WO2014159063A1 - Functionalized 3-alkynyl pyrazolopyrimidine analogues as universal bases and methods of use - Google Patents
Functionalized 3-alkynyl pyrazolopyrimidine analogues as universal bases and methods of use Download PDFInfo
- Publication number
- WO2014159063A1 WO2014159063A1 PCT/US2014/021799 US2014021799W WO2014159063A1 WO 2014159063 A1 WO2014159063 A1 WO 2014159063A1 US 2014021799 W US2014021799 W US 2014021799W WO 2014159063 A1 WO2014159063 A1 WO 2014159063A1
- Authority
- WO
- WIPO (PCT)
- Prior art keywords
- nucleic acid
- pyrazolo
- pyrimidin
- alkynyl
- analogue
- Prior art date
- Legal status (The legal status is an assumption and is not a legal conclusion. Google has not performed a legal analysis and makes no representation as to the accuracy of the status listed.)
- Ceased
Links
- 0 *OCC(C(C1)O)OC1[n](c(N=CN1)c2C1=O)nc2I Chemical compound *OCC(C(C1)O)OC1[n](c(N=CN1)c2C1=O)nc2I 0.000 description 2
- JJAPVPBJUWZSOP-UHFFFAOYSA-N CC(c1ccccc11)(c2ccccc22)[Si+]12OCC(C(C1)O)OC1[n](c1c2c(OC)ncn1)nc2I Chemical compound CC(c1ccccc11)(c2ccccc22)[Si+]12OCC(C(C1)O)OC1[n](c1c2c(OC)ncn1)nc2I JJAPVPBJUWZSOP-UHFFFAOYSA-N 0.000 description 1
Classifications
-
- C—CHEMISTRY; METALLURGY
- C07—ORGANIC CHEMISTRY
- C07H—SUGARS; DERIVATIVES THEREOF; NUCLEOSIDES; NUCLEOTIDES; NUCLEIC ACIDS
- C07H21/00—Compounds containing two or more mononucleotide units having separate phosphate or polyphosphate groups linked by saccharide radicals of nucleoside groups, e.g. nucleic acids
-
- C—CHEMISTRY; METALLURGY
- C12—BIOCHEMISTRY; BEER; SPIRITS; WINE; VINEGAR; MICROBIOLOGY; ENZYMOLOGY; MUTATION OR GENETIC ENGINEERING
- C12Q—MEASURING OR TESTING PROCESSES INVOLVING ENZYMES, NUCLEIC ACIDS OR MICROORGANISMS; COMPOSITIONS OR TEST PAPERS THEREFOR; PROCESSES OF PREPARING SUCH COMPOSITIONS; CONDITION-RESPONSIVE CONTROL IN MICROBIOLOGICAL OR ENZYMOLOGICAL PROCESSES
- C12Q1/00—Measuring or testing processes involving enzymes, nucleic acids or microorganisms; Compositions therefor; Processes of preparing such compositions
- C12Q1/68—Measuring or testing processes involving enzymes, nucleic acids or microorganisms; Compositions therefor; Processes of preparing such compositions involving nucleic acids
- C12Q1/6806—Preparing nucleic acids for analysis, e.g. for polymerase chain reaction [PCR] assay
-
- C—CHEMISTRY; METALLURGY
- C12—BIOCHEMISTRY; BEER; SPIRITS; WINE; VINEGAR; MICROBIOLOGY; ENZYMOLOGY; MUTATION OR GENETIC ENGINEERING
- C12Q—MEASURING OR TESTING PROCESSES INVOLVING ENZYMES, NUCLEIC ACIDS OR MICROORGANISMS; COMPOSITIONS OR TEST PAPERS THEREFOR; PROCESSES OF PREPARING SUCH COMPOSITIONS; CONDITION-RESPONSIVE CONTROL IN MICROBIOLOGICAL OR ENZYMOLOGICAL PROCESSES
- C12Q1/00—Measuring or testing processes involving enzymes, nucleic acids or microorganisms; Compositions therefor; Processes of preparing such compositions
- C12Q1/68—Measuring or testing processes involving enzymes, nucleic acids or microorganisms; Compositions therefor; Processes of preparing such compositions involving nucleic acids
- C12Q1/6844—Nucleic acid amplification reactions
- C12Q1/6846—Common amplification features
-
- C—CHEMISTRY; METALLURGY
- C12—BIOCHEMISTRY; BEER; SPIRITS; WINE; VINEGAR; MICROBIOLOGY; ENZYMOLOGY; MUTATION OR GENETIC ENGINEERING
- C12Q—MEASURING OR TESTING PROCESSES INVOLVING ENZYMES, NUCLEIC ACIDS OR MICROORGANISMS; COMPOSITIONS OR TEST PAPERS THEREFOR; PROCESSES OF PREPARING SUCH COMPOSITIONS; CONDITION-RESPONSIVE CONTROL IN MICROBIOLOGICAL OR ENZYMOLOGICAL PROCESSES
- C12Q2525/00—Reactions involving modified oligonucleotides, nucleic acids, or nucleotides
- C12Q2525/10—Modifications characterised by
- C12Q2525/101—Modifications characterised by incorporating non-naturally occurring nucleotides, e.g. inosine
Definitions
- This invention relates to universal bases and their uses.
- Universal bases are extensively used in primers, probes, hybridization, sequencing, cloning and the diagnostic detection of infectious targets.
- a universal base analogue forms base pairs with each of the natural bases with little discrimination between them (Loakes et al., 1997; Loakes, 2001 ).
- Desirable requirements for a universal base include the ability to: a) pair with all natural bases equally in a duplex, b) form a duplex which primes DNA synthesis by a polymerase, c) direct incorporation of the 5 '-triphosphate of each of the natural nucleosides opposite it when copied by a polymerase, (d) be a substrate for polymerases as the 5 '-triphosphate, e) be recognized by intracellular enzymes such that DNA containing them may be cloned. (Loakes et al., 1997). At present no analogue has been shown to have all these characteristics.
- a universal 2 '-deoxy inosine analogue 7-octadiynyl-7-deaza-2'-deoxyinosine has also been disclosed (Ming et al., 2008).
- the nucleobase of this analogue shows universal binding properties with the four natural bases in a 12-mer oligonucleotide with T m 's that varies from 45°C for C to 34°C for G.
- the present disclosure pertains to functional i/ed 3-alkynyl- 1 H- pyrazolo[ 3.4-d )pyrimidin-4(5H)-ones as universal bases and their methods of use.
- 3-alkynyl- lH-pyrazolo[3,4-d]pyrimidin-4(5H)-one-based analogues function unexpectedly well as universal bases. Not only do they stabilize duplexes substantially more than hypoxanthine opposite A, C. and T but they are also recognized in primers by polymerases, allowing efficient amplification.
- l H-Pyrazolo[3,4-d]pyrimidin- 4(5H)-ones substituted at the 3-position with hydroxylalkynyl (IPPOH) or aminoalkynyl (IPPNH 2 ) are preferred as universal bases.
- the 3-alkynyl-lH-pyrazoIo[3,4-d]pyrimidin-4(5H)-one analogues can be incorporated into novel nucleic acid primers and probes. They do not significantly destabilize nucleic acid duplexes, as other universal bases do. As a result, the novel nucleic acid primers and probes incorporating the 3-alkynyl-lH-pyrazolo[3,4-d]pyrimidin-4(5H)-one analogues can be used in a variety of methods.
- 3-alkynyl- 1 H-pyrazolo[3,4-d]pyrimidin-4(5H)-one analogues can also be substituted with pyrene or acridine to further increase duplex stability. It is to be appreciated that other similar polyaromatics with 0 to 3 hetero atoms will produce similar stabilization.
- Figure 1 shows the structure of 2 ' -deoxyinosine and 2-deoxy-p-D- ribofuranosyl- (5H)-ones.
- Figure 2 shows the possible hydrogen bonds between hypoxanthine and the natural nucleic acid bases.
- Figure 3 shows, without being bound by theory, proposed hydrogen bonds between 3-(aminobutynyl)-lH-pyrazolo[3,4-d]pyrimidin-4(5H)-one and the normal nucleic bases.
- Figure 4 shows a reaction scheme for synthesis of a protected (2-deoxy-p- D-ribofuranosy l)-3 -hydroxybuyny 1 - 1 H-pyrazolo[3 ,4-d]pyrimidin-4(5 H)-one 5 ' - phosphoramidite.
- Figure 5 shows a reaction scheme for synthesis of a protected (2-deoxy-P- D-ribofuranosyl)-3-hydroxybuynyl- l H-pyrazolo[3,4-d]pyrimidin-4(5H)-one 3'- phosphoramidite.
- Figure 6 shows a reaction scheme for synthesis of a protected inosine 5'- phosphoramidite.
- Figure 7 shows a reaction scheme for synthesis of protected (2-deoxy- -D- ribofuranosyl)-3-(aminoalkynyl)-l H-pyrazolo[3,4-d]pyrimidin-4(5H)-one analogues.
- Figure 8 shows a reaction scheme for synthesis of (2-deoxy-P-D- ribofuranosyl)-3-(methylcarbamoyloalkynyl)-l H-pyrazolo[3,4-d]pyrimidin-4(5H)-one analogues.
- Figure 9 shows a reaction scheme for synthesis of (2-deoxy- -D- ribofuranosyl)- 1 H-pyrazolo[3,4-d]pyrimidin-4(5H)-one analogues bearing guanidinoalkynyl substituates at the 3-position of the nucleobase.
- Figure 10 shows a summary of melting temperatures (T m s) of duplexes between the 15-mer GTAAGXAGXCATAAC (SEQ ID NO: 1), where X is independently 2'- deoxinosine or a 2-deoxy-p-D-ribofuranosyl- 3-alkynyl- 1 H-pyrazolo[3,4-d]pyrimidin-4(5H)- one of the present disclosure, and the complement which contains either A, T, C or G opposite to X.
- T m s melting temperatures
- Figure 1 1 shows a comparison of T m s of duplexes between the 1 5-mer GTAAGXAGACATAAC (SEQ ID NO:2), where X is independently 2'-deoxinosine or a 2- deoxy- ⁇ - D-r i bo furanosy 1 - 3-alkynyl-lH-pyrazolo[3,4-d]pyrimidin-4(5H)-one of the present disclosure, and the complement which contains either A, T, C or G opposite to X.
- Figure 12 shows a comparison of T m s of duplexes between the 15-mer GTAAGTAGXCATAAC (SEQ ID NO:3), where X is independently 2 '-deoxinosine or a 2- deoxy- -D-ribofuranosyl- 3-alkynyl- l H-pyrazolo[3,4-d]pyrimidin-4(5H)-one of the present disclosure, and the complement which contains either A, T, C or G opposite to X.
- X is independently 2 '-deoxinosine or a 2- deoxy- -D-ribofuranosyl- 3-alkynyl- l H-pyrazolo[3,4-d]pyrimidin-4(5H)-one of the present disclosure, and the complement which contains either A, T, C or G opposite to X.
- Figure 13 shows a comparison of T m s of duplexes between the 15-mer GTAAGXAGXCATAAC (SEQ ID NO: 1 ), where X is independently 2'-deoxinosine, or a 2- deoxy- -D-ribofuranosyl- 3-alkynyl- l H-pyrazolo[3,4-d]pyrimidin-4(5H)-one of the present disclosure, and the complement which contains either A, T, C or G opposite to X.
- Figure 14 shows a comparison of melting and real-time PGR data for Adenovirus assays using primers containing the currently described nucleoside analogues.
- Figure 15 shows a comparison of melting and real-time PCR data for Adenovirus assays using primers containing multiple incorporations of the currently described nucleoside analogues.
- Figure 16 shows a comparison of Cts for a Meticillin-resistant Staphylococcus aureus LGA251 target assay using primers substituted with five deoxyinosine or five 3-(aminobutynyl)- l h-pyra/olo
- Figure 17 shows that when two Ts in a primer are substituted with either deoxyinosine or 3-(aminobutynyl)- l h-pyrazolo[3,4-d]pyrimidin-4(5h)-one nucleotides that the polymerase incorporate two Cs complementary to the Ts.
- Figure 18 shows a reaction scheme for synthesis of 3-aminoalkynyl- substituted (2-deoxy-p-D-ribofuranosyl)-lH-pyrazolo[3,4-d]pyrimidin-4(5H)-one 5'- phosphoramidite 35.
- Figure 19 shows a reaction scheme for post-synthetic conjugation of pyrene and acridine carboxylic acids with 3-(aminobutynyl)-l H-pyrazolo[3,4-d]pyrimidin-4(5H)- one.
- Figure 20 shows a comparison of melting temperatures of DNA duplexes containing 107, 107-Pyr, I07-(Ac-Pyr)i, I07-(Ac-Pyr) 2 , 107-Bu-Pyr base analogues, paired with all four natural bases.
- Figure 21 shows a comparison of T m s of duplexes between the 15-mer GTAAGXAGACATAAC, where X is independently deoxyinosine, 104, 107, 107-Pyr, 107- Acr, and the complement which contains either A, T, C or G opposite to X.
- Figure 22 shows a comparison of T m s of duplexes between the 15-mer GTAAGTAGXCATAAC, where X is independently deoxyinosine, 104, 107, 107-Pyr, 107- Acr, and the complement which contains either A, T, C or G opposite to X,
- Figure 23 shows a comparison of T m s of duplexes between the 15-mer GTAAGXAGXCATAAC, where X is independently deoxyinosine, 104, 107, 107-Pyr, 107- Acr, and the complement which contains either A, T, C or G opposite to X.
- target sequence refers to a sequence in a target RNA, or DNA that is partially or fully complementary to the mature strand.
- the target sequence can be described using the four bases of DNA (A, T, G, and C), or the four bases of RNA (A, Li, G, and C).
- Complementary refers to the ability of polynucleotides to form base pairs with one another. Base pairs are typically formed by hydrogen bonds between nucleotide units in antiparallel polynucleotide strands. Complementary polynucleotide strands can base pair in the Watson-Crick manner (e.g., A to T, A to U, C to G), or in any other manner that allows for the formation of duplexes, including the wobble base pair formed between U and G. As persons skilled in the art are aware, when using RNA as opposed to DNA, uracil rather than thymine is the base that is considered to be complementary to adenosine.
- substantially complementary refers to the ability of an oligonucleotide to form base pairs specifically with another oligonucleotide where said oligonucleotide may contain one or more mismatches.
- duplex refers to a double stranded structure formed by two complementary or substantially complementary polynucleotides that form base pairs with one another, including Watson-Crick base pairs and U-G wobble pairs that allow for a stabilized double stranded structure between polynucleotide strands that are at least partially complementary.
- the strands of a duplex need not be perfectly complementary for a duplex to form, i.e.. a duplex may include one or more base mismatches.
- duplexes can be formed between two complementary regions within a single strand (e.g., a hairpin).
- nucleotide refers to a ribonucleotide or a
- Nucleotides include species that comprise purines, e.g., adenine, hypoxanthine, guanine, and their derivatives and analogues, as well as pyrimidines, e.g., cytosine, uracil, thymine, and their derivatives and analogues.
- purines e.g., adenine, hypoxanthine, guanine, and their derivatives and analogues
- pyrimidines e.g., cytosine, uracil, thymine, and their derivatives and analogues.
- Nucleotide analogues include nucleotides having modifications in the chemical structure of the base, sugar and/or phosphate, including, but not limited to, 5-position pyrimidine modifications, 8-position purine modifications, modifications at cytosine exocyclic amines, and substitution of 5-bromo-uracil; and 2'-position sugar modifications, including but not limited to, sugar-modified ribonucleotides in which the 2'-OH is replaced by a group such as an H, OR, R, halo, SH, SR. Ni l;. NHR, NR2, or CN, wherein R is an alkyl moiety.
- Nucleotide analogues are also meant to include nucleotides with bases such as inosine, queuosine, xanthine, sugars such as 2'-methyl ribose, non-natural phosphodiester linkages such as in ethylphosphonates, phosphorothioates and peptides.
- modified bases refers to those bases that differ from the naturally-occurring bases (adenine, cytosine, guanine, thymine, and urasil) by addition or deletion of one or more functional groups, differences in the heterocyclic ring structure (i.e., substitution of carbon for a heteroatom, or vice versa), and/or attachment of one or more linker arm structures to the base.
- Preferred modified nucleotides are those based on a pyrimidine structure or a purine structure, with the latter more preferably being 7 deazapurines and their derivatives and pyrazolopyrimidines (described in PCT WO 01/84958); and also described in U.S. Patent No. 6, 127, 121.
- Preferred modified bases are 5- substituted pyrimidines and 3-substituted pyrazolopyrimidines.
- Examples of preferred modified bases are 6-amino- l H-pyrazolo[3,4-d]pyrimidin-4(5H)-one (PPG or Super G ), 4-am i no- 1 H-py razo lo[ 3.4-d ] p rim id ⁇ ne. l//-pyrazolo[5,4-d]pyrimidin-4(5H)-6(7/ )-dione. 6- amino-3-prop- 1 -ynyl-5-hydropyrazolo[3,4-d]pyrimidine-4-one,
- universal bases and “degenerative bases” refer to natural base analogues that are capable of forming base pairs with two or more natural bases in DNA or RNA with little discrimination between them. Universal and degenerative bases are well known in the art and disclosed in U.S. Patent No. 7,348,146 that is incorporated by reference. Oligonucleotide conjugates containing an inosine analog of the current disclosure may also comprise one or more universal and degenerative bases, in addition to the naturally-occurring bases adenine, cytosine, guanine, thymine and uracil.
- nucleotide is also meant to include what are known in the art as universal bases.
- universal bases include, but are not limited to, 3- nitropyrrole, 5-nitroindole, or nebularine.
- nucleotide is also meant to include the N3' to P5' phosphoramidate, resulting from the substitution of a ribosyl 3 '-oxygen with an amine group.
- nucleotide also includes those species that have a detectable label, such as for example a radioactive or fluorescent moiety, or mass label attached to the nucleotide.
- linker refers to a moiety that is used to assemble various portions of the molecule or to covalently attach the molecule (or portions thereof) to a solid support. Additionally, a linker can include linear or acyclic portions, cyclic portions, aromatic rings or combinations thereof.
- protecting group refers to a grouping of atoms that when attached to a reactive group in a molecule masks, reduces or prevents that reactivity. Examples of protecting groups can be found in T.W. Greene and P.O. Puts. Protective Groups in Organic Chemistry. (Wiley, 2nd cd.
- Representative amino protecting groups include formyl, acetyl, trifluoroacetyl, benzyl, benzyloxycarbonyl (CBZ), fcr/-butoxycarbonyl (Boc), trimethyl silyl (TMS), 2-trimethylsilyl-ethanesulfonyl (SES), trityl and substituted trityl groups, allyloxycarbonyl, 9-fluorenylmethyloxycarbonyl (FMOC), nitro-veratryloxycarbonyl (NVOC) and the like.
- hydroxy protecting groups include those where the hydroxy group is either acylated or alkylated such as benzyl and trityl ethers as well as alkyl ethers, tetrahydropyranyl ethers, trialkylsilyl ethers and allyl ethers. These protecting groups can be removed under conditions which are compatible with the integrity of a compound of interest. Deprotection conditions are well known in the art and described in the references above.
- alkyl refers to a linear, branched, or cyclic saturated monovalent hydrocarbon radical or a combination of cyclic and linear or branched saturated monovalent hydrocarbon radicals having the number of carbon atoms indicated in the prefix.
- (Ci-C 8 )alkyl is meant to include methyl, ethyl, «-propyl, 2-propyl, tert-butyl, pentyl, cyclopentyl, cyclopropylmethyl and the like.
- quenchers are described in co-owned U.S. Patent No. 6,727,356, incorporated herein by reference.
- Other quenchers include bis azo quenchers (U.S. Patent No. 6,790,945) and dyes from Biosearch Technologies, Inc. (provided as Black HoleTM Quenchers: BH-1 , BH-2 and BH-3), Dabcyl. TAMRA and carboxytetramethyl rhodamine.
- Minor groove binder oligonucleotide conjugates have been described (see U.S. Patent No. 5,801 , 155 and U.S. Patent No. 6,312,894, both hereby incorporated by reference). These conjugates form hyper-stabilized duplexes with complementary DNA .
- sequence specificity of short minor groove binder probes is excellent for high temperature applications such as PG R.
