WO2015160619A1 - Compositions comprising ningnanmycin and a fungicide - Google Patents
Compositions comprising ningnanmycin and a fungicide Download PDFInfo
- Publication number
- WO2015160619A1 WO2015160619A1 PCT/US2015/025088 US2015025088W WO2015160619A1 WO 2015160619 A1 WO2015160619 A1 WO 2015160619A1 US 2015025088 W US2015025088 W US 2015025088W WO 2015160619 A1 WO2015160619 A1 WO 2015160619A1
- Authority
- WO
- WIPO (PCT)
- Prior art keywords
- methyl
- carboxamide
- spp
- fungicide
- pyrazole
- Prior art date
- Legal status (The legal status is an assumption and is not a legal conclusion. Google has not performed a legal analysis and makes no representation as to the accuracy of the status listed.)
- Ceased
Links
Classifications
-
- A—HUMAN NECESSITIES
- A01—AGRICULTURE; FORESTRY; ANIMAL HUSBANDRY; HUNTING; TRAPPING; FISHING
- A01N—PRESERVATION OF BODIES OF HUMANS OR ANIMALS OR PLANTS OR PARTS THEREOF; BIOCIDES, e.g. AS DISINFECTANTS, AS PESTICIDES OR AS HERBICIDES; PEST REPELLANTS OR ATTRACTANTS; PLANT GROWTH REGULATORS
- A01N43/00—Biocides, pest repellants or attractants, or plant growth regulators containing heterocyclic compounds
- A01N43/48—Biocides, pest repellants or attractants, or plant growth regulators containing heterocyclic compounds having rings with two nitrogen atoms as the only ring hetero atoms
- A01N43/54—1,3-Diazines; Hydrogenated 1,3-diazines
Definitions
- the present invention relates to a composition comprising ningnanmycin and at least one fungicide (I) in a synergistic ally effective amount, with the proviso that fungicide is not ningnanmycin. Furthermore, the present invention relates to the use of this composition as well as a method for reducing overall damage to plants and plant parts.
- Synthetic insecticides or fungicides often are non-specific and therefore can act on organisms other than target ones, including other naturally occurring beneficial organisms. Because of their chemical nature, they may be also toxic and non-biodegradable. Consumers worldwide are increasingly conscious of the potential environmental and health problems associated with the residuals of chemicals, particularly in food products. This has resulted in growing consumer pressure to reduce the use or at least the quantity of chemical (i.e., synthetic) pesticides. Thus, there is a need to manage food chain requirements while still allowing effective pest control.
- a further problem arising with the use of synthetic insecticides or fungicides is that the repeated and exclusive application of an insecticide or fungicides often leads to selection of resistant microorganisms. Normally, such strains are also cross-resistant against other active ingredients having the same mode of action. An effective control of the pathogens with said active compounds is then not possible any longer. However, active ingredients having new mechanisms of action are difficult and expensive to develop.
- BCAs biological control agents
- compositions which exhibit activity against insects, mites, nematodes and/or
- phytopathogens Moreover, it was a further particular object of the present invention, to reduce the application rates and broaden the activity spectrum of the biological control agents and fungicides, and thereby to provide a composition which, preferably at a reduced total amount of active compounds applied, has improved activity against insects, mites, nematodes and/or phytopathogens. In particular, it was a further object of the present invention to provide a composition which, when applied to a crop, results in a decreased amount of residues in the crop, thereby reducing the risk of resistance formation and nevertheless provides efficient disease control.
- compositions according to the invention preferably fulfills the above-described needs. It has been surprisingly discovered that the application of the composition according to the present invention in a simultaneous or sequential way to plants, plant parts, harvested fruits, vegetables and/or plant's locus of growth preferably allows better control of insects, mites, nematodes and/or
- phytopathogens than is possible with the strains, their mutants and/or at least one metabolite produced by the strains on the one hand and with the individual fungicides on the other hand, alone (synergistic mixtures).
- the activity against insects, mites, nematodes and/or phytopathogens is preferably increased in a superadditive manner.
- the application of the composition according to the invention induces an increase in the activity of phytopathogens in a superadditive manner.
- the composition according to the present invention preferably allows a reduced total amount of both ningnanmycin and fungicide to be used and thus the crops which have been treated by this composition preferably show a decreased amount of residues in the crop. Accordingly, the risk of resistance formation of harmful microorganisms is decreased.
- the present invention is directed to a composition
- a composition comprising (a)
- ningnanmycin and (b) at least one fungicide (I) in a synergistically effective amount, with the proviso that the at least one fungicide (I) is not ningnanmycin.
- the ningnanmycin is isolated ningnanmycin while in others the ningnanmycin is a component of a fermentation product.
- a fermentation product containing ningnanmycin can be made by culturing Streptomyces noursei, var. Xichangensis (China General Microbiological Culture Collection (CGMCC) Accession No. 0194) or its mutants.
- compositions of the present invention comprise ningnanmycin and/or a stereoisomer thereof.
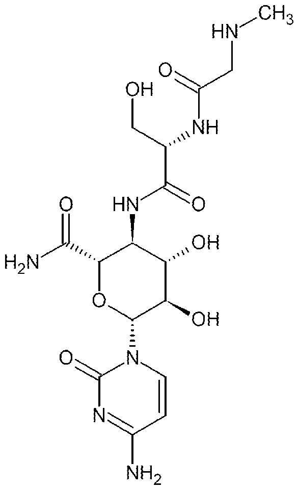
- Ningnanmycin also known as (2S,3S,4S,5R,6R)- 6-(4-Amino-2-oxo-l(2H)-pyrimidinyl)-4,5-dihydroxy-3- ⁇ [(2S)-3-hydroxy-2- ⁇ [(methylamino)acetyl]amino ⁇ propanoyl]amino ⁇ tetrahydro-2H-pyran-2-carboxamide
- Gougerotin is one of these stereoisomers.
- the composition comprises a stereoisomer of ningnanmycin with the proviso that the stereoisomer is not gougerotin.
- the present invention relates to a kit of parts comprising ningnanmycin and at least one fungicide (I).
- the present invention is further directed to the use of said composition as fungicide and/or insecticide.
- it is directed to the use of said composition for reducing overall damage of plants and plant parts as well as losses in harvested fruits or vegetables caused by insects, mites, nematodes and/or phytopathogens.
- the present invention provides a method for reducing overall damage of plants and plant parts as well as losses in harvested fruits or vegetables caused by insects, mites, nematodes and/or phytopathogens.
- ningnanmycin refers to the compound
- the chemical structure of ningnanmycin is depicted below.
- Ningnanmycin can be produced by fermentation of the soil actinomycete bacteria Streptomyces noursei, var. Xichangensis (also known as the Knowles Streptomyces Xichang variant; see Chen et ah, 1983, "Identification of Streptomyces noursei var.
- the ningnanmycin used in the present invention can be from any known source, for example, produced by fermentation of a microorganism and, optionally, subsequently isolated from the fermentation broth or made by chemical synthesis.
- isolated ningnanmycin refers to the purified chemical molecule that in case of fermentation has been isolated from the fermentation broth or in case of chemical synthesis has been obtained as the end result of this chemical synthesis and is available in essentially pure form.
- Essentially pure means that ningnanmycin in the main product that has been freed from impurities and side products.
- the ningnanmycin used in compositions of the invention may thus be at least 80% pure, at least 90% pure, at least 95% pure, at least 98% pure or even purer.
- gougerotin refers to the compound l-(4-Amino-2- oxo-l(2H)-pyrimidinyl)-l,4-dideoxy-4-[[N-(N-methylglycyl)-D-seryl]amino]-b-D- glucopyranuronamide, also known by its trivial name gougerotin.
- gougerotin Another name for gougerotin is (2S,3S,4S,5R,6R)-6-(4-Amino-2-oxo-l(2H)-pyrimidinyl)-4,5-dihydroxy-3- ⁇ [(2R)-3-hydroxy- 2- ⁇ [(methylamino)acetyl] amino ⁇ propanoyl] amino ⁇ tetrahydro-2H-pyran-2-carboxamide.
- the chemical structure of gougerotin is depicted in the following.
- Gougerotin and ningnanmycin are epimers of each other.
- the composition comprises a stereoisomer or analog of ningnanmycin or gougerotin.
- the chemical synthesis of various stereoisomers and analogs of ningnanmycin and gougerotin is known in the art ⁇ see, e.g., Coutsogeorgopoulos et al., 1975, "Inhibitors of Protein Synthesis. 4. Studies on the Structure- Activity Relationship of Gougerotin and Some of Its Analogs", Journal of Medicinal Chemistry, 18(8):771-776).
- the composition comprises a stereoisomer of ningnanmycin with the proviso that the stereoisomer is not gougerotin.
- pesticidal means the ability of a substance to increase mortality or inhibit the growth rate of plant pests.
- the term is used herein, to describe the property of a substance to exhibit activity against insects, mites, nematodes and/or phytopathogens.
- pests include insects, mites, nematodes and/or phytopathogens.
- biological control is defined as control of a pathogen and/or insect and/or an acarid and/or a nematode by the use of a second organism.
- Known mechanisms of biological control include bacteria that control root rot by out-competing fungi for space or nutrients on the surface of the root.
- Bacterial toxins, such as antibiotics, have been used to control pathogens.
- the toxin can be isolated and applied directly to the plant or the bacterial species may be administered so it produces the toxin in situ.
- Other means of exerting biological control include the application of certain fungi producing ingredients active against a target phytopathogen, insect, mite or nematode, or attacking the target pest/pathogen.
- "Biological control” as used in connection with the present invention may also encompass microorganisms having a beneficial effect on plant health, growth, vigor, stress response or yield.
- Application routes include spray application soil application and seed treatment.
- insects as well as the term “insecticidal” refers to the ability of a substance to increase mortality or inhibit growth rate of insects.
- insects includes all organisms in the class “Insecta”.
- pre-adult insects refers to any form of an organism prior to the adult stage, including, for example, eggs, larvae, and nymphs.
- Nematicides and “nematicidal” refers to the ability of a substance to increase mortality or inhibit the growth rate of nematodes.
- nematode comprises eggs, larvae, juvenile and mature forms of said organism.
- Acaricide and “acaricidal” refers to the ability of a substance to increase mortality or inhibit growth rate of ectoparasites belonging to the class Arachnida, sub-class Acari.
- the term "metabolite” refers to any compound, substance or byproduct of a fermentation of a microorganism that has pesticidal, fungicidal or nematicidal activity.
- One such metabolite produced e.g., by Streptomyces noursei, var. Xichangensis CGMCC Accession No. 0194 or its mutants, is ningnanmycin that may be isolated for use in compositions of this invention.
- Said metabolite may be contained in or isolated from a fermentation broth such as fermentation broth containing said metabolite.
- mutant refers to a variant of the parental strain as well as methods for obtaining a mutant or variant in which the pesticidal activity of its metabolites is greater than that expressed by the parental strain.
- the "parent strain” is defined herein as the original strain before mutagenesis or the deposited strain. To obtain such mutants the parental strain may be treated with a chemical such as N-methyl-N'-nitro-N-nitrosoguanidine, ethylmethanesulfone, or by irradiation using gamma, x-ray, or UV-irradiation, or by other means well known to those skilled in the art.
- mutant refers to a genetic variant derived from Streptomyces noursei, var. Xichangensis CGMCC Accession No. 0194. In one embodiment, the mutant has one or more or all the identifying (functional) characteristics of Streptomyces noursei, var.
- mutants may be genetic variants having a genomic sequence that has greater than about 85%, greater than about 90%, greater than about 95%, greater than about 98%, or greater than about 99% sequence identity to Streptomyces noursei, var. Xichangensis CGMCC Accession No. 0194.
- Mutants may be obtained by treating Streptomyces noursei, var. Xichangensis CGMCC Accession No. 0194 cells with chemicals or irradiation or by selecting spontaneous mutants from a population of Streptomyces noursei, var. Xichangensis CGMCC Accession No. 0194 cells (such as phage resistant or antibiotic resistant mutants) or by other means well known to those practiced in the art.
- Xichangensis include hydroxylamine hydrochloride, methyl methanesulfonate (MMS), ethyl methanesulfonate (EMS), 4-nitroquinoline 1 -oxide (NQO), mitomycin C or N-methyl-N'-nitro- N-nitrosoguanidine (NTG), to mention only a few (cf., for example, Stonesifer & Baltz, Proc. Natl. Acad. Sci. USA Vol. 82, pp. 1180-1183, February 1985).
- the mutagenesis of Streptomyces strains by, for example, NTG, using spore solutions of the respective Streptomcyes strain is well known to the person skilled in the art. See, for example Delic et al. , Mutation
- Streptomyces noursei, var. Xichangensis can be subjected to mutation by NTG using the protocol described in Kieser, T., et al. , 2000, supra. Practical Streptomyces Genetics, Ch. 5 John Innes Centre, Norwich Research Park England, (2000), pp. 99-107.
- Mutagenesis of spores of Streptomyces noursei, var. Xichangensis by ultraviolet light (UV) can be carried out using standard protocols.
- a spore suspension of the Streptomyces strain (freshly prepared or frozen in 20% glycerol) can be suspended in a medium that does not absorb UV light at a wave length of 254 nm (for example, water or 20% glycerol are suitable).
- the spore suspension is then placed in a glass Petri dish and irradiated with a low pressure mercury vapour lamp that emits most of its energy at 254 nm with constant agitation for an appropriate time at 30° C (the most appropriate time of irradiation can be determined by first plotting a dose-survival curve).
- Slants or plates of non-selective medium can, for example, then be inoculated with the dense irradiated spore suspension and the so obtained mutant strains can be assessed for their properties as explained in the following. See Kieser, T., et al., 2000, supra.
- the mutant strain used in the present invention can be any mutant strain that has one or more or all the identifying characteristics of Streptomyces noursei, var. Xichangensis CGMCC Accession No. 0194 and in particular biological activity of its fermentation product that is comparable or better than that of Streptomyces noursei, var. Xichangensis CGMCC Accession No. 0194.
- a "variant" is a strain having all the identifying characteristics of the NRRL or ATCC Accession Numbers as indicated in this text and can be identified as having a genome that hybridizes under conditions of high stringency to the genome of the NRRL or ATCC Accession Numbers.
- Hybridization refers to a reaction in which one or more polynucleotides react to form a complex that is stabilized via hydrogen bonding between the bases of the nucleotide residues.
- the hydrogen bonding may occur by Watson-Crick base pairing, Hoogstein binding, or in any other sequence-specific manner.
- the complex may comprise two strands forming a duplex structure, three or more strands forming a multi- stranded complex, a single self -hybridizing strand, or any combination of these.
- Hybridization reactions can be performed under conditions of different "stringency".
- a low stringency hybridization reaction is carried out at about 40° C in 10 X SSC or a solution of equivalent ionic strength/temperature.
- a moderate stringency hybridization is typically performed at about 50° C in 6 X SSC, and a high stringency hybridization reaction is generally performed at about 60° C in l X SSC.
- a variant of the indicated NRRL or ATCC Accession Number may also be defined as a strain having a genomic sequence that is greater than 85%, more preferably greater than 90% or more preferably greater than 95% sequence identity to the genome of the indicated NRRL or ATCC Accession Number.
- a polynucleotide or polynucleotide region (or a polypeptide or polypeptide region) has a certain percentage (for example, 80%, 85%, 90%, 95%, 96%, 97%, 98% or 99%) of "sequence identity" to another sequence means that, when aligned, that percentage of bases (or amino acids) are the same in comparing the two sequences.
- Xichangensis has Accession number CGMCC NO. 0194 and was deposited on April 23, 1993, with the Preservation Unit: Chinese Culture Collection Management Committee General Microbiology Center (Beijing).
- CGMCC is the abbreviation for the China General Microbiological Culture Collection, an international depositary authority for the purposes of deposing microorganism strains under the Budapest Treaty on the international recognition of the deposit of
- microorganisms for the purposes of patent procedure, having the address No. l Beichen West Road, Chaoyang District, Beijing 100101, China.
- NRRL is the abbreviation for the Agricultural Research Service Culture Collection, an international depositary authority for the purposes of deposing microorganism strains under the Budapest Treaty on the international recognition of the deposit of
- microorganisms for the purposes of patent procedure, having the address National Center for Agricultural Utilization Research, Agricultural ResearchService, U.S. Department of Agriculture, 1815 North University Street, Peoria, Illinois 61604, U.S.A.
- ATCC is the abbreviation for the American Type Culture Collection, an international depositary authority for the purposes of deposing microorganism strains under the Budapest Treaty on the international recognition of the deposit of microorganisms for the purposes of patent procedure, having the address ATCC Patent Depository, 10801 University Boulevard., Manassas, Virginia 10110, U.S.A.
- Streptomyces strains have been described for use in agriculture. In relation to a possible agricultural use, Streptomyces strains have been predominantly described in publications from the late 1960s and early 1970s. See, for example, the British Patent No. GB 1 507 193 that describes the Streptomyces rimofaciens strain no. B-98891, deposited as ATCC 31120, which produces the antibiotic B-98891. According to GB 1 507 193, filed March 1975, the antibiotic B-98891 is the active ingredient that provides antifungal activity of the
- gougerotin has parasiticidal action against parasites on animals, such as pin worm and the like, although gougerotin is said to show a weak antibacterial activity against gram-positive, gram-negative bacteria and tubercule bacillus.
- JP 53109998 published 1978, reports the strain Streptomyces toyocaensis (LA-681) and its ability to produce gougerotin for use as miticide.
- LA-681 Japanese Patent Application No. JP 53109998
- the ningnanmycin is derived from a whole broth culture of isolated, pure cultures of the respective microorganisms or a metabolite-containing supernatant or a purified metabolite obtained from whole broth culture of the strain.
- Whole broth culture refers to a liquid culture containing both cells and media.
- Supernatant refers to the liquid broth remaining when cells grown in broth are removed by centrifugation, filtration, sedimentation, or other means well known in the art.
- compositions of the present invention can be obtained from synthetically made ningnanmycin.
- compositions of the present invention can be obtained by means of culturing Streptomyces strains such as Streptomyces noursei, var. Xichangensis CGMCC Accession No. 0194 or mutants derived from it using conventional large-scale microbial fermentation processes, such as submerged fermentation, solid state fermentation or liquid surface culture, including the methods described, for example, in U.S. Patent No.
- Culturing of the Streptomyces strains may be followed by isolation of ningnanmycin from the fermentation broth.
- ningnanmycin can be isolated from the filtered fermentation broth as described by Toshiko Kanzaki et al , supra or as disclosed in U.S. Patent No. 3,849,398, after adjustment of the pH of the fermentation broth to acidic to neutral together with filter aids such as diatomaceous earth, removing mycelium, passing the filtrate onto a cation exchange, thereby to have ningnanmycin adsorbed on the cation exchange and then eluting the adsorbed ningnanmycin with an appropriate acid, alkali or inorganic salt solution.
- ningnanmycin may be further purified from other chemicals contained in the eluate such as tetraene or toyocamycin by subsequent steps as also described in Toshiko Kanzaki et al , supra or U.S. Patent No. 3,849,398. Fermentation is configured to obtain high levels of live biomass, particularly spores, and desirable secondary metabolites including ningnanmycin in the fermentation vessels.
- the bacterial cells, spores and metabolites in culture broth resulting from fermentation (the "whole broth” or "fermentation broth”) may be used directly for isolation of ningnanmycin. Alternatively, for the isolation of ningnanmycin the whole broth may be concentrated by conventional industrial methods, such as centrifugation, filtration, and evaporationfor example.
- the terms "whole broth” and "fermentation broth,” as used herein, refer to the culture broth resulting from fermentation (including the production of a culture broth that contains ningnanmycin in a concentration of at least about 1 g/L) before any downstream treatment.
- the whole broth encompasses the ningnanmycin producing microorganism (e.g., Streptomyces noursei, var. Xichangensis CGMCC Accession No. 0194 or a phytophagous- miticidal mutant strain thereof) and its component parts, unused raw substrates, and metabolites produced by the microorganism during fermentation.
- broth concentrate refers to whole broth (fermentation broth) that has been concentrated by conventional industrial methods, as described above, but remains in liquid form.
- fermentation solid refers to dried fermentation broth.
- fermentation product refers to whole broth, broth concentrate and/or even fermentation solids.
- compositions of the present invention include fermentation products.
- the concentrated fermentation broth is washed, for example, via a diafiltration process, to remove residual fermentation broth and metabolites.
- the fermentation broth or broth concentrate can be dried with or without the addition of carriers, inerts, or additives using conventional drying processes or methods such as spray drying, freeze drying, tray drying, fluidized-bed drying, drum drying, or evaporation.
- fungicidal means the ability of a substance to increase mortality or inhibit the growth rate of fungi.
- fungus or "fungi” includes a wide variety of nucleated cells
- sporebearing organisms that are devoid of chlorophyll.
- fungi include yeasts, molds, mildews, rusts, and mushrooms.
- composition according to the present invention comprises at least one fungicide (I), with the proviso that the fungicide is not ningnanmycin.
- preferred fungicides (I) are selected from the group consisting of:
- inhibitors of the ergosterol biosynthesis for example (Fl) aldimorph (1704-28-5), (F2) azaconazole (60207-31-0), (F3) bitertanol (55179-31-2), (F4) bromuconazole (116255-48- 2), (F5) cyproconazole (113096-99-4), (F6) diclobutrazole (75736-33-3), (F7) difenoconazole (119446-68-3), (F8) diniconazole (83657-24-3), (F9) diniconazole-M (83657-18-5), (F10) dodemorph (1593-77-7), (Fl l) dodemorph acetate (31717-87-0), (F12) epoxiconazole (106325- 08-0), (F13) etaconazole (60207-93-4), (F14) fenarimol (60168-88-9), (F15) fenbuconazole (1143
- inhibitors of the respiratory chain at complex I or II for example (F65) bixafen (581809-46-3), (F66) boscalid (188425-85-6), (F67) carboxin (5234-68-4), (F68) diflumetorim (130339-07-0), (F69) fenfuram (24691-80-3), (F70) fluopyram (658066-35-4), (F71) flutolanil (66332-96-5), (F72) fluxapyroxad (907204-31-3), (F73) furametpyr (123572-88-3), (F74) furmecyclox (60568-05-0), (F75) isopyrazam (mixture of syn-epimeric racemate 1RS,4SR,9RS and anti-epimeric racemate 1RS,4SR,9SR) (881685-58-1), (F76) isopyrazam (anti-epimeric racemate 1RS,4SR,9SR), (88
- inhibitors of the respiratory chain at complex ⁇ for example (F105) ametoctradin (865318-97-4), (F106) amisulbrom (348635-87-0), (F107) azoxystrobin (131860-33-8), (F108) cyazofamid (120116-88-3), (F109) coumethoxystrobin (850881-30-0), (Fl 10) coumoxystrobin (850881-70-8), (Fi l l) dimoxystrobin (141600-52-4), (F112) enestroburin (238410-11-2), (F113) famoxadone (131807-57-3), (F114) fenamidone (161326-34-7), (F115) fenoxystrobin (918162- 02-4), (F116) fluoxastrobin (361377-29-9), (F117) kresoxim-methyl (143390-89-0), (F118) metominostrobin (
- inhibitors of the mitosis and cell division for example (F138) benomyl (17804-35-2), (F139) carbendazim (10605-21-7), (F140) chlorfenazole (3574-96-7), (F141) diethofencarb (87130-20-9), (F142) ethaboxam (162650-77-3), (F143) fluopicolide (239110-15-7), (F144) fuberidazole (3878-19-1), (F145) pencycuron (66063-05-6), (F146) thiabendazole (148-79-8), (F147) thiophanate-methyl (23564-05-8), (F148) thiophanate (23564-06-9), (F149) zoxamide (156052-68-5), (F150) 5-chloro-7-(4-methylpiperidin-l-yl)-6-(2,4,6- trifluorophenyl)[l,2,4]triazolo[l,5-a
- chlorothalonil (1897-45-6), (F156) copper hydroxide (20427-59-2), (F157) copper naphthenate (1338-02-9), (F158) copper oxide (1317-39-1), (F159) copper oxychloride (1332-40-7), (F160) copper(2+) sulfate (7758-98-7), (F161) dichlofluanid (1085-98-9), (F162) dithianon (3347-22-6), (F163) dodine (2439-10-3), (F164) dodine free base, (F165) ferbam (14484-64-1), (F166) fluorofolpet (719-96-0), (F167) folpet (133-07-3), (F168) guazatine (108173-90-6), (F169) guazatine acetate, (F170) iminoctadine (13516-27-3), (F171) iminoctadine albesilate (169202-06-
- inhibitors of the amino acid and/or protein biosynthesis for example (F190) andoprim (23951-85-1), (F191) blasticidin-S (2079-00-7), (F192) cyprodinil (121552-61-2), (F193) kasugamycin (6980-18-3), (F194) kasugamycin hydrochloride hydrate (19408-46-9), (F195) mepanipyrim (110235-47-7), (F196) pyrimethanil (53112-28-0), (F197) 3-(5-fluoro-3,3,4,4- tetramethyl-3,4-dihydroisoquinolin-l-yl)quinoline (861647-32-7);
- inhibitors of the ATP production for example (F198) fentin acetate (900-95-8), (F199) fentin chloride (639-58-7), (F200) fentin hydroxide (76-87-9), (F201) silthiofam (175217- 20-6);
- inhibitors of the cell wall synthesis for example (F202) benthiavalicarb (177406-68- 7), (F203) dimethomorph (110488-70-5), (F204) flumorph (211867-47-9), (F205) iprovalicarb
- inhibitors of the lipid and membrane synthesis for example (F211) biphenyl (92-52- 4), (F212) chloroneb (2675-77-6), (F213) dicloran (99-30-9), (F214) edifenphos (17109-49-8),
- inhibitors of the melanine biosynthesis for example (F226) carpropamid (104030- 54-8), (F227) diclocymet (139920-32-4), (F228) fenoxanil (115852-48-7), (F229) phthalide (27355-22-2), (F230) pyroquilon (57369-32-1), (F231) tricyclazole (41814-78-2), (F232) 2,2,2- trifluoroethyl ⁇ 3 -methyl- l-[(4-methylbenzoyl)amino]butan-2-yl ⁇ carbamate (851524-22-6);
- inhibitors of the nucleic acid synthesis for example (F233) benalaxyl (71626-11-4),
- All named fungicides of the classes (1) to (16) i.e., Fl to F380
- the fungicide (I) is a synthetic fungicide.
- synthetic defines a compound that has not been obtained from a biological control agent. Especially a synthetic fungicide is not ningnanmycin according to the present invention.
- fungicide (I) is selected from the group consisting of:
- inhibitors of the ergosterol biosynthesis for example (F3) bitertanol, (F4)
- inhibitors of the respiratory chain at complex I or II for example (F65) bixafen
- inhibitors of the respiratory chain at complex ⁇ for example (F105) ametoctradin (865318-97-4), (F106) amisulbrom (348635-87-0), (F107) azoxystrobin (131860-33-8), (F108) cyazofamid (120116-88-3), (Fi l l) dimoxystrobin (141600-52-4), (F112) enestroburin (238410- 11-2), (F113) famoxadone (131807-57-3), (F114) fenamidone (161326-34-7), (F116) fluoxastrobin (361377-29-9), (F117) kresoxim-methyl (143390-89-0), (F118) metominostrobin (133408-50-1), (F119) orysastrobin (189892-69-1), (F120) picoxystrobin (117428-22-5), (F121) pyraclostrobin (175013-18-
- inhibitors of the mitosis and cell division for example (F139) carbendazim (10605- 21-7), (F140) chlorfenazole (3574-96-7), (F141) diethofencarb (87130-20-9), (F142) ethaboxam (162650-77-3), (F143) fluopicolide, (F144) fuberidazole (3878-19-1), (F145) pencycuron (66063-05-6), (F147) thiophanate-methyl (23564-05-8), (F149) zoxamide (156052-68-5);
- inhibitors of the amino acid and/or protein biosynthesis for example (F192) cyprodinil (121552-61-2), (F196) pyrimethanil (53112-28-0);
- inhibitors of the lipid and membrane synthesis for example (F216) iodocarb (55406- 53-6), (F217) iprobenfos (26087-47-8), (F220) propamocarb hydrochloride (25606-41-1), (F225) tolclof os -methyl;
- inhibitors of the melanine biosynthesis for example (F226) carpropamid;
- inhibitors of the nucleic acid synthesis for example (F233) benalaxyl (71626-11-4), (F234) benalaxyl-M (kiralaxyl) (98243-83-5), (F239) furalaxyl (57646-30-7), (F240) hymexazol (10004-44-1), (F241) metalaxyl (57837-19-1), (F242) metalaxyl-M (mefenoxam) (70630-17-0), (F244) oxadixyl (77732-09-3); (13) inhibitors of the signal transduction, for example (F247) fenpiclonil (74738-17-3), (F248) fludioxonil (131341-86-1), (F249) iprodione (36734-19-7), (F251) quinoxyfen (124495- 18-7), (F252) vinclozolin (50471-44-8);
- fungicide (I) e.g., the fungicide for use in seed treatment is selected from the group consisting of Carbendazim (F139), Carboxin (F67), Difenoconazole (F7), Fludioxonil (F248), Fluquinconazole (F19), Fluxapyroxad (F72), Ipconazole (F29), Isotianil (F187), Mefenoxam (F242), Metalaxyl (F241), Pencycuron (F145), Penflufen (F84), Prothioconazole (F41), Prochloraz (F39), Pyraclostrobin (F121), Sedaxane (F86), Silthiofam (F201), Tebuconazole (F47), Thiram (F182), Trifloxystrobin (F126), and Triticonazole (F55).
- Carbendazim F139
- Carboxin F67
- the composition comprises ningnanmycin that has been isolated from the group consisting of a Streptomyces strain, preferably a ningnanmycin-producing Streptomyces spp. strain such as Streptomyces noursei, var.
- Xichangensis CGMCC Accession No. 0194 or from a mutant thereof having all the identifying characteristics of the respective strain and at least one fungicide (I) in a synergistically effective amount, with the proviso the fungicide is not ningnanmycin.
- ningnanmycin-producing Streptomyces species strain used herein is S. noursei var. Xichangensis, S. microflavus, S. griseus, S. anulatus, S. fimicarius, S. parvus, S. lavendulae, S. alboviridis, S. puniceus, or S. graminearus.
- a "synergistically effective amount" according to the present invention represents a quantitiy of a combination of ningnanmycin and a fungicide that is statistically significantly more effective against insects, mites, nematodes and/or phytopatheogens than ningnanmycin or the fungicide only.
- Ningnanmycin is referred to herein as B 1.
- the composition according to the present invention comprises the following combinations: Bl+Fl , B1+F2, B 1+F3, B 1+F4, B1+F5, B1+F6, B1+F7, B1+F8, B 1+F9, B 1+B 10, B l+Fl l, B1+F12, B 1+F13, B 1+F14, B1+F15, B1+F16, B 1+F17, B1+F18, B1+F19, B 1+F20, B 1+F21, B1+ F22, B1+F23, B1+F24, B 1+F25, B 1+F26, B1+F27, B1+F28, B1+F29, B1+F30, B1+F31, B1+F32, B1+F33, B1+F34, B1+F35, B1+F36, B1+F37, B1+F38, B1+F39, B1+F31, B1+F32
- composition according to the present invention comprises the following combinations: B1+F3, B1+F4, B1+F5,B1+F7, B1+F12, B1+F16, B1+F17, B1+F18, B1+F19, B1+F22, B1+F26, B1+F29, B1+F30, B1+F31, B1+F37, B1+F39, 1+F40, B1+F41, B1+F44, B1+F46, B1+F47, B1+F51, B1+F55, B1+F66, B1+F67, B1+F70, B1+F71, B1+F72, B1+F73, B1+F75, B1+F76, B1+F77, B1+F78, B1+F79, B1+F80, B1+F81, B1+F84, B1+F85, B1+F86, B1+F
- the composition according to the present invention comprises the following combinations: B1+F7, B1+F16, B1+F41, B1+F46, B1+F47, B1+F70, B1+F71, B1+F72, B1+F84, B1+F107, B1+F114, B1+F121, B1+F126, B1+F143, B1+F155, Bl+174, B1+F180, B1+F187, B1+F206, B1+F220, B1+F242, B1+F248, B1+F281, B1+F298, B1+F319.
- the composition according to the present invention comprises at least one additional fungicide (II), with the provisio that the fungicide (I) and fungicide (II) are not ningnanmycin.
- fungicide (II) is selected from the group consisting of Fl, F2, F3, F4, F5, F6, F7, F8, F9, F10, Fll, F12, F13, F14, F15, F16, F17, F18, F19, F20, F21, F22, F23, F24, F25, F26, F27, F28, F29, F30, F31, F32, F33, F34, F35, F36, F37, F38, F39, F40, F41, F42, F43, F45, F46, F47, F48, F49, F50, F51, F52, F53, F54, F55, F56, F57, F58, F59, F60, F61, F62, F63, F64, F65, F66, F67, F68, F69, F70, F71, F72, F73, F74, F75, F76, F77, F78, F79, F80, F81
- fungicide (II) is a synthetic fungicide.
- fungicide (II) is selected from the group consisting of F3, F4, F5, F7, F12, F16, F17, F18, F19, F22, F26, F29, F30, F31, F37, F39, F40, F41, F44, F46, F47, F51, F55, F66, F67, F70, F71 , F72, F73, F75, F76, F77, F78, F79, F80, F81, F84, F85, F86, F87, F98, F99, F100, F101 , F102, F105, F106, F107, F108, Fi l l, F112, F113, F114, F116, F117, F118, F119, F120, F121, F124, F126, F139, F140, F141, F142, F143, F144, F145, F147, F149, F154, F155, F156, F159, F16
- One aspect of the present invention is to provide a composition as described above additionally comprising at least one auxiliary selected from the group consisting of extenders, solvents, spontaneity promoters, carriers, emulsifiers, dispersants, frost protectants, thickeners and adjuvants.
- auxiliary selected from the group consisting of extenders, solvents, spontaneity promoters, carriers, emulsifiers, dispersants, frost protectants, thickeners and adjuvants.
- formulations are referred to as formulations.
- such formulations, and application forms prepared from them are provided as crop protection agents and/or pesticidal agents, such as drench, drip and spray liquors, comprising the composition of the invention.
- the application forms may comprise further crop protection agents and/or pesticidal agents, and/or activity-enhancing adjuvants such as penetrants, examples being vegetable oils such as, for example, rapeseed oil, sunflower oil, mineral oils such as, for example, liquid paraffins, alkyl esters of vegetable fatty acids, such as rapeseed oil or soybean oil methyl esters, or alkanol alkoxylates, and/or spreaders such as, for example, alkylsiloxanes and/or salts, examples being organic or inorganic ammonium or phosphonium salts, examples being ammonium sulphate or diammonium hydrogen phosphate, and/or retention promoters such as dioctyl sulphosuccinate or hydroxyprop
- Examples of typical formulations include water-soluble liquids (SL), emulsifiable concentrates (EC), emulsions in water (EW), suspension concentrates (SC, SE, FS, OD), water-dispersible granules (WG), granules (GR) and capsule concentrates (CS); these and other possible types of formulation are described, for example, by Crop Life International and in Pesticide Specifications, Manual on development and use of FAO and WHO specifications for pesticides, FAO Plant Production and Protection Papers - 173, prepared by the FAO/WHO Joint Meeting on Pesticide Specifications, 2004, ISBN: 9251048576.
- the formulations may comprise active agrochemical compounds other than one or more active compounds of the invention.
- the formulations or application forms in question preferably comprise auxiliaries, such as extenders, solvents, spontaneity promoters, carriers, emulsifiers, dispersants, frost protectants, biocides, thickeners and/or other auxiliaries, such as adjuvants, for example.
- auxiliaries such as extenders, solvents, spontaneity promoters, carriers, emulsifiers, dispersants, frost protectants, biocides, thickeners and/or other auxiliaries, such as adjuvants, for example.
- An adjuvant in this context is a component which enhances the biological effect of the formulation, without the component itself having a biological effect.
- adjuvants are agents which promote the retention, spreading, attachment to the leaf surface, or penetration.
- formulations are produced in a known manner, for example by mixing the active compounds with auxiliaries such as, for example, extenders, solvents and/or solid carriers and/or further auxiliaries, such as, for example, surfactants.
- auxiliaries such as, for example, extenders, solvents and/or solid carriers and/or further auxiliaries, such as, for example, surfactants.
- the formulations are prepared either in suitable plants or else before or during the application.
- auxiliaries are substances which are suitable for imparting to the formulation of the active compound or the application forms prepared from these formulations (such as, e.g., usable crop protection agents, such as spray liquors or seed dressings) particular properties such as certain physical, technical and/or biological properties.
- Suitable extenders are, for example, water, polar and nonpolar organic chemical liquids, for example from the classes of the aromatic and non-aromatic hydrocarbons (such as paraffins, alkylbenzenes, alkylnaphthalenes, chlorobenzenes), the alcohols and polyols (which, if appropriate, may also be substituted, etherified and/or esterified), the ketones (such as acetone, cyclohexanone), esters (including fats and oils) and (poly)ethers, the unsubstituted and substituted amines, amides, lactams (such as N-alkylpyrrolidones) and lactones, the sulphones and sulphoxides (such as dimethyl sulphoxide).
- aromatic and non-aromatic hydrocarbons such as paraffins, alkylbenzenes, alkylnaphthalenes, chlorobenzenes
- the alcohols and polyols
- suitable liquid solvents are: aromatics such as xylene, toluene or alkylnaphthalenes, chlorinated aromatics and chlorinated aliphatic
- hydrocarbons such as chlorobenzenes, chloroethylenes or methylene chloride, aliphatic hydrocarbons such as cyclohexane or paraffins, for example petroleum fractions, mineral and vegetable oils, alcohols such as butanol or glycol and also their ethers and esters, ketones such as acetone, methyl ethyl ketone, methyl isobutyl ketone or cyclohexanone, strongly polar solvents such as dimethylformamide and dimethyl sulphoxide, and also water.
- Suitable solvents are, for example, aromatic hydrocarbons, such as xylene, toluene or alkylnaphthalenes, for example, chlorinated aromatic or aliphatic hydrocarbons, such as chlorobenzene, chloroethylene or methylene chloride, for example, aliphatic hydrocarbons, such as cyclohexane, for example, paraffins, petroleum fractions, mineral and vegetable oils, alcohols, such as methanol, ethanol, isopropanol, butanol or glycol, for example, and also their ethers and esters, ketones such as acetone, methyl ethyl ketone, methyl isobutyl ketone or cyclohexanone, for example, strongly polar solvents, such as dimethyl sulphoxide, and water.
- aromatic hydrocarbons such as xylene, toluene or alkylnaphthalenes
- chlorinated aromatic or aliphatic hydrocarbons such as chloro
- Suitable carriers are in particular: for example, ammonium salts and ground natural minerals such as kaolins, clays, talc, chalk, quartz, attapulgite, montmorillonite or diatomaceous earth, and ground synthetic minerals, such as finely divided silica, alumina and natural or synthetic silicates, resins, waxes and/or solid fertilizers. Mixtures of such carriers may likewise be used.
- Carriers suitable for granules include the following: for example, crushed and fractionated natural minerals such as calcite, marble, pumice, sepiolite, dolomite, and also synthetic granules of inorganic and organic meals, and also granules of organic material such as sawdust, paper, coconut shells, maize cobs and tobacco stalks.
- Liquefied gaseous extenders or solvents may also be used. Particularly suitable are those extenders or carriers which at standard temperature and under standard pressure are gaseous, examples being aerosol propellants, such as halogenated hydrocarbons, and also butane, propane, nitrogen and carbon dioxide.
- emulsifiers and/or foam-formers examples include salts of polyacrylic acid, salts of lignosulphonic acid, salts of phenolsulphonic acid or
- naphthalenesulphonic acid polycondensates of ethylene oxide with fatty alcohols or with fatty acids or with fatty amines, with substituted phenols (preferably alkylphenols or arylphenols), salts of sulphosuccinic esters, taurine derivatives (preferably alkyltaurates), phosphoric esters of polyethoxylated alcohols or phenols, fatty acid esters of polyols, and derivatives of the compounds containing sulphates, sulphonates and phosphates, examples being alkylaryl polyglycol ethers, alkylsulphonates, alkyl sulphates, arylsulphonates, protein hydrolysates, lignin- sulphite waste liquors and methylcellulose.
- the presence of a surface-active substance is advantageous if one of the active compounds and/or one of the inert carriers is not soluble in water and if application takes place in water.
- auxiliaries that may be present in the formulations and in the application forms derived from them include colorants such as inorganic pigments, examples being iron oxide, titanium oxide, Prussian Blue, and organic dyes, such as alizarin dyes, azo dyes and metal phthalocyanine dyes, and nutrients and trace nutrients, such as salts of iron, manganese, boron, copper, cobalt, molybdenum and zinc.
- colorants such as inorganic pigments, examples being iron oxide, titanium oxide, Prussian Blue
- organic dyes such as alizarin dyes, azo dyes and metal phthalocyanine dyes
- nutrients and trace nutrients such as salts of iron, manganese, boron, copper, cobalt, molybdenum and zinc.
- Stabilizers such as low-temperature stabilizers, preservatives, antioxidants, light stabilizers or other agents which improve chemical and/or physical stability may also be present. Additionally present may be foam-formers or defoamers.
- the formulations and application forms derived from them may also comprise, as additional auxiliaries, stickers such as carboxymethylcellulose, natural and synthetic polymers in powder, granule or latex form, such as gum arabic, polyvinyl alcohol, polyvinyl acetate, and also natural phospholipids, such as cephalins and lecithins, and synthetic phospholipids.
- additional auxiliaries include mineral and vegetable oils.
- auxiliaries there may possibly be further auxiliaries present in the formulations and the application forms derived from them.
- additives include fragrances, protective colloids, binders, adhesives, thickeners, thixotropic substances, penetrants, retention promoters, stabilizers, sequestrants, complexing agents, humectants and spreaders.
- the active compounds may be combined with any solid or liquid additive commonly used for formulation purposes.
- Suitable retention promoters include all those substances which reduce the dynamic surface tension, such as dioctyl sulphosuccinate, or increase the viscoelasticity, such as hydroxypropylguar polymers, for example.
- Suitable penetrants in the present context include all those substances which are typically used in order to enhance the penetration of active agrochemical compounds into plants.
- Penetrants in this context are defined in that, from the (generally aqueous) application liquor and/or from the spray coating, they are able to penetrate the cuticle of the plant and thereby increase the mobility of the active compounds in the cuticle. This property can be determined using the method described in the literature (Baur et al, 1997, Pesticide Science 51 , 131-152).
- Examples include alcohol alkoxylates such as coconut fatty ethoxylate (10) or isotridecyl ethoxylate (12), fatty acid esters such as rapeseed or soybean oil methyl esters, fatty amine alkoxylates such as tallowamine ethoxylate (15), or ammonium and/or phosphonium salts such as ammonium sulphate or diammonium hydrogen phosphate, for example.
- alcohol alkoxylates such as coconut fatty ethoxylate (10) or isotridecyl ethoxylate (12)
- fatty acid esters such as rapeseed or soybean oil methyl esters
- fatty amine alkoxylates such as tallowamine ethoxylate (15)
- ammonium and/or phosphonium salts such as ammonium sulphate or diammonium hydrogen phosphate, for example.
- the formulations preferably comprise between 0.00000001 % and 98% by weight of active compound or, with particular preference, between 0.01 % and 95% by weight of active compound, more preferably between 0.5% and 90% by weight of active compound, based on the weight of the formulation.
- the content of the active compound is defined as the sum of the ningnanmycin and the at least one fungicide (I).
- the active compound content of the application forms (crop protection products) prepared from the formulations may vary within wide ranges.
- the active compound concentration of the application forms may be situated typically between 0.00000001% and 95% by weight of active compound, preferably between 0.00001% and 1% by weight, based on the weight of the application form.
- Application takes place in a customary manner adapted to the application forms.
- kits of parts comprising ningnanmycin and at least one fungicide (I) in a synergistically effective amount, with the proviso that the fungicide (I) is not ningnanmycin, in a spatially separated arrangement.
- the above-mentioned kit of parts further comprises at least one additional fungicide (II), with the proviso that fungicide (I) and fungicide (II) are not ningnanmycin.
- Fungicide (II) can be present either in the
- fungicide (II) is present in the fungicide (I) component.
- the kit of parts according to the present invention can additionally comprise at least one auxiliary selected from the group consisting of extenders, solvents, spontaneity promoters, carriers, emulsifiers, dispersants, frost protectants, thickeners and adjuvants as mentioned below.
- This at least one auxiliary can be present either in the ningnanmycin component of the kit of parts or in the fungicide (I) component of the kit of parts being spatially separated or in both of these components.
- composition as described above is used for reducing overall damage of plants and plant parts as well as losses in harvested fruits or vegetables caused by insects, mites, nematodes and/or phytopathogens.
- composition as described above increases the overall plant health.
- plant health generally comprises various sorts of improvements of plants that are not connected to the control of pests.
- advantageous properties are improved crop characteristics including: emergence, crop yields, protein content, oil content, starch content, more developed root system, improved root growth, improved root size maintenance, improved root effectiveness, improved stress tolerance (e.g., against drought, heat, salt, UV, water, cold), reduced ethylene (reduced production and/or inhibition of reception), tillering increase, increase in plant height, bigger leaf blade, less dead basal leaves, stronger tillers, greener leaf color, pigment content, photosynthetic activity, less input needed (such as fertilizers or water), less seeds needed, more productive tillers, earlier flowering, early grain maturity, less plant verse (lodging), increased shoot growth, enhanced plant vigor, increased plant stand and early and better germination.
- improved stress tolerance e.g., against drought, heat, salt, UV, water, cold
- reduced ethylene reduced production and/or inhibition of reception
- tillering increase, increase in plant height, bigger leaf blade, less dead basal
- improved plant health preferably refers to improved plant characteristics including: crop yield, more developed root system (improved root growth), improved root size maintenance, improved root
- tillering increase, increase in plant height, bigger leaf blade, less dead basal leaves, stronger tillers, greener leaf color, photosynthetic activity, more productive tillers, enhanced plant vigor, and increased plant stand.
- improved plant health preferably especially refers to improved plant properties selected from crop yield, more developed root system, improved root growth, improved root size maintenance, improved root effectiveness, tillering increase, and increase in plant height.
- composition according to the present invention on plant health health as defined herein can be determined by comparing plants which are grown under the same environmental conditions, whereby a part of said plants is treated with a composition according to the present invention and another part of said plants is not treated with a composition according to the present invention. Instead, said other part is not treated at all or treated with a placebo (i.e., an application without a composition according to the invention such as an application without all active ingredients, i.e., without ningnanmycin as described herein and without a fungicide as described herein), or an application without ningnanmycin as described herein, or an application without a fungicide as described herein.
- a placebo i.e., an application without a composition according to the invention such as an application without all active ingredients, i.e., without ningnanmycin as described herein and without a fungicide as described herein
- an application without ningnanmycin as described herein or an application without a fungicide as described herein.
- composition according to the present invention may be applied in any desired manner, such as in the form of a seed coating, soil drench, and/or directly in-furrow and/or as a foliar spray and applied either pre-emergence, post-emergence or both.
