以上で構成される混合液である。
本発明において、有機溶剤は、過酸化物の含有率が0.8mmol/L以下であることが好ましく、過酸化物を実質的に含まないことがより好ましい。
It is also preferable to mix two or more of these solvents from the viewpoints of solubility of the pigment (A), the curable compound, etc., and improvement of the coated surface. In this case, particularly preferably, the above-mentioned methyl 3-ethoxypropionate, ethyl 3-ethoxypropionate, ethyl cellosolve acetate, ethyl lactate, diethylene glycol dimethyl ether, butyl acetate, methyl 3-methoxypropionate, 2-heptanone, cyclohexanone, ethyl It is a mixed liquid composed of two or more selected from carbitol acetate, butyl carbitol acetate, propylene glycol methyl ether, and propylene glycol methyl ether acetate.
In the present invention, the organic solvent preferably has a peroxide content of 0.8 mmol / L or less, and more preferably contains substantially no peroxide.
溶剤の着色組成物中における含有量は、塗布性の観点から、着色組成物の全固形分濃度が5質量%~80質量%になる量とすることが好ましく、5~60質量%がさらに好ましく、10~50質量%が特に好ましい。
本発明の硬化性組成物または着色組成物は、溶剤を、1種類のみを含んでいてもよいし、2種類以上含んでいてもよい。2種類以上含む場合は、その合計量が上記範囲となることが好ましい。
The content of the solvent in the coloring composition is preferably such that the total solid concentration of the coloring composition is 5% by mass to 80% by mass, and more preferably 5% by mass to 60% by mass, from the viewpoint of applicability. 10 to 50% by mass is particularly preferable.
The curable composition or colored composition of the present invention may contain only one type of solvent or two or more types of solvents. When two or more types are included, the total amount is preferably within the above range.
<<<重合禁止剤>>>
本発明の硬化性組成物または着色組成物においては、着色組成物の製造中又は保存中において、重合性化合物の不要な熱重合を阻止するために、少量の重合禁止剤を添加することが望ましい。
本発明に用いうる重合禁止剤としては、ハイドロキノン、p-メトキシフェノール、ジ-t-ブチル-p-クレゾール、ピロガロール、t-ブチルカテコール、ベンゾキノン、4,4'-チオビス(3-メチル-6-t-ブチルフェノール)、2,2'-メチレンビス(4-メチル-6-t-ブチルフェノール)、N-ニトロソフェニルヒドロキシアミン第一セリウム塩等が挙げられる。
本発明の硬化性組成物または着色組成物が重合禁止剤を含有する場合、重合禁止剤の含有量は、着色組成物の質量に対して、約0.01~5質量%が好ましい。
本発明の硬化性組成物または着色組成物は、重合禁止剤を、1種類のみを含んでいてもよいし、2種類以上含んでいてもよい。2種類以上含む場合は、その合計量が上記範囲となることが好ましい。
<<< Polymerization inhibitor >>>
In the curable composition or colored composition of the present invention, it is desirable to add a small amount of a polymerization inhibitor in order to prevent unnecessary thermal polymerization of the polymerizable compound during the production or storage of the colored composition. .
Examples of the polymerization inhibitor that can be used in the present invention include hydroquinone, p-methoxyphenol, di-t-butyl-p-cresol, pyrogallol, t-butylcatechol, benzoquinone, 4,4′-thiobis (3-methyl-6- t-butylphenol), 2,2′-methylenebis (4-methyl-6-t-butylphenol), N-nitrosophenylhydroxyamine primary cerium salt and the like.
When the curable composition or colored composition of the present invention contains a polymerization inhibitor, the content of the polymerization inhibitor is preferably about 0.01 to 5% by mass relative to the mass of the colored composition.
The curable composition or colored composition of the present invention may contain only one type of polymerization inhibitor or two or more types of polymerization inhibitors. When two or more types are included, the total amount is preferably within the above range.
<界面活性剤>
本発明の組成物には、塗布性をより向上させる観点から、各種の界面活性剤を添加してもよい。界面活性剤としては、フッ素系界面活性剤、ノニオン系界面活性剤、カチオン系界面活性剤、アニオン系界面活性剤、シリコーン系界面活性剤などの各種界面活性剤を使用できる。
<Surfactant>
Various surfactants may be added to the composition of the present invention from the viewpoint of further improving coatability. As the surfactant, various surfactants such as a fluorine-based surfactant, a nonionic surfactant, a cationic surfactant, an anionic surfactant, and a silicone-based surfactant can be used.
特に、本発明の組成物は、フッ素系界面活性剤を含有することで、塗布液として調製したときの液特性(特に、流動性)がより向上することから、塗布厚の均一性や省液性をより改善することができる。
即ち、フッ素系界面活性剤を含有する組成物を適用した塗布液を用いて膜形成する場合においては、被塗布面と塗布液との界面張力を低下させることにより、被塗布面への濡れ性が改善され、被塗布面への塗布性が向上する。このため、少量の液量で数μm程度の薄膜を形成した場合であっても、厚みムラの小さい均一厚の膜形成をより好適に行える点で有効である。
In particular, since the composition of the present invention contains a fluorosurfactant, the liquid properties (particularly fluidity) when prepared as a coating liquid are further improved. Sex can be improved more.
That is, when a film is formed using a coating liquid to which a composition containing a fluorosurfactant is applied, the wettability to the coated surface is reduced by reducing the interfacial tension between the coated surface and the coating liquid. Is improved, and the coating property to the coated surface is improved. For this reason, even when a thin film of about several μm is formed with a small amount of liquid, it is effective in that it is possible to more suitably form a film having a uniform thickness with small thickness unevenness.
フッ素系界面活性剤中のフッ素含有率は、3質量%~40質量%が好適であり、より好ましくは5質量%~30質量%であり、特に好ましくは7質量%~25質量%である。フッ素含有率がこの範囲内であるフッ素系界面活性剤は、塗布膜の厚さの均一性や省液性の点で効果的であり、組成物中における溶解性も良好である。 The fluorine content in the fluorosurfactant is preferably 3% by mass to 40% by mass, more preferably 5% by mass to 30% by mass, and particularly preferably 7% by mass to 25% by mass. A fluorine-based surfactant having a fluorine content within this range is effective in terms of uniformity of coating film thickness and liquid-saving properties, and has good solubility in the composition.
フッ素系界面活性剤としては、例えば、メガファックF171、同F172、同F173、同F176、同F177、同F141、同F142、同F143、同F144、同R30、同F437、同F475、同F479、同F482、同F554、同F780、同F781(以上、DIC製)、フロラードFC430、同FC431、同FC171(以上、住友スリーエム製)、サーフロンS-382、同SC-101、同SC-103、同SC-104、同SC-105、同SC1068、同SC-381、同SC-383、同S393、同KH-40(以上、旭硝子製)、PF636、PF656、PF6320、PF6520、PF7002(OMNOVA製)等が挙げられる。
また、下記化合物も本発明で用いられるフッ素系界面活性剤として例示される。
Examples of the fluorosurfactant include Megafac F171, F172, F173, F176, F176, F177, F141, F142, F143, F144, R30, F437, F475, F479, F482, F554, F780, F780, F781 (above DIC), Florard FC430, FC431, FC171 (above, Sumitomo 3M), Surflon S-382, SC-101, SC-103, SC-104, SC-105, SC-1068, SC-381, SC-383, S393, K393, KH-40 (above, manufactured by Asahi Glass), PF636, PF656, PF6320, PF6520, PF7002 (manufactured by OMNOVA), etc. Is mentioned.
The following compounds are also exemplified as the fluorosurfactant used in the present invention.
ノニオン系界面活性剤として具体的には、グリセロール、トリメチロールプロパン、トリメチロールエタン並びにそれらのエトキシレートおよびプロポキシレート(例えば、グリセロールプロポキシレート、グリセリンエトキシレート等)、ポリオキシエチレンラウリルエーテル、ポリオキシエチレンステアリルエーテル、ポリオキシエチレンオレイルエーテル、ポリオキシエチレンオクチルフェニルエーテル、ポリオキシエチレンノニルフェニルエーテル、ポリエチレングリコールジラウレート、ポリエチレングリコールジステアレート、ソルビタン脂肪酸エステル(BASF製のプルロニックL10、L31、L61、L62、10R5、17R2、25R2、テトロニック304、701、704、901、904、150R1)、ソルスパース20000(日本ルーブリゾール)等が挙げられる。 Specific examples of the nonionic surfactant include glycerol, trimethylolpropane, trimethylolethane, and ethoxylates and propoxylates thereof (for example, glycerol propoxylate, glycerol ethoxylate, etc.), polyoxyethylene lauryl ether, polyoxyethylene Stearyl ether, polyoxyethylene oleyl ether, polyoxyethylene octylphenyl ether, polyoxyethylene nonylphenyl ether, polyethylene glycol dilaurate, polyethylene glycol distearate, sorbitan fatty acid ester (Pluronic L10, L31, L61, L62, 10R5 manufactured by BASF) 17R2, 25R2, Tetronic 304, 701, 704, 901, 904, 150R1), Rusupasu 20000 (Lubrizol), and the like.
カチオン系界面活性剤として具体的には、フタロシアニン誘導体(商品名:EFKA-745、森下産業製)、オルガノシロキサンポリマーKP341(信越化学工業製)、(メタ)アクリル酸系(共)重合体ポリフローNo.75、No.90、No.95(共栄社化学製)、W001(裕商製)等が挙げられる。 Specific examples of the cationic surfactant include phthalocyanine derivatives (trade name: EFKA-745, manufactured by Morishita Sangyo), organosiloxane polymer KP341 (manufactured by Shin-Etsu Chemical Co., Ltd.), (meth) acrylic acid (co) polymer polyflow No. . 75, no. 90, no. 95 (manufactured by Kyoeisha Chemical), W001 (manufactured by Yusho) and the like.
アニオン系界面活性剤として具体的には、W004、W005、W017(裕商製)等が挙げられる。 Specific examples of anionic surfactants include W004, W005, W017 (manufactured by Yusho) and the like.
シリコーン系界面活性剤としては、例えば、東レ・ダウコーニング製「トーレシリコーンDC3PA」、「トーレシリコーンSH7PA」、「トーレシリコーンDC11PA」,「トーレシリコーンSH21PA」,「トーレシリコーンSH28PA」、「トーレシリコーンSH29PA」、「トーレシリコーンSH30PA」、「トーレシリコーンSH8400」、モメンティブ・パフォーマンス・マテリアルズ製「TSF-4440」、「TSF-4300」、「TSF-4445」、「TSF-4460」、「TSF-4452」、信越シリコーン製「KP341」、「KF6001」、「KF6002」、ビックケミー製「BYK307」、「BYK323」、「BYK330」等が挙げられる。
本発明の組成物に界面活性剤を含有する場合、界面活性剤の添加量は、組成物の全質量に対して、0.001質量%~2.0質量%が好ましく、より好ましくは0.005質量%~1.0質量%である。
本発明の組成物は、界面活性剤を、1種類のみを含んでいてもよいし、2種類以上含んでいてもよい。2種類以上含む場合は、その合計量が上記範囲となることが好ましい。
Examples of the silicone surfactant include “Toray Silicone DC3PA”, “Toray Silicone SH7PA”, “Tore Silicone DC11PA”, “Tore Silicone SH21PA”, “Tore Silicone SH28PA”, and “Toray Silicone SH29PA” manufactured by Toray Dow Corning. , “Tole Silicone SH30PA”, “Tole Silicone SH8400”, Momentive Performance Materials “TSF-4440”, “TSF-4300”, “TSF-4445”, “TSF-4460”, “TSF-4442”, Examples include “KP341”, “KF6001”, “KF6002” manufactured by Shin-Etsu Silicone, “BYK307”, “BYK323”, “BYK330” manufactured by BYK Chemie.
When a surfactant is contained in the composition of the present invention, the addition amount of the surfactant is preferably 0.001% by mass to 2.0% by mass, more preferably 0.001% by mass relative to the total mass of the composition. 005 mass% to 1.0 mass%.
The composition of the present invention may contain only one type of surfactant or two or more types of surfactant. When two or more types are included, the total amount is preferably within the above range.
<<<有機カルボン酸、有機カルボン酸無水物>>>
本発明の硬化性組成物または着色組成物は、分子量1000以下の有機カルボン酸、及び/又は有機カルボン酸無水物を含有していてもよい。有機カルボン酸及び有機カルボン酸無水物の具体例としては、例えば、特開2013-29760号公報の段落0338~0340を参酌することができ、この内容は本明細書に組み込まれる。
本発明の硬化性組成物または着色組成物に有機カルボン酸、有機カルボン酸無水物を含有する場合、有機カルボン酸および/または有機カルボン酸無水物の添加量は、通常、全固形分中0.01~10質量%、好ましくは0.03~5質量%、より好ましくは0.05~3質量%の範囲である。
本発明の硬化性組成物または着色組成物は、有機カルボン酸および/または有機カルボン酸無水物を、それぞれ、1種類のみを含んでいてもよいし、2種類以上含んでいてもよい。2種類以上含む場合は、その合計量が上記範囲となることが好ましい。
<<< Organic carboxylic acid, organic carboxylic acid anhydride >>>
The curable composition or colored composition of the present invention may contain an organic carboxylic acid having a molecular weight of 1000 or less and / or an organic carboxylic acid anhydride. As specific examples of the organic carboxylic acid and the organic carboxylic acid anhydride, for example, paragraphs 0338 to 0340 of JP-A-2013-29760 can be referred to, the contents of which are incorporated herein.
When the curable composition or the colored composition of the present invention contains an organic carboxylic acid or an organic carboxylic acid anhydride, the amount of the organic carboxylic acid and / or organic carboxylic acid anhydride added is usually 0.00 in the total solid content. The range is from 01 to 10% by mass, preferably from 0.03 to 5% by mass, and more preferably from 0.05 to 3% by mass.
The curable composition or colored composition of the present invention may contain only one type or two or more types of organic carboxylic acids and / or organic carboxylic anhydrides. When two or more types are included, the total amount is preferably within the above range.
上記のほか、本発明の硬化性組成物または着色組成物には、必要に応じて、各種添加物、例えば、充填剤、密着促進剤、酸化防止剤、紫外線吸収剤、凝集防止剤等を配合することができる。これらの添加物としては、特開2004-295116号公報の段落0155~0156に記載のものを挙げることができ、これらの内容は本明細書に組み込まれる。
また、下記化合物を含有することもできる。
In addition to the above, the curable composition or colored composition of the present invention may contain various additives such as fillers, adhesion promoters, antioxidants, ultraviolet absorbers, anti-aggregation agents, etc., as necessary. can do. Examples of these additives include those described in JP-A No. 2004-295116, paragraphs 0155 to 0156, the contents of which are incorporated herein.
Moreover, the following compound can also be contained.
本発明の硬化性組成物または着色組成物においては、特開2004-295116号公報の段落0078に記載の増感剤や光安定剤、同公報の段落0081に記載の熱重合防止剤を含有することができる。また、バインダーとして特開2006-215453号公報の一般式(1)で示される単量体を共重合成分として含む樹脂を含有することができる。
用いる原料等により着色組成物中に金属元素が含まれることがあるが、欠陥発生抑制等の観点で、着色組成物中の第2族元素(カルシウム、マグネシウム等)の含有量は50ppm以下であることが好ましく、0.01~10ppmに制御することが好ましい。また、着色組成物中の無機金属塩の総量は100ppm以下であることが好ましく、0.5~50ppmに制御することがより好ましい。
The curable composition or colored composition of the present invention contains a sensitizer and a light stabilizer described in paragraph 0078 of JP-A No. 2004-295116, and a thermal polymerization inhibitor described in paragraph 0081 of the same publication. be able to. Further, a resin containing a monomer represented by the general formula (1) of JP-A-2006-215453 as a copolymer component can be contained as a binder.
Depending on the raw materials used, the colored composition may contain a metal element, but from the viewpoint of suppressing the occurrence of defects, the content of Group 2 elements (calcium, magnesium, etc.) in the colored composition is 50 ppm or less. It is preferable to control to 0.01 to 10 ppm. The total amount of the inorganic metal salt in the coloring composition is preferably 100 ppm or less, and more preferably controlled to 0.5 to 50 ppm.
<硬化性組成物および着色組成物の調製方法>
本発明の硬化性組成物および着色組成物は、前述の成分を混合することで調製される。
なお、硬化性組成物または着色組成物の調製に際しては、硬化性組成物または着色組成物を構成する各成分を一括配合してもよいし、各成分を溶剤に溶解・分散した後に逐次配合してもよい。また、配合する際の投入順序や作業条件は特に制約を受けない。例えば、全成分を同時に溶剤に溶解・分散して組成物を調製してもよいし、必要に応じては、各成分を適宜2つ以上の溶液・分散液としておいて、使用時(塗布時)にこれらを混合して組成物として調製してもよい。
本発明の硬化性組成物または着色組成物は、異物の除去や欠陥の低減などの目的で、フィルタで濾過することが好ましい。従来からろ過用途等に用いられているものであれば特に限定されることなく用いることができる。例えば、PTFE(ポリテトラフルオロエチレン)等のフッ素樹脂、ナイロン-6、ナイロン-6,6等のポリアミド系樹脂、ポリエチレン、ポリプロピレン(PP)等のポリオレフィン樹脂(高密度、超高分子量のものを含む)等によるフィルタが挙げられる。これら素材の中でもポリプロピレン(高密度ポリプロピレンを含む)が好ましい。
フィルタの孔径は、0.01~7.0μm程度が適しており、好ましくは0.01~3.0μm程度、さらに好ましくは0.05~0.5μm程度である。この範囲とすることにより、後工程において均一及び平滑な硬化性組成物または着色組成物の調製を阻害する、微細な異物を確実に除去することが可能となる。
<Method for preparing curable composition and coloring composition>
The curable composition and coloring composition of the present invention are prepared by mixing the aforementioned components.
