WO2016010961A1 - Enzyme occupancy assay - Google Patents
Enzyme occupancy assay Download PDFInfo
- Publication number
- WO2016010961A1 WO2016010961A1 PCT/US2015/040269 US2015040269W WO2016010961A1 WO 2016010961 A1 WO2016010961 A1 WO 2016010961A1 US 2015040269 W US2015040269 W US 2015040269W WO 2016010961 A1 WO2016010961 A1 WO 2016010961A1
- Authority
- WO
- WIPO (PCT)
- Prior art keywords
- ligand
- btk
- binding
- kinase
- moiety
- Prior art date
- Legal status (The legal status is an assumption and is not a legal conclusion. Google has not performed a legal analysis and makes no representation as to the accuracy of the status listed.)
- Ceased
Links
- WTHLNHYGWUVXMM-ZOFATNNFSA-N Nc1c(c(-c(cc2)ccc2Oc2ccccc2)n[n]2[C@H](CCC3)CN3C(/C=C/CN3CCN(CCNC(CCCC[C@@H](C4N5)SCC4NC5=O)=O)CC3)=O)c2ncn1 Chemical compound Nc1c(c(-c(cc2)ccc2Oc2ccccc2)n[n]2[C@H](CCC3)CN3C(/C=C/CN3CCN(CCNC(CCCC[C@@H](C4N5)SCC4NC5=O)=O)CC3)=O)c2ncn1 WTHLNHYGWUVXMM-ZOFATNNFSA-N 0.000 description 1
Classifications
-
- G—PHYSICS
- G01—MEASURING; TESTING
- G01N—INVESTIGATING OR ANALYSING MATERIALS BY DETERMINING THEIR CHEMICAL OR PHYSICAL PROPERTIES
- G01N33/00—Investigating or analysing materials by specific methods not covered by groups G01N1/00 - G01N31/00
- G01N33/48—Biological material, e.g. blood, urine; Haemocytometers
- G01N33/50—Chemical analysis of biological material, e.g. blood, urine; Testing involving biospecific ligand binding methods; Immunological testing
- G01N33/58—Chemical analysis of biological material, e.g. blood, urine; Testing involving biospecific ligand binding methods; Immunological testing involving labelled substances
- G01N33/582—Chemical analysis of biological material, e.g. blood, urine; Testing involving biospecific ligand binding methods; Immunological testing involving labelled substances with fluorescent label
-
- C—CHEMISTRY; METALLURGY
- C12—BIOCHEMISTRY; BEER; SPIRITS; WINE; VINEGAR; MICROBIOLOGY; ENZYMOLOGY; MUTATION OR GENETIC ENGINEERING
- C12Q—MEASURING OR TESTING PROCESSES INVOLVING ENZYMES, NUCLEIC ACIDS OR MICROORGANISMS; COMPOSITIONS OR TEST PAPERS THEREFOR; PROCESSES OF PREPARING SUCH COMPOSITIONS; CONDITION-RESPONSIVE CONTROL IN MICROBIOLOGICAL OR ENZYMOLOGICAL PROCESSES
- C12Q1/00—Measuring or testing processes involving enzymes, nucleic acids or microorganisms; Compositions therefor; Processes of preparing such compositions
- C12Q1/48—Measuring or testing processes involving enzymes, nucleic acids or microorganisms; Compositions therefor; Processes of preparing such compositions involving transferase
- C12Q1/485—Measuring or testing processes involving enzymes, nucleic acids or microorganisms; Compositions therefor; Processes of preparing such compositions involving transferase involving kinase
-
- G—PHYSICS
- G01—MEASURING; TESTING
- G01N—INVESTIGATING OR ANALYSING MATERIALS BY DETERMINING THEIR CHEMICAL OR PHYSICAL PROPERTIES
- G01N33/00—Investigating or analysing materials by specific methods not covered by groups G01N1/00 - G01N31/00
- G01N33/48—Biological material, e.g. blood, urine; Haemocytometers
- G01N33/50—Chemical analysis of biological material, e.g. blood, urine; Testing involving biospecific ligand binding methods; Immunological testing
- G01N33/53—Immunoassay; Biospecific binding assay; Materials therefor
- G01N33/543—Immunoassay; Biospecific binding assay; Materials therefor with an insoluble carrier for immobilising immunochemicals
- G01N33/54393—Improving reaction conditions or stability, e.g. by coating or irradiation of surface, by reduction of non-specific binding, by promotion of specific binding
Definitions
- the protein kinases represent a large family of proteins that play a central role in the regulation of a wide variety of cellular processes and maintenance of cellular function.
- a partial, non-limiting, list of these kinases include: non-receptor tyrosine kinases such as the Tec family (BTK, ITK, Tec, ETK/BMX & RLK/TXK), Janus kinase family (Jakl, Jak2, Jak3 and Tyk2); the fusion kinases, such as BCR-Abl, focal adhesion kinase (FAK), Fes, Lck and Syk; receptor tyrosine kinases such as epidermal growth factor receptor (EGFR), the platelet- derived growth factor receptor kinase (PDGF-R), the receptor kinase for stem cell factor, c- kit, the hepatocyte growth factor receptor, c-Met, and the fibroblast growth factor receptor, FGFR3; and serine/th
- Bruton's tyrosine kinase is a non-receptor tyrosine kinase with a key role in immunoreceptor signaling (BCR, FcsR, FcyR, DAP12, Dectin-1, GPVI, etc.) in a host of hematopoietic cells including B cells, platelets, mast cells, basophils, eosinophils, macrophages and neutrophils as well as osteoclasts involved in bone destruction (for reviews, see Brunner et al., 2005 Histol. Histopathol., 20:945-955; Mohamed et al., 2009 Immunol. Rev., 228(l):58-73).
- BCR immunoreceptor signaling
- BTK X-linked agammaglobulinemia
- Xid X-linked immunodeficiency
- mice which are characterized by limited B-cell production & reduced antibody titers
- ITK Tec family kinases
- BCR B-cell receptor
- BTK is important for signaling through the glycoprotein VI (GPVI) receptor that responds to collagen and has been shown to promote platelet aggregation and contribute to cytokine production from fibroblast- like synoviocytes (Hsu et al., 2013 Immun. Letters, 150:97-104).
- GPVI glycoprotein VI
- BTK In monocytes and macrophages, the action of BTK is invoked in FcyRI induced signaling and may also have role in Toll-Like Receptor-induced cytokine responses including TLR2, TLR4, TLR8 & TLR9 (Horwood et al, 2003 J. Exp. Med., 197: 1603-1611; Horwood et al, 2006 J.
- BTK inhibition is expected to intervene at several critical junctions of the inflammatory reactions resulting in an effective suppression of autoimmune response.
- antibody-Fc receptor interactions & GPVI receptor signaling may be modulated by treatment with BTK inhibitors.
- BTK inhibition is likely to act on both the initiation of autoimmune disease by blocking BCR signaling and the effector phase by abrogation of FcR signaling on macrophages, neutrophils, basophils, and mast cells.
- blocking BTK would provide additional benefit via inhibition of osteoclast maturation and therefore attenuate the bone erosions & overall joint destruction associated with rheumatoid arthritis.
- Inhibiting BTK may be useful in treating a host of inflammatory and allergic diseases - for example (but not limited to), rheumatoid arthritis (RA), systemic lupus erythematosus (SLE), multiple sclerosis (MS) and type I
- RA rheumatoid arthritis
- SLE systemic lupus erythematosus
- MS multiple sclerosis
- lymphoma/leukemia & other oncologic disease for example (but not limited to) acute lymphoblastic leukemia (ALL), chronic lymphocytic leukemia (CLL), non-Hodgkin's lymphoma (NHL), small lymphocytic lymphoma (SLL), and acute myeloid leukemia (for review, see Buggy & Elias 2012 Int. Rev. Immunol. 31: 119).
- ALL acute lymphoblastic leukemia
- CLL chronic lymphocytic leukemia
- NHL non-Hodgkin's lymphoma
- SLL small lymphocytic lymphoma
- acute myeloid leukemia for review, see Buggy & Elias 2012 Int. Rev. Immunol. 31: 119.
- CC-292 a potent and selective inhibitor of BTK that has advanced into human clinical trial
- the assay reportedly allows assessment of in vivo BTK occupancy from biological samples, thus facilitating both preclinical research and clinical development by enabling a quantitative understanding of the relationship among dose, exposure, target engagement, functional consequence, and efficacy.
- CC-292 demonstrated therapeutic efficacy in a mouse CIA (Collagen-Induced Arthritis) model, with 85 and 95% inhibition of disease observed at doses of 10 mg/kg per day and 30 mg/kg per day, respectively.
- CIA Collagen-Induced Arthritis
- 84% BTK inhibition verified by BTK occupancy analysis assayed 2 hours after dose administration.
- BTK occupancy assays are their limited sensitivity, which restricts preclinical occupancy measurements to biological samples with high BTK levels, such as samples derived from spleen lysates or B -cells isolated from large volumes of blood. It is believed that about 12-15 mL of human blood is required for one assay. This, in addition to being a potential burden on the patient if multiple
- FIG. IB A schematic representation of the reported BTK occupancy assay is shown in Figure IB, which illustrates a probable reason for its low sensitivity of detection.
- the assay does not directly measure inhibitor-bound BTK, but measures instead "free BTK" not already occupied by the BTK inhibitor, it is crucial that substantially all free BTK molecules in the sample are bound by the probe (e.g., the biotin-conjugated probe in Figure IB) in the assay, such that any remaining free BTK not bound by the probe (and not bound by the inhibitor) won't be falsely attributed to inhibitor-bound BTK. This may require the use of excess probe in the assay to ensure all free BTK molecules are bound by the probe.
- the probe e.g., the biotin-conjugated probe in Figure IB
- the probe will also compete with the probe-bound BTK for binding to the streptavidin- coated assay well, thus falsely reducing the amount of detectable probe-bound BTK, and resulting in a higher calculated percentage of inhibitor- occupied BTK.
- one way to avoid this inherent problem is to identify a concentration of the probe, such that it is sufficiently high to bind substantially all free BTK in the sample (which may not be known prior to carrying out the assay), and sufficiently low such that any remaining probe, after binding to free BTK, will not significantly reduce the binding between the capture agent (e.g. , coated streptavidin) and the probe-BTK complex.
- the capture agent e.g. , coated streptavidin
- any excess probe should be removed without significantly disturbing probe-free BTK binding, such as through
- One aspect of the invention provides a method for measuring binding between a ligand and a binding partner of the ligand in a sample, the method comprising: (1) contacting the sample with an affinity reagent that specifically binds the binding partner, in the presence of a ligand probe, and allowing binding to occur between the affinity reagent and the binding partner, wherein a first percentage of the binding partner in the sample is bound by the ligand, and a second percentage of the binding partner in the sample is bound by the ligand probe; (2) contacting binding partner bound by the affinity reagent with a first detection probe, wherein one of said first detection probe and said ligand probe comprises a multivalent agent, and allowing binding to occur between said first detection probe and said ligand probe through the multivalent agent; (3) optionally, contacting the multivalent agent with a second detection probe comprising a second detectable label and a second moiety that binds to the multivalent agent, and allowing binding to occur between the multivalent agent and the second moiety on the second detection probe;
- the first detection probe comprises the multivalent agent.
- the ligand probe comprises the multivalent agent.
- the binding partner is an enzyme.
- the binding partner is a protein kinase (such as BTK, BLK, EGFR1, HER2/ERBB2, HER3/Erb-B3, ERBB4, JAK3, TEC, BMX, ITK, LKB 1, and TXK).
- a protein kinase such as BTK, BLK, EGFR1, HER2/ERBB2, HER3/Erb-B3, ERBB4, JAK3, TEC, BMX, ITK, LKB 1, and TXK.
- the ligand probe comprises a first moiety covalently linked to the ligand, wherein the first moiety binds to the multivalent agent.
- the first detection probe comprises a first moiety that binds to the multivalent agent, and a first detectable label.
- the first moiety is the same (or different) from the second moiety in the second detection probe.
- the ligand comprises a substrate or a substrate analog of the enzyme or the kinase, or an inhibitor of the enzyme or the kinase.
- the inhibitor binds in the ATP-binding site of the kinase.
- the inhibitor is covalently linked to the kinase via Michael reaction.
- the inhibitor is covalently linked to the thiol group of a cysteine residue corresponding to Cys481 of the human BTK, isoform 1.
- the inhibitor inhibits a phosphorylated or active conformation of BTK.
- the affinity reagent is an antibody, an antigen-binding portion of an antibody, a nanobody, or a DVD-Ig.
- binding between the antibody and the binding partner does not substantially affect binding between the binding partner and the ligand or the ligand probe (and vice versa).
- the percentage of the binding partner bound by the ligand is 100%, or is less than 100%, 90%, 80%, 70%, 60%, 50%, 40%, 30%, 20%, 10%, 5%, 3%, 2%, 1% or less.
- the first detection probe further comprises a first detectable label.
- the first detectable label is the same (or different from) the second detectable label of the second detection probe.
- the multivalent agent is streptavidin (SA) or avidin.
- the multivalent agent is an antibody (such as a bi-specific Ab, or an Ab having multiple Ag-binding fragments - IgA, IgM etc.).
- the first detectable label and/or the second detectable label is a dye, a photocrosslinker, a cytotoxic compound, a drug, an affinity label, a photo affinity label, a reactive compound, an antibody or antibody fragment, a biomaterial, a nanoparticle, a spin label, a fluorophore, a metal-containing moiety, a radioactive moiety, a novel functional group, a group that covalently or noncovalently interacts with other molecules, a photocaged moiety, an actinic radiation excitable moiety, a ligand, a photoisomerizable moiety, biotin, a biotin analogue, a moiety incorporating a heavy atom, a chemically cleavable group, a photocleavable group, a redox-active agent, an isotopically labeled moiety, a biophysical probe, a phosphorescent group, a chemiluminescent group, an electrochemilumin
- an MSD SULFO-TAG type electrochemiluminescent group an enzyme, an electron dense group, a magnetic group, an intercalating group, a chromophore, an energy transfer agent, a biologically active agent, or a combination thereof.
- the first detectable label and/or the second detectable label comprises a fluorophore, such as a Bodipy fluorophore.
- the first detectable label and/or the second detectable label comprises an enzyme, such as HRP, peroxidase (POD), glucose oxidase (GOD), invertase (INV), ⁇ -D-galactosidase (BGase), glucose-6-phosphate dehydrogenase (G6PDH), or alkaline phosphatase (ALP).
- HRP peroxidase
- GOD glucose oxidase
- IMV invertase
- BGase ⁇ -D-galactosidase
- G6PDH glucose-6-phosphate dehydrogenase
- ALP alkaline phosphatase
- the first detectable label and/or the second detectable label comprises an HRP
- the method further comprises contacting the HRP with a biotinylated tyramide to produce an activated tyramide.
- the method further comprises detecting / measuring / quantitating the activated tyramide by adding a streptavidin-labeled fluorophore, or a combination of a streptavidin-labeled peroxidase (e.g. , HRP) and a chromogenic reagent, wherein the chromogenic reagent is preferably 3,3' ,5,5'-tetramethylbenzidine (TMB).
- a streptavidin-labeled fluorophore or a combination of a streptavidin-labeled peroxidase (e.g. , HRP) and a chromogenic reagent, wherein the chromogenic reagent is preferably 3,3' ,5,5'-tetramethylbenzidine (TMB).
- TMB 3,3' ,5,5'-tetramethylbenzidine
- the sample is derived from a small volume of body fluid (such as blood sample, knee lavage from an arthritic knee).
- the sample is a lysate of a tissue (e.g. , biopsy, animal tissue, clinical sample, such as spleen homogenates), a lysate of isolated cells (e.g. , B cells or PBMCs isolated / purified / enriched from whole blood sample), or a lysate of a cell culture.
- tissue e.g. , biopsy, animal tissue, clinical sample, such as spleen homogenates
- isolated cells e.g. , B cells or PBMCs isolated / purified / enriched from whole blood sample
- a lysate of a cell culture e.g. , a lysate of a cell culture.
- the sample is thawed from storage at -20°C, -80°C, or in liquid nitrogen.
- the storage time can be at least 30 min, 1 hr, 2 hrs, 6 hrs, 12 hrs, 1 day, 1 week, 1 month, 1 yr, 10 yrs etc.
- the affinity reagent is immobilized on a solid support (such as a multi-well ELISA plate, or a resin bead for a column).
- the method further comprises blocking the immobilized affinity reagent with a blocking agent (e.g. , BSA) prior to step (1).
- a blocking agent e.g. , BSA
- the method further comprises removing binding partner unbound by the affinity reagent after step (1).
- the method further comprises removing ligand probe unbound by the binding partner after step (1).
- the method further comprises removing the first detection probe after step (2) and before step (3).
- the method further comprises removing the second detection probe after step (3) and before step (4).
- the method further comprises carrying out steps (1), (2), and (4), and optionally step (3), using a control sample comprising a pre-determined amount of the binding partner having a pre-determined portion thereof bound by the ligand.
- the method comprises carrying out steps (1), (2), and (4), and optionally step (3), multiple times, either in parallel or sequentially, using two or more control samples having the same pre-determined amount of the binding partner but different pre-determined proportions bound by the ligand, in order to construct a standard curve.
- step (4) is carried out using chemiluminescent (including ECL), electrochemiluminescent (e.g. , MSD SULFO-TAG based electrochemiluminescent), surface plasmon resonance (SPR)-based biosensor (e.g. , BIAcore), flow cytometry, ELISA, or Western blot.
- chemiluminescent including ECL
- electrochemiluminescent e.g. , MSD SULFO-TAG based electrochemiluminescent
- SPR surface plasmon resonance
- biosensor e.g. , BIAcore
- flow cytometry e.g. , ELISA, or Western blot.
- Another aspect of the invention provides a method for assessing or predicting efficacy for a potential BTK inhibitor in a mammal, the method comprising: using the subject assay method, measuring the binding between the ligand and the binding partner in a sample derived from the mammal, wherein the ligand is the potential BTK inhibitor, the binding partner is BTK from the mammal, and the mammal has BTK inhibitor-naive baseline measurements or previously been administered the potential BTK inhibitor, wherein a higher level / extent of binding between the potential BTK inhibitor and BTK is predictive of a higher level of efficacy.
- Another aspect of the invention provides a method for assessing the
- PD pharmacodynamics
- Another aspect of the invention provides a method for identifying a desired dose of a BTK inhibitor for achieving a pre-determined level of binding between the BTK inhibitor and BTK in a mammal, the method comprising: using the subject assay method, measuring the binding between the ligand and the binding partner in a sample derived from the mammal, wherein the ligand is the BTK inhibitor, the binding partner is BTK from the mammal, and the mammal has previously been administered a candidate dose of the BTK inhibitor, wherein a level of measured binding lower than the pre-determined level is indicative that a dose higher than the candidate dose is required to achieve the desired dose, and wherein a level of measured binding higher than the pre-determined level is indicative that a dose lower than the candidate dose is required to achieve the desired dose.
- the method further comprises repeating the method using a higher or lower candidate dose.
- a ligand probe comprising a first moiety or a multivalent agent covalently linked to a ligand, wherein the first moiety binds to the multivalent agent, and wherein the ligand probe is represented by the following structure: X - L - M, wherein X is the ligand, M is the first moiety or the multivalent agent, and L is a linker moiety that covalently joins the ligand to the first moiety or the multivalent agent.
- Figure 1A is a schematic drawing (not to scale) of an exemplary embodiment of a BTK occupancy assay.
- the assay avoids the inherent conflict of the Evans assay (shown in Figure IB) of requiring more probe in the probe-free BTK binding step, and requiring less probe in the subsequent binding to affinity / capture reagent.
- more BTK inhibitor-bound or probe-bound
- the amount of capture BTK can also be adjusted based on the amount of the affinity reagent.
- no probe pre-incubation step may be required for probe-free BTK binding since both the sample and the probe can be added to the assay container simultaneously if the probe has reasonably fast on-rate (e.g., ⁇ 2 hrs).
- excess probe if present, no longer affects the assay since it can be easily washed away from binding.
- Figure IB is a schematic drawing (not to scale) of the BTK occupancy assay as described in Evans et al. (J. Pharmacol. Exp. Ther. 346:219-228, 2013).
- Figure 2 shows a head-to-head comparison of two standard curves generated using recombinant human BTK (rhBTK) in both the "original" occupancy assay of Evans et al. (supra) and the present improved occupancy assay ("alternative” assay).
- the graphs at left and middle highlight the linear portion of both the "original” and the improved occupany assay standard curves.
- the graph at right shows the entire data set for both standard curves. Note that the "original" occupancy assay allows for detection of -100 ng of rhBTK at 50% detection, while the improved occupancy assay allows for detection of ⁇ 5 ng of rhBTK at 50% detection.
- Figure 3 shows percent BTK occupancy in multiple biological compartments, as determined by the subject assay. Stars indicate statistical significance.
- the invention described herein provides a BTK occupancy assay with improved design and sensitivity, thus providing a marked acceleration of clinical PD evaluation, which is typically not available until Phase 2 of a clinical trial.
- the rapid identification of doses providing BTK target engagement provides an advantage in the design of subsequent human clinical trials and supports Phase 2 dose selection to incorporate, among other things, safety, tolerability, and on-target activity.
- the assay provides an appropriate assessment for the relationship between complete or partial BTK inhibition and therapeutic efficacy. Direct quantification of BTK engagement in these trials also reduces uncertainty about the dose required for target inhibition and enables selection of the optimal pharmacological dose and dosing schedule. By providing this information to clinicians early in clinical development, sub-therapeutic drug administration in initial patient cohorts may be avoided, and time efficiencies in clinical testing are achieved to more rapidly impact patient health.
- the assay is just as useful to avoid unnecessarily high dosing in the patient, especially in immunology trials in which the intention may be dosing to above 100% occupancy.
- the subject occupancy assay will allow one to stop dosing at some reasonable small margin above 100%, rather than blindly dosing much higher than what is necessary.
- the assay also allows refining the number of cohorts required for dose finding, thus quickly providing recommended Phase 2 doses and permitting rapid advancement into Phase 2 testing.
- the present invention provides a BTK occupancy assay as illustrated in Figure 1A, and further described in detail in Example 1.
- Figure 1A shows an assay container (e.g. , a well of a 96-well plate) having a well bottom surface coated by a rabbit monoclonal antibody specific for BTK. After the well is washed to remove excess antibody, and blocked with a blocking agent to reduce or eliminate non-specific binding, a sample (such as a blood sample derived from a patient) containing BTK, which may be partially inhibited by an inhibitor, is mixed with a biotin- conjugated probe designed to bind to free BTK, but not to BTK inhibited / occupied by the BTK inhibitor.
- the biotin- conjugated probe is replaced by a streptavidin-conjugated probe designed to bind free BTK.
- a streptavidin-conjugated probe designed to bind free BTK.
- each pulled down BTK molecule bound by the SA-conjugated ligand probe will be labeled by one or more HRP via the biotin-SA interaction, while each pulled down BTK molecule initially bound by the inhibitor will not be labeled by any HRP.
- the presence and the amount of the HRP moiety can be easily detected / quantitated using chemilluminiscence (such as ECL), and the signal strength is inversely proportional to the amount of BTK initially occupied by the inhibitor, which are not labeled by the detection label HRP.
- the methods of the invention directly measure binding between the binding partner (such as BTK) and a probe derived from a ligand (such as a BTK inhibitor), but not the binding between the binding partner and the ligand, the latter of which can be calculated based on the former, based on, for example, the total amount of BTK in the sample.
- a binding partner such as BTK
- a probe derived from a ligand such as a BTK inhibitor
- the specificity of the signal to a BTK occupancy is determined at least at two levels, e.g. , by the selectivity of the tagged, covalent ligand probe for BTK over other kinases, and by the specificity of the detection antibody for BTK.
- the invention described herein is suitable for BTK occupancy assay, the invention is not so limited, in that it is a sensitive assay that can be applied to any binding measurement between two binding partners, such as any enzymes (e.g. , kinases) and their inhibitors or substrates / substrate analogs.
- the two binding partners become covalently linked after the binding occurs.
- one aspect of the invention provides a method for measuring binding between a ligand (e.g. , a BTK inhibitor) and a binding partner of the ligand (e.g. , a BTK) in a sample, the method comprising: (1) contacting the sample with an affinity reagent (e.g. , an anti-BTK Ab) that specifically binds the binding partner (e.g. , the BTK), in the presence of a ligand probe (e.g. , a biotin- or SA-conjugated BTK inhibitor), and allowing binding to occur between the affinity reagent (e.g. , the anti-BTK Ab) and the binding partner (e.g.
- an affinity reagent e.g. , an anti-BTK Ab
- a ligand probe e.g. , a biotin- or SA-conjugated BTK inhibitor
- the BTK the binding partner (e.g. , the BTK) in the sample is bound by the ligand (e.g. , the BTK inhibitor), and a second percentage of the binding partner (e.g. , the BTK) in the sample is bound by the ligand probe (e.g. , the biotin- or SA-conjugated BTK inhibitor); (2) contacting binding partner (e.g. , the BTK) bound by the affinity reagent (e.g. , the anti-BTK Ab) with a first detection probe (e.g. , an SA-HRP or a biotin-HRP), wherein one of said first detection probe (e.g.
- a first detection probe e.g. , an SA-HRP or a biotin-HRP
- an SA-HRP or a biotin-HRP and said ligand probe comprises a multivalent agent (e.g. , SA), and allowing binding to occur between said first detection probe and said ligand probe through the multivalent agent (e.g. , SA); (3) optionally, contacting the multivalent agent (e.g. , SA) with a second detection probe (e.g. , biotin-HRP) comprising a second detectable label (e.g. , HRP) and a second moiety (e.g. , biotin) that binds to the multivalent agent (e.g.
- a second detection probe e.g. , biotin-HRP
- a second detectable label e.g. , HRP
- a second moiety e.g. , biotin
- the multivalent agent e.g. , SA
- the second moiety e.g. , biotin
- the second detection probe e.g. , the biotin-HRP
- detecting the presence or measuring the amount of the first detection probe or the second detectable label e.g. , HRP
- the ligand e.g. , the BTK inhibitor
- the binding partner e.g. , the BTK
- the method applies to, but is not limited to BTK or a kinase, and any of its many covalent / irreversible inhibitors (see below). Rather, the method has general applicability to measure the extent of binding between any two or more binding partners where it is desirable to determine the extent or degree one binding partner engaged or bound by another binding partner at a given time.
- one binding partner may be a polypeptide, such as an enzyme or a kinase
- another binding partner may be a substrate of the enzyme or kinase, or a substrate analog that can bind to the enzyme or kinase, but otherwise cannot be turned into a product by the enzyme or kinase.
- the binding partner is a kinase (e.g.
- BTK BLK
- EGFR1 HER2/ERBB2
- JAK3, TEC BMX, ITK, LKB 1, and TXK
- BMX a substrate of a kinase
- the binding partner may be a protein and the ligand may block a biologically or functionally active binding site of the protein.
- the binding partner may be a cytokine or a cytokine receptor, and the ligand may be a small molecule that binds to the cytokine or cytokine receptor, and blocks binding between the cytokine and the receptor.
- the binding partner may be a monomer of a multimeric cytokine (e.g.
- a monomer of a trimeric TNFa or a cytokine receptor subunit (such as the common gamma chain, common beta chain, or common alpha chain of the various interleukine receptors) that is activated by dimerization or
- the ligand inhibits dimerization / multimerization of the cytokine monomers or the receptor subunits.
- binding partners may include: antibody and its antigen, polynucleotide and a complementary polynucleotide, metal-containing ligand and metal chelator, receptor and its ligand (including steroid such as glucocorticoid hormone and its receptor such as GR), vitamin and vitamin-binding protein, enzyme and enzyme cofactor (e.g. , co-enzyme), transcription factor and target DNA sequence, aptamer and a ligand that binds the aptamer, etc.
- the ligand may be derived to become the ligand probe such that it preserves the ability to bind to its binding partner, but may also comprise an additional moiety such as biotin, for binding the first detection probe.
- the first detection probe comprises the multivalent agent (e.g. , SA).
- the ligand probe may comprise a first moiety (e.g. , biotin) covalently linked to the ligand (e.g. the BTK inhibitor), wherein the first moiety (e.g. biotin) binds to the multivalent agent (e.g. SA).
- the first moiety facilitates the binding of the ligand probe to the multivalent agent.
- the first moiety may be the same (or different) from the second moiety in the second detection probe.
- the ligand probe comprises the multivalent agent (e.g. , SA).
- the first detection probe may comprise a first moiety (e.g. , biotin) that binds to the multivalent agent (e.g. , SA), and a first detectable label (e.g. , HRP).
- the first moiety may be an epitope recognized by an antibody or antigen-binding sequence thereof, and the multivalent agent comprises the antibody, antigen-binding sequence thereof, or an antibody mimetic (such as DVD-Ig).
- the first moiety is biotin
- the multivalent agent is a streptavidin or avidin or analogs thereof having more than one biotin binding sites.
- Streptavidin homo-tetramers have an extraordinarily high affinity for biotin (also known as vitamin B7 or vitamin H), with a dissociation constant (K ⁇ j) on the order of about 10 ⁇ 14 mol/L.
- the binding of biotin to streptavidin is one of the strongest non-covalent interactions known in nature, and the resulting streptavidin-biotin complex is resistance to organic solvents, denaturants (e.g. guanidinium chloride), detergents (e.g. SDS, Triton), proteolytic enzymes, and extremes of temperature and pH.
- Streptavidin is a tetramer and each subunit binds biotin with equal affinity. Streptavidin mutants unable to bind biotin have been produced, and thus Streptavidin tetramers comprising on average 1, 2, 3, or 4 functional streptavidin monomers can be produced for use in the methods of the invention.
- avidin homo-tetramers have a similar or even higher affinity for biotin, with a dissociation constant (3 ⁇ 4) on the order of about 10 ⁇ 15 mol/L.
- Avidin only has about 30% sequence identity to streptavidin, but nearly identical secondary, tertiary and quaternary structures. Unlike streptavidin, however, avidin is glycosylated, positively charged, and has pseudo-catalytic activity.
- a commercially available avidin derivative, deglycosylated avidin e.g. , Sigma- Aldrich (Extravidin), Thermo Scientific (Neutr Avidin), Invitrogen
- the affinity reagent may be an antibody, or an antigen- binding portion thereof, or an antibody like affinity reagent, such as an antibody mimetic.
- Antibodies that can be used as affinity reagents include immunoglobulin molecules comprised of four polypeptide chains, two heavy (H) chains and two light (L) chains, interconnected by disulfide bonds. Each heavy chain is comprised of a heavy chain variable region (abbreviated herein as HCVR or VH) and a heavy chain constant region. Each light chain is comprised of a light chain variable region (abbreviated herein as LCVR or VL) and a light chain constant region.
- the antibody is IgG, such as IgGl or IgG2.
- the antibody includes bi-specific antibody, antibody having multiple Ag-binding fragments, or multivalent antibodies, such as all isotypes of IgG, IgA, IgD, IgM, and IgE.
- Antigen-binding portion of an antibody includes one or more fragments of an antibody that retain the ability to specifically bind to an antigen (e.g., the binding partner).
- binding fragments include: (i) an Fab fragment, a monovalent fragment consisting of the VL, VH, CL and CHI domains; (ii) an F(ab') 2 fragment, a bivalent fragment comprising two Fab fragments linked by a disulfide bridge at the hinge region; (iii) an Fd fragment consisting of the VH and CHI domains; (iv) an Fv fragment consisting of the VL and VH domains of a single arm of an antibody, (v) a dAb fragment (Ward et al., Nature 341:544-546, 1989), which consists of a VH domain, or a single-domain antibody (sdAb, also called Nanobody by the developer Ablynx), an antibody fragment consisting of a single monomeric variable antibody domain; and (vi)
- the two domains of the Fv fragment, VL and VH are coded for by separate genes, they can be joined, using recombinant methods, by a synthetic linker that enables them to be made as a single protein chain in which the VL and VH regions pair to form monovalent molecules (known as single chain Fv (scFv); see e.g., Bird et al. Science 242:423-426, 1988: and Huston et al., Proc. Natl. Acad. Sci. USA 85:5879-5883, 1988).
- single chain Fv single chain Fv
- Such single chain antibodies are also intended to be encompassed within the scope of antigen-binding portion of an antibody.
- Other forms of single chain antibodies, such as diabodies are also encompassed.
- Diabodies are bivalent, bispecific antibodies in which VH and VL domains are expressed on a single polypeptide chain, but using a linker that is too short to allow for pairing between the two domains on the same chain, thereby forcing the domains to pair with complementary domains of another chain and creating two antigen binding sites (see e.g., Holliger et al., Proc. Natl. Acad. Sci. USA 90:6444-6448, 1993; Poljak et al., Structure 2: 1121-1123, 1994).
- Further antibody-like or engineered antibodies that may be used in the subject method (either as affinity reagent or the multivalent agent) include IgG with engineered Fc regions, bi- and multi- specific antibodies, dual-variable domain Ig (DVD-Ig) I which each DVD-Ig Fab binds two targets, and can be engineered from any two mAb with distinct or identical binding specificity (see, for example, Wu et al., Generation and Characterization of a Dual Variable Domain Immunoglobulin (DVD-IgTM) Molecule, in Antibody Engineering, Volume 2 (Springer Protocols), Roland E. Kontermann (Editor) & Stefan Diibel (Editor), Springer; 2nd ed., March 26, 2010).
- DVD-Ig dual-variable domain Ig
- Antibody mimetics are organic compounds that function like antibodies (e.g., specifically bind antigens), but are not structurally related to antibodies. They are usually artificial peptides or proteins with a molar mass of about 3 to 20 kDa. Nucleic acids and small molecules are sometimes considered antibody mimetics as well, but not artificial antibodies, antibody fragments and fusion proteins composed from these. Some types of antibody mimetics have an antibody-like beta-sheet structure. Common advantages of antibody mimetics over antibodies may include better solubility, tissue penetration, stability towards heat and enzymes, and comparatively low production costs.
