WO2016001697A1 - Systems and methods for geologic surface reconstruction using implicit functions - Google Patents
Systems and methods for geologic surface reconstruction using implicit functions Download PDFInfo
- Publication number
- WO2016001697A1 WO2016001697A1 PCT/IB2014/001401 IB2014001401W WO2016001697A1 WO 2016001697 A1 WO2016001697 A1 WO 2016001697A1 IB 2014001401 W IB2014001401 W IB 2014001401W WO 2016001697 A1 WO2016001697 A1 WO 2016001697A1
- Authority
- WO
- WIPO (PCT)
- Prior art keywords
- data
- geologic
- node
- data source
- value
- Prior art date
- Legal status (The legal status is an assumption and is not a legal conclusion. Google has not performed a legal analysis and makes no representation as to the accuracy of the status listed.)
- Ceased
Links
Classifications
-
- G—PHYSICS
- G01—MEASURING; TESTING
- G01V—GEOPHYSICS; GRAVITATIONAL MEASUREMENTS; DETECTING MASSES OR OBJECTS; TAGS
- G01V1/00—Seismology; Seismic or acoustic prospecting or detecting
- G01V1/28—Processing seismic data, e.g. for interpretation or for event detection
- G01V1/30—Analysis
- G01V1/301—Analysis for determining seismic cross-sections or geostructures
-
- G—PHYSICS
- G01—MEASURING; TESTING
- G01V—GEOPHYSICS; GRAVITATIONAL MEASUREMENTS; DETECTING MASSES OR OBJECTS; TAGS
- G01V2210/00—Details of seismic processing or analysis
- G01V2210/60—Analysis
- G01V2210/64—Geostructures, e.g. in 3D data cubes
- G01V2210/642—Faults
Definitions
- the present invention relates generally to seismic exploration and, more particularly, to systems and methods for geologic surface reconstruction using implicit functions.
- Seismic exploration is a method of detecting geologic structures below the surface of the earth by analyzing seismic energy that has interacted with the geologic structures.
- a seismic energy source (or “source") imparts a force at the surface of the earth.
- the resulting mechanical stress propagates according to the elastic properties of the subsurface, and is at least partially reflected by subsurface seismic reflectors (interfaces between geologic structures that have different acoustic impedances).
- Seismic receivers placed at or near the earth's surface, within bodies of water, or below the earth's surface in wellbores, record the ground motion or fluid pressure resulting from the reflection.
- the recordings are processed to generate information about the location and physical properties of the subsurface geologic structures that reflected the seismic energy.
- seismic sources and receivers are distributed at a distance from each other.
- the seismic sources are activated to produce seismic waves that travel through the subsoil. These seismic waves undergo deviations as they propagate. They are refracted, reflected, and diffracted at the geological interfaces of the subsoil. Certain waves that have travelled through the subsoil are detected by seismic receivers and are recorded as a function of time in the form of signals (called "traces"). The recorded signals then are processed by a migration operation to obtain an image of underground geological structures.
- the migration operation converges reflections recorded along the corresponding interfaces.
- a migration operation is an inversion operation involving rearrangement of seismic information elements so that reflections and diffractions are plotted at their true locations. The need for this arises since variable velocities and dipping horizons cause these elements to be recorded at surface positions different from the subsurface positions.
- Migration may be accomplished by integration along diffraction curves (called “Kirchhoff migration"), by numerical finite-difference or phase-shift downward-continuation of the wavefield, and by equivalent operations in frequency- wavenumber or other domains (called “frequency-domain migration”). Lateral variation of velocity may affect migration, and ray tracing may generally be used to determine migrated positions.
- the geological surface reconstruction is one of the first steps in geological model building.
- the final precision of the subsurface model depends on the surface reconstruction precision.
- a wide variety of methods are currently used in the geo-modeling software to reconstruct surfaces separating different rock layers (called “horizons") and planar fractures or discontinuities in a volume of rock (called “faults”). Most of them, however, use two-dimensional (2D) grid-based approaches that cannot reconstruct complex geological formations such as salt domes or thrust faults.
- the currently-used methods are ill-suited to handling data relating to the coordinates of points on the surface, to fixed orientations of the surface, or to geometrical links between two separate points.
- these methods are ill-suited to a wide range of surfaces or to surface anomalies, such as folds and breaks, and to discontinuous surfaces.
- the functions used in these techniques are not convergent or have no solution or no single solution.
- the known techniques are not able to take into account the concept of the degree of certainty with which some surface data is known.
- Data related to interface surfaces also is obtained by boring a subsurface hole or well and making one or more physical measurements as a function of depth in the borehole. For example, such measurements may be made by means of sondes or probes carrying sensors, which are lowered into the borehole by a cable. Such measurements also may be made above ground by studying samples collected from the borehole. Examples of such measurements include electrical or thermal measurements (for example, conductivity, resistivity, thermal conductivity), acoustic measurements (for example, sonic), nuclear measurements (for example, natural radioactivity, neutron log), or other measurements (for example, hole size, temperature, brittleness, hardness, modulus of elasticity, crystal structure, composition).
- electrical or thermal measurements for example, conductivity, resistivity, thermal conductivity
- acoustic measurements for example, sonic
- nuclear measurements for example, natural radioactivity, neutron log
- other measurements for example, hole size, temperature, brittleness, hardness, modulus of elasticity, crystal structure, composition.
- the data collected from the borehole is referred to collectively as a well log or a bore log. Similar to the migrated seismic data, the well log may be used to reconstruct interface surfaces. Further, data points collected from well logs are often more accurate than data points based on seismic data, however, the cost per data point in a well log is significantly higher than the cost per data point based on seismic data. Accordingly, it is not economically viable to reconstruct an interface surface entirely from well logs.
- the present invention is directed to alleviating the drawbacks of the currently used methods and to proposing systems and methods that can allow for non-homogeneous or highly diverse geometrical data and, for the anomalies described above and other anomalies, providing a less ambiguous model of the surface with an improved combination of accuracy and economic viability as compared to currently-used methods.
- another object of the invention is to propose a process that can use geometrical data based on the degree of certainty or accuracy of such data.
- the methods may include receiving geologic data from a data source.
- the geologic data may represent a region of earth.
- the methods may include generating a grid to represent the region of earth.
- the grid may include a plurality of nodes that define a plurality of cells.
- the methods may include determining a value of an implicit function at each node of the plurality of nodes using a minimum function energy constraint and the geologic data received from the data source.
- the methods may include generating a graphical representation of a geologic surface in the region of earth based on the value of the implicit function at each node of the plurality of nodes.
- the systems may include a computing system.
- the computing system may be configured to receive geologic data from a data source.
- the geologic data may represent a region of earth.
- the computing system may be configured to generate a grid to represent the region of earth.
- the grid may include a plurality of nodes that define a plurality of cells.
- the computing system may be configured to determine a value of an implicit function at each node of the plurality of nodes using a minimum function energy constraint and the geologic data received from the data source.
- the computing system may be configured to generate a graphical representation of a geologic surface in the region of earth based on the value of the implicit function at each node of the plurality of nodes.
- non- transitory computer-readable media storing computer-readable instructions that, when executed by a processing system, may instruct the processing system to perform processes for reconstructing a geologic surface from geologic data now are described.
- the computer- readable instructions may instruct the processing system to perform a process of receiving geologic data from a data source.
- the geologic data may represent a region of earth.
- the computer-readable instructions may instruct the processing system to perform a process of generating a grid to represent the region of earth.
- the grid may include a plurality of nodes that define a plurality of cells.
- the computer-readable instructions may instruct the processing system to perform a process of determining a value of an implicit function at each node of the plurality of nodes using a minimum function energy constraint and the geologic data received from the data source.
- the computer-readable instructions may instruct the processing system to perform a process of generating a graphical representation of a geologic surface in the region of earth based on the value of the implicit function at each node of the plurality of nodes.
- FIGURE 1 illustrates a flowchart of an example method for geologic surface reconstruction using implicit functions in accordance with some embodiments of the present disclosure
- FIGURE 2 illustrates a flowchart of an example method for determining values of the implicit function in accordance with some embodiments of the present disclosure
- FIGURE 3 illustrates a flowchart of an example method for generating a representation of a geologic surface in accordance with some embodiments of the present disclosure
- FIGURE 4 illustrates isometric diagrams of example positions and orientations of polygons in a cubic cell used in a marching cubes method in accordance with some embodiments of the present disclosure
- FIGURE 5 illustrates an example result of the surface reconstruction process of FIGURE 1 applied in two dimensions in accordance with some embodiments of the present disclosure
- FIGURE 6 illustrates another example result of the surface reconstruction process of FIGURE 1 applied in two dimensions in accordance with some embodiments of the present disclosure.
- FIGURE 7 illustrates a schematic diagram of an example system configured to reconstruct a geologic surface from geologic data in accordance with some embodiments of the present disclosure.
- Systems and methods described herein may reconstruct a geological surface from seismic data and well logs based on a number of mathematical constraints. Rather than satisfying these constraints exactly, a compromise between the constraints is determined, which may produce a geological surface reconstruction with greater accuracy than currently-used methods.
- At least two general types of mathematical constraints may be utilized.
- a first type of mathematical constraint used in some embodiments is an input data set itself (referred to herein as an "input data point constraint").
- a second type of mathematical constraint used in some embodiments is based on the concept of function energy (referred to herein as a "minimum function energy constraint").
- the input data point constraint includes a number of two-dimensional (2D) data points (x, y) or three-dimensional (3D) data points (x, y, z), depending on the dimensionality being studied, through which the reconstructed surface should pass.
- data points may be drawn from migrated seismic data, well logs, or data sets collected using other suitable data collection method.
- a system such as computing system 710 (discussed with reference to FIGURE 7 below), may perform a surface reconstruction process using such data points to determine an implicit function that may be further used to generate a representation of a geological surface (discussed with reference to FIGURE 1 below).
- FIGURE 1 illustrates a flowchart of an example method 100 for geologic surface reconstruction using implicit functions in accordance with some embodiments of the present disclosure.
- Using implicit functions to reconstruct geologic surfaces may provide improved interfacial surface location information and may streamline data processing.
- the processes of the method of FIGURE 1 may be performed by a user, various computer programs, models, systems configured to simulate, design, and analyze data from seismic exploration signal systems, apparatuses, or devices, or any combination thereof.
- the programs and models may include instructions stored on a computer-readable medium and may, when executed, instruct a processor or other suitable device to perform one or more of the processes described above.
- the computer-readable media may include any system, apparatus, or device configured to store and retrieve programs or instructions such as a hard disk drive, a compact disc, flash memory, or any other suitable device.
- the programs and models may be configured to direct a processor or other suitable device to retrieve and execute the instructions from the computer-readable media.
- Collectively, the user or computer programs and models used to simulate, design, and analyze data from seismic exploration systems may be referred to as a "computing system.”
- the computing system obtains, compiles, or otherwise receives one or more sets of data points from different sources of collected data, also called “geologic data” or a “geologic data set.”
- the computing system may utilize a component such as processing system 714 (discussed with reference to FIGURE 7 below) to perform S102.
- Data collection sources may include migrated seismic data compiled from receivers disposed within a wellbore or receivers disposed on or close to the earth's surface, well log data from sensors disposed within a wellbore, or any other suitable data collection source. Certain sources of collected geologic data may be associated with different trust levels.
- data points drawn from migrated seismic data based on seismic data collected by a seismic receiver disposed within a well bore may be assigned a greater trust level than data points drawn from migrated seismic data based on seismic data collected by a seismic receiver disposed above ground.
- data points drawn from a well log may be assigned a greater trust level than data points drawn from migrated seismic data.
- Data points that are assigned a higher trust level may be data points that are expected to be more accurate than data points that are assigned a lower trust level. Because seismic data often requires complex analysis and interpretation, such data may be less accurate than well log data that has been directly measured.
- a computing system may obtain only a few data points drawn from well logs but may obtain thousands of data points drawn from migrated seismic data due to the relative cost differences between acquiring seismic data and acquiring well logs.
- greater weight is given to the more highly trusted (and possibly more accurate) well log data points than to the less highly trusted (and possibly less accurate) migrated seismic data points, which may result in a more accurate reconstruction of interfacial surfaces.
- weighting by trust level may help to reduce dependence on suspect data. This concept of weighting based on trust level is described in more detail below.
- the migrated seismic data and the well logs may provide information regarding the shape or position of underground surfaces, such as surfaces defined by geologic interfaces, at various locations throughout the subsurface region being studied.
- the shape or position information may be used in the manner described below to establish boundary values for determining the shape of surfaces, such as interfacial surfaces, at intermediate positions between the positions of the input data points.
- the computing system generates a grid or mesh to represent the underground or subsurface region to be reconstructed.
- the computing system may utilize a component such as processing system 714 to perform S104.
- the grid, or mesh may include a plurality of cells with a variety of shapes, such as hexahedra, prisms, pyramids, tetrahedra, or any other suitable shapes.
- 3D grids for 3D reconstruction of interfaces may utilize 3D finite elements.
- each cell may by defined by a plurality of nodes that form vertices of the cell, nodal lines that connect pairs of neighboring nodes and form edges of the cell, and nodal planes that connect co-planar nodal lines and form faces of the cell.
- Each cell may have a volume V.
- the 3D grid may be defined by the nodes.
- the cells may all be the same size or may have various sizes.
- the minimum function energy constraint is analogous to the concept of minimum bending energy, which may be explained with respect to a thin plate.
