WO2015148649A2 - Systems and methods for ameliorating the effects of tobacco products - Google Patents
Systems and methods for ameliorating the effects of tobacco products Download PDFInfo
- Publication number
- WO2015148649A2 WO2015148649A2 PCT/US2015/022462 US2015022462W WO2015148649A2 WO 2015148649 A2 WO2015148649 A2 WO 2015148649A2 US 2015022462 W US2015022462 W US 2015022462W WO 2015148649 A2 WO2015148649 A2 WO 2015148649A2
- Authority
- WO
- WIPO (PCT)
- Prior art keywords
- drugs
- drug
- agent
- smoking
- cancer
- Prior art date
- Legal status (The legal status is an assumption and is not a legal conclusion. Google has not performed a legal analysis and makes no representation as to the accuracy of the status listed.)
- Ceased
Links
- 0 **P(*)(OCCc(cc1)ccc1NC(c1ccccc1NC(Nc1c2nc(CNc(cc3)ccc3C(C3NC3[C@@](CCC(O)=O)C(O)=O)=O)cn1)=NC2=O)=O)=O Chemical compound **P(*)(OCCc(cc1)ccc1NC(c1ccccc1NC(Nc1c2nc(CNc(cc3)ccc3C(C3NC3[C@@](CCC(O)=O)C(O)=O)=O)cn1)=NC2=O)=O)=O 0.000 description 11
Classifications
-
- A—HUMAN NECESSITIES
- A24—TOBACCO; CIGARS; CIGARETTES; SIMULATED SMOKING DEVICES; SMOKERS' REQUISITES
- A24B—MANUFACTURE OR PREPARATION OF TOBACCO FOR SMOKING OR CHEWING; TOBACCO; SNUFF
- A24B15/00—Chemical features or treatment of tobacco; Tobacco substitutes, e.g. in liquid form
- A24B15/10—Chemical features of tobacco products or tobacco substitutes
- A24B15/16—Chemical features of tobacco products or tobacco substitutes of tobacco substitutes
-
- A—HUMAN NECESSITIES
- A24—TOBACCO; CIGARS; CIGARETTES; SIMULATED SMOKING DEVICES; SMOKERS' REQUISITES
- A24B—MANUFACTURE OR PREPARATION OF TOBACCO FOR SMOKING OR CHEWING; TOBACCO; SNUFF
- A24B15/00—Chemical features or treatment of tobacco; Tobacco substitutes, e.g. in liquid form
- A24B15/10—Chemical features of tobacco products or tobacco substitutes
- A24B15/16—Chemical features of tobacco products or tobacco substitutes of tobacco substitutes
- A24B15/167—Chemical features of tobacco products or tobacco substitutes of tobacco substitutes in liquid or vaporisable form, e.g. liquid compositions for electronic cigarettes
-
- A—HUMAN NECESSITIES
- A24—TOBACCO; CIGARS; CIGARETTES; SIMULATED SMOKING DEVICES; SMOKERS' REQUISITES
- A24D—CIGARS; CIGARETTES; TOBACCO SMOKE FILTERS; MOUTHPIECES FOR CIGARS OR CIGARETTES; MANUFACTURE OF TOBACCO SMOKE FILTERS OR MOUTHPIECES
- A24D3/00—Tobacco smoke filters, e.g. filter-tips, filtering inserts; Filters specially adapted for simulated smoking devices; Mouthpieces for cigars or cigarettes
- A24D3/17—Filters specially adapted for simulated smoking devices
-
- A—HUMAN NECESSITIES
- A24—TOBACCO; CIGARS; CIGARETTES; SIMULATED SMOKING DEVICES; SMOKERS' REQUISITES
- A24F—SMOKERS' REQUISITES; MATCH BOXES; SIMULATED SMOKING DEVICES
- A24F13/00—Appliances for smoking cigars or cigarettes
-
- A—HUMAN NECESSITIES
- A24—TOBACCO; CIGARS; CIGARETTES; SIMULATED SMOKING DEVICES; SMOKERS' REQUISITES
- A24F—SMOKERS' REQUISITES; MATCH BOXES; SIMULATED SMOKING DEVICES
- A24F40/00—Electrically operated smoking devices; Component parts thereof; Manufacture thereof; Maintenance or testing thereof; Charging means specially adapted therefor
- A24F40/30—Devices using two or more structurally separated inhalable precursors, e.g. using two liquid precursors in two cartridges
-
- A—HUMAN NECESSITIES
- A61—MEDICAL OR VETERINARY SCIENCE; HYGIENE
- A61K—PREPARATIONS FOR MEDICAL, DENTAL OR TOILETRY PURPOSES
- A61K31/00—Medicinal preparations containing organic active ingredients
- A61K31/33—Heterocyclic compounds
- A61K31/395—Heterocyclic compounds having nitrogen as a ring hetero atom, e.g. guanethidine or rifamycins
- A61K31/435—Heterocyclic compounds having nitrogen as a ring hetero atom, e.g. guanethidine or rifamycins having six-membered rings with one nitrogen as the only ring hetero atom
- A61K31/465—Nicotine; Derivatives thereof
-
- A—HUMAN NECESSITIES
- A61—MEDICAL OR VETERINARY SCIENCE; HYGIENE
- A61K—PREPARATIONS FOR MEDICAL, DENTAL OR TOILETRY PURPOSES
- A61K31/00—Medicinal preparations containing organic active ingredients
- A61K31/66—Phosphorus compounds
- A61K31/661—Phosphorus acids or esters thereof not having P—C bonds, e.g. fosfosal, dichlorvos, malathion or mevinphos
-
- A—HUMAN NECESSITIES
- A61—MEDICAL OR VETERINARY SCIENCE; HYGIENE
- A61K—PREPARATIONS FOR MEDICAL, DENTAL OR TOILETRY PURPOSES
- A61K31/00—Medicinal preparations containing organic active ingredients
- A61K31/66—Phosphorus compounds
- A61K31/683—Diesters of a phosphorus acid with two hydroxy compounds, e.g. phosphatidylinositols
-
- A—HUMAN NECESSITIES
- A61—MEDICAL OR VETERINARY SCIENCE; HYGIENE
- A61K—PREPARATIONS FOR MEDICAL, DENTAL OR TOILETRY PURPOSES
- A61K9/00—Medicinal preparations characterised by special physical form
- A61K9/0012—Galenical forms characterised by the site of application
- A61K9/007—Pulmonary tract; Aromatherapy
-
- A—HUMAN NECESSITIES
- A61—MEDICAL OR VETERINARY SCIENCE; HYGIENE
- A61M—DEVICES FOR INTRODUCING MEDIA INTO, OR ONTO, THE BODY; DEVICES FOR TRANSDUCING BODY MEDIA OR FOR TAKING MEDIA FROM THE BODY; DEVICES FOR PRODUCING OR ENDING SLEEP OR STUPOR
- A61M11/00—Sprayers or atomisers specially adapted for therapeutic purposes
- A61M11/04—Sprayers or atomisers specially adapted for therapeutic purposes operated by the vapour pressure of the liquid to be sprayed or atomised
- A61M11/041—Sprayers or atomisers specially adapted for therapeutic purposes operated by the vapour pressure of the liquid to be sprayed or atomised using heaters
- A61M11/042—Sprayers or atomisers specially adapted for therapeutic purposes operated by the vapour pressure of the liquid to be sprayed or atomised using heaters electrical
-
- A—HUMAN NECESSITIES
- A61—MEDICAL OR VETERINARY SCIENCE; HYGIENE
- A61M—DEVICES FOR INTRODUCING MEDIA INTO, OR ONTO, THE BODY; DEVICES FOR TRANSDUCING BODY MEDIA OR FOR TAKING MEDIA FROM THE BODY; DEVICES FOR PRODUCING OR ENDING SLEEP OR STUPOR
- A61M15/00—Inhalators
- A61M15/06—Inhaling appliances shaped like cigars, cigarettes or pipes
-
- A—HUMAN NECESSITIES
- A24—TOBACCO; CIGARS; CIGARETTES; SIMULATED SMOKING DEVICES; SMOKERS' REQUISITES
- A24F—SMOKERS' REQUISITES; MATCH BOXES; SIMULATED SMOKING DEVICES
- A24F13/00—Appliances for smoking cigars or cigarettes
- A24F13/02—Cigar or cigarette holders
- A24F13/12—Cigar or cigarette holders combined with other objects, e.g. writing utensils
-
- A—HUMAN NECESSITIES
- A24—TOBACCO; CIGARS; CIGARETTES; SIMULATED SMOKING DEVICES; SMOKERS' REQUISITES
- A24F—SMOKERS' REQUISITES; MATCH BOXES; SIMULATED SMOKING DEVICES
- A24F40/00—Electrically operated smoking devices; Component parts thereof; Manufacture thereof; Maintenance or testing thereof; Charging means specially adapted therefor
- A24F40/10—Devices using liquid inhalable precursors
-
- A—HUMAN NECESSITIES
- A24—TOBACCO; CIGARS; CIGARETTES; SIMULATED SMOKING DEVICES; SMOKERS' REQUISITES
- A24F—SMOKERS' REQUISITES; MATCH BOXES; SIMULATED SMOKING DEVICES
- A24F40/00—Electrically operated smoking devices; Component parts thereof; Manufacture thereof; Maintenance or testing thereof; Charging means specially adapted therefor
- A24F40/20—Devices using solid inhalable precursors
-
- A—HUMAN NECESSITIES
- A24—TOBACCO; CIGARS; CIGARETTES; SIMULATED SMOKING DEVICES; SMOKERS' REQUISITES
- A24F—SMOKERS' REQUISITES; MATCH BOXES; SIMULATED SMOKING DEVICES
- A24F40/00—Electrically operated smoking devices; Component parts thereof; Manufacture thereof; Maintenance or testing thereof; Charging means specially adapted therefor
- A24F40/50—Control or monitoring
-
- A—HUMAN NECESSITIES
- A24—TOBACCO; CIGARS; CIGARETTES; SIMULATED SMOKING DEVICES; SMOKERS' REQUISITES
- A24F—SMOKERS' REQUISITES; MATCH BOXES; SIMULATED SMOKING DEVICES
- A24F40/00—Electrically operated smoking devices; Component parts thereof; Manufacture thereof; Maintenance or testing thereof; Charging means specially adapted therefor
- A24F40/60—Devices with integrated user interfaces
-
- A—HUMAN NECESSITIES
- A24—TOBACCO; CIGARS; CIGARETTES; SIMULATED SMOKING DEVICES; SMOKERS' REQUISITES
- A24F—SMOKERS' REQUISITES; MATCH BOXES; SIMULATED SMOKING DEVICES
- A24F40/00—Electrically operated smoking devices; Component parts thereof; Manufacture thereof; Maintenance or testing thereof; Charging means specially adapted therefor
- A24F40/65—Devices with integrated communication means, e.g. wireless communication means
-
- A—HUMAN NECESSITIES
- A61—MEDICAL OR VETERINARY SCIENCE; HYGIENE
- A61K—PREPARATIONS FOR MEDICAL, DENTAL OR TOILETRY PURPOSES
- A61K9/00—Medicinal preparations characterised by special physical form
- A61K9/0012—Galenical forms characterised by the site of application
- A61K9/0053—Mouth and digestive tract, i.e. intraoral and peroral administration
- A61K9/0056—Mouth soluble or dispersible forms; Suckable, eatable, chewable coherent forms; Forms rapidly disintegrating in the mouth; Lozenges; Lollipops; Bite capsules; Baked products; Baits or other oral forms for animals
- A61K9/0058—Chewing gums
-
- A—HUMAN NECESSITIES
- A61—MEDICAL OR VETERINARY SCIENCE; HYGIENE
- A61M—DEVICES FOR INTRODUCING MEDIA INTO, OR ONTO, THE BODY; DEVICES FOR TRANSDUCING BODY MEDIA OR FOR TAKING MEDIA FROM THE BODY; DEVICES FOR PRODUCING OR ENDING SLEEP OR STUPOR
- A61M15/00—Inhalators
- A61M15/0001—Details of inhalators; Constructional features thereof
- A61M15/0003—Details of inhalators; Constructional features thereof with means for dispensing more than one drug
-
- A—HUMAN NECESSITIES
- A61—MEDICAL OR VETERINARY SCIENCE; HYGIENE
- A61M—DEVICES FOR INTRODUCING MEDIA INTO, OR ONTO, THE BODY; DEVICES FOR TRANSDUCING BODY MEDIA OR FOR TAKING MEDIA FROM THE BODY; DEVICES FOR PRODUCING OR ENDING SLEEP OR STUPOR
- A61M15/00—Inhalators
- A61M15/0028—Inhalators using prepacked dosages, one for each application, e.g. capsules to be perforated or broken-up
-
- A—HUMAN NECESSITIES
- A61—MEDICAL OR VETERINARY SCIENCE; HYGIENE
- A61M—DEVICES FOR INTRODUCING MEDIA INTO, OR ONTO, THE BODY; DEVICES FOR TRANSDUCING BODY MEDIA OR FOR TAKING MEDIA FROM THE BODY; DEVICES FOR PRODUCING OR ENDING SLEEP OR STUPOR
- A61M15/00—Inhalators
- A61M15/0065—Inhalators with dosage or measuring devices
- A61M15/0068—Indicating or counting the number of dispensed doses or of remaining doses
- A61M15/007—Mechanical counters
- A61M15/0071—Mechanical counters having a display or indicator
-
- A—HUMAN NECESSITIES
- A61—MEDICAL OR VETERINARY SCIENCE; HYGIENE
- A61M—DEVICES FOR INTRODUCING MEDIA INTO, OR ONTO, THE BODY; DEVICES FOR TRANSDUCING BODY MEDIA OR FOR TAKING MEDIA FROM THE BODY; DEVICES FOR PRODUCING OR ENDING SLEEP OR STUPOR
- A61M16/00—Devices for influencing the respiratory system of patients by gas treatment, e.g. ventilators; Tracheal tubes
- A61M16/10—Preparation of respiratory gases or vapours
- A61M16/105—Filters
- A61M16/106—Filters in a path
- A61M16/107—Filters in a path in the inspiratory path
-
- A—HUMAN NECESSITIES
- A61—MEDICAL OR VETERINARY SCIENCE; HYGIENE
- A61M—DEVICES FOR INTRODUCING MEDIA INTO, OR ONTO, THE BODY; DEVICES FOR TRANSDUCING BODY MEDIA OR FOR TAKING MEDIA FROM THE BODY; DEVICES FOR PRODUCING OR ENDING SLEEP OR STUPOR
- A61M16/00—Devices for influencing the respiratory system of patients by gas treatment, e.g. ventilators; Tracheal tubes
- A61M16/0003—Accessories therefor, e.g. sensors, vibrators, negative pressure
- A61M2016/0015—Accessories therefor, e.g. sensors, vibrators, negative pressure inhalation detectors
- A61M2016/0018—Accessories therefor, e.g. sensors, vibrators, negative pressure inhalation detectors electrical
- A61M2016/0024—Accessories therefor, e.g. sensors, vibrators, negative pressure inhalation detectors electrical with an on-off output signal, e.g. from a switch
-
- A—HUMAN NECESSITIES
- A61—MEDICAL OR VETERINARY SCIENCE; HYGIENE
- A61M—DEVICES FOR INTRODUCING MEDIA INTO, OR ONTO, THE BODY; DEVICES FOR TRANSDUCING BODY MEDIA OR FOR TAKING MEDIA FROM THE BODY; DEVICES FOR PRODUCING OR ENDING SLEEP OR STUPOR
- A61M16/00—Devices for influencing the respiratory system of patients by gas treatment, e.g. ventilators; Tracheal tubes
- A61M16/0003—Accessories therefor, e.g. sensors, vibrators, negative pressure
- A61M2016/0027—Accessories therefor, e.g. sensors, vibrators, negative pressure pressure meter
-
- A—HUMAN NECESSITIES
- A61—MEDICAL OR VETERINARY SCIENCE; HYGIENE
- A61M—DEVICES FOR INTRODUCING MEDIA INTO, OR ONTO, THE BODY; DEVICES FOR TRANSDUCING BODY MEDIA OR FOR TAKING MEDIA FROM THE BODY; DEVICES FOR PRODUCING OR ENDING SLEEP OR STUPOR
- A61M2205/00—General characteristics of the apparatus
- A61M2205/58—Means for facilitating use, e.g. by people with impaired vision
- A61M2205/587—Lighting arrangements
-
- A—HUMAN NECESSITIES
- A61—MEDICAL OR VETERINARY SCIENCE; HYGIENE
- A61M—DEVICES FOR INTRODUCING MEDIA INTO, OR ONTO, THE BODY; DEVICES FOR TRANSDUCING BODY MEDIA OR FOR TAKING MEDIA FROM THE BODY; DEVICES FOR PRODUCING OR ENDING SLEEP OR STUPOR
- A61M2205/00—General characteristics of the apparatus
- A61M2205/75—General characteristics of the apparatus with filters
- A61M2205/7545—General characteristics of the apparatus with filters for solid matter, e.g. microaggregates
-
- A—HUMAN NECESSITIES
- A61—MEDICAL OR VETERINARY SCIENCE; HYGIENE
- A61M—DEVICES FOR INTRODUCING MEDIA INTO, OR ONTO, THE BODY; DEVICES FOR TRANSDUCING BODY MEDIA OR FOR TAKING MEDIA FROM THE BODY; DEVICES FOR PRODUCING OR ENDING SLEEP OR STUPOR
- A61M2205/00—General characteristics of the apparatus
- A61M2205/82—Internal energy supply devices
- A61M2205/8206—Internal energy supply devices battery-operated
-
- A—HUMAN NECESSITIES
- A61—MEDICAL OR VETERINARY SCIENCE; HYGIENE
- A61M—DEVICES FOR INTRODUCING MEDIA INTO, OR ONTO, THE BODY; DEVICES FOR TRANSDUCING BODY MEDIA OR FOR TAKING MEDIA FROM THE BODY; DEVICES FOR PRODUCING OR ENDING SLEEP OR STUPOR
- A61M2209/00—Ancillary equipment
- A61M2209/06—Packaging for specific medical equipment
Definitions
- brain cancers such as glioma are also associated with smoking while primary lung cancers are also known to spread to the brain.
- primary lung cancers are also known to spread to the brain.
- At least 40% of patients with lung cancer develop brain metastases at some point during their disease.
- small cell lung cancer can spread to the brain rapidly, often before the diagnosis of lung cancer is made.
- Smoking cessation would be the most effective method to prevent lung cancer.
- smoking is a very difficult addiction to break and currently-marketed smoking cessation products are of limited efficacy.
- Even patients diagnosed with lung or brain cancer or with precancerous conditions thereof often fail to quit smoking.
- cancers such as lung and brain cancer in individuals at increased risk of developing these cancers, in particular smokers.
- anti-cancer agents can be advantageously employed for the prevention or reduction of the risk of cancers, for instance lung and brain cancers and precancerous conditions thereof, when these anti-cancer agents are administered in combination with smoking and/or with another nicotine-containing material described herein.
- This administration is highly suitable for individuals consuming tobacco products, in particular for smokers.
- Combining the administration of an anti-cancer agent, particularly an agent preventing or reducing the risk of lung cancer, with tobacco products including smoking or with smoking cessation products, for instance with nicotine chewing gum would be very efficient in the prevention or reduction of the risk of lung cancer or brain cancer or other smoking/tobacco related cancers.
- Chemoprevention or reduction of the risk of cancer is defined as the administration of an anti-cancer agent, which can comprise a synthetic or a natural compound, to individuals at risk of developing cancer to prevent or to reduce the risk of developing cancer or to those who already had cancer to prevent or to reduce the risk of its recurrence.
- the combination of smoking with the anti-cancer agent a) maximizes the efficacy of the anti-cancer agent, since the anti-cancer agent will be present when the tobacco carcinogens are inhaled, and b) provides an improved or close to absolute (100%) individual compliance in terms of the intake of the anti-cancer agent (which will increase anti-cancer efficacy).
- the present invention relates to a product comprising and/or for delivering nicotine and a therapeutic agent, such as an anti-cancer agent or an anti-inflammatory agent.
- the agent may be a compound of natural or synthetic origin.
- the agent (and thereby the product) may be capable of either preventing or reducing the risk of or treating cancer, preventing or reducing the risk of or treating inflammation or an inflammatory condition, or a combination thereof.
- the agent is a compound having a structure of one of Formulas I-X described herein, such as a phospho-nonsteroidal anti-inflammatory agent (NSAID) covalently attached to a phosphate moiety (phospho-NSAIDs), e.g., through a linker moiety.
- NSAID phospho-nonsteroidal anti-inflammatory agent
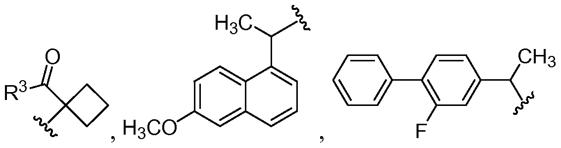
- phospho-NSAIDs include, but are not limited to, compounds selected from:
- the agent is selected from:
- the agent in the product of the present invention is an oxidative stress enhancer.
- the agent is a single compound, e.g., a compound having anti-cancer activity, optionally provided as a formulation that consists essentially of said compound.
- the agent comprises a combination of at least two different compounds, each having a desired activity, such as anti-cancer activity.
- the two or more such compounds may have the same or different activities.
- the product of the present invention may comprise a combination of at least two different compounds, for instance a combination of a phospho- NSAID and curcumin.
- the nicotine is provided in the form of tobacco, e.g., whole, shredded, or otherwise processed tobacco leaf.
- the product of the present invention contains nicotine and the agent in a ratio of from 1000 : 1 to 1 : 10 (wt : wt).
- the product of the present invention may be an inhalation device.
- the device is a smoking article (e.g., a cigarette, cigar, cigarillo, smoking pipe, or other smoking article as disclosed herein), capable of delivering both nicotine and the agent.
- the article may comprise tobacco that is coated, infused, impregnated, or otherwise mixed with the agent, while in other embodiments the smoking device may have a separate element distinct from the tobacco, such as smoking paper or a filter, as discussed in greater detail herein, which releases the agent during use of the article.
- the smoking article comprises a reusable housing (such as a smoking pipe)
- the smoking article can comprise an electronic delivery system for the agent as disclosed herein in conjunction with an inhalation device adapted for use with a smoking article.
- the invention provides a pipe for dispensing nicotine and an agent, comprising a tobacco-receiving chamber for receiving tobacco to be combusted, a unit adapted to contain an agent, and a mouthpiece having a passageway for receiving smoke from combusted tobacco and dispensing the smoke and the agent to a user.
- the pipe comprises a heater for receiving an agent and heating the agent to a temperature suitable for aeresolizing the agent.
- the pipe may have a port, optionally having a door, for inserting an agent into proximity to the heater.
- the pipe further comprises a control board and battery for providing and controlling energy delivered to the heater to aerosolize the agent.
- the pipe includes a control board (which may be the same control board or a different control board) for indicating, e.g., in a visual display or an audible signal or message, the amount of agent used in a given period of time.
- the pipe includes a control board (which may be the same as or different from any or all of the foregoing control boards) for limiting the amount of agent delivered through the pipe to a user, e.g., to a predetermined amount over a predetermined period of time.
- the unit may be a drug magazine as discussed in greater detail below.
- the inhalation device is adapted for use with a smoking article, and comprises a housing having two ends, wherein one end is an opening adapted to receive a smoking device and the other end is a mouthpiece, and a unit, coupled to the housing, adapted to contain said agent, wherein the device is configured to deliver nicotine and the agent to a user when the user draws air through the mouthpiece.
- the agent includes an anti-inflammatory agent, an anti-cancer agent, or both.
- the unit is a filter as described herein, e.g., having the agent disposed on a surface of the filter, such that the agent is released into air and/or smoke passing through the filter.
- the unit is a drug magazine that holds one or more solid pharmaceutical dosage forms (e.g., capsules, tablets or pellets) that comprise the one or more drugs.
- the one or more pharmaceutical dosage forms have a cylindrical shape.
- the drug magazine may be detachable from the housing, e.g., to be replaced or refilled after use or consumption of the dosage forms, such as is in the form of a circular ring, for example, wherein the one or more pharmaceutical dosage forms are arranged in a circumferential slot disposed near the outside of the circular ring.
- the drug magazine may include a biasing element to bias the one or more pharmaceutical dosage forms toward a predetermined location along the circular ring.
- the device further includes a heating element and an electronic control board for controlling the operation of the heating element, e.g., to heat the agent and promote volatilization of the agent.
- the electronic control board may also control the amount of drug dispensed during a period of time, e.g., by controlling the length of time and/or the temperature of the heat applied to the agent by the heating element.
- the heating element may comprise a heating coil and/or a ceramic heater.
- the temperature of the heating element may be regulated by a thermocouple.
- the device may comprise a pressure sensor that detects a drop in pressure when the user draws air through the device.
- the pressure sensor may activate a heating element.
- the pressure sensor may activate an atomizer or nebulizer.
- the device may include a power source along its length, such as a battery chamber for receiving a battery, to power the electronic control board and the heating element.
- the battery may be in the form of one or more cylinders.
- the housing defines a hollow passageway alongside the battery for passage of gases through the housing and past the battery.
- the device includes a plurality of batteries spaced about the housing to permit passage of gases through the housing and past the batteries.
- the battery defines a passageway for passage of gases through the housing and through the battery.
- the device includes a loading mechanism, engaged when the housing receives a smoking device, which loads a pharmaceutical dosage form (e.g., from a position within a magazine as discussed above) comprising said agent into proximity to the heating element.
- a pharmaceutical dosage form e.g., from a position within a magazine as discussed above
- the device includes a drug receptacle, e.g., adjacent to the heating element, that can be manually refilled by the user when the agent is reduced or consumed by use, e.g., through a port (which may be manually opened and closed or otherwise configured to receive the agent) in the housing.
- the device may have a transparent window (which may be a door covering the port or may otherwise be proximal to the drug receptacle and/or drug magazine) to permit a user to view the one or more pharmaceutical dosage forms from outside the device. Additionally or alternatively, the device may comprise a display for displaying indicia representative of the number of pharmaceutical dosage forms consumed since the magazine was coupled to the housing and/or indicia representative of the number of pharmaceutical dosage forms in the magazine.
- the drug may be formulated as a pellet, capsule, tablet, microsphere, granule, micro/nanoparticle, or liquid.
- the drug may be preloaded in the heating element.
- the drug may be loaded into a sponge positioned within a heating coil.
- Doses of the drug may be loaded into the heating element by a spring, lever, gate, gear, syringe, and/or other means.
- doses may be stored in one or more compartments, and an individual dose may be released from a compartment to heating element.
- the drug may be stored in a syringe, and the syringe plunger may release drug from the syringe barrel to the heating element.
- the device further comprises a timer, optionally including a time-of-day clock, e.g., to measure the time between successive uses of the device.
- the invention provides a smoking device having a drug- containing mouthpiece that can be decoupled from a reusable control module, wherein the mouthpiece has a receptacle comprising an agent that, when coupled to the control module, is placed in proximity to an aerosolizing device, whereby activation of the aerosolizing device induces aerosolization of the agent.
- the smoking device may otherwise conform to the description of the smoking device above or elsewhere herein.
- control module may have a housing adapted to receive a smoking device, a heating element for heating one or more drugs, a power source for powering said heating element, and a control board that regulates the power source and the heating element, wherein, when an agent is positioned adjacent to the heating element and the heating element is activated, the device promotes release of the agent into smoke drawn past the heating element.
- One end of the housing may be adapted to securely but reversibly couple to the mouthpiece, e.g., wherein the mouthpiece has a receptacle that, when coupled to the apparatus, places a drug in the receptacle adjacent to the heating element.
- control module is configured to transfer information with a second device.
- control module may transfer information to a smartphone or computer.
- control module may receive information from a smartphone or computer.
- the mouthpiece may be configured to securely but reversibly couple to the control module, e.g., as described above, and comprise a receptacle for holding an agent, wherein, when the agent is placed in the receptacle and the mouthpiece is coupled to the apparatus, the one or more drugs are heated by the heating element when the heating element is activated.
- the agent is provided as a pharmaceutical composition comprising one or more drugs, such as an anti-inflammatory agent, an anti-cancer agent, or both.
- the inhalation device may be an electronic device, such as an electronic cigarette, that comprises a nicotine source and one or more drugs.
- the device may be a unit that renders the nicotine and/or the drug suitable for inhalation, e.g., by volatilizing, nebulizing, atomizing, aerosolizing, or vaporizing the nicotine and the one or more drugs.
- the product is a smokeless tobacco product, e.g., wherein the tobacco is coated, mixed, or impregnated with the agent.
- the product is a smoking cessation product, such as a transdermal patch or an orally applied product.
- an electronic cigarette as disclosed herein comprises a housing, a reservoir containing a liquid, wherein the liquid contains nicotine and/or one or more drugs, an aerosolizing device for aerosolizing the liquid, a power source that powers the aerosolizing device, and a control board that regulates the power source and the aerosolizing device, e.g., in response to activation by a user, wherein said electronic cigarette dispenses nicotine and one or more drugs when activated by a user.
- the one or more drugs comprise an anti-inflammatory agent, an anti-cancer agent, or both.
- the aerosolizing device may aerosolize the liquid by any suitable means, e.g., by heating, nebulizing, atomizing, vaporizing, and/or aerosolizing the liquid.
- the aerosolizing device comprises a heating element coupled to said power source.
- the aerosolizing device may comprise a piezoelectric atomizer.
- the device may comprise an inhaler.
- the electronic cigarette may comprise an airflow sensor that activates said control board (e.g., to initiate powering of the aerosolizing device) in response to airflow initiated by a user.
- the invention provides a drug magazine for holding a plurality of drug-containing solid carriers, such as the drug magazine discussed above.
- the drug magazine may comprise a ring defining a circumferential slot arranged near the outside of the ring, wherein the slot is adapted to receive or contains a plurality of drug-containing solid carriers.
- the drug magazine may further include a biasing element (such as an elongated spring held in compression in the ring) which biases the drug- containing solid carriers to a predetermined location along the ring for dispensing, e.g., into a position proximal to a heating element.
- the invention provides smoking paper containing an agent, such as an anti-inflammatory agent, an anti-cancer agent, or both, wherein the paper is adapted to release said agent when heated or burned.
- an agent such as an anti-inflammatory agent, an anti-cancer agent, or both
- the invention also provides a smoking article comprising a tobacco core wrapped in such a smoking paper.
- the invention provides a smoking filter containing an agent (such as an anti-inflammatory agent, anti-cancer agent, or both), wherein when said filter is coupled to a smoking device or smoking article and a user draws smoke through said filter, the filter releases an amount of the agent.
- an agent such as an anti-inflammatory agent, anti-cancer agent, or both
- the invention also provides a smoking device or smoking article comprising such a filter.
- the smoking article may be a cigarette, cigar, cigarillo, kretek, beedi, bidi, biri, pipe, water pipe, or hookah.
- the smoking device may be a smoking device as disclosed herein, such as an electronic smoking device, electronic aerosolizing device, or electronic cigarette.
- the invention provides a solid drug formulation comprising one or more drugs (such as an anti-inflammatory agent, an anti-cancer agent, or both), wherein the formulation is adapted to release the one or more drugs as a vapor when heated.
- the release of the drug by heating consumes the
- the formulation may consist or consist essentially of the one or more drugs, e.g., the formulation may consist of a single drug.
- the formulation may be a pharmaceutical dosage form selected from tablets and pellets, e.g., such that each dosage form provides a single dose of the one or more drugs.
- the dosage form may be adapted for use with any of the devices disclosed herein, e.g., to be inserted directly into a smoking device or provided in a drug magazine.
- the invention provides a cartridge comprising one or more drugs, wherein the cartridge is adapted to be reversibly coupled to a smoking device as disclosed herein.
- the one or more drugs may be formulated in any suitable formulation, such as the formulations of the preceding paragraph, or other aerosolizable formulations disclosed herein.
- the cartridge may comprise an air inlet and an air outlet that permit air to be drawn through the cartridge.
- the cartridge may comprise a heating element, e.g., configured such that coupling the cartridge to the device operatively couples the heating element to a power source, such that activation of the device causes the power source to power the heating element, thereby promoting aerosolization of the one or more drugs.
- the cartridge may be configured to adopt a position in the smoking device adjacent to a heating element, as disclosed herein.
- the cartridge may further comprise a battery for powering a heating element, whether that heating element is part of the cartridge or part of the device for which the cartridge is adapted to be used (e.g., the cartridge having an electrical connection that operatively engages a circuit in the device, e.g., including a control board).
