WO2015173665A1 - A process for preparation of trans-sulfuric acid mono-{2-[5-(3-azetidinylamino)-methyl-[1,3,4]- oxadiazol-2-yl]-7-oxo-1,6-diazabicyclo[3.2.1] oct-6-yl} ester trifluoroacetate - Google Patents
A process for preparation of trans-sulfuric acid mono-{2-[5-(3-azetidinylamino)-methyl-[1,3,4]- oxadiazol-2-yl]-7-oxo-1,6-diazabicyclo[3.2.1] oct-6-yl} ester trifluoroacetate Download PDFInfo
- Publication number
- WO2015173665A1 WO2015173665A1 PCT/IB2015/052191 IB2015052191W WO2015173665A1 WO 2015173665 A1 WO2015173665 A1 WO 2015173665A1 IB 2015052191 W IB2015052191 W IB 2015052191W WO 2015173665 A1 WO2015173665 A1 WO 2015173665A1
- Authority
- WO
- WIPO (PCT)
- Prior art keywords
- formula
- compound
- sulfur trioxide
- complex
- process according
- Prior art date
- Legal status (The legal status is an assumption and is not a legal conclusion. Google has not performed a legal analysis and makes no representation as to the accuracy of the status listed.)
- Ceased
Links
- 0 *C([C@@](CC[C@](C1)N2OCc3ccccc3)N1C2=O)=O Chemical compound *C([C@@](CC[C@](C1)N2OCc3ccccc3)N1C2=O)=O 0.000 description 1
- XPXPWPWQIQHXSW-UHFFFAOYSA-N CC(C)(C)OC(N(CC(NN)=O)C(C1)CN1C(OC(C)(C)C)=O)=O Chemical compound CC(C)(C)OC(N(CC(NN)=O)C(C1)CN1C(OC(C)(C)C)=O)=O XPXPWPWQIQHXSW-UHFFFAOYSA-N 0.000 description 1
- SHIJNRYKZVVSDQ-BOQQILRGSA-N CC(C)(C)OC(N(CC(NNC([C@H](CC[C@H](C1)N2OCc3ccccc3)N1C2O)=O)=O)C(C1)CN1C(OC(C)(C)C)=O)=O Chemical compound CC(C)(C)OC(N(CC(NNC([C@H](CC[C@H](C1)N2OCc3ccccc3)N1C2O)=O)=O)C(C1)CN1C(OC(C)(C)C)=O)=O SHIJNRYKZVVSDQ-BOQQILRGSA-N 0.000 description 1
- PGCGGPDBTFWLMF-UTEOSNMTSA-N CC(C)(C)OC(N(Cc1nnc([C@H](CC[C@@H]2C3)N3C3OC3N2O)[o]1)C(C1)CN1C(OC(C)(C)C)=O)=O Chemical compound CC(C)(C)OC(N(Cc1nnc([C@H](CC[C@@H]2C3)N3C3OC3N2O)[o]1)C(C1)CN1C(OC(C)(C)C)=O)=O PGCGGPDBTFWLMF-UTEOSNMTSA-N 0.000 description 1
Classifications
-
- C—CHEMISTRY; METALLURGY
- C07—ORGANIC CHEMISTRY
- C07D—HETEROCYCLIC COMPOUNDS
- C07D471/00—Heterocyclic compounds containing nitrogen atoms as the only ring hetero atoms in the condensed system, at least one ring being a six-membered ring with one nitrogen atom, not provided for by groups C07D451/00 - C07D463/00
- C07D471/02—Heterocyclic compounds containing nitrogen atoms as the only ring hetero atoms in the condensed system, at least one ring being a six-membered ring with one nitrogen atom, not provided for by groups C07D451/00 - C07D463/00 in which the condensed system contains two hetero rings
- C07D471/08—Bridged systems
Definitions
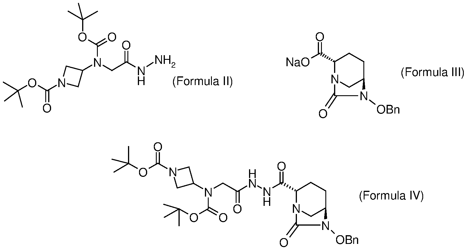
- the invention relates to a process for preparation of irans-sulfuric acid mono- ⁇ 2- [5-(3-azetidinylamino)-methyl-[l,3,4]-oxadiazol-2-yl]-7-oxo-l,6-diazabicyclo[3.2.1]oct- 6-yl ⁇ ester trifluoroacetate.
- a compound of Formula (I), chemically known as irans-sulfuric acid mono- ⁇ 2-[5-(3- azetidinylamino)-methyl-[l,3,4]-oxadiazol-2-yl]-7-oxo-l,6-diazabicyclo[3.2.1]oct-6-yl ⁇ ester trifluoroacetate has antibacterial properties and is also disclosed in PCT International Patent Application No. PCT/US2013/034562.
- the present invention discloses a process for preparation of a compound of Formula (I).
- EDC l-ethyl-3-(3-dimethylamino propyl)carbodiimide
- HOBt refers to 1 -hydro xybenzotriazole.
- TFA trifluoro acetic acid
- compound of Formula (I) is prepared by using a general procedure described in Scheme 1.
- compound of Formula (I) is prepared from sodium salt of 6-benzyloxy-7-oxo-l,6-diazabicyclo[3.2.1]octane-2-carboxylic acid (III).