- the probes/conjugates of the present disclosure can also have a covalcntly attached minor groove binder.
- suitable minor groove binders have been described in the literature. See, for example, Kutyavin. et al. U.S. Patent No.
- Suitable methods for attaching minor groove binders (as well as reporter groups such as fluorophores and quenchers) through linkers to oligonucleotides are described in, for example, U.S. Patent Nos. RE 38,416; 5,512,677; 5,419,966; 5,696,251 ; 5,585,481 ; 5,942,610 and 5,736,626.
- a nucleotide mono-phosphate, nucleotide di-phosphate or a nucleotide triphosphate processing enzyme is an enzyme that utilizes a nucleotide mono-phosphate, nucleotide di-phosphate or a nucleotide triphosphate as one of its substrates.
- a nucleotide mono-phosphate, a nucleotide di-phosphate or a nucleotide triphosphate nucleic acid processing enzyme catalyzes modifications to nucleic acids or nucleic acid intermediates using either a nucleotide mono-phosphate, nucleotide di-phosphate or a nucleotide triphosphate as one of the substrates.
- Nucleotide mono-phosphate, nucleotide di-phosphate or nucleotide triphosphate enzymes include but are not limited to primer extension enzymes, DNA polymerases, RNA polymerases, restriction enzymes, nicking enzymes, repair enzymes or ligation enzymes.
- Amplification procedures are those in which many copies of a target nucleic acid sequence are generated, usually in an exponential fashion, by sequential polymerization and/or ligation reactions.
- the present invention is useful in ampl ifications involving three- way j unctures (see, WO 99/37085), signal amplification (see Capaldi, et al., Nuc. Acids Res. , 28:E21 (2000)), T7 polymerases, reverse transcriptase, RNase H, R I -PCR. Rolling Circles, cleavase and the like. Isothermal amplification methods have been reviewed (cc Niemz, A.
- the "term oligonucleotide primers adjacent to a probe region” refers to when 0 or one or more base separate the primer and probe.
- the term “overlapping with said probe region” is defined as disclosed in U.S. Patent No. 7,319,022.
- the term “Ct” refers to the fractional PCR cycle number at which the reporter fluorescence is greater than the threshold.
- a primer is a nucleic acid that is capable of hybridizing to a second, template nucleic acid and that, once hybridized, is capable of being extended by a polymerizing enzyme (in the presence of nucleotide substrates), using the second nucleic acid as a template.
- Polymerizing enzymes include, but are not limited to, DNA and RNA polymerases and reverse transcriptases, etc. Conditions favorable for polymerization by different polymerizing enzymes are well-known to those of skill in the art. See, for example, Sambrook et al, supra; Ausubel, et al, supra; Innis et al., supra.
- a primer in order to be extendible by a polymerizing enzyme, a primer must have an unblocked 3 '-end, preferably a free 3 ' hydroxyl group.
- the product of an amplification reaction is an extended primer, wherein the primer has been extended by a polymerizing enzyme.
- the present inosine analogues include monomeric compounds of Formula I and II:
- R is H or a protecting group
- R 2 is H, a phosphate group, a polyphosphate group, an activated phosphate group, a protecting group, phosphoramidite or a solid support;
- R 3 is H, a protecting group, or a phosphoramidite
- R 4 is I f or an alkyl
- R " is pyrene or acridine
- n 1 to 5;
- y is 1 to 10.
- this resulting polyphosphate analog can be a diphosphate or triphosphate.
- These polyphosphate analogs can be used in enzyme catalyzed primer extension reactions.
- the present inosine analogues are also useful in oligomers and in intermediates for oligonucleotide synthesis.
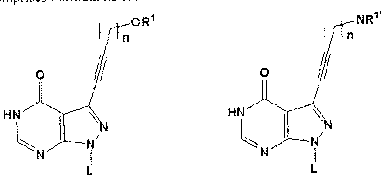
- the inosine analogues can also include compounds of Formulas III and IV below:
- R 1 is H
- L is a sugar or sugar/phosphate backbone analogue, including but not limited to a backbone of DNA, RNA, PNA, locked nucleic acid, modified DNA, modified PNA, modified RNA. or any combination thereof;
- R 6 is H or alkyl
- n 1 to 5.
- the modified oligonucleotides incorporating the present inosine analogues are comprised of glycosidic moieties, preferably 2- deoxyribofuranosides wherein all internucleoside linkages are the naturally occurring phosphodiester linkages.
- the 2-deoxy-P-D-ribofuranose groups are replaced with other sugars, for example, ⁇ -D-ribofuranose.
- ⁇ -D- ribofuranose may be present wherein the 2-OH of the ribose moiety is alkylated with a C 1 -5 alkyl group (2-(0— C alkyl) ribose) or with a C2-6 alkenyl group (2-(0— C2-6 alkenyl) ribosc). or is replaced by a fluoro group (2-fluororibose).
- Related oligomer-forming sugars useful in the present invention are those that are "locked' * , i.e.. contain a methylene bridge between C- 4 * and an oxygen atom at C-2 " .
- oligonucleotide can also be used, and arc known to those of skill in the art, including, but not limited to, a-D-arabinofuranosides, a-2'-deoxyribofuranosides or 2'.3'-dideo ⁇ y-3'- aminoribofuranosides.
- Oligonucleotides containing a -D-arabinofuranosides can be prepared as described in U.S. Patent No. 5, 177, 196.
- Oligonucleotides containing 2',3'-dideoxy-3'- aminoribofuranosides are described in Chen et al. 1995.
- oligonucleotides containing 2'-halogen- 2'-deoxyribofuranosides have been described.
- the phosphate backbone of the modified oligonucleotides described herein can also be modified so that the oligonucleotides contain phosphorothioate linkages and/or methvlphosphonates and/or phosphoroamidates (Chen et al., 1995). Combinations of oligonucleotide linkages are also within the scope of the present invention. Still other backbone modifications are known to those of skill in the art.
- the inosine analogues described herein are incorporated into PNA and DNA/PNA chimeras to balance T m s and provide modified oligonucleotides having improved hybridization properties.
- Various modified forms of DNA and DNA analogues have been used in attempts to overcome some of the disadvantages of the use of DNA molecules as probes and primers.
- PNAs peptide nucleic acids
- PNAs also known as polyamide nucleic acids (Nielsen et al. 1991 ).
- PNAs contain natural RNA and DNA heterocyclic base units that are linked by a polyamide backbone instead of the sugar-phosphate backbone characteristic of DNA and RNA.
- PNAs are capable of hybridization to complementary DNA and RNA target sequences and, in fact hybridize more strongly than a corresponding nucleic acid probe.
- the synthesis of PNA oligomers and reactive monomers used in the synthesis of PNA oligomers have been described in U.S. Patent Nos. 5,539,082; 5,714,331 ; 5,773,571 ; 5,736,336 and 5,766,855.
- Alternate approaches to PNA and DNA/PNA chimera synthesis and monomers for PNA synthesis have been summarized (Uhlmann et al. 1998). Accordingly, the use of any combination of normal bases.
- Example compounds of the invention are shown in Figure 1 .
- Figure 2 illustrates the hydrogen bonds that occur between hypoxathine and the natural nucleic acid basis. As indicated, and without being bound by theory, those skilled in the art view hypoxanthine as forming two hydrogen bonds with the normal nucleic acid bases in duplex formation.
- Figure 3 illustrates, again without being bound by theory, proposed hydrogen bond formation with NH 2 Bu-PPI with natural bases in a duplex.
- the present 3-alkynyl- l H-pyrazolo[3,4-d]pyrimidin-4(5H)-one-based analogues function unexpectedly well as universal bases. Not only do they stabilize duplexes substantially more than hypoxanthine opposite A, C, and T but they are also recognized in primers by polymerases, allowing efficient amplification. In the case of G, binding is similar to that observed with inosine.
- the 3-alkynyl-l H-pyrazolo[3,4- d]pyrimidin-4(5H)-one-based analogues are further substituted with pyrene or acridine to provide increased duplex stability.
- nucleic acid processing enzyme concerns any enzyme that is involved in a chemical transformation or physical manipulation of nucleic acids or their components.
- 3-alkynyl- l H-pyrazolo[3,4-d]pyrimidin-4(5H)- one-based analogues are useful in all hybridization based techniques, including but not limited to detection of more than one target, amplification of more than one target, use of arrays, use of processing enzymes, conversion of intermediates, sequencing, and others.
- the present disclosure pertains, in one aspect, to a method for continuous monitoring of polynucleotide amplification of a target nucleic acid sequence the method comprising:
- nucleic acid polymer has a backbone component selected from the group consisting of a sugar phosphate backbone, a modified sugar phosphate backbone, a locked nucleic acid backbone, a peptidic backbone or a variant thereof used in nucleic acid preparation; and at least one nucleic acid base is substituted with a 3- alkynyl-1 H-pyrazolo[3,4-d]pyrimidin-4(5H)-one analogue and the oligonucleotide portion has a sequence complementary to a portion of the target sequence being amplified, to provide a mixture;
- At least one of said oligonucleotide primers has a sequence complementary to an adjacent portion of the probe region of the target nucleic acid sequence.
- the method for continuous monitoring of polynucleotide amplification of a target nucleic acid sequence includes methods in which each base independently represents a nucleic acid base, at least one 3-alkynyl-l H-pyrazolo[3,4- d]pyrimidin-4(5H)-one analogue, and at least one modified base.
- nucleic acid oligomer is a conjugate comprising a minor groove binder ligand.
- Another embodiment pertains to a method for continuous monitoring of polynucleotide amplification of a target nucleic acid sequence, the method comprising one or more oligonucleotide primers adjacent to or overlapping with said probe region of the target sequence, wherein said one or more oligonucleotide primers is an oligonucleotide is between 5 and 50 bases long wherein said nucleic acid polymer has a backbone component selected from the group consisting of a sugar phosphate backbone, a chimeric modified sugar phosphate backbone, chimeric locked nucleic acid backbone, a chimeric peptidic backbone or a variant thereof used in nucleic acid amplification; and at least one nucleic acid base is substituted with a 3-alkynyl- l H-pyrazoIo[3,4-d]pyrimidin-4(5H)-one analogue and the oligonucleotide portion has a sequence complementary to a portion of the target sequence being amp
- Another method for primer extension of nucleic acids targets comprises one or more primers complementary to the target sequence, wherein each nucleic acid base independently represents a nucleic acid base, at least one 3-alkynyl- 1 1 l-pyrazolo[3.4- d]pyrimidin-4(5H)-one analogue and at least one modified base
- the primer also contains a minor groove binder ligand and a label.
- An alternative method for continuous monitoring of polynucleotide amplification of a target nucleic acid sequence comprises one or more oligonucleotide primers adjacent to or overlapping with said probe region of the target sequence, wherein each nucleic acid base independently represents a nucleic acid base, at least one 3-alkynyl- 1 H- pyrazolo[3,4-d]pyrimidin-4(5H)-one analogue and at least one modified base.
- multiple nucleic acid targets are detected in a polymerase amplification reaction with one or more primers and more than one probe where each such probe is uniquely labeled and wherein at least one of said primers or probe contains at least one normal base substituted with a 3-alkynyl-l H-pyrazolo[3,4-d]pyrimidin-4(5H)-one analogue.
- the present disclosure pertains to a method for distinguishing between wild-type, mutant and heterozygous target polynucleotides, the method comprising: a) measuring the fluorescence emission as a function of temperature to determine a first melting profile of a first probe melting from a first amplified polynucleotide and a second melting profile of a second probe melting from a second amplified polynucleotide wherein each probe independently contains zero or one or more 3-alkynyl- l H-pyrazolo[3,4- d]pyrimidin-4(5H)-one analogues; and
- the sample is further contacted with a set of primers under amplification conditions and where at least one of the primers contains at least one 3- alkynyl-l H-pyrazolo[3,4-d]pyrimidin-4(5H)-one analogues.
- at least one f the primers may also contain one modified base selected from the group disclosed above.
- oligonucleotide conjugate comprising a fluorophore
- the oligonucleotide conjugate has a nucleic acid backbone component selected from the group consisting of a sugar phosphate backbone, a modified sugar phosphate backbone, a locked nucleic acid backbone, and a peptidic backbone
- oligonucleotide conjugate contains a nucleic acid base substituted with a 3-alkynyl-l H-pyrazolo[3,4-d]pyrimidin-4(5H)-one analogue at the site complementary to said second single nucleotide polymorphism, and
- oligonucleotide conjugate has a sequence complementary to a portion of the target sequence being amplified, to provide a mixture
- the polymerization is catalyzed by a polymerizing enzyme under isothermal conditions.
- a nucleotide comprising a 3-alkynyl-l H- pyrazolo[3,4-d]pyrimidin-4(5H)-one analogue as disclosed herein is incorporated by a nucleotide processing enzyme into a nucleic acid, where said nucleic acid as a result has improved hybridization properties when hybridized to a second nucleic acid.
- Incorporated 3- alkynyl-l H-pyrazolo[3,4-d]pyrimidin-4(5H)-one analogues of the invention have universal properties including improved hybridization (T m s) particularly with A, C and T. While the present analogues will hybridize to G, they typically show no improvement i hybridization compared to inosine.
- modified oligomers comprising 3- alkynyl-l H-pyrazolo[3,4-d]pyrimidin-4(5H)-one analogues as disclosed herein, are useful in techniques including, but not limited to, hybridization, primer extension, hydrolyzable probe assays, amplification methods (e.g., PCR, SSSR, NASBA, SDA, LAMP ), single nucleotide mismatch discrimination, allele-specific oligonucleotide hybridization, nucleotide sequence analysis, hybridization to oligonucleotide arrays, in itu hybridization and related techniques.
- amplification methods e.g., PCR, SSSR, NASBA, SDA, LAMP
- Oligomers disclosed herein can be used as immobilized oligomers in oligomer arrays such as those described in, for example, U.S. Patent Nos. 5,492,806; 5,525,464; 5,556,752 and PCT publications WO 92/10588 and WO 96/17957.
- sequencing primers contain one or more 3-alkynyl- l H-pyrazolo[3,4-d]pyrimidin-4(5H)-one analogue bases.
- kits that contain probes and/or conjugates as described above, along with primers for amplification reactions, wherein the primers contain one or more 3-alkynyl-l H-pyrazoIo[3,4-d]pyrimidin- 4(5H)-one analogue bases, more preferably, from one to ten 3-alkynyl- l H-pyrazolo[3,4- d]pyrimidin-4(5H)-one bases per primer.
- the protected phosphoramidite 8 was synthesized by reaction of 7 with 2-cyano-N,N,N ' ,N ' -tetraisopropy Iphord iamidite and diisopropylammonium tetrazolide in Cl ⁇ Ck
- the protected phosphoramidite 12 was synthesized by reaction of 11 with 2-cyano-N,N,N',N'- tetraisopropylphordiamidite and diisopropylammonium tetrazolide in CH2CI2.
- Amines 25, 26 and 27 were prepared from the protected amine intermediates 19, 21 and 23 by a treatment with a mixture of aqueous methylamine and concentrated ammonium hydroxide at 55°C under pressure.
- the free amines were converted into methylcarbomoyl derivatives 28, 29 and 30 by a reaction with N-succinimidyl N- methylcarbomate.
- the resulting 3 '-hydroxy intermediates were reaction with 2-cyanoethyl tetraisopropylphosphordiamidite to afford final phosphoramidites 31, 32 and 23.
- Reaction Scheme 6, in Figure 9 shows the preparation of (2-deoxy- -D- ribofuranosyl)- 1 H-pyrazolo[3,4-d]pyrimidin-4(5H)-one analogues bearing guanidinoalkynyl substituates at the 3-position of the nucleobase.
- the crude product was dissolved in DMF and pyridine, concentrated to remove moisture, then dissolved in anhydrous pyridine and added dimethylaminopyridine (100 mg, catalytic), 4,4'-dimethoxytrityl chloride (2.24 g, 6.6 mmol), and stirred for 72 hours. Concentrate and partition between ethyl acetate and water. Wash the aqueous layer with 10% citric acid, saturated NaHC0 3(aq) , brine, dry over MgSC1 ⁇ 4, and concentrate to an orange foam. Purify the crude product by flash chromatography using 33% acetone in dichloromethane to obtain 14 as a yellow-orange amorphous solid (3.5 g, 73% yield).
- This example illustrates the preparation of 3-aminoalkynyl-substituted 1 H- pyrazolo[3,4-d]pyrimidin-4(5H)-one phosphoramidites 18, 20, 22 and 24 and their incorporation into oligonucleotides.
- Phosphoramidites 31, 32 and 33 were prepared using the procedure described for compounds 18, 20, 22 and 24.
- Oligonucletides were prepared in 200 nmol scale from commercially available 3 '-phosphoramidites and solid supports (Glen Research, Inc.) following standard synthesis and deprotection protocol for DNA synthesizer (Applied Biosystems, Model 3900). 5'-Dimethoxytritylated oligonucleotides were purified by RP-HPLC (C-18, 0.1 M triethylammonium bicarbonate/acetonitrile), detritylated and re-purified. Experimental ESI mass spectral data for all oligonucleotides corresponded to calculated values.
- This example illustrates the preparation of oligonucleotides containing 3- guanidinooalkyn l-substi tuted (2-deoxy-P-D-ribofuranosyl)- lH-pyrazolo[3,4-d]pyrimidin- 4(5H)-ones I4g and I6g.
- Oligonucleotides that contained modifications I4g and I6g were synthesized according to Roig, V.; Asseline, U. J. Am. Chem. Society, 2003, 125, 4616-4617 by a treatment of amine-modified oligonucleotide precursors (25 nmol) with 0. 1 1 M solution of 1 -pyrazole- l -carboxamidine hydrochloride in 1 M Na 2 C0 3 (30 ul) for 1 day at room temperature.
- the modified oligonucleotides were purified by C 18 reverse phase chromatography in a gradient of acetonitryl in 0.1 M triethylammonium bicarbonate buffer. The identity and purity of all modified oligonucleotides were confirmed by mass spectroscopy.
- This example illustrates the performance of 3-substituted-l H-pyrazolo[3,4- d]pyrimidin-4(5H)-one bases of the invention compared to that of hypoxanthine when substituted in oligonucleotides in duplex formation.
- the melting temperature was determined by combining the 3-alkynyl- 1 H- pyrazolo[3,4-d]pyrimidin-4(5H)-one analogue-containing oligonucleotides with natural complements, with one experiment each for inosine analogue paired with adenine, cytosine, guanidine, and thymidine.
- the oligonucleotides containing inosine analogue were measured in three formats: 1 ) inosine analogue in the 6 position, measured from the 5 * -end of the oligonucleotide; 2) inosine analogue in the 9 position, measured from the 5 '-end of the oligonucleotide; 3) inosine analogue in both the 6 and positions, measured from the ' -end of the oligonucleotide.
- Oligonucleotides were combined in equimolar 2 ⁇ concentrations in buffer containing 100 niM NaCl. 10 niM MgCl 2 , and 10 m Na-PIPES (pH 7). The solutions in 1 cm cuvettes were brought to 80 °C briefly then the temperature lowered to 15 °C. Measurements were conducted on a Cary Bio 400 UV-Vis spectrophotometer equipped with a thermal peltier cell block and temperature probe. The temperature was ramped at a rate of 0.8 °C/min from 15 to 75 °C with the wavelength monitored at 268 nm. The melting temperature was calculated as the midpoint between the baselines of the associated and dissociated portions of the melting curve.
- duplexes containing analogues of the invention substituted for a base opposite A, T and C in a generally more stable than the duplex the duplexes containing deoxyinosine.
- G similar T m s are observed for both deoxyinosine and the analogues of the invention.
- aminobutynyl-substituted analog (107) stabilizes A,T and C pairs greater than any other studied analogues.
- SDS Applied Biosystems, Foster City, CA
- 50 cycles of a two step PCR 95°C for 15 s, 65°C or 70° for 30 s profile was run. after an initial 1 5 min at 95 °C.
- Commercially available 2x Qiagen QuantiTect Probe PCR Master mix (Qiagen cat.# 204345) was used. Final concentration of both primers was 0.5 ⁇ .
- Each 20 ⁇ reaction contained 10 ng of template DNA. Routinely DNA samples were tested in triplicates using a 384-well plate,
- An adenovirus assay was developed using a fluorogenic reverse flap primer (US Application No. 2007-0048758) which contained a minor groove binder ligand (DPI 3 ) and fluorescein (FAM) as a fluorescent label.