- the invention provides a kit comprising a pack of cigarettes and an inhaler.
- a smoker can inhale the drug before or after smoking a cigarette.
- the invention provides a kit comprising an inhaler coupled to a holder adapted to receive a pack of cigarettes.
- the pack of cigarettes may be stored in the holder along with the inhaler.
- the holder may be configured in any suitable fashion, e.g., as a clip to securely grip a pack of cigarettes, or as a receptacle dimensioned to receive a pack of cigarettes, e.g., with a snug fit that retains the pack of cigarettes so that it does not easily slide out without assistance.
- the pack of cigarettes may be replaced with a new pack of cigarettes, e.g., after the cigarettes have been consumed, and the kit may be reused with different packs of cigarettes.
- Figure 1A-1G are images of smoking devices comprising a nicotine-containing material and an anti-cancer agent.
- Figure 2 shows an apparatus used to experimentally assess the aerosolization of anticancer agents.
- Figure 3 A shows an apparatus for testing drug aerosolization.
- Figure 3B is a typical HPLC chromatogram for an aerosolized compound depicting a peak that corresponds to intact drug.
- Figure 4 shows chromatograms from aerosolized anticancer agents.
- Figure 5 A is a cross-sectional view of a cigarette holder with a replaceable cartridge containing capsules of an agent.
- Figure 5B is a cross-sectional view of a cigarette holder similar to that of Figure 5 A, but with a battery having a central bore for pass through of smoke and vapor.
- Figure 5C is a cross-sectional view of a cigarette holder similar to that of Figure 5 A, but with three batteries placed in a manner that allows the free flow of smoke and vapor.
- Figure 6A is a cross-sectional view of the device of Figure 5 A showing a single battery and air passage in the lower region.
- Figure 6B is a cross-sectional view of the device of Figure 5B showing a hollow core battery to provide a central air passage.
- Figure 6C is a cross-sectional view of the device of Figure 5C with three batteries, to provide multiple air passages.
- Figure 7A is an elevational view of a cartridge usable in the device of Figures 5A- 11C, containing capsules of anti-inflammatory or anti-cancer agents.
- Figure 7B is a side cross-section of the cartridge of Figure 7A used to dispense tobacco smoke and aerosolized drug.
- Figure 8 is a cross-sectional view of a pipe adapted to dispense smoke from burning tobacco and aerosolized drug.
- Figure 9 is a cross-sectional view of a device adapted to dispense smoke from a smoking device and one or more drugs.
- Figure 1 OA is a cross-sectional view of a device showing a battery, electronic control board, timer, heating coil, thermocouple, drug tablets, drug advancement rod, and cigarette.
- Figure 1 OB is a cross-sectional view of a portion of a device comprising a ceramic heater.
- Figure IOC is a cross-sectional view of a portion of a device comprising a drug release gate, drug storage reservoir, ceramic plate, and a filter.
- Figure 11A is a cross-sectional view of a portion of a device comprising a heating coil.
- Figure 1 IB is a cross-sectional view of a portion of a device comprising a sponge and a heating element.
- Figure 12A is a cross-sectional view of a portion of a device comprising an atomizer.
- Figure 12B is a cross-sectional view of a portion of a device comprising an inhaler and a pressure sensor.
- Figure 12C is a cross-sectional view of a kit comprising cigarettes and an inhaler.
- the present invention provides a novel product or composition comprising a nicotine-containing material and an anti-cancer agent.
- anti-cancer agent refers to a natural or synthetic agent that is capable of either preventing or reducing the risk of or treating cancer or both.
- the anti-cancer agent is capable of inhibiting the proliferation or preventing or reducing the risk of the development of cancer cells.
- anti-inflammatory agent refers to a natural or synthetic agent that is capable of either preventing or reducing the risk of or treating an inflammatory disease (or condition), or both.
- the term "drug” refers to all chemical substances, other than nicotine, administered to prevent, reduce the risk of, and/or treat one or more diseases or disorders. Drugs include all anti-cancer agents and anti-inflammatory agents.
- the anti-cancer agent comprises a combination of at least two different compounds having anti-cancer activity.
- the product of the present invention may comprise a combination of at least two different compounds having anti-cancer activity.
- the product may contain two different compounds having anti-cancer activity in the ratio of from 10 : 1 to 1 : 10, more preferred from 7 : 1 to 1 : 7, particularly preferred from 4 : 1 to 1 : 4, for instance 1 : 1 (weight : weight).
- a combination of curcumin and a phospho-NSAID can be mentioned.
- Preferred anti-cancer agents are capable of inhibiting the growth or preventing or reducing the risk of the development of solid tumors in vivo. Preferred anti-cancer agents are also capable of reducing the size of a solid tumor in vivo.
- the anti-cancer agent comprises a tyrosine kinase inhibitor (TKI).
- TKI inhibits the tyrosine kinase activity of at least one tyrosine kinase. The inhibition may be reversible or irreversible.
- TKIs include, but are not limited to, compounds such as imatinib, dasatinib, nilotinib, gefitinib, erlotinib, lapatinib, sunitinib, sorafenib and pazopanib.
- Various TKIs are, for instance, described in Hartmann et al. (J. Th. Hartman et al. Cur. Drug Metab, 2009, 10, pp. 470-481).
- anticancer agents are compounds that induce oxidative stress in the target cells or stromal cells of the proliferative disorder sensitive to the anti-cancer agent.
- Anticancer agents may comprise but are not limited to: a) androgen inhibitors, such as flutamide and luprolide; b) antiestrogens, such as tamoxifen; c) antimetabolites and cytotoxic agents, such as daunorubicin, fluorouracil, floxuridine, interferon alpha, methotrexate, plicamycin, mecaptopurine, thioguanine, adriamycin, carmustine, lomustine, cytarabine, cyclophosphamide, doxorubicin, estramustine, altretamine, hydroxyurea, ifosfamide, procarbazine, mutamycin, busulfan, mitoxantrone, streptozocin, bleomycin, dactinomycin, and
- chlorotrianisene etoposide, podophyllotoxin, and goserelin; e) nitrogen mustard
- steroids such as betamethasone, prednisone, prednisolone
- differentiation-inducing agents such as retinoic acid, vitamin D, cytokines
- other antineoplastic agents such as platinum compounds, dicarbazine, asparaginase, leucovorin, mitotane, vincristine, vinblastine, and taxanes ⁇ e.g., taxol, paclitaxel, docetaxel), folic acid analogs and purine and pyrimidine analogs, protein tyrosine kinase inhibitors, immunomodulators, biological response modifiers, and monoclonal antibodies
- natural products such as, for example, vinca alkaloids, taxanes, and camptothecins
- NSAIDs Nonsteroidal anti-inflammatory drugs
- Sulphonanilides which include nimesulide; and/or q) others, which include licofelone.
- a list of anti-cancer agents can be found in L. Brunton, B. Chabner and B. Knollman (eds). Goodman and Gilman's, The Pharmacological Basis of Therapeutics, Twelfth Edition, 2011, McGraw Hill Companies, New York, NY.
- anti-cancer agents for use in the present invention include compounds such as difiuoromethylornithine or erlotinib.
- the anti-cancer agent in the present invention has a structure of Formula (I):
- A is an optionally substituted aliphatic, heteroaliphatic, aromatic, heteroaromatic substituent or alkylaryl substituent having 1 to 100 carbon atoms or is selected from:
- X 1 and X 2 are independently selected from -0-, -NR 5 -, and -S-;
- R 1 and R 4 are independently selected from hydrogen and trifluoromethyl;
- R 2 is selected from -SCH 3 , -S(0)CH 3 , and -S(
- R 3 is selected from hydroxyl, Z, -X 1 -(CH 2 )4-Z,
- R 5 is selected from hydrogen and Ci_ 6 alkyl
- Z is selected from:
- R 6 and R 7 are independently selected from hydrogen, Ci_6-alkyl, and polyethylene glycol residue.
- X 1 is -NR 5 -, and R 5 is selected from hydrogen, methyl, and ethyl.
- X 1 is -0-.
- Z is R 6 is selected from ethyl and a polyethylene glycol residue, and R 7 is selected from hydrogen and ethyl.
- A is selected from:
- Formula XIII Formula A-XV wherein R 1 and R 4 are independently selected from hydrogen and trifluoromethyl, and X is selected from -0-, -S-, and -NH-.
- X 1 is -0-
- Z is -0-P(0)(CH 2 CH 3 ) 2
- A is:
- X 1 is selected from -O- and -NH-
- Z is -0-P(0)(CH 2 CH 3 ) 2 ,
- A is:
- R is selected from hydrogen and trifluoromethyl.
- X 1 and X 2 are independently selected from -O- and -NH-, Z
- R is selected from hydrogen and trifluoromethyl.
- X 1 and X 2 are independently selected from -0-, -S-, and - is: In some embodiments, X 1 is selected from -0-, -S-, and -NH-, Z is selected from - -P(0)(CH 2 CH 3 ) 2 and -ON0 2 , A is:
- R 1 is selected from hydrogen and trifluoromethyl
- X 2 is selected from -0-, -S- and - NH-.
- X 1 is selected from -O- and -NH-
- Z is -ON0 2
- A is:
- the compounds of Formula I include but are not limited to compounds of which the structures are shown below:
- Y 1 is a polyethylene glycol residue
- R 6 is selected from hydrogen, Ci_ 6-alkyl, and polyethylene glycol residue
- A is an optionally substituted aliphatic, heteroaliphatic, aromatic, heteroaromatic substituent or alkylaryl substituent having 1 to 100 carbon atoms or selected from:
- X 1 and X 2 are independently selected from -0-, -NR 5 -, and -S-;
- R 1 and R 4 are independently selected from hydrogen and trifluoromethyl
- R 2 is selected from -SCH 3 , -S(0)CH 3 , and -S(0) 2 CH 3 ;
- R 3 is selected from hydroxyl, Z, and -X ⁇ B-Z;
- R 5 is selected from hydrogen and Ci_ 6 alkyl
- B is selected from:
- R 8 is a C i_4 alkylene
- R 9 is hydrogen, Ci_ 6 -alkyl, halogenated Ci_ 6 -alkyl, Ci_ 6 -alkoxy, halogenated Ci_ 6 -alkoxy, -C(0)-Ci_ 6 -alkyl, -C(0)0-Ci_ 6 -alkyl, -OC(0)-Ci_ 6 -alkyl, -C(0)NH 2 , -C(0)NH-Ci_6-alkyl, -S(0)-Ci_ 6 -alkyl, -S(0) 2 -Ci_ 6 -alkyl, -S(0) 2 NH-Ci_ 6 -alkyl, cyano, halo or hydroxyl.
- Y 1 is a polyethylene glycol residue described by
- m is 1 to 100 (e.g. 20 to 100, 20 to 50, 40 to 50), and R 10 is selected from hydrogen, alkyl and alkoxy, and R 6 is hydrogen.
- Y 1 is -0(CH 2 CH 2 0) m R 10 wherein m is 45, R 10 is - OCH 3 , and R 6 is hydrogen.
- X 1 is -0-.
- X 1 is -NR 5 - and R 5 is selected from hydrogen, methyl, and ethyl.
- B is -(CH 2 ) 4 -.
- A is:
- the compound is:
- the invention features a compound of general Formula III
- A is selected from:
- X 1 and X 2 are independently selected from -0-, -NR 5 -, and -S-;
- R 1 and R 4 are independently selected from hydrogen and trifluoromethyl
- X 3 is selected from -S- and -NH-;
- R 3 is selected from hydroxyl, Z, and -X ⁇ B-Z;
- R 5 is selected from hydrogen and Ci_ 6 alkyl
- B is selected from:
- R 8 , R 11 , and R 12 are the same or different Ci_ 4 alkylene
- R 9 is hydrogen, Ci_6-alkyl, halogenated Ci_ 6 -alkyl, Ci_ 6 -alkoxy, halogenated Ci-6-alkoxy, -C(0)-Ci_ 6 -alkyl, -C(0)0-Ci_ 6 -arkyl, -OC(0)-Ci_ 6 -arkyl, -C(0)NH 2 ,
- Z is selected from:
- R 6 and R 7 are independently selected from hydrogen, Ci_6-alkyl, and polyethylene glycol residue;
- R 13 is selected from hydrogen, an aliphatic group with 1 to 22 carbon atoms (e.g. Ci_ 6-alkyl), and polyethylene glycol residue.
- X 1 is -0-.
- X 1 is -NR 5 - and R 5 is selected from hydrogen, methyl, and ethyl.
- Z is sel CH 2 CH 3 ) 2 and -ON0 2 .
- BZ is N-(2-aminoethyl)-2-aminoethyl-N-(2-aminoethyl)-2-aminoethyl-N-(2-aminoethyl)-2-aminoethyl-N-(2-aminoethyl)-2-aminoethyl-N-(2-aminoethyl)-2-aminoethyl
- X 1 is selected from -O- and -NH-, B is selected from
- Z is -OP(0)(OCH 2 CH 3 ) 2
- A is:
- X 1 is selected from -O- and -NH-, B is selected from and R 3 is:
- X 1 is selected from -O- and -NH-
- B is selected from is -OP(0)(OCH 2 CH 3 ) 2
- A is: and X is selected from -O- and -NH-.
- X 1 is selected from -O- and -NH-, B is selected from
- X 1 is selected from -O- and -NH-
- B is selected from Z is -OP(0)(OCH 2 CH 3 ) 2
- A is: and R 3 is hydroxyl or selected from:
- X 1 is selected from -O- and -NH-
- B is selected from Z is -OP(0)(OCH 2 CH 3 ) 2
- A is: R is hydroxyl or selected from:
- X 1 is selected from -O- and -NH-
- B is selected from -OP(0)(OCH 2 CH 3 ) 2
- A is: is selected from hydrogen and trifluoromethyl.
- X 1 is selected from -O- and -NH-
- B is selected from P(0)(OCH 2 CH 3 ) 2
- A is:
- R is selected from hydrogen and trifluoromethyl.
- X 1 is selected from -O- and -NH-
- B is selected from is -OP(0)(OCH 2 CH 3 ) 2
- A is: and X is selected from -0-, -S-, and -NH-.
- X 1 is selected from -O- and -NH-, B is selected from
- Z is selected from -OP(0)(OCH 2 CH 3 ) 2 and -ON0 2 ,
- A is:
- X is selected from -0-, -S-, and -NH-.
- X 1 is selected from -O- and -NH-
- B is -(CH 2 ) 4 -
- Z is - ON0 2
- A is:
- R is selected from hydrogen and trifluoromethyl
- X is selected from -S-, and -NH-.
- X 1 is -NH-
- a R 1 is selected from hydrogen and trifluoromethyl
- X 3 is selected from -S-, and -NH-.
- the compounds of Formula III include but are not limited to compounds of which the structures are shown below:
- A is an optionally substituted aliphatic, heteroaliphatic, aromatic, heteroaromatic substituent or alkylaryl substituent having 1 to 100 carbon atoms or selected from:
- X 2 is selected from -0-, -NR 5 -, and -S-;
- R 1 and R 4 are independently selected from hydrogen and trifluoromethyl
- R 2 is selected from -SCH 3 , -S(0)CH 3 , and -S(0) 2 CH 3 ;
- R 3 is selected from hydroxyl, Z, and -X ⁇ B-Z;
- R 5 is selected from methyl and ethyl
- B is selected from:
- R 8 , R 11 , and R 12 are the same or different Ci_ 4 alkylene;
- R 9 is hydrogen, Ci_6-alkyl, halogenated Ci_6-alkyl, Ci_6-alkoxy, halogenated
- Z is selected from:
- R 6 and R 7 are independently selected from hydrogen, Ci_6-alkyl, and polyethylene glycol residue;
- R 13 is selected from hydrogen, an aliphatic group with 1 to 22 carbon atoms (e.g. Ci 6-alkyl), and polyethylene glycol residue.
- the invention features a compound having a structure selected from the group consisting of
- the present invention provides a compound of Formula V
- A is an optionally substituted aliphatic, heteroaliphatic, aromatic, heteroaromatic substituent or alkylaryl substituent having 1 to 100 carbon atoms;
- X 1 is selected from -0-, -S-, and -NR 5 -;
- R 5 is selected from hydrogen and a Ci_ 6 alkyl
- B is an aliphatic, alicyclic, heteroaliphatic, heterocyclic, aryl, aralkyl, or
- heteroaromatic group optionally substituted with one or more R 15 moieties
- Z is selected from:
- R 6 and R 7 are independently selected from hydrogen, Ci_ 6 -alkyl, and polyethylene glycol residue; and R is selected from hydrogen, an aliphatic group with 1 to 22 carbon atoms (e.g. Ci_ 6-alkyl), and polyethylene glycol residue;
- the compound of Formula V is further described by Formula I, II, III, or IV or any specific compound described herein.
- the compound of Formula V is a compound disclosed in US Patent No. 8,236,820, incorporated by reference.
- the compound of Formula V can be selected from:
- the anti-cancer agent comprises a phospho-nonsteroidal anti-inflammatory agent having one or more phosphate moiety (phospho-NSAIDs).
- phospho-NSAIDs phospho-nonsteroidal anti-inflammatory agent having one or more phosphate moiety
- Compounds that may be used in the present invention are disclosed in WO 2013/130625, WO 2009/023631, WO 2005/065361 , and WO 2011/094589, which are incorporated herein by reference. Further incorporated herein by reference are US provisional application Serial No. 61/704,021, US application Serial No. 14/033,976, US application Serial No. 14/034,421, and US application Serial No. 14/033,932, which disclose other compounds which may be used herein.
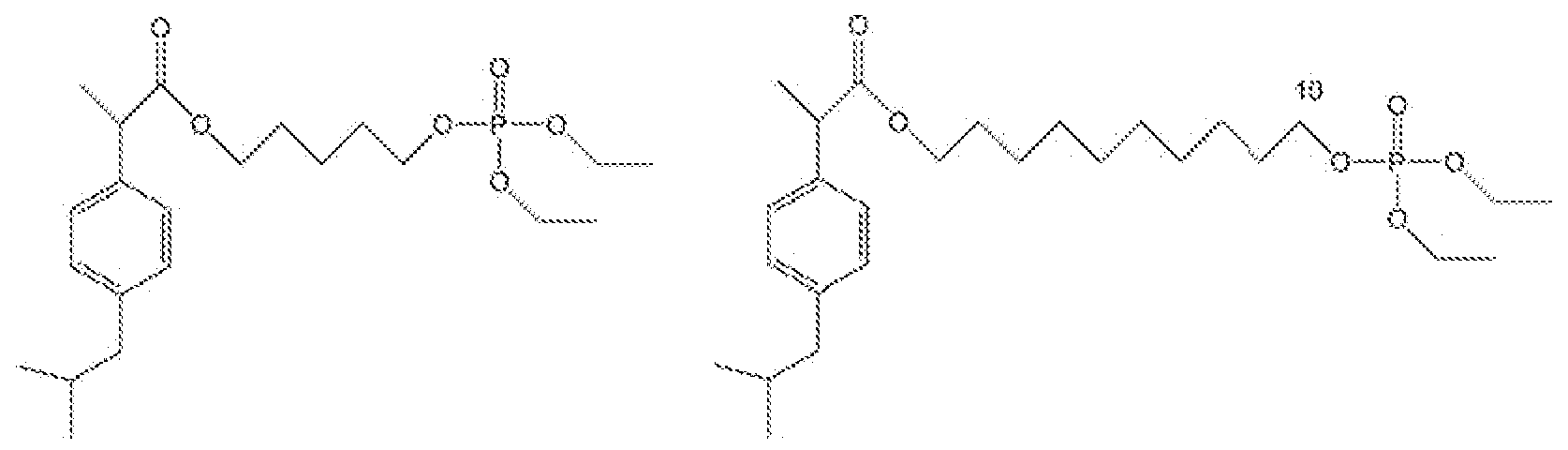
- phospho-ibuprofen I phospho-ibuprofen glycerol II, phospho-ibuprofen glycerol amide III, phospho-ibuprofen amide IV, phospho- sulindac V, phospho-sulindac amide VI, phospho-aspirin VII, phospho-valproic acid VIII, the compounds IX and X, phospho-pentyl-ibuprofen XI, phospho-decyl-ibuprofen XII, phospho-hexyl-aspirin XIII, phosphor-butyl-aspirin XIV, and phospho-salicylic acid glycerol XV, the structures of which are shown below:
- the anticancer agent in the present invention is a compound having a Formula VI:
- X 1 is selected from the group consisting of -0-, -S- and -NR 1 -;
- R 1 being hydrogen or C 1-100 -alkyl, preferably Ci_ 22 -alkyl, particularly preferred Ci_ lo-alkyl;
- A is an optionally substituted aliphatic, heteroaliphatic, aromatic, heteroaromatic substituent or alkylaryl substituent having in a preferred embodiment 1 to 100, and even more preferably 1 to 42 carbon atoms.
- A is derived from among NSAIDs.
- A is selected from the group consisting of:
- R 9 being selected from hydrogen and trifluoromethyl
- R 10 being selected from -X 2 -C(0)-CH 3 ;
- R 11 being selected from -SCH 3 , -S(0)CH 3 and -S(0) 2 CH 3 ;
- R 12 being selected from hydroxy, -B-Z and Formula A-XII
- X 2 is selected from the group consisting of -0-, -S- and -NR 13 -, wherein, R 13 being hydrogen or Ci_ 6 -alkyl;
- R 2 , R 4 and R 5 being the same or different Ci_ 3 -alkylene
- R 3 being hydrogen, Ci_ 6 -alkyl, halogenated Ci_ 6 -alkyl, Ci_ 6 -alkoxy, halogenated Ci_ 6 -alkoxy, -C(0)-Ci_ 6 -alkyl, -C(0)0-Ci_ 6 -alkyl, -OC(0)-Ci_ 6 -alkyl, - C(0)NH 2 , -C(0)NH-Ci_ 6 -alkyl, -S(0)-Ci_ 6 -alkyl, -S(0) 2 -Ci_ 6 -alkyl, -S(0) 2 NH-Ci_ 6 - alkyl, cyano, halo or hydroxyl;
- Z i selected independently from the group consisting of:
- R 6 being independently selected from hydrogen, C 1-100 -alkyl, preferably Ci- 6 - alkyl, and polyethylene glycol residue;
- R 7 being selected from hydrogen, C 1-100 -alkyl, preferably Ci_ 6 -alkyl, and polyethylene glycol residue;
- R 8 being independently selected from hydrogen, an aliphatic substituent with 1 to 22 carbon atoms, more preferred Ci_6-alkyl and a polyethylene glycol residue
- the folic acid residue is selected from the group consisting of
- A is represented by Formula A-I or A-IV, XI is -O- and -B-Z is not -(CH 2 ) 4 -0-P(0)(OC 2 H 5 ) 2 .
- A is represented by Formula A-II and XI is not -O- and/or - B- is an aliphatic substituent with 1 to 100, preferably with 1 to 42 carbon atoms.
- the anticancer agent in the present invention is selected from compounds having Formula (VII)
- X 1 and X 2 are independently selected from the group consisting of -0-, -S- and - NR 1 -, R 1 being hydrogen or Ci_ 6 -alkyl;
- B is an optionally substituted aliphatic, heteroaliphatic, aromatic, heteroaromatic or alkylaryl substituent having 1 to 40 carbon atoms;
- Z 1 is selected from the group consisting of hydrogen, farnesyl and a folic acid residue
- Z 2 is selected from the group consisting of
- Z 2 is preferably represented by Formula Z-I;
- R 6 being independently selected from hydrogen, Ci_ioo-alkyl and a polyethylene glycol residue
- R 7 being independently selected from hydrogen, Ci_i 0 o-alkyl and a polyethylene glycol residue; or
- R 6 being defined as above
- R 8 being independently selected from hydrogen, an aliphatic substituent with
- Ci_6-alkyl 1 to 22 carbon atoms, more preferred Ci_6-alkyl and a polyethylene glycol residue and
- R 9 being selected from hydrogen and trifluoromethyl.
- the anticancer agent relates to the compounds of Formula VIII:
- composition further comprises
- the agent is a compound (e.g., an anti-cancer agent) having a structure of Formula IX:
- G is selected from one of the moieties shown below (G ⁇ G 41 );
- R 1 being hydrogen or Ci_ioo-alkyl, preferably Ci_22-alkyl, particularly preferred Ci_ lo-alkyl;
- L is selected from one of the moieties shown below (L ⁇ L 3 ); wherein in L 1 , p is from 1-100, preferably 1-22, most preferably 1-10;
- Y is selected from -0-, -NR 2 -, or -S-;
- R 2 being hydrogen or Ci_ioo-alkyl, preferably Ci_ 22 -alkyl, particularly preferred Ci_io-alkyl;
- M is selected from one of the moieties shown below (M ⁇ M 3 ); wherein in M 2 n is preferably 1-10: 0
- the agent is a compound (e.g., an anti-cancer agent) having a structure of Formula X:
- G is selected from one of the moieties shown above (G ⁇ G 41 );
- X is selected from -0-, -NR 1 -, or -S-,
- R 1 being hydrogen or C 1-100 -alkyl, preferably Ci_ 22 -alkyl, particularly preferred C 1-10 - alkyl;
- Another aspect of the present invention relates to the use of an effective amount of compounds represented by Formulas I-X, any compound specified above or any combination thereof.
- composition described herein in the treatment of inflammation of a subject in need thereof.
- the compounds represented by Formulas I-X are useful in the treatment of inflammation of the lung, the upper airways and the oral cavity.
- the compounds represented by Formulas I-X may be used in the treatment of inflammation of the lung, the upper airways and the oral cavity where such inflammation is induced by tobacco smoke or other tobacco products, including but not limited to asthma, emphysema, acute and chronic bronchitis, leukoplakia or stomatitis.
- the compounds may be used in the treatment of inflammation related to rheumatoid arthritis, Sjogren's syndrome, coronary artery disease, peripheral vascular disease, hypertension, Alzheimer's disease and its variants, lupus erythematosus, chronic bronchitis, chronic sinusitis, benign prostatic hypertrophy, prostate cancer, colon adenomas, colon cancer, cancer of the lung, lymphoma, and leukemia.
- a further aspect of the present invention relates to the use of an effective amount of compounds represented by Formulas I-X, or any specific compound or composition described herein for the treatment or prevention or reduction of the risk of cancer in a subject in need thereof.
- the present invention features methods for treating cell proliferation by contacting a cell with an effective amount of a compound represented by Formulas I-X, or any specific compound or composition described herein.
- the choice of the nicotine-containing material for use in the product of the present invention is not particularly limited.
- the nicotine-containing material used is the leaf of a tobacco plant, i.e., a plant of the genus Nicotiana, such as Nicotiana tabaccum.
- Tobacco leaves of several types may be employed. Suitable types of tobacco leaves include, but are not limited to, Brightleaf tobacco, Burley, Cavendish, Corojo, Criollo, Oriental tobacco, Perique, Shade tobacco, Thuoc lao, Type 22, White Burley, wild tobacco and Yl .
- the content of the nicotine-containing material and of the anti-cancer agent in the product can be readily chosen by a person skilled in the art to provide an advantageous therapeutic effect.
- the product contains nicotine and the anti-cancer agent in the ratio of from 1000 : 1 to 1 : 10, more preferred from 10 : 1 to 1 : 10, even more preferred from 7 : 1 to 1 : 7, particularly preferred from 4 : 1 to 1 : 4, for instance 1 : 1
- the nicotine-containing material may be nicotine (IUPAC name: (S)- (-)-3-(l-methylpyrrolidin-2-yl)pyridine) or a pharmaceutically acceptable salt thereof.
- S.M. Berge et al. describe pharmaceutically acceptable salts in detail in J. Pharmaceutical Sciences, 1977, 66, 1-19, incorporated herein by reference.
- Examples of pharmaceutically acceptable acid addition salts can be formed with inorganic acids such as hydrochloric acid, hydrobromic acid, phosphoric acid, sulfuric acid and perchloric acid or with organic acids such as acetic acid, oxalic acid, maleic acid, tartaric acid, citric acid, succinic acid or malonic acid or by using other methods used in the art such as ion exchange.
- salts and coformer molecules for cocrystal formation include adipate, alginate, ascorbate, aspartate, benzenesulfonate, benzoate, bisulfate, borate, butyrate, camphorate, camphorsulfonate, citrate, cyclopentanepropionate, digluconate, dodecylsulfate, ethanesulfonate, formate, fumarate, glucoheptonate, glycerophosphate, gluconate, hemisulfate, heptanoate, hexanoate, hydroiodide, 2-hydroxy-ethanesulfonate, lactobionate, lactate, laurate, lauryl sulfate, malate, maleate, malonate, methanesulfonate, 2- naphthalenesulfonate, nicotinate, nitrate, oleate, oxalate, palm
- one dosage of the product contains nicotine from 0.01 to 100 mg, preferably from 0.1 to 10 mg, more preferred from 0.5 to 7 mg, yet even more preferred from 0.7 to 5 mg and particularly preferred from 1 to 3 mg nicotine.
- the product of the present invention may additionally comprise a pharmaceutically acceptable carrier which, as used herein, includes solvents, diluents, or other liquid vehicle, dispersion or suspension aids, surface active agents, isotonic agents, thickening or emulsifying agents, preservatives, solid binders, lubricants and the like, as suited to the particular dosage form desired.
- a pharmaceutically acceptable carrier includes solvents, diluents, or other liquid vehicle, dispersion or suspension aids, surface active agents, isotonic agents, thickening or emulsifying agents, preservatives, solid binders, lubricants and the like, as suited to the particular dosage form desired.
- Martin discloses various carriers used in formulating pharmaceutical compositions and known techniques for the preparation thereof.
- materials which can serve as pharmaceutically acceptable carriers include, but are not limited to, volatile solid materials, such as menthol, sugars such as lactose, glucose and sucrose; excipients such as cocoa butter; oils such as peanut oil, cottonseed oil; safflower oil, sesame oil; olive oil; corn oil and soybean oil; glycols; such as propylene glycol; esters such as ethyl oleate and ethyl laurate; agar; natural and synthetic phospholipids, such as soybean and egg yolk
- phosphatides lecithin, hydrogenated soy lecithin, dimyristoyl lecithin, dipalmitoyl lecithin, distearoyl lecithin, dioleoyl lecithin, hydroxylated lecithin, lysophosphatidylcholine, cardiolipin, sphingomyelin, phosphatidylcholine, phosphatidyl ethanolamine, diastearoyl phosphatidylethanolamine (DSPE) and its pegylated esters, such as DSPE-PEG750 and DSPE-PEG2000, phosphatidic acid, phosphatidyl glycerol and phosphatidyl serine.
- DSPE diastearoyl phosphatidylethanolamine
- lecithin which are preferred include those which are available under the trade name Phosal® or Phospholipon® and include Phosal® 53 MCT, Phosal® 50 PG, Phosal® 75 SA, Phospholipon® 90H, Phospholipon® 90G and Phospholipon® 90 NG; soy-phosphatidylcholine (SoyPC) and DSPE-PEG2000 are particularly preferred; buffering agents such as amino acids; pyrogen-free water; isotonic saline; Ringer's solution; ethyl alcohol, and phosphate buffer solutions, as well as other non-toxic compatible lubricants such as sodium lauryl sulfate as well as releasing agents, coating agents, sweetening, flavoring and perfuming agents, preservatives and antioxidants can also be present in the product of the present invention.
- buffering agents such as amino acids
- pyrogen-free water such as isotonic saline
- Ringer's solution such as sodium la
- the product for the present invention is a smoking device such as a cigarette, cigar, cigarillo, kretek, beedi, bidi, biri, smoking pipe, water pipe, hookah, or cigarette holder.
- the anti-cancer agent is inhaled at the same time that the smoker smokes.
- the nicotine-containing material and the anti-cancer agent can be, for instance, incorporated in a cigarette, a cigar, a cigarillo, kretek, beedi, bidi, or biri (see Figure 1 A) or in a smoking device such as a smoking pipe (for instance, in the chamber of a smoking pipe, see Figure IB) or in a water pipe, hookah, cigarette holder, etc.
- the smoking device may optionally comprise an additional unit which renders the anti-cancer agent suitable for inhalation so that smoke and the anti-cancer agent can be inhaled simultaneously or in sequence.
- the additional unit may, for instance, be a pressurized aerosol spray dispenser, a nebulizer, an atomizer or a cartonizer.
- smoking refers to the action of inhaling or tasting the smoke of burning plant material, preferably of tobacco leaves.