- the thin plate When a thin plate is exposed to mechanical deformation, the thin plate will deform into the shape that has the lowest possible potential energy given external and internal constraints on the thin plate. Specifically, the thin plate will avoid bending where possible and relax to a state with the least possible amount of deformation in an effort to minimize stored potential energy via bending. This is referred to as minimizing bending energy.
- a thin plate such as a thin sheet of metal
- the metal will resist bending between the poles so that the thin sheet of metal smoothly changes in height between each pole.
- the minimum function energy constraint is analogous to the minimum bending energy described above.
- the function energy E( f ) may be a measure of the smoothness of some function /, such that the function energy E(f) for a 2D system in a given region is described by the following equation:
- Equation (1) may be used to solve for a smooth function / (x) with few discontinuities.
- the concept of minimum function energy is utilized during the process of surface reconstruction.
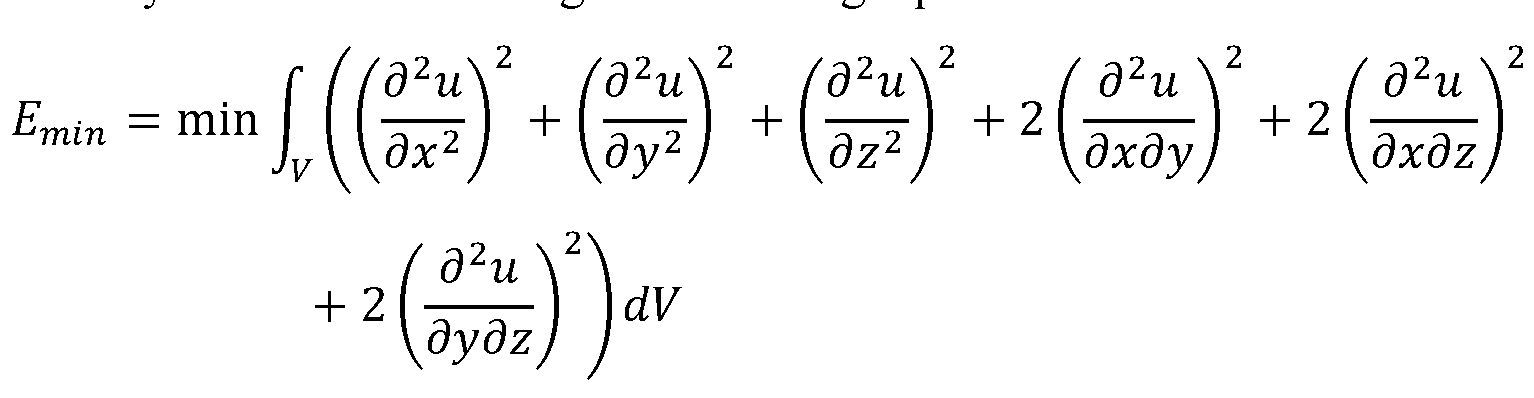
- the minimum function energy for a 3D system may be determined using the following equation:
- the variable E min represents the minimum function energy of a surface within a volume of the underground or sub-surface region to be reconstructed, where the variable E is a function of x, y, and z.
- the variable V represents the volume of the underground or sub-surface region to be reconstructed.
- the variables x, y, and z represent three orthonormal dimensions in a standard Cartesian coordinate system. In other embodiments, alternative 3D coordinate systems such as, for example, cylindrical coordinate systems, spherical coordinate systems, or other combinations of three x ; parameters, where each x ; represents a particular direction.
- the variable u represents an implicit function of x, y, and z; and respectively represent the first partial derivatives of u in the x, y, respectively represent the second
- Equation (2) may be approximated using any of a plurality of numerical integration techniques.
- the midpoint rule may be used to approximate the minimum energy of Equation (2).
- the partial derivatives of the variable u are determined at the midpoint of each cell. Consequently, using the midpoint rule, the minimum energy of Equation (2) is approximated by the following equation:
- variable V t represents the volume of each cell i and the terms fd 2 u 2 ( d 2 u ⁇ 2
- Equation (2) may be approximated with an alternative numerical integration technique such as applying, for example, the trapezoidal rule, one of Simpson's rules, Boole's rule, or any Newton-Cotes approximation technique.
- the computing system uses the input data points to determine the positions of surfaces within the underground region being reconstructed by determining the value of the implicit function w(x, y, z).
- the computing system may utilize a component such as processing system 714 to perform SI 06.
- the coordinates Xi, y and z ; in the respective x, y, and z directions associated with each data point derived from the migrated seismic data and the well log may be stored.
- the data points also may include shape information or information about one or more other properties.
- Each data point may represent a boundary condition (for example, a surface constraint, an interior constraint, or an exterior constraint) for Equation (2).
- each data point may be weighted by a weight value that corresponds to a trust level for the source of such data points. For example, data points derived from a well log may have a greater trust level than data points derived from migrated seismic data and, consequently, may be weighted more heavily (for example, with a higher weight value) than data points derived from migrated seismic data, such that the data points derived from the well log will have a greater impact on the shape of the reconstructed surface than the data points derived from the migrated seismic data.
- the grid or mesh may be determined such that the coordinates of each data point used as a boundary condition also correspond to a node of the grid or mesh. In some embodiments, such coordinates may not correspond to a node of the grid or mesh.
- Equation (3) or a similar approximation of Equation (2) may subsequently be used to construct a linear system of equations.
- a linear system may represent each input data point coordinate as a linear combination of coordinates of grid points.
- a finite difference method may be used to construct the linear system of equations from Equation (3) when an orthogonal grid or mesh, such as a grid or mesh of rectangular prisms, is used.
- the finite difference method may be used to numerically approximate the partial derivatives of the implicit function u included in
- Equation (3) For example, using a centered finite difference method, the second partial derivative of the implicit function u with respect to x may be approximated with the following equation:
- Equation (4) may correspond to the distance in the x-direction between two adjacent points in the grid or mesh. Approximations similar to Equation (4) may also be constructed for ⁇ These approximations of the various
- Equation (3) Partial derivatives of the implicit function u may then be substituted back into Equation (3) to construct a discrete approximation of Equation (2).
- Equation (4) is derived from a centered finite difference method, forward and backward finite difference methods may also be used, for example.
- a finite element method may be used to construct the linear system of equations from Equation (3) using a tetrahedral grid or mesh. Nevertheless, the linear system of equations for determining a numeric solution to the implicit function u may be built using any known numeric method applicable to solving differential or integral equations.
- the minimum function energy constraint may be used to produce a defined system of linear equations; however, when the input data points derived from migrated seismic data or a well log are also used as mathematical constraints (for example, as boundary conditions), the system of equations becomes overdetermined. In an overdetermined system, the number of linearly independent equations exceeds the number of unknown variables. In particular systems described herein, each input data point may yield a value for another variable, such that the number of linearly independent equations exceeds the number of unknown variables and creates an overdetermined condition. Accordingly, it is beneficial to relax the assumption that the input data points are boundary conditions in order to solve the system of equations.
- a regression method such as a least-squares method, a least absolute deviations method, an M-estimation (maximum likelihood type) method, a least trimmed squares method, a Theil-Sen estimator method, an S-estimation (minimum scale type) method, an MM-estimation method (a combination of the M-estimation method and the S-estimation method), a parametric method using a t-distribution or a normal distribution, a unit weight method, the LSMR method developed at Stanford University, or another regression method, may be used in combination with the input data points and the minimum function energy constraint to determine coordinates where the function energy is minimized.
- the input data points which are weighted based on trust level, may inform the ultimate determination of the surface position, rather than being used as rigid boundary conditions satisfying Equation (2) or Equation (3) exactly.
- FIGURE 2 illustrates a flowchart of an example method for determining values of the implicit function in accordance with some embodiments of the present disclosure.
- FIGURE 2 illustrates an example of the process of SI 06 in more detail.
- the processes of the method of FIGURE 2 may be performed by a user, various computer programs, models, systems configured to simulate, design, and analyze data from seismic exploration signal systems, apparatuses, or devices, or any combination thereof.
- the programs and models may include instructions stored on a computer-readable medium and may, when executed, instruct a processor or other suitable device to perform one or more of the processes described above.
- the computer-readable media may include any system, apparatus, or device configured to store and retrieve programs or instructions such as a hard disk drive, a compact disc, flash memory, or any other suitable device.
- the programs and models may be configured to direct a processor or other suitable device to retrieve and execute the instructions from the computer-readable media.
- Collectively, the user or computer programs and models used to simulate, design, and analyze data from seismic exploration systems may be referred to as a "computing system.”
- the computing system solves a system of equations.
- the computing system may utilize a component such as processing system 714 to perform S202. For example, using the linear system of equations derived from Equation (3) in combination with certain boundary conditions, the computing system may determine candidate coordinates for a point on the surface by solving the system of equations.
- the accuracy of the candidate coordinates for the point may be improved by utilizing the migrated seismic data and the data from the well log. Consequently, in S204, the computing system may apply a regression method to the candidate value of the implicit function at a node determined in S202 and one or more data points from the migrated seismic data or the well log situated near the node to obtain an estimated value of the implicit function u at the node.
- the computing system may utilize a component such as processing system 714 to perform S204. For example, a first data point may be derived from a well log, a second data point may be derived from migrated seismic data, and a third data point may be the candidate value of the implicit function determined in S202.
- the first data point may have a greater trust level than the second data point because the first data point was derived from the more-reliable well log, as opposed to the second data point, which was derived from the less-reliable migrated seismic data.
- the first data point may be assigned a greater weight in a regression method, such as a least-squares method, than the second data point.
- the third data point may be assigned a lower weight than both the first data point and the second data point, because the mathematical determination of the value of the third data point may include calculation error introduced by rounding or simplifying assumptions used to derive the systems of equations.
- the third data point may be assigned a neutral weight (for example, a weight between the weights of the first and second data points). Consequently, the regression method of S204 may be applied to the weighted data points, and a value of the implicit function may be calculated by the computing system.
- the computing system assigns the value of the implicit function to the node.
- the computing system may utilize a component such as processing system 714 to perform S206.
- two acquired data points may exist near one another.
- the first one of the data points may be derived from a well log, and the second one of the data points may be derived from migrated seismic data. Accordingly, the first data point may have a greater trust level than the second data point because the first data point was derived from the more-reliable well log, as opposed to the second data point, which was derived from the less-reliable migrated seismic data.
- the first data point may be assigned a greater weight in a least-squares method than the second data point.
- a regression of the two data points such as a least-squares regression, may be used in combination with the linear system of equations derived from Equation (3) to determine the candidate coordinates for a point on the surface. Because the first data point was assigned a greater weight than the second data point, it is more likely that the candidate coordinates for a point on the surface will be closer to the coordinates of the first data point than the coordinates of the second data point. Consequently, the acquired data points may be used to inform the surface reconstruction process, but the problem of overdetermination may be resolved and avoided by using a regression method such as least-squares. More specifically, some embodiments may utilize a weighted least-squares method that weights the input data points during the least-squares regression based on factors including, for example, the source of the data points.
- Equation (5) n is equal to the total number of data points used in a regression, ⁇ 0 and ⁇ are constants to be determined, and (x yi) are the values of input data points. Equation (5) may be further modified to include a weighting factor Wu, as shown below in Equation
- Equation (5) and Equation (6) may be solved for the constants ⁇ and ⁇ , or any other model parameters used, that minimize the sum S.
- data points including coordinates x ; , y t , and z ; representing each node in the grid or mesh and the calculated value of the implicit function u at each node may be generated.
- the number of generated data points may be based on the size of each cell used to construct the grid or mesh.
- the generated data points may be used to construct a map of the implicit function u in the region being studied.
- the implicit function u may be represented by scalar values at every node of the grid or mesh.
- the resolution of the map may be based on the ratio of the size of each cell used to construct the grid or mesh to the size of the region being studied. Surfaces may subsequently be extracted by identifying isosurfaces within the grid or mesh. Isosurfaces are surface regions on which the implicit function u has a uniform or approximately uniform value.
- the implicit function u may be approximated with high precision anywhere in the region being studied.
- the computing system may perform the process of generating a representation of a surface in SI 08 of FIGURE 1.
- the computing system may utilize a component such as processing system 714 to perform S108.
- FIGURE 3 illustrates a flowchart of an example method for generating a representation of a geologic surface in accordance with some embodiments of the present disclosure.
- FIGURE 3 illustrates an example of the process of SI 08 in more detail. More particularly, FIGURE 3 shows the process performed in a marching cell method.
- a marching cell method such as a marching cubes method (for an orthogonal grid or mesh) or a marching tetrahedra method (for a tetrahedral grid or mesh) may be used to extract an isosurface.
- the processes of the method of FIGURE 3 may be performed by a user, various computer programs, models, systems configured to simulate, design, and analyze data from seismic exploration signal systems, apparatuses, or devices, or any combination thereof.
- the programs and models may include instructions stored on a computer-readable medium and may, when executed, instruct a processor or other suitable device to perform one or more of the processes described above.
- the computer-readable media may include any system, apparatus, or device configured to store and retrieve programs or instructions such as a hard disk drive, a compact disc, flash memory, or any other suitable device.
- the programs and models may be configured to direct a processor or other suitable device to retrieve and execute the instructions from the computer-readable media.
- Collectively, the user or computer programs and models used to simulate, design, and analyze data from seismic exploration systems may be referred to as a "computing system.”
- the computing system compares the relative values of nodes in a cell.
- the computing system may utilize a component such as processing system 714 to perform S302.
