WO2015157005A1 - Substituted tolyl fungicide mixtures - Google Patents
Substituted tolyl fungicide mixtures Download PDFInfo
- Publication number
- WO2015157005A1 WO2015157005A1 PCT/US2015/022618 US2015022618W WO2015157005A1 WO 2015157005 A1 WO2015157005 A1 WO 2015157005A1 US 2015022618 W US2015022618 W US 2015022618W WO 2015157005 A1 WO2015157005 A1 WO 2015157005A1
- Authority
- WO
- WIPO (PCT)
- Prior art keywords
- methyl
- fungicides
- compound
- carbamate
- methylphenyl
- Prior art date
- Legal status (The legal status is an assumption and is not a legal conclusion. Google has not performed a legal analysis and makes no representation as to the accuracy of the status listed.)
- Ceased
Links
- 0 *C(C[n]1ncnc1*)(c(cc1)c(*)cc1Oc1ccccc1)O Chemical compound *C(C[n]1ncnc1*)(c(cc1)c(*)cc1Oc1ccccc1)O 0.000 description 12
- RDCCOYCCWHXBLB-UHFFFAOYSA-N CN(C(C1=C2Sc3n[s]nc3S1)=O)C2=O Chemical compound CN(C(C1=C2Sc3n[s]nc3S1)=O)C2=O RDCCOYCCWHXBLB-UHFFFAOYSA-N 0.000 description 1
- KVKFSLYUIUDSOI-UHFFFAOYSA-N OC(C[n]1ncnc1)(C[n]1ncnc1)c(ccc(Oc(cc1)ccc1Cl)c1)c1Cl Chemical compound OC(C[n]1ncnc1)(C[n]1ncnc1)c(ccc(Oc(cc1)ccc1Cl)c1)c1Cl KVKFSLYUIUDSOI-UHFFFAOYSA-N 0.000 description 1
Classifications
-
- C—CHEMISTRY; METALLURGY
- C07—ORGANIC CHEMISTRY
- C07D—HETEROCYCLIC COMPOUNDS
- C07D231/00—Heterocyclic compounds containing 1,2-diazole or hydrogenated 1,2-diazole rings
- C07D231/02—Heterocyclic compounds containing 1,2-diazole or hydrogenated 1,2-diazole rings not condensed with other rings
- C07D231/10—Heterocyclic compounds containing 1,2-diazole or hydrogenated 1,2-diazole rings not condensed with other rings having two or three double bonds between ring members or between ring members and non-ring members
- C07D231/12—Heterocyclic compounds containing 1,2-diazole or hydrogenated 1,2-diazole rings not condensed with other rings having two or three double bonds between ring members or between ring members and non-ring members with only hydrogen atoms, hydrocarbon or substituted hydrocarbon radicals, directly attached to ring carbon atoms
-
- A—HUMAN NECESSITIES
- A01—AGRICULTURE; FORESTRY; ANIMAL HUSBANDRY; HUNTING; TRAPPING; FISHING
- A01N—PRESERVATION OF BODIES OF HUMANS OR ANIMALS OR PLANTS OR PARTS THEREOF; BIOCIDES, e.g. AS DISINFECTANTS, AS PESTICIDES OR AS HERBICIDES; PEST REPELLANTS OR ATTRACTANTS; PLANT GROWTH REGULATORS
- A01N47/00—Biocides, pest repellants or attractants, or plant growth regulators containing organic compounds containing a carbon atom not being member of a ring and having no bond to a carbon or hydrogen atom, e.g. derivatives of carbonic acid
- A01N47/08—Biocides, pest repellants or attractants, or plant growth regulators containing organic compounds containing a carbon atom not being member of a ring and having no bond to a carbon or hydrogen atom, e.g. derivatives of carbonic acid the carbon atom having one or more single bonds to nitrogen atoms
- A01N47/10—Carbamic acid derivatives, i.e. containing the group —O—CO—N<; Thio analogues thereof
- A01N47/12—Carbamic acid derivatives, i.e. containing the group —O—CO—N<; Thio analogues thereof containing a —O—CO—N< group, or a thio analogue thereof, neither directly attached to a ring nor the nitrogen atom being a member of a heterocyclic ring
-
- C—CHEMISTRY; METALLURGY
- C07—ORGANIC CHEMISTRY
- C07D—HETEROCYCLIC COMPOUNDS
- C07D215/00—Heterocyclic compounds containing quinoline or hydrogenated quinoline ring systems
- C07D215/02—Heterocyclic compounds containing quinoline or hydrogenated quinoline ring systems having no bond between the ring nitrogen atom and a non-ring member or having only hydrogen atoms or carbon atoms directly attached to the ring nitrogen atom
- C07D215/16—Heterocyclic compounds containing quinoline or hydrogenated quinoline ring systems having no bond between the ring nitrogen atom and a non-ring member or having only hydrogen atoms or carbon atoms directly attached to the ring nitrogen atom with hetero atoms or with carbon atoms having three bonds to hetero atoms with at the most one bond to halogen, e.g. ester or nitrile radicals, directly attached to ring carbon atoms
- C07D215/20—Oxygen atoms
-
- C—CHEMISTRY; METALLURGY
- C07—ORGANIC CHEMISTRY
- C07D—HETEROCYCLIC COMPOUNDS
- C07D231/00—Heterocyclic compounds containing 1,2-diazole or hydrogenated 1,2-diazole rings
- C07D231/02—Heterocyclic compounds containing 1,2-diazole or hydrogenated 1,2-diazole rings not condensed with other rings
- C07D231/10—Heterocyclic compounds containing 1,2-diazole or hydrogenated 1,2-diazole rings not condensed with other rings having two or three double bonds between ring members or between ring members and non-ring members
- C07D231/14—Heterocyclic compounds containing 1,2-diazole or hydrogenated 1,2-diazole rings not condensed with other rings having two or three double bonds between ring members or between ring members and non-ring members with hetero atoms or with carbon atoms having three bonds to hetero atoms with at the most one bond to halogen, e.g. ester or nitrile radicals, directly attached to ring carbon atoms
- C07D231/16—Halogen atoms or nitro radicals
-
- C—CHEMISTRY; METALLURGY
- C07—ORGANIC CHEMISTRY
- C07D—HETEROCYCLIC COMPOUNDS
- C07D231/00—Heterocyclic compounds containing 1,2-diazole or hydrogenated 1,2-diazole rings
- C07D231/02—Heterocyclic compounds containing 1,2-diazole or hydrogenated 1,2-diazole rings not condensed with other rings
- C07D231/10—Heterocyclic compounds containing 1,2-diazole or hydrogenated 1,2-diazole rings not condensed with other rings having two or three double bonds between ring members or between ring members and non-ring members
- C07D231/14—Heterocyclic compounds containing 1,2-diazole or hydrogenated 1,2-diazole rings not condensed with other rings having two or three double bonds between ring members or between ring members and non-ring members with hetero atoms or with carbon atoms having three bonds to hetero atoms with at the most one bond to halogen, e.g. ester or nitrile radicals, directly attached to ring carbon atoms
- C07D231/38—Nitrogen atoms
-
- C—CHEMISTRY; METALLURGY
- C07—ORGANIC CHEMISTRY
- C07D—HETEROCYCLIC COMPOUNDS
- C07D249/00—Heterocyclic compounds containing five-membered rings having three nitrogen atoms as the only ring hetero atoms
- C07D249/02—Heterocyclic compounds containing five-membered rings having three nitrogen atoms as the only ring hetero atoms not condensed with other rings
- C07D249/04—1,2,3-Triazoles; Hydrogenated 1,2,3-triazoles
- C07D249/06—1,2,3-Triazoles; Hydrogenated 1,2,3-triazoles with aryl radicals directly attached to ring atoms
-
- C—CHEMISTRY; METALLURGY
- C07—ORGANIC CHEMISTRY
- C07D—HETEROCYCLIC COMPOUNDS
- C07D249/00—Heterocyclic compounds containing five-membered rings having three nitrogen atoms as the only ring hetero atoms
- C07D249/02—Heterocyclic compounds containing five-membered rings having three nitrogen atoms as the only ring hetero atoms not condensed with other rings
- C07D249/08—1,2,4-Triazoles; Hydrogenated 1,2,4-triazoles
-
- C—CHEMISTRY; METALLURGY
- C07—ORGANIC CHEMISTRY
- C07D—HETEROCYCLIC COMPOUNDS
- C07D275/00—Heterocyclic compounds containing 1,2-thiazole or hydrogenated 1,2-thiazole rings
- C07D275/04—Heterocyclic compounds containing 1,2-thiazole or hydrogenated 1,2-thiazole rings condensed with carbocyclic rings or ring systems
- C07D275/06—Heterocyclic compounds containing 1,2-thiazole or hydrogenated 1,2-thiazole rings condensed with carbocyclic rings or ring systems with hetero atoms directly attached to the ring sulfur atom
-
- C—CHEMISTRY; METALLURGY
- C07—ORGANIC CHEMISTRY
- C07D—HETEROCYCLIC COMPOUNDS
- C07D401/00—Heterocyclic compounds containing two or more hetero rings, having nitrogen atoms as the only ring hetero atoms, at least one ring being a six-membered ring with only one nitrogen atom
- C07D401/02—Heterocyclic compounds containing two or more hetero rings, having nitrogen atoms as the only ring hetero atoms, at least one ring being a six-membered ring with only one nitrogen atom containing two hetero rings
- C07D401/04—Heterocyclic compounds containing two or more hetero rings, having nitrogen atoms as the only ring hetero atoms, at least one ring being a six-membered ring with only one nitrogen atom containing two hetero rings directly linked by a ring-member-to-ring-member bond
-
- C—CHEMISTRY; METALLURGY
- C07—ORGANIC CHEMISTRY
- C07D—HETEROCYCLIC COMPOUNDS
- C07D405/00—Heterocyclic compounds containing both one or more hetero rings having oxygen atoms as the only ring hetero atoms, and one or more rings having nitrogen as the only ring hetero atom
- C07D405/02—Heterocyclic compounds containing both one or more hetero rings having oxygen atoms as the only ring hetero atoms, and one or more rings having nitrogen as the only ring hetero atom containing two hetero rings
- C07D405/04—Heterocyclic compounds containing both one or more hetero rings having oxygen atoms as the only ring hetero atoms, and one or more rings having nitrogen as the only ring hetero atom containing two hetero rings directly linked by a ring-member-to-ring-member bond
-
- C—CHEMISTRY; METALLURGY
- C07—ORGANIC CHEMISTRY
- C07D—HETEROCYCLIC COMPOUNDS
- C07D405/00—Heterocyclic compounds containing both one or more hetero rings having oxygen atoms as the only ring hetero atoms, and one or more rings having nitrogen as the only ring hetero atom
- C07D405/02—Heterocyclic compounds containing both one or more hetero rings having oxygen atoms as the only ring hetero atoms, and one or more rings having nitrogen as the only ring hetero atom containing two hetero rings
- C07D405/12—Heterocyclic compounds containing both one or more hetero rings having oxygen atoms as the only ring hetero atoms, and one or more rings having nitrogen as the only ring hetero atom containing two hetero rings linked by a chain containing hetero atoms as chain links
-
- C—CHEMISTRY; METALLURGY
- C07—ORGANIC CHEMISTRY
- C07D—HETEROCYCLIC COMPOUNDS
- C07D413/00—Heterocyclic compounds containing two or more hetero rings, at least one ring having nitrogen and oxygen atoms as the only ring hetero atoms
- C07D413/02—Heterocyclic compounds containing two or more hetero rings, at least one ring having nitrogen and oxygen atoms as the only ring hetero atoms containing two hetero rings
- C07D413/04—Heterocyclic compounds containing two or more hetero rings, at least one ring having nitrogen and oxygen atoms as the only ring hetero atoms containing two hetero rings directly linked by a ring-member-to-ring-member bond
-
- C—CHEMISTRY; METALLURGY
- C07—ORGANIC CHEMISTRY
- C07D—HETEROCYCLIC COMPOUNDS
- C07D413/00—Heterocyclic compounds containing two or more hetero rings, at least one ring having nitrogen and oxygen atoms as the only ring hetero atoms
- C07D413/02—Heterocyclic compounds containing two or more hetero rings, at least one ring having nitrogen and oxygen atoms as the only ring hetero atoms containing two hetero rings
- C07D413/12—Heterocyclic compounds containing two or more hetero rings, at least one ring having nitrogen and oxygen atoms as the only ring hetero atoms containing two hetero rings linked by a chain containing hetero atoms as chain links
-
- C—CHEMISTRY; METALLURGY
- C07—ORGANIC CHEMISTRY
- C07D—HETEROCYCLIC COMPOUNDS
- C07D417/00—Heterocyclic compounds containing two or more hetero rings, at least one ring having nitrogen and sulfur atoms as the only ring hetero atoms, not provided for by group C07D415/00
- C07D417/14—Heterocyclic compounds containing two or more hetero rings, at least one ring having nitrogen and sulfur atoms as the only ring hetero atoms, not provided for by group C07D415/00 containing three or more hetero rings
-
- C—CHEMISTRY; METALLURGY
- C07—ORGANIC CHEMISTRY
- C07D—HETEROCYCLIC COMPOUNDS
- C07D513/00—Heterocyclic compounds containing in the condensed system at least one hetero ring having nitrogen and sulfur atoms as the only ring hetero atoms, not provided for in groups C07D463/00, C07D477/00 or C07D499/00 - C07D507/00
- C07D513/12—Heterocyclic compounds containing in the condensed system at least one hetero ring having nitrogen and sulfur atoms as the only ring hetero atoms, not provided for in groups C07D463/00, C07D477/00 or C07D499/00 - C07D507/00 in which the condensed system contains three hetero rings
- C07D513/14—Ortho-condensed systems
Definitions
- This invention relates to certain substituted tolyl compounds, their N-oxides and salts, and to mixtures and compositions comprising such pyrazole derivatives and methods for using such substituted tolyl compounds and their mixtures and compositions as fungicides.
- This invention relates to a fungicidal composition (i.e. combination, mixture) comprising
- A is a radical selected from the group consisting of
- Q is CH or N
- R 1 is halogen, cyano, hydroxy, nitro, amino, C ⁇ -Cg alkyl, C3-C6 cycloalkyl, C4-C10 cycloalkylalkyl, C2 ⁇ Cg alkenyl, C2 ⁇ Cg alkynyl, C ⁇ -Cg haloalkyl, C ⁇ -Cg alkoxy, C ⁇ -Cg haloalkoxy, C3 ⁇ Cg cycloalkoxy, C3 ⁇ Cg halocycloalkoxy, C4-C7 cycloalkylalkoxy, C2 ⁇ Cg alkenyloxy, C2 ⁇ Cg haloalkenyloxy, C2 ⁇ Cg alkynyloxy, C3 ⁇ Cg haloalkynyloxy, C2 ⁇ Cg alkoxyalkoxy, C2 ⁇ Cg alkoxyalkyl, C ⁇ -Cg cyanoalkyl, C ⁇ -Cg cyanoalkoxy, C ⁇ -C
- R 2 is halogen, cyano, hydroxy, nitro, amino, C ⁇ -Cg alkyl, C3 ⁇ Cg cycloalkyl, C4-C10 cycloalkylalkyl, C2 ⁇ Cg alkenyl, C2 ⁇ Cg alkynyl, C ⁇ -Cg haloalkyl, C ⁇ -Cg alkoxy, C ⁇ -Cg haloalkoxy, C3 ⁇ Cg cycloalkoxy, C3 ⁇ Cg halocycloalkoxy, C4-C7 cycloalkylalkoxy, C2 ⁇ Cg alkenyloxy, C2 ⁇ Cg haloalkenyloxy, C2 ⁇ Cg alkynyloxy, C3 ⁇ Cg haloalkynyloxy, C2 ⁇ Cg alkoxyalkoxy, C2 ⁇ Cg alkoxyalkyl, C ⁇ -Cg cyanoalkyl, C ⁇ -Cg cyanoalkoxy, C ⁇ -C
- each R 3 is independently halogen, cyano, C1-C3 alkyl, C1-C3 haloalkyl, C1-C3
- n 0, 1 or 2;
- R lbl is H or halogen
- R 2bl is H, halogen or CH 3
- R 3bl is halogen
- R 4bl is halogen or CH 3
- R 5 l is halogen, cyano, CH 3 or C1-C2 alkoxy
- each R lb4 is independently halogen, C1-C5 alkyl, C1-C5 haloalkyl, C 3
- R lb5 is H, F or CI; and Ylb5 an d y2b5 are independently O or S;
- R lb6 is H, F, CI or CH 3 ;
- R 2b6 is CH 3 , CF 3 or CHF 2 ; and
- R 3b6 is CH 3 , CF 3 or CHF 2 ;
- This invention also relates to a fungicidal composition
- a fungicidal composition comprising: (a) at least one compound selected from the compounds of Formula 1, (b) at least one fungicidal compound selected from Formulae Bl through B16 and salts thereof described above, and further comprising (c) at least one additional compound or agent that is biologically active.
- This invention also relates to a composition
- a composition comprising one of the aforesaid compositions comprising components (a) and (b) and at least one additional component selected from the group consisting of surfactants, solid diluents and liquid diluents.
- This invention also relates to a method for controlling plant diseases caused by fungal plant pathogens comprising applying to the plant or portion thereof, or to the plant seed, a fungicidally effective amount of one of the aforesaid compositions.
- the aforedescribed method can also be described as a method for protecting a plant or plant seed from diseases caused by fungal pathogens comprising applying a fungicidally effective amount of one of the aforesaid compositions to the plant (or portion thereof) or plant seed (directly or through the environment (e.g., growing medium) of the plant or plant seed).
- compositions, mixture, process, method, article, or apparatus that comprises a list of elements is not necessarily limited to only those elements but may include other elements not expressly listed or inherent to such composition, mixture, process, method, article, or apparatus.
- transitional phrase consisting essentially of is used to define a composition, method or apparatus that includes materials, steps, features, components, or elements, in addition to those literally disclosed, provided that these additional materials, steps, features, components, or elements do not materially affect the basic and novel characteristic(s) of the claimed invention.
- plant includes members of Kingdom Plantae, particularly seed plants (Spermatopsida), at all life stages, including young plants (e.g., germinating seeds developing into seedlings) and mature, reproductive stages (e.g., plants producing flowers and seeds).
- Portions of plants include geotropic members typically growing beneath the surface of the growing medium (e.g., soil), such as roots, tubers, bulbs and corms, and also members growing above the growing medium, such as foliage (including stems and leaves), flowers, fruits and seeds.
- seedling used either alone or in a combination of words means a young plant developing from the embryo of a seed.
- the terms “fungal pathogen” and “fungal plant pathogen” include pathogens in the Ascomycota, Basidiomycota and Zygomycota phyla, and the fungal-like Oomycota class that are the causal agents of a broad spectrum of plant diseases of economic importance, affecting ornamental, turf, vegetable, field, cereal and fruit crops.
- “protecting a plant from disease” or “control of a plant disease” includes preventative action (interruption of the fungal cycle of infection, colonization, symptom development and spore production) and/or curative action (inhibition of colonization of plant host tissues).
- MOA mode of action
- FRAC Fungicide Resistance Action Committee
- A nucleic acid synthesis
- B mitosis and cell division
- C respiration
- D amino acid and protein synthesis
- E signal transduction
- F lipid synthesis and membrane integrity
- G sterol biosynthesis in membranes
- H cell wall biosynthesis in membranes
- I melanin synthesis in cell wall
- P host plant defense induction, multi-site contact activity and unknown mode of action.
- Each MOA class consists of one or more groups based either on individual validated target sites of action, or in cases where the precise target site is unknown, based on cross resistance profiles within a group or in relation to other groups.
- Each of these groupings within a FRAC-defined MOA, whether the target site is known or unknown, is designated by a FRAC code. Additional information on target sites and FRAC codes can be obtained from publicly available databases maintained, for example, by FRAC.
- cross resistance refers to a phenomenon wherein a pathogen evolves resistance to one fungicide and in addition acquires resistance to others.
- additional fungicides are typically, but not always, in the same chemical class or have the same target site of action, or can be detoxified by the same mechanism.
- Registry Number refers to Chemical Abstracts Registry Number.
- alkyl used either alone or in compound words such as “alkylthio” or “haloalkyl” includes straight-chain or branched alkyl such as methyl, ethyl, n-propyl, /-propyl, or the different butyl, pentyl or hexyl isomers.
- alkenyl includes straight-chain or branched alkenes such as ethenyl, 1-propenyl, 2-propenyl, and the different butenyl, pentenyl and hexenyl isomers.
- Alkenyl also includes polyenes such as 1 ,2-propadienyl and 2,4-hexadienyl.
- Alkynyl includes straight-chain or branched alkynes such as ethynyl, 1-propynyl, 2-propynyl and the different butynyl, pentynyl and hexynyl isomers.
- Alkynyl also includes moieties comprised of multiple triple bonds such as 2,5-hexadiynyl.
- Alkoxy includes, for example, methoxy, ethoxy, n-propyloxy, isopropyloxy and the different butoxy, pentoxy and hexyloxy isomers.
- Alkoxyalkyl denotes alkoxy substitution on alkyl. Examples of “alkoxyalkyl” include CH 3 OCH 2 , CH 3 OCH 2 CH 2 , CH 3 CH 2 OCH 2 , CH 3 CH 2 CH 2 CH 2 OCH 2 and CH 3 CH 2 OCH 2 CH 2 .
- Alkoxyalkoxy denotes alkoxy substitution on alkoxy.
- Alkenyloxy includes straight-chain or branched alkenyloxy moieties.
- alkynyloxy includes straight-chain or branched alkynyloxy moieties. Examples of “alkynyloxy” include HC ⁇ CCH 2 0, CH 3 C ⁇ CCH 2 0 and CH 3 C ⁇ CCH 2 CH 2 0.
- Alkylthio includes branched or straight-chain alkylthio moieties such as methylthio, ethylthio, and the different propylthio, butylthio, pentylthio and hexylthio isomers.
- Alkylsulfmyl includes both enantiomers of an alkylsulfmyl group. Examples of “alkylsulfmyl” include CH 3 S(0)-, CH 3 CH 2 S(0)-, CH 3 CH 2 CH 2 S(0)-, (CH 3 ) 2 CHS(0)- and the different butylsulfmyl, pentylsulfmyl and hexylsulfmyl isomers.
- alkylsulfonyl examples include CH 3 S(0) 2 -, CH 3 CH 2 S(0) 2 -, CH 3 CH 2 CH 2 S(0) 2 -, (CH 3 ) 2 CHS(0) 2 -, and the different butylsulfonyl, pentylsulfonyl and hexylsulfonyl isomers.
- Cycloalkyl includes, for example, cyclopropyl, cyclobutyl, cyclopentyl and cyclohexyl.
- cycloalkylalkyl denotes cycloalkyl substitution on an alkyl moiety. Examples of “cycloalkylalkyl” include cyclopropylmethyl, cyclopentylethyl, and other cycloalkyl moieties bonded to straight-chain or branched alkyl groups.
- cycloalkoxy denotes cycloalkyl linked through an oxygen atom such as cyclopentyloxy and cyclohexyloxy.
- Cyanoalkyl denotes an alkyl group substituted with one cyano group. Examples of “cyanoalkyl” include NCCH 2 , NCCH 2 CH 2 and CH 3 CH(CN)CH 2 . “Cyanoalkoxy” denotes cyano substitution on alkoxy. Examples of “cyanoalkoxy” include NCCH 2 0, NCCH 2 CH 2 0, and CH 3 CH(CN)CH 2 0.
- halogen either alone or in compound words such as “haloalkyl”, or when used in descriptions such as “alkyl substituted with halogen” includes fluorine, chlorine, bromine or iodine. Further, when used in compound words such as “haloalkyl”, or when used in descriptions such as “alkyl substituted with halogen” said alkyl may be partially or fully substituted with halogen atoms which may be the same or different. Examples of “haloalkyl” or “alkyl substituted with halogen” include F 3 C-, C1CH 2 -, CF 3 CH 2 - and CF 3 CC1 2 -.
- halocycloalkyl haloalkoxy
- haloalkyl haloalkoxy
- haloalkylthio CC1 3 S-, CF 3 S-, CC1 3 CH 2 S- and C1CH 2 CH 2 CH 2 S-.
- haloalkylsulfmyl examples include CF 3 S(0)-, CC1 3 S(0)-, CF 3 CH 2 S(0)- and CF 3 CF 2 S(0)-.
- haloalkylsulfonyl examples include CF 3 S(0) 2 -, CC1 3 S(0) 2 -, CF 3 CH 2 S(0) 2 - and CF 3 CF 2 S(0) 2 -.
- haloalkynyl examples include HC ⁇ CCHC1-, CF 3 C ⁇ C-, CC1 3 C ⁇ C- and FCH 2 C ⁇ CCH 2 -.
- haloalkoxyalkoxy examples include CF 3 OCH 2 0-, C1CH 2 CH 2 0CH 2 CH 2 0-, Cl 3 CCH 2 OCH 2 0- as well as branched alkyl derivatives.
- C1-C4 alkylsulfonyl designates methylsulfonyl through butylsulfonyl
- C 2 alkoxyalkyl designates CH 3 OCH 2 -
- C 3 alkoxyalkyl designates, for example, CH 3 CH(OCH 3 )-, CH 3 OCH 2 CH 2 - or CH 3 CH 2 OCH 2 -
- C4 alkoxyalkyl designates the various isomers of an alkyl group substituted with an alkoxy group containing a total of four carbon atoms, examples including CH 3 CH 2 CH 2 OCH 2 - and CH 3 CH 2 OCH 2 CH 2 -.
- substituents When a compound is substituted with a substituent bearing a subscript that indicates the number of said substituents can exceed 1, said substituents (when they exceed 1) are independently selected from the group of defined substituents, e.g., [(R lb4 ) q ], q is 1, 2 or 3. Further, when the subscript indicates a range, e.g. (R)i_j, then the number of substituents may be selected from the integers between i and j inclusive.
- a group contains a substituent which can be hydrogen, for example R 1 ⁇ 1 or R 2 ⁇ 1 then when this substituent is taken as hydrogen, it is recognized that this is equivalent to said group being unsubstituted.
- variable group When a variable group is shown to be optionally attached to a position, for example (R 3 ) n wherein n may be 0, then hydrogen may be at the position even if not recited in the variable group definition.
- hydrogen atoms When one or more positions on a group are said to be "not substituted” or “unsubstituted”, then hydrogen atoms are attached to take up any free valency.
- Stereoisomers are isomers of identical constitution but differing in the arrangement of their atoms in space and include enantiomers, diastereomers, cis-trans isomers (also known as geometric isomers) and atropisomers. Atropisomers result from restricted rotation about single bonds where the rotational barrier is high enough to permit isolation of the isomeric species.
- one stereoisomer may be more active and/or may exhibit beneficial effects when enriched relative to the other stereoisomer(s) or when separated from the other stereoisomer(s). Additionally, the skilled artisan knows how to separate, enrich, and/or to selectively prepare said stereoisomers. For a comprehensive discussion of all aspects of stereoisomerism, see Ernest L. Eliel and Samuel H. Wilen, Stereochemistry of Organic Compounds, John Wiley & Sons, 1994.
- Stereoisomers are isomers of identical constitution but differing in the arrangement of their atoms in space and include enantiomers, diastereomers, cis-trans isomers (also known as geometric isomers) and atropisomers.
- Atropisomers result from restricted rotation about single bonds where the rotational barrier is high enough to permit isolation of the isomeric species.
- one stereoisomer may be more active and/or may exhibit beneficial effects when enriched relative to the other stereoisomer(s) or when separated from the other stereoisomer(s). Additionally, the skilled artisan knows how to separate, enrich, and/or to selectively prepare said stereoisomers.
- the compounds in the compositions of this invention may be present as a mixture of stereoisomers, individual stereoisomers or as an optically active form.
- optically active form See Ernest L. Eliel and Samuel H. Wilen, Stereochemistry of Organic Compounds, John Wiley & Sons, 1994. Molecular depictions drawn herein follow standard conventions for depicting stereochemistry.
- Constant width lines indicate bonds with a direction opposite or neutral relative to bonds shown with solid or dashed wedges; constant width lines also depict bonds in molecules or parts of molecules in which no particular stereoconfiguration is intended to be specified.
- oximes can exist in either a cis (E) or trans (Z) geometry.
- the wavy bond in structure B16 between the oxime nitrogen atom and the oxime oxygen atom represents a single bond and the geometry about the adjacent carbon-nitrogen double bond is either E (B16-2), Z (B16-1) or a mixture thereof.
- This invention comprises all stereoisomers, conformational isomers and mixtures thereof in all proportions as well as isotopic forms such as deuterated compounds.
- nitrogen containing heterocycles can form N-oxides since the nitrogen requires an available lone pair for oxidation to the oxide; one skilled in the art will recognize those nitrogen-containing heterocycles which can form N-oxides.
- nitrogen-containing heterocycles which can form N-oxides.
- tertiary amines can form N-oxides.
- N-oxides of heterocycles and tertiary amines are very well known by one skilled in the art including the oxidation of heterocycles and tertiary amines with peroxy acids such as peracetic and m-chloroperbenzoic acid (MCPBA), hydrogen peroxide, alkyl hydroperoxides such as t-butyl hydroperoxide, sodium perborate, and dioxiranes such as dimethyldioxirane.
- MCPBA peroxy acids
- alkyl hydroperoxides such as t-butyl hydroperoxide
- sodium perborate sodium perborate
- dioxiranes such as dimethyldioxirane
- salts of chemical compounds are in equilibrium with their corresponding nonsalt forms, salts share the biological utility of the nonsalt forms.
- the salts of the compounds of Formula 1 include acid-addition salts with inorganic or organic acids such as hydrobromic, hydrochloric, nitric, phosphoric, sulfuric, acetic, butyric, fumaric, lactic, maleic, malonic, oxalic, propionic, salicylic, tartaric, 4-toluenesulfonic or valeric acids.
- the present invention relates to mixtures of compounds selected from Formula 1, N-oxides and agriculturally suitable salts thereof.
- biologically similar salt forms can exist for many of the compounds of Formulae Bl through B15.
- Non-crystalline forms include embodiments which are solids such as waxes and gums as well as embodiments which are liquids such as solutions and melts.
- Crystalline forms include embodiments which represent essentially a single crystal type and embodiments which represent a mixture of polymorphs (i.e. different crystalline types).
- polymorph refers to a particular crystalline form of a chemical compound that can crystallize in different crystalline forms, these forms having different arrangements and/or conformations of the molecules in the crystal lattice.
- polymorphs can have the same chemical composition, they can also differ in composition due to the presence or absence of co- crystallized water or other molecules, which can be weakly or strongly bound in the lattice. Polymorphs can differ in such chemical, physical and biological properties as crystal shape, density, hardness, color, chemical stability, melting point, hygroscopicity, suspensibility, dissolution rate and biological availability.
- beneficial effects e.g., suitability for preparation of useful formulations, improved biological performance
- Preparation and isolation of a particular polymorph of a compound represented by Formula 1 can be achieved by methods known to those skilled in the art including, for example, crystallization using selected solvents and temperatures. .
- Compounds of Formulae Bl through B16, including salts thereof, can also typically exist in more than one form.
- polymorphism see R. Hilfiker, Ed., Polymorphism in the Pharmaceutical Industry, Wiley- VCH, Weinheim, 2006.
- reference to Formula 1 includes N-oxides and salts thereof unless otherwise indicated, and reference to "a compound of Formula 1" includes the definitions of substituents specified in the Summary of the Invention unless further defined in the Embodiments. Furthermore, reference to Formulae Bl through B16 includes salts thereof unless otherwise indicated.
- Embodiment 1 A composition comprising components (a) and (b) described in the
- A is a radical selected from the group consisting of A-l, A-2 and A-3.
- Embodiment 2 A composition comprising components (a) and (b) described in the Summary of the Invention or Embodiment 1 wherein in Formula 1, Q is CH.
- Embodiment 3. A composition comprising components (a) and (b) described in the Summary of the Invention or any one of Embodiments 1 through 2 wherein in Formula 1, R 1 is halogen, cyano, nitro, C ⁇ -Cg alkyl, C3-C6 cycloalkyl, C ⁇ -Cg haloalkyl, C ⁇ -C ⁇ alkoxy, C ⁇ -C ⁇ haloalkoxy, C3-C6 cycloalkoxy, C2-C6 alkenyloxy or C2-C6 alkynyloxy.
- Embodiment 4 A composition comprising components (a) and (b) described in the Summary of the Invention or any one of Embodiments 1 through 3 wherein in Formula 1, R 2 is halogen, cyano, nitro, C ⁇ -Cg alkyl, C3-C6 cycloalkyl, C ⁇ -Cg haloalkyl, C ⁇ -C ⁇ alkoxy, C ⁇ -C ⁇ haloalkoxy, C3-C6 cycloalkoxy, C2-C6 alkenyloxy or C2-C6 alkynyloxy.
- R 2 is halogen, cyano, nitro, C ⁇ -Cg alkyl, C3-C6 cycloalkyl, C ⁇ -Cg haloalkyl, C ⁇ -C ⁇ alkoxy, C ⁇ -C ⁇ haloalkoxy, C3-C6 cycloalkoxy, C2-C6 alkenyloxy or C2-C6 alkynyloxy.
- Embodiment 5 A composition comprising components (a) and (b) described in the Summary of the Invention or any one of Embodiments 1 through 4 wherein in Formula 1, each R 3 is independently halogen or C1-C3 alkyl.
- Embodiment6 A composition comprising components (a) and (b) described in the
- Embodiment 7 A composition comprising components (a) and (b) described in the Summary of the Invention or any one of Embodiments 1 through 6 wherein component (a) does not comprise an N-oxide of a compound of Formula 1.
- Embodiment 8 A composition comprising components (a) and (b) described in the Summary of the Invention or Embodiment 7 wherein component (a) comprises a compound selected from the group consisting of
- Embodiment 9 A composition of Embodiment 8 wherein component (a) comprises Compound 18.
- Embodiment 10 A composition of Embodiment 8 wherein component (a) comprises Compound 10.
- Embodiment 11 A composition of Embodiment 8 wherein component (a) comprises Compound 20.
- Embodiment 12 A composition of Embodiment 8 wherein component (a) comprises Compound 11.
- Embodiment 13 A composition of Embodiment 8 wherein component (a) comprises Compound 17.
- Embodiment 14 A composition of Embodiment 8 wherein component (a) comprises Compound 23.
- Embodiment 15 A composition of Embodiment 8 wherein component (a) comprises Compound 28.
- Embodiment 16 A composition of Embodiment 8 wherein component (a) comprises
- Embodiment 17 A composition of Embodiment 8 wherein component (a) comprises Compound 31.
- Embodiment 18 A composition of Embodiment 8 wherein component (a) comprises Compound 66.
- Embodiment 19 A composition of Embodiment 8 wherein component (a) comprises Compound 38.
- Embodiment 20 A composition of Embodiment 8 wherein component (a) comprises Compound 97.
- Embodiment 21 A composition of Embodiment 8 wherein component (a) comprises
- Embodiment 22 A composition of Embodiment 8 wherein component (a) comprises Compound 46.
- Embodiment 23 A composition of Embodiment 8 wherein component (a) comprises Compound 115.
- Embodiment 24 A composition of Embodiment 8 wherein component (a) comprises Compound 116.
- Embodiment 25 A composition of Embodiment 8 wherein component (a) comprises Compound 136.
- Embodiment 26 A composition of Embodiment 8 wherein component (a) comprises
- Embodiment 27 A composition of Embodiment 8 wherein component (a) comprises Compound 118.
- Embodiment 28 A composition of Embodiment 8 wherein component (a) comprises Compound 152.
- Embodiment 29 A composition of Embodiment 8 wherein component (a) comprises Compound 153.
- Embodiment 30 A composition of Embodiment 8 wherein component (a) comprises Compound 123.
- Embodiment 31 A composition of Embodiment 8 wherein component (a) comprises
- Embodiment 32 A composition of Embodiment 8 wherein component (a) comprises Compound 145.
- Embodiment 33 A composition of Embodiment 8 wherein component (a) comprises Compound 146.
- Embodiment 34 A composition of Embodiment 8 wherein component (a) comprises Compound 147.
- Embodiment 35 A composition of Embodiment 8 wherein component (a) comprises
- Embodiment 36 A composition of Embodiment 8 wherein component (a) comprises Compound 149.
- Embodiment 37 A composition of Embodiment 8 wherein component (a) comprises Compound 150.
- Embodiment 38 A composition comprising components (a) and (b) described in the Summary of the Invention or any one of Embodiments 1 through 37 wherein in Formula Bl, R lbl is F, CI or Br, R 2bl is F, CI or Br, R 3bl is F, CI or Br, R 4bl is F, CI or Br and R 5bl is F, CI or Br.
- Embodiment 39 A composition comprising components (a) and (b) described in the
- component (b) comprises a compound selected from the group consisting of 4-(2-chloro-4-fluorophenyl)-N-(2-chloro-6-fluorophenyl)-l,3-dimethyl- lH-pyrazol-5-amine,
- Embodiment 40 A composition comprising components (a) and (b) described in the Summary of the Invention or any one of Embodiments 1 through 39 wherein in Formula B2, R lb2 is ⁇ , R 3b2 is halogen or CF 3 , and R 5b2 is ⁇ .
- Embodiment 41 A composition of Embodiment 40 wherein component (b) comprises a-[2-chloro-4-(4-chlorophenoxy)phenyl]-a-ethyl- 1H- 1 ,2,4-triazole- 1 -ethanol.
- Embodiment 42 A composition comprising components (a) and (b) described in the Summary of the Invention or any one of Embodiments 1 through 41 wherein component (b) comprises a-[2-chloro-4-(4-chlorophenoxy)phenyl]-a-(lH-l,2,4- triazol-l-ylmethyl)-lH-l,2,4-triazole-l -ethanol (Formula B3).
- Embodiment 43 A composition comprising components (a) and (b) described in the Summary of the Invention or any one of Embodiments 1 through 42 wherein component (b) comprises a compound selected from the group consisting of N-cyclopropyl-3 -(difluoromethyl)-5 -fluoro- 1 -methyl-N- [ [(2-( 1 -methylethyl)- phenyl]methyl]-lH-pyrazole-4-carboxamide,
- Embodiment 44 A composition of Embodiment 43 wherein component (b) comprises N-cyclopropyl-3 -(difluoromethyl)-5 -fluoro- 1 -methyl-N- [ [(2-( 1 - methylethyl)phenyl]methyl]-lH-pyrazole-4-carboxamide.
- Embodiment 45 A composition comprising components (a) and (b) described in the Summary of the Invention or any one of Embodiments 1 through 44 wherein component (b) comprises a compound selected from the group consisting of N- [2,5 -dimethyl-4- [ [3 -( 1 , 1 ,2,2-tetrafiuoroethoxy)phenyl]thio]phenyl]-N-ethyl- N-methylmethanimidamide,
- Embodiment 46 A composition comprising components (a) and (b) described in the Summary of the Invention or any one of Embodiments 1 through 45 wherein component (b) comprises a compound selected from the group consisting of 2-[3,5-bis(difiuoromethyl)-lH-pyrazol-l-yl]-l-[4-[4-[4,5-dihydro-5-[2- [(methylsulfonyl)oxy]phenyl]-3-isoxazolyl]-2-thiazolyl]-l-piperidinyl]ethanone, 2- [3 ,5 -bis(difiuoromethyl)- lH-pyrazol- 1 -yl] - 1 - [4- [4-[5 -[3 -fiuoro-2- [(methyl- sulfonyl)oxy]phenyl]-4,5-dihydro-3-isoxazolyl]-2-thiazolyl]-l- piperidinyl
- Embodiment 47 A composition comprising components (a) and (b) described in the Summary of the Invention or any one of Embodiments 1 through 46 wherein component (b) comprises a compound selected from the group consisting of 2-[3,5-bis(difiuoromethyl)-lH-pyrazol-l-yl]-l-[4-[4-[4,5-dihydro-5-[2-(2- propyn-l-yloxy)phenyl]-3-isoxazolyl]-2-thiazolyl]-l -piperidinyljethanone, 2-[3,5-bis(difluoromethyl)- lH-pyrazol-1 -yl]- 1 -[4-[4-[5-[2-chloro-6-(2-propyn- 1 - yloxy)phenyl]-4,5-dihydro-3-isoxazolyl]-2-thiazolyl]- 1 -piperidinyljethanone and
- Embodiment 48 A composition comprising components (a) and (b) described in the
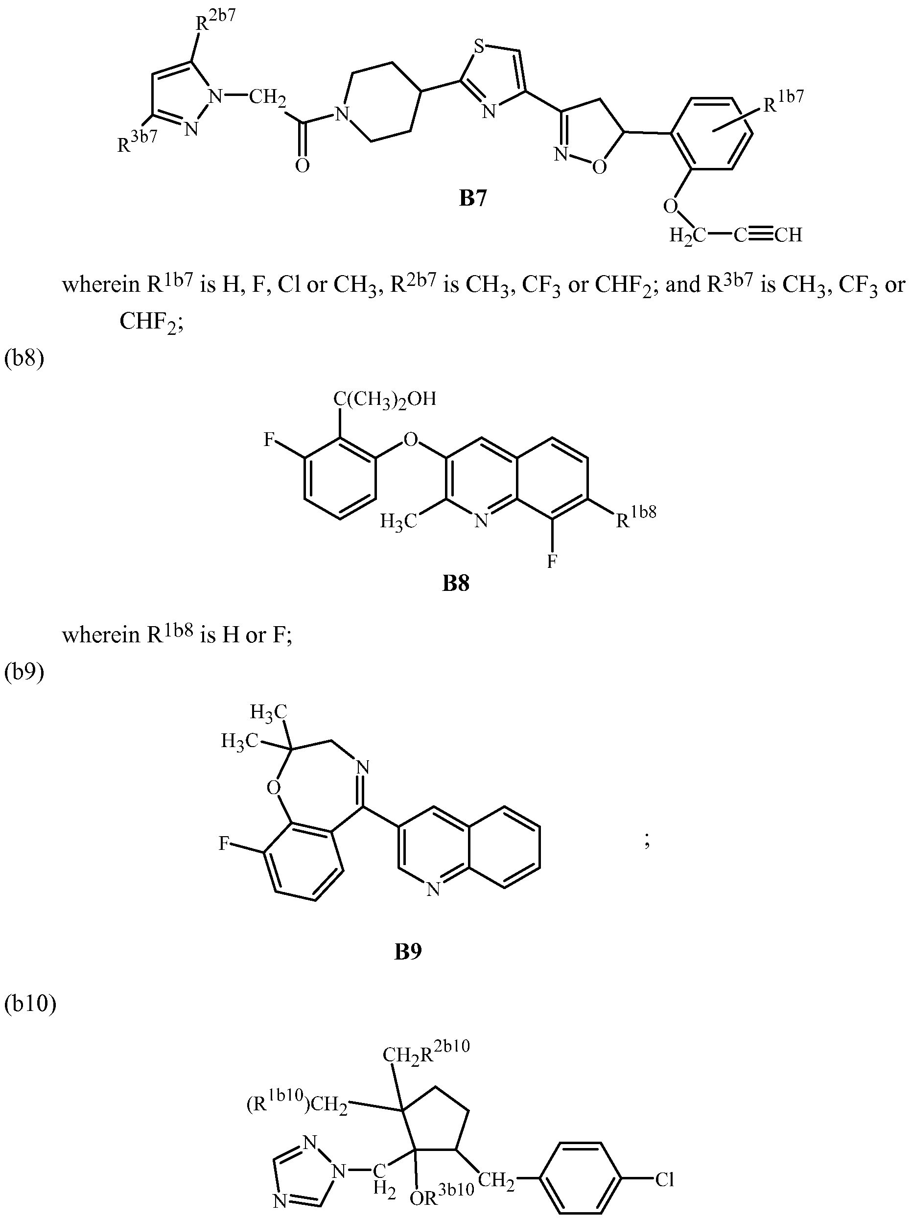
- component (b) comprises a compound selected from the group consisting of 2-fluoro-6-[(8-fluoro-2-methyl-3-quinolinyl)oxy]-a,a-dimethylbenzenemethanol, and 2-[(7,8-difluoro-2-methyl-3-quinolinyl)oxy]-6-fluoro-a,a-dimethylbenzene- methanol (compounds of Formula B8).
- Embodiment 49 A composition comprising components (a) and (b) described in the
- component (b) comprises 9-fluoro-2,3-dihydro-2,2-dimethyl-5-(3-quinolinyl)-
- Embodiment 50 A composition comprising components (a) and (b) described in the
- component (b) comprises a compound selected from the group consisting of (li?,2 l S,55)-re/-2-(chloromethyl)-5-[(4-chlorophenyl)methyl]-2-methyl-l-(lH-
- Embodiment 51 A composition comprising components (a) and (b) described in the Summary of the Invention or any one of Embodiments 1 through 50 wherein component (b) comprises 3-(difluoromethyl)-N-(7-fluoro-2,3-dihydro- 1,1,3- trimethyl-lH-inden-4-yl)-l-methyl-lH-pyrazole-4-carboxamide (Formula Bll).
- component (b) comprises 3-(difluoromethyl)-N-(7-fluoro-2,3-dihydro- 1,1,3- trimethyl-lH-inden-4-yl)-l-methyl-lH-pyrazole-4-carboxamide (Formula Bll).
- Embodiment 52 A composition comprising components (a) and (b) described in the Summary of the Invention or any one of Embodiments 1 through 50 wherein component (b) comprises 3-(difluoromethyl)-N-(7-fluoro-2,3-dihydr
- composition comprising components (a) and (b) described in the Summary of the Invention or any one of Embodiments 1 through 51 wherein component (b) comprises 3-[(3,4-dichloro-5-isothiazolyl)methoxy]-l,2- benzisothiazole, 1,1 -dioxide (Formula B 12).
- Embodiment 53 A composition comprising components (a) and (b) described in the Summary of the Invention or any one of Embodiments 1 through 52 wherein component (b) comprises 3-(difluoromethyl)-N-methoxy-l-methyl-N-[l-methyl- 2-(2,4,6-trichlorophenyl)ethyl]-lH-pyrazole-4-carboxamide (Formula B13).
- Embodiment 53 a A composition comprising components (a) and (b) described in the Summary of the Invention or any one of Embodiments 1 through 53 wherein component (b) comprises methyl 5H-pyrrolo[3',4':5,6][l,4]dithiino[2,3- c][l,2,5]thiadiazole-5,7(6H)-dione (Formula B14).
- Embodiment 53b A composition comprising components (a) and (b) described in the
- component (b) comprises a compound selected from the group consisting of 3- (4,4,5-trifluoro-3,4-dihydro-3,3-dimethyl-l-isoquinolinyl)quinoline and 3-(5- fluoro-3 ,4-dihydro-3 ,3 ,4,4-tetramethyl- 1 -isoquinolinyl)quinoline (compounds of Formula B15).
- Embodiment 53c A composition comprising components (a) and (b) described in the Summary of the Invention or any one of Embodiments 1 through 53b wherein component (b) comprises a compound selected from the group consisting of 1 , 1 -dimethylethyl N-[6-[[[(Z)-[(4,5-dihydro-4-methyl-5-oxo- 1 ,2,4-oxadiazol-3- yl)phenylmethylene]amino]oxy]methyl]-2-pyridinyl]carbamate and 3-butyn-l-yl
- Embodiment 54 A composition comprising components (a) and (b) described in the Summary of the Invention or any one of Embodiments 1 through 53c wherein component (b) comprises at least one fungicidal compound selected from (bl).
- Embodiment 55 A composition comprising components (a) and (b) described in the Summary of the Invention or any one of Embodiments 1 through 54 wherein component (b) comprises at least one fungicidal compound selected from (b2).
- Embodiment 56 A composition comprising components (a) and (b) described in the
- component (b) comprises the fungicidal compound of (b3).
- Embodiment 57 A composition comprising components (a) and (b) as described in the Summary of the Invention or any one of Embodiments 1 through 56 wherein component (b) comprises at least one fungicidal compound selected from (b4).
- Embodiment 58 A composition comprising components (a) and (b) as described in the Summary of the Invention or any one of Embodiments 1 through 57 wherein component (b) comprises the fungicidal compound of (b5).
- Embodiment 59 A composition comprising components (a) and (b) as described in the Summary of the Invention or any one of Embodiments 1 through 58 wherein component (b) comprises at least one fungicidal compound selected from (b6).
- Embodiment 60 A composition comprising components (a) and (b) as described in the
- component (b) comprises at least one fungicidal compound selected from (b7).
- Embodiment 61 A composition comprising components (a) and (b) as described in the Summary of the Invention or any one of Embodiments 1 through 60 wherein component (b) comprises at least one fungicidal compound selected from (b8).
- Embodiment 62 A composition comprising components (a) and (b) as described in the Summary of the Invention or any one of Embodiments 1 through 61 wherein component (b) comprises at least one fungicidal compound selected from (b9).
- Embodiment 63 A composition comprising components (a) and (b) as described in the Summary of the Invention or any one of Embodiments 1 through 62 wherein component (b) comprises at least one fungicidal compound selected from (blO).
- Embodiment 64 A composition comprising components (a) and (b) as described in the Summary of the Invention or any one of Embodiments 1 through 63 wherein component (b) comprises at least one fungicidal compound selected from (bl 1).
- Embodiment 65 A composition comprising components (a) and (b) as described in the
- component (b) comprises at least one fungicidal compound selected from (bl2).
- Embodiment 66 A composition comprising components (a) and (b) as described in the Summary of the Invention or any one of Embodiments 1 through 65 wherein component (b) comprises at least one fungicidal compound selected from (bl3).
- Embodiment 66a A composition comprising components (a) and (b) as described in the Summary of the Invention or any one of Embodiments 1 through 66 wherein component (b) comprises at least one fungicidal compound selected from (bl4).
- Embodiment 66b A composition comprising components (a) and (b) as described in the Summary of the Invention or any one of Embodiments 1 through 66 wherein component (b) comprises at least one fungicidal compound selected from (bl5).
- Embodiment 66c A composition comprising components (a) and (b) as described in the Summary of the Invention or any one of Embodiments 1 through 66 wherein component (b) comprises at least one fungicidal compound selected from (bl6).
- Embodiment 67 A composition comprising components (a) and (b) described in the Summary of the Invention or any one of Embodiments 1 through 66c further comprising (c) least one additional compound or agent that is biologically active.
- Embodiment 68 A composition of Embodiment 67 wherein component (c) comprises at least one fungicidal compound selected from the group consisting of:
- cl5 melanin biosynthesis inhibitor-reductase (MBI-R) fungicides
- cl6 melanin biosynthesis inhibitor-dehydratase (MBI-D) fungicides
- Embodiment 69 A composition of Embodiment 67 wherein component (c) includes at least one compound selected from acibenzolar-S-methyl, aldimorph,
- metominostrobin metrafenone, miconazole, myclobutanil, naftifme, neo-asozin (ferric methanearsonate), nuarimol, octhilinone, ofurace, orysastrobin, oxadixyl, oxathiapiprolin, oxolinic acid, oxpoconazole, oxycarboxin, oxytetracycline, pefurazoate, penconazole, pencycuron, penflufen, penthiopyrad, phosphorous acid and salts thereof (e.g., fosetyl-aluminum), phthalide, picoxystrobin, piperalin, polyoxin, probenazole, prochloraz, procymidone, propamocarb, propamocarb-hydrochloride, propiconazole, propineb, proquinazid, prothiocarb, prothioconazole, pyra
- Embodiment 70 A composition of Embodiment 69 wherein component (c) includes at least one compound selected from anilazine, azaconazole, benodanil, benzovindiflupyr, bitertanol, bixafen, boscalid, bromuconazole, buthiobate, captafol, captan, carboxin, chlorothalonil, clotrimazole, copper salts (such as Bordeaux mixture (tribasic copper sulfate), copper hydroxide and copper oxychloride), cyproconazole, dichlofluanid, difenoconazole, diniconazole, dithianon, econazole, epoxiconazole, etaconazole, fenarimol, fenbuconazole, fenfuram, ferbam, fluopyram, fluoroimide, fluquinconazole, flusilazole, flutolanil,
- Embodiment 71 A composition of Embodiment 69 wherein component (c) includes at least one compound selected from azoxystrobin, benzovindiflupyr, bixafen, boscalid (nicobifen), bromuconazole, carbendazim, chlorothalonil, cyflufenamid, cyproconazole, difenoconazole, dimoxystrobin, epoxiconazole, etaconazole, famoxadone, fenbuconazole, fenpropidin, fenpropimorph, fluopyram, flusilazole, fluxapyroxad, hexaconazole, ipconazole, isopyrazam, kresoxim-methyl, metconazole, metominostrobin/fenominostrobin, metrafenone, myclobutanil, oxathiapiprolin, penconazole, penthiopyr
- Embodiment 72 A composition of Embodiment 71 wherein component (c) includes at least one compound selected from azoxystrobin, benzovindiflupyr, bixafen, boscalid, cyflufenamid, cyproconazole, difenoconazole, epoxiconazole, fluopyram, fluxapyroxad, isopyrazam, kresoxim-methyl, metconazole, metrafenone, myclobutanil, oxathiapiprolin, penthiopyrad, picoxystrobin, pyraclostrobin, pyrametostrobin, pyraoxystrobin, pyriofenone, proquinazid, prothioconazole, quinoxyfen, sedaxane, tebuconazole, trifloxystrobin and triticonazole.
- azoxystrobin benzovindiflupyr, bixafen, boscalid
- Embodiment 73 A composition comprising components (a) and (b) described in the
- composition further comprises in component (c) at least one invertebrate pest control compound or agent.
- Embodiments of this invention can be combined in any manner.
- embodiments of this invention including Embodiments 1-73 above as well as any other embodiments described herein, and any combination thereof, pertain to the methods of the present invention.
- embodiments of the invention described herein and their combinations pertain to compounds of Formula 1 and intermediates for their preparation, such as compounds of Formulae 2, 3, 9, 11 and 17.
- component (a) comprises a compound of Formula 1 or a salt thereof.
- compositions of the present invention comprising a composition (e.g., in a fungicidally effective amount) of Embodiments 1 to 73, and at least one additional component selected from the group consisting of surfactants, solid diluents and liquid diluents.
- Embodiments of the invention further include methods for controlling plant diseases caused by fungal plant pathogens comprising applying to the plant or portion thereof, or to the plant seed or seedling, a fungicidally effective amount of a composition any one of Embodiments 1 through 73, (e.g., as a composition including formulation ingredients as described herein).
- Embodiments of the invention also include methods for protecting a plant or plant seed from diseases caused by fungal pathogens comprising applying a fungicidally effective amount of a composition of any one of Embodiments 1 through 73 to the plant or plant seed.
- Some embodiments of the invention involve control of a plant disease or protection from a plant disease that primarily afflicts plant foliage and/or applying the composition of the invention to plant foliage (i.e. plants instead of seeds).
- the preferred methods of use include those involving the above preferred compositions; and the diseases controlled with particular effectiveness include plant diseases caused by fungal plant pathogens.
- Combinations of fungicides used in accordance with this invention can facilitate disease control and retard resistance development.
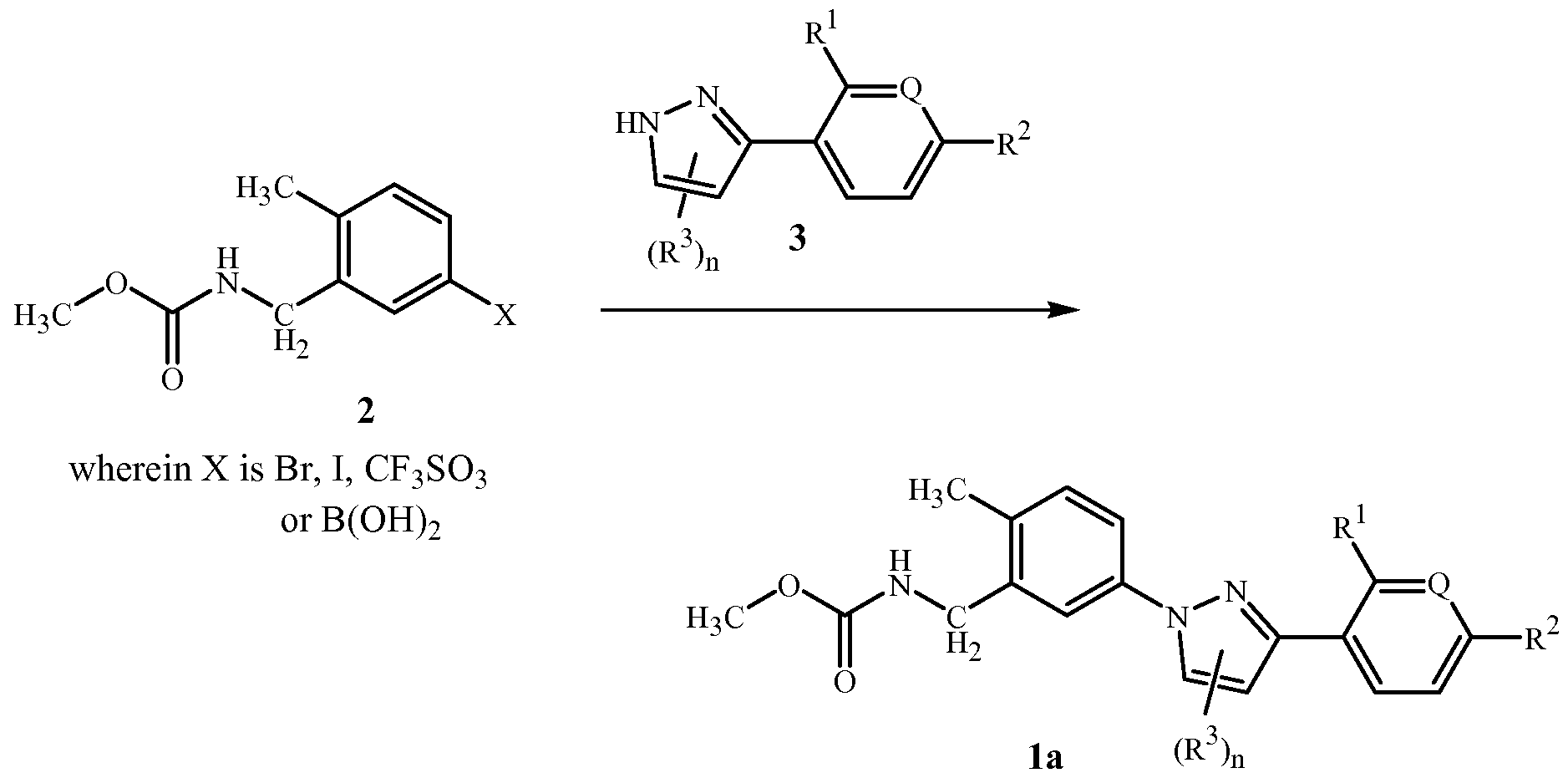
- compounds of Formula la i.e. compounds of Formula 1 wherein A is A-2) with a substituted 3 -phenyl pyrazole ring can be prepared via a copper or palladium catalyzed cross-coupling reaction using compounds of Formula 2 wherein X is a bromine, iodine or triflate under Ullmann ⁇ Chemical Reviews, 2002, 102, 1359-1470) or Buchwald-Hartwig (Angew. Chem. Int. Ed. 2008, 47, 6338-6361, Chem. Sci., 2010, 1, 13- 31) conditions.
- heterocycles of Formula 3 can be coupled to compounds of Formula 2 using Chan-Lam conditions ⁇ Tetrahedron Lett., 1998, 39, 2933- 2936). These conditions require the presence of a suitable base such as pyridine or triethyl amine, a catalyst such as copper (II) acetate, in an aprotic solvent like dichloromethane or chloroform, at a temperature between ambient and the boiling point of the solvent, in the presence of oxygen.
- a suitable base such as pyridine or triethyl amine
- a catalyst such as copper (II) acetate
- compounds of Formula 2a can be prepared from compounds of Formula 4 by first converting the benzylic alcohol into a suitable leaving group like a chlorine or bromine using a reagent such as thionyl chloride in an aprotic solvent such as dichloromethane or dichloro ethane at a temperature between 0° C and the boiling point of the solvent.
- a reagent such as thionyl chloride
- an aprotic solvent such as dichloromethane or dichloro ethane at a temperature between 0° C and the boiling point of the solvent.
- compounds of Formula 4 wherein X is a bromine or iodine can be prepared from the corresponding commercially available compounds of Formula 6 by converting the carboxylic acid to the benzyl alcohol using many procedures known in the art.
- a suitable reducing agent such as borane/tetrahydrofuran complex
- an aprotic solvent such as diethyl ether or tetrahydrofuran
- n 0
- compounds of Formula lb i.e. compounds of Formula 1 wherein A is A-1
- Conditions for this reaction are similar to that in Scheme 1 and can be found in PCT Patent Publication WO2008/124092.
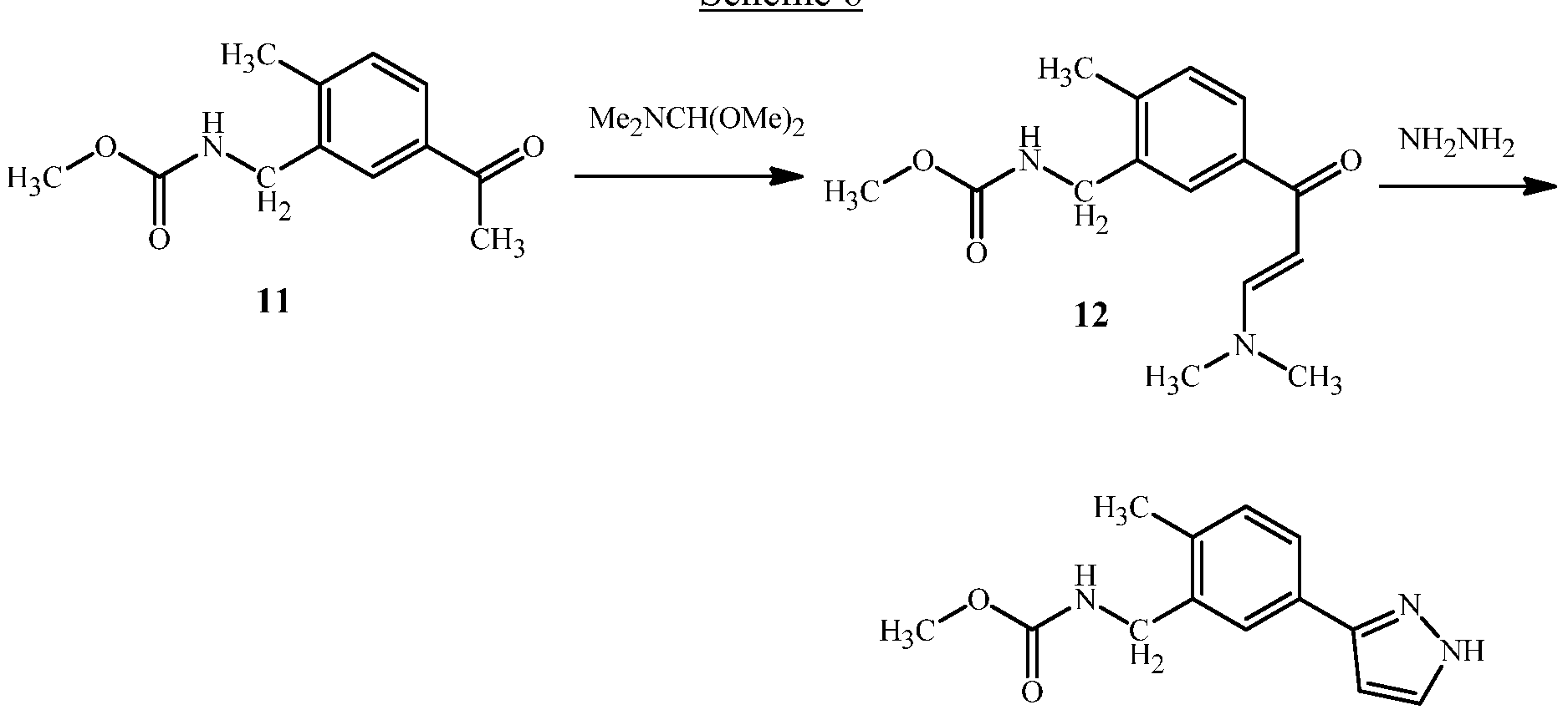
- compounds of Formula 9a wherein n is 0 can be prepared by first reacting a compound of Formula 11 with N,N-dimethylformamide dimethyl acetal (DMF-DMA) at temperatures ranging from about 40 to about 100 °C in a solvent such as benzene or toluene, to provide an intermediate compound of Formula 12.
- a solvent such as benzene or toluene
- Formula 12 is reacted with hydrazine or a hydrazine salt in a lower alcohol solvent such as methanol or ethanol to provide a compound of Formula 9a.
- a lower alcohol solvent such as methanol or ethanol
- n 0
- a compound of Formula 11 can be prepared by a simple four-step procedure from the commercially available amine of Formula 13 as outlined in Scheme 7.
- an amine of Formula 13 is reacted with acetic anhydride with or without an aprotic solvent such as dichloromethane, chloroform, diethyl ether or tetrahydrofuran at temperatures ranging from about 0 to about 100 °C, in the presence of a base such as triethylamine or pyridine with or without a nucleophilic catalyst such as 4-dimethylaminopyridine to provide a compound of Formula 14.
- a base such as triethylamine or pyridine
- a nucleophilic catalyst such as 4-dimethylaminopyridine
- the compound of Formula 14 can then be reacted according to Friedel-Crafts conditions to provide a compound of Formula 15 which can then be deprotected to yield a compound of Formula 16.
- a compound of Formula 16 For typical reactions conditions see, EP 1586552.
- the compound of Formula 16 is then reacted with methyl carbonyl chloride in an aprotic solvent such as dichloromethane in the presence of a base such as triethyl amine at a temperature between ambient and the 40° C to yield a compound of Formula compound 11.
- compounds of Formula lc (i.e. a compound of Formula 1 wherein A is A-4) can be prepared from compounds of Formula 17 through reaction with methyl carbonyl chloride in an aprotic solvent such as dichloromethane in the presence of a base such as triethyl amine at a temperature between ambient and the 40° C.
- an aprotic solvent such as dichloromethane
- a base such as triethyl amine
- A is A-4
- compounds of Formula 17 can be prepared from nitriles of Formula 18 using an appropriate reducing agent such as borane or lithium aluminum hydride in an aprotic solvent such as tetrahydrofuran at a temperature between ambient and the boiling point of the solvent.
- an appropriate reducing agent such as borane or lithium aluminum hydride
- an aprotic solvent such as tetrahydrofuran at a temperature between ambient and the boiling point of the solvent.
- Nitriles of Formula 18 can also be converted to amines of Formula 17 by catalytic hydrogenation. These reactions are traditionally carried out in the presence of a transition metal catalyst such as palladium (0) on carbon, Raney nickel, or platinum oxide in a lower alcohol solvent such as methanol or ethanol at a temperature between ambient and 100 °C under an atmosphere of hydrogen gas at a pressure between 1 and 75 bars.
- a transition metal catalyst such as palladium (0) on carbon, Raney nickel, or platinum oxide
- a lower alcohol solvent such as methanol or ethanol
- compounds of Formula 18 can be prepared from compounds of Formula 19 via coupling with commercially available intermediates of Formula 10 (where X 2 is a bromine, iodine, triflate or boronic acid) using the methods described in Scheme 1
- Compounds of Formula 19 can be prepared from compounds of Formula 20 as shown in Scheme 11.
- a compound of Formula 20 is contacted with a cyanide salt such as copper (I) cyanide or zinc (II) cyanide, in the presence of a suitable transition metal catalyst such as copper (I) iodide or Tetrakis(triphenylphosphine) palladium (0), in a polar aprotic solvent such as ⁇ , ⁇ '-dimethylformamide or dimethyl sulfoxide, at a temperature between 50° C and 150° C.
- a cyanide salt such as copper (I) cyanide or zinc (II) cyanide
- a suitable transition metal catalyst such as copper (I) iodide or Tetrakis(triphenylphosphine) palladium (0)
- a polar aprotic solvent such as ⁇ , ⁇ '-dimethylformamide or dimethyl sulfoxide
- compounds of Formula 20a (wherein n is 0) can be prepared by first reacting commercially available compounds of Formula 21 with N,N-dimethylformamide dimethyl acetal (DMF-DMA) at temperatures ranging from about 40 to about 100 °C in a solvent such as toluene or benzene, to provide an intermediate compound of Formula 22.
- DMF-DMA N,N-dimethylformamide dimethyl acetal
- the compound of Formula 22 is reacted with hydrazine or a hydrazine salt in a lower alcohol solvent such as methanol or ethanol to provide a compound of Formula 20a.
- n 0
- 4-Phenyl- 1,2,3 triazoles of Formula 23a (wherein n is 0) can be prepared using the method illustrated by Scheme 14.
- a 2-nitrostyrene compound of Formula 24 reacts with a source of azide ion such as sodium azide or trimethylsilylazide in a polar solvent such as DMSO, DMF or EtOH at temperatures ranging from ambient up to about 100 °C.
- a source of azide ion such as sodium azide or trimethylsilylazide
- a polar solvent such as DMSO, DMF or EtOH
- An example of the use of trimethylsilylazide/tetrabutylammonium fluoride combination can be found in J. Med. Chem. 2004, 47, 4645.
- n 0
- Step B Preparation of methyl N-[(5-bromo-2-methylphenyl)methyl]carbamate
- 5-bromo-2-methylbenzenemethanol i.e. the product of Step A
- thionyl chloride 3.8 g, 32 mmol
- the mixture was stirred over night and then concentrated under reduced pressure, redissolved in 60 mL of dichloromethane and then reconcentrated to yield 4-bromo-2-(chloromethyl)-l- methylbenzene which was subsequently dissolved in 27 mL ⁇ , ⁇ ' -dimethyl formamide and 6.0 mL methanol.
- Step C Preparation of methyl N-[[5-[3-(2,4-dimethoxyphenyl)- lH-pyrazol- 1 -yl]-2- methylphenyljmethyl] carbamate
- Step B Preparation of N- [(5 -acetyl-2-methylphenyl)methyl] acetamide
- N-[(2-methylphenyl)methyl]acetamide i.e. the product of Step A
- aluminum trichloride 64 g, 480 mmol
- Acetyl chloride 25 g, 320 mmol
- the phases were separated and the aqueous phase was extracted with dichlormethane.
- the combined organic phases were dried over magnesium sulfate and concentrated under reduced pressure.
- the crude residue was then purified by medium pressure liquid chromatography on silica gel eluting with 50 to 100% ethyl acetate in hexanes to provide the title compound (18 g) as a solid.
- Step C Preparation of methyl N-[(5-acetyl-2-methylphenyl)methyl]carbamate
- N-[(5-acetyl-2-methylphenyl)methyl]acetamide (i.e. the product of Step B) (10 g, 49 mmol) was added to a solution of concentrated sulfuric acid (17 g, 170 mmol) in 20 mL water. The reaction mixture was heated to reflux for 6 hours and then filtered through celite while still warm. The filtrate was extracted with diethyl ether. The aqueous phase was then made basic with 50 mL of 25% aqueous sodium hydroxide solution and extracted two times with ethyl acetate.