- Smoking further includes a process wherein the smoking composition is heated but not pyrolysed, and the heated vapors are inhaled or tasted by the smoker.
- Figure 1 A the anti-cancer agent or a pharmaceutical composition thereof 3 is incorporated into the cigarette containing tobacco 2 and, optionally, having a filter 4.
- the anti-cancer agent can be formulated with a volatile solid such as menthol.
- the tobacco smoke 5 containing the anticancer agent enters the mouth and the lungs of the smoker.
- FigurelB the anticancer agent or a pharmaceutical composition thereof 3 is incorporated into a smoking pipe.
- Tobacco 2 may be mixed with the anticancer agent or a pharmaceutical composition thereof 3.
- another smoking device such as a water pipe can be employed.
- the volatilization of the anti-cancer agent can be additionally facilitated by external heating, for instance, by using an electric heating element.
- FIG. 1C a further embodiment of the present invention is shown.
- the anti-cancer agent is administered in a so-called "cigarette with menthol capsule".
- the anti-cancer agent or a pharmaceutical composition thereof 3 is incorporated in a menthol capsule which, in turn, is located in the filter 4.
- Cigarettes with menthol capsules are known in the prior art and are, for example, described in US 2009/0277465.
- this embodiment is particularly suited for smokers and aims to prevent lung cancer and/or precancerous conditions in the lung.
- Figure ID a further embodiment is shown.
- composition thereof 3 is directly mixed with tobacco 2.
- volatilization the anti-cancer agent occurs primarily in the pyrolysis zone 1 of the cigarette and the tobacco smoke 5 containing the anti-cancer agent enters the mouth and the lungs of the smoker.
- the filter 4 is optional. This embodiment is particularly useful if the anti-cancer agent is sufficiently volatile.
- Figure IE a further embodiment is shown.
- an electronic cigarette cartridge 7 The cartridge 7 may be designed as an atomizer or as a cartonizer.
- Valve 6 prevents the entry of the aerosol and solvent vapor emitted by the cartridge 7 into the tobacco section 2.
- tobacco smoke formed in the pyrolysis zone 1 enters the section containing the electronic cigarette cartridge 7 via the valve 6.
- the aerosol emitted by the electronic cigarette cartridge 7 is mixed with the tobacco smoke and the resulting mixture 5 is subsequently inhaled by the smoker.
- Figure IF a further embodiment is shown.
- an additional unit 8 which may be an atomizer or cartonizer or similar device that renders the anti-cancer agent suitable for inhalation. Having an appropriate valve or other mechanism(s), smoke and inhalable agent may be mixed to simultaneously deliver smoke and anti-cancer agent to the mouth and ultimately the lungs of the smoker.
- FIG. 1G a further embodiment is shown.
- a cigarette holder has a receptacle for the cigarette 13, an area where the anti-cancer agent or a pharmaceutical composition thereof 3 is stored in an additional unit 12, from which is can be transferred to a compartment 11 , where an atomizer or cartonizer or similar device renders the anti-cancer agent suitable for inhalation.
- the function of this cigarette holder is powered by a battery 10. Having an appropriate arrangement that allows suitable communication of the various compartments of this device, smoke and inhalable agent are mixed to deliver, through a mouthpiece 9, smoke 5 containing the anti-cancer agent to the mouth and ultimately the lungs of the smoker.
- one or more anti-inflammatory agents are used in the place of the anti -cancer agents. In a further yet embodiment a combination of both antiinflammatory and anti-cancer agents is used.
- the smoker also inhales the anti-cancer agent during inhalation of the tobacco smoke.
- the anti-cancer agent can be formulated in a dry powder aerosol composition such as the one described by Plumley C, et al. (Int. J. Pharm. 369, (1-2), pages 136-143, 2009)
- the neat anti-cancer agent can be used instead of the pharmaceutical composition thereof.
- the product of the present invention is a smoking cessation product such as, for instance, transdermal patch, inhalation device, orally applied product or rectal suppository.
- the product is a transdermal patch.
- Transdermal patches comprising a nicotine-containing material are known in the prior art and are, for instance, described in US 2009/0246264, which is incorporated herein by reference.
- the transdermal patch simultaneously delivers nicotine and the anti-cancer agent to the patient.
- said transdermal patch preferably releases more than 30 wt.-%, more preferably more than 50 wt.-% and particularly preferred more than 70 wt.-% of its total content of the anti-cancer agent within 24 h to the skin of the patient.
- the nicotine-containing material and the anti-cancer agent may be present in separate layers of the transdermal patch or as a mixture in the same layer.
- the layers containing the nicotine- containing material, the anti-cancer agent or a mixture thereof typically contain gelling agents such as homo- or copolymers of 2-hydroxyethyl acrylate or 2-hydroxyethyl methacrylate, poly( vinyl alcohol), Pluronic®, carboxymethyl cellulose, hydroxyethyl starch, hydroxypropyl cellulose or methyl cellulose.
- gelling agents such as homo- or copolymers of 2-hydroxyethyl acrylate or 2-hydroxyethyl methacrylate, poly( vinyl alcohol), Pluronic®, carboxymethyl cellulose, hydroxyethyl starch, hydroxypropyl cellulose or methyl cellulose.
- suitable penetration enhancers such as dimethyl sulfoxide, N,N-dimethylacetamide, triglycerides (e.g.
- soybean oil soybean oil
- unsaturated oils e.g., aloe compositions (e.g., aloe vera gel), octalylphenylpolyethylene glycol, oleic acid, polyethylene glycol 400, propylene glycol, n- decyl methyl sulfoxide, fatty acid esters (e.g. isopropyl myristate, methyl laurate, glycerol monooleate and propylene glycol monooleate) and N-methyl pyrrolidone or mixtures thereof.
- aloe compositions e.g., aloe vera gel
- octalylphenylpolyethylene glycol, oleic acid polyethylene glycol 400
- propylene glycol n- decyl methyl sulfoxide
- fatty acid esters e.g. isopropyl myristate, methyl laurate, glycerol monooleate and propylene glyco
- the product is an inhalation device.
- the inhalation device may be a smoking device, a mechanical device for pulmonary delivery, a device for the nasal anti-cancer agent delivery or a so-called electronic cigarette.
- Mechanical devices for pulmonary delivery of the nicotine-containing material and the anti- cancer agent include, but are not limited to, nebulizers, metered dose inhalers, and powder inhalers, all of which are familiar to those skilled in the art.
- Some specific examples of commercially available devices suitable for the practice of this invention are the Ultravent nebulizer (Mallinckrodt, Inc., St.
- Devices for nasal anti-cancer agent delivery are also known to persons skilled in the art and are commercially available, for instance, from Bespak (Bespak Europe Limited, United Kingdom).
- the pharmaceutical composition of the present invention is directly heated, whereby nicotine and the anti-cancer agent form a vapor and may subsequently condense into an aerosol.
- an aerosol mixture containing nicotine and the anti-cancer agent is formed. Subsequently, the patient inhales this mixture.
- Suitable devices are known in the prior art and are, for instance, described in
- the combination of the nicotine-containing material and the anticancer agent may be administered in a so-called electronic cigarette.
- electronic cigarette Such devices are known in the prior art and are, for instance, described in US 7832410, US 8156944, US 8205622, US 8365742, US 8375957, US 8490628, US 8511318, US 2006/0196518, US 2007/0267031, US 2013/0228191, and Caponnetto et al. (Journal of Medical Case Reports 5, 585, 2011), herein incorporated by reference.
- An electronic cigarette is primarily used for the administration of nicotine and, optionally, of flavors such as menthol.
- the cartridge can be employed in a commercially available electronic cigarette.
- the cartridge may be an atomizer or a cartonizer, as will be recognized by one of skill in the art.
- the product is a cartridge comprising the nicotine-containing material and the anti-cancer agent for use in an electronic cigarette.
- a cartridge comprising the nicotine-containing material and the anti-cancer agent for use in an electronic cigarette.
- Such cartridge can also be used by patients suffering from lung cancer or those with precancerous conditions of the lung.
- the electronic cigarette comprises a housing, a reservoir containing a liquid, an aerosolizing device for aerosolizing said liquid, a power source for powering said aerosolizing device, a control board that regulates the powering of said aerosolizing device, and a sensor or switch that activates the control board.
- the liquid may contain nicotine and/or one or more drugs.
- the one or more drugs comprise an anti-inflammatory agent, an anti-cancer agent, or both.
- the electronic cigarette comprises an airflow sensor, which activates the control board when the user inhales air through the device.
- an airflow sensor which activates the control board when the user inhales air through the device.
- the airflow sensor is a microphone, a diaphragm microphone, a capacitance sensor, a semiconductor force- sensitive chip capacitance sensor, or an inductance sensor.
- the electronic cigarette may comprise a manual switch that activates the control board when the user operates the switch.
- the electronic cigarette may comprise a sensor, such as a resistance sensor, that activates the control board when a user puts his/her mouth on the device.
- the control board outputs one or more driving voltages.
- the one or more driving voltages may activate a heating element, a pump, and/or a valve.
- the heating element and/or pump vaporize, nebulize, atomize, and/or aerosolize a liquid.
- the valve may release pressurized liquid, which is vaporized, nebulized, atomized, and/or aerosolized by a nozzle.
- the components that vaporize, nebulize, atomize, and/or aerosolize the liquid may operate independently, concurrently, or consecutively.
- a valve releases pressurized liquid through a nozzle that comprises a heating element. In this embodiment, the operation of the valve and heating element vaporizes the liquid.
- a pump drives liquid through a nozzle that comprises a heating element.
- the operation of the pump and heating element vaporizes the liquid.
- the device may be configured such that the vapor condenses into aerosol droplets after exiting the device.
- the electronic device comprises a piezoelectric atomizer. Other configurations to vaporize, nebulize, atomize, and/or aerosolize the liquid are well known in the art.
- control board is configured to stop the one or more driving voltages when the airflow sensor stops detecting airflow. In other embodiments, the control board is configured to terminate the one or more driving voltages following activation after one or more time delays.
- the electronic cigarette optionally comprises a resistance sensor that activates the control board and an airflow sensor that alters the activation state of the control board.
- the airflow sensor detects air entering the device, and in response, the control board terminates the one or more driving voltages after one or more delays.
- the resistance sensor turns on the device and the airflow sensor turns off the device following a delay.
- control board terminates the one or more driving voltages after the user removes his/her mouth from the resistance sensor.
- the electronic cigarette may contain a reservoir for a liquid.
- the liquid may comprise one or more of the following: propylene glycol, one or more anti-cancer agents, one or more anti-inflammatory agents, nicotine, glycerol, one or more organic acids, citric acid, essence, tobacco essence, menthol, one or more anti-oxidation agents, butyl valerate, isopentyl hexanoate, lauryl laurate, benzyl benzoate, methyl octanoate, ethyl heptylate, hexyl hexanoate, geranyl butyrate, and water.
- the liquid comprises propylene glycol in a concentration of about 80%-90%.
- the liquid comprises nicotine in a concentration of about 0.1%-6%.
- the device is adapted to receive a smoking article.
- Smoking articles include cigarettes, cigars, cigarillos, kreteks, beedis, bidis, biris, pipes, water pipes, hookahs, electronic smoking devices, electronic aerosolizing devices, and electronic cigarettes.
- the device is adapted to receive a cigarette, while in other embodiments, the device is adapted to receive a smoking article other than a cigarette.
- the device comprises a tube, wherein one end of the tube is adapted to receive a cigarette or another smoking article as described above, and the other end of the tube is adapted to dispense smoke and one or more drugs.
- the device may contain a reservoir that contains the one or more drugs.
- the device comprises a heating element or other aerosolization component configured to aerosolize the one or more drugs.
- the reservoir may be provided as a filter that contains the one or more drugs (e.g., on one or more surfaces of the filter), wherein the filter dispenses the one or more drugs when smoke and/or air passes through the device.
- the device may be configured other than as a tube.
- the device may comprise one or more sensors and/or switches for activating a control board, as discussed above.
- the sensors/switches may comprise one or more airflow sensors, resistance sensors, and/or manual switches for activating the control board.
- the device comprises a control board and a power source, wherein the control board regulates the flow of power from the power source to the heating element.
- the control board provides a predetermined wattage from the power source to the heating element for a predetermined time interval.
- the device may comprise a manual switch that causes the control board to provide a predetermined wattage from the power source to the heating element.
- the device may comprise a sensor that monitors the temperature in or near the heating element.
- the control board can be configured to store information, which may include one or more of the following: temperature in or near the heating element, temperature in or near the heating element at corresponding dates and times, total number of heating cycles, usage per day, average using cycle, number of doses used, number of doses remaining, and warnings for oversmoking.
- the control board may also be configured to change the wattage delivered from the power source to the heating element in response to past or present information about the temperature in or near the heating chamber.
- the device does not comprise a heating element.
- the device may comprise an inhaler or any other system for vaporizing, nebulizing, atomizing, or aerosolizing the drug (with or without an excipient).
- Inhalers include metered-dose inhalers, pressurized metered-dose inhalers, dry powder inhalers, nebulizers, mechanical nebulizers, electronic nebulizers, jet nebulizers, and ultrasonic nebulizers.
- the device comprises one or more modules.
- a control module may contain a heating element, power source, control board, and/or switches or sensors for activating the control board.
- the control module may also be adapted to receive a cigarette.
- a mouthpiece module may be configured to include a receptacle for holding one or more drugs.
- the receptacle contains a single dose of the one or more drugs.
- the mouthpiece module connects to the control module.
- the mouthpiece module reversibly attaches to the control module such that one mouthpiece module can be substituted for another without damaging the control module.
- a mouthpiece module containing one dose is replaced each time the user employs the device (e.g., smokes a cigarette), thereby providing a new dose for each use.
- a drug-containing module may contain information including the name of the drug, number of doses in the module, a serial number, the manufacturer's lot number, an optimal thermal profile, dosage requirements, and/or dose limits, e.g., in a format readable by the control module, such as to modify functions of the control board.
- the control board is configured to vary the wattage delivered to the heating element or the length of time the heating element is activated based on the information contained in the drug-containing module.
- the control board may thereby optimize the conditions (e.g., temperature) used to aerosolize a drug based on information provided by the module that contains the drug. In this way, the module that contains the control board may be reused with different drug-containing modules and with different drugs.
- the drug-containing module comprises a radio-frequency identification (RFID) tag and the control module comprises a RFID reader.
- RFID radio-frequency identification
- the drug-containing module may comprise a barcode and the control module may comprise a barcode reader.
- the drug-containing module may comprise a microchip or smart chip and the control module may comprise a microchip or smart chip reader.
- the control module may comprise one or more push-button switches and the drug-containing module may comprise one or more raised elements to press said one or more push-button switches in predefined combinations associated with the contents of the drug-containing module.
- the control module may contain a number of pushbutton switches each comprising an electrical contact pad, and the drug-containing module may activate one or more of said number of push-button switches.
- control module may read a pattern encoded by the drug-containing module that conveys information about its contents.
- drug-containing module may comprise one or more conductive elements configured to complete one or more electric circuits in the control module, thereby regulating the control board.
- the drug- containing module and the control module may together comprise magnetic strips and a magnetic strip reader, colors coupled and a color-code reader, or any combination of the mechanisms in the preceding paragraph.
- the drug-delivery device is configured to transfer
- the second device may be a computer, tablet computer, or smartphone.
- the drug-delivery device is configured to adjust its operation based on information received from the second device.
- the drug-delivery device may be configured to adjust the temperature of the heating element and time interval for heating based on information received from the second device.
- information sent to the second device can be used to track a user's smoking habits and/or to adjust drug doses.
- the second device may transfer instructions to the drug-delivery device that prevent it from dispensing one or more doses for a period of time.
- the second device may transfer instructions to display a message on the device, such as a warning, which may be displayed by one or more LEDs or LCD displays.
- the invention relates to a kit comprising an inhaler and a tobacco product.
- a subject may use the inhaler before and/or after using the tobacco product.
- the kit comprises a plurality of cigarettes and a drug-delivery device as discussed herein, such as a pack of cigarettes in which one of the cigarettes is replaced by a drug-delivery device, or a pack of cigarettes comprising an extra compartment that houses a drug-delivery device.
- the subject can use the inhaler before or after smoking a cigarette in the pack.
- the invention provides a kit comprising an inhaler coupled to a holder, or having a housing with an integrated holder.
- the holder is adapted to receive a pack of cigarettes.
- the pack of cigarettes may be stored in the holder along with the inhaler.
- a subject may store the pack of cigarettes with the inhaler and use the inhaler before and/or after using the tobacco product.
- the holder may be configured in any suitable fashion, e.g., as a clip to securely grip a pack of cigarettes, or as a receptacle dimensioned to receive a pack of cigarettes, e.g., with a snug fit that retains the pack of cigarettes so that it does not easily slide out without assistance.
- the pack of cigarettes may be replaced with a new pack of cigarettes, e.g., after the cigarettes have been consumed, and the kit may be reused with different packs of cigarettes.
- the inhaler comprises any means to vaporize, nebulize, atomize, and/or aerosolize a drug known in the art or described in this application.
- Inhalers include metered-dose inhalers, pressurized metered-dose inhalers, dry powder inhalers, nebulizers, mechanical nebulizers, electronic nebulizers, jet nebulizers, and ultrasonic nebulizers.
- the device comprises a filter.
- the filter may contain one or more drugs, e.g., disposed on one or more surfaces of the filter.
- the filter may comprise cellulose acetate or not be composed of cellulose acetate.
- the filter is a high-surface-area filter.
- the filter releases one or more drugs as smoke passes through the filter. In other embodiments, the filter releases one or more drugs as gas passes through the filter.
- the filter is positioned downstream from the source of nicotine. In other embodiments, the filter is not positioned downstream from the source of nicotine. In preferred embodiments, the filter is positioned downstream from a cigarette. Thus, in preferred embodiments, said filter releases one or more drugs when a user inhales through it.
- the invention relates to paper impregnated with one or more drugs.
- the product may comprise paper that is coated with one or more drugs.
- said paper is configured to release one or more drugs when it burns or is heated.
- Said paper may be configured to cover a nicotine-containing material, e.g., to wrap a cigarette or other smoking article.
- said paper may be cigarette rolling paper adapted to release one or more drugs when it burns or is heated.
- Smoking cessation products may be in the form of a pressurized aerosol spray dispenser, which contains a suitable propellant, e.g., hydrofluoroalkanes,
- the dosage unit may be determined by providing a valve to deliver a metered amount.
- Capsules and cartridges of a substance such as gelatin for use in an inhaler or insufflator may be formulated containing a powder mix of the nicotine-containing material, the anti-cancer agent and a suitable pharmaceutically acceptable carrier.
- each pharmaceutical composition is specific to the type of device employed and may involve the use of an appropriate propellant material, in addition to the usual diluents, adjuvants and/or carriers.
- the use of liposomes, microcapsules or microspheres, inclusion complexes, micelles or other anti-cancer agent nanocarriers, or other types of carriers is contemplated.
- the combination of the nicotine-containing material and the anti-cancer agent may be prepared in different pharmaceutical
- compositions depending on their physical and chemical properties or the type of device employed.
- composition suitable for use with a nebulizer will typically comprise the nicotine-containing material, preferably nicotine or a pharmaceutically acceptable salt thereof, and the anti-cancer agent dissolved in a solvent and containing typically about 0.1 to 25 mg of the anti-cancer agent per 1 ml of solution.
- the pharmaceutical composition may also include a buffer, for instance, an amino acid, and a simple sugar (e.g. for stabilization of the anti-cancer agent and regulation of osmotic pressure).
- the solvent in the pharmaceutical composition may be selected from the group consisting of water, ethanol, 1,3-propylene glycol, glycerol or a mixture of any of those.
- Nebulized pharmaceutical compositions may also contain a surfactant, to reduce or prevent surface induced aggregation of the nicotine-containing material or of the anti-cancer agent caused by atomization of the solution in forming the aerosol.
- compositions for use with a metered-dose inhaler device generally comprise a finely divided powder containing the nicotine-containing material and the anticancer agent (or a pharmaceutically acceptable derivative thereof) suspended in a propellant with the aid of a surfactant.
- the propellant may be any conventional material employed for this purpose, such as a chlorofluorocarbon, a hydrochlorofluorocarbon, a
- hydrofluorocarbon or a hydrocarbon, including trichlorofluoromethane
- compositions for dispensing from a powder inhaler device will comprise a finely divided dry powder containing the nicotine-containing material and the anti-cancer agent and may also include a bulking agent, such as lactose, sorbitol, sucrose, or mannitol in amounts which facilitate dispersal of the powder from the device, e.g. 50 to 90% by weight of the formulation.
- the nicotine-containing material and the anti-cancer agent should most advantageously be prepared in a particulate form with an average particle size of less than 10 ⁇ , preferably less than 5 ⁇ and more preferred less than 1 ⁇ , for effective delivery to the distal lung.
- the product is an orally applied product.
- the product may be in the form of a chewing gum. Nicotine chewing gums are known in the prior art, are described in US 2010/0130562, incorporated by reference herein and are commercially available under the trade names such as
- the product of the present invention contains the nicotine-containing material, the anti-cancer agent as well as the chewing gum base, plasticizers, buffering agents, sweeteners, antioxidants, flavoring agents and colorants.
- suitable plasticizers include lecithin, lanoline, glycerides, stearic acid, sodium stearate, potassium stearate or waxes such as bee wax.
- suitable plasticizers include lecithin, lanoline, glycerides, stearic acid, sodium stearate, potassium stearate or waxes such as bee wax.
- sweeteners that may be used in the product of the present invention include saccharides as well as salts of saccharine or cyclamic acid as well as sugar alcohols such as sorbitol, mannitol, or xylitol.
- the flavoring agents for use in the product of the present invention may include, without limitation, the flavors of cherry, cinnamon, grape, apple, lemon, orange, peppermint, raspberry, strawberry, chocolate, and the like.
- the orally applied product is in the form of smokeless tobacco.
- the smokeless tobacco is formulated with the anti-cancer agent and further contains plasticizers as well as sweeteners and/or flavoring agents described above.
- Smokeless tobacco products include, but are not limited to, dipping tobacco, chewing tobacco, snuff, snus, creamy snuff, tobacco gum, gutkha, gul, khaini, qiwam, mawa, mishri, pan masala and zarda, chewing tobacco being particularly preferred.
- Another aspect of the present invention relates to the products described herein for use in the treatment and/or prevention or reduction of the risk of cancer and/or precancerous conditions.
- Cancer refers to an uncontrolled growth of cells which interferes with the normal functioning of the bodily organs and systems.
- Cancers include, but are not limited to, basal cell carcinoma, biliary tract cancer, bladder cancer, bone cancer, brain and other central nervous system (CNS) cancer, breast cancer, cervical cancer, choriocarcinoma, colon and rectum cancer, connective tissue cancer, cancer of the digestive system, endometrial cancer, esophageal cancer, eye cancer, cancer of the head and neck, gastric cancer, intra-epithelial neoplasm, kidney cancer, larynx cancer, leukemias, including hairy cell leukemia, liver cancer, lung cancer (e.g.
- CNS central nervous system
- lymphomas including Hodgkin's and non-Hodgkin's lymphomas, melanoma, myeloma, neuroblastoma, oral cavity cancer (e.g. lip, tongue, mouth, and pharynx), ovarian cancer, pancreatic cancer, prostate cancer, retinoblastoma, rhabdomyosarcoma, rectal cancer, renal cancer, cancer of the respiratory system, sarcoma, skin cancer, stomach cancer, testicular cancer, thyroid cancer, uterine cancer, cancer of the urinary system, as well as other carcinomas and sarcomas.
- lymphomas including Hodgkin's and non-Hodgkin's lymphomas, melanoma, myeloma, neuroblastoma, oral cavity cancer (e.g. lip, tongue, mouth, and pharynx), ovarian cancer, pancreatic cancer, prostate cancer, retinoblastoma, rhabdomyosarcoma, rec
- the product of the present invention is useful in the treatment and/or prevention or reduction of the risk of cancer and precancerous conditions, including, but not limited to, benign prostatic hypertrophy, colon adenomas, actinic keratosis and various premalignant conditions of the lung, breast and pancreas.
- the anti-cancer agent and pharmaceutical compositions thereof inhibit the growth of human or animal cancer cell lines such as A549 human lung cancer cells in in vitro tests and have IC50 value of preferably less than 800 ⁇ , more preferred of less than 400 ⁇ , particularly preferred of less than 70 ⁇ .
- the tests are preferably carried out as specified in S. Joseph et al. (Molecular Medicine Reports 2011, 4, 891-899).
- One embodiment of the present invention relates to a method for preventing or reducing the risk of cancer by means of administering the product of the present invention. Accordingly, treatment of an individual with the product of the present invention reduces the risk of the individual to develop cancer. Preferably, after the treatment, the risk of the individual to develop cancer is reduced by 5% or greater; more preferably, the risk develop cancer is reduced by 10% or greater; more preferably, reduced by 20% or greater; more preferably, reduced by 30%> or greater; more preferably, reduced by 40%> or greater; even more preferably, reduced by 50%> or greater; and most preferably, reduced by greater than 75%) or greater. As used herein, reducing risk of developing cancer includes decreasing the probability or incidence of developing cancer for an individual compared to a relevant, e.g.
- Reduced risk of developing cancer may include delaying or preventing or reducing the risk of the onset of a cancer. Risk of developing cancer can also be reduced if the severity of a cancer or a precancerous condition is reduced to such a level that it is not of clinical relevance. That is, the cancer or a precancerous condition may be present but at a level that does not endanger the life, activities, and/or well-being of the individual. For example, a small tumor may regress and disappear, or remain static. Preferably, tumor formation does not occur. In some circumstances the occurrence of the cancer or the precancerous condition is reduced to the extent that the individual does not present any signs of the cancer or the precancerous condition during and/or after the treatment period.
- the method for preventing or reducing the risk of cancer according to the present invention is beneficial both for individuals having a precancerous condition and individuals who are healthy.
- Individuals with lifestyle habits that could lead to cancer, particularly smokers, and individuals affected by diseases for which the probability of cancer incidence is high have a particularly high order of priority as individuals for the preventive method of the present invention.
- individuals who are likely to acquire familial cancers, and such individuals as those who are diagnosed with a risk of cancer by means of gene diagnoses based on single-nucleotide polymorphism or the like may also be targeted.
- Treating cancer can result in a reduction in size of a tumor.
- a reduction in size of a tumor may also be referred to as "tumor regression."
- tumor size is reduced by 5% or greater relative to its size prior to treatment; more preferably, tumor size is reduced by 10% or greater; more preferably, reduced by 20% or greater; more preferably, reduced by 30%> or greater; more preferably, reduced by 40%> or greater; even more preferably, reduced by 50%> or greater; and most preferably, reduced by greater than 75% or greater.
- Size of a tumor may be measured by any reproducible means of measurement. The size of a tumor may be measured as a diameter of the tumor.
- Treating cancer may further result in a decrease in number of tumors.
- tumor number is reduced by 5% or greater relative to number prior to treatment; more preferably, tumor number is reduced by 10% or greater; more preferably, reduced by 20%> or greater; more preferably, reduced by 30%> or greater; more preferably, reduced by 40%> or greater; even more preferably, reduced by 50%> or greater; and most preferably, reduced by greater than 75%.
- Number of tumors may be measured by any reproducible means of measurement.
- the number of tumors may be measured by counting tumors visible to the naked eye or at a specified magnification.
- the specified magnification is 2x, 3x, 4x, 5x, lOx, or 50x.
- Treating cancer can result in a decrease in number of metastatic lesions in other tissues or organs distant from the primary tumor site.
- the number of metastatic lesions is reduced by 5% or greater relative to number prior to treatment; more preferably, the number of metastatic lesions is reduced by 10% or greater; more preferably, reduced by 20% or greater; more preferably, reduced by 30%> or greater; more preferably, reduced by 40%> or greater; even more preferably, reduced by 50%> or greater; and most preferably, reduced by greater than 75%.
- Treating and/or preventing or reducing the risk of cancer can result in an increase in average survival time of a population of individuals treated according to the present invention in comparison to a population of untreated individuals.
- the average survival time is increased by more than 30 days; more preferably, by more than 60 days; more preferably, by more than 90 days; and most preferably, by more than 120 days.
- An increase in average survival time of a population may be measured by any reproducible means.
- An increase in average survival time of a population may be measured, for example, by calculating for a population the average length of survival following initiation of treatment with the product of the present invention.
- An increase in average survival time of a population may also be measured, for example, by calculating for a population the average length of survival following completion of a first round of treatment with the product of the present invention.
- Treating and/or preventing or reducing the risk of cancer can also result in a decrease in the mortality rate of a population of treated individuals in comparison to an untreated population.
- the mortality rate is decreased by more than 2%; more preferably, by more than 5%; more preferably, by more than 10%; and most preferably, by more than 25%.
- a decrease in the mortality rate of a population of treated individuals may be measured by any reproducible means, for example, by calculating for a population the average number of disease-related deaths per unit time following initiation of treatment with the product of the present invention.
- a decrease in the mortality rate of a population may also be measured, for example, by calculating for a population the average number of disease-related deaths per unit time following completion of a first round of treatment with the product of the present invention.
- a further embodiment of the present invention relates to a method for preventing or reducing the risk of cancer recurrence by means of administering the product of the present invention.
- Cancer recurrence is a re-development of the cancer in an individual, who had previously undergone a cancer treatment, after a period of time in which no cancer could be detected.
- the probability of a cancer recurring depend on many factors, including the type of cancer and its extent within the body at the time of the treatment.
- Some embodiments of the present invention are directed to the prevention or reduction of the risk of and/or treatment of lung cancer.
- Lung cancer can include all forms of cancer of the lung.
- Lung cancer can include malignant lung neoplasms, carcinoma in situ, typical carcinoid tumors, and atypical carcinoid tumors.
- Lung cancer can include small cell lung cancer ("SCLC”), non-small cell lung cancer (“NSCLC”), non-squamous non-small cell lung cancer, squamous non-small cell lung cancer, squamous cell carcinoma, non-squamous cell carcinoma, adenocarcinoma, small cell carcinoma, large cell carcinoma, adenosquamous cell carcinoma, and
- Lung cancer can include "scar carcinoma", bronchioalveolar carcinoma, giant cell carcinoma, spindle cell carcinoma, and large cell neuroendocrine carcinoma.
- Lung cancer can include lung neoplasms having histologic and ultrastructural heterogeneity (e.g., mixed cell types).
- Some other embodiments relate to the use of the product of the present invention for prevention or reduction of the risk of and/or treatment of precancerous conditions of the lung.
- precancerous conditions in the lung refers to a group of cell proliferative disorders of the lung.
- Cell proliferative disorders of the lung include all forms of cell proliferative disorders affecting lung cells.
- Cell proliferative disorders of the lung can include hyperplasia, metaplasia, and dysplasia of the lung.
- Cell proliferative disorders of the lung can include asbestos-induced hyperplasia, squamous metaplasia, and benign reactive mesothelial metaplasia.
- Cell proliferative disorders of the lung can include replacement of columnar epithelium with stratified squamous epithelium, precancerous lung lesion and mucosal dysplasia. Individuals exposed to inhaled injurious environmental agents such as cigarette smoke and asbestos may be at increased risk for developing cell proliferative disorders of the lung.
- Prior lung diseases that may predispose individuals to development of cell proliferative disorders of the lung can include chronic interstitial lung disease, necrotizing pulmonary disease, scleroderma, rheumatoid disease, sarcoidosis, interstitial pneumonitis, tuberculosis, repeated pneumonias, idiopathic pulmonary fibrosis, granulomata, asbestosis, fibrosing alveolitis, and Hodgkin's disease.
- the product of the present invention is also directed at individuals at risk of developing lung cancer. Such risk may be based on the medical or social history of an individual, such as inhalation of tobacco products as it occurs for example in smokers or exposure to asbestos or in non-smokers who breathe in secondhand smoke.
- Another category of individuals at risk for lung cancer are those harboring genetic mutations predisposing them to lung cancer.
- Yet another category is individuals who have been exposed to ionizing radiation or chemotherapeutic agents.
- another category is individuals with a known cancer at a location other than the lungs that have a propensity to metastasize to the lungs.
- the invention relates to the products described herein for use in the prevention or reduction of the risk of and/or treatment of brain cancers and/or precancerous conditions thereof.
- the term "brain cancer” as used herein refers to both primary brain tumors and metastatic brain tumors that originate from non-brain cancer cells such as lung cancer cells.
- the term "brain cancer” refers to primary brain tumors.
