WO2015052103A1 - Pesticidally active n-iminopyridinium ylide compounds - Google Patents
Pesticidally active n-iminopyridinium ylide compounds Download PDFInfo
- Publication number
- WO2015052103A1 WO2015052103A1 PCT/EP2014/071278 EP2014071278W WO2015052103A1 WO 2015052103 A1 WO2015052103 A1 WO 2015052103A1 EP 2014071278 W EP2014071278 W EP 2014071278W WO 2015052103 A1 WO2015052103 A1 WO 2015052103A1
- Authority
- WO
- WIPO (PCT)
- Prior art keywords
- formula
- spp
- het
- compounds
- compound
- Prior art date
- Legal status (The legal status is an assumption and is not a legal conclusion. Google has not performed a legal analysis and makes no representation as to the accuracy of the status listed.)
- Ceased
Links
- 0 C**c1*(*C(C2C)=*)c2c(*)c(*)c1* Chemical compound C**c1*(*C(C2C)=*)c2c(*)c(*)c1* 0.000 description 1
Classifications
-
- C—CHEMISTRY; METALLURGY
- C07—ORGANIC CHEMISTRY
- C07D—HETEROCYCLIC COMPOUNDS
- C07D513/00—Heterocyclic compounds containing in the condensed system at least one hetero ring having nitrogen and sulfur atoms as the only ring hetero atoms, not provided for in groups C07D463/00, C07D477/00 or C07D499/00 - C07D507/00
- C07D513/02—Heterocyclic compounds containing in the condensed system at least one hetero ring having nitrogen and sulfur atoms as the only ring hetero atoms, not provided for in groups C07D463/00, C07D477/00 or C07D499/00 - C07D507/00 in which the condensed system contains two hetero rings
- C07D513/04—Ortho-condensed systems
-
- C—CHEMISTRY; METALLURGY
- C07—ORGANIC CHEMISTRY
- C07D—HETEROCYCLIC COMPOUNDS
- C07D498/00—Heterocyclic compounds containing in the condensed system at least one hetero ring having nitrogen and oxygen atoms as the only ring hetero atoms
- C07D498/02—Heterocyclic compounds containing in the condensed system at least one hetero ring having nitrogen and oxygen atoms as the only ring hetero atoms in which the condensed system contains two hetero rings
- C07D498/04—Ortho-condensed systems
Definitions
- the present invention relates to novel N-iminopyridinium ylide compounds, to processes for their preparation, to compositions comprising those compounds, and to their use in agriculture, veterinary fields and fields relying on pest management.
- the compounds are especially active for controlling damage to plants and thereby improving their growth in agriculture.
- Insecticidally active mesoionic inner salts are known, for example, from WO 2013144228.
- the present invention relates to a compound of formula (I)
- X is O or S
- Y is O or S
- Het is a 5- or 6- membered carbon-bound saturated, unsaturated or aromatic heterocycle, having 1 , 2 or 3 heteroatoms selected from O, S and N; said Het can be mono- di- or trisubstituted by substituents selected from the group consisting of halogen, Ci-C 4 -alkyl and Ci-C 4 -haloalkyl;
- R-i, R 2 and R 3 are independently from one another selected from the group consisting of hydrogen, halogen, Ci-C 4 -alkyl, Ci-C 4 -haloalkyl, Ci-C 4 -alkoxy, Ci-C 4 -haloalkoxy, cyano and nitro; and
- R 4 and R 5 are independently from one another selected from the group consisting of hydrogen, halogen and Ci-C 4 -alkyl; or R 4 and R 5 together with the carbon to which they are each attached form a 3 to 6 membered cycloalkyl group; as well as its agrochemically acceptable salts, enantiomers, tautomers, and N-oxides.
- the compounds of formula (I) are mesoionic inner salts.
- Inner salts also known in the art as “zwitterions”
- zwitterions are electrically neutral molecules but carry formal positive and negative charges on different atoms in each valence bond structure according to valence bond theory.
- molecular structure of the compounds of formula (I) can be represented by the four valence bond structures shown below, each placing the formal positive and negative charges on different atoms. Because of this resonance, the compounds of formula (I) are also described as "mesoionic".
- the compounds of formula (I) and, where appropriate, the tautomers thereof, in each case in free form or in salt form, can be present in the form of one of the isomers which are possible or as a mixture of these, for example in the form of pure isomers, such as antipodes and/or diastereomers, or as isomer mixtures, such as enantiomer mixtures, for example racemates, diastereomer mixtures or racemate mixtures, depending on the number, absolute and relative configuration of asymmetric carbon atoms which occur in the molecule and/or depending on the configuration of non-aromatic double bonds which occur in the molecule; the invention relates to the pure isomers and also to all isomer mixtures which are possible and is to be understood in each case in this sense hereinabove and hereinbelow, even when stereochemical details are not mentioned specifically in each case.
- Ylides are compounds in which an anionic site Y " (originally on carbon, but now including other atoms) is attached directly to a heteroatom X + (usually nitrogen, phosphorus or sulfur) carrying a formal positive charge. They are thus 1 ,2-dipolar species of the type R m X + -Y " R linen (lUPAC Compendium of Chemical Terminology, informally known as the Gold Book).
- the invention also covers salts and N-oxides of each compound for formula (I).
- salts of chemical compounds are in equilibrium with their corresponding non salt forms, salts share the biological utility of the non salt forms.
- salts of compounds of the invention may be useful for control of invertebrate pests and animal parasites.
- Salts amongst agriculturally and/or physiologically tolerable salts include acid-addition salts with inorganic or organic acids such as hydrobromic, hydrochloric, nitric, phosphoric, sulfuric, acetic, butyric, fumaric, lactic, maleic, malonic, oxalic, propionic, salicylic, tartaric, 4-toluenesulfonic or valeric acids.
- Suitable amongst agriculturally and/or physiologically tolerable salts can also be the salts of those cations which do not adversely affect the pesticidal and/or parasiticidal action of the compounds of formula (I).
- especially suitable cations are the ions of the alkali metals including sodium, potassium and lithium, of the alkaline earth metals including calcium and magnesium, and of the transition metals including manganese, copper, iron, zinc, cobalt, lead, silver, nickel, and also ammonium or organic ammonium including monoalkylammonium, dialkylammonium,
- trialkylammonium tetraalkylammonium, monoalkenylammonium, dialkenylammonium,
- trialkenylammonium monoalkynylammonium, dialkynyla monium, monoalkanolammonium, dialkanolammonium, C 5 -C 6 -cycloalkylammonium, piperidinium, morpholinium, pyrrolidinium, or benzylammonium, moreover phosphonium ions, sulfonium ions, preferably tri(d-C 4 -alkyl) sulfonium and sulfoxonium ions, preferably tri (Ci-C 4 -alkyl) sulfoxonium.
- Alkyl groups can be in the form of a straight or branched chain and are, for example, methyl, ethyl, propyl, prop-2-yl, butyl, but-2-yl, or 2- methyl-prop-2-yl.
- the alkyl group (either alone or as part of a larger group, such as alkoxy-), in each embodiment of the invention, is preferably Ci-C 3 -alkyl, more preferably Ci-C 2 -alkyl, especially methyl group.
- examples are methoxy, ethoxy, propoxy, n-butoxy, isobutoxy and also their isomeric groups; preferably, independent of other embodiments, methoxy and ethoxy, especially methoxy.
- Halogen is fluorine, chlorine, bromine or iodine; halogen, in each embodiment of the invention, is fluorine, chlorine, or bromine; especially fluorine or chlorine.
- Haloalkyl groups are alkyl groups which are substituted by one or more of the same or different halogen atoms and are, for example, fluoromethyl, difluoromethyl, trifluoromethyl, chlorodifluoromethyl and 2,2,2-trifluoro-ethyl.
- the haloalkyl group (either alone or as part of a larger group, such as haloalkoxy-), in each embodiment of the invention, is preferably trifluromethyl.
- examples are fluoromethoxy, difluoromethoxy, trifluoromethoxy, 2,2,2-trifluoroethoxy, 1 ,1 ,2,2-tetrafluoroethoxy, 2-fluoroethoxy, 2- chloroethoxy, 2,2-difluoroethoxy and 2,2,2-trichloroethoxy; preferably difluoromethoxy, 2,2,2- trifluoroethoxy, 2-chloroethoxy and trifluoromethoxy.
- Cycloalkyl groups are mono-cyclic and are, for example, cyclopropyl, cyclobutyl, cyclopentyl and cyclohexyl.
- the C 3 -C 6 -cycloalkyl group in each embodiment of the invention, is preferably a C 3 -C 5 - cycloakyl, more preferably a C 3 -C 4 -cycloalkyl group, especially a C 3 -cycloalkyl group.
- Het is a 5- or 6- membered carbon-bound saturated, unsaturated or aromatic heterocycle, having 1 , 2 or 3 heteroatoms selected from O, S and N. wherein substituents on Het are, independent from each other, selected from the group consisting of halogen, Ci-C 4 -alkyl and Ci-C 4 -haloalkyl.
- substituents on Het are, independent from each other, selected from the group consisting of halogen, Ci-C 4 -alkyl and Ci-C 4 -haloalkyl.
- Het is a 5- or 6- membered carbon-bound saturated, unsaturated or aromatic heterocycle, having 1 , 2 or 3 heteroatoms selected from O, S and N.
- substituents on Het are, independent from each other, selected from the group consisting of halogen, Ci-C 4 -alkyl and Ci-C 4 -haloalkyl.
- heteratom has one oxygen, or sulfur or nitrogen atom; or b) In instance of 2 heteratoms has two nitrogen atoms, or a nitrogen atom and a sulfur atom, or a nitrogen and a oxygen atom; and
- Het is unsubstituted, monosubstituted or disubstituted.
- the substituent, independent of the other embodiments or aspects, on Het is, independently of each other, selected from the group consisting of halogen, Ci-C 2 -alkyl and Ci-C 2 -haloalkyl; preferable substitutent on Het is, independently of each other, selected from chlorine, fluorine, methyl and trifluoromethyl.
- Het is pyridyl, pyrimidyl, pyrazinyl, thiazolyl, isoxazolyl or tetrahydrofuranyl, which rings can be unsubstituted or substituted with Ci-C 4 -alkyl, Ci-C 4 -haloalkyl or halogen.
- Het is a pyrid-3-yl, pyrazin-2-yl, thiazol-5-yl, isoxazol-5-yl, isoxazol-4-yl or tetrahydrofuran-3-yl, which rings rings can be unsubstituted or substituted substituted with Ci-C 4 -alkyl, Ci-C 4 -haloalkyl or halogen. More preferably, Het is pyrid-3-yl or thiazol-5-yl, which rings can be unsubstituted or substituted with trifluoromethyl or halogen, such as selected from bromine, chlorine and fluorine.
- A is a cycloalkyl linker
- the Het and remainin part of the compound of formula (I) are attached to the same carbon atom of the cycloalkyl, for
- CR 4 R 5 Preferred embodiments of CR 4 R 5 are CH 2 , CH(Br), CH(F), CH(CI), CF 2 , CCI 2 , CH(CH 3 ), and C(CH 3 ) 2 .
- X is oxygen. In an embodiment of the invention, independent of other embodiments or aspects, X is sulfur.
- Y is oxygen. In an embodiment of the invention, independent of other embodiments or aspects, Y is sulfur.
- R-i , R 2 and R 3 are, independently from one another, selected from hydrogen, halogen, Ci-C 2 -alkyl, Ci-C 2 -haloalkyl, Ci-C 2 -alkoxy, Ci-C 2 -haloalkoxy, cyano and nitro.
- R-i , R 2 and R 3 are, independently from one another, selected from hydrogen, halogen, Ci-C 2 -alkyl, Ci-C 2 -haloalkyl, d- C 2 -alkoxy, and nitro.
- R-i, R 2 and R 3 are hydrogen, methyl, methoxy, chlorine, fluorine, bromine, trifluoromethyl, and nitro.
- Het is a pyridyl, pyrimidyl, pyrazinyl, thiazolyl, isoxazolyl or tetrahydrofuranyl, which rings are unsubstituted or mono or di-substituted, independently from each other, selected from Ci-C 4 -alkyl, Ci-C 4 -haloalkyl and halogen;
- A is CR4R5, wherein R 4 and R 5 are are each hydrogen, or at least one is halogen and the other is hydrogen (if only one of R 4 and R 5 is halogen), or at least one is Ci-C 2 -alkyl and the other is hydrogen (if only one of R 4 and R 5 is Ci-C 2 -alkyl);
- X and Y are independently from each other oxygen or sulfur;
- Het is a pyridyl, pyrimidyl, pyrazinyl, thiazolyl, isoxazolyl or tetrahydrofuranyl group, which rings are unsubstituted or mono or di- substituted, independently from each other, selected from Ci-C 4 -alkyl, Ci-C 4 -haloalkyl and halogen;
- A is C 3 -C 6 -cycloalkyl;
- X and Y are independently of each other is oxygen or sulfur; and
- R-i, R 2 and R 3 are, independently from one another, selected from hydrogen, halogen, Ci-C 4 -alkyl, Ci-C 4 - haloalkyl, Ci-C 4 -alkoxy, Ci-C 4 -haloalkoxy, cyano and nitro.
- Het is pyrid-3-yl, pyrimid-5-yl, pyrazin- 2-yl, thiazol-5-yl, isoxazol-5-yl, isoxazol-4-yl or tetrahydrofuran-3-yl, which rings are unsubstituted or mono or di-substituted, independently from each other, selected from Ci-C 2 -alkyl, Ci-C 2 -haloalkyl and halogen, wherein the halogen is selected from bromine, chlorine and fluorine; A is CH 2 or CH(halogen); and R-i, R 2 and R 3 are each hydrogen, X is either oxygen or sulfur; and Y is oxygen.
- the invention in particular provides a group compounds of formula (I), wherein Het is pyridyl, which is mono substituted with a halogen; A is CH 2 or CH(halogen); and R-i, R 2 and R 3 are each hydrogen, X is either oxygen or sulfur; and Y is either oxygen or sulfur.
- R 2 is hydrogen, halogen, Ci-C 4 alkyl, d-C 4 alkoxy or Ci-C 4 haloalkyl;
- A is a methylene group which can be substituted by halogen or Ci-C 4 alkyl; or A represents the group ;
- X is O or S
- Y is O or S
- Het is pyridyl, which can be substituted by halogen or Ci-C 4 haloalkyl, or Het is isoxazolyl which can be mono- or disubstituted by Ci-C 4 alkyl, or Het is thiazolyl which can be substituted by halogen or Ci-C 4 haloalkyl, or Het is tetrahydrofuranyl.
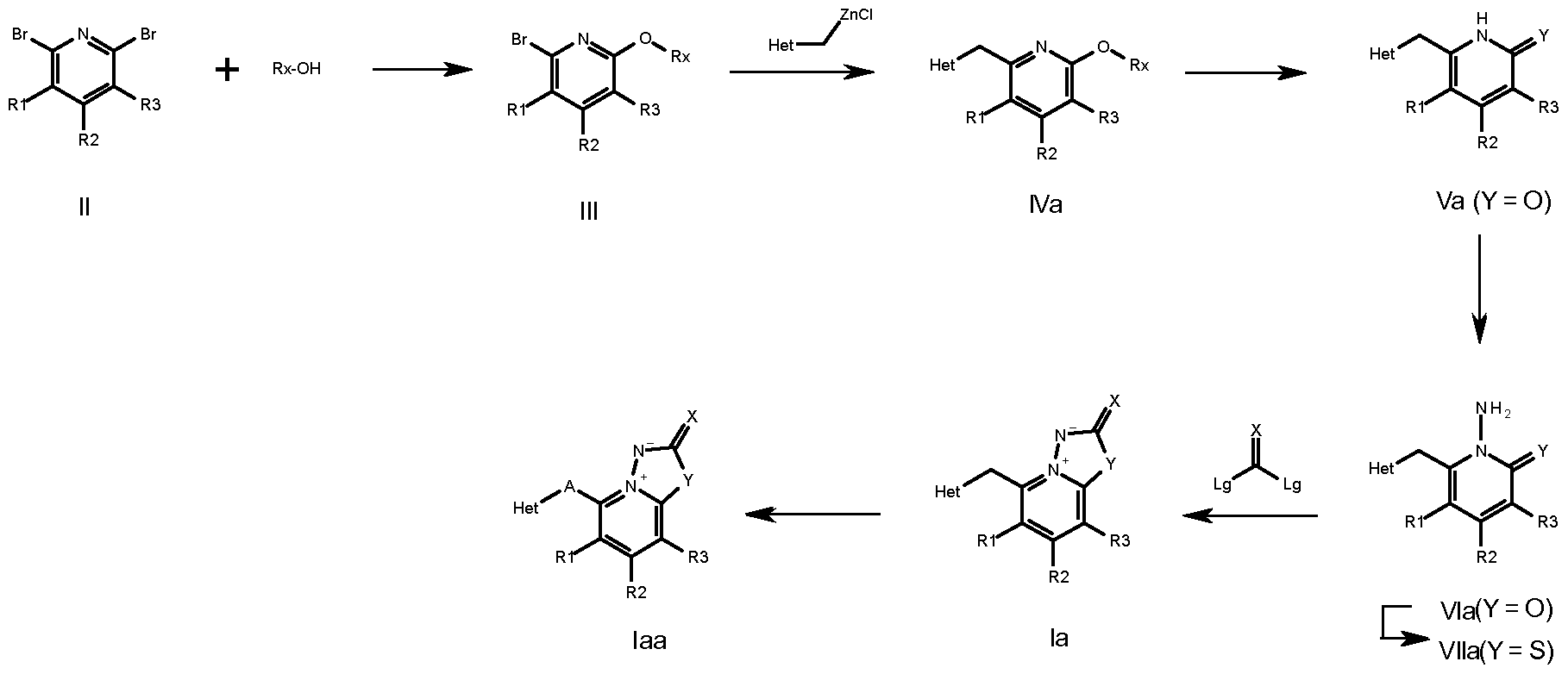
- Reagents of type Het- CH 2 ZnCI can be prepared according to known literature methods (for instance Bull. Korean Chem. Soc. 2013, Vol. 34, No. 3, 983-985)
- the reaction can be performed in the presence of a catalyst, for instance tetrakis(triphenylphosphine)palladium.
- the reaction can be performed without a solvent or in a solvent, for instance in tetrahydrofuran.
- the reaction can be performed in a temperature range of -100 to 200 °C, for instance between 20 and 80 °C.
- Intermediates of formula (Va; where A is CH 2 ), wherein Y is O and Het, R-i , R 2 and R 3 have the same meanings as defined for formula (I) can be made from intermediates of formula (IVa), wherein Rx is Ci-C 4 -alkyl or (Me) 3 Si-Ci-C 4 -alkyl, and Het, R-i , R 2 and R 3 have the same meanings as defined for formula (I) by treatment with an acid, for instance with trifluoroacetic acid, or by treatment with a fluoride source.
- the reaction can be performed without a solvent or in a solvent, for instance in dichloromethane or methanol.
- the reaction can be performed in a temperature range of -100 to 200 °C, for instance between 10 and 40 °C.
- Intermediates of formula (Via), wherein Y is O and Het, R-i , R 2 and R 3 have the same meanings as defined for formula (I) can be made from intermediates of formula (Va), wherein Y is O and Het, R-i , R 2 and R 3 have the same meanings as defined for formula (I) by treatment with an aminating reagent, for instance with O-diphenylphosphorylhydroxylamine.
- the reaction can be performed without a solvent or in a solvent, for instance in dimethylformamide.
- the reaction can be performed in a temperature range of -100 to 200 °C, for instance between 10 and 40 °C.
- Intermediates of formula (Vila), wherein Y is S and Het, R-i , R 2 and R 3 have the same meanings as defined for formula (I) can be made from intermediates of formula (Via), wherein Y is O and Het, R-i , R 2 and R 3 have the same meanings as defined for formula (I) by treatment with an thionating agent, for instance with Lawesson's reagent.
- the reaction can be performed without a solvent or in a solvent, for instance in dichloromethane.
- the reaction can be performed in a temperature range of - 100 to 200 °C, for instance between 10 and 40 °C.
- Compounds of formula (la; where A is CH 2 ), wherein X, Y, Het, R-i , R 2 and R 3 have the same meanings as defined for formula (I) can be made from intermediates of formula (Via) or (Vila), wherein Y is O or S respectively, and Het, R-i , R 2 and R 3 have the same meanings as defined for formula (I) by treatment with an acylating reagent, for instance triphosgene or thiophosgene.
- the reaction can be performed without a solvent or in a solvent, for instance in dichloromethane.
- the reaction can be performed in a temperature range of -100 to 200 °C, for instance between 10 and 40 °C.
- Intermediates of formula (III), wherein Rx is Ci-C 4 -alkyl or (Me) 3 Si-Ci-C 4 -alkyl, and wherein R-i , R 2 and R 3 have the same meanings as defined for formula (I) can be made from intermediates of formula (II), wherein R-i , R 2 and R 3 have the same meanings as defined for formula (I) by treatment with a reagent of formula Rx-OH, wherein Rx is Ci-C 4 -alkyl or (Me) 3 Si-Ci-C 4 -alkyl.
- the reaction can be performed in the presence of a base, for instance sodium hydride.
- the reaction can be performed without a solvent or in a solvent, for instance in tetrahydrofuran.
- the reaction can be performed in a temperature range of -100 to 200 °C, for instance between 10 and 40 °C.
- the reaction can be performed without a solvent or in a solvent, for instance in dichloromethane.
- the reaction can be performed in a temperature range of -100 to 200 °C, for instance between 10 and 40 °C.
- the reaction can be performed without a solvent or in a solvent, for instance in dichloromethane or methanol.
- the reaction can be performed in a temperature range of -100 to 200 °C, for instance between 10 and 40 °C.
- the reaction can be performed without a solvent or in a solvent, for instance in dimethylformamide.
- the reaction can be performed in a temperature range of -100 to 200 °C, for instance between 10 and 40 °C.
- the reaction can be performed without a solvent or in a solvent, for instance in dichloromethane.
- the reaction can be performed in a temperature range of -100 to 200 °C, for instance between 10 and 40 °C.
- the reaction can be performed without a solvent or in a solvent, for instance in dichloromethane.
- the reaction can be performed in a temperature range of -100 to 200 °C, for instance between 10 and 40 °C.
- the reactants can be reacted in the presence of a base.
- suitable bases are alkali metal or alkaline earth metal hydroxides, alkali metal or alkaline earth metal hydrides, alkali metal or alkaline earth metal amides, alkali metal or alkaline earth metal alkoxides, alkali metal or alkaline earth metal acetates, alkali metal or alkaline earth metal carbonates, alkali metal or alkaline earth metal dialkylamides or alkali metal or alkaline earth metal alkylsilylamides, alkylamines, alkylenediamines, free or N-alkylated saturated or unsaturated cycloalkylamines, basic heterocycles, ammonium hydroxides and carbocyclic amines.
- Examples which may be mentioned are sodium hydroxide, sodium hydride, sodium amide, sodium methoxide, sodium acetate, sodium carbonate, potassium tert-butoxide, potassium hydroxide, potassium carbonate, potassium hydride, lithium diisopropylamide, potassium bis(trimethylsilyl)amide, calcium hydride, triethylamine, diisopropylethylamine, triethylenediamine, cyclohexylamine, N-cyclohexyl-N,N-dimethylamine, N,N- diethylaniline, pyridine, 4-(N,N-dimethylamino)pyridine, quinuclidine, N-methylmorpholine, benzyltrimethylammonium hydroxide and 1 ,8-diazabicyclo[5.4.0]undec-7-ene (DBU).
- DBU ,8-diazabicyclo[5.4.0]undec-7-ene
- the reactants can be reacted with each other as such, i.e. without adding a solvent or diluent. In most cases, however, it is advantageous to add an inert solvent or diluent or a mixture of these. If the reaction is carried out in the presence of a base, bases which are employed in excess, such as triethylamine, pyridine, N-methylmorpholine or ⁇ , ⁇ -diethylaniline, may also act as solvents or diluents.
- the reaction is advantageously carried out in a temperature range from approximately -100°C to approximately +200°C, preferably from approximately -30°C to approximately +80°C, in many cases in the range between between +10 and approximately +40°C.
- the compound of formula (II) for different substitution patterns for R-i , R 2 and R 3 can be prepared by a skilled person by known methods.
- a compound of formula (I) can be converted in a manner known per se into another compound of formula (I) by replacing one or more substituents of the starting compound of formula (I) in the customary manner by (an)other substituent(s) according to the invention.
- Salts of compounds of formula (I) can be prepared in a manner known per se.
- acid addition salts of compounds of formula (I) are obtained by treatment with a suitable acid or a suitable ion exchanger reagent and salts with bases are obtained by treatment with a suitable base or with a suitable ion exchanger reagent.
- a salt is chosen depending on its tolerances for compound's use, such as agricultural or physiological tolerance.
- Salts of compounds of formula (I) can be converted in the customary manner into the free compounds I, acid addition salts, for example, by treatment with a suitable basic compound or with a suitable ion exchanger reagent and salts with bases, for example, by treatment with a suitable acid or with a suitable ion exchanger reagent.
- Salts of compounds of formula (I) can be converted in a manner known per se into other salts of compounds of formula (I), acid addition salts, for example, into other acid addition salts, for example by treatment of a salt of inorganic acid such as hydrochloride with a suitable metal salt such as a sodium, barium or silver salt, of an acid, for example with silver acetate, in a suitable solvent in which an inorganic salt which forms, for example silver chloride, is insoluble and thus precipitates from the reaction mixture.
- a salt of inorganic acid such as hydrochloride
- a suitable metal salt such as a sodium, barium or silver salt
- the compounds of formula (I), which have salt-forming properties can be obtained in free form or in the form of salts.
- Racemate mixtures of compounds of formula (I), in free form or in salt form, which can be obtained depending on which starting materials and procedures have been chosen can be separated in a known manner into the pure enantiomers on the basis of the physicochemical differences of the components, for example by chromatography.
- Enantiomer mixtures such as racemates, which can be obtained in a similar manner can be resolved into the optical antipodes by known methods, for example by recrystallization from an optically active solvent, by chromatography on chiral adsorbents, for example high-performance liquid chromatography (HPLC) on acetyl celulose, with the aid of suitable microorganisms, by cleavage with specific, immobilized enzymes, via the formation of inclusion compounds, for example using chiral crown ethers, where only one enantiomer is complexed, for example by reacting a basic end-product racemate with an optically active acid, such as a carboxylic acid, for example camphor, tartaric or malic acid, or sulfonic acid, for example camphorsulfonic acid, and separating the diastereomer mixture which can be obtained in this manner, for example by fractional crystallization based on their differing solubilities, to give the diastereomers, from which the desired en
- Pure enantiomers can be obtained according to the invention not only by separating suitable isomer mixtures, but also by generally known methods of enantioselective synthesis, for example by carrying out the process according to the invention with starting materials of a suitable stereochemistry.
- N-oxides can be prepared by reacting a compound of the formula (I) with a suitable oxidizing agent, for example the H 2 0 2 /urea adduct in the presence of an acid anhydride, e.g. trifluoroacetic anhydride.
- a suitable oxidizing agent for example the H 2 0 2 /urea adduct
- an acid anhydride e.g. trifluoroacetic anhydride.
- the compounds of formula (I) and, where appropriate, the tautomers thereof, in each case in free form or in salt form, can, if appropriate, also be obtained in the form of hydrates and/or include other solvents, for example those which may have been used for the crystallization of compounds which are present in solid form.
- the invention is further directed to intermediate compounds having formulae (V), (VI), (VII), which may be used in the preparation of the compounds of formula (I).
- Het, A, R-i , R 2 and R 3 are as defined for formula (I) herein, as well as its acceptable salts, enantiomers, tautomers, and N-oxides;
- Het, A, R-i , R 2 and R 3 are as defined for formula (I) herein, as well as its acceptable salts, enantiomers, tautomers, and N-oxides;
- Het, A, R-i , R 2 and R 3 are as defined for formula (I) herein, as well as its acceptable salts, enantiomers, tautomers, and N-oxides.
- Each of Tables 1 to 152 which follows the Table A below, comprises 324 compounds of the formula (I) in which R-i , R 2 , R3, X and Y have the values given in each row in Table A, and Het and A have the values given in the relevant Tables 1 to 152.
- compound 1.001 corresponds to a compound of formula (I) where R-i , R 2 , R3, X and Y are as defined in row 1 of Table A and where Het and A is as defined in Table 1
- compound 30.123 corresponds to a compound of formula (I) where R-i , R 2 , R3, X and Y are as defined in row 123 of Table A and where Het and A are as defined in Table 30. .
- Table 1 provides 324 compounds of formula (I) wherein A is CH 2 , Het is 3-pyridyl and R-i , R 2 , R 3 , X and Y are as defined in Table A.
- Table 2 provides 324 compounds of formula (I) wherein A is , Het is 3-pyridyl and R-i ,
- R 2 , R 3 , X and Y are as defined in Table A.
- Table 3 provides 324 compounds of formula (I) wherein A is CH(F), Het is 3-pyridyl and R-i , R 2 , R 3 , X and Y are as defined in Table A.
- Table 4 provides 324 compounds of formula (I) wherein A is CF 2 , Het is 3-pyridyl and R-i , R 2 , R 3 , X and Y are as defined in Table A.
- Table 5 provides 324 compounds of formula (I) wherein A is CH(Br), Het is 3-pyridyl and R-i , R 2 , R 3 , X and Y are as defined in Table A.
- Table 6 provides 324 compounds of formula (I) wherein A is CH(Me), Het is 3-pyridyl and R-i , R 2 , R 3 , X and Y are as defined in Table A.
- Table 8 provides 324 compounds of formula (I) wherein A is C(Me) 2 , Het is 3-pyridyl and R-i , R 2 , R 3 , X and Y are as defined in Table A.
- Table 9 provides 324 compounds of formula (I) wherein A is CH 2 , Het is 6-chloro-3-pyridyl and R-i , R 2 , R 3 , X and Y are as defined in Table A.
- Table 10 provides 324 compounds of formula (I) wherein A is , Het is 6-chloro-3-pyridyl and R-i , R 2 , R 3 , X and Y are as defined in Table A.
- Table 11 provides 324 compounds of formula (I) wherein A is CH(F), Het is 6-chloro-3-pyridyl and R-i , R 2 , R 3 , X and Y are as defined in Table A.
- Table 12 provides 324 compounds of formula (I) wherein A is CF 2 , Het is 6-chloro-3-pyridyl and R-i , R 2 , R 3 , X and Y are as defined in Table A.
- Table 13 provides 324 compounds of formula (I) wherein A is CH(Br), Het is 6-chloro-3-pyridyl and R-i , R 2 , R 3 , X and Y are as defined in Table A.
- Table 14 provides 324 compounds of formula (I) wherein A is CH(Me), Het is 6-chloro-3-pyridyl and R-i , R 2 , R 3 , X and Y are as defined in Table A.
- Table 16 provides 324 compounds of formula (I) wherein A is C(Me) 2 , Het is 6-chloro-3-pyridyl and R-i , R 2 , R 3 , X and Y are as defined in Table A.
- Table 17 provides 324 compounds of formula (I) wherein A is CH 2 , Het is 6-fluoro-3-pyridyl and R-i , R 2 , R 3 , X and Y are as defined in Table A.
- Table 18 provides 324 compounds of formula (I) wherein A is , Het is 6-fluoro-3-pyridyl and R-i , R 2 , R 3 , X and Y are as defined in Table A.
- Table 19 provides 324 compounds of formula (I) wherein A is CH(F), Het is 6-fluoro-3-pyridyl and R-i , R 2 , R3, X and Y are as defined in Table A.
- Table 20 provides 324 compounds of formula (I) wherein A is CF 2 , Het is 6-fluoro-3-pyridyl and R-i , R 2 , R3, X and Y are as defined in Table A.
- Table 21 provides 324 compounds of formula (I) wherein A is CH(Br), Het is 6-fluoro-3-pyridyl and R-i , R 2 , R 3 , X and Y are as defined in Table A.
- Table 22 provides 324 compounds of formula (I) wherein A is CH(Me), Het is 6-fluoro-3-pyridyl and R-i , R 2 , R 3 , X and Y are as defined in Table A.
- Table 24 provides 324 compounds of formula (I) wherein A is C(Me) 2 , Het is 6-fluoro-3-pyridyl and R-i , R 2 , R 3 , X and Y are as defined in Table A.
- Table 25 provides 324 compounds of formula (I) wherein A is CH 2 , Het is 6-bromo-3-pyridyl and R-i , R 2 , R 3 , X and Y are as defined in Table A.
- Table 26 provides 324 compounds of formula (I) wherein A is , Het is 6-bromo-3-pyridyl and R-i , R 2 , R 3 , X and Y are as defined in Table A.
- Table 27 provides 324 compounds of formula (I) wherein A is CH(F), Het is 6-bromo-3-pyridyl and R-i , R 2 , R 3 , X and Y are as defined in Table A.
- Table 28 provides 324 compounds of formula (I) wherein A is CF 2 , Het is 6-bromo-3-pyridyl and R-i , R 2 , R 3 , X and Y are as defined in Table A.
- Table 29 provides 324 compounds of formula (I) wherein A is CH(Br), Het is 6-bromo-3-pyridyl and R-i , R 2 , R 3 , X and Y are as defined in Table A.
- Table 30 provides 324 compounds of formula (I) wherein A is CH(Br), Het is 6-bromo-3-pyridyl and R-i , R 2 , R 3 , X and Y are as defined in Table A.
- Table 30 provides 324 compounds of formula (I) wherein A is CH(Me), Het is 6-bromo-3-pyridyl and R-i , R 2 , R 3 , X and Y are as defined in Table A.
- Table 32 provides 324 compounds of formula (I) wherein A is C(Me) 2 , Het is 6-bromo-3-pyridyl and R-i , R 2 , R3, X and Y are as defined in Table A.
- Table 33 provides 324 compounds of formula (I) wherein A is CH 2 , Het is 2,6-dichloro-3-pyridyl and R-i , R 2 , R 3 , X and Y are as defined in Table A.
- Table 34 provides 324 compounds of formula (I) wherein A is , Het is 2,6-dichloro-3- pyridyl and R-i , R 2 , R 3 , X and Y are as defined in Table A.
- Table 35 provides 324 compounds of formula (I) wherein A is CH(F), Het is 2,6-dichloro-3-pyridyl and R-i , R 2 , R 3 , X and Y are as defined in Table A.
- Table 36 provides 324 compounds of formula (I) wherein A is CF 2 , Het is 2,6-dichloro-3-pyridyl and R-i , R 2 , R 3 , X and Y are as defined in Table A.
- Table 37 provides 324 compounds of formula (I) wherein A is CH(Br), Het is 2,6-dichloro-3- pyridyl and R-i , R 2 , R 3 , X and Y are as defined in Table A.
- Table 38 provides 324 compounds of formula (I) wherein A is CH(Me), Het is 2,6-dichloro-3- pyridyl and R-i , R 2 , R 3 , X and Y are as defined in Table A.
- Table 40 provides 324 compounds of formula (I) wherein A is C(Me) 2 , Het is 2,6-dichloro-3- pyridyl and R-i , R 2 , R 3 , X and Y are as defined in Table A.
- Table 41 provides 324 compounds of formula (I) wherein A is CH 2 , Het is 5-bromo-3-pyridyl and R-i , R 2 , R 3 , X and Y are as defined in Table A.
- Table 42 provides 324 compounds of formula (I) wherein A is , Het is 5-bromo-3-pyridyl and R-i , R 2 , R3, X and Y are as defined in Table A.
- Table 43 provides 324 compounds of formula (I) wherein A is CH(F), Het is 5-bromo-3-pyridyl and R-i , R 2 , R3, X and Y are as defined in Table A.
- Table 44 provides 324 compounds of formula (I) wherein A is CF 2 , Het is 5-bromo-3-pyridyl and R-i , R 2 , R3, X and Y are as defined in Table A.
- Table 45 provides 324 compounds of formula (I) wherein A is CH(Br), Het is 5-bromo-3-pyridyl and R-i , R 2 , R 3 , X and Y are as defined in Table A.
- Table 46 provides 324 compounds of formula (I) wherein A is CH(Me), Het is 5-bromo-3-pyridyl and R-i , R 2 , R 3 , X and Y are as defined in Table A.
- Table 48 provides 324 compounds of formula (I) wherein A is C(Me) 2 , Het is 5-bromo-3-pyridyl and R-i , R 2 , R 3 , X and Y are as defined in Table A.
- Table 49 provides 324 compounds of formula (I) wherein A is CH 2 , Het is 4-bromo-3-pyridyl and R-i , R 2 , R 3 , X and Y are as defined in Table A.
- Table 50 provides 324 compounds of formula (I) wherein A is , Het is 4-bromo-3-pyridyl and R-i , R 2 , R 3 , X and Y are as defined in Table A.
- Table 51 provides 324 compounds of formula (I) wherein A is CH(F), Het is 4-bromo-3-pyridyl and R-i , R 2 , R 3 , X and Y are as defined in Table A.
- Table 52 provides 324 compounds of formula (I) wherein A is CF 2 , Het is 4-bromo-3-pyridyl and R-i , R 2 , R 3 , X and Y are as defined in Table A.
- Table 53 provides 324 compounds of formula (I) wherein A is CH(Br), Het is 4-bromo-3-pyridyl and R-i , R 2 , R 3 , X and Y are as defined in Table A.
- Table 54 provides 324 compounds of formula (I) wherein A is CH(Br), Het is 4-bromo-3-pyridyl and R-i , R 2 , R 3 , X and Y are as defined in Table A.
- Table 54 provides 324 compounds of formula (I) wherein A is CH(Me), Het is 4-bromo-3-pyridyl and R-i , R 2 , R 3 , X and Y are as defined in Table A.
- Table 56 provides 324 compounds of formula (I) wherein A is C(Me) 2 , Het is 4-bromo-3-pyridyl and R-i , R 2 , R3, X and Y are as defined in Table A.
- Table 57 provides 324 compounds of formula (I) wherein A is CH 2 , Het is 4-bromo-2-chloro-3- pyridyl and R-i , R 2 , R 3 , X and Y are as defined in Table A.
- Table 58 provides 324 compounds of formula (I) wherein A is , Het is 4-bromo-2-chloro-
- Table 59 provides 324 compounds of formula (I) wherein A is CH(F), Het is 4-bromo-2-chloro-3- pyridyl and R-i , R 2 , R 3 , X and Y are as defined in Table A.
- Table 60 provides 324 compounds of formula (I) wherein A is CF 2 , Het is 4-bromo-2-chloro-3- pyridyl and R-i , R 2 , R 3 , X and Y are as defined in Table A.
- Table 61 provides 324 compounds of formula (I) wherein A is CH(Br), Het is 4-bromo-2-chloro-3- pyridyl and R-i , R 2 , R 3 , X and Y are as defined in Table A.
- Table 62 provides 324 compounds of formula (I) wherein A is CH(Me), Het is 4-bromo-2-chloro- 3-pyridyl and R-i , R 2 , R 3 , X and Y are as defined in Table A.
- Table 64 provides 324 compounds of formula (I) wherein A is C(Me) 2 , Het is 4-bromo-2-chloro-3- pyridyl and R-i , R 2 , R 3 , X and Y are as defined in Table A.
- Table 65 provides 324 compounds of formula (I) wherein A is CH 2 , Het is 5,6-dichloro-3-pyridyl and R-i , R 2 , R 3 , X and Y are as defined in Table A.
- Table 66 provides 324 compounds of formula (I) wherein A is , Het is 5,6-dichloro-3- pyridyl and R-i , R 2 , R 3 , X and Y are as defined in Table A.
- Table 67 provides 324 compounds of formula (I) wherein A is CH(F), Het is 5,6-dichloro-3-pyridyl and R-i , R 2 , R3, X and Y are as defined in Table A.
- Table 68 provides 324 compounds of formula (I) wherein A is CF 2 , Het is 5,6-dichloro-3-pyridyl and R-i , R 2 , R3, X and Y are as defined in Table A.
- Table 69 provides 324 compounds of formula (I) wherein A is CH(Br), Het is 5,6-dichloro-3- pyridyl and R-i , R 2 , R 3 , X and Y are as defined in Table A.
- Table 70 provides 324 compounds of formula (I) wherein A is CH(Me), Het is 5,6-dichloro-3- pyridyl and R-i , R 2 , R 3 , X and Y are as defined in Table A.
- Table 72 provides 324 compounds of formula (I) wherein A is C(Me) 2 , Het is 5,6-dichloro-3- pyridyl and R-i , R 2 , R 3 , X and Y are as defined in Table A.
- Table 73 provides 324 compounds of formula (I) wherein A is CH 2 , Het is 5,6-difluoro-3-pyridyl and R-i , R 2 , R 3 , X and Y are as defined in Table A.