- reaction mixture was concentrated under reduced pressure, dissolved in ethyl acetate and washed with water, saturated aqueous ammonium chloride solution, saturated aqueous sodium chloride solution and then dried over magnesium sulfate and concentrated under reduced pressure to provide the title compound (7.6 g) as a solid.
- Step E Preparation of methyl N-[[5-[l -(4-methoxy-2-methylphenyl)-lH-pyrazol-3- yl]-2-methylphenyl]methyl]carbamate
- Methyl N-[[2-methyl-5-(lH-pyrazol-3-yl)phenyl]-methyl]carbamate i.e. the product of Step D
- l-bromo-4-methoxy-2-methyl- benzene 1.0 g, 5.1 mmol
- copper(I) iodide 0.40 g, 2.0 mmol
- potassium carbonate 0.1.4 g, 10 mmol
- Nitrogen gas was bubbled through the reaction mixture for 5 minutes, and then N,N'-dimethyl-l,2-cyclohexanediamine (0.58 g, 4.1 mmol) was added. Nitrogen gas was bubbled through the reaction mixture for another 10 minutes, and then the reaction mixture was heated to 110 °C for approximately 40 hours. The reaction mixture was concentrated under reduced pressure and then purified by medium pressure liquid chromatography on silica gel eluting with 0 to 100% ethyl acetate in hexanes to provide the title compound, a compound of the current invention, (0.30 g) as a solid.
- Step B Preparation of 2-(bromomethy l)-4-iodo- 1 -methylbenzene
- Step C Preparation of methyl N-[(5-iodo-2-methylphenyl)methyl]carbamate
- Step E Preparation of methyl N-[[5-[4-(2,4-dimethoxyphenyl)-2H-l,2,3-triazol-2-yl]-
- Step A Preparation of methyl N-[[5-(3-bromo- lH-pyrazol- 1 -yl)-2- methylphenyljmethyl] carbamate
- Methyl N-[(2-methyl-5-iodophenyl)methyl]carbamate i.e. the product of Example 3, Step C
- 3-bromopyrazole 3.11 g, 21.3 mmol
- potassium carbonate 5.65 g, 41.0 mmol
- copper (I) iodide 623 mg, 3.28 mmol
- Step B Preparation of methyl N-[[5-[3-(2,6-dimethyl-3-pyridinyl)-lH-pyrazol-l-yl]- 2-methylphenyl]methyl] carbamate
- Methyl N-[[5-(3-bromo-lH-pyrazol-l-yl)-2-methylphenyl]methyl]carbamate i.e. the product of Step A) (150 mg, 0.464 mmol), 2,6-dimethylpyridine-3-boronic acid (250 mg, 1.67 mmol), PdCl2(PPh 3 ) 2 (33 mg, 0.046 mmol), and potassium carbonate (320 mg, 2.32 mmol) were taken up in acetonitrile (4 mL) and water (1 mL) in a microwave reactor vial. The reaction mixture was then heated at 120 °C in a microwave reactor for 30 min.
- Step C Preparation of 5-[l-(2,6-dimethyl-3-pyridinyl)-lH-pyrazol-3-yl]-2- methylbenzonitrile
- Step D Preparation of methyl N-[[5-[l-(2,6-dimethyl-3-pyridinyl)-lH-pyrazol-3-yl]- 2-methylphenyl]methyl] carbamate
- Step A Preparation of methyl N-[(5-cyano-2-methylphenyl)methyl]carbamate
- Step B Preparation of methyl N-[[5-(aminocarbonyl)-2-methylphenyl)methyl]- carbamate
- Step C Preparation of methyl N-[[5-(lH-l,2,4-triazol-3-yl)-2-methylphenyl]- methyl] carbamate
- the intermediate was taken up in ethanol (20 mL) and treated with hydrazine hydrate (0.23 mL 7.2 mmol). The reaction mixture was stirred at room temperature for 3 hours and then concentrated under reduced pressure. The resulting crude residue was purified with neutral alumina column chromatography using 1% methanol in chloroform as eluent to give the title compound (0.45 g) as a solid.
- Step D Preparation of methyl N-[[5-[l-(4-methoxy-2-methylphenyl)-lH-l,2,4- triazol-3-yl]-2-methylphenyl]methyl]carbamate
- Step A Preparation of l-(3-bromo-4-methylphenyl)ethanone
- Step C Preparation of 5-[3-(dimethylamino)-l-oxo-2-propen-l-yl]-2-methyl- benzonitrile
- Step E Preparation of 5-[l-(6-Methoxy-2-methyl-3-pyridinyl)-lH-pyrazol-3-yl]-2- methylbenzonitrile
- the mixture was degassed by alternating vacuum and filling with nitrogen for 3 cycles, then N,N '-dimethyl ethylenediamine (DMEDA) (2.0 mL, 19 mmol) was added via syringe and the mixture was heated to 100 °C and stirred for 4 days under nitrogen.
- the hot solution was diluted with water (400 mL) and cooled to room temperature.
- the resultant slurry was filtered and washed with water.
- the crude solid was stirred in a mixture of methanol (100 mL) and 10% ammonia (200 mL) at 50 °C for 30 min. The mixture was cooled to room temperature and the slurry was filtered and dried under vacuum to afford the title compound (22 g) as a solid.
- Step F Preparation of 5-[l-(6-Methoxy-2-methyl-3-pyridinyl)-lH-pyrazol-3-yl]-2- methylbenzenemethanamine
- Step G Preparation of methyl N-[[5-[l-(6-methoxy-2-methyl-3-pyridinyl)-lH- pyrazol-3 -yl] -2-methylphenyl]methyl] carbamate
- the crude product was purified via column chromatography on silica gel, with ethyl acetate/hexanes (1 :3) as eluent to yield the title compound, a compound of the present invention, as a colorless solid (2.3 g).
- Step A Preparation of l-(6-methoxy-2-methyl-3-pyridinyl)ethanone
- the resulting mixture was refluxed (-132 " C) for 2 li. After cooling to room temperature, the mixture was extracted with dichloromethane twice (100 mL each) and the combined organic phases were concentrated under vacuum. The resulting dark oil was diluted with water (400 mL) and concentrated hydrochloric acid ( -37%, 100 mL). After stirring at room temperature overnight, toluene (100 mL) was added, and the phases were separated. The aqueous phase was cooled in an ice bath, and treated with 50% aqueous aO until the pH was .10, then extracted with dichloromethane twice (100 mL each). The combined organic phases were dried over magnesium sulfate, filtered, and concentrated to afford the title compound (9.0 g) as a light yel low oil.
- Step C Preparation of 5-[3-(6-methoxy-2-methyl-3-pyridinyl)-lH-pyrazol-l-yl]-2- methylbenzonitrile
- N,N'-dimefhyl ethylenediamine (0.75 mL, 7 mmol) was added by syringe and the mixture was refluxed for 3 days under nitrogen. After cooling to 60°C, the reaction mixture was diluted with ethyl acetate (200 mL), and washed with 10% aqueous ammonia solution followed by saturated aqueous ammonium chloride solution and saturated aqueous sodium chloride. The organic phase was dried over magnesium sulfate, filtered and concentrated under vacuum to a solid. The crude solid was purified by refluxing in hexanes (300 mL) for 5 min, cooling to room temperature, filtering and drying to afford the title compound (8.23 g) as a light yellow solid.
- DMEDA N,N'-dimefhyl ethylenediamine
- Step D Preparation of methyl N-[[5-[3-(6-methoxy-2-methyl-3-pyridinyl)-lH- pyrazol- 1 -yl] -2-methylphenyl]methyl] carbamate
- An ice-cooled solution of 5-[3-(6-methoxy-2-methyl-3-pyridinyl)-lH-pyrazol-l-yl]-2- methylbenzonitrile i.e.
- Step C) the product of Step C) (8.2 g, 27 mmol) in tetrahydrofuran (200 mL) was treated with a solution of lithium aluminumhydride (15.0 mL, 30.0 mmol, 2.0M in tetrahydrofuran) dropwise via syringe. The resulting solution was slowly warmed to 16 °C over 3 h. The dark solution was re-cooled to 5 °C, and IN aqueous sodium hydroxide (3.6 mL) was added dropwise via syringe over 5 min, followed by addition of powdered potassium carbonate (5.4 g, 39 mmol).
- Step A Preparation of 3-(4-methoxy-2-methylphenyl)- lH-pyrazole
- the crude oil was diluted with methanol (900 mL), and treated with hydrazine hydrate (80 g, 1.6 mol). The resulting mixture was refluxed for 4 h, and then concentrated under vacuum to a thick slurry. The slurry was diluted with water (500 mL), stirred at room temperature for 30 min, filtered and dried under vacuum to afford 109 g of a brown solid.
- the crude product was purified by recrystallizing from ethyl acetate/hexanes (100 mL/400 mL) to afford 42 g light yellow solid.
- Step B Preparation of 5-[3-(4-methoxy-2-methylphenyl)-lH-pyrazol-l-yl]-2-methyl- benzonitrile
- Step C Preparation of 5-[3-(4-methoxy-2-methylphenyl)-lH-pyrazol-l-yl]-2- methylbenzenemethanamine
- Step D Preparation of methyl N-[[5-[3-(4-methoxy-2-methylphenyl)-lH-pyrazol-l- yl]-2-methylphenyl]methyl]carbamate
- n means normal, i means iso, c means cyclo, Me means methyl, Et means ethyl, Pr means propyl, OMe means methoxy, OEt means ethoxy, SMe means methylthio, SEt means ethylthio, -CN means cyano and -NO2 means nitro.
- Tables 1 A-47A pertain to the structure shown below.
- R 1 is F
- the present disclosure also includes Tables 2A through 47A, each of which is constructed the same as Table 1 A above except that the row heading in Table 1 A (i.e. "R 1 is F") below the Markush structure is replaced with the respective row heading shown below.
- R 1 is F
- Table 2A the row heading is "R 1 is CI
- R 2 is as defined in Table 1A above.
- the first entry in Table 2A specifically discloses methyl N-[[5-[l-(2-chloro-4- fluorophenyl)-lH-pyrazol-3-yl]-2-methylphenyl]methyl]carbamate.
- Table IB is identical to Table 1A, except that the chemical structure in the Table IB heading is replaced with the following structure:
- the first compound in Table IB is the structure shown immediately above wherein R 1 is F and R 2 is F.
- Tables 2B through 47B are constructed in a similar manner as Tables 2A through 47A.
- Table IC is identical to Table 1A, except that the chemical structure in the Table IC heading is replaced with the following structure:
- the first compound in Table IC is the structure shown immediately above wherein R 1 is F and R 2 is F.
- Tables 2C through 47C are constructed in a similar manner as Tables 2A through 47A.
- Table ID is identical to Table 1A, except that the chemical structure in the Table ID heading is replaced with the following structure:
- the first compound in Table ID is the structure shown immediately above wherein R 1 is F and R 2 is F.
- Tables 2D through 47D are constructed in a similar manner as Tables 2A through 47A.
- Table IE is identical to Table 1A, except that the chemical structure in the Table IE heading is replaced with the following structure:
- the first compound in Table IE is the structure shown immediately above wherein R 1 is F and R 2 is F.
- Tables 2E through 47E are constructed in a similar manner as Tables 2A through 47A.
- Table IF is identical to Table 1A, except that the chemical structure in the Table IF heading is replaced with the following structure:
- the first compound in Table IF is the structure shown immediately above wherein R 1 is F and R 2 is F.
- Tables 2F through 47F are constructed in a similar manner as Tables 2A through 47A.
- Table IG is identical to Table 1A, except that the chemical structure in the Table IG heading is replaced with the following structure:
- the first compound in Table IG is the structure shown immediately above wherein R 1 is F and R 2 is F.
- Tables 2G through 47G are constructed in a similar manner as Tables 2A through 47A.
- Table IH is identical to Table 1A, except that the chemical structure in the Table IH heading is replaced with the following structure:
- the first compound in Table 1H is the structure shown immediately above wherein R 1 is F and R 2 is F.
- Tables 2H through 47H are constructed in a similar manner as Tables 2A through 47A.
- Table II is identical to Table 1A, except that the chemical structure in the Table II heading is replaced with the followin structure:
- the first compound in Table II is the structure shown immediately above wherein R 1 is F and R 2 is F.
- Tables 21 through 471 are constructed in a similar manner as Tables 2A through 47A.
- Table IJ is identical to Table 1A, except that the chemical structure in the Table IJ heading is replaced with the followin structure:
- the first compound in Table IJ is the structure shown immediately above wherein R 1 is F and R 2 is F.
- Tables 2J through 47J are constructed in a similar manner as Tables 2A through 47A.
- Table IK is identical to Table 1A, except that the chemical structure in the Table IK heading is replaced with the following structure:
- the first compound in Table IK is the structure shown immediately above wherein R 1 is F and R 2 is F.
- Tables 2K through 47K are constructed in a similar manner as Tables 2A through 47A.
- Table 1L is identical to Table 1A, except that the chemical structure in the Table 1L heading is replaced with the following structure:
- the first compound in Table 1L is the structure shown immediately above wherein R 1 is F and R 2 is F.
- Tables 2L through 47L are constructed in a similar manner as Tables 2A through 47A.
- Table IM is identical to Table 1A, except that the chemical structure in the Table IM heading is replaced with the following structure:
- the first compound in Table IM is the structure shown immediately above wherein R 1 is F and R 2 is F.
- Tables 2M through 47M are constructed in a similar manner as Tables 2A through
- Table IN is identical to Table 1A, except that the chemical structure in the Table IN heading is replaced with the following structure:
- the first compound in Table IN is the structure shown immediately above wherein R 1 is F and R 2 is F.
- Tables 2N through 47N are constructed in a similar manner as Tables 2A through 47A.
- Table 10 is identical to Table 1A, except that the chemical structure in the Table 10 heading is replaced with the following structure:
- the first compound in Table 10 is the structure shown immediately above wherein R 1 is F and R 2 is F.
- Tables 20 through 470 are constructed in a similar manner as Tables 2A through 47A.
- Table IP is identical to Table 1A, except that the chemical structure in the Table IP heading is replaced with the following structure:
- the first compound in Table IP is the structure shown immediately above wherein R 1 is F and R 2 is F.
- Tables 2P through 47P are constructed in a similar manner as Tables 2A through 47A.
- Table IQ is identical to Table 1A, except that the chemical structure in the Table IQ heading is replaced with the following structure:
- the first compound in Table 1Q is the structure shown immediately above wherein R 1 is F and R 2 is F.
- Tables 2Q through 47Q are constructed in a similar manner as Tables 2A through 47A.
- Table IR is identical to Table 1A, except that the chemical structure in the Table IR heading is replaced with the following structure:
- the first compound in Table IR is the structure shown immediately above wherein R 1 is F and R 2 is F.
- Tables 2R through 47R are constructed in a similar manner as Tables 2A through 47A.
- Table IS is identical to Table 1A, except that the chemical structure in the Table IS heading is replaced with the following structure:
- the first compound in Table IS is the structure shown immediately above wherein R 1 is F and R 2 is F.
- Tables 2S through 47S are constructed in a similar manner as Tables 2A through 47A.
- Table IT is identical to Table 1A, except that the chemical structure in the Table IT heading is replaced with the following structure:
- the first compound in Table IT is the structure shown immediately above wherein R 1 is F and R 2 is F.
- Tables 2T through 47T are constructed in a similar manner as Tables 2A through 47A.
- Table 1U is identical to Table 1A, except that the chemical structure in the Table 1U heading is replaced with the following structure:
- the first compound in Table 1U is the structure shown immediately above wherein R 1 is F and R 2 is F.
- Tables 2U through 47U are constructed in a similar manner as Tables 2A through 47A.
- composition comprising (a) at least one compound selected from Formula 1, N-oxides, and salts thereof, with (b) at least one fungicidal compound selected from component (b), component (b) is selected from components (bl) through (bl6), i.e. Formulae Bl through B16, respectively, including salts thereof.
- Component (bl) relates to a com ound of Formula Bl
- R ⁇ 1 is H or halogen
- R 2 ⁇ 1 is H, halogen or CH3
- R 3 ⁇ 1 is halogen
- R 4 ⁇ 1 is halogen or CH3
- R 5 ⁇ 1 is halogen, cyano, CH3 or C1-C2 alkoxy.
- R lbl is CI
- R 2bl is CH 3
- R 3bl is F
- R 4bl is CI
- R 5bl is F is (ble) N-(2-chloro-6-fluoro-4-methylphenyl)-4-(2-chloro-4- fluorophenyl)- l ,3-dimethyl-lH-pyrazol-5-amine (Registry Number 1515863-25-8), which is depicted as Formula Ble.
- R lbl is Br
- R 2bl is CH3
- R 3bl is F
- R 4bl is CI
- R 5bl is F is (big) N-(2-bromo-6-fluoro-4-methylphenyl)-4-(2-chloro-4- fluorophenyl)-l,3-dimethyl-lH-pyrazol-5-amine (Registry Number 1515863-14-5), which is depicted as Formula Bi .
- Component (b2) relates to a compound of Formula B2
- R lb2 is ⁇ or CH 3 ; R b2 i s -C4 alkyl; R 3b2 i s H, halogen or CF 3 ; each R 4b2 i s independently F or CI; R 5b2 is H, -SH, -SCN, -C4 alkylthio or C 2 -C 4 alkenylthio; and p is 1 or 2.
- Methods for preparing compounds of Formula B2 are described in PCT Patent Publications WO 2013/010862, WO 2013/010885, WO 2013/024081 and WO 2013/007767, and US Patent 4,940,720.
- Component (b3) relates to a compound of Formula B3
- Component (b4) relates to a com ound of Formula B4
- each R lb4 is independently halogen, C1-C5 alkyl, C1-C5 haloalkyl, C 3 -C 6 cycloalkyl or C1-C5 alkoxy; and q is 1, 2 or 3.
- Methods for preparing a compound of Formula B4 are described in PCT Patent Publication WO 2010/130767 A2.
- R 1 ⁇ 5 is H, F or CI; and Ylb5 and Y 2 t> 5 are independently O or S.
- Methods for preparing a compound of Formula B5 are described in PCT Patent Publication WO 2012/025450.
- R 1 ⁇ 5 is H
- Y lb5 is O
- Y 2b5 is S
- Component b6) relates to a compound of Formula B6
- R lb6 is H, F, CI or CH 3 ;
- R 2b6 is CH 3 , CF 3 or CHF 2 ; and
- R 3b6 is CH 3 , CF 3 or CHF2.
- R lb6 is F at the 3-position
- R 2b6 is CHF 2
- R 3b6 is CHF 2 is (b6b) 2-[3,5-bis(difluoromethyl)-lH-pyrazol-l-yl]-l-[4- [4-[5-[3-fluoro-2-[(methylsulfonyl)oxy]phenyl]-4,5-dihydro-3-isoxazolyl]-2-thiazolyl]-l- piperidinyl ethanone (Registry Number 1360818-91-2), which is depicted as Formula B6b
- R 2b6 is CHF 2 and R 3b6 is CHF 2 is (b6c) 2-[3,5-bis(difiuoromethyl)-lH-pyrazol-l-yl]-l-[4- [4-[5-[3-chloro-2-[(methylsulfonyl)oxy]phenyl]-4,5-dihydro-3-isoxazolyl]-2-thiazolyl]-l- piperidinyljethanone (Registry Number 1360819-60-8), which is depicted as Formula B6c
- R lb6 is Cl at the 2-position
- R 2b6 is CHF 2
- R 3b6 is CHF 2 is (b6d) 2-[3,5-bis(difluoromethyl)-lH-pyrazol-l-yl]-l-[4- [4-[5-[2-chloro-6-[(methylsulfonyl)oxy]phenyl]-4,5-dihydro-3-isoxazolyl]-2-thiazolyl]-l- iperidinyljethanone (Registry Number 1360819-11-9), which is depicted as Formula B6d
- R lb 7 is H, F, Cl or CH 3 ; R 2b ? i s CH 3 , CF 3 or CHF 2 ; and R 3b7 is CH 3 , CF 3 or CHF 2 .
- Methods for preparing a compound of Formula B7 are described in PCT Patent Publication WO 2011/076699 Al and US 8524743.
- R lb ? is H, R 2b ?
- Component (b8) relates to a compound of Formula B8
- R 1 ⁇ 8 is H or F.
- Methods for preparing a compound of Formula B8 are described in PCT Patent Publication WO 2011/081174 Al .
- R 1 ⁇ 8 is H is (b8a) 2-fluoro-6-[(8-fluoro-2-methyl-3-quinolinyl)oxy]- ⁇ , ⁇ -dimethylbenzenemethanol (Registry Number 1314007-39-0), which is depicted as Formula B8a
- Component (b9) relates to a com ound of Formula B9
- Component (blO) relates to a compound of Formula B10
- RlblO is H or -OH
- R2 l0 [ s ci or -OH
- R 3bl ° is H
- R 2 bl0 and R 3bl ° are taken together as a single bond.
- Component (bl2) relates to a com ound of Formula B12
- Component (bl3 relates to a compound of Formula B13
- Component (bl4) relates to a compound of Formula B14
- Component (bl5) relates to a compound of Formula B15
- R ⁇ 15 is F or CH 3 and R 2 bl5 [ s p or CH 3 .
- Methods for preparing a compound of Formula B15 are described in PCT Patent Publication WO 2005/070917 Al .
- R ⁇ 15 is F and R 2 bl5 [ s p [ s (3 ⁇ 415a) 3- (4,4,5-trifluoro-3,4-dihydro-3,3-dimethyl-l-isoquinolinyl)quinoline (Registry Number 861647-85-0), which is depicted as Formula B15a
- Component (bl6) relates to a compound of Formula B16
- Rlbl6 C(CH 3 )3 or CH2CH 2 C ⁇ CH Methods for preparing a compound of Formula B16 are described in PCT Patent Publication WO 2013/037717 Al .
- Rlbl6 [ s C(CH 3 )3 is (bl6a) 1,1-dimethylethyl N-[6- [[[(Z)-[(4,5-dihydro-4-methyl-5-oxo-l,2,4-oxadiazol-3- yl)phenylmethylene]amino]oxy]methyl]-2-pyridinyl]carbamate (Registry Number 1427196- 03-9), which is depicted as Formula B16a
- compositions comprising a combination of (a) at least one compound selected from the compounds of Formula 1, including N-oxides and salts thereof, together with (b) at least one fungicidal component selected from Formulae Bl through B16, including salts thereof, described above typically will provide improved control (i.e. prevention and/or cure) of plant disease from synergic contributions of components (a) and (b).
- the improved plant disease control may be manifest by a broader spectrum or longer duration of plant disease control, or retardation of resistance development.
- the contributions of components (a) and (b) may be complementarily additive or even greater than additive through synergistic interaction.
- This invention also relates to a fungicidal composition
- a fungicidal composition comprising: (a) at least one compound selected from the compounds of Formula 1, (b) at least one fungicidal compound selected from Formulae Bl through B16 described above, and (c) further comprising at least one additional compound or agent that is biologically active.
- compositions of component (a) with component (b) can be further mixed with (c) one or more other biologically active compounds or agents including insecticides, nematocides, bactericides, acaricides, herbicides, herbicide safeners, growth regulators such as insect molting inhibitors and rooting stimulants, chemosterilants, semiochemicals, repellents, attractants, pheromones, feeding stimulants, plant nutrients, other biologically active compounds or entomopathogenic bacteria, virus or fungi to form a multi-component pesticide giving an even broader spectrum of agricultural protection.
- General references for these agricultural protectants include The Pesticide Manual, 13th Edition, C. D. S.
- component (c) comprises at least one additional compound that is a fungicide (i.e. an additional fungicidal compound).
- additional fungicidal compounds in component (c) are typically selected from the group consisting of (cl) methyl benzimidazole carbamate (MBC) fungicides; (c2) dicarboximide fungicides; (c3) demethylation inhibitor (DMI) fungicides; (c4) phenylamide fungicides; (c5) amine/morpholine fungicides; (c6) phospholipid biosynthesis inhibitor fungicides; (c7) carboxamide fungicides; (c8) hydro xy(2-amino-)pyrimidine fungicides; (c9) anilinopyrimidine fungicides; (clO) N-phenyl carbamate fungicides; (cl 1) quinone outside inhibitor (Qol) fungicides; (cl)
- Methyl benzimidazole carbamate (MBC) fungicides (cl) (FRAC (Fungicide Resistance Action Committee) code 1) inhibit mitosis by binding to ⁇ -tubulin during microtubule assembly. Inhibition of microtubule assembly can disrupt cell division, transport within the cell and cell structure.
- Methyl benzimidazole carbamate fungicides include benzimidazole and thiophanate fungicides.
- the benzimidazoles include benomyl, carbendazim, fuberidazole and thiabendazole.
- the thiophanates include thiophanate and thiophanate-methy 1.
- Diacarboximide fungicides (c2) (FRAC code 2) inhibit a MAP/histidine kinase in osmotic signal transduction. Examples include chlozolinate, iprodione, procymidone and vinclozolin.
- DMI Demethylation inhibitor
- fungicides c3)
- FRAC code 3 Step 3
- Sterols such as ergosterol, are needed for membrane structure and function, making them essential for the development of functional cell walls. Therefore, exposure to these fungicides result in abnormal growth and eventually death of sensitive fungi.
- DMI fungicides are divided between several chemical classes: azoles (including triazoles and imidazoles), pyrimidines, piperazines, pyridines and triazolinthiones.
- the triazoles include azaconazole, bitertanol, bromuconazole, cyproconazole, difenoconazole, diniconazole (including diniconazole-M), epoxiconazole, etaconazole, fenbuconazole, fluquinconazole, flusilazole, flutriafol, hexaconazole, imibenconazole, ipconazole, metconazole, myclobutanil, penconazole, propiconazole, quinconazole, simeconazole, tebuconazole, tetraconazole, triadimefon, triadimenol, triticonazole, uniconazole and a-(l- chlorocyclopropyl)-a-[2-(2,2-dichlorocyclopropyl)ethyl]- 1H- 1 ,2,4-triazole- 1 -ethanol
- the imidazoles include clotrimazole, econazole, imazalil, isoconazole, miconazole, oxpoconazole, prochloraz, pefurazoate and triflumizole.
- the pyrimidines include fenarimol, nuarimol and triarimol.
- the piperazines include triforine.
- the pyridines include buthiobate, pyrifenox, pyrisoxazole (3-[(3i?)-5-(4-chlorophenyl)-2,3-dimethyl-3-isoxazolidinyl]pyridine, mixture of 3R,5R- and S ⁇ S-isomers) and (aS)-[3-(4-chloro-2-fluorophenyl)-5-(2,4- difluorophenyl)-4-isoxazolyl]-3-pyridinemethanol.
- the triazolinthiones include prothioconazole and 2-[2-(l-chlorocyclopropyl)-4-(2,2-dichlorocyclopropyl)-2- hydroxybutyl]-l,2-dihydro-3H-l,2,4-triazole-3-thione.
- Biochemical investigations have shown that all of the above mentioned fungicides are DMI fungicides as described by K. ⁇ . Kuck et al. in Modern Selective Fungicides - Properties, Applications and Mechanisms of Action, ⁇ . Lyr (Ed.), Gustav Fischer Verlag: New York, 1995, 205-258.
- Phenylamide fungicides (c4) are specific inhibitors of R A polymerase in Oomycete fungi. Sensitive fungi exposed to these fungicides show a reduced capacity to incorporate uridine into rRNA. Growth and development in sensitive fungi is prevented by exposure to this class of fungicide.
- Phenylamide fungicides include acylalanine, oxazolidinone and butyrolactone fungicides.
- the acylalanines include benalaxyl, benalaxyl-M (also known as kiralaxyl), furalaxyl, metalaxyl, metalaxyl-M (also known as mefenoxam).
- the oxazolidinones include oxadixyl.
- the butyrolactones include ofurace.
- Amine/morpholine fungicides include morpholine, piperidine and spiroketal-amine fungicides.
- the morpho lines include aldimorph, dodemorph, fenpropimorph, tridemorph and trimorphamide.
- the piperidines include fenpropidin and piperalin.
- the spiroketal-amines include spiroxamine.
- Phospholipid biosynthesis inhibitor fungicides (c6) (FRAC code 6) inhibit growth of fungi by affecting phospholipid biosynthesis.
- Phospholipid biosynthesis fungicides include phosphorothiolate and dithiolane fungicides.
- the phosphorothiolates include edifenphos, iprobenfos and pyrazophos.
- the dithiolanes include isoprothiolane.
- Carboxamide fungicides (c7) also known as “Succinate dehydrogenase inhibitor (SDHI) fungicides", (FRAC code 7) inhibit Complex II fungal respiration by disrupting a key enzyme in the Krebs Cycle (TCA cycle) named succinate dehydrogenase. Inhibiting respiration prevents the fungus from making ATP, and thus inhibits growth and reproduction.
- Carboxamide fungicides include phenylbenzamide, furan carboxamide, oxathiin carboxamide, thiazole carboxamide, pyrazole-4-carboxamide and pyridine carboxamide, phenyl oxoethyl thiophene amides and pyridinylethyl benzamides.
- the benzamides include benodanil, flutolanil and mepronil.
- the furan carboxamides include fenfuram.
- the oxathiin carboxamides include carboxin and oxycarboxin.
- the thiazole carboxamides include thifluzamide.
- the pyrazole-4-carboxamides include benzovindiflupyr (N-[9-(dichloromethylidene)-l ,2,3,4-tetrahydro-l ,4-methanonaphthalen-5-yl]-3-(difluoro- methyl)-l -methyl- lH-pyrazole-4-carboxamide), bixafen, furametpyr, isopyrazam (3- (difliiorometh j ⁇ ,4-methanonaphthalen- 5 -y I ] - 1 H-pyrazole-4-carboxamide), fluxapyroxad (3 -(difluoromethyl)- 1 -methyl-N-(3 ',4',5 '- trifluoro[l, -biphenyl]-2-yl)-lH-pyrazole-4-carboxamide), penthiopyrad, sedaxane (N-[2- [1 , 1 '
- the pyridine carboxamides include boscalid.
- the phenyl oxoethyl thiophene amides include isofetamid (N-[l,l- dimethyl-2- [2-methyl-4-( 1 -methylethoxy)phenyl] -2-oxoethyl] -3 -methyl-2-thiophene- carboxamide).
- the pyridinylethyl benzamides include fluopyram.
- Hydroxy(2-amino-)pyrimidine fungicides (c8) (FRAC code 8) inhibit nucleic acid synthesis by interfering with adenosine deaminase. Examples include bupirimate, dimethirimol and ethirimol.
- Anilinopyrimidine fungicides (c9) (FRAC code 9) are proposed to inhibit biosynthesis of the amino acid methionine and to disrupt the secretion of hydro lytic enzymes that lyse plant cells during infection. Examples include cyprodinil, mepanipyrim and pyrimethanil.
- N-Phenyl carbamate fungicides (clO)" (FRAC code 10) inhibit mitosis by binding to ⁇ -tubulin and disrupting microtubule assembly. Inhibition of microtubule assembly can disrupt cell division, transport within the cell and cell structure. Examples include diethofencarb.
- Quadrature outside inhibitor (Qol) fungicides (el l)" (FRAC code 11) inhibit Complex III mitochondrial respiration in fungi by affecting ubiquinol oxidase. Oxidation of ubiquinol is blocked at the "quinone outside" (Q 0 ) site of the cytochrome bc ⁇ complex, which is located in the inner mitochondrial membrane of fungi. Inhibiting mitochondrial respiration prevents normal fungal growth and development.
- Quinone outside inhibitor fungicides include methoxyacrylate, methoxycarbamate, oximinoacetate, oximinoacetamide and dihydrodioxazine fungicides (collectively also known as strobilurin fungicides), and oxazolidinedione, imidazolinone and benzylcarbamate fungicides.
- the methoxyacrylates include azoxystrobin, coumoxystrobin (methyl (aE)-2-[[(3-butyl-4-methyl-2-oxo-2H-l- benzopyran-7-yl)oxy]methyl]-a-(methoxymethylene)benzeneacetate), enoxastrobin (methyl (aE)-2-[[[(E)-[(2E)-3-(4-chlorophenyl)-l-methyl-2-propen-l-ylidene]amino]oxy]methyl]-a- (methoxymethylene)benzeneaceate) (also known as enestroburin), flufenoxystrobin (methyl (aE)-2-[[2-chloro-4-(trifluoromethyl)phenoxy]methyl]-a-(methoxymethylene)benzene- acetate), picoxystrobin and pyraoxystrobin (methyl (aE)-2-[[[[3-(4-chlorophenyl)-
- the methoxy- carbamates include pyraclostrobin, pyrametostrobin (methyl N-[2-[[(l,4-dimethyl-3-phenyl- lH-pyrazol-5-yl)oxy]methyl]phenyl]-N-methoxycarbamate) and triclopyricarb (methyl N- methoxy-N-[2-[[(3,5,6-trichloro-2-pyridinyl)oxy]methyl]phenyl]carbamate).
- the oximino- acetates include kresoxim-methyl and trifloxystrobin.
- the oximinoacetamides include dimoxystrobin, fenaminstrobin ((aE)-2-[[[(E)-[(2E)-3-(2,6-dichlorophenyl)- 1 -methyl-2- propen-l-ylidene]amino]oxy]methyl]-a-(methoxyimino)-N-methylbenzeneacetamide, also known as 2-[[[(3-(2,6-dichlorophenyl)- 1 -methyl-2-propen- 1 -ylidene]amino]oxy]methyl]-a- (methoxyimino)-N-methylbenzeneacetamide), metominostrobin, orysastrobin and a- (methoxyimino)-N-methyl-2-[ [ [ 1 - [3 -(trifluoromethyl)phenyl] ethoxy]imino]- methyljbenzeneacetamide.
- the dihydrodioxazines include fluoxastrobin.
- the oxazolidinediones include famoxadone.
- the imidazolinones include fenamidone.
- the benzylcarbamates include pyribencarb.
- Class (el l) also includes mandestrobin (2-[(2,5- dimethylphenoxy)methyl] -a-methoxy-N-benzeneacetamide) .
- Phenylpyrrole fungicides (cl2) (FRAC code 12) inhibit a MAP histidine kinase associated with osmotic signal transduction in fungi. Fenpiclonil and fludioxonil are examples of this fungicide class.
- Quinoline fungicides also known as “azanaphthalene fungicides”, (FRAC code 13) are proposed to inhibit signal transduction by a mechanism which is yet unknown. They have been shown to interfere with germination and/or appressorium formation in fungi that cause powdery mildew diseases.
- Quinoline fungicides include aryloxyquino lines and auinazolinones.
- the aryloxyquino lines include quinoxyfen.
- the quinazolinones include proquinazid.
- Lipid peroxidation inhibitor fungicides (cl4) are proposed to inhibit lipid peroxidation which affects membrane synthesis in fungi. Members of this class, such as etridiazole, may also affect other biological processes such as respiration and melanin biosynthesis.
- Lipid peroxidation fungicides include aromatic hydrocarbon and 1 ,2,4-thiadiazole fungicides.
- the aromatic hydrocarbon fungicides include biphenyl, chloroneb, dicloran, quintozene, tecnazene and tolclofos-methyl.
- the 1 ,2,4-thiadiazoles include etridiazole.
- MMI-R Mellanin biosynthesis inhibitor-reductase
- Melanin biosynthesis inhibitor-reductase fungicides include isobenzofuranone, pyrroloquinolinone and triazolobenzothiazole fungicides.
- the isobenzofuranones include phthalide (alternatively spelled fthalide).
- the pyrroloquinolinones include pyroquilon.
- the triazolobenzothiazoles include tricyclazole.
- MBI-D Mellanin biosynthesis inhibitor-dehydratase fungicides
- Melanin biosynthesis inhibitor-dehydratase fungicides include cyclopropanecarboxamide, carboxamide and propionamide fungicides.
- the cyclopropanecarboxamides include carpropamid.
- the carboxamides include diclocymet.
- the propionamides include fenoxanil.
- Steprol Biosynthesis Inhibitor (SBI): Class III fungicides (cl7) (FRAC code 17) inhibit 3-ketoreductase during C4-demethylation in sterol production.
- Class III inhibitors include hydroxyanilide fungicides and aminopyrazolinone fungicides. Hydroxyanilides include fenhexamid. Aminopyrazolinones include fenpyrazamine (S-2- propen-l-yl 5-amino-2,3-dihydro-2-(l-methylethyl)-4-(2-methylphenyl)-3-oxo-lH-pyrazole- 1-carbothioate, also known as l-[(2-propenylthio)carbonyl]-2-(l-methylethyl)-4-(2-methyl- phenyl)-5-amino-lH-pyrazol-3-one,).
- Squalene-epoxidase inhibitor fungicides (cl8) (FRAC code 18) inhibit squalene- epoxidase in the sterol biosynthesis pathway.
- Sterols such as ergosterol are needed for membrane structure and function, making them essential for the development of functional cell walls. Therefore exposure to these fungicides result in abnormal growth and eventually death of sensitive fungi.
- Squalene-epoxidase inhibitor fungicides include thiocarbamate and allylamine fungicides.
- the thiocarbamates include pyributicarb.
- the allylamines include naftifme and terbinafme.
- Polyoxin fungicides (cl9) (FRAC code 19) inhibit chitin synthase. Examples include polyoxin.
- Phenylurea fungicides (c20) (FRAC code 20) are proposed to affect cell division. Examples include pencycuron.
- Quinone inside inhibitor (Qil) fungicides (c21) inhibit Complex III mitochondrial respiration in fungi by affecting ubiquinone reductase. Reduction of ubiquinol is blocked at the "quinone inside” (Qj) site of the cytochrome bc ⁇ complex, which is located in the inner mitochondrial membrane of fungi. Inhibiting mitochondrial respiration prevents normal fungal growth and development.
- Quinone inside inhibitor fungicides include cyanoimidazole and sulfamoyltriazole fungicides.
- the cyanoimidazoles include cyazofamid.
- the sulfamoyltriazoles include amisulbrom.
- Benzamide and thiazolecarboxamide fungicides (c22)
- FRAC code 22 inhibit mitosis by binding to ⁇ -tubulin and disrupting microtubule assembly. Inhibition of microtubule assembly can disrupt cell division, transport within the cell and cell structure.
- the benzamides include zoxamide.
- the thiazolecarboxamides include ethaboxam.
- Enopyranuronic acid antibiotic fungicides (c23)
- FRAC code 23 inhibit growth of fungi by affecting protein biosynthesis. Examples include blasticidin-S.
- Halopyranosyl antibiotic fungicides (c24)
- FRAC code 24 inhibit growth of fungi by affecting protein biosynthesis. Examples include kasugamycin.
- Glucopyranosyl antibiotic protein synthesis fungicides (c25)
- FRAC code 25 inhibit growth of fungi by affecting protein biosynthesis. Examples include streptomycin.
- Glucopyranosyl antibiotic: trehalase and inositol biosynthesis fungicides (c26) inhibit trehalase and inositol biosynthesis. Examples include validamycin.
- Cyanoacetamideoxime fungicides (c27) include cymoxanil.
- “Carbamate fungicides (c28)” (FRAC code 28) are considered multi-site inhibitors of fungal growth. They are proposed to interfere with the synthesis of fatty acids in cell membranes, which then disrupts cell membrane permeability. Propamacarb, iodocarb, and prothiocarb are examples of this fungicide class.
- Oxidative phosphorylation uncoupling fungicides (c29) (FRAC code 29) inhibit fungal respiration by uncoupling oxidative phosphorylation. Inhibiting respiration prevents normal fungal growth and development.
- This class includes 2,6-dinitroanilines such as fluazinam and dinitrophenyl crotonates such as dinocap, meptyldinocap and binapacryl.
- Organic tin fungicides (c30) (FRAC code 30) inhibit adenosine triphosphate (ATP) synthase in oxidative phosphorylation pathway.
- examples include fentin acetate, fentin chloride and fentin hydroxide.
- Carboxylic acid fungicides (c31) inhibit growth of fungi by affecting deoxyribonucleic acid (DNA) topoisomerase type II (gyrase). Examples include oxolinic acid.
- Hetero aromatic fungicides (c32) are proposed to affect DNA/ribonucleic acid (RNA) synthesis.
- Heteroaromatic fungicides include isoxazole and isothiazolone fungicides.
- the isoxazoles include hymexazole and the isothiazolones include octhilinone.
- Phosphonate fungicides include phosphorous acid and its various salts, including fosetyl-aluminum.
- Phthalamic acid fungicides (c34) include teclofthalam.
- Benzotriazine fungicides (c35)
- FRAC code 35 include triazoxide.
- Benzene-sulfonamide fungicides (c36)
- FRAC code 36 include flusulfamide.
- Phyridazinone fungicides (c37) include diclomezine.
- Thiophene-carboxamide fungicides (c38) are proposed to affect ATP production. Examples include silthiofam.
- Pyrimidinamide fungicides (c39) also known as “Complex I NADH oxidoreductase inhibitor fungicides”, (FRAC code 39) inhibit electron transport in mitochondria and include pyrimidinamines such as diflumetorim, and pyrazole-5-carboxamides such as tolfenpyrad.
- Carboxylic acid amide (CAA) fungicides (c40) inhibit cellulose synthase, which prevents growth and leads to death of the target fungus.
- Carboxylic acid amide fungicides include cinnamic acid amide, valinamide carbamate and mandelic acid amide fungicides.
- the cinnamic acid amides include dimethomorph, flumorph and pyrimorph (3-(2-chloro-4-pyridinyl)-3-[4-(l,l-dimethylethyl)phenyl]-l-(4-morpholinyl)-2- propene-l-one).
- valinamide carbamates include benthiavalicarb, benthiavalicarb- isopropyl, iprovalicarb, tolprocarb (2,2,2-trifluoroethyl N-[(lS)-2-methyl-l-[[(4- methylbenzoyl)amino]methyl]propyl]carbamate) and valifenalate (methyl N-[(l- methylethoxy)carbonyl]-L-valyl-3-(4-chlorophenyl)-P-alaninate) (also known as valiphenal).
- the mandelic acid amides include mandipropamid, N-[2-[4-[[3-(4-chlorophenyl)-2-propyn- 1 -yl]oxy]-3-methoxyphenyl]ethyl]-3-methyl-2-[(methylsulfonyl)amino]butanamide and N- [2-[4-[[3-(4-chlorophenyl)-2-propyn-l-yl]oxy]-3-methoxyphenyl]ethyl]-3-methyl-2- [(ethylsulfonyl)amino]butanamide .
- Tetracycline antibiotic fungicides (c41) (FRAC code 41) inhibit growth of fungi by affecting protein synthesis. Examples include oxytetracycline.
- Thiocarbamate fungicides (c42) include methasulfocarb.
- Benzamide fungicides (c43) inhibit growth of fungi by derealization of spectrin-like proteins. Examples include pyridinylmethyl benzamide fungicides such as fluopicolide.
- Host plant defense induction fungicides include benzothiadiazole-, benzisothiazole- and thiadiazole-carboxamide fungicides.
- the benzothiadiazoles include acibenzolar-S-methyl.
- the benzisothiazoles include probenazole.
- the thiadiazole- carboxamides include tiadinil and isotianil.
- Multi-site contact fungicides inhibit fungal growth through multiple sites of action and have contact/preventive activity.
- This class of fungicides includes: “copper fungicides (c45.1) (FRAC code Ml)", “sulfur fungicides (c45.2) (FRAC code M2)", “dithiocarbamate fungicides (c45.3) (FRAC code M3)", “phthalimide fungicides (c45.4) (FRAC code M4)", “chloronitrile fungicides (c45.5) (FRAC code M5)”, “sulfamide fungicides (c45.6) (FRAC code M6)", “multi-site contact guanidine fungicides (c45.7) (FRAC code M7)” “triazine fungicides (c45.8) (FRAC code M8)", "quinone fungicides (c45.9) (FRAC code M9), “quinoxaline fungicides” (c45.10) (FRAC code M10)
- Copper fungicides are inorganic compounds containing copper, typically in the copper(II) oxidation state; examples include copper oxychloride, copper sulfate and copper hydroxide, including compositions such as Bordeaux mixture (tribasic copper sulfate).
- Sulfur fungicides are inorganic chemicals containing rings or chains of sulfur atoms; examples include elemental sulfur.
- Dithiocarbamate fungicides contain a dithiocarbamate molecular moiety; examples include mancozeb, metiram, propineb, ferbam, maneb, thiram, zineb and ziram.
- Phthalimide fungicides contain a phthalimide molecular moiety; examples include folpet, captan and captafol.
- Chloronitrile fungicides contain an aromatic ring substituted with chloro and cyano; examples include chlorothalonil.
- Sulfamide fungicides include dichlofluanid and tolylfluanid.
- Multi-site contact guanidine fungicides include guazatine, iminoctadine albesilate and iminoctadine triacetate.
- Triazine fungicides include anilazine.
- Quinone fungicides include dithianon.
- Quinoxaline fungicides include quinomethionate (also known as chinomethionate).
- Maleimide fungicides include fluoroimide.
- Fungicides other than fungicides of component (a) and components (cl) through (c45); (c46) include certain fungicides whose mode of action may be unknown.
- the phenyl-acetamides include cyflufenamid and N-[[(cyclopropylmethoxy)amino][6- (difluoromethoxy)-2,3-difluorophenyl]-methylene]benzeneacetamide.
- the aryl-phenyl ketones include benzophenones such as metrafenone and benzoylpyridines such as pyriofenone (5-chloro-2-methoxy-4-methyl-3-pyridinyl)(2,3,4-trimethoxy-6-methylphenyl)- methanone).
- the guanidines include dodine.
- the thiazolidines include flutianil ((2Z)-2-[[2- fluoro-5 -(trifluoromethyl)phenyl]thio] -2- [3 -(2-methoxyphenyl)-2-thiazolidinylidene]- acetonitrile).
- the pyrimidinone-hydrazones include ferimzone.
- Q X I fungicides are now believed to inhibit Complex III mitochondrial respiration in fungi by affecting ubiquinone reductase at an unknown (Q x ) site of the cytochrome bcl complex. Inhibiting mitochondrial respiration prevents normal fungal growth and development.
- Q X I fungicides include triazolopyrimidinylamines such as ametoctradin (5-ethyl-6-octyl[l,2,4]triazolo[l,5-a]pyrimidin-7-amine).
- (c45); (c46)” also include (c46.7) N'-[4-[[3-[(4-chlorophenyl)methyl]-l,2,4-thiadiazol-5- yl]oxy]-2,5-dimethylphenyl]-N-ethyl-N-methylmethanimidamide, which is believed to inhibit C24-methyl transferase involved in biosynthesis of sterols.
- the (c46) class also includes (c46.8) compounds that bind to oxysterol-binding protein as described in PCT Patent Publication WO 2013/009971, such as oxathiapiprolin (l-[4-[4-[5-(2,6- difluorophenyl)-4,5-dihydro-3-isoxazolyl]-2-thiazolyl]-l-piperidinyl]-2-[5-methyl-3- (trifluoromethyl)-lH-pyrazol-l-yl]ethanone) and its R-enantiomer.
- the (c46) class further includes mitosis- and cell division-inhibiting fungicides besides those of the particular classes described above (e.g., (cl), (clO) and (c22)).
- the (c46) class also includes bethoxazin, flumetover, neo-asozin (ferric methanearsonate), pyrrolnitrin, quinomethionate, tebufloquin (6-(l,l-dimethylethyl)-8- fluoro-2,3-dimethyl-4-quinolinyl acetate), 2-[[2-fluoro-5-(trifluoromethyl)phenyl]thio]- 2-[3-(2-methoxyphenyl)-2-thiazolidinylidene]acetonitrile, 3-[5-(4-chlorophenyl)- 2,3-dimethyl-3-isoxazolidinyl]pyridine, 4-fluorophenyl N-[ 1 -[[[ 1 -(4-cyanophenyl)ethyl]- sulfonyl]methyl]propyl]carbamate, tolnifanide (N-(4-chlor
- Component (c46.9) relates to 6-quinolinyloxyacetamide compounds of Formula C46.9 and salts thereof
- R cl is halogen, C1-C4 alkoxy or C1-C4 alkynyl
- R c2 is ⁇ , halogen or C1-C4 alkyl
- R c3 is C1-C12 alkyl, C ⁇ -C ⁇ haloalkyl, C ⁇ -C ⁇ alkoxy, C2-C12 alkoxyalkyl, C2-C12 alkenyl, C2-C12 alkynyl, C4-C12 alkoxyalkenyl, C4-C12 alkoxyalkynyl, C ⁇ -C ⁇ alkylthio or C2-C12 alkylthioalkyl;
- R c4 is methyl or -Y al -R c5 ;
- R c5 is C!-C 2 alk y!
- Y cl is CH 2 , O or S.
- Examples of compounds of Formula C46.9 include: 2-[(3-bromo-6-quinolinyl)oxy]-N-(l,l-dimethyl-2-butyn-l-yl)-2-(methylthio)- acetamide, 2-[(3-ethynyl-6-quinolinyl)oxy]-N-[ 1 -(hydroxymethyl)- 1 -methyl-2-propyn- 1 -yl]- 2-(methylthio)acetamide, N-( 1 , 1 -dimethyl-2-butyn- 1 -yl)-2- [(3 -ethynyl-6-quinolinyl)oxy] -2- (methylthio)acetamide, 2-[(3-bromo-8-methyl-6-quinolinyl)oxy]-N-(l ,l-dimethyl-2-propyn- 1 -yl)-2-(methylthio)acetamide and 2- [(3 -bromo-6-quinoliny
- Component (c46.10 relates to a compound of Formula C46.10
- Examples of a compound of Formula C46.10 include (c46.10a) (2-chloro-6-fluorophenyl)- methyl 2-[l-[2-[3,5-bis(difluoromethyl)-lH-pyrazol-l-yl]acetyl]-4-piperidinyl]-4-thiazole- carboxylate (Registry Number 1299409-40-7) and (c46.101b) (1R)- 1 ,2,3, 4-tetrahydro- 1 -naphthalenyl 2-[ 1 -[2-[3,5-bis(difluoromethyl)- lH-pyrazol-1 -yl]acetyl]-4-piperidinyl]- 4-thiazolecarboxylate (Registry Number 1299409-42-9).
- Methods for preparing compounds of Formula C46.10 are described in PCT Patent Publications WO 2009/132785 and WO 201 1/051243.
- Com onent (c46.1 1) relates to a compound of Formula C46.ll
- Rc? is CH 3 , CF 3 or CHF 2 ;
- Rc8 is CH 3 , CF 3 or CHF 2 ;
- each Rc9 is
- Examples of a compound of Formula C46.ll include (c46.1 1a) l-[4-[4-[5-[(2,6- difluorophenoxy)methyl]-4,5-dihydro-3-isoxazolyl]-2-thiazolyl]- 1 -piperdinyl]-2-[5-methyl- 3-(trifluoromethyl)-lH-pyrazol-l-yl]ethanone.
- Methods for preparing compounds of Formula C46.ll are described in PCT Patent Application PCT/US1 1/64324.
- Component (c46.12) relates to a compound of Formula C46.12
- Examples of a compound of Formula C46.12 include (c46.12a) [[4-methoxy-2- [[[(35,7R,8R,9S)-9-methyl-8-(2-methyl- 1 -oxopropoxy)-2,6-dioxo-7-(phenylmethyl)- 1 ,5- dioxonan-3 -yl] amino]carbonyl] -3 -pyridinyl]oxy]methyl 2-methylpropanoate (Registry Number 517875-34-2), (c46.12b) (3 l S,6 l S,7i?,8i?)-3-[[[3-(acetyloxy)-4-methoxy-2-pyridinyl]- carbonyl]amino]-6-methyl-4,9-dioxo-8-(phenylmethyl)-l,5-dioxonan-7-yl 2-methyl- propanoate (Registry Number 234112-93-7), (c46.12c) (35,
- Component (c46.13) relates to a com ound of Formula C46.13
- R cl 1 is H or F
- R cl2 is -CF2CHFCF3 or -CF2CF2H.
- Examples of a compound of Formula C46.13 are (c46.13a) 3-(difluoromethyl)-N-[4-fluoro-2-(l, 1,2,3, 3,3-hexafluoro- propoxy)phenyl]-l -methyl- lH-pyrazole-4-carboxamide (Registry Number 1172611-40-3) and (c46.13b) 3 -(difluoromethyl)- 1 -methyl-N- [2-( 1 , 1 ,2,2-tetrafluoroethoxy)phenyl] - 1 H- pyrazole-4-carboxamide (Registry Number 923953-98-4).
- Compounds of Formula C46.13 can be prepared by methods described in PCT Patent Publication WO 2007/017450.
- component (c) fungicidal compounds examples include those listed in Embodiment 69 and more particularly in Embodiments 70-72.
- Compositions comprising a combination of (a) at least one compound selected from the compounds of Formula 1, including N-oxides and salts thereof, (b) at least one fungicidal component selected from Formulae Bl through B16, including salts thereof and (c) at least one additional fungicidal compound (e.g., (cl) through (c46), including the corresponding fungicidal compounds described above) can provide improved control (i.e. prevention and/or cure) of plant disease from synergic contributions of components (a), (b) and (c).
- the improved plant disease control may be manifest by a broader spectrum or longer duration of plant disease control, or retardation of resistance development.
- the contributions of components (a), (b) and (c) may be complementarily additive or even greater than additive through synergistic interaction. Addition of component (c) may provide stronger synergy than resulting from combination of components (a) and (b).
- component (c) can comprise one or more "Microbial fungicides” (FRAC code 44).
- Microbial fungicides typically disrupt fungal pathogen cell membranes. Microbial fungicides include Bacillus species such as Bacillus amyloliquefaciens strains QST 713, FZB24, MB 1600, D747 and the fungicidal lipopeptides which they produce.
- composition which comprises component (a) (such as a compound specifically disclosed in Index Tables A-G) in combination with at least one fungicidal compound or agent as described above for component (c).
- component (a) such as a compound specifically disclosed in Index Tables A-G
- Said composition can be advantageously directly used as a combination fungicide, which may be synergistic, or can be further combined with component (b) to form a composition comprising component (a), component (b) and component (c) to provide additional synergic and possible synergistic benefits.
- a fungicidal composition comprising (a) at least one compound selected from the compounds of Formula 1, including N-oxides and salts thereof, (b) at least one fungicidal compound selected from Formulae Bl through B16 including salts thereof, described above, and (c) further comprising at least one additional compound or agent that is biologically active, besides the fungicidal compounds (cl) through (c46) described above, component (c) can also be selected from compounds or agents having biological activity that is other than fungicidal.
- insecticides such as: abamectin, acephate, acequinocyl, acetamiprid, acrinathrin, afidopyropen, amidoflumet, amitraz, avermectin, azadirachtin, azinphos-methyl, benfuracarb, bensultap, bifenthrin, bifenazate, bistrifluron, borate, buprofezin, cadusafos, carbaryl, carbofuran, cartap, carzol, chlorantraniliprole, chlorfenapyr, chlorfluazuron, chlorpyrifos, chlorpyrifos-methyl, chromafenozide, clofentezin, clothianidin, cyantraniliprole, cyclanilip
- nematocides such as: abamectin, aldicarb, cadusaphos, carbofuran, chloropicrin, dazomet, 1,3-dichloropropene, dimethyl disulfide, ethoprophos, fenamiphos, flufensulfone, fiuopyram, fosthiazate, imicyafos, iprodione, metam (sodium and potassium), oxamyl, spirotetramat, terbufos, thiodicarb, tioxazafen and 8-chloro-N-[(2-chloro-5-methoxyphenyl)sulfonyl]-6- (trifluoromethyl)-imidazo[ 1 ,2-a]pyridine-2-carboxamide.
- nematocides such as: abamectin, aldicarb, cadusaphos, carbofuran, chloropicrin, dazo
- bactericides such as streptomycin
- acaricides such as amitraz, chinomethionat, chlorobenzilate, cyenopyrafen, cyhexatin, dicofol, dienochlor, etoxazole, fenazaquin, fenbutatin oxide, fenpropathrin, fenpyroximate, hexythiazox, propargite, pyridaben and tebufenpyrad.
- bactericides such as streptomycin
- acaricides such as amitraz, chinomethionat, chlorobenzilate, cyenopyrafen, cyhexatin, dicofol, dienochlor, etoxazole, fenazaquin, fenbutatin oxide, fenpropathrin, fenpyroximate, hexythiazox, propargite, pyridaben and
- compositions of component (a) with component (b), can be mixed are entomopathogenic bacteria, such as Bacillus thuringiensis subsp. aizawai, Bacillus thuringiensis subsp.
- Bacillus thuringiensis e.g., Cellcap, MPV, MPVII
- root colonizing bacteria such as Bacillus firmus
- nematode parasitic bacteria such as Pasteuria nishizawae
- entomopathogenic fungi such as green muscardine fungus
- entomopathogenic virus both naturally occurring and genetically modified
- baculovirus including baculovirus, nucleopolyhedro virus (NPV) such as Helicoverpa zea nucleopolyhedrovirus (HzNPV), Anagrapha falcifera nucleopolyhedrovirus (AfNPV); and granulosis virus (GV) such as Cydia pomonella granulosis virus (CpGV).
- NPV nucleopolyhedro virus
- HzNPV Helicoverpa zea nucleopolyhedrovirus
- AfNPV Anagrapha falc
- composition which comprises component (a) (such as a compound specifically disclosed in Index Tables A-G) in combination with at least one invertebrate pest control compound or agent selected from the above list.
- component (a) such as a compound specifically disclosed in Index Tables A-G
- Said composition can be advantageously directly used as a combination fungicide and insecticide, which may be synergistic, or can be further combined with component (b) to form a composition comprising component (a), component (b) and at least one invertebrate pest control compound or agent as component (c) to provide additional synergic benefits.
- combinations of a mixture of components (a) and (b) fungicidal compounds with invertebrate pest control compounds or agents can result in a greater-than-additive (i.e. synergistic) effect. Reducing the quantity of active ingredients released in the environment while ensuring effective pest control is always desirable.
- synergism of invertebrate pest control active ingredients occurs at application rates giving agronomically satisfactory levels of invertebrate pest control, such combinations can be advantageous for reducing crop production cost and decreasing environmental load. Synergism can also result in increased plant disease control or protection, or increased invertebrate pest control.
- component (a) i.e. at least one compound selected from compounds of Formula 1, N-oxides, and salts thereof
- component (b) are present in fungicidally effective amounts.
- the weight ratio of component (a) to component (b) i.e. one or more additional fungicidal compounds
- compositions where in the weight ratio of component (a) to component (b) is from about 125: 1 to about 1 : 125.
- these compositions are particularly effective for controlling plant diseases caused by fungal plant pathogens.
- compositions wherein the weight ratio of component (a) to component (b) is from about 25: 1 to about 1 :25, or from about 5: 1 to about 1 :5.
- weight ratios and application rates of fungicidal compounds necessary for the desired spectrum of fungicidal protection and control.
- Table Al lists specific combinations of a Component (b) compound with Compound 18 as Component (a) illustrative of the mixtures, compositions and methods of the present invention.
- Component numbers refer to compounds in Index Tables A-G.
- the second column of Table Al lists the specific Component (b) compound (e.g., "4-(2-chloro-4- fluorophenyl)-N-(2-chloro-6-fluorophenyl)-l,3-dimethyl-lH-pyrazol-5-amine (bla)" in the first line).
- the third, fourth and fifth columns of Table Al list ranges of weight ratios for rates at which the Component (a) compound is typically applied to a field-grown crop relative to Component (b).
- the first line of Table Al specifically discloses the combination of Compound 18 with Component (bla) is typically applied in a weight ratio of Compound 18 to Component (bla) of between 20:1 and 1:20, more typically between 5:1 and 1:5, and most typically between 3:1 and 1:3.
- the remaining lines of Table Al are to be construed similarly.
Landscapes
- Organic Chemistry (AREA)
- Chemical & Material Sciences (AREA)
- Life Sciences & Earth Sciences (AREA)
- Dentistry (AREA)
- Health & Medical Sciences (AREA)
- Engineering & Computer Science (AREA)
- Plant Pathology (AREA)
- General Health & Medical Sciences (AREA)
- Wood Science & Technology (AREA)
- Zoology (AREA)
- Environmental Sciences (AREA)
- Pest Control & Pesticides (AREA)
- Agronomy & Crop Science (AREA)
- Agricultural Chemicals And Associated Chemicals (AREA)
Abstract
Disclosed is a fungicidal composition comprising (a) at least one compound selected from the compounds of Formula 1, N-oxides, and salts thereof, wherein A, Q, R1 and R2 are as defined in the disclosure; and (b) at least one additional fungicidal compound selected from those disclosed herein. Also disclosed is a method for controlling plant diseases caused by fungal plant pathogens comprising applying to the plant or portion thereof, or to the plant seed, a fungicidally effective amount of the aforesaid composition.
Description
TITLE
SUBSTITUTED TOLYL FUNGICIDE MIXTURES
FIELD OF THE INVENTION
This invention relates to certain substituted tolyl compounds, their N-oxides and salts, and to mixtures and compositions comprising such pyrazole derivatives and methods for using such substituted tolyl compounds and their mixtures and compositions as fungicides.
BACKGROUND OF THE INVENTION
The control of plant diseases caused by fungal plant pathogens is extremely important in achieving high crop efficiency. Plant disease damage to ornamental, vegetable, field, cereal and fruit crops can cause significant reduction in productivity and thereby result in increased costs to the consumer. In addition to often being highly destructive, plant diseases can be difficult to control and may develop resistance to commercial fungicides. Many products are commercially available for these purposes, but the need continues for new fungicidal compounds which are more effective, less costly, less toxic, environmentally safer or have different sites of action. Besides introduction of new fungicides, combinations of fungicides are often used to facilitate disease control, to broaden spectrum of control and to retard resistance development. Furthermore, certain rare combinations of fungicides demonstrate a greater-than-additive (i.e. synergistic) effect to provide commercially important levels of plant disease control. The advantages of particular fungicide combinations are recognized in the art to vary, depending on such factors as the particular plant species and plant disease to be treated, and whether the plants are treated before or after infection with the fungal plant pathogen. Accordingly new advantageous combinations are needed to provide a variety of options to best satisfy particular plant disease control needs. Such combinations have now been discovered.
SUMMARY OF THE INVENTION
This invention relates to a fungicidal composition (i.e. combination, mixture) comprising
(a) at least one compound selected from the compounds of Formula 1 (including all stereoisomers), N-oxides and salts thereof:
1
wherein
A is a radical selected from the group consisting of
wherein the bond extending to the left of the A group is attached to the phenyl group having the CH30(C=0)NHCH2 and the bond extending to the right of the A group is attached to the phenyl group having R1 and R2 substituents in
Formula 1;
Q is CH or N;
R1 is halogen, cyano, hydroxy, nitro, amino, C^-Cg alkyl, C3-C6 cycloalkyl, C4-C10 cycloalkylalkyl, C2~Cg alkenyl, C2~Cg alkynyl, C^-Cg haloalkyl, C^-Cg alkoxy, C^-Cg haloalkoxy, C3~Cg cycloalkoxy, C3~Cg halocycloalkoxy, C4-C7 cycloalkylalkoxy, C2~Cg alkenyloxy, C2~Cg haloalkenyloxy, C2~Cg alkynyloxy, C3~Cg haloalkynyloxy, C2~Cg alkoxyalkoxy, C2~Cg alkoxyalkyl, C^-Cg cyanoalkyl, C^-Cg cyanoalkoxy, C^-Cg alkylthio, C^-Cg haloalkylthio, C^-Cg alkylsulfinyl, C^-Cg haloalkylsulfinyl, C^-Cg alkylsulfonyl or C^-Cg haloalkylsulfonyl;
R2 is halogen, cyano, hydroxy, nitro, amino, C^-Cg alkyl, C3~Cg cycloalkyl, C4-C10 cycloalkylalkyl, C2~Cg alkenyl, C2~Cg alkynyl, C^-Cg haloalkyl, C^-Cg alkoxy, C^-Cg haloalkoxy, C3~Cg cycloalkoxy, C3~Cg halocycloalkoxy, C4-C7 cycloalkylalkoxy, C2~Cg alkenyloxy, C2~Cg haloalkenyloxy, C2~Cg alkynyloxy, C3~Cg haloalkynyloxy, C2~Cg alkoxyalkoxy, C2~Cg alkoxyalkyl, C^-Cg cyanoalkyl, C^-Cg cyanoalkoxy, C^-Cg alkylthio, C^-Cg haloalkylthio, C^-Cg alkylsulfinyl, C^-Cg haloalkylsulfinyl, C^-Cg alkylsulfonyl or C^-Cg haloalkylsulfonyl;
each R3 is independently halogen, cyano, C1-C3 alkyl, C1-C3 haloalkyl, C1-C3
alkoxy or C1-C3 haloalkoxy; and
n is 0, 1 or 2; and
least one fungicidal compound selected from
(bl)
wherein Rlbl is H or halogen; R2bl is H, halogen or CH3; R3bl is halogen; R4bl is halogen or CH3; and R5 l is halogen, cyano, CH3 or C1-C2 alkoxy;
(b2)
wherein Rlb2 1S H or CH3; R2B2 1S C1-C4 alkyl; R3b2 [s H, halogen or CF3; each R4B2 is independently F or CI; R5B2 is H, -SH, -SCN, -C4 alkylthio or C2-C4 alkenylthio; and p is 1 or 2;
wherein each Rlb4 is independently halogen, C1-C5 alkyl, C1-C5 haloalkyl, C3
cycloalkyl or C1-C5 alkoxy; and q is 1, 2 or 3;
(b5)
wherein Rlb5 is H, F or CI; and Ylb5 and y2b5 are independently O or S;
(b6)
B6
wherein Rlb6 is H, F, CI or CH3; R2b6 is CH3, CF3 or CHF2; and R3b6 is CH3, CF3 or CHF2;
(b7)
wherein Rlb7 is H, F, CI or CH3, R2b7 is CH3, CF3 or CHF2; and R3b7 is CH3, CF3 or CHF2;
b8)
B9 (blO)
wherein Rl l6 is C(CH3)3 or CH2CH2C≡CH;
and salts thereof.
This invention also relates to a fungicidal composition comprising: (a) at least one compound selected from the compounds of Formula 1, (b) at least one fungicidal compound selected from Formulae Bl through B16 and salts thereof described above, and further comprising (c) at least one additional compound or agent that is biologically active.
This invention also relates to a composition comprising one of the aforesaid compositions comprising components (a) and (b) and at least one additional component selected from the group consisting of surfactants, solid diluents and liquid diluents.
This invention also relates to a method for controlling plant diseases caused by fungal plant pathogens comprising applying to the plant or portion thereof, or to the plant seed, a fungicidally effective amount of one of the aforesaid compositions.
The aforedescribed method can also be described as a method for protecting a plant or plant seed from diseases caused by fungal pathogens comprising applying a fungicidally effective amount of one of the aforesaid compositions to the plant (or portion thereof) or plant seed (directly or through the environment (e.g., growing medium) of the plant or plant seed).
DETAILS OF THE INVENTION
As used herein, the terms "comprises," "comprising," "includes," "including," "has,"
"having," "contains", "containing," "characterized by" or any other variation thereof, are intended to cover a non-exclusive inclusion, subject to any limitation explicitly indicated. For example, a composition, mixture, process, method, article, or apparatus that comprises a list of elements is not necessarily limited to only those elements but may include other elements not expressly listed or inherent to such composition, mixture, process, method, article, or apparatus.
The transitional phrase "consisting of excludes any element, step, or ingredient not specified. If in the claim, such would close the claim to the inclusion of materials other than those recited except for impurities ordinarily associated therewith. When the phrase "consisting of appears in a clause of the body of a claim, rather than immediately following
the preamble, it limits only the element set forth in that clause; other elements are not excluded from the claim as a whole.
The transitional phrase "consisting essentially of is used to define a composition, method or apparatus that includes materials, steps, features, components, or elements, in addition to those literally disclosed, provided that these additional materials, steps, features, components, or elements do not materially affect the basic and novel characteristic(s) of the claimed invention. The term "consisting essentially of occupies a middle ground between "comprising" and "consisting of.
Where applicants have defined an invention or a portion thereof with an open-ended term such as "comprising," it should be readily understood that (unless otherwise stated) the description should be interpreted to also describe such an invention using the terms "consisting essentially of or "consisting of."
Further, unless expressly stated to the contrary, "or" refers to an inclusive or and not to an exclusive or. For example, a condition A or B is satisfied by any one of the following: A is true (or present) and B is false (or not present), A is false (or not present) and B is true (or present), and both A and B are true (or present).
Also, the indefinite articles "a" and "an" preceding an element or component of the invention are intended to be nonrestrictive regarding the number of instances (i.e. occurrences) of the element or component. Therefore "a" or "an" should be read to include one or at least one, and the singular word form of the element or component also includes the plural unless the number is obviously meant to be singular.
As referred to in the present disclosure and claims, "plant" includes members of Kingdom Plantae, particularly seed plants (Spermatopsida), at all life stages, including young plants (e.g., germinating seeds developing into seedlings) and mature, reproductive stages (e.g., plants producing flowers and seeds). Portions of plants include geotropic members typically growing beneath the surface of the growing medium (e.g., soil), such as roots, tubers, bulbs and corms, and also members growing above the growing medium, such as foliage (including stems and leaves), flowers, fruits and seeds.
As referred to herein, the term "seedling", used either alone or in a combination of words means a young plant developing from the embryo of a seed.
As referred to in this disclosure, the terms "fungal pathogen" and "fungal plant pathogen" include pathogens in the Ascomycota, Basidiomycota and Zygomycota phyla, and the fungal-like Oomycota class that are the causal agents of a broad spectrum of plant diseases of economic importance, affecting ornamental, turf, vegetable, field, cereal and fruit crops. In the context of this disclosure, "protecting a plant from disease" or "control of a plant disease" includes preventative action (interruption of the fungal cycle of infection, colonization, symptom development and spore production) and/or curative action (inhibition of colonization of plant host tissues).
As referred to in this disclosure, the term mode of action (MOA) is as defined broadly by the Fungicide Resistance Action Committee (FRAC), and is used to distinguish fungicide groups according to their biochemical mode of action in the biosynthetic pathways of plant pathogens. These FRAC-defined MO As are (A) nucleic acid synthesis, (B) mitosis and cell division, (C) respiration, (D) amino acid and protein synthesis, (E) signal transduction, (F) lipid synthesis and membrane integrity, (G) sterol biosynthesis in membranes, (H) cell wall biosynthesis in membranes, (I) melanin synthesis in cell wall, (P) host plant defense induction, multi-site contact activity and unknown mode of action. Each MOA class consists of one or more groups based either on individual validated target sites of action, or in cases where the precise target site is unknown, based on cross resistance profiles within a group or in relation to other groups. Each of these groupings within a FRAC-defined MOA, whether the target site is known or unknown, is designated by a FRAC code. Additional information on target sites and FRAC codes can be obtained from publicly available databases maintained, for example, by FRAC.
As referred to in this disclosure, the term "cross resistance" refers to a phenomenon wherein a pathogen evolves resistance to one fungicide and in addition acquires resistance to others. These additional fungicides are typically, but not always, in the same chemical class or have the same target site of action, or can be detoxified by the same mechanism.
The term "Registry Number" refers to Chemical Abstracts Registry Number.
