WO2014142450A1 - Method for preparing porous separation membrane for second battery and porous separation membrane for second battery prepared thereby - Google Patents
Method for preparing porous separation membrane for second battery and porous separation membrane for second battery prepared thereby Download PDFInfo
- Publication number
- WO2014142450A1 WO2014142450A1 PCT/KR2014/001566 KR2014001566W WO2014142450A1 WO 2014142450 A1 WO2014142450 A1 WO 2014142450A1 KR 2014001566 W KR2014001566 W KR 2014001566W WO 2014142450 A1 WO2014142450 A1 WO 2014142450A1
- Authority
- WO
- WIPO (PCT)
- Prior art keywords
- polymer
- porous separator
- inorganic
- separator
- electrospinning
- Prior art date
- Legal status (The legal status is an assumption and is not a legal conclusion. Google has not performed a legal analysis and makes no representation as to the accuracy of the status listed.)
- Ceased
Links
Images
Classifications
-
- C—CHEMISTRY; METALLURGY
- C08—ORGANIC MACROMOLECULAR COMPOUNDS; THEIR PREPARATION OR CHEMICAL WORKING-UP; COMPOSITIONS BASED THEREON
- C08G—MACROMOLECULAR COMPOUNDS OBTAINED OTHERWISE THAN BY REACTIONS ONLY INVOLVING UNSATURATED CARBON-TO-CARBON BONDS
- C08G73/00—Macromolecular compounds obtained by reactions forming a linkage containing nitrogen with or without oxygen or carbon in the main chain of the macromolecule, not provided for in groups C08G12/00 - C08G71/00
- C08G73/06—Polycondensates having nitrogen-containing heterocyclic rings in the main chain of the macromolecule
- C08G73/10—Polyimides; Polyester-imides; Polyamide-imides; Polyamide acids or similar polyimide precursors
- C08G73/1067—Wholly aromatic polyimides, i.e. having both tetracarboxylic and diamino moieties aromatically bound
-
- H—ELECTRICITY
- H01—ELECTRIC ELEMENTS
- H01M—PROCESSES OR MEANS, e.g. BATTERIES, FOR THE DIRECT CONVERSION OF CHEMICAL ENERGY INTO ELECTRICAL ENERGY
- H01M50/00—Constructional details or processes of manufacture of the non-active parts of electrochemical cells other than fuel cells, e.g. hybrid cells
- H01M50/40—Separators; Membranes; Diaphragms; Spacing elements inside cells
- H01M50/409—Separators, membranes or diaphragms characterised by the material
- H01M50/449—Separators, membranes or diaphragms characterised by the material having a layered structure
-
- H—ELECTRICITY
- H01—ELECTRIC ELEMENTS
- H01M—PROCESSES OR MEANS, e.g. BATTERIES, FOR THE DIRECT CONVERSION OF CHEMICAL ENERGY INTO ELECTRICAL ENERGY
- H01M50/00—Constructional details or processes of manufacture of the non-active parts of electrochemical cells other than fuel cells, e.g. hybrid cells
- H01M50/40—Separators; Membranes; Diaphragms; Spacing elements inside cells
- H01M50/403—Manufacturing processes of separators, membranes or diaphragms
-
- H—ELECTRICITY
- H01—ELECTRIC ELEMENTS
- H01M—PROCESSES OR MEANS, e.g. BATTERIES, FOR THE DIRECT CONVERSION OF CHEMICAL ENERGY INTO ELECTRICAL ENERGY
- H01M50/00—Constructional details or processes of manufacture of the non-active parts of electrochemical cells other than fuel cells, e.g. hybrid cells
- H01M50/40—Separators; Membranes; Diaphragms; Spacing elements inside cells
- H01M50/409—Separators, membranes or diaphragms characterised by the material
- H01M50/44—Fibrous material
-
- H—ELECTRICITY
- H01—ELECTRIC ELEMENTS
- H01M—PROCESSES OR MEANS, e.g. BATTERIES, FOR THE DIRECT CONVERSION OF CHEMICAL ENERGY INTO ELECTRICAL ENERGY
- H01M10/00—Secondary cells; Manufacture thereof
- H01M10/05—Accumulators with non-aqueous electrolyte
- H01M10/052—Li-accumulators
-
- H—ELECTRICITY
- H01—ELECTRIC ELEMENTS
- H01M—PROCESSES OR MEANS, e.g. BATTERIES, FOR THE DIRECT CONVERSION OF CHEMICAL ENERGY INTO ELECTRICAL ENERGY
- H01M50/00—Constructional details or processes of manufacture of the non-active parts of electrochemical cells other than fuel cells, e.g. hybrid cells
- H01M50/40—Separators; Membranes; Diaphragms; Spacing elements inside cells
- H01M50/489—Separators, membranes, diaphragms or spacing elements inside the cells, characterised by their physical properties, e.g. swelling degree, hydrophilicity or shut down properties
-
- Y—GENERAL TAGGING OF NEW TECHNOLOGICAL DEVELOPMENTS; GENERAL TAGGING OF CROSS-SECTIONAL TECHNOLOGIES SPANNING OVER SEVERAL SECTIONS OF THE IPC; TECHNICAL SUBJECTS COVERED BY FORMER USPC CROSS-REFERENCE ART COLLECTIONS [XRACs] AND DIGESTS
- Y02—TECHNOLOGIES OR APPLICATIONS FOR MITIGATION OR ADAPTATION AGAINST CLIMATE CHANGE
- Y02E—REDUCTION OF GREENHOUSE GAS [GHG] EMISSIONS, RELATED TO ENERGY GENERATION, TRANSMISSION OR DISTRIBUTION
- Y02E60/00—Enabling technologies; Technologies with a potential or indirect contribution to GHG emissions mitigation
- Y02E60/10—Energy storage using batteries
Definitions
- the present invention relates to a method for manufacturing a porous separator for secondary batteries using electrospinning and to a porous separator for secondary batteries prepared according to the above, and more particularly, to a method for manufacturing a porous separator for secondary batteries using a bottom-up electrospinning and thus prepared It relates to a porous separator for secondary batteries.
- a lithium secondary battery which includes a positive electrode, a negative electrode, an electrolyte, and a separator.
- the positive electrode active material used for the positive electrode is a material capable of occluding and releasing lithium, and a composite of lithium cobalt oxide (LiCoO 2 ), lithium manganese oxide (LiMn 2 O 4 ), lithium nickel cobalt oxide, lithium iron phosphate oxide, and the like. Metal oxides are mainly used.
- the negative electrode active material in the negative electrode is lithium alloy, carbon (carbon), cokes (activated carbon), graphite (graphite), silicon (Si), tin (Sn), etc. that can occlude and release lithium Metals and / or alloys and the like are mainly used.
- the electrolyte is a non-aqueous electrolyte containing a lithium salt and an organic solvent
- the lithium salt is LiClO 4 , LiCF 3 SO 3 , LiAsF 6 , LiBF 4 , LiPF 6 , LiSCN, LiC (CF 3 SO 2 ) 3 , LiBOB Ethylene carbonate (EC), propylene carbonate (PC), dimethyl carbonate (DMC), dimethoxyethane (DME), diethoxyethane (DEE), 2-methyltetrahydrofuran (2-MeTHF) are used as the organic solvent.
- Dimethyl sulfoxide (DMSO) and the like are used individually or in combination.
- the separator is one of the four core materials constituting the battery, which is located between the positive and negative electrodes of the battery to increase the stability of the battery by separating the lithium oxide, a highly active positive electrode material reacts directly with the negative electrode to prevent explosion Since it plays a role and is located between two electrodes, it has a structure in which pores are developed to smoothly move lithium ions between electrodes.
- the thinner the separator the smaller the volume in the battery, and the greater the amount of electricity produced per unit volume. Therefore, the priority item for manufacturing the separator is thickness.
- the strength of the separator is weakened. Therefore, the mechanical and thermal strength and durability of the separator must be focused. High temperature storage and overcharging of batteries are related to the thermal stability of the separator, and the safety problems caused by nail penetration and foreign matter are related to mechanical properties.
- secondary batteries including high energy density and large capacity lithium ion secondary batteries, lithium ion polymer batteries, and supercapacitors (electric double layer capacitors and similar capacitors) must have a relatively high operating temperature range and continuously maintain high rate charge and discharge conditions. Since the temperature rises when used, the separators used in these batteries are required to have higher heat resistance and thermal stability than those required for ordinary separators. In addition, it should have excellent battery characteristics such as high ion conductivity that can cope with rapid charging and discharging and low temperature.
- the separator is positioned between the anode and the cathode of the battery to insulate it, maintains the electrolyte to provide a path for ion conduction, and when the temperature of the battery becomes too high, a part of the separator melts to block pores in order to block the current.
- the membrane should have a low shut-down temperature and a higher short-circuit temperature.
- a contraction occurs at 150 ° C. or higher to expose an electrode part, thereby causing a short circuit. Therefore, it is very important to have both the closing function and the heat resistance for high energy density and large sized secondary battery.
- Porous nanofibers can be used in various applications because of their wide surface area and excellent porosity.
- the porous nanofibers can be used for water purification filters, air purification filters, composite materials, and battery separators.
- such porous nanofibers can be usefully applied to the separator of a fuel cell for automobiles.
- nanofiber refers to ultra-fine fibers having a diameter of only tens to hundreds of nanometers.
- Products such as nonwoven fabrics, membranes, and braids composed of nanofibers are used for household goods, agriculture, and clothing. Widely used in the industrial and industrial applications.
- Such nanofibers are produced by an electric field. That is, the nanofibers generate an electric repulsive force inside a polymer material as a raw material by applying an electric field of high voltage to the polymer material as a raw material, and thus, the molecules are agglomerated into nano-sized yarns to manufacture and produce the nanofibers.
- the stronger the electric field, the thinner the polymer material is separated from the raw material can be obtained a nanofiber having a diameter of 10 to 1000nm.
- the electrospinning apparatus for manufacturing and producing nanofibers having such diameters includes a spinning liquid main tank in which spinning solution is filled, a metering pump for quantitatively supplying spinning solution, and a plurality of nozzles for ejecting spinning solution. It is configured to include a nozzle block to be installed, a collector that is located at the bottom of the nozzle to aggregate the fibers to be emitted and a voltage generator for generating a voltage.
- the spinning solution in the spinning solution main tank is continuously metered into a plurality of nozzles to which a high voltage is applied through a metering pump, and is supplied to the nozzle.
- the working liquid is spun and concentrated through a nozzle on a collector to which high voltage is applied to form a short fiber web, and the short fiber web is embossed or needle punched to produce nanofibers.
- the electrospinning device is divided into a bottom-up electrospinning device, a top-down electrospinning device and a horizontal electrospinning device according to the direction in which the collector is located.
- the electrospinning device is a bottom-up electrospinning device having a configuration in which the collector is located at the top of the nozzle, a top-down electrospinning device having a configuration in which the collector is located at the bottom of the nozzle, and a horizontal electric in which the collector and the nozzle are arranged in the horizontal direction. It is divided into a radiator.
- the production of nanofibers using a top-down electrospinning device has a problem in that the spinning liquid falls as it is in the form of water droplets (hereinafter referred to as "droplet") when spinning, the quality of the product is reduced.
- droplet water droplets
- the polymers used in the manufacture of nanofibers can be broadly divided into organic polymers and inorganic polymers.
- organic polymers are inexpensive, light, and do not oxidize well. It acts as an insulator.
- organic polymers have some fatal disadvantages despite these advantages.
- Special functionalities (metallic) of inorganic polymers that are not present in dots and organic polymers are emerging as problems.
- the polyacrylonitrile-based polymer has been widely used as an industrial fiber because of its excellent physicochemical stability and excellent chemical resistance and mechanical properties.
- it is relatively hydrophobic than polymers such as nylon and polyvinyl alcohol, so it is known as a very suitable material as a filter material because it has excellent electrostatic retention capability when producing ultra-fine fibers through electrospinning and electrostatic processing.
- nanofibers can be widely used as a sanitary agent, agricultural horticulture, food distribution, civil construction, toiletries, medicines, and electrical and electronic materials.
- PVDF polyvinylidene fluoride
- Polyvinylidene fluoride is prepared by the same process as the above scheme, and has a lower melting point (177 ° C) and density (1.78 g / cm 3 ), lower unit cost, and is highly chemically stable than other fluoro resins. It is often used as a high-quality paint for the insulation of buildings and the exterior walls of buildings.
- polyvinylidene fluoride is a representative organic material exhibiting piezoelectricity and many studies have been conducted since the 1960s.
- Four crystals are mixed in the polyvinylidene fluoride polymer, which can be classified into at least four types of ⁇ , ⁇ , ⁇ , and ⁇ , depending on the crystal form.
- the ⁇ -type crystals of polyvinylidene fluoride are filled with trans-type molecular chains in parallel, and all of the permanent dipoles of the monomers are arranged in one direction, thereby showing large spontaneous polarization.
- the polyvinylidene fluoride molecules can be regularly arranged through stretching to impart anisotropy to the aggregated state so that they can have piezoelectricity.
- melt spinning systems have been applied to produce polyvinylidene fluoride fibers.
- the high cost of building melt spinning equipment is expensive, and the size of the fiber produced by melt spinning is also limited.
- the fiber produced by wet spinning has a significantly higher ⁇ -crystal ratio in the fiber at the initial stage of spinning than ⁇ -crystal ratio and a slower spinning speed than melt spinning, but increases the number of spinnerets. It also has the advantage of reducing fiber size.
- Wet spinning also has the advantage of improving physical properties through a continuous post-treatment process (stretching, crimping, etc.).
- the polymer is dissolved in a solvent to form a spinning solution (Dope), and the spinning solution is discharged into a coagulation bath containing an aqueous solution containing a solvent through a gear pump and a spinning nozzle.
- a spinning solution Dope
- the precipitant penetrates into the spinning liquid phase, and the filament solidifies as the phase separation and precipitation occur in the three-component system of polymer-solvent-precipitant. Is obtained.
- Such a wet spinning system has the advantage that the mechanical properties of the fibers can also be improved by giving the stretching and tension in the spinning bath to orient the chain-shaped polymer in the fiber direction.
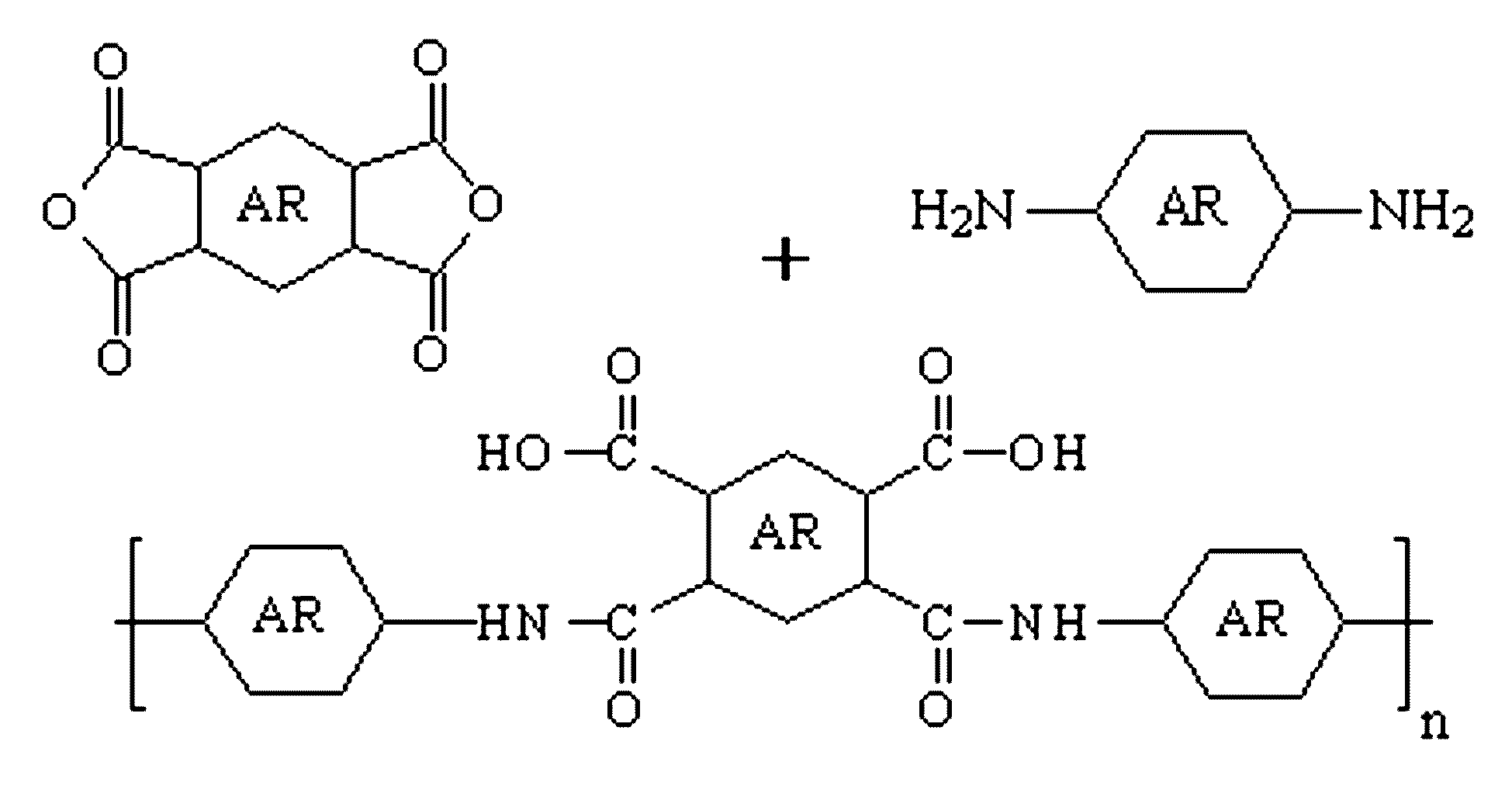
- polyimide (PI) is a representative of high heat-resistant engineering plastics synthesized from aromatic diamine and aromatic tetracarboxylic dianhydride, and has excellent rigidity and dimensional stability.
- polyimide whose molecular structure is relatively symmetrical, exhibits the highest heat resistance among engineering plastics.
- the continuous use temperature is 288 ° C and the intermittent use temperature is 480 ° C.
- polyimide has excellent electrical insulation, and the insulation breakdown voltage is 22 kV / mm in the wholly aromatic type.
- the membrane using the polyimide is excellent in mechanical strength and heat resistance to high temperature, it is chemically stable and has a high permeability.
- Aramid fibers are defined as 'fibers of molecular structure in which at least 85% of amide bonds (-NHCO-) are bonded between aromatic rings'. Are distinguished.
- Aramid is divided into para-aramid and meta-aramid according to the bond form of benzene ring. Since para-aramid has high strength properties, it is mainly used as a material for body armor, and meta-aramid is not easily melted even at a high temperature of 400 ° C or higher than general fibers. Due to its outstanding characteristics, it is used for protective clothing including firefighting suits, battery insulating paper, industrial filters, industrial materials and construction.
- Meta aramid refers to poly-meta-phenylene terephthalamide in which the amide bond is bonded to the meta position of the benzene ring, and has a structure represented by the following formula (1).
- Metaaramid is the first high heat-resistant aramid fiber and can be used at 350 °C for a short time and 210 °C for continuous use, and when exposed to higher temperatures, it does not melt or burn like other fibers. . Above all, unlike other products that have been flame retardant or fireproof, it does not emit toxic gases or harmful substances even when carbonized and has excellent properties as an environmentally friendly fiber.
