WO2015181624A2 - Nucleoside derivatives for the treatment of cancer - Google Patents
Nucleoside derivatives for the treatment of cancer Download PDFInfo
- Publication number
- WO2015181624A2 WO2015181624A2 PCT/IB2015/000957 IB2015000957W WO2015181624A2 WO 2015181624 A2 WO2015181624 A2 WO 2015181624A2 IB 2015000957 W IB2015000957 W IB 2015000957W WO 2015181624 A2 WO2015181624 A2 WO 2015181624A2
- Authority
- WO
- WIPO (PCT)
- Prior art keywords
- amino
- compound
- alkyl
- hydrogen
- methoxy
- Prior art date
- Legal status (The legal status is an assumption and is not a legal conclusion. Google has not performed a legal analysis and makes no representation as to the accuracy of the status listed.)
- Ceased
Links
- 0 CN(C=CC(*)=N1)C1=O Chemical compound CN(C=CC(*)=N1)C1=O 0.000 description 19
- VXZUQFJKGIQHJW-UHFFFAOYSA-N CCc([n]1C)cnc1[N+](O)=O Chemical compound CCc([n]1C)cnc1[N+](O)=O VXZUQFJKGIQHJW-UHFFFAOYSA-N 0.000 description 4
- XPABFVAGIUOETQ-YSLANXFLSA-N B[C@@H](CC1)O[C@H](CO)C1O Chemical compound B[C@@H](CC1)O[C@H](CO)C1O XPABFVAGIUOETQ-YSLANXFLSA-N 0.000 description 1
- ADFZGHZLUKPXLI-UHFFFAOYSA-N CC(C)(C)NOCCO Chemical compound CC(C)(C)NOCCO ADFZGHZLUKPXLI-UHFFFAOYSA-N 0.000 description 1
- BBGQQVFATHJKHV-UHFFFAOYSA-N CCC(NCC(C=CC=C1)=CC1(C)I)=C Chemical compound CCC(NCC(C=CC=C1)=CC1(C)I)=C BBGQQVFATHJKHV-UHFFFAOYSA-N 0.000 description 1
- IPAKLQMWZPUYPY-FJYNNQSGSA-N CCOC([C@H](CC(C)C)N=[P](OCC1OC2N3C=NC4C(N)=NC(F)=NC34)(O[C@H]1[C@@H]2O)=O)=O Chemical compound CCOC([C@H](CC(C)C)N=[P](OCC1OC2N3C=NC4C(N)=NC(F)=NC34)(O[C@H]1[C@@H]2O)=O)=O IPAKLQMWZPUYPY-FJYNNQSGSA-N 0.000 description 1
- MDAYXWBVOCERIX-UHFFFAOYSA-N CNCc1cc(C=C)c(C=C)[nH]1 Chemical compound CNCc1cc(C=C)c(C=C)[nH]1 MDAYXWBVOCERIX-UHFFFAOYSA-N 0.000 description 1
- RDIZNKNSMGEKKE-UHFFFAOYSA-N CNCc1cc2ccccc2[nH]1 Chemical compound CNCc1cc2ccccc2[nH]1 RDIZNKNSMGEKKE-UHFFFAOYSA-N 0.000 description 1
- FBGOJKRYYMYDSP-UNHBDAOFSA-N C[C@@H](C(OCc1ccccc1)=O)NP(C)(OCc1ccc([N+]([O-])=O)[s]1)=O Chemical compound C[C@@H](C(OCc1ccccc1)=O)NP(C)(OCc1ccc([N+]([O-])=O)[s]1)=O FBGOJKRYYMYDSP-UNHBDAOFSA-N 0.000 description 1
- IXXKOFAGCSVPAO-NLOSREEMSA-N C[n]1c([N+]([O-])=O)ncc1COP(NCc1ccccc1)(OC[C@H](C(C1[C@@H]2[n]3c4nc(Cl)nc(N)c4nc3)O)OC12F)=O Chemical compound C[n]1c([N+]([O-])=O)ncc1COP(NCc1ccccc1)(OC[C@H](C(C1[C@@H]2[n]3c4nc(Cl)nc(N)c4nc3)O)OC12F)=O IXXKOFAGCSVPAO-NLOSREEMSA-N 0.000 description 1
- YFDXHSYEMMKIOX-FOTDUZHESA-N NC(C=CN1[C@@H](C2O)O[C@H](COP(NCc3ccccc3)(OCc3ccc([N+]([O-])=O)[s]3)=O)C2O)=NC1=O Chemical compound NC(C=CN1[C@@H](C2O)O[C@H](COP(NCc3ccccc3)(OCc3ccc([N+]([O-])=O)[s]3)=O)C2O)=NC1=O YFDXHSYEMMKIOX-FOTDUZHESA-N 0.000 description 1
- XUUGNXWGQRUGLW-UHFFFAOYSA-N NOCc([s]1)ccc1I Chemical compound NOCc([s]1)ccc1I XUUGNXWGQRUGLW-UHFFFAOYSA-N 0.000 description 1
- LONQDRVCKNPOOP-IBYWVVJKSA-N Nc1c2nc[n]([C@@H](C3F)O[C@H](COP(NCc4ccccc4)(OCc4ccc([N+]([O-])=O)[o]4)=O)C3O)c2nc(Cl)n1 Chemical compound Nc1c2nc[n]([C@@H](C3F)O[C@H](COP(NCc4ccccc4)(OCc4ccc([N+]([O-])=O)[o]4)=O)C3O)c2nc(Cl)n1 LONQDRVCKNPOOP-IBYWVVJKSA-N 0.000 description 1
- DMWBGUKZQGLLOL-IMAGTLMMSA-N Nc1c2nc[n]([C@@H](C3F)O[C@H](CO[O](NCc4ccccc4)(OCc4ccc([N+]([O-])=O)[s]4)=O)C3O)c2nc(Cl)n1 Chemical compound Nc1c2nc[n]([C@@H](C3F)O[C@H](CO[O](NCc4ccccc4)(OCc4ccc([N+]([O-])=O)[s]4)=O)C3O)c2nc(Cl)n1 DMWBGUKZQGLLOL-IMAGTLMMSA-N 0.000 description 1
- VTPZGZASDXXIQL-UHFFFAOYSA-N OCc([s]1)ccc1I Chemical compound OCc([s]1)ccc1I VTPZGZASDXXIQL-UHFFFAOYSA-N 0.000 description 1
Classifications
-
- C—CHEMISTRY; METALLURGY
- C07—ORGANIC CHEMISTRY
- C07H—SUGARS; DERIVATIVES THEREOF; NUCLEOSIDES; NUCLEOTIDES; NUCLEIC ACIDS
- C07H19/00—Compounds containing a hetero ring sharing one ring hetero atom with a saccharide radical; Nucleosides; Mononucleotides; Anhydro-derivatives thereof
- C07H19/02—Compounds containing a hetero ring sharing one ring hetero atom with a saccharide radical; Nucleosides; Mononucleotides; Anhydro-derivatives thereof sharing nitrogen
- C07H19/04—Heterocyclic radicals containing only nitrogen atoms as ring hetero atom
- C07H19/16—Purine radicals
- C07H19/20—Purine radicals with the saccharide radical esterified by phosphoric or polyphosphoric acids
- C07H19/213—Purine radicals with the saccharide radical esterified by phosphoric or polyphosphoric acids containing cyclic phosphate
-
- A—HUMAN NECESSITIES
- A61—MEDICAL OR VETERINARY SCIENCE; HYGIENE
- A61K—PREPARATIONS FOR MEDICAL, DENTAL OR TOILETRY PURPOSES
- A61K31/00—Medicinal preparations containing organic active ingredients
- A61K31/70—Carbohydrates; Sugars; Derivatives thereof
- A61K31/7042—Compounds having saccharide radicals and heterocyclic rings
- A61K31/7052—Compounds having saccharide radicals and heterocyclic rings having nitrogen as a ring hetero atom, e.g. nucleosides, nucleotides
- A61K31/706—Compounds having saccharide radicals and heterocyclic rings having nitrogen as a ring hetero atom, e.g. nucleosides, nucleotides containing six-membered rings with nitrogen as a ring hetero atom
- A61K31/7064—Compounds having saccharide radicals and heterocyclic rings having nitrogen as a ring hetero atom, e.g. nucleosides, nucleotides containing six-membered rings with nitrogen as a ring hetero atom containing condensed or non-condensed pyrimidines
- A61K31/7068—Compounds having saccharide radicals and heterocyclic rings having nitrogen as a ring hetero atom, e.g. nucleosides, nucleotides containing six-membered rings with nitrogen as a ring hetero atom containing condensed or non-condensed pyrimidines having oxo groups directly attached to the pyrimidine ring, e.g. cytidine, cytidylic acid
-
- A—HUMAN NECESSITIES
- A61—MEDICAL OR VETERINARY SCIENCE; HYGIENE
- A61K—PREPARATIONS FOR MEDICAL, DENTAL OR TOILETRY PURPOSES
- A61K31/00—Medicinal preparations containing organic active ingredients
- A61K31/70—Carbohydrates; Sugars; Derivatives thereof
- A61K31/7042—Compounds having saccharide radicals and heterocyclic rings
- A61K31/7052—Compounds having saccharide radicals and heterocyclic rings having nitrogen as a ring hetero atom, e.g. nucleosides, nucleotides
- A61K31/706—Compounds having saccharide radicals and heterocyclic rings having nitrogen as a ring hetero atom, e.g. nucleosides, nucleotides containing six-membered rings with nitrogen as a ring hetero atom
- A61K31/7064—Compounds having saccharide radicals and heterocyclic rings having nitrogen as a ring hetero atom, e.g. nucleosides, nucleotides containing six-membered rings with nitrogen as a ring hetero atom containing condensed or non-condensed pyrimidines
- A61K31/7076—Compounds having saccharide radicals and heterocyclic rings having nitrogen as a ring hetero atom, e.g. nucleosides, nucleotides containing six-membered rings with nitrogen as a ring hetero atom containing condensed or non-condensed pyrimidines containing purines, e.g. adenosine, adenylic acid
-
- A—HUMAN NECESSITIES
- A61—MEDICAL OR VETERINARY SCIENCE; HYGIENE
- A61P—SPECIFIC THERAPEUTIC ACTIVITY OF CHEMICAL COMPOUNDS OR MEDICINAL PREPARATIONS
- A61P35/00—Antineoplastic agents
- A61P35/02—Antineoplastic agents specific for leukemia
-
- C—CHEMISTRY; METALLURGY
- C07—ORGANIC CHEMISTRY
- C07H—SUGARS; DERIVATIVES THEREOF; NUCLEOSIDES; NUCLEOTIDES; NUCLEIC ACIDS
- C07H19/00—Compounds containing a hetero ring sharing one ring hetero atom with a saccharide radical; Nucleosides; Mononucleotides; Anhydro-derivatives thereof
- C07H19/02—Compounds containing a hetero ring sharing one ring hetero atom with a saccharide radical; Nucleosides; Mononucleotides; Anhydro-derivatives thereof sharing nitrogen
- C07H19/04—Heterocyclic radicals containing only nitrogen atoms as ring hetero atom
- C07H19/06—Pyrimidine radicals
- C07H19/067—Pyrimidine radicals with ribosyl as the saccharide radical
-
- C—CHEMISTRY; METALLURGY
- C07—ORGANIC CHEMISTRY
- C07H—SUGARS; DERIVATIVES THEREOF; NUCLEOSIDES; NUCLEOTIDES; NUCLEIC ACIDS
- C07H19/00—Compounds containing a hetero ring sharing one ring hetero atom with a saccharide radical; Nucleosides; Mononucleotides; Anhydro-derivatives thereof
- C07H19/02—Compounds containing a hetero ring sharing one ring hetero atom with a saccharide radical; Nucleosides; Mononucleotides; Anhydro-derivatives thereof sharing nitrogen
- C07H19/04—Heterocyclic radicals containing only nitrogen atoms as ring hetero atom
- C07H19/16—Purine radicals
- C07H19/167—Purine radicals with ribosyl as the saccharide radical
Definitions
- nucleoside derivatives Provided herein are nucleoside derivatives, pharmaceutical compositions comprising the compounds, processes of preparation thereof, and methods of use thereof for treating cancer.
- Cancer is a disease characterized primarily by an uncontrolled divisions of abnormal cells derived from a given normal tissue and the invasion of adjacent tissues by these malignant cells. Blood or lymphatic transportation can spread cancer cells to other parts of the body leading to regional lymph nodes and to distant sites (metastasis). Cancer is a complex, multistep process that begins with minor preneoplastic changes, which may under certain conditions progress to neoplasia. There are more than 100 different types of cancer, which can be grouped into broader categories. The main categories include: carcinoma, sarcoma, leukemia, lymphoma and myeloma, and central nervous system cancers.
- Hematologic or hematopoietic malignancies are cancers of the blood or bone marrow, including leukemia and lymphoma.
- Leukemia is a type of cancer of the blood characterized by abnormal accumulation of immature white blood cells.
- leukemia There are four types of leukemia: acute lymphocytic leukemia (ALL), acute myelogenous leukemia (AML), chronic lymphocytic leukemia (CLL), and chronic myelogenous leukemia (CML).
- ALL acute lymphocytic leukemia
- AML acute myelogenous leukemia
- CLL chronic lymphocytic leukemia
- CML chronic myelogenous leukemia
- Acute leukemia is a rapidly progressing disease that results in the accumulation of immature, functionless cells in the marrow and blood. The marrow often stops producing enough normal red cells, white cells and platelets.
- chronic leukemia progresses more slowly and allows greater numbers of more mature, functional cells
- Leukemia can affect people at any age. The cause of most cases of leukemia is not known. Extraordinary doses of radiation and certain cancer therapies are possible causes. About 90% of leukemia are diagnosed in adults. In 2000 approximately 256,000 children and adults around the world developed some form of leukemia, and 209,000 died from it. Cases of Chronic leukemia account for 4.5 percent more cases than acute leukemia. The most common types of leukemia in adults are acute myelogenous leukemia (AML), with estimated 14,590 new cases in 2013, and chronic lymphocytic leukemia (CLL), with about 15,680 new cases in 2013. Chronic myelogenous leukemia (CML) was estimated to affect about 5,920 persons in 2013 (data from the Leukemia and Lymphoma Society, Facts 2013, August 2013).
- AML acute myelogenous leukemia
- CLL chronic lymphocytic leukemia
- phosphoramidate derivatives and cyclic phosphate derivatives of a variety of therapeutic agents are provided, as well as pharmaceutical compositions and methods of treatment of a variety of cancer including hematopoietic malignancies.
- the therapeutic agent is, for example, an anti-cancer agent that includes, or has been derivatized to include, a reactive group, such as a hydroxyl, for attachment of the phosphoroamidate and cyclic phosphate moiety.
- Such therapeutic agents include, but are not limited to nucleosides and nucleoside analogs including acyclic nucleosides.
- a nucleoside analog refers to a structurally modified nucleoside.
- the nucleosides or nucleoside analogs are derivitized at the 5'- and/or the 3 '-position by removal of a hydrogen from an hydroxyl group to incorporate a phosphoramidate and cyclic phosphate group. In one embodiment, the nucleosides or nucleoside analogs are derivitized at the 5'- and/or the 2'-position by removal of a hydrogen from an hydroxyl group to incorporate a phosphoramidate and cyclic phosphate group. In one embodiment, phosphorodiamidates of nucleosides and nucleoside analogs are provided.
- the compound is a -S'-pivaloyl-2-thioethyl phosphoroamidate or S- hydroxypivaloyl-2-thioethyl phosphoroamidate.
- ⁇ S'-pivaloyl-2- thioethyl disulfide phosphoroamidate or ⁇ -dimethyl-S-oxopropanoate 2-thioethyl benzyl phosphoroamidate or benzylphosphoramidate of nucleosides and nucleoside analogs are provided.
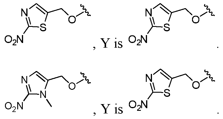
- the derivative is l-methyl-2-nitro-lH- imidazol-5-methoxymethyl N- benzylphosphoramidate or 5-nitrofuran-2-methoxymethyl N-benzyl phosphoramidate.
- the derivative is a 3', 5'-cyclic phosphate. In another embodiment the derivative is a 2', 5'-cyclic phosphate.
- the anti-cancer agents include, but are not limited to, modified nucleosides.
- the anti-cancer agent is clofarabine, cytarabine, isocladribine, cladribine, fludarabine or nelarabine.
- the anti-cancer agent is clofarabine, cytarabine, isocladribine, cladribine or fludarabine.
- the anti-cancer agent is clofarabine or cytarabine.
- alkyl refers to a saturated straight or branched hydrocarbon.
- the alkyl group is a primary, secondary, or tertiary hydrocarbon.
- the alkyl group includes one to ten carbon atoms, i.e., to C 10 alkyl.
- the alkyl group is methyl, CF 3 , CCI 3 , CFCI 2 , CF 2 C1, ethyl, CH 2 CF 3 , CF 2 CF 3 , propyl, isopropyl, butyl, isobutyl, sec-butyl, t- butyl, pentyl, isopentyl, neopentyl, hexyl, isohexyl, 3-methylpentyl, 2,2-dimethylbutyl, or 2,3-dimethylbutyl.
- the term includes both substituted and unsubstituted alkyl groups, including halogenated alkyl groups, preferably unsubstituted or halogenated alkyl groups.
- the alkyl group is a fluorinated alkyl group.
- Non-limiting examples of moieties with which the alkyl group can be substituted include halogen (fluoro, chloro, bromo, or iodo), oxo, hydroxyl, amino, alkylamino, arylamino, alkylarylamino, alkoxy, aryloxy, thioalkoxy, thioaroxyl, alkyldisulfanyl, acyl, hydroxylcarbonyl, alkoxycarbonyl, aryloxycarbonyl, aminocarbonyl, alkylaminocarbonyl, arylaminocarbonyl, alkylarylaminocarbonyl, acyloxy, acylthio, nitro, cyano, sulfonic acid, sulfate, phosphonic acid, phosphate, or phosphonate, either unprotected, or protected as necessary, as known to those skilled in the art, for example, as taught in Greene, et ah, Protective Groups in Organic
- lower alkyl refers to a saturated straight or branched hydrocarbon having one to six carbon atoms, i.e., Ci to C 6 alkyl.
- the lower alkyl group is a primary, secondary, or tertiary hydrocarbon.
- the term includes both substituted and unsubstituted moieties, preferably unsubstituted
- cycloalkyl refers to a saturated cyclic hydrocarbon.
- the cycloalkyl group may be a saturated, and/or bridged, and/or non-bridged, and/or a fused bicyclic group.
- the cycloalkyl group includes three to ten carbon atoms, i.e., C 3 to C 10 cycloalkyl.
- the cycloalkyl has from 3 to 15 (C 3 -15), from 3 to 10 (C 3 -10), or from 3 to 7 (C 3 -7) carbon atoms.
- the cycloalkyl group is cyclopropyl, cyclobutyl, cyclopentyl, cyclopentylmethyl, cyclohexyl, cyclohexylmethyl, cycloheptyl, bicyclo[2.1.1]hexyl, bicyclo[2.2.1 ]heptyl, decalinyl, or adamantyl.
- the term includes both substituted and unsubstituted cycloalkyl groups, including halogenated cycloalkyl groups.
- Non-limiting examples of moieties with which the cycloalkyl group can be substituted include halogen (fluoro, chloro, bromo, or iodo), oxo, hydroxyl, amino, alkylamino, arylamino, alkylarylamino, alkoxy, aryloxy, thioalkoxy, thioaroxyl, alkyldisulfanyl, acyl, hydroxylcarbonyl, alkoxycarbonyl, aryloxycarbonyl, aminocarbonyl, alkylaminocarbonyl, arylaminocarbonyl, alkylarylaminocarbonyl, acyloxy, acylthio, nitro, cyano, sulfonic acid, sulfate, phosphonic acid, phosphate, or phosphonate, either unprotected, or protected as necessary, as known to those skilled in the art, for example, as taught in Greene, et ah, Protective Group
- alkenyl refers to monovalent olefinically unsaturated hydrocarbon groups, in certain embodiment, having up to about 11 carbon atoms, from 2 to 8 carbon atoms, or from 2 to 6 carbon atoms, which can be straight-chained or branched and having at least 1 or from 1 to 2 sites of olefinic unsaturation.
- alkenyl embraces radicals having a "CJV or "trans” configuration or a mixture thereof, or alternatively, a "Z” or “E” configuration or a mixture thereof, as appreciated by those of ordinary skill in the art.
- C2-6 alkenyl refers to a linear unsaturated monovalent hydrocarbon radical of 2 to 6 carbon atoms or a branched unsaturated monovalent hydrocarbon radical of 3 to 6 carbon atoms.
- the alkenyl is a linear monovalent hydrocarbon radical of 2 to 20 (C2-20), 2 to 15 (C2-15), 2 to 10 (C2-10), or 2 to 6 (C 2-6 ) carbon atoms, or a branched monovalent hydrocarbon radical of 3 to 20 (C 3 -20), 3 to 15 (C 3 -15), 3 to 10 (C 3 -10), or 3 to 6 (C 3 -6) carbon atoms.
- alkenyl groups include, but are not limited to, ethenyl, propen-l-yl, propen-2-yl, allyl, butenyl, and 4-methylbutenyl.
- the term includes both substituted and unsubstituted alkenylene groups, including halogenated cycloalkyl groups, preferably unsubstituted or halogenated cycloalkyl.
- Non-limiting examples of moieties with which the alkenylene group can be substituted include halogen (fluoro, chloro, bromo, or iodo), oxo, hydroxyl, amino, alkylamino, arylamino, alkylarylamino, alkoxy, aryloxy, thioalkoxy, thioaroxyl, alkyldisulfanyl, acyl, hydroxylcarbonyl, alkoxycarbonyl, aryloxycarbonyl, aminocarbonyl, alkylaminocarbonyl, arylaminocarbonyl, alkylarylaminocarbonyl, acyloxy, acylthio, nitro, cyano, sulfonic acid, sulfate, phosphonic acid, phosphate, or phosphonate, either unprotected, or protected as necessary, as known to those skilled in the art, for example, as taught in Greene, et ah, Protective Groups in
- cycloalkenyl refers to an unsaturated cyclic hydrocarbon and includes both substituted and unsubstituted cycloalkenyl groups, preferably unsubstituted.
- moieties with which the cycloalkenyl group can be substituted include halogen (fluoro, chloro, bromo, or iodo), oxo, hydroxyl, amino, alkylamino, arylamino, alkylarylamino, alkoxy, aryloxy, thioalkoxy, thioaroxyl, alkyldisulfanyl, acyl, hydroxylcarbonyl, alkoxycarbonyl, aryloxycarbonyl, aminocarbonyl, alkylaminocarbonyl, arylaminocarbonyl, alkylarylaminocarbonyl, acyloxy, acylthio, nitro, cyano, sulfonic
- alkenylene refers to a linear or branched divalent hydrocarbon radical, which contains one or more, in one embodiment, one, two, three, four, or five, in another embodiment, one or two, carbon-carbon double bond(s).
- alkenylene embraces radicals having a "c/V or "trans'” configuration or a mixture thereof, or alternatively, a "Z” or “E” configuration or a mixture thereof, as appreciated by those of ordinary skill in the art.
- C 2- 6 alkenylene refers to a linear unsaturated divalent hydrocarbon radical of 2 to 6 carbon atoms or a branched unsaturated divalent hydrocarbon radical of 3 to 6 carbon atoms.
- the alkenylene is a linear divalent hydrocarbon radical of 2 to 20 (C 2-2 o), 2 to 15 (C2-15), 2 to 10 (C2-10), or 2 to 6 (C2-6) carbon atoms, or a branched divalent hydrocarbon radical of 3 to 20 (C3-20), 3 to 15 (C3-15), 3 to 10 (C 3 -10), or 3 to 6 (C 3 -6) carbon atoms.
- alkenylene groups include, but are not limited to, ethenylene, allylene, propenylene, butenylene, and 4-methylbutenylene. The term includes both substituted and unsubstituted groups, including halogenated groups, preferably unsubstituted.
- Non-limiting examples of moieties with which the alkenylene group can be substituted include halogen (fluoro, chloro, bromo, or iodo), oxo, hydroxyl, amino, alkylamino, arylamino, alkylarylamino, alkoxy, aryloxy, thioalkoxy, thioaroxyl, alkyldisulfanyl, acyl, hydroxylcarbonyl, alkoxy carbonyl, aryloxy carbonyl, aminocarbonyl, alkylaminocarbonyl, arylaminocarbonyl, alkylarylaminocarbonyl, acyloxy, acylthio, nitro, cyano, sulfonic acid, sulfate, phosphonic acid, phosphate, or phosphonate, either unprotected, or protected as necessary, as known to those skilled in the art, for example, as taught in Greene, et al , Protective Groups in Organic
- Alkynyl refers to acetylenically unsaturated hydrocarbon groups, in certain embodiments, having up to about 11 carbon atoms or from 2 to 6 carbon atoms which can be straight-chained or branched and having at least 1 or from 1 to 2 sites of alkynyl unsaturation.
- alkynyl groups include acetylenic, ethynyl (- C ⁇ CH), propargyl (-CI3 ⁇ 4C ⁇ CH), and the like.
- the term also includes both substituted and unsubstituted alkynyl groups, preferably unsubstituted.
- Non-limiting examples of moieties with which the alkynyl group can be substituted include halogen (fluoro, chloro, bromo, or iodo), oxo, hydroxyl, amino, alkylamino, arylamino, alkylarylamino, alkoxy, aryloxy, thioalkoxy, thioaroxyl, alkyldisulfanyl, acyl, hydroxylcarbonyl, alkoxycarbonyl, aryloxycarbonyl, aminocarbonyl, alkylaminocarbonyl, arylaminocarbonyl, alkylarylaminocarbonyl, acyloxy, acylthio, nitro, cyano, sulfonic acid, sulfate, phosphonic acid, phosphate, or phosphonate, either unprotected, or protected as necessary, as known to those skilled in the art, for example, as taught in Greene, et al, Protective Groups in Organic
- aryl refers to phenyl, biphenyl, or naphthyl. The term includes both substituted and unsubstituted moieties.
- An aryl group can be substituted with any described moiety, including, but not limited to, one or more moieties selected from halogen (fluoro, chloro, bromo, or iodo), alkyl, haloalkyl, alkenyl, alkynyl, cycloalkyl, cycloakenyl, hydroxyl, amino, alkylamino, arylamino, alkylarylamino, alkoxy, aryloxy, thioalkoxy, thioaroxyl, alkyldisulfanyl, acyl, hydroxylcarbonyl, alkoxycarbonyl, aryloxycarbonyl, aminocarbonyl, alkylaminocarbonyl, arylaminocarbonyl, alkylary
- Alkoxy refers to the group -OR' where R' is alkyl or cycloalkyl where alkyl and cycloalkyl are as defined herein. Alkoxy groups include, by way of example, methoxy, ethoxy, n-propoxy, isopropoxy, n-butoxy, tert-butoxy, sec-butoxy, n-pentoxy, n-hexoxy, 1,2-dimethylbutoxy, and the like.
- Aryloxy refers to the group -OR' where R' is aryl or heteroaryl where aryl and heteroaryl are as defined herein.
- Alkoxycarbonyl refers to a radical -C(0)-alkoxy where alkoxy is as defined herein.
- Amino refers to the radical -NH 2 .
- Carboxyl or “carboxy” refers to the radical -C(0)OH.
- Carbonyl refers to the radical - C(O)-.