- Table 74 provides 324 compounds of formula (I) wherein A is , Het is 5,6-difluoro-3- pyridyl and R-i , R 2 , R 3 , X and Y are as defined in Table A.
- Table 75 provides 324 compounds of formula (I) wherein A is CH(F), Het is 5,6-difluoro-3-pyridyl and R-i , R 2 , R 3 , X and Y are as defined in Table A.
- Table 76 provides 324 compounds of formula (I) wherein A is CF 2 , Het is 5,6-difluoro-3-pyridyl and R-i , R 2 , R 3 , X and Y are as defined in Table A.
- Table 77 provides 324 compounds of formula (I) wherein A is CH(Br), Het is 5,6-difluoro-3-pyridyl and R-i , R 2 , R 3 , X and Y are as defined in Table A.
- Table 78
- Table 78 provides 324 compounds of formula (I) wherein A is CH(Me), Het is 5,6-difluoro-3- pyridyl and R-i , R 2 , R 3 , X and Y are as defined in Table A.
- Table 80 provides 324 compounds of formula (I) wherein A is C(Me) 2 , Het is 5,6-difluoro-3-pyridyl and R-i , R 2 , R3, X and Y are as defined in Table A.
- Table 81 provides 324 compounds of formula (I) wherein A is CH 2 , Het is 2-chlorothiazol-5-yl and R-i , R 2 , R 3 , X and Y are as defined in Table A.
- Table 82 provides 324 compounds of formula (I) wherein A is , Het is 2-chlorothiazol-5-yl and R-i , R 2 , R 3 , X and Y are as defined in Table A.
- Table 83 provides 324 compounds of formula (I) wherein A is CH(F), Het is 2-chlorothiazol-5-yl and R-i , R 2 , R 3 , X and Y are as defined in Table A.
- Table 84 provides 324 compounds of formula (I) wherein A is CF 2 , Het is 2-chlorothiazol-5-yl and R-i , R 2 , R 3 , X and Y are as defined in Table A.
- Table 85 provides 324 compounds of formula (I) wherein A is CH(Br), Het is 2-chlorothiazol-5-yl and R-i , R 2 , R 3 , X and Y are as defined in Table A.
- Table 86 provides 324 compounds of formula (I) wherein A is CH(Me), Het is 2-chlorothiazol-5-yl and R-i , R 2 , R 3 , X and Y are as defined in Table A.
- Table 88 provides 324 compounds of formula (I) wherein A is C(Me) 2 , Het is 2-chlorothiazol-5-yl and R-i , R 2 , R 3 , X and Y are as defined in Table A.
- Table 89 provides 324 compounds of formula (I) wherein A is CH 2 , Het is 6-(trifluoromethyl)-3- pyridyl and R-i , R 2 , R 3 , X and Y are as defined in Table A.
- Table 90 provides 324 compounds of formula (I) wherein A is , Het is 6-(trifluoromethyl)-
- Table 91 provides 324 compounds of formula (I) wherein A is CH(F), Het is 6-(trifluoromethyl)-3- pyridyl and R-i , R 2 , R3, X and Y are as defined in Table A.
- Table 92 provides 324 compounds of formula (I) wherein A is CF 2 , Het is 6-(trifluoromethyl)-3- pyridyl and R-i , R 2 , R3, X and Y are as defined in Table A.
- Table 93 provides 324 compounds of formula (I) wherein A is CH(Br), Het is 6-(trifluoromethyl)-3- pyridyl and R-i , R 2 , R 3 , X and Y are as defined in Table A.
- Table 94 provides 324 compounds of formula (I) wherein A is CH(Me), Het is 6-(trifluoromethyl)- 3-pyridyl and R-i , R 2 , R 3 , X and Y are as defined in Table A.
- Table 96 provides 324 compounds of formula (I) wherein A is C(Me) 2 , Het is 6-(trifluoromethyl)-3- pyridyl and R-i , R 2 , R 3 , X and Y are as defined in Table A.
- Table 97 provides 324 compounds of formula (I) wherein A is CH 2 , Het is 2-(trifluoromethyl)- thiazol-5-yl and R-i , R 2 , R 3 , X and Y are as defined in Table A.
- Table 98 provides 324 compounds of formula (I) wherein A is , Het is 2-(trifluoromethyl)- thiazol-5-yl and R-i , R 2 , R 3 , X and Y are as defined in Table A.
- Table 99 provides 324 compounds of formula (I) wherein A is CH(F), Het is 2-(trifluoromethyl)- thiazol-5-yl and R-i , R 2 , R 3 , X and Y are as defined in Table A.
- Table 100 provides 324 compounds of formula (I) wherein A is CF 2 , Het is 2-(trifluoromethyl)- thiazol-5-yl and R-i , R 2 , R 3 , X and Y are as defined in Table A.
- Table 101 provides 324 compounds of formula (I) wherein A is CH(Br), Het is 2-(trifluoromethyl)- thiazol-5-yl and R-i , R 2 , R 3 , X and Y are as defined in Table A.
- Table 102
- Table 102 provides 324 compounds of formula (I) wherein A is CH(Me), Het is 2-(trifluoromethyl)- thiazol-5-yl and R-i , R 2 , R 3 , X and Y are as defined in Table A.
- Table 104 provides 324 compounds of formula (I) wherein A is C(Me) 2 , Het is 2-(trifluoromethyl)- thiazol-5-yl and R-i , R 2 , R3, X and Y are as defined in Table A.
- Table 105 provides 324 compounds of formula (I) wherein A is CH 2 , Het is tetrahydrofuran-3-yl and R-i , R 2 , R 3 , X and Y are as defined in Table A.
- Table 106 provides 324 compounds of formula (I) wherein A is , Het is tetrahydrofuran-3- yl and R-i , R 2 , R 3 , X and Y are as defined in Table A.
- Table 107 provides 324 compounds of formula (I) wherein A is CH(F), Het is tetrahydrofuran-3-yl and R-i , R 2 , R 3 , X and Y are as defined in Table A.
- Table 108 provides 324 compounds of formula (I) wherein A is CF 2 , Het is tetrahydrofuran-3-yl and R-i , R 2 , R 3 , X and Y are as defined in Table A.
- Table 109 provides 324 compounds of formula (I) wherein A is CH(Br), Het is tetrahydrofuran-3- yl and R-i , R 2 , R 3 , X and Y are as defined in Table A.
- Table 1 10 provides 324 compounds of formula (I) wherein A is CH(Me), Het is tetrahydrofuran-3- yl and R-i , R 2 , R 3 , X and Y are as defined in Table A.
- Table 1 12 provides 324 compounds of formula (I) wherein A is C(Me) 2 , Het is tetrahydrofuran-3- yl and R-i , R 2 , R 3 , X and Y are as defined in Table A.
- Table 1 13 provides 324 compounds of formula (I) wherein A is CH 2 , Het is 5-chloropyrazin-2-yl and R-i , R 2 , R 3 , X and Y are as defined in Table A.
- Table 1 14 Table 114 provides 324 compounds of formula (I) wherein A is
- Het is 5-chloropyrazin-2-yl and R-i , R 2 , R3, X and Y are as defined in Table A.
- Table 1 15 provides 324 compounds of formula (I) wherein A is CH(F), Het is 5-chloropyrazin-2-yl and R-i , R 2 , R3, X and Y are as defined in Table A.
- Table 116 provides 324 compounds of formula (I) wherein A is CF 2 , Het is 5-chloropyrazin-2-yl and R-i , R 2 , R3, X and Y are as defined in Table A.
- Table 1 17 provides 324 compounds of formula (I) wherein A is CH(Br), Het is 5-chloropyrazin-2- yl and R-i , R 2 , R 3 , X and Y are as defined in Table A.
- Table 118 provides 324 compounds of formula (I) wherein A is CH(Me), Het is 5-chloropyrazin-2- yl and R-i , R 2 , R 3 , X and Y are as defined in Table A.
- Table 120 provides 324 compounds of formula (I) wherein A is C(Me) 2 , Het is 5-chloropyrazin-2- yl and R-i , R 2 , R 3 , X and Y are as defined in Table A.
- Table 121 provides 324 compounds of formula (I) wherein A is CH 2 , Het is 3-chloroisoxazol-5-yl and R-i , R 2 , R 3 , X and Y are as defined in Table A.
- Table 122 provides 324 compounds of formula (I) wherein A is
- Het is 3-chloroisoxazol-5-yl and R-i , R 2 , R 3 , X and Y are as defined in Table A.
- Table 123 provides 324 compounds of formula (I) wherein A is CH(F), Het is 3-chloroisoxazol-5- yl and R-i , R 2 , R 3 , X and Y are as defined in Table A.
- Table 124 provides 324 compounds of formula (I) wherein A is CF 2 , Het is 3-chloroisoxazol-5-yl and R-i , R 2 , R 3 , X and Y are as defined in Table A.
- Table 125 provides 324 compounds of formula (I) wherein A is CH(Br), Het is 3-chloroisoxazol-5- yl and R-i , R 2 , R 3 , X and Y are as defined in Table A.
- Table 126
- Table 126 provides 324 compounds of formula (I) wherein A is CH(Me), Het is 3-chloroisoxazol- 5-yl and R-i , R 2 , R3, X and Y are as defined in Table A.
- Table 128 provides 324 compounds of formula (I) wherein A is C(Me) 2 , Het is 3-chloroisoxazol-5- yl and R-i , R 2 , R3, X and Y are as defined in Table A.
- Table 129 provides 324 compounds of formula (I) wherein A is CH 2 , Het is 3,5-dimethylisoxazol- 4-yl and R-i , R 2 , R 3 , X and Y are as defined in Table A.
- Table 130 provides 324 compounds of formula (I) wherein A is
- Het is 3,5-dimethylisoxazol-4-yl and R-i , R 2 , R 3 , X and Y are as defined in Table A.
- Table 131 provides 324 compounds of formula (I) wherein A is CH(F), Het is 3,5- dimethylisoxazol-4-yl and R-i , R 2 , R 3 , X and Y are as defined in Table A.
- Table 132 provides 324 compounds of formula (I) wherein A is CF 2 , Het is 3,5-dimethylisoxazol- 4-yl and R-i , R 2 , R 3 , X and Y are as defined in Table A.
- Table 133 provides 324 compounds of formula (I) wherein A is CH(Br), Het is 3,5- dimethylisoxazol-4-yl and R-i , R 2 , R 3 , X and Y are as defined in Table A.
- Table 134 provides 324 compounds of formula (I) wherein A is CH(Me), Het is 3,5- dimethylisoxazol-4-yl and R-i , R 2 , R 3 , X and Y are as defined in Table A.
- Table 136 provides 324 compounds of formula (I) wherein A is C(Me) 2 , Het is 3,5- dimethylisoxazol-4-yl and R-i , R 2 , R 3 , X and Y are as defined in Table A.
- Table 137 provides 324 compounds of formula (I) wherein A is CH 2 , Het is isoxazol-4-yl and R-i , R 2 , R 3 , X and Y are as defined in Table A.
- Table 138 provides 324 compounds of formula (I) wherein A is
- Table 139 provides 324 compounds of formula (I) wherein A is CH(F), Het is isoxazol-4-yl and R-i , R 2 , R3, X and Y are as defined in Table A.
- Table 140 provides 324 compounds of formula (I) wherein A is CF 2 , Het is isoxazol-4-yl and R-i , R 2 , R3, X and Y are as defined in Table A.
- Table 141 provides 324 compounds of formula (I) wherein A is CH(Br), Het is isoxazol-4-yl and R-i , R 2 , R 3 , X and Y are as defined in Table A.
- Table 142 provides 324 compounds of formula (I) wherein A is CH(Me), Het is isoxazol-4-yl and R-i , R 2 , R 3 , X and Y are as defined in Table A.
- Table 144 provides 324 compounds of formula (I) wherein A is C(Me) 2 , Het is isoxazol-4-yl and R-i , R 2 , R 3 , X and Y are as defined in Table A.
- Table 145 provides 324 compounds of formula (I) wherein A is CH 2 , Het is pyrazin-2-yl and R-i , R 2 , R 3 , X and Y are as defined in Table A.
- Table 146 provides 324 compounds of formula (I) wherein A is
- Het is pyrazin-2-yl and R-i , R 2 , R 3 , X and Y are as defined in Table A.
- Table 147 provides 324 compounds of formula (I) wherein A is CH(F), Het is pyrazin-2-yl and R-i , R 2 , R 3 , X and Y are as defined in Table A.
- Table 148 provides 324 compounds of formula (I) wherein A is CF 2 , Het is pyrazin-2-yl and R-i , R 2 , R 3 , X and Y are as defined in Table A.
- Table 149 provides 324 compounds of formula (I) wherein A is CH(Br), Het is pyrazin-2-yl and R-i , R 2 , R 3 , X and Y are as defined in Table A.
- Table 150
- Table 150 provides 324 compounds of formula (I) wherein A is CH(Me), Het is pyrazin-2-yl and R-i , R 2 , R3, X and Y are as defined in Table A.
- Table 152 provides 324 compounds of formula (I) wherein A is C(Me) 2 , Het is pyrazin-2-yl and R-i , R 2 , R3, X and Y are as defined in Table A.
- the present invention also makes available compounds for each formula (V), (VI); and (VII), with the substituents Het, A, R-i , R 2 and R 3 defined in any one of Tables 1 to 152.
- the present invention makes available acceptable salts, enantiomers, tautomers, and N-oxides for the compounds of formula (I), (V), (VI); and (VII) as defined in each of Tables 1 to 152.
- a compound of formula (I) has been found to control the damage caused by a pest.
- a compound of formula (I) can be used in agriculture.
- the invention is moreover directed to a method of controlling plant damage and/or plant yield loss caused by a pest which comprises applying to a pest, to a locus of a pest, or to a plant susceptible to attack by a pest or to a plant propagation material an effective amount of a compound of formula (I) with the exception of a method for treatment of the human or animal body by surgery or therapy and diagnostic methods practised on the human or animal body.
- the compounds according to the invention can be used for controlling, i. e. containing or destroying, pests which occur in particular on plants, especially on useful plants and ornamentals in agriculture, in horticulture and in forests, or on organs, such as fruits, flowers, foliage, stalks, tubers, seeds or roots, of such plants, and in some cases even plant organs which are formed at a later point in time remain protected against these pests.
- the compounds of formula (I) according to the invention are preventively and/or curatively valuable active ingredients in the field of pest control, even at low rates of application, which can be used against pesticide resistant pests, which compounds of formula (I) have a very favorable biocidal spectrum and are well tolerated by warm-blooded species, fish and plants.
- the compounds according to the invention act against all or individual developmental stages of normally sensitive, but also resistant, animal pests, such as insects or representatives of the order Acarina.
- the insecticidal or acaricidal activity of the compounds according to the invention can manifest itself directly, i. e. in destruction of the pests, which takes place either immediately or only after some time has elapsed, for example during ecdysis, or indirectly, for example in a reduced oviposition and/or hatching rate.
- plant damaging pests are: - from the order Acarina, for example,
- Haematopinus spp. Linognathus spp., Pediculus spp., Pemphigus spp. and Phylloxera spp.;
- Agriotes spp. Amphimallon majale, Anomala orientalis, Anthonomus spp., Aphodius spp, Astylus atromaculatus, Ataenius spp, Atomaria linearis, Chaetocnema tibialis, Cerotoma spp, Conoderus spp, Cosmopolites spp., Cotinis nitida, Curculio spp., Cyclocephala spp, Dermestes spp., Diabrotica spp., Diloboderus abderus, Epilachna spp., Eremnus spp., Heteronychus arator, Hypothenemus hampei, Lagria vilosa, Leptinotarsa decern lineata, Lissorhoptrus spp., Liogenys spp, Maecolaspis spp, Maladera castanea, Megas
- Coptotermes spp Corniternes cumulans, Incisitermes spp, Macrotermes spp, Mastotermes spp, Microtermes spp, Reticulitermes spp.; Solenopsis geminate
- Blatta spp. Blattella spp., Gryllotalpa spp., Leucophaea maderae, Locusta spp., Neocurtilla hexadactyla, Periplaneta spp. , Scapteriscus spp, and Schistocerca spp.;
- Thysanoptera from the order Thysanoptera, for example
- the invention may also relate to a method of controlling damage to plant and parts thereof by plant parasitic nematodes (Endoparasitic-, Semiendoparasitic- and Ectoparasitic nematodes), especially plant parasitic nematodes such as root knot nematodes, Meloidogyne hapla, Meloidogyne incognita, Meloidogyne javanica, Meloidogyne arenaria and other Meloidogyne species; cyst-forming nematodes, Globodera rostochiensis and other Globodera species; Heterodera avenae, Heterodera glycines, Heterodera schachtii, Heterodera trifolii, and other Heterodera species; Seed gall nematodes, Anguina species; Stem and foliar nematodes, Aphelenchoides species; Sting nematodes, Belonolai
- the compounds of the invention may also have activity against the molluscs.
- Examples of which include, for example, Ampullariidae; Arion (A. ater, A. circumscriptus, A. hortensis, A. rufus); Bradybaenidae (Bradybaena fruticum); Cepaea (C. hortensis, C. Nemoralis); ochlodina; Deroceras (D. agrestis, D. empiricorum, D. laeve, D. reticulatum); Discus (D. rotundatus); Euomphalia; Galba (G. trunculata); Helicelia (H. itala, H.
- H. aperta Limax (L. cinereoniger, L. flavus, L. marginatus, L. maximus, L. tenellus); Lymnaea; Milax (M. gagates, M. marginatus, M. sowerbyi); Opeas; Pomacea (P. canaticulata); Vallonia and Zanitoides.
- the compounds of the invention may also have activity against soil-inhabiting pests, particularly those damage a crop below the soil, such as roots and seeds. Control of such pests in the early stages of plant development can be an advantage in the growth of the plant.
- the compositions of formula (I) can be formulated to target representative of the class Insecta, representatives of the order Acarnia and plant parasitic nematodes, examples of which include:
- Rhizoglyphus spp. from the order Acarina, for example, Rhizoglyphus spp.
- - from the order Hemiptera for example, , Blissus spp, , Margarodes spp, , Scaptocoris castanea
- - from the order homoptera for example, Mahanarva spp., Phylloxera spp., Pseudococcus spp., - from the order Isoptera, for example, Ancistrotermes spp., Coptotermes spp., Cornitermes cumulans, Hodotermes spp., Incisitermes spp., Macrotermes spp., Mastotermes spp., Microtermes spp., Neotermes spp., Odontotermes spp., Porotermes spp., Postelectrotermes spp., Pseudoacanthotermes spp., Reticulitermes spp., Trinervitermes spp.;
- Lepidoptera for example, Agrotis spp., Euxoa spp., Phthorimaea operculella, Sitotroga spp.;
- nematodes for example, as root knot nematodes, Meloidogyne hapla, Meloidogyne incognita, Meloidogyne javanica, Meloidogyne arenaria and other Meloidogyne species; cyst- forming nematodes, Globodera rostochiensis and other Globodera species, Heterodera avenae, Heterodera glycines, Heterodera schachtii, Heterodera trifolii, and other Heterodera species; Seed gall nematodes, Anguina species; Sting nematodes, Belonolaimus longicaudatus and other Belonolaimus species, Ibipora lolii; Ring nematodes, as root knot nematodes, Meloidogyne hapla, Meloidogyne incognita, Meloidogyne javanica, Meloidogy
- the present invention also provides a method for controlling pests (such as mosquitoes and other disease vectors; see also http://www.who.int malaria/vector_control/irs/en/).
- the method for controlling pests comprises applying the compositions of the invention to the target pests, to their locus or to a surface or substrate by brushing, rolling, spraying, spreading or dipping.
- an IRS (indoor residual spraying) application of a surface such as a wall, ceiling or floor surface is contemplated by the method of the invention.
- the method for controlling such pests comprises applying a pesticidally effective amount of the compositions of the invention to the target pests, to their locus, or to a surface or substrate so as to provide effective residual pesticidal activity on the surface or substrate.
- a pesticidally effective amount of the compositions of the invention to the target pests, to their locus, or to a surface or substrate so as to provide effective residual pesticidal activity on the surface or substrate.
- Such application may be made by brushing, rolling, spraying, spreading or dipping the pesticidal composition of the invention.
- an IRS application of a surface such as a wall, ceiling or floor surface is contemplated by the method of the invention so as to provide effective residual pesticidal activity on the surface.
- it is contemplated to apply such compositions for residual control of pests on a substrate such as a fabric material in the form of (or which can be used in the manufacture of) netting, clothing, bedding, curtains and tents.
- Substrates including non-woven, fabrics or netting to be treated may be made of natural fibres such as cotton, raffia, jute, flax, sisal, hessian, or wool, or synthetic fibres such as polyamide, polyester, polypropylene, polyacrylonitrile or the like.
- the polyesters are particularly suitable.
- the methods of textile treatment are known, e.g. WO 2008/151984, WO 2003/034823, US 5631072, WO
- the compounds according to the present invention are especially suitable against wood-boring insects from the order Lepidoptera as mentioned above and from the order Coleoptera, especially against woodborers listed in the following tables A and B:
- Agrilus sayi Bayberry, Sweetfern
- Rhododendron Rhalea, Laurel, Poplar, Willow, Mulberry Family Species Host or Crop Infested
- Phloeotribus liminaris Peach, Cherry, Plum, Black cherry,
- Compounds of this invention can be effective for controlling one or more of nematode, insect, acarid pests and/or fungal pathogens of agronomic plants, both growing and harvested, when employed alone, they may also be used in combination with other biological active agents used in agriculture, such as one or more nematicides, insecticides, acaricides, fungicides, bactericides, plant activator, molluscicide, and pheromones (whether chemical or biological). Mixing the compounds of the invention or the compositions thereof in the use form as pesticides with other pesticides frequently results in a broader pesticidal spectrum of action.
- formula (I) compounds of this invention may be used effectively in conjunction or combination with pyrethroids, neonicotinoids, macrolides, diamides, phosphates, carbamates, cyclodienes, formamidines, phenol tin compounds, chlorinated hydrocarbons, benzoylphenyl ureas, pyrroles and the like.
- compositions according to the invention can be broadened considerably, and adapted to prevailing circumstances, by adding, for example, one or more insecticidally, acaricidally, nematicidally and/or fungicidally active agents.
- the combinations compounds of formula (I) with other insecticidally, acaricidally, nematicidally and/or fungicidally active agents may also have further surprising advantages which can also be described, in a wider sense, as synergistic activity. For example, better tolerance by plants, reduced phytotoxicity, pests or fungi can be controlled in their different development stages or better behaviour during their production, for example during grinding or mixing, during their storage or during their use.
- TX means one compound selected from the compounds described in Tables 1 to 152, especially a compound described in Table P:
- an algicide selected from the group of substances consisting of bethoxazin [CCN] + TX, copper dioctanoate (lUPAC name) (170) + TX, copper sulfate (172) + TX, cybutryne [CCN] + TX, dichlone (1052) + TX, dichlorophen (232) + TX, endothal (295) + TX, fentin (347) + TX, hydrated lime [CCN] + TX, nabam (566) + TX, quinoclamine (714) + TX, quinonamid (1379) + TX, simazine (730) + TX, triphenyltin acetate (lUPAC name) (347) and triphenyltin hydroxide (lUPAC name) (347) + TX,
- an anthelmintic selected from the group of substances consisting of abamectin (1 ) + TX, crufomate (101 1 ) + TX, doramectin (alternative name) [CCN] + TX, emamectin (291 ) + TX, emamectin benzoate (291 ) + TX, eprinomectin (alternative name) [CCN] + TX, ivermectin (alternative name) [CCN] + TX, milbemycin oxime (alternative name) [CCN] + TX, moxidectin (alternative name) [CCN] + TX, piperazine [CCN] + TX, selamectin (alternative name) [CCN] + TX, spinosad (737) and thiophanate (1435) + TX,
- an avicide selected from the group of substances consisting of chloralose (127) + TX, endrin (1 122) + TX, fenthion (346) + TX, pyridin-4-amine (lUPAC name) (23) and strychnine (745) + TX, a bactericide selected from the group of substances consisting of 1-hydroxy-1 /- -pyridine-2-thione (lUPAC name) (1222) + TX, 4-(quinoxalin-2-ylamino)benzenesulfonamide (lUPAC name) (748) + TX, 8-hydroxyquinoline sulfate (446) + TX, bronopol (97) + TX, copper dioctanoate (lUPAC name) (170) + TX, copper hydroxide (lUPAC name) (169) + TX, cresol [CCN] + TX, dichlorophen (232) + TX, dipyrithione (1 105) + TX, dodicin (1 1 12) + T
- a biological agent selected from the group of substances consisting of Adoxophyes orana GV (alternative name) (12) + TX, Agrobacterium radiobacter (alternative name) (13) + TX, Amblyseius spp. (alternative name) (19) + TX, Anagrapha falcifera NPV (alternative name) (28) + TX, Anagrus atomus (alternative name) (29) + TX, Aphelinus abdominalis (alternative name) (33) + TX, Aphidius colemani (alternative name) (34) + TX, Aphidoletes aphidimyza (alternative name) (35) + TX, Autographa californica NPV (alternative name) (38) + TX, Bacillus firmus (alternative name) (48) + TX, Bacillus sphaericus Neide (scientific name) (49) + TX, Bacillus thuringiensis Hopkins (scientific name) (
- a soil sterilant selected from the group of substances consisting of iodomethane (lUPAC name) (542) and methyl bromide (537) + TX,
- a chemosterilant selected from the group of substances consisting of apholate [CCN] + TX, bisazir (alternative name) [CCN] + TX, busulfan (alternative name) [CCN] + TX, diflubenzuron (250) + TX, dimatif (alternative name) [CCN] + TX, hemel [CCN] + TX, hempa [CCN] + TX, metepa [CCN] + TX, methiotepa [CCN] + TX, methyl apholate [CCN] + TX, morzid [CCN] + TX, penfluron (alternative name) [CCN] + TX, tepa [CCN] + TX, thiohempa (alternative name) [CCN] + TX, thiotepa (alternative name) [CCN] + TX, tretamine (alternative name) [CCN] and
- an insect pheromone selected from the group of substances consisting of (E)-dec-5-en-1-yl acetate with (E)-dec-5-en-1-ol (lUPAC name) (222) + TX, (E)-tridec-4-en-1-yl acetate (lUPAC name) (829) + TX, (E)-6-methylhept-2-en-4-ol (lUPAC name) (541 ) + TX, (E,Z)-tetradeca-4,10-dien-1-yl acetate (lUPAC name) (779) + TX, (Z)-dodec-7-en-1-yl acetate (lUPAC name) (285) + TX, (Z)- hexadec-11-enal (lUPAC name) (436) + TX, (Z)-hexadec-l 1-en-1-yl acetate (lUPAC name) (437) + TX, (Z)-hexadec
- an insect repellent selected from the group of substances consisting of 2-(octylthio)ethanol (lUPAC name) (591 ) + TX, butopyronoxyl (933) + TX, butoxy(polypropylene glycol) (936) + TX, dibutyl adipate (lUPAC name) (1046) + TX, dibutyl phthalate (1047) + TX, dibutyl succinate (lUPAC name) (1048) + TX, diethylamide [CCN] + TX, dimethyl carbate [CCN] + TX, dimethyl phthalate [CCN] + TX, ethyl hexanediol (1137) + TX, hexamide [CCN] + TX, methoquin-butyl (1276) + TX, methylneodecanamide [CCN] + TX, oxamate [CCN] and picaridin [CCN] + TX, an insecticide selected from the group
- a molluscicide selected from the group of substances consisting of bis(tributyltin) oxide (lUPAC name) (913) + TX, bromoacetamide [CCN] + TX, calcium arsenate [CCN] + TX, cloethocarb (999) + TX, copper acetoarsenite [CCN] + TX, copper sulfate (172) + TX, fentin (347) + TX, ferric phosphate (lUPAC name) (352) + TX, metaldehyde (518) + TX, methiocarb (530) + TX, niclosamide (576) + TX, niclosamide-olamine (576) + TX, pentachlorophenol (623) + TX, sodium pentachlorophenoxide (623) + TX, tazimcarb (1412) + TX, thiodicarb (799) + TX, tributyltin oxide (913)
- a nematicide selected from the group of substances consisting of AKD-3088 (compound code) + TX, 1 ,2-dibromo-3-chloropropane (lUPAC/Chemical Abstracts name) (1045) + TX, 1 ,2- dichloropropane (lUPAC/ Chemical Abstracts name) (1062) + TX, 1 ,2-dichloropropane with 1 ,3- dichloropropene (lUPAC name) (1063) + TX, 1 ,3-dichloropropene (233) + TX, 3,4- dichlorotetrahydrothiophene 1 , 1-dioxide (lUPAC/Chemical Abstracts name) (1065) + TX, 3-(4- chlorophenyl)-5-methylrhodanine (lUPAC name) (980) + TX, 5-methyl-6-thioxo-1 ,3,5-thiadiazinan-3- ylacetic acid (lUPAC name) (1286)
- a plant activator selected from the group of substances consisting of acibenzolar (6) + TX, acibenzolar-S-methyl (6) + TX, probenazole (658) and Reynoutria sachalinensis extract (alternative name) (720) + TX,
- a rodenticide selected from the group of substances consisting of 2-isovalerylindan-1 ,3-dione (lUPAC name) (1246) + TX, 4-(quinoxalin-2-ylamino)benzenesulfonamide (lUPAC name) (748) + TX, alpha-chlorohydrin [CCN] + TX, aluminium phosphide (640) + TX, antu (880) + TX, arsenous oxide (882) + TX, barium carbonate (891 ) + TX, bisthiosemi (912) + TX, brodifacoum (89) + TX, bromadiolone (91 ) + TX, bromethalin (92) + TX, calcium cyanide (444) + TX, chloralose (127) + TX, chlorophacinone (140) + TX, cholecalciferol (alternative name) (850) + TX, coumachlor (1004) + TX, co
- a synergist selected from the group of substances consisting of 2-(2-butoxyethoxy)ethyl piperonylate (lUPAC name) (934) + TX, 5-(1 ,3-benzodioxol-5-yl)-3-hexylcyclohex-2-enone (lUPAC name) (903) + TX, farnesol with nerolidol (alternative name) (324) + TX, MB-599 (development code) (498) + TX, MGK 264 (development code) (296) + TX, piperonyl butoxide (649) + TX, piprotal (1343) + TX, propyl isomer (1358) + TX, S421 (development code) (724) + TX, sesamex (1393) + TX, sesasmolin (1394) and sulfoxide (1406) + TX,
- an animal repellent selected from the group of substances consisting of anthraquinone (32) + TX, chloralose (127) + TX, copper naphthenate [CCN] + TX, copper oxychloride (171 ) + TX, diazinon (227) + TX, dicyclopentadiene (chemical name) (1069) + TX, guazatine (422) + TX, guazatine acetates (422) + TX, methiocarb (530) + TX, pyridin-4-amine (lUPAC name) (23) + TX, thiram (804) + TX, trimethacarb (840) + TX, zinc naphthenate [CCN] and ziram (856) + TX, a virucide selected from the group of substances consisting of imanin (alternative name) [CCN] and ribavirin (alternative name) [CCN] + TX,
- a wound protectant selected from the group of substances consisting of mercuric oxide (512) + TX, octhilinone (590) and thiophanate-methyl (802) + TX,
- azaconazole 60207-31-0] + TX, bitertanol [70585-36-3] + TX, bromuconazole [1 16255-48-2] + TX, cyproconazole [94361- 06-5] + TX, difenoconazole [1 19446-68-3] + TX, diniconazole [83657-24-3] + TX, epoxiconazole [106325-08-0] + TX, fenbuconazole [1 14369-43-6] + TX, fluquinconazole [136426-54-5] + TX, flusilazole [85509-19-9] + TX, flutriafol [76674-21-0] + TX, hexaconazole [79983-71-4] + TX, imazalil [35554-44-0] + TX, imibenconazole [86598-92-7] + TX
- the mass ratio of of any two ingredients in each combination is selected as to give the desired, for example, synergistic action. In general, the mass ratio would vary depending on the specific ingredient and how many ingredients are present in the combination. Generally, the mass ratio between any two ingredients in any combination of the present invention, independently of one another, is from 100: 1 to 1 : 100, including from 99: 1 , 98:2, 97:3, 96:4, 95:5, 94:6, 93:7, 92:8, 91 :9, 90: 10, 89: 1 1 , 88: 12, 87: 13, 86: 14, 85: 15, 84: 16, 83: 17, 82: 18, 81 : 19, 80:20, 79:21 , 78:22, 77:23, 76:24, 75:25, 74:26, 73:27, 72:28, 71 :29, 70:30, 69:31 , 68:32, 67:33, 66:34, 65:45, 64:46, 63:47
- Preferred mass ratios between any two components of present invention are from 75: 1 to 1 :75, more preferably, 50: 1 to 1.50, especially 25: 1 to 1 :25, advantageously 10: 1 to 1 : 10, such as 5: 1 to 1 :5, for example 1 :3 to 3: 1.
- the mixing ratios are ratios by mass.
- Examples of application methods for the compounds of the invention and compositions thereof, that is the methods of controlling pests / fungi in the agriculture, are spraying, atomizing, dusting, brushing on, dressing, scattering or pouring - which are to be selected to suit the intended aims of the prevailing circumstances.
- a preferred method of application in agriculture is application to the foliage of the plants (foliar application), it being possible to select frequency and rate of application to match the danger of infestation with the pest/fungi in question.
- the active ingredient can reach the plants via the root system (systemic action), by applying the compound to the locus of the plants, for example by application of a liquid composition of the compound into the soil (by drenching), or by applying a solid form of the compound in the form of granules to the soil (soil application).
- granules can be metered into the flooded paddy-field.
- Typical rates of application per hectare is generally 1 to 2000 g of active ingredient per hectare, in particular 10 to 1000 g/ha, preferably 10 to 600 g/ha, such as 50 to 300 g/ha.
- the compounds of the invention and compositions thereof are also be suitable for the protection of plant propagation material, for example seeds, such as fruit, tubers or kernels, or nursery plants, against pests of the abovementioned type.
- the propagation material can be treated with the compound prior to planting, for example seed can be treated prior to sowing.
- the compound can be applied to seed kernels (coating), either by soaking the kernels in a liquid composition or by applying a layer of a solid composition. It is also possible to apply the compositions when the propagation material is planted to the site of application, for example into the seed furrow during drilling.
- These treatment methods for plant propagation material and the plant propagation material thus treated are further subjects of the invention.
- Typical treatment rates would depend on the plant and pest/fungi to be controlled and are generally between 1 to 200 grams per 100 kg of seeds, preferably between 5 to 150 grams per 100 kg of seeds, such as between 10 to 100 grams per 100 kg of seeds.
- seed embraces seeds and plant propagules of all kinds including but not limited to true seeds, seed pieces, suckers, corns, bulbs, fruit, tubers, grains, rhizomes, cuttings, cut shoots and the like and means in a preferred embodiment true seeds.
- the present invention also comprises seeds coated or treated with or containing a compound of formula (I).
- coated or treated with and/or containing generally signifies that the active ingredient is for the most part on the surface of the seed at the time of application, although a greater or lesser part of the ingredient may penetrate into the seed material, depending on the method of application.
- the seed product When the said seed product is (re)planted, it may absorb the active ingredient.
- the present invention makes available a plant propagation material adhered thereto with a compound of formula (I). Further, it is hereby made available, a composition comprising a plant propagation material treated with a compound of formula (I).
- Seed treatment comprises all suitable seed treatment techniques known in the art, such as seed dressing, seed coating, seed dusting, seed soaking and seed pelleting.
- the seed treatment application of the compound formula (I) can be carried out by any known methods, such as spraying or by dusting the seeds before sowing or during the sowing/planting of the seeds.
- Suitable target plants are, in particular, cereals, such as wheat, barley, rye, oats, rice, maize or sorghum; beet, such as sugar or fodder beet; fruit, for example pomaceous fruit, stone fruit or soft fruit, such as apples, pears, plums, peaches, almonds, cherries or berries, for example strawberries, raspberries or blackberries; leguminous plants, such as beans, lentils, peas or soya; oil plants, such as oilseed rape, mustard, poppies, olives, sunflowers, coconut, castor, cocoa or ground nuts; cucurbits, such as pumpkins, cucumbers or melons; fibre plants, such as cotton, flax, hemp or jute; citrus fruit, such as oranges, lemons, grapefruit or tangerines; vegetables, such as spinach, lettuce, asparagus, cabbages, carrots, onions, tomatoes, potatoes or bell peppers; Lauraceae, such as avocado, Cinnamonium or camphor; and also tobacco, nuts,
- the plant is selected from cereals, corn, soybean, rice, sugarcane, vegetables and oil plants.
- plant is to be understood as including also plants which have been so transformed by the use of recombinant DNA techniques that they are capable of synthesising one or more selectively acting toxins, such as are known, for example, from toxin-producing bacteria, especially those of the genus Bacillus.
- Toxins that can be expressed by such transgenic plants include, for example, insecticidal proteins from Bacillus cereus or Bacillus popilliae; or insecticidal proteins from Bacillus thuringiensis, such as ⁇ -endotoxins, e.g. CrylAb, CrylAc, Cryl F, Cry1 Fa2, Cry2Ab, Cry3A, Cry3Bb1 or Cry9C, or vegetative insecticidal proteins (Vip), e.g. Vip1 , Vip2, Vip3 or Vip3A; or insecticidal proteins of bacteria colonising nematodes, for example Photorhabdus spp.
- insecticidal proteins from Bacillus cereus or Bacillus popilliae such as ⁇ -endotoxins, e.g. CrylAb, CrylAc, Cryl F, Cry1 Fa2, Cry2Ab, Cry3A, Cry3Bb1 or Cry9C, or vegetative insecticidal proteins
- Xenorhabdus spp. such as Photorhabdus luminescens, Xenorhabdus nematophilus
- toxins produced by animals such as scorpion toxins, arachnid toxins, wasp toxins and other insect-specific neurotoxins
- toxins produced by fungi such as Streptomycetes toxins, plant lectins, such as pea lectins, barley lectins or snowdrop lectins
- agglutinins proteinase inhibitors, such as trypsin inhibitors, serine protease inhibitors, patatin, cystatin, papain inhibitors
- steroid metabolism enzymes such as 3-hydroxysteroidoxidase, ecdysteroid-UDP-glycosyl-transferase, cholesterol oxidases, ecd
- ⁇ -endotoxins for example CrylAb, CrylAc, Cryl F, Cry1 Fa2, Cry2Ab, Cry3A, Cry3Bb1 or Cry9C, or vegetative insecticidal proteins (Vip), for example Vip1 , Vip2, Vip3 or Vip3A, expressly also hybrid toxins, truncated toxins and modified toxins.
- Hybrid toxins are produced recombinantly by a new combination of different domains of those proteins (see, for example, WO 02/15701 ).
- Truncated toxins for example a truncated CrylAb, are known.
- modified toxins one or more amino acids of the naturally occurring toxin are replaced.
- amino acid replacements preferably non-naturally present protease recognition sequences are inserted into the toxin, such as, for example, in the case of Cry3A055, a cathepsin-G-recognition sequence is inserted into a Cry3A toxin (see WO 03/018810).
- Examples of such toxins or transgenic plants capable of synthesising such toxins are disclosed, for example, in EP-A-0 374 753, WO 93/07278, WO 95/34656, EP-A-0 427 529, EP-A-451 878 and WO 03/052073.
- Cryl-type deoxyribonucleic acids and their preparation are known, for example, from WO 95/34656, EP-A-0 367 474, EP-A-0 401 979 and WO 90/13651.
- the toxin contained in the transgenic plants imparts to the plants tolerance to harmful insects.
- insects can occur in any taxonomic group of insects, but are especially commonly found in the beetles (Coleoptera), two-winged insects (Diptera) and butterflies (Lepidoptera).
- Transgenic plants containing one or more genes that code for an insecticidal resistance and express one or more toxins are known and some of them are commercially available. Examples of such plants are: YieldGard® (maize variety that expresses a CrylAb toxin); YieldGard Rootworm® (maize variety that expresses a Cry3Bb1 toxin); YieldGard Plus® (maize variety that expresses a CrylAb and a Cry3Bb1 toxin); Starlink® (maize variety that expresses a Cry9C toxin); Herculex I® (maize variety that expresses a Cry1 Fa2 toxin and the enzyme phosphinothricine N- acetyltransferase (PAT) to achieve tolerance to the herbicide glufosinate ammonium); NuCOTN 33B® (cotton variety that expresses a CrylAc toxin); Bollgard I® (cotton variety that expresses
- transgenic plants are:
- Bt1 1 Maize from Syngenta Seeds SAS, Chemin de I'Hobit 27, F-31 790 St. Sauveur, France, registration number C/FR/96/05/10. Genetically modified Zea mays which has been rendered resistant to attack by the European corn borer (Ostrinia nubilalis and Sesamia nonagrioides) by transgenic expression of a truncated CrylAb toxin. Bt1 1 maize also transgenically expresses the enzyme PAT to achieve tolerance to the herbicide glufosinate ammonium.