- coupling agent examples include EDC hydrochloride, dicyclohexylcarbodiimide, diisopropylcarbodiimide (DIC), (benzotriazol-l-yloxy)tris(dimethylamino)phosphonium hexafluorophosphate (BOP), O- (benzotriazol- 1 -yl)-N,N,N' , ⁇ ' -tetramethyluroniumhexafluorophosphate (HBTU), O- (benzotriazol-l-yl)- ⁇ , ⁇ , ⁇ ', ⁇ '-tetramethyluroniumtetrafluoroborate (TBTU), 0-(7- azabenzotriazol-l-yl)-N,N,N',N'-tetramethyluronium hexafluorophosphate (HATU), O- (6-ahlorobenzotriazol-l-yl)-N,N,N',N'--tris(di
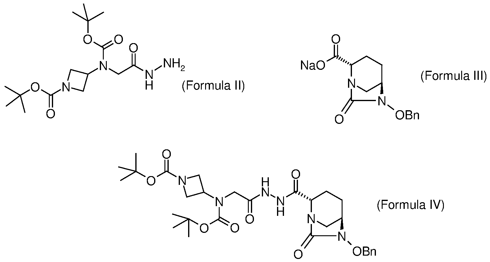
- compound of Formula (II) is reacted with a compound of Formula (III) in presence of EDC hydrochloride and HOBt at a temperature of about 25°C to about 35°C for about 15 hours to provide an intermediate compound of Formula (IV).
- a compound of Formula (II) is reacted with a compound of Formula (III) in presence of suitable solvent such as dimethylformamide, water or a mixture thereof.
- the compound of Formula (IV) is cyclized to provide a compound of Formula (V).
- the cyclization of a compound of Formula (IV) is effected by treating with a reagent such as p-toluene sulfonyl chloride, p-nitrobenzene sulfonyl chloride, methane sulfonyl chloride or triphenylphosphine in a suitable solvent such as toluene, chloroform, dichloromethane, or N,N-dimethyl formamide at a temperature ranging from about -10° C to about 70°C for about 15 minutes to about 4 hours to provide 1,3,4-oxadiazole intermediate compound of Formula (V).
- a compound of Formula (V) is cyclized to provide a compound of Formula (V).
- a reagent such as p-toluene sulfonyl chloride, p-nitrobenzene sulfonyl chloride, methane
- compound of Formula (IV) is cyclized in presence of triphenylphosphine, iodine and triethylamine, at a temperature of about -10°C to about 0°C for about 30 minutes to provide a compound of Formula (V).
- compound of Formula (IV) is cyclized to a compound of Formula (V) in presence of dichloromethane as solvent.
- the compound of Formula (V) is subjected for hydrogenolysis by using hydrogen source in presence of transition metal catalyst in a suitable solvent such as methanol, ethanol, dichloromethane mixture, NN-dimethylformamide or a mixture thereof at a temperature ranging from 25 °C to 60°C for about 1 hour to about 15 hours to provide a compound of Formula (VI).
- a suitable solvent such as methanol, ethanol, dichloromethane mixture, NN-dimethylformamide or a mixture thereof at a temperature ranging from 25 °C to 60°C for about 1 hour to about 15 hours to provide a compound of Formula (VI).
- Typical, non-limiting examples of hydrogen source include hydrogen gas, ammonium formate, cyclohexene, lithium - liquid ammonia, ammonia - teri-butanol, sodium - liquid ammonia - tert-butanol, triethyl silyl hydride and the like.
- transition metal catalyst examples include 5% palladium on carbon, 10% palladium on carbon, 20% palladium hydroxide on carbon, Raney-Nickel and the like.
- compound of Formula (V) is treated with 10% palladium on carbon in presence of hydrogen gas at 50 psi pressure and at temperature of about 25°C to about 35°C for about 15 hours to provide a compound of Formula (VI).
- a compound of Formula (V) is converted to a compound of Formula (VI) in presence of methanol as solvent.
- the compound of Formula (VI) is sulfonated by reacting with a suitable sulfonating reagent in presence of a suitable solvent such as pyridine, dichloromethane or NN-dimethylformamide at a temperature ranging from 25 °C to 80°C for about 1 hour to 24 hours.
- a suitable solvent such as pyridine, dichloromethane or NN-dimethylformamide
- sulfonating reagent include sulfur trioxide -pyridine complex, sulfur trioxide-trimethylamine complex, sulfur trioxide-triethylamine complex, sulfur trioxide-NN-dimethylaniline complex, sulfur trioxide _ 2-methylpyridine complex, sulfur trioxide-dioxane complex, sulfur trioxide-thioxane complex, sulfur trioxide-dimethyl sulfide complex, sulfur trioxide-dimethylsulfoxide complex, sulfur trioxide-NN-dimethylformamide complex and the like.
- a compound of Formula (VI) is reacted with sulfur trioxide-pyridine complex in presence of dichloromethane as solvent at a temperature of about 25°C to about 35°C for about 2 hours to provide pyridine salt of sulfonic acid compound.
- the obtained pyridine salt of sulfonic acid compound is treated with tetrabutylammonium hydrogen sulfate to provide a tetrabutylammonium salt of sulfonic acid compound of Formula (VII).
- the compound according to the invention is finally isolated as trifluoroacetate salt, by removing the protecting groups of a compound of Formula (VII).
- the compound of Formula (VII) is reacted with suitable deprotecting agent such as trifluoro acetic acid in presence of a suitable solvent such as dichloromethane, chloroform or acetonitrile, at a temperature ranging from -15°C to 40°C for about 0.5 hour to about 14 hours.
- a compound of Formula (VII) is treated with trifluoroacetic acid in presence of dichloromethane at about 0°C for about 3 hours to provide a compound of Formula (I).
- a compound of Formula (I) is prepared using a process described in Scheme I.
- a compound of Formula (I) having a purity of at least about 90% as determined by HPLC there is provided a process for preparation of a compound of Formula (I) having a purity of at least about 90% as determined by HPLC.
- a pharmaceutical composition comprising a compound of Formula (I) having a purity of at least about 90 % as determined by HPLC.
- the said pharmaceutical composition may further comprise one or more pharmaceutically acceptable excipients.
- Step 2 Preparation of tr «s- ⁇ 2-[5-(6-benzyloxy-7-oxo-l,6-diaza-bicyclo[3.2.1]oct-2- yl)-[l,3,4]oxadiazol-2-yl]-2-oxo-ethyl ⁇ -tert-butoxycarbonyl-amino)-azetidine-l- carboxylic acid tert-butyl ester (V):
- Triethyl amine (3.6 ml, 0.026 mol) was added to a cooled (0 °C) solution of iodine (1.62 gm, 0.0063 mol) and triphenylphosphine (1.67 g, 0.0063 mol) in dichloromethane (64 ml).