- glioma Primary brain tumors are categorized by the type of tissue in which they first develop. The most common brain tumors are called glioma; they originate in the glial tissue. There are a number of different types of gliomas: for instance, astrocytomas, brain stem gliomas, ependymomas, and oligodendrogliomas.
- glial tissue Other types of primary brain tumors which do not originate from the glial tissue are, for instance, meningiomas, craniopharyngiomas and germinomas.
- Inflammation is a complex reaction in vascularized tissues that leads to the accumulation of fluid and leukocytes in extravascular tissues. Closely intertwined with the process of repair, inflammation is fundamentally a protective response. Nevertheless, inflammation and repair may be potentially harmful. Based primarily on its duration, inflammation is divided into acute (of relatively short duration; exudation of fluid, migration of neutrophils) and chronic (of longer duration - more than days; involvement of lymphocytes and macrophages, tissue necrosis).
- Inflammation can be induced, among others, by environmental exposure such as smoking. Tobacco smoke also induces pulmonary inflammation (Vlahos et al., Am J Physiol Lung Cell Mol Physiol. 2006; 290:L931-945) and even environmental tobacco smoke inhalation is likely to predispose to acute bronchitis. Furthermore, smoking is a known cause of chronic bronchitis, chronic obstructive pulmonary disease (COPD) and emphysema (Forey et al; BMC Pulmonary Medicine 2011, 11 :36). Tobacco smoke- induced pulmonary inflammation contributes to the progressive lung destruction in COPD (Barnes, J Clin Invest.
- COPD chronic obstructive pulmonary disease
- compounds in this invention when delivered to the lung will generate a strong anti-inflammatory effect.
- compounds of this invention will generate an antiinflammatory effect against acute or chronic bronchitis, or against chronic obstructive pulmonary disease or against emphysema or other lung diseases associated with
- one or more anti-inflammatory drugs are combined with one or more anti-cancer drugs and their combination provides an anti-inflammatory effect in the lung and the airways, and an anti-cancer effect.
- Such anti-inflammatory effect may be provided against inflammation associated with carcinogenesis.
- Compound 2c was obtained as a colorless oily liquid (2.2 g, 52%).
- Compound W3 was synthesized in a manner similar to the synthesis of W2, except that 1 ,2- ethanediol was replaced with 1,3-propanediol. Synthesis of compound W5.
- Example 3 Transdermal patch containing nicotine and an anti-cancer agent
- transdermal patch of the present invention can be manufactured analogously to the procedure disclosed in US Patent No. 7,387,788.
- Ethanol, propylene glycol, diethylene glycol monoethyl ether (and myristyl alcohol) are weighed and added successively.
- the mixture is homogenized using mechanical mixing.
- the resulting organic solution is clear and homogeneous.
- Nicotine hydrogen tartrate is added to 85-90% of the total amount of water and mixed until the solution is homogenized.
- the resulting aqueous solution is added to the organic solution, followed by an anti-cancer agent, such as phospho-sulindac V (PS V) and mixed until homogenization of the solution is achieved.
- PS V phospho-sulindac V
- triethanolamine typically about 50 wt.-% aqueous solution
- the solution is mixed until the solution becomes homogeneous.
- the resulting solution is clear and homogeneous with a pH, for example, of about 6.
- a pH for example, of about 6.
- water is added to the solution to obtain the desired weight percents (wt.-%) of the components and the pH of the final solution is measured. If the pH is below the desired pH (e.g. about pH 5.5), further triethanolamine solution is added and the pH of the final solution is re-measured. Typically, total triethanolamine amount does not exceed 5 wt.-%.
- composition of exemplary formulations 5.1-5.3 is summarized in Table 3.
- Example 4 Cigarette containing an anti-cancer agent
- the cigarette according to the present invention can be manufactured analogously to the procedure disclosed in US 201 1/061667.
- the flavor-containing material for cigarette is blended in 5% by weight ratio to cut tobacco, and cigarettes with a tar value designed to about 10 mg are produced.
- the cigarettes may be optionally fitted with a plain filter.
- Example 5 Chewing gum containing nicotine and an anti-cancer agent
- the chewing gum according to the present invention can be manufactured analogously to the procedure disclosed in US 2010/0130562.
- An example of a chewing gum composition is shown in Table 4.
- Component Composition (wt.-%)
- D&C Yellow 10 and Brown Lakes 0.06 The composition is prepared by adding 1359.7 g of DREYCO gum base to a jacketed high shear mixer.
- the gum base is heated to about 60 C and 50.9 g of Nicotine Polacrilex, 2.00 g of phospho-ibuprofen I, 442 g of sorbitol, 76 g of fruit mint flavor with ethanol as a carrier, 40 g of sodium carbonate, 20 g of sodium bicarbonate, 5.0 g of acesulfame potassium, 5.0 g of L-menthol and 0.8 g of D&C Yellow 10 and Brown Lakes are added. After the ingredients are mixed, the mixture is cooled to approximately 38 °C and removed from the mixer and then rolling and scoring process are performed to produce individual gum pieces. The gums are packaged into high density polyethylene bottles that are sealed and capped.
- Anticancer drugs are usually solids or liquids, requiring a transition to the gas phase or other airborne form.
- Aerosolization is the process of converting some physical substance into the form of particles small and light enough to be carried on the air, i.e., into an aerosol.
- PS amide 106 We used an experimental system that recapitulates the essential features of the act of smoking (Figure 2).
- smoke from the lit cigarette was drawn through the tubing of the apparatus by external suction.
- smoke encountered a 50 mm filter placed in the filter holder (Whatman 10461100 Polysulfone FP 050/0 Filter Holder).
- the aerosolized test drug was deposited onto this filter.
- the filter was removed and the deposited test drug was extracted with acetonitrile and subjected to HPLC analysis, as already described.
- the cigarette with the device depicted in Figure 2 ⁇ lower panel).
- Figure 2 depicts the apparatus for the aerosolization of anticancer compounds.
- Upper panel The test compound is added to the cigarette.
- Lower panel The device used to evaluate the aerosolization of the test compound, which is placed in the heating ceramic chamber (no tobacco). When the system was turned on, the temperature in the heating chamber reached -200 °C. Heating energy was provided by the battery through a resistance wire inside the heating chamber. Unimpeded flow of the gas phase in the ceramic chamber was allowed by its design; the arrows depict such flow.
- FIG. 4 depicts chromatograms from aerosolized test compounds.
- all compounds were mixed with tobacco and the resultant cigarettes were treated as in Figure 2.
- Chromatograms (I) and (V) were obtained from cigarettes with erlotinib: erlotinib, which appears as the single peak a.
- Chromatogram (II) was obtained from cigarettes with phospho-ibuprofen 132. Peaks: b, ibuprofen; c, dephosphorylated phospho-ibuprofen 132; Peaks: d, phospho-ibuprofen 132.
- Chromatogram (III) was obtained from cigarettes with a mixture of erlotinib and phospho-ibuprofen 132, generating the same peaks as each one individually.
- Chromatogram (V) was obtained from cigarettes with phospho-ibuprofen amide.
- IV PIA
- PS V and phospho-sulindac amide 106 were aerosolized using the device shown in Figure 2 (not mixed with tobacco).
- Chromatogram (VII) was obtained from PS V.
- Figure 3 A depicts a system that operates at reduced pressure (by a vacuum) as follows: a) the cigarette is placed as indicated and smoke plus aerosolized test drug are captured by the filter in the filter holder (Whatman 10461100 Polysulfone FP 050/0 Filter Holder); or b) with the cigarette receptacle nearly completely sealed, the test drug is placed on a stage (drug platform) that is electronically heated to a preset temperature. Air is drawn through the device for capture by the filter.
- filter holder Whatman 10461100 Polysulfone FP 050/0 Filter Holder
- This device can be used in two ways: a) the test compound is placed on a stage that is electronically heated to a preset temperature based on its melting or
- Figure 3B shows a typical HPLC chromatogram obtained during these studies using compound W2.
- lung cancer of inhalationally administered agents such as the compounds claimed in the present application.
- agents such as the compounds claimed in the present application. They are a) the orthotopic lung cancer model in which the lungs of nude mice are colonized with human lung cancer cells expressing a fluorescence protein which allows their detection and quantification; and b) B6C3F1 mice exposed to tobacco smoke with or without the administration of the test agent, in which tumor incidence is the important endpoint.
- Inhaled tobacco smoke causes inflammation in the lungs having major health consequences, in addition to lung cancer. Indeed, smoking is the most common cause of obstructive asthma, chronic bronchitis and emphysema, collectively referred to as chronic obstructive pulmonary disease (COPD). Inflammation constitutes an important component of lung carcinogenesis and likely unifies the spectrum of tobacco associated lung damage. Many of the compounds claimed in the present application have anti-inflammatory properties.
- the anti-inflammatory of compounds can be determined in animal models of lung inflammation, for example, models in which lung inflammation is induced by exogenous agents such as lipopolysaccharide or tobacco smoke. Determining lung histology and the levels of inflammatory mediators such as interleukins in bronchoalveolar lavage in response to inhalational administration of compound described herein assesses their anti-inflammatory efficacy.
- Example 10 Representative devices for the delivery of drugs during smoking
- Figure 5A shows a cigarette holder and agent dispensing device in side cross- section.
- the device has a cigarette receiving chamber on its right side.
- a spring loaded drug-containing solid carrier advancement rod to drive it to the left which will push the capsule in the six o'clock position into a heater section.
- the drug can be in a formulation suitable for this mode of transition; for example, but not limited to, the following: pellet, capsule, tablet, microspheres, granules, micro/nanoparticles.
- This action will also activate the heater to start heating the drug to aerosolize it for a certain period of time, to aerosolize the entire capsule.
- the spring loaded drug capsule advancement rod will return to the position shown in Figure 6A.
- the drug loading magazine will be described below in connection with Figures 7 A and 7B.
- the electronic control board When the drug is loaded into the heater section, the electronic control board will cause heating of the capsule and its aerosolization. Combined with the smoke from a burning cigarette, the aerosolized drug will be provided to exit left of the device at the mouthpiece.
- the device includes a timer which has a time-of-day clock.
- the control board includes a display which is visible through a transparent window outside the device.
- the display can display time of day, how many capsules have been consumed during a prior time period such as earlier in the day. In this way closing either daily or of some other time period can be monitored. In some cases, a maximum amount of drug should not be exceeded on a daily or other periodic basis. If that limit is reached, the electronic control board could prevent activation of the heater element.
- the device includes an electronic control board for controlling the maximum amount of drug that can be dispensed during a fixed period of time.
- the device includes an electronic control board for controlling the duration of the operation of the heating element or its heating period.
- the device is separable at the location of the location of the drug magazine to enable replacement of the magazine.
- a clear window can surround all or part of the magazine to enable viewing of the remaining capsules.
- the display could also provide a count of capsules consumed and remaining.
- the drug is formulated to result in little or no residue, so that little or no
- the power for the electronic control board can be a battery of AAA type, for example, or some different size, and possibly smaller.
- the mouthpiece end is removable to enable battery replacement.
- the control board and display could also monitor energy consumption from the battery, or battery voltage reading and provide display output indicating battery status, such as whether the battery needs to be replaced. A blinking LED could also provide such a warning signal.
- the electronic control board has a memory which can store information such as time of day each drug was administered, number of drug capsules consumed from the present magazine, number of drug capsules remaining for use in the magazine, type of drug to be dispensed and its preferred or operative aerosolization temperature, and the like.
- the electronic control board will control the heater, and through appropriate sensing and control circuitry control the power provided to the heater to reach and maintain the correct aerosolization temperature of the drug.
- Figures 5B and 6B show a device like that of Figures 5 A and 6A except that the battery is hollow, which provides a flow passageway through the center of the battery.
- Figures 5C and 6C show a device like that of Figures 5 A and 6 A except that the battery power is arranged as a plurality of batteries, in this case three, but the number can be any plurality.
- the spacing between the batteries provides a flow passageway.
- Figure 7A shows a drug capsule magazine or cartridge usable in the device of Figures 5A-5C.
- the magazine has an arcuate channel around at least part of its outer region.
- the channel receives a plurality of capsules, ten of which are shown.
- a spring- loaded plunger biases all of the capsules clockwise, so that the capsules are available for ejection at the lower position.
- Figure 7B shows the capsule cartridge in a cross-section side view. Two capsules, in the lowest and highest positions (approximately the 6 and 12 o'clock positions) are shown, but other capsules not shown are between these two positions.
- the magazines because they contain drugs, can be dispensed by a pharmacy.
- the device or holder can be sold through other channels.
- the devices can be designed to have different variety of magazine slots to accept different shaped magazines depending on the type of drug in the magazine.
- the magazine can have indicia which are read by the control board so the control board knows the time and temperature to engage the heater for proper and full aerosolization of the particular drug.
- Figure 8 is a cross-sectional view of a pipe adapted to dispense smoke from burning tobacco and aerosolized drug.
- the pipe includes a tobacco chamber having a filter at the bottom. Below the filter is a heater which can receive a drug capsule inserted into the pipe through a drug port.
- the drug port has a door which is biased in the closed position as shown but opens when a drug capsule is pushed through the port.
- a control board and battery provide power and are connected to provide controlled energy to the heater to heat the drug to the operative aerosolization temperature to aerosolize the drug.
- the pipe can include a drug magazine, display and other features.
- Figure 9 is a cross-sectional view of a device adapted to dispense a aerosolized drug and smoke from a smoking device, such as a cigarette.
- the device comprises at least two modules, a mouthpiece module and a control module.
- the mouthpiece module has a receptacle for holding one or more drugs.
- the control module comprises a heating element, battery, and a control board.
- the battery provides power and is controlled by the control board to activate the heating element to heat the drug to temperature suitable to aerosolize the drug when the device is activated.
- the mouthpiece module optionally contains information that can be read by the control module, e.g., to modulate parameters controlled by the control board, such as heating parameters for the drug.
- the mouthpiece module may contain information regarding an appropriate heating program tailored to the particular drug or composition present in the receptacle.
- the control module may be adapted to receive a cigarette.
- Figure 1 OA is a cross-sectional view of a device showing a battery, electronic control board, timer, heating coil, thermocouple, drug tablets, drug advancement rod, and cigarette.
- the electronic control board connects the heating coil and thermocouple to a battery and timer.
- the electronic control board powers the heating coil subject to regulation by the timer and thermocouple.
- a hollow battery allows smoke and drug to pass directly through the device.
- a mechanical advancement rod advances drug tablets to the heating element.
- the heating element may comprise a ceramic heater, as shown in Figures 10B and IOC.
- the ceramic heater may aerosolize any formulation of the drug, including drug tablets (Figure 10B) and powdered drug (Figure IOC). Doses of the drug may be released from a reservoir from a gate ( Figure IOC).
- the heating element may aerosolize a liquid drug, as shown in Figure 11A.
- an atomizer may atomize the drug, as shown in Figures 12 A.
- the atomizer may be a piezoelectric atomizer.
- an inhaler may aerosolize the drug, as shown in Figure 12B.
- the inhaler may be ultrasonic, mechanical, or electronic nebulizer.
- the heating element, atomizer, or inhaler may be triggered by a pressure sensor, which senses when a user draws air through the device, as depicted in Figure 12B.
- Figure 12C shows a cross-sectional view of a kit comprising an inhaler and a holder adapted to receive a pack of cigarettes.
- a user may inhale drug from the inhaler before or after smoking a cigarette.
- the user may inhale drug from an inhaler coupled to the holder.
Landscapes
- Health & Medical Sciences (AREA)
- Chemical & Material Sciences (AREA)
- Life Sciences & Earth Sciences (AREA)
- Veterinary Medicine (AREA)
- Public Health (AREA)
- General Health & Medical Sciences (AREA)
- Animal Behavior & Ethology (AREA)
- Medicinal Chemistry (AREA)
- Pharmacology & Pharmacy (AREA)
- Epidemiology (AREA)
- Engineering & Computer Science (AREA)
- General Chemical & Material Sciences (AREA)
- Chemical Kinetics & Catalysis (AREA)
- Hematology (AREA)
- Heart & Thoracic Surgery (AREA)
- Biomedical Technology (AREA)
- Anesthesiology (AREA)
- Pulmonology (AREA)
- Bioinformatics & Cheminformatics (AREA)
- Pharmaceuticals Containing Other Organic And Inorganic Compounds (AREA)
Abstract
The present invention provides a composition comprising a nicotine-containing material and an anti-cancer agent usable in the treatment and/or prevention or reduction of the risk of cancer and precancerous conditions as well as for preventing or reducing the risk of cancer recurrence. Furthermore, a composition comprising a nicotine-containing material and an anti-inflammatory agent usable in the treatment and/or prevention or reduction of the risk of inflammation, is provided. The nicotine containing composition can also include both an anti-cancer agent and an anti-inflammatory agent A device for administering the composition of the present invention to subjects can be a cigarette, smoking pipe, smokeless tobacco, electronic cigarette, transdermal patch or the like.
Description
SYSTEMS AND METHODS FOR AMELIORATING THE EFFECTS OF
TOBACCO PRODUCTS
PRIORITY CLAIM
This application claims priority to U.S. Provisional Patent Application No.
61/970,888, filed on March 26, 2014, hereby incorporated by reference in its entirety.
BACKGROUND
Consumption of nicotine-containing products, in particular smoking, is known to affect health and to increase the risk of developing cancer. In particular, the risk of developing lung cancer among smokers is significantly higher than among non-smokers. Lung cancer is the major cause of cancer mortality in the industrial world and its association with smoking is firmly established.
Consumption of tobacco products, in particular smoking, has also been linked to an increased risk of multiple cancers, besides the prototypical case of lung cancer. A detailed analysis of the epidemiological evidence on the association between tobacco smoking and cancer concluded that there is sufficient evidence to establish a causal association between cigarette smoking and cancer of the nasal cavities and paranasal sinuses, nasopharynx, stomach, liver, kidney (renal cell carcinoma) and uterine cervix, and for adenocarcinoma of the oesophagus and myeloid leukaemia (A.J. Sasco et al. Lung Cancer 2004 Aug 45, Suppl 2, S3-9). These findings add to the previously established list of cancers causally associated with cigarette smoking, namely cancer of the lung, oral cavity, pharynx, larynx, oesophagus, pancreas, urinary bladder and renal pelvis. Other forms of tobacco smoking, such as cigars, pipes and bidis, also increase risk for cancer, including cancer of the lung and parts of the upper aerodigestive tract. Smoking is currently responsible for a third of all cancer deaths in many Western countries. It has been estimated that one in every two smokers will be killed by smoking.
Furthermore, brain cancers such as glioma are also associated with smoking while primary lung cancers are also known to spread to the brain. At least 40% of patients with lung cancer develop brain metastases at some point during their disease. In particular, small cell lung cancer can spread to the brain rapidly, often before the diagnosis of lung cancer is made.
Despite significant advances in its early detection, the survival of lung cancer patients remains poor, with the 5-year survival being as low as 5%. Because of frequent
and widespread metastases, surgical procedures for lung cancer are not particularly effective and chemotherapy, the treatment of choice in inoperable cases of lung cancer, has only limited efficacy. The prevention or reduction of the risk of cancer is currently the only viable option in controlling this dreadful disease.
Smoking cessation would be the most effective method to prevent lung cancer. However, even though it is widely known that smoking causes cancer, smoking is a very difficult addiction to break and currently-marketed smoking cessation products are of limited efficacy. Even patients diagnosed with lung or brain cancer or with precancerous conditions thereof often fail to quit smoking. Thus, there is a pressing need to develop new methods to prevent cancers such as lung and brain cancer in individuals at increased risk of developing these cancers, in particular smokers.
SUMMARY
The inventor has found that anti-cancer agents can be advantageously employed for the prevention or reduction of the risk of cancers, for instance lung and brain cancers and precancerous conditions thereof, when these anti-cancer agents are administered in combination with smoking and/or with another nicotine-containing material described herein. This administration is highly suitable for individuals consuming tobacco products, in particular for smokers. Combining the administration of an anti-cancer agent, particularly an agent preventing or reducing the risk of lung cancer, with tobacco products including smoking or with smoking cessation products, for instance with nicotine chewing gum, would be very efficient in the prevention or reduction of the risk of lung cancer or brain cancer or other smoking/tobacco related cancers.
Chemoprevention or reduction of the risk of cancer, an emerging highly promising approach to cancer prevention or reduction of the risk of, is defined as the administration of an anti-cancer agent, which can comprise a synthetic or a natural compound, to individuals at risk of developing cancer to prevent or to reduce the risk of developing cancer or to those who already had cancer to prevent or to reduce the risk of its recurrence.
The combination of smoking with the anti-cancer agent a) maximizes the efficacy of the anti-cancer agent, since the anti-cancer agent will be present when the tobacco carcinogens are inhaled, and b) provides an improved or close to absolute (100%) individual compliance in terms of the intake of the anti-cancer agent (which will increase anti-cancer efficacy).
The present invention relates to a product comprising and/or for delivering nicotine and a therapeutic agent, such as an anti-cancer agent or an anti-inflammatory agent. The agent may be a compound of natural or synthetic origin. The agent (and thereby the product) may be capable of either preventing or reducing the risk of or treating cancer, preventing or reducing the risk of or treating inflammation or an inflammatory condition, or a combination thereof.
In certain embodiments, the agent is a compound having a structure of one of Formulas I-X described herein, such as a phospho-nonsteroidal anti-inflammatory agent (NSAID) covalently attached to a phosphate moiety (phospho-NSAIDs), e.g., through a linker moiety. Examples of phospho-NSAIDs include, but are not limited to, compounds selected from:
In certain embodiments, the agent in the product of the present invention is an oxidative stress enhancer.
In some embodiments of the present invention, the agent is a single compound, e.g., a compound having anti-cancer activity, optionally provided as a formulation that consists essentially of said compound. In yet other embodiments of the invention, the agent comprises a combination of at least two different compounds, each having a desired activity, such as anti-cancer activity. The two or more such compounds may have the same or different activities. Accordingly, the product of the present invention may comprise a combination of at least two different compounds, for instance a combination of a phospho- NSAID and curcumin.
In some preferred embodiments, the nicotine is provided in the form of tobacco, e.g., whole, shredded, or otherwise processed tobacco leaf.
Preferably, the product of the present invention contains nicotine and the agent in a ratio of from 1000 : 1 to 1 : 10 (wt : wt).
The product of the present invention may be an inhalation device. In certain embodiments, the device is a smoking article (e.g., a cigarette, cigar, cigarillo, smoking pipe, or other smoking article as disclosed herein), capable of delivering both nicotine and the agent. In some embodiments, the article may comprise tobacco that is coated, infused, impregnated, or otherwise mixed with the agent, while in other embodiments the smoking device may have a separate element distinct from the tobacco, such as smoking paper or a filter, as discussed in greater detail herein, which releases the agent during use of the article. In embodiments wherein the smoking article comprises a reusable housing (such as a smoking pipe), the smoking article can comprise an electronic delivery system for the agent as disclosed herein in conjunction with an inhalation device adapted for use with a smoking article.
For example, in certain embodiments, the invention provides a pipe for dispensing nicotine and an agent, comprising a tobacco-receiving chamber for receiving tobacco to be combusted, a unit adapted to contain an agent, and a mouthpiece having a passageway for receiving smoke from combusted tobacco and dispensing the smoke and the agent to a user. In certain embodiments, the pipe comprises a heater for receiving an agent and heating the agent to a temperature suitable for aeresolizing the agent. The pipe may have a port, optionally having a door, for inserting an agent into proximity to the heater. In certain embodiments, the pipe further comprises a control board and battery for providing and controlling energy delivered to the heater to aerosolize the agent. In certain embodiments, the pipe includes a control board (which may be the same control board or a different control board) for indicating, e.g., in a visual display or an audible signal or message, the amount of agent used in a given period of time. In certain embodiments, the pipe includes a control board (which may be the same as or different from any or all of the foregoing control boards) for limiting the amount of agent delivered through the pipe to a user, e.g., to a predetermined amount over a predetermined period of time. The unit may be a drug magazine as discussed in greater detail below.
In certain embodiments, the inhalation device is adapted for use with a smoking article, and comprises a housing having two ends, wherein one end is an opening adapted to
receive a smoking device and the other end is a mouthpiece, and a unit, coupled to the housing, adapted to contain said agent, wherein the device is configured to deliver nicotine and the agent to a user when the user draws air through the mouthpiece. In certain embodiments, the agent includes an anti-inflammatory agent, an anti-cancer agent, or both. In certain embodiments, the unit is a filter as described herein, e.g., having the agent disposed on a surface of the filter, such that the agent is released into air and/or smoke passing through the filter.
In other embodiments, the unit is a drug magazine that holds one or more solid pharmaceutical dosage forms (e.g., capsules, tablets or pellets) that comprise the one or more drugs. In certain embodiments, the one or more pharmaceutical dosage forms have a cylindrical shape. The drug magazine may be detachable from the housing, e.g., to be replaced or refilled after use or consumption of the dosage forms, such as is in the form of a circular ring, for example, wherein the one or more pharmaceutical dosage forms are arranged in a circumferential slot disposed near the outside of the circular ring. The drug magazine may include a biasing element to bias the one or more pharmaceutical dosage forms toward a predetermined location along the circular ring.
In certain embodiments, the device further includes a heating element and an electronic control board for controlling the operation of the heating element, e.g., to heat the agent and promote volatilization of the agent. The electronic control board may also control the amount of drug dispensed during a period of time, e.g., by controlling the length of time and/or the temperature of the heat applied to the agent by the heating element. The heating element may comprise a heating coil and/or a ceramic heater. The temperature of the heating element may be regulated by a thermocouple.
The device may comprise a pressure sensor that detects a drop in pressure when the user draws air through the device. The pressure sensor may activate a heating element. In other embodiments, the pressure sensor may activate an atomizer or nebulizer.
The device may include a power source along its length, such as a battery chamber for receiving a battery, to power the electronic control board and the heating element. The battery may be in the form of one or more cylinders. In certain embodiments, the housing defines a hollow passageway alongside the battery for passage of gases through the housing and past the battery. In certain embodiments, the device includes a plurality of batteries spaced about the housing to permit passage of gases through the housing and past the
batteries. In certain embodiments, the battery defines a passageway for passage of gases through the housing and through the battery.
In certain embodiments, the device includes a loading mechanism, engaged when the housing receives a smoking device, which loads a pharmaceutical dosage form (e.g., from a position within a magazine as discussed above) comprising said agent into proximity to the heating element. In other embodiments, the device includes a drug receptacle, e.g., adjacent to the heating element, that can be manually refilled by the user when the agent is reduced or consumed by use, e.g., through a port (which may be manually opened and closed or otherwise configured to receive the agent) in the housing. The device may have a transparent window (which may be a door covering the port or may otherwise be proximal to the drug receptacle and/or drug magazine) to permit a user to view the one or more pharmaceutical dosage forms from outside the device. Additionally or alternatively, the device may comprise a display for displaying indicia representative of the number of pharmaceutical dosage forms consumed since the magazine was coupled to the housing and/or indicia representative of the number of pharmaceutical dosage forms in the magazine.
The drug may be formulated as a pellet, capsule, tablet, microsphere, granule, micro/nanoparticle, or liquid. The drug may be preloaded in the heating element. For example, the drug may be loaded into a sponge positioned within a heating coil. Doses of the drug may be loaded into the heating element by a spring, lever, gate, gear, syringe, and/or other means. For example, doses may be stored in one or more compartments, and an individual dose may be released from a compartment to heating element. Alternatively, the drug may be stored in a syringe, and the syringe plunger may release drug from the syringe barrel to the heating element.
In certain embodiments, the device further comprises a timer, optionally including a time-of-day clock, e.g., to measure the time between successive uses of the device.
In certain embodiments, the invention provides a smoking device having a drug- containing mouthpiece that can be decoupled from a reusable control module, wherein the mouthpiece has a receptacle comprising an agent that, when coupled to the control module, is placed in proximity to an aerosolizing device, whereby activation of the aerosolizing device induces aerosolization of the agent. The smoking device may otherwise conform to the description of the smoking device above or elsewhere herein.
For example, the control module may have a housing adapted to receive a smoking device, a heating element for heating one or more drugs, a power source for powering said heating element, and a control board that regulates the power source and the heating element, wherein, when an agent is positioned adjacent to the heating element and the heating element is activated, the device promotes release of the agent into smoke drawn past the heating element. One end of the housing may be adapted to securely but reversibly couple to the mouthpiece, e.g., wherein the mouthpiece has a receptacle that, when coupled to the apparatus, places a drug in the receptacle adjacent to the heating element.
In some embodiments, the control module is configured to transfer information with a second device. For example, the control module may transfer information to a smartphone or computer. Additionally, the control module may receive information from a smartphone or computer.
The mouthpiece may be configured to securely but reversibly couple to the control module, e.g., as described above, and comprise a receptacle for holding an agent, wherein, when the agent is placed in the receptacle and the mouthpiece is coupled to the apparatus, the one or more drugs are heated by the heating element when the heating element is activated. In certain embodiments, the agent is provided as a pharmaceutical composition comprising one or more drugs, such as an anti-inflammatory agent, an anti-cancer agent, or both.
In other embodiments, the inhalation device may be an electronic device, such as an electronic cigarette, that comprises a nicotine source and one or more drugs. The device may be a unit that renders the nicotine and/or the drug suitable for inhalation, e.g., by volatilizing, nebulizing, atomizing, aerosolizing, or vaporizing the nicotine and the one or more drugs.
In still a further embodiment, the product is a smokeless tobacco product, e.g., wherein the tobacco is coated, mixed, or impregnated with the agent.
In certain embodiments, the product is a smoking cessation product, such as a transdermal patch or an orally applied product.
In certain embodiments of the devices, products, compositions, and methods disclosed herein, the agent is administered simultaneously with the nicotine, while in other embodiments the agent is administered sequentially with the source of nicotine. Preferably, the agent and the nicotine are administered by inhalation.
In certain embodiments, an electronic cigarette as disclosed herein comprises a housing, a reservoir containing a liquid, wherein the liquid contains nicotine and/or one or more drugs, an aerosolizing device for aerosolizing the liquid, a power source that powers the aerosolizing device, and a control board that regulates the power source and the aerosolizing device, e.g., in response to activation by a user, wherein said electronic cigarette dispenses nicotine and one or more drugs when activated by a user. In certain embodiments, the one or more drugs comprise an anti-inflammatory agent, an anti-cancer agent, or both.
The aerosolizing device may aerosolize the liquid by any suitable means, e.g., by heating, nebulizing, atomizing, vaporizing, and/or aerosolizing the liquid. In certain embodiments, the aerosolizing device comprises a heating element coupled to said power source. The aerosolizing device may comprise a piezoelectric atomizer. Alternatively, the device may comprise an inhaler.
The electronic cigarette may comprise an airflow sensor that activates said control board (e.g., to initiate powering of the aerosolizing device) in response to airflow initiated by a user.
In certain embodiments, the invention provides a drug magazine for holding a plurality of drug-containing solid carriers, such as the drug magazine discussed above. For example, the drug magazine may comprise a ring defining a circumferential slot arranged near the outside of the ring, wherein the slot is adapted to receive or contains a plurality of drug-containing solid carriers. The drug magazine may further include a biasing element (such as an elongated spring held in compression in the ring) which biases the drug- containing solid carriers to a predetermined location along the ring for dispensing, e.g., into a position proximal to a heating element.
In other embodiments, the invention provides smoking paper containing an agent, such as an anti-inflammatory agent, an anti-cancer agent, or both, wherein the paper is adapted to release said agent when heated or burned. The invention also provides a smoking article comprising a tobacco core wrapped in such a smoking paper.
In yet other embodiments, the invention provides a smoking filter containing an agent (such as an anti-inflammatory agent, anti-cancer agent, or both), wherein when said filter is coupled to a smoking device or smoking article and a user draws smoke through said filter, the filter releases an amount of the agent. The invention also provides a smoking device or smoking article comprising such a filter. The smoking article may be a cigarette,
cigar, cigarillo, kretek, beedi, bidi, biri, pipe, water pipe, or hookah. The smoking device may be a smoking device as disclosed herein, such as an electronic smoking device, electronic aerosolizing device, or electronic cigarette.
In still other embodiments, the invention provides a solid drug formulation comprising one or more drugs (such as an anti-inflammatory agent, an anti-cancer agent, or both), wherein the formulation is adapted to release the one or more drugs as a vapor when heated. In certain embodiments, the release of the drug by heating consumes the
formulation, e.g., without leaving a residue. The formulation may consist or consist essentially of the one or more drugs, e.g., the formulation may consist of a single drug. The formulation may be a pharmaceutical dosage form selected from tablets and pellets, e.g., such that each dosage form provides a single dose of the one or more drugs. The dosage form may be adapted for use with any of the devices disclosed herein, e.g., to be inserted directly into a smoking device or provided in a drug magazine.