- MIR604 Maize from Syngenta Seeds SAS, Chemin de I'Hobit 27, F-31 790 St. Sauveur, France, registration number C/FR/96/05/10. Maize which has been rendered insect-resistant by transgenic expression of a modified Cry3A toxin. This toxin is Cry3A055 modified by insertion of a cathepsin- G-protease recognition sequence. The preparation of such transgenic maize plants is described in WO 03/018810.
- MON 863 Maize from Monsanto Europe S.A. 270-272 Avenue de Tervuren, B-1 150 Brussels, Belgium, registration number C/DE/02/9. MON 863 expresses a Cry3Bb1 toxin and has resistance to certain Coleoptera insects.
- NK603 x MON 810 Maize from Monsanto Europe S.A. 270-272 Avenue de Tervuren, B-1 150 Brussels, Belgium, registration number C/GB/02/M3/03. Consists of conventionally bred hybrid maize varieties by crossing the genetically modified varieties NK603 and MON 810.
- NK603 * MON 810 Maize transgenically expresses the protein CP4 EPSPS, obtained from Agrobacterium sp. strain CP4, which imparts tolerance to the herbicide Roundup® (contains glyphosate), and also a CrylAb toxin obtained from Bacillus thuringiensis subsp. kurstaki which brings about tolerance to certain Lepidoptera, include the European corn borer.
- a compound of the present invention is used in the form of a composition (e.g. formulation) containing a carrier.
- a compound of the invention and compositions thereof can be used in various forms such as aerosol dispenser, capsule suspension, cold fogging concentrate, dustable powder, emulsifiable concentrate, emulsion oil in water, emulsion water in oil, encapsulated granule, fine granule, flowable concentrate for seed treatment, gas (under pressure), gas generating product, granule, hot fogging concentrate, macrogranule, microgranule, oil dispersible powder, oil miscible flowable concentrate, oil miscible liquid, paste, plant rodlet, powder for dry seed treatment, seed coated with a pesticide, soluble concentrate, soluble powder, solution for seed treatment, suspension concentrate (flowable concentrate), ultra low volume (ulv) liquid, ultra low volume (ulv) suspension, water dispersible granules or tablets, water dispersible powder for slurry treatment, water soluble granules or tablets, water
- a formulation typically comprises a liquid or solid carrier and optionally one or more customary formulaton auxiliaries, which may be solid or liquid auxiliaries, for example unepoxidized or epoxidized vegetable oils (for example epoxidized coconut oil, rapeseed oil or soya oil), antifoams, for example silicone oil, preservatives, clays, inorganic compounds, viscosity regulators, surfactant, binders and/or tackifiers.
- customary formulaton auxiliaries for example unepoxidized or epoxidized vegetable oils (for example epoxidized coconut oil, rapeseed oil or soya oil), antifoams, for example silicone oil, preservatives, clays, inorganic compounds, viscosity regulators, surfactant, binders and/or tackifiers.
- the composition may also further comprise a fertilizer, a micronutrient donor or other preparations which influence the growth of plants as well as comprising a combination containing the compound of the invention with one or more other biologically active agents, such as bactericides, fungicides, nematocides, plant activators, acaricides, and insecticides.
- the present invention also makes available a composition comprising a compound of the invention and an agronomicaly carrier and optionally one or more formulation auxiliaries.
- compositions are prepared in a manner known per se, in the absence of auxiliaries for example by grinding, screening and/or compressing a solid compound of the present invention and in the presence of at least one auxiliary for example by intimately mixing and/or grinding the compound of the present invention with the auxiliary (auxiliaries).
- auxiliaries for example by grinding, screening and/or compressing a solid compound of the present invention
- at least one auxiliary for example by intimately mixing and/or grinding the compound of the present invention with the auxiliary (auxiliaries).
- the grinding/milling of the compounds is to ensure specific particle size.
- compositions for use in agriculture are emulsifiable concentrates, suspension concentrates, microemulsions, oil dispersibles, directly sprayable or dilutable solutions, spreadable pastes, dilute emulsions, soluble powders, dispersible powders, wettable powders, dusts, granules or encapsulations in polymeric substances, which comprise - at least - a compound according to the invention and the type of composition is to be selected to suit the intended aims and the prevailing circumstances.
- suitable liquid carriers are unhydrogenated or partially hydrogenated aromatic hy- drocarbons, preferably the fractions C 8 to d 2 of alkylbenzenes, such as xylene mixtures, alkylated naphthalenes or tetrahydronaphthalene, aliphatic or cycloaliphatic hydrocarbons, such as paraffins or cyclohexane, alcohols such as ethanol, propanol or butanol, glycols and their ethers and esters such as propylene glycol, dipropylene glycol ether, ethylene glycol or ethylene glycol monomethyl ether or ethylene glycol monoethyl ether, ketones, such as cyclohexanone, isophorone or diacetone alcohol, strongly polar solvents, such as N-methylpyrrolid-2-one, dimethyl sulfoxide or N,N- dimethylformamide, water, unepoxidized or epoxidized vegetable oils, such as un
- solid carriers which are used for example for dusts and dispersible powders are, as a rule, ground natural minerals such as calcite, talc, kaolin, montmorillonite or attapulgite.
- ground natural minerals such as calcite, talc, kaolin, montmorillonite or attapulgite.
- highly disperse silicas or highly disperse absorbtive polymers are also possible to add highly disperse silicas or highly disperse absorbtive polymers.
- Suitable particulate adsorptive carriers for granules are porous types, such as pumice, brick grit, sepiolite or bentonite, and suitable non-sorptive carrier materials are calcite or sand.
- a large number of granulated materials of inorganic or organic nature can be used, in particular dolomite or comminuted plant residues.
- Suitable surface-active compounds are, depending on the type of the active ingredient to be formulated, non-ionic, cationic and/or anionic surfactants or surfactant mixtures which have good emulsifying, dispersing and wetting properties.
- the surfactants mentioned below are only to be considered as examples; a large number of further surfactants which are conventionally used in the art of formulation and suitable according to the invention are described in the relevant literature.
- Suitable non-ionic surfactants are, especially, polyglycol ether derivatives of aliphatic or cyc- loaliphatic alcohols, of saturated or unsaturated fatty acids or of alkyl phenols which may contain approximately 3 to approximately 30 glycol ether groups and approximately 8 to approximately 20 carbon atoms in the (cyclo)aliphatic hydrocarbon radical or approximately 6 to approximately 18 carbon atoms in the alkyl moiety of the alkyl phenols.
- water-soluble polyethylene oxide adducts with polypropylene glycol, ethylenediaminopolypropylene glycol or alkyl polypropylene glycol having 1 to approximately 10 carbon atoms in the alkyl chain and approximately 20 to approximately 250 ethylene glycol ether groups and approximately 10 to approximately 100 propylene glycol ether groups.
- the abovementioned compounds contain 1 to approximately 5 ethylene glycol units per propylene glycol unit.
- nonylphenoxypolyethoxyethanol castor oil polyglycol ether, polypropylene glycol/polyethylene oxide adducts, tributylphenoxypolyethoxyethanol, polyethylene glycol or octylphenoxypolyethoxyethanol.
- fatty acid esters of polyoxyethylene sorbitan such as polyoxyethylene sorbitan trioleate.
- the cationic surfactants are, especially, quarternary ammonium salts which generally have at least one alkyl radical of approximately 8 to approximately 22 C atoms as substituents and as further substituents (unhalogenated or halogenated) lower alkyl or hydroxyalkyl or benzyl radicals.
- the salts are preferably in the form of halides, methylsulfates or ethylsulfates. Examples are stearyltrimethylammonium chloride and benzylbis(2-chloroethyl)ethylammonium bromide.
- Suitable anionic surfactants are water-soluble soaps or water-soluble synthetic surface-active compounds.
- suitable soaps are the alkali, alkaline earth or (un- substituted or substituted) ammonium salts of fatty acids having approximately 10 to approximately 22 C atoms, such as the sodium or potassium salts of oleic or stearic acid, or of natural fatty acid mixtures which are obtainable for example from coconut or tall oil; mention must also be made of the fatty acid methyl taurates.
- synthetic surfactants are used more frequently, in particular fatty sulfonates, fatty sulfates, sulfonated benzimidazole derivatives or alkylaryl sulfonates.
- the fatty sulfonates and fatty sulfates are present as alkali, alkaline earth or (substituted or unsubstituted) ammonium salts and they generally have an alkyl radical of approximately 8 to approximately 22 C atoms, alkyl also to be understood as including the alkyl moiety of acyl radicals; examples which may be mentioned are the sodium or calcium salts of lignosulfonic acid, of the dodecylsulphuric ester or of a fatty alcohol sulfate mixture prepared from natural fatty acids. This group also includes the salts of the sulphuric esters and sulfonic acids of fatty alcohol/ethylene oxide adducts.
- the sulfonated benzimidazole derivatives preferably contain 2 sulphonyl groups and a fatty acid radical of approximately 8 to approximately 22 C atoms.
- alkylarylsulfonates are the sodium, calcium or triethanolammonium salts of decylbenzenesulfonic acid, of dibutyl- naphthalenesulfonic acid or of a naphthalenesulfonic acid/formaldehyde condensate.
- suitable phosphates such as salts of the phosphoric ester of a p-nonylphenol/(4- 14)ethylene oxide adduct, or phospholipids.
- the compositions comprise 0.1 to 99%, especially 0.1 to 95%, of compound according to the present invention and 1 to 99.9%, especially 5 to 99.9%, of at least one solid or liquid carrier, it being possible as a rule for 0 to 25%, especially 0.1 to 20%, of the composition to be surfactants (% in each case meaning percent by weight).
- surfactants % in each case meaning percent by weight.
- Emulsifiable concentrates are:
- active ingredient 1 to 95%, preferably 5 to 20%
- surfactant 1 to 30%, preferably 10 to 20 %
- active ingredient 0.1 to 10%, preferably 0.1 to 1 %
- solid carrier 99.9 to 90%, preferably 99.9 to 99%
- active ingredient 5 to 75%, preferably 10 to 50%
- surfactant 1 to 40%, preferably 2 to 30%
- active ingredient 0.5 to 90%, preferably 1 to 80%
- surfactant 0.5 to 20%, preferably 1 to 15%
- solid carrier 5 to 99%, preferably 15 to 98% Granulates:
- active ingredient 0.5 to 30%, preferably 3 to 15%
- solid carrier 99.5 to 70%, preferably 97 to 85%
- Example F1 Emulsion concentrates a) b) c)
- glycol ether (36 mol of EO) 5 % - Tributylphenoxypolyethylene glycol
- Emulsions of any desired concentration can be prepared from such concentrates by dilution with water.
- Example F2 Solutions a) b) c) d)
- the solutions are suitable for use in the form of microdrops.
- Example F3 Granules a) b) c) d)
- the active ingredient is dissolved in dichloromethane, the solution is sprayed onto the carrier(s), and the solvent is subsequently evaporated in vacuo.
- Example F4 Dusts a) b) Active ingredient 2 % 5 %
- Ready-to-use dusts are obtained by intimately mixing the carriers and the active ingredient.
- Example F5 Wettable powders a) b) c)
- the active ingredient is mixed with the additives and the mixture is ground thoroughly in a suitable mill. This gives wettable powders, which can be diluted with water to give suspensions of any desired concentration.
- Example F6 Extruder granules
- the active ingredient is mixed with the additives, and the mixture is ground, moistened with water, extruded, granulated and dried in a stream of air.
- Example F7 Coated granules
- the finely ground active ingredient is applied uniformLy to the kaolin, which has been moistened with the polyethylene glycol. This gives dust-free coated granules.
- Nonylphenoxypolyethylene glycol ether (15 mol of EO) 6 % Sodium lignosulfonate 10 %
- Silicone oil (75 % aqueous emulsion) 0.8 %
- the finely ground active ingredient is mixed intimately with the additives.
- Suspensions of any desired concentration can be prepared from the thus resulting suspension concentrate by dilution with water.
- Example F9 Powders for drv seed treatment a) b) c) active ingredient 25 % 50 % 75 % light mineral oil 5 % 5 % 5 % highly dispersed silicic acid 5 % 5 % -
- the combination is thoroughly mixed with the adjuvants and the mixture is thoroughly ground in a suitable mill, affording powders that can be used directly for seed treatment.
- Example F10 Emulsifiable concentrate
- Emulsions of any required dilution which can be used in plant protection, can be obtained from this concentrate by dilution with water.
- Example F1 1 Flowable concentrate for seed treatment
- active ingredient 40 propylene glycol 5 % copolymer butanol PO/EO 2 %
- Silicone oil (in the form of a 75 % emulsion in water) 0.2 %
- foliar formulation types for pre-mix compositions are:
- WP wettable powders
- WG water dispersable granules (powders)
- EW emulsions, oil in water
- SE aqueous suspo-emulsion.
- examples of seed treatment formulation types for pre-mix compositions are:
- WS wettable powders for seed treatment slurry
- WG water dispersible granules
- CS aqueous capsule suspension.
- formulation types suitable for tank-mix compositions are solutions, dilute emulsions, suspensions, or a mixture thereof, and dusts.
- the methods of application such as foliar, drench, spraying, atomizing, dusting, scattering, coating or pouring, are chosen in accordance with the intended objectives and the prevailing circumstances.
- the tank-mix compositions are generally prepared by diluting with a solvent (for example, water) the one or more pre-mix compositions containing different pesticides, and optionally further auxiliaries.
- a solvent for example, water
- Suitable carriers and adjuvants can be solid or liquid and are the substances ordinarily employed in formulation technology, e.g. natural or regenerated mineral substances, solvents, dispersants, wetting agents, tackifiers, thickeners, binders or fertilizers.
- a tank-mix formulation for foliar or soil application comprises 0.1 to 20%, especially 0.1 to 15 %, of the desired ingredients, and 99.9 to 80 %, especially 99.9 to
- auxiliaries including, for example, a solvent such as water
- auxiliaries can be a surfactant in an amount of 0 to 20 %, especially 0.1 to 15
- a pre-mix formulation for foliar application comprises 0.1 to 99.9 %, especially 1 to 95 %, of the desired ingredients, and 99.9 to 0.1 %, especially 99 to 5 %, of a solid or liquid adjuvant (including, for example, a solvent such as water), where the auxiliaries can be a surfactant in an amount of 0 to 50 %, especially 0.5 to 40 %, based on the pre-mix formulation.
- a solid or liquid adjuvant including, for example, a solvent such as water
- a tank-mix formulation for seed treatment application comprises 0.25 to 80%, especially 1 to 75 %, of the desired ingredients, and 99.75 to 20 %, especially 99 to 25 %, of a solid or liquid auxiliaries (including, for example, a solvent such as water), where the auxiliaries can be a surfactant in an amount of 0 to 40 %, especially 0.5 to 30 %, based on the tank-mix formulation.
- auxiliaries including, for example, a solvent such as water
- a pre-mix formulation for seed treatment application comprises 0.5 to 99.9 %, especially 1 to 95 %, of the desired ingredients, and 99.5 to 0.1 %, especially 99 to 5 %, of a solid or liquid adjuvant (including, for example, a solvent such as water), where the auxiliaries can be a surfactant in an amount of 0 to 50 %, especially 0.5 to 40 %, based on the pre-mix formulation.
- a solid or liquid adjuvant including, for example, a solvent such as water
- Preferred seed treatment pre-mix formulations are aqueous suspension concentrates.
- the formulation can be applied to the seeds using conventional treating techniques and machines, such as fluidized bed techniques, the roller mill method, rotostatic seed treaters, and drum coaters. Other methods, such as spouted beds may also be useful.
- the seeds may be presized before coating. After coating, the seeds are typically dried and then transferred to a sizing machine for sizing. Such procedures are known in the art.
- the pre-mix compositions of the invention contain 0.5 to 99.9 especially 1 to 95, advantageously 1 to 50 , %, by mass of the desired ingredients, and 99.5 to 0.1 , especially 99 to 5, %, by mass of a solid or liquid adjuvant (including, for example, a solvent such as water), where the auxiliaries (or adjuvant) can be a surfactant in an amount of 0 to 50, especially 0.5 to 40, %, by mass based on the mass of the pre-mix formulation.
- a solid or liquid adjuvant including, for example, a solvent such as water
- combinations of the present invention i.e. those comprising a compound of the present invention and one or more other biological active agents
- the ingredients of a combination are applied sequentially (i.e., one after the other), the ingredients are applied sequentially within a reasonable period of each other to attain the biological performance, such as within a few hours or days.
- the order of applying the ingredients in the combination i.e., whether the compounds of formula (I) should be applied first or not is not essential for working the present invention.
- ingredients of the combinations may be applied as a composition containing the combination, in which case (A) the compound of formula (I) and the one or more other ingredients in the combinations can be obtained from separate formulation sources and mixed together (known as a tank-mix, ready-to-apply, spray broth, or slurry), or (B) the compound of formula (I) and the one or more other ingredients can be obtained as single formulation mixture source (known as a pre-mix, ready-mix, concentrate, or formulated product).
- A the compound of formula (I) and the one or more other ingredients in the combinations can be obtained from separate formulation sources and mixed together (known as a tank-mix, ready-to-apply, spray broth, or slurry), or
- B) the compound of formula (I) and the one or more other ingredients can be obtained as single formulation mixture source (known as a pre-mix, ready-mix, concentrate, or formulated product).
- a compound according to the present invention is applied as a combination. Accordingly, the present invention also provides a composition comprising a a compound according the invention as herein described and one or more other biological active agents, and optionally one or more formulation auxiliaries; which may be in the form of a tank-mix or pre-mix composition.
- the combinations according to the invention also can have surprising advantageous properties which can also be described, in a wider sense, as synergistic activity.
- advantageous properties that may be mentioned are: advantageous behaviour during formulation and/or upon application, for example upon grinding, sieving, emulsifying, dissolving or dispensing; increased storage stability; improved stability to light; more advantageous degradability; improved toxicological and/or ecotoxicological behaviour; or any other advantages familiar to a person skilled in the art.
- the compounds of the present invention may also find application in other fields, such as one or more of protection of stored goods and store rooms, the protection of raw materials (such as wood and textiles), floor coverings and buildings, and in hygiene management - especially the protection of humans, domestic animals and productive livestock against pests.
- the invention therefore also makes available pesticidal compositions for such uses and the methods therefor.
- the composition would need to be modified for use in a particular use, and a skilled person would be able to make available such compositions for any particular use.
- compositions according to the invention are active against ectoparasites such as hard ticks, soft ticks, mange mites, harvest mites, flies (biting and licking), parasitic fly larvae, lice, hair lice, bird lice and fleas.
- ectoparasites such as hard ticks, soft ticks, mange mites, harvest mites, flies (biting and licking), parasitic fly larvae, lice, hair lice, bird lice and fleas.
- Anoplurida Haematopinus spp., Linognathus spp., Pediculus spp. and Phtirus spp., Solenopotes spp..
- Nematocerina and Brachycerina for example Aedes spp., Anopheles spp., Culex spp., Simulium spp., Eusimulium spp., Phlebotomus spp., Lutzomyia spp., Culicoides spp., Chrysops spp., Hybomitra spp., Atylotus spp., Tabanus spp., Haematopota spp., Philipomyia spp., Braula spp., Musca spp., Hydrotaea spp., Stomoxys spp., Haematobia spp., Morellia spp., Fannia spp., Glossina spp., Calliphora spp., Glossina spp., Chrysomyia spppp
- Heteropterida for example Cimex spp., Triatoma spp., Rhodnius spp., Panstrongylus spp..
- Actinedida Prostigmata
- Acaridida Acaridida
- Acarapis spp. Cheyletiella spp., Ornitrocheyletia spp., Myobia spp., Psorergatesspp., Demodex spp., Trombicula spp., Listrophorus spp., Acarus spp., Tyrophagus spp., Caloglyphus spp., Hypodectes spp., Pterolichus spp., Psoroptes spp., Chorioptes spp., Otodectes spp., Sarcoptes spp., Notoedres spp., Knemidocoptes spp., Cytodites spp. and Laminosioptes spp..
- compositions according to the invention are also suitable for protecting against insect infestation in the case of materials such as wood, textiles, plastics, adhesives, glues, paints, paper and card, leather, floor coverings and buildings.
- the compositions according to the invention can be used, for example, against the following pests: beetles such as Hylotrupes b Camillus, Chlorophorus pilosis, Anobium punctatum, Xestobium rufovillosum, Ptilinuspecticornis, Dendrobium pertinex, Ernobius mollis, Priobium carpini, Lyctus brunneus, Lyctus africanus, Lyctus planicollis, Lyctus linearis, Lyctus pubescens, Trogoxylon aequale, Minthesrugicollis, Xyleborus spec.,Tryptodendron spec, Apate monachus, Bostrychus capucins, Heterobostrychus brunneu
- the invention may also provides a method for treating, curing, controlling, preventing and protecting warm-blooded animals, including humans, and fish against infestation and infection by helminths, arachnids and arthropod endo- and ectoparasites which comprises orally, topically or parenterally administering or applying to said animals an anthelmintically, acaricidally or endo- or ectoparasiticidally effective amount of compound of formula (I) .
- the above method may be also useful for controlling and preventing helminth, nemtode, acarid and arthropod endo- and ectoparasitic infestations and infections in warm-blooded animals such as cattle, sheep, swine, camels, deer, horses, poultry, fish, rabbits, goats, mink, fox, chinchillas, dogs and cats as well as humans.
- warm-blooded animals such as cattle, sheep, swine, camels, deer, horses, poultry, fish, rabbits, goats, mink, fox, chinchillas, dogs and cats as well as humans.
- the compound of this invention may also control endoparasitic arthropod infestations such as cattle grub and stomach bot.
- acarid and arthropod ectoparasitic infestations in warm-blooded animals and fish including biting lice, sucking lice, bot flies, biting flies, muscoid flies, flies, myiasitic fly larvae, gnats, mosquitoes, fleas, mites, ticks, nasal bots, keds and chiggers may be controlled, prevented or eliminated by the compounds of this invention.
- Biting lice include members of Mallophaga such as Bovicola bovis, Trichodectes canis and Damilina ovis.
- Sucking lice include members of Anoplura such as Haematopinus eurysternus, Haematopinus suis, Linognathus vituli and Solenopotes capillatus.
- Biting flies include members of Haematobia.
- Ticks include Boophilus, Rhipicephalus, Ixodes, Hyalomma, Amblyomma and Dermacentor.
- the compounds of the invention may also be used to control mites which are parasitic on warm-blooded mammals and poultry including mites of the orders Acariformes and Parasitiformes.
- the compounds of the invention may be formulated as animal feeds, animal feed premixes, animal feed concentrates, pills, solutions, pastes, suspensions, drenches, gels, tablets, boluses and capsules.
- the compounds of the invention may be administered to the animals in their drinking water.
- the dosage form chosen should provide the animal with about 0.01 mg/kg to 100 g/kg of animal body weight per day of the compound of the invention.
- the compounds of the invention may be administered to animals parenterally, for example, by intraruminal, intramuscular, intravenous or subcutaneous injection.
- the compounds of the invention may be dispersed or dissolved in a physiologically acceptable carrier for subcutaneous injection.
- the compounds of the invention may be formulated into an implant for subcutaneous administration.
- the compounds of the invention may be transdermal ⁇ administered to animals.
- the dosage form chosen should provide the animal with about 0.01 mg/kg to 100 mg/kg of animal body weight per day of the compound of the invention.
- the compounds of the invention may also be applied topically to the animals in the form of dips, dusts, powders, collars, medallions, sprays and pour-on formulations.
- dips and sprays usually contain about 0.5 ppm to 5,000 ppm and preferably about 1 ppm to 3,000 ppm of the compound of the invention.
- the compounds of the invention may be formulated as ear tags for animals, particularly quadrupeds such as cattle and sheep.
- the compounds of the invention may also be used in combination or conjunction with one or more other parasiticidal compounds (to broaden the spectrum of activity) including, but not limited to, anthelmintics, such as benzimidazoles, piperazine, levamisole, pyrantel, praziquantel and the like; endectocides such as avermectins, milbemycins and the like; ectoparasiticides such as arylpyrroles, organophosphates, carbamates, gamabutyric acid inhibitors including fipronil, pyrethroids, spinosads, imidacloprid and the like; insect growth regulators such as pyriproxyfen, cyromazine and the like; and chitin synthase inhibitors such as benzoylureas including flufenoxuron.
- anthelmintics such as benzimidazoles, piperazine, levamisole, pyrantel, pra
- the parasiticidal compositions of the present invention include a parasiticidally effective amount of a compound of the invention or combinations thereof admixed with one or more physiologically tolerable inert, solid or liquid carriers known from veterinary medicinal practice for oral, percutaneous and topical administration.
- Such compositions may comprise further additives, such as stabilizers, anifoams, viscosity regulators, binders and tackifiers, whereas commercial products will preferably be formulated as concentrates, the end user will normally employ dilute formulations.
- compositions according to the present invention may also be used for the preparation of composition useful to curatively or preventively treat human and animal fungal diseases such as, for example, mycoses, dermatoses, trichophyton diseases and candidiases or diseases caused by Aspergillus spp., for example Aspergillus fumigatus.
- fungal diseases such as, for example, mycoses, dermatoses, trichophyton diseases and candidiases or diseases caused by Aspergillus spp., for example Aspergillus fumigatus.
- a compound of formula (I) is a pesticidal compound, preferably an insecticidal compound.
- Spectra were recorded on a Mass Spectrometer from Waters (SQD or ZQ Single quadrupole mass spectrometer) equipped with an electrospray source (Polarity: positive or negative ions, Capillary: 3.00 kV, Cone range: 30-60 V, Extractor: 2.00 V, Source Temperature: 150°C, Desolvation Temperature: 350°C, Cone Gas Flow: 0 L/Hr, Desolvation Gas Flow: 650 L/Hr, Mass range: 100 to 900 Da) and an Acquity UPLC from Waters: Binary pump, heated column compartment and diode-array detector. Solvent degasser, binary pump, heated column compartment and diode-array detector.
- Spectra were recorded on a Mass Spectrometer from Waters (SQD or ZQ Single quadrupole mass spectrometer) equipped with an electrospray source (Polarity: positive or negative ions, Capillary: 3.00 kV, Cone range: 30-60 V, Extractor: 2.00 V, Source Temperature: 150°C, Desolvation Temperature: 350°C, Cone Gas Flow: 0 L/Hr, Desolvation Gas Flow: 650 L/Hr, Mass range: 100 to 900 Da) and an Acquity UPLC from Waters: Binary pump, heated column compartment and diode-array detector. Solvent degasser, binary pump, heated column compartment and diode-array detector.
- Myzus persicae (Green peach aphid): feeding/residual contact activity, preventive Sunflower leaf discs were placed on agar in a 24-well microtiter plate and sprayed with aqueous test solutions prepared from 10 ⁇ 00 ppm DMSO stock solutions. After drying, the leaf discs were infested with an aphid population of mixed ages. The samples were assessed for mortality 6 days after infestation.
- the following compounds resulted in at least 80% mortality at an application rate of 200 ppm: P1 , P2, P3, P4, P5, P6, P7, P12, P13 and P14.
- Myzus persicae Green peach aphid: systemic/feeding activity, curative
- Roots of pea seedlings infested with an aphid population of mixed ages were placed directly in the aqueous test solutions prepared from 10 ⁇ 00 DMSO stock solutions. The samples were assessed for mortality 6 days after placing seedlings in test solutions.
- Diabrotica balteata (Banded cucumber beetle): larvicide, feeding/contact activity, residual
- Cotton leaf discs were placed on agar in a 96-well microtiter plate and infested with eggs. Aqueous test solutions prepared from 10 ⁇ 00 ppm DMSO stock solutions were then applied. The samples were checked for mortality 3 days after treatment
- Nilaparvata lugens (Brown plant hopper): larvicide, systemic into water Rice seedlings cultivated in a nutritive solution are into water treated with the diluted test solution at an application rate of 12.5 ppm . 1 day after the application plants are infested with 20 N 3 nymphs (2 replicates). 6 days later samples are checked for mortality.
Landscapes
- Chemical & Material Sciences (AREA)
- Organic Chemistry (AREA)
- Plural Heterocyclic Compounds (AREA)
- Agricultural Chemicals And Associated Chemicals (AREA)
Abstract
Pesticidally active N-iminopyridinium ylide compounds of formula (I) wherein A is CR4R5 or C=O; X is O or S; Y is O or S; Het is a 5- or 6-membered carbon-bound saturated, unsaturated or aromatic heterocycle, having 1, 2 or 3 heteroatoms selected from O, S and N; said Het can be mono- di- or trisubstituted by substituents selected from the group consisting of halogen, C1-C4-alkyl and C1-C4-haloalkyl; R1, R2, and R3 are independently from one another selected from hydrogen, halogen, C1-C4-alkyl, C1-C4-haloalkyl, C1-C4-alkoxy, C1-C4-haloalkoxy, cyano and nitro; and R4 and R5 are independently from one another selected from hydrogen, halogen and C1-C4-alkyl; or R4 and R5 together with the carbon to which they are each attached form a 3 to 6 membered cycloalkyi group; are useful for controlling animal pests and can be prepared in a manner known per se.
Description
Pesticidallv active N-iminopyridinium ylide compounds
The present invention relates to novel N-iminopyridinium ylide compounds, to processes for their preparation, to compositions comprising those compounds, and to their use in agriculture, veterinary fields and fields relying on pest management. The compounds are especially active for controlling damage to plants and thereby improving their growth in agriculture.
Insecticidally active mesoionic inner salts are known, for example, from WO 2013144228.
It has now been found that the certain novel mesoionic inner salts are especially active controlling damage to plants, such as for example through control of sucking pests.
Accordingly, the present invention relates to a compound of formula (I)
wherein
X is O or S;
Y is O or S;
Het is a 5- or 6- membered carbon-bound saturated, unsaturated or aromatic heterocycle, having 1 , 2 or 3 heteroatoms selected from O, S and N; said Het can be mono- di- or trisubstituted by substituents selected from the group consisting of halogen, Ci-C4-alkyl and Ci-C4-haloalkyl;
R-i, R2 and R3 are independently from one another selected from the group consisting of hydrogen, halogen, Ci-C4-alkyl, Ci-C4-haloalkyl, Ci-C4-alkoxy, Ci-C4-haloalkoxy, cyano and nitro; and
R4 and R5 are independently from one another selected from the group consisting of hydrogen, halogen and Ci-C4-alkyl; or R4 and R5 together with the carbon to which they are each attached form a 3 to 6 membered cycloalkyl group; as well as its agrochemically acceptable salts, enantiomers, tautomers, and N-oxides.
The compounds of formula (I) are mesoionic inner salts. "Inner salts", also known in the art as "zwitterions", are electrically neutral molecules but carry formal positive and negative charges on different atoms in each valence bond structure according to valence bond theory. Furthermore the molecular structure of the compounds of formula (I) can be represented by the four valence bond structures shown below, each placing the formal positive and negative charges on different atoms. Because of this resonance, the compounds of formula (I) are also described as "mesoionic". Although for sake of simplicity, the molecular structure of formula (I) is depicted as a single valence
bond structure herein, this particular valence bond structure is to be understood as representative of all four valence bond structures relevant to bonding in molecules of compounds of formula (I). Therefore reference to formula (I) herein relates to all four applicable valence bond structures and other (e.g., molecular orbital theory) structures unless otherwise specified.
(I) (I) (l ) 0
The compounds of formula (I) and, where appropriate, the tautomers thereof, in each case in free form or in salt form, can be present in the form of one of the isomers which are possible or as a mixture of these, for example in the form of pure isomers, such as antipodes and/or diastereomers, or as isomer mixtures, such as enantiomer mixtures, for example racemates, diastereomer mixtures or racemate mixtures, depending on the number, absolute and relative configuration of asymmetric carbon atoms which occur in the molecule and/or depending on the configuration of non-aromatic double bonds which occur in the molecule; the invention relates to the pure isomers and also to all isomer mixtures which are possible and is to be understood in each case in this sense hereinabove and hereinbelow, even when stereochemical details are not mentioned specifically in each case. This invention accordingly covers all such isomers and tautomers and mixtures thereof in all proportions as well as isotopic forms such as deuterated compounds. As an example, the compounds of the invention may contain one or more asymmetric carbon atoms, for example, if A = CR7R8 with R7 = H and R8,= Br and Het = tetrahydrofuran-3-yl and the compounds of formula (I) may exist as enantiomers or as pairs of diastereoisomers or as mixtures of such.
Ylides are compounds in which an anionic site Y" (originally on carbon, but now including other atoms) is attached directly to a heteroatom X+ (usually nitrogen, phosphorus or sulfur) carrying a formal positive charge. They are thus 1 ,2-dipolar species of the type RmX+-Y"R„ (lUPAC Compendium of Chemical Terminology, informally known as the Gold Book).
The invention also covers salts and N-oxides of each compound for formula (I).
One skilled in the art also recognizes that because in the environment and under physiological conditions salts of chemical compounds are in equilibrium with their corresponding non salt forms, salts share the biological utility of the non salt forms.
Thus a wide variety of salts of compounds of the invention (and active ingredients used in combination with the active ingredients of the invention) may be useful for control of invertebrate pests and animal parasites. Salts amongst agriculturally and/or physiologically tolerable salts include acid-addition salts with inorganic or organic acids such as hydrobromic, hydrochloric, nitric,
phosphoric, sulfuric, acetic, butyric, fumaric, lactic, maleic, malonic, oxalic, propionic, salicylic, tartaric, 4-toluenesulfonic or valeric acids.
Suitable amongst agriculturally and/or physiologically tolerable salts can also be the salts of those cations which do not adversely affect the pesticidal and/or parasiticidal action of the compounds of formula (I). Thus, especially suitable cations are the ions of the alkali metals including sodium, potassium and lithium, of the alkaline earth metals including calcium and magnesium, and of the transition metals including manganese, copper, iron, zinc, cobalt, lead, silver, nickel, and also ammonium or organic ammonium including monoalkylammonium, dialkylammonium,
trialkylammonium, tetraalkylammonium, monoalkenylammonium, dialkenylammonium,
trialkenylammonium, monoalkynylammonium, dialkynyla monium, monoalkanolammonium, dialkanolammonium, C5-C6-cycloalkylammonium, piperidinium, morpholinium, pyrrolidinium, or benzylammonium, moreover phosphonium ions, sulfonium ions, preferably tri(d-C4 -alkyl) sulfonium and sulfoxonium ions, preferably tri (Ci-C4 -alkyl) sulfoxonium.
Alkyl groups (either alone or as part of a larger group, such as alkoxy-) can be in the form of a straight or branched chain and are, for example, methyl, ethyl, propyl, prop-2-yl, butyl, but-2-yl, or 2- methyl-prop-2-yl. The alkyl group (either alone or as part of a larger group, such as alkoxy-), in each embodiment of the invention, is preferably Ci-C3-alkyl, more preferably Ci-C2-alkyl, especially methyl group. In the instance of alkoxy, examples are methoxy, ethoxy, propoxy, n-butoxy, isobutoxy and also their isomeric groups; preferably, independent of other embodiments, methoxy and ethoxy, especially methoxy.
Halogen is fluorine, chlorine, bromine or iodine; halogen, in each embodiment of the invention, is fluorine, chlorine, or bromine; especially fluorine or chlorine.
Haloalkyl groups (either alone or as part of a larger group, such as haloalkoxy-) are alkyl groups which are substituted by one or more of the same or different halogen atoms and are, for example, fluoromethyl, difluoromethyl, trifluoromethyl, chlorodifluoromethyl and 2,2,2-trifluoro-ethyl. The haloalkyl group (either alone or as part of a larger group, such as haloalkoxy-), in each embodiment of the invention, is preferably trifluromethyl. In instance of haloalkoxy, examples are fluoromethoxy, difluoromethoxy, trifluoromethoxy, 2,2,2-trifluoroethoxy, 1 ,1 ,2,2-tetrafluoroethoxy, 2-fluoroethoxy, 2- chloroethoxy, 2,2-difluoroethoxy and 2,2,2-trichloroethoxy; preferably difluoromethoxy, 2,2,2- trifluoroethoxy, 2-chloroethoxy and trifluoromethoxy.
Cycloalkyl groups are mono-cyclic and are, for example, cyclopropyl, cyclobutyl, cyclopentyl and cyclohexyl. The C3-C6-cycloalkyl group, in each embodiment of the invention, is preferably a C3-C5- cycloakyl, more preferably a C3-C4-cycloalkyl group, especially a C3-cycloalkyl group.
Het, as used in the present invention, is a 5- or 6- membered carbon-bound saturated, unsaturated or aromatic heterocycle, having 1 , 2 or 3 heteroatoms selected from O, S and N. wherein substituents on Het are, independent from each other, selected from the group consisting of halogen, Ci-C4-alkyl and Ci-C4-haloalkyl. Preferably Het
a) In instance of 1 heteratom has one oxygen, or sulfur or nitrogen atom; or
b) In instance of 2 heteratoms has two nitrogen atoms, or a nitrogen atom and a sulfur atom, or a nitrogen and a oxygen atom; and
c) In instance of 3 heteratoms has three nitrogen atoms, or two nitrogen atoms and one sulfur atom, or two nitrogen atoms and one oxygen atom.
In an embodiment of the invention, independent of other embodiments or aspects, Het is unsubstituted, monosubstituted or disubstituted. In the instance Het has substitutent(s), the substituent, independent of the other embodiments or aspects, on Het is, independently of each other, selected from the group consisting of halogen, Ci-C2-alkyl and Ci-C2-haloalkyl; preferable substitutent on Het is, independently of each other, selected from chlorine, fluorine, methyl and trifluoromethyl.
In an embodiment of the invention, independent of other embodiments or aspects, Het is pyridyl, pyrimidyl, pyrazinyl, thiazolyl, isoxazolyl or tetrahydrofuranyl, which rings can be unsubstituted or substituted with Ci-C4-alkyl, Ci-C4-haloalkyl or halogen. Preferably, Het is a pyrid-3-yl, pyrazin-2-yl, thiazol-5-yl, isoxazol-5-yl, isoxazol-4-yl or tetrahydrofuran-3-yl, which rings rings can be unsubstituted or substituted substituted with Ci-C4-alkyl, Ci-C4-haloalkyl or halogen. More preferably, Het is pyrid-3-yl or thiazol-5-yl, which rings can be unsubstituted or substituted with trifluoromethyl or halogen, such as selected from bromine, chlorine and fluorine.
In the instance A is a cycloalkyl linker, the Het and remainin part of the compound of formula (I) are attached to the same carbon atom of the cycloalkyl, for
In an embodiment of the invention, independent of other embodiments or aspects A is CR4R5, C3- C4-cycloalkyl or C=0, where R4 and R5 are each hydrogen, or at least one is halogen and the other is hydrogen (if only one of R4 and R5 is halogen), or at least one is Ci-C2-alkyl and the other is hydrogen (if only one of R4 and R5 is Ci-C2-alkyl).
Preferred embodiments of A are CH2, CH(Br), CH(F), CH(CI), CF2, CCI2, CH(CH3), C(CH3)2, C3- cycloalkyl, and C=0.
Preferred embodiments of CR4R5 are CH2, CH(Br), CH(F), CH(CI), CF2, CCI2, CH(CH3), and C(CH3)2.
In an embodiment of the invention, independent of other embodiments or aspects, X is oxygen. In an embodiment of the invention, independent of other embodiments or aspects, X is sulfur.
In an embodiment of the invention, independent of other embodiments or aspects, Y is oxygen. In an embodiment of the invention, independent of other embodiments or aspects, Y is sulfur.
In an embodiment of the invention, independent of other embodiments or aspects, R-i , R2 and R3 are, independently from one another, selected from hydrogen, halogen, Ci-C2-alkyl, Ci-C2-haloalkyl, Ci-C2-alkoxy, Ci-C2-haloalkoxy, cyano and nitro. In an embodiment, R-i , R2 and R3 are, independently from one another, selected from hydrogen, halogen, Ci-C2-alkyl, Ci-C2-haloalkyl, d- C2-alkoxy, and nitro. Examples of R-i, R2 and R3 are hydrogen, methyl, methoxy, chlorine, fluorine, bromine, trifluoromethyl, and nitro.
In a preferred group of compounds of formula (I), Het is a pyridyl, pyrimidyl, pyrazinyl, thiazolyl, isoxazolyl or tetrahydrofuranyl, which rings are unsubstituted or mono or di-substituted, independently from each other, selected from Ci-C4-alkyl, Ci-C4-haloalkyl and halogen; A is CR4R5, wherein R4 and R5 are are each hydrogen, or at least one is halogen and the other is hydrogen (if only one of R4 and R5 is halogen), or at least one is Ci-C2-alkyl and the other is hydrogen (if only one of R4 and R5 is Ci-C2-alkyl); X and Y are independently from each other oxygen or sulfur; and R-i, R2 and R3 are, independently from one another, selected from hydrogen, halogen, Ci-C4-alkyl, Ci-C4-haloalkyl, Ci-C4-alkoxy, Ci-C4-haloalkoxy, cyano and nitro.