- alkylamino refers to an amino group that has one or two alkyl substituents (-NHR' or -NR'R', where R' is alkyl as defined herein), one or two aryl substituents (-NHR' or - NR'R', where R' is aryl as defined herein), or one alkyl substituent and one aryl substituent (-NR'R", where one of R' and R" is alkyl as defined herein and the other is aryl as defined herein), respectively.
- the alkyl substituent is lower alkyl.
- the alkyl or lower alkyl is unsubstituted.
- Halogen or halo refers to fluoro, chloro, bromo, or iodo.
- Thioalkoxy refers to the group -SR' where R' is alkyl or cycloalkyl each of which is as defined herein.
- Thioaryloxy refers to the group -SR' where R' is aryl or heteroaryl each of which is as defined herein.
- Alkyldisulfanyl refers to the group R'-S-S- where R' is alkyl or cycloalkyl each of which is as defined herein.
- heterocyclyl refers to a monovalent monocyclic non- aromatic ring system and/or multicyclic ring system that contains at least one non- aromatic ring, wherein one or more of the non-aromatic ring atoms are heteroatoms independently selected from O, S, or N; and the remaining ring atoms are carbon atoms.
- the heterocyclyl or heterocyclic group has from 3 to 20, from 3 to 15, from 3 to 10, from 3 to 8, from 4 to 7, or from 5 to 6 ring atoms.
- Heterocyclyl groups are bonded to the rest of the molecule through the non-aromatic ring.
- the heterocyclyl is a monocyclic, bicyclic, tricyclic, or tetracyclic ring system, which may include a fused or bridged ring system, and in which the nitrogen or sulfur atoms may be optionally oxidized, the nitrogen atoms may be optionally quaternized, and some rings may be partially or fully saturated, or aromatic.
- the heterocyclyl may be attached to the main structure at any heteroatom or carbon atom which results in the creation of a stable compound.
- heterocyclic radicals include, but are not limited to, azepinyl, benzodioxanyl, benzodioxolyl, benzofuranonyl, benzopyranonyl, benzopyranyl, benzotetrahydrofuranyl, benzotetrahydrothienyl, benzothiopyranyl, benzoxazinyl, ⁇ -carbolinyl, chromanyl, chromonyl, cinnolinyl, coumarinyl, decahydroisoquinolinyl, dihydrobenzisothiazinyl, dihydrobenzisoxazinyl, dihydrofuryl, dihydroisoindolyl, dihydropyranyl, dihydropyrazolyl, dihydropyrazinyl, dihydropyridinyl, dihydropyrimidinyl, dihydropyrrolyl, dioxolanyl, 1 ,4-dit
- the term also includes both substituted and unsubstituted heterocyclyl groups.
- moieties with which the heterocyclyl group can be substituted include halogen (fluoro, chloro, bromo, or iodo), oxo, hydroxyl, amino, alkylamino, arylamino, alkylarylamino, alkoxy, aryloxy, thioalkoxy, thioaroxyl, alkyldisulfanyl, acyl, hydroxylcarbonyl, alkoxycarbonyl, aryloxycarbonyl, aminocarbonyl, alkylaminocarbonyl, arylaminocarbonyl, alkylarylaminocarbonyl, acyloxy, acylthio, nitro, cyano, sulfonic acid, sulfate, phosphonic acid, phosphate, or phosphonate, either unprotected, or protected as necessary, as known to those skilled in the art, for example
- heteroaryl refers to a monovalent monocyclic aromatic group and/or multicyclic aromatic group that contain at least one aromatic ring, wherein at least one aromatic ring contains one or more heteroatoms independently selected from O, S, and N in the ring. Heteroaryl groups are bonded to the rest of the molecule through the aromatic ring.
- Each ring of a heteroaryl group can contain one or two O atoms, one or two S atoms, and/or one to four N atoms, provided that the total number of heteroatoms in each ring is four or less and each ring contains at least one carbon atom.
- the heteroaryl has from 5 to 20, from 5 to 15, or from 5 to 10 ring atoms.
- monocyclic heteroaryl groups include, but are not limited to, furanyl, imidazolyl, isothiazolyl, isoxazolyl, oxadiazolyl, oxadiazolyl, oxazolyl, pyrazinyl, pyrazolyl, pyridazinyl, pyridyl, pyrimidinyl, pyrrolyl, thiadiazolyl, thiazolyl, thienyl, tetrazolyl, triazinyl, and triazolyl.
- bicyclic heteroaryl groups include, but are not limited to, benzofuranyl, benzimidazolyl, benzoisoxazolyl, benzopyranyl, benzothiadiazolyl, benzothiazolyl, benzothienyl, benzotriazolyl, benzoxazolyl, furopyridyl, imidazopyridinyl, imidazothiazolyl, indolizinyl, indolyl, indazolyl, isobenzofuranyl, isobenzothienyl, isoindolyl, isoquinolinyl, isothiazolyl, naphthyridinyl, oxazolopyridinyl, phthalazinyl, pteridinyl, purinyl, pyridopyridyl, pyrrolopyridyl, quinolinyl, quinoxalinyl, quinazolinyl, thiadiazolopyrimi
- tricyclic heteroaryl groups include, but are not limited to, acridinyl, benzindolyl, carbazolyl, dibenzofuranyl, perimidinyl, phenanthrolinyl, phenanthridinyl, phenarsazinyl, phenazinyl, phenothiazinyl, phenoxazinyl, and xanthenyl.
- a heteroaryl group can be substituted with any described moiety, including, but not limited to, one or more moieties selected from halogen (fluoro, chloro, bromo, or iodo), oxo, alkyl, haloalkyl, alkenyl, alkynyl, cycloalkyl, cycloakenyl, hydroxyl, amino, alkylamino, arylamino, alkylarylamino, alkoxy, aryloxy, thioalkoxy, thioaryloxy, alkyldisulfanyl, acyl, hydroxylcarbonyl, alkoxycarbonyl, aryloxycarbonyl, aminocarbonyl, alkylaminocarbonyl, arylaminocarbonyl, alkylarylaminocarbonyl, acyloxy, acylthio, nitro, cyano, sulfonic acid, sulfate, phosphonic acid, phosphate, or
- alkylaryl refers to an aryl group with an alkyl substituent.
- aralkyl or arylalkyl includes an alkyl group with an aryl substituent.
- alkylheterocyclyl refers to a heterocyclyl group with an alkyl substituent.
- alkylheterocyclyl includes an alkyl group with a heterocyclyl substituent.
- alkylheteroaryl refers to a heteroaryl group with an alkyl substituent.
- alkylheteroaryl includes an alkyl group with a heteroaryl substituent.
- protecting group refers to a group that is added to an oxygen, nitrogen, or phosphorus atom to prevent its further reaction or for other purposes.
- oxygen and nitrogen protecting groups are known to those skilled in the art of organic synthesis.
- “Pharmaceutically acceptable salt” refers to any salt of a compound provided herein which retains its biological properties and which is not toxic or otherwise undesirable for pharmaceutical use. Such salts may be derived from a variety of organic and inorganic counter-ions well known in the art.
- Such salts include, but are not limited to: (1) acid addition salts formed with organic or inorganic acids such as hydrochloric, hydrobromic, sulfuric, nitric, phosphoric, sulfamic, acetic, trifluoroacetic, trichloroacetic, propionic, hexanoic, cyclopentylpropionic, glycolic, glutaric, pyruvic, lactic, malonic, succinic, sorbic, ascorbic, malic, maleic, fumaric, tartaric, citric, benzoic, 3-(4- hydroxybenzoyl)benzoic, picric, cinnamic, mandelic, phthalic, lauric, methanesulfonic, ethanesulfonic, 1,2-ethane-disulfonic, 2-hydroxyethanesulfonic, benzenesulfonic, 4- chlorobenzenesulfonic, 2-naphthalenesulfonic, 4-to
- Pharmaceutically acceptable salts further include, by way of example only and without limitation, sodium, potassium, calcium, magnesium, ammonium, tetraalkylammonium, and the like, and when the compound contains a basic functionality, salts of non-toxic organic or inorganic acids, such as hydrohalides, e.g.
- purine or "pyrimidine” base refers to, but is not limited to, adenine, guanine, adenine, hypoxanthine, 7-deazaguanine, 7-deazaadenine, 2,6-diaminopurine, 6- chloropurine, N 6 -alkylpurines, N ⁇ acylpurines (wherein acyl is C(0)(alkyl, aryl, alkylaryl, or arylalkyl), N 6 -benzylpurine, 6-halopurine, N 6 -vinylpurine, N 6 -acetylenic purine, N 6 - hydroxyalkyl purine, N 6 -alkylaminopurine, N ⁇ thioalkyl purine, N 2 -alkylpurines, N 2 -alkyl- 6-thiopurines, thymine, cytosine, 5-fluorocytosine, 5-methylcytosine, 6-azapyrimidine, including 6-azacytos
- Suitable protecting groups are well known to those skilled in the art, and include trimethylsilyl, dimethylhexylsilyl, /-butyldimethylsilyl, and t- butyldiphenylsilyl, trityl, alkyl groups, acyl groups such as acetyl and propionyl, methanesulfonyl, and p-toluenesulfonyl.
- acyl or "O-linked ester” refers to a group of the formula O C(0)R', wherein R' is alkyl or cycloalkyl (including lower alkyl), carboxylate reside of amino acid, aryl including phenyl, alkaryl, arylalkyl including benzyl, alkoxyalkyl including methoxymethyl, aryloxyalkyl such as phenoxymethyl.
- R' can be substituted alkyl (including lower alkyl), aryl including phenyl optionally substituted with chloro, bromo, fluoro, iodo, Ci to C 4 alkyl or Ci to C 4 alkoxy, sulfonate esters such as alkyl or arylalkyl sulphonyl including methanesulfonyl, the mono, di or triphosphate ester, trityl or monomethoxy-trityl, substituted benzyl, alkaryl, arylalkyl including benzyl, alkoxyalkyl including methoxymethyl, aryloxyalkyl such as phenoxymethyl.
- Aryl groups in the esters optimally comprise a phenyl group.
- acyl groups include acetyl, trifluoroacetyl, methylacetyl, cyclpropylacetyl, propionyl, butyryl, hexanoyl, heptanoyl, octanoyl, neo-heptanoyl, phenylacetyl, 2-acetoxy-2-phenylacetyl, diphenylacetyl, a- methoxy-a-trifluoromethyl-phenylacetyl, bromoacetyl, 2-nitro-benzeneacetyl, 4-chloro- benzeneacetyl, 2-chloro-2,2-diphenylacetyl, 2-chloro-2 -phenylacetyl, trimethylacetyl, chlorodifluoroacetyl, perfluoroacetyl, fluoroacetyl, bromodi
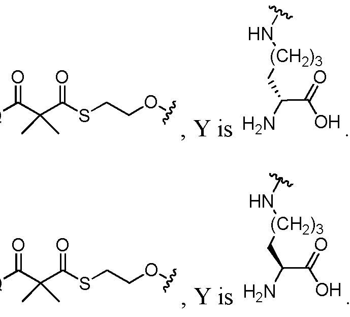
- amino acid refers to naturally occurring and synthetic ⁇ , ⁇ , ⁇ , or ⁇ amino acids, and includes but is not limited to, amino acids found in proteins, i.e. glycine, alanine, valine, leucine, isoleucine, methionine, phenylalanine, tryptophan, proline, serine, threonine, cysteine, tyrosine, asparagine, glutamine, aspartate, glutamate, lysine, arginine and histidine.
- the amino acid is in the L-configuration.
- the amino acid can be a derivative of alanyl, valinyl, leucinyl, isoleuccinyl, prolinyl, phenylalaninyl, tryptophanyl, methioninyl, glycinyl, serinyl, threoninyl, cysteinyl, tyrosinyl, asparaginyl, glutaminyl, aspartoyl, glutaroyl, lysinyl, argininyl, histidinyl, ⁇ - alanyl, ⁇ -valinyl, ⁇ -leucinyl, ⁇ -isoleuccinyl, ⁇ -prolinyl, ⁇ -phenylalaninyl, ⁇ -tryptophanyl, ⁇ -methioninyl, ⁇ -glycinyl, ⁇ -serinyl, ⁇ -threoninyl, ⁇ -cysteinyl
- nucleoside composition that includes at least 85 or 90% by weight, in certain embodiments 95%, 98 % , 99%, or 100% by weight, of the designated nucleoside, the designated diastereomer of such nucleoside, or the designated enantiomer of such nucleoside.
- the compounds are substantially free of other compounds, other nucleosides, other diastereomers, or other enantiomers that are not designated.
- nucleoside composition refers to a nucleoside composition that includes at least 85, 90%, 95%, 98%, 99%, to 100% by weight, of the nucleoside, the remainder comprising other chemical species or enantiomers.
- Solvate refers to a compound provided herein or a salt thereof, that further includes a stoichiometric or non-stoichiometric amount of solvent bound by non-covalent intermolecular forces. Where the solvent is water, the solvate is a hydrate.
- Isotopic composition refers to the amount of each isotope present for a given atom
- naturally occuring isotopic composition or abundance for a given atom Atoms containing their natural isotopic composition may also be referred to herein as "non-enriched" atoms. Unless otherwise designated, the atoms of the compounds recited herein are meant to represent any stable isotope of that atom. For example, unless otherwise stated, when a position is designated specifically as “H” or “hydrogen”, the position is understood to have hydrogen at its natural isotopic composition.
- Isotopic enrichment refers to the percentage of incorporation of an amount of a specific isotope at a given atom in a molecule in the place of that atom's natural isotopic abundance. For example, deuterium enrichment of 1% at a given position means that 1% of the molecules in a given sample contain deuterium at the specified position. Because the naturally occurring distribution of deuterium is about 0.0156%, deuterium enrichment at any position in a compound synthesized using non-enriched starting materials is about 0.0156%.
- the isotopic enrichment of the compounds provided herein can be determined using conventional analytical methods known to one of ordinary skill in the art, including mass spectrometry and nuclear magnetic resonance spectroscopy.
- “Isotopically enriched” refers to an atom having an isotopic composition other than the natural isotopic composition of that atom. “Isotopically enriched” may also refer to a compound containing at least one atom having an isotopic composition other than the natural isotopic composition of that atom.
- alkyl As used herein, “alkyl,” “cycloalkyl,” “alkenyl,” “cycloalkenyl,” “alkynyl,” “aryl,” “alkoxy,” “alkoxycarbonyl,” “amino,” “carboxyl,” “alkylamino,” “arylamino,” “thioalkyoxy,” “heterocyclyl,” “heteroaryl,” “alkylheterocyclyl,” “alkylheteroaryl,” “acyl,” “aralkyl,” “alkaryl,” “purine,” “pyrimidine,” “carboxyl,” and “amino acid” groups optionally comprise deuterium at one or more positions where hydrogen atoms are present, and wherein the deuterium composition of the atom or atoms is other than the natural isotopic composition.
- alkyl cycloalkyl
- alkenyl cycloalkenyl
- alkynyl aryl
- alkoxy alkoxycarbonyl
- carbboxyl alkylamino
- arylamino thioalkyoxy
- heterocyclyl heteroaryl
- alkylheterocyclyl alkylheteroaryl
- acyl amino acid
- amino acid amino acid
- alkyl alkyl
- cycloalkyl alkenyl
- cycloalkenyl alkynyl
- aryl alkyl
- heterocyclyl alkynyl
- heteroaryl alkynyl
- proliferative disorder or disease refers to unwanted cell proliferation of one or more subset of cells in a multicellular organism resulting in harm (i.e., discomfort or decreased life expectancy) to the multicellular organisms.
- a proliferative disorder or disease can occur in different types of animals and humans.
- proliferative disorder or disease includes neoplastic disorders and other proliferative disorders.
- neoplastic disorder or disease refers to a tumor resulting from abnormal or uncontrolled cellular growth.
- neoplastic disorders include, but are not limited to, hematopoietic disorders, such as the myeloproliferative disorders, thrombocythemia, essential thrombocytosis (ET), angiogenic myeloid metaplasia, myelofibrosis (MF), myelofibrosis with myeloid metaplasia (MMM), chronic idiopathic myelofibrosis (IMF), polycythemia vera (PV), the cytopenias, and pre-malignant myelodysplastic syndromes; cancers, such as glioma cancers, lung cancers, breast cancers, colorectal cancers, prostate cancers, gastric cancers, esophageal cancers, colon cancers, pancreatic cancers, ovarian cancers, and hematologic malignancies.
- hematopoietic disorders such as the
- hematologic malignancy refers to cancer of the body's blood-forming and immune system-the bone marrow and lymphatic tissue.
- hematological malignancies include, for instance, myelodysplasia, lymphomas, leukemias, lymphomas (non-Hodgkin's lymphoma), Hodgkin's disease (also called Hodgkin's lymphoma), and myeloma, such as acute lymphocytic leukemia (ALL), acute myeloid leukemia (AML), acute promyelocytic leukemia (APL), chronic lymphocytic leukemia (CLL), chronic myeloid leukemia (CML), chronic neutrophilic leukemia (CNL), acute undifferentiated leukemia (AUL), anaplastic large-cell lymphoma (ALCL), prolymphocytic leukemia (PML), juvenile myelomonocyctic leukemia (JMML), adult T-cell ALL, AML
- leukemia refers to malignant neoplasms of the blood-forming tissues, including, but not limited to, chronic lymphocytic leukemia, chronic myelocytic leukemia, acute lymphoblastic leukemia, acute myeloid leukemia and acute myeloblastic leukemia.
- the leukemia can be relapsed, refractory, or resistant to conventional therapy.
- relapsed refers to a situation where a subject or a mammal, who has had a remission of cancer after therapy, has a return of cancer cells.
- refractory or resistant refers to a circumstance where a subject or a mammal, even after intensive treatment, has residual cancer cells in his body.
- drug resistance refers to the condition when a disease does not respond to the treatment of a drug or drugs. Drug resistance can be either intrinsic, which means the disease has never been responsive to the drug or drugs, or it can be acquired, which means the disease ceases responding to a drug or drugs that the disease had previously responded to. In certain embodiments, drug resistance is intrinsic. In certain embodiments, the drug resistance is acquired.
- EC50 refers to a dosage, concentration or amount of a particular test compound that elicits a dose-dependent response at 50% of maximal expression of a particular response that is induced, provoked or potentiated by the particular test compound.
- Emax refers to an amount, concentration or dosage of a particular test compound that achieves a 100% inhibition of a maximal response in an assay that measures such response.
- the term “Eo” refers to an amount, concentration or dosage of a particular test compound that achieves a 0% inhibition of a maximal response in an assay that measures such response.
- the terms “subject” and “patient” are used interchangeably herein.
- the terms “subject” and “subjects” refer to an animal, such as a mammal including a non- primate (e.g., a cow, pig, horse, cat, dog, rat, and mouse) and a primate (e.g., a monkey such as a cynomolgous monkey, a chimpanzee and a human), and for example, a human.
- the subject is a farm animal (e.g., a horse, a cow, a pig, etc.) or a pet (e.g., a dog or a cat).
- the subject is a human.
- the terms “drug,” “therapeutic agent,” and “chemotherapeutic agent” refer to any agent(s), compound, or pharmaceutical composition thereof, which can be used in the treatment or prevention of a disorder or one or more symptoms thereof.
- the term “therapeutic agent” includes a compound provided herein.
- a therapeutic agent is an agent which is known to be useful for, or has been or is currently being used for the treatment or prevention of a disorder or one or more symptoms thereof.
- “Therapeutically effective amount” refers to an amount of a compound or composition that, when administered to a subject for treating a disease, is sufficient to effect such treatment for the disease.
- a “therapeutically effective amount” can vary depending on, inter alia, the compound, the disease and its severity, and the age, weight, etc., of the subject to be treated.
- Treating” or “treatment” of any disease or disorder refers, in one embodiment, to ameliorating a disease or disorder that exists in a subject.
- “treating” or “treatment” includes ameliorating at least one physical parameter, which may be indiscernible by the subject.
- “treating” or “treatment” includes modulating the disease or disorder, either physically (e.g., stabilization of a discernible symptom) or physiologically (e.g., stabilization of a physical parameter) or both.
- “treating” or “treatment” includes delaying the onset of the disease or disorder.
- prophylactic agent and “prophylactic agents” as used refer to any agent(s) which can be used in the prevention of a disorder or one or more symptoms thereof.
- the term “prophylactic agent” includes a compound provided herein.
- the term “prophylactic agent” does not refer to a compound provided herein.
- a prophylactic agent is an agent which is known to be useful for, or has been or is currently being used to prevent or impede the onset, development, progression and/or severity of a disorder.
- prophylactically effective amount refers to the amount of a therapy (e.g., prophylactic agent) which is sufficient to result in the prevention or reduction of the development, recurrence or onset of one or more symptoms associated with a disorder or to enhance or improve the prophylactic effect(s) of another therapy (e.g., another prophylactic agent).
- a therapy e.g., prophylactic agent
- another therapy e.g., another prophylactic agent
- Prodrug compounds of a variety of therapeutic agents can be formed using methods available in the art and those disclosed herein.
- the therapeutic agent can be derivatized to include a reactive group for attachment of the phosphate moiety.
- Such therapeutic agent includes but is not limited to nucleosides and nucleoside analogues including acyclic nucleosides.
- a "phosphoramidate or cyclic phosphate compound of a therapeutic agent” includes a therapeutic agent derivatized to include a phosphoramidate or cyclic phosphate group.
- the therapeutic agent is, for example, an anti-cancer agent that includes, or has been derivatized to include, a reactive group, such as a hydroxyl, for attachment of the phosphoroamidate and cyclic phosphate moiety.
- Such therapeutic agents include, but are not limited to nucleosides and nucleoside analogs including acyclic nucleosides.
- a nucleoside analog refers to a structurally modified nucleoside.
- the nucleosides or nucleoside analogs are derivitized at the 5'- and/or the 3 '-position by removal of a hydrogen from an hydroxyl group to include a phosphate moiety comprising a phosphoramidate and a cyclic phosphate group.
- the nucleosides or nucleoside analogs are derivitized at the 5 '- and/or the 2'-position by removal of a hydrogen from an hydroxyl group to include a phosphate moiety comprising a phosphoramidate and a cyclic phosphate group.
- Modified phosphate derivatives comprising phosphoramidate and cyclic phosphate derivatives of nucleoside analogues comprising natural and non-natural nucleosides described herein can be formed as described herein and used for the treatment of cancer.
- the derivative moiety can be at the 3 ' position.
- the derivative moiety can be at the 5' position.
- the derivative moiety can be at the 3', 5' positions linked together to form a cyclic derivative.
- the prodrug moiety can be at the 2', 5' positions linked together to form a cyclic derivative.
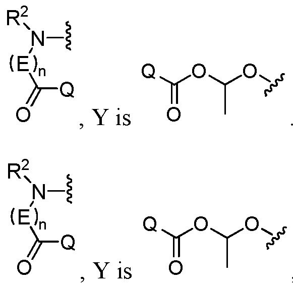
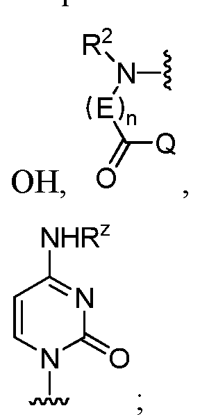
- each of X and Y is independently hydrogen, -OR a , -NR a R , an N-linked or O- linked amino acid residue, or an N-linked or O-linked residue of an amino acid derivative;
- R a and R at each occurrence is independently hydrogen, alkyl, aryl, arylalkyl, or heteroarylalkyl;
- R is a nucleobase
- R 1 is hydrogen, halo, cyano, alkynyl or— OR 6 ;
- R 6 is hydrogen, alkyl, aryl, alkylcarbonyl, arylcarbonyl, alkoxycarbonyl, aroxycarbonyl, alkylaminocarbonyl, arylaminocarbonyl, or alkylarylaminocarbonyl.
- R 1 is hydrogen, halo or—OR 6 .
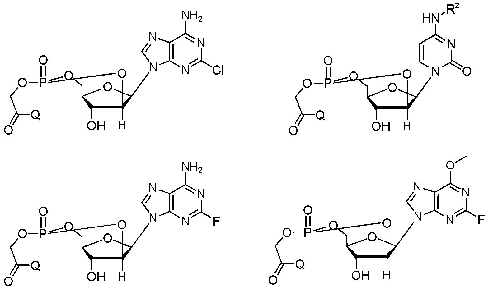
- R z is H or C(0)Z where Z is a fatty acid chain selected from palmitoleic, oleic, linoleic, or arachidonic acid; W is NH 2 , halo, OMe, or OH; T is NH 2 , F, CI or hydrogen;
- R 1 is hydrogen, halo, OH, protected OH, cyano or alkynyl;
- Q is OR 3 ;
- E is CR 4 R 5 ;
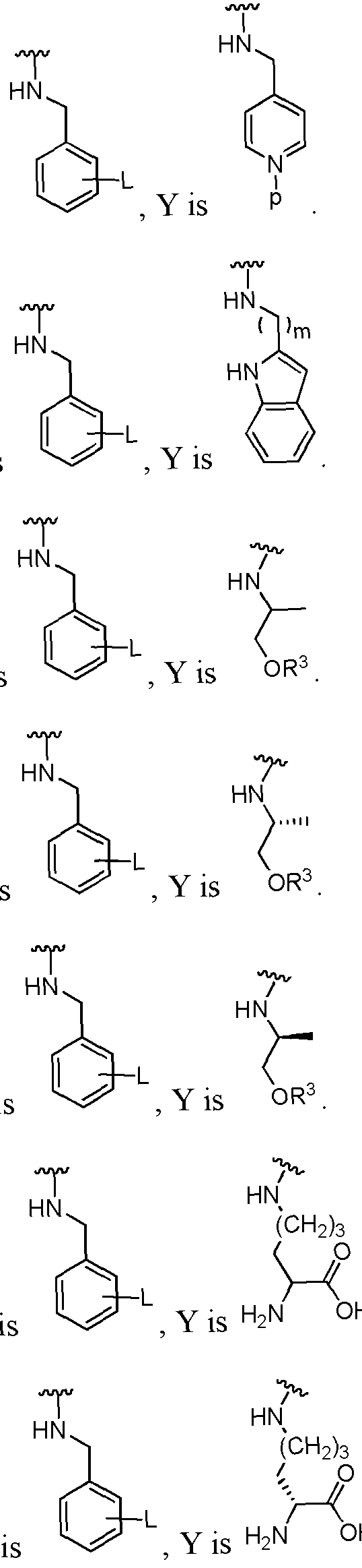
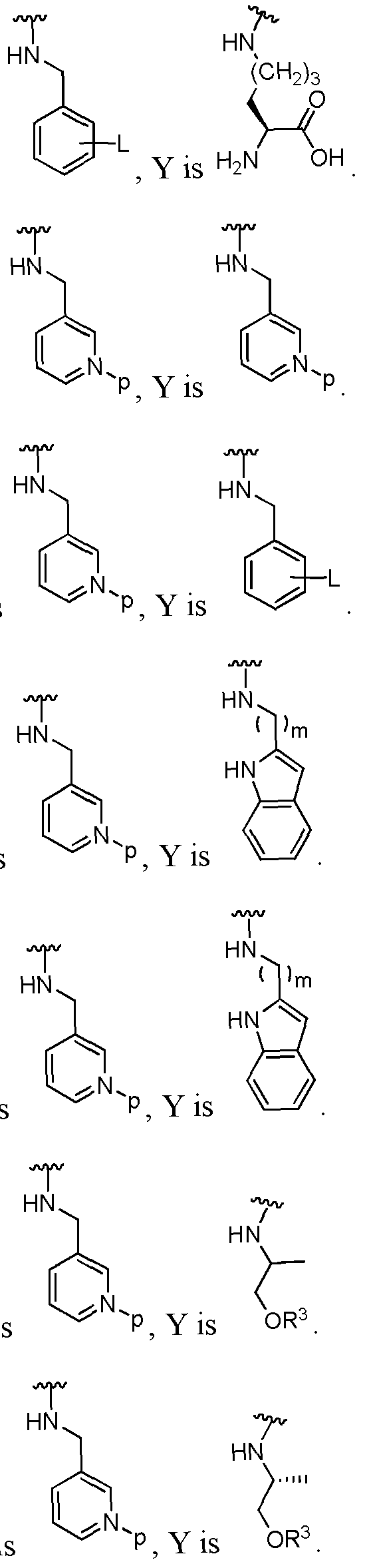
- L is H, p-Me, p-OMe, p-Cl, or 3,4-Cl; n is 1 ; m is 1 or 2; p is absent or O; R y is alkyl, alkenyl, alkynyl, alkoxycarbonyl, or hydroxyalkyl, each independently optionally substituted;
- R 2 is hydrogen or alkyl
- R 3 is hydrogen, alkyl, alkenyl, alkynyl, alkylcarbonyl or aralkyl
- R 4 and R 5 are selected from: i) R 4 and R 5 are each independently hydrogen, alkyl, alkenyl, alkynyl, aryl, aralkyl, cycloalkyl, cycloalkenyl, alkylheterocyclyl, or alkylheteroaryl, wherein the alkyl is optionally substituted by alkoxy; or ii) R 4 and R 5 together with the carbon atom to which they are attached form a 3-7 membered cycloalkyl ring; R 6 with one of X and Y, together with the atoms to which they are attached, combine to form a six-membered heterocyclic ring where R 6 and the one of X and Y together represent a single divalent -0-; or
- R 6 with one of X and Y, together with the atoms to which they are attached, combine to form a 7-12-membered heterocyclic ring;
- R y is other than alkyl.