In the above recitations, the term "alkyl", used either alone or in compound words such as "alkylthio" or "haloalkyl" includes straight-chain or branched alkyl such as methyl, ethyl, n-propyl, /-propyl, or the different butyl, pentyl or hexyl isomers. "Alkenyl" includes straight-chain or branched alkenes such as ethenyl, 1-propenyl, 2-propenyl, and the different butenyl, pentenyl and hexenyl isomers. "Alkenyl" also includes polyenes such as 1 ,2-propadienyl and 2,4-hexadienyl. "Alkynyl" includes straight-chain or branched alkynes such as ethynyl, 1-propynyl, 2-propynyl and the different butynyl, pentynyl and hexynyl isomers. "Alkynyl" also includes moieties comprised of multiple triple bonds such as 2,5-hexadiynyl.
"Alkoxy" includes, for example, methoxy, ethoxy, n-propyloxy, isopropyloxy and the different butoxy, pentoxy and hexyloxy isomers. "Alkoxyalkyl" denotes alkoxy substitution on alkyl. Examples of "alkoxyalkyl" include CH3OCH2, CH3OCH2CH2, CH3CH2OCH2, CH3CH2CH2CH2OCH2 and CH3CH2OCH2CH2. "Alkoxyalkoxy" denotes alkoxy substitution on alkoxy. "Alkenyloxy" includes straight-chain or branched alkenyloxy moieties. Examples of "alkenyloxy" include H2C=CHCH20, (CH3)2C=CHCH20, (CH3)CH=CHCH20, (CH3)CH=C(CH3)CH20 and CH2=CHCH2CH20. "Alkynyloxy" includes straight-chain or branched alkynyloxy moieties. Examples of "alkynyloxy" include HC≡CCH20, CH3C≡CCH20 and CH3C≡CCH2CH20. "Alkylthio" includes branched or straight-chain alkylthio moieties such as methylthio, ethylthio, and the different propylthio,
butylthio, pentylthio and hexylthio isomers. "Alkylsulfmyl" includes both enantiomers of an alkylsulfmyl group. Examples of "alkylsulfmyl" include CH3S(0)-, CH3CH2S(0)-, CH3CH2CH2S(0)-, (CH3)2CHS(0)- and the different butylsulfmyl, pentylsulfmyl and hexylsulfmyl isomers. Examples of "alkylsulfonyl" include CH3S(0)2-, CH3CH2S(0)2-, CH3CH2CH2S(0)2-, (CH3)2CHS(0)2-, and the different butylsulfonyl, pentylsulfonyl and hexylsulfonyl isomers.
"Cycloalkyl" includes, for example, cyclopropyl, cyclobutyl, cyclopentyl and cyclohexyl. The term "cycloalkylalkyl" denotes cycloalkyl substitution on an alkyl moiety. Examples of "cycloalkylalkyl" include cyclopropylmethyl, cyclopentylethyl, and other cycloalkyl moieties bonded to straight-chain or branched alkyl groups. The term "cycloalkoxy" denotes cycloalkyl linked through an oxygen atom such as cyclopentyloxy and cyclohexyloxy.
"Cyanoalkyl" denotes an alkyl group substituted with one cyano group. Examples of "cyanoalkyl" include NCCH2, NCCH2CH2 and CH3CH(CN)CH2. "Cyanoalkoxy" denotes cyano substitution on alkoxy. Examples of "cyanoalkoxy" include NCCH20, NCCH2CH20, and CH3CH(CN)CH20.
The term "halogen", either alone or in compound words such as "haloalkyl", or when used in descriptions such as "alkyl substituted with halogen" includes fluorine, chlorine, bromine or iodine. Further, when used in compound words such as "haloalkyl", or when used in descriptions such as "alkyl substituted with halogen" said alkyl may be partially or fully substituted with halogen atoms which may be the same or different. Examples of "haloalkyl" or "alkyl substituted with halogen" include F3C-, C1CH2-, CF3CH2- and CF3CC12-. The terms "halocycloalkyl", "haloalkoxy", "haloalkylthio", "haloalkenyl", "haloalkynyl", and the like, are defined analogously to the term "haloalkyl". Examples of "haloalkoxy" include CF30-, CC13CH20-, HCF2CH2CH20- and CF3CH20-. Examples of "haloalkylthio" include CC13S-, CF3S-, CC13CH2S- and C1CH2CH2CH2S-. Examples of "haloalkylsulfmyl" include CF3S(0)-, CC13S(0)-, CF3CH2S(0)- and CF3CF2S(0)-. Examples of "haloalkylsulfonyl" include CF3S(0)2-, CC13S(0)2-, CF3CH2S(0)2- and CF3CF2S(0)2-. Examples of "haloalkenyl" include (C1)2C=CHCH2- and CF3CH2CH=CHCH2-. Examples of "haloalkynyl" include HC≡CCHC1-, CF3C≡C-, CC13C≡C- and FCH2C≡CCH2-. Examples of "haloalkoxyalkoxy" include CF3OCH20-, C1CH2CH20CH2CH20-, Cl3CCH2OCH20- as well as branched alkyl derivatives.
The total number of carbon atoms in a substituent group is indicated by the "C -Cj" prefix where i and j are numbers from 1 to 10. For example, C1-C4 alkylsulfonyl designates methylsulfonyl through butylsulfonyl; C2 alkoxyalkyl designates CH3OCH2-; C3 alkoxyalkyl designates, for example, CH3CH(OCH3)-, CH3OCH2CH2- or CH3CH2OCH2-; and C4 alkoxyalkyl designates the various isomers of an alkyl group substituted with an
alkoxy group containing a total of four carbon atoms, examples including CH3CH2CH2OCH2- and CH3CH2OCH2CH2-.
When a compound is substituted with a substituent bearing a subscript that indicates the number of said substituents can exceed 1, said substituents (when they exceed 1) are independently selected from the group of defined substituents, e.g., [(Rlb4)q], q is 1, 2 or 3. Further, when the subscript indicates a range, e.g. (R)i_j, then the number of substituents may be selected from the integers between i and j inclusive. When a group contains a substituent which can be hydrogen, for example R1^1 or R2^1 then when this substituent is taken as hydrogen, it is recognized that this is equivalent to said group being unsubstituted. When a variable group is shown to be optionally attached to a position, for example (R3)n wherein n may be 0, then hydrogen may be at the position even if not recited in the variable group definition. When one or more positions on a group are said to be "not substituted" or "unsubstituted", then hydrogen atoms are attached to take up any free valency.
Compounds of this invention can exist as one or more stereoisomers. Stereoisomers are isomers of identical constitution but differing in the arrangement of their atoms in space and include enantiomers, diastereomers, cis-trans isomers (also known as geometric isomers) and atropisomers. Atropisomers result from restricted rotation about single bonds where the rotational barrier is high enough to permit isolation of the isomeric species. One skilled in the art will appreciate that one stereoisomer may be more active and/or may exhibit beneficial effects when enriched relative to the other stereoisomer(s) or when separated from the other stereoisomer(s). Additionally, the skilled artisan knows how to separate, enrich, and/or to selectively prepare said stereoisomers. For a comprehensive discussion of all aspects of stereoisomerism, see Ernest L. Eliel and Samuel H. Wilen, Stereochemistry of Organic Compounds, John Wiley & Sons, 1994.
Compounds relevant to the compositions and methods of this invention can exist as one or more stereoisomers. The various stereoisomers include enantiomers, diastereomers, atropisomers and geometric isomers. Stereoisomers are isomers of identical constitution but differing in the arrangement of their atoms in space and include enantiomers, diastereomers, cis-trans isomers (also known as geometric isomers) and atropisomers. Atropisomers result from restricted rotation about single bonds where the rotational barrier is high enough to permit isolation of the isomeric species. One skilled in the art will appreciate that one stereoisomer may be more active and/or may exhibit beneficial effects when enriched relative to the other stereoisomer(s) or when separated from the other stereoisomer(s). Additionally, the skilled artisan knows how to separate, enrich, and/or to selectively prepare said stereoisomers. The compounds in the compositions of this invention may be present as a mixture of stereoisomers, individual stereoisomers or as an optically active form. For a comprehensive discussion of all aspects of stereoisomerism, see Ernest L. Eliel and Samuel H. Wilen, Stereochemistry of Organic Compounds, John Wiley & Sons, 1994.
Molecular depictions drawn herein follow standard conventions for depicting stereochemistry. To indicate stereoconfiguration, bonds rising from the plane of the drawing and towards the viewer are denoted by solid wedges wherein the broad end of the wedge is attached to the atom rising from the plane of the drawing towards the viewer. Bonds going below the plane of the drawing and away from the viewer are denoted by dashed wedges wherein the narrow end of the wedge is attached to the atom further away from the viewer. Constant width lines indicate bonds with a direction opposite or neutral relative to bonds shown with solid or dashed wedges; constant width lines also depict bonds in molecules or parts of molecules in which no particular stereoconfiguration is intended to be specified.
One skilled in the art recognizes that oximes can exist in either a cis (E) or trans (Z) geometry. The wavy bond in structure B16 between the oxime nitrogen atom and the oxime oxygen atom represents a single bond and the geometry about the adjacent carbon-nitrogen double bond is either E (B16-2), Z (B16-1) or a mixture thereof.
One skilled in the art recognizes that some of the compounds disclosed herein can exist in equilibrium with one or more of their respective tautomeric counterparts. Unless otherwise indicated, reference to a compound by one tautomer description is to be considered to include all tautomers. For example, reference to the tautomeric form depicted b Formula B4-1 also includes the tautomeric form depicted by Formula B4-2.
This invention comprises all stereoisomers, conformational isomers and mixtures thereof in all proportions as well as isotopic forms such as deuterated compounds.
One skilled in the art will appreciate that not all nitrogen containing heterocycles can form N-oxides since the nitrogen requires an available lone pair for oxidation to the oxide; one skilled in the art will recognize those nitrogen-containing heterocycles which can form
N-oxides. One skilled in the art will also recognize that tertiary amines can form N-oxides. Synthetic methods for the preparation of N-oxides of heterocycles and tertiary amines are very well known by one skilled in the art including the oxidation of heterocycles and tertiary amines with peroxy acids such as peracetic and m-chloroperbenzoic acid (MCPBA), hydrogen peroxide, alkyl hydroperoxides such as t-butyl hydroperoxide, sodium perborate, and dioxiranes such as dimethyldioxirane. These methods for the preparation of N-oxides have been extensively described and reviewed in the literature, see for example: T. L. Gilchrist in Comprehensive Organic Synthesis, vol. 7, pp 748-750, S. V. Ley, Ed., Pergamon Press; M. Tisler and B. Stanovnik in Comprehensive Heterocyclic Chemistry, vol. 3, pp 18-20, A. J. Boulton and A. McKillop, Eds., Pergamon Press; M. R. Grimmett and B. R. T. Keene in Advances in Heterocyclic Chemistry, vol. 43, pp 149-161, A. R. Katritzky, Ed., Academic Press; M. Tisler and B. Stanovnik in Advances in Heterocyclic Chemistry, vol. 9, pp 285-291, A. R. Katritzky and A. J. Boulton, Eds., Academic Press; and G. W. H. Cheeseman and E. S. G. Werstiuk in Advances in Heterocyclic Chemistry, vol. 22, pp 390-392, A. R. Katritzky and A. J. Boulton, Eds., Academic Press.
One skilled in the art recognizes that because in the environment and under physiological conditions salts of chemical compounds are in equilibrium with their corresponding nonsalt forms, salts share the biological utility of the nonsalt forms. Thus a wide variety of salts of the compounds of Formula 1 alone and in mixtures are useful for control of plant diseases caused by fungal plant pathogens (i.e. are agriculturally suitable). The salts of the compounds of Formula 1 include acid-addition salts with inorganic or organic acids such as hydrobromic, hydrochloric, nitric, phosphoric, sulfuric, acetic, butyric, fumaric, lactic, maleic, malonic, oxalic, propionic, salicylic, tartaric, 4-toluenesulfonic or valeric acids. Accordingly, the present invention relates to mixtures of compounds selected from Formula 1, N-oxides and agriculturally suitable salts thereof. Also, biologically similar salt forms can exist for many of the compounds of Formulae Bl through B15.
Compounds selected from Formula 1, stereoisomers, tautomers, N-oxides, and salts thereof, typically exist in more than one form, and Formula 1 thus includes all crystalline and non-crystalline forms of the compounds that Formula 1 represents. Non-crystalline forms include embodiments which are solids such as waxes and gums as well as embodiments which are liquids such as solutions and melts. Crystalline forms include embodiments which represent essentially a single crystal type and embodiments which represent a mixture of polymorphs (i.e. different crystalline types). The term "polymorph" refers to a particular crystalline form of a chemical compound that can crystallize in different crystalline forms, these forms having different arrangements and/or conformations of the molecules in the crystal lattice. Although polymorphs can have the same chemical composition, they can also differ in composition due to the presence or absence of co- crystallized water or other molecules, which can be weakly or strongly bound in the lattice.
Polymorphs can differ in such chemical, physical and biological properties as crystal shape, density, hardness, color, chemical stability, melting point, hygroscopicity, suspensibility, dissolution rate and biological availability. One skilled in the art will appreciate that a polymorph of a compound represented by Formula 1 can exhibit beneficial effects (e.g., suitability for preparation of useful formulations, improved biological performance) relative to another polymorph or a mixture of polymorphs of the same compound represented by Formula 1. Preparation and isolation of a particular polymorph of a compound represented by Formula 1 can be achieved by methods known to those skilled in the art including, for example, crystallization using selected solvents and temperatures. . Compounds of Formulae Bl through B16, including salts thereof, can also typically exist in more than one form. For a comprehensive discussion of polymorphism see R. Hilfiker, Ed., Polymorphism in the Pharmaceutical Industry, Wiley- VCH, Weinheim, 2006.
In the embodiments of the present invention, including those described below, reference to Formula 1 includes N-oxides and salts thereof unless otherwise indicated, and reference to "a compound of Formula 1" includes the definitions of substituents specified in the Summary of the Invention unless further defined in the Embodiments. Furthermore, reference to Formulae Bl through B16 includes salts thereof unless otherwise indicated.
Embodiment 1. A composition comprising components (a) and (b) described in the
Summary of the Invention wherein in Formula 1, A is a radical selected from the group consisting of A-l, A-2 and A-3.
Embodiment 2. A composition comprising components (a) and (b) described in the Summary of the Invention or Embodiment 1 wherein in Formula 1, Q is CH. Embodiment 3. A composition comprising components (a) and (b) described in the Summary of the Invention or any one of Embodiments 1 through 2 wherein in Formula 1, R1 is halogen, cyano, nitro, C^-Cg alkyl, C3-C6 cycloalkyl, C^-Cg haloalkyl, C^-C^ alkoxy, C^-C^ haloalkoxy, C3-C6 cycloalkoxy, C2-C6 alkenyloxy or C2-C6 alkynyloxy.
Embodiment 4. A composition comprising components (a) and (b) described in the Summary of the Invention or any one of Embodiments 1 through 3 wherein in Formula 1, R2 is halogen, cyano, nitro, C^-Cg alkyl, C3-C6 cycloalkyl, C^-Cg haloalkyl, C^-C^ alkoxy, C^-C^ haloalkoxy, C3-C6 cycloalkoxy, C2-C6 alkenyloxy or C2-C6 alkynyloxy.
Embodiment 5. A composition comprising components (a) and (b) described in the Summary of the Invention or any one of Embodiments 1 through 4 wherein in Formula 1, each R3 is independently halogen or C1-C3 alkyl.
Embodiment6. A composition comprising components (a) and (b) described in the
Summary of the Invention or any one of Embodiments 1 through 5 wherein in Formula 1, n is 0 or 1.
Embodiment 7. A composition comprising components (a) and (b) described in the Summary of the Invention or any one of Embodiments 1 through 6 wherein component (a) does not comprise an N-oxide of a compound of Formula 1. Embodiment 8. A composition comprising components (a) and (b) described in the Summary of the Invention or Embodiment 7 wherein component (a) comprises a compound selected from the group consisting of
methyl N-[ [5 -[ 1 -(4-methoxy-2-methylphenyl)- lH-pyrazol-3 -yl] -2-methylphenyl] - methyl] carbamate (Compound 18),
methyl N-[ [5 -[3 -(4-methoxy-2-methylphenyl)- lH-pyrazol- 1 -yl] -2-methylphenyl] - methyl] carbamate (Compound 10),
methyl N-[[5-[ 1 -(2-chloro-4-methoxyphenyl)- lH-pyrazol-3-yl]-2-methylphenyl]- methyl] carbamate (Compound 20),
methyl N-[[5-[3-(4-chloro-2-methoxyphenyl)- lH-pyrazol- 1 -yl] -2-methylphenyl] - methyl] carbamate (Compound 11),
methyl N-[[5-[4-(2,4-dimethoxyphenyl)-2H- 1 ,2,3-triazol-2-yl]-2-methylphenyl]- methyl] carbamate (Compound 17),
methyl N-[[5-[3-(2,4-dimethoxyphenyl)- lH-pyrazol- 1 -yl]-2-methylphenyl]- methyl] carbamate (Compound 23),
methyl N-[[5-[ 1 -(4-chloro-2-methoxyphenyl)- lH-pyrazol-3-yl]-2-methylphenyl]- methyl] carbamate (Compound 28),
methyl N-[[5-[4-(4-methoxy-2-methylphenyl)-2H- 1 ,2,3-triazol-2-yl]-2- methylphenyl]methyl] carbamate (Compound 8),
methyl N-[[5-[3-(2,4-dichlorophenyl)- lH-pyrazol- 1 -yl] -2-methylphenyl] - methyl] carbamate (Compound 31),
methyl N- [ [5 - [ 1 -(2,4-dimethylphenyl)- 1 H-pyrazol-3 -yl] -2-methylphenyl]- methyl] carbamate (Compound 66),
methyl N- [ [5 - [3 -(2,4-dimethylphenyl)- 1 H-pyrazol- 1 -yl] -2-methylphenyl]- methyl] carbamate (Compound 38),
methyl N-[[5-[4-(2,4-dimethylphenyl)-2H- 1 ,2,3-triazol-2-yl]-2-methylphenyl]- methyl] carbamate (Compound 97),
methyl N- [[5 - [3 -(2,6-dimethoxy-3 -pyridinyl)- 1 H-pyrazol- 1 -yl] -2-methylphenyl] - methyl] carbamate (Compound 91),
methyl N- [[5 - [3 -(6-methoxy-2-methyl-3 -pyridinyl)- 1 H-pyrazol- 1 -yl] -2- methylphenyl]methyl] carbamate (Compound 46),
methyl N- [[5 - [ 1 -(2,6-dimethoxy-3 -pyridinyl)- 1 H-pyrazol-3 -yl] -2-methylphenyl] - methyl] carbamate (Compound 115),
methyl N-[[5-[l-(6-methoxy-2-methyl-3-pyridinyl)-lH-pyrazol-3-yl]-2- methylphenyl] -methyl] carbamate (Compound 116),
methyl N-[[5-[4-(2,6-dimethoxy-3-pyridinyl)-2H-l,2,3-triazol-2-yl]-2- methylphenyl]methyl]carbamate (Compound 136),
methyl N-[[5-[4-(6-methoxy-2-methyl-3-pyridinyl)-2H- 1 ,2,3-triazol-2-yl]-2- methylphenyl]methyl]carbamate (Compound 151),
methyl N-[[5-[l -(2,4-dimethylphenyl)- 1 H- 1 ,2 ,4-triazol-3 -yl]-2- methylphenyl]methyl]carbamate (Compound 118),
methyl N-[[5-[l-(6-methoxy-2-methyl-3-pyridinyl)-lH-l,2,4-triazol-3-yl]-2- methylphenyl]methyl]carbamate (Compound 152),
methyl N-[[5-[l-(2,6-dimethoxy-3-pyridinyl)-lH-l,2,4-triazol-3-yl]-2- methylphenyl]methyl]carbamate (Compound 153),
methyl N-[ [2-methyl-5 - [ 1 - [2-methyl-4-(trifluoromethoxy)phenyl] - 1 H-pyrazol-3 - yl]phenyl]methyl]carbamate (Compound 123),
methyl N- [ [5 - [ 1 -[4-(difluoromethoxy)-2-methylphenyl] - 1 H-pyrazol-3 -yl]-2- methylphenyl]methyl]carbamate (Compound 144),
methyl N-[ [2-methyl-5 - [3 - [2-methyl-4-(trifluoromethoxy)phenyl] - 1 H-pyrazol- 1 - yl]phenyl]methyl]carbamate (Compound 145),
methyl N- [ [5 - [3 -[4-(difluoromethoxy)-2-methylphenyl] - 1 H-pyrazol- 1 -yl]-2- methylphenyl]methyl]carbamate (Compound 146),
methyl N-[[2-methyl-5-[ 1 -[2-methyl-4-(trifluoromethoxy)phenyl]- 1H- 1 ,2,4- triazol-3-yl]phenyl]methyl] carbamate (Compound 147),
methyl N-[[5-[ 1 -[4-(difluoromethoxy)-2-methylphenyl]- 1H- 1 ,2,4-triazol-3-yl]-2- methylphenyl]methyl]carbamate (Compound 148),
methyl N-[[2-methyl-5-[4-[2-methyl-4-(trifluoromethoxy)phenyl]-2H- 1 ,2,3- triazol-2-yl]phenyl]methyl] carbamate (Compound 149) and
methyl N-[[5-[4-[4-(difluoromethoxy)-2-methylphenyl]-2H- 1 ,2,3-triazol-2-yl]-2- methylphenyl]methyl]carbamate (Compound 150).
(wherein the compound numbers are identified in Index Tables A-G).
Embodiment 9. A composition of Embodiment 8 wherein component (a) comprises Compound 18.
Embodiment 10. A composition of Embodiment 8 wherein component (a) comprises Compound 10.
Embodiment 11. A composition of Embodiment 8 wherein component (a) comprises Compound 20.
Embodiment 12. A composition of Embodiment 8 wherein component (a) comprises Compound 11.
Embodiment 13. A composition of Embodiment 8 wherein component (a) comprises Compound 17.
Embodiment 14. A composition of Embodiment 8 wherein component (a) comprises Compound 23.
Embodiment 15. A composition of Embodiment 8 wherein component (a) comprises Compound 28.
Embodiment 16. A composition of Embodiment 8 wherein component (a) comprises
Compound 8.
Embodiment 17. A composition of Embodiment 8 wherein component (a) comprises Compound 31.
Embodiment 18. A composition of Embodiment 8 wherein component (a) comprises Compound 66.
Embodiment 19. A composition of Embodiment 8 wherein component (a) comprises Compound 38.
Embodiment 20. A composition of Embodiment 8 wherein component (a) comprises Compound 97.
Embodiment 21. A composition of Embodiment 8 wherein component (a) comprises
Compound 91.
Embodiment 22. A composition of Embodiment 8 wherein component (a) comprises Compound 46.
Embodiment 23. A composition of Embodiment 8 wherein component (a) comprises Compound 115.
Embodiment 24. A composition of Embodiment 8 wherein component (a) comprises Compound 116.
Embodiment 25. A composition of Embodiment 8 wherein component (a) comprises Compound 136.
Embodiment 26. A composition of Embodiment 8 wherein component (a) comprises
Compound 151.
Embodiment 27. A composition of Embodiment 8 wherein component (a) comprises Compound 118.
Embodiment 28. A composition of Embodiment 8 wherein component (a) comprises Compound 152.
Embodiment 29. A composition of Embodiment 8 wherein component (a) comprises Compound 153.
Embodiment 30. A composition of Embodiment 8 wherein component (a) comprises Compound 123.
Embodiment 31. A composition of Embodiment 8 wherein component (a) comprises
Compound 144.
Embodiment 32. A composition of Embodiment 8 wherein component (a) comprises Compound 145.
Embodiment 33. A composition of Embodiment 8 wherein component (a) comprises Compound 146.
Embodiment 34. A composition of Embodiment 8 wherein component (a) comprises Compound 147.
Embodiment 35. A composition of Embodiment 8 wherein component (a) comprises
Compound 148.
Embodiment 36. A composition of Embodiment 8 wherein component (a) comprises Compound 149.
Embodiment 37. A composition of Embodiment 8 wherein component (a) comprises Compound 150.
Embodiment 38. A composition comprising components (a) and (b) described in the Summary of the Invention or any one of Embodiments 1 through 37 wherein in Formula Bl, Rlbl is F, CI or Br, R2bl is F, CI or Br, R3bl is F, CI or Br, R4bl is F, CI or Br and R5bl is F, CI or Br.
Embodiment 39. A composition comprising components (a) and (b) described in the
Summary of the Invention or any one of Embodiments 1 through 38 wherein component (b) comprises a compound selected from the group consisting of 4-(2-chloro-4-fluorophenyl)-N-(2-chloro-6-fluorophenyl)-l,3-dimethyl- lH-pyrazol-5-amine,
4-(2-bromo-4-fluorophenyl)-N-(2-chloro-6-fluorophenyl)- 1 ,3-dimethyl- lH-pyrazol-5-amine,
N-(2-bromo-6-fluorophenyl)-4-(2-chloro-4-fluorophenyl)-l,3-dimethyl- lH-pyrazol-5-amine,
4-(2-bromo-4-fluorophenyl)-N-(2-bromo-6-fluorophenyl)-l,3-dimethyl- lH-pyrazol-5-amine,
N-(2-chloro-6-fluoro-4-methylphenyl)-4-(2-chloro-4-fluorophenyl)-l,3- dimethyl- lH-pyrazol-5-amine,
4-(2-bromo-4-fluorophenyl)-N-(2-chloro-6-fluoro-4-methylphenyl)-l,3- dimethyl- lH-pyrazol-5-amine,
N-(2-bromo-6-fluoro-4-methylphenyl)-4-(2-chloro-4-fluorophenyl)- 1 ,3- dimethyl- lH-pyrazol-5-amine,
N-(2-bromo-6-fluoro-4-methylphenyl)-4-(2-bromo-4-fluorophenyl)-l,3- dimethyl-lH-pyrazol-5-amine and
4-(2-chloro-4-fluorophenyl)-N-(2,6-dichloro-4-methylphenyl)-l,3-dimethyl- lH-pyrazol-5-amine.
Embodiment 40. A composition comprising components (a) and (b) described in the Summary of the Invention or any one of Embodiments 1 through 39 wherein in Formula B2, Rlb2 is Η, R3b2 is halogen or CF3, and R5b2 is Η.
Embodiment 41. A composition of Embodiment 40 wherein component (b) comprises a-[2-chloro-4-(4-chlorophenoxy)phenyl]-a-ethyl- 1H- 1 ,2,4-triazole- 1 -ethanol.
Embodiment 42. A composition comprising components (a) and (b) described in the Summary of the Invention or any one of Embodiments 1 through 41 wherein component (b) comprises a-[2-chloro-4-(4-chlorophenoxy)phenyl]-a-(lH-l,2,4- triazol-l-ylmethyl)-lH-l,2,4-triazole-l -ethanol (Formula B3).
Embodiment 43. A composition comprising components (a) and (b) described in the Summary of the Invention or any one of Embodiments 1 through 42 wherein component (b) comprises a compound selected from the group consisting of N-cyclopropyl-3 -(difluoromethyl)-5 -fluoro- 1 -methyl-N- [ [(2-( 1 -methylethyl)- phenyl]methyl]-lH-pyrazole-4-carboxamide,
N- [ [5 -chloro-2-(trifluoromethyl)phenyl]methyl] -N-cyclopropyl-3 -(difluoro- methyl)-5-fluoro-l-methyl-lH-pyrazole-4-carboxamide,
N- [ [2-chloro-6-(trifluoromethyl)phenyl]methyl] -N-cyclopropyl-3 -(difluoro- methyl)-5-fluoro- 1 -methyl- lH-pyrazole-4-carboxamide,
N-[[3-chloro-2-fluoro-6-(trifluoromethyl)phenyl]methyl]-N-cyclopropyl-3-
(difluoromethyl)-5 -fluoro- 1 -methyl- 1 H-pyrazole-4-carboxamide,
N-cyclopropyl-3 -(difluoromethyl)-5 -fluoro- 1 -methyl-N- [ [5 -methyl-2-(trifluoro- methyl)phenyl]methyl]-lH-pyrazole-4-carboxamide,
N- [ [5 -chloro-2-( 1 -methylethyl)phenyl]methyl] -N-cyclopropyl-3 -(difluoro- methyl)-5 -fluoro- 1 -methyl- lH-pyrazole-4-carboxamide,
N-cyclopropyl-N-[(2-cyclopropylphenyl)methyl]-3-(difluoromethyl)-5-fluoro-l methyl- lH-pyrazole-4-carboxamide,
N-cyclopropyl-3-(difluoromethyl)-N-[(2-ethyl-4,5-dimethylphenyl)methyl]-5- fluoro- 1 -methyl- lH-pyrazole-4-carboxamide,
N-cyclopropyl-3 -(difluoromethyl)-5 -fluoro-N- [ [5 -fluoro-2-( 1 -methylethyl)- phenyl]methyl-l-methyl-lH-pyrazole-4-carboxamide,
N-cyclopropyl-3 -(difluoromethyl)-N-[ [2-( 1 , 1 -dimethylethyl)phenyl]methyl] -5 - fluoro- 1 -methyl- lH-pyrazole-4-carboxamide,
N-cyclopropyl-3 -(difluoromethyl)-N-[(2-ethyl-5 -fluorophenyl)methyl] -5 -fluoro 1 -methyl- lH-pyrazole-4-carboxamide,
N-cyclopropyl-N- [(2-cyclopropyl-5 -fluorophenyl)methyl] -3 -(difluoromethyl)-5 fluoro- 1 -methyl- lH-pyrazole-4-carboxamide,
N- [(5 -chloro-2-ethylphenyl)methyl] -N-cyclopropyl-3 -(difluoromethyl)-5 -fluoro 1 -methyl- lH-pyrazole-4-carboxamide,
N-cyclopropyl-3 -(difluoromethyl)-5 -fluoro-N- [ [2-fluoro-6-( 1 -methylethyl)- phenyljmethyl]- 1 -methyl- lH-pyrazole-4-carboxamide,
N-cyclopropyl-3 -(difluoromethyl)-5 -fluoro-N- [ [5 -fluoro-2-( 1 -methylethyl)- phenyljmethyl]- 1 -methyl- lH-pyrazole-4-carboxamide,
N- [(5 -chloro-2-ethylphenyl)methyl] -N-cyclopropyl-3 -(difluoromethyl)-5 -fluoro- 1 -methyl- lH-pyrazole-4-carboxamide,
N-cyclopropyl-3 -(difluoromethyl)-5 -fluoro-N- [ [2-fluoro-6-( 1 -methylethyl)- phenyljmethyl]- 1 -methyl- lH-pyrazole-4-carboxamide,
N-cyclopropyl-3 -(difluoromethyl)-5 -fluoro-N- [ [5 -fluoro-2-( 1 -methylethyl)- phenyljmethyl]- 1 -methyl- lH-pyrazole-4-carboxamide, and
N- [(2-cyclopentyl-5 -fluorophenyl)methyl] -N-cyclopropyl-3 -(difluoromethyl)-5 - fluoro-1 -methyl- lH-pyrazole-4-carboxamide (compounds of Formula B4).
Embodiment 44. A composition of Embodiment 43 wherein component (b) comprises N-cyclopropyl-3 -(difluoromethyl)-5 -fluoro- 1 -methyl-N- [ [(2-( 1 - methylethyl)phenyl]methyl]-lH-pyrazole-4-carboxamide.
Embodiment 45. A composition comprising components (a) and (b) described in the Summary of the Invention or any one of Embodiments 1 through 44 wherein component (b) comprises a compound selected from the group consisting of N- [2,5 -dimethyl-4- [ [3 -( 1 , 1 ,2,2-tetrafiuoroethoxy)phenyl]thio]phenyl]-N-ethyl- N-methylmethanimidamide,
N-[4-[[4-chloro-3-(l,l,2,2-tetrafluoroethoxy)phenyl]thio]-2,5-dimethylphenyl]- N-ethyl-N-methylmethanimidamide,
N-ethyl-iV-[4-[[4-fluoro-3-(l , 1 ,2,2-tetrafluoroethoxy)phenyl]thio]-2,5- dimethylphenyl]-N-methylmethanimidamide,
N'-[2,5-dimethyl-4-[3-[(l,l,2,2-tetrafiuoroethyl)thio]phenoxy]phenyl]-N-ethyl- N-methylmethanimidamide,
N'-[2,5-dimethyl-4-[4-chloro-3-[(l,l,2,2-tetrafluoroethyl)thio]phenoxy]phenyl]- N-ethyl-N-methylmethanimidamide,
N- [2,5 -dimethyl-4- [4-fluoro-3 -[( 1 , 1 ,2,2-tetrafluoroethyl)thio]phenoxy]phenyl] - N-ethyl-N-methylmethanimidamide, and
N'-[2,5-dimethyl-4-[[3-[(l,l,2,2-tetrafluoroethyl)thio]phenyl]thio]phenyl]-N- ethyl-N-methylmethanimidamide (compounds of Formula B5).
Embodiment 46. A composition comprising components (a) and (b) described in the Summary of the Invention or any one of Embodiments 1 through 45 wherein component (b) comprises a compound selected from the group consisting of 2-[3,5-bis(difiuoromethyl)-lH-pyrazol-l-yl]-l-[4-[4-[4,5-dihydro-5-[2- [(methylsulfonyl)oxy]phenyl]-3-isoxazolyl]-2-thiazolyl]-l-piperidinyl]ethanone, 2- [3 ,5 -bis(difiuoromethyl)- lH-pyrazol- 1 -yl] - 1 - [4- [4-[5 -[3 -fiuoro-2- [(methyl- sulfonyl)oxy]phenyl]-4,5-dihydro-3-isoxazolyl]-2-thiazolyl]-l- piperidinyl] ethanone,
2- [3 ,5 -bis(difluoromethyl)- lH-pyrazol- 1 -yl] - 1 - [4- [4-[5 -[3 -chloro-2- [(methyl- sulfonyl)oxy]phenyl]-4,5-dihydro-3-isoxazolyl]-2-thiazolyl]-l- piperidinyljethanone, and
2- [3 ,5 -bis(difluoromethyl)- lH-pyrazol- 1 -yl] - 1 - [4- [4-[5 -[2-chloro-6- [(methyl- sulfonyl)oxy]phenyl]-4,5-dihydro-3-isoxazolyl]-2-thiazolyl]- 1 - piperidinyljethanone (compounds of Formula B6).
Embodiment 47. A composition comprising components (a) and (b) described in the Summary of the Invention or any one of Embodiments 1 through 46 wherein component (b) comprises a compound selected from the group consisting of 2-[3,5-bis(difiuoromethyl)-lH-pyrazol-l-yl]-l-[4-[4-[4,5-dihydro-5-[2-(2- propyn-l-yloxy)phenyl]-3-isoxazolyl]-2-thiazolyl]-l -piperidinyljethanone, 2-[3,5-bis(difluoromethyl)- lH-pyrazol-1 -yl]- 1 -[4-[4-[5-[2-chloro-6-(2-propyn- 1 - yloxy)phenyl]-4,5-dihydro-3-isoxazolyl]-2-thiazolyl]- 1 -piperidinyljethanone and
2- [3,5-bis(difluoromethyl)- lH-pyrazol-1 -yl]- 1 -[4-[4-[5-[2-fluoro-6-(2-propyn- 1 - yloxy)phenyl]-4,5-dihydro-3-isoxazolyl]-2-thiazolyl]- 1 -piperidinyljethanone
(compounds of Formula B7).
Embodiment 48. A composition comprising components (a) and (b) described in the
Summary of the Invention or any one of Embodiments 1 through 47 wherein component (b) comprises a compound selected from the group consisting of 2-fluoro-6-[(8-fluoro-2-methyl-3-quinolinyl)oxy]-a,a-dimethylbenzenemethanol, and 2-[(7,8-difluoro-2-methyl-3-quinolinyl)oxy]-6-fluoro-a,a-dimethylbenzene- methanol (compounds of Formula B8).
Embodiment 49. A composition comprising components (a) and (b) described in the
Summary of the Invention or any one of Embodiments 1 through 48 wherein component (b) comprises 9-fluoro-2,3-dihydro-2,2-dimethyl-5-(3-quinolinyl)-
1 ,4-benzoxazepine (Formula B9).
Embodiment 50. A composition comprising components (a) and (b) described in the
Summary of the Invention or any one of Embodiments 1 through 49 wherein component (b) comprises a compound selected from the group consisting of (li?,2lS,55)-re/-2-(chloromethyl)-5-[(4-chlorophenyl)methyl]-2-methyl-l-(lH-
1 ,2,4-triazol- 1 -ylmethyl)cyclopentanol,
1 -[[4-[(4-chlorophenyl)methyl]- 1 -methyl-6-oxabicyclo[3.2.0]hept-5-yl]methyl]- lH-l,2,4-triazole, and
3 - [(4-chlorophenyl)methyl]-2-hydroxy-2-(lH-l ,2,4-triazol- 1 -ylmethyl)- 1,1- cyclopentanedimethanol (compounds of Formula B10).
Embodiment 51. A composition comprising components (a) and (b) described in the Summary of the Invention or any one of Embodiments 1 through 50 wherein
component (b) comprises 3-(difluoromethyl)-N-(7-fluoro-2,3-dihydro- 1,1,3- trimethyl-lH-inden-4-yl)-l-methyl-lH-pyrazole-4-carboxamide (Formula Bll). Embodiment 52. A composition comprising components (a) and (b) described in the Summary of the Invention or any one of Embodiments 1 through 51 wherein component (b) comprises 3-[(3,4-dichloro-5-isothiazolyl)methoxy]-l,2- benzisothiazole, 1,1 -dioxide (Formula B 12).
Embodiment 53. A composition comprising components (a) and (b) described in the Summary of the Invention or any one of Embodiments 1 through 52 wherein component (b) comprises 3-(difluoromethyl)-N-methoxy-l-methyl-N-[l-methyl- 2-(2,4,6-trichlorophenyl)ethyl]-lH-pyrazole-4-carboxamide (Formula B13).
Embodiment 53 a. A composition comprising components (a) and (b) described in the Summary of the Invention or any one of Embodiments 1 through 53 wherein component (b) comprises methyl 5H-pyrrolo[3',4':5,6][l,4]dithiino[2,3- c][l,2,5]thiadiazole-5,7(6H)-dione (Formula B14).
Embodiment 53b. A composition comprising components (a) and (b) described in the
Summary of the Invention or any one of Embodiments 1 through 53a wherein component (b) comprises a compound selected from the group consisting of 3- (4,4,5-trifluoro-3,4-dihydro-3,3-dimethyl-l-isoquinolinyl)quinoline and 3-(5- fluoro-3 ,4-dihydro-3 ,3 ,4,4-tetramethyl- 1 -isoquinolinyl)quinoline (compounds of Formula B15).
Embodiment 53c. A composition comprising components (a) and (b) described in the Summary of the Invention or any one of Embodiments 1 through 53b wherein component (b) comprises a compound selected from the group consisting of 1 , 1 -dimethylethyl N-[6-[[[(Z)-[(4,5-dihydro-4-methyl-5-oxo- 1 ,2,4-oxadiazol-3- yl)phenylmethylene]amino]oxy]methyl]-2-pyridinyl]carbamate and 3-butyn-l-yl
N-[6-[[[(Z)-[(4,5-dihydro-4-methyl-5-oxo-l,2,4-oxadiazol-3-yl)phenyl- methylene]amino]oxy]methyl]-2-pyridinyl]carbamate (compounds of Formula B16).
Embodiment 54. A composition comprising components (a) and (b) described in the Summary of the Invention or any one of Embodiments 1 through 53c wherein component (b) comprises at least one fungicidal compound selected from (bl). Embodiment 55. A composition comprising components (a) and (b) described in the Summary of the Invention or any one of Embodiments 1 through 54 wherein component (b) comprises at least one fungicidal compound selected from (b2). Embodiment 56. A composition comprising components (a) and (b) described in the
Summary of the Invention or any one of Embodiments 1 through 55 wherein component (b) comprises the fungicidal compound of (b3).
Embodiment 57. A composition comprising components (a) and (b) as described in the Summary of the Invention or any one of Embodiments 1 through 56 wherein component (b) comprises at least one fungicidal compound selected from (b4).
Embodiment 58. A composition comprising components (a) and (b) as described in the Summary of the Invention or any one of Embodiments 1 through 57 wherein component (b) comprises the fungicidal compound of (b5).
Embodiment 59. A composition comprising components (a) and (b) as described in the Summary of the Invention or any one of Embodiments 1 through 58 wherein component (b) comprises at least one fungicidal compound selected from (b6). Embodiment 60. A composition comprising components (a) and (b) as described in the
Summary of the Invention or any one of Embodiments 1 through 59 wherein component (b) comprises at least one fungicidal compound selected from (b7).
Embodiment 61. A composition comprising components (a) and (b) as described in the Summary of the Invention or any one of Embodiments 1 through 60 wherein component (b) comprises at least one fungicidal compound selected from (b8).
Embodiment 62. A composition comprising components (a) and (b) as described in the Summary of the Invention or any one of Embodiments 1 through 61 wherein component (b) comprises at least one fungicidal compound selected from (b9).
Embodiment 63. A composition comprising components (a) and (b) as described in the Summary of the Invention or any one of Embodiments 1 through 62 wherein component (b) comprises at least one fungicidal compound selected from (blO).
Embodiment 64. A composition comprising components (a) and (b) as described in the Summary of the Invention or any one of Embodiments 1 through 63 wherein component (b) comprises at least one fungicidal compound selected from (bl 1). Embodiment 65. A composition comprising components (a) and (b) as described in the
Summary of the Invention or any one of Embodiments 1 through 64 wherein component (b) comprises at least one fungicidal compound selected from (bl2).
Embodiment 66. A composition comprising components (a) and (b) as described in the Summary of the Invention or any one of Embodiments 1 through 65 wherein component (b) comprises at least one fungicidal compound selected from (bl3).
Embodiment 66a. A composition comprising components (a) and (b) as described in the Summary of the Invention or any one of Embodiments 1 through 66 wherein component (b) comprises at least one fungicidal compound selected from (bl4).
Embodiment 66b. A composition comprising components (a) and (b) as described in the Summary of the Invention or any one of Embodiments 1 through 66 wherein component (b) comprises at least one fungicidal compound selected from (bl5).
Embodiment 66c. A composition comprising components (a) and (b) as described in the Summary of the Invention or any one of Embodiments 1 through 66 wherein component (b) comprises at least one fungicidal compound selected from (bl6). Embodiment 67. A composition comprising components (a) and (b) described in the Summary of the Invention or any one of Embodiments 1 through 66c further comprising (c) least one additional compound or agent that is biologically active. Embodiment 68. A composition of Embodiment 67 wherein component (c) comprises at least one fungicidal compound selected from the group consisting of:
(cl) methyl benzimidazole carbamate (MBC) fungicides;
(c2) dicarboximide fungicides;
(c3) demethylation inhibitor (DMI) fungicides;
(c4) phenylamide fungicides;
(c5) amine/morpholine fungicides;
(c6) phospholipid biosynthesis inhibitor fungicides;
(c7) carboxamide fungicides;
(c8) hydroxy(2-amino-)pyrimidine fungicides;
(c9) anilinopyrimidine fungicides;
(clO) N-phenyl carbamate fungicides;
(cl 1) quinone outside inhibitor (Qol) fungicides;
(cl2) phenylpyrrole fungicides;
(cl3) quinoline fungicides;
(cl4) lipid peroxidation inhibitor fungicides;
(cl5) melanin biosynthesis inhibitor-reductase (MBI-R) fungicides; (cl6) melanin biosynthesis inhibitor-dehydratase (MBI-D) fungicides; (cl7) sterol biosynthesis inhibitor (SBI): class III fungicides (also known as hydroxyanilide fungicides);
(cl8) squalene-epoxidase inhibitor fungicides;
(cl9) polyoxin fungicides;
(c20) phenylurea fungicides;
(c21) quinone inside inhibitor (Qil) fungicides;
(c22) benzamide and thiazolecarboxamide fungicides (also known simply as benzamide fungicides);
(c23) enopyranuronic acid antibiotic fungicides;
(c24) hexopyranosyl antibiotic fungicides;
(c25) glucopyranosyl antibiotic: protein synthesis fungicides;
(c26) glucopyranosyl antibiotic: trehalase and inositol biosynthesis fungicides;
(c27) cyanoacetamideoxime fungicides;
(c28) carbamate fungicides;
(c29) oxidative phosphorylation uncoupling fungicides;
(c30) organo tin fungicides;
(c31) carboxylic acid fungicides;
(c32) heteroaromatic fungicides;
(c33) phosphonate fungicides;
(c34) phthalamic acid fungicides;
(c35) benzotriazine fungicides;
(c36) benzene-sulfonamide fungicides;
(c37) pyridazinone fungicides;
(c38) thiophene-carboxamide fungicides;
(c39) pyrimidinamide fungicides;
(c40) carboxylic acid amide (CAA) fungicides;
(c41) tetracycline antibiotic fungicides;
(c42) thiocarbamate fungicides;
(c43) benzamide fungicides;
(c44) host plant defense induction fungicides;
(c45) multi-site contact activity fungicides;
(c46) fungicides other than fungicides of component (a) and components (cl) through (c45); and
salts of compounds of (cl) through (c46).
Embodiment 69. A composition of Embodiment 67 wherein component (c) includes at least one compound selected from acibenzolar-S-methyl, aldimorph,
ametoctradin, amisulbrom, anilazine, azaconazole, azoxystrobin, benalaxyl, benalaxyl-M, benodanil, benomyl, benthiavalicarb, benthiavalicarb-isopropyl, benzovindiflupyr, bethoxazin, binapacryl, biphenyl, bitertanol, bixafen, blasticidin-S, boscalid, bromuconazole, bupirimate, buthiobate, captafol, captan, carbendazim, carboxin, carpropamid, chloroneb, chlorothalonil, chlozolinate, clotrimazole, copper salts (such as Bordeaux mixture (tribasic copper sulfate), copper hydroxide and copper oxychloride), coumoxystrobin, cyazofamid, cyflufenamid, cymoxanil, cyproconazole, cyprodinil, dichlofluanid, diclocymet, diclomezine, dicloran, diethofencarb, difenoconazole, diflumetorim,
dimethirimol, dimethomorph, dimoxystrobin, diniconazole, diniconazole-M, dinocap, dithianon, dodemorph, dodine, econazole, edifenphos, enoxastrobin, epoxiconazole, etaconazole, ethaboxam, ethirimol, etridiazole, famoxadone, fenamidone, fenarimol, fenaminstrobin, fenbuconazole, fenfuram, fenhexamid, fenoxanil, fenpiclonil, fenpropidin, fenpropimorph, fenpyrazamine, fentin acetate, fentin chloride, fentin hydroxide, ferbam, ferimzone, fluazinam,
fludioxonil, flufenoxystrobin, flumetover, flumorph, fluopicolide (also known as picobenzamid), fluopyram, fluoroimide, fluoxastrobin, fluquinconazole, flusilazole, flusulfamide, flutianil (2-[[2-fluoro-5-(trifluoromethyl)phenyl]thio]- 2-[3-(2-methoxyphenyl)-2-thiazolidinylidene]acetonitrile), flutolanil, flutriafol, fluxapyroxad, folpet, fuberidazole, furalaxyl, furametpyr, guazatine,
hexaconazole, hymexazol, imazalil, imibenconazole, iminoctadine, iodocarb, ipconazole, iprobenfos, iprodione, iprovalicarb, isoconazole, isofetamid, isoprothiolane, isopyrazam, isotianil, kasugamycin, kresoxim-methyl, mancozeb, mandestrobin, mandipropamid, maneb, mepanipyrim, mepronil, meptyldinocap, metalaxyl, metalaxyl-M, metconazole, methasulfocarb, metiram,
metominostrobin, metrafenone, miconazole, myclobutanil, naftifme, neo-asozin (ferric methanearsonate), nuarimol, octhilinone, ofurace, orysastrobin, oxadixyl, oxathiapiprolin, oxolinic acid, oxpoconazole, oxycarboxin, oxytetracycline, pefurazoate, penconazole, pencycuron, penflufen, penthiopyrad, phosphorous acid and salts thereof (e.g., fosetyl-aluminum), phthalide, picoxystrobin, piperalin, polyoxin, probenazole, prochloraz, procymidone, propamocarb, propamocarb-hydrochloride, propiconazole, propineb, proquinazid, prothiocarb, prothioconazole, pyraclostrobin, pyrametostrobin, pyraoxystrobin, pyrazophos, pyribencarb, pyributicarb, pyrifenox, pyrimethanil, pyriofenone, pyrisoxazole, pyroquilon, pyrrolnitrin, quinconazole, quinomethionate, quinoxyfen, quintozene, sedaxane, silthiofam, simeconazole, spiroxamine, streptomycin, sulfur, tebuconazole, tebufloquin, tecloftalam, tecnazene, terbinafine, tetraconazole, thiabendazole, thifluzamide, thiophanate, thiophanate -methyl, thiram, tiadinil, tolclofos-methyl, tolnifanide, tolprocarb, tolylfluanid, triadimefon, triadimenol, triarimol, triazoxide, triclopyricarb, tricyclazole, tridemorph, trifloxystrobin, triflumizole, triforine, trimorphamide, triticonazole, uniconazole, validamycin, valifenalate (valiphenal), vinclozolin, zineb, ziram, zoxamide, N- [4- [4-chloro-3 -(trifluoromethyl)phenoxy]-2,5 -dimethylphenyl] -N- ethyl-N-methylmethanimidamide, N-[2-[4-[[3-(4-chlorophenyl)-2-propyn-l- yl]oxy]-3-methoxyphenyl]ethyl]-3-methyl-2-[(methylsulfonyl)amino]- butanamide, N-[2-[4-[[3-(4-chlorophenyl)-2-propyn-l-yl]oxy]-3-methoxy- phenyl] ethyl] -3 -methyl-2- [(ethylsulfonyl)amino]butanamide, 2-butoxy-6-iodo-3 - propyl-4H- 1 -benzopyran-4-one, 3 - [5 -(4-chlorophenyl)-2,3 -dimethyl-3 - isoxazolidinyl]pyridine, 4-fluorophenyl N-[ 1 -[[[1 -(4-cyanophenyl)ethyl]- sulfonyl]methyl]propyl]carbamate, N-[[(cyclopropylmethoxy)amino][6- (difiuoromethoxy)-2,3-difluorophenyl]methylene]benzeneacetamide, a- (methoxyimino)-N-methyl-2-[[[l-[3-(trifiuoromethyl)phenyl]ethoxy]- imino]methyl]benzeneacetamide, pentyl N-[4-[[[[(l -methyl- lH-tetrazol-5-yl)-
phenylmethylene]amino]oxy]methyl] -2-thiazolyl] carbamate, pentyl N- [6- [ [[ [( 1 - methyl- lH-tetrazol-5-yl)phenylmethylene]amino]oxy]methyl]-2-pyridinyl]- carbamate, 2-[(3-bromo-6-quinolinyl)oxy]-N-(l , 1 -dimethyl-2-butyn- 1 -yl)-2- (methylthio)acetamide, 2-[(3-ethynyl-6-quinolinyl)oxy]-N-[l-(hydroxymethyl)- 1 -methyl-2-propyn- 1 -yl]-2-(methylthio)acetamide, N-( 1 , 1 -dimethyl-2-butyn- 1 - yl)-2-[(3-ethynyl-6-quinolinyl)oxy]-2-(methylthio)acetamide, N'-[4-[[3-[(4- chlorophenyl)methyl]-l,2,4-thiadiazol-5-yl]oxy]-2,5-dimethylphenyl]-N-ethyl- N-methylmethanimidamide, l-[4-[4-[5-[(2,6-difluorophenoxy)methyl]-4,5- dihydro-3 -isoxazolyl] -2-thiazolyl] - 1 -piperdinyl-2- [5 -methyl-3 -(trifluoromethyl) lH-pyrazol-l-yl]ethanone, (2-chloro-6-fluorophenyl)methyl 2-[l-[2-[3,5- bis(difluoromethyl)- lH-pyrazol- 1 -yl] acetyl] -4-piperidiny 1] -4-thiazolecarboxylate, ( IR)- 1 ,2,3 ,4-tetrahydro- 1 -naphthalenyl 2-[ 1 -[2-[3 ,5- bis(difluoromethyl)- lH-pyrazol- 1 -yl] acetyl] -4-piperidinyl] - 4-thiazolecarboxylate, [[4-methoxy-2-[[[(35,7R,8R,9S)-9-methyl-8-(2-methyl-l- oxopropoxy)-2,6-dioxo-7-(phenylmethyl)-l,5-dioxonan-3-yl]amino]carbonyl]-3 pyridinyl]oxy]methyl 2-methylpropanoate, (35',65',7i?,8i?)-3-[[[3-(acetyloxy)-4- methoxy-2-pyridinyl]carbonyl]amino]-6-methyl-4,9-dioxo-8-(phenylmethyl)- l,5-dioxonan-7-yl 2-methylpropanoate, (35,65, 7i?,8i?)-
3 - [[ [3 - [(acetyloxy)methoxy]-4-methoxy-2-pyridinyl] carbonyl]amino] -6-methyl- 4,9-dioxo-8-(phenylmethyl)- 1 ,5-dioxonan-7-yl 2-methylpropanoate,
(35,65, 7i?,8i?)-3-[[[4-methoxy-3-[[(2-methylpropoxy)carbonyl]oxy]-2- pyridinyl]carbonyl]amino]-6-methyl-4,9-dioxo-8-(phenylmethyl)-l,5-dioxonan- 7-yl 2-methylpropanoate, N-[[3-(l ,3-benzodioxol-5-ylmethoxy)-4-methoxy-2- pyridinyl]carbonyl]-0-[2,5-dideoxy-3-0-(2-methyl-l-oxopropyl)-2- (phenylmethyl)-L-arabinonoyl]-L-serine (l→4')-lactone, 5-fluoro-2-[(4- methylphenyl)methoxy] -4-pyrimidinamine, 5 -fluoro-2- [(4-fluoro- phenyl)methoxy]-4-pyrimidinamine, 5,8-difluoro-N-[2-[3-methoxy-4-[[4- (trifluoromethyl)-2-pyridinyl]oxy]phenyl]ethyl]-4-quinazolinamine, pentyl [6- [[[(Z)-[(l-methyl-lH-tetrazol-5-yl)phenylmethylene]amino]oxy]methyl]-2- pyridinyl]carbamate, 1 , 1 -dimethylethyl N-[6-[[[(Z)-[(l -methyl- lH-tetrazol-5-yl) phenylmethylene]amino]oxy]methyl]-2-pyridinyl]carbamate, 3-butyn- 1 -yl N-[6- [[[(Z)-[(l-methyl-lH-tetrazol-5-yl)phenylmethylene]amino]oxy]methyl]-2- pyridinyl] carbamate, N-(3',4'-difluoro[ 1 , 1 '-biphenyl]-2-yl)-3-(trifluoromethyl)-2 pyrazinecarboxamide, N-[2-(2,4-dichlorophenyl)-2-methoxy- 1 -methylethyl]-3- (difluoromethyl)-l -methyl- lH-pyrazole-4-carboxamide, 3-(difluoromethyl)-N- [4-fluoro-2-(l, 1,2,3, 3,3-hexafluoropropoxy)phenyl]-l-methyl-lH-pyrazole-4- carboxamide, 3-(difluoromethyl)- 1 -methyl-N-[2-(l , 1 ,2,2-tetrafluoroethoxy)- phenyl]-lH-pyrazole-4-carboxamide, (a ?)-2-[(2,5-dimethylphenoxy)methyl]-a-
methoxy-N-methylbenzeneacetamide, 2,6-dimethyl-lH,5H-[l,4]dithiino[2,3- c : 5 ,6-c'] dipyrrole- 1 ,3 ,5 ,7(2H, 6H)-tetrone, 2- [(3 -bromo-6-quinolinyl)oxy] -N- (l,l-dimethylethyl)butanamide, 2-[(3-bromo-8-methyl-6-quinolinyl)oxy]-N- [(1,1 -dimethyl-2-propyn- 1 -yl)-2-(methylthio)acetamide, 2-[2-(l - chlorocyclopropyl)-4-(2,2-dichlorocyclopropyl)-2-hydroxybutyl]-l,2-dihydro- 3H- 1 ,2,4-triazole-3-thione, 3-(difluoromethyl)-N-(2,3-dihydro-l , 1 ,3-trimethyl- lH-inden-4-yl)- 1 -methyl- lH-pyrazole-4-carboxamide, N-[2-(\S,2R)-[ 1 , Γ- bicyclopropyl]-2-ylphenyl]-3-(difluoromethyl)-l-methyl-lH-pyrazole-4- carboxamide, N-cyclopropyl-3-(difluoromethyl)-5-fluoro- 1 -methyl-N-[[2-(l - methylethyl)phenyl]methyl]-lH-pyrazole-4-carboxamide, a-(l- chlorocyclopropyl)-a-[2-(2,2-dichlorocyclopropyl)ethyl]-lH-l,2,4-triazole-l- ethanol, re/-l-[[(2i?,35)-3-(2-chlorophenyl)-2-(2,4-difiuorophenyl)-2- oxiranyl]methyl]-lH-l,2,4-triazole, re/-2-[[(2i?,35)-3-(2-chlorophenyl)-2-(2,4- difluorophenyl)-2-oxiranyl]methyl]-l ,2-dihydro-3H-l ,2,4-triazole-3-thione, re/- l-[[(2i?,35)-3-(2-chlorophenyl)-2-(2,4-difluorophenyl)-2-oxiranyl]methyl]-5-(2- propen- 1 -ylthio)- 1H- 1 ,2,4-triazole, rel- 1 -[[(2i?,35)-3-(2-chlorophenyl)-2-(2,4- difluorophenyl)-2-oxiranyl]methyl]-lH-l,2,4-triazol-5-yl thiocyanate, a-[3-(4- chloro-2-fluorophenyl)-5-(2,4-difluorophenyl)-4-isoxazolyl]-3- pyridinemethanol, (a5)-[3-(4-chloro-2-fluorophenyl)-5-(2,4-difluorophenyl)-4- isoxazolyl]-3-pyridinemethanol, (a ?)-[3-(4-chloro-2-fluorophenyl)-5-(2,4- difluorophenyl)-4-isoxazolyl]-3-pyridinemethanol, 3-[2-[3-(4-chloro-2- fluorophenyl)-5-(2,4-difluorophenyl)-4-isoxazolyl]-2-oxiranyl]pyridine and 2- ethyl-3 ,7-dimethyl-6- [4-(trifluoromethoxy)phenoxy] -4-quinolinyl methyl carbonate.
Embodiment 70. A composition of Embodiment 69 wherein component (c) includes at least one compound selected from anilazine, azaconazole, benodanil, benzovindiflupyr, bitertanol, bixafen, boscalid, bromuconazole, buthiobate, captafol, captan, carboxin, chlorothalonil, clotrimazole, copper salts (such as Bordeaux mixture (tribasic copper sulfate), copper hydroxide and copper oxychloride), cyproconazole, dichlofluanid, difenoconazole, diniconazole, dithianon, econazole, epoxiconazole, etaconazole, fenarimol, fenbuconazole, fenfuram, ferbam, fluopyram, fluoroimide, fluquinconazole, flusilazole, flutolanil, flutriafol, fluxapyroxad, folpet, furametpyr, guazatine, hexaconazole, imazalil, imibenconazole, iminoctadine, ipconazole, isoconazole, isofetamid, isopyrazam, mancozeb, maneb, mepronil, metiram, miconazole, myclobutanil, nuarimol, oxathiapiprolin, oxpoconazole, oxycarboxin, pefurazoate,
penconazole, penflufen, penthiopyrad, prochloraz, propiconazole, propineb, prothioconazole, pyrifenox, pyrisoxazole, quinconazole, quinomethionate,
sedaxane, simeconazole, sulfur, tebuconazole, tetraconazole, thifluzamide, thiram, tolylfluanid, triadimefon, triadimenol, triarimol, triflumizole, triforine, triticonazole, uniconazole, zineb, ziram, N-[2-(2,4-dichlorophenyl)-2-methoxy-l- methylethyl]-3-(difluoromethyl)- 1 -methyl- lH-pyrazole-4-carboxamide, 2-[2-(l - chlorocyclopropyl)-4-(2,2-dichlorocyclopropyl)-2-hydroxybutyl]-l,2-dihydro- 3H- 1 ,2,4-triazole-3-thione, 3-(difluoromethyl)-N-(2,3-dihydro-l , 1 ,3-trimethyl- lH-inden-4-yl)- 1 -methyl- lH-pyrazole-4-carboxamide, N-[2-(\S,2R)-[ 1 , Γ- bicyclopropyl]-2-ylphenyl]-3-(difluoromethyl)-l-methyl-lH-pyrazole-4- carboxamide, N-cyclopropyl-3-(difluoromethyl)-5-fluoro- 1 -methyl-N-[[2-(l - methylethyl)phenyl]methyl]- lH-pyrazole-4-carboxamide and (a5)-[3-(4-chloro- 2-fluorophenyl)-5-(2,4-difluorophenyl)-4-isoxazolyl]-3-pyridinemethanol.
Embodiment 71. A composition of Embodiment 69 wherein component (c) includes at least one compound selected from azoxystrobin, benzovindiflupyr, bixafen, boscalid (nicobifen), bromuconazole, carbendazim, chlorothalonil, cyflufenamid, cyproconazole, difenoconazole, dimoxystrobin, epoxiconazole, etaconazole, famoxadone, fenbuconazole, fenpropidin, fenpropimorph, fluopyram, flusilazole, fluxapyroxad, hexaconazole, ipconazole, isopyrazam, kresoxim-methyl, metconazole, metominostrobin/fenominostrobin, metrafenone, myclobutanil, oxathiapiprolin, penconazole, penthiopyrad, picoxystrobin, prochloraz, propiconazole, proquinazid, prothioconazole, pyraclostrobin, pyrametostrobin, pyraoxystrobin, pyriofenone, quinoxyfen, sedaxane, tebuconazole,
trifloxystrobin and triticonazole.
Embodiment 72. A composition of Embodiment 71 wherein component (c) includes at least one compound selected from azoxystrobin, benzovindiflupyr, bixafen, boscalid, cyflufenamid, cyproconazole, difenoconazole, epoxiconazole, fluopyram, fluxapyroxad, isopyrazam, kresoxim-methyl, metconazole, metrafenone, myclobutanil, oxathiapiprolin, penthiopyrad, picoxystrobin, pyraclostrobin, pyrametostrobin, pyraoxystrobin, pyriofenone, proquinazid, prothioconazole, quinoxyfen, sedaxane, tebuconazole, trifloxystrobin and triticonazole.
Embodiment 73. A composition comprising components (a) and (b) described in the
Summary of the Invention or any one of Embodiments 1 through 72 wherein the composition further comprises in component (c) at least one invertebrate pest control compound or agent.
Embodiments of this invention, including Embodiments 1-73 above as well as any other embodiments described herein, can be combined in any manner. In addition, embodiments of this invention, including Embodiments 1-73 above as well as any other embodiments described herein, and any combination thereof, pertain to the methods of the
present invention. Furthermore, embodiments of the invention described herein and their combinations pertain to compounds of Formula 1 and intermediates for their preparation, such as compounds of Formulae 2, 3, 9, 11 and 17.
Of note is the composition of any one of the embodiments described herein, including Embodiments 1 through 73, wherein reference to Formula 1 includes salts thereof but not N-oxides thereof; therefore the phrase "a compound of Formula 1" can be replaced by the phrase "a compound of Formula 1 or a salt thereof. In this composition of note, component (a) comprises a compound of Formula 1 or a salt thereof.
Also noteworthy as embodiments are fungicidal compositions of the present invention comprising a composition (e.g., in a fungicidally effective amount) of Embodiments 1 to 73, and at least one additional component selected from the group consisting of surfactants, solid diluents and liquid diluents.
Embodiments of the invention further include methods for controlling plant diseases caused by fungal plant pathogens comprising applying to the plant or portion thereof, or to the plant seed or seedling, a fungicidally effective amount of a composition any one of Embodiments 1 through 73, (e.g., as a composition including formulation ingredients as described herein). Embodiments of the invention also include methods for protecting a plant or plant seed from diseases caused by fungal pathogens comprising applying a fungicidally effective amount of a composition of any one of Embodiments 1 through 73 to the plant or plant seed.
Some embodiments of the invention involve control of a plant disease or protection from a plant disease that primarily afflicts plant foliage and/or applying the composition of the invention to plant foliage (i.e. plants instead of seeds). The preferred methods of use include those involving the above preferred compositions; and the diseases controlled with particular effectiveness include plant diseases caused by fungal plant pathogens. Combinations of fungicides used in accordance with this invention can facilitate disease control and retard resistance development.
One or more of the following methods and variations as described in Schemes 1-14 can be used to prepare the compounds of Formula 1. The definitions of A, Q, R1, R2, R3 and n in the compounds of Formulae 1-24 below are as defined above in the Summary of the Invention unless otherwise noted. Compounds of Formulae la-Id are various subsets of the compounds of Formula 1, and all substituents for Formulae la-Id are as defined above for Formula 1.
As shown in Scheme 1, compounds of Formula la (i.e. compounds of Formula 1 wherein A is A-2) with a substituted 3 -phenyl pyrazole ring can be prepared via a copper or palladium catalyzed cross-coupling reaction using compounds of Formula 2 wherein X is a bromine, iodine or triflate under Ullmann {Chemical Reviews, 2002, 102, 1359-1470) or Buchwald-Hartwig (Angew. Chem. Int. Ed. 2008, 47, 6338-6361, Chem. Sci., 2010, 1, 13-
31) conditions. These reactions traditionally require the presence of a base, such as a metal carbonate like potassium carbonate, a suitable catalyst and ligand combination, such as copper (I) iodide and a ligand such as trans- l,2-diamino-N,N'-dimethylcyclohexane, and the desired substituted heterocycle (a compound of Formula 3) in an aprotic solvent such as dioxane or toluene at a temperature between ambient and the boiling point of the solvent.
When X is a boronic acid, then heterocycles of Formula 3 can be coupled to compounds of Formula 2 using Chan-Lam conditions {Tetrahedron Lett., 1998, 39, 2933- 2936). These conditions require the presence of a suitable base such as pyridine or triethyl amine, a catalyst such as copper (II) acetate, in an aprotic solvent like dichloromethane or chloroform, at a temperature between ambient and the boiling point of the solvent, in the presence of oxygen.
Scheme 1
wherein A is A-2
As shown in Scheme 2, compounds of Formula 2a can be prepared from compounds of Formula 4 by first converting the benzylic alcohol into a suitable leaving group like a chlorine or bromine using a reagent such as thionyl chloride in an aprotic solvent such as dichloromethane or dichloro ethane at a temperature between 0° C and the boiling point of the solvent.
In the second step, treatment of the benzyl halide with potassium cyanate or sodium cyanate and methanol provides compounds of Formula 2. The reaction is typically carried out in a solvent such as A^N-dimethylformamide at temperatures ranging from about room temperature to 120 °C according to the procedure described in U.S. patent 6,313,071. Compounds of Formula 2a wherein X is Br or I can be further converted into compounds of
Formula 2 wherein X is boronic acid (B(OH)2) using methods known in the chemical literature.
Scheme 2
halogenating
wherein X is CI or Br wherein X is Br or I
As shown in Scheme 3, compounds of Formula 4 wherein X is a bromine or iodine can be prepared from the corresponding commercially available compounds of Formula 6 by converting the carboxylic acid to the benzyl alcohol using many procedures known in the art. In one example, a suitable reducing agent such as borane/tetrahydrofuran complex, in an aprotic solvent such as diethyl ether or tetrahydrofuran, at a temperature between ambient and the boiling point of the solvent, results in the transformation of compounds of Formula 6 to compounds of Formula 4.
Scheme 3
wherein X is Br or I
As shown in Scheme 4, compounds of Formula 3a wherein n is 0, can be prepared using various methods known to one skilled in the art. In particular the methods described in EP 538156 will allow for the conversion of compounds of Formula 7 to be converted to compounds of Formula 3 proceeding through intermediates of Formula 8.
Scheme 4
wherein n is 0
As shown in Scheme 5, compounds of Formula lb (i.e. compounds of Formula 1 wherein A is A-1) can be prepared by reaction of pyrazoles of Formula 9 with compounds of Formula 10 wherein X2 is a bromine, iodine, trifluoromethanesulfonate or boronic acid. Conditions for this reaction are similar to that in Scheme 1 and can be found in PCT Patent Publication WO2008/124092.
Scheme 5
wherein A is A-1
As shown in Scheme 6, compounds of Formula 9a wherein n is 0 can be prepared by first reacting a compound of Formula 11 with N,N-dimethylformamide dimethyl acetal
(DMF-DMA) at temperatures ranging from about 40 to about 100 °C in a solvent such as benzene or toluene, to provide an intermediate compound of Formula 12. In a subsequent step, Formula 12 is reacted with hydrazine or a hydrazine salt in a lower alcohol solvent such as methanol or ethanol to provide a compound of Formula 9a. One skilled in the art will recognize that there are other methods for performing transformations of this type, for example, the method described by Barrett et al., Bioorganic and Medicinal Chemistry Letters 2005, 15, 3540-3546.
Scheme 6
wherein n is 0
A compound of Formula 11 can be prepared by a simple four-step procedure from the commercially available amine of Formula 13 as outlined in Scheme 7. In the first step, an amine of Formula 13 is reacted with acetic anhydride with or without an aprotic solvent such as dichloromethane, chloroform, diethyl ether or tetrahydrofuran at temperatures ranging from about 0 to about 100 °C, in the presence of a base such as triethylamine or pyridine with or without a nucleophilic catalyst such as 4-dimethylaminopyridine to provide a compound of Formula 14. The compound of Formula 14 can then be reacted according to Friedel-Crafts conditions to provide a compound of Formula 15 which can then be deprotected to yield a compound of Formula 16. For typical reactions conditions see, EP 1586552. The compound of Formula 16 is then reacted with methyl carbonyl chloride in an aprotic solvent such as dichloromethane in the presence of a base such as triethyl amine at a temperature between ambient and the 40° C to yield a compound of Formula compound 11.
Scheme 7
As shown in Scheme 8, compounds of Formula lc (i.e. a compound of Formula 1 wherein A is A-4) can be prepared from compounds of Formula 17 through reaction with methyl carbonyl chloride in an aprotic solvent such as dichloromethane in the presence of a base such as triethyl amine at a temperature between ambient and the 40° C.
Scheme 8
wherein A is A-4
As shown in Scheme 9, compounds of Formula 17 can be prepared from nitriles of Formula 18 using an appropriate reducing agent such as borane or lithium aluminum hydride in an aprotic solvent such as tetrahydrofuran at a temperature between ambient and the boiling point of the solvent. For related examples, see the procedures and references contained within PCT patent applications WO 2011079102 and WO 2011073444.
