WO2014201518A1 - A device and a method for generating an optical hash signal for optical data - Google Patents
A device and a method for generating an optical hash signal for optical data Download PDFInfo
- Publication number
- WO2014201518A1 WO2014201518A1 PCT/AU2014/050077 AU2014050077W WO2014201518A1 WO 2014201518 A1 WO2014201518 A1 WO 2014201518A1 AU 2014050077 W AU2014050077 W AU 2014050077W WO 2014201518 A1 WO2014201518 A1 WO 2014201518A1
- Authority
- WO
- WIPO (PCT)
- Prior art keywords
- optical
- optical data
- symbols
- hash
- phase
- Prior art date
- Legal status (The legal status is an assumption and is not a legal conclusion. Google has not performed a legal analysis and makes no representation as to the accuracy of the status listed.)
- Ceased
Links
Classifications
-
- H—ELECTRICITY
- H04—ELECTRIC COMMUNICATION TECHNIQUE
- H04B—TRANSMISSION
- H04B10/00—Transmission systems employing electromagnetic waves other than radio-waves, e.g. infrared, visible or ultraviolet light, or employing corpuscular radiation, e.g. quantum communication
- H04B10/07—Arrangements for monitoring or testing transmission systems; Arrangements for fault measurement of transmission systems
- H04B10/075—Arrangements for monitoring or testing transmission systems; Arrangements for fault measurement of transmission systems using an in-service signal
- H04B10/077—Arrangements for monitoring or testing transmission systems; Arrangements for fault measurement of transmission systems using an in-service signal using a supervisory or additional signal
-
- H—ELECTRICITY
- H04—ELECTRIC COMMUNICATION TECHNIQUE
- H04B—TRANSMISSION
- H04B2210/00—Indexing scheme relating to optical transmission systems
- H04B2210/07—Monitoring an optical transmission system using a supervisory signal
- H04B2210/074—Monitoring an optical transmission system using a supervisory signal using a superposed, over-modulated signal
Definitions
- the disclosure herein generally relates to a device and a method for generating an optical hash signal for optical data.
- One method for the detection of data transmission errors comprises the generation of hash values, wherein a hash value for an electronic data packet is computed in an digital signal processor before transmission and another hash value for the electronic data packet is computed after transmission. If an error is introduced by transmission then the computed hash values will be different. Computing hash values and subsequently comparing them in an electronic processor, however, increases latency.
- post processing operations in digital signal processors may be undesirable, especially if there are significant latency and energy efficiency constraints. It may be desirable to find practical methods of hash value generation in the optical domain, which may introduce relatively less latency and use less energy than generating hash values in the electrical domain. It may also be desirable to find practical methods of generating hash values for a wide variety of optical modulation formats, including those having phase modulation, examples of which include differential quadrature phase shift keying, differential phase shift keying (DPSK), and quadrature amplitude modulation (QAM). Ideally, methods and devices for generating hash values would operate on optical signals having any optical modulation format and having a symbols rate of greater than 40 Gbaud.
- the method comprises the step of modifying the optical data by modifying at least one of a phase and an energy of at least one of the plurality of symbols constituting the optical data.
- the method comprises the step of coherently adding the plurality of symbols.
- Embodiments of the method may be independent of the optical modulation format of the optical data.
- an embodiment may generate an optical hash signal for data encoded using 40 Gigabaud 16-QAM, 80 Gigabaud single channel differential quadrature phase shift keying, or a 160 GBit/s on-off keying.
- modifying at least one of a phase and an energy of at least one of the plurality of symbols constituting the optical data comprises modifying at least one of the phase and the energy of more than one of the plurality of symbols constituting the optical data.
- the optical data may comprise an optical data package.
- examples of optical data packages include but are not limited to a data packet, for example an Ethernet data packet, an Internet protocol packet or fragment, a SONET or SDH frame, and a segment (for example a TCP segment).
- modifying the optical data comprises passing each of the plurality of symbols through an associated one of a plurality of optical paths.
- Each of the plurality of symbols may be delayed within the associated one of the plurality of optical paths by an integer multiple of a symbol temporal period such that the plurality of symbols simultaneously leave the plurality of optical paths.
- the output of each of the plurality of optical paths may be coupled into another optical path in which the plurality of symbols are spatially and temporally coincident and coherently add.
- An embodiment comprises passing the optical data through a delay line interferometer in which the step of modifying the optical data and the step of coherently adding the plurality of symbols are performed.
- the delay line interferometer is an integrated delay line interferometer.
- An embodiment comprises passing the optical data through a Fourier domain programmable optical processor (FD-POP) in which the step of modifying the optical data and the step of coherently adding the plurality of symbols are performed.
- the FD-POP may be configured to emulate the delay line interferometer.
- the device comprises an optical data modifier configured to modify the optical data by modifying at least one of a phase and an energy of at least one of a plurality of symbols constituting the optical data.
- the device comprises a symbol adder arranged to coherently add the plurality of symbols of the optical data.
- the optical data modifier is configured to modify at least one of the phase and the energy of more than one of the plurality of symbols constituting the optical data.
- the optical data modifier comprises a plurality of optical paths arranged to change at least one of a phase and an energy of the at least one of the plurality of symbols constituting the optical data.
- Each of the plurality of optical paths may have a respective symbol delay value selected to delay a respective one of the plurality of symbols by an integer multiple of a symbol temporal period such that the plurality of symbols simultaneously pass through a plurality of outputs of the plurality of optical paths.
- An embodiment may comprise another optical path coupled to the plurality of outputs such that when the plurality of symbols simultaneously pass through the plurality of outputs, the plurality of symbols are spatially and temporally coincident within the other optical path and coherently add.
- An embodiment comprises a delay line interferometer defining the plurality of optical paths.
- An embodiment comprises a Fourier domain programmable optical processor (FD-POP).
- the FD-POP may be configured to emulate the delay line interferometer.
- the optical data may comprise an optical data package.
- Figure 1 is a schematic diagram of an embodiment of a device for generating an optical hash signal for optical data.
- Figure 2 shows an example of spectral transfer functions for various configurations of the device of figure 1.
- Figure 3 shows intensity plots of optical hash signals for a DPSK and DQPSK coded optical signal comprising optical data packages.
- Figure 4 shows a schematic diagram of an optical transmission link having a first optical hash signal generator of a chosen embodiment and a second optical hash signal generator of the chosen embodiment.
- Figure 5 is a schematic showing the operation of an example of an optical hash signal comparator that may be used with the device of figure 1.
- Figure 6 shows an example of an experimental system that uses two of an embodiment of a device for generating an optical hash signal.
- Figure 7 shows measurements of the output of an optical hash signal comparator.
- Figure 8 shows an example of a system using sampling.