- R z is H or C(0)Z where Z is a fatty acid chain selected from palmitoleic, oleic, linoleic, or arachidonic acid;
- W is NH 2 , CI, OMe or OH
- T is NH 2 , F, CI or hydrogen
- R 1 is hydrogen, OH, F, cyano or alkynyl
- E is independently CR 4 R 5 ;
- L is H, p-Me, p-OMe, p-Cl, or 3,4-Cl; n is 1 ; m is 1 or 2; p is absent or O
- R y is alkyl, alkenyl, alkynyl, alkoxycarbonyl, or hydroxyalkyl, each independently optionally substituted; hydrogen or alkyl;
- R 3 is hydrogen, alkyl, alkenyl, alkynyl or aralkyl
- R 4 and R 5 are selected from: i) R 4 and R 5 are each independently hydrogen, alkyl, alkenyl, alkynyl, aryl, aralkyl, cycloalkyl, cycloalkenyl, alkylheterocyclyl or alkylheteroaryl, wherein alkyl is optionally substituted by alkoxy; or
- R 4 and R 5 together with the carbon atom to which they are attached form a 3-7 membered cycloalkyl ring;
- R y is other than alkyl.
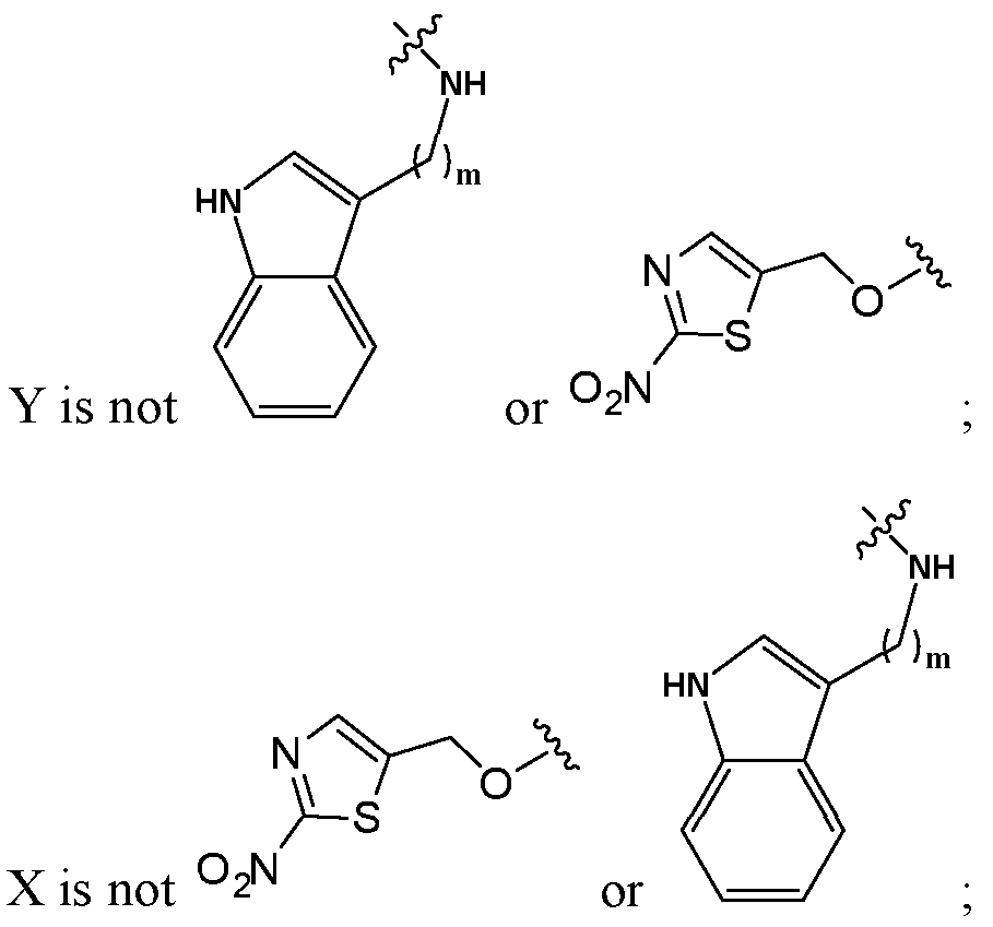
- R is not
- T is not hydrogen; W is not OH;
- R 1 is not cyano or alkynyl
- R 3 is not aralkyl.
- R y is alkyl, alkenyl, or alkynyl. In one embodiment, R y is alkyl.
- R y is alkenyl. In one embodiment, R y is alkynyl. In one embodiment, R y is hydroxyalkyl. In one embodiment, R y is 2-hydroxylmethylprop-2- yi.
- Q is OR , wherein R is as defined herein.
- Q is OCH 3 , OCH 2 CH 3 , OCH(CH 3 ) 2 or OCH 2 phenyl.
- Q is OCH 3 , OCH 2 CH 3 , or OCH(C3 ⁇ 4) 2 .
- R z is hydrogen
- R 3 is C3 ⁇ 4, CH 2 CH 3 , CH(C3 ⁇ 4) 2 or CH 2 phenyl.
- E is CR 4 R 5 , wherein R 4 and R 5 are each as defined herein.
- R 4 or R 5 is hydrogen.
- R 4 or R 5 is alkyl or cycloalkyl.
- R 4 or R 5 is lower alkyl.
- R 4 or R 5 is methyl.
- R 4 or R 5 is isobutyl.
- R 4 or R 5 is C3-C5 cycloalkyl.
- R 4 or R 5 is cyclopentyl.
- one of R 4 and R 5 is hydrogen and the other is alkyl or cycloalkyl.
- one of R 4 and R 5 is hydrogen and the other is lower alkyl. In one embodiment, one of R 4 and R 5 is hydrogen and the other is methyl. In one embodiment, one of R 4 and R 5 is hydrogen and the other is isobutyl. In one embodiment, one of R 4 and R 5 is hydrogen and the other is C3-C5 cycloalkyl. In one embodiment, one of R 4 and R 5 is hydrogen and the other is cyclopentyl.
- Z is an oleic acid chain.
- W is NH 2 and T is CI or F. In one embodiment, W is CI or OMe and T is NH 2 . In one embodiment, W is OMe and T is NH 2 . In one embodiment, W is CI and T is NH 2 .
- R 1 is hydroxyl or fluoro. In one embodiment, R 1 is hydroxyl. In one embodiment, R 1 is fluoro.
- R 2 is hydrogen or alkyl. In one embodiment, R 2 is lower alkyl. In one embodiment, R 2 is methyl. In one embodiment, R 2 is hydrogen.
- R 6 is hydrogen
- R is
- the compound of formula (I) is selected such that when R is ? , then R y is other than alkyl.
- the compound of formula (I) is selected such that when X and Y are both RV S ⁇ s ⁇ t
- the compound of formula (I) is selected such that when R is
- Y when X is OH, Y is embodiment, when X is OH, Y is o 1 In one embodiment, when X is OH, Y is
- Y when X is OH, Y is p-N0 2 PhCH 2 0— . In one embodiment, when X is OH, Y is— NHCH 2 Ph.
- Y when X is OH, Y is— N(CH 3 )CH 2 Ph. In one embodiment, when X is OH, Y is— NHR 2 .
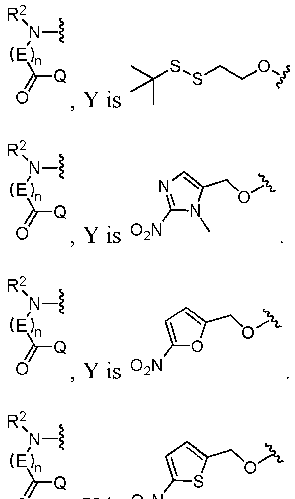
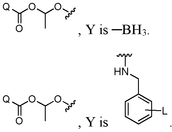
- Y when X is OH, Y is-NH(CH 2 )5N(CH 3 )2. In one embodiment, when X is OH, Y is— BH 3 .
- Y when X is O , Y is °2 N one embodiment, when X is , Y is -N0 2 PhCH 2 0— .
- Y is— NHCH 2 Ph.
- Y is p-N0 2 PhCH 2 0-.
- Y is— NHR 2 .
- Y is -NH(CH 2 ) 5 N(CH 3 ) 2
- Y is— BH 3 .
- Y is m .
- Y is— NHCH 2 Ph.
- Y is— N(CH 3 )CH 2 Ph.
- Y when X is o ' , Y is f ⁇ -s In one embodiment, when X is o 1 , Y is °2 N In one embodiment, when X is 0 , Y is
- Y is— NHCH 2 Ph.
- Y is -NH(CH 2 ) 5 N(CH 3 )2.
- Y is H 2 N 0H .
- Y is p-N0 2 PhCH 2 0— .
- Y is -NH(CH 2 ) 5 N(CH 3 ) 2 . In one embodiment, when X is °2 , Y is -NH(CH 2 ) 5 N(CH 3 ) 2 . In one embodiment, when X is °2 , Y is -NH(CH 2 ) 5 N(CH 3 ) 2 . In one embodiment, when X is °2 , Y is -NH(CH 2 ) 5 N(CH 3 ) 2 . In one embodiment, when X is °2 , Y is -NH(CH 2 ) 5 N(CH 3 ) 2 . In one embodiment, when X is °2 , Y is -NH(CH 2 ) 5 N(CH 3 ) 2 . In one embodiment, when X is °2 , Y is -NH(CH 2 ) 5 N(CH 3 ) 2 . In one embodiment, when X is °2 , Y is -NH(CH 2 ) 5 N(CH 3
- Y is— NHCH 2 Ph.
- Y is -N(CH 3 )CH 2 Ph.
- Y is -NH(CH 2 ) 5 N(CH 3 ) 2 . In one embodiment, when X is °2 , Y is -NH(CH 2 ) 5 N(CH 3 ) 2 . In one embodiment, when X is °2 , Y is -NH(CH 2 ) 5 N(CH 3 ) 2 . In one embodiment, when X is °2 , Y is -NH(CH 2 ) 5 N(CH 3 ) 2 . In one embodiment, when X is °2 , Y is -NH(CH 2 ) 5 N(CH 3 ) 2 . In one embodiment, when X is °2 , Y is -NH(CH 2 ) 5 N(CH 3 ) 2 . In one embodiment, when X is °2 , Y is -NH(CH 2 ) 5 N(CH 3 ) 2 . In one embodiment, when X is °2 , Y is -NH(CH 2 ) 5 N(CH 3
- Y is H 2 N 0 H .
- Y when X is ⁇ / ⁇ , Y is p-N0 2 PhCH 2 0- embodiment, when X is , Y is— NHCH 2 Ph.
- Y is -N(CH 3 )CH 2 Ph.
- Y is— NHR .
- Y is -NH(CH 2 ) 5 N(CH 3 ) 2 .
- Y is p-N0 2 PhCH 2 0— . In one embodiment, when X is p-N0 2 PhCH 2 0— Y is— NHCH 2 Ph.
- Y is— N(CH 3 )CH 2 Ph. In one embodiment, when X is p- N0 2 PhCH 2 0- Y is— NHR 2 .
- Y when X is p-N0 2 PhCH 2 0— , Y is— NH(CH 2 ) 5 N(CH 3 ) 2 . In one embodiment, when X is p-N0 2 PhCH 2 0— , Y is— BH 3 .
- Y is OR 3 .
- Y is H 2 N ° 0H .
- Y when X is p-N0 2 PhCH 2 0— Y is . In one embodiment, when X is— NHCH 2 Ph, Y is— NHCH 2 Ph. In one embodiment, when X is— NHCH 2 Ph, Y is -N(CH 3 )CH 2 Ph. In one embodiment, when X is— NHCH 2 Ph, Y is— NHR 2 . In one embodiment, when X is— NHCH 2 Ph, Y is— NH(CH 2 )5N(CH 3 ) 2 . In one embodiment, when X is— NHCH 2 Ph, Y is— BH 3 .
- Y is H 2 N OH .
- Y is .
- Y is H 2 N 0 H .
- Y is selected from
- Y is and R y ig alky l
- R y is hydroxyalkyl.
- R y is 2-hydroxylmethylprop-2-yl.
- X is— NHCH 2 Ph
- Y is Q / ⁇ ° '
- Q is OR 3 .
- R 3 is alkyl.
- Q is OCH 3 , OCH 2 CH 3 , or OCH(CH 3 ) 2 .
- Y is -N(CH 3 )CH 2 Ph.
- Y is— NHR 2 .
- Y when X is -N(CH 3 )CH 2 Ph, Y is -NH(CH 2 ) 5 N(CH 3 ) 2 .
- Y when X is -N(CH 3 )CH 2 Ph, Y is— BH 3 .
- Y when X is— N(CH 3 )CH 2 Ph, Y is OR 3 . In one embodiment, when X is -N(CH 3 )CH 2 Ph, Y is .
- Y is H 2 N 0 H .
- Y when X is -N(CH 3 )CH 2 Ph, Y is H 2 N 0 H . In one embodiment, when X is— NHR 2 , Y is— NHR 2 .
- Y when X is—NHR 2 , Y is -NH(CH 2 ) 5 N(CH 3 ) 2 . In one embodiment, when X is—NHR 2 , Y is— BH .
- Y is OR 3 .
- Y is OR 3 .
- Y is OR 3 .
- Y is H 2 N 0H .
- Y is H 2 N 0H .
- Y when X is— NH(CH 2 )5N(CH 3 )2, Y is— NH(CH 2 )5N(CH 3 )2. In one embodiment, when X is— NH(CH 2 )5N(CH 3 )2, Y is— BH 3 . embodiment, when X is -NH(CH 2 )5N(CH 3 )2, Y is
- Y is OR 3 .
- Y is OR 3 .
- Y is . In one embodiment, when X is -NH(CH 2 )5N(CH 3 )2,
- X when X is -NH(CH 2 )5N(CH 3 )2, In one embodiment, when X is— BH 3 , Y is— BH 3 .
- Y is H 2 N 0 H .
- Y is H 2 N ° 0 H . In one embodiment, when X is H 2 N ° 0H Y is H 2 N ° 0 H . In one embodiment, when X is H 2 N ° 0H Y is H 2 N ° 0 H . In one embodiment, when X is
- Q is OCH 3 , OCH 2 CH 3 , or OCH(CH 3 ) 2 .
- R when X is , R is hydrogen, R or R is hydrogen.
- R 4 or R 5 is alkyl or cycloalkyl. In one embodiment, R 4 or R 5 is isobutyl. In one embodiment, R 4 or R 5 is C3-C5 cycloalkyl. In one embodiment, R 4 or R 5 is cyclopentyl.
- Q is OR 3 , wherein R 3 and all other variables are as described elsewhere herein.
- R when X is , Y is , R is hydrogen, R or R is hydrogen. In one embodiment, R 4 or R 5 is alkyl. In one embodiment, R 4 or R 5 is isobutyl. In one embodiment, Q is OR . In one embodiment, R is alkyl. In one embodiment Q, is OCH 3 , OCH 2 CH 3 , or OCH(CH 3 ) 2 .
- X when X is , Y is , m is 1 , and Q is OR , wherein n, R 2 , R 3 , R 4 , R 5 , R 6 and all other variables are as described elsewhere herein.
- Q is OCH 3 , OCH 2 CH 3 , or OCH(C3 ⁇ 4) 2 .
- R is hydrogen, R or R is hydrogen.
- R 4 or R 5 is alkyl or cycloalkyl. In one embodiment, R 4 or R 5 is isobutyl. In one embodiment, R 4 or R 5 is C3-C5 cycloalkyl. In one embodiment, R 4 or R 5 is cyclopentyl.
- Q is OR 3 , wherein R 3 and all other variables are as described elsewhere herein.
- R 2 is hydrogen
- R r. 4 4 o composerrdon R r.5 is hydrogen.
- R 4 or R 5 is alkyl.
- R 4 or R 5 is isobutyl.
- Q is OR 3 .
- R 3 is alkyl.
- Q is OCH 3 , OCH 2 CH 3 , or OCH(C3 ⁇ 4) 2 .
- R y is 2-hydroxylmethylprop-2-yl, and other variables are as described elsewhere herein.
- Q is OC3 ⁇ 4, OCH 2 CH 3 , or OCH(CH 3 ) 2 .
- R when X is , Y is , R is hydrogen, R or R is hydrogen. In one embodiment, R 4 or R 5 is alkyl or cycloalkyl. In one embodiment, R 4 or R 5 is methyl. In one embodiment, R 4 or R 5 is C3-C 5 cycloalkyl. In one embodiment, R 4 or R 5 is cyclopentyl. In one embodiment, Q is OR 3 , wherein R 3 and all other variables are as described elsewhere herein. In one embodiment, when X is , Y is O 1 , R 2 is hydrogen, R 4 or R 5 is hydrogen. In one embodiment, R or R is alkyl. In one embodiment, R or R is methyl.
- R 3 is alkyl.
- Q is OCH 3 , OCH 2 CH 3 , or OCH(CH 3 ) 2 .
- L is hydrogen
- L is hydrogen
- the amino acid when the phosphoramidate is substituted with at least one amino acid group, the amino acid is in the L-configuration. In one embodiment, the amino acid is alanine. In one embodiment, the amino acid is leucine.
- the phosphoramidate compound provided herein possesses a chiral phosphorous center. In some embodiments, the phosphoramidate is diastereomerically enriched.
- provided herein are:
- compositions comprising a compound as described herein, e.g., of Formula I or a pharmaceutically acceptable salt thereof together with a pharmaceutically acceptable carrier, diluents or excipient;
- a method for the treatment and/or prophylaxis of cancer, in one embodiment, leukemia comprising the administration of an effective amount of a compound as described herein, e.g., of Formulas I its pharmaceutically acceptable salt or composition.
- R z is H or C(0)Z where Z is a fatty acid chain selected from palmitoleic, oleic, linoleic, or arachidonic acid;
- W is NH 2 , halo, or OMe
- T is NH 2 , F, or CI
- R 1 is hydrogen, halo, OH, or protected OH
- E is CR 4 R 5 ;
- n 1 ;
- R 7 is alkyl, alkenyl, or alkynyl, each of which is optionally substituted;
- R is hydrogen, alkyl, alkenyl, alkynyl or aralkyl; R 4 and R 5 are selected from:
- R 4 and R 5 are each independently hydrogen, alkyl, alkenyl, alkynyl, aryl, aralkyl, cycloalkyl, cycloalkenyl, alkylheterocyclyl or alkylheteroaryl, wherein the alkyl is optionally substituted by alkoxy; or
- R 4 and R 5 together with the carbon atom to which they are attached form a 3-7 membered cycloalkyl ring.
- R 3 is not aralkyl.
- R z is H or C(0)Z where Z is a fatty acid chain selected from palmitoleic, oleic, linoleic, or arachidonic acid;
- W is NH 2 or CI
- T is NH 2 , F or CI
- R 1 is hydrogen, OH or F
- E is CR 4 R 5 ;
- n 1 ;
- R 7 is alkyl, alkenyl, or alkynyl, each of which is optionally substituted;
- R 3 is hydrogen, alkyl, alkenyl, alkynyl or aralkyl
- R 4 and R 5 are selected as follows:
- R 4 and R 5 are each independently hydrogen, alkyl, alkenyl, alkynyl, aryl, aralkyl, cycloalkyl, cycloalkenyl, alkylheterocyclyl or alkylheteroaryl, wherein alkyl is optionally substituted by alkoxy; or
- R 4 and R 5 together with the carbon atom to which they are attached form a 3-7 membered cycloalkyl ring.
- R 3 is not aralkyl.
- E is CR 4 R 5 , wherein R 4 and R 5 are each as defined herein.
- R 4 or R 5 is hydrogen.
- R 4 or R 5 is alkyl, or cycloalkyl.
- R 4 or R 5 is lower alkyl.
- R 4 or R 5 is methyl.
- R 4 or R 5 is isobutyl.
- R 4 or R 5 is C3-C5 cycloalkyl.
- R 4 or R 5 is cyclopentyl.
- one of R 4 and R 5 is hydrogen and the other is alkyl or cycloalkyl.
- one of R and R' is hydrogen and the other is lower alkyl. In one embodiment, one of R 4 and R 5 is hydrogen and the other is methyl. In one embodiment, one of R 4 and R 5 is hydrogen and the other is isobutyl. In one embodiment, one of R 4 and R 5 is hydrogen and the other is C3-C5 cycloalkyl. In one embodiment, one of R 4 and R 5 is hydrogen and the other is cyclopentyl.
- Z is an oleic acid chain.
- W is NH 2 , T is CI or F. In one embodiment, W is CI, T is NH 2 . In one embodiment, W is OMe, T is NH2.
- R 1 is hydrogen. In one embodiment, R 1 is hydroxy or halo. In one embodiment R 1 is fluoro. In one embodiment, R 2 is hydrogen or alkyl. In one embodiment, R 2 is lower alkyl. In one embodiment, R 2 is methyl. In one embodiment, R 2 is hydrogen.
- R 3 is C3 ⁇ 4, CH 2 CH 3 , CH(CH 3 ) 2 or CH 2 phenyl.
- Y is .
- Y is OR , wherein R is as defined herein.
- R is as defined herein.
- Y is OCH 3 , OCH 2 CH 3 , or OCH(CI3 ⁇ 4) 2 .
- Q is OCH(CH 3 ) 2 .
- Q is OCH 2 CH 3 or OCH 2 phenyl.
- the amino acid when the phosphoramidate is substituted with an amino acid group, the amino acid is in the L-configuration. In one embodiment, the amino acid is alanine. In one embodiment, the amino acid is leucine.
- the phosphoramidate compound provided herein possesses a chiral phosphorous center. In some embodiments, the phosphoramidate is diastereomerically enriched.
- Y is or OR 7 ;
- R is R z is H or C(0)Z where Z is a fatty acid chain selected from palmitoleic, oleic, linoleic, or arachidonic acid;
- E is CR 4 R 5 ;
- n 1 ;
- R is alkyl, alkenyl, or alkynyl, each of which is optionally substituted;
- R 3 is hydrogen, alkyl, alkenyl, alkynyl or aralkyl
- R 4 and R 5 are selected from:
- R 4 and R 5 are each independently hydrogen, alkyl, alkenyl, alkynyl, aryl, aralkyl, cycloalkyl, cycloalkenyl, alkylheterocyclyl, or alkylheteroaryl, wherein alkyl is optionally substituted by alkoxy; or
- R 4 and R 5 together with the carbon atom to which they are attached form a 3-7 membered cycloalkyl ring.
- R 3 is not aralkyl.
- E is CR 4 R 5 , wherein R 4 and R 5 are each as defined herein.
- R 4 or R 5 is hydrogen.
- R 4 or R 5 is alkyl, or cycloalkyl.
- R 4 or R 5 is lower alkyl.
- R 4 or R 5 is methyl.
- R 4 or R 5 is isobutyl.
- R 4 or R 5 is C3-C5 cycloalkyl.
- R 4 or R 5 is cyclopentyl.
- one of R 4 and R 5 is hydrogen and the other is alkyl or cycloalkyl.
- one of R 4 and R 5 is hydrogen and the other is lower alkyl. In one embodiment, one of R 4 and R 5 is hydrogen and the other is methyl. In one embodiment, one of R 4 and R 5 is hydrogen and the other is isobutyl. In one embodiment, one of R 4 and R 5 is hydrogen and the other is C3-C5 cycloalkyl. In one embodiment, one of R 4 and R 5 is hydrogen and the other is cyclopentyl.
- Z is an oleic acid chain.
- R is hydrogen or alkyl. In one embodiment, R is lower alkyl. In one embodiment, R 2 is methyl. In one embodiment, R 2 is hydrogen.
- R 3 is C3 ⁇ 4, CH 2 CH 3 , CH(CH 3 ) 2 or CH 2 phenyl.
- Y is . In one embodiment, Y is OR , wherein R is as defined herein. In one embodiment, Y is OCH 3 , OCH 2 CH 3 , or OCH(CH 3 ) 2 . In one embodiment Q is OCH(CH 3 ) 2 . In one embodiment Q is OCH 2 CH 3 or OCH 2 phenyl.
- R z is H or C(0)Z where Z is a fatty acid chain selected from palmitoleic, oleic, linoleic, or arachidonic acid;
- E is CR 4 R 5 ; n is 1 ;
- R 7 is alkyl, alkenyl, or alkynyl, each of which is optionally substituted;
- R is hydrogen, alkyl, alkenyl, alkynyl or aralkyl
- R 4 and R 5 are selected from:
- R 4 and R 5 together with the carbon atom to which they are attached form a 3-7 membered cycloalkyl ring.
- R 3 is not aralkyl.
- E is CR 4 R 5 , wherein R 4 and R 5 are each as defined herein.
- R 4 or R 5 is hydrogen.
- R 4 or R 5 is alkyl, or cycloalkyl.
- R 4 or R 5 is lower alkyl.
- R 4 or R 5 is methyl.
- R 4 or R 5 is isobutyl.
- R 4 or R 5 is C3-C5 cycloalkyl.
- R 4 or R 5 is cyclopentyl.
- one of R 4 and R 5 is hydrogen and the other is alkyl or cycloalkyl.
- one of R 4 and R 5 is hydrogen and the other is lower alkyl. In one embodiment, one of R 4 and R 5 is hydrogen and the other is methyl. In one embodiment, one of R 4 and R 5 is hydrogen and the other is isobutyl. In one embodiment, one of R 4 and R 5 is hydrogen and the other is C3-C5 cycloalkyl. In one embodiment, one of R 4 and R 5 is hydrogen and the other is cyclopentyl.
- Z is an oleic acid chain.
