WO2015130890A1 - Synthetic salt complexes for improvement of plant growth and yield - Google Patents
Synthetic salt complexes for improvement of plant growth and yield Download PDFInfo
- Publication number
- WO2015130890A1 WO2015130890A1 PCT/US2015/017663 US2015017663W WO2015130890A1 WO 2015130890 A1 WO2015130890 A1 WO 2015130890A1 US 2015017663 W US2015017663 W US 2015017663W WO 2015130890 A1 WO2015130890 A1 WO 2015130890A1
- Authority
- WO
- WIPO (PCT)
- Prior art keywords
- product
- agricultural composition
- seed
- substituted
- aryl
- Prior art date
- Legal status (The legal status is an assumption and is not a legal conclusion. Google has not performed a legal analysis and makes no representation as to the accuracy of the status listed.)
- Ceased
Links
- 0 C*(CC(*)NC(C(C)(C)*)=O)C(C)(C)C(O)=O Chemical compound C*(CC(*)NC(C(C)(C)*)=O)C(C)(C)C(O)=O 0.000 description 1
- IEQRPFJNXLGFMZ-UHFFFAOYSA-N CC(OCC(C(C(C1N(C(c2c3cccc2)=O)C3=O)OC(C)=O)OC(C)=O)OC1Sc1ccc(C)cc1)=O Chemical compound CC(OCC(C(C(C1N(C(c2c3cccc2)=O)C3=O)OC(C)=O)OC(C)=O)OC1Sc1ccc(C)cc1)=O IEQRPFJNXLGFMZ-UHFFFAOYSA-N 0.000 description 1
Classifications
-
- A—HUMAN NECESSITIES
- A01—AGRICULTURE; FORESTRY; ANIMAL HUSBANDRY; HUNTING; TRAPPING; FISHING
- A01N—PRESERVATION OF BODIES OF HUMANS OR ANIMALS OR PLANTS OR PARTS THEREOF; BIOCIDES, e.g. AS DISINFECTANTS, AS PESTICIDES OR AS HERBICIDES; PEST REPELLANTS OR ATTRACTANTS; PLANT GROWTH REGULATORS
- A01N43/00—Biocides, pest repellants or attractants, or plant growth regulators containing heterocyclic compounds
- A01N43/02—Biocides, pest repellants or attractants, or plant growth regulators containing heterocyclic compounds having rings with one or more oxygen or sulfur atoms as the only ring hetero atoms
- A01N43/04—Biocides, pest repellants or attractants, or plant growth regulators containing heterocyclic compounds having rings with one or more oxygen or sulfur atoms as the only ring hetero atoms with one hetero atom
- A01N43/14—Biocides, pest repellants or attractants, or plant growth regulators containing heterocyclic compounds having rings with one or more oxygen or sulfur atoms as the only ring hetero atoms with one hetero atom six-membered rings
- A01N43/16—Biocides, pest repellants or attractants, or plant growth regulators containing heterocyclic compounds having rings with one or more oxygen or sulfur atoms as the only ring hetero atoms with one hetero atom six-membered rings with oxygen as the ring hetero atom
-
- A—HUMAN NECESSITIES
- A01—AGRICULTURE; FORESTRY; ANIMAL HUSBANDRY; HUNTING; TRAPPING; FISHING
- A01N—PRESERVATION OF BODIES OF HUMANS OR ANIMALS OR PLANTS OR PARTS THEREOF; BIOCIDES, e.g. AS DISINFECTANTS, AS PESTICIDES OR AS HERBICIDES; PEST REPELLANTS OR ATTRACTANTS; PLANT GROWTH REGULATORS
- A01N25/00—Biocides, pest repellants or attractants, or plant growth regulators, characterised by their forms, or by their non-active ingredients or by their methods of application, e.g. seed treatment or sequential application; Substances for reducing the noxious effect of the active ingredients to organisms other than pests
-
- C—CHEMISTRY; METALLURGY
- C07—ORGANIC CHEMISTRY
- C07C—ACYCLIC OR CARBOCYCLIC COMPOUNDS
- C07C233/00—Carboxylic acid amides
- C07C233/01—Carboxylic acid amides having carbon atoms of carboxamide groups bound to hydrogen atoms or to acyclic carbon atoms
- C07C233/45—Carboxylic acid amides having carbon atoms of carboxamide groups bound to hydrogen atoms or to acyclic carbon atoms having the nitrogen atom of at least one of the carboxamide groups bound to a carbon atom of a hydrocarbon radical substituted by carboxyl groups
- C07C233/46—Carboxylic acid amides having carbon atoms of carboxamide groups bound to hydrogen atoms or to acyclic carbon atoms having the nitrogen atom of at least one of the carboxamide groups bound to a carbon atom of a hydrocarbon radical substituted by carboxyl groups with the substituted hydrocarbon radical bound to the nitrogen atom of the carboxamide group by an acyclic carbon atom
- C07C233/49—Carboxylic acid amides having carbon atoms of carboxamide groups bound to hydrogen atoms or to acyclic carbon atoms having the nitrogen atom of at least one of the carboxamide groups bound to a carbon atom of a hydrocarbon radical substituted by carboxyl groups with the substituted hydrocarbon radical bound to the nitrogen atom of the carboxamide group by an acyclic carbon atom having the carbon atom of the carboxamide group bound to a carbon atom of an acyclic unsaturated carbon skeleton
-
- C—CHEMISTRY; METALLURGY
- C07—ORGANIC CHEMISTRY
- C07C—ACYCLIC OR CARBOCYCLIC COMPOUNDS
- C07C271/00—Derivatives of carbamic acids, i.e. compounds containing any of the groups, the nitrogen atom not being part of nitro or nitroso groups
- C07C271/02—Carbamic acids; Salts of carbamic acids
-
- C—CHEMISTRY; METALLURGY
- C07—ORGANIC CHEMISTRY
- C07H—SUGARS; DERIVATIVES THEREOF; NUCLEOSIDES; NUCLEOTIDES; NUCLEIC ACIDS
- C07H15/00—Compounds containing hydrocarbon or substituted hydrocarbon radicals directly attached to hetero atoms of saccharide radicals
- C07H15/02—Acyclic radicals, not substituted by cyclic structures
- C07H15/04—Acyclic radicals, not substituted by cyclic structures attached to an oxygen atom of the saccharide radical
Definitions
- compositions and methods for improving plant growth and crop yield More specifically, the present disclosure relates to compositions comprising synthetic salt complexes of Structure A, Structure B, Structure C, Product 19 or Product 20.
- These salt complexes may be applied to plant propagating materials, including seeds and other regenerable plant parts, including cuttings, bulbs, rhizomes and tubers. They may also be applied to foliage, or soil either prior to or following planting of plant propagating materials.
- Such applications may be made alone or in combination with fungicides, insecticides, nematicides and other agricultural agents used to improve plant growth and crop yield.
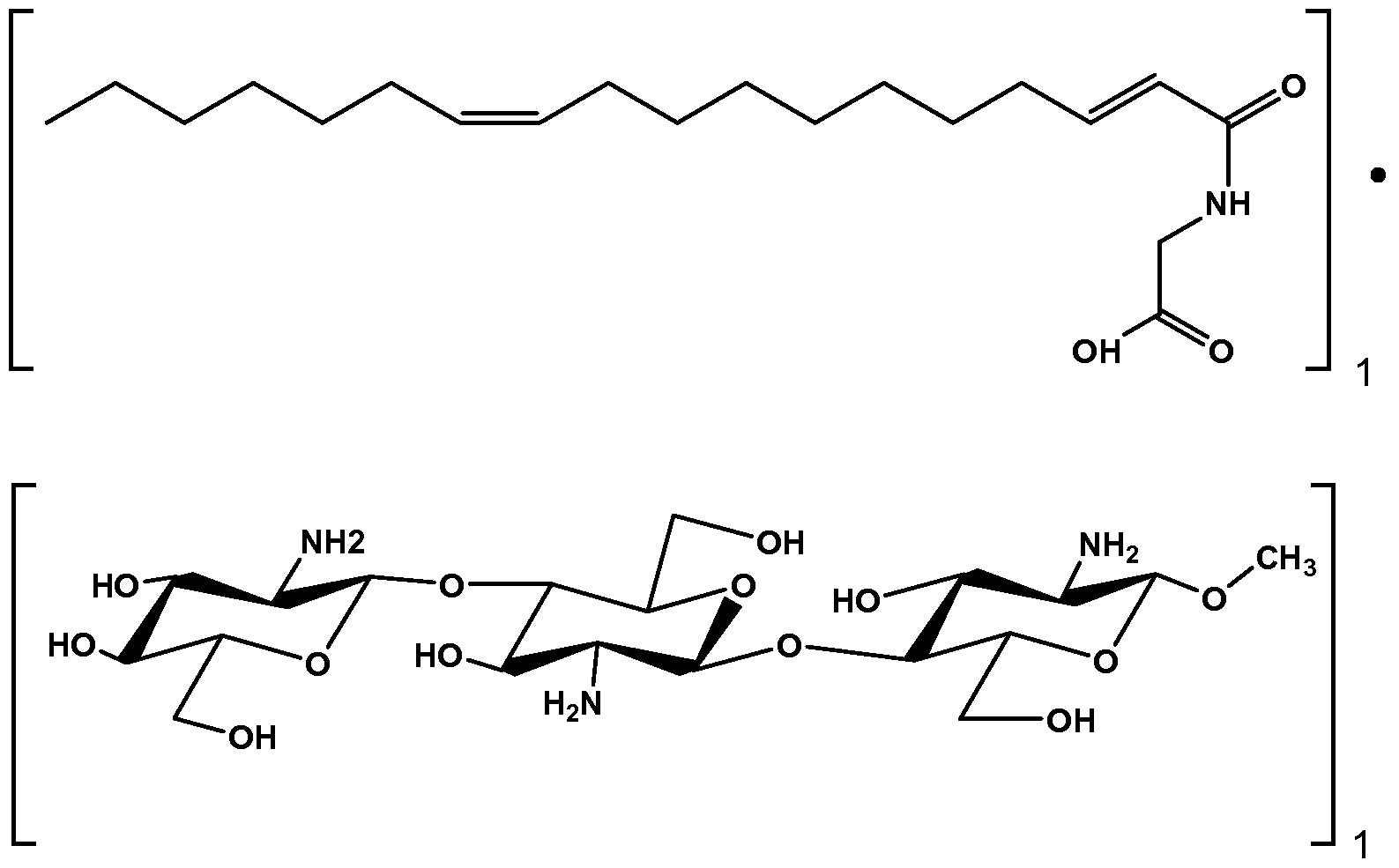
- Figures 1 A and 1 B provides photographs that compare the effect of triglucosamine lipoglycine salt (Product 20) seed treatment on root development of 19-day old soybean seedlings compared to Control seedlings that received the same seed treatment without Product 20.
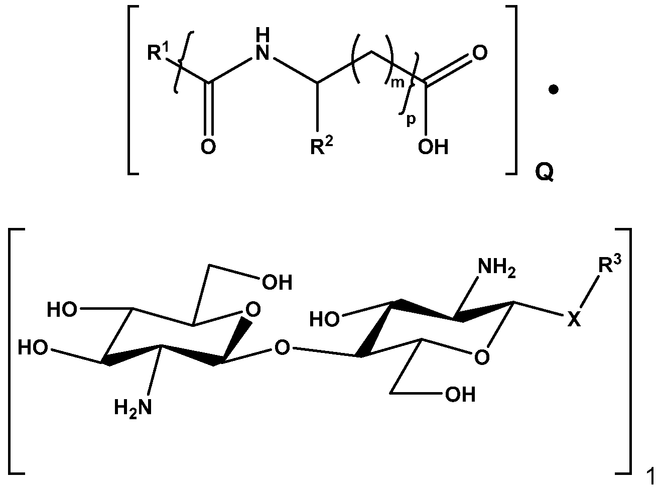
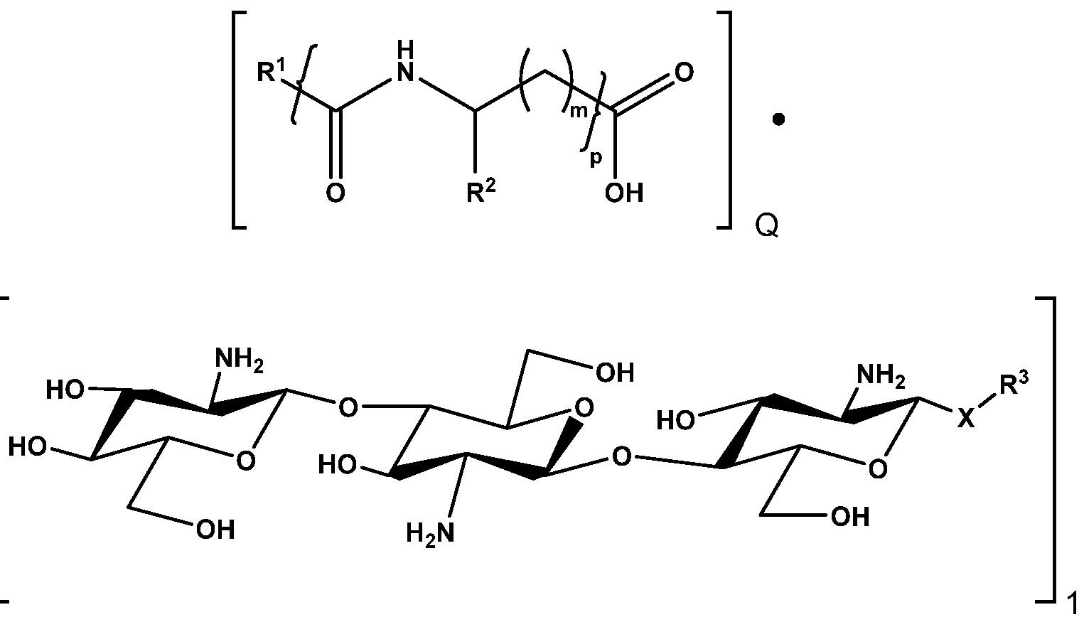
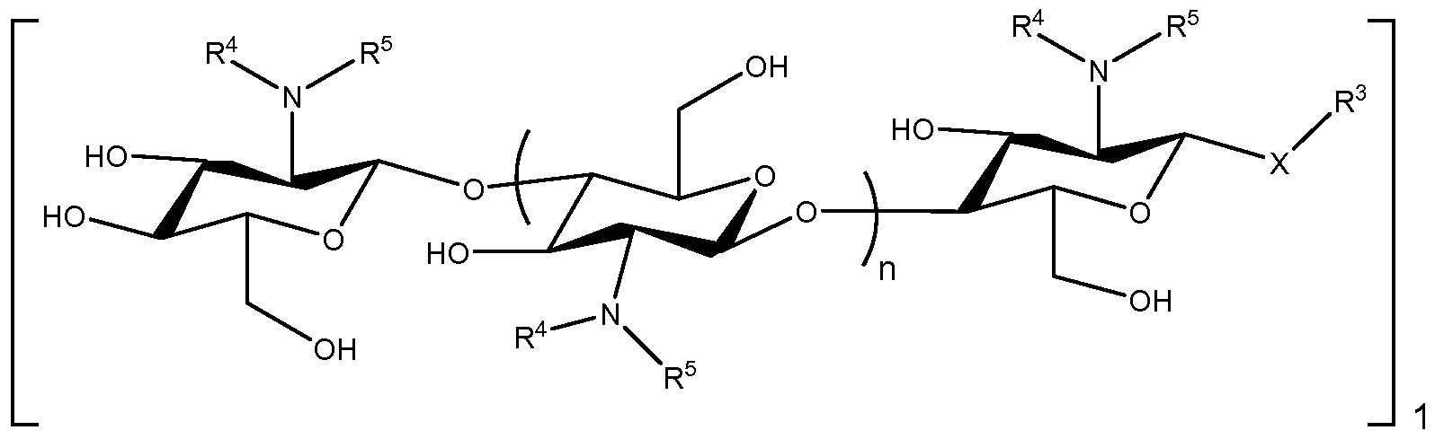
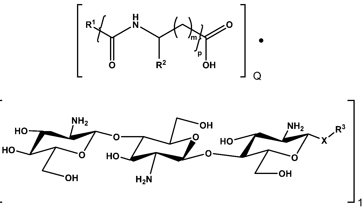
- the disclosure provides a salt complex formed by contacting a carboxylic acid and multifunctional amine and agricultural compositions comprising the salt complex wherein the salt complex can be represented by Structure A:
- n 0, 1 , 2, 3, 4, 5, 6, 7, 8, 9 or 10;
- n 0, 1 , 2, 3, 4, 5 or 6;
- p is 1 , 2, 3, 4, 5, 6, 7, 8, 9 or 10;
- R 1 is hydrogen, C1 to C20 substituted or unsubstituted alkyl, C2 to C20 substituted or unsubstituted alkenyl, C2 to C20 substituted or
- R 2 is hydrogen, C1 to C5 alkyl, aryl, heteroaryl, benzyl, or R 2 and R 6 are taken together to form a C2 to C4 alkylene group, wherein said alkylene group is taken together with the nitrogen atom to which R 6 is attached and the carbon atom to which R 2 is attached to form a 4-, 5-, or 6-membered ring, and wherein each alkyl, aryl, heteroaryl or benzyl group is
- R 4 and R 5 are independently hydrogen, C1 to C5 substituted or unsubstituted alkyl
- R 6 is hydrogen or R 2 and R 6 are taken together to form a C2 to C4 alkylene group wherein said alkylene group is taken together with the nitrogen atom to which R 6 is attached and the carbon atom to which R 2 is attached to form a 4-, 5- or 6-membered ring;
- n 0, 1 , 2, 3, 4, 5, 6, 7, 8, 9 or 10;
- p is 1 , 2, 3, 4, 5, 6, 7, 8, 9 or 10;
- R 1 is hydrogen, C1 to C20 substituted or unsubstituted alkyl, C2 to C20 substituted or unsubstituted alkenyl, C2 to C20 substituted or
- R 2 is hydrogen, C1 to C5 alkyl, aryl, heteroaryl, benzyl, or R 2 and R 6 are taken together to form a C2 to C4 alkylene group, wherein said alkylene group is taken together with the nitrogen atom to which R 6 is attached and the carbon atom to which R 2 is attached to form a 4-, 5-, or 6-membered ring, and wherein each alkyl, aryl, heteroaryl or benzyl group is
- XR 3 is azide or X is O or S and R 3 is hydrogen, C1 to C20 alkyl, aryl, monosaccharide or heteroaryl group.
- n 0, 1 , 2, 3, 4, 5, 6, 7, 8, 9 or 10;
- p is 1 , 2, 3, 4, 5, 6, 7, 8, 9 or 10;
- R 1 is hydrogen, C1 to C20 substituted or unsubstituted alkyi, C2 to C20 substituted or unsubstituted alkenyl, C2 to C20 substituted or
- R 2 is hydrogen, C1 to C5 alkyi, aryl, heteroaryl, benzyl, wherein each alkyi, aryl, heteroaryl or benzyl group is unsubstituted or substituted with -OH, -SH, -NH 2 , -SCH 3 , -C(O)OH, -C(O)NH 2 , or -NH(NH)NH 2 ; and
- XR 3 is azide or X is O or S and R 3 is hydrogen, C1 to C20 alkyi, aryl, monosaccharide or heteroaryl groups.
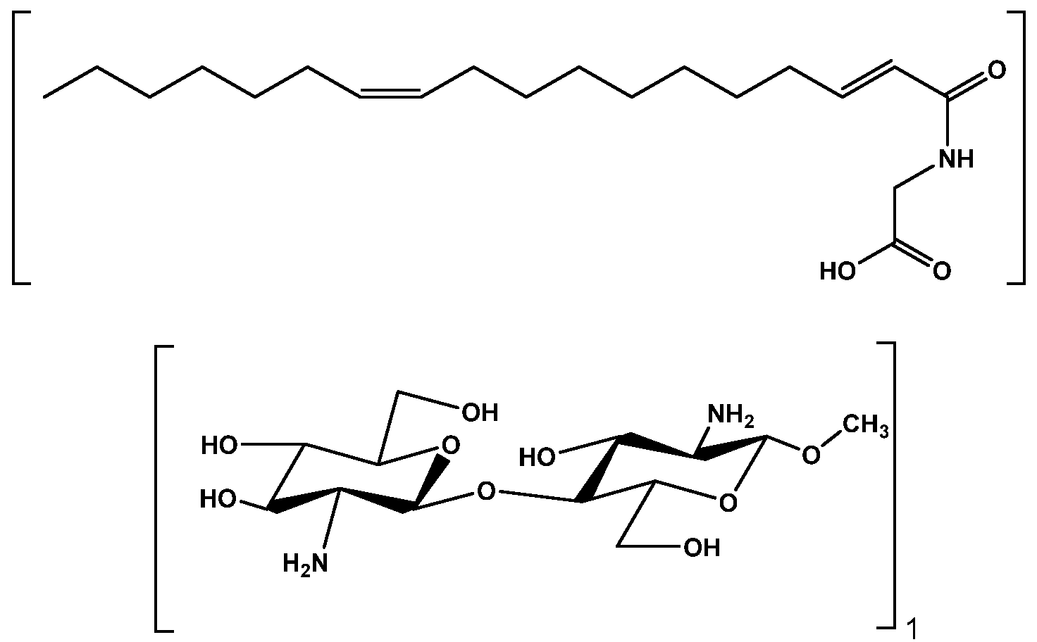
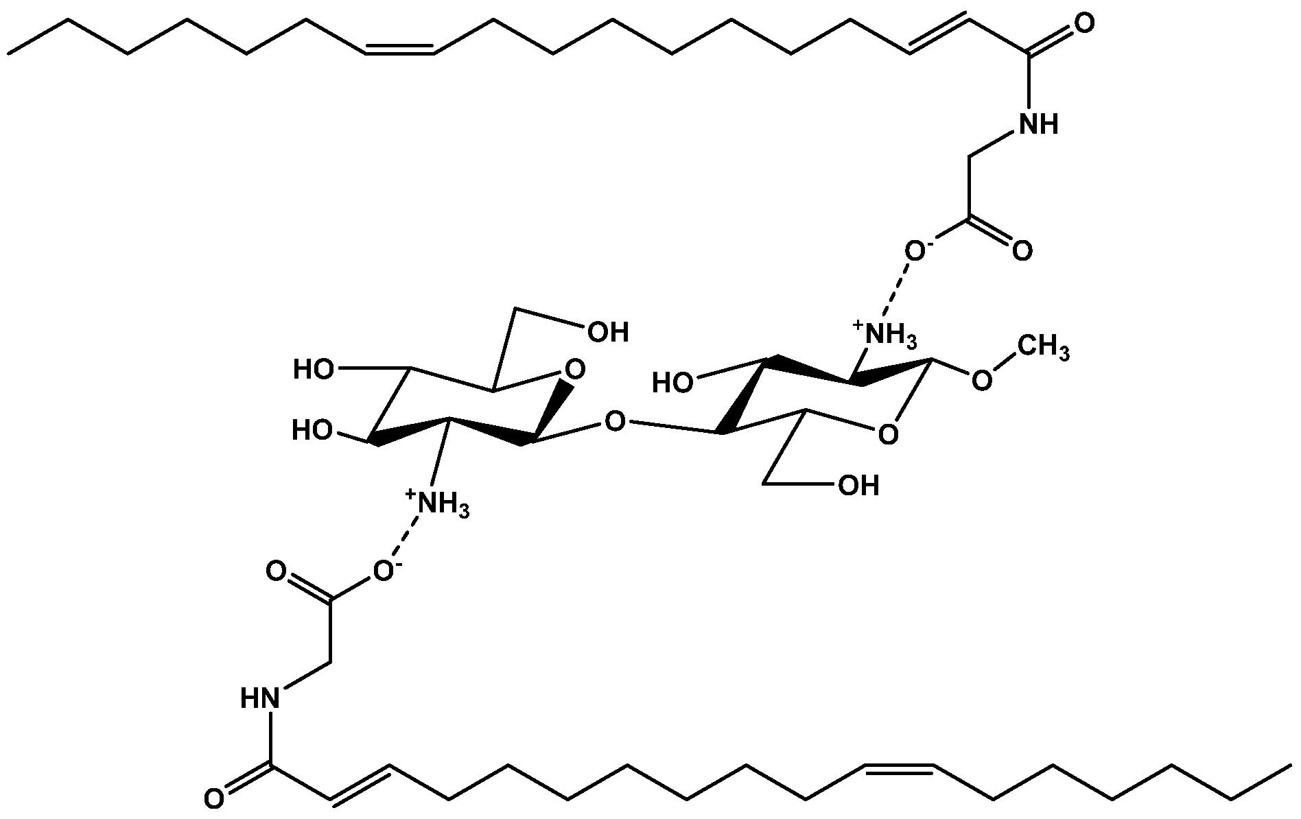
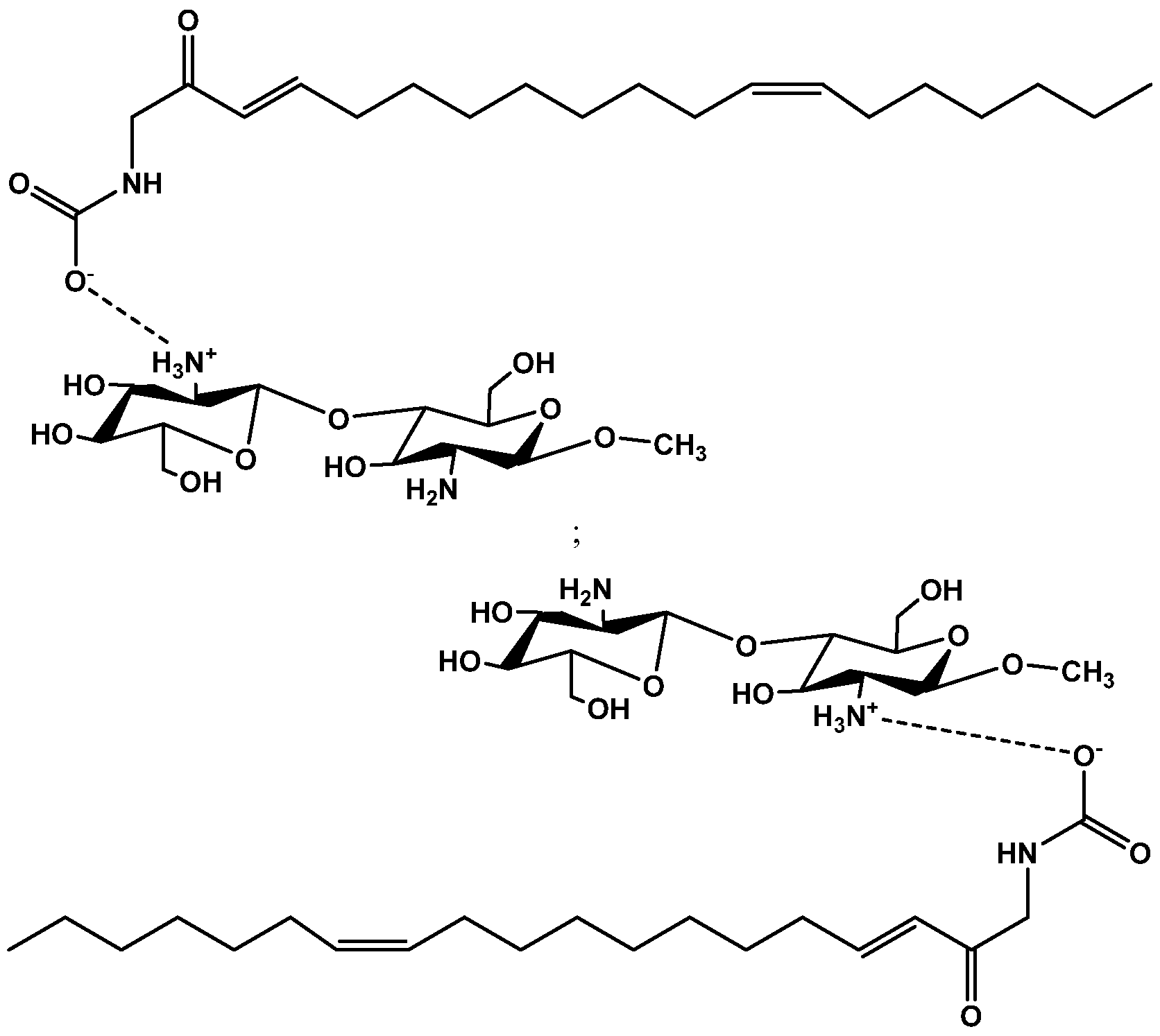
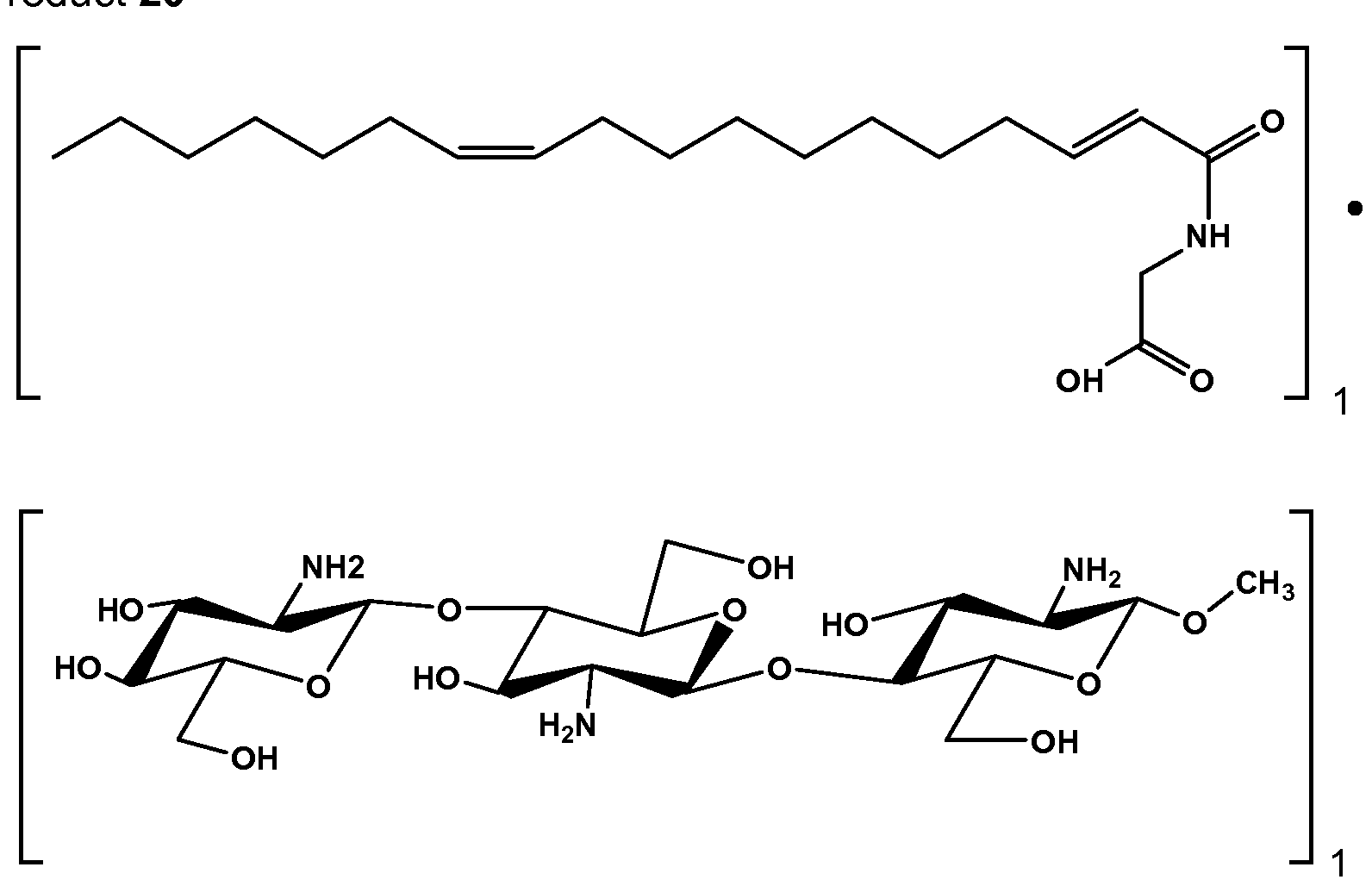
- Certain embodiments of the disclosure relate to one or both of the structures shown below henceforth respectively referred to as Product 19 and Product 20 and agricultural compositions comprising such salt complexes:
- the present disclosure relates to agricultural compositions comprising the salt complex of Structure A, Structure B, Structure C, Product 19 or Product 20.
- compositions may be used, wherein the above salt complexes are present at a concentration of 10 "3 moles/liter (M) to 10 "12 M, or present in the composition at a concentration of about 10 "7 M.
- the salt complex can be present in the agricultural composition in the range of from 10 "3 M to 10 "4 M.
- the salt complex can be present in the agricultural composition in the range of from 10 "4 M to 10 "5 M.
- the salt complex can be present in the agricultural composition in the range of from 10 "5 M to 10 "6 M.
- the salt complex can be present in the agricultural composition in the range of from 10 "6 M to 10 "7 M.
- the salt complex can be present in the agricultural composition in the range of from 10 "7 M to 10 "8 M.
- the salt complex can be present in the agricultural composition in the range of from 10 "8 M to 10 "9 M.
- the salt complex can be present in the agricultural composition in the range of from 10 "9 M to 10 "10 M.
- the salt complex can be present in the agricultural composition in the range of from 10 "10 M to 10 "1 1 M.
- the salt complex can be present in the agricultural composition in the range of from 10 "1 1 M to 10 "12 M.
- the agricultural composition can further comprise one or more signal molecules.
- the signal molecule is a
- the agricultural composition is applied to propagating material of a plant.
- the propagating material is a seed.
- the propagating material is corn or soybean or a seed potato.
- the agricultural composition is applied to the seed as a seed coating to increase rate of germination, seedling emergence, radicle growth, early growth, plant height, vigor, plant health, biomass and/or yield.
- the agricultural composition is applied to foliage. In other embodiments, the agricultural composition is applied to soil either prior to or following planting plant propagating material.
- the present disclosure relates to methods for treating propagating material, comprising applying an agricultural composition comprising the salt complex of Structure A.
- the method for treating propagating material comprises applying an agricultural composition comprising the salt complex of Structure B.
- the method for treating propagating material comprises applying an agricultural composition comprising the salt complex of Structure C.
- the method for treating propagating material comprises applying an agricultural composition comprising the salt complex of Product 19.
- the method for treating propagating material comprises applying an agricultural composition comprising the salt complex of Product 20.
- the method comprises applying the agricultural composition as a seed coating.
- the agricultural composition is applied to foliage.
- the agricultural composition is applied to soil either prior to or following planting the propagating material .