- a value of the implicit function u representing a surface may be selected.
- the value of the implicit function u selected may be zero.
- the marching cell method may compare all of the nodes in a first cell and determine which nodes in the first cell have a value of u that is greater than zero (a positive value of u) and which nodes in the cell have a value of u that is less than zero (a negative value of u).
- the computing system may continue utilizing the marching cell method by determining positions and orientations for one or more polygonal planes within the first cell.
- the computing system may utilize a component such as processing system 714 to perform S304.
- the computing system may determine the positions and orientations for one or more polygonal planes that separate nodes with a value of u that is greater than zero and nodes with a value of u that is less than zero.
- FIGURE 4 illustrates isometric diagrams of example positions and orientations of polygons in a cubic cell used in a marching cubes method in accordance with some embodiments of the present disclosure.
- FIGURE 4 shows fifteen cubic cells 402, each of which includes one of fifteen combinations of polygonal planes 404 that may be used in a marching cube method, taking into account the symmetry of rotation by any degree over any of the three primary axes, the symmetry of mirroring the shape across any of the three primary axes, and the symmetry of inverting the state of all corners and flipping the normals of the relating polygonal planes.
- FIGURE 4 illustrates the cubic cells 402 with reference designations ranging from cell 0 through cell 14. For exemplary purposes, only one cubic cell 402 (cell 1) is labeled with reference numeral 402 and identifies polygonal plane 404, and first nodes 406, and second nodes 408 by reference numeral.
- the marching cell algorithm may select a configuration of polygonal planes 404 from the set of cells 0 through 14 illustrated in FIGURE 4 based on the relative values of the nodes of cubic cell 402.
- the marching cell method may "march" through all of the cells in the region being studied (for example, in the grid or mesh) in a similar manner, such that positions of a plurality of polygonal planes are determined within the region being studied.
- the computing system may then combine these polygonal planes by assembling the polygonal planes identified in S304, such as by assembling the cells containing such planes.
- the computing system may utilize a component such as processing system 714 to perform S306.
- the computing system may display, using a display device (not shown), or print, using a printer device (not shown), such combinations of planes as a representation of the desired surface.
- the marching cells method may also be adapted to other dimensions, such as a marching squares method or a marching triangles method in two dimensions.
- a plurality of data points including coordinates x ; , y t , and z ; representing each node in the grid or mesh and the calculated value of the implicit function u at each node may be generated.
- a marching cell method may be applied to the generated data points to construct an accurate representation of surfaces within the region being studied.
- the resolution of the reconstructed surface may be changed by changing the size of cells used. For example, the resolution may be increased by using smaller cells, but this also may increase the amount of processing power required. Consequently, one approach may be to determine the approximate shape and position of a surface using the method described above with a larger cell size such as a coarser grid or mesh. Thereafter, a new grid or mesh may be generated with smaller cells in the vicinity of the coarsely reconstructed surface but with larger cells in regions distant from the position of the coarsely reconstructed surface. The reconstruction process may be performed again using this new grid or mesh, and the newly reconstructed surface may more accurately represent the actual surface being modeled than the coarsely reconstructed surface.
- the processing power required will be much less than that required to determine a solution for a grid comprising only smaller cells.
- This process may be iteratively repeated to refine the accuracy of the representation of the actual surface being modeled.
- the grid solution of the implicit function u may be easily modified by inserting additional grid points into areas where a more precise or accurate solution is needed, such as in the vicinity of a surface.
- FIGURES 5 and 6 Reconstructions of example geologic surfaces using the methods shown in FIGURE 1 for limited 2D cases are shown in FIGURES 5 and 6.
- FIGURES 5 and 6 were constructed using a generalized finite-difference method for discretization on a tetrahedral grid and an LSMR algorithm to resolve linear least squares problem.
- FIGURE 5 illustrates an example result of the surface reconstruction process of FIGURE 1 applied in two dimensions in accordance with some embodiments of the present disclosure.
- FIGURE 5 shows a 2D representation of a geologic surface reconstruction generated using the method shown in FIGURE 1.
- FIGURE 5 shows a reconstructed salt dome on a tetrahedral grid.
- surface boundary 502 may represent the boundary between a salt dome and surrounding formations.
- Nodes 504, which are represented by small black dots in FIGURE 5, may represent the grid used to identify surface boundary 502.
- the grid lines connecting nodes 504 may represent the cell boundaries of the cells in the grid used to identify surface boundary 502.
- Input data points 506, which are represented by large black dots in FIGURE 5 may be data points from a set of migrated seismic data, from a well log, or from any other suitable source.
- Dark-shaded regions 508 of FIGURE 5 represent regions where the implicit function u is negative (for example, the darker the shading, the more negative the value of the implicit function w)
- light-shaded regions 510 represent regions where the implicit function u is positive (for example, the lighter the shading, the more positive the value of the implicit function u).
- FIGURE 6 illustrates another example result of the surface reconstruction process of FIGURE 1 applied in two dimensions in accordance with some embodiments of the present disclosure.
- FIGURE 6 shows a 2D representation of another geologic surface reconstruction generated using the method shown in FIGURE 1.
- FIGURE 6 shows reconstructed thrust faults in a complex fault system.
- Input data points 604, which are represented by large black dots in FIGURE 6, may be data points from a set of migrated seismic data, from a well log, or from any other suitable source.
- Second surface boundary 610 which is represented by a light-shaded thick line in FIGURE 6, may be another iso-line that is part of another isosurface and determined using the method shown in FIGURE 1. Second surface boundary 610 may be reconstructed based on input data points 612, which are represented by large light-shaded dots in FIGURE 6.
- FIGURE 7 illustrates a schematic diagram of an example system configured to reconstruct a geologic surface from geologic data in accordance with some embodiments of the present disclosure.
- System 700 includes one or more seismic energy sources 730, one or more receivers 740, and computing system 710, which may be communicatively coupled via network 720.
- System 700 may be configured to produce imaging of subsurface geological formations.
- Computing system 710 may generate composite seismic images based on signals generated by a wide variety of sources 730.
- computing system 710 may operate in conjunction with sources 730 and receivers 740 having any structure, configuration, or function described above with respect to FIGURES 1-3.
- sources 730 may be impulsive (such as, for example, explosives or air guns) or vibratory.
- Impulsive sources may generate a short, high-amplitude seismic signal while vibratory sources may generate lower-amplitude signals over a longer period of time.
- Vibratory sources may be instructed, by means of a pilot signal, to generate a target seismic signal with energy at one or more desired frequencies, and these frequencies may vary over time.
- receivers 740 are not limited to any particular types of receivers.
- receivers 740 may include geophones, hydrophones, accelerometers, fiber optic sensors (such as, for example, a distributed acoustic sensor (“DAS”)), streamers, or any suitable device.
- DAS distributed acoustic sensor
- Such devices may be configured to detect and record energy waves propagating through the subsurface geology with any suitable, direction, frequency, phase, or amplitude.
- receivers 740 may be vertical, horizontal, or multicomponent sensors.
- Receivers 740 may be three component (“3C") geophones, 3C accelerometers, or 3C Digital Sensor Units ("DSU"s).
- receivers 740 may be situated on or below the ocean floor or other underwater surface. Furthermore, in some embodiments, seismic signals may be recorded with different sets of receivers 740. For example, some embodiments may use dedicated receiver spreads for each type of signal, though these receiver spreads may cover the same area, and each receiver spread may be composed of different types of receivers 740. Further, a positioning system, such as a global positioning system (“GPS”), may be utilized to locate or time-correlate sources 730 and receivers 740.
- GPS global positioning system
- Sources 730 and receivers 740 may be communicatively coupled to computing system 710.
- one or more receivers 740 may transmit raw seismic data from received seismic energy via network 720 to computing system 710 and computing system 710 may perform pre-processing operations, such as seismic data migration, or may transmit the raw seismic data to other computing systems for preprocessing.
- a particular computing system 710 may transmit raw seismic data to other computing systems or other site via a network, such as network 720 or any other suitable network.
- one or more receivers 740 may transmit raw seismic data from received seismic energy via network 720 to another computing system that may perform pre-processing and subsequently transmit the pre- processed seismic data to computing system 710 for further processing.
- Computing system 710 may receive data recorded by receivers 740 (in raw or pre-processed format) and may process the data to generate a composite image or may prepare the data for interpretation. Computing system 710 may be operable to perform the processing techniques described above with respect to FIGURES 1-7.
- Computing system 710 may include any instrumentality or aggregation of instrumentalities operable to compute, classify, process, transmit, receive, store, display, record, or utilize any form of information, intelligence, or data.
- computing system 710 may be one or more mainframe servers, desktop computers, laptops, cloud computing systems, storage devices, or any other suitable devices and may vary in size, shape, performance, functionality, and price.
- computing system 710 may include random access memory ("RAM"), one or more processing resources such as a central processing unit (“CPU”) or hardware or software control logic, or other types of volatile or non- volatile memory.
- RAM random access memory
- processing resources such as a central processing unit (“CPU") or hardware or software control logic, or other types of volatile or non- volatile memory.
- Additional components of computing system 710 may include one or more disk drives, one or more network ports for communicating with external devices, various input and output 7 devices, such as a keyboard, a mouse, and a video display.
- Computing system 710 may be configured to permit communication over any type of network 720.
- Network 720 may be a wireless network, a local area network (“LAN”), a wide area network (“WAN”) such as the Internet, or any other suitable type of network.
- computing system 710 may comprise input and output ("I/O") device 716, memory 712, and processing system 714.
- Memory 712 may store computer- readable instructions that may instruct computing system 710 to perform certain processes. For example, when executed by processing system 714, the computer-readable instructions stored in memory 712 may instruct processing system 714 to perform one or more of the processes described above with respect to FIGURES 1-3.
- memory 712 may store data received by computing system 710.
- computing system 710 may include other memory that may store such received data.
- Memory 712 and other memory described herein may include, for example, one or more computer readable media.
- the computer readable media may be one or more computer readable storage medium, for example.
- a computer readable storage medium may be, for example, an electronic, magnetic, optical, electromagnetic, or semiconductor system or device or any suitable combination of the foregoing.
- a computer readable storage medium may include any tangible medium able to contain or store a program for use by or in connection with an instruction execution system or device.
- Memory 712 may store, permanently or temporarily, data, operational software, or other information for processing system 714, other components of computing system 710, or other components of system 700.
- Memory 712 may include any one or a combination of volatile or nonvolatile local or remote devices suitable for storing information.
- memory 712 may include RAM, ROM, flash memory, magnetic storage devices, optical storage devices, network storage devices, cloud storage devices, solid-state devices, external storage devices, any other suitable information storage device, or a combination of these devices.
- Memory 712 may store information in one or more databases, file systems, tree structures, any other suitable storage system, or any combination thereof. Furthermore, different types of information stored in memory 712 may use any of these storage systems.
- information stored in memory 712 may be encrypted or unencrypted, compressed or uncompressed, and static or editable.
- Computing system 710 may have any suitable number, type, and/or configuration of memory 712.
- Memory 712 may include any suitable information for use in the operation of computing system 710.
- memory 712 may store computer-executable instructions operable to perform the steps discussed above with respect to FIGURES 1-3 when executed by processing system 714.
- Memory 712 also may store any seismic data or related data such as, for example, raw seismic data, reconstructed signals, velocity models, seismic images, well logs, or any other suitable information.
- I/O device 716 may transmit data to one or more other devices or networks or may transmit a notification or other information. I/O device 716 may receive data from one or more other devices or networks or may receive input or control signals from a user or another device. Further, I/O device 716 may implement or facilitate one or more of wireless and wired communication between computing system 710 and other devices via direct communication or through a network, such as network 720 or any other suitable communication mechanism. For example, I/O device 716 may be one or more of a user interface device, such as a keyboard, a mouse, a touch-based device, or a display, and a communications device, such as a communication port.
- a user interface device such as a keyboard, a mouse, a touch-based device, or a display
- a communications device such as a communication port.
- I/O device 716 may represent any suitable device operable to receive information from network 720, transmit information through network 720, perform suitable processing of information, communicate with other devices, or any combination thereof.
- I/O device 716 may be any port or connection, real or virtual, including any suitable hardware and/or software (including protocol conversion and data processing capabilities) that communicates through a LAN, WAN, or other communication system. This communication may allow computing system 710 to exchange information with network 720, other computing systems 710, sources 730, receivers 740, or other components of system 700.
- Computing system 710 may include any suitable number, type, and/or configuration of I/O device 716.
- Processing system 714 may include one or more processing devices, such as a central processing unit (“CPU” or “processor”), a graphical processing unit (“GPU”), an application specific integrated circuit (“ASIC"), a controller, or any other suitable solid state or analog processing device.
- Processing system 714 may communicatively couple to I/O device 716 or memory 712 and may control the operation and administration of computing system 710 by processing information received from I/O device 716 or memory 712.
- Processing system 714 may any hardware or software that operates to control and process information.
- processing system 714 may one or more programmable logic device, one or more microcontroller, one or more microprocessor, one or more suitable processing device, or any suitable combination of the preceding.
- Computing system 710 may include any suitable number, type, and/or configuration of processing system 714.
- processing system 714 may be a distributed system of processors with various operations being performed in various data centers.
- processing system 714 may be in integrated unit, such as a personal computer or a server.
- Processing system 714 may execute one or more sets of computer-readable instructions to implement the generation of a composite image based on geologic data, including the steps described above with respect to FIGURES 1-3.