- the composition can be applied to the seed, the plant or to harvested fruits and vegetables or to the soil wherein the plant is growing or wherein it is desired to grow (plant's locus of growth).
- composition according to the present invention is used for treating conventional or transgenic plants or seed thereof.
- a method for reducing overall damage of plants and plant parts as well as losses in harvested fruits or vegetables caused by insects, mites, nematodes and/or phytopathogens comprising the step of
- fungicide (I) simultaneously or sequentially applying ningnanmycin and/or a stereoisomer thereof; and and at least one fungicide (I) in a synergistically effective amount, with the proviso that fungicide (I) is not ningnanmycin.
- the ningnanmycin is isolated ningnanmycin or a
- a stereoisomer of ningnanmycin is applied with the proviso that the stereoisomer is not gougerotin.
- the at least one fungicide (I) is a synthetic fungicide.
- fungicide (I) is selected from the group of fungicides mentioned above.
- the composition further comprises at least one additional fungicide (II), with the proviso that the ningnanmycin, fungicide (I) and fungicide (II) are not identical and that the fungicide (I) and fungicide (II) are not ningnanmycin.
- the at least one additional fungicide (II) is a synthetic fungicide. More preferably, fungicide (II) is selected from the group of fungicides mentioned above.
- the method of the present invention includes the following application methods, namely both of the ningnanmycin and the at least one fungicide (I) mentioned before may be formulated into a single, stable composition with an agriculturally acceptable shelf life (so called "solo-formulation"), or being combined before or at the time of use (so called "solo-formulation"
- the expression “combination” stands for the various combinations of the ningnanmycin and the at least one fungicide (I), and optionally the at least one fungicide (II), in a solo-formulation, in a single "ready-mix” form, in a combined spray mixture composed from solo-formulations, such as a "tank-mix”, and especially in a combined use of the single active ingredients when applied in a sequential manner, i.e., one after the other within a reasonably short period, such as a few hours or days, e.g., 2 hours to 7 days.
- the order of applying the composition according to the present invention is not essential for working the present invention.
- the term “combination” also encompasses the presence of the ningnanmycin and the at least one fungicide (I), and optionally the at least one fungicide (II) on or in a plant to be treated or its surrounding, habitat or storage space, e.g., after simultaneously or consecutively applying the ningnanmycin and the at least one fungicide (I), and optionally the at least one fungicide (II) to a plant its surrounding, habitat or storage space.
- the ningnanmycin and the at least one fungicide (I), and optionally the at least one fungicide (II) are employed or used in a sequential manner, it is preferred to treat the plants or plant parts (which includes seeds and plants emerging from the seed), harvested fruits and vegetables according to the following method: Firstly applying the at least one fungicide (I) and optionally the at least one fungicide (II) on the plant or plant parts, and secondly applying the ningnanmycin to the same plant or plant parts.
- the time periods between the first and the second application within a (crop) growing cycle may vary and depend on the effect to be achieved.
- the first application is done to prevent an infestation of the plant or plant parts with insects, mites, nematodes and/or phytopathogens (this is particularly the case when treating seeds) or to combat the infestation with insects, mites, nematodes and/or phytopathogens (this is particularly the case when treating plants and plant parts) and the second application is done to prevent or control the infestation with insects, mites, nematodes and/or phytopathogens.
- Control in this context means that the ningnanmycin is not able to fully exterminate the pests or phytopathogenic fungi but is able to keep the infestation on an acceptable level.
- harvested fruits and vegetables with the composition according to the invention is carried out directly or by action on their surroundings, habitat or storage space using customary treatment methods, for example dipping, spraying, atomizing, irrigating, evaporating, dusting, fogging, broadcasting, foaming, painting, spreading- on, watering (drenching), drip irrigating.
- customary treatment methods for example dipping, spraying, atomizing, irrigating, evaporating, dusting, fogging, broadcasting, foaming, painting, spreading- on, watering (drenching), drip irrigating.
- ningnanmycin the at least one fungicide (I), and optionally the at least one fungicide (II) as solo-formulation or combined-formulations by the ultra-low volume method, or to inject the composition according to the present invention as a composition or as sole-formulations into the soil (in-furrow).
- plant to be treated encompasses every part of a plant including its root system and the material - e.g., soil or nutrition medium - which is in a radius of at least 10 cm, 20 cm, 30 cm around the caulis or bole of a plant to be treated or which is at least 10 cm, 20 cm, 30 cm around the root system of said plant to be treated, respectively.
- material - e.g., soil or nutrition medium - which is in a radius of at least 10 cm, 20 cm, 30 cm around the caulis or bole of a plant to be treated or which is at least 10 cm, 20 cm, 30 cm around the root system of said plant to be treated, respectively.
- the amount of the ningnanmycin which is used or employed in combination with at least one fungicide (II), optionally in the presence of at least one fungicide (II), depends on the final formulation as well as size or type of the plant, plant parts, seeds, harvested fruits and vegetables to be treated.
- the biological control agent to be employed or used according to the invention is present in about 2% to about 80% (w/w), preferably in about 5% to about 75% (w/w), more preferably about 10% to about 70% (w/w) of its solo-formulation or combined- formulation with the at least one fungicide (I), and optionally the fungicide (II).
- ningnanmycin which may be derived from a fermentation product of a ningnanmycin-producing Streptomyces spp. strain, such as
- Streptomyces noursei, var. Xichangensis CGMCC Accession No. 0194 is present in a solo- formulation or the combined-formulation.
- the amount of the at least one fungicide (I) which is used or employed in combination with the ningnanmycin , optionally in the presence of a fungicide (II) depends on the final formulation as well as size or type of the plant, plant parts, seeds, harvested fruit or vegetable to be treated.
- the fungicide (I) to be employed or used according to the invention is present in about 0.1% to about 80% (w/w), preferably 1 % to about 60% (w/w), more preferably about 10% to about 50% (w/w) of its solo-formulation or combined-formulation with ningnanmycin, and optionally the at least one fungicide (II).
- the ningnanmycin and at least one fungicide (I), and if present also the fungicide (II) are used or employed in a synergistic weight ratio.
- the skilled person is able to find out the synergistic weight ratios for the present invention by routine methods.
- the skilled person understands that these ratios refer to the ratio within a combined-formulation as well as to the calculative ratio of the ningnanmycin described herein and the fungicide (I) when both components are applied as mono-formulations to a plant to be treated.
- the skilled person can calculate this ratio by simple mathematics since the volume and the amount of the ningnanmycin and fungicide (I), respectively, in a mono-formulation is known to the skilled person.
- the ratio can be calculated based on the amount of the at least one fungicide (I), at the time point of applying said component of a combination according to the invention to a plant or plant part and the amount of ningnanmycin shortly prior (e.g., 48 h, 24 h, 12 h, 6 h, 2 h, 1 h) or at the time point of applying said component of a combination according to the invention to a plant or plant part.
- the application of the ningnanmycin and the at least one fungicide (I) to a plant or a plant part can take place simultaneously or at different times as long as both components are present on or in the plant after the application(s).
- the skilled person can determine the concentration of fungicide (I) on/in a plant by chemical analysis known in the art, at the time point or shortly before the time point of applying the ningnanmycin.
- the concentration of ningnanmycin can be determined using test which are also known in the art, at the time point or shortly before the time point of applying fungicide (I).
- the synergistic weight ratio of the isolated ningnanmycin and the at least one fungicide lies in the range of 1 :500 to 1000: 1 , preferably in the range of 1 :500 to 500: 1 , more preferably in the range of 1 :500 to 300: 1. It has to be noted that these ratio ranges refer to ningnanmycin. Especially preferred ratios are between 1 : 100 and 1 : 100 such as 100: 1, 30: 1 , 20: 1, 10: 1, 5: 1 or 2: 1 or 1 : 2, 1 :5, 1 : 10, 1 :20, 1 :30 or 1 : 100.
- a ratio of 100: 1 may mean 100 weight parts of isolated ningnanmycin and 1 weight part of the fungicide are combined (either as a solo formulation, a combined formulation or by separate applications to plants so that the combination is formed on the plant).
- the synergistic weight ratio of the isolated ningnanmycin to the fungicide is in the range of 1 : 100 to 20,000:1 , preferably in the range of 1 :50 to 10,000: 1 or even in the range of 1 :50 to 1000: 1.
- the mentioned ratio ranges refer to ningnanmycin.
- the synergistic weight ratio of the fermentation product containing ningnanmycin (e.g. , fermentation products of Streptomyces noursei, var. Xichangensis CGMCC Accession No. 0194 or its mutants) and the at least one fungicide lies in the range of 1 :500 to 1000: 1 , preferably in the range of 1 :500 to 500: 1, more preferably in the range of 1 :500 to 300: 1.
- these ratio ranges refer to a biological control agent/fermentation product, i.e., a fermentation product of a ningnanmycin-producing
- Streptomyces sp. strain to be combined with at least one fungicide or a preparation of at least one fungicide.
- a ratio of 100: 1 means 100 weight parts of a biological control agent/fermentation product and 1 weight part of the fungicide are combined (either as a solo formulation, a combined formulation or by separate applications to plants so that the combination is formed on the plant).
- the synergistic weight ratio of the at least one biological control agent/fermentation product to the fungicide is in the range of 1 : 100 to
- a ratio of 1 : 63 or 1 :2.4 means 1 weight part of ningnanmycin and 63 or 2.4 weight parts of the at least one fungicide are combined (either as a solo formulation, a combined formulation or by separate applications to plants so that the combination is formed on the plant) - see also the Examples in this regard.
- the concentration of the ningnanmycin after dispersal is at least 50 g/ha, such as 50-7500 g/ha, 50-2500 g/ha, 50-1500 g/ha; at least 250 g/ha (hectare), at least 500 g/ha or at least 800 g/ha.
- composition to be employed or used according to the present invention may vary.
- the skilled person is able to find the appropriate application rate by way of routine experiments.
- methods for treating seed ought also to take into consideration the intrinsic insecticidal and/or nematicidal properties of pest-resistant or pest-tolerant transgenic plants, in order to achieve optimum protection of the seed and of the germinating plant with a minimal use of crop protection compositions.
- the present invention therefore also relates in particular to a method for protecting seed and germinating plants from attack by pests, by treating the seed with ningnanmycin and at least one fungicide (I) and optionally at least one fungicide (II) of the invention.
- the method of the invention for protecting seed and germinating plants from attack by pests encompasses a method in which the seed is treated simultaneously in one operation with the ningnanmycinand the at least one fungicide (I), and optionally the at least one fungicide (II). It also encompasses a method in which the seed is treated at different times with the
- the invention likewise relates to the use of the composition of the invention for treating seed for the purpose of protecting the seed and the resultant plant against insects, mites, nematodes and/or phytopathogens.
- the invention also relates to a seed which at the same time has been treated with ningnanmycin and at least one fungicide (I), and optionally at least one fungicide (II).
- the invention further relates to seed which has been treated at different times with the ningnanmycin and the at least one fungicide (I) and optionally the at least one fungicide (II).
- the individual active ingredients in the composition of the invention may be present in different layers on the seed.
- the invention relates to a seed which, following treatment with the composition of the invention, is subjected to a film-coating process in order to prevent dust abrasion of the seed.
- compositions of the invention provide protection from insects, mites, nematodes and/or phytopathogens not only to the seed itself but also to the plants originating from the seed, after they have emerged. In this way, it may not be necessary to treat the crop directly at the time of sowing or shortly thereafter.
- a further advantage is to be seen in the fact that, through the treatment of the seed with composition of the invention, germination and emergence of the treated seed may be promoted.
- composition of the invention may also be used, in particular, on transgenic seed.
- composition of the invention may be used in combination with agents of the signalling technology, as a result of which, for example, colonization with symbionts is improved, such as rhizobia, mycorrhiza and/or endophytic bacteria, for example, is enhanced, and/or nitrogen fixation is optimized.
- agents of the signalling technology for example, colonization with symbionts is improved, such as rhizobia, mycorrhiza and/or endophytic bacteria, for example, is enhanced, and/or nitrogen fixation is optimized.
- compositions of the invention are suitable for protecting seed of any variety of plant which is used in agriculture, in greenhouses, in forestry or in horticulture. More particularly, the seed in question is that of cereals (e.g., wheat, barley, rye, oats and millet), maize, cotton, soybeans, rice, potatoes, sunflower, coffee, tobacco, canola, oilseed rape, beets (e.g., sugar beet and fodder beet), peanuts, vegetables (e.g., tomato, cucumber, bean, brassicas, onions and lettuce), fruit plants, lawns and ornamentals. Particularly important is the treatment of the seed of cereals (such as wheat, barley, rye and oats) maize, soybeans, cotton, canola, oilseed rape and rice.
- cereals e.g., wheat, barley, rye, oats and millet
- maize cotton
- soybeans rice
- potatoes sunflower
- coffee tobacco
- transgenic seed As already mentioned above, the treatment of transgenic seed with the composition of the invention is particularly important.
- the seed in question here is that of plants which generally contain at least one heterologous gene that controls the expression of a polypeptide having, in particular, insecticidal and/or nematicidal properties.
- heterologous genes in transgenic seed may come from microorganisms such as Bacillus, Rhizobium,
- the present invention is particularly suitable for the treatment of transgenic seed which contains at least one heterologous gene from Bacillus sp.
- the heterologous gene in question comes from Bacillus thuringiensis.
- composition of the invention is applied alone or in a suitable formulation to the seed.
- the seed is preferably treated in a condition in which its stability is such that no damage occurs in the course of the treatment.
- the seed may be treated at any point in time between harvesting and sowing.
- seed is used which has been separated from the plant and has had cobs, hulls, stems, husks, hair or pulp removed.
- seed may be used that has been harvested, cleaned and dried to a moisture content of less than 15% by weight.
- seed can also be used that after drying has been treated with water, for example, and then dried again.
- compositions of the invention can be applied directly, in other words without comprising further components and without having been diluted.
- suitable formulations and methods for seed treatment are known to the skilled person and are described in, for example, the following documents: U.S. Patent Nos. 4,272,417 A; 4,245,432 A;
- the combinations which can be used in accordance with the invention may be converted into the customary seed-dressing formulations, such as solutions, emulsions, suspensions, powders, foams, slurries or other coating compositions for seed, and also ULV formulations.
- customary seed-dressing formulations such as solutions, emulsions, suspensions, powders, foams, slurries or other coating compositions for seed, and also ULV formulations.
- formulations are prepared in a known manner, by mixing composition with customary adjuvants, such as, for example, customary extenders and also solvents or diluents, colorants, wetters, dispersants, emulsifiers, antifoams, preservatives, secondary thickeners, stickers, gibberellins, and also water.
- customary adjuvants such as, for example, customary extenders and also solvents or diluents, colorants, wetters, dispersants, emulsifiers, antifoams, preservatives, secondary thickeners, stickers, gibberellins, and also water.
- Colorants which may be present in the seed-dressing formulations which can be used in accordance with the invention include all colorants which are customary for such purposes. In this context it is possible to use not only pigments, which are of low solubility in water, but also water-soluble dyes. Examples include the colorants known under the designations Rhodamin B, C.I. Pigment Red 112 and C.I. Solvent Red 1.
- Wetters which may be present in the seed-dressing formulations which can be used in accordance with the invention include all of the substances which promote wetting and which are customary in the formulation of active agrochemical ingredients. Use may be made preferably of alkylnaphthalenesulphonates, such as diisopropyl- or diisobutyl- naphthalenesulphonates .
- Dispersants and/or emulsifiers which may be present in the seed-dressing formulations which can be used in accordance with the invention include all of the nonionic, anionic and cationic dispersants that are customary in the formulation of active agrochemical ingredients. Use may be made preferably of nonionic or anionic dispersants or of mixtures of nonionic or anionic dispersants.
- Suitable nonionic dispersants are, in particular, ethylene oxide- propylene oxide block polymers, alkylphenol poly glycol ethers and also tristryrylphenol polyglycol ethers, and the phosphated or sulphated derivatives of these.
- Suitable anionic dispersants are, in particular, lignosulphonates, salts of polyacrylic acid, and arylsulphonate- formaldehyde condensates.
- Antifoams which may be present in the seed-dressing formulations which can be used in accordance with the invention include all of the foam inhibitors that are customary in the formulation of active agrochemical ingredients. Use may be made preferably of silicone antifoams and magnesium stearate.
- Preservatives which may be present in the seed-dressing formulations which can be used in accordance with the invention include all of the substances which can be employed for such purposes in agrochemical compositions. Examples include dichlorophen and benzyl alcohol hemiformal.
- Secondary thickeners which may be present in the seed-dressing formulations which can be used in accordance with the invention include all substances which can be used for such purposes in agrochemical compositions. Those contemplated with preference include cellulose derivatives, acrylic acid derivatives, xanthan, modified clays and highly disperse silica.
- Stickers which may be present in the seed-dressing formulations which can be used in accordance with the invention include all customary binders which can be used in seed- dressing products. Preferred mention may be made of polyvinylpyrrolidone, polyvinyl acetate, polyvinyl alcohol and tylose.
- the gibberellins are known (cf. R. Wegler, "Chemie der convincedschutz- und
- the seed-dressing formulations which can be used in accordance with the invention may be used, either directly or after prior dilution with water, to treat seed of any of a wide variety of types. Accordingly, the concentrates or the preparations obtainable from them by dilution with water may be employed to dress the seed of cereals, such as wheat, barley, rye, oats and triticale, and also the seed of maize, rice, oilseed rape, peas, beans, cotton, sunflowers and beets, or else the seed of any of a very wide variety of vegetables.
- the seed-dressing may be used, either directly or after prior dilution with water, to treat seed of any of a wide variety of types. Accordingly, the concentrates or the preparations obtainable from them by dilution with water may be employed to dress the seed of cereals, such as wheat, barley, rye, oats and triticale, and also the seed of maize, rice, oilseed rape, peas, beans
- formulations which can be used in accordance with the invention, or their diluted preparations, may also be used to dress seed of transgenic plants. In that case, additional synergistic effects may occur in interaction with the substances formed through expression.
- suitable mixing equipment includes all such equipment which can typically be employed for seed dressing. More particularly, the procedure when carrying out seed dressing is to place the seed in a mixer, to add the particular desired amount of seed-dressing formulations, either as such or following dilution with water beforehand, and to carry out mixing until the distribution of the formulation on the seed is uniform. This may be followed by a drying operation.
- the application rate of the seed-dressing formulations which can be used in accordance with the invention may be varied within a relatively wide range. It is guided by the particular amount of the ningnanmycin and the at least one fungicide (I) in the formulations, and by the seed.
- the application rates in the case of the composition are situated generally at between 0.001 and 50 g per kilogram of seed, preferably between 0.01 and 15 g per kilogram of seed.
- the composition according to the invention in case the ningnanmycin exhibits insecticidal and nematicidal activity, in combination with good plant tolerance and favourable toxicity to warm-blooded animals and being tolerated well by the environment, are suitable for protecting plants and plant organs, for increasing harvest yields, for improving the quality of the harvested material and for controlling animal pests, in particular insects, mites, arachnids, helminths, nematodes and molluscs, which are encountered in agriculture, in horticulture, in animal husbandry, in forests, in gardens and leisure facilities, in protection of stored products and of materials, and in the hygiene sector. They can be preferably employed as plant protection agents.
- the present invention relates to the use of the composition according to the invention as insecticide and/or fungicide. [000140] They are active against normally sensitive and resistant species and against all or some stages of development.
- the abovementioned pests include:
- Pests from the phylum Arthropoda especially from the class Arachnida, for example, Acarus spp., Aceria sheldoni, Aculops spp., Aculus spp., Amblyomma spp., Amphitetranychus viennensis, Argas spp., Boophilus spp., Brevipalpus spp., Bryobia graminum, Bryobia praetiosa, Centruroides spp., Chorioptes spp., Dermanyssus gallinae, Dermatophagoides pteronyssinus, Dermatophagoides farinae, Dermacentor spp., Eotetranychus spp., Epitrimerus pyri,
- Eutetranychus spp. Eriophyes spp., Glycyphagus domesticus, Halotydeus destructor,
- Ornithodorus spp. Ornithonyssus spp., Panonychus spp., Phyllocoptruta oleivora,
- Polyphagotarsonemus lotus Psoroptes spp., Rhipicephalus spp., Rhizoglyphus spp., Sarcoptes spp., Scorpio maurus, Steneotarsonemus spp., Steneotarsonemus spinki, Tarsonemus spp., Tetranychus spp., Trombicula alfreddugesi, Vaejovis spp., Varaies lycopersici;
- clover mite brown mite, hazelnut spider mite, asparagus spider mite, brown wheat mite, legume mite, oxalis mite, boxwood mite, Texas citrus mite, Oriental red mite, citrus red mite, European red mite, yellow spider mite, fig spider mite, Lewis spider mite, six-spotted spider mite, Willamette mite Yuma spider mite, web-spinning mite, pineapple mite, citrus green mite, honey-locust spider mite, tea red spider mite, southern red mite, avocado brown mite, spruce spider mite, avocado red mite, Banks grass mite, carmine spider mite, desert spider mite, vegetable spider mite, tumid spider mite, strawberry spider mite, two-spotted spider mite, McDaniel mite, Pacific spider mite, hawthorn spider mite, four-spotted spider mite, Schoenei spider mite, Chilean false spider mite, citrus flat mite, privet mite, flat scarlet mite
- Insecta e.g., from the order Blattodea, for example, Blattella asahinai, Blattella germanica, Blatta orientalis, Leucophaea maderae, Panchlora spp., Parcoblatta spp., Periplaneta spp., Supella longipalpa;
- Faustinus spp. Gibbium psylloides, Gnathocerus cornutus, Hellula undalis, Heteronychus orator, Heteronyx spp., Hylamorpha elegans, Hylotrupes bajulus, Hypera postica, Hypomeces squamosus, Hypothenemus spp., Lachnosterna consanguinea, Lasioderma serricorne, Latheticus oryzae, Lathridius spp., Lema spp., Leptinotarsa decemlineata, Leucoptera spp., Lissorhoptrus oryzophilus, Lixus spp., Luperodes spp., Lyctus spp., Megascelis spp., Melanotus spp.,
- Diabrotica undecimpunctata undecimpunctata Western corn rootworm
- Diabrotica virgifera virgifera Western corn rootworm
- Mexican corn rootworm Diabrotica virgifera zeae
- Aedes spp. for example, Aedes spp., Agromyza spp., Anastrepha spp., Anopheles spp., Asphondylia spp., Bactrocera spp., 23 ⁇ 4Wo hortulanus, Calliphora erythrocephala, Calliphora vicina, Ceratitis capitata, Chironomus spp., Chrysomyia spp., Chrysops spp., Chrysozona pluvialis, Cochliomyia spp., Contarinia spp., Cordylobia anthropophaga,
- Paralauterborniella subcincta Pegomyia spp., Phlebotomus spp., Phorbia spp., Phormia spp., Piophila casei, Prodiplosis spp., i3 ⁇ 47a rosae, Rhagoletis spp., Sarcophaga spp., Simulium spp., Stomoxys spp., Tabanus spp., Tetanops spp., Tipula spp. ;
- Blissus spp. Calocoris spp., Campylomma livida, Cavelerius spp., Cimex spp., Collaria spp., Creontiades dilutus, Dasynus piperis, Dichelops furcatus, Diconocoris hewetti, Dysdercus spp., Euschistus spp., Eurygaster spp., Heliopeltis spp., Horcias nobilellus, Leptocorisa spp.,
- Ferrisia spp. Geococcus coffeae, Glycaspis spp., Heteropsylla cubana, Heteropsylla spinulosa, Homalodisca coagulata, Hyalopterus arundinis, leery a spp., Idiocerus spp., Idioscopus spp., Laodelphax striatellus, Lecanium spp., Lepidosaphes spp., Lipaphis erysimi, Macrosiphum spp., Macrosteles facifrons, Mahanarva spp., Melanaphis sacchari, Metcalfiella spp., Metopolophium dirhodum, Monellia costalis, Monelliopsis pecanis, Myzus spp., Nasonovia ribisnigri, Nephotettix spp., Nettigoniclla spectra, Nilaparvat
- Hymenoptera from the order Hymenoptera, for example, Acromyrmex spp., Athalia spp., ⁇ spp., Diprion spp., Hoplocampa spp., Lasius spp., Monomorium pharaonis, Sirex spp., Solenopsis invicta, Tapinoma spp., Urocerus spp., Vcspa spp., Xcra spp.;
- Isopoda for example, Armadillidium vulgare, Oniscus asellus, Porcellio scaber;
- Gryllotalpa spp. Hieroglyphus spp., Locusta spp., Melanoplus spp., Schistocerca gregaria; from the order Phthiraptera, for example, Damalinia spp., Haematopinus spp., Linognathus spp., Pediculus spp., Ptirus pubis, Trichodectes spp.;
- Siphonaptera for example, Ceratophyllus spp., Ctenocephalides spp.
- Thysanoptera for example, Anaphothrips obscurus, Baliothrips biformis, Drepanothrips reuteri, Enneothrips flavens, Frankliniella spp., Heliothrips spp
- pests from the phylum Mollusca especially from the class Bivalvia, for example, Dreissena spp., and from the class Gastropoda, for example, Arion spp., Biomphalaria spp., Bulinus spp., Deroceras spp., Galba spp., Lymnaea spp., Oncomelania spp., Pomacea spp., Succinea spp.;
- animal pests from the phylums Plathelminthes and Nematoda for example, Ancylostoma duodenale, Ancylostoma ceylanicum, Acylostoma braziliensis, Ancylostoma spp., Ascaris spp., Brugia malayi, Brugia timori, Bunostomum spp., Chabertia spp., Clonorchis spp., Cooperia spp., Dicrocoelium spp., Dictyocaulus filaria, Diphyllobothrium latum, Dracunculus medinensis, Echinococcus granulosus, Echinococcus multilocularis, Enterobius vermicularis, Faciola spp., Haemonchus spp., Heterakis spp., Hymenolepis nana, Hyostrongulus spp., Loa Loa
- phytoparasitic pests from the phylum Nematoda for example, Aphelenchoides spp., Bursaphelenchus spp., Ditylenchus spp., Globodera spp., Heterodera spp., Longidorus spp., Meloidogyne spp., Pratylenchus spp., Radopholus spp., Trichodorus spp., Tylenchulus spp., Xiphinema spp., Helicotylenchus spp., Tylenchorhynchus spp., Scutellonema spp., Paratrichodorus spp., Meloinema spp., Paraphelenchus spp., Aglenchus spp., Belonolaimus spp., Nacobbus spp., Rotylenchulus spp., Rotylenchus
- the composition is particularly active against spider mites, citrus mites, eriophyid (russet) mites and broad mites as well as the corn root worm.
- composition according to the present invention preferably has potent microbicidal activity and can be used for control of unwanted microorganisms, such as fungi and bacteria, in crop protection and in the protection of materials.
- the invention also relates to a method for controlling unwanted
- microorganisms characterized in that the inventive composition is applied to the
- phytopathogenic fungi phytopathogenic bacteria and/or their habitat.
- Fungicides can be used in crop protection for control of phytopathogenic fungi. They are characterized by an outstanding efficacy against a broad spectrum of
- phytopathogenic fungi including soilborne pathogens, which are in particular members of the classes Plasmodiophoromycetes, Peronosporomycetes (Syn. Oomycetes), Chytridiomycetes, Zygomycetes, Ascomycetes, Basidiomycetes and Deuteromycetes (Syn. Fungi imperfecti).
- Some fungicides are systemically active and can be used in plant protection as foliar, seed dressing or soil fungicide. Furthermore, they are suitable for combating fungi, which inter alia infest wood or roots of plant.
- Bactericides can be used in crop protection for control of Pseudomonadaceae, Rhizobiaceae, Enterobacteriaceae, Corynebacteriaceae and Streptomycetaceae .
- Non- limiting examples of pathogens of fungal diseases which can be treated in accordance with the invention include:
- Blumeria species for example Blumeria graminis
- Podosphaera species for example Podosphaera leucotricha
- Sphaerotheca species for example Sphaerotheca fuliginea
- Uncinula species for example Uncinula necator
- Gymnosporangium species for example Gymnosporangium sabinae
- Hemileia species for example Hemileia vastatrix
- Phakopsora species for example Phakopsora pachyrhizi and Phakopsora meibomiae
- Puccinia species for example Puccinia recondite, P. triticina, P. graminis or P. striiformis or P. hordei
- Uromyces species for example Uromyces appendiculatus
- diseases caused by pathogens from the group of the Oomycetes for example Albugo species, for example Algubo Candida; Bremia species, for example Bremia lactucae;
- Peronospora species for example Peronospora pisi, P. parasitica or P. brassicae
- Phytophthora species for example Phytophthora infestans
- Plasmopara species for example Plasmopara viticola
- Pseudoperonospora species for example Pseudoperonospora humuli or
- Pseudoperonospora cubensis Pythium species, for example Pythium ultimum;
- leaf blotch diseases and leaf wilt diseases caused, for example, by Alternaria species, for example Alternaria solani; Cercospora species, for example Cercospora beticola;
- Cladiosporium species for example Cladiosporium cucumerinum
- Cochliobolus species for example Cochliobolus sativus (conidia form: Drechslera, Syn: Helminthosporium)
- Cochliobolus miyabeanus Colletotrichum species, for example Colletotrichum lindemuthanium; Cycloconium species, for example Cycloconium oleaginum; Diaporthe species, for example Diaporthe citri; Elsinoe species, for example Elsinoe fawcettii; Gloeosporium species, for example Gloeosporium laeticolor; Glomerella species, for example Glomerella cingulata;
- Guignardia species for example Guignardia bidwelli
- Leptosphaeria species for example Leptosphaeria maculans, Leptosphaeria nodorum
- Magnaporthe species for example
- Microdochium species for example Microdochium nivale
- Mycosphaerella species for example Mycosphaerella graminicola, M. arachidicola and M. fijiensis;
- Phaeosphaeria species for example Phaeosphaeria nodorum
- Pyrenophora species for example Pyrenophora teres, Pyrenophora tritici repentis
- Ramularia species for example Ramularia collo-cygni, Ramularia areola
- Rhynchosporium species for example Rhynchosporium secalis
- Septoria species for example Septoria apii, Septoria lycopersii
- Typhula species for example Typhula incarnata
- Venturia species for example Venturia inaequalis
- Corticium species for example Corticium graminearum
- Fusarium species for example Fusarium oxysporum
- Gaeumannomyces species for example Gaeumannomyces graminis
- Rhizoctonia species such as, for example Rhizoctonia solani
- Sarocladium diseases caused for example by Sarocladium oryzae Sclerotium diseases caused for example by Sclerotium oryzae
- Tapesia species for example Tapesia acuformis
- Thielaviopsis species for example Thielaviopsis basicola
- Thielaviopsis species for example Thielaviopsis basicola
- ear and panicle diseases caused, for example, by Alternaria species, for example Alternaria spp.; Aspergillus species, for example Aspergillus flavus; Cladosporium species, for example Cladosporium cladosporioides; Claviceps species, for example Claviceps purpurea; Fusarium species, for example Fusarium culmorum; Gibberella species, for example Gibberella zeae; Monographella species, for example Monographella nivalis; Septoria species, for example Septoria nodorum;
- Sphacelotheca species diseases caused by smut fungi, for example Sphacelotheca species, for example
- Tilletia species for example Tilletia caries, T. controversa
- Urocystis species for example Urocystis occulta
- Ustilago species for example Ustilago nuda, U. nuda tritici
- wilt diseases caused, for example, by Monilinia species, for example Monilinia laxa; leaf blister or leaf curl diseases caused, for example, by Exobasidium species, for example Exobasidium vexans;
- Taphrina species for example Taphrina deformans
- Botrytis species for example Botrytis cinerea
- Rhizoctonia species for example Rhizoctonia solani
- Helminthosporium species for example Helminthosporium solani
- club root caused, for example, by Plasmodiophora species, for example Plamodiophora brassicae;
- Xanthomonas species for example Xanthomonas campestris pv. oryzae
- Pseudomonas species for example Pseudomonas syringae pv. lachrymans
- Erwinia species for example Erwinia amylovora.
- phytophthora rot (Phytophthora megasperma), brown stem rot (Phialophora gregata), pythium rot (Pythium aphanidermatum, Pythium irregulare, Pythium debaryanum, Pythium myriotylum, Pythium ultimum), rhizoctonia root rot, stem decay, and damping-off (Rhizoctonia solani), sclerotinia stem decay (Sclerotinia sclerotiorum), sclerotinia southern blight (Sclerotinia rolfsii), thielaviopsis root rot (Thielaviopsis basicola).
- inventive compositions can be used for curative or protective/preventive control of phytopathogenic fungi.
- the invention therefore also relates to curative and protective methods for controlling phytopathogenic fungi by the use of the inventive composition, which is applied to the seed, the plant or plant parts, the fruit or the soil in which the plants grow.
- composition is well tolerated by plants at the concentrations required for controlling plant diseases allows the treatment of above-ground parts of plants, of propagation stock and seeds, and of the soil.
- plants and plant parts can be treated.
- plants are meant all plants and plant populations such as desirable and undesirable wild plants, cultivars and plant varieties (whether or not protectable by plant variety or plant breeder's rights).
- Cultivars and plant varieties can be plants obtained by conventional propagation and breeding methods which can be assisted or supplemented by one or more biotechnological methods such as by use of double haploids, protoplast fusion, random and directed mutagenesis, molecular or genetic markers or by bioengineering and genetic engineering methods.
- plant parts is meant all above ground and below ground parts and organs of plants such as shoot, leaf, blossom and root, whereby for example leaves, needles, stems, branches, blossoms, fruiting bodies, fruits and seed as well as roots, corms and rhizomes are listed.
- Crops and vegetative and generative propagating material for example cuttings, corms, rhizomes, runners and seeds also belong to plant parts.
- the inventive composition when it is well tolerated by plants, has favourable homeotherm toxicity and is well tolerated by the environment, is suitable for protecting plants and plant organs, for enhancing harvest yields, for improving the quality of the harvested material. It can preferably be used as crop protection composition. It is active against normally sensitive and resistant species and against all or some stages of development.
- Plants which can be treated in accordance with the invention include the following main crop plants: maize, soya bean, alfalfa, cotton, sunflower, Brassica oil seeds such as Brassica napus (e.g., canola, rapeseed), Brassica rapa, B. juncea (e.g., (field) mustard) and Brassica carinata, Arecaceae sp. ⁇ e.g., oilpalm, coconut), rice, wheat, sugar beet, sugar cane, oats, rye, barley, millet and sorghum, triticale, flax, nuts, grapes and vine and various fruit and vegetables from various botanic taxa, e.g., Rosaceae sp.
- Brassica oil seeds such as Brassica napus (e.g., canola, rapeseed), Brassica rapa, B. juncea (e.g., (field) mustard) and Brassica carinata
- pome fruits such as apples and pears, but also stone fruits such as apricots, cherries, almonds, plums and peaches, and berry fruits such as strawberries, raspberries, red and black currant and gooseberry
- Ribesioidae sp. Juglandaceae sp.
- Betulaceae sp. Anacardiaceae sp., Fagaceae sp., Moraceae sp., Oleaceae sp. (e.g., olive tree), Actinidaceae sp., Lauraceae sp. (e.g., avocado, cinnamon, camphor), Musaceae sp.
- Rubiaceae sp. e.g., coffee
- Theaceae sp. e.g., tea
- Sterculiceae sp. e.g., tea
- Sterculiceae sp. e.g., tea
- Sterculiceae sp. e.g., tea
- Sterculiceae sp. e.g., tea
- Rutaceae sp. e.g., lemons, oranges, mandarins and grapefruit
- Solanaceae sp. e.g., tomatoes, potatoes, peppers, capsicum, aubergines, tobacco
- Cucurbitaceae sp. e.g., cucumbers - including gherkins, pumpkins, watermelons, calabashes and melons
- Alliaceae sp. e.g., leeks and onions
- Cruciferae sp. e.g., white cabbage, red cabbage, broccoli, cauliflower, Brussels sprouts, pak choi, kohlrabi, radishes, horseradish, cress and Chinese cabbage
- Leguminosae sp. e.g., peanuts, peas, lentils and beans - e.g., common beans and broad beans
- Chenopodiaceae sp. e.g.
- compositions in the treatment according to the invention may also have a strengthening effect in plants.
- the defense system of the plant against attack by unwanted phytopathogenic fungi and/ or microorganisms and/or viruses is mobilized.
- Plant-strengthening (resistance-inducing) substances are to be understood as meaning, in the present context, those substances or combinations of substances which are capable of stimulating the defense system of plants in such a way that, when subsequently inoculated with unwanted phytopathogenic fungi and/or microorganisms and/or viruses, the treated plants display a substantial degree of resistance to these phytopathogenic fungi and/or microorganisms and/or viruses,
- composition according to the present invention in the treatment according to the invention plants can be protected against attack by the abovementioned pathogens within a certain period of time after the treatment.
- the period of time within which protection is effected generally extends from 1 to 10 days, preferably 1 to 7 days, after the treatment of the plants
- Plants and plant cultivars which are also preferably to be treated according to the invention are resistant against one or more biotic stresses, i.e., said plants show a better defense against animal and microbial pests, such as against nematodes, insects, mites, phytopathogenic fungi, bacteria, viruses and/or viroids.
- Plants and plant cultivars which may also be treated according to the invention are those plants which are resistant to one or more abiotic stresses, i.e., that already exhibit an increased plant health with respect to stress tolerance.
- Abiotic stress conditions may include, for example, drought, cold temperature exposure, heat exposure, osmotic stress, flooding, increased soil salinity, increased mineral exposure, ozon exposure, high light exposure, limited availability of nitrogen nutrients, limited availability of phosphorus nutrients, shade avoidance.
- the treatment of these plants and cultivars with the composition of the present invention additionally increases the overall plant health (cf. above).
- Plants and plant cultivars which may also be treated according to the invention are those plants characterized by enhanced yield characteristics, i.e., that already exhibit an increased plant health with respect to this feature. Increased yield in said plants can be the result of, for example, improved plant physiology, growth and development, such as water use efficiency, water retention efficiency, improved nitrogen use, enhanced carbon assimilation, improved photosynthesis, increased germination efficiency and accelerated maturation.
- Yield can furthermore be affected by improved plant architecture (under stress and non-stress conditions), including but not limited to, early flowering, flowering control for hybrid seed production, seedling vigor, plant size, internode number and distance, root growth, seed size, fruit size, pod size, pod or ear number, seed number per pod or ear, seed mass, enhanced seed filling, reduced seed dispersal, reduced pod dehiscence and lodging resistance.
- Further yield traits include seed composition, such as carbohydrate content, protein content, oil content and composition, nutritional value, reduction in anti-nutritional compounds, improved processability and better storage stability.
- the treatment of these plants and cultivars with the composition of the present invention additionally increases the overall plant health (cf. above).
- Plants that may be treated according to the invention are hybrid plants that already express the characteristic of heterosis or hybrid vigor which results in generally higher yield, vigor, health and resistance towards biotic and abiotic stress factors. Such plants are typically made by crossing an inbred male-sterile parent line (the female parent) with another inbred male-fertile parent line (the male parent). Hybrid seed is typically harvested from the male sterile plants and sold to growers. Male sterile plants can sometimes (e.g., in corn) be produced by detasseling, i.e., the mechanical removal of the male reproductive organs (or males flowers) but, more typically, male sterility is the result of genetic determinants in the plant genome.
- male sterile plants can also be obtained by plant biotechnology methods such as genetic engineering.
- a particularly useful means of obtaining male-sterile plants is described in WO 89/10396 in which, for example, a ribonuclease such as barnase is selectively expressed in the tapetum cells in the stamens. Fertility can then be restored by expression in the tapetum cells of a ribonuclease inhibitor such as barstar.
- Plants or plant cultivars obtained by plant biotechnology methods such as genetic engineering which may be treated according to the invention are herbicide-tolerant plants, i.e., plants made tolerant to one or more given herbicides. Such plants can be obtained either by genetic transformation, or by selection of plants containing a mutation imparting such herbicide tolerance.
- Herbicide-tolerant plants are for example glyphosate-tolerant plants, i.e., plants made tolerant to the herbicide glyphosate or salts thereof. Plants can be made tolerant to glyphosate through different means. For example, glyphosate-tolerant plants can be obtained by transforming the plant with a gene encoding the enzyme 5-enolpyruvylshikimate-3-phosphate synthase (EPSPS).
- EPSPS 5-enolpyruvylshikimate-3-phosphate synthase
- EPSPS genes are the AroA gene (mutant CT7) of the bacterium Salmonella typhimurium, the CP4 gene of the bacterium Agrobacterium sp, the genes encoding a Petunia EPSPS, a Tomato EPSPS, or an Eleusine EPSPS. It can also be a mutated EPSPS.
- Glyphosate-tolerant plants can also be obtained by expressing a gene that encodes a glyphosate oxido-reductase enzyme.
- Glyphosate-tolerant plants can also be obtained by expressing a gene that encodes a glyphosate acetyl transferase enzyme.
- Glyphosate-tolerant plants can also be obtained by selecting plants containing naturally-occurring mutations of the above-mentioned genes.
- herbicide resistant plants are for example plants that are made tolerant to herbicides inhibiting the enzyme glutamine synthase, such as bialaphos, phosphinothricin or glufosinate.
- Such plants can be obtained by expressing an enzyme detoxifying the herbicide or a mutant glutamine synthase enzyme that is resistant to inhibition.
- One such efficient detoxifying enzyme is an enzyme encoding a phosphinothricin acetyltransf erase (such as the bar or pat protein from Streptomyces species). Plants expressing an exogenous phosphinothricin acetyltransferase are also described.
- Further herbicide-tolerant plants are also plants that are made tolerant to the herbicides inhibiting the enzyme hydroxyphenylpyruvatedioxygenase (HPPD).
- HPPD hydroxyphenylpyruvatedioxygenase
- Hydroxyphenylpyruvatedioxygenases are enzymes that catalyze the reaction in which para- hydroxyphenylpyruvate (HPP) is transformed into homogentisate.
- Plants tolerant to HPPD- inhibitors can be transformed with a gene encoding a naturally-occurring resistant HPPD enzyme, or a gene encoding a mutated HPPD enzyme.
- Tolerance to HPPD-inhibitors can also be obtained by transforming plants with genes encoding certain enzymes enabling the formation of homogentisate despite the inhibition of the native HPPD enzyme by the HPPD-inhibitor.
- Tolerance of plants to HPPD inhibitors can also be improved by transforming plants with a gene encoding an enzyme prephenate dehydrogenase in addition to a gene encoding an HPPD-tolerant enzyme.
- Still further herbicide resistant plants are plants that are made tolerant to acetolactate synthase (ALS) inhibitors.
- ALS-inhibitors include, for example, sulfonylurea, imidazolinone, triazolopyrimidines, pyrimidinyoxy(thio)benzoates, and/or sulfonylaminocarbonyltriazolinone herbicides.
- Different mutations in the ALS enzyme also known as acetohydroxyacid synthase, AHAS
- AHAS acetohydroxyacid synthase
- the production of sulfonylurea-tolerant plants and imidazolinone-tolerant plants is described in WO 1996/033270. Other imidazolinone-tolerant plants are also described. Further sulfonylurea- and imidazolinone-tolerant plants are also described in for example WO 2007/024782.
- plants tolerant to imidazolinone and/or sulfonylurea can be obtained by induced mutagenesis, selection in cell cultures in the presence of the herbicide or mutation breeding as described for example for soybeans, for rice, for sugar beet, for lettuce, or for sunflower.
- Plants or plant cultivars obtained by plant biotechnology methods such as genetic engineering) which may also be treated according to the invention are insect-resistant transgenic plants, i.e., plants made resistant to attack by certain target insects. Such plants can be obtained by genetic transformation, or by selection of plants containing a mutation imparting such insect resistance.
- An "insect-resistant transgenic plant”, as used herein, includes any plant containing at least one transgene comprising a coding sequence encoding:
- an insecticidal crystal protein from Bacillus thuringiensis or an insecticidal portion thereof such as the insecticidal crystal proteins or insecticidal portions thereof, e.g., proteins of the Cry protein classes CrylAb, CrylAc, CrylF, Cry2Ab, Cry2Ae, Cry3Aa, or Cry3Bb or insecticidal portions thereof; or
- a crystal protein from Bacillus thuringiensis or a portion thereof which is insecticidal in the presence of a second other crystal protein from Bacillus thuringiensis or a portion thereof, such as the binary toxin made up of the Cry34 and Cry35 crystal proteins; or
- a hybrid insecticidal protein comprising parts of different insecticidal crystal proteins from Bacillus thuringiensis, such as a hybrid of the proteins of 1) above or a hybrid of the proteins of 2) above, e.g., the CrylA.105 protein produced by corn event MON98034 (WO 2007/027777); or
- an insecticidal secreted protein from Bacillus thuringiensis or Bacillus cereus or an insecticidal portion thereof, such as the vegetative insecticidal (VIP) proteins, e.g., proteins from the VIP3Aa protein class; or
- secreted protein from Bacillus thuringiensis or Bacillus cereus which is insecticidal in the presence of a second secreted protein from Bacillus thuringiensis or B. cereus, such as the binary toxin made up of the VIP1A and VIP2A proteins; or
- hybrid insecticidal protein comprising parts from different secreted proteins from
- Bacillus thuringiensis or Bacillus cereus such as a hybrid of the proteins in 1) above or a hybrid of the proteins in 2) above; or
- an insect-resistant transgenic plant also includes any plant comprising a combination of genes encoding the proteins of any one of the above classes 1 to 8.
- an insect-resistant plant contains more than one transgene encoding a protein of any one of the above classes 1 to 8, to expand the range of target insect species affected when using different proteins directed at different target insect species, or to delay insect resistance development to the plants by using different proteins insecticidal to the same target insect species but having a different mode of action, such as binding to different receptor binding sites in the insect.
- Plants or plant cultivars obtained by plant biotechnology methods such as genetic engineering
- Plants or plant cultivars which may also be treated according to the invention are tolerant to abiotic stresses.
- Such plants can be obtained by genetic transformation, or by selection of plants containing a mutation imparting such stress resistance.
- Particularly useful stress tolerance plants include:
- PARP poly(ADP-ribose)polymerase
- nicotinamide adenine dinucleotide salvage synthesis pathway including nicotinamidase, nicotinate phosphoribosyltransferase, nicotinic acid mononucleotide adenyl transferase, nicotinamide adenine dinucleotide synthetase or nicotine amide
- Plants or plant cultivars obtained by plant biotechnology methods such as genetic engineering which may also be treated according to the invention show altered quantity, quality and/or storage-stability of the harvested product and/or altered properties of specific ingredients of the harvested product such as :
- transgenic plants which synthesize a modified starch, which in its physical-chemical characteristics, in particular the amylose content or the amylose/amylopectin ratio, the degree of branching, the average chain length, the side chain distribution, the viscosity behaviour, the gelling strength, the starch grain size and/or the starch grain morphology, is changed in comparison with the synthesised starch in wild type plant cells or plants, so that this is better suited for special applications; 2) transgenic plants which synthesize non starch carbohydrate polymers or which synthesize non starch carbohydrate polymers with altered properties in comparison to wild type plants without genetic modification. Examples are plants producing polyfructose, especially of the inulin and levan-type, plants producing alpha 1 ,4 glucans, plants producing alpha- 1 ,6 branched alpha- 1,4-glucans, plants producing alternan;
- Plants or plant cultivars that can be obtained by plant biotechnology methods such as genetic engineering
- plants which may also be treated according to the invention are plants, such as cotton plants, with altered fiber characteristics.