In other embodiments, the invention provides a cartridge comprising one or more drugs, wherein the cartridge is adapted to be reversibly coupled to a smoking device as disclosed herein. The one or more drugs may be formulated in any suitable formulation, such as the formulations of the preceding paragraph, or other aerosolizable formulations disclosed herein. The cartridge may comprise an air inlet and an air outlet that permit air to be drawn through the cartridge. The cartridge may comprise a heating element, e.g., configured such that coupling the cartridge to the device operatively couples the heating element to a power source, such that activation of the device causes the power source to power the heating element, thereby promoting aerosolization of the one or more drugs. Alternatively, the cartridge may be configured to adopt a position in the smoking device adjacent to a heating element, as disclosed herein. In some embodiments, the cartridge may further comprise a battery for powering a heating element, whether that heating element is part of the cartridge or part of the device for which the cartridge is adapted to be used (e.g., the cartridge having an electrical connection that operatively engages a circuit in the device, e.g., including a control board).
In some embodiments, the invention provides a kit comprising a pack of cigarettes and an inhaler. In such embodiments, a smoker can inhale the drug before or after smoking a cigarette.
In other embodiments, the invention provides a kit comprising an inhaler coupled to a holder adapted to receive a pack of cigarettes. In this embodiment, the pack of cigarettes
may be stored in the holder along with the inhaler. The holder may be configured in any suitable fashion, e.g., as a clip to securely grip a pack of cigarettes, or as a receptacle dimensioned to receive a pack of cigarettes, e.g., with a snug fit that retains the pack of cigarettes so that it does not easily slide out without assistance. The pack of cigarettes may be replaced with a new pack of cigarettes, e.g., after the cigarettes have been consumed, and the kit may be reused with different packs of cigarettes.
BRIEF DESCRIPTION OF THE FIGURES
Figure 1A-1G are images of smoking devices comprising a nicotine-containing material and an anti-cancer agent.
Figure 2 shows an apparatus used to experimentally assess the aerosolization of anticancer agents.
Figure 3 A shows an apparatus for testing drug aerosolization.
Figure 3B is a typical HPLC chromatogram for an aerosolized compound depicting a peak that corresponds to intact drug.
Figure 4 shows chromatograms from aerosolized anticancer agents.
Figure 5 A is a cross-sectional view of a cigarette holder with a replaceable cartridge containing capsules of an agent.
Figure 5B is a cross-sectional view of a cigarette holder similar to that of Figure 5 A, but with a battery having a central bore for pass through of smoke and vapor.
Figure 5C is a cross-sectional view of a cigarette holder similar to that of Figure 5 A, but with three batteries placed in a manner that allows the free flow of smoke and vapor.
Figure 6A is a cross-sectional view of the device of Figure 5 A showing a single battery and air passage in the lower region.
Figure 6B is a cross-sectional view of the device of Figure 5B showing a hollow core battery to provide a central air passage.
Figure 6C is a cross-sectional view of the device of Figure 5C with three batteries, to provide multiple air passages.
Figure 7A is an elevational view of a cartridge usable in the device of Figures 5A- 11C, containing capsules of anti-inflammatory or anti-cancer agents.
Figure 7B is a side cross-section of the cartridge of Figure 7A used to dispense tobacco smoke and aerosolized drug.
Figure 8 is a cross-sectional view of a pipe adapted to dispense smoke from burning tobacco and aerosolized drug.
Figure 9 is a cross-sectional view of a device adapted to dispense smoke from a smoking device and one or more drugs.
Figure 1 OA is a cross-sectional view of a device showing a battery, electronic control board, timer, heating coil, thermocouple, drug tablets, drug advancement rod, and cigarette.
Figure 1 OB is a cross-sectional view of a portion of a device comprising a ceramic heater.
Figure IOC is a cross-sectional view of a portion of a device comprising a drug release gate, drug storage reservoir, ceramic plate, and a filter.
Figure 11A is a cross-sectional view of a portion of a device comprising a heating coil.
Figure 1 IB is a cross-sectional view of a portion of a device comprising a sponge and a heating element.
Figure 12A is a cross-sectional view of a portion of a device comprising an atomizer.
Figure 12B is a cross-sectional view of a portion of a device comprising an inhaler and a pressure sensor.
Figure 12C is a cross-sectional view of a kit comprising cigarettes and an inhaler. DETAILED DESCRIPTION OF THE PREFERRED EMBODIMENT
One or more embodiments of the invention will be described by way of example and not limitation, and the invention is not limited to the embodiment(s). The present invention provides a novel product or composition comprising a nicotine-containing material and an anti-cancer agent.
As used herein the term "anti-cancer agent" refers to a natural or synthetic agent that is capable of either preventing or reducing the risk of or treating cancer or both. Preferably, the anti-cancer agent is capable of inhibiting the proliferation or preventing or reducing the risk of the development of cancer cells.
As used herein, the term "anti-inflammatory agent" refers to a natural or synthetic agent that is capable of either preventing or reducing the risk of or treating an inflammatory disease (or condition), or both.
As used herein, the term "drug" refers to all chemical substances, other than nicotine, administered to prevent, reduce the risk of, and/or treat one or more diseases or disorders. Drugs include all anti-cancer agents and anti-inflammatory agents.
In some embodiments of the present invention, the anti-cancer agent comprises a combination of at least two different compounds having anti-cancer activity. Accordingly, the product of the present invention may comprise a combination of at least two different compounds having anti-cancer activity. For instance, the product may contain two different compounds having anti-cancer activity in the ratio of from 10 : 1 to 1 : 10, more preferred from 7 : 1 to 1 : 7, particularly preferred from 4 : 1 to 1 : 4, for instance 1 : 1 (weight : weight). As an example, a combination of curcumin and a phospho-NSAID can be mentioned.
Preferred anti-cancer agents are capable of inhibiting the growth or preventing or reducing the risk of the development of solid tumors in vivo. Preferred anti-cancer agents are also capable of reducing the size of a solid tumor in vivo.
In one preferred embodiment, the anti-cancer agent comprises a tyrosine kinase inhibitor (TKI). A TKI inhibits the tyrosine kinase activity of at least one tyrosine kinase. The inhibition may be reversible or irreversible. TKIs include, but are not limited to, compounds such as imatinib, dasatinib, nilotinib, gefitinib, erlotinib, lapatinib, sunitinib, sorafenib and pazopanib. Various TKIs are, for instance, described in Hartmann et al. (J. Th. Hartman et al. Cur. Drug Metab, 2009, 10, pp. 470-481).
Examples of anticancer agents are compounds that induce oxidative stress in the target cells or stromal cells of the proliferative disorder sensitive to the anti-cancer agent. Anticancer agents may comprise but are not limited to: a) androgen inhibitors, such as flutamide and luprolide; b) antiestrogens, such as tamoxifen; c) antimetabolites and cytotoxic agents, such as daunorubicin, fluorouracil, floxuridine, interferon alpha, methotrexate, plicamycin, mecaptopurine, thioguanine, adriamycin, carmustine, lomustine, cytarabine, cyclophosphamide, doxorubicin, estramustine, altretamine, hydroxyurea, ifosfamide, procarbazine, mutamycin, busulfan, mitoxantrone, streptozocin, bleomycin, dactinomycin, and idamycin; d) hormones, such as medroxyprogesterone, estramustine, ethinyl estradiol, estradiol, leuprolide, megestrol, octreotide, diethylstilbestrol,
chlorotrianisene, etoposide, podophyllotoxin, and goserelin; e) nitrogen mustard
derivatives, such as melphalan, chlorambucil, mechlorethamine, and thiotepa, f) steroids, such as betamethasone, prednisone, prednisolone; g) differentiation-inducing agents, such as retinoic acid, vitamin D, cytokines; h) other antineoplastic agents, such as platinum compounds, dicarbazine, asparaginase, leucovorin, mitotane, vincristine, vinblastine, and taxanes {e.g., taxol, paclitaxel, docetaxel), folic acid analogs and purine and pyrimidine
analogs, protein tyrosine kinase inhibitors, immunomodulators, biological response modifiers, and monoclonal antibodies; i) natural products, such as, for example, vinca alkaloids, taxanes, and camptothecins; j) Nonsteroidal anti-inflammatory drugs (NSAIDs), including salicylates, which include aspirin (acetylsalicylic acid), difusinal, salsalate; k) Propionic acid derivatives, which include ibuprofen, dexibuprofen, naproxen, fenoprofen, ketoprofen, dexketoprofen, flurbiprofen, oxaprozin, oxoprofen; 1) Acetic acid derivatives, which include indomethacin, tolmetin, sulindac, etodolac, ketorolac, diclofenac, nambumetone; m) Enolic acid (Oxicam) derivatives, which include piroxicam, meloxicam, tenoxicam, droxicam, lornoxicam, isoxicam; n) Fenamic acid derivatives (Fenamates), which include mefenamic acid, meclofenamic acid, fiufenamic acid, tolfenamic aci; o) Selective COX-2 inhibitors (Coxibs), which include celecoxib and paracetamol; p)
Sulphonanilides, which include nimesulide; and/or q) others, which include licofelone. A list of anti-cancer agents can be found in L. Brunton, B. Chabner and B. Knollman (eds). Goodman and Gilman's, The Pharmacological Basis of Therapeutics, Twelfth Edition, 2011, McGraw Hill Companies, New York, NY.
Further preferred anti-cancer agents for use in the present invention include compounds such as difiuoromethylornithine or erlotinib.
Formula (I)
or an enantiomer, a diastereomer, a racemate, a tautomer, salt, hydrate, cocrystal, or compositions thereof.
In Formula I, A is an optionally substituted aliphatic, heteroaliphatic, aromatic, heteroaromatic substituent or alkylaryl substituent having 1 to 100 carbon atoms or is selected from:
Formul ormula A-XVI Formula A-XVII
X1 and X2 are independently selected from -0-, -NR5-, and -S-;
R1 and R4 are independently selected from hydrogen and trifluoromethyl; R2 is selected from -SCH3, -S(0)CH3, and -S(
R5 is selected from hydrogen and Ci_6 alkyl;
Z is selected from:
Formula Z-VI Formula Z-VII
R6 and R7 are independently selected from hydrogen, Ci_6-alkyl, and polyethylene glycol residue.
In some embodiments, X1 is -NR5-, and R5 is selected from hydrogen, methyl, and ethyl.
In other embodiments, X1 is -0-.
In certain embodiments, Z is
R6 is selected from ethyl and a polyethylene glycol residue, and R7 is selected from hydrogen and ethyl.
In still other embodiments, A is selected from:
Formula XIII Formula A-XV wherein
R1 and R4 are independently selected from hydrogen and trifluoromethyl, and X is selected from -0-, -S-, and -NH-.
In some embodiments, X1 is -0-, Z is -0-P(0)(CH2CH3)2, and A is:
In certain embodiments, X1 is selected from -O- and -NH-, Z is -0-P(0)(CH2CH3)2,
A is:
and R is selected from hydrogen and trifluoromethyl.
In other embodiments, X1 and X2 are independently selected from -O- and -NH-, Z
and R is selected from hydrogen and trifluoromethyl.
In some embodiments, X1 and X2 are independently selected from -0-, -S-, and - is:
In some embodiments, X1 is selected from -0-, -S-, and -NH-, Z is selected from - -P(0)(CH2CH3)2 and -ON02, A is:
and R1 is selected from hydrogen and trifluoromethyl, and X2 is selected from -0-, -S- and - NH-. in embodiments, X1 is selected from -O- and -NH-, Z is -ON02, and A is:
Accordingly, the compounds of Formula I include but are not limited to compounds of which the structures are shown below:
Formula (II)
or a pharmaceutically acceptable salt thereof.
In Formula II: Y1 is a polyethylene glycol residue; R6 is selected from hydrogen, Ci_ 6-alkyl, and polyethylene glycol residue;
A is an optionally substituted aliphatic, heteroaliphatic, aromatic, heteroaromatic substituent or alkylaryl substituent having 1 to 100 carbon atoms or selected from:
Formula ula A-IV
Formul la A- VII
- VIII Formula A-IX Formula A-X
Formula A-XI Formula A-XII
Formula A-XIV
X1 and X2 are independently selected from -0-, -NR5-, and -S-;
R1 and R4 are independently selected from hydrogen and trifluoromethyl;
R2 is selected from -SCH3, -S(0)CH3, and -S(0)2CH3;
R3 is selected from hydroxyl, Z, and -X^B-Z;
R5 is selected from hydrogen and Ci_6 alkyl;
Formula B-I
a single bond, and an aliphatic group with 1 to 22 carbon atoms;
R8 is a C i_4 alkylene; and
R9 is hydrogen, Ci_6-alkyl, halogenated Ci_6-alkyl, Ci_6-alkoxy, halogenated Ci_6-alkoxy, -C(0)-Ci_6-alkyl, -C(0)0-Ci_6-alkyl, -OC(0)-Ci_6-alkyl, -C(0)NH2,
-C(0)NH-Ci_6-alkyl, -S(0)-Ci_6-alkyl, -S(0)2-Ci_6-alkyl, -S(0)2NH-Ci_6-alkyl, cyano, halo or hydroxyl.
In further embodiments, Y1 is a polyethylene glycol residue described by
-0(CH2CH20)mR10, wherein m is 1 to 100 (e.g. 20 to 100, 20 to 50, 40 to 50), and R10 is selected from hydrogen, alkyl and alkoxy, and R6 is hydrogen.
In still other embodiments, Y1 is -0(CH2CH20)mR10 wherein m is 45, R10 is - OCH3, and R6 is hydrogen.
In some embodiments, X1 is -0-.
In other embodiments, X1 is -NR5- and R5 is selected from hydrogen, methyl, and ethyl.
In certain embodiments, B is -(CH2)4-.
In other embodiments, the compound is:
110.
Formula (III)
or a pharmaceutically acceptable salt thereof.
Formula A-XI Formula A-XII
X1 and X2 are independently selected from -0-, -NR5-, and -S-;
R1 and R4 are independently selected from hydrogen and trifluoromethyl;
X3 is selected from -S- and -NH-;
R3 is selected from hydroxyl, Z, and -X^B-Z;
R5is selected from hydrogen and Ci_6 alkyl;
B is selected from:
Formula B-I Formula B-II
a single bond, and an aliphatic group with 1 to 22 carbon atoms;
R8, R11, and R12 are the same or different Ci_4 alkylene;
R9 is hydrogen, Ci_6-alkyl, halogenated Ci_6-alkyl, Ci_6-alkoxy, halogenated Ci-6-alkoxy, -C(0)-Ci_6-alkyl, -C(0)0-Ci_6-arkyl, -OC(0)-Ci_6-arkyl, -C(0)NH2,
-C(0)NH-Ci_6-alkyl, -S(0)-Ci_6-alkyl, -S(0)2-Ci_6-alkyl, -S(0)2NH-Ci_6-alkyl, cyano, halo or hydroxy;
Z is selected from:
Formula Z-VIII
or B together with Z forms a structure:
Formula BZ-I
R6 and R7 are independently selected from hydrogen, Ci_6-alkyl, and polyethylene glycol residue; and
R13 is selected from hydrogen, an aliphatic group with 1 to 22 carbon atoms (e.g. Ci_ 6-alkyl), and polyethylene glycol residue.
In still other embodiments, X1 is -0-.
In certain embodiments, X1 is -NR5- and R5 is selected from hydrogen, methyl, and ethyl.
In other embodiments, Z is sel CH2CH3)2 and -ON02.
In some embodiments, wherein X1 is selected from -O- and -NH-, B is selected from is -OP(0)(OCH2CH3)2, A is:
and X is selected from -O- and -NH-.
In other embodiments, X1 is selected from -O- and -NH-, B is selected from
In further embodiments, X1 is selected from -O- and -NH-, B is selected from
Z is -OP(0)(OCH2CH3)2, A is:
and R3 is hydroxyl or selected from:
In certain embodiments, X1 is selected from -O- and -NH-, B is selected from
Z is -OP(0)(OCH2CH3)2, A is:
R is hydroxyl or selected from:
In some embodiments, X1 is selected from -O- and -NH-, B is selected from
-OP(0)(OCH2CH3)2, A is:
is selected from hydrogen and trifluoromethyl.
In some embodiments, X1 is selected from -O- and -NH-, B is selected from P(0)(OCH2CH3)2, A is:
In other embodiments, X1 is selected from -O- and -NH-, B is selected from is -OP(0)(OCH2CH3)2, A is:
and X is selected from -0-, -S-, and -NH-.
In other embodiments, X1 is selected from -O- and -NH-, B is selected from
A
and VY Z > , Z is selected from -OP(0)(OCH2CH3)2 and -ON02, A is:
, R is selected from hydrogen and trifluoromethyl, and X is selected from -S-, and -NH-.
In other embodiments, X1 is -NH-, A
R1 is selected from hydrogen and trifluoromethyl, and X3 is selected from -S-, and -NH-.
Accordingly, the compounds of Formula III include but are not limited to compounds of which the structures are shown below:
22 23
41
P
WO 2015/148649
Formula (IV)
or a pharmaceutically acceptable salt thereof.
In Formula IV: A is an optionally substituted aliphatic, heteroaliphatic, aromatic, heteroaromatic substituent or alkylaryl substituent having 1 to 100 carbon atoms or selected from:
F ula A- VII
Formula A-XI Formula A-XII
Formula A-XIII Formula A-XIV
Formula A-XV Formula A-XVI Formula A-XVII
X2 is selected from -0-, -NR5-, and -S-;
R1 and R4 are independently selected from hydrogen and trifluoromethyl;
R2 is selected from -SCH3, -S(0)CH3, and -S(0)2CH3;
R3 is selected from hydroxyl, Z, and -X^B-Z;
R5 is selected from methyl and ethyl;
Formula B-I Formula B-II
a single bond, and an aliphatic group with 1 to 22 carbon atoms;
R8, R11, and R12 are the same or different Ci_4 alkylene;
R9 is hydrogen, Ci_6-alkyl, halogenated Ci_6-alkyl, Ci_6-alkoxy, halogenated
Ci_6-alkoxy, -C(0)-Ci_6-alkyl, -C(0)0-Ci_6-alkyl, -OC(0)-Ci_6-alkyl, -C(0)NH2,
-C(0)NH-Ci_6-alkyl, -S(0)-Ci_6-alkyl, -S(0)2-Ci_6-alkyl, -S(0)2NH-Ci_6-alkyl, cyano, halo or hydroxy;
Z is selected from:
Formula Z-I Formula Z-II Formula Z-III Formula Z-IV Formula Z-V
-VI Formula Z-VII
Formula Z-VIII
or B together with Z forms a structure:
Formula BZ-I
R6 and R7 are independently selected from hydrogen, Ci_6-alkyl, and polyethylene glycol residue; and
R13 is selected from hydrogen, an aliphatic group with 1 to 22 carbon atoms (e.g. Ci 6-alkyl), and polyethylene glycol residue.
In a fifth aspect, the invention features a compound having a structure selected from the group consisting of
Formula (V)
In Formula V: A is an optionally substituted aliphatic, heteroaliphatic, aromatic, heteroaromatic substituent or alkylaryl substituent having 1 to 100 carbon atoms;
X1 is selected from -0-, -S-, and -NR5-;
R5 is selected from hydrogen and a Ci_6 alkyl;
B is an aliphatic, alicyclic, heteroaliphatic, heterocyclic, aryl, aralkyl, or
heteroaromatic group optionally substituted with one or more R15 moieties,
each R14 is independently, selected from hydrogen, halogen, hydroxyl, alkoxyl,-CN; an optionally substituted aliphatic, alicyclic, heteroaliphatic, heterocyclic, aryl, aralkyl, heteroaromatic moiety; -ORR, -S(=0)nRd, -NRbRc, -C(=0)Ra and -C(=0)ORa; n is 0-2; Ra, for each occurrence, is independently selected from hydrogen and an optionally substituted
aliphatic, alicyclic, heteroaliphatic, heterocyclic, aryl, aralkyl, or a heteroaromatic moiety; each of Rb and Rc, for each occurrence, is independently selected from hydrogen; hydroxyl, S02Rd, and aliphatic, alicyclic, heteroaliphatic, heterocyclic, aryl, aralkyl, heteroaromatic or an acyl moiety; Rd, for each occurrence, is independently selected from hydrogen, -N(Re)2, aliphatic, aryl and heteroaryl, Re, for each occurrence, is independently hydrogen or aliphatic; and RR is an optionally substituted aliphatic, alicyclic, heteroaliphatic, heterocyclic, aryl, aralkyl, heteroaromatic or acyl moiety;
Z is selected from:
Formula Z-I Formula Z-II Formula Z-III Formula Z-IV Formula Z-V
Formu a Z-VI
Formula Z-VIII
or B together with Z forms a structure:
Formula BZ-I
R6 and R7 are independently selected from hydrogen, Ci_6-alkyl, and polyethylene glycol residue; and
R is selected from hydrogen, an aliphatic group with 1 to 22 carbon atoms (e.g. Ci_ 6-alkyl), and polyethylene glycol residue;
or a pharmaceutically acceptable salt thereof.
In a specific embodiment, the compound of Formula V is further described by Formula I, II, III, or IV or any specific compound described herein.
In another embodiment the compound of Formula V is a compound disclosed in US Patent No. 8,236,820, incorporated by reference. For example, the compound of Formula V can be selected from:
124 125
134
In certain embodiments, the anti-cancer agent comprises a phospho-nonsteroidal anti-inflammatory agent having one or more phosphate moiety (phospho-NSAIDs).
Compounds that may be used in the present invention are disclosed in WO 2013/130625, WO 2009/023631, WO 2005/065361 , and WO 2011/094589, which are incorporated herein by reference. Further incorporated herein by reference are US provisional application Serial No. 61/704,021, US application Serial No. 14/033,976, US application Serial No. 14/034,421, and US application Serial No. 14/033,932, which disclose other compounds which may be used herein.
Particularly preferred for this purpose are phospho-ibuprofen I, phospho-ibuprofen glycerol II, phospho-ibuprofen glycerol amide III, phospho-ibuprofen amide IV, phospho- sulindac V, phospho-sulindac amide VI, phospho-aspirin VII, phospho-valproic acid VIII, the compounds IX and X, phospho-pentyl-ibuprofen XI, phospho-decyl-ibuprofen XII, phospho-hexyl-aspirin XIII, phosphor-butyl-aspirin XIV, and phospho-salicylic acid glycerol XV, the structures of which are shown below:
III
VI
X
In one embodiment, the anticancer agent in the present invention is a compound having a Formula VI:
O
A-U-X1— B— Z
Formula VI
or an enantiomer, a diastereomer, a racemate, a tautomer, salt, hydrate, cocrystal, or compositions thereof, wherein
X1 is selected from the group consisting of -0-, -S- and -NR1-;
R1 being hydrogen or C1-100-alkyl, preferably Ci_22-alkyl, particularly preferred Ci_ lo-alkyl;
A is an optionally substituted aliphatic, heteroaliphatic, aromatic, heteroaromatic substituent or alkylaryl substituent having in a preferred embodiment 1 to 100, and even more preferably 1 to 42 carbon atoms. Preferably, A is derived from among NSAIDs. In one of the preferred embodiments, A is selected from the group consisting of:
Formula A-f Formula A-li
Formula A-I!l Formula A-IV Formula A-V
Formula A-xi Formula A-XV
wherein,
R9 being selected from hydrogen and trifluoromethyl;
R10 being selected from -X2-C(0)-CH3;
R11 being selected from -SCH3, -S(0)CH3 and -S(0)2CH3;
R12 being selected from hydroxy, -B-Z and Formula A-XII
whereby
X2 is selected from the group consisting of -0-, -S- and -NR13-, wherein, R13 being hydrogen or Ci_6-alkyl;
Formula. B-! Formula B-li
a single bond and an aliphatic substituent, preferably with 1 to 100, more preferred with 1 to 42 and particularly preferred with 1 to 22 carbon atoms,
wherein,
R2, R4 and R5 being the same or different Ci_3-alkylene;
R3 being hydrogen, Ci_6-alkyl, halogenated Ci_6-alkyl, Ci_6-alkoxy, halogenated Ci_6-alkoxy, -C(0)-Ci_6-alkyl, -C(0)0-Ci_6-alkyl, -OC(0)-Ci_6-alkyl, - C(0)NH2, -C(0)NH-Ci_6-alkyl, -S(0)-Ci_6-alkyl, -S(0)2-Ci_6-alkyl, -S(0)2NH-Ci_6- alkyl, cyano, halo or hydroxyl;
Formula Z-VI Formula Z-VII
Formula Z-VIII wherein,
R6 being independently selected from hydrogen, C1-100-alkyl, preferably Ci-6- alkyl, and polyethylene glycol residue;
R7 being selected from hydrogen, C1-100-alkyl, preferably Ci_6-alkyl, and polyethylene glycol residue;
or B together with Z forms a structure:
Formula BZ-I
wherein R6 being defined as above; and
R8 being independently selected from hydrogen, an aliphatic substituent with 1 to 22 carbon atoms, more preferred Ci_6-alkyl and a polyethylene glycol residue
Preferably, the folic acid residue is selected from the group consisting of
In one embodiment, A is represented by Formula A-I or A-IV, XI is -O- and -B-Z is not -(CH2)4-0-P(0)(OC2H5)2.
In another embodiment, A is represented by Formula A-II and XI is not -O- and/or - B- is an aliphatic substituent with 1 to 100, preferably with 1 to 42 carbon atoms.
In another embodiment, the anticancer agent in the present invention is selected from compounds having Formula (VII)
Formula VII or an enantiomer, a diastereomer, a racemate, a tautomer, salt or hydrate thereof, wherein, m = 0 or 1 ;
X1 and X2 are independently selected from the group consisting of -0-, -S- and - NR1-, R1 being hydrogen or Ci_6-alkyl;
B is an optionally substituted aliphatic, heteroaliphatic, aromatic, heteroaromatic or alkylaryl substituent having 1 to 40 carbon atoms;
Z1 is selected from the group consisting of hydrogen, farnesyl and a folic acid residue;
Z2 is selected from the group consisting of
Formula Z-I Formula Z-II
whereby
Z2 is preferably represented by Formula Z-I;
R6 being independently selected from hydrogen, Ci_ioo-alkyl and a polyethylene glycol residue,
R7 being independently selected from hydrogen, Ci_i0o-alkyl and a polyethylene glycol residue; or
B together with Z2 forms a structure
Formula BZ-I
R6 being defined as above, and
R8 being independently selected from hydrogen, an aliphatic substituent with
1 to 22 carbon atoms, more preferred Ci_6-alkyl and a polyethylene glycol residue and
R9 being selected from hydrogen and trifluoromethyl.
A further aspect of the present invention, the anticancer agent relates to the compounds of Formula VIII:
Formula VIII or an enantiomer, a diastereomer, a racemate, a tautomer, salt or hydrate thereof, wherein X2, B, Z2 and R9 are as defined above.
In a specific embodiment, the composition further comprises
difluoromethylornithine or cimetidine.
In certain embodiments, the agent is a compound (e.g., an anti-cancer agent) having a structure of Formula IX:
G-X-L-Y-M
Formula IX
or an enantiomer, a diastereomer, a racemate, a tautomer, salt or hydrate thereof, wherein G is selected from one of the moieties shown below (G^G41);
61
R1 being hydrogen or Ci_ioo-alkyl, preferably Ci_22-alkyl, particularly preferred Ci_ lo-alkyl;
L is selected from one of the moieties shown below (L^L3); wherein in L1, p is from 1-100, preferably 1-22, most preferably 1-10;
Y is selected from -0-, -NR2-, or -S-;
R2 being hydrogen or Ci_ioo-alkyl, preferably Ci_22-alkyl, particularly preferred Ci_io-alkyl; and
M is selected from one of the moieties shown below (M^M3); wherein in M2 n is preferably 1-10:
0
L1 M1 0-P-OC2H5
^ OC2H5
°\ /0-(OCH2CH2)n-OCH3
L2 M2
—
I OH
L3 M3
In certain embodiments, the agent is a compound (e.g., an anti-cancer agent) having a structure of Formula X:
G-X-N
Formula X
or an enantiomer, a diastereomer, a racemate, a tautomer, salt or hydrate thereof, wherein G is selected from one of the moieties shown above (G^G41);
X is selected from -0-, -NR1-, or -S-,
R1 being hydrogen or C1-100-alkyl, preferably Ci_22-alkyl, particularly preferred C1-10- alkyl; and
Another aspect of the present invention relates to the use of an effective amount of compounds represented by Formulas I-X, any compound specified above or any
composition described herein in the treatment of inflammation of a subject in need thereof.
In certain embodiments, the compounds represented by Formulas I-X are useful in the treatment of inflammation of the lung, the upper airways and the oral cavity. For example, the compounds represented by Formulas I-X may be used in the treatment of inflammation of the lung, the upper airways and the oral cavity where such inflammation is induced by tobacco smoke or other tobacco products, including but not limited to asthma, emphysema, acute and chronic bronchitis, leukoplakia or stomatitis. Additionally, the compounds may be used in the treatment of inflammation related to rheumatoid arthritis,
Sjogren's syndrome, coronary artery disease, peripheral vascular disease, hypertension, Alzheimer's disease and its variants, lupus erythematosus, chronic bronchitis, chronic sinusitis, benign prostatic hypertrophy, prostate cancer, colon adenomas, colon cancer, cancer of the lung, lymphoma, and leukemia.
A further aspect of the present invention relates to the use of an effective amount of compounds represented by Formulas I-X, or any specific compound or composition described herein for the treatment or prevention or reduction of the risk of cancer in a subject in need thereof.
In yet another aspect, the present invention features methods for treating cell proliferation by contacting a cell with an effective amount of a compound represented by Formulas I-X, or any specific compound or composition described herein.
The choice of the nicotine-containing material for use in the product of the present invention is not particularly limited. Preferably, the nicotine-containing material used is the leaf of a tobacco plant, i.e., a plant of the genus Nicotiana, such as Nicotiana tabaccum. Tobacco leaves of several types may be employed. Suitable types of tobacco leaves include, but are not limited to, Brightleaf tobacco, Burley, Cavendish, Corojo, Criollo, Oriental tobacco, Perique, Shade tobacco, Thuoc lao, Type 22, White Burley, wild tobacco and Yl .
The content of the nicotine-containing material and of the anti-cancer agent in the product can be readily chosen by a person skilled in the art to provide an advantageous therapeutic effect. Preferably, the product contains nicotine and the anti-cancer agent in the ratio of from 1000 : 1 to 1 : 10, more preferred from 10 : 1 to 1 : 10, even more preferred from 7 : 1 to 1 : 7, particularly preferred from 4 : 1 to 1 : 4, for instance 1 : 1
(weight : weight).
Alternatively, the nicotine-containing material may be nicotine (IUPAC name: (S)- (-)-3-(l-methylpyrrolidin-2-yl)pyridine) or a pharmaceutically acceptable salt thereof. S.M. Berge et al. describe pharmaceutically acceptable salts in detail in J. Pharmaceutical Sciences, 1977, 66, 1-19, incorporated herein by reference. Examples of pharmaceutically acceptable acid addition salts can be formed with inorganic acids such as hydrochloric acid, hydrobromic acid, phosphoric acid, sulfuric acid and perchloric acid or with organic acids such as acetic acid, oxalic acid, maleic acid, tartaric acid, citric acid, succinic acid or malonic acid or by using other methods used in the art such as ion exchange. Other pharmaceutically acceptable salts and coformer molecules for cocrystal formation include adipate, alginate, ascorbate, aspartate, benzenesulfonate, benzoate, bisulfate, borate,
butyrate, camphorate, camphorsulfonate, citrate, cyclopentanepropionate, digluconate, dodecylsulfate, ethanesulfonate, formate, fumarate, glucoheptonate, glycerophosphate, gluconate, hemisulfate, heptanoate, hexanoate, hydroiodide, 2-hydroxy-ethanesulfonate, lactobionate, lactate, laurate, lauryl sulfate, malate, maleate, malonate, methanesulfonate, 2- naphthalenesulfonate, nicotinate, nitrate, oleate, oxalate, palmitate, pamoate, pectinate, persulfate, 3-phenylpropionate, phosphate, pivalate, propionate, stearate, succinate, sulfate, tartrate, thiocyanate, p-toluenesulfonate, undecanoate, valerate salts, and the like. Nicotine may be further bound to a polymeric material such as an ion-exchange resin, for instance to polymethacrilic acid, such as Amberlite® IRP64. The corresponding material is commercially available under the name Nicotine Polacrilex.