- Processing system 714 may also execute any other suitable programs to facilitate the generation of composite images, such as, for example, user interface software to present one or more graphical user interfaces ("GUF's) to a user.
- GUI graphical user interfaces
- references in the appended claims to an apparatus or system or a component of an apparatus or system being adapted to, arranged to, capable of, configured to, enabled to, operable to, or operative to perform a particular function encompasses that apparatus, system, component, whether or not it or that particular function is activated, turned on, or unlocked, as long as that apparatus, system, or component is so adapted, arranged, capable, configured, enabled, operable, or operative.
- a software module is implemented with a computer program product comprising a computer-readable medium containing computer program code, which can be executed by a computer processor for performing any or all of the steps, operations, or processes described.
- the computer- readable medium may be non-transitory.
- Embodiments of the invention may also relate to an apparatus for performing the operations herein.
- This apparatus may be specially constructed for the required purposes, or it may comprise a general-purpose computing device selectively activated or reconfigured by a computer program stored in the computer.
- a computer program may be stored in a tangible computer readable storage medium or any type of media suitable for storing electronic instructions, and coupled to a computer system bus.
- any computing systems referred to in the specification may include a single processor or may be architectures employing multiple processor designs for increased computing capability.
- the preceding detailed description does not limit the invention. Instead, the scope of the invention is defined by the appended claims.
Landscapes
- Engineering & Computer Science (AREA)
- Remote Sensing (AREA)
- Physics & Mathematics (AREA)
- Life Sciences & Earth Sciences (AREA)
- Acoustics & Sound (AREA)
- Environmental & Geological Engineering (AREA)
- Geology (AREA)
- General Life Sciences & Earth Sciences (AREA)
- General Physics & Mathematics (AREA)
- Geophysics (AREA)
- Management, Administration, Business Operations System, And Electronic Commerce (AREA)
Abstract
The present disclosure includes systems and methods for reconstructing a geologic surface from geologic data. The systems and methods may include receiving geologic data from a data source. The geologic data may represent a region of earth. The systems and methods may include generating a grid to represent the region of earth. The grid may include a plurality of nodes that define a plurality of cells. The systems and methods may include determining a value of an implicit function at each node of the plurality of nodes using a minimum function energy constraint and the geologic data received from the data source. The systems and methods may include generating a graphical representation of a geologic surface in the region based on the value of the implicit function at each node of the plurality of nodes.
Description
SYSTEMS AND METHODS FOR GEOLOGIC SURFACE RECONSTRUCTION
USING FMPLICIT FUNCTIONS
TECHNICAL FIELD
[0001] The present invention relates generally to seismic exploration and, more particularly, to systems and methods for geologic surface reconstruction using implicit functions.
BACKGROUND
[0002] In the oil and gas industry, seismic exploration techniques are commonly used to aid in locating subsurface deposits of hydrocarbons and other useful minerals. Seismic exploration, whether on land or at sea, is a method of detecting geologic structures below the surface of the earth by analyzing seismic energy that has interacted with the geologic structures. Generally, a seismic energy source (or "source") imparts a force at the surface of the earth. The resulting mechanical stress propagates according to the elastic properties of the subsurface, and is at least partially reflected by subsurface seismic reflectors (interfaces between geologic structures that have different acoustic impedances). Seismic receivers (or "receivers"), placed at or near the earth's surface, within bodies of water, or below the earth's surface in wellbores, record the ground motion or fluid pressure resulting from the reflection. The recordings are processed to generate information about the location and physical properties of the subsurface geologic structures that reflected the seismic energy.
[0003] Conventionally, in seismic exploration, a plurality of seismic sources and receivers are distributed at a distance from each other. The seismic sources are activated to produce seismic waves that travel through the subsoil. These seismic waves undergo deviations as they propagate. They are refracted, reflected, and diffracted at the geological interfaces of the subsoil. Certain waves that have travelled through the subsoil are detected by seismic receivers and are recorded as a function of time in the form of signals (called "traces"). The recorded signals then are processed by a migration operation to obtain an image of underground geological structures.
[0004] The migration operation converges reflections recorded along the corresponding interfaces. Specifically, a migration operation is an inversion operation involving rearrangement of seismic information elements so that reflections and diffractions are plotted at their true locations. The need for this arises since variable
velocities and dipping horizons cause these elements to be recorded at surface positions different from the subsurface positions. Migration may be accomplished by integration along diffraction curves (called "Kirchhoff migration"), by numerical finite-difference or phase-shift downward-continuation of the wavefield, and by equivalent operations in frequency- wavenumber or other domains (called "frequency-domain migration"). Lateral variation of velocity may affect migration, and ray tracing may generally be used to determine migrated positions.
[0005] It is important to obtain, in a manner as accurate as possible, representations of surfaces situated, for example, at the interface between two or more areas of different composition or with different properties, on the basis of the data obtained from seismic exploration. In particular, the effectiveness of investigating subsurface bodies in two or three dimensions, especially in prospecting for oil or other underground resources, depends on the accuracy with which these interface surfaces can be reconstituted and represented.
[0006] The geological surface reconstruction is one of the first steps in geological model building. The final precision of the subsurface model depends on the surface reconstruction precision. A wide variety of methods are currently used in the geo-modeling software to reconstruct surfaces separating different rock layers (called "horizons") and planar fractures or discontinuities in a volume of rock (called "faults"). Most of them, however, use two-dimensional (2D) grid-based approaches that cannot reconstruct complex geological formations such as salt domes or thrust faults.
[0007] Moreover, the currently-used methods are ill-suited to handling data relating to the coordinates of points on the surface, to fixed orientations of the surface, or to geometrical links between two separate points. In addition, these methods are ill-suited to a wide range of surfaces or to surface anomalies, such as folds and breaks, and to discontinuous surfaces. In some cases, the functions used in these techniques are not convergent or have no solution or no single solution. In addition, the known techniques are not able to take into account the concept of the degree of certainty with which some surface data is known.
[0008] Data related to interface surfaces also is obtained by boring a subsurface hole or well and making one or more physical measurements as a function of depth in the borehole. For example, such measurements may be made by means of sondes or probes carrying sensors, which are lowered into the borehole by a cable. Such measurements also may be made above ground by studying samples collected from the borehole. Examples of such measurements include electrical or thermal measurements (for example, conductivity,
resistivity, thermal conductivity), acoustic measurements (for example, sonic), nuclear measurements (for example, natural radioactivity, neutron log), or other measurements (for example, hole size, temperature, brittleness, hardness, modulus of elasticity, crystal structure, composition). The data collected from the borehole is referred to collectively as a well log or a bore log. Similar to the migrated seismic data, the well log may be used to reconstruct interface surfaces. Further, data points collected from well logs are often more accurate than data points based on seismic data, however, the cost per data point in a well log is significantly higher than the cost per data point based on seismic data. Accordingly, it is not economically viable to reconstruct an interface surface entirely from well logs.
[0009] The present invention is directed to alleviating the drawbacks of the currently used methods and to proposing systems and methods that can allow for non-homogeneous or highly diverse geometrical data and, for the anomalies described above and other anomalies, providing a less ambiguous model of the surface with an improved combination of accuracy and economic viability as compared to currently-used methods. Further, another object of the invention is to propose a process that can use geometrical data based on the degree of certainty or accuracy of such data.
SUMMARY
[0010] In accordance with one or more embodiments of the present disclosure, methods for reconstructing a geologic surface from geologic data now are described. The methods may include receiving geologic data from a data source. The geologic data may represent a region of earth. The methods may include generating a grid to represent the region of earth. The grid may include a plurality of nodes that define a plurality of cells. The methods may include determining a value of an implicit function at each node of the plurality of nodes using a minimum function energy constraint and the geologic data received from the data source. The methods may include generating a graphical representation of a geologic surface in the region of earth based on the value of the implicit function at each node of the plurality of nodes.
[0011] In accordance with one or more embodiments of the present disclosure, systems for reconstructing a geologic surface from geologic data now are described. The systems may include a computing system. The computing system may be configured to receive geologic data from a data source. The geologic data may represent a region of earth. The computing system may be configured to generate a grid to represent the region of earth. The grid may include a plurality of nodes that define a plurality of cells. The computing
system may be configured to determine a value of an implicit function at each node of the plurality of nodes using a minimum function energy constraint and the geologic data received from the data source. The computing system may be configured to generate a graphical representation of a geologic surface in the region of earth based on the value of the implicit function at each node of the plurality of nodes.
[0012] In accordance with one or more embodiments of the present disclosure, non- transitory computer-readable media storing computer-readable instructions that, when executed by a processing system, may instruct the processing system to perform processes for reconstructing a geologic surface from geologic data now are described. The computer- readable instructions may instruct the processing system to perform a process of receiving geologic data from a data source. The geologic data may represent a region of earth. The computer-readable instructions may instruct the processing system to perform a process of generating a grid to represent the region of earth. The grid may include a plurality of nodes that define a plurality of cells. The computer-readable instructions may instruct the processing system to perform a process of determining a value of an implicit function at each node of the plurality of nodes using a minimum function energy constraint and the geologic data received from the data source. The computer-readable instructions may instruct the processing system to perform a process of generating a graphical representation of a geologic surface in the region of earth based on the value of the implicit function at each node of the plurality of nodes.
BRIEF DESCRIPTION OF THE DRAWINGS
[0013] For a more complete understanding of the present disclosure and its features and advantages, reference is now made to the following description, taken in conjunction with the accompanying drawings, which may include drawings that are not to scale and wherein like reference numbers indicate like features, in which:
[0014] FIGURE 1 illustrates a flowchart of an example method for geologic surface reconstruction using implicit functions in accordance with some embodiments of the present disclosure;
[0015] FIGURE 2 illustrates a flowchart of an example method for determining values of the implicit function in accordance with some embodiments of the present disclosure;
[0016] FIGURE 3 illustrates a flowchart of an example method for generating a representation of a geologic surface in accordance with some embodiments of the present disclosure;
[0017] FIGURE 4 illustrates isometric diagrams of example positions and orientations of polygons in a cubic cell used in a marching cubes method in accordance with some embodiments of the present disclosure;
[0018] FIGURE 5 illustrates an example result of the surface reconstruction process of FIGURE 1 applied in two dimensions in accordance with some embodiments of the present disclosure;
[0019] FIGURE 6 illustrates another example result of the surface reconstruction process of FIGURE 1 applied in two dimensions in accordance with some embodiments of the present disclosure; and
[0020] FIGURE 7 illustrates a schematic diagram of an example system configured to reconstruct a geologic surface from geologic data in accordance with some embodiments of the present disclosure.
DETAILED DESCRIPTION
[0021] Systems and methods described herein, such as system 700 described below with reference to FIGURE 7, may reconstruct a geological surface from seismic data and well logs based on a number of mathematical constraints. Rather than satisfying these constraints exactly, a compromise between the constraints is determined, which may produce a geological surface reconstruction with greater accuracy than currently-used methods. At least two general types of mathematical constraints may be utilized. A first type of mathematical constraint used in some embodiments is an input data set itself (referred to herein as an "input data point constraint"). A second type of mathematical constraint used in some embodiments is based on the concept of function energy (referred to herein as a "minimum function energy constraint").
[0022] The input data point constraint includes a number of two-dimensional (2D) data points (x, y) or three-dimensional (3D) data points (x, y, z), depending on the dimensionality being studied, through which the reconstructed surface should pass. Such data points may be drawn from migrated seismic data, well logs, or data sets collected using other suitable data collection method. In some embodiments, a system, such as computing system 710 (discussed with reference to FIGURE 7 below), may perform a
surface reconstruction process using such data points to determine an implicit function that may be further used to generate a representation of a geological surface (discussed with reference to FIGURE 1 below).
[0023] FIGURE 1 illustrates a flowchart of an example method 100 for geologic surface reconstruction using implicit functions in accordance with some embodiments of the present disclosure. Using implicit functions to reconstruct geologic surfaces may provide improved interfacial surface location information and may streamline data processing. The processes of the method of FIGURE 1 may be performed by a user, various computer programs, models, systems configured to simulate, design, and analyze data from seismic exploration signal systems, apparatuses, or devices, or any combination thereof. The programs and models may include instructions stored on a computer-readable medium and may, when executed, instruct a processor or other suitable device to perform one or more of the processes described above. The computer-readable media may include any system, apparatus, or device configured to store and retrieve programs or instructions such as a hard disk drive, a compact disc, flash memory, or any other suitable device. The programs and models may be configured to direct a processor or other suitable device to retrieve and execute the instructions from the computer-readable media. Collectively, the user or computer programs and models used to simulate, design, and analyze data from seismic exploration systems may be referred to as a "computing system."
[0024] In SI 02, the computing system obtains, compiles, or otherwise receives one or more sets of data points from different sources of collected data, also called "geologic data" or a "geologic data set." The computing system may utilize a component such as processing system 714 (discussed with reference to FIGURE 7 below) to perform S102. Data collection sources may include migrated seismic data compiled from receivers disposed within a wellbore or receivers disposed on or close to the earth's surface, well log data from sensors disposed within a wellbore, or any other suitable data collection source. Certain sources of collected geologic data may be associated with different trust levels. For example, data points drawn from migrated seismic data based on seismic data collected by a seismic receiver disposed within a well bore may be assigned a greater trust level than data points drawn from migrated seismic data based on seismic data collected by a seismic receiver disposed above ground. Further, data points drawn from a well log may be assigned a greater trust level than data points drawn from migrated seismic data. Data points that are assigned a higher trust level may be data points that are expected to be more accurate than data points that are assigned a lower trust level. Because seismic data often
requires complex analysis and interpretation, such data may be less accurate than well log data that has been directly measured. In many scenarios, however, a computing system may obtain only a few data points drawn from well logs but may obtain thousands of data points drawn from migrated seismic data due to the relative cost differences between acquiring seismic data and acquiring well logs. In some embodiments, by utilizing the assignment of trust levels, greater weight is given to the more highly trusted (and possibly more accurate) well log data points than to the less highly trusted (and possibly less accurate) migrated seismic data points, which may result in a more accurate reconstruction of interfacial surfaces. Further, weighting by trust level may help to reduce dependence on suspect data. This concept of weighting based on trust level is described in more detail below.