- Figure 9 shows examples of an electro absorption modulator sampling system and a nonlinear optical effect sampling system.
- Figure 10 shows a flow diagram of an embodiment of a method that may be performed using the device of figure 1.
- Figure 1 1 shows a hash signal comparator comprising a balanced photodetector.
- Figure 1 is a schematic diagram of an embodiment of a device for generating an optical hash signal for optical data 12, the device being generally indicated by the numeral 10.
- the optical data is, in this but not in all embodiments, in the form of an optical data package.
- the device 10 may generate a hash signal for optical data that is not in the form of an optical data package.
- the device 10 comprises an optical data modifier 14.
- the optical data modifier 14 is configured to modify the optical data 12 by modifying at least one of a phase and an energy of at least one of the plurality of symbols constituting the optical data.
- the device 10 comprises a modified symbol adder 16 arranged to coherently add the plurality of symbols of the optical data so modified.
- Figure 10 shows a flow diagram of an embodiment of a method that may be performed using the device 10.
- the optical data package 12 is split by an optical splitter 17. Copies of the optical data package pass through the device 10 and also by pass the device to an optical waveguide 23 for subsequent transmission.
- the output of the device 10 may be coupled to the optical waveguide 23 by another optical combiner 21.
- the device 10 has an optical filter 19 in the form of an optical band pass filter to isolate in frequency the copy of the optical data package to be modified.
- An alternative embodiment does not include filter 19.
- Another embodiment may include additional filters, and/or incorporate the splitters 17, 21 and waveguide 23.
- the optical data modifier comprises a plurality of optical paths in the form of optical waveguides 24, 26, 28.
- the waveguides are arranged to apply to each of the plurality of symbols the respective phase change amount and the respective energy change amount.
- the respective phase change amounts may be no phase change, and the respective energy change amount may be no energy change.
- the phase change amounts are introduced by phase change elements in the form of resistive heating elements 18, 20, 22 that heat a portion of each of the optical paths 24, 26, 28.
- the phase change amounts are determined by the degree of optical path heating by the resistive heating elements.
- the respective phase change amounts may be introduced by portions of the waveguides 24, 26, 28 whose lengths are selected to provide the predetermined phase change amounts.
- the respective energy change amounts are, in this embodiment, determined by loss elements, for example element 31.
- loss elements for example element 31.
- at least one dimension of the waveguides 24, 26, 28 may be chosen to introduce the desired loss.
- the loss elements may take the form of, for example, a Bragg grating, tight turns that introduce loss, or other suitable structures that introduce loss.
- Yet another embodiment may have tuneable optical attenuators.
- An embodiment has optical gain elements in the form of optical amplifiers.
- the energy change is a gain, not as loss.
- An alternative embodiment unlike the embodiment of figure 1, does not have a tuneable phase change element and the phase change amounts are not individually controllable.
- the phase change elements may be a portion of waveguide of predetermined length to introduce the desired phase change amount.
- Each of the plurality of optical paths has a respective symbol delay value.
- Each symbol delay value is selected to delay the respective one of the plurality of symbols by an integer multiple of a symbol temporal period.
- the symbol delay value may be given by a delay element 30 or the absence thereof in the case of optical path.
- the delay elements 30 are in the form of portions of the optical paths 30 of lengths predetermined to give the desired symbol delay value.
- the delay element may alternatively be in the form of a structure in which light travels more slowly, for example a Bragg grating or other resonating structure.
- the symbol delay values are selected such that the plurality of symbols simultaneously pass through a plurality of outputs 34, 36, 38 of the plurality of optical paths 24, 26, 28.
- the modified symbol adder 16 has another optical path 32 in the form of a waveguide that is coupled to the plurality of outputs 34, 36, 38 by an optical combiner 33 in the form of a waveguide junction (alternatively embodiments may use other types of combiners examples of which include but are not limited to a fused tapered fibre coupler, a prism coupler or any other suitable form of combiner) such that when the plurality of symbols simultaneously pass through the plurality of outputs 34, 36, 38, the plurality of symbols so modified are spatially and temporally coincident within the other optical path and interfere, that is coherently add, within the other optical path.
- the embodiment described above may be used with generally any optical modulation format, including On-off keying, DPSK, DQPSK and QAM, for example.
- the embodiment of figure 1 uses a delay line interferometer (DLI) to define the plurality of optical paths 24, 26, 28, the combiner 33 and other optical path 32.
- the delay line is a delay line interferometer (DLI) to define the plurality of optical paths 24, 26, 28, the combiner 33 and other optical path 32.
- interferometer is integrated into a single piece of optical material, for example a silica, chalcogenide or other suitable glass, or a crystal, for example.
- An integrated device may have superior stability, ease of use, and integratability with other components.
- Another embodiment of for generating an optical hash signal for optical data comprises a Fourier domain programmable optical processor (FD-POP), an example of which is, but is not limited to, a device sold under the name of Waveshaper by FINISAR.
- FD-POP Fourier domain programmable optical processor
- a model of the embodiment of figure 1, for example, may be determined and the FD-POP programed in accordance with model to emulate the DLI of figure 1.
- the FD-POP need not be programmed to emulate the DLI of figure 1.
- the FD-POP may exhibit any suitable spectral transfer function.
- the optical data package is spectrally spread by a grating and imaged on to a reflective liquid crystal on silicon having a pixel matrix.
- the pixels of the pixel matrix can apply a controlled phase offset.
- a spectral phase profile can be applied on the signal.
- the reflected optical signal is then recombined by the grating.
- Wavelength selective attenuation may be obtained by application of a phase profile deviating the signal to a "dummy" path.
- the optical hash signal for an optical data package having N symbols is computed by coherent addition of the N symbols, at least one being at least one of delayed, modified in phase, and modified in amplitude.
- a FD-POP refers to any device able to implement a custom spectral amplitude and phase transfer function on an optical signal, such as Liquid Crystal on Silicon (LCoS)-based spectral pulse shaper (for example Finisar Waveshaper), Bragg grating, a spectral pulse shaper based on a spatial light modulator array, Bragg gratings etc.
- LCD Liquid Crystal on Silicon
- each path is attenuated by ⁇ / ' and offset in phase by ⁇ according to the desired hash function equation.
- the field after propagation in arm j is attenuation delay ph offset
- H N B N + ⁇ ⁇ + ⁇ + % +2 e !3t
- FIG. 3 shows intensity plots of generated optical hash signals for a DPSK and DQPSK encoded optical signal comprising optical data packages.
- Time traces (top row) and eye diagrams (bottom) of the 64 bit patterns used were measured with a sampling oscilloscope.
- the square-top traces show simulation results for the corresponding bit patterns. Changing the hash parameters gives different hash sequences for a same initial signal.