In preparing the curable composition or the colored composition, the components constituting the curable composition or the colored composition may be combined at once, or the components may be combined sequentially after dissolving and dispersing each component in a solvent. May be. In addition, there are no particular restrictions on the charging order and working conditions when blending. For example, the composition may be prepared by dissolving and dispersing all components in a solvent at the same time. If necessary, each component may be suitably used as two or more solutions / dispersions at the time of use (at the time of application). ) May be mixed to prepare a composition.
The curable composition or colored composition of the present invention is preferably filtered with a filter for the purpose of removing foreign substances or reducing defects. If it is conventionally used for the filtration use etc., it can use without being specifically limited. For example, fluorine resins such as PTFE (polytetrafluoroethylene), polyamide resins such as nylon-6 and nylon-6,6, polyolefin resins such as polyethylene and polypropylene (PP) (including those with high density and ultra high molecular weight) ) And the like. Among these materials, polypropylene (including high density polypropylene) is preferable.
The pore size of the filter is suitably about 0.01 to 7.0 μm, preferably about 0.01 to 3.0 μm, more preferably about 0.05 to 0.5 μm. By setting it as this range, it becomes possible to remove reliably the fine foreign material which inhibits preparation of the uniform and smooth curable composition or coloring composition in a post process.
フィルタを使用する際、異なるフィルタを組み合わせてもよい。その際、第1のフィルタでのフィルタリングは、1回のみでもよいし、2回以上行ってもよい。
また、上述した範囲内で異なる孔径の第1のフィルタを組み合わせてもよい。ここでの孔径は、フィルタメーカーの公称値を参照することができる。市販のフィルタとしては、例えば、日本ポール株式会社、アドバンテック東洋株式会社、日本インテグリス株式会社(旧日本マイクロリス株式会社)又は株式会社キッツマイクロフィルタ等が提供する各種フィルタの中から選択することができる。
第2のフィルタは、上述した第1のフィルタと同様の材料等で形成されたものを使用することができる。
例えば、第1のフィルタでのフィルタリングは、分散液のみで行い、他の成分を混合した後で、第2のフィルタリングを行ってもよい。
When using filters, different filters may be combined. At that time, the filtering by the first filter may be performed only once or may be performed twice or more.
Moreover, you may combine the 1st filter of a different hole diameter within the range mentioned above. The pore diameter here can refer to the nominal value of the filter manufacturer. As a commercially available filter, for example, it can be selected from various filters provided by Nippon Pole Co., Ltd., Advantech Toyo Co., Ltd., Japan Entegris Co., Ltd. (formerly Japan Microlith Co., Ltd.) or KITZ Micro Filter Co., Ltd. .
As the second filter, a filter formed of the same material as the first filter described above can be used.
For example, the filtering by the first filter may be performed only with the dispersion, and the second filtering may be performed after mixing other components.
<硬化膜>
本発明の硬化膜は、本発明の硬化性組成物または本発明の着色組成物を硬化して得られる。特に、本発明の着色組成物を用いると、耐熱性、色移り性が良好な硬化膜を形成することができるため、カラーフィルタの着色層を形成するために好適に用いられる。また、本発明の着色組成物は、固体撮像素子(例えば、CCD(Charge Coupled Device)、CMOS(Complementary Metal-Oxide Semiconductor)等)や、液晶表示装置(LCD)などの画像表示装置に用いられるカラーフィルタなどの着色パターン形成用として好適に用いることができる。さらに、印刷インキ、インクジェットインキ及び塗料などの作製用途としても好適に用いることができる。なかでも、CCD及びCMOS等の固体撮像素子用のカラーフィルタの製造に好適に用いることができる。
<Curing film>
The cured film of the present invention can be obtained by curing the curable composition of the present invention or the colored composition of the present invention. In particular, when the colored composition of the present invention is used, a cured film having excellent heat resistance and color transfer can be formed, and therefore, it is preferably used for forming a colored layer of a color filter. In addition, the colored composition of the present invention is a color used for an image display device such as a solid-state imaging device (for example, a charge coupled device (CCD), a complementary metal-oxide semiconductor (CMOS), etc.) or a liquid crystal display device (LCD). It can be suitably used for forming a colored pattern such as a filter. Furthermore, it can be suitably used as a production application for printing ink, inkjet ink, paint, and the like. Especially, it can use suitably for manufacture of the color filter for solid-state image sensors, such as CCD and CMOS.
<カラーフィルタ>
本発明のカラーフィルタは、本発明の着色組成物を用いて得られる。カラーフィルタの製造方法は特に定めるものでは無いが、フォトリソグラフィ法およびドライエッチング法が好ましく用いられる。カラーフィルタの製造方法の詳細については、特開2014-080589号公報の段落0137~0145の記載、特開2014-043556号公報の段落0215~0264並びにこれらの文章で参照されている図面を参酌でき、これらの内容は本明細書に組み込まれる。
<Color filter>
The color filter of the present invention is obtained using the colored composition of the present invention. A method for producing the color filter is not particularly defined, but a photolithography method and a dry etching method are preferably used. For details of the color filter manufacturing method, reference can be made to paragraphs 0137 to 0145 of JP2014-080589A, paragraphs 0215 to 0264 of JP2014043556A, and the drawings referred to in these texts. The contents of which are incorporated herein.
<固体撮像素子>
本発明のカラーフィルタは固体撮像素子に用いることができる。固体撮像素子の詳細については、特開2014-080589号公報の段落0155~0156の記載、特開2013-257543号公報の段落0291~0305の記載、特開2013-257543号公報の段落0312~0314の記載を参酌でき、これらの内容は本明細書に組み込まれる。
<Solid-state imaging device>
The color filter of the present invention can be used for a solid-state imaging device. Details of the solid-state imaging device are described in paragraphs 0155 to 0156 of JP2014-080589A, descriptions of paragraphs 0291 to 0305 of JP2013-257543A, and paragraphs 0312 to 0314 of JP2013-257543A. The contents of which are incorporated herein by reference.
<画像表示装置>
本発明のカラーフィルタは、液晶表示装置や有機EL表示装置(organic light emitting display device)などの、画像表示装置に用いることができ、特に液晶表示装置の用途に好適である。画像表示装置の詳細については、特開2014-080589号公報の段落0150~0154の記載、特開2013-257543号公報の段落0307~0311の記載を参酌でき、これらの内容は本明細書に組み込まれる。
<Image display device>
The color filter of the present invention can be used for an image display device such as a liquid crystal display device or an organic light emitting display device, and is particularly suitable for use in a liquid crystal display device. For details of the image display device, the description in paragraphs 0150 to 0154 of JP2014-080589A and the description of paragraphs 0307 to 0311 in JP2013-257543A can be referred to, and the contents thereof are incorporated in this specification. It is.
以下、本発明を実施例によりさらに具体的に説明するが、本発明はその趣旨を越えない限り以下の実施例に限定されるものではない。なお、特に断りのない限り、「%」および「部」は質量基準である。 Hereinafter, the present invention will be described more specifically with reference to examples. However, the present invention is not limited to the following examples as long as the gist thereof is not exceeded. Unless otherwise specified, “%” and “parts” are based on mass.
<合成例1>
(S-27)の合成(チオウレア~炭酸カリウム法)
<Synthesis Example 1>
Synthesis of (S-27) (thiourea-potassium carbonate method)
ジペンタエリスリトール(DPE、東京化成工業製)5部、N,N-ジメチルアセトアミド(DMAc)80部を三口フラスコに加え、窒素雰囲気下20℃の水浴中で攪拌した。そこへ6-ブロモヘキサノイルクロリド[東京化成工業(株)製]31部を温度が30℃をこえないように滴下した後、室温で2時間攪拌した。反応液を1N塩酸水350部に少しずつ加え反応を停止した後、酢酸エチル500部を加え分液操作を行った。続いて、有機層を飽和重曹水250部、水250部、飽和食塩水150部で洗浄した。得られた有機層に硫酸ナトリウムを加えた後、ろ別し、ろ液を減圧濃縮することで中間体S-27-1を24部得た(収率93%)。
中間体S-27-1の20部、チオウレア9.5部、エタノール200部、ヨウ化カリウム17.6部を三口フラスコに加え、窒素雰囲気下加熱還流で18時間反応させた。反応後の溶液に、20%炭酸カリウム水溶液81部を加え、70℃で3時間反応させた後、冷却した。次に、そこへ1N塩酸水150部とクロロホルム300部とを加え分液操作を行った。続いて、有機層を飽和食塩水150部2回で洗浄し、有機層に硫酸ナトリウムを加えた後、ろ別し、ろ液を減圧濃縮することでS-27を14.7部得た(収率93%)。
1H NMR(DMSO-d6)δ4.05(s,12H)、3.40(s,4H)、2.47(td,12H)、2.30(t,12H)、2.17(t,6H)、1.54(m,24H)、1.35(m,12H)。MALDI-MS m/z calcd. 1057[M+Na]、found 1057。HPLCで測定した純度は53%であった。
5 parts of dipentaerythritol (DPE, manufactured by Tokyo Chemical Industry Co., Ltd.) and 80 parts of N, N-dimethylacetamide (DMAc) were added to a three-necked flask and stirred in a water bath at 20 ° C. in a nitrogen atmosphere. Thereto, 31 parts of 6-bromohexanoyl chloride (manufactured by Tokyo Chemical Industry Co., Ltd.) was added dropwise so that the temperature did not exceed 30 ° C., and the mixture was stirred at room temperature for 2 hours. The reaction was added little by little to 350 parts of 1N aqueous hydrochloric acid to stop the reaction, and 500 parts of ethyl acetate was added to carry out a liquid separation operation. Subsequently, the organic layer was washed with 250 parts of saturated sodium bicarbonate water, 250 parts of water and 150 parts of saturated saline. Sodium sulfate was added to the obtained organic layer, followed by filtration, and the filtrate was concentrated under reduced pressure to obtain 24 parts of intermediate S-27-1 (yield 93%).
20 parts of Intermediate S-27-1, 9.5 parts of thiourea, 200 parts of ethanol, and 17.6 parts of potassium iodide were added to a three-necked flask, and reacted for 18 hours by heating under reflux in a nitrogen atmosphere. To the solution after the reaction, 81 parts of a 20% aqueous potassium carbonate solution was added, reacted at 70 ° C. for 3 hours, and then cooled. Next, 150 parts of 1N hydrochloric acid and 300 parts of chloroform were added thereto to carry out a liquid separation operation. Subsequently, the organic layer was washed with 150 parts of saturated saline twice, and sodium sulfate was added to the organic layer, followed by filtration, and the filtrate was concentrated under reduced pressure to obtain 14.7 parts of S-27 ( Yield 93%).
1 H NMR (DMSO-d6) δ 4.05 (s, 12H), 3.40 (s, 4H), 2.47 (td, 12H), 2.30 (t, 12H), 2.17 (t, 6H), 1.54 (m, 24H), 1.35 (m, 12H). MALDI-MS m / z calcd. 1057 [M + Na], found 1057. The purity measured by HPLC was 53%.
<合成例2>
(S-27)の合成 (チオ酢酸カリウム~ヒドラジン法)
<Synthesis Example 2>
Synthesis of (S-27) (potassium thioacetate-hydrazine method)
中間体S-27-1の4.3部、DMAc43部、テトラブチルアンモニウムブロミド2.2部を三口フラスコに加え、窒素雰囲気下、水浴中で攪拌した。これにチオ酢酸カリウム2.63部を4回に分割して添加し、50℃で4時間反応させた。反応後の溶液に、酢酸エチル129部、飽和炭酸水素ナトリウム水溶液65部、水65部を加え、分液操作を行った。続いて、有機層を1N塩酸129部、飽和食塩水129部2回で洗浄し、硫酸ナトリウムを加えた後、ろ別し、ろ液を減圧濃縮することで中間体S-27-2を4.2部得た(収率100%)。
中間体S-27-2の2.2部、DMAc22部を三口フラスコに加え、窒素雰囲気下15℃で攪拌した。これにヒドラジン塩酸塩0.85部、酢酸ナトリウム2.0部を添加し、15℃で4時間反応させた。反応後の溶液に酢酸エチル66部を加え、溶液を1N塩酸水66部で2回洗浄し、次いで飽和食塩水66部で2回洗浄した。得られた有機層に硫酸マグネシウムを加えた後、ろ別し、ろ液を減圧濃縮することでS-27を1.73部得た(収率98%)。HPLCで測定した純度は80%であった。
4.3 parts of intermediate S-27-1, 43 parts of DMAc, and 2.2 parts of tetrabutylammonium bromide were added to a three-necked flask and stirred in a water bath under a nitrogen atmosphere. To this, 2.63 parts of potassium thioacetate was added in four portions and reacted at 50 ° C. for 4 hours. To the solution after the reaction, 129 parts of ethyl acetate, 65 parts of a saturated aqueous sodium hydrogen carbonate solution and 65 parts of water were added, and a liquid separation operation was performed. Subsequently, the organic layer was washed twice with 129 parts of 1N hydrochloric acid and 129 parts of saturated brine, sodium sulfate was added, and the mixture was filtered off. The filtrate was concentrated under reduced pressure to give intermediate S-27-2 as 4 .2 parts were obtained (yield 100%).
2.2 parts of Intermediate S-27-2 and 22 parts of DMAc were added to a three-necked flask and stirred at 15 ° C. under a nitrogen atmosphere. To this, 0.85 part of hydrazine hydrochloride and 2.0 parts of sodium acetate were added and reacted at 15 ° C. for 4 hours. To the solution after the reaction, 66 parts of ethyl acetate was added, and the solution was washed twice with 66 parts of 1N aqueous hydrochloric acid and then twice with 66 parts of saturated brine. Magnesium sulfate was added to the obtained organic layer, followed by filtration, and the filtrate was concentrated under reduced pressure to obtain 1.73 parts of S-27 (yield 98%). The purity measured by HPLC was 80%.
<合成例3>
(S-27)の合成 (脱水縮合法)
<Synthesis Example 3>
Synthesis of (S-27) (Dehydration condensation method)
ジペンタエリスリトール(DPE、東京化成工業製)2.3部、6-メルカプトヘキサン酸8.0部、トルエン50部、濃硫酸1部をフラスコに加え、窒素雰囲気下加熱還流を行った。6時間経過したところで、水の流出は止まっていた。次に、還流後の溶液に酢酸エチル100部を加え、有機層を水100部で1回洗浄し、3%炭酸水素ナトリウム水溶液100部で2回洗浄し、1N塩酸50部で2回洗浄し、さらに飽和食塩水50部で2回洗浄した。得られた有機層に硫酸ナトリウムを加えた後、ろ別し、ろ液を減圧濃縮することでS-27を7.3部得た(収率78%)。HPLCで測定した純度は38%であった。 Dipentaerythritol (DPE, manufactured by Tokyo Chemical Industry Co., Ltd.) (2.3 parts), 6-mercaptohexanoic acid (8.0 parts), toluene (50 parts) and concentrated sulfuric acid (1 part) were added to the flask and heated under reflux in a nitrogen atmosphere. After 6 hours, the outflow of water had stopped. Next, 100 parts of ethyl acetate is added to the refluxed solution, and the organic layer is washed once with 100 parts of water, twice with 100 parts of a 3% aqueous sodium bicarbonate solution, and twice with 50 parts of 1N hydrochloric acid. Further, it was washed twice with 50 parts of saturated saline. Sodium sulfate was added to the obtained organic layer, followed by filtration, and the filtrate was concentrated under reduced pressure to obtain 7.3 parts of S-27 (yield 78%). The purity measured by HPLC was 38%.
<合成例4>
(S-28)の合成
<Synthesis Example 4>
Synthesis of (S-28)
(S-27)の合成例1において、6-ブロモヘキサン酸クロリドに代えて10-ブロモデカン酸クロリド(10-ブロモデカン酸(東京化成工業製)より、公知の方法に従って合成した)38.2部を使用した以外は、(S-27)の合成例1と同様に合成を行い、中間体S-28-1を27.7部得た(収率85%)。
(S-27)の合成例1において、中間体S-27-1に代えて中間体S-28-1の25部を使用した以外は、合成例1と同様に合成を行い、S-28を17.7部得た(収率85%)。
1H NMR(DMSO-d6)δ4.05(s,12H)、3.42(s,4H)、2.48(td,12H)、2.32(t,12H)、2.18(t,6H)、1.53(m,24H)、1.30(m,60H)。MALDI-MS m/z calcd. 1394[M+Na]、found 1394。HPLCで測定した純度は51%であった。
In Synthesis Example 1 of (S-27), 38.2 parts of 10-bromodecanoic acid chloride (synthesized according to a known method from 10-bromodecanoic acid (manufactured by Tokyo Chemical Industry Co., Ltd.)) instead of 6-bromohexanoic acid chloride The synthesis was performed in the same manner as in Synthesis Example 1 of (S-27) except that it was used to obtain 27.7 parts of intermediate S-28-1 (yield 85%).