- Step 3 Preparation of tr «s- ⁇ 2-[5-(6-hydroxy-7-oxo-l,6-diaza-bicyclo[3.2.1]oct-2- yl)-[l,3,4]-oxadiazole-2-yl]-methyl ⁇ -tert-butoxycarbonyl-amino)-azetidine-l- carboxylic acid tert-butyl ester (VI):
- Step-4 Preparation of traras-tetrabutyl ammonium salt-methyl- ⁇ 2-[5-(7-oxo-6- sulphooxy-l,6-diaza-bicyclo[3.2.1]oct-2-yl)-[l,3,4]oxadiazol-2-yl]-methyl ⁇ -tert- butoxycarbonyl-amino )-azetidine-l-carboxylic acid fert-butyl ester (VII):
- Step 5 Preparation of traras-sulfuric acid mono- ⁇ 2-[5-(3-azetidinylamino)-methyl- [l,3,4]-oxadiazol-2-yl]-7-oxo-l,6-diazabicyclo[3.2.1]oct-6-yl]ester trifluoroacetate (I) irans-Tetrabutyl ammonium salt-methyl- ⁇ 2-[5-(7-oxo-6-sulphooxy- 1 ,6-diaza- bicyclo[3.2.1]oct-2-yl)-[l,3,4]oxadiazol-2-yl]-methyl ⁇ -ieri-butoxycarbonyl-amino)- azetidine- 1 -carboxylic acid tert-butyl ester (VII) (2.1 g, 0.003 mol) was cooled to 0°C and to this was added trifluoro acetic acid cooled at 0°
- reaction mixture was concentrated under high vacuum. Diethyl ether (20 ml) was added and solid precipitated was stirred and diethyl ether was decanted. This treatment was repeated twice. Solid separated was dried and dichloromethane (20 ml) was added and stirred; solid was allowed to settle and dichloromethane was decanted.
Landscapes
- Chemical & Material Sciences (AREA)
- Organic Chemistry (AREA)
- Nitrogen Condensed Heterocyclic Rings (AREA)
- Pharmaceuticals Containing Other Organic And Inorganic Compounds (AREA)
Abstract
A process for preparation of a compound of Formula (I) is disclosed.
Description
A PROCESS FOR PREPARATION OF ΤΤΐΑΛΉ-SULFURIC ACID MONO-{2-[5-(3-AZETIDINYLAMINO)-METHYL-[l,3,4]- OXADIAZOL-2-YL]-7-OXO-l,6-DIAZABICYCLO[3.2.1]
OCT-6-YL} ESTER TRIFLUOROACETATE
RELATED PATENT APPLICATIONS
This patent application claims priority to Indian Patent Application No. 1635/MUM/2014 filed on May 14, 2014, the disclosures of which are incorporated herein by reference in its entirety as if fully rewritten herein.
FIELD OF THE INVENTION
The invention relates to a process for preparation of irans-sulfuric acid mono- { 2- [5-(3-azetidinylamino)-methyl-[l,3,4]-oxadiazol-2-yl]-7-oxo-l,6-diazabicyclo[3.2.1]oct- 6-yl} ester trifluoroacetate.
BACKGROUND OF THE INVENTION
Several l,6-diazabicyclo[3.2.1]octan-7-one derivatives have been described as antibacterial agents in PCT International Patent Application No. PCT/IB2012/054296. A compound of Formula (I), chemically known as irans-sulfuric acid mono-{2-[5-(3- azetidinylamino)-methyl-[l,3,4]-oxadiazol-2-yl]-7-oxo-l,6-diazabicyclo[3.2.1]oct-6-yl} ester trifluoroacetate has antibacterial properties and is also disclosed in PCT International Patent Application No. PCT/US2013/034562. The present invention discloses a process for preparation of a compound of Formula (I).
Formula (I)
In one general aspect, there is provided a process for preparation of a compound of Formula (I), comprising:
(a) reacting a compound of Formula (II) with a compound of Formula (III) to obtain a com ound of Formula (IV);
(b) cyclizing a compound of Formula (IV) to obtain a compound of Formula
(V);
(Formula VI)
(d) sulfonating a compound of Formula (VI), followed tetrabutylammonium salt formation to obtain a com ound of Formula (VII); and
(e) deprotecting a compound of Formula (VII) to obtain a compound of Formula (I).
The details of one or more embodiments of the inventions are set forth in the description below. Other features, objects and advantages of the inventions will be apparent from the following description including claims.
DETAILED DESCRIPTION OF THE INVENTION
Reference will now be made to the exemplary embodiments, and specific language will be used herein to describe the same. It should nevertheless be understood that no limitation of the scope of the invention is thereby intended. Alterations and further modifications of the inventive features illustrated herein, which would occur to one skilled in the relevant art and having possession of this disclosure, are to be
considered within the scope of the invention. It must be noted that, as used in this specification and the appended claims, the singular forms "a", "an", and "the" include plural referents unless the content clearly dictates otherwise. All references including patents, patent applications, and literature cited in the specification are expressly incorporated herein by reference in their entirety.
The term "EDC" as used herein refers to l-ethyl-3-(3-dimethylamino propyl)carbodiimide.
The term "HOBt" as used herein refers to 1 -hydro xybenzotriazole.
The term "TFA" as used herein refers to trifluoro acetic acid.
In one general aspect, there is provided a process for preparation of a compound of Formula (I), comprising:
(a) reacting a compound of Formula (II) with a compound of Formula (III) to obtain a com ound of Formula (IV);
(c) hydrogenolysis of a compound of Formula (V) to obtain a compound of Formula (VI);
(Formula VI)
(d) sulfonating a compound of Formula (VI), followed tetrabutylammomum salt formation to obtain a com ound of Formula (VII); and
(e) deprotecting a compound of Formula (VII) to obtain a compound of Formula (I).
In some embodiments, compound of Formula (I) is prepared by using a general procedure described in Scheme 1. Typically, compound of Formula (I) is prepared from sodium salt of 6-benzyloxy-7-oxo-l,6-diazabicyclo[3.2.1]octane-2-carboxylic acid (III).