- the agricultural composition is applied to a dicot or a soybean or a monocot or corn.
- the present disclosure relates to a method for treating a plant, plant propagating materials, foliage or soil, comprising applying the agricultural composition to the plant, plant propagating materials, foliage or soil.
- the method utilizes an agricultural composition comprising one or both of Products 19 and/or 20.
- any one or more of the foregoing compositions may be applied to a legume, such as soybean, or to a non- legume, such as corn.
- the present disclosure relates to a plant seed coated by the agricultural composition.
- the plant seed is coated with the agricultural composition and the agricultural composition further comprises an insecticide, a fungicide, a nematicide and a biological agent.
- the plant seed is selected from the group consisting of corn, soybean, wheat, rice, sunflower, canola, and cotton.
- the resulting plant expresses an insect resistant trait.
- the insect resistant trait is due to the expression of a Bt protein.
- the plant seed is coated by an agricultural composition comprising Product 20.
- alkyl used either alone or in compound words such as “alkylthio” or “haloalkyl” includes straight-chain or branched alkyl such as, for example, methyl, ethyl, n-propyl, / ' -propyl, or the different butyl, pentyl or hexyl isomers.
- Alkenyl includes straight-chain or branched alkenes such as, for example, ethenyl, 1 -propenyl, 2-propenyl, and the different butenyl, pentenyl and hexenyl isomers.
- Alkenyl also includes polyenes such as, for example, 1 ,2-propadienyl and 2,4-hexadienyl.
- Alkynyl includes straight-chain or branched alkynes such as, for example, ethynyl, 1 -propynyl, 2-propynyl and the different butynyl, pentynyl and hexynyl isomers.
- Alkynyl also includes moieties comprised of multiple triple bonds such as, for example, 2,5-hexadiynyl.
- Alkylene denotes a straight-chain or branched alkanediyl.
- alkylene examples include, for example, CH 2 , CH 2 CH 2 , CH(CH 3 ), CH 2 CH 2 CH 2 , CH 2 CH(CH 3 ), and the different butylene isomers.
- aryl means an aromatic carbocyclic moiety of 6 to 20 carbon atoms, which may be a single ring (monocyclic) or multiple rings (bicyclic, up to three rings) fused together or linked covalently. Any suitable ring position of the aryl moiety may be covalently linked to the defined chemical structure.
- Suitable aryls can include, for example, phenyl, 1 -naphthyl, 2-naphthyl, dihydronaphthyl, tetrahydronaphthyl, biphenyl, anthryl, phenanthryl, fluorenyl, indanyl or biphenylenyl.
- heteroaryl refers to a 5 to 10 membered monocyclic or bicyclic carbon containing aromatic ring having 1 to 3 of its ring members independently selected from nitrogen, sulfur or oxygen. In some embodiments, monocyclic rings have 5 to 6 members. In certain embodiments, bicyclic rings have 8 to 10 membered ring structures.
- the heteroaryl group may be unsubstituted or substituted.
- heteroaryls can include, for example, thienyl, furyl, pyrrolyl, imidazolyl, pyrazolyl, oxazolyl, isoxazolyl, thiazolyl, isothiazolyl, pyridyl, pyrazinyl, pyrimidinyl, pyridazinyl, indolyl, indazolyl, benzofuranyl, isobenzofuranyl, benzothienyl, isobenzothienyl, quinolyl, isoquinolyl, quinoxalinyl, and quinazolinyl.
- substituted with respect to the above listed groups means that the group contains at least one chemical substituent containing at least one non-carbon element, excluding those heteroatoms that form a part of a heteroaryl or heterocyclic ring.
- the substituent group can be pendant, for example, the NH 2 in -CH 2 CH(NH 2 )CH 3 or the substituent group can be within the group, for example, the NH group in -CH2CH2NHCH2CH3.
- Suitable chemical substituents can include, for example, -OH, -SH, -NH 2 , -N(H)-, -S-alkyl, -C(O)OH, -C(O)NH 2 ,
- Cx to Cy with respect to a hydrocarbon means that the particular hydrocarbon contains in the range of x to y carbon atoms.
- a C1 to C5 alkyl group means that the alkyl group can have 1 carbon atom (methyl), 2 carbon atoms (ethyl), 3 carbon atoms (propyl), 4 carbon atoms (butyl) or 5 carbon atoms (pentyl).
- the term means any of the possible isomers and is not intended to limit to one isomer.
- salt complex refers to a molecular entity formed by a loose association involving two or more component chemical compounds.
- the salt complex is believed to be a salt formed by the protonation of at least one of the amine groups of the oligoglucoslamine structure by the carboxylic acid.
- Product 19 may exist as any one or more of the salt complexes represented by the following structures, the dotted line being used to indicate the formation of the salt complex:
- composition refers to a composition comprising the salt complex of Structure A, Structure B,
- Agricultural applications are any application that enhances plant performance, such as, for example, plant health, germination improvement, growth
- biologically effective amount refers to that amount of a substance required to produce the desired effect on a plant, plant propagating material and/or plant part, such as, for example, germination improvement, growth improvement, yield improvement, pest control, disease control and resistance to abiotic environmental stress. Effective amounts of the composition will depend on several factors, including treatment method, plant species, propagating material type and environmental conditions.
- Foliage as defined in the present application includes all aerial plant organs, for example, the leaves, stems, flowers and fruit.
- percent germination refers the percentage of seeds that germinate after planting or being placed under conditions otherwise suitable for germination.
- accelerate the rate of germination and its equivalents refer to an increase in the percent germination of experimentally treated seeds compared to seeds
- Plant “growth” as used herein is defined by, but not limited to, measurements of seedling emergence, standability, radicle growth, early growth, plant height, time to flowering, tillering (for grasses), days to maturity, vigor, biomass and yield.
- Regenerable plant parts include plant parts that are divided (e.g., cut) to preserve their ability to grow into a new plant. Therefore regenerable plant parts include viable divisions of rhizomes, tubers, bulbs and corms which retain meristematic tissue, such as an eye. Regenerable plant parts can also include other plant parts such as cut or separated stems and leaves from which some species of plants can be grown using horticultural or agricultural growing media.
- seed includes both unsprouted seeds and seeds in which the testa (seed coat) still surrounds part of the emerging shoot and root.
- rhizosphere refers to the area of soil that immediately surrounds and is affected by the plant's roots.
- treating means applying a biologically effective amount of a Structure A, Structure B, Structure C, Product 19 or Product 20 salt complex, or a composition containing a Structure A,
- Structure B Structure B, Structure C, Product 19 or Product 20 salt complex, to a seed or other plant propagating material, plant foliage or plant rhizosphere; related terms such as “treatment” are defined analogously.
- yield refers to the return of crop material per unit area obtained after harvesting a plant crop.
- An increase in crop yield refers to an increase in crop yield relative to an untreated control treatment.
- Crop materials include, but are not limited to, seeds, fruits, roots, tubers, leaves and types of crop biomass. Descriptions of field-plot techniques used to evaluate crop yield may be found in
- Insect resistant trait is used herein to refer to a plant containing a toxin that has toxic acitivity against one or more pests, including, but not limited to, members of the Lepidoptera, Diptera, Hemiptera and
- Pesticidal proteins have been purified from organisms including, for example, Bacillus sp., Pseudomonas sp., Photorhabdus sp., Xenorhabdus sp., Clostridium bifermentans and Paenibacillus popilliae. Pesticidal proteins include but are not limited to: insecticidal proteins from Pseudomonas sp. such as PSEEN3174 (Monalysin; (201 1 ) PLoS
- the salt complex of Structure A, Structure B, Structure C, Product 19 or Product 20 can be produced by contacting the polyamine portion of Structure A, Structure B, Structure C, Product 19 or Product 20 with the carboxylic acid of Structure A, Structure B, Structure C, Product 19 or Product 20.
- the polyamine portion can be produced in a variety of methods. In one example, US Patent Number 7,485,718 describes method for producing the polyamines of Structure A, Structure B,
- the carboxylic acid portion can also be produced using a variety of known methods. Preparations of both saturated and unsaturated fatty acids are known in the art. A two-step process of contacting the saturated or unsaturated fatty acid with an amino acid ester followed by deprotection of the ester can produce the desired carboxylic acid that can be used to form the desired salt complex. The polyamine and the carboxylic acid can be contacted with one another in an appropriate liquid carrier to form the desired salt complex of Structure A, Structure B, Structure C, Product 19 or Product 20.
- Agricultural compositions comprising the salt complex of Structure A, Structure B, Structure C, Product 19 or Product 20 can be applied as a seed treatment formulation, as a seed coating composition, as a foliar formulation, as a sprayable foliar formulation or as a formulation suitable for treating the growing medium.
- Such formulations typically contain from about 10 "3 M to 10 "12 M of the salt complex of Structure A, Structure B, Structure C, Product 19 or Product 20.
- formulations contain from about 10 "6 M to 10 "10 M of the salt complex of Structure A, Structure B, Structure C, Product 19 or Product 20.
- the locus of the propagating materials can be treated with a Structure A,
- Structure B, Structure C, Product 19 or Product 20 salt complex by many different methods. All that is needed is for a biologically effective amount of a Structure A, Structure B, Structure C, Product 19 or Product 20 salt complex to be applied on or sufficiently close to the propagating material so that it can be absorbed by the propagating material.
- the Structure A, Structure B, Structure C, Product 19 or Product 20 salt complex can be applied by such methods as drenching the growing medium including the propagating material with a solution or dispersion of the Structure A,
- Structure B, Structure C, Product 19 or Product 20 salt complex mixing the Structure A, Structure B, Structure C, Product 19 or Product 20 salt complex with growing medium and planting the propagating material in the treated growing medium (e.g., nursery box treatments), or various forms of propagating material treatments whereby the Structure A, Structure B,
- the agricultural composition can provide an increased rate of germination, an increased rate of seedling emergence, an increased rate of radicle growth, an increased rate of early growth, increased pest control, increased disease control, increased plant height, increased vigor, increased resistance to abiotic environmental stress, and increased biomass and/or yield. In other embodiments, the agricultural composition can provide increased yield.
- the agricultural compositions comprising the salt complex of Structure A, Structure B, Structure C, Product 19 or Product 20 can be used as a seed treatment formulation with an
- agriculturally suitable carrier comprising at least one of a liquid diluent, a solid diluent or a surfactant.
- a liquid diluent a solid diluent or a surfactant.
- a wide variety of formulations are suitable for this disclosure, the most suitable types of formulations depend upon the method of application. As is well known to those skilled in the art, the purpose of formulation is to provide a safe and convenient means of transporting, measuring and dispensing the agricultural agent and also to optimize its efficacy.
- the use of agricultural compositions comprising the Structure A, Structure B, Structure C, Product 19 or Product 20 salt complex, including seed treatments, can provide increased plant growth, an increased rate of germination, an increased rate of seedling
- an increased rate of radicle growth an increased rate of early growth, increased pest control, increased disease control, increased plant height, increased vigor, increased resistance to abiotic environmental stress, and increased biomass and/or yield when compared to an untreated control.
- liquids such as solutions (including emulsifiable concentrates),
- suspensions including microemulsions and/or
- Useful formulations further include solids such as dusts, powders, granules, pellets, tablets, films, and the like which can be water-dispersible ("wettable") or water-soluble.
- the salt complex of Structure A, Structure B, Structure C, Product 19 or Product 20 can be (micro)encapsulated and further formed into a suspension or solid formulation; alternatively the entire formulation comprising the salt complex of Structure A, Structure B, Structure C, Product 19 or Product 20 can be encapsulated (or
- Encapsulation can control or delay release of the salt complex of Structure A, Structure B, Structure C, Product 19 or Product 20.
- Sprayable formulations can be extended in suitable media and used at spray volumes from about one to several hundred liters per hectare. High-strength compositions are primarily used as intermediates for further formulation.
- the formulations will typically contain effective amounts of the salt complex of Structure A, Structure B, Structure C, Product 19 or Product 20, diluent and surfactant within the following approximate ranges that add up to 100 percent by weight.
- Typical solid diluents are described in Watkins et al., Handbook of Insecticide Dust Diluents and Carriers, 2nd Ed., Dorland Books, Caldwell, New Jersey. Typical liquid diluents are described in Marsden, Solvents Guide, 2nd Ed., Interscience, New York, 1950. McCutcheon's Emulsifiers and Detergents and McCutcheon's Functional Materials (North America and International Editions, 2001 ), The Manufacturing Confection Publ. Co., Glen Rock, New Jersey, as well as Sisely and Wood, Encyclopedia of Surface Active Agents, Chemical Publ . Co., Inc., New York, 1964, list surfactants and recommended uses. All formulations can contain minor amounts of additives to reduce foam, caking, corrosion, microbiological growth and the like, or thickeners to increase viscosity.
- ethoxylated amines ethoxylated fatty acids, esters and oils
- dialkyl sulfosuccinates alkyl sulfates, alkylaryl sulfonates, organosilicones, ⁇ /,/V-dialkyltaurates, glycol esters, phosphate esters, lignin sulfonates, naphthalene sulfonate formaldehyde condensates, polycarboxylates, and block polymers including polyoxyethylene/polyoxypropylene block copolymers.
- Solid diluents can include, for example, clays such as bentonite, montmorillonite, attapulgite and kaolin, starch, sugar, silica, talc, diatomaceous earth, urea, calcium carbonate, sodium carbonate and bicarbonate, and sodium sulfate.
- clays such as bentonite, montmorillonite, attapulgite and kaolin, starch, sugar, silica, talc, diatomaceous earth, urea, calcium carbonate, sodium carbonate and bicarbonate, and sodium sulfate.
- Liquid diluents can include, for example, water, or an organic diluent, for example, ⁇ /,/V-dimethylformamide, dimethyl sulfoxide, ethyl acetate, diethyl ether, formamide, 2-pyrrolidone, N-methylpyrrolidone, /V-alkylpyrrolidone, ethylene glycol, polypropylene glycol, 1 ,3-propane diol, 1 ,3-propane diol polyethers, alkyl and dialkyl ethers of 1 ,3-propane diol, alkyl and dialkyl ethers of 1 ,3-propane diol polyethers, diethylene glycol, diethylene glycol ethers, dipropylene glycol ethers, diglyme, hexamethylene glycol, pentamethylene glycol,
- polyethylene glycol poly hydroxy I ated alkanes, propylene glycol ethers, tetramethylene glycol, tetramethylene glycol ethers, triethylene glycol, triethylene glycol ethers, tripropylene glycol, tripropylene glycol ethers, 1 ,3- butylene glycol, 1 ,3-butylene glycol ethers, butylene carbonate, glycerol, thiodiglycol, propylene carbonate, dibasic esters, paraffins, alkylbenzenes, alkylnaphthalenes, oils of olive, castor, linseed, tung, sesame, corn, peanut, cotton-seed, soybean, rape-seed and coconut, fatty acid esters, ketones such as, for example, acetone, gamma-butyrolactone, methyl ethyl ketone, cyclohexanone, 2-heptanone, isophorone and 4-hydroxy
- the agricultural composition can comprise in the range of 80 to 100 percent by weight of water, based on the total weight of the liquid diluent.
- the liquid diluent can comprise in the range of from 90 to 100 percent water, and, in still further embodiments, in the range of from 95 to 100 percent water, wherein the percentages by weight are based on the total amount of the liquid diluent.
- the remaining amount of liquid diluent can be one or more of the organic diluents listed above.
- biocides can include, for example, 5-chloro-2- methyl-3(2H)-isothiazolone , o-phenylphenol, sodium-o-phenylphenate, cis-1 -(chloroallyl)-3,5,7-triaza-1 -azoniaadamantane chloride, 7-ethyl bicyclooxazolidine, 2,2-dibromo-3-nitrilopropionamide, bronopol, glutaraldehyde, copper hydroxide, cresol, dichlorophen, dipyrithione, fenaminosulf, formaldehyde, hydrargaphen, 8-hydroxyquinoline sulfate, kasugamycin, nitrapyrin, octhilinone, oxolinic acid, oxytetracycline, probenazole, streptomycin, tecloftalam,
- compositions used for treating propagating materials, or plants grown therefrom, according to this disclosure can also comprise (besides the Structure A, Structure B, Structure C, Product 19 or Product 20 salt complex) an effective amount of one or more other biologically active compounds or agents.
- Suitable biologically active compounds or agents include, but are not limited to, insecticides, fungicides, nematocides, bactericides, acaricides, entomopathogenic bacteria, viruses or fungi, plant growth regulators such as rooting stimulants, chemosterilants, repellents, attractants, pheromones, feeding stimulants and other signal compounds including, but not limited to, apocarotenoids, flavonoids, jasmonates and strigolactones (Akiyama, et al., in Nature, 435:824-827 (2005); Harrison, in Ann.
- Biologically active agents can also comprise microorganisms that stimulate plant growth. Such
- microorganisms include, but are not limited to, biologically active species within the bacterial genera Azorhizobium, Bacillus, Bradyrhizobium, Mesorhizobium, Paenibacillus and Rhizobium (Khan, et al., in Bioresource Technology, 99(8): 3016-3023 (2008); Plant Growth and Health Promoting Bacteria (Microbiology Monographs), D. K. Maheshwari, Ed., Springer- Verlag, Berlin, 2010. Such microorganisms also include, but are not limited to, plant growth promoting species within the fungal genera
- insecticides such as abamectin, acephate, acetamiprid, amidoflumet (S-1955), avermectin, azadirachtin, azinphos-methyl, bifenthrin, binfenazate, buprofezin, carbofuran, chlorantraniliprole, chlorfenapyr, chlorfluazuron, chlorpyrifos, chlorpyrifos- methyl, chromafenozide, clothianidin, cyantraniliprole, cyfluthrin, beta-cyfluthrin, cyhalothrin, lambda-cyhalothrin, cypermethrin, cyromazine, deltamethrin, diafenthiuron, diazinon, diflubenz
- fungicides such as acibenzolar, azoxystrobin, benomyl, blasticidin-S, Bordeaux mixture (tribasic copper sulfate), bromuconazole, carpropamid, captafol, captan, carbendazim, chloroneb, chlorothalonil, copper oxychloride, copper salts, cyflufenamid, cymoxanil, cyproconazole, cyprodinil, (S)-3,5-dichloro-/V-(3- chloro-1 -ethyl-1 -methyl-2-oxopropyl)-4-methylbenzamide (RH 7281 ), diclocymet (S-2900), diclomezine,
- oxathiapiprolin penconazole, pencycuron, penflufen, penthiopyrad, picoxystrobin, probenazole, prochloraz, propamocarb, propiconazole, proquinazid, prothioconazole (JAU 6476), pyrifenox, pyraclostrobin, pyrimethanil, pyroquilon, quinoxyfen, sedaxane, spiroxamine, sulfur, tebuconazole, tetraconazole, thiabendazole, thifluzamide, thiophanate- methyl, thiram, tiadinil, triadimefon, triadimenol, tricyclazole, trifloxystrobin, triticonazole, validamycin and vinclozolin; nematocides such as aldicarb, oxamyl and fenamiphos; bactericides such as streptomycin; a
- amyloliquifaciens 22CP1 was deposited at the American Type Culture Collection (ATCC), 10801 University Boulevard., Manassas, Virginia 201 10- 2209 and given accession number PTA-6508. The deposits were made under the provisions of the Budapest Treaty on the International
- the agricultural composition can comprise at least one of the salt complexes according to Structure A, Structure B, Structure C, Product 19 or Product 20 and Bacillus amyloliquifaciens 22CP1 .
- the agricultural composition can comprise at least one of the compounds according to Structure A, Structure B, Structure C, Product 19 or Product 20 and Bacillus amyloliquifaciens 15AP4.
- the agricultural composition can comprise the salt complex according to Product 20 and Bacillus amyloliquifaciens 22CP1 .
- the agricultural composition can comprise the salt complex according to Product 20 and Bacillus
- the anthranilamide insecticides which include chlorantraniliprole and cyantraniliprole, comprises a large class of compounds having insecticidal activity.
- the agricultural composition can further comprise and one of the compounds of Formula 1 including N-oxides or salts therefrom;
- X is N, CF, CCI, CBr or CI
- R 7 is CH 3 , CI, Br or F
- R 8 is H, F, CI, Br or -CN
- R is F, CI, Br, C1 to C4 haloalkyl, C1 to C4 haloalkoxy or Q;
- R 1 1 is H, F, CI or Br
- the agricultural composition can further comprise any of the known anthranilic diamide insecticides, for example, those described in US 6,747,047, US 8,324,390, US 2010/0048640, WO 2007/006670, WO 2013/024009, WO 2013/024010,
- LCOs are signaling compounds that induce the early stages of nodulation in plant roots, which lead to the formation of root nodules containing the nitrogen-fixing rhizobial bacteria.
- Application of a LCO to seeds of legumes and non-legumes can help to stimulate germination, seedling emergence, plant growth and yield in crop and horticultural plant species.
- LCOs have also been shown to enhance root development. Foliar application of LCOs has also been demonstrated to increase photosynthesis, and fruiting and flowering in crop and horticultural plant species.
- LCOs consist of an oligomeric backbone of ⁇ -1 ,4-linked N-acetyl-D- glucosamine ("GlcNAc") residues with an N-linked fatty acyl chain at the nonreducing end. LCOs differ in the number of GlcNAc residues in the backbone, in the length and degree of saturation of the fatty acyl chain, and in the substitutions of reducing and nonreducing sugar residues. LCO structure is characteristic for each rhizobial species, and each strain may produce multiple LCO's with different structures. LCO's are the primary determinants of host specificity in legume symbiosis.
- the bacterial strains disclosed herein can be used with one or more LCOs.
- the disclosure relates to the agricultural composition and further comprising a bacterial strain disclosed herein and one or more LCOs.
- the agricultural composition can further comprise one or more LOCs.
- the plant growth regulators for mixing with the salt complex of Structure A, Structure B, Structure C, Product 19 or Product 20 used in compositions for treating stem cuttings are 1 H-indole- 3-acetic acid, 1 H-indole-3-butanoic acid and 1 -naphthaleneacetic acid and their agriculturally suitable salt, ester and amide derivatives, such as 1 -napthaleneacetamide.
- the fungicides for mixing with the Structure A, Structure B, Structure C, Product 19 or Product 20 salt complex include fungicides useful as seed treatments can be thiram, maneb, mancozeb and captan.
- Phosphate solubilizing microorganisms include fungal and bacterial strains.
- the phosphate solubilizing microorganism is a spore forming microorganism.
- the phosphate solubilizing microorganisms can include, for example, Acinetobacter calcoaceticus, Acinetobacter sp, Arthrobacter sp., Arthrobotrys oligospora, Aspergillus niger, Aspergillus sp., Azospirillum halopraeferans, Bacillus amyloliquefaciens, Bacillus atrophaeus, Bacillus circulans,Bacillus licheniformis, Bacillus subtilis,
- Enterobacter sp. Enterobacter taylorae, Eupenicillium parvum, Exiguobacterium sp., Klebsiella sp., Kluyvera cryocrescens,
- microorganism is a strain of the fungus Penicillium. Strains of the fungus Penicillium that may be useful in the practice of the present disclosure include P. bilaiae (formerly known as P. bilaii), P. albidum, P.
- aurantiogriseum P. chrysogenum, P. citreonigrum, P. citrinum, P.
- griseofulvum P. implicatum, P. janthinellum, P. Iilacinum, P. minioluteum, P. montanense, P. nigricans, P. oxalicum, P. pinetorum, P. pinophilum, P. purpurogenum, P. radicans, P. radicum, P. raistrickii, P. rugulosum, P. simplicissimum, P. solitum, P. variabile, P. velutinum, P. viridicatum, P. glaucum, P. fussiporus, and P. expansum.
- the Penicillium species is P.
- the P. bilaiae strains are selected from the group consisting of American Type Culture Collection (ATCC) ATCC 20851 , Northern Regional Research Laboratory (NRRL) NRRL 50169, ATCC 22348, ATCC 18309, NRRL 50162 (Wakelin, et al., 2004. Biol Fertil Soils 40:36-43).
- ATCC American Type Culture Collection
- NRRL Northern Regional Research Laboratory
- NRRL 50169 ATCC 223408
- ATCC 18309 ATCC 223408
- NRRL 50162 Altschul, et al., 2004. Biol Fertil Soils 40:36-43
- the Penicillium species is P. gaestrivorus, e.g., NRRL 50170 (see, Wakelin, supra.).
- more than one phosphate solubilizing microorganism is used, for example, at least two, at least three, at least four, at least five, at least 6, including, for example, any combination of the
- Bacillus Burkholderia, Candida Chryseomonas, Enterobacter, Eupenicillium, Exiguobacterium, Klebsiella, Kluyvera, Microbacterium, Mucor, Paecilomyces, Paenibacillus, Penicillium, Pseudomonas, Serratia, Stenotrophomonas, Streptomyces, Streptosporangium, Swaminathania, Thiobacillus, Torulospora, Vibrio, Xanthobacter, and Xanthomonas, including one species selected from the following group: Acinetobacter calcoaceticus, Acinetobacter sp, Arthrobacter sp., Arthrobotrys oligospora, Aspergillus niger, Aspergillus sp., Azospirillum halopraeferans, Bacillus amyloliquefaciens, Bacillus atrophaeus, Bacillus circul
- Paecilomyces hepialid Paecilomyces marquandii, Paenibacillus macerans, Paenibacillus mucilaginosus, Pantoea aglomerans, Penicillium expansum, Pseudomonas corrugate, Pseudomonas fluorescens,
- Pseudomonas stutzeri Pseudomonas trivialis, Serratia marcescens, Stenotrophomonas maltophilia, Streptomyces sp., Streptosporangium sp., Swaminathania salitolerans, Thiobacillus ferrooxidans, Torulospora globosa, Vibrio proteolytics, Xanthobacter agilis, and Xanthomonas campestris.
- two different strains of the same species may also be combined, for example, at least two different strains of Penicillium are used.
- the use of a combination of at least two different Penicillium strains has the following advantages. When applied to soil already containing insoluble (or sparingly soluble) phosphates, the use of the combined fungal strains will result in an increase in the amount of phosphorus available for plant uptake compared to the use of only one Penicillium strain. This in turn may result in an increase in phosphate uptake and/or an increase in yield of plants grown in the soil compared to use of individual strains alone.
- the combination of strains also enables insoluble rock phosphates to be used as an effective fertilizer for soils which have inadequate amounts of available phosphorus.
- one strain of P. bilaiae and one strain of P. gaestrivorus are used.
- the two strains are NRRL 50169 and NRRL 50162.
- the at least two strains are NRRL 50169 and NRRL 50170.
- the at least two strains are NRRL 50162 and NRRL 50170.
- the phosphate solubilizing microorganisms may be prepared using any suitable method known to the person skilled in the art, such as, solid state or liquid fermentation using a suitable carbon source. These culture methods may be used in the preparation of an inoculum of Penicillium spp. for treating seeds and/or application to an agrononnically acceptable carrier to be applied to soil.
- the term "inoculum” as used in this specification is intended to mean any form of phosphate solubilizing microorganism, fungus cells, mycelium or spores, bacterial cells or bacterial spores, which is capable of propagating on or in the soil, including on or in the vicinity of plant roots when the conditions of temperature, moisture, etc., are favorable for fungal growth.
- the phosphate solubilizing microorganism is preferably prepared in the form of a stable spore.
- Solid state production of Penicillium spores may be achieved by inoculating a solid medium such as a peat or vermiculite-based substrate, seeds or grains including, but not limited to, corn, soy, potato, oats, wheat, barley, or rice.
- the sterilized medium (achieved through autoclaving or irradiation) is inoculated with a spore suspension comprising in the range of from 1 x10 2 -1 x10 7 colony forming units per milliliter (cfu/ml) of the appropriate Penicillium spp. and the moisture adjusted to 20 to 50%, depending on the substrate.
- the inoculated medium is incubated for 2 to 8 weeks at room temperature.
- the spores may also be produced by liquid fermentation (Cunningham et al., 1990. Can J Bot. 68:2270-2274). Liquid production may be achieved by cultivating the fungus in any suitable media, such as potato dextrose broth or sucrose yeast extract media, under appropriate pH and temperature conditions that may be determined in accordance with standard procedures in the art.
- suitable media such as potato dextrose broth or sucrose yeast extract media
- the resulting material may be used directly, or the spores may be harvested, concentrated by centrifugation, formulated, and then dried using air drying, freeze drying, or fluid bed drying techniques (Friesen, et a/., 2005, Appl. Microbiol. Biotechnol. 68:397-404) to produce a wettable powder.
- the wettable powder is then suspended in water, applied to the surface of seeds, and allowed to dry prior to planting.
- the wettable powder may be used in conjunction with other seed treatments, such as, but not limited to, chemical seed treatments, carriers (for example, talc, clay, kaolin, silica gel, kaolinite) or polymers (for example, methylcellulose, polyvinylpyrrolidone).
- a spore suspension of the appropriate Penicillium spp. may be applied to a suitable soil-compatible carrier (for example, peat-based powder or granule) to appropriate final moisture content.
- a suitable soil-compatible carrier for example, peat-based powder or granule
- the material may be incubated at room temperature, typically for about 1 day to about 8 weeks, prior to use.
- the amount of the at least one phosphate solubilizing microorganism varies depending on the type of seed or soil, the type of plant material, the amounts of the source of phosphorus and/or micronutrients present in the soil or added thereto, etc. A suitable amount can be found by simple trial and error experiments for each particular case. Normally, for Penicillium, for example, the application amount falls into the range of from 0.001 to 1 .0 Kg fungal spores and mycelium (fresh weight) per hectare, or 10 2 -10 6 colony forming units (cfu) per seed (when coated seeds are used), or on a granular carrier applying between 1 x10 6 and 1 x10 1 1 colony forming units per hectare.
- the fungal cells in the form of e.g., spores and the carrier can be added to a seed row of the soil at the root level or can be used to coat seeds prior to planting.
- Diazotrophs are bacteria and archaea that fix atmospheric nitrogen gas into a more usable form such as ammonia.
- Examples of diazotrophs include bacteria from the genera Rhizobium spp. (e.g., R. cellulosilyticum, R. daejeonense, R. etli, R. galegae, R. gallicum, R. giardinii, R.
- loessense loessense, R. lupini, R. lusitanum, R. meliloti, R. mongolense, R.
- Bradyrhizobium spp. e.g., B. bete, B. canariense, B. elkanii, B.
- iriomotense B. japonicum, B. jicamae, B. liaoningense, B. pachyrhizi, and/or B. yuanmingense
- Azorhizobium spp. e.g., A. caulinodans and/or
- the diazotroph is selected from the group consisting of B.
- the diazotroph is B. japonicum. In another embodiment, the diazotroph is R leguminosarum. In another embodiment, the diazotroph is R meliloti. In another embodiment, the diazotroph is S. meliloti.
- Mycorrhizal fungi form symbiotic associations with the roots of a vascular plant, and provide, e.g., absorptive capacity for water and mineral nutrients due to the comparatively large surface area of mycelium.
- Mycorrhizal fungi include endomycorrhizal fungi (also called vesicular arbuscular mycorrhizae, VAMs, arbuscular mycorrhizae, or AMs), an ectomycorrhizal fungi, or a combination thereof.
- the mycorrhizal fungi is an endomycorrhizae of the phylum Glomeromycota and genera Glomus and Gigaspora.
- the endomycorrhizae is a strain of Glomus aggregatum, Glomus brasilianum, Glomus clarum, Glomus deserticola, Glomus etunicatum, Glomus fasciculatum, Glomus intraradices, Glomus monosporum, or Glomus mosseae, Gigaspora margarita, or a combination thereof.
- mycorrhizal fungi examples include ectomycorrhizae of the phylum
- Basidiomycota Basidiomycota, Ascomycota, and Zygomycota.
- Other examples include a strain of Laccaria bicolor, Laccaria laccata, Pisolithus tinctorius,
- Rhizopogon amylopogon Rhizopogon fulvigleba, Rhizopogon luteolus, Rhizopogon villosuli, Scleroderma cepa, Scleroderma citrinum, or a combination thereof.
- the mycorrhizal fungi include ecroid mycorrhizae, arbutoid
- the mycorrhiza can be an ericoid mycorrhiza, for example, of the phylum Ascomycota, such as
- the agricultural compositions can comprise combinations of any of the above listed components.
- the agricultural composition can comprise a salt complex of Structure A,
- cyantraniliprole or a combination of chlorantraniliprole and cyantraniliprole and one or more of the ingredients in Table 1 of rows 1 , 2 or 3.
- Structure A, Structure B, Structure C, Product 19 or Product 20 salt complex generally after dilution with water, in solution or as particles small enough to remain dispersed in the liquid.
- a propagating material can be directly treated by soaking it in a solution or dispersion of Structure A, Structure B, Structure C, Product 19 or Product 20 salt complex.
- this application method is useful for propagating materials of all types, treatment of large seeds (e.g., having a mean diameter of at least 3 mm) is more effective than treatment of small seeds for providing efficacy.
- Treatment of propagating materials such as tubers, bulbs, corms, rhizomes and stem and leaf cuttings can also provide effective treatment of the developing plant in addition to the propagating material.
- the formulations useful for growing-medium drenches are generally also useful for soaking treatments.
- the soaking medium comprises a nonphytotoxic liquid, generally water-based although it may contain nonphytotoxic amounts of other solvents such as methanol, ethanol, isopropanol, ethylene glycol, propylene glycol, propylene carbonate, benzyl alcohol, dibasic esters, acetone, methyl acetate, ethyl acetate, cyclohexanone, dimethylsulfoxide and /V-methylpyrrolidone, which may be useful for enhancing solubility of the Structure A, Structure B, Structure C, Product 19 or Product 20 salt complex and penetration into the propagating material.
- a surfactant can facilitate wetting of the propagating material and penetration of the Structure A, Structure B,
- the propagating material can remain in the treatment liquid while it is germinating or sprouting (e.g., sprouting of rice seeds prior to direct seeding).
- sprouting e.g., sprouting of rice seeds prior to direct seeding.
- the shoot and root directly contact the solution comprising the Structure A, Structure B, Structure C, Product 19 or Product 20 salt complex.
- treatment times of about 8 to 48 hours, e.g., about 24 hours, is typical. Shorter times are most useful for treating small seeds.
- a propagating material can also be coated with a coating
- composition comprising a biologically effective amount of a Structure A, Structure B, Structure C, Product 19 or Product 20 salt complex.
- the coatings of the disclosure are capable of affecting a slow release of a
- Structure B, Structure C, Product 19 or Product 20 in accordance to this disclosure include seeds.
- Suitable seeds include seeds of wheat, durum wheat, barley, oat, rye, maize (corn), sorghum, rice, wild rice, cotton, flax, sunflower, soybean, garden bean, lima bean, broad bean, garden pea, peanut, alfalfa, beet, garden lettuce, rapeseed, cole crop, turnip, leaf mustard, black mustard, tomato, potato, pepper, eggplant, tobacco, cucumber, muskmelon, watermelon, squash, carrot, zinnia, cosmos, chrysanthemum, sweet scabious, snapdragon, gerbera, babys-breath, statice, blazing star, lisianthus, yarrow, marigold, pansy, impatiens, petunia, geranium and coleus.