In another preferred group of compounds of formula (I), Het is a pyridyl, pyrimidyl, pyrazinyl, thiazolyl, isoxazolyl or tetrahydrofuranyl group, which rings are unsubstituted or mono or di- substituted, independently from each other, selected from Ci-C4-alkyl, Ci-C4-haloalkyl and halogen; A is C3-C6-cycloalkyl; X and Y are independently of each other is oxygen or sulfur; and R-i, R2 and R3 are, independently from one another, selected from hydrogen, halogen, Ci-C4-alkyl, Ci-C4- haloalkyl, Ci-C4-alkoxy, Ci-C4-haloalkoxy, cyano and nitro.
In another preferred group of compounds of formula (I), Het is a pyridyl, pyrimidyl, pyrazinyl, thiazolyl, isoxazolyl or tetrahydrofuranyl, which rings are unsubstituted or mono or di-substituted, independently from each other, selected from Ci-C4-alkyl, Ci-C4-haloalkyl and halogen; A is C=0; X and Y are independently from each other oxygen or sulfur; and R-i, R2 and R3 are, independently from one another, selected from hydrogen, halogen, Ci-C4-alkyl, Ci-C4-haloalkyl, d- C4-alkoxy, Ci-C4-haloalkoxy, cyano and nitro.
In another preferred group of compounds of formula (I), Het is a pyridyl, pyrimidyl, pyrazinyl, thiazolyl, isoxazolyl or tetrahydrofuranyl, which rings are unsubstituted or mono or di-substituted, independently from each other, selected from Ci-C2-alkyl, Ci-C2-haloalkyl and halogen, wherein the halogen is selected from bromine, chlorine and fluorine; A is CH2, CH(Br), CH(F), CH(CI), CF2, CCI2, CH(CH3), C(CH3)2, C3-cycloalkyl, or C=0; and R-,, R2 and R3 are, independently from one another, selected from hydrogen, chlorine, bromine, fluorine, methyl, methoxy, trifluoromethyl, difluoromethyl and nitro; X is either oxygen or sulfur; and Y is either oxygen or sulfur.
In an especially preferred group of compounds of formula (I), Het is pyrid-3-yl, pyrimid-5-yl, pyrazin- 2-yl, thiazol-5-yl, isoxazol-5-yl, isoxazol-4-yl or tetrahydrofuran-3-yl, which rings are unsubstituted or mono or di-substituted, independently from each other, selected from Ci-C2-alkyl, Ci-C2-haloalkyl and halogen, wherein the halogen is selected from bromine, chlorine and fluorine; A is CH2 or CH(halogen); and R-i, R2 and R3 are each hydrogen, X is either oxygen or sulfur; and Y is oxygen. The invention in particular provides a group compounds of formula (I), wherein Het is pyridyl, which is mono substituted with a halogen; A is CH2 or CH(halogen); and R-i, R2 and R3 are each hydrogen, X is either oxygen or sulfur; and Y is either oxygen or sulfur.
Especially preferred compounds of formula (I) are represented by the compounds of formula (lc)
R2 is hydrogen, halogen, Ci-C4alkyl, d-C4alkoxy or Ci-C4haloalkyl;
A is a methylene group which can be substituted by halogen or Ci-C4alkyl; or A represents the group ;
X is O or S;
Y is O or S;
Het is pyridyl, which can be substituted by halogen or Ci-C4haloalkyl, or Het is isoxazolyl which can be mono- or disubstituted by Ci-C4alkyl, or Het is thiazolyl which can be substituted by halogen or Ci-C4haloalkyl, or Het is tetrahydrofuranyl.
Compounds of formula (I) can be prepared according to the following general synthesis schemes:
General synthesis scheme for A = CR4R^ where R4 and are each hydrogen; R4 is hydrogen and R^ is halogen or C -C4-alkyl; R4 and R^ are each C -C4-alkyl; or R4 and R^ with the C atom to which they are each connected forms a CyCp-cycloalkyl:
General synthetic methods:
Intermediates of formula (III), wherein Rx is Ci-C4-alkyl or (Me)3Si-Ci-C4-alkyl, and wherein R-i , R2 and R3 have the same meanings as defined for formula (I) can be made from intermediates of formula (II), wherein R-i , R2 and R3 have the same meanings as defined for formula (I) by treatment with a reagent of formula Rx-OH, wherein Rx is Ci-C4-alkyl or (Me)3Si-Ci-C4-alkyl. The reaction can be performed in the presence of a base, for instance sodium hydride. The reaction can be performed without a solvent or in a solvent, for instance in tetrahydrofuran. The reaction can be performed in a temperature range of -100 to 200 °C, for instance between 10 and 40 °C.
Intermediates of formula (IVa, where A is CH2), wherein Rx is Ci-C4-alkyl or (Me)3Si-Ci-C4- alkyl, and Het, R-i, R2 and R3 have the same meanings as defined for formula (I) can be made from intermediates of formula (III), wherein Rx is Ci-C4-alkyl or (Me)3Si-Ci-C4-alkyl and R-i , R2 and R3 have the same meanings as defined for formula (I) by treatment with a reagent of formula Het- CH2ZnCI, wherein Het has the same meaning as defined for formula (I). Reagents of type Het- CH2ZnCI can be prepared according to known literature methods (for instance Bull. Korean Chem. Soc. 2013, Vol. 34, No. 3, 983-985) The reaction can be performed in the presence of a catalyst, for instance tetrakis(triphenylphosphine)palladium. The reaction can be performed without a solvent or in a solvent, for instance in tetrahydrofuran. The reaction can be performed in a temperature range of -100 to 200 °C, for instance between 20 and 80 °C.
Intermediates of formula (Va; where A is CH2), wherein Y is O and Het, R-i , R2 and R3 have the same meanings as defined for formula (I) can be made from intermediates of formula (IVa), wherein Rx is Ci-C4-alkyl or (Me)3Si-Ci-C4-alkyl, and Het, R-i , R2 and R3 have the same meanings as defined for formula (I) by treatment with an acid, for instance with trifluoroacetic acid, or by treatment with a fluoride source. The reaction can be performed without a solvent or in a solvent, for instance in dichloromethane or methanol. The reaction can be performed in a temperature range of -100 to 200 °C, for instance between 10 and 40 °C.
Intermediates of formula (Via), wherein Y is O and Het, R-i , R2 and R3 have the same meanings as defined for formula (I) can be made from intermediates of formula (Va), wherein Y is O and Het, R-i , R2 and R3 have the same meanings as defined for formula (I) by treatment with an aminating reagent, for instance with O-diphenylphosphorylhydroxylamine. The reaction can be performed without a solvent or in a solvent, for instance in dimethylformamide. The reaction can be performed in a temperature range of -100 to 200 °C, for instance between 10 and 40 °C.
Intermediates of formula (Vila), wherein Y is S and Het, R-i , R2 and R3 have the same meanings as defined for formula (I) can be made from intermediates of formula (Via), wherein Y is O and Het, R-i , R2 and R3 have the same meanings as defined for formula (I) by treatment with an thionating agent, for instance with Lawesson's reagent. The reaction can be performed without a solvent or in a solvent, for instance in dichloromethane. The reaction can be performed in a temperature range of - 100 to 200 °C, for instance between 10 and 40 °C.
Compounds of formula (la; where A is CH2), wherein X, Y, Het, R-i , R2 and R3 have the same meanings as defined for formula (I) can be made from intermediates of formula (Via) or (Vila), wherein Y is O or S respectively, and Het, R-i , R2 and R3 have the same meanings as defined for
formula (I) by treatment with an acylating reagent, for instance triphosgene or thiophosgene. The reaction can be performed without a solvent or in a solvent, for instance in dichloromethane. The reaction can be performed in a temperature range of -100 to 200 °C, for instance between 10 and 40 °C.
Compounds of formula (laa), wherein A is CR4R5 where R4 is hydrogen and R5 is halogen or Ci-C4- alkyl; R4 and R5 are each Ci-C4-alkyl; or R4 and R5 together wiith the C atom to which they are each connected form a C3-C6-cycloalkyl, and wherein X, Y, Het, R-i , R2 and R3 have the same meanings as defined for formula (I) can be made from other compounds of formula (I), i.e. compounds formula (la), wherein X, Y, Het, R-i, R2 and R3 have the same meanings as defined for formula (I) by treatment with a base, for instance n-butyllithium, followed by quenching with an electrophile, such as methyl iodide or bromine. The reaction can be performed without a solvent or in a solvent, for instance in dichloromethane. The reaction can be performed in a temperature range of -100 to 200 °C, for instance between -100 and -40 °C.
General synthetic methods:
Intermediates of formula (III), wherein Rx is Ci-C4-alkyl or (Me)3Si-Ci-C4-alkyl, and wherein R-i , R2 and R3 have the same meanings as defined for formula (I) can be made from intermediates of formula (II), wherein R-i , R2 and R3 have the same meanings as defined for formula (I) by treatment with a reagent of formula Rx-OH, wherein Rx is Ci-C4-alkyl or (Me)3Si-Ci-C4-alkyl. The reaction can be performed in the presence of a base, for instance sodium hydride. The reaction can be performed without a solvent or in a solvent, for instance in tetrahydrofuran. The reaction can be performed in a temperature range of -100 to 200 °C, for instance between 10 and 40 °C.
Intermediates of formula (VIII), wherein Rx is Ci-C4-alkyl or (Me)3Si-Ci-C4-alkyl, and wherein Het, R-i , R2 and R3 have the same meanings as defined for formula (I) can be made from intermediates of formula (III), wherein Rx is Ci-C4-alkyl or (Me)3Si-Ci-C4-alkyl and R-i , R2 and R3 have the same
meanings as defined for formula (I) by treatment with a reagent of formula Het-CHO, wherein Het has the same meaning as defined for formula (I). The reaction can be performed in the presence of a base, for instance n-butyllithium. The reaction can be performed without a solvent or in a solvent, for instance in tetrahydrofuran. The reaction can be performed in a temperature range of -100 to 200 °C, for instance between -100 and -40 °C.
Intermediates of formula (IVb), wherein Rx is Ci-C4-alkyl or (Me)3Si-Ci-C4-alkyl, A is C=0 and wherein Het, R-i , R2 and R3 have the same meanings as defined for formula (I) can be made from intermediates of formula (VIII), wherein Rx is Ci-C4-alkyl or (Me)3Si-Ci-C4-alkyl and Het, R-i, R2 and R3 have the same meanings as defined for formula (I) by oxidation, for instance with manganese oxide. The reaction can be performed without a solvent or in a solvent, for instance in dichloromethane. The reaction can be performed in a temperature range of -100 to 200 °C, for instance between 10 and 40 °C.
Intermediates of formula (IVc), wherein Rx is Ci-C4-alkyl or (Me)3Si-Ci-C4-alkyl, A is CF2 and wherein Het, R-i , R2 and R3 have the same meanings as defined for formula (I) can be made from intermediates of formula (IVb), wherein Rx is Ci-C4-alkyl or (Me)3Si-Ci-C4-alkyl, A is C=0 and Het, R-i , R2 and R3 have the same meanings as defined for formula (I) by treatment with a deoxy- fluorinating reagent, for instance with diethylaminosulfur trifluoride. The reaction can be performed without a solvent or in a solvent, for instance in dichloromethane. The reaction can be performed in a temperature range of -100 to 200 °C, for instance between 10 and 40 °C.
Intermediates of formula (Vb), wherein Y is O, A is C=0 or CF2 and wherein Het, R-i , R2 and R3 have the same meanings as defined for formula (I) can be made from intermediates of formula (IVb- c), wherein Rx is Ci-C4-alkyl or (Me)3Si-Ci-C4-alkyl, A is C=0 or CF2 and wherein Het, R-i , R2 and R3 have the same meanings as defined for formula (I) by treatment with an acid, for instance with trifluoroacetic acid, or by treatment with a fluoride source. The reaction can be performed without a solvent or in a solvent, for instance in dichloromethane or methanol. The reaction can be performed in a temperature range of -100 to 200 °C, for instance between 10 and 40 °C.
Intermediates of formula (Vlb), wherein Y is O, A is C=0 or CF2 and wherein Het, R-i , R2 and R3 have the same meanings as defined for formula (I) can be made from intermediates of formula (Vb), wherein Y is O, A is C=0 or CF2 and wherein Het, R-i , R2 and R3 have the same meanings as defined for formula (I) by treatment with an aminating reagent, for instance with O- diphenylphosphorylhydroxylamine. The reaction can be performed without a solvent or in a solvent, for instance in dimethylformamide. The reaction can be performed in a temperature range of -100 to 200 °C, for instance between 10 and 40 °C.
Intermediates of formula (Vllb), wherein Y is S, A is C=0 or CF2 and wherein Het, R-i, R2 and R3 have the same meanings as defined for formula (I) can be made from intermediates of formula (Vlb), wherein Y is O, A is C=0 or CF2 and wherein Het, R-i , R2 and R3 have the same meanings as defined for formula (I) by treatment with an thionating agent, for instance with Lawesson's reagent. The reaction can be performed without a solvent or in a solvent, for instance in dichloromethane.
The reaction can be performed in a temperature range of -100 to 200 °C, for instance between 10 and 40 °C.
Compounds of formula (lb), wherein A is C=0 or CF2 and wherein X, Y, Het, R-i , R2 and R3 have the same meanings as defined for formula (I) can be made from intermediates of formula (Vlb) or (VI lb), wherein Y is O or S respectively, A is C=0 or CF2 and wherein Het, R-i , R2 and R3 have the same meanings as defined for formula (I) by treatment with an acylating reagent, for instance triphosgene or thiophosgene. The reaction can be performed without a solvent or in a solvent, for instance in dichloromethane. The reaction can be performed in a temperature range of -100 to 200 °C, for instance between 10 and 40 °C.
The reactants can be reacted in the presence of a base. Examples of suitable bases are alkali metal or alkaline earth metal hydroxides, alkali metal or alkaline earth metal hydrides, alkali metal or alkaline earth metal amides, alkali metal or alkaline earth metal alkoxides, alkali metal or alkaline earth metal acetates, alkali metal or alkaline earth metal carbonates, alkali metal or alkaline earth metal dialkylamides or alkali metal or alkaline earth metal alkylsilylamides, alkylamines, alkylenediamines, free or N-alkylated saturated or unsaturated cycloalkylamines, basic heterocycles, ammonium hydroxides and carbocyclic amines. Examples which may be mentioned are sodium hydroxide, sodium hydride, sodium amide, sodium methoxide, sodium acetate, sodium carbonate, potassium tert-butoxide, potassium hydroxide, potassium carbonate, potassium hydride, lithium diisopropylamide, potassium bis(trimethylsilyl)amide, calcium hydride, triethylamine, diisopropylethylamine, triethylenediamine, cyclohexylamine, N-cyclohexyl-N,N-dimethylamine, N,N- diethylaniline, pyridine, 4-(N,N-dimethylamino)pyridine, quinuclidine, N-methylmorpholine, benzyltrimethylammonium hydroxide and 1 ,8-diazabicyclo[5.4.0]undec-7-ene (DBU).
The reactants can be reacted with each other as such, i.e. without adding a solvent or diluent. In most cases, however, it is advantageous to add an inert solvent or diluent or a mixture of these. If the reaction is carried out in the presence of a base, bases which are employed in excess, such as triethylamine, pyridine, N-methylmorpholine or Ν,Ν-diethylaniline, may also act as solvents or diluents.
The reaction is advantageously carried out in a temperature range from approximately -100°C to approximately +200°C, preferably from approximately -30°C to approximately +80°C, in many cases in the range between between +10 and approximately +40°C.
The compound of formula (II) for different substitution patterns for R-i , R2 and R3 can be prepared by a skilled person by known methods.
A compound of formula (I) can be converted in a manner known per se into another compound of formula (I) by replacing one or more substituents of the starting compound of formula (I) in the customary manner by (an)other substituent(s) according to the invention.
Depending on the choice of the reaction conditions and starting materials which are suitable in each case, it is possible, for example, in one reaction step only to replace one substituent by another substituent according to the invention, or a plurality of substituents can be replaced by other substituents according to the invention in the same reaction step.
Salts of compounds of formula (I) can be prepared in a manner known per se. Thus, for example, acid addition salts of compounds of formula (I) are obtained by treatment with a suitable acid or a suitable ion exchanger reagent and salts with bases are obtained by treatment with a suitable base or with a suitable ion exchanger reagent. A salt is chosen depending on its tolerances for compound's use, such as agricultural or physiological tolerance.
Salts of compounds of formula (I) can be converted in the customary manner into the free compounds I, acid addition salts, for example, by treatment with a suitable basic compound or with a suitable ion exchanger reagent and salts with bases, for example, by treatment with a suitable acid or with a suitable ion exchanger reagent.
Salts of compounds of formula (I) can be converted in a manner known per se into other salts of compounds of formula (I), acid addition salts, for example, into other acid addition salts, for example by treatment of a salt of inorganic acid such as hydrochloride with a suitable metal salt such as a sodium, barium or silver salt, of an acid, for example with silver acetate, in a suitable solvent in which an inorganic salt which forms, for example silver chloride, is insoluble and thus precipitates from the reaction mixture.
Depending on the procedure or the reaction conditions, the compounds of formula (I), which have salt-forming properties can be obtained in free form or in the form of salts.
Racemate mixtures of compounds of formula (I), in free form or in salt form, which can be obtained depending on which starting materials and procedures have been chosen can be separated in a known manner into the pure enantiomers on the basis of the physicochemical differences of the components, for example by chromatography.
Enantiomer mixtures, such as racemates, which can be obtained in a similar manner can be resolved into the optical antipodes by known methods, for example by recrystallization from an optically active solvent, by chromatography on chiral adsorbents, for example high-performance liquid chromatography (HPLC) on acetyl celulose, with the aid of suitable microorganisms, by cleavage with specific, immobilized enzymes, via the formation of inclusion compounds, for example using chiral crown ethers, where only one enantiomer is complexed, for example by reacting a basic end-product racemate with an optically active acid, such as a carboxylic acid, for example camphor, tartaric or malic acid, or sulfonic acid, for example camphorsulfonic acid, and separating the diastereomer mixture which can be obtained in this manner, for example by fractional crystallization based on their differing solubilities, to give the diastereomers, from which the desired enantiomer can be set free by the action of suitable agents, for example basic agents. Pure enantiomers can be obtained according to the invention not only by separating suitable isomer mixtures, but also by generally known methods of enantioselective synthesis, for example by carrying out the process according to the invention with starting materials of a suitable stereochemistry.
N-oxides can be prepared by reacting a compound of the formula (I) with a suitable oxidizing agent, for example the H202/urea adduct in the presence of an acid anhydride, e.g. trifluoroacetic
anhydride. Such oxidations are known from the literature, for example from J. Med. Chem., 32 (12), 2561-73, 1989 or WO 00/15615 or C. White, Science, vol 318, p.783, 2007.
It can be advantageous to isolate or synthesize in each case the biologically more effective isomer, for example enantiomer, or isomer mixture, for example enantiomer mixture, if the individual components have a different biological activity.
The compounds of formula (I) and, where appropriate, the tautomers thereof, in each case in free form or in salt form, can, if appropriate, also be obtained in the form of hydrates and/or include other solvents, for example those which may have been used for the crystallization of compounds which are present in solid form.
The invention is further directed to intermediate compounds having formulae (V), (VI), (VII), which may be used in the preparation of the compounds of formula (I).
Accordingly, the present invention makes available:
a compound of formula (V)
wherein Het, A, R-i , R2 and R3 are as defined for formula (I) herein, as well as its acceptable salts, enantiomers, tautomers, and N-oxides;
a compound of formula (VI)
N H 2
wherein Het, A, R-i , R2 and R3 are as defined for formula (I) herein, as well as its acceptable salts, enantiomers, tautomers, and N-oxides; and
a compound of formula (VII)
N H 2
wherein Het, A, R-i , R2 and R3 are as defined for formula (I) herein, as well as its acceptable salts, enantiomers, tautomers, and N-oxides.
Examples of acceptable salts, enantiomers, tautomers, and N-oxides for compounds of formulae (V), (VI) and (VII) are those described above in connection with the compound of formula (I).
Specific examples of compounds of formula (I) are illustrated in the following Tables 1 to 152:
(I)
Each of Tables 1 to 152, which follows the Table A below, comprises 324 compounds of the formula (I) in which R-i , R2, R3, X and Y have the values given in each row in Table A, and Het and A have the values given in the relevant Tables 1 to 152. Thus for instance compound 1.001 corresponds to a compound of formula (I) where R-i , R2, R3, X and Y are as defined in row 1 of Table A and where Het and A is as defined in Table 1 ; compound 30.123 corresponds to a compound of formula (I) where R-i , R2, R3, X and Y are as defined in row 123 of Table A and where Het and A are as defined in Table 30. .
Table A:
Table 1
Table 1 provides 324 compounds of formula (I) wherein A is CH2, Het is 3-pyridyl and R-i , R2, R3, X and Y are as defined in Table A.
Table 2 provides 324 compounds of formula (I) wherein A is , Het is 3-pyridyl and R-i ,
R2, R3, X and Y are as defined in Table A.
Table 3
Table 3 provides 324 compounds of formula (I) wherein A is CH(F), Het is 3-pyridyl and R-i , R2, R3, X and Y are as defined in Table A.
Table 4
Table 4 provides 324 compounds of formula (I) wherein A is CF2, Het is 3-pyridyl and R-i , R2, R3, X and Y are as defined in Table A.
Table 5
Table 5 provides 324 compounds of formula (I) wherein A is CH(Br), Het is 3-pyridyl and R-i , R2, R3, X and Y are as defined in Table A.
Table 6
Table 6 provides 324 compounds of formula (I) wherein A is CH(Me), Het is 3-pyridyl and R-i , R2,
R3, X and Y are as defined in Table A.
Table 7
Table 7 provides 324 compounds of formula (I) wherein A is C=0, Het is 3-pyridyl and R-i , R2, R3, X and Y are as defined in Table A.
Table 8
Table 8 provides 324 compounds of formula (I) wherein A is C(Me)2, Het is 3-pyridyl and R-i , R2, R3, X and Y are as defined in Table A.
Table 9
Table 9 provides 324 compounds of formula (I) wherein A is CH2, Het is 6-chloro-3-pyridyl and R-i , R2, R3, X and Y are as defined in Table A.
Table 10
Table 10 provides 324 compounds of formula (I) wherein A is
, Het is 6-chloro-3-pyridyl and R-i , R2, R3, X and Y are as defined in Table A.
Table 11
Table 11 provides 324 compounds of formula (I) wherein A is CH(F), Het is 6-chloro-3-pyridyl and R-i , R2, R3, X and Y are as defined in Table A.
Table 12
Table 12 provides 324 compounds of formula (I) wherein A is CF2, Het is 6-chloro-3-pyridyl and R-i , R2, R3, X and Y are as defined in Table A.
Table 13
Table 13 provides 324 compounds of formula (I) wherein A is CH(Br), Het is 6-chloro-3-pyridyl and R-i , R2, R3, X and Y are as defined in Table A.
Table 14
Table 14 provides 324 compounds of formula (I) wherein A is CH(Me), Het is 6-chloro-3-pyridyl and R-i , R2, R3, X and Y are as defined in Table A.
Table 15
Table 15 provides 324 compounds of formula (I) wherein A is C=0, Het is 6-chloro-3-pyridyl and R-i , R2, R3, X and Y are as defined in Table A.
Table 16
Table 16 provides 324 compounds of formula (I) wherein A is C(Me)2, Het is 6-chloro-3-pyridyl and R-i , R2, R3, X and Y are as defined in Table A.
Table 17
Table 17 provides 324 compounds of formula (I) wherein A is CH2, Het is 6-fluoro-3-pyridyl and R-i , R2, R3, X and Y are as defined in Table A.
Table 18
Table 18 provides 324 compounds of formula (I) wherein A is
, Het is 6-fluoro-3-pyridyl and R-i , R2, R3, X and Y are as defined in Table A.
Table 19
Table 19 provides 324 compounds of formula (I) wherein A is CH(F), Het is 6-fluoro-3-pyridyl and R-i , R2, R3, X and Y are as defined in Table A.
Table 20
Table 20 provides 324 compounds of formula (I) wherein A is CF2, Het is 6-fluoro-3-pyridyl and R-i , R2, R3, X and Y are as defined in Table A.
Table 21
Table 21 provides 324 compounds of formula (I) wherein A is CH(Br), Het is 6-fluoro-3-pyridyl and R-i , R2, R3, X and Y are as defined in Table A.
Table 22
Table 22 provides 324 compounds of formula (I) wherein A is CH(Me), Het is 6-fluoro-3-pyridyl and R-i , R2, R3, X and Y are as defined in Table A.
Table 23
Table 23 provides 324 compounds of formula (I) wherein A is C=0, Het is 6-fluoro-3-pyridyl and R-i , R2, R3, X and Y are as defined in Table A.
Table 24
Table 24 provides 324 compounds of formula (I) wherein A is C(Me)2, Het is 6-fluoro-3-pyridyl and R-i , R2, R3, X and Y are as defined in Table A.
Table 25
Table 25 provides 324 compounds of formula (I) wherein A is CH2, Het is 6-bromo-3-pyridyl and R-i , R2, R3, X and Y are as defined in Table A.
Table 26 provides 324 compounds of formula (I) wherein A is , Het is 6-bromo-3-pyridyl and R-i , R2, R3, X and Y are as defined in Table A.
Table 27
Table 27 provides 324 compounds of formula (I) wherein A is CH(F), Het is 6-bromo-3-pyridyl and R-i , R2, R3, X and Y are as defined in Table A.
Table 28
Table 28 provides 324 compounds of formula (I) wherein A is CF2, Het is 6-bromo-3-pyridyl and R-i , R2, R3, X and Y are as defined in Table A.
Table 29
Table 29 provides 324 compounds of formula (I) wherein A is CH(Br), Het is 6-bromo-3-pyridyl and R-i , R2, R3, X and Y are as defined in Table A.
Table 30
Table 30 provides 324 compounds of formula (I) wherein A is CH(Me), Het is 6-bromo-3-pyridyl and R-i , R2, R3, X and Y are as defined in Table A.
Table 31
Table 31 provides 324 compounds of formula (I) wherein A is C=0, Het is 6-bromo-3-pyridyl and R-i , R2, R3, X and Y are as defined in Table A.
Table 32
Table 32 provides 324 compounds of formula (I) wherein A is C(Me)2, Het is 6-bromo-3-pyridyl and R-i , R2, R3, X and Y are as defined in Table A.
Table 33
Table 33 provides 324 compounds of formula (I) wherein A is CH2, Het is 2,6-dichloro-3-pyridyl and R-i , R2, R3, X and Y are as defined in Table A.
Table 34 provides 324 compounds of formula (I) wherein A is , Het is 2,6-dichloro-3- pyridyl and R-i , R2, R3, X and Y are as defined in Table A.
Table 35
Table 35 provides 324 compounds of formula (I) wherein A is CH(F), Het is 2,6-dichloro-3-pyridyl and R-i , R2, R3, X and Y are as defined in Table A.
Table 36
Table 36 provides 324 compounds of formula (I) wherein A is CF2, Het is 2,6-dichloro-3-pyridyl and R-i , R2, R3, X and Y are as defined in Table A.
Table 37
Table 37 provides 324 compounds of formula (I) wherein A is CH(Br), Het is 2,6-dichloro-3- pyridyl and R-i , R2, R3, X and Y are as defined in Table A.
Table 38
Table 38 provides 324 compounds of formula (I) wherein A is CH(Me), Het is 2,6-dichloro-3- pyridyl and R-i , R2, R3, X and Y are as defined in Table A.
Table 39
Table 39 provides 324 compounds of formula (I) wherein A is C=0, Het is 2,6-dichloro-3-pyridyl and R-i , R2, R3, X and Y are as defined in Table A.
Table 40
Table 40 provides 324 compounds of formula (I) wherein A is C(Me)2, Het is 2,6-dichloro-3- pyridyl and R-i , R2, R3, X and Y are as defined in Table A.
Table 41
Table 41 provides 324 compounds of formula (I) wherein A is CH2, Het is 5-bromo-3-pyridyl and R-i , R2, R3, X and Y are as defined in Table A.
Table 42 provides 324 compounds of formula (I) wherein A is , Het is 5-bromo-3-pyridyl and R-i , R2, R3, X and Y are as defined in Table A.
Table 43
Table 43 provides 324 compounds of formula (I) wherein A is CH(F), Het is 5-bromo-3-pyridyl and R-i , R2, R3, X and Y are as defined in Table A.
Table 44
Table 44 provides 324 compounds of formula (I) wherein A is CF2, Het is 5-bromo-3-pyridyl and R-i , R2, R3, X and Y are as defined in Table A.
Table 45
Table 45 provides 324 compounds of formula (I) wherein A is CH(Br), Het is 5-bromo-3-pyridyl and R-i , R2, R3, X and Y are as defined in Table A.
Table 46
Table 46 provides 324 compounds of formula (I) wherein A is CH(Me), Het is 5-bromo-3-pyridyl and R-i , R2, R3, X and Y are as defined in Table A.
Table 47
Table 47 provides 324 compounds of formula (I) wherein A is C=0, Het is 5-bromo-3-pyridyl and R-i , R2, R3, X and Y are as defined in Table A.
Table 48
Table 48 provides 324 compounds of formula (I) wherein A is C(Me)2, Het is 5-bromo-3-pyridyl and R-i , R2, R3, X and Y are as defined in Table A.
Table 49
Table 49 provides 324 compounds of formula (I) wherein A is CH2, Het is 4-bromo-3-pyridyl and R-i , R2, R3, X and Y are as defined in Table A.
Table 50 provides 324 compounds of formula (I) wherein A is , Het is 4-bromo-3-pyridyl and R-i , R2, R3, X and Y are as defined in Table A.
Table 51
Table 51 provides 324 compounds of formula (I) wherein A is CH(F), Het is 4-bromo-3-pyridyl and R-i , R2, R3, X and Y are as defined in Table A.
Table 52
Table 52 provides 324 compounds of formula (I) wherein A is CF2, Het is 4-bromo-3-pyridyl and R-i , R2, R3, X and Y are as defined in Table A.
Table 53
Table 53 provides 324 compounds of formula (I) wherein A is CH(Br), Het is 4-bromo-3-pyridyl and R-i , R2, R3, X and Y are as defined in Table A.
Table 54
Table 54 provides 324 compounds of formula (I) wherein A is CH(Me), Het is 4-bromo-3-pyridyl and R-i , R2, R3, X and Y are as defined in Table A.
Table 55
Table 55 provides 324 compounds of formula (I) wherein A is C=0, Het is 4-bromo-3-pyridyl and R-i , R2, R3, X and Y are as defined in Table A.
Table 56
Table 56 provides 324 compounds of formula (I) wherein A is C(Me)2, Het is 4-bromo-3-pyridyl and R-i , R2, R3, X and Y are as defined in Table A.
Table 57
Table 57 provides 324 compounds of formula (I) wherein A is CH2, Het is 4-bromo-2-chloro-3- pyridyl and R-i , R2, R3, X and Y are as defined in Table A.
Table 58 provides 324 compounds of formula (I) wherein A is , Het is 4-bromo-2-chloro-
3-pyridyl and R-i , R2, R3, X and Y are as defined in Table A.
Table 59
Table 59 provides 324 compounds of formula (I) wherein A is CH(F), Het is 4-bromo-2-chloro-3- pyridyl and R-i , R2, R3, X and Y are as defined in Table A.
Table 60
Table 60 provides 324 compounds of formula (I) wherein A is CF2, Het is 4-bromo-2-chloro-3- pyridyl and R-i , R2, R3, X and Y are as defined in Table A.
Table 61
Table 61 provides 324 compounds of formula (I) wherein A is CH(Br), Het is 4-bromo-2-chloro-3- pyridyl and R-i , R2, R3, X and Y are as defined in Table A.
Table 62
Table 62 provides 324 compounds of formula (I) wherein A is CH(Me), Het is 4-bromo-2-chloro- 3-pyridyl and R-i , R2, R3, X and Y are as defined in Table A.
Table 63
Table 63 provides 324 compounds of formula (I) wherein A is C=0, Het is 4-bromo-2-chloro-3- pyridyl and R-i , R2, R3, X and Y are as defined in Table A.
Table 64
Table 64 provides 324 compounds of formula (I) wherein A is C(Me)2, Het is 4-bromo-2-chloro-3- pyridyl and R-i , R2, R3, X and Y are as defined in Table A.
Table 65
Table 65 provides 324 compounds of formula (I) wherein A is CH2, Het is 5,6-dichloro-3-pyridyl and R-i , R2, R3, X and Y are as defined in Table A.
Table 66
Table 66 provides 324 compounds of formula (I) wherein A is
, Het is 5,6-dichloro-3- pyridyl and R-i , R2, R3, X and Y are as defined in Table A.
Table 67
Table 67 provides 324 compounds of formula (I) wherein A is CH(F), Het is 5,6-dichloro-3-pyridyl and R-i , R2, R3, X and Y are as defined in Table A.
Table 68
Table 68 provides 324 compounds of formula (I) wherein A is CF2, Het is 5,6-dichloro-3-pyridyl and R-i , R2, R3, X and Y are as defined in Table A.
Table 69
Table 69 provides 324 compounds of formula (I) wherein A is CH(Br), Het is 5,6-dichloro-3- pyridyl and R-i , R2, R3, X and Y are as defined in Table A.
Table 70
Table 70 provides 324 compounds of formula (I) wherein A is CH(Me), Het is 5,6-dichloro-3- pyridyl and R-i , R2, R3, X and Y are as defined in Table A.
Table 71
Table 71 provides 324 compounds of formula (I) wherein A is C=0, Het is 5,6-dichloro-3-pyridyl and R-i , R2, R3, X and Y are as defined in Table A.
Table 72
Table 72 provides 324 compounds of formula (I) wherein A is C(Me)2, Het is 5,6-dichloro-3- pyridyl and R-i , R2, R3, X and Y are as defined in Table A.
Table 73
Table 73 provides 324 compounds of formula (I) wherein A is CH2, Het is 5,6-difluoro-3-pyridyl and R-i , R2, R3, X and Y are as defined in Table A.
Table 74 provides 324 compounds of formula (I) wherein A is , Het is 5,6-difluoro-3- pyridyl and R-i , R2, R3, X and Y are as defined in Table A.
Table 75
Table 75 provides 324 compounds of formula (I) wherein A is CH(F), Het is 5,6-difluoro-3-pyridyl and R-i , R2, R3, X and Y are as defined in Table A.
Table 76
Table 76 provides 324 compounds of formula (I) wherein A is CF2, Het is 5,6-difluoro-3-pyridyl and R-i , R2, R3, X and Y are as defined in Table A.
Table 77
Table 77 provides 324 compounds of formula (I) wherein A is CH(Br), Het is 5,6-difluoro-3-pyridyl and R-i , R2, R3, X and Y are as defined in Table A.
Table 78
Table 78 provides 324 compounds of formula (I) wherein A is CH(Me), Het is 5,6-difluoro-3- pyridyl and R-i , R2, R3, X and Y are as defined in Table A.
Table 79
Table 79 provides 324 compounds of formula (I) wherein A is C=0, Het is 5,6-difluoro-3-pyridyl and R-i , R2, R3, X and Y are as defined in Table A.
Table 80
Table 80 provides 324 compounds of formula (I) wherein A is C(Me)2, Het is 5,6-difluoro-3-pyridyl and R-i , R2, R3, X and Y are as defined in Table A.
Table 81
Table 81 provides 324 compounds of formula (I) wherein A is CH2, Het is 2-chlorothiazol-5-yl and R-i , R2, R3, X and Y are as defined in Table A.
Table 82 provides 324 compounds of formula (I) wherein A is , Het is 2-chlorothiazol-5-yl and R-i , R2, R3, X and Y are as defined in Table A.
Table 83
Table 83 provides 324 compounds of formula (I) wherein A is CH(F), Het is 2-chlorothiazol-5-yl and R-i , R2, R3, X and Y are as defined in Table A.
Table 84
Table 84 provides 324 compounds of formula (I) wherein A is CF2, Het is 2-chlorothiazol-5-yl and R-i , R2, R3, X and Y are as defined in Table A.
Table 85
Table 85 provides 324 compounds of formula (I) wherein A is CH(Br), Het is 2-chlorothiazol-5-yl and R-i , R2, R3, X and Y are as defined in Table A.
Table 86
Table 86 provides 324 compounds of formula (I) wherein A is CH(Me), Het is 2-chlorothiazol-5-yl and R-i , R2, R3, X and Y are as defined in Table A.
Table 87
Table 87 provides 324 compounds of formula (I) wherein A is C=0, Het is 2-chlorothiazol-5-yl and R-i , R2, R3, X and Y are as defined in Table A.
Table 88
Table 88 provides 324 compounds of formula (I) wherein A is C(Me)2, Het is 2-chlorothiazol-5-yl and R-i , R2, R3, X and Y are as defined in Table A.
Table 89
Table 89 provides 324 compounds of formula (I) wherein A is CH2, Het is 6-(trifluoromethyl)-3- pyridyl and R-i , R2, R3, X and Y are as defined in Table A.
3-pyridyl and R-i , R2, R3, X and Y are as defined in Table A.
Table 91
Table 91 provides 324 compounds of formula (I) wherein A is CH(F), Het is 6-(trifluoromethyl)-3- pyridyl and R-i , R2, R3, X and Y are as defined in Table A.
Table 92
Table 92 provides 324 compounds of formula (I) wherein A is CF2, Het is 6-(trifluoromethyl)-3- pyridyl and R-i , R2, R3, X and Y are as defined in Table A.
Table 93
Table 93 provides 324 compounds of formula (I) wherein A is CH(Br), Het is 6-(trifluoromethyl)-3- pyridyl and R-i , R2, R3, X and Y are as defined in Table A.
Table 94
Table 94 provides 324 compounds of formula (I) wherein A is CH(Me), Het is 6-(trifluoromethyl)- 3-pyridyl and R-i , R2, R3, X and Y are as defined in Table A.
Table 95
Table 95 provides 324 compounds of formula (I) wherein A is C=0, Het is 6-(trifluoromethyl)-3- pyridyl and R-i , R2, R3, X and Y are as defined in Table A.
Table 96
Table 96 provides 324 compounds of formula (I) wherein A is C(Me)2, Het is 6-(trifluoromethyl)-3- pyridyl and R-i , R2, R3, X and Y are as defined in Table A.
Table 97
Table 97 provides 324 compounds of formula (I) wherein A is CH2, Het is 2-(trifluoromethyl)- thiazol-5-yl and R-i , R2, R3, X and Y are as defined in Table A.
Table 98
Table 98 provides 324 compounds of formula (I) wherein A is
, Het is 2-(trifluoromethyl)- thiazol-5-yl and R-i , R2, R3, X and Y are as defined in Table A.
Table 99
Table 99 provides 324 compounds of formula (I) wherein A is CH(F), Het is 2-(trifluoromethyl)- thiazol-5-yl and R-i , R2, R3, X and Y are as defined in Table A.
Table 100
Table 100 provides 324 compounds of formula (I) wherein A is CF2, Het is 2-(trifluoromethyl)- thiazol-5-yl and R-i , R2, R3, X and Y are as defined in Table A.
Table 101
Table 101 provides 324 compounds of formula (I) wherein A is CH(Br), Het is 2-(trifluoromethyl)- thiazol-5-yl and R-i , R2, R3, X and Y are as defined in Table A.
Table 102
Table 102 provides 324 compounds of formula (I) wherein A is CH(Me), Het is 2-(trifluoromethyl)- thiazol-5-yl and R-i , R2, R3, X and Y are as defined in Table A.
Table 103
Table 103 provides 324 compounds of formula (I) wherein A is C=0, Het is 2-(trifluoromethyl)- thiazol-5-yl and R-i , R2, R3, X and Y are as defined in Table A.
Table 104
Table 104 provides 324 compounds of formula (I) wherein A is C(Me)2, Het is 2-(trifluoromethyl)- thiazol-5-yl and R-i , R2, R3, X and Y are as defined in Table A.
Table 105
Table 105 provides 324 compounds of formula (I) wherein A is CH2, Het is tetrahydrofuran-3-yl and R-i , R2, R3, X and Y are as defined in Table A.
Table 106 provides 324 compounds of formula (I) wherein A is , Het is tetrahydrofuran-3- yl and R-i , R2, R3, X and Y are as defined in Table A.
Table 107
Table 107 provides 324 compounds of formula (I) wherein A is CH(F), Het is tetrahydrofuran-3-yl and R-i , R2, R3, X and Y are as defined in Table A.
Table 108
Table 108 provides 324 compounds of formula (I) wherein A is CF2, Het is tetrahydrofuran-3-yl and R-i , R2, R3, X and Y are as defined in Table A.