- Such plants can be obtained by genetic transformation or by selection of plants contain a mutation imparting such altered fiber characteristics and include:
- plants such as cotton plants, containing an altered form of cellulose synthase genes
- plants such as cotton plants, containing an altered form of rsw2 or rsw3 homologous nucleic acids
- plants such as cotton plants, with increased expression of sucrose phosphate synthase
- plants such as cotton plants, with increased expression of sucrose synthase
- plants such as cotton plants, wherein the timing of the plasmodesmatal gating at the basis of the fiber cell is altered, e.g. through downregulation of fiberselective ⁇ 1,3-glucanase; f) plants, such as cotton plants, having fibers with altered reactivity, e.g., through the expression of N-acteylglucosaminetransferase gene including nodC and chitinsynthase genes.
- Plants or plant cultivars that can be obtained by plant biotechnology methods such as genetic engineering
- plants which may also be treated according to the invention are plants, such as oilseed rape or related Brassica plants, with altered oil profile characteristics.
- Such plants can be obtained by genetic transformation or by selection of plants contain a mutation imparting such altered oil characteristics and include:
- oilseed rape plants producing oil having a high oleic acid content
- plants such as oilseed rape plants, producing oil having a low linolenic acid content
- plant such as oilseed rape plants, producing oil having a low level of saturated fatty acids.
- transgenic plants which may be treated according to the invention are plants which comprise one or more genes which encode one or more toxins, such as the following which are sold under the trade names YIELD GARD ® (for example maize, cotton, soya beans), KNOCKOUT ® (for example maize), BITEGARD ® (for example maize), BT- XTRA ® (for example maize), STARLINK ® (for example maize), BOLLGARD ® (cotton), NUCOTN ® (cotton), NUCOTN 33B ® (cotton), NATUREGARD ® (for example maize), PROTECTA ® and NEWLEAF ® (potato).
- YIELD GARD ® for example maize, cotton, soya beans
- KNOCKOUT ® for example maize
- BITEGARD ® for example maize
- BT- XTRA ® for example maize
- STARLINK ® for example maize
- BOLLGARD ® cotton
- NUCOTN ® cott
- herbicide-tolerant plants which may be mentioned are maize varieties, cotton varieties and soya bean varieties which are sold under the trade names ROUNDUP READY ® (tolerance to glyphosate, for example maize, cotton, soya bean), LIBERTY LINK ® (tolerance to phosphinotricin, for example oilseed rape), IMI ®
- Herbicide-resistant plants plants bred in a conventional manner for herbicide tolerance
- CLEARFIELD ® for example maize
- transgenic plants which may be treated according to the invention are plants containing transformation events, or a combination of transformation events, and that are listed for example in the databases for various national or regional regulatory agencies including Event 1143-14A (cotton, insect control, not deposited, described in WO 06/128569); Event 1143-5 IB (cotton, insect control, not deposited, described in WO 06/128570); Event 1445 (cotton, herbicide tolerance, not deposited, described in U.S. Patent Application Publication No.
- Event 17053 rice, herbicide tolerance, deposited as PTA-9843, described in WO 10/117737
- Event 17314 rice, herbicide tolerance, deposited as PTA-9844, described in WO 10/117735
- Event 281-24-236 cotton, insect control - herbicide tolerance, deposited as PTA-6233, described in WO 05/103266 or U.S. Patent Application Publication No. 2005-216969
- Event 3006- 210-23 cotton, insect control - herbicide tolerance, deposited as PTA-6233, described in U.S. Patent Application Publication No.
- Event 3272 (corn, quality trait, deposited as PTA-9972, described in WO 06/098952 or U.S. Patent Application Publication No. 2006-230473);
- Event 40416 (corn, insect control - herbicide tolerance, deposited as ATCC PTA- 11508, described in WO 11/075593);
- Event 43A47 (corn, insect control - herbicide tolerance, deposited as ATCC PTA-11509, described in WO 11/075595);
- Event 5307 (corn, insect control, deposited as ATCC PTA-9561, described in WO 10/077816);
- Event ASR-368 (bent grass, herbicide tolerance, deposited as ATCC PTA-4816, described in U.S.
- Patent Application Publication No. 2006-162007 or WO 04/053062 Event B16 (corn, herbicide tolerance, not deposited, described in U.S. Patent Application Publication No. 2003-126634); Event BPS-CV127-9 (soybean, herbicide tolerance, deposited as NCIMB No. 41603, described in WO 10/080829); Event CE43-67B (cotton, insect control, deposited as DSM ACC2724, described in U.S. Patent Application Publication No. 2009-217423 or WO 06/128573); Event CE44-69D (cotton, insect control, not deposited, described in U.S. Patent Application Publication No.
- Event CE44-69D (cotton, insect control, not deposited, described in WO 06/128571); Event CE46-02A (cotton, insect control, not deposited, described in WO 06/128572); Event COT102 (cotton, insect control, not deposited, described in U.S. Patent Application Publication No. A 2006-130175 or WO 04/039986); Event COT202 (cotton, insect control, not deposited, described in U.S. Patent Application Publication No.
- Event COT203 cotton, insect control, not deposited, described in WO 05/054480
- Event DAS40278 corn, herbicide tolerance, deposited as ATCC PTA- 10244, described in WO 11/022469
- Event DAS-59122-7 corn, insect control - herbicide tolerance, deposited as ATCC PTA 11384 , described in U.S. Patent Application Publication No.
- Event DAS-59132 corn, insect control - herbicide tolerance, not deposited, described in WO 09/100188
- Event DAS68416 (soybean, herbicide tolerance, deposited as ATCC PTA-10442, described in WO 11/066384 or WO 11/066360)
- Event DP-098140-6 (corn, herbicide tolerance, deposited as ATCC PTA-8296, described in U.S. Patent Application Publication No. 2009-137395 or WO 08/112019);
- Event DP-305423-1 sibean, quality trait, not deposited, described in U.S. Patent Application Publication No.
- Event DP-32138-1 corn, hybridization system, deposited as ATCC PTA-9158, described in U.S. Patent Application Publication No. 2009-0210970 or WO 09/103049
- Event DP-356043-5 sibean, herbicide tolerance, deposited as ATCC PTA- 8287, described in U.S. Patent Application Publication No. 2010-0184079 or WO 08/002872
- Event EE-1 brinjal, insect control, not deposited, described in WO 07/091277
- Event FU 17 (com, herbicide tolerance, deposited as ATCC 209031, described in U.S. Patent Application Publication No.
- Event GA21 (com, herbicide tolerance, deposited as ATCC 209033, described in U.S. Patent Application Publication No. 2005-086719 or WO 98/044140);
- Event GG25 (com, herbicide tolerance, deposited as ATCC 209032, described in U.S. Patent Application Publication No. 2005-188434 or WO 98/044140);
- Event GHB119 (cotton, insect control - herbicide tolerance, deposited as ATCC PTA-8398, described in WO 08/151780);
- Event GHB614 (cotton, herbicide tolerance, deposited as ATCC PTA-6878, described in U.S. Patent Application Publication No.
- Event GJ11 (com, herbicide tolerance, deposited as ATCC 209030, described in U.S. Patent Application Publication No. 2005-188434 or WO 98/044140); Event GM RZ13 (sugar beet, virus resistance , deposited as NCIMB-41601, described in WO 10/076212); Event H7-1 (sugar beet, herbicide tolerance, deposited as NCIMB 41158 or NCIMB 41159, described in U.S. Patent Application Publication No. 2004-172669 or WO
- Event JOPLIN1 (wheat, disease tolerance, not deposited, described in U.S. Patent Application Publication No. 2008-064032); Event LL27 (soybean, herbicide tolerance, deposited as NCIMB41658, described in WO 06/108674 or U.S. Patent Application Publication No. 2008-
- Event LL55 (soybean, herbicide tolerance, deposited as NCIMB 41660, described in WO 06/108675 or U.S. Patent Application Publication No. 2008-196127);
- Event LLcotton25 (cotton, herbicide tolerance, deposited as ATCC PTA-3343, described in WO 03/013224 or U.S. Patent Application Publication No. 2003-097687);
- Event LLRICE06 (rice, herbicide tolerance, deposited as ATCC-23352, described in U.S. Patent No. 6,468,747 or WO 00/026345);
- Event LLRICE601 (rice, herbicide tolerance, deposited as ATCC PTA-2600, described in U.S. Patent Application Publication No.
- Event LY038 corn, quality trait, deposited as ATCC PTA- 5623, described in U.S. Patent Application Publication No. 2007-028322 or WO 05/061720
- Event MIR162 corn, insect control, deposited as PTA-8166, described in U.S. Patent Application
- Event MIR604 corn, insect control, not deposited, described in U.S. Patent Application Publication No. 2008-167456 or WO 05/103301
- Event MON15985 cotton, insect control, deposited as ATCC PTA-2516, described in U.S. Patent Application Publication No. 2004-250317 or WO 02/100163
- Event MON810 corn, insect control, not deposited, described in U.S. Patent Application Publication No. 2002-102582
- Event MON863 corn, insect control, deposited as ATCC PTA-2605, described in WO 04/011601 or U.S. Patent Application Publication No.
- Event MON87427 (corn, pollination control, deposited as ATCC PTA-7899, described in WO 11/062904)
- Event MON87460 (corn, stress tolerance, deposited as ATCC PTA-8910, described in WO 09/111263 or U.S. Patent Application Publication No. 2011-0138504)
- Event MON87701 (soybean, insect control, deposited as ATCC PTA-8194, described in U.S. Patent Application Publication No. 2009-130071 or WO 09/064652);
- MON87705 (soybean, quality trait - herbicide tolerance, deposited as ATCC PTA-9241, described in U.S. Patent Application Publication No. 2010-0080887 or WO 10/037016); Event MON87708 (soybean, herbicide tolerance, deposited as ATCC PTA9670, described in WO 11/034704); Event MON87754 (soybean, quality trait, deposited as ATCC PTA-9385, described in WO 10/024976); Event MON87769 (soybean, quality trait, deposited as ATCC PTA-8911 , described in U.S. Patent Application Publication No.
- Event MON88017 corn, insect control - herbicide tolerance, deposited as ATCC PTA-5582, described in U.S. Patent Application Publication No. 2008-028482 or WO 05/059103
- Event MON88913 cotton, herbicide tolerance, deposited as ATCC PTA-4854, described in WO 04/072235 or U.S. Patent Application Publication No. 2006-059590
- Event MON89034 corn, insect control, deposited as ATCC PTA-7455, described in WO 07/140256 or U.S. Patent Application Publication No.
- Event MON89788 (soybean, herbicide tolerance, deposited as ATCC PTA-6708, described in U.S. Patent Application Publication No. 2006-282915 or WO 06/130436); Event MSI 1 (oilseed rape, pollination control - herbicide tolerance, deposited as ATCC PTA-850 or PTA-2485, described in WO
- Event MS8 (oilseed rape, pollination control - herbicide tolerance, deposited as ATCC PTA-730, described in WO 01/041558 or U.S. Patent Application Publication No. 2003-188347);
- Event NK603 corn, herbicide tolerance, deposited as ATCC PTA-2478, described in U.S. Patent Application Publication No. 2007-292854);
- Event PE-7 rice, insect control, not deposited, described in WO 08/114282);
- Event RF3 (oilseed rape, pollination control - herbicide tolerance, deposited as ATCC PTA-730, described in WO 01/041558 or U.S. Patent Application Publication No.
- Event RT73 (oilseed rape, herbicide tolerance, not deposited, described in WO 02/036831 or U.S. Patent Application Publication No. 2008-070260); Event T227-1 (sugar beet, herbicide tolerance, not deposited, described in WO 02/44407 or U.S. Patent Application Publication No. 2009-265817); Event T25 (corn, herbicide tolerance, not deposited, described in U.S. Patent Application Publication No. 2001-029014 or WO 01/051654); Event T304-40 (cotton, insect control - herbicide tolerance, deposited as ATCC PTA-8171, described in U.S. Patent Application
- Event VIP1034 (corn, insect control - herbicide tolerance, deposited as ATCC PTA-3925., described in WO 03/052073), Event 32316 (corn, insect control-herbicide tolerance, deposited as PTA-11507, described in WO 11/084632), Event 4114 (corn, insect control-herbicide tolerance, deposited as PTA-11506, described in WO 11/084621) , Event DAS21606 (soybean, herbicide tolerance, deposited as ATTC PTA-11028, described in WO 2012/033794, Event DAS44406 (soybean, herbicide tolerance, deposited as ATCC PTA-11336, described in WO 2012/075426), Event FP72 (soybean, herbicide tolerance, deposited as NCIMB 41659, described in WO 2011/063411), Event KK179-2 (alfalfa, quality trait, deposited as ATCC PTA-11833, described
- Event MON87712 (soybean, deposited as ATTC PTA-10296, described in WO 2012/051199), Event MON88302 (oilseed rape, herbicide tolerance, described in WO 2011/153186), Event MS8 (oilseed rape, pollination control and herbicide tolerance, deposited as ATCC PTA-730, described in WO 2001/041558), Event MZDT09Y (corn, stress tolerance, deposited as ATCC PTA- 13025, described in WO 2013/012775), Event pDAB8264.42.32 (soybean, herbicide tolerance, deposited as ATCC PTA-11993, described in WO 2013/010094), Event pDAB8264.44.05 (soybean, herbicide tolerance, deposited as ATCC PTA-11336, described in WO 2012/075426), Event pDAB8291 (soybean, herbicide tolerance, deposited as ATCC PTA-11355, described in
- transgenic plants which may be treated according to the invention are plants containing transformation events, or combination of transformation events, that are listed for example in the databases from various national or regional regulatory agencies.
- a synergistic effect of fungicides is always present when the fungicidal activity of the active compound combinations exceeds the total of the activities of the active compounds when applied individually.
- the expected activity for a given combination of two active compounds can be calculated as follows (cf. Colby, S.R., "Calculating Synergistic and Antagonistic Responses of Herbicide Combinations", Weeds 1967, 15, 20-22):
- X is the efficacy when active compound A is applied at an application rate of m ppm (or g ha),
- Y is the efficacy when active compound B is applied at an application rate of n ppm (or g ha),
- E is the efficacy when the active compounds A and B are applied at application rates of m and n ppm (or g/ha), respectively, and
- ningnanmycin-containing formulations will be tested in combination with at least one fungicide to determine whether the two components act synergistically against various target plant pathogens.
- the 1) fermentation product containing ningnanmycin or the chemically synthesized ningnanmycin; 2) at least one fungicide; and 3) combinations thereof will be diluted with water to the desired concentrations.
- Fungicides to be tested include difenoconazole, fluopyram, fluxapyroxad, penflufen, prothioconazole, tebuconazole, 2,6-dimethyl-lH,5H- [l,4]dithiino[2,3-c:5,6-c']dipyrrole-l ,3,5,7(2H,6H)-tetrone, azoxystrobin, fenamidone, pyraclostrobin, trifloxystrobin, foseyl-Al, fenhexamid, spiroxamine, isotianil, propamocarb-HCl, fenhexamid, fluopicolide, mandipropamid, phosphorous acid, chlor
- ningnanmycin containing formulated product with the at least one fungicide will be greater than the calculated activity, i.e., a synergistic effect will be present.
- Example 3 Blumeria and Pyrenophora teres Tests (Barley)/Preventive
- the 1) fermentation product containing ningnanmycin or the chemically synthesized ningnanmycin; 2) at least one fungicide; and 3) combinations thereof will be diluted with water to the desired concentrations.
- Fungicides to be tested include difenoconazole, fluopyram, fluxapyroxad, penflufen, prothioconazole, tebuconazole, 2,6-dimethyl-lH,5H- [l,4]dithiino[2,3-c:5,6-c']dipyrrole-l ,3,5,7(2H,6H)-tetrone, azoxystrobin, fenamidone, pyraclostrobin, trifloxystrobin, foseyl-Al, fenhexamid, spiroxamine, isotianil, propamocarb-HCl, fenhexamid, fluopicolide, mandipropamid, phosphorous acid, chlor
- ningnanmycin containing formulated product with the at least one fungicide will be greater than the calculated activity, i.e., a synergistic effect will be present.
- Example 4 Puccinia triticina and Septoria tritici Tests (Wheat)/Preventive
- the 1) fermentation product containing ningnanmycin or the chemically synthesized ningnanmycin; 2) at least one fungicide; and 3) combinations thereof will be diluted with water to the desired concentrations.
- Fungicides to be tested include difenoconazole, fluopyram, fluxapyroxad, penflufen, prothioconazole, tebuconazole, 2,6-dimethyl-lH,5H- [l,4]dithiino[2,3-c:5,6-c']dipyrrole-l ,3,5,7(2H,6H)-tetrone, azoxystrobin, fenamidone, pyraclostrobin, trifloxystrobin, foseyl-Al, fenhexamid, spiroxamine, isotianil, propamocarb-HCl, fenhexamid, fluopicolide, mandipropamid, phosphorous acid,
- ningnanmycin containing formulated product with the at least one fungicide will be greater than the calculated activity, i.e., a synergistic effect will be present.
Landscapes
- Life Sciences & Earth Sciences (AREA)
- Agronomy & Crop Science (AREA)
- Pest Control & Pesticides (AREA)
- Plant Pathology (AREA)
- Health & Medical Sciences (AREA)
- Engineering & Computer Science (AREA)
- Dentistry (AREA)
- General Health & Medical Sciences (AREA)
- Wood Science & Technology (AREA)
- Zoology (AREA)
- Environmental Sciences (AREA)
- Agricultural Chemicals And Associated Chemicals (AREA)
- Plural Heterocyclic Compounds (AREA)
Abstract
The present invention relates to a composition comprising ningnanmycin and at least one fungicide (I) in a synergistic ally effective amount, with the proviso that fungicide (I) is not ningnanmycin. Furthermore, the present invention relates to the use of this composition as well as a method for reducing overall damage to plants and plant parts.
Description
COMPOSITIONS COMPRISING NINGNANMYCIN AND A FUNGICIDE
BACKGROUND
Field of the Invention
[0001] The present invention relates to a composition comprising ningnanmycin and at least one fungicide (I) in a synergistic ally effective amount, with the proviso that fungicide is not ningnanmycin. Furthermore, the present invention relates to the use of this composition as well as a method for reducing overall damage to plants and plant parts. Description of Related Art
[0002] Synthetic insecticides or fungicides often are non-specific and therefore can act on organisms other than target ones, including other naturally occurring beneficial organisms. Because of their chemical nature, they may be also toxic and non-biodegradable. Consumers worldwide are increasingly conscious of the potential environmental and health problems associated with the residuals of chemicals, particularly in food products. This has resulted in growing consumer pressure to reduce the use or at least the quantity of chemical (i.e., synthetic) pesticides. Thus, there is a need to manage food chain requirements while still allowing effective pest control.
[0003] A further problem arising with the use of synthetic insecticides or fungicides is that the repeated and exclusive application of an insecticide or fungicides often leads to selection of resistant microorganisms. Normally, such strains are also cross-resistant against other active ingredients having the same mode of action. An effective control of the pathogens with said active compounds is then not possible any longer. However, active ingredients having new mechanisms of action are difficult and expensive to develop.
[0004] The risk of resistance development in pathogen populations as well as environmental and human health concerns have fostered interest in identifying alternatives to synthetic insecticides and fungicides for managing plant diseases. The use of biological control agents (BCAs) is one alternative. In some cases the effectiveness of BCAs is not at the same level as for conventional insecticides and fungicides, especially in case of severe infection pressure. Consequently, in some circumstances, biological control agents, their mutants and metabolites produced by them are, in particular in low application rates, not entirely satisfactory.
[0005] Thus, there is a constant need for developing new, alternative plant protection agents which in some areas at least help to fulfill the above-mentioned requirements.
SUMMARY
[0006] In view of this, it was in particular an object of the present invention to provide compositions which exhibit activity against insects, mites, nematodes and/or
phytopathogens. Moreover, it was a further particular object of the present invention, to reduce the application rates and broaden the activity spectrum of the biological control agents and fungicides, and thereby to provide a composition which, preferably at a reduced total amount of active compounds applied, has improved activity against insects, mites, nematodes and/or phytopathogens. In particular, it was a further object of the present invention to provide a composition which, when applied to a crop, results in a decreased amount of residues in the crop, thereby reducing the risk of resistance formation and nevertheless provides efficient disease control.
[0007] Accordingly, it was found that these objects at least partly are solved by the compositions according to the invention as defined in the following. The composition according to the present invention preferably fulfills the above-described needs. It has been surprisingly discovered that the application of the composition according to the present invention in a simultaneous or sequential way to plants, plant parts, harvested fruits, vegetables and/or plant's locus of growth preferably allows better control of insects, mites, nematodes and/or
phytopathogens than is possible with the strains, their mutants and/or at least one metabolite produced by the strains on the one hand and with the individual fungicides on the other hand, alone (synergistic mixtures). By applying ningnanmycin and the fungicide according to the invention the activity against insects, mites, nematodes and/or phytopathogens is preferably increased in a superadditive manner. Perferably, the application of the composition according to the invention induces an increase in the activity of phytopathogens in a superadditive manner.
[0008] As a consequence, the composition according to the present invention preferably allows a reduced total amount of both ningnanmycin and fungicide to be used and thus the crops which have been treated by this composition preferably show a decreased amount of residues in the crop. Accordingly, the risk of resistance formation of harmful microorganisms is decreased.
[0009] The present invention is directed to a composition comprising (a)
ningnanmycin and (b) at least one fungicide (I) in a synergistically effective amount, with the proviso that the at least one fungicide (I) is not ningnanmycin.
[00010] In some embodiments, the ningnanmycin is isolated ningnanmycin while in others the ningnanmycin is a component of a fermentation product. A fermentation product containing ningnanmycin can be made by culturing Streptomyces noursei, var. Xichangensis
(China General Microbiological Culture Collection (CGMCC) Accession No. 0194) or its mutants.
[00011] In certain aspects, the compositions of the present invention comprise ningnanmycin and/or a stereoisomer thereof. Ningnanmycin (also known as (2S,3S,4S,5R,6R)- 6-(4-Amino-2-oxo-l(2H)-pyrimidinyl)-4,5-dihydroxy-3-{ [(2S)-3-hydroxy-2- { [(methylamino)acetyl]amino}propanoyl]amino}tetrahydro-2H-pyran-2-carboxamide) has six stereocenters and various stereoisomers. Gougerotin is one of these stereoisomers. In certain embodiments, the composition comprises a stereoisomer of ningnanmycin with the proviso that the stereoisomer is not gougerotin.
[00012] Furthermore, the present invention relates to a kit of parts comprising ningnanmycin and at least one fungicide (I). The present invention is further directed to the use of said composition as fungicide and/or insecticide. Moreover, it is directed to the use of said composition for reducing overall damage of plants and plant parts as well as losses in harvested fruits or vegetables caused by insects, mites, nematodes and/or phytopathogens.
[00013] Moreover, the present invention provides a method for reducing overall damage of plants and plant parts as well as losses in harvested fruits or vegetables caused by insects, mites, nematodes and/or phytopathogens.
DETAILED DESCRIPTION
[00014] In the present invention, "ningnanmycin" refers to the compound
(2S,3S,4S,5R,6R)-6-(4-Amino-2-oxo-l(2H)-pyrimidinyl)-4,5-dihydroxy-3-{ [(2S)-3-hydroxy-2- { [(methylamino)acetyl]amino}propanoyl]amino}tetrahydro-2H-pyran-2-carboxamide or more commonly known as ningnanmycin. The chemical structure of ningnanmycin is depicted below.
[00015] Ningnanmycin can be produced by fermentation of the soil actinomycete bacteria Streptomyces noursei, var. Xichangensis (also known as the Knowles Streptomyces Xichang variant; see Chen et ah, 1983, "Identification of Streptomyces noursei var.
Xichangensis" Acta Microbiologic a Sinica 23 (4):305-308)). Ningnanmycin is also
commercially available {e.g., Deqiang Biological Co., LTD (formerly Qianer), Harbin,
Helongjiang, China; Greeno Chemical Co., Ltd., Shanghai, China). The ningnanmycin used in the present invention can be from any known source, for example, produced by fermentation of a microorganism and, optionally, subsequently isolated from the fermentation broth or made by chemical synthesis.
[00016] In accordance with the above, "isolated ningnanmycin" as used herein refers to the purified chemical molecule that in case of fermentation has been isolated from the fermentation broth or in case of chemical synthesis has been obtained as the end result of this chemical synthesis and is available in essentially pure form. "Essentially pure" means that ningnanmycin in the main product that has been freed from impurities and side products. The ningnanmycin used in compositions of the invention may thus be at least 80% pure, at least 90% pure, at least 95% pure, at least 98% pure or even purer.
[00017] In the present invention, "gougerotin" refers to the compound l-(4-Amino-2- oxo-l(2H)-pyrimidinyl)-l,4-dideoxy-4-[[N-(N-methylglycyl)-D-seryl]amino]-b-D- glucopyranuronamide, also known by its trivial name gougerotin. Another name for gougerotin is (2S,3S,4S,5R,6R)-6-(4-Amino-2-oxo-l(2H)-pyrimidinyl)-4,5-dihydroxy-3-{ [(2R)-3-hydroxy- 2- { [(methylamino)acetyl] amino } propanoyl] amino } tetrahydro-2H-pyran-2-carboxamide. The chemical structure of gougerotin is depicted in the following.
[00018] In certain aspects, the composition comprises a stereoisomer or analog of ningnanmycin or gougerotin. The chemical synthesis of various stereoisomers and analogs of ningnanmycin and gougerotin is known in the art {see, e.g., Coutsogeorgopoulos et al., 1975, "Inhibitors of Protein Synthesis. 4. Studies on the Structure- Activity Relationship of Gougerotin and Some of Its Analogs", Journal of Medicinal Chemistry, 18(8):771-776). In certain embodiments, the composition comprises a stereoisomer of ningnanmycin with the proviso that the stereoisomer is not gougerotin.
[00019] In general "pesticidal" means the ability of a substance to increase mortality or inhibit the growth rate of plant pests. The term is used herein, to describe the property of a substance to exhibit activity against insects, mites, nematodes and/or phytopathogens. In the sense of the present invention the term "pests" include insects, mites, nematodes and/or phytopathogens.
[00020] As used herein, "biological control" is defined as control of a pathogen and/or insect and/or an acarid and/or a nematode by the use of a second organism. Known mechanisms of biological control include bacteria that control root rot by out-competing fungi for space or nutrients on the surface of the root. Bacterial toxins, such as antibiotics, have been used to control pathogens. The toxin can be isolated and applied directly to the plant or the bacterial species may be administered so it produces the toxin in situ. Other means of exerting biological control include the application of certain fungi producing ingredients active against a target phytopathogen, insect, mite or nematode, or attacking the target pest/pathogen. "Biological control" as used in connection with the present invention may also encompass microorganisms having a beneficial effect on plant health, growth, vigor, stress response or yield. Application routes include spray application soil application and seed treatment.
[00021] "Insecticides" as well as the term "insecticidal" refers to the ability of a substance to increase mortality or inhibit growth rate of insects. As used herein, the term "insects" includes all organisms in the class "Insecta". The term "pre-adult" insects refers to any form of an organism prior to the adult stage, including, for example, eggs, larvae, and nymphs.
[00022] "Nematicides" and "nematicidal" refers to the ability of a substance to increase mortality or inhibit the growth rate of nematodes. In general, the term "nematode" comprises eggs, larvae, juvenile and mature forms of said organism.
[00023] "Acaricide" and "acaricidal" refers to the ability of a substance to increase mortality or inhibit growth rate of ectoparasites belonging to the class Arachnida, sub-class Acari.
[00024] The term "metabolite" refers to any compound, substance or byproduct of a fermentation of a microorganism that has pesticidal, fungicidal or nematicidal activity. One such metabolite, produced e.g., by Streptomyces noursei, var. Xichangensis CGMCC Accession No. 0194 or its mutants, is ningnanmycin that may be isolated for use in compositions of this invention. Said metabolite may be contained in or isolated from a fermentation broth such as fermentation broth containing said metabolite.
[00025] The term "mutant" refers to a variant of the parental strain as well as methods for obtaining a mutant or variant in which the pesticidal activity of its metabolites is greater than that expressed by the parental strain. The "parent strain" is defined herein as the original strain before mutagenesis or the deposited strain. To obtain such mutants the parental strain may be treated with a chemical such as N-methyl-N'-nitro-N-nitrosoguanidine, ethylmethanesulfone, or by irradiation using gamma, x-ray, or UV-irradiation, or by other means well known to those skilled in the art. The term "mutant" refers to a genetic variant derived from Streptomyces noursei, var. Xichangensis CGMCC Accession No. 0194. In one embodiment, the mutant has one or more or all the identifying (functional) characteristics of Streptomyces noursei, var.
Xichangensis CGMCC Accession No. 0194. Such mutants may be genetic variants having a genomic sequence that has greater than about 85%, greater than about 90%, greater than about 95%, greater than about 98%, or greater than about 99% sequence identity to Streptomyces noursei, var. Xichangensis CGMCC Accession No. 0194. Mutants may be obtained by treating Streptomyces noursei, var. Xichangensis CGMCC Accession No. 0194 cells with chemicals or irradiation or by selecting spontaneous mutants from a population of Streptomyces noursei, var. Xichangensis CGMCC Accession No. 0194 cells (such as phage resistant or antibiotic resistant mutants) or by other means well known to those practiced in the art.
[00026] Suitable chemicals for mutagenesis of Streptomyces noursei, var.
Xichangensis include hydroxylamine hydrochloride, methyl methanesulfonate (MMS), ethyl methanesulfonate (EMS), 4-nitroquinoline 1 -oxide (NQO), mitomycin C or N-methyl-N'-nitro- N-nitrosoguanidine (NTG), to mention only a few (cf., for example, Stonesifer & Baltz, Proc. Natl. Acad. Sci. USA Vol. 82, pp. 1180-1183, February 1985). The mutagenesis of Streptomyces strains by, for example, NTG, using spore solutions of the respective Streptomcyes strain is well known to the person skilled in the art. See, for example Delic et al. , Mutation
Research/Fundamental and Molecular Mechanisms of Mutagenesis, Volume 9, Issue 2, February 1970, pages 167-182, or Chen et al. , J Antibiot (Tokyo), 2001 Nov; 54(11), pages 967-972.). In more detail, Streptomyces noursei, var. Xichangensis can be subjected to mutation by NTG using the protocol described in Kieser, T., et al. , 2000, supra. Practical Streptomyces Genetics, Ch. 5 John Innes Centre, Norwich Research Park England, (2000), pp. 99-107. Mutagenesis of spores
of Streptomyces noursei, var. Xichangensis by ultraviolet light (UV) can be carried out using standard protocols. For example, a spore suspension of the Streptomyces strain (freshly prepared or frozen in 20% glycerol) can be suspended in a medium that does not absorb UV light at a wave length of 254 nm (for example, water or 20% glycerol are suitable). The spore suspension is then placed in a glass Petri dish and irradiated with a low pressure mercury vapour lamp that emits most of its energy at 254 nm with constant agitation for an appropriate time at 30° C (the most appropriate time of irradiation can be determined by first plotting a dose-survival curve). Slants or plates of non-selective medium can, for example, then be inoculated with the dense irradiated spore suspension and the so obtained mutant strains can be assessed for their properties as explained in the following. See Kieser, T., et al., 2000, supra.
[00027] The mutant strain used in the present invention can be any mutant strain that has one or more or all the identifying characteristics of Streptomyces noursei, var. Xichangensis CGMCC Accession No. 0194 and in particular biological activity of its fermentation product that is comparable or better than that of Streptomyces noursei, var. Xichangensis CGMCC Accession No. 0194.
[00028] A "variant" is a strain having all the identifying characteristics of the NRRL or ATCC Accession Numbers as indicated in this text and can be identified as having a genome that hybridizes under conditions of high stringency to the genome of the NRRL or ATCC Accession Numbers.
[00029] "Hybridization" refers to a reaction in which one or more polynucleotides react to form a complex that is stabilized via hydrogen bonding between the bases of the nucleotide residues. The hydrogen bonding may occur by Watson-Crick base pairing, Hoogstein binding, or in any other sequence-specific manner. The complex may comprise two strands forming a duplex structure, three or more strands forming a multi- stranded complex, a single self -hybridizing strand, or any combination of these. Hybridization reactions can be performed under conditions of different "stringency". In general, a low stringency hybridization reaction is carried out at about 40° C in 10 X SSC or a solution of equivalent ionic strength/temperature. A moderate stringency hybridization is typically performed at about 50° C in 6 X SSC, and a high stringency hybridization reaction is generally performed at about 60° C in l X SSC.
[00030] A variant of the indicated NRRL or ATCC Accession Number may also be defined as a strain having a genomic sequence that is greater than 85%, more preferably greater than 90% or more preferably greater than 95% sequence identity to the genome of the indicated NRRL or ATCC Accession Number. A polynucleotide or polynucleotide region (or a polypeptide or polypeptide region) has a certain percentage (for example, 80%, 85%, 90%, 95%, 96%, 97%, 98% or 99%) of "sequence identity" to another sequence means that, when aligned,
that percentage of bases (or amino acids) are the same in comparing the two sequences. This alignment and the percent homology or sequence identity can be determined using software programs known in the art, for example, those described in Current Protocols in Molecular Biology (F. M. Ausubel et al., eds., 1987) Supplement 30, section 7. 7. 18, Table 7. 7. 1.
[00031] The Knowles Streptomyces Xichang variant {Streptomyces noursei var.
Xichangensis) has Accession number CGMCC NO. 0194 and was deposited on April 23, 1993, with the Preservation Unit: Chinese Culture Collection Management Committee General Microbiology Center (Beijing).
[00032] CGMCC is the abbreviation for the China General Microbiological Culture Collection, an international depositary authority for the purposes of deposing microorganism strains under the Budapest Treaty on the international recognition of the deposit of
microorganisms for the purposes of patent procedure, having the address No. l Beichen West Road, Chaoyang District, Beijing 100101, China.
[00033] NRRL is the abbreviation for the Agricultural Research Service Culture Collection, an international depositary authority for the purposes of deposing microorganism strains under the Budapest Treaty on the international recognition of the deposit of
microorganisms for the purposes of patent procedure, having the address National Center for Agricultural Utilization Research, Agricultural ResearchService, U.S. Department of Agriculture, 1815 North University Street, Peoria, Illinois 61604, U.S.A.
[00034] ATCC is the abbreviation for the American Type Culture Collection, an international depositary authority for the purposes of deposing microorganism strains under the Budapest Treaty on the international recognition of the deposit of microorganisms for the purposes of patent procedure, having the address ATCC Patent Depository, 10801 University Blvd., Manassas, Virginia 10110, U.S.A.
[00035] Several Streptomyces strains have been described for use in agriculture. In relation to a possible agricultural use, Streptomyces strains have been predominantly described in publications from the late 1960s and early 1970s. See, for example, the British Patent No. GB 1 507 193 that describes the Streptomyces rimofaciens strain no. B-98891, deposited as ATCC 31120, which produces the antibiotic B-98891. According to GB 1 507 193, filed March 1975, the antibiotic B-98891 is the active ingredient that provides antifungal activity of the
Streptomyces rimofaciens strain no. B-98891 against powdery mildew. U.S. Patent No.
3,849,398, filed August 2, 1972, describes that the strain Streptomyces toyocaensis var.
aspiculamyceticus produces the antibiotic aspiculamycin which is also known as gougerotin (see, Toru Ikeuchi et al., 25, J. ANTIBIOTICS, 548 (Sept. 1972). According to U.S. Patent No.
3,849,398, gougerotin has parasiticidal action against parasites on animals, such as pin worm and
the like, although gougerotin is said to show a weak antibacterial activity against gram-positive, gram-negative bacteria and tubercule bacillus. Similarly, Japanese Patent Application No. JP 53109998 (A), published 1978, reports the strain Streptomyces toyocaensis (LA-681) and its ability to produce gougerotin for use as miticide. However, it is to be noted that no miticidal product based on such Streptomcyes strains is commercially available.
[00036] According to one embodiment of the present invention the ningnanmycin is derived from a whole broth culture of isolated, pure cultures of the respective microorganisms or a metabolite-containing supernatant or a purified metabolite obtained from whole broth culture of the strain. "Whole broth culture" refers to a liquid culture containing both cells and media. "Supernatant" refers to the liquid broth remaining when cells grown in broth are removed by centrifugation, filtration, sedimentation, or other means well known in the art.
[00037] Compositions of the present invention can be obtained from synthetically made ningnanmycin. Alternatively, compositions of the present invention can be obtained by means of culturing Streptomyces strains such as Streptomyces noursei, var. Xichangensis CGMCC Accession No. 0194 or mutants derived from it using conventional large-scale microbial fermentation processes, such as submerged fermentation, solid state fermentation or liquid surface culture, including the methods described, for example, in U.S. Patent No.
3,849,398; British Patent No. GB 1 507 193; Toshiko Kanzaki et al, Journal of Antibiotics, Ser. A, Vol. 15, No.2, Jun. 1961 , pages 93 to 97; or Toru Ikeuchi et al, Journal of Antibiotics, (Sept. 1972), pages 548 to 550. Additional methods for culturing Streptomyces strains such as
Streptomyces noursei, var. Xichangensis CGMCC Accession No. 0194 or mutants thereof are described in Chinese Patent Application No. CN 101978827 entitled "Ningnanmycin
Composition and Preparation Method Thereof."
[00038] Culturing of the Streptomyces strains may be followed by isolation of ningnanmycin from the fermentation broth. For example, ningnanmycin can be isolated from the filtered fermentation broth as described by Toshiko Kanzaki et al , supra or as disclosed in U.S. Patent No. 3,849,398, after adjustment of the pH of the fermentation broth to acidic to neutral together with filter aids such as diatomaceous earth, removing mycelium, passing the filtrate onto a cation exchange, thereby to have ningnanmycin adsorbed on the cation exchange and then eluting the adsorbed ningnanmycin with an appropriate acid, alkali or inorganic salt solution. The so obtained ningnanmycin may be further purified from other chemicals contained in the eluate such as tetraene or toyocamycin by subsequent steps as also described in Toshiko Kanzaki et al , supra or U.S. Patent No. 3,849,398. Fermentation is configured to obtain high levels of live biomass, particularly spores, and desirable secondary metabolites including ningnanmycin in the fermentation vessels.
[00039] The bacterial cells, spores and metabolites in culture broth resulting from fermentation (the "whole broth" or "fermentation broth") may be used directly for isolation of ningnanmycin. Alternatively, for the isolation of ningnanmycin the whole broth may be concentrated by conventional industrial methods, such as centrifugation, filtration, and evaporationfor example.
[00040] The terms "whole broth" and "fermentation broth," as used herein, refer to the culture broth resulting from fermentation (including the production of a culture broth that contains ningnanmycin in a concentration of at least about 1 g/L) before any downstream treatment. The whole broth encompasses the ningnanmycin producing microorganism (e.g., Streptomyces noursei, var. Xichangensis CGMCC Accession No. 0194 or a phytophagous- miticidal mutant strain thereof) and its component parts, unused raw substrates, and metabolites produced by the microorganism during fermentation. The term "broth concentrate," as used herein, refers to whole broth (fermentation broth) that has been concentrated by conventional industrial methods, as described above, but remains in liquid form. The term "fermentation solid," as used herein, refers to dried fermentation broth. The term "fermentation product," as used herein, refers to whole broth, broth concentrate and/or even fermentation solids.
Compositions of the present invention include fermentation products. In some embodiments, the concentrated fermentation broth is washed, for example, via a diafiltration process, to remove residual fermentation broth and metabolites.
[00041] In another embodiment, the fermentation broth or broth concentrate can be dried with or without the addition of carriers, inerts, or additives using conventional drying processes or methods such as spray drying, freeze drying, tray drying, fluidized-bed drying, drum drying, or evaporation.
[00042] In general, "fungicidal" means the ability of a substance to increase mortality or inhibit the growth rate of fungi.
[00043] The term "fungus" or "fungi" includes a wide variety of nucleated
sporebearing organisms that are devoid of chlorophyll. Examples of fungi include yeasts, molds, mildews, rusts, and mushrooms.
[00044] The composition according to the present invention comprises at least one fungicide (I), with the proviso that the fungicide is not ningnanmycin.