- the meta-aramid has a very rigid molecular structure of the molecules constituting the fiber, not only the inherent strength is strong, but also the molecules are easily oriented in the fiber axial direction in the spinning step, thereby increasing the crystallinity. Can improve.
- the inorganic polymer refers to a polymer containing an inorganic element in the polymer main chain or side chain.
- Inorganic elements are narrowly divided into various metals (aluminum filling the s and p orbits, typical metals such as magnesium, titanium, zirconium, tungsten filling, transition metals such as tungsten, and internal transitions such as the lanthanide-actinium filling the f orbit. Metal), but broadly includes a skeleton formed of elements such as Si, Ge, P, and B, which are nonmetallic inorganic elements.
- Inorganic polymers are divided into four types:
- SiC silicon carbide
- NICALON polycarbosilane
- the application method of the composite of the inorganic polymer to the polymer is polymer impregnation and pyrolysis (PIP) method, which is made by mixing organic compounds such as PCS with silicon carbide powder to make a slurry, and then turning the slurry into silicon carbide It is a method of obtaining a silicon carbide matrix by penetrating into a fiber preform and pyrolyzing. Recently, attention has been paid to the development of fibers having excellent heat resistance. Therefore, by developing a new organic compound having excellent properties and improving the PIP method, it is possible to produce a silicon carbide matrix with an excellent crystallinity and stoichiometric ratio by increasing the thermal decomposition temperature.
- PIP polymer impregnation and pyrolysis
- silicon carbide (SiC) and silicon nitride (Si 3 N 4 ) ceramics are thermally and chemically stable at high temperatures, and have strong strengths. It is widely used in industry, nuclear reactor business, shelf-building machine, sports product manufacturing, etc., and various industrial uses such as manufacturing these ceramics in the form of film or fiber for special use. Silicon polymers are economical due to the low cost of raw materials and high polymerization yields, and can freely adjust the ratio of Si and C or N in the molecule, and can be formed by high meltability and solubility, thereby increasing the residual yield of ceramics. In order to achieve this, crosslinking may be performed by various chemical reactions. Depending on the thermal decomposition conditions can be easily selected, such as silicon carbide (SiC) and silicon nitride (Si 3 N 4 ), it can also be prepared by mixing with metal and pyrolysis.
- SiC silicon carbide
- Si 3 N 4 silicon nitride
- a lithium ion secondary battery using a conventional polyolefin separator and a liquid electrolyte solution, or a conventional lithium ion polymer battery using a polymer electrolyte coated with a gel polymer electrolyte membrane or a polyolefin separator is used for high energy density and high capacity batteries in terms of heat resistance. It is very lacking. Therefore, it does not satisfy the heat resistance and safety required for high capacity, large area batteries such as automotive.
- polyolefin-based films such as polyethylene (PE) and polypropylene (Polyprophylene, PP) are mainly used as separators used in lithium ion batteries.
- Polyolefins suffer from the disadvantages of high heat shrinkage and physical weakness at high temperatures. Have.
- US Patent Publication No. 2006-0019154 impregnated a polyolefin-based separator in a solution of polyamide, polyimide, polyamideimide having a melting point of 180 ° C. or higher, and then immersed in a coagulating solution to extract a solvent to obtain porous heat resistance.
- a heat-resistant polyolefin separator in which a thin resin layer is bonded is proposed, and the heat shrinkage is small, and the heat resistance and excellent cycle performance are claimed.
- the heat-resistant thin layer imparts porosity
- the polyolefin separator used is also limited to using an air permeability of less than 200 seconds / minute.
- heat-resistant resins such as aromatic polyamides, polyimides, polyethersulfones, polyetherketones, and polyetherimides having a melting point of 200 ° C. or higher in order to ensure sufficient safety at high energy density and size increase
- the solution was applied to both sides of the polyolefin separator and immersed in a coagulating solution, washed with water and dried to give a polyolefin separator to which a heat resistant resin was adhered.
- a phase separator for imparting porosity was contained in the heat resistant resin solution and the heat resistant resin layer was also limited to 0.5-6.0 g / m 2 .
- the immersion of the heat resistant resin prevents the movement of lithium ions by blocking the pores of the polyolefin separation membrane, so that the charge and discharge characteristics are lowered, so that even if the heat resistance is secured, it is less than the capacity required for a large capacity battery such as an automobile.
- the porosity of the commonly used polyolefin separator is about 40% and the pore size is also several tens of nm in size, so there is a limit in ion conductivity for large capacity batteries. .
- US Pat. No. 6,447,958B1 discloses a slurry obtained by dissolving and dispersing a ceramic powder and a heat-resistant nitrogen-containing aromatic polymer in an organic solvent.
- a porous woven fabric such as polyolefin, rayon, vinylon, polyester, acrylic, polystyrene, and nylon as a support, nonwoven fabric, paper, porous
- the heat resistant polymer layer is introduced in the process of introducing a heat resistant polymer layer, and a process of preparing a porous heat resistant resin layer including application of the heat resistant resin and immersion in a coagulating solution, washing with water, and drying. This is a very complicated and costly problem.
- Japanese Patent Laid-Open Nos. 2001-222988 and 2006-59717 disclose gel electrolytes of polymers such as polyethylene oxide, polypropylene oxide, polyether, and polyvinylidene in polyaramid, polyimide woven fabric, nonwoven fabric, cloth, and porous film having a melting point of 150 ° C. or higher. It is impregnated or apply
- the required heat resistance may be satisfied, but in terms of ion conduction, ion transport in the support or the heat-resistant aromatic polymer layer is still limited similarly to the case of the separator or gel electrolyte of a conventional lithium ion battery.
- Nafion resins perfluorosulfonic acid resins
- fluorine resins fluorine resins
- Nafion resins have a weak mechanical strength, so that when used for a long time, pinholes are generated, thereby lowering energy conversion efficiency.
- Attempts have been made to increase the film thickness of Nafion resin in order to reinforce mechanical strength.
- the resistance loss is increased, and there is a problem in that the economy is inferior due to the use of expensive materials.
- the conventional patent technology still does not satisfy the heat resistance and ion conductivity at the same time, there is no mention of the shut-down function (SHUTDOWN FUNCTION) of the membrane, the vehicle that requires excellent performance under harsh conditions such as heat resistance and rapid charge and discharge It is not yet satisfactory for high energy density and high capacity batteries such as solvent.
- SHUTDOWN FUNCTION shut-down function
- the nonwoven fabric when used as a membrane material as another method to increase the thermal stability of the membrane, it has a high porosity of about 60 to 80% because of the fibrous mat shape formed by chemical, physical or mechanical connection of natural or synthetic fibers. Porosity and a large melting point (melting point).
- These non-woven fabrics have been used in nickel-cadmium batteries, but they are not applied to lithium secondary batteries because they have excellent mechanical strength and are difficult to prevent short circuits due to their relatively large open structure and rough surface. .
- polyester nonwoven membranes have been studied to improve safety and lifespan, and high-temperature safety and uniform pore structure have been reported to improve lifespan using high melting point of polyester.
- Electrospinning is a technology that can produce ultra-fine fibers and porous webs, ie, nonwoven fabrics, from several nm to several micrometers in diameter by using electrostatic spraying of high-viscosity fluids such as polymers. It is a device that can spin fine fibers by pulling.
- the polymer solution at the end of the capillary tube located vertically in the electrospinning device equilibrates between gravity and surface tension to form hemispherical droplets.
- This phenomenon is caused by the charge or dipole orientation at the surface of the hemispherical droplets when the electric field is applied. Force or dipole repulsion, thus creating a force opposite to the surface tension.
- the hemispherical surface of the solution suspended at the end of the capillary stretches into a conical shape known as the Taylor cone, which at certain critical field strengths (Vc) overcomes the surface tension as the jet of charged polymer solution (Jet) ) Is released from the end of the Taylor cone.
- the jet collapses into microdroplets, indicating a spray phenomenon.
- the jet does not collapse and the solvent evaporates as it flows into the air toward the current collector plate, and the charged polymer continuous phase fibers accumulate on the current collector plate. This phenomenon is called electrospinning. .
- the reason why very thin fibers are produced by the electrospinning is that the jet is thinned by the elongation and spray phenomenon of the jet as it flows toward the current collector plate. Because of this small diameter, the electrospun fibers have a larger surface area and volume, and can absorb more moisture than other large diameter fibers.
- the ultra-fine fibrous web prepared as described above is ultra thin and ultra light, and has a very high surface area to volume ratio and high porosity as compared to conventional fibers. Therefore, it is structurally respirable and windproof to discharge sweat, and it is also possible to manufacture the liquid from entering the outside of the membrane. Therefore, research is being conducted to apply the electrospinning phenomena of polymers to various fields such as the manufacture of ultra-high performance filters, porous supports for tissue engineering, and chemical sensors.
- the inorganic composite separator or the ceramic separator is manufactured by connecting inorganic particles of very fine size to each other with a small amount of binder.
- Their high hydrophilicity and large specific surface area result in excellent wettability in the electrolyte, and excellent wettability in electrolytes such as EC and PC improve battery life and performance.
- These ceramic separators have very good thermal stability and hardly shrink at high temperatures.
- Such a ceramic separator shows excellent electrolyte wetting and thermal stability, but has a disadvantage in that it does not show a level of mechanical properties, particularly flexibility, suitable for a battery assembly process including winding.
- the present invention is to provide a method for producing a secondary battery separator using a bottom-up electrospinning porous porous membrane for secondary batteries made of a high quality nanofiber without the droplet (Droplet) using a bottom-up electrospinning. The purpose.
- the present invention includes a polymer nanofiber, in order to improve the low thermal stability of the polyolefin substrate and the low degree of clarity of the electrolyte, an inorganic layer that can improve the electrolyte wettability by coating the inorganic particles on the polymer nanofiber It is also an object to provide a porous separator for secondary batteries with improved battery stability and output characteristics by being firmly coupled.
- the present invention comprises the steps of preparing a polymer solution by dissolving the polymer in a solvent; And it provides a method for producing a porous separator for secondary batteries comprising the step of electrospinning the polymer solution to produce nanofibers.
- the polymer is preferably a heat resistant polymer or an inorganic polymer.
- the heat resistant polymer is preferably at least one selected from the group consisting of polyvinylidene fluoride, polyacrylonitrile, metaaramid and polyimide.
- the inorganic polymer is a single polymer containing a silane group or a siloxane group, or monomethacrylate, vinyl, hydride, distearate, bis (12-hydroxy-stearate), methoxy to the silane group or siloxane group.
- Ethoxylate, propoxylate diglycidyl ether, monoglycidyl ether, monohydroxy, bis (hydroxyalkyl), chlorine, bis (3-aminopropyl) and bis ((aminoethyl-aminopropyl
- it is a copolymer polymer containing a bonding group selected from the group consisting of a) dimethoxysilyl) ether.
- the polymer solution may be electrospun on a polyolefin substrate or a polyolefin substrate coated with an inorganic material.
- the electrospinning is preferably performed by a bottom-up electrospinning method.
- the method may further include forming an inorganic coating layer by coating an inorganic slurry including an inorganic material and a binder on the nanofibers.
- the inorganic slurry is preferably a weight ratio of the inorganic material and the binder is 95: 5 to 50:50.
- the inorganic material is SiO 2 , Al 2 O 3 , TiO 2 , Li 3 PO 4 , zeolite, MgO, CaO, BaTiO 3 , Li 2 O, LiF, LiOH, Li 3 N, BaO, Na 2 O, Li 2 CO 3 , CaCO 3 , LiAlO 2 , SiO, SnO, SnO 2 , PbO 2 , ZnO, P 2 O 5 , CuO, MoO, V 2 O 5 , B 2 O 3 , Si 3 N 4 , CeO 2 , Mn 3 It is preferably one kind selected from the group consisting of O 4 , Sn 2 P 2 O 7 , Sn 2 B 2 O 5 , Sn 2 BPO 6, and mixtures thereof.
- the binder is preferably one selected from the group consisting of polyacrylonitrile, polyvinylidene fluoride, polyimide, metaaramid, polymethyl methacrylate, carboxymethyl cellulose, polyvinyl alcohol, and styrene butadiene rubber. .
- the present invention comprises the steps of dissolving the polymer in a solvent to prepare a polymer solution; And dividing at least two or more spinning sections in a progressing direction of the bottom-up electrospinning apparatus, and spinning the polymer solution in each of the divided spinning sections.
- the present invention also provides a porous separator for secondary batteries comprising a polyolefin substrate and a polymer nanofiber layer formed on one surface of the polyolefin substrate by an electrospinning method.
- the secondary battery porous separator may further include an inorganic coating layer formed by coating an inorganic material on one surface of the polymer nanofiber layer.
- the porous separator for secondary batteries according to the present invention is composed of nanofibers prepared by electrospinning, and is in a porous form, and exhibits excellent thermal stability as compared to a conventional polyolefin-based film separator, and inorganic particles on the porous separator. By coating a thin thickness can improve the thermal stability of the separator.
- the porous separator of the present invention when the porous separator of the present invention is applied to a secondary battery, by improving the hydrophilicity of the electrolyte by improving the surface of the non-polar polymer to improve the mobility of lithium ions, it is possible to improve the stability and output characteristics of the battery.
- FIG. 1 is a view schematically showing an electrospinning device for manufacturing a porous separator for secondary batteries according to the present invention.
- FIG. 2 is a view schematically showing an enlarged portion of an electrospinning apparatus for manufacturing a porous separator for secondary batteries according to the present invention.
- FIG 3 is a view schematically showing a porous separator prepared according to the method of manufacturing a porous separator for secondary batteries according to an embodiment of the present invention.
- FIG. 4 is a view schematically showing a porous separator manufactured according to a method of manufacturing a porous separator for a secondary battery according to another embodiment of the present invention.
- the method of manufacturing a porous separator for a secondary battery according to the present invention includes dissolving a polymer in a solvent to prepare a polymer solution, and electrospinning the polymer solution to produce nanofibers.
- FIG. 1 is a view schematically showing an electrospinning apparatus for manufacturing a porous separator for secondary batteries according to an embodiment of the present invention
- Figure 2 is a part of the electrospinning apparatus for manufacturing a porous separator for secondary batteries according to the present invention It is a figure which expands and shows schematically.
- the electrospinning pump is a metering pump for quantitative supply of the polymer spinning solution filled in the spinning solution main tank (1) and the spinning solution main tank (1) filled with the polymer spinning solution therein (2) and discharge the polymer spinning solution in the spinning solution main tank (1), located in the nozzle block (4) and the lower end of the nozzle (5) in which a plurality of nozzles (5) in the form of fins are arranged
- the nozzle block 4 of the electrospinning device is partitioned into a spinning section 31 in the direction of travel (horizontal direction), and each nozzle 11 of the nozzle block 10 located in each of the spinning sections is It is connected to each supply device 51, respectively.
- the nozzle block 10 of the electrospinning device is partitioned into the radiating section 31 in the traveling direction (horizontal direction), and each nozzle of the nozzle block 4 located in the radiating section 31 ( 5) each supply device 51 is installed.
- the number of the nozzle and the spinneret is not particularly limited, but may be one, may be a plurality of two or more.
- the supply device 51 is supplied with a polymer.
- the nozzle block 4 of the electrospinning apparatus is partitioned into each spinning section, and each nozzle 5 of the nozzle block 4 located in each spinning section 31 has a respective supply device ( 51) by spinning the polymer to obtain a separation membrane consisting of a single layer or a multilayer of two or more layers.
- the spinning solution main tank 1 is preferably composed of different main tanks, and the different main tanks are each supply device 51. Connected to feed the polymer.
- each of the supply devices 51 is formed in a closed cylindrical shape as a whole, and the spinning solution continuously supplied from the different main tanks 1 to the nozzles 5 located in each spinning section 31. Supply.
- the spinning solution main tank 1 is made of different main tanks, but the different main tanks are connected to respective supply devices 51 to supply polymers.
- the spinning solution main tank 1 consists of one main tank, the inside of which can be partitioned into a plurality of spaces, each compartment is filled with polymer, and each space is supplied to each supply device 51. It is also possible to be connected individually to supply the polymer.
- the polymer may be made of the same polymer component, but is not limited thereto.
- each of the spinning section 31 partitioned on the nozzle block 4 is the same, each of the spinning section 31 partitioned on the nozzle block 4
- the interval distance of is preferably made to be adjustable according to the thickness of each layer constituting the separator.
- the polymer is supplied to the nozzle 5 of the nozzle block 4 from each supply device 51 of the electrospinning apparatus and is radiated onto the collector 7 located in the spin section 31. Will form the nanofibers (6).
- the nanofibers 6 formed by electrospinning at each supply device 51 may be formed by stacking two or more multilayer separators.
- the electrospinning device of the present invention may be any of bottom-up, top-down or complex type, but it is more preferable to develop the bottom-up.
- the present invention provides a polymer solution in which at least two or more polymers are dissolved in a solvent, and the nozzle block 4 of the bottom-up electrospinning apparatus partitions at least two or more spinning sections 31 in the advancing direction, Each of the polymer solution may be discharged from each of the divided spinning sections 31 to manufacture two or more layers of porous separators, and the polymer solutions discharged from the spinning sections may be different from each other.
- the spinning solution filled in the spinning solution main tank 1 is metered by the metering pump 2 to supply a fixed amount to each supply device.
- the spinning solution means a polymer solution in which a polymer is dissolved in an organic solvent.
- the organic solvent that can be used is not particularly limited as long as it can sufficiently dissolve the polymer and is a solvent applicable to the charge induction spinning method, and when the porous polymer separator is prepared by the charge induction spinning method, the organic solvent is almost removed. Therefore, it may be used to affect the characteristics of the battery.
- Non-limiting examples of such organic solvents include dimethylformamide, tetrahydrofuran, methylene chloride, chloroform, cyclohexane, propylene carbonate, butylene carbonate, 1,4-butyrolactone, diethyl carbonate, dimethyl carbonate, 1 , 2-dimethoxyethane, 1,3-dimethyl-2-imidazolidinone, dimethyl sulfoxide, ethylene carbonate, ethylmethyl carbonate, N, N-dimethylformamide, N, N-dimethylacetamide, N-methyl -2-pyrrolidone, polyethylene sulfolane, tetraethylene glycol dimethyl ether, acetone, alcohol, water or a mixture of any one or more thereof may be selected and used, more preferably dimethylformamide (DMF) or Preference is given to using dimethylacetamide (DMAc).
- DMF dimethylformamide
- DMAc dimethylacetamide
- the lower collector is subjected to a high voltage through the nozzle (5) of the nozzle block (4) connected to each supply device (51) 7) to discharge each spinning solution to produce a nanofiber.
- each spinning solution supplied through the supply device 51 is discharged from the nozzle 5 located in each spinning section 31 partitioned in the nozzle block 4 of the electrospinning device, each spinning solution
- the multilayer separator may be prepared by stacking.
- the thickness of the polyolefin substrate is 5 to 50 ⁇ m
- the average pore size is 0.005 ⁇ 3 ⁇ m physical properties and the electrical resistance is 130 ⁇ 185 °C more than 10,000 ⁇ / cm 2 It is particularly suitable for use for electrochemical devices.
- the nanofibers 6 electrospun from the nozzles 5 are collected on the collector 7 while being widely spread by the air injected from the air supply nozzles, so that the collection area becomes wider and the integration density becomes uniform. Excess spinning solution that has not been fiberized in the nozzle is collected in the overflow removing nozzle and is moved back to the spinning solution supply device 51 through the temporary storage plate of the overflow solution.