Table 109
Table 109 provides 324 compounds of formula (I) wherein A is CH(Br), Het is tetrahydrofuran-3- yl and R-i , R2, R3, X and Y are as defined in Table A.
Table 1 10
Table 1 10 provides 324 compounds of formula (I) wherein A is CH(Me), Het is tetrahydrofuran-3- yl and R-i , R2, R3, X and Y are as defined in Table A.
Table 1 1 1
Table 1 1 1 provides 324 compounds of formula (I) wherein A is C=0, Het is tetrahydrofuran-3-yl and R-i , R2, R3, X and Y are as defined in Table A.
Table 1 12
Table 1 12 provides 324 compounds of formula (I) wherein A is C(Me)2, Het is tetrahydrofuran-3- yl and R-i , R2, R3, X and Y are as defined in Table A.
Table 1 13
Table 1 13 provides 324 compounds of formula (I) wherein A is CH2, Het is 5-chloropyrazin-2-yl and R-i , R2, R3, X and Y are as defined in Table A.
, Het is 5-chloropyrazin-2-yl and R-i , R2, R3, X and Y are as defined in Table A.
Table 1 15
Table 1 15 provides 324 compounds of formula (I) wherein A is CH(F), Het is 5-chloropyrazin-2-yl and R-i , R2, R3, X and Y are as defined in Table A.
Table 1 16
Table 116 provides 324 compounds of formula (I) wherein A is CF2, Het is 5-chloropyrazin-2-yl and R-i , R2, R3, X and Y are as defined in Table A.
Table 1 17
Table 1 17 provides 324 compounds of formula (I) wherein A is CH(Br), Het is 5-chloropyrazin-2- yl and R-i , R2, R3, X and Y are as defined in Table A.
Table 1 18
Table 118 provides 324 compounds of formula (I) wherein A is CH(Me), Het is 5-chloropyrazin-2- yl and R-i , R2, R3, X and Y are as defined in Table A.
Table 1 19
Table 119 provides 324 compounds of formula (I) wherein A is C=0, Het is 5-chloropyrazin-2-yl and R-i , R2, R3, X and Y are as defined in Table A.
Table 120
Table 120 provides 324 compounds of formula (I) wherein A is C(Me)2, Het is 5-chloropyrazin-2- yl and R-i , R2, R3, X and Y are as defined in Table A.
Table 121
Table 121 provides 324 compounds of formula (I) wherein A is CH2, Het is 3-chloroisoxazol-5-yl and R-i , R2, R3, X and Y are as defined in Table A.
Table 122
, Het is 3-chloroisoxazol-5-yl and R-i , R2, R3, X and Y are as defined in Table A.
Table 123
Table 123 provides 324 compounds of formula (I) wherein A is CH(F), Het is 3-chloroisoxazol-5- yl and R-i , R2, R3, X and Y are as defined in Table A.
Table 124
Table 124 provides 324 compounds of formula (I) wherein A is CF2, Het is 3-chloroisoxazol-5-yl and R-i , R2, R3, X and Y are as defined in Table A.
Table 125
Table 125 provides 324 compounds of formula (I) wherein A is CH(Br), Het is 3-chloroisoxazol-5- yl and R-i , R2, R3, X and Y are as defined in Table A.
Table 126
Table 126 provides 324 compounds of formula (I) wherein A is CH(Me), Het is 3-chloroisoxazol- 5-yl and R-i , R2, R3, X and Y are as defined in Table A.
Table 127
Table 127 provides 324 compounds of formula (I) wherein A is C=0, Het is 3-chloroisoxazol-5-yl and R-i , R2, R3, X and Y are as defined in Table A.
Table 128
Table 128 provides 324 compounds of formula (I) wherein A is C(Me)2, Het is 3-chloroisoxazol-5- yl and R-i , R2, R3, X and Y are as defined in Table A.
Table 129
Table 129 provides 324 compounds of formula (I) wherein A is CH2, Het is 3,5-dimethylisoxazol- 4-yl and R-i , R2, R3, X and Y are as defined in Table A.
Table 130 provides 324 compounds of formula (I) wherein A is
, Het is 3,5-dimethylisoxazol-4-yl and R-i , R2, R3, X and Y are as defined in Table A.
Table 131
Table 131 provides 324 compounds of formula (I) wherein A is CH(F), Het is 3,5- dimethylisoxazol-4-yl and R-i , R2, R3, X and Y are as defined in Table A.
Table 132
Table 132 provides 324 compounds of formula (I) wherein A is CF2, Het is 3,5-dimethylisoxazol- 4-yl and R-i , R2, R3, X and Y are as defined in Table A.
Table 133
Table 133 provides 324 compounds of formula (I) wherein A is CH(Br), Het is 3,5- dimethylisoxazol-4-yl and R-i , R2, R3, X and Y are as defined in Table A.
Table 134
Table 134 provides 324 compounds of formula (I) wherein A is CH(Me), Het is 3,5- dimethylisoxazol-4-yl and R-i , R2, R3, X and Y are as defined in Table A.
Table 135
Table 135 provides 324 compounds of formula (I) wherein A is C=0, Het is 3,5-dimethylisoxazol- 4-yl and R-i , R2, R3, X and Y are as defined in Table A.
Table 136
Table 136 provides 324 compounds of formula (I) wherein A is C(Me)2, Het is 3,5- dimethylisoxazol-4-yl and R-i , R2, R3, X and Y are as defined in Table A.
Table 137
Table 137 provides 324 compounds of formula (I) wherein A is CH2, Het is isoxazol-4-yl and R-i , R2, R3, X and Y are as defined in Table A.
, Het is isoxazol-4-yl and R-i , R2, R3, X and Y are as defined in Table A.
Table 139
Table 139 provides 324 compounds of formula (I) wherein A is CH(F), Het is isoxazol-4-yl and R-i , R2, R3, X and Y are as defined in Table A.
Table 140
Table 140 provides 324 compounds of formula (I) wherein A is CF2, Het is isoxazol-4-yl and R-i , R2, R3, X and Y are as defined in Table A.
Table 141
Table 141 provides 324 compounds of formula (I) wherein A is CH(Br), Het is isoxazol-4-yl and R-i , R2, R3, X and Y are as defined in Table A.
Table 142
Table 142 provides 324 compounds of formula (I) wherein A is CH(Me), Het is isoxazol-4-yl and R-i , R2, R3, X and Y are as defined in Table A.
Table 143
Table 143 provides 324 compounds of formula (I) wherein A is C=0, Het is isoxazol-4-yl and R-i , R2, R3, X and Y are as defined in Table A.
Table 144
Table 144 provides 324 compounds of formula (I) wherein A is C(Me)2, Het is isoxazol-4-yl and R-i , R2, R3, X and Y are as defined in Table A.
Table 145
Table 145 provides 324 compounds of formula (I) wherein A is CH2, Het is pyrazin-2-yl and R-i , R2, R3, X and Y are as defined in Table A.
Table 146
, Het is pyrazin-2-yl and R-i , R2, R3, X and Y are as defined in Table A.
Table 147
Table 147 provides 324 compounds of formula (I) wherein A is CH(F), Het is pyrazin-2-yl and R-i , R2, R3, X and Y are as defined in Table A.
Table 148
Table 148 provides 324 compounds of formula (I) wherein A is CF2, Het is pyrazin-2-yl and R-i , R2, R3, X and Y are as defined in Table A.
Table 149
Table 149 provides 324 compounds of formula (I) wherein A is CH(Br), Het is pyrazin-2-yl and R-i , R2, R3, X and Y are as defined in Table A.
Table 150
Table 150 provides 324 compounds of formula (I) wherein A is CH(Me), Het is pyrazin-2-yl and R-i , R2, R3, X and Y are as defined in Table A.
Table 151
Table 151 provides 324 compounds of formula (I) wherein A is C=0, Het is pyrazin-2-yl and R-i , R2, R3, X and Y are as defined in Table A.
Table 152
Table 152 provides 324 compounds of formula (I) wherein A is C(Me)2, Het is pyrazin-2-yl and R-i , R2, R3, X and Y are as defined in Table A.
The present invention also makes available compounds for each formula (V), (VI); and (VII), with the substituents Het, A, R-i , R2 and R3 defined in any one of Tables 1 to 152.
Furthermore, the present invention makes available acceptable salts, enantiomers, tautomers, and N-oxides for the compounds of formula (I), (V), (VI); and (VII) as defined in each of Tables 1 to 152. A compound of formula (I) has been found to control the damage caused by a pest.
In an embodiment, a compound of formula (I) can be used in agriculture.
Accordingly, the invention is moreover directed to a method of controlling plant damage and/or plant yield loss caused by a pest which comprises applying to a pest, to a locus of a pest, or to a plant susceptible to attack by a pest or to a plant propagation material an effective amount of a compound of formula (I) with the exception of a method for treatment of the human or animal body by surgery or therapy and diagnostic methods practised on the human or animal body.
The compounds according to the invention can be used for controlling, i. e. containing or destroying, pests which occur in particular on plants, especially on useful plants and ornamentals in agriculture, in horticulture and in forests, or on organs, such as fruits, flowers, foliage, stalks, tubers, seeds or roots, of such plants, and in some cases even plant organs which are formed at a later point in time remain protected against these pests.
The compounds of formula (I) according to the invention are preventively and/or curatively valuable active ingredients in the field of pest control, even at low rates of application, which can be used against pesticide resistant pests, which compounds of formula (I) have a very favorable biocidal spectrum and are well tolerated by warm-blooded species, fish and plants.
The compounds according to the invention act against all or individual developmental stages of normally sensitive, but also resistant, animal pests, such as insects or representatives of the order Acarina. The insecticidal or acaricidal activity of the compounds according to the invention can manifest itself directly, i. e. in destruction of the pests, which takes place either immediately or only after some time has elapsed, for example during ecdysis, or indirectly, for example in a reduced oviposition and/or hatching rate. Examples of the above mentioned plant damaging pests are:
- from the order Acarina, for example,
Acalitus spp, Aculus spp, Acaricalus spp, Aceria spp, Acarus siro, Amblyomma spp., Argas spp., Boophilus spp., Brevipalpus spp., Bryobia spp, Calipitrimerus spp., Chorioptes spp., Dermanyssus gallinae, Dermatophagoides spp, Eotetranychus spp, Eriophyes spp., Hemitarsonemus spp, Hyalomma spp., Ixodes spp., Olygonychus spp, Ornithodoros spp., Polyphagotarsone latus, Panonychus spp., Phyllocoptruta oleivora, Phytonemus spp, Polyphagotarsonemus spp, Psoroptes spp., Rhipicephalus spp., Rhizoglyphus spp., Sarcoptes spp., Steneotarsonemus spp, Tarsonemus spp. and Tetranychus spp.;
- from the order Anoplura, for example,
Haematopinus spp., Linognathus spp., Pediculus spp., Pemphigus spp. and Phylloxera spp.;
- from the order Coleoptera, for example,
Agriotes spp., Amphimallon majale, Anomala orientalis, Anthonomus spp., Aphodius spp, Astylus atromaculatus, Ataenius spp, Atomaria linearis, Chaetocnema tibialis, Cerotoma spp, Conoderus spp, Cosmopolites spp., Cotinis nitida, Curculio spp., Cyclocephala spp, Dermestes spp., Diabrotica spp., Diloboderus abderus, Epilachna spp., Eremnus spp., Heteronychus arator, Hypothenemus hampei, Lagria vilosa, Leptinotarsa decern lineata, Lissorhoptrus spp., Liogenys spp, Maecolaspis spp, Maladera castanea, Megascelis spp, Melighetes aeneus, Melolontha spp., Myochrous armatus, Orycaephilus spp., Otiorhynchus spp., Phyllophaga spp, Phlyctinus spp., Popillia spp., Psylliodes spp., Rhyssomatus aubtilis, Rhizopertha spp., Scarabeidae, Sitophilus spp., Sitotroga spp., Somaticus spp, Sphenophorus spp, Sternechus subsignatus, Tenebrio spp., Tribolium spp. and Trogoderma spp.;
- from the order Diptera, for example,
Aedes spp., Anopheles spp, Antherigona soccata,Bactrocea oleae, Bibio hortulanus, Bradysia spp, Calliphora erythrocephala, Ceratitis spp., Chrysomyia spp., Culex spp., Cuterebra spp., Dacus spp., Delia spp, Drosophila melanogaster, Fannia spp., Gastrophilus spp., Geomyza tripunctata, Glossina spp., Hypoderma spp., Hyppobosca spp., Liriomyza spp., Lucilia spp., Melanagromyza spp., Musca spp., Oestrus spp., Orseolia spp., Oscinella frit, Pegomyia hyoscyami, Phorbia spp., Rhagoletis spp, Rivelia quadrifasciata, Scatella spp, Sciara spp., Stomoxys spp., Tabanus spp., Tannia spp. and Tipula spp.;
- from the order Hemiptera, for example,
Acanthocoris scabrator, Acrosternum spp, Adelphocoris lineolatus, Amblypelta nitida, Bathycoelia thalassina, Blissus spp, Cimex spp., Clavigralla tomentosicollis, Creontiades spp, Distantiella theobroma, Dichelops furcatus, Dysdercus spp., Edessa spp, Euschistus spp., Eurydema pulchrum, Eurygaster spp., Halyomorpha halys, Horcias nobilellus, Leptocorisa spp., Lygus spp, Margarodes spp, Murgantia histrionic, Neomegalotomus spp, Nesidiocoris tenuis, Nezara spp., Nysius simulans, Oebalus insularis, Piesma spp., Piezodorus spp, Rhodnius spp., Sahlbergella singularis, Scaptocoris castanea, Scotinophara spp., Thyanta spp , Triatoma spp., Vatiga illudens;
- from the order homoptera, for example,
Acyrthosium pisum, Adalges spp, Agalliana ensigera, Agonoscena targionii, Aleurodicus spp, Aleurocanthus spp, Aleurolobus barodensis, Aleurothrixus floccosus, Aleyrodes brassicae, Amarasca biguttula, Amritodus atkinsoni, Aonidiella spp., Aphididae, Aphis spp., Aspidiotus spp., Aulacorthum solani, Bactericera cockerelli, Bemisia spp, Brachycaudus spp, Brevicoryne brassicae, Cacopsylla spp, Cavariella aegopodii Scop., Ceroplaster spp., Chrysomphalus aonidium, Chrysomphalus dictyospermi, Cicadella spp, Cofana spectra, Cryptomyzus spp, Cicadulina spp, Coccus hesperidum, Dalbulus maidis, Dialeurodes spp, Diaphorina citri, Diuraphis noxia, Dysaphis spp, Empoasca spp., Eriosoma larigerum, Erythroneura spp., Gascardia spp., Glycaspis brimblecombei, Hyadaphis pseudobrassicae, Hyalopterus spp, Hyperomyzus pallidus, Idioscopus clypealis, Jacobiasca lybica, Laodelphax spp., Lecanium corni, Lepidosaphes spp., Lopaphis erysimi, Lyogenys maidis, Macrosiphum spp., Mahanarva spp, Metcalfa pruinosa, Metopolophium dirhodum, Myndus crudus, Myzus spp., Neotoxoptera sp, Nephotettix spp., Nilaparvata spp., Nippolachnus piri Mats, Odonaspis ruthae, Oregma lanigera Zehnter, Parabemisia myricae, Paratrioza cockerelli, Parlatoria spp., Pemphigus spp., Peregrinus maidis, Perkinsiella spp, Phorodon humuli, Phylloxera spp, Planococcus spp., Pseudaulacaspis spp., Pseudococcus spp., Pseudatomoscelis seriatus, Psylla spp., Pulvinaria aethiopica, Quadraspidiotus spp., Quesada gigas, Recilia dorsalis, Rhopalosiphum spp., Saissetia spp., Scaphoideus spp., Schizaphis spp., Sitobion spp., Sogatella furcifera, Spissistilus festinus, Tarophagus Proserpina, Toxoptera spp, Trialeurodes spp, Tridiscus sporoboli, Trionymus spp, Trioza erytreae , Unaspis citri, Zygina flammigera, Zyginidia scutellaris, ;
- from the order Hymenoptera, for example,
Acromyrmex, Arge spp, Atta spp., Cephus spp., Diprion spp., Diprionidae, Gilpinia polytoma, Hoplo- campa spp., Lasius spp., Monomorium pharaonis, Neodiprion spp., Pogonomyrmex spp, Slenopsis invicta, Solenopsis spp. and Vespa spp.;
- from the order Isoptera, for example,
Coptotermes spp, Corniternes cumulans, Incisitermes spp, Macrotermes spp, Mastotermes spp, Microtermes spp, Reticulitermes spp.; Solenopsis geminate
- from the order Lepidoptera, for example,
Acleris spp., Adoxophyes spp., Aegeria spp., Agrotis spp., Alabama argillaceae, Amylois spp., Anticarsia gemmatalis, Archips spp., Argyresthia spp, Argyrotaenia spp., Autographa spp., Bucculatrix thurberiella, Busseola fusca, Cadra cautella, Carposina nipponensis, Chilo spp., Choristoneura spp., Chrysoteuchia topiaria, Clysia ambiguella, Cnaphalocrocis spp., Cnephasia spp., Cochylis spp., Coleophora spp., Colias lesbia, Cosmophila flava, Crambus spp, Crocidolomia binotalis, Cryptophlebia leucotreta, Cydalima perspectalis, Cydia spp., Diaphania perspectalis, Diatraea spp., Diparopsis castanea, Earias spp., Eldana saccharina, Ephestia spp., Epinotia spp, Estigmene acrea, Etiella zinckinella, Eucosma spp., Eupoecilia ambiguella, Euproctis spp., Euxoa spp., Feltia jaculiferia, Grapholita spp., Hedya nubiferana, Heliothis spp., Hellula undalis, Herpetogramma spp, Hyphantria cunea, Keiferia lycopersicella, Lasmopalpus lignosellus, Leucoptera scitella, Lithocollethis spp., Lobesia botrana, Loxostege bifidalis, Lymantria spp., Ly-
onetia spp., Malacosoma spp., Mamestra brassicae, Manduca sexta, Mythimna spp, Noctua spp, Operophtera spp., Orniodes indica, Ostrinia nubilalis, Pammene spp., Pandemis spp., Panolis flammea, Papaipema nebris, Pectinophora gossypiela, Perileucoptera coffeella, Pseudaletia unipuncta, Phthorimaea operculella, Pieris rapae, Pieris spp., Plutella xylostella, Prays spp., Pseudoplusia spp, Rachiplusia nu, Richia albicosta, Scirpophaga spp., Sesamia spp., Sparganothis spp., Spodoptera spp., Sylepta derogate, Synanthedon spp., Thaumetopoea spp., Tortrix spp., Trichoplusia ni , Tuta absoluta, and Yponomeuta spp.;
- from the order Mallophaga, for example,
Damalinea spp. and Trichodectes spp.;
- from the order Orthoptera, for example,
Blatta spp., Blattella spp., Gryllotalpa spp., Leucophaea maderae, Locusta spp., Neocurtilla hexadactyla, Periplaneta spp. , Scapteriscus spp, and Schistocerca spp.;
- from the order Psocoptera, for example,
Liposcelis spp.;
- from the order Siphonaptera, for example,
Ceratophyllus spp., Ctenocephalides spp. and Xenopsylla cheopis;
- from the order Thysanoptera, for example,
Calliothrips phaseoli, Frankliniella spp., Heliothrips spp, Hercinothrips spp., Parthenothrips spp, Scirtothrips aurantii, Sericothrips variabilis, Taeniothrips spp., Thrips spp;
- from the order Thysanura, for example,
Lepisma saccharina.
In a further aspect, the invention may also relate to a method of controlling damage to plant and parts thereof by plant parasitic nematodes (Endoparasitic-, Semiendoparasitic- and Ectoparasitic nematodes), especially plant parasitic nematodes such as root knot nematodes, Meloidogyne hapla, Meloidogyne incognita, Meloidogyne javanica, Meloidogyne arenaria and other Meloidogyne species; cyst-forming nematodes, Globodera rostochiensis and other Globodera species; Heterodera avenae, Heterodera glycines, Heterodera schachtii, Heterodera trifolii, and other Heterodera species; Seed gall nematodes, Anguina species; Stem and foliar nematodes, Aphelenchoides species; Sting nematodes, Belonolaimus longicaudatus and other Belonolaimus species; Pine nematodes, Bursaphelenchus xylophilus and other Bursaphelenchus species; Ring nematodes, Criconema species, Criconemella species, Criconemoides species, Mesocriconema species; Stem and bulb nematodes, Ditylenchus destructor, Ditylenchus dipsaci and other Ditylenchus species; Awl nematodes, Dolichodorus species; Spiral nematodes, Heliocotylenchus multicinctus and other Helicotylenchus species; Sheath and sheathoid nematodes, Hemicycliophora species and Hemicriconemoides species; Hirshmanniella species; Lance nematodes, Hoploaimus species; false rootknot nematodes, Nacobbus species; Needle nematodes, Longidorus elongatus and other Longidorus species; Pin nematodes, Pratylenchus species; Lesion nematodes, Pratylenchus neglectus, Pratylenchus penetrans, Pratylenchus curvitatus, Pratylenchus goodeyi
and other Pratylenchus species; Burrowing nematodes, Radopholus similis and other Radopholus species; Reniform nematodes, Rotylenchus robustus, Rotylenchus reniformis and other Rotylenchus species; Scutellonema species; Stubby root nematodes, Trichodorus primitivus and other Trichodorus species, Paratrichodorus species; Stunt nematodes, Tylenchorhynchus claytoni, Tylenchorhynchus dubius and other Tylenchorhynchus species; Citrus nematodes, Tylenchulus species; Dagger nematodes, Xiphinema species; and other plant parasitic nematode species, such as Subanguina spp., Hypsoperine spp., Macroposthonia spp., Melinius spp., Punctodera spp., and Quinisulcius spp..
The compounds of the invention may also have activity against the molluscs. Examples of which include, for example, Ampullariidae; Arion (A. ater, A. circumscriptus, A. hortensis, A. rufus); Bradybaenidae (Bradybaena fruticum); Cepaea (C. hortensis, C. Nemoralis); ochlodina; Deroceras (D. agrestis, D. empiricorum, D. laeve, D. reticulatum); Discus (D. rotundatus); Euomphalia; Galba (G. trunculata); Helicelia (H. itala, H. obvia); Helicidae Helicigona arbustorum); Helicodiscus; Helix (H. aperta); Limax (L. cinereoniger, L. flavus, L. marginatus, L. maximus, L. tenellus); Lymnaea; Milax (M. gagates, M. marginatus, M. sowerbyi); Opeas; Pomacea (P. canaticulata); Vallonia and Zanitoides.
The compounds of the invention may also have activity against soil-inhabiting pests, particularly those damage a crop below the soil, such as roots and seeds. Control of such pests in the early stages of plant development can be an advantage in the growth of the plant. For example, the compositions of formula (I) can be formulated to target representative of the class Insecta, representatives of the order Acarnia and plant parasitic nematodes, examples of which include:
- from the order Acarina, for example, Rhizoglyphus spp.,
- from the order Coleoptera, for example, Agriotes spp., Amphimallon majale, Anomala orientalis, , Aphodius spp., Ataenius spp., Atomaria linearis, Conoderus spp., Cosmopolites spp., Cotinis nitida, Cyclocephala spp., Diabrotica spp., Lissorhoptrus spp., Liogenys spp, Maladera castanea, Melolontha spp., Otiorhynchus spp., Phyllophaga spp, Popillia spp., Scarabeidae spp., Somaticus spp, Sphenophorus spp, , Bibio hortulanus, Bradysia spp., Delia spp., , Phorbia spp., Scatella spp, Tipula spp.;
- from the order Hemiptera, for example, , Blissus spp, , Margarodes spp, , Scaptocoris castanea; - from the order homoptera, for example, Mahanarva spp., Phylloxera spp., Pseudococcus spp., - from the order Isoptera, for example, Ancistrotermes spp., Coptotermes spp., Cornitermes cumulans, Hodotermes spp., Incisitermes spp., Macrotermes spp., Mastotermes spp., Microtermes spp., Neotermes spp., Odontotermes spp., Porotermes spp., Postelectrotermes spp., Pseudoacanthotermes spp., Reticulitermes spp., Trinervitermes spp.;
- from the order Lepidoptera, for example, Agrotis spp., Euxoa spp., Phthorimaea operculella, Sitotroga spp.;
- from the order Orthoptera, for example, Gryllotalpa spp., Neocurtilla hexadactyla, Scapteriscus spp,; and
- from nematodes, for example, as root knot nematodes, Meloidogyne hapla, Meloidogyne incognita, Meloidogyne javanica, Meloidogyne arenaria and other Meloidogyne species; cyst- forming nematodes, Globodera rostochiensis and other Globodera species, Heterodera avenae, Heterodera glycines, Heterodera schachtii, Heterodera trifolii, and other Heterodera species; Seed gall nematodes, Anguina species; Sting nematodes, Belonolaimus longicaudatus and other Belonolaimus species, Ibipora lolii; Ring nematodes, Criconema species, Criconemella species, Criconemoides species, Mesocriconema species; Awl nematodes, Dolichodorus species; Spiral nematodes, Heliocotylenchus multicinctus and other Helicotylenchus species; Sheath and sheathoid nematodes, Hemicycliophora species and Hemicriconemoides species; Hirshmanniella species; Lance nematodes, Hoplolaimus species; false root knot nematodes, Nacobbus species; Needle nematodes, Longidorus elongatus and other Longidorus species; Pin nematodes, Pratylenchus species; Lesion nematodes, Pratylenchus neglectus, Pratylenchus penetrans, Pratylenchus curvitatus, Pratylenchus goodeyi and other Pratylenchus species; Burrowing nematodes, Radopholus similis and other Radopholus species; Reniform nematodes, Rotylenchus robustus, Rotylenchus reniformis and other Rotylenchus species; Scutellonema species; Stubby root nematodes, Trichodorus primitivus and other Trichodorus species, Paratrichodorus species; Stunt nematodes, Tylenchorhynchus claytoni, Tylenchorhynchus dubius and other Tylenchorhynchus species; Citrus nematodes, Tylenchulus species; Dagger nematodes, Xiphinema species; and other plant parasitic nematode species, such as Subanguina spp., Hypsoperine spp., Macroposthonia spp., Melinius spp., Punctodera spp., and Quinisulcius spp..
The present invention also provides a method for controlling pests (such as mosquitoes and other disease vectors; see also http://www.who.int malaria/vector_control/irs/en/). In one embodiment, the method for controlling pests comprises applying the compositions of the invention to the target pests, to their locus or to a surface or substrate by brushing, rolling, spraying, spreading or dipping. By way of example, an IRS (indoor residual spraying) application of a surface such as a wall, ceiling or floor surface is contemplated by the method of the invention. In another embodiment, it is contemplated to apply such compositions to a substrate such as non-woven or a fabric material in the form of (or which can be used in the manufacture of) netting, clothing, bedding, curtains and tents.
In one embodiment, the method for controlling such pests comprises applying a pesticidally effective amount of the compositions of the invention to the target pests, to their locus, or to a surface or substrate so as to provide effective residual pesticidal activity on the surface or substrate. Such application may be made by brushing, rolling, spraying, spreading or dipping the pesticidal composition of the invention. By way of example, an IRS application of a surface such as a wall, ceiling or floor surface is contemplated by the method of the invention so as to provide effective residual pesticidal activity on the surface. In another embodiment, it is contemplated to apply such
compositions for residual control of pests on a substrate such as a fabric material in the form of (or which can be used in the manufacture of) netting, clothing, bedding, curtains and tents.
Substrates including non-woven, fabrics or netting to be treated may be made of natural fibres such as cotton, raffia, jute, flax, sisal, hessian, or wool, or synthetic fibres such as polyamide, polyester, polypropylene, polyacrylonitrile or the like. The polyesters are particularly suitable. The methods of textile treatment are known, e.g. WO 2008/151984, WO 2003/034823, US 5631072, WO
2005/64072, WO2006/128870,EP 1724392, WO20051 13886 or WO 2007/090739.
Further areas of use of the compositions according to the invention are the field of tree
injection/trunk treatment for all ornamental trees as well all sort of fruit and nut trees.
In the field of tree injection/trunk treatment, the compounds according to the present invention are especially suitable against wood-boring insects from the order Lepidoptera as mentioned above and from the order Coleoptera, especially against woodborers listed in the following tables A and B:
Table A. Examples of exotic woodborers of economic importance.
Table B. Examples of native woodborers of economic importance.
Family Species Host or Crop Infested
Agrilus anxius Birch
Agrilus politus Willow, Maple
Agrilus sayi Bayberry, Sweetfern
Buprestidae
Agrilus vittaticolllis Apple, Pear, Cranberry,
Serviceberry, Hawthorn
Chrysobothris femorata Apple, Apricot, Beech, Boxelder,
Family Species Host or Crop Infested
Cherry, Chestnut, Currant, Elm, Hawthorn, Hackberry, Hickory, Horsechestnut, Linden, Maple, Mountain-ash, Oak, Pecan, Pear, Peach, Persimmon, Plum, Poplar, Quince, Redbud, Serviceberry, Sycamore, Walnut, Willow
Texania campestris Basswood, Beech, Maple, Oak,
Sycamore, Willow, Yellow-poplar
Goes pulverulentus Beech, Elm, Nuttall, Willow, Black oak, Cherrybark oak, Water oak, Sycamore
Goes tigrinus Oak
Neoclytus acuminatus Ash, Hickory, Oak, Walnut, Birch,
Beech, Maple, Eastern
hophornbeam, Dogwood,
Persimmon, Redbud, Holly, Hackberry, Black locust,
Honeylocust, Yellow-poplar, Chestnut, Osage-orange, Sassafras,
Cerambycidae Lilac, Mountain-mahogany, Pear,
Cherry, Plum, Peach, Apple, Elm, Basswood, Sweetgum
Neoptychodes trilineatus Fig, Alder, Mulberry, Willow, Netleaf hackberry
Oberea ocellata Sumac, Apple, Peach, Plum, Pear,
Currant, Blackberry
Oberea tripunctata Dogwood, Viburnum, Elm,
Sourwood, Blueberry,
Rhododendron, Azalea, Laurel, Poplar, Willow, Mulberry
Family Species Host or Crop Infested
Oncideres cingulata Hickory, Pecan, Persimmon, Elm,
Sourwood, Basswood, Honeylocust, Dogwood, Eucalyptus, Oak, Hackberry, Maple, Fruit trees
Saperda calcarata Poplar
Strophiona nitens Chestnut, Oak, Hickory, Walnut,
Beech, Maple
Corthylus columbianus Maple, Oak, Yellow-poplar, Beech,
Boxelder, Sycamore, Birch, Basswood, Chestnut, Elm
Dendroctonus frontalis Pine
Dryocoetes betulae Birch, Sweetgum, Wild cherry,
Beech, Pear
Scolytidae Monarthrum fasciatum Oak, Maple, Birch, Chestnut,
Sweetgum, Blackgum, Poplar, Hickory, Mimosa, Apple, Peach, Pine
Phloeotribus liminaris Peach, Cherry, Plum, Black cherry,
Elm, Mulberry, Mountain-ash
Pseudopityophthorus pruinosus Oak, American beech, Black cherry,
Chickasaw plum, Chestnut, Maple, Hickory, Hornbeam, Hophornbeam
Paranthrene simulans Oak, American chestnut
Sannina uroceriformis Persimmon
Synanthedon exitiosa Peach, Plum, Nectarine, Cherry,
Sesiidae Apricot, Almond, Black cherry
Synanthedon pictipes Peach, Plum, Cherry, Beach, Black
Cherry
Synanthedon rubrofascia Tupelo
Family Species Host or Crop Infested
Synanthedon scitula Dogwood, Pecan, Hickory, Oak,
Chestnut, Beech, Birch, Black cherry,
Elm, Mountain-ash, Viburnum,
Willow, Apple, Loquat, Ninebark,
Bayberry
Vitacea polistiformis Grape
Compounds of this invention can be effective for controlling one or more of nematode, insect, acarid pests and/or fungal pathogens of agronomic plants, both growing and harvested, when employed alone, they may also be used in combination with other biological active agents used in agriculture, such as one or more nematicides, insecticides, acaricides, fungicides, bactericides, plant activator, molluscicide, and pheromones (whether chemical or biological). Mixing the compounds of the invention or the compositions thereof in the use form as pesticides with other pesticides frequently results in a broader pesticidal spectrum of action. For example, the formula (I) compounds of this invention may be used effectively in conjunction or combination with pyrethroids, neonicotinoids, macrolides, diamides, phosphates, carbamates, cyclodienes, formamidines, phenol tin compounds, chlorinated hydrocarbons, benzoylphenyl ureas, pyrroles and the like.
The activity of the compositions according to the invention can be broadened considerably, and adapted to prevailing circumstances, by adding, for example, one or more insecticidally, acaricidally, nematicidally and/or fungicidally active agents. The combinations compounds of formula (I) with other insecticidally, acaricidally, nematicidally and/or fungicidally active agents may also have further surprising advantages which can also be described, in a wider sense, as synergistic activity. For example, better tolerance by plants, reduced phytotoxicity, pests or fungi can be controlled in their different development stages or better behaviour during their production, for example during grinding or mixing, during their storage or during their use.
The following list of pesticides together with which the compounds according to the invention can be used, is intended to illustrate the possible combinations by way of example.