Nitriles of Formula 18 can also be converted to amines of Formula 17 by catalytic hydrogenation. These reactions are traditionally carried out in the presence of a transition metal catalyst such as palladium (0) on carbon, Raney nickel, or platinum oxide in a lower alcohol solvent such as methanol or ethanol at a temperature between ambient and 100 °C
under an atmosphere of hydrogen gas at a pressure between 1 and 75 bars. For related examples, see the procedures and references contained within PCT patent applications WO 2009152868 and WO 2010023161.
heme 9
17
As shown in Scheme 10, compounds of Formula 18 can be prepared from compounds of Formula 19 via coupling with commercially available intermediates of Formula 10 (where X2 is a bromine, iodine, triflate or boronic acid) using the methods described in Scheme 1
Scheme 10
Compounds of Formula 19 can be prepared from compounds of Formula 20 as shown in Scheme 11. In a typical procedure, a compound of Formula 20 is contacted with a cyanide salt such as copper (I) cyanide or zinc (II) cyanide, in the presence of a suitable transition metal catalyst such as copper (I) iodide or Tetrakis(triphenylphosphine) palladium (0), in a polar aprotic solvent such as Ν,Ν'-dimethylformamide or dimethyl sulfoxide, at a temperature between 50° C and 150° C. For related procedures see PCT patent applications WO 2012032528 and WO 2011133882 and references contained within.
Scheme 11
As shown in Scheme 12, compounds of Formula 20a (wherein n is 0) can be prepared by first reacting commercially available compounds of Formula 21 with N,N-dimethylformamide dimethyl acetal (DMF-DMA) at temperatures ranging from about 40 to about 100 °C in a solvent such as toluene or benzene, to provide an intermediate compound of Formula 22. In a subsequent step, the compound of Formula 22 is reacted with hydrazine or a hydrazine salt in a lower alcohol solvent such as methanol or ethanol to provide a compound of Formula 20a.
20a
wherein n is 0
As shown in Scheme 13 compounds of Formula Id (i.e. compounds of Formula 1 wherein A is A-3) can be prepared by coupling compounds of Formula 2 with a 4-phenyl- 1,2,3-tiazole of Formula 23 using procedures analogous to those described for Scheme 1 reactions.
Scheme 13
wherein A is A-3
4-Phenyl- 1,2,3 triazoles of Formula 23a (wherein n is 0) can be prepared using the method illustrated by Scheme 14. A 2-nitrostyrene compound of Formula 24 reacts with a source of azide ion such as sodium azide or trimethylsilylazide in a polar solvent such as DMSO, DMF or EtOH at temperatures ranging from ambient up to about 100 °C. An example of the use of trimethylsilylazide/tetrabutylammonium fluoride combination can be found in J. Med. Chem. 2004, 47, 4645. Many examples exist for the preparation of 2- nitrostyrenes of Formula 24 via Henry reaction of benzaldehydes and nitromethane followed by dehydration: see, e.g., Tetrahedron, 1987, 43, 4803.
Scheme 14
wherein n is 0
It is recognized that some reagents and reaction conditions described above for preparing compounds of Formula 1 may not be compatible with certain functionalities present in the intermediates. In these instances, the incorporation of protection/deprotection sequences or functional group interconversions into the synthesis will aid in obtaining the desired products. The use and choice of the protecting groups will be apparent to one skilled in chemical synthesis (see, for example, Greene, T. W.; Wuts, P. G. M. Protective Groups in
Organic Synthesis, 2nd ed.; Wiley: New York, 1991). One skilled in the art will recognize that, in some cases, after the introduction of a given reagent as it is depicted in any individual scheme, it may be necessary to perform additional routine synthetic steps not described in detail to complete the synthesis of compounds of Formula 1. One skilled in the art will also recognize that it may be necessary to perform a combination of the steps illustrated in the above schemes in an order other than that implied by the particular sequence presented to prepare the compounds of Formula 1.
One skilled in the art will also recognize that compounds of Formula 1 and the intermediates described herein can be subjected to various electrophilic, nucleophilic, radical, organometallic, oxidation, and reduction reactions to add substituents or modify existing substituents.
Without further elaboration, it is believed that one skilled in the art using the preceding description can utilize the present invention to its fullest extent. The following Examples are, therefore, to be construed as merely illustrative, and not limiting of the disclosure in any way whatsoever. Steps in the following Examples illustrate a procedure for each step in an overall synthetic transformation, and the starting material for each step may not have necessarily been prepared by a particular preparative run whose procedure is described in other Examples or Steps. Percentages are by weight except for chromatographic solvent mixtures or where otherwise indicated. Parts and percentages for chromatographic solvent mixtures are by volume unless otherwise indicated. ¾ NMR spectra are reported in ppm downfield from tetramethylsilane; "s" means singlet, "d" means doublet, "t" means triplet, "q" means quartet, "m" means multiplet, "dd" means doublet of doublets, "dt" means doublet of triplets, "br s" means broad singlet.
EXAMPLE 1
Preparation of methyl N-[[5-[3-(2,4-dimethoxyphenyl)-lH-pyrazol-l-yl]-2- methylphenyl]methyl]carbamate (Compound 23)
Step A: Preparation of 5-bromo-2-methylbenzenemethanol
To a mixture of 5-bromo-2-methyl-benzoic acid (6.0 g, 28 mmol) in 32 mL diethyl ether at 0 °C was added a 1M solution of borane-tetrahydrofuran complex (34 mL, 34 mmol) over 10 minutes. The reaction mixture was warmed to room temperature and then heated to reflux for 10 minutes. Methanol was added to react with the excess borane and then the mixture was extracted five times with saturated aqueous sodium bicarbonate solution. The organic phases was combined, dried over magnesium sulfate and concentrated under reduced pressure to provide the title compound (5.6 g).
!H NMR (CDC13) δ 7.53 (d, 1H), 7.31 (m, 1H), 7.03 (d, 1H), 4.66 (s, 2H), 2.27 (s, 3H).
Step B: Preparation of methyl N-[(5-bromo-2-methylphenyl)methyl]carbamate
To a solution of 5-bromo-2-methylbenzenemethanol (i.e. the product of Step A) (5.6 g, 28 mmol) in 60 mL dichloromethane was added thionyl chloride (3.8 g, 32 mmol). The mixture was stirred over night and then concentrated under reduced pressure, redissolved in 60 mL of dichloromethane and then reconcentrated to yield 4-bromo-2-(chloromethyl)-l- methylbenzene which was subsequently dissolved in 27 mL Ν,Ν' -dimethyl formamide and 6.0 mL methanol. To this solution was added potassium cyanate (3.2 g, 39 mmol). The resulting mixture was heated to 100 °C for 5 hours and then concentrated under reduced pressure. The crude residue was suspended in ethyl acetate and then washed two times with sodium bicarbonate. The organic phase was separated, dried over magnesium sulfate and concentrated under reduced pressure to provide the title compound (4.67 g) as a solid which was used without further purification.
!H NMR (CDCI3) δ 7.37 (d, 1H), 7.30 (m, 1H), 7.03 (d, 1H), 4.88 (bs, 1H), 4.33 (d, 2H), 3.71 (s, 3H), 2.27 (s, 3H).
Step C : Preparation of methyl N-[[5-[3-(2,4-dimethoxyphenyl)- lH-pyrazol- 1 -yl]-2- methylphenyljmethyl] carbamate
Commercially available 3-(2,4-dimethoxyphenyl)-lH-pyrazole (0.13 g, 0.62 mmol), methyl N- [(5 -bromo-2-methylphenyl)methyl] carbamate (i.e. the product of Step B) (0.20 g, 0.77 mmol), copper(I) iodide (0.03 g, 0.16 mmol) and potassium carbonate (0.21 g, 1.6 mmol) were suspended in 3 mL of a 50/50 mixture of toluene and dioxane. Nitrogen gas was bubbled through the reaction mixture for 5 minutes, and then N, N '-dimethyl- 1,2- cyclohexanediamine (0.04 g, 0.31 mmol) was added. Nitrogen gas was bubbled through the reaction mixture for another 10 minutes, and then the reaction was heated to 110 °C for approximately 16 hours. The reaction mixture was concentrated under reduced pressure and then purified by medium pressure liquid chromatography on silica gel eluting with 0 to 100% ethyl acetate in hexanes to yield the title compound, a compound of the current invention, as a solid (0.17 g).
in NMR (CDCI3) δ 7.99 (d, 1H), 7.88 (d, 1H), 7.66 (d, 1H), 7.53 (m, 1H), 7.22 (d, 1H), 6.91 (d, 1H), 6.59 (m, 1H), 6.55 (d, 1H), 4.97 (bs, 1H), 4.42 (d, 2H), 3.90 (s, 3H), 3.85 (s, 3H), 3.71 (s, 3H), 2.34 (s, 3H).
EXAMPLE 2
Preparation of methyl N-[[5-[l-(4-methoxy-2-methylphenyl)-lH-pyrazol-3-yl]-2- methylphenyl]methyl]carbamate (Compound 18)
Step A: Preparation of N-[(2-methylphenyl)methyl]acetamide
To a solution of 2-methyl benzyl amine (25 g, 120 mmol) in 150 mL of toluene at 0 °C was added a solution of acetic anhydride (29 g, 310 mmol) in 70 mL of toluene over approximately 15 minutes. The reaction was heated to 100 °C for 1 hour and then cooled to room temperature. Water was added and the reaction mixture was extracted with ethyl
acetate. The combined organic phases were washed with IN hydrochloric acid and saturated aqueous sodium chloride solution, then dried over magnesium sulfate and concentrated under reduced pressure to yield a solid. The solid was washed with a solution of 150 mL of 1-chlorobutane and 250 mL of hexanes provide the title compound (26 g) as a solid.
lH NMR (CDCI3) δ 7.20 (m, 4H), 5.56 (bs, 1H), 4.43 (d, 2H), 2.33 (s, 3H), 2.01 (s, 3H).
Step B : Preparation of N- [(5 -acetyl-2-methylphenyl)methyl] acetamide
To a solution of N-[(2-methylphenyl)methyl]acetamide (i.e. the product of Step A) (26 g, 160 mmol) in 110 mL dichloromethane at 0 °C was added aluminum trichloride (64 g, 480 mmol) portion-wise in order to minimize the exothermic reaction. Acetyl chloride (25 g, 320 mmol) was added over 20 minutes, and then the reaction mixture was heated to reflux over night. The reaction was cooled to room temperature, and then poured into ice water. The phases were separated and the aqueous phase was extracted with dichlormethane. The combined organic phases were dried over magnesium sulfate and concentrated under reduced pressure. The crude residue was then purified by medium pressure liquid chromatography on silica gel eluting with 50 to 100% ethyl acetate in hexanes to provide the title compound (18 g) as a solid.
!H NMR (CDCI3) δ 7.81 (d, 1H), 7.76 (m, 1H), 7.27 (m, 1H), 5.84 (bs, 1H), 4.47 (d, 2H), 2.56 (s 3H), 2.38 (s, 3H), 2.04 (s 3H).
Step C: Preparation of methyl N-[(5-acetyl-2-methylphenyl)methyl]carbamate
N-[(5-acetyl-2-methylphenyl)methyl]acetamide (i.e. the product of Step B) (10 g, 49 mmol) was added to a solution of concentrated sulfuric acid (17 g, 170 mmol) in 20 mL water. The reaction mixture was heated to reflux for 6 hours and then filtered through celite while still warm. The filtrate was extracted with diethyl ether. The aqueous phase was then made basic with 50 mL of 25% aqueous sodium hydroxide solution and extracted two times with ethyl acetate. The ethyl acetate phases were combined, dried over magnesium sulfate and concentrated under reduced pressure to yield 6.3 g of l-[3-(aminomethyl)-4- methylphenyljethanone which was immediately dissolved in 75 mL of tetrahydrofuran and cooled to 0 °C. To this solution was added diisopropylethylamine (5.5 g, 43 mmol) and then a solution of methylchloro formate (3.8 g, 39 mmol) in 20 mL of tetrahydrofuran. The reaction mixture was allowed to warm to room temperature and stir over night. The reaction mixture was concentrated under reduced pressure, dissolved in ethyl acetate and washed with water, saturated aqueous ammonium chloride solution, saturated aqueous sodium chloride solution and then dried over magnesium sulfate and concentrated under reduced pressure to provide the title compound (7.6 g) as a solid.
!H NMR (CDCI3) δ 7.84 (d, 1H), 7.77 (m, 1H), 7.26 (m, 1H), 4.97 (bs, 1H), 4.41 (d, 2H), 3.71 (s, 3H), 2.58 (d, 3H), 2.38 (s, 3H).
Step D: Preparation of methyl N-[[2-methyl-5-(lH-pyrazol-3-yl)phenyl]- methy 1] carbamate
methyl N-[(5-acetyl-2-methylphenyl)methyl]carbamate (i.e. the product of Step C) (23 g, 107 mmol) and N,N'-dimethylformamide dimethyl acetal (38 g, 320 mmol) were refluxed in 250 mL toluene for approximately 16 hours. The reaction mixture was concentrated under reduced pressure and the resultant solids were triturated with 1-chlorobutane and acetone to yield 6 .0 g of solid intermediate methyl N-[[5-[3-(dimethylamino)-l-oxo-2- propen-l-yl] -2 -methylphenyljmethyl] carbamate and a filtrate which also contained desired intermediate. The solid intermediate was then dissolved in 120 mL methanol and treated with hydrazine hydrate (1.7 g, 34 mmol) and stirred for approximately 16 hours. The reaction mixture was concentrated and the resultant solids triturated with acetone to provide the title compound (6.0 g) as a solid.
in NMR (CDCI3) δ 7.65 (s, 1H), 7.61 (d, 1H), 7.55 (d, 1H), 7.21 (d, 1H), 6.58 (d, 1H), 5.05 (bs, 1H), 4.40 (d, 2H), 3.70 (s, 3H), 2.34 (s, 3H).
Step E: Preparation of methyl N-[[5-[l -(4-methoxy-2-methylphenyl)-lH-pyrazol-3- yl]-2-methylphenyl]methyl]carbamate
Methyl N-[[2-methyl-5-(lH-pyrazol-3-yl)phenyl]-methyl]carbamate (i.e. the product of Step D) (1.0 g, 4.1 mmol), l-bromo-4-methoxy-2-methyl- benzene (1.0 g, 5.1 mmol), copper(I) iodide (0.40 g, 2.0 mmol) and potassium carbonate (0.1.4 g, 10 mmol) were suspended in 50 mL of a 50/50 mixture of toluene and dioxane. Nitrogen gas was bubbled through the reaction mixture for 5 minutes, and then N,N'-dimethyl-l,2-cyclohexanediamine (0.58 g, 4.1 mmol) was added. Nitrogen gas was bubbled through the reaction mixture for another 10 minutes, and then the reaction mixture was heated to 110 °C for approximately 40 hours. The reaction mixture was concentrated under reduced pressure and then purified by medium pressure liquid chromatography on silica gel eluting with 0 to 100% ethyl acetate in hexanes to provide the title compound, a compound of the current invention, (0.30 g) as a solid.
in NMR (CDCI3) δ 7.76 (s, 1H), 7.69 (d, 1H), 7.54 (d, 1H), 7.30 (d, 1H), 7.22 (d, 1H), 6.82 (m, 2H), 6.69 (m, 1H), 4.83 (bs, 1H), 4.42 (d, 2H), 3.87 (s, 3H), 3.70 (s, 3H), 2.37 (s, 3H), 2.25 (s, 3H).
EXAMPLE 3
Preparation of methyl N-[[5-[4-(2,4-dimethoxyphenyl)-2H-l,2,3-triazol-2-yl]-2- methylphenyl]methyl]carbamate (Compound 17)
Step A: Preparation of 5-iodo-2-methylbenzenemethanol
Borane-methylsulfide solution (50.0 mL of a 2.0M solution in THF, lOOmmol) was added dropwise to a solution of 5-iodo-2-methyl benzoic acid (13.1g, 50 mmol) and anhydrous THF (100 mL) at 35-45 °C at a rate to moderate the gas evolution. The resulting
mixture was heated at 60 °C for 3 h and was then cooled to 25 °C and quenched by the careful, dropwise addition of methanol (50 mL) which was added at such a rate that gas evolution was moderated and the temperature was maintained below 35 °C. The resulting mixture was stirred at 25 °C for 2 h and was then concentrated under vacuum. The residue was partitioned between ethyl acetate and saturated aqueous sodium bicarbonate solution, the organic phase was washed with saturated aqueous sodium bicarbonate solution, dried over anhydrous magnesium sulfate and concentrated to provide the title compound (11.58 g) as a white solid
!H NMR (CDCI3) δ 7.71 (d, 1H), 7.52 (d, 1H), 6.91 (d, 1H), 4.64 (s, 2H), 2.27 (s, 3H), 1.62 (br s, 1H).
Step B : Preparation of 2-(bromomethy l)-4-iodo- 1 -methylbenzene
Phosphorus tribromide (2.16 mL, 22.9 mmol) was added to a solution of 5-iodo-2- methylbenzenemethanol (i.e. the product of Step A) (11.38 g, 45.9 mmol) and anhydrous diethyl ether (73 mL) at 0-5 °C. The resulting mixture was stirred at 0 °C for 1.5 h and was then quenched by the addition of water (25 mL) added at 0-5 °C. The resulting mixture was stirred at 0 °C for 15 min and was then partitioned between ethyl acetate and water. The organic phase was washed with water, saturated aqueous sodium bicarbonate solution, dried over anhydrous magnesium sulfate and concentrated under vacuum to provide the title compound (12.1 g) as a white solid.
!H NMR (CDC13) δ 7.63 (d, 1H), 7.51 (d, 1H), 6.93 (d, 1H), 4.41 (s, 2H), 2.35 (s, 3H).
Step C: Preparation of methyl N-[(5-iodo-2-methylphenyl)methyl]carbamate
A solution 2-(bromomethyl)-4-iodo-l -methylbenzene (i.e. the product of Step B) (8.50 g, 27.3 mmol), methanol (8 mL) and DMF (82 mL) was treated with potassium cyanate (5.54 g, 68.3 mmol) added in 4 equal portions over 15 min at 35-45 °C. The resulting mixture was heated at 55 °C for 2 h, cooled to 25 °C and partitioned between ethyl ether and water. The organic phase was washed with water, dried over anhydrous magnesium sulfate, and concentrated to provide the title compound (8.43 g) as a white solid.
!H NMR (CDCI3) δ 7.56 (d, 1H), 7.50 (d, 1H), 6.90 (d, 1H), 4.92 (br s, 1H), 4.31 (br d, 1H), 3.71 (s, 3H), 2.26 (s, 3H).
Step D: Preparation of 4-(2,4-dimethoxyphenyl)-2H-l,2,3-triazole
A solution of 2,4-dimethoxy-l-(2-nitroethenyl)benzene (3.35 g, 16.0 mmol), azidotrimethylsilane (2.76 g, 24.0 mmol) and anhydrous DMF (100 mL) was treated with tetrabutylammonium fluoride (17.6 mL of a 1.0 M solution in THF, 17.6 mmol) added dropwise over 20 min at 50 °C. The resulting solution was heated at 50 °C for an additional 1 h, cooled to 25 °C and treated with methanol (25 mL). The resulting solution was concentrated under vacuum to about 25 mL volume and the residue was partioned between
ethyl acetate and water. The organic phase was washed with water, dried over anhydrous magnesium sulfate, and concentrated to provide the title compound (2.28 g) as a beige solid. !H NMR (CDCI3) δ 8.03 (s, 1H), 7.76 (br s, 1H), 6.63 (d, 1H), 6.58 (s, 1H), 3.98 (s, 3H), 3.87 (s, 3H).
Step E: Preparation of methyl N-[[5-[4-(2,4-dimethoxyphenyl)-2H-l,2,3-triazol-2-yl]-
2-methylphenyl]methyl] carbamate
A solution of methyl N-[(5-iodo-2-methylphenyl)methyl]carbamate (i.e. the product of Step C) (203 mg, 1.0 mmol) and 4-(2,4-dimethoxyphenyl)-2H-l,2,3-triazole (i.e. the product of Step D) (204 mg, 1.0 mmol), N N'-dimethylethylene diamine (0.16 mL, 1.5 mmol), and dioxane (15 mL) was de-gassed with bubbling nitrogen for 10 min, treated with Cs2C03 (648 mg, 2.0 mmol) and Cul (19 mg, 0.1 mmol) and further de-gassed with nitrogen for 10 min. The resulting mixture was heated at reflux under nitrogen for 72 h. The resulting mixture was cooled to ambient temperature, diluted with ethyl acetate (20 mL) and concentrated onto Celite® diatomaceous filter aid (2 g). Purification by chromatography on a 12 g silica column eluting with a solvent gradient of 0% to 100% ethyl acetate in hexanes gave a yellow solid which was further triturated with diethyl ether to provide the title compound, a compound of the current invention, (75 mg) as a light yellow solid,
in NMR (CDCI3) δ 8.17 (s, 1H), 8.04 (d, 1H), 8.00 (d, 1H), 7.92 (dd, 1H), 7.25 (d, 1H), 6.61 (dd, 1H), 6.55 (d, 1H), 5.03 (br s, 1H), 4.44 (br d, 2H), 3.93 (s, 3H), 3.86 (s, 3H), 3.72 (br s, 3H), 2.36 (br s, 3H).
EXAMPLE 4
Preparation of methyl N-[[5-[3-(2,6-dimethyl-3-pyridinyl)-lH-pyrazol-l-yl]-2- methylphenyljmethyl] carbamate (Compound 130)
Step A: Preparation of methyl N-[[5-(3-bromo- lH-pyrazol- 1 -yl)-2- methylphenyljmethyl] carbamate
Methyl N-[(2-methyl-5-iodophenyl)methyl]carbamate (i.e. the product of Example 3, Step C) (5.00 g, 16.4 mmol), 3-bromopyrazole (3.11 g, 21.3 mmol), potassium carbonate (5.65 g, 41.0 mmol), and copper (I) iodide (623 mg, 3.28 mmol) were combined in toluene (16 mL) and N,N'-dimethylformamide (16 mL). A stream of nitrogen gas was bubbled into the mixture for 30 min., N,1ST -dimethyl- 1 ,2-cyclohexanediamine (1.0 mL, 6.6 mmol) was added and a stream of nitrogen gas was bubbled through the mixture for an additional 30 min. The nitrogen line was then raised above the reaction mixture and the mixture was stirred at room temperature for 16 hours. The reaction mixture was filtered through a fritted- glass funnel and then concentrated under vacuum. The resultant residue was purified by medium pressure liquid chromatography using a gradient of 10 to 50% ethyl acetate in hexanes to provide the title compound (4.35 g) as an off- white solid.
in NMR (500 MHz, CDC13) δ 7.76 (d, J=2.5 Hz, 1 H), 7.55 (d, J=2.0 Hz, 1 H), 7.42 (dd, J=8.1, 2.0 Hz, 1 H), 7.23 (d, J=8.2 Hz, 1 H), 6.45 (d, J=2.6 Hz, 1 H), 5.00 (bs, 1 H), 4.40 (d, J=5.7 Hz, 2 H), 3.71 (s, 3 H), 2.34 (s, 3 H).
Step B: Preparation of methyl N-[[5-[3-(2,6-dimethyl-3-pyridinyl)-lH-pyrazol-l-yl]- 2-methylphenyl]methyl] carbamate
Methyl N-[[5-(3-bromo-lH-pyrazol-l-yl)-2-methylphenyl]methyl]carbamate (i.e. the product of Step A) (150 mg, 0.464 mmol), 2,6-dimethylpyridine-3-boronic acid (250 mg, 1.67 mmol), PdCl2(PPh3)2 (33 mg, 0.046 mmol), and potassium carbonate (320 mg, 2.32 mmol) were taken up in acetonitrile (4 mL) and water (1 mL) in a microwave reactor vial. The reaction mixture was then heated at 120 °C in a microwave reactor for 30 min. After the reaction had cooled to room temperature, the mixture was diluted with dichloromethane, filtered through a ChemElut cartridge (diatomaceous earth sorbent material), and concentrated under vacuum. The residue was purified by medium pressure liquid chromatography using a gradient of 20 to 100% ethyl acetate in hexanes. The resulting material was further purified by trituration with diethyl ether to yield the title compound, a compound of the present invention, as a white solid (125 mg).
in NMR (500 MHz, CDC13) δ 7.95 (d, J=2.5 Hz, 1 H), 7.85 (d, J=7.9 Hz, 1 H), 7.66 (d, J=2.0 Hz, 1 H), 7.57 - 7.50 (m, 1 H), 7.28 - 7.24 (m, 1 H), 7.10 - 7.04 (m, 1 H), 6.63 (d, J=2.4 Hz, 1 H), 4.94 (bs, 1 H), 4.44 (d, J=5.8 Hz, 2 H), 3.72 (s, 3 H), 2.77 (s, 3 H), 2.57 (s, 3 H), 2.37 (s, 3 H).
EXAMPLE 5
Preparation of methyl N-[[5-[l-(2,6-dimethyl-3-pyridinyl)-lH-pyrazol-3-yl]-2- methylphenyljmethyl] carbamate (Compound 114)
Step A: Preparation of 5-acetyl-2-methylbenzonitrile
3-Bromo-4-methylacetophenone (2.45 g, 11.5 mmol) was dissolved in Ν,Ν'- dimethylformamide (25 mL) and copper (I) cyanide (2.06 g, 23 mmol) was added. A stream of nitrogen was bubbled into the reaction mixture for 20 min. The nitrogen line was removed from the solution, and the reaction was heated under positive nitrogen pressure at reflux for 7 hours. The reaction mixture was cooled to room temperature, diluted with water, and filtered through a fritted-glass funnel. The resulting solution was extracted with ethyl acetate (3x). The combined organic phases were washed with saturated aqueous sodium chloride (5x), dried over magnesium sulfate, and concentrated under vacuum to yield a light brown solid (1.30 g), which was sufficiently pure to be used directly in the next reaction, in NMR (500 MHz, CDC13) δ 8.18 (d, J=1.9 Hz, 1 H), 8.06 (dd, J=8.1, 1.8 Hz, 1 H), 7.44 (d, J=8.0 Hz, 1 H), 2.62 (s, 3 H), 2.61 (s, 3 H).
Step B: Preparation of 2-methyl-5-(lH-pyrazol-3-yl)benzonitrile
5-Acetyl-2-methylbenzonitrile (i.e. the product of Step A) (3.0 g, 18.8 mmol) was dissolved in N,N'-dimethylformamide dimethyl acetal (10 mL) and heated to 110 °C for 16 hours. The reaction mixture was allowed to cool to room temperature and was then concentrated under vacuum. The resulting residue containing intermediate 5-[(2E)-3- (dimethylamino)-l-oxo-2-propen-l-yl]-2-methylbenzonitrile was taken up in ethanol (40 mL) and hydrazine hydrate (3.4 mL, 56 mmol) was added. The reaction mixture was heated to reflux for 1 hour. The mixture was allowed to cool to room temperature and was then concentrated under vacuum. The residue was taken up in ethyl acetate, washed with water and saturated aqueous sodium chloride (4x), dried over magnesium sulfate, and concentrated under vacuum to yield a pale yellow solid (3.20 g), which was sufficiently pure to be used directly in the next reaction.
!H NMR (500 MHz, CDC13) 5 13.01 (bs, 1 H), 8.16 (d, J=1.6 Hz, 1 H), 8.05 (d, J=7.7 Hz, 1 H), 7.81 (s, 1 H), 7.49 (d, J=8.0 Hz, 1 H), 6.83 (d, J=1.9 Hz, 1 H), 2.50 (s, 3 H).
Step C: Preparation of 5-[l-(2,6-dimethyl-3-pyridinyl)-lH-pyrazol-3-yl]-2- methylbenzonitrile
2-Methyl-5-(lH-pyrazol-3-yl)benzonitrile (i.e. he product of Step B) (0.20 g, 1.1 mmol), copper (I) iodide (42 mg, 0.22 mmol), potassium carbonate (376 mg, 2.72 mmol), and 3-bromo-2,6-dimethylpyridine (0.18 mL, 1.4 mmol) were taken up in Ν,Ν'- dimethylformamide (2 mL). A stream of nitrogen gas was bubbled into the mixture for 10 min., N,N'-dimethyl-l,2-cyclohexanediamine (0.07 mL, 0.4 mmol) was added and a stream of nitrogen gas was bubbled through the mixture for an additional 10 min. The nitrogen line was then raised above the reaction mixture, and the mixture was heated at 100 °C for 16 hours. The reaction mixture allowed to cool to room temperature, diluted with water and ethyl acetate, and filtered through a fritted-glass funnel. The phases were separated and the aqueous phase was extracted with ethyl acetate (3x). The combined organic phases were washed with saturated aqueous sodium chloride, dried over magnesium sulfate, and concentrated under vacuum. The residue was purified by medium pressure liquid chromatography using a gradient of 20-100% ethyl acetate in hexanes to yield an off- white solid (0.25 g).
in NMR (500 MHz, CDC13) δ 8.10 (d, J=1.9 Hz, 1 H), 7.98 (dd, J=8.0, 1.9 Hz, 1 H), 7.65 (d, J=2.4 Hz, 1 H), 7.61 (d, J=8.0 Hz, 1 H), 7.37 (d, J=8.0 Hz, 1 H), 7.13 (d, J=8.0 Hz, 1 H), 6.76 (d, J=2.4 Hz, 1 H), 2.61 (s, 3 H), 2.58 (s, 3 H), 2.51 (s, 3 H).
Step D: Preparation of methyl N-[[5-[l-(2,6-dimethyl-3-pyridinyl)-lH-pyrazol-3-yl]- 2-methylphenyl]methyl] carbamate
5-[l-(2,6-Dimethyl-3-pyridinyl)-lH-pyrazol-3-yl]-2-methylbenzonitrile (i.e. the product of Step C) (0.25 g, 0.87 mmol), was taken up in ethanol (20 mL) and warmed to
60 °C. Nickel (II) chloride (110 mg, 0.87 mmol) and then sodium borohydride (230 mg, 6.1 mmol) were added. The reaction mixture was stirred at 60 °C for 45 min. The reaction mixture was cooled to room temperature, diluted with ethyl acetate, and was filtered through Celite® filtering agent. The filtrate was washed with saturated aqueous sodium chloride (4x), dried over magnesium sulfate, and concentrated under vacuum. The resulting residue was taken up in ethyl acetate (5 mL) and water (1 mL) and potassium carbonate (168 mg, 1.22 mmol) was added. The mixture was cooled in an ice water bath and methyl chloroformate (0.08 mL, 1 mmol) was added. The reaction mixture was allowed to stir while warming to room temperature over 16 hours. The mixture was then diluted with ethyl acetate and water and the phases separated. The combined organic phases were washed with water (3x), dried over magnesium sulfate, and concentrated under vacuum. The resulting residue was purified by medium pressure liquid chromatography using a gradient of 40- 100% ethyl acetate in hexanes to yield the title compound, a compound of the present invention, as a beige solid (100 mg).
!H NMR (500 MHz, CDC13) δ 7.76 (d, J=1.7 Hz, 1 H), 7.69 (dd, J=7.7, 1.7 Hz, 1 H), 7.64 - 7.59 (m, 2 H), 7.23 (d, J=7.7 Hz, 1 H), 7.12 (d, J=7.9 Hz, 1 H), 6.75 (d, J=2.4 Hz, 1 H), 4.91 - 4.80 (bs, 1 H), 4.43 (d, J=5.4 Hz, 2 H), 3.70 (s, 3 H), 2.60 (s, 3 H), 2.51 (s, 3 H), 2.37 (s, 3 H).
EXAMPLE 6
Preparation of methyl N-[[5-[l-(4-methoxy-2-methylphenyl)-lH-l,2,4-triazol-3-yl]-2- methylphenyl]methyl]carbamate (Compound 70)
Step A: Preparation of methyl N-[(5-cyano-2-methylphenyl)methyl]carbamate
To a solution of methyl N-[(2-methyl-5-iodophenyl)methyl] carbamate (i.e. the product of Example 3, Step C) (5.0 g, 16 mmol) in 50 mL N,N'-dimethylformamide was added copper (I) cyanide (2.9 g, 33 mmol). The reaction mixture was heated at 125 °C for 16 hours, then cooled to room temperature and passed through Celite® filtration agent. The filtrate was diluted with ethyl acetate and washed with water, saturated aqueous sodium chloride and dried over sodium sulfate. The solvent was concentrated under reduced pressure to give the title compound (2.0 g) as a solid.
lU NMR (500 MHz, DMSO-D6) δ 2.40 (s, 3H), 3.62(s, 3H), 4.20 (d, 2H), 7.38 (dd, 1H),
7.54 (s, 1H), 7.62 (d, 1H), 7.68 (bs,lH).
Step B: Preparation of methyl N-[[5-(aminocarbonyl)-2-methylphenyl)methyl]- carbamate
To a solution of methyl N-[(5-cyano-2-methylphenyl)methyl]carbamate (i.e. the product of Step A) (5.0 g, 25 mmol) in 40 mL EtOH was added 30%> aqueous hydrogen peroxide (0.7 mL) drop-wise at 0 °C. Then 6N sodium hydroxide (0.3 mL) solution was added, and the reaction mixture was stirred at 25 °C for 16 hours. The solvent was
concentrated under reduced pressure, water was added, and the remaining solid was filtered off to give the title compound (4.3 g).
!H NMR (500 MHz, DMSO-D6) δ 2.6 (s, 3H), 3.52 (s, 3H), 4.20 (d, 2H), 7.20 (d, 1H), 7.30 bs, 1H), 7.60 (b, 1H), 7.70 (dd, 1H), 7.80 (s, 1H), 7.90 (bs,lH).
Step C: Preparation of methyl N-[[5-(lH-l,2,4-triazol-3-yl)-2-methylphenyl]- methyl] carbamate
A mixture of methyl N-[[5-(aminocarbonyl)-2-methylphenyl)methyl]-carbamate (i.e. the product of Step B) (1.2 g, 5.4 mmol), N,N'-dimethylformamide dimethyl acetal (1.9 g, 16 mmol) and 20 mL toluene were heated to 100 °C for 16 hours. The reaction mixture was then concentrated, water was added, and the mixture was extracted three times with ethyl acetate. The combined organic phases were washed with water and saturated aqueous sodium chloride, dried over sodium sulfate, filtered and concentrated under reduced pressure to give an intermediate (1.0 g, 3.6 mmol). The intermediate was taken up in ethanol (20 mL) and treated with hydrazine hydrate (0.23 mL 7.2 mmol). The reaction mixture was stirred at room temperature for 3 hours and then concentrated under reduced pressure. The resulting crude residue was purified with neutral alumina column chromatography using 1% methanol in chloroform as eluent to give the title compound (0.45 g) as a solid.
in NMR (500 MHz, DMSO-D6) δ 2.20 (s, 3H), 3.60 (s, 3H), 4.20 (d, 2H), 7.20 (d, 2H), 7.80 (d, 1H), 7.90 (s, 1H), 8.20 (s, 1H), 12.52 (bs, 1H).
Step D: Preparation of methyl N-[[5-[l-(4-methoxy-2-methylphenyl)-lH-l,2,4- triazol-3-yl]-2-methylphenyl]methyl]carbamate
To a solution of methyl N-[[5-(lH-l,2,4-triazol-3-yl)-2-methylphenyl]- methyl] carbamate (i.e. the product of Step C) (0.20 g, 0.81 mmol) in dioxane (16 mL) was added trans-N,N'-dimethyl-l,2-cyclohexanediamine (23 mg, 0.16 mmol) N,N -dimethyl- 1,2- ethanediamine, (70 mg, 0.81 mmol), copper(I) iodide (30 mg, 0.16 mmol) and potassium carbonate (340 mg, 2.4 mmol) under a nitrogen atmosphere. To the reaction mixture was added l-bromo-4-methoxy-2-methylbenzene (200 mg, 0.98 mmol). The reaction mixture was heated at 100 °C for 48 hours, then cooled to room temperature and concentrated under reduced pressure. The resulting crude residue was purified by silica gel column chromatography using 1% methanol in chloroform as eluent to yield the title compound, a compound of the present invention, as a solid (110 mg).
in NMR (500 MHz, CDC13) δ 2.20 (s, 3H), 2.40 (s, 3H), 3.70 (s, 3H),3.90 (s, 3H), 4.50 (d, 2H), 4.90 (bs, 1H), 6.84 (dd, 1H), 6.88 (d, 1H), 7.32 (m, 2H), 8.00 (d, 1H), 8.10 (m, 1H), 8.32 (m, 1H).
EXAMPLE 7
Preparation of methyl N-[[5-[l-(6-methoxy-2-methyl-3-pyridinyl)-lH-pyrazol-3-yl]-2- methylphenyljmethyl] carbamate (Compound 116)
Step A: Preparation of l-(3-bromo-4-methylphenyl)ethanone
A flask equipped with an aqueous NaOH scrubber was charged with dichloromethane
(300 mL) and anhydrous aluminum chloride (203 g, 1.52 mol) under a nitrogen blanket, and cooled in a 0 °C bath. While stirring, 4-methylacetophenone (99 g, 0.738 mol) was added dropwise via an addition funnel over 30 min. After the temp dropped to 3 °C, bromine (120 g, 0.75 mol) was added dropwise over 60 min. After stirring at 10 °C for 10 min, the bath temperature was raised to 20 °C and held for 1 h. The resultant slurry was slowly drained onto ice. After the two phases were separated, the aqueous phase was extracted with dichloromethane (300 mL). The combined organic phases were washed with aqueous ammonium chloride, 10% aqueous NaHS03 solution, dried over magnesium sulfate, filtered and concentrated under vacuum to afford the title compound (155 g) as a solid.
!H NMR (500 MHz, CDC13) 5 8.11 (s, 1H), 7.78 (d, 1H), 7.32 (d, 1H), 2.57 (s, 3H), 2.46 (s, 3H).
Step B: Preparation of 5-acetyl-2-methylbenzonitrile
To a solution of l-(3-Bromo-4-methylphenyl)ethanone (i.e. the product of Step A) (250g, 1.17 mol) in N,N'-dimethylformamide (1.1 L) was added copper(I) cyanide (120g, 1.34 mol) under a nitrogen atmosphere. The mixture was degassed by alternating vacuum and refilling with nitrogen for 3 cycles, and then heated to reflux. The reaction was monitored by HPLC and when complete, the mixture was cooled to room temperature, and diluted with ethyl acetate (1.0 L). The slurry was filtered, and the solution was concentrated under vacuum to afford a wet solid. The crude solid was dissolved in ethyl acetate (1.0 L), washed with 10% ammonia (1.0 L), saturated aqueous ammonium chloride solution and concentrated under vacuum to yellow solid. The yellow solid was suspended in hexanes (1 L) at room temperature for 30 min, filtered and dried to afford the title compound (170 g) as a solid.
!H NMR (500 MHz, CDC13) δ 8.18 (s, 1H), 8.06 (m, 1H), 7.44 (d, 1H), 2.62 (s, 3H), 2.61 (s, 3H).
Step C: Preparation of 5-[3-(dimethylamino)-l-oxo-2-propen-l-yl]-2-methyl- benzonitrile
A mixture of 5-acetyl-2-methylbenzonitrile (i.e. the product of Step B) (5.0 g, 31 mmol), N,N'-dimethylformamide dimethyl acetal (4.5 g, 38 mmol), p-toluene sulfonic acid hydrate (10 mg) in toluene (20 mL) was heated to reflux. The reaction was monitored by HPLC and when complete, the mixture was cooled to room temperature. The slurry was
further cooled in an ice bath for 1 h, and filtered. The filter cake was washed with hexanes, and dried under vacuum to afford the title compound (5.1 g) as a yellow solid.
!H NMR (500 MHz, CDC13) δ 8.12 (s, 1H), 8.01 (d, 1H), 7.84 (d, 1H), 7.36 (d, 1H), 5.64 (d, 1H), 3.18 (br s, 3H), 2.95 (s, 3H), 2.58 (s, 3H).
Step D: Preparation of 2-methyl-5-(lH-pyrazol-3-yl)benzonitrile
To a solution of 5-[3-(dimethylamino)-l-oxo-2-propen-l-yl]-2-methyl-benzonitrile (i.e. the product of Step C) (4.9 g, 23 mmol) in methanol (100 mL) was added hydrazine hydrate (2.4 g, 48 mmol). The mixture was refluxed for 2 h, diluted with water (200 mL added to the hot mixture) and cooled to 5 °C over 5 h. The resulting slurry was filtered and the filter cake was washed with water and dried to give the title compound (4.2 g) as a yellow solid.
in NMR (500 MHz, CDCI3) δ 10.94 (br s, 1H), 8.01 (s, 1H), 7.90 (d, 1H), 7.65 (s, 1H), 7.36 (d, 1H), 6.64 ( s, 1H), 2.57 (s, 3H).
!H NMR (500 MHz, DMSO-D6) δ 13.01 (br s, 1H), 8.16 (d, 1H), 8.05 (d, 1H), 7.81 (s, 1H), 7.49 (d, 1H), 6.83 (d, 1H), 2.50 (s, 3H).
Step E: Preparation of 5-[l-(6-Methoxy-2-methyl-3-pyridinyl)-lH-pyrazol-3-yl]-2- methylbenzonitrile
A flask was charged with 2-methyl-5-(lH-pyrazol-3-yl)benzonitrile (i.e. the product of Step D) (15.5 g, 82.8 mmol), 3-bromo-6-methoxy-2-methylpyridine (18.4 g, 91.1 mmol), copper(I) iodide (1.58 g, 8.28 mmol), potassium carbonate (22 g, 166 mmol), sodium iodide (13.7 g, 91.1 mmol), and N,N'-dimethylformamide (200 mL) under a nitrogen atmosphere. The mixture was degassed by alternating vacuum and filling with nitrogen for 3 cycles, then N,N '-dimethyl ethylenediamine (DMEDA) (2.0 mL, 19 mmol) was added via syringe and the mixture was heated to 100 °C and stirred for 4 days under nitrogen. The hot solution was diluted with water (400 mL) and cooled to room temperature. The resultant slurry was filtered and washed with water. The crude solid was stirred in a mixture of methanol (100 mL) and 10% ammonia (200 mL) at 50 °C for 30 min. The mixture was cooled to room temperature and the slurry was filtered and dried under vacuum to afford the title compound (22 g) as a solid.
lU NMR (500 MHz, CDC13) δ 8.09 (s, 1H), 7.97 (m, 1H), 7.60 (s, 1H), 7.56-7.59 (m, 1H), 7.36 (d, 1H), 6.74 (d, 1H), 6.68 (d, 1H), 3.98 (s, 3H), 2.58 (s, 3H), 2.39 (s, 3H).
Step F: Preparation of 5-[l-(6-Methoxy-2-methyl-3-pyridinyl)-lH-pyrazol-3-yl]-2- methylbenzenemethanamine
To an ice-cooled solution of 5-[l-(6-Methoxy-2-methyl-3-pyridinyl)-lH-pyrazol-3-yl]- 2-methylbenzonitrile (i.e. the product of Step E) (2.0 g, 6.0 mmol) in tetrahydrofuran (100 mL) was added a solution of lithium aluminumhydride (4.0 mL, 2.0M in THF) via syringe.
The resulting solution was slowly warmed to 18 °C over 3 h. The dark solution was re- cooled to 5 °C, and 1.0 mL of IN aqueous sodium hydroxide was added dropwise via syringe over 2 min, followed by addition of powdered potassium carbonate (2 g). The mixture was warmed to room temperature, filtered and concentrated under vacuum to give a crude product which was used directly for next step. MS (electrospray ionization): 304.
Step G: Preparation of methyl N-[[5-[l-(6-methoxy-2-methyl-3-pyridinyl)-lH- pyrazol-3 -yl] -2-methylphenyl]methyl] carbamate
The crude 5-[ 1 -(6-Methoxy-2-methyl-3-pyridinyl)- lH-pyrazol-3-yl]-2- methylbenzenemethanamine (i.e. the product of Step F) (6.0 mmol) was diluted with tetrahydrofuran (50 mL) and cooled in an ice bath, then potassium carbonate (2.0 g, 14 mmol) was added, followed by addition of methyl chloroformate (1.0 mL, 10 mmol). The resulting mixture was warmed to room temperature for 3 h. The mixture was diluted with water (30 mL) and the phases were separated. The organic phase was dried over magnesium sulfate, filtered and concentrated under vacuum. The crude product was purified via column chromatography on silica gel, with ethyl acetate/hexanes (1 :3) as eluent to yield the title compound, a compound of the present invention, as a colorless solid (2.3 g).
in NMR (500 MHz, CDC13) δ 7.75 (d, 1H), 7.68 (d, 1H), 7.59 (d, 1H), 7.56 (d, 1H), 7.23 (d, 1H), 6.72 (d, 1H), 6.66 (d, 1H), 4.87 (br s, 1H), 4.42 (d, 2H), 3.97 (s, 3H), 3.70 (s, 3H), 2.39 (s, 3H), 2.36 (s, 3H).
EXAMPLE 8
Preparation of methyl N-[[5-[3-(6-methoxy-2-methyl-3-pyridinyl)-lH-pyrazol-l-yl]-2- methylphenyl]methyl]carbamate (Compound 46)
Step A: Preparation of l-(6-methoxy-2-methyl-3-pyridinyl)ethanone
A flask was charged with ethylene glycol (150 mL), 3-bromo~6-methoxy-2-methyl~ pyridine (10 g, 50 mmol), palladium(II) acetate (400 mg, 1 .78 mmol) and Ι ,Γ- bis(diphenylphosphino)ferrocene (990 mg, 1.78 mmol) under nitrogen. The mixture was degassed bv alternating vacuum and filling with nitrogen for 3 cveles. Rutvi vinvl ether (10 g, 100 mmol) and triethylamine (14 mL, 100 mmol) were added, and the mixture was degassed further by purging with nitrogen for 5 min. The resulting mixture was refluxed (-132 "C) for 2 li. After cooling to room temperature, the mixture was extracted with dichloromethane twice (100 mL each) and the combined organic phases were concentrated under vacuum. The resulting dark oil was diluted with water (400 mL) and concentrated hydrochloric acid ( -37%, 100 mL). After stirring at room temperature overnight, toluene (100 mL) was added, and the phases were separated. The aqueous phase was cooled in an ice bath, and treated with 50% aqueous aO until the pH was .10, then extracted with dichloromethane twice (100 mL each). The combined organic phases were dried over
magnesium sulfate, filtered, and concentrated to afford the title compound (9.0 g) as a light yel low oil.
!H NMR (500 MHz, CDC13) δ 7.94 (d, 1H), 6.60 (d, 1H), 3.98 (s, 3H), 2.71 (s, 3H), 2.54 (s, 3H).
Step B: Preparation of 6-methoxy-2-methyl-3-(lH-pyrazol-3-yl)pyridine
The crude l-(6-methoxy-2-methyl-3-pyridinyl)ethanone (i.e. the product of Step A) was treated with N,N'-dimethylformamide dimethylacetal (25 mL, 0.18 mol) and the resulting mixture was refluxed for 1 8 h. The excess of NN'-dmiethylfonnarmde dimeth lacetal was removed under vacuum. The resultant crude oil was used directly in the next step. The crude intermediate was diluted with methanol (50 mL) and treated with hydrazine hydrate (3 g, 60 mmoi). The resulting mixture was refluxed for 18 , cooled, diluted with water (150 mL) and then extracted with dichloromethane twice (100 mL each). The combined organic phases were dried over magnesium sulfate, filtered and concentrated to give a dark oil, which was purified via column chromatography on silica gel, with 30% ethyl acetate in hexanes as eluent to afford the title compound (6.8 g) as a light yellow oil. in NMR (500 MHz, CDC13) δ 7.64 (d, 1H), 7.59 (d, 1H), 6.57 (d, 1H), 6.40 (d, 1H), 3.96 (s, 3H), 2.55 (s, 3H).
Step C: Preparation of 5-[3-(6-methoxy-2-methyl-3-pyridinyl)-lH-pyrazol-l-yl]-2- methylbenzonitrile
A flask was charged with 3-bromo-2-methylbenzonitrile (7.3 g, 37 mmol), 6-mefhoxy- 2-methyl-3-(lH-pyrazol-3-yl)pyridine (i.e. the product of Step B) (6.5 g, 34 mmol), copper(I) iodide (650 mg, 3.4 mmol), potassium carbonate (9.4 g, 68 mmol), sodium iodide (5.1 g, 34 mmol), and toluene (200 mL) under a nitrogen atmosphere. The mixture was degassed by alternating vacuum and filling with nitrogen for 3 cycles. N,N'-dimefhyl ethylenediamine (DMEDA) (0.75 mL, 7 mmol) was added by syringe and the mixture was refluxed for 3 days under nitrogen. After cooling to 60°C, the reaction mixture was diluted with ethyl acetate (200 mL), and washed with 10% aqueous ammonia solution followed by saturated aqueous ammonium chloride solution and saturated aqueous sodium chloride. The organic phase was dried over magnesium sulfate, filtered and concentrated under vacuum to a solid. The crude solid was purified by refluxing in hexanes (300 mL) for 5 min, cooling to room temperature, filtering and drying to afford the title compound (8.23 g) as a light yellow solid.
in NMR (500 MHz, CDC13) δ 8.00 (s, 1H), 7.96 (d, 1H), 7.86 (m, 2H), 7.41 (d, 1H), 6.63- 6.67 (m, 2H), 3.97 (s, 3H), 2.69 (s, 3H), 2.59 (s, 3H).
Step D: Preparation of methyl N-[[5-[3-(6-methoxy-2-methyl-3-pyridinyl)-lH- pyrazol- 1 -yl] -2-methylphenyl]methyl] carbamate
An ice-cooled solution of 5-[3-(6-methoxy-2-methyl-3-pyridinyl)-lH-pyrazol-l-yl]-2- methylbenzonitrile (i.e. the product of Step C) (8.2 g, 27 mmol) in tetrahydrofuran (200 mL) was treated with a solution of lithium aluminumhydride (15.0 mL, 30.0 mmol, 2.0M in tetrahydrofuran) dropwise via syringe. The resulting solution was slowly warmed to 16 °C over 3 h. The dark solution was re-cooled to 5 °C, and IN aqueous sodium hydroxide (3.6 mL) was added dropwise via syringe over 5 min, followed by addition of powdered potassium carbonate (5.4 g, 39 mmol). The intermediate 5-[3-(6-methoxy-2-methyl-3- pyridinyl)-lH-pyrazol-l-yl]-2-methylbenzenemethanamine was not isolated but used directly in the next step. After stirring at 15 °C for 15 min, methyl chloroformate (3.0 mL, 39 mmol) was added and the resulting mixture was stirred at room temperature for 30 min. The mixture was filtered through a celite pad and the celite was rinsed with ethyl acetate (200 mL). The filtrate was concentrated under vacuum to give a crude white solid which was purified via column chromatography on silica gel, with 30% ethyl acetate in hexanes as eluent to yield the title compound, a compound of the present invention, as a colorless solid (7.6 g).
in NMR (500 MHz, CDC13) δ 7.94 (d, 1H), 7.87 (d, 1H), 7.61-7.71 (m, 1H), 7.46-7.60 (m, 1H), 7.25 (d, 1H), 6.65 (d, 1H), 6.59 (d, 1H), 4.95 (br s, 1H), 4.43 (d, 2H), 3.97 (s, 3H), 3.72 (s, 3H), 2.69 (s, 3H), 2.36 (s, 3H).
EXAMPLE 9
Preparation of methyl N-[[5-[3-(4-methoxy-2-methylphenyl)-lH-pyrazol-l-yl]-2- methylphenyl]methyl]carbamate (Compound 10)
Step A: Preparation of 3-(4-methoxy-2-methylphenyl)- lH-pyrazole
A flask was charged with l-(4-methoxy-2-methylphenyl)ethanone (144 g, 0.87 mol), .¥.N ~dimei.h.ylforrnamide dimethyiacetal (DMFDMA) (225 g, 1.9 mol), and p- toluenesulfonic acid hydrate (200 mg). The mixture was refluxed while maintaining an internal temperature above 95 °C. Methanol was distilled off via a short column till less than 2% of the starting material (monitored by GC) remained. After cooling to room temperature, the dark solution was concentrated under vacuum to dark oil. The crude oil was diluted with methanol (900 mL), and treated with hydrazine hydrate (80 g, 1.6 mol). The resulting mixture was refluxed for 4 h, and then concentrated under vacuum to a thick slurry. The slurry was diluted with water (500 mL), stirred at room temperature for 30 min, filtered and dried under vacuum to afford 109 g of a brown solid. The crude product was purified by recrystallizing from ethyl acetate/hexanes (100 mL/400 mL) to afford 42 g light yellow solid. The filtrate from recrystallization was purified by column chromatography on silica gel, with ethyl acetate/hexanes (1 :2) as eluent to afford an additional 60 g of the title compound.
in NMR (500 MHz, CDC13) δ 7.59 (d, 1H), 7.36 (d, 1H), 6.80 (s, 1H), 6.77 (d, 1H), 6.37 (d, 1H), 3.83 (s, 3H), 2.39 (s, 3H).
Step B: Preparation of 5-[3-(4-methoxy-2-methylphenyl)-lH-pyrazol-l-yl]-2-methyl- benzonitrile
A flask was charged with 3-(4-methoxy-2-methylphenyl)-lH-pyrazole (i.e. the product of Step A) (950 mg, 5 mmol), 3-bromo-2-methylbenzonitrile (1.0 g, 5.1 mmol), copper(I) bromide (72 mg, 0.5 mmol), cesium carbonate (3.2 g, 10 mmol), 8-hydroxyquinoline N- oxide (81 mg, 0.5 mmol) and dimethylsulfoxide (15 mL) under a nitrogen atmosphere. The mixture was degassed by alternating vacuum and filling with nitrogen for 3 cycles. The mixture was heated to 130 °C and stirred for 20 h under nitrogen. The solution was cooled to room temperature, diluted with water (50 mL) and extracted with ethyl acetate (50 mL). The organic phase was dried over magnesium sulfate, filtered and concentrated under vacuum. The crude product was purified via column chromatography on silica gel, with dichloromethane as eluent to afford the title compound (0.8 g) as an cream colored solid. lU NMR (500 MHz, CDC13) δ 8.00 (d, 1H), 7.93 (d, 1H), 7.86 (dd, 1H), 7.55 (d, 1H), 7.39 (d, 1H), 6.81-6.84 (m, 2H), 6.62 (d, 1H), 3.84 (s, 3H), 2.58 (s, 3H), 2.54 (s, 3H).
Step C: Preparation of 5-[3-(4-methoxy-2-methylphenyl)-lH-pyrazol-l-yl]-2- methylbenzenemethanamine
To an ice-cooled solution of 5-[3-(4-methoxy-2-methylphenyl)-lH-pyrazol-l-yl]-2- methyl-benzonitrile (i.e. the product of Step B) (7.5 g, 23.2 mmol) in tetrahydrofuran (100 mL) was added powered lithium aluminumhydride (1.2 g, 31.6 mmol) in portions. The resulting solution was warmed to 20 °C over 3 h. The dark red solution was re-cooled to 5 °C, and 20 mL of IN aqueous sodium hydroxide was added dropwise via syringe over 10 min, followed by addition of powdered potassium carbonate (20 g, 0.14 mol). The mixture was warmed to room temperature, filtered and the filter cake was rinsed with ethyl acetate. The filtrate was concentrated under vacuum to afford the title compound (7.5 g) as a colorless oil.
in NMR (500 MHz, CDC13) δ 7.93 (d, 1H), 7.74 (d, 1H), 7.57 (d, 1H), 7.51 (m, 1H), 7.22 (d, 1H), 6.77-6.85 (m, 2H), 6.55 (d, 1H), 3.91 (s, 2H), 3.83 (s, 3H), 2.53 (s, 3H), 2.35 (s, 3H).
Step D: Preparation of methyl N-[[5-[3-(4-methoxy-2-methylphenyl)-lH-pyrazol-l- yl]-2-methylphenyl]methyl]carbamate
The crude of 5-[3-(4-methoxy-2-methylphenyl)-lH-pyrazol-l-yl]-2- methylbenzenemethanamine (i.e. the product of Step C) (7.5 g, 23 mmol) was diluted with dichloromethane (100 mL) and cooled in an ice bath. Triethylamine (6.0 mL, 72 mmol) was added, followed by addition of methyl chloroformate (2.8 g, 30 mmol), and the resulting
mixture was stirred at room temperature for 2 h. The mixture as diluted with water (30 mL) and the phases separated. The organic phase was dried over magnesium sulfate, filtered and concentrated under vacuum. The crude product was purified via column chromatography on silica gel, with ethyl acetate/hexanes (1 :3) as eluent yield the title compound, a compound of the present invention, as a colorless solid (6.0 g).
!H NMR (500 MHz, CDC13) δ 7.91 (d, 1H), 7.66 (d, 1H), 7.53-7.59 (m, 2H), 7.24 (d, 1H), 6.79 -6.82 (m, 2H), 6.56 (d, 1H), 4.93 (br s, 1H), 4.42 (d, 2H), 3.83 (s, 3H), 3.71 (s, 3H), 2.53 (s, 3H), 2.35 (s, 3H).
By the procedures described herein together with methods known in the art, the following compounds of Tables 1 to 47Hcan be prepared. The following abbreviations are used in the Tables which follow: n means normal, i means iso, c means cyclo, Me means methyl, Et means ethyl, Pr means propyl, OMe means methoxy, OEt means ethoxy, SMe means methylthio, SEt means ethylthio, -CN means cyano and -NO2 means nitro.
Tables 1 A-47A pertain to the structure shown below.
TABLE 1A
R1 is F
The present disclosure also includes Tables 2A through 47A, each of which is constructed the same as Table 1 A above except that the row heading in Table 1 A (i.e. "R1 is
F") below the Markush structure is replaced with the respective row heading shown below. For example, in Table 2A the row heading is "R1 is CI, and R2 is as defined in Table 1A above. Thus, the first entry in Table 2A specifically discloses methyl N-[[5-[l-(2-chloro-4- fluorophenyl)-lH-pyrazol-3-yl]-2-methylphenyl]methyl]carbamate.
TABLE IB
Table IB is identical to Table 1A, except that the chemical structure in the Table IB heading is replaced with the following structure:
For example, the first compound in Table IB is the structure shown immediately above wherein R1 is F and R2 is F.
TABLES 2B-47B
Tables 2B through 47B are constructed in a similar manner as Tables 2A through 47A.
TABLE IC
Table IC is identical to Table 1A, except that the chemical structure in the Table IC heading is replaced with the following structure:
For example, the first compound in Table IC is the structure shown immediately above wherein R1 is F and R2 is F.
TABLES 2C-47C
Tables 2C through 47C are constructed in a similar manner as Tables 2A through 47A.
TABLE ID
Table ID is identical to Table 1A, except that the chemical structure in the Table ID heading is replaced with the following structure:
For example, the first compound in Table ID is the structure shown immediately above wherein R1 is F and R2 is F.
TABLES 2D-47D
Tables 2D through 47D are constructed in a similar manner as Tables 2A through 47A.
TABLE IE
Table IE is identical to Table 1A, except that the chemical structure in the Table IE heading is replaced with the following structure:
For example, the first compound in Table IE is the structure shown immediately above wherein R1 is F and R2 is F.
TABLES 2E-47E
Tables 2E through 47E are constructed in a similar manner as Tables 2A through 47A.
TABLE IF
Table IF is identical to Table 1A, except that the chemical structure in the Table IF heading is replaced with the following structure:
For example, the first compound in Table IF is the structure shown immediately above wherein R1 is F and R2 is F.
TABLES 2F-47F
Tables 2F through 47F are constructed in a similar manner as Tables 2A through 47A.
TABLE IG
Table IG is identical to Table 1A, except that the chemical structure in the Table IG heading is replaced with the following structure:
For example, the first compound in Table IG is the structure shown immediately above wherein R1 is F and R2 is F.
TABLES 2G-47G
Tables 2G through 47G are constructed in a similar manner as Tables 2A through 47A.
TABLE IH
Table IH is identical to Table 1A, except that the chemical structure in the Table IH heading is replaced with the following structure:
For example, the first compound in Table 1H is the structure shown immediately above wherein R1 is F and R2 is F.
TABLES 2H-47H
Tables 2H through 47H are constructed in a similar manner as Tables 2A through 47A.
TABLE II
Table II is identical to Table 1A, except that the chemical structure in the Table II heading is replaced with the followin structure:
For example, the first compound in Table II is the structure shown immediately above wherein R1 is F and R2 is F.
TABLES 21-471
Tables 21 through 471 are constructed in a similar manner as Tables 2A through 47A.
TABLE IJ
Table IJ is identical to Table 1A, except that the chemical structure in the Table IJ heading is replaced with the followin structure:
For example, the first compound in Table IJ is the structure shown immediately above wherein R1 is F and R2 is F.
TABLES 2J-47J
Tables 2J through 47J are constructed in a similar manner as Tables 2A through 47A.
TABLE IK
Table IK is identical to Table 1A, except that the chemical structure in the Table IK heading is replaced with the following structure:
For example, the first compound in Table IK is the structure shown immediately above wherein R1 is F and R2 is F.
TABLES 2K-47K
Tables 2K through 47K are constructed in a similar manner as Tables 2A through 47A.
TABLE 1L
Table 1L is identical to Table 1A, except that the chemical structure in the Table 1L heading is replaced with the following structure:
For example, the first compound in Table 1L is the structure shown immediately above wherein R1 is F and R2 is F.
TABLES 2L-47L
Tables 2L through 47L are constructed in a similar manner as Tables 2A through 47A.
TABLE IM
Table IM is identical to Table 1A, except that the chemical structure in the Table IM heading is replaced with the following structure:
For example, the first compound in Table IM is the structure shown immediately above wherein R1 is F and R2 is F.
TABLES 2M-47M
Tables 2M through 47M are constructed in a similar manner as Tables 2A through
47A.
TABLE IN
Table IN is identical to Table 1A, except that the chemical structure in the Table IN heading is replaced with the following structure:
For example, the first compound in Table IN is the structure shown immediately above wherein R1 is F and R2 is F.
TABLES 2N-47N
Tables 2N through 47N are constructed in a similar manner as Tables 2A through 47A.
TABLE 10
Table 10 is identical to Table 1A, except that the chemical structure in the Table 10 heading is replaced with the following structure:
For example, the first compound in Table 10 is the structure shown immediately above wherein R1 is F and R2 is F.
TABLES 20-470
Tables 20 through 470 are constructed in a similar manner as Tables 2A through 47A.
TABLE IP
Table IP is identical to Table 1A, except that the chemical structure in the Table IP heading is replaced with the following structure:
For example, the first compound in Table IP is the structure shown immediately above wherein R1 is F and R2 is F.
TABLES 2P-47P
Tables 2P through 47P are constructed in a similar manner as Tables 2A through 47A.
TABLE 10
Table IQ is identical to Table 1A, except that the chemical structure in the Table IQ heading is replaced with the following structure:
For example, the first compound in Table 1Q is the structure shown immediately above wherein R1 is F and R2 is F.
TABLES 2Q-47Q
Tables 2Q through 47Q are constructed in a similar manner as Tables 2A through 47A.
TABLE IR
Table IR is identical to Table 1A, except that the chemical structure in the Table IR heading is replaced with the following structure:
For example, the first compound in Table IR is the structure shown immediately above wherein R1 is F and R2 is F.
TABLES 2R-47R
Tables 2R through 47R are constructed in a similar manner as Tables 2A through 47A.
TABLE IS
Table IS is identical to Table 1A, except that the chemical structure in the Table IS heading is replaced with the following structure:
For example, the first compound in Table IS is the structure shown immediately above wherein R1 is F and R2 is F.
TABLES 2S-47S
Tables 2S through 47S are constructed in a similar manner as Tables 2A through 47A.
TABLE IT
Table IT is identical to Table 1A, except that the chemical structure in the Table IT heading is replaced with the following structure:
For example, the first compound in Table IT is the structure shown immediately above wherein R1 is F and R2 is F.
TABLES 2T-47T
Tables 2T through 47T are constructed in a similar manner as Tables 2A through 47A.
TABLE 1U
Table 1U is identical to Table 1A, except that the chemical structure in the Table 1U heading is replaced with the following structure:
For example, the first compound in Table 1U is the structure shown immediately above wherein R1 is F and R2 is F.
TABLES 2U-47U
Tables 2U through 47U are constructed in a similar manner as Tables 2A through 47A.
In a composition comprising (a) at least one compound selected from Formula 1, N-oxides, and salts thereof, with (b) at least one fungicidal compound selected from component (b), component (b) is selected from components (bl) through (bl6), i.e. Formulae Bl through B16, respectively, including salts thereof.
Component (bl) relates to a com ound of Formula Bl
Bl
wherein R^1 is H or halogen; R2^1 is H, halogen or CH3; R3^1 is halogen; R4^1 is halogen or CH3; and R5^1 is halogen, cyano, CH3 or C1-C2 alkoxy. Of note as an example of a
compound of Formula Bl wherein Rlbl is CI; R2bl is H; R3b l is F; R4bl is CI; and R5b l is F is (b 1 a) 4-(2-chloro-4-fluorophenyl)-N-(2-chloro-6-fluorophenyl)- 1 ,3-dimethyl- lH-pyrazol- 5-amine (Registry Number 1362477-24-4), which is depicted as Formula Bla. Methods for preparing the compound of Formula Bl are described in PCT Patent Publication WO 2012/031061 Al .
Bla
Of note as an example of a compound of Formula Bl wherein Rlb l is CI; R2bl is Η; R3b l is F; R4bl is Br; and R5b l is F is (bib) 4-(2-bromo-4-fluorophenyl)-N-(2-chloro-6- fluorophenyl)- 1 ,3 -dimethyl- lH-pyrazol-5 -amine (Registry Number 1362477-26-6), which is depicted as Formula Bib.
Bib
Of note as an example of a compound of Formula Bl wherein Rlbl is Br; R2bl is Η; R3bl is F; R4bl is CI; and R5bl is F is (blc) N-(2-bromo-6-fluorophenyl)-4-(2-chloro-4- fluorophenyl)-l ,3-dimethyl-lH-pyrazol-5-amine (Registry Number 1362477-27-7), which is depicted as Formula Blc.
Of note as an example of a compound of Formula Bl wherein Rlbl is Br; R2bl is H; R3bl is F; R4bl is Br; and R5bl is F is (bi d) 4-(2-bromo-4-fluorophenyl)-N-(2-bromo-6- fluorophenyl)- l ,3-dimethyl-lH-pyrazol-5-amine (Registry Number 1362477-32-4), which is depicted as Formula Bid.
Bid
Of note as an example of a compound of Formula Bl wherein Rlbl is CI; R2bl is CH3; R3bl is F; R4bl is CI; and R5bl is F is (ble) N-(2-chloro-6-fluoro-4-methylphenyl)-4-(2-chloro-4- fluorophenyl)- l ,3-dimethyl-lH-pyrazol-5-amine (Registry Number 1515863-25-8), which is depicted as Formula Ble.
Ble
Of note as an example of a compound of Formula Bl wherein Rlbl is CI; R2bl is CH3; R3bl is F; R4bl is Br; and R5bl is F is (b I f) 4-(2-bromo-4-fluorophenyl)-N-(2-chloro-6-fluoro-4-
methylphenyl)-l,3-dimethyl-lH-pyrazol-5-amine (Registry Number 1515863-24-7), which is depicted as Formula Blf.
Blf
Of note as an example of a compound of Formula Bl wherein Rlbl is Br; R2bl is CH3; R3bl is F; R4bl is CI; and R5bl is F is (big) N-(2-bromo-6-fluoro-4-methylphenyl)-4-(2-chloro-4- fluorophenyl)-l,3-dimethyl-lH-pyrazol-5-amine (Registry Number 1515863-14-5), which is depicted as Formula Bi .
Of note as an example of a compound of Formula Bl wherein Rlbl is Br; R2^1 is CH3; R3bl is F; R4bl is Br; and R5bl is F is (blh) N-(2-bromo-6-fluoro-4-methylphenyl)-4-(2-bromo-4- fluorophenyl)-l,3-dimethyl-lH-pyrazol-5-amine (Registry Number 1515863-21-4), which is depicted as Formula Blh.
Blh
Of note as an example of a compound of Formula Bl wherein Rlbl is CI; R2bl is CH3; R3bl is CI; R4bl is CI; and R5bl is F is (bli) 4-(2-chloro-4-fiuorophenyl)-N-(2,6-dichloro-4- methylphenyl)-l,3-dimethyl-lH-pyrazol-5-amine (Registry Number 1515863-26-9), which is depicted as Formula Bli.
Bli
Component (b2) relates to a compound of Formula B2
wherein Rlb2 is Η or CH3; R b2 is -C4 alkyl; R3b2 is H, halogen or CF3; each R4b2 is independently F or CI; R5b2 is H, -SH, -SCN, -C4 alkylthio or C2-C4 alkenylthio; and p is 1 or 2. Methods for preparing compounds of Formula B2 are described in PCT Patent Publications WO 2013/010862, WO 2013/010885, WO 2013/024081 and WO 2013/007767, and US Patent 4,940,720. Of note as an example of a compound of Formula B2 wherein Rlb2 is H, R2 2 is CH2CH3, R b2 is CI, p is 1, R4b2 in the para position is CI, and R5b2 is H is (b2a) the compound of Formula B2a
B2a
which is a-[2-chloro-4-(4-chlorophenoxy)phenyl]-a-ethyl-lH-l,2,4-triazole-l-ethanol (Registry Number 1419875-34-5).
Component (b3) relates to a compound of Formula B3
B3
which is a-[2-chloro-4-(4-chlorophenoxy)phenyl]-a-(lH-l,2,4-triazol-l-ylmethyl)-lH- 1,2,4-triazole-l-ethanol (difenodiconazole, Registry Number 930581-38-7). Methods for preparing the compound of Formula B3 are described in Chinese Patent Publication CN 2006-10140836.