- the forward primer contained deoxyinosine, hydroxybutynyl (104) or aminobutynyl (I07)-substituted l H-pyrazolo[3,4- d]pyrimidin-4(5H)-one nucleosides in various positions ( Figure 14 and 15).
- An unmodified forward primer was also utilized as a positive control.
- This example illustrates the ability of multiple substitutions of of the 3-(hydroxybutynyl)-lh-pyrazolo[3,4-d]pyrimidin-4(5h)-one and 3-(aminobutynyl)-l h-pyrazolo[3,4-d]pyrimidin-4(5h)-one -substituted PCR primers to efficiently participate in the amplification of Meticillin-resistant Staphylococcus aureus LGA251 target.
- PCR is performed using the final concentrations of the assay components in the reaction mixture is the dT(8)-AP593 passive control. 0.035 ⁇ , forward primer 1 .260 ⁇ , reverse primer 0.500 ⁇ , probe 0.200 ⁇ I X enhancer, I X Tfi PCR Master Mix (Life Science Technologies, Inc) contains all the reagents necessary to perform PCR including uracil-N-glycosylase (UNG). Twenty microliters of the mixture was introduced in a 96 well PCR plate with 1 ⁇ , of sample nucleic acid. The plate was sealed with MicroAmp® Optical Adhesive Film (Applied Biosystems, Foster City, CA) and then centrifuged to collect the assay solution in the bottom of the plate well. The assay was then performed in an ABI 7500 DX Fast Block Real-time PCR machine with the protocol shown in Table 1 below.
- UNG uracil-N-glycosylase
- duplex containing the 3-(hydroxybutynyl)- l H- pyrazolo[3,4-D]pyrimidin-4(5H)-one is-substituted for three A's and two T's, amplified well at 56° and 60°C with cts of 36 and 36 respectively.
- the same substitutes with inosine only amplified at 56°C with a Ct of 42.
- PCR was performed as described in Example 9.
- the target sequence and primer sequences are shown in Figure 17.
- the amplicons obtained from amplification with the natural primer, the F(dl) primer and the F(I07) primer were submitted for sequencing analysis.
- the sequences of the amplicons generated by these primers are shown in Figure 17.
- the amplicon generated by the natural primer incorporated two As complementary to the Ts in the primers.
- DNA polymerase incorporated a C complementary to the inosine and the aminobutylinosine.
- pyrene modified nucleotides to increase duplex stability is understood in the art.
- Kumar et al. attached pyrene to the 5 " -position of thymidine or to the 2' -posit ion of uridine with either a rigid tria/ole- or more flexible tria/ole methylene linkers.
- the pyrene substituted to the 5 '-position tended to intercalate with increase stability while substitution with the more rigid linker tended to decrease duplex stability.
- C2'-Pyrene- functionalized triazole-linked DNA/RNA universal hybridization probes were evaluated as promising universal probes (Sau & Hrdlica). Pyrene directly attached to the 1 ' -position of the deoxyribofuranose ring demonstrated selective and stable base pairing without hydrogen bonding when incorporated to an oligonucleotide (Matray & Kool).
- the pyrene-substituted inosine phosphoramidite 35 was synthesized in two steps from intermediate 25 as shown in Figure 18. .
- a general procedure for the synthesis of oligonucleotides containing pyrene and acridine moieties is shown in Figure 19.
- a similar approach yielded the acridine derivative (107-Acr).
- This example illustrates the preparation of 3-aminoalkynyl-substituted (2- deoxy-P-D-ribofuranosyl)-l H-pyrazolo[3,4-d]pyrimidin-4(5H)-one 5 '-phosphoramidite 35 and their incorporation into oligonucleotides.
- Oligonucletides were prepared in 200 nmol scale from commercially available 3 ' -phosphoramidites and solid supports (Glen Research, Inc.) following standard protocol for DNA synthesizer (Applied Biosystems, Model 3900). Oligonucleotides containing monomers 35 were cleaved from solid support and deprotected by ammonia hydroxide treatment (2h, +70oC). 5 ' - Dimethoxytrity lated oligonucleotides were purified by RP-HPLC (C- 18, 0.1 M triethylammonium bicarbonate/acetonitrile), detritylated and re- purified. Experimental ESI mass spectral data for all oligonucleotides corresponded to calculated values. EXAMPLE 13
- This example illustrates the post-synthetic preparation of oligonucleotides containing 3-aminobutynyl-(2-deoxy- -D-ribofuranosyl)-l H-pyrazolo[3.4-d]pyrimidin- 4(5H)-ones substituted with pyrene and acridine moieties.
- Pentafluorophenyl trifluoroacetate 1 .1 eq was added to a solution of 1 - pyreneacetic acid or 1 -pyrenebutyric acid and triethylamine (1.5 eq) in DCM (5 ml/mmol). The resultant mixture was kept at room temperature for 1 h and concentrated in vacuo. The residue from the reaction of 1-pyreneacetic acid was diluted with ether, the obtained solid collected by filtration, washed with ether and dried in vacuo to give PFP 1 -pyreneacetate (54% yield), which was used without further purification.
- Oligonucleotides that contained Pyrene and Acridine moieties were synthesized by a treatment of amine-modified oligonucleotide precursors (75 nmol) with solution of corresponding PFP-ester ( 1 ⁇ ) and triethylamine ( 14.4 ⁇ ) in dry DMSO (70 ⁇ ) for 1 day at room temperature.
- the modified oligonucleotides were purified by CI 8 reverse phase chromatography in a gradient of acetonitryl in 0.1 M triethylammonium bicarbonate buffer. The identity and purity of all modified oligonucleotides were confirmed by mass spectroscopy.
- This example evaluates the effect on melting temperature of a number of oligonucleotides when substituted with inosine, 104, 107, 107-pyr and 107-acr, shown below:
- inosine 104, 107, 107-pyr and 107-acr are numbered respectively 1 to 5.
- substitution of two bases by inosine substantially drops the T m s over that of the match.( Figure 23).
- the substitution of 107, 107-pyr and 107-acr performs well compared to inosine to increase T m s substantially for all substitutions tested except for GG substitution.
- the T m s are comparable to that of the match.
- the increases in T m s of the GT and TG substitutions are noteworthy.
Landscapes
- Chemical & Material Sciences (AREA)
- Health & Medical Sciences (AREA)
- Life Sciences & Earth Sciences (AREA)
- Biochemistry (AREA)
- Molecular Biology (AREA)
- Organic Chemistry (AREA)
- Engineering & Computer Science (AREA)
- Biotechnology (AREA)
- General Health & Medical Sciences (AREA)
- Genetics & Genomics (AREA)
- Measuring Or Testing Involving Enzymes Or Micro-Organisms (AREA)
Abstract
3-alkynyl inosine analogs and their uses as universal bases are provided. The inosine analogues can be incorporated into nucleic acid primers and probes. They do not significantly destabilize nucleic acid duplexes. As a result, the novel nucleic acid primers and probes incorporating the inosine analogues can be used in a variety of methods. The analogs function unexpectedly well as universal bases. Not only do they stabilize duplexes substantially more than hypoxanthine opposite A, C, T, and G but they are also recognized in primers by polymerases, allowing efficient amplification.
Description
FUNCTIONALIZED 3-ALKYNYL PYRAZOLOPYRIMIDINE ANALOGUES AS UNIVERSAL BASES AND METHODS OF USE
[0001] This application is a continuation-in-part of and claims priority to U.S. Patent Application Serial No. 13/556,513, entitled "FUNCTIONALIZED 3-ALKYNYL INOS1NE ANALOGUES AS UNIVERSAL BASES AND METHODS OF USE," filed July 24, 2012, which claims priority to U.S. Provisional Patent Application Serial No. 61/466,755, entitled "FUNCTIONALIZED 3-ALKYNYL INOSINE ANALOGUES AS UNIVERSAL BASES AND METHODS OF USE," filed on March 23, 201 1 , the entire contents of which are hereby incorporated by reference.
BACKGROUND
[0002] This invention relates to universal bases and their uses.
[0003] Universal bases are extensively used in primers, probes, hybridization, sequencing, cloning and the diagnostic detection of infectious targets. A universal base analogue forms base pairs with each of the natural bases with little discrimination between them (Loakes et al., 1997; Loakes, 2001 ). Desirable requirements for a universal base include the ability to: a) pair with all natural bases equally in a duplex, b) form a duplex which primes DNA synthesis by a polymerase, c) direct incorporation of the 5 '-triphosphate of each of the natural nucleosides opposite it when copied by a polymerase, (d) be a substrate for polymerases as the 5 '-triphosphate, e) be recognized by intracellular enzymes such that DNA containing them may be cloned. (Loakes et al., 1997). At present no analogue has been shown to have all these characteristics.
[0004] Hypoxanthine functions as a universal pairing base (Graig, 1966). Nearest- neighbor thermodynamics of 2'-deoxyinosine (2-deoxy-P-D-ribofuranosyl-hypoxanthine) pairs in DNA duplexes have been reported (Watkins and SantaLucia, 2005). The general trend in stability was reported as I:C>I:A>I:T~I:G>I :I.
has found use as a universal nucleoside and is far less non-discriminating than nitroazole derivatives (Bergstrom et al, 1997). Tm values vary from 35.4 °C when paired with G to 63.2 °C when paired with C. A universal 2 '-deoxy inosine analogue 7-octadiynyl-7-deaza-2'-deoxyinosine has also been disclosed (Ming et al., 2008). The nucleobase of this analogue shows universal binding
properties with the four natural bases in a 12-mer oligonucleotide with Tm's that varies from 45°C for C to 34°C for G.
[0005] Destabilization of a duplex when a natural base is substituted with a universal base is a relatively common occurrence and one of the weaknesses of most universal bases in the art.
-?-
SUMMARY
[0006] The present disclosure pertains to functional i/ed 3-alkynyl- 1 H- pyrazolo[ 3.4-d )pyrimidin-4(5H)-ones as universal bases and their methods of use.
[0007] 3-alkynyl- lH-pyrazolo[3,4-d]pyrimidin-4(5H)-one-based analogues function unexpectedly well as universal bases. Not only do they stabilize duplexes substantially more than hypoxanthine opposite A, C. and T but they are also recognized in primers by polymerases, allowing efficient amplification. l H-Pyrazolo[3,4-d]pyrimidin- 4(5H)-ones substituted at the 3-position with hydroxylalkynyl (IPPOH) or aminoalkynyl (IPPNH2) are preferred as universal bases.
[0008] Nucleosides containing functional ized 3-alkynyl- l H-pyrazolo[3,4- d]pyrimidine-4-ones structures have been disclosed in U.S. Patent No. 7,045,610, incorporated herein by reference, but no hybridization characteristics of oligonucleotides containing these bases or direct synthetic methods were disclosed.
[0009] The 3-alkynyl-lH-pyrazoIo[3,4-d]pyrimidin-4(5H)-one analogues can be incorporated into novel nucleic acid primers and probes. They do not significantly destabilize nucleic acid duplexes, as other universal bases do. As a result, the novel nucleic acid primers and probes incorporating the 3-alkynyl-lH-pyrazolo[3,4-d]pyrimidin-4(5H)-one analogues can be used in a variety of methods. The 3-alkynyl- 1 H-pyrazolo[3,4-d]pyrimidin-4(5H)-one analogues can also be substituted with pyrene or acridine to further increase duplex stability. It is to be appreciated that other similar polyaromatics with 0 to 3 hetero atoms will produce similar stabilization.
BRIEF DESCRIPTION OF DRAWINGS
[0011 ] Figure 2 shows the possible hydrogen bonds between hypoxanthine and the natural nucleic acid bases.
[0012] Figure 3 shows, without being bound by theory, proposed hydrogen bonds between 3-(aminobutynyl)-lH-pyrazolo[3,4-d]pyrimidin-4(5H)-one and the normal nucleic bases.
[0013] Figure 4 shows a reaction scheme for synthesis of a protected (2-deoxy-p- D-ribofuranosy l)-3 -hydroxybuyny 1 - 1 H-pyrazolo[3 ,4-d]pyrimidin-4(5 H)-one 5 ' - phosphoramidite.
[0014] Figure 5 shows a reaction scheme for synthesis of a protected (2-deoxy-P- D-ribofuranosyl)-3-hydroxybuynyl- l H-pyrazolo[3,4-d]pyrimidin-4(5H)-one 3'- phosphoramidite.
[0015] Figure 6 shows a reaction scheme for synthesis of a protected inosine 5'- phosphoramidite.
[0016] Figure 7 shows a reaction scheme for synthesis of protected (2-deoxy- -D- ribofuranosyl)-3-(aminoalkynyl)-l H-pyrazolo[3,4-d]pyrimidin-4(5H)-one analogues.
[0017] Figure 8 shows a reaction scheme for synthesis of (2-deoxy-P-D- ribofuranosyl)-3-(methylcarbamoyloalkynyl)-l H-pyrazolo[3,4-d]pyrimidin-4(5H)-one analogues.
[0018] Figure 9 shows a reaction scheme for synthesis of (2-deoxy- -D- ribofuranosyl)- 1 H-pyrazolo[3,4-d]pyrimidin-4(5H)-one analogues bearing guanidinoalkynyl substituates at the 3-position of the nucleobase.
[0019] Figure 10 shows a summary of melting temperatures (Tms) of duplexes between the 15-mer GTAAGXAGXCATAAC (SEQ ID NO: 1), where X is independently 2'- deoxinosine or a 2-deoxy-p-D-ribofuranosyl- 3-alkynyl- 1 H-pyrazolo[3,4-d]pyrimidin-4(5H)-
one of the present disclosure, and the complement which contains either A, T, C or G opposite to X.
[0020] Figure 1 1 shows a comparison of Tms of duplexes between the 1 5-mer GTAAGXAGACATAAC (SEQ ID NO:2), where X is independently 2'-deoxinosine or a 2- deoxy- β- D-r i bo furanosy 1 - 3-alkynyl-lH-pyrazolo[3,4-d]pyrimidin-4(5H)-one of the present disclosure, and the complement which contains either A, T, C or G opposite to X.
[0021] Figure 12 shows a comparison of Tms of duplexes between the 15-mer GTAAGTAGXCATAAC (SEQ ID NO:3), where X is independently 2 '-deoxinosine or a 2- deoxy- -D-ribofuranosyl- 3-alkynyl- l H-pyrazolo[3,4-d]pyrimidin-4(5H)-one of the present disclosure, and the complement which contains either A, T, C or G opposite to X.
[0022] Figure 13 shows a comparison of Tms of duplexes between the 15-mer GTAAGXAGXCATAAC (SEQ ID NO: 1 ), where X is independently 2'-deoxinosine, or a 2- deoxy- -D-ribofuranosyl- 3-alkynyl- l H-pyrazolo[3,4-d]pyrimidin-4(5H)-one of the present disclosure, and the complement which contains either A, T, C or G opposite to X.
[0023] Figure 14 shows a comparison of melting and real-time PGR data for Adenovirus assays using primers containing the currently described nucleoside analogues.
[0024] Figure 15 shows a comparison of melting and real-time PCR data for Adenovirus assays using primers containing multiple incorporations of the currently described nucleoside analogues.
[0025] Figure 16 shows a comparison of Cts for a Meticillin-resistant Staphylococcus aureus LGA251 target assay using primers substituted with five deoxyinosine or five 3-(aminobutynyl)- l h-pyra/olo| 3.4-d ]pyrim idin-4(5h)-one nucleotides.
[0026] Figure 17 shows that when two Ts in a primer are substituted with either deoxyinosine or 3-(aminobutynyl)- l h-pyrazolo[3,4-d]pyrimidin-4(5h)-one nucleotides that the polymerase incorporate two Cs complementary to the Ts.
[0027] Figure 18 shows a reaction scheme for synthesis of 3-aminoalkynyl- substituted (2-deoxy-p-D-ribofuranosyl)-lH-pyrazolo[3,4-d]pyrimidin-4(5H)-one 5'- phosphoramidite 35.
[0028] Figure 19 shows a reaction scheme for post-synthetic conjugation of pyrene and acridine carboxylic acids with 3-(aminobutynyl)-l H-pyrazolo[3,4-d]pyrimidin-4(5H)- one.
[0029 | Figure 20 shows a comparison of melting temperatures of DNA duplexes containing 107, 107-Pyr, I07-(Ac-Pyr)i, I07-(Ac-Pyr)2, 107-Bu-Pyr base analogues, paired with all four natural bases.
[0030] Figure 21 shows a comparison of Tms of duplexes between the 15-mer GTAAGXAGACATAAC, where X is independently deoxyinosine, 104, 107, 107-Pyr, 107- Acr, and the complement which contains either A, T, C or G opposite to X.
[0031] Figure 22 shows a comparison of Tms of duplexes between the 15-mer GTAAGTAGXCATAAC, where X is independently deoxyinosine, 104, 107, 107-Pyr, 107- Acr, and the complement which contains either A, T, C or G opposite to X,
[0032] Figure 23 shows a comparison of Tms of duplexes between the 15-mer GTAAGXAGXCATAAC, where X is independently deoxyinosine, 104, 107, 107-Pyr, 107- Acr, and the complement which contains either A, T, C or G opposite to X.
DETAILED DESCRIPTION
I. Definitions
[0033] Unless stated otherwise, the following terms and phrases have the meanings provided below:
[0034] The term "target sequence" refers to a sequence in a target RNA, or DNA that is partially or fully complementary to the mature strand. The target sequence can be described using the four bases of DNA (A, T, G, and C), or the four bases of RNA (A, Li, G, and C).
[0035] The term "complementary" refers to the ability of polynucleotides to form base pairs with one another. Base pairs are typically formed by hydrogen bonds between nucleotide units in antiparallel polynucleotide strands. Complementary polynucleotide strands can base pair in the Watson-Crick manner (e.g., A to T, A to U, C to G), or in any other manner that allows for the formation of duplexes, including the wobble base pair formed between U and G. As persons skilled in the art are aware, when using RNA as opposed to DNA, uracil rather than thymine is the base that is considered to be complementary to adenosine. However, when a U is denoted in the context of the present invention, the ability to substitute a T is implied, unless otherwise stated. The inosine modified bases of the pending application hybridize with similar stabilities than those of normal base pairs. It is therefore viewed that the term "complementary" includes hybridization of the functional ized 3-alkynyl- l H-pyrazolo[3,4-d]pyrimidin-4(5H)-ones as universal bases to A, C, T or G.
[0036] The term "substantially" complementary refers to the ability of an oligonucleotide to form base pairs specifically with another oligonucleotide where said oligonucleotide may contain one or more mismatches.
[0037] The term "duplex" refers to a double stranded structure formed by two complementary or substantially complementary polynucleotides that form base pairs with one another, including Watson-Crick base pairs and U-G wobble pairs that allow for a stabilized double stranded structure between polynucleotide strands that are at least partially complementary. The strands of a duplex need not be perfectly complementary for a duplex to
form, i.e.. a duplex may include one or more base mismatches. In addition, duplexes can be formed between two complementary regions within a single strand (e.g., a hairpin).
or modified form thereof, as well as an analog thereof. Nucleotides include species that comprise purines, e.g., adenine, hypoxanthine, guanine, and their derivatives and analogues, as well as pyrimidines, e.g., cytosine, uracil, thymine, and their derivatives and analogues. Nucleotide analogues include nucleotides having modifications in the chemical structure of the base, sugar and/or phosphate, including, but not limited to, 5-position pyrimidine modifications, 8-position purine modifications, modifications at cytosine exocyclic amines, and substitution of 5-bromo-uracil; and 2'-position sugar modifications, including but not limited to, sugar-modified ribonucleotides in which the 2'-OH is replaced by a group such as an H, OR, R, halo, SH, SR. Ni l;. NHR, NR2, or CN, wherein R is an alkyl moiety. Nucleotide analogues are also meant to include nucleotides with bases such as inosine, queuosine, xanthine, sugars such as 2'-methyl ribose, non-natural phosphodiester linkages such as in ethylphosphonates, phosphorothioates and peptides.