The following combination of the compounds of formula (I) with another active compounds are preferred (the abbreviation "TX" means one compound selected from the compounds described in Tables 1 to 152, especially a compound described in Table P:
an adjuvant selected from the group of substances consisting of petroleum oils (alternative name) (628) + TX,
an acaricide selected from the group of substances consisting of 1 , 1-bis(4-chlorophenyl)-2- ethoxyethanol (lUPAC name) (910) + TX, 2,4-dichlorophenyl benzenesulfonate (lUPAC/Chemical Abstracts name) (1059) + TX, 2-fluoro-A/-methyl-A/-1-naphthylacetamide (lUPAC name) (1295) + TX, 4-chlorophenyl phenyl sulfone (lUPAC name) (981 ) + TX, abamectin (1 ) + TX, acequinocyl (3) + TX, acetoprole [CCN] + TX, acrinathrin (9) + TX, aldicarb (16) + TX, aldoxycarb (863) + TX, alpha-cypermethrin (202) + TX, amidithion (870) + TX, amidoflumet [CCN] + TX, amidothioate (872) + TX, amiton (875) + TX, amiton hydrogen oxalate (875) + TX, amitraz (24) + TX, aramite (881 ) + TX, arsenous oxide (882) + TX, AVI 382 (compound code) + TX, AZ 60541 (compound code) + TX, azinphos-ethyl (44) + TX, azinphos-methyl (45) + TX, azobenzene (lUPAC name) (888) + TX, azocyclotin (46) + TX, azothoate (889) + TX, benomyl (62) + TX, benoxafos (alternative name) [CCN] + TX, benzoximate (71 ) + TX, benzyl benzoate (lUPAC name) [CCN] + TX, bifenazate (74) + TX, bifenthrin (76) + TX, binapacryl (907) + TX, brofenvalerate (alternative name) + TX, bromocyclen (918) + TX, bromophos (920) + TX, bromophos-ethyl (921 ) + TX, bromopropylate (94) + TX, buprofezin (99) + TX, butocarboxim (103) + TX, butoxycarboxim (104) + TX, butylpyridaben (alternative name) + TX, calcium polysulfide (lUPAC name) (1 1 1 ) + TX, camphechlor (941 ) + TX, carbanolate (943) + TX, carbaryl (1 15) + TX, carbofuran (1 18) + TX, carbophenothion (947) + TX, CGA 50'439 (development code) (125) + TX, chinomethionat (126) + TX, chlorbenside (959) + TX, chlordimeform (964) + TX, chlordimeform hydrochloride (964) + TX, chlorfenapyr (130) + TX, chlorfenethol (968) + TX, chlorfenson (970) + TX, chlorfensulphide (971 ) + TX, chlorfenvinphos (131 ) + TX, chlorobenzilate (975) + TX, chloromebuform (977) + TX, chloromethiuron (978) + TX, chloropropylate (983) + TX, chlorpyrifos (145) + TX, chlorpyrifos-methyl (146) + TX, chlorthiophos (994) + TX, cinerin I (696) + TX, cinerin II (696) + TX, cinerins (696) + TX, clofentezine (158) + TX, closantel (alternative name) [CCN] + TX, coumaphos (174) + TX, crotamiton (alternative name) [CCN] + TX, crotoxyphos (1010) + TX, cufraneb (1013) + TX, cyanthoate (1020) + TX, cyflumetofen (CAS Reg. No.: 400882-07-7) + TX, cyhalothrin (196) + TX, cyhexatin (199) + TX, cycloxaprid + TX, cypermethrin (201 ) + TX, DCPM (1032) + TX, DDT (219) + TX, demephion (1037) + TX, demephion-0 (1037) + TX, demephion-S (1037) + TX, demeton (1038) + TX, demeton-methyl (224) + TX, demeton-0 (1038) + TX, demeton-O- methyl (224) + TX, demeton-S (1038) + TX, demeton-S-methyl (224) + TX, demeton-S- methylsulphon (1039) + TX, diafenthiuron (226) + TX, dialifos (1042) + TX, diazinon (227) + TX, dichlofluanid (230) + TX, dichlorvos (236) + TX, dicliphos (alternative name) + TX, dicofol (242) + TX, dicrotophos (243) + TX, dienochlor (1071 ) + TX, dimefox (1081 ) + TX, dimethoate (262) + TX, dinactin (alternative name) (653) + TX, dinex (1089) + TX, dinex-diclexine (1089) + TX, dinobuton (269) + TX, dinocap (270) + TX, dinocap-4 [CCN] + TX, dinocap-6 [CCN] + TX, dinocton (1090) + TX, dinopenton (1092) + TX, dinosulfon (1097) + TX, dinoterbon (1098) + TX, dioxathion (1 102) + TX, diphenyl sulfone (lUPAC name) (1 103) + TX, disulfiram (alternative name) [CCN] + TX, disulfoton (278) + TX, DNOC (282) + TX, dofenapyn (1 1 13) + TX, doramectin (alternative name) [CCN] + TX, endosulfan (294) + TX, endothion (1 121 ) + TX, EPN
(297) + TX, eprinomectin (alternative name) [CCN] + TX, ethion (309) + TX, ethoate-m ethyl (1 134) + TX, etoxazole (320) + TX, etrimfos (1 142) + TX, fenazaflor (1 147) + TX, fenazaquin (328) + TX, fenbutatin oxide (330) + TX, fenothiocarb (337) + TX, fenpropathrin (342) + TX, fenpyrad (alternative name) + TX, fenpyroximate (345) + TX, fenson (1 157) + TX, fentrifanil (1 161 ) + TX, fenvalerate (349) + TX, fipronil (354) + TX, fluacrypyrim (360) + TX, fluazuron (1 166) + TX, flubenzimine (1 167) + TX, flucycloxuron (366) + TX, flucythrinate (367) + TX, fluenetil (1 169) + TX, flufenoxuron (370) + TX, flumethrin (372) + TX, fluorbenside (1 174) + TX, flupyradifurone + TX, fluvalinate (1 184) + TX, FMC 1 137 (development code) (1 185) + TX, formetanate (405) + TX, formetanate hydrochloride (405) + TX, formothion (1 192) + TX, formparanate (1 193) + TX, gamma-HCH (430) + TX, glyodin (1205) + TX, guadipyr + TX, halfenprox (424) + TX, heptenophos (432) + TX, hexadecyl cyclopropanecarboxylate (lUPAC/Chemical Abstracts name) (1216) + TX, hexythiazox (441 ) + TX, iodomethane (lUPAC name) (542) + TX, isocarbophos (alternative name) (473) + TX, isopropyl 0- (methoxyaminothiophosphoryl)salicylate (lUPAC name) (473) + TX, ivermectin (alternative name) [CCN] + TX, jasmolin I (696) + TX, jasmolin II (696) + TX, jodfenphos (1248) + TX, lindane (430) + TX, lufenuron (490) + TX, malathion (492) + TX, malonoben (1254) + TX, mecarbam (502) + TX, mephosfolan (1261 ) + TX, mesulfen (alternative name) [CCN] + TX, methacrifos (1266) + TX, methamidophos (527) + TX, methidathion (529) + TX, methiocarb (530) + TX, methomyl (531 ) + TX, methyl bromide (537) + TX, metolcarb (550) + TX, mevinphos (556) + TX, mexacarbate (1290) + TX, milbemectin (557) + TX, milbemycin oxime (alternative name) [CCN] + TX, mipafox (1293) + TX, monocrotophos (561 ) + TX, morphothion (1300) + TX, moxidectin (alternative name) [CCN] + TX, naled (567) + TX, NC-184 (compound code) + TX, NC-512 (compound code) + TX, nifluridide (1309) + TX, nikkomycins (alternative name) [CCN] + TX, nitrilacarb (1313) + TX, nitrilacarb 1 : 1 zinc chloride complex (1313) + TX, NNI-0101 (compound code) + TX, NNI-0250 (compound code) + TX, omethoate (594) + TX, oxamyl (602) + TX, oxydeprofos (1324) + TX, oxydisulfoton (1325) + TX, pp'-DDT (219) + TX, parathion (615) + TX, permethrin (626) + TX, petroleum oils (alternative name) (628) + TX, phenkapton (1330) + TX, phenthoate (631 ) + TX, phorate (636) + TX, phosalone (637) + TX, phosfolan (1338) + TX, phosmet (638) + TX, phosphamidon (639) + TX, phoxim (642) + TX, pirimiphos-methyl (652) + TX, polychloroterpenes (traditional name) (1347) + TX, polynactins (alternative name) (653) + TX, proclonol (1350) + TX, profenofos (662) + TX, promacyl (1354) + TX, propargite (671 ) + TX, propetamphos (673) + TX, propoxur (678) + TX, prothidathion (1360) + TX, prothoate (1362) + TX, pyrethrin I (696) + TX, pyrethrin II (696) + TX, pyrethrins (696) + TX, pyridaben (699) + TX, pyridaphenthion (701 ) + TX, pyrimidifen (706) + TX, pyrimitate (1370) + TX, quinalphos (71 1 ) + TX, quintiofos (1381 ) + TX, R-1492 (development code) (1382) + TX, RA-17 (development code) (1383) + TX, rotenone (722) + TX, schradan (1389) + TX, sebufos (alternative name) + TX, selamectin (alternative name) [CCN] + TX, SI-0009 (compound code) + TX, sophamide (1402) + TX, spirodiclofen (738) + TX, spiromesifen (739) + TX, SSI-121 (development code) (1404) + TX, sulfiram (alternative name) [CCN] + TX, sulfluramid (750) + TX,
sulfotep (753) + TX, sulphur (754) + TX, SZI-121 (development code) (757) + TX, tau-fluvalinate (398) + TX, tebufenpyrad (763) + TX, TEPP (1417) + TX, terbam (alternative name) + TX, tetrachlorvinphos (777) + TX, tetradifon (786) + TX, tetranactin (alternative name) (653) + TX, tetrasul (1425) + TX, thiafenox (alternative name) + TX, thiocarboxime (1431 ) + TX, thiofanox (800) + TX, thiometon (801 ) + TX, thioquinox (1436) + TX, thuringiensin (alternative name) [CCN] + TX, triamiphos (1441 ) + TX, triarathene (1443) + TX, triazophos (820) + TX, triazuron (alternative name) + TX, trichlorfon (824) + TX, trifenofos (1455) + TX, trinactin (alternative name) (653) + TX, vamidothion (847) + TX, vaniliprole [CCN] and YI-5302 (compound code) + TX,
an algicide selected from the group of substances consisting of bethoxazin [CCN] + TX, copper dioctanoate (lUPAC name) (170) + TX, copper sulfate (172) + TX, cybutryne [CCN] + TX, dichlone (1052) + TX, dichlorophen (232) + TX, endothal (295) + TX, fentin (347) + TX, hydrated lime [CCN] + TX, nabam (566) + TX, quinoclamine (714) + TX, quinonamid (1379) + TX, simazine (730) + TX, triphenyltin acetate (lUPAC name) (347) and triphenyltin hydroxide (lUPAC name) (347) + TX,
an anthelmintic selected from the group of substances consisting of abamectin (1 ) + TX, crufomate (101 1 ) + TX, doramectin (alternative name) [CCN] + TX, emamectin (291 ) + TX, emamectin benzoate (291 ) + TX, eprinomectin (alternative name) [CCN] + TX, ivermectin (alternative name) [CCN] + TX, milbemycin oxime (alternative name) [CCN] + TX, moxidectin (alternative name) [CCN] + TX, piperazine [CCN] + TX, selamectin (alternative name) [CCN] + TX, spinosad (737) and thiophanate (1435) + TX,
an avicide selected from the group of substances consisting of chloralose (127) + TX, endrin (1 122) + TX, fenthion (346) + TX, pyridin-4-amine (lUPAC name) (23) and strychnine (745) + TX, a bactericide selected from the group of substances consisting of 1-hydroxy-1 /- -pyridine-2-thione (lUPAC name) (1222) + TX, 4-(quinoxalin-2-ylamino)benzenesulfonamide (lUPAC name) (748) + TX, 8-hydroxyquinoline sulfate (446) + TX, bronopol (97) + TX, copper dioctanoate (lUPAC name) (170) + TX, copper hydroxide (lUPAC name) (169) + TX, cresol [CCN] + TX, dichlorophen (232) + TX, dipyrithione (1 105) + TX, dodicin (1 1 12) + TX, fenaminosulf (1 144) + TX, formaldehyde (404) + TX, hydrargaphen (alternative name) [CCN] + TX, kasugamycin (483) + TX, kasugamycin hydrochloride hydrate (483) + TX, nickel bis(dimethyldithiocarbamate) (lUPAC name) (1308) + TX, nitrapyrin (580) + TX, octhilinone (590) + TX, oxolinic acid (606) + TX, oxytetracycline (61 1 ) + TX, potassium hydroxyquinoline sulfate (446) + TX, probenazole (658) + TX, streptomycin (744) + TX, streptomycin sesquisulfate (744) + TX, tecloftalam (766) + TX, and thiomersal (alternative name) [CCN] + TX,
a biological agent selected from the group of substances consisting of Adoxophyes orana GV (alternative name) (12) + TX, Agrobacterium radiobacter (alternative name) (13) + TX, Amblyseius spp. (alternative name) (19) + TX, Anagrapha falcifera NPV (alternative name) (28) + TX, Anagrus atomus (alternative name) (29) + TX, Aphelinus abdominalis (alternative name) (33) + TX, Aphidius colemani (alternative name) (34) + TX, Aphidoletes aphidimyza (alternative name)
(35) + TX, Autographa californica NPV (alternative name) (38) + TX, Bacillus firmus (alternative name) (48) + TX, Bacillus sphaericus Neide (scientific name) (49) + TX, Bacillus thuringiensis Berliner (scientific name) (51 ) + TX, Bacillus thuringiensis subsp. aizawai (scientific name) (51 ) + TX, Bacillus thuringiensis subsp. israelensis (scientific name) (51 ) + TX, Bacillus thuringiensis subsp. japonensis (scientific name) (51 ) + TX, Bacillus thuringiensis subsp. kurstaki (scientific name) (51 ) + TX, Bacillus thuringiensis subsp. tenebrionis (scientific name) (51 ) + TX, Beauveria bassiana (alternative name) (53) + TX, Beauveria brongniartii (alternative name) (54) + TX, Chrysoperla carnea (alternative name) (151 ) + TX, Cryptolaemus montrouzieri (alternative name) (178) + TX, Cydia pomonella GV (alternative name) (191 ) + TX, Dacnusa sibirica (alternative name) (212) + TX, Diglyphus isaea (alternative name) (254) + TX, Encarsia formosa (scientific name) (293) + TX, Eretmocerus eremicus (alternative name) (300) + TX, Helicoverpa zea NPV (alternative name) (431 ) + TX, Heterorhabditis bacteriophora and H. megidis (alternative name) (433) + TX, Hippodamia convergens (alternative name) (442) + TX, Leptomastix dactylopii (alternative name) (488) + TX, Macrolophus caliginosus (alternative name) (491 ) + TX, Mamestra brassicae NPV (alternative name) (494) + TX, Metaphycus helvolus (alternative name) (522) + TX, Metarhizium anisopliae var. acridum (scientific name) (523) + TX, Metarhizium anisopliae var. anisopliae (scientific name) (523) + TX, Neodiprion sertifer NPV and N. lecontei NPV (alternative name) (575) + TX, Orius spp. (alternative name) (596) + TX, Paecilomyces fumosoroseus (alternative name) (613) + TX, Pasteuria penetrans + TX, Pasteuria thornei + TX, Pasteuria nishizawae + TX, Pasteuria ramosa + TX, Phytoseiulus persimilis (alternative name) (644) + TX, Spodoptera exigua multicapsid nuclear polyhedrosis virus (scientific name) (741 ) + TX, Steinernema bibionis (alternative name) (742) + TX, Steinernema carpocapsae (alternative name) (742) + TX, Steinernema feltiae (alternative name) (742) + TX, Steinernema glaseri (alternative name) (742) + TX, Steinernema riobrave (alternative name) (742) + TX, Steinernema riobravis (alternative name) (742) + TX, Steinernema scapterisci (alternative name) (742) + TX, Steinernema spp. (alternative name) (742) + TX, Trichogramma spp. (alternative name) (826) + TX, Typhlodromus occidentalis (alternative name) (844) and Verticillium lecanii (alternative name) (848) + TX,
a soil sterilant selected from the group of substances consisting of iodomethane (lUPAC name) (542) and methyl bromide (537) + TX,
a chemosterilant selected from the group of substances consisting of apholate [CCN] + TX, bisazir (alternative name) [CCN] + TX, busulfan (alternative name) [CCN] + TX, diflubenzuron (250) + TX, dimatif (alternative name) [CCN] + TX, hemel [CCN] + TX, hempa [CCN] + TX, metepa [CCN] + TX, methiotepa [CCN] + TX, methyl apholate [CCN] + TX, morzid [CCN] + TX, penfluron (alternative name) [CCN] + TX, tepa [CCN] + TX, thiohempa (alternative name) [CCN] + TX, thiotepa (alternative name) [CCN] + TX, tretamine (alternative name) [CCN] and uredepa (alternative name) [CCN] + TX,
an insect pheromone selected from the group of substances consisting of (E)-dec-5-en-1-yl acetate with (E)-dec-5-en-1-ol (lUPAC name) (222) + TX, (E)-tridec-4-en-1-yl acetate (lUPAC name) (829)
+ TX, (E)-6-methylhept-2-en-4-ol (lUPAC name) (541 ) + TX, (E,Z)-tetradeca-4,10-dien-1-yl acetate (lUPAC name) (779) + TX, (Z)-dodec-7-en-1-yl acetate (lUPAC name) (285) + TX, (Z)- hexadec-11-enal (lUPAC name) (436) + TX, (Z)-hexadec-l 1-en-1-yl acetate (lUPAC name) (437) + TX, (Z)-hexadec-13-en-11-yn-1-yl acetate (lUPAC name) (438) + TX, (Z)-icos-13-en-10-one (lUPAC name) (448) + TX, (Z)-tetradec-7-en-1-al (lUPAC name) (782) + TX, (Z)-tetradec-9-en-1- ol (lUPAC name) (783) + TX, (Z)-tetradec-9-en-1-yl acetate (lUPAC name) (784) + TX, (7E,9Z)- dodeca-7,9-dien-1-yl acetate (lUPAC name) (283) + TX, (9Z,11E)-tetradeca-9,11-dien-1-yl acetate (lUPAC name) (780) + TX, (9Z, 12E)-tetradeca-9,12-dien-1-yl acetate (lUPAC name) (781 ) + TX, 14-methyloctadec-1-ene (lUPAC name) (545) + TX, 4-methylnonan-5-ol with 4-methylnonan-5-one (lUPAC name) (544) + TX, alpha-multistriatin (alternative name) [CCN] + TX, brevicomin (alternative name) [CCN] + TX, codlelure (alternative name) [CCN] + TX, codlemone (alternative name) (167) + TX, cuelure (alternative name) (179) + TX, disparlure (277) + TX, dodec-8-en-1- yl acetate (lUPAC name) (286) + TX, dodec-9-en-1-yl acetate (lUPAC name) (287) + TX, dodeca-8 + TX, 10-dien-1-yl acetate (lUPAC name) (284) + TX, dominicalure (alternative name) [CCN] + TX, ethyl 4-methyloctanoate (lUPAC name) (317) + TX, eugenol (alternative name) [CCN] + TX, frontalin (alternative name) [CCN] + TX, gossyplure (alternative name) (420) + TX, grandlure (421 ) + TX, grandlure I (alternative name) (421 ) + TX, grandlure II (alternative name) (421 ) + TX, grandlure III (alternative name) (421 ) + TX, grandlure IV (alternative name) (421 ) + TX, hexalure [CCN] + TX, ipsdienol (alternative name) [CCN] + TX, ipsenol (alternative name) [CCN] + TX, japonilure (alternative name) (481 ) + TX, lineatin (alternative name) [CCN] + TX, litlure (alternative name) [CCN] + TX, looplure (alternative name) [CCN] + TX, medlure [CCN] + TX, megatomoic acid (alternative name) [CCN] + TX, methyl eugenol (alternative name) (540) + TX, muscalure (563) + TX, octadeca-2,13-dien-1-yl acetate (lUPAC name) (588) + TX, octadeca-3,13-dien-1-yl acetate (lUPAC name) (589) + TX, orfralure (alternative name) [CCN] + TX, oryctalu re (alternative name) (317) + TX, ostramone (alternative name) [CCN] + TX, siglure [CCN] + TX, sordidin (alternative name) (736) + TX, sulcatol (alternative name) [CCN] + TX, tetradec-11-en-1-yl acetate (lUPAC name) (785) + TX, trimedlure (839) + TX, trimedlure A (alternative name) (839) + TX, trimedlure B-i (alternative name) (839) + TX, trimedlure B2 (alternative name) (839) + TX, trimedlure C (alternative name) (839) and trunc-call (alternative name) [CCN] + TX,
an insect repellent selected from the group of substances consisting of 2-(octylthio)ethanol (lUPAC name) (591 ) + TX, butopyronoxyl (933) + TX, butoxy(polypropylene glycol) (936) + TX, dibutyl adipate (lUPAC name) (1046) + TX, dibutyl phthalate (1047) + TX, dibutyl succinate (lUPAC name) (1048) + TX, diethylamide [CCN] + TX, dimethyl carbate [CCN] + TX, dimethyl phthalate [CCN] + TX, ethyl hexanediol (1137) + TX, hexamide [CCN] + TX, methoquin-butyl (1276) + TX, methylneodecanamide [CCN] + TX, oxamate [CCN] and picaridin [CCN] + TX, an insecticide selected from the group of substances consisting of 1-dichloro-1-nitroethane (lUPAC/Chemical Abstracts name) (1058) + TX, 1 ,1-dichloro-2,2-bis(4-ethylphenyl)ethane (lUPAC name) (1056), + TX, 1 ,2-dichloropropane (lUPAC/Chemical Abstracts name) (1062) + TX, 1 ,2-
dichloropropane with 1 ,3-dichloropropene (lUPAC name) (1063) + TX, 1-bromo-2-chloroethane (lUPAC/Chemical Abstracts name) (916) + TX, 2,2,2-trichloro-1-(3,4-dichlorophenyl)ethyl acetate (lUPAC name) (1451 ) + TX, 2,2-dichlorovinyl 2-ethylsulphinylethyl methyl phosphate (lUPAC name) (1066) + TX, 2-(1 ,3-dithiolan-2-yl)phenyl dimethylcarbamate (lUPAC/ Chemical Abstracts name) (1 109) + TX, 2-(2-butoxyethoxy)ethyl thiocyanate (lUPAC/Chemical Abstracts name) (935) + TX, 2-(4,5-dimethyl-1 ,3-dioxolan-2-yl)phenyl methylcarbamate (lUPAC/ Chemical Abstracts name) (1084) + TX, 2-(4-chloro-3,5-xylyloxy)ethanol (lUPAC name) (986) + TX, 2-chlorovinyl diethyl phosphate (lUPAC name) (984) + TX, 2-imidazolidone (lUPAC name) (1225) + TX, 2- isovalerylindan-1 ,3-dione (lUPAC name) (1246) + TX, 2-methyl(prop-2-ynyl)aminophenyl methylcarbamate (lUPAC name) (1284) + TX, 2-thiocyanatoethyl laurate (lUPAC name) (1433) + TX, 3-bromo-1-chloroprop-1-ene (lUPAC name) (917) + TX, 3-methyl-1-phenylpyrazol-5-yl dimethylcarbamate (lUPAC name) (1283) + TX, 4-methyl(prop-2-ynyl)amino-3,5-xylyl methylcarbamate (lUPAC name) (1285) + TX, 5,5-dimethyl-3-oxocyclohex-1-enyl dimethylcarbamate (lUPAC name) (1085) + TX, abamectin (1 ) + TX, acephate (2) + TX, acetamiprid (4) + TX, acethion (alternative name) [CCN] + TX, acetoprole [CCN] + TX, acrinathrin (9) + TX, acrylonitrile (lUPAC name) (861 ) + TX, alanycarb (15) + TX, aldicarb (16) + TX, aldoxycarb (863) + TX, aldrin (864) + TX, allethrin (17) + TX, allosamidin (alternative name) [CCN] + TX, allyxycarb (866) + TX, alpha-cypermethrin (202) + TX, alpha-ecdysone (alternative name) [CCN] + TX, aluminium phosphide (640) + TX, amidithion (870) + TX, amidothioate (872) + TX, aminocarb (873) + TX, amiton (875) + TX, amiton hydrogen oxalate (875) + TX, amitraz (24) + TX, anabasine (877) + TX, athidathion (883) + TX, AVI 382 (compound code) + TX, AZ 60541 (compound code) + TX, azadirachtin (alternative name) (41 ) + TX, azamethiphos (42) + TX, azinphos-ethyl (44) + TX, azinphos-methyl (45) + TX, azothoate (889) + TX, Bacillus thuringiensis delta endotoxins (alternative name) (52) + TX, barium hexafluorosilicate (alternative name) [CCN] + TX, barium polysulfide (lUPAC/Chemical Abstracts name) (892) + TX, barthrin [CCN] + TX, Bayer 22/190 (development code) (893) + TX, Bayer 22408 (development code) (894) + TX, bendiocarb (58) + TX, benfuracarb (60) + TX, bensultap (66) + TX, beta-cyfluthrin (194) + TX, beta-cypermethrin (203) + TX, bifenthrin (76) + TX, bioallethrin (78) + TX, bioallethrin S-cyclopentenyl isomer (alternative name) (79) + TX, bioethanomethrin [CCN] + TX, biopermethrin (908) + TX, bioresmethrin (80) + TX, bis(2- chloroethyl) ether (lUPAC name) (909) + TX, bistrifluron (83) + TX, borax (86) + TX, brofenvalerate (alternative name) + TX, bromfenvinfos (914) + TX, bromocyclen (918) + TX, bromo-DDT (alternative name) [CCN] + TX, bromophos (920) + TX, bromophos-ethyl (921 ) + TX, bufencarb (924) + TX, buprofezin (99) + TX, butacarb (926) + TX, butathiofos (927) + TX, butocarboxim (103) + TX, butonate (932) + TX, butoxycarboxim (104) + TX, butylpyridaben (alternative name) + TX, cadusafos (109) + TX, calcium arsenate [CCN] + TX, calcium cyanide (444) + TX, calcium polysulfide (lUPAC name) (1 1 1 ) + TX, camphechlor (941 ) + TX, carbanolate (943) + TX, carbaryl (1 15) + TX, carbofuran (1 18) + TX, carbon disulfide (lUPAC/Chemical Abstracts name) (945) + TX, carbon tetrachloride (lUPAC name) (946) + TX,
carbophenothion (947) + TX, carbosulfan (1 19) + TX, cartap (123) + TX, cartap hydrochloride (123) + TX, cevadine (alternative name) (725) + TX, chlorbicyclen (960) + TX, chlordane (128) + TX, chlordecone (963) + TX, chlordimeform (964) + TX, chlordimeform hydrochloride (964) + TX, chlorethoxyfos (129) + TX, chlorfenapyr (130) + TX, chlorfenvinphos (131 ) + TX, chlorfluazuron (132) + TX, chlormephos (136) + TX, chloroform [CCN] + TX, chloropicrin (141 ) + TX, chlorphoxim (989) + TX, chlorprazophos (990) + TX, chlorpyrifos (145) + TX, chlorpyrifos- methyl (146) + TX, chlorthiophos (994) + TX, chromafenozide (150) + TX, cinerin I (696) + TX, cinerin II (696) + TX, cinerins (696) + TX, cis-resmethrin (alternative name) + TX, cismethrin (80) + TX, clocythrin (alternative name) + TX, cloethocarb (999) + TX, closantel (alternative name) [CCN] + TX, clothianidin (165) + TX, copper acetoarsenite [CCN] + TX, copper arsenate [CCN] + TX, copper oleate [CCN] + TX, coumaphos (174) + TX, coumithoate (1006) + TX, crotamiton (alternative name) [CCN] + TX, crotoxyphos (1010) + TX, crufomate (101 1 ) + TX, cryolite (alternative name) (177) + TX, CS 708 (development code) (1012) + TX, cyanofenphos (1019) + TX, cyanophos (184) + TX, cyanthoate (1020) + TX, cyclethrin [CCN] + TX, cycloprothrin (188) + TX, cyfluthrin (193) + TX, cyhalothrin (196) + TX, cypermethrin (201 ) + TX, cyphenothrin (206) + TX, cyromazine (209) + TX, cythioate (alternative name) [CCN] + TX, d- limonene (alternative name) [CCN] + TX, cf-tetramethrin (alternative name) (788) + TX, DAEP (1031 ) + TX, dazomet (216) + TX, DDT (219) + TX, decarbofuran (1034) + TX, deltamethrin
(223) + TX, demephion (1037) + TX, demephion-0 (1037) + TX, demephion-S (1037) + TX, demeton (1038) + TX, demeton-methyl (224) + TX, demeton-0 (1038) + TX, demeton-O-methyl
(224) + TX, demeton-S (1038) + TX, demeton-S-methyl (224) + TX, demeton-S-methylsulphon (1039) + TX, diafenthiuron (226) + TX, dialifos (1042) + TX, diamidafos (1044) + TX, diazinon (227) + TX, dicapthon (1050) + TX, dichlofenthion (1051 ) + TX, dichlorvos (236) + TX, dicliphos (alternative name) + TX, dicresyl (alternative name) [CCN] + TX, dicrotophos (243) + TX, dicyclanil (244) + TX, dieldrin (1070) + TX, diethyl 5-methylpyrazol-3-yl phosphate (lUPAC name) (1076) + TX, diflubenzuron (250) + TX, dilor (alternative name) [CCN] + TX, dimefluthrin [CCN] + TX, dimefox (1081 ) + TX, dimetan (1085) + TX, dimethoate (262) + TX, dimethrin (1083) + TX, dimethylvinphos (265) + TX, dimetilan (1086) + TX, dinex (1089) + TX, dinex- diclexine (1089) + TX, dinoprop (1093) + TX, dinosam (1094) + TX, dinoseb (1095) + TX, dinotefuran (271 ) + TX, diofenolan (1099) + TX, dioxabenzofos (1 100) + TX, dioxacarb (1 101 ) + TX, dioxathion (1 102) + TX, disulfoton (278) + TX, dithicrofos (1 108) + TX, DNOC (282) + TX, doramectin (alternative name) [CCN] + TX, DSP (1 1 15) + TX, ecdysterone (alternative name) [CCN] + TX, El 1642 (development code) (1 1 18) + TX, emamectin (291 ) + TX, emamectin benzoate (291 ) + TX, EMPC (1 120) + TX, empenthrin (292) + TX, endosulfan (294) + TX, endothion (1 121 ) + TX, endrin (1 122) + TX, EPBP (1 123) + TX, EPN (297) + TX, epofenonane (1 124) + TX, eprinomectin (alternative name) [CCN] + TX, esfenvalerate (302) + TX, etaphos (alternative name) [CCN] + TX, ethiofencarb (308) + TX, ethion (309) + TX, ethiprole (310) + TX, ethoate-methyl (1 134) + TX, ethoprophos (312) + TX, ethyl formate (lUPAC name) [CCN] + TX, ethyl-DDD (alternative name) (1056) + TX, ethylene dibromide (316) + TX, ethylene
dichloride (chemical name) (1 136) + TX, ethylene oxide [CCN] + TX, etofenprox (319) + TX, etrimfos (1 142) + TX, EXD (1 143) + TX, famphur (323) + TX, fenamiphos (326) + TX, fenazaflor (1 147) + TX, fenchlorphos (1 148) + TX, fenethacarb (1 149) + TX, fenfluthrin (1 150) + TX, fenitrothion (335) + TX, fenobucarb (336) + TX, fenoxacrim (1 153) + TX, fenoxycarb (340) + TX, fenpirithrin (1 155) + TX, fenpropathrin (342) + TX, fenpyrad (alternative name) + TX, fensulfothion (1 158) + TX, fenthion (346) + TX, fenthion-ethyl [CCN] + TX, fenvalerate (349) + TX, fipronil (354) + TX, flonicamid (358) + TX, flubendiamide (CAS. Reg. No.: 272451 -65-7) + TX, flucofuron (1 168) + TX, flucycloxuron (366) + TX, flucythrinate (367) + TX, fluenetil (1 169) + TX, flufenerim [CCN] + TX, flufenoxuron (370) + TX, flufenprox (1 171 ) + TX, flumethrin (372) + TX, fluvalinate (1 184) + TX, FMC 1 137 (development code) (1 185) + TX, fonofos (1 191 ) + TX, formetanate (405) + TX, formetanate hydrochloride (405) + TX, formothion (1 192) + TX, formparanate (1 193) + TX, fosmethilan (1 194) + TX, fospirate (1 195) + TX, fosthiazate (408) + TX, fosthietan (1 196) + TX, furathiocarb (412) + TX, furethrin (1200) + TX, gamma-cyhalothrin (197) + TX, gamma-HCH (430) + TX, guazatine (422) + TX, guazatine acetates (422) + TX, GY-81 (development code) (423) + TX, halfenprox (424) + TX, halofenozide (425) + TX, HCH (430) + TX, HEOD (1070) + TX, heptachlor (121 1 ) + TX, heptenophos (432) + TX, heterophos [CCN] + TX, hexaflumuron (439) + TX, HHDN (864) + TX, hydramethylnon (443) + TX, hydrogen cyanide (444) + TX, hydroprene (445) + TX, hyquincarb (1223) + TX, imidacloprid (458) + TX, imiprothrin (460) + TX, indoxacarb (465) + TX, iodomethane (lUPAC name) (542) + TX, IPSP (1229) + TX, isazofos (1231 ) + TX, isobenzan (1232) + TX, isocarbophos (alternative name) (473) + TX, isodrin (1235) + TX, isofenphos (1236) + TX, isolane (1237) + TX, isoprocarb (472) + TX, isopropyl 0-(methoxyaminothiophosphoryl)salicylate (lUPAC name) (473) + TX, isoprothiolane (474) + TX, isothioate (1244) + TX, isoxathion (480) + TX, ivermectin (alternative name) [CCN] + TX, jasmolin I (696) + TX, jasmolin II (696) + TX, jodfenphos (1248) + TX, juvenile hormone I (alternative name) [CCN] + TX, juvenile hormone II (alternative name) [CCN] + TX, juvenile hormone III (alternative name) [CCN] + TX, kelevan (1249) + TX, kinoprene (484) + TX, lambda-cyhalothrin (198) + TX, lead arsenate [CCN] + TX, lepimectin (CCN) + TX, leptophos (1250) + TX, lindane (430) + TX, lirimfos (1251 ) + TX, lufenuron (490) + TX, lythidathion (1253) + TX, m-cumenyl methylcarbamate (lUPAC name) (1014) + TX, magnesium phosphide (lUPAC name) (640) + TX, malathion (492) + TX, malonoben (1254) + TX, mazidox (1255) + TX, mecarbam (502) + TX, mecarphon (1258) + TX, menazon (1260) + TX, mephosfolan (1261 ) + TX, mercurous chloride (513) + TX, mesulfenfos (1263) + TX, metaflumizone (CCN) + TX, metam (519) + TX, metam-potassium (alternative name) (519) + TX, metam-sodium (519) + TX, methacrifos (1266) + TX, methamidophos (527) + TX, methanesulphonyl fluoride (lUPAC/Chemical Abstracts name) (1268) + TX, methidathion (529) + TX, methiocarb (530) + TX, methocrotophos (1273) + TX, methomyl (531 ) + TX, methoprene (532) + TX, methoquin-butyl (1276) + TX, methothrin (alternative name) (533) + TX, methoxychlor (534) + TX, methoxyfenozide (535) + TX, methyl bromide (537) + TX, methyl isothiocyanate (543) + TX, methylchloroform (alternative name) [CCN] + TX, methylene chloride
[CCN] + TX, metofluthrin [CCN] + TX, metolcarb (550) + TX, metoxadiazone (1288) + TX, mevinphos (556) + TX, mexacarbate (1290) + TX, milbemectin (557) + TX, milbemycin oxime (alternative name) [CCN] + TX, mipafox (1293) + TX, mirex (1294) + TX, monocrotophos (561 ) + TX, morphothion (1300) + TX, moxidectin (alternative name) [CCN] + TX, naftalofos (alternative name) [CCN] + TX, naled (567) + TX, naphthalene (lUPAC/Chemical Abstracts name) (1303) + TX, NC-170 (development code) (1306) + TX, NC-184 (compound code) + TX, nicotine (578) + TX, nicotine sulfate (578) + TX, nifluridide (1309) + TX, nitenpyram (579) + TX, nithiazine (131 1 ) + TX, nitrilacarb (1313) + TX, nitrilacarb 1 : 1 zinc chloride complex (1313) + TX, NNI-0101 (compound code) + TX, NNI-0250 (compound code) + TX, nornicotine (traditional name) (1319) + TX, novaluron (585) + TX, noviflumuron (586) + TX, 0-5-dichloro-4-iodophenyl O-ethyl ethylphosphonothioate (lUPAC name) (1057) + TX, 0, 0-diethyl 0-4-methyl-2-oxo-2A - chromen-7-yl phosphorothioate (lUPAC name) (1074) + TX, Ο,Ο-diethyl 0-6-methyl-2- propylpyrimidin-4-yl phosphorothioate (lUPAC name) (1075) + TX, 0, 0, 0', O'-tetrapropyl dithiopyrophosphate (lUPAC name) (1424) + TX, oleic acid (lUPAC name) (593) + TX, omethoate (594) + TX, oxamyl (602) + TX, oxydemeton-methyl (609) + TX, oxydeprofos (1324) + TX, oxydisulfoton (1325) + TX, pp'-DDT (219) + TX, para-dichlorobenzene [CCN] + TX, parathion (615) + TX, parathion-methyl (616) + TX, penfluron (alternative name) [CCN] + TX, pentachlorophenol (623) + TX, pentachlorophenyl laurate (lUPAC name) (623) + TX, permethrin (626) + TX, petroleum oils (alternative name) (628) + TX, PH 60-38 (development code) (1328) + TX, phenkapton (1330) + TX, phenothrin (630) + TX, phenthoate (631 ) + TX, phorate (636) + TX, phosalone (637) + TX, phosfolan (1338) + TX, phosmet (638) + TX, phosnichlor (1339) + TX, phosphamidon (639) + TX, phosphine (lUPAC name) (640) + TX, phoxim (642) + TX, phoxim-methyl (1340) + TX, pirimetaphos (1344) + TX, pirimicarb (651 ) + TX, pirimiphos-ethyl (1345) + TX, pirimiphos-methyl (652) + TX, polychlorodicyclopentadiene isomers (lUPAC name) (1346) + TX, polychloroterpenes (traditional name) (1347) + TX, potassium arsenite [CCN] + TX, potassium thiocyanate [CCN] + TX, prallethrin (655) + TX, precocene I (alternative name) [CCN] + TX, precocene II (alternative name) [CCN] + TX, precocene III (alternative name) [CCN] + TX, primidophos (1349) + TX, profenofos (662) + TX, profluthrin [CCN] + TX, promacyl (1354) + TX, promecarb (1355) + TX, propaphos (1356) + TX, propetamphos (673) + TX, propoxur (678) + TX, prothidathion (1360) + TX, prothiofos (686) + TX, prothoate (1362) + TX, protrifenbute [CCN] + TX, pymetrozine (688) + TX, pyraclofos (689) + TX, pyrazophos (693) + TX, pyresmethrin (1367) + TX, pyrethrin I (696) + TX, pyrethrin II (696) + TX, pyrethrins (696) + TX, pyridaben (699) + TX, pyridalyl (700) + TX, pyridaphenthion (701 ) + TX, pyrimidifen (706) + TX, pyrimitate (1370) + TX, pyriproxyfen (708) + TX, quassia (alternative name) [CCN] + TX, quinalphos (71 1 ) + TX, quinalphos-methyl (1376) + TX, quinothion (1380) + TX, quintiofos (1381 ) + TX, R-1492 (development code) (1382) + TX, rafoxanide (alternative name) [CCN] + TX, resmethrin (719) + TX, rotenone (722) + TX, RU 15525 (development code) (723) + TX, RU 25475 (development code) (1386) + TX, ryania (alternative name) (1387) + TX, ryanodine (traditional name) (1387) + TX, sabadilla (alternative name) (725) + TX, schradan (1389) + TX,
sebufos (alternative name) + TX, selamectin (alternative name) [CCN] + TX, SI-0009 (compound code) + TX, SI-0205 (compound code) + TX, SI-0404 (compound code) + TX, SI-0405 (compound code) + TX, silafluofen (728) + TX, SN 72129 (development code) (1397) + TX, sodium arsenite [CCN] + TX, sodium cyanide (444) + TX, sodium fluoride (lUPAC/Chemical Abstracts name) (1399) + TX, sodium hexafluorosilicate (1400) + TX, sodium pentachlorophenoxide (623) + TX, sodium selenate (lUPAC name) (1401 ) + TX, sodium thiocyanate [CCN] + TX, sophamide (1402) + TX, spinosad (737) + TX, spiromesifen (739) + TX, spirotetrmat (CCN) + TX, sulcofuron (746) + TX, sulcofuron-sodium (746) + TX, sulfluramid (750) + TX, sulfotep (753) + TX, sulphuryl fluoride (756) + TX, sulprofos (1408) + TX, tar oils (alternative name) (758) + TX, tau-fluvalinate (398) + TX, tazimcarb (1412) + TX, TDE (1414) + TX, tebufenozide (762) + TX, tebufenpyrad (763) + TX, tebupirimfos (764) + TX, teflubenzuron (768) + TX, tefluthrin (769) + TX, temephos (770) + TX, TEPP (1417) + TX, terallethrin (1418) + TX, terbam (alternative name) + TX, terbufos (773) + TX, tetrachloroethane [CCN] + TX, tetrachlorvinphos (777) + TX, tetramethrin (787) + TX, theta-cypermethrin (204) + TX, thiacloprid (791 ) + TX, thiafenox (alternative name) + TX, thiamethoxam (792) + TX, thicrofos (1428) + TX, thiocarboxime (1431 ) + TX, thiocyclam (798) + TX, thiocyclam hydrogen oxalate (798) + TX, thiodicarb (799) + TX, thiofanox (800) + TX, thiometon (801 ) + TX, thionazin (1434) + TX, thiosultap (803) + TX, thiosultap-sodium (803) + TX, thuringiensin (alternative name) [CCN] + TX, tolfenpyrad (809) + TX, tralomethrin (812) + TX, transfluthrin (813) + TX, transpermethrin (1440) + TX, triamiphos (1441 ) + TX, triazamate (818) + TX, triazophos (820) + TX, triazuron (alternative name) + TX, trichlorfon (824) + TX, trichlormetaphos-3 (alternative name) [CCN] + TX, trichloronat (1452) + TX, trifenofos (1455) + TX, triflumuron (835) + TX, trimethacarb (840) + TX, triprene (1459) + TX, vamidothion (847) + TX, vaniliprole [CCN] + TX, veratridine (alternative name) (725) + TX, veratrine (alternative name) (725) + TX, XMC (853) + TX, xylylcarb (854) + TX, YI-5302 (compound code) + TX, zeta-cypermethrin (205) + TX, zetamethrin (alternative name) + TX, zinc phosphide (640) + TX, zolaprofos (1469) and ZXI 8901 (development code) (858) + TX, cyantraniliprole [736994-63-19] + TX, chlorantraniliprole [500008- 45-7] + TX, cyenopyrafen [560121-52-0] + TX, cyflumetofen [400882-07-7] + TX, pyrifluquinazon [337458-27-2] + TX, spinetoram [187166-40-1 + 187166-15-0] + TX, spirotetramat [203313-25-1] + TX, sulfoxaflor [946578-00-3] + TX, flufiprole [704886-18-0] + TX, meperfluthrin [915288-13-0] + TX, tetramethylfluthrin [84937-88-2] + TX,
a molluscicide selected from the group of substances consisting of bis(tributyltin) oxide (lUPAC name) (913) + TX, bromoacetamide [CCN] + TX, calcium arsenate [CCN] + TX, cloethocarb (999) + TX, copper acetoarsenite [CCN] + TX, copper sulfate (172) + TX, fentin (347) + TX, ferric phosphate (lUPAC name) (352) + TX, metaldehyde (518) + TX, methiocarb (530) + TX, niclosamide (576) + TX, niclosamide-olamine (576) + TX, pentachlorophenol (623) + TX, sodium pentachlorophenoxide (623) + TX, tazimcarb (1412) + TX, thiodicarb (799) + TX, tributyltin oxide (913) + TX, trifenmorph (1454) + TX, trimethacarb (840) + TX, triphenyltin
acetate (lUPAC name) (347) and triphenyltin hydroxide (lUPAC name) (347) + TX, pyriprole [394730-71-3] + TX,
a nematicide selected from the group of substances consisting of AKD-3088 (compound code) + TX, 1 ,2-dibromo-3-chloropropane (lUPAC/Chemical Abstracts name) (1045) + TX, 1 ,2- dichloropropane (lUPAC/ Chemical Abstracts name) (1062) + TX, 1 ,2-dichloropropane with 1 ,3- dichloropropene (lUPAC name) (1063) + TX, 1 ,3-dichloropropene (233) + TX, 3,4- dichlorotetrahydrothiophene 1 , 1-dioxide (lUPAC/Chemical Abstracts name) (1065) + TX, 3-(4- chlorophenyl)-5-methylrhodanine (lUPAC name) (980) + TX, 5-methyl-6-thioxo-1 ,3,5-thiadiazinan-3- ylacetic acid (lUPAC name) (1286) + TX, 6-isopentenylaminopurine (alternative name) (210) + TX, abamectin (1 ) + TX, acetoprole [CCN] + TX, alanycarb (15) + TX, aldicarb (16) + TX, aldoxycarb (863) + TX, AZ 60541 (compound code) + TX, benclothiaz [CCN] + TX, benomyl (62) + TX, butylpyridaben (alternative name) + TX, cadusafos (109) + TX, carbofuran (1 18) + TX, carbon disulfide (945) + TX, carbosulfan (1 19) + TX, chloropicrin (141 ) + TX, chlorpyrifos (145) + TX, cloethocarb (999) + TX, cytokinins (alternative name) (210) + TX, dazomet (216) + TX, DBCP (1045) + TX, DCIP (218) + TX, diamidafos (1044) + TX, dichlofenthion (1051 ) + TX, dicliphos (alternative name) + TX, dimethoate (262) + TX, doramectin (alternative name) [CCN] + TX, emamectin (291 ) + TX, emamectin benzoate (291 ) + TX, eprinomectin (alternative name) [CCN] + TX, ethoprophos (312) + TX, ethylene dibromide (316) + TX, fenamiphos (326) + TX, fenpyrad (alternative name) + TX, fensulfothion (1 158) + TX, fosthiazate (408) + TX, fosthietan (1 196) + TX, furfural (alternative name) [CCN] + TX, GY-81 (development code) (423) + TX, heterophos [CCN] + TX, iodomethane (lUPAC name) (542) + TX, isamidofos (1230) + TX, isazofos (1231 ) + TX, ivermectin (alternative name) [CCN] + TX, kinetin (alternative name) (210) + TX, mecarphon (1258) + TX, metam (519) + TX, metam-potassium (alternative name) (519) + TX, metam-sodium (519) + TX, methyl bromide (537) + TX, methyl isothiocyanate (543) + TX, milbemycin oxime (alternative name) [CCN] + TX, moxidectin (alternative name) [CCN] + TX, Myrothecium verrucaria composition (alternative name) (565) + TX, NC-184 (compound code) + TX, oxamyl (602) + TX, phorate (636) + TX, phosphamidon (639) + TX, phosphocarb [CCN] + TX, sebufos (alternative name) + TX, selamectin (alternative name) [CCN] + TX, spinosad (737) + TX, terbam (alternative name) + TX, terbufos (773) + TX, tetrachlorothiophene (lUPAC/ Chemical Abstracts name) (1422) + TX, thiafenox (alternative name) + TX, thionazin (1434) + TX, triazophos (820) + TX, triazuron (alternative name) + TX, xylenols [CCN] + TX, YI-5302 (compound code) and zeatin (alternative name) (210) + TX, fluensulfone [318290-98-1] + TX, a nitrification inhibitor selected from the group of substances consisting of potassium ethylxanthate [CCN] and nitrapyrin (580) + TX,
a plant activator selected from the group of substances consisting of acibenzolar (6) + TX, acibenzolar-S-methyl (6) + TX, probenazole (658) and Reynoutria sachalinensis extract (alternative name) (720) + TX,
a rodenticide selected from the group of substances consisting of 2-isovalerylindan-1 ,3-dione (lUPAC name) (1246) + TX, 4-(quinoxalin-2-ylamino)benzenesulfonamide (lUPAC name) (748) +