The sodium salt of 6-benzyloxy-7-oxo-l,6-diaza-bicyclo[3.2.1]octane-2-carboxylic acid
(III) is reacted with 3-(ier^butoxycarbonyl-hydrazinocarbonylmethyl-amino)-azetidine- 1-carbamic acid tert-buty\ ester (II) in presence of coupling agent at a temperature ranging from -15°C to 60°C for about 1 hour to about 24 hours to provide an intermediate compound of Formula (IV). Typical, non-limiting examples of coupling agent include EDC hydrochloride, dicyclohexylcarbodiimide, diisopropylcarbodiimide (DIC), (benzotriazol-l-yloxy)tris(dimethylamino)phosphonium hexafluorophosphate (BOP), O- (benzotriazol- 1 -yl)-N,N,N' ,Ν' -tetramethyluroniumhexafluorophosphate (HBTU), O- (benzotriazol-l-yl)- Ν,Ν,Ν',Ν'-tetramethyluroniumtetrafluoroborate (TBTU), 0-(7- azabenzotriazol-l-yl)-N,N,N',N'-tetramethyluronium hexafluorophosphate (HATU), O- (6-ahlorobenzotriazol-l-yl)-N,N,N',N'-tetramethyluronium hexafluorophosphate (HCTU), 0-(3,4-dihydro-4-oxo-l,2,3-benzotriazine-3-yl)-N,N,N',N'-tetramethyl uronium tetrafluoroborate(TDBTU), 3-(diethylphosphoryloxy)- 1 ,2,3-benzotriazin-4(3H)- one (DEPBT), carbonyldiimidazole (CDI), pivalyl chloride, HOBt and the like. In some embodiments, compound of Formula (II) is reacted with a compound of Formula (III) in presence of EDC hydrochloride and HOBt at a temperature of about 25°C to about 35°C for about 15 hours to provide an intermediate compound of Formula (IV). In some embodiments, a compound of Formula (II) is reacted with a compound of Formula (III) in presence of suitable solvent such as dimethylformamide, water or a mixture thereof.
The compound of Formula (IV) is cyclized to provide a compound of Formula (V). The cyclization of a compound of Formula (IV) is effected by treating with a reagent such as p-toluene sulfonyl chloride, p-nitrobenzene sulfonyl chloride, methane sulfonyl chloride or triphenylphosphine in a suitable solvent such as toluene, chloroform, dichloromethane, or N,N-dimethyl formamide at a temperature ranging from about -10° C to about 70°C for about 15 minutes to about 4 hours to provide 1,3,4-oxadiazole intermediate compound of Formula (V). In some embodiments, a compound of Formula
(IV) is cyclized in presence of triphenylphosphine, iodine and triethylamine, at a temperature of about -10°C to about 0°C for about 30 minutes to provide a compound of Formula (V). In some embodiments, compound of Formula (IV) is cyclized to a compound of Formula (V) in presence of dichloromethane as solvent.
Sulfonation
Scheme 1
The compound of Formula (V) is subjected for hydrogenolysis by using hydrogen source in presence of transition metal catalyst in a suitable solvent such as methanol, ethanol, dichloromethane mixture, NN-dimethylformamide or a mixture thereof at a temperature ranging from 25 °C to 60°C for about 1 hour to about 15 hours to provide a compound of Formula (VI). Typical, non-limiting examples of hydrogen source include hydrogen gas, ammonium formate, cyclohexene, lithium - liquid ammonia, ammonia - teri-butanol, sodium - liquid ammonia - tert-butanol, triethyl silyl hydride and the like. Typical, non- limiting examples of transition metal catalyst include 5% palladium on carbon, 10% palladium on carbon, 20% palladium hydroxide on carbon, Raney-Nickel
and the like. In some embodiments, compound of Formula (V) is treated with 10% palladium on carbon in presence of hydrogen gas at 50 psi pressure and at temperature of about 25°C to about 35°C for about 15 hours to provide a compound of Formula (VI). In some embodiments, a compound of Formula (V) is converted to a compound of Formula (VI) in presence of methanol as solvent.
The compound of Formula (VI) is sulfonated by reacting with a suitable sulfonating reagent in presence of a suitable solvent such as pyridine, dichloromethane or NN-dimethylformamide at a temperature ranging from 25 °C to 80°C for about 1 hour to 24 hours. Typical non-limiting examples of sulfonating reagent include sulfur trioxide -pyridine complex, sulfur trioxide-trimethylamine complex, sulfur trioxide-triethylamine complex, sulfur trioxide-NN-dimethylaniline complex, sulfur trioxide_2-methylpyridine complex, sulfur trioxide-dioxane complex, sulfur trioxide-thioxane complex, sulfur trioxide-dimethyl sulfide complex, sulfur trioxide-dimethylsulfoxide complex, sulfur trioxide-NN-dimethylformamide complex and the like. In some embodiments, a compound of Formula (VI) is reacted with sulfur trioxide-pyridine complex in presence of dichloromethane as solvent at a temperature of about 25°C to about 35°C for about 2 hours to provide pyridine salt of sulfonic acid compound. The obtained pyridine salt of sulfonic acid compound is treated with tetrabutylammonium hydrogen sulfate to provide a tetrabutylammonium salt of sulfonic acid compound of Formula (VII).
The compound according to the invention is finally isolated as trifluoroacetate salt, by removing the protecting groups of a compound of Formula (VII). The compound of Formula (VII) is reacted with suitable deprotecting agent such as trifluoro acetic acid in presence of a suitable solvent such as dichloromethane, chloroform or acetonitrile, at a temperature ranging from -15°C to 40°C for about 0.5 hour to about 14 hours. In some embodiments, a compound of Formula (VII) is treated with trifluoroacetic acid in presence of dichloromethane at about 0°C for about 3 hours to provide a compound of Formula (I).
In some embodiments, a compound of Formula (I) is prepared using a process described in Scheme I.