[00045] According to one embodiment of the present invention preferred fungicides (I) are selected from the group consisting of:
(1) inhibitors of the ergosterol biosynthesis, for example (Fl) aldimorph (1704-28-5), (F2) azaconazole (60207-31-0), (F3) bitertanol (55179-31-2), (F4) bromuconazole (116255-48- 2), (F5) cyproconazole (113096-99-4), (F6) diclobutrazole (75736-33-3), (F7) difenoconazole
(119446-68-3), (F8) diniconazole (83657-24-3), (F9) diniconazole-M (83657-18-5), (F10) dodemorph (1593-77-7), (Fl l) dodemorph acetate (31717-87-0), (F12) epoxiconazole (106325- 08-0), (F13) etaconazole (60207-93-4), (F14) fenarimol (60168-88-9), (F15) fenbuconazole (114369-43-6), (F16) fenhexamid (126833-17-8), (F17) fenpropidin (67306-00-7), (F18) fenpropimorph (67306-03-0), (F19) fluquinconazole (136426-54-5), (F20) flurprimidol (56425- 91-3), (F21) flusilazole (85509-19-9), (F22) flutriafol (76674-21-0), (F23) furconazole (112839- 33-5), (F24) furconazole-cis (112839-32-4), (F25) hexaconazole (79983-71-4), (F26) imazalil (60534-80-7), (F27) imazalil sulfate (58594-72-2), (F28) imibenconazole (86598-92-7), (F29) ipconazole (125225-28-7), (F30) metconazole (125116-23-6), (F31) myclobutanil (88671-89-0), (F32) naftifine (65472-88-0), (F33) nuarimol (63284-71-9), (F34) oxpoconazole (174212-12-5), (F35) paclobutrazol (76738-62-0), (F36) pefurazoate (101903-30-4), (F37) penconazole (66246- 88-6), (F38) piperalin (3478-94-2), (F39) prochloraz (67747-09-5), (F40) propiconazole (60207- 90-1), (F41) prothioconazole (178928-70-6), (F42) pyributicarb (88678-67-5), (F43) pyrifenox (88283-41-4), (F44) quinconazole (103970-75-8), (F45) simeconazole (149508-90-7), (F46) spiroxamine (118134-30-8), (F47) tebuconazole (107534-96-3), (F48) terbinafine (91161-71-6), (F49) tetraconazole (112281-77-3), (F50) triadimefon (43121-43-3), (F51) triadimenol (89482- 17-7), (F52) tridemorph (81412-43-3), (F53) triflumizole (68694-11-1), (F54) triforine (26644- 46-2), (F55) triticonazole (131983-72-7), (F56) uniconazole (83657-22-1), (F57) uniconazole-p (83657-17-4), (F58) viniconazole (77174-66-4), (F59) voriconazole (137234-62-9), (F60) l-(4- chlorophenyl)-2-(lH-l,2,4-triazol-l-yl)cycloheptanol (129586-32-9), (F61) methyl l-(2,2- dimethyl-2,3-dihydro-lH-inden-l-yl)-lH-imidazole-5-carboxylate (110323-95-0), (F62) N'-{5- (difluoromethyl)-2-methyl-4-[3-(trimethylsilyl)propoxy]phenyl}-N-ethyl-N- methylimidoformamide, (F63) N-ethyl-N-methyl-N'- { 2-methyl-5-(trifluoromethyl)-4-[3- (trimethylsilyl)propoxy]phenyl } imidoformamide, (F64) O- [ 1 -(4-methoxyphenoxy)-3,3- dimethylbutan-2-yl] lH-imidazole-l-carbothioate (111226-71-2);
(2) inhibitors of the respiratory chain at complex I or II, for example (F65) bixafen (581809-46-3), (F66) boscalid (188425-85-6), (F67) carboxin (5234-68-4), (F68) diflumetorim (130339-07-0), (F69) fenfuram (24691-80-3), (F70) fluopyram (658066-35-4), (F71) flutolanil (66332-96-5), (F72) fluxapyroxad (907204-31-3), (F73) furametpyr (123572-88-3), (F74) furmecyclox (60568-05-0), (F75) isopyrazam (mixture of syn-epimeric racemate 1RS,4SR,9RS and anti-epimeric racemate 1RS,4SR,9SR) (881685-58-1), (F76) isopyrazam (anti-epimeric racemate 1RS,4SR,9SR), (F77) isopyrazam (anti-epimeric enantiomer 1R,4S,9S), (F78) isopyrazam (anti-epimeric enantiomer 1S,4R,9R), (F79) isopyrazam (syn epimeric racemate 1RS,4SR,9RS), (F80) isopyrazam (syn-epimeric enantiomer 1R,4S,9R), (F81) isopyrazam (syn- epimeric enantiomer 1S,4R,9S), (F82) mepronil (55814-41-0), (F83) oxycarboxin (5259-88-1),
(F84) penflufen (494793-67-8), (F85) penthiopyrad (183675-82-3), (F86) sedaxane (874967-67- 6), (F87) thifluzamide (130000-40-7), (F88) l-methyl-N-[2-(l,l,2,2-tetrafluoroethoxy)phenyl]-3- (trifluoromethyl)-lH-pyrazole-4-carboxamide, (F89) 3-(difluoromethyl)-l-methyl-N-[2-(l, 1,2,2- tetrafluoroethoxy)phenyl]-lH-pyrazole-4-carboxamide, (F90) 3-(difluoromethyl)-N-[4-fluoro-2- (1,1,2,3, 3, 3-hexafluoropropoxy)phenyl]-l-methyl-lH-pyrazole-4-carboxamide, (F91) N-[l-(2,4- dichlorophenyl)- 1 -methoxypropan-2-yl]-3-(difluoromethyl)- 1 -methyl- 1 H-pyrazole-4- carboxamide (1092400-95-7), (F92) 5,8-difluoro-N-[2-(2-fluoro-4-{ [4-(trifluoromethyl)pyridin- 2-yl]oxy}phenyl)ethyl]quinazolin-4-amine (1210070-84-0), (F93) benzovindiflupyr, (F94) N- [(lS,4R)-9-(dichloromethylene)-l,2,3,4-tetrahydro-l,4-methanonaphthalen-5-yl]-3- (difluoromethyl)-l -methyl- lH-pyrazole-4-carboxamide, (F95) N-[(lR,4S)-9-
(dichloromethylene)- 1 ,2,3 ,4-tetrahydro- 1 ,4-methanonaphthalen-5 -yl] -3 -(difluoromethyl)- 1 - methyl- lH-pyrazole-4-carboxamide, (F96) 3-(Difluormethyl)-l-methyl-N-(l,l,3-trimethyl-2,3- dihydro- lH-inden-4-yl)- lH-pyrazol-4-carboxamid, (F97) 1 ,3,5-Trimethyl-N-(l , 1 ,3-trimethyl- 2,3-dihydro-lH-inden-4-yl)-lH-pyrazol-4-carboxamid, (F98) l-Methyl-3-(trifluormethyl)-N- (l,3,3-trimethyl-2,3-dihydro-lH-inden-4-yl)-lH-pyrazol-4-carboxamid, (F99) l-Methyl-3-
(trifluormethyl)-N-[(l S)- 1 ,3,3-trimethyl-2,3-dihydro- lH-inden-4-yl]- lH-pyrazol-4-carboxamid, (F100) l-Methyl-3-(trifluormethyl)-N-[(lR)-l,3,3-trimethyl-2,3-dihydro-lH-inden-4-yl]-lH- pyrazol-4-carboxamid, (F101) 3-(Difluormethyl)-l-methyl-N-[(3S)-l,l,3-trimethyl-2,3-dihydro- lH-inden-4-yl]-lH-pyrazol-4-carboxamid, (F102) 3-(Difluormethyl)-l-methyl-N-[(3R)-l,l,3- trimethyl-2,3-dihydro-lH-inden-4-yl]-lH-pyrazol-4-carboxamid, (F103) 1,3,5-Trimethyl-N- [(3R)-l,l,3-trimethyl-2,3-dihydro-lH-inden-4-yl]-lH-pyrazol-4-carboxamid, (F104) 1,3,5- Trimethyl-N-[(3S)-l,l,3-trimethyl-2,3-dihydro-lH-inden-4-yl]-lH-pyrazol-4-carboxamid;
(3) inhibitors of the respiratory chain at complex ΠΙ, for example (F105) ametoctradin (865318-97-4), (F106) amisulbrom (348635-87-0), (F107) azoxystrobin (131860-33-8), (F108) cyazofamid (120116-88-3), (F109) coumethoxystrobin (850881-30-0), (Fl 10) coumoxystrobin (850881-70-8), (Fi l l) dimoxystrobin (141600-52-4), (F112) enestroburin (238410-11-2), (F113) famoxadone (131807-57-3), (F114) fenamidone (161326-34-7), (F115) fenoxystrobin (918162- 02-4), (F116) fluoxastrobin (361377-29-9), (F117) kresoxim-methyl (143390-89-0), (F118) metominostrobin (133408-50-1), (F119) orysastrobin (189892-69-1), (F120) picoxystrobin (117428-22-5), (F121) pyraclostrobin (175013-18-0), (F122) pyrametostrobin (915410-70-7), (F123) pyraoxystrobin (862588-11-2), (F124) pyribencarb (799247-52-2), (F125) triclopyricarb (902760-40-1), (F126) trifloxystrobin (141517-21-7), (F127) (2E)-2-(2-{ [6-(3-chloro-2- methylphenoxy)-5-fluoropyrimidin-4-yl]oxy}phenyl)-2-(methoxyimino)-N-methylethanamide, (F128) (2E)-2-(methoxyimino)-N-methyl-2-(2-{ [({(lE)-l-[3- (trifluoromethyl)phenyl]ethylidene}amino)oxy]methyl}phenyl)ethanamide, (F129) (2E)-2-
(methoxyimino)-N-methyl-2- { 2- [(E)-( { 1 - [3 -
(trifluoromethyl)phenyl]ethoxy}imino)methyl]phenyl}ethanamide (158169-73-4), (F130) (2E)- 2- { 2 - [( { [( 1 E) - 1 - (3 - { [(E) - 1 -fluoro-2- phenylethenyl]oxy}phenyl)ethylidene]amino}oxy)methyl]phenyl}-2-(methoxyimino)-N- methylethanamide (326896-28-0), (F131) (2E)-2-{2-[({ [(2E,3E)-4-(2,6-dichlorophenyl)but-3-en- 2-ylidene]amino}oxy)methyl]phenyl}-2-(methoxyimino)-N-methylethanamide, (F132) 2-chloro- N-(l,l,3-trimethyl-2,3-dihydro-lH-inden-4-yl)pyridine-3-carboxamide (119899-14-8), (F133) 5- methoxy-2-methyl-4-(2- { [( { ( 1 E) - 1 - [3-
(trifluoromethyl)phenyl]ethylidene } amino)oxy]methyl }phenyl)-2,4-dihydro-3H- 1 ,2,4-triazol-3- one, (F134) methyl (2E)-2-{2-[({cyclopropyl[(4- methoxyphenyl)imino]methyl } sulfanyl)methyl]phenyl } -3-methoxyprop-2-enoate (149601 -03-6), (F135) N-(3-ethyl-3,5,5-trimethylcyclohexyl)-3-(formylamino)-2-hydroxybenzamide (226551- 21-9), (F136) 2-{2-[(2,5-dimethylphenoxy)methyl]phenyl}-2-methoxy-N-methylacetamide (173662-97-0), (F137) (2R)-2-{2-[(2,5-dimethylphenoxy)methyl]phenyl}-2-methoxy-N- methylacetamide (394657-24-0);
(4) inhibitors of the mitosis and cell division, for example (F138) benomyl (17804-35-2), (F139) carbendazim (10605-21-7), (F140) chlorfenazole (3574-96-7), (F141) diethofencarb (87130-20-9), (F142) ethaboxam (162650-77-3), (F143) fluopicolide (239110-15-7), (F144) fuberidazole (3878-19-1), (F145) pencycuron (66063-05-6), (F146) thiabendazole (148-79-8), (F147) thiophanate-methyl (23564-05-8), (F148) thiophanate (23564-06-9), (F149) zoxamide (156052-68-5), (F150) 5-chloro-7-(4-methylpiperidin-l-yl)-6-(2,4,6- trifluorophenyl)[l,2,4]triazolo[l,5-a]pyrimidine (214706-53-3), (F151) 3-chloro-5-(6- chloropyridin-3-yl)-6-methyl-4-(2,4,6-trifluorophenyl)pyridazine (1002756-87-7);
(5) compounds capable to have a multisite action, like for example (F152) bordeaux mixture (8011-63-0), (F153) captafol (2425-06-1), (F154) captan (133-06-2), (F155)
chlorothalonil (1897-45-6), (F156) copper hydroxide (20427-59-2), (F157) copper naphthenate (1338-02-9), (F158) copper oxide (1317-39-1), (F159) copper oxychloride (1332-40-7), (F160) copper(2+) sulfate (7758-98-7), (F161) dichlofluanid (1085-98-9), (F162) dithianon (3347-22-6), (F163) dodine (2439-10-3), (F164) dodine free base, (F165) ferbam (14484-64-1), (F166) fluorofolpet (719-96-0), (F167) folpet (133-07-3), (F168) guazatine (108173-90-6), (F169) guazatine acetate, (F170) iminoctadine (13516-27-3), (F171) iminoctadine albesilate (169202-06- 6), (F172) iminoctadine triacetate (57520-17-9), (F173) mancopper (53988-93-5), (F174) mancozeb (8018-01-7), (F175) maneb (12427-38-2), (F176) metiram (9006-42-2), (F177) metiram zinc (9006-42-2), (F178) oxine-copper (10380-28-6), (F179) propamidine (104-32-5), (F180) propineb (12071-83-9), (F181) sulphur and sulphur preparations including calcium
polysulphide (7704-34-9), (F182) thiram (137-26-8), (F183) tolylfluanid (731-27-1), (F184) zineb (12122-67-7), (F185) ziram (137-30-4);
(6) compounds capable to induce a host defence, like for example (F186) acibenzolar-S- methyl (135158-54-2), (F187) isotianil (224049-04-1), (F188) probenazole (27605-76-1), (F189) tiadinil (223580-51-6);
(7) inhibitors of the amino acid and/or protein biosynthesis, for example (F190) andoprim (23951-85-1), (F191) blasticidin-S (2079-00-7), (F192) cyprodinil (121552-61-2), (F193) kasugamycin (6980-18-3), (F194) kasugamycin hydrochloride hydrate (19408-46-9), (F195) mepanipyrim (110235-47-7), (F196) pyrimethanil (53112-28-0), (F197) 3-(5-fluoro-3,3,4,4- tetramethyl-3,4-dihydroisoquinolin-l-yl)quinoline (861647-32-7);
(8) inhibitors of the ATP production, for example (F198) fentin acetate (900-95-8), (F199) fentin chloride (639-58-7), (F200) fentin hydroxide (76-87-9), (F201) silthiofam (175217- 20-6);
(9) inhibitors of the cell wall synthesis, for example (F202) benthiavalicarb (177406-68- 7), (F203) dimethomorph (110488-70-5), (F204) flumorph (211867-47-9), (F205) iprovalicarb
(140923-17-7), (F206) mandipropamid (374726-62-2), (F207) polyoxins (11113-80-7), (F208) polyoxorim (22976-86-9), (F209) validamycin A (37248-47-8), (F210) valifenalate (283159-94- 4; 283159-90-0);
(10) inhibitors of the lipid and membrane synthesis, for example (F211) biphenyl (92-52- 4), (F212) chloroneb (2675-77-6), (F213) dicloran (99-30-9), (F214) edifenphos (17109-49-8),
(F215) etridiazole (2593-15-9), (F216) iodocarb (55406-53-6), (F217) iprobenfos (26087-47-8), (F218) isoprothiolane (50512-35-1), (F219) propamocarb (25606-41-1), (F220) propamocarb hydrochloride (25606-41-1), (F221) prothiocarb (19622-08-3), (F222) pyrazophos (13457-18-6), (F223) quintozene (82-68-8), (F224) tecnazene (117-18-0), (F225) tolclofos-methyl (57018-04- 9);
(11) inhibitors of the melanine biosynthesis, for example (F226) carpropamid (104030- 54-8), (F227) diclocymet (139920-32-4), (F228) fenoxanil (115852-48-7), (F229) phthalide (27355-22-2), (F230) pyroquilon (57369-32-1), (F231) tricyclazole (41814-78-2), (F232) 2,2,2- trifluoroethyl {3 -methyl- l-[(4-methylbenzoyl)amino]butan-2-yl} carbamate (851524-22-6);
(12) inhibitors of the nucleic acid synthesis, for example (F233) benalaxyl (71626-11-4),
(F234) benalaxyl-M (kiralaxyl) (98243-83-5), (F235) bupirimate (41483-43-6), (F236) clozylacon (67932-85-8), (F237) dimethirimol (5221-53-4), (F238) ethirimol (23947-60-6), (F239) furalaxyl (57646-30-7), (F240) hymexazol (10004-44-1), (F241) metalaxyl (57837-19-1), (F242) metalaxyl-M (mefenoxam) (70630-17-0), (F243) ofurace (58810-48-3), (F244) oxadixyl (77732-09-3), (F245) oxolinic acid (14698-29-4);
(13) inhibitors of the signal transduction, for example (F246) chlozolinate (84332-86-5), (F247) fenpiclonil (74738-17-3), (F248) fludioxonil (131341-86-1), (F249) iprodione (36734-19- 7), (F250) procymidone (32809-16-8), (F251) quinoxyfen (124495-18-7), (F252) vinclozolin (50471-44-8);
(14) compounds capable to act as an uncoupler, like for example (F253) binapacryl (485-
31-4), (F254) dinocap (131-72-6), (F255) ferimzone (89269-64-7), (F256) fluazinam (79622-59- 6), (F257) meptyldinocap (131-72-6);
(15) further compounds, like for example (F258) benthiazole (21564-17-0), (F259) bethoxazin (163269-30-5), (F260) capsimycin (70694-08-5), (F261) carvone (99-49-0), (F262) chinomethionat (2439-01-2), (F263) pyriofenone (chlazafenone) (688046-61-9), (F264) cufraneb (11096-18-7), (F265) cyflufenamid (180409-60-3), (F266) cymoxanil (57966-95-7), (F267) cyprosulfamide (221667-31-8), (F268) dazomet (533-74-4), (F269) debacarb (62732-91-6), (F270) dichlorophen (97-23-4), (F271) diclomezine (62865-36-5), (F272) difenzoquat (49866- 87-7), (F273) difenzoquat methylsulphate (43222-48-6), (F724) diphenylamine (122-39-4), (F275) ecomate, (F276) fenpyrazamine (473798-59-3), (F277) flumetover (154025-04-4), (F278) fluoroimide (41205-21-4), (F279) flusulfamide (106917-52-6), (F280) flutianil (304900-25-2), (F281) fosetyl-aluminium (39148-24-8), (F282) fosetyl-calcium, (F283) fosetyl-sodium (39148- 16-8), (F284) hexachlorobenzene (118-74-1), (F285) irumamycin (81604-73-1), (F286) methasulfocarb (66952-49-6), (F287) methyl isothiocyanate (556-61-6), (F288) metrafenone (220899-03-6), (F289) mildiomycin (67527-71-3), (F290) natamycin (7681-93-8), (F291) nickel dimethyldithiocarbamate (15521-65-0), (F292) nitrothal-isopropyl (10552-74-6), (F293) octhilinone (26530-20-1), (F294) oxamocarb (917242-12-7), (F295) oxyfenthiin (34407-87-9), (F296) pentachlorophenol and salts (87-86-5), (F297) phenothrin, (F298) phosphorous acid and its salts (13598-36-2), (F299) propamocarb-fosetylate, (F300) propanosine-sodium (88498-02-6), (F301) proquinazid (189278-12-4), (F302) pyrimorph (868390-90-3), (F303) (2E)-3-(4-tert- butylphenyl)-3-(2-chloropyridin-4-yl)-l-(morpholin-4-yl)prop-2-en-l-one (1231776-28-5), (F304) (2Z)-3-(4-tert-butylphenyl)-3-(2-chloropyridin-4-yl)-l-(morpholin-4-yl)prop-2-en-l-one (1231776-29-6), (F305) pyrrolnitrine (1018-71-9), (F306) tebufloquin (376645-78-2), (F307) tecloftalam (76280-91-6), (F308) tolnifanide (304911-98-6), (F309) triazoxide (72459-58-6), (F310) trichlamide (70193-21-4), (F311) zarilamid (84527-51-5), (F312) (3S,6S,7R,8R)-8- benzyl-3 - [( { 3 - [(isobutyryloxy)methoxy] -4-methoxypyridin-2-yl } carbonyl)amino] -6-methyl-4,9- dioxo-l,5-dioxonan-7-yl 2-methylpropanoate (517875-34-2), (F313) l-(4-{4-[(5R)-5-(2,6- difluorophenyl)-4,5-dihydro-l,2-oxazol-3-yl]-l,3-thiazol-2-yl}piperidin-l-yl)-2-[5-methyl-3- (trifluoromethyl)-lH-pyrazol-l-yl]ethanone (1003319-79-6), (F314) l-(4-{4-[(5S)-5-(2,6- difluorophenyl)-4,5-dihydro-l,2-oxazol-3-yl]-l,3-thiazol-2-yl}piperidin-l-yl)-2-[5-methyl-3-
(trifluoromethyl)-lH-pyrazol-l-yl]ethanone (1003319-80-9), (F315) l-(4-{4-[5-(2,6- difluorophenyl)-4,5-dihydro-l,2-oxazol-3-yl]-l,3-thiazol-2-yl}piperidin-l-yl)-2-[5-methyl-3- (trifluoromethyl)-lH-pyrazol-l-yl]ethanone (1003318-67-9), (F316) l-(4-methoxyphenoxy)-3,3- dimethylbutan-2-yl lH-imidazole-l-carboxylate (111227-17-9), (F317) 2,3,5,6-tetrachloro-4- (methylsulfonyl)pyridine (13108-52-6), (F318) 2,3-dibutyl-6-chlorothieno[2,3-d]pyrimidin- 4(3H)-one (221451-58-7), (F319) 2,6-dimethyl-lH,5H-[l,4]dithiino[2,3-c:5,6-c']dipyrrole- l,3,5,7(2H,6H)-tetrone, (F320) 2-[5-methyl-3-(trifluoromethyl)-lH-pyrazol-l-yl]-l-(4-{4-[(5R)- 5-phenyl-4,5-dihydro-l,2-oxazol-3-yl]-l,3-thiazol-2-yl}piperidin-l-yl)ethanone (1003316-53-7), (F321) 2-[5-methyl-3-(trifluoromethyl)-lH-pyrazol-l-yl]-l-(4-{4-[(5S)-5-phenyl-4,5-dihydro- l,2-oxazol-3-yl]-l,3-thiazol-2-yl}piperidin-l-yl)ethanone (1003316-54-8), (F322) 2-[5-methyl-3- (trifluoromethyl)- lH-pyrazol- 1 -yl]-l - { 4-[4-(5-phenyl-4,5-dihydro- 1 ,2-oxazol-3-yl)- 1 ,3-thiazol- 2-yl]piperidin-l-yl}ethanone (1003316-51-5), (F323) 2-butoxy-6-iodo-3-propyl-4H-chromen-4- one, (F324) 2-chloro-5-[2-chloro-l-(2,6-difluoro-4-methoxyphenyl)-4-methyl-lH-imidazol-5- yljpyridine, (F325) 2-phenylphenol and salts (90-43-7), (F326) 3-(4,4,5-trifluoro-3,3-dimethyl- 3,4-dihydroisoquinolin-l-yl)quinoline (861647-85-0), (F327) 3,4,5-trichloropyridine-2,6- dicarbonitrile (17824-85-0), (F328) 3-[5-(4-chlorophenyl)-2,3-dimethyl-l,2-oxazolidin-3- yljpyridine, (F329) 3-chloro-5-(4-chlorophenyl)-4-(2,6-difluorophenyl)-6-methylpyridazine, (F330) 4-(4-chlorophenyl)-5-(2,6-difluorophenyl)-3,6-dimethylpyridazine, (F331) 5 -amino- 1,3,4- thiadiazole-2-thiol, (F332) 5-chloro-N'-phenyl-N'-(prop-2-yn-l-yl)thiophene-2-sulfonohydrazide (134-31-6), (F333) 5-fluoro-2-[(4-fluorobenzyl)oxy]pyrimidin-4-amine (1174376-11-4), (F334) 5-fluoro-2-[(4-methylbenzyl)oxy]pyrimidin-4-amine (1174376-25-0), (F335) 5-methyl-6- octyl[l,2,4]triazolo[l,5-a]pyrimidin-7-amine, (F336) ethyl (2Z)-3-amino-2-cyano-3-phenylprop-
2- enoate, (F337) N'-(4-{ [3-(4-chlorobenzyl)-l,2,4-thiadiazol-5-yl]oxy}-2,5-dimethylphenyl)-N- ethyl-N-methylimidoformamide, (F338) N-(4-chlorobenzyl)-3-[3-methoxy-4-(prop-2-yn-l- yloxy)phenyl]propanamide, (F339) N-[(4-chlorophenyl)(cyano)methyl]-3-[3-methoxy-4-(prop-2- yn- 1 -yloxy)phenyl]propanamide, (F340) N-[(5-bromo-3-chloropyridin-2-yl)methyl]-2,4- dichloropyridine-3-carboxamide, (F341) N-[l-(5-bromo-3-chloropyridin-2-yl)ethyl]-2,4- dichloropyridine-3-carboxamide, (F342) N-[l-(5-bromo-3-chloropyridin-2-yl)ethyl]-2-fluoro-4- iodopyridine-3-carboxamide, (F343) N-{(E)-[(cyclopropylmethoxy)imino][6-(difluoromethoxy)- 2,3-difluorophenyl]methyl}-2-phenylacetamide (221201-92-9), (F344) N-{(Z)- [(cyclopropylmethoxy)imino][6-(difluoromethoxy)-2,3-difluorophenyl]methyl}-2- phenylacetamide (221201-92-9), (F345) N'-{4-[(3-tert-butyl-4-cyano-l,2-thiazol-5-yl)oxy]-2- chloro-5-methylphenyl}-N-ethyl-N-methylimidoformamide, (F346) N-methyl-2-(l-{ [5-methyl-
3- (trifluoromethyl)-lH-pyrazol-l-yl]acetyl}piperidin-4-yl)-N-(l,2,3,4-tetrahydronaphthalen-l- yl)-l,3-thiazole-4-carboxamide (922514-49-6), (F347) N-methyl-2-(l-{ [5-methyl-3-
(trifluoromethyl)- 1 H-pyrazol- 1 -yl] acetyl } piperidin-4-yl)-N- [( 1 R)- 1 ,2,3 ,4-tetrahydronaphthalen- l-yl]-l,3-thiazole-4-carboxamide (922514-07-6), (F348) N-methyl-2-(l-{ [5-methyl-3- (trifluoromethyl)- 1 H-pyrazol- 1 -yl] acetyl } piperidin-4-yl)-N- [( 1 S)- 1 ,2,3 ,4-tetrahydronaphthalen- l-yl]-l,3-thiazole-4-carboxamide (922514-48-5), (F349) pentyl {6-[({ [(l-methyl-lH-tetrazol-5- yl)(phenyl)methylidene]amino}oxy)methyl]pyridin-2-yl}carbamate, (F350) phenazine-1- carboxylic acid, (F351) quinolin-8-ol (134-31-6), (F352) quinolin-8-ol sulfate (2:1) (134-31-6), (F353) tert-butyl { 6- [({ [(1 -methyl- lH-tetrazol-5 - yl)(phenyl)methylene] amino } oxy)methyl]pyridin-2-yl } carbamate;
(16) further compounds, like for example (F354) l-methyl-3-(trifluoromethyl)-N-[2'- (trifluoromethyl)biphenyl-2-yl]-lH-pyrazole-4-carboxamide, (F355) N-(4'-chlorobiphenyl-2-yl)-
3- (difluoromethyl)-l -methyl- lH-pyrazole-4-carboxamide, (F356) N-(2',4'-dichlorobiphenyl-2- yl)-3-(difluoromethyl)-l-methyl-lH-pyrazole-4-carboxamide, (F357) 3-(difluoromethyl)-l- methyl-N-[4'-(trifluoromethyl)biphenyl-2-yl]- lH-pyrazole-4-carboxamide, (F358) N-(2',5'- difluorobiphenyl-2-yl)-l-methyl-3-(trifluoromethyl)-lH-pyrazole-4-carboxamide, (F359) 3- (difluoromethyl)-l-methyl-N-[4'-(prop-l-yn-l-yl)biphenyl-2-yl]-lH-pyrazole-4-carboxamide, (F360) 5-fluoro-l,3-dimethyl-N-[4'-(prop-l-yn-l-yl)biphenyl-2-yl]-lH-pyrazole-4-carboxamide, (F361) 2-chloro-N-[4'-(prop-l-yn-l-yl)biphenyl-2-yl]pyridine-3-carboxamide, (F362) 3- (difluoromethyl)-N- [4'-(3 ,3-dimethylbut- 1 -yn- 1 -yl)biphenyl-2-yl]- 1 -methyl- lH-pyrazole-4- carboxamide, (F363) N-[4'-(3,3-dimethylbut-l-yn-l-yl)biphenyl-2-yl]-5-fluoro-l,3-dimethyl-lH- pyrazole-4-carboxamide, (F364) 3-(difluoromethyl)-N-(4'-ethynylbiphenyl-2-yl)-l -methyl- 1H- pyrazole-4-carboxamide, (F365) N-(4'-ethynylbiphenyl-2-yl)-5-fluoro-l ,3-dimethyl-lH- pyrazole-4-carboxamide, (F366) 2-chloro-N-(4'-ethynylbiphenyl-2-yl)pyridine-3-carboxamide, (F367) 2-chloro-N-[4'-(3,3-dimethylbut-l-yn-l-yl)biphenyl-2-yl]pyridine-3-carboxamide, (F368)
4- (difluoromethyl)-2-methyl-N-[4'-(trifluoromethyl)biphenyl-2-yl]-l,3-thiazole-5-carboxamide, (F369) 5 -fluoro-N- [4'-(3 -hydroxy-3-methylbut- 1 -yn- 1 -yl)biphenyl-2-yl] - 1 ,3 -dimethyl- 1 H- pyrazole-4-carboxamide, (F370) 2-chloro-N-[4'-(3-hydroxy-3-methylbut-l-yn-l-yl)biphenyl-2- yl]pyridine-3-carboxamide, (F371) 3-(difluoromethyl)-N-[4'-(3-methoxy-3-methylbut-l-yn-l- yl)biphenyl-2-yl] - 1 -methyl- 1 H-pyrazole-4-carboxamide, (F372) 5 -fluoro-N- [4'-(3 -methoxy-3 - methylbut-l-yn-l-yl)biphenyl-2-yl]-l,3-dimethyl-lH-pyrazole-4-carboxamide, (F373) 2-chloro- N-[4'-(3-methoxy-3-methylbut-l-yn-l-yl)biphenyl-2-yl]pyridine-3-carboxamide, (F374) (5- bromo-2-methoxy-4-methylpyridin-3-yl)(2,3,4-trimethoxy-6-methylphenyl)methanone, (F375) N-[2-(4- { [3-(4-chlorophenyl)prop-2-yn- 1 -yl]oxy } -3-methoxyphenyl)ethyl]-N2- (methylsulfonyl)valinamide (220706-93-4), (F376) 4-oxo-4-[(2-phenylethyl)amino]butanoic acid, (F377) but-3-yn-l-yl {6-[({ [(Z)-(l-methyl-lH-tetrazol-5- yl)(phenyl)methylene] amino }oxy)methyl]pyridin-2-yl} carbamate, (F378) 4-Amino-5-
fluorpyrimidin-2-ol (mesomeric form: 6-Amino-5-fluorpyrimidin-2(lH)-on), (F379) propyl 3,4,5-trihydroxybenzoate and (F380) oryzastrobin.
[00046] All named fungicides of the classes (1) to (16) (i.e., Fl to F380) can, if their functional groups enable this, optionally form salts with suitable bases or acids.
[00047] In a preferred embodiment of the present invention the fungicide (I) is a synthetic fungicide. As used herein, the term "synthetic" defines a compound that has not been obtained from a biological control agent. Especially a synthetic fungicide is not ningnanmycin according to the present invention.
[00048] According to a preferred embodiment of the present invention fungicide (I) is selected from the group consisting of:
(1) inhibitors of the ergosterol biosynthesis, for example (F3) bitertanol, (F4)
bromuconazole (116255-48-2), (F5) cyproconazole (113096-99-4), (F7) difenoconazole
(119446-68-3), (F12) epoxiconazole (106325-08-0), (F16) fenhexamid (126833-17-8), (F17) fenpropidin (67306-00-7), (F18) fenpropimorph (67306-03-0), (F19) fluquinconazole (136426- 54-5), (F22) flutriafol, (F26) imazalil, (F29) ipconazole (125225-28-7), (F30) metconazole (125116-23-6), (F31) myclobutanil (88671-89-0), (F37) penconazole (66246-88-6), (F39) prochloraz (67747-09-5), (F40) propiconazole (60207-90-1), (F41) prothioconazole (178928-70- 6), (F44) quinconazole (103970-75-8), (F46) spiroxamine (118134-30-8), (F47) tebuconazole (107534-96-3), (F51) triadimenol (89482-17-7), (F55) triticonazole (131983-72-7);
(2) inhibitors of the respiratory chain at complex I or II, for example (F65) bixafen
(581809-46-3), (F66) boscalid (188425-85-6), (F67) carboxin (5234-68-4), (F70) fluopyram (658066-35-4), (F71) flutolanil (66332-96-5), (F72) fluxapyroxad (907204-31-3), (F73) furametpyr (123572-88-3), (F75) isopyrazam (mixture of syn-epimeric racemate 1RS,4SR,9RS and anti-epimeric racemate 1RS,4SR,9SR) (881685-58-1), (F76) isopyrazam (anti-epimeric racemate 1RS,4SR,9SR), (F77) isopyrazam (anti-epimeric enantiomer 1R,4S,9S), (F78) isopyrazam (anti-epimeric enantiomer 1S,4R,9R), (F79) isopyrazam (syn epimeric racemate 1RS,4SR,9RS), (F80) isopyrazam (syn-epimeric enantiomer 1R,4S,9R), (F81) isopyrazam (syn- epimeric enantiomer 1S,4R,9S), (F84) penflufen (494793-67-8), (F85) penthiopyrad (183675-82- 3), (F86) sedaxane (874967-67-6), (F87) thifluzamide (130000-40-7), (F91) N-[l-(2,4- dichlorophenyl)- 1 -methoxypropan-2-yl]-3-(difluoromethyl)- 1 -methyl- 1 H-pyrazole-4- carboxamide (1092400-95-7), (F98) l-Methyl-3-(trifluormethyl)-N-(l,3,3-trimethyl-2,3-dihydro- lH-inden-4-yl)-lH-pyrazol-4-carboxamid, (F99) l-Methyl-3-(trifluormethyl)-N-[(lS)-l,3,3- trimethyl-2,3-dihydro-lH-inden-4-yl]-lH-pyrazol-4-carboxamid, (F100) l-Methyl-3- (trifluormethyl)-N-[(lR)-l,3,3-trimethyl-2,3-dihydro-lH-inden-4-yl]-lH-pyrazol-4-carboxamid, (F101) 3-(Difluormethyl)-l-methyl-N-[(3S)-l,l,3-trimethyl-2,3-dihydro-lH-inden-4-yl]-lH-
pyrazol-4-carboxamid, (F102) 3-(Difluormethyl)-l-methyl-N-[(3R)-l,l,3-trimethyl-2,3-dihydro- 1 H-inden-4-yl] - 1 H-pyrazol-4-carboxamid;
(3) inhibitors of the respiratory chain at complex ΠΙ, for example (F105) ametoctradin (865318-97-4), (F106) amisulbrom (348635-87-0), (F107) azoxystrobin (131860-33-8), (F108) cyazofamid (120116-88-3), (Fi l l) dimoxystrobin (141600-52-4), (F112) enestroburin (238410- 11-2), (F113) famoxadone (131807-57-3), (F114) fenamidone (161326-34-7), (F116) fluoxastrobin (361377-29-9), (F117) kresoxim-methyl (143390-89-0), (F118) metominostrobin (133408-50-1), (F119) orysastrobin (189892-69-1), (F120) picoxystrobin (117428-22-5), (F121) pyraclostrobin (175013-18-0), (F124) pyribencarb (799247-52-2), (F126) trifloxystrobin (141517-21-7);
(4) inhibitors of the mitosis and cell division, for example (F139) carbendazim (10605- 21-7), (F140) chlorfenazole (3574-96-7), (F141) diethofencarb (87130-20-9), (F142) ethaboxam (162650-77-3), (F143) fluopicolide, (F144) fuberidazole (3878-19-1), (F145) pencycuron (66063-05-6), (F147) thiophanate-methyl (23564-05-8), (F149) zoxamide (156052-68-5);
(5) compounds capable to have a multisite action, like for example (F154) captan (133-
06-2), (F155) chlorothalonil (1897-45-6), (F156) copper hydroxide (20427-59-2), (F159) copper oxychloride (1332-40-7), (F162) dithianon (3347-22-6), (F163) dodine (2439-10-3), (F167) folpet (133-07-3), (F168) guazatine (108173-90-6), (F172) iminoctadine triacetate (57520-17-9), (F174) mancozeb (8018-01-7), (F180) propineb (12071-83-9), (F181) sulphur and sulphur preparations including calcium polysulphide (7704-34-9), (F182) thiram (137-26-8);
(6) compounds capable to induce a host defence, like for example (F186) acibenzolar-S- methyl (135158-54-2), (F187) isotianil (224049-04-1), (F189) tiadinil (223580-51-6);
(7) inhibitors of the amino acid and/or protein biosynthesis, for example (F192) cyprodinil (121552-61-2), (F196) pyrimethanil (53112-28-0);
(9) inhibitors of the cell wall synthesis, for example (F202) benthiavalicarb (177406-68-
7), (F203) dimethomorph (110488-70-5), (F205) iprovalicarb (140923-17-7), (F206) mandipropamid (374726-62-2), (F210) valifenalate (283159-94-4; 283159-90-0);
(10) inhibitors of the lipid and membrane synthesis, for example (F216) iodocarb (55406- 53-6), (F217) iprobenfos (26087-47-8), (F220) propamocarb hydrochloride (25606-41-1), (F225) tolclof os -methyl;
(11) inhibitors of the melanine biosynthesis, for example (F226) carpropamid;
(12) inhibitors of the nucleic acid synthesis, for example (F233) benalaxyl (71626-11-4), (F234) benalaxyl-M (kiralaxyl) (98243-83-5), (F239) furalaxyl (57646-30-7), (F240) hymexazol (10004-44-1), (F241) metalaxyl (57837-19-1), (F242) metalaxyl-M (mefenoxam) (70630-17-0), (F244) oxadixyl (77732-09-3);
(13) inhibitors of the signal transduction, for example (F247) fenpiclonil (74738-17-3), (F248) fludioxonil (131341-86-1), (F249) iprodione (36734-19-7), (F251) quinoxyfen (124495- 18-7), (F252) vinclozolin (50471-44-8);
(14) compounds capable to act as an uncoupler, like for example (F256) fluazinam (79622-59-6);
(15) further compounds, like for example (F266) cymoxanil (57966-95-7), (F280) flutianil (304900-25-2), (F281) fosetyl- aluminium (39148-24-8), (F286) methasulfocarb (66952- 49-6), (F287) methyl isothiocyanate (556-61-6), (F288) metrafenone (220899-03-6), (F298) phosphorous acid and its salts (13598-36-2), (F301) proquinazid (189278-12-4), (F309) triazoxide (72459-58-6) and (F319) 2,6-dimethyl-lH,5H-[l,4]dithiino[2,3-c:5,6-c']dipyrrole- l,3,5,7(2H,6H)-tetrone.
[00049] In one embodiment of the present invention, fungicide (I), e.g., the fungicide for use in seed treatment is selected from the group consisting of Carbendazim (F139), Carboxin (F67), Difenoconazole (F7), Fludioxonil (F248), Fluquinconazole (F19), Fluxapyroxad (F72), Ipconazole (F29), Isotianil (F187), Mefenoxam (F242), Metalaxyl (F241), Pencycuron (F145), Penflufen (F84), Prothioconazole (F41), Prochloraz (F39), Pyraclostrobin (F121), Sedaxane (F86), Silthiofam (F201), Tebuconazole (F47), Thiram (F182), Trifloxystrobin (F126), and Triticonazole (F55).
[00050] According to the present invention the composition comprises ningnanmycin that has been isolated from the group consisting of a Streptomyces strain, preferably a ningnanmycin-producing Streptomyces spp. strain such as Streptomyces noursei, var.
Xichangensis CGMCC Accession No. 0194 or from a mutant thereof having all the identifying characteristics of the respective strain and at least one fungicide (I) in a synergistically effective amount, with the proviso the fungicide is not ningnanmycin.
[00051] In one embodiment ningnanmycin-producing Streptomyces species strain used herein is S. noursei var. Xichangensis, S. microflavus, S. griseus, S. anulatus, S. fimicarius, S. parvus, S. lavendulae, S. alboviridis, S. puniceus, or S. graminearus. A "synergistically effective amount" according to the present invention represents a quantitiy of a combination of ningnanmycin and a fungicide that is statistically significantly more effective against insects, mites, nematodes and/or phytopatheogens than ningnanmycin or the fungicide only.
Ningnanmycin is referred to herein as B 1.
[00052] In a preferred embodiment the composition according to the present invention comprises the following combinations: Bl+Fl , B1+F2, B 1+F3, B 1+F4, B1+F5, B1+F6, B1+F7, B1+F8, B 1+F9, B 1+B 10, B l+Fl l, B1+F12, B 1+F13, B 1+F14, B1+F15, B1+F16, B 1+F17, B1+F18, B1+F19, B 1+F20, B 1+F21, B1+ F22, B1+F23, B1+F24, B 1+F25, B 1+F26, B1+F27,
B1+F28, B1+F29, B1+F30, B1+F31, B1+F32, B1+F33, B1+F34, B1+F35, B1+F36, B1+F37, B1+F38, B1+F39, B1+F40, B1+F41, B1+F42, B1+F43, B1+F44, B1+F45, B1+F46, B1+F47, B1+F48, B1+F49, B1+F50, B1+F51, B1+F52, B1+F53, B1+F54, B1+F55, B1+F56, B1+F57, B1+F58, B1+F59, B1+F60, B1+F61, B1+ F62, B1+F63, B1+F64, B1+F65, B1+F66, B1+F67, B1+F68, B1+F69, B1+F70, B1+F71, B1+F72, B1+F73, B1+F74, B1+F75, B1+F76, B1+F77, B1+F78, B1+F79, B1+F80, B1+F81, B1+F82, B1+F83, B1+F84, B1+F85, B1+F86, B1+F87, B1+F88, B1+F89, B1+F90, B1+F91, B1+F92, B1+F93, B1+F94, B1+F95, B1+F96, B1+F97, B1+F98, B1+F99, B1+F100, B1+F101, B1+F102, B1+F103, B1+F104, B1+F105, B1+F106, B1+F107, B1+F108, B1+F109, B1+F110, Bl+Fl l l, B1+F112, B1+F113, B1+F114, B1+F115, B1+F116, B1+F117, B1+F118, B1+F119, B1+F120, B1+F121, B1+F122, B1+F123, B1+F124, B1+F125, B1+F126, B1+F127, B1+F128, B1+F129, B1+F130, B1+F131, B1+F132, B1+F133, B1+F134, B1+F135, B1+F136, B1+F137, B1+F138, B1+F139, B1+F140, B1+F141, B1+F142, B1+F143, B1+F144, B1+F145, B1+F146, B1+F147, B1+F148, B1+F149, B1+F150, B1+F151, B1+F152, B1+F153, B1+F154, B1+F155, B1+F156, B1+F157, B1+F158, B1+F159, B1+F160, B1+F161, B1+F162, B1+F163, B1+F164, B1+F165, B1+F166, B1+F167, B1+F168, B1+F169, B1+F170, B1+F171, B1+F172, B1+F173, B1+F174, B1+F175, B1+F176, B1+F177, B1+F178, B1+F179, B1+F180, B1+F181, B1+F182, B1+F183, B1+F184, B1+F185, B1+F186, B1+F187, B1+F188, B1+F189, B1+F190, B1+F191, B1+F192, B1+F193, B1+F194, B1+F195, B1+F196, B1+F197, B1+F198, B1+F199, B1+F200, B1+F201, B1+F202, B1+F203, B1+F204, B1+F205, B1+F206, B1+F207, B1+F208, B1+F209, B1+F210, B1+F211, B1+F212, B1+F213, B1+F214, B1+F215,B1+F216, B1+F217, B1+F218, B1+F219, B1+F220, B1+F221, B1+F222, B1+F223, B1+F224, B1+F225, B1+F226, B1+F227, B1+F228, B1+F229, B1+F230, B1+F231, B1+F232, B1+F233, B1+F234, B1+F235, B1+F236, B1+F237, B1+F238, B1+F239, B1+F240, B1+F241, B1+F242, B1+F243, B1+F244, B1+F245, B1+F246, B1+F247, B1+F248, B1+F249, B1+F250, B1+F251, B1+F252, B1+F253, B1+F254, B1+F255, B1+F256, B1+F257, B1+F258, B1+F259, B1+F260, B1+F261, B1+F262, B1+F263, B1+F264, B1+F265, B1+F266, B1+F267, B1+F268, B1+F269, B1+F270, B1+F271, B1+F272, B1+F273, B1+F274, B1+F275, B1+F276, B1+F277, B1+F278, B1+F279, B1+F280, B1+F281, B1+F282, B1+F283, B1+F284, B1+F285, B1+F286, B1+F287, B1+F288, B1+F289, B1+F290, B1+F291, B1+F292, B1+F293, B1+F294, B1+F295, B1+F296, B1+F297, B1+F298, B1+F299, B1+F300, B1+F301, B1+F302, B1+F303, B1+F304, B1+F305, B1+F306, B1+F307, B1+F308, B1+F309, B1+F310, B1+F311, B1+F312, B1+F313, B1+F314, B1+F315, B1+F316, B1+F317, B1+F318, B1+F319, B1+F320, B1+F321, B1+F322, B1+F323, B1+F324, B1+F325, B1+F326, B1+F327, B1+F328, B1+F329, B1+F330, B1+F331, B1+F332, B1+F333, B1+F334, B1+F335, B1+F336, B1+F337, B1+F338, B1+F339, B1+F340, B1+F341, B1+F342, B1+F343, B1+F344, B1+F345, B1+F346, B1+F347, B1+F348, B1+F349,
B1+F350, B1+F351, B1+F352, B1+F353, B1+F354, B1+F355, B1+F356, B1+F357, B1+F358, B1+F359, B1+F360, B1+F361, B1+F362, B1+F363, B1+F364, B1+F365, B1+F366, B1+F367, B1+F368, B1+F369, B1+F370, B1+F371, B1+F372, B1+F373, B1+F374, B1+F375, B1+F376, B1+F377, B1+F378, B1+F379 or B1+F380.
[00053] In a more preferred embodiment the composition according to the present invention comprises the following combinations: B1+F3, B1+F4, B1+F5,B1+F7, B1+F12, B1+F16, B1+F17, B1+F18, B1+F19, B1+F22, B1+F26, B1+F29, B1+F30, B1+F31, B1+F37, B1+F39, 1+F40, B1+F41, B1+F44, B1+F46, B1+F47, B1+F51, B1+F55, B1+F66, B1+F67, B1+F70, B1+F71, B1+F72, B1+F73, B1+F75, B1+F76, B1+F77, B1+F78, B1+F79, B1+F80, B1+F81, B1+F84, B1+F85, B1+F86, B1+F87, B1+F98, B1+F99, B1+F100, B1+F101,
B1+F102, B1+F105, B1+F106, B1+F107, B1+F108, Bl+Flll, B1+F112, B1+F113, B1+F114, B1+F116, B1+F117, B1+F118, B1+F119, B1+F120, B1+F121, B1+F124, B1+F126, B1+F139, B1+F140, B1+F141, B1+F142, B1+F143, B1+F144, B1+F145, B1+F147, B1+F149, B1+F154, B1+F155, B1+F156, B1+F159, B1+F162, B1+F163, B1+F167, B1+F168, B1+F172, B1+F174, B1+F180, B1+F181, B1+F182, B1+F186, B1+F187, B1+F189, B1+F192, B1+F196, B1+F201, B1+F202, B1+F203, B1+F205, B1+F206, B1+F210, B1+F216, B1+F217, B1+F220, B1+F225, B1+F226, B1+F233, B1+F234, B1+F239, B1+F240, B1+F241, B1+F242, B1+F244, B1+F247, B1+F248, B1+F249, B1+F251, B1+F252, B1+F256, B1+F266, B1+F280, B1+F281, B+F286, B1+F287, B1+F288, B1+F298, B1+F301, B1+F309 orBl+F319.
[00054] In an even more preferred embodiment, the composition according to the present invention comprises the following combinations: B1+F7, B1+F16, B1+F41, B1+F46, B1+F47, B1+F70, B1+F71, B1+F72, B1+F84, B1+F107, B1+F114, B1+F121, B1+F126, B1+F143, B1+F155, Bl+174, B1+F180, B1+F187, B1+F206, B1+F220, B1+F242, B1+F248, B1+F281, B1+F298, B1+F319. In a preferred embodiment the composition according to the present invention comprises at least one additional fungicide (II), with the provisio that the fungicide (I) and fungicide (II) are not ningnanmycin.
[00055] Preferably, fungicide (II) is selected from the group consisting of Fl, F2, F3, F4, F5, F6, F7, F8, F9, F10, Fll, F12, F13, F14, F15, F16, F17, F18, F19, F20, F21, F22, F23, F24, F25, F26, F27, F28, F29, F30, F31, F32, F33, F34, F35, F36, F37, F38, F39, F40, F41, F42, F43, F45, F46, F47, F48, F49, F50, F51, F52, F53, F54, F55, F56, F57, F58, F59, F60, F61, F62, F63, F64, F65, F66, F67, F68, F69, F70, F71, F72, F73, F74, F75, F76, F77, F78, F79, F80, F81, F82, F83, F84, F85, F86, F87, F88, F89, F90, F91, F92, F93, F94, F95, F96, F97, F98, F99, F100, F101, F102, F103, F104, F105, F106, F107, F108, F109, F110, Fill, F112, F113, F114, F115, F116, F117, F118, F119, F120, F121, F122, F123, F124, F125, F126, F127, F128, F129, F130, F131, F132, F133, F134, F135, F136, F137, F138, F139, F140, F141, F142, F143, F144,
F145, F146, F147, F148, F149, F150, F151 , F152, F153, F154, F155, F156, F157, F158, F159, F160, F161, F162, F163, F164, F165, F166, F167, F168, F169, F170, F171 , F172, F173, F174, F175, F176, F177, F178, F179, F180, F181 , F182, F183, F184, F185, F186, F187, F188, F189, F190, F191, F192, F193, F194, F195, F196, F197, F198, F199, F200, F201 , F202, F203, F204, F205, F206, F207, F208, F209, F210, F211 , F212, F213, F214, F215, F216, F217, F218, F219, F220, F221, F222, F223, F224, F225, F226, F227, F228, F229, F230, F231 , F232, F233, F234, F235, F236, F237, F238, F239, F240, F241 , F242, F243, F244, F245, F246, F247, F248, F249, F250, F251, F252, F253, F254, F255, F256, F257, F258, F259, F260, F261 , F262, F263, F264, F265, F266, F267, F268, F269, F270, F271 , F272, F273, F274, F275, F276, F277, F278, F279, F280, F281, F282, F283, F284, F285, F286, F287, F288, F289, F290, F291 , F292, F293, F294, F295, F296, F297, F298, F299, F300, F301 , F302, F303, F304, F305, F306, F307, F308, F309, F310, F311, F312, F313, F314, F315, F316, F317, F318, F319, F320, F321 , F322, F323, F324, F325, F326, F327, F328, F329, F330, F331 , F332, F333, F334, F335, F336, F336, F337, F338, F339, F340, F341 , F342, F343, F344, F345, F346, F347, F348, F349, F350, F351 , F352, F353, F354, F355, F356, F357, F358, F359, F360, F361 , F362, F363, F364, F365, F366, F367, F368, F369, F370, F371 , F372, F373, F374, F375, F376, F377, F378, F379 and F380 as mentioned above.
[00056] In a preferred embodiment fungicide (II) is a synthetic fungicide.
[00057] According to a preferred embodiment of the present invention fungicide (II) is selected from the group consisting of F3, F4, F5, F7, F12, F16, F17, F18, F19, F22, F26, F29, F30, F31, F37, F39, F40, F41, F44, F46, F47, F51, F55, F66, F67, F70, F71 , F72, F73, F75, F76, F77, F78, F79, F80, F81, F84, F85, F86, F87, F98, F99, F100, F101 , F102, F105, F106, F107, F108, Fi l l, F112, F113, F114, F116, F117, F118, F119, F120, F121, F124, F126, F139, F140, F141, F142, F143, F144, F145, F147, F149, F154, F155, F156, F159, F162, F163, F167, F168, F172, F174, F180, F181, F182, F186, F187, F189, F192, F196, F201, F202, F203, F205, F206, F210, F216, F217, F220, F225, F226, F233, F234, F239, F240, F241, F242, F244, F247, F248, F249, F251, F252, F256, F266, F280, F281 , F286, F287, F288, F298, F301 , F309 and F319.