- the FD-POP used has a delaying ability limited to about 50 ps, which allows hash generation for up to 3 symbol packets at 40 Gigabaud. Increasing the symbol rate to 640 Gigabaud, however, would enable processing of 32 symbol packets. FD-POPs with greater delays may be used.
- the hash signal generated is on the same channel as the data channel.
- the hash signal generated replaces the data channel used as a base for the hash calculation.
- the sliding nature of the hash generation operation calculates a different hash value for every symbol time step.
- One hash value per packet is needed, however, for error detection.
- the hash channel may be down sampled to 1/N of the original baud rate by sampling one hash symbol per packet.
- Embodiments of the method may, for example, be operated on the hash channel by an electro-absorption modulator followed by narrow band filtering or, for ultra-wide OTDM signals for example, by nonlinear all-optical sampling.
- Sampling is not essential, but may make a system more bandwidth efficient. Sampling of signals up to 100 Gbaud (Giga-symbols/s) can be made by an electro-absorption modulator.
- Figure 8 shows a system 80 using electro-absorption sampling. Generally, however, any suitable form of electrical or optical sampling may be used.
- the "sampling" elements of figure 8 may be either one of the sampling systems 90, 92 for example of figure 9, which shows examples of a sampling system 90 using an electro absorption modulator, and another sampling system 92 using a nonlinear optical effect (four wave mixing in a Kerr medium, for example a highly nonlinear fibre) for sampling.
- the electronic clock driving the data generator is reduced to 1/N of its frequency by a frequency divider (commercially available) and drives an electro-absorption modulator gating the hash signal.
- a frequency divider commercially available
- This apparatus would include a frequency divider, driving an independent pump laser. Combination of the pump source with the hash signal in a nonlinear medium allows for sampling in the same manner as a serial de-multiplexer.
- a first optical hash signal generator of a chosen embodiment, such as that of figure 1, may be placed before an optical transmission link.
- a second optical hash signal generator of the chosen embodiment may be placed after the optical transmission link.
- the optical hash signals generated by the first and second hash signal generator may be compared. If the comparison indicates that the optical hash signals generated by the first and second hash signal generator are different, then a transmission error has been detected to trigger decision logic that manages transmission errors.
- the decision logic may act, for example, in one of the following ways:
- the corrupted packet is not critical and the decision logic simply rejects the data. • The information is required and cannot be recovered. The decision logic asks for retransmission of the packet. This may induce a very high latency.
- Figure 4 shows a schematic diagram of an optical transmission link 60, having the first optical hash signal generator 62 at one end and the second optical hash signal generator 64 at the other end.
- the initial signal is supported by at least two wavelength channels, for example originating from a broad frequency comb spectrum that is sliced into two wavelength division multiplexed (WDM) channels carrying the same data.
- WDM wavelength division multiplexed
- One is kept as it is, while the other is used as a base for generating the first optical hash signal (hash 1) in the first optical hash signal generator 62. Both channels are then propagated together through the link 60.
- the second optical hash signal generator 64 converts the received data into a second optical hash signal (hash 2) and combines the resulting hash signals which are input into an optical hash signal comparator.
- the optical hash signal comparator combines the hash signals with optical waves in the form of two pumps, with controlled relative phases.
- the four signals occupying different wavelength channels are sent into an example of an optical hash signal comparator 66 comprising a nonlinear mixing medium 68 operating wavelength conversion and coherent addition of the idler products.
- Band pass filtering by a band pass filter 70 of the idler channel outputs an optical error signal.
- the optical signal is an amplitude modulated signal, for example an on-off keyed signal
- the optical hash signal comparator may comprise a balanced photodetector shown in figure 11. Generally, any suitable optical hash signal comparator may be used.
- Hash 1 and Hash 2 are launched into one input of the second FD-POP, and the pumps are launched into another input of the FD-POP.
- the second hash signal generator applies a ⁇ phase shift between the two hash signals.
- the second FD-POP has 2 input ports (1 for signals and 1 for pumps) and 1 output port.
- the comparison of the first and second optical hash signals by the comparator is done using four wave mixing (FWM).
- the comparator can compare optical hash signals generated from generally any optical modulation format including QAM.
- the optical hash signal generators return multilevel phase and amplitude coded hash values that cannot be compared using, for example, a simple XOR gate or balanced photodetector.
- FIG. 5 shows a schematic diagram of the operation of an example of an optical hash signal comparator 100.
- the comparator exploits a double FWM process in a single Kerr medium (that is, an optical medium have a third order or ⁇ (3) optical nonlinearity) in the form of a highly nonlinear optical fibre having a zero dispersion wavelength of 1551 nm, a length of 30 m, a loss of 0.092 dB/m, a nonlinear coefficient of 21/W/km.
- any suitable Kerr medium may be used, for example a planar chalcogenide waveguide and a silicon waveguide.
- Another embodiment of an optical hash signal comparator may use three wave mixing in a material having an optical second order or ⁇ (2) nonlinearity. Examples of such media include a nonlinear crystal such as lithium niobate, periodically poled lithium niobate.
- the total optical power launched into the fibre is 0.3W.
- the absolute phase is not relevant for error signal and can be omitted.
- the subtraction in the complex space implies that the total intensity at idlers frequency cancels only if m—
- the idler frequency may be isolated with a band pass filter and detected with a photodetector, for example a model XPDV2330R photodetector sold by u2t, however generally any suitable optical-to-electrical converter may be used, examples of which include biased photoreceivers, and the TEKTRONIX P6703B optical-to-electrical converter.
- Generation of the idler requires hash 1 and hash 2 to be phase locked (which is automatically the case if the two initial copies of the signal come from the same broadband source) and pump 1 and pump 2 to be phase locked. No phase relation may be required between the hash channels and pumps.
- Figure 6 shows an example of an experimental system 120 that uses two of an embodiment of a device 10 for generating an optical hash signal.
- a fibre mode locked laser 122 delivers a 40 GHz pulse train (2 ps full width half maximum) at 1550 nm.
- the spectrum is then broadened in a highly nonlinear fibre and filters so as to obtain 500 fs pulses supported by a quasi flat comb spectrum over a bandwidth of 6 nm.
- the pulse train is then encoded using two successive phase modulators driven by two independent 64 bits data sequences. One is set so as to deliver a phase shift of ⁇ while the other is set at ⁇ /2 in order to generate a 80 Gb/s DQPSK signal.
- the second FD-POP receives the transmitted signal from the link on one input port.
- the hash channel is transmitted and the data signal is converted into the received hash key using a similar phase and amplitude transfer function as described above. Their relative phase is adjusted in order to match the ⁇ phase shift between the two hash signals required for optical subtraction operation.
- the pump pulse train is directed to another input port of the FD-POP and carved spectrally so as to obtain a dual pump configuration with half the spectral separation of the hash signals.