[0039] The term "modified bases" refers to those bases that differ from the naturally-occurring bases (adenine, cytosine, guanine, thymine, and urasil) by addition or deletion of one or more functional groups, differences in the heterocyclic ring structure (i.e., substitution of carbon for a heteroatom, or vice versa), and/or attachment of one or more linker arm structures to the base. Preferred modified nucleotides are those based on a pyrimidine structure or a purine structure, with the latter more preferably being 7 deazapurines and their derivatives and pyrazolopyrimidines (described in PCT WO 01/84958); and also described in U.S. Patent No. 6, 127, 121. Preferred modified bases are 5- substituted pyrimidines and 3-substituted pyrazolopyrimidines. Examples of preferred modified bases are 6-amino- l H-pyrazolo[3,4-d]pyrimidin-4(5H)-one (PPG or Super G ), 4-am i no- 1 H-py razo lo[ 3.4-d ] p rim id ί ne. l//-pyrazolo[5,4-d]pyrimidin-4(5H)-6(7/ )-dione. 6- amino-3-prop- 1 -ynyl-5-hydropyrazolo[3,4-d]pyrimidine-4-one,
yny)l-5-hydropyrazolo[3,4-d]pyrimidine-4-one, 6-amino-3-(3-aminoprop- 1 -ynyl)-5- hydropyrazolo[3,4-d]pyrimidine-4-one, 4-amino-3-(prop-l -ynyl)pyrazolo[3,4-d]pyrimidine, 4-amino-3-(3-hydroxyprop- l -ynyl)pyrazolo[3,4-d]pyrimidine, 4-amino-3-(3-aminoprop-l - ynyl)pyrazolo[3,4-d]pyrimidine, 3-prop- 1 -ynyl-4,6-diaminopyrazolo[3,4-d]pyrimidine, 2- (4,6-diaminopyrazolo[3,4-d]pyrimidin-3-yl)ethyn-l -ol, 3-(2-aminoethynyl)pyrazolo[3,4-
d]pyrimidinc-4.6-diaminc. 5 -prop- 1 -ynyl- 1 ,3-dihydropyrimidtne-2.4-dione. 5-(3- hydroxyprop-l -ynyl)-l ,3-dihydropyrimidine-2.4-dione, 6-amino-5-prop-l -ynyl-3- dihydropyrirnidine-2-one, 6-amino-5-(3-hydroxyprop-l-yny)-U-dihydropyrimidine-2-one, 6- amino-5-(3-aminoprop-l-yny)- l,3-dihydropyrimidine-2-one, 5-[4-amino-3-(3-methoxyprop- 1 -ynyl)pyrazol[3,4-d]pyrimidinyl]-2-(hydroxyrnethyl)oxolan-3-ol, 6-amino- 1 -[4-hydroxy-5- (hydroxymethyI)oxolan-2-yl]-3-(3-methoxyprop -yn^
one, 4-(4.6-Diamino-lH-pyrazolo[3,4-d]pyrimidin-3-yl)-but-3-yn-l -ol (Super A®), 6-Amino- 3-(4-hydroxy-but- l -ynyl)- l ,5-dihydro-pyrazolo[3,4-d]pyrirnidin-4-one, 5-(4-hydroxy-but- l- ynyl)- 1 H-pyrimidine-2,4-dione (Super T), 3-iodo- 1 \ l-pyra/olo[3.4-d]pyrimidine-4.6-diamine. 3-bromo-l H-pyrazolo[3,4-d]pyrimidine-4,6-diamine, 3-chloro-l H-pyrazolo[3,4- d]pyrimidine-4,6-diamine, 3-Iodo- 1 H-pyrazolo[3,4-d]pyrimidin-4-ylamine, 3-Bromo- 1 H- pyrazolo[3,4-d]pyrimidin-4-ylamine and 3-chloro-l H-pyrazolo[3,4-d]pyrimidin-4-yIamine.
[0040] The terms "universal bases" and "degenerative bases" refer to natural base analogues that are capable of forming base pairs with two or more natural bases in DNA or RNA with little discrimination between them. Universal and degenerative bases are well known in the art and disclosed in U.S. Patent No. 7,348,146 that is incorporated by reference. Oligonucleotide conjugates containing an inosine analog of the current disclosure may also comprise one or more universal and degenerative bases, in addition to the naturally-occurring bases adenine, cytosine, guanine, thymine and uracil.
[0041] The term "nucleotide" is also meant to include what are known in the art as universal bases. By way of example, universal bases include, but are not limited to, 3- nitropyrrole, 5-nitroindole, or nebularine. The term "nucleotide" is also meant to include the N3' to P5' phosphoramidate, resulting from the substitution of a ribosyl 3 '-oxygen with an amine group. Further, the term nucleotide also includes those species that have a detectable label, such as for example a radioactive or fluorescent moiety, or mass label attached to the nucleotide.
[0042] The term "linker" refers to a moiety that is used to assemble various portions of the molecule or to covalently attach the molecule (or portions thereof) to a solid support. Additionally, a linker can include linear or acyclic portions, cyclic portions, aromatic rings or combinations thereof.
[0043] The term "protecting group" refers to a grouping of atoms that when attached to a reactive group in a molecule masks, reduces or prevents that reactivity. Examples of protecting groups can be found in T.W. Greene and P.O. Puts. Protective Groups in Organic Chemistry. (Wiley, 2nd cd. 1991 ), Beaucage and Iyer, Tetrahedron 48:2223-231 1 (1992), and Harrison and Harrison et a/., Compendium of Synthetic Organic Methods, Vols. 1 -8 (John Wiley and Sons. 1971-1996). Representative amino protecting groups include formyl, acetyl, trifluoroacetyl, benzyl, benzyloxycarbonyl (CBZ), fcr/-butoxycarbonyl (Boc), trimethyl silyl (TMS), 2-trimethylsilyl-ethanesulfonyl (SES), trityl and substituted trityl groups, allyloxycarbonyl, 9-fluorenylmethyloxycarbonyl (FMOC), nitro-veratryloxycarbonyl (NVOC) and the like. Representative hydroxy protecting groups include those where the hydroxy group is either acylated or alkylated such as benzyl and trityl ethers as well as alkyl ethers, tetrahydropyranyl ethers, trialkylsilyl ethers and allyl ethers. These protecting groups can be removed under conditions which are compatible with the integrity of a compound of interest. Deprotection conditions are well known in the art and described in the references above.
[0044] The term "alkyl" refers to a linear, branched, or cyclic saturated monovalent hydrocarbon radical or a combination of cyclic and linear or branched saturated monovalent hydrocarbon radicals having the number of carbon atoms indicated in the prefix. For example, (Ci-C8)alkyl is meant to include methyl, ethyl, «-propyl, 2-propyl, tert-butyl, pentyl, cyclopentyl, cyclopropylmethyl and the like.
[0045] There is extensive guidance in the art for selecting quencher and fluorophore pairs and their attachment to oligonucleotides (Haugland, 1996; U.S. Patent Nos. 3,996,345 and 4,351 ,760 and the like). Preferred quenchers are described in co-owned U.S. Patent No. 6,727,356, incorporated herein by reference. Other quenchers include bis azo quenchers (U.S. Patent No. 6,790,945) and dyes from Biosearch Technologies, Inc. (provided as Black Hole™ Quenchers: BH-1 , BH-2 and BH-3), Dabcyl. TAMRA and carboxytetramethyl rhodamine.
[0046] Minor groove binder oligonucleotide conjugates (or "'probes'") have been described (see U.S. Patent No. 5,801 , 155 and U.S. Patent No. 6,312,894, both hereby incorporated by reference). These conjugates form hyper-stabilized duplexes with complementary DNA . In particular, sequence specificity of short minor groove binder probes
is excellent for high temperature applications such as PG R. The probes/conjugates of the present disclosure can also have a covalcntly attached minor groove binder. A variety of suitable minor groove binders have been described in the literature. See, for example, Kutyavin. et al. U.S. Patent No. 5,801 , 155; Wemmer, D.E., and Dervan P.B., Current Opinon in Structural Biology, 7:355-361 ( 1997); Walker, W.L., Kopka, J.L. and Goodsell, D.S., Biopolymers, 44:323-334 (1997); Zimmer, C & Wahnert, U. Prog. Biophys. Molec. Bio, 47:3 1 - 1 12 (1986) and Reddy. B.S.P., Dondhi, S.M., and Lown, J . W., Pharmacol. Therap., 84: 1 -1 1 1 (1999).
[0047] Suitable methods for attaching minor groove binders (as well as reporter groups such as fluorophores and quenchers) through linkers to oligonucleotides are described in, for example, U.S. Patent Nos. RE 38,416; 5,512,677; 5,419,966; 5,696,251 ; 5,585,481 ; 5,942,610 and 5,736,626.
[0048] A nucleotide mono-phosphate, nucleotide di-phosphate or a nucleotide triphosphate processing enzyme is an enzyme that utilizes a nucleotide mono-phosphate, nucleotide di-phosphate or a nucleotide triphosphate as one of its substrates. A nucleotide mono-phosphate, a nucleotide di-phosphate or a nucleotide triphosphate nucleic acid processing enzyme catalyzes modifications to nucleic acids or nucleic acid intermediates using either a nucleotide mono-phosphate, nucleotide di-phosphate or a nucleotide triphosphate as one of the substrates. Nucleotide mono-phosphate, nucleotide di-phosphate or nucleotide triphosphate enzymes include but are not limited to primer extension enzymes, DNA polymerases, RNA polymerases, restriction enzymes, nicking enzymes, repair enzymes or ligation enzymes.
[0049] The synthesis of pyrazolopyrimidine-monophosphate and pyrazolopyrimidine-triphosphate analogs has been disclosed in U.S. Patent No. RE 38,416.
[0050] The practice of the present invention will employ, unless otherwise indicated, conventional techniques in organic chemistry, biochemistry, oligonucleotide synthesis and modification, bioconjugate chemistry, nucleic acid hybridization, molecular biology, microbiology, genetics, recombinant DNA, sequencing, next generation sequencing and related fields as are within the skill of the art. These techniques are fully explained in the literature. See, for example, Sambrook, Fritsch & Maniatis, Molecular Cloning: A Laboratory
Manual, Second Edition, Cold Spring 1 (arbor Laboratory Press (1989); Lee 1 1 et al.. Methods
Mol. Biol. 855 : 155-74 (2012); Ausubcl, et al. , Current Protocols In Molecular Biology. John
Wiley & Sons ( 1987, 1988, 1989, 1990, 1991 , 1992, 1993, 1994, 1995, 1996); Gait (ed.), Oligonucleotide Synthesis: A Practical Approach. IRL Press ( 1984); Eckstein (ed.), Oligonucleotides and Analogues: A Practical Approach. IRL Press (1991 ).
[0051] Amplification procedures are those in which many copies of a target nucleic acid sequence are generated, usually in an exponential fashion, by sequential polymerization and/or ligation reactions. In addition to the more traditional amplification reactions discussed below, the present invention is useful in ampl ifications involving three- way j unctures (see, WO 99/37085), signal amplification (see Capaldi, et al., Nuc. Acids Res. , 28:E21 (2000)), T7 polymerases, reverse transcriptase, RNase H, R I -PCR. Rolling Circles, cleavase and the like. Isothermal amplification methods have been reviewed (cc Niemz, A. et al Trends Biotechnol, 29: 240-50 (201 1 )). The "term oligonucleotide primers adjacent to a probe region" refers to when 0 or one or more base separate the primer and probe. The term "overlapping with said probe region" is defined as disclosed in U.S. Patent No. 7,319,022. The term "Ct" refers to the fractional PCR cycle number at which the reporter fluorescence is greater than the threshold.
[0052] Many amplification reactions, such as PCR, utilize reiterative primer- dependent polymerization reactions. A primer is a nucleic acid that is capable of hybridizing to a second, template nucleic acid and that, once hybridized, is capable of being extended by a polymerizing enzyme (in the presence of nucleotide substrates), using the second nucleic acid as a template. Polymerizing enzymes include, but are not limited to, DNA and RNA polymerases and reverse transcriptases, etc. Conditions favorable for polymerization by different polymerizing enzymes are well-known to those of skill in the art. See, for example, Sambrook et al, supra; Ausubel, et al, supra; Innis et al., supra. Generally, in order to be extendible by a polymerizing enzyme, a primer must have an unblocked 3 '-end, preferably a free 3 ' hydroxyl group. The product of an amplification reaction is an extended primer, wherein the primer has been extended by a polymerizing enzyme.
Π. Description
[0053] The present inosine analogues include monomeric compounds of Formula I and II:
Formula I Formula II
wherein:
R is H or a protecting group;
R1 ' is H, alkyl, -(C=NR4)N(R4)2, -(C=0)N(R4)2, -(C=0)-(CH2)y-R5, -((C=0)-(CH2)y- R5)2 or a protecting group;
R2 is H, a phosphate group, a polyphosphate group, an activated phosphate group, a protecting group, phosphoramidite or a solid support;
R3 is H, a protecting group, or a phosphoramidite;
R4 is I f or an alkyl;
R" is pyrene or acridine;
n is 1 to 5; and
y is 1 to 10.
[0054] In certain embodiments, such as when R2 in the formulas above is a polyphosphate group, this resulting polyphosphate analog can be a diphosphate or
triphosphate. These polyphosphate analogs can be used in enzyme catalyzed primer extension reactions.
[0055] In certain embodiments the present inosine analogues are also useful in oligomers and in intermediates for oligonucleotide synthesis. In particular, the inosine analogues can also include compounds of Formulas III and IV below:
Formula III Formula IV
wherein:
R1 is H;
R1 is H2 or -H and
or H and -(C=NR6)- N(R6)2 or -H and -(C=0)-N(R6)2 wherein R2 is pyrene or acridine and x is 1 to 10;
L is a sugar or sugar/phosphate backbone analogue, including but not limited to a backbone of DNA, RNA, PNA, locked nucleic acid, modified DNA, modified PNA, modified RNA. or any combination thereof;
R6 is H or alkyl and
n is 1 to 5.
[0056] In preferred embodiments, the modified oligonucleotides incorporating the present inosine analogues are comprised of glycosidic moieties, preferably 2- deoxyribofuranosides wherein all internucleoside linkages are the naturally occurring phosphodiester linkages. In alternative embodiments however, the 2-deoxy-P-D-ribofuranose groups are replaced with other sugars, for example, β-D-ribofuranose. In addition, β-D- ribofuranose may be present wherein the 2-OH of the ribose moiety is alkylated with a C 1 -5
alkyl group (2-(0— C alkyl) ribose) or with a C2-6 alkenyl group (2-(0— C2-6 alkenyl) ribosc). or is replaced by a fluoro group (2-fluororibose). Related oligomer-forming sugars useful in the present invention are those that are "locked'*, i.e.. contain a methylene bridge between C- 4* and an oxygen atom at C-2". Other sugar moieties compatible with hybridization of the oligonucleotide can also be used, and arc known to those of skill in the art, including, but not limited to, a-D-arabinofuranosides, a-2'-deoxyribofuranosides or 2'.3'-dideo\y-3'- aminoribofuranosides. Oligonucleotides containing a -D-arabinofuranosides can be prepared as described in U.S. Patent No. 5, 177, 196. Oligonucleotides containing 2',3'-dideoxy-3'- aminoribofuranosides are described in Chen et al. 1995. Synthetic procedures for locked nucleic acids (Singh et al, 1998; Wengel J., 1998) and oligonucleotides containing 2'-halogen- 2'-deoxyribofuranosides (Palissa et al., 1987) have been described. The phosphate backbone of the modified oligonucleotides described herein can also be modified so that the oligonucleotides contain phosphorothioate linkages and/or methvlphosphonates and/or phosphoroamidates (Chen et al., 1995). Combinations of oligonucleotide linkages are also within the scope of the present invention. Still other backbone modifications are known to those of skill in the art.
[0057] In another group of embodiments, the inosine analogues described herein are incorporated into PNA and DNA/PNA chimeras to balance Tm s and provide modified oligonucleotides having improved hybridization properties. Various modified forms of DNA and DNA analogues have been used in attempts to overcome some of the disadvantages of the use of DNA molecules as probes and primers. Among these are peptide nucleic acids ("PNAs"), also known as polyamide nucleic acids (Nielsen et al. 1991 ). PNAs contain natural RNA and DNA heterocyclic base units that are linked by a polyamide backbone instead of the sugar-phosphate backbone characteristic of DNA and RNA. PNAs are capable of hybridization to complementary DNA and RNA target sequences and, in fact hybridize more strongly than a corresponding nucleic acid probe. The synthesis of PNA oligomers and reactive monomers used in the synthesis of PNA oligomers have been described in U.S. Patent Nos. 5,539,082; 5,714,331 ; 5,773,571 ; 5,736,336 and 5,766,855. Alternate approaches to PNA and DNA/PNA chimera synthesis and monomers for PNA synthesis have been summarized (Uhlmann et al. 1998). Accordingly, the use of any combination of normal bases. 3-aIkynyl- l l l-pyrazolo[ 3.4-d]pyrimidin-4(5I l)-one analogue bases, universal bases and minor groove binders to balance the Tm of a PNA or DNA/PNA chimera is in the scope of this
invention. The synthetic methods necessary for the synthesis of modi fied base monomeric units required for PNA and PNA/DNA chimeras synthesis are available in this application and Uhlmann et al. 1998.
[0058] Example compounds of the invention are shown in Figure 1 . Figure 2 illustrates the hydrogen bonds that occur between hypoxathine and the natural nucleic acid basis. As indicated, and without being bound by theory, those skilled in the art view hypoxanthine as forming two hydrogen bonds with the normal nucleic acid bases in duplex formation. Figure 3 illustrates, again without being bound by theory, proposed hydrogen bond formation with NH2Bu-PPI with natural bases in a duplex.
[0059] The present 3-alkynyl- l H-pyrazolo[3,4-d]pyrimidin-4(5H)-one-based analogues function unexpectedly well as universal bases. Not only do they stabilize duplexes substantially more than hypoxanthine opposite A, C, and T but they are also recognized in primers by polymerases, allowing efficient amplification. In the case of G, binding is similar to that observed with inosine. In some embodiments, the 3-alkynyl-l H-pyrazolo[3,4- d]pyrimidin-4(5H)-one-based analogues are further substituted with pyrene or acridine to provide increased duplex stability.
[0060] The unexpected properties of the 3-alkynyl-lH-pyrazolo[3,4-d]pyrimidin- 4(5H)-one-based analogues of the present invention may be applied to essentially any methodologies that are based on nucleic acid hybridization and/or involve participation of nucleic acid processing enzymes. The term nucleic acid processing enzyme concerns any enzyme that is involved in a chemical transformation or physical manipulation of nucleic acids or their components. Accordingly, the 3-alkynyl- l H-pyrazolo[3,4-d]pyrimidin-4(5H)- one-based analogues are useful in all hybridization based techniques, including but not limited to detection of more than one target, amplification of more than one target, use of arrays, use of processing enzymes, conversion of intermediates, sequencing, and others.
[0061] The present disclosure pertains, in one aspect, to a method for continuous monitoring of polynucleotide amplification of a target nucleic acid sequence the method comprising:
(a) combining a sample containing said target nucleic acid with one or more oligonucleotide primers adjacent to or overlapping with said probe region of the target sequence, a polymerizing enzyme, nucleotide substrates, and a nucleic acid oligomer of
between 5 and 100 bases long wherein said nucleic acid polymer has a backbone component selected from the group consisting of a sugar phosphate backbone, a modified sugar phosphate backbone, a locked nucleic acid backbone, a peptidic backbone or a variant thereof used in nucleic acid preparation; and at least one nucleic acid base is substituted with a 3- alkynyl-1 H-pyrazolo[3,4-d]pyrimidin-4(5H)-one analogue and the oligonucleotide portion has a sequence complementary to a portion of the target sequence being amplified, to provide a mixture;
(b) incubating the mixture under conditions favorable for polymerization; and
(c) continuously monitoring the amplification by monitoring the fluorescence produced upon conjugate hybridization to the amplified target.
[0062] In some embodiments at least one of said oligonucleotide primers has a sequence complementary to an adjacent portion of the probe region of the target nucleic acid sequence.
[0063] In some embodiments the method for continuous monitoring of polynucleotide amplification of a target nucleic acid sequence includes methods in which each base independently represents a nucleic acid base, at least one 3-alkynyl-l H-pyrazolo[3,4- d]pyrimidin-4(5H)-one analogue, and at least one modified base.
[0064] In other embodiments the nucleic acid oligomer is a conjugate comprising a minor groove binder ligand.