[00058] One aspect of the present invention is to provide a composition as described above additionally comprising at least one auxiliary selected from the group consisting of extenders, solvents, spontaneity promoters, carriers, emulsifiers, dispersants, frost protectants, thickeners and adjuvants. Those compositions are referred to as formulations.
[00059] Accordingly, in one aspect of the present invention such formulations, and application forms prepared from them, are provided as crop protection agents and/or pesticidal agents, such as drench, drip and spray liquors, comprising the composition of the invention. The application forms may comprise further crop protection agents and/or pesticidal agents, and/or
activity-enhancing adjuvants such as penetrants, examples being vegetable oils such as, for example, rapeseed oil, sunflower oil, mineral oils such as, for example, liquid paraffins, alkyl esters of vegetable fatty acids, such as rapeseed oil or soybean oil methyl esters, or alkanol alkoxylates, and/or spreaders such as, for example, alkylsiloxanes and/or salts, examples being organic or inorganic ammonium or phosphonium salts, examples being ammonium sulphate or diammonium hydrogen phosphate, and/or retention promoters such as dioctyl sulphosuccinate or hydroxypropylguar polymers and/or humectants such as glycerol and/or fertilizers such as ammonium, potassium or phosphorous fertilizers, for example.
[00060] Examples of typical formulations include water-soluble liquids (SL), emulsifiable concentrates (EC), emulsions in water (EW), suspension concentrates (SC, SE, FS, OD), water-dispersible granules (WG), granules (GR) and capsule concentrates (CS); these and other possible types of formulation are described, for example, by Crop Life International and in Pesticide Specifications, Manual on development and use of FAO and WHO specifications for pesticides, FAO Plant Production and Protection Papers - 173, prepared by the FAO/WHO Joint Meeting on Pesticide Specifications, 2004, ISBN: 9251048576. The formulations may comprise active agrochemical compounds other than one or more active compounds of the invention.
[00061] The formulations or application forms in question preferably comprise auxiliaries, such as extenders, solvents, spontaneity promoters, carriers, emulsifiers, dispersants, frost protectants, biocides, thickeners and/or other auxiliaries, such as adjuvants, for example. An adjuvant in this context is a component which enhances the biological effect of the formulation, without the component itself having a biological effect. Examples of adjuvants are agents which promote the retention, spreading, attachment to the leaf surface, or penetration.
[00062] These formulations are produced in a known manner, for example by mixing the active compounds with auxiliaries such as, for example, extenders, solvents and/or solid carriers and/or further auxiliaries, such as, for example, surfactants. The formulations are prepared either in suitable plants or else before or during the application.
[00063] Suitable for use as auxiliaries are substances which are suitable for imparting to the formulation of the active compound or the application forms prepared from these formulations (such as, e.g., usable crop protection agents, such as spray liquors or seed dressings) particular properties such as certain physical, technical and/or biological properties.
[00064] Suitable extenders are, for example, water, polar and nonpolar organic chemical liquids, for example from the classes of the aromatic and non-aromatic hydrocarbons (such as paraffins, alkylbenzenes, alkylnaphthalenes, chlorobenzenes), the alcohols and polyols (which, if appropriate, may also be substituted, etherified and/or esterified), the ketones (such as acetone, cyclohexanone), esters (including fats and oils) and (poly)ethers, the unsubstituted and
substituted amines, amides, lactams (such as N-alkylpyrrolidones) and lactones, the sulphones and sulphoxides (such as dimethyl sulphoxide).
[00065] If the extender used is water, it is also possible to employ, for example, organic solvents as auxiliary solvents. Essentially, suitable liquid solvents are: aromatics such as xylene, toluene or alkylnaphthalenes, chlorinated aromatics and chlorinated aliphatic
hydrocarbons such as chlorobenzenes, chloroethylenes or methylene chloride, aliphatic hydrocarbons such as cyclohexane or paraffins, for example petroleum fractions, mineral and vegetable oils, alcohols such as butanol or glycol and also their ethers and esters, ketones such as acetone, methyl ethyl ketone, methyl isobutyl ketone or cyclohexanone, strongly polar solvents such as dimethylformamide and dimethyl sulphoxide, and also water.
[00066] In principle it is possible to use all suitable solvents. Suitable solvents are, for example, aromatic hydrocarbons, such as xylene, toluene or alkylnaphthalenes, for example, chlorinated aromatic or aliphatic hydrocarbons, such as chlorobenzene, chloroethylene or methylene chloride, for example, aliphatic hydrocarbons, such as cyclohexane, for example, paraffins, petroleum fractions, mineral and vegetable oils, alcohols, such as methanol, ethanol, isopropanol, butanol or glycol, for example, and also their ethers and esters, ketones such as acetone, methyl ethyl ketone, methyl isobutyl ketone or cyclohexanone, for example, strongly polar solvents, such as dimethyl sulphoxide, and water.
[00067] All suitable carriers may in principle be used. Suitable carriers are in particular: for example, ammonium salts and ground natural minerals such as kaolins, clays, talc, chalk, quartz, attapulgite, montmorillonite or diatomaceous earth, and ground synthetic minerals, such as finely divided silica, alumina and natural or synthetic silicates, resins, waxes and/or solid fertilizers. Mixtures of such carriers may likewise be used. Carriers suitable for granules include the following: for example, crushed and fractionated natural minerals such as calcite, marble, pumice, sepiolite, dolomite, and also synthetic granules of inorganic and organic meals, and also granules of organic material such as sawdust, paper, coconut shells, maize cobs and tobacco stalks.
[00068] Liquefied gaseous extenders or solvents may also be used. Particularly suitable are those extenders or carriers which at standard temperature and under standard pressure are gaseous, examples being aerosol propellants, such as halogenated hydrocarbons, and also butane, propane, nitrogen and carbon dioxide.
[00069] Examples of emulsifiers and/or foam-formers, dispersants or wetting agents having ionic or nonionic properties, or mixtures of these surface-active substances, are salts of polyacrylic acid, salts of lignosulphonic acid, salts of phenolsulphonic acid or
naphthalenesulphonic acid, polycondensates of ethylene oxide with fatty alcohols or with fatty
acids or with fatty amines, with substituted phenols (preferably alkylphenols or arylphenols), salts of sulphosuccinic esters, taurine derivatives (preferably alkyltaurates), phosphoric esters of polyethoxylated alcohols or phenols, fatty acid esters of polyols, and derivatives of the compounds containing sulphates, sulphonates and phosphates, examples being alkylaryl polyglycol ethers, alkylsulphonates, alkyl sulphates, arylsulphonates, protein hydrolysates, lignin- sulphite waste liquors and methylcellulose. The presence of a surface-active substance is advantageous if one of the active compounds and/or one of the inert carriers is not soluble in water and if application takes place in water.
[00070] Further auxiliaries that may be present in the formulations and in the application forms derived from them include colorants such as inorganic pigments, examples being iron oxide, titanium oxide, Prussian Blue, and organic dyes, such as alizarin dyes, azo dyes and metal phthalocyanine dyes, and nutrients and trace nutrients, such as salts of iron, manganese, boron, copper, cobalt, molybdenum and zinc.
[00071] Stabilizers, such as low-temperature stabilizers, preservatives, antioxidants, light stabilizers or other agents which improve chemical and/or physical stability may also be present. Additionally present may be foam-formers or defoamers.
[00072] Furthermore, the formulations and application forms derived from them may also comprise, as additional auxiliaries, stickers such as carboxymethylcellulose, natural and synthetic polymers in powder, granule or latex form, such as gum arabic, polyvinyl alcohol, polyvinyl acetate, and also natural phospholipids, such as cephalins and lecithins, and synthetic phospholipids. Further possible auxiliaries include mineral and vegetable oils.
[00073] There may possibly be further auxiliaries present in the formulations and the application forms derived from them. Examples of such additives include fragrances, protective colloids, binders, adhesives, thickeners, thixotropic substances, penetrants, retention promoters, stabilizers, sequestrants, complexing agents, humectants and spreaders. Generally speaking, the active compounds may be combined with any solid or liquid additive commonly used for formulation purposes.
[00074] Suitable retention promoters include all those substances which reduce the dynamic surface tension, such as dioctyl sulphosuccinate, or increase the viscoelasticity, such as hydroxypropylguar polymers, for example.
[00075] Suitable penetrants in the present context include all those substances which are typically used in order to enhance the penetration of active agrochemical compounds into plants. Penetrants in this context are defined in that, from the (generally aqueous) application liquor and/or from the spray coating, they are able to penetrate the cuticle of the plant and thereby increase the mobility of the active compounds in the cuticle. This property can be
determined using the method described in the literature (Baur et al, 1997, Pesticide Science 51 , 131-152). Examples include alcohol alkoxylates such as coconut fatty ethoxylate (10) or isotridecyl ethoxylate (12), fatty acid esters such as rapeseed or soybean oil methyl esters, fatty amine alkoxylates such as tallowamine ethoxylate (15), or ammonium and/or phosphonium salts such as ammonium sulphate or diammonium hydrogen phosphate, for example.
[00076] The formulations preferably comprise between 0.00000001 % and 98% by weight of active compound or, with particular preference, between 0.01 % and 95% by weight of active compound, more preferably between 0.5% and 90% by weight of active compound, based on the weight of the formulation. The content of the active compound is defined as the sum of the ningnanmycin and the at least one fungicide (I).
[00077] The active compound content of the application forms (crop protection products) prepared from the formulations may vary within wide ranges. The active compound concentration of the application forms may be situated typically between 0.00000001% and 95% by weight of active compound, preferably between 0.00001% and 1% by weight, based on the weight of the application form. Application takes place in a customary manner adapted to the application forms.
[00078] Furthermore, in one aspect of the present invention a kit of parts is provided comprising ningnanmycin and at least one fungicide (I) in a synergistically effective amount, with the proviso that the fungicide (I) is not ningnanmycin, in a spatially separated arrangement.
[00079] In a futher embodiment of the present invention the above-mentioned kit of parts further comprises at least one additional fungicide (II), with the proviso that fungicide (I) and fungicide (II) are not ningnanmycin. Fungicide (II) can be present either in the
ningnanmycin component of the kit of parts or in the fungicide (I) component of the kit of parts being spatially separated or in both of these components. Preferably, fungicide (II) is present in the fungicide (I) component.
[00080] Moreover, the kit of parts according to the present invention can additionally comprise at least one auxiliary selected from the group consisting of extenders, solvents, spontaneity promoters, carriers, emulsifiers, dispersants, frost protectants, thickeners and adjuvants as mentioned below. This at least one auxiliary can be present either in the ningnanmycin component of the kit of parts or in the fungicide (I) component of the kit of parts being spatially separated or in both of these components.
[00081] In another aspect of the present invention the composition as described above is used for reducing overall damage of plants and plant parts as well as losses in harvested fruits or vegetables caused by insects, mites, nematodes and/or phytopathogens.
[00082] Furthermore, in another aspect of the present invention the composition as described above increases the overall plant health.
[00083] The term "plant health" generally comprises various sorts of improvements of plants that are not connected to the control of pests. For example, advantageous properties that may be mentioned are improved crop characteristics including: emergence, crop yields, protein content, oil content, starch content, more developed root system, improved root growth, improved root size maintenance, improved root effectiveness, improved stress tolerance (e.g., against drought, heat, salt, UV, water, cold), reduced ethylene (reduced production and/or inhibition of reception), tillering increase, increase in plant height, bigger leaf blade, less dead basal leaves, stronger tillers, greener leaf color, pigment content, photosynthetic activity, less input needed (such as fertilizers or water), less seeds needed, more productive tillers, earlier flowering, early grain maturity, less plant verse (lodging), increased shoot growth, enhanced plant vigor, increased plant stand and early and better germination.
[00084] With regard to the use according to the present invention, improved plant health preferably refers to improved plant characteristics including: crop yield, more developed root system (improved root growth), improved root size maintenance, improved root
effectiveness, tillering increase, increase in plant height, bigger leaf blade, less dead basal leaves, stronger tillers, greener leaf color, photosynthetic activity, more productive tillers, enhanced plant vigor, and increased plant stand.
[00085] With regard to the present invention, improved plant health preferably especially refers to improved plant properties selected from crop yield, more developed root system, improved root growth, improved root size maintenance, improved root effectiveness, tillering increase, and increase in plant height.
[00086] The effect of a composition according to the present invention on plant health health as defined herein can be determined by comparing plants which are grown under the same environmental conditions, whereby a part of said plants is treated with a composition according to the present invention and another part of said plants is not treated with a composition according to the present invention. Instead, said other part is not treated at all or treated with a placebo (i.e., an application without a composition according to the invention such as an application without all active ingredients, i.e., without ningnanmycin as described herein and without a fungicide as described herein), or an application without ningnanmycin as described herein, or an application without a fungicide as described herein.
[00087] The composition according to the present invention may be applied in any desired manner, such as in the form of a seed coating, soil drench, and/or directly in-furrow and/or as a foliar spray and applied either pre-emergence, post-emergence or both. In other
words, the composition can be applied to the seed, the plant or to harvested fruits and vegetables or to the soil wherein the plant is growing or wherein it is desired to grow (plant's locus of growth).
[00088] Reducing the overall damage of plants and plant parts often results in healthier plants and/or in an increase in plant vigor and yield.
[00089] Preferably, the composition according to the present invention is used for treating conventional or transgenic plants or seed thereof.
[00090] In another aspect of the present invention a method for reducing overall damage of plants and plant parts as well as losses in harvested fruits or vegetables caused by insects, mites, nematodes and/or phytopathogens is provided comprising the step of
simultaneously or sequentially applying ningnanmycin and/or a stereoisomer thereof; and and at least one fungicide (I) in a synergistically effective amount, with the proviso that fungicide (I) is not ningnanmycin.
[00091] In certain apsects the ningnanmycin is isolated ningnanmycin or a
fermentation product containing ningnanmycin. In some embodiments, a stereoisomer of ningnanmycin is applied with the proviso that the stereoisomer is not gougerotin.
[00092] In a preferred embodiment of the present method the at least one fungicide (I) is a synthetic fungicide. Preferably, fungicide (I) is selected from the group of fungicides mentioned above.
[00093] In another preferred embodiment of the present method the composition further comprises at least one additional fungicide (II), with the proviso that the ningnanmycin, fungicide (I) and fungicide (II) are not identical and that the fungicide (I) and fungicide (II) are not ningnanmycin.
[00094] Preferably, the at least one additional fungicide (II) is a synthetic fungicide. More preferably, fungicide (II) is selected from the group of fungicides mentioned above.
[00095] The method of the present invention includes the following application methods, namely both of the ningnanmycin and the at least one fungicide (I) mentioned before may be formulated into a single, stable composition with an agriculturally acceptable shelf life (so called "solo-formulation"), or being combined before or at the time of use (so called
"combined-formulations").
[00096] If not mentioned otherwise, the expression "combination" stands for the various combinations of the ningnanmycin and the at least one fungicide (I), and optionally the at least one fungicide (II), in a solo-formulation, in a single "ready-mix" form, in a combined spray mixture composed from solo-formulations, such as a "tank-mix", and especially in a combined use of the single active ingredients when applied in a sequential manner, i.e., one after the other
within a reasonably short period, such as a few hours or days, e.g., 2 hours to 7 days. The order of applying the composition according to the present invention is not essential for working the present invention. Accordingly, the term "combination" also encompasses the presence of the ningnanmycin and the at least one fungicide (I), and optionally the at least one fungicide (II) on or in a plant to be treated or its surrounding, habitat or storage space, e.g., after simultaneously or consecutively applying the ningnanmycin and the at least one fungicide (I), and optionally the at least one fungicide (II) to a plant its surrounding, habitat or storage space.
[00097] If the ningnanmycin and the at least one fungicide (I), and optionally the at least one fungicide (II) are employed or used in a sequential manner, it is preferred to treat the plants or plant parts (which includes seeds and plants emerging from the seed), harvested fruits and vegetables according to the following method: Firstly applying the at least one fungicide (I) and optionally the at least one fungicide (II) on the plant or plant parts, and secondly applying the ningnanmycin to the same plant or plant parts. The time periods between the first and the second application within a (crop) growing cycle may vary and depend on the effect to be achieved. For example, the first application is done to prevent an infestation of the plant or plant parts with insects, mites, nematodes and/or phytopathogens (this is particularly the case when treating seeds) or to combat the infestation with insects, mites, nematodes and/or phytopathogens (this is particularly the case when treating plants and plant parts) and the second application is done to prevent or control the infestation with insects, mites, nematodes and/or phytopathogens. Control in this context means that the ningnanmycin is not able to fully exterminate the pests or phytopathogenic fungi but is able to keep the infestation on an acceptable level.
[00098] By following the before mentioned steps, a very low level of residues of the at least one fungicide (I), and optionally at least one fungicide (II) on the treated plant, plant parts, and the harvested fruits and vegetables can be achieved.
[00099] If not mentioned otherwise the treatment of plants or plant parts (which includes seeds and plants emerging from the seed), harvested fruits and vegetables with the composition according to the invention is carried out directly or by action on their surroundings, habitat or storage space using customary treatment methods, for example dipping, spraying, atomizing, irrigating, evaporating, dusting, fogging, broadcasting, foaming, painting, spreading- on, watering (drenching), drip irrigating. It is furthermore possible to apply the ningnanmycin, the at least one fungicide (I), and optionally the at least one fungicide (II) as solo-formulation or combined-formulations by the ultra-low volume method, or to inject the composition according to the present invention as a composition or as sole-formulations into the soil (in-furrow).
[000100] The term "plant to be treated" encompasses every part of a plant including its root system and the material - e.g., soil or nutrition medium - which is in a radius of at least 10
cm, 20 cm, 30 cm around the caulis or bole of a plant to be treated or which is at least 10 cm, 20 cm, 30 cm around the root system of said plant to be treated, respectively.
[000101] The amount of the ningnanmycin which is used or employed in combination with at least one fungicide (II), optionally in the presence of at least one fungicide (II), depends on the final formulation as well as size or type of the plant, plant parts, seeds, harvested fruits and vegetables to be treated. Usually, the biological control agent to be employed or used according to the invention is present in about 2% to about 80% (w/w), preferably in about 5% to about 75% (w/w), more preferably about 10% to about 70% (w/w) of its solo-formulation or combined- formulation with the at least one fungicide (I), and optionally the fungicide (II).
[000102] In a preferred embodiment ningnanmycin which may be derived from a fermentation product of a ningnanmycin-producing Streptomyces spp. strain, such as
Streptomyces noursei, var. Xichangensis CGMCC Accession No. 0194 is present in a solo- formulation or the combined-formulation. Also the amount of the at least one fungicide (I) which is used or employed in combination with the ningnanmycin , optionally in the presence of a fungicide (II), depends on the final formulation as well as size or type of the plant, plant parts, seeds, harvested fruit or vegetable to be treated. Usually, the fungicide (I) to be employed or used according to the invention is present in about 0.1% to about 80% (w/w), preferably 1 % to about 60% (w/w), more preferably about 10% to about 50% (w/w) of its solo-formulation or combined-formulation with ningnanmycin, and optionally the at least one fungicide (II).
[000103] The ningnanmycin and at least one fungicide (I), and if present also the fungicide (II) are used or employed in a synergistic weight ratio. The skilled person is able to find out the synergistic weight ratios for the present invention by routine methods. The skilled person understands that these ratios refer to the ratio within a combined-formulation as well as to the calculative ratio of the ningnanmycin described herein and the fungicide (I) when both components are applied as mono-formulations to a plant to be treated. The skilled person can calculate this ratio by simple mathematics since the volume and the amount of the ningnanmycin and fungicide (I), respectively, in a mono-formulation is known to the skilled person.
[000104] The ratio can be calculated based on the amount of the at least one fungicide (I), at the time point of applying said component of a combination according to the invention to a plant or plant part and the amount of ningnanmycin shortly prior (e.g., 48 h, 24 h, 12 h, 6 h, 2 h, 1 h) or at the time point of applying said component of a combination according to the invention to a plant or plant part.
[000105] The application of the ningnanmycin and the at least one fungicide (I) to a plant or a plant part can take place simultaneously or at different times as long as both components are present on or in the plant after the application(s). In cases where the
ningnanmycin and fungicide (I) are applied at different times and fungicide (I) is applied noticeable prior to the ningnanmycin, the skilled person can determine the concentration of fungicide (I) on/in a plant by chemical analysis known in the art, at the time point or shortly before the time point of applying the ningnanmycin. Vice versa, when the ningnanmycin is applied to a plant first, the concentration of ningnanmycin can be determined using test which are also known in the art, at the time point or shortly before the time point of applying fungicide (I).
[000106] In particular, in one embodiment the synergistic weight ratio of the isolated ningnanmycin and the at least one fungicide lies in the range of 1 :500 to 1000: 1 , preferably in the range of 1 :500 to 500: 1 , more preferably in the range of 1 :500 to 300: 1. It has to be noted that these ratio ranges refer to ningnanmycin. Especially preferred ratios are between 1 : 100 and 1 : 100 such as 100: 1, 30: 1 , 20: 1, 10: 1, 5: 1 or 2: 1 or 1 : 2, 1 :5, 1 : 10, 1 :20, 1 :30 or 1 : 100. For example, a ratio of 100: 1 may mean 100 weight parts of isolated ningnanmycin and 1 weight part of the fungicide are combined (either as a solo formulation, a combined formulation or by separate applications to plants so that the combination is formed on the plant). In another embodiment, the synergistic weight ratio of the isolated ningnanmycin to the fungicide is in the range of 1 : 100 to 20,000:1 , preferably in the range of 1 :50 to 10,000: 1 or even in the range of 1 :50 to 1000: 1. Once again the mentioned ratio ranges refer to ningnanmycin.
[000107] In another embodiment, the synergistic weight ratio of the fermentation product containing ningnanmycin (e.g. , fermentation products of Streptomyces noursei, var. Xichangensis CGMCC Accession No. 0194 or its mutants) and the at least one fungicide lies in the range of 1 :500 to 1000: 1 , preferably in the range of 1 :500 to 500: 1, more preferably in the range of 1 :500 to 300: 1. In certain aspects, these ratio ranges refer to a biological control agent/fermentation product, i.e., a fermentation product of a ningnanmycin-producing
Streptomyces sp. strain (to be combined with at least one fungicide or a preparation of at least one fungicide). For example, a ratio of 100: 1 means 100 weight parts of a biological control agent/fermentation product and 1 weight part of the fungicide are combined (either as a solo formulation, a combined formulation or by separate applications to plants so that the combination is formed on the plant). In another embodiment, the synergistic weight ratio of the at least one biological control agent/fermentation product to the fungicide is in the range of 1 : 100 to
20,000: 1, preferably in the range of 1 :50 to 10,000:1 or even in the range of 1 :50 to 1000: 1.
[000108] Likewise a ratio of 1 : 63 or 1 :2.4 means 1 weight part of ningnanmycin and 63 or 2.4 weight parts of the at least one fungicide are combined (either as a solo formulation, a combined formulation or by separate applications to plants so that the combination is formed on the plant) - see also the Examples in this regard.
[000109] In one embodiment of the present invention, the concentration of the ningnanmycin after dispersal is at least 50 g/ha, such as 50-7500 g/ha, 50-2500 g/ha, 50-1500 g/ha; at least 250 g/ha (hectare), at least 500 g/ha or at least 800 g/ha.
[000110] The application rate of composition to be employed or used according to the present invention may vary. The skilled person is able to find the appropriate application rate by way of routine experiments.
[000111] In another aspect of the present invention a seed treated with the composition as described above is provided.
[000112] The control of insects, mites, nematodes and/or phytopathogens by treating the seed of plants has been known for a long time and is a subject of continual improvements.
Nevertheless, the treatment of seed entails a series of problems which cannot always be solved in a satisfactory manner. Thus, it is desirable to develop methods for protecting the seed and the germinating plant that remove the need for, or at least significantly reduce, the additional delivery of crop protection compositions in the course of storage, after sowing or after the emergence of the plants. It is desirable, furthermore, to optimize the amount of active ingredient employed in such a way as to provide the best-possible protection to the seed and the germinating plant from attack by insects, mites, nematodes and/or phytopathogens, but without causing damage to the plant itself by the active ingredient employed. In particular, methods for treating seed ought also to take into consideration the intrinsic insecticidal and/or nematicidal properties of pest-resistant or pest-tolerant transgenic plants, in order to achieve optimum protection of the seed and of the germinating plant with a minimal use of crop protection compositions.
[000113] The present invention therefore also relates in particular to a method for protecting seed and germinating plants from attack by pests, by treating the seed with ningnanmycin and at least one fungicide (I) and optionally at least one fungicide (II) of the invention. The method of the invention for protecting seed and germinating plants from attack by pests encompasses a method in which the seed is treated simultaneously in one operation with the ningnanmycinand the at least one fungicide (I), and optionally the at least one fungicide (II). It also encompasses a method in which the seed is treated at different times with the
ningnanmycinand the at least one fungicide (I), and optionally the at least one fungicide (II).
[000114] The invention likewise relates to the use of the composition of the invention for treating seed for the purpose of protecting the seed and the resultant plant against insects, mites, nematodes and/or phytopathogens.
[000115] The invention also relates to a seed which at the same time has been treated with ningnanmycin and at least one fungicide (I), and optionally at least one fungicide (II). The invention further relates to seed which has been treated at different times with the ningnanmycin
and the at least one fungicide (I) and optionally the at least one fungicide (II). In the case of a seed which has been treated at different times with the ningnanmycin and the at least one fungicide (I), and optionally the at least one fungicide (II), the individual active ingredients in the composition of the invention may be present in different layers on the seed.
[000116] Furthermore, the invention relates to a seed which, following treatment with the composition of the invention, is subjected to a film-coating process in order to prevent dust abrasion of the seed.
[000117] One of the advantages of the present invention is that, owing to the particular systemic properties of the compositions of the invention, the treatment of the seed with these compositions provides protection from insects, mites, nematodes and/or phytopathogens not only to the seed itself but also to the plants originating from the seed, after they have emerged. In this way, it may not be necessary to treat the crop directly at the time of sowing or shortly thereafter.
[000118] A further advantage is to be seen in the fact that, through the treatment of the seed with composition of the invention, germination and emergence of the treated seed may be promoted.
[000119] It is likewise considered to be advantageous composition of the invention may also be used, in particular, on transgenic seed.
[000120] It is also stated that the composition of the invention may be used in combination with agents of the signalling technology, as a result of which, for example, colonization with symbionts is improved, such as rhizobia, mycorrhiza and/or endophytic bacteria, for example, is enhanced, and/or nitrogen fixation is optimized.
[000121] The compositions of the invention are suitable for protecting seed of any variety of plant which is used in agriculture, in greenhouses, in forestry or in horticulture. More particularly, the seed in question is that of cereals (e.g., wheat, barley, rye, oats and millet), maize, cotton, soybeans, rice, potatoes, sunflower, coffee, tobacco, canola, oilseed rape, beets (e.g., sugar beet and fodder beet), peanuts, vegetables (e.g., tomato, cucumber, bean, brassicas, onions and lettuce), fruit plants, lawns and ornamentals. Particularly important is the treatment of the seed of cereals (such as wheat, barley, rye and oats) maize, soybeans, cotton, canola, oilseed rape and rice.
[000122] As already mentioned above, the treatment of transgenic seed with the composition of the invention is particularly important. The seed in question here is that of plants which generally contain at least one heterologous gene that controls the expression of a polypeptide having, in particular, insecticidal and/or nematicidal properties. These heterologous genes in transgenic seed may come from microorganisms such as Bacillus, Rhizobium,
Pseudomonas, Serratia, Trichoderma, Clavibacter, Glomus or Gliocladium. The present
invention is particularly suitable for the treatment of transgenic seed which contains at least one heterologous gene from Bacillus sp. With particular preference, the heterologous gene in question comes from Bacillus thuringiensis.
[000123] For the purposes of the present invention, the composition of the invention is applied alone or in a suitable formulation to the seed. The seed is preferably treated in a condition in which its stability is such that no damage occurs in the course of the treatment.
Generally speaking, the seed may be treated at any point in time between harvesting and sowing.
Typically, seed is used which has been separated from the plant and has had cobs, hulls, stems, husks, hair or pulp removed. Thus, for example, seed may be used that has been harvested, cleaned and dried to a moisture content of less than 15% by weight. Alternatively, seed can also be used that after drying has been treated with water, for example, and then dried again.
[000124] When treating seed it is necessary, generally speaking, to ensure that the amount of the composition of the invention, and/or of other additives, that is applied to the seed is selected such that the germination of the seed is not adversely affected, and/or that the plant which emerges from the seed is not damaged. This is the case in particular with active ingredients which may exhibit phytotoxic effects at certain application rates.
[000125] The compositions of the invention can be applied directly, in other words without comprising further components and without having been diluted. As a general rule, it is preferable to apply the compositions in the form of a suitable formulation to the seed. Suitable formulations and methods for seed treatment are known to the skilled person and are described in, for example, the following documents: U.S. Patent Nos. 4,272,417 A; 4,245,432 A;
4,808,430 A; 5,876,739 A; U.S. Patent Application Publication No. 2003/0176428 Al ;
International Patent Publication Nos. WO 2002/080675 Al and WO 2002/028186 A2.
[000126] The combinations which can be used in accordance with the invention may be converted into the customary seed-dressing formulations, such as solutions, emulsions, suspensions, powders, foams, slurries or other coating compositions for seed, and also ULV formulations.
[000127] These formulations are prepared in a known manner, by mixing composition with customary adjuvants, such as, for example, customary extenders and also solvents or diluents, colorants, wetters, dispersants, emulsifiers, antifoams, preservatives, secondary thickeners, stickers, gibberellins, and also water.
[000128] Colorants which may be present in the seed-dressing formulations which can be used in accordance with the invention include all colorants which are customary for such purposes. In this context it is possible to use not only pigments, which are of low solubility in
water, but also water-soluble dyes. Examples include the colorants known under the designations Rhodamin B, C.I. Pigment Red 112 and C.I. Solvent Red 1.
[000129] Wetters which may be present in the seed-dressing formulations which can be used in accordance with the invention include all of the substances which promote wetting and which are customary in the formulation of active agrochemical ingredients. Use may be made preferably of alkylnaphthalenesulphonates, such as diisopropyl- or diisobutyl- naphthalenesulphonates .
[000130] Dispersants and/or emulsifiers which may be present in the seed-dressing formulations which can be used in accordance with the invention include all of the nonionic, anionic and cationic dispersants that are customary in the formulation of active agrochemical ingredients. Use may be made preferably of nonionic or anionic dispersants or of mixtures of nonionic or anionic dispersants. Suitable nonionic dispersants are, in particular, ethylene oxide- propylene oxide block polymers, alkylphenol poly glycol ethers and also tristryrylphenol polyglycol ethers, and the phosphated or sulphated derivatives of these. Suitable anionic dispersants are, in particular, lignosulphonates, salts of polyacrylic acid, and arylsulphonate- formaldehyde condensates.
[000131] Antifoams which may be present in the seed-dressing formulations which can be used in accordance with the invention include all of the foam inhibitors that are customary in the formulation of active agrochemical ingredients. Use may be made preferably of silicone antifoams and magnesium stearate.
[000132] Preservatives which may be present in the seed-dressing formulations which can be used in accordance with the invention include all of the substances which can be employed for such purposes in agrochemical compositions. Examples include dichlorophen and benzyl alcohol hemiformal.
[000133] Secondary thickeners which may be present in the seed-dressing formulations which can be used in accordance with the invention include all substances which can be used for such purposes in agrochemical compositions. Those contemplated with preference include cellulose derivatives, acrylic acid derivatives, xanthan, modified clays and highly disperse silica.
[000134] Stickers which may be present in the seed-dressing formulations which can be used in accordance with the invention include all customary binders which can be used in seed- dressing products. Preferred mention may be made of polyvinylpyrrolidone, polyvinyl acetate, polyvinyl alcohol and tylose.
[000135] Gibberellins which may be present in the seed-dressing formulations which can be used in accordance with the invention include preferably the gibberellins Al, A3 (= gibberellic acid), A4 and A7, with gibberellic acid being used with particular preference. The
gibberellins are known (cf. R. Wegler, "Chemie der Pflanzenschutz- und
Schadlingsbekampfungsmittel", Volume 2, Springer Verlag, 1970, pp. 401-412).
[000136] The seed-dressing formulations which can be used in accordance with the invention may be used, either directly or after prior dilution with water, to treat seed of any of a wide variety of types. Accordingly, the concentrates or the preparations obtainable from them by dilution with water may be employed to dress the seed of cereals, such as wheat, barley, rye, oats and triticale, and also the seed of maize, rice, oilseed rape, peas, beans, cotton, sunflowers and beets, or else the seed of any of a very wide variety of vegetables. The seed-dressing
formulations which can be used in accordance with the invention, or their diluted preparations, may also be used to dress seed of transgenic plants. In that case, additional synergistic effects may occur in interaction with the substances formed through expression.
[000137] For the treatment of seed with the seed-dressing formulations which can be used in accordance with the invention, or with the preparations produced from them by addition of water, suitable mixing equipment includes all such equipment which can typically be employed for seed dressing. More particularly, the procedure when carrying out seed dressing is to place the seed in a mixer, to add the particular desired amount of seed-dressing formulations, either as such or following dilution with water beforehand, and to carry out mixing until the distribution of the formulation on the seed is uniform. This may be followed by a drying operation.
[000138] The application rate of the seed-dressing formulations which can be used in accordance with the invention may be varied within a relatively wide range. It is guided by the particular amount of the ningnanmycin and the at least one fungicide (I) in the formulations, and by the seed. The application rates in the case of the composition are situated generally at between 0.001 and 50 g per kilogram of seed, preferably between 0.01 and 15 g per kilogram of seed.
[000139] The composition according to the invention, in case the ningnanmycin exhibits insecticidal and nematicidal activity, in combination with good plant tolerance and favourable toxicity to warm-blooded animals and being tolerated well by the environment, are suitable for protecting plants and plant organs, for increasing harvest yields, for improving the quality of the harvested material and for controlling animal pests, in particular insects, mites, arachnids, helminths, nematodes and molluscs, which are encountered in agriculture, in horticulture, in animal husbandry, in forests, in gardens and leisure facilities, in protection of stored products and of materials, and in the hygiene sector. They can be preferably employed as plant protection agents. In particular, the present invention relates to the use of the composition according to the invention as insecticide and/or fungicide.
[000140] They are active against normally sensitive and resistant species and against all or some stages of development. The abovementioned pests include:
Pests from the phylum Arthropoda, especially from the class Arachnida, for example, Acarus spp., Aceria sheldoni, Aculops spp., Aculus spp., Amblyomma spp., Amphitetranychus viennensis, Argas spp., Boophilus spp., Brevipalpus spp., Bryobia graminum, Bryobia praetiosa, Centruroides spp., Chorioptes spp., Dermanyssus gallinae, Dermatophagoides pteronyssinus, Dermatophagoides farinae, Dermacentor spp., Eotetranychus spp., Epitrimerus pyri,
Eutetranychus spp., Eriophyes spp., Glycyphagus domesticus, Halotydeus destructor,
Hemitarsonemus spp., Hyalomma spp., Ixodes spp., Latrodectus spp., Loxosceles spp.,
Metatetranychus spp., Neutrombicula autumnalis, Nuphersa spp., Oligonychus spp.,
Ornithodorus spp., Ornithonyssus spp., Panonychus spp., Phyllocoptruta oleivora,
Polyphagotarsonemus lotus, Psoroptes spp., Rhipicephalus spp., Rhizoglyphus spp., Sarcoptes spp., Scorpio maurus, Steneotarsonemus spp., Steneotarsonemus spinki, Tarsonemus spp., Tetranychus spp., Trombicula alfreddugesi, Vaejovis spp., Varaies lycopersici;
In particular clover mite, brown mite, hazelnut spider mite, asparagus spider mite, brown wheat mite, legume mite, oxalis mite, boxwood mite, Texas citrus mite, Oriental red mite, citrus red mite, European red mite, yellow spider mite, fig spider mite, Lewis spider mite, six-spotted spider mite, Willamette mite Yuma spider mite, web-spinning mite, pineapple mite, citrus green mite, honey-locust spider mite, tea red spider mite, southern red mite, avocado brown mite, spruce spider mite, avocado red mite, Banks grass mite, carmine spider mite, desert spider mite, vegetable spider mite, tumid spider mite, strawberry spider mite, two-spotted spider mite, McDaniel mite, Pacific spider mite, hawthorn spider mite, four-spotted spider mite, Schoenei spider mite, Chilean false spider mite, citrus flat mite, privet mite, flat scarlet mite, white-tailed mite, pineapple tarsonemid mite, West Indian sugar cane mite, bulb scale mite, cyclamen mite, broad mite, winter grain mite, red-legged earth mite, filbert big-bud mite, grape erineum mite, pear blister leaf mite, apple leaf edgeroller mite, peach mosaic vector mite, alder bead gall mite, Perian walnut leaf gall mite, pecan leaf edgeroll mite, fig bud mite, olive bud mite, citrus bud mite, litchi erineum mite, wheat curl mite, coconut flower and nut mite, sugar cane blister mite, buffalo grass mite, bermuda grass mite, carrot bud mite, sweet potato leaf gall mite, pomegranate leaf curl mite, ash sprangle gall mite, maple bladder gall mite, alder erineum mite, redberry mite, cotton blister mite, blueberry bud mite, pink tea rust mite, ribbed tea mite, grey citrus mite, sweet potato rust mite, horse chestnut rust mite, citrus rust mite, apple rust mite, grape rust mite, pear rust mite, flat needle sheath pine mite, wild rose bud and fruit mite, dryberry mite, mango rust mite, azalea rust mite, plum rust mite, peach silver mite, apple rust mite, tomato russet mite, pink citrus rust mite, cereal rust mite, rice rust mite;
from the class Chilopoda, for example, Geophilus spp., Scutigera spp. ;
from the order or the class Collembola, for example, Onychiurus armatus;
from the class Diplopoda, for example, Blaniulus guttulatus;
from the class Insecta, e.g., from the order Blattodea, for example, Blattella asahinai, Blattella germanica, Blatta orientalis, Leucophaea maderae, Panchlora spp., Parcoblatta spp., Periplaneta spp., Supella longipalpa;
from the order Coleoptera, for example, Acalymma vittatum, Acanthoscelides obtectus, Adoretus spp., Agelastica alni, Agriotes spp., Alphitobius diaperinus, Amphimallon solstitialis , Anobium punctatum, Anoplophora spp., Anthonomus spp., Anthrenus spp., Apion spp., Apogonia spp., Atomaria spp., Attagenus spp., Bruchidius obtectus, Bruchus spp., Cassida spp., Cerotoma trifurcata, Ceutorrhynchus spp., Chaetocnema spp., Cleonus mendicus, Conoderus spp., Cosmopolites spp., Costelytra zealandica, Ctenicera spp., Curculio spp., Cryptolestes ferrugineus, Cryptorhynchus lapathi, Cylindrocopturus spp., Dermestes spp., Diabrotica spp., Dichocrocis spp., Dicladispa armigera, Diloboderus spp., Epilachna spp., Epitrix spp.,
Faustinus spp., Gibbium psylloides, Gnathocerus cornutus, Hellula undalis, Heteronychus orator, Heteronyx spp., Hylamorpha elegans, Hylotrupes bajulus, Hypera postica, Hypomeces squamosus, Hypothenemus spp., Lachnosterna consanguinea, Lasioderma serricorne, Latheticus oryzae, Lathridius spp., Lema spp., Leptinotarsa decemlineata, Leucoptera spp., Lissorhoptrus oryzophilus, Lixus spp., Luperodes spp., Lyctus spp., Megascelis spp., Melanotus spp.,
Meligethes aeneus, Melolontha spp., Migdolus spp., Monochamus spp., Naupactus
xanthographus, Necrobia spp., Niptus hololeucus, Oryctes rhinoceros, Oryzaephilus
surinamensis, Oryzaphagus oryzae, Otiorrhynchus spp., Oxycetonia jucunda, Phaedon cochleariae, Phyllophaga spp., Phyllophaga helleri, Phyllotreta spp., Popillia japonica, Premnotrypes spp., Prostephanus truncatus, Psylliodes spp., Ptinus spp., Rhizobius ventralis, Rhizopertha dominica, Sitophilus spp., Sitophilus oryzae, Sphenophorus spp., Stegobium paniceum, Sternechus spp., Symphyletes spp., Tanymecus spp., Tenebrio molitor, Tenebrioides mauretanicus, Tribolium spp., Trogoderma spp., Tychius spp., Xylotrechus spp., Zabrus spp.; preferably from Banded cucumber beetle (Diabrotica balteata), Northern corn rootworm (Diabrotica barberi), Southern corn rootworm (Diabrotica undecimpunctata howardi), Western cucumber beetle (Diabrotica undecimpunctata tenella), Western spotted cucumber beetle
(Diabrotica undecimpunctata undecimpunctata), Western corn rootworm (Diabrotica virgifera virgifera), Mexican corn rootworm (Diabrotica virgifera zeae).;
from the order Diptera, for example, Aedes spp., Agromyza spp., Anastrepha spp., Anopheles spp., Asphondylia spp., Bactrocera spp., 2¾Wo hortulanus, Calliphora erythrocephala, Calliphora vicina, Ceratitis capitata, Chironomus spp., Chrysomyia spp., Chrysops spp.,
Chrysozona pluvialis, Cochliomyia spp., Contarinia spp., Cordylobia anthropophaga,
Cricotopus sylvestris, Culex spp., Culicoides spp., Culiseta spp., Cuterebra spp., Dacus oleae, Dasyneura spp., Delia spp., Dermatobia hominis, Drosophila spp., Echinocnemus spp., Fannia spp., Gasterophilus spp., Glossina spp., Haematopota spp., Hydrellia spp., Hydrellia griseola, Hylemya spp., Hippobosca spp., Hypoderma spp., Liriomyza spp., Lucilia spp., Lutzomyia spp., Mansonia spp., Musca spp., Oestrus spp., Oscinellafrit, Paratany tarsus spp.,
Paralauterborniella subcincta, Pegomyia spp., Phlebotomus spp., Phorbia spp., Phormia spp., Piophila casei, Prodiplosis spp., i¾7a rosae, Rhagoletis spp., Sarcophaga spp., Simulium spp., Stomoxys spp., Tabanus spp., Tetanops spp., Tipula spp. ;
from the order Heteroptera, for example, Anasa tristis, Antestiopsis spp., Boisea spp.,
Blissus spp., Calocoris spp., Campylomma livida, Cavelerius spp., Cimex spp., Collaria spp., Creontiades dilutus, Dasynus piperis, Dichelops furcatus, Diconocoris hewetti, Dysdercus spp., Euschistus spp., Eurygaster spp., Heliopeltis spp., Horcias nobilellus, Leptocorisa spp.,
Leptocorisa varicornis, Leptoglossus phyllopus, Lygus spp., Macropes excavatus, Miridae, Monalonion atratum, Nezara spp., Oebalus spp., Pentomidae, Piesma quadrata, Piezodorus spp., Psallus spp., Pseudacysta persea, Rhodnius spp., Sahlbergella singularis, Scaptocoris castanea, Scotinophora spp., Stephanitis nashi, Tibraca spp., Triatoma spp.;
from the order Homoptera, for example, Acizzia acaciaebaileyanae, Acizzia dodonaeae, Acizzia uncatoides, Acrida turrita, Acyrthosipon spp., Acrogonia spp., Aeneolamia spp., Agonoscena spp., Aleyrodes proletella, Aleurolobus barodensis, Aleurothrixus floccosus,
Allocaridara malayensis, Amrasca spp., Anuraphis cardui, Aonidiella spp., Aphanostigma piri, Aphis spp., Arboridia apicalis, Arytainilla spp., Aspidiella spp., Aspidiotus spp., Atanus spp., Aulacorthum solani, Bemisia tabaci, Blastopsylla occidentalis, Boreioglycaspis melaleucae, Brachycaudus helichrysi, Brachycolus spp., Brevicoryne brassicae, Cacopsylla spp., Calligypona marginata, Carneocephala fulgida, Ceratovacuna lanigera, Cercopidae, Ceroplastes spp., Chaetosiphon fragaefolii, Chionaspis tegalensis, Chlorita onukii, Chondracris rosea,
Chromaphis juglandicola, Chrysomphalus ficus, Cicadulina mbila, Coccomytilus halli, Coccus spp., Cryptomyzus ribis, Cryptoneossa spp., Ctenarytaina spp., Dalbulus spp., Dialeurodes citri, Diaphorina citri, Diaspis spp., Drosicha spp., Dysaphis spp., Dysmicoccus spp., Empoasca spp., Eriosoma spp., Erythroneura spp., Eucalyptolyma spp., Euphyllura spp., Euscelis bilobatus,
Ferrisia spp., Geococcus coffeae, Glycaspis spp., Heteropsylla cubana, Heteropsylla spinulosa, Homalodisca coagulata, Hyalopterus arundinis, leery a spp., Idiocerus spp., Idioscopus spp., Laodelphax striatellus, Lecanium spp., Lepidosaphes spp., Lipaphis erysimi, Macrosiphum spp., Macrosteles facifrons, Mahanarva spp., Melanaphis sacchari, Metcalfiella spp., Metopolophium dirhodum, Monellia costalis, Monelliopsis pecanis, Myzus spp., Nasonovia ribisnigri,
Nephotettix spp., Nettigoniclla spectra, Nilaparvata lugens, Oncometopia spp., Orthezia praelonga, Oxya chinensis, Pachypsylla spp., Parabemisia myricae, Paratrioza spp., Parlatoria spp., Pemphigus spp., Peregrinus maidis, Phenacoccus spp., Phloeomyzus passerinii, Phorodon humuli, Phylloxera spp., Pinnaspis aspidistrae, Planococcus spp., Prosopidopsylla flava, Protopulvinaria pyriformis, Pseudaulacaspis pentagona, Pseudococcus spp., Psyllopsis spp., Psylla spp., Pteromalus spp., Pyrilla spp., Quadraspidiotus spp., Quesada gigas, Rastrococcus spp., Rhopalosiphum spp., Saissetia spp., Scaphoideus titanus, Schizaphis graminum,
Selenaspidus articulatus, Sogata spp., Sogatella furcifera, Sogatodes spp., Stictocephala festina, Siphoninus phillyreae, Tenalaphara malayensis, Tetragonocephela spp., Tinocallis caryaefoliae, Tomaspis spp., Toxoptera spp., Trialeurodes vaporariorum, Trioza spp., Typhlocyba spp., Unaspis spp., Viteus vitifolii, Zygina spp.;
from the order Hymenoptera, for example, Acromyrmex spp., Athalia spp., Αίία spp., Diprion spp., Hoplocampa spp., Lasius spp., Monomorium pharaonis, Sirex spp., Solenopsis invicta, Tapinoma spp., Urocerus spp., Vcspa spp., Xcra spp.;
from the order Isopoda, for example, Armadillidium vulgare, Oniscus asellus, Porcellio scaber;
from the order Isoptera, for example, Coptotermes spp., Cornitermes cumulans, Cryptotermes spp., Incisitermes spp., Microtermes obesi, Odontotermes spp., Reticulitermes spp.; from the order Lepidoptera, for example, Achroia grisella, Acronicta major, Adoxophyes spp., Aedia leucomelas, Agrotis spp., Alabama spp., Amyelois transitella, Anarsia spp., Anticarsia spp., Argyroploce spp., Barathra brassicae, Borbo cinnara, Bucculatrix thurberiella, Bupalus piniarius, Busseola spp., Cacoecia spp., Caloptilia theivora, Capua reticulana, Carpocapsa pomonella, Carposina niponensis, Cheimatobia brumata, Chilo spp., Choristoneura spp., Clysia ambiguella, Cnaphalocerus spp., Cnaphalocrocis medinalis, Cnephasia spp., Conopomorpha spp., Conotrachelus spp., Copitarsia spp., Cyift'a spp., Dalaca noctuides, Diaphania spp., Diatraea saccharalis, Earias spp., Ecdytolopha aurantium, Elasmopalpus lignosellus, Eldana saccharina, Ephestia spp., Epinotia spp., Epiphyas postvittana, Etiella spp., £Ί///α spp., Eupoecilia ambiguella, Euproctis spp., Euxoa spp., Feltia spp., Galleria mellonella, Gracillaria spp., Grapholitha spp., Hedylepta spp., Helicoverpa spp., Heliothis spp., Hofmannophila pseudospretella, Homoeosoma spp., Homona spp., Hyponomeuta padella, Kakivoria flavofasciata, Laphygma spp., Laspeyresia molesta, Leucinodes orbonalis, Leucoptera spp., Lithocolletis spp., Lithophane antennata, Lobesia spp., Loxagrotis albicosta, Lymantria spp., Lyonetia spp., Malacosoma neustria, Maruca testulalis, Mamstra brassicae, Melanitis leda, Mods spp., Monopis obviella, Mythimna separata, Nemapogon cloacellus, Nymphula spp., Oiketicus spp., Οπ'α spp., Orthaga spp., Ostrinia spp., Oulema oryzae, Panolis flammea,
Parnara spp., Pectinophora spp., Perileucoptera spp., Phthorimaea spp., Phyllocnistis citrella, Phyllonorycter spp., Pieris spp., Platynota stultana, Plodia interpunctella, Plusia spp., Plutella xylostella, Prays spp., Prodenia spp., Protoparce spp., Pseudaletia spp., Pseudaletia unipuncta, Pseudoplusia includens, Pyrausta nubilalis, Rachiplusia nu, Schoenobius spp., Scirpophaga spp., Scirpophaga innotata, Scotia segetum, Sesamia spp., Sesamia inferens, Sparganothis spp., Spodoptera spp., Spodoptera praefica, Stathmopoda spp., Stomopteryx subsecivella, Synanthedon spp., 7¾da solanivora, Thermesia gemmatalis, Tinea cloacella, Tinea pellionella, Tineola bisselliella, Tortrix spp., Trichophaga tapetzella, Trichoplusia spp., Tryporyza incertulas, Tuta absoluta, Virachola spp.;
from the order Orthoptera or Saltatoria, for example, Acheta domesticus, Dichroplus spp.,
Gryllotalpa spp., Hieroglyphus spp., Locusta spp., Melanoplus spp., Schistocerca gregaria; from the order Phthiraptera, for example, Damalinia spp., Haematopinus spp., Linognathus spp., Pediculus spp., Ptirus pubis, Trichodectes spp.;
from the order Psocoptera for example Lepinatus spp., Liposcelis spp.;
from the order Siphonaptera, for example, Ceratophyllus spp., Ctenocephalides spp.,
Fi//ex irritans, Tunga penetrans, Xenopsylla cheopsis;
from the order Thysanoptera, for example, Anaphothrips obscurus, Baliothrips biformis, Drepanothrips reuteri, Enneothrips flavens, Frankliniella spp., Heliothrips spp., Hercinothrips femoralis, Rhipiphorothrips cruentatus, Scirtothrips spp., Taeniothrips cardamomi, Thrips spp.; from the order Zygentoma (= Thysanura), for example, Ctenolepisma spp., Lepisma saccharina, Lepismodes inquilinus, Thermobia domestica;
from the class Symphyla, for example, Scutigerella spp.;
pests from the phylum Mollusca, especially from the class Bivalvia, for example, Dreissena spp., and from the class Gastropoda, for example, Arion spp., Biomphalaria spp., Bulinus spp., Deroceras spp., Galba spp., Lymnaea spp., Oncomelania spp., Pomacea spp., Succinea spp.;
animal pests from the phylums Plathelminthes and Nematoda, for example, Ancylostoma duodenale, Ancylostoma ceylanicum, Acylostoma braziliensis, Ancylostoma spp., Ascaris spp., Brugia malayi, Brugia timori, Bunostomum spp., Chabertia spp., Clonorchis spp., Cooperia spp., Dicrocoelium spp., Dictyocaulus filaria, Diphyllobothrium latum, Dracunculus medinensis, Echinococcus granulosus, Echinococcus multilocularis, Enterobius vermicularis, Faciola spp., Haemonchus spp., Heterakis spp., Hymenolepis nana, Hyostrongulus spp., Loa Loa, Nematodirus spp., Oesophagostomum spp., Opisthorchis spp., Onchocerca volvulus, Ostertagia spp., Paragonimus spp., Schistosomen spp., Strongyloides fuelleborni, Strongyloides stercoralis, Stronyloides spp., Taenia saginata, Taenia solium, Trichinella spiralis, Trichinella nativa,
Trichinella britovi, Trichinella nelsoni, Trichinella pseudopsiralis, Trichostrongulus spp., Trichuris trichuria, Wuchereria bancrofli;
phytoparasitic pests from the phylum Nematoda, for example, Aphelenchoides spp., Bursaphelenchus spp., Ditylenchus spp., Globodera spp., Heterodera spp., Longidorus spp., Meloidogyne spp., Pratylenchus spp., Radopholus spp., Trichodorus spp., Tylenchulus spp., Xiphinema spp., Helicotylenchus spp., Tylenchorhynchus spp., Scutellonema spp., Paratrichodorus spp., Meloinema spp., Paraphelenchus spp., Aglenchus spp., Belonolaimus spp., Nacobbus spp., Rotylenchulus spp., Rotylenchus spp., Neotylenchus spp., Paraphelenchus spp., Dolichodorus spp., Hoplolaimus spp., Punctodera spp., Criconemella spp., Quinisulcius spp., Hemicycliophora spp., Anguina spp., Subanguina spp., Hemicriconemoides spp., Psilenchus spp., Pseudohalenchus spp., Criconemoides spp., Cacopaurus spp., Hirschmaniella spp, Tetylenchus spp.