- the hash and pump inputs are combined inside the FD-POP to form the input of the comparator.
- Figure 7 shows measurements of the output of the optical hash signal comparator when both signals were generated using the same parameters (left and middle) and different parameters (right).
- the optical hash signal comparator may comprise a balanced photodetector as shown in figure 1 1.
- the two hash signals are generated at different frequencies, and are sent to different photodiodes of a balanced detector using a wavelength division multiplexer.
- the balanced photodetector generates an electrical signal.
- ⁇ Transmission error detection may be achieved using less electronic processing which may improve latency and energy efficiency
- Optical hash signals may be generated for generally any optical modulation format.
Landscapes
- Physics & Mathematics (AREA)
- Electromagnetism (AREA)
- Engineering & Computer Science (AREA)
- Computer Networks & Wireless Communication (AREA)
- Signal Processing (AREA)
- Optical Communication System (AREA)
Abstract
Disclosed herein is a device and a method for generating an optical hash signal for an optical data. The method for generating an optical hash signal for optical data comprises the steps of modifying the optical data by modifying at least one of a phase and an energy of at least one of the plurality of symbols constituting the optical data. The method further comprises the step of coherently adding the plurality of symbols so modified.
Description
"A device and a method for generating an optical hash signal for optical data" Cross-Reference to Related Applications
The present application claims priority from Australian Provisional Patent Application No 2013902220 filed on 19 June 2013, the content of which is incorporated herein by reference.
Technical field
The disclosure herein generally relates to a device and a method for generating an optical hash signal for optical data.
Background The detection of data transmission errors is a critical function in some information systems. One method for the detection of data transmission errors comprises the generation of hash values, wherein a hash value for an electronic data packet is computed in an digital signal processor before transmission and another hash value for the electronic data packet is computed after transmission. If an error is introduced by transmission then the computed hash values will be different. Computing hash values and subsequently comparing them in an electronic processor, however, increases latency.
In the context of high bandwidth optical communications, post processing operations in digital signal processors may be undesirable, especially if there are significant latency and energy efficiency constraints. It may be desirable to find practical methods of hash value generation in the optical domain, which may introduce relatively less latency and use less energy than generating hash values in the electrical domain. It may also be desirable to find practical methods of generating hash values for a wide variety of optical modulation formats, including those having phase modulation, examples of which include differential quadrature phase shift keying, differential phase shift keying (DPSK), and quadrature amplitude modulation (QAM). Ideally, methods and devices for generating hash values would operate on optical signals having any optical modulation format and having a symbols rate of greater than 40 Gbaud.
Summary
Disclosed herein is a method for generating an optical hash signal for optical data. The method comprises the step of modifying the optical data by modifying at least one of a phase and an
energy of at least one of the plurality of symbols constituting the optical data. The method comprises the step of coherently adding the plurality of symbols.
Embodiments of the method may be independent of the optical modulation format of the optical data. For example, an embodiment may generate an optical hash signal for data encoded using 40 Gigabaud 16-QAM, 80 Gigabaud single channel differential quadrature phase shift keying, or a 160 GBit/s on-off keying.
In an embodiment, modifying at least one of a phase and an energy of at least one of the plurality of symbols constituting the optical data comprises modifying at least one of the phase and the energy of more than one of the plurality of symbols constituting the optical data. In an embodiment, the optical data may comprise an optical data package. In the context of this specification, examples of optical data packages include but are not limited to a data packet, for example an Ethernet data packet, an Internet protocol packet or fragment, a SONET or SDH frame, and a segment (for example a TCP segment).
In an embodiment, modifying the optical data comprises passing each of the plurality of symbols through an associated one of a plurality of optical paths. Each of the plurality of symbols may be delayed within the associated one of the plurality of optical paths by an integer multiple of a symbol temporal period such that the plurality of symbols simultaneously leave the plurality of optical paths. The output of each of the plurality of optical paths may be coupled into another optical path in which the plurality of symbols are spatially and temporally coincident and coherently add.
An embodiment comprises passing the optical data through a delay line interferometer in which the step of modifying the optical data and the step of coherently adding the plurality of symbols are performed. In an embodiment, the delay line interferometer is an integrated delay line interferometer. An embodiment comprises passing the optical data through a Fourier domain programmable optical processor (FD-POP) in which the step of modifying the optical data and the step of coherently adding the plurality of symbols are performed. The FD-POP may be configured to emulate the delay line interferometer.
Disclosed herein is a device for generating an optical hash signal for optical data. The device comprises an optical data modifier configured to modify the optical data by modifying at least one of a phase and an energy of at least one of a plurality of symbols constituting the
optical data. The device comprises a symbol adder arranged to coherently add the plurality of symbols of the optical data.
In an embodiment, the optical data modifier is configured to modify at least one of the phase and the energy of more than one of the plurality of symbols constituting the optical data. In an embodiment, the optical data modifier comprises a plurality of optical paths arranged to change at least one of a phase and an energy of the at least one of the plurality of symbols constituting the optical data. Each of the plurality of optical paths may have a respective symbol delay value selected to delay a respective one of the plurality of symbols by an integer multiple of a symbol temporal period such that the plurality of symbols simultaneously pass through a plurality of outputs of the plurality of optical paths.
An embodiment may comprise another optical path coupled to the plurality of outputs such that when the plurality of symbols simultaneously pass through the plurality of outputs, the plurality of symbols are spatially and temporally coincident within the other optical path and coherently add. An embodiment comprises a delay line interferometer defining the plurality of optical paths.
An embodiment comprises a Fourier domain programmable optical processor (FD-POP). The FD-POP may be configured to emulate the delay line interferometer.
In an embodiment, the optical data may comprise an optical data package.
Any of the various features of each of the above disclosures, and of the various features of the embodiments described below, can be combined as suitable and desired.
Brief description of the figures
Embodiments will now be described by way of example only with reference to the
accompanying figures in which:
Figure 1 is a schematic diagram of an embodiment of a device for generating an optical hash signal for optical data.
Figure 2 shows an example of spectral transfer functions for various configurations of the device of figure 1.
Figure 3 shows intensity plots of optical hash signals for a DPSK and DQPSK coded optical signal comprising optical data packages.
Figure 4 shows a schematic diagram of an optical transmission link having a first optical hash signal generator of a chosen embodiment and a second optical hash signal generator of the chosen embodiment.
Figure 5 is a schematic showing the operation of an example of an optical hash signal comparator that may be used with the device of figure 1.
Figure 6 shows an example of an experimental system that uses two of an embodiment of a device for generating an optical hash signal. Figure 7 shows measurements of the output of an optical hash signal comparator.
Figure 8 shows an example of a system using sampling.