- Antibody mimetics have been developed as therapeutic and diagnostic agents, and may include: affibody molecules, such as those comprising the Z domain of Protein A;
- affilins such as those comprising Gamma-B crystallin or ubiquitin; affitins, such as those comprising Sac7d (from Sulfolobus acidocaldarius); anticalins, such as those comprising lipocalins; avimers, such as those comprising a domain of various membrane receptors; DARPins, such as those comprising an ankyrin repeat motif; Fynomers, such as those comprising the SH3 domain of Fyn; Kunitz domain peptides, such as those comprising the Kunitz domains of various protease inhibitors; monobodies (or adnectins), such as those comprising the 10 th type III domain of fibronectin, and Centyrins.
- An antibody or antigen-binding portion thereof may be part of a larger immunoadhesion molecule formed by covalent or noncovalent association of the antibody or antibody portion with one or more other proteins or peptides. Examples of such
- immunoadhesion molecules include use of the streptavidin core region to make a tetrameric scFv molecule (Kipriyanov et al., Human Antibodies and Hybridomas 6:93-101, 1995) and use of a cysteine residue, a marker peptide and a C-terminal polyhistidine tag to make bivalent and biotinylated scFv molecules (Kipriyanov et al., Mol. Immunol. 31: 1047-1058, 1994).
- Antibody portions such as Fab and F(ab') 2 fragments, can be prepared from whole antibodies using conventional techniques, such as papain or pepsin digestion, respectively, of whole antibodies.
- antibodies, antibody portions and immunoadhesion molecules can be obtained using standard recombinant DNA techniques. Such immunoadhesion molecules can be used as the affinity reagent as well as the multivalent agent.
- the affinity reagent is not an antibody, but may comprise a moiety or domain that specifically binds to the binding partner ⁇ e.g., enzyme or kinase).
- the binding partner or enzyme or kinase has a His6 tag, and the affinity reagent comprises nickel or cobalt ⁇ e.g., Ni-NTA beads).
- the binding partner or enzyme or kinase has a GST tag, and the affinity reagent comprises immobilized glutathione (GSH).
- the binding partner has a Maltose-Binding Protein (MBP) tag, and the affinity reagent comprises immobilized amylose that binds MBP.
- the binding partner comprises a moiety that is recognized by a nucleotide aptamer specific for the moiety, and the affinity reagent comprises the aptamer.
- binding between the affinity reagent / antibody and the binding partner does not substantially affect binding between the binding partner and the ligand or the ligand probe. In certain embodiments, binding between the binding partner and the ligand or the ligand probe does not substantially affect binding between the affinity reagent / antibody and the binding partner.
- the ligand or ligand probe may bind to the ATP binding pocket of a kinase, while the affinity reagent or antibody may bind to an epitope on the N-lobe or C-lobe of the kinase.
- the affinity reagent or antibody may be designed or prepared based on the binding site on the binding partner for the ligand or ligand probe.
- the method of the invention can be used in samples wherein 100%, or less than 100%, 90%, 80%, 70%, 60%, 50%, 40%, 30%, 20%, 10%, 5%, 3%, 2%, 1% or less of the binding partner is bound by the ligand.
- a standard curve may be constructed using the method of the invention, with a series of samples each comprising the same known amount of a binding partner (e.g. , a BTK) but increasing known amounts of a ligand (e.g. , a BTK inhibitor), so that the extent of binding between the binding partner and the ligand can be measured over the range of the ligand.
- the method may comprise carrying out steps (1), (2), and (4), optionally also step (3), using a control sample comprising a predetermined amount of the binding partner having a pre-determined portion thereof bound by the ligand.
- the method may comprise carrying out steps (1), (2), and (4), and optionally also step (3), multiple times, either in parallel or sequentially, using two or more control samples having the same pre-determined amount of the binding partner but different pre-determined proportions bound by the ligand, in order to construct a standard curve.
- the method further comprises determining an activity of the binding partner.
- the binding partner may be a protein kinase (e.g. , BTK) or enzyme, and the measured kinase / enzyme occupancy by its inhibitor can be correlated with the remaining kinase / enzyme activity in the presence of the same amount of the inhibitor.
- the first detection probe comprises a multivalent agent, such as an SA, avidin, or a multivalent antibody, and binds to the ligand probe through the multivalent agent while providing additional binding sites, such as vacant biotin binding sites on SA, for the second detection probe.
- the first detection probe optionally comprises a first detectable label, which may be the same or different from the second detectable label of the second detection probe.
- the ligand probe comprises a multivalent agent, such as an SA, avidin, or a multivalent antibody, and binds to the first detection probe through the multivalent agent.
- the first detection probe also comprises a first detectable label, such as HRP, and it is not necessary to have the optional step (3) or the second detection probe.
- the first detectable label and/or the second detectable label may be a dye, a photocrosslinker, a cytotoxic compound, a drug, an affinity label, a photo affinity label, a reactive compound, an antibody or antibody fragment, a biomaterial, a nanoparticle, a spin label, a fluorophore, a metal-containing moiety, a radioactive moiety, a novel functional group, a group that covalently or noncovalently interacts with other molecules, a photocaged moiety, an actinic radiation excitable moiety, a ligand, a
- photoisomerizable moiety biotin, a biotin analogue, a moiety incorporating a heavy atom, a chemically cleavable group, a photocleavable group, a redox-active agent, an isotopically labeled moiety, a biophysical probe, a phosphorescent group, a chemiluminescent group, an electrochemiluminescent group (e.g. , an MSD SULFO-TAG type electrochemiluminescent group), an enzyme, an electron dense group, a magnetic group, an intercalating group, a chromophore, an energy transfer agent, a biologically active agent, or a combination thereof.
- an MSD SULFO-TAG type electrochemiluminescent group an enzyme, an electron dense group, a magnetic group, an intercalating group, a chromophore, an energy transfer agent, a biologically active agent, or a combination thereof.
- the first detectable label and/or the second detectable label may comprise a fluorophore, such as a Bodipy fluorophore.
- the first detectable label and/or the second detectable label comprises an enzyme, such as HRP.
- the first detectable label and/or the second detectable label comprises an HRP
- the method further comprises contacting the HRP with a biotinylated tyramide to produce an activated tyramide.
- the method further comprises detecting / measuring / quantitating the activated tyramide by adding a streptavidin-labeled fluorophore, or a combination of a streptavidin-labeled peroxidase (e.g. , HRP) and a chromogenic reagent, wherein the chromogenic reagent is preferably 3,3' ,5,5'-tetramethylbenzidine (TMB).
- a streptavidin-labeled fluorophore or a combination of a streptavidin-labeled peroxidase (e.g. , HRP) and a chromogenic reagent, wherein the chromogenic reagent is preferably 3,3' ,5,5'-tetramethylbenzidine (TMB).
- TMB 3,3' ,5,5'-tetramethylbenzidine
- This embodiment further enhances the sensitivity of the subject assay when HRP is used as the detection label.
- the enhancement is based on the catalyzed reporter deposition (CARD) technique using derivatized tyramide, or Tyramide Signal Amplification (TSA), in which hydrogen peroxide and HRP convert labeled substrate (e.g. , biotinylated tyramide) into a short-lived but extremely reactive intermediate.
- labeled substrate e.g. , biotinylated tyramide
- the activated tyramide substrate molecule then rapidly reacts with and covalently binds to electron rich regions of any adjacent proteins. Binding of the biotinylated activated tyramide molecules occurs only immediately adjacent to the sites at which the activating HRP enzyme is bound. Thus the signal is only amplified locally.
- biotinylated activated tyramide occurs in a very short time (generally within 3- 10 minutes), which effectively amplifies the original (one) HRP detectable label into multiple HRP labels, if more SA-conjugated HRPs are added to turn each biotinylated tyramide into an HRP label. Subsequent detection of the label yields an effectively large amplification of the original signal.
- the PerkinElmer ELAST® ELISA Amplification System
- the sensitivity of the subject method is vastly improved compared to traditional assays in which only one (on average) detectable label is associated with each binding partner (e.g. , kinase) pulled down by ligand probe.
- the sensitivity or detection limit of the subject method can be defined or measured as the amount of binding partner (e.g. , kinase, such as BTK) that is required to achieve half maximum signal from the detectable label.
- the present method can detect about 4-4.5 units of absorbance at 450 nm using HRP-mediated chemiluminescence.
- the data also shows that about 5 ng of free BTK not bound by any irreversible inhibitor is needed in the assay well to achieve half the maximum signal of about 2.2 absorbance units.
- the traditional method requires about 100 ng of free BTK to achieve its half max. absorbance of about 0.7 unit.
- the sensitivity of the subject method is at least about 20-fold higher than the traditional method.
- the sample may be derived from a body fluid, such as a blood sample, or knee lavage from an arthritic knee.
- the sample may also be derived from a biopsy with relatively small quantity of tissue samples.
- the sample is derived from cells (such as peripheral blood leukocytes) obtained from no more than 200 ⁇ , 100 ⁇ , 50 ⁇ , 30 ⁇ , 20 ⁇ , or 10 ⁇ ⁇ of whole blood.
- the sample is derived from cells (e.g. , isolated leukocytes) obtained from a single knee lavage in a rat inflicted with a rat model of collagen- induced arthritis (CIA), or equivalent volume of knee lavage from a human patient.
- cells such as peripheral blood leukocytes obtained from no more than 200 ⁇ , 100 ⁇ , 50 ⁇ , 30 ⁇ , 20 ⁇ , or 10 ⁇ ⁇ of whole blood.
- the sample is derived from cells (e.g. , isolated leukocytes) obtained from a single knee lavage in a rat inflicted with a rat model of collagen- induced arthritis (CIA), or equivalent volume of knee lavage from a human patient.
- CIA collagen- induced arthritis
- the sample is derived from a body secretion, such as lacrimal / salivary gland secretion in a Sjogren' s syndrome patient.
- the sample is derived from a urine sample, such as a urine sample from a Lupus Nephritis patient.
- the sample is derived from a fecal sample, such as a fecal sample from an IBD (e.g. , Crohn's disease or ulcerative colitis) patient.
- the sample contains equivalent amount of total binding partner (e.g.
- the sample may be treated before being used in the method of the invention.
- the sample is a lysate of a tissue, e.g. , biopsy, animal tissue, clinical sample, such as spleen homogenates; a lysate of isolated cells, e.g. , B cells or PBMCs isolated / purified / enriched from whole blood sample; or a lysate of a cell culture.
- the sample is freshly obtained from a patient.
- the sample can be frozen for a period of time before thawed and used in the methods of the invention.
- the sample may be thawed from storage at -20°C, - 80°C, or in liquid nitrogen.
- the length of storage can be at least 30 min, 1 hr, 2 hrs, 6 hrs, 12 hrs, 1 day, 2 days, 3 days, 4 days, 5 days, 6 days, 1 week, 2 weeks, 3 weeks, 1 month, 2 months, 3 months, 6 months, 9 months, 1 yr, 2 yrs, 3 yrs, 5 yrs, 10 yrs, or longer.
- the affinity reagent may be immobilized on a solid support or solid surface, such as a multi-well ELISA plate, an electrochemiluminescence plate (e.g. , a Meso Scale Discovery or MSD plate for electrochemiluminescence), a gold coated glass surface with optional derivatization suitable for use in a BIAcore surface plasmon resonance (SPR) (e.g. , surface for BIAcore Sensor Chip CM5, Sensor Chip SA, Sensor Chip NTA, Sensor Chip HPA, or Pioneer Chip), or a resin bead for a column.
- a solid support or solid surface such as a multi-well ELISA plate, an electrochemiluminescence plate (e.g. , a Meso Scale Discovery or MSD plate for electrochemiluminescence), a gold coated glass surface with optional derivatization suitable for use in a BIAcore surface plasmon resonance (SPR) (e.g. , surface for BIAcore Sensor Chip CM5, Sensor Chip SA, Sensor Chip
- the solid support or surface may have a wide variety of forms, including membranes, slides, plates, micromachined chips, microparticles, beads, and the like.
- Solid support / surfaces may comprise a wide variety of materials including, but not limited to, glass, plastic, silicon, alkanethiolate derivatized gold, cellulose, low cross linked and high cross linked polystyrene, silica gel, polyamide, and the like, and can have various shapes and features (e.g. , wells, indentations, channels, etc.).
- the support / surface can be hydrophilic or capable of being rendered hydrophilic, and may comprise inorganic powders such as silica, magnesium sulfate, and alumina; natural polymeric materials, particularly cellulosic materials and materials derived from cellulose, such as fiber containing papers, e.g.
- the support / surface can have any one of a number of shapes, such as strip, rod, particle, including bead, and the like.
- the solid support / surface comprises a bead or plurality of beads.
- the beads may be of any convenient size and fabricated from any number of known materials.
- Example of such materials include: inorganics, natural polymers, and synthetic polymers. Specific examples of these materials include: cellulose, cellulose derivatives, acrylic resins, glass, silica gels, polystyrene, gelatin, polyvinyl pyrrolidone, co-polymers of vinyl and acrylamide, polystyrene cross-linked with divinylbenzene or the like (as described, e.g.
- the beads are generally about 2 to about 100 ⁇ in diameter, or about 5 to about 80 pm in diameter, in some cases, about 10 to about 40 ⁇ in diameter.
- the beads can be magnetic, paramagnetic, or otherwise responsive to a magnetic field.
- beads responsive to a magnetic field can be useful for isolation and purification of the beads, such as by the application of a magnetic field and isolation of the beads (e.g. by removal of the beads from solution, or removal of solution from the beads).
- beads responsive to a magnetic field include Dynabeads, manufactured by Life Technologies (Carlsbad, Calif.). Other methods to separate beads can also be used.
- the capture beads may be labeled with a fluorescent moiety which would make the bead complex fluorescent.
- the target capture bead complex may be separated, for example, by flow cytometry or fluorescence cell sorter. Beads may also be separated by centrifugation.
- Isolation of affinity reagent captured binding partner by attachment to beads may further comprise the step of washing the beads, such as in a suitable wash buffer. Generally, purification of 10-fold, 50- fold, 100-fold, 500-fold, 1000-fold, 10000-fold, 100000-fold, or more may be achieved.
- the method is carried out on a high throughput platform, such as one capable of simultaneously analyzing 4, 8, 16, 32, 64, 96, 192, 384, 1536, or more samples.
- a high throughput platform such as one capable of simultaneously analyzing 4, 8, 16, 32, 64, 96, 192, 384, 1536, or more samples.
- the assay format may be MSD assay using electrochemiluminescent detection.
- each sample may be analyzed simultaneously for multiple (e.g., 2, 3, 4, 5, 6, 7, 8, 9, 10 or more) analytes, each with a specific affinity capture reagent that may be immobilized on a pre-determined addressable location.
- the methods of the invention further comprise blocking the (immobilized) affinity reagent with a blocking agent (e.g. , BSA) prior to step (1).
- a blocking agent e.g. , BSA
- the blocking agent may reduce non-specific binding between the binding partner to the affinity reagent, or between the binding partner and the container (e.g. , well) in which the assay is carried out.
- the blocking agent is removed afterwards by a suitable buffer wash.
- the method further comprises removing the binding partner unbound by the affinity reagent after step (1).
- the unbound binding partner may be washed away by a suitable buffer whereas the bound binding partner remains bound by the (immobilized) affinity reagent.
- the method further comprises removing ligand probe unbound by the binding partner after step (1). This step may be done concurrently with the removal of the unbound binding partner, or after the removal of the unbound binding partner.
- the method further comprises removing the first detection probe after step (2) and before step (3). In certain embodiments, the method further comprises removing the second detection probe after step (3) and before step (4). By washing away the unbound first and second detection probes, assay background due to the excess unbound first and second detection probes will be reduced.
- step (4) is carried out using chemiluminescence or ECL, flow cytometry, ELISA, or Western blot, or any art recognized method designed to detect the signal on the first and/or second detection probe.
- a specific illustrative (and non-limiting) embodiment of the method of the invention is provided herein.
- the specific embodiment uses BTK as an example of the binding partner, an irreversible BTK inhibitor as the ligand, and a ligand-derived ligand probe to carry out the BTK occupancy assay.
- BTK BTK
- the invention generally applies to other ligand-binding partner pairs, especially other kinases and their inhibitors.
- a 96-well plate (such as a 96- well high-binding ELISA plate) is first coated with an affinity reagent, such as 100 ⁇ ⁇ of rabbit anti-BTK monoclonal antibody (Cell Signaling Cat. #8547S) diluted 1 :250 in bicarbonate buffer to each well, and incubated overnight at 4°C.
- the affinity reagent is then removed by washing the plate 3-5 times using lx PBS 0.05% Tween 20 Wash Buffer.
- the plate is then blocked with 300 ⁇ ⁇ per well of 3% BSA in PBS for 1 hour at room temperature on an orbital shaker to reduce non-specific binding.
- the blocking reagent is removed by washing the plate 3-5 times using lx PBS 0.05% Tween 20 Wash Buffer.
- about 50 ⁇ ⁇ of proprietary ligand probe (about 50 nM) is added to all wells.
- about 50 ⁇ ⁇ of BTK-containing sample or standard is added to the wells, such that the total volume in each well is about 100 ⁇ , including ligand probe and sample (or standard).
- the plate is washed 3-5 times using lx PBS 0.05% Tween 20 Wash Buffer to remove unbound reagents. Then about 100 ⁇ ⁇ of the first detection probe - streptavidin-HRP diluted 1 :2000 in dilution buffer - is added for 30 minutes at room temperature on an orbital shaker, with the plate covered in foil. Upon completion of the binding between the SA moiety on the first detection probe and the biotin moiety on the ligand probe, any unbound first detection probe is removed by washing the plate 3-5 times using lx PBS 0.05% Tween 20 Wash Buffer. Then about 100 ⁇ ⁇ of the second detection probe - biotin-HRP diluted 1 :50,000 - is added, and the mixture is incubated for 30 minutes at room temperature on an orbital shaker, covered in foil.
- the second detection probe is then removed by washing the plate 3-5 times using lx PBS 0.05% Tween 20 Wash Buffer. Finally, about 100 ⁇ . of TMB (3,3',5,5'- tetramethylbenzidine) reagent is added to each well, and the plate is covered with aluminum foil to allow ECL to proceed. The TMB is allowed to develop for about 15-20 minutes, then about 100 ⁇ ⁇ of 1.5N sulfuric acid is added to each well to stop the reaction. Signals can then be read from the wells of the plate at 450 nm.
- TMB 3,3',5,5'- tetramethylbenzidine
- the free BTK in each sample can be calculated based on a rhBTK standard curve, and % occupancy is based on % reduction in free BTK comparing drug-treated sample to vehicle- treated sample.
- % occupancy is based on % reduction in free BTK comparing drug-treated sample to vehicle- treated sample.
- the level of BTK as measured by the subject method can be used as a reference level for total free BTK. This level may be based on one sample, or the average of several similarly vehicle / sham / mock treated samples (e.g. , 1500 ng/mL of free BTK in vehicle-treated spleen lysate sample).
- the method of the invention measures the level of BTK not already occupied by the inhibitor.
- a similar experiment using the inhibitor-treated sample may yield a measured free BTK level of, for example, 400 ng/mL.
- free BTK level is about 27% (400/1500) of the control, hence about 73% of the BTK in the inhibitor-treated sample is pre-occupied by the inhibitor, yielding a 73% inhibitor occupancy on BTK.
- Another aspect of the invention provides a method for assessing or predicting efficacy for a potential kinase (e.g. , BTK) inhibitor in a mammal, the method comprising: using the subject kinase occupancy assay method, measuring the binding between a ligand (i.e. , the potential kinase inhibitor) and its binding partner (i.e. , the kinase) in a sample derived from the mammal, wherein the mammal has kinase (e.g. , BTK) inhibitor-naive baseline measurements or previously been administered the potential kinase (e.g.
- a potential kinase e.g. , BTK
- BTK BTK inhibitor
- a higher level / extent of binding between the potential kinase (e.g. , BTK) inhibitor and the kinase (e.g. , BTK) is predictive of a higher level of efficacy.
- the potential kinase inhibitor is a potential BTK inhibitor, and the kinase is BTK from the mammal.
- the method further comprises determining the extent of kinase inhibition by the potential kinase inhibitor.
- the method may further comprising comparing the extent of kinase inhibition with the extent of kinase being occupied by the potential kinase inhibitor. For example, the concentration of the kinase inhibitor required to achieve 50% kinase activity may be compared to the concentration of the kinase inhibitor required to achieve 50% kinase occupancy (e.g. , 50% of the kinase is occupied by the potential kinase inhibitor).
- Another aspect of the invention provides a method for assessing the
- a kinase e.g. BTK
- the method comprising: using the subject kinase occupancy assay method, measuring the binding between a ligand (i.e. , the potential kinase inhibitor) and its binding partner (i.e. , the kinase), from a series of samples each derived from a different time point following administering the mammal with the ligand.
- the method may further comprise constructing a PD curve to show the extent of kinase occupation by the potential kinase inhibitor over time.
- the potential kinase inhibitor is a potential BTK inhibitor, and the kinase is BTK from the mammal.
- the method may further comprise adjusting (increasing or decreasing) the dose of the kinase inhibitor before repeating the method to obtain a revised PD curve.
- Another aspect of the invention provides a method for identifying a desired dose of a kinase (e.g. , BTK) inhibitor for achieving a pre-determined level of binding between the kinase (e.g. , BTK) inhibitor and kinase (e.g. , BTK) in a mammal, the method comprising: using the subject kinase occupancy assay method, measuring the binding between the ligand (i.e. , the potential kinase inhibitor) and the binding partner (i.e.
- the kinase) in a sample derived from the mammal wherein the mammal has previously been administered a candidate dose of the kinase (e.g. , BTK) inhibitor, wherein a level of measured binding lower than the pre-determined level is indicative that a dose higher than the candidate dose is required to achieve the desired dose, and wherein a level of measured binding higher than the pre-determined level is indicative that a dose lower than the candidate dose is required to achieve the desired dose.
- a candidate dose of the kinase e.g. , BTK
- the desired dose, or the pre-determined level of binding between the kinase (e.g. , BTK) inhibitor and kinase (e.g. , BTK), is based on or determined by a desired pharmacodynamic effect.
- the potential kinase inhibitor is a potential BTK inhibitor, and the kinase is BTK from the mammal.
- the method further comprises repeating the method using a higher or lower candidate dose.
- a ligand probe comprising a first moiety (e.g. , biotin) or a multivalent agent (e.g. , SA) covalently linked to a ligand (e.g. , BTK inhibitor), wherein the first moiety (e.g. , biotin) binds to the multivalent agent (e.g. , SA), and wherein the ligand probe is represented by the following structure: X - L - M, wherein X is the ligand, M is the first moiety or the multivalent agent, and L is a linker moiety that covalently joins the ligand to the first moiety or the multivalent agent.
- M is a biotin or a biotin analog
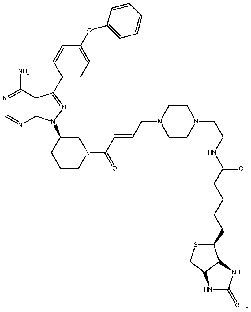
- An exemplary ligand moiety suitable for BTK occupancy assay, comprising a BTK inhibitor covalently linked to biotin through a PEG re eat containing linker moiety, is represented below.
- This ligand probe is derived from a specific BTK inhibitor.
- the specificity of BTK inhibition by the ligand probe shown above is demonstrated by the low IC 50 value against BTK as compared to a panel of other kinases, as measured by the TR-FRET binding assay using a kinome panel (Invitrogen).
- TrkA >10 TrkB >10 TrkC >10
- linker or linker moiety is any one described in the section below entitled “Kinase occupancy assay.”
- Protein kinases are enzymes that catalyze the transfer of the ⁇ -phosphoryl group of ATP (ATP-Mg 2+ complex) to the oxygen atom of the hydroxyl group of serine, threonine, or tyrosine residues in peptides and polypeptides (kinase substrates).
- ATP-Mg 2+ complex ⁇ -phosphoryl group of ATP
- tyrosine residues in peptides and polypeptides
- the kinase may be a Ser/Thr kinase, or a Tyr kinase, categorized according to their preferred substrate(s).
- the methods of the invention can be used to determine the extent of a kinase that is bound / occupied by one of its substrates or substrate analogs or inhibitors (including irreversible inhibitors that may be covalently linked to the kinase) in a sample.
- the methods of the invention ⁇ e.g., kinase occupancy assay
- the methods of the invention may be used to measure the extent of a kinase that is bound / occupied by any one of its inhibitors described below, using a probe that is substantially similar / identical in structure to the inhibitor in terms of binding to the ATP binding site on the kinase, but also contains a linker or extender that links another moiety, such as biotin, to the inhibitor (e.g.
- the methods of the invention may also be used to measure the extent of a kinase that is bound / occupied by a proprietary inhibitor that does not have the same structure of any of the inhibitors described below, but nevertheless competitively binds to the ATP binding pocket of the kinase.
- the same probe may be used to conduct the subject occupancy assay.
- the inhibitor can be derived to become a corresponding probe comprising the inhibitor covalently linked to another moiety, such as biotin, through a linker or extender.
- protein kinases share a very high degree of structural similarity in the region where the ATP is bound - the ATP binding pocket.
- the methods of the invention as applied to protein kinases - kinase occupancy assays - may be based on binding of a kinase inhibitor at the ATP binding pocket of the kinase.
- the first aspartic acid acts as a general base catalyst in the phosphotransfer reaction. Strikingly, these three crucial residues span the two lobes of the catalytic domain. Furthermore, the two aspartic acid residues within the catalytic triad are separated from each other by a second flexible region called the activation loop.
- the structure of a substrate must conform to the geometric constraints, surface electrostatics, and other features of the active site of the corresponding protein kinase. In turn, substrate binding can induce structural changes in a kinase that stimulate its catalytic activity.
- a list of representative protein kinases to which the method of the invention may be applied is provided in Table 1 of WO2003/081210 (incorporated herein by reference), which includes the type (Ser/Thr or Tyr), SwissProt, an NCBI Accession numbers, length, and literature references, and SEQ ID NOs for the amino acid sequence of each protein kinase. All references cited in Table 1 are also expressly incorporated herein by reference. An alignment of the sequences of the representative kinases is provided in Appendix A of WO2003/081210, which is also incorporated herein by reference.
- kinases to which the subject methods can be used to measure occupancy by an inhibitor, substrate or analog thereof may include, without limitation:
- representative kinases to which the subject methods can be used possess at least one naturally occurring cysteine at or near the ATP binding pocket of the kinase.
- Illustrative examples of such kinases include: BLK (C318); BTK (C481); EGFRl (C797); HER2/ERBB2 (C805); ERBB4 (C803); JAK3 (C909); TEC (C449); BMX; ITK; LKB1; HER3/Erb-B3; and TXK.
- one or more amino acids near the ATP binding pocket are mutated into a cysteine, before the mutant kinase is used in the method of the invention.
- one or more other amino acids of the kinase not near the ATP binding pocket is a cysteine.
- Cys residue(s) may be used to immobilize the kinase to a solid support via, for example, reacting with a thiol reactive group on the solid support, such that it is not necessary to use an antibody specific for the kinase to pull down the kinase in the sample.
- ERK5 C53
- ERK1 C183
- ERK2 C166
- ERK3 C28
- FGFR1 C488
- FGFR2 C491
- FGFR3 C482
- FGFR4 C477)
- NIK C533
- PDGFR-a C835); PDGFR-b (C843); SRC (C279); SRC2 (C273); STK1 (C828); TGFR2 (C396); VEGFR1 (C1039); VEGFR2 (C1045); VEGFR3 (C1054); YES (C287); ZAP-70 (C346).
- one or more other amino acids not near the ATP binding pocket are mutated into a cysteine, before the mutant kinase is used in the method of the invention.
- Such mutation-generated Cys residue(s) may be used to immobilize the kinase to a solid support via, for example, reacting with a thiol reactive group on the solid support, such that it is not necessary to use an antibody specific for the kinase to pull down the kinase in the sample.
- the affinity reagent in step (1) of the method can be a thio reactive group that reacts with the binding partner (e.g. , kinase).
- the binding partner e.g. , kinase.
- Representative thiol reactive groups are well-known in the art, and may include (but are not limited to): pyridyldisulfides, nitropyridyldisulfides, maleimides, haloacetates and carboxylic acid chlorides.
- Cys For representative kinases, illustrative examples of their residues that can be mutated to Cys may include the following:
- AKT1 kinase L156C; K158C; T160C; F161C; K194C; E198C; M227C; E278C; T291C; K297C.
- AKT2 kinase K158C; K160C; T162C; F163C; H196C; E200C; M229C; E279C; T292C; K298C.
- AKT3 kinase L154C; K156C; T158C; F159C; H192C; E196C; M225C; E274C; T288C; K294C.
- BLK kinase L246C; S248C; Q151C; F251C; A279C; E283C; T311C; A363C; A376C; R382C.
- BTK kinase L408C; T410C; Q313C; F413C; E441C; E445C; T474C; R525C; S538C; R544C.
- CDK1 kinase HOC; E12C; T14C; Y15C; S53C; E57C; F80C; Q432C; A145C; R151C.
- CDK2 kinase HOC; E12C; T14C; Y15C; S53C; E57C; F80C; Q431C; A144C; R150C.
- CDK3 kinase HOC; E12C; T14C; Y15C; S53C; E57C; F80C; Q431C; A144C; R150C.
- CDK4 kinase I12C; V14C; A16C; Y17C; R55C; L59C; F93C; E153C; A157C; R163C.
- CDK5 kinase HOC; E12C; T14C; Y15C; E57C; F80C; Q430C; A143C; R149C.
- CDK6 kinase I19C; E21C; A23C; Y24C; A63C; H67C; F98C; Q449C; A162C; R168C.
- CDK7 kinase L18C; E20C; Q22C; F23C; R61C; L65C; F91C; N141C; A154C; K161C.
- CDK8 kinase V27C; R29C; T31C; Y32C; R65C; L69C; F97C; A155C; A172C; H178C.
- CDK9 kinase I25C; Q27C; T29C; F30C; R65C; I69C; F103C; A153C; A166C; R172C.
- CSK kinase 1201 C; K203C; E205C; F206C; A232C; E236C; T266C; R318C; S331C; K337C.
- EGFR1 kinase L718C; S720C; A722C; F723C; E758C; E762C; T790C; R841C; T854C; K860C.
- ERBB2 also referred to as ErbB2
- kinase L726C; S728C; A730C; F731C; E766C; E770C; T798C; R849C; T862C; R868C.
- ERBB4 also referred to as ErbB4
- ERBB4 ErbB4
- L724C L724C
- S726C A728C
- F729C E764C
- E768C T796C
- R847C T860C
- R864C ERK1 kinase
- I48C I48C
- E50C A52C; Y53C; R84C; E88C; Q122C; S170C; R189C
- ERK2 kinase 131C; E33C; A35C; Y36C; R67C; E71C; Q105C; S153C; R172C.
- ERK3 kinase L26C; G30C; N31C; H61C; E65C; Q108C; A156C; G170C; R176C.
- ERK4 kinase L26C; F28C; V30C; N31C; H61C; E65C; Q105C; A153C; G167C; R173C.
- ERK5 kinase I60C; N62C; A64C; Y65C; R97C; EIOIC; L136C; S185C; G198C; R204C.
- ERK6 kinase V33C; S35C; A37C; Y38C; R70C; E74C; M109C; G157C; L170C; R176C.
- FAK1 kinase I428C; E430C; Q333C; F433C; K467C; E471C; M499C; R550C; G563C; R569C.
- FGFR1 kinase L484C; E486C; F489C; L528C; M532C; V561 C; R627C; A640C; R646C.
- FGFR2 kinase L487C; E489C; F492C; L531C; M535C; V564C; R630C; A643C; R649C.
- FGFR3 kinase L478C; E480C; F483C; L522C; M526C; V555C; R621C; A634C; R640C.
- FGFR4 kinase L473C; E475C; F478C; L517C; M521C; V550C; R616C; A629C; R635C.
- FYN kinase L276C; N278C; Q181C; F281C; S309C; E313C; T341C; A393C; A406C; R412C.
- HCK kinase L268C; A270C; Q173C; F273C; A301C; E305C; T333C; A385C; A398C; R404C.
- IKK- a kinase L21C; T23C; G25C; F26C; R57C; E61C; M95C; E148C; I164C; K170C.
- IKK-b kinase L21C; T23Cb; G25C; F26C; R57C; E61C; M96C; E149C; I165C; K171C.
- IKK-e kinase L15C; Q17C; A19C; T20C; V51C; E55C; M86C; G139C; T156C; R163C.
- JAK1 kinase L870C; E872C; H874C; F875C; D909C; E913C; M944C; R995C; G1008C; K1014C.
- JAK2 kinase L855C; L857C; N859C; F860C; D894C; E898C; M929C; R980C; G993C; K999C.
- JAK3 kinase L828C; K830C; N832C; F833C; D867C; E871C; M902C; R953C; A966C; K972C.
- JNKl kinase I32C; S34C; A36C; Q37C; R69C; E73C; M108C; S155C; L168C; R174C.
- JNK2 kinase I32C; S34C; A36C; Q37C; R69C; E73C; M108C; S155C; L168C; R174C.
- JNK3 kinase I70C; S72C; A74C; Q75C; R107C; E111C; M146C; S193C; L206C; R212C.
- Lck kinase L250C; A252C; Q155C; F255C; A283C; E287C; T315C; A367C; A380C; R386C.
- LYN kinase L252C; A254C; Q157C; F257C; A285C; E289C; T318C; A370C; A383C; D389C.
- MAPK kinase V30C; S32C; A34C;
- NIK kinase L406C; R408C; S410C; F41 IC; F436C; E439C; M469C; D519C; V540C.
- PAK1 kinase I276C; Q179C; A280C; S281C; N314C; V318C; M344C; D393C; T406C; A412C.
- PAK2 kinase I255C; Q158C; A259C; S260C; N293C; V297C; M323C; D372C; T385C; A391C.
- PAK3 kinase I274C; Q177C; A278C; S279C; N312C; V316C; M342C; D391C; T404C; A410C.