- R 2 is hydrogen or alkyl. In one embodiment, R 2 is lower alkyl. In one embodiment, R 2 is methyl. In one embodiment, R 2 is hydrogen.
- R 3 is C3 ⁇ 4, CH 2 CH 3 , CH(CH 3 ) 2 or CH 2 phenyl
- Y is .
- R 7 is as defined herein.
- Y is OCH3, OCH 2 CH3, or OCH(CI3 ⁇ 4) 2 .
- Q is OCH(CH 3 ) 2 .
- Q is OCH 2 CH 3 or OCH 2 phenyl.
- the amino acid when the phosphoramidate is substituted with an amino acid group, the amino acid is in the L-configuration. In one embodiment, the amino acid is alanine. In one embodiment, the amino acid is leucine.
- the phosphoramidate compound provided herein possesses a chiral phosphorous center. In some embodiments, the phosphoramidate is diastereomerically enriched.
- R 2 is hydrogen; R 3 is alkyl; R 4 is hydrogen and R 5 is alkyl or cycloalkyl; or R 4 is alkyl or cycloalkyl, and R 5 is hydrogen.
- R 2 is hydrogen; R 3 is alkyl; R 4 is hydrogen and R 5 is alkyl or cycloalkyl; or R 4 is alkyl or cycloalkyl, and R 5 is hydrogen.
- R, R 1 , and R 6 are as defined herein.
- R 2 is hydrogen; R 3 is alkyl; R 4 is hydrogen and R 5 is alkyl, or R 4 is alkyl and R 5 is hydrogen.
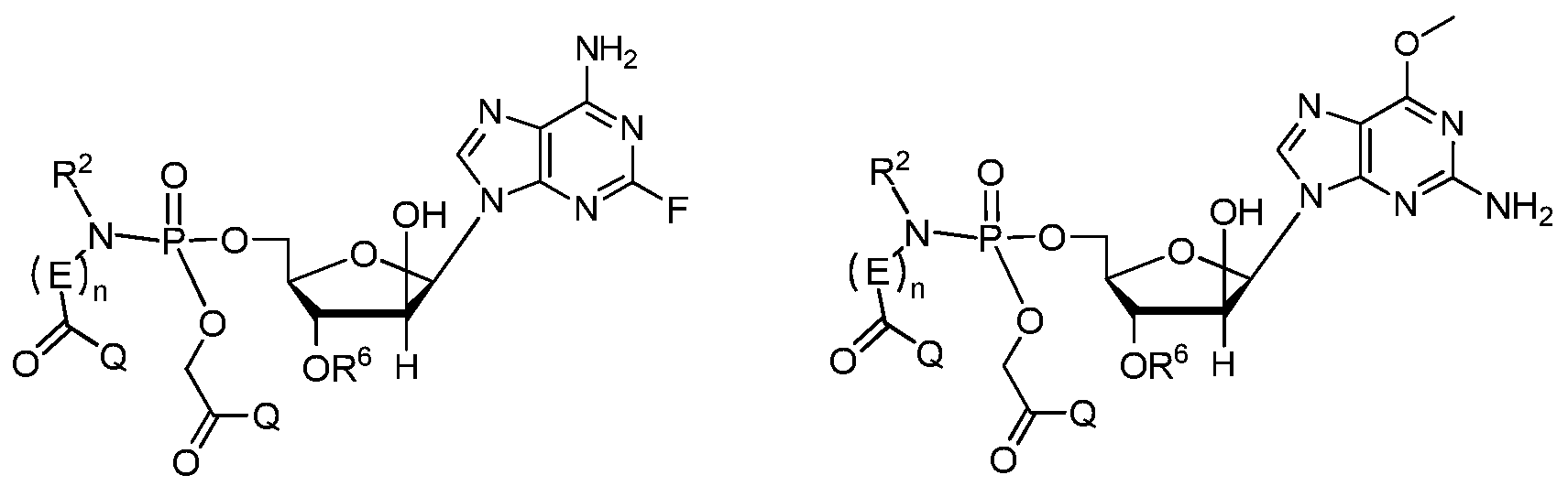
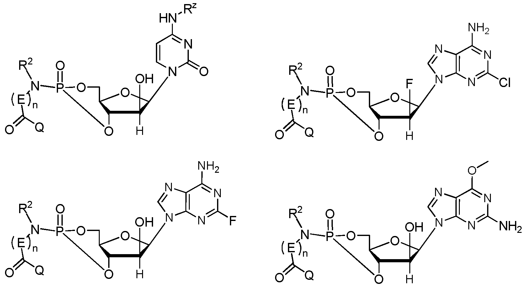
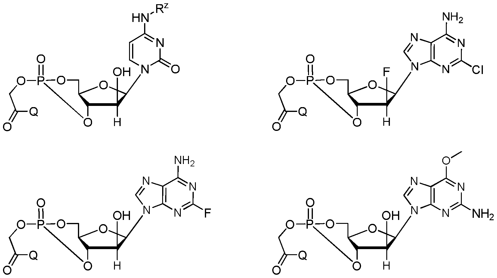
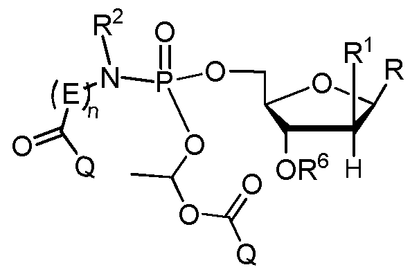
- the compound provided herein is a compound of one of the following Formulas:
- R y , R z , and R 6 are as described in Formula I.
- the compound provided herein is a compound of one of the following Formulas:
- the compound provided herein is a compound of one of the following Formulas:
- the compound provided herein is a compound of one of the following Formulas:
- the compound provided herein is a compound of one of the following Formulas:
- the compound provided herein is a compound of one of the following Formulas:
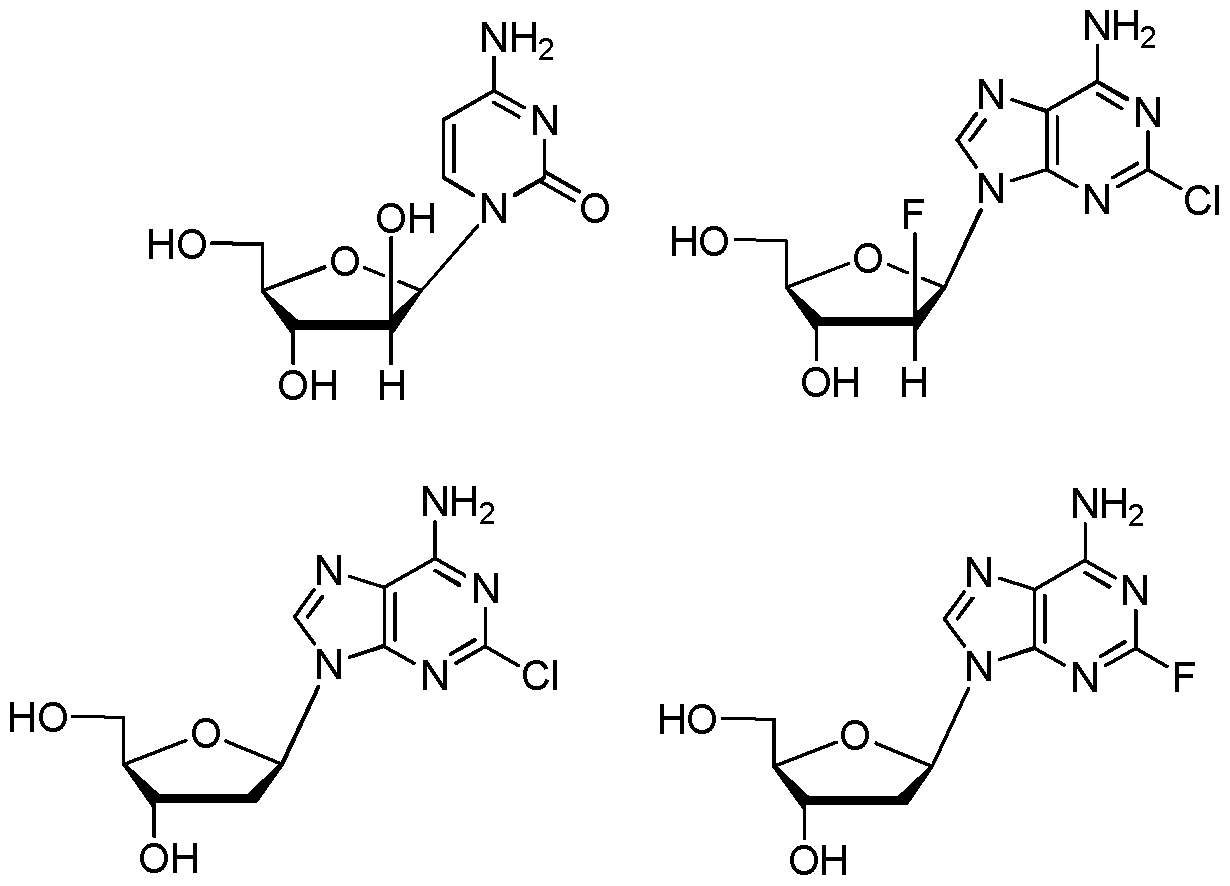
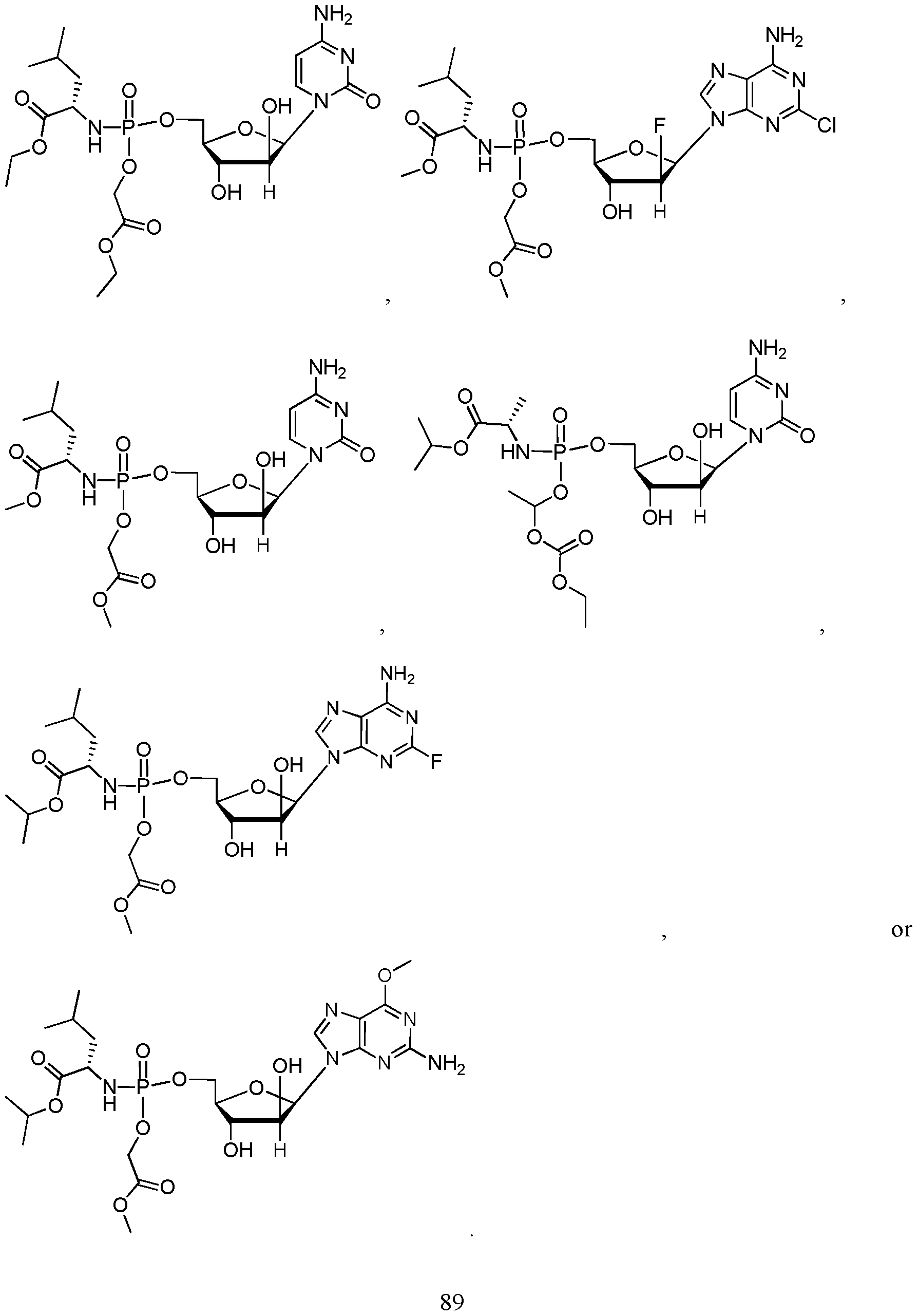
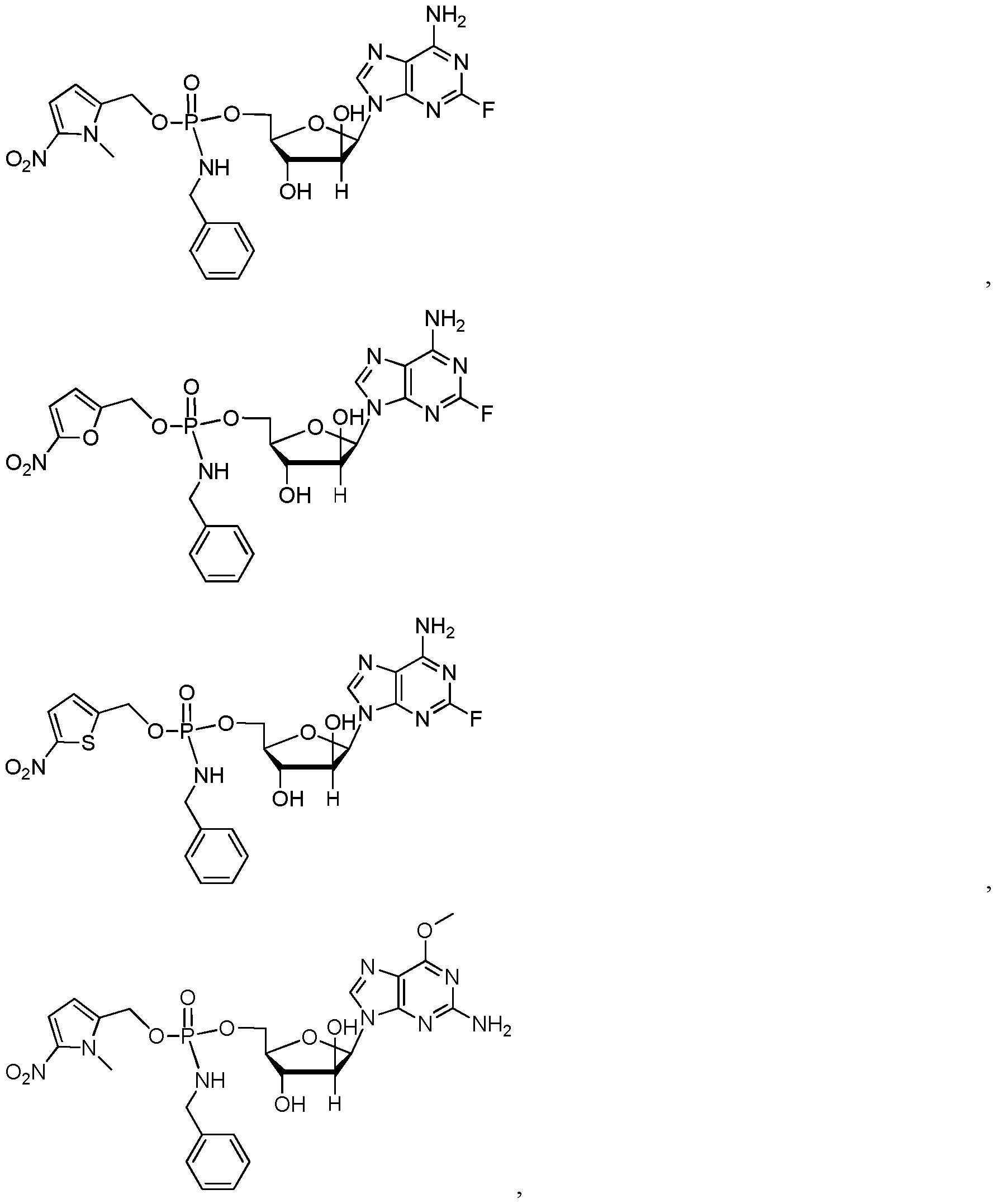
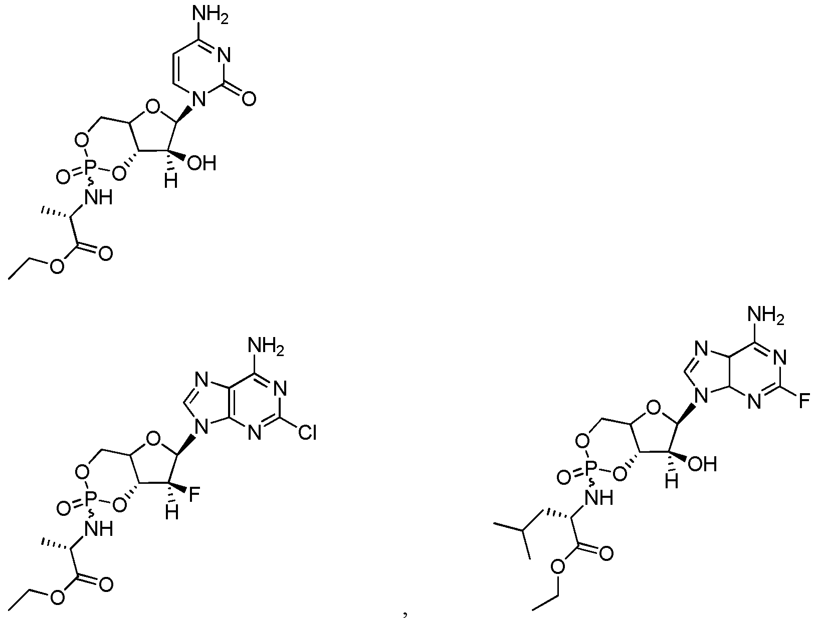
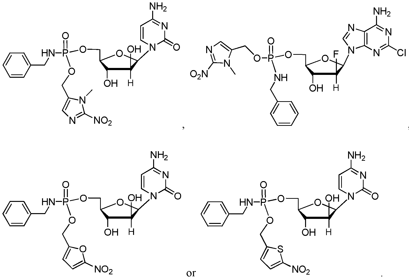
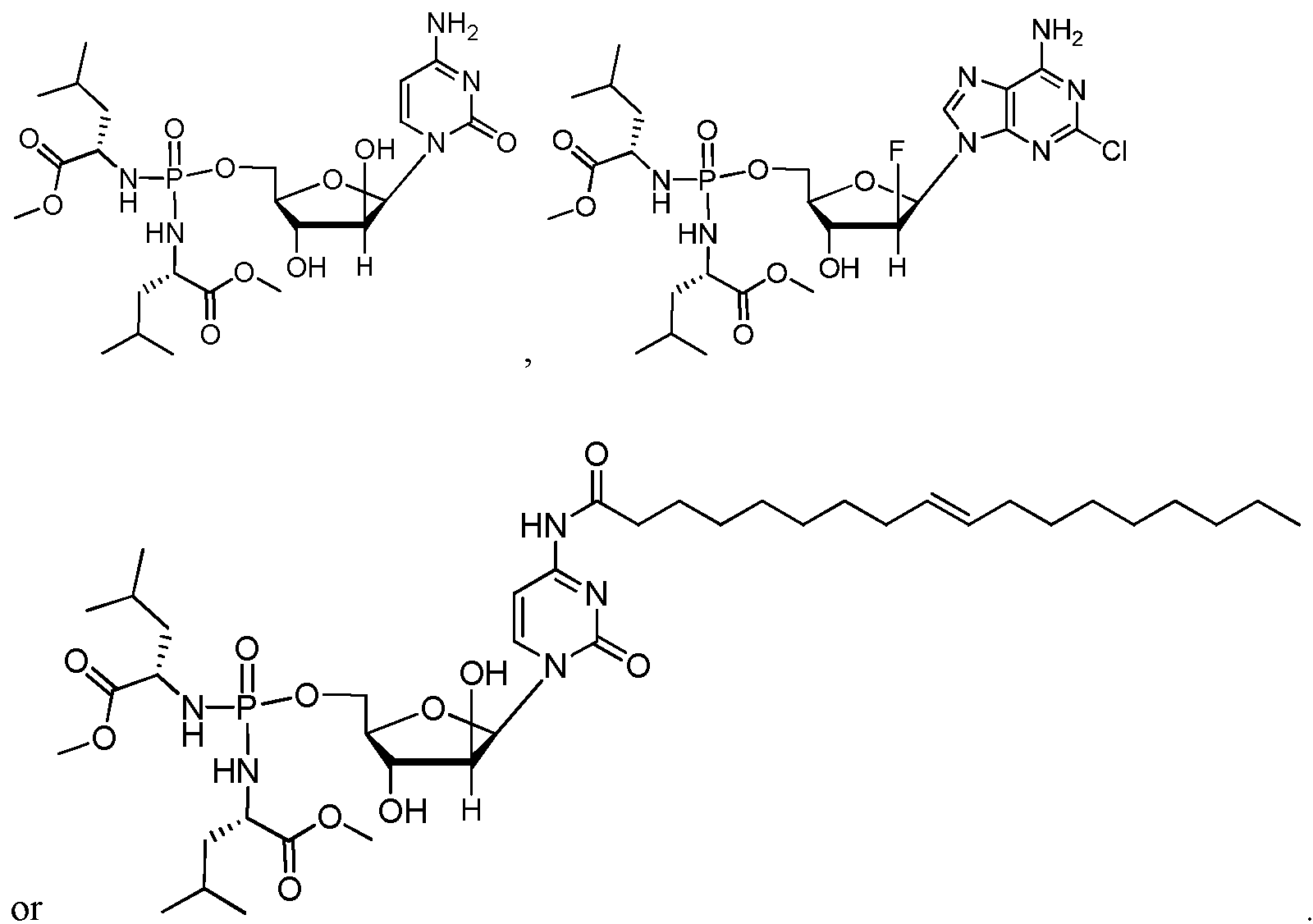
- the nucleosides that can be derivatized to include a phosphoramidate, e.g., at the 5' position include:
- the compound provided herein is a compound of one of the following Formulas: In one embodiment, the compound provided herein is a compound of one of the following Formulas:
- the compound provided herein is a compound of one of the following Formulas:
- the compound provided herein is a compound of one of the following Formulas:
- the compound provided herein is a compound of one of the following Formulas:
- the compound provided herein is a compound of one of the following Formulas:
- the compound provided herein is a compound of one of the following Formulas:
- ⁇ and 4' carbons of a nucleoside are chiral, their nonhydrogen substituents (the base and the CHOR groups, respectively) can be either cis (on the same side) or trans (on opposite sides) with respect to the sugar ring system.
- the four optical isomers therefore are represented by the following configurations (when orienting the sugar moiety in a horizontal plane such that the oxygen atom is in the back): cis (with both groups “up”, which corresponds to the configuration of naturally occurring ⁇ -D nucleosides), cis (with both groups “down”, which is a nonnaturally occurring ⁇ -L configuration), trans (with the C2' substituent "up” and the C4' substituent "down”), and trans (with the C2' substituent "down” and the C4' substituent "up”).
- the "D-nucleosides” are cis nucleosides in a natural configuration and the "L-nucleosides” are cis nucleosides in the non-naturally occurring configuration.
- optically active materials examples include at least the following.
- the desired enantiomer is then released from the diastereomer;
- kinetic resolutions refers to the achievement of partial or complete resolution of a racemate (or of a further resolution of a partially resolved compound) by virtue of unequal reaction rates of the enantiomers with a chiral, non-racemic reagent or catalyst under kinetic conditions;
- enantiospecific synthesis from non-racemic precursors - a synthetic technique whereby the desired enantiomer is obtained from non- chiral starting materials and where the stereochemical integrity is not or is only minimally compromised over the course of the synthesis;
- the stationary phase can be made of chiral material or the mobile phase can contain an additional chiral material to provoke the differing interactions;
- the barrier typically separates two miscible fluids, one containing the racemate, and a driving force such as concentration or pressure differential causes preferential transport across the membrane barrier. Separation occurs as a result of the non-racemic chiral nature of the membrane which allows only one enantiomer of the racemate to pass through.
- compositions of the present disclosure are provided that are substantially free of an undesignated enantiomer of a nucleoside or nucleoside derivative.
- the compounds are substantially free of undesignated enantiomers.
- the composition includes a compound that is at least 85 %, 90%, 95%, 98%, 99%, to 100% by weight of the designated compound, the remainder comprising other chemical species or enantiomers.
- isotopically enriched compounds including but not limited to isotopically enriched nucleoside derivatives.
- Isotopic enrichment of a drug can be used, for example, to (1) reduce or eliminate unwanted metabolites, (2) increase the half-life of the parent drug, (3) decrease the number of doses needed to achieve a desired effect, (4) decrease the amount of a dose necessary to achieve a desired effect, (5) increase the formation of active metabolites, if any are formed, and/or (6) decrese the production of deleterious metabolites in specific tissues and/or create a more effective drug and/or a safer drug for combination therapy, whether the combination therapy is intentional or not.
- KIE Kinetic Isotope Effect
- DKIE Deuterium Kinetic Isotope Effect
- the magnitude of the DKIE can be expressed as the ratio between the rates of a given reaction in which a C-H bond is broken, and the same reaction where deuterium is substituted for hydrogen.
- the DKIE can range from about 1 (no isotope effect) to very large numbers, such as 50 or more, meaning that the reaction can be fifty, or more, times slower when deuterium is substituted for hydrogen.
- high DKIE values may be due in part to a phenomenon known as tunneling, which is a consequence of the uncertainty principle. Tunneling is ascribed to the small mass of a hydrogen atom, and occurs because transition states involving a proton can sometimes form in the absence of the required activation energy. Because deuterium has more mass than hydrogen, it statistically has a much lower probability of undergoing this phenomenon.
- substitution of tritium ("T") for hydrogen results in yet a stronger bond than deuterium and gives numerically larger isotope effects.
- substitution of isotopes for other elements including, but not limited to, 13 C or 14 C for carbon, 33 S, 34 S, or 36 S for sulfur, 15 N for nitrogen, and 17 0 or 18 0 for oxygen, may lead to a similar kinetic isotope effect.
- the DKIE was used to decrease the hepatotoxicity of halothane by presumably limiting the production of reactive species such as trifluoroacetyl chloride.
- this method may not be applicable to all drug classes.
- deuterium incorporation can lead to metabolic switching.
- the concept of metabolic switching asserts that xenogens, when sequestered by Phase I enzymes, may bind transiently and re-bind in a variety of conformations prior to the chemical reaction (e.g., oxidation). This hypothesis is supported by the relatively vast size of binding pockets in many Phase I enzymes and the promiscuous nature of many metabolic reactions. Metabolic switching can potentially lead to different proportions of known metabolites as well as altogether new metabolites. This new metabolic profile may impart more or less toxicity.
- the animal body expresses a variety of enzymes for the purpose of eliminating foreign substances, such as therapeutic agents, from its circulation system.
- enzymes include the cytochrome P450 enzymes ("CYPs"), esterases, proteases, reductases, dehydrogenases, and monoamine oxidases, to react with and convert these foreign substances to more polar intermediates or metabolites for renal excretion.