Figure 9 shows examples of an electro absorption modulator sampling system and a nonlinear optical effect sampling system.
Figure 10 shows a flow diagram of an embodiment of a method that may be performed using the device of figure 1.
Figure 1 1 shows a hash signal comparator comprising a balanced photodetector.
Description of embodiments
Figure 1 is a schematic diagram of an embodiment of a device for generating an optical hash signal for optical data 12, the device being generally indicated by the numeral 10. The optical data is, in this but not in all embodiments, in the form of an optical data package. The device 10 may generate a hash signal for optical data that is not in the form of an optical data package.
The device 10 comprises an optical data modifier 14. The optical data modifier 14 is configured to modify the optical data 12 by modifying at least one of a phase and an energy of at least one of the plurality of symbols constituting the optical data. The device 10 comprises a modified symbol adder 16 arranged to coherently add the plurality of symbols of the optical data so modified. Figure 10 shows a flow diagram of an embodiment of a method that may be performed using the device 10.
In the example usage of the device 10 shown in figure 1, the optical data package 12 is split by an optical splitter 17. Copies of the optical data package pass through the device 10 and also by pass the device to an optical waveguide 23 for subsequent transmission. The output of the device 10 may be coupled to the optical waveguide 23 by another optical combiner 21. The device 10 has an optical filter 19 in the form of an optical band pass filter to isolate in frequency the copy of the optical data package to be modified. An alternative embodiment does not include filter 19. Another embodiment may include additional filters, and/or incorporate the splitters 17, 21 and waveguide 23.
In an embodiment, the optical data modifier comprises a plurality of optical paths in the form of optical waveguides 24, 26, 28. The waveguides are arranged to apply to each of the plurality of symbols the respective phase change amount and the respective energy change amount. The respective phase change amounts may be no phase change, and the respective energy change amount may be no energy change. The phase change amounts are introduced by phase change elements in the form of resistive heating elements 18, 20, 22 that heat a portion of each of the optical paths 24, 26, 28. The phase change amounts are determined by the degree of optical path heating by the resistive heating elements. Alternatively, the respective phase change amounts may be introduced by portions of the waveguides 24, 26, 28 whose lengths are selected to provide the predetermined phase change amounts. The respective energy change amounts are, in this embodiment, determined by loss elements, for example element 31. Alternatively or additionally, at least one dimension of the waveguides 24, 26, 28 may be chosen to introduce the desired loss. The loss elements may take the form of, for example, a Bragg grating, tight turns that introduce loss, or other suitable structures that introduce loss. Yet another embodiment may have tuneable optical attenuators. An embodiment has optical gain elements in the form of optical amplifiers. In this embodiment, the energy change is a gain, not as loss. An alternative embodiment, unlike the embodiment of figure 1, does not have a tuneable phase change element and the phase change amounts are not individually controllable. For example, the phase change elements may be a portion of waveguide of predetermined length to introduce the desired phase change amount.
Each of the plurality of optical paths has a respective symbol delay value. Each symbol delay value is selected to delay the respective one of the plurality of symbols by an integer multiple of a symbol temporal period. The symbol delay value may be given by a delay element 30 or the absence thereof in the case of optical path. The delay elements 30 are in the form of portions of the optical paths 30 of lengths predetermined to give the desired symbol delay value. The delay
element may alternatively be in the form of a structure in which light travels more slowly, for example a Bragg grating or other resonating structure. The symbol delay values are selected such that the plurality of symbols simultaneously pass through a plurality of outputs 34, 36, 38 of the plurality of optical paths 24, 26, 28. The modified symbol adder 16 has another optical path 32 in the form of a waveguide that is coupled to the plurality of outputs 34, 36, 38 by an optical combiner 33 in the form of a waveguide junction (alternatively embodiments may use other types of combiners examples of which include but are not limited to a fused tapered fibre coupler, a prism coupler or any other suitable form of combiner) such that when the plurality of symbols simultaneously pass through the plurality of outputs 34, 36, 38, the plurality of symbols so modified are spatially and temporally coincident within the other optical path and interfere, that is coherently add, within the other optical path.
The embodiment described above may be used with generally any optical modulation format, including On-off keying, DPSK, DQPSK and QAM, for example. The embodiment of figure 1 uses a delay line interferometer (DLI) to define the plurality of optical paths 24, 26, 28, the combiner 33 and other optical path 32. The delay line
interferometer is integrated into a single piece of optical material, for example a silica, chalcogenide or other suitable glass, or a crystal, for example. An integrated device may have superior stability, ease of use, and integratability with other components. Example
Another embodiment of for generating an optical hash signal for optical data comprises a Fourier domain programmable optical processor (FD-POP), an example of which is, but is not limited to, a device sold under the name of Waveshaper by FINISAR. A model of the embodiment of figure 1, for example, may be determined and the FD-POP programed in accordance with model to emulate the DLI of figure 1. The FD-POP need not be programmed to emulate the DLI of figure 1. The FD-POP may exhibit any suitable spectral transfer function.
The operation of an example of a FD-POP is now described. The optical data package is spectrally spread by a grating and imaged on to a reflective liquid crystal on silicon having a pixel matrix. The pixels of the pixel matrix can apply a controlled phase offset. Hence a spectral phase profile can be applied on the signal. The reflected optical signal is then recombined by the grating. Wavelength selective attenuation may be obtained by application of a phase profile deviating the signal to a "dummy" path.
The optical hash signal for an optical data package having N symbols is computed by coherent addition of the N symbols, at least one being at least one of delayed, modified in phase, and modified in amplitude. The effect of the linear DLI is given by its spectral phase and amplitude transfer functions, which can be reproduced by the FD-POP. In the context of the present document, a FD-POP refers to any device able to implement a custom spectral amplitude and phase transfer function on an optical signal, such as Liquid Crystal on Silicon (LCoS)-based spectral pulse shaper (for example Finisar Waveshaper), Bragg grating, a spectral pulse shaper based on a spatial light modulator array, Bragg gratings etc.
The optical data package having field
Es = As is split into the N optical paths ("arms"), each delayed by an integer number of symbol lengths ^Lj = (j - l)ALsymboi
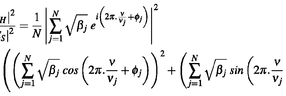
Before recombination of the arms, each path is attenuated by β/' and offset in phase by ^ according to the desired hash function equation. The field after propagation in arm j is attenuation delay ph offset
0 < j¾ < 1
Let us define
The amplitude transfer function is written
and the phase transfer function is written as = angle(EH) = atan
The FD-POP used allows for custom control of spectral phase and amplitude with a resolution of 5 GHz. Emulation of the DLI transfer function on this platform realises the hash function. Figure 2 shows examples of spectral transfer functions for various DLI configurations. One trace corresponds to a 2-symbol packet with the hash definition
ΗΝ = ΒΝ +ΒΝ+^π where H„ and B„ are the optical field amplitudes of the hash and data at symbol N . Other traces correspond to 3 -symbol packets with hash definition respectively
HN = BN + ΒΝ+ι + %+2e!3t
Other hash definitions can be obtained by choosing linear combinations of the BN with other coefficients and phases. Application of these transfer functions to a 40 GB/s DPSK and 80 Gb/s DQPSK signals made of 64 symbols generates hash signals. Figure 3 shows intensity plots of generated optical hash signals for a DPSK and DQPSK encoded optical signal comprising optical data packages.