- Propagating materials contacted with salt complexes of Structure A, Structure B, Structure C, Product 19 or Product 20 in accordance to this disclosure also include stems and leaf cuttings.
- a propagating material is contacted with a coating composition comprising the Structure A, Structure B, Structure C, Product 19 or Product 20 salt complex and a film former or adhesive agent.
- Coating compositions which comprise a biologically effective amount of a salt complex of Structure A, Structure B, Structure C, Product 19 or Product 20 and a film former or adhesive agent, can further comprise an effective amount of at least one of the previously mentioned biologically active compounds or agents.
- compositions comprising (in addition to the Structure A, Structure B, Structure C, Product 19 or Product 20 salt complex and the film former or adhesive agent)
- arthropodicides of the group pyrethroids such as cypermethrin, cyhalothrin, cyfluthrin and beta-cyfluthrin, esfenvalerate, fenvalerate and tralomethrin; carbamates such as fenothicarb, methomyl, oxamyl and thiodicarb; neonicotinoids such as clothianidin, imidacloprid and thiacloprid; neuronal sodium channel blockers such as indoxacarb;
- the coating composition may further comprise formulation aids such as a dispersant, a surfactant, a carrier and optionally an antifoam agent and a dye.
- formulation aids such as a dispersant, a surfactant, a carrier and optionally an antifoam agent and a dye.
- the film former or adhesive agent component of the propagating material coating can be composed of an adhesive polymer that may be natural or synthetic and is without phytotoxic effect on the propagating material to be coated.
- the film former or adhesive agent may be selected from polyvinyl acetates, polyvinyl acetate copolymers, hydrolyzed polyvinyl acetates, polyvinylpyrrolidone-vinyl acetate copolymer, polyvinyl alcohols, polyvinyl alcohol copolymers, polyvinyl methyl ether, polyvinyl methyl ether-maleic anhydride copolymer, waxes, latex polymers, celluloses including ethylcelluloses and methylcelluloses, hydroxymethylcelluloses, hydroxypropylcellulose, hydroxymethylpropylcelluloses, polyvinyl- pyrrolidones, alginates, dextrins, malto-dextrins, polysaccharides, fats, oils, proteins, karaya gum, ja
- the amount of film former or adhesive agent is typically in the range of about 0.05 to 5% of the seed weight; for small seeds the amount is typically in the range of about 1 to 100%, but can be greater than 100% of seed weight in pelleting. For other propagating materials the amount of film former or adhesive agent is typically in the range of 0.001 to 2% of the propagating material weight.
- formulation aids may also be used in propagating material treatment coatings of the disclosure and are well known to those skilled in the art.
- Formulation aids assist in the production or process of propagating material treatment and include, but are not limited, to dispersants, surfactants, carriers, antifoams and dyes.
- Useful dispersants can include highly water-soluble anionic surfactants like
- BORRESPERSETM CA a spray dried calcium lignosulphonate available from Borregaard GmbH, Düsseldorf, Germany
- MORWET ® D425 naphthalene sulfonate available from AkzoNobel, Amsterdam, Netherlands
- Useful surfactants can include highly water- soluble nonionic surfactants like PLURONIC ® F108 (a difunctional block copolymer surfactant available from BASF, Florham Park, NJ), BRIJ ® 78 (polyethylene glycol octadecyl ether available from Sigma-Aldrich, St. Louis. MO) and the like.
- Useful carriers can include liquids like water and oils which are water-soluble such as alcohols.
- Useful carriers can also include fillers like woodflours, clays, activated carbon, diatomaceous earth, fine-grain inorganic solids, calcium carbonate and the like.
- Clays and inorganic solids which may be used include calcium bentonite, kaolin, china clay, talc, perlite, mica, vermiculite, silicas, quartz powder, montmorillonite and mixtures thereof.
- Antifoam agents can include water dispersible liquids comprising polyorganic siloxanes like RHODORSIL® 416 (mixture of silicone-polyether block copolymer and free polyether available from Rhodia Inc., Cranbury, NJ).
- the amount of formulating aids is about 0.01 to 45% of the seed weight and typically about 0.1 to 15% of the seed weight.
- the amount of formulation aids generally is about 0.001 to 10% of the propagating material weight.
- Dusts or powders may be applied by tumbling the propagating material with a formulation comprising a
- Dusts or powders can also be applied by adding the dust or powder directly to the tumbling bed of propagating materials, followed by spraying a carrier liquid onto the seed and drying. Dusts and powders comprising a Structure A, Structure B, Structure C, Product 19 or Product
- compositions comprising Structure A, Structure B, Structure C, Product 19 or Product 20 salt formulations of wetted powders, solutions,
- suspoemulsions suspoemulsions, emulfiable concentrates and emulsions in water, and then dried or directly planted in the growing medium.
- Propagating materials such as bulbs, tubers, corms and rhizomes typically need only a single coating layer to provide a biologically effective amount of a
- Propagating materials may also be coated by spraying a suspension concentrate directly into a tumbling bed of propagating materials and then drying the propagating materials.
- other formulation types like wetted powders, solutions, suspoemulsions, emulsifiable concentrates and emulsions in water may be sprayed on the propagating materials. This process is particularly useful for applying film coatings to seeds.
- Various coating machines and processes are available to one skilled in the art. Suitable processes include those listed in P. Kosters et al., Seed
- Propagating materials such as seeds may be presized prior to coating. After coating the propagating materials are dried and then optionally sized by transfer to a sizing machine. These machines are known in the art for example, as a typical machine used when sizing maize (corn) seed in the industry.
- the seed and coating material are mixed in any variety of conventional seed coating apparatus.
- the rate of rolling and coating application depends upon the seed.
- a satisfactory seed coating apparatus comprises a rotating type pan with lifting vanes turned at sufficient rpm to maintain a rolling action of the seed, facilitating uniform coverage.
- seed coating formulations applied as liquids the seed coating must be applied over sufficient time to allow drying to minimize clumping of the seed. Using forced air or heated forced air can facilitate an increased rate of
- this process may be a batch or continuous process.
- a continuous process allows the seeds to flow continuously throughout the product run. New seeds enter the pan in a steady stream to replace coated seeds exiting the pan.
- the seed coating process of the present disclosure is not limited to thin film coating and may also include seed pelleting.
- the pelleting process typically increases the seed weight from 2 to 100 times and can be used to also improve the shape of the seed for use in mechanical seeders.
- Pelleting compositions generally contain a solid diluent, which is typically an insoluble particulate material, such as clay, ground limestone, powdered silica, etc., to provide bulk in addition to a binder such as an artificial polymer (e.g., polyvinyl alcohol, hydrolyzed polyvinyl acetates, polyvinyl methyl ether, polyvinyl methyl ether-maleic anhydride copolymer, and polyvinyhpyrrolidinone) or natural polymer (e.g., alginates, karaya gum, jaguar gum, tragacanth gum, polysaccharide gum, mucilage). After sufficient layers have been built up, the coat is dried and the pellets graded. A method for producing pellets is
- Seed varieties and seeds with specific transgenic traits may be tested to determine which seed treatment options and application rates may complement such varieties and transgenic traits in order to increase rate of germination, increase rate of seedling emergence, increase rate of radicle growth, increase rate of early growth, increase pest control, increase disease control, increase plant height, increase vigor, increase resistance to abiotic environmental stress, and increase biomass and/or yield.
- the good root establishment and early emergence that results from the proper use of the salt complex of Structure A, Structure B, Structure C, Product 19 or Product 20 seed treatment may result in more efficient nitrogen use, a better ability to withstand drought and an overall increase in yield potential of a variety or varieties containing a certain trait when combined with a seed treatment containing the salt complexes of Structure A, Structure B, Structure C, Product 19 or Product 20.
- the agricultural composition is a foliar formulation.
- Such formulations will generally include at least one additional component selected from the group consisting of surfactants, solid diluents and liquid diluents, which serve as a carrier.
- the formulation ingredients are selected to be consistent with the physical properties of the salt complex of Structure A, Structure B, Structure C, Product 19 or Product 20, mode of application and
- Useful foliar formulations include both liquid and solid formulations.
- Liquid formulations include solutions (including emulsifiable concentrates), suspensions, emulsions (including microemulsions and/or
- suspoemulsions and the like, which optionally can be thickened into gels.
- aqueous liquid formulations are soluble concentrate, suspension concentrate, capsule suspension, concentrated emulsion, microemulsion and suspoemulsion.
- nonaqueous liquid formulations are emulsifiable concentrate, microemulsifiable concentrate, dispersible concentrate and oil dispersion.
- the general types of solid formulations are dusts, powders, granules, pellets, prills, pastilles, tablets, filled films (including seed coatings) and the like, which can be water-dispersible ("wettable") or water-soluble.
- the salt complex of Structure A, Structure B, Structure C, Product 19 or Product 20 can be (micro)encapsulated and further formed into a suspension or solid formulation; alternatively the entire formulation can be encapsulated (or "overcoated”). Encapsulation can control or delay release of the salt complex of Structure A, Structure B, Structure C, Product 19 or Product 20.
- An emulsifiable granule combines the advantages of both an emulsifiable concentrate formulation and a dry granular formulation.
- High-strength compositions are primarily used as intermediates for further formulation.
- Sprayable formulations are typically extended in a suitable medium before spraying. Such liquid and solid formulations are formulated to be readily diluted in the spray medium, usually water. Spray volumes can range from about one to several thousand liters per hectare, but more typically are in the range from about ten to several hundred liters per hectare. Sprayable formulations can be tank mixed with water or another suitable medium for foliar treatment by aerial or ground application, or for application to the growing medium of the plant. Liquid and dry
- formulations can be metered directly into drip irrigation systems or metered into the furrow during planting. Liquid and solid formulations can be applied onto seeds of crops and other desirable vegetation as seed treatments before planting to protect developing roots and other subterranean plant parts and/or foliage through systemic uptake.
- Effective foliar formulations will typically contain from about 10 "3 M to 10 "12 M of the salt complex of Structure A, Structure B, Structure C, Product 19 or Product 20. In another embodiment, formulations contain from about 10 "6 M to 10 "10 M of the salt complex of Structure A, Structure B, Structure C, Product 19 or Product 20.
- the composition is applied to soil either prior to or following planting of plant propagating materials.
- Compositions can be applied as a soil drench of a liquid formulation, a granular formulation to the soil, a nursery box treatment or a dip of transplants.
- the composition comprising the salt complex of Structure A, Structure B, Structure C, Product 19 or Product 20 is applied to the soil in the form of a soil drench liquid formulation.
- Other methods of contact include application of a salt or a composition of the disclosure by direct and residual sprays, aerial sprays, gels, seed coatings, microencapsulations, systemic uptake, foggers, fumigants, aerosols, dusts and many others.
- a method of contact is a dimensionally stable fertilizer granule, stick or tablet comprising a salt or composition of the disclosure.
- Effective soil formulations will typically contain from about 10 "3 M to 10 "12 M of the salt complex of Structure A, Structure B, Structure C, Product 19 or Product 20.
- formulations contain from about 10 "6 M to 10 " 10 M of the salt complex of Structure A, Structure B, Structure C, Product 19 or Product 20.
- the methods of this disclosure is applicable to virtually all plant species, including monocots, dicots and gymnosperms.
- Seeds that can be treated include, for example, wheat (Triticum aestivum L), durum wheat (Triticum durum Desf.), barley (Hordeum vulgare L), oat (Avena sativa L), rye (Secale cereale L), maize (corn) (Zea mays L), sorghum (Sorghum vulgare Pers.), rice (Oryza sativa L), wild rice (Zizania aquatica L), millet (Eleusine coracana, Panicum miliaceum), cotton (Gossypium barbadense L. and G.
- hirsutum L flax (Linum usitatissimum L), sunflower (Helianthus annuus L), soybean (Glycine max Merr.), garden bean (Phaseolus vulgaris L), lima bean (Phaseolus limensis Macf.), broad bean (Vicia faba L), garden pea (Pisum sativum L), peanut (Arachis hypogaea L), alfalfa (Medicago sativa L), beet (Beta vulgaris L), garden lettuce (Lactuca sativa L), rapeseed (Brassica rapa L. and B.
- cole crops such as cabbage, cauliflower and broccoli (Brassica oleracea L), turnip (Brassica rapa L), leaf (oriental) mustard (Brassica juncea Coss.), black mustard (Brassica nigra Koch), tomato (Lycopersicon esculentum Mill.), potato (Solanum tuberosum L), pepper (Capsicum frutescens L), eggplant (Solanum melongena L), tobacco (Nicotiana tabacum), cucumber
- Bieb. Bieb.
- statice e.g., Limonium sinuatum Mill., L. sinense Kuntze.
- blazing star e.g., Liatris spicata Willd., L. pycnostachya Michx., L. scariosa Willd.
- lisianthus e.g., Eustoma grandiflorum (Raf.) Shinn
- yarrow e.g., Achillea filipendulina Lam., A. millefolium L
- marigold e.g., Tagetes patula L, T. erecta L
- pansy e.g., Viola cornuta L, V. tricolor L
- impatiens e.g.,
- Gymnosperm seeds that can be treated include, for example, pine (Pinus spp.), fir (Abies, spp.), Hemlock (Tsuga spp.) cypress (Cupressus spp.) and Douglas-fir (Pseudotsuga spp.).
- seeds, but also rhizomes, tubers, bulbs or corms, including viable cuttings thereof can be treated according to the disclosure from, for example, potato (Solanum tuberosum L), sweet potato (Ipomoea batatas L), yam (Dioscorea cayenensis Lam. and D.
- potato Solanum tuberosum L
- sweet potato Ipomoea batatas L
- yam Dioscorea cayenensis Lam. and D.
- crocus Crocus spp.
- anemone Anemone spp.
- hyacinth Hyacinth spp.
- grape-hyacinth Muscari spp.
- freesia e.g., Freesia refracta Klatt., F. armstrongii ⁇ N . Wats
- ornamental onion Allium spp.
- wood-sorrel Oxalis spp.
- squill Scilla peruviana L. and other species
- cyclamen Croen persicum Mill, and other species
- glory-of-the-snow Chodoxa luciliae Boiss.
- Stem cuttings can be treated according to this disclsoure include those from such plants as sugarcane (Saccharum officinarum L), carnation (Dianthus caryophyllus L), florists
- chrysanthemum Chrysanthemum mortifolium Ramat.
- begonia Begonia spp.
- geranium Gaanium spp.
- coleus e.g., Solenostemon
- Leaf cuttings which can be treated according to this disclosure include those from begonia (Begonia spp.), african-violet (e.g., Saintpaulia ionantha Wendl.) and sedum (Sedum spp.).
- cereal, vegetable, ornamental (including flower), fruit and timber crops are illustrative, and should not be considered limiting in any way.
- some embodiments of this disclosure include wheat, rice, maize (corn), barley, sorghum, oats, rye, millet, soybeans, peanuts, beans, rapeseed, canola, sunflower, sugar cane, potatoes, sweet potatoes, cassava, sugar beets, tomatoes, plantains and bananas, and alfalfa.
- D-Glucosamine hydrochloride (Product 1 , 1 .0 kg) was suspended in methanol (5.0 L) and vigorously stirred. NaOH (184.8 g) was dissolved in minimum deionized water and added to the D-glucosamine/methanol (MeOH) suspension. The suspension was stirred for 15 min and the insoluble material (sodium chloride) was filtered off by vacuum filtration.
- phthalic anhydride (342 g) was added and the solution was stirred until most of the solid dissolved (about 30 min). This was then followed by addition of triethylamine (468 g) and stirring for 10 to 15 min. To the resulting clear solution, another portion of phthalic anhydride (342 g) was added and the mixture was allowed to stir overnight at room temperature. Product began to precipitate out after two hours.
- the Product 2 from above (1 .01 Kg, made from two batches) was placed in a 10 L 3-neck round bottom flask set up with an overhead electric stirrer, an N 2 inlet and an addition funnel.
- Acetic anhydride (3 L) and N,N-dimethylaminopyridine (1 .0 g) were added to the flask and stirred vigorously.
- Pyridine (2.8 L) was added slowly and the reaction mixture was stirred for 2 days at room temperature.
- the reaction mixture was quenched with ice-water (4 L) and the product was extracted with methylene chloride (CH2CI2).
- CH2CI2CI2 methylene chloride
- the organic layer was repeatedly washed with aqueous hydrochloric acid solution, and then with saturated sodium bicarbonate solution.
- Product 3 (464 g) was dissolved in toluene and the solvent was evaporated. This was repeated and the remaining solid was placed on a high vacuum line overnight.
- Product 4 Product 5 (350 g) was suspended in nearly 4 L of dry methanol. To this, 35 ml of 0.5 M sodium methoxide solution was added and the solution immediately turned basic. The suspension was left stirring at room temperature overnight. The solid deposited was filtered and washed with dichloromethane, giving pure Product 5 (232 g). The filtrate was neutralized with sulfonic acid resin and concentrated to dryness. The dry solid was washed with CH 2 Cl 2 and dried, giving impure Product 5 (43.8 g).
- the reaction mixture was milky white, but began to clear when all of the benzoyl chloride was added.
- the reaction was allowed to stir for 18 h at room temperature.
- the reaction was diluted with CH2CI2 and was washed with water (2x), 1 M aqueous HCI (2x), then saturated NaHCO3 and dried with MgSO 4 .
- Product 8 (crude; 105.3), after being evaporated with toluene-DMF, was suspended in CH 2 CI 2 (500 ml). Pyridine (61 .8 g; 782 mmol; 2.5 eq.) was added first, followed by the drop-wise addition of benzoyl chloride (88 g; 626 mmol; 2.0 eq.) to the mixture. The reaction mixture was allowed to stir at room temperature for 24 h. It was then diluted with CH 2 CI 2 and washed sequentially with H 2 O,1 M HCI (2X), then aqueous saturated sodium bicarbonate solution, dried with MgSO ⁇ filtered, and concentrated.
- Pyridine 61 .8 g; 782 mmol; 2.5 eq.
- benzoyl chloride 88 g; 626 mmol; 2.0 eq.
- the product was purified by chromatography on silica gel, using 3:8 EtOAc-hexane as the eluant.
- the weight of the purified product was 1 16.1 g.
- the product was about 90% pure as determined by NMR.
- a portion (21 .1 g) of this product was crystallized from diethylether-hexane to obtain pure crystalline material (13.8 g) of Monomer B.
- Product 1 1 was dissolved in minimum THF (500 ml). To this solution, 1 M solution of acetic acid (150 ml) and a 1 M solution of n- tetrabutylammonium fluoride in THF (150 ml) were added and the reaction mixture was stirred at room temperature for 3 days. The reaction mixture was evaporated to dryness, the residue redissolved in CH 2 CI 2 , washed sequentially with deionized water, 1 M HCI, 1 % aqueous bleach solution (to remove the dark brown color), and saturated CH 2 CI 2 solution, then concentrated to dryness.
- Step 2 The product from Step 1 was dissolved in 250 ml of n-butanol. Polystyrene-ethylenediamine resin (26.0 g) was added and the slurry was heated to 105° C with stirring for 24 h. It was then filtered, concentrated to dryness, and the resulting material was redissolved in water and washed with CH 2 CI 2 . The aqueous layer was concentrated to dryness.
- Fraction F The NMR spectrum of Fraction F showed that though the major product was the desired triglucosamine Product 14, it was contaminated with some incompletely deprotected trisaccharide.
- Product 19 is believed to be a mixture of at least;
- Comparative Product 21 (methylglucosamine) was synthesized via dephthaloyation of Product 8 using ethylenediamine. Comparative
- Product 22 was synthesized as a 1 :1 complex of Product 21 with Product 18.
- a 1 M solution of Product 18 in DMSO was added dropwise to a 1 M product solution of Product 21 in DMSO with stirring. The mixture was stirred at room temperature for 8 h and subsequently diluted to the desired product concentration for seed treatment and evaluation.
- Product 22 is considered to be a comparative example as the product 21 contains only a single glucosamine ring, while the claims require salt complexes that contain at least two glucosamine rings.
- test compounds 25 ml_, 10 "7 M in Dl- water
- test compounds 25 ml_, 10 "7 M in Dl- water
- a seed coating composition was prepared comprising fungicide, insecticide, film forming binder, colorant, Product 19 (3 x 10 "7 M) and water.
- a control coating composition was also prepared using the identical ingredients, but excluding Product 19.
- Corn seeds were coated with the seed coating composition using spray treatment method. Five Petri dishes and 100 seeds were used to test each composition. Each corn seed was inspected for uniformity and lack of cracks in the seed prior to use. A piece of filter paper was used to cover the inner side of each Petri dish to allow uniform distribution of water. Twenty corn seeds were placed on the filter paper area of one Petri dish with the flat side of the corn seed facing upwards. The seeds were placed on the filter paper so that the corn seeds were not touching each other. 5 ml_ of water was added to each petri dish.
- the dishes were sealed and placed in an incubator set to 10°C.
- the dishes were examined twice per day at days 3, 4, 5 and 6 or until germination (radicle emergence) had reached 60-70%. During the observation period, one stack was removed from the incubator and observed for germination. The dishes were then rotated within the stack and placed back into the incubator before removing another treatment stack.
- An aqueous solution of Product 20 (25 ml_, 10 "7 M in Dl-water) was prepared for each set of five repeat experiments.
- a fungicide solution was added to each of the aqueous solutions of the test compound.
- Five Petri dishes and 100 corn seeds were used to test one composition. The seeds were inspected for uniformity and lack of cracks in the seed prior to use.
- a piece of filter paper was used to cover the inner side of each Petri dish to allow uniform distribution of testing solution. Twenty seeds were placed on the filter paper area of one Petri dish. Each corn seed was placed on the filter paper with the flat side of the corn seed facing upwards. The seeds were placed on the filter paper so that the seeds were not touching each other. 5 mL of the test compound solution was carefully poured in the Petri dish. Control experiments were set up the same way with 20 seeds and 5 mL of deionized water per dish without Product 20. The dishes were sealed and placed in an incubator set to 10°C. The dishes were examined twice per day at days 3, 4, 5, 6, 7 and
- Soybean seed coating was performed with a Hege 1 1 liquid seed treater (Wintersteiger AG, Austria) using a standard seed coating protocol.
- the experimental coating premix was formulated to provide 10 "7 M Product 20 and standard commercial concentrations of a fungicide mixture. Control seeds were coated using the same insecticide/fungicide formulation and coating procedure without the addition of Product 20.
- the germination assay utilized one flat per treatment, with each flat containing eight pots individually filled with METRO-MIX ® soil, available from Sun Gro, Agawam, Massachusetts. Three liters of water was added to each flat by removing the corner pot and pouring solution into the bottom of the flat. The soil was then allowed to absorb water from the bottom-up overnight. The following day, four soybean seeds were planted to a 1 " depth in each pot of moistened soil (32 seeds/flat/treatment). Each seed was separated from neighboring seeds by approximately 2".
- Table 4 shows the percent increase in percent germination of corn seeds treated with Product 19 vs. control treatment maintained under cold stress (10°C) at selected time points.
- Table 7 shows the percent germination of corn seeds treated with palmitoleic acid, cis-vaccenic acid, Product 13-palmitoleic acid salt complex and Product 13-cis-vaccenic acid salt complex vs. control treatment maintained at room temperature at selected time points.
- the salt complexes of product 13 with palmitoleic acid and cis- vaccenic acid are considered to be comparative examples as the carboxylic acid portions of the salt complexes do not have the structure as required by the current claims.
- Table 8 shows the percent germination of soybean seeds treated with Product 19 and Product 20 vs. control treatment maintained at room temperature at selected time points.
- Soybean seeds treated with aqueous solutions of Product 19 and Product 20 exhibited statistically significant increases in percent germination at 12 and 24 hours following treatment initiation compared to the control treatment. Results were deemed statistically significant when the standard deviations (indicated in brackets) of the treatment averages do not overlap.
- Table 9 shows the percent germination of soybean seeds treated with Product 19 and Product 20 maintained under cold stress (10°C) at selected time points.
- Soybean seeds treated with aqueous solutions of Product 19 and Product 20 exhibited statistically significant increases in percent chordnination at 72, 96, 108 and 120 hours following treatment initiation compared to the control treatment under cold stress at 10°C. Results were deemed statistically significant when the standard deviations
- Table 10 shows the percent increase in percent germination of corn seeds coated with Product 19 and Product 20 vs. control treatment maintained under cold stress (10°C) at selected time points.
- Table 1 1 shows the percent emergence from of soybean seeds treated with Product 20 in a soil-based assay vs. control treatment at selected time points at room temperature.
- Soybean seeds coated with Product 20 exhibited statistically significant increases in percent emergence at 10, 13, 17 and 19 days following planting compared to the control treatment in the soil-based assay (Table 1 1 ). Results were deemed statistically significant when the standard deviations (indicated in brackets) of the treatment averages do not overlap.
- Table 12 shows the percent germination of corn seeds treated with comparative Product 21 and comparative Product 22 vs. control treatment maintained at room temperature at selected time points.
- Stock solutions of Product 20 were prepared as 1 millimolar solutions in DMSO and stored prior to use at 4°C. Germination was assessed using a commercial Pioneer corn hybrid. In this assay, 5 petri dishes and 100 seeds were used for each assay. Twenty corn seeds were randomly placed in each sterile petri dish lined with Whatman #1 paper disks. Test solutions of the Product 20 DMSO solutions were diluted with water to a concentration of 1 x 10 "7 M with 2 percent by volume of fungicide added to prevent fungal growth. 5 ml of the test solution was added and the lid was placed on the dish. 5 replicate dishes were prepared for each trial. As control experiments, 100 seeds were tested using water only as the treatment and a second control was used wherein an aqueous solution of DMSO was used.
- Germination was assessed strictly as radical emergence at the time of observation. Counts of emerged radicles were converted to percentages and the data was analyzed using GraphPad PRISM® software, available from GraphPad, San Diego, California.
- a seed treatment formulation was prepared using commercially available film forming binder, fungicide and insecticide treatment and red pigment for the control, Control A.
- Composition 1 was prepared using the same formulation as Control A, but also added Product 20. Specifically, a 1 .7 ⁇ solution of Product 20 was applied to corn seed at a dose of 0.7 fluid ounces per 80,000 seeds.
- Composition 2 was prepared using the same formulation as Composition 1 , but with an added standard biological component.
- corn seeds were planted in four row corn plots with 76.2 cm (30 inch) row spacings and a plot length of 5.3 meters (17.5 feet). At each research site, each treatment (seeds coated with Control A, Composition 1 and Composition 2) was replicated 4 times. Corn grain yield data
- Control A When analyzed over all 18 locations, the Control A gave an average of 187.5 bushels of grain per acre.
- Composition 1 containing Product 20, when analyzed over all 18 locations, gave an average of
- amyloliquefaciens strain 22CP1
- coated on seed with a final Bacillus dose of 1 x10 6 CFU/seed along with standard seed treatment chemistries (Product 20+22CP1 ).
- Corn seed was also treated with standard seed treatment chemistries with 22CP1 alone (22CP1 ) and with standard seed treatment chemistries without the addition of any biological (control).
- All treatments were tested with two corn hybrids in six replicate plots each. Plots were designed as 4 rows with 30" spacing between rows and each row was 17.5' long. Plants were scored for early growth (scale of 1 -9) and stand count (plants/plot) at the vegetative state V2-V4 and final stand (plants/acre) and yield
- Control C was prepared using a standard seed treatment formulation containing commercially available fungicide, insecticide, and surfactant.
- a second control formulation, Control B was prepared using Control C and an added Rhizobia
- Composition 3 was prepared using Control C and added
- Product 20 Specifically, a 1 .7 ⁇ solution of Product 20 was applied to soybean seed at a dose of 0.35 fluid ounces per 140,000 seeds.
- Composition 4 was prepared using Control B, and added Product 20. 25 .cCommercial soybean varieties were studied.
- soybeans were planted in four row plots with 76.2 cm (30 inch) row spacings and a plot length of 5.3 meters (17.5 feet).
- each treatment seeds coated with Control B, Control C, Composition 3 and Composition 4 was replicated 4 times. Soybean yield data
- All seed treatments were composed of a first fungicide, a second fungicide and an insecticide applied with and without Product 20. An untreated check was also at each location.
- Row spacing for both the 2013 and 2014 trials was 30-inches at all locations and row length was between 15 and 17.5 feet depending on location.
- Stand count (plants/acre) was collected at the 20 geographical locations associated with the 2013 trial. Plants grown in the presence of Product 20 seed treatment had a greater average stand count compared to the Control treatment, and similar performance to the STD treatment. In addition, Product 20 increased stand relative to the Control treatment at 70% of locations and increased stand relative to the STD treatment at 55% of locations. Grain yield (bushels/acre) was collected at 51 geographical locations over the course of the two planting seasons. Plants grown in the presence of Product 20 seed treatment had greater yield compared to the Control treatment and similar performance to the STD treatment. Relative to the Control treatment, Product 20 increased yield at an average of 77.4% of locations, and increased yield relative to the STD treatment at an average of 37.2% of locations.
- Product 20 was tested on potato seeds in Canada using a standard seed treatment as a control and the standard seed treatment plus the addition of Product 20. Specifically, a 1 .7 ⁇ solution of Product 20 was applied to potato seed at a dose of 0.7 fluid ounces per 100 pounds of seeds. Plots were managed by utilizing crop management practices common to potato growers. The percent emergence as a function of days after planting, the average plant height and the average plant width was measured at several intervals after emergence, the average plant count per 18.3 meter (60 feet) row, average tuber count in 10 kilograms of harvest, the percentage of "smalls" per treatment, the average percent ten ounce by treatment and the total yield per treatment was measured. The results are given in the Table 15.
- Product 20 was tested on 2 varieties of soft red wheat at four locations in the North America versus untreated soft red wheat and a standard wheat seed control.
- Product 20 was added to the standard wheat seed treatment. Specifically, a 1 .7 ⁇ solution of Product 20 was applied to wheat seed at a dose of 4.0 fluid ounces per 100 pounds of seed.
- the test plots measured 5.5 meters (18 feet) long with 15 to 18 centimeter (6 to 7 inch) row spacing. Two adapted varieties were tested per location and 6 replications per treatment per location were used.
- Data for the Wheat Stand percentage and early vigor is the average for two of the four locations. The yield data is available for all four locations. Early vigor is a qualitative assessment of the health of the early stage growth of the wheat plant and is assessed on a scale of 1 to 9.
Landscapes
- Chemical & Material Sciences (AREA)
- Organic Chemistry (AREA)
- Life Sciences & Earth Sciences (AREA)
- General Health & Medical Sciences (AREA)
- Health & Medical Sciences (AREA)
- Engineering & Computer Science (AREA)
- Wood Science & Technology (AREA)
- Zoology (AREA)
- Environmental Sciences (AREA)
- Dentistry (AREA)
- Plant Pathology (AREA)
- Agronomy & Crop Science (AREA)
- Pest Control & Pesticides (AREA)
- Molecular Biology (AREA)
- Genetics & Genomics (AREA)
- Crystallography & Structural Chemistry (AREA)
- Biotechnology (AREA)
- Biochemistry (AREA)
- Toxicology (AREA)
- Agricultural Chemicals And Associated Chemicals (AREA)
Abstract
The disclosure provides agricultural compositions comprising oligoglucosamine salt complexes and methods for improving plant growth and crop yield. These compositions may be applied to plant propagating materials, including seeds and other regenerable plant parts, including cuttings, bulbs, rhizomes and tubers. They may also be applied to foliage, or soil either prior to or following planting of plant propagating materials. Such applications may be made alone or in combination with fungicides, insecticides, nematicides and other agricultural agents used to improve plant growth and crop yield.
Description
SYNTHETIC SALT COMPLEXES FOR IMPROVEMENT OF PLANT
GROWTH AND YIELD
FIELD OF THE DISCLOSURE
The present disclosure relates to salt complexes, compositions comprising the salt complexes and methods of using the synthetic salt complexes comprising oligoglucosamine salts for improving plant growth and crop yield.
BACKGROUND
There is a need for cost-effective synthetically-produced
compounds that improve plant health and result in improved plant growth and crop yield. The present disclosure addresses this need.
SUMMARY OF THE DISCLOSURE
The disclosure provides compositions and methods for improving plant growth and crop yield. More specifically, the present disclosure relates to compositions comprising synthetic salt complexes of Structure A, Structure B, Structure C, Product 19 or Product 20. These salt complexes may be applied to plant propagating materials, including seeds and other regenerable plant parts, including cuttings, bulbs, rhizomes and tubers. They may also be applied to foliage, or soil either prior to or following planting of plant propagating materials. Such applications may be made alone or in combination with fungicides, insecticides, nematicides and other agricultural agents used to improve plant growth and crop yield.
BRIEF DESCRIPTION OF THE DRAWINGS
Figures 1 A and 1 B provides photographs that compare the effect of triglucosamine lipoglycine salt (Product 20) seed treatment on root development of 19-day old soybean seedlings compared to Control seedlings that received the same seed treatment without Product 20.
DETAILED DESCRIPTION
The features and advantages of the present disclosure will be more readily understood, by those of ordinary skill in the art from reading the following detailed description. It is to be appreciated that certain features of the disclosure, which are, for clarity, described above and below in the context of separate embodiments, may also be provided in combination in
a single element. Conversely, various features of the disclosure that are, for brevity, described in the context of a single embodiment, may also be provided separately or in any sub-combination. In addition, references to the singular may also include the plural (for example, "a" and "an" may refer to one or more) unless the context specifically states otherwise.
The use of numerical values in the various ranges specified in this application, unless expressly indicated otherwise, are stated as
approximations as though the minimum and maximum values within the stated ranges were both proceeded by the word "about". In this manner, slight variations above and below the stated ranges can be used to achieve substantially the same results as values within the ranges. Also, the disclosure of these ranges is intended as a continuous range including each and every value between the minimum and maximum values.