Component (b4) relates to a com ound of Formula B4
wherein each Rlb4 is independently halogen, C1-C5 alkyl, C1-C5 haloalkyl, C3-C6 cycloalkyl or C1-C5 alkoxy; and q is 1, 2 or 3. Methods for preparing a compound of Formula B4 are described in PCT Patent Publication WO 2010/130767 A2. Of note as an example of a compound of Formula B4 wherein q is 1, and R^ is methylethyl in the 2- position, is (b4a) N-cyclopropyl-3-(difluoromethyl)-5-fluoro-l-methyl-N-[[(2-(l- methylethyl)phenyl]methyl]-lH-pyrazole-4-carboxamide (Registry Number 1255733-83-5), which is depicted as Formula B4a
Of note as an example of a compound of Formula B4 wherein q is 2, one R^ is trifluoromethyl in the 2-position, and the other R1^4 is chloro in the 5-position, is (b4b) N- [[5 -chloro-2-(trifluoromethyl)phenyl]methyl] -N-cyclopropyl-3 -(difluoromethyl)-5 -fluoro-
1 -methyl- lH-pyrazole-4-carboxamide (Registry Number 1255733-73-3), which is depicted as Formula B4b
Of note as an example of a compound of Formula B4 wherein q is 2, one R^ is trifluoromethyl in the 2-position, and the other R^ is chloro in the 6-position, is (b4c) N- [[2-chloro-6-(trifluoromethyl)phenyl]methyl] -N-cyclopropyl-3 -(difluoromethyl)-5 -fluoro- 1 -methyl- lH-pyrazole-4-carboxamide (Registry Number 1255733-75-5), which is depicted as Formula B4c
Of note as an example of a compound of Formula B4 wherein q is 3, one R1^4 is trifluoromethyl in the 2-position, another R1^4 is chloro in the 5-position and the remaining R1^4 is fluoro in the 6-position, is (b4d) N-[[3-chloro-2-fluoro-6-(trifluoromethyl)- phenyl]methyl]-N-cyclopropyl-3-(difluoromethyl)-5-fluoro- 1 -methyl- lH-pyrazole- 4-carboxamide (Registry Number 1255733-81-3 which is depicted as Formula B4d
Of note as an example of a compound of Formula B4 wherein q is 2, one R1^4 is trifluoromethyl in the 2-position and the other R1^4 is methyl in the 5-position, is (b4e) N-cyclopropyl-3 -(difluoromethyl)-5 -fluoro- 1 -methyl-N- [[5 -methyl-2-(trifluoromethyl)- phenyl]methyl]-lH-pyrazole-4-carboxamide (Registry Number 1255733-95-9), which is depicted as Formula B4e
Of note as an example of a compound of Formula B4 wherein q is 2, one R^ is methylethyl in the 2-position and the other R^ is chloro in the 5-position, is (b4f) N-[[5-chloro- 2-(l -methylethyl)phenyl]methyl]-N-cyclopropyl-3-(difluoromethyl)-5-fluoro- 1 -methyl- 1H- pyrazole-4-carboxamide (Registry Number 1255734-28-1), which is depicted as Formula B4f
Of note as an example of a compound of Formula B4 wherein q is 1, and R1^4 is cyclopropyl in the 2-position is (b4g) N-cyclopropyl-N-[(2-cyclopropylphenyl)methyl]-3-(difluoro- methyl)-5-fluoro-l -methyl- lH-pyrazole-4-carboxamide (Registry Number 1255734-62-3), which is depicted as Formula B4g
Of note as an example of a compound of Formula B4 wherein q is 3, one R1^4 is ethyl in the 2-position, another R1^4 is methyl in the 4-position and the remaining R1^4 is methyl in the 6-position, is (b4h) N-cyclopropyl-3-(difluoromethyl)-N-[(2-ethyl-4,5-dimethylphenyl)- methyl]-5-fluoro-l -methyl- lH-pyrazole-4-carboxamide (Registry Number 1255734-74-7), which is depicted as Formula B4h
Of note as an example of a compound of Formula B4 wherein q is 2, one R^ is methylethyl in the 2-position, and the other Rlb4 is fluoro the 5-position, is (b4i) N-cyclopropyl- 3 -(difluoromethyl)-5 -fluoro-N- [ [5 -fluoro-2-( 1 -methylethyl)phenyl]methyl- 1 -methyl- 1 H- pyrazole-4-carboxamide (Registry Number 1255947-20-6), which is depicted as Formula B4i
Of note as an example of a compound of Formula B4 wherein q is 1, and R^ is a 1,1- dimethylethyl in the 2-position, is (b4j) N-cyclopropyl-3-(difluoromethyl)-N-[[2-(l,l- dimethylethyl)phenyl]methyl] -5 -fluoro- 1 -methyl- lH-pyrazole-4-carboxamide (Registry Number 1255946-61-2), which is de icted as Formula B4j
Of note as an example of a compound of Formula B4 wherein q is 2, one R1^4 is ethyl in the
2- position, and the other Rlb4 is fluoro in the 5-position, is (b4k) N-cyclopropyl-
3- (difluoromethyl)-N-[(2-ethyl-5-fluorophenyl)methyl]-5-fluoro- 1 -methyl- lH-pyrazole-
Of note as an example of a compound of Formula B4 wherein q is 2, one R^ is cyclopropyl in the 2-position, and the other R^ is fluoro in the 5-position, is (b41) N-cyclopropyl-N- [(2-cyclopropyl-5 -fluorophenyl)methyl]-3 -(difluoromethyl)-5 -fluoro- 1 -methyl- 1 H-pyrazole- 4-carboxamide (Registry -08-0), which is depicted as Formula B41
Of note as an example of a compound of Formula B4 wherein q is 2, one R1^4 is ethyl in the 2-position, and the other R1^4 is chloro in the 5-position, is (b4m) N-[(5-chloro- 2-ethylphenyl)methyl]-N-cyclopropyl-3-(difluoromethyl)-5-fluoro-l-methyl-lH-pyrazole- 4-carboxamide (Registry Number 1255947-10-4 which is depicted as Formula B4m
Of note as an example of a compound of Formula B4 wherein q is 2, one R1^4 is a methylethyl in the 2-position, and the other R1^4 is fluoro in the 6-position, is (b4n) N-cyclopropyl-3 -(difluoromethyl)-5 -fluoro-N- [[2-fluoro-6-( 1 -methylethyl)phenyl]methyl] - 1 -methyl- lH-pyrazole-4-carboxamide (Registry Number 1255947-19-3), which is depicted as Formula B4n
Of note as an example of a compound of Formula B4 wherein q is 2, one R^ is methylethyl in the 2-position, and the other R^ is fluoro in the 5-position, is (b4o) N-cyclopropyl- 3 -(difluoromethyl)-5 -fluoro-N- [ [5 -fluoro-2-( 1 -methylethyl)phenyl]methyl] - 1 -methyl- 1 H- pyrazole-4-carboxamide (Registry Number 1255947-20-6), which is depicted as Formula B4o
Of note as an example of a compound of Formula B4 wherein q is 2, one R1^4 is cyclopentyl in the 2-position, and the other R1^4 is fluoro in the 5-position, is (b4p) N-[(2-cyclopentyl- 5 -fluorophenyl)methyl] -N-cyclopropyl-3 -(difluoromethyl)-5 -fluoro- 1 -methyl- lH-pyrazole- 4-carboxamide (Registry Number 1255947-23-9), which is depicted as Formula B4p
wherein R1^5 is H, F or CI; and Ylb5 and Y2t>5 are independently O or S. Methods for preparing a compound of Formula B5 are described in PCT Patent Publication WO 2012/025450. Of note as an example of a compound of Formula B5 wherein R1^5 is H, Ylb5 is O, and Y2b5 is S is (b5a) ^-[2,5-dimethyl-4-[[3-(l,l,2,2-tetrafluoroethoxy)- phenyl]thio]phenyl]-N-ethyl-N-methylmethanimidamide (Registry Number 1361044-71-4), which is depicted as Formula B5a
Of note as an example of a compound of Formula B5 wherein Rlb5 is CI, Ylb5 [s o, and Y2b5 is S is (b5b) N'-[4-[[4-chloro-3-(l,l,2,2-tetrafluoroethoxy)phenyl]thio]-2,5- dimethylphenyl]-N-ethyl-N-methylmethanimidamide (Registry Number 1361045-04-6), which is depicted as Formula B5b
Of note as an example of a compound of Formula B5 wherein Rlb5 is F, Ylb5 [s Q, and Y2t>5 is S is (b5c) N-ethyl-N'-[4-[[4-fluoro-3-(l,l,2,2-tetrafluoroethoxy)phenyl]thio]-2,5- dimethylphenyl]-N-methylmethanimidamide (Registry Number 1361045-14-8), which is depicted as Formula B5c
Of note as an example of a compound of Formula B5 wherein R1^5 is H, Ylb5 [s §, and Y2b5 is O is (b5d) N'-[2,5-dimethyl-4-[3-[(l,l,2,2-tetrafluoroethyl)thio]phenoxy]phenyl]-N-ethyl- N-methylmethanimidamide (Registry Number 1454910-74-7), which is depicted as Formula B5d
Of note as an example of a compound of Formula B5 wherein R1^5 is CI, Ylb5 S s, and Y2b5 is O is (b5e) N'-[2,5-dimethyl-4-[4-chloro-3-[(l,l,2,2-tetrafluoroethyl)thio]phenoxy]- phenyl]-N-ethyl-N-methylmethanimidamide, which is depicted as Formula B5e
Of note as an example of a compound of Formula B5 wherein R1^5 is F, Ylb5 [s g, an(j y2b5 is O is (b5f) N'-[2,5-dimethyl-4-[4-fluoro-3-[(l,l,2,2-tetrafiuoroethyl)thio]phenoxy]phenyl]- N-ethyl-N-methylmethanimidamide, which is depicted as Formula B5f
Of note as an example of a compound of Formula B5 wherein R1^5 is H, Ylb5 [s g, an(j y2b5 is S is (b5g) N'-[2,5-dimethyl-4-[[3-[(l,l,2,2-tetrafiuoroethyl)thio]phenyl]thio]phenyl]-N- ethyl-N-methylmethanimidamide (Registry Number 1361046-18-5), which is depicted as Formula B5g
B6
wherein Rlb6 is H, F, CI or CH3; R2b6 is CH3, CF3 or CHF2; and R3b6 is CH3, CF3 or CHF2. Methods for preparing a compound of Formula B6 are described in PCT Patent Publication WO 2012/025557 Al . Of note as an example of a compound of Formula B6 wherein Rlb6 is H, R2b6 is CHF2 and R3b6 is CHF2 is (b6a) 2-[3, 5-bis(difluoromethyl)-lH- pyrazol-l-yl]-l-[4-[4-[4,5-dihydro-5-[2-[(methylsulfonyl)oxy]phenyl]-3-isoxazolyl]-2- thiazolyl]-l-piperidinyl]ethanone (Registry Number 1360819-33-5), which is depicted as Formula B6a
B6a
Of note as an example of a compound of Formula B6 wherein Rlb6 is F at the 3-position, R2b6 is CHF2 and R3b6 is CHF2 is (b6b) 2-[3,5-bis(difluoromethyl)-lH-pyrazol-l-yl]-l-[4- [4-[5-[3-fluoro-2-[(methylsulfonyl)oxy]phenyl]-4,5-dihydro-3-isoxazolyl]-2-thiazolyl]-l- piperidinyl ethanone (Registry Number 1360818-91-2), which is depicted as Formula B6b
B6b
Of note as an example of a compound of Formula B6 wherein Rlb6 is CI at the 3-position, R2b6 is CHF2 and R3b6 is CHF2 is (b6c) 2-[3,5-bis(difiuoromethyl)-lH-pyrazol-l-yl]-l-[4- [4-[5-[3-chloro-2-[(methylsulfonyl)oxy]phenyl]-4,5-dihydro-3-isoxazolyl]-2-thiazolyl]-l- piperidinyljethanone (Registry Number 1360819-60-8), which is depicted as Formula B6c
B6c
Of note as an example of a compound of Formula B6 wherein Rlb6 is Cl at the 2-position, R2b6 is CHF2 and R3b6 is CHF2 is (b6d) 2-[3,5-bis(difluoromethyl)-lH-pyrazol-l-yl]-l-[4- [4-[5-[2-chloro-6-[(methylsulfonyl)oxy]phenyl]-4,5-dihydro-3-isoxazolyl]-2-thiazolyl]-l- iperidinyljethanone (Registry Number 1360819-11-9), which is depicted as Formula B6d
wherein Rlb7 is H, F, Cl or CH3; R2b? is CH3, CF3 or CHF2; and R3b7 is CH3, CF3 or CHF2. Methods for preparing a compound of Formula B7 are described in PCT Patent Publication WO 2011/076699 Al and US 8524743. Of note as an example of a compound of Formula B7 wherein Rlb? is H, R2b? is CHF2 and R3b7 is CHF2 is (b7a) 2-[3, 5- bis(difluoromethyl)- lH-pyrazol-1 -yl]- 1 -[4-[4-[4,5-dihydro-5-[2-(2-propyn- 1 -yloxy)phenyl]- 3-isoxazolyl]-2-thiazolyl]-l-piperidinyl]ethanone (Registry Number 1313009-66-3), which is depicted as Formula B7a
Of note as an example of a compound of Formula B7 wherein Rlb7 is F at the 2-position, R2 7 is CHF2 and R3b7 is CHF2 is (b7b) 2-[3,5-bis(difluoromethyl)-lH-pyrazol-l-yl]-l-[4- [4-[5-[2-fluoro-6-(2-propyn-l-yloxy)phenyl]-4,5-dihydro-3-isoxazolyl]-2-thiazolyl]-l- piperidinyl ethanone (Registry Number 1313009-57-2),which is depicted as Formula B7b
Of note as an example of a compound of Formula B7 wherein Rlb7 is Cl at the 2-position, R2b7 is CHF2 and R3b7 is CHF2 is (b7c) 2-[3,5-bis(difiuoromethyl)-lH-pyrazol-l-yl]-l-[4- [4-[5-[2-chloro-6-(2-propyn-l-yloxy)phenyl]-4,5-dihydro-3-isoxazolyl]-2-thiazolyl]-l- piperidinyl -ethanone (Registry Number 1313009-76-5), which is depicted as Formula B7c
Component (b8) relates to a compound of Formula B8
B8
wherein R1^8 is H or F. Methods for preparing a compound of Formula B8 are described in PCT Patent Publication WO 2011/081174 Al . Of note as an example of a compound of Formula B8 wherein R1^8 is H is (b8a) 2-fluoro-6-[(8-fluoro-2-methyl-3-quinolinyl)oxy]- α,α-dimethylbenzenemethanol (Registry Number 1314007-39-0), which is depicted as Formula B8a
Of note as an example of a compound of Formula B8 wherein R1^8 is F is (b8b) 2-[(7,8- difluoro-2-methyl-3-quinolinyl)oxy]-6-fluoro-a,a-dimethylbenzenemethanol (Registry Number 1314008-27-9), whi h is depicted as Formula B8b
B8b
Component (b9) relates to a com ound of Formula B9
B9
which is 9-fluoro-2,3-dihydro-2,2-dimethyl-5-(3-quinolinyl)-l,4-benzoxazepine (Registry Number 1207749-50-5). Methods for preparing the compound of Formula B9 are described in PCT Patent Publication WO 2010/018686 Al .
BIO
wherein RlblO is H or -OH; R2 l0 [s ci or -OH; and R3bl° is H; or R2bl0 and R3bl° are taken together as a single bond. Methods for preparing a compound of Formula BIO are described in PCT Patent Publications WO 2011/070771 Al and WO 2013/069615 Al . Of note as an example of a compound of Formula B10 wherein RlblO [s f- R2 0 [s Q; R3 0 [S H; and CH2R2blO and OR3bl0 have relative cis orientation is (blOa) (lR,25,5S)-re/- 2-(chloromethyl)-5-[(4-chlorophenyl)methyl]-2-methyl-l-(lH-l ,2,4-triazol-l-ylmethyl)- cyclopentanol (Registry Number 131 1402-14-8), which is depicted as Formula BlOa
(relative stereochemistry)
BlOa
Of note as an example of a compound of Formula B10 wherein RlblO fs ancj R2 0 an([ R3bl° are taken together as a single bond is (blOb) l-[[4-[(4-chlorophenyl)methyl]-l-methyl- 6-oxabicyclo[3.2.0]hept-5-yl]methyl]-lH-l,2,4-triazole (Registry Number 1434827-96-9), which is depicted as Formula BlOb
Of note as an example of a compound of Formula B10 wherein RlblO [s _OH; R2bl0 is -OH; and R3b10 is H is (blOc) 3-[(4-chlorophenyl)methyl]-2-hydroxy-2-(lH-l,2,4-triazol-l- ylmethyl)-l,l-cyclopentanedimethanol (Registry Number 1434828-09-7), which is depicted as Formula BlOc
BlOc
Component (bl l) relat to a compound of Formula Bll
Bll
which is 3-(difluoromethyl)-N-(7-fluoro-2,3-dihydro- 1 , 1 ,3-trimethyl- lH-inden-4-yl)- 1 -methyl- lH-pyrazole-4-carboxamide (Registry Number 1383809-87-7). Methods for preparing the compound of Formula Bll are described in PCT Patent Publication WO 2012/084812 Al .
Component (bl2) relates to a com ound of Formula B12
which is 3-[(3,4-dichloro-5-isothiazolyl)methoxy]-l,2-benzisothiazole, 1,1-dioxide (Registry Number 957144-77-3). Methods for preparing the compound of Formula B12 are described in PCT Patent Publication WO 2007/129454 Al .
Component (bl3 relates to a compound of Formula B13
B13
which is 3-(difluoromethyl)-N-methoxy- 1 -methyl-N-[ 1 -methyl-2-(2,4,6-trichlorophenyl)- ethyl]-lH-pyrazole-4-carboxamide (Registry Number 1228284-64-7). Methods for preparing the compound of Formula B13 are described in PCT Patent Publication WO 2010063700 A2.
Component (bl4) relates to a compound of Formula B14
B14
which is methyl 5H-pyrrolo[3\4^5,6][l,4]dithiino[2,3-c][l,2,5]thiadiazole-5,7(6H)-dione (Registry Number 190451-25-3). Methods for preparing the compound of Formula B14 are described in PCT Patent Publication WO 2014009137 Al .
Component (bl5) relates to a compound of Formula B15
B15
wherein R^15 is F or CH3 and R2bl5 [s p or CH3. Methods for preparing a compound of Formula B15 are described in PCT Patent Publication WO 2005/070917 Al . Of note as an example of a compound of Formula B15 wherein R^15 is F and R2bl5 [s p [s (¾15a) 3- (4,4,5-trifluoro-3,4-dihydro-3,3-dimethyl-l-isoquinolinyl)quinoline (Registry Number 861647-85-0), which is depicted as Formula B15a
B15a
Of note as an example of a compound of Formula B15 wherein R1^!5 is CH3 and R2bl5 is CH3 is (bl5b) 3-(5-fluoro-3,4-dihydro-3,3,4,4-tetramethyl-l-isoquinolinyl)quinoline (Registry Number 861647-32-7), which is depicted as Formula B15b
Component (bl6) relates to a compound of Formula B16
wherein Rlbl6 C(CH3)3 or CH2CH2C≡CH. Methods for preparing a compound of Formula B16 are described in PCT Patent Publication WO 2013/037717 Al . Of note as an example of a compound of Formula B16 wherein Rlbl6 [s C(CH3)3 is (bl6a) 1,1-dimethylethyl N-[6- [[[(Z)-[(4,5-dihydro-4-methyl-5-oxo-l,2,4-oxadiazol-3-
yl)phenylmethylene]amino]oxy]methyl]-2-pyridinyl]carbamate (Registry Number 1427196- 03-9), which is depicted as Formula B16a
Of note as an example of a compound of Formula B16 wherein Rlbl6 is CH2CH2C=CH is (b 16b) 3-butyn- 1 -yl N-[6-[[[(Z)-[(4,5-dihydro-4-methyl-5-oxo- 1 ,2,4-oxadiazol-3-yl)phenyl- methylene]amino]oxy]methyl]-2-pyridinyl]carbamate (Registry Number 1427195-85-4), which is depicted as Formula B16b
Compositions comprising a combination of (a) at least one compound selected from the compounds of Formula 1, including N-oxides and salts thereof, together with (b) at least one fungicidal component selected from Formulae Bl through B16, including salts thereof, described above typically will provide improved control (i.e. prevention and/or cure) of plant disease from synergic contributions of components (a) and (b). The improved plant disease control may be manifest by a broader spectrum or longer duration of plant disease control, or retardation of resistance development. The contributions of components (a) and (b) may be complementarily additive or even greater than additive through synergistic interaction.
This invention also relates to a fungicidal composition comprising: (a) at least one compound selected from the compounds of Formula 1, (b) at least one fungicidal compound selected from Formulae Bl through B16 described above, and (c) further comprising at least one additional compound or agent that is biologically active. Thus compositions of component (a) with component (b) can be further mixed with (c) one or more other biologically active compounds or agents including insecticides, nematocides, bactericides, acaricides, herbicides, herbicide safeners, growth regulators such as insect molting inhibitors
and rooting stimulants, chemosterilants, semiochemicals, repellents, attractants, pheromones, feeding stimulants, plant nutrients, other biologically active compounds or entomopathogenic bacteria, virus or fungi to form a multi-component pesticide giving an even broader spectrum of agricultural protection. General references for these agricultural protectants include The Pesticide Manual, 13th Edition, C. D. S. Tomlin, Ed., British Crop Protection Council, Farnham, Surrey, U.K., 2003, The Pesticide Manual, 16th Edition, C. MacBean, Ed., British Crop Protection Council, Alton, Hampshire, U.K., 2012 and The BioPesticide Manual, 2nd Edition, L. G. Copping, Ed., British Crop Protection Council, Farnham, Surrey, U.K., 2001.
A more particular aspect relates to said fungicidal composition wherein component (c) comprises at least one additional compound that is a fungicide (i.e. an additional fungicidal compound). In the present composition, additional fungicidal compounds in component (c) are typically selected from the group consisting of (cl) methyl benzimidazole carbamate (MBC) fungicides; (c2) dicarboximide fungicides; (c3) demethylation inhibitor (DMI) fungicides; (c4) phenylamide fungicides; (c5) amine/morpholine fungicides; (c6) phospholipid biosynthesis inhibitor fungicides; (c7) carboxamide fungicides; (c8) hydro xy(2-amino-)pyrimidine fungicides; (c9) anilinopyrimidine fungicides; (clO) N-phenyl carbamate fungicides; (cl 1) quinone outside inhibitor (Qol) fungicides; (cl2) phenylpyrrole fungicides; (cl3) quinoline fungicides; (cl4) lipid peroxidation inhibitor fungicides; (cl5) melanin biosynthesis inhibitor-reductase (MBI-R) fungicides; (cl6) melanin biosynthesis inhibitor-dehydratase (MBI-D) fungicides; (cl7) sterol biosynthesis inhibitor (SBI): class III fungicides (also known as hydroxyanilide fungicides); (cl8) squalene-epoxidase inhibitor fungicides; (cl9) polyoxin fungicides; (c20) phenylurea fungicides; (c21) quinone inside inhibitor (Qil) fungicides; (c22) benzamide fungicides; (c23) enopyranuronic acid antibiotic fungicides; (c24) hexopyranosyl antibiotic fungicides; (c25) glucopyranosyl antibiotic: protein synthesis fungicides; (c26) glucopyranosyl antibiotic: trehalase and inositol biosynthesis fungicides; (c27) cyanoacetamideoxime fungicides; (c28) carbamate fungicides; (c29) oxidative phosphorylation uncoupling fungicides; (c30) organo tin fungicides; (c31) carboxylic acid fungicides; (c32) heteroaromatic fungicides; (c33) phosphonate fungicides; (c34) phthalamic acid fungicides; (c35) benzotriazine fungicides; (c36) benzene-sulfonamide fungicides; (c37) pyridazinone fungicides; (c38) thiophene-carboxamide fungicides; (c39) pyrimidinamide fungicides; (c40) carboxylic acid amide (CAA) fungicides; (c41) tetracycline antibiotic fungicides; (c42) thiocarbamate fungicides; (c43) benzamide fungicides; (c44) host plant defense induction fungicides; (c45) multi-site contact activity fungicides; (c46) fungicides other than fungicides of component (a) and components (cl) through (c45); and salts of compounds of (cl) through (c46).
Of note are fungicide composition embodiments wherein component (c) comprises at least one fungicidal compound from each of two different groups selected from (cl) through (c46).
"Methyl benzimidazole carbamate (MBC) fungicides (cl)" (FRAC (Fungicide Resistance Action Committee) code 1) inhibit mitosis by binding to β-tubulin during microtubule assembly. Inhibition of microtubule assembly can disrupt cell division, transport within the cell and cell structure. Methyl benzimidazole carbamate fungicides include benzimidazole and thiophanate fungicides. The benzimidazoles include benomyl, carbendazim, fuberidazole and thiabendazole. The thiophanates include thiophanate and thiophanate-methy 1.
"Dicarboximide fungicides (c2)" (FRAC code 2) inhibit a MAP/histidine kinase in osmotic signal transduction. Examples include chlozolinate, iprodione, procymidone and vinclozolin.
"Demethylation inhibitor (DMI) fungicides (c3)" (FRAC code 3) (Sterol Biosynthesis Inhibitors (SBI): Class I) inhibit C14-demethylase which plays a role in sterol production. Sterols, such as ergosterol, are needed for membrane structure and function, making them essential for the development of functional cell walls. Therefore, exposure to these fungicides result in abnormal growth and eventually death of sensitive fungi. DMI fungicides are divided between several chemical classes: azoles (including triazoles and imidazoles), pyrimidines, piperazines, pyridines and triazolinthiones. The triazoles include azaconazole, bitertanol, bromuconazole, cyproconazole, difenoconazole, diniconazole (including diniconazole-M), epoxiconazole, etaconazole, fenbuconazole, fluquinconazole, flusilazole, flutriafol, hexaconazole, imibenconazole, ipconazole, metconazole, myclobutanil, penconazole, propiconazole, quinconazole, simeconazole, tebuconazole, tetraconazole, triadimefon, triadimenol, triticonazole, uniconazole and a-(l- chlorocyclopropyl)-a-[2-(2,2-dichlorocyclopropyl)ethyl]- 1H- 1 ,2,4-triazole- 1 -ethanol. The imidazoles include clotrimazole, econazole, imazalil, isoconazole, miconazole, oxpoconazole, prochloraz, pefurazoate and triflumizole. The pyrimidines include fenarimol, nuarimol and triarimol. The piperazines include triforine. The pyridines include buthiobate, pyrifenox, pyrisoxazole (3-[(3i?)-5-(4-chlorophenyl)-2,3-dimethyl-3-isoxazolidinyl]pyridine, mixture of 3R,5R- and S ^S-isomers) and (aS)-[3-(4-chloro-2-fluorophenyl)-5-(2,4- difluorophenyl)-4-isoxazolyl]-3-pyridinemethanol. The triazolinthiones include prothioconazole and 2-[2-(l-chlorocyclopropyl)-4-(2,2-dichlorocyclopropyl)-2- hydroxybutyl]-l,2-dihydro-3H-l,2,4-triazole-3-thione. Biochemical investigations have shown that all of the above mentioned fungicides are DMI fungicides as described by K. Η. Kuck et al. in Modern Selective Fungicides - Properties, Applications and Mechanisms of Action, Η. Lyr (Ed.), Gustav Fischer Verlag: New York, 1995, 205-258.
"Phenylamide fungicides (c4)" (FRAC code 4) are specific inhibitors of R A polymerase in Oomycete fungi. Sensitive fungi exposed to these fungicides show a reduced capacity to incorporate uridine into rRNA. Growth and development in sensitive fungi is prevented by exposure to this class of fungicide. Phenylamide fungicides include acylalanine, oxazolidinone and butyrolactone fungicides. The acylalanines include benalaxyl, benalaxyl-M (also known as kiralaxyl), furalaxyl, metalaxyl, metalaxyl-M (also known as mefenoxam). The oxazolidinones include oxadixyl. The butyrolactones include ofurace.
"Amine/morpholine fungicides (c5)" (FRAC code 5) (SBI: Class II) inhibit two target sites within the sterol biosynthetic pathway, Δ8→ Δ7 isomerase and Δ14 reductase. Sterols, such as ergosterol, are needed for membrane structure and function, making them essential for the development of functional cell walls. Therefore, exposure to these fungicides results in abnormal growth and eventually death of sensitive fungi. Amine/morpholine fungicides (also known as non-DMI sterol biosynthesis inhibitors) include morpholine, piperidine and spiroketal-amine fungicides. The morpho lines include aldimorph, dodemorph, fenpropimorph, tridemorph and trimorphamide. The piperidines include fenpropidin and piperalin. The spiroketal-amines include spiroxamine.
"Phospholipid biosynthesis inhibitor fungicides (c6)" (FRAC code 6) inhibit growth of fungi by affecting phospholipid biosynthesis. Phospholipid biosynthesis fungicides include phosphorothiolate and dithiolane fungicides. The phosphorothiolates include edifenphos, iprobenfos and pyrazophos. The dithiolanes include isoprothiolane.
"Carboxamide fungicides (c7)", also known as "Succinate dehydrogenase inhibitor (SDHI) fungicides", (FRAC code 7) inhibit Complex II fungal respiration by disrupting a key enzyme in the Krebs Cycle (TCA cycle) named succinate dehydrogenase. Inhibiting respiration prevents the fungus from making ATP, and thus inhibits growth and reproduction. Carboxamide fungicides include phenylbenzamide, furan carboxamide, oxathiin carboxamide, thiazole carboxamide, pyrazole-4-carboxamide and pyridine carboxamide, phenyl oxoethyl thiophene amides and pyridinylethyl benzamides. The benzamides include benodanil, flutolanil and mepronil. The furan carboxamides include fenfuram. The oxathiin carboxamides include carboxin and oxycarboxin. The thiazole carboxamides include thifluzamide. The pyrazole-4-carboxamides include benzovindiflupyr (N-[9-(dichloromethylidene)-l ,2,3,4-tetrahydro-l ,4-methanonaphthalen-5-yl]-3-(difluoro- methyl)-l -methyl- lH-pyrazole-4-carboxamide), bixafen, furametpyr, isopyrazam (3- (difliiorometh j ^ ,4-methanonaphthalen- 5 -y I ] - 1 H-pyrazole-4-carboxamide), fluxapyroxad (3 -(difluoromethyl)- 1 -methyl-N-(3 ',4',5 '- trifluoro[l, -biphenyl]-2-yl)-lH-pyrazole-4-carboxamide), penthiopyrad, sedaxane (N-[2- [1 , 1 '-bicyclopropyl] -2-ylphenyl] -3 -(difluoromethyl)- 1 -methyl- lH-pyrazole-4-carboxamide), N-[2-(lS,2R)-[ 1 , 1 '-bicyclopropyl]-2-ylphenyl]-3-(difluoromethyl)- 1 -methyl- lH-pyrazole-4-
carboxamide, 3~(difluoromethyl)-A^ -rnethyl- l H-pyrazole-4-carboxamide, N-[2-(2,4-dichlorophenyl)-2-methoxy-l-methylethyl]-3- (difluoromethyl)- 1 -methyl- lH-pyrazole-4-carboxamide, N-cyclopropyl-3-(difluoromethyl)- 5-fluoro-l-methyl-N-[[2-(l-methylethyl)phenyl]methyl]-lH-pyrazole-4-carboxamide and penflufen (N-[2-(l ,3-dimethylbutyl)phenyl]-5-fluoro- 1 ,3-dimethyl- lH-pyrazole-4- carboxamide) (PCT Patent Publication WO 2003/010149). The pyridine carboxamides include boscalid. The phenyl oxoethyl thiophene amides include isofetamid (N-[l,l- dimethyl-2- [2-methyl-4-( 1 -methylethoxy)phenyl] -2-oxoethyl] -3 -methyl-2-thiophene- carboxamide). The pyridinylethyl benzamides include fluopyram.
"Hydroxy(2-amino-)pyrimidine fungicides (c8)" (FRAC code 8) inhibit nucleic acid synthesis by interfering with adenosine deaminase. Examples include bupirimate, dimethirimol and ethirimol.
"Anilinopyrimidine fungicides (c9)" (FRAC code 9) are proposed to inhibit biosynthesis of the amino acid methionine and to disrupt the secretion of hydro lytic enzymes that lyse plant cells during infection. Examples include cyprodinil, mepanipyrim and pyrimethanil.
"N-Phenyl carbamate fungicides (clO)" (FRAC code 10) inhibit mitosis by binding to β-tubulin and disrupting microtubule assembly. Inhibition of microtubule assembly can disrupt cell division, transport within the cell and cell structure. Examples include diethofencarb.
"Quinone outside inhibitor (Qol) fungicides (el l)" (FRAC code 11) inhibit Complex III mitochondrial respiration in fungi by affecting ubiquinol oxidase. Oxidation of ubiquinol is blocked at the "quinone outside" (Q0) site of the cytochrome bc\ complex, which is located in the inner mitochondrial membrane of fungi. Inhibiting mitochondrial respiration prevents normal fungal growth and development. Quinone outside inhibitor fungicides include methoxyacrylate, methoxycarbamate, oximinoacetate, oximinoacetamide and dihydrodioxazine fungicides (collectively also known as strobilurin fungicides), and oxazolidinedione, imidazolinone and benzylcarbamate fungicides. The methoxyacrylates include azoxystrobin, coumoxystrobin (methyl (aE)-2-[[(3-butyl-4-methyl-2-oxo-2H-l- benzopyran-7-yl)oxy]methyl]-a-(methoxymethylene)benzeneacetate), enoxastrobin (methyl (aE)-2-[[[(E)-[(2E)-3-(4-chlorophenyl)-l-methyl-2-propen-l-ylidene]amino]oxy]methyl]-a- (methoxymethylene)benzeneaceate) (also known as enestroburin), flufenoxystrobin (methyl (aE)-2-[[2-chloro-4-(trifluoromethyl)phenoxy]methyl]-a-(methoxymethylene)benzene- acetate), picoxystrobin and pyraoxystrobin (methyl (aE)-2-[[[3-(4-chlorophenyl)-l-methyl- lH-pyrazol-5-yl]oxy]methyl]-a-(methoxymethylene)benzeneacetate). The methoxy- carbamates include pyraclostrobin, pyrametostrobin (methyl N-[2-[[(l,4-dimethyl-3-phenyl- lH-pyrazol-5-yl)oxy]methyl]phenyl]-N-methoxycarbamate) and triclopyricarb (methyl N- methoxy-N-[2-[[(3,5,6-trichloro-2-pyridinyl)oxy]methyl]phenyl]carbamate). The oximino-
acetates include kresoxim-methyl and trifloxystrobin. The oximinoacetamides include dimoxystrobin, fenaminstrobin ((aE)-2-[[[(E)-[(2E)-3-(2,6-dichlorophenyl)- 1 -methyl-2- propen-l-ylidene]amino]oxy]methyl]-a-(methoxyimino)-N-methylbenzeneacetamide, also known as 2-[[[(3-(2,6-dichlorophenyl)- 1 -methyl-2-propen- 1 -ylidene]amino]oxy]methyl]-a- (methoxyimino)-N-methylbenzeneacetamide), metominostrobin, orysastrobin and a- (methoxyimino)-N-methyl-2-[ [ [ 1 - [3 -(trifluoromethyl)phenyl] ethoxy]imino]- methyljbenzeneacetamide. The dihydrodioxazines include fluoxastrobin. The oxazolidinediones include famoxadone. The imidazolinones include fenamidone. The benzylcarbamates include pyribencarb. Class (el l) also includes mandestrobin (2-[(2,5- dimethylphenoxy)methyl] -a-methoxy-N-benzeneacetamide) .
"Phenylpyrrole fungicides (cl2)" (FRAC code 12) inhibit a MAP histidine kinase associated with osmotic signal transduction in fungi. Fenpiclonil and fludioxonil are examples of this fungicide class.
"Quinoline fungicides (cl3)", also known as "azanaphthalene fungicides", (FRAC code 13) are proposed to inhibit signal transduction by a mechanism which is yet unknown. They have been shown to interfere with germination and/or appressorium formation in fungi that cause powdery mildew diseases. Quinoline fungicides include aryloxyquino lines and auinazolinones. The aryloxyquino lines include quinoxyfen. The quinazolinones include proquinazid.
"Lipid peroxidation inhibitor fungicides (cl4)" (FRAC code 14) are proposed to inhibit lipid peroxidation which affects membrane synthesis in fungi. Members of this class, such as etridiazole, may also affect other biological processes such as respiration and melanin biosynthesis. Lipid peroxidation fungicides include aromatic hydrocarbon and 1 ,2,4-thiadiazole fungicides. The aromatic hydrocarbon fungicides include biphenyl, chloroneb, dicloran, quintozene, tecnazene and tolclofos-methyl. The 1 ,2,4-thiadiazoles include etridiazole.
"Melanin biosynthesis inhibitor-reductase (MBI-R) fungicides (cl5)" (FRAC code
16.1) inhibit the naphthal reduction step in melanin biosynthesis. Melanin is required for host plant infection by some fungi. Melanin biosynthesis inhibitor-reductase fungicides include isobenzofuranone, pyrroloquinolinone and triazolobenzothiazole fungicides. The isobenzofuranones include phthalide (alternatively spelled fthalide). The pyrroloquinolinones include pyroquilon. The triazolobenzothiazoles include tricyclazole.
"Melanin biosynthesis inhibitor-dehydratase (MBI-D) fungicides (cl6)" (FRAC code
16.2) inhibit scytalone dehydratase in melanin biosynthesis. Melanin in required for host plant infection by some fungi. Melanin biosynthesis inhibitor-dehydratase fungicides include cyclopropanecarboxamide, carboxamide and propionamide fungicides. The cyclopropanecarboxamides include carpropamid. The carboxamides include diclocymet. The propionamides include fenoxanil.
"Sterol Biosynthesis Inhibitor (SBI): Class III fungicides (cl7)", (FRAC code 17) inhibit 3-ketoreductase during C4-demethylation in sterol production. SBI: Class III inhibitors include hydroxyanilide fungicides and aminopyrazolinone fungicides. Hydroxyanilides include fenhexamid. Aminopyrazolinones include fenpyrazamine (S-2- propen-l-yl 5-amino-2,3-dihydro-2-(l-methylethyl)-4-(2-methylphenyl)-3-oxo-lH-pyrazole- 1-carbothioate, also known as l-[(2-propenylthio)carbonyl]-2-(l-methylethyl)-4-(2-methyl- phenyl)-5-amino-lH-pyrazol-3-one,).
"Squalene-epoxidase inhibitor fungicides (cl8)" (FRAC code 18) inhibit squalene- epoxidase in the sterol biosynthesis pathway. Sterols such as ergosterol are needed for membrane structure and function, making them essential for the development of functional cell walls. Therefore exposure to these fungicides result in abnormal growth and eventually death of sensitive fungi. Squalene-epoxidase inhibitor fungicides include thiocarbamate and allylamine fungicides. The thiocarbamates include pyributicarb. The allylamines include naftifme and terbinafme.
"Polyoxin fungicides (cl9)" (FRAC code 19) inhibit chitin synthase. Examples include polyoxin.
"Phenylurea fungicides (c20)" (FRAC code 20) are proposed to affect cell division. Examples include pencycuron.
"Quinone inside inhibitor (Qil) fungicides (c21)" (FRAC code 21) inhibit Complex III mitochondrial respiration in fungi by affecting ubiquinone reductase. Reduction of ubiquinol is blocked at the "quinone inside" (Qj) site of the cytochrome bc\ complex, which is located in the inner mitochondrial membrane of fungi. Inhibiting mitochondrial respiration prevents normal fungal growth and development. Quinone inside inhibitor fungicides include cyanoimidazole and sulfamoyltriazole fungicides. The cyanoimidazoles include cyazofamid. The sulfamoyltriazoles include amisulbrom.
"Benzamide and thiazolecarboxamide fungicides (c22)" (also known simply as "benzamide fungicides") (FRAC code 22) inhibit mitosis by binding to β-tubulin and disrupting microtubule assembly. Inhibition of microtubule assembly can disrupt cell division, transport within the cell and cell structure. The benzamides include zoxamide. The thiazolecarboxamides include ethaboxam.
"Enopyranuronic acid antibiotic fungicides (c23)" (FRAC code 23) inhibit growth of fungi by affecting protein biosynthesis. Examples include blasticidin-S.
"Hexopyranosyl antibiotic fungicides (c24)" (FRAC code 24) inhibit growth of fungi by affecting protein biosynthesis. Examples include kasugamycin.
"Glucopyranosyl antibiotic: protein synthesis fungicides (c25)" (FRAC code 25) inhibit growth of fungi by affecting protein biosynthesis. Examples include streptomycin.
"Glucopyranosyl antibiotic: trehalase and inositol biosynthesis fungicides (c26)" (FRAC code 26) inhibit trehalase and inositol biosynthesis. Examples include validamycin.
"Cyanoacetamideoxime fungicides (c27) (FRAC code 27) include cymoxanil.
"Carbamate fungicides (c28)" (FRAC code 28) are considered multi-site inhibitors of fungal growth. They are proposed to interfere with the synthesis of fatty acids in cell membranes, which then disrupts cell membrane permeability. Propamacarb, iodocarb, and prothiocarb are examples of this fungicide class.
"Oxidative phosphorylation uncoupling fungicides (c29)" (FRAC code 29) inhibit fungal respiration by uncoupling oxidative phosphorylation. Inhibiting respiration prevents normal fungal growth and development. This class includes 2,6-dinitroanilines such as fluazinam and dinitrophenyl crotonates such as dinocap, meptyldinocap and binapacryl.
"Organo tin fungicides (c30)" (FRAC code 30) inhibit adenosine triphosphate (ATP) synthase in oxidative phosphorylation pathway. Examples include fentin acetate, fentin chloride and fentin hydroxide.
"Carboxylic acid fungicides (c31)" (FRAC code 31) inhibit growth of fungi by affecting deoxyribonucleic acid (DNA) topoisomerase type II (gyrase). Examples include oxolinic acid.
"Hetero aromatic fungicides (c32)" (FRAC code 32) are proposed to affect DNA/ribonucleic acid (RNA) synthesis. Heteroaromatic fungicides include isoxazole and isothiazolone fungicides. The isoxazoles include hymexazole and the isothiazolones include octhilinone.
"Phosphonate fungicides (c33)" (FRAC code 33) include phosphorous acid and its various salts, including fosetyl-aluminum.
"Phthalamic acid fungicides (c34)" (FRAC code 34) include teclofthalam.
"Benzotriazine fungicides (c35)" (FRAC code 35) include triazoxide.
"Benzene-sulfonamide fungicides (c36)" (FRAC code 36) include flusulfamide.
"Pyridazinone fungicides (c37)" (FRAC code 37) include diclomezine.
"Thiophene-carboxamide fungicides (c38)" (FRAC code 38) are proposed to affect ATP production. Examples include silthiofam.
"Pyrimidinamide fungicides (c39)", also known as "Complex I NADH oxidoreductase inhibitor fungicides", (FRAC code 39) inhibit electron transport in mitochondria and include pyrimidinamines such as diflumetorim, and pyrazole-5-carboxamides such as tolfenpyrad.
"Carboxylic acid amide (CAA) fungicides (c40)" (FRAC code 40) inhibit cellulose synthase, which prevents growth and leads to death of the target fungus. Carboxylic acid amide fungicides include cinnamic acid amide, valinamide carbamate and mandelic acid amide fungicides. The cinnamic acid amides include dimethomorph, flumorph and pyrimorph (3-(2-chloro-4-pyridinyl)-3-[4-(l,l-dimethylethyl)phenyl]-l-(4-morpholinyl)-2- propene-l-one). The valinamide carbamates include benthiavalicarb, benthiavalicarb- isopropyl, iprovalicarb, tolprocarb (2,2,2-trifluoroethyl N-[(lS)-2-methyl-l-[[(4- methylbenzoyl)amino]methyl]propyl]carbamate) and valifenalate (methyl N-[(l-
methylethoxy)carbonyl]-L-valyl-3-(4-chlorophenyl)-P-alaninate) (also known as valiphenal). The mandelic acid amides include mandipropamid, N-[2-[4-[[3-(4-chlorophenyl)-2-propyn- 1 -yl]oxy]-3-methoxyphenyl]ethyl]-3-methyl-2-[(methylsulfonyl)amino]butanamide and N- [2-[4-[[3-(4-chlorophenyl)-2-propyn-l-yl]oxy]-3-methoxyphenyl]ethyl]-3-methyl-2- [(ethylsulfonyl)amino]butanamide .
"Tetracycline antibiotic fungicides (c41)" (FRAC code 41) inhibit growth of fungi by affecting protein synthesis. Examples include oxytetracycline.
"Thiocarbamate fungicides (c42)" (FRAC code 42) include methasulfocarb.
"Benzamide fungicides (c43)" (FRAC code 43) inhibit growth of fungi by derealization of spectrin-like proteins. Examples include pyridinylmethyl benzamide fungicides such as fluopicolide.
"Host plant defense induction fungicides (c44)" (FRAC code P) induce host plant defense mechanisms. Host plant defense induction fungicides include benzothiadiazole-, benzisothiazole- and thiadiazole-carboxamide fungicides. The benzothiadiazoles include acibenzolar-S-methyl. The benzisothiazoles include probenazole. The thiadiazole- carboxamides include tiadinil and isotianil.
"Multi-site contact fungicides (c45)" inhibit fungal growth through multiple sites of action and have contact/preventive activity. This class of fungicides includes: "copper fungicides (c45.1) (FRAC code Ml)", "sulfur fungicides (c45.2) (FRAC code M2)", "dithiocarbamate fungicides (c45.3) (FRAC code M3)", "phthalimide fungicides (c45.4) (FRAC code M4)", "chloronitrile fungicides (c45.5) (FRAC code M5)", "sulfamide fungicides (c45.6) (FRAC code M6)", "multi-site contact guanidine fungicides (c45.7) (FRAC code M7)" "triazine fungicides (c45.8) (FRAC code M8)", "quinone fungicides (c45.9) (FRAC code M9), "quinoxaline fungicides" (c45.10) (FRAC code M10) and "maleimide fungicides" (c45.11) (FRAC code Mi l). "Copper fungicides" are inorganic compounds containing copper, typically in the copper(II) oxidation state; examples include copper oxychloride, copper sulfate and copper hydroxide, including compositions such as Bordeaux mixture (tribasic copper sulfate). "Sulfur fungicides" are inorganic chemicals containing rings or chains of sulfur atoms; examples include elemental sulfur. "Dithiocarbamate fungicides" contain a dithiocarbamate molecular moiety; examples include mancozeb, metiram, propineb, ferbam, maneb, thiram, zineb and ziram. "Phthalimide fungicides" contain a phthalimide molecular moiety; examples include folpet, captan and captafol. "Chloronitrile fungicides" contain an aromatic ring substituted with chloro and cyano; examples include chlorothalonil. "Sulfamide fungicides" include dichlofluanid and tolylfluanid. "Multi-site contact guanidine fungicides" include guazatine, iminoctadine albesilate and iminoctadine triacetate. "Triazine fungicides" include anilazine. "Quinone fungicides" include dithianon. "Quinoxaline fungicides" include quinomethionate (also known as chinomethionate). "Maleimide fungicides" include fluoroimide.
"Fungicides other than fungicides of component (a) and components (cl) through (c45); (c46)" include certain fungicides whose mode of action may be unknown. These include: (c46.1) "phenyl-acetamide fungicides" (FRAC code U6), (c46.2) "aryl-phenyl- ketone fungicides" (also known as "benzophenone fungicides") (FRAC code U8), (c46.3) "guanidine fungicides" (FRAC code U12), (c46.4) "thiazolidine fungicides" (FRAC code U13), (c46.5) "pyrimidinone-hydrazone fungicides" (FRAC code U14) and (c46.6) "QXI fungicides" (also known as "triazolopyrimidylamine fungicides") (FRAC code 45). The phenyl-acetamides include cyflufenamid and N-[[(cyclopropylmethoxy)amino][6- (difluoromethoxy)-2,3-difluorophenyl]-methylene]benzeneacetamide. The aryl-phenyl ketones include benzophenones such as metrafenone and benzoylpyridines such as pyriofenone (5-chloro-2-methoxy-4-methyl-3-pyridinyl)(2,3,4-trimethoxy-6-methylphenyl)- methanone). The guanidines include dodine. The thiazolidines include flutianil ((2Z)-2-[[2- fluoro-5 -(trifluoromethyl)phenyl]thio] -2- [3 -(2-methoxyphenyl)-2-thiazolidinylidene]- acetonitrile). The pyrimidinone-hydrazones include ferimzone.
The QXI fungicides are now believed to inhibit Complex III mitochondrial respiration in fungi by affecting ubiquinone reductase at an unknown (Qx) site of the cytochrome bcl complex. Inhibiting mitochondrial respiration prevents normal fungal growth and development. QXI fungicides include triazolopyrimidinylamines such as ametoctradin (5-ethyl-6-octyl[l,2,4]triazolo[l,5-a]pyrimidin-7-amine).
"Fungicides other than fungicides of component (a) and components (cl) through
(c45); (c46)" also include (c46.7) N'-[4-[[3-[(4-chlorophenyl)methyl]-l,2,4-thiadiazol-5- yl]oxy]-2,5-dimethylphenyl]-N-ethyl-N-methylmethanimidamide, which is believed to inhibit C24-methyl transferase involved in biosynthesis of sterols. The (c46) class also includes (c46.8) compounds that bind to oxysterol-binding protein as described in PCT Patent Publication WO 2013/009971, such as oxathiapiprolin (l-[4-[4-[5-(2,6- difluorophenyl)-4,5-dihydro-3-isoxazolyl]-2-thiazolyl]-l-piperidinyl]-2-[5-methyl-3- (trifluoromethyl)-lH-pyrazol-l-yl]ethanone) and its R-enantiomer. The (c46) class further includes mitosis- and cell division-inhibiting fungicides besides those of the particular classes described above (e.g., (cl), (clO) and (c22)).
The (c46) class also includes bethoxazin, flumetover, neo-asozin (ferric methanearsonate), pyrrolnitrin, quinomethionate, tebufloquin (6-(l,l-dimethylethyl)-8- fluoro-2,3-dimethyl-4-quinolinyl acetate), 2-[[2-fluoro-5-(trifluoromethyl)phenyl]thio]- 2-[3-(2-methoxyphenyl)-2-thiazolidinylidene]acetonitrile, 3-[5-(4-chlorophenyl)- 2,3-dimethyl-3-isoxazolidinyl]pyridine, 4-fluorophenyl N-[ 1 -[[[ 1 -(4-cyanophenyl)ethyl]- sulfonyl]methyl]propyl]carbamate, tolnifanide (N-(4-chloro-2-nitrophenyl)-N-ethyl-4- methylbenzenesulfonamide), N- [4- [4-chloro-3 -(trifluoromethyl)phenoxy] -2,5 -dimethyl- phenyl]-N-ethyl-N-methylmethanimidamide, 2-butoxy-6-iodo-3-propyl-4H-l-benzopyran-4- one, 3-butyn- 1 -yl N-[6-[[[[(l -methyl- lH-tetrazol-5-yl)phenylmethylene]amino]oxy]methyl]-
2-pyridinyl]carbamate, N'-[4-[[3-[(4-chlorophenyl)methyl]-l,2,4-thiadiazol-5-yl]oxy]-2,5- dimethylphenyl] -N-ethyl-N-methyl-methanimidamide, N- [ [(cyclopropylmethoxy)amino] [6- (difluoromethoxy)-2,3-difluorophenyl]methylene]benzeneacetamide, 1 , 1 -dimethylethyl N- [6- [ [ [[( 1 -methyl- lH-tetrazol-5 -yl)phenylmethylene] amino]oxy]methyl]-2-pyridinyl] - carbamate, 2,6-dimethyl-lH,5H-[l,4]dithiino[2,3-c:5,6-c']dipyrrole-l,3,5,7(2H,6H)-tetrone, 5-fluoro-2-[(4-methylphenyl)methoxy]-4-pyrimidinamine, 5-fluoro-2-[(4-fluoro- phenyl)methoxy]-4-pyrimidinamine, 4-fluorophenyl N-[ 1 -[[[ 1 -(4-cyanophenyl)ethyl]- sulfonyl]methyl]propyl] carbamate, pentyl N-[6- [ [[ [( 1 -methyl- lH-tetrazol-5 -yl)phenyl- methy lene] amino]oxy]methyl] -2-pyridinyl] carbamate, pentyl N- [4-[ [ [[( 1 -methyl- 1H- tetrazol-5-yl)phenylmethylene]amino]oxy]methyl]-2-thiazolyl]carbamate and pentyl N-[6- [[[[(Z)-(l -methyl- lH-tetrazol-5-yl)phenylmethylene]amino]oxy]methyl]-2-pyridinyl]- carbamate.
Additional "Fungicides other than fungicides of component (a) and components (cl) through (c45); (c46)" also include a fungicidal compound selected from components (c46.9) through (c46.13) as shown below.
Component (c46.9) relates to 6-quinolinyloxyacetamide compounds of Formula C46.9 and salts thereof
wherein
Rcl is halogen, C1-C4 alkoxy or C1-C4 alkynyl;
Rc2 is Η, halogen or C1-C4 alkyl;
Rc3 is C1-C12 alkyl, C^-C^ haloalkyl, C^-C^ alkoxy, C2-C12 alkoxyalkyl, C2-C12 alkenyl, C2-C12 alkynyl, C4-C12 alkoxyalkenyl, C4-C12 alkoxyalkynyl, C^-C^ alkylthio or C2-C12 alkylthioalkyl;
Rc4 is methyl or -Yal-Rc5;
Rc5 is C!-C2 alky!; and
Ycl is CH2, O or S.
Compounds of Formula C46.9, their use as fungicides and methods of preparation are generally known; see, for example, PCT Patent Publications WO 2004/047538, WO 2004/108663, WO 2006/058699, WO 2006/058700, WO 2008/110355, WO 2009/030469, WO 2009/049716 and WO 2009/087098. Examples of compounds of Formula C46.9 include: 2-[(3-bromo-6-quinolinyl)oxy]-N-(l,l-dimethyl-2-butyn-l-yl)-2-(methylthio)-
acetamide, 2-[(3-ethynyl-6-quinolinyl)oxy]-N-[ 1 -(hydroxymethyl)- 1 -methyl-2-propyn- 1 -yl]- 2-(methylthio)acetamide, N-( 1 , 1 -dimethyl-2-butyn- 1 -yl)-2- [(3 -ethynyl-6-quinolinyl)oxy] -2- (methylthio)acetamide, 2-[(3-bromo-8-methyl-6-quinolinyl)oxy]-N-(l ,l-dimethyl-2-propyn- 1 -yl)-2-(methylthio)acetamide and 2- [(3 -bromo-6-quinolinyl)oxy] -N-( 1 , 1 -dimethylethyl)- butanamide.
Component (c46.10 relates to a compound of Formula C46.10
Examples of a compound of Formula C46.10 include (c46.10a) (2-chloro-6-fluorophenyl)- methyl 2-[l-[2-[3,5-bis(difluoromethyl)-lH-pyrazol-l-yl]acetyl]-4-piperidinyl]-4-thiazole- carboxylate (Registry Number 1299409-40-7) and (c46.101b) (1R)- 1 ,2,3, 4-tetrahydro- 1 -naphthalenyl 2-[ 1 -[2-[3,5-bis(difluoromethyl)- lH-pyrazol-1 -yl]acetyl]-4-piperidinyl]- 4-thiazolecarboxylate (Registry Number 1299409-42-9). Methods for preparing compounds of Formula C46.10 are described in PCT Patent Publications WO 2009/132785 and WO 201 1/051243.
Com onent (c46.1 1) relates to a compound of Formula C46.ll
wherein Rc? is CH3, CF3 or CHF2; Rc8 is CH3, CF3 or CHF2; each Rc9 is
independently halogen or cyano; and y is 0, 1 , 2 or 3.
Examples of a compound of Formula C46.ll include (c46.1 1a) l-[4-[4-[5-[(2,6- difluorophenoxy)methyl]-4,5-dihydro-3-isoxazolyl]-2-thiazolyl]- 1 -piperdinyl]-2-[5-methyl- 3-(trifluoromethyl)-lH-pyrazol-l-yl]ethanone. Methods for preparing compounds of Formula C46.ll are described in PCT Patent Application PCT/US1 1/64324.
Component (c46.12) relates to a compound of Formula C46.12
Examples of a compound of Formula C46.12 include (c46.12a) [[4-methoxy-2- [[[(35,7R,8R,9S)-9-methyl-8-(2-methyl- 1 -oxopropoxy)-2,6-dioxo-7-(phenylmethyl)- 1 ,5- dioxonan-3 -yl] amino]carbonyl] -3 -pyridinyl]oxy]methyl 2-methylpropanoate (Registry Number 517875-34-2), (c46.12b) (3lS,6lS,7i?,8i?)-3-[[[3-(acetyloxy)-4-methoxy-2-pyridinyl]- carbonyl]amino]-6-methyl-4,9-dioxo-8-(phenylmethyl)-l,5-dioxonan-7-yl 2-methyl- propanoate (Registry Number 234112-93-7), (c46.12c) (35,65,7R,8R)-3-[[[3-[(acetyloxy)- methoxy]-4-methoxy-2-pyridinyl]carbonyl]amino]-6-methyl-4,9-dioxo-8-(phenylmethyl)- l,5-dioxonan-7-yl 2-methylpropanoate (Registry Number 517875-31-9), (c46.12d) (35',65',7i?,8i?)-3-[[[4-methoxy-3-[[(2-methylpropoxy)carbonyl]oxy]-2-pyridinyl]carbonyl]- amino]-6-methyl-4,9-dioxo-8-(phenylmethyl)- 1 ,5-dioxonan-7-yl 2-methylpropanoate
(Registry Number 328256-72-0), and (c46.12e) N-[[3-(l,3-benzodioxol-5-ylmethoxy)-4- methoxy-2-pyridinyl]carbonyl]-O-[2,5-dideoxy-3-0-(2 -methyl- l-oxopropyl)-2-(phenyl- methyl)-L-arabinonoyl]-L-serine, (l→4')-lactone (Registry Number 1285706-70-8). Methods for preparing compounds of Formula C46.12 are described in PCT Patent Publications WO 99/40081, WO 2001/014339, WO 2003/035617 and WO 2011044213.
Component (c46.13) relates to a com ound of Formula C46.13
wherein Rcl 1 is H or F, and Rcl2 is -CF2CHFCF3 or -CF2CF2H. Examples of a compound of Formula C46.13 are (c46.13a) 3-(difluoromethyl)-N-[4-fluoro-2-(l, 1,2,3, 3,3-hexafluoro- propoxy)phenyl]-l -methyl- lH-pyrazole-4-carboxamide (Registry Number 1172611-40-3)
and (c46.13b) 3 -(difluoromethyl)- 1 -methyl-N- [2-( 1 , 1 ,2,2-tetrafluoroethoxy)phenyl] - 1 H- pyrazole-4-carboxamide (Registry Number 923953-98-4). Compounds of Formula C46.13 can be prepared by methods described in PCT Patent Publication WO 2007/017450.
Examples of component (c) fungicidal compounds include those listed in Embodiment 69 and more particularly in Embodiments 70-72.
Compositions comprising a combination of (a) at least one compound selected from the compounds of Formula 1, including N-oxides and salts thereof, (b) at least one fungicidal component selected from Formulae Bl through B16, including salts thereof and (c) at least one additional fungicidal compound (e.g., (cl) through (c46), including the corresponding fungicidal compounds described above) can provide improved control (i.e. prevention and/or cure) of plant disease from synergic contributions of components (a), (b) and (c). The improved plant disease control may be manifest by a broader spectrum or longer duration of plant disease control, or retardation of resistance development. The contributions of components (a), (b) and (c) may be complementarily additive or even greater than additive through synergistic interaction. Addition of component (c) may provide stronger synergy than resulting from combination of components (a) and (b).
In addition to or as an alternative to the fungicidal compounds disclosed as components (cl) through (c46), component (c) can comprise one or more "Microbial fungicides" (FRAC code 44). "Microbial fungicides" typically disrupt fungal pathogen cell membranes. Microbial fungicides include Bacillus species such as Bacillus amyloliquefaciens strains QST 713, FZB24, MB 1600, D747 and the fungicidal lipopeptides which they produce.
Also of note is a composition which comprises component (a) (such as a compound specifically disclosed in Index Tables A-G) in combination with at least one fungicidal compound or agent as described above for component (c). Said composition can be advantageously directly used as a combination fungicide, which may be synergistic, or can be further combined with component (b) to form a composition comprising component (a), component (b) and component (c) to provide additional synergic and possible synergistic benefits.
In a fungicidal composition comprising (a) at least one compound selected from the compounds of Formula 1, including N-oxides and salts thereof, (b) at least one fungicidal compound selected from Formulae Bl through B16 including salts thereof, described above, and (c) further comprising at least one additional compound or agent that is biologically active, besides the fungicidal compounds (cl) through (c46) described above, component (c) can also be selected from compounds or agents having biological activity that is other than fungicidal.
Examples of such biologically active compounds or agents with which compositions of component (a) with component (b), can be mixed (e.g., in an agricultural formulation) are
insecticides such as: abamectin, acephate, acequinocyl, acetamiprid, acrinathrin, afidopyropen, amidoflumet, amitraz, avermectin, azadirachtin, azinphos-methyl, benfuracarb, bensultap, bifenthrin, bifenazate, bistrifluron, borate, buprofezin, cadusafos, carbaryl, carbofuran, cartap, carzol, chlorantraniliprole, chlorfenapyr, chlorfluazuron, chlorpyrifos, chlorpyrifos-methyl, chromafenozide, clofentezin, clothianidin, cyantraniliprole, cyclaniliprole, cycloprothrin, cycloxaprid, cyflumetofen, cyfluthrin, beta-cyfluthrin, cyhalothrin, gamma-cyhalothrin, lambda-cyhalothrin, cypermethrin, alpha- cypermethrin, zeta-cypermethrin, cyromazine, deltamethrin, diafenthiuron, diazinon, dieldrin, diflubenzuron, dimefiuthrin, dimehypo, dimethoate, dinotefuran, diofenolan, emamectin, endosulfan, esfenvalerate, ethiprole, etofenprox, etoxazole, fenbutatin oxide, fenitrothion, fenothiocarb, fenoxycarb, fenpropathrin, fenvalerate, fipronil, flometoquin, flonicamid, flubendiamide, fiucythrinate, fiufenerim, flufenoxuron, fiufenoxystrobin, flupiprole, flupyradifurone, fluvalinate, tau-fluvalinate, fonophos, formetanate, fosthiazate, halofenozide, heptafluthrin, hexaflumuron, hexythiazox, hydramethylnon, imidacloprid, indoxacarb, insecticidal soaps, isofenphos, lufenuron, malathion, meperfluthrin, metaflumizone, metaldehyde, methamidophos, methidathion, methiodicarb, methomyl, methoprene, methoxychlor, metofluthrin, methoxyfenozide, metofluthrin, monocrotophos, monofluorothrin, nicotine, nitenpyram, nithiazine, novaluron, noviflumuron, oxamyl, parathion, parathion-methyl, permethrin, phorate, phosalone, phosmet, phosphamidon, pirimicarb, profenofos, profluthrin, propargite, protrifenbute, pyflubumide, pymetrozine, pyrafluprole, pyrethrin, pyridaben, pyridalyl, pyrifluquinazon, pyriminostrobin, pyriprole, pyriproxyfen, rotenone, ryanodine, silafluofen, spinetoram, spinosad, spirodiclofen, spiromesifen, spirotetramat, sulprofos, sulfoxaflor, tebufenozide, tebufenpyrad, teflubenzuron, tefluthrin, terbufos, tetrachlorvinphos, tetramethrin, tetramethylfluthrin, thiacloprid, thiamethoxam, thiodicarb, thiosultap-sodium, tolfenpyrad, tralomethrin, triazamate, trichlorfon, triflumezopyrim, triflumuron and l-[(2-chloro-5-thiazolyl)methyl]-3- (3,5-dichlorophenyl)-2-hydroxy-9-methyl-4-oxo-4H-pyrido[l,2-a]pyrimidinium inner salt.
Examples of such biologically active compounds or agents with which compositions of component (a) with component (b), can be mixed (e.g., in an agricultural formulation) are nematocides such as: abamectin, aldicarb, cadusaphos, carbofuran, chloropicrin, dazomet, 1,3-dichloropropene, dimethyl disulfide, ethoprophos, fenamiphos, flufensulfone, fiuopyram, fosthiazate, imicyafos, iprodione, metam (sodium and potassium), oxamyl, spirotetramat, terbufos, thiodicarb, tioxazafen and 8-chloro-N-[(2-chloro-5-methoxyphenyl)sulfonyl]-6- (trifluoromethyl)-imidazo[ 1 ,2-a]pyridine-2-carboxamide.
Examples of such biologically active compounds or agents with which compositions of component (a) with component (b), can be mixed (e.g., in an agricultural formulation) are bactericides such as streptomycin; and acaricides such as amitraz, chinomethionat, chlorobenzilate, cyenopyrafen, cyhexatin, dicofol, dienochlor, etoxazole, fenazaquin,
fenbutatin oxide, fenpropathrin, fenpyroximate, hexythiazox, propargite, pyridaben and tebufenpyrad.
Examples of such biologically active compounds or agents with which compositions of component (a) with component (b), can be mixed (e.g., in an agricultural formulation) are entomopathogenic bacteria, such as Bacillus thuringiensis subsp. aizawai, Bacillus thuringiensis subsp. kurstaki, and the encapsulated delta-endotoxins of Bacillus thuringiensis (e.g., Cellcap, MPV, MPVII); root colonizing bacteria such as Bacillus firmus; nematode parasitic bacteria such as Pasteuria nishizawae; entomopathogenic fungi, such as green muscardine fungus; and entomopathogenic virus (both naturally occurring and genetically modified) including baculovirus, nucleopolyhedro virus (NPV) such as Helicoverpa zea nucleopolyhedrovirus (HzNPV), Anagrapha falcifera nucleopolyhedrovirus (AfNPV); and granulosis virus (GV) such as Cydia pomonella granulosis virus (CpGV).
Also of note is a composition which comprises component (a) (such as a compound specifically disclosed in Index Tables A-G) in combination with at least one invertebrate pest control compound or agent selected from the above list. Said composition can be advantageously directly used as a combination fungicide and insecticide, which may be synergistic, or can be further combined with component (b) to form a composition comprising component (a), component (b) and at least one invertebrate pest control compound or agent as component (c) to provide additional synergic benefits.
In certain instances, combinations of a mixture of components (a) and (b) fungicidal compounds with invertebrate pest control compounds or agents (i.e. as component (c) biologically active ingredients) can result in a greater-than-additive (i.e. synergistic) effect. Reducing the quantity of active ingredients released in the environment while ensuring effective pest control is always desirable. When synergism of invertebrate pest control active ingredients occurs at application rates giving agronomically satisfactory levels of invertebrate pest control, such combinations can be advantageous for reducing crop production cost and decreasing environmental load. Synergism can also result in increased plant disease control or protection, or increased invertebrate pest control.
In the fungicidal compositions of the present invention, component (a) (i.e. at least one compound selected from compounds of Formula 1, N-oxides, and salts thereof) and component (b) are present in fungicidally effective amounts. The weight ratio of component (a) to component (b) (i.e. one or more additional fungicidal compounds) is generally between about 1 :3000 to about 3000: 1, more typically between about 1 :500 and about 500: 1. Of note are compositions where in the weight ratio of component (a) to component (b) is from about 125: 1 to about 1 : 125. With many fungicidal compounds of component (b), these compositions are particularly effective for controlling plant diseases caused by fungal plant pathogens. Of particular note are compositions wherein the weight ratio of component (a) to component (b) is from about 25: 1 to about 1 :25, or from about 5: 1 to about 1 :5. One skilled
in the art can easily determine through simple experimentation the weight ratios and application rates of fungicidal compounds necessary for the desired spectrum of fungicidal protection and control.
Table Al lists specific combinations of a Component (b) compound with Compound 18 as Component (a) illustrative of the mixtures, compositions and methods of the present invention. (Compound numbers refer to compounds in Index Tables A-G.) The second column of Table Al lists the specific Component (b) compound (e.g., "4-(2-chloro-4- fluorophenyl)-N-(2-chloro-6-fluorophenyl)-l,3-dimethyl-lH-pyrazol-5-amine (bla)" in the first line). The third, fourth and fifth columns of Table Al list ranges of weight ratios for rates at which the Component (a) compound is typically applied to a field-grown crop relative to Component (b). Thus, for example, the first line of Table Al specifically discloses the combination of Compound 18 with Component (bla) is typically applied in a weight ratio of Compound 18 to Component (bla) of between 20:1 and 1:20, more typically between 5:1 and 1:5, and most typically between 3:1 and 1:3. The remaining lines of Table Al are to be construed similarly.