- the diameter of the nanofibers may be the same or different from each other, the thickness of the membrane, the diameter of the fiber, the shape of the fiber, the mechanical properties of the separator, etc., the intensity of the applied voltage, the type of polymer solution, the viscosity of the polymer solution, the discharge It can be arbitrarily adjusted by changing electrospinning process conditions such as flow rate.
- the air velocity in the air supply nozzle is preferably 0.05m ⁇ 50m / sec, more preferably 1 ⁇ 30m / sec.
- the air velocity is less than 0.05 m / sec, the nanofiber spreading property of the collector is low and the collection area is not greatly improved.
- the air velocity exceeds 50 m / sec, the air velocity is too fast and the nanofibers are collected. The area of focus is rather reduced, and the more serious problem is not the nanofibers but rather the coarse skew attached to the collector, which significantly reduces the nanofiber performance.
- the environmental conditions of temperature and humidity are different depending on the polymer material, but it is preferable to spin at an environmental condition of temperature of 30 to 40 °C, humidity of 40 to 70%.
- a voltage of 1 kV or more in the voltage generator more preferably 20 kV or more.
- the collector 7 is more advantageous in terms of productivity using an endless belt, the collector 7 is preferably reciprocating a predetermined distance from side to side to make the density of the separator uniform.
- the nanofibers produced by continuously treating the separator formed on the collector 7 with an embossing roller are wound on the winding roller 13 to complete the porous membrane manufacturing process.
- the prepared porous separator may be made of a polymer nanofiber layer 73, or may include a polyolefin substrate 71 and a polymer nanofiber layer 73 formed on one surface of the polyolefin substrate. .
- the manufacturing process can increase the trapping area to uniform the integration density of the nanofibers, effectively prevent the droplet (Droplet) phenomenon to improve the quality of the nanofibers, and the fiber forming effect by the electric force is increased Nanofibers can be produced in large quantities.
- the nozzles composed of the plurality of pins in a block form, the width and thickness of the nanofibers and filaments can be freely changed and adjusted.
- the diameter of the nanofibers produced by the method of manufacturing a porous separator for secondary batteries according to the present invention as described above is preferably 30 to 2000nm, more preferably 50 to 1500nm.
- the electrolyte membrane for the fuel cell must include an ion conductor to smoothly move the ions.
- the ion conductor In order for these ions to move smoothly in the electrolyte membrane, the ion conductor must be evenly filled throughout the nanofibers. However, if the voids are too small or too large, a problem arises in that the ion conductivity is lowered because the ion conductors are filled with a bias.
- the nanofibers may be impregnated with the ionic conductor smoothly only when there are many pores having a specific pore size. In other words, if the pore is too small, the ion conductor may not be impregnated smoothly, while if the pore is too large, the ion conductor may be excessively impregnated.
- the size of the pore size of such an ion conductor may be smoothly impregnated into the pores of the nanofibers not exceeding the range of ⁇ 0.2 ⁇ m.
- the porosity of the porous separator is preferably 40% or more, more preferably 40 to 80%, when the porosity is low, it is not suitable for use as a separator for high performance secondary batteries.
- the total thickness of the porous membrane is preferably 5 to 70 ⁇ m, more preferably 10 to 30 ⁇ m. If the thickness of the porous separator is thinner than 5 ⁇ m may be a problem in the battery manufacturing process because the strength is weak, if the thickness of more than 70 ⁇ m may decrease the ion conductivity.
- the inorganic slurry prepared by adding the inorganic material and the binder to the acetone using the nanofiber separator prepared by the electrospinning method as described above may be coated on the nanofiber separator by a casting method to form the inorganic coating layer 75.
- the porous separator may include a polymer nanofiber layer 73 and an inorganic coating layer 75 formed on one surface of the polymer nanofiber layer.
- the porous separator may include a polyolefin substrate 71, a polymer nanofiber layer 73 formed on one surface of the polyolefin 71 substrate, and an inorganic coating layer 75 formed on one surface of the polymer nanofiber layer.
- the inorganic material is SiO 2 , Al 2 O 3 , TiO 2 , Li 3 PO 4 , zeolite, MgO, CaO, BaTiO 3 , Li 2 O, LiF, LiOH, Li 3 N, BaO, Na 2 O, Li 2 CO 3 , CaCO 3 , LiAlO 2 , SiO, SnO, SnO 2 , PbO 2 , ZnO, P 2 O 5 , CuO, MoO, V 2 O 5 , B 2 O 3 , Si 3 N 4 , CeO 2 , Mn 3 O 4 , Sn 2 P 2 O 7 , Sn 2 B 2 O 5 , Sn 2 It may be one selected from the group consisting of BPO 6 and mixtures thereof, the size may be 0.5 ⁇ m, but is not limited thereto.
- the binder may be one selected from the group consisting of polyacrylonitrile, polyvinylidene fluoride, polyimide, metaaramid, polymethyl methacrylate, carboxymethyl cellulose, polyvinyl alcohol, and styrene butadiene rubber, It is used to coat the inorganic particles on nanofibers.
- the weight ratio of the inorganic material and the binder is not particularly limited, but is preferably 95: 5 to 50:50.
- the coating method may use various coating methods such as chemical vapor deposition (CVD), physical vapor deposition (PVD), thermal spray coating, dip coating, spin coating, and casting method. In particular, coating by a casting method is preferred.
- CVD chemical vapor deposition
- PVD physical vapor deposition
- thermal spray coating dip coating
- spin coating spin coating
- casting method coating by a casting method is preferred.
- the spinning solution means a solution in which each polymer is dissolved in an organic solvent.
- the polymers may be the same or different from each other, and each of the polymers is preferably a heat resistant polymer or an inorganic polymer.
- Non-limiting examples of the heat resistant polymer include polyvinylidene fluoride, polyvinylidene fluoride-hexafluoro propylene copolymer, or a composite composition thereof, polyamide, polyimide, polyamideimide, poly (meth-phenylene isopropyl) Deamid), metaaramid, polyethylenechlorotrifluoroethylene, polychlorotrifluoroethylene, polymethylmethacrylate, polyacrylonitrile, polyvinylidene chloride-acrylonitrile copolymer, polyacrylamide, and the like. It is possible to use one or more selected from the group consisting of polyimide, polyacrylonitrile, metaarimid and polyvinylidene fluoride.
- the polyimide which is one of the heat resistant polymers used in the present invention, may be prepared by a two step reaction.
- the first step is to prepare a polyamic acid.
- the polyamic acid proceeds by adding dianhydride to a reaction solution in which diamine is dissolved. Control of temperature, water content of the solvent, purity of the monomer, and the like are required.
- organic polar solvents of dimethylacetamide (DMAc), dimethylformamide (DMF) and en-methyl-2-pyrrolidone (NMP) are mainly used.
- the anhydrides include pyromellyrtic dianhydride (PMDA), benzophenonetetracarboxylicdianhydride (BTDA), 4,4'-oxydiphthalic anhydride (4,4'-oxydiphthalic anhydride, ODPA), biphenyltetracarboxylic dianhydride (BPDA) and bis (3,4'-dicarboxyphenyl) dimethylsilanedihydride (bis (3,4-dicarboxyphenyl) dimethylsilane dianhydride (SIDA) It can be used to include one.
- PMDA pyromellyrtic dianhydride
- BTDA benzophenonetetracarboxylicdianhydride
- ODPA 4,4'-oxydiphthalic anhydride
- BPDA biphenyltetrac
- the diamine may be 4,4'-oxydianiline (4,4'-oxydianiline, ODA), paraphenylenediamine (p-penylene diamine, p-PDA) and orthophenylenediamine (o-penylenediamine, o-PDA) may be used.
- ODA 4,4'-oxydianiline
- paraphenylenediamine p-penylene diamine, p-PDA
- orthophenylenediamine o-penylenediamine, o-PDA
- the weight average molecular weight (Mw) of the polyamic acid is preferably 10,000 to 500,000. If the molecular weight of the polyamic acid is less than 10,000, it is not possible to obtain sufficient physical properties to form a nonwoven fabric, and if it exceeds 500,000, handling of the solution may not be easy and processability may be reduced.
- the reprecipitation method is a method of obtaining a solid polyamic acid by adding a polyamic acid solution to an excess Poor solvent.
- Water is mainly used as a reprecipitation solvent, but toluene or ether may be used as a cosolvent. .
- the chemical imidization method is a method of chemically imidizing a reaction using a dehydration catalyst such as acetic anhydride / pyridine, and is useful for producing a polyimide film.
- the thermal imidization method is a method of thermally imidating a polyamic acid solution by heating it to 150 to 350 ° C.
- the simplest process or crystallinity is high, and the polymer is decomposed because an amine exchange reaction occurs when an amine solvent is used. have.
- Isocyanate method uses diisocyanate as a monomer instead of diamine, and polyimide is produced while CO 2 gas is generated when the monomer mixture is heated to a temperature of 120 ° C. or higher.
- polyacrylonitrile which is one of the heat resistant polymers used in the present invention, is a copolymer made from a mixture of acrylonitrile and units constituting most of them.
- Other monomers that frequently enter are butadiene styrene vinylidene chloride or other vinyl compounds.
- the same acrylic fiber contains at least 85% acrylonitrile and modacryl contains 35-85% acrylonitrile.
- the fiber is of a desired nature, such as an increase in affinity for the dye.
- the degree of polymerization of the polyacrylonitrile is preferably 1,000 to 1,000,000, more preferably 2,000 to 1,000,000. If the degree of polymerization of the polyacrylonitrile is too low, it dissolves or swells in a carbonate-based electrolyte and causes desorption of the electrode from the current collector as the cycle progresses, thereby decreasing the efficiency of the battery. This increases the viscosity of the electrode mixture is difficult to handle.
- the acrylonitrile monomer, a hydrophobic monomer, and a hydrophilic monomer within the range which satisfy
- the weight percent of acrylonitrile monomer in the polymer polymerization is less than 60 when the total monomer subtracted less than 60 by using a weight ratio of the hydrophilic monomer and the hydrophobic monomer in a 3: 4 ratio, and the viscosity is too low for electrospinning. Even if a crosslinking agent is added thereto, it is difficult not only to cause nozzle contamination but also to form a stable jet during electrospinning.
- the spin viscosity is too high, it is difficult to spin, even if the additive to lower the viscosity is added to the diameter of the ultrafine fibers and the productivity of the electrospinning is too low to achieve the object of the present invention.
- the amount of the comonomer in the acrylic polymer is increased, the amount of the crosslinking agent should be added to ensure the stability of electrospinning and to prevent the mechanical properties of the nanofibers from deteriorating.
- the hydrophobic monomer is an ethylene compound such as methyl acrylate, ethyl acrylate, methyl methacrylate, ethyl methacrylate, butyl methacrylate, vinyl acetate, vinylpyrrolidone, vinylidene chloride, vinyl chloride and the like Preference is given to using any one or more selected from derivatives.
- the hydrophilic monomer is acrylic acid, allyl alcohol, metaallyl alcohol, hydroxy ethyl acrylate, hydroxy ethyl methacrylate, hydroxypropyl acrylate, butanediol monoacrylate, dimethylaminoethyl acrylate, butene tricarboxylic acid It is preferable to use any one or more selected from ethylene-based compounds such as vinylsulfonic acid, allylsulfonic acid, metalylsulfonic acid, parastyrenesulfonic acid, and polyhydric acids or derivatives thereof.
- an initiator used to prepare the acrylonitrile-based polymer even if an azo compound or a sulfate compound is used, there is no big problem, but in general, it is preferable to use a radical initiator used for a redox reaction.
- meta-aramid which is one of the heat resistant polymers used in the present invention, preferably has a weight average molecular weight of 3,000 to 500,000. If the weight average molecular weight of the metaaramid is less than 3,000, the physical properties of the fiber is inferior, and if the weight average molecular weight exceeds 500,000, the processability may be lowered.
- the metaaramids include meta-oriented synthetic aromatic polyamides.
- Metaaramid polymers must have a fiber-forming molecular weight and can include polyamide homopolymers, copolymers, and mixtures thereof that are primarily aromatic, wherein at least 85% of the amide (-CONH-) bonds are directly directed to the two aromatic rings. Attached. The ring may be unsubstituted or substituted.
- the polymer becomes meta-aramid when two rings or radicals are meta-oriented relative to each other along the molecular chain.
- the copolymer has up to 10% other diamines substituted with the primary diamine used to form the polymer, or up to 10% other substituted with the primary diacid chloride used to form the polymer. Have diacid chloride.
- metaaramids are poly (meth-phenylene isophthalamide) (MPD-I) and copolymers thereof.
- MPD-I poly (meth-phenylene isophthalamide)
- One such metaaramid fiber is Lee. Wilmington, Delaware, USA. Child. Nomex® aramid fibers available from EI du Pont de Nemours and Company, while metaaramid fibers are available from Teijin Ltd., Tokyo, Japan. Trade name Tejinconex (registered trademark); New Star® meta-aramid, available from Yantai Spandex Co. Ltd, Shandong, China; And Chinfunex® Aramid 1313, available from Guangdong Charming Chemical Co. Ltd., Xinhui, Guangdong, China.
- This meta-aramid is the first high heat-resistant aramid fiber, it can be used at 350 °C in a short time, 210 °C in continuous use, and when exposed to a temperature higher than this does not melt or burn like other fibers, it is carbonized . Above all, unlike other products that have been flame retardant or fireproof, it does not emit toxic gases or harmful substances even when carbonized and has excellent properties as an eco-friendly fiber.
- meta-aramid since meta-aramid has a very strong molecular structure, the molecules constituting the fiber are not only strong in nature but also easily oriented in the fiber axial direction in the spinning step, thereby improving crystallinity and improving the strength of the fiber. There is an advantage to increase.
- PVDF polyvinylidene fluoride
- the organic electrolyte solution which has excellent compatibility with the organic electrolyte, has the advantage of being able to be used as a safe electrolyte without being leaked. Since the organic solvent electrolyte is injected later, the polymer matrix can be produced in the air.
- the polyvinylidene fluoride includes a homopolymer of vinylidene fluoride or a copolymer polymer containing 50% or more of vinylidene fluoride in a molar ratio, and the homopolymer from the viewpoint of excellent strength of the polyvinylidene fluoride resin
- the polyvinylidene fluoride resin is a copolymerized polymer, and as other copolymerized monomer copolymerized with vinylidene fluoride monomer, a known one can be appropriately selected and used, but is not particularly limited. Chlorine monomers and the like can be suitably used.
- the weight average molecular weight (Mw) of the polyvinylidene fluoride resin is not particularly limited, but is preferably 10,000 to 500,000, more preferably 50,000 to 500,000.
- Mw weight average molecular weight of the polyvinylidene fluoride resin
- the nanofibers constituting the nanofibers may not obtain sufficient strength, and when the polyvinylidene fluoride resin exceeds 500,000, the solution may not be easily handled and the processability may be poor. It becomes difficult to obtain.
- the inorganic polymer that can be used in the present invention is a homopolymer containing a silane group or a siloxane group, or a silane group or a siloxane group and a monomethacrylate, vinyl, hydride, distearate, bis (12-hydroxy-stearate).
- Methoxy, ethoxylate, propoxylate, diglycidyl ether, monoglycidyl ether, monohydroxy, bis (hydroxyalkyl), chlorine, bis (3-aminopropyl) and bis ((amino A copolymer polymer including a linking group selected from ethyl-aminopropyl) dimethoxysilyl) ether may be used, but is not limited thereto.
- the number average molecular weight (Mn) of the inorganic polymer is more preferably in the range of 10,000 to 100,000.
- Mn number average molecular weight of the inorganic polymer
- the number average molecular weight of the inorganic polymer is less than 10,000, physical properties for producing the nonwoven fabric may not be sufficiently obtained. If the number average molecular weight of the inorganic polymer is greater than 100,000, the handling may not be easy and the processability may be reduced.
- a polyamic acid spinning solution was prepared by dissolving polyamic acid having a weight average molecular weight of 100,000 in dimethylacetamide (DMAc).
- the polyamic acid spinning solution was put into a bottom-up electrospinning apparatus and supplied to a spinning nozzle to be electrospun upward on a collector to prepare a polyamic acid nanofiber having a thickness of 10 ⁇ m.
- the discharge amount per spinning nozzle was 10ml / min
- the distance between the electrode and the collector was 40cm
- the applied voltage was 20kV.
- the polyamic acid nanofibers prepared by electrospinning were subjected to heat treatment at 300 ° C. to imidize the polyamic acid nanofibers with polyimide nanofibers to prepare a porous separator for secondary batteries made of polyimide nanofibers.
- Polyacrylonitrile (Hanil Synthetic Fiber) having a weight average molecular weight of 157,000 was dissolved in dimethylformamide (DMF) to prepare a polyacrylonitrile spinning solution.
- DMF dimethylformamide
- the polyacrylonitrile spinning solution was added to a bottom-up electrospinning apparatus and supplied to a spinning nozzle to be electrospun upward on a collector to prepare a porous separator for secondary batteries made of polyacrylonitrile nanofibers having a thickness of 5 ⁇ m.
- the discharge amount per spinning nozzle was 10ml / min
- the distance between the electrode and the collector was 40cm
- the applied voltage was 20kV.
- Polyvinylidene fluoride (KYNAR741) was dissolved in dimethylacetamide (DMAc) to prepare a polyvinylidene fluoride spinning solution. It was dissolved in (DMF) to prepare a metaaramid spinning solution.
- DMAc dimethylacetamide
- DMF metaaramid spinning solution
- the radiation zone of the bottom-up electrospinning device is divided into two sections, the polyvinylidene fluoride spinning solution is introduced into a first supply device connected to the first radiation section, and the second supply device is connected to the second spinning section.
- the metaaramid solution was added thereto, and the electrospinning was continuously performed in a bottom-up manner.
- Polyvinylidene fluoride nanofibers are formed on a collector in a first section to which the first feeder is connected, and the polyvinylidene fluoride nanofibers are formed on a second section to which a second feeder is connected by moving the collector at a constant speed.
- the meta-aramid solution was spun on the upper layer to form the meta-aramid nanofibers, thereby forming a porous separator for secondary batteries formed of two layers.
- the discharge amount per spinning nozzle was 10ml / min
- the distance between the electrode and the collector was 40cm
- the applied voltage was 20kV
- the thickness of each nanofiber layer was 5
- the total thickness of the prepared porous separator for secondary battery is 10 ⁇ m Prepared.
- a porous separator was prepared in the same manner as in Example 1.
- a polysiloxane (DOW CORNING, MB50-010) having a number average molecular weight of 50,000 was dissolved in an acetone solvent to prepare a 20 mass% polysiloxane spinning solution, and the spinning solution was coated on an 10-micron-thick polyolefin substrate (Celgard 2400).
- the distance between the collectors was 40 cm, an applied voltage of 15 kV, a spinning solution flow rate of 0.1 mL / h, a temperature of 22, and a humidity of 20%.
- a polysiloxane nanofiber was prepared in the same manner as in Example 4 except that 10 mass% of the polysiloxane spinning solution was prepared and used instead of 20 mass% of the polysiloxane spinning solution.
- Separation membranes were prepared using a 13 ⁇ m thick polyolefin film (Celgard 2400) which was not treated separately.