In some embodiments, there is provided a process for preparation of a compound of Formula (I), comprising:
Formula ( I )
(a) reacting a compound of Formula (II) with a compound of Formula (III) in presence of 1-hydroxybenzotriazole and l-ethyl-3-(3-dimethylaminopropyl) carbodiimide hydrochloride to obtain a compound of Formula (IV);
(b) cyclizing a compound of Formula (IV) in presence of triphenylphosphine, iodine and triethylamine to obtain a compound of Formula (V);
(c) hydrogenolysis of a compound of Formula (V) in presence of palladium on carbon and hydrogen gas to obtain a com ound of Formula (VI);
(Formula VI)
(d) sulfonating a compound of Formula (VI) in presence of sulfur trioxide -pyridine complex, followed by treatment with tetrabutylammonium hydrogen sulfate to obtain a compound of Formula (VII); and
(Formula VII)
(e) deprotecting a compound of Formula (VII) in presence of trifluoro acetic acid to obtain a compound of Formula (I).
In some embodiments, there is provided a compound of Formula (I) having a purity of at least about 90% as determined by HPLC.
In some embodiments, there is provided a process for preparation of a compound of Formula (I) having a purity of at least about 90% as determined by HPLC.
In some embodiments, there is provided a pharmaceutical composition comprising a compound of Formula (I) having a purity of at least about 90 % as determined by HPLC. In some embodiments, the said pharmaceutical composition may further comprise one or more pharmaceutically acceptable excipients.
It will be readily apparent to one skilled in the art that varying substitutions and modifications may be made to the invention disclosed herein without departing from the scope and spirit of the invention. For example, those skilled in the art will recognize that the invention may be practiced using a variety of different compounds within the described generic descriptions.
EXAMPLES
The following examples illustrate the embodiments of the invention that are presently best known. However, it is to be understood that the following are only exemplary or illustrative of the application of the principles of the present invention. Numerous modifications and alternative compositions, methods, and systems may be devised by those skilled in the art without departing from the spirit and scope of the present invention. The appended claims are intended to cover such modifications and arrangements. Thus, while the present invention has been described above with particularity, the following examples provide further detail in connection with what are presently deemed to be the most practical and preferred embodiments of the invention.
Example 1
Synthesis of traras-sulfuric acid mono-{2-[5-(3-azetidinylamino)-methyl-[l,3,4]- oxadiazol-2-yl]-7-oxo-l,6-diazabicyclo[3.2.1]oct-6-yl]ester trifluoroacetate (I)
Step 1; Preparation of traras-{3-[N-(6-benzyloxy-7-oxo-l,6-diaza-bicyclo[3.2.1] octane-2-carbonyl)-hydrazinocarbonyl]-2-oxo-ethyl}-tert-butoxycarbonyl-amino)- azetidine-l-carboxylic acid tert-butyl ester (IV):
A solution of 3-(ier^butoxycarbonyl-hydrazinocarbonylmethyl-amino)-azetidine- 1-carbamic acid tert-butyl ester (II) (2.8 g, 0.008 mol) in dimethylformamide (7 ml) was added to a stirred solution of sodium salt of 6-benzyloxy-7-bicyclo [3.2.1] octane-2- carboxylic acid (III) (2.43 g 0.008 mol) in water (41 ml). To this EDC.HCl (2.32 g, 0.012 mol) and HOBt (1.09 g, 0.008 mol) was added and stirred for 15 hours. Dichloro methane (50 ml) was added and layers were separated. Organic layer was dried over sodium sulfate and concentrated. The residue (6.1 gm) was purified by silica gel column chromatography using mixture of acetone and hexane as eluent to afford 3.4 g of ir ns-3- ({2-[N-(6-benzyloxy-7-oxo-l,6-diaza-bicyclo[3.2.1]octane-2-carbonyl)-hydrazino]-2- oxo-ethyl}-teri-butoxy carbonyl-amino)-azetidine-l -carboxylic acid tert-butyl ester (IV) in 70% yield.
Analysis:
1H NMR (400 MHz, CDC13): δ 8.45. (bs, IH), 8.20 (bs, IH) 7.38-7.45 (m, 5H), 5.04 (d, IH), 4.91 (d, IH), 4.13 (m, 2H), 3.97-4.04 (m, 5H), 3.30 (s, IH), 3.07 (s, 2H), 2.91 (d, IH), 2.31 (m, IH), 2.20 (d, IH), 1.93-2.00 (m, 2H), 1.45 (s, 18H).
Step 2: Preparation of tr «s-{2-[5-(6-benzyloxy-7-oxo-l,6-diaza-bicyclo[3.2.1]oct-2- yl)-[l,3,4]oxadiazol-2-yl]-2-oxo-ethyl}-tert-butoxycarbonyl-amino)-azetidine-l- carboxylic acid tert-butyl ester (V):
Triethyl amine (3.6 ml, 0.026 mol) was added to a cooled (0 °C) solution of iodine (1.62 gm, 0.0063 mol) and triphenylphosphine (1.67 g, 0.0063 mol) in dichloromethane (64 ml). After stirring for 15 minutes a solution of 3-({2-[N-(6-benzyloxy-7-oxo-l,6- diaza-bicyclo[3.2.1]octane-2-carbonyl)-hydrazino]-2-oxo-ethyl}-fert-butoxycarbonyl-
amino)-azetidine-l-carboxylic acid tert-butyl ester (IV) (3.2 g, 0.0053 mol) in dichloromethane (16 ml) was added. Reaction mixture was stirred at -10°C to 0°C for another 30 minutes. Dichloromethane was concentrated and ethyl acetate (35 ml) was added; stirred and filtered to remove triphenylphosphine oxide. Filtrate was concentrated and purified by silica gel column chromatography using a mixture of methanol and chloroform as eluent to obtain 4.5 g of 3-{ [5-(6-benzyloxy-7-oxo-l,6-diaza- bicyclo[3.2.1]oct-2-yl)-[l,3,4] oxadiazol-2-yl-methyl]-tert-butoxycarbonyl-amino}- azetidine- 1 -carboxylic acid tert-buty\ ester (V).