Information encoded in the phase of the signals is not represented. Time traces (top row) and eye diagrams (bottom) of the 64 bit patterns used were measured with a sampling oscilloscope. The square-top traces show simulation results for the corresponding bit patterns. Changing the hash parameters gives different hash sequences for a same initial signal.
The FD-POP used has a delaying ability limited to about 50 ps, which allows hash generation for up to 3 symbol packets at 40 Gigabaud. Increasing the symbol rate to 640 Gigabaud, however, would enable processing of 32 symbol packets. FD-POPs with greater delays may be used.
The hash signal generated is on the same channel as the data channel. The hash signal generated replaces the data channel used as a base for the hash calculation. The sliding nature of the hash generation operation calculates a different hash value for every symbol time step. One hash value per packet is needed, however, for error detection. Hence, the hash channel may be down sampled to 1/N of the original baud rate by sampling one hash symbol per packet. This improves spectral efficiency and robustness of the hash signal by occupying a narrower bandwidth. A lower data rate channel is less subject to distortions upon transmission than the original data. Embodiments of the method may, for example, be operated on the hash channel by an electro-absorption modulator followed by narrow band filtering or, for ultra-wide OTDM signals for example, by nonlinear all-optical sampling.
Sampling is not essential, but may make a system more bandwidth efficient. Sampling of signals up to 100 Gbaud (Giga-symbols/s) can be made by an electro-absorption modulator. Figure 8 shows a system 80 using electro-absorption sampling. Generally, however, any suitable form of electrical or optical sampling may be used. The "sampling" elements of figure 8 may be either one of the sampling systems 90, 92 for example of figure 9, which shows examples of a sampling system 90 using an electro absorption modulator, and another sampling system 92 using a nonlinear optical effect (four wave mixing in a Kerr medium, for example a highly nonlinear fibre) for sampling. The electronic clock driving the data generator is reduced to 1/N of its frequency by a frequency divider (commercially available) and drives an electro-absorption modulator gating the hash signal. Higher baud rate signals may require nonlinear optical sampling. This apparatus would include a frequency divider, driving an independent pump laser. Combination of the pump source with the hash signal in a nonlinear medium allows for sampling in the same manner as a serial de-multiplexer.
Use of optical hash signals A first optical hash signal generator of a chosen embodiment, such as that of figure 1, may be placed before an optical transmission link. A second optical hash signal generator of the chosen embodiment (or another embodiment) may be placed after the optical transmission link. The optical hash signals generated by the first and second hash signal generator may be compared. If the comparison indicates that the optical hash signals generated by the first and second hash signal generator are different, then a transmission error has been detected to trigger decision logic that manages transmission errors. The decision logic may act, for example, in one of the following ways:
• The corrupted packet is not critical and the decision logic simply rejects the data.
• The information is required and cannot be recovered. The decision logic asks for retransmission of the packet. This may induce a very high latency.
• The information is required and can be recovered based on the information contained in the transmitted hash key using forward error correction. This may work when the hash is not down sampled to 1/N of the data rate. For good choices of hash function definition, the knowledge of the hash value and the adjacent data symbols allows location and correction of the mistaken symbol. This would require a digital signal processing operation, introducing some additional latency, but small in comparison of a complete retransmission. Figure 4 shows a schematic diagram of an optical transmission link 60, having the first optical hash signal generator 62 at one end and the second optical hash signal generator 64 at the other end. The initial signal is supported by at least two wavelength channels, for example originating from a broad frequency comb spectrum that is sliced into two wavelength division multiplexed (WDM) channels carrying the same data. One is kept as it is, while the other is used as a base for generating the first optical hash signal (hash 1) in the first optical hash signal generator 62. Both channels are then propagated together through the link 60. At the receiver end, the second optical hash signal generator 64 converts the received data into a second optical hash signal (hash 2) and combines the resulting hash signals which are input into an optical hash signal comparator. In this example, the optical hash signal comparator combines the hash signals with optical waves in the form of two pumps, with controlled relative phases. The four signals occupying different wavelength channels are sent into an example of an optical hash signal comparator 66 comprising a nonlinear mixing medium 68 operating wavelength conversion and coherent addition of the idler products. Band pass filtering by a band pass filter 70 of the idler channel outputs an optical error signal. In another example wherein the optical signal is an amplitude modulated signal, for example an on-off keyed signal, the optical hash signal comparator may comprise a balanced photodetector shown in figure 11. Generally, any suitable optical hash signal comparator may be used.
At the second hash signal generator, Hash 1 and Hash 2 are launched into one input of the second FD-POP, and the pumps are launched into another input of the FD-POP. The second hash signal generator applies a π phase shift between the two hash signals. The second FD-POP has 2 input ports (1 for signals and 1 for pumps) and 1 output port.
The comparison of the first and second optical hash signals by the comparator is done using four wave mixing (FWM). The comparator can compare optical hash signals generated from
generally any optical modulation format including QAM. In the case of this format, the optical hash signal generators return multilevel phase and amplitude coded hash values that cannot be compared using, for example, a simple XOR gate or balanced photodetector.
Figure 5 shows a schematic diagram of the operation of an example of an optical hash signal comparator 100. The comparator exploits a double FWM process in a single Kerr medium (that is, an optical medium have a third order or χ(3) optical nonlinearity) in the form of a highly nonlinear optical fibre having a zero dispersion wavelength of 1551 nm, a length of 30 m, a loss of 0.092 dB/m, a nonlinear coefficient of 21/W/km. Generally any suitable Kerr medium may be used, for example a planar chalcogenide waveguide and a silicon waveguide. Another embodiment of an optical hash signal comparator may use three wave mixing in a material having an optical second order or χ(2) nonlinearity. Examples of such media include a nonlinear crystal such as lithium niobate, periodically poled lithium niobate.
generate idler products by degenerate four wave mixing between the pairs Hash 1 - Pump 1 and Hash 2 - Pump 2 that appear at the same frequency and add up coherently. According to the phase matching condition imposed by FWM, the phase relations of these idlers can be written (assuming that the pumps are phase locked)
In order to operate coherent subtraction, the hash signals are set in opposite phases. = φιιι + π.