- PAK4 kinase I327C; E329C; S331C; R332C; N365C; I369C;
- PDGFR-b kinase L606C; S608C; A700C; F701C; L648C; L652C; T681C; R830C; R849C.
- PIM1 kinase L44C; S46C; G48C; F49C; M87C; L91C; E121C; E171C; E171C; I185C; A192C.
- A-Raf kinase I316C; T318C; S320C; F321C; A350C; E354C; T382C; N433C; G446C; T452C.
- B-Raf kinase I462C; S464C; S466C; F467C; A496C; E500C; T528C;
- C-Raf kinase I355C; S357C; S359C; F-360C; A389C; E393C; T421C; N472C; G485C; T491C.
- SRC kinase L275C; Q178C; F280C;
- SRC2 kinase L269C; T271C; F274C; A302C; E306C; T334C; A386C; A399C; R405C.
- STK1 kinase L616C; S618C; A620C; F621C; L658C; L662C; F691C; R815C, R834C.
- SYK kinase For the SYK kinase:
- TEC kinase L376C; S378C; L380C; F381C; D409C; E413C; T442C; R493C; S506C;
- TGFR1 kinase I121C; K213C; R215C; F216C; F243C; E247C; S280C; K337C; A350C; V357C.
- TGFR2 kinase V250C; K252C; R254C; F255C; K288C; D292C; T325C; S383C; L403C.
- TIE1 kinase I845C; E847C; N849C; F850C;
- TIE2 kinase I830C; E832C; N834C; F835C; F869C; L873C; I902C; R968C; A981C; R987C.
- VEGFR1 kinase L834C; R836C; A838C; F839C; L876C; L880C; V910C; R1026C; R1045C.
- VEGFR2 kinase L840C; R842C; A844C; F845C; L882C; L886C; V916C; R1032C;
- R1051C For the VEGFR3 kinase: L851C; Y853C; A855C; F856C; L893C; L987C; V927C; R1041C; R1060C.
- YES kinase L283C; Q286C; C287C; F288C; A316C; E320C; T348C; A400C; A413C; R419C.
- ZAP-70 kinase L344C; N348C; F349C; E382C; E386C; M414C; R465C; S478C; and K485C.
- the methods of the invention may be applicable to any of their substrates or analogs thereof, or inhibitors thereof.
- the methods of the invention are applicable to measure kinase occupancy by a kinase inhibitor.
- the inhibitor may be a reversible inhibitor, a covalent / irreversible inhibitor, a competitive inhibitor, or a non-competitive inhibitor.
- the inhibitor is tethered, via a reversible or irreversible covalent bond, to the protein kinase.
- the inhibitor may form an irreversible covalent bond through the nucleophile or electrophile, preferably nucleophile, on the protein kinase, thereby forming an irreversible protein kinase-inhibitor complex.
- the nucleophile on the kinase may be the sulfur of a thiol, usually a thiol group of a cysteine, which is reacted with a thiol reactive group capable of forming an irreversible (preferably under conditions that do not denature the kinase) covalent bond with the free thiol.
- the thiol reactive group on the inhibitor is a group capable of undergoing SN2-like attack by the thiol or forming a Michael-type adduct with the thiol to produce the irreversible reaction product.
- -SR where R is H, glutathione or S-lower alkyl substituted with NH 2 or OH
- a Michael adduct can also be formed between a Cys thiol group of the kinase, and a Michael acceptor moiety on the inhibitor.
- Representative Michael acceptors include acrylamide, vinyl sulfonamide, and propargylamide.
- Quinazolines broad specificity kinase inhibitors, are known to bind to the purine pocket of a myriad of protein kinases and are possibly the most commonly used of all the kinase inhibitor structural motifs. Furthermore, 6-arylamido quinazoline-based inhibitors are known to irreversibly label the EGFR1 kinase through reactivity with a cysteine residue (Cys773) located on the floor of the purine-binding pocket. In addition, 7-acrylamido quinazolines also irreversibly modify the EGFR1 kinase, indicating that despite the high affinity of these compounds for the purine pocket, they do have limited mobility within their binding site.
- similarly modified quinazolines can bind covalently but with loose specificity to the purine-binding pocket of any appropriately engineered protein kinase.
- a set of eight 4-phenylamino quinazolines containing Michael acceptors in the 6 and 7 positions as shown below can be used as broad spectrum inhibitors that bind the ATP binding pocket of a kinase.
- kinase inhibitors can be derived to become their corresponding probes by using a linker or extender.
- the exact extenders used partly depend on which of the 4-phenylamino quinazolines discussed above bind most efficiently to the kinase of interest. For example, as shown below, for any of the 4-phenylamino quinazolines, thiol groups can be appended to the 5, 6, 7, or 8 position of the best quinazolines, separated by a 1-, 2-, or 3-atom spacer.
- the amino group at the end of the extender / linker can then be reacted with an amino reactive group (such as a carboxyl group) to attach biotin or other moieties.
- an amino reactive group such as a carboxyl group
- Such (biotin- linked) probes may be used in the subject kinase occupancy assay regardless of the identity of the kinase inhibitor, so long as the inhibitor and the probe do not simultaneously bind the ATP binding pocket of the kinase.
- the linker / extender may comprise a bond, a substituted alkyl moiety, a substituted heterocycle moiety, a substituted amide moiety, a ketone moiety, a substituted carbamate moiety, an ester moiety, or any combination thereof.
- the linker moiety may be selected from a bond, a polymer, a water soluble polymer, optionally substituted alkyl, optionally substituted heteroalkyl, optionally substituted heterocycloalkyl, optionally substituted cycloalkyl, optionally substituted
- heterocycloalkylalkyl optionally substituted heterocycloalkylalkenyl, optionally substituted aryl, optionally substituted heteroaryl, and optionally substituted
- heterocyclo alkyl alkenylalkyl alkenylalkyl
- the linker moiety is an optionally substituted heterocycle.
- the heterocycle is selected from aziridine, oxirane, episulfide, azetidine, oxetane, pyrroline, tetrahydrofuran, tetrahydrothiophene, pyrrolidine, pyrazole, pyrrole, imidazole, triazole, tetrazole, oxazole, isoxazole, ox irene, thiazole, isothiazole, dithiolane, furan, thiophene, piperidine, tetrahydropyran, thiane, pyridine, pyran, thiapyrane, pyridazine, pyrimidine, pyrazine, piperazine, oxazine, thiazine, dithiane, and dioxane.
- the heterocycle is piperazine.
- the linker moiety is optionally substituted with halogen, CN, OH, N0 2 , alkyl, S(O), and S(0) 2 .
- the water soluble polymer is a PEG group.
- the linker moiety provides sufficient spatial separation between the 1 st moiety and the ligand. In further embodiments, the linker moiety is stable. In yet a further embodiment, the linker moiety does not substantially affect the binding of the 1 st moiety (e.g. , biotin) to the 1 st detection probe. In other embodiments the linker moiety provides chemical stability to the ligand probe. In further embodiments, the linker moiety provides sufficient solubility to the ligand probe.
- linkages such as water soluble polymers are coupled at one end to a ligand (e.g. , kinase inhibitor) and to a 1 st moiety (e.g. , biotin) at the other end.
- a ligand e.g. , kinase inhibitor
- a 1 st moiety e.g. , biotin
- the water soluble polymers are coupled via a functional group or substituent of the ligand.
- the water soluble polymers are coupled via a functional group or substituent of the 1 st moiety.
- covalent attachment of hydrophilic polymers to a ligand and the 1 st moiety represents one approach to increasing water solubility (such as in a physiological environment), bioavailability, increasing serum half-life, increasing pharmacodynamic parameters, or extending the circulation time of the ligand probe, including proteins, peptides, and particularly
- hydrophobic molecules hydrophobic molecules.
- additional important features of such hydrophilic polymers include biocompatibility and lack of toxicity.
- the polymer is pharmaceutically acceptable.
- examples of hydrophilic polymers include, but are not limited to: polyalkyl ethers and alkoxy-capped analogs thereof (e.g. , polyoxyethylene glycol, polyoxyethylene/propylene glycol, and methoxy or ethoxy-capped analogs thereof, polyoxyethylene glycol, the latter is also known as polyethylene glycol or PEG);
- polyvinylpyrrolidones polyvinylalkyl ethers; polyoxazolines, polyalkyl oxazolines and polyhydroxyalkyl oxazolines; polyacrylamides, polyalkyl acrylamides, and polyhydroxyalkyl acrylamides (e.g. , polyhydroxypropylrnethacrylamide and derivatives thereof);
- polyhydroxyalkyl acrylates polysialic acids and analogs thereof; hydrophilic peptide sequences; polysaccharides and their derivatives, including dextran and dextran derivatives, e.g. , carboxymethyldextran, dextran sulfates, aminodextran; cellulose and its derivatives, e.g. , carboxymethyl cellulose, hydroxyalkyl celluloses; chitin and its derivatives, e.g.
- chitosan chitosan, succinyl chitosan, carboxymethylchitin, carboxymethylchitosan; hyaluronic acid and its derivatives; starches; alginates; chondroitin sulfate; albumin; pullulan and carboxymethyl pullulan; polyaminoacids and derivatives thereof, e.g.
- the water soluble polymer is any structural form including but not limited to linear, forked or branched.
- polymer backbones that are water-soluble, with from 2 to about 300 termini, are particularly useful.
- multifunctional polymer derivatives include, but are not limited to, linear polymers having two termini, each terminus being bonded to a functional group which is the same or different.
- the water polymer comprises a poly(ethylene glycol) moiety.
- the molecular weight of the polymer is of a wide range, including but not limited to, between about 100 Da and about 100,000 Da or more.
- the molecular weight of the polymer is between about 100 Da and about 100,000 Da, including but not limited to, about 100,000 Da, about 95,000 Da, about 90,000 Da, about 85,000 Da, about 80,000 Da, about 75,000 Da, about 70,000 Da, about 65,000 Da, about 60,000 Da, about 55,000 Da, about 50,000 Da, about 45,000 Da, about 40,000 Da, about 35,000 Da, 30,000 Da, about 25,000 Da, about 20,000 Da, about 15,000 Da, about 10,000 Da, about 9,000 Da, about 8,000 Da, about 7,000 Da, about 6,000 Da, about 5,000 Da, about 4,000 Da, about 3,000 Da, about 2,000 Da, about 1,000 Da, about 900 Da, about 800 Da, about 700 Da, about 600 Da, about 500 Da, about 400 Da, about 300 Da, about 200 Da, and about 100 Da.
- the molecular weight of the polymer is between about 100 Da and 50,000 Da. In some embodiments, the molecular weight of the polymer is between about 100 Da and 40,000 Da. In some embodiments, the molecular weight of the polymer is between about 1,000 Da and 40,000 Da. In some embodiments, the molecular weight of the polymer is between about 5,000 Da and 40,000 Da. In some embodiments, the molecular weight of the polymer is between about 10,000 Da and 40,000 Da. In some embodiments, the poly( ethylene glycol) molecule is a branched polymer.
- the molecular weight of the branched chain PEG is between about 1,000 Da and about 100,000 Da, including but not limited to, about 100,000 Da, about 95,000 Da, about 90,000 Da, about 85,000 Da, about 80,000 Da, about 75,000 Da, about 70,000 Da, about 65,000 Da, about 60,000 Da, about 55,000 Da, about 50,000 Da, about 45,000 Da, about 40,000 Da, about 35,000 Da, about 30,000 Da, about 25,000 Da, about 20,000 Da, about 15,000 Da, about 10,000 Da, about 9,000 Da, about 8,000 Da, about 7,000 Da, about 6,000 Da, about 5,000 Da, about 4,000 Da, about 3,000 Da, about 2,000 Da, and about 1,000 Da.
- the molecular weight of the branched chain PEG is between about 1,000 Da and about 50,000 Da. In some embodiments, the molecular weight of the branched chain PEG is between about 1,000 Da and about 40,000 Da. In some embodiments, the molecular weight of the branched chain PEG is between about 5,000 Da and about 40,000 Da. In some embodiments, the molecular weight of the branched chain PEG is between about 5,000 Da and about 20,000 Da.
- the foregoing list for substantially water soluble backbones is by no means exhaustive and is merely illustrative, and in some embodiments, the polymeric materials having the qualities described above suitable for use in methods and compositions described herein.
- the number of water soluble polymers linked to the ligand and the 1 st moiety described herein is adjusted to provide an altered (including but not limited to, increased or decreased) pharmacologic, pharmacokinetic or pharmacodynamic
- the half-life of the ligand probe is increased at least about 10, about 20, about 30, about 40, about 50, about 60, about 70, about 80, about 90 percent, about two fold, about five-fold, about 10-fold, about 50-fold, or at least about 100-fold over a ligand probe without a water soluble linker.
- X is a bond.
- Y is a bond.
- R a is hydrogen.
- R a is alky
- the kinase occupancy assay of the invention is for a BTK of human or non-human origin, and an irreversible BTK inhibitor that forms a covalent bond with a Cys residue corresponding to Cys481 of the human BTK, isoform 1, via a Michael acceptor on the inhibitor, wherein the Michael acceptor is acrylamide, vinyl sulfonamide, or propargylamide.
- the BTK inhibitor is CC-292 (N-(3-(5-fluoro-2-(4-(2- methoxyethox henylamino)pyrimidin-4-ylamino)phenyl)acrylamide).
- the probe is a biotin-linked CC-292 of the following structure:
- the BTK inhibitor is (R)-l-(3-(4-amino-3-(4- phenoxyphenyl)-lH-pyrazolo[3,4-d]pyrimidin-l-yl)piperidin-l-yl)prop-2-en-l-one (or ibrutinib).
- the correspondin probe may be a biotin-linked ibrutinib of the following structure:
- the inhibitor and/or the ligand probe binds the active form of the kinase (e.g. , BTK). In other embodiments, the inhibitor and/or the ligand probe binds the inactive form of the kinase (e.g. , BTK). In certain embodiments, the inhibitor and/or the ligand probe preferentially (e.g. , having a binding affinity 50%, 100%, 2-fold, 3-, 5-, 10-, 20-, 50-, or 100-times or higher) binds the active form of the kinase (e.g. , BTK). In certain embodiments, the inhibitor and/or the ligand probe preferentially (e.g.
- the active form of the BTK has Tyr phosphorylation at a residue corresponding to Tyr551 of human BTK isoform 1, and may further comprise Tyr phosphorylation at a residue corresponding to Tyr223 of human BTK isoform 1.
- the inhibitor and/or the ligand probe is cell permeable.
- BTK isoforms There are three known human BTK isoforms, one of which, NP_000052, relates to the 659-a.a. BTK isoform 1.
- Residue 481 of the human BTK isoform 1 is the Cys481 residue that can be irreversibly and covalently linked to a BTK inhibitor binding to the ATP binding pocket of the kinase, through Michael reaction.
- Isoform 2 (NP_001274274) has 483 a.a., and contains an alternate exon in the 5' UTR and lacks several exons in the 3' CDS (coding sequence) compared to isoform 1, resulting in a shorter protein compared to isoform 1.
- Isoform 3 (NP_001274273) has 693 a.a., and has a longer N-terminus than isoform 1.
- U.S. Pat. No. 6,326,469 discloses in its FIGs. 10A and 10B the 659-a.a. human BTK (also known as hATK) isoform 1 protein as SEQ ID NO: 8 (incorporated herein by reference).
- Additional mammalian BTK sequences are known in the art, and can be retrieved from public database such as GenBank by, for example, performing a BLASTp search using the human BTK isoform 1 sequence as a query sequence.
- BTK sequences from other species are identified: XP_003954082.1 from Pan troglodytes (chimpanzee); XP_004441045.1 from Ceratotherium simum simum (southern white rhinoceros); XP_001493268.1 from Equus caballus (horse); XP_004905120.1 from Hetewcephalus glaber (naked mole-rat); XP_008051143.1 from Tarsius syrichta (Philippine tarsier); XP_005407008.1 from Chinchilla lanigera (long-tailed chinchilla);
- XP_003135290.2 from Sus scrofa (pig); XP_005072547.1 from Mesocricetus auratus (golden hamster); XP_549139.2 from Canis lupus familiaris (dog); XP_004283555.1 from Orcinus orca (killer whale); NP_038510.2 from Mus musculus (house mouse);
- NP_001029761.1 from Bos taurus (cattle); XP_004000760.1 from Felis catus (domestic cat); and NP_001007799.1 from Rattus norvegicus (Norway rat), all with > 98% sequence identity to the human BTK isoform 1.
- the method of the invention can be applied to any and all BTK isoforms from any and all species, although the Cys481 residue in different BTK isoforms or BTK from different species will have a different residue number.
- Sequence alignments using any of art recognized software, such as searching the nr database using the human BTK isoform 1 sequence as the query sequence, will readily reveal the Cys residue corresponding to Cys481 of the human BTK isoform 1.
- the methods and reagents of the invention can be used for human and other non-human mammals, including but not limited to non-human primates, livestock (mammalian) animals, experimental / laboratory animals (e.g., rats, mice, hamsters, or other rodents), mammalian pets (e.g., cats or dogs), or marine mammals, such as those named above.
- livestock mimmalian
- experimental / laboratory animals e.g., rats, mice, hamsters, or other rodents
- mammalian pets e.g., cats or dogs
- marine mammals such as those named above.
- the methods of the invention may be used for BTK occupancy assay for any of many known BTK inhibitors, including the various irreversible BTK inhibitors that form a covalent bond with a Cys residue corresponding to Cys481 of the human BTK, isoform 1.
- BTK inhibitor is ibrutinib (supra), and its related compounds as described in U.S. Pat. Nos. 8,088,781 and 8,501,751 (incorporated herein by reference).
- Exemplary BTK inhibitors disclosed therein include a compound of the following structure:
- L a is O or S;
- Ar is an unsubstituted phenyl;
- Y is a 4-, 5-, 6-, or 7-membered cycloalkyl ring, or Y is azetidinyl, pyrrolidinyl, piperidinyl, or azepanyl;
- R 8 is H;
- R 7 is H, unsubstituted C C 4 alkyl, C
- R 6 is H, unsubstituted CrCealkoxyalkyl, CrCsalkylaminoalkyl, or Cr
- Those BTK inhibitors can be derived to become ligand probes of the invention by, for example, linking to biotin through a linker.
- the corresponding ligand probe may be a biotin-linked ibrutinib of the followin structure:
- CC-292 (supra) and its related compounds as disclosed in US 2010-0249092 Al (incorporated herein by reference).
- a biotin-conjugated ligand probe of CC-292 is show below:
- Additional similar ligand probe includes:
- Biotin-conjugated version of these ligands / BTK inhibitors can also be made using any art-recognized methods.
- BTK inhibitor is described in U.S. Provisional Application No. 61/839,729, filed on June 26, 2013, U.S. Provisional Application No. 61/897,577, filed on October 30, 2013, and U.S.S.N. 14/315,504, filed on June 26, 2014 (all incorporated herein by reference), in which the BTK inhibitor is a compound of Formula (I):
- X is NR 2 or S
- Y is N or CR 1 , and Z is N or CR 1 ; or, Y is CR l R 2 and Z is CR R 2 ; A is N or CR 4 ;
- E is N or CR 5 ;
- R 1 is independently H, deuterium, CN, halogen, CF 3 , -NR C R C , -N(R a )C(0)R b , optionally substituted (Ci-C 6 )alkyl, optionally substituted (C 2 -C 6 )alkenyl, optionally substituted aryl, optionally substituted (C3-C 6 )cycloalkyl, optionally substituted (C 3 - C 6 )cycloalkenyl, optionally substituted heteroaryl, or optionally substituted saturated or partially saturated heterocyclyl;
- R is independently H, deuterium, or optionally substituted (C 1 -C 3 )alkyl
- R 3 is halogen, -N(R a ) 2 , optionally substituted aryl, optionally substituted (C 3 - C7)cycloalkyl, optionally substituted saturated or partially saturated heterocyclyl, or optionally substituted heteroaryl; or
- R 3 is -R 301 -L-R 302 wherein
- R 301 is a bond, -0-, -OCH 2 -, -NR d -, or optionally substituted (C
- L is optionally substituted phenyl, optionally substituted (C 3 -
- L is -L 1 -L2 wherein L 1 is attached to R 301 and
- L 1 is optionally substituted phenyl, optionally substituted heteroaryl or optionally substituted saturated or partially saturated carbocycle or a saturated or partially saturated heterocyclyl;
- L 2 is a bond, CH 2 , NR d , CH 2 N(H), S(0) 2 N(H), or -0-;
- R 302a is optionally substituted (Ci-C4)alkyl, optionally substituted (C 2 -C 4 )alkenyl, (C 2 -C 4 )alkynyl, -C(0)-(Ci-C 4 )alkyl, optionally substituted saturated or partially unsaturated (C 3 -C 6 )cycloalkyl, optionally substituted aryl, optionally substituted heteroaryl, -N(H)- optionally substituted heteroaryl or -(CH 2 ) n -optionally substituted unsaturated or partly saturated heterocyclyl;
- R 4 is H, deuterium, CN, optionally substituted (Ci-C 3 )alkyl, optionally substituted (C 3 -C 6 ) cycloalkyl or optionally substituted saturated or partially saturated heterocyclyl , or optionally substituted heteroaryl;
- optionally substituted saturated or partially saturated heterocyclyl; and optionally substituted heteroaryl contain at least one nitrogen atom; or R 3 and R 4 , together with the carbon atoms to which they are attached, form an optionally substituted, saturated, unsaturated or partially unsaturated 5 or 6 membered carbocyclic ring or an optionally substituted, saturated, or partially unsaturated 5 or 6 membered heterocyclic ring containing one or more heteroatoms selected from N, S and O;
- R 5 is H, deuterium, halogen, or optionally substituted (C 1 -C3)alkyl
- R a is independently selected from H, -C(0)-optionally substituted (C 2 - C 6 )alkenyl, optionally substituted (Ci-C 6 )alkyl, -(CH 2 ) n -optionally substituted (C 3 - C 6 )cycloalkyl, -(CH 2 ) n -optionally substituted heterocyclyl, or -(CH 2 ) n -optionally substituted heteroaryl;
- R b is H, optionally substituted (Ci-C 6 )alkyl, optionally substituted (C 2 - C 6 )alkenyl, optionally substituted (C 2 -C 6 )alkynyl, -CH 2 -0-optionally substituted aryl, or -CH 2 -0-optionally substituted heteroaryl;
- R c is independently H, optionally substituted (C 1 -C 6 )alkyl, optionally substituted (C 3 -C 6 )cycloalkyl, optionally substituted saturated or partially saturated heterocyclyl, optionally substituted aryl or optionally substituted heteroaryl;
- R d is H, optionally substituted heterocyclyl, -(CH 2 )-optionally substituted (C 3 - C 6 )cycloalkyl, -(CH 2 )-optionally substituted heteroaryl or optionally substituted (C - C 3 )alkyl;
- R is optionally substituted (Ci-C 3 )alkyl, optionally substituted (C 2 -C 4 )alkenyl or optionally substituted (C 2 -C 4 )alkynyl;
- n is independently 0 or 1.
- the derived ligand probe comprising the 1 st moiety may have the BTK inhibitor linked to the 1 st moiety through a linker moiety, to a substituent group of R 3 , wherein R is an optionally substituted aryl, such as phenyl.
- U is CR 1 or N
- X is CR 2 or N
- Y is CR 3 or N
- Z is CR 4 or N
- R 1 is independently H or deuterium
- R is H, deuterium, optionally substituted (Ci-C3)alkyl, or CF 3 ;
- R is H, deuterium or optionally substituted (Ci-C 3 )alkyl
- R 4 is H or deuterium
- R 5 is -R 501 -L-R 502 wherein
- L is a bond and R 502 is -CN;
- L is - ⁇ - ⁇ wherein L 1 is attached to R 501 wherein
- L 1 is optionally substituted phenyl, optionally substituted heteroaryl, optionally substituted saturated or partially saturated heterocyclyl, or optionally substituted saturated or partially saturated (C 3 -C 6 )cycloalkyl and L 2 is -CH 2 N(R a )-, -CH 2 N(R a )C(0)-, -N(R a )C(0)-, -N(R a )S(0) 2 - or - N(R a )-; or
- L 1 is a saturated or partially saturated heterocyclyl containing one or more heteroatoms wherein at least one heteroatom is nitrogen and L is a bond, C(O) or -S(0) 2 -;
- R 502 is H, optionally substituted alkenyl, optionally substituted alkynyl, CN, or optionally substituted (C 3 -C 6 )cycloalkenyl;
- R 6 is optionally substituted (C 1 -C 6 )alkyl, optionally substituted (C 3 - C 12 )cycloalkyl, optionally substituted phenyl, optionally substituted heteroaryl, or optionally substituted heterocyclyl;
- R a is independently H or optionally substituted (C 1 -C 6 )alkyl.
- the compound is not 2-(3- ⁇ 8-[5-(morpholine-4-carbonyl)-pyridin-2- ylamino]-imidazo[l,2-fl]pyridine-6-yl ⁇ -phenyl)-N-(5,5,5-trifluoro-4-hydroxy-4-methyl-pent- 2-ynyl)-acetamide.
- the derived ligand probe comprising the 1 st moiety may have the BTK inhibitor linked to the 1 st moiety through a linker, at a substituent group of R 5 .
- detectable label refers to a label which is observable and/or quantifiable (in absolute, approximate or relative terms) using analytical techniques including, but not limited to, fluorescence, chemiluminescence, enhanced chemiluminescence (ECL), electron-spin resonance, ultraviolet/visible absorbance spectroscopy, mass spectrometry, nuclear magnetic resonance, magnetic resonance, and electrochemical methods.
- analytical techniques including, but not limited to, fluorescence, chemiluminescence, enhanced chemiluminescence (ECL), electron-spin resonance, ultraviolet/visible absorbance spectroscopy, mass spectrometry, nuclear magnetic resonance, magnetic resonance, and electrochemical methods.
- the detectable label may include a label, a dye, an enzyme, a photocrosslinker, a cytotoxic compound, a drug, an affinity label, a photo affinity label, a reactive compound, an antibody or antibody fragment, a biomaterial, a nanoparticle, a spin label, a fluorophore, a metal-containing moiety, a radioactive moiety, a novel functional group, a group that covalently or noncovalently interacts with other molecules, a photocaged moiety, an actinic radiation excitable moiety, a ligand, a photoisomerizable moiety, biotin, a biotin analogue, a moiety incorporating a heavy atom, a chemically cleavable group, a photocleavable group, a redoxactive agent, an isotopically labeled moiety, a biophysical probe, a phosphorescent group, a chemiluminescent group, an electrochemiluminescent group
- an MSD SULFO-TAG type electrochemiluminescent group an electron dense group, a magnetic group, an intercalating group, a chromophore, an energy transfer agent, a biologically active agent, a detectable label, or a combination thereof.
- the detectable label is an electrochemiluminescent group, such as an MSD SULFO-TAG type electrochemiluminescent group.
- MESO SCALE DISCOVERY (MSD) MULTI-ARRAY® technology offers an excellent platform for the development of immunoassays for the measurement of biomarkers in life science, preclinical, and clinical samples.
- MSD electrochemiluminescence assays have ultra-low detection limits, provide up to five logs of linear dynamic range, use minimal sample, and handle difficult matrices easily.
- microplates that may take a variety of forms, including 96-well (each well having 4, 7, or 10 spots for simultaneous multiplexing analysis of different analytes in the same sample well) or 384- well (each well having 1 or 4 spots for multiplexing) commercial products that are customizable.
- the MSD plates have two different surface types: High Bind plates have a hydrophilic surface; and Standard plates have a hydrophobic surface. A combination of working electrode size and surface type determines the capacity of capture reagent that can be coated on the plate. Standard plates tend to offer higher sensitivity, while high-bind plates can facilitate the quantification of analytes at higher concentrations.
- each MSD MULTI- ARRAY® or MULTI-SPOT® microplate well has integrated working carbon electrode surface that is ideal for immobilizing most types of affinity reagents for biological assays, including antibodies, peptides (Wu et al., J, Gen, Virol. 88:2719-2723, 2007), antigens (Mat et al., Nat. Biotechnol. 28:1195-1202, 2010), carbohydrates / polysaccharides (Goldblatt, Clin. Vaccine Immunol. 18: 1744-1751, 2011; Marchese, Clin. Vaccine Immunol. 16:387-396, 2009), lysates (Gillardon et al., J.
- the detection label for the MSD assays use electrochemiluminescent labels, such as the MSD SULFO-TAG type electrochemiluminescent group, for ultrasensitive detection. These labels are non-radioactive, stable, and offer a choice of convenient coupling chemistries.
- electrochemiluminescent labels such as the MSD SULFO-TAG type electrochemiluminescent group
- SULFO-TAG Streptavidin label Cat. No. R32AD-5
- MSD Read Buffers contain coreactants may also be used to further enhance the electrochemiluminescence signals. These coreactants are also stimulated when in proximity to the electrodes in the microplate. MSD' s labels emit light at 620 nm, eliminating problems with color quenching. Few compounds interfere with the
- the assay can be fully automated in a high throughput format, using plate readers designed for the MSD assay, such as SECTOR Imager 6000, SECTOR Imager 2400, or SECTOR PR reader from MSD.
- the detectable label is a fluorophore, such as a Bodipy fluorophore (e.g. , a Bodipy FL fluorophore).
- the fluorophore is selected from the group consisting of: BODIPY 493/503, BODIPY FL, BODIPY R6G, BODIPY 530/550, BODIPY TMR, BODIPY 558/568, BODIPY 564/570, BODIPY 576/589, BODIPY 581/591, BODIPY TR, Fluorescein, 5(6)Carboxyfluorescein, 2,7- Dichlorofluorescein, N,N-Bis(2,4,6-trimethylphenyl)-3,4:9, 10-perylenebis(dicarboximide), HPTS, Ethyl Eosin, DY-490XL MegaStokes, DY-485XL MegaStokes, Adirondack Green 520, ATTO 4
- the fluorophore is selected from the group consisting of: BODIPY 493/503, BODIPY FL, BODIPY R6G, BODIPY 530/550, BODIPY TMR, BODIPY 558/568, BODIPY 564/570, BODIPY 576/589, BODIPY 581/591, and BODIPY TR.
- the fluorophore is BODIPY FL.
- the fluorophore is not BODIPY 530.
- the fluorophore has an excitation maxima of between about 500 and about 600 nm.
- the fluorophore has an excitation maxima of between about 500 and about 550 nm. In another embodiment, the fluorophore has an excitation maxima of between about 550 and about 600 nm. In yet a further embodiment, the fluorophore has an excitation maxima of between about 525 and about 575 nm. In other embodiments, the fluorophore has an emission maxima of between about 510 and about 670 nm. In another embodiment, the fluorophore has an emission maxima of between about 510 and about 600 nm. In a further embodiment, the fluorophore has an emission maxima of between about 600 and about 670 nm. In another embodiment, the fluorophore has an emission maxima of between about 575 and about 625 nm.
- the detectable label is an enzyme, such as an enzyme suitable for use in chemiluminescence or ECL.
- enzymes may include peroxidase (POD), glucose oxidase (GOD), invertase (INV), ⁇ -D-galactosidase (BGase), glucose-6-phosphate dehydrogenase (G6PDH), and alkaline phosphatase (ALP).
- POD peroxidase
- GOD glucose oxidase
- IMV invertase
- BGase ⁇ -D-galactosidase
- G6PDH glucose-6-phosphate dehydrogenase
- ALP alkaline phosphatase
- “Chemiluminescent group,” as used herein, refers to a group which emits light as a result of a chemical reaction without the addition of heat.
- luminol 5- amino-2,3-dihydro-l,4-phthalazinedione
- oxidants like hydrogen peroxide (H 2 O 2 ) in the presence of a base and a metal catalyst to produce an excited state product (3- aminophthalate, 3-APA).
- Enhanced chemiluminescence may be carried out using a horseradish peroxidase enzyme (HRP).
- HRP catalyzes the conversion of the enhanced chemiluminescent substrate into a sensitized reagent in the vicinity of the molecule of interest, which on further oxidation by hydrogen peroxide, produces a triplet (excited) carbonyl, which emits light when it decays to the singlet carbonyl.
- Enhanced chemiluminescence allows detection of minute quantities of a biomolecule. Proteins can be detected down to femtomole quantities, well below the detection limit for most assay systems.
- fluorophore refers to a molecule which upon excitation emits photons and is thereby fluorescent.
- die refers to a soluble, coloring substance which contains a chromophore.
- chromophore refers to a molecule which absorbs light of visible wavelengths, UV wavelengths, or IR wavelengths.
- electrostatic group refers to a group which scatters electrons when irradiated with an electron beam.
- groups include, but are not limited to, ammonium molybdate, bismuth subnitrate cadmium iodide, carbohydrazide, ferric chloride hexahydrate, hexamethylene tetramine, indium trichloride anhydrous, lanthanum nitrate, lead acetate trihydrate, lead citrate trihydrate, lead nitrate, periodic acid, phosphomolybdic acid, phosphotungstic acid, potassium ferricyanide, potassium ferrocyanide, ruthenium red, silver nitrate, silver proteinate (Ag Assay: 8.0-8.5%) "Strong,” silver tetraphenylporphin (S-TPPS), sodium chloroaurate, sodium tungstate, thallium nitrate, thiosemicarbazide (TSC), uranyl acetate,
- FRET fluorescence resonance energy transfer
- molecular incorporating a heavy atom refers to a group which incorporates an ion of atom which is usually heavier than carbon.
- such ions or atoms include, but are not limited to, silicon, tungsten, gold, lead, and uranium.
- photoaffinity label refers to a label with a group, which, upon exposure to light, forms a linkage with a molecule for which the label has an affinity.
- a linkage is covalent or non-covalent.
- photocaged moiety refers to a group which, upon illumination at certain wavelengths, covalently or non-covalently binds other ions or molecules.
- photoisomerizable moiety refers to a group wherein upon illumination with light changes from one isomeric form to another.
- radioactive moiety refers to a group whose nuclei spontaneously give off nuclear radiation, such as alpha, beta, or gamma particles; wherein, alpha particles are helium nuclei, beta particles are electrons, and gamma particles are high energy photons.