The disclosure provides a salt complex formed by contacting a carboxylic acid and multifunctional amine and agricultural compositions comprising the salt complex wherein the salt complex can be represented by Structure A:
Structure A
wherein
m is 0, 1 , 2, 3, 4, 5, 6, 7, 8, 9 or 10;
n is 0, 1 , 2, 3, 4, 5 or 6;
p is 1 , 2, 3, 4, 5, 6, 7, 8, 9 or 10;
Q is 0.1 to n+2;
Z is -CH2-, -N(R6)-, -O- or -S-;
R1 is hydrogen, C1 to C20 substituted or unsubstituted alkyl, C2 to C20 substituted or unsubstituted alkenyl, C2 to C20 substituted or
unsubstituted alkynyl, aryl or substituted aryl;
R2 is hydrogen, C1 to C5 alkyl, aryl, heteroaryl, benzyl, or R2 and R6 are taken together to form a C2 to C4 alkylene group, wherein said alkylene group is taken together with the nitrogen atom to which R6 is attached and the carbon atom to which R2 is attached to form a 4-, 5-, or 6-membered ring, and wherein each alkyl, aryl, heteroaryl or benzyl group is
unsubstituted or substituted with -OH, -SH, -NH2, -SCH3, - C(O)OH, -C(O)NH2 or -NH(NH)NH2;
R4 and R5 are independently hydrogen, C1 to C5 substituted or unsubstituted alkyl;
R6 is hydrogen or R2 and R6 are taken together to form a C2 to C4 alkylene group wherein said alkylene group is taken together with the nitrogen atom to which R6 is attached and the carbon atom to which R2 is attached to form a 4-, 5- or 6-membered ring; and
XR3 is azide or X is O or S and R3 is hydrogen, C1 to C20 alkyl, aryl, monosaccharide or heteroaryl group.
The present disclosure also relates to salt complexes and agricultural compositions thereof comprising Structure A, where n=0, as shown below as Structure B:
Structure B
wherein
m is 0, 1 , 2, 3, 4, 5, 6, 7, 8, 9 or 10;
p is 1 , 2, 3, 4, 5, 6, 7, 8, 9 or 10;
Q is 0.1 to 2;
R1 is hydrogen, C1 to C20 substituted or unsubstituted alkyl, C2 to C20 substituted or unsubstituted alkenyl, C2 to C20 substituted or
unsubstituted alkynyl, aryl or substituted aryl;
R2 is hydrogen, C1 to C5 alkyl, aryl, heteroaryl, benzyl, or R2 and R6 are taken together to form a C2 to C4 alkylene group, wherein said alkylene group is taken together with the nitrogen atom to which R6 is attached and the carbon atom to which R2 is attached to form a 4-, 5-, or 6-membered ring, and wherein each alkyl, aryl, heteroaryl or benzyl group is
unsubstituted or substituted with -OH, -SH, -NH2, -SCH3, -C(O)OH, -C(O)NH2, -NH(NH)NH2; and
XR3 is azide or X is O or S and R3 is hydrogen, C1 to C20 alkyl, aryl, monosaccharide or heteroaryl group.
In other embodiments the disclosure relates to salt complexes and agricultural compositions thereof comprising Structure A, wherein n=1 , as shown herein below as Structure C:
Structure C
wherein
m is 0, 1 , 2, 3, 4, 5, 6, 7, 8, 9 or 10;
p is 1 , 2, 3, 4, 5, 6, 7, 8, 9 or 10;
Q is 0.1 to 3;
R1 is hydrogen, C1 to C20 substituted or unsubstituted alkyi, C2 to C20 substituted or unsubstituted alkenyl, C2 to C20 substituted or
unsubstituted alkynyl, aryl or substituted aryl;
R2 is hydrogen, C1 to C5 alkyi, aryl, heteroaryl, benzyl, wherein each alkyi, aryl, heteroaryl or benzyl group is unsubstituted or substituted with -OH, -SH, -NH2, -SCH3, -C(O)OH, -C(O)NH2, or -NH(NH)NH2; and
XR3 is azide or X is O or S and R3 is hydrogen, C1 to C20 alkyi, aryl, monosaccharide or heteroaryl groups.
Certain embodiments of the disclosure relate to one or both of the structures shown below henceforth respectively referred to as Product 19 and Product 20 and agricultural compositions comprising such salt complexes:
Product 19
In other embodiments, the present disclosure relates to agricultural compositions comprising the salt complex of Structure A, Structure B, Structure C, Product 19 or Product 20.
In other embodiments, any one or more of the foregoing
compositions may be used, wherein the above salt complexes are present at a concentration of 10"3 moles/liter (M) to 10"12 M, or present in the composition at a concentration of about 10"7 M.
In other embodiments, the salt complex can be present in the agricultural composition in the range of from 10"3 M to 10"4 M.
In other embodiments, the salt complex can be present in the agricultural composition in the range of from 10"4 M to 10"5 M.
In other embodiments, the salt complex can be present in the agricultural composition in the range of from 10"5 M to 10"6 M.
In other embodiments, the salt complex can be present in the agricultural composition in the range of from 10"6 M to 10"7 M.
In other embodiments, the salt complex can be present in the agricultural composition in the range of from 10"7 M to 10"8 M.
In other embodiments, the salt complex can be present in the agricultural composition in the range of from 10"8 M to 10"9 M.
In other embodiments, the salt complex can be present in the agricultural composition in the range of from 10"9 M to 10"10 M.
In other embodiments, the salt complex can be present in the agricultural composition in the range of from 10"10 M to 10"1 1 M.
In other embodiments, the salt complex can be present in the agricultural composition in the range of from 10"1 1 M to 10"12 M.
In some embodiments, the agricultural composition can further comprise one or more signal molecules.
In other embodiments, the signal molecule is a
lipochitooligosaccharide.
In other embodiments, the agricultural composition is applied to propagating material of a plant.
In other embodiments, the propagating material is a seed.
In still further embodiments, the propagating material is corn or soybean or a seed potato.
In other embodiments, the agricultural composition is applied to the seed as a seed coating to increase rate of germination, seedling emergence, radicle growth, early growth, plant height, vigor, plant health, biomass and/or yield.
In other embodiments, the agricultural composition is applied to foliage.
In other embodiments, the agricultural composition is applied to soil either prior to or following planting plant propagating material.
In other embodiments, the present disclosure relates to methods for treating propagating material, comprising applying an agricultural composition comprising the salt complex of Structure A.
In other embodiments, the method for treating propagating material comprises applying an agricultural composition comprising the salt complex of Structure B.
In other embodiments, the method for treating propagating material comprises applying an agricultural composition comprising the salt complex of Structure C.
In other embodiments, the method for treating propagating material comprises applying an agricultural composition comprising the salt complex of Product 19.
In other embodiments, the method for treating propagating material comprises applying an agricultural composition comprising the salt complex of Product 20.
In other embodiments, the method comprises applying the agricultural composition as a seed coating.
In other embodiments of the method, the agricultural composition is applied to foliage.
In other embodiments of the method, the agricultural composition is applied to soil either prior to or following planting the propagating material .
In other embodiments of the method, the agricultural composition is applied to a dicot or a soybean or a monocot or corn.
In yet other embodiments, the present disclosure relates to a method for treating a plant, plant propagating materials, foliage or soil, comprising applying the agricultural composition to the plant, plant propagating materials, foliage or soil. In still further embodiments, the method utilizes an agricultural composition comprising one or both of Products 19 and/or 20.
In yet other embodiments, any one or more of the foregoing compositions may be applied to a legume, such as soybean, or to a non- legume, such as corn.
In other embodiments, the present disclosure relates to a plant seed coated by the agricultural composition.
In other embodiments, the plant seed is coated with the agricultural composition and the agricultural composition further comprises an insecticide, a fungicide, a nematicide and a biological agent.
In other embodiments, the plant seed is selected from the group consisting of corn, soybean, wheat, rice, sunflower, canola, and cotton.
In other embodiments, the resulting plant expresses an insect resistant trait.
In other embodiments, the insect resistant trait is due to the expression of a Bt protein.
In other embodiments, the plant seed is coated by an agricultural composition comprising Product 20.
The term "alkyl", used either alone or in compound words such as "alkylthio" or "haloalkyl" includes straight-chain or branched alkyl such as, for example, methyl, ethyl, n-propyl, /'-propyl, or the different butyl, pentyl or hexyl isomers. "Alkenyl" includes straight-chain or branched alkenes such as, for example, ethenyl, 1 -propenyl, 2-propenyl, and the different butenyl, pentenyl and hexenyl isomers. "Alkenyl" also includes polyenes such as, for example, 1 ,2-propadienyl and 2,4-hexadienyl. "Alkynyl" includes straight-chain or branched alkynes such as, for example, ethynyl, 1 -propynyl, 2-propynyl and the different butynyl, pentynyl and hexynyl isomers. "Alkynyl" also includes moieties comprised of multiple triple bonds such as, for example, 2,5-hexadiynyl.
"Alkylene" denotes a straight-chain or branched alkanediyl.
Examples of "alkylene" include, for example, CH2, CH2CH2, CH(CH3), CH2CH2CH2, CH2CH(CH3), and the different butylene isomers.
The term "aryl" means an aromatic carbocyclic moiety of 6 to 20 carbon atoms, which may be a single ring (monocyclic) or multiple rings (bicyclic, up to three rings) fused together or linked covalently. Any suitable ring position of the aryl moiety may be covalently linked to the defined chemical structure. Suitable aryls can include, for example, phenyl, 1 -naphthyl, 2-naphthyl, dihydronaphthyl, tetrahydronaphthyl, biphenyl, anthryl, phenanthryl, fluorenyl, indanyl or biphenylenyl.
The term "heteroaryl," as used herein, refers to a 5 to 10 membered monocyclic or bicyclic carbon containing aromatic ring having 1 to 3 of its ring members independently selected from nitrogen, sulfur or oxygen. In some embodiments, monocyclic rings have 5 to 6 members. In certain embodiments, bicyclic rings have 8 to 10 membered ring structures. The heteroaryl group may be unsubstituted or substituted. Suitable examples of heteroaryls can include, for example, thienyl, furyl, pyrrolyl, imidazolyl, pyrazolyl, oxazolyl, isoxazolyl, thiazolyl, isothiazolyl, pyridyl, pyrazinyl, pyrimidinyl, pyridazinyl, indolyl, indazolyl, benzofuranyl, isobenzofuranyl, benzothienyl, isobenzothienyl, quinolyl, isoquinolyl, quinoxalinyl, and quinazolinyl.
The term "substituted" with respect to the above listed groups means that the group contains at least one chemical substituent containing at least one non-carbon element, excluding those heteroatoms that form a part of a heteroaryl or heterocyclic ring. The substituent group can be pendant, for example, the NH2 in -CH2CH(NH2)CH3 or the substituent group can be within the group, for example, the NH group in -CH2CH2NHCH2CH3. Suitable chemical substituents can include, for example, -OH, -SH, -NH2, -N(H)-, -S-alkyl, -C(O)OH, -C(O)NH2,
-C(O)N(H)-, -NHC(NH)NH2, O-alkyl or a combination thereof.
The term "Cx to Cy" with respect to a hydrocarbon means that the particular hydrocarbon contains in the range of x to y carbon atoms. For example, a C1 to C5 alkyl group means that the alkyl group can have 1 carbon atom (methyl), 2 carbon atoms (ethyl), 3 carbon atoms (propyl), 4 carbon atoms (butyl) or 5 carbon atoms (pentyl). For those groups that are able to form isomers, for example, n-propyl and isopropyl, the term means any of the possible isomers and is not intended to limit to one isomer.
As used herein, the term "salt complex" refers to a molecular entity formed by a loose association involving two or more component chemical compounds. In the present disclosure, the salt complex is believed to be a salt formed by the protonation of at least one of the amine groups of the oligoglucoslamine structure by the carboxylic acid.
For example, Product 19 may exist as any one or more of the salt complexes represented by the following structures, the dotted line being used to indicate the formation of the salt complex:
The term "agricultural composition" as used herein refers to a composition comprising the salt complex of Structure A, Structure B,
Structure C, Product 19 or Product 20 and further comprising one or more substances formulated for at least one agricultural application. Agricultural applications are any application that enhances plant performance, such as, for example, plant health, germination improvement, growth
improvement, yield improvement, pest control, disease control and resistance to abiotic environmental stress.
As used herein the term "biologically effective amount" refers to that amount of a substance required to produce the desired effect on a plant, plant propagating material and/or plant part, such as, for example, germination improvement, growth improvement, yield improvement, pest control, disease control and resistance to abiotic environmental stress. Effective amounts of the composition will depend on several factors, including treatment method, plant species, propagating material type and environmental conditions.
Foliage as defined in the present application includes all aerial plant organs, for example, the leaves, stems, flowers and fruit.
As used herein, "percent germination" refers the percentage of seeds that germinate after planting or being placed under conditions otherwise suitable for germination. The term "accelerate the rate of germination" and its equivalents refer to an increase in the percent germination of experimentally treated seeds compared to seeds
designated as experimental controls as a function of time. In the
Examples presented herein, seed germination rates were determined with laboratory-based germination assays conducted under optimum conditions for germination wherein germination percentages were determined at a specified time following initiation of the experiment. General descriptions of seed germination tests can be found in the Handbook of Seed
Technology for Genebanks, Volume I. Principles and Methodology, R.H. Ellis, T.D. Hong and E.H. Roberts, Eds., International Board for Plant Genetic resources, Rome, 1985, pp. 94-120 and the Seed Vigor Testing Handbook, Contribution No. 32 to the Handbook on Seed Testing prepared by the Seed Vigor Test Committee of the Association of Official Seed Analysts, 1983. Examples of seed cold and salt stress germination assays are respectively described in Burris and Navratil, Agronomy
Journal, 71 : 985-988 (1979) and Scialabba, et al., Seed Science &
Technology, 27: 865-870 (1999).
Plant "growth" as used herein is defined by, but not limited to, measurements of seedling emergence, standability, radicle growth, early growth, plant height, time to flowering, tillering (for grasses), days to maturity, vigor, biomass and yield.
As referred to in the present disclosure and claims, the term
"propagating material" means a seed or regenerable plant part. The term "regenerate plant part" means a part of the plant other than a seed from which a whole plant may be grown or regenerated when the plant part is placed in agricultural or horticultural growing media such as, for example, moistened soil, peat moss, sand, vermiculite, perlite, rock wool, fiberglass, coconut husk fiber, tree fern fiber or even a completely liquid medium such as water. Regenerable plant parts commonly include rhizomes, tubers
(including seed potatoes), bulbs and corms of such geophytic plant species as potato, sweet potato, yam, onion, dahlia, tulip, narcissus, etc.
Regenerable plant parts include plant parts that are divided (e.g., cut) to preserve their ability to grow into a new plant. Therefore regenerable plant parts include viable divisions of rhizomes, tubers, bulbs and corms which retain meristematic tissue, such as an eye. Regenerable plant parts can also include other plant parts such as cut or separated stems and leaves from which some species of plants can be grown using horticultural or agricultural growing media. As referred to in the present disclosure and claims, unless otherwise indicated, the term "seed" includes both unsprouted seeds and seeds in which the testa (seed coat) still surrounds part of the emerging shoot and root.
The term "rhizosphere" as defined herein refers to the area of soil that immediately surrounds and is affected by the plant's roots.
As used herein, the term "treating" means applying a biologically effective amount of a Structure A, Structure B, Structure C, Product 19 or Product 20 salt complex, or a composition containing a Structure A,
Structure B, Structure C, Product 19 or Product 20 salt complex, to a seed or other plant propagating material, plant foliage or plant rhizosphere; related terms such as "treatment" are defined analogously.
The term "yield" as defined herein refers to the return of crop material per unit area obtained after harvesting a plant crop. An increase in crop yield refers to an increase in crop yield relative to an untreated control treatment. Crop materials include, but are not limited to, seeds, fruits, roots, tubers, leaves and types of crop biomass. Descriptions of field-plot techniques used to evaluate crop yield may be found in
W.R. Fehr, Principles of Cultivar Development, McGraw-Hill, Inc.,
New York, NY, 1987, pp. 261 -286 and references incorporated therein.
"Insect resistant trait" is used herein to refer to a plant containing a toxin that has toxic acitivity against one or more pests, including, but not limited to, members of the Lepidoptera, Diptera, Hemiptera and
Coleoptera orders or the Nematoda phylum or a protein that has homology to such a protein. Pesticidal proteins have been purified from organisms including, for example, Bacillus sp., Pseudomonas sp., Photorhabdus sp., Xenorhabdus sp., Clostridium bifermentans and Paenibacillus popilliae. Pesticidal proteins include but are not limited to: insecticidal proteins from
Pseudomonas sp. such as PSEEN3174 (Monalysin; (201 1 ) PLoS
Pathogens 7:1 -13); from Pseudomonas protegens strain CHAO and Pf-5 (previously fluorescens) (Pechy-Tarr, (2008) Environmental Microbiology 10:2368-2386; GenBank Accession No. EU400157); from Pseudomonas Taiwanensis (Liu, et al., (2010) J. Agric. Food Chem., 58:12343-12349) and from Pseudomonas pseudoalcligenes (Zhang, et al., (2009) Annals of Microbiology 59:45-50 and Li, et ai, (2007) Plant Cell Tiss. Organ Cult. 89:159-168); insecticidal proteins from Photorhabdus sp. and
Xenorhabdus sp. (Hinchliffe, et ai, (2010) The Open Toxicology Journal, 3:101 -1 18 and Morgan, et al., (2001 ) Applied and Envir. Micro. 67:2062- 2069); US Patent Number 6,048,838, and US Patent Number 6,379,946; a PIP-1 polypeptide of US Patent Publication US20140007292; an AAP-1A and/or AflP-1 B polypeptide of US Patent Publication US20140033361 ; a PHI-4 polypeptide of US patent Publication US20140274885 and PCT Patent Publication WO2014/150914; a PIP-47 polypeptide of PCT Serial Number PCT/US14/51063, a PIP-72 polypeptide of PCT Serial Number PCT/US14/55128, and δ-endotoxins including, but not limited to, the Cry1 , Cry2, Cry3, Cry4, Cry5, Cry6, Cry7, Cry8, Cry9, Cry10, Cry1 1 , Cry12, Cry13, Cry14, Cry15, Cry16, Cry17, Cry18, Cry19, Cry20, Cry21 , Cry22, Cry23, Cry24, Cry25, Cry26, Cry27, Cry 28, Cry 29, Cry 30, Cry31 , Cry32, Cry33, Cry34, Cry35,Cry36, Cry37, Cry38, Cry39, Cry40, Cry41 , Cry42, Cry43, Cry44, Cry45, Cry 46, Cry47, Cry49, Cry50, Cry51 , Cry52, Cry53, Cry 54, Cry55, Cry56, Cry57, Cry58, Cry59, Cry60, Cry61 , Cry62, Cry63, Cry64, Cry65, Cry66, Cry67, Cry68, Cry69, Cry70, Cry71 , and Cry 72 classes of δ-endotoxin genes and the B. thuringiensis (Bt) cytolytic cytl and cyt2 genes.
The salt complex of Structure A, Structure B, Structure C, Product 19 or Product 20 can be produced by contacting the polyamine portion of Structure A, Structure B, Structure C, Product 19 or Product 20 with the carboxylic acid of Structure A, Structure B, Structure C, Product 19 or Product 20. The polyamine portion can be produced in a variety of methods. In one example, US Patent Number 7,485,718 describes method for producing the polyamines of Structure A, Structure B,
Structure C, Product 19 or Product 20. The carboxylic acid portion can
also be produced using a variety of known methods. Preparations of both saturated and unsaturated fatty acids are known in the art. A two-step process of contacting the saturated or unsaturated fatty acid with an amino acid ester followed by deprotection of the ester can produce the desired carboxylic acid that can be used to form the desired salt complex. The polyamine and the carboxylic acid can be contacted with one another in an appropriate liquid carrier to form the desired salt complex of Structure A, Structure B, Structure C, Product 19 or Product 20.
Agricultural compositions comprising the salt complex of Structure A, Structure B, Structure C, Product 19 or Product 20 can be applied as a seed treatment formulation, as a seed coating composition, as a foliar formulation, as a sprayable foliar formulation or as a formulation suitable for treating the growing medium. Such formulations typically contain from about 10"3 M to 10"12 M of the salt complex of Structure A, Structure B, Structure C, Product 19 or Product 20. In other embodiments,
formulations contain from about 10"6 M to 10"10 M of the salt complex of Structure A, Structure B, Structure C, Product 19 or Product 20. The locus of the propagating materials can be treated with a Structure A,
Structure B, Structure C, Product 19 or Product 20 salt complex by many different methods. All that is needed is for a biologically effective amount of a Structure A, Structure B, Structure C, Product 19 or Product 20 salt complex to be applied on or sufficiently close to the propagating material so that it can be absorbed by the propagating material. The Structure A, Structure B, Structure C, Product 19 or Product 20 salt complex can be applied by such methods as drenching the growing medium including the propagating material with a solution or dispersion of the Structure A,
Structure B, Structure C, Product 19 or Product 20 salt complex, mixing the Structure A, Structure B, Structure C, Product 19 or Product 20 salt complex with growing medium and planting the propagating material in the treated growing medium (e.g., nursery box treatments), or various forms of propagating material treatments whereby the Structure A, Structure B,
Structure C, Product 19 or Product 20 salt complex is applied to the propagating material before it is planted in a growing medium. In some embodiments, the agricultural composition can provide an increased rate
of germination, an increased rate of seedling emergence, an increased rate of radicle growth, an increased rate of early growth, increased pest control, increased disease control, increased plant height, increased vigor, increased resistance to abiotic environmental stress, and increased biomass and/or yield. In other embodiments, the agricultural composition can provide increased yield.
In some embodiments, the agricultural compositions comprising the salt complex of Structure A, Structure B, Structure C, Product 19 or Product 20 can be used as a seed treatment formulation with an
agriculturally suitable carrier comprising at least one of a liquid diluent, a solid diluent or a surfactant. A wide variety of formulations are suitable for this disclosure, the most suitable types of formulations depend upon the method of application. As is well known to those skilled in the art, the purpose of formulation is to provide a safe and convenient means of transporting, measuring and dispensing the agricultural agent and also to optimize its efficacy. The use of agricultural compositions comprising the Structure A, Structure B, Structure C, Product 19 or Product 20 salt complex, including seed treatments, can provide increased plant growth, an increased rate of germination, an increased rate of seedling
emergence, an increased rate of radicle growth, an increased rate of early growth, increased pest control, increased disease control, increased plant height, increased vigor, increased resistance to abiotic environmental stress, and increased biomass and/or yield when compared to an untreated control.
Depending on the method of application useful formulations include liquids such as solutions (including emulsifiable concentrates),
suspensions, emulsions (including microemulsions and/or
suspoemulsions) and the like which optionally can be thickened into gels. Useful formulations further include solids such as dusts, powders, granules, pellets, tablets, films, and the like which can be water-dispersible ("wettable") or water-soluble. The salt complex of Structure A, Structure B, Structure C, Product 19 or Product 20 can be (micro)encapsulated and further formed into a suspension or solid formulation; alternatively the entire formulation comprising the salt complex of Structure A, Structure B,
Structure C, Product 19 or Product 20 can be encapsulated (or
"overcoated"). Encapsulation can control or delay release of the salt complex of Structure A, Structure B, Structure C, Product 19 or Product 20. Sprayable formulations can be extended in suitable media and used at spray volumes from about one to several hundred liters per hectare. High-strength compositions are primarily used as intermediates for further formulation.
The formulations will typically contain effective amounts of the salt complex of Structure A, Structure B, Structure C, Product 19 or Product 20, diluent and surfactant within the following approximate ranges that add up to 100 percent by weight.
Weight Percent
Salt
complex of Diluent Surfactant Structure A,
B^
Product 19
or 20
Water-Dispersible and 5-90 0-94 1 -15 Water-soluble Granules,
Tablets and Powders.
Suspensions, Emulsions, 5-50 40-95 0-15 Solutions (including
Emulsifiable Concentrates)
Dusts 1 -25 70-99 0-5
Granules and Pellets 0.01 -99 5-99.99 0-15
High Strength Compositions 90-99 0-10 0-2
Typical solid diluents are described in Watkins et al., Handbook of Insecticide Dust Diluents and Carriers, 2nd Ed., Dorland Books, Caldwell, New Jersey. Typical liquid diluents are described in Marsden, Solvents Guide, 2nd Ed., Interscience, New York, 1950. McCutcheon's Emulsifiers and Detergents and McCutcheon's Functional Materials (North America and International Editions, 2001 ), The Manufacturing Confection Publ. Co., Glen Rock, New Jersey, as well as Sisely and Wood, Encyclopedia of
Surface Active Agents, Chemical Publ . Co., Inc., New York, 1964, list surfactants and recommended uses. All formulations can contain minor amounts of additives to reduce foam, caking, corrosion, microbiological growth and the like, or thickeners to increase viscosity.
Suitable surfactants include, for example, ethoxylated alcohols, ethoxylated alkylphenols, ethoxylated sorbitan fatty acid esters,
ethoxylated amines, ethoxylated fatty acids, esters and oils, dialkyl sulfosuccinates, alkyl sulfates, alkylaryl sulfonates, organosilicones, Λ/,/V-dialkyltaurates, glycol esters, phosphate esters, lignin sulfonates, naphthalene sulfonate formaldehyde condensates, polycarboxylates, and block polymers including polyoxyethylene/polyoxypropylene block copolymers.
Solid diluents can include, for example, clays such as bentonite, montmorillonite, attapulgite and kaolin, starch, sugar, silica, talc, diatomaceous earth, urea, calcium carbonate, sodium carbonate and bicarbonate, and sodium sulfate. Liquid diluents can include, for example, water, or an organic diluent, for example, Λ/,/V-dimethylformamide, dimethyl sulfoxide, ethyl acetate, diethyl ether, formamide, 2-pyrrolidone, N-methylpyrrolidone, /V-alkylpyrrolidone, ethylene glycol, polypropylene glycol, 1 ,3-propane diol, 1 ,3-propane diol polyethers, alkyl and dialkyl ethers of 1 ,3-propane diol, alkyl and dialkyl ethers of 1 ,3-propane diol polyethers, diethylene glycol, diethylene glycol ethers, dipropylene glycol ethers, diglyme, hexamethylene glycol, pentamethylene glycol,
polyethylene glycol, poly hydroxy I ated alkanes, propylene glycol ethers, tetramethylene glycol, tetramethylene glycol ethers, triethylene glycol, triethylene glycol ethers, tripropylene glycol, tripropylene glycol ethers, 1 ,3- butylene glycol, 1 ,3-butylene glycol ethers, butylene carbonate, glycerol, thiodiglycol, propylene carbonate, dibasic esters, paraffins, alkylbenzenes, alkylnaphthalenes, oils of olive, castor, linseed, tung, sesame, corn, peanut, cotton-seed, soybean, rape-seed and coconut, fatty acid esters, ketones such as, for example, acetone, gamma-butyrolactone, methyl ethyl ketone, cyclohexanone, 2-heptanone, isophorone and 4-hydroxy-4- methyl-2-pentanone, and alcohols such as, for example, C1 to C12 aliphatic alcohols, diacetone alcohol, ethanol, furfuryl alcohol,
tetrahydrofurfuryl alcohol polyethylene glycol ether, isopropanol, propanol, methanol, cyclohexanol, decanol, benzyl and tetrahydrofurfuryl alcohol, phosphoric acid esters, sulfolane, tetrahydrofuran or a combination thereof.
In some embodiments, the agricultural composition can comprise in the range of 80 to 100 percent by weight of water, based on the total weight of the liquid diluent. In other embodiments, the liquid diluent can comprise in the range of from 90 to 100 percent water, and, in still further embodiments, in the range of from 95 to 100 percent water, wherein the percentages by weight are based on the total amount of the liquid diluent. The remaining amount of liquid diluent can be one or more of the organic diluents listed above.
Solutions, including emulsifiable concentrates, can be prepared by simply mixing the ingredients. Dusts and powders can be prepared by blending and, usually, grinding as in a hammer mill or fluid-energy mill. Suspensions are usually prepared by wet-milling; see, for example, U.S. 3,060,084. Granules and pellets can be prepared by spraying the active material upon preformed granular carriers or by agglomeration techniques. See Browning, "Agglomeration", Chemical Engineering, December 4, 1967, pp. 147-48, Perry's Chemical Engineer's Handbook, 4th Ed., McGraw-Hill, New York, 1963, pp. 8-57 and following, and PCT
Publication WO 91/13546. Pellets can be prepared as described in U.S. 4,172,714. Water-dispersible and water-soluble granules can be prepared as taught in U.S. 4,144,050, U.S. 3,920,442 and DE 3,246,493. Tablets can be prepared as taught in U.S. 5,180,587, U.S. 5,232,701 and U.S. 5,208,030. Films can be prepared as taught in GB 2,095,558 and U.S. 3,299,566.
For further information regarding the art of formulation, see
T. S. Woods, "The Formulator's Toolbox - Product Forms for Modern Agriculture" in Pesticide Chemistry and Bioscience, The Food- Environment Challenge, T. Brooks and T. R. Roberts, Eds., Proceedings of the 9th International Congress on Pesticide Chemistry, The Royal Society of Chemistry, Cambridge, 1999, pp. 120-133. See also
U.S. 3,235,361 , Col. 6, line 16 through Col. 7, line 19 and Examples 10-
41 ; U.S. 3,309,192, Col. 5, line 43 through Col. 7, line 62 and Examples 8, 12, 15, 39, 41 , 52, 53, 58, 132, 138-140, 162-164, 166, 167 and 169-182; U.S. 2,891 ,855, Col. 3, line 66 through Col. 5, line 17 and Examples 1 -4; Klingman, Weed Control as a Science, John Wiley and Sons, Inc., New York, 1961 , pp. 81 -96; and Hance et al., Weed Control Handbook, 8th Ed., Blackwell Scientific Publications, Oxford, 1989.
In order to inhibit or prevent microbial growth, one or more biocides can be added. Suitable biocides can include, for example, 5-chloro-2- methyl-3(2H)-isothiazolone , o-phenylphenol, sodium-o-phenylphenate, cis-1 -(chloroallyl)-3,5,7-triaza-1 -azoniaadamantane chloride, 7-ethyl bicyclooxazolidine, 2,2-dibromo-3-nitrilopropionamide, bronopol, glutaraldehyde, copper hydroxide, cresol, dichlorophen, dipyrithione, fenaminosulf, formaldehyde, hydrargaphen, 8-hydroxyquinoline sulfate, kasugamycin, nitrapyrin, octhilinone, oxolinic acid, oxytetracycline, probenazole, streptomycin, tecloftalam, thimerosal, polyquaternary ammonium chloride, alkylbenzyl dimethyl ammonium chloride, 2-methyl-4- isothiazolone, 2-ethyl-4-isothiazolin-3-one, 2-propyl-4-isothiazolin-3-one, 2-butyl-4-isothiazolin-3-one, 2-amyl-4-isothiazolin-3-one, 5-chloro-2- methyl-4-isothiazolin-3-one, 5-bromo-2-methyl-4-isothiazolin-3-one, 5- iodo-2-methyl-4-isothiazolin-3-one, 5-chloro-2-butyl-4-isothiazolin-3-one, 5-bromo-2-ethyl-4-isothiazolin-3-one, 5-iodo-2-amyl-4-isothiazolin-3-one, 2-n-octyl-4-isothiazolin-3-one, 4,5-dichloro-2-n-octyl-4-isothazolin-3-one, 1 ,2-benzisothiazolin-3-one or a combination thereof.
The compositions used for treating propagating materials, or plants grown therefrom, according to this disclosure can also comprise (besides the Structure A, Structure B, Structure C, Product 19 or Product 20 salt complex) an effective amount of one or more other biologically active compounds or agents. Suitable biologically active compounds or agents include, but are not limited to, insecticides, fungicides, nematocides, bactericides, acaricides, entomopathogenic bacteria, viruses or fungi, plant growth regulators such as rooting stimulants, chemosterilants, repellents, attractants, pheromones, feeding stimulants and other signal compounds including, but not limited to, apocarotenoids, flavonoids, jasmonates and strigolactones (Akiyama, et al., in Nature, 435:824-827 (2005); Harrison, in
Ann. Rev. Microbiol., 59:19-42 (2005); Besserer, et al., in PLoS Biol., 4(7):e226 (2006); WO2009049747). Polymeric polyhydroxy acids, such as, ARCUS™ ST, available from FBSciences, Collierville, Tennessee can also be added. Biologically active agents according to this disclosure can also comprise microorganisms that stimulate plant growth. Such
microorganisms include, but are not limited to, biologically active species within the bacterial genera Azorhizobium, Bacillus, Bradyrhizobium, Mesorhizobium, Paenibacillus and Rhizobium (Khan, et al., in Bioresource Technology, 99(8): 3016-3023 (2008); Plant Growth and Health Promoting Bacteria (Microbiology Monographs), D. K. Maheshwari, Ed., Springer- Verlag, Berlin, 2010. Such microorganisms also include, but are not limited to, plant growth promoting species within the fungal genera
Cladosporum, Corvularia, Fusarium, Gliocladium, Metarhizium, Penicilliunn and Trichoderma (Kim, et al. in BMC Microbiology, 8:231 (2008); Khan, et al., in World Journal of Microbiology and Biotechnology, 28(4): 1483-1494 (2012), Biotechnology of Microbes and Sustainable Utilization, R. C.
Rajak, Ed., Scientific Publishers, Jodhpur, India, 2002, pp. 1 16-120.
These agents can be formulated into the agricultural composition giving an even broader spectrum of agricultural utility than can be achieved with the Structure A, Structure B, Structure C, Product 19 or Product 20 salt complex alone.