- CYPs cytochrome P450 enzymes
- esterases esterases
- proteases proteases
- reductases reductases
- dehydrogenases dehydrogenases
- monoamine oxidases monoamine oxidases
- the resultant metabolites may be stable or unstable under physiological conditions, and can have substantially different pharmacokinetic, pharmacodynamic, and acute and long-term toxicity profiles relative to the parent compounds. For many drugs, such oxidations are rapid. These drugs therefore often require the administration of multiple or high daily doses.
- isotopic enrichment at certain positions of a compound provided herein will produce a detectable KIE that will affect the pharmacokinetic, pharmacologic, and/or toxicological profiles of a compound provided herein in comparison with a similar compound having a natural isotopic composition.
- the compounds provided herein can be, in some instances, prepared, isolated, or obtained by any method apparent to those of skill in the art. Those skilled in the art will recognize that compounds provided herein may be designed or prepared by reaction, e.g., at a hydroxy group of said anti-cancer drug, for example, via condensation or dehydration.
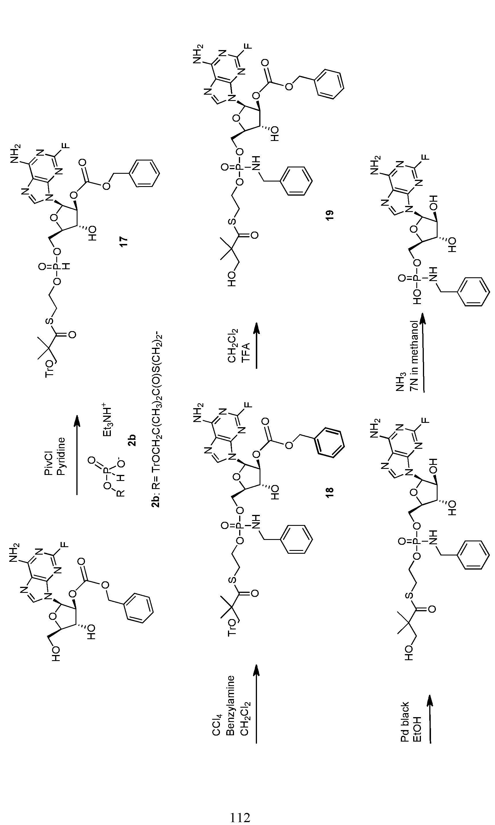
- Step 1 To a stirred solution of compound 22a or 22b (9.97mmol) in THF (lOmL/mmol) at -10°C was added phosphorus oxychloride (11.96mmol). The reaction mixture was stirred from -10°C to room temperature overnight and then, a solution of reagent Bl (9.97mmol) and triethylamine (49.85mmol) in acetonitrile (2.4mL/mmol) was added at 0°C. The reaction mixture was stirred for 1 hour at 0°C.
- Step 2 To a stirred suspension of compound 23a-c (2.40mmol) in DCM (50mL/mmol) at -80°C under nitrogen was added a solution of boron trichloride, 1.0M in DCM (12.02mmol). The reaction mixture was stirred from -80°C to -40°C for 4 hours. Then MeOH (2mL) was added at -80°C and the reaction mixture was concentrated under reduced pressure at 25°C. The crude residue was purified by RP18 chromatography (H 2 O/CH 3 CN) to afford the expected compound as solid. In some cases, the mixture of diastereoisomers was purified by chiral HPLC to afford the expected diastereoisomer.
- Step 1 To a stirred solution of compound 22a (1.86mmol) in THF (lOmL/mmol) at -10°C under nitrogen was added phosphorus oxychloride (2.23mmol). The reaction mixture was stirred from -10°C to room temperature overnight and then, cooled down to 0°C. Then, a solution of reagent B3 (3.72mmol) and triethylamine (9.31mmol) in acetonitrile (2.4mL/mmol) was added at 0°C. The reaction mixture was stirred at room temperature overnight. The reaction mixture was then diluted with ethyl acetate and washed with a saturated NH 4 CI solution. The organic layer was filtered and concentrated under reduced pressure. The crude residue was purified by flash chromatography on silica gel (DCM/methanol: 0 to 3%) to afford the expected compound. Step 2: according to step 2 of general procedure A.
- Step 1 To a solution of compound lb (2.20mmol) in THF (lOmL/mmol) at 0°C was added a solution of tert-butylmagnesium chloride, 1M in THF (4.60mmol). The reaction mixture was stirred for 1 hour at room temperature, then cooled to 0°C. To this reaction mixture was added a solution of the appropriate reagent CI (2.40mmol) in THF (lOmL/mmol). The reaction mixture was stirred for 1 hour at 0°C and at room temperature overnight. The reaction mixture was diluted with ethyl acetate and washed with a saturated NH 4 C1 solution, water and brine. The organic layer was dried, filtered and concentrated under reduced pressure. The crude residue was purified by flash chromatography on silica gel (DCM/methanol) to afford the expected intermediate as a mixture of diastereoisomers;
- Step 2 To a solution of the previous intermediate (0.52mmol) in DCM (30mL/mmol) was added trifluoroacetic acid (10.27mmol). The reaction mixture was stirred at room temperature for 3 hours and purified by flash chromatography on silica gel (DCM/methanol: 0 to 20%) followed by RP18 chromatography ((H 2 0/CH 3 CN) to afford the expected compound as mixture of diastereoisomers. This mixture was purified by MS- preparative HPLC or by chiral HPLC to afford the 2 expected diastereoisomers as pure solid compounds.
- General procedure D To a solution of the previous intermediate (0.52mmol) in DCM (30mL/mmol) was added trifluoroacetic acid (10.27mmol). The reaction mixture was stirred at room temperature for 3 hours and purified by flash chromatography on silica gel (DCM/methanol: 0 to 20%) followed by RP18 chromatography ((H 2 0/CH 3 CN) to afford the
- Step 1 To a stirred solution of 4-nitrophenol (29.36mmol) and phosphorus oxychloride (14.68mmol) in diethyl ether (lOmL/mmol) at -80°C under nitrogen was added triethylamine (29.36mmol). The reaction mixture was stirred at room temperature overnight. Then, DCM (lOmL/mmol) and the appropriate L-alanine ester hydrochloride (14.68mmol) were added at 0°C under nitrogen. To the reaction mixture was added dropwise at 0°C triethylamine (29.36mmol). The reaction mixture was stirred at room temperature overnight, and then, filtrated. The filtrate was concentrated under reduced pressure.
- reaction mixture was extracted with DCM and the organic layer was dried, filtered and concentrated under reduced pressure.
- the crude residue was purified by flash chromatography on silica gel (DCM/methanol: 0 to 10%) to afford the expected compound as a mixture of diastereoisomers. This mixture was purified by MS -Preparative HPLC to afford the pure diastereoisomer.
- Compound 24a was synthesized from compound 22a with reagent Bl and B2 according to scheme 7 and general procedure A.
- Compound 24d was synthesized from compound 22b with reagents Bl and B5 according to scheme 7 and general procedure A.
- Compound 24f was synthesized from compound 22c with reagents B6 and B5 according to scheme 9 and general procedure A step 1. In this case, the addition of phosphorus oxychloride was followed by the addition of Proton sponge. Step 2 was done according to step 2 of general procedure C.
- Compound 28 was synthesized from 2'OCBz-fludarabine according to scheme 3bis and to the procedure D. In this case, additional step of deprotection using 3 ⁇ 4, Pd/C 5% in ethanol was used to afford the 2 expected diastereoisomers.
- Compound 29 was synthesized according to scheme 10 and to the following procedure.
- Therapeutic agents that can be derivatized to phosphate derivatives include any anti-cancer agent that includes, or has been derivatized to include a reactive group for attachment of the phosphate moiety, including but not limited to nucleosides and nucleoside analogues including acyclic nucleosides. Any of the compounds disclosed herein can be provided in the appropriate pharmaceutical composition and be administered by a suitable route of administration.
- compositions containing at least one compound as described herein including a compound of general Formulas I, Ila, lib, or lie, if appropriate in the salt form, either used alone or in the form of a combination with one or more compatible and pharmaceutically acceptable carriers, such as excipients, diluents or adjuvants, or with another anti-cancer agent.
- the second agent can be formulated or packaged with the compound provided herein.
- the second agent will only be formulated with the compound provided herein when, according to the judgment of those of skill in the art, such co-formulation should not interfere with the activity of either agent or the method of administration.
- the compound provided herein and the second agent are formulated separately. They can be packaged together, or packaged separately, for the convenience of the practitioner of skill in the art.
- the active agents provided herein may be administered by any conventional route, in particular orally, parenterally, rectally or by inhalation (e.g. in the form of aerosols).
- the compound provided herein is administered orally.
- compositions for oral administration of tablets, pills, hard gelatin capsules, powders or granules.
- the active product is mixed with one or more inert diluents or adjuvants, such as sucrose, lactose, or starch.
- compositions can comprise substances other than diluents, for example a lubricant, such as magnesium stearate, or a coating intended for controlled release.
- a lubricant such as magnesium stearate
- compositions for oral administration of solutions which are pharmaceutically acceptable, suspensions, emulsions, syrups, and elixirs containing inert diluents, such as water or liquid paraffin.
- solutions which are pharmaceutically acceptable, suspensions, emulsions, syrups, and elixirs containing inert diluents, such as water or liquid paraffin.
- inert diluents such as water or liquid paraffin.
- These compositions can also comprise substances other than diluents, for example wetting, sweetening or flavoring products.
- compositions for parenteral administration can be emulsions or sterile solutions. Use may be made, as solvent or vehicle, of propylene glycol, a polyethylene glycol, vegetable oils, in particular olive oil, or injectable organic esters, for example ethyl oleate. These compositions can also contain adjuvants, in particular wetting, isotonizing, emulsifying, dispersing, and stabilizing agents. Sterilization can be carried out in several ways, for example using a bacteriological filter, by radiation or by heating. They can also be prepared in the form of sterile solid compositions which can be dissolved at the time of use in sterile water or any other injectable sterile medium.
- compositions for rectal administration are suppositories or rectal capsules which contain, in addition to the active principle, excipients such as cocoa butter, semi-synthetic glycerides or polyethylene glycols.
- the compositions can also be aerosols.
- the compositions can be stable sterile solutions or solid compositions dissolved at the time of use in apyrogenic sterile water, in saline or any other pharmaceutically acceptable vehicle.
- the active principle is finely divided and combined with a water-soluble solid diluent or vehicle, for example dextran, mannitol, or lactose.
- compositions provided herein is a pharmaceutical composition or a single unit dosage form.
- Pharmaceutical compositions and single unit dosage forms provided herein comprise a prophylactically or therapeutically effective amount of one or more prophylactic or therapeutic agents (e.g., a compound provided herein, or other prophylactic or therapeutic agent), and a typically one or more pharmaceutically acceptable carriers or excipients.
- prophylactic or therapeutic agents e.g., a compound provided herein, or other prophylactic or therapeutic agent
- typically one or more pharmaceutically acceptable carriers or excipients e.g., the term "pharmaceutically acceptable” means approved by a regulatory agency of the Federal or a state government or listed in the U.S. Pharmacopeia or other generally recognized pharmacopeia for use in animals, and more particularly in humans.
- carrier includes a diluent, adjuvant (e.g., Freund's adjuvant (complete and incomplete)), excipient, or vehicle with which the therapeutic is administered.
- adjuvant e.g., Freund's adjuvant (complete and incomplete)
- excipient or vehicle with which the therapeutic is administered.
- Such pharmaceutical carriers can be sterile liquids, such as water and oils, including those of petroleum, animal, vegetable or synthetic origin, such as peanut oil, soybean oil, mineral oil, sesame oil and the like. Water can be used as a carrier when the pharmaceutical composition is administered intravenously.
- Saline solutions and aqueous dextrose and glycerol solutions can also be employed as liquid carriers, particularly for injectable solutions. Examples of suitable pharmaceutical carriers are described in "Remington 's Pharmaceutical Sciences” by E.W. Martin.
- Typical pharmaceutical compositions and dosage forms comprise one or more excipients.
- Suitable excipients are well-known to those skilled in the art of pharmacy, and non-limiting examples of suitable excipients include starch, glucose, lactose, sucrose, gelatin, malt, rice, flour, chalk, silica gel, sodium stearate, glycerol monostearate, talc, sodium chloride, dried skim milk, glycerol, propylene, glycol, water, ethanol, and the like.
- composition or dosage form Whether a particular excipient is suitable for incorporation into a pharmaceutical composition or dosage form depends on a variety of factors well known in the art including, but not limited to, the way in which the dosage form will be administered to a subject and the specific active ingredients in the dosage form.
- the composition or single unit dosage form if desired, can also contain minor amounts of wetting or emulsifying agents, or pH buffering agents.
- Lactose free compositions can comprise excipients that are well known in the art and are listed, for example, in the U.S. Pharmocopia (USP) SP (XXI) NF (XVI).
- USP U.S. Pharmocopia
- XXI U.S. Pharmocopia
- NF NF
- lactose free compositions comprise an active ingredient, a binder/filler, and a lubricant in pharmaceutically compatible and pharmaceutically acceptable amounts.
- Exemplary lactose free dosage forms comprise an active ingredient, microcrystalline cellulose, pre gelatinized starch, and magnesium stearate.
- anhydrous pharmaceutical compositions and dosage forms comprising active ingredients, since water can facilitate the degradation of some compounds.
- water can facilitate the degradation of some compounds.
- water e.g., 5%
- water is widely accepted in the pharmaceutical arts as a means of simulating long term storage in order to determine characteristics such as shelf life or the stability of formulations over time. See, e.g., Jens T. Carstensen, Drug Stability: Principles & Practice, 2d. Ed., Marcel Dekker, NY, NY, 1995, pp. 379-80.
- water and heat accelerate the decomposition of some compounds.
- the effect of water on a formulation can be of great significance since moisture and/or humidity are commonly encountered during manufacture, handling, packaging, storage, shipment, and use of formulations.
- Anhydrous pharmaceutical compositions and dosage forms provided herein can be prepared using anhydrous or low moisture containing ingredients and low moisture or low humidity conditions.
- Pharmaceutical compositions and dosage forms that comprise lactose and at least one active ingredient that comprises a primary or secondary amine can be anhydrous if substantial contact with moisture and/or humidity during manufacturing, packaging, and/or storage is expected.
- anhydrous pharmaceutical composition should be prepared and stored such that its anhydrous nature is maintained. Accordingly, anhydrous compositions can be packaged using materials known to prevent exposure to water such that they can be included in suitable formulary kits. Examples of suitable packaging include, but are not limited to, hermetically sealed foils, plastics, unit dose containers (e.g., vials), blister packs, and strip packs.
- compositions and dosage forms that comprise one or more compounds that reduce the rate by which an active ingredient will decompose.
- compounds which are referred to herein as “stabilizers,” include, but are not limited to, antioxidants such as ascorbic acid, pH buffers, or salt buffers.
- compositions and single unit dosage forms can take the form of solutions, suspensions, emulsion, tablets, pills, capsules, powders, sustained-release formulations, and the like.
- Oral formulation can include standard carriers such as pharmaceutical grades of mannitol, lactose, starch, magnesium stearate, sodium saccharine, cellulose, magnesium carbonate, etc.
- Such compositions and dosage forms will contain a prophylactically or therapeutically effective amount of a prophylactic or therapeutic agent, in certain embodiments, in purified form, together with a suitable amount of carrier so as to provide the form for proper administration to the subject.
- the formulation should suit the mode of administration.
- the pharmaceutical compositions or single unit dosage forms are sterile and in suitable form for administration to a subject, for example, an animal subject, such as a mammalian subject, for example, a human subject.
- a pharmaceutical composition is formulated to be compatible with its intended route of administration.
- routes of administration include, but are not limited to, parenteral, e.g., intravenous, intradermal, subcutaneous, intramuscular, subcutaneous, oral, buccal, sublingual, inhalation, intranasal, transdermal, topical, transmucosal, intra-tumoral, intra- synovial, and rectal administration.
- the composition is formulated in accordance with routine procedures as a pharmaceutical composition adapted for intravenous, subcutaneous, intramuscular, oral, intranasal, or topical administration to human beings.
- a pharmaceutical composition is formulated in accordance with routine procedures for subcutaneous administration to human beings.
- compositions for intravenous administration are solutions in sterile isotonic aqueous buffer.
- the composition may also include a solubilizing agent and a local anesthetic such as lignocamne to ease pain at the site of the injection.
- dosage forms include, but are not limited to: tablets; caplets; capsules, such as soft elastic gelatin capsules; cachets; troches; lozenges; dispersions; suppositories; ointments; cataplasms (poultices); pastes; powders; dressings; creams; plasters; solutions; patches; aerosols (e.g., nasal sprays or inhalers); gels; liquid dosage forms suitable for oral or mucosal administration to a subject, including suspensions (e.g., aqueous or non aqueous liquid suspensions, oil in water emulsions, or a water in oil liquid emulsions), solutions, and elixirs; liquid dosage forms suitable for parenteral administration to a subject; and sterile solids (e.g., crystalline or amorphous solids) that can be reconstituted to provide liquid dosage forms suitable for parenteral administration to a subject.
- suspensions e.g., aqueous or non aque
- compositions, shape, and type of dosage forms provided herein will typically vary depending on their use.
- a dosage form used in the initial treatment of viral infection may contain larger amounts of one or more of the active ingredients it comprises than a dosage form used in the maintenance treatment of the same infection.
- a parenteral dosage form may contain smaller amounts of one or more of the active ingredients it comprises than an oral dosage form used to treat the same disease or disorder.
- compositions are supplied either separately or mixed together in unit dosage form, for example, as a dry lyophilized powder or water free concentrate in a hermetically sealed container such as an ampoule or sachette indicating the quantity of active agent.
- a hermetically sealed container such as an ampoule or sachette indicating the quantity of active agent.
- the composition is to be administered by infusion, it can be dispensed with an infusion bottle containing sterile pharmaceutical grade water or saline.
- an ampoule of sterile water for injection or saline can be provided so that the ingredients may be mixed prior to administration.
- Typical dosage forms comprise a compound provided herein, or a pharmaceutically acceptable salt, solvate or hydrate thereof lie within the range of from about 0.1 mg to about 1000 mg per day, given as a single once-a-day dose in the morning or as divided doses throughout the day taken with food.
- Particular dosage forms can have about 0.1, 0.2, 0.3, 0.4, 0.5, 1.0, 2.0, 2.5, 5.0, 10.0, 15.0, 20.0, 25.0, 50.0, 100, 200, 250, 500, or 1000 mg of the active compound.
- compositions that are suitable for oral administration can be presented as discrete dosage forms, such as, but are not limited to, tablets ⁇ e.g., chewable tablets), cap lets, capsules, and liquids ⁇ e.g., flavored syrups).
- dosage forms contain predetermined amounts of active ingredients, and may be prepared by methods of pharmacy well known to those skilled in the art. See generally, Remington 's Pharmaceutical Sciences, 20th ed., Mack Publishing, Easton PA (2000).
- the oral dosage forms are solid and prepared under anhydrous conditions with anhydrous ingredients, as described in detail in the sections above.
- anhydrous ingredients as described in detail in the sections above.
- the scope of the compositions provided herein extends beyond anhydrous, solid oral dosage forms. As such, further forms are described herein.
- Typical oral dosage forms are prepared by combining the active ingredient(s) in an intimate admixture with at least one excipient according to conventional pharmaceutical compounding techniques.
- Excipients can take a wide variety of forms depending on the form of preparation desired for administration.
- excipients suitable for use in oral liquid or aerosol dosage forms include, but are not limited to, water, glycols, oils, alcohols, flavoring agents, preservatives, and coloring agents.
- excipients suitable for use in solid oral dosage forms ⁇ e.g., powders, tablets, capsules, and caplets) include, but are not limited to, starches, sugars, micro crystalline cellulose, diluents, granulating agents, lubricants, binders, and disintegrating agents.
- tablets and capsules represent the most advantageous oral dosage unit forms, in which case solid excipients are employed. If desired, tablets can be coated by standard aqueous or nonaqueous techniques. Such dosage forms can be prepared by any of the methods of pharmacy. In general, pharmaceutical compositions and dosage forms are prepared by uniformly and intimately admixing the active ingredients with liquid carriers, finely divided solid carriers, or both, and then shaping the product into the desired presentation if necessary.
- a tablet can be prepared by compression or molding.
- Compressed tablets can be prepared by compressing in a suitable machine the active ingredients in a free flowing form such as powder or granules, optionally mixed with an excipient.
- Molded tablets can be made by molding in a suitable machine a mixture of the powdered compound moistened with an inert liquid diluent.
- excipients that can be used in oral dosage forms include, but are not limited to, binders, fillers, disintegrants, and lubricants.
- Binders suitable for use in pharmaceutical compositions and dosage forms include, but are not limited to, corn starch, potato starch, or other starches, gelatin, natural and synthetic gums such as acacia, sodium alginate, alginic acid, other alginates, powdered tragacanth, guar gum, cellulose and its derivatives (e.g., ethyl cellulose, cellulose acetate, carboxymethyl cellulose calcium, sodium carboxymethyl cellulose), polyvinyl pyrrolidone, methyl cellulose, pre gelatinized starch, hydroxypropyl methyl cellulose, (e.g., Nos. 2208, 2906, 2910), microcrystalline cellulose, and mixtures thereof.
- fillers suitable for use in the pharmaceutical compositions and dosage forms disclosed herein include, but are not limited to, talc, calcium carbonate (e.g., granules or powder), microcrystalline cellulose, powdered cellulose, dextrates, kaolin, mannitol, silicic acid, sorbitol, starch, pre gelatinized starch, and mixtures thereof.
- the binder or filler in pharmaceutical compositions is typically present in from about 50 to about 99 weight percent of the pharmaceutical composition or dosage form.
- Suitable forms of microcrystalline cellulose include, but are not limited to, the materials sold as AVICEL PH 101, AVICEL PH 103 AVICEL RC 581 , AVICEL PH 105 (available from FMC Corporation, American Viscose Division, Avicel Sales, Marcus Hook, PA), and mixtures thereof.
- a specific binder is a mixture of microcrystalline cellulose and sodium carboxymethyl cellulose sold as AVICEL RC 581.
- Suitable anhydrous or low moisture excipients or additives include AVICEL PH 103TM and Starch 1500 LM.
- Disintegrants are used in the compositions to provide tablets that disintegrate when exposed to an aqueous environment. Tablets that contain too much disintegrant may disintegrate in storage, while those that contain too little may not disintegrate at a desired rate or under the desired conditions. Thus, a sufficient amount of disintegrant that is neither too much nor too little to detrimentally alter the release of the active ingredients should be used to form solid oral dosage forms.
- the amount of disintegrant used varies based upon the type of formulation, and is readily discernible to those of ordinary skill in the art.
- Typical pharmaceutical compositions comprise from about 0.5 to about 15 weight percent of disintegrant, specifically from about 1 to about 5 weight percent of disintegrant.
- Disintegrants that can be used in pharmaceutical compositions and dosage forms include, but are not limited to, agar agar, alginic acid, calcium carbonate, microcrystalline cellulose, croscarmellose sodium, crospovidone, polacrilin potassium, sodium starch glycolate, potato or tapioca starch, pre gelatinized starch, other starches, clays, other algins, other celluloses, gums, and mixtures thereof.
- Lubricants that can be used in pharmaceutical compositions and dosage forms include, but are not limited to, calcium stearate, magnesium stearate, mineral oil, light mineral oil, glycerin, sorbitol, mannitol, polyethylene glycol, other glycols, stearic acid, sodium lauryl sulfate, talc, hydrogenated vegetable oil (e.g., peanut oil, cottonseed oil, sunflower oil, sesame oil, olive oil, corn oil, and soybean oil), zinc stearate, ethyl oleate, ethyl laureate, agar, and mixtures thereof.
- Additional lubricants include, for example, a syloid silica gel (AEROSIL 200, manufactured by W.R.
- lubricants are typically used in an amount of less than about 1 weight percent of the pharmaceutical compositions or dosage forms into which they are incorporated.
- Active ingredients such as the compounds provided herein can be administered by controlled release means or by delivery devices that are well known to those of ordinary skill in the art.
- Such dosage forms can be used to provide slow or controlled release of one or more active ingredients using, for example, hydropropylmethyl cellulose, other polymer matrices, gels, permeable membranes, osmotic systems, multilayer coatings, microparticles, liposomes, microspheres, or a combination thereof to provide the desired release profile in varying proportions.
- Suitable controlled release formulations known to those of ordinary skill in the art, including those described herein, can be readily selected for use with the active ingredients provided herein.
- single unit dosage forms suitable for oral administration such as, but not limited to, tablets, capsules, gelcaps, and caplets that are adapted for controlled release.
- controlled release pharmaceutical products have a common goal of improving drug therapy over that achieved by their non controlled counterparts.
- the use of an optimally designed controlled release preparation in medical treatment is characterized by a minimum of drug substance being employed to cure or control the condition in a minimum amount of time.
- Advantages of controlled release formulations include extended activity of the drug, reduced dosage frequency, and increased subject compliance.
- controlled release formulations can be used to affect the time of onset of action or other characteristics, such as blood levels of the drug, and can thus affect the occurrence of side (e.g., adverse) effects.
- Controlled release of an active ingredient can be stimulated by various conditions including, but not limited to, pH, temperature, enzymes, water, or other physiological conditions or compounds.
- the drug may be administered using intravenous infusion, an implantable osmotic pump, a transdermal patch, liposomes, or other modes of administration.
- a pump may be used (see, Sefton, CRC Crit. Ref. Biomed. Eng. 14:201 (1987); Buchwald et al, Surgery 55:507 (1980); Saudek et al, N. Engl. J. Med. 321:574 (1989)).
- polymeric materials can be used.
- a controlled release system can be placed in a subject at an appropriate site determined by a practitioner of skill, i.e., thus requiring only a fraction of the systemic dose ⁇ see, e.g., Goodson, Medical Applications of Controlled Release, vol. 2, pp. 115-138 (1984)). Other controlled release systems are discussed in the review by Langer ⁇ Science 2 9: 1527-1533 (1990)).
- the active ingredient can be dispersed in a solid inner matrix, e.g., polymethylmethacrylate, polybutylmethacrylate, plasticized or unplasticized polyvinylchloride, plasticized nylon, plasticized polyethyleneterephthalate, natural rubber, polyisoprene, polyisobutylene, polybutadiene, polyethylene, ethylene-vinylacetate copolymers, silicone rubbers, polydimethylsiloxanes, silicone carbonate copolymers, hydrophilic polymers such as hydrogels of esters of acrylic and methacrylic acid, collagen, cross-linked polyvinylalcohol and cross- linked partially hydrolyzed polyvinyl acetate, that is surrounded by an outer polymeric membrane, e.g., polyethylene, polypropylene, ethylene/propylene copolymers, ethylene/ethyl acrylate copolymers, ethylene/vinylacetate copolymers, silicone rubbers, polydimethyl siloxanes, ne
- parenteral dosage forms can be administered to subjects by various routes including, but not limited to, subcutaneous, intravenous (including bolus injection), intramuscular, and intraarterial. Because their administration typically bypasses subjects' natural defenses against contaminants, parenteral dosage forms are typically sterile or capable of being sterilized prior to administration to a subject. Examples of parenteral dosage forms include, but are not limited to, solutions ready for injection, dry products ready to be dissolved or suspended in a pharmaceutically acceptable vehicle for injection, suspensions ready for injection, and emulsions. Suitable vehicles that can be used to provide parenteral dosage forms are well known to those skilled in the art.