Synthesis was performed in the same manner as in Synthesis Example 1 except that 25 parts of Intermediate S-28-1 was used instead of Intermediate S-27-1 in Synthesis Example 1 of (S-27). Of 17.7 parts (yield 85%).
1 H NMR (DMSO-d6) δ 4.05 (s, 12H), 3.42 (s, 4H), 2.48 (td, 12H), 2.32 (t, 12H), 2.18 (t, 6H), 1.53 (m, 24H), 1.30 (m, 60H). MALDI-MS m / z calcd. 1394 [M + Na], found 1394. The purity measured by HPLC was 51%.
<合成例5>
(S-3)の合成
<Synthesis Example 5>
Synthesis of (S-3)
(S-27)の合成例1において、ジペンタエリスリトールに代えてトリメチロールプロパン(東京化成工業製)5.3部を使用した以外は、(S-27)の合成例1と同様に合成を行い、中間体S-3-1を23.1部得た(収率88%)。
(S-27)の合成例1において、中間体S-3-1の20部、チオウレア8.2部、エタノール200部、ヨウ化カリウム18部を使用した以外は、(S-27)の合成例1と同様に合成を行い、S-3を11.8部得た(収率75%)。
1H NMR(DMSO-d6)δ4.05(s,6H)、2.47(td,6H)、2.30(t,6H)、2.17(t,3H)、1.54(m,14H)、1.35(m,6H)、0.96(t,3H)。MALDI-MS m/z calcd. 547[M+Na]、found 547。HPLCで測定した純度は85%であった。
Synthesis was performed in the same manner as in Synthesis Example 1 of (S-27), except that 5.3 parts of trimethylolpropane (manufactured by Tokyo Chemical Industry Co., Ltd.) was used instead of dipentaerythritol in Synthesis Example 1 of (S-27). And 23.1 parts of intermediate S-3-1 were obtained (88% yield).
Synthesis of (S-27) in Synthesis Example 1 except that 20 parts of intermediate S-3-1, 8.2 parts of thiourea, 200 parts of ethanol, and 18 parts of potassium iodide were used. Synthesis was performed in the same manner as in Example 1 to obtain 11.8 parts of S-3 (yield 75%).
1 H NMR (DMSO-d6) δ 4.05 (s, 6H), 2.47 (td, 6H), 2.30 (t, 6H), 2.17 (t, 3H), 1.54 (m, 14H), 1.35 (m, 6H), 0.96 (t, 3H). MALDI-MS m / z calcd. 547 [M + Na], found 547. The purity measured by HPLC was 85%.
<合成例6>
(S-8)の合成
<Synthesis Example 6>
Synthesis of (S-8)
(S-27)の合成例1において、ジペンタエリスリトールに代えてトリメチロールプロパン(東京化成工業製)5.3部を、6-ブロモヘキサン酸クロリドに代えて10-ブロモデカン酸クロリド(10-ブロモデカン酸(東京化成工業製)より、公知の方法に従って合成した)38.1部を使用した以外は、(S-27)の合成例1と同様に合成を行い、中間体S-8-1を29.4部得た(収率89%)。
(S-27)の合成例1において、中間体S-27-1に代えて中間体S-8-1の25部を使用した以外は、合成例1と同様に合成を行い、S-8を16.4部得た(収率79%)。
1H NMR(DMSO-d6)δ4.05(s,6H)、2.47(td,6H)、2.30(t,6H)、2.17(t,3H)、1.53(m,14H)、1.30(m,30H)、0.94(t,3H)。MALDI-MS m/z calcd. 715[M+Na]、found 715。HPLCで測定した純度は79%であった。
In Synthesis Example 1 of (S-27), 5.3 parts of trimethylolpropane (manufactured by Tokyo Chemical Industry Co., Ltd.) instead of dipentaerythritol was replaced with 10-bromodecanoic acid chloride (10-bromodecane instead of 6-bromohexanoic acid chloride). Synthesis was performed in the same manner as in Synthesis Example 1 of (S-27) except that 38.1 parts of acid (produced from Tokyo Kasei Kogyo Co., Ltd. according to a known method) was used. 29.4 parts were obtained (89% yield).
Synthesis was performed in the same manner as in Synthesis Example 1 except that 25 parts of Intermediate S-8-1 was used instead of Intermediate S-27-1 in Synthesis Example 1 of (S-27). Of 16.4 parts (yield 79%).
1 H NMR (DMSO-d6) δ 4.05 (s, 6H), 2.47 (td, 6H), 2.30 (t, 6H), 2.17 (t, 3H), 1.53 (m, 14H), 1.30 (m, 30H), 0.94 (t, 3H). MALDI-MS m / z calcd. 715 [M + Na], found 715. The purity measured by HPLC was 79%.
<合成例7>
(S-24)の合成
<Synthesis Example 7>
Synthesis of (S-24)
(S-27)の合成例1において、ジペンタエリスリトールに代えてペンタエリスリトール(東京化成工業製)4部を使用した以外は、(S-27)の合成例1と同様に合成を行い、中間体S-24-1を22.8部得た(収率92%)。
(S-27)の合成例1において、中間体S-24-1の20部、チオウレア12.3部、エタノール200部、ヨウ化カリウム24部を使用した以外は、(S-27)の合成例1と同様に合成を行い、S-24を14.6部得た(収率94%)。
1H NMR(DMSO-d6)δ4.03(s,8H)、2.46(td,8H)、2.29(t,8H)、2.16(t,4H)、1.54(m,16H)、1.35(m,8H)。MALDI-MS m/z calcd. 679[M+Na]、found 679。HPLCで測定した純度は82%であった。
Synthesis was performed in the same manner as in Synthesis Example 1 of (S-27) except that 4 parts of pentaerythritol (manufactured by Tokyo Chemical Industry Co., Ltd.) was used instead of dipentaerythritol in Synthesis Example 1 of (S-27). 22.8 parts of the product S-24-1 was obtained (yield 92%).
Synthesis of (S-27) in Synthesis Example 1 except that 20 parts of intermediate S-24-1, 12.3 parts of thiourea, 200 parts of ethanol, and 24 parts of potassium iodide were used. Synthesis was performed in the same manner as in Example 1 to obtain 14.6 parts of S-24 (yield 94%).
1 H NMR (DMSO-d6) δ 4.03 (s, 8H), 2.46 (td, 8H), 2.29 (t, 8H), 2.16 (t, 4H), 1.54 (m, 16H), 1.35 (m, 8H). MALDI-MS m / z calcd. 679 [M + Na], found 679. The purity measured by HPLC was 82%.
<合成例8>
(S-31)の合成
<Synthesis Example 8>
Synthesis of (S-31)
(S-27)の合成例1において、ジペンタエリスリトールに代えてD-ソルビトール(関東化学製)3.6部を使用した以外は、(S-27)の合成例1と同様に合成を行い、中間体S-31-1を18.8部得た(収率76%)。
(S-27)の合成例1において、中間体S-31-1の10部、チオウレア4.4部、エタノール100部、ヨウ化カリウム9部を使用した以外は、(S-27)の合成例1と同様に合成を行い、S-31を5.7部得た(収率74%)。
1H NMR(CDCl3)δ5.42(m,2H)、5.24(m,1H)、5.05(m,1H)、4.3(m,2H)、4.1(m,2H)、2.46(td,12H)、2.30(m,12H)、2.19(t,6H)、1.55(m,24H)、1.36(m,12H)。MALDI-MS m/z calcd. 985[M+Na]、found 985。HPLCで測定した純度は73%であった。
Synthesis was performed in the same manner as in Synthesis Example 1 of (S-27) except that 3.6 parts of D-sorbitol (manufactured by Kanto Chemical) was used in place of dipentaerythritol in Synthesis Example 1 of (S-27). 18.8 parts of intermediate S-31-1 was obtained (76% yield).
Synthesis of (S-27) in Synthesis Example 1 except that 10 parts of intermediate S-31-1, 4.4 parts of thiourea, 100 parts of ethanol, and 9 parts of potassium iodide were used. Synthesis was carried out in the same manner as in Example 1 to obtain 5.7 parts of S-31 (yield 74%).
1 H NMR (CDCl 3 ) δ 5.42 (m, 2H), 5.24 (m, 1H), 5.05 (m, 1H), 4.3 (m, 2H), 4.1 (m, 2H) ), 2.46 (td, 12H), 2.30 (m, 12H), 2.19 (t, 6H), 1.55 (m, 24H), 1.36 (m, 12H). MALDI-MS m / z calcd. 985 [M + Na], found 985. The purity measured by HPLC was 73%.
<合成例9>
(S-32)の合成
<Synthesis Example 9>
Synthesis of (S-32)
ポリプロピレングリコールソルビトールエーテル(日油製、商品名ユニオールHS-1600D、平均分子量1,600、n=3(平均))5部、テトラヒドロフラン80部、水酸化カリウム3.2部、テトラエチルアンモニウムブロミド0.5部をフラスコに加え、70℃浴中で攪拌した。アリルブロミド(和光純薬工業製)6.8部を滴下した後、そのまま12時間攪拌した。次に、撹拌後の溶液に、酢酸エチル100部を加え、水100部で2回洗浄し、飽和炭酸水素ナトリウム水溶液100部で1回洗浄し、次いで、飽和食塩水100部で1回洗浄した。得られた有機層に硫酸マグネシウムを加えた後、ろ別し、ろ液を減圧濃縮することで中間体S-32-1を4.9部得た(収率85%)。
中間体S-32-1の2部、シクロヘキサノン30部、チオ酢酸1.5部をフラスコに加え、80℃浴中で攪拌した。これに2,2’-アゾビス(イソ酪酸)ジメチル(和光純薬工業製、商品名V-601)1.5部を添加した後、80℃で2時間加熱攪拌し、さらにV-601を0.3部添加して80℃で2時間、90℃で1.5時間加熱攪拌した。次に酢酸エチル100部を加え、5%炭酸ナトリウム水溶液50部2回、飽和食塩水50部で洗浄し、有機層に硫酸マグネシウムを加えた後、ろ別し、ろ液を減圧濃縮することで中間体S-32-2を2.0部得た(収率80%)。
中間体S-32-2の2部、DMAc22部をフラスコに加え、窒素雰囲気下15℃で攪拌した。これにヒドラジン塩酸塩0.43部、酢酸ナトリウム1.1部を添加し、15℃で4時間反応させた。次に酢酸エチル80部を加え、1N塩酸水50部2回、次いで飽和食塩水50部2回で洗浄し、有機層に硫酸マグネシウムを加えた後、ろ別し、ろ液を減圧濃縮することでS-32を1.35部得た(収率76%)。HPLCで測定した純度は90%であった。
Polypropylene glycol sorbitol ether (manufactured by NOF, trade name UNIOL HS-1600D, average molecular weight 1,600, n = 3 (average)) 5 parts, tetrahydrofuran 80 parts, potassium hydroxide 3.2 parts, tetraethylammonium bromide 0.5 Was added to the flask and stirred in a 70 ° C. bath. After 6.8 parts of allyl bromide (manufactured by Wako Pure Chemical Industries, Ltd.) was added dropwise, the mixture was stirred as it was for 12 hours. Next, 100 parts of ethyl acetate was added to the stirred solution, washed twice with 100 parts of water, washed once with 100 parts of a saturated aqueous sodium hydrogen carbonate solution, and then washed once with 100 parts of saturated brine. . Magnesium sulfate was added to the obtained organic layer, followed by filtration, and the filtrate was concentrated under reduced pressure to obtain 4.9 parts of intermediate S-32-1 (yield 85%).
2 parts of Intermediate S-32-1, 30 parts of cyclohexanone and 1.5 parts of thioacetic acid were added to the flask and stirred in an 80 ° C. bath. To this, 1.5 parts of 2,2′-azobis (isobutyric acid) dimethyl (trade name V-601, manufactured by Wako Pure Chemical Industries, Ltd.) was added, followed by stirring with heating at 80 ° C. for 2 hours. .3 parts were added, and the mixture was heated and stirred at 80 ° C. for 2 hours and 90 ° C. for 1.5 hours. Next, 100 parts of ethyl acetate was added, and 50 parts of 5% aqueous sodium carbonate solution was washed twice with 50 parts of saturated brine. Magnesium sulfate was added to the organic layer, followed by filtration, and the filtrate was concentrated under reduced pressure. 2.0 parts of intermediate S-32-2 was obtained (yield 80%).
2 parts of Intermediate S-32-2 and 22 parts of DMAc were added to the flask and stirred at 15 ° C. under a nitrogen atmosphere. To this, 0.43 part of hydrazine hydrochloride and 1.1 part of sodium acetate were added and reacted at 15 ° C. for 4 hours. Next, add 80 parts of ethyl acetate, wash with 50 parts of 1N aqueous hydrochloric acid twice and then with 50 parts of saturated brine twice, add magnesium sulfate to the organic layer, filter, and concentrate the filtrate under reduced pressure. Yielded 1.35 parts of S-32 (76% yield). The purity measured by HPLC was 90%.
<合成例10>
(S-38)の合成
<Synthesis Example 10>
Synthesis of (S-38)
(S-27)の合成例1において、ジペンタエリスリトールに代えてヘキサヒドロキシベンゼン(東京化成工業製)1.7部を用い、N,N-ジメチルアセトアミド(DMAc)を40部、6-ブロモヘキサノイルクロリドを19部使用し、室温で18時間攪拌した以外は、(S-27)の合成例1と同様に合成を行い、中間体S-38-1を9.6部得た(収率80%)。
(S-27)の合成例1において、中間体S-38-1の8部、チオウレア3.6部、エタノール80部、ヨウ化カリウム7.7部を使用した以外は、(S-27)の合成例1と同様に合成を行い、S-38を4.4部得た(収率71%)。
1H NMR(DMSO-d6)δ2.47(td,12H)、2.28(t,12H)、2.17(t,6H)、1.52(m,24H)、1.35(m,12H)。MALDI-MS m/z calcd. 977[M+Na]、found 977。HPLCで測定した純度は70%であった。
In Synthesis Example 1 of (S-27), 1.7 parts of hexahydroxybenzene (manufactured by Tokyo Chemical Industry Co., Ltd.) was used instead of dipentaerythritol, 40 parts of N, N-dimethylacetamide (DMAc), 6-bromohexahexan The synthesis was performed in the same manner as in Synthesis Example 1 of (S-27) except that 19 parts of noyl chloride was used and stirred at room temperature for 18 hours to obtain 9.6 parts of intermediate S-38-1 (yield) 80%).
(S-27) In Synthesis Example 1 of (S-27), except that 8 parts of intermediate S-38-1, 3.6 parts of thiourea, 80 parts of ethanol, and 7.7 parts of potassium iodide were used. Was synthesized in the same manner as in Synthesis Example 1 to obtain 4.4 parts of S-38 (yield 71%).
1 H NMR (DMSO-d6) δ 2.47 (td, 12H), 2.28 (t, 12H), 2.17 (t, 6H), 1.52 (m, 24H), 1.35 (m, 12H). MALDI-MS m / z calcd. 977 [M + Na], found 977. The purity measured by HPLC was 70%.
<合成例11>
(S-41)の合成
<Synthesis Example 11>
Synthesis of (S-41)
中間体S-41-1は、公知の方法(Synth. Commun. 1994年,24巻, 2153-2158ページ)に従って合成した。
(S-27)の合成例1において、ジペンタエリスリトールに代えて中間体S-41-1の3.8部を用い、N,N-ジメチルアセトアミド(DMAc)を40部、6-ブロモヘキサノイルクロリドを9.8部使用した以外は、(S-27)の合成例1と同様に合成を行い、中間体S-41-2を7.4部得た(収率80%)。
(S-27)の合成例1において、中間体S-41-2の7部、チオウレア2.7部、エタノール60部、ヨウ化カリウム5.8部を使用した以外は、(S-27)の合成例1と同様に合成を行い、S-41を4.3部得た(収率76%)。
MALDI-MS m/z calcd. 1179[M+Na]、found 1179。HPLCで測定した純度は72%であった。
Intermediate S-41-1 was synthesized according to a known method (Synth. Commun. 1994, 24, 2153-2158).
In Synthesis Example 1 of (S-27), 3.8 parts of intermediate S-41-1 was used instead of dipentaerythritol, 40 parts of N, N-dimethylacetamide (DMAc), 6-bromohexanoyl The synthesis was performed in the same manner as in Synthesis Example 1 of (S-27) except that 9.8 parts of chloride was used, and 7.4 parts of intermediate S-41-2 was obtained (yield 80%).