- a polyamic acid having a weight average molecular weight of 100,000 was dissolved in a THF / DMAc 8: 2 mixed solvent to prepare a spinning solution, and the spinning solution was applied to a polyolefin substrate (Celgard 2400) having a thickness of 10 cm and a distance of 40 cm was applied. Upward electrospinning was performed at a voltage of 15 kV, a spinning solution flow rate of 0.1 mL / h, a temperature of 22 ° C., and a humidity of 20% to form polyamic acid nanofibers having a thickness of 3 ⁇ m. Thereafter, the polyamic acid nanofibers were calcined at 300 ° C. and imidized into polyamide nanofibers.
- a slurry was prepared by adding 0.5 ⁇ m size Al 2 O 3 inorganic particles and polyvinylidene fluoride (PVDF) having a weight average molecular weight of 50,000 to acetone in a 9: 1 weight ratio. Thereafter, the prepared slurry was coated on the polyamide nanofiber prepared in Step 1 by a casting method by 5 ° C. in thickness to form an inorganic coating layer.
- PVDF polyvinylidene fluoride
- Example 7 Preparation of a Porous Separator for a Secondary Battery Including an Inorganic Coating Layer
- Example 6 except that 0.5 ⁇ m-sized Al 2 O 3 inorganic particles and polyvinylidene fluoride (PVDF) having a weight average molecular weight of 50,000 were added to acetone in an 8: 2 weight ratio instead of a 9: 1 weight ratio.
- PVDF polyvinylidene fluoride
- Separation membrane was prepared using a polyolefin film (Celgard 2400) of 18 ⁇ m thickness not treated separately.
- PVDF polyvinylidene fluoride
- porous separators prepared in Examples 6 and 7 and the separators prepared in Comparative Examples 3 and 4, respectively, were cut to a size of 5 cm ⁇ 5 cm, and then 1M LiPF 6 EC / DMC / DEC (1 / 1/1)
- the excess electrolyte solution on the surface was removed by paper filter paper, and then measured by comparing the weight before and after immersion in the electrolyte solution, the electrolyte absorption rate was measured as follows. Table 2 shows.
- porous membranes prepared in Examples 6 and 7 and the membranes prepared in Comparative Examples 3 and 4, respectively were prepared in a size of 5 cm ⁇ 2.5 cm, respectively, sandwiched between two slide glasses, and then tightened with clips, and then at 150 ° C. After preventing for 30 minutes, the shrinkage was calculated, and the results are shown in Table 2 below.
- the porous membranes (Examples 6 and 7) to which the nanofibers and the inorganic coating layer are firmly attached by electrospinning, the inorganic material is added to the general polyolefin film (Comparative Example 3) and the polyolefin film. Compared with the directly coated separator (Comparative Example 4), the heat resistance and electrolyte wettability were significantly improved.
- Example 8 Preparation of a Porous Separator for a Secondary Battery Including an Inorganic Coating Layer
- a polyacrylonitrile (Hanil Synthetic Fiber) having a weight average molecular weight of 157,000 was dissolved in a DMF solvent to prepare a spinning solution, and the spinning solution was separated from the electrode on the polyolefin substrate (Celgard 2400) having a thickness of 10 ⁇ m by 40 cm, Upward electrospinning was performed at an applied voltage of 15 kV, a spinning solution flow rate of 0.1 mL / h, a temperature of 22 ° C., and a humidity of 20% to form polyacrylonitrile nanofibers having a thickness of 3 ⁇ m.
- a slurry was prepared by adding 0.5 ⁇ m size Al 2 O 3 inorganic particles and polymethyl methacrylate (Poly (methyl methacrylate), PMMA) (LG IG840) to acetone in a 9: 1 weight ratio. Thereafter, the prepared slurry was coated on the polyacrylonitrile nanofiber prepared in Step 1 by a casting method with a thickness of 5 ⁇ m to form an inorganic coating layer.
- Poly (methyl methacrylate), PMMA) LG IG840
- Example 10 Preparation of a Porous Separator for a Secondary Battery Including an Inorganic Coating Layer
- a polyvinylidene fluoride having a weight average molecular weight (Mw) of 50,000 was dissolved in a DMAc solvent to prepare a spinning solution.
- a 3 ⁇ m-thick polyvinylidene fluoride nanofiber was formed by upward electrospinning at an applied voltage of 15 kV, a spinning solution flow rate of 0.1 mL / h, a temperature of 22 ° C., and a humidity of 20%.
- a slurry was prepared by adding 0.5 ⁇ m size Al 2 O 3 inorganic particles and polymethyl methacrylate (Poly (methyl methacrylate), PMMA) (LG IG840) to acetone in a 9: 1 weight ratio. Thereafter, the prepared slurry was coated on the polyvinylidene fluoride nanofiber prepared in Step 1 by a thickness of about 5 ⁇ m to form an inorganic coating layer.
- Poly (methyl methacrylate), PMMA) LG IG840
- Example 11 Preparation of a Porous Separator for Secondary Battery Including an Inorganic Coating Layer
- Example 10 Except that 0.5 ⁇ m-sized Al 2 O 3 inorganic particles and polymethyl methacrylate (PMMA) (LG IG840) were added to acetone in an 8: 2 weight ratio instead of a 9: 1 weight ratio, By performing the same process as in Example 10 to prepare a porous separator for a secondary battery including an inorganic coating layer.
- PMMA polymethyl methacrylate
- Example 12 Preparation of a Porous Separator for Secondary Battery Including an Inorganic Coating Layer
- Meta-aramid having a weight average molecular weight (Mw) of 50,000 was dissolved in a DMAc solvent to prepare a spinning solution.
- the spinning solution was placed on a polyolefin substrate (Celgard 2400) having a thickness of 10 ⁇ m with a distance of 40 cm and an applied voltage of 15 kV.
- a slurry was prepared by adding 0.5 ⁇ m size Al 2 O 3 inorganic particles and polymethyl methacrylate (Poly (methyl methacrylate), PMMA) (LG IG840) to acetone in a 9: 1 weight ratio. Thereafter, the prepared slurry was coated on the meta-aramid nanofiber prepared in step 1 by a casting method with a thickness of 5 ⁇ m to form an inorganic coating layer.
- Poly (methyl methacrylate), PMMA) LG IG840
- Example 13 Preparation of a Porous Separator for Secondary Battery Including an Inorganic Coating Layer
- a separator was prepared.
- porous membranes prepared in Examples 8 to 13 and the membranes prepared in Comparative Examples 3 and 5, respectively, were prepared in a size of 5 cm ⁇ 2.5 cm, respectively, sandwiched between two slide glasses, and then tightened with clips, and then, at 150 ° C. After preventing for 30 minutes, the shrinkage was calculated, and the results are shown in Table 3 below.
- the porous separator (Examples 8 to 13) to which the nanofibers and the inorganic coating layer by electrospinning are firmly attached, the inorganic material is added to the general polyolefin film (Comparative Example 3) and the polyolefin film. Compared with the directly coated separator (Comparative Example 5), the heat resistance was much improved.
Landscapes
- Chemical & Material Sciences (AREA)
- Chemical Kinetics & Catalysis (AREA)
- Electrochemistry (AREA)
- General Chemical & Material Sciences (AREA)
- Engineering & Computer Science (AREA)
- Manufacturing & Machinery (AREA)
- Health & Medical Sciences (AREA)
- Medicinal Chemistry (AREA)
- Polymers & Plastics (AREA)
- Organic Chemistry (AREA)
- Cell Separators (AREA)
Abstract
Description
본 발명은 전기방사를 이용한 이차전지용 다공성 분리막의 제조방법 및 이에 따라 제조된 이차전지용 다공성 분리막에 관한 것으로, 보다 상세하게는 상향식 전기방사를 이용하여 이차전지용 다공성 분리막을 제조하는 방법 및 이에 따라 제조된 이차전지용 다공성 분리막에 관한 것이다.The present invention relates to a method for manufacturing a porous separator for secondary batteries using electrospinning and to a porous separator for secondary batteries prepared according to the above, and more particularly, to a method for manufacturing a porous separator for secondary batteries using a bottom-up electrospinning and thus prepared It relates to a porous separator for secondary batteries.
전자제품의 디지털화와 고성능화 등으로 소비자의 요구가 바뀜에 따라 시장요구도 박형, 경량화와 고에너지 밀도에 의한 고용량을 지니는 전지의 개발로 흐름이 바뀌고 있는 상황이다. 또한, 미래의 에너지 및 환경 문제를 대처하기 위하여 하이브리드 전기 자동차 및 연료전지 자동차의 개발이 활발히 진행되고 있는 바, 자동차 전원용으로 전지의 대형화가 요구되고 있다.As consumer demands change due to the digitization and high performance of electronic products, the market demand is shifting to the development of batteries having thin capacity, light weight, and high capacity due to high energy density. In addition, in order to cope with future energy and environmental problems, the development of hybrid electric vehicles and fuel cell vehicles has been actively progressed, and thus the size of batteries for automobile power sources is required.
이러한 요구에 가장 잘 부합하는 전지의 예로 리튬 이차전지가 있는데, 리튬 이차전지는 양극, 음극, 전해액 및 분리막을 포함하여 구성된다.An example of a battery that best meets these needs is a lithium secondary battery, which includes a positive electrode, a negative electrode, an electrolyte, and a separator.
여기서, 양극에 이용되는 양극활물질은 리튬을 흡장 및 방출할 수 있는 물질로서, 리튬 코발트 산화물(LiCoO2), 리튬 망간 산화물(LiMn2O4), 리튬 니켈 코발트산화물, 리튬 철 인산 옥사이드 등의 복합 금속 산화물이 주로 사용된다.Here, the positive electrode active material used for the positive electrode is a material capable of occluding and releasing lithium, and a composite of lithium cobalt oxide (LiCoO 2 ), lithium manganese oxide (LiMn 2 O 4 ), lithium nickel cobalt oxide, lithium iron phosphate oxide, and the like. Metal oxides are mainly used.
그리고, 음극에서 음극활물질은 리튬을 흡장 및 방출할 수 있는 리튬합금, 카본(carbon), 코크스(cokes), 활성카본(activated carbon), 그래파이트(graphite), 실리콘(Si), 주석(Sn) 등 금속 및/또는 합금 등이 주로 사용된다.And, the negative electrode active material in the negative electrode is lithium alloy, carbon (carbon), cokes (activated carbon), graphite (graphite), silicon (Si), tin (Sn), etc. that can occlude and release lithium Metals and / or alloys and the like are mainly used.
또한, 전해액으로는 리튬염과 유기용매를 포함하는 비수 전해액으로서, 리튬염으로는 LiClO4, LiCF3SO3, LiAsF6, LiBF4, LiPF6, LiSCN, LiC(CF3SO2)3, LiBOB 등이 사용되고, 유기용매로는 에틸렌카보네이트(EC), 프로필렌카보네이트(PC), 디메틸카보네이트(DMC), 디메톡시에탄(DME), 디에톡시에탄(DEE), 2-메틸테트라하이드로퓨란(2-MeTHF), 디메틸설폭사이드(DMSO) 등이 각각 또는 혼합되어 사용된다.In addition, the electrolyte is a non-aqueous electrolyte containing a lithium salt and an organic solvent, and the lithium salt is LiClO 4 , LiCF 3 SO 3 , LiAsF 6 , LiBF 4 , LiPF 6 , LiSCN, LiC (CF 3 SO 2 ) 3 , LiBOB Ethylene carbonate (EC), propylene carbonate (PC), dimethyl carbonate (DMC), dimethoxyethane (DME), diethoxyethane (DEE), 2-methyltetrahydrofuran (2-MeTHF) are used as the organic solvent. ), Dimethyl sulfoxide (DMSO) and the like are used individually or in combination.
한편, 분리막은 전지를 구성하는 4대 핵심재료 중 하나로서, 전지의 양극과 음극 사이에 위치하여 활성이 높은 양극물질인 리튬산화물이 음극과 직접 반응하여 폭발로 이어지지 않도록 분리시켜 전지의 안정성을 높이는 역할을 수행하며, 두 전극 사이에 위치하기 때문에 전극 간 리튬이온의 이동이 원활하게 이루어질 수 있도록 기공이 발달한 구조를 가지고 있다.On the other hand, the separator is one of the four core materials constituting the battery, which is located between the positive and negative electrodes of the battery to increase the stability of the battery by separating the lithium oxide, a highly active positive electrode material reacts directly with the negative electrode to prevent explosion Since it plays a role and is located between two electrodes, it has a structure in which pores are developed to smoothly move lithium ions between electrodes.
여기서, 분리막은 얇을수록 전지 내에서의 부피가 작아, 단위 부피당 전기생산량이 많아지기 때문에, 분리막을 제조하는데 있어 우선시하는 평가항목이 두께이다. 그러나 무조건 얇게 하다보면 분리막의 강도가 취약해 지는 문제점이 따르기 때문에 분리막의 기계적, 열적 강도와 내구성에도 초점을 맞춰야 한다. 전지의 고온저장, 과충전 등은 분리막의 열적 안정성과 관련되고, 못 관통이나 이물질에 의한 안전성 문제는 기계적 물성과 관련된 것들이다.Here, the thinner the separator, the smaller the volume in the battery, and the greater the amount of electricity produced per unit volume. Therefore, the priority item for manufacturing the separator is thickness. However, when the thin film is unconditionally thinned, the strength of the separator is weakened. Therefore, the mechanical and thermal strength and durability of the separator must be focused. High temperature storage and overcharging of batteries are related to the thermal stability of the separator, and the safety problems caused by nail penetration and foreign matter are related to mechanical properties.
또한, 고에너지 밀도 및 대용량의 리튬이온 이차전지, 리튬이온 고분자전지, 슈퍼 커패시터(전기이중층 커패시터 및 유사 커패시터)를 포함하는 이차전지는 상대적으로 높은 작동온도 범위를 지녀야 하며, 지속적으로 고율 충방전 상태로 사용될 때 온도가 상승되므로, 이들 전지에 사용되는 분리막은 보통의 분리막에서 요구되는 것보다도 높은 내열성과 열 안정성이 요구되고 있다. 또한, 급속 충방전 및 저온에 대응할 수 있는 높은 이온전도도 등 우수한 전지특성을 지녀야 한다.In addition, secondary batteries including high energy density and large capacity lithium ion secondary batteries, lithium ion polymer batteries, and supercapacitors (electric double layer capacitors and similar capacitors) must have a relatively high operating temperature range and continuously maintain high rate charge and discharge conditions. Since the temperature rises when used, the separators used in these batteries are required to have higher heat resistance and thermal stability than those required for ordinary separators. In addition, it should have excellent battery characteristics such as high ion conductivity that can cope with rapid charging and discharging and low temperature.
분리막은 전지의 양극과 음극 사이에 위치하여 절연을 시키며, 전해액을 유지시켜 이온전도의 통로를 제공하며, 전지의 온도가 지나치게 높아지면 전류를 차단하기 위하여 분리막의 일부가 용융되어 기공을 막는 폐쇄기능을 갖고 있다.The separator is positioned between the anode and the cathode of the battery to insulate it, maintains the electrolyte to provide a path for ion conduction, and when the temperature of the battery becomes too high, a part of the separator melts to block pores in order to block the current. Have
온도가 더 올라가 분리막이 용융되면 큰 홀이 생겨 양극과 음극 사이에 단락이 발생된다. 이 온도를 단락온도(SHORT CIRCUIT TEMPERATURE)라 하는데, 일반적으로 분리막은 낮은 폐쇄(SHUTDOWN) 온도와 보다 높은 단락온도를 가져야 한다. 폴리에틸렌 분리막의 경우 전지의 이상 발열시 150℃ 이상에서 수축하여 전극 부위가 드러나게 되어 단락이 유발될 가능성이 있다. 그러므로, 고에너지 밀도화, 대형화 이차전지를 위하여 폐쇄기능과 내열성을 모두 갖는 것이 매우 중요하다.When the temperature rises further and the separator melts, a large hole is formed, which causes a short circuit between the anode and the cathode. This temperature is called SHORT CIRCUIT TEMPERATURE. In general, the membrane should have a low shut-down temperature and a higher short-circuit temperature. In the case of a polyethylene separator, when an abnormal heat generation of a battery occurs, a contraction occurs at 150 ° C. or higher to expose an electrode part, thereby causing a short circuit. Therefore, it is very important to have both the closing function and the heat resistance for high energy density and large sized secondary battery.
즉, 내열성이 우수하여 열 수축이 작고, 높은 이온전도도에 따른 우수한 싸이클 성능을 갖는 분리막이 필요하다.That is, there is a need for a separation membrane having excellent heat resistance, low thermal shrinkage, and excellent cycle performance according to high ion conductivity.
다공성 나노섬유는 표면적이 넓고 다공성이 우수하기 때문에 다양한 용도로 이용할 수 있는데, 예를 들면, 정수용 필터, 공기 정화용 필터, 복합재료, 및 전지용 분리막 등에 이용할 수 있다. 특히, 이러한 다공성 나노섬유는 자동차용 연료전지의 분리막에 유용하게 적용할 수 있다. Porous nanofibers can be used in various applications because of their wide surface area and excellent porosity. For example, the porous nanofibers can be used for water purification filters, air purification filters, composite materials, and battery separators. In particular, such porous nanofibers can be usefully applied to the separator of a fuel cell for automobiles.
일반적으로, 나노섬유(Nano Fiber)란, 지름이 수십에서 수백 나노미터에 불과한 초극세사(超極細絲)를 지칭하는 것으로서, 나노섬유로 구성된 부직포, 멤브레인 및 브레이드 등의 제품은 생활용품, 농업용, 의류용 및 산업용 등으로 널리 사용된다.Generally, nanofiber refers to ultra-fine fibers having a diameter of only tens to hundreds of nanometers. Products such as nonwoven fabrics, membranes, and braids composed of nanofibers are used for household goods, agriculture, and clothing. Widely used in the industrial and industrial applications.
상기와 같은 나노섬유는 전기장에 의해 생산된다. 즉, 나노섬유는 원료인 고분자 물질에 고전압의 전기장을 가하여 원료인 고분자 물질 내부에 전기적인 반발력을 발생시키고, 이로 인해 분자들이 뭉쳐 나노 크기의 실 형태로 갈라짐으로써 나노섬유가 제조 및 생산된다.Such nanofibers are produced by an electric field. That is, the nanofibers generate an electric repulsive force inside a polymer material as a raw material by applying an electric field of high voltage to the polymer material as a raw material, and thus, the molecules are agglomerated into nano-sized yarns to manufacture and produce the nanofibers.
이때, 전기장이 강할수록 원료인 고분자 물질이 가늘게 분리되기 때문에 10 내지 1000nm의 직경을 갖는 나노섬유를 얻을 수 있다.At this time, the stronger the electric field, the thinner the polymer material is separated from the raw material can be obtained a nanofiber having a diameter of 10 to 1000nm.
이러한 직경을 갖는 나노섬유를 제조 및 생산하기 위한 전기방사장치는 내부에 방사용액이 충진되는 방사용액 주탱크, 방사용액을 정량으로 공급하기 위한 계량 펌프, 방사용액을 토출하기 위한 노즐이 다수개 배열설치되는 노즐블록, 노즐 하단에 위치하여 방사되는 섬유들을 집적하는 컬렉터 및 전압을 발생시키는 전압 발생장치를 포함하여 구성된다.The electrospinning apparatus for manufacturing and producing nanofibers having such diameters includes a spinning liquid main tank in which spinning solution is filled, a metering pump for quantitatively supplying spinning solution, and a plurality of nozzles for ejecting spinning solution. It is configured to include a nozzle block to be installed, a collector that is located at the bottom of the nozzle to aggregate the fibers to be emitted and a voltage generator for generating a voltage.