Table Al
More
Typical
Component Component (b) Typical Most Typical
Weight
(a) Weight
Ratio Weight Ratio
Ratio
4 - (2 - chloro-4 - fluorophenyl) -N- (2 - chloro- 6 -
Compound
fluorophenyl)- 1 ,3 -dimethyl- l /-pyrazol-5- 20:1 to 1:20 5:1 to 1:5 3:1 to 1:3 18
amine (bla)
4 - (2-bromo-4 - fluorophenyl) -N- (2 - chloro- 6 -
Compound
fluorophenyl)- 1 ,3 -dimethyl- l /-pyrazol-5- 20:1 to 1:20 5:1 to 1:5 3:1 to 1:3 18
amine (bib)
A-(2-bromo-6-fluorophenyl)-4-(2-chloro-4-
Compound
fluorophenyl)- 1 ,3 -dimethyl- l /-pyrazol-5- 20:1 to 1:20 5:1 to 1:5 3:1 to 1:3 18
amine (blc)
4 - (2-bromo-4 - fluorophenyl) -N- (2 -bromo- 6 -
Compound
fluorophenyl)- 1 ,3 -dimethyl- li/-pyrazol-5- 20:1 to 1:20 5:1 to 1:5 3:1 to 1:3 18
amine (bid)
A-(2-chloro-6-fluoro-4-methylphenyl)-4-(2-
Compound
chloro-4-fluorophenyl)- 1 ,3 -dimethyl - 20:1 to 1:20 5:1 to 1:5 3:1 to 1:3 18
li/-pyrazol-5 -amine (ble)
4 - (2-bromo-4 - fluorophenyl) -N- (2 - chloro- 6 -
Compound
fluoro-4-methylphenyl)- 1 ,3 -dimethyl - 20:1 to 1:20 5:1 to 1:5 3:1 to 1:3 18
li/-pyrazol-5-amine (blf)
More
Typical
Component Component (b) Typical Most Typical
Weight
(a) Weight
Ratio Weight Ratio
Ratio
A-(2-bromo-6-fluoro-4-methylphenyl)-4-(2-
Compound
chloro-4-fluorophenyl)- 1 ,3 -dimethyl - 20:1 to 1:20 5:1 to 1:5 3:1 to 1:3 18
lii-pyrazol-5-amine (big)
A-(2-bromo-6-fluoro-4-methylphenyl)-4-(2-
Compound
bromo-4-fluorophenyl)- 1 ,3 -dimethyl - 20:1 to 1:20 5:1 to 1:5 3:1 to 1:3 18
lii-pyrazol-5-amine (blh)
4 - (2 - chloro-4 - fluorophenyl) -N- (2 , 6 -dichloro-
Compound
4-methylphenyl)- 1 ,3 -dimethyl- l /-pyrazol-5- 20:1 to 1:20 5:1 to 1:5 3:1 to 1:3 18
amine (bli)
Compound a- [2- chloro-4 - (4 - chlorophenoxy)phenyl] - Di¬
36:1 to 1:30 12:1 to 1:10 6:1 to 1:4 18 ethyl- IH- 1 ,2,4-triazole- 1 -ethanol (b2a)
a- [2- chloro-4 - (4 - chlorophenoxy)phenyl] - a-
Compound
( IH- 1 ,2,4-triazol- 1 -ylmethyl)- IH- 1 ,2,4- 36:1 to 1:30 12:1 to 1:10 6:1 to 1:4 18
triazole- 1 -ethanol (b3)
A-cyclopropyl-3-(difluoromethyl)-5-fluoro-
Compound
l-methyl-N-[[(2-(l-methylethyl)phenyl]- 20:1 to 1:20 5:1 to 1:5 3:1 to 1:3 18
methyl] - lii-pyrazole-4-carboxamide (b4a)
A-[[5-chloro-2-(trifluoromethyl)phenyl]-
Compound methyl] -N- cyclopropyl- 3 - (difluoromethyl) - 5 -
20:1 to 1:20 5:1 to 1:5 3:1 to 1:3 18 fluoro- 1 -methyl- l /-pyrazole-4-carboxamide
(Mb)
N- [ [2 - chloro-6 - (trifluoromethyl)phenyl] -
Compound methyl] -N- cyclopropyl- 3 - (difluoromethyl) - 5 -
20:1 to 1:20 5:1 to 1:5 3:1 to 1:3 18 fluoro- 1 -methyl- lii-pyrazole-4-carboxamide
(b4c)
N- [ [3 - chloro-2 - fluoro- 6 - (trifluoromethyl) -
Compound phenyl]methyl] -Λ^- cyclopropyl- 3 -(difluoro-
20:1 to 1:20 5:1 to 1:5 3:1 to 1:3 18 methyl)-5-fluoro- 1 -methyl- l /-pyrazole- 4-carboxamide (b4d)
A^-cyclopropyl-3-(difluoromethyl)-5-fluoro-l-
Compound methyl-A^-[[5-methyl-2-(trifluoromethyl)-
20:1 to 1:20 5:1 to 1:5 3:1 to 1:3 18 phenyl]methyl] - l /-pyrazole-4-carboxamide
(Me)
More
Typical
Component Component (b) Typical Most Typical
Weight
(a) Weight
Ratio Weight Ratio
Ratio
N- [ [5 -chloro-2-( 1 -methylethyl)phenyl] -
Compound methyl] -N- cyclopropyl- 3 - (difluoromethyl) - 5 -
20:1 to 1:20 5:1 to 1:5 3:1 to 1:3 18 fluoro- 1 -methyl- lii-pyrazole-4-carboxamide
( 4f)
N- cyclopropyl -N- [ (2 - cy clopropylphenyl) -
Compound
methyl]-3-(difluoromethyl)-5-fluoro- 1 - 20:1 to 1:20 5:1 to 1:5 3:1 to 1:3 18
methyl- lii-pyrazole-4-carboxamide (b4g)
N- cy clopropyl-3 - (difluoromethyl) -N- [ (2 -
Compound
ethyl-4 , 5 -dime thy lphenyl)methyl] - 5 - fluoro- 1 - 20:1 to 1:20 5:1 to 1:5 3:1 to 1:3 18
methyl- lii-pyrazole-4-carboxamide (b4h)
A-cyclopropyl-3-(difluoromethyl)-5-fluoro-V-
Compound
[[5-fluoro-2-(l -methylethyl)phenyl]methyl- 1 - 20:1 to 1:20 5:1 to 1:5 3:1 to 1:3 18
methyl- lii-pyrazole-4-carboxamide (b4i)
1,1-dimethylethyl in the 2-position, is (b6j) N-
Compound cyclopropyl-3 -(difluoromethyl)-iV-[[2-( 1,1-
20:1 to 1:20 5:1 to 1:5 3:1 to 1:3 18 dimethylethyl)phenyl]methyl] -5-fuoro- 1 - methyl- lii-pyrazole-4-carboxamide (b4j)
N- cy clopropyl-3 - (difluoromethyl) -N- [ (2 -
Compound
ethyl-5-fluorophenyl)methyl]-5-fluoro- 1 - 20:1 to 1:20 5:1 to 1:5 3:1 to 1:3 18
methyl- lii-pyrazole-4-carboxamide (b4k)
N- cyclopropyl -N- [ (2 - cyclopropyl- 5 - fluoro¬
Compound
phenyl)!^ thyl] - 3 -(difluoromethyl) - 5 - fluoro- 20:1 to 1:20 5:1 to 1:5 3:1 to 1:3 18
1 -methyl- l /-pyrazole-4-carboxamide (b41)
N-[(5-chloro-2-ethylphenyl)methyl]-N-
Compound
cyclopropyl- 3 - (difluoromethyl) - 5 - fluoro- 1 - 20:1 to 1:20 5:1 to 1:5 3:1 to 1:3 18
methyl- lii-pyrazole-4-carboxamide (b4m)
A-cyclopropyl-3-(difluoromethyl)-5-fluoro-V-
Compound
[ [2 - fuoro-6 - ( 1 -methylethyl)phenyl] methyl] - 20:1 to 1:20 5:1 to 1:5 3:1 to 1:3 18
1 -methyl- l /-pyrazole-4-carboxamide (b4n)
A^-cyclopropyl-3-(difluoromethyl)-5-fluoro-A^-
Compound
[[5-fluoro-2-( 1 -methylethyl)phenyl] methyl] - 1 - 20:1 to 1:20 5:1 to 1:5 3:1 to 1:3 18
methyl- lii-pyrazole-4-carboxamide (b4o)
N- [ (2- cyclopentyl- 5 - fluorophenyl)methyl] -N-
Compound
cyclopropyl- 3 - (difluoromethyl) - 5 - fluoro- 1 - 20:1 to 1:20 5:1 to 1:5 3:1 to 1:3 18
methyl- lii-pyrazole-4-carboxamide (b4p)
More
Typical
Component Component (b) Typical Most Typical
Weight
(a) Weight
Ratio Weight Ratio
Ratio
N-[2,5-dimethyl-4-[[3-(l,l,2,2-tetrafluoro-
Compound
ethoxy)phenyl]thio]phenyl]-A-ethyl-V- 20:1 to 1:20 5:1 to 1:5 3:1 to 1:3 18
methylmethanimidamide (b5a)
N-[4-[[4-chloro-3-(l,l,2,2-tetrafluoro-
Compound
ethoxy)phenyl]tliio]-2,5-dimetliylplienyl]-A^ 20:1 to 1:20 5:1 to 1:5 3:1 to 1:3 18
ethyl-A-methylmethanimidamide (b5b)
N-ethyl-N-[4-[[4-fluoro-3 -( 1 , 1 ,2,2-tetra-
Compound
fluoroethoxy)phenyl]thio]-2,5-dimethyl- 20:1 to 1:20 5:1 to 1:5 3:1 to 1:3 18
phenyl] -A-methylmethanimidamide (b5 c)
N-[2,5-dimethyl-4-[3-[(l,l,2,2-tetrafluoro-
Compound
ethyl)thio]phenoxy]phenyl]-N-ethyl-N- 20:1 to 1:20 5:1 to 1:5 3:1 to 1:3 18
methylmethanimidamide (b5d)
N-[2,5-dimethyl-4-[4-chloro-3-[(l, 1,2,2-
Compound
tetrafluoroethyl)thio]phenoxy]phenyl]-N- 20:1 to 1:20 5:1 to 1:5 3:1 to 1:3 18
ethyl-A-methylmethanimidamide (b5e)
N-[2,5-dimethyl-4-[4-fluoro-3-[(l, 1,2,2-
Compound
tetrafluoroethyl)thio]phenoxy]phenyl]-V- 20:1 to 1:20 5:1 to 1:5 3:1 to 1:3 18
ethyl-A-methylmethanimidamide (b5 f)
N-[2,5-dimethyl-4-[[3-[(l, 1,2,2-
Compound
tetrafluoroethyl)thio]phenyl]thio]phenyl]-N- 20:1 to 1:20 5:1 to 1:5 3:1 to 1:3 18
ethyl-A-methylmethanimidamide (b5g)
2 - [ 3 , 5 -bis(difluoromethyl) - 1 /-pyrazol- 1 -yl] -
Compound 1- [4-[4-[4,5-dihydro-5-[2-
400:1 to 1:1 100:1 to 4:1 50:1 to 8:1 18 [(methylsulfonyl)oxy] phenyl] -3 -isoxazolyl] -
2- thiazolyl]- 1 -piperidinyl]ethanone (b6a)
2 - [ 3 , 5 -bis(difluoromethyl) - 1 //-pyrazol- 1 -yl] -
Compound l-[4-[4-[5-[3-fluoro-2-[(methylsulfonyl)-
400:1 to 1:1 100:1 to 4:1 50:1 to 8:1 18 oxy]phenyl]-4,5-dihydro-3-isoxazolyl]-2- thiazolyl] - 1 -piperidinyl] ethanone (b6b)
2 - [ 3 , 5 -bis(difluoromethyl) - 1 //-pyrazol- 1 -yl] -
Compound l-[4-[4-[5-[3-chloro-2-[(methylsulfonyl)-
400:1 to 1:1 100:1 to 4:1 50:1 to 8:1 18 oxy]phenyl]-4,5-dihydro-3-isoxazolyl]-2- thiazolyl] - 1 -piperidinyl] ethanone (b6c)
More
Typical
Component Component (b) Typical Most Typical
Weight
(a) Weight
Ratio Weight Ratio
Ratio
2 - [ 3 , 5 -bis(difluoromethyl) - 1 /-pyrazol- 1 -yl] -
Compound l-[4-[4-[5-[2-chloro-6-[(methylsulfonyl)-
400:1 to 1:1 100:1 to 4:1 50:1 to 8:1 18 oxy]phenyl]-4,5-dihydro-3-isoxazolyl]-2- thiazolyl] - 1 -piperidinyl] ethanone (b6d)
2 - [ 3 , 5 -bis (difluoromethyl) - 1 //-pyrazol- 1 -yl] -
Compound l-[4-[4-[4,5-dihydro-5-[2-(2-propyn-l-
400:1 to 1:1 100:1 to 4:1 50:1 to 8:1 18 yloxy)phenyl] -3 -isoxazolyl] -2-thiazolyl] - 1 - piperidinyl] ethanone (b7a)
2 - [ 3 , 5 -bis(diiluoromethyl) - 1 //-pyrazol- 1 -yl] -
Compound l-[4-[4-[5-[2-fluoro-6-(2-propyn-l-
400:1 to 1:1 100:1 to 4:1 50:1 to 8:1 18 yloxy)phenyl]-4,5-dihydro-3-isoxazolyl]-2- thiazolyl] - 1 -piperidinyl] ethanone (b7b)
2 - [ 3 , 5 -bis(diiluoromethyl) - 1 //-pyrazol- 1 -yl] -
Compound l-[4-[4-[5-[2-chloro-6-(2-propyn-l-
400:1 to 1:1 100:1 to 4:1 50:1 to 8:1 18 yloxy)phenyl]-4,5-dihydro-3-isoxazolyl]-2- thiazolyl] - 1 -piperidinyl] -ethanone (b7c)
Compound 2-fluoro-6-[(8-fluoro-2-methyl-3-quinolinyl)-
40:1 to 1:10 10:1 to 1:3 5:1 to 1:2 18 oxy ] - a, a-dimethylbenzenemethanol (b 8 a)
Compound 2- [(7, 8-difluoro-2-methyl-3-quinolinyl)oxy]-
40:1 to 1:10 10:1 to 1:3 5:1 to 1:2 18 6 - fluoro- a, a-dimethylbenzenemethanol (b 8b)
Compound 9-fluoro-2,3-dihydro-2,2-dimethyl-5-(3-
40:1 to 1:10 10:1 to 1:3 5:1 to 1:2 18 quinolinyl)- 1 ,4-benzoxazepine (b9)
(lR,2S,5S)-re/-2-(chloromethyl)-5-[(4-
Compound
chlorophenyl)methyl] -2-methyl- 1 -(1 /- 1 ,2,4- 40:1 to 1:10 10:1 to 1:3 5:1 to 1:2 18
triazol- 1 -ylmethyl)cyclopentanol (b 10 a)
1 - [ [4 - [ (4 - chlorophenyl)methyl] - 1 -methyl- 6 -
Compound
oxabicyclo[3.2.0]hept-5-yl]methyl] - IH- 1 ,2,4- 40:1 to 1:10 10:1 to 1:3 5:1 to 1:2 18
triazole (blOb)
3 - [ (4 - chlorophenyl)methyl] -2 -hydroxy-2 - ( 1 H-
Compound
1 ,2,4-triazol- 1 -ylmethyl)- 1 , 1 -cyclopentane- 40:1 to 1:10 10:1 to 1:3 5:1 to 1:2 18
dimethanol (blOc)
3 -(difluoromethyl)-A-(7-fluoro-2,3 -dihydro-
Compound
1 , 1 ,3 -trimethyl- l//-inden-4-yl)- 1 -methyl- IH- 20:1 to 1:20 5:1 to 1:5 3:1 to 1:3 18
pyrazole-4-carboxamide (bll)
Compound 3 -[(3 ,4-dichloro-5-isothiazolyl)methoxy] - 1 ,2-
20:1 to 1:20 5:1 to 1:5 3:1 to 1:3 18 benzisothiazole, 1,1 -dioxide (bl2)
More
Typical
Component Component (b) Typical Most Typical
Weight
(a) Weight
Ratio Weight Ratio
Ratio
3 -(difluoromethyl)-A -methoxy- 1 -methyl-N-
Compound
[ 1 -methyl-2-(2,4,6-trichlorophenyl)ethyl] -\H- 20: 1 to 1 :20 5: 1 to 1 :5 3: 1 to 1 :3 18
pyrazole-4-carboxamide (bl3)
Compound methyl 5 /-pyrrolo[3',4':5,6][l,4]dithiino[2,3-
20: 1 to 1 :20 5: 1 to 1 :5 3: 1 to 1 :3 18 c][l,2,5]thiadiazole-5,7(6 /)-dione (bl4)
Compound 3-(4,4,5-trifluoro-3,4-dihydro-3,3-dimethyl-l-
20: 1 to 1 :20 5: 1 to 1 :5 3: 1 to 1 :3 18 isoquinolinyl)quinoline (bl5a)
Compound 3 -(5-fluoro-3 ,4-dihydro-3 ,3 ,4,4-tetramethyl- 1 -
20: 1 to 1 :20 5: 1 to 1 :5 3: 1 to 1 :3 18 isoquinolinyl)quinoline (bl5b)
1 , 1 -dimethylethyl N-[6-[[[(Z)-[(4,5-dihydro-4-
Compound methyl-5-oxo- 1 ,2,4-oxadiazol-3 -yl)-
20: 1 to 1 :20 5: 1 to 1 :5 3: 1 to 1 :3 18 phenylmethylene]amino]oxy]methyl]-2- pyridinyl]carbamate (bl6a)
3-butyn-l-yl N-[6-[[[(Z)-[(4,5-dihydro-4-
Compound methyl-5-oxo- 1 ,2,4-oxadiazol-3 -
20: 1 to 1 :20 5: 1 to 1 :5 3: 1 to 1 :3 18 yl)phenylmethylene]amino]oxy]methyl]-2- pyridinyl]carbamate (bl6b)
Tables A2 through A29 are each constructed the same as Table Al above except that entries below the "Component (a)" column heading are replaced with the respective Component (a) Column Entry shown below. Thus, for example, in Table A2 the entries below the "Component (a)" column heading all recite "Compound 10", and the first line below the column headings in Table A2 specifically discloses combination of Compound 10 with 4-(2-chloro-4-fluorophenyl)-N-(2-chloro-6-fluorophenyl)- 1 ,3-dimethyl- lH-pyrazol-5- amine (bla). Tables A3 through A29 are cons ructed similarly.
Table Number Component (a) Column Entry Table Number Component (a) Column Entry
A2 Compound 10 A16 Compound 116
A3 Compound 20 A17 Compound 136
A4 Compound 11 A18 Compound 151
A5 Compound 17 A19 Compound 118
A6 Compound 23 A20 Compound 152
A7 Compound 28 A21 Compound 153
A8 Compound 8 A22 Compound 123
A9 Compound 31 A23 Compound 144
A10 Compound 66
A24 Compound 145
Table Number Component (a) Column Entry Table Number Component (a) Column Entry
Al l Compound 38 A25 Compound 146 A12 Compound 97 A26 Compound 147 A13 Compound 91 A27 Compound 148 A14 Compound 46 A28 Compound 149 A15 Compound 115 A29 Compound 150
Specific mixtures are listed in Tables B l through B29. (Compound numbers refer to compounds in Index Tables A-G, and Component (b) is identified in Table Al .) In Table Bl , each line below the column headings "Component (a)" and "Component (b)" specifically discloses a mixture of Component (a), which is Compound 18, with a Component (b) fungicidal compound. The entries under the heading "Illustrative Ratios" disclose seven specific weight ratios of Component (a) relative to Component (b) for the disclosed mixture. For example, the first line of Table Bl discloses a mixture of Compound 18 with 4-(2-chloro-4-fluorophenyl)-N-(2-chloro-6-fluorophenyl)-l ,3-dimethyl-lH-pyrazol- 5-amine (bla) and lists weight ratios of Compound 18 relative to Component (bla) of 1 :4, 1 :3, 1 :2, 1 : 1 , 2: 1 , 3 : 1 or 4: 1. Table Bl thus supplements with specific ratios the general ranges of ratios for the combinations disclosed in Table Al .
Table Bl
Component (a) Component (b) Illustrat ive Ratios
Compound 18 bla 1:4 1:3 1:2 1 1 2:1 3:1 4:1
Compound 18 bib 1:4 1:3 1:2 1 1 2:1 3:1 4:1
Compound 18 blc 1:4 1:3 1:2 1 1 2:1 3:1 4:1
Compound 18 bid 1:4 1:3 1:2 1 1 2:1 3:1 4:1
Compound 18 ble 1:4 1:3 1:2 1 1 2:1 3:1 4:1
Compound 18 blf 1:4 1:3 1:2 1 1 2:1 3:1 4:1
Compound 18 big 1:4 1:3 1:2 1 1 2:1 3:1 4:1
Compound 18 blh 1:4 1:3 1:2 1 1 2:1 3:1 4:1
Compound 18 bli 1:4 1:3 1:2 1 1 2:1 3:1 4:1
Compound 18 b2a 1: 15 1:7 1:3 1 1 4:1 9:1 18: 1
Compound 18 b3 1: 15 1:7 1:3 1 1 4:1 9:1 18: 1
Compound 18 b4a 1: 10 1:5 1:3 1 1 3:1 5:1 10: 1
Compound 18 b4b 1: 10 1:5 1:3 1 1 3:1 5:1 10: 1
Compound 18 b4c 1: 10 1:5 1:3 1 1 3:1 5:1 10: 1
Compound 18 b4d 1: 10 1:5 1:3 1 1 3:1 5:1 10: 1
Compound 18 b4e 1: 10 1:5 1:3 1 1 3:1 5:1 10: 1
Compound 18 b4f 1: 10 1:5 1:3 1 1 3:1 5:1 10: 1
Compound 18 b4g 1: 10 1:5 1:3 1 1 3:1 5:1 10: 1
Component (a) Component (b) Illustrative Ratios
Compound 18 b4h 1:10 1:5 1:3 1:1 3:1 5:1 10
Compound 18 b4i 1:10 1:5 1:3 1:1 3:1 5:1 10
Compound 18 b4j 1:10 1:5 1:3 1:1 3:1 5:1 10
Compound 18 b4k 1:10 1:5 1:3 1:1 3:1 5:1 10
Compound 18 b41 1:10 1:5 1:3 1:1 3:1 5:1 10.
Compound 18 b4m 1:10 1:5 1:3 1:1 3:1 5:1 10:
Compound 18 b4n 1:10 1:5 1:3 1:1 3:1 5:1 10:
Compound 18 b4o 1:10 1:5 1:3 1:1 3:1 5:1 10:
Compound 18 b4p 1:10 1:5 1:3 1:1 3:1 5:1 10:
Compound 18 b5a 1:10 1:5 1:3 1:1 3:1 5:1 10:
Compound 18 b5b 1:10 1:5 1:3 1:1 3:1 5:1 10:
Compound 18 b5c 1:10 1:5 1:3 1:1 3:1 5:1 10:
Compound 18 b5d 1:10 1:5 1:3 1:1 3:1 5:1 10:
Compound 18 b5e 1:10 1:5 1:3 1:1 3:1 5:1 10:
Compound 18 b5f 1:10 1:5 1:3 1:1 3:1 5:1 10:
Compound 18 b5g 1:10 1:5 1:3 1:1 3:1 5:1 10:1
Compound 18 b6a 2:1 4:1 8:1 20:1 50:1 100:1 200:
Compound 18 b6b 2:1 4:1 8:1 20:1 50:1 100:1 200:
Compound 18 b6c 2:1 4:1 8:1 20:1 50:1 100:1 200:
Compound 18 b6d 2:1 4:1 8:1 20:1 50:1 100:1 200:
Compound 18 b7a 2:1 4:1 8:1 20:1 50:1 100:1 200:
Compound 18 b7b 2:1 4:1 8:1 20:1 50:1 100:1 200:
Compound 18 b7c 2:1 4:1 8:1 20:1 50:1 100:1 200:
Compound 18 b8a 1:5 1:3 1:2 2:1 5:1 10:1 20:1
Compound 18 b8b 1:5 1:3 1:2 2:1 5:1 10:1 20:1
Compound 18 b9 1:5 1:3 1:2 2:1 5:1 10:1 20:1
Compound 18 blOa 1:5 1:3 1:2 2:1 5:1 10:1 20:1
Compound 18 blOb 1:5 1:3 1:2 2:1 5:1 10:1 20:1
Compound 18 blOc 1:5 1:3 1:2 2:1 5:1 10:1 20:1
Compound 18 bll 1:10 1:5 1:3 1:1 3:1 5:1 10:1
Compound 18 bl2 1:10 1:5 1:3 1:1 3:1 5:1 10:1
Compound 18 bl3 1:10 1:5 1:3 1:1 3:1 5:1 10:1
Compound 18 bl4 1:10 1:5 1:3 1:1 3:1 5:1 10:1
Compound 18 bl5a 1:10 1:5 1:3 1:1 3:1 5:1 10:1
Compound 18 bl5b 1:10 1:5 1:3 1:1 3:1 5:1 10:1
Compound 18 bl6a 1:10 1:5 1:3 1:1 3:1 5:1 10:1
Compound 18 bl6b 1:10 1:5 1:3 1:1 3:1 5:1 10:1
Tables B2 through B29 are each constructed the same as Table B 1 above except that entries below the "Component (a)" column heading are replaced with the respective Component (a) Column Entry shown below. Thus, for example, in Table B2 the entries below the "Component (a)" column heading all recite "Compound 10", and the first line below the column headings in Table B2 specifically discloses a mixture of Compound 10 with 4-(2-chloro-4-fluorophenyl)-N-(2-chloro-6-fluorophenyl)- 1 ,3-dimethyl- lH-pyrazol-5- amine (bla). Tables B3 through B29 are constructed similarly. Tables Bl through B29 thus supplement with specific ratios the general ranges of ratios for the combinations disclosed in Tables Al through A29, respectively.
Table Number Component (a) Column Entry Table Number Component (a) Column Entry
B2 Compound 10 B16 Compound 116
B3 Compound 20 B17 Compound 136
B4 Compound 11 B18 Compound 151
B5 Compound 17 B19 Compound 118
B6 Compound 23 B20 Compound 152
B7 Compound 28 B21 Compound 153
B8 Compound 8 B22 Compound 123
B9 Compound 31 B23 Compound 144
B10 Compound 66 B24 Compound 145
Bl l Compound 38 B25 Compound 146
B12 Compound 97 B26 Compound 147
B13 Compound 91 B27 Compound 148
B14 Compound 46 B28 Compound 149
B15 Compound 115
B29 Compound 150 As already noted, the present invention includes embodiments wherein the composition comprising components (a) and (b) further comprises as component (c) one or more biologically active compounds or agents. Therefore embodiments of the present composition include combinations of the mixtures disclosed in Tables Al through A29 and Bl through B29 with additional biological compounds or agents. Of note as additional biological compounds or agents are fungicidal compounds selected from (cl) through (c46) already described. The weight ratio of component (c) to component (a) is generally between about 1 :3000 and about 3000: 1 , more typically between about 1 :500 and about 500: 1 , between about 125 : 1 and about 1 : 125, and between about 25 : 1 and 1 :25 and most typically between about 5 : 1 and about 1 :5. One skilled in the art can easily determine through simple experimentation the weight ratios and application rates of fungicidal compounds necessary for the desired spectrum of plant disease protection and control.
Table C lists typical, more typical, and most typical weight ratios for specific component (c) fungicides relative to component (a) in compositions comprising components (a) and (c) either before (i.e. without component (b)) or after inclusion of component (b).
Table C
Component (c) Typical More Most Illustrative
Weight Ratio Typical Typical Weight
Weight Weight Ratio
Ratio Ratio
acibenzolar-iS-methyl 2:1 to 1:180 1:1 to 1:60 1:1 to 1:18 1:4 aldimorph 30:1 to 1:3 10:1 to 1:1 7:1 to 1:1 3:1 ametoctradin 9:1 to 1:18 3:1 to 1:6 3:1 to 1:3 1:1 amisulbrom 6:1 to 1:18 2:1 to 1:6 1:1 to 1:6 1:2 anilazine 90:1 to 2:1 30:1 to 4:1 22:1 to 4:1 8:1 azaconazole 7:1 to 1:18 2:1 to 1:6 2:1 to 1:4 1:2 azoxystrobin 9:1 to 1:12 3:1 to 1:4 3:1 to 1:3 1:1 benalaxyl 4:1 to 1:18 1:1 to 1:6 1:1 to 1:6 1:2 benalaxyl-M 4:1 to 1:36 1:1 to 1:12 1:1 to 1:8 1:3 benodanil 18:1 to 1:6 6:1 to 1:2 4:1 to 1:2 2:1 benomyl 45:1 to 1:4 15:1 to 1:1 11:1 to 1:1 4:1 benthiavalicarb or benthiavalicarb-isopropyl 2:1 to 1:36 1:1 to 1:12 1:1 to 1:12 1:4 benzovindiflupyr 20:1 to 1:20 5:1 to 1:5 3:1 to 1:3 1:1 bethoxazin 150:1 to 1:36 50:1 to 1:12 15:1 to 2:1 5:1 binapacryl 150:1 to 1:36 50:1 to 1:12 15:1 to 2:1 5:1 biphenyl 150:1 to 1:36 50:1 to 1:12 15:1 to 2:1 5:1 bitertanol 15:1 to 1:5 5:1 to 1:2 3:1 to 1:2 1:1 bixafen 12:1 to 1:9 4:1 to 1:3 2:1 to 1:3 1:1 blasticidin-S 3:1 to 1:90 1:1 to 1:30 1:4 to 1:30 1:12 boscalid 18:1 to 1:6 6:1 to 1:2 4:1 to 1:2 2:1 bromuconazole 15:1 to 1:9 5:1 to 1:3 3:1 to 1:3 1:1 bupirimate 3:1 to 1:90 1:1 to 1:30 1:3 to 1:30 1:10 captafol 90:1 to 1:4 30:1 to 1:2 15:1 to 2:1 5:1 captan 90:1 to 1:4 30:1 to 1:2 15:1 to 2:1 5:1 carbendazim 45:1 to 1:4 15:1 to 1:2 11:1 to 2:1 4:1 carboxin 18:1 to 1:6 6:1 to 1:2 4:1 to 1:2 2:1 carpropamid 15:1 to 1:9 5:1 to 1:3 3:1 to 1:3 1:1
100:1 to
chloroneb 300:1 to 2:1 100:1 to 4:1 35:1
14:1
Component (c) Typical More Most Illustrative
Weight Ratio Typical Typical Weight
Weight Weight Ratio
Ratio Ratio
chlorothalonil 90:1 to 1:4 30:1 to 1:2 15:1 to 2:1 5:1 chlozolinate 45:1 to 1:2 15:1 to 2:1 11:1 to 2:1 4:1 clotrimazole 15:1 to 1:9 5:1 to 1:3 3:1 to 1:3 1:1 copper salts such as Bordeaux mixture
(tribasic copper sulfate), copper oxychloride, 450:1 to 1:1 150:1 to 4:1 45:1 to 5:1 15:1 copper sulfate and copper hydroxide
cyazofamid 4:1 to 1:18 1:1 to 1:6 1:1 to 1:6 1:2 cyflufenamid 1:1 to 1:90 1:2 to 1:30 1:2 to 1:24 1:6 cymoxanil 6:1 to 1:18 2:1 to 1:6 1:1 to 1:5 1:2 cyproconazole 4:1 to 1:18 1:1 to 1:6 1:1 to 1:6 1:2 cyprodinil 22:1 to 1:9 7:1 to 1:3 4:1 to 1:2 2:1 dichlofluanid 150:1 to 1:36 50:1 to 1:12 15:1 to 2:1 5:1 diclocymet 150:1 to 1:36 50:1 to 1:12 15:1 to 2:1 5:1 diclomezine 15:1 to 1:9 5:1 to 1:3 3:1 to 1:3 1:1 dicloran 150:1 to 1:36 50:1 to 1:12 15:1 to 2:1 5:1 diethofencarb 22:1 to 1:9 7:1 to 1:3 7:1 to 1:2 2:1 difenoconazole 4:1 to 1:36 1:1 to 1:12 1:1 to 1:12 1:3 diflumetorim 150:1 to 1:36 50:1 to 1:12 15:1 to 2:1 5:1 dimethirimol 3:1 to 1:90 1:1 to 1:30 1:3 to 1:30 1:8 dimethomorph 9:1 to 1:6 3:1 to 1:2 3:1 to 1:2 1:1 dimoxystrobin 9:1 to 1:18 3:1 to 1:6 2:1 to 1:4 1:1 diniconazole 3:1 to 1:36 1:1 to 1:12 1:1 to 1:8 1:3 diniconazole M 3:1 to 1:90 1:1 to 1:30 1:1 to 1:12 1:3 dinocap 7:1 to 1:9 2:1 to 1:3 2:1 to 1:3 1:1 dithianon 15:1 to 1:4 5:1 to 1:2 5:1 to 1:2 2:1 dodemorph 30:1 to 1:3 10:1 to 1:1 7:1 to 1:1 3:1 dodine 30:1 to 1:2 10:1 to 2:1 10:1 to 2:1 4:1 edifenphos 30:1 to 1:9 10:1 to 1:3 3:1 to 1:3 1:1 enoxastrobin 9:1 to 1:18 3:1 to 1:6 2:1 to 1:4 1:1 epoxiconazole 3:1 to 1:36 1:1 to 1:12 1:1 to 1:7 1:3 etaconazole 3:1 to 1:36 1:1 to 1:12 1:1 to 1:7 1:3 ethaboxam 7:1 to 1:9 2:1 to 1:3 2:1 to 1:3 1:1 ethirimol 30:1 to 1:3 10:1 to 1:1 7:1 to 1:1 3:1
Component (c) Typical More Most Illustrative
Weight Ratio Typical Typical Weight
Weight Weight Ratio
Ratio Ratio
etridiazole 30:1 to 1:9 10:1 to 1:3 7:1 to 1:2 2:1 famoxadone 9:1 to 1:18 3:1 to 1:6 2:1 to 1:4 1:1 fenamidone 6:1 to 1:18 2:1 to 1:6 2:1 to 1:4 1:1 fenarimol 3:1 to 1:90 1:1 to 1:30 1:2 to 1:24 1:7 fenbuconazole 3:1 to 1:30 1:1 to 1:10 1:1 to 1:10 1:3 fenfuram 18:1 to 1:6 6:1 to 1:2 4:1 to 1:2 1:1 fenhexamid 30:1 to 1:2 10:1 to 2:1 10:1 to 2:1 4:1 fenoxanil 150:1 to 1:36 50:1 to 1:12 15:1 to 1:1 4:1 fenpiclonil 75:1 to 1:9 25:1 to 1:3 15:1 to 2:1 5:1 fenpropidin 30:1 to 1:3 10:1 to 1:1 7:1 to 1:1 2:1 fenpropimorph 30:1 to 1:3 10:1 to 1:1 7:1 to 1:1 2:1
100:1 to
fenpyrazamine 10:1 to 1:10 3:1 to 1:3 1:1
1:100
fentin salt such as the acetate, chloride or
15:1 to 1:9 5:1 to 1:3 3:1 to 1:3 1:1 hydroxide
ferbam 300:1 to 1:2 100:1 to 2:1 30:1 to 4:1 10:1 ferimzone 30:1 to 1:5 10:1 to 1:2 7:1 to 1:2 2:1 fluazinam 22:1 to 1:5 7:1 to 1:2 3:1 to 1:2 1:1 fludioxonil 7:1 to 1:12 2:1 to 1:4 2:1 to 1:4 1:1 flumetover 9:1 to 1:6 3:1 to 1:2 3:1 to 1:2 1:1 flumorph 9:1 to 1:18 3:1 to 1:6 3:1 to 1:3 1:1 fluopicolide 3:1 to 1:18 1:1 to 1:6 1:1 to 1:6 1:2 fluopyram 15:1 to 1:9 5:1 to 1:3 3:1 to 1:3 1:1 fluoromide 150:1 to 2:1 50:1 to 4:1 37:1 to 5:1 14:1 fluoxastrobin 4:1 to 1:18 1:1 to 1:6 1:1 to 1:6 1:2 fluquinconazole 4:1 to 1:12 1:1 to 1:4 1:1 to 1:4 1:2 flusilazole 15:1 to 1:9 5:1 to 1:3 3:1 to 1:3 1:1 flusulfamide 90:1 to 1:2 30:1 to 2:1 15:1 to 2:1 5:1 flutianil 7:1 to 1:36 2:1 to 1:12 1:1 to 1:6 1:2 flutolanil 18:1 to 1:6 6:1 to 1:2 4:1 to 1:2 1:1 flutriafol 4:1 to 1:12 1:1 to 1:4 1:1 to 1:4 1:2 fluxapyroxad 12:1 to 1:9 4:1 to 1:3 2:1 to 1:3 1:1 folpet 90:1 to 1:4 30:1 to 1:2 15:1 to 2:1 5:1
Component (c) Typical More Most Illustrative
Weight Ratio Typical Typical Weight
Weight Weight Ratio
Ratio Ratio
fosetyl-aluminum 225:1 to 2:1 75:1 to 5:1 30:1 to 5:1 12:1 fuberidazole 45:1 to 1:4 15:1 to 1:2 11:1 to 2:1 4:1 furalaxyl 15:1 to 1:45 5:1 to 1:15 1:1 to 1:6 1:2 furametpyr 150:1 to 1:36 50:1 to 1:12 15:1 to 2:1 5:1 guazatine or iminoctadine 150:1 to 1:36 50:1 to 1:12 15:1 to 2:1 5:1 hexaconazole 15:1 to 1:36 5:1 to 1:12 1:1 to 1:5 1:2 hymexazol 225:1 to 2:1 75:1 to 4:1 75:1 to 9:1 25:1 imazalil 7:1 to 1:18 2:1 to 1:6 1:1 to 1:5 1:2 imibenconazole 15:1 to 1:36 5:1 to 1:12 1:1 to 1:5 1:2 iodocarb 150:1 to 1:36 50:1 to 1:12 15:1 to 2:1 4:1 ipconazole 15:1 to 1:36 5:1 to 1:12 1:1 to 1:5 1:2 iprobenfos 150:1 to 1:36 50:1 to 1:12 15:1 to 2:1 5:1 iprodione 120:1 to 1:2 40:1 to 2:1 15:1 to 2:1 5:1 iprovalicarb 9:1 to 1:9 3:1 to 1:3 2:1 to 1:3 1:1 isoprothiolane 150:1 to 2:1 50:1 to 4:1 45:1 to 5:1 15:1 isopyrazam 12:1 to 1:9 4:1 to 1:3 2:1 to 1:3 1:1 isotianil 12:1 to 1:9 4:1 to 1:3 2:1 to 1:3 1:1 kasugamycin 7:1 to 1:90 2:1 to 1:30 1:2 to 1:24 1:7 kresoxim-methyl 7:1 to 1:18 2:1 to 1:6 2:1 to 1:4 1:1 mancozeb 180:1 to 1:3 60:1 to 2:1 22:1 to 3:1 7:1 mandipropamid 6:1 to 1:18 2:1 to 1:6 2:1 to 1:4 1:1 maneb 180:1 to 1:3 60:1 to 2:1 22:1 to 3:1 7:1 mepanipyrim 18:1 to 1:3 6:1 to 1:1 6:1 to 1:1 2:1 mepronil 7:1 to 1:36 2:1 to 1:12 1:1 to 1:6 1:2 meptyldinocap 7:1 to 1:9 2:1 to 1:3 2:1 to 1:3 1:1 metalaxyl 15:1 to 1:45 5:1 to 1:15 1:1 to 1:6 1:2 metalaxyl-M 7:1 to 1:90 2:1 to 1:30 1:1 to 1:12 1:4 metconazole 3:1 to 1:18 1:1 to 1:6 1:1 to 1:6 1:2 methasulfocarb 150:1 to 1:36 50:1 to 1:12 15:1 to 1:1 5:1 metiram 150:1 to 1:36 50:1 to 1:12 15:1 to 1:1 5:1 metominostrobin 9:1 to 1:12 3:1 to 1:4 3:1 to 1:3 1:1 metrafenone 6:1 to 1:12 2:1 to 1:4 2:1 to 1:4 1:1 myclobutanil 5:1 to 1:26 1:1 to 1:9 1:1 to 1:8 1:3
Component (c) Typical More Most Illustrative
Weight Ratio Typical Typical Weight
Weight Weight Ratio
Ratio Ratio
naftifine 150:1 to 1:36 50:1 to 1:12 15:1 to 2:1 5:1 neo-asozin (ferric methanearsonate) 150:1 to 1:36 50:1 to 1:12 15:1 to 2:1 5:1 nuarimol 15:1 to 1:9 5:1 to 1:3 3:1 to 1:3 1:1 octhilinone 150:1 to 1:36 50:1 to 1:12 15:1 to 1:1 4:1 ofurace 15:1 to 1:45 5:1 to 1:15 1:1 to 1:6 1:2 orysastrobin 9:1 to 1:12 3:1 to 1:4 3:1 to 1:3 1:1 oxadixyl 15:1 to 1:45 5:1 to 1:15 1:1 to 1:6 1:2 oxolinic acid 30:1 to 1:9 10:1 to 1:3 7:1 to 1:2 2:1 oxpoconazole 15:1 to 1:36 5:1 to 1:12 1:1 to 1:5 1:2 oxycarboxin 18:1 to 1:6 6:1 to 1:2 4:1 to 1:2 1:1 oxytetracycline 15:1 to 1:9 5:1 to 1:3 3:1 to 1:3 1:1 pefurazoate 150:1 to 1:36 50:1 to 1:12 15:1 to 2:1 5:1 penconazole 1:1 to 1:45 1:2 to 1:15 1:2 to 1:15 1:6 pencycuron 150:1 to 1:2 50:1 to 2:1 11:1 to 2:1 4:1 penflufen 12:1 to 1:9 4:1 to 1:3 2:1 to 1:3 1:1 penthiopyrad 12:1 to 1:9 4:1 to 1:3 2:1 to 1:3 1:1 phosphorous acid and salts thereof 150:1 to 1:36 50:1 to 1:12 15:1 to 2:1 6:1 phthalide 150:1 to 1:36 50:1 to 1:12 15:1 to 2:1 6:1 picoxystrobin 7:1 to 1:18 2:1 to 1:6 1:1 to 1:5 1:2 piperalin 15:1 to 1:9 5:1 to 1:3 3:1 to 1:3 1:1 polyoxin 15:1 to 1:9 5:1 to 1:3 3:1 to 1:3 1:1 probenazole 15:1 to 1:9 5:1 to 1:3 3:1 to 1:3 1:1 prochloraz 22:1 to 1:4 7:1 to 1:1 7:1 to 1:2 2:1 procymidone 45:1 to 1:3 15:1 to 1:1 11:1 to 2:1 4:1 propamocarb or propamocarb-hydrochloride 30:1 to 1:2 10:1 to 2:1 10:1 to 2:1 4:1 propiconazole 4:1 to 1:18 1:1 to 1:6 1:1 to 1:5 1:2 propineb 45:1 to 1:2 15:1 to 2:1 11:1 to 2:1 4:1 proquinazid 3:1 to 1:36 1:1 to 1:12 1:1 to 1:12 1:3 prothiocarb 9:1 to 1:18 3:1 to 1:6 3:1 to 1:3 1:1 prothioconazole 6:1 to 1:18 2:1 to 1:6 1:1 to 1:5 1:2 pyraclostrobin 9:1 to 1:18 3:1 to 1:6 2:1 to 1:4 1:1 pyrametostrobin 9:1 to 1:18 3:1 to 1:6 2:1 to 1:4 1:1 pyraoxystrobin 9:1 to 1:18 3:1 to 1:6 2:1 to 1:4 1:1
Component (c) Typical More Most Illustrative
Weight Ratio Typical Typical Weight
Weight Weight Ratio
Ratio Ratio
pyrazophos 150:1 to 1:36 50:1 to 1:12 15:1 to 1:1 4:1 pyribencarb 15:1 to 1:6 5:1 to 1:2 4:1 to 1:2 1:1 pyrifenox 15:1 to 1:9 5:1 to 1:3 3:1 to 1:3 1:1 pyrimethanil 30:1 to 1:6 10:1 to 1:2 3:1 to 1:2 1:1 pyriofenone 6:1 to 1:12 2:1 to 1:4 2:1 to 1:4 1:1 pyroquilon 15:1 to 1:9 5:1 to 1:3 3:1 to 1:3 1:1 pyrrolnitrin 150:1 to 1:36 50:1 to 1:12 15:1 to 2:1 5:1 quinconazole 4:1 to 1:12 1:1 to 1:4 1:1 to 1:4 1:2 quinomethionate 150:1 to 1:36 50:1 to 1:12 15:1 to 2:1 5:1 quinoxyfen 4:1 to 1:18 1:1 to 1:6 1:1 to 1:6 1:2 quintozene 150:1 to 1:36 50:1 to 1:12 15:1 to 2:1 5:1 silthiofam 7:1 to 1:18 2:1 to 1:6 2:1 to 1:4 1:1 simeconazole 15:1 to 1:36 5:1 to 1:12 1:1 to 1:5 1:2 spiroxamine 22:1 to 1:4 7:1 to 1:2 5:1 to 1:2 2:1 streptomycin 15:1 to 1:9 5:1 to 1:3 3:1 to 1:3 1:1 sulfur 300:1 to 3:1 100:1 to 9:1 75:1 to 9:1 25:1 tebuconazole 7:1 to 1:18 2:1 to 1:6 1:1 to 1:5 1:2
100:1 to
tebufloquin 10:1 to 1:10 3:1 to 1:3 1:1
1:100
tecloftalam 150:1 to 1:36 50:1 to 1:12 15:1 to 2:1 5:1 tecnazene 150:1 to 1:36 50:1 to 1:12 15:1 to 2:1 5:1 terbinafine 150:1 to 1:36 50:1 to 1:12 15:1 to 2:1 5:1 tetraconazole 15:1 to 1:36 5:1 to 1:12 1:1 to 1:5 1:2 thiabendazole 45:1 to 1:4 15:1 to 1:2 11:1 to 2:1 4:1 thifluzamide 15:1 to 1:9 5:1 to 1:3 3:1 to 1:3 1:1 thiophanate 45:1 to 1:3 15:1 to 2:1 11:1 to 2:1 4:1 thiophanate -methyl 45:1 to 1:3 15:1 to 2:1 11:1 to 2:1 4:1 thiram 150:1 to 1:2 50:1 to 2:1 37:1 to 5:1 14:1 tiadinil 12:1 to 1:9 4:1 to 1:3 2:1 to 1:3 1:1 tolclofos-methyl 150:1 to 1:2 50:1 to 2:1 37:1 to 5:1 14:1 tolylfluanid 150:1 to 1:36 50:1 to 1:12 15:1 to 2:1 5:1 triadimefon 15:1 to 1:36 5:1 to 1:12 1:1 to 1:5 1:2 triadimenol 15:1 to 1:36 5:1 to 1:12 1:1 to 1:5 1:2
Component (c) Typical More Most Illustrative
Weight Ratio Typical Typical Weight
Weight Weight Ratio
Ratio Ratio
triarimol 3:1 to 1:90 1:1 to 1:30 1:2 to 1:24 1:7 triazoxide 150:1 to 1:36 50:1 to 1:12 15:1 to 2:1 5:1 tricyclazole 15:1 to 1:9 5:1 to 1:3 3:1 to 1:3 1:1 tridemo h 30:1 to 1:3 10:1 to 1:1 7:1 to 1:1 2:1 trifloxystrobin 6:1 to 1:18 2:1 to 1:6 2:1 to 1:4 1:1 triflumizole 15:1 to 1:9 5:1 to 1:3 3:1 to 1:3 1:1 triforine 15:1 to 1:9 5:1 to 1:3 3:1 to 1:3 1:1 trimo hamide 45:1 to 1:9 15:1 to 1:3 7:1 to 1:2 2:1 triticonazole 15:1 to 1:36 5:1 to 1:12 1:1 to 1:5 1:2 uniconazole 15:1 to 1:36 5:1 to 1:12 1:1 to 1:5 1:2 validamycin 150:1 to 1:36 50:1 to 1:12 3:1 to 1:3 1:1 valifenalate 6:1 to 1:18 2:1 to 1:6 2:1 to 1:4 1:1 vinclozolin 120:1 to 1:2 40:1 to 2:1 15:1 to 2:1 6:1 zineb 150:1 to 1:2 50:1 to 2:1 37:1 to 5:1 14:1 ziram 150:1 to 1:2 50:1 to 2:1 37:1 to 5:1 14:1 zoxamide 6:1 to 1:18 2:1 to 1:6 2:1 to 1:4 1:1
A- [ 2 - [ 4 - [ [ 3 - (4 - chloropheny 1) - 2 -propyn- 1 -yl] oxy ] - 3 -methoxyphenyl] ethyl] - 3 -methyl- 6:1 to 1:18 2:1 to 1:6 2:1 to 1:4 1:1 2-[(methylsulfonyl)amino]butanamide
N-[2-[4-[[3-(4- chlorophenyl) -2 -propyn- 1 - yl] oxy ] - 3 -methoxyphenyl] ethyl] - 3 -methyl-2 - 6:1 to 1:18 2:1 to 1:6 2:1 to 1:4 1:1 [ (ethylsulfonyl) amino] butanamide
2-butoxy-6-iodo-3 -propyl-4 /- 1 -benzopyran-
3:1 to 1:36 1:1 to 1:12 1:1 to 1:12 1:3 4-one
3 -[5-(4-chlorophenyl)-2,3 -dimethyl-3 -
15:1 to 1:9 5:1 to 1:3 3:1 to 1:3 1:1 isoxazolidinyl]pyridine
N'-[4-[[3-[(4-chlorophenyl)methyl]-l,2,4- thiadiazol-5 -yl] oxy] -2,5 -dimethylphenyl] -N- 20:1 to 1:20 8:1 to 1:8 3:1 to 1:3 1:1 ethyl-A-methylmethanimidamide
4 - fluorophenyl V- [ 1 - [ [ [ 1 - (4 - cy anophenyl) -
6:1 to 1:18 2:1 to 1:6 2:1 to 1:4 1:1 ethyl]sulfonyl]methyl]propyl]carbamate
A-[[(cyclopropylmethoxy)amino][6- (difluoromethoxy)-2, 3 -difluorophenyl] - 1:1 to 1:90 1:2 to 1:30 1:2 to 1:24 1:7 methylene]benzeneacetamide
Component (c) Typical More Most Illustrative
Weight Ratio Typical Typical Weight
Weight Weight Ratio
Ratio Ratio
a-(methoxyimino)-A-methyl-2-[[[ 1 -[3- (trifluoromethyl)phenyl] ethoxy] imino] - 9:1 to 1:18 3:1 to 1:6 3:1 to 1:3 1:1 methyl]benzeneacetamide
N - [4 - [4 - chloro- 3 - (trifluoromethyl)phenoxy ] - 2,5-dimethylphenyl]-V-ethyl- 15:1 to 1:18 5:1 to 1:6 3:1 to 1:3 1:1 A-methylmethanimidamide
A-(4-chloro-2-nitrophenyl)-A-ethyl-
15:1 to 1:18 5:1 to 1:6 3:1 to 1:3 1:1 4 -methylbenzene sulfonamide
fenaminstrobin (2 - [ [ [ 3 - (2 , 6 -dichlorophenyl) - 1 -methyl-2-propen- 1 -ylidene]amino] -
9:1 to 1:18 3:1 to 1:6 3:1 to 1:3 1:1 oxy]methyl] -a-(methoxyimino)- A-methylbenzeneacetamide)
pentylN-[4-[[[[(l-methyl-l /-tetrazol-5-yl)- phenylmethylene] amino] oxy]methyl] -2- 9:1 to 1:18 3:1 to 1:6 3:1 to 1:3 1:1 thiazolyl]carbamate
2-[(3 -bromo-6-quinolinyl)oxy] - N-( 1 , 1 -dimethyl-2-butyn- 1 -yl)- 5:1 to 1:22 2:1 to 1:8 2:1 to 1:4 1:1 2 - (methylthio) acetamide
2-[(3 -ethynyl-6-quinolinyl)oxy] - N-[l -(hydroxymethyl)- 1 -methyl-2-propyn- 1 - 5:1 to 1:22 2:1 to 1:8 2:1 to 1:4 1:1 yl] -2 -(methylthio) acetamide
N-(l,l -dimethyl-2-butyn- 1 -yl)-2-[(3 -ethynyl-
5:1 to 1:22 2:1 to 1:8 2:1 to 1:4 1:1 6 - quinolinyl)oxy ] -2 - (methylthio) acetamide
oxathiapiprolin (l-[4-[4-[5-(2,6- difluorophenyl)-4,5-dihydro-3-isoxazolyl]-2-
1:1 to 1:90 1:2 to 1:30 1:2 to 1:18 1:6 thiazolyl] - 1 -piperidinyl] -2-[5-methyl-3 - (trifluoromethyl)- l /-pyrazol- 1 -yl]ethanone)
l-[4-[4-[5^-(2,6-difluorophenyl)-4,5-dihydro- 3 -isoxazolyl] -2-thiazolyl] - 1 -piperidinyl] -2-[5-
1:1 to 1:90 1:2 to 1:30 1:2 to 1:18 1:6 methyl-3 -(trifluoromethyl)- l /-pyrazol- 1 -yl] - ethanone
l-[4-[4-[5-[(2,6-difluorophenoxy)methyl]-4,5- dihydro-3 -isoxazolyl] -2-thiazolyl] - 1 -
1:1 to 1:90 1:2 to 1:30 1:2 to 1:18 1:6 piperdinyl-2 - [ 5 -methyl- 3 - (trifluoromethyl) - l /-pyrazol- 1 -yl]ethanone
Component (c) Typical More Most Illustrative
Weight Ratio Typical Typical Weight
Weight Weight Ratio
Ratio Ratio
(2 - chloro-6 - fluorophenyl)methyl 2-[l-[2-[3,5- bis(difluoromethyl)- l /-pyrazol- 1 -yl] acetyl] - 1:1 to 1:90 1:2 to 1:30 1:2 to 1:18 1:6 4 -piperidinyl] -4 -thiazolec arboxylate
( 1R)- 1 ,2,3 ,4-tetrahydro- 1 -naphthalenyl 2-[ 1 - [2-[3,5-bis(difluoromethyl)- l//-pyrazol- 1 - 1:1 to 1:90 1:2 to 1:30 1:2 to 1:18 1:6 yl]acetyl]-4-piperidinyl]-4-thiazolecarboxylate
[[4-methoxy-2-[[[(31S,,7^,8^,95)-9-methyl-8- (2 -methyl- 1 -oxopropoxy)-2,6-dioxo-7- (phenylmethyl)- 1 ,5-dioxonan-3 -yl] amino] - 90:1 to 1:4 30:1 to 1:2 15:1 to 3:1 7:1 carbonyl] -3 -pyridinyl]oxy]methyl
2-methylpropanoate
(35,,61S,,7^,8^)-3-[[[3-(acetyloxy)-4-methoxy- 2-pyridinyl]carbonyl]amino]-6-methyl-4,9-
90:1 to 1:4 30:1 to 1:2 15:1 to 3:1 7:1 dioxo-8-(phenylmethyl)- 1 ,5-dioxonan-7-yl 2- methylpropanoate
(31S,,61S,,7^,8^)-3-[[[3-[(acetyloxy)methoxy]-4- methoxy-2-pyridinyl] carbonyl] amino] -6-
90:1 to 1:4 30:1 to 1:2 15:1 to 3:1 7:1 methyl-4,9-dioxo-8-(phenylmethyl)- 1,5- dioxonan-7-yl 2-methylpropanoate
(31S',61S,,7^,8^)-3-[[[4-methoxy-3-[[(2-methyl- propoxy)carbonyl]oxy] -2-pyridinyl] - carbonyl] amino] -6-methyl-4, 9-dioxo- 90:1 to 1:4 30:1 to 1:2 15:1 to 3:1 7:1 8-(phenylmethyl)- 1 ,5-dioxonan-7-yl
2-methylpropanoate
N- [ [ 3 - ( 1 , 3 -benzodioxol- 5 -ylmethoxy) -4- methoxy-2 -pyridinyl] c arbonyl] - 0- [2 , 5 - dideoxy-3 -0- (2 -methyl- 1 -oxopropyl)-2- 90:1 to 1:4 30:1 to 1:2 15:1 to 3:1 7:1 (phenylmethyl)-L-arabinonoyl]-L-serine,
(l→4')-lactone
5-fluoro-2-[(4-methylphenyl)methoxy]-4-
20:1 to 1:20 5:1 to 1:5 3:1 to 1:3 1:1 pyrimidinamine
5 - fuoro-2- [ (4 - fluorophenyl)methoxy ] -4 -
20:1 to 1:20 5:1 to 1:5 3:1 to 1:3 1:1 pyrimidinamine
5,8-difluoro- -[2-[3-methoxy-4-[[4- (trifluoromethyl)-2-pyridinyl]oxy]phenyl]- 40:1 to 1:10 10:1 to 1:3 5:1 to 1:2 1:1 ethyl] -4-quinazolinamine
Component (c) Typical More Most Illustrative
Weight Ratio Typical Typical Weight
Weight Weight Ratio
Ratio Ratio
pen1ylN-[6-[[[( )-[(l-methyl-l /-tetrazol-5- yl)phenylmethylene]amino]oxy]methyl]-2- 40:1 to 1:10 10:1 to 1:3 5:1 to 1:2 1:1 pyridinyl] carbamate
picarbutrazox 1 , 1 -dimethylethyl Λ^-[6-[[[(Ζ)- [ ( 1 -methyl- 1 /-tetrazol- 5 -yl)phenyl-
40:1 to 1:10 10:1 to 1:3 5:1 to 1:2 1:1 methylene] amino] oxy]methyl] -2-pyridinyl] - carbamate
3-butyn-l-yl^-[6-[[[(Z)-[(l-methyl-l /- tetrazol- 5 -yl)phenylmethylene ] amino] oxy] - 40:1 to 1:10 10:1 to 1:3 5:1 to 1:2 1:1 methyl] -2-pyridinyl] carbamate
N-(3 ',4'-difluoro[ 1 , 1 '-biphenyl] -2-yl)-3 -
20:1 to 1:20 5:1 to 1:5 3:1 to 1:3 1:1 (trifluoromethyl)-2-pyrazinecarboxamide
A-[2-(2,4-dichlorophenyl)-2-methoxy- 1 - methylethyl] -3 -(difluoromethyl)- 1 -methyl - 20:1 to 1:20 5:1 to 1:5 3:1 to 1:3 1:1 1 /-pyrazole-4 - c arboxamide
3-(difluoromethyl)-N-[4-fluoro-2-(l, 1,2,3,3,3- hexafluoropropoxy)phenyl] - 1 -methyl- \H- 20:1 to 1:20 5:1 to 1:5 3:1 to 1:3 1:1 pyrazole-4-carboxamide
3 -(difluoromethyl)- 1 -methyl-N-[2-( 1 , 1 ,2,2- tetrafluoroethoxy)phenyl] - l /-pyrazole-4- 20:1 to 1:20 5:1 to 1:5 3:1 to 1:3 1:1 carboxamide
isofetamid 20:1 to 1:20 5:1 to 1:5 3:1 to 1:3 1:1 tolprocarb 20:1 to 1:20 5:1 to 1:5 3:1 to 1:3 1:1
(oR) -2 - [ (2 , 5 -dime thy lphenoxy)methyl] - a-
20:1 to 1:20 5:1 to 1:5 3:1 to 1:3 1:1 methoxy-A-methylbenzeneacetamide
2,6-dimethyl-l /,5 /-[l,4]dithiino[2,3-c:5,6-
1:1 to 1:400 1:4 to 1:100 1:8 to 1:50 1:1 c '] dipyrrole -1,3,5,7 (2H, 6/)-tetrone
l-[[(2S,3R)-3-(2-chlorophenyl)-2-(2,4- difluorophenyl)-2-oxiranyl]methyl] - \H- 1 ,2,4- 36:1 to 1:30 12:1 to 1:10 6:1 to 1:4 1:1 triazole
2-[[(2S,3 )-3-(2-chlorophenyl)-2-(2,4- difluorophenyl)-2-oxiranyl]methyl] -1,2- 36:1 to 1:30 12:1 to 1:10 6:1 to 1:4 1:1 dihy dro - 3 H- 1 , 2 , 4 - tri azole - 3 - thione
l-[[(2S,3 )-3-(2-chlorophenyl)-2-(2,4- difluorophenyl)-2-oxiranyl]methyl]-5-(2- 36:1 to 1:30 12:1 to 1:10 6:1 to 1:4 1:1 propen- 1 -ylthio)- \H-\ ,2,4-triazole
Component (c) Typical More Most Illustrative
Weight Ratio Typical Typical Weight
Weight Weight Ratio
Ratio Ratio
a-[3-(4-chloro-2-fluorophenyl)-5-(2,4- difluorophenyl)-4-isoxazolyl]-3-pyridine- 36: 1 to 1:30 12:1 to 1:10 6: 1 to 1:4 1: 1 methanol
(aS)-[3-(4-chloro-2-fluorophenyl)-5-(2,4- difluorophenyl)-4-isoxazolyl]-3-pyridine- 36: 1 to 1:30 12:1 to 1:10 6: 1 to 1:4 1: 1 methanol
(a#)-[3-(4-chloro-2-fluorophenyl)-5-(2,4- difluorophenyl)-4-isoxazolyl]-3-pyridine- 36: 1 to 1:30 12:1 to 1:10 6: 1 to 1:4 1: 1 methanol
3-[2-[3-(4-chloro-2-fluorophenyl)-5-(2,4- difluorophenyl)-4-isoxazolyl] -2-oxiranyl] - 36: 1 to 1:30 12:1 to 1:10 6: 1 to 1:4 1: 1 pyridine
2 -ethyl- 3 , 7 -dimethyl- 6 - [4 - (trifluoromethoxy) -
36: 1 to 1:30 12:1 to 1:10 6: 1 to 1:4 1: 1 phenoxy]-4-quinolinyl methyl carbonate
The particular weight ratios defining the weight ratio ranges in Table C constitute disclosure of specific weight ratios. Table C also specifically discloses an additional illustrative weight ratio. Illustrative of specific combinations of components (a), (b) and (c) in the compositions of the present invention are specific combinations and weight ratios of components (a) and (b) listed in Tables Bl through B29 further combined with particular component (c) fungicidal compounds in the specific weight ratios disclosed in Table C. For example, the first row of Table B 1 discloses weight ratios of Compound 18 as component (a) to (bla) as component (b) as 1 :4, 1 :3, 1 :2, 1 : 1, 2: 1, 3: 1 and 4: 1. The first row of Table C discloses combinations of acibenzolar-S-methyl as component (c) with component (a) in weight ratios of acibenzolar-S-methyl relative to component (a) such as 2: 1, 1 : 1, 1 :4, 1 : 18, 1 :60 and 1 : 180, including ranges. The corresponding ratios of component (a) relative to acibenzolar-S-methyl are 1 :2, 1 : 1, 4: 1, 18: 1, 60: 1 and 180:1. Therefore the combination of Table C with Table Bl discloses, for example, a 4:4: 1 ternary mixture of Compound 18, (bla) and acibenzolar-S-methyl, based on a 1 : 1 ratio of Compound 18 to (bla) from Table Bl, and a 4: 1 ratio of Compound 18 to acibenzolar-S-methyl from Table C.
Formulation/Utility
A compound selected from compounds of Formula 1, N-oxides, and salts thereof, or a mixture (i.e. composition) comprising the compound with (b) at least one fungicidal compound selected from (bl) through (bl6) and salts thereof as described in the Summary of the Invention, will generally be used to provide fungicidal active ingredients in further compositions, i.e. formulations, with at least one additional component selected from the
group consisting of surfactants, solid diluents and liquid diluents, which serves as a carrier. The formulation or composition ingredients are selected to be consistent with the physical properties of the active ingredients, mode of application and environmental factors such as soil type, moisture and temperature.
The mixtures of component (a) (i.e. at least one compound of Formula 1, N-oxides, or salts thereof) with component (b) (e.g., selected from (bl) to (bl6) and salts thereof as described above) and/or one or more other biologically active compounds or agents (i.e. insecticides, other fungicides, nematocides, acaricides, herbicides and other biological agents) can be formulated in a number of ways, including:
(i) component (a), component (b) and optionally (c) one or more other biologically active compounds or agents can be formulated separately and applied separately or applied simultaneously in an appropriate weight ratio, e.g., as a tank mix; or (ii) component (a), component (b) and optionally (c) one or more other biologically active compounds or agents can be formulated together in the proper weight ratio. Useful formulations include both liquid and solid compositions. Liquid compositions include solutions (including emulsifiable concentrates), suspensions, emulsions (including microemulsions, oil-in-water emulsions, flowable concentrates and/or suspoemulsions) and the like, which optionally can be thickened into gels. The general types of aqueous liquid compositions are soluble concentrate, suspension concentrate, capsule suspension, concentrated emulsion, microemulsion, oil-in-water emulsion, flowable concentrate and suspo-emulsion. The general types of nonaqueous liquid compositions are emulsifiable concentrate, microemulsifiable concentrate, dispersible concentrate and oil dispersion.
The general types of solid compositions are dusts, powders, granules, pellets, prills, pastilles, tablets, filled films (including seed coatings) and the like, which can be water-dispersible ("wettable") or water-soluble. Films and coatings formed from film- forming solutions or flowable suspensions are particularly useful for seed treatment. Active ingredient can be (micro)encapsulated and further formed into a suspension or solid formulation; alternatively the entire formulation of active ingredient can be encapsulated (or "overcoated"). Encapsulation can control or delay release of the active ingredient. An emulsifiable granule combines the advantages of both an emulsifiable concentrate formulation and a dry granular formulation. High-strength compositions are primarily used as intermediates for further formulation.
Of note is a composition embodiment wherein granules of a solid composition comprising a compound of Formula 1 (or an N-oxide or salt thereof) is mixed with granules of a solid composition comprising component (b). These mixtures can be further mixed with granules comprising one or more additional biologically active compounds or agents, e.g., additional agricultural protectants. Alternatively, two or more agricultural protectants (e.g., a component (a) (Formula 1) compound, a component (b) compound, (c) an agricultural
protectant other than component (a) or (b)) can be combined in the solid composition of one set of granules, which is then mixed with one or more sets of granules of solid compositions comprising one or more additional agricultural protectants. These granule mixtures can be in accordance with the general granule mixture disclosure of PCT Patent Publication WO 94/24861 or more preferably the homogeneous granule mixture teaching of U.S. Patent 6,022,552.
Sprayable formulations are typically extended in a suitable medium before spraying. Such liquid and solid formulations are formulated to be readily diluted in the spray medium, usually water, but occasionally another suitable medium like an aromatic or paraffinic hydrocarbon or vegetable oil. Spray volumes can range from about from about one to several thousand liters per hectare, but more typically are in the range from about ten to several hundred liters per hectare. Sprayable formulations can be tank mixed with water or another suitable medium for foliar treatment by aerial or ground application, or for application to the growing medium of the plant. Liquid and dry formulations can be metered directly into drip irrigation systems or metered into the furrow during planting. Liquid and solid formulations can be applied onto seeds of crops and other desirable vegetation as seed treatments before planting to protect developing roots and other subterranean plant parts and/or foliage through systemic uptake.
The formulations will typically contain effective amounts of active ingredient, diluent and surfactant within the following approximate ranges which add up to 100 percent by weight.
Weight Percent
Active
Ingredient Diluent Surfactant
Water-Dispersible and Water- 0.001-90 0-99.999 0-15
soluble Granules, Tablets and
Powders
Oil Dispersions, Suspensions, 1-50 40-99 0-50
Emulsions, Solutions
(including Emulsifiable
Concentrates)
Dusts 1-25 70-99 0-5
Granules and Pellets 0.001-99 5-99.999 0-15
High Strength Compositions 90-99 0-10 0-2
Solid diluents include, for example, clays such as bentonite, montmorillonite, attapulgite and kaolin, gypsum, cellulose, titanium dioxide, zinc oxide, starch, dextrin, sugars (e.g., lactose, sucrose), silica, talc, mica, diatomaceous earth, urea, calcium carbonate, sodium carbonate and bicarbonate, and sodium sulfate. Typical solid diluents are described
in Watkins et al., Handbook of Insecticide Dust Diluents and Carriers, 2nd Ed., Dorland Books, Caldwell, New Jersey.
Liquid diluents include, for example, water, N,N-dimethylalkanamides (e.g., N,N-dimethylformamide), limonene, dimethyl sulfoxide, N-alkylpyrrolidones (e.g., N-methylpyrrolidinone), alkyl phosphates (e.g., triethyl phosphate), ethylene glycol, triethylene glycol, propylene glycol, dipropylene glycol, polypropylene glycol, propylene carbonate, butylene carbonate, paraffins (e.g., white mineral oils, normal paraffins, isoparaffins), alkylbenzenes, alkylnaphthalenes, glycerine, glycerol triacetate, sorbitol, triacetin, aromatic hydrocarbons, dearomatized aliphatics, alkylbenzenes, alkylnaphthalenes, ketones such as cyclohexanone, 2-heptanone, isophorone and 4-hydroxy-4-methyl-2- pentanone, acetates such as isoamyl acetate, hexyl acetate, heptyl acetate, octyl acetate, nonyl acetate, tridecyl acetate and isobornyl acetate, other esters such as alkylated lactate esters, dibasic esters, alkyl and aryl benzoates and γ-butyrolactone, and alcohols, which can be linear, branched, saturated or unsaturated, such as methanol, ethanol, n-propanol, isopropyl alcohol, n-butanol, isobutyl alcohol, n-hexanol, 2-ethylhexanol, n-octanol, decanol, isodecyl alcohol, isooctadecanol, cetyl alcohol, lauryl alcohol, tridecyl alcohol, oleyl alcohol, cyclohexanol, tetrahydrofurfuryl alcohol, diacetone alcohol and benzyl alcohol. Liquid diluents also include glycerol esters of saturated and unsaturated fatty acids (typically C6-C22), such as plant seed and fruit oils (e.g., oils of olive, castor, linseed, sesame, corn (maize), peanut, sunflower, grapeseed, safflower, cottonseed, soybean, rapeseed, coconut and palm kernel), animal-sourced fats (e.g., beef tallow, pork tallow, lard, cod liver oil, fish oil), and mixtures thereof. Liquid diluents also include alkylated fatty acids (e.g., methylated, ethylated, butylated) wherein the fatty acids may be obtained by hydrolysis of glycerol esters from plant and animal sources, and can be purified by distillation. Typical liquid diluents are described in Marsden, Solvents Guide, 2nd Ed., Interscience, New York, 1950.
The solid and liquid compositions of the present invention often include one or more surfactants. When added to a liquid, surfactants (also known as "surface-active agents") generally modify, most often reduce, the surface tension of the liquid. Depending on the nature of the hydrophilic and lipophilic groups in a surfactant molecule, surfactants can be useful as wetting agents, dispersants, emulsifiers or defoaming agents.
Surfactants can be classified as nonionic, anionic or cationic. Nonionic surfactants useful for the present compositions include, but are not limited to: alcohol alkoxylates such as alcohol alkoxylates based on natural and synthetic alcohols (which may be branched or linear) and prepared from the alcohols and ethylene oxide, propylene oxide, butylene oxide or mixtures thereof; amine ethoxylates, alkanolamides and ethoxylated alkanolamides; alkoxylated triglycerides such as ethoxylated soybean, castor and rapeseed oils; alkylphenol alkoxylates such as octylphenol ethoxylates, nonylphenol ethoxylates, dinonyl phenol
ethoxylates and dodecyl phenol ethoxylates (prepared from the phenols and ethylene oxide, propylene oxide, butylene oxide or mixtures thereof); block polymers prepared from ethylene oxide or propylene oxide and reverse block polymers where the terminal blocks are prepared from propylene oxide; ethoxylated fatty acids; ethoxylated fatty esters and oils; ethoxylated methyl esters; ethoxylated tristyrylphenol (including those prepared from ethylene oxide, propylene oxide, butylene oxide or mixtures thereof); fatty acid esters, glycerol esters, lanolin-based derivatives, polyethoxylate esters such as polyethoxylated sorbitan fatty acid esters, polyethoxylated sorbitol fatty acid esters and polyethoxylated glycerol fatty acid esters; other sorbitan derivatives such as sorbitan esters; polymeric surfactants such as random copolymers, block copolymers, alkyd peg (polyethylene glycol) resins, graft or comb polymers and star polymers; polyethylene glycols (pegs); polyethylene glycol fatty acid esters; silicone-based surfactants; and sugar-derivatives such as sucrose esters, alkyl polyglycosides and alkyl polysaccharides.
Useful anionic surfactants include, but are not limited to: alkylaryl sulfonic acids and their salts; carboxylated alcohol or alkylphenol ethoxylates; diphenyl sulfonate derivatives; lignin and lignin derivatives such as lignosulfonates; maleic or succinic acids or their anhydrides; olefin sulfonates; phosphate esters such as phosphate esters of alcohol alkoxylates, phosphate esters of alkylphenol alkoxylates and phosphate esters of styryl phenol ethoxylates; protein-based surfactants; sarcosine derivatives; styryl phenol ether sulfate; sulfates and sulfonates of oils and fatty acids; sulfates and sulfonates of ethoxylated alkylphenols; sulfates of alcohols; sulfates of ethoxylated alcohols; sulfonates of amines and amides such as N,N-alkyltaurates; sulfonates of benzene, cumene, toluene, xylene, and dodecyl and tridecylbenzenes; sulfonates of condensed naphthalenes; sulfonates of naphthalene and alkyl naphthalene; sulfonates of fractionated petroleum; sulfosuccinamates; and sulfosuccinates and their derivatives such as dialkyl sulfosuccinate salts.
Useful cationic surfactants include, but are not limited to: amides and ethoxylated amides; amines such as N-alkyl propanediamines, tripropylenetriamines and dipropylenetetramines, and ethoxylated amines, ethoxylated diamines and propoxylated amines (prepared from the amines and ethylene oxide, propylene oxide, butylene oxide or mixtures thereof); amine salts such as amine acetates and diamine salts; quaternary ammonium salts such as quaternary salts, ethoxylated quaternary salts and diquaternary salts; and amine oxides such as alkyldimethylamine oxides and bis-(2-hydroxyethyl)-alkylamine oxides.
Also useful for the present compositions are mixtures of nonionic and anionic surfactants or mixtures of nonionic and cationic surfactants. Nonionic, anionic and cationic surfactants and their recommended uses are disclosed in a variety of published references including McCutcheon 's Emulsifiers and Detergents, annual American and International Editions published by McCutcheon's Division, The Manufacturing Confectioner Publishing
Co.; Sisely and Wood, Encyclopedia of Surface Active Agents, Chemical Publ. Co., Inc., New York, 1964; and A. S. Davidson and B. Milwidsky, Synthetic Detergents, Seventh Edition, John Wiley and Sons, New York, 1987.