- examples of a suitable vehicle include, but are not limited to: Water for Injection USP; aqueous vehicles such as, but not limited to, Sodium Chloride Injection, Ringer's Injection, Dextrose Injection, Dextrose and Sodium Chloride Injection, and Lactated Ringer's Injection; water miscible vehicles such as, but not limited to, ethyl alcohol, polyethylene glycol, and polypropylene glycol; and non aqueous vehicles such as, but not limited to, corn oil, cottonseed oil, peanut oil, sesame oil, ethyl oleate, isopropyl myristate, and benzyl benzoate.
- aqueous vehicles such as, but not limited to, Sodium Chloride Injection, Ringer's Injection, Dextrose Injection, Dextrose and Sodium Chloride Injection, and Lactated Ringer's Injection
- water miscible vehicles such as, but not limited to, ethyl alcohol, polyethylene glyco
- Transdermal, topical, and mucosal dosage forms include, but are not limited to, ophthalmic solutions, sprays, aerosols, creams, lotions, ointments, gels, solutions, emulsions, suspensions, or other forms known to one of skill in the art. See, e.g., Remington 's Pharmaceutical Sciences, 16 th , 18th and 20 th eds., Mack Publishing, Easton PA (1980, 1990 & 2000); and Introduction to Pharmaceutical Dosage Forms, 4th ed., Lea & Febiger, Philadelphia (1985).
- transdermal dosage forms suitable for treating mucosal tissues within the oral cavity can be formulated as mouthwashes or as oral gels.
- transdermal dosage forms include "reservoir type” or “matrix type” patches, which can be applied to the skin and worn for a specific period of time to permit the penetration of a desired amount of active ingredients.
- Suitable excipients ⁇ e.g., carriers and diluents
- other materials that can be used to provide transdermal, topical, and mucosal dosage forms encompassed herein are well known to those skilled in the pharmaceutical arts, and depend on the particular tissue to which a given pharmaceutical composition or dosage form will be applied.
- excipients include, but are not limited to, water, acetone, ethanol, ethylene glycol, propylene glycol, butane -1,3- diol, isopropyl myristate, isopropyl palmitate, mineral oil, and mixtures thereof to form lotions, tinctures, creams, emulsions, gels or ointments, which are non toxic and pharmaceutically acceptable.
- Moisturizers or humectants can also be added to pharmaceutical compositions and dosage forms if desired. Examples of such additional ingredients are well known in the art. See, e.g., Remington 's Pharmaceutical Sciences, 16 , 18th and 20 eds., Mack Publishing, Easton PA (1980, 1990 & 2000).
- penetration enhancers can be used to assist in delivering the active ingredients to the tissue.
- Suitable penetration enhancers include, but are not limited to: acetone; various alcohols such as ethanol, oleyl, and tetrahydrofuryl; alkyl sulfoxides such as dimethyl sulfoxide; dimethyl acetamide; dimethyl formamide; polyethylene glycol; pyrrolidones such as polyvinylpyrrolidone; Kollidon grades (Povidone, Polyvidone); urea; and various water soluble or insoluble sugar esters such as Tween 80 (polysorbate 80) and Span 60 (sorbitan monostearate).
- the pH of a pharmaceutical composition or dosage form, or of the tissue to which the pharmaceutical composition or dosage form is applied may also be adjusted to improve delivery of one or more active ingredients.
- the polarity of a solvent carrier, its ionic strength, or tonicity can be adjusted to improve delivery.
- Compounds such as stearates can also be added to pharmaceutical compositions or dosage forms to advantageously alter the hydrophilicity or lipophilicity of one or more active ingredients so as to improve delivery.
- stearates can serve as a lipid vehicle for the formulation, as an emulsifying agent or surfactant, and as a delivery enhancing or penetration enhancing agent.
- Different salts, hydrates or solvates of the active ingredients can be used to further adjust the properties of the resulting composition.
- a method for treating a proliferative disease in a subject which comprises administering to the subject a therapeutically effective amount of a compound provided herein, e.g., a compound of Formulas I, Ila, lib, or lie, including an enantiomer, a mixture of enantiomers, a diastereomer, a mixture of two or more diastereomers, a tautomer, a mixture of two or more tautomers, or an isotopic variant thereof; or a pharmaceutically acceptable salt, solvate, or a hydrate thereof.
- a compound provided herein e.g., a compound of Formulas I, Ila, lib, or lie, including an enantiomer, a mixture of enantiomers, a diastereomer, a mixture of two or more diastereomers, a tautomer, a mixture of two or more tautomers, or an isotopic variant thereof; or a pharmaceutically acceptable salt, solvate,
- the therapeutically effective amount is ranging from about 0.1 to about 100 mg/kg/day, from about 0.1 to about 50 mg/kg/day, from about 0.1 to about 40 mg/kg/day, from about 0.1 to about 30 mg/kg/day, from about 0.1 to about 25 mg/kg/day, from about 0.1 to about 20 mg/kg/day, from about 0.1 to about 15 mg/kg/day, from about 0.1 to about 10 mg/kg/day, or from about 0.1 to about 5 mg/kg/day.
- the therapeutically effective amount is ranging from about 0.1 to about 100 mg/kg/day.
- the therapeutically effective amount is ranging from about 0.1 to about 50 mg/kg/day.
- the therapeutically effective amount is ranging from about 0.1 to about 40 mg/kg/day. In yet another embodiment, the therapeutically effective amount is ranging from about 0.1 to about 30 mg/kg/day. In yet another embodiment, the therapeutically effective amount is ranging from about 0.1 to about 25 mg/kg/day. In yet another embodiment, the therapeutically effective amount is ranging from about 0.1 to about 20 mg/kg/day. In yet another embodiment, the therapeutically effective amount is ranging from about 0.1 to about 15 mg/kg/day. In yet another embodiment, the therapeutically effective amount is ranging from about 0.1 to about 10 mg/kg/day. In still another embodiment, the therapeutically effective amount is ranging from about 0.1 to about 5 mg/kg/day.
- the administered dose can also be expressed in units other than mg/kg/day.
- doses for parenteral administration can be expressed as mg/m 2 /day.
- doses for parenteral administration can be expressed as mg/m 2 /day.
- One of ordinary skill in the art would readily know how to convert doses from mg/kg/day to mg/m 2 /day to given either the height or weight of a subject or both (see, www.fda.gov/cder/cancer/animalframe.htm).
- a dose of 1 mg/m 2 /day for a 65 kg human is approximately equal to 38 mg/kg/day.
- the subject is a mammal. In certain embodiments, the subject is a human.
- In one embodiment is a compound or a pharmaceutically acceptable salt, or solvate thereof, or stereoisomeric, tautomeric, or polymorphic form thereof for use in therapy.
- the proliferative disease is a carcinoma, including, but not limited to, Kit-mediated carcinomas, adenocarcinoma, squamous cell carcinoma, adenosquamous carcinoma, teratocarcinoma, head and neck cancer, brain cancer, intracranial carcinoma, glioblastoma (including PDGFR-mediated glioblastoma), glioblastoma multiforme (including PDGFR-mediated glioblastoma multiforme), neuroblastoma, cancer of the larynx, multiple endocrine neoplasias 2A and 2B (MENS 2A and MENS 2B) (including RET-mediated MENS), thyroid cancer (including sporadic and familial medullary thyroid carcinoma), papillary thyroid carcinoma, parathyroid carcinoma (including any RET-mediated thyroid carcinoma), follicular thyroid cancer, anaplastic thyroid cancer, bronchial carcinoid, oat cell carcinoma, lung cancer, small-cell lung cancer (
- the proliferative disease is sarcomas, including, but not limited to, PDGFR-mediated sarcomas, osteosarcoma, osteogenic sarcoma, bone cancer, glioma (including PDGFR-mediated and/or CSF-lR-mediated glioma), astrocytoma, vascular tumors (including VEGFR-mediated vascular tumors), Kaposi's sarcoma, carcinosarcoma, hemangiosar comas (including VEGFR3 -mediated hemangiosarcomas), and lymphangiosarcoma (including VEGFR3 -mediated lymphangiosarcoma).
- PDGFR-mediated sarcomas including PDGFR-mediated and/or CSF-lR-mediated glioma
- astrocytoma including PDGFR-mediated and/or CSF-lR-mediated glioma
- vascular tumors including VEGFR-mediated vascular tumors
- the proliferative disease is a hematologic malignancy. In certain embodiments, the proliferative disease is a relapsed hematologic malignancy. In certain embodiments, the proliferative disease is a refractory hematologic malignancy. In certain embodiments, the proliferative disease is a drug-resistant hematologic malignancy. In certain embodiments, the proliferative disease is a multidrug-resistant hematologic malignancy. In certain embodiments, the proliferative disease is a Bcr-Abl kinase inhibitor-resistant hematologic malignancy. In certain embodiments, the proliferative disease is an imatinib-resistant hematologic malignancy.
- the proliferative disease is a dasatinib- resistant hematologic malignancy. In certain embodiments, the proliferative disease is a nilatinib-resistant hematologic malignancy. In certain embodiments, the proliferative disease is a bosutinib-resistant hematologic malignancy. In certain embodiments, the proliferative disease is a cytarabine-resistant hematologic malignancy.
- the hematologic malignancy is myeloma, leukemia, myeloproliferative diseases, acute myeloid leukemia (AML) (including FLT3 mediated and/or KIT-mediated and/or CSFlR-mediated acute myeloid leukemia), chronic myeloid leukemias (CML) (including FLT3- mediated and/or PDGFR-mediated chronic myeloid leukemia), myelodysplastic leukemias (including FLT3 -mediated myelodysplastic leukemia), myelodysplastic syndrome (including FLT3 mediated and/or Kit-mediated myelodysplastic syndrome), idiopathic hypereosinophilic syndrome (HES) (including PDGFR-mediated HES), chronic eosinophilic leukemia (CEL) (including PDGFR-mediated CEL), chronic myelomonocytic leukemia (CMML), mast cell leukemia (including Kit-mediated mast cell leukemia), or system
- AML
- the hematologic malignancy is lymphoma, lymphoproliferative diseases, acute lymphoblastic leukemia (ALL), B-cell acute lymphoblastic leukemias, T-cell acute lymphoblastic leukemias, chronic lymphocytic leukemia (CLL), natural killer (NK) cell leukemia, B-cell lymphoma, T-cell lymphoma, or natural killer (NK) cell lymphoma.
- ALL acute lymphoblastic leukemia
- B-cell acute lymphoblastic leukemias B-cell acute lymphoblastic leukemias
- T-cell acute lymphoblastic leukemias T-cell acute lymphoblastic leukemias
- CLL chronic lymphocytic leukemia
- NK natural killer
- the hematologic malignancy is myelodysplastic syndrome (MDS).
- MDS myelodysplastic syndrome
- the hematologic malignancy is Langerhans cell histiocytosis (including CSF-lR-mediated and/or FLT3-mediated Langerhans cell histiocytosis), mast cell tumors, or mastocytosis.
- the hematologic malignancy is leukemia. In certain embodiments, the hematologic malignancy is relapsed leukemia. In certain embodiments, the hematologic malignancy is refractory leukemia. In certain embodiments, the hematologic malignancy is drug-resistant leukemia. In certain embodiments, the hematologic malignancy is multidrug- resistant leukemia. In certain embodiments, the hematologic malignancy is a Bcr-Abl kinase inhibitor-resistant leukemia. In certain embodiments, the hematologic malignancy is imatinib- resistant leukemia. In certain embodiments, the hematologic malignancy is dasatinib-resistant leukemia.
- the hematologic malignancy is nilatinib-resistant leukemia. In certain embodiments, the hematologic malignancy is bosutinib-resistant leukemia. In certain embodiments, the hematologic malignancy is cytarabine-resistant leukemia. In certain embodiments, the leukemia is acute leukemia. In certain embodiments, the leukemia is relapsed acute leukemia. In certain embodiments, the leukemia is refractory acute leukemia. In certain embodiments, the leukemia is drug-resistant acute leukemia. In certain embodiments, the leukemia is multidrug-resistant acute leukemia.
- the leukemia is a Bcr-Abl kinase inhibitor-resistant acute leukemia. In certain embodiments, the leukemia is imatinib-resistant acute leukemia. In certain embodiments, the leukemia is dasatinib-resistant acute leukemia. In certain embodiments, the leukemia is nilatinib-resistant acute leukemia. In certain embodiments, the leukemia is bosutinib-resistant acute leukemia. In certain embodiments, the leukemia is cytarabine-resistant acute leukemia. In certain embodiments, the leukemia is a hereditary leukemia. In certain embodiments, the hereditary leukemia is severe congenital neutropenia (SCN).
- SCN severe congenital neutropenia
- the hereditary leukemia is familial platelet disorder with acute myelogenous leukemia (FDP/AML).
- the leukemia is caused by LEF1.
- the leukemia is mediated by LEF1.
- the leukemia is caused by GSK3.
- the leukemia is ALL. In certain embodiments, the leukemia is relapsed ALL. In certain embodiments, the leukemia is refractory ALL. In certain embodiments, the leukemia is drug-resistant ALL. In certain embodiments, the leukemia is multidrug-resistant ALL. In certain embodiments, the leukemia is a Bcr-Abl kinase inhibitor-resistant ALL. In certain embodiments, the leukemia is imatinib-resistant ALL. In certain embodiments, the leukemia is dasatinib-resistant ALL. In certain embodiments, the leukemia is nilatinib-resistant ALL. In certain embodiments, the leukemia is bosutinib-resistant ALL. In certain embodiments, the leukemia is cytarabine-resistant ALL.
- ALL is leukemia that originates in the blast cells of the bone marrow (B- cells), thymus (T-cells), or lymph nodes.
- ALL is categorized according to the French- American- British (FAB) Morphological Classification Scheme as LI - mature-appearing lymphoblasts (T- cells or pre-B-cells), L2 - immature and pleomorphic (variously shaped) lymphoblasts (T-cells or pre-B-cells), and L3 - lymphoblasts (B-cells; Burkitt's cells).
- ALL originates in the blast cells of the bone marrow (B-cells).
- ALL originates in the thymus (T-cells).
- ALL originates in the lymph nodes.
- ALL is LI type characterized by mature-appearing lymphoblasts (T-cells or pre-B-cells).
- ALL is L2 type characterized by immature and pleomorphic (variously shaped) lymphoblasts (T-cells or pre-B-cells).
- ALL is L3 type characterized by lymphoblasts (B-cells; Burkitt's cells).
- the leukemia is AML. In certain embodiments, the leukemia is relapsed AML. In certain embodiments, the leukemia is refractory AML. In certain embodiments, the leukemia is drug-resistant AML. In certain embodiments, the leukemia is multidrug-resistant AML. In certain embodiments, the leukemia is a Bcr-Abl kinase inhibitor-resistant AML. In certain embodiments, the leukemia is imatinib-resistant AML. In certain embodiments, the leukemia is dasatinib-resistant AML. In certain embodiments, the leukemia is nilatinib-resistant AML.
- the leukemia is bosutinib-resistant AML. In certain embodiments, the leukemia is cytarabine-resistant AML. In certain embodiments, AML has a RAS mutation. In certain embodiments, the RAS mutation is NRAS, KRAS, or HRAS. In certain embodiments, the RAS mutation is NRAS. In certain embodiments, the RAS mutation is KRAS. In certain embodiments, the RAS mutation is HRAS.
- AML is undifferentiated AML (MO), myeloblastic leukemia (Ml), myeloblastic leukemia (M2), promyelocytic leukemia (M3 or M3 variant [M3V]), myelomonocytic leukemia (M4 or M4 variant with eosinophilia [M4E]), monocytic leukemia (M5), erythro leukemia (M6), or megakaryoblastic leukemia (M7).
- AML is undifferentiated AML (MO).
- AML is myeloblastic leukemia (Ml).
- AML is myeloblastic leukemia (M2).
- AML is promyelocytic leukemia (M3 or M3 variant [M3V]). In yet another embodiment, AML is myelomonocytic leukemia (M4 or M4 variant with eosinophilia [M4E]). In yet another embodiment, AML is monocytic leukemia (M5). In yet another embodiment, AML is erythroleukemia (M6). In still another embodiment, AML is megakaryoblastic leukemia (M7). In certain embodiments, the leukemia is chronic leukemia. In certain embodiments, the leukemia is relapsed chronic leukemia. In certain embodiments, the leukemia is refractory chronic leukemia.
- the leukemia is drug-resistant chronic leukemia. In certain embodiments, the leukemia is multidrug-resistant chronic leukemia. In certain embodiments, the leukemia is a Bcr-Abl kinase inhibitor-resistant chronic leukemia. In certain embodiments, the leukemia is imatinib-resistant chronic leukemia. In certain embodiments, the leukemia is dasatinib-resistant chronic leukemia. In certain embodiments, the leukemia is nilatinib-resistant chronic leukemia. In certain embodiments, the leukemia is bosutinib-resistant chronic leukemia. In certain embodiments, the leukemia is cytarabine-resistant chronic leukemia.
- the leukemia is CLL. In certain embodiments, the leukemia is relapsed CLL. In certain embodiments, the leukemia is refractory CLL. In certain embodiments, the leukemia is drug-resistant CLL. In certain embodiments, the leukemia is multidrug-resistant CLL. In certain embodiments, the leukemia is a Bcr-Abl kinase inhibitor-resistant CLL. In certain embodiments, the leukemia is imatinib-resistant CLL. In certain embodiments, the leukemia is dasatinib-resistant CLL. In certain embodiments, the leukemia is nilatinib-resistant CLL. In certain embodiments, the leukemia is bosutinib-resistant CLL. In certain embodiments, the leukemia is cytarabine-resistant CLL.
- the leukemia is CML. In certain embodiments, the leukemia is relapsed CML. In certain embodiments, the leukemia is refractory CML. In certain embodiments, the leukemia is drug-resistant CML. In certain embodiments, the leukemia is multidrug-resistant CML. In certain embodiments, the leukemia is a Bcr-Abl kinase inhibitor-resistant CML. In certain embodiments, the leukemia is imatinib-resistant CML. In certain embodiments, the leukemia is dasatinib-resistant CML. In certain embodiments, the leukemia is nilatinib-resistant CML.
- the leukemia is bosutinib-resistant CML. In certain embodiments, the leukemia is cytarabine-resistant CML. In certain embodiments, the leukemia is juvenile CML. In certain embodiments, the leukemia is juvenile CML with one or more NF-1 mutations.
- the leukemia is T-cell leukemia.
- the T-cell leukemia is peripheral T-cell leukemia, T-cell lymphoblastic leukemia, cutaneous T-cell leukemia, and adult T-cell leukemia.
- the T-cell leukemia is peripheral T-cell leukemia.
- the T-cell leukemia is T-cell lymphoblastic leukemia.
- the T-cell leukemia is cutaneous T-cell leukemia.
- the T-cell leukemia is adult T-cell leukemia.
- the leukemia is Philadelphia positive.
- the Philadelphia positive leukemia is Philadelphia positive AML, including, but not limited to, undifferentiated AML (MO), myeloblastic leukemia (Ml), myeloblastic leukemia (M2), promyelocytic leukemia (M3 or M3 variant [M3V]), myelomonocytic leukemia (M4 or M4 variant with eosinophilia [M4E]), monocytic leukemia (M5), erythroleukemia (M6), or megakaryoblastic leukemia (Ml).
- the Philadelphia positive leukemia is Philadelphia positive ALL.
- the proliferative disease is cancer, including, but not limited to, head and neck cancer (originating lip, oral cavity, oropharynx, hypopharynx, larynx, nasopharynx, nasal cavity, paranasal sinuses, or salivary glands), lung cancer (including small cell lung cancer and non-small cell lung cancer), gastrointestinal tract cancers (including esophageal cancer), gastric cancer, colorectal cancer, anal cancer, pancreatic cancer, liver cancer, gallbladder cancer, extrahepatic bile duct cancer, cancer of the ampulla of vater, breast cancer, gynecologic cancers (including cancer of uterine cervix), cancer of the uterine body, vaginal cancer, vulvar cancer, ovarian cancer, gestational trophoblastic cancer neoplasia, testicular cancer, urinary tract cancers (including renal cancer), urinary blader cancer, prostate cancer, penile cancer, urethral cancer, neurodecane,
- cancers are basal cell carcinoma, squamous cell carcinoma, chondrosarcoma (a cancer arising in cartilage cells), mesenchymal-chondrosarcoma, soft tissue sarcomas (including malignant tumors that may arise in any of the mesodermal tissues (muscles, tendons, vessels that carry blood or lymph, joints and fat)), soft tissue sarcomas (include alveolar soft-part sarcoma), angiosarcoma, fibrosarcoma, leiomyosarcoma, liposarcoma, malignant fibrous histiocytoma, hemangiopericytoma, mesenchymoma, schwannoma, peripheral neuroectodermal tumours, rhabdomyosarcoma, synovial sarcoma, gestational trophoblastic tumor (malignancy in which the tissues formed in the uterus following conception become cancerous), Hodgkin's lymphoma, and
- the proliferative disease is a nonmalignant proliferation disease, including, but not limited to, atherosclerosis (including PDGFR-mediated atherosclerosis), restenosis following vascular angioplasty (including PDGFR-mediated restenosis), and fibroproliferative disorders (including obliterative bronchiolitis and idiopathic myelofibrosis).
- atherosclerosis including PDGFR-mediated atherosclerosis
- restenosis following vascular angioplasty including PDGFR-mediated restenosis
- fibroproliferative disorders including obliterative bronchiolitis and idiopathic myelofibrosis.
- the proliferative disease is an inflammatory disease or disorder related to immune dysfunction, immunodeficiency, or immunomodulation, including, but not limited to, autoimmune diseases, tissue transplant rejection, graft-versus-host disease, wound healing, kidney disease, multiple sclerosis, thyroiditis, type 1 diabetes, sarcoidosis, allergic rhinitis, inflammatory bowel diseases (including Crohn's disease and ulcerative colitis (UC)), systemic lupus erythematosis (SLE), arthritis, osteoarthritis, rheumatoid arthritis, osteoporosis, asthma, and chronic obstructive pulmonary disease (COPD).
- autoimmune diseases tissue transplant rejection, graft-versus-host disease, wound healing, kidney disease, multiple sclerosis, thyroiditis, type 1 diabetes, sarcoidosis, allergic rhinitis, inflammatory bowel diseases (including Crohn's disease and ulcerative colitis (UC)), systemic lupus erythematosis (SLE), arthritis,
- the proliferative disease is an infectious disease.
- the infectious disease is fungal infection.
- the infectious disease is a superficial mycose (e.g., Tinea versicolor).
- the infectious disease is a cutaneous mycose (e.g., epidermis).
- the infectious disease is a subcutaneous mycose.
- the infectious disease is a systemic mycose.
- the proliferative disease is leukemia, adult T-cell leukemia, promyelocytic leukemia, pre-B cell leukemia, lymphoma, Mantle cell lymphoma, breast cancer, pancreatic cancer, prostate cancer, head and neck cancer, ovarian cancer, melanoma, glioma, liver cancer, renal cancer, colorectal cancer, rhabdomyosarcoma, tongue cancer, stomach cancer, multiple myeloma, bladder cancer, thyroid cancer, epidermoid carcinoma, lung cancer, NSC lung cancer, or large cell lung cancer.
- the proliferative disease is adult T-cell leukemia, promyelocytic leukemia, pre-B cell leukemia, lymphoma, mantle cell lymphoma, pancreatic cancer, prostate cancer, head and neck cancer, ovarian cancer, melanoma, glioma, liver cancer, renal cancer, colorectal cancer, rhabdomyosarcoma, tongue cancer, stomach cancer, multiple myeloma, bladder cancer, thyroid cancer, epidermoid carcinoma, NSC lung cancer, or large cell lung cancer.
- the proliferative disease is leukemia, adult T-cell leukemia, promyelocytic leukemia, pre-B cell leukemia, lymphoma, mantle cell lymphoma, breast cancer, head and neck cancer, ovarian cancer, colorectal cancer, tongue cancer, multiple myeloma, or large cell lung cancer.
- the cancers which can be treated by the compounds described herein include, but are not limited to, Acute Lymphoblastic Leukemia; Acute Myeloid Leukemia; Adrenocortical Carcinoma; AIDS-Related Lymphoma; AIDS-Related Malignancies; Anal Cancer; Astrocytoma; Bile Duct Cancer; Bladder Cancer; Bone Cancer, Osteosarcoma/Malignant Fibrous Histiocytoma; Brain Stem Glioma; Brain Tumor, Cerebellar Astrocytoma; Brain Tumor, Cerebral Astrocytoma/Malignant Glioma; Brain Tumor, Ependymoma; Brain Tumor, Medulloblastoma; Brain Tumor, Supratentorial Primitive Neuroectodermal Tumors; Brain Tumor, Visual Pathway and Hypothalamic Glioma; Breast Cancer; Bronchial Adenomas/Carcinoids; Carcinoid
- a cancer potentially associated with mutant IDH enzyme activity is brain cancer, such as an astrocytic tumor (e.g., pilocytic astrocytoma, subependymal giant-cell astrocytoma, diffuse astrocytoma, pleomorphic xanthoastrocytoma, anaplastic astrocytoma, astrocytoma, giant cell glioblastoma, glioblastoma, secondary glioblastoma, primary adult glioblastoma, and primary pediatric glioblastoma); oligodendroglial tumor (e.g., oligodendroglioma, and anaplastic oligodendroglioma); oligoastrocytic tumor (e.g., oligoastrocytoma, and anaplastic oligoastrocytoma); ependymoma (e.g., myxopapillary ependymoma),
- the brain cancer is glioma, glioblastoma multiforme, paraganglioma, or suprantentorial primordial neuroectodermal tumors (sPNET).
- a cancer potentially associated with mutant IDH enzyme activity is leukemia, such as acute myeloid leukemia (AML), myelodysplastic syndrome (MDS), chronic myelogenous leukemia (CML), myeloproliferative neoplasm (MPN), post-MPN AML, post-MDS AML, del(5q)-associated high risk MDS or AML, blast-phase chronic myelogenous leukemia, angioimmunoblastic lymphoma and acute lymphoblastic leukemia.
- AML acute myeloid leukemia
- MDS myelodysplastic syndrome
- CML chronic myelogenous leukemia
- MPN myeloproliferative neoplasm
- post-MPN AML post-MPN AML
- a cancer potentially associated with mutant IDH enzyme activity is skin cancer, including melanoma.
- a cancer potentially associated with mutant IDH enzyme activity is prostate cancer, breast cancer, thyroid cancer, colon cancer, or lung cancer.
- a cancer potentially associated with mutant IDH enzyme activity is sarcoma, including central chondrosarcoma, central and periosteal chondroma, and fibrosarcoma.
- a cancer potentially associated with mutant IDH enzyme activity is cholangiocarcinoma.
- the subject to be treated with one of the methods provided herein has not been treated with anticancer therapy for the proliferative disease to be treated prior to the administration of a compound provided herein, e.g., a compound of Formulas I, II, or Ila, including an enantiomer, a mixture of enantiomers, a diastereomer, a mixture of two or more diastereomers, a tautomer, a mixture of two or more tautomers, or an isotopic variant thereof; or a pharmaceutically acceptable salt, solvate, or hydrate thereof
- the subject to be treated with one of the methods provided herein has been treated with anticancer therapy for the proliferative disease to be treated prior to the administration of a compound provided herein, e.g., a compound of Formulas I, Ila, lib, or lie, including an enantiomer, a mixture of enantiomers, a diastereomer, a mixture of two or more diastereomers, a tautomer, a mixture of two or more tautomers, or an isotopic variant thereof; or a pharmaceutically acceptable salt, solvate, or hydrate thereof
- the subject to be treated with one of the methods provided herein has developed drug resistance to the anticancer therapy.