(S-27) except that 7 parts of intermediate S-41-2, 2.7 parts of thiourea, 60 parts of ethanol, and 5.8 parts of potassium iodide were used in Synthesis Example 1 of (S-27). The synthesis was conducted in the same manner as in Synthesis Example 1 to obtain 4.3 parts of S-41 (yield 76%).
MALDI-MS m / z calcd. 1179 [M + Na], found 1179. The purity measured by HPLC was 72%.
<合成例12>
(S-45)の合成
<Synthesis Example 12>
Synthesis of (S-45)
(S-27)の合成例1において、ジペンタエリスリトールに代えてD(+)-グルコース(和光純薬工業製)の3.5部を使用した以外は、(S-27)の合成例1と同様に合成を行い、中間体S-45-1を16.1部得た(収率77%)。
(S-27)の合成例1において、中間体S-27-1に代えて中間体S-45-1の16.2部を使用した以外は、(S-27)の合成例1と同様に合成を行い、S-45を10.7部得た(収率85%)。
MALDI-MS m/z calcd. 853[M+Na]、found 853。HPLCで測定した純度は69%であった。
In Synthesis Example 1 of (S-27), Synthesis Example 1 of (S-27) was used except that 3.5 parts of D (+)-glucose (manufactured by Wako Pure Chemical Industries, Ltd.) was used instead of dipentaerythritol. In the same manner as above, 16.1 parts of intermediate S-45-1 was obtained (yield 77%).
In Synthesis Example 1 of (S-27), similar to Synthesis Example 1 of (S-27), except that 16.2 parts of Intermediate S-45-1 was used instead of Intermediate S-27-1. To obtain 10.7 parts of S-45 (yield 85%).
MALDI-MS m / z calcd. 853 [M + Na], found 853. The purity measured by HPLC was 69%.
<合成例13>
(S-51)の合成
<Synthesis Example 13>
Synthesis of (S-51)
(S-27)の合成例1において、ジペンタエリスリトールに代えてジトリメチロールプロパン(三菱ガス化学製)の7.4部を使用した以外は、(S-27)の合成例1と同様に合成を行い、中間体S-51-1を22.9部得た(収率81%)。
(S-27)の合成例1において、中間体S-27-1に代えて中間体S-51-1の21.8部を使用した以外は、(S-27)の合成例1と同様に合成を行い、S-51を14.9部得た(収率85%)。
MALDI-MS m/z calcd. 793[M+Na]、found 793。HPLCで測定した純度は73%であった。
Synthesis was similar to Synthesis Example 1 of (S-27) except that 7.4 parts of ditrimethylolpropane (Mitsubishi Gas Chemical) was used instead of dipentaerythritol in Synthesis Example 1 of (S-27). To obtain 22.9 parts of intermediate S-51-1 (yield 81%).
In Synthesis Example 1 of (S-27), similar to Synthesis Example 1 of (S-27), except that 21.8 parts of Intermediate S-51-1 were used instead of Intermediate S-27-1 To obtain 14.9 parts of S-51 (yield 85%).
MALDI-MS m / z calcd. 793 [M + Na], found 793. The purity measured by HPLC was 73%.
<合成例14>
(T-1)の合成
<Synthesis Example 14>
Synthesis of (T-1)
ジペンタエリスリトール(DPE、東京化成工業製)7.6部、チオグリコール酸(和光純薬工業製)16.6部、トルエン75部、p-トルエンスルホン酸一水和物(和光純薬工業製)0.29部をフラスコに加え、窒素雰囲気下加熱還流を行った。8時間経過したところで、水の流出は止まっていた。次に、減圧下で溶媒を留去した後、残渣にクロロホルム200部を加え、飽和炭酸水素ナトリウム水溶液100部で1回洗浄し、3%炭酸水素ナトリウム水溶液100部で3回洗浄し、1N塩酸50部で1回洗浄し、飽和食塩水50部2回で洗浄した。得られた有機層に硫酸ナトリウムを加えた後、ろ別し、ろ液を減圧濃縮することでT-1を16.8部得た(収率80%)。HPLCで測定した純度は40%であった。 Dipentaerythritol (DPE, manufactured by Tokyo Chemical Industry Co., Ltd.) 7.6 parts, thioglycolic acid (manufactured by Wako Pure Chemical Industries) 16.6 parts, toluene 75 parts, p-toluenesulfonic acid monohydrate (manufactured by Wako Pure Chemical Industries, Ltd.) ) 0.29 part was added to the flask and heated to reflux under a nitrogen atmosphere. After 8 hours, the outflow of water had stopped. Next, after distilling off the solvent under reduced pressure, 200 parts of chloroform was added to the residue, washed once with 100 parts of a saturated aqueous sodium bicarbonate solution, washed 3 times with 100 parts of a 3% aqueous sodium bicarbonate solution, and 1N hydrochloric acid. Washed once with 50 parts and washed twice with 50 parts of saturated saline. Sodium sulfate was added to the obtained organic layer, followed by filtration, and the filtrate was concentrated under reduced pressure to obtain 16.8 parts of T-1 (yield 80%). The purity measured by HPLC was 40%.
<合成例15>
(T-3)の合成
<Synthesis Example 15>
Synthesis of (T-3)
(S-27)の合成例1において、6-ブロモヘキサノイルクロリドに代えて4-ブロモブタン酸クロリド34.1部を使用した以外は、(S-27)の合成例1と同様に合成を行い、T-3を11.2部得た(収率65%)。
1H NMR(CDCl3)δ4.02(s,12H)、3.40(s,4H)、2.48(td,12H)、2.36(t,12H)、1.84(m,12H)、1.27(t,6H)。MALDI-MS m/z calcd. 889[M+Na]、found 889。HPLCで測定した純度は50%であった。
Synthesis was performed in the same manner as in Synthesis Example 1 of (S-27) except that 34.1 parts of 4-bromobutanoic acid chloride was used instead of 6-bromohexanoyl chloride in Synthesis Example 1 of (S-27). 11.2 parts of T-3 was obtained (65% yield).
1 H NMR (CDCl 3 ) δ 4.02 (s, 12H), 3.40 (s, 4H), 2.48 (td, 12H), 2.36 (t, 12H), 1.84 (m, 12H) ), 1.27 (t, 6H). MALDI-MS m / z calcd. 889 [M + Na], found 889. The purity measured by HPLC was 50%.
<合成例16>
(T-4)の合成
<Synthesis Example 16>
Synthesis of (T-4)
(S-27)の合成例1において、6-ブロモヘキサノイルクロリドに代えて5-ブロモバレリルクロリド(東京化成工業製)33.9部を使用した以外は、(S-27)の合成例1と同様に合成を行い、T-4を10.1部得た(収率54%)。
1H NMR(CDCl3)δ4.02(s,12H)、3.40(s,4H)、2.52(td,12H)、2.34(t,12H)、1.70(m,24H)、1.26(t,6H)。HPLCで測定した純度は55%であった。
Synthesis example of (S-27) except that 33.9 parts of 5-bromovaleryl chloride (manufactured by Tokyo Chemical Industry Co., Ltd.) was used instead of 6-bromohexanoyl chloride in Synthesis Example 1 of (S-27) Synthesis was performed in the same manner as in Example 1 to obtain 10.1 parts of T-4 (yield 54%).
1 H NMR (CDCl 3 ) δ 4.02 (s, 12H), 3.40 (s, 4H), 2.52 (td, 12H), 2.34 (t, 12H), 1.70 (m, 24H) ), 1.26 (t, 6H). The purity measured by HPLC was 55%.
<純度の測定方法>
測定サンプル5mgをメタノール1mLに溶解させ、下記条件でHPLCの測定を行った。
溶出・分離条件カラム:島津製作所製Shim-pack CLC-ODS、サイズ6.0mmID×15cm。
移動相A:メタノール。
移動相B:1%リン酸+1%トリエチルアミン水溶液。
条件:0分 A50%、B50%、30分間でA95%、B5%に変化させるグラジエント濃度勾配で溶出。
流速:1.0mL/min。
カラム温度:40℃。
検出波長:210nm。
<Measurement method of purity>
5 mg of a measurement sample was dissolved in 1 mL of methanol, and HPLC was measured under the following conditions.
Elution / separation condition column: Shimadzu Shim-pack CLC-ODS, size 6.0 mm ID × 15 cm.
Mobile phase A: methanol.
Mobile phase B: 1% phosphoric acid + 1% triethylamine aqueous solution.
Condition: 0 minutes A 50%, B 50%, elution with a gradient gradient changing to A 95% and B 5% in 30 minutes.
Flow rate: 1.0 mL / min.
Column temperature: 40 ° C.
Detection wavelength: 210 nm.
<実施例1>
1.レジスト液の調製
下記組成の成分を混合して溶解し、下塗り層用レジスト液を調製した。
下塗り層用レジスト液の組成
・溶剤:プロピレングリコールモノメチルエーテルアセテート 19.20部
・溶剤:乳酸エチル 36.67部
・アルカリ可溶性樹脂:メタクリル酸ベンジル/メタクリル酸/メタクリル酸-2-ヒドロキシエチル共重合体(モル比=60/22/18、重量平均分子量15,000、数平均分子量9,000)の40%PGMEA溶液 30.51部
・重合性化合物:ジペンタエリスリトールヘキサアクリレート(日本化薬製、KAYARAD DPHA) 12.20部
・重合禁止剤:p-メトキシフェノール 0.0061部
・フッ素系界面活性剤:F-475、DIC(株)製 0.83部
・光重合開始剤:トリハロメチルトリアジン系の光重合開始剤 0.586部(TAZ-107、みどり化学製)
<Example 1>
1. Preparation of resist solution Components of the following composition were mixed and dissolved to prepare an undercoat layer resist solution.
Composition of resist solution for undercoat layer: Solvent: propylene glycol monomethyl ether acetate 19.20 parts Solvent: ethyl lactate 36.67 parts Alkali-soluble resin: benzyl methacrylate / methacrylic acid / methacrylic acid-2-hydroxyethyl copolymer (Molar ratio = 60/22/18, weight average molecular weight 15,000, number average molecular weight 9,000) 40% PGMEA solution 30.51 parts Polymerizable compound: Dipentaerythritol hexaacrylate (manufactured by Nippon Kayaku, KAYARAD DPHA) 12.20 parts ・ Polymerization inhibitor: 0.0061 part of p-methoxyphenol ・ Fluorosurfactant: F-475, 0.83 part manufactured by DIC Corporation ・ Photopolymerization initiator: Trihalomethyltriazine type Photopolymerization initiator 0. 586 parts (TAZ-107, manufactured by Midori Chemical)
2.下塗り層付シリコンウエハ基板の作製
6inchシリコンウエハをオーブン中で200℃のもと30分加熱処理した。次いで、このシリコンウエハ上に、下塗り層用レジスト液を乾燥膜厚が1.5μmになるように塗布し、更に220℃のオーブン中で1時間加熱乾燥させて下塗り層を形成し、下塗り層付シリコンウエハ基板を得た。
2. Production of silicon wafer substrate with undercoat layer A 6-inch silicon wafer was heated in an oven at 200 ° C. for 30 minutes. Next, an undercoat layer resist solution is applied onto this silicon wafer so that the dry film thickness is 1.5 μm, and further dried by heating in an oven at 220 ° C. for 1 hour to form an undercoat layer. A silicon wafer substrate was obtained.
3.着色組成物の調製
3-1.着色組成物
下記の各成分を混合・溶解し、孔径0.45μmのナイロンフィルタでろ過して、着色組成物を調製した。
・有機溶剤1(シクロヘキサノン) 17.12部
・アルカリ可溶性樹脂1(メタクリル酸ベンジル/メタクリル酸(47/53[質量比])、30%プロピレングリコールモノメチルエーテル溶液、Mw=11,000) 1.23部
・アルカリ可溶性樹脂2(アクリキュア-RD-F8(日本触媒製)) 0.23部
・重合性化合物1(新中村化学(株)製、NKエステルA-DPH-12E) 1.96部
・重合禁止剤(p-メトキシフェノール) 0.0007部
・光重合開始剤1(IRGACURE OXE-02) 0.975部
・チオール化合物(合成例1で合成したS-27) 0.35部
・フッ素系界面活性剤(DIC製、商品名:メガファックF-475、1%プロピレングリコールモノメチルエーテルアセテート溶液) 2.50部
・顔料分散液P1(C.I.Pigment Blue 15:6分散液、プロピレングリコールモノメチルエーテルアセテート溶液、固形分濃度12.8質量%) 51.40部
・染料溶液1(下記により調製した染料溶液) 24.57部
3. 3. Preparation of coloring composition 3-1. Coloring composition The following components were mixed and dissolved, and filtered through a nylon filter having a pore diameter of 0.45 μm to prepare a coloring composition.
Organic solvent 1 (cyclohexanone) 17.12 parts Alkali-soluble resin 1 (benzyl methacrylate / methacrylic acid (47/53 [mass ratio]), 30% propylene glycol monomethyl ether solution, Mw = 11,000) 1.23 Parts / Alkali-soluble resin 2 (Acrycure-RD-F8 (manufactured by Nippon Shokubai)) 0.23 parts / Polymerizable compound 1 (manufactured by Shin-Nakamura Chemical Co., Ltd., NK ester A-DPH-12E) 1.96 parts / polymerization Inhibitor (p-methoxyphenol) 0.0007 parts Photopolymerization initiator 1 (IRGACURE OXE-02) 0.975 parts Thiol compound (S-27 synthesized in Synthesis Example 1) 0.35 parts Fluorine interface Activator (manufactured by DIC, trade name: MegaFac F-475, 1% propylene glycol monomethyl ether acetate solution) 2.50 parts Pigment dispersion P1 (CI Pigment Blue 15: 6 dispersion, propylene glycol monomethyl ether acetate solution, solid content concentration 12.8 mass%) 51.40 parts Dye solution 1 (dye solution prepared as follows) 24.57 parts
3-2.染料溶液1の調製
染料溶液1は、下記の各成分を混合、溶解して調製した。
・有機溶剤1(シクロヘキサノン) 21.55部
・染料(A-1) 3.02部
3-2. Preparation of Dye Solution 1 Dye solution 1 was prepared by mixing and dissolving the following components.
Organic solvent 1 (cyclohexanone) 21.55 parts Dye (A-1) 3.02 parts
3-3.顔料分散液P1(C.I.Pigment Blue15:6分散液)の調製
以下のようにして、顔料分散液P1(C.I.Pigment Blue15:6分散液)を調製した。
C.I.Pigment Blue15:6(青色顔料;以下、「PB15:6」とも称する)を19.4質量部(平均一次粒子径55nm)、及び顔料分散剤BY-161(BYK製)を2.95質量部、アルカリ可溶性樹脂1(メタクリル酸ベンジル/メタクリル酸(47/53[質量比])、30%プロピレングリコールモノメチルエーテル溶液、Mw=11,000)を固形分換算で2.95質量部(溶液9.93質量部)、プロピレングリコールモノメチルエーテルを165.3質量部混合して得られる混合液を、ビーズミル(beads mill)(ジルコニアビーズ0.3mm径)により3時間混合することにより分散した。その後、さらに、減圧機構付き高圧分散機NANO-3000-10(日本ビーイーイー製)を用いて、2000kg/cm3の圧力下で流量500g/minとして分散処理を行なった。この分散処理を10回繰り返し、顔料分散液として、C.I.Pigment Blue15:6分散液を得た。得られたC.I.Pigment Blue15:6分散液について、顔料の平均一次粒子径を動的光散乱法(Microtrac Nanotrac UPA-EX150(日機装社(Nikkiso Co., Ltd.)製))により測定したところ、24nmであった。
3-3. Preparation of Pigment Dispersion Liquid P1 (CI Pigment Blue 15: 6 Dispersion) Pigment Dispersion Liquid P1 (CI Pigment Blue 15: 6 Dispersion) was prepared as follows.
C. I. Pigment Blue 15: 6 (blue pigment; hereinafter also referred to as “PB15: 6”) 19.4 parts by mass (average primary particle size 55 nm), and pigment dispersant BY-161 (manufactured by BYK) 2.95 parts by mass, 2.95 parts by mass (solution 9.93) of alkali-soluble resin 1 (benzyl methacrylate / methacrylic acid (47/53 [mass ratio]), 30% propylene glycol monomethyl ether solution, Mw = 11,000) in terms of solid content. The mixed liquid obtained by mixing 165.3 parts by mass of propylene glycol monomethyl ether was dispersed by mixing for 3 hours with beads mill (zirconia beads 0.3 mm diameter). Thereafter, dispersion treatment was further performed at a flow rate of 500 g / min under a pressure of 2000 kg / cm 3 using a high-pressure disperser NANO-3000-10 (manufactured by Nippon BEE Co., Ltd.) with a decompression mechanism. This dispersion treatment was repeated 10 times to obtain C.I. I. Pigment Blue 15: 6 dispersion was obtained. The obtained C.I. I. With respect to Pigment Blue 15: 6 dispersion, the average primary particle diameter of the pigment was measured by a dynamic light scattering method (Microtrac Nanotrac UPA-EX150 (manufactured by Nikkiso Co., Ltd.)) and found to be 24 nm.