상술한 바와 같은 구조로 이루어지는 전기방사장치를 통한 나노섬유의 제조방법은 방사용액 주탱크 내의 방사용액이 계량 펌프를 통해 높은 전압이 부여되는 다수의 노즐 내에 연속적으로 정량 공급되고, 노즐로 공급된 방사용액은 높은 전압이 가해진 컬렉터 상에 노즐을 통하여 방사, 집속되어 단섬유 웹이 형성되며, 형성된 단섬유 웹을 엠보싱 또는 니들펀칭하여 나노섬유로 제조한다.In the method for producing nanofibers using the electrospinning device having the structure as described above, the spinning solution in the spinning solution main tank is continuously metered into a plurality of nozzles to which a high voltage is applied through a metering pump, and is supplied to the nozzle. The working liquid is spun and concentrated through a nozzle on a collector to which high voltage is applied to form a short fiber web, and the short fiber web is embossed or needle punched to produce nanofibers.
여기서, 전기방사장치는 컬렉터가 위치하는 방향에 따라 상향식 전기방사장치, 하향식 전기방사장치 및 수평식 전기방사장치로 나뉜다. 즉, 전기방사장치는 컬렉터가 노즐의 상단에 위치하는 구성으로 이루어지는 상향식 전기방사장치, 컬렉터가 노즐의 하단에 위치하는 구성으로 이루어지는 하향식 전기방사장치 및 컬렉터와 노즐이 수평방향으로 배열되는 수평식 전기방사장치로 나뉜다.Here, the electrospinning device is divided into a bottom-up electrospinning device, a top-down electrospinning device and a horizontal electrospinning device according to the direction in which the collector is located. In other words, the electrospinning device is a bottom-up electrospinning device having a configuration in which the collector is located at the top of the nozzle, a top-down electrospinning device having a configuration in which the collector is located at the bottom of the nozzle, and a horizontal electric in which the collector and the nozzle are arranged in the horizontal direction. It is divided into a radiator.
한편, 하향식 전기방사 장치를 이용한 나노섬유의 제조는 방사 시 방사액이 물방울 형태로 그대로 낙하하는 현상(이하 "드롭렛(Droplet)"이라고 한다)이 발생하여 제품의 품질이 저하되는 문제가 있다.On the other hand, the production of nanofibers using a top-down electrospinning device has a problem in that the spinning liquid falls as it is in the form of water droplets (hereinafter referred to as "droplet") when spinning, the quality of the product is reduced.
또한, 나노섬유 제조 시 사용되는 고분자는 크게 유기 고분자와 무기 고분자로 나눌 수 있는데, 일반적으로 유기 고분자는 값이 싸고, 가벼우며 잘 산화부식되지 않을 뿐만 아니라, 낮은 온도에서도 성형이 가능하고, 우수한 전기 절연체로 작용한다.In addition, the polymers used in the manufacture of nanofibers can be broadly divided into organic polymers and inorganic polymers. In general, organic polymers are inexpensive, light, and do not oxidize well. It acts as an insulator.
한편, 유기 고분자는 이러한 장점에도 불구하고 몇 가지 치명적인 단점을 가지고 있다. 먼저 극한 온도에서 사용 시 경도(hardness)와 취화도(brittleness)가 저하된다는 문제점, 장시간 고온 가열 시 녹거나 쉽게 분해가 일어나 인체에 해로운 독가스를 배출한다는 점, 장시간 자외선 조사 시 분해 혹은 변성이 일어난다는 점 및 유기 고분자에는 없는 무기 고분자의 특수한 기능성(금속성)들이 문제로 부각되고 있다.On the other hand, organic polymers have some fatal disadvantages despite these advantages. First of all, when used at extreme temperatures, the hardness and brittleness deteriorate, and when it is heated for a long time, it melts or decomposes easily and emits poisonous gas harmful to the human body. Special functionalities (metallic) of inorganic polymers that are not present in dots and organic polymers are emerging as problems.
유기 고분자의 예를 들면, 폴리아크릴로니트릴계 고분자는 물리화학적 안정성이 뛰어나고 내약품성과 기계적 물성이 우수하여 산업용 섬유로 많이 이용되고 있다. 특히 나일론, 폴리비닐알콜 등의 고분자보다 상대적으로 소수성을 띄고 있어 전기방사를 통해 초극세 섬유를 제조하여 정전 가공할 경우 우수한 정전기 보유능력을 가지게 되므로 필터재료로서 매우 적합한 재료로 알려져 있다. 또한 아크릴로니트릴계 공중합체를 적절하게 친수성 고분자로 개질하여 전기방사할 경우 나노섬유를 위생재, 농업원예, 식품유통, 토목건축, 화장실용품, 의약품, 전기전자재료 등으로 광범위하게 사용할 수 있다.For example, the polyacrylonitrile-based polymer has been widely used as an industrial fiber because of its excellent physicochemical stability and excellent chemical resistance and mechanical properties. In particular, it is relatively hydrophobic than polymers such as nylon and polyvinyl alcohol, so it is known as a very suitable material as a filter material because it has excellent electrostatic retention capability when producing ultra-fine fibers through electrospinning and electrostatic processing. In addition, when the acrylonitrile-based copolymer is appropriately modified with a hydrophilic polymer and electrospun, nanofibers can be widely used as a sanitary agent, agricultural horticulture, food distribution, civil construction, toiletries, medicines, and electrical and electronic materials.
또한, 폴리비닐리덴플루오라이드(Polyvinylidene fluoride, PVDF)는 플루오로계열의 고분자 중 하나로, 플루오로 수지는 플루오린을 함유하여 열적, 화학적 성질이 뛰어나다. In addition, polyvinylidene fluoride (PVDF) is one of fluoro-based polymers, and the fluoro resin contains fluorine and has excellent thermal and chemical properties.
[반응식] [Scheme]
폴리비닐리덴플루오라이드는 상기 반응식과 같은 과정으로 제조되며, 다른 플루오로 수지에 비해 녹는점(177℃)과 밀도(1.78g/cm3)가 낮고, 단가가 싸며, 화학적으로 매우 안정하여, 전기줄의 절연, 건물의 외벽을 바르는 고급 페인트로 많이 쓰인다.Polyvinylidene fluoride is prepared by the same process as the above scheme, and has a lower melting point (177 ° C) and density (1.78 g / cm 3 ), lower unit cost, and is highly chemically stable than other fluoro resins. It is often used as a high-quality paint for the insulation of buildings and the exterior walls of buildings.
또한, 폴리비닐리덴플루오라이드는 압전성을 나타내는 대표적인 유기물질로 1960년대부터 많은 연구가 진행되어 왔다. 폴리비닐리덴플루오라이드 고분자 안에는 4가지의 결정이 혼재하고, 이것은 결정형태에 따라 α, β, γ 그리고 δ형의 최소 4가지의 형태로 구분 할 수 있다. 그 중 폴리비닐리덴플루오라이드의 β형 결정은 트랜스형 분자쇄가 평행으로 충진된 것으로 모노머가 갖는 영구쌍극자가 모두 한 방향으로 배열되어 큰 자발 분극을 나타낸다. 이는 연신을 통하여 폴리비닐리덴플루오라이드 분자를 규칙적으로 배열하여 집합상태에 이방성을 부여함으로써 압전성을 가질 수 있다는 것을 의미한다. 이러한 압전 특성을 향상시키기 위하여, 폴리비닐리덴플루오라이드 섬유 내 β형 결정을 증가시키는 다양한 방법들이 연구되고 있다. 일반적으로 폴리비닐리덴플루오라이드 섬유를 제조하기 위하여 용융방사 시스템이 적용되고 있다. 그런데 용융방사 장비 구축 시 고가의 비용이 들고, 용융방사에 의해 제조된 섬유의 사이즈도 제한적이다.In addition, polyvinylidene fluoride is a representative organic material exhibiting piezoelectricity and many studies have been conducted since the 1960s. Four crystals are mixed in the polyvinylidene fluoride polymer, which can be classified into at least four types of α, β, γ, and δ, depending on the crystal form. Among them, the β-type crystals of polyvinylidene fluoride are filled with trans-type molecular chains in parallel, and all of the permanent dipoles of the monomers are arranged in one direction, thereby showing large spontaneous polarization. This means that the polyvinylidene fluoride molecules can be regularly arranged through stretching to impart anisotropy to the aggregated state so that they can have piezoelectricity. In order to improve such piezoelectric properties, various methods for increasing β-type crystals in polyvinylidene fluoride fibers have been studied. In general, melt spinning systems have been applied to produce polyvinylidene fluoride fibers. However, the high cost of building melt spinning equipment is expensive, and the size of the fiber produced by melt spinning is also limited.
습식방사로 제조된 섬유는 습식방사의 응고 매커니즘으로 인하여 방사 초기 단계에서의 섬유 내 β형 결정비율이 α형태 결정비율에 비해 현저히 높고, 용융방사에 비해 방사속도가 느리지만, 방사구 수를 늘려 섬유 사이즈를 줄일 수 있는 이점도 가지고 있다. 또한 습식방사는 연속적인 후처리 공정(연신, 권축 등)을 통해 물성을 향상시킬 수 있는 이점도 가지고 있다.Due to the wet spinning solidification mechanism, the fiber produced by wet spinning has a significantly higher β-crystal ratio in the fiber at the initial stage of spinning than α-crystal ratio and a slower spinning speed than melt spinning, but increases the number of spinnerets. It also has the advantage of reducing fiber size. Wet spinning also has the advantage of improving physical properties through a continuous post-treatment process (stretching, crimping, etc.).
습식방사를 위해서는 중합체를 용매에 용해시켜 방사원액(Dope)을 만들고, 방사원액을 기어펌프와 방사노즐을 통해 용제를 함유한 수용액이 담긴 응고욕으로 토출시킨다. 토출된 방사액상과 응고욕 내부의 용매 및 침전제와의 상호확산이 일어남에 따라 방사액상으로 침전제가 침투하여, 폴리머 - 용매 - 침전제의 3 성분계에서 상분리와 침전이 발생하면서 필라멘트의 고화가 진행됨으로써 섬유가 얻어진다. 이러한 습식방사 시스템은 방사욕조 내에서 연신과 장력을 주어 사슬모양의 고분자를 섬유방향으로 배향시킴으로써 섬유의 기계적 성질 또한 향상시킬 수 있는 이점이 있다.For wet spinning, the polymer is dissolved in a solvent to form a spinning solution (Dope), and the spinning solution is discharged into a coagulation bath containing an aqueous solution containing a solvent through a gear pump and a spinning nozzle. As interdiffusion between the discharged spinning liquid phase and the solvent and precipitant in the coagulation bath occurs, the precipitant penetrates into the spinning liquid phase, and the filament solidifies as the phase separation and precipitation occur in the three-component system of polymer-solvent-precipitant. Is obtained. Such a wet spinning system has the advantage that the mechanical properties of the fibers can also be improved by giving the stretching and tension in the spinning bath to orient the chain-shaped polymer in the fiber direction.
또한, 폴리이미드(PI)는 방향족 디아민과 방향족 테트라카본산 2무수물로 합성된 고내열성 엔지니어링 플라스틱의 대표격으로, 강성 및 치수 안정성이 우수하다.In addition, polyimide (PI) is a representative of high heat-resistant engineering plastics synthesized from aromatic diamine and aromatic tetracarboxylic dianhydride, and has excellent rigidity and dimensional stability.
방향족 디아민과 방향족 카본산을 조합시켜 듀퐁, 도오레, 미쓰이도아츠화학, 치바가이기사, 미쓰비시가스화학, 아모코 및 우베흥산 등에서 여러 종류의 폴리이미드 수지가 출시되고 있으며, 수지성형품, 필름, 바니쉬, 코팅, 섬유 등으로 성형되어 전기전자 부품, 기계 부품 및 자동차 부품 등 여러 분야에 널리 쓰이고 있다.By combining aromatic diamine and aromatic carboxylic acid, various kinds of polyimide resins are released in DuPont, Toray, Mitsui Dotsu Chemical, Chiba Chemical Co., Mitsubishi Gas Chemical, Amoco and Ubeungsan, and resin molding products, films and varnishes. It is molded into coatings, coatings, and textiles, and is widely used in various fields such as electric and electronic parts, mechanical parts, and automobile parts.
폴리이미드를 리튬 이차전지용 분리막에 응용하여 얻을 수 있는 장점 중 하나가 우수한 내열성의 확보이다. 특히, 분자구조가 비교적 대칭인 폴리이미드는 엔지니어링 플라스틱 중에서 최고의 내열성을 보이며 연속 사용온도는 288℃이고 단속 사용온도는 480℃를 보인다.One of the advantages obtained by applying polyimide to a separator for lithium secondary batteries is securing excellent heat resistance. In particular, polyimide, whose molecular structure is relatively symmetrical, exhibits the highest heat resistance among engineering plastics. The continuous use temperature is 288 ° C and the intermittent use temperature is 480 ° C.
그리고 폴리이미드는 전기 절연성이 우수하여 전방향족 타입에서는 절연 내압이 22kV/mm이다.In addition, polyimide has excellent electrical insulation, and the insulation breakdown voltage is 22 kV / mm in the wholly aromatic type.
또한 폴리이미드를 사용한 막은 기계적 강도와 고온에 대한 내열성이 우수하다는 장점 이외에도, 화학적으로 안정하며 높은 투과도를 갖는 특징을 지닌다.In addition to the advantage that the membrane using the polyimide is excellent in mechanical strength and heat resistance to high temperature, it is chemically stable and has a high permeability.
한편, 내열성 고분자로 잘 알려진 아라미드(Aramid)섬유는 '방향족 고리 사이에 아미드결합(-NHCO-)이 적어도 85% 이상 결합한 분자구조의 섬유'로 정의되어 있으며, 이로서 같은 아미드 결합을 가진 나일론 섬유와 구별된다. 아라미드는 벤젠고리의 결합형태에 따라 파라아라미드와 메타아라미드로 나뉘는데, 파라아라미드는 고강도 물성을 가지기 때문에 주로 방탄복의 소재로 이용되고, 메타아라미드는 400℃ 이상의 고온에서도 쉽게 녹지 않을 정도로 일반섬유에 비해 내열성이 뛰어난 특징을 가지기 때문에, 소방복을 포함한 보호복, 전지절연지, 산업용 필터, 산업자재 및 건축용으로 사용된다. 메타아라미드는 아미드결합이 벤젠고리의 메타위치에 결합한 폴리메타페닐렌테레프탈아미드(poly-meta-phenylene-terephthalamide)를 말하며, 하기 분자식 1의 구조를 갖는다.Aramid fibers, well known as heat-resistant polymers, are defined as 'fibers of molecular structure in which at least 85% of amide bonds (-NHCO-) are bonded between aromatic rings'. Are distinguished. Aramid is divided into para-aramid and meta-aramid according to the bond form of benzene ring. Since para-aramid has high strength properties, it is mainly used as a material for body armor, and meta-aramid is not easily melted even at a high temperature of 400 ° C or higher than general fibers. Due to its outstanding characteristics, it is used for protective clothing including firefighting suits, battery insulating paper, industrial filters, industrial materials and construction. Meta aramid refers to poly-meta-phenylene terephthalamide in which the amide bond is bonded to the meta position of the benzene ring, and has a structure represented by the following formula (1).
[분자식 1][Molecular Formula 1]
메타아라미드는 최초의 고내열성 아라미드 섬유로서, 단시간 내에는 350℃, 연속 사용 시에는 210℃에서도 사용이 가능하며, 이 이상의 온도에 노출되면 다른 섬유와 같이 녹거나 연소되지 않고 탄화되는 성질을 가지고 있다. 무엇보다 방염이나 내화처리를 한 다른 제품들과는 달리, 탄화 시에도 유독가스나 유해물질을 배출하지 않아 친환경 섬유로서도 우수한 성질을 지니고 있다.Metaaramid is the first high heat-resistant aramid fiber and can be used at 350 ℃ for a short time and 210 ℃ for continuous use, and when exposed to higher temperatures, it does not melt or burn like other fibers. . Above all, unlike other products that have been flame retardant or fireproof, it does not emit toxic gases or harmful substances even when carbonized and has excellent properties as an environmentally friendly fiber.
또한, 메타아라미드는 섬유를 구성하는 분자 자체가 매우 강직한 분자구조를 가지고 있기 때문에, 본래 가지고 있는 강도가 강할 뿐 아니라 방사단계에서 섬유 축방향으로 분자가 쉽게 배향되어 결정성이 높아짐에 따른 강도의 향상을 꾀할 수 있다.In addition, since the meta-aramid has a very rigid molecular structure of the molecules constituting the fiber, not only the inherent strength is strong, but also the molecules are easily oriented in the fiber axial direction in the spinning step, thereby increasing the crystallinity. Can improve.
한편, 무기 고분자는 무기원소를 고분자 주사슬 또는 곁사슬에 포함하는 고분자를 일컫는다. 여기서 무기원소는 좁게는 각종 금속(s와 p궤도를 채우는 알루미늄, 마그네슘과 같은 전형금속, d궤도를 채우는 티타늄, 지르코늄, 텅스텐과 같은 전이금속, f궤도를 채우는 란탄족-악티늄족과 같은 내부전이금속)만을 의미하지만, 넓게는 비금속계 무기원소인 Si, Ge, P, B 등의 원소들로 골격을 이룬 것도 포함한다.On the other hand, the inorganic polymer refers to a polymer containing an inorganic element in the polymer main chain or side chain. Inorganic elements are narrowly divided into various metals (aluminum filling the s and p orbits, typical metals such as magnesium, titanium, zirconium, tungsten filling, transition metals such as tungsten, and internal transitions such as the lanthanide-actinium filling the f orbit. Metal), but broadly includes a skeleton formed of elements such as Si, Ge, P, and B, which are nonmetallic inorganic elements.
무기 고분자는 다음과 같은 네 가지 유형으로 나뉜다.Inorganic polymers are divided into four types:
첫째, 무기 성분이 유기 고분자의 곁사슬에 포함된 경우로서 유기 고분자의 성질은 거의 유지한 채, 곁사슬에 포함된 무기성분의 성질 또한 나타내는 경우, 둘째, 무기 원소가 고분자 주사슬의 골격에 탄소와 함께 도입되거나 단독으로 도입된 경우, 셋째, 세라믹 제조를 위한 전구체 역할을 하도록 설계된 유기-무기 혼성고분자인 경우, 넷째, 순수하게 무기 성분만으로 구성된 망상구조 또는 격자구조를 가지는 이온화합물의 경우가 있다.First, when the inorganic component is included in the side chain of the organic polymer, and the properties of the organic polymer are also displayed while maintaining the properties of the organic polymer, while the properties of the inorganic component are included in the side chain. In the case of being introduced or introduced alone, third, organic-inorganic hybrid polymers designed to serve as precursors for ceramic production, and fourth, ionic compounds having a network structure or lattice structure composed solely of inorganic components.