Examples of such biologically active compounds or agents with which salt complexes of Structure A, Structure B, Structure C, Product 19 or Product 20 can be formulated are: insecticides such as abamectin, acephate, acetamiprid, amidoflumet (S-1955), avermectin, azadirachtin, azinphos-methyl, bifenthrin, binfenazate, buprofezin, carbofuran, chlorantraniliprole, chlorfenapyr, chlorfluazuron, chlorpyrifos, chlorpyrifos- methyl, chromafenozide, clothianidin, cyantraniliprole, cyfluthrin, beta-cyfluthrin, cyhalothrin, lambda-cyhalothrin, cypermethrin, cyromazine, deltamethrin, diafenthiuron, diazinon, diflubenzuron, dimethoate, diofenolan, emamectin, endosulfan, esfenvalerate, ethiprole, fenothicarb, fenoxycarb, fenpropathrin, fenproximate, fenvalerate, fipronil, flonicamid, flucythrinate, flupyradifurone, tau-fluvalinate, flufenerim (UR-50701 ), flufenoxuron, fonophos, halofenozide, hexaflumuron, imidacloprid,
indoxacarb, isofenphos, lufenuron, malathion, metaldehyde,
methamidophos, methidathion, methomyl, methoprene, methoxychlor, monocrotophos, methoxyfenozide, nithiazin, novaluron, noviflumuron (XDE-007), oxamyl, parathion, parath ion-methyl, permethrin, phorate, phosalone, phosmet, phosphamidon, pirimicarb, profenofos, pymetrozine, pyridalyl, pyriproxyfen, rotenone, spinosad, spiromesifin (BSN 2060), sulprofos, tebufenozide, teflubenzuron, tefluthrin, terbufos,
tetrachlorvinphos, thiacloprid, thiamethoxam, thiodicarb, thiosultap- sodium, tralomethrin, trichlorfon and triflumuron; fungicides such as acibenzolar, azoxystrobin, benomyl, blasticidin-S, Bordeaux mixture (tribasic copper sulfate), bromuconazole, carpropamid, captafol, captan, carbendazim, chloroneb, chlorothalonil, copper oxychloride, copper salts, cyflufenamid, cymoxanil, cyproconazole, cyprodinil, (S)-3,5-dichloro-/V-(3- chloro-1 -ethyl-1 -methyl-2-oxopropyl)-4-methylbenzamide (RH 7281 ), diclocymet (S-2900), diclomezine, dicloran, difenoconazole, (S)-3,5- dihydro-5-methyl-2-(methylthio)-5-phenyl-3-(phenylamino)-4/-/-imidazol-4- one (RP 407213), dimethomorph, dimoxystrobin, diniconazole,
diniconazole-M, dodine, edifenphos, epoxiconazole, famoxadone, fenamidone, fenarimol, fenbuconazole, fencaramid (SZX0722), fenpidonil, fenpropidin, fenpropimorph, fentin acetate, fentin hydroxide, fluazinam, fludioxonil, flumetover (RPA 403397), flumorf/flumorlin (SYP-L190), fluoxastrobin (HEC 5725), fluquinconazole, flusilazole, flutolanil, fluopyram, flutriafol, folpet, fosetyl-aluminum, furalaxyl, furametapyr (S- 82658), hexaconazole, ipconazole, iprobenfos, iprodione, isoprothiolane, kasugamycin, kresoxim-methyl, mancozeb, maneb, mefenoxam, mepronil, metalaxyl, metconazole, metominostrobin/fenominostrobin (SSF-126), metrafenone (AC 375839), myclobutanil, neo-asozin (ferric
methanearsonate), nicobifen (BAS 510), orysastrobin, oxadixyl,
oxathiapiprolin, penconazole, pencycuron, penflufen, penthiopyrad, picoxystrobin, probenazole, prochloraz, propamocarb, propiconazole, proquinazid, prothioconazole (JAU 6476), pyrifenox, pyraclostrobin, pyrimethanil, pyroquilon, quinoxyfen, sedaxane, spiroxamine, sulfur, tebuconazole, tetraconazole, thiabendazole, thifluzamide, thiophanate- methyl, thiram, tiadinil, triadimefon, triadimenol, tricyclazole, trifloxystrobin,
triticonazole, validamycin and vinclozolin; nematocides such as aldicarb, oxamyl and fenamiphos; bactericides such as streptomycin; acaricides such as amitraz, chinomethionat, chlorobenzilate, cyhexatin, dicofol, dienochlor, etoxazole, fenazaquin, fenbutatin oxide, fenpropathrin, fenpyroximate, hexythiazox, propargite, pyridaben and tebufenpyrad; and biological agents including Bacillus thuringiensis (including ssp. aizawai and kurstaki), Bacillus thuringiensis delta-endotoxin, Bacillus firmus 1-1582, Bacillus simplex, Pasteuria nishizawae, baculoviruses, and entomopathogenic bacteria, viruses, as well as naturally occurring and genetically modified viral insecticides including members of the family Baculoviridae, and fungi, including entomophagous fungi. A general reference for these agricultural protectants is The Pesticide Manual, 12th Edition, C. D. S. Tomlin, Ed., British Crop Protection Council, Farnham, Surrey, U.K., 2000. Combinations of any of the above mentioned can also be used.
Two particular Bacillus strains that can be used are Bacillus amyloliquifaciens 22CP1 (ATCC PTA-6508) and Bacillus amyloliquifaciens 15AP4 (ATCC PTA-6507). On January 12, 2005, Bacillus
amyloliquifaciens 22CP1 was deposited at the American Type Culture Collection (ATCC), 10801 University Blvd., Manassas, Virginia 201 10- 2209 and given accession number PTA-6508. The deposits were made under the provisions of the Budapest Treaty on the International
Recognition of the Deposit of Microorganisms for the Purposes of Patent Procedure. Also on January 12, 2005, Bacillus amyloliquifaciens 15AP4 was deposited at the American Type Culture Collection (ATCC), 10801 University Blvd., Manassas, Virginia 201 10-2209 and given accession numbers PTA-6507. The deposit was made under the provisions of the Budapest Treaty on the International Recognition of the Deposit of Microorganisms for the Purposes of Patent Procedure.
In some embodiments, the agricultural composition can comprise at least one of the salt complexes according to Structure A, Structure B, Structure C, Product 19 or Product 20 and Bacillus amyloliquifaciens 22CP1 . In other embodiments, the agricultural composition can comprise at least one of the compounds according to Structure A, Structure B,
Structure C, Product 19 or Product 20 and Bacillus amyloliquifaciens 15AP4. In another embodiment, the agricultural composition can comprise the salt complex according to Product 20 and Bacillus amyloliquifaciens 22CP1 . In a further embodiment, the agricultural composition can comprise the salt complex according to Product 20 and Bacillus
amyloliquifaciens 15AP4.
The anthranilamide insecticides, which include chlorantraniliprole and cyantraniliprole, comprises a large class of compounds having insecticidal activity. The agricultural composition can further comprise and one of the compounds of Formula 1 including N-oxides or salts therefrom;
wherein
X is N, CF, CCI, CBr or CI;
R7 is CH3, CI, Br or F;
R8 is H, F, CI, Br or -CN;
R is F, CI, Br, C1 to C4 haloalkyl, C1 to C4 haloalkoxy or Q;
R10 is NR13R14, N=S(CH3)2, N=S(CH2CH3)2, N=S(CH(CH3)2)2;
R1 1 is H, F, CI or Br;
R is H, F, CI or Br;
each R13 and R14 is independently H, C1 to C6 alkyl, C3 to C6 cycloalkyl, cyclopropyl methyl or 1 -cyclopropylethyl; and
Q is a -CH2-tetrazole radical. Suitable embodiments for Q can include any structure having a formula according to Q-1 to Q-1 1 ;
In other embodiments, the agricultural composition can further comprise any of the known anthranilic diamide insecticides, for example, those described in US 6,747,047, US 8,324,390, US 2010/0048640, WO 2007/006670, WO 2013/024009, WO 2013/024010,
WO 2013/024004, WO 2013/024170 or WO 2013/024003. Specific embodiments from US 8,324,390 can include any of those compounds disclosed as examples 1 through 544. Specific embodiments from US 2010/0048640 can include any of those compounds disclosed in Tables 1 through 68 or compounds represented by Chemical Formula 44 through 1 18. Each of the references to the above patents and
applications are hereby incorporated by reference.
The agricultural compositions comprising the salt complex of
Structure A, Structure B, Structure C, Product 19 or Product 20 can further comprise one or more signal molecules. In plants of the Leguminoseae family, the symbiotic interaction between the plants and nitrogen-fixing bacteria of the Rhizobiaceae family ("rhizobia") enhances plant growth and crop yield. The symbiotic interaction is initiated when a plant releases flavonoid compounds that stimulate rhizobia! bacteria in the soil to produce lipochitooligosaccharide signal molecule (LCOs).
LCOs are signaling compounds that induce the early stages of nodulation in plant roots, which lead to the formation of root nodules containing the nitrogen-fixing rhizobial bacteria. Application of a LCO to seeds of legumes and non-legumes can help to stimulate germination, seedling emergence, plant growth and yield in crop and horticultural plant species. LCOs have also been shown to enhance root development. Foliar application of LCOs has also been demonstrated to increase photosynthesis, and fruiting and flowering in crop and horticultural plant species.
LCOs consist of an oligomeric backbone of β-1 ,4-linked N-acetyl-D- glucosamine ("GlcNAc") residues with an N-linked fatty acyl chain at the nonreducing end. LCOs differ in the number of GlcNAc residues in the backbone, in the length and degree of saturation of the fatty acyl chain, and in the substitutions of reducing and nonreducing sugar residues. LCO structure is characteristic for each rhizobial species, and each strain may produce multiple LCO's with different structures. LCO's are the primary determinants of host specificity in legume symbiosis.
In one embodiment, the bacterial strains disclosed herein can be used with one or more LCOs. In one embodiment, the disclosure relates to the agricultural composition and further comprising a bacterial strain disclosed herein and one or more LCOs. In still yet another embodiment, the agricultural composition can further comprise one or more LOCs.
Suitable LCOs are known in the art and can be found in, for example, US 5,175,149 to The University of Tennessee Research Corporation; US 5,549,718 to Centre National de la Recherche Scientifique; and
WO2012/20105 to Bayer Crop Science.
In some embodiments, the plant growth regulators for mixing with the salt complex of Structure A, Structure B, Structure C, Product 19 or Product 20 used in compositions for treating stem cuttings are 1 H-indole- 3-acetic acid, 1 H-indole-3-butanoic acid and 1 -naphthaleneacetic acid and their agriculturally suitable salt, ester and amide derivatives, such as 1 -napthaleneacetamide. In other embodiments, the fungicides for mixing with the Structure A, Structure B, Structure C, Product 19 or Product 20 salt complex include fungicides useful as seed treatments can be thiram, maneb, mancozeb and captan.
In some embodiments, microorganisms can be added to the agricultural composition. Suitable examples of microorganisms, can include, for example, a phosphate solubilizing microorganism. As used herein, "phosphate solubilizing microorganism" is a microorganism that is able to increase the amount of phosphorous available for a plant.
Phosphate solubilizing microorganisms include fungal and bacterial strains. In one embodiment, the phosphate solubilizing microorganism is a spore forming microorganism.
In some embodiments, the phosphate solubilizing microorganisms can include, for example, species from a genus selected from the group consisting of Acinetobacter, Arthrobacter, Arthrobotrys, Aspergillus, Azospirillum, Bacillus, Burkholderia, Candida Chryseomonas,
Enterobacter, Eupenicillium, Exiguobacterium, Klebsiella, Kluyvera, Microbacterium, Mucor, Paecilomyces, Paenibacillus, Penicillium,
Pseudomonas, Serratia, Stenotrophomonas, Streptomyces,
Streptosporangium, Swaminathania, Thiobacillus, Torulospora, Vibrio, Xanthobacter, and Xanthomonas.
In further embodiments, the phosphate solubilizing microorganisms can include, for example, Acinetobacter calcoaceticus, Acinetobacter sp, Arthrobacter sp., Arthrobotrys oligospora, Aspergillus niger, Aspergillus sp., Azospirillum halopraeferans, Bacillus amyloliquefaciens, Bacillus atrophaeus, Bacillus circulans,Bacillus licheniformis, Bacillus subtilis,
Burkholderia cepacia, Burkholderia vietnamiensis, Candida krissii,
Chryseomonas luteola, Enterobacter aerogenes, Enterobacter asburiae,
Enterobacter sp., Enterobacter taylorae, Eupenicillium parvum,
Exiguobacterium sp., Klebsiella sp., Kluyvera cryocrescens,
Microbacterium sp., Mucor ramosissimus, Paecilomyces hepialid,
Paecilomyces marquandii, Paenibacillus macerans, Paenibacillus mucilaginosus, Pantoea aglomerans, Penicillium expansum,
Pseudomonas corrugate, Pseudomonas fluorescens, Pseudomonas lutea, Pseudomonas poae, Pseudomonas putida, Pseudomonas stutzeri, Pseudomonas trivialis, Serratia marcescens, Stenotrophomonas maltophilia, Streptomyces sp., Streptosporangium sp., Swaminathania salitolerans, Thiobacillus ferrooxidans, Torulospora globosa, Vibrio proteolytics, Xanthobacter agilis, and Xanthomonas campestris.
In a particular embodiment, the phosphate solubilizing
microorganism is a strain of the fungus Penicillium. Strains of the fungus Penicillium that may be useful in the practice of the present disclosure include P. bilaiae (formerly known as P. bilaii), P. albidum, P.
aurantiogriseum, P. chrysogenum, P. citreonigrum, P. citrinum, P.
digitatum, P. frequentas, P. fuscum, P. gaestrivorus, P. glabrum, P.
griseofulvum, P. implicatum, P. janthinellum, P. Iilacinum, P. minioluteum, P. montanense, P. nigricans, P. oxalicum, P. pinetorum, P. pinophilum, P. purpurogenum, P. radicans, P. radicum, P. raistrickii, P. rugulosum, P. simplicissimum, P. solitum, P. variabile, P. velutinum, P. viridicatum, P. glaucum, P. fussiporus, and P. expansum.
In another particular embodiment, the Penicillium species is P.
bilaiae. In still another particular embodiment the P. bilaiae strains are selected from the group consisting of American Type Culture Collection (ATCC) ATCC 20851 , Northern Regional Research Laboratory (NRRL) NRRL 50169, ATCC 22348, ATCC 18309, NRRL 50162 (Wakelin, et al., 2004. Biol Fertil Soils 40:36-43). In another particular embodiment the Penicillium species is P. gaestrivorus, e.g., NRRL 50170 (see, Wakelin, supra.).
In some embodiments, more than one phosphate solubilizing microorganism is used, for example, at least two, at least three, at least four, at least five, at least 6, including, for example, any combination of the
Acinetobacter, Arthrobacter, Arthrobotrys, Aspergillus, Azospirillum,
Bacillus, Burkholderia, Candida Chryseomonas, Enterobacter,
Eupenicillium, Exiguobacterium, Klebsiella, Kluyvera, Microbacterium, Mucor, Paecilomyces, Paenibacillus, Penicillium, Pseudomonas, Serratia, Stenotrophomonas, Streptomyces, Streptosporangium, Swaminathania, Thiobacillus, Torulospora, Vibrio, Xanthobacter, and Xanthomonas, including one species selected from the following group: Acinetobacter calcoaceticus, Acinetobacter sp, Arthrobacter sp., Arthrobotrys oligospora, Aspergillus niger, Aspergillus sp., Azospirillum halopraeferans, Bacillus amyloliquefaciens, Bacillus atrophaeus, Bacillus circulans, Bacillus licheniformis, Bacillus subtilis, Burkholderia cepacia, Burkholderia vietnamiensis, Candida krissii, Chryseomonas luteola, Enterobacter aerogenes, Enterobacter asburiae, Enterobacter sp., Enterobacter taylorae, Eupenicillium parvum, Exiguobacterium sp., Klebsiella sp., Kluyvera cryocrescens, Microbacterium sp., Mucor ramosissimus,
Paecilomyces hepialid, Paecilomyces marquandii, Paenibacillus macerans, Paenibacillus mucilaginosus, Pantoea aglomerans, Penicillium expansum, Pseudomonas corrugate, Pseudomonas fluorescens,
Pseudomonas lutea, Pseudomonas poae, Pseudomonas putida,
Pseudomonas stutzeri, Pseudomonas trivialis, Serratia marcescens, Stenotrophomonas maltophilia, Streptomyces sp., Streptosporangium sp., Swaminathania salitolerans, Thiobacillus ferrooxidans, Torulospora globosa, Vibrio proteolytics, Xanthobacter agilis, and Xanthomonas campestris.
In some embodiments, two different strains of the same species may also be combined, for example, at least two different strains of Penicillium are used. The use of a combination of at least two different Penicillium strains has the following advantages. When applied to soil already containing insoluble (or sparingly soluble) phosphates, the use of the combined fungal strains will result in an increase in the amount of phosphorus available for plant uptake compared to the use of only one Penicillium strain. This in turn may result in an increase in phosphate uptake and/or an increase in yield of plants grown in the soil compared to use of individual strains alone. The combination of strains also enables insoluble rock phosphates to be used as an effective fertilizer for soils which have inadequate amounts of available phosphorus. Thus, in some
embodiments, one strain of P. bilaiae and one strain of P. gaestrivorus are used. In other embodiments, the two strains are NRRL 50169 and NRRL 50162. In further embodiments, the at least two strains are NRRL 50169 and NRRL 50170. In yet further embodiments, the at least two strains are NRRL 50162 and NRRL 50170.
The phosphate solubilizing microorganisms may be prepared using any suitable method known to the person skilled in the art, such as, solid state or liquid fermentation using a suitable carbon source. These culture methods may be used in the preparation of an inoculum of Penicillium spp. for treating seeds and/or application to an agrononnically acceptable carrier to be applied to soil. The term "inoculum" as used in this specification is intended to mean any form of phosphate solubilizing microorganism, fungus cells, mycelium or spores, bacterial cells or bacterial spores, which is capable of propagating on or in the soil, including on or in the vicinity of plant roots when the conditions of temperature, moisture, etc., are favorable for fungal growth. The phosphate solubilizing microorganism is preferably prepared in the form of a stable spore.
Solid state production of Penicillium spores may be achieved by inoculating a solid medium such as a peat or vermiculite-based substrate, seeds or grains including, but not limited to, corn, soy, potato, oats, wheat, barley, or rice. The sterilized medium (achieved through autoclaving or irradiation) is inoculated with a spore suspension comprising in the range of from 1 x102-1 x107 colony forming units per milliliter (cfu/ml) of the appropriate Penicillium spp. and the moisture adjusted to 20 to 50%, depending on the substrate. The inoculated medium is incubated for 2 to 8 weeks at room temperature. The spores may also be produced by liquid fermentation (Cunningham et al., 1990. Can J Bot. 68:2270-2274). Liquid production may be achieved by cultivating the fungus in any suitable media, such as potato dextrose broth or sucrose yeast extract media, under appropriate pH and temperature conditions that may be determined in accordance with standard procedures in the art.
The resulting material may be used directly, or the spores may be harvested, concentrated by centrifugation, formulated, and then dried using air drying, freeze drying, or fluid bed drying techniques (Friesen, et
a/., 2005, Appl. Microbiol. Biotechnol. 68:397-404) to produce a wettable powder. The wettable powder is then suspended in water, applied to the surface of seeds, and allowed to dry prior to planting. The wettable powder may be used in conjunction with other seed treatments, such as, but not limited to, chemical seed treatments, carriers (for example, talc, clay, kaolin, silica gel, kaolinite) or polymers (for example, methylcellulose, polyvinylpyrrolidone). Alternatively, a spore suspension of the appropriate Penicillium spp. may be applied to a suitable soil-compatible carrier (for example, peat-based powder or granule) to appropriate final moisture content. The material may be incubated at room temperature, typically for about 1 day to about 8 weeks, prior to use.
The amount of the at least one phosphate solubilizing microorganism varies depending on the type of seed or soil, the type of plant material, the amounts of the source of phosphorus and/or micronutrients present in the soil or added thereto, etc. A suitable amount can be found by simple trial and error experiments for each particular case. Normally, for Penicillium, for example, the application amount falls into the range of from 0.001 to 1 .0 Kg fungal spores and mycelium (fresh weight) per hectare, or 102-106 colony forming units (cfu) per seed (when coated seeds are used), or on a granular carrier applying between 1 x106 and 1 x101 1 colony forming units per hectare. The fungal cells in the form of e.g., spores and the carrier can be added to a seed row of the soil at the root level or can be used to coat seeds prior to planting.
Diazotrophs are bacteria and archaea that fix atmospheric nitrogen gas into a more usable form such as ammonia. Examples of diazotrophs include bacteria from the genera Rhizobium spp. (e.g., R. cellulosilyticum, R. daejeonense, R. etli, R. galegae, R. gallicum, R. giardinii, R.
hainanense, R. huautlense, R. indigoferae, R. leguminosarum, R.
loessense, R. lupini, R. lusitanum, R. meliloti, R. mongolense, R.
miluonense, R. sullae, R. tropici, R. undicola, and/or R. yanglingense),
Bradyrhizobium spp. (e.g., B. bete, B. canariense, B. elkanii, B.
iriomotense, B. japonicum, B. jicamae, B. liaoningense, B. pachyrhizi, and/or B. yuanmingense), Azorhizobium spp. (e.g., A. caulinodans and/or
A. doebereinerae), Sinorhizobium spp. (e.g., S. abri, S. adhaerens, S.
americanum, S. aborts, S. fredii, S. indiaense, S. kostiense, S.
kummerowiae, S. medicae, S. meliloti, S. mexicanus, S. morelense, S. saheli, S. terangae, and/or S. xinjiangense), Mesorhizobium spp., (M. albiziae, M. amorphae, M. chacoense, M. ciceri, M. huakuii, M. loti, M. mediterraneum, M. pluifarium, M. septentrionale, M. temperatum, and/or M. tianshanense), and combinations thereof. In a particular embodiment, the diazotroph is selected from the group consisting of B. japonicum, R leguminosarum, R meliloti, S. meliloti, and combinations thereof. In another embodiment, the diazotroph is B. japonicum. In another embodiment, the diazotroph is R leguminosarum. In another embodiment, the diazotroph is R meliloti. In another embodiment, the diazotroph is S. meliloti.
Mycorrhizal fungi form symbiotic associations with the roots of a vascular plant, and provide, e.g., absorptive capacity for water and mineral nutrients due to the comparatively large surface area of mycelium.
Mycorrhizal fungi include endomycorrhizal fungi (also called vesicular arbuscular mycorrhizae, VAMs, arbuscular mycorrhizae, or AMs), an ectomycorrhizal fungi, or a combination thereof. In one embodiment, the mycorrhizal fungi is an endomycorrhizae of the phylum Glomeromycota and genera Glomus and Gigaspora. In still a further embodiment, the endomycorrhizae is a strain of Glomus aggregatum, Glomus brasilianum, Glomus clarum, Glomus deserticola, Glomus etunicatum, Glomus fasciculatum, Glomus intraradices, Glomus monosporum, or Glomus mosseae, Gigaspora margarita, or a combination thereof.
Examples of mycorrhizal fungi include ectomycorrhizae of the phylum
Basidiomycota, Ascomycota, and Zygomycota. Other examples include a strain of Laccaria bicolor, Laccaria laccata, Pisolithus tinctorius,
Rhizopogon amylopogon, Rhizopogon fulvigleba, Rhizopogon luteolus, Rhizopogon villosuli, Scleroderma cepa, Scleroderma citrinum, or a combination thereof.
The mycorrhizal fungi include ecroid mycorrhizae, arbutoid
mycorrhizae, or monotropoid mycorrhizae. Arbuscular and
ectomycorrhizae form ericoid mycorrhiza with many plants belonging to the order Ericales, while some Ericales form arbutoid and monotropoid
mycorrhizae. In some embodiments, the mycorrhiza can be an ericoid mycorrhiza, for example, of the phylum Ascomycota, such as
Hymenoscyphous ericae or Oidiodendron sp. In another embodiment, the mycorrhiza also can be an arbutoid mycorrhiza, for example, of the phylum Basidiomycota. In yet another embodiment, the mycorrhiza can be a monotripoid mycorrhiza, for example, of the phylum Basidiomycota. In still yet another embodiment, the mycorrhiza can be an orchid mycorrhiza, for example, of the genus Rhizoctonia.
In some embodiments, the agricultural compositions can comprise combinations of any of the above listed components. For example, the agricultural composition can comprise a salt complex of Structure A,
Structure B, Structure C, Product 19 or Product 20 and a combination of two different insecticides, a fungicide and any one or more of the above listed bacterial or fungal strains. In other embodiments, the agricultural composition can comprise a salt complex of Structure A, Structure B, Structure C, Product 19 or Product 20 and chlorantraniliprole,
cyantraniliprole or a combination of chlorantraniliprole and cyantraniliprole and one or more of the ingredients in Table 1 of rows 1 , 2 or 3.
TABLE 1
The agricultural composition can be applied by such methods as drenching the growing medium including a propagating material with a solution or dispersion of the agricultural composition, mixing the agricultural composition with growing medium and planting a propagating
material in the treated growing medium (e.g., nursery box treatments), or various methods of propagating material treatment whereby the
agricultural composition is applied to a propagating material before it is planted in a growing medium. For growing-medium drenches, the formulation needs to provide the
Structure A, Structure B, Structure C, Product 19 or Product 20 salt complex, generally after dilution with water, in solution or as particles small enough to remain dispersed in the liquid. Water-dispersible or soluble powders, granules, tablets, emulsifiable concentrates, aqueous
suspension concentrates and the like are formulations suitable for aqueous drenches of growing media. Drenches are most satisfactory for treating growing media that have relatively high porosity, such as light soils or artificial growing medium comprising porous materials such as peat moss, perlite, vermiculite and the like. The drench liquid comprising the Structure A, Structure B, Structure C, Product 19 or Product 20 salt complex can also be added to a liquid growing medium (i.e. hydroponics), which causes the Structure A, Structure B, Structure C, Product 19 or Product 20 salt complex to become part of the liquid growing medium. One skilled the art will appreciate that the amount of Structure A, Structure B, Structure C, Product 19 or Product 20 salt complex needed in the drench liquid for efficacy (i.e. biologically effective amount) will vary with several factors including, but not limited to, plant species, propagating material type and environmental conditions. The concentration of the Structure A, Structure B, Structure C, Product 19 or Product 20 salt complex in the drench liquid is generally between about 10"3 M to 10"12 M of the composition, more typically between about 10"6 M to 10"10 M. One skilled in the art can easily determine the biologically effective
concentration necessary for the desired level of efficacy.
For treating a growing medium, the Structure A, Structure B,
Structure C, Product 19 or Product 20 salt complex can also be applied by mixing it as a dry powder or granule formulation with the growing medium. Because this method of application does not require first dispersing or dissolving in water, the dry powder or granule formulations need not be
highly dispersible or soluble. While in a nursery box the entire body of growing medium may be treated, in an agricultural field only the soil in the vicinity of the propagating material is typically treated for environmental and cost reasons. To minimize application effort and expense, a formulation comprising the Structure A, Structure B, Structure C, Product 19 or Product 20 salt complex is most efficiently applied concurrently with propagating material planting (e.g., seeding). For in-furrow application, the Structure A, Structure B, Structure C, Product 19 or Product 20
formulation (most conveniently a granule formulation) is applied directly behind the planter shoe. For T-band application, the Structure A,
Structure B, Structure C, Product 19 or Product 20 formulation is applied in a band over the row behind the planter shoe and behind or usually in front of the press wheel. One skilled the art will appreciate that the amount of the Structure A, Structure B, Structure C, Product 19 or Product 20 salt complex needed in the growing medium locus for efficacy (i.e. biologically effective amount) will vary with several factors including, but not limited to, plant species, propagating material type and environmental conditions. The concentration of the Structure A, Structure B, Structure C, Product 19 or Product 20 salt complex in the growing medium locus is generally between about 10"3 M to 10"12 M of the composition, more typically between about 10"6 M to 10"10 M. One skilled in the art can easily determine the biologically effective amount necessary for the desired level of efficacy.
A propagating material can be directly treated by soaking it in a solution or dispersion of Structure A, Structure B, Structure C, Product 19 or Product 20 salt complex. Although this application method is useful for propagating materials of all types, treatment of large seeds (e.g., having a mean diameter of at least 3 mm) is more effective than treatment of small seeds for providing efficacy. Treatment of propagating materials such as tubers, bulbs, corms, rhizomes and stem and leaf cuttings can also provide effective treatment of the developing plant in addition to the propagating material. The formulations useful for growing-medium drenches are generally also useful for soaking treatments. The soaking medium comprises a nonphytotoxic liquid, generally water-based although
it may contain nonphytotoxic amounts of other solvents such as methanol, ethanol, isopropanol, ethylene glycol, propylene glycol, propylene carbonate, benzyl alcohol, dibasic esters, acetone, methyl acetate, ethyl acetate, cyclohexanone, dimethylsulfoxide and /V-methylpyrrolidone, which may be useful for enhancing solubility of the Structure A, Structure B, Structure C, Product 19 or Product 20 salt complex and penetration into the propagating material. A surfactant can facilitate wetting of the propagating material and penetration of the Structure A, Structure B,
Structure C, Product 19 or Product 20 salt complex. One skilled the art will appreciate that the amount of Structure A, Structure B, Structure C, Product 19 or Product 20 salt complex needed in the soaking medium for efficacy (i.e. biologically effective amount) will vary with several factors including, but not limited to, plant species, propagating material type and environmental conditions. The concentration of Structure A, Structure B, Structure C, Product 19 or Product 20 salt complex in the soaking liquid is generally between about 10"3 M to10"12 M of the composition, more typically between about 10"6 M to 10"10 M. One skilled in the art can easily determine the biologically effective concentration necessary for the desired level of efficacy. The soaking time can vary from one minute to one day or even longer. Indeed, the propagating material can remain in the treatment liquid while it is germinating or sprouting (e.g., sprouting of rice seeds prior to direct seeding). As shoot and root emerge through the testa (seed coat), the shoot and root directly contact the solution comprising the Structure A, Structure B, Structure C, Product 19 or Product 20 salt complex. For treatment of sprouting seeds of large-seeded crops such as rice, treatment times of about 8 to 48 hours, e.g., about 24 hours, is typical. Shorter times are most useful for treating small seeds.
A propagating material can also be coated with a coating
composition comprising a biologically effective amount of a Structure A, Structure B, Structure C, Product 19 or Product 20 salt complex. The coatings of the disclosure are capable of affecting a slow release of a
Structure A, Structure B, Structure C, Product 19 or Product 20 salt complex by diffusion into the propagating material and surrounding medium. Coatings include dry dusts or powders adhering to the
propagating material by action of an adhesive agent such as
methylcellulose or gum arabic. Coatings can also be prepared from suspension concentrates, water-dispersible powders or emulsions that are suspended in water, sprayed on the propagating material in a tumbling device and then dried. Structure A, Structure B, Structure C, Product 19 or Product 20 salt complexes that are dissolved in the solvent can be sprayed on the tumbling propagating material and the solvent then evaporated. Such compositions can include ingredients promoting adhesion of the coating to the propagating material. The compositions may also contain surfactants promoting wetting of the propagating material. Solvents used must not be phytotoxic to the propagating material; generally water is used, but other volatile solvents with low phytotoxicity such as methanol, ethanol, methyl acetate, ethyl acetate, acetone, etc. may be employed alone or in combination. Volatile solvents are those with a normal boiling point less than about 100 °C. Drying must be conducted in a way not to injure the propagating material or induce premature germination or sprouting.
The thickness of coatings can vary from adhering dusts to thin films to pellet layers about 0.5 to 5 mm thick. Propagating material coatings of this disclosure can comprise more than one adhering layer, only one of which need comprise a Structure A, Structure B, Structure C, Product 19 or Product 20 salt complex. Generally pellets are most satisfactory for small seeds, because their ability to provide a biologically effective amount of a Structure A, Structure B, Structure C, Product 19 or Product 20 salt complex is not limited by the surface area of the seed, and pelleting small seeds also facilitates seed transfer and planting operations. Because of their larger size and surface area, large seeds and bulbs, tubers, corms and rhizomes and their viable cuttings are generally not pelleted, but instead coated with powders or thin films.
Propagating materials contacted with the salt complex of Structure A,
Structure B, Structure C, Product 19 or Product 20 in accordance to this disclosure include seeds. Suitable seeds include seeds of wheat, durum wheat, barley, oat, rye, maize (corn), sorghum, rice, wild rice, cotton, flax, sunflower, soybean, garden bean, lima bean, broad bean, garden pea,
peanut, alfalfa, beet, garden lettuce, rapeseed, cole crop, turnip, leaf mustard, black mustard, tomato, potato, pepper, eggplant, tobacco, cucumber, muskmelon, watermelon, squash, carrot, zinnia, cosmos, chrysanthemum, sweet scabious, snapdragon, gerbera, babys-breath, statice, blazing star, lisianthus, yarrow, marigold, pansy, impatiens, petunia, geranium and coleus. Of note are seeds of cotton, maize (corn), soybean and rice. Propagating materials contacted with salt complexes of Structure A, Structure B, Structure C, Product 19 or Product 20 in accordance to this disclosure also include, for example, rhizomes, tubers, bulbs or corms, or viable divisions thereof. Suitable rhizomes, tubers, bulbs and corms, or viable divisions thereof include those of potato, sweet potato, yam, garden onion, tulip, gladiolus, lily, narcissus, dahlia, iris, crocus, anemone, hyacinth, grape-hyacinth, freesia, ornamental onion, wood-sorrel, squill, cyclamen, glory-of-the-snow, striped squill, calla lily, gloxinia and tuberous begonia. Of note are rhizomes, tubers, bulbs and corms, or viable division thereof of potato, sweet potato, garden onion, tulip, daffodil, crocus and hyacinth. Propagating materials contacted with salt complexes of Structure A, Structure B, Structure C, Product 19 or Product 20 in accordance to this disclosure also include stems and leaf cuttings.
In some embodiments, a propagating material is contacted with a coating composition comprising the Structure A, Structure B, Structure C, Product 19 or Product 20 salt complex and a film former or adhesive agent. Coating compositions which comprise a biologically effective amount of a salt complex of Structure A, Structure B, Structure C, Product 19 or Product 20 and a film former or adhesive agent, can further comprise an effective amount of at least one of the previously mentioned biologically active compounds or agents. Of note are compositions comprising (in addition to the Structure A, Structure B, Structure C, Product 19 or Product 20 salt complex and the film former or adhesive agent)
arthropodicides of the group pyrethroids, such as cypermethrin, cyhalothrin, cyfluthrin and beta-cyfluthrin, esfenvalerate, fenvalerate and tralomethrin; carbamates such as fenothicarb, methomyl, oxamyl and thiodicarb; neonicotinoids such as clothianidin, imidacloprid and
thiacloprid; neuronal sodium channel blockers such as indoxacarb;
insecticidal macrocyclic lactones such as spinosad, abamectin, avermectin and emamectin; γ-aminobutyric acid (GABA) antagonists such as endosulfan, ethiprole and fipronil; insecticidal ureas such as flufenoxuron and triflumuron; and juvenile hormone mimics such as diofenolan and pyriproxyfen.
Generally, the coating composition may further comprise formulation aids such as a dispersant, a surfactant, a carrier and optionally an antifoam agent and a dye. One skilled the art will appreciate that the amount of the Structure A, Structure B, Structure C, Product 19 or Product 20 salt complex needed for efficacy (i.e. biologically effective amount) will vary with several factors including, but not limited to, plant species, propagating material type and environmental conditions. The coating needs to not inhibit germination or sprouting of the propagating material.