4.着色硬化膜の作製
4-1:着色組成物を用いた着色硬化膜の作製
上記で調製された着色組成物を、上記で作製された下塗り層付シリコンウエハ基板の下塗り層上に塗布し、着色層(塗布膜)を形成した。そして、この塗布膜の乾燥膜厚が1μmになるように、100℃のホットプレートを用いて120秒間加熱処理(プリベーク)を行なった。次いでプリベーク後のシリコンウエハ基板を200℃で5分間加熱し、塗布膜の硬化を行って着色硬化膜を作製した。
4). Preparation of colored cured film 4-1: Preparation of colored cured film using colored composition The colored composition prepared above was applied onto the undercoat layer of the silicon wafer substrate with the undercoat layer prepared above, and colored. A layer (coating film) was formed. Then, heat treatment (pre-baking) was performed for 120 seconds using a hot plate at 100 ° C. so that the dry film thickness of the coating film became 1 μm. Next, the pre-baked silicon wafer substrate was heated at 200 ° C. for 5 minutes, and the coating film was cured to produce a colored cured film.
5.耐熱性の評価
上記で作製された着色硬化膜付シリコンウエハ基板を、280℃のホットプレートで30分間加熱し、次いでシクロヘキサノンに10分間浸漬した。シクロヘキサノンに浸漬する前後の着色硬化膜付シリコンウエハ基板の400~700nmの可視光透過率差(ΔT)を色度計MCPD-1000(大塚電子(株)製)を用いて測定した。測定されたΔTに基づき、下記評価基準に従って耐熱性を評価した。
5. Evaluation of heat resistance The above-prepared silicon wafer substrate with a colored cured film was heated on a hot plate at 280 ° C. for 30 minutes and then immersed in cyclohexanone for 10 minutes. The visible light transmittance difference (ΔT) at 400 to 700 nm of the silicon wafer substrate with a colored cured film before and after being immersed in cyclohexanone was measured using a chromaticity meter MCPD-1000 (manufactured by Otsuka Electronics Co., Ltd.). Based on the measured ΔT, the heat resistance was evaluated according to the following evaluation criteria.
A:ΔTが5%未満
B:ΔTが5%以上10%未満
C:ΔTが10%以上20%未満
D:ΔTが20%以上
A: ΔT is less than 5% B: ΔT is 5% or more and less than 10% C: ΔT is 10% or more and less than 20% D: ΔT is 20% or more
<他の実施例および比較例>
上記実施例1において、チオール化合物を下記表に示すチオール化合物に変更して着色組成物を調製した以外は、実施例1と同様にして、着色硬化膜を作製し、耐熱性を評価した。
<Other Examples and Comparative Examples>
A colored cured film was produced in the same manner as in Example 1 except that the colored composition was prepared by changing the thiol compound to the thiol compound shown in the following table in Example 1, and the heat resistance was evaluated.
比較チオール化合物は、上記合成例で合成した、T-1、T-3、T-4または市販品T-2を用いた。化合物T-2は、ジペンタエリスリトール ヘキサキス(3-メルカプトプロピオネート)(SC有機化学工業製、製品名DPMP)である。 As the comparative thiol compound, T-1, T-3, T-4 or commercially available product T-2 synthesized in the above synthesis example was used. Compound T-2 is dipentaerythritol hexakis (3-mercaptopropionate) (product name DPMP, manufactured by SC Organic Chemical Industry).
上記結果から明らかなとおり、本発明の着色組成物は、耐熱性に優れていることが分かった。
本実施例の着色組成物の調製において、重合性化合物1をNKエステルA-DPH-12Eに代えて、同質量のKAYARAD DPHA(日本化薬製、ジペンタエリスリトールヘキサアクリレート)を用いて得られる着色硬化膜についても、同様の結果が得られた。また、本実施例の着色組成物の調製において、光重合開始剤1をIRGACURE OXE-02に代えて、同質量のIRGACURE OXE-01(BASF社製)を用いて得られる着色硬化膜についても、同様の結果が得られた。
As apparent from the above results, it was found that the colored composition of the present invention was excellent in heat resistance.
In the preparation of the coloring composition of the present example, a coloring obtained by using the same amount of KAYARAD DPHA (manufactured by Nippon Kayaku Co., Ltd., dipentaerythritol hexaacrylate) in place of the polymerizable compound 1 in place of the NK ester A-DPH-12E Similar results were obtained for the cured film. Further, in the preparation of the colored composition of the present example, the colored cured film obtained by using IRGACURE OXE-01 (manufactured by BASF) having the same mass in place of IRGACURE OXE-02 as photopolymerization initiator 1, Similar results were obtained.
<実施例14>
1.塗布液の調製
(パーフルオロオレフィン共重合体(1)の合成)
<Example 14>
1. Preparation of coating solution (synthesis of perfluoroolefin copolymer (1))
上記構造式中、50:50はモル比を表す。 In the above structural formula, 50:50 represents a molar ratio.
内容量100mlのステンレス製撹拌機付オートクレーブに酢酸エチル40ml、ヒドロキシエチルビニルエーテル14.7g及び過酸化ジラウロイル0.55gを加え、系内を脱気して窒素ガスで置換した。さらにヘキサフルオロプロピレン(HFP)25gをオートクレーブ中に導入して65℃まで昇温した。オートクレーブ内の温度が65℃に達した時点の圧力は、0.53MPa(5.4kg/cm2)であった。上記温度を保持し8時間反応を続け、圧力が0.31MPa(3.2kg/cm2)に達した時点で加熱をやめ放冷した。室温まで内温が下がった時点で未反応のモノマーを追い出し、オートクレーブを開放して反応液を取り出した。得られた反応液を大過剰のヘキサンに投入し、デカンテーションにより溶剤を除去することにより沈殿したポリマーを取り出した。さらにこのポリマーを少量の酢酸エチルに溶解して、ヘキサンを用いて2回再沈殿を行うことによって残存モノマーを完全に除去した。得られたポリマーを乾燥させることで、ポリマー28gを得た。次に上記ポリマーの20gをN,N-ジメチルアセトアミド100mlに溶解し、そこへ氷冷下アクリル酸クロライド11.4gを滴下した後、室温で10時間攪拌した。得られた反応液に酢酸エチルを加え、水洗し、生成物を抽出後、有機層を濃縮し、ポリマーを得た。得られたポリマーをヘキサンで再沈殿させることによりパーフルオロオレフィン共重合体(1)を19g得た。得られたポリマーの屈折率は1.422であり、重量平均分子量は50000であった。 40 ml of ethyl acetate, 14.7 g of hydroxyethyl vinyl ether and 0.55 g of dilauroyl peroxide were added to an autoclave with a stirrer made of stainless steel having an internal volume of 100 ml, and the inside of the system was deaerated and replaced with nitrogen gas. Furthermore, 25 g of hexafluoropropylene (HFP) was introduced into the autoclave and the temperature was raised to 65 ° C. The pressure when the temperature in the autoclave reached 65 ° C. was 0.53 MPa (5.4 kg / cm 2 ). The reaction was continued for 8 hours while maintaining the above temperature. When the pressure reached 0.31 MPa (3.2 kg / cm 2 ), heating was stopped and the mixture was allowed to cool. When the internal temperature dropped to room temperature, unreacted monomers were driven out, the autoclave was opened, and the reaction solution was taken out. The obtained reaction solution was poured into a large excess of hexane, and the polymer was precipitated by removing the solvent by decantation. Furthermore, this polymer was dissolved in a small amount of ethyl acetate, and the residual monomer was completely removed by performing reprecipitation twice using hexane. The polymer obtained was dried to obtain 28 g of polymer. Next, 20 g of the above polymer was dissolved in 100 ml of N, N-dimethylacetamide, and 11.4 g of acrylic acid chloride was added dropwise thereto under ice cooling, followed by stirring at room temperature for 10 hours. Ethyl acetate was added to the resulting reaction solution, washed with water, and the product was extracted, and then the organic layer was concentrated to obtain a polymer. The obtained polymer was reprecipitated with hexane to obtain 19 g of perfluoroolefin copolymer (1). The obtained polymer had a refractive index of 1.422 and a weight average molecular weight of 50,000.
(中空シリカ粒子分散液Aの調製)
中空シリカ粒子微粒子ゾル(イソプロピルアルコールシリカゾル、触媒化成工業製、CS60-IPA、平均粒子径60nm、シェル厚み10nm、シリカ濃度20質量%、シリカ粒子の屈折率1.31)500質量部に、アクリロイルオキシプロピルトリメトキシシラン30質量部、及びジイソプロポキシアルミニウムエチルアセテート1.51質量部を加え混合した後に、そこへイオン交換水9質量部を加えた。混合溶液を60℃で8時間反応させた後に、室温まで冷却し、そこへアセチルアセトン1.8質量部を添加し、分散液を得た。その後、得られた分散液にシリカの含率がほぼ一定になるようにシクロヘキサノンを添加しながら、圧力30Torrで減圧蒸留による溶媒置換を行い、最後に濃度調整をすることで、固形分濃度18.2質量%の分散液Aを得た。得られた分散液Aのイソプロピルアルコール(IPA)残存量をガスクロマトグラフィーで分析したところ0.5質量%以下であった。
(Preparation of hollow silica particle dispersion A)
Hollow silica particle fine particle sol (isopropyl alcohol silica sol, manufactured by Catalyst Kasei Kogyo Co., Ltd., CS60-IPA, average particle diameter 60 nm, shell thickness 10 nm, silica concentration 20 mass%, silica particle refractive index 1.31), 500 parts by mass of acryloyloxy After adding 30 parts by mass of propyltrimethoxysilane and 1.51 parts by mass of diisopropoxyaluminum ethyl acetate, 9 parts by mass of ion-exchanged water was added thereto. The mixed solution was reacted at 60 ° C. for 8 hours, then cooled to room temperature, and 1.8 parts by mass of acetylacetone was added thereto to obtain a dispersion. Thereafter, while adding cyclohexanone so that the silica content is substantially constant, the solvent is replaced by distillation under reduced pressure at a pressure of 30 Torr. Finally, the concentration is adjusted to obtain a solid content concentration of 18. A 2 mass% dispersion A was obtained. The residual amount of isopropyl alcohol (IPA) in the obtained dispersion A was analyzed by gas chromatography and found to be 0.5% by mass or less.
(塗布液の調製)
下記の各成分を混合し、メチルエチルケトンに溶解して固形分濃度5質量%の塗布液を調製した。
・パーフルオロオレフィン共重合体(1) 15部
・中空シリカ分散液A 50部
・多官能モノマー1(下記化合物(A-2)) 20部
・多官能モノマー2(ジペンタエリスリトールペンタアクリレートとジペンタエリスリトールヘキサアクリレートの混合物、日本化薬製) 7部
・光重合開始剤(BASF製、イルガキュア127)2.5部
・チオール化合物(合成例1で合成した(S-27)) 0.5部
・含フッ素モノマー(下記化合物(A-3)) 5部
(Preparation of coating solution)
The following components were mixed and dissolved in methyl ethyl ketone to prepare a coating solution having a solid content concentration of 5% by mass.
-Perfluoroolefin copolymer (1) 15 parts-Hollow silica dispersion A 50 parts-Multifunctional monomer 1 (compound (A-2) below) 20 parts-Multifunctional monomer 2 (dipentaerythritol pentaacrylate and dipenta Mixture of erythritol hexaacrylate, manufactured by Nippon Kayaku Co., Ltd. 7 parts Photopolymerization initiator (BASF, Irgacure 127) 2.5 parts Thiol compound (synthesized in Synthesis Example 1 (S-27)) 0.5 part Fluorine-containing monomer (the following compound (A-3)) 5 parts
2.無色硬化膜の作製
上記で調製された塗布液を、面積100cm2のガラス基板上にグラビアコーターを用いて塗布し、塗布膜を形成した。次に、この塗布膜を90℃、30秒で乾燥した後、塗布膜に紫外線を照射した。紫外線の照射は、酸素濃度が0.1体積%以下の雰囲気になるように窒素パージしながら240W/cmの空冷メタルハライドランプ(アイグラフィックス製)を用いて行った。照射した紫外線は、照度600mW/cm2、照射量600mJ/cm2の紫外線であった。紫外線の照射により、塗布膜を硬化させ、厚さ150nmの硬化膜を形成し、無色硬化膜付きガラス基板を得た。膜厚は、反射分光膜厚計"FE-3000"(大塚電子製)を用いて算出した。
2. Preparation of colorless cured film The coating solution prepared above was applied onto a glass substrate having an area of 100 cm 2 using a gravure coater to form a coating film. Next, after drying this coating film at 90 ° C. for 30 seconds, the coating film was irradiated with ultraviolet rays. Ultraviolet irradiation was performed using a 240 W / cm air-cooled metal halide lamp (manufactured by Eye Graphics) while purging with nitrogen so that the atmosphere had an oxygen concentration of 0.1% by volume or less. The irradiated ultraviolet rays were ultraviolet rays having an illuminance of 600 mW / cm 2 and an irradiation amount of 600 mJ / cm 2 . The coating film was cured by irradiation with ultraviolet rays to form a cured film having a thickness of 150 nm to obtain a glass substrate with a colorless cured film. The film thickness was calculated using a reflection spectral film thickness meter “FE-3000” (manufactured by Otsuka Electronics).
3.耐熱性の評価
上記で作製された無色硬化膜付ガラス基板を、220℃のホットプレートで30分間加熱し、次いでシクロヘキサノンに10分間浸漬した。このシクロヘキサノン溶液から減圧下で溶媒を留去し、得られた残渣をCDCl3に溶解させ、19F-NMRを測定した。測定においては、内部標準としてベンゾトリフルオリド(和光純薬工業製)を使用し、ベンゾトリフルオリドのピーク面積を1として、これに対する含フッ素モノマー(A-3)に由来するCF3基の面積比を計算した。次いで下記(式1)に従って、シクロヘキサノンに溶出した含フッ素モノマー(A-3)の質量(溶出A-3量)を算出した。溶出A-3量を用いて、下記評価基準に基づき、耐熱性を評価した。
3. Evaluation of heat resistance The glass substrate with the colorless cured film produced as described above was heated on a hot plate at 220 ° C. for 30 minutes, and then immersed in cyclohexanone for 10 minutes. The solvent was distilled off from this cyclohexanone solution under reduced pressure, the resulting residue was dissolved in CDCl 3 , and 19 F-NMR was measured. In the measurement, benzotrifluoride (manufactured by Wako Pure Chemical Industries, Ltd.) was used as an internal standard, the peak area of benzotrifluoride was taken as 1, and the area ratio of CF 3 groups derived from the fluorinated monomer (A-3) to this Was calculated. Next, the mass of the fluorinated monomer (A-3) eluted in cyclohexanone (the amount of elution A-3) was calculated according to the following (formula 1). Using the amount of A-3 eluted, the heat resistance was evaluated based on the following evaluation criteria.
(式1)溶出含フッ素モノマー(A-3)量[μg]=ベンゾトリフルオリド質量[μg]×[(含フッ素モノマー面積比)/(含フッ素モノマー分子量)]×(ベンゾトリフルオリド分子量)。
A:溶出A-3量が1μg未満
B:溶出A-3量が1μg以上2μg未満
C:溶出A-3量が2μg以上4μg未満
D:溶出A-3量が4μg以上
(Formula 1) Eluted fluorinated monomer (A-3) amount [μg] = benzotrifluoride mass [μg] × [(fluorinated monomer area ratio) / (fluorinated monomer molecular weight)] × (benzotrifluoride molecular weight).
A: The amount of elution A-3 is less than 1 μg B: The amount of elution A-3 is 1 μg or more and less than 2 μg C: The amount of elution A-3 is 2 μg or more and less than 4 μg D: The amount of elution A-3 is 4 μg or more
上記実施例14において、チオール化合物を下記表に示すチオール化合物に変更して塗布液を調製した以外は、実施例14と同様にして、硬化膜を作製し、耐熱性を評価した。 A cured film was prepared in the same manner as in Example 14 except that the coating solution was prepared by changing the thiol compound to the thiol compound shown in the following table in Example 14, and the heat resistance was evaluated.
上記結果から明らかなとおり、本発明の着色組成物は、耐熱性に優れていることが分かった。 As is clear from the above results, the colored composition of the present invention was found to be excellent in heat resistance.
<実施例20>
1.合成例2で得られたチオール化合物S-27の102質量部、エポキシ化合物(三菱化学製、エポキシ樹脂jER825、エポキシ当量170[g/eq])の100質量部、および硬化促進剤(和光純薬工業製、3-アミノメチル-3,5,5-トリメチルシクロヘキシルアミン(IPDA))の4質量部を混合し硬化性組成物を得た。得られた硬化性組成物を用いて得られる硬化物の機械的強度を下記評価方法で評価した。
<Example 20>
1. 102 parts by mass of the thiol compound S-27 obtained in Synthesis Example 2, 100 parts by mass of an epoxy compound (manufactured by Mitsubishi Chemical, epoxy resin jER825, epoxy equivalent 170 [g / eq]), and a curing accelerator (Wako Pure Chemical Industries, Ltd.) A curable composition was obtained by mixing 4 parts by mass of 3-aminomethyl-3,5,5-trimethylcyclohexylamine (IPDA) manufactured by Kogyo. The mechanical strength of the cured product obtained using the obtained curable composition was evaluated by the following evaluation method.