[000141] It is furthermore possible to control organisms from the subphylum Protozoa, especially from the order Coccidia, such as Eimeria spp.
[000142] Preferably, the composition is particularly active against spider mites, citrus mites, eriophyid (russet) mites and broad mites as well as the corn root worm.
[000143] Furthermore, the composition according to the present invention preferably has potent microbicidal activity and can be used for control of unwanted microorganisms, such as fungi and bacteria, in crop protection and in the protection of materials.
[000144] The invention also relates to a method for controlling unwanted
microorganisms, characterized in that the inventive composition is applied to the
phytopathogenic fungi, phytopathogenic bacteria and/or their habitat.
[000145] Fungicides can be used in crop protection for control of phytopathogenic fungi. They are characterized by an outstanding efficacy against a broad spectrum of
phytopathogenic fungi, including soilborne pathogens, which are in particular members of the classes Plasmodiophoromycetes, Peronosporomycetes (Syn. Oomycetes), Chytridiomycetes, Zygomycetes, Ascomycetes, Basidiomycetes and Deuteromycetes (Syn. Fungi imperfecti). Some fungicides are systemically active and can be used in plant protection as foliar, seed dressing or soil fungicide. Furthermore, they are suitable for combating fungi, which inter alia infest wood or roots of plant.
[000146] Bactericides can be used in crop protection for control of Pseudomonadaceae, Rhizobiaceae, Enterobacteriaceae, Corynebacteriaceae and Streptomycetaceae .
[000147] Non- limiting examples of pathogens of fungal diseases which can be treated in accordance with the invention include:
diseases caused by powdery mildew pathogens, for example Blumeria species, for
example Blumeria graminis; Podosphaera species, for example Podosphaera leucotricha;
Sphaerotheca species, for example Sphaerotheca fuliginea; Uncinula species, for example Uncinula necator;
diseases caused by rust disease pathogens, for example Gymnosporangium species, for example Gymnosporangium sabinae; Hemileia species, for example Hemileia vastatrix;
Phakopsora species, for example Phakopsora pachyrhizi and Phakopsora meibomiae; Puccinia species, for example Puccinia recondite, P. triticina, P. graminis or P. striiformis or P. hordei; Uromyces species, for example Uromyces appendiculatus;
diseases caused by pathogens from the group of the Oomycetes, for example Albugo species, for example Algubo Candida; Bremia species, for example Bremia lactucae;
Peronospora species, for example Peronospora pisi, P. parasitica or P. brassicae; Phytophthora species, for example Phytophthora infestans; Plasmopara species, for example Plasmopara viticola; Pseudoperonospora species, for example Pseudoperonospora humuli or
Pseudoperonospora cubensis; Pythium species, for example Pythium ultimum;
leaf blotch diseases and leaf wilt diseases caused, for example, by Alternaria species, for example Alternaria solani; Cercospora species, for example Cercospora beticola;
Cladiosporium species, for example Cladiosporium cucumerinum; Cochliobolus species, for example Cochliobolus sativus (conidia form: Drechslera, Syn: Helminthosporium),
Cochliobolus miyabeanus; Colletotrichum species, for example Colletotrichum lindemuthanium; Cycloconium species, for example Cycloconium oleaginum; Diaporthe species, for example Diaporthe citri; Elsinoe species, for example Elsinoe fawcettii; Gloeosporium species, for example Gloeosporium laeticolor; Glomerella species, for example Glomerella cingulata;
Guignardia species, for example Guignardia bidwelli; Leptosphaeria species, for example Leptosphaeria maculans, Leptosphaeria nodorum; Magnaporthe species, for example
Magnaporthe grisea; Microdochium species, for example Microdochium nivale; Mycosphaerella species, for example Mycosphaerella graminicola, M. arachidicola and M. fijiensis;
Phaeosphaeria species, for example Phaeosphaeria nodorum; Pyrenophora species, for example Pyrenophora teres, Pyrenophora tritici repentis; Ramularia species, for example Ramularia collo-cygni, Ramularia areola; Rhynchosporium species, for example Rhynchosporium secalis; Septoria species, for example Septoria apii, Septoria lycopersii; Typhula species, for example Typhula incarnata; Venturia species, for example Venturia inaequalis;
root and stem diseases caused, for example, by Corticium species, for example Corticium graminearum; Fusarium species, for example Fusarium oxysporum; Gaeumannomyces species, for example Gaeumannomyces graminis; Rhizoctonia species, such as, for example Rhizoctonia solani; Sarocladium diseases caused for example by Sarocladium oryzae; Sclerotium diseases
caused for example by Sclerotium oryzae; Tapesia species, for example Tapesia acuformis; Thielaviopsis species, for example Thielaviopsis basicola;
ear and panicle diseases (including corn cobs) caused, for example, by Alternaria species, for example Alternaria spp.; Aspergillus species, for example Aspergillus flavus; Cladosporium species, for example Cladosporium cladosporioides; Claviceps species, for example Claviceps purpurea; Fusarium species, for example Fusarium culmorum; Gibberella species, for example Gibberella zeae; Monographella species, for example Monographella nivalis; Septoria species, for example Septoria nodorum;
diseases caused by smut fungi, for example Sphacelotheca species, for example
Sphacelotheca reiliana; Tilletia species, for example Tilletia caries, T. controversa; Urocystis species, for example Urocystis occulta; Ustilago species, for example Ustilago nuda, U. nuda tritici;
fruit rot caused, for example, by Aspergillus species, for example Aspergillus flavus; Botrytis species, for example Botrytis cinerea; Penicillium species, for example Penicillium expansum and P. purpurogenum; Sclerotinia species, for example Sclerotinia sclerotiorum; Verticilium species, for example Verticilium alboatrum;
seed and soilborne decay, mould, wilt, rot and damping-off diseases caused, for example, by Alternaria species, caused for example by Alternaria brassicicola; Aphanomyces species, caused for example by Aphanomyces euteiches; Ascochyta species, caused for example by Ascochyta lentis; Aspergillus species, caused for example by Aspergillus flavus; Cladosporium species, caused for example by Cladosporium herbarum; Cochliobolus species, caused for example by Cochliobolus sativus; (Conidiaform: Drechslera, Bipolaris Syn: Helminthosporium); Colletotrichum species, caused for example by Colletotrichum coccodes; Fusarium species, caused for example by Fusarium culmorum; Gibberella species, caused for example by
Gibberella zeae; Macrophomina species, caused for example by Macrophomina phaseolina; Monographella species, caused for example by Monographella nivalis; Penicillium species, caused for example by Penicillium expansum; Phoma species, caused for example by Phoma lingam; Phomopsis species, caused for example by Phomopsis sojae; Phytophthora species, caused for example by Phytophthora cactorum; Pyrenophora species, caused for example by Pyrenophora graminea; Pyricularia species, caused for example by Pyricularia oryzae; Pythium species, caused for example by Pythium ultimum; Rhizoctonia species, caused for example by Rhizoctonia solani; Rhizopus species, caused for example by Rhizopus oryzae; Sclerotium species, caused for example by Sclerotium rolfsii; Septoria species, caused for example by Septoria nodorum; Typhula species, caused for example by Typhula incarnata; Verticillium species, caused for example by Verticillium dahliae;
cancers, galls and witches' broom caused, for example, by Nectria species, for example Nectria galligena;
wilt diseases caused, for example, by Monilinia species, for example Monilinia laxa; leaf blister or leaf curl diseases caused, for example, by Exobasidium species, for example Exobasidium vexans;
Taphrina species, for example Taphrina deformans;
decline diseases of wooden plants caused, for example, by Esca disease, caused for example by Phaemoniella clamydospora, Phaeoacremonium aleophilum and Fomitiporia mediterranea; Eutypa dyeback, caused for example by Eutypa lata ; Ganoderma diseases caused for example by Ganoderma boninense; Rigidoporus diseases caused for example by Rigidoporus lignosus;
diseases of flowers and seeds caused, for example, by Botrytis species, for example Botrytis cinerea;
diseases of plant tubers caused, for example, by Rhizoctonia species, for example Rhizoctonia solani; Helminthosporium species, for example Helminthosporium solani;
club root caused, for example, by Plasmodiophora species, for example Plamodiophora brassicae;
diseases caused by bacterial pathogens, for example Xanthomonas species, for example Xanthomonas campestris pv. oryzae; Pseudomonas species, for example Pseudomonas syringae pv. lachrymans; Erwinia species, for example Erwinia amylovora.
[000148] The following diseases of soya beans can be controlled with preference:
Fungal diseases on leaves, stems, pods and seeds caused, for example, by Alternaria leaf spot (Alternaria spec, atrans tenuissima), Anthracnose (Colletotrichum gloeosporoides dematium var. truncatum), brown spot (Septoria glycines), cercospora leaf spot and blight (Cercospora kikuchii), choanephora leaf blight (Choanephora infundibulifera trispora (Syn.)), dactuliophora leaf spot (Dactuliophora glycines), downy mildew (Peronospora manshurica), drechslera blight (Drechslera glycini), frogeye leaf spot (Cercospora sojina), leptosphaerulina leaf spot
(Leptosphaerulina trifolii), phyllostica leaf spot (Phyllosticta sojaecola), pod and stem blight (Phomopsis sojae), powdery mildew (Microsphaera diffusa), pyrenochaeta leaf spot
(Pyrenochaeta glycines), rhizoctonia aerial, foliage, and web blight (Rhizoctonia solani), rust
(Phakopsora pachyrhizi, Phakopsora meibomiae), scab (Sphaceloma glycines), stemphylium leaf blight (Stemphylium botryosum), target spot (Corynespora cassiicola).
[000149] Fungal diseases on roots and the stem base caused, for example, by black root rot (Calonectria crotalariae), charcoal rot (Macrophomina phaseolina), fusarium blight or wilt, root rot, and pod and collar rot (Fusarium oxysporum, Fusarium orthoceras, Fusarium
semitectum, Fusarium equiseti), mycoleptodiscus root rot (Mycoleptodiscus terrestris), neocosmospora (Neocosmospora vasinfecta), pod and stem blight (Diaporthe phaseolorum), stem canker {Diaporthe phaseolorum var. caulivora), phytophthora rot (Phytophthora megasperma), brown stem rot (Phialophora gregata), pythium rot (Pythium aphanidermatum, Pythium irregulare, Pythium debaryanum, Pythium myriotylum, Pythium ultimum), rhizoctonia root rot, stem decay, and damping-off (Rhizoctonia solani), sclerotinia stem decay (Sclerotinia sclerotiorum), sclerotinia southern blight (Sclerotinia rolfsii), thielaviopsis root rot (Thielaviopsis basicola).
[000150] The inventive compositions can be used for curative or protective/preventive control of phytopathogenic fungi. The invention therefore also relates to curative and protective methods for controlling phytopathogenic fungi by the use of the inventive composition, which is applied to the seed, the plant or plant parts, the fruit or the soil in which the plants grow.
[000151] The fact that the composition is well tolerated by plants at the concentrations required for controlling plant diseases allows the treatment of above-ground parts of plants, of propagation stock and seeds, and of the soil.
[000152] According to the invention all plants and plant parts can be treated. By plants is meant all plants and plant populations such as desirable and undesirable wild plants, cultivars and plant varieties (whether or not protectable by plant variety or plant breeder's rights).
Cultivars and plant varieties can be plants obtained by conventional propagation and breeding methods which can be assisted or supplemented by one or more biotechnological methods such as by use of double haploids, protoplast fusion, random and directed mutagenesis, molecular or genetic markers or by bioengineering and genetic engineering methods. By plant parts is meant all above ground and below ground parts and organs of plants such as shoot, leaf, blossom and root, whereby for example leaves, needles, stems, branches, blossoms, fruiting bodies, fruits and seed as well as roots, corms and rhizomes are listed. Crops and vegetative and generative propagating material, for example cuttings, corms, rhizomes, runners and seeds also belong to plant parts.
[000153] The inventive composition, when it is well tolerated by plants, has favourable homeotherm toxicity and is well tolerated by the environment, is suitable for protecting plants and plant organs, for enhancing harvest yields, for improving the quality of the harvested material. It can preferably be used as crop protection composition. It is active against normally sensitive and resistant species and against all or some stages of development.
[000154] Plants which can be treated in accordance with the invention include the following main crop plants: maize, soya bean, alfalfa, cotton, sunflower, Brassica oil seeds such as Brassica napus (e.g., canola, rapeseed), Brassica rapa, B. juncea (e.g., (field) mustard) and
Brassica carinata, Arecaceae sp. {e.g., oilpalm, coconut), rice, wheat, sugar beet, sugar cane, oats, rye, barley, millet and sorghum, triticale, flax, nuts, grapes and vine and various fruit and vegetables from various botanic taxa, e.g., Rosaceae sp. (e.g., pome fruits such as apples and pears, but also stone fruits such as apricots, cherries, almonds, plums and peaches, and berry fruits such as strawberries, raspberries, red and black currant and gooseberry), Ribesioidae sp., Juglandaceae sp., Betulaceae sp., Anacardiaceae sp., Fagaceae sp., Moraceae sp., Oleaceae sp. (e.g., olive tree), Actinidaceae sp., Lauraceae sp. (e.g., avocado, cinnamon, camphor), Musaceae sp. (e.g., banana trees and plantations), Rubiaceae sp. (e.g., coffee), Theaceae sp. (e.g., tea), Sterculiceae sp., Rutaceae sp. (e.g., lemons, oranges, mandarins and grapefruit); Solanaceae sp. (e.g., tomatoes, potatoes, peppers, capsicum, aubergines, tobacco), Liliaceae sp., Compositae sp. (e.g., lettuce, artichokes and chicory - including root chicory, endive or common chicory), Umbelliferae sp. (e.g., carrots, parsley, celery and celeriac), Cucurbitaceae sp. (e.g., cucumbers - including gherkins, pumpkins, watermelons, calabashes and melons), Alliaceae sp. (e.g., leeks and onions), Cruciferae sp. (e.g., white cabbage, red cabbage, broccoli, cauliflower, Brussels sprouts, pak choi, kohlrabi, radishes, horseradish, cress and Chinese cabbage), Leguminosae sp. (e.g., peanuts, peas, lentils and beans - e.g., common beans and broad beans), Chenopodiaceae sp., (e.g. , Swiss chard, fodder beet, spinach, beetroot), Linaceae sp. (e.g., hemp), Cannabeacea sp. (e.g., cannabis), Malvaceae sp. (e.g., okra, cocoa), Papaveraceae (e.g., poppy), Asparagaceae (e.g., asparagus); useful plants and ornamental plants in the garden and woods including turf, lawn, grass and Stevia rebaudiana; and in each case genetically modified types of these plants.
[000155] Depending on the plant species or plant cultivars, their location and growth conditions (soils, climate, vegetation period, diet), using or employing the composition according to the present invention the treatment according to the invention will also result in super- additive ("synergistic") effects. Thus, for example, by using or employing inventive composition in the treatment according to the invention, reduced application rates and/or a widening of the activity spectrum and/or an increase in the activity better plant growth, increased tolerance to high or low temperatures, increased tolerance to drought or to water or soil salt content, increased flowering performance, easier harvesting, accelerated maturation, higher harvest yields, bigger fruits, larger plant height, greener leaf color, earlier flowering, higher quality and/or a higher nutritional value of the harvested products, higher sugar concentration within the fruits, better storage stability and/or processability of the harvested products are possible, which exceed the effects which were actually to be expected.
[000156] At certain application rates of the inventive composition in the treatment according to the invention may also have a strengthening effect in plants. The defense system of the plant against attack by unwanted phytopathogenic fungi and/ or microorganisms and/or
viruses is mobilized. Plant-strengthening (resistance-inducing) substances are to be understood as meaning, in the present context, those substances or combinations of substances which are capable of stimulating the defense system of plants in such a way that, when subsequently inoculated with unwanted phytopathogenic fungi and/or microorganisms and/or viruses, the treated plants display a substantial degree of resistance to these phytopathogenic fungi and/or microorganisms and/or viruses, Thus, by using or employing composition according to the present invention in the treatment according to the invention, plants can be protected against attack by the abovementioned pathogens within a certain period of time after the treatment. The period of time within which protection is effected generally extends from 1 to 10 days, preferably 1 to 7 days, after the treatment of the plants with the active compounds.
[000157] Plants and plant cultivars which are also preferably to be treated according to the invention are resistant against one or more biotic stresses, i.e., said plants show a better defense against animal and microbial pests, such as against nematodes, insects, mites, phytopathogenic fungi, bacteria, viruses and/or viroids.
[000158] Plants and plant cultivars which may also be treated according to the invention are those plants which are resistant to one or more abiotic stresses, i.e., that already exhibit an increased plant health with respect to stress tolerance. Abiotic stress conditions may include, for example, drought, cold temperature exposure, heat exposure, osmotic stress, flooding, increased soil salinity, increased mineral exposure, ozon exposure, high light exposure, limited availability of nitrogen nutrients, limited availability of phosphorus nutrients, shade avoidance. Preferably, the treatment of these plants and cultivars with the composition of the present invention additionally increases the overall plant health (cf. above).
[000159] Plants and plant cultivars which may also be treated according to the invention, are those plants characterized by enhanced yield characteristics, i.e., that already exhibit an increased plant health with respect to this feature. Increased yield in said plants can be the result of, for example, improved plant physiology, growth and development, such as water use efficiency, water retention efficiency, improved nitrogen use, enhanced carbon assimilation, improved photosynthesis, increased germination efficiency and accelerated maturation. Yield can furthermore be affected by improved plant architecture (under stress and non-stress conditions), including but not limited to, early flowering, flowering control for hybrid seed production, seedling vigor, plant size, internode number and distance, root growth, seed size, fruit size, pod size, pod or ear number, seed number per pod or ear, seed mass, enhanced seed filling, reduced seed dispersal, reduced pod dehiscence and lodging resistance. Further yield traits include seed composition, such as carbohydrate content, protein content, oil content and composition, nutritional value, reduction in anti-nutritional compounds, improved processability
and better storage stability. Preferably, the treatment of these plants and cultivars with the composition of the present invention additionally increases the overall plant health (cf. above).
[000160] Plants that may be treated according to the invention are hybrid plants that already express the characteristic of heterosis or hybrid vigor which results in generally higher yield, vigor, health and resistance towards biotic and abiotic stress factors. Such plants are typically made by crossing an inbred male-sterile parent line (the female parent) with another inbred male-fertile parent line (the male parent). Hybrid seed is typically harvested from the male sterile plants and sold to growers. Male sterile plants can sometimes (e.g., in corn) be produced by detasseling, i.e., the mechanical removal of the male reproductive organs (or males flowers) but, more typically, male sterility is the result of genetic determinants in the plant genome. In that case, and especially when seed is the desired product to be harvested from the hybrid plants it is typically useful to ensure that male fertility in the hybrid plants is fully restored. This can be accomplished by ensuring that the male parents have appropriate fertility restorer genes which are capable of restoring the male fertility in hybrid plants that contain the genetic determinants responsible for male-sterility. Genetic determinants for male sterility may be located in the cytoplasm. Examples of cytoplasmic male sterility (CMS) were for instance described in Brassica species. However, genetic determinants for male sterility can also be located in the nuclear genome. Male sterile plants can also be obtained by plant biotechnology methods such as genetic engineering. A particularly useful means of obtaining male-sterile plants is described in WO 89/10396 in which, for example, a ribonuclease such as barnase is selectively expressed in the tapetum cells in the stamens. Fertility can then be restored by expression in the tapetum cells of a ribonuclease inhibitor such as barstar.
[000161] Plants or plant cultivars (obtained by plant biotechnology methods such as genetic engineering) which may be treated according to the invention are herbicide-tolerant plants, i.e., plants made tolerant to one or more given herbicides. Such plants can be obtained either by genetic transformation, or by selection of plants containing a mutation imparting such herbicide tolerance.
[000162] Herbicide-tolerant plants are for example glyphosate-tolerant plants, i.e., plants made tolerant to the herbicide glyphosate or salts thereof. Plants can be made tolerant to glyphosate through different means. For example, glyphosate-tolerant plants can be obtained by transforming the plant with a gene encoding the enzyme 5-enolpyruvylshikimate-3-phosphate synthase (EPSPS). Examples of such EPSPS genes are the AroA gene (mutant CT7) of the bacterium Salmonella typhimurium, the CP4 gene of the bacterium Agrobacterium sp, the genes encoding a Petunia EPSPS, a Tomato EPSPS, or an Eleusine EPSPS. It can also be a mutated EPSPS. Glyphosate-tolerant plants can also be obtained by expressing a gene that encodes a
glyphosate oxido-reductase enzyme. Glyphosate-tolerant plants can also be obtained by expressing a gene that encodes a glyphosate acetyl transferase enzyme. Glyphosate-tolerant plants can also be obtained by selecting plants containing naturally-occurring mutations of the above-mentioned genes.
[000163] Other herbicide resistant plants are for example plants that are made tolerant to herbicides inhibiting the enzyme glutamine synthase, such as bialaphos, phosphinothricin or glufosinate. Such plants can be obtained by expressing an enzyme detoxifying the herbicide or a mutant glutamine synthase enzyme that is resistant to inhibition. One such efficient detoxifying enzyme is an enzyme encoding a phosphinothricin acetyltransf erase (such as the bar or pat protein from Streptomyces species). Plants expressing an exogenous phosphinothricin acetyltransferase are also described.
[000164] Further herbicide-tolerant plants are also plants that are made tolerant to the herbicides inhibiting the enzyme hydroxyphenylpyruvatedioxygenase (HPPD).
Hydroxyphenylpyruvatedioxygenases are enzymes that catalyze the reaction in which para- hydroxyphenylpyruvate (HPP) is transformed into homogentisate. Plants tolerant to HPPD- inhibitors can be transformed with a gene encoding a naturally-occurring resistant HPPD enzyme, or a gene encoding a mutated HPPD enzyme. Tolerance to HPPD-inhibitors can also be obtained by transforming plants with genes encoding certain enzymes enabling the formation of homogentisate despite the inhibition of the native HPPD enzyme by the HPPD-inhibitor.
Tolerance of plants to HPPD inhibitors can also be improved by transforming plants with a gene encoding an enzyme prephenate dehydrogenase in addition to a gene encoding an HPPD-tolerant enzyme.
[000165] Still further herbicide resistant plants are plants that are made tolerant to acetolactate synthase (ALS) inhibitors. Known ALS-inhibitors include, for example, sulfonylurea, imidazolinone, triazolopyrimidines, pyrimidinyoxy(thio)benzoates, and/or sulfonylaminocarbonyltriazolinone herbicides. Different mutations in the ALS enzyme (also known as acetohydroxyacid synthase, AHAS) are known to confer tolerance to different herbicides and groups of herbicides. The production of sulfonylurea-tolerant plants and imidazolinone-tolerant plants is described in WO 1996/033270. Other imidazolinone-tolerant plants are also described. Further sulfonylurea- and imidazolinone-tolerant plants are also described in for example WO 2007/024782.
[000166] Other plants tolerant to imidazolinone and/or sulfonylurea can be obtained by induced mutagenesis, selection in cell cultures in the presence of the herbicide or mutation breeding as described for example for soybeans, for rice, for sugar beet, for lettuce, or for sunflower.
[000167] Plants or plant cultivars (obtained by plant biotechnology methods such as genetic engineering) which may also be treated according to the invention are insect-resistant transgenic plants, i.e., plants made resistant to attack by certain target insects. Such plants can be obtained by genetic transformation, or by selection of plants containing a mutation imparting such insect resistance.
[000168] An "insect-resistant transgenic plant", as used herein, includes any plant containing at least one transgene comprising a coding sequence encoding:
1) an insecticidal crystal protein from Bacillus thuringiensis or an insecticidal portion thereof, such as the insecticidal crystal proteins or insecticidal portions thereof, e.g., proteins of the Cry protein classes CrylAb, CrylAc, CrylF, Cry2Ab, Cry2Ae, Cry3Aa, or Cry3Bb or insecticidal portions thereof; or
2) a crystal protein from Bacillus thuringiensis or a portion thereof which is insecticidal in the presence of a second other crystal protein from Bacillus thuringiensis or a portion thereof, such as the binary toxin made up of the Cry34 and Cry35 crystal proteins; or
3) a hybrid insecticidal protein comprising parts of different insecticidal crystal proteins from Bacillus thuringiensis, such as a hybrid of the proteins of 1) above or a hybrid of the proteins of 2) above, e.g., the CrylA.105 protein produced by corn event MON98034 (WO 2007/027777); or
4) a protein of any one of 1) to 3) above wherein some, particularly 1 to 10, amino acids have been replaced by another amino acid to obtain a higher insecticidal activity to a target insect species, and/or to expand the range of target insect species affected, and/or because of changes introduced into the encoding DNA during cloning or transformation, such as the Cry3Bbl protein in corn events MON863 or MON88017, or the Cry3A protein in corn event MIR604;
5) an insecticidal secreted protein from Bacillus thuringiensis or Bacillus cereus, or an insecticidal portion thereof, such as the vegetative insecticidal (VIP) proteins, e.g., proteins from the VIP3Aa protein class; or
6) secreted protein from Bacillus thuringiensis or Bacillus cereus which is insecticidal in the presence of a second secreted protein from Bacillus thuringiensis or B. cereus, such as the binary toxin made up of the VIP1A and VIP2A proteins; or
7) hybrid insecticidal protein comprising parts from different secreted proteins from
Bacillus thuringiensis or Bacillus cereus, such as a hybrid of the proteins in 1) above or a hybrid of the proteins in 2) above; or
8) protein of any one of 1) to 3) above wherein some, particularly 1 to 10, amino acids have been replaced by another amino acid to obtain a higher insecticidal activity to a target insect species, and/or to expand the range of target insect species affected, and/or because of changes
introduced into the encoding DNA during cloning or transformation (while still encoding an insecticidal protein), such as the VIP3Aa protein in cotton event COT102.
[000169] Of course, an insect-resistant transgenic plant, as used herein, also includes any plant comprising a combination of genes encoding the proteins of any one of the above classes 1 to 8. In one embodiment, an insect-resistant plant contains more than one transgene encoding a protein of any one of the above classes 1 to 8, to expand the range of target insect species affected when using different proteins directed at different target insect species, or to delay insect resistance development to the plants by using different proteins insecticidal to the same target insect species but having a different mode of action, such as binding to different receptor binding sites in the insect.
[000170] Plants or plant cultivars (obtained by plant biotechnology methods such as genetic engineering) which may also be treated according to the invention are tolerant to abiotic stresses. Such plants can be obtained by genetic transformation, or by selection of plants containing a mutation imparting such stress resistance. Particularly useful stress tolerance plants include:
a) plants which contain a transgene capable of reducing the expression and/or the activity of poly(ADP-ribose)polymerase (PARP) gene in the plant cells or plants;
b) plants which contain a stress tolerance enhancing transgene capable of reducing the expression and/or the activity of the poly(ADP-ribose)glycohydrolase (PARG) encoding genes of the plants or plants cells;
c) plants which contain a stress tolerance enhancing transgene coding for a plant- functional enzyme of the nicotinamide adenine dinucleotide salvage synthesis pathway including nicotinamidase, nicotinate phosphoribosyltransferase, nicotinic acid mononucleotide adenyl transferase, nicotinamide adenine dinucleotide synthetase or nicotine amide
phosphorybosyltransferase.
[000171] Plants or plant cultivars (obtained by plant biotechnology methods such as genetic engineering) which may also be treated according to the invention show altered quantity, quality and/or storage-stability of the harvested product and/or altered properties of specific ingredients of the harvested product such as :
1) transgenic plants which synthesize a modified starch, which in its physical-chemical characteristics, in particular the amylose content or the amylose/amylopectin ratio, the degree of branching, the average chain length, the side chain distribution, the viscosity behaviour, the gelling strength, the starch grain size and/or the starch grain morphology, is changed in comparison with the synthesised starch in wild type plant cells or plants, so that this is better suited for special applications;
2) transgenic plants which synthesize non starch carbohydrate polymers or which synthesize non starch carbohydrate polymers with altered properties in comparison to wild type plants without genetic modification. Examples are plants producing polyfructose, especially of the inulin and levan-type, plants producing alpha 1 ,4 glucans, plants producing alpha- 1 ,6 branched alpha- 1,4-glucans, plants producing alternan;
3) transgenic plants which produce hyaluronan.
[000172] Plants or plant cultivars (that can be obtained by plant biotechnology methods such as genetic engineering) which may also be treated according to the invention are plants, such as cotton plants, with altered fiber characteristics. Such plants can be obtained by genetic transformation or by selection of plants contain a mutation imparting such altered fiber characteristics and include:
a) plants, such as cotton plants, containing an altered form of cellulose synthase genes; b) plants, such as cotton plants, containing an altered form of rsw2 or rsw3 homologous nucleic acids;
c) plants, such as cotton plants, with increased expression of sucrose phosphate synthase; d) plants, such as cotton plants, with increased expression of sucrose synthase;
e) plants, such as cotton plants, wherein the timing of the plasmodesmatal gating at the basis of the fiber cell is altered, e.g. through downregulation of fiberselective β 1,3-glucanase; f) plants, such as cotton plants, having fibers with altered reactivity, e.g., through the expression of N-acteylglucosaminetransferase gene including nodC and chitinsynthase genes.
[000173] Plants or plant cultivars (that can be obtained by plant biotechnology methods such as genetic engineering) which may also be treated according to the invention are plants, such as oilseed rape or related Brassica plants, with altered oil profile characteristics. Such plants can be obtained by genetic transformation or by selection of plants contain a mutation imparting such altered oil characteristics and include:
a) plants, such as oilseed rape plants, producing oil having a high oleic acid content; b) plants such as oilseed rape plants, producing oil having a low linolenic acid content; c) plant such as oilseed rape plants, producing oil having a low level of saturated fatty acids.
[000174] Particularly useful transgenic plants which may be treated according to the invention are plants which comprise one or more genes which encode one or more toxins, such as the following which are sold under the trade names YIELD GARD® (for example maize, cotton, soya beans), KNOCKOUT® (for example maize), BITEGARD® (for example maize), BT- XTRA® (for example maize), STARLINK® (for example maize), BOLLGARD® (cotton), NUCOTN® (cotton), NUCOTN 33B® (cotton), NATUREGARD® (for example maize),
PROTECTA® and NEWLEAF® (potato). Examples of herbicide-tolerant plants which may be mentioned are maize varieties, cotton varieties and soya bean varieties which are sold under the trade names ROUNDUP READY® (tolerance to glyphosate, for example maize, cotton, soya bean), LIBERTY LINK® (tolerance to phosphinotricin, for example oilseed rape), IMI®
(tolerance to imidazolinones) and STS® (tolerance to sulphonylureas, for example maize).
Herbicide-resistant plants (plants bred in a conventional manner for herbicide tolerance) which may be mentioned include the varieties sold under the name CLEARFIELD® (for example maize).
[000175] Particularly useful transgenic plants which may be treated according to the invention are plants containing transformation events, or a combination of transformation events, and that are listed for example in the databases for various national or regional regulatory agencies including Event 1143-14A (cotton, insect control, not deposited, described in WO 06/128569); Event 1143-5 IB (cotton, insect control, not deposited, described in WO 06/128570); Event 1445 (cotton, herbicide tolerance, not deposited, described in U.S. Patent Application Publication No. 2002-120964 or WO 02/034946); Event 17053 (rice, herbicide tolerance, deposited as PTA-9843, described in WO 10/117737); Event 17314 (rice, herbicide tolerance, deposited as PTA-9844, described in WO 10/117735); Event 281-24-236 (cotton, insect control - herbicide tolerance, deposited as PTA-6233, described in WO 05/103266 or U.S. Patent Application Publication No. 2005-216969); Event 3006- 210-23 (cotton, insect control - herbicide tolerance, deposited as PTA-6233, described in U.S. Patent Application Publication No. 2007-143876 or WO 05/103266); Event 3272 (corn, quality trait, deposited as PTA-9972, described in WO 06/098952 or U.S. Patent Application Publication No. 2006-230473); Event 40416 (corn, insect control - herbicide tolerance, deposited as ATCC PTA- 11508, described in WO 11/075593); Event 43A47 (corn, insect control - herbicide tolerance, deposited as ATCC PTA-11509, described in WO 11/075595); Event 5307 (corn, insect control, deposited as ATCC PTA-9561, described in WO 10/077816); Event ASR-368 (bent grass, herbicide tolerance, deposited as ATCC PTA-4816, described in U.S. Patent Application Publication No. 2006-162007 or WO 04/053062); Event B16 (corn, herbicide tolerance, not deposited, described in U.S. Patent Application Publication No. 2003-126634); Event BPS-CV127-9 (soybean, herbicide tolerance, deposited as NCIMB No. 41603, described in WO 10/080829); Event CE43-67B (cotton, insect control, deposited as DSM ACC2724, described in U.S. Patent Application Publication No. 2009-217423 or WO 06/128573); Event CE44-69D (cotton, insect control, not deposited, described in U.S. Patent Application Publication No. 2010-0024077); Event CE44-69D (cotton, insect control, not deposited, described in WO 06/128571); Event CE46-02A (cotton, insect control, not deposited, described in WO 06/128572); Event COT102 (cotton, insect control, not deposited, described in U.S. Patent Application Publication No. A 2006-130175 or WO 04/039986); Event COT202 (cotton,
insect control, not deposited, described in U.S. Patent Application Publication No. 2007-067868 or WO 05/054479); Event COT203 (cotton, insect control, not deposited, described in WO 05/054480); Event DAS40278 (corn, herbicide tolerance, deposited as ATCC PTA- 10244, described in WO 11/022469); Event DAS-59122-7 (corn, insect control - herbicide tolerance, deposited as ATCC PTA 11384 , described in U.S. Patent Application Publication No. 2006-070139); Event DAS-59132 (corn, insect control - herbicide tolerance, not deposited, described in WO 09/100188); Event DAS68416 (soybean, herbicide tolerance, deposited as ATCC PTA-10442, described in WO 11/066384 or WO 11/066360); Event DP-098140-6 (corn, herbicide tolerance, deposited as ATCC PTA-8296, described in U.S. Patent Application Publication No. 2009-137395 or WO 08/112019); Event DP-305423-1 (soybean, quality trait, not deposited, described in U.S. Patent Application Publication No. 2008-312082 or WO 08/054747); Event DP-32138-1 (corn, hybridization system, deposited as ATCC PTA-9158, described in U.S. Patent Application Publication No. 2009-0210970 or WO 09/103049); Event DP-356043-5 (soybean, herbicide tolerance, deposited as ATCC PTA- 8287, described in U.S. Patent Application Publication No. 2010-0184079 or WO 08/002872); Event EE-1 (brinjal, insect control, not deposited, described in WO 07/091277); Event FU 17 (com, herbicide tolerance, deposited as ATCC 209031, described in U.S. Patent Application Publication No. 2006-059581 or WO 98/044140); Event GA21 (com, herbicide tolerance, deposited as ATCC 209033, described in U.S. Patent Application Publication No. 2005-086719 or WO 98/044140); Event GG25 (com, herbicide tolerance, deposited as ATCC 209032, described in U.S. Patent Application Publication No. 2005-188434 or WO 98/044140); Event GHB119 (cotton, insect control - herbicide tolerance, deposited as ATCC PTA-8398, described in WO 08/151780); Event GHB614 (cotton, herbicide tolerance, deposited as ATCC PTA-6878, described in U.S. Patent Application Publication No. 2010-050282 or WO 07/017186); Event GJ11 (com, herbicide tolerance, deposited as ATCC 209030, described in U.S. Patent Application Publication No. 2005-188434 or WO 98/044140); Event GM RZ13 (sugar beet, virus resistance , deposited as NCIMB-41601, described in WO 10/076212); Event H7-1 (sugar beet, herbicide tolerance, deposited as NCIMB 41158 or NCIMB 41159, described in U.S. Patent Application Publication No. 2004-172669 or WO
04/074492); Event JOPLIN1 (wheat, disease tolerance, not deposited, described in U.S. Patent Application Publication No. 2008-064032); Event LL27 (soybean, herbicide tolerance, deposited as NCIMB41658, described in WO 06/108674 or U.S. Patent Application Publication No. 2008-
320616); Event LL55 (soybean, herbicide tolerance, deposited as NCIMB 41660, described in WO 06/108675 or U.S. Patent Application Publication No. 2008-196127); Event LLcotton25 (cotton, herbicide tolerance, deposited as ATCC PTA-3343, described in WO 03/013224 or U.S. Patent Application Publication No. 2003-097687); Event LLRICE06 (rice, herbicide tolerance, deposited as ATCC-23352, described in U.S. Patent No. 6,468,747 or WO 00/026345); Event LLRICE601 (rice,
herbicide tolerance, deposited as ATCC PTA-2600, described in U.S. Patent Application Publication No. 2008-2289060 or WO 00/026356); Event LY038 (corn, quality trait, deposited as ATCC PTA- 5623, described in U.S. Patent Application Publication No. 2007-028322 or WO 05/061720); Event MIR162 (corn, insect control, deposited as PTA-8166, described in U.S. Patent Application
Publication No. 2009-300784 or WO 07/142840) ; Event MIR604 (corn, insect control, not deposited, described in U.S. Patent Application Publication No. 2008-167456 or WO 05/103301); Event MON15985 (cotton, insect control, deposited as ATCC PTA-2516, described in U.S. Patent Application Publication No. 2004-250317 or WO 02/100163); Event MON810 (corn, insect control, not deposited, described in U.S. Patent Application Publication No. 2002-102582); Event MON863 (corn, insect control, deposited as ATCC PTA-2605, described in WO 04/011601 or U.S. Patent Application Publication No. 2006-095986); Event MON87427 (corn, pollination control, deposited as ATCC PTA-7899, described in WO 11/062904); Event MON87460 (corn, stress tolerance, deposited as ATCC PTA-8910, described in WO 09/111263 or U.S. Patent Application Publication No. 2011-0138504); Event MON87701 (soybean, insect control, deposited as ATCC PTA-8194, described in U.S. Patent Application Publication No. 2009-130071 or WO 09/064652); Event
MON87705 (soybean, quality trait - herbicide tolerance, deposited as ATCC PTA-9241, described in U.S. Patent Application Publication No. 2010-0080887 or WO 10/037016); Event MON87708 (soybean, herbicide tolerance, deposited as ATCC PTA9670, described in WO 11/034704); Event MON87754 (soybean, quality trait, deposited as ATCC PTA-9385, described in WO 10/024976); Event MON87769 (soybean, quality trait, deposited as ATCC PTA-8911 , described in U.S. Patent Application Publication No. 2011-0067141 or WO 09/102873); Event MON88017 (corn, insect control - herbicide tolerance, deposited as ATCC PTA-5582, described in U.S. Patent Application Publication No. 2008-028482 or WO 05/059103); Event MON88913 (cotton, herbicide tolerance, deposited as ATCC PTA-4854, described in WO 04/072235 or U.S. Patent Application Publication No. 2006-059590); Event MON89034 (corn, insect control, deposited as ATCC PTA-7455, described in WO 07/140256 or U.S. Patent Application Publication No. 2008-260932); Event MON89788 (soybean, herbicide tolerance, deposited as ATCC PTA-6708, described in U.S. Patent Application Publication No. 2006-282915 or WO 06/130436); Event MSI 1 (oilseed rape, pollination control - herbicide tolerance, deposited as ATCC PTA-850 or PTA-2485, described in WO
01/031042); Event MS8 (oilseed rape, pollination control - herbicide tolerance, deposited as ATCC PTA-730, described in WO 01/041558 or U.S. Patent Application Publication No. 2003-188347); Event NK603 (corn, herbicide tolerance, deposited as ATCC PTA-2478, described in U.S. Patent Application Publication No. 2007-292854); Event PE-7 (rice, insect control, not deposited, described in WO 08/114282); Event RF3 (oilseed rape, pollination control - herbicide tolerance, deposited as ATCC PTA-730, described in WO 01/041558 or U.S. Patent Application Publication No. 2003-
188347); Event RT73 (oilseed rape, herbicide tolerance, not deposited, described in WO 02/036831 or U.S. Patent Application Publication No. 2008-070260); Event T227-1 (sugar beet, herbicide tolerance, not deposited, described in WO 02/44407 or U.S. Patent Application Publication No. 2009-265817); Event T25 (corn, herbicide tolerance, not deposited, described in U.S. Patent Application Publication No. 2001-029014 or WO 01/051654); Event T304-40 (cotton, insect control - herbicide tolerance, deposited as ATCC PTA-8171, described in U.S. Patent Application
Publication No. 2010-077501 or WO 08/122406); Event T342-142 (cotton, insect control, not deposited, described in WO 06/128568); Event TC1507 (corn, insect control - herbicide tolerance, not deposited, described in U.S. Patent Application Publication No. 2005-039226 or WO 04/099447); Event VIP1034 (corn, insect control - herbicide tolerance, deposited as ATCC PTA-3925., described in WO 03/052073), Event 32316 (corn, insect control-herbicide tolerance, deposited as PTA-11507, described in WO 11/084632), Event 4114 (corn, insect control-herbicide tolerance, deposited as PTA-11506, described in WO 11/084621) , Event DAS21606 (soybean, herbicide tolerance, deposited as ATTC PTA-11028, described in WO 2012/033794, Event DAS44406 (soybean, herbicide tolerance, deposited as ATCC PTA-11336, described in WO 2012/075426), Event FP72 (soybean, herbicide tolerance, deposited as NCIMB 41659, described in WO 2011/063411), Event KK179-2 (alfalfa, quality trait, deposited as ATCC PTA-11833, described in WO 2013/003558), Event LLRICE62 (rice, herbicide tolerance, deposited as ATCC-203352, described in WO
2000/026345), Event MON87712 (soybean, deposited as ATTC PTA-10296, described in WO 2012/051199), Event MON88302 (oilseed rape, herbicide tolerance, described in WO 2011/153186), Event MS8 (oilseed rape, pollination control and herbicide tolerance, deposited as ATCC PTA-730, described in WO 2001/041558), Event MZDT09Y (corn, stress tolerance, deposited as ATCC PTA- 13025, described in WO 2013/012775), Event pDAB8264.42.32 (soybean, herbicide tolerance, deposited as ATCC PTA-11993, described in WO 2013/010094), Event pDAB8264.44.05 (soybean, herbicide tolerance, deposited as ATCC PTA-11336, described in WO 2012/075426), Event pDAB8291 (soybean, herbicide tolerance, deposited as ATCC PTA-11355, described in WO 2012/075426).