Analysis:
1H NMR (400 MHz, CDC13): δ 7.64-7.68 (m, 6H), 7.52-7.56 (m, 3H) 7.42-7.48 (m, 7H), 7.36-7.38 (m, 2H), 5.07 (d, IH), 4.92 (d, 2H), 4.72 (s, IH), 4.68 (s, 2H), 4.15 (s, 2H), 4.01 (s, 2H), 3.36 (s, IH), 2.91 (d, IH), 2.79 (d, IH), 2.27-2.30 (m, 2H), 2.11-2.14 (m, IH), 1.97-1.99 (m, IH), 1.42 (s, 18H).
Step 3: Preparation of tr «s-{2-[5-(6-hydroxy-7-oxo-l,6-diaza-bicyclo[3.2.1]oct-2- yl)-[l,3,4]-oxadiazole-2-yl]-methyl}-tert-butoxycarbonyl-amino)-azetidine-l- carboxylic acid tert-butyl ester (VI):
Palladium on carbon (10%) was added to a stirred solution of 3-{ [5-(6-benzyloxy- 7-oxo-l,6-diaza-bicyclo[3.2.1]oct-2-yl)-[l,3,4]oxadiazol-2-yl-methyl]-feri-butoxy carbonyl-amino}-azetidine-l -carboxylic acid tert-butyl ester (V) (4.5 g) in methanol (45 ml). Resulting suspension was stirred under hydrogen gas pressure of about 50 psi for 15 hours at 25°C. The reaction mixture was filtered through celite bed and washed using additional methanol (5 ml). The filtrate was concentrated to obtain 3.5 g of ir ns-{2-[5- (6-hydroxy-7-oxo-l,6-diaza-bicyclo[3.2.1]oct-2-yl)-[l,3,4]-oxadiazole-2-yl]-methyl}- teri-butoxy carbonyl-amino)-azetidine-l -carboxylic acid tert-butyl ester (VI) in 92% yield.
Analysis:
1H NMR (400 MHz, DMSO): δ 9.86 (s, 1H), 7.51-7.62 (m, 12H), 4.70 (s, 2H), 4.58 (d, 1H), 3.99 (d, 2H), 3.65 (s, 2H), 2.92 (d, 1H), 2.67 (d, 1H), 2.31 (s, 1H), 2.00-2.11 (m, 2H), 1.84 (m, 1H), 1.31 (s, 18H).
Step-4: Preparation of traras-tetrabutyl ammonium salt-methyl-{2-[5-(7-oxo-6- sulphooxy-l,6-diaza-bicyclo[3.2.1]oct-2-yl)-[l,3,4]oxadiazol-2-yl]-methyl}-tert- butoxycarbonyl-amino )-azetidine-l-carboxylic acid fert-butyl ester (VII):
Sulfur trioxide-pyridine complex (3.17 g, 0.019 mol) and triethyl amine (4.5 ml, 0.033 mol) was added to a stirred solution of ir ns- {2-[5-(6-hydroxy-7-oxo-l,6-diaza- bicyclo[3.2.1]oct-2-yl)-[l,3,4]-oxadiazole-2-yl]-methyl}-ieri-butoxycarbonyl-amino)- azetidine- 1 -carboxylic acid tert-butyl ester (VI) (2.62 g, 0.0066 mol) in dichloromethane (20 ml). The reaction mixture was stirred for 2 hours. Aqueous solution of 0.5 N potassium dihydrogen phosphate (50 ml) followed by ethyl acetate (40 ml) was added, stirred for 10 minutes and aqueous layer was separated. Aqueous layer was again extracted with the mixture of dichloromethane (10 ml) and ethyl acetate (20 ml). Combined organic layers were concentrated. The residue was dissolved in water (50 ml), washed with diethyl ether (2 x 25 ml) to remove triphenylphosphine oxide (a side product carried from the step-2) and extracted with dichloromethane (2 x25 ml). Dichloromethane was dried over sodium sulfate and concentrated to give 2.7 g of residue (87%). This residue was again dissolved in dichloromethane (50 ml) followed by addition of triethylamine (5.70 ml, 0.042 mol). Tetrabutylammonium hydrogen sulphate (1.27 g, 0.0037 mol) was added and stirred for 2 hours. Water (30 ml) was added to the reaction mixture and layers were separated. Dichloromethane layer was dried on sodium sulfate and solvent was concentrated under vacuum. The residue (2.7 g) was purified by silica gel column chromatography using methanol and chloroform as eluent to get 2.1 g of irans-tetrabutyl ammonium salt-methyl- {2-[5-(7-oxo-6-sulphooxy- 1 ,6-diaza-
bicyclo[3.2.1]oct-2-yl)-[l,3,4]oxadiazol-2-yl]-methyl}-ieri-butoxycarbonyl-amino)- azetidine- 1 -carboxylic acid tert-buty\ ester (VII) in 48% yield.
Analysis:
Mass: 575.4 (M+l) as free sulfonic acid; for Molecular Weight: 816.6 and Molecular Formula: C22H34N6O10S. Ci6H36N;
1H NMR (400 MHz, CDC13): δ 4.63-4.69 (m, 5H), 4.40 (s, 2H), 4.16 (s, 2H), 4.02 (s, 2H), 3.28-3.32 (m, 12H), 3.23 (s, 1H), 2.84 (d, 1H), 2.24-2.32 (m, 2H), 2.02-2.04 (m, 1H), 1.63-1.71 (m, 12H), 1.46-1.56 (m, 12H), 1.44 (s, 18H), 0.99-1.02 (m, 18H).
Step 5: Preparation of traras-sulfuric acid mono-{2-[5-(3-azetidinylamino)-methyl- [l,3,4]-oxadiazol-2-yl]-7-oxo-l,6-diazabicyclo[3.2.1]oct-6-yl]ester trifluoroacetate (I) irans-Tetrabutyl ammonium salt-methyl- {2-[5-(7-oxo-6-sulphooxy- 1 ,6-diaza- bicyclo[3.2.1]oct-2-yl)-[l,3,4]oxadiazol-2-yl]-methyl}-ieri-butoxycarbonyl-amino)- azetidine- 1 -carboxylic acid tert-butyl ester (VII) (2.1 g, 0.003 mol) was cooled to 0°C and to this was added trifluoro acetic acid cooled at 0°C in 15 minutes and the reaction mixture was stirred for 3 hours. The obtained reaction mixture was concentrated under high vacuum. Diethyl ether (20 ml) was added and solid precipitated was stirred and diethyl ether was decanted. This treatment was repeated twice. Solid separated was dried and dichloromethane (20 ml) was added and stirred; solid was allowed to settle and dichloromethane was decanted. Again this treatment was repeated twice and the solid was dried to get 1 g of irans-sulfuric acid mono-{2-[5-(3-azetidinylamino)-methyl- [l,3,4]-oxadiazol-2-yl]-7-oxo-l,6-diazabicyclo [3.2.1]oct-6-yl]ester trifluoroacetate (I) in 76% yield.