[0065] Another embodiment pertains to a method for continuous monitoring of polynucleotide amplification of a target nucleic acid sequence, the method comprising one or more oligonucleotide primers adjacent to or overlapping with said probe region of the target sequence, wherein said one or more oligonucleotide primers is an oligonucleotide is between 5 and 50 bases long wherein said nucleic acid polymer has a backbone component selected from the group consisting of a sugar phosphate backbone, a chimeric modified sugar phosphate backbone, chimeric locked nucleic acid backbone, a chimeric peptidic backbone or a variant thereof used in nucleic acid amplification; and at least one nucleic acid base is substituted with a 3-alkynyl- l H-pyrazoIo[3,4-d]pyrimidin-4(5H)-one analogue and the oligonucleotide portion has a sequence complementary to a portion of the target sequence being amplified.
[0066] Another method for primer extension of nucleic acids targets comprises one or more primers complementary to the target sequence, wherein each nucleic acid base independently represents a nucleic acid base, at least one 3-alkynyl- 1 1 l-pyrazolo[3.4- d]pyrimidin-4(5H)-one analogue and at least one modified base
[0067] In additional embodiments the primer also contains a minor groove binder ligand and a label.
[0068] An alternative method for continuous monitoring of polynucleotide amplification of a target nucleic acid sequence comprises one or more oligonucleotide primers adjacent to or overlapping with said probe region of the target sequence, wherein each nucleic acid base independently represents a nucleic acid base, at least one 3-alkynyl- 1 H- pyrazolo[3,4-d]pyrimidin-4(5H)-one analogue and at least one modified base.
[0069] In another embodiment multiple nucleic acid targets are detected in a polymerase amplification reaction with one or more primers and more than one probe where each such probe is uniquely labeled and wherein at least one of said primers or probe contains at least one normal base substituted with a 3-alkynyl-l H-pyrazolo[3,4-d]pyrimidin-4(5H)-one analogue.
[0070] In another aspect, the present disclosure pertains to a method for distinguishing between wild-type, mutant and heterozygous target polynucleotides, the method comprising: a) measuring the fluorescence emission as a function of temperature to determine a first melting profile of a first probe melting from a first amplified polynucleotide and a second melting profile of a second probe melting from a second amplified polynucleotide wherein each probe independently contains zero or one or more 3-alkynyl- l H-pyrazolo[3,4- d]pyrimidin-4(5H)-one analogues; and
(b) comparing the first melting curve to the second melting curve.
[00711 In other embodiments, the sample is further contacted with a set of primers under amplification conditions and where at least one of the primers contains at least one 3- alkynyl-l H-pyrazolo[3,4-d]pyrimidin-4(5H)-one analogues. In other embodiments at least
one f the primers may also contain one modified base selected from the group disclosed above.
[0072] In other embodiments, a method is provided for continuous monitoring of polynucleotide amplification of a target nucleic acid sequence having at least two single nucleotide polymorphisms wherein a first single nucleotide polymorphism is to be distinguished and a second single nucleotide polymorphism is not distinguished, each of said poly morphisms being in a probe region of said target nucleic acid, comprising:
(a) combining a sample containing said target nucleic acid with one or more oligonucleotide primers adjacent to or overlapping with said probe region of the target sequence, a polymerizing enzyme, nucleotide substrates, and an oligonucleotide conjugate comprising a fluorophore, wherein the oligonucleotide conjugate has a nucleic acid backbone component selected from the group consisting of a sugar phosphate backbone, a modified sugar phosphate backbone, a locked nucleic acid backbone, and a peptidic backbone,
wherein the oligonucleotide conjugate contains a nucleic acid base substituted with a 3-alkynyl-l H-pyrazolo[3,4-d]pyrimidin-4(5H)-one analogue at the site complementary to said second single nucleotide polymorphism, and
wherein the oligonucleotide conjugate has a sequence complementary to a portion of the target sequence being amplified, to provide a mixture;
(b) incubating the mixture under conditions favorable for polymerization: and
(c) continuously monitoring the amplification by monitoring the fluorescence produced upon conjugate hybridization to the amplified target.
[0073] In other embodiments the polymerization is catalyzed by a polymerizing enzyme under isothermal conditions.
[0074] In certain embodiments a nucleotide comprising a 3-alkynyl-l H- pyrazolo[3,4-d]pyrimidin-4(5H)-one analogue as disclosed herein is incorporated by a nucleotide processing enzyme into a nucleic acid, where said nucleic acid as a result has improved hybridization properties when hybridized to a second nucleic acid. Incorporated 3- alkynyl-l H-pyrazolo[3,4-d]pyrimidin-4(5H)-one analogues of the invention have universal
properties including improved hybridization (Tms) particularly with A, C and T. While the present analogues will hybridize to G, they typically show no improvement i hybridization compared to inosine.
[0075] Also provided are oligomer microarrays wherein at least one of the oligomers described herein is present on the array. Thus, modified oligomers comprising 3- alkynyl-l H-pyrazolo[3,4-d]pyrimidin-4(5H)-one analogues as disclosed herein, are useful in techniques including, but not limited to, hybridization, primer extension, hydrolyzable probe assays, amplification methods (e.g., PCR, SSSR, NASBA, SDA, LAMP ), single nucleotide mismatch discrimination, allele-specific oligonucleotide hybridization, nucleotide sequence analysis, hybridization to oligonucleotide arrays, in itu hybridization and related techniques. Oligomers disclosed herein can be used as immobilized oligomers in oligomer arrays such as those described in, for example, U.S. Patent Nos. 5,492,806; 5,525,464; 5,556,752 and PCT publications WO 92/10588 and WO 96/17957.
[0076] In other embodiments sequencing primers contain one or more 3-alkynyl- l H-pyrazolo[3,4-d]pyrimidin-4(5H)-one analogue bases.
[0077] Accordingly, in another aspect of the invention, kits are provided that contain probes and/or conjugates as described above, along with primers for amplification reactions, wherein the primers contain one or more 3-alkynyl-l H-pyrazoIo[3,4-d]pyrimidin- 4(5H)-one analogue bases, more preferably, from one to ten 3-alkynyl- l H-pyrazolo[3,4- d]pyrimidin-4(5H)-one bases per primer.
III. Synthesis
[0078] Synthesis of (2-deoxy-P-D-ribofuranosyl)-3-alkynyl- l H-pyrazolo[3,4- d]pyrimidin-4(5H)-ones.
[0079] The synthesis of the protected (2-deoxy-P-D-ribofuranosyl)-3- hydroxybuynyl-l H-pyrazolo[3,4-d]pyrimidin-4(5H)-on 5'-phosphoramidite 8 is shown in Reaction Scheme 1 , in Figure 4. Briefly compound 1 (US 6,949,367) was converted to 3-iodo- 4-methoxy-l H-pyrazolo[3,4-d]pyrimidine 2 by reaction with sodium methoxide in methanol. Then the 5' -hydroxy 1 group was protected with a tert-butyldiphenylsilyl group by the reaction with TBDPS in pyridine to yield 3. The 3'-hydroxyl was then protected with a dimethoxytrityl
group by reaction of dimethoxytrityl chloride in anhydrous pyridine to produce 4. Treatment of 4 with tetrabutylammonium fluoride in THF removed the tert-butyldiphenylsilyl group to yield 5, which was converted to the pyrazolopyrimidine-inosine analogue 6 by treatment with an aqueous sodium hydroxide-THF/methanol solution. Compound 6 was converted to 3-(4- acetoxybutynyl)-analogue 7 by reaction with but-3-ynyl acetate in the presence of Cul and Pd(PPh?).; in anhydrous DMF. The protected phosphoramidite 8 was synthesized by reaction of 7 with 2-cyano-N,N,N ' ,N ' -tetraisopropy Iphord iamidite and diisopropylammonium tetrazolide in Cl ^Ck
[0080] The synthesis of the protected (2-deoxy-p-D-ribofuranosyl)-3- hydroxybuynyl- 1 1 l-pyrazolo[ 3.4-d]pyrimidin-4(5 H)-on 3'-phosphoramidite 12 is shown in Reaction Scheme 2, in Figure 5.
[0081] The S'-hydroxyl of3-Iodo-4-methoxy-l H-pyrazolo[3,4-d]pyrimidine 2 was protected with a dimethoxytrityl group by reaction of dimethoxytrityl chloride in anhydrous pyridine to produce 9. Compound 9 was converted to the pyrazolopyrimidine-inosine analogue 10 by treatment with an aqueous sodium hydroxide-THF/methanol solution which was then converted to 3-(4-acetoxybutynyl)-analogue 11 by reaction with but-3-ynyl acetate in the presence of Cul and Pd(PPh3)4 in anhydrous DMF. The protected phosphoramidite 12 was synthesized by reaction of 11 with 2-cyano-N,N,N',N'- tetraisopropylphordiamidite and diisopropylammonium tetrazolide in CH2CI2.
[0082] The synthesis of the protected inosine 5 '-phosphoramidite 16 is shown in Reaction Scheme 3, in Figure 6.
[0083] The 5'-hydroxy of 2'-deoxyinosine (13) was first blocked with tert- butyldiphenylsilyl group and the 3 '-hydroxyl was blocked with a DMT group as described above to yield 14. The silyl group of 14 was then removed by reaction with tetrabutylammonium fluoride in THF to give the DMT analogue 15 which was then converted to the phosphoramidite 16 as described above.
[0084] The synthesis of the protected (2-deoxy-P-D-ribofuranosyl)-3- (aminoalkynyl)- lH-pyrazolo[3,4-d]pyrimidin-4(5H)-one analogues is shown in Reaction Scheme 4, in Figure 7.
[0085] Compounds 17, 19, Hand 23 were prepared by Sonogashira coupling of compound 10 with tri fluoroacetam ido (n=l and 2) or phthalimidoalkynyls (n=3 and 4). The following reaction with 2-cyanoethyl tetraisopropylphosphordiamidite afforded final phosphoramidites 18. 20, 22 and 24.
[0086] The synthesis of the (2-deoxy-P-D-ribofuranosyl)-3- (methylcarbamoyloalkynyl)-l H-pyrazolo[3,4-d]pyrimidin-4(5H)-one analogues is shown in Reaction Scheme 5, in Figure 8.
[0087] Amines 25, 26 and 27 were prepared from the protected amine intermediates 19, 21 and 23 by a treatment with a mixture of aqueous methylamine and concentrated ammonium hydroxide at 55°C under pressure. The free amines were converted into methylcarbomoyl derivatives 28, 29 and 30 by a reaction with N-succinimidyl N- methylcarbomate. The resulting 3 '-hydroxy intermediates were reaction with 2-cyanoethyl tetraisopropylphosphordiamidite to afford final phosphoramidites 31, 32 and 23.
[0088] Reaction Scheme 6, in Figure 9, shows the preparation of (2-deoxy- -D- ribofuranosyl)- 1 H-pyrazolo[3,4-d]pyrimidin-4(5H)-one analogues bearing guanidinoalkynyl substituates at the 3-position of the nucleobase.
EXAMPLES
[0089] The following examples are provided to illustrate, but not to limit, the presently claimed invention.
EXAMPLE 1. SYNTHESIS
[0090] This example illustrates the synthesis of the protected (2-deoxy-P-D- ribofuranosyl)-3-hydroxybuynyl-l H-pyrazolo[3,4-d]pyrimidin-4(5H)-one 5'-phosphoramidite 8.
[0092] In a 500 niL flask were combined 1 (US 6949367) (5.6 g, 8.5 mmol) and sodium methoxide solution in methanol (56 mL. 25% NaOCHa) and the suspension was sonicated for 25 minutes to obtain a hazy suspension. 11 PLC analysis showed the complete conversion of 1 to 2 and the flask was cooled, then glacial acetic acid (15.5 mL) was added and the mixture was concentrated on a rotary evaporator equipped with a bleach trap. The resulting solid was dissolved in 300 mL ethyl acetate and extracted with 150 mL water until solids dissolved. The organic layer was washed with brine (3 x 50 mL) and the pooled aqueous extracts were backwashed with ethyl acetate. The combined organic layers were dried over MgS04 and concentrated and suspended in hexanes for 14 h, filtered and washed with hexanes to obtain 2 as an off-white amorphous solid (3.16 g, 95% yield).
[0093] l -(5-(tert-Butyldiphenylsilyl)-2-deoxy-P-D-ribofuranosyl)-3-iodo-4- methoxy- 1 H-pyrazolo[3,4-d]pyrimidine (3):
[0094] In a 500 mL flask was suspended 2 (3.6 g, 9.2 mmol) in anhydrous pyridine (60 mL), then fer/-butyldiphenylehlorosilane (2.78 g, 10 mmol) was added and the mixture stirred for 72 hours. The suspension was concentrated and partitioned between ethyl acetate and water. The organic layer was washed with 10% citric acid, brine, dried over MgS04, and concentrated to a white foam. The crude product was purified by flash chromatography with 25-33% ethyl acetate in hexanes to obtain 3 as a white foam (5.2 g, 90% yield).
[0095] l -(5-(tert-Butyldiphenylsilyl)-3-dimethoxytrityl-2-deoxy-p-D- ribofuranosyl)-3-iodo-4-methoxy-lH-pyrazolo[3,4-d]pyrimidine ( 4):
[00961 In a 500 ml . flask was suspended 3 (5.15 g, 8. 16 mmol) in anhydrous pyridine (60 mL), then 4,4 '-d imethoxytrity 1 chloride (3.6 g, 10.6 mmol) was added and the mixture stirred for 14 hours. The reaction was titrated with additional 4,4'-dimethoxytrityl chloride unti l complete, then the mixture was concentrated and partitioned between ethyl acetate and water. The organic layer was washed with 10% citric acid, brine, dried over MgS04, and concentrated to obtain a bright yellow foam. The crude product was purified by flash chromatography with 10-25% ethyl acetate in hexanes to obtain 4 as a white foam (8.6 g, 1 13% yield).
[0097] 1 -(3-Dimethoxytrityl-2-deoxy-P-D-ribofuranosyl)-3-iodo-4-methoxy-l H- pyrazolo[3,4-d]pyrimidine (5):
[0098] In a 500 mL flask was dissolved 4 (7.5 g, 8.0 mmol) in tetrabutylammonium fluoride in THF ( 16 mL, 1 M) and diluted with 20 mL THF. The reaction was stirred for 1 h and concentrated to a solid. The crude product was purified by- flash chromatography using 10-60% ethyl acetate in hexanes to obtain 5 as a white foam (5.59 g, 100% yield).
[0099 J 1 -(3-Dimethoxytrityl-2-deoxy- -D-ribofuranosyl)- 3-iodo- 1 H- pyrazolo[3,4-d]pyrimidin-4(5H)-one (6):
[0100] In a 500 mL flask was dissolved 5 (7,5 g, 8.0 mmol) in THF (27 mL), then added methanol (30 mL) and 50% NaOH(aq) (6 mL). The solution was heated at 40-45 °C for 6 hours, concentrated to a solid, and partitioned between ethyl acetate and 10% citric acid. The organic layer was washed with saturated NaHCC^q), brine, dried over MgSC and concentrated to a pink-tinted foam. The crude product was purified by flash chromatography using 20- 100% ethyl acetate in hexanes to obtain 6 as a white foam (5.1 g, 94% yield).
[0101] 1 -(3-Dimethoxytrityl-2-deoxy- -D-ribofuranosyl)- 3-(4-acetoxybut-l-yn- 1 -yl)- 1 H-pyrazolo[3,4-d]pyrimidin-4(5H)-one (7):
[0102] In a 500 mL flask was dissolved 6 (5.04 g, 7.4 mmol) in anhydrous DMF (40 mL), then added triethylamine (3 g, 30 mmol), but-3-ynyl acetate (1.0 g, 8.9 mmol), and the solution was degassed with argon. The flask was then charged with Cul (282 nig, 1 .48 mmol) and Pd(PPh3)4 (855 mg, 740 μιηοΐ) and the reaction stirred for 14 h under argon. The orange solution was concentrated to a brown oil and purified by flash chromatography using 75-100%) ethyl acetate in hexanes to obtain 7 as a pale yellow foam (3.7 g, 75%> yield).
[0103] l -(5-(2-Cyanoethyl-N,N-diisopropyl)phosphoramidito-3-dimethoxytrityl- 2-deoxy-P-D-ribofuranosyl)- 3-(4-acetoxybut-l -yn-l-yI)-l H-pyrazolo[3,4-d]pyrimidin-4(5H)- one (8):
[0104] In a 500 mL flask was dissolved 7 (3.6 g. 5.4 mmol) in anhydrous CH2C12 (75 mL), then added diisopropylammonium tetrazolide ( 1.0 g, 5.9 mmol) and 2-cyanoethyl Ν,Ν,Ν',Ν'-tetraisopropylphosphordiamidite (2.55 mL, 8.1 mmol) and the reaction titrated with additional phosphoramidite reagent to completion. The suspension was concentrated and dissolved in ethyl acetate, washed with 5% NaHC03(aq), brine, dried over Na^SC , and concentrated to an oil. The crude product was dissolved in anhydrous ethyl acetate and precipitated with anhydrous pentane; the precipitation was repeated and the resulting gum was dried to obtain 8 as an amorphous solid (4.25 g, 91 % yield).
EXAMPLE 2
[0105] This example illustrates the synthesis of the protected (2-deoxy-p-D- ribofuranosyl)-3-hydroxybuynyl- l H-pyrazolo[3,4-d]pyrimidin-4(5H)-one 3'-phosphoramidite 12.
[0106] l-(5-Dimethoxylrityl-2-deoxy-p-D-ribofuranosyl)-3-iodo-4-methoxy-l H- pyrazolo[3,4-d]pyrimidine (9):
[0107] In a 500 m L flask was suspended 2 (3.16 g, 8.06 mmol) in anhydrous pyridine (60 mL). then 4,4'-dimethoxytrityI chloride (3.55 g. 10.5 mmol) was added and the reaction was stirred for 2 h. The solution was concentrated to a yellow oil, partitioned between ethyl acetate and \ 0% citric acid, and the organic layer was washed with saturated NaHC03(aq), brine, MgS04, and concentrated to a yellow foam. The crude product was
purified by flash chromatography using 25-75% ethyl acetate in hexanes to obtain 9 as a white foam (4.95 g, 88% yield).
[0108] 1 -(5-Dimethox\trityl-2-deoxy-p-D-ribofuranosyl)- 3-iodo-l H- pyrazolo[3.4-d]pyrimidin-4(5H)-one (10):
[0109] In a 500 mL flask was dissolved 9 (4.95 g, 7.1 mmol) in THF (25 mL), then added 50% NaOH(aq) (5.5 mL) and methanol (20 mL). Heat at 40-55 °C for 3 hours and concentrate the reaction mixture to a solid which was partitioned between ethyl acetate and 10%) citric acid. The organic layer was washed with saturated NaHC03(a ) and brine. The aqueous layers were backwashed with ethyl acetate, the combined organic layers dried over MgSC>4 and concentrated to a pale yellow foam. The crude product was purified by flash chromatography using 50-100%) ethyl acetate in hexanes to obtain 10 as an off-white foam (4.8 g, 100% yield).
[0110] 1 -(5-Dimethoxytrityl-2-deoxy-P-D-ribofuranosyl)- 3-(4-acetoxybut-l -yn- 1 -yl)- 1 H-pyrazolo[3,4-d]pyrimidin-4(5H)-one (11 ):
[0111] In a 500 mL flask was dissolved 10 (4.8 g, 7.1 mmol) in anhydrous
DMF (40 mL), then added triethylamine (2.87 g, 28.4 mmol) and but-3-ynyl acetate (1 .2 mL, 10.7 mmol). The solution was degassed under argon, then added Cul (324 mg, 1.7 mmol) and Pd(PPh3)4 (984 mg, 0.85 mmol) and the reaction stirred under argon for 72 hours then concentrated to a brown oil. The crude product was purified by flash chromatography using
50- 100% ethyl acetate in hexanes. The impure product was chromatographed again using 3- 1 % methanol in dichloromethane then co-stripped with anhydrous CH3CN to obtain 11 as an off-white solid (2.8 g, 59% yield).