[000176] Particularly useful transgenic plants which may be treated according to the invention are plants containing transformation events, or combination of transformation events, that are listed for example in the databases from various national or regional regulatory agencies.
[000177] All publications, patents and patent applications, including any drawings and appendices therein, are incorporated by reference to the same extent as if each individual publication, patent or patent application was specifically and individually indicated to be incorporated by reference.
[000178] The following examples are given for purely illustrative and non-limiting purposes of the present invention.
EXAMPLES
Example 1 - Formula for the Efficacy of the Combination of Two Compounds
[000179] The advanced fungicidal activity of the active compound combinations according to the invention will be evident from the prophetic example below. While the individual active compounds exhibit weaknesses with regard to the fungicidal activity, the combinations will have an activity which exceeds a simple addition of activities.
[000180] A synergistic effect of fungicides is always present when the fungicidal activity of the active compound combinations exceeds the total of the activities of the active compounds when applied individually. The expected activity for a given combination of two active compounds can be calculated as follows (cf. Colby, S.R., "Calculating Synergistic and Antagonistic Responses of Herbicide Combinations", Weeds 1967, 15, 20-22):
If
X is the efficacy when active compound A is applied at an application rate of m ppm (or g ha),
Y is the efficacy when active compound B is applied at an application rate of n ppm (or g ha),
E is the efficacy when the active compounds A and B are applied at application rates of m and n ppm (or g/ha), respectively, and
then
E = X + Y - X- 100
[000181] The degree of efficacy, expressed in % is denoted. 0% means an efficacy which corresponds to that of the control while an efficacy of 100% means that no disease is observed.
[000182] If the actual fungicidal activity exceeds the calculated value, then the activity of the combination is superadditive, i.e., a synergistic effect exists. In this case, the efficacy which was actually observed must be greater than the value for the expected efficacy (E) calculated from the abovementioned formula.
[000183] A further way of demonstrating a synergistic effect is the method of Tammes (cf.
"Isoboles, a Graphic Representation of Synergism in Pesticides" in Neth. J. Plant Path., 1964, 70, 73- 80).
Example 2 - Alternaria and Phytophtora Tests (Tomatoes)/Preventive
[000184] In this and the following examples, ningnanmycin-containing formulations will be tested in combination with at least one fungicide to determine whether the two components act synergistically against various target plant pathogens.
[000185] The 1) fermentation product containing ningnanmycin or the chemically synthesized ningnanmycin; 2) at least one fungicide; and 3) combinations thereof will be diluted with water to the desired concentrations. Fungicides to be tested include difenoconazole, fluopyram, fluxapyroxad, penflufen, prothioconazole, tebuconazole, 2,6-dimethyl-lH,5H- [l,4]dithiino[2,3-c:5,6-c']dipyrrole-l ,3,5,7(2H,6H)-tetrone, azoxystrobin, fenamidone, pyraclostrobin, trifloxystrobin, foseyl-Al, fenhexamid, spiroxamine, isotianil, propamocarb-HCl, fenhexamid, fluopicolide, mandipropamid, phosphorous acid, chlorothalonil, mancozeb, and propineb.
[000186] To test for preventive activity, young plants will be sprayed with the preparation of active compound or compound combination at a specific rate of application. After the spray coating has dried on, the plants will be inoculated with an aqueous spore suspension of Alternaria solani or Phytophthora infestans. The plants will then be placed in an incubation cabinet at approximately 20° C and a relative atmospheric humidity of 100%.
[000187] The test will be evaluated 3 days after the inoculation. 0% means an efficacy which corresponds to that of the untreated control while an efficacy of 100% means that no disease is observed.
[000188] It is expected that the observed activity of the combination of the
ningnanmycin containing formulated product with the at least one fungicide will be greater than the calculated activity, i.e., a synergistic effect will be present. Example 3 - Blumeria and Pyrenophora teres Tests (Barley)/Preventive
[000189] The 1) fermentation product containing ningnanmycin or the chemically synthesized ningnanmycin; 2) at least one fungicide; and 3) combinations thereof will be diluted with water to the desired concentrations. Fungicides to be tested include difenoconazole, fluopyram, fluxapyroxad, penflufen, prothioconazole, tebuconazole, 2,6-dimethyl-lH,5H- [l,4]dithiino[2,3-c:5,6-c']dipyrrole-l ,3,5,7(2H,6H)-tetrone, azoxystrobin, fenamidone, pyraclostrobin, trifloxystrobin, foseyl-Al, fenhexamid, spiroxamine, isotianil, propamocarb-HCl, fenhexamid, fluopicolide, mandipropamid, phosphorous acid, chlorothalonil, mancozeb, and propineb.
[000190] To test for Blumeria graminis preventive activity, young plants will be sprayed with the preparation of active compound or active compound combination at a specific
rate of application. After the spray coating has dried, the plants will be dusted with spores of Blumeria graminis f.sp. hordei. The plants will then be placed in the greenhouse at a temperature of approximately 18° C and a relative atmospheric humidity of approximately 80% to promote the development of mildew pustules. The test will be evaluated 7 days after the inoculation. 0% means an efficacy which corresponds to that of the untreated control, while an efficacy of 100% means that no disease is observed.
[000191] To test for Pyrenophora teres preventive activity, young plants will be sprayed with the preparation of active compound or active compound combination at a specific rate of application. After the spray coating has been dried, the plants will be sprayed with a spore suspension of Pyrenophora teres. The plants will remain for 48 hours in an incubation cabinet at approximately 20° C and a relative atmospheric humidity of approximately 100%. The plants will then be placed in the greenhouse at a temperature of approximately 20° C and a relative atmospheric humidity of approximately 80%. The test will be evaluated 8 days after the inoculation. 0% means an efficacy which corresponds to that of the untreated control, while an efficacy of 100% means that no disease is observed.
[000192] It is expected that the observed activity of the combination of the
ningnanmycin containing formulated product with the at least one fungicide will be greater than the calculated activity, i.e., a synergistic effect will be present. Example 4 - Puccinia triticina and Septoria tritici Tests (Wheat)/Preventive
[000193] The 1) fermentation product containing ningnanmycin or the chemically synthesized ningnanmycin; 2) at least one fungicide; and 3) combinations thereof will be diluted with water to the desired concentrations. Fungicides to be tested include difenoconazole, fluopyram, fluxapyroxad, penflufen, prothioconazole, tebuconazole, 2,6-dimethyl-lH,5H- [l,4]dithiino[2,3-c:5,6-c']dipyrrole-l ,3,5,7(2H,6H)-tetrone, azoxystrobin, fenamidone, pyraclostrobin, trifloxystrobin, foseyl-Al, fenhexamid, spiroxamine, isotianil, propamocarb-HCl, fenhexamid, fluopicolide, mandipropamid, phosphorous acid, chlorothalonil, mancozeb, and propineb.
[000194] To test for Puccinia triticina preventive activity, young plants will be sprayed with the preparation of active compound or active compound combination at a specific rate of application. After the spray coating has dried, the plants will be sprayed with a spore suspension of Puccinia triticina. The plants will remain for 48 hours in an incubation cabinet at approximately 20° C and a relative atmospheric humidity of approximately 100%. The plants will then be placed in the greenhouse at a temperature of approximately 20° C and a relative atmospheric humidity of approximately 80%. The test is evaluated 8 days after the inoculation.
0% means an efficacy which corresponds to that of the untreated control, while an efficacy of 100% means that no disease is observed.
[000195] To test for Septoria tritici preventive activity, young plants will be sprayed with the preparation of active compound or active compound combination at a specific rate of application. After the spray coating has dried, the plants will be sprayed with a spore suspension of Septoria tritici. The plants will remain for 48 hours in an incubation cabinet at approximately 20° C and a relative atmospheric humidity of approximately 100% and afterwards for 60 hours at approximately 15° C in a translucent incubation cabinet at a relative atmospheric humidity of approximately 100%. The plants will then be placed in the greenhouse at a temperature of approximately 15° C and a relative atmospheric humidity of approximately 80%. The test will be evaluated 21 days after the inoculation. 0% means an efficacy which corresponds to that of the untreated control, while an efficacy of 100% means that no disease is observed.
[000196] It is expected that the observed activity of the combination of the
ningnanmycin containing formulated product with the at least one fungicide will be greater than the calculated activity, i.e., a synergistic effect will be present.
Claims
What is claimed is 1. A composition comprising
a) ningnanmycin of the formula
and/or a stereoisomer thereof; and
b) at least one fungicide (I) in a synergistic ally effective amount, with the proviso that the fungicide (I) is not ningnanmycin.
2. The composition according to Claim 1 , wherein the ningnanmycin is isolated ningnanmycin or a fermentation product containing ningnanmycin.
3. The composition according to Claim 1 or 2, wherein the fungicide (I) is a synthetic fungicide.
4. The composition according to any one of Claims 1 to 3 further comprising at least one additional fungicide (II), with the proviso that the fungicide (I) and the fungicide (II) are not identical and are not ningnanmycin.
5. The composition according to any of Claims 1 to 4, wherein said fungicide (I) is selected from the group consisting of difenoconazole, fluopyram, fluxapyroxad, prothioconazole, tebuconazole, 2,6-dimethyl-lH,5H-[l,4]dithiino[2,3-c:5,6-c']dipyrrole-l,3,5,7(2H,6H)-tetrone, azoxystrobin, fenamidone, pyraclostrobin, trifloxystrobin, fosetyl-Al, fenhexamid, sprioxamine, isotianil, and propamocarb-HCl.
6. The composition according to claim 4, wherein the fungicide (II) is a synthetic fungicide.
7. The composition according to any one of Claims 1 to 6, wherein the fungicide (I) is selected from the group consisting of inhibitors of the ergosterol biosynthesis, inhibitors of the respiratory chain at complex I or II, inhibitors of the respiratory chain at complex III, inhibitors of the mitosis and cell division, compounds capable to have a multisite action, compounds capable to induce a host defence, inhibitors of the amino acid and/or protein biosynthesis, inhibitors of the ATP production, inhibitors of the cell wall synthesis, inhibitors of the lipid and membrane synthesis, inhibitors of the melanine biosynthesis, inhibitors of the nucleic acid synthesis, inhibitors of the signal transduction, compounds capable to act as an uncoupler, further compounds such as benthiazole, bethoxazin, capsimycin, carvone, chinomethionat, pyriofenone (chlazafenone), cufraneb, cyflufenamid, cymoxanil, cyprosulfamide, dazomet, debacarb, dichlorophen, diclomezine, difenzoquat, difenzoquat methylsulphate, diphenylamine, ecomate, fenpyrazamine, flumetover, fluoroimide, flusulfamide, flutianil, fosetyl-aluminium, fosetyl- calcium, fosetyl-sodium, hexachlorobenzene, irumamycin, methasulfocarb, methyl
isothiocyanate, metrafenone, mildiomycin, natamycin, nickel dimethyldithiocarbamate, nitrothal- isopropyl, octhilinone, oxamocarb, oxyfenthiin, pentachlorophenol and salts (87-86-5), (F297) phenothrin, (F298) phosphorous acid and its salts, propamocarb-fosetylate, propanosine-sodium, proquinazid, pyrimorph, (2E)-3-(4-tert-butylphenyl)-3-(2-chloropyridin-4-yl)-l-(morpholin-4- yl)prop-2-en-l-one, (2Z)-3-(4-tert-butylphenyl)-3-(2-chloropyridin-4-yl)-l-(morpholin-4- yl)prop-2-en-l-one, pyrrolnitrine, tebufloquin, tecloftalam, tolnifanide, triazoxide, trichlamide, zarilamid, (3S,6S,7R,8R)-8-benzyl-3-[({3-[(isobutyryloxy)methoxy]-4-methoxypyridin-2- yl}carbonyl)amino]-6-methyl-4,9-dioxo-l,5-dioxonan-7-yl 2-methylpropanoate, l-(4-{4-[(5R)-5- (2,6-difluorophenyl)-4,5-dihydro-l,2-oxazol-3-yl]-l,3-thiazol-2-yl}piperidin-l-yl)-2-[5-methyl- 3-(trifluoromethyl)-lH-pyrazol-l-yl]ethanone, l-(4-{4-[(5S)-5-(2,6-difluorophenyl)-4,5-dihydro- l,2-oxazol-3-yl]-l,3-thiazol-2-yl}piperidin-l-yl)-2-[5-methyl-3-(trifluoromethyl)-lH-pyrazol-l- yljethanone, l-(4-{4-[5-(2,6-difluorophenyl)-4,5-dihydro-l,2-oxazol-3-yl]-l,3-thiazol-2- yl } piperidin- 1 -yl)-2- [5-methyl-3 -(trifluoromethyl)- 1 H-pyrazol- 1 -yljethanone, 1 -(4- methoxyphenoxy)-3 , 3-dimethylbutan-2-yl 1 H-imidazole- 1 -carboxylate, 2,3,5, 6-tetrachloro-4- (methylsulfonyl)pyridine, 2,3-dibutyl-6-chlorothieno[2,3-d]pyrimidin-4(3H)-one, 2,6-dimethyl- lH,5H-[l,4]dithiino[2,3-c:5,6-c']dipyrrole-l,3,5,7(2H,6H)-tetrone, 2-[5-methyl-3- (trifluoromethyl)-lH-pyrazol-l-yl]-l-(4-{4-[(5R)-5-phenyl-4,5-dihydro-l,2-oxazol-3-yl]-l,3- thiazol-2-yl }piperidin- 1 -yl)ethanone, 2- [5-methyl-3 -(trifluoromethyl)- 1 H-pyrazol- 1 -yl] - 1 -(4- { 4- [(5S)-5-phenyl-4,5-dihydro-l,2-oxazol-3-yl]-l,3-thiazol-2-yl}piperidin-l-yl)ethanone, 2-[5- methyl-3-(trifluoromethyl)-lH-pyrazol-l-yl]-l-{4-[4-(5-phenyl-4,5-dihydro-l,2-oxazol-3-yl)-
l,3-thiazol-2-yl]piperidin-l-yl}ethanone, 2-butoxy-6-iodo-3-propyl-4H-chromen-4-one, 2- chloro-5-[2-chloro-l-(2,6-difluoro-4-methoxyphenyl)-4-methyl-lH-imidazol-5-yl]pyridine, 2- phenylphenol and salts, 3-(4,4,5-trifluoro-3,3-dimethyl-3,4-dihydroisoquinolin-l-yl)quinolone, 3,4,5-trichloropyridine-2,6-dicarbonitrile, 3-[5-(4-chlorophenyl)-2,3-dimethyl-l,2-oxazolidin-3- yljpyridine, 3-chloro-5-(4-chlorophenyl)-4-(2,6-difluorophenyl)-6-methylpyridazine, 4-(4- chlorophenyl)-5-(2,6-difluorophenyl)-3,6-dimethylpyridazine, 5-amino-l,3,4-thiadiazole-2-thiol, 5-chloro-N'-phenyl-N'-(prop-2-yn-l-yl)thiophene-2-sulfonohydrazide, 5-fluoro-2-[(4- fluorobenzyl)oxy]pyrimidin-4-amine, 5-fluoro-2-[(4-methylbenzyl)oxy]pyrimidin-4-amine, 5- methyl-6-octyl[l,2,4]triazolo[l,5-a]pyrimidin-7-amine, ethyl (2Z)-3-amino-2-cyano-3- phenylprop-2-enoate, N'-(4- { [3-(4-chlorobenzyl)- 1 ,2,4-thiadiazol-5-yl]oxy } -2,5- dimethylphenyl)-N-ethyl-N-methylimidoformamide, N-(4-chlorobenzyl)-3-[3-methoxy-4-(prop- 2-yn-l-yloxy)phenyl]propanamide, N-[(4-chlorophenyl)(cyano)methyl]-3-[3-methoxy-4-(prop-2- yn- 1 -yloxy)phenyl]propanamide, N-[(5-bromo-3-chloropyridin-2-yl)methyl]-2,4- dichloropyridine-3-carboxamide, N-[l-(5-bromo-3-chloropyridin-2-yl)ethyl]-2,4- dichloropyridine-3-carboxamide, N-[l-(5-bromo-3-chloropyridin-2-yl)ethyl]-2-fluoro-4- iodopyridine-3-carboxamide, N-{(E)-[(cyclopropylmethoxy)imino][6-(difluoromethoxy)-2,3- difluorophenyl] methyl } -2-phenylacetamide, N- { (Z)-[(cyclopropylmethoxy)imino] [6- (difluoromethoxy)-2,3-difluorophenyl]methyl}-2-phenylacetamide, N'-{4-[(3-tert-butyl-4-cyano- l,2-thiazol-5-yl)oxy]-2-chloro-5-methylphenyl}-N-ethyl-N-methylimidoformamide, N-methyl-2- (l-{ [5-methyl-3-(trifluoromethyl)-lH-pyrazol-l-yl]acetyl}piperidin-4-yl)-N-(l, 2,3,4- tetrahydronaphthalen- 1 -yl)- 1 ,3-thiazole-4-carboxamide, N-methyl-2-( 1 - { [5-methyl-3- (trifluoromethyl)- 1 H-pyrazol- 1 -yl] acetyl } piperidin-4-yl)-N- [( 1 R)- 1 ,2,3 ,4-tetrahydronaphthalen- l-yl]-l,3-thiazole-4-carboxamide, N-methyl-2-(l-{ [5-methyl-3-(trifluoromethyl)-lH-pyrazol-l- yl] acetyl }piperidin-4-yl)-N- [(1S)-1 ,2,3,4-tetrahydronaphthalen- 1 -yl]- 1 ,3-thiazole-4- carboxamide, pentyl { 6- [({ [(1 -methyl- lH-tetrazol-5- yl)(phenyl)methylidene]amino}oxy)methyl]pyridin-2-yl}carbamate, phenazine-l-carboxylic acid, quinolin-8-ol (134-31-6), quinolin-8-ol sulfate (2:1), tert-butyl {6-[({ [(1 -methyl- 1H- tetrazol-5-yl)(phenyl)methylene]amino}oxy)methyl]pyridin-2-yl}carbamate, l-methyl-3- (trifluoromethyl)-N-[2'-(trifluoromethyl)biphenyl-2-yl]-lH-pyrazole-4-carboxamide, N-(4'- chlorobiphenyl-2-yl)-3-(difluoromethyl)-l-methyl-lH-pyrazole-4-carboxamide, N-(2',4'- dichlorobiphenyl-2-yl)-3-(difluoromethyl)-l -methyl- lH-pyrazole-4-carboxamide, 3- (difluoromethyl)-l-methyl-N-[4'-(trifluoromethyl)biphenyl-2-yl]-lH-pyrazole-4-carboxamide, N-(2',5'-difluorobiphenyl-2-yl)-l-methyl-3-(trifluoromethyl)-lH-pyrazole-4-carboxamide, 3- (difluoromethyl)-l-methyl-N-[4'-(prop-l-yn-l-yl)biphenyl-2-yl]-lH-pyrazole-4-carboxamide, 5- fluoro-l,3-dimethyl-N-[4'-(prop-l-yn-l-yl)biphenyl-2-yl]-lH-pyrazole-4-carboxamide, 2-chloro-
N-[4'-(prop-l-yn-l-yl)biphenyl-2-yl]pyridine-3-carboxamide, 3-(difluoromethyl)-N-[4'-(3,3- dimethylbut- 1 -yn- 1 -yl)biphenyl-2-yl] - 1 -methyl- 1 H-pyrazole-4-carboxamide, N- [4'-(3 ,3 - dimethylbut-l-yn-l-yl)biphenyl-2-yl]-5-fluoro-l,3-dimethyl-lH-pyrazole-4-carboxamide, 3- (difluoromethyl)-N-(4'-ethynylbiphenyl-2-yl)-l -methyl- lH-pyrazole-4-carboxamide, N-(4'- ethynylbiphenyl-2-yl)-5-fluoro- 1 ,3-dimethyl- lH-pyrazole-4-carboxamide, 2-chloro-N-(4'- ethynylbiphenyl-2-yl)pyridine-3-carboxamide, 2-chloro-N-[4'-(3,3-dimethylbut-l-yn-l- yl)biphenyl-2-yl]pyridine-3-carboxamide, 4-(difluoromethyl)-2-methyl-N-[4'- (trifluoromethyl)biphenyl-2-yl]-l,3-thiazole-5-carboxamide, 5-fluoro-N-[4'-(3-hydroxy-3- methylbut- 1 -yn- 1 -yl)biphenyl-2-yl] - 1 ,3-dimethyl- 1 H-pyrazole-4-carboxamide, 2-chloro-N- [4'- (3-hydroxy-3-methylbut-l-yn-l-yl)biphenyl-2-yl]pyridine-3-carboxamide, 3-(difluoromethyl)-N- [4'-(3-methoxy-3-methylbut-l-yn-l-yl)biphenyl-2-yl]-l -methyl- lH-pyrazole-4-carboxamide, 5- fluoro-N-[4'-(3-methoxy-3-methylbut- 1-yn-l -yl)biphenyl-2-yl]- 1 ,3-dimethyl- lH-pyrazole-4- carboxamide, 2-chloro-N-[4'-(3-methoxy-3-methylbut-l-yn-l-yl)biphenyl-2-yl]pyridine-3- carboxamide, (5-bromo-2-methoxy-4-methylpyridin-3-yl)(2,3,4-trimethoxy-6- methylphenyl)methanone, N-[2-(4-{ [3-(4-chlorophenyl)prop-2-yn-l-yl]oxy}-3- methoxyphenyl)ethyl]-N2-(methylsulfonyl)valinamide, 4-oxo-4-[(2-phenylethyl)amino]butanoic acid, but-3-yn-l-yl {6-[({ [(Z)-(l-methyl-lH-tetrazol-5- yl)(phenyl)methylene] amino } oxy)methyl]pyridin-2-yl } carbamate, 4- Amino-5 -fluorpyrimidin-2- ol (mesomeric form: 6-Amino-5-fluorpyrimidin-2(lH)-on), propyl 3,4,5-trihydroxybenzoate and oryzastrobin.
8. The composition according to any one of Claims 4 to 7, wherein fungicide (II) is selected from the group consisting of inhibitors of the ergosterol biosynthesis, inhibitors of the respiratory chain at complex I or II, inhibitors of the respiratory chain at complex III, inhibitors of the mitosis and cell division, compounds capable to have a multisite action, compounds capable to induce a host defence, inhibitors of the amino acid and/or protein biosynthesis, inhibitors of the ATP production, inhibitors of the cell wall synthesis, inhibitors of the lipid and membrane synthesis, inhibitors of the melanine biosynthesis, inhibitors of the nucleic acid synthesis, inhibitors of the signal transduction, compounds capable to act as an uncoupler, further compounds such as benthiazole, bethoxazin, capsimycin, carvone, chinomethionat, pyriofenone (chlazafenone), cufraneb, cyflufenamid, cymoxanil, cyprosulfamide, dazomet, debacarb, dichlorophen, diclomezine, difenzoquat, difenzoquat methylsulphate, diphenylamine, ecomate, fenpyrazamine, flumetover, fluoroimide, flusulfamide, flutianil, fosetyl-aluminium, fosetyl- calcium, fosetyl-sodium, hexachlorobenzene, irumamycin, methasulfocarb, methyl
isothiocyanate, metrafenone, mildiomycin, natamycin, nickel dimethyldithiocarbamate, nitrothal- isopropyl, octhilinone, oxamocarb, oxyfenthiin, pentachlorophenol and salts (87-86-5), (F297)
phenothrin, (F298) phosphorous acid and its salts, propamocarb-fosetylate, propanosine-sodium, proquinazid, pyrimorph, (2E)-3-(4-tert-butylphenyl)-3-(2-chloropyridin-4-yl)-l-(morpholin-4- yl)prop-2-en-l-one, (2Z)-3-(4-tert-butylphenyl)-3-(2-chloropyridin-4-yl)-l-(morpholin-4- yl)prop-2-en-l-one, pyrrolnitrine, tebufloquin, tecloftalam, tolnifanide, triazoxide, trichlamide, zarilamid, (3S,6S,7R,8R)-8-benzyl-3-[({3-[(isobutyryloxy)methoxy]-4-methoxypyridin-2- yl}carbonyl)amino]-6-methyl-4,9-dioxo-l,5-dioxonan-7-yl 2-methylpropanoate, l-(4-{4-[(5R)-5- (2,6-difluorophenyl)-4,5-dihydro-l,2-oxazol-3-yl]-l,3-thiazol-2-yl}piperidin-l-yl)-2-[5-methyl- 3-(trifluoromethyl)-lH-pyrazol-l-yl]ethanone, l-(4-{4-[(5S)-5-(2,6-difluorophenyl)-4,5-dihydro-
1.2- oxazol-3-yl]-l,3-thiazol-2-yl}piperidin-l-yl)-2-[5-methyl-3-(trifluoromethyl)-lH-pyrazol-l- yljethanone, l-(4-{4-[5-(2,6-difluorophenyl)-4,5-dihydro ,2-oxazol-3-yl]-l,3-thiazol-2- yl } piperidin- 1 -yl)-2- [5-methyl-3 -(trifluoromethyl)- 1 H-pyrazol- 1 -yljethanone, 1 -(4- methoxyphenoxy)-3 , 3-dimethylbutan-2-yl 1 H-imidazole- 1 -carboxylate, 2,3,5, 6-tetrachloro-4- (methylsulfonyl)pyridine, 2,3-dibutyl-6-chlorothieno[2,3-d]pyrimidin-4(3H)-one, 2,6-dimethyl- lH,5H-[l,4]dithiino[2,3-c:5,6-c']dipyrrole-l,3,5,7(2H,6H)-tetrone, 2-[5-methyl-3- (trifluoromethyl)-lH-pyrazol-l-yl]-l-(4-{4-[(5R)-5-phenyl-4,5-dihydro-l,2-oxazol-3-yl]-l,3- thiazol-2-yl }piperidin- 1 -yl)ethanone, 2- [5-methyl-3 -(trifluoromethyl)- 1 H-pyrazol- 1 -yl] - 1 -(4- { 4- [(5S)-5-phenyl-4,5-dihydro-l,2-oxazol-3-yl]-l,3-thiazol-2-yl}piperidin-l-yl)ethanone, 2-[5- methyl-3-(trifluoromethyl)-lH-pyrazol-l-yl]-l-{4-[4-(5-phenyl-4,5-dihydro-l,2-oxazol-3-yl)-
1.3- thiazol-2-yl]piperidin-l-yl}ethanone, 2-butoxy-6-iodo-3-propyl-4H-chromen-4-one, 2- chloro-5-[2-chloro-l-(2,6-difluoro-4-methoxyphenyl)-4-methyl-lH-imidazol-5-yl]pyridine, 2- phenylphenol and salts, 3-(4,4,5-trifluoro-3,3-dimethyl-3,4-dihydroisoquinolin-l-yl)quinolone, 3,4,5-trichloropyridine-2,6-dicarbonitrile, 3-[5-(4-chlorophenyl)-2,3-dimethyl-l,2-oxazolidin-3- yljpyridine, 3-chloro-5-(4-chlorophenyl)-4-(2,6-difluorophenyl)-6-methylpyridazine, 4-(4- chlorophenyl)-5-(2,6-difluorophenyl)-3,6-dimethylpyridazine, 5-amino-l,3,4-thiadiazole-2-thiol, 5-chloro-N'-phenyl-N'-(prop-2-yn-l-yl)thiophene-2-sulfonohydrazide, 5-fluoro-2-[(4- fluorobenzyl)oxy]pyrimidin-4-amine, 5-fluoro-2-[(4-methylbenzyl)oxy]pyrimidin-4-amine, 5- methyl-6-octyl[l,2,4]triazolo[l,5-a]pyrimidin-7-amine, ethyl (2Z)-3-amino-2-cyano-3- phenylprop-2-enoate, N'-(4- { [3-(4-chlorobenzyl)- 1 ,2,4-thiadiazol-5-yl]oxy } -2,5- dimethylphenyl)-N-ethyl-N-methylimidoformamide, N-(4-chlorobenzyl)-3-[3-methoxy-4-(prop- 2-yn-l-yloxy)phenyl]propanamide, N-[(4-chlorophenyl)(cyano)methyl]-3-[3-methoxy-4-(prop-2- yn- 1 -yloxy)phenyl]propanamide, N-[(5-bromo-3-chloropyridin-2-yl)methyl]-2,4- dichloropyridine-3-carboxamide, N-[l-(5-bromo-3-chloropyridin-2-yl)ethyl]-2,4- dichloropyridine-3-carboxamide, N-[l-(5-bromo-3-chloropyridin-2-yl)ethyl]-2-fluoro-4- iodopyridine-3-carboxamide, N-{(E)-[(cyclopropylmethoxy)imino][6-(difluoromethoxy)-2,3- difluorophenyl] methyl } -2-phenylacetamide, N- { (Z)-[(cyclopropylmethoxy)imino] [6-
(difluoromethoxy)-2,3-difluorophenyl]methyl}-2-phenylacetamide, N'-{4-[(3-tert-butyl-4-cyano- l,2-thiazol-5-yl)oxy]-2-chloro-5-methylphenyl}-N-ethyl-N-methylimidoformamide, N-methyl-2- (l-{ [5-methyl-3-(trifluoromethyl)-lH-pyrazol-l-yl]acetyl}piperidin-4-yl)-N-(l, 2,3,4- tetrahydronaphthalen- 1 -yl)- 1 ,3-thiazole-4-carboxamide, N-methyl-2-( 1 - { [5-methyl-3- (trifluoromethyl)- 1 H-pyrazol- 1 -yl] acetyl } piperidin-4-yl)-N- [( 1 R)- 1 ,2,3 ,4-tetrahydronaphthalen- l-yl]-l,3-thiazole-4-carboxamide, N-methyl-2-(l-{ [5-methyl-3-(trifluoromethyl)-lH-pyrazol-l- yl] acetyl }piperidin-4-yl)-N- [(1S)-1 ,2,3,4-tetrahydronaphthalen- 1 -yl]- 1 ,3-thiazole-4- carboxamide, pentyl { 6- [({ [(1 -methyl- lH-tetrazol-5- yl)(phenyl)methylidene]amino}oxy)methyl]pyridin-2-yl}carbamate, phenazine-l-carboxylic acid, quinolin-8-ol (134-31-6), quinolin-8-ol sulfate (2:1), tert-butyl { 6- [({ [(1 -methyl- 1H- tetrazol-5-yl)(phenyl)methylene]amino}oxy)methyl]pyridin-2-yl}carbamate, l-methyl-3- (trifluoromethyl)-N-[2'-(trifluoromethyl)biphenyl-2-yl]-lH-pyrazole-4-carboxamide, N-(4'- chlorobiphenyl-2-yl)-3-(difluoromethyl)-l-methyl-lH-pyrazole-4-carboxamide, N-(2',4'- dichlorobiphenyl-2-yl)-3-(difluoromethyl)-l -methyl- lH-pyrazole-4-carboxamide, 3- (difluoromethyl)-l-methyl-N-[4'-(trifluoromethyl)biphenyl-2-yl]-lH-pyrazole-4-carboxamide, N-(2',5'-difluorobiphenyl-2-yl)-l-methyl-3-(trifluoromethyl)-lH-pyrazole-4-carboxamide, 3- (difluoromethyl)-l-methyl-N-[4'-(prop-l-yn-l-yl)biphenyl-2-yl]-lH-pyrazole-4-carboxamide, 5- fluoro-l,3-dimethyl-N-[4'-(prop-l-yn-l-yl)biphenyl-2-yl]-lH-pyrazole-4-carboxamide, 2-chloro- N-[4'-(prop-l-yn-l-yl)biphenyl-2-yl]pyridine-3-carboxamide, 3-(difluoromethyl)-N-[4'-(3,3- dimethylbut- 1 -yn- 1 -yl)biphenyl-2-yl] - 1 -methyl- 1 H-pyrazole-4-carboxamide, N- [4'-(3 ,3 - dimethylbut-l-yn-l-yl)biphenyl-2-yl]-5-fluoro-l,3-dimethyl-lH-pyrazole-4-carboxamide, 3- (difluoromethyl)-N-(4'-ethynylbiphenyl-2-yl)-l -methyl- lH-pyrazole-4-carboxamide, N-(4'- ethynylbiphenyl-2-yl)-5-fluoro- 1 ,3-dimethyl- lH-pyrazole-4-carboxamide, 2-chloro-N-(4'- ethynylbiphenyl-2-yl)pyridine-3-carboxamide, 2-chloro-N-[4'-(3,3-dimethylbut-l-yn-l- yl)biphenyl-2-yl]pyridine-3-carboxamide, 4-(difluoromethyl)-2-methyl-N-[4'- (trifluoromethyl)biphenyl-2-yl]-l,3-thiazole-5-carboxamide, 5-fluoro-N-[4'-(3-hydroxy-3- methylbut- 1 -yn- 1 -yl)biphenyl-2-yl] - 1 ,3-dimethyl- 1 H-pyrazole-4-carboxamide, 2-chloro-N- [4'- (3-hydroxy-3-methylbut-l-yn-l-yl)biphenyl-2-yl]pyridine-3-carboxamide, 3-(difluoromethyl)-N- [4'-(3-methoxy-3-methylbut-l-yn-l-yl)biphenyl-2-yl]-l -methyl- lH-pyrazole-4-carboxamide, 5- fluoro-N-[4'-(3-methoxy-3-methylbut- 1-yn-l -yl)biphenyl-2-yl]- 1 ,3-dimethyl- lH-pyrazole-4- carboxamide, 2-chloro-N-[4'-(3-methoxy-3-methylbut-l-yn-l-yl)biphenyl-2-yl]pyridine-3- carboxamide, (5-bromo-2-methoxy-4-methylpyridin-3-yl)(2,3,4-trimethoxy-6- methylphenyl)methanone, N-[2-(4-{ [3-(4-chlorophenyl)prop-2-yn-l-yl]oxy}-3- methoxyphenyl)ethyl]-N2-(methylsulfonyl)valinamide, 4-oxo-4-[(2-phenylethyl)amino]butanoic acid, but-3-yn-l-yl {6-[({ [(Z)-(l-methyl-lH-tetrazol-5-
yl)(phenyl)methylene] amino } oxy)methyl]pyridin-2-yl } carbamate, 4- Amino-5 -fluorpyrimidin-2- ol (mesomeric form: 6-Amino-5-fluorpyrimidin-2(lH)-on), propyl 3,4,5-trihydroxybenzoate and oryzastrobin.
9. The composition according to any one of Claims 1 to 8, wherein fungicide (I) is selected form the group consisting of bitertanol, bromuconazole, cyproconazole, difenoconazole, epoxiconazole, fenhexamid, fenpropidin, fenpropimorph, fluquinconazole, flutriafol, imazalil, ipconazole, metconazole, myclobutanil, penconazole, prochloraz, propiconazole,
prothioconazole, quinconazole, spiroxamine, tebuconazole, triadimenol, triticonazole, bixafen, boscalid, carboxin, fluopyram, flutolanil, fluxapyroxad, furametpyr, isopyrazam (mixture of syn- epimeric racemate 1RS,4SR,9RS and anti-epimeric racemate 1RS,4SR,9SR), isopyrazam (anti- epimeric racemate 1RS,4SR,9SR), isopyrazam (anti-epimeric enantiomer 1R,4S,9S), isopyrazam (anti-epimeric enantiomer 1S,4R,9R), isopyrazam (syn epimeric racemate 1RS,4SR,9RS), isopyrazam (syn-epimeric enantiomer 1R,4S,9R), isopyrazam (syn-epimeric enantiomer 1S,4R,9S), penflufen, penthiopyrad, sedaxane, thifluzamide, N-[l-(2,4-dichlorophenyl)-l- methoxypropan-2-yl]-3-(difluoromethyl)-l -methyl- lH-pyrazole-4-carboxamide, l-Methyl-3- (trifluormethyl)-N-(l,3,3-trimethyl-2,3-dihydro-lH-inden-4-yl)-lH-pyrazol-4-carboxamid, 1- Methyl-3-(trifluormethyl)-N-[(lS)-l,3,3-trimethyl-2,3-dihydro-lH-inden-4-yl]-lH-pyrazol-4- carboxamid, l-Methyl-3-(trifluormethyl)-N-[(lR)-l,3,3-trimethyl-2,3-dihydro-lH-inden-4-yl]- lH-pyrazol-4-carboxamid, 3-(Difluormethyl)- l-methyl-N-[(3S)- 1 , 1 ,3-trimethyl-2,3-dihydro- 1H- inden-4-yl]-lH-pyrazol-4-carboxamid, 3-(Difluormethyl)-l-methyl-N-[(3R)-l,l,3-trimethyl-2,3- dihydro-lH-inden-4-yl]-lH-pyrazol-4-carboxamid, ametoctradin, amisulbrom, azoxystrobin, cyazofamid, dimoxystrobin, enestroburin, famoxadone, fenamidone, fluoxastrobin, kresoxim- methyl, metominostrobin, orysastrobin, picoxystrobin, pyraclostrobin, pyribencarb,
trifloxystrobin, carbendazim, chlorfenazole, diethofencarb, ethaboxam, fluopicolide, fuberidazole, pencycuron, thiophanate-methyl, zoxamide, captan, chlorothalonil, copper hydroxide, copper oxychloride, dithianon, dodine, folpet, guazatine, iminoctadine triacetate, mancozeb, propineb, sulphur and sulphur preparations including calcium polysulphide, acibenzolar-S-methyl, isotianil, tiadinil, cyprodinil, pyrimethanil, benthiavalicarb,
dimethomorph, iprovalicarb, mandipropamid, valifenalate, iodocarb, iprobenfos, propamocarb hydrochloride, tolclofos-methyl, carpropamid, benalaxyl, benalaxyl-M (kiralaxyl), furalaxyl, hymexazol, metalaxyl, metalaxyl-M (mefenoxam), oxadixyl, fenpiclonil, fludioxonil, iprodione, quinoxyfen, vinclozolin, fluazinam, cymoxanil, flutianil, fosetyl-aluminium, methasulfocarb, methyl isothiocyanate, metrafenone, phosphorous acid and its salts, proquinazid, triazoxide and 2,6-dimethyl-lH,5H-[l,4]dithiino[2,3-c:5,6-c']dipyrrole-l,3,5,7(2H,6H)-tetrone.
10. The composition according to any one of Claims 1 to 9 additionally comprising at least one auxiliary selected from the group consisting of extenders, solvents, spontaneity promoters, carriers, emulsifiers, dispersants, frost protectants, thickeners and adjuvants.
11. The composition according to any one of Claims 1 to 10, wherein the composition comprises a stereoisomer of ningnanmycin with the proviso that the stereoisomer is not gougerotin.
12. A seed treated with a composition according to any one of Claims 1 to 11.
13. Use of the composition according to any one of Claims 1 to 12 as fungicide and/or insecticide.
14. The use according to Claim 13 for reducing overall damage to plants and plant parts as well as losses in harvested fruits or vegetables caused by insects, mites, nematodes and/or phytopathogens.
15. The use according to Claim 13 or 14 for treating conventional or transgenic plants or seed thereof.
16. A method for reducing overall damage to plants and plant parts as well as losses in harvested fruits or vegetables caused by insects, mites, nematodes and/or phytopathogens comprising the step of simultaneously or sequentially applying
a) ningnanmycin of the formula
b) at least one fungicide (I) in a synergistically effective amount, with the proviso that the fungicide (I) is not ningnanmycin.
17. The method according to Claim 16, wherein the ningnanmycin is isolated ningnanmycin or a fermentation product containing ningnanmycin.
18. The method according to Claim 16 or 17 further comprising at least one additional fungicide (II), with the proviso that the fungicide (I) and fungicide (II) are not identical and are not ningnanmycin.
19. The method according to any one of Claims 16 to 18, wherein a stereoisomer of ningnanmycin is applied with the proviso that the stereoisomer is not gougerotin.