Preferably, one dosage of the product contains nicotine from 0.01 to 100 mg, preferably from 0.1 to 10 mg, more preferred from 0.5 to 7 mg, yet even more preferred from 0.7 to 5 mg and particularly preferred from 1 to 3 mg nicotine. Depending on the intended mode of administration, the product of the present invention may additionally comprise a pharmaceutically acceptable carrier which, as used herein, includes solvents, diluents, or other liquid vehicle, dispersion or suspension aids, surface active agents, isotonic agents, thickening or emulsifying agents, preservatives, solid binders, lubricants and the like, as suited to the particular dosage form desired. Remington's Pharmaceutical Sciences, Sixteenth Edition, E.W. Martin (Mack Publishing Co., Easton, Pa., 1980) discloses various carriers used in formulating pharmaceutical compositions and known techniques for the preparation thereof. Some examples of materials which can serve as pharmaceutically acceptable carriers include, but are not limited to, volatile solid materials, such as menthol, sugars such as lactose, glucose and sucrose; excipients such as cocoa butter; oils such as peanut oil, cottonseed oil; safflower oil, sesame oil; olive oil; corn oil and soybean oil; glycols; such as propylene glycol; esters such as ethyl oleate and ethyl laurate; agar; natural and synthetic phospholipids, such as soybean and egg yolk
phosphatides, lecithin, hydrogenated soy lecithin, dimyristoyl lecithin, dipalmitoyl lecithin, distearoyl lecithin, dioleoyl lecithin, hydroxylated lecithin, lysophosphatidylcholine, cardiolipin, sphingomyelin, phosphatidylcholine, phosphatidyl ethanolamine, diastearoyl phosphatidylethanolamine (DSPE) and its pegylated esters, such as DSPE-PEG750 and DSPE-PEG2000, phosphatidic acid, phosphatidyl glycerol and phosphatidyl serine.
Commercial grades of lecithin which are preferred include those which are available under the trade name Phosal® or Phospholipon® and include Phosal® 53 MCT, Phosal® 50 PG,
Phosal® 75 SA, Phospholipon® 90H, Phospholipon® 90G and Phospholipon® 90 NG; soy-phosphatidylcholine (SoyPC) and DSPE-PEG2000 are particularly preferred; buffering agents such as amino acids; pyrogen-free water; isotonic saline; Ringer's solution; ethyl alcohol, and phosphate buffer solutions, as well as other non-toxic compatible lubricants such as sodium lauryl sulfate as well as releasing agents, coating agents, sweetening, flavoring and perfuming agents, preservatives and antioxidants can also be present in the product of the present invention.
In some embodiments, the product for the present invention is a smoking device such as a cigarette, cigar, cigarillo, kretek, beedi, bidi, biri, smoking pipe, water pipe, hookah, or cigarette holder. In these embodiments, the anti-cancer agent is inhaled at the same time that the smoker smokes. For this purpose, the nicotine-containing material and the anti-cancer agent can be, for instance, incorporated in a cigarette, a cigar, a cigarillo, kretek, beedi, bidi, or biri (see Figure 1 A) or in a smoking device such as a smoking pipe (for instance, in the chamber of a smoking pipe, see Figure IB) or in a water pipe, hookah, cigarette holder, etc. In addition, the smoking device may optionally comprise an additional unit which renders the anti-cancer agent suitable for inhalation so that smoke and the anti-cancer agent can be inhaled simultaneously or in sequence. The additional unit may, for instance, be a pressurized aerosol spray dispenser, a nebulizer, an atomizer or a cartonizer.
The term "smoking" as used herein refers to the action of inhaling or tasting the smoke of burning plant material, preferably of tobacco leaves. Smoking further includes a process wherein the smoking composition is heated but not pyrolysed, and the heated vapors are inhaled or tasted by the smoker.
Figure 1 A: the anti-cancer agent or a pharmaceutical composition thereof 3 is incorporated into the cigarette containing tobacco 2 and, optionally, having a filter 4.
Tobacco smoke coming from the pyrolysis zone 1 or in a close distance causes
volatilization of the anti-cancer agent. In order to improve volatilization the anti-cancer agent can be formulated with a volatile solid such as menthol. The tobacco smoke 5 containing the anticancer agent enters the mouth and the lungs of the smoker.
FigurelB: the anticancer agent or a pharmaceutical composition thereof 3 is incorporated into a smoking pipe. Tobacco 2 may be mixed with the anticancer agent or a pharmaceutical composition thereof 3. Alternatively, another smoking device such as a
water pipe can be employed. The volatilization of the anti-cancer agent can be additionally facilitated by external heating, for instance, by using an electric heating element.
Figure 1C: a further embodiment of the present invention is shown. The anti-cancer agent is administered in a so-called "cigarette with menthol capsule". The anti-cancer agent or a pharmaceutical composition thereof 3 is incorporated in a menthol capsule which, in turn, is located in the filter 4. Cigarettes with menthol capsules are known in the prior art and are, for example, described in US 2009/0277465. The anticancer agent or a
pharmaceutical composition thereof is incorporated into the menthol capsule and is volatilized during the smoking process. Thus, this embodiment is particularly suited for smokers and aims to prevent lung cancer and/or precancerous conditions in the lung.
Figure ID: a further embodiment is shown. The anti-cancer agent or a
pharmaceutical composition thereof 3 is directly mixed with tobacco 2. Thus, volatilization the anti-cancer agent occurs primarily in the pyrolysis zone 1 of the cigarette and the tobacco smoke 5 containing the anti-cancer agent enters the mouth and the lungs of the smoker. In this embodiment, the filter 4 is optional. This embodiment is particularly useful if the anti-cancer agent is sufficiently volatile.
Figure IE: a further embodiment is shown. The anti-cancer agent or a
pharmaceutical composition thereof 3 (not shown) is incorporated in an electronic cigarette cartridge 7. The cartridge 7 may be designed as an atomizer or as a cartonizer. Valve 6 prevents the entry of the aerosol and solvent vapor emitted by the cartridge 7 into the tobacco section 2. In this embodiment, tobacco smoke formed in the pyrolysis zone 1 enters the section containing the electronic cigarette cartridge 7 via the valve 6. Thus, the aerosol emitted by the electronic cigarette cartridge 7 is mixed with the tobacco smoke and the resulting mixture 5 is subsequently inhaled by the smoker.
Figure IF: a further embodiment is shown. The anti-cancer agent or a
pharmaceutical composition thereof 3 (not shown) is incorporated in an additional unit 8 which may be an atomizer or cartonizer or similar device that renders the anti-cancer agent suitable for inhalation. Having an appropriate valve or other mechanism(s), smoke and inhalable agent may be mixed to simultaneously deliver smoke and anti-cancer agent to the mouth and ultimately the lungs of the smoker.
Figure 1G: a further embodiment is shown. A cigarette holder has a receptacle for the cigarette 13, an area where the anti-cancer agent or a pharmaceutical composition thereof 3 is stored in an additional unit 12, from which is can be transferred to a
compartment 11 , where an atomizer or cartonizer or similar device renders the anti-cancer agent suitable for inhalation. The function of this cigarette holder is powered by a battery 10. Having an appropriate arrangement that allows suitable communication of the various compartments of this device, smoke and inhalable agent are mixed to deliver, through a mouthpiece 9, smoke 5 containing the anti-cancer agent to the mouth and ultimately the lungs of the smoker.
In a further embodiment one or more anti-inflammatory agents are used in the place of the anti -cancer agents. In a further yet embodiment a combination of both antiinflammatory and anti-cancer agents is used.
In all embodiments shown in Figures 1A-1G the smoker also inhales the anti-cancer agent during inhalation of the tobacco smoke. In order to facilitate volatilization of the anti-cancer agent, it can be formulated in a dry powder aerosol composition such as the one described by Plumley C, et al. (Int. J. Pharm. 369, (1-2), pages 136-143, 2009)
(incorporated by reference herein) or in a pharmaceutical composition containing volatile solids such as menthol. Alternatively, the neat anti-cancer agent can be used instead of the pharmaceutical composition thereof.
In other embodiments, the product of the present invention is a smoking cessation product such as, for instance, transdermal patch, inhalation device, orally applied product or rectal suppository.
In certain embodiments, the product is a transdermal patch. Transdermal patches comprising a nicotine-containing material are known in the prior art and are, for instance, described in US 2009/0246264, which is incorporated herein by reference. Preferably, the transdermal patch simultaneously delivers nicotine and the anti-cancer agent to the patient. According to the present invention, said transdermal patch preferably releases more than 30 wt.-%, more preferably more than 50 wt.-% and particularly preferred more than 70 wt.-% of its total content of the anti-cancer agent within 24 h to the skin of the patient. The nicotine-containing material and the anti-cancer agent may be present in separate layers of the transdermal patch or as a mixture in the same layer. The layers containing the nicotine- containing material, the anti-cancer agent or a mixture thereof typically contain gelling agents such as homo- or copolymers of 2-hydroxyethyl acrylate or 2-hydroxyethyl methacrylate, poly( vinyl alcohol), Pluronic®, carboxymethyl cellulose, hydroxyethyl starch, hydroxypropyl cellulose or methyl cellulose. These layers may further contain suitable penetration enhancers such as dimethyl sulfoxide, N,N-dimethylacetamide,
triglycerides (e.g. soybean oil), unsaturated oils, aloe compositions (e.g., aloe vera gel), octalylphenylpolyethylene glycol, oleic acid, polyethylene glycol 400, propylene glycol, n- decyl methyl sulfoxide, fatty acid esters (e.g. isopropyl myristate, methyl laurate, glycerol monooleate and propylene glycol monooleate) and N-methyl pyrrolidone or mixtures thereof.
In another embodiment of the present invention, the product is an inhalation device. The inhalation device may be a smoking device, a mechanical device for pulmonary delivery, a device for the nasal anti-cancer agent delivery or a so-called electronic cigarette. Mechanical devices for pulmonary delivery of the nicotine-containing material and the anti- cancer agent include, but are not limited to, nebulizers, metered dose inhalers, and powder inhalers, all of which are familiar to those skilled in the art. Some specific examples of commercially available devices suitable for the practice of this invention are the Ultravent nebulizer (Mallinckrodt, Inc., St. Louis, Mo, USA), the Acorn II® nebulizer (Marquest Medical Products, Englewood, Colorado, USA), the Ventolin® metered dose inhaler (Glaxo Inc., Research Triangle Park, N.C. USA) and the Spinhaler powder inhaler (Fisons Corp, Bedford, Mass. USA).
Devices for nasal anti-cancer agent delivery are also known to persons skilled in the art and are commercially available, for instance, from Bespak (Bespak Europe Limited, United Kingdom).
In some other embodiments, the pharmaceutical composition of the present invention is directly heated, whereby nicotine and the anti-cancer agent form a vapor and may subsequently condense into an aerosol. Thus, an aerosol mixture containing nicotine and the anti-cancer agent is formed. Subsequently, the patient inhales this mixture.
Suitable devices are known in the prior art and are, for instance, described in
US 2003/0000518.
Electronic Cigarettes
Alternatively, the combination of the nicotine-containing material and the anticancer agent may be administered in a so-called electronic cigarette. Such devices are known in the prior art and are, for instance, described in US 7832410, US 8156944, US 8205622, US 8365742, US 8375957, US 8490628, US 8511318, US 2006/0196518, US 2007/0267031, US 2013/0228191, and Caponnetto et al. (Journal of Medical Case Reports 5, 585, 2011), herein incorporated by reference. An electronic cigarette is primarily used for the administration of nicotine and, optionally, of flavors such as menthol. Incorporating
the nicotine-containing material and the anti-cancer agent in the cartridge allows their efficient administration by the respiratory route. Advantageously, said cartridge can be employed in a commercially available electronic cigarette. The cartridge may be an atomizer or a cartonizer, as will be recognized by one of skill in the art.
Accordingly, in a further embodiment of the present invention, the product is a cartridge comprising the nicotine-containing material and the anti-cancer agent for use in an electronic cigarette. Such cartridge can also be used by patients suffering from lung cancer or those with precancerous conditions of the lung.
In other embodiments, the electronic cigarette comprises a housing, a reservoir containing a liquid, an aerosolizing device for aerosolizing said liquid, a power source for powering said aerosolizing device, a control board that regulates the powering of said aerosolizing device, and a sensor or switch that activates the control board. The liquid may contain nicotine and/or one or more drugs. In preferred embodiments, the one or more drugs comprise an anti-inflammatory agent, an anti-cancer agent, or both.
In some embodiments, the electronic cigarette comprises an airflow sensor, which activates the control board when the user inhales air through the device. Many different airflow sensors are known in the art. In some embodiments, the airflow sensor is a microphone, a diaphragm microphone, a capacitance sensor, a semiconductor force- sensitive chip capacitance sensor, or an inductance sensor.
Alternatively, the electronic cigarette may comprise a manual switch that activates the control board when the user operates the switch. Alternatively, the electronic cigarette may comprise a sensor, such as a resistance sensor, that activates the control board when a user puts his/her mouth on the device.
Activation of the control board outputs one or more driving voltages. The one or more driving voltages may activate a heating element, a pump, and/or a valve. The heating element and/or pump vaporize, nebulize, atomize, and/or aerosolize a liquid. Alternatively, the valve may release pressurized liquid, which is vaporized, nebulized, atomized, and/or aerosolized by a nozzle. The components that vaporize, nebulize, atomize, and/or aerosolize the liquid may operate independently, concurrently, or consecutively. In some embodiments, a valve releases pressurized liquid through a nozzle that comprises a heating element. In this embodiment, the operation of the valve and heating element vaporizes the liquid. In some embodiments, a pump drives liquid through a nozzle that comprises a heating element. In this embodiment, the operation of the pump and heating element
vaporizes the liquid. The device may be configured such that the vapor condenses into aerosol droplets after exiting the device. In some embodiments, the electronic device comprises a piezoelectric atomizer. Other configurations to vaporize, nebulize, atomize, and/or aerosolize the liquid are well known in the art.
In some embodiments, the control board is configured to stop the one or more driving voltages when the airflow sensor stops detecting airflow. In other embodiments, the control board is configured to terminate the one or more driving voltages following activation after one or more time delays.
The electronic cigarette optionally comprises a resistance sensor that activates the control board and an airflow sensor that alters the activation state of the control board. In this embodiment, the airflow sensor detects air entering the device, and in response, the control board terminates the one or more driving voltages after one or more delays. Thus, the resistance sensor turns on the device and the airflow sensor turns off the device following a delay.
Alternatively, the control board terminates the one or more driving voltages after the user removes his/her mouth from the resistance sensor.
The electronic cigarette may contain a reservoir for a liquid. The liquid may comprise one or more of the following: propylene glycol, one or more anti-cancer agents, one or more anti-inflammatory agents, nicotine, glycerol, one or more organic acids, citric acid, essence, tobacco essence, menthol, one or more anti-oxidation agents, butyl valerate, isopentyl hexanoate, lauryl laurate, benzyl benzoate, methyl octanoate, ethyl heptylate, hexyl hexanoate, geranyl butyrate, and water. In some embodiments, the liquid comprises propylene glycol in a concentration of about 80%-90%. In some embodiments, the liquid comprises nicotine in a concentration of about 0.1%-6%.
Device Adapted to Receive a Smoking Article
In some embodiments, the device is adapted to receive a smoking article. Smoking articles include cigarettes, cigars, cigarillos, kreteks, beedis, bidis, biris, pipes, water pipes, hookahs, electronic smoking devices, electronic aerosolizing devices, and electronic cigarettes. In certain embodiments, the device is adapted to receive a cigarette, while in other embodiments, the device is adapted to receive a smoking article other than a cigarette.
In some embodiments, the device comprises a tube, wherein one end of the tube is adapted to receive a cigarette or another smoking article as described above, and the other
end of the tube is adapted to dispense smoke and one or more drugs. The device may contain a reservoir that contains the one or more drugs. In some embodiments, the device comprises a heating element or other aerosolization component configured to aerosolize the one or more drugs. Alternatively, the reservoir may be provided as a filter that contains the one or more drugs (e.g., on one or more surfaces of the filter), wherein the filter dispenses the one or more drugs when smoke and/or air passes through the device. In other embodiments, the device may be configured other than as a tube.
The device may comprise one or more sensors and/or switches for activating a control board, as discussed above. The sensors/switches may comprise one or more airflow sensors, resistance sensors, and/or manual switches for activating the control board.
In some embodiments, the device comprises a control board and a power source, wherein the control board regulates the flow of power from the power source to the heating element. The control board provides a predetermined wattage from the power source to the heating element for a predetermined time interval. Alternatively, the device may comprise a manual switch that causes the control board to provide a predetermined wattage from the power source to the heating element.
In some embodiments, the device may comprise a sensor that monitors the temperature in or near the heating element. The control board can be configured to store information, which may include one or more of the following: temperature in or near the heating element, temperature in or near the heating element at corresponding dates and times, total number of heating cycles, usage per day, average using cycle, number of doses used, number of doses remaining, and warnings for oversmoking. The control board may also be configured to change the wattage delivered from the power source to the heating element in response to past or present information about the temperature in or near the heating chamber.
In some embodiments, the device does not comprise a heating element. In these embodiments, the device may comprise an inhaler or any other system for vaporizing, nebulizing, atomizing, or aerosolizing the drug (with or without an excipient). Inhalers include metered-dose inhalers, pressurized metered-dose inhalers, dry powder inhalers, nebulizers, mechanical nebulizers, electronic nebulizers, jet nebulizers, and ultrasonic nebulizers.
Modular Device Adapted to Receive a Smoking Article
In some embodiments, the device comprises one or more modules. In this embodiment, a control module may contain a heating element, power source, control board, and/or switches or sensors for activating the control board. The control module may also be adapted to receive a cigarette. A mouthpiece module may be configured to include a receptacle for holding one or more drugs. In preferred embodiments, the receptacle contains a single dose of the one or more drugs. The mouthpiece module connects to the control module. In preferred embodiments, the mouthpiece module reversibly attaches to the control module such that one mouthpiece module can be substituted for another without damaging the control module. Thus, in certain preferred embodiments, a mouthpiece module containing one dose is replaced each time the user employs the device (e.g., smokes a cigarette), thereby providing a new dose for each use.
A drug-containing module may contain information including the name of the drug, number of doses in the module, a serial number, the manufacturer's lot number, an optimal thermal profile, dosage requirements, and/or dose limits, e.g., in a format readable by the control module, such as to modify functions of the control board. In some embodiments, the control board is configured to vary the wattage delivered to the heating element or the length of time the heating element is activated based on the information contained in the drug-containing module. The control board may thereby optimize the conditions (e.g., temperature) used to aerosolize a drug based on information provided by the module that contains the drug. In this way, the module that contains the control board may be reused with different drug-containing modules and with different drugs.
In some embodiments, the drug-containing module comprises a radio-frequency identification (RFID) tag and the control module comprises a RFID reader. Alternatively, the drug-containing module may comprise a barcode and the control module may comprise a barcode reader. The drug-containing module may comprise a microchip or smart chip and the control module may comprise a microchip or smart chip reader. In some embodiments, the control module may comprise one or more push-button switches and the drug-containing module may comprise one or more raised elements to press said one or more push-button switches in predefined combinations associated with the contents of the drug-containing module. For example, the control module may contain a number of pushbutton switches each comprising an electrical contact pad, and the drug-containing module may activate one or more of said number of push-button switches. Thus, the control
module may read a pattern encoded by the drug-containing module that conveys information about its contents. Similarly, the drug-containing module may comprise one or more conductive elements configured to complete one or more electric circuits in the control module, thereby regulating the control board. In alternative embodiments, the drug- containing module and the control module may together comprise magnetic strips and a magnetic strip reader, colors coupled and a color-code reader, or any combination of the mechanisms in the preceding paragraph.
In some embodiments, the drug-delivery device is configured to transfer
information to a second device and/or receive information from a second device, e.g., wirelessly, such as with Bluetooth technology. The second device may be a computer, tablet computer, or smartphone. In some such embodiments, the drug-delivery device is configured to adjust its operation based on information received from the second device. For example, the drug-delivery device may be configured to adjust the temperature of the heating element and time interval for heating based on information received from the second device. Additionally, information sent to the second device can be used to track a user's smoking habits and/or to adjust drug doses. Based on use of the device, the second device may transfer instructions to the drug-delivery device that prevent it from dispensing one or more doses for a period of time. Alternatively, the second device may transfer instructions to display a message on the device, such as a warning, which may be displayed by one or more LEDs or LCD displays.
In some embodiments, the invention relates to a kit comprising an inhaler and a tobacco product. In this embodiment, a subject may use the inhaler before and/or after using the tobacco product. In preferred embodiments, the kit comprises a plurality of cigarettes and a drug-delivery device as discussed herein, such as a pack of cigarettes in which one of the cigarettes is replaced by a drug-delivery device, or a pack of cigarettes comprising an extra compartment that houses a drug-delivery device. Thus, the subject can use the inhaler before or after smoking a cigarette in the pack.
In other embodiments, the invention provides a kit comprising an inhaler coupled to a holder, or having a housing with an integrated holder. In preferred embodiments, the holder is adapted to receive a pack of cigarettes. In this embodiment, the pack of cigarettes may be stored in the holder along with the inhaler. Thus, a subject may store the pack of cigarettes with the inhaler and use the inhaler before and/or after using the tobacco product. The holder may be configured in any suitable fashion, e.g., as a clip to securely grip a pack
of cigarettes, or as a receptacle dimensioned to receive a pack of cigarettes, e.g., with a snug fit that retains the pack of cigarettes so that it does not easily slide out without assistance. The pack of cigarettes may be replaced with a new pack of cigarettes, e.g., after the cigarettes have been consumed, and the kit may be reused with different packs of cigarettes.
In some embodiments, the inhaler comprises any means to vaporize, nebulize, atomize, and/or aerosolize a drug known in the art or described in this application. Inhalers include metered-dose inhalers, pressurized metered-dose inhalers, dry powder inhalers, nebulizers, mechanical nebulizers, electronic nebulizers, jet nebulizers, and ultrasonic nebulizers.
In some embodiments, the device comprises a filter. The filter may contain one or more drugs, e.g., disposed on one or more surfaces of the filter. The filter may comprise cellulose acetate or not be composed of cellulose acetate. In preferred embodiments, the filter is a high-surface-area filter. In some embodiments, the filter releases one or more drugs as smoke passes through the filter. In other embodiments, the filter releases one or more drugs as gas passes through the filter.
In some embodiments, the filter is positioned downstream from the source of nicotine. In other embodiments, the filter is not positioned downstream from the source of nicotine. In preferred embodiments, the filter is positioned downstream from a cigarette. Thus, in preferred embodiments, said filter releases one or more drugs when a user inhales through it.
In some embodiments, the invention relates to paper impregnated with one or more drugs. The product may comprise paper that is coated with one or more drugs. In some embodiments, said paper is configured to release one or more drugs when it burns or is heated. Said paper may be configured to cover a nicotine-containing material, e.g., to wrap a cigarette or other smoking article. Thus, said paper may be cigarette rolling paper adapted to release one or more drugs when it burns or is heated.
Smoking cessation products may be in the form of a pressurized aerosol spray dispenser, which contains a suitable propellant, e.g., hydrofluoroalkanes,
chlorofluorocarbons, carbon dioxide, or a nebulizer. In this embodiment, the dosage unit may be determined by providing a valve to deliver a metered amount. Capsules and cartridges of a substance such as gelatin for use in an inhaler or insufflator may be
formulated containing a powder mix of the nicotine-containing material, the anti-cancer agent and a suitable pharmaceutically acceptable carrier.
Administration by the respiratory route usually requires the use of pharmaceutical compositions suitable for the dispensing of the nicotine-containing material and the anti- cancer agent. Typically, each pharmaceutical composition is specific to the type of device employed and may involve the use of an appropriate propellant material, in addition to the usual diluents, adjuvants and/or carriers. Also, the use of liposomes, microcapsules or microspheres, inclusion complexes, micelles or other anti-cancer agent nanocarriers, or other types of carriers is contemplated. The combination of the nicotine-containing material and the anti-cancer agent may be prepared in different pharmaceutical
compositions depending on their physical and chemical properties or the type of device employed.
Pharmaceutical composition suitable for use with a nebulizer, either jet or ultrasonic, will typically comprise the nicotine-containing material, preferably nicotine or a pharmaceutically acceptable salt thereof, and the anti-cancer agent dissolved in a solvent and containing typically about 0.1 to 25 mg of the anti-cancer agent per 1 ml of solution. The pharmaceutical composition may also include a buffer, for instance, an amino acid, and a simple sugar (e.g. for stabilization of the anti-cancer agent and regulation of osmotic pressure). The solvent in the pharmaceutical composition may be selected from the group consisting of water, ethanol, 1,3-propylene glycol, glycerol or a mixture of any of those. Nebulized pharmaceutical compositions may also contain a surfactant, to reduce or prevent surface induced aggregation of the nicotine-containing material or of the anti-cancer agent caused by atomization of the solution in forming the aerosol.
Pharmaceutical compositions for use with a metered-dose inhaler device generally comprise a finely divided powder containing the nicotine-containing material and the anticancer agent (or a pharmaceutically acceptable derivative thereof) suspended in a propellant with the aid of a surfactant. The propellant may be any conventional material employed for this purpose, such as a chlorofluorocarbon, a hydrochlorofluorocarbon, a
hydrofluorocarbon, or a hydrocarbon, including trichlorofluoromethane,
dichlorodifluoromethane, dichlorotetrafluoroethanol, and 1,1,1,2-tetrafluoroethane, or combinations thereof. Suitable surfactants include sorbitan trioleate and soya lecithin. Oleic acid may also be useful as a surfactant.
Pharmaceutical compositions for dispensing from a powder inhaler device will comprise a finely divided dry powder containing the nicotine-containing material and the anti-cancer agent and may also include a bulking agent, such as lactose, sorbitol, sucrose, or mannitol in amounts which facilitate dispersal of the powder from the device, e.g. 50 to 90% by weight of the formulation. The nicotine-containing material and the anti-cancer agent should most advantageously be prepared in a particulate form with an average particle size of less than 10 μιη, preferably less than 5 μιη and more preferred less than 1 μιη, for effective delivery to the distal lung.
In yet a further embodiment of the present invention, the product is an orally applied product. Thus, for instance, the product may be in the form of a chewing gum. Nicotine chewing gums are known in the prior art, are described in US 2010/0130562, incorporated by reference herein and are commercially available under the trade names such as
Nicorette® and Thrive®. In this embodiment, the product of the present invention contains the nicotine-containing material, the anti-cancer agent as well as the chewing gum base, plasticizers, buffering agents, sweeteners, antioxidants, flavoring agents and colorants.
Examples of suitable plasticizers include lecithin, lanoline, glycerides, stearic acid, sodium stearate, potassium stearate or waxes such as bee wax. Examples of sweeteners that may be used in the product of the present invention include saccharides as well as salts of saccharine or cyclamic acid as well as sugar alcohols such as sorbitol, mannitol, or xylitol. The flavoring agents for use in the product of the present invention may include, without limitation, the flavors of cherry, cinnamon, grape, apple, lemon, orange, peppermint, raspberry, strawberry, chocolate, and the like.
In a further embodiment, the orally applied product is in the form of smokeless tobacco. In this embodiment, the smokeless tobacco is formulated with the anti-cancer agent and further contains plasticizers as well as sweeteners and/or flavoring agents described above. Smokeless tobacco products include, but are not limited to, dipping tobacco, chewing tobacco, snuff, snus, creamy snuff, tobacco gum, gutkha, gul, khaini, qiwam, mawa, mishri, pan masala and zarda, chewing tobacco being particularly preferred.
Another aspect of the present invention relates to the products described herein for use in the treatment and/or prevention or reduction of the risk of cancer and/or precancerous conditions. "Cancer" as used herein refers to an uncontrolled growth of cells which interferes with the normal functioning of the bodily organs and systems. Cancers include, but are not limited to, basal cell carcinoma, biliary tract cancer, bladder cancer, bone
cancer, brain and other central nervous system (CNS) cancer, breast cancer, cervical cancer, choriocarcinoma, colon and rectum cancer, connective tissue cancer, cancer of the digestive system, endometrial cancer, esophageal cancer, eye cancer, cancer of the head and neck, gastric cancer, intra-epithelial neoplasm, kidney cancer, larynx cancer, leukemias, including hairy cell leukemia, liver cancer, lung cancer (e.g. small cell and non-small cell), lymphomas including Hodgkin's and non-Hodgkin's lymphomas, melanoma, myeloma, neuroblastoma, oral cavity cancer (e.g. lip, tongue, mouth, and pharynx), ovarian cancer, pancreatic cancer, prostate cancer, retinoblastoma, rhabdomyosarcoma, rectal cancer, renal cancer, cancer of the respiratory system, sarcoma, skin cancer, stomach cancer, testicular cancer, thyroid cancer, uterine cancer, cancer of the urinary system, as well as other carcinomas and sarcomas.
In yet another embodiment, the product of the present invention is useful in the treatment and/or prevention or reduction of the risk of cancer and precancerous conditions, including, but not limited to, benign prostatic hypertrophy, colon adenomas, actinic keratosis and various premalignant conditions of the lung, breast and pancreas.
The anti-cancer agent and pharmaceutical compositions thereof inhibit the growth of human or animal cancer cell lines such as A549 human lung cancer cells in in vitro tests and have IC50 value of preferably less than 800 μΜ, more preferred of less than 400 μΜ, particularly preferred of less than 70 μΜ. The tests are preferably carried out as specified in S. Joseph et al. (Molecular Medicine Reports 2011, 4, 891-899).
One embodiment of the present invention relates to a method for preventing or reducing the risk of cancer by means of administering the product of the present invention. Accordingly, treatment of an individual with the product of the present invention reduces the risk of the individual to develop cancer. Preferably, after the treatment, the risk of the individual to develop cancer is reduced by 5% or greater; more preferably, the risk develop cancer is reduced by 10% or greater; more preferably, reduced by 20% or greater; more preferably, reduced by 30%> or greater; more preferably, reduced by 40%> or greater; even more preferably, reduced by 50%> or greater; and most preferably, reduced by greater than 75%) or greater. As used herein, reducing risk of developing cancer includes decreasing the probability or incidence of developing cancer for an individual compared to a relevant, e.g. untreated, control population, or in the same individual prior to treatment according to the invention. Reduced risk of developing cancer may include delaying or preventing or reducing the risk of the onset of a cancer. Risk of developing cancer can also be reduced if
the severity of a cancer or a precancerous condition is reduced to such a level that it is not of clinical relevance. That is, the cancer or a precancerous condition may be present but at a level that does not endanger the life, activities, and/or well-being of the individual. For example, a small tumor may regress and disappear, or remain static. Preferably, tumor formation does not occur. In some circumstances the occurrence of the cancer or the precancerous condition is reduced to the extent that the individual does not present any signs of the cancer or the precancerous condition during and/or after the treatment period.
The method for preventing or reducing the risk of cancer according to the present invention is beneficial both for individuals having a precancerous condition and individuals who are healthy. Individuals with lifestyle habits that could lead to cancer, particularly smokers, and individuals affected by diseases for which the probability of cancer incidence is high have a particularly high order of priority as individuals for the preventive method of the present invention. Furthermore, individuals who are likely to acquire familial cancers, and such individuals as those who are diagnosed with a risk of cancer by means of gene diagnoses based on single-nucleotide polymorphism or the like may also be targeted.
Treating cancer can result in a reduction in size of a tumor. A reduction in size of a tumor may also be referred to as "tumor regression." Preferably, after treatment, tumor size is reduced by 5% or greater relative to its size prior to treatment; more preferably, tumor size is reduced by 10% or greater; more preferably, reduced by 20% or greater; more preferably, reduced by 30%> or greater; more preferably, reduced by 40%> or greater; even more preferably, reduced by 50%> or greater; and most preferably, reduced by greater than 75% or greater. Size of a tumor may be measured by any reproducible means of measurement. The size of a tumor may be measured as a diameter of the tumor.
Treating cancer may further result in a decrease in number of tumors. Preferably, after treatment, tumor number is reduced by 5% or greater relative to number prior to treatment; more preferably, tumor number is reduced by 10% or greater; more preferably, reduced by 20%> or greater; more preferably, reduced by 30%> or greater; more preferably, reduced by 40%> or greater; even more preferably, reduced by 50%> or greater; and most preferably, reduced by greater than 75%. Number of tumors may be measured by any reproducible means of measurement. The number of tumors may be measured by counting tumors visible to the naked eye or at a specified magnification. Preferably, the specified magnification is 2x, 3x, 4x, 5x, lOx, or 50x.