- spin label refers to molecules which contain an atom or a group of atoms exhibiting an unpaired electron spin (i.e., a stable paramagnetic group) that in some embodiments are detected by electron spin resonance spectroscopy and in other embodiments are attached to another molecule.
- spin-label molecules include, but are not limited to, nitryl radicals and nitroxides, and in some embodiments are single spin-labels or double spin-labels.
- the detectable label may include isotope labeling, with
- 2 3 13 isotopes of hydrogen, carbon, nitrogen, oxygen, fluorine and chlorine, such as H, H, C,
- the methods of the invention involve analyzing one or more samples derived from an individual, such as a mammal (e.g. , a human or a non-human mammal).
- the sample may be obtained from tissues (e.g. , spleen), cells, or established cell lines thereof, including those of hematopoietic origin, such as a blood sample or B-cell lymphoma, or the sample may be derived from a target issue for which the status of kinase (e.g. , BTK) activity or inhibition is of interest, such as knee lavage from an arthritic knee.
- a mammal e.g. , a human or a non-human mammal.
- the sample may be obtained from tissues (e.g. , spleen), cells, or established cell lines thereof, including those of hematopoietic origin, such as a blood sample or B-cell lymphoma, or the sample may be derived from a target issue for which the status of
- Samples may be obtained once or multiple times from an individual. Multiple samples may be obtained from different locations in the individual (e.g. , blood samples, bone marrow samples and/or tissue samples), at different times from the individual (e.g. , a series of samples taken to monitor response to treatment or to monitor for return of a pathological condition), or any combination thereof.
- sampling combinations based on the sample type, location and time of sampling allows for the detection of the presence and the status of kinase (e.g. , BTK) inhibition, and by extension, status of diseases, or pre -pathological or pathological conditions.
- kinase e.g. , BTK
- samples When samples are obtained as a series, e.g. , a series of whole blood samples obtained after treatment or administration of a kinase (e.g. , BTK) inhibitor, the samples may be obtained at fixed intervals, at intervals determined by the status of the most recent sample or samples, or by other characteristics of the individual, or some combination thereof. For example, samples may be obtained at intervals of approximately 1, 2, 3, 4, 5, 6, 7, 8, 9, 10, 11, 12 hours, at 1, 2, 3, or 4 weeks, at intervals of approximately 1, 2, 3, 4, 5, 6, 7, 8, 9, 10, or 11 months, at intervals of approximately 1, 2, 3, 4, 5, or more than 5 years, or some combination thereof. It will be appreciated that an interval may not be exact, according to an individual's availability for sampling and the availability of sampling facilities. Thus approximate intervals corresponding to an intended interval scheme are encompassed by the invention.
- a kinase e.g. , BTK
- an individual who has undergone treatment for a subject disease or condition may be sampled (e.g. , by blood draw) relatively frequently (e.g. , every hour, day, week, month or every three months) for the first six months to a year or two after treatment. Then if no abnormality is found, less frequently (e.g. , at times between six months and a year) thereafter. If, however, any abnormalities or other circumstances are found in any of the intervening times, or during the sampling, sampling intervals may be modified.
- Fluid samples include normal and pathologic bodily fluids and aspirates of those fluids. Fluid samples also comprise rinses of organs and cavities (lavage and perfusions). Bodily fluids include whole blood, bone marrow aspirate, synovial fluid, cerebrospinal fluid, saliva, sweat, tears, semen, sputum, mucus, menstrual blood, breast milk, urine, lymphatic fluid, amniotic fluid, placental fluid and effusions such as cardiac effusion, joint effusion, pleural effusion, and peritoneal cavity effusion (ascites). Rinses can be obtained from numerous organs, body cavities, passage ways, ducts and glands.
- Sites that can be rinsed include lungs (bronchial lavage), stomach (gastric lavage), gastrointestinal track (gastrointestinal lavage), colon (colonic lavage), vagina, bladder (bladder irrigation), breast duct (ductal lavage), oral, nasal, sinus cavities, and peritoneal cavity (peritoneal cavity perfusion).
- the sample is a blood sample. In some embodiments, the sample or samples is whole blood sample. In some embodiments, the sample or samples is from a knee lavage. In some embodiments, the sample is a bone marrow sample. In some embodiments, the sample is a lymph node sample. In some embodiments, the sample is cerebrospinal fluid. In some embodiments, combinations of one or more of a blood, bone marrow, cerebrospinal fluid, and lymph node sample are used.
- solid tissue samples may also be used, either alone or in conjunction with fluid samples.
- Solid samples may be derived from individuals by any method known in the art, including surgical specimens, biopsies, and tissue scrapings, including cheek scrapings.
- Surgical specimens include samples obtained during exploratory, cosmetic, reconstructive, or therapeutic surgery.
- Biopsy specimens can be obtained through numerous methods including bite, brush, cone, core, cytological, aspiration, endoscopic, excisional, exploratory, fine needle aspiration, incisional, percutaneous, punch, stereotactic, and surface biopsy.
- a sample may be obtained from an apparently healthy individual, such as during a routine checkup, and analyzed so as to provide an assessment of the individual's status of a given kinase or an associated disease or condition.
- a sample may be taken to screen for a subject disease or condition of interest.
- screening may encompass testing for a single disease, a family of related diseases or a general screening for multiple, unrelated diseases. Screening can be performed weekly, biweekly, monthly, bi-monthly, every several months, annually, or in multi year intervals and may replace or complement existing screening modalities.
- fluid samples can be analyzed in their native state with or without the addition of a diluent or buffer.
- fluid samples may be further processed or derived to obtain enriched or purified cell populations prior to analysis.
- Numerous enrichment and purification methodologies for bodily fluids are known in the art. For example, a common method to separate cells from plasma in whole blood is through centrifugation using heparinized tubes. By incorporating a density gradient, further separation of the lymphocytes (such as B lymphocytes) from the red blood cells can be achieved.
- a variety of density gradient media are known in the art including sucrose, dextran, bovine serum albumin (BSA), FICOLL diatrizoate (Pharmacia), FICOLL metrizoate (Nycomed), PERCOLL (Pharmacia), metrizamide, and heavy salts such as cesium chloride.
- BSA bovine serum albumin
- FICOLL diatrizoate Pharmacia
- FICOLL metrizoate Nycomed
- PERCOLL Pharmacia
- metrizamide metrizamide
- heavy salts such as cesium chloride.
- red blood cells can be removed through lysis with an agent such as ammonium chloride prior to centrifugation.
- Whole blood can also be applied to filters that are engineered to contain pore sizes that select for the desired cell type or class.
- rare pathogenic cells can be filtered out of diluted, whole blood following the lysis of red blood cells by using filters with pore sizes between 5 to 10 ⁇ , as disclosed in U.S. patent application publication US 2002- 0028431 Al (incorporated by reference).
- whole blood can be separated into its constituent cells based on size, shape, deformability or surface receptors or surface antigens by the use of a micro fluidic device as disclosed in U.S. patent application publication US 2006-0134599 Al (incorporated by reference).
- Select cell populations can also be enriched for or isolated from whole blood through positive or negative selection based on the binding of antibodies or other entities that recognize cell surface or cytoplasmic constituents.
- Solid tissue samples may require the disruption of the extracellular matrix or tissue stroma and the release of single cells for analysis.
- Various techniques are known in the art including enzymatic and mechanical degradation employed separately or in combination.
- An example of enzymatic dissociation using collagenase and protease can be found in Wolters et al., "An analysis of the role of collagenase and protease in the enzymatic dissociation of the rat pancreas for islet isolation," Diabetologia, 35:735-742, 1992.
- the BTK kinase occupancy assay described herein has been designed to improve assay sensitivity over the BTK occupancy assay described in Evans (supra), and, due to its much improved sensitivity, permits measurements of BTK occupancy in samples of limited quantity, such as small volumes of blood PBMCs, without the lengthy B-cell isolation process.
- the improved assay also allows assessment of BTK occupancy in target organ tissue (ex. knee lavage).
- sample/probe mixture to streptavidin-coated plate (R&D Systems Cat. # CP004) and incubate for 1 hour at room temperature at 450 rpm.
- Figure 2 shows a roughly 20- fold increase in sensitivity when comparing the alternative BTK occupancy assay to the assay described by Evans et al. (J. Pharmacol. Exp. Ther. 346:219-228, 2013), when standard curves were generated using recombinant human BTK in both the original / Evans essay, and the improved occupancy assays described herein.
- the Evans method was able to achieve detection of 50% of the max signal when there is about 100 ng of BTK in the sample.
- the subject method was able to achieve detection of 50% of the max signal when there is about 5 ng of BTK in the sample - an increase of about 20-fold in terms of detection sensitivity.
- the data presented herein demonstrates that the improved ELISA architecture described herein for BTK occupancy assay is not only possible, but also allows for increased sensitivity in free BTK measurements. This indicates the possibility of measuring BTK occupancy in smaller volumes of blood and/or in target organs such as arthritic knees, and has implications to improve both clinical and preclinical BTK occupancy measurements.
- a 96- well polystyrene plate was coated with 100 affinity reagent (rabbit anti- hBTK monoclonal antibody; Cell Signaling Cat. #8547S D3H5; diluted 1:250 in carbonate buffer). After an overnight incubation at 4°C, plate was washed with PBS-Tween 20, and coated with 300 of 3% bovine serum albumin (BSA) in PBS to block wells. Dilution buffer consisting of 0.1% BSA in PBS was used to prepare all subsequent reagents.
- affinity reagent rabbit anti- hBTK monoclonal antibody
- Cell Signaling Cat. #8547S D3H5 diluted 1:250 in carbonate buffer
- ligand probe biotin-conjugated BTK inhibitor
- rhBTK Life Technologies #PV3363
- Ligand probe and binding partner of ligand together in a total volume of 100 ⁇ ⁇ per well were incubated for 2 hours at room temperature on an orbital shaker.
- a 96-well untreated microplate 80 ⁇ ⁇ ligand probe (biotin-conjugated BTK inhibitor; 200 nM) and 80 ⁇ L ⁇ binding partner of ligand (rhBTK; Life Technologies #PV3363) were mixed for a total volume of 160 ⁇ ⁇ per well at varying rhBTK concentrations (two-fold dilutions starting at 1600 ng rhBTK per well and ending at 0.00000149 ng rhBTK per well), and incubated 2 hours at room temperature on an orbital shaker.
- the entire 160 ⁇ ⁇ mixture was transferred to a strep tavidin-coated plate (R&D Systems # CP004), and incubated for 1 hour at room temperature on orbital shaker. Plate was then washed with PBS-Tween 20, and 100 ⁇ ⁇ affinity reagent was added to wells (rabbit anti-hBTK
- Both assays were run with a standard curve of rhBTK, starting with 1600 ng rhBTK and utilizing two-fold dilutions for a total of 32 points including diluent only for 0 ng rhBTK. Comparing the dynamic range of the two assays, the subject assay exhibits a 3-fold larger assay dynamic range: ⁇ 3.76 absorbance units in Alternative assay versus ⁇ 1.24 absorbance units in the Evans assay. Comparing the sensitivities of the two assays, the subject assay exhibits a 20-fold increase in sensitivity when compared to the Evans assay: mid-point of subject assay curve ⁇ 5 ng rhBTK versus mid-point of the Evans assay curve -100 ng.
- the data here show the subject assay allows a robust and sensitive method for assaying free-BTK in biological samples, which can be used to assess % occupancy in samples containing ligand-bound BTK.
- Rats were dosed with Vehicle or a BTK inhibitor and euthanized 2 hours post-dosing.
- Spleens, B-cells, PBLs, and knee lavages were collected 2 hours post-dosing for occupancy measurements.
- Spleens and circulating B-cells were collected from dosed naive rats, while PBLs and knee lavages were collected from dosed arthritic rats (collagen-induced arthritis). Samples were run using the subject method, using a standard curve generated from pooled naive spleen B-cell homogenate. This data suggests that, with the enhanced assay sensitivity, target engagement (i.e., BTK occupancy) can be detected in very small amounts of samples from the various relevant biological compartments, such as an arthritic knee of an
- Spleen Rat spleens were flash-frozen at time of euthanasia and stored at -80°C prior to homogenization.
- Circulating B-cells Rat whole blood was collected in heparinized tubes, mixed with IX Pharm LyseTM (BD 555899) and incubated at 37°C in the dark for 15 minutes. Cells were spun down for 5 minutes at 1000 rpm at room temperature, supernatant removed, and cells re-suspended in IX Pharm Lyse. After spinning down for 5 minutes at 1000 rpm at room temperature, supernatant was removed and cells were re- suspended in BD Stain Buffer (554656).
- IX Pharm LyseTM BD 555899
- Cells were then strained (70 ⁇ - BD 352350), counted using a Cellometer and spun down at 1000 rpm for 5 minutes at 4°C, then re-suspended in 80 of cold Miltenyi Buffer (MACS BSA Stock Solution [130-091-376] diluted in autoMACSTM Rinsing Solution [130-091-222]).
- CD45R MicroBeads (Miltenyi 130-090-495) were added and cells mixed then incubated for 30 minutes on ice, washed in buffer, then spun down at 1000 rpm for 5 minutes at 4°C.
- Knee lavage Two hours post dosing BTK inhibitor, left and right knees were lavaged to collect cell infiltrate, red blood cells lysed with Gey's solution, and cell pellet resuspended in 500 ⁇ ⁇ FACS buffer. Lavages from 5 rats were pooled into one sample, for a total of 3 samples for each occupancy measurement. After counting total cell number, cells were spun down and lysed in 200 ⁇ ⁇ cell lysis buffer supplemented with protease inhibitors. Lysate was stored at -80°C and then cleared by spinning at 12,0000 g for 10 minutes at 4°C prior to analysis in occupancy ELISA, and 6.25 ⁇ ⁇ of knee lavage pool was used per well of occupancy assay.
- Peripheral blood leukocytes Two hours post dosing BTK inhibitor, rat whole blood was collected in heparinized tubes and pooled 4 mL per 50 mL tube, mixed with IX Pharm LyseTM (BD 555899) and incubated at 37°C in the dark for 15 minutes. Peripheral blood leukocytes were spun down for 5 minutes at 1000 rpm at RT (room temperature). Supernatant was removed and PBLs re-suspended in IX Pharm Lyse. PBLs were spun down for 5 minutes at 1000 rpm at room temparture.
Landscapes
- Health & Medical Sciences (AREA)
- Life Sciences & Earth Sciences (AREA)
- Chemical & Material Sciences (AREA)
- Engineering & Computer Science (AREA)
- Immunology (AREA)
- Molecular Biology (AREA)
- Biomedical Technology (AREA)
- Hematology (AREA)
- Urology & Nephrology (AREA)
- Physics & Mathematics (AREA)
- Biochemistry (AREA)
- Microbiology (AREA)
- Organic Chemistry (AREA)
- General Health & Medical Sciences (AREA)
- Biotechnology (AREA)
- Analytical Chemistry (AREA)
- Zoology (AREA)
- Wood Science & Technology (AREA)
- General Physics & Mathematics (AREA)
- Pathology (AREA)
- Medicinal Chemistry (AREA)
- Cell Biology (AREA)
- Proteomics, Peptides & Aminoacids (AREA)
- Food Science & Technology (AREA)
- Chemical Kinetics & Catalysis (AREA)
- Biophysics (AREA)
- Bioinformatics & Cheminformatics (AREA)
- General Engineering & Computer Science (AREA)
- Genetics & Genomics (AREA)
- Measuring Or Testing Involving Enzymes Or Micro-Organisms (AREA)
Abstract
The invention relates to methods and reagents for determining the extent of binding between a ligand and its binding partner. The methods have greatly improved sensitivity, and may be used to determine the percentage of a kinase (e.g., BTK) that is occupied / bound by an irreversible inhibitor of the kinase in a biological sample.
Description
ENZYME OCCUPANCY ASSAY
REFERENCE TO RELATED APPLICATION
This application claims the benefit of the filing date under 35 USC 119(e) to U.S. Provisional Application No. 62/024780, filed on July 15, 2014, the entire content of which is incorporated herein by reference.
BACKGROUND OF THE INVENTION
The protein kinases represent a large family of proteins that play a central role in the regulation of a wide variety of cellular processes and maintenance of cellular function. A partial, non-limiting, list of these kinases include: non-receptor tyrosine kinases such as the Tec family (BTK, ITK, Tec, ETK/BMX & RLK/TXK), Janus kinase family (Jakl, Jak2, Jak3 and Tyk2); the fusion kinases, such as BCR-Abl, focal adhesion kinase (FAK), Fes, Lck and Syk; receptor tyrosine kinases such as epidermal growth factor receptor (EGFR), the platelet- derived growth factor receptor kinase (PDGF-R), the receptor kinase for stem cell factor, c- kit, the hepatocyte growth factor receptor, c-Met, and the fibroblast growth factor receptor, FGFR3; and serine/threonine kinases such as b-RAF, mitogen-activated protein kinases (e.g., MKK6) and 8ΑΡΚ2β. Aberrant kinase activity has been observed in many disease states including benign and malignant proliferative disorders as well as diseases resulting from inappropriate activation of the immune and nervous systems.
Bruton's tyrosine kinase (BTK) is a non-receptor tyrosine kinase with a key role in immunoreceptor signaling (BCR, FcsR, FcyR, DAP12, Dectin-1, GPVI, etc.) in a host of hematopoietic cells including B cells, platelets, mast cells, basophils, eosinophils, macrophages and neutrophils as well as osteoclasts involved in bone destruction (for reviews, see Brunner et al., 2005 Histol. Histopathol., 20:945-955; Mohamed et al., 2009 Immunol. Rev., 228(l):58-73). Mutations in BTK are known to lead to X-linked agammaglobulinemia (XLA) in humans and X-linked immunodeficiency (Xid) in mice, which are characterized by limited B-cell production & reduced antibody titers (Lindvall et al., 2005 Immunol. Rev., 203:200-215). The combined action of BTK in multiple cell types makes it an attractive target for autoimmune disease. BTK is related by sequence homology to other Tec family kinases (ITK, Tec, ETK/BMX & RLK/TXK).
In B-lymphocytes, BTK is required for B-cell development and for Ca mobilization following B-cell receptor (BCR) engagement (Khan et al, 1995 Immunity 3:283-299;
Genevier and Callard, 1997 Clin. Exp. Immun., 110(3):386-391) where it is believed to downstream of Src family kinases (such as Lyn), Syk & PI3K. BTK has been shown to be important for both thymus-dependent and thymus-independent type 2 responses to antigens (Khan et al., 1995 Immunity 3:283-299). In mast cells, studies using BTK mouse knock-outs (Hata et al, 1998 J. Exp. Med., 187: 1235-1247; Schmidt et al, 2009 Eur. J. Immun., 39:3228-3238) indicate a role for BTK in FceRI induced signaling, histamine release and production of cytokines such as TNF, IL-2, & IL-4. In platelets, BTK is important for signaling through the glycoprotein VI (GPVI) receptor that responds to collagen and has been shown to promote platelet aggregation and contribute to cytokine production from fibroblast- like synoviocytes (Hsu et al., 2013 Immun. Letters, 150:97-104). In monocytes and macrophages, the action of BTK is invoked in FcyRI induced signaling and may also have role in Toll-Like Receptor-induced cytokine responses including TLR2, TLR4, TLR8 & TLR9 (Horwood et al, 2003 J. Exp. Med., 197: 1603-1611; Horwood et al, 2006 J.
Immunol, 176:3635-3641; Perez de Diego et al, 2006 Allerg. Clin. Imm., 117: 1462-1469; Doyle et al, 2007 J. Biol. Chem., 282:36953-36960; Hasan et al, 2007 Immunology, 123:239-249; Sochorava et al, 2007 Blood, 109:2553-2556; Lee et al, 2008, J. Biol. Chem., 283: 11189-11198).
Therefore, inhibition of BTK is expected to intervene at several critical junctions of the inflammatory reactions resulting in an effective suppression of autoimmune response. As such diseases involving B-cell receptor activation, antibody-Fc receptor interactions & GPVI receptor signaling may be modulated by treatment with BTK inhibitors. BTK inhibition is likely to act on both the initiation of autoimmune disease by blocking BCR signaling and the effector phase by abrogation of FcR signaling on macrophages, neutrophils, basophils, and mast cells. Furthermore, blocking BTK would provide additional benefit via inhibition of osteoclast maturation and therefore attenuate the bone erosions & overall joint destruction associated with rheumatoid arthritis. Inhibiting BTK may be useful in treating a host of inflammatory and allergic diseases - for example (but not limited to), rheumatoid arthritis (RA), systemic lupus erythematosus (SLE), multiple sclerosis (MS) and type I
hypersensitivity reactions such as allergic rhinitis, allergic conjunctivitis, atopic dermatitis, allergic asthma and systemic anaphylaxis. For a review on targeting BTK as a treatment for inflammatory disorders and autoimmunity as well as leukemia and lymphomas, see Uckun
and Qazi, 2010 Expert Opin. Ther. Pat., 20: 1457-1470. Because BTK is highly expressed in cancers of the hematopoietic system & BTK-dependent signaling is believed to be disregulated there, BTK inhibitors are expected to be useful treatments for B-cell
lymphoma/leukemia & other oncologic disease - for example (but not limited to) acute lymphoblastic leukemia (ALL), chronic lymphocytic leukemia (CLL), non-Hodgkin's lymphoma (NHL), small lymphocytic lymphoma (SLL), and acute myeloid leukemia (for review, see Buggy & Elias 2012 Int. Rev. Immunol. 31: 119). Taken together, BTK inhibitors provide a strong method to treat a host of inflammatory diseases and immunological disorders as well as hematologic cancers.
Recent study suggests that attrition rates in clinical development are highest in Phase 2 clinical trials, where lack of pharmacodynamic (PD) activity and/or efficacy leads to failure rates of ~ 1/3 of drug candidates (Kola and Landis, Nat. Rev. Drug Discov. 3:711-715, 2004). Thus, the development of novel strategies enabling earlier insights into PD activity is an intense area of research. Evans et al. (J. Pharmacol. Exp. Ther. 346:219-228, 2013) recently reported an assay to measure on-target activity of CC-292, a potent and selective inhibitor of BTK that has advanced into human clinical trial, which assay reportedly allows assessment of in vivo BTK occupancy from biological samples, thus facilitating both preclinical research and clinical development by enabling a quantitative understanding of the relationship among dose, exposure, target engagement, functional consequence, and efficacy. The assay reportedly provides quantitative measurements for CC-292 / BTK engagement by a direct ELISA assay that quantitates the amount of drug-free BTK protein. Using this assay, it was found that, in vitro, the concentrations of CC-292 required for inhibition of BTK activity and BTK occupancy were virtually equivalent (ECsos = 8 versus 6 nM, respectively),
demonstrating a near stoichiometric relationship. In freshly isolated primary human B lymphocytes, there was a close correlation between the concentration of CC-292 required to inhibit BTK signaling and B cell proliferation, and to achieve BTK occupancy, suggesting a quantitative relationship among inhibition of BTK kinase activity, target occupancy, and functional assays in vitro. This direct correlation supports the use of BTK occupancy as a surrogate marker for inhibition of BTK activity.
It is noteworthy that this relationship between the inhibition achieved and the extent of CC-292-target engagement measured was also maintained in vivo. Specifically, CC-292 demonstrated therapeutic efficacy in a mouse CIA (Collagen-Induced Arthritis) model, with 85 and 95% inhibition of disease observed at doses of 10 mg/kg per day and 30 mg/kg per
day, respectively. Remarkably, in addition to a full phenotypic response, once daily, oral dosing of 10 mg/kg CC-292 resulted in 84% BTK inhibition verified by BTK occupancy analysis assayed 2 hours after dose administration.
This finding is consistent with a previous study by Honigberg et al. (PNAS
107(29): 13075-13080, 2010), in which occupancy of the BTK active site by another BTK inhibitor PCT32765 was monitored in vitro and in vivo using a fluorescent affinity probe for BTK. It was found that active site occupancy of BTK was tightly correlated with the blockade of BCR signaling and in vivo efficacy of PCI-32765, as measured by the mouse CIA model and the MRL-Fas(lpr) lupus model.
However, one prominent issue with the reported BTK occupancy assays is their limited sensitivity, which restricts preclinical occupancy measurements to biological samples with high BTK levels, such as samples derived from spleen lysates or B -cells isolated from large volumes of blood. It is believed that about 12-15 mL of human blood is required for one assay. This, in addition to being a potential burden on the patient if multiple
measurements are desired (especially for chronically ill patients who may require frequent testing), also prevents the use of the assays in small experimental animal models (e.g., in mice or rats) where acquisition of such a large sample volume is difficult if not impossible.
A schematic representation of the reported BTK occupancy assay is shown in Figure IB, which illustrates a probable reason for its low sensitivity of detection. Specifically, since the assay does not directly measure inhibitor-bound BTK, but measures instead "free BTK" not already occupied by the BTK inhibitor, it is crucial that substantially all free BTK molecules in the sample are bound by the probe (e.g., the biotin-conjugated probe in Figure IB) in the assay, such that any remaining free BTK not bound by the probe (and not bound by the inhibitor) won't be falsely attributed to inhibitor-bound BTK. This may require the use of excess probe in the assay to ensure all free BTK molecules are bound by the probe. However, if the excess probe is not properly removed after the initial BTK-probe binding step, the probe will also compete with the probe-bound BTK for binding to the streptavidin- coated assay well, thus falsely reducing the amount of detectable probe-bound BTK, and resulting in a higher calculated percentage of inhibitor- occupied BTK.
Thus one way to avoid this inherent problem is to identify a concentration of the probe, such that it is sufficiently high to bind substantially all free BTK in the sample (which may not be known prior to carrying out the assay), and sufficiently low such that any
remaining probe, after binding to free BTK, will not significantly reduce the binding between the capture agent (e.g. , coated streptavidin) and the probe-BTK complex.
Alternatively, after the initial BTK-probe binding step, any excess probe should be removed without significantly disturbing probe-free BTK binding, such as through
cumbersome dialysis or ultrafiltration.
Thus there remains a need to provide a BTK occupancy assay with improved assay sensitivity, in order to enable establishment of the optimal dose, dose frequency, and degree of BTK inhibition required for full disease modification in animal models.
SUMMARY OF THE INVENTION
One aspect of the invention provides a method for measuring binding between a ligand and a binding partner of the ligand in a sample, the method comprising: (1) contacting the sample with an affinity reagent that specifically binds the binding partner, in the presence of a ligand probe, and allowing binding to occur between the affinity reagent and the binding partner, wherein a first percentage of the binding partner in the sample is bound by the ligand, and a second percentage of the binding partner in the sample is bound by the ligand probe; (2) contacting binding partner bound by the affinity reagent with a first detection probe, wherein one of said first detection probe and said ligand probe comprises a multivalent agent, and allowing binding to occur between said first detection probe and said ligand probe through the multivalent agent; (3) optionally, contacting the multivalent agent with a second detection probe comprising a second detectable label and a second moiety that binds to the multivalent agent, and allowing binding to occur between the multivalent agent and the second moiety on the second detection probe; (4) detecting the presence or measuring the amount of the first detection probe or the second detectable label, thereby measuring binding between the ligand and the binding partner.
In certain embodiments, the first detection probe comprises the multivalent agent.
In certain embodiments, the ligand probe comprises the multivalent agent.
In certain embodiments, the binding partner is an enzyme.
In certain embodiments, the binding partner is a protein kinase (such as BTK, BLK, EGFR1, HER2/ERBB2, HER3/Erb-B3, ERBB4, JAK3, TEC, BMX, ITK, LKB 1, and TXK).
In certain embodiments, the ligand probe comprises a first moiety covalently linked to the ligand, wherein the first moiety binds to the multivalent agent.
In certain embodiments, the first detection probe comprises a first moiety that binds to the multivalent agent, and a first detectable label.
In certain embodiments, the first moiety is the same (or different) from the second moiety in the second detection probe.
In certain embodiments, the ligand comprises a substrate or a substrate analog of the enzyme or the kinase, or an inhibitor of the enzyme or the kinase.
In certain embodiments, the inhibitor binds in the ATP-binding site of the kinase.
In certain embodiments, the inhibitor is covalently linked to the kinase via Michael reaction.
In certain embodiments, the inhibitor is covalently linked to the thiol group of a cysteine residue corresponding to Cys481 of the human BTK, isoform 1.
In certain embodiments, the inhibitor inhibits a phosphorylated or active conformation of BTK.
In certain embodiments, the affinity reagent is an antibody, an antigen-binding portion of an antibody, a nanobody, or a DVD-Ig.
In certain embodiments, binding between the antibody and the binding partner does not substantially affect binding between the binding partner and the ligand or the ligand probe (and vice versa).
In certain embodiments, the percentage of the binding partner bound by the ligand is 100%, or is less than 100%, 90%, 80%, 70%, 60%, 50%, 40%, 30%, 20%, 10%, 5%, 3%, 2%, 1% or less.
In certain embodiments, the first detection probe further comprises a first detectable label.
In certain embodiments, the first detectable label is the same (or different from) the second detectable label of the second detection probe.
In certain embodiments, the multivalent agent is streptavidin (SA) or avidin.
In certain embodiments, the multivalent agent is an antibody (such as a bi-specific Ab, or an Ab having multiple Ag-binding fragments - IgA, IgM etc.).
In certain embodiments, the first detectable label and/or the second detectable label is a dye, a photocrosslinker, a cytotoxic compound, a drug, an affinity label, a photo affinity label, a reactive compound, an antibody or antibody fragment, a biomaterial, a nanoparticle, a
spin label, a fluorophore, a metal-containing moiety, a radioactive moiety, a novel functional group, a group that covalently or noncovalently interacts with other molecules, a photocaged moiety, an actinic radiation excitable moiety, a ligand, a photoisomerizable moiety, biotin, a biotin analogue, a moiety incorporating a heavy atom, a chemically cleavable group, a photocleavable group, a redox-active agent, an isotopically labeled moiety, a biophysical probe, a phosphorescent group, a chemiluminescent group, an electrochemiluminescent group (e.g. , an MSD SULFO-TAG type electrochemiluminescent group), an enzyme, an electron dense group, a magnetic group, an intercalating group, a chromophore, an energy transfer agent, a biologically active agent, or a combination thereof.
In certain embodiments, the first detectable label and/or the second detectable label comprises a fluorophore, such as a Bodipy fluorophore.
In certain embodiments, the first detectable label and/or the second detectable label comprises an enzyme, such as HRP, peroxidase (POD), glucose oxidase (GOD), invertase (INV), β-D-galactosidase (BGase), glucose-6-phosphate dehydrogenase (G6PDH), or alkaline phosphatase (ALP).
In certain embodiments, the first detectable label and/or the second detectable label comprises an HRP, and wherein the method further comprises contacting the HRP with a biotinylated tyramide to produce an activated tyramide.
In certain embodiments, the method further comprises detecting / measuring / quantitating the activated tyramide by adding a streptavidin-labeled fluorophore, or a combination of a streptavidin-labeled peroxidase (e.g. , HRP) and a chromogenic reagent, wherein the chromogenic reagent is preferably 3,3' ,5,5'-tetramethylbenzidine (TMB).
In certain embodiments, the sample is derived from a small volume of body fluid (such as blood sample, knee lavage from an arthritic knee).
In certain embodiments, the sample is a lysate of a tissue (e.g. , biopsy, animal tissue, clinical sample, such as spleen homogenates), a lysate of isolated cells (e.g. , B cells or PBMCs isolated / purified / enriched from whole blood sample), or a lysate of a cell culture.
In certain embodiments, the sample is thawed from storage at -20°C, -80°C, or in liquid nitrogen. The storage time can be at least 30 min, 1 hr, 2 hrs, 6 hrs, 12 hrs, 1 day, 1 week, 1 month, 1 yr, 10 yrs etc.
In certain embodiments, the affinity reagent is immobilized on a solid support (such as a multi-well ELISA plate, or a resin bead for a column).
In certain embodiments, the method further comprises blocking the immobilized affinity reagent with a blocking agent (e.g. , BSA) prior to step (1).
In certain embodiments, the method further comprises removing binding partner unbound by the affinity reagent after step (1).
In certain embodiments, the method further comprises removing ligand probe unbound by the binding partner after step (1).
In certain embodiments, the method further comprises removing the first detection probe after step (2) and before step (3).
In certain embodiments, the method further comprises removing the second detection probe after step (3) and before step (4).
In certain embodiments, the method further comprises carrying out steps (1), (2), and (4), and optionally step (3), using a control sample comprising a pre-determined amount of the binding partner having a pre-determined portion thereof bound by the ligand.
In certain embodiments, the method comprises carrying out steps (1), (2), and (4), and optionally step (3), multiple times, either in parallel or sequentially, using two or more control samples having the same pre-determined amount of the binding partner but different pre-determined proportions bound by the ligand, in order to construct a standard curve.
In certain embodiments, step (4) is carried out using chemiluminescent (including ECL), electrochemiluminescent (e.g. , MSD SULFO-TAG based electrochemiluminescent), surface plasmon resonance (SPR)-based biosensor (e.g. , BIAcore), flow cytometry, ELISA, or Western blot.
Another aspect of the invention provides a method for assessing or predicting efficacy for a potential BTK inhibitor in a mammal, the method comprising: using the subject assay method, measuring the binding between the ligand and the binding partner in a sample derived from the mammal, wherein the ligand is the potential BTK inhibitor, the binding partner is BTK from the mammal, and the mammal has BTK inhibitor-naive baseline measurements or previously been administered the potential BTK inhibitor, wherein a higher level / extent of binding between the potential BTK inhibitor and BTK is predictive of a higher level of efficacy.
Another aspect of the invention provides a method for assessing the
pharmacodynamics (PD) of a BTK inhibitor in a mammal, the method comprising: using the subject assay method, measuring the binding between the ligand and the binding partner,
from a series of samples each derived from a different time point following administering the mammal with the ligand, wherein the ligand is the BTK inhibitor, and the binding partner is BTK from the mammal.