[0025] The migrated seismic data and the well logs may provide information regarding the shape or position of underground surfaces, such as surfaces defined by geologic interfaces, at various locations throughout the subsurface region being studied. In some embodiments, the shape or position information may be used in the manner described below to establish boundary values for determining the shape of surfaces, such as interfacial surfaces, at intermediate positions between the positions of the input data points.
[0026] In SI 04, the computing system generates a grid or mesh to represent the underground or subsurface region to be reconstructed. The computing system may utilize a component such as processing system 714 to perform S104. The grid, or mesh, may include a plurality of cells with a variety of shapes, such as hexahedra, prisms, pyramids, tetrahedra, or any other suitable shapes. 3D grids for 3D reconstruction of interfaces may utilize 3D finite elements. For 3D finite elements, each cell may by defined by a plurality of nodes that form vertices of the cell, nodal lines that connect pairs of neighboring nodes and form edges of the cell, and nodal planes that connect co-planar nodal lines and form faces of the cell. Each cell may have a volume V. The 3D grid may be defined by the nodes. The cells may all be the same size or may have various sizes. Although many of the embodiments herein are described in relation to 3D grids and 3D reconstruction of surfaces, the methods and systems disclosed herein may also be readily generalized to 2D grids and 2D reconstruction of surfaces, as well as to multi-dimensional grids and multidimensional reconstruction of surfaces.
[0027] The minimum function energy constraint now is described in more detail. The minimum function energy constraint is analogous to the concept of minimum bending
energy, which may be explained with respect to a thin plate. When a thin plate is exposed to mechanical deformation, the thin plate will deform into the shape that has the lowest possible potential energy given external and internal constraints on the thin plate. Specifically, the thin plate will avoid bending where possible and relax to a state with the least possible amount of deformation in an effort to minimize stored potential energy via bending. This is referred to as minimizing bending energy. For example, when a thin plate, such as a thin sheet of metal, is laid horizontally and bent by an external force so that it just touches the tip of each pole of a collection of vertical poles set at various positions and heights, the metal will resist bending between the poles so that the thin sheet of metal smoothly changes in height between each pole.
[0028] The minimum function energy constraint is analogous to the minimum bending energy described above. In the minimum function energy constraint, the function energy E( f ) may be a measure of the smoothness of some function /, such that the function energy E(f) for a 2D system in a given region is described by the following equation:
Equation (1)
The energy function E(f ) is effectively a measure of the aggregate curvature of / (x) over the area of interest Ω. Any creases or pinches in a surface defined by / (x) will result in a larger value of E(f ). Conversely, a smoother region of / (x) will result in a smaller value of E(f ). Thus, by setting a minimum function energy constraint that seeks lower values for function energy E( f ), given other system constraints, such as boundary conditions, Equation (1) may be used to solve for a smooth function / (x) with few discontinuities.
[0029] Thus, in some embodiments, the concept of minimum function energy is utilized during the process of surface reconstruction. The minimum function energy for a 3D system may be determined using the following equation:
Equation (2)
[0030] The variable Emin represents the minimum function energy of a surface within a volume of the underground or sub-surface region to be reconstructed, where the variable E is a function of x, y, and z. The variable V represents the volume of the underground or
sub-surface region to be reconstructed. The variables x, y, and z represent three orthonormal dimensions in a standard Cartesian coordinate system. In other embodiments, alternative 3D coordinate systems such as, for example, cylindrical coordinate systems, spherical coordinate systems, or other combinations of three x; parameters, where each x; represents a particular direction. Further, the variable u represents an implicit function of x, y, and z; and respectively represent the first partial derivatives of u in the x, y, respectively represent the second
partial derivatives of u in the x, y, and z directions.
[0031] Equation (2) may be approximated using any of a plurality of numerical integration techniques. In particular embodiments, for example, the midpoint rule may be used to approximate the minimum energy of Equation (2). In such embodiments, the partial derivatives of the variable u are determined at the midpoint of each cell. Consequently, using the midpoint rule, the minimum energy of Equation (2) is approximated by the following equation:
Equation (3)
[0032] Consequently, the variable Vt represents the volume of each cell i and the terms fd2u 2 ( d2u \2
dx2) ' \~dxdz) ' etc'' rePresent tne squares of the values of the respective partial derivatives or second partial derivatives of the implicit function u evaluated at the center of each cell /'. The summation operator∑; indicates a summation over all cells / in the region being reconstructed. In other embodiments, Equation (2) may be approximated with an alternative numerical integration technique such as applying, for example, the trapezoidal rule, one of Simpson's rules, Boole's rule, or any Newton-Cotes approximation technique.
[0033] In SI 06, the computing system uses the input data points to determine the positions of surfaces within the underground region being reconstructed by determining the value of the implicit function w(x, y, z). The computing system may utilize a component such as processing system 714 to perform SI 06. Specifically, the coordinates Xi, y and z; in the respective x, y, and z directions associated with each data point derived from the migrated seismic data and the well log may be stored. In some embodiments, the
data points also may include shape information or information about one or more other properties. Each data point may represent a boundary condition (for example, a surface constraint, an interior constraint, or an exterior constraint) for Equation (2). In some embodiments, each data point may be weighted by a weight value that corresponds to a trust level for the source of such data points. For example, data points derived from a well log may have a greater trust level than data points derived from migrated seismic data and, consequently, may be weighted more heavily (for example, with a higher weight value) than data points derived from migrated seismic data, such that the data points derived from the well log will have a greater impact on the shape of the reconstructed surface than the data points derived from the migrated seismic data. In some embodiments, the grid or mesh may be determined such that the coordinates of each data point used as a boundary condition also correspond to a node of the grid or mesh. In some embodiments, such coordinates may not correspond to a node of the grid or mesh.
[0034] Equation (3) or a similar approximation of Equation (2) may subsequently be used to construct a linear system of equations. Such a linear system may represent each input data point coordinate as a linear combination of coordinates of grid points. For example, a finite difference method may be used to construct the linear system of equations from Equation (3) when an orthogonal grid or mesh, such as a grid or mesh of rectangular prisms, is used. In particular, the finite difference method may be used to numerically approximate the partial derivatives of the implicit function u included in
Equation (3). For example, using a centered finite difference method, the second partial derivative of the implicit function u with respect to x may be approximated with the following equation:
d2u u(x + hx, y, z)— 2u(x, y, z) + u(x— hx, y, z) dx2 hx
Equation (4)
The variable h in Equation (4) may correspond to the distance in the x-direction between two adjacent points in the grid or mesh. Approximations similar to Equation (4) may also be constructed for · These approximations of the various
partial derivatives of the implicit function u may then be substituted back into Equation (3) to construct a discrete approximation of Equation (2). While Equation (4) is derived from a centered finite difference method, forward and backward finite difference methods may also be used, for example.
[0035] In another example, a finite element method may be used to construct the linear system of equations from Equation (3) using a tetrahedral grid or mesh. Nevertheless, the linear system of equations for determining a numeric solution to the implicit function u may be built using any known numeric method applicable to solving differential or integral equations.
[0036] As noted above, the minimum function energy constraint may be used to produce a defined system of linear equations; however, when the input data points derived from migrated seismic data or a well log are also used as mathematical constraints (for example, as boundary conditions), the system of equations becomes overdetermined. In an overdetermined system, the number of linearly independent equations exceeds the number of unknown variables. In particular systems described herein, each input data point may yield a value for another variable, such that the number of linearly independent equations exceeds the number of unknown variables and creates an overdetermined condition. Accordingly, it is beneficial to relax the assumption that the input data points are boundary conditions in order to solve the system of equations.
[0037] Thus, rather than using the input data points themselves as boundary conditions, a regression method such as a least-squares method, a least absolute deviations method, an M-estimation (maximum likelihood type) method, a least trimmed squares method, a Theil-Sen estimator method, an S-estimation (minimum scale type) method, an MM-estimation method (a combination of the M-estimation method and the S-estimation method), a parametric method using a t-distribution or a normal distribution, a unit weight method, the LSMR method developed at Stanford University, or another regression method, may be used in combination with the input data points and the minimum function energy constraint to determine coordinates where the function energy is minimized. In particular, the input data points, which are weighted based on trust level, may inform the ultimate determination of the surface position, rather than being used as rigid boundary conditions satisfying Equation (2) or Equation (3) exactly.
[0038] Modifications, additions, or omissions may be made to the processes illustrated in FIGURE 1 without departing from the scope of the present disclosure. For example, the order of the processes may be performed in a different manner than that described and some processes may be performed at the same time. For example, SI 04 may occur before SI 02. Additionally, each individual process may include additional processes without departing from the scope of the present disclosure. Further, more processes may be added or processes may be removed without departing from the scope of the disclosure.
[0039] FIGURE 2 illustrates a flowchart of an example method for determining values of the implicit function in accordance with some embodiments of the present disclosure. In particular, FIGURE 2 illustrates an example of the process of SI 06 in more detail. The processes of the method of FIGURE 2 may be performed by a user, various computer programs, models, systems configured to simulate, design, and analyze data from seismic exploration signal systems, apparatuses, or devices, or any combination thereof. The programs and models may include instructions stored on a computer-readable medium and may, when executed, instruct a processor or other suitable device to perform one or more of the processes described above. The computer-readable media may include any system, apparatus, or device configured to store and retrieve programs or instructions such as a hard disk drive, a compact disc, flash memory, or any other suitable device. The programs and models may be configured to direct a processor or other suitable device to retrieve and execute the instructions from the computer-readable media. Collectively, the user or computer programs and models used to simulate, design, and analyze data from seismic exploration systems may be referred to as a "computing system."
[0040] In S202, the computing system solves a system of equations. The computing system may utilize a component such as processing system 714 to perform S202. For example, using the linear system of equations derived from Equation (3) in combination with certain boundary conditions, the computing system may determine candidate coordinates for a point on the surface by solving the system of equations.
[0041] The accuracy of the candidate coordinates for the point may be improved by utilizing the migrated seismic data and the data from the well log. Consequently, in S204, the computing system may apply a regression method to the candidate value of the implicit function at a node determined in S202 and one or more data points from the migrated seismic data or the well log situated near the node to obtain an estimated value of the implicit function u at the node. The computing system may utilize a component such as processing system 714 to perform S204. For example, a first data point may be derived from a well log, a second data point may be derived from migrated seismic data, and a third data point may be the candidate value of the implicit function determined in S202. Accordingly, the first data point may have a greater trust level than the second data point because the first data point was derived from the more-reliable well log, as opposed to the second data point, which was derived from the less-reliable migrated seismic data. Thus, the first data point may be assigned a greater weight in a regression method, such as a least-squares method, than the second data point. In some embodiments, the third data
point may be assigned a lower weight than both the first data point and the second data point, because the mathematical determination of the value of the third data point may include calculation error introduced by rounding or simplifying assumptions used to derive the systems of equations. In some configurations, the third data point may be assigned a neutral weight (for example, a weight between the weights of the first and second data points). Consequently, the regression method of S204 may be applied to the weighted data points, and a value of the implicit function may be calculated by the computing system.
[0042] In S206, the computing system assigns the value of the implicit function to the node. The computing system may utilize a component such as processing system 714 to perform S206. In some embodiments, two acquired data points may exist near one another. The first one of the data points may be derived from a well log, and the second one of the data points may be derived from migrated seismic data. Accordingly, the first data point may have a greater trust level than the second data point because the first data point was derived from the more-reliable well log, as opposed to the second data point, which was derived from the less-reliable migrated seismic data. Thus, the first data point may be assigned a greater weight in a least-squares method than the second data point. Consequently, a regression of the two data points, such as a least-squares regression, may be used in combination with the linear system of equations derived from Equation (3) to determine the candidate coordinates for a point on the surface. Because the first data point was assigned a greater weight than the second data point, it is more likely that the candidate coordinates for a point on the surface will be closer to the coordinates of the first data point than the coordinates of the second data point. Consequently, the acquired data points may be used to inform the surface reconstruction process, but the problem of overdetermination may be resolved and avoided by using a regression method such as least-squares. More specifically, some embodiments may utilize a weighted least-squares method that weights the input data points during the least-squares regression based on factors including, for example, the source of the data points.
[0043] In a linear least-squares method without weighting, for example, values for the linear constants βο and βι, are determined that minimize the sum S of squared residuals r;. In particular, the sum S of squared residuals r; is given by the following equation:
S =∑?=1 r where n = yt - β0 - β χ
Equation (5)
In Equation (5), n is equal to the total number of data points used in a regression, β0 and βι are constants to be determined, and (x yi) are the values of input data points. Equation
(5) may be further modified to include a weighting factor Wu, as shown below in Equation
(6) .