Treating cancer can result in a decrease in number of metastatic lesions in other tissues or organs distant from the primary tumor site. Preferably, after treatment, the number of metastatic lesions is reduced by 5% or greater relative to number prior to treatment; more preferably, the number of metastatic lesions is reduced by 10% or greater; more preferably, reduced by 20% or greater; more preferably, reduced by 30%> or greater; more preferably, reduced by 40%> or greater; even more preferably, reduced by 50%> or greater; and most preferably, reduced by greater than 75%.
Treating and/or preventing or reducing the risk of cancer can result in an increase in average survival time of a population of individuals treated according to the present invention in comparison to a population of untreated individuals. Preferably, the average survival time is increased by more than 30 days; more preferably, by more than 60 days; more preferably, by more than 90 days; and most preferably, by more than 120 days. An increase in average survival time of a population may be measured by any reproducible means. An increase in average survival time of a population may be measured, for example, by calculating for a population the average length of survival following initiation of treatment with the product of the present invention. An increase in average survival time of a population may also be measured, for example, by calculating for a population the average length of survival following completion of a first round of treatment with the product of the present invention.
Treating and/or preventing or reducing the risk of cancer can also result in a decrease in the mortality rate of a population of treated individuals in comparison to an untreated population. Preferably, the mortality rate is decreased by more than 2%; more preferably, by more than 5%; more preferably, by more than 10%; and most preferably, by more than 25%. A decrease in the mortality rate of a population of treated individuals may be measured by any reproducible means, for example, by calculating for a population the average number of disease-related deaths per unit time following initiation of treatment with the product of the present invention. A decrease in the mortality rate of a population may also be measured, for example, by calculating for a population the average number of disease-related deaths per unit time following completion of a first round of treatment with the product of the present invention.
A further embodiment of the present invention relates to a method for preventing or reducing the risk of cancer recurrence by means of administering the product of the present invention. Cancer recurrence is a re-development of the cancer in an individual, who had
previously undergone a cancer treatment, after a period of time in which no cancer could be detected. The probability of a cancer recurring depend on many factors, including the type of cancer and its extent within the body at the time of the treatment.
Some embodiments of the present invention are directed to the prevention or reduction of the risk of and/or treatment of lung cancer.
Lung cancer can include all forms of cancer of the lung. Lung cancer can include malignant lung neoplasms, carcinoma in situ, typical carcinoid tumors, and atypical carcinoid tumors. Lung cancer can include small cell lung cancer ("SCLC"), non-small cell lung cancer ("NSCLC"), non-squamous non-small cell lung cancer, squamous non-small cell lung cancer, squamous cell carcinoma, non-squamous cell carcinoma, adenocarcinoma, small cell carcinoma, large cell carcinoma, adenosquamous cell carcinoma, and
mesothelioma. Lung cancer can include "scar carcinoma", bronchioalveolar carcinoma, giant cell carcinoma, spindle cell carcinoma, and large cell neuroendocrine carcinoma. Lung cancer can include lung neoplasms having histologic and ultrastructural heterogeneity (e.g., mixed cell types).
Some other embodiments relate to the use of the product of the present invention for prevention or reduction of the risk of and/or treatment of precancerous conditions of the lung. The term "precancerous conditions in the lung" as used therein refers to a group of cell proliferative disorders of the lung. Cell proliferative disorders of the lung include all forms of cell proliferative disorders affecting lung cells. Cell proliferative disorders of the lung can include hyperplasia, metaplasia, and dysplasia of the lung. Cell proliferative disorders of the lung can include asbestos-induced hyperplasia, squamous metaplasia, and benign reactive mesothelial metaplasia. Cell proliferative disorders of the lung can include replacement of columnar epithelium with stratified squamous epithelium, precancerous lung lesion and mucosal dysplasia. Individuals exposed to inhaled injurious environmental agents such as cigarette smoke and asbestos may be at increased risk for developing cell proliferative disorders of the lung. Prior lung diseases that may predispose individuals to development of cell proliferative disorders of the lung can include chronic interstitial lung disease, necrotizing pulmonary disease, scleroderma, rheumatoid disease, sarcoidosis, interstitial pneumonitis, tuberculosis, repeated pneumonias, idiopathic pulmonary fibrosis, granulomata, asbestosis, fibrosing alveolitis, and Hodgkin's disease.
The product of the present invention is also directed at individuals at risk of developing lung cancer. Such risk may be based on the medical or social history of an
individual, such as inhalation of tobacco products as it occurs for example in smokers or exposure to asbestos or in non-smokers who breathe in secondhand smoke. Another category of individuals at risk for lung cancer are those harboring genetic mutations predisposing them to lung cancer. Yet another category is individuals who have been exposed to ionizing radiation or chemotherapeutic agents. Finally, another category is individuals with a known cancer at a location other than the lungs that have a propensity to metastasize to the lungs.
In another preferred embodiment, the invention relates to the products described herein for use in the prevention or reduction of the risk of and/or treatment of brain cancers and/or precancerous conditions thereof. The term "brain cancer" as used herein refers to both primary brain tumors and metastatic brain tumors that originate from non-brain cancer cells such as lung cancer cells. Preferably, the term "brain cancer" refers to primary brain tumors.
Primary brain tumors are categorized by the type of tissue in which they first develop. The most common brain tumors are called glioma; they originate in the glial tissue. There are a number of different types of gliomas: for instance, astrocytomas, brain stem gliomas, ependymomas, and oligodendrogliomas.
Other types of primary brain tumors which do not originate from the glial tissue are, for instance, meningiomas, craniopharyngiomas and germinomas.
Inflammation is a complex reaction in vascularized tissues that leads to the accumulation of fluid and leukocytes in extravascular tissues. Closely intertwined with the process of repair, inflammation is fundamentally a protective response. Nevertheless, inflammation and repair may be potentially harmful. Based primarily on its duration, inflammation is divided into acute (of relatively short duration; exudation of fluid, migration of neutrophils) and chronic (of longer duration - more than days; involvement of lymphocytes and macrophages, tissue necrosis).
Inflammation can be induced, among others, by environmental exposure such as smoking. Tobacco smoke also induces pulmonary inflammation (Vlahos et al., Am J Physiol Lung Cell Mol Physiol. 2006; 290:L931-945) and even environmental tobacco smoke inhalation is likely to predispose to acute bronchitis. Furthermore, smoking is a known cause of chronic bronchitis, chronic obstructive pulmonary disease (COPD) and emphysema (Forey et al; BMC Pulmonary Medicine 2011, 11 :36). Tobacco smoke- induced pulmonary inflammation contributes to the progressive lung destruction in COPD
(Barnes, J Clin Invest. 2008; 118:3546-3556), a condition associated with higher lung cancer risk (Punturieri et al., J Natl Cancer Inst. 2009; 101 : 554-559). Indeed, inflammatory mechanisms account for the tumor promoting effect of exposure to tobacco smoke in lung cancer (Takahashi et al. Cancer Cell. 2010; 17: 89).
Several of the compounds described herein have already demonstrated antiinflammatory properties. For example, we have demonstrated that phosphosulindac V, phospho-aspirin 119 and phospho-ibuprofen 132 strongly inhibit inflammation, e.g., they eliminated or greatly reduced inflammation in animal models of arthritis when applied systemically (Huang L, et al Br J Pharmacol. 2011; 162: 1521-33.) or topically
(Mattheolabakis et al Pharm Res. 2013; 30: 1471-82).
Their anti-inflammatory effect was based on profound inhibition of the activation of NF- KB, the master regulator of inflammation, and on suppression of inflammatory cytokines and of the pro-inflammatory prostaglandin E2. Furthermore, phospho-valproic acid 134 inhibited pancreatic carcinogenesis in the context of inflammation of the pancreas (chronic pancreatitis) (Mackenzie et al, PLoS One. 2013; 8:e61532).
phospho-valproic acid 134
In one embodiment, compounds in this invention, especially those with established anti-inflammatory properties, when delivered to the lung will generate a strong anti- inflammatory effect.
In another embodiment, compounds of this invention will generate an antiinflammatory effect against acute or chronic bronchitis, or against chronic obstructive pulmonary disease or against emphysema or other lung diseases associated with
inflammation of the lung, including the upper and lower airways associated with smoking. In another embodiment, one or more anti-inflammatory drugs are combined with one or more anti-cancer drugs and their combination provides an anti-inflammatory effect in the lung and the airways, and an anti-cancer effect. Such anti-inflammatory effect may be provided against inflammation associated with carcinogenesis.
The representative examples that follow are intended to help illustrate the invention, and are not intended to, nor should they be construed to, limit the scope of the invention. Indeed, various modifications of the invention and many further embodiments thereof, in addition to those shown and described herein, will become apparent to those skilled in the art from the full contents of this document, including the examples which follow and the references to the scientific and patent literature cited herein. It should further be appreciated that the contents of those cited references are incorporated herein by reference to help illustrate the state of the art.
The following examples contain important additional information, exemplification and guidance that can be adapted to the practice of this invention in its various
embodiments and the equivalents thereof.
Exemplification
Example 1: Synthesis of ibuprofen-based compounds
A series of ibuprofen-based compounds were synthesized, with compounds W2-W6 being exemplary compounds. Characteristic structural features of these compounds are shown in Table 1. Synthesis of individual compounds is described below.
Synthesis of compound W2
Scheme 1: Synthesis of W2
W2
Synthesis of compound 1. To the stirred solution of Ibuprofen (2.5 g, 0.012mol) in dichloromethane (60 mL) and 1 ,2-ethanediol (7.5 g, 0.12 mol) was added EDC.HC1 (2.9 g, 0.015 mol) and DMAP (0.15 g, 0.0012 mol) at 0°C. The reaction mixture was stirred at room temperature overnight, diluted with dichloromethane (100 mL), and washed with water (2X100 mL), IN HC1, saturated NaCl and dried over Na2S04. The solvent was filtered and concentrated in vacuo to give a brown liquid. The crude compound was purified by column chromatography (10% ethyl acetate/hexanes). Compound 1 was obtained as a colorless oily liquid (2.75 g, 91%).
Synthesis of compound W2. To a stirred solution of compound 1 (2.75 g, 0.0109 mol) dichloromethane (60 mL) was added DIPEA (4.25 g, 0.03 mol) followed by diethylchlorophosphate (2.84 g, 0.015 mol) at 0°C. The reaction mixture was stirred at room temperature overnight. The reaction mixture was diluted with water and extracted with dichloromethane twice. The combined organic extracts were washed with saturated NaCl and dried over Na2S04 filtered and concentrated to afford crude compound as light brown liquid. Crude compound was purified by column chromatography (10%> ethyl acetate/dichloromethane). Compound 2c was obtained as a colorless oily liquid (2.2 g, 52%). Compound W3 was synthesized in a manner similar to the synthesis of W2, except that 1 ,2- ethanediol was replaced with 1,3-propanediol.
Synthesis of compound W5.
Scheme 2: Synthesis of W5
W5
Synthesis of intermediate A. To a stirred solution of 1,5-pentanediol (12.0 g, 0.115 mol) dichloromethane (80 mL) was added DIPEA (6.0 g, 0.06 mol) followed by diethyl- chlorophosphate (4.0 g, 0.023 mol) at 0°C. The reaction mixture was stirred at room temperature overnight, diluted with water, and extracted with dichloromethane twice. The combined organic extracts were washed with saturated NaCl and dried over Na2S04 filtered and concentrated to afford crude intermediate A as light yellow liquid (3.2 g). The crude intermediate was used without purification.
Synthesis of compound W5. To the stirred solution of ibuprofen (1.83 g, 0.0089 mol) in dichloromethane (60 mL) and intermediate A (3.2 g, 0.013 mol) was added EDC.HCl (2.15 g, 0.0112 mol) and DMAP (0.11 g, 0.00089 mol) at 0°C. The reaction mixture was stirred at room temperature overnight, diluted with dichloromethane (100 mL), and washed with water (2X100 mL), IN HC1, saturated NaCl and dried over Na2S04. The solvent was filtered and concentrated in vacuo to give a light brown liquid. The crude compound was purified by column chromatography (10% ethyl acetate/dichloromethane). Compound W5 was obtained as a colorless oily liquid (2.8 g, 72%).
Synthesis of compound W6
Compound W6 was obtained in a manner similar to the synthesis of compound W5, except that 1,5-pentanediol was replaced with 1,6-hexanediol.
Example 2. Compounds W2-W6 inhibit the growth of human lung cancer cells
To assess the growth inhibitory potency of these compounds in vitro we used two cell lines, the BEAS-2B human epithelial lung/bronchus cell line (normal lung cell line), and the A549 non-small cell human lung cancer cell line, both from ATCC (Manassas, VA). Cells, cultured according to the instructions of ATCC, were treated with various concentrations of compounds W2-W6 and their 24-hour 50% inhibitory concentration (IC50) was determined following standard protocols. Results are summarized in Table 2. It is clear that W2 has the greatest Selectivity Index (the ratio of IC50 for normal over cancer cells) indicating that it will likely not affect normal cells (greatest safety) while suppressing the growth of cancer cells. The parent compound, ibuprofen, has essentially no potency in inhibiting the growth of these cell lines.
Example 3: Transdermal patch containing nicotine and an anti-cancer agent
The transdermal patch of the present invention can be manufactured analogously to the procedure disclosed in US Patent No. 7,387,788.
Ethanol, propylene glycol, diethylene glycol monoethyl ether (and myristyl alcohol) are weighed and added successively. The mixture is homogenized using mechanical mixing. The resulting organic solution is clear and homogeneous. Nicotine hydrogen tartrate is added to 85-90% of the total amount of water and mixed until the solution is homogenized. Then the resulting aqueous solution is added to the organic solution, followed by an anti-cancer agent, such as phospho-sulindac V (PS V) and mixed until homogenization of the solution is achieved. The resulting solution is clear and
homogeneous. Then triethanolamine (typically about 50 wt.-% aqueous solution) is added
and the solution mixed until the solution becomes homogeneous. The resulting solution is clear and homogeneous with a pH, for example, of about 6. When the pH is within the desired specification range water is added to the solution to obtain the desired weight percents (wt.-%) of the components and the pH of the final solution is measured. If the pH is below the desired pH (e.g. about pH 5.5), further triethanolamine solution is added and the pH of the final solution is re-measured. Typically, total triethanolamine amount does not exceed 5 wt.-%.
The composition of exemplary formulations 5.1-5.3 is summarized in Table 3.
Table 3: Compositions of exemplary formulations
Composition (wt.-%)
Component Formulation Formulation Formulation
5.1 5.2 5.3
Nicotine tartrate 2.85 2.85 2.85
Absolute ethanol 40.00 40.00 40.00
Phospho-sulindac V 5.00 2.00 1.00
Diethylene glycol monoethyl
5.00 5.00 5.00 ether
Propylene glycol 15.00 25.00 25.00
Myristyl alcohol 1.00 1.00 0.00
Hydroxypropylcellulose (Klucel
1.50 1.50 1.50
HF)
Triethanolamine
5.07 3.52 4.00
(50% w/w)
Purified water 24.58 19.13 20.65
Example 4: Cigarette containing an anti-cancer agent
The cigarette according to the present invention can be manufactured analogously to the procedure disclosed in US 201 1/061667.
To 5 g of powdery agar (Wako Pure Chemical Industries, Ltd.) 100 ml of water is added, and the mixture is heated in a thermostat bath at 80 °C to dissolve agar. 25 g of 1- menthol, 1.5 g fluorouracil and 2 ml of a 5 wt.-% aqueous solution of lecithin as an
emulsifier are added thereto, and the mixture is sufficiently emulsified by means of a homogenizer. This emulsified slurry is cast on a substrate into a sheet form, which is dried in a forced air circulation dryer of 40 °C for one week. At this time, the emulsified state of the mixture is kept while the material is being dried.
The flavor-containing material for cigarette is blended in 5% by weight ratio to cut tobacco, and cigarettes with a tar value designed to about 10 mg are produced. The cigarettes may be optionally fitted with a plain filter.
Example 5: Chewing gum containing nicotine and an anti-cancer agent
The chewing gum according to the present invention can be manufactured analogously to the procedure disclosed in US 2010/0130562. An example of a chewing gum composition is shown in Table 4.
Table 4: Chewing gum example composition
Component Composition (wt.-%)
Nicotine Polacrilex (18%) 2.55
Phospho-ibuprofen I 2.00
DREYCO® gum base 65.99
Sorbitol 22.1
Fruit mint flavor 3.8
Sodium carbonate 2.00
Sodium bicarbonate 1.00
Acesulfame potassium 0.25
L-menthol 0.25
D&C Yellow 10 and Brown Lakes 0.06 The composition is prepared by adding 1359.7 g of DREYCO gum base to a jacketed high shear mixer. The gum base is heated to about 60 C and 50.9 g of Nicotine Polacrilex, 2.00 g of phospho-ibuprofen I, 442 g of sorbitol, 76 g of fruit mint flavor with ethanol as a carrier, 40 g of sodium carbonate, 20 g of sodium bicarbonate, 5.0 g of acesulfame potassium, 5.0 g of L-menthol and 0.8 g of D&C Yellow 10 and Brown Lakes are added. After the ingredients are mixed, the mixture is cooled to approximately 38 °C and removed from the mixer and then rolling and scoring process are performed to produce
individual gum pieces. The gums are packaged into high density polyethylene bottles that are sealed and capped.
Example 6: Aerosolization of anticancer compounds
Certain applications of the methods described herein require the conversion of a drug into an inhalable form. Anticancer drugs are usually solids or liquids, requiring a transition to the gas phase or other airborne form. The relevant terminology can at times be confusing. Aerosolization is the process of converting some physical substance into the form of particles small and light enough to be carried on the air, i.e., into an aerosol.
Sublimation, a phase transition which may occur with our tested compounds, is the (endothermic) transition of a substance directly from the solid to the gas phase without passing through an intermediate liquid phase. However, unless specifically differentiating between these two processes, the term "aerosolization" and related forms are used herein to encompass any process that converts a solid or liquid material to a gaseous or airborne form, e.g., whether an aerosol or a vapor, etc.
The experiment evaluated two approaches: a) mixing the anticancer drug with tobacco; and b) using a device that allows aerosolization (most likely via sublimation) of the test drug. We studied several anticancer agents, including phospho-ibuprofen amide IV, PS V, and PS amide 106.
Phospho-Ibuprofen Amide IV
PS amide 106
We used an experimental system that recapitulates the essential features of the act of smoking (Figure 2). In this apparatus, smoke from the lit cigarette was drawn through the tubing of the apparatus by external suction. As shown, smoke encountered a 50 mm filter placed in the filter holder (Whatman 10461100 Polysulfone FP 050/0 Filter Holder). The aerosolized test drug was deposited onto this filter. At the conclusion of the study, the filter was removed and the deposited test drug was extracted with acetonitrile and subjected to HPLC analysis, as already described. In a different iteration of this approach we substituted in this apparatus the cigarette with the device depicted in Figure 2 {lower panel).
Figure 2 depicts the apparatus for the aerosolization of anticancer compounds.
Upper panel: The test compound is added to the cigarette. Lower panel: The device used to evaluate the aerosolization of the test compound, which is placed in the heating ceramic chamber (no tobacco). When the system was turned on, the temperature in the heating chamber reached -200 °C. Heating energy was provided by the battery through a resistance wire inside the heating chamber. Unimpeded flow of the gas phase in the ceramic chamber was allowed by its design; the arrows depict such flow.
We evaluated the aerosolization of phospho-ibuprofen 132, phospho-ibuprofen amide IV and the kinase inhibitor erlotinib, when each compound was added to smoking tobacco.
-ibuprofen 132
Each of phospho-ibuprofen 132 and phospho-ibuprofen amide IV was also mixed with erlotinib and aerosolized. As shown in Figure 4 (chromatograms I- VI), all three compounds were aerosolized successfully. Erlotinib generated a single peak. The other two compounds generated additional peaks, which were also observed as a result of the in vivo metabolism of these compounds. Remarkably, the combination of two compounds had no adverse effect on the aerosolization of each member of the pairs tested. Aerosolization of PIA occurred only when the cigarette was lit, indicating that the energy from the burning
tobacco (> 1,000 C) was used to likely sublimate PI A. Additional compounds gave similar results.
Figure 4 depicts chromatograms from aerosolized test compounds. In particular, in the left panel, all compounds were mixed with tobacco and the resultant cigarettes were treated as in Figure 2. Chromatograms (I) and (V) were obtained from cigarettes with erlotinib: erlotinib, which appears as the single peak a. Chromatogram (II) was obtained from cigarettes with phospho-ibuprofen 132. Peaks: b, ibuprofen; c, dephosphorylated phospho-ibuprofen 132; Peaks: d, phospho-ibuprofen 132. Chromatogram (III) was obtained from cigarettes with a mixture of erlotinib and phospho-ibuprofen 132, generating the same peaks as each one individually. Chromatogram (V) was obtained from cigarettes with phospho-ibuprofen amide. IV (PIA). Peaks: e, 1,3 dihydroxy PIA, f, PIA, g, dephosphorylated PIA. In the right panel, two compounds, PS V and phospho-sulindac amide 106, were aerosolized using the device shown in Figure 2 (not mixed with tobacco). Chromatogram (VII) was obtained from PS V. Peaks; (h), PS V; (i), unknown; (j), sulindac sulfide; (k), unknown; (1), phospho-sulindac (PS) V sulfide. Chromatogram (IIX) was obtained from phospho-sulindac amide 106. Peak: (m), phospho-sulindac 106.
In additional studies we used the device shown in Figure 3A that also simulates the act of smoking but yet allows for experimental evaluation of the aerosol. Specifically, Figure 3 A depicts a system that operates at reduced pressure (by a vacuum) as follows: a) the cigarette is placed as indicated and smoke plus aerosolized test drug are captured by the filter in the filter holder (Whatman 10461100 Polysulfone FP 050/0 Filter Holder); or b) with the cigarette receptacle nearly completely sealed, the test drug is placed on a stage (drug platform) that is electronically heated to a preset temperature. Air is drawn through the device for capture by the filter. In these studies we evaluated compounds 2c-6c.
This device can be used in two ways: a) the test compound is placed on a stage that is electronically heated to a preset temperature based on its melting or
vaporization/sublimation temperature. With the cigarette receptacle almost completely sealed, air is drawn through the device at reduced pressure by a vacuum pump to carry the vaporized (solid to liquid to vapor phase transitions) or sublimated (solid to vapor) compound for capture by the filter; or b) a cigarette containing the test compound is placed in the device as shown, lit and the aerosolized compound and smoke are captured by the filter operated at reduced pressure (vacuum pump). In both cases, the compound of interest is extracted from the filtered and assayed using standard analytical methods. We prepared
batches of tobacco mixed with test drugs either by simple physical mixing of known quantities of each or by mixing an ethanolic solution of the test drug with tobacco, letting the mixture stand at room temperature for 15 min and drying overnight at 40 °C. Tobacco (with or without the test drug) was loaded into commercially available empty cigarette casings using a tobacco loading machine. Typically, each such cigarette contained around 900 mg of tobacco and 5-100 mg of test drug.
When 5 mg of each of four test compounds, W2, W3, W4, and W5, (all ibuprofen- based that differ in the length of their spacer moiety) were aerosolized for 5 min at 225 °C using the device shown in Figure 4, we obtained the results shown in Table 5. Here, we determined the amount of intact drug that was recovered on the test filter, assayed after standard extraction with acetonitrile and HPL analysis. It is clear that the aerosolization properties of these compounds differ substantially amongst them, with compounds W2 and W3 being more readily aerosolized compared to W4 and W5; the recovery of W2,for example, is 2.5 and 6.4 times better than that of W4 and W5, respectively.
Figure 3B shows a typical HPLC chromatogram obtained during these studies using compound W2.
When the test drug was mixed with tobacco, aerosolization of these compounds occurred only when the cigarette was lit, indicating that the heat associated with the burning tobacco caused sublimation/vaporization, after which the compound was condensed into aerosol particles that were captured by the filter. Compounds W2-W6 remained largely intact (>75%), although the amount of intact aerosolized compound varied. Compound W3
gave the best results, with 29.32% of input drug being aerosolized as intact drug. As shown in the HPLC chromatogram of Figure 3B, intact W3 accounts for 87.6% of products detected in a typical such experiment.
Example7. Evaluation of pharmacokinetic (PK) parameters and deposition of aerosolized anticancer drugs in the lung of mice
To assess the degree to which an aerosolized drug reaches the lung, alone or mixed with tobacco smoke, we determine its PK and biodistribution in experimental animals. We have already determined that for phospho-sulindac a small fraction of inhaled phospho- sulindac reaches the circulation, mostly as hydrolysis products (Cheng et al, Aerosol administration of phospho-sulindac inhibits lung tumorigenesis. Mol Cancer Ther. 2013; 12: 1417-28.)
We either a) aerosolize the test drug directly and generate smoke independently from cigarettes that contain no drug; or b) incorporate the test drug into cigarettes. Levels of the test drug and its metabolites are determined using the appropriate analytical methodology (mostly HPLC-based) Data analysis is performed using standard methods aided by software programs, e.g., PK Solutions software (Summit Research Services, Montrose, CO).
Example 8. Determination of the cancer preventive efficacy of inhalationally administered drugs
Two experimental animal models are used to assess the efficacy in the prevention
(and treatment) of lung cancer of inhalationally administered agents such as the compounds claimed in the present application. They are a) the orthotopic lung cancer model in which the lungs of nude mice are colonized with human lung cancer cells expressing a fluorescence protein which allows their detection and quantification; and b) B6C3F1 mice exposed to tobacco smoke with or without the administration of the test agent, in which tumor incidence is the important endpoint.
Example 9. Determination of the anti-inflammatory efficacy of inhalationally administered drugs
Inhaled tobacco smoke causes inflammation in the lungs having major health consequences, in addition to lung cancer. Indeed, smoking is the most common cause of obstructive asthma, chronic bronchitis and emphysema, collectively referred to as chronic obstructive pulmonary disease (COPD). Inflammation constitutes an important component of lung carcinogenesis and likely unifies the spectrum of tobacco associated lung damage.
Many of the compounds claimed in the present application have anti-inflammatory properties. The anti-inflammatory of compounds can be determined in animal models of lung inflammation, for example, models in which lung inflammation is induced by exogenous agents such as lipopolysaccharide or tobacco smoke. Determining lung histology and the levels of inflammatory mediators such as interleukins in bronchoalveolar lavage in response to inhalational administration of compound described herein assesses their anti-inflammatory efficacy.
Example 10: Representative devices for the delivery of drugs during smoking
Figure 5A shows a cigarette holder and agent dispensing device in side cross- section. The device has a cigarette receiving chamber on its right side. When a cigarette is slid to the left in the cigarette receiving chamber, its left end will push against a spring loaded drug-containing solid carrier advancement rod to drive it to the left which will push the capsule in the six o'clock position into a heater section. The drug can be in a formulation suitable for this mode of transition; for example, but not limited to, the following: pellet, capsule, tablet, microspheres, granules, micro/nanoparticles. This action will also activate the heater to start heating the drug to aerosolize it for a certain period of time, to aerosolize the entire capsule. When the cigarette is later retracted, the spring loaded drug capsule advancement rod will return to the position shown in Figure 6A. The drug loading magazine will be described below in connection with Figures 7 A and 7B.
When the drug is loaded into the heater section, the electronic control board will cause heating of the capsule and its aerosolization. Combined with the smoke from a burning cigarette, the aerosolized drug will be provided to exit left of the device at the mouthpiece.
The device includes a timer which has a time-of-day clock. The control board includes a display which is visible through a transparent window outside the device. The display can display time of day, how many capsules have been consumed during a prior time period such as earlier in the day. In this way closing either daily or of some other time period can be monitored. In some cases, a maximum amount of drug should not be exceeded on a daily or other periodic basis. If that limit is reached, the electronic control board could prevent activation of the heater element.
The device includes an electronic control board for controlling the maximum amount of drug that can be dispensed during a fixed period of time.
The device includes an electronic control board for controlling the duration of the operation of the heating element or its heating period.
The device is separable at the location of the location of the drug magazine to enable replacement of the magazine. A clear window can surround all or part of the magazine to enable viewing of the remaining capsules. The display could also provide a count of capsules consumed and remaining.
The drug is formulated to result in little or no residue, so that little or no
maintenance would be required. When the magazine is replaced, a user could check for any residue and shake out if any exists.
The power for the electronic control board can be a battery of AAA type, for example, or some different size, and possibly smaller. The mouthpiece end is removable to enable battery replacement. The control board and display could also monitor energy consumption from the battery, or battery voltage reading and provide display output indicating battery status, such as whether the battery needs to be replaced. A blinking LED could also provide such a warning signal.
The electronic control board has a memory which can store information such as time of day each drug was administered, number of drug capsules consumed from the present magazine, number of drug capsules remaining for use in the magazine, type of drug to be dispensed and its preferred or operative aerosolization temperature, and the like.
The electronic control board will control the heater, and through appropriate sensing and control circuitry control the power provided to the heater to reach and maintain the correct aerosolization temperature of the drug.
Figures 5B and 6B show a device like that of Figures 5 A and 6A except that the battery is hollow, which provides a flow passageway through the center of the battery.
Figures 5C and 6C show a device like that of Figures 5 A and 6 A except that the battery power is arranged as a plurality of batteries, in this case three, but the number can be any plurality. The spacing between the batteries provides a flow passageway.
Figure 7A shows a drug capsule magazine or cartridge usable in the device of Figures 5A-5C. The magazine has an arcuate channel around at least part of its outer region. The channel receives a plurality of capsules, ten of which are shown. A spring- loaded plunger biases all of the capsules clockwise, so that the capsules are available for ejection at the lower position.
Figure 7B shows the capsule cartridge in a cross-section side view. Two capsules, in the lowest and highest positions (approximately the 6 and 12 o'clock positions) are shown, but other capsules not shown are between these two positions.
The magazines, because they contain drugs, can be dispensed by a pharmacy. The device or holder can be sold through other channels.
The devices can be designed to have different variety of magazine slots to accept different shaped magazines depending on the type of drug in the magazine. The magazine can have indicia which are read by the control board so the control board knows the time and temperature to engage the heater for proper and full aerosolization of the particular drug.
Figure 8 is a cross-sectional view of a pipe adapted to dispense smoke from burning tobacco and aerosolized drug. The pipe includes a tobacco chamber having a filter at the bottom. Below the filter is a heater which can receive a drug capsule inserted into the pipe through a drug port. The drug port has a door which is biased in the closed position as shown but opens when a drug capsule is pushed through the port. A control board and battery provide power and are connected to provide controlled energy to the heater to heat the drug to the operative aerosolization temperature to aerosolize the drug. Similar to the embodiments shown in Figures 5A-5C, the pipe can include a drug magazine, display and other features.
Figure 9 is a cross-sectional view of a device adapted to dispense a aerosolized drug and smoke from a smoking device, such as a cigarette. The device comprises at least two modules, a mouthpiece module and a control module. The mouthpiece module has a receptacle for holding one or more drugs. The control module comprises a heating element, battery, and a control board. The battery provides power and is controlled by the control board to activate the heating element to heat the drug to temperature suitable to aerosolize the drug when the device is activated. The mouthpiece module optionally contains information that can be read by the control module, e.g., to modulate parameters controlled by the control board, such as heating parameters for the drug. For example, the mouthpiece module may contain information regarding an appropriate heating program tailored to the particular drug or composition present in the receptacle. The control module may be adapted to receive a cigarette.
Figure 1 OA is a cross-sectional view of a device showing a battery, electronic control board, timer, heating coil, thermocouple, drug tablets, drug advancement rod, and
cigarette. The electronic control board connects the heating coil and thermocouple to a battery and timer. Thus, the electronic control board powers the heating coil subject to regulation by the timer and thermocouple. A hollow battery allows smoke and drug to pass directly through the device. A mechanical advancement rod advances drug tablets to the heating element.
Alternatively, the heating element may comprise a ceramic heater, as shown in Figures 10B and IOC. The ceramic heater may aerosolize any formulation of the drug, including drug tablets (Figure 10B) and powdered drug (Figure IOC). Doses of the drug may be released from a reservoir from a gate (Figure IOC).
The heating element may aerosolize a liquid drug, as shown in Figure 11A.