Another aspect of the invention provides a method for identifying a desired dose of a BTK inhibitor for achieving a pre-determined level of binding between the BTK inhibitor and BTK in a mammal, the method comprising: using the subject assay method, measuring the binding between the ligand and the binding partner in a sample derived from the mammal, wherein the ligand is the BTK inhibitor, the binding partner is BTK from the mammal, and the mammal has previously been administered a candidate dose of the BTK inhibitor, wherein a level of measured binding lower than the pre-determined level is indicative that a dose higher than the candidate dose is required to achieve the desired dose, and wherein a level of measured binding higher than the pre-determined level is indicative that a dose lower than the candidate dose is required to achieve the desired dose.
In certain embodiments, the method further comprises repeating the method using a higher or lower candidate dose.
Another aspect of the invention provides a ligand probe comprising a first moiety or a multivalent agent covalently linked to a ligand, wherein the first moiety binds to the multivalent agent, and wherein the ligand probe is represented by the following structure: X - L - M, wherein X is the ligand, M is the first moiety or the multivalent agent, and L is a linker moiety that covalently joins the ligand to the first moiety or the multivalent agent.
It is contemplated that all embodiments described herein, including those only described in the examples or drawings, and those only described under one aspect of the invention, can apply to any aspects of the invention, and can be combined with any other embodiments of the invention, except for those explicitly disclaimed.
BRIEF DESCRIPTION OF THE DRAWINGS
Figure 1A is a schematic drawing (not to scale) of an exemplary embodiment of a BTK occupancy assay. The assay avoids the inherent conflict of the Evans assay (shown in Figure IB) of requiring more probe in the probe-free BTK binding step, and requiring less probe in the subsequent binding to affinity / capture reagent. As a result of the improved design, more BTK (inhibitor-bound or probe-bound) can be captured for stronger signal. The amount of capture BTK can also be adjusted based on the amount of the affinity reagent. Furthermore, no probe pre-incubation step may be required for probe-free BTK binding since
both the sample and the probe can be added to the assay container simultaneously if the probe has reasonably fast on-rate (e.g., < 2 hrs). Finally, excess probe, if present, no longer affects the assay since it can be easily washed away from binding.
Figure IB is a schematic drawing (not to scale) of the BTK occupancy assay as described in Evans et al. (J. Pharmacol. Exp. Ther. 346:219-228, 2013).
Figure 2 shows a head-to-head comparison of two standard curves generated using recombinant human BTK (rhBTK) in both the "original" occupancy assay of Evans et al. (supra) and the present improved occupancy assay ("alternative" assay). The graphs at left and middle highlight the linear portion of both the "original" and the improved occupany assay standard curves. The graph at right shows the entire data set for both standard curves. Note that the "original" occupancy assay allows for detection of -100 ng of rhBTK at 50% detection, while the improved occupancy assay allows for detection of ~5 ng of rhBTK at 50% detection.
Figure 3 shows percent BTK occupancy in multiple biological compartments, as determined by the subject assay. Stars indicate statistical significance.
DETAILED DESCRIPTION OF THE INVENTION
1. Overview
The invention described herein provides a BTK occupancy assay with improved design and sensitivity, thus providing a marked acceleration of clinical PD evaluation, which is typically not available until Phase 2 of a clinical trial. The rapid identification of doses providing BTK target engagement provides an advantage in the design of subsequent human clinical trials and supports Phase 2 dose selection to incorporate, among other things, safety, tolerability, and on-target activity. The assay provides an appropriate assessment for the relationship between complete or partial BTK inhibition and therapeutic efficacy. Direct quantification of BTK engagement in these trials also reduces uncertainty about the dose required for target inhibition and enables selection of the optimal pharmacological dose and dosing schedule. By providing this information to clinicians early in clinical development, sub-therapeutic drug administration in initial patient cohorts may be avoided, and time efficiencies in clinical testing are achieved to more rapidly impact patient health.
On the other hand, the assay is just as useful to avoid unnecessarily high dosing in the patient, especially in immunology trials in which the intention may be dosing to above 100%
occupancy. The subject occupancy assay will allow one to stop dosing at some reasonable small margin above 100%, rather than blindly dosing much higher than what is necessary.
The assay also allows refining the number of cohorts required for dose finding, thus quickly providing recommended Phase 2 doses and permitting rapid advancement into Phase 2 testing.
Thus in an exemplary but non-limiting embodiment, the present invention provides a BTK occupancy assay as illustrated in Figure 1A, and further described in detail in Example 1. Specifically, Figure 1A shows an assay container (e.g. , a well of a 96-well plate) having a well bottom surface coated by a rabbit monoclonal antibody specific for BTK. After the well is washed to remove excess antibody, and blocked with a blocking agent to reduce or eliminate non-specific binding, a sample (such as a blood sample derived from a patient) containing BTK, which may be partially inhibited by an inhibitor, is mixed with a biotin- conjugated probe designed to bind to free BTK, but not to BTK inhibited / occupied by the BTK inhibitor. All BTK molecules in the sample, however, regardless of whether they are bound by the inhibitor or by the probe, are proportionally pulled down or bound to the rabbit anti-BTK antibody immobilized on the well. After removing any unbound BTK, BTK inhibitor, and the probe, HRP-conjugated streptavidin (SA-HRP) is added such that the biotin moiety on the probe will be bound by the multivalent streptavidin. Next, after removing any unbound SA-HRP, biotin-conjugated HRP is added such that they will occupy any unbound sites on the multivalent SA. The end result is that each pulled down BTK molecule bound by the biotin-conjugated probe will be labeled by one or more HRP via the biotin-SA
interaction, while each pulled down BTK molecule initially bound by the inhibitor will not be labeled by any HRP.
Alternatively, in another exemplary but non-limiting embodiment, the biotin- conjugated probe is replaced by a streptavidin-conjugated probe designed to bind free BTK. After allowing the immobilized antibody to bind BTK, and allowing the SA-conjugated ligand probe to bind free BTK that is not already bound by the BTK inhibitor, any unbound BTK, BTK inhibitor, and the SA-conjugated ligand probe are removed by washing, and biotin-conjugated HRP (biotin-HRP) is added as a detection probe such that multiple biotin- HRP are bound by each SA-conjugated ligand probe now bound to BTK. The end result is that each pulled down BTK molecule bound by the SA-conjugated ligand probe will be labeled by one or more HRP via the biotin-SA interaction, while each pulled down BTK molecule initially bound by the inhibitor will not be labeled by any HRP.
In both cases, the presence and the amount of the HRP moiety can be easily detected / quantitated using chemilluminiscence (such as ECL), and the signal strength is inversely proportional to the amount of BTK initially occupied by the inhibitor, which are not labeled by the detection label HRP. In other words, the methods of the invention directly measure binding between the binding partner (such as BTK) and a probe derived from a ligand (such as a BTK inhibitor), but not the binding between the binding partner and the ligand, the latter of which can be calculated based on the former, based on, for example, the total amount of BTK in the sample.
In either embodiments, the specificity of the signal to a BTK occupancy is determined at least at two levels, e.g. , by the selectivity of the tagged, covalent ligand probe for BTK over other kinases, and by the specificity of the detection antibody for BTK.
Although the invention described herein is suitable for BTK occupancy assay, the invention is not so limited, in that it is a sensitive assay that can be applied to any binding measurement between two binding partners, such as any enzymes (e.g. , kinases) and their inhibitors or substrates / substrate analogs. In certain embodiments, the two binding partners become covalently linked after the binding occurs.
Thus one aspect of the invention provides a method for measuring binding between a ligand (e.g. , a BTK inhibitor) and a binding partner of the ligand (e.g. , a BTK) in a sample, the method comprising: (1) contacting the sample with an affinity reagent (e.g. , an anti-BTK Ab) that specifically binds the binding partner (e.g. , the BTK), in the presence of a ligand probe (e.g. , a biotin- or SA-conjugated BTK inhibitor), and allowing binding to occur between the affinity reagent (e.g. , the anti-BTK Ab) and the binding partner (e.g. , the BTK), wherein a first percentage of the binding partner (e.g. , the BTK) in the sample is bound by the ligand (e.g. , the BTK inhibitor), and a second percentage of the binding partner (e.g. , the BTK) in the sample is bound by the ligand probe (e.g. , the biotin- or SA-conjugated BTK inhibitor); (2) contacting binding partner (e.g. , the BTK) bound by the affinity reagent (e.g. , the anti-BTK Ab) with a first detection probe (e.g. , an SA-HRP or a biotin-HRP), wherein one of said first detection probe (e.g. , an SA-HRP or a biotin-HRP) and said ligand probe (e.g. , the biotin- or SA-conjugated BTK inhibitor) comprises a multivalent agent (e.g. , SA), and allowing binding to occur between said first detection probe and said ligand probe through the multivalent agent (e.g. , SA); (3) optionally, contacting the multivalent agent (e.g. , SA) with a second detection probe (e.g. , biotin-HRP) comprising a second detectable label (e.g. , HRP) and a second moiety (e.g. , biotin) that binds to the multivalent agent (e.g. , SA),
and allowing binding to occur between the multivalent agent (e.g. , SA) and the second moiety (e.g. , biotin) on the second detection probe (e.g. , the biotin-HRP); and, (4) detecting the presence or measuring the amount of the first detection probe or the second detectable label (e.g. , HRP), thereby measuring binding between the ligand (e.g. , the BTK inhibitor) and the binding partner (e.g. , the BTK).
According to this aspect of the invention, the method applies to, but is not limited to BTK or a kinase, and any of its many covalent / irreversible inhibitors (see below). Rather, the method has general applicability to measure the extent of binding between any two or more binding partners where it is desirable to determine the extent or degree one binding partner engaged or bound by another binding partner at a given time.
For example, in certain embodiments, one binding partner may be a polypeptide, such as an enzyme or a kinase, and another binding partner may be a substrate of the enzyme or kinase, or a substrate analog that can bind to the enzyme or kinase, but otherwise cannot be turned into a product by the enzyme or kinase. In a specific embodiment, the binding partner is a kinase (e.g. , BTK, BLK, EGFR1, HER2/ERBB2, HER3/Erb-B3, ERBB4, JAK3, TEC, BMX, ITK, LKB 1, and TXK), and the ligand that binds to the binding partner is an ATP analog which resembles ATP (a substrate of a kinase), and may be able to bind in the ATP binding site of the kinase.
In another embodiment, the binding partner may be a protein and the ligand may block a biologically or functionally active binding site of the protein. For example, in certain embodiments, the binding partner may be a cytokine or a cytokine receptor, and the ligand may be a small molecule that binds to the cytokine or cytokine receptor, and blocks binding between the cytokine and the receptor. In certain embodiments, the binding partner may be a monomer of a multimeric cytokine (e.g. , a monomer of a trimeric TNFa), or a cytokine receptor subunit (such as the common gamma chain, common beta chain, or common alpha chain of the various interleukine receptors) that is activated by dimerization or
multimerization with one other submit, and the ligand inhibits dimerization / multimerization of the cytokine monomers or the receptor subunits.
Other suitable but non-limiting binding partners may include: antibody and its antigen, polynucleotide and a complementary polynucleotide, metal-containing ligand and metal chelator, receptor and its ligand (including steroid such as glucocorticoid hormone and its receptor such as GR), vitamin and vitamin-binding protein, enzyme and enzyme cofactor (e.g. , co-enzyme), transcription factor and target DNA sequence, aptamer and a ligand that
binds the aptamer, etc. For each binding partner - ligand pair, the ligand may be derived to become the ligand probe such that it preserves the ability to bind to its binding partner, but may also comprise an additional moiety such as biotin, for binding the first detection probe.
In certain embodiments, the first detection probe comprises the multivalent agent (e.g. , SA). In this case, the ligand probe may comprise a first moiety (e.g. , biotin) covalently linked to the ligand (e.g. the BTK inhibitor), wherein the first moiety (e.g. biotin) binds to the multivalent agent (e.g. SA). The first moiety facilitates the binding of the ligand probe to the multivalent agent. Thus the first moiety may be the same (or different) from the second moiety in the second detection probe.
In certain other embodiments, the ligand probe comprises the multivalent agent (e.g. , SA). In this case, the first detection probe may comprise a first moiety (e.g. , biotin) that binds to the multivalent agent (e.g. , SA), and a first detectable label (e.g. , HRP).
In certain embodiments, the first moiety may be an epitope recognized by an antibody or antigen-binding sequence thereof, and the multivalent agent comprises the antibody, antigen-binding sequence thereof, or an antibody mimetic (such as DVD-Ig).
In another embodiment, the first moiety is biotin, and the multivalent agent is a streptavidin or avidin or analogs thereof having more than one biotin binding sites.
Streptavidin homo-tetramers have an extraordinarily high affinity for biotin (also known as vitamin B7 or vitamin H), with a dissociation constant (K<j) on the order of about 10~14 mol/L. The binding of biotin to streptavidin is one of the strongest non-covalent interactions known in nature, and the resulting streptavidin-biotin complex is resistance to organic solvents, denaturants (e.g. guanidinium chloride), detergents (e.g. SDS, Triton), proteolytic enzymes, and extremes of temperature and pH. Streptavidin is a tetramer and each subunit binds biotin with equal affinity. Streptavidin mutants unable to bind biotin have been produced, and thus Streptavidin tetramers comprising on average 1, 2, 3, or 4 functional streptavidin monomers can be produced for use in the methods of the invention.
Alternatively, avidin homo-tetramers have a similar or even higher affinity for biotin, with a dissociation constant (¾) on the order of about 10~15 mol/L. Avidin only has about 30% sequence identity to streptavidin, but nearly identical secondary, tertiary and quaternary structures. Unlike streptavidin, however, avidin is glycosylated, positively charged, and has pseudo-catalytic activity. A commercially available avidin derivative, deglycosylated avidin (e.g. , Sigma- Aldrich (Extravidin), Thermo Scientific (Neutr Avidin), Invitrogen
(Neutr Avidin), and Belovo (NeutraLite)) is more comparable to the size, pi and nonspecific
binding of streptavidin, and thus can also be used in the methods of the invention. Another available avidin derivative has gained reversible binding characteristics through nitration or iodination of the binding site tyrosine. This modified avidin exhibits strong biotin binding characteristics at pH 4 and releases biotin at a pH of 10 or higher (Morag et al., The
Biochemical Journal 316(1): 193-199, 1996), and can also be used in the methods of the invention.
In certain embodiments, the affinity reagent may be an antibody, or an antigen- binding portion thereof, or an antibody like affinity reagent, such as an antibody mimetic.
Antibodies that can be used as affinity reagents include immunoglobulin molecules comprised of four polypeptide chains, two heavy (H) chains and two light (L) chains, interconnected by disulfide bonds. Each heavy chain is comprised of a heavy chain variable region (abbreviated herein as HCVR or VH) and a heavy chain constant region. Each light chain is comprised of a light chain variable region (abbreviated herein as LCVR or VL) and a light chain constant region. In certain embodiments, the antibody is IgG, such as IgGl or IgG2. In certain embodiments, the antibody includes bi-specific antibody, antibody having multiple Ag-binding fragments, or multivalent antibodies, such as all isotypes of IgG, IgA, IgD, IgM, and IgE.
Antigen-binding portion of an antibody (or simply "antibody portion") includes one or more fragments of an antibody that retain the ability to specifically bind to an antigen (e.g., the binding partner). Examples of binding fragments include: (i) an Fab fragment, a monovalent fragment consisting of the VL, VH, CL and CHI domains; (ii) an F(ab')2 fragment, a bivalent fragment comprising two Fab fragments linked by a disulfide bridge at the hinge region; (iii) an Fd fragment consisting of the VH and CHI domains; (iv) an Fv fragment consisting of the VL and VH domains of a single arm of an antibody, (v) a dAb fragment (Ward et al., Nature 341:544-546, 1989), which consists of a VH domain, or a single-domain antibody (sdAb, also called Nanobody by the developer Ablynx), an antibody fragment consisting of a single monomeric variable antibody domain; and (vi) an isolated complementarity determining region (CDR). Furthermore, although the two domains of the Fv fragment, VL and VH, are coded for by separate genes, they can be joined, using recombinant methods, by a synthetic linker that enables them to be made as a single protein chain in which the VL and VH regions pair to form monovalent molecules (known as single chain Fv (scFv); see e.g., Bird et al. Science 242:423-426, 1988: and Huston et al., Proc. Natl. Acad. Sci. USA 85:5879-5883, 1988). Such single chain antibodies are also intended to
be encompassed within the scope of antigen-binding portion of an antibody. Other forms of single chain antibodies, such as diabodies are also encompassed. Diabodies are bivalent, bispecific antibodies in which VH and VL domains are expressed on a single polypeptide chain, but using a linker that is too short to allow for pairing between the two domains on the same chain, thereby forcing the domains to pair with complementary domains of another chain and creating two antigen binding sites (see e.g., Holliger et al., Proc. Natl. Acad. Sci. USA 90:6444-6448, 1993; Poljak et al., Structure 2: 1121-1123, 1994).
Further antibody-like or engineered antibodies that may be used in the subject method (either as affinity reagent or the multivalent agent) include IgG with engineered Fc regions, bi- and multi- specific antibodies, dual-variable domain Ig (DVD-Ig) I which each DVD-Ig Fab binds two targets, and can be engineered from any two mAb with distinct or identical binding specificity (see, for example, Wu et al., Generation and Characterization of a Dual Variable Domain Immunoglobulin (DVD-Ig™) Molecule, in Antibody Engineering, Volume 2 (Springer Protocols), Roland E. Kontermann (Editor) & Stefan Diibel (Editor), Springer; 2nd ed., March 26, 2010).
Antibody mimetics are organic compounds that function like antibodies (e.g., specifically bind antigens), but are not structurally related to antibodies. They are usually artificial peptides or proteins with a molar mass of about 3 to 20 kDa. Nucleic acids and small molecules are sometimes considered antibody mimetics as well, but not artificial antibodies, antibody fragments and fusion proteins composed from these. Some types of antibody mimetics have an antibody-like beta-sheet structure. Common advantages of antibody mimetics over antibodies may include better solubility, tissue penetration, stability towards heat and enzymes, and comparatively low production costs.
Antibody mimetics have been developed as therapeutic and diagnostic agents, and may include: affibody molecules, such as those comprising the Z domain of Protein A;
affilins, such as those comprising Gamma-B crystallin or ubiquitin; affitins, such as those comprising Sac7d (from Sulfolobus acidocaldarius); anticalins, such as those comprising lipocalins; avimers, such as those comprising a domain of various membrane receptors; DARPins, such as those comprising an ankyrin repeat motif; Fynomers, such as those comprising the SH3 domain of Fyn; Kunitz domain peptides, such as those comprising the Kunitz domains of various protease inhibitors; monobodies (or adnectins), such as those comprising the 10th type III domain of fibronectin, and Centyrins.
An antibody or antigen-binding portion thereof may be part of a larger immunoadhesion molecule formed by covalent or noncovalent association of the antibody or antibody portion with one or more other proteins or peptides. Examples of such
immunoadhesion molecules include use of the streptavidin core region to make a tetrameric scFv molecule (Kipriyanov et al., Human Antibodies and Hybridomas 6:93-101, 1995) and use of a cysteine residue, a marker peptide and a C-terminal polyhistidine tag to make bivalent and biotinylated scFv molecules (Kipriyanov et al., Mol. Immunol. 31: 1047-1058, 1994). Antibody portions, such as Fab and F(ab')2 fragments, can be prepared from whole antibodies using conventional techniques, such as papain or pepsin digestion, respectively, of whole antibodies. Moreover, antibodies, antibody portions and immunoadhesion molecules can be obtained using standard recombinant DNA techniques. Such immunoadhesion molecules can be used as the affinity reagent as well as the multivalent agent.
In another embodiment, the affinity reagent is not an antibody, but may comprise a moiety or domain that specifically binds to the binding partner {e.g., enzyme or kinase). For example, in certain embodiments, the binding partner or enzyme or kinase has a His6 tag, and the affinity reagent comprises nickel or cobalt {e.g., Ni-NTA beads). Similarly, in certain embodiments, the binding partner or enzyme or kinase has a GST tag, and the affinity reagent comprises immobilized glutathione (GSH). In certain embodiments, the binding partner has a Maltose-Binding Protein (MBP) tag, and the affinity reagent comprises immobilized amylose that binds MBP. In certain embodiments, the binding partner comprises a moiety that is recognized by a nucleotide aptamer specific for the moiety, and the affinity reagent comprises the aptamer.
In certain embodiments, binding between the affinity reagent / antibody and the binding partner does not substantially affect binding between the binding partner and the ligand or the ligand probe. In certain embodiments, binding between the binding partner and the ligand or the ligand probe does not substantially affect binding between the affinity reagent / antibody and the binding partner. For example, the ligand or ligand probe may bind to the ATP binding pocket of a kinase, while the affinity reagent or antibody may bind to an epitope on the N-lobe or C-lobe of the kinase. The affinity reagent or antibody may be designed or prepared based on the binding site on the binding partner for the ligand or ligand probe.
In certain embodiments, the method of the invention can be used in samples wherein 100%, or less than 100%, 90%, 80%, 70%, 60%, 50%, 40%, 30%, 20%, 10%, 5%, 3%, 2%, 1% or less of the binding partner is bound by the ligand.
In certain embodiments, a standard curve may be constructed using the method of the invention, with a series of samples each comprising the same known amount of a binding partner (e.g. , a BTK) but increasing known amounts of a ligand (e.g. , a BTK inhibitor), so that the extent of binding between the binding partner and the ligand can be measured over the range of the ligand. Thus, in certain embodiments, the method may comprise carrying out steps (1), (2), and (4), optionally also step (3), using a control sample comprising a predetermined amount of the binding partner having a pre-determined portion thereof bound by the ligand. In certain embodiments, the method may comprise carrying out steps (1), (2), and (4), and optionally also step (3), multiple times, either in parallel or sequentially, using two or more control samples having the same pre-determined amount of the binding partner but different pre-determined proportions bound by the ligand, in order to construct a standard curve.
In certain embodiments, the method further comprises determining an activity of the binding partner. For example, the binding partner may be a protein kinase (e.g. , BTK) or enzyme, and the measured kinase / enzyme occupancy by its inhibitor can be correlated with the remaining kinase / enzyme activity in the presence of the same amount of the inhibitor.
In certain embodiments, the first detection probe comprises a multivalent agent, such as an SA, avidin, or a multivalent antibody, and binds to the ligand probe through the multivalent agent while providing additional binding sites, such as vacant biotin binding sites on SA, for the second detection probe. In certain embodiments, the first detection probe optionally comprises a first detectable label, which may be the same or different from the second detectable label of the second detection probe.
In certain related embodiments, the ligand probe comprises a multivalent agent, such as an SA, avidin, or a multivalent antibody, and binds to the first detection probe through the multivalent agent. In these embodiments, the first detection probe also comprises a first detectable label, such as HRP, and it is not necessary to have the optional step (3) or the second detection probe.
In certain embodiments, the first detectable label and/or the second detectable label may be a dye, a photocrosslinker, a cytotoxic compound, a drug, an affinity label, a photo affinity label, a reactive compound, an antibody or antibody fragment, a biomaterial, a
nanoparticle, a spin label, a fluorophore, a metal-containing moiety, a radioactive moiety, a novel functional group, a group that covalently or noncovalently interacts with other molecules, a photocaged moiety, an actinic radiation excitable moiety, a ligand, a
photoisomerizable moiety, biotin, a biotin analogue, a moiety incorporating a heavy atom, a chemically cleavable group, a photocleavable group, a redox-active agent, an isotopically labeled moiety, a biophysical probe, a phosphorescent group, a chemiluminescent group, an electrochemiluminescent group (e.g. , an MSD SULFO-TAG type electrochemiluminescent group), an enzyme, an electron dense group, a magnetic group, an intercalating group, a chromophore, an energy transfer agent, a biologically active agent, or a combination thereof.
For example, in certain embodiments, the first detectable label and/or the second detectable label may comprise a fluorophore, such as a Bodipy fluorophore. In other embodiments, the first detectable label and/or the second detectable label comprises an enzyme, such as HRP. The type of detectable labels that may be used in the subject invention are described in further detail below.
In certain embodiments, the first detectable label and/or the second detectable label comprises an HRP, and the method further comprises contacting the HRP with a biotinylated tyramide to produce an activated tyramide.
In certain embodiments, the method further comprises detecting / measuring / quantitating the activated tyramide by adding a streptavidin-labeled fluorophore, or a combination of a streptavidin-labeled peroxidase (e.g. , HRP) and a chromogenic reagent, wherein the chromogenic reagent is preferably 3,3' ,5,5'-tetramethylbenzidine (TMB).
This embodiment further enhances the sensitivity of the subject assay when HRP is used as the detection label. The enhancement is based on the catalyzed reporter deposition (CARD) technique using derivatized tyramide, or Tyramide Signal Amplification (TSA), in which hydrogen peroxide and HRP convert labeled substrate (e.g. , biotinylated tyramide) into a short-lived but extremely reactive intermediate. The activated tyramide substrate molecule then rapidly reacts with and covalently binds to electron rich regions of any adjacent proteins. Binding of the biotinylated activated tyramide molecules occurs only immediately adjacent to the sites at which the activating HRP enzyme is bound. Thus the signal is only amplified locally. However, multiple deposition of the biotinylated activated tyramide occurs in a very short time (generally within 3- 10 minutes), which effectively amplifies the original (one) HRP detectable label into multiple HRP labels, if more SA-conjugated HRPs are added to turn each biotinylated tyramide into an HRP label. Subsequent detection of the label yields
an effectively large amplification of the original signal. The PerkinElmer ELAST® (ELISA Amplification System) is commercially available for carrying out this amplification.
In certain embodiments, the sensitivity of the subject method is vastly improved compared to traditional assays in which only one (on average) detectable label is associated with each binding partner (e.g. , kinase) pulled down by ligand probe. For example, the sensitivity or detection limit of the subject method can be defined or measured as the amount of binding partner (e.g. , kinase, such as BTK) that is required to achieve half maximum signal from the detectable label. For example, as in Example 1 and shown in Figure 2, in each 96-well plate well, the present method can detect about 4-4.5 units of absorbance at 450 nm using HRP-mediated chemiluminescence. The data also shows that about 5 ng of free BTK not bound by any irreversible inhibitor is needed in the assay well to achieve half the maximum signal of about 2.2 absorbance units. In contrast, the traditional method requires about 100 ng of free BTK to achieve its half max. absorbance of about 0.7 unit. Thus the sensitivity of the subject method is at least about 20-fold higher than the traditional method.
With the increased sensitivity of the subject method, a wider range of samples may be used in the subject invention, including samples of smaller amount or limited availability. For example, the sample may be derived from a body fluid, such as a blood sample, or knee lavage from an arthritic knee. The sample may also be derived from a biopsy with relatively small quantity of tissue samples.
In certain embodiments, the sample is derived from cells (such as peripheral blood leukocytes) obtained from no more than 200 μί, 100 μί, 50 μί, 30 μί, 20 μί, or 10 μΐ^ of whole blood. In certain embodiments, the sample is derived from cells (e.g. , isolated leukocytes) obtained from a single knee lavage in a rat inflicted with a rat model of collagen- induced arthritis (CIA), or equivalent volume of knee lavage from a human patient.
In certain embodiments, the sample is derived from a body secretion, such as lacrimal / salivary gland secretion in a Sjogren' s syndrome patient. In certain embodiments, the sample is derived from a urine sample, such as a urine sample from a Lupus Nephritis patient. In certain embodiments, the sample is derived from a fecal sample, such as a fecal sample from an IBD (e.g. , Crohn's disease or ulcerative colitis) patient. Preferably, the sample contains equivalent amount of total binding partner (e.g. , BTK) as compared to that in no more than 200 μί, 100 μί, 50 μί, 30 μί, 20 μί, or 10 μΐ^ of whole blood, or that in a single knee lavage in a rat inflicted with a rat model of collagen-induced arthritis (CIA).
The sample may be treated before being used in the method of the invention. In certain embodiments, the sample is a lysate of a tissue, e.g. , biopsy, animal tissue, clinical sample, such as spleen homogenates; a lysate of isolated cells, e.g. , B cells or PBMCs isolated / purified / enriched from whole blood sample; or a lysate of a cell culture.
In certain embodiments, the sample is freshly obtained from a patient. In other embodiments, the sample can be frozen for a period of time before thawed and used in the methods of the invention. For example, the sample may be thawed from storage at -20°C, - 80°C, or in liquid nitrogen. The length of storage can be at least 30 min, 1 hr, 2 hrs, 6 hrs, 12 hrs, 1 day, 2 days, 3 days, 4 days, 5 days, 6 days, 1 week, 2 weeks, 3 weeks, 1 month, 2 months, 3 months, 6 months, 9 months, 1 yr, 2 yrs, 3 yrs, 5 yrs, 10 yrs, or longer.
In certain embodiments, the affinity reagent may be immobilized on a solid support or solid surface, such as a multi-well ELISA plate, an electrochemiluminescence plate (e.g. , a Meso Scale Discovery or MSD plate for electrochemiluminescence), a gold coated glass surface with optional derivatization suitable for use in a BIAcore surface plasmon resonance (SPR) (e.g. , surface for BIAcore Sensor Chip CM5, Sensor Chip SA, Sensor Chip NTA, Sensor Chip HPA, or Pioneer Chip), or a resin bead for a column.
The solid support or surface may have a wide variety of forms, including membranes, slides, plates, micromachined chips, microparticles, beads, and the like. Solid support / surfaces may comprise a wide variety of materials including, but not limited to, glass, plastic, silicon, alkanethiolate derivatized gold, cellulose, low cross linked and high cross linked polystyrene, silica gel, polyamide, and the like, and can have various shapes and features (e.g. , wells, indentations, channels, etc.). The support / surface can be hydrophilic or capable of being rendered hydrophilic, and may comprise inorganic powders such as silica, magnesium sulfate, and alumina; natural polymeric materials, particularly cellulosic materials and materials derived from cellulose, such as fiber containing papers, e.g. , filter paper, chromatographic paper, etc.; synthetic or modified naturally occurring polymers, such as nitrocellulose, cellulose acetate, poly(vinyl chloride), polyacrylamide, cross linked dextran, agarose, polyacrylate, polyethylene, polypropylene, poly(4-methylbutene), polystyrene, polymethacrylate, poly(ethylene terephthalate), nylon, poly(vinyl butyrate), etc.; either used by themselves or in conjunction with other materials; glass available as Bioglass, ceramics, metals, and the like. Natural or synthetic assemblies such as liposomes, phospholipid vesicles, and cells can also be employed. The support / surface can have any one of a number of shapes, such as strip, rod, particle, including bead, and the like.
In some embodiments, the solid support / surface comprises a bead or plurality of beads. The beads may be of any convenient size and fabricated from any number of known materials. Example of such materials include: inorganics, natural polymers, and synthetic polymers. Specific examples of these materials include: cellulose, cellulose derivatives, acrylic resins, glass, silica gels, polystyrene, gelatin, polyvinyl pyrrolidone, co-polymers of vinyl and acrylamide, polystyrene cross-linked with divinylbenzene or the like (as described, e.g. , in Merrifield, Biochemistry 1964, 3, 1385- 1390), polyacrylamides, latex gels, polystyrene, dextran, rubber, silicon, plastics, nitrocellulose, natural sponges, silica gels, control pore glass, metals, cross-linked dextrans (e.g. , Sephadex) agarose gel (Sepharose), and other solid phase supports known to those of skill in the art. The beads are generally about 2 to about 100 μιη in diameter, or about 5 to about 80 pm in diameter, in some cases, about 10 to about 40 μιη in diameter. In some embodiments the beads can be magnetic, paramagnetic, or otherwise responsive to a magnetic field. Having beads responsive to a magnetic field can be useful for isolation and purification of the beads, such as by the application of a magnetic field and isolation of the beads (e.g. by removal of the beads from solution, or removal of solution from the beads). Non-limiting examples of beads responsive to a magnetic field include Dynabeads, manufactured by Life Technologies (Carlsbad, Calif.). Other methods to separate beads can also be used. For example, the capture beads may be labeled with a fluorescent moiety which would make the bead complex fluorescent. The target capture bead complex may be separated, for example, by flow cytometry or fluorescence cell sorter. Beads may also be separated by centrifugation. Isolation of affinity reagent captured binding partner by attachment to beads may further comprise the step of washing the beads, such as in a suitable wash buffer. Generally, purification of 10-fold, 50- fold, 100-fold, 500-fold, 1000-fold, 10000-fold, 100000-fold, or more may be achieved.
In certain embodiments, the method is carried out on a high throughput platform, such as one capable of simultaneously analyzing 4, 8, 16, 32, 64, 96, 192, 384, 1536, or more samples. For example, the assay format may be MSD assay using electrochemiluminescent detection.
In certain embodiments, each sample may be analyzed simultaneously for multiple (e.g., 2, 3, 4, 5, 6, 7, 8, 9, 10 or more) analytes, each with a specific affinity capture reagent that may be immobilized on a pre-determined addressable location.
In certain embodiments, the methods of the invention further comprise blocking the (immobilized) affinity reagent with a blocking agent (e.g. , BSA) prior to step (1). The
blocking agent may reduce non-specific binding between the binding partner to the affinity reagent, or between the binding partner and the container (e.g. , well) in which the assay is carried out. In certain embodiments, the blocking agent is removed afterwards by a suitable buffer wash.
In certain embodiments, the method further comprises removing the binding partner unbound by the affinity reagent after step (1). For example, the unbound binding partner may be washed away by a suitable buffer whereas the bound binding partner remains bound by the (immobilized) affinity reagent.
In certain embodiments, the method further comprises removing ligand probe unbound by the binding partner after step (1). This step may be done concurrently with the removal of the unbound binding partner, or after the removal of the unbound binding partner.
In certain embodiments, the method further comprises removing the first detection probe after step (2) and before step (3). In certain embodiments, the method further comprises removing the second detection probe after step (3) and before step (4). By washing away the unbound first and second detection probes, assay background due to the excess unbound first and second detection probes will be reduced.
In certain embodiments, step (4) is carried out using chemiluminescence or ECL, flow cytometry, ELISA, or Western blot, or any art recognized method designed to detect the signal on the first and/or second detection probe.