The film former or adhesive agent component of the propagating material coating can be composed of an adhesive polymer that may be natural or synthetic and is without phytotoxic effect on the propagating material to be coated. The film former or adhesive agent may be selected from polyvinyl acetates, polyvinyl acetate copolymers, hydrolyzed polyvinyl acetates, polyvinylpyrrolidone-vinyl acetate copolymer, polyvinyl alcohols, polyvinyl alcohol copolymers, polyvinyl methyl ether, polyvinyl methyl ether-maleic anhydride copolymer, waxes, latex polymers, celluloses including ethylcelluloses and methylcelluloses, hydroxymethylcelluloses, hydroxypropylcellulose, hydroxymethylpropylcelluloses, polyvinyl- pyrrolidones, alginates, dextrins, malto-dextrins, polysaccharides, fats, oils, proteins, karaya gum, jaguar gum, tragacanth gum, polysaccharide gums, mucilage, gum arabics, shellacs, vinylidene chloride polymers and copolymers, soybean-based protein polymers and copolymers,
lignosulfonates, acrylic copolymers, starches, polyvinylacrylates, zeins, gelatin, carboxymethylcellulose, chitosan, polyethylene oxide, acrylimide polymers and copolymers, polyhydroxyethyl acrylate, methylacrylimide monomers, alginate, ethylcellulose, polychloroprene and syrups or mixtures thereof. In some embodiments, film formers and adhesive agents include polymers and copolymers of for example, vinyl acetate,
polyvinylpyrrolidone-vinyl acetate copolymer and water-soluble waxes. In other embodiments, the film formers and adhesive agents can be polyvinylpyrrolidone-vinyl acetate copolymers and/or water-soluble waxes. The above-identified polymers include those known in the art and for example some are identified as AGRIMER® VA 6 (Vinylpyrrolidone/vinyl acetate copolymers available from Ashland, Inc., Covington, KY) and LICOWAX® KST (an ester of montanic acids with multifunctional alcohols available from Clariant International Ltd., Muttenz, Switzerland). The amount of film former or adhesive agent in the formulation is generally in the range of about 0.001 to 100% of the weight of the propagating material. For large seeds the amount of film former or adhesive agent is typically in the range of about 0.05 to 5% of the seed weight; for small seeds the amount is typically in the range of about 1 to 100%, but can be greater than 100% of seed weight in pelleting. For other propagating materials the amount of film former or adhesive agent is typically in the range of 0.001 to 2% of the propagating material weight.
Materials known as formulation aids may also be used in propagating material treatment coatings of the disclosure and are well known to those skilled in the art. Formulation aids assist in the production or process of propagating material treatment and include, but are not limited, to dispersants, surfactants, carriers, antifoams and dyes. Useful dispersants can include highly water-soluble anionic surfactants like
BORRESPERSE™ CA (a spray dried calcium lignosulphonate available from Borregaard Deutschland GmbH, Karlsruhe, Germany), MORWET® D425 (naphthalene sulfonate available from AkzoNobel, Amsterdam, Netherlands) and the like. Useful surfactants can include highly water- soluble nonionic surfactants like PLURONIC® F108 (a difunctional block copolymer surfactant available from BASF, Florham Park, NJ), BRIJ® 78 (polyethylene glycol octadecyl ether available from Sigma-Aldrich, St. Louis. MO) and the like. Useful carriers can include liquids like water and oils which are water-soluble such as alcohols. Useful carriers can also include fillers like woodflours, clays, activated carbon, diatomaceous earth, fine-grain inorganic solids, calcium carbonate and the like. Clays and inorganic solids which may be used include calcium bentonite, kaolin,
china clay, talc, perlite, mica, vermiculite, silicas, quartz powder, montmorillonite and mixtures thereof. Antifoam agents can include water dispersible liquids comprising polyorganic siloxanes like RHODORSIL® 416 (mixture of silicone-polyether block copolymer and free polyether available from Rhodia Inc., Cranbury, NJ). Dyes can include water dispersible liquid colorant compositions like PRO-IZED® Colorant Red (liquid seed colorant available from Gustafson LLC, Piano, TX). One skilled in the art will appreciate that this is a non-exhaustive list of formulation aids and that other recognized materials may be used depending on the propagating material to be coated and the salt complex of Structure A, Structure B, Structure C, Product 19 or Product 20 used in the coating. Suitable examples of formulation aids include those listed herein and those listed in McCutcheon's 2001, Volume 2: Functional Materials, published by MC Publishing Company. The amount of formulation aids used may vary, but generally the weight of the
components will be in the range of about 0.001 to 10000% of the propagating material weight, with the percentages above 100% being mainly used for pelleting small seed. For nonpelleted seed generally the amount of formulating aids is about 0.01 to 45% of the seed weight and typically about 0.1 to 15% of the seed weight. For propagating materials other than seeds, the amount of formulation aids generally is about 0.001 to 10% of the propagating material weight.
Conventional means of applying seed coatings may be used to carry out the coating of the disclosure. Dusts or powders may be applied by tumbling the propagating material with a formulation comprising a
Structure A, Structure B, Structure C, Product 19 or Product 20 salt complex and an adhesive agent to cause the dust or powder to adhere to the propagating material and not fall off during packaging or
transportation. Dusts or powders can also be applied by adding the dust or powder directly to the tumbling bed of propagating materials, followed by spraying a carrier liquid onto the seed and drying. Dusts and powders comprising a Structure A, Structure B, Structure C, Product 19 or Product
20 salt complex can also be applied by treating (e.g., dipping) at least a portion of the propagating material with a solvent such as water, optionally
comprising a adhesive agent, and dipping the treated portion into a supply of the dry dust or powder. This method can be particularly useful for coating stem cuttings. Propagating materials can also be dipped into compositions comprising Structure A, Structure B, Structure C, Product 19 or Product 20 salt formulations of wetted powders, solutions,
suspoemulsions, emulfiable concentrates and emulsions in water, and then dried or directly planted in the growing medium. Propagating materials such as bulbs, tubers, corms and rhizomes typically need only a single coating layer to provide a biologically effective amount of a
Structure A, Structure B, Structure C, Product 19 or Product 20 salt complex.
Propagating materials may also be coated by spraying a suspension concentrate directly into a tumbling bed of propagating materials and then drying the propagating materials. Alternatively, other formulation types like wetted powders, solutions, suspoemulsions, emulsifiable concentrates and emulsions in water may be sprayed on the propagating materials. This process is particularly useful for applying film coatings to seeds. Various coating machines and processes are available to one skilled in the art. Suitable processes include those listed in P. Kosters et al., Seed
Treatment: Progress and Prospects, 1994 BCPC Monograph No. 57 and the references listed therein. Three well-known techniques include the use of drum coaters, fluidized bed techniques and spouted beds.
Propagating materials such as seeds may be presized prior to coating. After coating the propagating materials are dried and then optionally sized by transfer to a sizing machine. These machines are known in the art for example, as a typical machine used when sizing maize (corn) seed in the industry.
For coating seed, the seed and coating material are mixed in any variety of conventional seed coating apparatus. The rate of rolling and coating application depends upon the seed. For large oblong seeds such as those of cotton, a satisfactory seed coating apparatus comprises a rotating type pan with lifting vanes turned at sufficient rpm to maintain a rolling action of the seed, facilitating uniform coverage. For seed coating formulations applied as liquids, the seed coating must be applied over
sufficient time to allow drying to minimize clumping of the seed. Using forced air or heated forced air can facilitate an increased rate of
application. One skilled in the art will also recognize that this process may be a batch or continuous process. As the name implies, a continuous process allows the seeds to flow continuously throughout the product run. New seeds enter the pan in a steady stream to replace coated seeds exiting the pan.
The seed coating process of the present disclosure is not limited to thin film coating and may also include seed pelleting. The pelleting process typically increases the seed weight from 2 to 100 times and can be used to also improve the shape of the seed for use in mechanical seeders. Pelleting compositions generally contain a solid diluent, which is typically an insoluble particulate material, such as clay, ground limestone, powdered silica, etc., to provide bulk in addition to a binder such as an artificial polymer (e.g., polyvinyl alcohol, hydrolyzed polyvinyl acetates, polyvinyl methyl ether, polyvinyl methyl ether-maleic anhydride copolymer, and polyvinyhpyrrolidinone) or natural polymer (e.g., alginates, karaya gum, jaguar gum, tragacanth gum, polysaccharide gum, mucilage). After sufficient layers have been built up, the coat is dried and the pellets graded. A method for producing pellets is described in Agrow, The Seed Treatment Market, Chapter 3, PJB Publications Ltd., 1994.
Seed varieties and seeds with specific transgenic traits may be tested to determine which seed treatment options and application rates may complement such varieties and transgenic traits in order to increase rate of germination, increase rate of seedling emergence, increase rate of radicle growth, increase rate of early growth, increase pest control, increase disease control, increase plant height, increase vigor, increase resistance to abiotic environmental stress, and increase biomass and/or yield. Further, the good root establishment and early emergence that results from the proper use of the salt complex of Structure A, Structure B, Structure C, Product 19 or Product 20 seed treatment may result in more efficient nitrogen use, a better ability to withstand drought and an overall increase in yield potential of a variety or varieties containing a certain trait
when combined with a seed treatment containing the salt complexes of Structure A, Structure B, Structure C, Product 19 or Product 20.
In another embodiment of the disclosure, the agricultural composition is a foliar formulation. Such formulations will generally include at least one additional component selected from the group consisting of surfactants, solid diluents and liquid diluents, which serve as a carrier. The formulation ingredients are selected to be consistent with the physical properties of the salt complex of Structure A, Structure B, Structure C, Product 19 or Product 20, mode of application and
environmental factors such as soil type, moisture and temperature.
Useful foliar formulations include both liquid and solid formulations. Liquid formulations include solutions (including emulsifiable concentrates), suspensions, emulsions (including microemulsions and/or
suspoemulsions) and the like, which optionally can be thickened into gels. The general types of aqueous liquid formulations are soluble concentrate, suspension concentrate, capsule suspension, concentrated emulsion, microemulsion and suspoemulsion. The general types of nonaqueous liquid formulations are emulsifiable concentrate, microemulsifiable concentrate, dispersible concentrate and oil dispersion.
The general types of solid formulations are dusts, powders, granules, pellets, prills, pastilles, tablets, filled films (including seed coatings) and the like, which can be water-dispersible ("wettable") or water-soluble. The salt complex of Structure A, Structure B, Structure C, Product 19 or Product 20 can be (micro)encapsulated and further formed into a suspension or solid formulation; alternatively the entire formulation can be encapsulated (or "overcoated"). Encapsulation can control or delay release of the salt complex of Structure A, Structure B, Structure C, Product 19 or Product 20. An emulsifiable granule combines the advantages of both an emulsifiable concentrate formulation and a dry granular formulation.
High-strength compositions are primarily used as intermediates for further formulation.
Sprayable formulations are typically extended in a suitable medium before spraying. Such liquid and solid formulations are formulated to be readily diluted in the spray medium, usually water. Spray volumes can
range from about one to several thousand liters per hectare, but more typically are in the range from about ten to several hundred liters per hectare. Sprayable formulations can be tank mixed with water or another suitable medium for foliar treatment by aerial or ground application, or for application to the growing medium of the plant. Liquid and dry
formulations can be metered directly into drip irrigation systems or metered into the furrow during planting. Liquid and solid formulations can be applied onto seeds of crops and other desirable vegetation as seed treatments before planting to protect developing roots and other subterranean plant parts and/or foliage through systemic uptake. Effective foliar formulations will typically contain from about 10"3 M to 10"12 M of the salt complex of Structure A, Structure B, Structure C, Product 19 or Product 20. In another embodiment, formulations contain from about 10"6 M to 10"10 M of the salt complex of Structure A, Structure B, Structure C, Product 19 or Product 20.
In another embodiment of the disclosure, the composition is applied to soil either prior to or following planting of plant propagating materials. Compositions can be applied as a soil drench of a liquid formulation, a granular formulation to the soil, a nursery box treatment or a dip of transplants. In some embodiments, the composition comprising the salt complex of Structure A, Structure B, Structure C, Product 19 or Product 20 is applied to the soil in the form of a soil drench liquid formulation. Other methods of contact include application of a salt or a composition of the disclosure by direct and residual sprays, aerial sprays, gels, seed coatings, microencapsulations, systemic uptake, foggers, fumigants, aerosols, dusts and many others. One embodiment of a method of contact is a dimensionally stable fertilizer granule, stick or tablet comprising a salt or composition of the disclosure. Effective soil formulations will typically contain from about 10"3 M to 10"12 M of the salt complex of Structure A, Structure B, Structure C, Product 19 or Product 20. In another embodiment, formulations contain from about 10"6 M to 10" 10 M of the salt complex of Structure A, Structure B, Structure C, Product 19 or Product 20.
The methods of this disclosure is applicable to virtually all plant species, including monocots, dicots and gymnosperms. Seeds that can be treated include, for example, wheat (Triticum aestivum L), durum wheat (Triticum durum Desf.), barley (Hordeum vulgare L), oat (Avena sativa L), rye (Secale cereale L), maize (corn) (Zea mays L), sorghum (Sorghum vulgare Pers.), rice (Oryza sativa L), wild rice (Zizania aquatica L), millet (Eleusine coracana, Panicum miliaceum), cotton (Gossypium barbadense L. and G. hirsutum L), flax (Linum usitatissimum L), sunflower (Helianthus annuus L), soybean (Glycine max Merr.), garden bean (Phaseolus vulgaris L), lima bean (Phaseolus limensis Macf.), broad bean (Vicia faba L), garden pea (Pisum sativum L), peanut (Arachis hypogaea L), alfalfa (Medicago sativa L), beet (Beta vulgaris L), garden lettuce (Lactuca sativa L), rapeseed (Brassica rapa L. and B. napus L), cole crops such as cabbage, cauliflower and broccoli (Brassica oleracea L), turnip (Brassica rapa L), leaf (oriental) mustard (Brassica juncea Coss.), black mustard (Brassica nigra Koch), tomato (Lycopersicon esculentum Mill.), potato (Solanum tuberosum L), pepper (Capsicum frutescens L), eggplant (Solanum melongena L), tobacco (Nicotiana tabacum), cucumber
(Cucumis sativus L), muskmelon (Cucumis melo L), watermelon (Citrullus vulgaris Schrad.), squash (Curcurbita pepo L, C. moschata Duchesne, and C. maxima Duchesne.), carrot (Daucus carota L), zinnia (Zinnia elegans Jacq.), cosmos (e.g., Cosmos bipinnatus Cav.), chrysanthemum (Chrysanthemum spp.), sweet scabious (Scabiosa atropurpurea L), snapdragon (Antirrhinum majus L), gerbera (Gerbera jamesonii Bolus), babys-breath (Gypsophila paniculata L, G. repens L. and G. elegans
Bieb.), statice (e.g., Limonium sinuatum Mill., L. sinense Kuntze.), blazing star (e.g., Liatris spicata Willd., L. pycnostachya Michx., L. scariosa Willd.), lisianthus (e.g., Eustoma grandiflorum (Raf.) Shinn), yarrow (e.g., Achillea filipendulina Lam., A. millefolium L), marigold (e.g., Tagetes patula L, T. erecta L), pansy (e.g., Viola cornuta L, V. tricolor L), impatiens (e.g.,
Impatiens balsamina L.) petunia (Petunia spp.), geranium (Geranium spp.) and coleus (e.g., Solenostemon scutellarioides (L.) Codd).
Gymnosperm seeds that can be treated include, for example, pine (Pinus spp.), fir (Abies, spp.), Hemlock (Tsuga spp.) cypress (Cupressus spp.) and Douglas-fir (Pseudotsuga spp.).
Not only seeds, but also rhizomes, tubers, bulbs or corms, including viable cuttings thereof, can be treated according to the disclosure from, for example, potato (Solanum tuberosum L), sweet potato (Ipomoea batatas L), yam (Dioscorea cayenensis Lam. and D. rotundata Poir.), garden onion (e.g., Allium cepa L), tulip (Tulipa spp.), gladiolus (Gladiolus spp.), lily (Lilium spp.), narcissus (Narcissus spp.), dahlia (e.g., Dahlia pinnata Cav.), iris (Iris germanica L. and other species), crocus (Crocus spp.), anemone (Anemone spp.), hyacinth (Hyacinth spp.), grape-hyacinth (Muscari spp.), freesia (e.g., Freesia refracta Klatt., F. armstrongii \N . Wats), ornamental onion (Allium spp.), wood-sorrel (Oxalis spp.), squill (Scilla peruviana L. and other species), cyclamen (Cyclamen persicum Mill, and other species), glory-of-the-snow (Chionodoxa luciliae Boiss. and other species), striped squill (Puschkinia scilloides Adams), calla lily (Zantedeschia aethiopica Spreng., Z. elliottiana Engler and other species), gloxinia (Sinnigia speciosa Benth. & Hook.) and tuberous begonia
(Begonia tuberhybrida Voss.). Stem cuttings can be treated according to this disclsoure include those from such plants as sugarcane (Saccharum officinarum L), carnation (Dianthus caryophyllus L), florists
chrysanthemum (Chrysanthemum mortifolium Ramat.), begonia (Begonia spp.), geranium (Geranium spp.), coleus (e.g., Solenostemon
scutellarioides (L.) Codd) and poinsettia (Euphorbia pulcherrima Willd.). Leaf cuttings which can be treated according to this disclosure include those from begonia (Begonia spp.), african-violet (e.g., Saintpaulia ionantha Wendl.) and sedum (Sedum spp.).
The above recited cereal, vegetable, ornamental (including flower), fruit and timber crops are illustrative, and should not be considered limiting in any way. For reasons of economic importance, some embodiments of this disclosure include wheat, rice, maize (corn), barley, sorghum, oats, rye, millet, soybeans, peanuts, beans, rapeseed, canola, sunflower, sugar cane, potatoes, sweet potatoes, cassava, sugar beets, tomatoes, plantains and bananas, and alfalfa.
EXAMPLES
From the above discussion and these Examples, one skilled in the art can ascertain the essential characteristics of this disclosure, and without departing from the spirit and scope thereof, can make various changes and modifications of the disclosure to adapt it to various usages and conditions. The meaning of abbreviations is as follows: "Ac" means an acetyl group, "Bz" means a benzoyl group, "t-BDMS" means a tertiary- butyl-dimethyl-silyl group, "Hz" means hertz, "MHz" means megahertz, "ppm" means parts per million, "HOD " means hydrogen deuteriumoxide, "μ " means micron, "g" means gram(s), "mg" means milligrams, "kg" means "kilogram(s), "ml" means milliliter(s), "L" means liter(s), "min" means minutes, "h" means hour, "eq." means equivalents, "mmol" means millimole(s), "mol" means mole(s), "M" means molar, "MW" means molecular weight, "DMSO" means dimethyl sulfoxide, "M/e calc" means calculated mass to charge ratio.
General Methods and Materials for Chemical Syntheses Unless specified, all the reagents were purchased from Aldrich Chemical Co (St. Louis, Missouri) and used as supplied. Cis-vaccenic acid and palmitoleic acid were purchased from MP Biochemicals LLC (Solon, Ohio). Thin layer chromatography was performed on pre-coated plates of Silica Gel 60 F254 (EM Science) and the spots were visualized with a spray containing 5% sulfuric acid in ethanol, followed by heating. Column chromatography was done on silica gel 60 (230 - 400 mesh, EM
Science). 1 H NMR spectra were recorded at 500 MHz. The hydrogen chemical shifts in organic solvents are expressed relative to deuterated methylenechloride, with a reference chemical shift of 5.36 ppm. For solutions of compounds in deuterium oxide or deuterated methanol, the hydrogen chemical shift values are expressed relative to the HOD signal (4.75 ppm at 296 °K).
Example 1
Synthesis of 2-deoxy-1 ,3,4,6-tetra-O-acetyl-2-phthalimido-D- lucopyranose
Product 3
D-Glucosamine hydrochloride (Product 1 , 1 .0 kg) was suspended in methanol (5.0 L) and vigorously stirred. NaOH (184.8 g) was dissolved in minimum deionized water and added to the D-glucosamine/methanol (MeOH) suspension. The suspension was stirred for 15 min and the insoluble material (sodium chloride) was filtered off by vacuum filtration.
To the filtrate, phthalic anhydride (342 g) was added and the solution was stirred until most of the solid dissolved (about 30 min). This was then followed by addition of triethylamine (468 g) and stirring for 10 to 15 min. To the resulting clear solution, another portion of phthalic anhydride (342 g) was added and the mixture was allowed to stir overnight at room temperature. Product began to precipitate out after two hours.
The precipitated product was filtered and the residue was washed with minimum ice cold methanol so as to remove the yellow color from the product. The residue was then washed three times with acetonitrile, with
enough solvent added to the filter to completely immerse the solid, and dried at room temperature under high vacuum. The weight of the white solid, Product 2, was 954 g. 1 H-NMR (D2O): 7.74-7.56 (phthalimido hydrogens), 5.42 (H-1 a), 4.94 (H-1 β), 4.17 and 4.01 (H-6), 3.27 (CH2 of N-ethyl group), 1 .35 (CH3 of N-ethyl group).
The Product 2 from above (1 .01 Kg, made from two batches) was placed in a 10 L 3-neck round bottom flask set up with an overhead electric stirrer, an N2 inlet and an addition funnel. Acetic anhydride (3 L) and N,N-dimethylaminopyridine (1 .0 g) were added to the flask and stirred vigorously. Pyridine (2.8 L) was added slowly and the reaction mixture was stirred for 2 days at room temperature. The reaction mixture was quenched with ice-water (4 L) and the product was extracted with methylene chloride (CH2CI2). The organic layer was repeatedly washed with aqueous hydrochloric acid solution, and then with saturated sodium bicarbonate solution. The organic layer was dried over anhydrous magnesium sulfate, filtered, and concentrated to dryness. The product was recrystallized from hot ethanol . Weight of the recrystallized Product 3 was 701 g. 1 H-NMR (CD2CI2) δ: 7.91 -7.80 (phthalimido hydrogens), 6.62 (H-1 ), 5.59 (H-3), 5.21 (H-4), 4.47 (H-2), 4.36 and 4.16 (H-6), 4.06 (H-5), 2,12, 2.06, 2.02, 1 .88 (acetyl methyl groups). Thus the above NMR chemical shift data verified the structure of Product 3, 2-deoxy-1 ,3,4,6- tetra-O-acetyl-2-phthalimido-D-glucopyranose.
Example 2
Synthesis of Monomer A
Preparation of intermediate Product 4:
Product 3 Product 4
Product 3 (464 g) was dissolved in toluene and the solvent was evaporated. This was repeated and the remaining solid was placed on a high vacuum line overnight.
The dried solid was dissolved in minimum CH2CI2 (ca. 600 ml), and stirred well. To this, 4-methylbenzenethiol (181 g, 1 .45 mol, 1 .5 eq.) was added followed by the dropwise addition of boron trifluoride diethyl etherate (BF3-etherate; 165 g, 1 .16 mol, 1 .2 equivalent, over 180 min). The reaction mixture was stirred overnight. White crystals formed in the morning when stirring was stopped. The crystals were filtered, giving Product 4A. The filtrate was diluted with CH2CI2, washed sequentially with saturated NaHCO3 solution, water, then bicarbonate solution, and dried giving Product 4B. Products 4A and 4B were extensively washed with anhydrous methanol and dried under vacuum. Since the NMR spectrums of 4A and 4B products were identical, these two were combined (Product 4, 426.3 g).
1 H-NMR (CD2CI2) δ: 7.96-7.80 (phthalimido hydrogens), 7.36 & 7.13 (S-aromatic hydrogens), 5.78 (H-3), 5.69 (H-1 ), 5.13 (H-4), 4.33 (H-2), 4.30 & 4.12 (H-6), 3.93 (H-5), 2.36 (S-Ph-Me group), 2.13, 2.04, 1 .85
(methyls of acetyl groups). Thus the NMR spectrum verified the structure of Product 4, as shown above.
Preparation of intermediate Product 5:
Product 4 Product 5 Product 4 (350 g) was suspended in nearly 4 L of dry methanol. To this, 35 ml of 0.5 M sodium methoxide solution was added and the solution immediately turned basic. The suspension was left stirring at room temperature overnight. The solid deposited was filtered and washed with dichloromethane, giving pure Product 5 (232 g). The filtrate was neutralized with sulfonic acid resin and concentrated to dryness. The dry solid was washed with CH2Cl2 and dried, giving impure Product 5 (43.8 g). 1 H-NMR (CD3OD) of pure 5 δ: 7.87-7.76 (phthalimido hydrogens), 7.22 & 6.99 (S-aromatic hydrogens), 5.46 (H-1 ), 4.18 (H-2), 4.03 (H-3), 3.89 & 3.70 (H-6), 3.39 (H-5), 3.37 (H-4), 2.22 (S-Ph-Me group). Thus the NMR spectrum verified the structure of Product 5, as shown above.
Preparation of intermediate Product 6:
Product 5 Product 6
Product 5 (295 g; 638; mmol) was suspended in dry toluene (1 L) and evaporated under vacuum. This procedure was repeated once more to ensure the removal of methanol contaminant that is detrimental to the
reaction. 265 grams total product was recovered. The residue after toluene evaporation was suspended in CH2CI2 (3 L) in a 3-neck flask fitted with an overhead stirrer and the suspension was stirred under dry nitrogen atmosphere. The flask was cooled in an ice bath and the following reagents were added: pyridine = 126 g, N,N-dimethylaminopyridine = 500 mg; and benzoyl chloride: 171 g (slowly added by means of an addition funnel in drops over 60 min). The reaction mixture was milky white, but began to clear when all of the benzoyl chloride was added. The reaction was allowed to stir for 18 h at room temperature. The reaction was diluted with CH2CI2 and was washed with water (2x), 1 M aqueous HCI (2x), then saturated NaHCO3 and dried with MgSO4.
The crude product was recrystallized in 8 liters of hot EtOH, crystals were filtered, and washed in EtOH giving Crop 6A (225 g). The filtrate was concentrated to dryness giving Crop 6B (131 g). A second recrystallization of Crop 6A was done to give pure Product 6 (172g). The residue (40 g) from the filtrate of the second recrystallization had product 6 of purity greater than 95%, as determined by NMR. Crop 6B was not further processed as NMR analysis showed that it had a significant amount of undesired products and was therefore recycled back to Product 5.
1H-NMR (CD2CI2) δ: 8.14, 7.88, 7.69, 7.57, 7.41 (benzoate hydrogens), 7.80-7.72 (phthalimido hydrogens), 7.34 & 7.00 (S-aromatic hydrogens), 5.93 (H-3), 5.79 (H-1 ), 4.77 & 3.99 (H-6), 4.47 (H-2), 4.03- 3.99 (H-5), 3.91 (H-4), 3.25 (OH), 2.31 (S-Ph-Me group). Thus the NMR spectrum verified the structure of Product 6, as shown above.
Preparation of Monomer A
Product 6 Monomer A
Product 6 (171 .9 g; 275.6 mmol) was dissolved in minimum methylene chloride (350 mL) containing collidine (41 .7 g; 344.5 mmol; 1 .25 eq.). t-BDMS-Triflate (80. Og; 303.1 mmol; 1 .1 eq.) was added drop-wise by addition funnel over 50 minutes. The reaction mixture was allowed to stir overnight. The reaction mixture was diluted with methylene chloride and washed sequentially with ice-cold water, 0.5 M aqueous HCL (ice cold), then aqueous saturated NaHCO3. It was then dried with MgSO4, filtered and concentrated to give Monomer A as a white solid (207 g). The product was dissolved in dry toluene and concentrated to dryness before use in a glycosylation reaction. The 207 g of Monomer A product recovered was essentially equal to the theoretical yield, calculated to be 203.4 g.
H-NMR (CD2CI2) δ: 8.16 - 7.41 (benzoate hydrogens, phthalimido hydrogens), 7.30 & 6.95 (S-aromatic hydrogens), 5.97 (H-3), 5.82 (H-1 ), 4.89 & 4.49 (H-6), 4.40 (H-2), 4.14 (H-4), 4.01 (H-5), 2.30 (S-Ph-Me group), 0.80 (t-butyl group on silicon), 0.09& -0.16 (methyl groups of silicon). Thus the NMR spectrum verified the structure of Monomer A, as shown above.
EXAMPLE 3
Synthesis of Monomer B
Preparation of intermediate Product 7:
Product 3 Product 7
To ensure that the starting glycoside was free of EtOH traces, Product 3 (60.0 g; 126 mmol) was dissolved in toluene and evaporated. It was then dissolved in anhydrous CH2CI2 (500 ml) containing MeOH (6.5 g;
202 mmol; 1 .6 eq.). Tin tetrachloride (SnCI4; 18.4 g; 70.5 mmol; 0.56 eq.) was diluted with CH2CI2 (25 ml) and added dropwise. The reaction mixture was poured over ice water and shaken well. This was repeated once more and then the organic layer was washed twice with aqueous saturated NaHCO3, dried with MgSO^ filtered, and concentrated. The crude product was recrystallized from hot EtOH, giving crystals of product 7(43.1 g). The 49.8 g crude yield of Product 7 was 88% of the theoretical yield, calculated to be 56.6 g, while the recrystallized Product 7 yield of 43.1 g was 76%.
1H-NMR (CD2CI2) δ: 7.86-7.74 (phthalimido hydrogens), 5.78 (H-3), 5.31 (H-1 ), 5.18 (H-4), 4.31 (H-2), 4.34 & 4.20 (H-6), 3.88 (H-5), 2.20, 2.03, 1 .86 (methyls of acetyl groups). Thus the NMR spectrum verified the structure of Product 7, as shown above.
Preparation of intermediate Product 8:
Product 7 Product 8
Product 7 (141 .0 g; 314 mmol) was suspended in MeOH (1000 ml) and NaOMe (0.5 M, 10 ml) was added. The methyl glycoside Product 7 did not readily dissolve in MeOH. The solution was tested to ensure basicity. The reaction was stirred overnight. The solution became clear. Examination of the reaction mixture by TLC (EtOAc-hexane-EtOH;
10:20:1 ) indicated the disappearance of the starting material and the
formation of a polar product (near the origin). The solution was neutralized with sulfonic acid resin, filtered, and concentrated to dryness. Weight of the residue, called Product 8, was 105.3 g, which probably includes some MeOH.
The crude yield of 105.3 g of Product 8 was essentially equal to the theoretical yield, calculated to be 101 .3 g. 1H-NMR (CD3OD) δ: 7.85-7.80 (phthalimido hydrogens), 5.07 (H-1 ), 4.21 (H-2), 3.94 (H-3), 3.92 & 3.74 (H-6), 3.40 (H-5), 3.40 (OCH3), 3.38 (H-4). Thus the NMR spectrum verified the structure of Product 8, as shown above.
Preparation of Monomer B
Product 8 Monomer B
Product 8 (crude; 105.3), after being evaporated with toluene-DMF, was suspended in CH2CI2 (500 ml). Pyridine (61 .8 g; 782 mmol; 2.5 eq.) was added first, followed by the drop-wise addition of benzoyl chloride (88 g; 626 mmol; 2.0 eq.) to the mixture. The reaction mixture was allowed to stir at room temperature for 24 h. It was then diluted with CH2CI2 and washed sequentially with H2O,1 M HCI (2X), then aqueous saturated sodium bicarbonate solution, dried with MgSO^ filtered, and concentrated.
The product was purified by chromatography on silica gel, using 3:8 EtOAc-hexane as the eluant. The weight of the purified product was 1 16.1 g. The product was about 90% pure as determined by NMR. A portion (21 .1 g) of this product was crystallized from diethylether-hexane to obtain pure crystalline material (13.8 g) of Monomer B.
1H-NMR (CD2CI2) δ: 8.15, 7.92, 7.67, 7.56, 7.42 (benzoate hydrogens), 7.83-7.74 (phthalimido hydrogens), 5.93 (H-3), 5.40 (H-1 ), 4.82 & 4.72 (H-6), 4.43 (H-2), 4.03-3.92 (H-5, H-4), 3.50 (OCH3), 3.33 (OH). Thus the NMR spectrum verified the structure of monomer B, as shown above. Example 4
Synthesis of Derivatized Glucosamine Disaccharide
Structural Characterization of Oligoglucosamine Derivatives:
The structures of the coupled products described below were confirmed by proton NMR and mass spectrometry as follows. The chemical shifts of hydrogens H-3 and H-1 of the phthalimido glucosamine unit appeared in proton NMR spectrum at chemical shifts between 5 and 6.5 ppm. The hydrogen H-3 appeared as a doublet of a doublet with a coupling constant of about 8-10 Hz. By counting the number of these hydrogen signals, the length of the oligoglucosamine can easily be determined, for the
disaccharide to the pentasaccharide. For oligoglucosamine derivatives of 6 and above, the signals for these hydrogens started to overlap. However, a sufficient number of these signals could be identified to confirm the structure. A similar observation was seen for the anomeric hydrogens, which appeared as a doublet with a coupling constant of about 8-8.5 Hz, thereby confirming the β-glycosidic configuration. Furthermore, the chemical shift of H-4 in the terminal glucosamine unit appeared around 3.5 ppm, when the corresponding carbon carried a hydroxyl group. This was shifted to 3.7 ppm upon glycosylation at this site. Thus, H-4 could be used as a reporter group for establishing the success of the glycosylation reaction. Further proof of structure was obtained by MALDI and
electrospray mass spectral data of the product, which are indicated for each compound.
Monomer A Monomer B Product 9
Monomer A (80.6 g, 109.3 mmol, 1 .2 eq.) and Monomer B (48.4 g, 91 .1 mmol), both previously evaporated with toluene once, were dissolved in CH2CI2 (150 ml_) in a 3-necked, 500 ml flask. 4A Molecular sieve was added (5 g). The mixture was cooled to -60° C under nitrogen atmosphere with vigorous stirring. After 10 min, N-lodosuccinimide (NIS; 44.3 g; 196.7 mmol; 2.2 eq.) was added as a dry powder, followed by the dropwise addition of a solution of triflic acid (TfOH; 13.7 g, 91 .1 mmol, 1 .0 eq.) and methyltriflate (14.9 g, 54.8 mmol, 1 .0 eq.) in CH2CI2. The reaction mixture was left at -55° C for an additional 4 hr. An additional 100 ml of the triflic acid/methyltriflate solution was added to the reaction mixture dropwise to reduce of the viscosity. The reaction mixture was filtered cold over a celite pad into a filter flask containing 1 :1 saturated sodium thiosulfate-sodium bicarbonate solution that was stirred thoroughly during filtration. The flask and residue on the filter were rinsed with CH2CI2 and the combined filtrate was worked up as follows.
The filtrate was poured into a separatory funnel. The contents were thoroughly mixed, the aqueous solution separated, and the organic layer washed one more time with saturated aqueous sodium thiosulfate solution, followed by water, and aqueous saturated sodium bicarbonate solution. The solution was then dried with magnesium sulfate, filtered and
concentrated. Weight of the crude product was 1 1 1 .1 g. Analytically pure sample was prepared by subjecting the crude product to separation by silica gel chromatography, using ethyl acetate-hexane (3:8 v/v) as eluant.
1 H-NMR (CD2CI2) δ: 8.17 - 7.19 (phthalimido and benzoate hydrogens), 6.1 1 and 5.76 (2 x H-3), 5.74 and 5.31 (2 x H-1 ), 4.36 and 4.32 (2 x H-2), 4.32 and 3.93 (2 x H-4), 3.90 and 3.53 (2 x H-5), 4.65, 4.38, 4.12, and 3.63 (4 x H-6), 3.38 (OCH3), 0.68 (t-butyl), -0.12, -0.40 (2 x CH3). Mass spec: M. wt. Calc. 1 144.37; Obs. M+Na = 1 167.5. Thus the NMR spectrum verified the structure of Product 9, as shown above. The crude product as such was used in the next step, where complete removal of the tBDMS was accomplished.