Compositions of this invention may also contain formulation auxiliaries and additives, known to those skilled in the art as formulation aids (some of which may be considered to also function as solid diluents, liquid diluents or surfactants). Such formulation auxiliaries and additives may control: pH (buffers), foaming during processing (antifoams such polyorganosiloxanes), sedimentation of active ingredients (suspending agents), viscosity (thixotropic thickeners), in-container microbial growth (antimicrobials), product freezing (antifreezes), color (dyes/pigment dispersions), wash-off (film formers or stickers), evaporation (evaporation retardants), and other formulation attributes. Film formers include, for example, polyvinyl acetates, polyvinyl acetate copolymers, polyvinylpyrrolidone-vinyl acetate copolymer, polyvinyl alcohols, polyvinyl alcohol copolymers and waxes. Examples of formulation auxiliaries and additives include those listed in McCutcheon 's Volume 2: Functional Materials, annual International and North American editions published by McCutcheon's Division, The Manufacturing Confectioner Publishing Co.; and PCT Publication WO 03/024222.
The compounds of Formula 1 and other active ingredients are typically incorporated into the present compositions by dissolving the active ingredient in a solvent or by grinding in a liquid or dry diluent. Solutions, including emulsifiable concentrates, can be prepared by simply mixing the ingredients. If the solvent of a liquid composition intended for use as an emulsifiable concentrate is water-immiscible, an emulsifier is typically added to emulsify the active-containing solvent upon dilution with water. Active ingredient slurries, with particle diameters of up to 2,000 μιη can be wet milled using media mills to obtain particles with average diameters below 3 μιη. Aqueous slurries can be made into finished suspension concentrates (see, for example, U.S. 3,060,084) or further processed by spray drying to form water-dispersible granules. Dry formulations usually require dry milling processes, which produce average particle diameters in the 2 to 10 μιη range. Dusts and powders can be prepared by blending and usually grinding (such as with a hammer mill or fluid-energy mill). Granules and pellets can be prepared by spraying the active material upon preformed granular carriers or by agglomeration techniques. See Browning, "Agglomeration", Chemical Engineering, December 4, 1967, pp 147-48, Perry 's Chemical Engineer's Handbook, 4th Ed., McGraw-Hill, New York, 1963, pages 8-57 and following, and WO 91/13546. Pellets can be prepared as described in U.S. 4,172,714. Water-dispersible and water-soluble granules can be prepared as taught in U.S. 4,144,050, U.S. 3,920,442 and DE 3,246,493. Tablets can be prepared as taught in U.S. 5,180,587, U.S. 5,232,701 and U.S. 5,208,030. Films can be prepared as taught in GB 2,095,558 and U.S. 3,299,566.
For further information regarding the art of formulation, see T. S. Woods, "The Formulator's Toolbox - Product Forms for Modern Agriculture" in Pesticide Chemistry and Bioscience, The Food-Environment Challenge, T. Brooks and T. R. Roberts, Eds., Proceedings of the 9th International Congress on Pesticide Chemistry, The Royal Society of Chemistry, Cambridge, 1999, pp. 120-133. See also U.S. 3,235,361, Col. 6, line 16 through Col. 7, line 19 and Examples 10-41; U.S. 3,309,192, Col. 5, line 43 through Col. 7, line 62 and Examples 8, 12, 15, 39, 41, 52, 53, 58, 132, 138-140, 162-164, 166, 167 and 169-182; U.S. 2,891,855, Col. 3, line 66 through Col. 5, line 17 and Examples 1-4; Klingman, Weed Control as a Science, John Wiley and Sons, Inc., New York, 1961, pp 81-96; Hance et al, Weed Control Handbook, 8th Ed., Blackwell Scientific Publications, Oxford, 1989; and Developments in formulation technology, PJB Publications, Richmond, UK, 2000.
Without further elaboration, it is believed that one skilled in the art using the preceding formulation description can utilize the present invention to its fullest extent. The following Examples of formulation are, therefore, to be construed as merely illustrative, and not limiting of the disclosure in any way whatsoever. Percentages are by weight, and all formulations are prepared in conventional ways. Compound numbers refer to compounds in Index Tables A-G. The component designations refer to the corresponding compounds indicated in the Component (b) column of Table Al . For example, "Component (bla)" refers to 4-(2-chloro-4-fluorophenyl)-N-(2-chloro-6-fluorophenyl)-l,3-dimethyl-lH-pyrazol- 5 -amine.
Example A
High Strength Concentrate
Any one of the Compounds of Embodiment 8 49.5% Component (bla) 49.0% silica aerogel 0.5% synthetic amorphous fine silica 1.0%
Example B
Wettable Powder
Any one of the Compounds of Embodiment 8 32.5% Component (b2a) 32.5% dodecylphenol polyethylene glycol ether 2.0% sodium ligninsulfonate 4.0% sodium silicoaluminate 6.0% montmorillonite (calcined) 23.0%
Example C
Granule
Any one of the Compounds of Embodiment 8 5.0%
Component (b3) 5.0% attapulgite granules (low volatile matter, 0.71/0.30 mm; 90.0% U.S.S. No. 25-50 sieves)
Example D
Extruded Pellet
Any one of the Compounds of Embodiment 8 12.5%
Component (b4a) 12.5% anhydrous sodium sulfate 10.0% crude calcium ligninsulfonate 5.0% sodium alkylnaphthalenesulfonate 1.0% calcium/magnesium bentonite 59.0%
Example E
Emulsifiable Concentrate
Any one of the Compounds of Embodiment 8 5.0%
Component (b5 a) 5.0% polyoxyethylene sorbitol hexoleate 20.0%
C^-Cio fatty acid methyl ester 70.0%>
Example F
Microemulsion
Any one of the Compounds of Embodiment 8 2.0%
Component (b6a) 1.0%) prothioconazole 2.0% polyvinylpyrrolidone -vinyl acetate copolymer 30.0% alkylpolyglycoside 30.0%> glyceryl monooleate 15.0% water 20.0%
Example G
Seed Treatment
Any one of the Compounds of Embodiment 8 14.00%
Component (b7a) 6.00% polyvinylpyrrolidone -vinyl acetate copolymer 5.00% montan acid wax 5.00% calcium ligninsulfonate 1.00% polyoxyethylene/polyoxypropylene block copolymers 1.00%) stearyl alcohol (POE 20) 2.00%
polyorganosilane 0.20% colorant red dye 0.05% water 65.75%
Example H
Fertilizer Stick
Any one of the Compounds of Embodiment 8 1.25%
Component (b8a) 1.25% pyrrolidone-styrene copolymer 4.80%> tristyrylphenyl 16-ethoxylate 2.30% talc 0.80% corn starch 5.00% slow-release fertilizer 36.00%> kaolin 38.00% water 10.60%
Example I
Suspension Concentrate
Any one of the Compounds of Embodiment 8 17.5%
Component (b9) 17.5% butyl polyoxyethylene/polypropylene block copolymer 4.0% stearic acid/polyethylene glycol copolymer 1.0%) styrene acrylic polymer 1.0% xanthan gum 0.1% propylene glycol 5.0%> silicone based defoamer 0.1 % l,2-benzisothiazolin-3-one 0.1% water 53.7%
Example J
Emulsion in Water
Any one of the Compounds of Embodiment 8 5.0%
Component (b 10a) 5.0% butyl polyoxyethylene/polypropylene block copolymer 4.0%> stearic acid/polyethylene glycol copolymer 1.0%) styrene acrylic polymer 1.0% xanthan gum 0.1% propylene glycol 5.0%> silicone based defoamer 0.1 % l,2-benzisothiazolin-3-one 0.1%
aromatic petroleum based hydrocarbon 20.0 water 58.7%
Example
Oil Dispersion
Any one of the Compounds of Embodiment 8 12.5%
Component (b 11) 12.5% polyoxy ethylene sorbitol hexaoleate 15% organically modified bentonite clay 2.5% fatty acid methyl ester 57.5%
Example L
Suspoemulsion
Any one of the Compounds of Embodiment 8 5.0%
Component (b 12) 5.0% imidacloprid 5.0% butyl polyoxyethylene/polypropylene block copolymer 4.0% stearic acid/polyethylene glycol copolymer 1.0%) styrene acrylic polymer 1.0% xanthan gum 0.1% propylene glycol 5.0%> silicone based defoamer 0.1 % l,2-benzisothiazolin-3-one 0.1% aromatic petroleum based hydrocarbon 20.0% water 53.7%
Example M
High Strength Concentrate
Any one of the Compounds of Embodiment 8 49.5%
Component (b 13) 49.0% silica aerogel 0.5%> synthetic amorphous fine silica 1.0%
Example N
Wettable Powder
Any one of the Compounds of Embodiment 8 32.5%
Component (b 14) 32.5% dodecylphenol polyethylene glycol ether 2.0%> sodium ligninsulfonate 4.0%> sodium silicoaluminate 6.0%> montmorillonite (calcined) 23.0%
Any one of the Compounds of Embodiment 8 5.0% Component (b 15 a) 5.0% attapulgite granules (low volatile matter, 0.71/0.30 90.0% U.S.S. No. 25-50 sieves)
Any one of the Compounds of Embodiment 8 12.5% Component (bl6a) 12.5% anhydrous sodium sulfate 10.0% crude calcium ligninsulfonate 5.0% sodium alkylnaphthalenesulfonate 1.0% calcium/magnesium bentonite 59.0%
As already mentioned, combinations of components (a), (b) and optionally (c) can be together or separately formulated with at least one of a surfactant, a solid diluent or a liquid diluent. Thus one, two or all three of components (a), (b) and (c) can be formulated together to form a premix composition, or they can be formulated separately and then the formulated compositions combined together before application (e.g., in a spray tank) or, alternatively, applied in succession. In the formulated compositions containing components (a), (b) or (c), the components (a), (b) or (c) are present in biologically effective amounts, or more particularly, for example, fungicidally effective amounts if they are fungicidal or insecticidally effective amounts if they are insecticidal.
Formulations are often diluted with water to form aqueous compositions before application. Aqueous compositions for direct applications to the plant or portion thereof (e.g., spray tank compositions) typically comprise at least about 1 ppm or more (e.g., from 1 ppm to 100 ppm) of fungicidally active compounds according to the present invention.
One embodiment of the present invention relates to a method for controlling fungal pathogens, comprising diluting the fungicidal composition of the present invention (a compound of Formula 1 formulated with surfactants, solid diluents and liquid diluents or a formulated mixture of a compound of Formula 1 and at least one other fungicide) with water, and optionally adding an adjuvant to form a diluted composition, and contacting the fungal pathogen or its environment with an effective amount of said diluted composition.
Although a spray composition formed by diluting with water a sufficient concentration of the present fungicidal composition can provide sufficient efficacy for controlling fungal pathogens, separately formulated adjuvant products can also be added to spray tank mixtures. These additional adjuvants are commonly known as "spray adjuvants" or "tank-
mix adjuvants", and include any substance mixed in a spray tank to improve the performance of a pesticide or alter the physical properties of the spray mixture. Adjuvants can be anionic or nonionic surfactants, emulsifying agents, petroleum-based crop oils, crop-derived seed oils, acidifiers, buffers, thickeners or defoaming agents. Adjuvants are used to enhancing efficacy (e.g., biological availability, adhesion, penetration, uniformity of coverage and durability of protection), or minimizing or eliminating spray application problems associated with incompatibility, foaming, drift, evaporation, volatilization and degradation. To obtain optimal performance, adjuvants are selected with regard to the properties of the active ingredient, formulation and target (e.g., crops, insect pests).
The amount of adjuvants added to spray mixtures is generally in the range of about
2.5% to 0.1 % by volume. The application rates of adjuvants added to spray mixtures are typically between about 1 to 5 L per hectare. Representative examples of spray adjuvants include: Adigor® (Syngenta) 47% methylated rapeseed oil in liquid hydrocarbons, Silwet® (Helena Chemical Company) polyalkyleneoxide modified heptamethyltrisiloxane and Assist® (BASF) 17% surfactant blend in 83% paraffin based mineral oil.
The compositions of this invention are useful as plant disease control agents. The present invention therefore further comprises a method for controlling plant diseases caused by fungal plant pathogens comprising applying to the plant or portion thereof to be protected, or to the plant seed or vegetative propagation unit to be protected, an effective amount of a composition of the invention (e.g., a composition comprising component (a), or components (a) and (b), or components (a), (b) and (c)). This aspect of the present invention can also be described as a method for protecting a plant or plant seed from diseases caused by fungal pathogens comprising applying a fungicidally effective amount of a composition of the invention to the plant (or portion thereof) or plant seed (directly or through the environment (e.g., growing medium) of the plant or plant seed).
Component (a) compounds and/or combinations thereof with component (b) compounds and/or (c) one or more other biologically active compounds or agents can be applied to plants genetically transformed to express proteins toxic to invertebrate pests (such as Bacillus thuringiensis delta-endotoxins). The effect of the exogenous ly applied present component (a) alone or in combination with component (b) and optionally component (c) may be synergistic with the expressed toxin proteins.
Plant disease control is ordinarily accomplished by applying an effective amount of a composition of the invention (e.g., comprising component (a), or a mixture of components (a), (b) and optionally (c)), typically as a formulated composition, either pre- or post- infection, to the portion of the plant to be protected such as the roots, stems, foliage, fruit, seeds, tubers or bulbs, or to the media (soil or sand) in which the plants to be protected are growing. Component (a) or mixtures thereof can also be applied to seeds to protect the seeds and seedlings developing from the seeds. The mixtures can also be applied through irrigation
water to treat plants. Control of postharvest pathogens which infect the produce before harvest is typically accomplished by field application of a composition of the invention, and in cases where infection occurs after harvest the compositions can be applied to the harvested crop as dips, sprays, fumigants, treated wraps or box liners.
Suitable rates of application (e.g., fungicidally effective amounts) of component (a)
(i.e. at least one compound selected from compounds of Formula 1, N-oxides and salts thereof) as well as suitable rates of application (e.g., biologically effective amounts, fungicidally effective amounts or insecticidally effective amounts) of components (b) and optionally (c) according to this invention can be influenced by many factors of the environment and should be determined under actual use conditions. Foliage can normally be protected when treated at a rate of from less than about 1 g/ha to about 5,000 g/ha of active ingredients. Seed and seedlings can normally be protected when seed is treated at a rate of from about 0.1 to about 10 g per kilogram of seed; and vegetative propagation units (e.g., cuttings and tubers) can normally be protected when propagation unit is treated at a rate of from about 0.1 to about 10 g per kilogram of propagation unit. One skilled in the art can easily determine through simple experimentation the application rates of component (a), and mixtures and compositions thereof, containing particular combinations of active ingredients according to this invention needed to provide the desired spectrum of plant protection and control of plant diseases and optionally other plant pests.
The compositions of this invention are useful as plant disease control agents. The present invention therefore further comprises a method for controlling plant diseases caused by fungal plant pathogens comprising applying to the plant or portion thereof to be protected, or to the plant seed to be protected, an effective amount of a fungicidal composition of this invention. The compositions of this invention provide control of diseases caused by a broad spectrum of fungal plant pathogens in the Ascomycota, Basidiomycota, Zygomycota phyla, and the fungal-like Oomycata class. They are effective in controlling a broad spectrum of plant diseases, particularly foliar pathogens of ornamental, turf, vegetable, field, cereal, and fruit crops. These pathogens include but are not limited to those listed in Table 1. For Ascomycetes and Basidiomycetes, names for both the sexual/teleomorph/perfect stage as well as names for the asexual/anamorph/imperfect stage (in parentheses) are listed where known. Synonymous names for pathogens are indicated by an equal sign. For example, the sexual/teleomorph/perfect stage name Phaeosphaeria nodorum is followed by the corresponding asexual/anamorph/imperfect stage name Stagnospora nodorum and the synonymous older name Septoria nodorum.
Table 1
Ascomycetes in the order Pleosporales including A Iternaria solani, A. alternata and A.
brassicae, Guignardia bidweUii, Venturia inaequalis, Pyrenophora tritici-repentis
(Dreschlera tritici-repentis = Helminthosporium tritici-repentis) and Pyrenophora teres
(Dreschlera teres = Helminthosporium teres), Corynespora cassiicola, Phaeosphaeria nodorum (Stagonospora nodorum = Septoria nodorum), Cochliobolus carbonum and C. heterostrophus, Leptosphaeria biglobosa andL. maculans;
Ascomycetes in the order Mycosphaerellales including Mycosphaerella graminicola
(Zymo septoria tritici = Septoria tritici), M. berkeleyi (Cercosporidium personatum), M. arachidis (Cercospora arachidicola), Passalora sojina (Cercospora sojina), Cercospora zeae-maydis and C. beticola;
Ascomycetes in the order Erysiphales (the powdery mildews) such as Blumeria graminis f.sp. tritici and Blumeria graminis f.sp. hordei, Erysiphe polygoni, E. necator (= Uncinula necator), Podosphaera fuliginea (= Sphaerotheca fuliginea), and Podosphaera leucotricha (= Sphaerotheca fuliginea);
Ascomycetes in the order Helotiales such as Botryotinia fuckeliana (Botrytis cinerea), Oculimacula yallundae (= Tapesia yallundae; anamorph Helgardia herpotrichoides = Pseudocercosporella herpetrichoides), Monilinia fructicola, Sclerotinia sclerotiorum, Sclerotinia minor, and Sclerotinia homoeocarpa;
Ascomycetes in the order Hypocreales such as Giberella zeae (Fusarium graminearum), G. monoliformis (Fusarium moniliforme), Fusarium solani and Verticillium dahliae;
Ascomycetes in the order Eurotiales such as Aspergillus flavus and A. parasiticus;
Ascomycetes in the order Diaporthales such as Cryptosphorella viticola (= Phomopsis viticola), Phomopsis longicolla, and Diaporthe phaseolorum;
Other Ascomycete pathogens including Magnaporthe grisea, Gaeumannomyces graminis, Rhynchosporium secalis, and anthracnose pathogens such as Glomerella acutata
(Colletotrichum acutatum), G. graminicola (C. graminicola) and G. lagenaria (C.
orbiculare);
Basidiomycetes in the order Urediniales (the rusts) including Puccinia recondita, P.
striiformis, Puccinia hordei, P. graminis and P. arachidis), Hemileia vastatrix and
Phakopsora pachyrhizi;
Basidiomycetes in the order Ceratobasidiales such as Thanatophorum cucumeris
(Rhizoctonia solani) and Ceratobasidium oryzae-sativae (Rhizoctonia oryzae);
Basidiomycetes in the order Polyporales such as Athelia rolfsii (Sclerotium rolfsii);
Basidiomycetes in the order Ustilaginales such as Ustilago maydis;
Zygomycetes in the order Mucorales such as Rhizopus stolonifer;
Oomycetes in the order Pythiales, including Phytophthora infestans, P. megasperma, P. parasitica, P. sojae, P. cinnamomi and P. capsici, and Pythium pathogens such as Pythium aphanidermatum, P. graminicola, P. irregulare, P. ultimum and . dissoticum;
Oomycetes in the order Peronosporales such as Plasmopara viticola, P. halstedii,
Peronospora hyoscyami (=Peronospora tabacina), P. manshurica, Hyaloperonospora
parasitica (=Peronospora parasitica) , Pseudoperonospora cubensis and Bremia lactucae; and other genera and species closely related to all of the above pathogens.
In addition to their fungicidal activity, the compositions or combinations also have activity against bacteria such as Erwinia amylovora, Xanthomonas campestris, Pseudomonas syringae, and other related species. By controlling harmful microorganisms, the compounds of the invention are useful for improving (i.e. increasing) the ratio of beneficial to harmful microorganisms in contact with crop plants or their propagules (e.g., seeds, corms, bulbs, tubers, cuttings) or in the agronomic environment of the crop plants or their propagules.
Accordingly, mixtures and compositions described herein can control a broad spectrum of plant diseases caused by fungal pathogens afflicting crops and other desired vegetation including: cereal grain crops such as wheat, barley, oats, rye, triticale, rice, maize, sorghum and millet; vine crops such as table and wine grapes; field crops such as oilseed rape (canola), sunflower, sugar beets, soybean, peanuts (groundnut) and tobacco; legume forage crops such as alfalfa, clover, lespedeza, trefoil and vetch; pome fruits such as apple, pear, crabapple, loquat, mayhaw and quince; stone fruits such as peaches, cherries, plums, apricots, nectarines and almonds; citrus fruits such as lemons, limes, oranges, grapefruit, mandarin (tangerines) and kumquat; root and tuber vegetables and field crops (and their foliage) such as artichoke, garden and sugar beet, carrot, cassava, ginger, ginseng, horseradish, parsnip, potato, radish, rutabaga, sweet potato, turnip and yam; bulb vegetables such as garlic, leek, onion and shallot; leafy vegetables such as arugula (roquette), celery, cress, endive (escarole), fennel, head and leaf lettuce, parsley, radicchio (red chicory), rhubarb, spinach and Swiss chard; brassica (cole) leafy vegetables such as broccoli, broccoli raab (rapini), Brussels sprouts, cabbage, bok choy, cauliflower, collards, kale, kohlrabi and mustard greens; legume vegetables (succulent or dried) such as lupin, bean (Phaseolus spp.) (including field bean, kidney bean, lima bean, navy bean, pinto bean, runner bean, snap bean, tepary bean and wax bean), bean (Vigna spp.) (including adzuki bean, asparagus bean, blackeyed pea, catjang, Chinese longbean, cowpea, crowder pea, moth bean, mung bean, rice bean, southern pea, urd bean and yardlong bean), broad bean (fava), chickpea (garbanzo), guar, jackbean, lablab bean, lentil and pea (Pisum spp.) (including dwarf pea, edible-podded pea, English pea, field pea, garden pea, green pea, snowpea, sugar snap pea, pigeon pea and soybean); fruiting vegetables such as eggplant, groundcherry (Physalis spp.), pepino and pepper (including bell pepper, chili pepper, cooking pepper, pimento and sweet pepper); tomatillo and tomato; cucurbit vegetables such as Chayote (fruit), Chinese waxgourd (Chinese preserving melon), citron melon, cucumber, gherkin, edible gourd (including hyotan, cucuzza, hechima and Chinese okra), Momordica spp. (including balsam apple, balsam pear, bittermelon and Chinese cucumber), muskmelon (including cantaloupe), summer and winter squash (including butternut squash, calabaza, hubbard squash, acorn squash, spaghetti squash and pumpkin) and watermelon; berries such as blackberry
(including bingleberry, boysenberry, dewberry, lowberry, marionberry, olallieberry and youngberry), blueberry, cranberry, currant, elderberry, gooseberry, huckleberry, loganberry, raspberry and strawberry; tree nuts such as almond, beech nut, Brazil nut, butternut, cashew, chestnut, chinquapin, filbert (hazelnut), hickory nut, macadamia nut, pecan and walnut; tropical fruits and other crops such as bananas, plantains, mangos, coconuts, papaya, guava, avocado, lichee, agave, coffee, cacao, sugar cane, oil palm, sesame, rubber and spices; fiber crops such as cotton, flax and hemp; turfgrasses (including warm- and cool-season turfgrasses) such as bentgrass, Kentucky bluegrass, St. Augustine grass, tall fescue and Bermuda grass.
Compounds of Formula 1, N-oxides and salts thereof, or compositions comprising said compounds as present component (a) together with one or more additional biologically active compounds or agents, such as the fungicidal compounds of Formulae Bl, B2, B3, B4, B5, B6, B7, B8, B9, BIO, Bll, B12, B13, B14, B15 and B16 of present component (b), are useful in treating all plants, plant parts and seeds. Plant and seed varieties and cultivars can be obtained by conventional propagation and breeding methods or by genetic engineering methods. Genetically modified plants or seeds (transgenic plants or seeds) are those in which a heterologous gene (transgene) has been stably integrated into the plant's or seed's genome. A transgene that is defined by its particular location in the plant genome is called a transformation or transgenic event.
Genetically modified plant and seed cultivars which can be treated according to the invention include those that are resistant against one or more biotic stresses (pests such as nematodes, insects, mites, fungi, etc.) or abiotic stresses (drought, cold temperature, soil salinity, etc.), or that contain other desirable characteristics. Plants and seeds can be genetically modified to exhibit traits of, for example, herbicide tolerance, insect-resistance, modified oil profiles or drought tolerance. Useful genetically modified plants and seeds containing single gene transformation events or combinations of transformation events are listed in Table I. Additional information for the genetic modifications listed in Table I can be obtained from the following databases: http://www2.oecd.org/biotech/byidentifier.aspx, http://www.aphis.usda.gov, and http://gmoinfo.jrc.ec.europa.eu .
The following abbreviations are used in Table I which follows: tol. is tolerance, res. is resistance, SU is sulfonylurea, ALS is acetolactate synthase, HPPD is 4-Hydroxyphenylpyruvate Dioxygenase, NA is Not Available.
Table I
Event Name Event Code Trait(s) Gene(s)
JlOl MON-00101-8 Glyphosate tol. cp4 epsps (aroA:CP4) J163 MON-00163-7 Glyphosate tol. cp4 epsps (aroA:CP4)
23-18-17 (Event CGN-89465-2 High lauric acid oil te
Canola* 23-198 (Event 23) CGN-89465-2 High lauric acid oil te
Canola* 61061 DP-061061-7 Glyphosate tol. gat4621
Canola* 73496 DP-073496-4 Glyphosate tol. gat4621
Canola* GT200 (RT200) MON-89249-2 Glyphosate tol. cp4 epsps (aroA:CP4);
goxv247
Canola* GT73 (RT73) MON-00073-7 Glyphosate tol. cp4 epsps (aroA:CP4);
goxv247
Canola* HCN10 (Topas NA Glufosinate tol. bar
19/2)
Canola* HCN28 (T45) ACS-BN008-2 Glufosinate tol. pat (syn)
Canola* HCN92 (Topas ACS-BN007-1 Glufosinate tol. bar
19/2)
Canola* MON88302 MON-88302-9 Glyphosate tol. cp4 epsps (aroA:CP4)
Canola* MPS961 NA Phytate breakdown phyA
Canola* MPS962 NA Phytate breakdown phyA
Canola* MPS963 NA Phytate breakdown phyA
Canola* MPS964 NA Phytate breakdown phyA
Canola* MPS965 NA Phytate breakdown phyA
Canola* MSI (B91-4) ACS-BN004-7 Glufosinate tol. bar
Canola* MS8 ACS-BN005-8 Glufosinate tol. bar
Canola* OXY-235 ACS-BN011-5 Oxynil tol. bxn
Canola* PHY 14 NA Glufosinate tol. bar
Canola* PHY23 NA Glufosinate tol. bar
Canola* PHY35 NA Glufosinate tol. bar
Canola* PHY36 NA Glufosinate tol. bar
Canola* RF1 (B93-101) ACS-BN001-4 Glufosinate tol. bar
Canola* RF2 (B94-2) ACS-BN002-5 Glufosinate tol. bar
Canola* RF3 ACS-BN003-6 Glufosinate tol. bar
Bean EMBRAPA 5.1 EMB-PV051-1 Disease res. acl (sense and antisense)
Brinjal EE-1 Insect res. cry 1 Ac
(Eggplant)
Carnation 11 (7442) FLO-07442-4 SU tol..; modified flower surB; dfr; hfl (G'5'h) color
Carnation 11363 (1363A) FLO-11363-1 SU tol.; modified flower surB; dfr; bp40 (G'5'h) color
Carnation 1226A (11226) FLO-11226-8 SU tol.; modified flower surB; dfr; bp40 (G'5'h) color
Carnation 123.2.2 (40619) FLO-40619-7 SU tol.; modified flower surB; dfr; hfl (G'5'h) color
Carnation 123.2.38 (40644) FLO-40644-4 SU tol.; modified flower surB; dfr; hfl (G'5'h) color
Carnation 123.8.12 FLO-40689-6 SU tol.; modified flower surB; dfr; bp40 (G'5'h) color
Carnation 123.8.8 (40685) FLO-40685-1 SU tol.; modified flower surB; dfr; bp40 (G'5'h) color
Carnation 1351A (11351) FLO-11351-7 SU tol.; modified flower surB; dfr; bp40 (G'5'h) color
Carnation 1400A (11400) FLO-11400-2 SU tol.; modified flower surB; dfr; bp40 (G'5'h)
Crop Event Name Event Code Trait(s) Gene(s)
color
Carnation 15 FLO-00015-2 SU tol.; modified flower surB; dfr; hfl (G'5'h) color
Carnation 16 FLO-00016-3 SU tol.; modified flower surB; dfr; hfl (G'5'h) color
Carnation 4 FLO-00004-9 SU tol.; modified flower surB; dfr; hfl (G'5'h) color
Carnation 66 FLO-00066-8 SU tol.; delayed senescence surB; acc
Carnation 959A (11959) FLO-11959-3 SU tol.; modified flower surB; dfr; bp40 (G'5'h) color
Carnation 988A (11988) FLO-11988-7 SU tol.; modified flower surB; dfr; bp40 (G'5'h) color
Carnation 26407 IFD-26497-2 SU tol.; modified flower surB; dfr; bp40 (G'5'h) color
Carnation 25958 IFD-25958-3 SU tol.; modified flower surB; dfr; bp40 (G'5'h) color
Chicory RM3-3 NA Glufosinate tol. bar
Chicory RM3-4 NA Glufosinate tol. bar
Chicory RM3-6 NA Glufosinate tol. bar
Cotton 19-51a DD-01951A-7 ALS herbicide tol. S4-HrA
Cotton 281-24-236 DAS-24236-5 Glufosinate tol.; insect res. pat (syn); cry IF
Cotton 3006-210-23 DAS-21023-5 Glufosinate tol.; insect res. pat (syn); cry 1 Ac
Cotton 31707 NA Oxynil tol.; insect res. bxn; crylAc
Cotton 31803 NA Oxynil tol.; insect res. bxn; crylAc
Cotton 31807 NA Oxynil tol.; insect res. bxn; crylAc
Cotton 31808 NA Oxynil tol.; insect res. bxn; crylAc
Cotton 42317 NA Oxynil tol.; insect res. bxn; crylAc
Cotton BNLA-601 NA Insect res. crylAc
Cotton BXN10211 BXN10211-9 Oxynil tol. bxn; crylAc
Cotton BXN10215 BXN10215-4 Oxynil tol. bxn; crylAc
Cotton BXN10222 BXN10222-2 Oxynil tol. bxn; crylAc
Cotton BXN10224 BXN10224-4 Oxynil tol. bxn; crylAc
Cotton COT 102 SYN-IR102-7 Insect res. vip3A(a)
Cotton COT67B SYN-IR67B-1 Insect res. crylAb
Cotton COT202 Insect res. vip3A
Cotton Event 1 NA Insect res. crylAc
Cotton GMF CrylA GTL-GMF311- Insect res. crylAb-Ac
7
Cotton GHB119 BCS-GH005-8 Insect res. cry2Ae
Cotton GHB614 BCS-GH002-5 Glyphosate tol. 2mepsps
Cotton GK12 NA Insect res. crylAb-Ac
Cotton LLCotton25 ACS-GHOOl-3 Glufosinate tol. bar
Cotton MLS 9124 NA Insect res. crylC
Cotton MON1076 MON-89924-2 Insect res. crylAc
Cotton MON1445 MON-01445-2 Glyphosate tol. cp4 epsps (aroA:CP4)
Crop Event Name Event Code Trait(s) Gene(s)
Cotton MON15985 MON-15985-7 Insect res. cry 1 Ac; cry2Ab2
Cotton MON1698 MON-89383-1 Glyphosate tol. cp4 epsps (aroA:CP4)
Cotton MON531 MON-00531-6 Insect res. cry 1 Ac
Cotton MON757 MON-00757-7 Insect res. cry 1 Ac
Cotton MON88913 MON-88913-8 Glyphosate tol. cp4 epsps (aroA:CP4)
Cotton Nqwe Chi 6 Bt NA Insect res. NA?
Cotton SKG321 NA Insect res. crylA; CpTI
Cotton T303-3 BCS-GH003-6 Insect res.; glufosinate tol. crylAb; bar
Cotton T304-40 BCS-GH004-7 Insect res.; glufosinate tol. crylAb; bar
Cotton CE43-67B Insect res. crylAb
Cotton CE46-02A Insect res. crylAb
Cotton CE44-69D Insect res. crylAb
Cotton 1143-14A Insect res. crylAb
Cotton 1143-51B Insect res. crylAb
Cotton T342-142 Insect res. crylAb
Cotton PV-GHGT07 Glyphosate tol. cp4 epsps (aroA:CP4)
(1445)
Cotton EE-GH3 Glyphosate tol. mepsps
Cotton EE-GH5 Insect res. crylAb
Cotton MON88701 MON-88701-3 Dicamba & glufosinate tol. Modified dmo; bar
Cotton OsCrl l Anti- allergy Modified Cryj
Creeping ASR368 SMG-36800-2 Glyphosate tol. cp4 epsps (aroA:CP4)
Bentgrass
Eucalyptus 20-C Salt tol. codA
Eucalyptus 12-5C Salt tol. codA
Eucalyptus 12-5B Salt tol. codA
Eucalyptus 107-1 Salt tol. codA
Eucalyptus 1/9/2001 Salt tol. codA
Eucalyptus 2/1/2001 Salt tol. codA
Eucalyptus Cold tol. des9
Flax FP967 CDC-FLOOl-2 ALS herbicide tol. als
Lentil RH44 Imidazolinone tol. als
Maize 3272 SYN-E3272-5 Modified alpha-amylase amy797E
Maize 5307 SYN -05307- ! Insect res. ecry3.1Ab
Maize 59122 DAS -591 22-7 Insect res.; glufosinate tol. cry34Abl ; cry35Abl pat
Maize 676 PH-000676-7 Glufosinate tol.; pollination pat; dam
control
Maize 678 PH-00067S-9 Glufosinate tol.; pollination pat; dam
control
Maize 680 PH-000680-2 Glufosinate tol.; pollination pat; dam
control
Maize 98140 DP-098140-6 Glyphosate toll; ALS gat4621 ; zm-hra herbicide tol.
Crop Event Name Event Code Trait(s) Gene(s)
Maize BtlO NA Insect res.; glufosinate tol. crylAb; pat
Maize Btl76 (176) SYN-EV S 76-9 Insect res.; glufosinate tol. crylAb; bar
Maize BVLA430101 'NA Phytate breakdown phyA2
Maize CBH-351 ACS-ZM004-3 Insect res.; glufosinate tol. cry9C; bar
Maize DAS40278-9 DAS40278-9 2,4-D tol. aad-1
Maize DBT418 DKB-896 S4--9 Insect res.; glufosinate tol. crylAc; pinll; bar
Maize DLL25 (B16) DKB-89790-5 Glufosinate tol. bar
Maize GA21 MO -00021 -9 Glyphosate tol. mepsps
Maize GG25 Glyphosate tol. mepsps
Maize GJ11 Glyphosate tol. mepsps
Maize F1117 Glyphosate tol. mepsps
Maize GAT-ZM1 Glufosinate tol. pat
Maize LY038 REN-00038-3 Increased lysine cordapA
Maize MIR162 SYN-TR162-4 Insect res. vip3Aa20
Maize MIR604 SY"N-I 604-5 Insect res. mcry3A
Maize MON801 MON801 Insect res.; glyphosate tol. crylAb; cp4 epsps
(MON80100) (aroA:CP4); goxv247 Maize MON802 MON-80200-7 Insect res.; glyphosate tol. crylAb; cp4 epsps
(aroA:CP4); goxv247 Maize MON809 PH-MON-809-2 Insect res.; glyphosate tol. crylAb; cp4 epsps
(aroA:CP4); goxv247 Maize MON810 MON-00810-6 Insect res.; glyphosate tol. crylAb; cp4 epsps
(aroA:CP4); goxv247 Maize MON832 "NA Glyphosate tol. cp4 epsps (aroA:CP4);
goxv247
Maize MON863 MON-00863-5 Insect res. cry3Bbl
Maize MON87427 MON-87427-7 Glyphosate tol. cp4 epsps (aroA:CP4)
Maize MON87460 MON-87460-4 Drought tol. cspB
Maize MON88017 MON-880 ! 7 -3 Insect res.; glyphosate tol. cry3Bbl ; cp4 epsps
(aroA:CP4)
Maize MON89034 ΜΌ -89034-3 Insect res. cry2Ab2; crylA.105
Maize MS3 ACS--ZM001-9 Glufosinate tol.; pollination bar; barnase
control
Maize MS6 ACS-ZM005 -4 Glufosinate tol.; pollination bar; barnase
control
Maize NK603 MON-00603-6 Glyphosate tol. cp4 epsps (aroA:CP4)
Maize T14 ACS-ZM002-1 Glufosinate tol. pat (syn)
Maize T25 ACS-ZM003-2 Glufosinate tol. pat (syn)
Maize TC1507 DAS-01507-1 Insect res.; glufosinate tol. crylFa2; pat
Maize TC6275 DAS-06275-8 Insect res.; glufosinate tol. mocrylF; bar
Maize VIP1034 Insect res.; glufosinate tol. vip3A; pat
Maize 43A47 DP-043A47-3 Insect res.; glufosinate tol. crylF; cry34Abl ;
cry35Abl ; pat Maize 40416 DP-040416-8 Insect res.; glufosinate tol. crylF; cry34Abl ;
cry35Abl ; pat Maize 32316 DP-032316-8 Insect res.; glufosinate tol. crylF; cry34Abl ;
cry35Abl ; pat
Crop Event Name Event Code Trait(s) Gene(s)
Maize 41 14 DP-QG41 S -3 Insect res.; glufosinate tol. crylF; cry34Abl ;
cry35Abl ; pat
Melon Melon A NA Delayed ripening/senescence sam-k
Melon Melon B NA Delayed ripening/senescence sam-k
Papaya 55-1 CUH-CP551-8 Disease res. prsv cp
Papaya 63-1 CUH-CP631-7 Disease res. prsv cp
Papaya Huanong No. 1 NA Disease res. prsv rep
Papaya X17-2 UFL-X17CP-6 Disease res. prsv cp
Petunia Petunia-CHS NA Modified product quality CHS suppression
Plum C-5 ARS-PLMC5-6 Disease res. ppv cp
Canola** ZSR500 NA Glyphosate tol. cp4 epsps (aroA:CP4);
goxv247
Canola** ZSR502 NA Glyphosate tol. cp4 epsps (aroA:CP4);
goxv247
Canola** ZSR503 NA Glyphosate tol. cp4 epsps (aroA:CP4);
goxv247
Poplar Bt poplar NA Insect res. crylAc; API
Poplar Hybrid poplar NA Insect res. crylAc; API
clone 741
Poplar trg300-l High cellulose AaXEG2
Poplar trg300-2 High cellulose AaXEG2
Potato 1210 amk NA Insect res. cry 3 A
Potato 2904/1 kgs NA Insect res. cry 3 A
Canola** ZSR500 NA Glyphosate tol. cp4 epsps (aroA:CP4);
goxv247
Canola** ZSR502 NA Glyphosate tol. cp4 epsps (aroA:CP4);
goxv247
Potato ATBT04-27 NMK-89367-8 Insect res. cry 3 A
Potato ATBT04-30 NMK-89613-2 Insect res. cry 3 A
Potato ATBT04-31 NMK-89170-9 Insect res. cry 3 A
Potato ATBT04-36 NMK-89279-1 Insect res. cry 3 A
Potato ATBT04-6 NMK-89761-6 Insect res. cry 3 A
Potato BT06 NMK-89812-3 Insect res. cry 3 A
Potato BT10 NMK-89175-5 Insect res. cry 3 A
Potato BT12 NMK-89601-8 Insect res. cry 3 A
Potato BT16 NMK-89167-6 Insect res. cry 3 A
Potato BT17 NMK-89593-9 Insect res. cry 3 A
Potato BT18 NMK-89906-7 Insect res. cry 3 A
Potato BT23 NMK-89675-1 Insect res. cry 3 A
Potato EH92-527-1 BPS-25271-9 Modified starch/carbohydrate gbss (antisense)
Potato HLMT15-15 NA Insect & disease res. cry3A; pvy cp
Potato HLMT15-3 NA Insect & disease res. cry3A; pvy cp
Potato HLMT15-46 NA Insect & disease res. cry3A; pvy cp
Potato RBMT15-101 NMK-89653-6 Insect & disease res. cry3A; pvy cp
Crop Event Name Event Code Trait(s) Gene(s)
Rice AD41 Disease res. DEF
Rice 13pNasNaatAprtl Low iron tol. HvNASl; HvNAAT-A;
APRT
Rice 13pAprtl Low iron tol. APRT
Rice gHvNASl- Low iron tol. HvNASl; HvNAAT-A;
gHvNAAT-1 HvNAAT-B
Rice gHvIDS3-l Low iron tol. HvIDS3
Rice gHvNAATl Low iron tol. HvNAAT-A;
HvNAAT-B
Rice gHvNASl-1 Low iron tol. HvNASl
Rice NIA-OS006-4 Disease res. WRKY45
Rice NIA-OS005-3 Disease res. WRKY45
Rice NIA-OS004-2 Disease res. WRKY45
Rice NIA-OS003-1 Disease res. WRKY45
Rice NIA-OS002-9 Disease res. WRKY45
Rice NIA-OS001-8 Disease res. WRKY45
Rice OsCrl l Anti- allergy Modified Cryj
Rice 17053 Glyphosate tol. cp4 epsps (aroA:CP4)
Rice 17314 Glyphosate tol. cp4 epsps (aroA:CP4)
Rose WKS82 / 130-4-1 IFD-52401-4 Modified flower color 5AT; bp40 (G'5'h)
Rose WKS92 / 130-9-1 IFD-52901-9 Modified ilower color 5AT; bp40 (G'5'h)
Soybean 260-05 (G94-1, NA Modified oil/fatty acid gm-fad2-l (silencing
G94-19, G168) locus) Soybean A2704-12 ACS-GM005-3 Glufosinate tol. pat
Soybean A2704-21 ACS-GM004-2 Glufosinate tol. pat
Soybean A5547-127 ACS-GM006-4 Glufosinate tol. pat
Soybean A5547-35 ACS-GM008-6 Glufosinate tol. pat
Soybean CV127 BPS-CV127-9 Imidazolinone tol. csrl-2
Soybean DAS68416-4 DAS68416-4 Glufosinate tol. pat
Soybean DP305423 DP-305423-1 Modified oil/fatty acid; ALS gm-fad2-l (silencing herbicide tol. locus); gm-hra Soybean DP356043 DP-356043-5 Modified oil/fatty acid; gm-fad2-l (silencing glyphosate tol. locus); gat4601 Soybean FG72 MST-FG072-3 Glyphosate & HPPD tol. 2mepsps; hppdPF
W336
Soybean GTS 40-3-2 (40- MON-04032-6 Glyphosate tol. cp4 epsps (aroA:CP4)
3-2)
Soybean GU262 ACS-GM003-1 Glufosinate tol. pat
Soybean MON87701 MON-87701-2 Insect res. cry 1 Ac
Soybean MON87705 MON-87705-6 Modified oil/fatty acid; fatbl-A (sense & glyphosate tol. antisense) ; fad2- 1 A
(sense & antisense); cp4 epsps (aroA:CP4)
Soybean MON87708 MON-87708-9 Dicamba & glyphosate tol. dmo; cp4 epsps
(aroA:CP4)
Soybean MON87769 MON-87769-7 Modified oil/fatty acid; Pj.D6D; Nc.Fad3; cp4 glyphosate tol. epsps (aroA:CP4)
Crop Event Name Event Code Trait(s) Gene(s)
Soybean MON89788 MON-89788-1 Glyphosate tol. cp4 epsps (aroA:CP4)
Soybean W62 ACS-GM002-9 Glufosinate tol. bar
Soybean W98 ACS-GMOOl-8 Glufosinate tol. bar
Soybean MON87754 MON-87754-1 High oil dgat2A
Soybean DAS21606 DAS-21606 Aryloxyalkanoate & Modified aad-12; pat glufosinate tol.
Soybean DAS44406 DAS-44406-6 Aryloxyalkanoate, glyphosate Modified aad-12;
& glufosinate tol. 2mepsps; pat Soybean SYHT04R SYN-0004R-8 Mesotrione tol. Modified avhppd
Soybean 9582.814.19.1 Insect res. & glufosinate tol. crylAc, crylF, PAT
Squash CZW3 SEM-0CZW3-2 Disease res. cmv cp, zymv cp, wmv cp
Squash ZW20 SEM-0ZW20-7 Disease res. zymv cp, wmv cp
Sugar Beet GTSB77 SY-GTSB77-8 Glyphosate tol. cp4 epsps (aroA:CP4);
(T9100152) goxv247 Sugar Beet H7-1 KM-000H71-4 Glyphosate tol. cp4 epsps (aroA:CP4)
Sugar Beet T120-7 ACS-BVOOl-3 Glufosinate tol. pat
Sugar Beet T227-1 Glyphosate tol. cp4 epsps (aroA:CP4)
Sugarcane NXI-1T Drought tol. EcbetA
Sunflower X81359 Imidazolinone tol. als
Sweet PK-SP01 NA Disease res. cmv cp
Pepper
Tobacco C/F/93/08-02 NA Oxynil tol. bxn
Tobacco Vector 21-41 NA Reduced nicotine NtQPTl (antisense)
Tomato 1345-4 NA Delayed ripening/senescense acc (truncated)
Tomato 35-1-N NA Delayed ripening/senescense sam-k
Tomato 5345 NA Insect res. cry 1 Ac
Tomato 8338 CGN-89322-3 Delayed ripening/senescense accd
Tomato B SYN-0000B-6 Delayed ripening/senescense pg (sense or antisense)
Tomato Da SYN-0000DA-9 Delayed ripening/senescense pg (sense or antisense)
Sunflower X81359 Imidazolinone tol. als
Tomato Da Dong No 9 NA Modified product NA
Tomato F (1401F, h38F, SYN-OOOOF-1 Delayed ripening/senescense pg (sense or antisense)
11013F,7913F)
Tomato FLAVR SAVR™ CGN-89564-2 Delayed ripening/senescense pg (sense or antisense)
Tomato Huafan No 1 NA Delayed ripening/senescense anti-efe
Tomato PK-TM8805R NA Disease res. cmv cp
(8805R)
Wheat MON71800 MON-71800-3 Glyphosate tol. cp4 epsps (aroA:CP4)
Argentine (Brassica
* Polish (B. rapa)
Treatment of genetically modified plants and seeds with compounds of Formula 1, N-oxides and salts thereof, or compositions comprising said compounds as present component (a) together with one or more additional biologically active compounds or agents, such as the fungicidal compounds of Formulae Bl, B2, B3, B4, B5, B6, B7, B8, B9, BIO, Bll, B12, B13, B14, B15 and B16 of present component (b), may result in super- additive or synergistic effects. For example, reduction in application rates, broadening of the activity spectrum, increased tolerance to biotic/abiotic stresses or enhanced storage stability may be greater than expected from just simple additive effects of the application of compounds of Formula 1 or their compositions with one or more additional biologically active compounds or agents on genetically modified plants and seeds.
The compositions of the present invention are useful in treating postharvest diseases of fruits and vegetables caused by fungi and bacteria. These infections can occur before, during and after harvest. For example, infections can occur before harvest and then remain dormant until some point during ripening (e.g., host begins tissue changes in such a way that infection can progress); also infections can arise from surface wounds created by mechanical or insect injury. In this respect, application of compounds, mixtures and compositions according to this invention can reduce losses (i.e. losses resulting from quantity and quality) due to postharvest diseases which may occur at any time from harvest to consumption. Treatment of postharvest diseases with compounds of the invention can increase the period of time during which perishable edible plant parts (e.g., fruits, seeds, foliage, stems, bulbs, tubers) can be stored refrigerated or unrefrigerated after harvest, and remain edible and free from noticeable or harmful degradation or contamination by fungi or other microorganisms. Treatment of edible plant parts before or after harvest with compounds, mixtures or compositions according to this invention can also decrease the formation of toxic metabolites of fungi or other microorganisms, for example, mycotoxins such as aflatoxins.
In the present fungicidal compositions, the Formula 1 compounds of component (a) can work synergically with the additional fungicidal compounds of component (b) to provide such beneficial results as broadening the spectrum of plant diseases controlled, extending duration of preventative and curative protection, and suppressing proliferation of resistant fungal pathogens. In particular embodiments, compositions are provided in accordance with this invention that comprise proportions of component (a) and component (b) that are especially useful for controlling particular fungal diseases (such as Alternaria solani, Blumeria graminis f. sp. tritici, Botrytis cinerea, Puccinia recondita f. sp. tritici, Rhizoctonia solani, Septoria nodorum and Septoria tritici).
Mixtures of fungicides may also provide significantly better disease control than could be predicted based on the activity of the individual components. This synergism has been described as "the cooperative action of two components of a mixture, such that the total effect is greater or more prolonged than the sum of the effects of the two (or more) taken
independently" (see P. M. L. Tames, Neth. J. Plant Pathology 1964, 70, 73-80). In methods providing plant disease control in which synergy is exhibited from a combination of active ingredients (e.g., fungicidal compounds) applied to the plant or seed, the active ingredients are applied in a synergistic weight ratio and synergistic (i.e. synergistically effective) amounts. Measures of disease control, inhibition and prevention cannot exceed 100%. Therefore expression of substantial synergism typically requires use of application rates of active ingredients wherein the active ingredients separately provide much less than 100% effect, so that their additive effect is substantially less than 100% to allow the possibility of an increase in effect as result of synergism. On the other hand, application rates of active ingredients that are too low may show not show much activity in mixtures even with the benefit of synergism. One skilled in the art can easily identify and optimize through simple experimentation the weight ratios and application rates (i.e. amounts) of fungicidal compounds providing synergy.
The compositions of the present invention are also useful in seed treatments for protecting seeds from plant diseases. In the context of the present disclosure and claims, treating a seed means contacting the seed with a biologically effective amount of a composition of this invention, which is typically formulated as a composition of the invention. This seed treatment protects the seed from plant diseases and generally can also protect roots and other plant parts in contact with the soil of the seedling developing from the germinating seed. The seed treatment may also provide protection of foliage by translocation of the compound of this invention or a second active ingredient within the developing plant. Seed treatments can be applied to all types of seeds, including those from which plants genetically transformed to express specialized traits will germinate. Representative examples include those expressing proteins toxic to invertebrate pests, such as Bacillus thuringiensis toxin or those expressing herbicide resistance such as glyphosate acetyltransferase, which provides resistance to glyphosate. Seed treatments with compounds of this invention can also increase vigor of plants growing from the seed.
One method of seed treatment is by spraying or dusting the seed with a composition of the present invention before sowing the seeds. Compositions formulated for seed treatment generally comprise a film former or adhesive agent. Therefore typically a seed coating comprises a biologically effective amount of a composition of the present invention and a film former or adhesive agent. Seed can be coated by spraying a flowable suspension concentrate directly into a tumbling bed of seeds and then drying the seeds. Alternatively, other formulation types such as wetted powders, solutions, suspoemulsions, emulsifiable concentrates and emulsions in water can be sprayed on the seed. This process is particularly useful for applying film coatings on seeds. Various coating machines and processes are available to one skilled in the art. Suitable processes include those listed in P. Kosters et al,
Seed Treatment: Progress and Prospects, 1994 BCPC Mongraph No. 57, and references listed therein.
Other insecticides or nematicides with which compositions of the present invention can be formulated to provide mixtures useful in seed treatment include but are not limited to abamectin, acephate, acetamiprid, acetoprole, acrinathrin, afidopyropen, aldicarb, amidoflumet, amitraz, avermectin, azadirachtin, azinphos-methyl, bensultap, bifenthrin, bifenazate, bistrifluron, buprofezin, cadusafos, carbofuran, carbaryl, carbofuran, cartap, chinomethionat, chlorantraniliprole, chlorfenapyr, chlorfluazuron, chlorpyrifos, chlorpyrifos- methyl, chlorobenzilate, chromafenozide, clothianidin, cyantraniliprole, cyclaniliprole, cyflumetofen, cyfluthrin, beta-cyfluthrin, cyhalothrin, gamma-cyhalothrin, lambda- cyhalothrin, cyhexatin, cypermethrin, alpha-cypermethrin, zeta-cypermethrin, cyromazine, deltamethrin, diafenthiuron, diazinon, dicofol, dieldrin, dienochlor, diflubenzuron, dimefluthrin, dimethoate, dinotefuran, diofenolan, emamectin, endosulfan, esfenvalerate, ethiprole, etofenprox, etoxazole, fenamiphos, fenazaquin, fenbutatin oxide, fenothiocarb, fenoxycarb, fenpropathrin, fenpyroximate, fenvalerate, fipronil, flonicamid, flubendiamide, flucythrinate, flufenerim, flufenoxuron, flufiprole, flupyradifurone, tau-fluvalinate, fonophos, formetanate, halofenozide, heptafluthrin, hexaflumuron, hexythiazox, hydramethylnon, imicyafos, imidacloprid, indoxacarb, isofenphos, lufenuron, malathion, meperfluthrin, metaflumizone, metaldehyde, methamidophos, methidathion, methiocarb, methomyl, methoprene, methoxychlor, methoxyfenozide, metofluthrin, milbemycin oxime, momfluorothrin, monocrotophos, nicotine, nitenpyram, nithiazine, novaluron, noviflumuron, oxamyl, parathion, parathion-methyl, permethrin, phorate, phosalone, phosmet, phosphamidon, pirimicarb, profenofos, profluthrin, propargite, prothiocarb, protrifenbute, pymetrozine, pyrafluprole, pyrethrin, pyridaben, pyridalyl, pyrifluquinazon, pyriprole, pyriproxyfen, rotenone, ryanodine, spinetoram, spinosad, spiridiclofen, spiromesifen, spirotetramat, sulfoxaflor, sulprofos, tebufenozide, tebufenpyrad, teflubenzuron, tefluthrin, terbufos, tetrachlorvinphos, tetramethrin, tetramethylfluthrin, thiacloprid, thiamethoxam, thiodicarb, thiosultap-sodium, tolfenpyrad, tralomethrin, triazamate, trichlorfon and triflumuron; nematocides such as aldicarb, fenamiphos, fluensulfone, fosthiazate, imicyafos and oxamyl; bactericides such as streptomycin; acaricides such as amitraz, chinomethionat, chlorobenzilate, cyenopyrafen, cyhexatin, dicofol, dienochlor, etoxazole, fenazaquin, fenbutatin oxide, fenpropathrin, fenpyroximate, flufenoxystrobin, hexythiazox, propargite, pyflubumide, pyridaben, pyriminostrobin and tebufenpyrad; and biological agents including entomopathogenic bacteria, such as Bacillus thuringiensis subsp. aizawai, Bacillus thuringiensis subsp. kurstaki, and the encapsulated delta-endotoxins of Bacillus thuringiensis (e.g., Cellcap, MPV, MPVII); entomopathogenic fungi, such as green muscardine fungus; and entomopathogenic virus including baculovirus, nucleopolyhedro virus (NPV) such as HzNPV, AfNPV; and granulosis virus (GV) such as CpGV.
Fungicides with which compositions of the present invention can be formulated to provide mixtures useful in seed treatment include but are not limited to amisulbrom, azoxystrobin, boscalid, carbendazim, carboxin, cymoxanil, cyproconazole, difenoconazole, dimethomorph, fluazinam, fludioxonil, fluquinconazole, fluopicolide, fluoxastrobin, flutriafol, fluxapyroxad, ipconazole, iprodione, metalaxyl, mefenoxam, metconazole, myclobutanil, paclobutrazole, penflufen, picoxystrobin, prothioconazole, pyraclostrobin, sedaxane, silthiofam, tebuconazole, thiabendazole, thiophanate-methyl, thiram, trifloxystrobin and triticonazole.
Compositions of the present invention useful for seed treatment can further comprise bacteria and fungi that have the ability to provide protection from the harmful effects of plant pathogenic fungi or bacteria and/or soil born animals such as nematodes. Bacteria exhibiting nematicidal properties may include but are not limited to Bacillus firmus, Bacillus cereus, Bacillius subtiliis and Pasteuria penetrans. A suitable Bacillus firmus strain is strain CNCM 1-1582 (GB-126) which is commercially available as BioNem™. A suitable Bacillus cereus strain is strain NCMM 1-1592. Both Bacillus strains are disclosed in US 6,406,690. Other suitable bacteria exhibiting nematicidal activity are B. amyloliquefaciens IN937a and B. subtilis strain GB03. Bacteria exhibiting fungicidal properties may include but are not limited to B. pumilus strain GB34. Fungal species exhibiting nematicidal properties may include but are not limited to Myrothecium verrucaria, Paecilomyces lilacinus and Purpureocillium lilacinum.
Seed treatments can also include one or more nematicidal agents of natural origin such as the elicitor protein called harpin which is isolated from certain bacterial plant pathogens such as Erwinia amylovora. An example is the Harpin-N-Tek seed treatment technology available as N-Hibit™ Gold CST.
Seed treatments can also include one or more species of legume-root nodulating bacteria such as the microsymbiotic nitrogen- fixing bacteria Bradyrhizobium japonicum. These inocculants can optionally include one or more lipo-chitooligosaccharides (LCOs), which are nodulation (Nod) factors produced by rhizobia bacteria during the initiation of nodule formation on the roots of legumes. For example, the Optimize® brand seed treatment technology incorporates LCO Promoter Technology™ in combination with an inocculant.
Seed treatments can also include one or more isoflavones which can increase the level of root colonization by mycorrhizal fungi. Mycorrhizal fungi improve plant growth by enhancing the root uptake of nutrients such as water, sulfates, nitrates, phosphates and metals. Examples of isoflavones include, but are not limited to, genistein, biochanin A, formononetin, daidzein, glycitein, hesperetin, naringenin and pratensein. Formononetin is available as an active ingredient in mycorrhizal inocculant products such as PHC Colonize® AG.
Seed treatments can also include one or more plant activators that induce systemic acquired resistance in plants following contact by a pathogen. An example of a plant activator which induces such protective mechanisms is acibenzolar-S-methyl.
The following Tests include tests demonstrating the efficacy of compounds of Formula 1 for controlling specific pathogens; this efficacy is thus provided to fungicidal mixtures comprising these compounds. The disease control afforded by the present compounds alone or in mixtures is not limited, however, to the pathogenic fungi species exemplified.
Representative compounds of Formula 1 prepared by the methods described herein are shown in Index Tables A-G. See Index Table H for 1H NMR data. For mass spectral data (AP+ (M+l)), the numerical value reported is the molecular weight of the parent molecular ion (M) formed by addition of H+ (molecular weight of 1) to the molecule to give a M+l peak observed by mass spectrometry using atmospheric pressure chemical ionization (AP+). The alternate molecular ion peaks (e.g., M+2 or M+4) that occur with compounds containing multiple halogens are not reported. The reported M+l peaks were observed by mass spectrometry using atmospheric pressure chemical ionization (AP+) or electrospray ionization (ESI).
The following abbreviations are used in the Index Tables which follow: n is normal, i is iso, c is cyclo, Me is methyl, Et is ethyl, Pr is propyl, OMe is methoxy, OEt is ethoxy, SMe is methylthio, SEt is ethylthio, -CN is cyano and -NO2 is nitro.
AP+ m.p.
Cmpd. R2
(M+l) (°Q
OCH2CH3 OCH3 396
OH OCH3 368
OCH2C≡CH OCH3 406
OCH3 SCH3 398
SCH3 OCH3 398
CH3 OCH3 117-120
F OCH3 112-114
CI OCH3 386
CN OCH3 399*
AP+ m.p.
Cmpd. R1
(M+l) (°Q
22 N02 OCH3 397
24 OCH3 OCH3 **
26 CH2CH3 OCH3 380
27 OCH3 F 370
28 OCH3 CI 386
29 OCH3 CH3 366
32 OCH2CN OCH3 407
33 OH CI 372
34 OCH2C≡CH CI 410
35 OCH2CN CI 41 1
48 N02 Br 445
49 N02 CI 401
52 CN CI 381
60 CI F 374 105-107
61 CI Br 433 127-130
62 Br Br 478 144-147
63 Br CI 434 140-143
64 F F 358 133-135
65 F CI 374 140-142
66 CH3 CH3 374 140-142
84 CI CI 390 125-126
89 CI N02 375
90 CI NH2 371
93 CN CN **
1 1 1 CN Br **
120 CH3 OCH2CH3 380
121 CH3 OCH(CH3)2 394
122 CH3 O(c-Hex) 434
123 CH3 OCF3 420
124 CH3 t-B x 392
125 CH3 OCH2CH2CH3 394
126 CH3 OCH2CH2OCH3 410
133 CH3 CH(CH3)2 378
134 CH3 OCH2CH(CH3)2 408
139 CF3 CF3 **
144 CH3 OCHF2
* sodium adduct of molecular ion
** see Index Table H for NMR data.
Λ 0 AP+ m.p.
Cmpd. R1 R2
(M+l) (°C)
9 F OCH3 370 110-112
10 CH3 OCH3 366 97-99
11 OCH3 CI 386 126-127
12 OCH3 CH3 366 141-143
13 CI OCH3 386 84-86
14 OCH3 F 370 126-127
23 OCH3 OCH3 382 127
30 F F 358 118-120
31 CI CI 390 101-103
36 CH3 CI 370
37 CH3 F 354
38 CH3 CH3 350
39 F CI 374
40 CI F 374
41 CI CH3 370
42 F CH3 354
51 OCH2C≡CH OCH3 132-135
53 OCH2CN OCH3 130-132
55 CI Br 433
56 F Br 417
57 Br F 417
58 OCH3 Br 429
59 Br OCH3 431
69 CH3 CN 361
AP+ m.p.
Cmpd. R^
(M+l) (°Q
71 OH CI 159-162
72 OCH2CN CI 163-166
76 CI OCH2CH3 400
77 OCH2CH3 CI 400
80 Br CI 433
82 c-Pr OCH3 392
83 CH2CH3 OCH3 380
92 CI I 481
100 CH3 CF3 404
101 OCH3 CF3 420
102 CH3 Br 414
103 OH OCH3 139-142
108 OCH2C≡CH CI 126-129
109 Br Br 477
110 CI N02 400
112 CH3 C≡CH 360
113 CH3 CH=CH2 362
127 Br CH3 415
128 CH3 OCH2CH3 380
129 OCH2CH3 F 384
137 F OCH2CH3 384
138 OCH2CH3 CH3 380
140 CH3 (C=0)CH3 378
145 CH3 OCF3 420
146 CH3 OCHF2 402
INDEX TABLE C
Cmpd. R1
(M+l) (°Q
6 OCH3 CI 165-167
7 OCH3 CH3 144-146
8 CH3 OCH3 367
17 OCH3 OCH3 132-135
47 C≡CH OCH3 377
50 F CI 139-143
67 F F 359
68 CI OCH3 387
73 OCH2CN OCH3 408
74 OCH2C≡CH OCH3 407
75 OCH2CH=CH2 OCH3 409
85 N02 OCH3 398
86 CI CI 391
87 CI F 375
88 OCH2CH3 OCH3 397
95 OCH3 I 479
96 I OCH3 479
97 CH3 CH3 351
98 OCH2CN CH3 **
99 OCH3 C≡CH 377
104 CF3 OCH3 112-115
105 CH3 OCH2CN 392
106 CH3 OCH2C≡CH 391
107 CH3 OCH2CH3 381
132 CF3 CF3 459
141 OCH3 Br 431
143 Br OCH3 431
149 CH3 OCF3
150 CH3 OCHF2
AP+ m.p.
Cmpd. R R2
(M+l) (°Q
4 OCH3 OCH3 399
81 OCH3 I
94 I OCH3
AP+ m.p.
Cmpd. R R^
(M+l) (°Q
54 OCH3 OCH3 174-177 70 CH3 OCH3 110-114 78 CI OCH3 145-148 79 F OCH3 164-166 117 F F 156-159 1 18 CH3 CH3 148-151 1 19 CI CI 152-155 147 CH3 OCF3
AP+ m.p.
Cmpd. A R1
(M+l) (°Q
43 A-2 CI CH3 371
44 A-2 CH3 CI 371
45 A-2 OCH3 CI 386
46 A-2 CH3 OCH3 367
91 A-2 OCH3 OCH3 383
114 A-l CH3 CH3 351
115 A-l OCH3 OCH3 383
116 A-l CH3 OCH3 367
130 A-2 CH3 CH3 351
131 A-2 OCH3 CH3 367
136 A-3 OCH3 OCH3 384
142 A-2 CH3 OCH2CH3 382
151 A-3 CH3 OCH3
152 A-4 CH3 OCH3
153 A-4 OCH3 OCH3
Cmpd No. 1 H NMR Data a
24 δ (CDC13) 7.89 (d, 1H), 7.78 (s, 1H), 7.68 (m, 2H), 7.21 (d, 1H), 6.68 (d, 1H), 6.59 (m, 2H),
4.85 (bs, 1H), 4.42 (d, 2H), 3.85 (s, 6H), 3.70 (s, 3H), 2.36 (s, 3H).
81 δ (CDC13) 7.97 (br s, 1H), 7.84 (br s, 1H), 7.82 (d, 1H), 7.78 (br d, 1H), 7.43 (dd, 1H), 7.36-
7.32 (m, 2H), 4.98 (br s, 1H), 4.45 (br d, 2H), 3.94 (s, 3H), 3.71 (br, s, 3H), 2.40 (s, 3H).
93 δ (CDC13) 8.36 (d, 1H, J=5 Hz), 8.11 (d, 1H, J=10 Hz), 8.06 (s, 1H), 7.93 (d, 1H, J=10 Hz),
7.80 (s, 1H), 7.72 (d, 1H, J=10 Hz), 7.26 (d, 1H, J=5 Hz), 6.90 (s, 1H), 4.93 (s, 1H), 4.44 (d, 2H, J=5 Hz), 3.72 (s, 3H), 2.39 (s, 3H).
94 δ (CDC13) 7.93 (s, 1H), 7.87 (br s, 1H), 7.80 (br d, 1H), 7.59 (d, 1H), 7.51 (d, 1H), 7.35 (d,
1H), 7.01 (dd, 1H), 4.99 (br s, 1H), 4.44 (br d, 2H), 3.85 (s, 3H), 3.70 (br s, 3H), 2.41 (s, 3H).
98 δ (CDC13) 8.14 (s, 1H), 8.02 (m, 2H), 7.94 (dd, 1H), 7.29 (d, 1H), 7.04 (d, 1H), 6.90 (s, 1H),
4.96 (br s, 1H), 4.89 (s, 3H), 4.46 (br d, 2H), 3.73 (br s, 3H), 2.44 (s, 3H), 2.39 (s, 3H).
I l l δ (CDC13) 8.17 (d, 1H, J=5 Hz), 7.88 (s, 1H), 7.79 (m, 3H), 7.70 (d, 1H, J=5 Hz), 7.23 (d,
1H, J=10 Hz), 6.82 (s, 1H), 4.95 (s, 1H), 4.42 (d, 2H, J=5 Hz), 2.93 (s, 3H), 3.26 (s, 3H). 139 δ (CDC13) 8.08 (s, 1H), 7.95 (d, 1H), 7.85 (d, 1H), 7.77 (m, 2H), 7.69 (m, 1H), 7.24 (m, 1H),
6.80 (d, 1H), 4.87 (br. s, 1H), 4.43 (d, 2H), 3.70 (s, 3H), 2.37 (s, 3H).
a ^H NMR data are in ppm downfield from tetramethylsilane. CDC13 solution unless indicated otherwise. DMSO-dg is CD3S(0)CD3. Couplings are designated by (s)-singlet, (d)-doublet, (t)-triplet, (m) -multiple t, (dd)-doublet of doublets, (br s)-broad singlet.
The following Tests demonstrate the control efficacy of compounds of Formula 1 on specific pathogens. The pathogen control protection afforded by the compounds is not limited, however, to these species. See Index Tables A-G for compound descriptions.
BIOLOGICAL EXAMPLES OF THE INVENTION
General protocol for preparing test suspensions for Tests A-E: the test compounds were first dissolved in acetone in an amount equal to 11% of the final volume and then suspended at the desired concentration (in ppm) in acetone and purified water (50/50 mix by volume) containing 250 ppm of the surfactant Trem® 014 (polyhydric alcohol esters). The resulting test suspensions were then used in Tests A-E. Spraying a 200 ppm test suspension to the point of run-off on the test plants was the equivalent of a rate of 800 g/ha.
TEST A
The test suspension was sprayed to the point of run-off on wheat seedlings. The following day the seedlings were inoculated with a spore dust of Erysiphe graminis f. sp. tritici, (the causal agent of wheat powdery mildew) and incubated in a growth chamber at 20 °C for 8 days, after which time disease ratings were visually made.
TEST B
The test suspension was sprayed to the point of run-off on wheat seedlings. The following day the seedlings were inoculated with a spore suspension of Puccinia recondita f. sp. tritici (the causal agent of wheat leaf rust) and incubated in a saturated atmosphere at 20 °C for 24 h, and then moved to a growth chamber at 20 °C for 7 days, after which time disease ratings were visually made.
TEST C
The test suspension was sprayed to the point of run-off on wheat seedlings. The following day the seedlings were inoculated with a spore suspension of Septoria tritici (the causal agent of wheat leaf blotch) and incubated in a saturated atmosphere at 24 °C for 48 h, and then moved to a growth chamber at 20 °C for 19 days, after which time disease ratings were visually made.
TEST D
The test suspension was sprayed to the point of run-off on wheat seedlings. The following day the seedlings were inoculated with a spore suspension of Septoria nodorum (the causal agent of wheat glume blotch) and incubated in a saturated atmosphere at 20 °C for 48 h, and then moved to a growth chamber at 20 °C for 7 days, after which time disease ratings were visually made.
TEST E
The test suspension was sprayed to the point of run-off on tomato seedlings. The following day the seedlings were inoculated with a spore suspension of Botrytis cinerea (the causal agent of tomato botrytis) and incubated in saturated atmosphere at 20 °C for 48 h, and then moved to a growth chamber at 27 °C for 3 additional days, after which time disease ratings were visually made.
Results for Tests A-E are given in Table A. In the Table, a rating of 100 indicates
100% disease control and a rating of 0 indicates no disease control (relative to the controls). A dash (-) indicates no test results. All results are for 200 ppm except where followed by an "*", which indicates 40 ppm or which indicates 50 ppm.
TABLE A
Cmpd No. Test A Test B Test C Test D Test E
1 99 100 100 100 56
2 . . . . .
4 99 100 99 100 69
5 . . . . .