A specific illustrative (and non-limiting) embodiment of the method of the invention is provided herein. The specific embodiment uses BTK as an example of the binding partner, an irreversible BTK inhibitor as the ligand, and a ligand-derived ligand probe to carry out the BTK occupancy assay. However, the invention generally applies to other ligand-binding partner pairs, especially other kinases and their inhibitors.
In particular, according to the method of the invention, a 96-well plate (such as a 96- well high-binding ELISA plate) is first coated with an affinity reagent, such as 100 μΐ^ of rabbit anti-BTK monoclonal antibody (Cell Signaling Cat. #8547S) diluted 1 :250 in bicarbonate buffer to each well, and incubated overnight at 4°C. The affinity reagent is then removed by washing the plate 3-5 times using lx PBS 0.05% Tween 20 Wash Buffer. The plate is then blocked with 300 μΐ^ per well of 3% BSA in PBS for 1 hour at room temperature on an orbital shaker to reduce non-specific binding. After blocking, the blocking reagent is removed by washing the plate 3-5 times using lx PBS 0.05% Tween 20 Wash Buffer.
To initiate the assay, about 50 μΐ^ of proprietary ligand probe (about 50 nM) is added to all wells. Then about 50 μΐ^ of BTK-containing sample or standard is added to the wells, such that the total volume in each well is about 100 μί, including ligand probe and sample (or standard). Incubate the ligand probe / sample on plate for 2 hours at room temperature on an orbital shaker to allow binding between the affinity reagent / Ab and BTK occur. Any free BTK not already occupied by the ligand / inhibitor will be bound by the ligand probe.
Next, the plate is washed 3-5 times using lx PBS 0.05% Tween 20 Wash Buffer to remove unbound reagents. Then about 100 μΐ^ of the first detection probe - streptavidin-HRP diluted 1 :2000 in dilution buffer - is added for 30 minutes at room temperature on an orbital shaker, with the plate covered in foil. Upon completion of the binding between the SA moiety on the first detection probe and the biotin moiety on the ligand probe, any unbound first detection probe is removed by washing the plate 3-5 times using lx PBS 0.05% Tween 20 Wash Buffer. Then about 100 μΐ^ of the second detection probe - biotin-HRP diluted 1 :50,000 - is added, and the mixture is incubated for 30 minutes at room temperature on an orbital shaker, covered in foil.
The second detection probe is then removed by washing the plate 3-5 times using lx PBS 0.05% Tween 20 Wash Buffer. Finally, about 100 μΐ. of TMB (3,3',5,5'- tetramethylbenzidine) reagent is added to each well, and the plate is covered with aluminum foil to allow ECL to proceed. The TMB is allowed to develop for about 15-20 minutes, then about 100 μΐ^ of 1.5N sulfuric acid is added to each well to stop the reaction. Signals can then be read from the wells of the plate at 450 nm.
The free BTK in each sample can be calculated based on a rhBTK standard curve, and % occupancy is based on % reduction in free BTK comparing drug-treated sample to vehicle- treated sample. For example, in vehicle-treated (or sham / mock treated) sample in which no BTK is previously occupied by an inhibitor / substrate analog, the level of BTK as measured by the subject method can be used as a reference level for total free BTK. This level may be based on one sample, or the average of several similarly vehicle / sham / mock treated samples (e.g. , 1500 ng/mL of free BTK in vehicle-treated spleen lysate sample). In an inhibitor-treated sample, the method of the invention measures the level of BTK not already occupied by the inhibitor. Thus a similar experiment using the inhibitor-treated sample may yield a measured free BTK level of, for example, 400 ng/mL. For this particular sample, free BTK level is about 27% (400/1500) of the control, hence about 73% of the BTK in the
inhibitor-treated sample is pre-occupied by the inhibitor, yielding a 73% inhibitor occupancy on BTK.
Similar calculations can be effected for any ligand - binding partner.
Another aspect of the invention provides a method for assessing or predicting efficacy for a potential kinase (e.g. , BTK) inhibitor in a mammal, the method comprising: using the subject kinase occupancy assay method, measuring the binding between a ligand (i.e. , the potential kinase inhibitor) and its binding partner (i.e. , the kinase) in a sample derived from the mammal, wherein the mammal has kinase (e.g. , BTK) inhibitor-naive baseline measurements or previously been administered the potential kinase (e.g. , BTK) inhibitor, wherein a higher level / extent of binding between the potential kinase (e.g. , BTK) inhibitor and the kinase (e.g. , BTK) is predictive of a higher level of efficacy.
In certain embodiments, the potential kinase inhibitor is a potential BTK inhibitor, and the kinase is BTK from the mammal.
In certain embodiments, the method further comprises determining the extent of kinase inhibition by the potential kinase inhibitor. The method may further comprising comparing the extent of kinase inhibition with the extent of kinase being occupied by the potential kinase inhibitor. For example, the concentration of the kinase inhibitor required to achieve 50% kinase activity may be compared to the concentration of the kinase inhibitor required to achieve 50% kinase occupancy (e.g. , 50% of the kinase is occupied by the potential kinase inhibitor).
Another aspect of the invention provides a method for assessing the
pharmacodynamics (PD) of a kinase (e.g. BTK) inhibitor in a mammal, the method comprising: using the subject kinase occupancy assay method, measuring the binding between a ligand (i.e. , the potential kinase inhibitor) and its binding partner (i.e. , the kinase), from a series of samples each derived from a different time point following administering the mammal with the ligand. The method may further comprise constructing a PD curve to show the extent of kinase occupation by the potential kinase inhibitor over time.
In certain embodiments, the potential kinase inhibitor is a potential BTK inhibitor, and the kinase is BTK from the mammal.
In certain embodiments, the method may further comprise adjusting (increasing or decreasing) the dose of the kinase inhibitor before repeating the method to obtain a revised PD curve.
Another aspect of the invention provides a method for identifying a desired dose of a kinase (e.g. , BTK) inhibitor for achieving a pre-determined level of binding between the kinase (e.g. , BTK) inhibitor and kinase (e.g. , BTK) in a mammal, the method comprising: using the subject kinase occupancy assay method, measuring the binding between the ligand (i.e. , the potential kinase inhibitor) and the binding partner (i.e. , the kinase) in a sample derived from the mammal, wherein the mammal has previously been administered a candidate dose of the kinase (e.g. , BTK) inhibitor, wherein a level of measured binding lower than the pre-determined level is indicative that a dose higher than the candidate dose is required to achieve the desired dose, and wherein a level of measured binding higher than the pre-determined level is indicative that a dose lower than the candidate dose is required to achieve the desired dose.
In certain embodiments, the desired dose, or the pre-determined level of binding between the kinase (e.g. , BTK) inhibitor and kinase (e.g. , BTK), is based on or determined by a desired pharmacodynamic effect.
In certain embodiments, the potential kinase inhibitor is a potential BTK inhibitor, and the kinase is BTK from the mammal.
In certain embodiments, the method further comprises repeating the method using a higher or lower candidate dose.
Yet another aspect of the invention provides a ligand probe comprising a first moiety (e.g. , biotin) or a multivalent agent (e.g. , SA) covalently linked to a ligand (e.g. , BTK inhibitor), wherein the first moiety (e.g. , biotin) binds to the multivalent agent (e.g. , SA), and wherein the ligand probe is represented by the following structure: X - L - M, wherein X is the ligand, M is the first moiety or the multivalent agent, and L is a linker moiety that covalently joins the ligand to the first moiety or the multivalent agent.
In certain embodiments, the linker moiety is covalently linked to X through a -C(=0)- NH- bond. In certain embodiments, the linker moiety is covalently linked to M through a - NH-C(=0)- bond. In certain embodiments, the linker moiety comprises -(CH2-CH2-0)n-, -(0-CH2-CH2)m-, one or more -NHCO-, and/or one or more -CONH-, wherein m and n are each independently any one of the integers between 0-100. For example, n and m are each independently selected from 0, 1, 2, 3, 4, 5, 6, 7, 8, 9, or 10.
In certain embodiments, M is a biotin or a biotin analog, and the linker moiety is covalently linked to the terminal -C(=0)- group of biotin. An exemplary ligand moiety suitable for BTK occupancy assay, comprising a BTK inhibitor covalently linked to biotin
through a PEG re eat containing linker moiety, is represented below.
This ligand probe is derived from a specific BTK inhibitor. The specificity of BTK inhibition by the ligand probe shown above is demonstrated by the low IC50 value against BTK as compared to a panel of other kinases, as measured by the TR-FRET binding assay using a kinome panel (Invitrogen).
values (μΜ) of BTK ligand probe against a panel of kinases
MEK >10 MEK1 >10 MST1 >10 Nek2 >10 ρ38α >10 PAK4KD >10 PDGFRA >10 PDGFRB >10
V561D
Piml >10 Pim2 >10 PKA >10 PKCtheta >10
PKCzeta >10 PKG1A >10 Plk3 >10 Prkcn >10
RET >10 Rockl >10 Rock2 >10 Rsk2 >10
SGK1 >10 Src >10 STK16 >10 STK33 >10
Syk >10 TAOK2 >10 TBK1 >10 TYR03 >10
CatDom
TNK2 >10 TrkA >10 TrkB >10 TrkC >10
In certain embodiments, the linker or linker moiety is any one described in the section below entitled "Kinase occupancy assay."
With the invention generally described above, certain aspects of the invention are described in further details in the separate sections below. Embodiments described in any parts of the specification, including those only described in the examples or those only specifically described under one but not the other aspects of the invention, are generally contemplated to be able to combine with any other embodiments described in any other parts of the specification.
2. Kinase occupancy assay
Protein kinases are enzymes that catalyze the transfer of the γ-phosphoryl group of ATP (ATP-Mg2+ complex) to the oxygen atom of the hydroxyl group of serine, threonine, or tyrosine residues in peptides and polypeptides (kinase substrates). Thus the kinase may be a Ser/Thr kinase, or a Tyr kinase, categorized according to their preferred substrate(s).
The methods of the invention can be used to determine the extent of a kinase that is bound / occupied by one of its substrates or substrate analogs or inhibitors (including irreversible inhibitors that may be covalently linked to the kinase) in a sample. For example, the methods of the invention {e.g., kinase occupancy assay) may be used to measure the
extent of a kinase that is bound / occupied by any one of its inhibitors described below, using a probe that is substantially similar / identical in structure to the inhibitor in terms of binding to the ATP binding site on the kinase, but also contains a linker or extender that links another moiety, such as biotin, to the inhibitor (e.g. , biotin-conjugated inhibitor). Alternatively, the methods of the invention (e.g. , kinase occupancy assay) may also be used to measure the extent of a kinase that is bound / occupied by a proprietary inhibitor that does not have the same structure of any of the inhibitors described below, but nevertheless competitively binds to the ATP binding pocket of the kinase. In this embodiment, the same probe may be used to conduct the subject occupancy assay.
Thus for any of the kinase inhibitors described below, the inhibitor can be derived to become a corresponding probe comprising the inhibitor covalently linked to another moiety, such as biotin, through a linker or extender.
While there exist many different protein kinase sub-families within the broad grouping of protein kinases, they all share a common feature, and all act as ATP
phosphotransferases. Thus, protein kinases share a very high degree of structural similarity in the region where the ATP is bound - the ATP binding pocket. The methods of the invention as applied to protein kinases - kinase occupancy assays - may be based on binding of a kinase inhibitor at the ATP binding pocket of the kinase.
Structural analysis of many protein kinases shows that the folding topology of the catalytic domain, responsible for the phosphotransfer activity, is very highly conserved. This domain is comprised of two lobes that are connected by a flexible hinge region. The amino- terminal lobe is comprised of a single alpha helix and five beta sheets, while the carboxy- terminal lobe is comprised of a four alpha helix bundle and a flexible loop called the activation loop. The ATP binding pocket (also referred to as the purine binding pocket) is formed at the interface between these two lobes. There are several highly conserved residues, including an invariant catalytic triad consisting of a single lysine and two aspartic acids. The lysine of this catalytic triad is responsible for properly positioning the γ-phosphate of ATP with the hydroxyl group of the residue in the substrate to which it is transferred
(phosphoacceptor residue), while the first aspartic acid acts as a general base catalyst in the phosphotransfer reaction. Strikingly, these three crucial residues span the two lobes of the catalytic domain. Furthermore, the two aspartic acid residues within the catalytic triad are separated from each other by a second flexible region called the activation loop. To allow the phosphotransfer reaction, the structure of a substrate must conform to the geometric
constraints, surface electrostatics, and other features of the active site of the corresponding protein kinase. In turn, substrate binding can induce structural changes in a kinase that stimulate its catalytic activity. In particular, for enzyme - substrate interactions, residues within the activation loop and the catalytic loop need to be made available to make contacts with side chains in a substrate. Outside the conserved motifs crucial for catalytic activity (such as the ATP binding site), there are sequence differences in both loops that are critical for substrate recognition.
A list of representative protein kinases to which the method of the invention may be applied is provided in Table 1 of WO2003/081210 (incorporated herein by reference), which includes the type (Ser/Thr or Tyr), SwissProt, an NCBI Accession numbers, length, and literature references, and SEQ ID NOs for the amino acid sequence of each protein kinase. All references cited in Table 1 are also expressly incorporated herein by reference. An alignment of the sequences of the representative kinases is provided in Appendix A of WO2003/081210, which is also incorporated herein by reference.
Representative kinases to which the subject methods can be used to measure occupancy by an inhibitor, substrate or analog thereof may include, without limitation:
AKT1; AKT2; AKT3; BLK; BTK; CDK1; CDK2; CDK3; CDK4; CDK5; CDK6; CDK7; CDK8; CDK9; CSK; EGFRl; ERBB2; ERBB4; ERKl; ERK2; ERK3; ERK4; ERK5; ERK6; FAK1; FGFR1; FGFR2; FGFR3; FGFR4; FYN; HCK; IKK-a; IKK-b; IKK-e; JAK1; JAK2; JAK3; JNK1; JNK2; JNK3; Lck; LYN; MAPK; NIK; PAK1; PAK2; PAK3; PAK4; PAK5; PDGFR-a; PDGFR-b; PIM1; A- Raf; B-Raf; C-Raf; SRC; SRC2; STK1; SYK; TEC;
TGFR1; TGFR2; TIE1; TIE2; VEGFR1; VEGFR2; VEGFR3; YES; and ZAP-70.
In certain embodiments, representative kinases to which the subject methods can be used possess at least one naturally occurring cysteine at or near the ATP binding pocket of the kinase. Illustrative examples of such kinases include: BLK (C318); BTK (C481); EGFRl (C797); HER2/ERBB2 (C805); ERBB4 (C803); JAK3 (C909); TEC (C449); BMX; ITK; LKB1; HER3/Erb-B3; and TXK. An additional about 200 kinases with at least one Cys near the ATP binding pocket are disclosed in Zhang et al. {Nature Reviews Cancer 9:28-39, 2009), incorporated herein by reference.
In certain embodiments, for certain kinases, one or more amino acids near the ATP binding pocket are mutated into a cysteine, before the mutant kinase is used in the method of the invention.
In certain embodiments, one or more other amino acids of the kinase not near the ATP binding pocket is a cysteine. Such Cys residue(s) may be used to immobilize the kinase to a solid support via, for example, reacting with a thiol reactive group on the solid support, such that it is not necessary to use an antibody specific for the kinase to pull down the kinase in the sample. Kinases in this group include: CDK5 (C53); ERK1 (C183); ERK2 (C166); ERK3 (C28); FGFR1 (C488); FGFR2 (C491); FGFR3 (C482); FGFR4 (C477); NIK (C533);
PDGFR-a (C835); PDGFR-b (C843); SRC (C279); SRC2 (C273); STK1 (C828); TGFR2 (C396); VEGFR1 (C1039); VEGFR2 (C1045); VEGFR3 (C1054); YES (C287); ZAP-70 (C346).
In certain embodiments, one or more other amino acids not near the ATP binding pocket are mutated into a cysteine, before the mutant kinase is used in the method of the invention. Such mutation-generated Cys residue(s) may be used to immobilize the kinase to a solid support via, for example, reacting with a thiol reactive group on the solid support, such that it is not necessary to use an antibody specific for the kinase to pull down the kinase in the sample.
In these embodiments, the affinity reagent in step (1) of the method can be a thio reactive group that reacts with the binding partner (e.g. , kinase). Representative thiol reactive groups are well-known in the art, and may include (but are not limited to): pyridyldisulfides, nitropyridyldisulfides, maleimides, haloacetates and carboxylic acid chlorides.
For representative kinases, illustrative examples of their residues that can be mutated to Cys may include the following:
For the AKT1 kinase: L156C; K158C; T160C; F161C; K194C; E198C; M227C; E278C; T291C; K297C. For the AKT2 kinase: K158C; K160C; T162C; F163C; H196C; E200C; M229C; E279C; T292C; K298C. For the AKT3 kinase: L154C; K156C; T158C; F159C; H192C; E196C; M225C; E274C; T288C; K294C. For the BLK kinase: L246C; S248C; Q151C; F251C; A279C; E283C; T311C; A363C; A376C; R382C. For the BTK kinase: L408C; T410C; Q313C; F413C; E441C; E445C; T474C; R525C; S538C; R544C. For the CDK1 kinase: HOC; E12C; T14C; Y15C; S53C; E57C; F80C; Q432C; A145C; R151C. For the CDK2 kinase: HOC; E12C; T14C; Y15C; S53C; E57C; F80C; Q431C; A144C; R150C. For the CDK3 kinase: HOC; E12C; T14C; Y15C; S53C; E57C; F80C; Q431C; A144C; R150C. For the CDK4 kinase: I12C; V14C; A16C; Y17C; R55C; L59C; F93C; E153C; A157C; R163C. For the CDK5 kinase: HOC; E12C; T14C; Y15C; E57C; F80C; Q430C; A143C; R149C. For the CDK6 kinase: I19C; E21C; A23C; Y24C; A63C;
H67C; F98C; Q449C; A162C; R168C. For the CDK7 kinase: L18C; E20C; Q22C; F23C; R61C; L65C; F91C; N141C; A154C; K161C. For the CDK8 kinase: V27C; R29C; T31C; Y32C; R65C; L69C; F97C; A155C; A172C; H178C. For the CDK9 kinase: I25C; Q27C; T29C; F30C; R65C; I69C; F103C; A153C; A166C; R172C. For the CSK kinase: 1201 C; K203C; E205C; F206C; A232C; E236C; T266C; R318C; S331C; K337C. For the EGFR1 kinase: L718C; S720C; A722C; F723C; E758C; E762C; T790C; R841C; T854C; K860C. For the ERBB2 (also referred to as ErbB2) kinase: L726C; S728C; A730C; F731C; E766C; E770C; T798C; R849C; T862C; R868C. For the ERBB4 (also referred to as ErbB4) kinase: L724C; S726C; A728C; F729C; E764C; E768C; T796C; R847C; T860C; R864C. For the ERK1 kinase: I48C; E50C; A52C; Y53C; R84C; E88C; Q122C; S170C; R189C. For the ERK2 kinase: 131C; E33C; A35C; Y36C; R67C; E71C; Q105C; S153C; R172C. For the ERK3 kinase: L26C; G30C; N31C; H61C; E65C; Q108C; A156C; G170C; R176C. For the ERK4 kinase: L26C; F28C; V30C; N31C; H61C; E65C; Q105C; A153C; G167C; R173C. For the ERK5 kinase: I60C; N62C; A64C; Y65C; R97C; EIOIC; L136C; S185C; G198C; R204C. For the ERK6 kinase: V33C; S35C; A37C; Y38C; R70C; E74C; M109C; G157C; L170C; R176C. For the FAK1 kinase: I428C; E430C; Q333C; F433C; K467C; E471C; M499C; R550C; G563C; R569C. For the FGFR1 kinase: L484C; E486C; F489C; L528C; M532C; V561 C; R627C; A640C; R646C. For the FGFR2 kinase: L487C; E489C; F492C; L531C; M535C; V564C; R630C; A643C; R649C. For the FGFR3 kinase: L478C; E480C; F483C; L522C; M526C; V555C; R621C; A634C; R640C. For the FGFR4 kinase: L473C; E475C; F478C; L517C; M521C; V550C; R616C; A629C; R635C. For the FYN kinase: L276C; N278C; Q181C; F281C; S309C; E313C; T341C; A393C; A406C; R412C. For the HCK kinase: L268C; A270C; Q173C; F273C; A301C; E305C; T333C; A385C; A398C; R404C. For the IKK- a kinase: L21C; T23C; G25C; F26C; R57C; E61C; M95C; E148C; I164C; K170C. For the IKK-b kinase: L21C; T23Cb; G25C; F26C; R57C; E61C; M96C; E149C; I165C; K171C. For the IKK-e kinase: L15C; Q17C; A19C; T20C; V51C; E55C; M86C; G139C; T156C; R163C. For the JAK1 kinase: L870C; E872C; H874C; F875C; D909C; E913C; M944C; R995C; G1008C; K1014C. For the JAK2 kinase: L855C; L857C; N859C; F860C; D894C; E898C; M929C; R980C; G993C; K999C. For the JAK3 kinase: L828C; K830C; N832C; F833C; D867C; E871C; M902C; R953C; A966C; K972C. For the JNKl kinase: I32C; S34C; A36C; Q37C; R69C; E73C; M108C; S155C; L168C; R174C. For the JNK2 kinase: I32C; S34C; A36C; Q37C; R69C; E73C; M108C; S155C; L168C; R174C. For the JNK3 kinase: I70C; S72C; A74C; Q75C; R107C; E111C; M146C; S193C; L206C; R212C. For the Lck kinase: L250C; A252C; Q155C; F255C; A283C; E287C; T315C;
A367C; A380C; R386C. For the LYN kinase: L252C; A254C; Q157C; F257C; A285C; E289C; T318C; A370C; A383C; D389C. For the MAPK kinase: V30C; S32C; A34C;
Y35C; R67C; E71C; T106C; S154C; L167C; R173C. For the NIK kinase: L406C; R408C; S410C; F41 IC; F436C; E439C; M469C; D519C; V540C. For the PAK1 kinase: I276C; Q179C; A280C; S281C; N314C; V318C; M344C; D393C; T406C; A412C. For the PAK2 kinase: I255C; Q158C; A259C; S260C; N293C; V297C; M323C; D372C; T385C; A391C. For the PAK3 kinase: I274C; Q177C; A278C; S279C; N312C; V316C; M342C; D391C; T404C; A410C. For the PAK4 kinase: I327C; E329C; S331C; R332C; N365C; I369C;
M395C; D444C; S457C; A463C. For the PAK5 kinase: I455C; E457C; S459C; T460C; N492C; I496C; M523C; D572C; D585C; A591C. For the PDGFR-a kinase: L599C; S601C; A603C; F604C; L641C; L645C; T674C; R822C; R841C. For the PDGFR-b kinase: L606C; S608C; A700C; F701C; L648C; L652C; T681C; R830C; R849C. For the PIM1 kinase: L44C; S46C; G48C; F49C; M87C; L91C; E121C; E171C; E171C; I185C; A192C. For the A-Raf kinase: I316C; T318C; S320C; F321C; A350C; E354C; T382C; N433C; G446C; T452C. For the B-Raf kinase: I462C; S464C; S466C; F467C; A496C; E500C; T528C;
N579C; G592C; T598C. For the C-Raf kinase: I355C; S357C; S359C; F-360C; A389C; E393C; T421C; N472C; G485C; T491C. For the SRC kinase: L275C; Q178C; F280C;
A308C; E402C; T340C; A392C; A405C; R41 IC. For the SRC2 kinase: L269C; T271C; F274C; A302C; E306C; T334C; A386C; A399C; R405C. For the STK1 kinase: L616C; S618C; A620C; F621C; L658C; L662C; F691C; R815C, R834C. For the SYK kinase:
L377C; S379C; N381C; F382C; E416C; E420C; M448C; R498C; S511C; K518C. For the TEC kinase: L376C; S378C; L380C; F381C; D409C; E413C; T442C; R493C; S506C;
R513C. For the TGFR1 kinase: I121C; K213C; R215C; F216C; F243C; E247C; S280C; K337C; A350C; V357C. For the TGFR2 kinase: V250C; K252C; R254C; F255C; K288C; D292C; T325C; S383C; L403C. For the TIE1 kinase: I845C; E847C; N849C; F850C;
F884C; L888C; I917C; R983C; A996C1; R1002C. For the TIE2 kinase: I830C; E832C; N834C; F835C; F869C; L873C; I902C; R968C; A981C; R987C. For the VEGFR1 kinase: L834C; R836C; A838C; F839C; L876C; L880C; V910C; R1026C; R1045C. For the VEGFR2 kinase: L840C; R842C; A844C; F845C; L882C; L886C; V916C; R1032C;
R1051C. For the VEGFR3 kinase: L851C; Y853C; A855C; F856C; L893C; L987C; V927C; R1041C; R1060C. For the YES kinase: L283C; Q286C; C287C; F288C; A316C; E320C; T348C; A400C; A413C; R419C. For the ZAP-70 kinase: L344C; N348C; F349C; E382C; E386C; M414C; R465C; S478C; and K485C.
For any of the kinase above, the methods of the invention may be applicable to any of their substrates or analogs thereof, or inhibitors thereof.
In certain embodiments, the methods of the invention are applicable to measure kinase occupancy by a kinase inhibitor. The inhibitor may be a reversible inhibitor, a covalent / irreversible inhibitor, a competitive inhibitor, or a non-competitive inhibitor.
In certain embodiments, the inhibitor is tethered, via a reversible or irreversible covalent bond, to the protein kinase. For example, the inhibitor may form an irreversible covalent bond through the nucleophile or electrophile, preferably nucleophile, on the protein kinase, thereby forming an irreversible protein kinase-inhibitor complex. The nucleophile on the kinase may be the sulfur of a thiol, usually a thiol group of a cysteine, which is reacted with a thiol reactive group capable of forming an irreversible (preferably under conditions that do not denature the kinase) covalent bond with the free thiol. Preferably, the thiol reactive group on the inhibitor is a group capable of undergoing SN2-like attack by the thiol or forming a Michael-type adduct with the thiol to produce the irreversible reaction product.
For example, compounds of the form -RC=CR-Q, or -C≡C-Q, where Q is C(=0)H, C(=0)R (including quinines), COOR, C(=0)NH2, C(=0)NHR, CN, N02, SOR, S02R, where each R is independently substituted or unsubstituted alkyl, aryl, hydrogen, halogen or another Q, can form Michael adducts with -SR (where R is H, glutathione or S-lower alkyl substituted with NH2 or OH), OH and NH2 on the target protein kinase. A Michael adduct can also be formed between a Cys thiol group of the kinase, and a Michael acceptor moiety on the inhibitor. Representative Michael acceptors include acrylamide, vinyl sulfonamide, and propargylamide.
Quinazolines, broad specificity kinase inhibitors, are known to bind to the purine pocket of a myriad of protein kinases and are possibly the most commonly used of all the kinase inhibitor structural motifs. Furthermore, 6-arylamido quinazoline-based inhibitors are known to irreversibly label the EGFR1 kinase through reactivity with a cysteine residue (Cys773) located on the floor of the purine-binding pocket. In addition, 7-acrylamido quinazolines also irreversibly modify the EGFR1 kinase, indicating that despite the high affinity of these compounds for the purine pocket, they do have limited mobility within their binding site. Thus, similarly modified quinazolines can bind covalently but with loose specificity to the purine-binding pocket of any appropriately engineered protein kinase. For example, a set of eight 4-phenylamino quinazolines containing Michael acceptors in the 6 and 7 positions as shown below, can be used as broad spectrum inhibitors that bind the ATP
binding pocket of a kinase. These structures are shown below.
These compounds are designed to bind in the purine pocket of protein kinases, with little specificity for any particular kinase. Synthesis and purification of these compounds is relatively straightforward. Taken together, this panel accommodates possible slight variations in the position of the residue analogous to C773 of EGFRl by varying the position, special orientation, and reactivity of the Michael acceptor.
These kinase inhibitors can be derived to become their corresponding probes by using a linker or extender. The exact extenders used partly depend on which of the 4-phenylamino quinazolines discussed above bind most efficiently to the kinase of interest. For example, as shown below, for any of the 4-phenylamino quinazolines, thiol groups can be appended to the 5, 6, 7, or 8 position of the best quinazolines, separated by a 1-, 2-, or 3-atom spacer.
The amino group at the end of the extender / linker can then be reacted with an amino reactive group (such as a carboxyl group) to attach biotin or other moieties. Such (biotin- linked) probes may be used in the subject kinase occupancy assay regardless of the identity of the kinase inhibitor, so long as the inhibitor and the probe do not simultaneously bind the ATP binding pocket of the kinase.
In certain embodiments, the linker / extender may comprise a bond, a substituted alkyl moiety, a substituted heterocycle moiety, a substituted amide moiety, a ketone moiety, a substituted carbamate moiety, an ester moiety, or any combination thereof.
In certain embodiments, the ligand probe of the invention may have the general structure of Ligand-X-linker-Y-lst moiety, wherein: X and Y are independently selected from the group consisting of: a bond, -0(C=0)-, -NRa(C=0)-, -NRa-, an N-containing heterocycle, -0-, -S-S, -S-, -0-NR\ -0(C=0)0-, -0(C=0)NRa, -NRa(C=0)NR\ -N=CRa-, -S(C=0)-, - S(O)-, and -S(0)2-; and Ra is hydrogen or alkyl.
The linker moiety may be selected from a bond, a polymer, a water soluble polymer, optionally substituted alkyl, optionally substituted heteroalkyl, optionally substituted heterocycloalkyl, optionally substituted cycloalkyl, optionally substituted
heterocycloalkylalkyl, optionally substituted heterocycloalkylalkenyl, optionally substituted aryl, optionally substituted heteroaryl, and optionally substituted
heterocyclo alkyl alkenylalkyl .
In some embodiments, the linker moiety is an optionally substituted heterocycle. In other embodiments, the heterocycle is selected from aziridine, oxirane, episulfide, azetidine, oxetane, pyrroline, tetrahydrofuran, tetrahydrothiophene, pyrrolidine, pyrazole, pyrrole, imidazole, triazole, tetrazole, oxazole, isoxazole, ox irene, thiazole, isothiazole, dithiolane, furan, thiophene, piperidine, tetrahydropyran, thiane, pyridine, pyran, thiapyrane, pyridazine, pyrimidine, pyrazine, piperazine, oxazine, thiazine, dithiane, and dioxane. In some embodiments, the heterocycle is piperazine. In further embodiments, the linker moiety is optionally substituted with halogen, CN, OH, N02, alkyl, S(O), and S(0)2. In other embodiments, the water soluble polymer is a PEG group.
In other embodiments, the linker moiety provides sufficient spatial separation between the 1st moiety and the ligand. In further embodiments, the linker moiety is stable. In yet a further embodiment, the linker moiety does not substantially affect the binding of the 1st moiety (e.g. , biotin) to the 1st detection probe. In other embodiments the linker moiety provides chemical stability to the ligand probe. In further embodiments, the linker moiety provides sufficient solubility to the ligand probe.
In some embodiments, linkages such as water soluble polymers are coupled at one end to a ligand (e.g. , kinase inhibitor) and to a 1st moiety (e.g. , biotin) at the other end. In other embodiments, the water soluble polymers are coupled via a functional group or substituent of the ligand. In further embodiments, the water soluble polymers are coupled via a functional group or substituent of the 1st moiety. In other embodiments, covalent attachment of hydrophilic polymers to a ligand and the 1st moiety represents one approach to increasing water solubility (such as in a physiological environment), bioavailability, increasing serum half-life, increasing pharmacodynamic parameters, or extending the circulation time of the ligand probe, including proteins, peptides, and particularly
hydrophobic molecules. In further embodiments, additional important features of such hydrophilic polymers include biocompatibility and lack of toxicity. In other embodiments, the polymer is pharmaceutically acceptable.