TX, alpha-chlorohydrin [CCN] + TX, aluminium phosphide (640) + TX, antu (880) + TX, arsenous oxide (882) + TX, barium carbonate (891 ) + TX, bisthiosemi (912) + TX, brodifacoum (89) + TX, bromadiolone (91 ) + TX, bromethalin (92) + TX, calcium cyanide (444) + TX, chloralose (127) + TX, chlorophacinone (140) + TX, cholecalciferol (alternative name) (850) + TX, coumachlor (1004) + TX, coumafuryl (1005) + TX, coumatetralyl (175) + TX, crimidine (1009) + TX, difenacoum (246) + TX, difethialone (249) + TX, diphacinone (273) + TX, ergocalciferol (301 ) + TX, flocoumafen (357) + TX, fluoroacetamide (379) + TX, flupropadine (1 183) + TX, flupropadine hydrochloride (1 183) + TX, gamma-HCH (430) + TX, HCH (430) + TX, hydrogen cyanide (444) + TX, iodomethane (lUPAC name) (542) + TX, lindane (430) + TX, magnesium phosphide (lUPAC name) (640) + TX, methyl bromide (537) + TX, norbormide (1318) + TX, phosacetim (1336) + TX, phosphine (lUPAC name) (640) + TX, phosphorus [CCN] + TX, pindone (1341 ) + TX, potassium arsenite [CCN] + TX, pyrinuron (1371 ) + TX, scilliroside (1390) + TX, sodium arsenite [CCN] + TX, sodium cyanide (444) + TX, sodium fluoroacetate (735) + TX, strychnine (745) + TX, thallium sulfate [CCN] + TX, warfarin (851 ) and zinc phosphide (640) + TX,
a synergist selected from the group of substances consisting of 2-(2-butoxyethoxy)ethyl piperonylate (lUPAC name) (934) + TX, 5-(1 ,3-benzodioxol-5-yl)-3-hexylcyclohex-2-enone (lUPAC name) (903) + TX, farnesol with nerolidol (alternative name) (324) + TX, MB-599 (development code) (498) + TX, MGK 264 (development code) (296) + TX, piperonyl butoxide (649) + TX, piprotal (1343) + TX, propyl isomer (1358) + TX, S421 (development code) (724) + TX, sesamex (1393) + TX, sesasmolin (1394) and sulfoxide (1406) + TX,
an animal repellent selected from the group of substances consisting of anthraquinone (32) + TX, chloralose (127) + TX, copper naphthenate [CCN] + TX, copper oxychloride (171 ) + TX, diazinon (227) + TX, dicyclopentadiene (chemical name) (1069) + TX, guazatine (422) + TX, guazatine acetates (422) + TX, methiocarb (530) + TX, pyridin-4-amine (lUPAC name) (23) + TX, thiram (804) + TX, trimethacarb (840) + TX, zinc naphthenate [CCN] and ziram (856) + TX, a virucide selected from the group of substances consisting of imanin (alternative name) [CCN] and ribavirin (alternative name) [CCN] + TX,
a wound protectant selected from the group of substances consisting of mercuric oxide (512) + TX, octhilinone (590) and thiophanate-methyl (802) + TX,
and biologically active compounds selected from the group consisting of azaconazole (60207-31-0] + TX, bitertanol [70585-36-3] + TX, bromuconazole [1 16255-48-2] + TX, cyproconazole [94361- 06-5] + TX, difenoconazole [1 19446-68-3] + TX, diniconazole [83657-24-3] + TX, epoxiconazole [106325-08-0] + TX, fenbuconazole [1 14369-43-6] + TX, fluquinconazole [136426-54-5] + TX, flusilazole [85509-19-9] + TX, flutriafol [76674-21-0] + TX, hexaconazole [79983-71-4] + TX, imazalil [35554-44-0] + TX, imibenconazole [86598-92-7] + TX, ipconazole [125225-28-7] + TX, metconazole [1251 16-23-6] + TX, myclobutanil [88671-89-0] + TX, pefurazoate [101903-30-4] + TX, penconazole [66246-88-6] + TX, prothioconazole [178928-70-6] + TX, pyrifenox [88283-41- 4] + TX, prochloraz [67747-09-5] + TX, propiconazole [60207-90-1] + TX, simeconazole
[149508-90-7] + TX, tebuconazole [107534-96-3] + TX, tetraconazole [1 12281-77-3] + TX, triadimefon [43121-43-3] + TX, triadimenol [55219-65-3] + TX, triflumizole [99387-89-0] + TX, triticonazole [131983-72-7] + TX, ancymidol [12771-68-5] + TX, fenarimol [60168-88-9] + TX, nuarimol [63284-71-9] + TX, bupirimate [41483-43-6] + TX, dimethirimol [5221-53-4] + TX, ethirimol [23947-60-6] + TX, dodemorph [1593-77-7] + TX, fenpropidine [67306-00-7] + TX, fenpropimorph [67564-91-4] + TX, spiroxamine [1 18134-30-8] + TX, tridemorph [81412-43-3] + TX, cyprodinil [121552-61-2] + TX, mepanipyrim [1 10235-47-7] + TX, pyrimethanil [531 12-28-0] + TX, fenpiclonil [74738-17-3] + TX, fludioxonil [131341-86-1] + TX, benalaxyl [71626-1 1-4] + TX, furalaxyl [57646-30-7] + TX, metalaxyl [57837-19-1] + TX, R-metalaxyl [70630-17-0] + TX, ofurace [58810-48-3] + TX, oxadixyl [77732-09-3] + TX, benomyl [17804-35-2] + TX, carbendazim [10605-21-7] + TX, debacarb [62732-91-6] + TX, fuberidazole [3878-19-1] + TX, thiabendazole [148-79-8] + TX, chlozolinate [84332-86-5] + TX, dichlozoline [24201-58-9] + TX, iprodione [36734-19-7] + TX, myclozoline [54864-61-8] + TX, procymidone [32809-16-8] + TX, vinclozoline [50471-44-8] + TX, boscalid [188425-85-6] + TX, carboxin [5234-68-4] + TX, fenfuram [24691-80-3] + TX, flutolanil [66332-96-5] + TX, mepronil [55814-41-0] + TX, oxycarboxin [5259-88-1] + TX, penthiopyrad [183675-82-3] + TX, thifluzamide [130000-40-7] + TX, guazatine [108173-90-6] + TX, dodine [2439-10-3] [1 12-65-2] (free base) + TX, iminoctadine [13516-27-3] + TX, azoxystrobin [131860-33-8] + TX, dimoxystrobin [149961-52-4] + TX, enestroburin {Proc. BCPC, Int. Congr., Glasgow, 2003, 1 , 93} + TX, fluoxastrobin [361377- 29-9] + TX, kresoxim-methyl [143390-89-0] + TX, metominostrobin [133408-50-1] + TX, trifloxystrobin [141517-21-7] + TX, orysastrobin [248593-16-0] + TX, picoxystrobin [1 17428-22-5] + TX, pyraclostrobin [175013-18-0] + TX, ferbam [14484-64-1] + TX, mancozeb [8018-01-7] + TX, maneb [12427-38-2] + TX, metiram [9006-42-2] + TX, propineb [12071-83-9] + TX, thiram [137-26-8] + TX, zineb [12122-67-7] + TX, ziram [137-30-4] + TX, captafol [2425-06-1] + TX, captan [133-06-2] + TX, dichlofluanid [1085-98-9] + TX, fluoroimide [41205-21-4] + TX, folpet [133-07-3 ] + TX, tolylfluanid [731-27-1] + TX, bordeaux mixture [801 1-63-0] + TX, copperhydroxid [20427-59-2] + TX, copperoxychlorid [1332-40-7] + TX, coppersulfat [7758-98-7] + TX, copperoxid [1317-39-1] + TX, mancopper [53988-93-5] + TX, oxine-copper [10380-28-6] + TX, dinocap [131-72-6] + TX, nitrothal-isopropyl [10552-74-6] + TX, edifenphos [17109-49-8] + TX, iprobenphos [26087-47-8] + TX, isoprothiolane [50512-35-1] + TX, phosdiphen [36519-00-3] + TX, pyrazophos [13457-18-6] + TX, tolclofos-methyl [570 8-04-9] + TX, acibenzolar-S-methyl [135158-54-2] + TX, anilazine [101-05-3] + TX, benthiavalicarb [413615-35-7] + TX, blasticidin-S [2079-00-7] + TX, chinomethionat [2439-01-2] + TX, chloroneb [2675-77-6] + TX, chlorothalonil [1897-45-6] + TX, cyflufenamid [180409-60-3] + TX, cymoxanil [57966-95-7] + TX, dichlone [117- 80-67 + TX, diclocymet [139920-32-4] + TX, diclomezine [62865-36-5] + TX, dicloran [99-30-9] + TX, diethofencarb [87130-20-9] + TX, dimethomorph [110488-70-5] + TX, SYP-LI90 (Flumorph) [211867-47-9] + TX, dithianon [3347-22-6] + TX, ethaboxam [162650-77-3] + TX, etridiazole [2593-15-9] + TX, famoxadone [131807-57-3] + TX, fenamidone [161326-34-7] + TX, fenoxanil [115852-48-7] + TX, fentin [668-34-8] + TX, ferimzone [89269-64-7] + TX, fluazinam [79622-59-
67 + TX, fluopicolide [2391 10-15-7] + TX, flusulfamide [106917-52-6] + TX, fenhexamid [126833- 17-8] + TX, fosetyl-aluminium [39148-24-8] + TX, hymexazol [10004-44-1] + TX, iprovalicarb [140923-17-7] + TX, IKF-916 (Cyazofamid) [120116-88-3] + TX, kasugamycin [6980-18-3] + TX, methasulfocarb [66952-49-6] + TX, metrafenone [220899-03-6] + TX, pencycuron [66063-05-6] + TX, phthalide [27355-22-2] + TX, polyoxins [1 1 1 13-80-7] + TX, probenazole [27605-76-1] + TX, propamocarb [25606-41-1] + TX, proquinazid [189278-12-4] + TX, pyroquilon [57369-32-1] + TX, quinoxyfen [124495-18-7] + TX, quintozene [82-68-8] + TX, sulphur [7704-34-9] + TX, tiadinil [223580-51-6] + TX, triazoxide [72459-58-6] + TX, tricyclazole [41814-78-2] + TX, triforine [26644-46-2] + TX, validamycin [37248-47-8] + TX, zoxamide (RH7281 ) [156052-68-5] + TX, mandipropamid [374726-62-2] + TX, isopyrazam [881685-58-1] + TX, sedaxane [874967-67-6] + TX, 3-difluoromethyl-1-methyl-1 H-pyrazole-4-carboxylic acid (9-dichloromethylene-1 , 2,3,4- tetrahydro-1 ,4-methano-naphthalen-5-yl)-amide (dislosed in WO 2007/048556) + TX, 3- difluoromethyl-1-methyl-1 H-pyrazole-4-carboxylic acid [2-(2,4-dichlorophenyl)-2-methoxy-1-methyl- ethyl]-amide (disclosed in WO 2008/148570) + TX, 1-[4-[4-[(5S)5-(2,6-difluorophenyl)-4,5-dihydro- 1 ,2-oxazol-3-yl]-1 ,3-thiazol-2-yl]piperidin-1-yl]-2-[5-methyl-3-(trifluoromethyl)^
yl]ethanone + TX, 1-[4-[4-[5-(2,6-difluorophenyl)-4,5-dihydro-1 ,2-oxazol-3-yl]-1 ,3-thiazol-2- yl]piperidin-1-yl]-2-[5-methyl-3-(trifluoromethyl)-1 H-pyrazol-1-yl]ethanone [1003318-67-9], both disclosed in WO 2010/123791 , WO 2008/013925, WO 2008/013622 and WO 201 1/051243 page 20) +TX, and 3-difluoromethyl-1-methyl-1 H-pyrazole-4-carboxylic acid (3',4',5'-trifluoro-biphenyl-2- yl)-amide (dislosed in WO 2006/087343) + TX.
The references in square brackets behind the active ingredients, e.g. [3878-19-1] refer to the Chemical Abstracts Registry number. The above described mixing partners are known. Where the active ingredients are included in "The Pesticide Manual" [The Pesticide Manual - A World Compendium; Thirteenth Edition; Editor: C. D. S. Tomlin; The British Crop Protection Council], they are described therein under the entry number given in round brackets hereinabove for the particular compound; for example, the compound "abamectin" is described under entry number (1 ). Where "[CCN]" is added hereinabove to the particular compound, the compound in question is included in the "Compendium of Pesticide Common Names", which is accessible on the internet [A. Wood; Compendium of Pesticide Common Names, Copyright © 1995-2004]; for example, the compound "acetoprole" is described under the internet address: http://www.alanwood.net/pesticides/acetoprole.html.
Most of the active ingredients described above are referred to hereinabove by a so-called "common name", the relevant "ISO common name" or another "common name" being used in individual cases. If the designation is not a "common name", the nature of the designation used instead is given in round brackets for the particular compound; in that case, the lUPAC name, the lUPAC/Chemical Abstracts name, a "chemical name", a "traditional name", a "compound name" or a "develoment code" is used or, if neither one of those designations nor a "common name" is used, an "alternative name" is employed. "CAS Reg. No" means the Chemical Abstracts Registry Number.
The mass ratio of of any two ingredients in each combination is selected as to give the desired, for example, synergistic action. In general, the mass ratio would vary depending on the specific ingredient and how many ingredients are present in the combination. Generally, the mass ratio between any two ingredients in any combination of the present invention, independently of one another, is from 100: 1 to 1 : 100, including from 99: 1 , 98:2, 97:3, 96:4, 95:5, 94:6, 93:7, 92:8, 91 :9, 90: 10, 89: 1 1 , 88: 12, 87: 13, 86: 14, 85: 15, 84: 16, 83: 17, 82: 18, 81 : 19, 80:20, 79:21 , 78:22, 77:23, 76:24, 75:25, 74:26, 73:27, 72:28, 71 :29, 70:30, 69:31 , 68:32, 67:33, 66:34, 65:45, 64:46, 63:47, 62:48, 61 :49, 60:40, 59:41 , 58:42, 57:43, 56:44, 55:45, 54:46, 53:47, 52:48, 51 :49, 50:50, 49:51 , 48:52, 47:53, 46:54, 45:55, 44:56, 43:57, 42:58, 41 :59, 40:60, 39:61 , 38:62, 37:63, 36:64, 35:65, 34:66, 33:67, 32:68, 31 :69, 30:70, 29:71 , 28:72, 27:73, 26:74, 25:75, 24:76, 23:77, 22:78, 21 :79, 20:80, 19:81 , 18:82, 17:83, 16:84, 15:85, 14:86, 13:87, 12:88, 1 1 :89, 10:90, 9:91 , 8:92, 7:93, 6:94, 5:95, 4:96, 3:97, 2:98, to 1 :99. Preferred mass ratios between any two components of present invention are from 75: 1 to 1 :75, more preferably, 50: 1 to 1.50, especially 25: 1 to 1 :25, advantageously 10: 1 to 1 : 10, such as 5: 1 to 1 :5, for example 1 :3 to 3: 1. The mixing ratios are ratios by mass.
Examples of application methods for the compounds of the invention and compositions thereof, that is the methods of controlling pests / fungi in the agriculture, are spraying, atomizing, dusting, brushing on, dressing, scattering or pouring - which are to be selected to suit the intended aims of the prevailing circumstances.
A preferred method of application in agriculture is application to the foliage of the plants (foliar application), it being possible to select frequency and rate of application to match the danger of infestation with the pest/fungi in question. Alternatively, the active ingredient can reach the plants via the root system (systemic action), by applying the compound to the locus of the plants, for example by application of a liquid composition of the compound into the soil (by drenching), or by applying a solid form of the compound in the form of granules to the soil (soil application). In the case of paddy rice plants, such granules can be metered into the flooded paddy-field.
Typical rates of application per hectare is generally 1 to 2000 g of active ingredient per hectare, in particular 10 to 1000 g/ha, preferably 10 to 600 g/ha, such as 50 to 300 g/ha.
The compounds of the invention and compositions thereof are also be suitable for the protection of plant propagation material, for example seeds, such as fruit, tubers or kernels, or nursery plants, against pests of the abovementioned type. The propagation material can be treated with the compound prior to planting, for example seed can be treated prior to sowing. Alternatively, the compound can be applied to seed kernels (coating), either by soaking the kernels in a liquid composition or by applying a layer of a solid composition. It is also possible to apply the compositions when the propagation material is planted to the site of application, for example into the seed furrow during drilling. These treatment methods for plant propagation material and the plant propagation material thus treated are further subjects of the invention. Typical treatment rates would depend on the plant and pest/fungi to be controlled and are generally between 1 to 200
grams per 100 kg of seeds, preferably between 5 to 150 grams per 100 kg of seeds, such as between 10 to 100 grams per 100 kg of seeds.
The term seed embraces seeds and plant propagules of all kinds including but not limited to true seeds, seed pieces, suckers, corns, bulbs, fruit, tubers, grains, rhizomes, cuttings, cut shoots and the like and means in a preferred embodiment true seeds.
The present invention also comprises seeds coated or treated with or containing a compound of formula (I). The term "coated or treated with and/or containing" generally signifies that the active ingredient is for the most part on the surface of the seed at the time of application, although a greater or lesser part of the ingredient may penetrate into the seed material, depending on the method of application. When the said seed product is (re)planted, it may absorb the active ingredient. In an embodiment, the present invention makes available a plant propagation material adhered thereto with a compound of formula (I). Further, it is hereby made available, a composition comprising a plant propagation material treated with a compound of formula (I).
Seed treatment comprises all suitable seed treatment techniques known in the art, such as seed dressing, seed coating, seed dusting, seed soaking and seed pelleting. The seed treatment application of the compound formula (I) can be carried out by any known methods, such as spraying or by dusting the seeds before sowing or during the sowing/planting of the seeds.
Suitable target plants are, in particular, cereals, such as wheat, barley, rye, oats, rice, maize or sorghum; beet, such as sugar or fodder beet; fruit, for example pomaceous fruit, stone fruit or soft fruit, such as apples, pears, plums, peaches, almonds, cherries or berries, for example strawberries, raspberries or blackberries; leguminous plants, such as beans, lentils, peas or soya; oil plants, such as oilseed rape, mustard, poppies, olives, sunflowers, coconut, castor, cocoa or ground nuts; cucurbits, such as pumpkins, cucumbers or melons; fibre plants, such as cotton, flax, hemp or jute; citrus fruit, such as oranges, lemons, grapefruit or tangerines; vegetables, such as spinach, lettuce, asparagus, cabbages, carrots, onions, tomatoes, potatoes or bell peppers; Lauraceae, such as avocado, Cinnamonium or camphor; and also tobacco, nuts, coffee, eggplants, sugarcane, tea, pepper, grapevines, hops, the plantain family, latex plants and ornamentals (such as flowers, amd lawn grass or turf).
In an embodiment, the plant is selected from cereals, corn, soybean, rice, sugarcane, vegetables and oil plants.
The term "plant" is to be understood as including also plants which have been so transformed by the use of recombinant DNA techniques that they are capable of synthesising one or more selectively acting toxins, such as are known, for example, from toxin-producing bacteria, especially those of the genus Bacillus.
Toxins that can be expressed by such transgenic plants include, for example, insecticidal proteins from Bacillus cereus or Bacillus popilliae; or insecticidal proteins from Bacillus thuringiensis, such as δ-endotoxins, e.g. CrylAb, CrylAc, Cryl F, Cry1 Fa2, Cry2Ab, Cry3A, Cry3Bb1 or Cry9C, or vegetative insecticidal proteins (Vip), e.g. Vip1 , Vip2, Vip3 or Vip3A; or insecticidal proteins of bacteria colonising nematodes, for example Photorhabdus spp. or Xenorhabdus spp., such as
Photorhabdus luminescens, Xenorhabdus nematophilus; toxins produced by animals, such as scorpion toxins, arachnid toxins, wasp toxins and other insect-specific neurotoxins; toxins produced by fungi, such as Streptomycetes toxins, plant lectins, such as pea lectins, barley lectins or snowdrop lectins; agglutinins; proteinase inhibitors, such as trypsin inhibitors, serine protease inhibitors, patatin, cystatin, papain inhibitors; ribosome-inactivating proteins (RIP), such as ricin, maize-RIP, abrin, luffin, saporin or bryodin; steroid metabolism enzymes, such as 3-hydroxysteroidoxidase, ecdysteroid-UDP-glycosyl-transferase, cholesterol oxidases, ecdysone inhibitors, HMG-COA-reductase, ion channel blockers, such as blockers of sodium or calcium channels, juvenile hormone esterase, diuretic hormone receptors, stilbene synthase, bibenzyl synthase, chitinases and glucanases.
In the context of the present invention there are to be understood by δ-endotoxins, for example CrylAb, CrylAc, Cryl F, Cry1 Fa2, Cry2Ab, Cry3A, Cry3Bb1 or Cry9C, or vegetative insecticidal proteins (Vip), for example Vip1 , Vip2, Vip3 or Vip3A, expressly also hybrid toxins, truncated toxins and modified toxins. Hybrid toxins are produced recombinantly by a new combination of different domains of those proteins (see, for example, WO 02/15701 ). Truncated toxins, for example a truncated CrylAb, are known. In the case of modified toxins, one or more amino acids of the naturally occurring toxin are replaced. In such amino acid replacements, preferably non-naturally present protease recognition sequences are inserted into the toxin, such as, for example, in the case of Cry3A055, a cathepsin-G-recognition sequence is inserted into a Cry3A toxin (see WO 03/018810).
Examples of such toxins or transgenic plants capable of synthesising such toxins are disclosed, for example, in EP-A-0 374 753, WO 93/07278, WO 95/34656, EP-A-0 427 529, EP-A-451 878 and WO 03/052073.
The processes for the preparation of such transgenic plants are generally known to the person skilled in the art and are described, for example, in the publications mentioned above. Cryl-type deoxyribonucleic acids and their preparation are known, for example, from WO 95/34656, EP-A-0 367 474, EP-A-0 401 979 and WO 90/13651.
The toxin contained in the transgenic plants imparts to the plants tolerance to harmful insects. Such insects can occur in any taxonomic group of insects, but are especially commonly found in the beetles (Coleoptera), two-winged insects (Diptera) and butterflies (Lepidoptera).
Transgenic plants containing one or more genes that code for an insecticidal resistance and express one or more toxins are known and some of them are commercially available. Examples of such plants are: YieldGard® (maize variety that expresses a CrylAb toxin); YieldGard Rootworm® (maize variety that expresses a Cry3Bb1 toxin); YieldGard Plus® (maize variety that expresses a CrylAb and a Cry3Bb1 toxin); Starlink® (maize variety that expresses a Cry9C toxin); Herculex I® (maize variety that expresses a Cry1 Fa2 toxin and the enzyme phosphinothricine N- acetyltransferase (PAT) to achieve tolerance to the herbicide glufosinate ammonium); NuCOTN 33B® (cotton variety that expresses a CrylAc toxin); Bollgard I® (cotton variety that
expresses a CrylAc toxin); Bollgard II® (cotton variety that expresses a CrylAc and a Cry2Ab toxin); VipCot® (cotton variety that expresses a Vip3A and a CrylAb toxin); NewLeaf® (potato variety that expresses a Cry3A toxin); NatureGard®, Agrisure® GT Advantage (GA21 glyphosate- tolerant trait), Agrisure® CB Advantage (Bt1 1 corn borer (CB) trait) and Protecta®.
Further examples of such transgenic plants are:
1. Bt1 1 Maize from Syngenta Seeds SAS, Chemin de I'Hobit 27, F-31 790 St. Sauveur, France, registration number C/FR/96/05/10. Genetically modified Zea mays which has been rendered resistant to attack by the European corn borer (Ostrinia nubilalis and Sesamia nonagrioides) by transgenic expression of a truncated CrylAb toxin. Bt1 1 maize also transgenically expresses the enzyme PAT to achieve tolerance to the herbicide glufosinate ammonium.
2. Bt176 Maize from Syngenta Seeds SAS, Chemin de I'Hobit 27, F-31 790 St. Sauveur, France, registration number C/FR/96/05/10. Genetically modified Zea mays which has been rendered resistant to attack by the European corn borer (Ostrinia nubilalis and Sesamia nonagrioides) by transgenic expression of a CrylAb toxin. Bt176 maize also transgenically expresses the enzyme PAT to achieve tolerance to the herbicide glufosinate ammonium.
3. MIR604 Maize from Syngenta Seeds SAS, Chemin de I'Hobit 27, F-31 790 St. Sauveur, France, registration number C/FR/96/05/10. Maize which has been rendered insect-resistant by transgenic expression of a modified Cry3A toxin. This toxin is Cry3A055 modified by insertion of a cathepsin- G-protease recognition sequence. The preparation of such transgenic maize plants is described in WO 03/018810.
4. MON 863 Maize from Monsanto Europe S.A. 270-272 Avenue de Tervuren, B-1 150 Brussels, Belgium, registration number C/DE/02/9. MON 863 expresses a Cry3Bb1 toxin and has resistance to certain Coleoptera insects.
5. IPC 531 Cotton from Monsanto Europe S.A. 270-272 Avenue de Tervuren, B-1 150 Brussels, Belgium, registration number C/ES/96/02.
6. 1507 Maize from Pioneer Overseas Corporation, Avenue Tedesco, 7 B-1 160 Brussels, Belgium, registration number C/NL/00/10. Genetically modified maize for the expression of the protein Cryl F for achieving resistance to certain Lepidoptera insects and of the PAT protein for achieving tolerance to the herbicide glufosinate ammonium.
7. NK603 x MON 810 Maize from Monsanto Europe S.A. 270-272 Avenue de Tervuren, B-1 150 Brussels, Belgium, registration number C/GB/02/M3/03. Consists of conventionally bred hybrid maize varieties by crossing the genetically modified varieties NK603 and MON 810. NK603 * MON 810 Maize transgenically expresses the protein CP4 EPSPS, obtained from Agrobacterium sp. strain CP4, which imparts tolerance to the herbicide Roundup® (contains glyphosate), and also a CrylAb toxin obtained from Bacillus thuringiensis subsp. kurstaki which brings about tolerance to certain Lepidoptera, include the European corn borer.
Generally, a compound of the present invention is used in the form of a composition (e.g. formulation) containing a carrier. A compound of the invention and compositions thereof can be
used in various forms such as aerosol dispenser, capsule suspension, cold fogging concentrate, dustable powder, emulsifiable concentrate, emulsion oil in water, emulsion water in oil, encapsulated granule, fine granule, flowable concentrate for seed treatment, gas (under pressure), gas generating product, granule, hot fogging concentrate, macrogranule, microgranule, oil dispersible powder, oil miscible flowable concentrate, oil miscible liquid, paste, plant rodlet, powder for dry seed treatment, seed coated with a pesticide, soluble concentrate, soluble powder, solution for seed treatment, suspension concentrate (flowable concentrate), ultra low volume (ulv) liquid, ultra low volume (ulv) suspension, water dispersible granules or tablets, water dispersible powder for slurry treatment, water soluble granules or tablets, water soluble powder for seed treatment and wettable powder.
A formulation typically comprises a liquid or solid carrier and optionally one or more customary formulaton auxiliaries, which may be solid or liquid auxiliaries, for example unepoxidized or epoxidized vegetable oils (for example epoxidized coconut oil, rapeseed oil or soya oil), antifoams, for example silicone oil, preservatives, clays, inorganic compounds, viscosity regulators, surfactant, binders and/or tackifiers. The composition may also further comprise a fertilizer, a micronutrient donor or other preparations which influence the growth of plants as well as comprising a combination containing the compound of the invention with one or more other biologically active agents, such as bactericides, fungicides, nematocides, plant activators, acaricides, and insecticides. Accordingly, the present invention also makes available a composition comprising a compound of the invention and an agronomicaly carrier and optionally one or more formulation auxiliaries.
The compositions are prepared in a manner known per se, in the absence of auxiliaries for example by grinding, screening and/or compressing a solid compound of the present invention and in the presence of at least one auxiliary for example by intimately mixing and/or grinding the compound of the present invention with the auxiliary (auxiliaries). In the case of solid compounds of the invention, the grinding/milling of the compounds is to ensure specific particle size. These processes for the preparation of the compositions and the use of the compounds of the invention for the preparation of these compositions are also a subject of the invention.
Examples of compositions for use in agriculture are emulsifiable concentrates, suspension concentrates, microemulsions, oil dispersibles, directly sprayable or dilutable solutions, spreadable pastes, dilute emulsions, soluble powders, dispersible powders, wettable powders, dusts, granules or encapsulations in polymeric substances, which comprise - at least - a compound according to the invention and the type of composition is to be selected to suit the intended aims and the prevailing circumstances.
Examples of suitable liquid carriers are unhydrogenated or partially hydrogenated aromatic hy- drocarbons, preferably the fractions C8 to d2 of alkylbenzenes, such as xylene mixtures, alkylated naphthalenes or tetrahydronaphthalene, aliphatic or cycloaliphatic hydrocarbons, such as paraffins or cyclohexane, alcohols such as ethanol, propanol or butanol, glycols and their ethers and esters such as propylene glycol, dipropylene glycol ether, ethylene glycol or ethylene glycol monomethyl ether or ethylene glycol monoethyl ether, ketones, such as cyclohexanone, isophorone or diacetone
alcohol, strongly polar solvents, such as N-methylpyrrolid-2-one, dimethyl sulfoxide or N,N- dimethylformamide, water, unepoxidized or epoxidized vegetable oils, such as unexpodized or epoxidized rapeseed, castor, coconut or soya oil, and silicone oils.
Examples of solid carriers which are used for example for dusts and dispersible powders are, as a rule, ground natural minerals such as calcite, talc, kaolin, montmorillonite or attapulgite. To improve the physical properties, it is also possible to add highly disperse silicas or highly disperse absorbtive polymers. Suitable particulate adsorptive carriers for granules are porous types, such as pumice, brick grit, sepiolite or bentonite, and suitable non-sorptive carrier materials are calcite or sand. In addition, a large number of granulated materials of inorganic or organic nature can be used, in particular dolomite or comminuted plant residues.
Suitable surface-active compounds are, depending on the type of the active ingredient to be formulated, non-ionic, cationic and/or anionic surfactants or surfactant mixtures which have good emulsifying, dispersing and wetting properties. The surfactants mentioned below are only to be considered as examples; a large number of further surfactants which are conventionally used in the art of formulation and suitable according to the invention are described in the relevant literature.
Suitable non-ionic surfactants are, especially, polyglycol ether derivatives of aliphatic or cyc- loaliphatic alcohols, of saturated or unsaturated fatty acids or of alkyl phenols which may contain approximately 3 to approximately 30 glycol ether groups and approximately 8 to approximately 20 carbon atoms in the (cyclo)aliphatic hydrocarbon radical or approximately 6 to approximately 18 carbon atoms in the alkyl moiety of the alkyl phenols. Also suitable are water-soluble polyethylene oxide adducts with polypropylene glycol, ethylenediaminopolypropylene glycol or alkyl polypropylene glycol having 1 to approximately 10 carbon atoms in the alkyl chain and approximately 20 to approximately 250 ethylene glycol ether groups and approximately 10 to approximately 100 propylene glycol ether groups. Normally, the abovementioned compounds contain 1 to approximately 5 ethylene glycol units per propylene glycol unit. Examples which may be mentioned are nonylphenoxypolyethoxyethanol, castor oil polyglycol ether, polypropylene glycol/polyethylene oxide adducts, tributylphenoxypolyethoxyethanol, polyethylene glycol or octylphenoxypolyethoxyethanol. Also suitable are fatty acid esters of polyoxyethylene sorbitan, such as polyoxyethylene sorbitan trioleate.
The cationic surfactants are, especially, quarternary ammonium salts which generally have at least one alkyl radical of approximately 8 to approximately 22 C atoms as substituents and as further substituents (unhalogenated or halogenated) lower alkyl or hydroxyalkyl or benzyl radicals. The salts are preferably in the form of halides, methylsulfates or ethylsulfates. Examples are stearyltrimethylammonium chloride and benzylbis(2-chloroethyl)ethylammonium bromide.
Examples of suitable anionic surfactants are water-soluble soaps or water-soluble synthetic surface-active compounds. Examples of suitable soaps are the alkali, alkaline earth or (un- substituted or substituted) ammonium salts of fatty acids having approximately 10 to approximately 22 C atoms, such as the sodium or potassium salts of oleic or stearic acid, or of natural fatty acid mixtures which are obtainable for example from coconut or tall oil; mention must also be made of
the fatty acid methyl taurates. However, synthetic surfactants are used more frequently, in particular fatty sulfonates, fatty sulfates, sulfonated benzimidazole derivatives or alkylaryl sulfonates. As a rule, the fatty sulfonates and fatty sulfates are present as alkali, alkaline earth or (substituted or unsubstituted) ammonium salts and they generally have an alkyl radical of approximately 8 to approximately 22 C atoms, alkyl also to be understood as including the alkyl moiety of acyl radicals; examples which may be mentioned are the sodium or calcium salts of lignosulfonic acid, of the dodecylsulphuric ester or of a fatty alcohol sulfate mixture prepared from natural fatty acids. This group also includes the salts of the sulphuric esters and sulfonic acids of fatty alcohol/ethylene oxide adducts. The sulfonated benzimidazole derivatives preferably contain 2 sulphonyl groups and a fatty acid radical of approximately 8 to approximately 22 C atoms. Examples of alkylarylsulfonates are the sodium, calcium or triethanolammonium salts of decylbenzenesulfonic acid, of dibutyl- naphthalenesulfonic acid or of a naphthalenesulfonic acid/formaldehyde condensate. Also possible are, furthermore, suitable phosphates, such as salts of the phosphoric ester of a p-nonylphenol/(4- 14)ethylene oxide adduct, or phospholipids.
As a rule, the compositions comprise 0.1 to 99%, especially 0.1 to 95%, of compound according to the present invention and 1 to 99.9%, especially 5 to 99.9%, of at least one solid or liquid carrier, it being possible as a rule for 0 to 25%, especially 0.1 to 20%, of the composition to be surfactants (% in each case meaning percent by weight). Whereas concentrated compositions tend to be preferred for commercial goods, the end consumer as a rule uses dilute compositions which have substantially lower concentrations of active ingredient. Preferred compositions are composed in particular as follows (% = percent by weight):
Emulsifiable concentrates:
active ingredient: 1 to 95%, preferably 5 to 20%
surfactant: 1 to 30%, preferably 10 to 20 %
solvent: 5 to 98%, preferably 70 to 85%
Dusts:
active ingredient: 0.1 to 10%, preferably 0.1 to 1 %
solid carrier: 99.9 to 90%, preferably 99.9 to 99%
Suspension concentrates and flowable concentrates:
active ingredient: 5 to 75%, preferably 10 to 50%
water: 94 to 24%, preferably 88 to 30%
surfactant: 1 to 40%, preferably 2 to 30%
Wettable powders:
active ingredient: 0.5 to 90%, preferably 1 to 80%
surfactant: 0.5 to 20%, preferably 1 to 15%
solid carrier: 5 to 99%, preferably 15 to 98%
Granulates:
active ingredient: 0.5 to 30%, preferably 3 to 15%
solid carrier: 99.5 to 70%, preferably 97 to 85%
Formulation examples (% = percent by weight)
Example F1: Emulsion concentrates a) b) c)
Active ingredient 25 % 40 % 50 %
Calcium dodecylbenzenesulfonate 5 % 8 % 6 %
Castor oil polyethylene
glycol ether (36 mol of EO) 5 % - Tributylphenoxypolyethylene glycol
ether (30 mol of EO) - 12% 4%
Cyclohexanone - 15% 20%
Xylene mixture 65% 25% 20%
Emulsions of any desired concentration can be prepared from such concentrates by dilution with water.
Example F2: Solutions a) b) c) d)
Active ingredient 80% 10% 5% 95%
Ethylene glycol monomethyl
ether 20 % -
Polyethylene glycol
MW400 - 70 % - N-Methylpyrrolid-2-one - 20 % -
Epoxidized coconut oil - - 1 % 5 %
Petroleum ether
(boiling range: 160-190°) - - 94% -
The solutions are suitable for use in the form of microdrops.
Example F3: Granules a) b) c) d)
Active ingredient 5% 10% 8% 21 %
Kaolin 94% - 79% 54%
Highly disperse silica 1 % - 13% 7%
Attapulgite - 90% - 18%
The active ingredient is dissolved in dichloromethane, the solution is sprayed onto the carrier(s), and the solvent is subsequently evaporated in vacuo.
Example F4: Dusts a) b)
Active ingredient 2 % 5 %
Highly disperse silica 1 % 5 %
Talc 97 % -
Kaolin - 90 %
Ready-to-use dusts are obtained by intimately mixing the carriers and the active ingredient.
Example F5: Wettable powders a) b) c)
Active ingredient 25 % 50 % 75 %
Sodium lignosulfonate 5 % 5 %
Sodium lauryl sulfate 3 % - 5 %
Sodium diisobutyl- naphthalenesulfonate - 6 % 10 %
Octylphenoxypolyethylene glycol
ether (7-8 mol of EO) - 2 %
Highly disperse silica 5 % 10 % 10 %
Kaolin 62 % 27 % -
The active ingredient is mixed with the additives and the mixture is ground thoroughly in a suitable mill. This gives wettable powders, which can be diluted with water to give suspensions of any desired concentration.
Example F6: Extruder granules
Active ingredient 10 %
Sodium lignosulfonate 2 %
Carboxymethylcellulose 1 %
Kaolin 87 %
The active ingredient is mixed with the additives, and the mixture is ground, moistened with water, extruded, granulated and dried in a stream of air.
Example F7: Coated granules
Active ingredient 3 %
Polyethylene glycol (MW 200) 3 %
Kaolin 94 %
In a mixer, the finely ground active ingredient is applied uniformLy to the kaolin, which has been moistened with the polyethylene glycol. This gives dust-free coated granules.
Example F8: Suspension concentrate
Active ingredient 40 %
Ethylene glycol 10 %
Nonylphenoxypolyethylene glycol ether (15 mol of EO) 6 %
Sodium lignosulfonate 10 %
Carboxymethylcellulose 1 %
37 % aqueous formaldehyde solution 0.2 %
Silicone oil (75 % aqueous emulsion) 0.8 %
Water 32 %
The finely ground active ingredient is mixed intimately with the additives. Suspensions of any desired concentration can be prepared from the thus resulting suspension concentrate by dilution with water.
Example F9: Powders for drv seed treatment a) b) c) active ingredient 25 % 50 % 75 % light mineral oil 5 % 5 % 5 % highly dispersed silicic acid 5 % 5 % -
Kaolin 65 % 40 % -
Talcum 20 %
The combination is thoroughly mixed with the adjuvants and the mixture is thoroughly ground in a suitable mill, affording powders that can be used directly for seed treatment.
Example F10: Emulsifiable concentrate
active ingredient 10 %
octylphenol polyethylene glycol ether 3 %
(4-5 mol of ethylene oxide)
calcium dodecylbenzenesulfonate 3 %
castor oil polyglycol ether (35 mol of ethylene oxide) 4 %
Cyclohexanone 30 %
xylene mixture 50 %
Emulsions of any required dilution, which can be used in plant protection, can be obtained from this concentrate by dilution with water.
Example F1 1 : Flowable concentrate for seed treatment
active ingredient 40 % propylene glycol 5 % copolymer butanol PO/EO 2 %
Tristyrenephenole with 10-20 moles EO 2 %
1 ,2-benzisothiazolin-3-one (in the form of a 20% solution in water) 0.5 % monoazo-pigment calcium salt 5 %
Silicone oil (in the form of a 75 % emulsion in water) 0.2 %
Water 45.3 %
The finely ground combination is intimately mixed with the adjuvants, giving a suspension concentrate from which suspensions of any desired dilution can be obtained by dilution with water. Using such dilutions, living plants as well as plant propagation material can be treated and protected against infestation by microorganisms, by spraying, pouring or immersion.
Examples of foliar formulation types for pre-mix compositions are:
GR: Granules
WP: wettable powders
WG: water dispersable granules (powders)
SG: water soluble granules
SL: soluble concentrates
EC: emulsifiable concentrate
EW: emulsions, oil in water
ME: micro-emulsion
SC: aqueous suspension concentrate
CS: aqueous capsule suspension
OD: oil-based suspension concentrate, and
SE: aqueous suspo-emulsion.