무기 고분자에 관심을 갖기 시작한 데에는 1980년대 중반 닛폰카본(Nippon Carbon)의 야지마(Yajima)가 폴리카보실란(Polycarbosilane, PCS)을 이용하여 합성한 탄화규소(SiC)섬유(상품명: NICALON)를 시판한 것이 계기가 되었다. 현재까지는 그리 많은 활용이 있지는 않지만, 향후 우주항공 및 원자력 분야 뿐 아니라 일반 산업분야의 내열성 분야에서 응용이 기대되는 제품이다. 무기 고분자의 복합체로의 응용 방법은 폴리머 함침 및 피롤리시스(Polymer Impregnation and Pyrolysis, PIP)법이 있는데, 이는 PCS와 같은 유기화합물을 탄화규소 분말과 혼합하여 슬러리를 만든 후, 이 슬러리를 탄화규소 섬유 프리폼에 침투시켜 열분해시킴으로서 탄화규소 기지상을 얻는 방법이다. 최근에는 내열성이 우수한 섬유의 개발이 주목되고 있기 때문에, 특성이 우수한 새로운 유기화합물을 개발하여 PIP법을 개선하면, 열분해온도를 높여 결정성 및 화학양론비가 우수한 탄화규소 기지상을 제조할 수 있다.Interest in inorganic polymers began to be introduced in the mid-1980s by Nippon Carbon's Yajima, a commercially available silicon carbide (SiC) fiber (brand name: NICALON) synthesized using polycarbosilane (PCS). It was a chance. Although it is not used much so far, it is expected to be applied in the heat resistance field of general industrial field as well as aerospace and nuclear field. The application method of the composite of the inorganic polymer to the polymer is polymer impregnation and pyrolysis (PIP) method, which is made by mixing organic compounds such as PCS with silicon carbide powder to make a slurry, and then turning the slurry into silicon carbide It is a method of obtaining a silicon carbide matrix by penetrating into a fiber preform and pyrolyzing. Recently, attention has been paid to the development of fibers having excellent heat resistance. Therefore, by developing a new organic compound having excellent properties and improving the PIP method, it is possible to produce a silicon carbide matrix with an excellent crystallinity and stoichiometric ratio by increasing the thermal decomposition temperature.
무기 고분자의 다양한 응용분야 중 세라믹 전구체로의 응용은 첨단 산업 분야에 막대한 발전을 초래하였다. 특히, 탄화규소(SiC)와 질화규소(Si3N4) 세라믹들은 고온에서 열적, 화학적으로 안정하고, 강도가 강하여 그 용도가 우주항공, 선박, 자동차, 미사일 등 방산 무기분야, 전기, 전자, 제철산업, 원자로사업, 선반-건축용 기계, 스포츠 제품의 제조 등에 널리 쓰이고 있으며, 특별한 용도를 위해 이들 세라믹을 필름이나 섬유 형태로 제조하여 사용하는 등 그 산업적 용도가 다양하다. 규소 고분자는 원료 물질이 값싸고 중합 수율이 높아서 경제적이고, 분자 내 Si와 C 또는 N의 비율을 자유자재로 조정할 수 있으며, 높은 용융성 및 용해성으로 인해 성형 가공이 가능하여, 세라믹 잔여 수율을 증대시키기 위해서 여러 화학반응에 의해 가교도 시킬 수 있다. 열분해조건에 따라 탄화규소(SiC)와 질화규소(Si3N4) 등으로 쉽게 선택될 수 있으며, 금속과 혼합하여 열분해시킴으로써 세멧도 제조할 수 있다.The application of inorganic polymers to ceramic precursors has led to enormous advances in high-tech industries. In particular, silicon carbide (SiC) and silicon nitride (Si 3 N 4 ) ceramics are thermally and chemically stable at high temperatures, and have strong strengths. It is widely used in industry, nuclear reactor business, shelf-building machine, sports product manufacturing, etc., and various industrial uses such as manufacturing these ceramics in the form of film or fiber for special use. Silicon polymers are economical due to the low cost of raw materials and high polymerization yields, and can freely adjust the ratio of Si and C or N in the molecule, and can be formed by high meltability and solubility, thereby increasing the residual yield of ceramics. In order to achieve this, crosslinking may be performed by various chemical reactions. Depending on the thermal decomposition conditions can be easily selected, such as silicon carbide (SiC) and silicon nitride (Si 3 N 4 ), it can also be prepared by mixing with metal and pyrolysis.
한편, 기존의 폴리올레핀 분리막과 액체전해액을 사용하는 리튬이온 이차전지나 겔 고분자전해질막이나 폴리올레핀 분리막에 겔 코팅한 고분자 전해질을 사용하는 기존의 리튬이온 고분자전지는 내열성 측면에서 고에너지 밀도 및 고용량 전지에 이용하기에는 매우 부족하다. 그러므로 자동차용과 같은 고용량, 대면적 전지에서 요구되는 내열성 및 안전성을 만족하지 못하고 있다.Meanwhile, a lithium ion secondary battery using a conventional polyolefin separator and a liquid electrolyte solution, or a conventional lithium ion polymer battery using a polymer electrolyte coated with a gel polymer electrolyte membrane or a polyolefin separator is used for high energy density and high capacity batteries in terms of heat resistance. It is very lacking. Therefore, it does not satisfy the heat resistance and safety required for high capacity, large area batteries such as automotive.
또한, 리튬이온전지에 사용되는 분리막으로 폴리에틸렌(Polyethylene, PE), 폴리프로필렌(Polyprophylene, PP)과 같은 폴리올레핀 계열의 필름이 주로 사용되었는데, 폴리올레핀은 고온에서 열수축이 심하며, 물리적으로도 취약하다는 단점을 가지고 있다. In addition, polyolefin-based films such as polyethylene (PE) and polypropylene (Polyprophylene, PP) are mainly used as separators used in lithium ion batteries.Polyolefins suffer from the disadvantages of high heat shrinkage and physical weakness at high temperatures. Have.
폴리올레핀 계열 분리막의 부족한 열적 안정성을 개선시키기 위해, 용융온도가 높은 내열성 고분자를 폴리올레핀 수지와 공압출 시키거나, 내열성 고분자를 부직포 형태로 가공하여 분리막으로 사용하고자 하는 노력들이 시도되고 있다.In order to improve the poor thermal stability of the polyolefin-based separator, efforts have been made to co-extrude heat-resistant polymer having a high melting temperature with a polyolefin resin or to process the heat-resistant polymer into a nonwoven fabric to use it as a separator.
이러한 문제를 해결하기 위하여, 미국공개특허 2006-0019154호에서는 폴리올레핀계 분리막을 융점이 180℃ 이상인 폴리아마이드, 폴리이미드, 폴리아마이드이미드 용액에 함침시킨 후, 응고액에 침지하여 용매를 추출하여 다공성 내열성 수지 박층을 접착시킨 내열성 폴리올레핀 분리막을 제시하였으며, 열 수축이 작고 우수한 내열성과 우수한 싸이클 성능을 주장하고 있다. 용매추출을 통해 내열성 박층은 다공성을 부여하고 사용되는 폴리올레핀 분리막도 통기도(AIR PERMEABILITY)가 200초/분 이하인 것을 사용하는 것으로 제한하고 있다.In order to solve this problem, US Patent Publication No. 2006-0019154 impregnated a polyolefin-based separator in a solution of polyamide, polyimide, polyamideimide having a melting point of 180 ° C. or higher, and then immersed in a coagulating solution to extract a solvent to obtain porous heat resistance. A heat-resistant polyolefin separator in which a thin resin layer is bonded is proposed, and the heat shrinkage is small, and the heat resistance and excellent cycle performance are claimed. Through solvent extraction, the heat-resistant thin layer imparts porosity, and the polyolefin separator used is also limited to using an air permeability of less than 200 seconds / minute.
일본 공개특허 2005-209570호에서도 고에너지 밀도화 및 대형화시 충분한 안전성을 확보하기 위하여, 200℃ 이상의 용융점을 지닌 방향족 폴리아마이드, 폴리이미드, 폴리에테르설폰, 폴리에테르케톤, 폴리에테르이미드 등의 내열성 수지 용액을 폴리올레핀 분리막의 양면에 도포하고 이를 응고액에 침지, 수세, 건조하여 내열성 수지가 접착된 폴리올레핀 분리막을 제시하였다. 이온전도도의 저하를 줄이기 위하여 다공성 부여를 위한 상분리제가 내열성 수지 용액에 함유되고 내열성 수지층도 0.5-6.0g/m2로 제한하였다.In Japanese Patent Laid-Open No. 2005-209570, heat-resistant resins such as aromatic polyamides, polyimides, polyethersulfones, polyetherketones, and polyetherimides having a melting point of 200 ° C. or higher in order to ensure sufficient safety at high energy density and size increase The solution was applied to both sides of the polyolefin separator and immersed in a coagulating solution, washed with water and dried to give a polyolefin separator to which a heat resistant resin was adhered. In order to reduce the decrease in ion conductivity, a phase separator for imparting porosity was contained in the heat resistant resin solution and the heat resistant resin layer was also limited to 0.5-6.0 g / m 2 .
그러나, 내열성 수지의 침지는 폴리올레핀 분리막의 기공을 막아 리튬이온의 이동을 제한하므로 충방전 특성의 저하가 일어나게 되어 내열성을 확보하였다 하더라도 자동차용과 같은 대용량 전지에서 요구되는 용량에는 못 미치고 있다. 또한, 내열성 수지의 침지로 인해 폴리올레핀 다공막의 기공구조가 막히지 않는다 하더라도, 보편적으로 사용되는 폴리올레핀 분리막의 기공도는 40% 정도이고 기공크기 또한 수십 nm 크기이므로 대용량 전지를 위한 이온전도도에 한계가 있다.However, the immersion of the heat resistant resin prevents the movement of lithium ions by blocking the pores of the polyolefin separation membrane, so that the charge and discharge characteristics are lowered, so that even if the heat resistance is secured, it is less than the capacity required for a large capacity battery such as an automobile. In addition, even though the pore structure of the polyolefin porous membrane is not blocked due to the immersion of the heat resistant resin, the porosity of the commonly used polyolefin separator is about 40% and the pore size is also several tens of nm in size, so there is a limit in ion conductivity for large capacity batteries. .
미국특허 6,447,958B1호에서는 세라믹 분말과 내열성 질소함유 방향족 고분자를 유기용매에 용해 및 분산시킨 슬러리를 지지체인 폴리올레핀, 레이온, 비닐론, 폴리에스터, 아크릴, 폴리스틸렌, 나일론 등의 다공성 직포, 부직포, 종이, 다공성 필름 등에 코팅한 후 용매를 제거하여 내열성 분리막을 제조하는 것으로 주장하고 있으나, 내열성 고분자 층을 도입 공정에 있어, 내열성 수지의 도포 및 응고액에 침지, 수세, 건조를 포함하는 다공성 내열수지층 제조 공정이 매우 복잡하고 비용이 크게 증대되는 문제가 있다.US Pat. No. 6,447,958B1 discloses a slurry obtained by dissolving and dispersing a ceramic powder and a heat-resistant nitrogen-containing aromatic polymer in an organic solvent. A porous woven fabric such as polyolefin, rayon, vinylon, polyester, acrylic, polystyrene, and nylon as a support, nonwoven fabric, paper, porous Although it is claimed to manufacture a heat resistant separator by coating a film or the like and removing the solvent, the heat resistant polymer layer is introduced in the process of introducing a heat resistant polymer layer, and a process of preparing a porous heat resistant resin layer including application of the heat resistant resin and immersion in a coagulating solution, washing with water, and drying. This is a very complicated and costly problem.
일본공개특허 2001-222988 및 2006-59717호에서는 융점이 150℃ 이상인 폴리아라미드, 폴리이미드의 직포, 부직포, 천, 다공성 필름 등에 폴리에틸렌옥사이드, 폴리프로필렌옥사이드, 폴리에테르, 폴리비닐리덴 같은 고분자의 겔 전해질에 함침하거나 도포하여 내열성 전해질막을 제조하고 있다. 그러나, 이 경우도 요구되는 내열성은 만족할지 모르지만, 이온전도 측면에서는 지지체나 내열성 방향족 고분자 층에서의 이온이동은 기존의 리튬이온 전지의 분리막이나 겔 전해질의 경우와 비슷하게 여전히 제한을 받고 있다.Japanese Patent Laid-Open Nos. 2001-222988 and 2006-59717 disclose gel electrolytes of polymers such as polyethylene oxide, polypropylene oxide, polyether, and polyvinylidene in polyaramid, polyimide woven fabric, nonwoven fabric, cloth, and porous film having a melting point of 150 ° C. or higher. It is impregnated or apply | coated to and manufactures a heat resistant electrolyte membrane. However, even in this case, the required heat resistance may be satisfied, but in terms of ion conduction, ion transport in the support or the heat-resistant aromatic polymer layer is still limited similarly to the case of the separator or gel electrolyte of a conventional lithium ion battery.
현재 사용되고 있는 연료전지용 분리막으로는 불소계 수지로서 퍼플루오로설폰산 수지(나피온, Nafion, 상품명)(이하 '나피온 수지'라 한다)가 있다. 그러나, 나피온 수지는 기계적 강도가 약하여 장시간 사용하면 핀홀이 발생하고 그로 인해 에너지 전환효율이 떨어지는 문제가 있다. 기계적 강도를 보강하기 위해서 나피온 수지의 막두께를 증가시켜 사용하는 시도가 있지만, 이 경우는 저항손실이 증가되고 또한 고가의 재료를 사용함에 따라 경제성이 떨어지는 문제가 있다.Currently used fuel cell separators include perfluorosulfonic acid resins (Nafion, Nafion, trade name) (hereinafter referred to as "Nafion resins") as fluorine resins. However, Nafion resins have a weak mechanical strength, so that when used for a long time, pinholes are generated, thereby lowering energy conversion efficiency. Attempts have been made to increase the film thickness of Nafion resin in order to reinforce mechanical strength. However, in this case, the resistance loss is increased, and there is a problem in that the economy is inferior due to the use of expensive materials.
따라서, 상기 종래의 특허기술에서는 여전히 내열성과 이온전도성을 동시에 충족하지는 못하며, 분리막의 폐쇄기능(SHUTDOWN FUNCTION)에 관하여는 언급이 없고, 내열성과 급속 충방전과 같은 가혹조건 하에서 우수한 성능이 요구되는 자동차용 등과 같은 고에너지 밀도 및 대용량 전지에는 아직 만족스럽지 못하다.Therefore, the conventional patent technology still does not satisfy the heat resistance and ion conductivity at the same time, there is no mention of the shut-down function (SHUTDOWN FUNCTION) of the membrane, the vehicle that requires excellent performance under harsh conditions such as heat resistance and rapid charge and discharge It is not yet satisfactory for high energy density and high capacity batteries such as solvent.
한편, 분리막의 열적 안정성을 높이기 위한 다른 방법으로 부직포를 분리막 소재로 이용할 경우, 천연 또는 합성섬유의 화학적, 물리적 또는 기계적 연결에 의해 만들어진 섬유상 매트형태를 띄기 때문에 60~80% 가량의 높은 기공성(Porosity) 및 큰 융점(melting point)을 가지는 특성을 지닌다. 이러한 부직포들은 니켈-카드뮴 전지 등에 사용되어 왔으나, 우수한 기계적 강도를 가짐에도 불과하고 상대적으로 크게 오픈(Open)된 구조와 거친 표면으로 인해 전지의 단락을 막기 힘들기 때문에 리튬 이차전지에는 적용되지 않고 있었다.On the other hand, when the nonwoven fabric is used as a membrane material as another method to increase the thermal stability of the membrane, it has a high porosity of about 60 to 80% because of the fibrous mat shape formed by chemical, physical or mechanical connection of natural or synthetic fibers. Porosity and a large melting point (melting point). These non-woven fabrics have been used in nickel-cadmium batteries, but they are not applied to lithium secondary batteries because they have excellent mechanical strength and are difficult to prevent short circuits due to their relatively large open structure and rough surface. .
그러나, 최근 안전성과 수명을 향상시키기 위해서 폴리에스테르 부직포 분리막이 연구되었는데, 폴리에스테르의 높은 융점을 이용한 고온 안전성과 균일한 기공구조로 인한 수명향상 효과 등이 보고되고 있다.In recent years, however, polyester nonwoven membranes have been studied to improve safety and lifespan, and high-temperature safety and uniform pore structure have been reported to improve lifespan using high melting point of polyester.
전기방사(electrospinning)는 고분자와 같은 고점도 유체의 정전 스프레이 현상을 이용하여 직경이 수 nm ~ 수 ㎛ 까지의 초극세 섬유 및 다공성 웹, 즉 부직포를 제조할 수 있는 기술로, 전극의 정전기력으로 용액을 끌어당김으로써 극세한 섬유를 방사해낼 수 있는 장치이다. Electrospinning is a technology that can produce ultra-fine fibers and porous webs, ie, nonwoven fabrics, from several nm to several micrometers in diameter by using electrostatic spraying of high-viscosity fluids such as polymers. It is a device that can spin fine fibers by pulling.
전기방사장치 내에 수직으로 위치한 모세관 끝에 있는 고분자 용액은 중력과 표면장력 사이에 평형을 이루며 반구형 방울을 형성하고 있는데, 이러한 현상은 전기장이 부여될 때 반구형 방울 표면에 전하 또는 쌍극자의 배향이 공기층과 계면에 유도되도록 하고, 따라서 전하 또는 쌍극자 반발로 인해 표면장력과 반대되는 힘이 발생된다. 따라서 모세관 끝에 매달려있는 용액의 반구형 표면은 테일러 콘(Taylor cone)으로 알려진 원추형 모양으로 늘어나게 되는데, 어떤 임계 전기장세기(Vc)에서 이 반발정전기력이 표면장력을 극복하게 되면서 하전된 고분자용액의 젯(Jet)이 테일러 콘 끝에서 방출된다. 점도가 낮은 용액의 경우, 젯이 미세방울로 붕괴되어 스프레이 현상을 나타낸다. 그러나 고분자와 같이 점도가 높은 용액의 경우, 젯이 붕괴되지 않고 집전판을 향하여 공기중으로 날아가면서 용매가 증발하게 되고, 집전판에는 하전된 고분자 연속상 섬유가 쌓이게 되는데, 이러한 현상을 전기방사라고 부른다. 전기방사에 의해 매우 가는 섬유가 제조되는 원인은 젯이 집전판을 향해 날아가는 과정에서 젯의 신장과 스프레이현상에 의해 가늘어지기 때문이다. 이렇게 만들어진 작은 직경 때문에 전기방사 된 섬유는 더 큰 표면적과 부피를 갖게 되고, 직경이 큰 다른 섬유보다 더 많은 수분의 흡수가 가능하다. 또한, 이렇게 제조된 초극세 섬유 웹은 초박막, 초경량이며, 종래의 섬유에 비해 부피 대비 표면적 비가 지극히 높고, 기공도가 높다. 그러므로 구조적으로 내부의 땀을 배출할 수 있는 호흡성과 방풍성을 가지고 있으며, 막의 외부에서 액체가 들어오지 못하도록 제조하는 것도 가능하다. 따라서 고분자의 전기 방사현상을 초극세 고성능필터, 조직공학용 다공성 지지체, 화학센서 등의 제조와 같은 다양한 분야에 응용하기 위한 연구가 진행되고 있다. The polymer solution at the end of the capillary tube located vertically in the electrospinning device equilibrates between gravity and surface tension to form hemispherical droplets. This phenomenon is caused by the charge or dipole orientation at the surface of the hemispherical droplets when the electric field is applied. Force or dipole repulsion, thus creating a force opposite to the surface tension. Thus, the hemispherical surface of the solution suspended at the end of the capillary stretches into a conical shape known as the Taylor cone, which at certain critical field strengths (Vc) overcomes the surface tension as the jet of charged polymer solution (Jet) ) Is released from the end of the Taylor cone. In the case of low viscosity solutions, the jet collapses into microdroplets, indicating a spray phenomenon. However, in the case of high-viscosity solutions such as polymers, the jet does not collapse and the solvent evaporates as it flows into the air toward the current collector plate, and the charged polymer continuous phase fibers accumulate on the current collector plate. This phenomenon is called electrospinning. . The reason why very thin fibers are produced by the electrospinning is that the jet is thinned by the elongation and spray phenomenon of the jet as it flows toward the current collector plate. Because of this small diameter, the electrospun fibers have a larger surface area and volume, and can absorb more moisture than other large diameter fibers. In addition, the ultra-fine fibrous web prepared as described above is ultra thin and ultra light, and has a very high surface area to volume ratio and high porosity as compared to conventional fibers. Therefore, it is structurally respirable and windproof to discharge sweat, and it is also possible to manufacture the liquid from entering the outside of the membrane. Therefore, research is being conducted to apply the electrospinning phenomena of polymers to various fields such as the manufacture of ultra-high performance filters, porous supports for tissue engineering, and chemical sensors.