In Equation (6), of is equal to the variance of the measurement or data point used. While the weighting factor Wu described above is defined to be equal to the reciprocal of the variance of of the measurement, in some embodiments, other values may be used for the weighting factor Wu. Equation (5) and Equation (6) may be generalized to higher-level polynomial models (for example, non-linear models such as f(x) = β0 + β χ + β2χ2) and to three or more dimensions. Utilizing the input data, Equation (5) and Equation (6) may be solved for the constants βο and βι, or any other model parameters used, that minimize the sum S.
[0044] Using the input data point constraints, the linear system of equations derived from the minimum function energy constraint, regression with weighting of the input data point constraints by trust level, and the grid or mesh defined over the region being studied, data points including coordinates x;, yt, and z; representing each node in the grid or mesh and the calculated value of the implicit function u at each node may be generated. The number of generated data points may be based on the size of each cell used to construct the grid or mesh. Thus, the generated data points may be used to construct a map of the implicit function u in the region being studied. Specifically, the implicit function u may be represented by scalar values at every node of the grid or mesh. The resolution of the map may be based on the ratio of the size of each cell used to construct the grid or mesh to the size of the region being studied. Surfaces may subsequently be extracted by identifying isosurfaces within the grid or mesh. Isosurfaces are surface regions on which the implicit function u has a uniform or approximately uniform value.
[0045] Further, because the value of the implicit function u is determined for every node, a cubic spline approximation or other approximation may be used to approximate the value of the implicit function u at any point within a cell. Accordingly, the implicit function u may be approximated with high precision anywhere in the region being studied.
[0046] Modifications, additions, or omissions may be made to the processes illustrated in FIGURE 2 without departing from the scope of the present disclosure. For example, the order of the processes may be performed in a different manner than that described and some processes may be performed at the same time. For example, S204 may occur before S202. Additionally, each individual process may include additional processes without
departing from the scope of the present disclosure. Further, more processes may be added or processes may be removed without departing from the scope of the disclosure.
[0047] After determining the value of the implicit function u at each node in the grid, the computing system may perform the process of generating a representation of a surface in SI 08 of FIGURE 1. The computing system may utilize a component such as processing system 714 to perform S108.
[0048] FIGURE 3 illustrates a flowchart of an example method for generating a representation of a geologic surface in accordance with some embodiments of the present disclosure. In particular, FIGURE 3 illustrates an example of the process of SI 08 in more detail. More particularly, FIGURE 3 shows the process performed in a marching cell method. A marching cell method such as a marching cubes method (for an orthogonal grid or mesh) or a marching tetrahedra method (for a tetrahedral grid or mesh) may be used to extract an isosurface. The processes of the method of FIGURE 3 may be performed by a user, various computer programs, models, systems configured to simulate, design, and analyze data from seismic exploration signal systems, apparatuses, or devices, or any combination thereof. The programs and models may include instructions stored on a computer-readable medium and may, when executed, instruct a processor or other suitable device to perform one or more of the processes described above. The computer-readable media may include any system, apparatus, or device configured to store and retrieve programs or instructions such as a hard disk drive, a compact disc, flash memory, or any other suitable device. The programs and models may be configured to direct a processor or other suitable device to retrieve and execute the instructions from the computer-readable media. Collectively, the user or computer programs and models used to simulate, design, and analyze data from seismic exploration systems may be referred to as a "computing system."
[0049] In S302, the computing system compares the relative values of nodes in a cell. The computing system may utilize a component such as processing system 714 to perform S302. Specifically, a value of the implicit function u representing a surface may be selected. As an example, the value of the implicit function u selected may be zero. Accordingly, in this example, the surface is determined to exist where u = 0. The marching cell method may compare all of the nodes in a first cell and determine which nodes in the first cell have a value of u that is greater than zero (a positive value of u) and which nodes in the cell have a value of u that is less than zero (a negative value of u). The marching cell method utilizes the assumption that a portion of the surface is disposed (u = 0) somewhere
between a node with a value of u that is greater than zero and another node with a value of u that is less than zero.
[0050] In S304, the computing system may continue utilizing the marching cell method by determining positions and orientations for one or more polygonal planes within the first cell. The computing system may utilize a component such as processing system 714 to perform S304. Specifically, in the example with an isosurface defined by u = 0 discussed above, the computing system may determine the positions and orientations for one or more polygonal planes that separate nodes with a value of u that is greater than zero and nodes with a value of u that is less than zero.
[0051] FIGURE 4 illustrates isometric diagrams of example positions and orientations of polygons in a cubic cell used in a marching cubes method in accordance with some embodiments of the present disclosure. For example, FIGURE 4 shows fifteen cubic cells 402, each of which includes one of fifteen combinations of polygonal planes 404 that may be used in a marching cube method, taking into account the symmetry of rotation by any degree over any of the three primary axes, the symmetry of mirroring the shape across any of the three primary axes, and the symmetry of inverting the state of all corners and flipping the normals of the relating polygonal planes. FIGURE 4 illustrates the cubic cells 402 with reference designations ranging from cell 0 through cell 14. For exemplary purposes, only one cubic cell 402 (cell 1) is labeled with reference numeral 402 and identifies polygonal plane 404, and first nodes 406, and second nodes 408 by reference numeral.
[0052] In some embodiments, first nodes 406, which are represented by solid black dots at vertices of cubic cells 402 in FIGURE 4, may represent coordinates where the implicit function value is greater than the desired value of u (such as a desired value of u = 0, for example) and second nodes 408, which are represented by the vertices of cubic cell 402 that do not include solid black dots in FIGURE 4, may represent coordinates where the implicit function value is less than the desired value of u. Accordingly, the marching cell algorithm may select a configuration of polygonal planes 404 from the set of cells 0 through 14 illustrated in FIGURE 4 based on the relative values of the nodes of cubic cell 402. The marching cell method may "march" through all of the cells in the region being studied (for example, in the grid or mesh) in a similar manner, such that positions of a plurality of polygonal planes are determined within the region being studied.
[0053] In S306 of FIGURE 3, the computing system may then combine these polygonal planes by assembling the polygonal planes identified in S304, such as by
assembling the cells containing such planes. The computing system may utilize a component such as processing system 714 to perform S306. The computing system may display, using a display device (not shown), or print, using a printer device (not shown), such combinations of planes as a representation of the desired surface. The marching cells method may also be adapted to other dimensions, such as a marching squares method or a marching triangles method in two dimensions.
[0054] Modifications, additions, or omissions may be made to the processes illustrated in FIGURE 3 without departing from the scope of the present disclosure. For example, the order of the processes may be performed in a different manner than that described and some processes may be performed at the same time. Additionally, each individual process may include additional processes without departing from the scope of the present disclosure. Further, more processes may be added or processes may be removed without departing from the scope of the disclosure.
[0055] Thus, using the input data point constraints, the linear system of equations derived from the minimum function energy constraint using an appropriate solution technique, regression with weighting of the input data point constraints by trust level, and the grid or mesh defined over the region being studied, a plurality of data points including coordinates x;, yt, and z; representing each node in the grid or mesh and the calculated value of the implicit function u at each node may be generated. Thereafter, a marching cell method may be applied to the generated data points to construct an accurate representation of surfaces within the region being studied.
[0056] Because the value of the implicit function u is determined for the entire region being studied, or the entire volume of the region, the same solution set, or the set of generated data points, may be used for extracting and reconstructing isosurfaces with different implicit function values (for example, u = 1 instead of u = 0) by changing parameter values used in the marching cell method. Changing the parameter values may reduce future processing requirements and may make it easier and quicker to efficiently simulate dynamical interactions, such as removal of material or flow, within the region being studied or to study other surfaces within such regions.
[0057] The resolution of the reconstructed surface may be changed by changing the size of cells used. For example, the resolution may be increased by using smaller cells, but this also may increase the amount of processing power required. Consequently, one approach may be to determine the approximate shape and position of a surface using the method described above with a larger cell size such as a coarser grid or mesh. Thereafter, a
new grid or mesh may be generated with smaller cells in the vicinity of the coarsely reconstructed surface but with larger cells in regions distant from the position of the coarsely reconstructed surface. The reconstruction process may be performed again using this new grid or mesh, and the newly reconstructed surface may more accurately represent the actual surface being modeled than the coarsely reconstructed surface. Nevertheless, because smaller cells were used in only a portion of the grid, the processing power required will be much less than that required to determine a solution for a grid comprising only smaller cells. This process may be iteratively repeated to refine the accuracy of the representation of the actual surface being modeled. In this manner, the grid solution of the implicit function u may be easily modified by inserting additional grid points into areas where a more precise or accurate solution is needed, such as in the vicinity of a surface.
[0058] Reconstructions of example geologic surfaces using the methods shown in FIGURE 1 for limited 2D cases are shown in FIGURES 5 and 6. FIGURES 5 and 6 were constructed using a generalized finite-difference method for discretization on a tetrahedral grid and an LSMR algorithm to resolve linear least squares problem.
[0059] FIGURE 5 illustrates an example result of the surface reconstruction process of FIGURE 1 applied in two dimensions in accordance with some embodiments of the present disclosure. In particular, FIGURE 5 shows a 2D representation of a geologic surface reconstruction generated using the method shown in FIGURE 1. Specifically, FIGURE 5 shows a reconstructed salt dome on a tetrahedral grid. In some embodiments, surface boundary 502, which is represented by a thick black line in FIGURE 5, may be an iso-line that is part of an isosurface (where u = 0) determined using the method shown in FIGURE 1. For example, surface boundary 502 may represent the boundary between a salt dome and surrounding formations. Nodes 504, which are represented by small black dots in FIGURE 5, may represent the grid used to identify surface boundary 502. The grid lines connecting nodes 504 may represent the cell boundaries of the cells in the grid used to identify surface boundary 502. Input data points 506, which are represented by large black dots in FIGURE 5, may be data points from a set of migrated seismic data, from a well log, or from any other suitable source. Dark-shaded regions 508 of FIGURE 5 represent regions where the implicit function u is negative (for example, the darker the shading, the more negative the value of the implicit function w), and light-shaded regions 510 represent regions where the implicit function u is positive (for example, the lighter the shading, the more positive the value of the implicit function u).
[0060] FIGURE 6 illustrates another example result of the surface reconstruction process of FIGURE 1 applied in two dimensions in accordance with some embodiments of the present disclosure. In particular, FIGURE 6 shows a 2D representation of another geologic surface reconstruction generated using the method shown in FIGURE 1. Specifically, FIGURE 6 shows reconstructed thrust faults in a complex fault system. In FIGURE 6, illustration of the nodes and cell boundaries has been omitted for clarity. First surface boundary 602, which is represented by a thick black line in FIGURE 6, may be an iso-line that is part of an isosurface (where u = 0) determined using the method shown in FIGURE 1. Input data points 604, which are represented by large black dots in FIGURE 6, may be data points from a set of migrated seismic data, from a well log, or from any other suitable source. Dark-shaded regions 606 of FIGURE 6 represent regions where the implicit function u is negative (for example, the darker the shading, the more negative the value of the implicit function w), and light-shaded regions 608 represent regions where the implicit function u is positive (for example, the lighter the shading, the more positive the value of the implicit function u). Second surface boundary 610, which is represented by a light-shaded thick line in FIGURE 6, may be another iso-line that is part of another isosurface and determined using the method shown in FIGURE 1. Second surface boundary 610 may be reconstructed based on input data points 612, which are represented by large light-shaded dots in FIGURE 6. Third surface boundary 614, which is represented by an intermediate-shaded thick line in FIGURE 6, may be yet another iso-line that is part of yet another isosurface determined using the method shown in FIGURE 1. Third surface boundary 614 may be reconstructed based on input data points 616, which are represented by large intermediate- shaded dots in FIGURE 6. In some embodiments, one or more of second surface boundary 610 and third surface boundary 614 may be defined by a value of the implicit function u that is different from first surface boundary 602 (for example, u = 0.5, rather than u = 0). Second surface boundary 610 and third surface boundary 614 shown in FIGURE 6 represent surfaces riddled with discontinuities caused by geologic movement along first surface boundary 602, for example.
[0061] FIGURE 7 illustrates a schematic diagram of an example system configured to reconstruct a geologic surface from geologic data in accordance with some embodiments of the present disclosure. System 700 includes one or more seismic energy sources 730, one or more receivers 740, and computing system 710, which may be communicatively coupled via network 720. System 700 may be configured to produce imaging of subsurface geological formations.
[0062] Computing system 710 may generate composite seismic images based on signals generated by a wide variety of sources 730. For example, computing system 710 may operate in conjunction with sources 730 and receivers 740 having any structure, configuration, or function described above with respect to FIGURES 1-3. In some embodiments, sources 730 may be impulsive (such as, for example, explosives or air guns) or vibratory. Impulsive sources may generate a short, high-amplitude seismic signal while vibratory sources may generate lower-amplitude signals over a longer period of time. Vibratory sources may be instructed, by means of a pilot signal, to generate a target seismic signal with energy at one or more desired frequencies, and these frequencies may vary over time.
[0063] In some embodiments, receivers 740 are not limited to any particular types of receivers. For example, in some embodiments, receivers 740 may include geophones, hydrophones, accelerometers, fiber optic sensors (such as, for example, a distributed acoustic sensor ("DAS")), streamers, or any suitable device. Such devices may be configured to detect and record energy waves propagating through the subsurface geology with any suitable, direction, frequency, phase, or amplitude. For example, in some embodiments, receivers 740 may be vertical, horizontal, or multicomponent sensors. Receivers 740 may be three component ("3C") geophones, 3C accelerometers, or 3C Digital Sensor Units ("DSU"s). In offshore embodiments, receivers 740 may be situated on or below the ocean floor or other underwater surface. Furthermore, in some embodiments, seismic signals may be recorded with different sets of receivers 740. For example, some embodiments may use dedicated receiver spreads for each type of signal, though these receiver spreads may cover the same area, and each receiver spread may be composed of different types of receivers 740. Further, a positioning system, such as a global positioning system ("GPS"), may be utilized to locate or time-correlate sources 730 and receivers 740.