Analysis:
Mass: 375.2 (M+l) as free sulfonic acid; for Molecular Weight: 488.3 and Molecular Formula:
CF3COOH;
1H NMR (400 MHz, DMSO): δ 4.64 (d, IH), 4.06 (s, 3H), 3.92 (s, 2H), 3.81-3.86 (m, IH), 3.73 (s, 2H), 2.94-2.97 (d, IH), 2.70 (d, IH), 2.16 -2.19 (m, IH), 1.88-2.14 (m, 2H), 1.86-1.88 (m, IH);
19F NMR (DMSO-d6): δ -74.41 (CF3COOH);
1 C NMR (DMSO-de as a TFA salt): δ 165.4, 165.1, 164.9, 159.2-158.2 (TFA-C), 57.7, 52.6 (2C), 52.3, 49.3, 46.1, 40.4, 20.1, 19.7.
Claims
1. A process for preparation of a compound of Formula (I), comprising
Formula (I)
(a) reacting a compound of Formula (II) with a compound of Formula (III) to obtain a com ound of Formula (IV);
(b) cyclizing a compound of Formula (IV) to obtain a compound of Formula
(V);
(Formula VI)
(d) sulfonating a compound of Formula (VI), followed tetrabutylammomum salt formation to obtain a com ound of Formula (VII); and
(e) deprotecting a compound of Formula (VII) to obtain a compound of Formula (I).
2. A process according to Claim 1, wherein a compound of Formula (IV) is obtained by reacting a compound of Formula (II) with a compound of Formula (III) in presence of 1-hydroxybenzotriazole and l-ethyl-3-(3-dimethylaminopropyl) carbodiimide hydrochloride.
3. A process according to Claim 1, wherein a compound of Formula (V) is obtained by cyclizing a compound of Formula (IV) in presence of triphenylphosphine, iodine and triethylamine.
4. A process according to Claim 1, wherein a compound of (VI) is obtained by hydrogeno lysis of a compound of Formula (V) in presence of transition metal catalyst and a hydrogen source.
5. A process according to Claim 4, wherein the transition metal catalyst is palladium on carbon.
6. A process according to Claim 4, wherein hydrogen source is hydrogen gas.
7. A process according to Claim 1, wherein sulfo nation of a compound of Formula (VI) is carried out in presence of a sulfonating agent selected from the group consisting of sulfur trioxide-pyridine complex, sulfur trioxide-trimethylamine complex, sulfur trioxide-triethylamine complex, sulfur trioxide-NN-dimethylaniline complex, sulfur trioxide-2-methylpyridine complex, sulfur trioxide_dioxane complex, sulfur trioxide-thioxane complex, sulfur trioxide-dimethyl sulfide complex, sulfur trioxide "dimethylsulfoxide complex or sulfur trioxide-NN-dimethylformamide complex.
8. A process according to Claim 7, wherein a sulfonating agent is sulfur trioxide-pyridine complex.
9. A process according to Claim 1, wherein deprotection of a compound of Formula (VII) is carried out in presence of trifluoroacetic acid.
10. A compound of Formula (I) having purity of at least about 90% as determined by HPLC.
11. A pharmaceutical composition comprising a compound of Formula (I) according to Claim 10.
12. A process for preparation of a compound of Formula (I), comprising:
TFA . Formula (I)
(a) reacting a compound of Formula (II) with a compound of Formula (III) in presence of 1-hydroxybenzotriazole and l-ethyl-3-(3-dimethylaminopropyl) carbodiimide h drochloride to obtain a compound of Formula (IV);
(b) cyclizing a compound of Formula (IV) in presence of triphenylphosphine and triethylamine to obtain a com ound of Formula (V);
(c) hydrogenolysis of a compound of Formula (V) in presence of palladium on carbon and hydrogen gas to obtain a compound of Formula (VI);
(Formula VI)
(d) sulfonating a compound of Formula (VI) in presence of sulfur trioxide -pyridine complex, followed by treatment with tetrabutylammonium hydrogen sulfate to obtain a compound of Formula (VII); and
(e) deprotecting a compound of Formula (VII) in presence of trifluoro acetic acid to obtain a compound of Formula (I).