Example 5
Removal of the Silicon Group from Disaccharide Product 9 for Chain
Extension
Preparation of Intermediate Product 10:
Product 9 Product 10
Product 9 (1 1 1 .1 g) was dissolved in THF (350 ml). To this solution, a 1 M solution of acetic acid (1 10 ml) and a 1 M solution of n-tetrabutylammonium fluoride in THF (1 10 ml) were added and the reaction mixture was stirred at room temperature for 3 days. Completion of the reaction was ascertained by TLC using EtOAC-HexEtOH (4:8:1 ) as a solvent, which indicated that the reaction was complete. The solvent of the reaction was evaporated on high vacuum (without heat) and the residue was dissolved in CH2CI2, washed sequentially with water, 1 M aqueous HCI, 10% sodium thiosulfate aqueous solution, and finally, with saturated aqueous NaHCO3. The solution was then dried with MgSO4, filtered and concentrated. The resulting solid was treated with diethyl ether which resulted in a gluey material. The supernatant was filtered and the
gluey material was repeatedly washed with diethyl ether. To the filtrate, hexane was added to precipitate any ether soluble product and this was filtered (Fraction B, 5.9 g). The final filtrate from ether-hexane was concentrated to dryness (Fraction C).
The NMR spectrum indicated that Fraction B product had about 5% silicon impurity (peak around 0 ppm) along with the major desired disaccharide. Fraction A was contaminated about 10% with tBDMS impurities and a tetrabutylammonium derivative. Therefore, Fraction A was resuspended in 600 ml of ether, mixed for about 10 minutes, filtered and the process was repeated once more (weight of the solid recovered was 77.3 g). This solid was purified once more by dissolving the product in EtOAc and precipitating the product with the aid of hexane (weight of the product recovered was 71 .7 g). The filtrates were combined, hexane was added to precipitate the remaining product and additional 10.8 g of the product was recovered. 1 H-NMR (CD2CI2) δ: 8.12 - 7.14 (phthalimido and benzoate hydrogens), 6.14 and 5.73 (2 x H-3), 5.72 and 5.34 (2 x H- 1 ), 4.37 and 4.34 (2 x H-2), 4.10 and 3.69 (2 x H-4), 3.97 and 3.44 (2 x H- 5), 4.66, 4.18, 4.12- 4.06 (4 x H-6), 3.38 (OCH3), 3.35 (OH). Mass spec: M. wt. Calc. 1030.98 ; Obs. M+Na = 1053.1 . Thus the NMR spectrum verified the structure of Product 10, as shown above.
Example 6
Synthesis of Trimer Product 11
Monomer A Product 10 Product 11
Monomer A (88.6 g; 120 mmol; 1 .5 eq.) and Product 10 (82.5 G; 80.0 mmol) were dissolved in CH2CI2 (100 ml) in a flask. Molecular sieve (4A,
5.0 g) was added. The flask was placed in a -55 °C water bath and stirred for 15 min. NIS (48.6 g; 216 mmol) was added as a powder to the cold solution, while maintaining vigorous stirring. A solution of methyl triflate (13.1 g; 80 mmol; 1 .0 eq.) and TfOH (12 g; 80 mmol; 1 .9 eq.), both dissolved together in CH2CI2 (5 ml), was added to the cold solution in drops by means of an addition funnel over 60 min. After 6 h at -60°C to -50°C, the reaction mixture was poured over saturated NaHCO3 and saturated sodium thiosulfate aqueous solution (1 :1 , 400 ml) contained in an Erlenmeyer flask and thoroughly stirred. Additional CH2CI2 (200 ml) was added and the contents were thoroughly mixed for 10 min, the aqueous solution separated, and the organic layer washed with 0.6% aqueous bleach solution, deionized water, and aqueous saturated CH2CI2 solution. The solution was then dried with MgSO4, filtered and
concentrated.
To remove the excess monomer impurity from the trisaccharide, the crude product was suspended in diethyl ether (600 ml), the solid thoroughly mixed and the supernatant filtered. This process was repeated three times and the residue finally dissolved in CH2CI2, then concentrated to dryness giving 93.5 g of product 1 1 . About 40% volume of hexane was added to the filtrate and the precipitated material filtered, redissolved in CH2CI2 and concentrated to dryness under vacuum to obtain an additional amount of Product 11 (26.0 g). 1 H-NMR (CD2CI2) δ (only select hydrogen chemical shifts are reported): 8.13 - 7.12 (phthalimido and benzoate hydrogens), 6.03, 5.88, and 5.62 (3 x H-3), 5.64, 5.48, and 5.29 (3 x H-1 ), 3.77 (H-4 of the terminal glucosamine unit), 3.90 (H-5 of the terminal glucosamine unit), 4.63 (H-6 of the terminal glucosamine unit), 3.35 (OCHs), 0.64 (t-butyl), -0.18, -0.33 (2 x CH3 of the silicon unit). Mass spec: Exact MW calc. 1643.49 ; Obs. M+Na = 1666.3. Thus the NMR spectrum verified the structure of Product 11 , as shown above.
Example 7
Removal of the Silicon Group from Trisaccharide Product 11
Preparation of Intermediate 12:
Product 11 Product 12
Product 1 1 was dissolved in minimum THF (500 ml). To this solution, 1 M solution of acetic acid (150 ml) and a 1 M solution of n- tetrabutylammonium fluoride in THF (150 ml) were added and the reaction mixture was stirred at room temperature for 3 days. The reaction mixture was evaporated to dryness, the residue redissolved in CH2CI2, washed sequentially with deionized water, 1 M HCI, 1 % aqueous bleach solution (to remove the dark brown color), and saturated CH2CI2 solution, then concentrated to dryness.
In order to remove the nonpolar silicon and other impurities, the solid was dissolved in minimum ETOAc. Hexane was added in drops (the final solvent ratio EtOAc-hexane was 17:14). This resulted in a gluey material. The liquid was filtered and the gluey material redissolved in
EtOAc (200 ml) and precipitated with hexane (100 ml) as described above. Finally, diethyl ether was added to solidify the gluey material and the solid was filtered. The solid was redissolved in CH2CI2 and concentrated to dryness giving 81 .4 g of Product 12.
The filtrate EtOAc-Hexane-ether was concentrated to dryness. The residue was suspended in diethyl ether, shaken well and filtered. This process was repeated twice. Finally, the precipitate was dissolved in CH2CI2and concentrated to dryness to obtain additional product 12 (16.5 g). 1 H-NMR (CD2CI2) δ (only select hydrogen chemical shifts are
reported): 8.08 - 7.16 (phthalimido and benzoate hydrogens), 6.03, 5.92, and 5.59 (3 x H-3), 5.67, 5.48, and 5.29 (3 x H-1 ), 3.56 (H-4 of the terminal glucosamine unit), 3.91 (H-5 of the terminal glucosamine unit), 4.63 (H-6 of the terminal glucosamine unit), 3.35 (OCH3), 3.01 (OH), 0.64. Mass spec: Exact m. wt. Calc. 1529.41 ; Obs. M+Na = 1553.4 . Thus the NMR spectrum verified the structure of product 12, as shown above.
Example 8
Synthesis of Diglucosamine Product 13
MR = Merrifield Resin Step 2 = MR-CH2-NH(CH2)2NH2/
n-Butanol
Product 13
Step 1 : The derivatized disaccharide Product 10 (14.1 g, 13.7 mmol) was dissolved in anhydrous methanol (600 ml). Sodium methoxide solution (0.5 M, 7.5 ml) was added and the solution was stirred at room temperature for 24 h. Examination by TLC (EtOAc-hexane-EtOH =
20:20:1 and EtOAc-hexane-EtOH = 5:5:1 ) showed the disappearance of the starting material. The reaction was neutralized with sulfonic acid resin, filtered and concentrated to dryness. NMR of the product indicated incomplete de-O-benzoylation. The product was redissolved in anhydrous
MeOH (600 ml), 0.5 M sodium methoxide solution (7 ml) was added and the solution was refluxed for 3 days. It was then neutralized with sulfonic acid resin, filtered and concentrated to dryness.
Step 2: The product from Step 1 was dissolved in 250 ml of n-butanol. Polystyrene-ethylenediamine resin (26.0 g) was added and the slurry was heated to 105° C with stirring for 24 h. It was then filtered, concentrated to dryness, and the resulting material was redissolved in water and washed with CH2CI2. The aqueous layer was concentrated to dryness.
Examination of the product by proton NMR (presence of signals between 7-8 ppm) showed incomplete phthalimide removal. The product was redissolved in n-butanol (100 ml) containing 10 g of freshly prepared MR- ethylenediamine resin and heated to 100° C for 16 h, filtered over a celite pad and concentrated to dryness. Weight of the product, designated Product 13, was 4.0 g. 1 H-NMR (D2O) δ: 4.48 and 4.33 (2 x H-1 ), 3.98, 3.95, 3.83, 3.76 (4 x H-6), 3.67, 3.54, 3.43, 3.40 (2 x H-3, 2 x H-4), 3.60 (OCH3), 2.70 and 2.66 (2 x H-2). Mass spectral data (electrospray): m/e calc. 354.16 (100%); Obs. M+1 = 355.1 . Thus the NMR and MALDI spectra verified the structure of Product 13, as shown above.
Example 9 Synthesis of T glucosamine Product 14
Product 14
The trisaccharide Product 12 (6.1 g) was suspended in MeOH (300 ml), then NaOMe (0.5 M, 7 ml) was added and stirred at room temperature for 2 days. The mixture was then heated to 65° C for 24 h. Examination of the reaction mixture by proton NMR indicated that all benzoate groups had been removed. A white precipitate appeared in the reaction flask. The flask was cooled in an ice bath for 15 min and filtered. The filtrate was neutralized with acidic resin, and concentrated to dryness (Fraction B). The residue in the filter was washed with hot DMF and concentrated to dryness (Fraction A).
Fractions A and B were separately suspended in n-butanol (200 ml), treated with MR-ethylenediamine resin (20 g) and heated to 100° C
for 24 h. The hot solution from Fraction A was filtered over a celite pad and washed with 1 :1 methanol-water. The combined filtrate was concentrated to dryness (Fraction C, 853 mg). Proton NMR of the product indicated it to be the desired triglucosamine Product 14. 1 H-NMR (D2O) δ: 4.54, 4.52, and 4.37 (3 x H-1 ), 4.01 , 3.98, 3.87, 3.80 (6 x H-6), 3.63 (OCHs), 2.78, 2.74, and 2.70 (3 x H-2). Mass spectral data (ESI): m/e calc. 515.23 (100%) ; Obs. M+Na = 516.2.
Similarly, the reaction mixture from Fraction B was filtered, washed and concentrated to dryness. The yellow solid was dissolved in water and the aqueous layer was extracted twice with CH2CI2to remove the byproduct methyl benzoate. Finally, the aqueous layer was concentrated to dryness, the residue redissolved in water, and lyophilized (Fraction E). NMR analysis of the Fraction E product indicated incomplete phthalimide removal. The solid was suspended in n-butanol (100 ml) and heated to 104° C. MR-Ethylenediamine resin (9 g) was added and the reaction was continued for two days. The hot reaction mixture was filtered over a Celite pad, washed with 1 :1 MeOH:water (30 ml), and then with water (2 x 15 ml). The combined filtrate was concentrated to dryness. The residue was dissolved in water and lyophilized (Fraction F). The NMR spectrum of Fraction F showed that though the major product was the desired triglucosamine Product 14, it was contaminated with some incompletely deprotected trisaccharide.
Example 10
Synthesis of Lipoaminoacid A/-[(2E,1 1 Z)-octadeca-2,1 1 -dienoyl]glycine (Product 18)
Synthesis of A/-[(2E,1 1 Z)-octadeca-2,1 1 -dienoyl]glycine Product 18 was achieved by the following steps:
15
PCC (Pyridinium chlorochromate, 3.0 g, 13.4 mmol) and Celite (3.0 g) were added to a dry round bottom flask in a dry box. To this mixture, CH2CI2 (50 g) was added. Palmitoleyl alcohol (2.0 g, 8.32 mmol) in
CH2CI2 (2 ml) was then added dropwise. The reaction mixture was stirred at room temperature for 4 h to completion as verified by TLC. Ethyl ether (18 ml) was added and the solution was vacuum filtered through a fritted funnel charged with 2 inches of silica gel and then washed with 100 ml of a hexane/ethyl acetate solution (9/1 ). The solution was pumped dry to give desired aldehyde 15 and used in the next step without further purification. b Synthesis of methyl-(2E,1 1 Z)-octadeca-2,1 1 -dienoate 16:
Compound 15 was dissolved in CH2CI2 (200 ml) and added with methyl
2-(triphenylphosphoranylidene)acetate (4.0 g, 12 mmol). The resulting mixture was stirred at room temperature overnight. Diethyl ether (18 ml_) was added and the solution was vacuum filtered through a fritted funnel charged with 2 in of silica gel and washed with 100 ml of a hexane-ethyl acetate solution (9:1 ). The solution was then pumped dry. The crude product was purified by column chromatography to afford 2.2 g of desired Product 16 in 90% yield. The structure was characterized by 1 H NMR.
1 H NMR (500 MHz, CDCI3): δ 6.97 (dt, J1 = 15.6 Hz, J2 = 7.0 Hz, 1 H), 5.81 (dt, Ji= 15.6 Hz, J2 = 3.2 Hz, 1 H), 5.38-5.31 (m, 2H), 3.72 (s, 3H), 2.21 -2.17 (m, 2H), 2.10-1 .99 (m, 4H), 1 .48-1 .42 (m, 2H), 1 .36-1 .26 (m, 16H), 0.88 (t, J = 7.0 Hz, 3H).
c) Synthesis of (2E,1 1 Z)-octadeca-2,1 1 -dienoic acid 17:
Compound 16 (0.5 g, 1 .7 mmol) synthesized from the above procedure was dissolved in a mixture of 1 :1 MeOH/THF (total volume 5 ml) in a vial. LiOH aqueous solution (5 ml_, 15 wt% in Dl-water) was added and the
mixture was stirred at room temperature for about 4 h. The reaction mixture was concentrated under vacuum. The resulting residue was diluted with water (5 ml), acidified with 2N HCI to pH 1 -2 and extracted with diethyl ether (3 times, 20 ml/each). The combined organic extracts were washed with brine (15 ml) and water (15 ml), dried over anhydrous Na2SO4, filtered, and concentrated to give 0.47 g of the corresponding acid 17 quantitatively, which was used in next step without further purification.
d) Synthesis of A/-[(2E,1 1 Z)-octadeca-2,1 1 -dienoyl]glycine 18
Compound 17 (0.2 g, 1 .15 mmol) was dissolved in 1 :2 DMF/THF (total volume is 5 ml). To this solution, 4-N,N-dimethylaminopyridine (DMAP) (0.25g, 2.07 mmol), 1 -Ethyl-3-(3'-dimethylaminopropyl)carbodiimide hydrochloride (EDC) (0.40 g, 2.07 mmol), and Gly-O'Bu.HCI (0.23 g, 1 .38 mmol) were added and the reaction was stirred at room temperature overnight. After completion of the reaction, the mixture was pumped dry and washed with DI-H2O three times (5 ml/each). The product was purified by column chromatography on silica gel to afford 220 mg of the
homogeneous product in 67% yield. The structure was characterized by 1 H NMR: 1 H NMR (500 MHz, CDCI3): δ 6.85 (dt, J1 = 15.3 Hz, J2 = 7.0 Hz, 1 H), 5.92 (br, 1 H), 5.81 (d, J = 15.3 Hz, 1 H), 5.35-5.33 (m, 2H), 4.0 (d, J = 5.0 Hz, 2H), 2.19-2.14 (m, 2H), 2.02-1 .99 (m, 4H), 1 .47 (s, 9H), 1 .46-1 .40 (m, 2 H), 1 .33-1 .25 (m, 16H), 0.88 (t, J = 6.9 Hz, 3H).
The resulting t-butyl ester from above was dissolved in 1 : 1 DCM/TFA solution (total volume 1 .5 ml). The mixture was stirred at room temperature for 2 h to obtain the free acid 18 form for the next step of the synthesis. The structure was characterized by 1 H NMR.
1 H NMR (500 MHz, CDCI3): 1 H NMR (500 MHz, CDCI3): δ 6.9-6.87 (m, 1 H), 6.41 (br, 1 H), 5.86 (d, J = 15.3 Hz, 1 H), 5.38-5.33 (m, 1 H), 5.07- 5.02 (m, 1 H), 4.13-4.12 (m, 2H), 2.20-2.16 (m, 2H), 2.02-1 .94 (m, 2H),
1 .66-1 .58 (m, 2H), 1 .44-1 .42 (m, 2 H), 1 .28-1 .27 (m, 16H), 0.87 (t, J = 6.7 Hz, 3H).
Example 1 1
Synthesis of Product 19
A 1 M solution of Product 18 in DMSO was added dropwise to a 1 M solution of Product 13 in DMSO with stirring. The mixture was stirred at room temperature for 8 h and subsequently diluted to the desired product concentration for seed treatment and evaluation.
While not wishing to be bound by theory, Product 19 is believed to be a mixture of at least;
Example 12
Synthesis of Product 20
A 1 M solution of Product 18 in DMSO was added dropwise to a 1 M solution of Product 14 in DMSO with stirring. The mixture was stirred at room temperature for 8 h and subsequently diluted to the desired product concentration for seed treatment and evaluation.
Comparative Example 13
Synthesis of comparative Product 21 and comparative Product 22
Comparative Product 21 (methylglucosamine) was synthesized via dephthaloyation of Product 8 using ethylenediamine. Comparative
Product 22 was synthesized as a 1 :1 complex of Product 21 with Product 18. A 1 M solution of Product 18 in DMSO was added dropwise to a 1 M product solution of Product 21 in DMSO with stirring. The mixture was stirred at room temperature for 8 h and subsequently diluted to the desired product concentration for seed treatment and evaluation. Product 22 is considered to be a comparative example as the product 21 contains only a single glucosamine ring, while the claims require salt complexes that contain at least two glucosamine rings.
Product 22
All materials, with the exception of the seeds (corn or soybean) were sterilized before use.
Germination Assay for Examples 14, 16, 18, 19 and 22
An aqueous solution of the test compounds (25 ml_, 10"7 M in Dl- water) was prepared for each set of five repeat experiments. A fungicide solution was added to each of the aqueous solutions of the test
compounds. Five Petri dishes and 100 seeds were used to test one composition. The seeds were inspected for uniformity and lack of cracks in the seed prior to use. A piece of filter paper was used to cover the inner side of each Petri dish to allow uniform distribution of the testing solution. Twenty seeds were placed on the filter paper area of one Petri dish. Each corn seed of example 14, 16, 18 and 22 was placed on the filter paper with the flat side of the corn seed facing upwards. The seeds were placed on the filter paper so that the seeds were not touching each other. 5 ml_ of the test compound solution was carefully poured in the Petri dish. Control experiments were set up the same way with 20 seeds and 5 ml_ of deionized water per dish without the use of salt complex. The lid was placed on the Petri dish and was sealed with Para-film. Five dishes with repeat experiments were stacked. Each stack of dishes was wrapped twice with aluminum foil to prevent the seeds receiving any light and the stacks were germinated in dark at the ambient laboratory conditions. The stacks containing the seeds were inspected at the time intervals indicated in each example. The number of germinated seeds was counted and the percent of germination on each dish was calculated. Radicle emergence was used as the germination indicator. At the end of the testing period,
the dishes were placed unwrapped at room temperature for one day and the number of germinated seeds was counted to assure seeds were able to germinate and difference in germination yields were not caused by poor seed quality.
Cold Stress Germination Assay for Example 15
A seed coating composition was prepared comprising fungicide, insecticide, film forming binder, colorant, Product 19 (3 x 10"7 M) and water. A control coating composition was also prepared using the identical ingredients, but excluding Product 19. Corn seeds were coated with the seed coating composition using spray treatment method. Five Petri dishes and 100 seeds were used to test each composition. Each corn seed was inspected for uniformity and lack of cracks in the seed prior to use. A piece of filter paper was used to cover the inner side of each Petri dish to allow uniform distribution of water. Twenty corn seeds were placed on the filter paper area of one Petri dish with the flat side of the corn seed facing upwards. The seeds were placed on the filter paper so that the corn seeds were not touching each other. 5 ml_ of water was added to each petri dish. The dishes were sealed and placed in an incubator set to 10°C. The dishes were examined twice per day at days 3, 4, 5 and 6 or until germination (radicle emergence) had reached 60-70%. During the observation period, one stack was removed from the incubator and observed for germination. The dishes were then rotated within the stack and placed back into the incubator before removing another treatment stack.
Cold Stress Germination Assay for Example 17
An aqueous solution of Product 20 (25 ml_, 10"7 M in Dl-water) was prepared for each set of five repeat experiments. A fungicide solution was added to each of the aqueous solutions of the test compound. Five Petri dishes and 100 corn seeds were used to test one composition. The seeds were inspected for uniformity and lack of cracks in the seed prior to use. A piece of filter paper was used to cover the inner side of each Petri dish to allow uniform distribution of testing solution. Twenty seeds were placed on the filter paper area of one Petri dish. Each corn seed was placed on the filter paper with the flat side of the corn seed facing upwards. The
seeds were placed on the filter paper so that the seeds were not touching each other. 5 mL of the test compound solution was carefully poured in the Petri dish. Control experiments were set up the same way with 20 seeds and 5 mL of deionized water per dish without Product 20. The dishes were sealed and placed in an incubator set to 10°C. The dishes were examined twice per day at days 3, 4, 5, 6, 7 and 8 or until
germination (radicle emergence) had reached 60-70%. During the observation period, one stack is removed from the incubator and observed for germination. The dishes were then rotated within the stack and placed back into the incubator before removing another treatment stack.
Cold Stress Germination Assay for Example 20
Seed coating compositions were prepared comprising fungicide, insecticide, film forming binder, colorant, Product 19 or 20 (3 x 10"7 M) and water. A control coating composition was also prepared using the identical ingredients and amounts, but excluding Product 19 or 20. Soybean seeds were coated with the seed coating composition using spray treatment method. Five Petri dishes and 100 seeds were used to test each composition. Each seed was inspected for uniformity and lack of cracks in the seed prior to use. A piece of filter paper was used to cover the inner side of each Petri dish to allow uniform distribution of testing solution.
Twenty soybean seeds were placed on the filter paper area of one Petri dish. The seeds were placed on the filter paper so that the seeds were not touching each other. 5 mL of water was added to each petri dish. The dishes were sealed and placed in an incubator set to 10°C. The dishes were examined twice per day at days 3, 4, 5 and 6 or until germination (radicle emergence) had reached 60-70%. During the observation period, one stack is removed from the incubator and observed for germination. The dishes were then rotated within the stack and placed back into the incubator before removing another treatment stack.
Seed Germination Assay for Example 21
Soybean seed coating was performed with a Hege 1 1 liquid seed treater (Wintersteiger AG, Austria) using a standard seed coating protocol. The experimental coating premix was formulated to provide 10"7 M Product 20 and standard commercial concentrations of a fungicide mixture.
Control seeds were coated using the same insecticide/fungicide formulation and coating procedure without the addition of Product 20.
The germination assay utilized one flat per treatment, with each flat containing eight pots individually filled with METRO-MIX® soil, available from Sun Gro, Agawam, Massachusetts. Three liters of water was added to each flat by removing the corner pot and pouring solution into the bottom of the flat. The soil was then allowed to absorb water from the bottom-up overnight. The following day, four soybean seeds were planted to a 1 " depth in each pot of moistened soil (32 seeds/flat/treatment). Each seed was separated from neighboring seeds by approximately 2".
Following planting, the flats were covered with dome covers and placed in an incubator maintained at 10°C. The domes were removed when the seeds began to germinate and maintained in a 10°C incubator for an additional three weeks. Once most of the plants had emerged, the flats were moved to a room temperature growth chamber. Percent emergence was determined 10, 13, 17 and 19 days following planting. Root length was determined 19 days following planting by carefully removing the plants from the soil and washing the roots prior to measurement.
For each of the examples, statistical analyses were performed by calculating the standard deviation of the five repetitions for each experiment. The data was deemed acceptable when the standard deviation was less than 10 percent. Experimental data for these above tests wherein the standard deviation was greater than 10 percent was not used.
Example 14
Effect of Product 19 on Corn Seed Germination at Room Temperature Table 2 shows the percent germination of corn seeds treated with Product 19 vs. control treatment maintained at room temperature at selected time points according to the above procedure.
Table 2
Corn seeds treated with an aqueous solution of Product 19
exhibited statistically significant increases in percent gernnination at 36, 48 and 60 hours following treatment initiation compared to the control treatment (Table 2). Results were deemed statistically significant when the standard deviations (indicated in brackets) of the treatment averages do not overlap.
Example 15
Effect of Product 19 on Corn Seed Germination under Cold Stress
Table 3 shows the percent germination of corn seeds treated with Product 19 vs. control treatment maintained under cold stress (10°C) at selected time points according to the above mentioned procedure.
TABLE 3
Corn seeds coated with Product 19 and subjected to cold stress conditions exhibited statistically significant increases in percent germination at 120, 132, 144, 156, 168 and 180 hours compared the control treatment. Results were deemed statistically significant when the standard deviations (indicated in brackets) of the treatment averages do not overlap.
Table 4 shows the percent increase in percent germination of corn seeds treated with Product 19 vs. control treatment maintained under cold stress (10°C) at selected time points.
TABLE 4
Example 16
Effect of Product 20 on Corn Seed Germination at Room
Temperature
Table 5 shows the percent germination of corn seeds treated with Product 20 vs. control treatment maintained at room temperature at selected time points.
TABLE 5
Corn seeds treated with an aqueous solution of Product 20
exhibited statistically significant increases in percent germination at 48 and 60 hours compared the control treatment. Results were deemed statistically significant when the standard deviations (indicated in brackets)
of the treatment averages do not overlap. A non-statistically significant increase in percent germination was observed at 24 hours.
Example 17
Effect of Product 20 on Corn Seed Germination under Cold Stress Table 6 shows the percent germination of corn seeds treated with
Product 20 vs. control treatment maintained under cold stress (10°C) at selected time points.
TABLE 6
Corn seeds treated under cold stress conditions with aqueous solutions of Product 20 exhibited statistically significant increases in percent germination at 96, 120, 144 and 156 hours compared the control treatment. Results were deemed statistically significant when the standard deviations (indicated in brackets) of the treatment averages do not overlap.
Comparative Example 18
Effect of Palmitoleic Acid, cis-Vaccenic Acid and their Respective 1 :1 Complexes with Product 13 on Corn Seed Germination at Room
Temperature
Table 7 shows the percent germination of corn seeds treated with palmitoleic acid, cis-vaccenic acid, Product 13-palmitoleic acid salt
complex and Product 13-cis-vaccenic acid salt complex vs. control treatment maintained at room temperature at selected time points.
TABLE 7
The salt complexes of product 13 with palmitoleic acid and cis- vaccenic acid are considered to be comparative examples as the carboxylic acid portions of the salt complexes do not have the structure as required by the current claims.
None of the aqueous solutions exhibited a statistically significant increase in germination percentage versus the control treatment with the exception of the Product 13-cis-vaccenic acid complex at 60 hours following the initiation of the experiment. Results were deemed
statistically significant when the standard deviations (indicated in brackets) of the treatment averages do not overlap.
Example 19
Effect of Product 19 and Product 20 on Soybean Seed Germination at
Room Temperature
Table 8 shows the percent germination of soybean seeds treated with Product 19 and Product 20 vs. control treatment maintained at room temperature at selected time points.
TABLE 8
Soybean seeds treated with aqueous solutions of Product 19 and Product 20 exhibited statistically significant increases in percent germination at 12 and 24 hours following treatment initiation compared to the control treatment. Results were deemed statistically significant when the standard deviations (indicated in brackets) of the treatment averages do not overlap.
Example 20
Effect of Product 19 and Product 20 on Soybean Seed Germination under
Cold Stress
Table 9 shows the percent germination of soybean seeds treated with Product 19 and Product 20 maintained under cold stress (10°C) at selected time points.
TABLE 9
Soybean seeds treated with aqueous solutions of Product 19 and Product 20 exhibited statistically significant increases in percent gernnination at 72, 96, 108 and 120 hours following treatment initiation compared to the control treatment under cold stress at 10°C. Results were deemed statistically significant when the standard deviations
(indicated in brackets) of the treatment averages do not overlap. Both experimental treatments showed a non-statistically significant but directional increase in percent germination at the 132 hour time point versus the control.
Table 10 shows the percent increase in percent germination of corn seeds coated with Product 19 and Product 20 vs. control treatment maintained under cold stress (10°C) at selected time points.
TABLE 10
Example 21
Emergence of Soybean Seeds Treated with Product 20 in a Soil-Based
Assay at Room Temperature
Table 1 1 shows the percent emergence from of soybean seeds treated with Product 20 in a soil-based assay vs. control treatment at selected time points at room temperature.
TABLE 11
Soybean seeds coated with Product 20 exhibited statistically significant increases in percent emergence at 10, 13, 17 and 19 days
following planting compared to the control treatment in the soil-based assay (Table 1 1 ). Results were deemed statistically significant when the standard deviations (indicated in brackets) of the treatment averages do not overlap.
At Day 19, seedlings were carefully removed from the soil and the roots were washed with water to compare root growth. The photographs in Figures 1A and 1 B demonstrates that soybean seeds treated with Product 20 (Figure 1 B) exhibited greater root development than the control treatment (Figure 1A).
Comparative Example 22
Effect of comparative Product 21 and comparative Product 22 on Corn
Seed Germination at Room Temperature Table 12 shows the percent germination of corn seeds treated with comparative Product 21 and comparative Product 22 vs. control treatment maintained at room temperature at selected time points.
TABLE 12
Aqueous solutions of comparative Product 21 and comparative Product 22 did not have a statistically significant effect on germination percentage versus the control treatment.
Example 23
Stock solutions of Product 20 were prepared as 1 millimolar solutions in DMSO and stored prior to use at 4°C. Germination was assessed using a commercial Pioneer corn hybrid. In this assay, 5 petri dishes and 100 seeds were used for each assay. Twenty corn seeds were randomly placed in each sterile petri dish lined with Whatman #1 paper disks. Test solutions of the Product 20 DMSO solutions were diluted with water to a concentration of 1 x 10"7M with 2 percent by volume of fungicide added to prevent fungal growth. 5 ml of the test solution was added and the lid was placed on the dish. 5 replicate dishes were prepared for each trial. As control experiments, 100 seeds were tested using water only as the treatment and a second control was used wherein an aqueous solution of DMSO was used. Each stack of 5 dishes was secured with a rubber band and placed in a closed (light tight) cardboard box for the experiments at 10°C. For those tests at 24°C, stacks were individually wrapped in aluminum foil to exclude light and the dishes were placed in a growth chamber set to maintain the desired temperature.
Germination was assessed strictly as radical emergence at the time of observation. Counts of emerged radicles were converted to percentages and the data was analyzed using GraphPad PRISM® software, available from GraphPad, San Diego, California.
The effect of Product 20 composition on corn seeds at 24°C is shown in Table 13 wherein germination was assessed at 24 and 48 hours after the initiation of the experiment.
TABLE 13
The effect of Product 20 on corn seeds at 10°C, compared to controls of water and DMSO solution is shown in Table 13. Germination assessment was conducted after 6 days.
TABLE 14
One-way ANOVA of the data of Tables 13 and 14 indicated that the means were not significantly different (p<0.05).
Corn Field Trials
The effect of Product 20 on the yield of corn was studied at 18 research sites in the United States using 5 different commercial hybrids.
A seed treatment formulation was prepared using commercially available film forming binder, fungicide and insecticide treatment and red pigment for the control, Control A. Composition 1 was prepared using the same formulation as Control A, but also added Product 20. Specifically, a 1 .7 μΜ solution of Product 20 was applied to corn seed at a dose of 0.7 fluid ounces per 80,000 seeds. Composition 2 was prepared using the same formulation as Composition 1 , but with an added standard biological component.
The corn seeds were planted in four row corn plots with 76.2 cm (30 inch) row spacings and a plot length of 5.3 meters (17.5 feet). At each research site, each treatment (seeds coated with Control A, Composition 1 and Composition 2) was replicated 4 times. Corn grain yield data
(bu/acre) was collected at harvest from the 2 center rows of each 4-row plot. Plots were managed by utilizing crop management practices common to each research site location.
When analyzed over all 18 locations, the Control A gave an average of 187.5 bushels of grain per acre. Composition 1 , containing
Product 20, when analyzed over all 18 locations, gave an average of
191 .9 bushels of grain per acre. Composition 2 when analyzed over all 18 locations gave an average yield of 191 .8 bushels of grain per acre.
The effect of Product 20 with and without Bacillus amyloliquefaciens strain, 22CP1 on corn was studied during the growing season at 14 research sites in the United States using two corn hybrids. A 1 .7 μΜ solution of Product 20 was applied to corn seed at a dose 0.7 fl. oz. per 80,000 seeds along with standard seed treatment chemistries (Product 20). This same dose of Product 20 was combined with Bacillus
amyloliquefaciens strain, 22CP1 , and coated on seed with a final Bacillus dose of 1 x106 CFU/seed along with standard seed treatment chemistries (Product 20+22CP1 ). Corn seed was also treated with standard seed treatment chemistries with 22CP1 alone (22CP1 ) and with standard seed treatment chemistries without the addition of any biological (control). At each of 14 geographical locations, all treatments were tested with two corn hybrids in six replicate plots each. Plots were designed as 4 rows with 30" spacing between rows and each row was 17.5' long. Plants were scored for early growth (scale of 1 -9) and stand count (plants/plot) at the vegetative state V2-V4 and final stand (plants/acre) and yield
(bushels/acre) was determined at full maturity of the plants.
An increase in early seedling vigor was detected in plants grown in the presence of Product 20 alone and Product 20+22CP compared to control and 22CP1 alone (p<0.05). There were no differences noted in early stand or final stand count. Final yield showed an increase of 1 .6 and 1 .4 bu/acre in the plants treated with Product 20 and Product 20+22CP1 , respectively, compared to the control treatment. The plants treated with Product 20+22CP1 showed a 2.4 bu/acre increase compared to those treated with 22CP1 alone.
Soybean Field Trials
The effect of Product 20 on the yield of soybeans was studied during the growing season at 20 research sites in the United States. A control soybean seed treatment formulation, Control C was prepared using a standard seed treatment formulation containing commercially available fungicide, insecticide, and surfactant. A second control formulation,
Control B, was prepared using Control C and an added Rhizobia
inoculant. Composition 3 was prepared using Control C and added
Product 20. Specifically, a 1 .7 μΜ solution of Product 20 was applied to soybean seed at a dose of 0.35 fluid ounces per 140,000 seeds.
Composition 4 was prepared using Control B, and added Product 20. 25 .cCommercial soybean varieties were studied.