[0064] Sources 730 and receivers 740 may be communicatively coupled to computing system 710. In some embodiments, one or more receivers 740 may transmit raw seismic data from received seismic energy via network 720 to computing system 710 and computing system 710 may perform pre-processing operations, such as seismic data migration, or may transmit the raw seismic data to other computing systems for preprocessing. In some embodiments, a particular computing system 710 may transmit raw seismic data to other computing systems or other site via a network, such as network 720 or any other suitable network. In some embodiments, one or more receivers 740 may
transmit raw seismic data from received seismic energy via network 720 to another computing system that may perform pre-processing and subsequently transmit the pre- processed seismic data to computing system 710 for further processing. Computing system 710 may receive data recorded by receivers 740 (in raw or pre-processed format) and may process the data to generate a composite image or may prepare the data for interpretation. Computing system 710 may be operable to perform the processing techniques described above with respect to FIGURES 1-7.
[0065] Computing system 710 may include any instrumentality or aggregation of instrumentalities operable to compute, classify, process, transmit, receive, store, display, record, or utilize any form of information, intelligence, or data. For example, computing system 710 may be one or more mainframe servers, desktop computers, laptops, cloud computing systems, storage devices, or any other suitable devices and may vary in size, shape, performance, functionality, and price. For example, computing system 710 may include random access memory ("RAM"), one or more processing resources such as a central processing unit ("CPU") or hardware or software control logic, or other types of volatile or non- volatile memory. Additional components of computing system 710 may include one or more disk drives, one or more network ports for communicating with external devices, various input and output 7 devices, such as a keyboard, a mouse, and a video display. Computing system 710 may be configured to permit communication over any type of network 720. Network 720 may be a wireless network, a local area network ("LAN"), a wide area network ("WAN") such as the Internet, or any other suitable type of network.
[0066] For example, computing system 710 may comprise input and output ("I/O") device 716, memory 712, and processing system 714. Memory 712 may store computer- readable instructions that may instruct computing system 710 to perform certain processes. For example, when executed by processing system 714, the computer-readable instructions stored in memory 712 may instruct processing system 714 to perform one or more of the processes described above with respect to FIGURES 1-3. In some embodiments, memory 712 may store data received by computing system 710. In some embodiments, computing system 710 may include other memory that may store such received data.
[0067] Memory 712 and other memory described herein may include, for example, one or more computer readable media. The computer readable media may be one or more computer readable storage medium, for example. A computer readable storage medium may be, for example, an electronic, magnetic, optical, electromagnetic, or semiconductor
system or device or any suitable combination of the foregoing. Examples of such systems or devices include, but are not limited to: a portable computer diskette, a hard disk, a random access memory ("RAM"), a read-only memory ("ROM"), an erasable programmable read-only memory ("EPROM" or flash memory), an appropriate optical fiber with a repeater, a portable compact disc read-only memory ("CD-ROM"), an optical storage device, a magnetic storage device, or a combination of the foregoing. As described herein, a computer readable storage medium may include any tangible medium able to contain or store a program for use by or in connection with an instruction execution system or device.
[0068] Memory 712 may store, permanently or temporarily, data, operational software, or other information for processing system 714, other components of computing system 710, or other components of system 700. Memory 712 may include any one or a combination of volatile or nonvolatile local or remote devices suitable for storing information. For example, memory 712 may include RAM, ROM, flash memory, magnetic storage devices, optical storage devices, network storage devices, cloud storage devices, solid-state devices, external storage devices, any other suitable information storage device, or a combination of these devices. Memory 712 may store information in one or more databases, file systems, tree structures, any other suitable storage system, or any combination thereof. Furthermore, different types of information stored in memory 712 may use any of these storage systems. Moreover, information stored in memory 712 may be encrypted or unencrypted, compressed or uncompressed, and static or editable. Computing system 710 may have any suitable number, type, and/or configuration of memory 712. Memory 712 may include any suitable information for use in the operation of computing system 710. For example, memory 712 may store computer-executable instructions operable to perform the steps discussed above with respect to FIGURES 1-3 when executed by processing system 714. Memory 712 also may store any seismic data or related data such as, for example, raw seismic data, reconstructed signals, velocity models, seismic images, well logs, or any other suitable information.
[0069] I/O device 716 may transmit data to one or more other devices or networks or may transmit a notification or other information. I/O device 716 may receive data from one or more other devices or networks or may receive input or control signals from a user or another device. Further, I/O device 716 may implement or facilitate one or more of wireless and wired communication between computing system 710 and other devices via direct communication or through a network, such as network 720 or any other suitable
communication mechanism. For example, I/O device 716 may be one or more of a user interface device, such as a keyboard, a mouse, a touch-based device, or a display, and a communications device, such as a communication port.
[0070] For example, I/O device 716 may represent any suitable device operable to receive information from network 720, transmit information through network 720, perform suitable processing of information, communicate with other devices, or any combination thereof. I/O device 716 may be any port or connection, real or virtual, including any suitable hardware and/or software (including protocol conversion and data processing capabilities) that communicates through a LAN, WAN, or other communication system. This communication may allow computing system 710 to exchange information with network 720, other computing systems 710, sources 730, receivers 740, or other components of system 700. Computing system 710 may include any suitable number, type, and/or configuration of I/O device 716.
[0071] Processing system 714 may include one or more processing devices, such as a central processing unit ("CPU" or "processor"), a graphical processing unit ("GPU"), an application specific integrated circuit ("ASIC"), a controller, or any other suitable solid state or analog processing device. Processing system 714 may communicatively couple to I/O device 716 or memory 712 and may control the operation and administration of computing system 710 by processing information received from I/O device 716 or memory 712. Processing system 714 may any hardware or software that operates to control and process information. In some embodiments, processing system 714 may one or more programmable logic device, one or more microcontroller, one or more microprocessor, one or more suitable processing device, or any suitable combination of the preceding. Computing system 710 may include any suitable number, type, and/or configuration of processing system 714. For example, in some embodiments, processing system 714 may be a distributed system of processors with various operations being performed in various data centers. In some embodiments, processing system 714 may be in integrated unit, such as a personal computer or a server. Processing system 714 may execute one or more sets of computer-readable instructions to implement the generation of a composite image based on geologic data, including the steps described above with respect to FIGURES 1-3. Processing system 714 may also execute any other suitable programs to facilitate the generation of composite images, such as, for example, user interface software to present one or more graphical user interfaces ("GUF's) to a user.
[0072] This disclosure encompasses all changes, substitutions, variations, alterations, and modifications to the example embodiments herein that a person having ordinary skill in the art would comprehend. Similarly, where appropriate, the appended claims encompass all changes, substitutions, variations, alterations, and modifications to the example embodiments herein that a person having ordinary skill in the art would comprehend. Moreover, reference in the appended claims to an apparatus or system or a component of an apparatus or system being adapted to, arranged to, capable of, configured to, enabled to, operable to, or operative to perform a particular function encompasses that apparatus, system, component, whether or not it or that particular function is activated, turned on, or unlocked, as long as that apparatus, system, or component is so adapted, arranged, capable, configured, enabled, operable, or operative.
[0073] Herein, "or" is inclusive and not exclusive, unless expressly indicated otherwise or indicated otherwise by context. Therefore, herein, "A or B" means "A, B, or both," unless expressly indicated otherwise or indicated otherwise by context. Moreover, "and" is both joint and several, unless expressly indicated otherwise or indicated otherwise by context. Therefore, herein, "A and B" means "A and B, jointly or severally," unless expressly indicated otherwise or indicated otherwise by context.
[0074] Any of the steps, operations, or processes described herein may be performed or implemented with one or more hardware or software modules, alone or in combination with other devices. In one embodiment, a software module is implemented with a computer program product comprising a computer-readable medium containing computer program code, which can be executed by a computer processor for performing any or all of the steps, operations, or processes described. In certain embodiments, the computer- readable medium may be non-transitory.
[0075] Embodiments of the invention may also relate to an apparatus for performing the operations herein. This apparatus may be specially constructed for the required purposes, or it may comprise a general-purpose computing device selectively activated or reconfigured by a computer program stored in the computer. Such a computer program may be stored in a tangible computer readable storage medium or any type of media suitable for storing electronic instructions, and coupled to a computer system bus. Furthermore, any computing systems referred to in the specification may include a single processor or may be architectures employing multiple processor designs for increased computing capability.
[0076] The preceding detailed description does not limit the invention. Instead, the scope of the invention is defined by the appended claims. Some of the preceding embodiments are discussed, for simplicity, with regard to the terminology and structure of geologic surface reconstruction using implicit potential functions with a minimal function energy concept. The embodiments, however, are not limited to these configurations, and may be extended to other arrangements.
[0077] Reference throughout the specification to "one embodiment" or "an embodiment" means that a particular feature, structure or characteristic described in connection with an embodiment is included in at least one embodiment of the subject matter disclosed. Thus, the appearance of the phrases "in one embodiment" or "in an embodiment" in various places throughout the specification is not necessarily referring to the same embodiment. Further, the particular features, structures or characteristics may be combined in any suitable manner in one or more embodiments.
[0078] Although the present invention has been described with several embodiments, a myriad of changes, variations, alterations, transformations, and modifications may be suggested to one skilled in the art, and it is intended that the present invention encompass such changes, variations, alterations, transformations, and modifications as fall within the scope of the appended claims. Moreover, while the present disclosure has been described with respect to various embodiments, it is fully expected that the teachings of the present disclosure may be combined in a single embodiment as appropriate.
Claims
1. A method for reconstructing a geologic surface from geologic data, the method comprising:
receiving geologic data from a first data source, the geologic data representing a region of earth;
generating a grid to represent the region of earth, the grid comprising a plurality of nodes that define a plurality of cells;
determining, using a processing system, a value of an implicit function at each node of the plurality of nodes using a minimum function energy constraint and the geologic data received from the first data source; and
generating a graphical representation of a geologic surface in the region of earth based on the value of the implicit function at each node of the plurality of nodes.
2. The method of claim 1, wherein determining the value of the implicit function at each node of the plurality of nodes using the minimum function energy constraint and the geologic data received from the first data source comprises:
numerically solving a linear system of equations derived from the minimum function energy constraint to obtain a candidate value of the implicit function at a node of the plurality of nodes; and
applying a regression method to the candidate value of the implicit function at the node and a data point of the geologic data from the first data source to obtain the value of the implicit function at the node.
3. The method of claim 2, wherein the regression method is a least-squares regression method.
4. The method of claim 1, further comprising:
receiving geologic data from a second data source, the geologic data from the second data source representing the region of earth,
wherein determining the value of the implicit function at each node of the plurality of nodes using the minimum function energy constraint and the geologic data received from the first data source comprises:
numerically solving a linear system of equations derived from the minimum function energy constraint to obtain a candidate value of the implicit function at a node of the plurality of nodes; and
applying a regression method to the candidate value of the implicit function at the node, a data point of the geologic data from the first data source, and a data point of the geologic data from the second data source to obtain the value of the implicit function at the node,
wherein the data point of the geologic data from the first data source and the data point of the geologic data from the second data source are respectively assigned different weights in the regression method.
5. The method of claim 4, wherein the weights assigned to the data point of the geologic data from the first data source and the data point of the geologic data from the second data source are based on a trust level of the first data source and the second data source, respectively.
6. The method of claim 4,
wherein the first data source is a well log,
wherein the second data source is a collection of migrated seismic data, and wherein the data point of the geologic data from the well log is assigned a greater weight than the weigh assigned to the data point of the geologic data from the collection of migrated seismic data.
7. The method of claim 1, wherein generating the graphical representation of the geologic surface in the region of earth based on the value of the implicit function at each node of the plurality of nodes comprises:
applying a marching cell method to the plurality of cells defined in the region to determine positions and orientations for a plurality of polygons; and
assembling the plurality of polygons in the determined positions and orientations throughout the grid as the graphical representation of the geologic surface.
8. A system for reconstructing a geologic surface from geologic data, the system comprising:
a computing system configured to:
receive geologic data from a first data source, the geologic data representing a region of earth;
generate a grid to represent the region of earth, the grid comprising a plurality of nodes that define a plurality of cells;
determine a value of an implicit function at each node of the plurality of nodes using a minimum function energy constraint and the geologic data received from the first data source; and
generate a graphical representation of a geologic surface in the region of earth based on the value of the implicit function at each node of the plurality of nodes.
9. The system of claim 8, wherein, when determining the value of the implicit function at each node of the plurality of nodes using the minimum function energy constraint and the geologic data received from the first data source, the computing system is configured to:
numerically solve a linear system of equations derived from the minimum function energy constraint to obtain a candidate value of the implicit function at a node of the plurality of nodes; and
apply a regression method to the candidate value of the implicit function at the node and a data point of the geologic data from the first data source to obtain the value of the implicit function at the node.