- the methods provided herein encompass treating a subject regardless of patient's age, although some diseases or disorders are more common in certain age groups. Further provided herein is a method for treating a subject who has undergone surgery in an attempt to treat the disease or condition at issue, as well as the one who have not. Because the subjects with cancer have heterogeneous clinical manifestations and varying clinical outcomes, the treatment given to a particular subject may vary, depending on his/her prognosis. The skilled clinician will be able to readily determine without undue experimentation, specific secondary agents, types of surgery, and types of non-drug based standard therapy that can be effectively used to treat an individual subject with cancer.
- a compound provided herein e.g., a compound of Formulas I, Ila, lib, or He, including an enantiomer, a mixture of enantiomers, a diastereomer, a mixture of two or more diastereomers, a tautomer, a mixture of two or more tautomers, or an isotopic variant thereof; or a pharmaceutically acceptable salt, solvate, or hydrate thereof, may be administered by oral, parenteral (e.g., intramuscular, intraperitoneal, intravenous, CIV, intracistemal injection or infusion, subcutaneous injection, or implant), inhalation, nasal, vaginal, rectal, sublingual, or topical (e.g., transdermal or local) routes of administration.
- parenteral e.g., intramuscular, intraperitoneal, intravenous, CIV, intracistemal injection or infusion, subcutaneous injection, or implant
- parenteral e.g., intramuscular, intra
- a compound provided herein e.g., an enantiomer, a mixture of enantiomers, a diastereomer, a mixture of two or more diastereomers, a tautomer, a mixture of two or more tautomers, or an isotopic variant thereof; or a pharmaceutically acceptable salt, solvate, or hydrate thereof, may be formulated, alone or together, in suitable dosage unit with pharmaceutically acceptable excipients, carriers, adjuvants and vehicles, appropriate for each route of administration.
- a compound provided herein e.g., a compound of Formulas I, Ila, lib, or He, including an enantiomer, a mixture of enantiomers, a diastereomer, a mixture of two or more diastereomers, a tautomer, a mixture of two or more tautomers, or an isotopic variant thereof; or a pharmaceutically acceptable salt, solvate, or hydrate thereof, is administered orally.
- a compound provided herein e.g., a compound of Formulas I, Ila, lib, or lie, including an enantiomer, a mixture of enantiomers, a diastereomer, a mixture of two or more diastereomers, a tautomer, a mixture of two or more tautomers, or an isotopic variant thereof; or a pharmaceutically acceptable salt, solvate, or hydrate thereof, is administered parenterally.
- a compound provided herein e.g., a compound of Formulas I, Ila, lib, or lie, including an enantiomer, a mixture of enantiomers, a diastereomer, a mixture of two or more diastereomers, a tautomer, a mixture of two or more tautomers, or an isotopic variant thereof; or a pharmaceutically acceptable salt, solvate, or hydrate thereof, is administered intravenously.
- a compound provided herein e.g., a compound of a diastereomer, including an enantiomer, a mixture of enantiomers, a diastereomer, a mixture of two or more diastereomers, a tautomer, a mixture of two or more tautomers, or an isotopic variant thereof; or a pharmaceutically acceptable salt, solvate, or hydrate thereof, is administered intramuscularly.
- a compound provided herein e.g., a compound of Formulas I, Ila, lib, or lie, including an enantiomer, a mixture of enantiomers, a diastereomer, a mixture of two or more diastereomers, a tautomer, a mixture of two or more tautomers, or an isotopic variant thereof; or a pharmaceutically acceptable salt, solvate, or hydrate thereof, is administered subcutaneously.
- a compound provided herein e.g., a compound of Formulas I, Ha, lib, or He, including an enantiomer, a mixture of enantiomers, a diastereomer, a mixture of two or more diastereomers, a tautomer, a mixture of two or more tautomers, or an isotopic variant thereof; or a pharmaceutically acceptable salt, solvate, or hydrate thereof, is administered topically.
- a compound provided herein e.g., a compound of Formulas I, Ila, lib, or He, including an enantiomer, a mixture of enantiomers, a diastereomer, a mixture of two or more diastereomers, a tautomer, a mixture of two or more tautomers, or an isotopic variant thereof; or a pharmaceutically acceptable salt, solvate, or hydrate thereof, can be delivered as a single dose such as, e.g., a single bolus injection, or oral tablets or pills; or over time such as, e.g., continuous infusion over time or divided bolus doses over time.
- a single dose such as, e.g., a single bolus injection, or oral tablets or pills
- time such as, e.g., continuous infusion over time or divided bolus doses over time.
- stable disease for solid tumors generally means that the perpendicular diameter of measurable lesions has not increased by 25% or more from the last measurement.
- Stable disease or lack thereof is determined by methods known in the art such as evaluation of patient symptoms, physical examination, visualization of the tumor that has been imaged using X-ray, CAT, PET, or MRI scan and other commonly accepted evaluation modalities.
- a compound provided herein e.g., a compound of Formulas I, Ila, lib, or He, including an enantiomer, a mixture of enantiomers, a diastereomer, a mixture of two or more diastereomers, a tautomer, a mixture of two or more tautomers, or an isotopic variant thereof; or a pharmaceutically acceptable salt, solvate, or hydrate thereof, can be administered once daily (QD), or divided into multiple daily doses such as twice daily (BID), and three times daily (TID). In addition, the administration can be continuous, i.e., every day, or intermittently.
- intermittent administration of a compound provided herein e.g., a compound of Formulas I, Ila, lib, or lie, including an enantiomer, a mixture of enantiomers, a diastereomer, a mixture of two or more diastereomers, a tautomer, a mixture of two or more tautomers, or an isotopic variant thereof; or a pharmaceutically acceptable salt, solvate, or hydrate thereof, is administration for one to six days per week, administration in cycles ⁇ e.g., daily administration for two to eight consecutive weeks, then a rest period with no administration for up to one week), or administration on alternate days.
- a compound provided herein e.g., a compound of Formulas I, Ila, lib, or lie, including an enantiomer, a mixture of enantiomers, a diastereomer, a mixture of two or more diastereomers, a tautomer, a mixture of two or more tautomers, or an isotopic variant thereof; or a pharmaceutically acceptable salt, solvate, or hydrate thereof, is cyclically administered to a patient. Cycling therapy involves the administration of an active agent for a period of time, followed by a rest for a period of time, and repeating this sequential administration. Cycling therapy can reduce the development of resistance to one or more of the therapies, avoid or reduce the side effects of one of the therapies, and/or improves the efficacy of the treatment.
- a combination comprising an effective amount of a compound as provided herein, e.g., a compound of Formulas I, Ila, lib, or He, including an enantiomer, a mixture of enantiomers, a diastereomer, or a mixture of diastereomers thereof; or a pharmaceutically acceptable salt, or solvate thereof, or a tautomeric, or polymorphic form thereof and one, two, three or more other therapeutic agents, e.g. anti-cancer agents.
- a compound as provided herein e.g., a compound of Formulas I, Ila, lib, or He, including an enantiomer, a mixture of enantiomers, a diastereomer, or a mixture of diastereomers thereof; or a pharmaceutically acceptable salt, or solvate thereof, or a tautomeric, or polymorphic form thereof and one, two, three or more other therapeutic agents, e.g. anti-cancer agents.
- a compound provided herein e.g., a compound of Formulas I, Ila, lib, or He, including an enantiomer, a mixture of enantiomers, a diastereomer, a mixture of two or more diastereomers, a tautomer, a mixture of two or more tautomers, or an isotopic variant thereof; or a pharmaceutically acceptable salt, solvate, or hydrate thereof, can also be combined or used in combination with other therapeutic agents useful in the treatment and/or prevention of a disease described herein.
- the term "in combination” includes the use of more than one therapy (e.g., one or more prophylactic and/or therapeutic agents).
- a first therapy e.g., a prophylactic or therapeutic agent such as a compound provided herein
- a first therapy can be administered prior to (e.g., 5 minutes, 15 minutes, 30 minutes, 45 minutes, 1 hour, 2 hours, 4 hours, 6 hours, 12 hours, 24 hours, 48 hours, 72 hours, 96 hours, 1 week, 2 weeks, 3 weeks, 4 weeks, 5 weeks, 6 weeks, 8 weeks, or 12 weeks before), concomitantly with, or subsequent to (e.g., 5 minutes, 15 minutes, 30 minutes, 45 minutes, 1 hour, 2 hours, 4 hours, 6 hours, 12 hours, 24 hours, 48 hours, 72 hours, 96 hours, 1 week, 2 weeks, 3 weeks, 4 weeks, 5 weeks, 6 weeks, 8 weeks, or 12 weeks after) the administration of a second therapy (e.g., a prophylactic or therapeutic agent) to
- a compound provided herein e.g., a compound of Formulas I, Ila, lib, or He, including an enantiomer, a mixture of enantiomers, a diastereomer, or a mixture of diastereomers thereof; or a pharmaceutically acceptable salt, or solvate thereof, is independent of the route of administration of a second therapy.
- a compound provided herein e.g., a compound of Formulas I, Ila, lib, or He, including an enantiomer, a mixture of enantiomers, a diastereomer, or a mixture of diastereomers thereof; or a pharmaceutically acceptable salt, or solvate thereof, is administered orally.
- a compound provided herein e.g., a compound of Formulas I, Ila, lib, or lie, including an enantiomer, a mixture of enantiomers, a diastereomer, or a mixture of diastereomers thereof; or a pharmaceutically acceptable salt, or solvate thereof, is administered intravenously.
- a compound provided herein e.g., a compound of Formulas I, Ila, lib, or lie, including an enantiomer, a mixture of enantiomers, a diastereomer, or a mixture of diastereomers thereof; or a pharmaceutically acceptable salt, or solvate thereof, is administered orally or intravenously, and the second therapy can be administered orally, parenterally, intraperitoneally, intravenously, intraarterially, transdermally, sublingually, intramuscularly, rectally, transbuccally, intranasally, liposomally, via inhalation, vaginally, intraoccularly, via local delivery by catheter or stent, subcutaneously, intraadiposally, intraarticularly, intrathecally, or in a slow release dosage form.
- a compound provided herein e.g., a compound of Formulas I, Ila, lib, or lie, including an enantiomer, a mixture of enantiomers, a diastereomer, or a mixture of diastereomers thereof; or a pharmaceutically acceptable salt, or solvate thereof, and a second therapy are administered by the same mode of administration, orally or by IV.
- a compound provided herein e.g., a compound of Formulas I, Ila, lib, or He, including an enantiomer, a mixture of enantiomers, a diastereomer, or a mixture of diastereomers thereof; or a pharmaceutically acceptable salt, or solvate thereof, is administered by one mode of administration, e.g., by IV, whereas the second agent (an anticancer agent) is administered by another mode of administration, e.g., orally.
- each method provided herein may independently, further comprise the step of administering a second therapeutic agent.
- the second therapeutic agent is an anticancer agent.
- the anticancer agent is an antimetabolite, including, but not limited to, 5-fluoro uracil, methotrexate, cytarabine (also known as cytosine arabinoside or Ara-C), and HDAC (high dose cytarabine) and fludarabine.
- the anticancer agent is an antimicrotubule agent, including, but not limited to, vinca alkaloids (e.g., vincristine and vinblastine) taxanes (e.g., paclitaxel and docetaxel), and epothilones and their derivatives (e.g., ixabepilone).
- the anticancer agent is an alkylating agent, including, but not limited to, cyclophosphamide, melphalan, carmustine, and nitrosoureas (e.g., bischloroethylnitrosurea and hydroxyurea).
- the anticancer agent is a platinum agent, including, but not limited to, cisplatin, carbop latin, oxalip latin, satraplatin (JM-216), and CI-973.
- the anticancer agent is an anthracycline, including, but not limited to, doxrubicin and daunorubicin.
- the anticancer agent is an antitumor antibiotic, including, but not limited to, mitomycin, idarubicin, adriamycin, and daunomycin (also known as daunorubicin).
- the anticancer agent is a topoisomerase inhibitor, e.g., etoposide and camptothecins.
- the anticancer agent is selected from the group consisting of adriamycin, busulfan, cytarabine, cyclophosphamide, dexamethasone, fludarabine, fluorouracil, hydroxyurea, interferons, oblimersen, platinum derivatives, taxol, topotecan, and vincristine.
- the anticancer agent is a Bcr-Abl kinase inhibitor.
- the Bcr-Abl kinase inhibitor is imatinib, BMS354825 (dasatinib), AMN107 (nilotinib), AP23464, AZD0530, CGP76030, ON012380, INN-0406 (NS-187), SKI-606 (bosutimb), VX- 680, or pyrrolo[2,3-d]pyrimidines including PD166326, PD173955 and PD180970.
- the Bcr-Abl kinase inhibitor is imatinib.
- the Bcr-Abl kinase inhibitor is dasatinib. In yet another embodiment, the Bcr-Abl kinase inhibitor is nilotinib. In yet another embodiment, the Bcr-Abl kinase inhibitor is AP23464. In yet another embodiment, the Bcr-Abl kinase inhibitor is AZD0530. In yet another embodiment, the Bcr-Abl kinase inhibitor is CGP76030. In yet another embodiment, the Bcr-Abl kinase inhibitor is SKI- 606. In yet another embodiment, the Bcr-Abl kinase inhibitor is ON012380.
- the Bcr-Abl kinase inhibitor is INN-0406 (NS-187). In yet another embodiment, the Bcr-Abl kinase inhibitor is a pyrrolo[2,3-d]pyrimidine. In another embodiment, the Bcr-Abl kinase inhibitor is VX-680. In another embodiment, the Bcr-Abl kinase inhibitor is PD166326. In yet another embodiment, the Bcr-Abl kinase inhibitor is PD173955. In still another embodiment, the Bcr-Abl kinase inhibitor is PD 180970.
- the anticancer agent is a FLT3 kinase inhibitor.
- the FLT3 kinase inhibitor is PKC 412, MLN 578, CEP-701, CT 53518, CT-53608, CT-52923, D-64406, D-65476, AGL-2033, AG1295, AG1296, KN-1022, PKC-412, SU5416, SU5614, SU11248, L-00021649, or CHIR-258.
- the FLT3 kinase inhibitor is PKC 412.
- the FLT3 kinase inhibitor is MLN 578.
- the FLT3 kinase inhibitor is CEP-701.
- the FLT3 kinase inhibitor is CT 53518. In yet another embodiment, the FLT3 kinase inhibitor is CT- 53608. In yet another embodiment, the FLT3 kinase inhibitor is CT-52923. In yet another embodiment, the FLT3 kinase inhibitor is D-64406. In yet another embodiment, the FLT3 kinase inhibitor is D-65476. In yet another embodiment, the FLT3 kinase inhibitor is AGL-2033. In yet another embodiment, the FLT3 kinase inhibitor is AG1295. In yet another embodiment, the FLT3 kinase inhibitor is AG1296. In yet another embodiment, the FLT3 kinase inhibitor is KN-1022.
- the FLT3 kinase inhibitor is KN-1022. In yet another embodiment, the FLT3 kinase inhibitor is SU5416. In yet another embodiment, the FLT3 kinase inhibitor is SU5614. In yet another embodiment, the FLT3 kinase inhibitor is SU1 1248. In yet another embodiment, the FLT3 kinase inhibitor is L-00021649. In still another embodiment, the FLT3 kinase inhibitor is CFIIR-258.
- therapies or anticancer agents that may be used in combination with a compound provided herein, e.g., a compound of Formulas I, Ila, lib, or He, including an enantiomer, a mixture of enantiomers, a diastereomer, or a mixture of diastereomers thereof; or a pharmaceutically acceptable salt, or solvate thereof, include surgery, radiotherapy (e.g., gamma-radiation, neutron beam radiotherapy, electron beam radiotherapy, proton therapy, brachytherapy, and systemic radioactive isotopes), endocrine therapy, biologic response modifiers (e.g., interferons, interleukins, and tumor necrosis factor (TNF)), hyperthermia and cryotherapy, agents to attenuate any adverse effects (e.g., antiemetics), and other approved chemotherapeutic drugs, including, but not limited to, alkylating drugs (mechlorethamine, chlorambucil, cyclophospham
- the other anticancer agent is selected from the group consisting of vascular endothelial growth factor (VEGF) receptor inhibitors, topoisomerase II inhibitors, smoothen inhibitors, alkylating agents, anti-tumor antibiotics, anti-metabolites, retinoids, immunomodulatory agents including but not limited to anti-cancer vaccines, CTLA-4, LAG-3, PD-1 antagonists and BET bromodomain inhibitors.
- VEGF vascular endothelial growth factor
- vascular endothelial growth factor (VEGF) receptor inhibitors include, but are not limited to, bevacizumab (sold under the trademark AVASTIN by Genentech/Roche), axitinib, (N-methyl-2-[[3-[([pound])-2-pyridin-2-ylethenyl]-l H-indazol-6- yl]sulfanyl]benzamide, also known as AG013736, and described in PCT Publication No.
- topoisomerase II inhibitors include but are not limited to, etoposide (also known as VP-16 and Etoposide phosphate, sold under the tradenames TOPOSAR, VEPESID and ETOPOPHOS), and teniposide (also known as VM-26, sold under the tradename VUMON).
- etoposide also known as VP-16 and Etoposide phosphate, sold under the tradenames TOPOSAR, VEPESID and ETOPOPHOS
- teniposide also known as VM-26, sold under the tradename VUMON.
- alkylating agents include but are not limited to, 5-azacytidine (sold under the trade name VIDAZA), decitabine (sold under the trade name of DECOGEN), temozolomide (sold under the trade names TEMODAR and TEMODAL by Schering- Plough/Merck), dactinomycin (also known as actinomycin-D and sold under the tradename COSMEGEN), melphalan (also known as L-PAM, L-sarcolysin, and phenylalanine mustard, sold under the tradename ALKERAN), altretamine (also known as hexamethylmelamine (HMM), sold under the tradename HEXALEN), carmustine (sold under the tradename BCNU), bendamustine (sold under the tradename TREANDA), busulfan (sold under the tradenames Busulfex(R) and Myleran(R)), carboplatin (sold under the tradename Paraplatin(R)), lomustine (also known as
- anti-tumor antibiotics include, but are not limited to, doxorubicin (sold under the tradenames Adriamycin(R) and Rubex(R)), bleomycin (sold under the tradename lenoxane(R)), daunorubicin (also known as dauorubicin hydrochloride, daunomycin, and rubidomycin hydrochloride, sold under the tradename Cerubidine(R)), daunorubicin liposomal (daunorubicin citrate liposome, sold under the tradename DaunoXome(R)), mitoxantrone (also known as DHAD, sold under the tradename Novantrone(R)), epirubicin (sold under the tradename Ellence(TM)), idarubicin (sold under the tradenames Idamycin(R), Idamycin PFS(R)), and mitomycin C (sold under the tradename Mutamycin(R)).
- doxorubicin sold under the tradename
- anti-metabolites include, but are not limited to, claribine (2- chlorodeoxyadenosine, sold under the tradename leustatin(R)), 5-fluorouracil (sold under the tradename Adrucil(R)), 6-thioguanine (sold under the tradename Purinethol(R)), pemetrexed (sold under the tradename Alimta(R)), cytarabine (also known as arabinosylcytosine (Ara-C), sold under the tradename Cytosar-U(R)), cytarabine liposomal (also known as Liposomal Ara-C, sold under the tradename DepoCyt(TM)), decitabine (sold under the tradename Dacogen(R)), hydroxyurea (sold under the tradenames Hydrea(R), Droxia(TM) and Mylocel(TM)), fludarabine (sold under the tradename Fludara(R)), floxuridine (s
- retinoids examples include, but are not limited to, alitretinoin (sold under the tradename Panretin(R)), tretinoin (all-trans retinoic acid, also known as ATRA, sold under the tradename Vesanoid(R)), Isotretinoin (13-c/s-retinoic acid, sold under the tradenames Accutane(R), Amnesteem(R), Claravis(R), Clarus(R), Decutan(R), Isotane(R), Izotech(R), Oratane(R), Isotret(R), and Sotret(R)), and bexarotene (sold under the tradename Targretin(R)).
- PD-1 antagonist means any chemical compound or biological molecule that blocks binding of PD-L1 expressed on a cancer cell to PD-1 expressed on an immune cell (T cell, B cell or NKT cell) and preferably also blocks binding of PD-L2 expressed on a cancer cell to the immune-cell expressed PD-1.
- Alternative names or synonyms for PD-1 and its ligands include: PDCD1, PD1, CD279 and SLEB2 for PD-1 ; PDCD1L1, PDL1, B7H1, B7-4, CD274 and B7-H for PD-L1 ; and PDCD1L2, PDL2, B7-DC, Btdc and CD273 for PD-L2.