In some embodiments, examples of hydrophilic polymers include, but are not limited to: polyalkyl ethers and alkoxy-capped analogs thereof (e.g. , polyoxyethylene glycol, polyoxyethylene/propylene glycol, and methoxy or ethoxy-capped analogs thereof, polyoxyethylene glycol, the latter is also known as polyethylene glycol or PEG);
polyvinylpyrrolidones; polyvinylalkyl ethers; polyoxazolines, polyalkyl oxazolines and polyhydroxyalkyl oxazolines; polyacrylamides, polyalkyl acrylamides, and polyhydroxyalkyl acrylamides (e.g. , polyhydroxypropylrnethacrylamide and derivatives thereof);
polyhydroxyalkyl acrylates; polysialic acids and analogs thereof; hydrophilic peptide sequences; polysaccharides and their derivatives, including dextran and dextran derivatives, e.g. , carboxymethyldextran, dextran sulfates, aminodextran; cellulose and its derivatives, e.g. , carboxymethyl cellulose, hydroxyalkyl celluloses; chitin and its derivatives, e.g. , chitosan, succinyl chitosan, carboxymethylchitin, carboxymethylchitosan; hyaluronic acid and its derivatives; starches; alginates; chondroitin sulfate; albumin; pullulan and carboxymethyl pullulan; polyaminoacids and derivatives thereof, e.g. , polyglutamic acids, polylysines, polyaspartic acids, polyaspartamides; maleic anhydride copolymers such as: styrene maleic anhydride copolymer, divinylethyl ether maleic anhydride copolymer; polyvinyl alcohols; copolymers thereof; terpolymers thereof; mixtures thereof; and derivatives of the foregoing. In other embodiments, the water soluble polymer is any structural form including but not limited to linear, forked or branched. In some embodiments, polymer backbones that are water-soluble, with from 2 to about 300 termini, are particularly useful. In further
embodiments, multifunctional polymer derivatives include, but are not limited to, linear polymers having two termini, each terminus being bonded to a functional group which is the same or different. In some embodiments, the water polymer comprises a poly(ethylene glycol) moiety. In further embodiments, the molecular weight of the polymer is of a wide range, including but not limited to, between about 100 Da and about 100,000 Da or more. In yet further embodiments, the molecular weight of the polymer is between about 100 Da and about 100,000 Da, including but not limited to, about 100,000 Da, about 95,000 Da, about 90,000 Da, about 85,000 Da, about 80,000 Da, about 75,000 Da, about 70,000 Da, about 65,000 Da, about 60,000 Da, about 55,000 Da, about 50,000 Da, about 45,000 Da, about 40,000 Da, about 35,000 Da, 30,000 Da, about 25,000 Da, about 20,000 Da, about 15,000 Da, about 10,000 Da, about 9,000 Da, about 8,000 Da, about 7,000 Da, about 6,000 Da, about 5,000 Da, about 4,000 Da, about 3,000 Da, about 2,000 Da, about 1,000 Da, about 900 Da, about 800 Da, about 700 Da, about 600 Da, about 500 Da, about 400 Da, about 300 Da, about 200 Da, and about 100 Da. In some embodiments, the molecular weight of the polymer is
between about 100 Da and 50,000 Da. In some embodiments, the molecular weight of the polymer is between about 100 Da and 40,000 Da. In some embodiments, the molecular weight of the polymer is between about 1,000 Da and 40,000 Da. In some embodiments, the molecular weight of the polymer is between about 5,000 Da and 40,000 Da. In some embodiments, the molecular weight of the polymer is between about 10,000 Da and 40,000 Da. In some embodiments, the poly( ethylene glycol) molecule is a branched polymer. In further embodiments, the molecular weight of the branched chain PEG is between about 1,000 Da and about 100,000 Da, including but not limited to, about 100,000 Da, about 95,000 Da, about 90,000 Da, about 85,000 Da, about 80,000 Da, about 75,000 Da, about 70,000 Da, about 65,000 Da, about 60,000 Da, about 55,000 Da, about 50,000 Da, about 45,000 Da, about 40,000 Da, about 35,000 Da, about 30,000 Da, about 25,000 Da, about 20,000 Da, about 15,000 Da, about 10,000 Da, about 9,000 Da, about 8,000 Da, about 7,000 Da, about 6,000 Da, about 5,000 Da, about 4,000 Da, about 3,000 Da, about 2,000 Da, and about 1,000 Da. In some embodiments, the molecular weight of the branched chain PEG is between about 1,000 Da and about 50,000 Da. In some embodiments, the molecular weight of the branched chain PEG is between about 1,000 Da and about 40,000 Da. In some embodiments, the molecular weight of the branched chain PEG is between about 5,000 Da and about 40,000 Da. In some embodiments, the molecular weight of the branched chain PEG is between about 5,000 Da and about 20,000 Da. The foregoing list for substantially water soluble backbones is by no means exhaustive and is merely illustrative, and in some embodiments, the polymeric materials having the qualities described above suitable for use in methods and compositions described herein.
In further embodiments, the number of water soluble polymers linked to the ligand and the 1st moiety described herein is adjusted to provide an altered (including but not limited to, increased or decreased) pharmacologic, pharmacokinetic or pharmacodynamic
characteristic such as in vivo half-life. In some embodiments, the half-life of the ligand probe is increased at least about 10, about 20, about 30, about 40, about 50, about 60, about 70, about 80, about 90 percent, about two fold, about five-fold, about 10-fold, about 50-fold, or at least about 100-fold over a ligand probe without a water soluble linker.
In another embodiment, X is selected from the group consisting of: a bond, -0(C=0)-, -NRa(C=0)-, -NRa-, an N-containing heterocycle, -0-, -S-, -S-S-, -0-NRa-, -0(C=0)0-, -0(C=0)NRa, -NPva(C=0)NRa-, -N=CRa-, -S(C=0)-, -S(O)-, and -S(0)2-. In one
embodiment, X is -NRa(C=0)-. In another embodiment, X is a bond. In another
embodiment, X is -0(C=0)-. In a further embodiment, Y is selected from the group consisting of: a bond, -0(C=0)-, -NRa(C=0)-, -NRa-, an N-containing heterocycle, -0-, -S-, - S-S-, -0-NR\ -0(C=0)0-, -0(C=0)NRa-, -NRa(C=0)NR\ -N=CRa-, -S(C=0)-, -S(O)-, and -S(0)2-. In yet a further embodiment, Y is a bond. In one embodiment, Y is -NRa(C=0)- . In yet another embodiment, Ra is hydrogen. In yet a further embodiment, Ra is alkyl.
In certain embodiments, the kinase occupancy assay of the invention is for a BTK of human or non-human origin, and an irreversible BTK inhibitor that forms a covalent bond with a Cys residue corresponding to Cys481 of the human BTK, isoform 1, via a Michael acceptor on the inhibitor, wherein the Michael acceptor is acrylamide, vinyl sulfonamide, or propargylamide.
In certain embodiments, the BTK inhibitor is CC-292 (N-(3-(5-fluoro-2-(4-(2- methoxyethox henylamino)pyrimidin-4-ylamino)phenyl)acrylamide).
In certain embodiments, the probe is a biotin-linked CC-292 of the following structure:
In certain embodiments, the BTK inhibitor is (R)-l-(3-(4-amino-3-(4- phenoxyphenyl)-lH-pyrazolo[3,4-d]pyrimidin-l-yl)piperidin-l-yl)prop-2-en-l-one (or ibrutinib).
The correspondin probe may be a biotin-linked ibrutinib of the following structure:
In certain embodiments, the inhibitor and/or the ligand probe binds the active form of the kinase (e.g. , BTK). In other embodiments, the inhibitor and/or the ligand probe binds the inactive form of the kinase (e.g. , BTK). In certain embodiments, the inhibitor and/or the ligand probe preferentially (e.g. , having a binding affinity 50%, 100%, 2-fold, 3-, 5-, 10-, 20-, 50-, or 100-times or higher) binds the active form of the kinase (e.g. , BTK). In certain embodiments, the inhibitor and/or the ligand probe preferentially (e.g. , having a binding affinity 50%, 100%, 2-fold, 3-, 5-, 10-, 20-, 50-, or 100-times or higher) binds the inactive form of the kinase (e.g. , BTK). The active form of the BTK has Tyr phosphorylation at a
residue corresponding to Tyr551 of human BTK isoform 1, and may further comprise Tyr phosphorylation at a residue corresponding to Tyr223 of human BTK isoform 1.
In certain embodiments, the inhibitor and/or the ligand probe is cell permeable.
3. BTK
There are three known human BTK isoforms, one of which, NP_000052, relates to the 659-a.a. BTK isoform 1. Residue 481 of the human BTK isoform 1 is the Cys481 residue that can be irreversibly and covalently linked to a BTK inhibitor binding to the ATP binding pocket of the kinase, through Michael reaction. Isoform 2 (NP_001274274) has 483 a.a., and contains an alternate exon in the 5' UTR and lacks several exons in the 3' CDS (coding sequence) compared to isoform 1, resulting in a shorter protein compared to isoform 1.
Isoform 3 (NP_001274273) has 693 a.a., and has a longer N-terminus than isoform 1. U.S. Pat. No. 6,326,469 discloses in its FIGs. 10A and 10B the 659-a.a. human BTK (also known as hATK) isoform 1 protein as SEQ ID NO: 8 (incorporated herein by reference).
Additional mammalian BTK sequences are known in the art, and can be retrieved from public database such as GenBank by, for example, performing a BLASTp search using the human BTK isoform 1 sequence as a query sequence.
For example, using the human BTK isoform 1 protein sequence as the query, the following BTK sequences from other species are identified: XP_003954082.1 from Pan troglodytes (chimpanzee); XP_004441045.1 from Ceratotherium simum simum (southern white rhinoceros); XP_001493268.1 from Equus caballus (horse); XP_004905120.1 from Hetewcephalus glaber (naked mole-rat); XP_008051143.1 from Tarsius syrichta (Philippine tarsier); XP_005407008.1 from Chinchilla lanigera (long-tailed chinchilla);
XP_003135290.2 from Sus scrofa (pig); XP_005072547.1 from Mesocricetus auratus (golden hamster); XP_549139.2 from Canis lupus familiaris (dog); XP_004283555.1 from Orcinus orca (killer whale); NP_038510.2 from Mus musculus (house mouse);
NP_001029761.1 from Bos taurus (cattle); XP_004000760.1 from Felis catus (domestic cat); and NP_001007799.1 from Rattus norvegicus (Norway rat), all with > 98% sequence identity to the human BTK isoform 1.
Thus the method of the invention can be applied to any and all BTK isoforms from any and all species, although the Cys481 residue in different BTK isoforms or BTK from different species will have a different residue number. Sequence alignments using any of art
recognized software, such as searching the nr database using the human BTK isoform 1 sequence as the query sequence, will readily reveal the Cys residue corresponding to Cys481 of the human BTK isoform 1. Specifically, the methods and reagents of the invention can be used for human and other non-human mammals, including but not limited to non-human primates, livestock (mammalian) animals, experimental / laboratory animals (e.g., rats, mice, hamsters, or other rodents), mammalian pets (e.g., cats or dogs), or marine mammals, such as those named above.
4. BTK inhibitors
The methods of the invention may be used for BTK occupancy assay for any of many known BTK inhibitors, including the various irreversible BTK inhibitors that form a covalent bond with a Cys residue corresponding to Cys481 of the human BTK, isoform 1.
One exemplary BTK inhibitor is ibrutinib (supra), and its related compounds as described in U.S. Pat. Nos. 8,088,781 and 8,501,751 (incorporated herein by reference). Exemplary BTK inhibitors disclosed therein include a compound of the following structure:
wherein:
La is O or S; Ar is an unsubstituted phenyl; Y is a 4-, 5-, 6-, or 7-membered cycloalkyl ring, or Y is azetidinyl, pyrrolidinyl, piperidinyl, or azepanyl; Z is C(O), OC(O), NHC(O), S(0)x, or NHS(=0)x, where x is 2; R8 is H; R7 is H, unsubstituted C C4 alkyl, C
Cealkoxyalkyl, CrCgalkylaminoalkyl, or C1-C4alkyl (phenyl); or R7 and R8 taken together form a bond; R6 is H, unsubstituted CrCealkoxyalkyl, CrCsalkylaminoalkyl, or Cr
C4alkyl (phenyl); the wavy line indicates the point of attachment between the BTK inhibitor and the BTK tyrosine kinase.
Those BTK inhibitors can be derived to become ligand probes of the invention by, for example, linking to biotin through a linker. For example, for ibrutinib, the corresponding ligand probe may be a biotin-linked ibrutinib of the followin structure:
The same linkage reaction for ibrutinib and biotin as disclosed in Honigberg et al. (PNAS 107(29): 13075- 13080, 2010), and/or WO 2008/054827, both incorporate by reference, can also be used to produce biotin-conjugated BTK inhibitors for use in the methods of the invention.
Another exemplary BTK inhibitor is CC-292 (supra) and its related compounds as disclosed in US 2010-0249092 Al (incorporated herein by reference). A biotin-conjugated ligand probe of CC-292 is show below:
A further BTK inhibitor as described in Wu et al. (Am. Chem. Soc, 2014)
reproduced below:
Biotin-conjugated version of these ligands / BTK inhibitors can also be made using any art-recognized methods.
Another BTK inhibitor is described in U.S. Provisional Application No. 61/839,729, filed on June 26, 2013, U.S. Provisional Application No. 61/897,577, filed on October 30, 2013, and U.S.S.N. 14/315,504, filed on June 26, 2014 (all incorporated herein by reference), in which the BTK inhibitor is a compound of Formula (I):
Formula (I)
or a pharmaceutically acceptable salt, pro-drug, biologically active metabolite, isomer, or stereoisomer thereof, wherein:
X is NR2 or S;
Y is N or CR1, and Z is N or CR1; or, Y is CRlR2 and Z is CR R2; A is N or CR4;
E is N or CR5;
R1 is independently H, deuterium, CN, halogen, CF3, -NRCRC, -N(Ra)C(0)Rb, optionally substituted (Ci-C6)alkyl, optionally substituted (C2-C6)alkenyl, optionally
substituted aryl, optionally substituted (C3-C6)cycloalkyl, optionally substituted (C3- C6)cycloalkenyl, optionally substituted heteroaryl, or optionally substituted saturated or partially saturated heterocyclyl;
R is independently H, deuterium, or optionally substituted (C1-C3)alkyl;
R3 is halogen, -N(Ra)2, optionally substituted aryl, optionally substituted (C3- C7)cycloalkyl, optionally substituted saturated or partially saturated heterocyclyl, or optionally substituted heteroaryl; or
R3 is -R301-L-R302 wherein
R301 is a bond, -0-, -OCH2-, -NRd-, or optionally substituted (C
C3)alkylene, and
L is optionally substituted phenyl, optionally substituted (C3-
C6)cycloalkyl, optionally substituted heteroaryl or a saturated or partially saturated heterocyclyl containing one or more heteroatoms, at least one of which is nitrogen; or
L is -L 1 -L2 wherein L 1 is attached to R 301 and
L1 is optionally substituted phenyl, optionally substituted heteroaryl or optionally substituted saturated or partially saturated carbocycle or a saturated or partially saturated heterocyclyl; and
L2 is a bond, CH2, NRd, CH2N(H), S(0)2N(H), or -0-;
R302 is CN, -CH2CN, optionally substituted -C(=O)R302a, -(CH2)„- optionally substituted saturated or partly saturated heterocyclyl or optionally substituted -S(0)2(C2)alkenyl;
wherein R302a is optionally substituted (Ci-C4)alkyl, optionally substituted (C2-C4)alkenyl, (C2-C4)alkynyl, -C(0)-(Ci-C4)alkyl, optionally substituted saturated or partially unsaturated (C3-C6)cycloalkyl, optionally substituted aryl, optionally substituted heteroaryl, -N(H)- optionally substituted heteroaryl or -(CH2)n-optionally substituted unsaturated or partly saturated heterocyclyl;
R4 is H, deuterium, CN, optionally substituted (Ci-C3)alkyl, optionally substituted (C3-C6) cycloalkyl or optionally substituted saturated or partially saturated heterocyclyl , or optionally substituted heteroaryl;
wherein the optionally substituted saturated or partially saturated heterocyclyl; and optionally substituted heteroaryl contain at least one nitrogen atom; or
R3 and R4 , together with the carbon atoms to which they are attached, form an optionally substituted, saturated, unsaturated or partially unsaturated 5 or 6 membered carbocyclic ring or an optionally substituted, saturated, or partially unsaturated 5 or 6 membered heterocyclic ring containing one or more heteroatoms selected from N, S and O;
R5 is H, deuterium, halogen, or optionally substituted (C1-C3)alkyl;
Ra is independently selected from H, -C(0)-optionally substituted (C2- C6)alkenyl, optionally substituted (Ci-C6)alkyl, -(CH2)n-optionally substituted (C3- C6)cycloalkyl, -(CH2)n-optionally substituted heterocyclyl, or -(CH2)n-optionally substituted heteroaryl;
Rb is H, optionally substituted (Ci-C6)alkyl, optionally substituted (C2- C6)alkenyl, optionally substituted (C2-C6)alkynyl, -CH2-0-optionally substituted aryl, or -CH2-0-optionally substituted heteroaryl;
Rc is independently H, optionally substituted (C1-C6)alkyl, optionally substituted (C3-C6)cycloalkyl, optionally substituted saturated or partially saturated heterocyclyl, optionally substituted aryl or optionally substituted heteroaryl;
Rd is H, optionally substituted heterocyclyl, -(CH2)-optionally substituted (C3- C6)cycloalkyl, -(CH2)-optionally substituted heteroaryl or optionally substituted (C - C3)alkyl;
R is optionally substituted (Ci-C3)alkyl, optionally substituted (C2-C4)alkenyl or optionally substituted (C2-C4)alkynyl; and
n is independently 0 or 1.
The derived ligand probe comprising the 1st moiety (e.g. , biotin) may have the BTK inhibitor linked to the 1st moiety through a linker moiety, to a substituent group of R3, wherein R is an optionally substituted aryl, such as phenyl.
Yet another BTK inhibitor is described in PCT/CN2014/075560 (incorporated herein by reference), filed on April 17, 2014, in which the BTK inhibitor is a compound of Formula
Formula (I)
wherein
U is CR1 or N;
X is CR2 or N;
Y is CR3 or N;
Z is CR4 or N;
R1 is independently H or deuterium;
R is H, deuterium, optionally substituted (Ci-C3)alkyl, or CF3;
R is H, deuterium or optionally substituted (Ci-C3)alkyl;
R4 is H or deuterium;
R5 is -R501-L-R502 wherein
R501 is a bond, -0-, -OCH2-, or optionally substituted (C1-C3)alkylene, L is -C(=0)-, -CH2N(H)C(=0)-, -N(H)C(=0)-, or -N(H)S(0)2; or
L is a bond and R502 is -CN; or
L is - }- } wherein L1 is attached to R501 wherein
L1 is optionally substituted phenyl, optionally substituted heteroaryl, optionally substituted saturated or partially saturated heterocyclyl, or optionally substituted saturated or partially saturated (C3-C6)cycloalkyl and L2 is -CH2N(Ra)-, -CH2N(Ra)C(0)-, -N(Ra)C(0)-, -N(Ra)S(0)2- or - N(Ra)-; or
L1 is a saturated or partially saturated heterocyclyl containing one or more heteroatoms wherein at least one heteroatom is nitrogen and L is a bond, C(O) or -S(0)2-;
R 502 is H, optionally substituted alkenyl, optionally substituted alkynyl, CN, or optionally substituted (C3-C6)cycloalkenyl;
R6 is optionally substituted (C1-C6)alkyl, optionally substituted (C3- C12)cycloalkyl, optionally substituted phenyl, optionally substituted heteroaryl, or optionally substituted heterocyclyl; and
Ra is independently H or optionally substituted (C1-C6)alkyl.
Optionally, the compound is not 2-(3-{ 8-[5-(morpholine-4-carbonyl)-pyridin-2- ylamino]-imidazo[l,2-fl]pyridine-6-yl}-phenyl)-N-(5,5,5-trifluoro-4-hydroxy-4-methyl-pent- 2-ynyl)-acetamide.
The derived ligand probe comprising the 1st moiety (e.g. , biotin) may have the BTK inhibitor linked to the 1st moiety through a linker, at a substituent group of R5.
5. Detectable label
Numerous detectable labels may be used in the first and second detection probe of the invention. The term "detectable label," as used herein, refers to a label which is observable and/or quantifiable (in absolute, approximate or relative terms) using analytical techniques including, but not limited to, fluorescence, chemiluminescence, enhanced chemiluminescence (ECL), electron-spin resonance, ultraviolet/visible absorbance spectroscopy, mass spectrometry, nuclear magnetic resonance, magnetic resonance, and electrochemical methods.
In certain embodiments, the detectable label may include a label, a dye, an enzyme, a photocrosslinker, a cytotoxic compound, a drug, an affinity label, a photo affinity label, a reactive compound, an antibody or antibody fragment, a biomaterial, a nanoparticle, a spin label, a fluorophore, a metal-containing moiety, a radioactive moiety, a novel functional group, a group that covalently or noncovalently interacts with other molecules, a photocaged moiety, an actinic radiation excitable moiety, a ligand, a photoisomerizable moiety, biotin, a biotin analogue, a moiety incorporating a heavy atom, a chemically cleavable group, a photocleavable group, a redoxactive agent, an isotopically labeled moiety, a biophysical probe, a phosphorescent group, a chemiluminescent group, an electrochemiluminescent group (e.g. , an MSD SULFO-TAG type electrochemiluminescent group), an electron dense group, a magnetic group, an intercalating group, a chromophore, an energy transfer agent, a biologically active agent, a detectable label, or a combination thereof.
In certain embodiments, the detectable label is an electrochemiluminescent group, such as an MSD SULFO-TAG type electrochemiluminescent group. MESO SCALE
DISCOVERY (MSD) MULTI-ARRAY® technology (Meso Scale Diagnostics, LLC, Gaithersburg, MD) offers an excellent platform for the development of immunoassays for the measurement of biomarkers in life science, preclinical, and clinical samples. MSD electrochemiluminescence assays have ultra-low detection limits, provide up to five logs of linear dynamic range, use minimal sample, and handle difficult matrices easily. At the core of this technology are microplates that may take a variety of forms, including 96-well (each well having 4, 7, or 10 spots for simultaneous multiplexing analysis of different analytes in the same sample well) or 384- well (each well having 1 or 4 spots for multiplexing) commercial products that are customizable. The MSD plates have two different surface types: High Bind plates have a hydrophilic surface; and Standard plates have a hydrophobic surface. A combination of working electrode size and surface type determines the capacity of capture reagent that can be coated on the plate. Standard plates tend to offer higher sensitivity, while high-bind plates can facilitate the quantification of analytes at higher concentrations.
The bottom surface of each MSD MULTI- ARRAY® or MULTI-SPOT® microplate well has integrated working carbon electrode surface that is ideal for immobilizing most types of affinity reagents for biological assays, including antibodies, peptides (Wu et al., J, Gen, Virol. 88:2719-2723, 2007), antigens (Mat et al., Nat. Biotechnol. 28:1195-1202, 2010), carbohydrates / polysaccharides (Goldblatt, Clin. Vaccine Immunol. 18: 1744-1751, 2011; Marchese, Clin. Vaccine Immunol. 16:387-396, 2009), lysates (Gillardon et al., J. Neurosci Methods, 214(l):62-68, 2013; Chung et al., Proteomics Clin. Appl. 2: 1539-1547, 2008), cells (Lu et al., J. Immunol. Methods, 314:74-79, 2006; Pang et al., J. Immunol Methods. 362: 176- 179, 2010), membranes, and virus-like particles, according to the manufacturer. All references are incorporated by reference. These biological affinity reagents can be attached to the carbon electrode surface simply by passive adsorption, while retaining a high level of biological activity. The detection label for the MSD assays use electrochemiluminescent labels, such as the MSD SULFO-TAG type electrochemiluminescent group, for ultrasensitive detection. These labels are non-radioactive, stable, and offer a choice of convenient coupling chemistries. For example, the SULFO-TAG Streptavidin label (Cat. No. R32AD-5) has a SULFO-TAG covalently linked to a multivalent streptavidin, and can bind multiple biotin labeled reagents. These electrochemiluminescent labels emit light when
electrochemically stimulated. The detection process is initiated at electrodes located in the bottom of MSD's microplates. Only labels near the electrode are excited and detected,
enabling non-washed assays. MSD Read Buffers contain coreactants may also be used to further enhance the electrochemiluminescence signals. These coreactants are also stimulated when in proximity to the electrodes in the microplate. MSD' s labels emit light at 620 nm, eliminating problems with color quenching. Few compounds interfere with the
electrochemiluinescence process. Multiple excitation cycles of each label amplify the signal to enhance light levels and improve sensitivity. Background signals are minimal because the stimulation mechanism (electricity) is decoupled from the signal (light). The assay can be fully automated in a high throughput format, using plate readers designed for the MSD assay, such as SECTOR Imager 6000, SECTOR Imager 2400, or SECTOR PR reader from MSD.
In certain embodiments, the detectable label is a fluorophore, such as a Bodipy fluorophore (e.g. , a Bodipy FL fluorophore). In certain embodiments, the fluorophore is selected from the group consisting of: BODIPY 493/503, BODIPY FL, BODIPY R6G, BODIPY 530/550, BODIPY TMR, BODIPY 558/568, BODIPY 564/570, BODIPY 576/589, BODIPY 581/591, BODIPY TR, Fluorescein, 5(6)Carboxyfluorescein, 2,7- Dichlorofluorescein, N,N-Bis(2,4,6-trimethylphenyl)-3,4:9, 10-perylenebis(dicarboximide), HPTS, Ethyl Eosin, DY-490XL MegaStokes, DY-485XL MegaStokes, Adirondack Green 520, ATTO 465, ATTO 488, ATTO 495, YOYO- 1, 5-FAM, BCECF, BCECF,
dichlorofluorescein, rhodamine 110, rhodamine 123, Rhodamine Green, YO-PRO-1, SYTOX Green, Sodium Green, SYBR Green I, Alexa Fluor 500, FITC, Fluo-3, Fluo-4, fluoro- emerald, YoYo-1 ssDNA, YoYo-1 dsDNA, YoYo-1 ,SYTO RNASelect, Diversa Green-FP, Dragon Green, EvaGreen, Surf Green EX, Spectrum Green, Oregon Green 488, NeuroTrace 500525, NBD-X, MitoTracker Green FM, LysoTracker Green DND-26, CBQCA, PA-GFP (post-activation), WEGFP (post-activation), F1ASH-CCXXCC, Azami Green monomeric, Azami Green, EGFP (Campbell Tsien 2003), EGFP (patterson 2001), Fluorescein, Kaede Green, 7-Benzylamino-4-Nitrobenz-2-oxa-l,3-Diazole, Bexl, Doxorubicin, Lumio Green, and SuperGlo GFP.
In a further embodiment, the fluorophore is selected from the group consisting of: BODIPY 493/503, BODIPY FL, BODIPY R6G, BODIPY 530/550, BODIPY TMR, BODIPY 558/568, BODIPY 564/570, BODIPY 576/589, BODIPY 581/591, and BODIPY TR. In yet a further embodiment, the fluorophore is BODIPY FL. In certain embodiments, the fluorophore is not BODIPY 530. In some embodiments, the fluorophore has an excitation maxima of between about 500 and about 600 nm. In some other embodiments, the fluorophore has an excitation maxima of between about 500 and about 550 nm. In another
embodiment, the fluorophore has an excitation maxima of between about 550 and about 600 nm. In yet a further embodiment, the fluorophore has an excitation maxima of between about 525 and about 575 nm. In other embodiments, the fluorophore has an emission maxima of between about 510 and about 670 nm. In another embodiment, the fluorophore has an emission maxima of between about 510 and about 600 nm. In a further embodiment, the fluorophore has an emission maxima of between about 600 and about 670 nm. In another embodiment, the fluorophore has an emission maxima of between about 575 and about 625 nm.
In certain embodiments, the detectable label is an enzyme, such as an enzyme suitable for use in chemiluminescence or ECL. Such enzymes may include peroxidase (POD), glucose oxidase (GOD), invertase (INV), β-D-galactosidase (BGase), glucose-6-phosphate dehydrogenase (G6PDH), and alkaline phosphatase (ALP).
"Chemiluminescent group," as used herein, refers to a group which emits light as a result of a chemical reaction without the addition of heat. By way of example, luminol (5- amino-2,3-dihydro-l,4-phthalazinedione) reacts with oxidants like hydrogen peroxide (H2O2) in the presence of a base and a metal catalyst to produce an excited state product (3- aminophthalate, 3-APA).
Enhanced chemiluminescence (ECL) may be carried out using a horseradish peroxidase enzyme (HRP). HRP catalyzes the conversion of the enhanced chemiluminescent substrate into a sensitized reagent in the vicinity of the molecule of interest, which on further oxidation by hydrogen peroxide, produces a triplet (excited) carbonyl, which emits light when it decays to the singlet carbonyl. Enhanced chemiluminescence allows detection of minute quantities of a biomolecule. Proteins can be detected down to femtomole quantities, well below the detection limit for most assay systems.
The term "fluorophore," as used herein, refers to a molecule which upon excitation emits photons and is thereby fluorescent.
The term "dye," as used herein, refers to a soluble, coloring substance which contains a chromophore.
The term "chromophore," as used herein, refers to a molecule which absorbs light of visible wavelengths, UV wavelengths, or IR wavelengths.
The term "electron dense group," as used herein, refers to a group which scatters electrons when irradiated with an electron beam. Such groups include, but are not limited to,
ammonium molybdate, bismuth subnitrate cadmium iodide, carbohydrazide, ferric chloride hexahydrate, hexamethylene tetramine, indium trichloride anhydrous, lanthanum nitrate, lead acetate trihydrate, lead citrate trihydrate, lead nitrate, periodic acid, phosphomolybdic acid, phosphotungstic acid, potassium ferricyanide, potassium ferrocyanide, ruthenium red, silver nitrate, silver proteinate (Ag Assay: 8.0-8.5%) "Strong," silver tetraphenylporphin (S-TPPS), sodium chloroaurate, sodium tungstate, thallium nitrate, thiosemicarbazide (TSC), uranyl acetate, uranyl nitrate, and vanadyl sulfate.
The term "energy transfer agent," as used herein, refers to a molecule which either donates or accepts energy from another molecule. By way of example, fluorescence resonance energy transfer (FRET) is a dipole-dipole coupling process by which the excited- state energy of a fluorescence donor molecule is non-radiatively transferred to an unexcited acceptor molecule which then fluorescently emits the donated energy at a longer wavelength.
The term "moiety incorporating a heavy atom," as used herein, refers to a group which incorporates an ion of atom which is usually heavier than carbon. In some
embodiments, such ions or atoms include, but are not limited to, silicon, tungsten, gold, lead, and uranium.
The term "photoaffinity label," as used herein, refers to a label with a group, which, upon exposure to light, forms a linkage with a molecule for which the label has an affinity. By way of example, in some embodiments, such a linkage is covalent or non-covalent.
The term "photocaged moiety," as used herein, refers to a group which, upon illumination at certain wavelengths, covalently or non-covalently binds other ions or molecules.
The term "photoisomerizable moiety," as used herein, refers to a group wherein upon illumination with light changes from one isomeric form to another.
The term "radioactive moiety," as used herein, refers to a group whose nuclei spontaneously give off nuclear radiation, such as alpha, beta, or gamma particles; wherein, alpha particles are helium nuclei, beta particles are electrons, and gamma particles are high energy photons.
The term "spin label," as used herein, refers to molecules which contain an atom or a group of atoms exhibiting an unpaired electron spin (i.e., a stable paramagnetic group) that in some embodiments are detected by electron spin resonance spectroscopy and in other embodiments are attached to another molecule. Such spin-label molecules include, but are
not limited to, nitryl radicals and nitroxides, and in some embodiments are single spin-labels or double spin-labels.
To detect the labels, unless otherwise indicated, conventional methods of mass spectroscopy, NMR, HPLC, protein chemistry, biochemistry, recombinant DNA techniques and pharmacology are employed.
In certain embodiments, the detectable label may include isotope labeling, with
6. Samples and sampling
The methods of the invention involve analyzing one or more samples derived from an individual, such as a mammal (e.g. , a human or a non-human mammal). The sample may be obtained from tissues (e.g. , spleen), cells, or established cell lines thereof, including those of hematopoietic origin, such as a blood sample or B-cell lymphoma, or the sample may be derived from a target issue for which the status of kinase (e.g. , BTK) activity or inhibition is of interest, such as knee lavage from an arthritic knee.
Samples may be obtained once or multiple times from an individual. Multiple samples may be obtained from different locations in the individual (e.g. , blood samples, bone marrow samples and/or tissue samples), at different times from the individual (e.g. , a series of samples taken to monitor response to treatment or to monitor for return of a pathological condition), or any combination thereof.
These and other possible sampling combinations based on the sample type, location and time of sampling allows for the detection of the presence and the status of kinase (e.g. , BTK) inhibition, and by extension, status of diseases, or pre -pathological or pathological conditions.
When samples are obtained as a series, e.g. , a series of whole blood samples obtained after treatment or administration of a kinase (e.g. , BTK) inhibitor, the samples may be obtained at fixed intervals, at intervals determined by the status of the most recent sample or samples, or by other characteristics of the individual, or some combination thereof. For example, samples may be obtained at intervals of approximately 1, 2, 3, 4, 5, 6, 7, 8, 9, 10, 11, 12 hours, at 1, 2, 3, or 4 weeks, at intervals of approximately 1, 2, 3, 4, 5, 6, 7, 8, 9, 10, or 11 months, at intervals of approximately 1, 2, 3, 4, 5, or more than 5 years, or some
combination thereof. It will be appreciated that an interval may not be exact, according to an individual's availability for sampling and the availability of sampling facilities. Thus approximate intervals corresponding to an intended interval scheme are encompassed by the invention.
As an example, an individual who has undergone treatment for a subject disease or condition may be sampled (e.g. , by blood draw) relatively frequently (e.g. , every hour, day, week, month or every three months) for the first six months to a year or two after treatment. Then if no abnormality is found, less frequently (e.g. , at times between six months and a year) thereafter. If, however, any abnormalities or other circumstances are found in any of the intervening times, or during the sampling, sampling intervals may be modified.
Generally, the most easily obtained samples are fluid samples. Fluid samples include normal and pathologic bodily fluids and aspirates of those fluids. Fluid samples also comprise rinses of organs and cavities (lavage and perfusions). Bodily fluids include whole blood, bone marrow aspirate, synovial fluid, cerebrospinal fluid, saliva, sweat, tears, semen, sputum, mucus, menstrual blood, breast milk, urine, lymphatic fluid, amniotic fluid, placental fluid and effusions such as cardiac effusion, joint effusion, pleural effusion, and peritoneal cavity effusion (ascites). Rinses can be obtained from numerous organs, body cavities, passage ways, ducts and glands. Sites that can be rinsed include lungs (bronchial lavage), stomach (gastric lavage), gastrointestinal track (gastrointestinal lavage), colon (colonic lavage), vagina, bladder (bladder irrigation), breast duct (ductal lavage), oral, nasal, sinus cavities, and peritoneal cavity (peritoneal cavity perfusion).
In some embodiments, the sample is a blood sample. In some embodiments, the sample or samples is whole blood sample. In some embodiments, the sample or samples is from a knee lavage. In some embodiments, the sample is a bone marrow sample. In some embodiments, the sample is a lymph node sample. In some embodiments, the sample is cerebrospinal fluid. In some embodiments, combinations of one or more of a blood, bone marrow, cerebrospinal fluid, and lymph node sample are used.
In certain embodiments, solid tissue samples may also be used, either alone or in conjunction with fluid samples. Solid samples may be derived from individuals by any method known in the art, including surgical specimens, biopsies, and tissue scrapings, including cheek scrapings. Surgical specimens include samples obtained during exploratory, cosmetic, reconstructive, or therapeutic surgery. Biopsy specimens can be obtained through numerous methods including bite, brush, cone, core, cytological, aspiration, endoscopic,
excisional, exploratory, fine needle aspiration, incisional, percutaneous, punch, stereotactic, and surface biopsy.