Whereas, examples of seed treatment formulation types for pre-mix compositions are:
WS: wettable powders for seed treatment slurry
LS: solution for seed treatment
ES: emulsions for seed treatment
FS: suspension concentrate for seed treatment
WG: water dispersible granules, and
CS: aqueous capsule suspension.
Examples of formulation types suitable for tank-mix compositions are solutions, dilute emulsions, suspensions, or a mixture thereof, and dusts.
As with the nature of the formulations, the methods of application, such as foliar, drench, spraying, atomizing, dusting, scattering, coating or pouring, are chosen in accordance with the intended objectives and the prevailing circumstances.
The tank-mix compositions are generally prepared by diluting with a solvent (for example, water) the one or more pre-mix compositions containing different pesticides, and optionally further auxiliaries. Suitable carriers and adjuvants can be solid or liquid and are the substances ordinarily employed in formulation technology, e.g. natural or regenerated mineral substances, solvents, dispersants, wetting agents, tackifiers, thickeners, binders or fertilizers.
Generally, a tank-mix formulation for foliar or soil application comprises 0.1 to 20%, especially 0.1 to 15 %, of the desired ingredients, and 99.9 to 80 %, especially 99.9 to
85 %, of a solid or liquid auxiliaries (including, for example, a solvent such as water),
where the auxiliaries can be a surfactant in an amount of 0 to 20 %, especially 0.1 to 15
%, based on the tank-mix formulation.
Typically, a pre-mix formulation for foliar application comprises 0.1 to 99.9 %, especially 1 to 95 %, of the desired ingredients, and 99.9 to 0.1 %, especially 99 to 5 %, of a solid or liquid adjuvant (including, for example, a solvent such as water), where the auxiliaries can be a surfactant in an amount of 0 to 50 %, especially 0.5 to 40 %, based on the pre-mix formulation.
Normally, a tank-mix formulation for seed treatment application comprises 0.25 to 80%, especially 1 to 75 %, of the desired ingredients, and 99.75 to 20 %, especially 99 to 25 %, of a solid or liquid auxiliaries (including, for example, a solvent such as water), where the auxiliaries can be a surfactant in an amount of 0 to 40 %, especially 0.5 to 30 %, based on the tank-mix formulation.
Typically, a pre-mix formulation for seed treatment application comprises 0.5 to 99.9 %, especially 1 to 95 %, of the desired ingredients, and 99.5 to 0.1 %, especially 99 to 5 %, of a solid or liquid adjuvant (including, for example, a solvent such as water), where the auxiliaries can be a surfactant in an amount of 0 to 50 %, especially 0.5 to 40 %, based on the pre-mix formulation.
Whereas commercial products will preferably be formulated as concentrates (e.g., pre-mix composition (formulation)), the end user will normally employ dilute formulations (e.g., tank mix composition).
Preferred seed treatment pre-mix formulations are aqueous suspension concentrates. The formulation can be applied to the seeds using conventional treating techniques and machines, such as fluidized bed techniques, the roller mill method, rotostatic seed treaters, and drum coaters. Other methods, such as spouted beds may also be useful. The seeds may be presized before coating. After coating, the seeds are typically dried and then transferred to a sizing machine for sizing. Such procedures are known in the art.
In general, the pre-mix compositions of the invention contain 0.5 to 99.9 especially 1 to 95, advantageously 1 to 50 , %, by mass of the desired ingredients, and 99.5 to 0.1 , especially 99 to 5, %, by mass of a solid or liquid adjuvant (including, for example, a solvent such as water), where the auxiliaries (or adjuvant) can be a surfactant in an amount of 0 to 50, especially 0.5 to 40, %, by mass based on the mass of the pre-mix formulation.
The combinations of the present invention (i.e. those comprising a compound of the present invention and one or more other biological active agents) may be applied simulatenously or sequentially.
In the event, the ingredients of a combination are applied sequentially (i.e., one after the other), the ingredients are applied sequentially within a reasonable period of each other to attain the biological performance, such as within a few hours or days. The order of applying the ingredients in the combination, i.e., whether the compounds of formula (I) should be applied first or not is not essential for working the present invention.
In the event ingredients of the combinations are applied simultaneously in the present invention, they may be applied as a composition containing the combination, in which case (A) the compound of formula (I) and the one or more other ingredients in the combinations can be obtained from
separate formulation sources and mixed together (known as a tank-mix, ready-to-apply, spray broth, or slurry), or (B) the compound of formula (I) and the one or more other ingredients can be obtained as single formulation mixture source (known as a pre-mix, ready-mix, concentrate, or formulated product).
In an embodiment, independent of other embodiments, a compound according to the present invention is applied as a combination. Accordingly, the present invention also provides a composition comprising a a compound according the invention as herein described and one or more other biological active agents, and optionally one or more formulation auxiliaries; which may be in the form of a tank-mix or pre-mix composition.
Alternative to the actual synergistic action with respect to biological activity, the combinations according to the invention also can have surprising advantageous properties which can also be described, in a wider sense, as synergistic activity. Examples of such advantageous properties that may be mentioned are: advantageous behaviour during formulation and/or upon application, for example upon grinding, sieving, emulsifying, dissolving or dispensing; increased storage stability; improved stability to light; more advantageous degradability; improved toxicological and/or ecotoxicological behaviour; or any other advantages familiar to a person skilled in the art.
The compounds of the present invention may also find application in other fields, such as one or more of protection of stored goods and store rooms, the protection of raw materials (such as wood and textiles), floor coverings and buildings, and in hygiene management - especially the protection of humans, domestic animals and productive livestock against pests. The invention therefore also makes available pesticidal compositions for such uses and the methods therefor. The composition would need to be modified for use in a particular use, and a skilled person would be able to make available such compositions for any particular use.
In the hygiene sector, the compositions according to the invention are active against ectoparasites such as hard ticks, soft ticks, mange mites, harvest mites, flies (biting and licking), parasitic fly larvae, lice, hair lice, bird lice and fleas.
Examples of such parasites are:
- Of the order Anoplurida: Haematopinus spp., Linognathus spp., Pediculus spp. and Phtirus spp., Solenopotes spp..
- Of the order Mallophagida: Trimenopon spp., Menopon spp., Trinoton spp., Bovicola spp., Werneckiella spp., Lepikentron spp., Damalina spp., Trichodectes spp. and Felicola spp..
- Of the order Diptera and the suborders Nematocerina and Brachycerina, for example Aedes spp., Anopheles spp., Culex spp., Simulium spp., Eusimulium spp., Phlebotomus spp., Lutzomyia spp., Culicoides spp., Chrysops spp., Hybomitra spp., Atylotus spp., Tabanus spp., Haematopota spp., Philipomyia spp., Braula spp., Musca spp., Hydrotaea spp., Stomoxys spp., Haematobia spp., Morellia spp., Fannia spp., Glossina spp., Calliphora spp., Lucilia spp., Chrysomyia spp., Wohlfahrtia spp., Sarcophaga spp., Oestrus spp., Hypoderma spp., Gasterophilus spp., Hippobosca spp., Lipoptena spp. and Melophagus spp..
- Of the order Siphonapterida, for example Pulex spp., Ctenocephalides spp., Xenopsylla spp., Ceratophyllus spp..
- Of the order Heteropterida, for example Cimex spp., Triatoma spp., Rhodnius spp., Panstrongylus spp..
- Of the order Blattarida, for example Blatta orientalis, Periplaneta americana, Blattelagermanica and Supella spp..
- Of the subclass Acaria (Acarida) and the orders Meta- and Meso-stigmata, for example Argas spp., Ornithodorus spp., Otobius spp., Ixodes spp., Amblyomma spp., Boophilus spp., Dermacentor spp., Haemophysalis spp., Hyalomma spp., Rhipicephalus spp., Dermanyssus spp., Raillietia spp., Pneumonyssus spp., Sternostoma spp. and Varroa spp..
- Of the orders Actinedida (Prostigmata) and Acaridida (Astigmata), for example Acarapis spp., Cheyletiella spp., Ornithocheyletia spp., Myobia spp., Psorergatesspp., Demodex spp., Trombicula spp., Listrophorus spp., Acarus spp., Tyrophagus spp., Caloglyphus spp., Hypodectes spp., Pterolichus spp., Psoroptes spp., Chorioptes spp., Otodectes spp., Sarcoptes spp., Notoedres spp., Knemidocoptes spp., Cytodites spp. and Laminosioptes spp..
The compositions according to the invention are also suitable for protecting against insect infestation in the case of materials such as wood, textiles, plastics, adhesives, glues, paints, paper and card, leather, floor coverings and buildings. The compositions according to the invention can be used, for example, against the following pests: beetles such as Hylotrupes bajulus, Chlorophorus pilosis, Anobium punctatum, Xestobium rufovillosum, Ptilinuspecticornis, Dendrobium pertinex, Ernobius mollis, Priobium carpini, Lyctus brunneus, Lyctus africanus, Lyctus planicollis, Lyctus linearis, Lyctus pubescens, Trogoxylon aequale, Minthesrugicollis, Xyleborus spec.,Tryptodendron spec, Apate monachus, Bostrychus capucins, Heterobostrychus brunneus, Sinoxylon spec, and Dinoderus minutus, and also hymenopterans such as Sirex juvencus, Urocerus gigas, Urocerus gigas taignus and Urocerus augur, and termites such as Kalotermes flavicollis, Cryptotermes brevis, Heterotermes indicola, Reticulitermes flavipes, Reticulitermes santonensis, Reticulitermes lucifugus, Mastotermes darwiniensis, Zootermopsis nevadensis and Coptotermes formosanus, and bristletails such as Lepisma saccharina.
The application methods for applying a compound or a composition thereof to stored goods, store rooms, raw materials (such as wood and textiles), floor coverings and buildings, and in hygiene management is known in the art.
The invention may also provides a method for treating, curing, controlling, preventing and protecting warm-blooded animals, including humans, and fish against infestation and infection by helminths, arachnids and arthropod endo- and ectoparasites which comprises orally, topically or parenterally administering or applying to said animals an anthelmintically, acaricidally or endo- or ectoparasiticidally effective amount of compound of formula (I) .
The above method may be also useful for controlling and preventing helminth, nemtode, acarid and arthropod endo- and ectoparasitic infestations and infections in warm-blooded animals such as
cattle, sheep, swine, camels, deer, horses, poultry, fish, rabbits, goats, mink, fox, chinchillas, dogs and cats as well as humans.
The compound of this invention may also control endoparasitic arthropod infestations such as cattle grub and stomach bot. In addition, acarid and arthropod ectoparasitic infestations in warm-blooded animals and fish including biting lice, sucking lice, bot flies, biting flies, muscoid flies, flies, myiasitic fly larvae, gnats, mosquitoes, fleas, mites, ticks, nasal bots, keds and chiggers may be controlled, prevented or eliminated by the compounds of this invention. Biting lice include members of Mallophaga such as Bovicola bovis, Trichodectes canis and Damilina ovis. Sucking lice include members of Anoplura such as Haematopinus eurysternus, Haematopinus suis, Linognathus vituli and Solenopotes capillatus. Biting flies include members of Haematobia. Ticks include Boophilus, Rhipicephalus, Ixodes, Hyalomma, Amblyomma and Dermacentor. The compounds of the invention may also be used to control mites which are parasitic on warm-blooded mammals and poultry including mites of the orders Acariformes and Parasitiformes.
For oral administration to warm-blooded animals, the compounds of the invention may be formulated as animal feeds, animal feed premixes, animal feed concentrates, pills, solutions, pastes, suspensions, drenches, gels, tablets, boluses and capsules. In addition, the compounds of the invention may be administered to the animals in their drinking water. For oral administration, the dosage form chosen should provide the animal with about 0.01 mg/kg to 100 g/kg of animal body weight per day of the compound of the invention.
Alternatively, the compounds of the invention may be administered to animals parenterally, for example, by intraruminal, intramuscular, intravenous or subcutaneous injection. The compounds of the invention may be dispersed or dissolved in a physiologically acceptable carrier for subcutaneous injection. Alternatively, the compounds of the invention may be formulated into an implant for subcutaneous administration. In addition the compounds of the invention may be transdermal^ administered to animals. For parenteral administration, the dosage form chosen should provide the animal with about 0.01 mg/kg to 100 mg/kg of animal body weight per day of the compound of the invention.
The compounds of the invention may also be applied topically to the animals in the form of dips, dusts, powders, collars, medallions, sprays and pour-on formulations. For topical application, dips and sprays usually contain about 0.5 ppm to 5,000 ppm and preferably about 1 ppm to 3,000 ppm of the compound of the invention. In addition, the compounds of the invention may be formulated as ear tags for animals, particularly quadrupeds such as cattle and sheep.
The compounds of the invention may also be used in combination or conjunction with one or more other parasiticidal compounds (to broaden the spectrum of activity) including, but not limited to, anthelmintics, such as benzimidazoles, piperazine, levamisole, pyrantel, praziquantel and the like; endectocides such as avermectins, milbemycins and the like; ectoparasiticides such as arylpyrroles, organophosphates, carbamates, gamabutyric acid inhibitors including fipronil, pyrethroids, spinosads, imidacloprid and the like; insect growth regulators such as pyriproxyfen, cyromazine and the like; and chitin synthase inhibitors such as benzoylureas including flufenoxuron.
The parasiticidal compositions of the present invention include a parasiticidally effective amount of a compound of the invention or combinations thereof admixed with one or more physiologically tolerable inert, solid or liquid carriers known from veterinary medicinal practice for oral, percutaneous and topical administration. Such compositions may comprise further additives, such as stabilizers, anifoams, viscosity regulators, binders and tackifiers, whereas commercial products will preferably be formulated as concentrates, the end user will normally employ dilute formulations. The compositions according to the present invention may also be used for the preparation of composition useful to curatively or preventively treat human and animal fungal diseases such as, for example, mycoses, dermatoses, trichophyton diseases and candidiases or diseases caused by Aspergillus spp., for example Aspergillus fumigatus.
In an embodiment, independent of any other embodiments, a compound of formula (I) is a pesticidal compound, preferably an insecticidal compound.
The following Examples serve to illustrate the invention. They do not limit the invention. Temperatures are given in degrees Celsius; mixing ratios of solvents are given in parts by volume. Free radicals represent methyl groups.
EXAMPLES
2-[(6-bromo-2-pyridyl)oxylethyl-trimethyl-silane
To a solution of 2-trimethylsilylethanol (5.7 g) in 100 ml of dry tetrahydrofuran, sodium hydride (2.4 g) was added in portions at ambient temperature. After stirring for 1 h, this mixture was added slowly to a cooled (0°C) solution of 2,6-dibromopyridine (10.0 g) in dry tetrahydrofuran (100 ml). The
mixture was stirred for 18 hours at ambient temperature, then quenched with saturated ammonium chloride solution. The aqueous layer was extracted twice with ethyl acetate, the organic phase dried over sodium sulphate and the solvent evaporated. The crude was suspended in cold n-hexane and the excess of 2-trimethylsilylethanol was filtered off. After evaporation of the solvent, 2-[(6-bromo-2- pyridyl)oxy]ethyl-trimethyl-silane was obtained a colourless oil (8.0 g). H-NMR (CDCI3, δ in ppm): 7.39 (t, 1 H), 7.03 (d, 1 H), 6.64 (d, 1 H), 4.36-4.44 (m, 2H), 1.12 (dd, 2H), 0.09 (m, 9H).
2-[[6-[(6-chloro-3-pyridvnmethyll-2-pyridylloxylethyl-trimethyl-silane
To a solution of 2-[(6-bromo-2-pyridyl)oxy]ethyl-trimethyl-silane (6.0 g) in dry tetrahydrofuran (76 mL) at 0°C under nitrogen, tetrakis(triphenylphosphine)palladium (2.5 g) was added, followed by the dropwise addition of chloro-[(6-chloro-3-pyridyl)methyl]zinc (50 mL, 0.5 mol/L in tetrahydrofuran). The reaction mixture was warmed to ambient temperature, then stirred at 50°C for 1 .5 h. Then, the mixture was cooled to ambient temperature, diluted with ethyl acetate and quenched with water. The resulting mixture was filtered over celite, extracted twice with ethyl acetate and the organic phase dried over sodium sulphate. Concentration of the volatiles afforded the crude, which was purified via flash chromatography (gradient from n-heptane 100% to n-heptane + 5% ethyl acetate) to give 2-[[6-[(6-chloro-3-pyridyl)methyl]-2-pyridyl]oxy]ethyl-trimethyl-silane as a colorless oil (7.0 g). H-NMR (CDCI3, δ in ppm): 8.35 (d, 1 H), 7.61 (dd, 1 H), 7.47 (dd, 1 H), 7.25 (d, 1 H), 6.68 (d, 1 H), 6.54 (d, 1 H), 4.32-4.38 (m, 2H), 3.98 (s, 2H), 1.02-1.15 (m, 2H), 0.07 (s, 9H).
6-[(6-chloro-3-pyridyl)methyll-1 H-pyridin-2-one
To a solution of 2-[[6-[(6-chloro-3-pyridyl)methyl]-2-pyridyl]oxy]ethyl-trimethyl-silane) (6.7 g) in dichloromethane (50 mL), trifluoroacetic acid (6.6 g) was added dropwise. The reaction was stirred 18 hours at ambient temperature, then the mixture was basified until pH = 8 with careful addition of saturated sodium bicarbonate. The solids were filtered off, to afford 6-[(6-chloro-3-pyridyl)methyl]- 1 H-pyridin-2-one as a white powder (4.0 g). H-NMR (DMSO-d6, δ in ppm) : 1 1.71 (br. s., 1 H), 8.38 (d, 1 H), 7.78 (dd, 1 H), 7.48 (d, 1 H), 7.34 (dd, 1 H), 6.17 (d, 1 H), 5.99 (br. s., 1 H), 3.82 (s, 2H).
To a solution of 6-[(6-chloro-3-pyridyl)methyl]-1 H-pyridin-2-one (1.9 g) in dimethylformamide (77 mL) was added cesium carbonate (3.4 g) and the suspension was allowed to stir at ambient temperature for 15min. Then, O-diphenylphosphorylhydroxylamine (2.4 g) was added and the reaction mixture was stirred at ambient temperature for 2h, before quenching with water. The aqueous layer was extracted twice with ethyl acetate, the organic phase dried over sodium sulphate and the solvent evaporated. The crude was purified via flash chromatography (dichloromethane + 20 % methanol) to give 1-amino-6-[(6-chloro-3-pyridyl)methyl]pyridin-2-one as an off-white solid (1.9 g). H-NMR (CDCI3, δ in ppm) : 8.33 (d, 1 H), 7.52 (dd, 1 H), 7.28-7.34 (m, 2H), 6.59 (dd, 1 H), 6.00 (br. d, 1 H), 4.88 (s, 2H), 4.12 (s, 2H), 1 .59 (s, 6H), 0.01 (s, 1 H).
2-[(6-chloro-3-pyridyl)methyll-7-oxa-1-azonia-9-azanidabicyclo[4.3.0lnona-1 (6),2,4-trien-8-one
To a solution of 1-amino-6-[(6-chloro-3-pyridyl)methyl]pyridin-2-one (1.4 g) in chloroform (10 mL) under nitrogen, triphosgene (2.1 g) was added. Then, triethylamine (2.2 g) was added dropwise at ambient temperature. The reaction was stirred overnight, then quenched with saturated sodium bicarbonate solution. The aqueous layer was extracted twice with dichloromethane, the organic phase dried over sodium sulphate and the solvent evaporated. The crude was purified via flash chromatography (dichloromethane + 20 % ethanol) to give 2-[(6-chloro-3-pyridyl)methyl]-7-oxa-1- azonia-9-azanidabicyclo[4.3.0]nona-1 (6),2,4-trien-8-one
as a white solid (1 .1 g). H-NMR (CDCI3, δ in ppm): 8.39 (d, 1 H), 7.78 (dd, 1 H), 7.71 (t, 1 H), 7.35 (d, 1 H), 7.29 (d, 1 H), 7.01 (t, 1 H), 4.40 (s, 2H).
2-[bromo-(6-chloro-3-pyridyl)methyll-7-oxa-1-azonia-9-azanidabicyclo[4.3.0lnona-1 (6),2,4-trien-8- one
To a solution of 2-[(6-chloro-3-pyridyl)methyl]-7-oxa-1-azonia-9-azanidabicyclo[4.3.0]nona-1 (6),2,4- trien-8-one (0.1 g) in tetrahydrofuran (1 mL) under argon, butyllithium (1 .0 g) was added dropwise at 0°C and stirred at the same temperature for 1 h. After cooling at -78°C, a solution of carbon tetrabromide (0.4 g) in tetrahydrofuran (2 mL) was added dropwise.
The reaction mixture was stirred at -78°C for 1 h then allowed to warm to room temperature, quenched by slow addition of water and allowed to warm to room temperature. The aqueous layer was extracted twice with ethyl acetate, the organic phase dried over sodium sulphate and the solvent evaporated. The crude was purified via flash chromatography (dichloromethane + 20 % methanol) to give 2-[bromo-(6-chloro-3-pyridyl)methyl]-7-oxa-1-azonia-9-azanidabicyclo[4.3.0]nona- 1 (6),2,4-trien-8-one as white solid (0.007 g). H-NMR (CDCI3, δ in ppm): 8.56 (d, 1 H), 7.90 (dd, 1 H), 7.82 (t, 1 H), 7.61 (dd, 1 H), 7.39 (d, 1 H), 7.37 (dd, 1 H), 6.71 (s, 1 H).
1-amino-6-[(6-chloro-3-pyridyl)methyllpyridine-2-thione
To a solution of 1-amino-6-[(6-chloro-3-pyridyl)methyl]pyridin-2-one (120 mg) in toluene (5 mL) Lawesson reagent (160 g) and the whole was refluxed for 5 h at 90°C. The crude reaction mixture was concentrated under reduced pressure and purified via flash chromatography (dichloromethane + ethyl acetate) to give 1-amino-6-[(6-chloro-3-pyridyl)methyl]pyridine-2-thione as a yellow oil (65 mg). LC-MS (CI, Method A) = 252 [M+H]+
2-[(6-chloro-3-pyridyl)methyll-7-thia-1-azonia-9-azanidabicyclo[4.3.0lnona-1 (6),2,4-trien-8-one
To a solution of 1-amino-6-[(6-chloro-3-pyridyl)methyl]pyridine-2-thione (80 mg) in chloroform (5 mL) under nitrogen, triphosgene (123 mg) was added. Then, triethylamine (0.18 mL) was added dropwise at 0°C and the reaction was stirred 3 h at 0°C. The mixture was quenched with saturated sodium bicarbonate solution, the aqueous layer was extracted twice with dichloromethane, the organic phase dried over sodium sulphate and the solvent evaporated. The crude was purified via flash chromatography (heptane + ethyl acetate) to give 2-[(6-chloro-3-pyridyl)methyl]-7-thia-1- azonia-9-azanidabicyclo[4.3.0]nona-1 (6),2,4-trien-8-one as a brown solid (37 mg). H-NMR (CDCI3, □ in ppm): 8.38 (d, 1 H), 7.78 (dd, 1 H), 7.60 (dd, 1 H), 7.54 (d, 1 H), 7.32 (d, 1 H), 7.03 (d, 1 H), 4.47 (s, 2H).
2-[(6-chloro-3-pyridyl)methyll-7-oxa-1-azonia-9-azanidabicyclo[4.3.0lnona-1 (6),2,4-triene-8-thione
To a solution of 1-amino-6-[(6-chloro-3-pyridyl)methyl]pyridin-2-one (50 mg) in chloroform (4.2 mL) under nitrogen, thiophosgene (41 mg) was added. Then, triethylamine (86 mg) was added dropwise at ambient temperature. After 5 min the reaction was quenched with saturated sodium bicarbonate solution. The aqueous layer was extracted twice with dichloromethane, the organic phase dried over sodium sulphate and the solvent evaporated. The crude was purified via flash chromatography (dichloromethane + 20 % ethanol) to give 2-[(6-chloro-3-pyridyl)methyl]-7-oxa-1-azonia-9- azanidabicyclo[4.3.0]nona-1 (6),2,4-triene-8-thione as amorphous yellow-white solid (10 mg). H- NMR (CDCI3, δ in ppm): 8.30 (d, 1 H), 7.80 (t, 1 H), 7.66 (dd, 1 H), 7.37 (d, 1 H), 7.29 (d, 1 H), 7.05 (d, 1 H), 4.44-4.50 (s, 2H). PREPARATION EXAMPLE 2:
6-chloro-3-pyridvn-[6-(2-trimethylsilylethoxy)-2-pyridyllmethanol
To a solution of 2-[(6-bromo-2-pyridyl)oxy]ethyl-trimethyl-silane (7.2 g) in tetrahydrofuran (43 mL) under argon, butyllithium (1.5 g) was added dropwise at -78°C. After 2 h, a solution of 6- chloropyridine-3-carbaldehyde (3.0 g) in tetrahydrofuran (9.1 mL) was added at -78°C and the mixture was stirred at the same temperature for 30 min. Then the reaction was quenched by slow addition of water and allowed to warm to room temperature. The aqueous layer was extracted twice with ethyl acetate, the organic phase dried over sodium sulphate and the solvent evaporated. The crude was purified via flash chromatography (heptane + 20 % ethyl acetate) to give 6-chloro-3- pyridyl)-[6-(2-trimethylsilylethoxy)-2-pyridyl]methanol as yellow oil (6.0 g). H-NMR (CDCI3, δ in ppm): 8.35 (d, 1 H), 7.57 (dd, 1 H), 7.45 (t, 1 H), 7.20 (d, 1 H), 6.47-6.64 (m, 2H), 5.60 (s, 1 H), 4.73 (br. s., 1 H), 4.25-4.46 (m, 2H), 0.98-1.1 1 (m, 2H), 0.07 (s, 9H).
(6-chloro-3-pyridyl)-[6-(2-trimethylsilylethoxy)-2-pyridyllmethanone
To a solution of 6-chloro-3-pyridyl)-[6-(2-trimethylsilylethoxy)-2-pyridyl]methanol (0.4 g) in chloroform (4.5 mL) was added dioxomanganese (1.3 g) at ambient temperature. The reaction was heated at 70°C for 3 h, then allowed to cool down and filtered through Celite. The solvent was evaporated to give 6-chloro-3-pyridyl)-[6-(2-trimethylsilylethoxy)-2-pyridyl]methanone as colorless oil (0.4 g). H-NMR (CDCI3, δ in ppm): 9.14-9.25 (m, 1 H), 8.33-8.46 (m, 1 H), 7.71-7.83 (m, 2H), 7.40-7.48 (m, 1 H), 6.89-6.99 (m, 1 H), 4.33-4.47 (m, 2H), 1.06-1.14 (m, 2H), 0.03 (s, 9H).
According to the methods described above, Table P lists compounds of formula (I) with their characteristics.
Table P:
Method A:
Spectra were recorded on a Mass Spectrometer from Waters (SQD or ZQ Single quadrupole mass spectrometer) equipped with an electrospray source (Polarity: positive or negative ions, Capillary: 3.00 kV, Cone range: 30-60 V, Extractor: 2.00 V, Source Temperature: 150°C, Desolvation Temperature: 350°C, Cone Gas Flow: 0 L/Hr, Desolvation Gas Flow: 650 L/Hr, Mass range: 100 to 900 Da) and an Acquity UPLC from Waters: Binary pump, heated column compartment and diode-array detector. Solvent degasser, binary pump, heated column compartment and diode-array detector. Column: Waters UPLC HSS T3 , 1.8 Dm, 30 x 2.1 mm, Temp: 60 °C, DAD Wavelength range (nm): 210 to 500, Solvent Gradient: A = water + 5% MeOH + 0.05 % HCOOH, B= Acetonitrile + 0.05 % HCOOH: gradient: gradient: 0 min 0% B, 100%A; 1.2- 1.5min 100% B; Flow (ml/min) 0.85.
Method B
Spectra were recorded on a Mass Spectrometer from Waters (SQD or ZQ Single quadrupole mass spectrometer) equipped with an electrospray source (Polarity: positive or negative ions, Capillary: 3.00 kV, Cone range: 30-60 V, Extractor: 2.00 V, Source Temperature: 150°C, Desolvation Temperature: 350°C, Cone Gas Flow: 0 L/Hr, Desolvation Gas Flow: 650 L/Hr, Mass range: 100 to 900 Da) and an Acquity UPLC from Waters: Binary pump, heated column compartment and diode-array detector. Solvent degasser, binary pump, heated column compartment and diode-array detector. Column: Waters UPLC HSS T3 , 1.8 Dm, 30 x 2.1 mm, Temp: 60 °C, DAD Wavelength range (nm): 210 to 500, Solvent Gradient: A = water + 5% MeOH + 0.05 % HCOOH, B= Acetonitrile + 0.05 % HCOOH: gradient: gradient: 0 min 0% B, 100%A; 2.7- 3.0min 100% B; Flow (ml/min) 0.85.
BIOLOGICAL EXAMPLES:
These Examples illustrate the insecticidal properties of the compounds of formula (I). The tests were performed as follows:
Myzus persicae (Green peach aphid): feeding/residual contact activity, preventive Sunflower leaf discs were placed on agar in a 24-well microtiter plate and sprayed with aqueous test solutions prepared from 10Ό00 ppm DMSO stock solutions. After drying, the leaf discs were infested with an aphid population of mixed ages. The samples were assessed for mortality 6 days after infestation.
The following compounds resulted in at least 80% mortality at an application rate of 200 ppm: P1 , P2, P3, P4, P5, P6, P7, P12, P13 and P14.
Myzus persicae (Green peach aphid): systemic/feeding activity, curative
Roots of pea seedlings infested with an aphid population of mixed ages were placed directly in the aqueous test solutions prepared from 10Ό00 DMSO stock solutions. The samples were assessed for mortality 6 days after placing seedlings in test solutions.
The following compounds resulted in at least 80% mortality at a test rate of 24 ppm: P1 , P2, P3, P4, P5, P6, P7, P12, P13, P14 and P15. Diabrotica balteata (Banded cucumber beetle): larvicide, feeding/contact activity, residual
Artificial diet was dispensed into a 96-well microtiter plate and treated with aqueous test solutions prepared from 10Ό00 ppm DMSO stock solutions. Eggs were suspended above the treated diet and first instar larvae hatched onto the diet.
The samples were checked for mortality 5 days after treatment
Compounds P1 , P2, P3, P6, P7, P13, P15 and P16 gave at least 70% control of Diabrotica balteata at an application rate of 500ppm. Heliothis virescens (Tobacco budworm): ovo-larvicide, feeding/contact activity, curative.
Cotton leaf discs were placed on agar in a 96-well microtiter plate and infested with eggs. Aqueous test solutions prepared from 10Ό00 ppm DMSO stock solutions were then applied. The samples were checked for mortality 3 days after treatment
Compounds P1 , P2, P3 and P13 gave at least 75% control of Heliothis virescens at an application rate of 1000 ppm.
Nilaparvata lugens (Brown plant hopper): larvicide, systemic into water Rice seedlings cultivated in a nutritive solution are into water treated with the diluted test solution at an application rate of 12.5 ppm . 1 day after the application plants are infested with 20 N3 nymphs (2 replicates). 6 days later samples are checked for mortality.
Compounds P1 , P2, P5, P6 and P7 gave at least 75% control of Nilaparvata lugens.
Claims
1. A compound of formula (I)
wherein
X is O or S;
Y is O or S;
Het is a 5- or 6- membered carbon-bound saturated, unsaturated or aromatic heterocycle, having 1 , 2 or 3 heteroatoms selected from O, S and N; said Het can be mono- di- or trisubstituted by substituents selected from the group consisting of halogen, Ci-C4-alkyl and Ci-C4-haloalkyl;
R-i, R2 and R3 are independently from one another selected from the group consisting of hydrogen, halogen, Ci-C4-alkyl, Ci-C4-haloalkyl, Ci-C4-alkoxy, Ci-C4-haloalkoxy, cyano and nitro; and R4 and R5 are independently from one another selected from the group consisting of hydrogen, halogen and Ci-C4-alkyl; or R4 and R5 together with the carbon to which they are each attached form a 3 to 6 membered cycloalkyl group;
as well as its agrochemically acceptable salts, enantiomers, diastereoisomers, tautomers, and N- oxides.
2. A compound of formula (I) according to claim 1 , wherein A is CR4R5, C3-C4-cycloalkyl, or C=0, wherein R4 and R5 are independently from one another selected from hydrogen, halogen and d-
C2-alkyl, and wherein C3-C4-cycloalkyl is attached to Het and remaining part of the compound of formula (I) with the same carbon atom of the cycloalkyl group.
3. A compound of formula (I) according to claim 1 , wherein Het is pyridyl, pyrimidyl, pyrazinyl, thiazolyl, isoxazolyl or tetrahydrofuranyl or pyridyl, pyrimidyl, pyrazinyl, thiazolyl, isoxazolyl or tetrahydrofuranyl mono- or di-substituted by substituents selected from the group consisting of d- C4-alkyl, Ci-C4-haloalkyl and halogen.
4. A compound of formula (I) according to claim 1 , wherein R-i, R2 and R3 are each hydrogen.
5. A compound of formula (I) according to claim 1 , wherein A is CR4R5, wherein R4 and R5 are independently from one another selected from hydrogen, halogen (which is selected from chlorine, bromine and fluorine) and Ci-C2-alkyl.
6. A compound of formula (I) according to claim 1 represented by the compounds of formula (Ic)
wherein
R2 is hydrogen, halogen, Ci-C4alkyl, d-C4alkoxy or Ci-C4haloalkyl;
A is a methylene group which can be substituted by halogen or Ci-C4alkyl; or
A represents the group ;
X is O or S;
Y is O or S;
Het is pyridyl, which can be substituted by halogen or Ci-C4haloalkyl, or Het is isoxazolyl which can be mono- or disubstituted by Ci-C4alkyl, or Het is thiazolyl which can be substituted by halogen or Ci-C4haloalkyl, or Het is tetrahydrofuryl.
7. A composition comprising a compound of formula (I) according to claim 1 and and a suitable carrier or diluent therefor.
8. A method of controlling plant damage and/or plant yield loss caused by a pest which comprises applying to a pest, to a locus of a pest, or to a plant susceptible to attack by a pest or to a plant propagation material an effective amount of a compound of formula (I) as defined in claim 1 with the exception of a method for treatment of the human or animal body by surgery or therapy and diagnostic methods practised on the human or animal body.
9. A treated plant propagation material, wherein adhered to the plant propagation material is an effective amount of a compound of formula (I) as defined in claim 1.
wherein Het, A, R-i , R2 and R3 are as defined for formula (I) in claim 1 , as well as its acceptable salts, enantiomers, tautomers, and N-oxides.
1 1. A compound of the formula VI
N H
wherein Het, A, R-i , R2 and R3 are as defined for formula (I) in claim 1 , as well as its acceptable salts, enantiomers, tautomers, and N-oxides.
12. A compound of the formula (VII)
N H2
wherein Het, A, R-i , R2 and R3 are as defined for formula (I) in claim 1 , as well as its acceptable salts, enantiomers, tautomers, and N-oxides.
Applications Claiming Priority (2)
| Application Number | Priority Date | Filing Date | Title |
|---|---|---|---|
| EP13188329.0 | 2013-10-11 | ||
| EP13188329 | 2013-10-11 |
Publications (1)
| Publication Number | Publication Date |
|---|---|
| WO2015052103A1 true WO2015052103A1 (en) | 2015-04-16 |
Family
ID=49354513
Family Applications (1)
| Application Number | Title | Priority Date | Filing Date |
|---|---|---|---|
| PCT/EP2014/071278 Ceased WO2015052103A1 (en) | 2013-10-11 | 2014-10-06 | Pesticidally active n-iminopyridinium ylide compounds |
Country Status (1)
| Country | Link |
|---|---|
| WO (1) | WO2015052103A1 (en) |
Cited By (3)
| Publication number | Priority date | Publication date | Assignee | Title |
|---|---|---|---|---|
| WO2017167832A1 (en) | 2016-04-01 | 2017-10-05 | Basf Se | Bicyclic compounds |
| WO2018206479A1 (en) | 2017-05-10 | 2018-11-15 | Basf Se | Bicyclic pesticidal compounds |
| WO2020030754A1 (en) | 2018-08-10 | 2020-02-13 | Syngenta Crop Protection Ag | Pesticidally-active mesoionic bicyclic heteroaromatic compounds |
Citations (3)
| Publication number | Priority date | Publication date | Assignee | Title |
|---|---|---|---|---|
| JPS58116475A (en) * | 1981-12-28 | 1983-07-11 | Sankyo Co Ltd | 1,2,4-triazolium betaine compound and its preparation |
| DE4200137A1 (en) * | 1992-01-01 | 1993-07-08 | Ballschuh Detlef | New amino-propyl-sulphonyl:methyl- sulpho:methyl-pyrrolidinium betaine(s) - useful as intermediates, biocides, antistatic agents and surfactants |
| WO2013144228A1 (en) * | 2012-03-29 | 2013-10-03 | Basf Se | Pesticidal methods using heterocyclic compounds and derivatives for combating animal pests |
-
2014
- 2014-10-06 WO PCT/EP2014/071278 patent/WO2015052103A1/en not_active Ceased
Patent Citations (3)
| Publication number | Priority date | Publication date | Assignee | Title |
|---|---|---|---|---|
| JPS58116475A (en) * | 1981-12-28 | 1983-07-11 | Sankyo Co Ltd | 1,2,4-triazolium betaine compound and its preparation |
| DE4200137A1 (en) * | 1992-01-01 | 1993-07-08 | Ballschuh Detlef | New amino-propyl-sulphonyl:methyl- sulpho:methyl-pyrrolidinium betaine(s) - useful as intermediates, biocides, antistatic agents and surfactants |
| WO2013144228A1 (en) * | 2012-03-29 | 2013-10-03 | Basf Se | Pesticidal methods using heterocyclic compounds and derivatives for combating animal pests |
Non-Patent Citations (1)
| Title |
|---|
| DATABASE CAPLUS [online] CHEMICAL ABSTRACTS SERVICE, COLUMBUS, OHIO, US; 12 May 1984 (1984-05-12), XP002731855, Database accession no. 1983:558441 * |
Cited By (3)
| Publication number | Priority date | Publication date | Assignee | Title |
|---|---|---|---|---|
| WO2017167832A1 (en) | 2016-04-01 | 2017-10-05 | Basf Se | Bicyclic compounds |
| WO2018206479A1 (en) | 2017-05-10 | 2018-11-15 | Basf Se | Bicyclic pesticidal compounds |
| WO2020030754A1 (en) | 2018-08-10 | 2020-02-13 | Syngenta Crop Protection Ag | Pesticidally-active mesoionic bicyclic heteroaromatic compounds |
Similar Documents
| Publication | Publication Date | Title |
|---|---|---|
| EP3325465B1 (en) | Pesticidally active pyrazole derivatives | |
| US9988366B2 (en) | Pesticidally active heterocyclic derivatives with sulphur containing substituents | |
| WO2013143811A1 (en) | N-cyclylamides as nematicides | |
| WO2017055414A1 (en) | Pesticidally active pyrazole derivatives | |
| US11365187B2 (en) | Pesticidally active pyrazole derivatives | |
| US8987465B2 (en) | Pesticidal compounds | |
| WO2013064518A1 (en) | Pesticidal compounds | |
| WO2014076272A1 (en) | Pesticidal compounds | |
| EP3145927B1 (en) | Insecticidally active amide derivatives with sulfur-substituted phenyl or pyridine groups | |
| EP3692031B1 (en) | Pesticidally active pyrrole derivatives | |
| WO2019030357A1 (en) | Pesticidally active thiophene derivatives | |
| US11252963B2 (en) | Pesticidally active pyrazole derivatives | |
| WO2015052103A1 (en) | Pesticidally active n-iminopyridinium ylide compounds | |
| WO2018185191A1 (en) | Pesticidally active pyrazole derivatives | |
| EP3665167B1 (en) | Pesticidally active pyrazole derivatives | |
| EP3692038A1 (en) | Pesticidally active pyrrole derivatives | |
| WO2020164993A1 (en) | Pesticidally active pyrazole derivatives | |
| WO2020164994A1 (en) | Pesticidally active pyrazole derivatives | |
| WO2020127345A1 (en) | Pesticidally active pyrazole derivatives | |
| EP3606917A1 (en) | Pesticidally active pyrazole derivatives |
Legal Events
| Date | Code | Title | Description |
|---|---|---|---|
| 121 | Ep: the epo has been informed by wipo that ep was designated in this application |
Ref document number: 14781167 Country of ref document: EP Kind code of ref document: A1 |
|
| NENP | Non-entry into the national phase |
Ref country code: DE |
|
| 122 | Ep: pct application non-entry in european phase |
Ref document number: 14781167 Country of ref document: EP Kind code of ref document: A1 |







