Landscapes
- Chemical & Material Sciences (AREA)
- Health & Medical Sciences (AREA)
- Organic Chemistry (AREA)
- Life Sciences & Earth Sciences (AREA)
- General Health & Medical Sciences (AREA)
- Molecular Biology (AREA)
- Biochemistry (AREA)
- Genetics & Genomics (AREA)
- Biotechnology (AREA)
- Engineering & Computer Science (AREA)
- Pharmacology & Pharmacy (AREA)
- Veterinary Medicine (AREA)
- Public Health (AREA)
- Medicinal Chemistry (AREA)
- Animal Behavior & Ethology (AREA)
- Epidemiology (AREA)
- Hematology (AREA)
- Nuclear Medicine, Radiotherapy & Molecular Imaging (AREA)
- General Chemical & Material Sciences (AREA)
- Chemical Kinetics & Catalysis (AREA)
- Oncology (AREA)
- Pharmaceuticals Containing Other Organic And Inorganic Compounds (AREA)
- Saccharide Compounds (AREA)
Abstract
Description
Claims
Priority Applications (9)
| Application Number | Priority Date | Filing Date | Title |
|---|---|---|---|
| JP2016569379A JP2017516779A (en) | 2014-05-28 | 2015-05-27 | Nucleoside derivatives for cancer treatment |
| AU2015265607A AU2015265607A1 (en) | 2014-05-28 | 2015-05-27 | Nucleoside derivatives for the treatment of cancer |
| RU2016149761A RU2016149761A (en) | 2014-05-28 | 2015-05-27 | NUCLEOSIDE DERIVATIVES FOR THE TREATMENT OF CANCER DISEASE |
| CN201580028114.XA CN106459127A (en) | 2014-05-28 | 2015-05-27 | Nucleoside derivatives for the treatment of cancer |
| EP15770630.0A EP3149017B1 (en) | 2014-05-28 | 2015-05-27 | Nucleoside derivatives for the treatment of cancer |
| CA2947939A CA2947939A1 (en) | 2014-05-28 | 2015-05-27 | Nucleoside derivatives for the treatment of cancer |
| MX2016015568A MX2016015568A (en) | 2014-05-28 | 2015-05-27 | Nucleoside derivatives for the treatment of cancer. |
| KR1020167036090A KR20170005492A (en) | 2014-05-28 | 2015-05-27 | Nucleoside derivatives for the treatment of cancer |
| US15/313,646 US20170101431A1 (en) | 2014-05-28 | 2015-05-27 | Nucleoside derivatives for the treatment of cancer |
Applications Claiming Priority (2)
| Application Number | Priority Date | Filing Date | Title |
|---|---|---|---|
| US201462004006P | 2014-05-28 | 2014-05-28 | |
| US62/004,006 | 2014-05-28 |
Publications (2)
| Publication Number | Publication Date |
|---|---|
| WO2015181624A2 true WO2015181624A2 (en) | 2015-12-03 |
| WO2015181624A3 WO2015181624A3 (en) | 2016-03-31 |
Family
ID=54196997
Family Applications (1)
| Application Number | Title | Priority Date | Filing Date |
|---|---|---|---|
| PCT/IB2015/000957 Ceased WO2015181624A2 (en) | 2014-05-28 | 2015-05-27 | Nucleoside derivatives for the treatment of cancer |
Country Status (5)
| Country | Link |
|---|---|
| JP (1) | JP2017516779A (en) |
| KR (1) | KR20170005492A (en) |
| AU (1) | AU2015265607A1 (en) |
| CA (1) | CA2947939A1 (en) |
| WO (1) | WO2015181624A2 (en) |
Cited By (9)
| Publication number | Priority date | Publication date | Assignee | Title |
|---|---|---|---|---|
| WO2017207986A1 (en) * | 2016-06-01 | 2017-12-07 | Nucana Biomed Limited | Phosphoramidate nucleoside derivatives as anticancer agents |
| US10766917B2 (en) | 2015-05-27 | 2020-09-08 | Idenix Pharmaceuticals Llc | Nucleotides for the treatment of cancer |
| EP3610020A4 (en) * | 2017-12-01 | 2021-01-27 | Aptabio Therapeutics Inc. | THERAPEUTIC FOR BLOOD CANCER |
| US11400107B2 (en) | 2016-06-01 | 2022-08-02 | NuCana plc | Cancer treatments |
| WO2022245584A1 (en) * | 2021-05-17 | 2022-11-24 | Ligand Pharmaceuticals Incorporated | Unnatural configuration nucleotide prodrug compounds |
| WO2023081105A1 (en) * | 2021-11-02 | 2023-05-11 | Ligand Pharmaceuticals Incorporated | Cyclic phosphoramidate compounds |
| US12110311B2 (en) | 2019-07-17 | 2024-10-08 | Nucorion Pharmaceuticals, Inc. | Cyclic deoxyribonucleotide compounds |
| US12110308B2 (en) | 2018-01-10 | 2024-10-08 | Nucorion Pharmaceuticals, Inc. | Phosphor(n)amidatacetal and phosph(on)atalcetal compounds |
| WO2025119207A1 (en) * | 2023-12-04 | 2025-06-12 | Shanghai Curegene Pharmaceutical Co., Ltd. | Antiviral compounds and compositions and uses thereof |
Citations (50)
| Publication number | Priority date | Publication date | Assignee | Title |
|---|---|---|---|---|
| US3536809A (en) | 1969-02-17 | 1970-10-27 | Alza Corp | Medication method |
| US3598123A (en) | 1969-04-01 | 1971-08-10 | Alza Corp | Bandage for administering drugs |
| US3845770A (en) | 1972-06-05 | 1974-11-05 | Alza Corp | Osmatic dispensing device for releasing beneficial agent |
| US3916899A (en) | 1973-04-25 | 1975-11-04 | Alza Corp | Osmotic dispensing device with maximum and minimum sizes for the passageway |
| US4008719A (en) | 1976-02-02 | 1977-02-22 | Alza Corporation | Osmotic system having laminar arrangement for programming delivery of active agent |
| US5033252A (en) | 1987-12-23 | 1991-07-23 | Entravision, Inc. | Method of packaging and sterilizing a pharmaceutical product |
| US5052558A (en) | 1987-12-23 | 1991-10-01 | Entravision, Inc. | Packaged pharmaceutical product |
| US5059595A (en) | 1989-03-22 | 1991-10-22 | Bioresearch, S.P.A. | Pharmaceutical compositions containing 5-methyltetrahydrofolic acid, 5-formyltetrahydrofolic acid and their pharmaceutically acceptable salts in controlled-release form active in the therapy of organic mental disturbances |
| US5073543A (en) | 1988-07-21 | 1991-12-17 | G. D. Searle & Co. | Controlled release formulations of trophic factors in ganglioside-lipsome vehicle |
| US5120548A (en) | 1989-11-07 | 1992-06-09 | Merck & Co., Inc. | Swelling modulated polymeric drug delivery device |
| WO1994006802A1 (en) | 1992-09-18 | 1994-03-31 | Yoshitomi Pharmaceutical Industries, Ltd. | Thienodiazepine compound and medicinal use thereof |
| US5323907A (en) | 1992-06-23 | 1994-06-28 | Multi-Comp, Inc. | Child resistant package assembly for dispensing pharmaceutical medications |
| US5354556A (en) | 1984-10-30 | 1994-10-11 | Elan Corporation, Plc | Controlled release powder and process for its preparation |
| US5591767A (en) | 1993-01-25 | 1997-01-07 | Pharmetrix Corporation | Liquid reservoir transdermal patch for the administration of ketorolac |
| US5639476A (en) | 1992-01-27 | 1997-06-17 | Euro-Celtique, S.A. | Controlled release formulations coated with aqueous dispersions of acrylic polymers |
| US5639480A (en) | 1989-07-07 | 1997-06-17 | Sandoz Ltd. | Sustained release formulations of water soluble peptides |
| US5674533A (en) | 1994-07-07 | 1997-10-07 | Recordati, S.A., Chemical And Pharmaceutical Company | Pharmaceutical composition for the controlled release of moguisteine in a liquid suspension |
| US5733566A (en) | 1990-05-15 | 1998-03-31 | Alkermes Controlled Therapeutics Inc. Ii | Controlled release of antiparasitic agents in animals |
| US5739108A (en) | 1984-10-04 | 1998-04-14 | Monsanto Company | Prolonged release of biologically active polypeptides |
| US5891474A (en) | 1997-01-29 | 1999-04-06 | Poli Industria Chimica, S.P.A. | Time-specific controlled release dosage formulations and method of preparing same |
| US5922356A (en) | 1996-10-09 | 1999-07-13 | Sumitomo Pharmaceuticals Company, Limited | Sustained release formulation |
| US5972891A (en) | 1992-12-07 | 1999-10-26 | Takeda Chemical Industries, Ltd. | Sustained-release preparation |
| US5980945A (en) | 1996-01-16 | 1999-11-09 | Societe De Conseils De Recherches Et D'applications Scientifique S.A. | Sustained release drug formulations |
| US5993855A (en) | 1995-09-18 | 1999-11-30 | Shiseido Company, Ltd. | Delayed drug-releasing microspheres |
| US6045830A (en) | 1995-09-04 | 2000-04-04 | Takeda Chemical Industries, Ltd. | Method of production of sustained-release preparation |
| US6087324A (en) | 1993-06-24 | 2000-07-11 | Takeda Chemical Industries, Ltd. | Sustained-release preparation |
| US6113943A (en) | 1996-10-31 | 2000-09-05 | Takeda Chemical Industries, Ltd. | Sustained-release preparation capable of releasing a physiologically active substance |
| WO2001002369A2 (en) | 1999-07-02 | 2001-01-11 | Agouron Pharmaceuticals, Inc. | Indazole compounds and pharmaceutical compositions for inhibiting protein kinases, and methods for their use |
| US6197350B1 (en) | 1996-12-20 | 2001-03-06 | Takeda Chemical Industries, Ltd. | Method of producing a sustained-release preparation |
| US6248363B1 (en) | 1999-11-23 | 2001-06-19 | Lipocine, Inc. | Solid carriers for improved delivery of active ingredients in pharmaceutical compositions |
| US6264970B1 (en) | 1996-06-26 | 2001-07-24 | Takeda Chemical Industries, Ltd. | Sustained-release preparation |
| US6267981B1 (en) | 1995-06-27 | 2001-07-31 | Takeda Chemical Industries, Ltd. | Method of producing sustained-release preparation |
| WO2002010192A2 (en) | 2000-08-01 | 2002-02-07 | Novartis Ag | Somatostatin analogues |
| US6419961B1 (en) | 1996-08-29 | 2002-07-16 | Takeda Chemical Industries, Ltd. | Sustained release microcapsules of a bioactive substance and a biodegradable polymer |
| WO2002068470A2 (en) | 2001-02-26 | 2002-09-06 | Pharma Pacific Pty Ltd | Interferon-alpha induced gene |
| US6589548B1 (en) | 1998-05-16 | 2003-07-08 | Mogam Biotechnology Research Institute | Controlled drug delivery system using the conjugation of drug to biodegradable polyester |
| US6613358B2 (en) | 1998-03-18 | 2003-09-02 | Theodore W. Randolph | Sustained-release composition including amorphous polymer |
| WO2004004771A1 (en) | 2002-07-03 | 2004-01-15 | Ono Pharmaceutical Co., Ltd. | Immunopotentiating compositions |
| WO2004056875A1 (en) | 2002-12-23 | 2004-07-08 | Wyeth | Antibodies against pd-1 and uses therefor |
| WO2004072286A1 (en) | 2003-01-23 | 2004-08-26 | Ono Pharmaceutical Co., Ltd. | Substance specific to human pd-1 |
| WO2009084693A1 (en) | 2007-12-28 | 2009-07-09 | Mitsubishi Tanabe Pharma Corporation | Antitumor agent |
| WO2010027827A2 (en) | 2008-08-25 | 2010-03-11 | Amplimmune, Inc. | Targeted costimulatory polypeptides and methods of use to treat cancer |
| WO2010077634A1 (en) | 2008-12-09 | 2010-07-08 | Genentech, Inc. | Anti-pd-l1 antibodies and their use to enhance t-cell function |
| WO2011066342A2 (en) | 2009-11-24 | 2011-06-03 | Amplimmune, Inc. | Simultaneous inhibition of pd-l1/pd-l2 |
| US8008449B2 (en) | 2005-05-09 | 2011-08-30 | Medarex, Inc. | Human monoclonal antibodies to programmed death 1 (PD-1) and methods for treating cancer using anti-PD-1 antibodies alone or in combination with other immunotherapeutics |
| US20110271358A1 (en) | 2008-09-26 | 2011-11-03 | Dana-Farber Cancer Institute, Inc. | Human anti-pd-1, pd-l1, and pd-l2 antibodies and uses therefor |
| US8168757B2 (en) | 2008-03-12 | 2012-05-01 | Merck Sharp & Dohme Corp. | PD-1 binding proteins |
| US8354509B2 (en) | 2007-06-18 | 2013-01-15 | Msd Oss B.V. | Antibodies to human programmed death receptor PD-1 |
| WO2013019906A1 (en) | 2011-08-01 | 2013-02-07 | Genentech, Inc. | Methods of treating cancer using pd-1 axis binding antagonists and mek inhibitors |
| US8383796B2 (en) | 2005-07-01 | 2013-02-26 | Medarex, Inc. | Nucleic acids encoding monoclonal antibodies to programmed death ligand 1 (PD-L1) |
Family Cites Families (8)
| Publication number | Priority date | Publication date | Assignee | Title |
|---|---|---|---|---|
| US3804827A (en) * | 1972-02-28 | 1974-04-16 | Icn Pharmaceuticals | 1-beta-d-arabinofuranosylcytosine-3',5'-cyclic phosphate and derivatives thereof |
| CA2322494A1 (en) * | 1998-03-11 | 1999-09-16 | Annette M. Gero | Novel nucleoside analogs and uses in treating disease |
| GB0505781D0 (en) * | 2005-03-21 | 2005-04-27 | Univ Cardiff | Chemical compounds |
| US7888330B2 (en) * | 2005-11-09 | 2011-02-15 | Wayne State University | Phosphoramidate derivatives of FAU |
| US7951789B2 (en) * | 2006-12-28 | 2011-05-31 | Idenix Pharmaceuticals, Inc. | Compounds and pharmaceutical compositions for the treatment of viral infections |
| US9156874B2 (en) * | 2011-01-03 | 2015-10-13 | Nanjing Molecular Research, Inc. | Double-liver-targeting phosphoramidate and phosphonoamidate prodrugs |
| SI2681227T1 (en) * | 2011-03-01 | 2016-04-29 | Nucana Biomed Limited | Phosphoramidate derivatives of 5-fluoro-2'-deoxyuridine for use in the treatment of cancer |
| WO2013177188A1 (en) * | 2012-05-22 | 2013-11-28 | Idenix Pharmaceuticals, Inc. | 3',5'-cyclic phosphoramidate prodrugs for hcv infection |
-
2015
- 2015-05-27 KR KR1020167036090A patent/KR20170005492A/en not_active Withdrawn
- 2015-05-27 JP JP2016569379A patent/JP2017516779A/en not_active Withdrawn
- 2015-05-27 AU AU2015265607A patent/AU2015265607A1/en not_active Abandoned
- 2015-05-27 WO PCT/IB2015/000957 patent/WO2015181624A2/en not_active Ceased
- 2015-05-27 CA CA2947939A patent/CA2947939A1/en not_active Abandoned
Patent Citations (56)
| Publication number | Priority date | Publication date | Assignee | Title |
|---|---|---|---|---|
| US3536809A (en) | 1969-02-17 | 1970-10-27 | Alza Corp | Medication method |
| US3598123A (en) | 1969-04-01 | 1971-08-10 | Alza Corp | Bandage for administering drugs |
| US3845770A (en) | 1972-06-05 | 1974-11-05 | Alza Corp | Osmatic dispensing device for releasing beneficial agent |
| US3916899A (en) | 1973-04-25 | 1975-11-04 | Alza Corp | Osmotic dispensing device with maximum and minimum sizes for the passageway |
| US4008719A (en) | 1976-02-02 | 1977-02-22 | Alza Corporation | Osmotic system having laminar arrangement for programming delivery of active agent |
| US5739108A (en) | 1984-10-04 | 1998-04-14 | Monsanto Company | Prolonged release of biologically active polypeptides |
| US5354556A (en) | 1984-10-30 | 1994-10-11 | Elan Corporation, Plc | Controlled release powder and process for its preparation |
| US5033252A (en) | 1987-12-23 | 1991-07-23 | Entravision, Inc. | Method of packaging and sterilizing a pharmaceutical product |
| US5052558A (en) | 1987-12-23 | 1991-10-01 | Entravision, Inc. | Packaged pharmaceutical product |
| US5073543A (en) | 1988-07-21 | 1991-12-17 | G. D. Searle & Co. | Controlled release formulations of trophic factors in ganglioside-lipsome vehicle |
| US5059595A (en) | 1989-03-22 | 1991-10-22 | Bioresearch, S.P.A. | Pharmaceutical compositions containing 5-methyltetrahydrofolic acid, 5-formyltetrahydrofolic acid and their pharmaceutically acceptable salts in controlled-release form active in the therapy of organic mental disturbances |
| US5639480A (en) | 1989-07-07 | 1997-06-17 | Sandoz Ltd. | Sustained release formulations of water soluble peptides |
| US5120548A (en) | 1989-11-07 | 1992-06-09 | Merck & Co., Inc. | Swelling modulated polymeric drug delivery device |
| US5733566A (en) | 1990-05-15 | 1998-03-31 | Alkermes Controlled Therapeutics Inc. Ii | Controlled release of antiparasitic agents in animals |
| US5639476A (en) | 1992-01-27 | 1997-06-17 | Euro-Celtique, S.A. | Controlled release formulations coated with aqueous dispersions of acrylic polymers |
| US5323907A (en) | 1992-06-23 | 1994-06-28 | Multi-Comp, Inc. | Child resistant package assembly for dispensing pharmaceutical medications |
| WO1994006802A1 (en) | 1992-09-18 | 1994-03-31 | Yoshitomi Pharmaceutical Industries, Ltd. | Thienodiazepine compound and medicinal use thereof |
| US5972891A (en) | 1992-12-07 | 1999-10-26 | Takeda Chemical Industries, Ltd. | Sustained-release preparation |
| US5591767A (en) | 1993-01-25 | 1997-01-07 | Pharmetrix Corporation | Liquid reservoir transdermal patch for the administration of ketorolac |
| US6376461B1 (en) | 1993-06-24 | 2002-04-23 | Takeda Chemical Industries, Ltd. | Sustained-release preparation |
| US6087324A (en) | 1993-06-24 | 2000-07-11 | Takeda Chemical Industries, Ltd. | Sustained-release preparation |
| US5712274A (en) | 1993-09-16 | 1998-01-27 | Yoshitomi Pharmaceutical Industries, Ltd. | Thienotriazolodiazepine compounds and their pharmaceutical use |
| US5674533A (en) | 1994-07-07 | 1997-10-07 | Recordati, S.A., Chemical And Pharmaceutical Company | Pharmaceutical composition for the controlled release of moguisteine in a liquid suspension |
| US6267981B1 (en) | 1995-06-27 | 2001-07-31 | Takeda Chemical Industries, Ltd. | Method of producing sustained-release preparation |
| US6045830A (en) | 1995-09-04 | 2000-04-04 | Takeda Chemical Industries, Ltd. | Method of production of sustained-release preparation |
| US5993855A (en) | 1995-09-18 | 1999-11-30 | Shiseido Company, Ltd. | Delayed drug-releasing microspheres |
| US5980945A (en) | 1996-01-16 | 1999-11-09 | Societe De Conseils De Recherches Et D'applications Scientifique S.A. | Sustained release drug formulations |
| US6264970B1 (en) | 1996-06-26 | 2001-07-24 | Takeda Chemical Industries, Ltd. | Sustained-release preparation |
| US6419961B1 (en) | 1996-08-29 | 2002-07-16 | Takeda Chemical Industries, Ltd. | Sustained release microcapsules of a bioactive substance and a biodegradable polymer |
| US5922356A (en) | 1996-10-09 | 1999-07-13 | Sumitomo Pharmaceuticals Company, Limited | Sustained release formulation |
| US6113943A (en) | 1996-10-31 | 2000-09-05 | Takeda Chemical Industries, Ltd. | Sustained-release preparation capable of releasing a physiologically active substance |
| US6699500B2 (en) | 1996-10-31 | 2004-03-02 | Takeda Chemical Industries, Ltd. | Sustained-release preparation capable of releasing a physiologically active substance |
| US6197350B1 (en) | 1996-12-20 | 2001-03-06 | Takeda Chemical Industries, Ltd. | Method of producing a sustained-release preparation |
| US5891474A (en) | 1997-01-29 | 1999-04-06 | Poli Industria Chimica, S.P.A. | Time-specific controlled release dosage formulations and method of preparing same |
| US6613358B2 (en) | 1998-03-18 | 2003-09-02 | Theodore W. Randolph | Sustained-release composition including amorphous polymer |
| US6589548B1 (en) | 1998-05-16 | 2003-07-08 | Mogam Biotechnology Research Institute | Controlled drug delivery system using the conjugation of drug to biodegradable polyester |
| WO2001002369A2 (en) | 1999-07-02 | 2001-01-11 | Agouron Pharmaceuticals, Inc. | Indazole compounds and pharmaceutical compositions for inhibiting protein kinases, and methods for their use |
| US6248363B1 (en) | 1999-11-23 | 2001-06-19 | Lipocine, Inc. | Solid carriers for improved delivery of active ingredients in pharmaceutical compositions |
| WO2002010192A2 (en) | 2000-08-01 | 2002-02-07 | Novartis Ag | Somatostatin analogues |
| WO2002068470A2 (en) | 2001-02-26 | 2002-09-06 | Pharma Pacific Pty Ltd | Interferon-alpha induced gene |
| WO2004004771A1 (en) | 2002-07-03 | 2004-01-15 | Ono Pharmaceutical Co., Ltd. | Immunopotentiating compositions |
| US7488802B2 (en) | 2002-12-23 | 2009-02-10 | Wyeth | Antibodies against PD-1 |
| WO2004056875A1 (en) | 2002-12-23 | 2004-07-08 | Wyeth | Antibodies against pd-1 and uses therefor |
| US7521051B2 (en) | 2002-12-23 | 2009-04-21 | Medimmune Limited | Methods of upmodulating adaptive immune response using anti-PD-1 antibodies |
| WO2004072286A1 (en) | 2003-01-23 | 2004-08-26 | Ono Pharmaceutical Co., Ltd. | Substance specific to human pd-1 |
| US8008449B2 (en) | 2005-05-09 | 2011-08-30 | Medarex, Inc. | Human monoclonal antibodies to programmed death 1 (PD-1) and methods for treating cancer using anti-PD-1 antibodies alone or in combination with other immunotherapeutics |
| US8383796B2 (en) | 2005-07-01 | 2013-02-26 | Medarex, Inc. | Nucleic acids encoding monoclonal antibodies to programmed death ligand 1 (PD-L1) |
| US8354509B2 (en) | 2007-06-18 | 2013-01-15 | Msd Oss B.V. | Antibodies to human programmed death receptor PD-1 |
| WO2009084693A1 (en) | 2007-12-28 | 2009-07-09 | Mitsubishi Tanabe Pharma Corporation | Antitumor agent |
| US8476260B2 (en) | 2007-12-28 | 2013-07-02 | Mitsubishi Tanabe Pharma Corporation | Antitumor agent |
| US8168757B2 (en) | 2008-03-12 | 2012-05-01 | Merck Sharp & Dohme Corp. | PD-1 binding proteins |
| WO2010027827A2 (en) | 2008-08-25 | 2010-03-11 | Amplimmune, Inc. | Targeted costimulatory polypeptides and methods of use to treat cancer |
| US20110271358A1 (en) | 2008-09-26 | 2011-11-03 | Dana-Farber Cancer Institute, Inc. | Human anti-pd-1, pd-l1, and pd-l2 antibodies and uses therefor |
| WO2010077634A1 (en) | 2008-12-09 | 2010-07-08 | Genentech, Inc. | Anti-pd-l1 antibodies and their use to enhance t-cell function |
| WO2011066342A2 (en) | 2009-11-24 | 2011-06-03 | Amplimmune, Inc. | Simultaneous inhibition of pd-l1/pd-l2 |
| WO2013019906A1 (en) | 2011-08-01 | 2013-02-07 | Genentech, Inc. | Methods of treating cancer using pd-1 axis binding antagonists and mek inhibitors |
Non-Patent Citations (26)
| Title |
|---|
| "Annexin V for flow cytometric detection ofphosphatidylserine expression on B cells undergoing apoptosis", BLOOD, vol. 84, 1994, pages 1415 - 20 |
| "Introduction to Pharmaceutical Dosage Forms", 1985, LEA & FEBIGER |
| "Remington's Pharmaceutical Sciences", 1980, MACK PUBLISHING |
| "Remington's Pharmaceutical Sciences", 2000, MACK PUBLISHING |
| "Response Evaluation Criteria in Solid Tumors (RECIST) Guidelines", JOURNAL OF THE NATIONAL CANCER INSTITUTE, vol. 92, no. 3, 2000, pages 205 - 216 |
| "The Merck Manual", 1999 |
| BUCHWALD ET AL., SURGERY, vol. 88, 1980, pages 507 |
| FACTS 2013, August 2013 (2013-08-01) |
| FOSTER ET AL., ADV. DRUG RES., vol. 14, 1985, pages 1 - 36 |
| GATELY, J. NUCL. MED., vol. 27, 1986, pages 388 |
| GOODSON, MEDICAL APPLICATIONS OF CONTROLLED RELEASE, vol. 2, 1984, pages 115 - 138 |
| GORDON, DRUG METAB. DISPOS., vol. 15, 1987, pages 589 |
| GREENE ET AL.: "Protective Groups in Organic Synthesis", 1991, JOHN WILEY AND SONS |
| GREENE: "Protective Groups in Organic Synthesis", 1991, JOHN WILEY AND SONS |
| JENS T. CARSTENSEN: "Drug Stability: Principles & Practice", 1995, MARCEL DEKKER, pages: 379 - 80 |
| KUSHNER ET AL., CAN. J. PHYSIOL. PHARMACOL., vol. 77, 1999, pages 79 - 88 |
| LANGER, SCIENCE, vol. 249, 1990, pages 1527 - 1533 |
| LIJINSKY, FOOD COSMET. TOXICOL., vol. 20, 1982, pages 393 |
| LIJINSKY, J. NAT. CANCER INST., vol. 69, 1982, pages 1127 |
| MANGOLD, MUTATION RES., vol. 308, 1994, pages 33 |
| SAUDEK ET AL., N. ENGL. J. MED., vol. 321, 1989, pages 574 |
| SEFTON, CRC CRIT. REF. BIOMED. ENG., vol. 14, 1987, pages 201 |
| VAN DONGEN, J.J. ET AL.: "EuroFlow antibody panels for standardized n-dimensional flow cytometric immunophenotyping of normal, reactive and malignant leukocytes", LEUKEMIA, vol. 26, 2012, pages 1908 - 75 |
| VAN DONGEN, J.J.; A. ORFAO: "EuroFlow: Resetting leukemia and lymphoma immunophenotyping. Basis for companion diagnostics and personalized medicine", LEUKEMIA, vol. 26, 2012, pages 1899 - 907 |
| WADE D, CHEM. BIOL. INTERACT., vol. 117, 1999, pages 191 |
| ZELLO, METABOLISM, vol. 43, 1994, pages 487 |
Cited By (15)
| Publication number | Priority date | Publication date | Assignee | Title |
|---|---|---|---|---|
| US10766917B2 (en) | 2015-05-27 | 2020-09-08 | Idenix Pharmaceuticals Llc | Nucleotides for the treatment of cancer |
| US10906929B2 (en) | 2016-06-01 | 2021-02-02 | NuCana plc | Phosphoramidate nucleoside derivatives as anticancer agents |
| US11400107B2 (en) | 2016-06-01 | 2022-08-02 | NuCana plc | Cancer treatments |
| CN109195981A (en) * | 2016-06-01 | 2019-01-11 | 努卡那有限公司 | Phosphoramidate nucleoside derivative as anticancer agent |
| EA036409B1 (en) * | 2016-06-01 | 2020-11-06 | НУКАНА ПиЭлСи | Phosphoramidate nucleoside derivatives as anticancer agents |
| JP2019517510A (en) * | 2016-06-01 | 2019-06-24 | ニューカナ パブリック リミテッド カンパニー | Phosphoramidate nucleoside derivatives as anticancer agents |
| WO2017207986A1 (en) * | 2016-06-01 | 2017-12-07 | Nucana Biomed Limited | Phosphoramidate nucleoside derivatives as anticancer agents |
| IL263121B (en) * | 2016-06-01 | 2021-10-31 | NuCana plc | History of nucleoside phosphoramidate as anticancer agents |
| JP7025351B2 (en) | 2016-06-01 | 2022-02-24 | ニューカナ パブリック リミテッド カンパニー | Phosphoramidate nucleoside derivative as an anticancer agent |
| EP3610020A4 (en) * | 2017-12-01 | 2021-01-27 | Aptabio Therapeutics Inc. | THERAPEUTIC FOR BLOOD CANCER |
| US12110308B2 (en) | 2018-01-10 | 2024-10-08 | Nucorion Pharmaceuticals, Inc. | Phosphor(n)amidatacetal and phosph(on)atalcetal compounds |
| US12110311B2 (en) | 2019-07-17 | 2024-10-08 | Nucorion Pharmaceuticals, Inc. | Cyclic deoxyribonucleotide compounds |
| WO2022245584A1 (en) * | 2021-05-17 | 2022-11-24 | Ligand Pharmaceuticals Incorporated | Unnatural configuration nucleotide prodrug compounds |
| WO2023081105A1 (en) * | 2021-11-02 | 2023-05-11 | Ligand Pharmaceuticals Incorporated | Cyclic phosphoramidate compounds |
| WO2025119207A1 (en) * | 2023-12-04 | 2025-06-12 | Shanghai Curegene Pharmaceutical Co., Ltd. | Antiviral compounds and compositions and uses thereof |
Also Published As
| Publication number | Publication date |
|---|---|
| AU2015265607A1 (en) | 2016-11-17 |
| KR20170005492A (en) | 2017-01-13 |
| JP2017516779A (en) | 2017-06-22 |
| WO2015181624A3 (en) | 2016-03-31 |
| CA2947939A1 (en) | 2015-12-03 |
Similar Documents
| Publication | Publication Date | Title |
|---|---|---|
| WO2015181624A2 (en) | Nucleoside derivatives for the treatment of cancer | |
| EP3303359B1 (en) | Nucleotides for the treatment of cancer | |
| EP3149017B1 (en) | Nucleoside derivatives for the treatment of cancer | |
| US10723754B2 (en) | 2′,4′-bridged nucleosides for HCV infection | |
| US9211300B2 (en) | 4′-fluoro nucleosides for the treatment of HCV | |
| EP2970357B1 (en) | Amino acid phosphoramidate pronucleotides of 2'-cyano, azido and amino nucleosides for the treatment of hcv | |
| US10202411B2 (en) | 3′-substituted methyl or alkynyl nucleosides nucleotides for the treatment of HCV | |
| JP2017504572A (en) | Nucleotides for liver cancer treatment | |
| US20170198005A1 (en) | 2'-dichloro and 2'-fluoro-2'-chloro nucleoside analogues for hcv infection | |
| US20160082030A1 (en) | D-amino acid phosphoramidate pronucleotides of halogeno pyrimidine compounds for liver disease | |
| WO2014165542A1 (en) | 2',4'-fluoro nucleosides for the treatment of hcv | |
| EP3004130A1 (en) | 1',4'-thio nucleosides for the treatment of hcv | |
| US20140099283A1 (en) | 2'-chloro nucleoside analogs for hcv infection | |
| US10815264B2 (en) | Nucleotides for the treatment of cancer | |
| WO2015095419A1 (en) | 4'-or nucleosides for the treatment of hcv |
Legal Events
| Date | Code | Title | Description |
|---|---|---|---|
| 121 | Ep: the epo has been informed by wipo that ep was designated in this application |
Ref document number: 15770630 Country of ref document: EP Kind code of ref document: A2 |
|
| ENP | Entry into the national phase |
Ref document number: 2947939 Country of ref document: CA |
|
| ENP | Entry into the national phase |
Ref document number: 2015265607 Country of ref document: AU Date of ref document: 20150527 Kind code of ref document: A |
|
| WWE | Wipo information: entry into national phase |
Ref document number: 15313646 Country of ref document: US |
|
| ENP | Entry into the national phase |
Ref document number: 2016569379 Country of ref document: JP Kind code of ref document: A |
|
| WWE | Wipo information: entry into national phase |
Ref document number: MX/A/2016/015568 Country of ref document: MX |
|
| NENP | Non-entry into the national phase |
Ref country code: DE |
|
| REG | Reference to national code |
Ref country code: BR Ref legal event code: B01A Ref document number: 112016027574 Country of ref document: BR |
|
| REEP | Request for entry into the european phase |
Ref document number: 2015770630 Country of ref document: EP |
|
| WWE | Wipo information: entry into national phase |
Ref document number: 2015770630 Country of ref document: EP |
|
| ENP | Entry into the national phase |
Ref document number: 20167036090 Country of ref document: KR Kind code of ref document: A |
|
| ENP | Entry into the national phase |
Ref document number: 2016149761 Country of ref document: RU Kind code of ref document: A |
|
| ENP | Entry into the national phase |
Ref document number: 112016027574 Country of ref document: BR Kind code of ref document: A2 Effective date: 20161124 |























































































































































































