2.機械的強度の測定
上記硬化性組成物を80℃で4時間加熱して硬化させた後の硬化物の引張強度を、JIS K-7113に準拠し、室温にて測定した。
2. Measurement of mechanical strength After the curable composition was cured by heating at 80 ° C. for 4 hours, the tensile strength of the cured product was measured at room temperature in accordance with JIS K-7113.
3.耐熱性の評価
80℃で4時間硬化させた後の硬化物を、300℃のホットプレートで1時間加熱した。300℃で加熱する前後の硬化物の引張強度TSを室温で測定した。加熱前後の引張強度の比率ΔTSを用いて、下記評価基準に基づき耐熱性を評価した。
ΔTS=加熱後の硬化物の引張強度/加熱前の硬化物の引張強度
3. Evaluation of heat resistance The cured product after curing at 80 ° C. for 4 hours was heated on a hot plate at 300 ° C. for 1 hour. The tensile strength TS of the cured product before and after heating at 300 ° C. was measured at room temperature. Using the tensile strength ratio ΔTS before and after heating, the heat resistance was evaluated based on the following evaluation criteria.
ΔTS = tensile strength of cured product after heating / tensile strength of cured product before heating
A:ΔTSが0.90以上。
B:ΔTSが0.80以上0.90未満。
C:ΔTSが0.60以上0.80未満。
D:ΔTSが0.60未満。
A: ΔTS is 0.90 or more.
B: ΔTS is 0.80 or more and less than 0.90.
C: ΔTS is 0.60 or more and less than 0.80.
D: ΔTS is less than 0.60.
<実施例21~24、比較例9>
実施例20において、チオール化合物を下記表に示すチオール化合物に変更して硬化性組成物を調製した以外は、実施例20と同様にして硬化物を作製し、耐熱性を評価した。
<Examples 21 to 24, Comparative Example 9>
A cured product was prepared in the same manner as in Example 20 except that the thiol compound was changed to the thiol compound shown in the following table to prepare a curable composition, and the heat resistance was evaluated.
上記結果から明らかなとおり、実施例は、耐熱性に優れていることが分かった。
実施例20において、エポキシ化合物をjER825の100質量部に代えて、3’,4’-エポキシシクロヘキシルメチル-3,4-エポキシシクロヘキサンカルボキシレート(ダイセル化学工業製、セロキサイド2021P、エポキシ当量130[g/eq])76.5質量部を用いて得られる硬化性組成物についても、同様の結果が得られた。
As is clear from the above results, the examples were found to be excellent in heat resistance.
In Example 20, the epoxy compound was replaced with 100 parts by mass of jER825, and 3 ′, 4′-epoxycyclohexylmethyl-3,4-epoxycyclohexanecarboxylate (Daicel Chemical Industries, Celoxide 2021P, epoxy equivalent 130 [g / eq]) Similar results were obtained for the curable composition obtained using 76.5 parts by mass.
<実施例25>
1.硬化性組成物の調製
合成例2で得られたチオール化合物S-27の205質量部、イソシアネート化合物(和光純薬工業製、ヘキサメチレンジイソシアネート(HDI)、イソシアネート当量84[g/eq])の100質量部、および硬化促進剤(和光純薬工業製、ジブチルすずジクロリド)の0.5質量部を混合し硬化性組成物を得た。得られた硬化性組成物を用いて得られる硬化物の機械的強度を下記評価方法で評価した。
<Example 25>
1. Preparation of Curable Composition 205 parts by mass of the thiol compound S-27 obtained in Synthesis Example 2, 100 of an isocyanate compound (manufactured by Wako Pure Chemical Industries, hexamethylene diisocyanate (HDI), isocyanate equivalent 84 [g / eq]) A curable composition was obtained by mixing 0.5 parts by mass of a mass part and a curing accelerator (manufactured by Wako Pure Chemical Industries, Ltd., dibutyltin dichloride). The mechanical strength of the cured product obtained using the obtained curable composition was evaluated by the following evaluation method.
2.機械的強度の測定
上記硬化性組成物を80℃で4時間加熱して硬化させた後の硬化物の引張強度を、JIS K-7113に準拠し、室温にて測定した。
2. Measurement of mechanical strength After the curable composition was cured by heating at 80 ° C. for 4 hours, the tensile strength of the cured product was measured at room temperature in accordance with JIS K-7113.
3.耐熱性の評価
80℃で4時間硬化させた後の硬化物を、300℃のホットプレートで1時間加熱した。300℃で加熱する前後の硬化物の引張強度TSを室温で測定した。加熱前後の引張強度の比率ΔTSを用いて、下記評価基準に基づき、耐熱性を評価した。
ΔTS=加熱後の硬化物の引張強度/加熱前の硬化物の引張強度
3. Evaluation of heat resistance The cured product after curing at 80 ° C. for 4 hours was heated on a hot plate at 300 ° C. for 1 hour. The tensile strength TS of the cured product before and after heating at 300 ° C. was measured at room temperature. The heat resistance was evaluated based on the following evaluation criteria using the tensile strength ratio ΔTS before and after heating.
ΔTS = tensile strength of cured product after heating / tensile strength of cured product before heating
A:ΔTSが0.80以上。
B:ΔTSが0.60以上0.80未満。
C:ΔTSが0.60未満。
A: ΔTS is 0.80 or more.
B: ΔTS is 0.60 or more and less than 0.80.
C: ΔTS is less than 0.60.
<実施例26~29、比較例10>
上記実施例25において、チオール化合物を下記表に示すチオール化合物に変更して硬化性組成物を調製した以外は、実施例25と同様にして硬化物を作製し、耐熱性を評価した。
<Examples 26 to 29, Comparative Example 10>
A cured product was produced in the same manner as in Example 25 except that the thiol compound was changed to the thiol compound shown in the following table to prepare a curable composition, and the heat resistance was evaluated.
上記結果から明らかなとおり、実施例は、耐熱性に優れていることが分かった。 As is clear from the above results, the examples were found to be excellent in heat resistance.
<合成例17>
1.アルカリ可溶性樹脂の合成
合成例2で得られたチオール化合物S-27の15.3質量部、メタクリル酸(和光純薬工業製)の30質量部、ベンジルメタクリレート(和光純薬工業製)の70質量部、プロピレングリコールモノメチルエーテルアセテートの117質量部を混合し、これに重合開始剤(和光純薬工業製、ジメチル 2,2’-アゾビス(2-メチルプロピオネート)、製品名V-601)の1.5質量部を混合し、モノマー溶液を得た。フラスコにプロピレングリコールモノメチルエーテルアセテートの117質量部を取り、窒素気流下で80℃に加熱した。このフラスコにモノマー溶液を2.5時間で滴下した後、80℃で2.5時間加熱し、さらに90℃で2時間加熱した。これを室温まで冷却し、アルカリ可溶性樹脂溶液を得た。
上記アルカリ可溶性樹脂のGPCにて測定したポリスチレン換算分子量(重量平均分子量)は10,800であり、酸価は190KOHmg/gであった。
<Synthesis Example 17>
1. Synthesis of alkali-soluble resin 15.3 parts by mass of the thiol compound S-27 obtained in Synthesis Example 2, 30 parts by mass of methacrylic acid (manufactured by Wako Pure Chemical Industries), 70 masses of benzyl methacrylate (manufactured by Wako Pure Chemical Industries) And 117 parts by mass of propylene glycol monomethyl ether acetate were mixed with a polymerization initiator (manufactured by Wako Pure Chemical Industries, dimethyl 2,2′-azobis (2-methylpropionate), product name V-601). 1.5 parts by mass were mixed to obtain a monomer solution. 117 parts by mass of propylene glycol monomethyl ether acetate was taken in a flask and heated to 80 ° C. under a nitrogen stream. The monomer solution was added dropwise to the flask in 2.5 hours, then heated at 80 ° C. for 2.5 hours, and further heated at 90 ° C. for 2 hours. This was cooled to room temperature to obtain an alkali-soluble resin solution.
The molecular weight (weight average molecular weight) in terms of polystyrene measured by GPC of the alkali-soluble resin was 10,800, and the acid value was 190 KOHmg / g.
<合成例18、19、20>
上記合成例17において、チオール化合物を下記表に示すチオール化合物に変更した以外は合成例17と同様にして、合成例18~20のアルカリ可溶性樹脂溶液を得た。
<Synthesis Examples 18, 19, 20>
The alkali-soluble resin solutions of Synthesis Examples 18 to 20 were obtained in the same manner as in Synthesis Example 17 except that the thiol compound was changed to the thiol compound shown in the following table in Synthesis Example 17.
<実施例30>
2.着色組成物の調製
2-1.Blue着色組成物
下記の各成分を混合・溶解し、孔径0.45μmのナイロンフィルタでろ過して、Blue着色組成物を調製した。
・有機溶剤1(シクロヘキサノン) 17.12部
・アルカリ可溶性樹脂1(合成例17で合成したアルカリ可溶性樹脂) 1.12部
・アルカリ可溶性樹脂2(アクリキュア-RD-F8(日本触媒製)) 0.23部
・重合性化合物1(新中村化学(株)製、NKエステルA-DPH-12E) 1.96部
・重合禁止剤(p-メトキシフェノール) 0.0007部
・光重合開始剤1(IRGACURE OXE-02、BASF社製) 0.975部
・フッ素系界面活性剤(DIC製、商品名:メガファックF-475、1%プロピレングリコールモノメチルエーテルアセテート溶液) 2.50部
・顔料分散液P1(C.I.Pigment Blue 15:6分散液、プロピレングリコールモノメチルエーテルアセテート溶液、固形分濃度12.8質量%) 51.40部
・染料溶液1 24.57部
染料溶液1および顔料分散液P1は、実施例1の着色組成物で使用した染料溶液1および顔料分散液P1を使用した。
<Example 30>
2. 2. Preparation of coloring composition 2-1. Blue coloring composition The following components were mixed and dissolved, and filtered through a nylon filter having a pore size of 0.45 μm to prepare a Blue coloring composition.
Organic solvent 1 (cyclohexanone) 17.12 parts Alkali-soluble resin 1 (alkali-soluble resin synthesized in Synthesis Example 17) 1.12 parts Alkali-soluble resin 2 (Acrycure-RD-F8 (manufactured by Nippon Shokubai)) 23 parts-polymerizable compound 1 (manufactured by Shin-Nakamura Chemical Co., Ltd., NK ester A-DPH-12E) 1.96 parts-polymerization inhibitor (p-methoxyphenol) 0.0007 parts-photopolymerization initiator 1 (IRGACURE) OXE-02 (manufactured by BASF) 0.975 parts · Fluorosurfactant (manufactured by DIC, trade name: Megafac F-475, 1% propylene glycol monomethyl ether acetate solution) 2.50 parts · Pigment dispersion P1 ( CI Pigment Blue 15: 6 dispersion, propylene glycol monomethyl ether acetate solution, solid content 1 2.8% by mass) 51.40 parts / Dye solution 1 24.57 parts Dye solution 1 and pigment dispersion P1 used in the coloring composition of Example 1 were used as dye solution 1 and pigment dispersion P1.
2-2.Green着色組成物
C.I.ピグメントグリーン58とC.I.ピグメントイエロー139との100/55(質量比)混合物12.6部と、分散剤としてBYK2001(Disperbyk;ビックケミー(BYK)社製、固形分濃度45.1質量%)5.2部と、分散樹脂として樹脂(P-1)を2.7部と、溶媒としてプロピレングリコールモノメチルエーテルアセテート78.3部とからなる混合液を、ビーズミルを用いて15時間混合し、分散して、Green顔料分散液P2を調製した。
上記で得られたGreen顔料分散液P2を用い、下記組成となるように各成分を混合し、溶液を得た。得られた溶液を孔径0.45μmのナイロンフィルタでろ過して、Green着色組成物を調製した。
<組成>
・Green顔料分散液P2 83.3部
・アルカリ可溶性樹脂(樹脂(P-1)) 1.0部
・光重合開始剤(IRGACURE OXE-01、BASF社製) 1.2部
・重合性化合物1(下記化合物M-1) 1.4部
・重合性化合物2(M-305、東亞合成社製) 1.4部
・化合物(A-8)の80%溶液(シグマアルドリッチ社製) 1.3部
・p-メトキシフェノール 0.001部
・ポリエチレングリコールメチルエーテルアセテート 7.4部
・界面活性剤(PGMEA0.2%溶液) 4.2部
2-2. Green coloring composition C.I. I. Pigment Green 58 and C.I. I. 12.6 parts of a 100/55 (mass ratio) mixture with Pigment Yellow 139, 5.2 parts of BYK2001 (Disperbyk; manufactured by BYK) (solid content concentration 45.1% by mass) as a dispersant, and a dispersion resin A mixture of 2.7 parts of resin (P-1) as a solvent and 78.3 parts of propylene glycol monomethyl ether acetate as a solvent is mixed and dispersed for 15 hours using a bead mill, and the Green pigment dispersion P2 Was prepared.
Using the Green pigment dispersion P2 obtained above, each component was mixed so as to have the following composition to obtain a solution. The obtained solution was filtered through a nylon filter having a pore size of 0.45 μm to prepare a Green coloring composition.
<Composition>
-Green pigment dispersion P2 83.3 parts-Alkali-soluble resin (resin (P-1)) 1.0 part-Photopolymerization initiator (IRGACURE OX-01, manufactured by BASF) 1.2 parts-Polymerizable compound 1 (Compound M-1 below) 1.4 parts / polymerizable compound 2 (M-305, manufactured by Toagosei Co., Ltd.) 1.4 parts / 80% solution of compound (A-8) (manufactured by Sigma-Aldrich) 1.3 Parts ・ p-methoxyphenol 0.001 part ・ polyethylene glycol methyl ether acetate 7.4 parts ・ surfactant (PGMEA 0.2% solution) 4.2 parts
化合物(A-8):下記構造 Compound (A-8): Structure below
重合性化合物1:下記構造
Polymerizable compound 1: structure shown below
重合性化合物2:下記構造
Polymerizable compound 2: the following structure
・界面活性剤:下記混合物(Mw=14000)
Surfactant: The following mixture (Mw = 14000)
・樹脂P-1:下記構造(酸価=54mgKOH/g、Mw=15000)
Resin P-1: The following structure (acid value = 54 mg KOH / g, Mw = 15000)
3-1:着色組成物を用いた着色硬化膜の作製
上記で調製したBlue着色組成物を、実施例1と同様の方法で製造した下塗り層付シリコンウエハ基板の下塗り層上に塗布し、着色層(塗布膜)を形成した。そして、この塗布膜の乾燥膜厚が1μmになるように、100℃のホットプレートを用いて120秒間加熱処理(プリベーク)を行なった。次いでプリベーク後のシリコンウエハ基板を200℃で5分間加熱し、塗布膜の硬化を行って着色硬化膜付シリコンウエハ基板を作製した。
3-1: Production of colored cured film using colored composition The blue colored composition prepared above was applied onto the undercoat layer of a silicon wafer substrate with an undercoat layer produced by the same method as in Example 1, and colored A layer (coating film) was formed. Then, heat treatment (pre-baking) was performed for 120 seconds using a hot plate at 100 ° C. so that the dry film thickness of the coating film became 1 μm. Next, the pre-baked silicon wafer substrate was heated at 200 ° C. for 5 minutes, and the coating film was cured to produce a silicon wafer substrate with a colored cured film.
3-2.フォトリソグラフィ法によるカラーフィルタの作製
上記で調製したGreen着色組成物を、あらかじめヘキサメチルジシラザンを噴霧した200mm(8インチ)のシリコンウエハの上に塗布し、光硬化性の塗布膜を形成した。そして、この塗布膜の乾燥膜厚が1.0μmになるように、100℃のホットプレートを用いて180秒間加熱処理(プリベーク)を行った。次いで、i線ステッパー露光装置FPA-3000i5+(Canon(株)製)を使用して、365nmの波長で1.0μm四方のベイヤーパターンマスクを通し、1.0μm四方のベイヤーパターンが形成できる露光量(50~1000mJ/cm2より事前に選定)にて照射した。その後、照射された塗布膜が形成されているシリコンウエハをスピン・シャワー現像機(DW-30型;(株)ケミトロニクス製)の水平回転テーブル上に載置し、現像液CD-2000(富士フイルムエレクトロニクスマテリアルズ(株)製)の40%希釈液を用いて、23℃で180秒間パドル現像することにより、シリコンウエハに緑色着色パターンを形成した。
緑色着色パターンが形成されたシリコンウエハを真空チャック方式で水平回転テーブルに固定し、回転装置によって該シリコンウエハを回転数50rpmで回転させつつ、その回転中心の上方より純水を噴出ノズルからシャワー状に供給してリンス処理を行ない、その後スプレー乾燥した。
次に、緑色着色パターンが形成されたシリコンウエハを200℃のホットプレートにて5分間加熱し、Greenパターンを形成した。
さらに、上記Blue着色組成物を用い、露光を、ベイヤーパターンマスクに代えて、1.0μm四方のアイランドパターンマスクを用いて露光する以外はGreenパターンの形成と同様にして、Blueパターンを形成し、カラーフィルタを作製した。
3-2. Production of Color Filter by Photolithographic Method The green coloring composition prepared above was applied onto a 200 mm (8 inch) silicon wafer previously sprayed with hexamethyldisilazane to form a photocurable coating film. Then, heat treatment (pre-baking) was performed for 180 seconds using a hot plate at 100 ° C. so that the dry film thickness of the coating film became 1.0 μm. Next, using an i-line stepper exposure apparatus FPA-3000i5 + (manufactured by Canon Co., Ltd.), a 1.0 μm square Bayer pattern mask is passed through a wavelength of 365 nm and an exposure amount capable of forming a 1.0 μm square Bayer pattern ( Irradiation was performed in advance (selected from 50 to 1000 mJ / cm 2 ). Thereafter, the silicon wafer on which the irradiated coating film is formed is placed on a horizontal rotary table of a spin shower developing machine (DW-30 type; manufactured by Chemitronics), and a developer CD-2000 (Fuji A green colored pattern was formed on the silicon wafer by paddle development at 23 ° C. for 180 seconds using a 40% diluted solution of Film Electronics Materials Co., Ltd.