The soybeans were planted in four row plots with 76.2 cm (30 inch) row spacings and a plot length of 5.3 meters (17.5 feet). At each research site, each treatment (seeds coated with Control B, Control C, Composition 3 and Composition 4) was replicated 4 times. Soybean yield data
(bu/acre) was collected at harvest from the 2 center rows of each 4-row plot. Plots were managed by utilizing crop management practices common to each research site location. It should be noted that one research location was not harvested due to plot variability.
All seed treatments were composed of a first fungicide, a second fungicide and an insecticide applied with and without Product 20. An untreated check was also at each location.
When analyzed over 19 locations, the untreated check plots gave an average of 58.6 bushels per acre. Control B gave an average of 59.6 bushels per acre. Control C gave an average of 59.7 bushels per acre. Composition 3, containing Product 20, when analyzed over 19 locations, gave an average of 59.8 bushels per acre. Composition 4 when analyzed over 19 locations gave an average yield of 59.1 bushels per acre. The average yield for the trials containing Product 20 provided increased yield when compared to an untreated check plot. It should be noted that the results from one field location has not been included in the results due to plot variability issues that occurred at that location.
The effect of Product 20 on soybeans was studied during the 2013 and 2014 growing season. Product 20 was coated on two varieties of soybean seed. A 1 .7 μΜ solution of Product 20 was applied to soybean seed at a dose of 0.35 fluid ounces per 140,000 seeds (2013 trial) or 1 .26 fluid ounces per 140,000 seeds (2014 trial) along with standard seed treatment chemistries. Another treatment included the standard seed
treatment chemistries without the addition of Product 20 (STD), and an additional treatment did not include any experimental or chemical seed treatments (Control). Seeds were planted at 20 different geographical locations in 2013 and 32 different geographical locations in 2014. The 2013 trial included four replications per location, while the 2014 trial included two replications per location. Row spacing for both the 2013 and 2014 trials was 30-inches at all locations and row length was between 15 and 17.5 feet depending on location. Early seedling vigor score (1 -9 scale with 1 = lowest; 9 = highest) and stand count (plants/acre) were recorded as well as yield (bushels/acre) at the conclusion of the trial.
Early seedling vigor was collected at 37 geographical locations over the course of two planting seasons. Plants grown in the presence of Product 20 had greater average seedling vigor scores compared to the Control treatment in each of the two seasons, and values that were similar to the STD treatment. The Product 20 seed treatment also resulted in greater average seedling vigor scores compared to the Control and STD treatments at averages of 90.9% and 38.7% of locations, respectively.
Stand count (plants/acre) was collected at the 20 geographical locations associated with the 2013 trial. Plants grown in the presence of Product 20 seed treatment had a greater average stand count compared to the Control treatment, and similar performance to the STD treatment. In addition, Product 20 increased stand relative to the Control treatment at 70% of locations and increased stand relative to the STD treatment at 55% of locations. Grain yield (bushels/acre) was collected at 51 geographical locations over the course of the two planting seasons. Plants grown in the presence of Product 20 seed treatment had greater yield compared to the Control treatment and similar performance to the STD treatment. Relative to the Control treatment, Product 20 increased yield at an average of 77.4% of locations, and increased yield relative to the STD treatment at an average of 37.2% of locations.
Potato Field Trial
Product 20 was tested on potato seeds in Canada using a standard seed treatment as a control and the standard seed treatment plus the addition of Product 20. Specifically, a 1 .7 μΜ solution of Product 20 was
applied to potato seed at a dose of 0.7 fluid ounces per 100 pounds of seeds. Plots were managed by utilizing crop management practices common to potato growers. The percent emergence as a function of days after planting, the average plant height and the average plant width was measured at several intervals after emergence, the average plant count per 18.3 meter (60 feet) row, average tuber count in 10 kilograms of harvest, the percentage of "smalls" per treatment, the average percent ten ounce by treatment and the total yield per treatment was measured. The results are given in the Table 15.
TABLE 15
Soft Red Wheat Field Trial
Product 20 was tested on 2 varieties of soft red wheat at four locations in the North America versus untreated soft red wheat and a standard wheat seed control. Product 20 was added to the standard wheat seed treatment. Specifically, a 1 .7 μΜ solution of Product 20 was applied to wheat seed at a dose of 4.0 fluid ounces per 100 pounds of seed. The test plots measured 5.5 meters (18 feet) long with 15 to 18 centimeter (6 to 7 inch) row spacing. Two adapted varieties were tested per location and 6 replications per treatment per location were used. Data for the Wheat Stand percentage and early vigor is the average for two of the four locations. The yield data is available for all four locations. Early
vigor is a qualitative assessment of the health of the early stage growth of the wheat plant and is assessed on a scale of 1 to 9.
TABLE 16
Yield is reported as bushels/acre.
All publications and patent applications mentioned in the
specification are indicative of the level of those skilled in the art to which this disclosure pertains. All publications and patent applications are herein incorporated by reference to the same extent as if each individual publication or patent application was specifically and individually indicated to be incorporated by reference. Although the foregoing disclosure has been described in some detail by way of illustration and example for purposes of clarity of understanding, it will be obvious that certain changes and modifications may be practiced within the scope of the appended claims.
Claims
1 . A salt complex represented by the general Structure A,
Structure A wherein
m is 0, 1 , 2, 3, 4, 5, 6, 7, 8, 9 or 10;
n is 0, 1 , 2, 3, 4, 5 or 6;
p is 1 , 2, 3, 4, 5, 6, 7, 8, 9 or 10;
Q is 0.1 to n+2;
Z is -CH2, -N(R6)-, -O- or -S-;
R1 is hydrogen, C1 to C20 substituted or unsubstituted alkyl, C2 to C20 substituted or unsubstituted alkenyl, C2 to C20 substituted or
unsubstituted alkynyl, aryl or substituted aryl;
R2 is hydrogen, C1 to C5 alkyl, aryl, heteroaryl, benzyl, or R2 and R6 are taken together to form a C2 to C4 alkylene group, wherein said alkylene group is taken together with the nitrogen atom to which R6 is attached and the carbon atom to which R2 is attached to form a 4-, 5-, or 6-membered ring, and wherein each alkyl, aryl, heteroaryl or benzyl group is
unsubstituted or substituted with -OH, -SH, -NH2, -SCH3, -C(O)OH, -C(O)NH2 or -NH(NH)NH2;
R4 and R5 are independently hydrogen, C1 to C5 substituted or
unsubstituted alkyl;
R6 is hydrogen or R2 and R6 are taken together to form a C2 to C4 alkylene group, wherein said alkylene group is taken together with the nitrogen atom to which R6 is attached and the carbon atom to which R2 is attached to form a 4-, 5- or 6-membered ring; and
XR3 is azide or X is O or S and R3 is hydrogen, C1 to C20 alkyl, aryl, monosaccharide or heteroaryl group.
2. The salt complex of claim 1 , further defined as the general Structure B
Structure B
wherein
m is 0, 1 , 2, 3, 4, 5, 6, 7, 8, 9 or 10;
p is 1 , 2, 3, 4, 5, 6, 7, 8, 9 or 10;
Q is 0.1 to 2;
R1 is hydrogen, C1 to C20 substituted or unsubstituted alkyl, C2 to C20 substituted or unsubstituted alkenyl, C2 to C20 substituted or
unsubstituted alkynyl , aryl or substituted aryl;
R2 is hydrogen, C1 to C5 alkyl, aryl, heteroaryl, benzyl, or R2 and R6 are taken together to form a C2 to C4 alkylene group, wherein said alkylene group is taken together with the nitrogen atom to which R6 is attached and
the carbon atom to which R2 is attached to form a 4-, 5-, or 6-membered ring, and wherein each alkyi, aryl, heteroaryl or benzyl group is
unsubstituted or substituted with -OH, -SH, -NH2, -SCH3, -C(O)OH, -C(O)NH2 or -NH(NH)NH2; and
XR3 is azide or X is O or S and R3 is hydrogen, C1 to C20alkyl, aryl, monosaccharide or heteroaryl group.
3. The salt complex of claim 1 , further defined as the general Structure C
Structure C
wherein
m is 0, 1 , 2, 3, 4, 5, 6, 7, 8, 9 or 10;
p is 1 , 2, 3, 4, 5, 6, 7, 8, 9 or 10;
Q is 0.1 to 3;
R1 is hydrogen, C1 to C20 substituted or unsubstituted alkyi, C2 to C20 substituted or unsubstituted alkenyl, C2 to C20 substituted or
unsubstituted alkynyl, aryl or substituted aryl;
R2 is hydrogen, C1 to C5 alkyi, aryl, heteroaryl, benzyl, wherein each alkyi, aryl, heteroaryl or benzyl group is unsubstituted or substituted with -OH, -SH, -NH2, -SCH3, -C(O)OH, -C(O)NH2 or -NH(NH)NH2; and
XR3 is azide or X is O or S and R3 is hydrogen, C1 to C20alkyl, aryl, monosaccharide or heteroaryl group.
4. The salt complex of claim 1 , further defined as having a structure of Pr uct 19.
Product 19
5. The salt complex of claim 1 , further defined as having a structure of Product 20
Product 20
6. An agricultural composition comprising the salt complex of any one of claims 1 , 2, 3, 4 or 5.
7. The agricultural composition of claim 6, wherein the salt complex is present in the agricultural composition at a concentration of about 10"3 M to 10"12 M.
8. The agricultural composition of claim 6 or 7, wherein the agricultural composition is applied in a biologically effective amount to propagating material of a plant.
9. The agricultural composition of claim 8, wherein the propagating material is a seed.
10. The agricultural composition of claim 8 or 9, wherein the propagating material is a seed potato.
1 1 . The agricultural composition of claim 9, wherein the agricultural composition is applied in a biologically effective amount to the seed to increase rate of germination and/or yield.
12. The agricultural composition of claim 8 or 9, wherein the seed is corn or soybean.
13. The agricultural composition of claim 6 or 7, wherein the agricultural composition is applied to foliage.
14. The agricultural composition of claim 6 or 7, wherein the agricultural composition is applied in a biologically effective amount to soil either prior to or following planting plant propagating material.
15. A method for treating a propagating material, comprising applying an agricultural composition in an biologically effective amount an agricultural composition comprising the salt complex of any one of claims 1 , 2, 3, 4 or 5 to the propagating material.
16. The method of claim 15, wherein the agricultural composition is applied as a seed coating.
17. The method of claim 15, wherein the agricultural composition is applied to foliage.
18. The method of claim 15, wherein the agricultural composition is applied to soil either prior to or following planting the propagating material.
19. The method of claim 15 or 16, wherein the agricultural composition is applied to a dicot.
20. The method of claim 15 or 16, wherein the agricultural composition is applied to soybean.
21 . The method of claim 15 or 16, wherein the agricultural composition is applied to a monocot.
22. The method of claim 15 or 16, wherein the agricultural composition is applied to corn.
23. A plant seed coated with the agricultural composition of claim 6.
24. The plant seed of claim 23, wherein the agricultural composition comprises an insecticide, a fungicide, a nematicide and a biological agent.
25. The plant seed of claim 23 or claim 24 wherein the plant seed is corn, soybean, wheat, rice, sunflower, canola or cotton.
26. The plant seed of any one of claims 23 to 25 wherein the resulting plant expresses an insect resistant trait.
27. The plant seed of claim 26 wherein the insect resistant trait is due to expression of a Bt protein.
Applications Claiming Priority (2)
| Application Number | Priority Date | Filing Date | Title |
|---|---|---|---|
| US201461945931P | 2014-02-28 | 2014-02-28 | |
| US61/945,931 | 2014-02-28 |
Publications (2)
| Publication Number | Publication Date |
|---|---|
| WO2015130890A1 true WO2015130890A1 (en) | 2015-09-03 |
| WO2015130890A9 WO2015130890A9 (en) | 2016-09-29 |
Family
ID=52693044
Family Applications (1)
| Application Number | Title | Priority Date | Filing Date |
|---|---|---|---|
| PCT/US2015/017663 Ceased WO2015130890A1 (en) | 2014-02-28 | 2015-02-26 | Synthetic salt complexes for improvement of plant growth and yield |
Country Status (1)
| Country | Link |
|---|---|
| WO (1) | WO2015130890A1 (en) |
Cited By (2)
| Publication number | Priority date | Publication date | Assignee | Title |
|---|---|---|---|---|
| WO2016144688A1 (en) * | 2015-03-11 | 2016-09-15 | Pioneer Hi Bred International Inc | Insecticidal combinations of pip-72 and methods of use |
| US10667524B2 (en) | 2013-09-13 | 2020-06-02 | Pioneer Hi-Bred International, Inc. | Insecticidal proteins and methods for their use |
Citations (39)
| Publication number | Priority date | Publication date | Assignee | Title |
|---|---|---|---|---|
| US2891855A (en) | 1954-08-16 | 1959-06-23 | Geigy Ag J R | Compositions and methods for influencing the growth of plants |
| US3060084A (en) | 1961-06-09 | 1962-10-23 | Du Pont | Improved homogeneous, readily dispersed, pesticidal concentrate |
| US3235361A (en) | 1962-10-29 | 1966-02-15 | Du Pont | Method for the control of undesirable vegetation |
| US3299566A (en) | 1964-06-01 | 1967-01-24 | Olin Mathieson | Water soluble film containing agricultural chemicals |
| US3309192A (en) | 1964-12-02 | 1967-03-14 | Du Pont | Method of controlling seedling weed grasses |
| US3920442A (en) | 1972-09-18 | 1975-11-18 | Du Pont | Water-dispersible pesticide aggregates |
| US4144050A (en) | 1969-02-05 | 1979-03-13 | Hoechst Aktiengesellschaft | Micro granules for pesticides and process for their manufacture |
| US4172714A (en) | 1976-12-20 | 1979-10-30 | E. I. Du Pont De Nemours And Company | Dry compactible, swellable herbicidal compositions and pellets produced therefrom |
| GB2095558A (en) | 1981-03-30 | 1982-10-06 | Avon Packers Ltd | Formulation of agricultural chemicals |
| DE3246493A1 (en) | 1982-12-16 | 1984-06-20 | Bayer Ag, 5090 Leverkusen | METHOD FOR PRODUCING WATER-DISPERSIBLE GRANULES |
| WO1991013546A1 (en) | 1990-03-12 | 1991-09-19 | E.I. Du Pont De Nemours And Company | Water-dispersible or water-soluble pesticide granules from heat-activated binders |
| US5175149A (en) | 1991-10-04 | 1992-12-29 | The University Of Tennessee Research Corporation | Pentasaccharide phytohormones and methods for their use |
| US5180587A (en) | 1988-06-28 | 1993-01-19 | E. I. Du Pont De Nemours And Company | Tablet formulations of pesticides |
| US5208030A (en) | 1989-08-30 | 1993-05-04 | Imperial Chemical Industries Plc | Active ingredient dosage device |
| US5232701A (en) | 1990-10-11 | 1993-08-03 | Sumitomo Chemical Company, Limited | Boron carbonate and solid acid pesticidal composition |
| US5549718A (en) | 1990-04-06 | 1996-08-27 | Centre National De La Recherche Scientifique (C.N.R.S.) | Substance with lipo-oligosaccharide structure capable of acting as plant-specific symbiotic signals, processes for producing them and their applications |
| US6048838A (en) | 1997-05-05 | 2000-04-11 | Dow Agrosciences Llc | Insecticidal protein toxins from xenorhabdus |
| US6747047B2 (en) | 2000-03-22 | 2004-06-08 | E.I. Du Pont De Nemours And Company | Insecticidal anthranilamides |
| WO2005062899A2 (en) * | 2003-12-23 | 2005-07-14 | Nitragin, Inc. | Methods and compositions providing agronomically benefical effects in legumes and non-legumes |
| US20060286149A1 (en) * | 2005-06-16 | 2006-12-21 | Subramaniam Sabesan | Low molecular weight polyglucosamines and polygalactosamines |
| US20060287515A1 (en) * | 2005-06-16 | 2006-12-21 | Subramaniam Sabesan | Chemical synthesis of low molecular weight polyglucosamines and polygalactosamines |
| WO2007006670A1 (en) | 2005-07-07 | 2007-01-18 | Basf Aktiengesellschaft | N-thio-anthranilamid compounds and their use as pesticides |
| WO2009049747A2 (en) | 2007-10-16 | 2009-04-23 | Merck Patent Gmbh | Lipo-chitooligosaccharide and flavonoid combination for enhanced plant growth and yield |
| US20100048640A1 (en) | 2007-04-12 | 2010-02-25 | Sumitomo Chemical Company, Limited | Hydrazide compound and harmful arthropod-controlling agent containing the same |
| WO2012020105A1 (en) | 2010-08-12 | 2012-02-16 | Technology Tags S.R.L. | Antitheft device of the type with a pin and a pin retention plate |
| US8324390B2 (en) | 2008-12-18 | 2012-12-04 | Bayer Cropscience Ag | Tetrazole-substituted anthranilamides as pesticides |
| WO2013024170A1 (en) | 2011-08-18 | 2013-02-21 | Basf Se | Carbamoylmethoxy- and carbamoylmethylthio- and carbamoylmethylamino benzamides for combating invertebrate pests |
| WO2013024010A1 (en) | 2011-08-12 | 2013-02-21 | Basf Se | N-thio-anthranilamide compounds and their use as pesticides |
| WO2013024004A1 (en) | 2011-08-12 | 2013-02-21 | Basf Se | N-thio-anthranilamide compounds and their use as pesticides |
| WO2013024003A1 (en) | 2011-08-12 | 2013-02-21 | Basf Se | N-thio-anthranilamide compounds and their use as pesticides |
| WO2013024009A1 (en) | 2011-08-12 | 2013-02-21 | Basf Se | N-thio-anthranilamide compounds and their use as pesticides |
| WO2013036922A1 (en) * | 2011-09-08 | 2013-03-14 | Novozymes Biologicals Holdings, Inc. | Seed treatment methods and compositions |
| WO2013044214A1 (en) * | 2011-09-23 | 2013-03-28 | Novozymes Biologicals Holdings A/S | Combinations of lipo-chitooligosaccharides and methods for use in enhancing plant growth |
| WO2013044211A1 (en) * | 2011-09-23 | 2013-03-28 | Novozymes Biologicals Holdings A/S | Chitooligosaccharides and methods for use in enhancing corn growth |
| US20140007292A1 (en) | 2012-07-02 | 2014-01-02 | Pioneer Hi Bred International Inc | Novel Insecticidal Proteins and Methods for Their Use |
| US20140033361A1 (en) | 2012-07-26 | 2014-01-30 | E.I Du Pont De Nemours And Company | Novel Insecticidal Proteins and Methods for Their Use |
| US20140274885A1 (en) | 2013-03-15 | 2014-09-18 | Pioneer Hi-Bred International, Inc | PHI-4 Polypeptides and Methods For Their Use |
| WO2014143620A1 (en) * | 2013-03-14 | 2014-09-18 | E. I. Du Pont De Nemours And Company | Synthetic lipoamino acid glucosamine derivatives for improvement of plant growth and yield |
| WO2014150914A2 (en) | 2013-03-15 | 2014-09-25 | Pioneer Hi-Bred International, Inc. | Phi-4 polypeptides and methods for their use |
-
2015
- 2015-02-26 WO PCT/US2015/017663 patent/WO2015130890A1/en not_active Ceased
Patent Citations (41)
| Publication number | Priority date | Publication date | Assignee | Title |
|---|---|---|---|---|
| US2891855A (en) | 1954-08-16 | 1959-06-23 | Geigy Ag J R | Compositions and methods for influencing the growth of plants |
| US3060084A (en) | 1961-06-09 | 1962-10-23 | Du Pont | Improved homogeneous, readily dispersed, pesticidal concentrate |
| US3235361A (en) | 1962-10-29 | 1966-02-15 | Du Pont | Method for the control of undesirable vegetation |
| US3299566A (en) | 1964-06-01 | 1967-01-24 | Olin Mathieson | Water soluble film containing agricultural chemicals |
| US3309192A (en) | 1964-12-02 | 1967-03-14 | Du Pont | Method of controlling seedling weed grasses |
| US4144050A (en) | 1969-02-05 | 1979-03-13 | Hoechst Aktiengesellschaft | Micro granules for pesticides and process for their manufacture |
| US3920442A (en) | 1972-09-18 | 1975-11-18 | Du Pont | Water-dispersible pesticide aggregates |
| US4172714A (en) | 1976-12-20 | 1979-10-30 | E. I. Du Pont De Nemours And Company | Dry compactible, swellable herbicidal compositions and pellets produced therefrom |
| GB2095558A (en) | 1981-03-30 | 1982-10-06 | Avon Packers Ltd | Formulation of agricultural chemicals |
| DE3246493A1 (en) | 1982-12-16 | 1984-06-20 | Bayer Ag, 5090 Leverkusen | METHOD FOR PRODUCING WATER-DISPERSIBLE GRANULES |
| US5180587A (en) | 1988-06-28 | 1993-01-19 | E. I. Du Pont De Nemours And Company | Tablet formulations of pesticides |
| US5208030A (en) | 1989-08-30 | 1993-05-04 | Imperial Chemical Industries Plc | Active ingredient dosage device |
| WO1991013546A1 (en) | 1990-03-12 | 1991-09-19 | E.I. Du Pont De Nemours And Company | Water-dispersible or water-soluble pesticide granules from heat-activated binders |
| US5549718A (en) | 1990-04-06 | 1996-08-27 | Centre National De La Recherche Scientifique (C.N.R.S.) | Substance with lipo-oligosaccharide structure capable of acting as plant-specific symbiotic signals, processes for producing them and their applications |
| US5232701A (en) | 1990-10-11 | 1993-08-03 | Sumitomo Chemical Company, Limited | Boron carbonate and solid acid pesticidal composition |
| US5175149A (en) | 1991-10-04 | 1992-12-29 | The University Of Tennessee Research Corporation | Pentasaccharide phytohormones and methods for their use |
| US6048838A (en) | 1997-05-05 | 2000-04-11 | Dow Agrosciences Llc | Insecticidal protein toxins from xenorhabdus |
| US6379946B1 (en) | 1997-05-05 | 2002-04-30 | Wisconsin Alumn Research Foundation | Insecticidal protein toxins from Xenorhabdus |
| US6747047B2 (en) | 2000-03-22 | 2004-06-08 | E.I. Du Pont De Nemours And Company | Insecticidal anthranilamides |
| WO2005062899A2 (en) * | 2003-12-23 | 2005-07-14 | Nitragin, Inc. | Methods and compositions providing agronomically benefical effects in legumes and non-legumes |
| US20060286149A1 (en) * | 2005-06-16 | 2006-12-21 | Subramaniam Sabesan | Low molecular weight polyglucosamines and polygalactosamines |
| US20060287515A1 (en) * | 2005-06-16 | 2006-12-21 | Subramaniam Sabesan | Chemical synthesis of low molecular weight polyglucosamines and polygalactosamines |
| US7485718B2 (en) | 2005-06-16 | 2009-02-03 | E. I. Du Pont De Nemours And Company | Chemical synthesis of low molecular weight polyglucosamines and polygalactosamines |
| WO2007006670A1 (en) | 2005-07-07 | 2007-01-18 | Basf Aktiengesellschaft | N-thio-anthranilamid compounds and their use as pesticides |
| US20100048640A1 (en) | 2007-04-12 | 2010-02-25 | Sumitomo Chemical Company, Limited | Hydrazide compound and harmful arthropod-controlling agent containing the same |
| WO2009049747A2 (en) | 2007-10-16 | 2009-04-23 | Merck Patent Gmbh | Lipo-chitooligosaccharide and flavonoid combination for enhanced plant growth and yield |
| US8324390B2 (en) | 2008-12-18 | 2012-12-04 | Bayer Cropscience Ag | Tetrazole-substituted anthranilamides as pesticides |
| WO2012020105A1 (en) | 2010-08-12 | 2012-02-16 | Technology Tags S.R.L. | Antitheft device of the type with a pin and a pin retention plate |
| WO2013024003A1 (en) | 2011-08-12 | 2013-02-21 | Basf Se | N-thio-anthranilamide compounds and their use as pesticides |
| WO2013024010A1 (en) | 2011-08-12 | 2013-02-21 | Basf Se | N-thio-anthranilamide compounds and their use as pesticides |
| WO2013024004A1 (en) | 2011-08-12 | 2013-02-21 | Basf Se | N-thio-anthranilamide compounds and their use as pesticides |
| WO2013024009A1 (en) | 2011-08-12 | 2013-02-21 | Basf Se | N-thio-anthranilamide compounds and their use as pesticides |
| WO2013024170A1 (en) | 2011-08-18 | 2013-02-21 | Basf Se | Carbamoylmethoxy- and carbamoylmethylthio- and carbamoylmethylamino benzamides for combating invertebrate pests |
| WO2013036922A1 (en) * | 2011-09-08 | 2013-03-14 | Novozymes Biologicals Holdings, Inc. | Seed treatment methods and compositions |
| WO2013044214A1 (en) * | 2011-09-23 | 2013-03-28 | Novozymes Biologicals Holdings A/S | Combinations of lipo-chitooligosaccharides and methods for use in enhancing plant growth |
| WO2013044211A1 (en) * | 2011-09-23 | 2013-03-28 | Novozymes Biologicals Holdings A/S | Chitooligosaccharides and methods for use in enhancing corn growth |
| US20140007292A1 (en) | 2012-07-02 | 2014-01-02 | Pioneer Hi Bred International Inc | Novel Insecticidal Proteins and Methods for Their Use |
| US20140033361A1 (en) | 2012-07-26 | 2014-01-30 | E.I Du Pont De Nemours And Company | Novel Insecticidal Proteins and Methods for Their Use |
| WO2014143620A1 (en) * | 2013-03-14 | 2014-09-18 | E. I. Du Pont De Nemours And Company | Synthetic lipoamino acid glucosamine derivatives for improvement of plant growth and yield |
| US20140274885A1 (en) | 2013-03-15 | 2014-09-18 | Pioneer Hi-Bred International, Inc | PHI-4 Polypeptides and Methods For Their Use |
| WO2014150914A2 (en) | 2013-03-15 | 2014-09-25 | Pioneer Hi-Bred International, Inc. | Phi-4 polypeptides and methods for their use |
Non-Patent Citations (37)
| Title |
|---|
| "Biotechnology of Microbes and Sustainable Utilization", 2002, SCIENTIFIC PUBLISHERS, pages: 116 - 120 |
| "McCutcheon's Emulsifiers and Detergents and McCutcheon's Functional Materials", 2001, THE MANUFACTURING CONFECTION PUBL. CO. |
| "Perry's Chemical Engineer's Handbook", 1963, MCGRAW-HILL, pages: 8 - 57 |
| "Plant Growth and Health Promoting Bacteria (Microbiology Monographs)", 2010, SPRINGER-VERLAG |
| "Principles and Methodology", vol. I, 1985, INTERNATIONAL BOARD FOR PLANT GENETIC RESOURCES, article "Handbook of Seed Technology for Genebanks", pages: 94 - 120 |
| "The Pesticide Manual", 2000, BRITISH CROP PROTECTION COUNCIL |
| "the Seed Vigor Testing Handbook, Contribution No. 32 to the Handbook on Seed Testing", 1983, SEED VIGOR TEST COMMITTEE OF THE ASSOCIATION OF OFFICIAL SEED ANALYSTS |
| AGROW: "The Seed Treatment Market", 1994, PJB PUBLICATIONS LTD. |
| AKIYAMA ET AL., NATURE, vol. 435, 2005, pages 824 - 827 |
| BESSERER ET AL., PLOS BIO, vol. 4, no. 7, 2006, pages E226 |
| BROWNING: "Agglomeration", CHEMICAL ENGINEERING, 4 December 1967 (1967-12-04), pages 147 - 48 |
| BURRIS; NAVRATIL, AGRONOMY JOURNAL, vol. 71, 1979, pages 985 - 988 |
| CUNNINGHAM ET AL., CAN J BOT, vol. 68, 1990, pages 2270 - 2274 |
| FRIESEN ET AL., APPL. MICROBIOL. BIOTECHNOL., vol. 68, 2005, pages 397 - 404 |
| HANCE ET AL.: "Weed Control Handbook", 1989, BLACKWELL SCIENTIFIC PUBLICATIONS |
| HARRISON, ANN. REV. MICROBIOL., vol. 59, 2005, pages 19 - 42 |
| HINCHLIFFE ET AL., THE OPEN TOXICOLOGY JOURNAL, vol. 3, 2010, pages 101 - 118 |
| KHAN ET AL., BIORESOURCE TECHNOLOGY, vol. 99, no. 8, 2008, pages 3016 - 3023 |
| KHAN ET AL., WORLD JOURNAL OF MICROBIOLOGY AND BIOTECHNOLOGY, vol. 28, no. 4, 2012, pages 1483 - 1494 |
| KIM ET AL., BMC MICROBIOLOGY, vol. 8, 2008, pages 231 |
| KLINGMAN: "Weed Control as a Science", 1961, JOHN WILEY AND SONS, INC., pages: 81 - 96 |
| LI ET AL., PLANT CELL TISS. ORGAN CULT, vol. 89, 2007, pages 159 - 168 |
| LIU ET AL., J. AGRIC. FOOD CHEM., vol. 58, 2010, pages 12343 - 12349 |
| MARSDEN: "Solvents Guide", 1950, INTERSCIENCE |
| MCCUTCHEON'S: "Functional Materials", 2001, MC PUBLISHING COMPANY |
| MONALYSIN, PLOS PATHOGENS, vol. 7, 2011, pages 1 - 13 |
| MORGAN ET AL., APPLIED AND ENVIR. MICRO, vol. 67, 2001, pages 2062 - 2069 |
| P. KOSTERS ET AL.: "Seed Treatment: Progress and Prospects", BCPC MONOGRAPH NO. 57, 1994 |
| PECHY-TARR, ENVIRONMENTAL MICROBIOLOGY, vol. 10, 2008, pages 2368 - 2386 |
| SCIALABBA ET AL., SEED SCIENCE & TECHNOLOGY, vol. 27, 1999, pages 865 - 870 |
| SISELY; WOOD: "Encyclopedia of Surface Active Agents", 1964, CHEMICAL PUBL. CO., INC. |
| STAEHELIN C ET AL: "N-DEACETYLATION OF SINORHIZOBIUM MELILOTI NOD FACTORS INCREASES THEIR STABILITY IN THE MEDICAGO SATIVA RHIZOSPHERE AND DECREASES THEIR BIOLOGICAL ACTIVITY", MOLECULAR PLANT-MICROBE INTERACTIONS, APS PRESS, vol. 13, no. 1, 1 January 2000 (2000-01-01), pages 72 - 79, XP008051621, ISSN: 0894-0282 * |
| T. S. WOODS: "Pesticide Chemistry and Bioscience, The Food-Environment Challenge", 1999, THE ROYAL SOCIETY OF CHEMISTRY, article "The Formulator's Toolbox - Product Forms for Modern Agriculture", pages: 120 - 133 |
| W.R. FEHR: "Principles of Cultivar Development", 1987, MCGRAW-HILL, INC., pages: 261 - 286 |
| WAKELIN ET AL., BIOL FERTIL SOILS, vol. 40, 2004, pages 36 - 43 |
| WATKINS ET AL.: "Handbook of Insecticide Dust Diluents and Carriers", DORLAND BOOK |
| ZHANG ET AL.: "Annals of Microbiology", vol. 59, 2009, pages: 45 - 50 |
Cited By (5)
| Publication number | Priority date | Publication date | Assignee | Title |
|---|---|---|---|---|
| US10667524B2 (en) | 2013-09-13 | 2020-06-02 | Pioneer Hi-Bred International, Inc. | Insecticidal proteins and methods for their use |
| US11325949B2 (en) | 2013-09-13 | 2022-05-10 | Pioneer Hi-Bred International, Inc. | Insecticidal proteins and methods for their use |
| WO2016144688A1 (en) * | 2015-03-11 | 2016-09-15 | Pioneer Hi Bred International Inc | Insecticidal combinations of pip-72 and methods of use |
| US10876132B2 (en) | 2015-03-11 | 2020-12-29 | Pioneer Hi-Bred International, Inc. | Insecticidal combinations of PIP-72 and methods of use |
| EA038923B1 (en) * | 2015-03-11 | 2021-11-10 | Пайонир Хай-Бред Интернэшнл, Инк. | Insecticidal dna construct and methods of use thereof |
Also Published As
| Publication number | Publication date |
|---|---|
| WO2015130890A9 (en) | 2016-09-29 |
Similar Documents
| Publication | Publication Date | Title |
|---|---|---|
| RU2688455C1 (en) | Chitooligosaccharides and methods of their use for increasing crop capacity | |
| CN104093829B (en) | Slow raw rhizobium strains | |
| KR101729123B1 (en) | Competitive and effective bradyrhizobium japonicum strains | |
| CN104080337B (en) | Seed treatment methods and compositions | |
| US12414568B2 (en) | Microbes, compositions, and uses for increasing plant yield and/or drought tolerance | |
| CN105764344A (en) | Compositions and methods for enhancing germination | |
| WO2017205258A1 (en) | Bacillus and lipochitooligosaccharide for improving plant growth | |
| AU2016356777B2 (en) | Composition and methods for reducing corn-on-corn yield penalty | |
| CN104066327A (en) | Combinations of lipo-chitooligosaccharides and methods for use in enhancing plant growth | |
| CN108366527A (en) | The composition and method of production loss are continuously planted for reducing corn | |
| WO2015134256A1 (en) | Combinatorial libraries | |
| CA2893927A1 (en) | Synthetic lipochitooligosaccharides for improvement of plant growth and yield | |
| CA2905843A1 (en) | Synthetic lipoamino acid glucosamine derivatives for improvement of plant growth and yield | |
| EA019132B1 (en) | A method for enhancing plant tolerance | |
| WO2015130893A1 (en) | Synthetic oligoglucosamines for improvement of plant growth and yield | |
| WO2015130890A9 (en) | Synthetic salt complexes for improvement of plant growth and yield | |
| US20150305333A1 (en) | Use of glucosamine amides as plant growth and yield enhancers | |
| CA3003648A1 (en) | Composition for nematode control comprising a streptomyces lydicus inoculant and a 3,5-disubstituted-1,2,4-oxadiazole compound, and methods thereof | |
| US20160007600A1 (en) | Synthetic lipochitooligosaccharide analogs for enhancing plant performance | |
| CN103858896A (en) | Efficacy enhancement method used for controlling diseases and insects |
Legal Events
| Date | Code | Title | Description |
|---|---|---|---|
| 121 | Ep: the epo has been informed by wipo that ep was designated in this application |
Ref document number: 15710986 Country of ref document: EP Kind code of ref document: A1 |
|
| NENP | Non-entry into the national phase |
Ref country code: DE |
|
| 122 | Ep: pct application non-entry in european phase |
Ref document number: 15710986 Country of ref document: EP Kind code of ref document: A1 |




















