6 100 100 100 100 0
7 100 100 100 100 26
Cmpd No. Test A Test B Test C Test D Test E
8 100 100 100 100 90
9 100 100 99 100 87
10 100 100 100 100 97
11 100 100 100 100 56
12 100 100 97 100 95
13 100 100 100 100 99
14 100 100 100 100 97
15 96 100 77 100 64
16 97 100 85 100 97
17 100 100 100 100 33
18 100 100 100 - 44
19 100 100 100 - 37
20 100 100 100 100 0
21 96 100 98 100 66
22 0 100 100 100 85
23 100 100 100 100 66
24 100 100 100 - 55
26 99 100 100 100 31
27 100 100 100 100 54
28 100 100 100 100 57
29 99 100 100 100 63
30 100 100 100 100 0
31 100 100 100 100 16
32 94 100 100 100 66
33 0 94 2 100 0
34 100 100 100 100 91
35 92 100 100 100 41
36 100* 100* 100* 100* 74*
37 95* 100* 100* 100* 77*
38 100* 100* 100* 100* 98*
39 99* 100* 100* 100* 53*
40 100* 100* 100* 100* 80*
41 100* 100* 100* 100* 36*
42 100* 100* 99* 100* 65*
43 98* 100* 87* 100* 62*
44 98* 100* 92* 100* 0*
45 98* 100* 95* 100* 39*
Cmpd No. Test A Test B Test C Test D Test E
46 98* 100* 98* 100* 92*
47 99* 100* - 100* 0*
48 0* 100* 100* 100* 37*
49 26* 100* 95* 100* 8*
50 100* 100* 99* 100* 77*
51 0 100 88 100 0
52 97* 100* 88* 100* 0*
53 100 100 97 100 0
54 99* 100* 49* 100* 49*
55 100* 100* 91 * 100* 38*
56 100* 100* 98* 100* 56*
57 100* 100* 99* 100* 63*
58 100* 100* 96* 100* 26*
59 99* 100* 97* 100* 52*
60 100* 100* 91 * 100* 99*
61 100* 100* 94* 100* 91 *
62 100* 100* 97* 100* 100*
63 100* 100* 96* 100* 99*
64 100* 100* 97* 100* 74*
65 100* 100* 98* 100* 94*
66 100* 100* 96* 100* 99*
67 100* 100* 98* 100* 33*
68 100* 100* 99* 100* 77*
69 100* 100* 66* 100* 0*
70 99* 100* 96* 100* 84*
71 90 99 51 100 8
72 93* 100* 90* 100* 0*
73 99* 100* - 100* 0*
74 98* 100* - 100* 8*
75 90* 100* - 100* 8*
76 100* 100* 99* 100* 0*
77 100* 100* 99* 100* 0*
78 99* 100* 93* 100* 68*
79 100* 100* 95* 100* 76*
80 97* 100* 58* 100* 81 *
81 99 100 98 100 67
82 99* 100* 100* 0*
Cmpd No. Test A Test B Test C Test D Test E
83 99* 100* - 100* 0*
84 - - - - -
85 99* 100* - 100* 0*
86 99* 100* 93* 100* 54*
87 98* 100* 88* 100* 61 *
88 100* 100* - 100* 0*
89 83 100 100 100 94
90 0 98 100 100 97
91 100* 100* 92* 100* 33*
92 99* 100* - 100* 33*
93 0 0 - 64 0
94 98* 100* - 100* 11 *
95 98* 100* - 100* 0*
96 99* 100* - 100* 70*
97 99* 100* - 100* 43*
98 95* 100* - 100* 6*
99 99* 100* - 100* 14*
100 99* 100* 97* 100* -
101 99* 100* 94* 100* -
102 99* 100* 98* 100* -
103 48 100 74 100 0
104 98* 100* 91 * 100* 0*
105 90* 99* 86* 100* -
106 99* 100* 98* 100* -
107 99* 100* 99* 100* -
108 99 100 95 100 8
109 99* 100* 92* 100* 0*
110 72* 100* 93* 100* 0*
111 94 100 93 100 0
112 100* 100* 97* 100* -
113 40* 99* 74* 100* -
114 90* 100* 86* 100* -
115 100* 100* 99* 100* -
116 100** 100** 99** - -
117 100 100 - - -
118 99 100 - - -
119 99 100
Cmpd No. Test A Test B Test C Test D Test E
120 100** 100** 99** - -
121 100** 100** 9g** - -
122 87* 91 * - - -
123 99* 100* - - -
124 99* 100* - - -
125 98* 100* - - -
126 87* 100* - - -
127 100* 100* 93* 100* -
128 99* 100* 98* 100* -
129 98* 100* 68* 100* -
130 96* 99* 86* 100* -
131 99* 100* 97* 100* -
132 100** 99** - 100** -
133 100** 100** - 100** -
134 99** 100** - 100** -
135 99** 100** - 100** -
136 99** 100** - 100** -
137 100* 100* 97* 100* -
138 99* 100* 95* 100* -
139 - - - - -
140 91 * 100* 94* 100* -
141 99* 100* 97* 100* -
142 99* 100* 99* 100* -
143 99* 100* 99* 100*
Claims
1. A fungicidal composition comprising:
(a) at least one compound selected from the compounds of Formula 1, N-oxides, and salts thereof:
1
wherein
n (R3)n
(R3)n
A-4
wherein the bond extending to the left of the A group is attached to the phenyl group having the CH30(C=0)NFiCFi2 and the bond extending to the right of the A group is attached to the phenyl group having R1 and R2 substituents in Formula 1;
Q is CH or N;
R1 is halogen, cyano, hydroxy, nitro, amino, C^-Cg alkyl, C3-C6 cycloalkyl, C4-C10 cycloalkylalkyl, C2-Cg alkenyl, C2-Cg alkynyl, C^-Cg haloalkyl, C^-Cg alkoxy, C^-Cg haloalkoxy, C3-C6 cycloalkoxy, C3-C6 halocycloalkoxy, C4-C7 cycloalkylalkoxy, C2-C6 alkenyloxy, C2-C6 haloalkenyloxy, C2-C6 alkynyloxy, C3-C6 haloalkynyloxy, C2~Cg alkoxyalkoxy, C2~Cg alkoxyalkyl, C^-C^ cyanoalkyl, C^-C^ cyanoalkoxy, C^-C^ alkylthio, C^-C^ haloalkylthio, C^-C^ alkylsulfinyl, C^-Cg haloalkylsulfinyl, C^-Cg alkylsulfonyl or C^-Cg haloalkylsulfonyl;
R2 is halogen, cyano, hydroxy, nitro, amino, C^-Cg alkyl, C3-C6 cycloalkyl, C4-C10 cycloalkylalkyl, C2~Cg alkenyl, C2~Cg alkynyl, C^-Cg haloalkyl, C^-Cg alkoxy, C^-Cg haloalkoxy, C3~Cg cycloalkoxy, C3~Cg halocycloalkoxy, C4-C7 cycloalkylalkoxy, C2~Cg alkenyloxy, C2~Cg haloalkenyloxy, C2~Cg alkynyloxy, C3~Cg haloalkynyloxy, C2~Cg alkoxyalkoxy, C2~Cg alkoxyalkyl, C^-Cg cyanoalkyl, C^-Cg cyanoalkoxy, C^-Cg alkylthio, C^-Cg haloalkylthio, C^-Cg alkylsulfinyl, C^-Cg haloalkylsulfinyl, C^-Cg alkylsulfonyl or C^-Cg haloalkylsulfonyl;
each R3 is independently halogen, cyano, C1-C3 alkyl, C1-C3 haloalkyl, C1-C3
alkoxy or C1-C3 haloalkoxy; and
n is 0, 1 or 2; and
(b) at least one fungicidal compound selected from
(bl)
Bl
wherein R^1 is H or halogen; R2^1 is H, halogen or CH3; R3^1 is halogen; R4^1 is halogen or CH3; and R5bl is halogen, cyano, CH3 or C1-C2 alkoxy;
(b2)
B2
wherein Rlb2 is H or CH3; R¾2 is -C4 alkyl; R¾2 is H, halogen or CF3; each R4b2 is independently F or CI; R5b2 is H, -SH, -SCN, -C4 alkylthio or C2-C4 alkenylthio; and p is 1 or 2;
wherein each Rlb4 is independently halogen, C1-C5 alkyl, C1-C5 haloalkyl, C3 cycloalkyl or C1-C5 alkoxy; and q is 1 , 2 or 3;
wherein Rlb5 is H, F or CI; and Ylb5 and Y2b5 are independently O or S;
(b6)
B6
BIO
wherein Rlbl° is H or -OH; R2b10 is CI or -OH; and R3bl° is H; or R2b10 and R3bl° are taken together as a single bond;
l)
B14
(bl5)
B15
wherein Rlb15 is F or CH3 and R2b15 is F or CH3;
(bl6)
wherein Rlb16 is C(CH3)3 or CH2CH2C≡CH;
and salts thereof.
2. The composition of Claim 1 wherein component (a) comprises a compound selected from the group consisting of
methyl N-[ [5 -[ 1 -(4-methoxy-2-methylphenyl)- lH-pyrazol-3 -yl] -2-methylphenyl] - methyl] carbamate,
methyl N-[ [5 -[3 -(4-methoxy-2-methylphenyl)- lH-pyrazol- 1 -yl] -2-methylphenyl] - methyl] carbamate,
methyl N-[[5-[ 1 -(2-chloro-4-methoxyphenyl)- lH-pyrazol-3-yl]-2-methylphenyl]- methyl] carbamate,
methyl N-[[5-[3-(4-chloro-2-methoxyphenyl)- lH-pyrazol- 1 -yl] -2-methylphenyl] - methyl] carbamate,
methyl N-[[5-[4-(2,4-dimethoxyphenyl)-2H- 1 ,2,3-triazol-2-yl]-2-methylphenyl]- methyl] carbamate,
methyl N-[[5-[3-(2,4-dimethoxyphenyl)- lH-pyrazol- 1 -yl]-2-methylphenyl]- methyl] carbamate,
methyl N-[[5-[ 1 -(4-chloro-2-methoxyphenyl)- lH-pyrazol-3-yl]-2-methylphenyl]- methyl] carbamate,
methyl N-[[5-[4-(4-methoxy-2-methylphenyl)-2H- 1 ,2,3-triazol-2-yl]-2- methylphenyl]methyl]carbamate,
methyl N-[[5-[3-(2,4-dichlorophenyl)- lH-pyrazol- 1 -yl] -2-methylphenyl] - methyl] carbamate,
methyl N- [ [5 - [ 1 -(2,4-dimethylphenyl)- 1 H-pyrazol-3 -yl] -2-methylphenyl]- methyl] carbamate,
methyl N- [ [5 - [3 -(2,4-dimethylphenyl)- 1 H-pyrazol- 1 -yl] -2-methylphenyl]- methyl] carbamate,
methyl N-[[5-[4-(2,4-dimethylphenyl)-2H- 1 ,2,3-triazol-2-yl]-2-methylphenyl]- methyl] carbamate,
methyl N- [[5 - [3 -(2,6-dimethoxy-3 -pyridinyl)- 1 H-pyrazol- 1 -yl] -2-methylphenyl] - methyl] carbamate,
methyl N- [[5 - [3 -(6-methoxy-2-methyl-3 -pyridinyl)- 1 H-pyrazol- 1 -yl] -2- methylphenyl]methyl]carbamate,
methyl N- [[5 - [ 1 -(2,6-dimethoxy-3 -pyridinyl)- 1 H-pyrazol-3 -yl] -2-methylphenyl] - methyl] carbamate,
methyl N-[[5-[l-(6-methoxy-2-methyl-3-pyridinyl)-lH-pyrazol-3-yl]-2- methylphenyl] -methyl] carbamate,
methyl N-[[5-[4-(2,6-dimethoxy-3-pyridinyl)-2H-l,2,3-triazol-2-yl]-2- methylphenyl]methyl]carbamate,
methyl N-[[5-[4-(6-methoxy-2-methyl-3-pyridinyl)-2H- 1 ,2,3-triazol-2-yl]-2- methylphenyl]methyl]carbamate,
methyl N-[[5-[l-(2,4-dimethylphenyl)-lH-l,2,4-triazol-3-yl]-2- methylphenyl]methyl]carbamate,
methyl N-[[5-[l-(6-methoxy-2-methyl-3-pyridinyl)-lH-l,2,4-triazol-3-yl]-2- methylphenyl]methyl]carbamate,
methyl N-[[5-[l-(2,6-dimethoxy-3-pyridinyl)-lH-l,2,4-triazol-3-yl]-2- methylphenyl]methyl]carbamate,
methyl N-[ [2-methyl-5 - [ 1 - [2-methyl-4-(trifluoromethoxy)phenyl] - 1 H-pyrazol-3 - yl]phenyl]methyl]carbamate,
methyl N- [ [5 - [ 1 -[4-(difluoromethoxy)-2-methylphenyl] - 1 H-pyrazol-3 -yl]-2- methylphenyl]methyl]carbamate,
methyl N-[ [2-methyl-5 - [3 - [2-methyl-4-(trifluoromethoxy)phenyl] - 1 H-pyrazol- 1 - yl]phenyl]methyl]carbamate,
methyl N- [ [5 - [3 -[4-(difluoromethoxy)-2-methylphenyl] - 1 H-pyrazol- 1 -yl]-2- methylphenyl]methyl]carbamate,
methyl N-[[2-methyl-5-[ 1 -[2-methyl-4-(trifluoromethoxy)phenyl]- 1H- 1 ,2,4- triazol-3 -yl]phenyl]methyl] carbamate,
methyl N-[[5-[ 1 -[4-(difluoromethoxy)-2-methylphenyl]- 1H- 1 ,2,4-triazol-3-yl]-2- methylphenyl]methyl]carbamate,
methyl N-[[2-methyl-5-[4-[2-methyl-4-(trifluoromethoxy)phenyl]-2H- 1 ,2,3- triazol-2-yl]phenyl]methyl] carbamate and
methyl N-[[5-[4-[4-(difluoromethoxy)-2-methylphenyl]-2H- 1 ,2,3-triazol-2-yl]-2- methylphenyl]methyl]carbamate.
3. The composition of any one of Claims 1 through 2 further comprising (c) at least one additional compound or agent that is biologically active.
4. The composition of Claim 3 wherein component (c) comprises at least one fungicidal compound selected from the group consisting of:
(cl) methyl benzimidazole carbamate fungicides;
(c2) dicarboximide fungicides;
(c3) demethylation inhibitor fungicides;
(c4) phenylamide fungicides;
(c5) amine/morpholine fungicides;
(c6) phospholipid biosynthesis inhibitor fungicides;
(c7) carboxamide fungicides;
(c8) hydroxy(2-amino-)pyrimidine fungicides;
(c9) anilinopyrimidine fungicides;
(clO) N-phenyl carbamate fungicides;
(cl 1) quinone outside inhibitor fungicides;
(cl2) phenylpyrrole fungicides;
(cl3) quinoline fungicides;
(cl4) lipid peroxidation inhibitor fungicides;
(cl5) melanin biosynthesis inhibitor-reductase fungicides;
(c16) melanin biosynthesis inhibitor-dehydratase fungicides;
(cl7) sterol biosynthesis inhibitor: class III fungicides;
(cl8) squalene-epoxidase inhibitor fungicides;
(cl9) polyoxin fungicides;
(c20) phenylurea fungicides;
(c21) quinone inside inhibitor fungicides;
(c22) benzamide and thiazolecarboxamide fungicides;
(c23) enopyranuronic acid antibiotic fungicides;
(c24) hexopyranosyl antibiotic fungicides;
(c25) glucopyranosyl antibiotic: protein synthesis fungicides;
(c26) glucopyranosyl antibiotic: trehalase and inositol biosynthesis fungicides;
(c27) cyanoacetamideoxime fungicides;
(c28) carbamate fungicides;
(c29) oxidative phosphorylation uncoupling fungicides;
(c30) organo tin fungicides;
(c31) carboxylic acid fungicides;
(c32) heteroaromatic fungicides;
(c33) phosphonate fungicides;
(c34) phthalamic acid fungicides;
(c35) benzotriazine fungicides;
(c36) benzene-sulfonamide fungicides;
(c37) pyridazinone fungicides;
(c38) thiophene-carboxamide fungicides;
(c39) pyrimidinamide fungicides;
(c40) carboxylic acid amide fungicides;
(c41) tetracycline antibiotic fungicides;
(c42) thiocarbamate fungicides;
(c43) benzamide fungicides;
(c44) host plant defense induction fungicides;
(c45) multi-site contact activity fungicides;
(c46) fungicides other than fungicides of component (a) and components (cl)
through (c45); and
salts of compounds of (cl) through (c46).
5. The composition of Claim 3 wherein component (c) includes at least one compound selected from acibenzolar-S-methyl, aldimorph, ametoctradin, amisulbrom, anilazine, azaconazole, azoxystrobin, benalaxyl, benalaxyl-M, benodanil, benomyl, benthiavalicarb, benthiavalicarb-isopropyl, benzovindiflupyr, bethoxazin, binapacryl, biphenyl, bitertanol, bixafen, blasticidin-S, boscalid, bromuconazole, bupirimate, buthiobate, captafol, captan, carbendazim, carboxin, carpropamid, chloroneb, chlorothalonil,
chlozolinate, clotrimazole, copper salts, coumoxystrobin, cyazofamid, cyflufenamid, cymoxanil, cyproconazole, cyprodinil, dichlofluanid, diclocymet, diclomezine, dicloran, diethofencarb, difenoconazole, diflumetorim, dimethirimol, dimethomorph, dimoxystrobin, diniconazole, diniconazole-M, dinocap, dithianon, dodemorph, dodine, econazole, edifenphos, enoxastrobin, epoxiconazole, etaconazole, ethaboxam, ethirimol, etridiazole, famoxadone, fenamidone, fenaminstrobin, fenarimol, fenbuconazole, fenfuram, fenhexamid, fenoxanil, fenpiclonil, fenpropidin, fenpropimorph, fenpyrazamine, fentin acetate, fentin chloride, fentin hydroxide, ferbam, ferimzone, fluazinam, fludioxonil, flufenoxystrobin,
flumetover, flumorph, fluopicolide, fluopyram, fluoroimide, fluoxastrobin, fluquinconazole, flusilazole, flusulfamide, flutianil, flutolanil, flutriafol, fluxapyroxad, folpet, fuberidazole, furalaxyl, furametpyr, guazatine, hexaconazole, hymexazol, imazalil, imibenconazole, iminoctadine, iodocarb, ipconazole, iprobenfos, iprodione, iprovalicarb, isoconazole, isofetamid, isoprothiolane, isopyrazam, isotianil, kasugamycin, kresoxim-methyl, mancozeb, mandestrobin, mandipropamid, maneb, mepanipyrim, mepronil, meptyldinocap, metalaxyl, metalaxyl-M, metconazole, methasulfocarb, metiram, metominostrobin, metrafenone, miconazole, myclobutanil, naftifine, neo-asozin, nuarimol, octhilinone, ofurace,
orysastrobin, oxadixyl, oxathiapiprolin, oxolinic acid, oxpoconazole, oxycarboxin, oxytetracycline, pefurazoate, penconazole, pencycuron, penflufen, penthiopyrad,
phosphorous acid and salts thereof, phthalide, picoxystrobin, piperalin, polyoxin,
probenazole, prochloraz, procymidone, propamocarb, propamocarb-hydrochloride, propiconazole, propineb, proquinazid, prothiocarb, prothioconazole, pyraclostrobin, pyrametostrobin, pyraoxystrobin, pyrazophos, pyribencarb, pyributicarb, pyrifenox, pyrimethanil, pyriofenone, pyrisoxazole, pyroquilon, pyrrolnitrin, quinconazole,
quinomethionate, quinoxyfen, quintozene, sedaxane, silthiofam, simeconazole, spiroxamine, streptomycin, sulfur, tebuconazole, tebufloquin, tecloftalam, tecnazene, terbinafme, tetraconazole, thiabendazole, thifluzamide, thiophanate, thiophanate-methyl, thiram, tiadinil, tolclofos-methyl, tolnifanide, tolprocarb, tolylfluanid, triadimefon, triadimenol, triarimol, triazoxide, triclopyricarb, tricyclazole, tridemorph, trifloxystrobin, triflumizole, triforine, trimorphamide, triticonazole, uniconazole, validamycin, valifenalate, vinclozolin, zineb, ziram, zoxamide, N'-[4-[4-chloro-3-(trifiuoromethyl)phenoxy]-2,5-dimethylphenyl]-N-ethyl- N-methylmethanimidamide, N-[2-[4-[[3-(4-chlorophenyl)-2-propyn- 1 -yl]oxy]-3-methoxy- phenyl] ethyl]-3 -methyl-2- [(methylsulfonyl)amino]butanamide, N-[2- [4-[ [3 -(4-chloro- phenyl)-2-propyn- 1 -yl]oxy] -3 -methoxyphenyl] ethyl] -3 -methyl-2- [(ethylsulfonyl)amino]- butanamide, 2-butoxy-6-iodo-3-propyl-4H- 1 -benzopyran-4-one, 3-[5-(4-chlorophenyl)- 2,3-dimethyl-3-isoxazolidinyl]pyridine, 4-fluorophenyl N-[ 1 -[[[ 1 -(4-cyanophenyl)ethyl]- sulfonyl]methyl]propyl]carbamate, N-[[(cyclopropylmethoxy)amino][6-(difluoromethoxy)- 2,3 -difluorophenyl]methylene]benzeneacetamide, a-(methoxyimino)-N-methyl-2-[ [ [ 1 - [3 - (trifluoromethyl)phenyl]ethoxy]imino]methyl]benzeneacetamide, pentyl N-[4-[[[[(l-methyl- lH-tetrazol-5 -yl)phenylmethylene] amino]oxy]methyl] -2-thiazolyl] carbamate, pentyl N- [6- [[ [ [( 1 -methyl- lH-tetrazol-5 -yl)phenylmethylene] amino]oxy]methyl] -2-pyridinyl] carbamate, 2-[(3 -bromo-6-quinolinyl)oxy] -N-( 1 , 1 -dimethyl-2-butyn- 1 -yl)-2-(methylthio)acetamide, 2-[(3-ethynyl-6-quinolinyl)oxy]-N-[ 1 -(hydroxymethyl)-l -methyl-2 -propyn- 1 -yl]-2-(methyl- thio)acetamide, N-( 1 , 1 -dimethyl-2-butyn- 1 -yl)-2- [(3 -ethynyl-6-quinolinyl)oxy] -2-
(methylthio)acetamide, N'-[4-[[3-[(4-chlorophenyl)methyl]- 1 ,2,4-thiadiazol-5-yl]oxy]-2,5- dimethylphenyl] -N-ethyl-N-methylmethanimidamide, 1 - [4-[4- [5 - [(2,6- difluorophenoxy)methy 1] -4,5 -dihydro-3 -isoxazolyl]-2-thiazolyl]- 1 -piperdinyl-2- [5 -methyl-3 -
(trifluoromethyl)- IH-pyrazol- 1 -yl] ethanone, (2-chloro-6-fluorophenyl)methyl 2-[ 1 - [2- [3 ,5 - bis(difluoromethyl)- IH-pyrazol- 1 -yl]acetyl]-4-piperidinyl]-4-thiazolecarboxylate, (IR)- 1 ,2,3 ,4-tetrahydro- 1 -naphthalenyl 2-[ l-[2-[3 ,5-bis(difluoromethyl)- IH-pyrazol- 1 -yl]acetyl]- 4-piperidinyl]-4-thiazolecarboxylate, [[4-methoxy-2-[[[(35*,7i?,8i?,95)-9-methyl-8-(2-methyl- l-oxopropoxy)-2,6-dioxo-7-(phenylmethyl)-l,5-dioxonan-3-yl]amino]carbonyl]-3- pyridinyl]oxy]methyl 2-methylpropanoate, (3S,6S,7R,8R)-3-[[[3-(acetyloxy)-4-methoxy-2- pyridinyl]carbonyl]amino]-6-methyl-4,9-dioxo-8-(phenylmethyl)- 1 ,5-dioxonan-7-yl 2- methylpropanoate, (3S,6S,7R, 8i?)-3 - [ [[3 - [(acetyloxy)methoxy] -4-methoxy- 2-pyridinyl]carbonyl]amino]-6-methyl-4,9-dioxo-8-(phenylmethyl)-l,5-dioxonan-7-yl 2-methylpropanoate, (35',65',7i?,8i?)-3-[[[4-methoxy-3-[[(2-methylpropoxy)carbonyl]oxy]-2- pyridinyl]carbonyl]amino]-6-methyl-4,9-dioxo-8-(phenylmethyl)-l,5-dioxonan-7-yl
2- methylpropanoate, N-[[3-(l,3-benzodioxol-5-ylmethoxy)-4-methoxy-2- pyridinyl]carbonyl]-0-[2,5-dideoxy-3-0-(2-methyl-l-oxopropyl)-2-(phenylmethyl)-L- arabinonoyl]-L-serine (l→4')-lactone, 5-fluoro-2-[(4-methylphenyl)methoxy]-4- pyrimidinamine, 5-fluoro-2-[(4-fluorophenyl)methoxy]-4-pyrimidinamine, 5,8-difluoro-N- [2-[3-methoxy-4-[[4-(trifluoromethyl)-2-pyridinyl]oxy]phenyl]ethyl]-4-quinazolinamine, pentyl [6-[[[(2)-[(l -methyl- lH-tetrazol-5-yl)phenylmethylene]amino]oxy]methyl]-2- pyridinyl] carbamate, 1 , 1 -dimethylethyl N-[6-[[[(2)-[(l -methyl- lH-tetrazol-5-yl)phenyl- methy lene] amino]oxy]methyl] -2-pyridinyl] carbamate, 3 -butyn- 1 -yl N- [6- [[ [(2T)-[( 1 -methyl- lH-tetrazol-5-yl)phenylmethylene]amino]oxy]methyl]-2-pyridinyl]carbamate, N-(3',4'- difluoro[ 1 , 1 '-biphenyl]-2-yl)-3-(trifluoromethyl)-2-pyrazinecarboxamide, N-[2-(2,4- dichlorophenyl)-2-methoxy- 1 -methylethyl]-3-(difluoromethyl)- 1 -methyl- lH-pyrazole-4- carboxamide, 3-(difluoromethyl)-N-[4-fluoro-2-(l,l,2,3,3,3-hexafluoropropoxy)phenyl]-l- methyl-lH-pyrazole-4-carboxamide, 3-(difluoromethyl)- 1 -methyl-N-[2-(l , 1 ,2,2- tetrafluoroethoxy)-phenyl]- lH-pyrazole-4-carboxamide, (a ?)-2-[(2,5- dimethylphenoxy)methyl]-a-methoxy-N-methylbenzeneacetamide, 2,6-dimethyl-lH,5H- [l,4]dithiino[2,3-c:5,6-c']dipyrrole-l,3,5,7(2H,(5H)-tetrone, 2-[(3-bromo-6-quinolinyl)oxy]- N-(l , 1 -dimethylethyl)butanamide, 2-[(3-bromo-8-methyl-6-quinolinyl)oxy]-N-[(l , 1 - dimethyl-2-propyn-l-yl)-2-(methylthio)acetamide, 2-[2-(l-chlorocyclopropyl)-4-(2,2- dichlorocyclopropyl)-2-hydroxybutyl]-l ,2-dihydro-3H-l ,2,4-triazole-3-thione, 3-
(difluoromethyl)-N-(2,3-dihydro- 1 , 1 ,3-trimethyl-lH-inden-4-yl)- 1 -methyl- lH-pyrazole-4- carboxamide, N-[2-(lS,2R)-[ 1 , 1 '-bicyclopropyl]-2-ylphenyl]-3-(difluoromethyl)- 1 -methyl- lH-pyrazole-4-carboxamide, N-cyclopropyl-3 -(difluoromethyl)-5 -fluoro- 1 -methyl-N- [ [2-( 1 - methylethyl)phenyl]methyl]-lH-pyrazole-4-carboxamide, a-(l-chlorocyclopropyl)-a-[2- (2,2-dichlorocyclopropyl)ethyl]-lH-l,2,4-triazole-l-ethanol, re/-l-[[(2i?,35)-3-(2- chlorophenyl)-2-(2,4-difluorophenyl)-2-oxiranyl]methyl]- 1H- 1 ,2,4-triazole, re/-2-[[(2i?,35)-
3- (2-chlorophenyl)-2-(2,4-difluorophenyl)-2-oxiranyl]methyl]- 1 ,2-dihydro-3H- 1 ,2,4- triazole-3-thione, re/-l-[[(2i?,35)-3-(2-chlorophenyl)-2-(2,4-difluorophenyl)-2-
oxiranyl]methyl]-5-(2-propen- 1 -ylthio)- lH-1 ,2,4-triazole, rel- 1 -[[(2i?,35)-3-(2- chlorophenyl)-2-(2,4-difluorophenyl)-2-oxiranyl]methyl]- 1H- 1 ,2,4-triazol-5-yl thiocyanate, a-[3-(4-chloro-2-fluorophenyl)-5-(2,4-difluoroph
(a5)-[3-(4-chloro-2-fluorophenyl)-5-(2,4-difluorophenyl)-4-isoxazolyl]-3-pyridinemeth (a ?)-[3-(4-chloro-2-fluorophenyl)-5-(2,4-difluorophenyl)-4-isoxazolyl]-3-pyridineme 3-[2-[3-(4-chloro-2-fluorophenyl)-5-(2,4-difluoroph^
and 2-ethyl-3,7-dimethyl-6-[4-(trifiuoromethoxy)phenoxy]-4-quinolinyl methyl carbonate.
6. The composition of Claim 5 wherein component (c) includes at least one compound selected from anilazine, azaconazole, benodanil, benzovindiflupyr, bitertanol, bixafen, boscalid, bromuconazole, buthiobate, captafol, captan, carboxin, chlorothalonil, clotrimazole, copper salts, copper hydroxide, copper oxychloride, cyproconazole, dichlofluanid, difenoconazole, diniconazole, dithianon, econazole, epoxiconazole, etaconazole, fenarimol, fenbuconazole, fenfuram, ferbam, fluopyram, fluoroimide, fluquinconazole, flusilazole, flutolanil, flutriafol, fluxapyroxad, folpet, furametpyr, guazatine, hexaconazole, imazalil, imibenconazole, iminoctadine, ipconazole, isoconazole, isofetamid, isopyrazam, mancozeb, maneb, mepronil, metiram, miconazole, myclobutanil, nuarimol, oxathiapiprolin, oxpoconazole, oxycarboxin, pefurazoate, penconazole, penflufen, penthiopyrad, prochloraz, propiconazole, propineb, prothioconazole, pyrifenox,
pyrisoxazole, quinconazole, quinomethionate, sedaxane, simeconazole, sulfur, tebuconazole, tetraconazole, thifluzamide, thiram, tolylfluanid, triadimefon, triadimenol, triarimol, triflumizole, triforine, triticonazole, uniconazole, zineb, ziram, N-[2-(2,4-dichlorophenyl)-2- methoxy-1 -methylethyl] -3 -(difluoromethyl)- 1 -methyl- lH-pyrazole-4-carboxamide, 2-[2-(l - chlorocyclopropyl)-4-(2,2-dichlorocyclopropyl)-2-hydroxybutyl]-l,2-dihydro-3H-l,2,4- triazole-3-thione, 3-(difluoromethyl)-N-(2,3-dihydro- 1 , 1 ,3-trimethyl- lH-inden-4-yl)-l - methyl-lH-pyrazole-4-carboxamide, N-[2-(15,,2i?)-[l,l'-bicyclopropyl]-2-ylphenyl]-3-
(difluoromethyl)- 1 -methyl- lH-pyrazole-4-carboxamide, N-cyclopropyl-3-(difluoromethyl)- 5-fluoro-l-methyl-N-[[2-(l-methylethyl)phenyl]methyl]-lH-pyrazole-4-carboxamide and (a5)-[3-(4-chloro-2-fluorophenyl)-5-(2,4-difluorophenyl)-4-isoxazolyl]-3-pyridinemethanol.
7. A composition comprising the composition of any one of Claims 1 through 6 and at least one additional component selected from the group consisting of surfactants, solid diluents and liquid diluents.
8. A method for protecting a plant or plant seed from diseases caused by fungal pathogens comprising applying a fungicidally effective amount of the composition of any one of Claims 1 through 7 to the plant or plant seed.
9. A compound selected from the group consisting of
5 - [ 1 -(6-Methoxy-2-methyl-3 -pyridinyl)- lH-pyrazol-3 -yl] -2-methylbenzonitrile;
5-[3-(6-methoxy-2-methyl-3-pyridinyl)- IH-pyrazol- 1 -yl]-2-methylbenzonitrile; and
5- [3-(4-methoxy-2-methylphenyl)-lH-pyrazol-l-yl]-2-methyl-benzonitrile.
10. A compound selected from the group consisting of
6- methoxy-2-methyl-3-(lH-pyrazol-3-yl)pyridine; and
3-(4-methoxy-2-methylphenyl)-lH-pyrazole.
Applications Claiming Priority (2)
| Application Number | Priority Date | Filing Date | Title |
|---|---|---|---|
| US201461977669P | 2014-04-10 | 2014-04-10 | |
| US61/977,669 | 2014-04-10 |
Publications (1)
| Publication Number | Publication Date |
|---|---|
| WO2015157005A1 true WO2015157005A1 (en) | 2015-10-15 |
Family
ID=52823854
Family Applications (1)
| Application Number | Title | Priority Date | Filing Date |
|---|---|---|---|
| PCT/US2015/022618 Ceased WO2015157005A1 (en) | 2014-04-10 | 2015-03-26 | Substituted tolyl fungicide mixtures |
Country Status (1)
| Country | Link |
|---|---|
| WO (1) | WO2015157005A1 (en) |
Cited By (13)
| Publication number | Priority date | Publication date | Assignee | Title |
|---|---|---|---|---|
| CN105859645A (en) * | 2016-05-06 | 2016-08-17 | 怀化学院 | Halogen-substituted triazole compound with benzene rings, method for preparing halogen-substituted triazole compound and application thereof |
| WO2017105999A1 (en) * | 2015-12-18 | 2017-06-22 | E I Du Pont De Nemours And Company | N-[[5-[[[1-(phenyl)ethylidene]amino]oxy]phenyl]-methyl]carbamate derivatives and related compounds as fungicides for controlling plant diseases |
| WO2018050421A1 (en) * | 2016-09-13 | 2018-03-22 | Basf Se | Fungicidal mixtures i comprising quinoline fungicides |
| CN108191709A (en) * | 2016-12-08 | 2018-06-22 | 沈阳中化农药化工研发有限公司 | A kind of method for preparing unsaturated oximido ethers compound |
| WO2020097012A1 (en) | 2018-11-06 | 2020-05-14 | Fmc Corporation | Substituted tolyl as fungicides |
| EP3701796A1 (en) * | 2019-08-08 | 2020-09-02 | Bayer AG | Active compound combinations |
| EP3525585B1 (en) | 2016-10-12 | 2021-02-24 | Basf Se | Method to control septoria tritici that is resistant to succinate dehydrogenase inhibitor fungicides |
| WO2021226234A1 (en) | 2020-05-06 | 2021-11-11 | Fmc Corporation | Substituted tolyl fungicides and their mixtures |
| CN114304166A (en) * | 2022-02-27 | 2022-04-12 | 安徽省农业科学院植物保护与农产品质量安全研究所 | A kind of bactericidal composition for preventing and controlling cucurbit blight |
| US11324221B2 (en) | 2016-02-01 | 2022-05-10 | Sumitomo Chemical Company, Limited | Pest control composition and pest control method |
| CN117164516A (en) * | 2023-08-25 | 2023-12-05 | 广东省科学院动物研究所 | Antifungal applications of new pyrazole compounds |
| US20240324596A1 (en) * | 2023-03-28 | 2024-10-03 | Fmc Corporation | Substituted tolyl fungicides |
| CN119685341A (en) * | 2024-12-23 | 2025-03-25 | 中国林业科学研究院亚热带林业研究所 | Cedrela sinensis BLH3 gene and application thereof in efficient genetic transformation and regeneration of Cedrela sinensis |
Citations (66)
| Publication number | Priority date | Publication date | Assignee | Title |
|---|---|---|---|---|
| US2891855A (en) | 1954-08-16 | 1959-06-23 | Geigy Ag J R | Compositions and methods for influencing the growth of plants |
| US3060084A (en) | 1961-06-09 | 1962-10-23 | Du Pont | Improved homogeneous, readily dispersed, pesticidal concentrate |
| US3235361A (en) | 1962-10-29 | 1966-02-15 | Du Pont | Method for the control of undesirable vegetation |
| US3299566A (en) | 1964-06-01 | 1967-01-24 | Olin Mathieson | Water soluble film containing agricultural chemicals |
| US3309192A (en) | 1964-12-02 | 1967-03-14 | Du Pont | Method of controlling seedling weed grasses |
| US3920442A (en) | 1972-09-18 | 1975-11-18 | Du Pont | Water-dispersible pesticide aggregates |
| US4144050A (en) | 1969-02-05 | 1979-03-13 | Hoechst Aktiengesellschaft | Micro granules for pesticides and process for their manufacture |
| US4172714A (en) | 1976-12-20 | 1979-10-30 | E. I. Du Pont De Nemours And Company | Dry compactible, swellable herbicidal compositions and pellets produced therefrom |
| GB2095558A (en) | 1981-03-30 | 1982-10-06 | Avon Packers Ltd | Formulation of agricultural chemicals |
| DE3246493A1 (en) | 1982-12-16 | 1984-06-20 | Bayer Ag, 5090 Leverkusen | METHOD FOR PRODUCING WATER-DISPERSIBLE GRANULES |
| US4940720A (en) | 1989-08-02 | 1990-07-10 | Ciba-Geigy Corporation | Microbicidal compositions |
| WO1991013546A1 (en) | 1990-03-12 | 1991-09-19 | E.I. Du Pont De Nemours And Company | Water-dispersible or water-soluble pesticide granules from heat-activated binders |
| US5180587A (en) | 1988-06-28 | 1993-01-19 | E. I. Du Pont De Nemours And Company | Tablet formulations of pesticides |
| EP0538156A1 (en) | 1991-10-09 | 1993-04-21 | Rhone-Poulenc Agrochimie | Fungicidal phenylpyrazoles |
| US5208030A (en) | 1989-08-30 | 1993-05-04 | Imperial Chemical Industries Plc | Active ingredient dosage device |
| US5232701A (en) | 1990-10-11 | 1993-08-03 | Sumitomo Chemical Company, Limited | Boron carbonate and solid acid pesticidal composition |
| WO1994024861A1 (en) | 1993-04-28 | 1994-11-10 | Rhone Poulenc Agrochimie | Concentrated compositions of active substances used in agriculture |
| WO1999040081A1 (en) | 1998-02-06 | 1999-08-12 | Meiji Seika Kaisha, Ltd. | Novel antifungal compounds and process for producing the same |
| US6022552A (en) | 1995-06-23 | 2000-02-08 | E. I. Du Pont De Nemours And Company | Uniform mixtures of pesticidal granules |
| WO2001014339A2 (en) | 1999-08-20 | 2001-03-01 | Dow Agrosciences Llc | Fungicidal heterocyclic aromatic amides and their compositions, methods of use and preparation |
| US6313071B1 (en) | 1998-06-04 | 2001-11-06 | Kumiai Chemical Industry Co., Ltd. | Phenylacetylene derivatives and agricultural/horticultural fungicides |
| US6406690B1 (en) | 1995-04-17 | 2002-06-18 | Minrav Industries Ltd. | Bacillus firmus CNCM I-1582 or Bacillus cereus CNCM I-1562 for controlling nematodes |
| WO2003010149A1 (en) | 2001-07-25 | 2003-02-06 | Bayer Cropscience Ag | Pyrazolylcarboxanilides as fungicides |
| WO2003024222A1 (en) | 2001-09-21 | 2003-03-27 | E. I. Du Pont De Nemours And Company | Anthranilamide arthropodicide treatment |
| WO2003035617A2 (en) | 2001-10-23 | 2003-05-01 | Dow Agrosciences Llc Patent Department | Derivatives of uk-2a |
| WO2004047538A1 (en) | 2002-11-26 | 2004-06-10 | Syngenta Limited | Quinolin-, isoquinolin-, and quinazolin-oxyalkylamides and their use as fungicides |
| WO2004108663A1 (en) | 2003-06-04 | 2004-12-16 | Syngenta Limited | N-alkynyl-2- (substituted aryloxy) alkylthioamide derivatives as fungicides |
| WO2005070917A1 (en) | 2004-01-23 | 2005-08-04 | Sankyo Agro Company, Limited | 3-(dihydro(tetrahydro)isoquinolin-1-yl)quinolines |
| EP1586552A1 (en) | 2002-12-26 | 2005-10-19 | IHARA CHEMICAL INDUSTRY Co., Ltd. | Process for producing benzylamine derivative |
| WO2006058700A1 (en) | 2004-12-01 | 2006-06-08 | Syngenta Participations Ag | Acetamide compounds as fungicides |
| WO2006058699A1 (en) | 2004-12-01 | 2006-06-08 | Syngenta Participations Ag | 1-alkynyl-2-aryloxyalkylamides and their use as fungicides |
| WO2007017450A1 (en) | 2005-08-05 | 2007-02-15 | Basf Se | Fungicidal n-[2-(haloalkoxy)phenyl]heteroarylcarboxamides |
| WO2007129454A1 (en) | 2006-05-08 | 2007-11-15 | Kumiai Chemical Industry Co., Ltd. | 1,2-benzisothiazole derivative, and agricultural or horticultural plant disease-controlling agent |
| WO2008110355A1 (en) | 2007-03-14 | 2008-09-18 | Syngenta Participations Ag | Quinoline derivatives as fungicides |
| WO2008124092A2 (en) | 2007-04-03 | 2008-10-16 | E. I. Du Pont De Nemours And Company | Substituted benzene fungicides |
| WO2009030469A1 (en) | 2007-09-05 | 2009-03-12 | Sygenta Participations Ag, | Fungicidal 2-alkylthio-2-quinolinyloxy-acetamide deritvatives |
| WO2009049716A2 (en) | 2007-09-05 | 2009-04-23 | Sygenta Participations Ag | Novel fungicides |
| WO2009087098A2 (en) | 2008-01-10 | 2009-07-16 | Syngenta Participations Ag | Quinoline derivatives and their use as fungicides |
| WO2009132785A1 (en) | 2008-04-30 | 2009-11-05 | Bayer Cropscience Aktiengesellschaft | Thiazol-4-carboxylic acid esters and thioesters as plant protection agents |
| WO2009152868A1 (en) | 2008-06-20 | 2009-12-23 | Rottapharm S.P.A. | 6-1h-imidazo-quinazoline and quinolines derivatives, new mao inhibitors and imidazoline receptor ligands |
| WO2010018686A1 (en) | 2008-08-12 | 2010-02-18 | 日本曹達株式会社 | Nitrogenated heterocyclic derivative, and agricultural or horticultural bactericidal agent |
| WO2010023161A1 (en) | 2008-08-25 | 2010-03-04 | Boehringer Ingelheim International Gmbh | Aryl- and heteroarylcarbonyl derivatives of substituted nortropanes, medicaments containing such compounds and their use |
| WO2010063700A2 (en) | 2008-12-05 | 2010-06-10 | Syngenta Participations Ag | Novel microbiocides |
| WO2010130767A2 (en) | 2009-05-15 | 2010-11-18 | Bayer Cropscience Ag | Fungicide pyrazole carboxamides derivatives |
| WO2011044213A1 (en) | 2009-10-07 | 2011-04-14 | Dow Agrosciences Llc | Synergistic fungicidal mixtures for fungal control in cereals |
| WO2011051243A1 (en) | 2009-10-29 | 2011-05-05 | Bayer Cropscience Ag | Active compound combinations |
| WO2011070771A1 (en) | 2009-12-08 | 2011-06-16 | Kureha Corporation | Azole derivatives, methods for producing the same, intermediate thereof, agro-horticultural agents |
| WO2011073444A2 (en) | 2009-12-18 | 2011-06-23 | Basf Se | Azoline compounds for combating invertebrate pests |
| WO2011076699A1 (en) | 2009-12-21 | 2011-06-30 | Bayer Cropscience Ag | Bis(difluormethyl)pyrazoles used as fungicides |
| WO2011079102A1 (en) | 2009-12-23 | 2011-06-30 | Sanofi | Indolyl-piperidinyl benzylamines as beta-tryptase inhibitors |
| WO2011081174A1 (en) | 2010-01-04 | 2011-07-07 | 日本曹達株式会社 | Nitrogen-containing heterocyclic compound and agricultural/horticultural germicide |
| WO2011133882A1 (en) | 2010-04-23 | 2011-10-27 | Cytokinetics, Inc. | Certain amino-pyridazines, compositions thereof, and methods of their use |
| WO2012025557A1 (en) | 2010-08-25 | 2012-03-01 | Bayer Cropscience Ag | Heteroarylpiperidine and -piperazine derivatives as fungicides |
| WO2012025450A1 (en) | 2010-08-23 | 2012-03-01 | Isagro Ricerca S.R.L. | Phenylamidines having a high fungicidal activity and use thereof |
| WO2012031061A2 (en) | 2010-09-01 | 2012-03-08 | E. I. Du Pont De Nemours And Company | Fungicidal pyrazoles and their mixtures |
| WO2012032528A2 (en) | 2010-09-08 | 2012-03-15 | Natco Pharma Limited | Improved process to prepare ethyl 4-methyl-2-(4-(2-methylpropyloxy)-3-cyanophenyl)-5-thiazolecarboxylate |
| WO2012084812A1 (en) | 2010-12-20 | 2012-06-28 | Isagro Ricerca S.R.L. | Aminoindanes amides having a high fungicidal activity and their phytosanitary compositions |
| WO2013009971A1 (en) | 2011-07-12 | 2013-01-17 | E. I. Du Pont De Nemours And Company | Detection and screening method and materials useful in performance thereof |
| WO2013007767A1 (en) | 2011-07-13 | 2013-01-17 | Basf Se | Fungicidal substituted 2-[2-halogenalkyl-4-(phenoxy)-phenyl]-1-[1,2,4]triazol-1-yl-ethanol compounds |
| WO2013010885A1 (en) | 2011-07-15 | 2013-01-24 | Basf Se | Fungicidal alkyl- and aryl-substituted 2-[2-chloro-4-(dihalo-phenoxy)-phenyl]-1-[1,2,4]triazol-1-yl-ethanol compounds |
| WO2013010862A1 (en) | 2011-07-15 | 2013-01-24 | Basf Se | Fungicidal alkyl-substituted 2-[2-chloro-4-(4-chloro-phenoxy)-phenyl]-1-[1,2,4]triazol-1-yl-ethanol compounds |
| WO2013024081A1 (en) | 2011-08-15 | 2013-02-21 | Basf Se | Fungicidal substituted 1-{2-[2-halo-4-(4-halogen-phenoxy)-phenyl]-2-alkoxy-hexyl}-1h [1,2,4]triazole compounds |
| WO2013037717A1 (en) | 2011-09-12 | 2013-03-21 | Bayer Intellectual Property Gmbh | Fungicidal 4-substituted-3-{phenyl[(heterocyclylmethoxy)imino]methyl}-1,2,4-oxadizol-5(4h)-one derivatives |
| WO2013069615A1 (en) | 2011-11-11 | 2013-05-16 | 株式会社クレハ | Method for producing 4-benzyl-1-methyl-6-oxabicyclo[3,2,0]heptane derivative |
| WO2014009137A1 (en) | 2012-07-13 | 2014-01-16 | Basf Se | Substituted thiadiazoles and their use as fungicides |
| WO2014066120A1 (en) * | 2012-10-25 | 2014-05-01 | E. I. Du Pont De Nemours And Company | Substituted tolyl fungicides |
-
2015
- 2015-03-26 WO PCT/US2015/022618 patent/WO2015157005A1/en not_active Ceased
Patent Citations (68)
| Publication number | Priority date | Publication date | Assignee | Title |
|---|---|---|---|---|
| US2891855A (en) | 1954-08-16 | 1959-06-23 | Geigy Ag J R | Compositions and methods for influencing the growth of plants |
| US3060084A (en) | 1961-06-09 | 1962-10-23 | Du Pont | Improved homogeneous, readily dispersed, pesticidal concentrate |
| US3235361A (en) | 1962-10-29 | 1966-02-15 | Du Pont | Method for the control of undesirable vegetation |
| US3299566A (en) | 1964-06-01 | 1967-01-24 | Olin Mathieson | Water soluble film containing agricultural chemicals |
| US3309192A (en) | 1964-12-02 | 1967-03-14 | Du Pont | Method of controlling seedling weed grasses |
| US4144050A (en) | 1969-02-05 | 1979-03-13 | Hoechst Aktiengesellschaft | Micro granules for pesticides and process for their manufacture |
| US3920442A (en) | 1972-09-18 | 1975-11-18 | Du Pont | Water-dispersible pesticide aggregates |
| US4172714A (en) | 1976-12-20 | 1979-10-30 | E. I. Du Pont De Nemours And Company | Dry compactible, swellable herbicidal compositions and pellets produced therefrom |
| GB2095558A (en) | 1981-03-30 | 1982-10-06 | Avon Packers Ltd | Formulation of agricultural chemicals |
| DE3246493A1 (en) | 1982-12-16 | 1984-06-20 | Bayer Ag, 5090 Leverkusen | METHOD FOR PRODUCING WATER-DISPERSIBLE GRANULES |
| US5180587A (en) | 1988-06-28 | 1993-01-19 | E. I. Du Pont De Nemours And Company | Tablet formulations of pesticides |
| US4940720A (en) | 1989-08-02 | 1990-07-10 | Ciba-Geigy Corporation | Microbicidal compositions |
| US5208030A (en) | 1989-08-30 | 1993-05-04 | Imperial Chemical Industries Plc | Active ingredient dosage device |
| WO1991013546A1 (en) | 1990-03-12 | 1991-09-19 | E.I. Du Pont De Nemours And Company | Water-dispersible or water-soluble pesticide granules from heat-activated binders |
| US5232701A (en) | 1990-10-11 | 1993-08-03 | Sumitomo Chemical Company, Limited | Boron carbonate and solid acid pesticidal composition |
| EP0538156A1 (en) | 1991-10-09 | 1993-04-21 | Rhone-Poulenc Agrochimie | Fungicidal phenylpyrazoles |
| US5663119A (en) * | 1991-10-09 | 1997-09-02 | Rhone-Poulenc Agrochimie | Phenylpyrazole fungicides |
| WO1994024861A1 (en) | 1993-04-28 | 1994-11-10 | Rhone Poulenc Agrochimie | Concentrated compositions of active substances used in agriculture |
| US6406690B1 (en) | 1995-04-17 | 2002-06-18 | Minrav Industries Ltd. | Bacillus firmus CNCM I-1582 or Bacillus cereus CNCM I-1562 for controlling nematodes |
| US6022552A (en) | 1995-06-23 | 2000-02-08 | E. I. Du Pont De Nemours And Company | Uniform mixtures of pesticidal granules |
| WO1999040081A1 (en) | 1998-02-06 | 1999-08-12 | Meiji Seika Kaisha, Ltd. | Novel antifungal compounds and process for producing the same |
| US6313071B1 (en) | 1998-06-04 | 2001-11-06 | Kumiai Chemical Industry Co., Ltd. | Phenylacetylene derivatives and agricultural/horticultural fungicides |
| WO2001014339A2 (en) | 1999-08-20 | 2001-03-01 | Dow Agrosciences Llc | Fungicidal heterocyclic aromatic amides and their compositions, methods of use and preparation |
| WO2003010149A1 (en) | 2001-07-25 | 2003-02-06 | Bayer Cropscience Ag | Pyrazolylcarboxanilides as fungicides |
| WO2003024222A1 (en) | 2001-09-21 | 2003-03-27 | E. I. Du Pont De Nemours And Company | Anthranilamide arthropodicide treatment |
| WO2003035617A2 (en) | 2001-10-23 | 2003-05-01 | Dow Agrosciences Llc Patent Department | Derivatives of uk-2a |
| WO2004047538A1 (en) | 2002-11-26 | 2004-06-10 | Syngenta Limited | Quinolin-, isoquinolin-, and quinazolin-oxyalkylamides and their use as fungicides |
| EP1586552A1 (en) | 2002-12-26 | 2005-10-19 | IHARA CHEMICAL INDUSTRY Co., Ltd. | Process for producing benzylamine derivative |
| WO2004108663A1 (en) | 2003-06-04 | 2004-12-16 | Syngenta Limited | N-alkynyl-2- (substituted aryloxy) alkylthioamide derivatives as fungicides |
| WO2005070917A1 (en) | 2004-01-23 | 2005-08-04 | Sankyo Agro Company, Limited | 3-(dihydro(tetrahydro)isoquinolin-1-yl)quinolines |
| WO2006058700A1 (en) | 2004-12-01 | 2006-06-08 | Syngenta Participations Ag | Acetamide compounds as fungicides |
| WO2006058699A1 (en) | 2004-12-01 | 2006-06-08 | Syngenta Participations Ag | 1-alkynyl-2-aryloxyalkylamides and their use as fungicides |
| WO2007017450A1 (en) | 2005-08-05 | 2007-02-15 | Basf Se | Fungicidal n-[2-(haloalkoxy)phenyl]heteroarylcarboxamides |
| WO2007129454A1 (en) | 2006-05-08 | 2007-11-15 | Kumiai Chemical Industry Co., Ltd. | 1,2-benzisothiazole derivative, and agricultural or horticultural plant disease-controlling agent |
| WO2008110355A1 (en) | 2007-03-14 | 2008-09-18 | Syngenta Participations Ag | Quinoline derivatives as fungicides |
| WO2008124092A2 (en) | 2007-04-03 | 2008-10-16 | E. I. Du Pont De Nemours And Company | Substituted benzene fungicides |
| WO2009030469A1 (en) | 2007-09-05 | 2009-03-12 | Sygenta Participations Ag, | Fungicidal 2-alkylthio-2-quinolinyloxy-acetamide deritvatives |
| WO2009049716A2 (en) | 2007-09-05 | 2009-04-23 | Sygenta Participations Ag | Novel fungicides |
| WO2009087098A2 (en) | 2008-01-10 | 2009-07-16 | Syngenta Participations Ag | Quinoline derivatives and their use as fungicides |
| WO2009132785A1 (en) | 2008-04-30 | 2009-11-05 | Bayer Cropscience Aktiengesellschaft | Thiazol-4-carboxylic acid esters and thioesters as plant protection agents |
| WO2009152868A1 (en) | 2008-06-20 | 2009-12-23 | Rottapharm S.P.A. | 6-1h-imidazo-quinazoline and quinolines derivatives, new mao inhibitors and imidazoline receptor ligands |
| WO2010018686A1 (en) | 2008-08-12 | 2010-02-18 | 日本曹達株式会社 | Nitrogenated heterocyclic derivative, and agricultural or horticultural bactericidal agent |
| WO2010023161A1 (en) | 2008-08-25 | 2010-03-04 | Boehringer Ingelheim International Gmbh | Aryl- and heteroarylcarbonyl derivatives of substituted nortropanes, medicaments containing such compounds and their use |
| WO2010063700A2 (en) | 2008-12-05 | 2010-06-10 | Syngenta Participations Ag | Novel microbiocides |
| WO2010130767A2 (en) | 2009-05-15 | 2010-11-18 | Bayer Cropscience Ag | Fungicide pyrazole carboxamides derivatives |
| WO2011044213A1 (en) | 2009-10-07 | 2011-04-14 | Dow Agrosciences Llc | Synergistic fungicidal mixtures for fungal control in cereals |
| WO2011051243A1 (en) | 2009-10-29 | 2011-05-05 | Bayer Cropscience Ag | Active compound combinations |
| WO2011070771A1 (en) | 2009-12-08 | 2011-06-16 | Kureha Corporation | Azole derivatives, methods for producing the same, intermediate thereof, agro-horticultural agents |
| WO2011073444A2 (en) | 2009-12-18 | 2011-06-23 | Basf Se | Azoline compounds for combating invertebrate pests |
| WO2011076699A1 (en) | 2009-12-21 | 2011-06-30 | Bayer Cropscience Ag | Bis(difluormethyl)pyrazoles used as fungicides |
| US8524743B2 (en) | 2009-12-21 | 2013-09-03 | Bayer Cropscience Ag | Bis(difluoromethyl)pyrazoles as fungicides |
| WO2011079102A1 (en) | 2009-12-23 | 2011-06-30 | Sanofi | Indolyl-piperidinyl benzylamines as beta-tryptase inhibitors |
| WO2011081174A1 (en) | 2010-01-04 | 2011-07-07 | 日本曹達株式会社 | Nitrogen-containing heterocyclic compound and agricultural/horticultural germicide |
| WO2011133882A1 (en) | 2010-04-23 | 2011-10-27 | Cytokinetics, Inc. | Certain amino-pyridazines, compositions thereof, and methods of their use |
| WO2012025450A1 (en) | 2010-08-23 | 2012-03-01 | Isagro Ricerca S.R.L. | Phenylamidines having a high fungicidal activity and use thereof |
| WO2012025557A1 (en) | 2010-08-25 | 2012-03-01 | Bayer Cropscience Ag | Heteroarylpiperidine and -piperazine derivatives as fungicides |
| WO2012031061A2 (en) | 2010-09-01 | 2012-03-08 | E. I. Du Pont De Nemours And Company | Fungicidal pyrazoles and their mixtures |
| WO2012032528A2 (en) | 2010-09-08 | 2012-03-15 | Natco Pharma Limited | Improved process to prepare ethyl 4-methyl-2-(4-(2-methylpropyloxy)-3-cyanophenyl)-5-thiazolecarboxylate |
| WO2012084812A1 (en) | 2010-12-20 | 2012-06-28 | Isagro Ricerca S.R.L. | Aminoindanes amides having a high fungicidal activity and their phytosanitary compositions |
| WO2013009971A1 (en) | 2011-07-12 | 2013-01-17 | E. I. Du Pont De Nemours And Company | Detection and screening method and materials useful in performance thereof |
| WO2013007767A1 (en) | 2011-07-13 | 2013-01-17 | Basf Se | Fungicidal substituted 2-[2-halogenalkyl-4-(phenoxy)-phenyl]-1-[1,2,4]triazol-1-yl-ethanol compounds |
| WO2013010862A1 (en) | 2011-07-15 | 2013-01-24 | Basf Se | Fungicidal alkyl-substituted 2-[2-chloro-4-(4-chloro-phenoxy)-phenyl]-1-[1,2,4]triazol-1-yl-ethanol compounds |
| WO2013010885A1 (en) | 2011-07-15 | 2013-01-24 | Basf Se | Fungicidal alkyl- and aryl-substituted 2-[2-chloro-4-(dihalo-phenoxy)-phenyl]-1-[1,2,4]triazol-1-yl-ethanol compounds |
| WO2013024081A1 (en) | 2011-08-15 | 2013-02-21 | Basf Se | Fungicidal substituted 1-{2-[2-halo-4-(4-halogen-phenoxy)-phenyl]-2-alkoxy-hexyl}-1h [1,2,4]triazole compounds |
| WO2013037717A1 (en) | 2011-09-12 | 2013-03-21 | Bayer Intellectual Property Gmbh | Fungicidal 4-substituted-3-{phenyl[(heterocyclylmethoxy)imino]methyl}-1,2,4-oxadizol-5(4h)-one derivatives |
| WO2013069615A1 (en) | 2011-11-11 | 2013-05-16 | 株式会社クレハ | Method for producing 4-benzyl-1-methyl-6-oxabicyclo[3,2,0]heptane derivative |
| WO2014009137A1 (en) | 2012-07-13 | 2014-01-16 | Basf Se | Substituted thiadiazoles and their use as fungicides |
| WO2014066120A1 (en) * | 2012-10-25 | 2014-05-01 | E. I. Du Pont De Nemours And Company | Substituted tolyl fungicides |
Non-Patent Citations (33)
| Title |
|---|
| "Developments in formulation technology", 2000, PJB PUBLICATIONS |
| "McCutcheon's Emulsifiers and Detergents", THE MANUFACTURING CONFECTIONER PUBLISHING CO. |
| "Perry's Chemical Engineer's Handbook, 4th ed.", 1963, MCGRAW-HILL, pages: 8 - 57 |
| A. J. BOULTON AND A. MCKILLOP: "Comprehensive Heterocyclic Chemistry", vol. 3, PERGAMON PRESS, article M. TISLER; B. STANOVNIK, pages: 18 - 20 |
| A. R. KATRITZKY AND A. J. BOULTON: "Advances in Heterocyclic Chemistry", vol. 22, ACADEMIC PRESS, article G. W. H. CHEESEMAN; E. S. G. WERSTIUK, pages: 390 - 392 |
| A. R. KATRITZKY AND A. J. BOULTON: "Advances in Heterocyclic Chemistry", vol. 9, ACADEMIC PRESS, article M. TISLER; B. STANOVNIK, pages: 285 - 291 |
| A. R. KATRITZKY: "Advances in Heterocyclic Chemistry", vol. 43, ACADEMIC PRESS, article M. R. GRIMMETT; B. R. T. KEENE, pages: 149 - 161 |
| A. S. DAVIDSON; B. MILWIDSKY: "Synthetic Detergents, 7th ed.", 1987, JOHN WILEY AND SONS |
| BARRETT ET AL., BIOORGANIC AND MEDICINAL CHEMISTRY LETTERS, vol. 15, 2005, pages 3540 - 3546 |
| BROWNING: "Agglomeration", CHEMICAL ENGINEERING, 4 December 1967 (1967-12-04), pages 147 - 48 |
| BUCHWALD-HARTWIG, ANGEW. CHEM. INT. ED., vol. 47, 2008, pages 6338 - 6361 |
| C. D. S. TOMLIN: "The Pesticide Manual, 13th ed.", 2003, BRITISH CROP PROTECTION COUNCIL |
| CHEM. SCI., vol. 1, 2010, pages 13 - 31 |
| DATABASE CA [online] CHEMICAL ABSTRACTS SERVICE, COLUMBUS, OHIO, US; 2010, KANTAM, MANNEPALLI LAKSHMI ET AL: "An Efficient N-Arylation of Heterocycles with Aryl-, Heteroaryl-, and Vinylboronic Acids Catalyzed by Copper Fluorapatite", XP002738993, retrieved from STN Database accession no. 2010:646984 * |
| ERNEST L. ELIEL; SAMUEL H. WILEN: "Stereochemistry of Organic Compounds", 1994, JOHN WILEY & SONS |
| GREENE, T. W.; WUTS, P. G. M: "Protective Groups in Organic Synthesis, 2nd ed.", 1991, WILEY |
| H. LYR: "Modern Selective Fungicides - Properties, Applications and Mechanisms of Action", 1995, GUSTAV FISCHER VERLAG, article K. H. KUCK ET AL., pages: 205 - 258 |
| HANCE ET AL.: "Weed Control Handbook, 8th ed.", 1989, BLACKWELL SCIENTIFIC PUBLICATIONS |
| J. MED. CHEM., vol. 47, 2004, pages 4645 |
| KANTAM, MANNEPALLI LAKSHMI ET AL: "An Efficient N-Arylation of Heterocycles with Aryl-, Heteroaryl-, and Vinylboronic Acids Catalyzed by Copper Fluorapatite", HELVETICA CHIMICA ACTA , 93(5), 974-979 CODEN: HCACAV; ISSN: 0018-019X, 2010, XP005518618, DOI: 10.1002/HLCA.200900326 10.1002/HLCA.200900326 * |
| KLINGMAN: "Weed Control as a Science", JOHN WILEY AND SONS, INC., pages: 81 - 96 |
| L. G. COPPING: "The BioPesticide Manual, 2nd ed.", 2001, BRITISH CROP PROTECTION COUNCIL |
| MCCUTCHEON'S: "Functional Materials, annual International and North American editions", vol. 2, THE MANUFACTURING CONFECTIONER PUBLISHING CO. |
| P. KOSTERS ET AL., SEED TREATMENT: PROGRESS AND PROSPECTS, 1994 |
| P. M. L. TAMES, NETH. J. PLANT PATHOLOGY, vol. 70, 1964, pages 73 - 80 |
| R. HILFIKER: "Polymorphism in the Pharmaceutical Industry", 2006, WILEY-VCH |
| S. V. LEY: "Comprehensive Organic Synthesis", vol. 7, PERGAMON PRESS, article T. L. GILCHRIST, pages: 748 - 750 |
| SISELY; WOOD: "Encyclopedia of Surface Active Agents", 1964, CHEMICAL PUBL. CO., INC. |
| T. BROOKS AND T. R. ROBERTS: "Pesticide Chemistry and Bioscience, The Food-Environment Challenge", 1999, THE ROYAL SOCIETY OF CHEMISTRY, article T. S. WOODS: "The Formulator's Toolbox - Product Forms for Modern Agriculture", pages: 120 - 133 |
| TETRAHEDRON LETT., vol. 39, 1998, pages 2933 - 2936 |
| TETRAHEDRON, vol. 43, 1987, pages 4803 |
| ULLMANN, CHEMICAL REVIEWS, vol. 102, 2002, pages 1359 - 1470 |
| WATKINS ET AL.: "Handbook of Insecticide Dust Diluents and Carriers, 2nd ed.", DORLAND BOOKS |
Cited By (28)
| Publication number | Priority date | Publication date | Assignee | Title |
|---|---|---|---|---|
| WO2017105999A1 (en) * | 2015-12-18 | 2017-06-22 | E I Du Pont De Nemours And Company | N-[[5-[[[1-(phenyl)ethylidene]amino]oxy]phenyl]-methyl]carbamate derivatives and related compounds as fungicides for controlling plant diseases |
| US11324221B2 (en) | 2016-02-01 | 2022-05-10 | Sumitomo Chemical Company, Limited | Pest control composition and pest control method |
| CN105859645A (en) * | 2016-05-06 | 2016-08-17 | 怀化学院 | Halogen-substituted triazole compound with benzene rings, method for preparing halogen-substituted triazole compound and application thereof |
| WO2018050421A1 (en) * | 2016-09-13 | 2018-03-22 | Basf Se | Fungicidal mixtures i comprising quinoline fungicides |
| EP3525585B1 (en) | 2016-10-12 | 2021-02-24 | Basf Se | Method to control septoria tritici that is resistant to succinate dehydrogenase inhibitor fungicides |
| CN108191709A (en) * | 2016-12-08 | 2018-06-22 | 沈阳中化农药化工研发有限公司 | A kind of method for preparing unsaturated oximido ethers compound |
| CN108191709B (en) * | 2016-12-08 | 2020-03-24 | 沈阳中化农药化工研发有限公司 | A kind of method for preparing unsaturated oxime ether compounds |
| TWI832917B (en) * | 2018-11-06 | 2024-02-21 | 美商富曼西公司 | Substituted tolyl fungicides |
| IL282413B2 (en) * | 2018-11-06 | 2025-02-01 | Fmc Corp | Substituted tolyl fungicides |
| JP2022506507A (en) * | 2018-11-06 | 2022-01-17 | エフ エム シー コーポレーション | Substitution trill as a fungicide |
| JP2025131699A (en) * | 2018-11-06 | 2025-09-09 | エフ エム シー コーポレーション | Substituted tolyls as fungicides. |
| JP7716549B2 (en) | 2018-11-06 | 2025-07-31 | エフ エム シー コーポレーション | Substituted tolyls as fungicides. |
| US11634393B2 (en) | 2018-11-06 | 2023-04-25 | Fmc Corporation | Substituted tolyl fungicides |
| KR102780976B1 (en) | 2018-11-06 | 2025-03-17 | 에프엠씨 코포레이션 | Substituted tolyl as fungicides |
| WO2020097012A1 (en) | 2018-11-06 | 2020-05-14 | Fmc Corporation | Substituted tolyl as fungicides |
| AU2019377431B2 (en) * | 2018-11-06 | 2025-01-16 | Fmc Corporation | Substituted tolyl as fungicides |
| TWI846654B (en) * | 2018-11-06 | 2024-06-21 | 美商富曼西公司 | Substituted tolyl fungicides |
| JP7545964B2 (en) | 2018-11-06 | 2024-09-05 | エフ エム シー コーポレーション | Substituted tolyls as fungicides. |
| IL282413B1 (en) * | 2018-11-06 | 2024-10-01 | Fmc Corp | Tolyl is converted as a fungicide |
| KR20240172260A (en) * | 2018-11-06 | 2024-12-09 | 에프엠씨 코포레이션 | Substituted tolyl as fungicides |
| JP2024167276A (en) * | 2018-11-06 | 2024-12-03 | エフ エム シー コーポレーション | Substituted tolyls as fungicides. |
| EP3701796A1 (en) * | 2019-08-08 | 2020-09-02 | Bayer AG | Active compound combinations |
| WO2021226234A1 (en) | 2020-05-06 | 2021-11-11 | Fmc Corporation | Substituted tolyl fungicides and their mixtures |
| CN114304166B (en) * | 2022-02-27 | 2024-04-09 | 安徽省农业科学院植物保护与农产品质量安全研究所 | Sterilization composition for preventing and controlling gummy stem blight of melons |
| CN114304166A (en) * | 2022-02-27 | 2022-04-12 | 安徽省农业科学院植物保护与农产品质量安全研究所 | A kind of bactericidal composition for preventing and controlling cucurbit blight |
| US20240324596A1 (en) * | 2023-03-28 | 2024-10-03 | Fmc Corporation | Substituted tolyl fungicides |
| CN117164516A (en) * | 2023-08-25 | 2023-12-05 | 广东省科学院动物研究所 | Antifungal applications of new pyrazole compounds |
| CN119685341A (en) * | 2024-12-23 | 2025-03-25 | 中国林业科学研究院亚热带林业研究所 | Cedrela sinensis BLH3 gene and application thereof in efficient genetic transformation and regeneration of Cedrela sinensis |
Similar Documents
| Publication | Publication Date | Title |
|---|---|---|
| US11634393B2 (en) | Substituted tolyl fungicides | |
| US11708358B2 (en) | Fungicidal oxadiazoles | |
| EP3558984B1 (en) | Fungicidal oxadiazoles | |
| EP2912020B1 (en) | Substituted tolyl fungicides | |
| WO2015157005A1 (en) | Substituted tolyl fungicide mixtures | |
| AU2014254261B2 (en) | Fungicidal amides | |
| US9464056B2 (en) | Fungicidal 4-methylanilino pyrazoles | |
| WO2014130409A2 (en) | Fungicidal pyrazole mixtures | |
| EP2986601A1 (en) | Fungicidal carboxamides | |
| US20230165251A1 (en) | Substituted tolyl fungicides and their mixtures | |
| AU2019336763B2 (en) | Fungicidal nitroanilino substituted pyrazoles | |
| US11540518B2 (en) | Fungicidal oxadiazoles | |
| CA2978066A1 (en) | Fungicidal pyrazoles | |
| WO2015171392A1 (en) | Fungicidal pyrazoles | |
| WO2015191382A1 (en) | Fungicidal tetrazolinones | |
| WO2015123193A1 (en) | Fungicidal benzodipyrazoles | |
| US20240166638A1 (en) | Fungicidal oxadiazoles | |
| US20240324596A1 (en) | Substituted tolyl fungicides |
Legal Events
| Date | Code | Title | Description |
|---|---|---|---|
| 121 | Ep: the epo has been informed by wipo that ep was designated in this application |
Ref document number: 15715597 Country of ref document: EP Kind code of ref document: A1 |
|
| NENP | Non-entry into the national phase |
Ref country code: DE |
|
| 122 | Ep: pct application non-entry in european phase |
Ref document number: 15715597 Country of ref document: EP Kind code of ref document: A1 |
















































































































