또한, 전지가 대형화됨에 따라, 전해액에 대한 젖음성(Wettability) 문제가 점점 심각해지고 있다. 전해액과 분리막의 친화도가 낮으면 막 내 리튬이온 이동능력이 저하되고, 이는 곧 전지의 출력특성이 저하되는 양상으로 이어진다. 특히 전해액 성분이 에틸렌 카보네이트(Ethylene carbonate, EC)나 프로필렌 카보네이트(Propylene carbonate, PC) 등과 같이 극성이 큰 용매일 경우, 비극성인 폴리올레핀 계열 분리막에는 열등한 젖음성을 보이기 때문에 이러한 분리막의 젖음성에 의한 전지의 출력양상에의 문제점이 더욱 극명하게 나타난다. In addition, as the battery becomes larger, problems of wettability with respect to the electrolyte are becoming more serious. When the affinity between the electrolyte and the separator is low, the lithium ion mobility in the membrane is lowered, which leads to a decrease in output characteristics of the battery. In particular, when the electrolyte component is a solvent having a high polarity such as ethylene carbonate (EC) or propylene carbonate (PC), the non-polar polyolefin-based separator shows inferior wettability, and thus the output of the battery due to the wettability of the separator The problem with the aspect is even more pronounced.
따라서 전해액과의 친화도 향상을 위해 분리막의 표면을 개질하는 기술들이 개발되고 있으며, 특히 무기 복합 분리막, 또는 세라믹 분리막은 매우 미세한 크기의 무기물 입자들을 적은 양의 바인더로 서로 연결하여 제조하는데, 무기물 입자들의 높은 친수성과 큰 비표면적으로 인해 전해액에 우수한 젖음성을 나타내며, EC 및 PC 등의 전해액에 우수한 젖음성을 보이는 것은 전지 수명과 성능을 향상시킨다. 이러한 세라믹 분리막들은 매우 우수한 열적 안정성을 가지며, 고온에서도 거의 수축이 일어나지 않는다.Therefore, technologies for modifying the surface of the separator are being developed to improve affinity with the electrolyte, and in particular, the inorganic composite separator or the ceramic separator is manufactured by connecting inorganic particles of very fine size to each other with a small amount of binder. Their high hydrophilicity and large specific surface area result in excellent wettability in the electrolyte, and excellent wettability in electrolytes such as EC and PC improve battery life and performance. These ceramic separators have very good thermal stability and hardly shrink at high temperatures.
그러나 이러한 세라믹 분리막의 경우, 우수한 전해액 젖음성과 열적 안정성을 보여주지만, 와인딩(winding)을 포함한 전지 조립 공정에 적합한 수준의 기계적 물성, 특히 유연성을 보여주지 못하는 단점을 가지고 있다.However, such a ceramic separator shows excellent electrolyte wetting and thermal stability, but has a disadvantage in that it does not show a level of mechanical properties, particularly flexibility, suitable for a battery assembly process including winding.
본 발명은 상향식 전기방사를 이용하여 다공성이며, 드롭렛(Droplet)이 없는 고품질의 나노섬유로 제조된 이차전지용 다공성 분리막을 제조할 수 있는 상향식 전기방사를 이용한 이차전지용 분리막의 제조방법을 제공하는 것을 목적으로 한다.The present invention is to provide a method for producing a secondary battery separator using a bottom-up electrospinning porous porous membrane for secondary batteries made of a high quality nanofiber without the droplet (Droplet) using a bottom-up electrospinning. The purpose.
또한, 본 발명은 폴리올레핀 기재의 낮은 열적 안정성 및 전해액의 낮은 치화도를 개선하기 위하여, 고분자 나노섬유를 포함하고, 상기 고분자 나노섬유 상에 무기물 입자를 코팅하여 전해액 젖음성을 향상시킬 수 있는 무기물 층이 견고하게 결합되도록 함으로써, 전지 안정성과 출력특성이 향상된 이차전지용 다공성 분리막을 제공하는 것도 목적으로 한다.In addition, the present invention includes a polymer nanofiber, in order to improve the low thermal stability of the polyolefin substrate and the low degree of clarity of the electrolyte, an inorganic layer that can improve the electrolyte wettability by coating the inorganic particles on the polymer nanofiber It is also an object to provide a porous separator for secondary batteries with improved battery stability and output characteristics by being firmly coupled.
상기한 목적을 달성하기 위하여, 본 발명은 고분자를 용매에 용해시켜 고분자 용액을 제조하는 단계; 및 상기 고분자 용액을 전기방사하여 나노섬유를 제조하는 단계를 포함하는 이차전지용 다공성 분리막의 제조방법을 제공한다.In order to achieve the above object, the present invention comprises the steps of preparing a polymer solution by dissolving the polymer in a solvent; And it provides a method for producing a porous separator for secondary batteries comprising the step of electrospinning the polymer solution to produce nanofibers.
여기서, 상기 고분자는 내열성 고분자 또는 무기 고분자인 것이 바람직하다.Here, the polymer is preferably a heat resistant polymer or an inorganic polymer.
이때, 상기 내열성 고분자는 폴리비닐리덴플루오라이드, 폴리아크릴로니트릴, 메타아라미드 및 폴리이미드로 이루어진 군으로부터 선택되는 1종 이상인 것이 바람직하다.In this case, the heat resistant polymer is preferably at least one selected from the group consisting of polyvinylidene fluoride, polyacrylonitrile, metaaramid and polyimide.
한편, 상기 무기 고분자는 실란기 또는 실록산기를 포함하는 단독 고분자이거나, 또는 실란기 또는 실록산기에 모노메타크릴레이트, 비닐, 하이드라이드, 디스테아레이트, 비스(12-하이드록시-스테아레이트), 메톡시, 에톡시레이트, 프로폭시레이트, 디글리시딜 에테르, 모노글리시딜 에테르, 모노하이드록시, 비스(하이드록시알킬), 클로린, 비스(3-아미노프로필) 및 비스((아미노에틸-아미노프로필)디메톡시실릴)에테르로 이루어진 군으로부터 선택되는 결합기가 포함된 공중합체 고분자인 것이 바람직하다.On the other hand, the inorganic polymer is a single polymer containing a silane group or a siloxane group, or monomethacrylate, vinyl, hydride, distearate, bis (12-hydroxy-stearate), methoxy to the silane group or siloxane group. , Ethoxylate, propoxylate, diglycidyl ether, monoglycidyl ether, monohydroxy, bis (hydroxyalkyl), chlorine, bis (3-aminopropyl) and bis ((aminoethyl-aminopropyl It is preferable that it is a copolymer polymer containing a bonding group selected from the group consisting of a) dimethoxysilyl) ether.
또, 상기 나노섬유를 제조하는 단계에서, 상기 고분자 용액을 폴리올레핀 기재 또는 무기물로 코팅된 폴리올레핀 기재 상에 전기방사할 수 있다.In addition, in the manufacturing of the nanofibers, the polymer solution may be electrospun on a polyolefin substrate or a polyolefin substrate coated with an inorganic material.
또한, 상기 전기방사는 상향식 전기방사 방법으로 수행되는 것이 바람직하다.In addition, the electrospinning is preferably performed by a bottom-up electrospinning method.
또한, 상기 나노섬유 상에 무기물 및 바인더를 포함하는 무기물 슬러리를 코팅하여 무기물 코팅층을 형성하는 단계를 더 포함할 수 있다.The method may further include forming an inorganic coating layer by coating an inorganic slurry including an inorganic material and a binder on the nanofibers.
이때, 상기 무기물 슬러리는 상기 무기물과 상기 바인더의 중량비율이 95:5 내지 50:50인 것이 바람직하다.In this case, the inorganic slurry is preferably a weight ratio of the inorganic material and the binder is 95: 5 to 50:50.
한편, 상기 무기물은 SiO2, Al2O3, TiO2, Li3PO4, 제올라이트, MgO, CaO, BaTiO3, Li2O, LiF, LiOH, Li3N, BaO, Na2O, Li2CO3, CaCO3, LiAlO2, SiO, SnO, SnO2, PbO2, ZnO, P2O5, CuO, MoO, V2O5, B2O3, Si3N4, CeO2, Mn3O4, Sn2P2O7, Sn2B2O5, Sn2BPO6 및 이들의 혼합물로 이루어진 군으로부터 선택되는 1종인 것이 바람직하다.On the other hand, the inorganic material is SiO 2 , Al 2 O 3 , TiO 2 , Li 3 PO 4 , zeolite, MgO, CaO, BaTiO 3 , Li 2 O, LiF, LiOH, Li 3 N, BaO, Na 2 O, Li 2 CO 3 , CaCO 3 , LiAlO 2 , SiO, SnO, SnO 2 , PbO 2 , ZnO, P 2 O 5 , CuO, MoO, V 2 O 5 , B 2 O 3 , Si 3 N 4 , CeO 2 , Mn 3 It is preferably one kind selected from the group consisting of O 4 , Sn 2 P 2 O 7 , Sn 2 B 2 O 5 , Sn 2 BPO 6, and mixtures thereof.
또한, 상기 바인더는 폴리아크릴로니트릴, 폴리비닐리덴플루오라이드, 폴리이미드, 메타아라미드, 폴리메틸메타크릴레이트, 카복시메틸셀룰로오스, 폴리비닐알코올 및 스티렌부타디엔러버로 이루어진 군으로부터 선택되는 1종인 것이 바람직하다.In addition, the binder is preferably one selected from the group consisting of polyacrylonitrile, polyvinylidene fluoride, polyimide, metaaramid, polymethyl methacrylate, carboxymethyl cellulose, polyvinyl alcohol, and styrene butadiene rubber. .
아울러, 본 발명은 고분자를 용매에 용해시켜 고분자 용액을 제조하는 단계; 및 상향식 전기방사장치의 진행방향으로 적어도 2개 이상의 방사구간을 구획하고, 상기 고분자 용액을 구획된 각각의 방사구간에서 방사하는 단계를 포함하는 이차전지용 다공성 분리막의 제조방법도 제공한다.In addition, the present invention comprises the steps of dissolving the polymer in a solvent to prepare a polymer solution; And dividing at least two or more spinning sections in a progressing direction of the bottom-up electrospinning apparatus, and spinning the polymer solution in each of the divided spinning sections.
또한, 본 발명은 폴리올레핀 기재 및 상기 폴리올레핀 기재의 일면에 전기방사법으로 형성되는 고분자 나노섬유층을 포함하는 이차전지용 다공성 분리막도 제공하다.In addition, the present invention also provides a porous separator for secondary batteries comprising a polyolefin substrate and a polymer nanofiber layer formed on one surface of the polyolefin substrate by an electrospinning method.
여기서, 상기 이차전지용 다공성 분리막은 상기 고분자 나노섬유층의 일면에 무기물을 코팅하여 형성되는 무기물 코팅층을 더 포함할 수 있다.Here, the secondary battery porous separator may further include an inorganic coating layer formed by coating an inorganic material on one surface of the polymer nanofiber layer.
본 발명에 따른 이차전지용 다공성 분리막의 제조방법은 상향식 전기방사 공정을 이용함으로써, 종래의 하향식 전기방사에서 발생하는 드롭렛(Droplet)이 발생하지 않아 나노섬유 및 분리막의 품질 저하를 방지할 수 있다.In the method of manufacturing a porous separator for secondary batteries according to the present invention, by using a bottom-up electrospinning process, droplets generated in the conventional top-down electrospinning are not generated, thereby preventing deterioration of the quality of the nanofibers and the separator.
또, 본 발명에 따른 이차전지용 다공성 분리막은 전기방사를 통해 제조된 나노섬유로 이루어져 있어 다공성 형태이고, 기존의 폴리올레핀 계열 필름형태의 분리막에 비해 우수한 열적 안정성을 나타내며, 상기 다공성 분리막 상에 무기물 입자를 코팅하여 얇은 두께로도 분리막의 열적 안정성을 향상시킬 수 있다. 또한, 본 발명의 다공성 분리막을 이차전지에 적용할 경우, 비극성인 고분자의 표면을 개질하여 전해액의 친수성을 높여 리튬이온의 이동능력을 향상시킴으로써, 전지의 안정성 및 출력특성을 향상시킬 수 있다.In addition, the porous separator for secondary batteries according to the present invention is composed of nanofibers prepared by electrospinning, and is in a porous form, and exhibits excellent thermal stability as compared to a conventional polyolefin-based film separator, and inorganic particles on the porous separator. By coating a thin thickness can improve the thermal stability of the separator. In addition, when the porous separator of the present invention is applied to a secondary battery, by improving the hydrophilicity of the electrolyte by improving the surface of the non-polar polymer to improve the mobility of lithium ions, it is possible to improve the stability and output characteristics of the battery.
도 1은 본 발명에 의한 이차전지용 다공성 분리막을 제조하기 위한 전기방사장치를 개략적으로 나타내는 도면이다.1 is a view schematically showing an electrospinning device for manufacturing a porous separator for secondary batteries according to the present invention.
도 2는 본 발명에 의한 이차전지용 다공성 분리막을 제조하기 위한 전기방사장치의 일부분을 확대하여 개략적으로 나타내는 도면이다.2 is a view schematically showing an enlarged portion of an electrospinning apparatus for manufacturing a porous separator for secondary batteries according to the present invention.
도 3은 본 발명의 일 실시예에 의한 이차전지용 다공성 분리막의 제조방법에 따라 제조된 다공성 분리막을 개략적으로 나타내는 도면이다.3 is a view schematically showing a porous separator prepared according to the method of manufacturing a porous separator for secondary batteries according to an embodiment of the present invention.
도 4는 본 발명의 다른 일 실시예에 의한 이차전지용 다공성 분리막의 제조방법에 따라 제조된 다공성 분리막을 개략적으로 나타내는 도면이다.4 is a view schematically showing a porous separator manufactured according to a method of manufacturing a porous separator for a secondary battery according to another embodiment of the present invention.
이하, 본 발명에 의한 바람직한 실시예와 첨부된 도면을 참조하면서 상세하게 설명한다. 또한, 본 실시예에서는 본 발명의 권리범위를 한정하는 것은 아니고, 단지 예시로 제시한 것이며, 그 기술적인 요지를 이탈하지 않는 범위 내에서 다양한 변경이 가능하다.Hereinafter, with reference to the accompanying drawings, preferred embodiments of the present invention will be described in detail. In addition, the present embodiment is not intended to limit the scope of the present invention, but is presented by way of example only, and various modifications may be made without departing from the technical gist of the present invention.
본 발명에 따른 이차전지용 다공성 분리막의 제조방법은, 고분자를 용매에 용해시켜 고분자 용액을 제조하는 단계 및 상기 고분자 용액을 전기방사하여 나노섬유를 제조하는 단계를 포함하는 것을 특징으로 한다.The method of manufacturing a porous separator for a secondary battery according to the present invention includes dissolving a polymer in a solvent to prepare a polymer solution, and electrospinning the polymer solution to produce nanofibers.
이하, 본 발명의 일 실시예에 따른 이차전지용 다공성 분리막의 제조방법에 대해 도 1 내지 도 4를 참조하여 상세히 설명한다.Hereinafter, a method of manufacturing a porous separator for secondary batteries according to an embodiment of the present invention will be described in detail with reference to FIGS. 1 to 4.
도 1은 본 발명의 일 실시예에 따른 이차전지용 다공성 분리막을 제조하기 위한 전기방사장치를 개략적으로 나타내는 도면이고, 도 2는 본 발명에 의한 이차전지용 다공성 분리막을 제조하기 위한 전기방사장치의 일부분을 확대하여 개략적으로 나타내는 도면이다.1 is a view schematically showing an electrospinning apparatus for manufacturing a porous separator for secondary batteries according to an embodiment of the present invention, Figure 2 is a part of the electrospinning apparatus for manufacturing a porous separator for secondary batteries according to the present invention It is a figure which expands and shows schematically.
상기 전기방사장치는 도 1에 도시된 바와 같이, 고분자 방사용액이 내부에 충진되는 방사용액 주탱크(1)와 상기 방사용액 주탱크(1) 내에 충진된 고분자 방사용액의 정량 공급을 위한 계량 펌프(2)와 상기 방사용액 주탱크(1) 내의 고분자 방사용액을 토출하되, 핀 형태로 이루어지는 노즐(5)이 다수개 배열설치되는 노즐블록(4)과 상기 노즐(5)의 하단에 위치하여 분사되는 고분자 방사용액을 집적하기 위하여 노즐(5)에서 일정간격 이격되는 컬렉터(7), 상기 컬렉터(7)에 전압을 발생시키는 전압 발생장치(8) 및 노즐블록의 최상부에 연결된 방사용액 배출장치(10)를 포함하여 구성된다.As shown in Figure 1, the electrospinning pump is a metering pump for quantitative supply of the polymer spinning solution filled in the spinning solution main tank (1) and the spinning solution main tank (1) filled with the polymer spinning solution therein (2) and discharge the polymer spinning solution in the spinning solution main tank (1), located in the nozzle block (4) and the lower end of the nozzle (5) in which a plurality of nozzles (5) in the form of fins are arranged A
여기서, 상기 전기방사장치의 노즐블록(4)은 그 진행방향(수평방향)을 향하여 방사구간(31)으로 구획되고, 상기 각 방사구간에 위치하는 노즐블록(10)의 각 노즐(11)들은 각 공급장치(51)에 각각 연결설치된다.Here, the
즉, 상기 전기방사장치의 노즐블록(10)을 그 진행방향(수평방향)을 향하여 방사구간(31)으로 각각 구획하고, 상기 방사구간(31)에 위치하는 노즐블록(4)의 각 노즐(5)에 각 공급장치(51)가 연결설치된다.That is, the
이때, 상기 노즐 및 방사구간의 개수는 특별히 한정되지 않으나, 1개일 수 있으며, 2개 이상의 다수 개일 수도 있다.At this time, the number of the nozzle and the spinneret is not particularly limited, but may be one, may be a plurality of two or more.