Alternatively, an atomizer may atomize the drug, as shown in Figures 12 A. The atomizer may be a piezoelectric atomizer. Alternatively, an inhaler may aerosolize the drug, as shown in Figure 12B. The inhaler may be ultrasonic, mechanical, or electronic nebulizer.
The heating element, atomizer, or inhaler may be triggered by a pressure sensor, which senses when a user draws air through the device, as depicted in Figure 12B.
Figure 12C shows a cross-sectional view of a kit comprising an inhaler and a holder adapted to receive a pack of cigarettes. A user may inhale drug from the inhaler before or after smoking a cigarette. In some embodiments, the user may inhale drug from an inhaler coupled to the holder.
Features and characteristics of the devices depicted in Figures 5-12 and discussed above can be combined with the features and characteristics of the other devices disclosed herein, to the extent they are not plainly incompatible.
Other Embodiments
All publications, patent applications, and patents mentioned in this specification are herein incorporated by reference.
Various modifications and variations of the described compositions, methods, and kits of the invention will be apparent to those skilled in the art without departing from the scope and spirit of the invention. Although the invention has been described in connection with specific embodiments, it will be understood that the invention as claimed should not be unduly limited to such specific embodiments. Indeed, various modifications of the described modes for carrying out the invention that are obvious to those skilled in the art are intended to be within the scope of the invention.
Claims
A composition comprising:
a nicotine-containing material; and an agent selected from:
W25 W26 W27 W28
and
2. The composition of claim 1, wherein the composition contains nicotine and the agent in the ratio of from 1000 : 1 to 1 : 10 (wt : wt).
3. A smoking device comprising the composition of claim 1 or 2, wherein the smoking device is an inhalation device.
4. The smoking device of claim 3, further comprising a unit which renders said agent suitable for inhalation.
5. The smoking device of claim 3 or 4, wherein the nicotine-containing material is tobacco leaf.
6. The smoking device of claim 5, wherein the smoking device is selected from a cigarette, cigar, and smoking pipe.
7. The smoking device according to claim 3 or 4, wherein the device is an electronic cigarette.
8. The composition according to claim 1 or 2, wherein the composition is a smoking cessation product.
9. The composition according to claim 8, wherein the composition is in the form of a transdermal patch.
10. The composition according to claim 1 or 2, wherein the composition is an orally applied product.
11. The composition according to claim 10, wherein the product is a smokeless tobacco product.
12. A method for preventing, or reducing a risk of inflammation, or for treating inflammation or an inflammatory condition, comprising:
administering to a subject nicotine and an effective amount of an agent selected from
W21 W22 W23 W24
and
13. The method of claim 12, wherein the agent is administered simultaneously with the nicotine.
14. The method of claim 12, wherein the agent is administered sequentially with the nicotine.
15. The method of any one of claims 12-14, wherein the agent and the nicotine are administered by inhalation.
16. A method for preventing or reducing the risk of cancer, or for treating cancer, comprising:
17. The method of claim 16, wherein the agent is administered simultaneously with the source of nicotine.
18. The method of claim 16, wherein the agent is administered sequentially with the source of nicotine.
19. The method of any one of claims 16-18, wherein the agent and the nicotine are administered by inhalation.
20. An electronic cigarette comprising:
a housing;
a reservoir containing a liquid, wherein said liquid contains one or more drugs; an aerosolizing device for aerosolizing said liquid;
a power source that powers said aerosolizing device; and
a control board that regulates the power source and the aerosolizing device in
response to activation by a user,
wherein said electronic cigarette dispenses one or more drugs when activated by a user.
21. The electronic cigarette according to claim 20, wherein said liquid contains nicotine and one or more drugs.
22. The electronic cigarette according to claim 20 or 21, wherein said one or more drugs comprise an anti-inflammatory agent, an anti-cancer agent, or both.
23. The electronic cigarette according to any one of claims 20 to 22, further comprising an airflow sensor that activates said control board in response to airflow initiated by a user.
24. The electronic cigarette according to any one of claims 20 to 23, wherein said aerosolizing device comprises a heating element coupled to said power source.
25. A device for dispensing nicotine and one or more drugs, comprising:
a housing having two ends, wherein one end is an opening adapted to receive a smoking device and the other end is a mouthpiece; and
a unit, coupled to the housing, adapted to contain said one or more drugs, wherein the device is configured to dispense nicotine and the one or more drugs when a user draws air through said mouthpiece.
26. The device according to claim 25, wherein said one or more drugs include an antiinflammatory agent, an anti-cancer agent, or both.
27. The device according to claim 25 or 26, wherein the unit is a drug magazine that holds one or more solid pharmaceutical dosage forms that comprise the one or more drugs.
28 The device according to claim 27, wherein the one or more pharmaceutical dosage forms are capsules, tablets or pellets.
29. The device according to claim 27 or 28, wherein the one or more dosage forms have a cylindrical shape.
30. The device according to any one of claims 27 to 29, wherein the drug magazine is detachable from the housing.
31. The device according to any one of claims 27 to 30, wherein the drug magazine is in the form of a circular ring, and wherein the one or more pharmaceutical dosage forms are arranged in a circumferential slot disposed near the outside of the circular ring.
32. The device according to any one of claims 27 to 31 , wherein the drug magazine includes a biasing element to bias the one or more pharmaceutical dosage forms toward a select location in the magazine
33. The device according to any one of claims 25 to 32, wherein the device further includes a heating element and an electronic control board for controlling the operation of the heating element.
34. The device according to claim 33, wherein the electronic control board also controls the amount of drug dispensed during a period of time.
35. The device according to claim 33 or 34, wherein the device includes a battery chamber along its length for receiving a battery used to power the electronic control board and the heating element.
36. The device according to claim 35, wherein the battery is in the form of a single cylinder, and wherein the housing defines a hollow passageway alongside the battery for passage of gases through the housing and past the battery.
37. The device according to claim 36, wherein the device includes a plurality of batteries spaced about the housing to permit passage of gases through the housing and past the batteries.
38. The device according to claim 36, wherein the battery is in the form of a cylinder with a hollow core that defines a passageway for passage of gases through the housing and through the battery.
39. The device according to any one of claims 33 to 38, wherein the device includes a loading mechanism, engaged when the housing receives a smoking device, which loads a pharmaceutical dosage form comprising said one or more drugs into proximity to the heating element.
40. The device according to any one of claims 27 to 39, wherein the device includes a transparent window surrounding the drug magazine to permit a user to see the one or more pharmaceutical dosage forms from outside the device.
41. The device according to any one of claims 27 to 40, wherein the device further comprises a display for displaying indicia representative of the number of pharmaceutical dosage forms consumed since the magazine was coupled to the housing.
42. The device according to any one of claims 27 to 41, wherein the device further comprises a display for displaying indicia representative of the number of pharmaceutical dosage forms in the magazine.
43. The device according to any one of claims 25 to 42, wherein the device further comprises a timer.
44. The device according to claim 43, wherein the timer has a time-of-day clock.
45. The device according to claim 43 or 44, wherein the timer measures the time between successive uses of the device.
46. A drug magazine for holding a plurality of drug containing solid carriers comprising a ring defining a circumferential slot arranged near the outside of the ring, wherein the slot is adapted to receive a plurality of drug containing solid carriers.
47. The magazine of claim 46, further including a biasing element which biases the drug containing solid carriers to a selected location along the ring for dispensing.
48. The magazine of claim 46 or 47, wherein the biasing element is an elongated spring held in compression in the ring.
49. A pipe for dispensing nicotine and a drug, comprising:
a tobacco-receiving chamber for receiving tobacco to be combusted;
unit adapted to contain one or more drugs; and
a mouthpiece having a passageway for receiving smoke from combusted tobacco and dispensing the smoke and the one or more drugs to a user.
50. The pipe of claim 49, wherein the pipe further comprises a heater for receiving a drug and heating the drug to a temperature suitable for aerosolizing the drug.
51. The pipe of claim 50, further including a port in the chamber for inserting a drug into the heater.
52. The pipe of claim 51 , wherein the port has a door.
53. The pipe of any one of claims 50 to 52, wherein the pipe further comprises a control board and battery for providing and controlling energy to the heater to aerosolize the drug.
54. The pipe of any one of claims 49 to 53, wherein the pipe includes a control board for providing in a visual display the amount of drug used in a given period of time.
55. The pipe of any one of claims 49 to 54, wherein the pipe includes a control board for preventing the addition of drug to the pipe beyond a given amount for a given period of time.
56. A smoking paper containing one or more drugs, wherein the paper is adapted to release said one or more drugs when heated or burned.
57. The smoking paper of claim 56, wherein said one or more drugs include an antiinflammatory agent, an anti-cancer agent, or both.
58. A smoking device comprising a tobacco core wrapped in a smoking paper of claim 56 or 57.
59. A smoking filter containing one or more drugs, wherein when said filter is coupled to a smoking device and as a user draws smoke through said filter, said filter releases an amount of the one or more drugs.
60. The smoking filter according to claim 59, wherein said one or more drugs include an anti-inflammatory agent, anti-cancer agent, or both.
61. A smoking device or smoking article comprising a filter according to claim 59 or 60.
62. The smoking device or smoking article of claim 61, wherein said smoking device or smoking article is a cigarette, cigar, cigarillo, kretek, beedi, bidi, biri, pipe, water pipe, hookah, electronic smoking device, electronic aerosolizing device, or electronic cigarette.
63. An apparatus for delivering a drug in smoke, comprising:
a housing adapted to receive a smoking device;
a heating element for heating one or more drugs;
a power source for powering said heating element; and
a control board that regulates the power source and the heating element,
wherein, when a drug is positioned adjacent to the heating element and the heating element is activated, the device adds an amount of the one or more drugs to smoke from the smoking device drawn past the heating element.
64. The apparatus according to claim 63, wherein one end of said housing is adapted to receive a mouthpiece having a receptacle that, when coupled to the apparatus, places a drug in the receptacle adjacent to the heating element.
65. The apparatus according to claim 63 or 64, wherein said apparatus is adapted to be reversibly coupled to the mouthpiece.
66. A mouthpiece configured to be coupled an apparatus of any one of claims 63 to 65, wherein the mouthpiece comprises a receptacle for holding one or more drugs, wherein, when said one or more drugs are placed in the receptacle and said mouthpiece is coupled to the apparatus, the one or more drugs are heated by the heating element when the heating element is activated
67. The mouthpiece of claim 66, wherein said receptacle comprises a pharmaceutical composition comprising one or more drugs.
68. The mouthpiece of claim 67, wherein the one or more drugs comprise an antiinflammatory agent, an anti-cancer agent, or both.
69. The mouthpiece of any one of claims 66 to 68, wherein said mouthpiece is configured to be reversibly coupled to said apparatus.
70. A kit comprising an inhaler and a tobacco product, wherein said inhaler comprises one or more drugs.
71. The kit of claim 70, wherein said one or more drugs is one or more antiinflammatory agent, anti-cancer agent, or both.
72. The kit of claim 70 or 71, wherein said one or more drugs is one or more antiinflammatory agent.
73. The kit of claim 71 or 72, wherein said one or more drugs is one or more anti-cancer agent.
74. The kit of claim 71 or 72, wherein said one or more drugs comprise both an antiinflammatory agent and an anti-cancer agent.
75. A method for reducing the physiological effects of tobacco use comprising using a tobacco product and inhaling a therapeutic agent.
76. The method of claim 75, wherein a subject first uses a tobacco product and then inhales a therapeutic agent.
77. The method of claim 75, wherein a subject first inhales one or more drugs and then uses a tobacco product.
78. The method of claim 75, wherein a subject inhales one or more drugs and uses a tobacco product simultaneously.
79. The method of any one of claims 75 to 78, wherein said one or more drugs is one or more anti-inflammatory agent, anti-cancer agent, or both.
80. The method of any one of claims 75 to 78, wherein said one or more drugs is one or more anti-inflammatory agent.
81. The method of any one of claims 75 to 78, wherein said one or more drugs is an anti-cancer agent.
82. The method of any one of claims 75 to 78, wherein said one or more drugs comprise both an anti-inflammatory agent and an anti-cancer agent.
83. A solid drug formulation comprising one or more drugs, wherein the formulation is adapted to release the one or more drugs as a vapor when heated.
84. The drug formulation of claim 83, wherein the release of the drug by heating consumes the formulation without leaving a residue.
85. The drug formulation of claim 83 or 84, wherein the one or more drugs include an anti-inflammatory agent, an anti-cancer agent, or both.
86. The drug formulation of any one of claims 83 to 85, wherein the formulation consists of the one or more drugs.
87. The drug formulation of claim 86, wherein the formulation consists of a single drug.
88. The drug formulation of any one of claims 83 to 87, wherein the formulation is a pharmaceutical dosage form selected from tablets and pellets.
89. The drug formulation of claim 88, wherein each dosage form provides a single dose of the one or more drugs.
90. The drug formulation of claim 89, wherein the dosage form is adapted for use in a device of any one of claims 20 to 45, or 49 to 55, or 66 to 74.
91. A cartridge comprising one or more drugs, wherein the cartridge is adapted to be reversibly coupled to a smoking device, such as a device of any one of claims 20 to 45, or 49 to 55, or 66 to 74.
92. The cartridge of claim 91, wherein the cartridge comprises an air inlet and an air outlet that permit air to be drawn through the cartridge.
93. The cartridge of claim 91 or 92, wherein the cartridge comprises a heating element, and coupling the cartridge to the device couples the heating element to a power source, such that activation of the device causes the power source to power the heating element, thereby promoting aerosolizing of the one or more drugs.
94. The cartridge of any one of claims 91 to 93, wherein the one or more drugs are formulated in a drug formulation of any one of claims 83 to 90.
95. The device of any one of claims 20 to 45, or 49 to 55, or 66 to 74, wherein said device is configured to transfer information with a second device.
96. The device of claim 95, wherein said device is configured to transfer information to a second device.
97. The device of claim 95, wherein said device is configured to receive information from a second device.
98. The device of any one of claims 95 to 97, wherein said second device is a computer, tablet computer, or smartphone.
99. The device of any one of claims 95 to 98, wherein said device is configured to transfer information wirelessly with said second device.
I l l
100. The device of any one of claims 95 to 99, wherein said device is configured to transfer information wirelessly with said second device using Bluetooth technology.
101. The device of any one of claims 97 to 100, wherein said device is configured to adjust its operation based on information received from said second device.
102. The device of any one of claims 97 to 101, wherein said device is configured to adjust the temperature of a heating element and/or time interval for heating based on information received from said second device.
103. The device of any one of claims 97 to 102, wherein said device is configured not to dispense a dose of drugs based on information received from said second device.
104. The device of any one of claims 97 to 103, wherein said device is configured to display a message based on information received from said second device.
105. The device of claim 104, wherein said message is a warning light.
106. The device of any one of claims 96 to 105, wherein the information sent to said second device is sufficient to track the use of the device.
107. The device of any one of claims 96 to 106, wherein the information sent to said second device is sufficient to track the number of doses dispensed by the device, the identity of the doses dispensed by the device, and/or the date and time each dose was dispensed by the device.
Applications Claiming Priority (2)
| Application Number | Priority Date | Filing Date | Title |
|---|---|---|---|
| US201461970888P | 2014-03-26 | 2014-03-26 | |
| US61/970,888 | 2014-03-26 |
Publications (2)
| Publication Number | Publication Date |
|---|---|
| WO2015148649A2 true WO2015148649A2 (en) | 2015-10-01 |
| WO2015148649A3 WO2015148649A3 (en) | 2016-01-21 |
Family
ID=54196562
Family Applications (1)
| Application Number | Title | Priority Date | Filing Date |
|---|---|---|---|
| PCT/US2015/022462 Ceased WO2015148649A2 (en) | 2014-03-26 | 2015-03-25 | Systems and methods for ameliorating the effects of tobacco products |
Country Status (1)
| Country | Link |
|---|---|
| WO (1) | WO2015148649A2 (en) |
Cited By (30)
| Publication number | Priority date | Publication date | Assignee | Title |
|---|---|---|---|---|
| US10045567B2 (en) | 2013-12-23 | 2018-08-14 | Juul Labs, Inc. | Vaporization device systems and methods |
| US10045568B2 (en) | 2013-12-23 | 2018-08-14 | Juul Labs, Inc. | Vaporization device systems and methods |
| US10058130B2 (en) | 2013-12-23 | 2018-08-28 | Juul Labs, Inc. | Cartridge for use with a vaporizer device |
| US10076139B2 (en) | 2013-12-23 | 2018-09-18 | Juul Labs, Inc. | Vaporizer apparatus |
| US10104915B2 (en) | 2013-12-23 | 2018-10-23 | Juul Labs, Inc. | Securely attaching cartridges for vaporizer devices |
| US10111470B2 (en) | 2013-12-23 | 2018-10-30 | Juul Labs, Inc. | Vaporizer apparatus |
| WO2019034884A1 (en) * | 2017-08-17 | 2019-02-21 | British American Tobacco (Investments) Limited | Product |
| USD842536S1 (en) | 2016-07-28 | 2019-03-05 | Juul Labs, Inc. | Vaporizer cartridge |
| US10244793B2 (en) | 2005-07-19 | 2019-04-02 | Juul Labs, Inc. | Devices for vaporization of a substance |
| US10279934B2 (en) | 2013-03-15 | 2019-05-07 | Juul Labs, Inc. | Fillable vaporizer cartridge and method of filling |
| USD851830S1 (en) | 2016-06-23 | 2019-06-18 | Pax Labs, Inc. | Combined vaporizer tamp and pick tool |
| US10405582B2 (en) | 2016-03-10 | 2019-09-10 | Pax Labs, Inc. | Vaporization device with lip sensing |
| US10512282B2 (en) | 2014-12-05 | 2019-12-24 | Juul Labs, Inc. | Calibrated dose control |
| USD887632S1 (en) | 2017-09-14 | 2020-06-16 | Pax Labs, Inc. | Vaporizer cartridge |
| EP2993999B1 (en) | 2013-05-06 | 2021-01-27 | Juul Labs, Inc. | Nicotine salt formulations for electronic cigarettes and method of delivering nicotine |
| USD913583S1 (en) | 2016-06-16 | 2021-03-16 | Pax Labs, Inc. | Vaporizer device |
| CN112654268A (en) * | 2018-09-28 | 2021-04-13 | 菲利普莫里斯生产公司 | Aerosol-generating system with substrate advancement |
| US20220262507A1 (en) * | 2014-10-25 | 2022-08-18 | Sumner Bluffs, LLC | Pharmaceutical and biological agent delivery system having biometric data acquisition and monitoring capabilities |
| US11424633B2 (en) | 2018-10-08 | 2022-08-23 | Juul Labs, Inc. | Vaporizer charging adapter assembly |
| US11510433B2 (en) | 2013-12-05 | 2022-11-29 | Juul Labs, Inc. | Nicotine liquid formulations for aerosol devices and methods thereof |
| US11564287B2 (en) | 2018-11-05 | 2023-01-24 | Juul Labs, Inc. | Cartridges with vaporizable material including at least one ionic component |
| US11583000B2 (en) * | 2015-06-05 | 2023-02-21 | Preciflex Sa | Devices for active humidification and flavouring |
| IT202100022172A1 (en) * | 2021-08-23 | 2023-02-23 | Natural Acad S R L | MEDICAL LIQUID COMPOSITION FOR AIR ADMINISTRATION |
| CN117617532A (en) * | 2023-12-25 | 2024-03-01 | 湖北中烟工业有限责任公司 | A method for grouping and processing cigar leaf scraps |
| US11964958B1 (en) | 2023-01-18 | 2024-04-23 | Ready Mix Naturals, LLC | Vaporizable alkaloid compositions and methods of use thereof |
| US12053024B2 (en) | 2018-11-05 | 2024-08-06 | Juul Labs, Inc. | Cartridges for vaporizer devices |
| US12082618B2 (en) | 2018-12-31 | 2024-09-10 | Juul Labs, Inc. | Cartridges for vaporizer devices |
| US12478091B2 (en) | 2023-01-18 | 2025-11-25 | Ready Mix Naturals, LLC | Vaporizable alkaloid compositions and methods of use thereof |
| US12495842B2 (en) | 2019-08-22 | 2025-12-16 | Juul Labs, Inc. | Battery for vaporizer device |
| US12497381B2 (en) | 2023-01-18 | 2025-12-16 | Ready Mix Naturals, LLC | Vaporizable alkaloid compositions and methods of use thereof |
Families Citing this family (2)
| Publication number | Priority date | Publication date | Assignee | Title |
|---|---|---|---|---|
| USD825102S1 (en) | 2016-07-28 | 2018-08-07 | Juul Labs, Inc. | Vaporizer device with cartridge |
| USD836541S1 (en) | 2016-06-23 | 2018-12-25 | Pax Labs, Inc. | Charging device |
Family Cites Families (7)
| Publication number | Priority date | Publication date | Assignee | Title |
|---|---|---|---|---|
| US6737042B2 (en) * | 2001-05-24 | 2004-05-18 | Alexza Molecular Delivery Corporation | Delivery of drug esters through an inhalation route |
| CN100381083C (en) * | 2003-04-29 | 2008-04-16 | 韩力 | Non-combustible electronic spray cigarette |
| CN2719043Y (en) * | 2004-04-14 | 2005-08-24 | 韩力 | Atomized electronic cigarette |
| CN101820755B (en) * | 2007-08-10 | 2013-05-15 | 巴赛尔·雷盖斯 | Anti-inflammatory compounds and uses thereof |
| US20130225529A1 (en) * | 2012-02-27 | 2013-08-29 | Basil Rigas | Phospho-ester derivatives and uses thereof |
| US20140088045A1 (en) * | 2012-09-21 | 2014-03-27 | Basil Rigas | Product comprising a nicotine-containing material and an anti-cancer agent |
| EP2711006A1 (en) * | 2012-09-21 | 2014-03-26 | Basil Rigas | Product Comprising a Nicotine-Containing Material and an Anti-Cancer Agent |
-
2015
- 2015-03-25 WO PCT/US2015/022462 patent/WO2015148649A2/en not_active Ceased
Cited By (57)
| Publication number | Priority date | Publication date | Assignee | Title |
|---|---|---|---|---|
| US10244793B2 (en) | 2005-07-19 | 2019-04-02 | Juul Labs, Inc. | Devices for vaporization of a substance |
| US10638792B2 (en) | 2013-03-15 | 2020-05-05 | Juul Labs, Inc. | Securely attaching cartridges for vaporizer devices |
| US10279934B2 (en) | 2013-03-15 | 2019-05-07 | Juul Labs, Inc. | Fillable vaporizer cartridge and method of filling |
| EP2993999B1 (en) | 2013-05-06 | 2021-01-27 | Juul Labs, Inc. | Nicotine salt formulations for electronic cigarettes and method of delivering nicotine |
| US12156533B2 (en) | 2013-05-06 | 2024-12-03 | Juul Labs, Inc. | Nicotine salt formulations for aerosol devices and methods thereof |
| EP3850957B1 (en) | 2013-05-06 | 2024-09-04 | Juul Labs, Inc. | Nicotine salt formulations for aerosol devices and methods thereof |
| US12167744B2 (en) | 2013-12-05 | 2024-12-17 | Juul Labs, Inc. | Nicotine liquid formulations for aerosol devices and methods thereof |
| US11510433B2 (en) | 2013-12-05 | 2022-11-29 | Juul Labs, Inc. | Nicotine liquid formulations for aerosol devices and methods thereof |
| US11744277B2 (en) | 2013-12-05 | 2023-09-05 | Juul Labs, Inc. | Nicotine liquid formulations for aerosol devices and methods thereof |
| US11752283B2 (en) | 2013-12-23 | 2023-09-12 | Juul Labs, Inc. | Vaporization device systems and methods |
| US10667560B2 (en) | 2013-12-23 | 2020-06-02 | Juul Labs, Inc. | Vaporizer apparatus |
| US10201190B2 (en) | 2013-12-23 | 2019-02-12 | Juul Labs, Inc. | Cartridge for use with a vaporizer device |
| US10117466B2 (en) | 2013-12-23 | 2018-11-06 | Juul Labs, Inc. | Vaporization device systems and methods |
| US10058129B2 (en) | 2013-12-23 | 2018-08-28 | Juul Labs, Inc. | Vaporization device systems and methods |
| US10159282B2 (en) | 2013-12-23 | 2018-12-25 | Juul Labs, Inc. | Cartridge for use with a vaporizer device |
| US10070669B2 (en) | 2013-12-23 | 2018-09-11 | Juul Labs, Inc. | Cartridge for use with a vaporizer device |
| US10111470B2 (en) | 2013-12-23 | 2018-10-30 | Juul Labs, Inc. | Vaporizer apparatus |
| US10104915B2 (en) | 2013-12-23 | 2018-10-23 | Juul Labs, Inc. | Securely attaching cartridges for vaporizer devices |
| US10912331B2 (en) | 2013-12-23 | 2021-02-09 | Juul Labs, Inc. | Vaporization device systems and methods |
| US10058130B2 (en) | 2013-12-23 | 2018-08-28 | Juul Labs, Inc. | Cartridge for use with a vaporizer device |
| US10076139B2 (en) | 2013-12-23 | 2018-09-18 | Juul Labs, Inc. | Vaporizer apparatus |
| US10045567B2 (en) | 2013-12-23 | 2018-08-14 | Juul Labs, Inc. | Vaporization device systems and methods |
| US10058124B2 (en) | 2013-12-23 | 2018-08-28 | Juul Labs, Inc. | Vaporization device systems and methods |
| US10264823B2 (en) | 2013-12-23 | 2019-04-23 | Juul Labs, Inc. | Vaporization device systems and methods |
| US10045568B2 (en) | 2013-12-23 | 2018-08-14 | Juul Labs, Inc. | Vaporization device systems and methods |
| US20220262507A1 (en) * | 2014-10-25 | 2022-08-18 | Sumner Bluffs, LLC | Pharmaceutical and biological agent delivery system having biometric data acquisition and monitoring capabilities |
| US10512282B2 (en) | 2014-12-05 | 2019-12-24 | Juul Labs, Inc. | Calibrated dose control |
| US11583000B2 (en) * | 2015-06-05 | 2023-02-21 | Preciflex Sa | Devices for active humidification and flavouring |
| US10405582B2 (en) | 2016-03-10 | 2019-09-10 | Pax Labs, Inc. | Vaporization device with lip sensing |
| USD929036S1 (en) | 2016-06-16 | 2021-08-24 | Pax Labs, Inc. | Vaporizer cartridge and device assembly |
| USD913583S1 (en) | 2016-06-16 | 2021-03-16 | Pax Labs, Inc. | Vaporizer device |
| USD851830S1 (en) | 2016-06-23 | 2019-06-18 | Pax Labs, Inc. | Combined vaporizer tamp and pick tool |
| USD842536S1 (en) | 2016-07-28 | 2019-03-05 | Juul Labs, Inc. | Vaporizer cartridge |
| WO2019034884A1 (en) * | 2017-08-17 | 2019-02-21 | British American Tobacco (Investments) Limited | Product |
| US20200253265A1 (en) * | 2017-08-17 | 2020-08-13 | British American Tobacco (Investments) Limited | Product infused with smoke |
| EP4427603A3 (en) * | 2017-08-17 | 2024-11-20 | Nicoventures Trading Limited | Product |
| CN110996691A (en) * | 2017-08-17 | 2020-04-10 | 英美烟草(投资)有限公司 | Product(s) |
| US12016368B2 (en) | 2017-08-17 | 2024-06-25 | Nicoventures Trading Limited | Product infused with smoke |
| USD887632S1 (en) | 2017-09-14 | 2020-06-16 | Pax Labs, Inc. | Vaporizer cartridge |
| CN112654268B (en) * | 2018-09-28 | 2024-05-28 | 菲利普莫里斯生产公司 | Aerosol generating system with matrix propulsion |
| CN112654268A (en) * | 2018-09-28 | 2021-04-13 | 菲利普莫里斯生产公司 | Aerosol-generating system with substrate advancement |
| US11937648B2 (en) | 2018-09-28 | 2024-03-26 | Philip Morris Products S.A. | Aerosol generating system with substrate advance |
| US12149109B2 (en) | 2018-10-08 | 2024-11-19 | Juul Labs, Inc. | Vaporizer charging adapter assembly |
| US11424633B2 (en) | 2018-10-08 | 2022-08-23 | Juul Labs, Inc. | Vaporizer charging adapter assembly |
| US11564287B2 (en) | 2018-11-05 | 2023-01-24 | Juul Labs, Inc. | Cartridges with vaporizable material including at least one ionic component |
| US12053024B2 (en) | 2018-11-05 | 2024-08-06 | Juul Labs, Inc. | Cartridges for vaporizer devices |
| US12082618B2 (en) | 2018-12-31 | 2024-09-10 | Juul Labs, Inc. | Cartridges for vaporizer devices |
| US12495842B2 (en) | 2019-08-22 | 2025-12-16 | Juul Labs, Inc. | Battery for vaporizer device |
| WO2023026121A1 (en) * | 2021-08-23 | 2023-03-02 | Natural Academy S.R.L. | Medical liquid composition for aerial administration |
| IT202100022172A1 (en) * | 2021-08-23 | 2023-02-23 | Natural Acad S R L | MEDICAL LIQUID COMPOSITION FOR AIR ADMINISTRATION |
| US12358888B2 (en) | 2023-01-18 | 2025-07-15 | Ready Mix Naturals, LLC | Vaporizable alkaloid compositions and methods of use thereof |
| US11964958B1 (en) | 2023-01-18 | 2024-04-23 | Ready Mix Naturals, LLC | Vaporizable alkaloid compositions and methods of use thereof |
| US12358889B2 (en) | 2023-01-18 | 2025-07-15 | Ready Mix Naturals, LLC | Vaporizable alkaloid compositions and methods of use thereof |
| US12478091B2 (en) | 2023-01-18 | 2025-11-25 | Ready Mix Naturals, LLC | Vaporizable alkaloid compositions and methods of use thereof |
| WO2024155297A1 (en) * | 2023-01-18 | 2024-07-25 | Ready Mix Naturals, LLC | Vaporizable alkaloid compositions and methods of use thereof |
| US12497381B2 (en) | 2023-01-18 | 2025-12-16 | Ready Mix Naturals, LLC | Vaporizable alkaloid compositions and methods of use thereof |
| CN117617532A (en) * | 2023-12-25 | 2024-03-01 | 湖北中烟工业有限责任公司 | A method for grouping and processing cigar leaf scraps |
Also Published As
| Publication number | Publication date |
|---|---|
| WO2015148649A3 (en) | 2016-01-21 |
Similar Documents
| Publication | Publication Date | Title |
|---|---|---|
| WO2015148649A2 (en) | Systems and methods for ameliorating the effects of tobacco products | |
| US20140088045A1 (en) | Product comprising a nicotine-containing material and an anti-cancer agent | |
| JP7309023B2 (en) | Nicotine salt with meta-salicylic acid | |
| EP2711006A1 (en) | Product Comprising a Nicotine-Containing Material and an Anti-Cancer Agent | |
| US20140178461A1 (en) | Compounds and compositions for use in the treatment and prevention of lung and brain cancer and precancerous conditions thereof | |
| US9380810B2 (en) | Tobacco-based nicotine aerosol generation system | |
| CA2691571C (en) | An inhalable composition | |
| EP2477607B1 (en) | Improved device and method for delivery of a medicament | |
| US20240122228A1 (en) | Cannabinoid Formulations for Aerosol Devices and Methods Thereof | |
| US20130225529A1 (en) | Phospho-ester derivatives and uses thereof | |
| CN110573158A (en) | Tobacco- and smoke-free products for human consumption as hedonic or medical products and methods of treating smoking addiction | |
| Feldman et al. | Nicotine Delivery to Rats via Lung Alveolar Region-Targeted Aerosol Technology Produces Blood Pharmacokinetics Resembling Human Smoking | |
| HK1249400A1 (en) | Nicotine salt with meta-salicylic acid |
Legal Events
| Date | Code | Title | Description |
|---|---|---|---|
| NENP | Non-entry into the national phase |
Ref country code: DE |
|
| 122 | Ep: pct application non-entry in european phase |
Ref document number: 15768705 Country of ref document: EP Kind code of ref document: A2 |

























































































































