[0112] l -(3-(2-Cyanoethyl-N,N-diisopropyl)phosphoramidito-5-dimethox>'trityI- 2-deoxy- -D-ribofuranosyl)- 3-(4-acetoxybut- I-yn-l-yl)-l H-pyrazolo[3,4-d]pyrimidin-4(5H)- one (12):
[0113] In a 500 mL flask were suspended 11 (2.8 g, 4.2 mmol) and diisopropylammonium tetrazolide (0.79 g, 4.6 mmol) in anhydrous CH2CI2 (75 mL), then added 2-cyanoethyl Ν,Ν,Ν',Ν'-tetraisopropylphosphordiamidite (1.85 mL, 5.9 mmol) and stirred 14 h. The reaction was concentrated and dissolved in ethyl acetate, washed with 5% NaHCO 3(aq), brine, dried over Na2S04, and concentrated to a yellow oil. The crude product was dissolved in anhydrous ethyl acetate and precipitated with anhydrous pentane; the precipitation was repeated, and the resulting gum was dried to obtain 12 as a white foam (3.3 g, 92% yield).
EXAMPLE 3
[0114] This example illustrates the synthesis of the synthesis of the protected inosine 5 '-phosphoramidite 16.
[0115] 9-(5-(tert-Butylmethylsilyl)-3-dimethoxytrityl-2-deoxy- -D- ribofuranosyl)-hypoxanthine (14):
[01 16] In a 125 mL flask, deoxyinosine (13) (1 .5 g. 6 mmol) was suspended in anhydrous DMF (25 mL) and pyridine ( 10 mL), then added /er/-butyldiphenylehlorosilane (1.82 g, 6.6 mmol) and stirred 12 hours. The reaction was titrated with additional silane until approximately equal amounts of starting material and te-silane were present. The reaction mixture was concentrated to obtain an oil and added 5% NaHC03(aq) to form a white solid which was filtered, rinsing with water to remove starting material. The crude product was dissolved in DMF and pyridine, concentrated to remove moisture, then dissolved in anhydrous pyridine and added dimethylaminopyridine (100 mg, catalytic), 4,4'-dimethoxytrityl chloride (2.24 g, 6.6 mmol), and stirred for 72 hours. Concentrate and partition between ethyl acetate and water. Wash the aqueous layer with 10% citric acid, saturated NaHC03(aq), brine, dry over MgSC¼, and concentrate to an orange foam. Purify the crude product by flash chromatography using 33% acetone in dichloromethane to obtain 14 as a yellow-orange amorphous solid (3.5 g, 73% yield).
[0117] 9-(3-Dimethoxytrityl-2-deoxy-P-D-ribofuranosyl)-hypoxanthine (15):
[01 18] In a 125 mL flask, 14 (3.5 g, 4.4 mmol) was suspended in THF (20 mL) to form a slurry. Tetrabutylammonium fluoride in THF (8.8 mL, 1 M) was added along with an additional 10 mL THF and the mixture became a solution which was stirred for 14 h. The completed reaction was concentrated and purified by flash chromatography using 0-5% CH3OH in CH2CI2 to obtain 15 as a pale yellow solid ( 1 .84 g. 75% yield).
[0119] 9-(5-(2-Cyanoethyl-N,N-diisopropyl)phosphoramidito-3-dimethox>'trityl- 2-deoxy-p-D-ribofuranosyl)-hypoxanthine (16):
[0120] In a 125 mL flask, 15 (0.92 g, 1 .66 mmol) was dissolved in anhydrous CH2CI2 (20 ml), then added diisopropylammonium tetrazolide (313 mg, 1.8 mmol) and 2- cyanoethyl Ν,Ν,Ν',Ν'-tetraisopropylphosphordiamidite (783 μί, 2.5 mmol) and the reaction titrated with additional phosphoramidite reagent to completion. The suspension was concentrated and dissolved in ethyl acetate, washed with 5% NaHC0 (aq), brine, dried over Na2SC>4, and concentrated to an oil. The crude product was dissolved in anhydrous ethyl acetate and precipitated with anhydrous pentane; the precipitation was repeated and the resulting gum was dried to obtain 16 as an amorphous solid (71 5 mg, 57% yield).
EXAMPLE 4
[0121] This example illustrates the preparation of 3-aminoalkynyl-substituted 1 H- pyrazolo[3,4-d]pyrimidin-4(5H)-one phosphoramidites 18, 20, 22 and 24 and their incorporation into oligonucleotides.
[0122] General Procedure for the preparation of compounds 17, 19, 21 and 23, shown below. n=1 R=NHCOCF3 17
[0123] Solution of compound 10, protected aminoalkynes (3.0 eq), and triethylamine (3.5 eq) in anhydrous dimethylformamide (6.8 ml/mmol), ( 1 .075 ml. 0.781 g, 7.72 mmol) was deoxygenated by argon flow and sonication (5 min). Pd( PPh )4 (0.1 eq) and Cul (0.2 eq) were added and resultant mixture was magnetically stirred under argon at +60°C. Resultant mixture was concentrated in vacuum and residue was diluted with EtOAc. Resultant solution was washed with 10% citric acid, saturated aqueous sodium bicarbonate, and brine. Organic phase was separated, dried over \tgSO4, filtered from drying agent, and concentrated in vacuum. Residue was purified by flash column chromatography (silica gel, EtOAc) to give products 17 (3.5 h reaction time, 81% yield), 19 ( 1 h reaction time, 77% yield), 21 (2.5 h reaction time, 88% yield) and 23 (2.5 h reaction time, 88% yield).
[0124] General procedure for the preparation of compounds 18, 20, 22 and 24. shown below.
[0125] 2-Cyanoethyl Ν,Ν,Ν'Ν'-tetraisopropylphoshordiamidite (1 .4 eq) was added to mixture of substrate and diisopropylammonium tetrazolide (0.9 eq) in dry dichloromethane (13 ml/mmol). Resultant mixture was magnetically stirred under argon at room temperature. Reaction was quenched with saturated aqueous sodium bicarbonate and extracted with DCM. Organic phase was separated, dried over MgSO i. filtered from drying agent, and concentrated in vacuum. Residue was dissolved in ether and added dropwise into stirred hexane. The liquid was decanted from oily precipitate, which was then dissolved in ether and precipitated in hexane one more time. Final residue was dried in vacuum to give products 18 (4 h reaction time, 98% yield), 20 (2 h reaction time, 91% yield), 22 (12 h reaction time, 87% yield), 24 (2 h reaction time, 74% yield).
EXAMPLE 5
[0126] This example illustrates the preparation of 3-methycarbomoyIoalkynyl- substituted (2-deoxy- -D-ribofuranosyl)- l H-pyrazolo[3,4-d]pyrimidin-4(5H)-one 5*- phosphoramidites 31, 32 and 33 and their incorporation into oligonucleotides.
[0127] General procedure for the preparation of compounds 25, 26 and 27:
[0128] A 100 ml Parr bomb was charged with 3.85 mmol of one of the compound 19, 21 or 23. Concentrated ammonium hydroxide (15 ml) and 40% aqueous methylamine (1 ml) were added and the bomb was sealed. After being stirred at 55°C for 1 h the reaction mixture was cooled and concentrated. The resulting solid was washed with water and dried under vacuum to afford sufficiently pure product (-90% yield).
[0129] General procedure for the preparation of compounds 28, 29 and 30:
[0130] To a solution of one ofthe amine-modified intermediate 25, 26 or 27 (0.46 mmol) in 5 ml of DMF was added d i i sopropy lethy I am i ne (0.92 mmol) followed by N- succinimidyl N-methylcarboxamide (0.92 mmol). The reaction was stirred at room temperature overnight and then concentrated. The resulting material was taken u into ethyl acetate, washed with saturated aHCO;., saturated NaCl and dried over MgS04. The residue obtained after solvent evaporation was chromatographed on silica eluting with a gradient (5-
10%) of MeOH in dichloromethane. Concentration of the pure product fractions afforded compounds 28, 29 or 30 in 70-80% yields.
[0131] General procedure for the preparation of phosphoramidites 31, 2 and 33:
[0132] Phosphoramidites 31, 32 and 33 were prepared using the procedure described for compounds 18, 20, 22 and 24.
[0133] Oligonucleotide synthesis.
[0134] Oligonucletides were prepared in 200 nmol scale from commercially available 3 '-phosphoramidites and solid supports (Glen Research, Inc.) following standard synthesis and deprotection protocol for DNA synthesizer (Applied Biosystems, Model 3900). 5'-Dimethoxytritylated oligonucleotides were purified by RP-HPLC (C-18, 0.1 M triethylammonium bicarbonate/acetonitrile), detritylated and re-purified. Experimental ESI mass spectral data for all oligonucleotides corresponded to calculated values.
EXAMPLE 6
[0135] This example illustrates the preparation of oligonucleotides containing 3- guanidinooalkyn l-substi tuted (2-deoxy-P-D-ribofuranosyl)- lH-pyrazolo[3,4-d]pyrimidin- 4(5H)-ones I4g and I6g.
[0136] Oligonucleotides that contained modifications I4g and I6g (Figure 1 and Figure 9) were synthesized according to Roig, V.; Asseline, U. J. Am. Chem. Society, 2003, 125, 4616-4617 by a treatment of amine-modified oligonucleotide precursors (25 nmol) with 0. 1 1 M solution of 1 -pyrazole- l -carboxamidine hydrochloride in 1 M Na2C03 (30 ul) for 1 day at room temperature. The modified oligonucleotides were purified by C 18 reverse phase chromatography in a gradient of acetonitryl in 0.1 M triethylammonium bicarbonate buffer. The identity and purity of all modified oligonucleotides were confirmed by mass spectroscopy.
EXAMPLE 7
[0137] This example illustrates the performance of 3-substituted-l H-pyrazolo[3,4- d]pyrimidin-4(5H)-one bases of the invention compared to that of hypoxanthine when substituted in oligonucleotides in duplex formation.
[0138] Duplex melting temperature determination.
[0139] The melting temperature was determined by combining the 3-alkynyl- 1 H- pyrazolo[3,4-d]pyrimidin-4(5H)-one analogue-containing oligonucleotides with natural complements, with one experiment each for inosine analogue paired with adenine, cytosine, guanidine, and thymidine. The oligonucleotides containing inosine analogue were measured in three formats: 1 ) inosine analogue in the 6 position, measured from the 5 * -end of the oligonucleotide; 2) inosine analogue in the 9 position, measured from the 5 '-end of the oligonucleotide; 3) inosine analogue in both the 6 and positions, measured from the '-end of the oligonucleotide.
Sequence (5'-3') X position SEQ ID NO:
GTAAGXAGACATAAC 6 2
GTAAGTAGXCATAAC 9 3
GTAAGXAGXCATAAC 6+9 1
[0140] Oligonucleotides were combined in equimolar 2 μΜ concentrations in buffer containing 100 niM NaCl. 10 niM MgCl2, and 10 m Na-PIPES (pH 7). The solutions in 1 cm cuvettes were brought to 80 °C briefly then the temperature lowered to 15 °C. Measurements were conducted on a Cary Bio 400 UV-Vis spectrophotometer equipped with a thermal peltier cell block and temperature probe. The temperature was ramped at a rate of 0.8 °C/min from 15 to 75 °C with the wavelength monitored at 268 nm. The melting temperature was calculated as the midpoint between the baselines of the associated and dissociated portions of the melting curve.
[0141] Melting temperatures of the studied duplexes are shown in Figures 10, 1 1, 12, and 13.
[0142] It can be seen that the duplexes containing analogues of the invention substituted for a base opposite A, T and C in a generally more stable than the duplex the duplexes containing deoxyinosine. In the case of G similar Tms are observed for both deoxyinosine and the analogues of the invention.
[0143] It is also observed that the aminobutynyl-substituted analog (107) stabilizes A,T and C pairs greater than any other studied analogues.
EXAMPLE 8
[0144] This example (with results shown in Figures 14 and 15) illustrates the ability of 3-(hydroxybutynyl)-l H-pyrazolo[3,4-d]pyrimidin-4(5H)-one and 3-(aminobutynyl)- l H-pyrazolo[3,4-d]pyrimidin-4(5H)-one -substituted PCR primers to efficiently participate in amplification reactions . It was further demonstrated that both hydroxybutynyl and aminobutynyl-substituted analogues performed better than 2 '-deoxyinosine when substituted in a primer.
[0145] Real-time PCR was conducted on an ABI Prism* 7900 Sequence
Detection System (SDS) (Applied Biosystems, Foster City, CA), 50 cycles of a two step PCR (95°C for 15 s, 65°C or 70° for 30 s) profile was run. after an initial 1 5 min at 95 °C. Commercially available 2x Qiagen QuantiTect Probe PCR Master mix (Qiagen cat.# 204345) was used. Final concentration of both primers was 0.5 μΜ. Each 20 μΐ reaction contained 10
ng of template DNA. Routinely DNA samples were tested in triplicates using a 384-well plate,
[0146] Primers.
[0147] An adenovirus assay was developed using a fluorogenic reverse flap primer (US Application No. 2007-0048758) which contained a minor groove binder ligand (DPI3) and fluorescein (FAM) as a fluorescent label. The forward primer contained deoxyinosine, hydroxybutynyl (104) or aminobutynyl (I07)-substituted l H-pyrazolo[3,4- d]pyrimidin-4(5H)-one nucleosides in various positions (Figure 14 and 15). An unmodified forward primer was also utilized as a positive control.
EXAMPLE 9
[0148] This example (with results shown in Figures 16) illustrates the ability of multiple substitutions of of the 3-(hydroxybutynyl)-lh-pyrazolo[3,4-d]pyrimidin-4(5h)-one and 3-(aminobutynyl)-l h-pyrazolo[3,4-d]pyrimidin-4(5h)-one -substituted PCR primers to efficiently participate in the amplification of Meticillin-resistant Staphylococcus aureus LGA251 target.
[0149] PCR is performed using the final concentrations of the assay components in the reaction mixture is the dT(8)-AP593 passive control. 0.035 μΜ, forward primer 1 .260μΜ, reverse primer 0.500 μΜ, probe 0.200 μΜιη I X enhancer, I X Tfi PCR Master Mix (Life Science Technologies, Inc) contains all the reagents necessary to perform PCR including uracil-N-glycosylase (UNG). Twenty microliters of the mixture was introduced in a 96 well PCR plate with 1 ΟμΙ, of sample nucleic acid. The plate was sealed with MicroAmp® Optical Adhesive Film (Applied Biosystems, Foster City, CA) and then centrifuged to collect the assay solution in the bottom of the plate well. The assay was then performed in an ABI 7500 DX Fast Block Real-time PCR machine with the protocol shown in Table 1 below.
Table 1. ABI 7500DX Fast Block real-time PCR protocol
PGR Cycling 10 sec 93°C
(45X)
30 sec 56°C
20 sec 72°C
Total Time lhr lOmin
[0150] It can be seen that the duplex containing the 3-(hydroxybutynyl)- l H- pyrazolo[3,4-D]pyrimidin-4(5H)-one is-substituted for three A's and two T's, amplified well at 56° and 60°C with cts of 36 and 36 respectively. In contrast the same substitutes with inosine, only amplified at 56°C with a Ct of 42. In the case of G, similar Tms are observed for both deoxyinosine and the analogues of the invention, this illustrate that primers with multiple aminobutyl substitutions amplify well at 60UC while a primer similarly substituted with inosines did not amplify at this temperature, this again confirms that ability of aminobutyl analog of the invention to stabilize duplexes when substituted; in this case for A and T.
EXAMPLE 10
[0151] This example illustrates that when 3-( 3-(hydroxybutynyl)-l H- pyrazolo[3,4-D]pyrimidin-4(5h)-one is substituted for T in a primers it is recognized by the polymerase as a G and that C is incorporated as the complementary base in the synthesized amplicon.
[0152] PCR was performed as described in Example 9. The target sequence and primer sequences are shown in Figure 17. The amplicons obtained from amplification with the natural primer, the F(dl) primer and the F(I07) primer were submitted for sequencing analysis. The sequences of the amplicons generated by these primers are shown in Figure 17. The amplicon generated by the natural primer incorporated two As complementary to the Ts in the primers. However, with the F(dl) primer and the F(I07) primer tw o Cs were incorporated in each case. Therefore DNA polymerase incorporated a C complementary to the inosine and the aminobutylinosine.
EXAMPLE 11
[0153] The use of pyrene modified nucleotides to increase duplex stability is understood in the art. Kumar et al. attached pyrene to the 5"-position of thymidine or to the 2' -posit ion of uridine with either a rigid tria/ole- or more flexible tria/ole methylene linkers. The pyrene substituted to the 5 '-position tended to intercalate with increase stability while substitution with the more rigid linker tended to decrease duplex stability. C2'-Pyrene- functionalized triazole-linked DNA/RNA universal hybridization probes were evaluated as promising universal probes (Sau & Hrdlica). Pyrene directly attached to the 1 '-position of the deoxyribofuranose ring demonstrated selective and stable base pairing without hydrogen bonding when incorporated to an oligonucleotide (Matray & Kool).
[0154] Laser-vaporization and multiphoton ionization of anthracene-linked deoxythymine monophosphate has also been studied (Srinivansan et al). Acridine was attached to the to 5 '-end of an 1 1 mer oligonucleotide was achieved by solid-phase synthesis using the phosphoramidite derivative of 2-methoxy-6-chloro-9-aminoacidine (Sun et al.; Thuong & Chassignnol).
[0155] The pyrene-substituted inosine phosphoramidite 35 was synthesized in two steps from intermediate 25 as shown in Figure 18. .A general procedure for the synthesis of oligonucleotides containing pyrene and acridine moieties is shown in Figure 19. Amine modified oligonucleotide precursors were treated with the corresponding PFP esters to give respectively 1 -pyreneacetate (n=l I07-Ac-pyr) and 1 -pyrenebutyrate (n=3 I07-Ac-pyr ) deriviatives. A similar approach yielded the acridine derivative (107-Acr).
EXAMPLE 12
[0156] This example illustrates the preparation of 3-aminoalkynyl-substituted (2- deoxy-P-D-ribofuranosyl)-l H-pyrazolo[3,4-d]pyrimidin-4(5H)-one 5 '-phosphoramidite 35 and their incorporation into oligonucleotides.
Procedure for the preparation of compound 34, shown below.
[0158] Triethylamine (0.616 g, 6.09 mmol) was added to a solution of 1 - pyrenecarboxylic acid (1.0 g, 4.06 mmol) in dry DCM (20 ml) followed by pentafluorophenyl trifluoroacetate (1 .251 g, 4.47 mmol). The reaction was kept at room temperature for 1 h, concentrated in vacuo and then diluted with MeOH. The resultant solid material was isolated by filtration, washed with MeOH and dried in vacuo to give the PFP 1 -pvrenecarboxylate (1.50 g, 3.64 mmol, yield=90%) as yellow fluffy solid. A portion of the PFP 1 - pyrenecarboxylate (1 .38 g, 3.35 mmol) was added to a mixture of compound 25 (2.79 mmol) and triethylamine (0.847 g, 8.37 mmol) in dry DCM (20 ml). The suspension was stirred under argon at room temperature overnight, then diluted with 10% citric acid and extracted with DCM. The organic solution was separated, washed with saturated aqueous NaHC03, saturated aqueous NaCl, dried over MgS04, filtered from drying agent, and concentrated in vacuo. The crude product was purified by flash chromatography (silica gel, 0-20% acetone in EtOAc) to give product 34 ( 1.78 g, 2.09 mmol, 75%) as white solid. Ή NMR (DMSO-d6): δ 12.43 (s, 1H), 8.94 (t, .1-5.7 Hz, 1 H), 8.56 (d, J=9.0 Hz, 1 H), 8.36-8.08 (m, 9H), 7.31 -7.13 (m, 9H), 6.78-6.73 (m, 4H), 6.54 (dd, J=7.0; 4.0 Hz, 1 H), 5.36 (d, J=4.8 Hz, 1 H), 4.52 (qn, J=5.3 Hz, 1H), 3.93 (dd, J=9.5; 5.5 Hz, 1 H), 3.70-3.60 (m, 81 1). 3.12-2.99 (m, 2H), 2.92 (t, .1-7.0 Hz, 2H), 2.8 1 -2.74 (m. 1 H), 2.36-2.27 (m, 1 H).
[0159] Procedure for the preparation of compound 35, shown below.