10. The system of claim 8,
wherein the computing system is further configured to receive geologic data from a second data source, the geologic data from the second data source representing the region of earth,
wherein, when determining the value of the implicit function at each node of the plurality of nodes using the minimum function energy constraint and the geologic data received from the first data source, the computing system is configured to:
numerically solve a linear system of equations derived from the minimum function energy constraint to obtain a candidate value of the implicit function at a node of the plurality of nodes; and
apply a regression method to the candidate value of the implicit function at the node, a data point of the geologic data from the first data source, and a data point of the geologic data from the second data source to obtain the value of the implicit function at the node,
wherein the data point of the geologic data from the first data source and the data point of the geologic data from the second data source are respectively assigned different weights in the regression method.
11. The system of claim 10, wherein, when applying the regression method, the computing system is configured to assign the weights to the data point of the geologic data from the first data source and the data point of the geologic data from the second data source based on a trust level of the first data source and the second data source, respectively.
12. The system of claim 10,
wherein the first data source is a well log,
wherein the second data source is a collection of migrated seismic data, and wherein, when applying the regression method, the computing system is configured to assign a greater weight to the data point of the geologic data from the well log than to the data point of the geologic data from the collection of migrated seismic data.
13. The system of claim 8, wherein, when generating the graphical representation of the geologic surface in the region of earth based on the value of the implicit function at each node of the plurality of nodes, the computing system is configured to:
apply a marching cell method to the plurality of cells defined in the region to determine positions and orientations for a plurality of polygons; and
assemble the plurality of polygons in the determined positions and orientations throughout the grid as the graphical representation of the geologic surface.
14. A non-transitory computer-readable medium storing computer-readable instructions that, when executed by a processing system, instruct the processing system to perform processes for reconstructing a geologic surface from geologic data, the processes comprising:
receiving geologic data from a first data source, the geologic data representing a region of earth;
generating a grid to represent the region of earth, the grid comprising a plurality of nodes that define a plurality of cells;
determining a value of an implicit function at each node of the plurality of nodes using a minimum function energy constraint and the geologic data received from the first data source; and
generating a graphical representation of a geologic surface in the region based on the value of the implicit function at each node of the plurality of nodes.
15. The non-transitory computer-readable medium of claim 14, wherein determining the value of the implicit function at each node of the plurality of nodes using the minimum function energy constraint and the geologic data received from the first data source comprises:
numerically solving a linear system of equations derived from the minimum function energy constraint to obtain a candidate value of the implicit function at a node of the plurality of nodes; and
applying a regression method to the candidate value of the implicit function at the node and a data point of the geologic data from the first data source to obtain the value of the implicit function at the node.
16. The non-transitory computer-readable medium of claim 15, wherein the regression method is a least-squares regression method.
17. The non-transitory computer-readable medium of claim 14, wherein the computer-readable instructions instruct the processing system to perform processes further comprising:
receiving geologic data from a second data source, the geologic data representing the region of earth,
wherein determining the value of the implicit function at each node of the plurality of nodes using the minimum function energy constraint and the geologic data received from the first data source comprises:
numerically solving a linear system of equations derived from the minimum function energy constraint to obtain a candidate value of the implicit function at a node of the plurality of nodes; and
applying a regression method to the candidate value of the implicit function at the node, a data point of the geologic data from the first data source, and a data point of the geologic data from the second data source to obtain the value of the implicit function at the node,
wherein the data point of the geologic data from the first data source and the data point of the geologic data from the second data source are respectively assigned different weights in the regression method.
18. The non-transitory computer-readable medium of claim 17, wherein the weights assigned to the data point of the geologic data from the first data source and the data point of the geologic data from the second data source are based on a trust level of the first data source and the second data source, respectively.
19. The non-transitory computer-readable medium of claim 17,
wherein the first data source is a well log,
wherein the second data source is a collection of migrated seismic data, and wherein the data point of the geologic data from the well log is assigned a greater weight than the weigh assigned to the data point of the geologic data from the collection of migrated seismic data.
20. The non-transitory computer-readable medium of claim 14, wherein generating the graphical representation of the geologic surface in the region based on the value of the implicit function at each node of the plurality of nodes comprises:
applying a marching cell method to the plurality of cells defined in the region to determine positions and orientations for a plurality of polygons; and
assembling the plurality of polygons in the determined positions and orientations throughout the grid as the graphical representation of the geologic surface.
Priority Applications (1)
| Application Number | Priority Date | Filing Date | Title |
|---|---|---|---|
| PCT/IB2014/001401 WO2016001697A1 (en) | 2014-07-03 | 2014-07-03 | Systems and methods for geologic surface reconstruction using implicit functions |
Applications Claiming Priority (1)
| Application Number | Priority Date | Filing Date | Title |
|---|---|---|---|
| PCT/IB2014/001401 WO2016001697A1 (en) | 2014-07-03 | 2014-07-03 | Systems and methods for geologic surface reconstruction using implicit functions |
Publications (1)
| Publication Number | Publication Date |
|---|---|
| WO2016001697A1 true WO2016001697A1 (en) | 2016-01-07 |
Family
ID=51752140
Family Applications (1)
| Application Number | Title | Priority Date | Filing Date |
|---|---|---|---|
| PCT/IB2014/001401 Ceased WO2016001697A1 (en) | 2014-07-03 | 2014-07-03 | Systems and methods for geologic surface reconstruction using implicit functions |
Country Status (1)
| Country | Link |
|---|---|
| WO (1) | WO2016001697A1 (en) |
Cited By (10)
| Publication number | Priority date | Publication date | Assignee | Title |
|---|---|---|---|---|
| CN107590855A (en) * | 2017-10-25 | 2018-01-16 | 中国石油集团川庆钻探工程有限公司地球物理勘探公司 | Model for Multi-Objective Optimization, interpolation method and the Surface Reconstruction of surface reconstruction |
| CN108845358A (en) * | 2018-09-26 | 2018-11-20 | 中国矿业大学(北京) | Tomography and the recognition methods of structural anomaly body and device |
| EP3413098A1 (en) * | 2017-05-31 | 2018-12-12 | Services Pétroliers Schlumberger | Geologic structural model generation |
| CN110133749A (en) * | 2019-05-30 | 2019-08-16 | 中国地质科学院 | A method and system for processing gravity and magnetic data in geological resource exploration |
| CN111986325A (en) * | 2020-08-25 | 2020-11-24 | 东北大学 | An Implicit Sectioning Method for 3D Geological Model |
| CN113592711A (en) * | 2021-07-22 | 2021-11-02 | 中山大学 | Three-dimensional reconstruction method, system and equipment for point cloud data nonuniformity and storage medium |
| US20220026593A1 (en) * | 2018-11-28 | 2022-01-27 | Schlumberger Technology Corporation | Implicit property modeling |
| CN118467990A (en) * | 2024-07-11 | 2024-08-09 | 中南大学 | A fracture surface feature recognition method, device, terminal equipment and medium |
| CN118820837A (en) * | 2024-06-06 | 2024-10-22 | 武汉地大坤迪科技有限公司 | A rock layer attribute classification method based on fault constraint surface |
| CN120298617A (en) * | 2025-06-12 | 2025-07-11 | 中南大学 | Implicit modeling optimization method, system and memory driven by nonlinear constraint coupling |
Citations (2)
| Publication number | Priority date | Publication date | Assignee | Title |
|---|---|---|---|---|
| WO2004038654A2 (en) * | 2002-10-18 | 2004-05-06 | Exxonmobil Upstream Research Company | A method for rapid fault interpretation of fault surfaces generated to fit three-dimensional seismic discontinuity data |
| US20130238297A1 (en) * | 2012-03-09 | 2013-09-12 | Schlumberger Technology Corporation | Faulted geological structures containing unconformities |
-
2014
- 2014-07-03 WO PCT/IB2014/001401 patent/WO2016001697A1/en not_active Ceased
Patent Citations (2)
| Publication number | Priority date | Publication date | Assignee | Title |
|---|---|---|---|---|
| WO2004038654A2 (en) * | 2002-10-18 | 2004-05-06 | Exxonmobil Upstream Research Company | A method for rapid fault interpretation of fault surfaces generated to fit three-dimensional seismic discontinuity data |
| US20130238297A1 (en) * | 2012-03-09 | 2013-09-12 | Schlumberger Technology Corporation | Faulted geological structures containing unconformities |
Cited By (17)
| Publication number | Priority date | Publication date | Assignee | Title |
|---|---|---|---|---|
| EP3413098A1 (en) * | 2017-05-31 | 2018-12-12 | Services Pétroliers Schlumberger | Geologic structural model generation |
| US11180975B2 (en) | 2017-05-31 | 2021-11-23 | Schlumberger Technology Corporation | Geologic structural model generation |
| CN107590855A (en) * | 2017-10-25 | 2018-01-16 | 中国石油集团川庆钻探工程有限公司地球物理勘探公司 | Model for Multi-Objective Optimization, interpolation method and the Surface Reconstruction of surface reconstruction |
| CN107590855B (en) * | 2017-10-25 | 2020-12-08 | 中国石油集团东方地球物理勘探有限责任公司 | Multi-objective optimization model for curved surface reconstruction, interpolation method and curved surface reconstruction method |
| CN108845358A (en) * | 2018-09-26 | 2018-11-20 | 中国矿业大学(北京) | Tomography and the recognition methods of structural anomaly body and device |
| EP3887873A4 (en) * | 2018-11-28 | 2022-08-03 | Services Pétroliers Schlumberger | IMPLICIT PROPERTY MODELING |
| US12276765B2 (en) * | 2018-11-28 | 2025-04-15 | Schlumberger Technology Corporation | Implicit property modeling |
| US20220026593A1 (en) * | 2018-11-28 | 2022-01-27 | Schlumberger Technology Corporation | Implicit property modeling |
| CN110133749A (en) * | 2019-05-30 | 2019-08-16 | 中国地质科学院 | A method and system for processing gravity and magnetic data in geological resource exploration |
| CN111986325A (en) * | 2020-08-25 | 2020-11-24 | 东北大学 | An Implicit Sectioning Method for 3D Geological Model |
| CN111986325B (en) * | 2020-08-25 | 2023-07-18 | 东北大学 | An Implicit Sectioning Method for 3D Geological Model |
| CN113592711B (en) * | 2021-07-22 | 2024-01-12 | 中山大学 | Three-dimensional reconstruction method, system, equipment and storage medium for non-uniform point cloud data |
| CN113592711A (en) * | 2021-07-22 | 2021-11-02 | 中山大学 | Three-dimensional reconstruction method, system and equipment for point cloud data nonuniformity and storage medium |
| CN118820837A (en) * | 2024-06-06 | 2024-10-22 | 武汉地大坤迪科技有限公司 | A rock layer attribute classification method based on fault constraint surface |
| CN118820837B (en) * | 2024-06-06 | 2025-01-24 | 武汉地大坤迪科技有限公司 | A rock layer attribute classification method based on fault constraint surface |
| CN118467990A (en) * | 2024-07-11 | 2024-08-09 | 中南大学 | A fracture surface feature recognition method, device, terminal equipment and medium |
| CN120298617A (en) * | 2025-06-12 | 2025-07-11 | 中南大学 | Implicit modeling optimization method, system and memory driven by nonlinear constraint coupling |
Similar Documents
| Publication | Publication Date | Title |
|---|---|---|
| US11175434B2 (en) | Geologic stratigraphy via implicit and jump functions | |
| WO2016001697A1 (en) | Systems and methods for geologic surface reconstruction using implicit functions | |
| US10088596B2 (en) | Meshless representation of a geologic environment | |
| US11042676B2 (en) | Representing structural uncertainty in a mesh representing a geological environment | |
| US11662501B2 (en) | Geologic modeling methods and systems having constrained restoration of depositional space | |
| US20140222403A1 (en) | Geologic model via implicit function | |
| US20150066460A1 (en) | Stratigraphic function | |
| US11054537B2 (en) | Feature index-based feature detection | |
| CA2896683A1 (en) | Regional stress inversion using frictional faults | |
| CN104884974A (en) | System and method for depth conversion of 3D seismic data using artificial neural network | |
| CN114185098B (en) | Method and system for connecting elements to seismic sources and receivers | |
| US20260003090A1 (en) | Geologic modeling framework | |
| WO2016025030A1 (en) | Systems and methods employing upward beam propagation for target-oriented seismic imaging | |
| US20260009914A1 (en) | Geologic modeling framework | |
| US12276765B2 (en) | Implicit property modeling | |
| EP3531172B1 (en) | Meshless and mesh-based technique for modeling subterranean volumes | |
| US9435904B2 (en) | Method of correcting velocity for complex surface topography | |
| US10209380B2 (en) | Methods and systems for juxtaposition across geological discontinuities | |
| CN115267902A (en) | Computer program product and method for estimating spatially varying wavelets | |
| US20250138211A1 (en) | Surface-consistent travel-times inversion with accuracy estimation | |
| US20250076527A1 (en) | Method to correct erroneous local traveltime operators | |
| Nwachukwu | Model selection for CO₂ sequestration using surface deflection and injection data | |
| WO2016071728A1 (en) | Systems and methods for vortex calculation as attribute for geologic discontinuities |
Legal Events
| Date | Code | Title | Description |
|---|---|---|---|
| 121 | Ep: the epo has been informed by wipo that ep was designated in this application |
Ref document number: 14786525 Country of ref document: EP Kind code of ref document: A1 |
|
| NENP | Non-entry into the national phase |
Ref country code: DE |
|
| 122 | Ep: pct application non-entry in european phase |
Ref document number: 14786525 Country of ref document: EP Kind code of ref document: A1 |