Applications Claiming Priority (2)
| Application Number | Priority Date | Filing Date | Title |
|---|---|---|---|
| IN1635MU2014 | 2014-05-14 | ||
| IN1635/MUM/2014 | 2014-05-14 |
Publications (1)
| Publication Number | Publication Date |
|---|---|
| WO2015173665A1 true WO2015173665A1 (en) | 2015-11-19 |
Family
ID=52988355
Family Applications (1)
| Application Number | Title | Priority Date | Filing Date |
|---|---|---|---|
| PCT/IB2015/052191 Ceased WO2015173665A1 (en) | 2014-05-14 | 2015-03-25 | A process for preparation of trans-sulfuric acid mono-{2-[5-(3-azetidinylamino)-methyl-[1,3,4]- oxadiazol-2-yl]-7-oxo-1,6-diazabicyclo[3.2.1] oct-6-yl} ester trifluoroacetate |
Country Status (1)
| Country | Link |
|---|---|
| WO (1) | WO2015173665A1 (en) |
Cited By (2)
| Publication number | Priority date | Publication date | Assignee | Title |
|---|---|---|---|---|
| WO2019144912A1 (en) | 2018-01-25 | 2019-08-01 | 苏州信诺维医药科技有限公司 | β-LACTAMASE INHIBITOR AND USE THEREOF |
| WO2023088375A1 (en) | 2021-11-17 | 2023-05-25 | 苏州信诺维医药科技股份有限公司 | β-LACTAMASE INHIBITOR INTERMEDIATE AND PREPARATION METHOD THEREFOR |
Citations (2)
| Publication number | Priority date | Publication date | Assignee | Title |
|---|---|---|---|---|
| WO2013030735A1 (en) * | 2011-08-30 | 2013-03-07 | Wockhardt Limited | 1,6- diazabicyclo [3,2,1] octan- 7 - one derivatives and their use in the treatment of bacterial infections |
| WO2013149121A1 (en) * | 2012-03-30 | 2013-10-03 | Cubist Pharmaceuticals, Inc. | 1,3,4-oxadiazole and 1,3,4-thiadiazole beta-lactamase inhibitors |
-
2015
- 2015-03-25 WO PCT/IB2015/052191 patent/WO2015173665A1/en not_active Ceased
Patent Citations (2)
| Publication number | Priority date | Publication date | Assignee | Title |
|---|---|---|---|---|
| WO2013030735A1 (en) * | 2011-08-30 | 2013-03-07 | Wockhardt Limited | 1,6- diazabicyclo [3,2,1] octan- 7 - one derivatives and their use in the treatment of bacterial infections |
| WO2013149121A1 (en) * | 2012-03-30 | 2013-10-03 | Cubist Pharmaceuticals, Inc. | 1,3,4-oxadiazole and 1,3,4-thiadiazole beta-lactamase inhibitors |
Cited By (2)
| Publication number | Priority date | Publication date | Assignee | Title |
|---|---|---|---|---|
| WO2019144912A1 (en) | 2018-01-25 | 2019-08-01 | 苏州信诺维医药科技有限公司 | β-LACTAMASE INHIBITOR AND USE THEREOF |
| WO2023088375A1 (en) | 2021-11-17 | 2023-05-25 | 苏州信诺维医药科技股份有限公司 | β-LACTAMASE INHIBITOR INTERMEDIATE AND PREPARATION METHOD THEREFOR |
Similar Documents
| Publication | Publication Date | Title |
|---|---|---|
| DE69005286T2 (en) | Peptides with tachykinin antagonistic activity, process for their preparation and pharmaceutical preparations containing them. | |
| DE69015244T2 (en) | Peptide compounds, processes for their preparation and pharmaceutical preparations containing them. | |
| US6376484B1 (en) | Tetrazole compounds and pharmaceutical agents containing such derivative as an active ingredient | |
| WO2014134543A1 (en) | Processes for preparing tubulysins | |
| CN1312817A (en) | Dolastatin 15 derivatives | |
| AU2021201355B2 (en) | Seco macrolide compounds | |
| CN113631569A (en) | Process for the synthesis of beta-homoamino acids | |
| KR101223158B1 (en) | 6,11bridged biaryl macrolides | |
| CA3224971A1 (en) | Process for preparing aficamten | |
| WO2015173665A1 (en) | A process for preparation of trans-sulfuric acid mono-{2-[5-(3-azetidinylamino)-methyl-[1,3,4]- oxadiazol-2-yl]-7-oxo-1,6-diazabicyclo[3.2.1] oct-6-yl} ester trifluoroacetate | |
| CN107074858A (en) | The method for preparing the carboxylic acid sodium of (2S, 5R) 6 (benzyloxy) 7 oxo 1,6 diazabicylo [3.2.1] octane 2 | |
| WO2016120752A1 (en) | A process for preparation of (2s, 5r)-n-(2-amino ethoxy)-6-(sulfooxy)-7-oxo-1,6- diazabicyclo [3.2.1] octane-2-carboxamide | |
| WO2015150890A1 (en) | A process for preparation of trans-sulfuric acid mono-{2-(5-(3-amino-propyl)-[1,3,4]oxadiazol-2-yl]-7-oxo-1,6-diazabicyclo [3.2.1] oct-6-yl}ester | |
| WO2015173663A1 (en) | A process for preparation of trans-sulfuric acid mono-{2-[5-(2-methylamino-ethyl)-[1,3,4]-oxadiazol-2-yl]-7-oxo-1,6-diaza-bicyclo [3.2.1]oct-6-yl} ester | |
| CA2227696C (en) | Process for synthesizing carbapenem side chain intermediates | |
| WO2015150891A1 (en) | A process for preparation of trans-sulfuric acid mono-[2-(5-azetidin-3-ylmethyl-[1,3,4]oxadiazol-2-yl)-7-oxo-1,6-diazabicyclo [3.2.1]oct-6-yl]ester | |
| NO159798B (en) | ANALOGY PROCEDURE FOR THE PREPARATION OF THERAPEUTIC ACTIVE CEPHALOSPORINOXIDS. | |
| JPH0120156B2 (en) | ||
| Kumar et al. | Synthesis of novel thiazole-containing bis-1-chloromethyl-5-hydroxy-1, 2-dihydro-3H-benz [e] indole (seco-CBI)-polyamide conjugates as anticancer agents | |
| RU2775973C9 (en) | Oligopeptide linker intermediate and method for production thereof | |
| RU2775973C1 (en) | Oligopeptide linker intermediate and method for production thereof | |
| EP1207909A2 (en) | Method for coupling molecules | |
| CA3024324C (en) | Seco macrolide compounds | |
| CN117777230A (en) | Preparation method of antibody-conjugated drug toxin Duostatin-5 | |
| CN108299545B (en) | A kind of method for preparing Symlocin A and its epimer |
Legal Events
| Date | Code | Title | Description |
|---|---|---|---|
| 121 | Ep: the epo has been informed by wipo that ep was designated in this application |
Ref document number: 15717247 Country of ref document: EP Kind code of ref document: A1 |
|
| NENP | Non-entry into the national phase |
Ref country code: DE |
|
| 122 | Ep: pct application non-entry in european phase |
Ref document number: 15717247 Country of ref document: EP Kind code of ref document: A1 |



