[0160] 2-Cyanoethyl Ν,Ν,Ν'Ν'-tetraisopropylphoshordiamidite (0.784 g, 2.6 mmol ) was added to mixture of compound 34 (1.7 g, 2.0 mmol) and diisopropylammonium tetrazolide (0.308 g, 1.8 mmol) in dry dichloromethane (20 ml). The reaction was magnetically stirred under argon overnight at room temperature then quenched with saturated aqueous sodium bicarbonate and extracted with DCM. The organic phase was separated, dried over MgS04, filtered to remove the drying agent, and concentrated in vacuo. The residue was rinsed with ethyl ether and remaining semi-solid was triturated with a second portion of ether. The obtained solid was collected by filtration, washed with ethyl ether and dried in vacuo to afford phosphoramidite 35 (1.48 g, 1.4 mmol, yield=70%) as a cream-colored solid. 3 I P NMR (CDC13): δ 148.70, 148.68.
[0161] Oligonucleotide synthesis.
[0162] Oligonucletides were prepared in 200 nmol scale from commercially available 3 '-phosphoramidites and solid supports (Glen Research, Inc.) following standard protocol for DNA synthesizer (Applied Biosystems, Model 3900). Oligonucleotides containing monomers 35 were cleaved from solid support and deprotected by ammonia hydroxide treatment (2h, +70oC). 5 ' - Dimethoxytrity lated oligonucleotides were purified by RP-HPLC (C- 18, 0.1 M triethylammonium bicarbonate/acetonitrile), detritylated and re- purified. Experimental ESI mass spectral data for all oligonucleotides corresponded to calculated values.
EXAMPLE 13
[0163] This example illustrates the post-synthetic preparation of oligonucleotides containing 3-aminobutynyl-(2-deoxy- -D-ribofuranosyl)-l H-pyrazolo[3.4-d]pyrimidin- 4(5H)-ones substituted with pyrene and acridine moieties.
[0164] General procedure for the preparation of PFP 1 -pyreneacetate and, 1 - pyrenebutyrate.
[0165] Pentafluorophenyl trifluoroacetate ( 1 .1 eq) was added to a solution of 1 - pyreneacetic acid or 1 -pyrenebutyric acid and triethylamine (1.5 eq) in DCM (5 ml/mmol). The resultant mixture was kept at room temperature for 1 h and concentrated in vacuo. The residue from the reaction of 1-pyreneacetic acid was diluted with ether, the obtained solid collected by filtration, washed with ether and dried in vacuo to give PFP 1 -pyreneacetate (54% yield), which was used without further purification. The residue from the reaction of 1 - pyrenebutyric acid was diluted with DCM, washed twice with saturated aqueous NaCl, dried over MgS04, filtered from drying agent and concentrated in vacuo to give PFP 1 - pyrenebutyrate ( 103% yield), which was used without further purification.
[0166] Oligonucleotides that contained Pyrene and Acridine moieties were synthesized by a treatment of amine-modified oligonucleotide precursors (75 nmol) with solution of corresponding PFP-ester ( 1 μιηοΐ) and triethylamine ( 14.4 μιηοΐ) in dry DMSO (70 μΐ) for 1 day at room temperature. The modified oligonucleotides were purified by CI 8 reverse phase chromatography in a gradient of acetonitryl in 0.1 M triethylammonium
bicarbonate buffer. The identity and purity of all modified oligonucleotides were confirmed by mass spectroscopy.
EXAMPLE 14
[0167] This example evaluates the effect on melting temperature of a number of oligonucleotides when substituted with pyrene-inosine analogs of the disclosure. The inosine analogs are shown below:
[0168] These analogs were substituted in the duplex sequence shown below:
5 ' - CTTTTAXGTCTT
3 ' -GAAAATYCAGAA
X=I07, 107-Pyr, I07-(Ac-Pyr) l , I07-(Ac-Pyr)2, I07-Bu-Pyr
Y= A, C, G, T
[0169] The results are summarized in Figure 20. As shown the Tm for when X=I07 and Y = G and T is lower compared to Y=A and C. When X is substituted with the different single and bi-substituted pyrene analogs the Tms of Y=A and C are substantially increased over that of 107 substitution. Especially 107-pyr not only increases the Tms when hybridized to A. T, C and G but it equalizes the Tms of C, A and T with an increase in the Tm of G, making this analog more universal.
EXAMPLE 15
[0170] This example evaluates the effect on melting temperature of a number of oligonucleotides when substituted with inosine, 104, 107, 107-pyr and 107-acr, shown below:
[0171] These analogs were substituted in the sequence (position 6) shown below:
GTAAGXAGACATAAC
[0172] The results are summarized in Figure 21 . As shown when inosine is hybridized to A, T, C and G, the Tm drops below that of the matched duplex. In contrast to inosine, 107, 107-pyr and 107-acr have Tms similar to the matched Tm for A, T and C. 107-pyr show an increase in Tm of that observed with inosine when hybridized to G.
EXAMPLE 16
[0173] This example is similar to that of Example 15 except that the substitutions are now made at position 9. The analogs were substituted in the sequence (position 9) shown below:
GTAAGTAGXCATAAC
[0174] In this case, 104, 107, 107-pyr and 107-acr clearly increase Tms for A, T and C over inosine, especially for T and C (Figure 22).
EXAMPLE 17
[0175] This example illustrates the effect on Tm of two substitutions in an oligonucleotide with the following sequence:
GTAAGXCAGXCATAAC
[ 176] In this case inosine, 104, 107, 107-pyr and 107-acr are numbered respectively 1 to 5. Clearly the substitution of two bases by inosine substantially drops the Tms over that of the match.( Figure 23). The substitution of 107, 107-pyr and 107-acr performs
well compared to inosine to increase Tms substantially for all substitutions tested except for GG substitution. For many o the substitutions the Tms are comparable to that of the match. The increases in Tms of the GT and TG substitutions are noteworthy.
1799
REFERENCES
U.S. Patent Documents
U.S. Patent No. 3,996,345
U.S. Patent No. 4,351 ,760
U.S. Patent No. 5, 177, 196
U.S. Patent No. 5,419,966
U.S. Patent No. 5,492,806
U.S. Patent No. 5,5 12,677
U.S. Patent No. 5.525,464
U.S. Patent No. 5,539,082
U.S. Patent No. 5,556,752
U.S. Patent No. 5.585,481
U.S. Patent No. 5,696,251
U.S. Patent No. 5,714,331
U.S. Patent No. 5.736,626
U.S. Patent No. 5,766,855
U.S. Patent No. 5,773,571
U.S. Patent No. 5.801 , 155
U.S. Patent No. 6,312,894
U.S. Patent No. 6,727,356
U.S. Patent No. 6,790,945
U.S. Patent No. 7,045,61 0 U.S. Patent No. 7,348, 146 U.S. Patent No. 7,3 19,022 U.S. Patent No. RE 38,416
International Patent Documents
International Patent Publication WO92/10588 International Patent Publication W096/17957
Other Publications
Ausubel, et al., Current Protocols In Molecular Biology, John Wiley & Sons (1987, 1988,
1989, 1990, 1991 , 1992, 1993, 1994, 1995, 1996)
Beaucage and Iyer, Tetrahedron 48:2223-231 1 (1992)
Bergstrom et al, Nucl. Acids. Res., 25: 1935-1942 ( 1997)
Chen et al., Nucl. Acids Res., 23:2662-2668 (1995)
Eckstein (ed.), Oligonucleotides and Analogues: A Practical Approach, IRL Press (1991 ) Gait (ed.), Oligonucleotide Synthesis: A Practical Approach, IRL Press (1984)
Graig, J. Mol. Biol., 19: 548-555 (1966)
T.W. Greene and P.G. Futs, Protective Groups in Organic Chemistry. (Wiley, 2nd ed.
1991 )
Harrison and Harrison et al. , Compendium of Synthetic Organic Methods, Vols. 1 -8 (John
Wiley and Sons. 1971 - 1996)
Haugland, R.P., Handbook of Fluorescent Probes and Research Chemicals, Sixth Edition.
Molecular Probes, Eugene, OR. 1996
Kumar et al., J. Org. Chem., 77: 9562-9573 (2012)
Loakes et al.. J. Mol. Biol., 270: 426-435 (1997)
Loakes, Nucl. Acids Res., 29: 2437-2447 (2001 )
Vlatray & Kool. J. Am. Chem. Soc. 120: 6191 -6192 (1998)
Ming et al., Nucl. Acids Symp. Series No. 52: 471-472 (2008)
Nielsen et al.. Science 254: 1497-1500 (1991)
Niernz, A. et al Trends Biotechnol.. 29: 240-50 (201 1 )
Palissa et al., Z. Chem. 27:216 (1987)
Reddy, B.S.P., Dondhi, S.M., and Lown, J. W., Pharmacol. The rap.. 84: 1 -1 1 1 (1999) Sambrook, Fritsch & Maniatis, MOLECULAR CLONING: A LABORATORY
MANUAL, Second Edition, Cold Spring Harbor Laboratory Press (1989) Sau & Hrdlica, J. Org. Chem.. 77: 5-16 (2012)
Singh et al, Chem. Comm., 455-456 (1998)
Srinivansan et al., J. Phys. Chem., 99: 13272-13279 (1995))
Sun et al., Proc. Natl. Acad., Sci. USA, 86; 9198-9202 ( 1989),
Thuong & ChassignnoL Tetrahedron Lett. 29: 5905-5908 (1988)
Uhlmann et al. Angew. Chem. Int. Ed. 37:2796-2823 (1998)
Walker, W.L., Kopka, J.L. and Goodsell, D.S., Biopolymers, 44:323-334 (1997) Watkins and SantaLucia, Nucleic Acids Res., 23: 62588-6267 (2005)
Wemmer, D.E., and Dervan P.B., Current Opinion in Structural Biology, 7:355-361
( 1997)
Wengel J., Acc. Chem. Res., 32:301 -3 10 (1998)
Zimmer, C & Wahnert. U. Prog. Biophys. Molec. Bio. 47:31 - 1 12 (1986)
Claims
1. A method for the preparation of mismatched nucleic ac id duplexes comprising: a) providing a mixture including a sample containing a target nucleic acid and an oligonucleotide that is substantially complementary to the target nucleic acid, wherein said oligonucleotide comprises at least one 3-alkynyl-l H-pyrazolo[3,4- d]pyrimidin-4(5H)-one analogue, and forms a duplex with target nucleic acid of substantially the same stability, regardless which natural nucleic acid base is positioned opposite to the 3-alkynyi- l H-pyrazolo[3,4-d]pyrimidin-4(5H)-one base; and b) incubating the mixture under hybridization conditions.
2. The method of claim 1 , wherein the mismatched duplex has substantially the same stability as a corresponding duplex with a natural base in place of 3-alkynyl- l H- pyrazolo[3,4-d]pyrimidin-4(5H)-one analogue.
3. The method of claim 1 , wherein the mismatched base is A, T or C.
4. The method of claim 1 wherein the mismatched base is G.
5. The method of claim 1 wherein the 3-alkynyl- l H-pyrazolo[3,4-d]pyrimidin-4(5H)-one analogue is substituted with pyrene.
6. A method for monitoring of polynucleotide amplification of a set of target nucleic acid sequences, comprising:
(a) providing a mixture comprising a sample containing the target nucleic acid sequences, one or more than one oligonucleotide primers substantially complementary to a portion of the target nucleic acid
sequences, a polymerizing enzyme, nucleotide substrates, and a detectable nucleic acid oligomer probe of between 5 and 100 bases, wherein said detectable nucleic acid oligomer probe has a backbone component selected from the group consisting of a sugar phosphate backbone, a modified sugar phosphate backbone, a locked nucleic acid backbone, a peptidic backbone, or a variant thereof,
wherein said nucleic acid oligomer probe has a sequence substantially complementary to a probe region of the target nucleic acid sequence, wherein said nucleic acid oligomer probe comprises a fluorophore, wherein at least one of said oligonucleotide primers has a sequence complementary to an adjacent or overlapping portion of the probe region of the target nucleic acid sequence, and wherein said nucleic acid oligomer probe has at least one nucleic acid base substituted with a 3-alkynyl-l H-pyrazolo[3,4-d]pyrimidin-4(5H)-one analogue;
(b) incubating the mixture under conditions favorable for polymerization with a polymerase.
7. The method of claim 6, wherein at least one of said oligonucleotide primers has a sequence complementary to an adjacent portion of the probe region of the target nucleic acid sequence.
8. The method of claim 6, wherein the polynucleotide amplification is continuously monitored by detecting hybridization of the nucleic acid oligomer probe to the amplified target.
9. The method of claim 8. wherein the polynucleotide amplification is performed by a polymerizing enzyme under isothermal conditions.
. The method of claim 6. wherein the 3-alkynyl- l H-pyrazolo[3.4-d ]pyrim idin-4(5 H)- analogue is substituted with pyrene or acridinc.
1 1. The method of claim 6, wherein at least one of said nucleic acid oligomer primers has at least one nucleic acid base substituted with a 3-alkynyl- l H-pyrazolo[3,4-d]pyrimidin- 4(5H)-one analogue.
12. The method of claim 1 1 , wherein the 3-alkynyl-l H-pyrazolo[3.4-d]pyrimidin-4(5H)-one analogue is substituted with pyrene or acridine.
13. The method of claim 6, wherein more than one of said nucleic acid oligomer primers have at least one nucleic acid base substituted with a 3-alkynyl-l FI-pyrazolo[3,4-d]pyrimidin- 4(5H)-one analogue.
14. The method of claim 13, wherein the 3-alkynyl- l H-pyrazolo[3,4-d]pyrimidin-4(5H)-one analogue is substituted with pyrene or acridine.
15. The method of claim 6, wherein at least one of said oligonucleotide primers further comprises a covalently attached minor groove binder ligand.
16. The method of claim 6, wherein the detectable nucleic acid oligomer probe further comprises a covalently attached minor groove binder ligand.
17. The method of claim 6, wherein the detectable nucleic acid oligomer probe further comprises a fluorophore.
18. The method of claim 6, wherein the detectable nucleic acid oligomer probe further comprises a quencher.
19. The method of claim 6. wherein the 3-alkynyl- l H-pyrazolo[3,4-d]pyrimidin-4(5H)-one analogue comprises Formula II I or Formula IV:
Formula I I I Formula IV
wherein:
R1 is H;
Rr is H2 or -H and
or H and -(C=NR6)- N(R6)2 or -H and (C 0)-N'(R") wherein R2 is pyrene or acridine and x is 1 to 10;
L is a sugar or sugar/phosphate backbone analogue, including but not limited to a backbone of DNA, RNA, PNA, locked nucleic acid, modified DNA, modified PNA, modified RNA, or any combination thereof;
R6 is H or alkyl and
n is 1 to 5.
20. The method of claim 6, wherein the measured threshold cycle number (Ct) from the amplified target nucleic acid is similar to the Ct when unsubstituted primers are used.
21. A method for primer extension, comprising:
incubating a polynucleotide containing a target sequence with one or more oligonucleotide primers substantially complementary to the target sequence in the presence of a polymerizing enzyme and nucleotide substrates under conditions favorable for polymerization, wherein at least one of the oligonucleotide primers has at least one nucleic acid base substituted with a 3-alkynyl- 1 H-pyrazolo[3,4-d]pyrimidin- 4(5H)-one analogue.
22. The method of claim 21 , wherein one of said oligonucleotide primers is extended with a single base.
23. The method of claim 21 , wherein at least one of said oligonucleotide primers further comprises a covalently attached minor groove binder ligand.
24. The method of claim 2 1 . wherein at least one of said oligonucleotide primers further comprises at least one modified base.
25. The method of claim 21 , wherein said incubating is part of an amplification reaction.
26. The method of claim 21 , wherein the 3-alkynyl- 1 1 1 -py razo I o [ 3.4-d ] p yri m i d i n-4( 511 )-one analogue is substituted with pyrene or acridine.
27. The method of claim 21 , wherein the 3-alkynyl- l H-pyrazolo[3,4-d]pyrimidin-4(5H)-one analogue comprises Formula III or Formula IV:
Formula III Formula IV
wherein:
R1 is 1 1 ;
R1 is H2 or -H and -(C=())-(CH2k-R: or -((C=0)-(CH2)x-R2)2, or H and -(C=NR6)- N(R6)2 or -I I and -(C=0)-N(R6)2 wherein R2 is pyrene or acridine and x is 1 to 10;
L is a sugar or sugar/phosphate backbone analogue, including but not limited to a backbone of DNA, RNA, PNA, locked nucleic acid, modified DNA, modified PNA, modified RNA, or any combination thereof;
6 is H or alkyl and
n is 1 to 5.
28. A method for the determination of the presence or absence of polynucleotides comprising one or more target sequences in a sample, the method comprising the following steps;
(a) providing a population of polynucleotides wherein certain of the polynucleotides comprise the target sequences;
(b) providing an array of oligonucleotides of different sequences, said array comprising a plurality of sites, wherein each site contains a unique sequence that is capable of forming stable duplexes having essentially equal stability with more than one of said target sequences, and wherein one or more residues in at least one of the oligonucleotides are substituted by a 3-alkynyl- l H-pyrazolo[3,4-d]pyrimidin-4(5H)-one analogue;
(c) incubating the population of polynucleotides with the array under hybridization conditions, and
(d) determining which of the oligonucleotides in the array become hybridized to polynucleotides;
wherein detection of the sites on the array at which hybridization occurs is indicative of the presence of polynucleotides comprising the one or more target sequences.
29. The method of claim 28, wherein the 3-alkynyl-l H-pyrazolo[3,4-d]pyrimidin-4(5H)-one analogue is substituted with pyrene or acridine.
30. The method of claim 28, wherein the 3-alkynyl- l H-pyrazolo[3,4-d]pyrimidin-4(5H)-one analogue comprises Formula III or Formula IV:
Formula III Formula IV
wherein:
R1 is H;
R1 is H2 or -H and -(C=0)-(CH2)x-R2 or -((C=0)-(CH2)x-R2)2, or H and -(C=NR6)- N(R6)2 or -H and -(C=0)-N(R6)2 wherein R2 is pyrene or acridine and x is 1 to 10;
L is a sugar or sugar/phosphate backbone analogue, including but not limited to a backbone of DNA, RNA, PNA, locked nucleic acid, modified DNA, modified PNA. modified RNA, or any combination thereof;
R6 is H or alkyl and
n is 1 to 5.
31. A method for detecting target sequences in a mixture of polynucleotides, wherein the polynucleotides in the mixture comprise target sequences that differ by one or more mismatches, the method comprising:
(a) contacting the mixture of polynucleotides with an oligonucleotide, wherein
(i) the oligonucleotide has a sequence capable of forming stable duplexes havin essentially equal stability with more than one of said target sequences,
(ii) one or more residues of the oligonucleotide are substituted by a 3-alkynyl- 1 H-pyrazolo[3,4-d]pyrimidin-4(5H)-one analogue,
(iii) the target sequences contain one or more mismatches of A, C, G, or T or combinations thereof in at least one location, and
(iv) the 3-alkynyl-lH-pyrazolo[3,4-d]pyrimidin-4(5H)-one analogues of the oligonucleotide are positioned to correspond with the location of one r more mismatches of A, C, or T or combinations thereof of the target sequences; and
(b) measuring hybrid formation, whereby hybrid formation is indicative of the presence of said target sequences.
32. The method of claim 3 1 wherein the 3-alkynyl-l H-pyrazolo[3,4-d]pyrimidin-4(5H)-one analogues of the oligonucleotide are positioned to correspond with the location of one or more mismatches of G of the target sequences.
33. The method of claim 3 1 , wherein the 3-alkynyl- l H-pyrazolo[3,4-d]pyrimidin-4(5H)-one analogue is substituted with pyrene or acridine.
34. The method of claim 31 , wherein the 3-alkynyl-l H-pyrazolo[3,4-d]pyrimidin-4(5H)-one analogue comprises Formula III or Formula IV:
Formula III Formula IV
wherein:
R1 is H;
R ' is I I: or -I I and -{C=0)-(CH2)x-R2 or ^(C=0)-(CH2)x-R2)2! or H and -(C=NR6)- N(R6)2 or -H and -{C=0)-N(R6) wherein R2 is pyrene or acridine and x is 1 to 10;
L is a sugar or sugar/phosphate backbone analogue, including but not limited to a backbone of DNA, RNA, PNA, locked nucleic acid, modified DNA, modified PNA, modified RNA, or any combination thereof;
R6 is H or alkyl and
n is 1 to 5.