A silicon wafer on which a green coloring pattern is formed is fixed to a horizontal rotary table by a vacuum chuck method, and the silicon wafer is rotated at a rotation speed of 50 rpm by a rotating device, and pure water is ejected from above the rotation center from a jet nozzle. And then rinsed and then spray dried.
Next, the silicon wafer on which the green coloring pattern was formed was heated on a hot plate at 200 ° C. for 5 minutes to form a green pattern.
Further, using the above-mentioned Blue coloring composition, a blue pattern is formed in the same manner as the formation of the green pattern except that the exposure is performed using a 1.0 μm square island pattern mask instead of the Bayer pattern mask. A color filter was prepared.
4.耐熱性の評価
上記で作製した着色硬化膜付シリコンウエハ基板を、280℃のホットプレートで30分間加熱し、次いでシクロヘキサノンに10分間浸漬した。溶剤浸漬前後の着色硬化膜付シリコンウエハ基板の400~700nmの可視光透過率差(ΔT)を色度計MCPD-1000(大塚電子(株)製)を用いて測定した。測定されたΔTを用いて、下記評価基準に基づき、耐熱性を評価した。
4). Evaluation of heat resistance The silicon wafer substrate with a colored cured film produced as described above was heated on a hot plate at 280 ° C for 30 minutes, and then immersed in cyclohexanone for 10 minutes. A visible light transmittance difference (ΔT) of 400 to 700 nm between the silicon wafer substrate with the colored cured film before and after the solvent immersion was measured using a chromaticity meter MCPD-1000 (manufactured by Otsuka Electronics Co., Ltd.). Based on the following evaluation criteria, heat resistance was evaluated using the measured ΔT.
A:ΔTが5%未満
B:ΔTが5%以上10%未満
C:ΔTが10%以上20%未満
D:ΔTが20%以上
A: ΔT is less than 5% B: ΔT is 5% or more and less than 10% C: ΔT is 10% or more and less than 20% D: ΔT is 20% or more
5.ディッシングの評価
上記で作製したカラーフィルタのBlue画素の高さを、原子間力顕微鏡(AFM、セイコーインスツルメンツ株式会社製、SPA-400AFM)を用いて、画素の対角線に沿って測定した。測定された値から、最高点と中央部の高さの差を、ディッシング深さとして、下記評価基準に基づき、ディッシングを評価した。
A:ディッシング深さが75nm未満
B:ディッシング深さが75nm以上100nm未満
C:ディッシング深さが100nm以上
5. Evaluation of dishing The height of the blue pixel of the color filter produced above was measured along the diagonal line of the pixel using an atomic force microscope (AFM, manufactured by Seiko Instruments Inc., SPA-400AFM). Based on the measured values, dishing was evaluated based on the following evaluation criteria, with the difference in height between the highest point and the center as the dishing depth.
A: dishing depth is less than 75 nm B: dishing depth is 75 nm or more and less than 100 nm C: dishing depth is 100 nm or more
<実施例31、比較例11~12>
実施例30において、Blue着色組成物に使用したアルカリ可溶性樹脂1を、合成例17で合成したアルカリ可溶性樹脂に代えて、合成例18~20で合成したアルカリ可溶性樹脂を用いた以外は、実施例30と同様にしてBlue着色組成物を調製し、実施例30と同様にディッシングを評価した。
<Example 31, Comparative Examples 11 to 12>
In Example 30, the alkali-soluble resin 1 used in the Blue coloring composition was replaced with the alkali-soluble resin synthesized in Synthesis Example 17, except that the alkali-soluble resin synthesized in Synthesis Examples 18 to 20 was used. A blue colored composition was prepared in the same manner as in No. 30, and dishing was evaluated in the same manner as in Example 30.
上記結果から明らかなとおり、本発明のチオール化合物を用いて製造したアルカリ可溶性樹脂を含む実施例は耐熱性に優れていることが分かった。更には、ディッシング低減性能も優れていた。
実施例30のBlue着色組成物の調製において、重合性化合物1をNKエステルA-DPH-12Eに代えて、同質量のKAYARAD DPHA(日本化薬製、ジペンタエリスリトールヘキサアクリレート)を用いて得られる着色組成物についても、同様の結果が得られた。また、光重合開始剤をIRGACURE OXE-02に代えて、同質量のIRGACURE OXE-01(BASF社製)を用いて得られる着色組成物についても、同様の結果が得られた。
As is clear from the above results, it was found that Examples containing an alkali-soluble resin produced using the thiol compound of the present invention were excellent in heat resistance. Furthermore, the dishing reduction performance was also excellent.
In the preparation of the blue coloring composition of Example 30, the polymerizable compound 1 is obtained using KAYARAD DPHA (manufactured by Nippon Kayaku Co., Ltd., dipentaerythritol hexaacrylate) instead of the NK ester A-DPH-12E. Similar results were obtained for the colored composition. Similar results were obtained with a colored composition obtained by using IRGACURE OXE-01 (manufactured by BASF) having the same mass in place of the photopolymerization initiator instead of IRGACURE OXE-02.
Claims (19)
(HS-R1-M1-)nL1 (1)
式(1)において、L1はn価の有機連結基を表し、
nは3~15の整数を表し、
M1は、-O-、-S-、-N(R2)-、-C(=O)-、-C(=O)-O-、-O-C(=O)-O-、-C(=O)-NH-、-O-C(=O)-NH-、-S(=O)-、-S(=O)-O-、-S(=O)2-、-S(=O)2-O-、または-CH=N-を表し、
R1は、アルキレン基、または、アルキレン基とエーテル性酸素原子の組み合わせからなる基を表し、
R2は、水素原子、エーテル性酸素原子を含んでもいてもよい炭素数1~10のアルキル基、または、エーテル性酸素原子を含んでもいてもよい芳香族性炭化水素基を表し、
SHはチオール基を表し、SHの硫黄原子とM1のR1と結合する原子とは、R1の5以上の原子によって隔てられている。 A thiol compound represented by the following formula (1);
(HS-R 1 -M 1- ) n L 1 (1)
In Formula (1), L 1 represents an n-valent organic linking group,
n represents an integer of 3 to 15,
M 1 represents —O—, —S—, —N (R 2 ) —, —C (═O) —, —C (═O) —O—, —O—C (═O) —O—, —C (═O) —NH—, —O—C (═O) —NH—, —S (═O) —, —S (═O) —O—, —S (═O) 2 —, — S (═O) 2 —O— or —CH═N—
R 1 represents an alkylene group or a group consisting of a combination of an alkylene group and an etheric oxygen atom,
R 2 represents a hydrogen atom, an alkyl group having 1 to 10 carbon atoms which may contain an etheric oxygen atom, or an aromatic hydrocarbon group which may contain an etheric oxygen atom,
SH represents a thiol group, and the sulfur atom of SH and the atom bonded to R 1 of M 1 are separated by 5 or more atoms of R 1 .
上記において、rは0~10の整数であり、R31~R41はそれぞれ独立にアルキル基を表し、R42は、水素原子、アルキル基またはアルコキシ基を表し、R43およびR44は、それぞれ独立に、水素原子、または炭素数1~6のアルキル基であり、sは、0~9の整数であり、L4は、-O-または-C(=O)-を表す。*はM1との結合部位を示す。 The thiol compound according to any one of claims 1 to 4, wherein L 1 is selected from structures represented by any of the following (L-1) to (L-21):
In the above, r is an integer of 0 to 10, R 31 to R 41 each independently represents an alkyl group, R 42 represents a hydrogen atom, an alkyl group or an alkoxy group, and R 43 and R 44 each represent Independently, it is a hydrogen atom or an alkyl group having 1 to 6 carbon atoms, s is an integer of 0 to 9, and L 4 represents —O— or —C (═O) —. * Indicates a binding site with M 1 .
上記において、rは0~10の整数であり、R42、R43およびR44は、エチル基である。*はM1との結合部位を示す。 The thiol compound according to any one of claims 1 to 4, wherein L 1 is selected from structures represented by any of the following:
In the above, r is an integer of 0 to 10, and R 42 , R 43 and R 44 are ethyl groups. * Indicates a binding site with M 1 .
L1-(RH)n (3)
X-Ma-R1-Y (4)
式中、L1は、n価の有機連結基を表し、
RHは酸素原子、窒素原子および硫黄原子の少なくとも1つを含み、酸素原子、窒素原子および硫黄原子のいずれかと連結する水素原子を含む基を表し、
nは3~15の整数を表し、
Yは保護基Zを有する含硫黄化合物との反応で脱離する基を表し、
R1は、アルキレン基、または、アルキレン基とエーテル性酸素原子の組み合わせからなる基を表し、YのR1と結合する原子とMaのR1と結合する原子とは、R1の5以上の原子によって隔てられており、
Maは、単結合または2価の連結基を表し、
Xは、ハロゲン原子またはスルホネートの少なくとも1つを含む基を表す。 A compound represented by the following formula (3) and a compound represented by the following formula (4) are reacted, and the product thus obtained is reacted with a sulfur-containing compound having a protecting group Z. The method for producing a thiol compound according to any one of claims 1 to 7, comprising generating a thiol group by desorption;
L 1- (R H ) n (3)
X-M a -R 1 -Y (4)
In the formula, L 1 represents an n-valent organic linking group,
R H represents at least one of an oxygen atom, a nitrogen atom, and a sulfur atom, and represents a group that includes a hydrogen atom linked to any one of an oxygen atom, a nitrogen atom, and a sulfur atom;
n represents an integer of 3 to 15,
Y represents a group capable of leaving by reaction with a sulfur-containing compound having a protecting group Z;
R 1 is an alkylene group, or a group composed of a combination of an alkylene group and an etheric oxygen atom, the R 1 and the atoms connecting the M a R 1 a bond to atoms Y, 5 or more of R 1 Separated by
M a represents a single bond or a divalent linking group,
X represents a group containing at least one of a halogen atom and a sulfonate.
X-Ma1-R1-Y (4-1)
式中、Yは保護基Zを有する含硫黄化合物との反応で脱離する基を表し、
R1は、アルキレン基、または、アルキレン基とエーテル性酸素原子の組み合わせからなる基を表し、YのR1と結合する原子とMa1のR1と結合する原子とは、R1の5以上の原子によって隔てられており、
Ma1は、-C(=O)-を表し、
Xは、ハロゲン原子またはスルホネートの少なくとも1つを含む基を表す。 After reacting a tri- to 15-valent polyhydric alcohol with a compound represented by the following formula (4-1), the resulting product and a sulfur-containing compound having a protecting group Z are reacted, A method for producing a thiol compound, comprising producing a thiol group by desorption;
X-M a1 -R 1 -Y (4-1)
In the formula, Y represents a group capable of leaving by reaction with a sulfur-containing compound having a protecting group Z;
R 1 represents an alkylene group or a group composed of a combination of an alkylene group and an etheric oxygen atom, and the atom bonded to R 1 of Y and the atom bonded to R 1 of M a1 are 5 or more of R 1 Separated by
M a1 represents —C (═O) —,
X represents a group containing at least one of a halogen atom and a sulfonate.
X-R1-Y (4-2)
式中、Yは保護基Zを有する含硫黄化合物との反応で脱離する基を表し、
R1は、アルキレン基、または、アルキレン基とエーテル性酸素原子の組み合わせからなる基を表し、YのR1と結合する原子とXのR1と結合する原子とは、R1の5以上の原子によって隔てられており、
Xは、ハロゲン原子またはスルホネートの少なくとも1つを含む基を表す。 After reacting a tri- to 15-valent polyhydric alcohol with a compound represented by the following formula (4-2), the resulting product and a sulfur-containing compound having a protecting group Z are reacted, A method for producing a thiol compound, comprising producing a thiol group by desorption;
XR 1 -Y (4-2)
In the formula, Y represents a group capable of leaving by reaction with a sulfur-containing compound having a protecting group Z;
R 1 represents an alkylene group or a group consisting of a combination of an alkylene group and an etheric oxygen atom, and the atom bonded to R 1 of Y and the atom bonded to R 1 of X are 5 or more of R 1 Separated by atoms,
X represents a group containing at least one of a halogen atom and a sulfonate.
式(5)中、R4は、水素原子、炭素数1~30のアルキル基、炭素数6~30のアリール基、または、炭素数3~30のヘテロアリール基を表す。 The protecting group Z is a group represented by the following formula (5), a group represented by the following formula (6), or a salt of a group represented by the following formula (6). The manufacturing method of the thiol compound of any one of these;
In formula (5), R 4 represents a hydrogen atom, an alkyl group having 1 to 30 carbon atoms, an aryl group having 6 to 30 carbon atoms, or a heteroaryl group having 3 to 30 carbon atoms.
式(7)において、L1は(n1+n2)価の有機連結基を表し、
n1は1~15を表し、n2は0~14を表し、n1とn2との合計は3~15であり、M1は、-O-、-S-、-N(R2)-、-C(=O)-、-C(=O)-O-、-O-C(=O)-O-、-C(=O)-NH-、-O-C(=O)-NH-、-S(=O)-、-S(=O)-O-、-S(=O)2-、-S(=O)2-O-、または-CH=N-を表し、
R1は、アルキレン基、または、アルキレン基とエーテル性酸素原子の組み合わせからなる基を表し、
R2は、水素原子、エーテル性酸素原子を含んでもいてもよい炭素数1~10のアルキル基、または、エーテル性酸素原子を含んでもいてもよい芳香族性炭化水素基を表し、
SHはチオール基を表し、SHの硫黄原子とM1のR1と結合する原子とは、R1の5以上の原子によって隔てられており、Sは硫黄原子を表し、該硫黄原子とM1のR1と結合する原子とは、R1の5以上の原子によって隔てられており、
P1はエチレン性不飽和結合を有する化合物由来の繰り返し単位を有する1価の置換基を表す。 A polymer represented by the following formula (7);
In Formula (7), L 1 represents an (n1 + n2) -valent organic linking group,
n1 represents 1 to 15, n2 represents 0 to 14, the sum of n1 and n2 is 3 to 15, and M 1 represents —O—, —S—, —N (R 2 ) —, — C (═O) —, —C (═O) —O—, —O—C (═O) —O—, —C (═O) —NH—, —O—C (═O) —NH— , —S (═O) —, —S (═O) —O—, —S (═O) 2 —, —S (═O) 2 —O—, or —CH═N—,
R 1 represents an alkylene group or a group consisting of a combination of an alkylene group and an etheric oxygen atom,
R 2 represents a hydrogen atom, an alkyl group having 1 to 10 carbon atoms which may contain an etheric oxygen atom, or an aromatic hydrocarbon group which may contain an etheric oxygen atom,
SH represents a thiol group, and the sulfur atom of SH and the atom bonded to R 1 of M 1 are separated by 5 or more atoms of R 1 , S represents a sulfur atom, and the sulfur atom and M 1 the of R 1 and the atoms connecting, and separated by 5 or more atoms of R 1,
P 1 represents a monovalent substituent having a repeating unit derived from a compound having an ethylenically unsaturated bond.
A color filter obtained using the colored composition according to claim 17.