Applications Claiming Priority (2)
| Application Number | Priority Date | Filing Date | Title |
|---|---|---|---|
| US201461980394P | 2014-04-16 | 2014-04-16 | |
| US61/980,394 | 2014-04-16 |
Publications (1)
| Publication Number | Publication Date |
|---|---|
| WO2015160619A1 true WO2015160619A1 (en) | 2015-10-22 |
Family
ID=52997585
Family Applications (1)
| Application Number | Title | Priority Date | Filing Date |
|---|---|---|---|
| PCT/US2015/025088 Ceased WO2015160619A1 (en) | 2014-04-16 | 2015-04-09 | Compositions comprising ningnanmycin and a fungicide |
Country Status (1)
| Country | Link |
|---|---|
| WO (1) | WO2015160619A1 (en) |
Cited By (3)
| Publication number | Priority date | Publication date | Assignee | Title |
|---|---|---|---|---|
| CN107027766A (en) * | 2017-04-28 | 2017-08-11 | 广西南宁益土生物科技有限责任公司 | A kind of Synergistic bactericidal composition for preventing and treating sclerotinia sclerotiorum |
| CN107462652A (en) * | 2016-06-06 | 2017-12-12 | 谱尼测试集团上海有限公司 | A kind of method of Ningnanmycin residual quantity in measure vegetable food |
| WO2020125250A1 (en) * | 2018-12-19 | 2020-06-25 | 深圳诺普信农化股份有限公司 | Seed coating agent containing captan and application thereof |
Citations (118)
| Publication number | Priority date | Publication date | Assignee | Title |
|---|---|---|---|---|
| US3849398A (en) | 1971-08-03 | 1974-11-19 | Sankyo Co | Antibiotic having parasiticidal activity |
| GB1507193A (en) | 1974-03-28 | 1978-04-12 | Takeda Chemical Industries Ltd | Antibiotic |
| JPS53109998A (en) | 1977-03-08 | 1978-09-26 | Nippon Soda Co Ltd | Preparation of miticide, gougerotin |
| US4245432A (en) | 1979-07-25 | 1981-01-20 | Eastman Kodak Company | Seed coatings |
| US4272417A (en) | 1979-05-22 | 1981-06-09 | Cargill, Incorporated | Stable protective seed coating |
| US4808430A (en) | 1987-02-27 | 1989-02-28 | Yazaki Corporation | Method of applying gel coating to plant seeds |
| WO1989010396A1 (en) | 1988-04-28 | 1989-11-02 | Plant Genetic Systems N.V. | Plants with modified stamen cells |
| WO1996033270A1 (en) | 1995-04-20 | 1996-10-24 | American Cyanamid Company | Structure-based designed herbicide resistant products |
| WO1998044140A1 (en) | 1997-04-03 | 1998-10-08 | Dekalb Genetics Corporation | Glyphosate resistant maize lines |
| US5876739A (en) | 1996-06-13 | 1999-03-02 | Novartis Ag | Insecticidal seed coating |
| WO2000026356A1 (en) | 1998-11-03 | 2000-05-11 | Aventis Cropscience N. V. | Glufosinate tolerant rice |
| WO2000026345A1 (en) | 1998-11-03 | 2000-05-11 | Aventis Cropscience N.V. | Glufosinate tolerant rice |
| WO2001031042A2 (en) | 1999-10-29 | 2001-05-03 | Aventis Cropscience N.V. | Male-sterile brassica plants and methods for producing same |
| WO2001041558A1 (en) | 1999-12-08 | 2001-06-14 | Aventis Cropscience N.V. | Hybrid winter oilseed rape and methods for producing same |
| WO2001051654A2 (en) | 2000-01-11 | 2001-07-19 | Bayer Cropscience N.V. | Methods and kits for identifying elite event gat-zm1 in biological samples |
| WO2002028186A2 (en) | 2000-10-06 | 2002-04-11 | Monsanto Technology, Llc | Seed treatment with combinations of insecticides |
| WO2002034946A2 (en) | 2000-10-25 | 2002-05-02 | Monsanto Technology Llc | Cotton event pv-ghgt07(1445) and compositions and methods for detection thereof |
| WO2002036831A2 (en) | 2000-10-30 | 2002-05-10 | Monsanto Technology Llc | Canola event pv-bngt04(rt73) and compositions and methods for detection thereof |
| WO2002044407A2 (en) | 2000-11-30 | 2002-06-06 | Ses Europe N.V. | Glyphosate resistant transgenic sugar beet characterised by a specific transgene insertion (t227-1), methods and primers for the detection of said insertion |
| US20020102582A1 (en) | 2000-09-13 | 2002-08-01 | Levine Elaine B. | Corn event MON810 and compositions and methods for detection thereof |
| WO2002080675A1 (en) | 2001-03-21 | 2002-10-17 | Monsanto Technology, Llc | Treated plant seeds with controlled release of active agents |
| WO2002100163A2 (en) | 2001-06-11 | 2002-12-19 | Monsanto Technology Llc | Cotton event moni5985 and compositions and methods for detection |
| WO2003013224A2 (en) | 2001-08-06 | 2003-02-20 | Bayer Bioscience N.V. | Herbicide tolerant cotton plants and methods for producing and identifying same |
| WO2003052073A2 (en) | 2001-12-17 | 2003-06-26 | Syngenta Participations Ag | Novel corn event |
| US20030126634A1 (en) | 1990-08-09 | 2003-07-03 | Dekalb Genetics Corporation | Methods and compositions for the increase of yield in plants |
| US20030176428A1 (en) | 1998-11-16 | 2003-09-18 | Schneidersmann Ferdinand Martin | Pesticidal composition for seed treatment |
| WO2004011601A2 (en) | 2002-07-29 | 2004-02-05 | Monsanto Technology, Llc | Corn event pv-zmir13 (mon863) plants and compositions and methods for detection thereof |
| WO2004039986A1 (en) | 2002-10-29 | 2004-05-13 | Syngenta Participations Ag | Cot102 insecticidal cotton |
| WO2004053062A2 (en) | 2002-12-05 | 2004-06-24 | Monsanto Technology Llc | Bentgrass event asr-368 and compositions and methods for detection thereof |
| WO2004072235A2 (en) | 2003-02-12 | 2004-08-26 | Monsanto Technology Llc | Cotton event mon 88913 and compositions and methods for detection thereof |
| US20040172669A1 (en) | 2003-02-28 | 2004-09-02 | Josef Kraus | Glyphosate tolerant sugar beet |
| WO2004074492A1 (en) | 2003-02-20 | 2004-09-02 | Kws Saat Ag | Glyphosate tolerant sugar beet |
| WO2004099447A2 (en) | 2003-05-02 | 2004-11-18 | Dow Agrosciences Llc | Corn event tc1507 and methods for detection thereof |
| WO2005054480A2 (en) | 2003-12-01 | 2005-06-16 | Syngenta Participations Ag | Insect resistant cotton plants and methods of detecting the same |
| WO2005054479A1 (en) | 2003-12-01 | 2005-06-16 | Syngenta Participations Ag | Insect resistant cotton plants and methods of detecting the same |
| WO2005059103A2 (en) | 2003-12-15 | 2005-06-30 | Monsanto Technology Llc | Corn plant mon88017 and compositions and methods for detection thereof |
| WO2005061720A2 (en) | 2003-12-11 | 2005-07-07 | Monsanto Technology Llc | High lysine maize compositions and methods for detection thereof |
| US20050216969A1 (en) | 2004-03-26 | 2005-09-29 | Dow Agrosciences Llc | Cry1F and Cry1AC transgenic cotton lines and event-specific identification thereof |
| WO2005103301A2 (en) | 2004-03-25 | 2005-11-03 | Syngenta Participations Ag | Corn event mir604 |
| US20060070139A1 (en) | 2004-09-29 | 2006-03-30 | Pioneer Hi-Bred International, Inc. | Corn event DAS-59122-7 and methods for detection thereof |
| WO2006098952A2 (en) | 2005-03-16 | 2006-09-21 | Syngenta Participations Ag | Corn event 3272 and methods of detection thereof |
| WO2006108675A2 (en) | 2005-04-11 | 2006-10-19 | Bayer Bioscience N.V. | Elite event a5547-127 and methods and kits for identifying such event in biological samples |
| WO2006108674A2 (en) | 2005-04-08 | 2006-10-19 | Bayer Bioscience N.V. | Elite event a2704-12 and methods and kits for identifying such event in biological samples |
| WO2006128571A2 (en) | 2005-06-02 | 2006-12-07 | Syngenta Participations Ag | Ce44-69d , insecticidal transgenic cotton expressing cry1ab |
| WO2006128572A1 (en) | 2005-06-02 | 2006-12-07 | Syngenta Participations Ag | Ce46-02a insecticidal cotton |
| WO2006128569A2 (en) | 2005-06-02 | 2006-12-07 | Syngenta Participations Ag | 1143-14a, insecticidal transgenic cotton expressing cry1ab |
| WO2006128568A2 (en) | 2005-06-02 | 2006-12-07 | Syngenta Participations Ag | T342-142, insecticidal transgenic cotton expressing cry1ab |
| WO2006128570A1 (en) | 2005-06-02 | 2006-12-07 | Syngenta Participations Ag | 1143-51b insecticidal cotton |
| WO2006130436A2 (en) | 2005-05-27 | 2006-12-07 | Monsanto Technology Llc | Soybean event mon89788 and methods for detection thereof |
| WO2006128573A2 (en) | 2005-06-02 | 2006-12-07 | Syngenta Participations Ag | Ce43- 67b, insecticidal transgenic cotton expressing cry1ab |
| WO2007017186A1 (en) | 2005-08-08 | 2007-02-15 | Bayer Bioscience N.V. | Herbicide tolerant cotton plants and methods for identifying same |
| WO2007024782A2 (en) | 2005-08-24 | 2007-03-01 | Pioneer Hi-Bred International, Inc. | Compositions providing tolerance to multiple herbicides and methods of use thereof |
| WO2007027777A2 (en) | 2005-08-31 | 2007-03-08 | Monsanto Technology Llc | Nucleotide sequences encoding insecticidal proteins |
| WO2007091277A2 (en) | 2006-02-10 | 2007-08-16 | Maharashtra Hybrid Seeds Company Limited (Mahyco) | TRANSGENIC BRINJAL (SOLANUM MELONGENA) EXPRESSING THE CRYlAC GENE |
| WO2007140256A1 (en) | 2006-05-26 | 2007-12-06 | Monsanto Technology, Llc | Corn plant and seed corresponding to transgenic event mon89034 and methods for detection and use thereof |
| WO2007142840A2 (en) | 2006-06-03 | 2007-12-13 | Syngenta Participations Ag | Corn event mir162 |
| US20070292854A1 (en) | 2000-06-22 | 2007-12-20 | Behr Carl F | Corn event PV-ZMGT32(nk603) and compositions and methods for detection thereof |
| WO2008002872A2 (en) | 2006-06-28 | 2008-01-03 | Pioneer Hi-Bred International, Inc. | Soybean event 3560.4.3.5 and compositions and methods for the identification and/or detection thereof |
| US20080064032A1 (en) | 2006-09-13 | 2008-03-13 | Syngenta Participations Ag | Polynucleotides and uses thereof |
| WO2008054747A2 (en) | 2006-10-31 | 2008-05-08 | E. I. Du Pont De Nemours And Company | Soybean event dp-305423-1 and compositions and methods for the identification and/or detection thereof |
| WO2008112019A2 (en) | 2006-10-30 | 2008-09-18 | Pioneer Hi-Bred International, Inc. | Maize event dp-098140-6 and compositions and methods for the identification and/or detection thereof |
| WO2008114282A2 (en) | 2007-03-19 | 2008-09-25 | Maharashtra Hybrid Seeds Company Limited | Transgenic rice (oryza sativa) comprising pe-7 event and method of detection thereof |
| WO2008122406A1 (en) | 2007-04-05 | 2008-10-16 | Bayer Bioscience N.V. | Insect resistant cotton plants and methods for identifying same |
| US20080289060A1 (en) | 2006-08-24 | 2008-11-20 | Bayer Bioscience N.V. | Herbicide tolerant rice plants and methods for identifying same |
| WO2008151780A1 (en) | 2007-06-11 | 2008-12-18 | Bayer Bioscience N.V. | Insect resistant cotton plants comprising elite event ee-gh6 and methods for identifying same |
| US20090130071A1 (en) | 2007-11-15 | 2009-05-21 | Ai-Guo Gao | Soybean Plant And Seed Corresponding To Transgenic Event MON87701 And Methods For Detection Thereof |
| US20090137395A1 (en) | 2006-10-30 | 2009-05-28 | Pioneer Hi-Bred International, Inc. | Maize event DP-098140-6 and compositions and methods for the identification and/or detection thereof |
| WO2009100188A2 (en) | 2008-02-08 | 2009-08-13 | Dow Agrosciences Llc | Methods for detection of corn event das-59132 |
| US20090210970A1 (en) | 2008-02-14 | 2009-08-20 | Pioneer Hi-Bred International, Inc. | Plant Genomic DNA Flanking SPT Event and Methods for Identifying SPT Event |
| WO2009102873A1 (en) | 2008-02-15 | 2009-08-20 | Monsanto Technology Llc | Soybean plant and seed corresponding to transgenic event mon87769 and methods for detection thereof |
| WO2009111263A1 (en) | 2008-02-29 | 2009-09-11 | Monsanto Technology Llc | Corn plant event mon87460 and compositions and methods for detection thereof |
| WO2010024976A1 (en) | 2008-08-29 | 2010-03-04 | Monsanto Technology Llc | Soybean plant and seed corresponding to transgenic event mon87754 and methods for detection thereof |
| US20100080887A1 (en) | 2008-09-29 | 2010-04-01 | Monsanto Technology Llc | Soybean Transgenic Event MON87705 and Methods for Detection Thereof |
| WO2010077816A1 (en) | 2008-12-16 | 2010-07-08 | Syngenta Participations Ag | Corn event 5307 |
| WO2010076212A1 (en) | 2008-12-19 | 2010-07-08 | Syngenta Participations Ag | Transgenic sugar beet event gm rz13 |
| WO2010080829A1 (en) | 2009-01-07 | 2010-07-15 | Basf Agrochemical Products B.V. | Soybean event 127 and methods related thereto |
| WO2010117735A1 (en) | 2009-03-30 | 2010-10-14 | Monsanto Technology Llc | Transgenic rice event17314 and methods of use thereof |
| WO2010117737A1 (en) | 2009-03-30 | 2010-10-14 | Monsanto Technology Llc | Rice transgenic event17053 and methods of use thereof |
| CN101978827A (en) | 2010-12-01 | 2011-02-23 | 黑龙江强尔生化技术开发有限公司 | Ningnanmycin composition and preparation method thereof |
| WO2011022469A2 (en) | 2009-08-19 | 2011-02-24 | Dow Agrosciences Llc | Aad-1 event das-40278-9, related transgenic corn lines, and event-specific identification thereof |
| WO2011034704A1 (en) | 2009-09-17 | 2011-03-24 | Monsanto Technology Llc | Soybean transgenic event mon 87708 and methods of use thereof |
| CN102067843A (en) * | 2011-02-17 | 2011-05-25 | 德强生物股份有限公司 | Compound pesticide of tebuconazole and ningnan mycin |
| CN102067840A (en) * | 2011-02-17 | 2011-05-25 | 德强生物股份有限公司 | Compound pesticide containing triflumizole and ningnanmycin |
| CN102067839A (en) * | 2011-02-17 | 2011-05-25 | 德强生物股份有限公司 | Composite pesticide of azoxystrobin and ningnan mycin |
| WO2011062904A1 (en) | 2009-11-23 | 2011-05-26 | Monsanto Technology Llc | Transgenic maize event mon 87427 and the relative development scale |
| WO2011063411A1 (en) | 2009-11-23 | 2011-05-26 | Bayer Bioscience N.V. | Elite event ee-gm3 and methods and kits for identifying such event in biological samples |
| WO2011066384A1 (en) | 2009-11-24 | 2011-06-03 | Dow Agrosciences Llc | Aad-12 event 416, related transgenic soybean lines, and event-specific identification thereof |
| WO2011066360A1 (en) | 2009-11-24 | 2011-06-03 | Dow Agrosciences Llc | Detection of aad-12 soybean event 416 |
| WO2011075595A1 (en) | 2009-12-17 | 2011-06-23 | Pioneer Hi-Bred International, Inc. | Maize event dp-043a47-3 and methods for detection thereof |
| WO2011075593A1 (en) | 2009-12-17 | 2011-06-23 | Pioneer Hi-Bred International, Inc. | Maize event dp-040416-8 and methods for detection thereof |
| WO2011084632A1 (en) | 2009-12-17 | 2011-07-14 | Pioneer Hi-Bred International, Inc. | Maize event dp-032316-8 and methods for detection thereof |
| WO2011084621A1 (en) | 2009-12-17 | 2011-07-14 | Pioneer Hi-Bred International, Inc. | Maize event dp-004114-3 and methods for detection thereof |
| CN102160549A (en) * | 2011-02-17 | 2011-08-24 | 德强生物股份有限公司 | Compound pesticide containing cyprodinil and ningnanmycin |
| CN102197819A (en) * | 2011-04-06 | 2011-09-28 | 江苏宝灵化工股份有限公司 | Bactericidal composition and its application |
| WO2011153186A1 (en) | 2010-06-04 | 2011-12-08 | Monsanto Technology Llc | Transgenic brassica event mon 88302 and methods of use thereof |
| WO2012033794A2 (en) | 2010-09-08 | 2012-03-15 | Dow Agrosciences Llc | Aad-12 event 1606 and related transgenic soybean lines |
| WO2012051199A2 (en) | 2010-10-12 | 2012-04-19 | Monsanto Technology Llc | Soybean plant and seed corresponding to transgenic event mon87712 and methods for detection thereof |
| WO2012075426A1 (en) | 2010-12-03 | 2012-06-07 | Dow Agrosciences Llc | Stacked herbicide tolerance event 8264.44.06.1, related transgenic soybean lines, and detection thereof |
| WO2013003558A1 (en) | 2011-06-30 | 2013-01-03 | Monsanto Technology Llc | Alfalfa plant and seed corresponding to transgenic event kk 179-2 and methods for detection thereof |
| WO2013010094A1 (en) | 2011-07-13 | 2013-01-17 | Dow Agrosciences Llc | Stacked herbicide tolerance event 8264.42.32.1, related transgenic soybean lines, and detection thereof |
| WO2013012775A1 (en) | 2011-07-15 | 2013-01-24 | Syngenta Participations Ag | Corn event mzdt09y |
| CN103141484A (en) * | 2013-03-20 | 2013-06-12 | 海南正业中农高科股份有限公司 | Bactericidal composition containing penthiopyrad |
| CN103190421A (en) * | 2013-04-07 | 2013-07-10 | 海南正业中农高科股份有限公司 | Bactericidal composition containing cycloflufen |
| CN103329904A (en) * | 2013-07-26 | 2013-10-02 | 崔淑华 | Sterilization composition containing bupirimate and ningnanmycin as well as application of sterilization composition |
| CN103651391A (en) * | 2012-09-11 | 2014-03-26 | 青岛星牌作物科学有限公司 | Bactericidal composition for preventing and treating powdery mildew of cucumbers |
| CN103858885A (en) * | 2014-04-11 | 2014-06-18 | 山东省烟台市农业科学研究院 | Bactericidal composition for controlling apple diseases and application thereof |
| CN103918658A (en) * | 2014-04-24 | 2014-07-16 | 深圳诺普信农化股份有限公司 | Compound bactericide composition containing cyazofamid |
| CN103960261A (en) * | 2014-05-05 | 2014-08-06 | 深圳诺普信农化股份有限公司 | Sterilization composition |
| WO2014124368A1 (en) * | 2013-02-11 | 2014-08-14 | Bayer Cropscience Lp | Compositions comprising gougerotin and a fungicide |
| CN104012543A (en) * | 2013-04-07 | 2014-09-03 | 海南正业中农高科股份有限公司 | Sterilization composition containing cyflufenamid and epoxiconazole |
| CN104041496A (en) * | 2014-06-18 | 2014-09-17 | 北京燕化永乐生物科技股份有限公司 | Compound bactericide |
| CN104054712A (en) * | 2014-05-28 | 2014-09-24 | 深圳诺普信农化股份有限公司 | Sterilization composition containing boscalid |
| CN104054729A (en) * | 2014-06-17 | 2014-09-24 | 北京燕化永乐生物科技股份有限公司 | Sterilization composition |
| CN104068023A (en) * | 2014-07-09 | 2014-10-01 | 深圳诺普信农化股份有限公司 | Agricultural sterilization composition |
| CN104381265A (en) * | 2014-11-12 | 2015-03-04 | 济南凯因生物科技有限公司 | Water dispersible granule of bactericidal composition |
| CN104381264A (en) * | 2014-11-12 | 2015-03-04 | 济南凯因生物科技有限公司 | Wettable powder of bactericidal composition |
| CN104381263A (en) * | 2014-11-12 | 2015-03-04 | 济南凯因生物科技有限公司 | Emulsifiable concentrate preparation of bactericidal composition |
| CN104488901A (en) * | 2014-12-18 | 2015-04-08 | 广西田园生化股份有限公司 | Compound composition containing methanesulphonyl myclobutanil and antibiotics bactericide and preparation |
-
2015
- 2015-04-09 WO PCT/US2015/025088 patent/WO2015160619A1/en not_active Ceased
Patent Citations (160)
| Publication number | Priority date | Publication date | Assignee | Title |
|---|---|---|---|---|
| US3849398A (en) | 1971-08-03 | 1974-11-19 | Sankyo Co | Antibiotic having parasiticidal activity |
| GB1507193A (en) | 1974-03-28 | 1978-04-12 | Takeda Chemical Industries Ltd | Antibiotic |
| JPS53109998A (en) | 1977-03-08 | 1978-09-26 | Nippon Soda Co Ltd | Preparation of miticide, gougerotin |
| US4272417A (en) | 1979-05-22 | 1981-06-09 | Cargill, Incorporated | Stable protective seed coating |
| US4245432A (en) | 1979-07-25 | 1981-01-20 | Eastman Kodak Company | Seed coatings |
| US4808430A (en) | 1987-02-27 | 1989-02-28 | Yazaki Corporation | Method of applying gel coating to plant seeds |
| WO1989010396A1 (en) | 1988-04-28 | 1989-11-02 | Plant Genetic Systems N.V. | Plants with modified stamen cells |
| US20030126634A1 (en) | 1990-08-09 | 2003-07-03 | Dekalb Genetics Corporation | Methods and compositions for the increase of yield in plants |
| WO1996033270A1 (en) | 1995-04-20 | 1996-10-24 | American Cyanamid Company | Structure-based designed herbicide resistant products |
| US5876739A (en) | 1996-06-13 | 1999-03-02 | Novartis Ag | Insecticidal seed coating |
| US20060059581A1 (en) | 1997-04-03 | 2006-03-16 | Dekalb Genetics Corporation | Method of breeding glyphosate resistant plants |
| US20050188434A1 (en) | 1997-04-03 | 2005-08-25 | Michael Spencer | Method for plant breeding |
| US20050086719A1 (en) | 1997-04-03 | 2005-04-21 | Michael Spencer | Glyphosate resistant maize lines |
| WO1998044140A1 (en) | 1997-04-03 | 1998-10-08 | Dekalb Genetics Corporation | Glyphosate resistant maize lines |
| US6468747B1 (en) | 1998-11-03 | 2002-10-22 | Plant Genetic System, N.V. | Glufosinate tolerant rice |
| WO2000026345A1 (en) | 1998-11-03 | 2000-05-11 | Aventis Cropscience N.V. | Glufosinate tolerant rice |
| WO2000026356A1 (en) | 1998-11-03 | 2000-05-11 | Aventis Cropscience N. V. | Glufosinate tolerant rice |
| US20030176428A1 (en) | 1998-11-16 | 2003-09-18 | Schneidersmann Ferdinand Martin | Pesticidal composition for seed treatment |
| WO2001031042A2 (en) | 1999-10-29 | 2001-05-03 | Aventis Cropscience N.V. | Male-sterile brassica plants and methods for producing same |
| WO2001041558A1 (en) | 1999-12-08 | 2001-06-14 | Aventis Cropscience N.V. | Hybrid winter oilseed rape and methods for producing same |
| US20030188347A1 (en) | 1999-12-08 | 2003-10-02 | Both Greta De | Hybrid winter oilseed rape and methods for producing same |
| WO2001051654A2 (en) | 2000-01-11 | 2001-07-19 | Bayer Cropscience N.V. | Methods and kits for identifying elite event gat-zm1 in biological samples |
| US20010029014A1 (en) | 2000-01-11 | 2001-10-11 | Beuckeleer Marc De | Methods and kits for identifying elite event GAT-ZM1 in biological samples |
| US20070292854A1 (en) | 2000-06-22 | 2007-12-20 | Behr Carl F | Corn event PV-ZMGT32(nk603) and compositions and methods for detection thereof |
| US20020102582A1 (en) | 2000-09-13 | 2002-08-01 | Levine Elaine B. | Corn event MON810 and compositions and methods for detection thereof |
| WO2002028186A2 (en) | 2000-10-06 | 2002-04-11 | Monsanto Technology, Llc | Seed treatment with combinations of insecticides |
| US20020120964A1 (en) | 2000-10-25 | 2002-08-29 | Rangwala Tasneem S. | Cotton event PV-GHGT07(1445) and compositions and methods for detection thereof |
| WO2002034946A2 (en) | 2000-10-25 | 2002-05-02 | Monsanto Technology Llc | Cotton event pv-ghgt07(1445) and compositions and methods for detection thereof |
| WO2002036831A2 (en) | 2000-10-30 | 2002-05-10 | Monsanto Technology Llc | Canola event pv-bngt04(rt73) and compositions and methods for detection thereof |
| US20080070260A1 (en) | 2000-10-30 | 2008-03-20 | Rachel Krieb | Canola event PV-BNGT04(RT73) and compositions and methods for detection thereof |
| WO2002044407A2 (en) | 2000-11-30 | 2002-06-06 | Ses Europe N.V. | Glyphosate resistant transgenic sugar beet characterised by a specific transgene insertion (t227-1), methods and primers for the detection of said insertion |
| US20090265817A1 (en) | 2000-11-30 | 2009-10-22 | Ses Europe N.V./S.A. | T227-1 flanking sequence |
| WO2002080675A1 (en) | 2001-03-21 | 2002-10-17 | Monsanto Technology, Llc | Treated plant seeds with controlled release of active agents |
| US20040250317A1 (en) | 2001-06-11 | 2004-12-09 | Huber Scott A | Cotton event moni5985 and compositions and methods for detection thereof |
| WO2002100163A2 (en) | 2001-06-11 | 2002-12-19 | Monsanto Technology Llc | Cotton event moni5985 and compositions and methods for detection |
| WO2003013224A2 (en) | 2001-08-06 | 2003-02-20 | Bayer Bioscience N.V. | Herbicide tolerant cotton plants and methods for producing and identifying same |
| US20030097687A1 (en) | 2001-08-06 | 2003-05-22 | Linda Trolinder | Herbicide tolerant cotton plants and methods for producing and identifying same |
| WO2003052073A2 (en) | 2001-12-17 | 2003-06-26 | Syngenta Participations Ag | Novel corn event |
| WO2004011601A2 (en) | 2002-07-29 | 2004-02-05 | Monsanto Technology, Llc | Corn event pv-zmir13 (mon863) plants and compositions and methods for detection thereof |
| US20060095986A1 (en) | 2002-07-29 | 2006-05-04 | Cavato Tracey A | Corn event pv-zmir13 (mon863) plants and compositions and methods for detection thereof |
| US20060130175A1 (en) | 2002-10-29 | 2006-06-15 | Ellis Daniel M | Cot102 insecticidal cotton |
| WO2004039986A1 (en) | 2002-10-29 | 2004-05-13 | Syngenta Participations Ag | Cot102 insecticidal cotton |
| WO2004053062A2 (en) | 2002-12-05 | 2004-06-24 | Monsanto Technology Llc | Bentgrass event asr-368 and compositions and methods for detection thereof |
| US20060162007A1 (en) | 2002-12-05 | 2006-07-20 | Monsanto Technology Llc | Bentgrass event asr-368 and compositions and methods for detection thereof |
| WO2004072235A2 (en) | 2003-02-12 | 2004-08-26 | Monsanto Technology Llc | Cotton event mon 88913 and compositions and methods for detection thereof |
| US20060059590A1 (en) | 2003-02-12 | 2006-03-16 | Monsanto Technology Llc | Cotton event mon 88913 and compositions and methods for detection thereof |
| WO2004074492A1 (en) | 2003-02-20 | 2004-09-02 | Kws Saat Ag | Glyphosate tolerant sugar beet |
| US20040172669A1 (en) | 2003-02-28 | 2004-09-02 | Josef Kraus | Glyphosate tolerant sugar beet |
| US20050039226A1 (en) | 2003-05-02 | 2005-02-17 | Dow Agrosciences Llc | Corn event TC1507 and methods for detection thereof |
| WO2004099447A2 (en) | 2003-05-02 | 2004-11-18 | Dow Agrosciences Llc | Corn event tc1507 and methods for detection thereof |
| WO2005054480A2 (en) | 2003-12-01 | 2005-06-16 | Syngenta Participations Ag | Insect resistant cotton plants and methods of detecting the same |
| WO2005054479A1 (en) | 2003-12-01 | 2005-06-16 | Syngenta Participations Ag | Insect resistant cotton plants and methods of detecting the same |
| US20070067868A1 (en) | 2003-12-01 | 2007-03-22 | Negrotto David V | Insect resistant cotton plants and methods of detecting the same |
| WO2005061720A2 (en) | 2003-12-11 | 2005-07-07 | Monsanto Technology Llc | High lysine maize compositions and methods for detection thereof |
| US20070028322A1 (en) | 2003-12-11 | 2007-02-01 | Dizigan Mark A | High lysine maize compositions and methods for detection thereof |
| WO2005059103A2 (en) | 2003-12-15 | 2005-06-30 | Monsanto Technology Llc | Corn plant mon88017 and compositions and methods for detection thereof |
| US20080028482A1 (en) | 2003-12-15 | 2008-01-31 | Beazley Kim A | Corn Plant Mon88017 and Compositions and Methods for Detection Thereof |
| WO2005103301A2 (en) | 2004-03-25 | 2005-11-03 | Syngenta Participations Ag | Corn event mir604 |
| US20080167456A1 (en) | 2004-03-25 | 2008-07-10 | Syngenta Participations Ag | Corn Event MIR604 |
| US20050216969A1 (en) | 2004-03-26 | 2005-09-29 | Dow Agrosciences Llc | Cry1F and Cry1AC transgenic cotton lines and event-specific identification thereof |
| US20070143876A1 (en) | 2004-03-26 | 2007-06-21 | Dow Agrosciences Llc | Cry1F and Cry1Ac transgenic cotton lines and event-specific identification thereof |
| WO2005103266A1 (en) | 2004-03-26 | 2005-11-03 | Dow Agrosciences Llc | Cry1f and cry1ac transgenic cotton lines and event-specific identification thereof |
| US20060070139A1 (en) | 2004-09-29 | 2006-03-30 | Pioneer Hi-Bred International, Inc. | Corn event DAS-59122-7 and methods for detection thereof |
| WO2006098952A2 (en) | 2005-03-16 | 2006-09-21 | Syngenta Participations Ag | Corn event 3272 and methods of detection thereof |
| US20060230473A1 (en) | 2005-03-16 | 2006-10-12 | Syngenta Participations Ag | Corn event 3272 and methods for detection thereof |
| US20080320616A1 (en) | 2005-04-08 | 2008-12-25 | Bayer Bioscience N.V. | Elite Event A2407-12 and Methods and Kits for Identifying Such Event in Biological Samples |
| WO2006108674A2 (en) | 2005-04-08 | 2006-10-19 | Bayer Bioscience N.V. | Elite event a2704-12 and methods and kits for identifying such event in biological samples |
| US20080196127A1 (en) | 2005-04-11 | 2008-08-14 | Bayer Bioscience N.V. | Elite Event A5547-127 and Methods and Kits For Identifying Such Event in Biological Samples |
| WO2006108675A2 (en) | 2005-04-11 | 2006-10-19 | Bayer Bioscience N.V. | Elite event a5547-127 and methods and kits for identifying such event in biological samples |
| US20060282915A1 (en) | 2005-05-27 | 2006-12-14 | Monsanto Technology Llc | Soybean event MON89788 and methods for detection thereof |
| WO2006130436A2 (en) | 2005-05-27 | 2006-12-07 | Monsanto Technology Llc | Soybean event mon89788 and methods for detection thereof |
| WO2006128570A1 (en) | 2005-06-02 | 2006-12-07 | Syngenta Participations Ag | 1143-51b insecticidal cotton |
| WO2006128573A2 (en) | 2005-06-02 | 2006-12-07 | Syngenta Participations Ag | Ce43- 67b, insecticidal transgenic cotton expressing cry1ab |
| US20090217423A1 (en) | 2005-06-02 | 2009-08-27 | Cayley Patricia J | Ce43-67b insecticidal cotton |
| WO2006128571A2 (en) | 2005-06-02 | 2006-12-07 | Syngenta Participations Ag | Ce44-69d , insecticidal transgenic cotton expressing cry1ab |
| US20100024077A1 (en) | 2005-06-02 | 2010-01-28 | Syngenta Participations Ag | Ce44-69d insecticidal cotton |
| WO2006128572A1 (en) | 2005-06-02 | 2006-12-07 | Syngenta Participations Ag | Ce46-02a insecticidal cotton |
| WO2006128569A2 (en) | 2005-06-02 | 2006-12-07 | Syngenta Participations Ag | 1143-14a, insecticidal transgenic cotton expressing cry1ab |
| WO2006128568A2 (en) | 2005-06-02 | 2006-12-07 | Syngenta Participations Ag | T342-142, insecticidal transgenic cotton expressing cry1ab |
| US20100050282A1 (en) | 2005-08-08 | 2010-02-25 | Bayer Bioscience N.V. | Herbicide Tolerant Cotton Plants and Methods for Identifying the Same |
| WO2007017186A1 (en) | 2005-08-08 | 2007-02-15 | Bayer Bioscience N.V. | Herbicide tolerant cotton plants and methods for identifying same |
| WO2007024782A2 (en) | 2005-08-24 | 2007-03-01 | Pioneer Hi-Bred International, Inc. | Compositions providing tolerance to multiple herbicides and methods of use thereof |
| WO2007027777A2 (en) | 2005-08-31 | 2007-03-08 | Monsanto Technology Llc | Nucleotide sequences encoding insecticidal proteins |
| WO2007091277A2 (en) | 2006-02-10 | 2007-08-16 | Maharashtra Hybrid Seeds Company Limited (Mahyco) | TRANSGENIC BRINJAL (SOLANUM MELONGENA) EXPRESSING THE CRYlAC GENE |
| US20080260932A1 (en) | 2006-05-26 | 2008-10-23 | Anderson Heather M | Corn Plant and Seed Corresponding to Transgenic Event MON89034 and Methods For Detection and Use Thereof |
| WO2007140256A1 (en) | 2006-05-26 | 2007-12-06 | Monsanto Technology, Llc | Corn plant and seed corresponding to transgenic event mon89034 and methods for detection and use thereof |
| WO2007142840A2 (en) | 2006-06-03 | 2007-12-13 | Syngenta Participations Ag | Corn event mir162 |
| US20090300784A1 (en) | 2006-06-03 | 2009-12-03 | Syngenta Participations Ag | Corn event mir162 |
| US20100184079A1 (en) | 2006-06-28 | 2010-07-22 | Pioneer Hi-Bred International, Inc. | Soybean event 3560.4.3.5 and compositions and methods for the identification and detection thereof |
| WO2008002872A2 (en) | 2006-06-28 | 2008-01-03 | Pioneer Hi-Bred International, Inc. | Soybean event 3560.4.3.5 and compositions and methods for the identification and/or detection thereof |
| US20080289060A1 (en) | 2006-08-24 | 2008-11-20 | Bayer Bioscience N.V. | Herbicide tolerant rice plants and methods for identifying same |
| US20080064032A1 (en) | 2006-09-13 | 2008-03-13 | Syngenta Participations Ag | Polynucleotides and uses thereof |
| US20090137395A1 (en) | 2006-10-30 | 2009-05-28 | Pioneer Hi-Bred International, Inc. | Maize event DP-098140-6 and compositions and methods for the identification and/or detection thereof |
| WO2008112019A2 (en) | 2006-10-30 | 2008-09-18 | Pioneer Hi-Bred International, Inc. | Maize event dp-098140-6 and compositions and methods for the identification and/or detection thereof |
| US20080312082A1 (en) | 2006-10-31 | 2008-12-18 | Kinney Anthony J | Soybean event dp-305423-1 and compositions and methods for the identification and/or detection thereof |
| WO2008054747A2 (en) | 2006-10-31 | 2008-05-08 | E. I. Du Pont De Nemours And Company | Soybean event dp-305423-1 and compositions and methods for the identification and/or detection thereof |
| WO2008114282A2 (en) | 2007-03-19 | 2008-09-25 | Maharashtra Hybrid Seeds Company Limited | Transgenic rice (oryza sativa) comprising pe-7 event and method of detection thereof |
| US20100077501A1 (en) | 2007-04-05 | 2010-03-25 | Bayer Bioscience N.V. | Insect resistant cotton plants and methods for identifying same |
| WO2008122406A1 (en) | 2007-04-05 | 2008-10-16 | Bayer Bioscience N.V. | Insect resistant cotton plants and methods for identifying same |
| WO2008151780A1 (en) | 2007-06-11 | 2008-12-18 | Bayer Bioscience N.V. | Insect resistant cotton plants comprising elite event ee-gh6 and methods for identifying same |
| WO2009064652A1 (en) | 2007-11-15 | 2009-05-22 | Monsanto Technology Llc | Soybean plant and seed corresponding to transgenic event mon87701 and methods for detection thereof |
| US20090130071A1 (en) | 2007-11-15 | 2009-05-21 | Ai-Guo Gao | Soybean Plant And Seed Corresponding To Transgenic Event MON87701 And Methods For Detection Thereof |
| WO2009100188A2 (en) | 2008-02-08 | 2009-08-13 | Dow Agrosciences Llc | Methods for detection of corn event das-59132 |
| WO2009103049A2 (en) | 2008-02-14 | 2009-08-20 | Pioneer Hi-Bred International, Inc. | Plant genomic dna flanking spt event and methods for identifying spt event |
| US20090210970A1 (en) | 2008-02-14 | 2009-08-20 | Pioneer Hi-Bred International, Inc. | Plant Genomic DNA Flanking SPT Event and Methods for Identifying SPT Event |
| WO2009102873A1 (en) | 2008-02-15 | 2009-08-20 | Monsanto Technology Llc | Soybean plant and seed corresponding to transgenic event mon87769 and methods for detection thereof |
| US20110067141A1 (en) | 2008-02-15 | 2011-03-17 | Byron Froman | Soybean plant and seed corresponding to transgenic event mon87769 and methods for detection thereof |
| WO2009111263A1 (en) | 2008-02-29 | 2009-09-11 | Monsanto Technology Llc | Corn plant event mon87460 and compositions and methods for detection thereof |
| US20110138504A1 (en) | 2008-02-29 | 2011-06-09 | Monsanto Technology Llc | Corn plant event mon87460 and compositions and methods for detection thereof |
| WO2010024976A1 (en) | 2008-08-29 | 2010-03-04 | Monsanto Technology Llc | Soybean plant and seed corresponding to transgenic event mon87754 and methods for detection thereof |
| WO2010037016A1 (en) | 2008-09-29 | 2010-04-01 | Monsanto Technology Llc | Soybean transgenic event mon87705 and methods for detection thereof |
| US20100080887A1 (en) | 2008-09-29 | 2010-04-01 | Monsanto Technology Llc | Soybean Transgenic Event MON87705 and Methods for Detection Thereof |
| WO2010077816A1 (en) | 2008-12-16 | 2010-07-08 | Syngenta Participations Ag | Corn event 5307 |
| WO2010076212A1 (en) | 2008-12-19 | 2010-07-08 | Syngenta Participations Ag | Transgenic sugar beet event gm rz13 |
| WO2010080829A1 (en) | 2009-01-07 | 2010-07-15 | Basf Agrochemical Products B.V. | Soybean event 127 and methods related thereto |
| WO2010117735A1 (en) | 2009-03-30 | 2010-10-14 | Monsanto Technology Llc | Transgenic rice event17314 and methods of use thereof |
| WO2010117737A1 (en) | 2009-03-30 | 2010-10-14 | Monsanto Technology Llc | Rice transgenic event17053 and methods of use thereof |
| WO2011022469A2 (en) | 2009-08-19 | 2011-02-24 | Dow Agrosciences Llc | Aad-1 event das-40278-9, related transgenic corn lines, and event-specific identification thereof |
| WO2011034704A1 (en) | 2009-09-17 | 2011-03-24 | Monsanto Technology Llc | Soybean transgenic event mon 87708 and methods of use thereof |
| WO2011062904A1 (en) | 2009-11-23 | 2011-05-26 | Monsanto Technology Llc | Transgenic maize event mon 87427 and the relative development scale |
| WO2011063411A1 (en) | 2009-11-23 | 2011-05-26 | Bayer Bioscience N.V. | Elite event ee-gm3 and methods and kits for identifying such event in biological samples |
| WO2011066360A1 (en) | 2009-11-24 | 2011-06-03 | Dow Agrosciences Llc | Detection of aad-12 soybean event 416 |
| WO2011066384A1 (en) | 2009-11-24 | 2011-06-03 | Dow Agrosciences Llc | Aad-12 event 416, related transgenic soybean lines, and event-specific identification thereof |
| WO2011075593A1 (en) | 2009-12-17 | 2011-06-23 | Pioneer Hi-Bred International, Inc. | Maize event dp-040416-8 and methods for detection thereof |
| WO2011084621A1 (en) | 2009-12-17 | 2011-07-14 | Pioneer Hi-Bred International, Inc. | Maize event dp-004114-3 and methods for detection thereof |
| WO2011084632A1 (en) | 2009-12-17 | 2011-07-14 | Pioneer Hi-Bred International, Inc. | Maize event dp-032316-8 and methods for detection thereof |
| WO2011075595A1 (en) | 2009-12-17 | 2011-06-23 | Pioneer Hi-Bred International, Inc. | Maize event dp-043a47-3 and methods for detection thereof |
| WO2011153186A1 (en) | 2010-06-04 | 2011-12-08 | Monsanto Technology Llc | Transgenic brassica event mon 88302 and methods of use thereof |
| WO2012033794A2 (en) | 2010-09-08 | 2012-03-15 | Dow Agrosciences Llc | Aad-12 event 1606 and related transgenic soybean lines |
| WO2012051199A2 (en) | 2010-10-12 | 2012-04-19 | Monsanto Technology Llc | Soybean plant and seed corresponding to transgenic event mon87712 and methods for detection thereof |
| CN101978827A (en) | 2010-12-01 | 2011-02-23 | 黑龙江强尔生化技术开发有限公司 | Ningnanmycin composition and preparation method thereof |
| WO2012075426A1 (en) | 2010-12-03 | 2012-06-07 | Dow Agrosciences Llc | Stacked herbicide tolerance event 8264.44.06.1, related transgenic soybean lines, and detection thereof |
| CN102067843A (en) * | 2011-02-17 | 2011-05-25 | 德强生物股份有限公司 | Compound pesticide of tebuconazole and ningnan mycin |
| CN102160549A (en) * | 2011-02-17 | 2011-08-24 | 德强生物股份有限公司 | Compound pesticide containing cyprodinil and ningnanmycin |
| CN102067840A (en) * | 2011-02-17 | 2011-05-25 | 德强生物股份有限公司 | Compound pesticide containing triflumizole and ningnanmycin |
| CN102067839A (en) * | 2011-02-17 | 2011-05-25 | 德强生物股份有限公司 | Composite pesticide of azoxystrobin and ningnan mycin |
| CN102197819A (en) * | 2011-04-06 | 2011-09-28 | 江苏宝灵化工股份有限公司 | Bactericidal composition and its application |
| WO2013003558A1 (en) | 2011-06-30 | 2013-01-03 | Monsanto Technology Llc | Alfalfa plant and seed corresponding to transgenic event kk 179-2 and methods for detection thereof |
| WO2013010094A1 (en) | 2011-07-13 | 2013-01-17 | Dow Agrosciences Llc | Stacked herbicide tolerance event 8264.42.32.1, related transgenic soybean lines, and detection thereof |
| WO2013012775A1 (en) | 2011-07-15 | 2013-01-24 | Syngenta Participations Ag | Corn event mzdt09y |
| CN103651391A (en) * | 2012-09-11 | 2014-03-26 | 青岛星牌作物科学有限公司 | Bactericidal composition for preventing and treating powdery mildew of cucumbers |
| WO2014124368A1 (en) * | 2013-02-11 | 2014-08-14 | Bayer Cropscience Lp | Compositions comprising gougerotin and a fungicide |
| CN103141484A (en) * | 2013-03-20 | 2013-06-12 | 海南正业中农高科股份有限公司 | Bactericidal composition containing penthiopyrad |
| CN103749462A (en) * | 2013-03-20 | 2014-04-30 | 海南正业中农高科股份有限公司 | Sterilizing composition containing penthiopyrad and antibiotics |
| CN103190421A (en) * | 2013-04-07 | 2013-07-10 | 海南正业中农高科股份有限公司 | Bactericidal composition containing cycloflufen |
| CN103734145A (en) * | 2013-04-07 | 2014-04-23 | 海南正业中农高科股份有限公司 | Sterilization composition containing cyflufenamid and oxazole sterilization components |
| CN104012543A (en) * | 2013-04-07 | 2014-09-03 | 海南正业中农高科股份有限公司 | Sterilization composition containing cyflufenamid and epoxiconazole |
| CN103999861A (en) * | 2013-04-07 | 2014-08-27 | 海南正业中农高科股份有限公司 | Bactericidal composition containing cyflufenamid and fenamidone |
| CN103329904A (en) * | 2013-07-26 | 2013-10-02 | 崔淑华 | Sterilization composition containing bupirimate and ningnanmycin as well as application of sterilization composition |
| CN103858885A (en) * | 2014-04-11 | 2014-06-18 | 山东省烟台市农业科学研究院 | Bactericidal composition for controlling apple diseases and application thereof |
| CN103918658A (en) * | 2014-04-24 | 2014-07-16 | 深圳诺普信农化股份有限公司 | Compound bactericide composition containing cyazofamid |
| CN103960261A (en) * | 2014-05-05 | 2014-08-06 | 深圳诺普信农化股份有限公司 | Sterilization composition |
| CN104054712A (en) * | 2014-05-28 | 2014-09-24 | 深圳诺普信农化股份有限公司 | Sterilization composition containing boscalid |
| CN104054729A (en) * | 2014-06-17 | 2014-09-24 | 北京燕化永乐生物科技股份有限公司 | Sterilization composition |
| CN104041496A (en) * | 2014-06-18 | 2014-09-17 | 北京燕化永乐生物科技股份有限公司 | Compound bactericide |
| CN104068023A (en) * | 2014-07-09 | 2014-10-01 | 深圳诺普信农化股份有限公司 | Agricultural sterilization composition |
| CN104381265A (en) * | 2014-11-12 | 2015-03-04 | 济南凯因生物科技有限公司 | Water dispersible granule of bactericidal composition |
| CN104381264A (en) * | 2014-11-12 | 2015-03-04 | 济南凯因生物科技有限公司 | Wettable powder of bactericidal composition |
| CN104381263A (en) * | 2014-11-12 | 2015-03-04 | 济南凯因生物科技有限公司 | Emulsifiable concentrate preparation of bactericidal composition |
| CN104488901A (en) * | 2014-12-18 | 2015-04-08 | 广西田园生化股份有限公司 | Compound composition containing methanesulphonyl myclobutanil and antibiotics bactericide and preparation |
Non-Patent Citations (15)
| Title |
|---|
| "Pesticide Specifications, Manual on development and use of FAO and WHO specifications for pesticides", 2004, ISBN: 9251048576, article "FAO Plant Production and Protection Papers - 173, prepared by the FAO/WHO Joint Meeting on Pesticide Specifications" |
| BAUR, PESTICIDE SCIENCE, vol. 51, 1997, pages 131 - 152 |
| CHEN ET AL., J ANTIBIOT (TOKYO, vol. 54, no. 11, November 2001 (2001-11-01), pages 967 - 972 |
| CHEN ET AL.: "Identification of Streptomyces noursei var. Xichangensis", ACTA MICROBIOLOGICA SINICA, vol. 23, no. 4, 1983, pages 305 - 308 |
| COLBY, S.R.: "Calculating Synergistic and Antagonistic Responses of Herbicide Combinations", WEEDS, vol. 15, 1967, pages 20 - 22 |
| COUTSOGEORGOPOULOS ET AL.: "Inhibitors of Protein Synthesis. 4. Studies on the Structure-Activity Relationship of Gougerotin and Some of Its Analogs", JOURNAL OF MEDICINAL CHEMISTRY, vol. 18, no. 8, 1975, pages 771 - 776 |
| DELIC ET AL., MUTATION RESEARCH/FUNDAMENTAL AND MOLECULAR MECHANISMS OF MUTAGENESIS, vol. 9, no. 2, February 1970 (1970-02-01), pages 167 - 182 |
| F. M. AUSUBEL ET AL.,: "Current Protocols in Molecular Biology", 1987, article "Supplement 30, section 7. 7. 18, Table 7. 7. 1." |
| KIESER, T. ET AL., PRACTICAL STREPTOMYCES GENETICS, 2000, pages 99 - 107 |
| R. WEGLER: "Chemie der Pflanzenschutz- und Schadlingsbekampfungsmittel", vol. 2, 1970, SPRINGER VERLAG, pages: 401 - 412 |
| STONESIFER; BALTZ, PROC. NATL. ACAD. SCI. USA, vol. 82, pages 1180 - 1183 |
| TAMMES: "Isoboles, a Graphic Representation of Synergism in Pesticides", NETH. J. PLANT PATH., vol. 70, 1964, pages 73 - 80 |
| TORU IKEUCHI ET AL., J. ANTIBIOTICS, vol. 25, September 1972 (1972-09-01), pages 548 |
| TORU IKEUCHI ET AL., JOURNAL OF ANTIBIOTICS, September 1972 (1972-09-01), pages 548 - 550 |
| TOSHIKO KANZAKI ET AL., JOURNAL OF ANTIBIOTICS, vol. 15, no. 2, June 1961 (1961-06-01), pages 93 - 97 |
Cited By (3)
| Publication number | Priority date | Publication date | Assignee | Title |
|---|---|---|---|---|
| CN107462652A (en) * | 2016-06-06 | 2017-12-12 | 谱尼测试集团上海有限公司 | A kind of method of Ningnanmycin residual quantity in measure vegetable food |
| CN107027766A (en) * | 2017-04-28 | 2017-08-11 | 广西南宁益土生物科技有限责任公司 | A kind of Synergistic bactericidal composition for preventing and treating sclerotinia sclerotiorum |
| WO2020125250A1 (en) * | 2018-12-19 | 2020-06-25 | 深圳诺普信农化股份有限公司 | Seed coating agent containing captan and application thereof |
Similar Documents
| Publication | Publication Date | Title |
|---|---|---|
| US9814241B2 (en) | Composition comprising a biological control agent and a fungicide | |
| US9756864B2 (en) | Compositions comprising a biological control agent and a fungicide from the group consisting of inhibitors of the respiratory chain at complex I or II | |
| US10028509B2 (en) | Composition comprising a biological control agent and a fungicide selected from inhibitors of the mitosis and cell division or compounds having a multi-site action | |
| US9700056B2 (en) | Composition comprising a biological control agent and a fungicide selected from inhibitors of the ergosterol biosynthesis | |
| DK2854547T3 (en) | COMPOSITION CONTAINING A BIOLOGICAL PESTICID AND TRIFLOXY STROBIN | |
| US9706777B2 (en) | Composition comprising a biological control agent and a fungicide selected from inhibitors of amino acid or protein biosynthesis, inhibitors of ATP production and inhibitors of the cell wall synthesis | |
| WO2014124368A1 (en) | Compositions comprising gougerotin and a fungicide | |
| AU2017201422A1 (en) | Composition comprising a pesticidal terpene mixture and a fungicide | |
| WO2014066877A1 (en) | Composition comprising a biological control agent and a fungicide | |
| WO2015160619A1 (en) | Compositions comprising ningnanmycin and a fungicide | |
| US20140228214A1 (en) | Compositions comprising a streptomyces-based biological control agent and a fungicide |
Legal Events
| Date | Code | Title | Description |
|---|---|---|---|
| 121 | Ep: the epo has been informed by wipo that ep was designated in this application |
Ref document number: 15717778 Country of ref document: EP Kind code of ref document: A1 |
|
| NENP | Non-entry into the national phase |
Ref country code: DE |
|
| 122 | Ep: pct application non-entry in european phase |
Ref document number: 15717778 Country of ref document: EP Kind code of ref document: A1 |