Priority Applications (1)
| Application Number | Priority Date | Filing Date | Title |
|---|---|---|---|
| EP14714494.3A EP2971086A1 (en) | 2013-03-14 | 2014-03-07 | Functionalized 3-alkynyl pyrazolopyrimidine analogues as universal bases and methods of use |
Applications Claiming Priority (2)
| Application Number | Priority Date | Filing Date | Title |
|---|---|---|---|
| US13/827,456 US8969003B2 (en) | 2011-03-23 | 2013-03-14 | Functionalized 3-alkynyl pyrazolopyrimidine analogues as universal bases and methods of use |
| US13/827,456 | 2013-03-14 |
Publications (1)
| Publication Number | Publication Date |
|---|---|
| WO2014159063A1 true WO2014159063A1 (en) | 2014-10-02 |
Family
ID=50397297
Family Applications (1)
| Application Number | Title | Priority Date | Filing Date |
|---|---|---|---|
| PCT/US2014/021799 Ceased WO2014159063A1 (en) | 2013-03-14 | 2014-03-07 | Functionalized 3-alkynyl pyrazolopyrimidine analogues as universal bases and methods of use |
Country Status (2)
| Country | Link |
|---|---|
| EP (1) | EP2971086A1 (en) |
| WO (1) | WO2014159063A1 (en) |
Citations (29)
| Publication number | Priority date | Publication date | Assignee | Title |
|---|---|---|---|---|
| US3996345A (en) | 1974-08-12 | 1976-12-07 | Syva Company | Fluorescence quenching with immunological pairs in immunoassays |
| US4351760A (en) | 1979-09-07 | 1982-09-28 | Syva Company | Novel alkyl substituted fluorescent compounds and polyamino acid conjugates |
| WO1992010588A1 (en) | 1990-12-06 | 1992-06-25 | Affymax Technologies N.V. | Sequencing by hybridization of a target nucleic acid to a matrix of defined oligonucleotides |
| US5177196A (en) | 1990-08-16 | 1993-01-05 | Microprobe Corporation | Oligo (α-arabinofuranosyl nucleotides) and α-arabinofuranosyl precursors thereof |
| US5419966A (en) | 1991-06-10 | 1995-05-30 | Microprobe Corporation | Solid support for synthesis of 3'-tailed oligonucleotides |
| US5492806A (en) | 1987-04-01 | 1996-02-20 | Hyseq, Inc. | Method of determining an ordered sequence of subfragments of a nucleic acid fragment by hybridization of oligonucleotide probes |
| US5512677A (en) | 1991-08-13 | 1996-04-30 | National Science Council | 3-substituted methyl-2,3-dihydroimidazo 1,2-c!quinazoline derivatives, the preparation and use thereof |
| US5525464A (en) | 1987-04-01 | 1996-06-11 | Hyseq, Inc. | Method of sequencing by hybridization of oligonucleotide probes |
| WO1996017957A1 (en) | 1994-12-09 | 1996-06-13 | Hyseq, Inc. | Methods and apparatus for dna sequencing and dna identification |
| US5539082A (en) | 1993-04-26 | 1996-07-23 | Nielsen; Peter E. | Peptide nucleic acids |
| US5556752A (en) | 1994-10-24 | 1996-09-17 | Affymetrix, Inc. | Surface-bound, unimolecular, double-stranded DNA |
| US5585481A (en) | 1987-09-21 | 1996-12-17 | Gen-Probe Incorporated | Linking reagents for nucleotide probes |
| US5714331A (en) | 1991-05-24 | 1998-02-03 | Buchardt, Deceased; Ole | Peptide nucleic acids having enhanced binding affinity, sequence specificity and solubility |
| US5736626A (en) | 1996-01-29 | 1998-04-07 | The Perkin-Elmer Corporation | Solid support reagents for the direct synthesis of 3'-labeled polynucleotides |
| US5766855A (en) | 1991-05-24 | 1998-06-16 | Buchardt, Deceased; Ole | Peptide nucleic acids having enhanced binding affinity and sequence specificity |
| US5801155A (en) | 1995-04-03 | 1998-09-01 | Epoch Pharmaceuticals, Inc. | Covalently linked oligonucleotide minor grove binder conjugates |
| WO1999037085A2 (en) | 1998-01-16 | 1999-07-22 | Comsat Corporation | Arithmetic coding-based facsimile compression with error detection |
| US5942610A (en) | 1989-08-28 | 1999-08-24 | Clontech Laboratories, Inc. | Non-nucleoside 1,3-diol reagents and their use to label or modify synthetic oligonucleotides |
| US6127121A (en) | 1998-04-03 | 2000-10-03 | Epoch Pharmaceuticals, Inc. | Oligonucleotides containing pyrazolo[3,4-D]pyrimidines for hybridization and mismatch discrimination |
| US6312894B1 (en) | 1995-04-03 | 2001-11-06 | Epoch Pharmaceuticals, Inc. | Hybridization and mismatch discrimination using oligonucleotides conjugated to minor groove binders |
| WO2001084958A2 (en) | 2000-05-12 | 2001-11-15 | Pacific Rim Marketing Limited | Formulation and process for producing a universal fruit base for use in preparing non-settling, creamy, smooth, thick fruit beverages |
| USRE38416E1 (en) | 1988-09-28 | 2004-02-03 | Epoch Biosciences, Inc. | Cross-linking oligonucleotides |
| US6727356B1 (en) | 1999-12-08 | 2004-04-27 | Epoch Pharmaceuticals, Inc. | Fluorescent quenching detection reagents and methods |
| US6949367B1 (en) | 1998-04-03 | 2005-09-27 | Epoch Pharmaceuticals, Inc. | Modified oligonucleotides for mismatch discrimination |
| US7045610B2 (en) | 1998-04-03 | 2006-05-16 | Epoch Biosciences, Inc. | Modified oligonucleotides for mismatch discrimination |
| US20070048758A1 (en) | 2005-06-09 | 2007-03-01 | Epoch Biosciences, Inc. | Improved primer-based amplification methods |
| US7319022B1 (en) | 2004-08-13 | 2008-01-15 | Epoch Biosciences, Inc. | Amplification methods |
| US7348146B2 (en) | 2003-10-02 | 2008-03-25 | Epoch Biosciences, Inc. | Single nucleotide polymorphism analysis of highly polymorphic target sequences |
| WO2012129547A1 (en) * | 2011-03-23 | 2012-09-27 | Elitech Holding B.V. | Functionalized 3-alkynyl pyrazolopyrimidine analogues as universal bases and methods of use |
-
2014
- 2014-03-07 EP EP14714494.3A patent/EP2971086A1/en not_active Withdrawn
- 2014-03-07 WO PCT/US2014/021799 patent/WO2014159063A1/en not_active Ceased
Patent Citations (33)
| Publication number | Priority date | Publication date | Assignee | Title |
|---|---|---|---|---|
| US3996345A (en) | 1974-08-12 | 1976-12-07 | Syva Company | Fluorescence quenching with immunological pairs in immunoassays |
| US4351760A (en) | 1979-09-07 | 1982-09-28 | Syva Company | Novel alkyl substituted fluorescent compounds and polyamino acid conjugates |
| US5492806A (en) | 1987-04-01 | 1996-02-20 | Hyseq, Inc. | Method of determining an ordered sequence of subfragments of a nucleic acid fragment by hybridization of oligonucleotide probes |
| US5525464A (en) | 1987-04-01 | 1996-06-11 | Hyseq, Inc. | Method of sequencing by hybridization of oligonucleotide probes |
| US5585481A (en) | 1987-09-21 | 1996-12-17 | Gen-Probe Incorporated | Linking reagents for nucleotide probes |
| US5696251A (en) | 1987-09-21 | 1997-12-09 | Gen-Probe Incorporated | Non-nucleotide linking reagents for nucleotide probes |
| USRE38416E1 (en) | 1988-09-28 | 2004-02-03 | Epoch Biosciences, Inc. | Cross-linking oligonucleotides |
| US5942610A (en) | 1989-08-28 | 1999-08-24 | Clontech Laboratories, Inc. | Non-nucleoside 1,3-diol reagents and their use to label or modify synthetic oligonucleotides |
| US5177196A (en) | 1990-08-16 | 1993-01-05 | Microprobe Corporation | Oligo (α-arabinofuranosyl nucleotides) and α-arabinofuranosyl precursors thereof |
| WO1992010588A1 (en) | 1990-12-06 | 1992-06-25 | Affymax Technologies N.V. | Sequencing by hybridization of a target nucleic acid to a matrix of defined oligonucleotides |
| US5766855A (en) | 1991-05-24 | 1998-06-16 | Buchardt, Deceased; Ole | Peptide nucleic acids having enhanced binding affinity and sequence specificity |
| US5714331A (en) | 1991-05-24 | 1998-02-03 | Buchardt, Deceased; Ole | Peptide nucleic acids having enhanced binding affinity, sequence specificity and solubility |
| US5736336A (en) | 1991-05-24 | 1998-04-07 | Buchardt, Deceased; Ole | Peptide nucleic acids having enhanced binding affinity, sequence specificity and solubility |
| US5773571A (en) | 1991-05-24 | 1998-06-30 | Nielsen; Peter E. | Peptide nucleic acids |
| US5419966A (en) | 1991-06-10 | 1995-05-30 | Microprobe Corporation | Solid support for synthesis of 3'-tailed oligonucleotides |
| US5512677A (en) | 1991-08-13 | 1996-04-30 | National Science Council | 3-substituted methyl-2,3-dihydroimidazo 1,2-c!quinazoline derivatives, the preparation and use thereof |
| US5539082A (en) | 1993-04-26 | 1996-07-23 | Nielsen; Peter E. | Peptide nucleic acids |
| US5556752A (en) | 1994-10-24 | 1996-09-17 | Affymetrix, Inc. | Surface-bound, unimolecular, double-stranded DNA |
| WO1996017957A1 (en) | 1994-12-09 | 1996-06-13 | Hyseq, Inc. | Methods and apparatus for dna sequencing and dna identification |
| US5801155A (en) | 1995-04-03 | 1998-09-01 | Epoch Pharmaceuticals, Inc. | Covalently linked oligonucleotide minor grove binder conjugates |
| US6312894B1 (en) | 1995-04-03 | 2001-11-06 | Epoch Pharmaceuticals, Inc. | Hybridization and mismatch discrimination using oligonucleotides conjugated to minor groove binders |
| US5736626A (en) | 1996-01-29 | 1998-04-07 | The Perkin-Elmer Corporation | Solid support reagents for the direct synthesis of 3'-labeled polynucleotides |
| WO1999037085A2 (en) | 1998-01-16 | 1999-07-22 | Comsat Corporation | Arithmetic coding-based facsimile compression with error detection |
| US6127121A (en) | 1998-04-03 | 2000-10-03 | Epoch Pharmaceuticals, Inc. | Oligonucleotides containing pyrazolo[3,4-D]pyrimidines for hybridization and mismatch discrimination |
| US6949367B1 (en) | 1998-04-03 | 2005-09-27 | Epoch Pharmaceuticals, Inc. | Modified oligonucleotides for mismatch discrimination |
| US7045610B2 (en) | 1998-04-03 | 2006-05-16 | Epoch Biosciences, Inc. | Modified oligonucleotides for mismatch discrimination |
| US6727356B1 (en) | 1999-12-08 | 2004-04-27 | Epoch Pharmaceuticals, Inc. | Fluorescent quenching detection reagents and methods |
| US6790945B2 (en) | 1999-12-08 | 2004-09-14 | Epoch Biosciences, Inc. | Fluorescent quenching detection reagents and methods |
| WO2001084958A2 (en) | 2000-05-12 | 2001-11-15 | Pacific Rim Marketing Limited | Formulation and process for producing a universal fruit base for use in preparing non-settling, creamy, smooth, thick fruit beverages |
| US7348146B2 (en) | 2003-10-02 | 2008-03-25 | Epoch Biosciences, Inc. | Single nucleotide polymorphism analysis of highly polymorphic target sequences |
| US7319022B1 (en) | 2004-08-13 | 2008-01-15 | Epoch Biosciences, Inc. | Amplification methods |
| US20070048758A1 (en) | 2005-06-09 | 2007-03-01 | Epoch Biosciences, Inc. | Improved primer-based amplification methods |
| WO2012129547A1 (en) * | 2011-03-23 | 2012-09-27 | Elitech Holding B.V. | Functionalized 3-alkynyl pyrazolopyrimidine analogues as universal bases and methods of use |
Non-Patent Citations (39)
| Title |
|---|
| "Oligonucleotide Synthesis: A Practical Approac", 1984, IRL PRESS |
| "Oligonucleotide Synthesis: A Practical Approach", 1984, IRL PRESS |
| "Oligonucleotides and Analogues: A Practical Approach", 1991, IRL PRESS |
| AUSUBEL ET AL.: "Current Protocols In Molecular Biology", 1987, JOHN WILEY & SONS |
| AUSUBEL: "Current Protocols In Molecular Biology", 1987, JOHN WILEY & SONS |
| BEAUCAGE; IYER, TETRAHEDRON, vol. 48, 1992, pages 2223 - 2311 |
| BEAUCAGE; IYER, TETRAHEDRON, vol. 48, 1992, pages 2223 - 2311 1 |
| BERGSTROM ET AL., NUCL. ACIDS. RES, vol. 25, 1997, pages 1935 - 1942 |
| CAPALDI, NUC. ACIDS RES., vol. 28, 2000, pages E21 |
| CHEN ET AL., NUCL. ACIDS RES., vol. 23, 1995, pages 2662 - 2668 |
| GRAIG, J. MOL. BIOL., vol. 19, 1966, pages 548 - 555 |
| HARRISON; HARRISON ET AL.: "Compendium of Synthetic Organic Methods", vol. 1-8, 1971, JOHN WILEY AND SONS |
| HAUGLAND, R.P.: "Handbook of Fluorescent Probes and Research Chemicals", 1996, MOLECULAR PROBES |
| KUMAR ET AL., J. ORG. CHEM., vol. 77, 2012, pages 9562 - 9573 |
| LEE H ET AL., METHODS MOL.BIOL, vol. 855, 2012, pages 155 - 74 |
| LOAKES ET AL., J. MOL. BIOL., vol. 270, 1997, pages 426 - 435 |
| LOAKES, NUCL. ACIDS RES., vol. 29, 2001, pages 2437 - 2447 |
| MATRAY; KOOL, J. AM. CHEM. SOC., vol. 120, 1998, pages 6191 - 6192 |
| MING ET AL., NUCL. ACIDS SYMP. SERIES NO. 52, 2008, pages 471 - 472 |
| NIELSEN ET AL., SCIENCE, vol. 254, 1991, pages 1497 - 1500 |
| NIEMZ, A. ET AL., TRENDS BIOTECHNOL., vol. 29, 2011, pages 240 - 50 |
| PALISSA ET AL., Z. CHEM., vol. 27, 1987, pages 216 |
| PAWAN KUMAR ET AL: "Three Pyrene-Modified Nucleotides: Synthesis and Effects in Secondary Nucleic Acid Structures", THE JOURNAL OF ORGANIC CHEMISTRY, vol. 77, no. 21, 2 November 2012 (2012-11-02), pages 9562 - 9573, XP055119276, ISSN: 0022-3263, DOI: 10.1021/jo301571s * |
| REDDY, B.S.P.; DONDHI, S.M.; LOWN, J. W., PHARMACOL. THERAP., vol. 84, 1999, pages 1 - 111 |
| ROIG, V.; ASSELINE, U., J. AM. CHEM. SOCIETY, vol. 125, 2003, pages 4616 - 4617 |
| SAMBROOK; FRITSCH; MANIATIS: "Molecular Cloning: A Laboratory Manual", 1989, COLD SPRING HARBOR LABORATORY PRESS |
| SAU; HRDLICA, J. ORG. CHEM., vol. 77, 2012, pages 5 - 16 |
| SINGH ET AL., CHEM. COMM., 1998, pages 455 - 456 |
| SRINIVANSAN ET AL., J. PHYS. CHEM., vol. 99, 1995, pages 13272 - 13279 |
| SUN ET AL., PROC. NATL. ACAD., SCI. USA, vol. 86, 1989, pages 9198 - 9202 |
| T.W. GREENE; P.G. FUTS: "Protective Groups in Organic Chemistry", 1991, WILEY |
| THUONG; CHASSIGNNOL, TETRAHEDRON LETT., vol. 29, 1988, pages 5905 - 5908 |
| UHLMANN ET AL., ANGEW. CHEM. INT. ED., vol. 37, 1998, pages 2796 - 2823 |
| WALKER, W.L.; KOPKA, J.L.; GOODSELL, D.S., BIOPOLYMERS, vol. 44, 1997, pages 323 - 334 |
| WATKINS; SANTALUCIA, NUCLEIC ACIDS RES., vol. 23, 2005, pages 62588 - 6267 |
| WEMMER, D.E.; DERVAN P.B., CURRENT OPINION IN STRUCTURAL BIOLOGY, vol. 7, 1997, pages 355 - 361 |
| WEMMER, D.E.; DERVAN P.B., CURRENT OPINON IN STRUCTURAL BIOLOGY, vol. 7, 1997, pages 355 - 361 |
| WENGEL J., ACC. CHEM. RES, vol. 32, 1998, pages 301 - 310 |
| ZIMMER, C; WAHNERT, U., PROG. BIOPHYS. MOLEC. BIO., vol. 47, 1986, pages 31 - 112 |
Also Published As
| Publication number | Publication date |
|---|---|
| EP2971086A1 (en) | 2016-01-20 |
Similar Documents
| Publication | Publication Date | Title |
|---|---|---|
| EP2689031B1 (en) | Functionalized 3-alkynyl pyrazolopyrimidine analogues as universal bases and methods of use | |
| EP1144429B1 (en) | Hybridization and mismatch discrimination using oligonucleotides conjugated to minor groove binders | |
| US8057997B2 (en) | Nucleic acid binding compounds containing pyrazolo[3,4-D]pyrimidine analogues of purin-2,6-diamine and their uses | |
| US7718374B2 (en) | Single nucleotide polymorphism analysis of highly polymorphic target sequences | |
| EP0628051B1 (en) | Applications of fluorescent n-nucleosides and fluorescent structural analogs of n-nucleosides | |
| JP4558932B2 (en) | Pyrazolo [3,4-d] pyrimidine-containing oligonucleotides for hybridization and discrepancy identification | |
| JP5231032B2 (en) | N8- and C8-linked purine bases and structurally related heterocycles used as universal nucleosides for oligonucleotide hybridization | |
| JP4942484B2 (en) | Fluorescent probe for DNA detection by hybridization with improved sensitivity and low background | |
| US8969003B2 (en) | Functionalized 3-alkynyl pyrazolopyrimidine analogues as universal bases and methods of use | |
| EP2997161A2 (en) | Droplet digital pcr with short minor groove probes | |
| US20090111100A1 (en) | Minor groove binder - energy transfer oligonucleotides and methods for their use | |
| EP2270015B1 (en) | Rna-selective hybridization reagent and utilization of the same | |
| WO2014159063A1 (en) | Functionalized 3-alkynyl pyrazolopyrimidine analogues as universal bases and methods of use | |
| EP1138688A1 (en) | N8- and C8- linked purine bases as universal nucleosides used for oligonucleotide hybridization | |
| WO2011034895A1 (en) | Compositions, methods and uses for nucleotide analogues | |
| WO2001023611A2 (en) | Methods for detecting amplification by change of fluorescence | |
| HK1234412B (en) | Modified thymine polynucleotide oligomers and methods | |
| HK1234412A1 (en) | Modified thymine polynucleotide oligomers and methods |
Legal Events
| Date | Code | Title | Description |
|---|---|---|---|
| 121 | Ep: the epo has been informed by wipo that ep was designated in this application |
Ref document number: 14714494 Country of ref document: EP Kind code of ref document: A1 |
|
| NENP | Non-entry into the national phase |
Ref country code: DE |
|
| REEP | Request for entry into the european phase |
Ref document number: 2014714494 Country of ref document: EP |
|
| WWE | Wipo information: entry into national phase |
Ref document number: 2014714494 Country of ref document: EP |