Given that the degenerate FWM product amplitudes satisfy the relations n x A A]^ the total idler field generated is
ΕιΜ = En +En = Anei^ +AI2ei^ = (Ane!'tel +A/2<*2) e^
absolute phase oifset
« (Affi - H2) eitel where
Am, AH2, An, AI2 ΆπάΑΡ1 = Αη are the amplitudes of the hash, idler and pump waves. The absolute phase is not relevant for error signal and can be omitted. The subtraction in the complex space implies that the total intensity at idlers frequency cancels only if m—
Any mismatch between the hash signals translates into an idler spike signalling an error. The idler frequency may be isolated with a band pass filter and detected with a photodetector, for example a model XPDV2330R photodetector sold by u2t, however generally any suitable optical-to-electrical converter may be used, examples of which include biased photoreceivers, and the TEKTRONIX P6703B optical-to-electrical converter. Generation of the idler requires hash 1 and hash 2 to be phase locked (which is automatically the case if the two initial copies of the signal come from the same broadband source) and pump 1 and pump 2 to be phase locked. No phase relation may be required between the hash channels and pumps.
Figure 6 shows an example of an experimental system 120 that uses two of an embodiment of a device 10 for generating an optical hash signal. A fibre mode locked laser 122 delivers a 40 GHz pulse train (2 ps full width half maximum) at 1550 nm. The spectrum is then broadened in a highly nonlinear fibre and filters so as to obtain 500 fs pulses supported by a quasi flat comb spectrum over a bandwidth of 6 nm. The pulse train is then encoded using two successive phase modulators driven by two independent 64 bits data sequences. One is set so as to deliver a phase shift of π while the other is set at π/2 in order to generate a 80 Gb/s DQPSK signal.
The second FD-POP receives the transmitted signal from the link on one input port. The hash channel is transmitted and the data signal is converted into the received hash key using a similar phase and amplitude transfer function as described above. Their relative phase is adjusted in order to match the π phase shift between the two hash signals required for optical subtraction operation.
The pump pulse train is directed to another input port of the FD-POP and carved spectrally so as to obtain a dual pump configuration with half the spectral separation of the hash signals. The
hash and pump inputs are combined inside the FD-POP to form the input of the comparator. After amplification to a total optical power of 300 mW (each pump has a power of 136 mW and each signal 13.6 mW) and out-of-band noise filtering, nonlinear mixing occurs in a 30 m span of HNLF. Signals both have powers 10 dB lower than the pumps. Figure 7 shows measurements of the output of the optical hash signal comparator when both signals were generated using the same parameters (left and middle) and different parameters (right). For the middle plot of figure 7, the mismatch signal after subtraction remains steadily at zero. For different hash definitions however, the output is non zero most of the time (although it could cancel out if the two hash signals happened to give similar values for a particular bit sequence). Similarly, a punctual error during transmission would change the hash value of the data channel, leading to a spike at the comparator output.
Alternative hash signal comparator example
When it suffices to compare the amplitudes of hash signals, the optical hash signal comparator may comprise a balanced photodetector as shown in figure 1 1. The two hash signals are generated at different frequencies, and are sent to different photodiodes of a balanced detector using a wavelength division multiplexer. The balanced photodetector generates an electrical signal.
Now that embodiments have been describes, it will be appreciated that some embodiments may have some of the following advantages: · Transmission error detection may be achieved using less electronic processing which may improve latency and energy efficiency
• Optical hash signals may be generated for generally any optical modulation format.
Variations and/or modifications may be made to the embodiments described without departing from the spirit or ambit of the invention. The present embodiments are, therefore, to be considered in all respects as illustrative and not restrictive.
Prior art, if any, described herein is not to be taken as an admission that the prior art forms part of the common general knowledge in any jurisdiction.
In the claims which follow and in the preceding description of the invention, except where the context requires otherwise due to express language or necessary implication, the word
"comprise" or variations such as "comprises" or "comprising" is used in an inclusive sense, that
is to specify the presence of the stated features but not to preclude the presence or addition of further features in various embodiments of the invention.
Claims
1. A method for generating an optical hash signal for optical data, the method comprising the steps of:
modifying the optical data by modifying at least one of a phase and an energy of at least one of the plurality of symbols constituting the optical data; and
coherently adding the plurality of symbols so modified.
2. A method defined by claim 1 wherein modifying at least one of a phase and an energy of at least one of the plurality of symbols constituting the optical data comprises modifying at least one of the phase and the energy of more than one of the plurality of symbols constituting the optical data.
3. A method defined by either one of claim 1 and claim 2 wherein modifying the optical data comprises passing each of the plurality of symbols through an associated one of a plurality of optical paths.
4. A method defined by claim 3 wherein each of the plurality of symbols is delayed within the associated one of the plurality of optical paths by an integer multiple of a symbol temporal period such that the plurality of symbols simultaneously leave the plurality of optical paths.
5. A method defined by either one of claim 3 and claim 4 wherein the output of each of the plurality of optical paths is coupled into another optical path in which the plurality of symbols are spatially and temporally coincident and coherently add.
6. A method defined by any one of the preceding claims comprising the step of passing the optical data through a delay line interferometer in which the step of modifying the optical data and the step of coherently adding the plurality of symbols so modified are performed.
7. A method defined by claim 6 wherein the delay line interferometer is an integrated delay line interferometer.
8. A method defined by any one of the preceding claims comprising the step of passing the optical data through a Fourier domain programmable optical processor (FD-POP) in which the step of modifying the plurality of symbols and the step of coherently adding the modified plurality of symbols are performed.
9. A device for generating an optical hash signal for optical data, the device comprising: an optical data modifier configured to modify the optical data by modifying at least one of a phase and an energy of at least one of the plurality of symbols constituting the optical data;
a modified symbol adder arranged to coherently add the plurality of symbols.
10. A device defined by claim 9 wherein the optical data modifier is configured to modify at least one of the phase and the energy of more than one of the plurality of symbols constituting the optical data.
11. A device defined by either one of claim 9 and claim 10 wherein the optical data modifier comprises a plurality of optical paths arranged to change at least one of a phase and an energy of the at least one of the plurality of symbols constituting the optical data.
12. A device defined by claim 1 1 wherein each of the plurality of optical paths has a
respective symbol delay value selected to delay the respective one of the plurality of symbols by an integer multiple of a symbol temporal period such that the plurality of symbols simultaneously pass through a plurality of outputs of the plurality of optical paths.
13. A device defined by either one of claim 11 and claim 12 comprising another optical path coupled to the plurality of outputs such that when the plurality of symbols simultaneously pass through the plurality of outputs, the plurality of symbols are spatially and temporally coincident within the other optical path and coherently add.