In one embodiment, a sample may be obtained from an apparently healthy individual, such as during a routine checkup, and analyzed so as to provide an assessment of the individual's status of a given kinase or an associated disease or condition.
In another embodiment, a sample may be taken to screen for a subject disease or condition of interest. Such screening may encompass testing for a single disease, a family of related diseases or a general screening for multiple, unrelated diseases. Screening can be performed weekly, biweekly, monthly, bi-monthly, every several months, annually, or in multi year intervals and may replace or complement existing screening modalities.
Certain fluid samples can be analyzed in their native state with or without the addition of a diluent or buffer. Alternatively, fluid samples may be further processed or derived to obtain enriched or purified cell populations prior to analysis. Numerous enrichment and purification methodologies for bodily fluids are known in the art. For example, a common method to separate cells from plasma in whole blood is through centrifugation using heparinized tubes. By incorporating a density gradient, further separation of the lymphocytes (such as B lymphocytes) from the red blood cells can be achieved. A variety of density gradient media are known in the art including sucrose, dextran, bovine serum albumin (BSA), FICOLL diatrizoate (Pharmacia), FICOLL metrizoate (Nycomed), PERCOLL (Pharmacia), metrizamide, and heavy salts such as cesium chloride. Alternatively, red blood cells can be removed through lysis with an agent such as ammonium chloride prior to centrifugation.
Whole blood can also be applied to filters that are engineered to contain pore sizes that select for the desired cell type or class. For example, rare pathogenic cells can be filtered out of diluted, whole blood following the lysis of red blood cells by using filters with pore sizes between 5 to 10 μιη, as disclosed in U.S. patent application publication US 2002- 0028431 Al (incorporated by reference). Alternatively, whole blood can be separated into its constituent cells based on size, shape, deformability or surface receptors or surface antigens by the use of a micro fluidic device as disclosed in U.S. patent application publication US 2006-0134599 Al (incorporated by reference).
Select cell populations can also be enriched for or isolated from whole blood through positive or negative selection based on the binding of antibodies or other entities that recognize cell surface or cytoplasmic constituents.
Solid tissue samples may require the disruption of the extracellular matrix or tissue stroma and the release of single cells for analysis. Various techniques are known in the art including enzymatic and mechanical degradation employed separately or in combination. An example of enzymatic dissociation using collagenase and protease can be found in Wolters et al., "An analysis of the role of collagenase and protease in the enzymatic dissociation of the rat pancreas for islet isolation," Diabetologia, 35:735-742, 1992. Examples of mechanical dissociation can be found in Singh, N P., "Technical Note: A rapid method for the preparation of single-cell suspensions from solid tissues," Cytometry, 31:229-232 (1998). Alternately, single cells may be removed from solid tissue through microdissection including laser capture microdissection as disclosed in Emmert-Buck, M. R. et al., "Laser Capture Microdissection," Science, 274(8):998-1001, 1996. All incorporated herein by reference.
EXAMPLES
Example 1 Improved kinase (BTK) occupancy assay
The BTK kinase occupancy assay described herein has been designed to improve assay sensitivity over the BTK occupancy assay described in Evans (supra), and, due to its much improved sensitivity, permits measurements of BTK occupancy in samples of limited quantity, such as small volumes of blood PBMCs, without the lengthy B-cell isolation process. The improved assay also allows assessment of BTK occupancy in target organ tissue (ex. knee lavage).
The steps described herein is for illustrative purpose only, and can be readily adjusted or changed without departing from the spirit of the invention. Thus the conditions used herein should not be limiting.
1. Coat a 96- well high-binding ELISA plate with 100 rabbit anti-BTK monoclonal antibody (Cell Signaling Cat. #8547S) diluted 1:250 in bicarbonate buffer to each well and incubate overnight at 4°C.
2. Wash plate 3-5 times using lx PBS 0.05% Tween 20 Wash Buffer. Block plate with 300 μΐ^ per well of 3% BSA in PBS for 1 hour at room temperature on orbital shaker.
3. Wash plate 3-5 times using lx PBS 0.05% Tween 20 Wash Buffer. Add 50 μL· proprietary probe (50 nM) to all wells. Add 50 μΐ^ of BTK-containing sample / standard to wells. Total volume in each well is 100 μί, including ligand probe and sample (or
standard). Incubate probe / sample on plate for 2 hours at room temperature on orbital shaker.
4. Wash plate 3-5 times using lx PBS 0.05% Tween 20 Wash Buffer. Add 100 μL· streptavidin-HRP diluted 1:2000 in dilution buffer for 30 minutes at room temperature on orbital shaker, covered in foil.
5. Wash plate 3-5 times using lx PBS 0.05% Tween 20 Wash Buffer. Add 100 μL· biotin-HRP diluted 1:50,000 and incubate 30 minutes at room temperature on orbital shaker, covered in foil.
6. Wash plate 3-5 times using lx PBS 0.05% Tween 20 Wash Buffer. Add 100 μL· TMB reagent to each well and cover plate with aluminum foil. Develop TMB for 15-20 minutes then add 100 μΐ^ of 1.5N sulfuric acid to each well to stop the reaction. Read the plate at 450 nm.
7. Calculate free-BTK in each sample off of rhBTK standard curve, and then % occupancy based on % reduction in free-BTK comparing drug-treated sample to vehicle- treated sample.
As a comparison, the BTK occupancy assay as described in Evans et al. (J.
Pharmacol. Exp. Ther. 346:219-228, 2013) was carried out under similar conditions as described below:
a. Pre-incubate 80 μΐ^ of sample containing free-BTK (ex. spleen lysate) with 80 μL· proprietary probe (200 nM) in a 96-well plate (Thermo Cat. #266120) for 2 hours at room temperature at 450 rpm.
b. Add sample/probe mixture to streptavidin-coated plate (R&D Systems Cat. # CP004) and incubate for 1 hour at room temperature at 450 rpm.
c. Wash plate 3 times using lx PBS 0.05% Tween 20 wash buffer. Add 100 μί. of rabbit anti-BTK monoclonal antibody (Cell Signaling Cat. #8547S) diluted 1: 1000 in buffer to each well and incubate 1 hour at room temperature at 450 rpm.
d. Wash plate 3 times using lx PBS 0.05% Tween 20 wash buffer. Add 100 μί. of goat anti-rabbit IgG conjugated to HRP (Invitrogen Cat. #G21234) diluted 1:5000 in buffer to each well and incubate 1 hour at room temperature at 450 rpm.
e. Wash plate 3 times using lx PBS 0.05% Tween 20 wash buffer. Add 100 μί. TMB reagent to each well and cover plate with aluminum foil. Develop TMB for 15-20
minutes then add 100 μΐ^ 2N sulfuric acid to each well to stop the reaction. Read the plate at 450 nm.
f. Calculate free-BTK in each sample off of rhBTK standard curve, and then % occupancy based on % reduction in free-BTK comparing drug-treated sample to vehicle- treated sample.
The result showed that the subject BTK occupancy assay allowed a robust and sensitive method for assaying free-BTK in biological samples. Figure 2 shows a roughly 20- fold increase in sensitivity when comparing the alternative BTK occupancy assay to the assay described by Evans et al. (J. Pharmacol. Exp. Ther. 346:219-228, 2013), when standard curves were generated using recombinant human BTK in both the original / Evans essay, and the improved occupancy assays described herein.
Specifically, under the assay conditions, the Evans method was able to achieve detection of 50% of the max signal when there is about 100 ng of BTK in the sample. In contrast, the subject method was able to achieve detection of 50% of the max signal when there is about 5 ng of BTK in the sample - an increase of about 20-fold in terms of detection sensitivity.
The data presented herein demonstrates that the improved ELISA architecture described herein for BTK occupancy assay is not only possible, but also allows for increased sensitivity in free BTK measurements. This indicates the possibility of measuring BTK occupancy in smaller volumes of blood and/or in target organs such as arthritic knees, and has implications to improve both clinical and preclinical BTK occupancy measurements.
Example 2 Generation of a standard curve for the improved kinase occupancy assay
A 96- well polystyrene plate was coated with 100
affinity reagent (rabbit anti- hBTK monoclonal antibody; Cell Signaling Cat. #8547S D3H5; diluted 1:250 in carbonate buffer). After an overnight incubation at 4°C, plate was washed with PBS-Tween 20, and coated with 300
of 3% bovine serum albumin (BSA) in PBS to block wells. Dilution buffer consisting of 0.1% BSA in PBS was used to prepare all subsequent reagents. After a 1 hour incubation at room temperature on orbital shaker, plate was washed with PBS-Tween 20, and 50 ligand probe (biotin-conjugated BTK inhibitor) was added at a concentration of 50 nM to all wells, and then 50
binding partner of ligand (rhBTK; Life Technologies #PV3363) was also added to wells, in duplicate, at varying concentrations (see Figure 1A; two-fold dilutions starting at 1600 ng rhBTK per well and ending at 0.00000149 ng rhBTK
per well). Ligand probe and binding partner of ligand together in a total volume of 100 μΐ^ per well were incubated for 2 hours at room temperature on an orbital shaker. Plate was then washed with PBS-Tween 20, and 100 μΐ^ 1st detection probe was added (streptavidin-HRP; Jackson ImmunoResearch # 016-030-084; diluted 1:2000), covered in foil to protect from light, and incubated 30 minutes on an orbital shaker. Plate was then washed with PBS- Tween 20, and 100 μL· 2nd detection probe was added (biotin-HRP; Invitrogen #43-2040; diluted 1:50000), covered in foil to protect from light, and incubated 30 minutes on an orbital shaker. Plate was then washed with PBS-Tween 20, 100 μΐ^ TMB substrate was added (Life Technologies #002023), and the plate was incubated without shaking in the dark for 20 minutes, then 100 μΐ^ 1.5N sulfuric acid was added to each well to stop the reaction.
Absorbance of each well was read with a plate reader at 450 nm (Molecular Devices Spectra Max 190, SoftMax Pro Software v5.2). Graphpad Prism5 software was used to plot the absorbance values.
To generate a standard curve for the occupancy assay of Evans (supra), a 96-well untreated microplate, 80 μΐ^ ligand probe (biotin-conjugated BTK inhibitor; 200 nM) and 80 μL· binding partner of ligand (rhBTK; Life Technologies #PV3363) were mixed for a total volume of 160 μΐ^ per well at varying rhBTK concentrations (two-fold dilutions starting at 1600 ng rhBTK per well and ending at 0.00000149 ng rhBTK per well), and incubated 2 hours at room temperature on an orbital shaker. After the mixing step, the entire 160 μΐ^ mixture was transferred to a strep tavidin-coated plate (R&D Systems # CP004), and incubated for 1 hour at room temperature on orbital shaker. Plate was then washed with PBS-Tween 20, and 100 μΐ^ affinity reagent was added to wells (rabbit anti-hBTK
monoclonal antibody; Cell Signaling #8547S D3H5; diluted 1: 1000) and incubated for 1 hour at room temperature on orbital shaker. Plate was then washed with PBS-Tween 20, and 100 μL· of a secondary detection antibody was added (HRP-conjugated goat-anti-rabbit-IgG; Invitrogen #G21234; diluted 1:5000) and incubated 1 hour at room temperature on orbital shaker. Plate was then washed with PBS-Tween 20, 100 μΐ^ TMB reagent was added, and the plate was incubated without shaking in the dark for 20 minutes, then 100 μΐ^ 2N sulfuric acid was added to each well to stop the reaction. Absorbance of each well was read with a plate reader at 450 nm (Molecular Devices Spectra Max 250, SoftMax Pro Software v4.8). Graphpad Prism5 software was used to plot the absorbance values.
Both assays were run with a standard curve of rhBTK, starting with 1600 ng rhBTK and utilizing two-fold dilutions for a total of 32 points including diluent only for 0 ng rhBTK.
Comparing the dynamic range of the two assays, the subject assay exhibits a 3-fold larger assay dynamic range: Δ3.76 absorbance units in Alternative assay versus Δ1.24 absorbance units in the Evans assay. Comparing the sensitivities of the two assays, the subject assay exhibits a 20-fold increase in sensitivity when compared to the Evans assay: mid-point of subject assay curve ~5 ng rhBTK versus mid-point of the Evans assay curve -100 ng.
Altogether, the data here show the subject assay allows a robust and sensitive method for assaying free-BTK in biological samples, which can be used to assess % occupancy in samples containing ligand-bound BTK.
Example 3 Percent BTK occupancy in multiple biological compartments
Rats were dosed with Vehicle or a BTK inhibitor and euthanized 2 hours post-dosing. Spleens, B-cells, PBLs, and knee lavages were collected 2 hours post-dosing for occupancy measurements. Spleens and circulating B-cells were collected from dosed naive rats, while PBLs and knee lavages were collected from dosed arthritic rats (collagen-induced arthritis). Samples were run using the subject method, using a standard curve generated from pooled naive spleen B-cell homogenate. This data suggests that, with the enhanced assay sensitivity, target engagement (i.e., BTK occupancy) can be detected in very small amounts of samples from the various relevant biological compartments, such as an arthritic knee of an
experimental rat.
Collecting of the various biological samples is described in detail below.
Spleen: Rat spleens were flash-frozen at time of euthanasia and stored at -80°C prior to homogenization. To homogenize: on wet ice, protease inhibitor solution was added to frozen spleens in glass homogenizer vials, and held on wet ice to thaw slightly. Glass rod A was used to roughly crush spleen, followed with rod B to completely homogenize.
Homogenized samples were poured into a 15 mL conical vial, then spun down at 4°C for 20 minutes at 2000 rpm. Supernatant was removed and stored in polypropylene 96-well plates at -80 C. 1 μΐ^ spleen lysate was used per well of occupancy assay.
Circulating B-cells: Rat whole blood was collected in heparinized tubes, mixed with IX Pharm Lyse™ (BD 555899) and incubated at 37°C in the dark for 15 minutes. Cells were spun down for 5 minutes at 1000 rpm at room temperature, supernatant removed, and cells re-suspended in IX Pharm Lyse. After spinning down for 5 minutes at 1000 rpm at room temperature, supernatant was removed and cells were re- suspended in BD Stain Buffer (554656). Cells were then strained (70 μιη - BD 352350), counted using a Cellometer and
spun down at 1000 rpm for 5 minutes at 4°C, then re-suspended in 80 of cold Miltenyi Buffer (MACS BSA Stock Solution [130-091-376] diluted in autoMACS™ Rinsing Solution [130-091-222]). CD45R MicroBeads (Miltenyi 130-090-495) were added and cells mixed then incubated for 30 minutes on ice, washed in buffer, then spun down at 1000 rpm for 5 minutes at 4°C. Supernatant was then completely removed and cells re-suspended in buffer, MS columns placed in MACS Separators and rinsed with buffer, and cell suspensions applied to columns. Columns were then washed with buffer, removed, and placed in 5 mL FACS collection tube. Labeled cells were eluted by applying 1 mL of buffer to column and applying positive pressure with plunger. Unlabeled flow-through cells and labeled cell suspensions were transferred to 1.5 mL Eppendorf tubes and spun for 5 minutes at 5,000 g at 4°C, supernatant removed, and labeled cell pellets re- suspended in 45 of cell lysis buffer (R&D Systems sample diluent [DYC002] supplemented with IX protease inhibitors
[Calbiochem 539134]). Flow-through cell pellets were then lysed in 450 of cell lysis buffer for 20 minutes, then stored at -80°C and then cleared by spinning at 12,0000 g for 10 minutes at 4°C prior to analysis in occupancy ELISA. 5 μΐ^ PBL lysate was used per well of occupancy assay.
Knee lavage: Two hours post dosing BTK inhibitor, left and right knees were lavaged to collect cell infiltrate, red blood cells lysed with Gey's solution, and cell pellet resuspended in 500 μΐ^ FACS buffer. Lavages from 5 rats were pooled into one sample, for a total of 3 samples for each occupancy measurement. After counting total cell number, cells were spun down and lysed in 200 μΐ^ cell lysis buffer supplemented with protease inhibitors. Lysate was stored at -80°C and then cleared by spinning at 12,0000 g for 10 minutes at 4°C prior to analysis in occupancy ELISA, and 6.25 μΐ^ of knee lavage pool was used per well of occupancy assay.
Peripheral blood leukocytes (PBL): Two hours post dosing BTK inhibitor, rat whole blood was collected in heparinized tubes and pooled 4 mL per 50 mL tube, mixed with IX Pharm Lyse™ (BD 555899) and incubated at 37°C in the dark for 15 minutes. Peripheral blood leukocytes were spun down for 5 minutes at 1000 rpm at RT (room temperature). Supernatant was removed and PBLs re-suspended in IX Pharm Lyse. PBLs were spun down for 5 minutes at 1000 rpm at room temparture. Supernatant was removed and cells resuspended with BD Stain Buffer (554656), then resuspended in FACS buffer and counted via hemacytometer. Supernatant was removed and cell pellets re- suspended in 100 of cell lysis buffer, then lysates incubated on ice for 20 minutes then stored at -80°C and then clear
by spinning at 12,0000 g for 10 minutes at 4°C prior to analysis in occupancy ELISA, and 1.5 μL· PBL lysate was used per well of occupancy assay.
Claims
1. A method for measuring binding between a ligand and a binding partner of the ligand in a sample, the method comprising:
(1) contacting the sample with an affinity reagent that specifically binds the
binding partner, in the presence of a ligand probe, and allowing binding to occur between the affinity reagent and the binding partner, wherein a first percentage of the binding partner in the sample is bound by the ligand, and a second percentage of the binding partner in the sample is bound by the ligand probe;
(2) contacting binding partner bound by the affinity reagent with a first detection probe, wherein one of said first detection probe and said ligand probe comprises a multivalent agent, and allowing binding to occur between said first detection probe and said ligand probe through the multivalent agent;
(3) optionally, contacting the multivalent agent with a second detection probe comprising a second detectable label and a second moiety that binds to the multivalent agent, and allowing binding to occur between the multivalent agent and the second moiety on the second detection probe;
(4) detecting the presence or measuring the amount of the first detection probe or the second detectable label, thereby measuring binding between the ligand and the binding partner.
2. The method of claim 1, wherein said first detection probe comprises the multivalent agent.
3. The method of claim 1, wherein said ligand probe comprises the multivalent agent.
4. The method of claim 1, wherein the binding partner is an enzyme.
5. The method of claim 1, wherein the binding partner is a protein kinase (e.g. , BTK, BLK, EGFR1, HER2/ERBB2, HER3/Erb-B3, ERBB4, JAK3, TEC, BMX, ITK, LKB 1, and TXK).
6. The method of claim 2, wherein the ligand probe comprises a first moiety covalently linked to the ligand, wherein the first moiety binds to the multivalent agent.
7. The method of claim 3, wherein the first detection probe comprises a first moiety that binds to the multivalent agent, and a first detectable label.
8. The method of claim 6, wherein the first moiety is the same from the second moiety in the second detection probe.
9. The method of claim 6 or 7, wherein the ligand comprises a substrate or a substrate analog of the enzyme or the kinase, or an inhibitor of the enzyme or the kinase.
10. The method of claim 9, wherein the inhibitor binds in the ATP-binding site of the kinase.
11. The method of claim 10, wherein the inhibitor is covalently linked to the kinase via Michael reaction.
12. The method of claim 11, and the inhibitor is covalently linked to the thiol group of a cysteine residue corresponding to Cys481 of the human BTK, isoform 1.
13. The method of claim 9, wherein the inhibitor inhibits a phosphorylated or active
conformation of BTK.
14. The method of claim 1, wherein the affinity reagent is an antibody, an antigen-binding portion of an antibody, a nanobody, or a DVD-Ig.
15. The method of claim 14, wherein binding between the antibody and the binding
partner does not substantially affect binding between the binding partner and the ligand or the ligand probe.
16. The method of claim 1, wherein the percentage of the binding partner bound by the ligand is 100%, or is less than 100%, 90%, 80%, 70%, 60%, 50%, 40%, 30%, 20%, 10%, 5%, 3%, 2%, 1% or less.
17. The method of claim 1, wherein the first detection probe further comprises a first detectable label.
18. The method of claim 17, wherein the first detectable label is the same as the second detectable label of the second detection probe.
19. The method of claim 1, wherein the multivalent agent is streptavidin (SA) or avidin.
20. The method of claim 1, wherein the multivalent agent is an antibody (e.g. , a bi- specific Ab, or an Ab having multiple Ag-binding fragments - IgA, IgM etc.).
21. The method of claim 1, wherein the first detectable label and/or the second detectable label is a dye, a photocrosslinker, a cytotoxic compound, a drug, an affinity label, a photo affinity label, a reactive compound, an antibody or antibody fragment, a
biomaterial, a nanoparticle, a spin label, a fluorophore, a metal-containing moiety, a radioactive moiety, a novel functional group, a group that covalently or noncovalently interacts with other molecules, a photocaged moiety, an actinic radiation excitable moiety, a ligand, a photoisomerizable moiety, biotin, a biotin analogue, a moiety incorporating a heavy atom, a chemically cleavable group, a photocleavable group, a redox-active agent, an isotopically labeled moiety, a biophysical probe, a
phosphorescent group, a chemiluminescent group, an electrochemiluminescent group (e.g. , an MSD SULFO-TAG type electrochemiluminescent group), an enzyme, an electron dense group, a magnetic group, an intercalating group, a chromophore, an energy transfer agent, a biologically active agent, or a combination thereof.
22. The method of claim 1, wherein the first detectable label and/or the second detectable label comprises a fluorophore, such as a Bodipy fluorophore.
23. The method of claim 1, wherein the first detectable label and/or the second detectable label comprises an enzyme, such as HRP, peroxidase (POD), glucose oxidase (GOD), invertase (INV), β-D-galactosidase (BGase), glucose-6-phosphate dehydrogenase (G6PDH), or alkaline phosphatase (ALP).
24. The method of claim 23, wherein the first detectable label and/or the second
detectable label comprises an HRP, and wherein the method further comprises contacting the HRP with a biotinylated tyramide to produce an activated tyramide.
25. The method of claim 24, further comprising detecting / measuring / quantitating the activated tyramide by adding a streptavidin-labeled fluorophore, or a combination of a streptavidin-labeled peroxidase (e.g. , HRP) and a chromogenic reagent, wherein the chromogenic reagent is preferably 3,3',5,5'-tetramethylbenzidine (TMB).
26. The method of claim 1, wherein the sample is derived from a small volume of body fluid (e.g. , blood sample, knee lavage from an arthritic knee).
27. The method of claim 1, wherein the sample is a lysate of a tissue (e.g. , biopsy, animal tissue, clinical sample, such as spleen homogenates), a lysate of isolated cells (e.g. , B cells or PBMCs isolated / purified / enriched from whole blood sample), or a lysate of a cell culture.
28. The method of claim 1, wherein the sample is thawed from storage at -20°C, -80°C, or in liquid nitrogen.
29. The method of claim 1, wherein the affinity reagent is immobilized on a solid support (e.g. , a multi-well ELISA plate, or a resin bead for a column).
30. The method of claim 29, further comprising blocking the immobilized affinity reagent with a blocking agent (e.g. , BSA) prior to step (1).
31. The method of claim 29, further comprising removing binding partner unbound by the affinity reagent after step (1).
32. The method of claim 29, further comprising removing ligand probe unbound by the binding partner after step (1).
33. The method of claim 29, further comprising removing the first detection probe after step (2) and before step (3).
34. The method of claim 29, further comprising removing the second detection probe after step (3) and before step (4).
35. The method of claim 1, further comprising carrying out steps (1), (2), and (4), and optionally step (3), using a control sample comprising a pre-determined amount of the binding partner having a pre-determined portion thereof bound by the ligand.
36. The method of claim 35, comprising carrying out steps (1), (2), and (4), and
optionally step (3), multiple times, either in parallel or sequentially, using two or more control samples having the same pre-determined amount of the binding partner but different pre-determined proportions bound by the ligand, in order to construct a standard curve.
37. The method of claim 1, wherein step (4) is carried out using chemiluminescent
(including ECL), electrochemiluminescent (e.g. , MSD SULFO-TAG based electrochemiluminescent), surface plasmon resonance (SPR)-based biosensor (e.g. , BIAcore), flow cytometry, ELISA, or Western blot.
38. A method for assessing or predicting efficacy for a potential BTK inhibitor in a
mammal, the method comprising: using the method of claim 1, measuring the binding between the ligand and the binding partner in a sample derived from the mammal, wherein the ligand is the potential BTK inhibitor, the binding partner is BTK from the mammal, and the mammal has BTK inhibitor-naive baseline measurements or previously been administered the potential BTK inhibitor, wherein a higher level /
extent of binding between the potential BTK inhibitor and BTK is predictive of a higher level of efficacy.
39. A method for assessing the pharmacodynamics (PD) of a BTK inhibitor in a mammal, the method comprising: using the method of claim 1, measuring the binding between the ligand and the binding partner, from a series of samples each derived from a different time point following administering the mammal with the ligand, wherein the ligand is the BTK inhibitor, and the binding partner is BTK from the mammal.
40. A method for identifying a desired dose of a BTK inhibitor for achieving a predetermined level of binding between the BTK inhibitor and BTK in a mammal, the method comprising: using the method of claim 1, measuring the binding between the ligand and the binding partner in a sample derived from the mammal, wherein the ligand is the BTK inhibitor, the binding partner is BTK from the mammal, and the mammal has previously been administered a candidate dose of the BTK inhibitor, wherein a level of measured binding lower than the pre-determined level is indicative that a dose higher than the candidate dose is required to achieve the desired dose, and wherein a level of measured binding higher than the pre-determined level is indicative that a dose lower than the candidate dose is required to achieve the desired dose.
41. The method of claim 40, further comprising repeating the method using a higher or lower candidate dose.
42. A ligand probe comprising a first moiety or a multivalent agent covalently linked to a ligand, wherein the first moiety binds to the multivalent agent, and wherein the ligand probe is represented by the following structure: X - L - M, wherein X is the ligand, M is the first moiety or the multivalent agent, and L is a linker moiety that covalently joins the ligand to the first moiety or the multivalent agent.
Applications Claiming Priority (2)
| Application Number | Priority Date | Filing Date | Title |
|---|---|---|---|
| US201462024780P | 2014-07-15 | 2014-07-15 | |
| US62/024,780 | 2014-07-15 |
Publications (1)
| Publication Number | Publication Date |
|---|---|
| WO2016010961A1 true WO2016010961A1 (en) | 2016-01-21 |
Family
ID=55078961
Family Applications (1)
| Application Number | Title | Priority Date | Filing Date |
|---|---|---|---|
| PCT/US2015/040269 Ceased WO2016010961A1 (en) | 2014-07-15 | 2015-07-14 | Enzyme occupancy assay |
Country Status (1)
| Country | Link |
|---|---|
| WO (1) | WO2016010961A1 (en) |
Cited By (8)
| Publication number | Priority date | Publication date | Assignee | Title |
|---|---|---|---|---|
| WO2016094628A1 (en) * | 2014-12-11 | 2016-06-16 | Merck Patent Gmbh | Assays for btk inhibitors |
| CN106405086A (en) * | 2016-09-21 | 2017-02-15 | 四川大学华西医院 | Lung cancer screening kit |
| CN106680484A (en) * | 2016-11-15 | 2017-05-17 | 中国农业大学 | ELISA (enzyme-linked immuno sorbent assay) detection kit for analyzing residual carbaryl and application thereof |
| CN110706739A (en) * | 2019-08-26 | 2020-01-17 | 浙江工业大学 | A protein conformation space sampling method based on multimodal internal and external crossover |
| CN113588612A (en) * | 2021-07-27 | 2021-11-02 | 中国科学院成都生物研究所 | ATP (adenosine triphosphate) online detection method and device |
| CN114200145A (en) * | 2022-02-18 | 2022-03-18 | 上海益诺思生物技术股份有限公司 | Method and kit for detecting tyrosine kinase concentration |
| WO2023081000A1 (en) * | 2021-11-03 | 2023-05-11 | Simbiosys, Inc. | Metabolic modeling for disease prognosis and treatment |
| WO2023183625A3 (en) * | 2022-03-25 | 2023-11-09 | The Johns Hopkins University | Biosensor and uses thereof |
Citations (4)
| Publication number | Priority date | Publication date | Assignee | Title |
|---|---|---|---|---|
| WO2013059738A2 (en) * | 2011-10-19 | 2013-04-25 | Pharmacyclics, Inc. | Use of inhibitors of bruton's tyrosine kinase (btk) |
| US20130108618A1 (en) * | 2011-10-28 | 2013-05-02 | University Of Maryland | METHODS AND COMPOSITIONS RELATED TO INTRACELLULAR NEUTRALIZATION BY IgG |
| WO2014059368A1 (en) * | 2012-10-11 | 2014-04-17 | Pharmacyclics, Inc. | Companion diagnostics for tec family kinase inhibitor therapy |
| US20140134265A1 (en) * | 2012-11-02 | 2014-05-15 | Pharmacyclics, Inc. | Tec family kinase inhibitor adjuvant therapy |
-
2015
- 2015-07-14 WO PCT/US2015/040269 patent/WO2016010961A1/en not_active Ceased
Patent Citations (4)
| Publication number | Priority date | Publication date | Assignee | Title |
|---|---|---|---|---|
| WO2013059738A2 (en) * | 2011-10-19 | 2013-04-25 | Pharmacyclics, Inc. | Use of inhibitors of bruton's tyrosine kinase (btk) |
| US20130108618A1 (en) * | 2011-10-28 | 2013-05-02 | University Of Maryland | METHODS AND COMPOSITIONS RELATED TO INTRACELLULAR NEUTRALIZATION BY IgG |
| WO2014059368A1 (en) * | 2012-10-11 | 2014-04-17 | Pharmacyclics, Inc. | Companion diagnostics for tec family kinase inhibitor therapy |
| US20140134265A1 (en) * | 2012-11-02 | 2014-05-15 | Pharmacyclics, Inc. | Tec family kinase inhibitor adjuvant therapy |
Cited By (10)
| Publication number | Priority date | Publication date | Assignee | Title |
|---|---|---|---|---|
| WO2016094628A1 (en) * | 2014-12-11 | 2016-06-16 | Merck Patent Gmbh | Assays for btk inhibitors |
| US10012650B2 (en) | 2014-12-11 | 2018-07-03 | Merck Patent Gmbh | Assays for BTK inhibitors |
| CN106405086A (en) * | 2016-09-21 | 2017-02-15 | 四川大学华西医院 | Lung cancer screening kit |
| CN106680484A (en) * | 2016-11-15 | 2017-05-17 | 中国农业大学 | ELISA (enzyme-linked immuno sorbent assay) detection kit for analyzing residual carbaryl and application thereof |
| CN110706739A (en) * | 2019-08-26 | 2020-01-17 | 浙江工业大学 | A protein conformation space sampling method based on multimodal internal and external crossover |
| CN110706739B (en) * | 2019-08-26 | 2021-10-29 | 浙江工业大学 | A protein conformation space sampling method based on multimodal internal and external crossover |
| CN113588612A (en) * | 2021-07-27 | 2021-11-02 | 中国科学院成都生物研究所 | ATP (adenosine triphosphate) online detection method and device |
| WO2023081000A1 (en) * | 2021-11-03 | 2023-05-11 | Simbiosys, Inc. | Metabolic modeling for disease prognosis and treatment |
| CN114200145A (en) * | 2022-02-18 | 2022-03-18 | 上海益诺思生物技术股份有限公司 | Method and kit for detecting tyrosine kinase concentration |
| WO2023183625A3 (en) * | 2022-03-25 | 2023-11-09 | The Johns Hopkins University | Biosensor and uses thereof |
Similar Documents
| Publication | Publication Date | Title |
|---|---|---|
| WO2016010961A1 (en) | Enzyme occupancy assay | |
| US10842803B2 (en) | Imidazopyridines Syk inhibitors | |
| EP1891446B1 (en) | Process for the identification of novel enzyme interacting compounds | |
| US9567348B2 (en) | Substituted pyrazolo[1,5-a]pyrimidines as Syk inhibitors | |
| JP2024016122A (en) | Compositions and methods related to K180 dimethylated H1.0 protein | |
| JP2009539081A (en) | Methods for identification of ZAP-70 interacting molecules and purification of ZAP-70 | |
| KR20150065871A (en) | Companion diagnostics for tec family kinase inhibitor therapy | |
| JP2012044996A (en) | Assay and kit for detecting protein binding | |
| US9146233B2 (en) | Detecting molecular interactions by fluorescence resonance energy transfer on a solid-phase support | |
| JP4932835B2 (en) | Identification of novel compounds that interact with enzymes | |
| CN101042402A (en) | Autoantibody detection for cancer diagnostics | |
| US20140186293A1 (en) | Immunoglobulin-bound extracellular vesicles and uses thereof | |
| WO2001011367A1 (en) | Method of assyaing phosphorylation enzyme activity of cyclin/cdk complex | |
| WO2016100593A1 (en) | Methods and assays for quantification and normalization of kinase and ligand binding | |
| US20190212340A1 (en) | An elisa-like assay for quantifying enzymatic activities of mono-adp-ribosyltransferases | |
| JP6214449B2 (en) | Method for measuring kinase activity | |
| JP4628418B2 (en) | Autoantibody detection for cancer diagnosis | |
| JP2008289374A (en) | Novel substrate polypeptides for protein kinases | |
| US20200018750A1 (en) | Methods and compositions for the prediction and treatment of focal segmental glomerulosclerosis | |
| US20110136131A1 (en) | Method for measuring enzyme activity and column for use in measuring enzyme activity | |
| HK1115631B (en) | Process for the identification of novel enzyme interacting compounds |
Legal Events
| Date | Code | Title | Description |
|---|---|---|---|
| 121 | Ep: the epo has been informed by wipo that ep was designated in this application |
Ref document number: 15821257 Country of ref document: EP Kind code of ref document: A1 |
|
| NENP | Non-entry into the national phase |
Ref country code: DE |
|
| 122 | Ep: pct application non-entry in european phase |
Ref document number: 15821257 Country of ref document: EP Kind code of ref document: A1 |


