Priority Applications (3)
| Application Number | Priority Date | Filing Date | Title |
|---|---|---|---|
| KR1020177004305A KR101982554B1 (en) | 2014-09-30 | 2015-09-03 | Thiol compound, method for producing thiol compound, polymer, composition, curable composition, color composition, cured film, and color filter |
| CN201580043994.8A CN106573885B (en) | 2014-09-30 | 2015-09-03 | Thiol compound, method for producing same, polymer, composition, cured film, and color filter |
| JP2016551673A JP6374014B2 (en) | 2014-09-30 | 2015-09-03 | Thiol compound, method for producing thiol compound, polymer, composition, curable composition, coloring composition, cured film, and color filter |
Applications Claiming Priority (4)
| Application Number | Priority Date | Filing Date | Title |
|---|---|---|---|
| JP2014199881 | 2014-09-30 | ||
| JP2014-199881 | 2014-09-30 | ||
| JP2015-063761 | 2015-03-26 | ||
| JP2015063761 | 2015-03-26 |
Publications (1)
| Publication Number | Publication Date |
|---|---|
| WO2016052069A1 true WO2016052069A1 (en) | 2016-04-07 |
Family
ID=55630113
Family Applications (1)
| Application Number | Title | Priority Date | Filing Date |
|---|---|---|---|
| PCT/JP2015/075048 Ceased WO2016052069A1 (en) | 2014-09-30 | 2015-09-03 | Thiol compound, method for producing thiol compound, polymer, composition, curable composition, color composition, cured film, and color filter |
Country Status (5)
| Country | Link |
|---|---|
| JP (1) | JP6374014B2 (en) |
| KR (1) | KR101982554B1 (en) |
| CN (1) | CN106573885B (en) |
| TW (1) | TWI660937B (en) |
| WO (1) | WO2016052069A1 (en) |
Cited By (9)
| Publication number | Priority date | Publication date | Assignee | Title |
|---|---|---|---|---|
| WO2017159552A1 (en) * | 2016-03-17 | 2017-09-21 | 富士フイルム株式会社 | Method for producing polyfunctional thiol compound, polyfunctional thiol compound, curable composition, and method for producing curable composition |
| WO2018021313A1 (en) * | 2016-07-29 | 2018-02-01 | 富士フイルム株式会社 | Coloring composition, color filter, pattern formation method, solid-stage imaging element, and image display device |
| KR101840335B1 (en) | 2017-06-19 | 2018-03-20 | 한국화학연구원 | Novel compounds and uses thereof |
| WO2019130807A1 (en) * | 2017-12-27 | 2019-07-04 | 富士フイルム株式会社 | Composition, film, color filter, solid-state imaging element, image display device and method for producing compound |
| JP2021004921A (en) * | 2019-06-25 | 2021-01-14 | 東洋インキScホールディングス株式会社 | Photosensitive coloring composition, and color filter and liquid-crystal display using the same |
| US20210403618A1 (en) * | 2020-06-29 | 2021-12-30 | Baker Hughes Oilfield Operations Llc | Hydrate inhibitors |
| JP2022122265A (en) * | 2021-02-09 | 2022-08-22 | 住友化学株式会社 | Curable composition |
| WO2023218862A1 (en) * | 2022-05-10 | 2023-11-16 | 四国化成工業株式会社 | Thiol compound and uses thereof |
| WO2024203730A1 (en) * | 2023-03-31 | 2024-10-03 | ホヤ レンズ タイランド リミテッド | Polythiol, polymerizable composition for optical materials, optical material, and methods for producing those products |
Families Citing this family (2)
| Publication number | Priority date | Publication date | Assignee | Title |
|---|---|---|---|---|
| WO2018182137A1 (en) * | 2017-03-31 | 2018-10-04 | 동우 화인켐 주식회사 | Blue photosensitive resin composition, and color filter and image display device manufactured using same |
| KR102678332B1 (en) * | 2022-02-24 | 2024-06-24 | 삼성에스디아이 주식회사 | Photosensitive resin composition, photosensitive resin layer using the same and color filter |
Citations (10)
| Publication number | Priority date | Publication date | Assignee | Title |
|---|---|---|---|---|
| US2411954A (en) * | 1944-01-25 | 1946-12-03 | Du Pont | Treatment of polyunsaturated esters with polythiols and products produced thereby |
| JPS60115651A (en) * | 1983-08-02 | 1985-06-22 | ソシエテ・ナシヨナ−ル・エルフ・アキテ−ヌ | Thermal stabilization for halogenovinyl resin |
| US4594193A (en) * | 1984-09-26 | 1986-06-10 | Research Corporation | Thiol based lipids and membranes made therefrom |
| JPH01158007A (en) * | 1987-09-24 | 1989-06-21 | Idemitsu Petrochem Co Ltd | Styrene based polymer and production thereof |
| JPH02178205A (en) * | 1988-11-04 | 1990-07-11 | Thera G Fur Patentverwelt Mbh | Visible light-curable dental composition |
| JP2003508564A (en) * | 1999-08-27 | 2003-03-04 | コヒージョン テクノロジーズ, インコーポレイテッド | Composition forming an interpenetrating polymer network for use as a high strength medical sealant |
| JP2004093764A (en) * | 2002-08-30 | 2004-03-25 | Konica Minolta Holdings Inc | Toner and image forming method |
| WO2007108367A1 (en) * | 2006-03-17 | 2007-09-27 | Fujifilm Corporation | Polymer compound and production method thereof, pigment dispersing agent, pigment dispersion composition, photocurable composition, and color filter and production method thereof |
| WO2009084808A1 (en) * | 2007-12-28 | 2009-07-09 | Cheil Industries Inc. | Chemical and impact resistant thermoplastic resin composition having improved extrudability. |
| WO2015151988A1 (en) * | 2014-03-31 | 2015-10-08 | 富士フイルム株式会社 | Coloring composition, cured film, color filter, method for producing color filter, solid-state imaging element, image display device, organic electroluminescent element, dye and method for producing dye |
Family Cites Families (8)
| Publication number | Priority date | Publication date | Assignee | Title |
|---|---|---|---|---|
| IL98824A (en) * | 1991-07-14 | 1995-03-15 | Technion Res & Dev Foundation | Derivatives of tricycloquinazoline |
| JP5497133B2 (en) | 2006-03-17 | 2014-05-21 | 富士フイルム株式会社 | Pigment dispersion composition, photocurable composition, color filter and method for producing the same |
| WO2009129221A1 (en) | 2008-04-15 | 2009-10-22 | Indiana University Research And Technology Corporation | Polyfunctional compounds and glass-ionomer cement compositions and methods for using as implant materials |
| KR101043634B1 (en) * | 2009-04-22 | 2011-06-24 | 한국화학연구원 | Synthesis of Triphenylene-Based Reactive Mesogen Compound Containing Sulphide at Side Branch |
| KR101039443B1 (en) * | 2009-04-22 | 2011-06-08 | 한국화학연구원 | Method for preparing triphenylene-based reactive mesogen comprising regioselective sulfide in the side branch |
| EP2586826B1 (en) * | 2010-06-23 | 2015-11-25 | Nippon Kasei Chemical Company Limited | Inorganic-organic hybrid material, optical material using same, and inorganic-organic composite composition |
| JP5881471B2 (en) * | 2012-03-01 | 2016-03-09 | 株式会社イノアック技術研究所 | Transparent elastomer |
| CN103242490B (en) * | 2013-05-03 | 2015-06-17 | 张家港市黎明化工有限公司 | Sulfhydryl-double bond reaction-based acrylate ester/montmorillonite composite and preparation method |
-
2015
- 2015-09-03 CN CN201580043994.8A patent/CN106573885B/en active Active
- 2015-09-03 WO PCT/JP2015/075048 patent/WO2016052069A1/en not_active Ceased
- 2015-09-03 KR KR1020177004305A patent/KR101982554B1/en active Active
- 2015-09-03 JP JP2016551673A patent/JP6374014B2/en active Active
- 2015-09-15 TW TW104130358A patent/TWI660937B/en active
Patent Citations (10)
| Publication number | Priority date | Publication date | Assignee | Title |
|---|---|---|---|---|
| US2411954A (en) * | 1944-01-25 | 1946-12-03 | Du Pont | Treatment of polyunsaturated esters with polythiols and products produced thereby |
| JPS60115651A (en) * | 1983-08-02 | 1985-06-22 | ソシエテ・ナシヨナ−ル・エルフ・アキテ−ヌ | Thermal stabilization for halogenovinyl resin |
| US4594193A (en) * | 1984-09-26 | 1986-06-10 | Research Corporation | Thiol based lipids and membranes made therefrom |
| JPH01158007A (en) * | 1987-09-24 | 1989-06-21 | Idemitsu Petrochem Co Ltd | Styrene based polymer and production thereof |
| JPH02178205A (en) * | 1988-11-04 | 1990-07-11 | Thera G Fur Patentverwelt Mbh | Visible light-curable dental composition |
| JP2003508564A (en) * | 1999-08-27 | 2003-03-04 | コヒージョン テクノロジーズ, インコーポレイテッド | Composition forming an interpenetrating polymer network for use as a high strength medical sealant |
| JP2004093764A (en) * | 2002-08-30 | 2004-03-25 | Konica Minolta Holdings Inc | Toner and image forming method |
| WO2007108367A1 (en) * | 2006-03-17 | 2007-09-27 | Fujifilm Corporation | Polymer compound and production method thereof, pigment dispersing agent, pigment dispersion composition, photocurable composition, and color filter and production method thereof |
| WO2009084808A1 (en) * | 2007-12-28 | 2009-07-09 | Cheil Industries Inc. | Chemical and impact resistant thermoplastic resin composition having improved extrudability. |
| WO2015151988A1 (en) * | 2014-03-31 | 2015-10-08 | 富士フイルム株式会社 | Coloring composition, cured film, color filter, method for producing color filter, solid-state imaging element, image display device, organic electroluminescent element, dye and method for producing dye |
Non-Patent Citations (3)
| Title |
|---|
| JEREMY W. BARTELS ET AL.: "Antibiofouling Hybrid Dendritic Boltorn/Star PEG Thiol-ene Cross- Linked Networks", ACS APPLIED MATERIALS & INTERFACES, vol. 3, no. 6, 2011, pages 2118 - 2129 * |
| JIKKEN KAGAKU KOZA 22 YUKI GOSEI IV -SAN·AMINO- SAN·PEPTIDE, 1992, pages 50 - 51 * |
| JIKKEN KAGAKU KOZA 24 YUKI GOSEI IV -HETERO GENSO·TENKEI KINZOKU GENSO KAGOBUTSU, 1992, pages 326 * |
Cited By (20)
| Publication number | Priority date | Publication date | Assignee | Title |
|---|---|---|---|---|
| WO2017159552A1 (en) * | 2016-03-17 | 2017-09-21 | 富士フイルム株式会社 | Method for producing polyfunctional thiol compound, polyfunctional thiol compound, curable composition, and method for producing curable composition |
| WO2018021313A1 (en) * | 2016-07-29 | 2018-02-01 | 富士フイルム株式会社 | Coloring composition, color filter, pattern formation method, solid-stage imaging element, and image display device |
| JPWO2018021313A1 (en) * | 2016-07-29 | 2019-05-23 | 富士フイルム株式会社 | Colored composition, color filter, pattern forming method, solid-state imaging device, and image display device |
| KR101840335B1 (en) | 2017-06-19 | 2018-03-20 | 한국화학연구원 | Novel compounds and uses thereof |
| US11945917B2 (en) | 2017-12-27 | 2024-04-02 | Fujifilm Corporation | Composition, film, color filter, solid-state imaging element, image display device, and method for producing compound |
| TWI863896B (en) * | 2017-12-27 | 2024-12-01 | 日商富士軟片股份有限公司 | Composition containing pigment, film, color filter, solid-state imaging element, image display device and method for producing compound |
| JPWO2019130807A1 (en) * | 2017-12-27 | 2020-12-17 | 富士フイルム株式会社 | Methods for manufacturing compositions, films, color filters, solid-state image sensors, image display devices and compounds |
| JP7016891B2 (en) | 2017-12-27 | 2022-02-07 | 富士フイルム株式会社 | Methods for manufacturing compositions, films, color filters, solid-state image sensors, image display devices and compounds |
| WO2019130807A1 (en) * | 2017-12-27 | 2019-07-04 | 富士フイルム株式会社 | Composition, film, color filter, solid-state imaging element, image display device and method for producing compound |
| JP7415342B2 (en) | 2019-06-25 | 2024-01-17 | 東洋インキScホールディングス株式会社 | Photosensitive coloring composition, color filter and liquid crystal display device using the same |
| JP2021004921A (en) * | 2019-06-25 | 2021-01-14 | 東洋インキScホールディングス株式会社 | Photosensitive coloring composition, and color filter and liquid-crystal display using the same |
| WO2022005775A1 (en) * | 2020-06-29 | 2022-01-06 | Baker Hughes Oilfield Operations Llc | Hydrate inhibitors |
| US11780940B2 (en) | 2020-06-29 | 2023-10-10 | Baker Hughes Oilfield Operations Llc | Hydrate inhibitors |
| GB2611484A (en) * | 2020-06-29 | 2023-04-05 | Baker Hughes Oilfield Operations Llc | Hydrate inhibitors |
| GB2611484B (en) * | 2020-06-29 | 2024-09-25 | Baker Hughes Oilfield Operations Llc | Hydrate inhibitors |
| US20210403618A1 (en) * | 2020-06-29 | 2021-12-30 | Baker Hughes Oilfield Operations Llc | Hydrate inhibitors |
| JP2022122265A (en) * | 2021-02-09 | 2022-08-22 | 住友化学株式会社 | Curable composition |
| JP7795930B2 (en) | 2021-02-09 | 2026-01-08 | 住友化学株式会社 | Curable composition for color filters, color filters, display devices, and solid-state imaging devices |
| WO2023218862A1 (en) * | 2022-05-10 | 2023-11-16 | 四国化成工業株式会社 | Thiol compound and uses thereof |
| WO2024203730A1 (en) * | 2023-03-31 | 2024-10-03 | ホヤ レンズ タイランド リミテッド | Polythiol, polymerizable composition for optical materials, optical material, and methods for producing those products |
Also Published As
| Publication number | Publication date |
|---|---|
| TWI660937B (en) | 2019-06-01 |
| CN106573885B (en) | 2020-06-02 |
| KR20170032410A (en) | 2017-03-22 |
| CN106573885A (en) | 2017-04-19 |
| TW201612156A (en) | 2016-04-01 |
| JP6374014B2 (en) | 2018-08-15 |
| JPWO2016052069A1 (en) | 2017-08-31 |
| KR101982554B1 (en) | 2019-05-27 |
Similar Documents
| Publication | Publication Date | Title |
|---|---|---|
| JP6374014B2 (en) | Thiol compound, method for producing thiol compound, polymer, composition, curable composition, coloring composition, cured film, and color filter | |
| JP6162165B2 (en) | Colored composition, cured film, color filter, method for producing color filter, solid-state imaging device, image display device, organic electroluminescence device, pigment and method for producing pigment | |
| TWI736595B (en) | Photosensitive composition, color filter, pattern forming method, solid-state imaging element, and image display device | |
| KR101733965B1 (en) | Colored radiation-sensitive composition, colored cured film, color filter, color pattern formation method, method for producing color filter, solid-state imaging element, and liquid crystal display device | |
| JP6251067B2 (en) | Coloring composition, cured film, method for producing color filter, color filter, solid-state imaging device, and image display device | |
| CN104603209B (en) | Dispersion composition, curable composition using same, transparent film, microlens, and solid-state imaging device | |
| CN107924007A (en) | Near infrared ray absorbing solidification compound, cured film, solid-state imager, infrared absorbent and compound | |
| JP6892927B2 (en) | Coloring composition, cured film, pattern forming method, color filter, solid-state image sensor and image display device | |
| KR102152047B1 (en) | Coloring composition, color filter, pattern formation method, solid-state imaging device, image display device, and dye multimer | |
| KR102032139B1 (en) | Coloring composition, color filter, pattern formation method, solid-state image sensor, and an image display apparatus | |
| JPWO2017086288A1 (en) | Curable composition, optical filter, color filter, pattern forming method, solid-state imaging device, and image display device | |
| JP2017226709A (en) | Colored curable composition, color filter, pattern forming method, method for producing color filter, solid state imaging device, and image display apparatus | |
| JPWO2017159552A1 (en) | Method for producing polyfunctional thiol compound, polyfunctional thiol compound, curable composition, and method for producing curable composition | |
| JPWO2017213028A1 (en) | Colored composition and method for producing film | |
| JP6604928B2 (en) | Coloring composition, film and method for producing film | |
| JP6341694B2 (en) | Radiation-sensitive composition and method for producing the same, cured film, color filter and method for producing the same, pattern forming method, solid-state imaging device, and image display device | |
| JP7016879B2 (en) | A coloring composition, a film manufacturing method, a color filter manufacturing method, a solid-state image sensor manufacturing method, and an image display device manufacturing method. | |
| JP6587697B2 (en) | Coloring composition, color filter, pattern forming method, solid-state imaging device, and image display device |
Legal Events
| Date | Code | Title | Description |
|---|---|---|---|
| 121 | Ep: the epo has been informed by wipo that ep was designated in this application |
Ref document number: 15846888 Country of ref document: EP Kind code of ref document: A1 |
|
| ENP | Entry into the national phase |
Ref document number: 20177004305 Country of ref document: KR Kind code of ref document: A |
|
| ENP | Entry into the national phase |
Ref document number: 2016551673 Country of ref document: JP Kind code of ref document: A |
|
| NENP | Non-entry into the national phase |
Ref country code: DE |
|
| 122 | Ep: pct application non-entry in european phase |
Ref document number: 15846888 Country of ref document: EP Kind code of ref document: A1 |
























































