14. A device defined by any one of the claims 1 1 to 13 comprising a delay line
interferometer defining the plurality of optical paths.
15. A device defined by any one of the claims 1 1 to 13 comprising a Fourier domain
programmable optical processor (FD-POP) configured to emulate a delay line interferometer defining the plurality of optical paths.
16. A device defined by any one of the claims 9 to 15 wherein the optical data comprises an optical data package.
17. A method defined by any one of the claims 1 to 8 wherein the optical data comprises an optical data package.
Applications Claiming Priority (2)
| Application Number | Priority Date | Filing Date | Title |
|---|---|---|---|
| AU2013902220A AU2013902220A0 (en) | 2013-06-19 | A device and a method for generating an optical hash signal for optical data | |
| AU2013902220 | 2013-06-19 |
Publications (1)
| Publication Number | Publication Date |
|---|---|
| WO2014201518A1 true WO2014201518A1 (en) | 2014-12-24 |
Family
ID=52103709
Family Applications (1)
| Application Number | Title | Priority Date | Filing Date |
|---|---|---|---|
| PCT/AU2014/050077 Ceased WO2014201518A1 (en) | 2013-06-19 | 2014-06-18 | A device and a method for generating an optical hash signal for optical data |
Country Status (1)
| Country | Link |
|---|---|
| WO (1) | WO2014201518A1 (en) |
Cited By (1)
| Publication number | Priority date | Publication date | Assignee | Title |
|---|---|---|---|---|
| JP2024040869A (en) * | 2022-09-13 | 2024-03-26 | Kddi株式会社 | Optical angle modulator and optical transmitter |
Citations (1)
| Publication number | Priority date | Publication date | Assignee | Title |
|---|---|---|---|---|
| US20100074444A1 (en) * | 2008-06-26 | 2010-03-25 | Telcordia Technologies, Inc. | Method and System for OCDM-Based Photonic Layer Security Robustness to Spoof Data Integrity |
-
2014
- 2014-06-18 WO PCT/AU2014/050077 patent/WO2014201518A1/en not_active Ceased
Patent Citations (1)
| Publication number | Priority date | Publication date | Assignee | Title |
|---|---|---|---|---|
| US20100074444A1 (en) * | 2008-06-26 | 2010-03-25 | Telcordia Technologies, Inc. | Method and System for OCDM-Based Photonic Layer Security Robustness to Spoof Data Integrity |
Non-Patent Citations (2)
| Title |
|---|
| AIKAWA, Y. ET AL.: "Investigation of All-Optical Division Processing using a SOA- MZI-based XOR gate for All-Optical FEC with Cyclic Code", PHOTONICS IN SWITCHING, July 2010 (2010-07-01) * |
| SUZUKI, M. ET AL.: "Investigation of all-optical error detection circuit using SOA-MZI- based XOR gates at 10 Gbit/s", ELECTRONICS LETTERS, vol. 45, no. 4, February 2009 (2009-02-01) * |
Cited By (2)
| Publication number | Priority date | Publication date | Assignee | Title |
|---|---|---|---|---|
| JP2024040869A (en) * | 2022-09-13 | 2024-03-26 | Kddi株式会社 | Optical angle modulator and optical transmitter |
| JP7734121B2 (en) | 2022-09-13 | 2025-09-04 | Kddi株式会社 | Optical angle modulator and optical transmitter |
Similar Documents
| Publication | Publication Date | Title |
|---|---|---|
| JP4278332B2 (en) | Optical transmitter and optical transmission system | |
| Zhong et al. | Experimental demonstration of 500Gbit/s short reach transmission employing PAM4 signal and direct detection with 25Gbps device | |
| Morsy-Osman et al. | 224-Gb/s 10-km transmission of PDM PAM-4 at 1.3 μm using a single intensity-modulated laser and a direct-detection MIMO DSP-based receiver | |
| EP3096470B1 (en) | Method and system for nonlinear interference mitigation | |
| CN101170363B (en) | An Optical Differential Polarization Shift Keying System and Its Signal Sending Device and Method | |
| Huang et al. | Distortion-aware phase retrieval receiver for carrierless high-order QAM transmission | |
| US20070206898A1 (en) | Optical equalization filtering of dwdm channels | |
| CN109804574A (en) | Coding for optical transport | |
| JP4549710B2 (en) | Optical filtering method and apparatus | |
| JP4855298B2 (en) | Distributed pre-equalization optical communication system | |
| WO2014201518A1 (en) | A device and a method for generating an optical hash signal for optical data | |
| WO2002071653A2 (en) | Method and apparatus for generating optical signals | |
| Geisler et al. | 360-Gb/s optical transmitter with arbitrary modulation format and dispersion precompensation | |
| EP3345314B1 (en) | Phase retrieval for compensation of chromatic dispersion-induced inter-symbol interference | |
| WO2014201517A1 (en) | A method and a system for comparing a first optical signal and a second optical signal | |
| Makovejs | High-speed optical fibre transmission using advanced modulation formats | |
| Yilmaz et al. | 40-Gb/s optical packet buffer using conversion/dispersion-based delays | |
| Duthel et al. | DAC enabled spectrally efficient CP-QPSK at 28Gbaud | |
| Wang et al. | Demonstration of an 8× 25-Gb/s optical time-division multiplexing system | |
| Shoaie et al. | A simple all-optical format transparent time and wavelength demultiplexing technique for WDM & orthogonal-TDM Nyquist channels | |
| Geisler et al. | 3 b/s/Hz 1.2 Tb/s packet generation using optical arbitrary waveform generation based optical transmitter | |
| Schmogrow | Real-time digital signal processing for software-defined optical transmitters and receivers | |
| Diniz | Advanced digital signal processing for next-generation coherent optical communication transceivers | |
| Hu et al. | Add-drop multiplexing architecture for Nyquist OTDM signals based on a single Mach-Zehnder modulator | |
| Gemechu | Comparison of nonlinear frequency division multiplexing and OFDM for optical fiber transmissions |
Legal Events
| Date | Code | Title | Description |
|---|---|---|---|
| 121 | Ep: the epo has been informed by wipo that ep was designated in this application |
Ref document number: 14813796 Country of ref document: EP Kind code of ref document: A1 |
|
| NENP | Non-entry into the national phase |
Ref country code: DE |
|
| 122 | Ep: pct application non-entry in european phase |
Ref document number: 14813796 Country of ref document: EP Kind code of ref document: A1 |
|
| 32PN | Ep: public notification in the ep bulletin as address of the adressee cannot be established |
Free format text: NOTING OF LOSS OF RIGHTS PURSUANT TO RULE 112(1) EPC (EPO FORM 1205A DATED 31.03.2016) |