한편, 상기 공급장치(51)에는 고분자가 공급된다.On the other hand, the
상기한 바와 같이, 상기 전기방사장치의 노즐블록(4)을 각 방사구간으로 구획하고, 각각의 방사구간(31)에 위치하는 노즐블록(4)의 각 노즐(5)은 각각의 공급장치(51)에 연결되어 고분자를 방사함으로써, 1층 또는 2층 이상의 다층으로 이루어지는 분리막을 얻을 수 있다.As described above, the
이때, 상기 각각의 공급장치(51)에 서로 다른 고분자를 공급하기 위하여 상기 방사용액 주탱크(1)는 서로 다른 주탱크로 이루어지는 것이 바람직하며, 상기 서로 다른 주탱크는 각각의 공급장치(51)에 연결되어 고분자를 공급한다.In this case, in order to supply different polymers to the
이를 위하여 상기 각각의 공급장치(51)는 전체적으로 밀폐된 원통형상으로 형성되고, 상기 서로 다른 주탱크(1)로부터 연속적으로 공급되는 방사용액을 각 방사구간(31)에 위치하는 노즐(5)로 공급한다.To this end, each of the
본 발명의 일 실시예에서는 상기 방사용액 주탱크(1)가 서로 다른 주탱크로 이루어지되, 상기 서로 다른 주탱크는 각각의 공급장치(51)에 연결되어 고분자를 공급하는 구성으로 이루어져 있으나, 상기 방사용액 주탱크(1)가 하나의 주탱크로 이루어지되, 그 내부가 다수개의 공간으로 구획될 수 있고, 각 구획된 공간에 고분자가 충진되며, 각각의 공간이 각각의 공급장치(51)에 개별적으로 연결되어 고분자를 공급하도록 이루어지는 것도 가능하다.In an embodiment of the present invention, the spinning solution main tank 1 is made of different main tanks, but the different main tanks are connected to
여기서, 상기 각각의 공급장치(51)로 공급되어 충진되는 고분자는 용매에 용해된 용액을 사용하는 것이 바람직하며, 상기 고분자는 동일한 고분자 성분으로 이루어지는 것도 가능하나, 이에 한정하지 아니한다.Here, it is preferable to use a solution dissolved in a solvent as the polymer to be supplied and filled to each
또한, 본 발명의 일 실시예에서는 상기 전기방사장치의 노즐블록(4)에 구획되는 각각의 방사구간의 구간 거리가 동일하게 이루어져 있으나, 상기 노즐블록(4)에 구획되는 각 방사구간(31)의 구간 거리는 분리막을 구성하는 각 층의 두께에 따라 조절가능하게 이루어지는 것이 바람직하다.In addition, in one embodiment of the present invention, although the interval distance of each spinning section partitioned on the
상기한 바와 같은 구조에 의하여 상기 전기방사장치의 각각의 공급장치(51)에서 노즐블록(4)의 노즐(5)로 공급되어 방사구간(31)에 위치하는 컬렉터(7) 상에 방사되는 고분자는 나노섬유(6)를 형성하게 된다.By the structure as described above, the polymer is supplied to the
이때, 각각의 공급장치(51)에서 전기방사되어 형성된 나노섬유(6)는 적층형성됨으로써 2층 이상의 다층 분리막이 형성되는 것도 포함한다.At this time, the
여기서, 본 발명의 전기방사장치는 상향식, 하향식 또는 복합식 중 어느 것을 사용하여도 무방하지만, 상향식으로 전개하는 것이 보다 바람직하다.Here, the electrospinning device of the present invention may be any of bottom-up, top-down or complex type, but it is more preferable to develop the bottom-up.
한편, 본 발명은 적어도 2개 이상의 고분자를 각각 용매에 용해시킨 고분자 용액을 제조하고, 상기 상향식 전기방사장치의 노즐블럭(4)이 진행방향으로 적어도 2개 이상의 방사구간(31)을 구획하고, 상기 각 고분자 용액을 구획된 각각의 방사구간(31)에서 토출하여 2층 이상의 다공성 분리막을 제조하는 것도 가능하며, 각각의 방사구간에서 토출하는 고분자 용액은 상호 다른 것으로 이루어지는 것도 가능하다.On the other hand, the present invention provides a polymer solution in which at least two or more polymers are dissolved in a solvent, and the
이하, 본 발명의 일 실시예에 의한 이차전지용 다공성 분리막의 제조방법을 설명한다.Hereinafter, a method of manufacturing a porous separator for secondary batteries according to an embodiment of the present invention.
먼저, 상기 방사용액 주탱크(1) 내에 충진된 방사용액을 계량 펌프(2)로 계량하여 각각의 공급장치에 정량을 공급한다.First, the spinning solution filled in the spinning solution main tank 1 is metered by the
즉, 상기 방사용액 주탱크의 서로 다른 주탱크(1)에 충진되어 있는 방사용액을 각각의 공급장치(51)에 공급하되, 상기 계량 펌프(2)로 계량하여 일정량으로 공급한다.That is, while the spinning solution filled in the different main tank (1) of the spinning solution main tank is supplied to each
여기서, 상기 방사용액은 고분자를 유기용매에 용해시킨 고분자 용액을 의미한다.Here, the spinning solution means a polymer solution in which a polymer is dissolved in an organic solvent.
이때, 사용가능한 유기용매로는 고분자를 충분히 용해할 수 있고, 전하유도 방사법에 적용 가능한 용매이면 특별히 제한되지 아니할 뿐만 아니라, 전하유도 방사법에 의해 다공성 고분자 분리막을 제조할 때, 유기용매는 거의 제거되기 때문에 전지의 특성에 영향을 미치는 것도 사용될 수 있다. 이러한 유기용매의 비제한적인 예를 들면, 디메틸포름아미드, 테트라하이드로퓨란, 메틸렌클로라이드, 클로로포름, 시클로헥산, 프로필렌카보네이트, 부틸렌카보네이트, 1,4-부티로락톤, 디에틸카보네이트, 디메틸카보네이트, 1,2-디메톡시에탄, 1,3-디메틸-2-이미다졸리디논, 디메틸설폭사이드, 에틸렌카보네이트, 에틸메틸카보네이트, N,N-디메틸포름아미드, N,N-디메틸아세트아미드, N-메틸-2-피롤리돈, 폴리에틸렌설포란, 테트라에틸렌글리콜디메틸에테르, 아세톤, 알코올, 물 또는 이들의 혼합물 중 어느 하나 이상을 선택하여 사용할 수 있으며, 보다 바람직하게는 디메틸포름아마이드(Dimethylformamide, DMF) 또는 디메틸아세트아마이드(Dimethylacetamide, DMAc)를 사용하는 것이 바람직하다.In this case, the organic solvent that can be used is not particularly limited as long as it can sufficiently dissolve the polymer and is a solvent applicable to the charge induction spinning method, and when the porous polymer separator is prepared by the charge induction spinning method, the organic solvent is almost removed. Therefore, it may be used to affect the characteristics of the battery. Non-limiting examples of such organic solvents include dimethylformamide, tetrahydrofuran, methylene chloride, chloroform, cyclohexane, propylene carbonate, butylene carbonate, 1,4-butyrolactone, diethyl carbonate, dimethyl carbonate, 1 , 2-dimethoxyethane, 1,3-dimethyl-2-imidazolidinone, dimethyl sulfoxide, ethylene carbonate, ethylmethyl carbonate, N, N-dimethylformamide, N, N-dimethylacetamide, N-methyl -2-pyrrolidone, polyethylene sulfolane, tetraethylene glycol dimethyl ether, acetone, alcohol, water or a mixture of any one or more thereof may be selected and used, more preferably dimethylformamide (DMF) or Preference is given to using dimethylacetamide (DMAc).
상기한 바와 같이, 상기 각각의 공급장치(51)에 방사용액을 공급한 후 각각의 공급장치(51)에 연결되는 노즐블록(4)의 노즐(5)을 통해 높은 전압이 걸려있는 하부 컬렉터(7)로 각각의 방사용액을 토출하여 나노섬유를 제조한다.As described above, after supplying the spinning solution to each of the
이때, 상기 전기방사장치의 노즐블록(4)에 구획된 각각의 방사구간(31)에 위치하는 노즐(5)에서 공급장치(51)를 통하여 공급되는 방사용액이 방사되고, 각각의 방사용액이 적층되어 다층 분리막이 제조될 수 있다.At this time, the spinning solution supplied through the
한편, 상기 컬렉터(7)에 폴리올레핀 기재 또는 무기물로 코팅된 폴리올레핀 기재를 위치 및 투입한 후, 상기 노즐(5)을 통하여 방사되는 방사용액을 각 기재 상에 상향 토축하여 제조하는 것도 가능하다.On the other hand, after the polyolefin substrate or a polyolefin substrate coated with an inorganic material to the
여기서, 상기 폴리올레핀 기재의 두께는 5 ~ 50㎛, 공극율(porosity, 기공도)[공극률(porosity(%))=1-(막의 겉보기 밀도/수지밀도)x100]은 30 ~ 80%인 것이 바람직하다. 또한, 인장강도는 기계적 방향(MD)으로 700kg/cm2 이상, 횡방향(CD)으로 150kg/cm2 이상, 뚫림강도는 밀(mil, 1mil=25.4) 당 200g이상, 수축율은 100℃에서 1시간 동안 10% 미만, 평균기공크기는 0.005 ~ 3㎛의 물리적 특성과 전기저항이 130 ~ 185℃에서 10,000Ω/cm2 이상인 전기적 특성을 갖는 것이 전기화학소자용으로 사용하기에 특히 적합하다.In this case, the thickness of the polyolefin substrate is 5 to 50㎛, porosity (porosity, porosity) (porosity (%)) = 1-(apparent density / resin density of the film) x100] is preferably 30 to 80%. . In addition, the tensile strength is 700kg / cm 2 or more in the mechanical direction (MD), 150kg / cm 2 or more in the transverse direction (CD), the punching strength is 200g or more per mil (mil, 1mil = 25.4), and the shrinkage is 1 at 100 ° C. Less than 10% of the time, the average pore size is 0.005 ~ 3㎛ physical properties and the electrical resistance is 130 ~ 185 ℃ more than 10,000Ω / cm 2 It is particularly suitable for use for electrochemical devices.
한편, 상기 노즐(5)로부터 전기방사되는 나노섬유(6)는 공기공급용 노즐에서 분사되는 공기에 의해 넓게 퍼지면서 컬렉터(7) 상에 포집되어 포집면적이 넓어지고 집적밀도가 균일해진다. 노즐에서 섬유화되지 못한 과잉 방사용액은 오버플로 제거용 노즐에서 모아져 오버플로액의 임시저장판을 거쳐 방사용액 공급장치(51)로 다시 이동하게 된다.On the other hand, the
또한, 상기 나노섬유의 직경은 서로 동일하거나 상이할 수 있으며, 막의 두께, 섬유의 직경, 섬유의 형상, 분리막의 기계적 특성 등은 인가되는 전압의 세기, 고분자 용액의 종류, 고분자 용액의 점도, 토출 유량 등과 같은 전기방사 공정 조건을 변경함으로써 임의로 조절할 수 있다.In addition, the diameter of the nanofibers may be the same or different from each other, the thickness of the membrane, the diameter of the fiber, the shape of the fiber, the mechanical properties of the separator, etc., the intensity of the applied voltage, the type of polymer solution, the viscosity of the polymer solution, the discharge It can be arbitrarily adjusted by changing electrospinning process conditions such as flow rate.
한편, 나노섬유를 제조할 시, 공기공급용 노즐에서 공기의 속도는 0.05m~50m/초가 바람직하며, 1~30m/초일 경우가 보다 바람직하다. 공기의 속도가 0.05m/초 미만인 경우에는 컬렉터에 포집된 나노섬유 퍼짐성이 낮아서 포집면적이 크게 향상되지 않고, 공기의 속도가 50m/초를 초과하는 경우에는 공기의 속도가 너무 빨라 나노섬유가 컬렉터에 집속되는 면적이 오히려 감소되며, 더욱 심각한 문제는 나노섬유가 아니라 굵은 타래 형태로 컬렉터에 부착되어 나노섬유 성능이 현저히 저하된다.On the other hand, when manufacturing the nanofibers, the air velocity in the air supply nozzle is preferably 0.05m ~ 50m / sec, more preferably 1 ~ 30m / sec. When the air velocity is less than 0.05 m / sec, the nanofiber spreading property of the collector is low and the collection area is not greatly improved. When the air velocity exceeds 50 m / sec, the air velocity is too fast and the nanofibers are collected. The area of focus is rather reduced, and the more serious problem is not the nanofibers but rather the coarse skew attached to the collector, which significantly reduces the nanofiber performance.
또한, 고분자를 방사하는 경우, 고분자 물질에 따라 온도 및 습도의 환경조건이 상이하나, 30 내지 40℃의 온도, 40 내지 70%의 습도의 환경조건에서 방사를 하는 것이 바람직하다.In addition, in the case of spinning the polymer, the environmental conditions of temperature and humidity are different depending on the polymer material, but it is preferable to spin at an environmental condition of temperature of 30 to 40 ℃, humidity of 40 to 70%.
한편, 전기력에 의한 섬유형성을 촉진하기 위하여 전압발생장치에서는 1kV 이상을 걸어주는 것이 바람직하나, 보다 바람직하게는 20kV 이상의 전압을 걸어준다. On the other hand, in order to promote the formation of the fiber by the electric force, it is preferable to apply a voltage of 1 kV or more in the voltage generator, more preferably 20 kV or more.
상기 컬렉터(7)는 엔드레스(Endless) 벨트를 사용하는 것이 생산성 측면에서 더욱 유리하나, 상기 컬렉터(7)는 분리막의 밀도를 균일하게 하기 위하여 좌우로 일정거리를 왕복운동하는 것이 바람직하다. The
상기한 바와 같이, 상기 컬렉터(7) 상에 형성된 분리막을 엠보싱 로울러(미도시)로 연속적으로 처리하여 제조한 나노섬유를 권취 로울러(13)에 권취하면 다공성 분리막 제조 공정이 완료된다.As described above, the nanofibers produced by continuously treating the separator formed on the
제조된 다공성 분리막은 도 3에 도시한 바와 같이, 고분자 나노섬유층(73)으로 이루어질 수 있으며, 폴리올레핀 기재(71) 및 상기 폴리올레핀 기재의 일면에 형성되는 고분자 나노섬유층(73)을 포함하여 이루어질 수도 있다.As shown in FIG. 3, the prepared porous separator may be made of a
이때, 상기 제조 공정은 포집면적을 넓혀 나노섬유의 집적 밀도를 균일하게 할 수 있으며, 드롭렛(Droplet) 현상을 효과적으로 방지하여 나노섬유의 품질을 향상시킬 수 있고, 전기력에 의한 섬유 형성 효과가 높아져 나노섬유를 대량으로 생산할 수 있다. 아울러, 상기 다수개의 핀으로 구성되는 노즐들을 블록형태로 배열함으로써, 나노섬유 및 필라멘트의 폭과 두께를 자유롭게 변경 및 조절할 수 있다.In this case, the manufacturing process can increase the trapping area to uniform the integration density of the nanofibers, effectively prevent the droplet (Droplet) phenomenon to improve the quality of the nanofibers, and the fiber forming effect by the electric force is increased Nanofibers can be produced in large quantities. In addition, by arranging the nozzles composed of the plurality of pins in a block form, the width and thickness of the nanofibers and filaments can be freely changed and adjusted.
전술한 바와 같은 본 발명에 의한 이차전지용 다공성 분리막의 제조방법에 의해 제조된 나노섬유의 직경은 30 내지 2000nm 인 것이 바람직하며, 더욱 바람직하게는 50 내지 1500nm이다.The diameter of the nanofibers produced by the method of manufacturing a porous separator for secondary batteries according to the present invention as described above is preferably 30 to 2000nm, more preferably 50 to 1500nm.
또한, 연료전지용 전해질막은 이온들을 원활하게 이동시키기 위해 이온 전도체를 포함해야 한다. 이러한 이온들이 전해질막을 원활하게 이동하기 위해서는 이온 전도체가 나노섬유 전체에 고르게 채워져야 한다. 그러나, 만일 공극이 너무 작거나 너무 큰 경우 이온 전도체가 편중되어 채워지기 때문에 이온 전도도가 떨어지는 문제가 발생한다. In addition, the electrolyte membrane for the fuel cell must include an ion conductor to smoothly move the ions. In order for these ions to move smoothly in the electrolyte membrane, the ion conductor must be evenly filled throughout the nanofibers. However, if the voids are too small or too large, a problem arises in that the ion conductivity is lowered because the ion conductors are filled with a bias.
즉, 나노섬유는 특정 공경을 갖는 공극이 많아야만 이온 전도체가 원활하게 함침될 수 있다. 다시 말하면, 공경이 너무 작을 경우 이온 전도체가 원활하게 함침되지 않을 수 있고, 반면 공경이 너무 클 경우 이온 전도체가 과도하게 함침될 수 있다.That is, the nanofibers may be impregnated with the ionic conductor smoothly only when there are many pores having a specific pore size. In other words, if the pore is too small, the ion conductor may not be impregnated smoothly, while if the pore is too large, the ion conductor may be excessively impregnated.
따라서, 이러한 이온 전도체가 나노섬유의 공극에 원활하게 함침될 수 있는 공경의 크기는 1.5 ㎛이고 ±0.2㎛의 범위를 넘지 않는 것이 바람직 할 수 있다.Therefore, it may be desirable for the size of the pore size of such an ion conductor to be smoothly impregnated into the pores of the nanofibers not exceeding the range of ± 0.2 μm.
한편, 다공성 분리막의 기공도는 40% 이상이 바람직하고, 40 내지 80%인 것이 보다 바람직하며, 기공도가 낮으면 고성능 이차전지용 분리막으로 사용하기에 적합하지 않게 된다. 이때, 섬유의 직경이 작을수록 기공 크기가 작아지고, 기공 크기 분포도 작아지며, 섬유의 비 표면적이 증대되므로 전해액 보액능력이 커지게 되어 전해액 누액의 가능성이 낮아지게 된다.On the other hand, the porosity of the porous separator is preferably 40% or more, more preferably 40 to 80%, when the porosity is low, it is not suitable for use as a separator for high performance secondary batteries. At this time, the smaller the diameter of the fiber, the smaller the pore size, the smaller the pore size distribution, and the specific surface area of the fiber is increased, the greater the electrolyte retention capacity, the lower the possibility of electrolyte leakage.
또한, 상기 다공성 분리막의 전체 두께는 5 내지 70㎛으로 하는 것이 바람직하며, 더욱 바람직하게는 10 내지 30㎛이다. 상기 다공성 분리막의 두께가 5㎛보다 얇으면 강도가 약하여 전지제조 공정상 문제가 될 수 있고, 70㎛보다 두꺼우면 이온전도성이 떨어질 수 있다.In addition, the total thickness of the porous membrane is preferably 5 to 70㎛, more preferably 10 to 30㎛. If the thickness of the porous separator is thinner than 5㎛ may be a problem in the battery manufacturing process because the strength is weak, if the thickness of more than 70㎛ may decrease the ion conductivity.
한편, 전술한 바와 같은 전기방사방법을 통해 제조된 나노섬유 분리막을 무기물과 바인더를 아세톤에 첨가하여 제조된 무기물 슬러리를 상기 나노섬유 분리막 상에 캐스팅 방법으로 코팅하여 무기물 코팅층(75)을 형성할 수 있다. Meanwhile, the inorganic slurry prepared by adding the inorganic material and the binder to the acetone using the nanofiber separator prepared by the electrospinning method as described above may be coated on the nanofiber separator by a casting method to form the
즉, 도 4에 도시한 바와 같이 다공성 분리막은 고분자 나노섬유층(73) 및 상기 고분자 나노섬유층의 일면에 형성되는 무기물 코팅층(75)을 포함하여 이루어질 수 있다. 또한, 다공성 분리막은 폴리올레핀 기재(71), 상기 폴리올레핀(71) 기재의 일면에 형성되는 고분자 나노섬유층(73) 및 상기 고분자 나노섬유층의 일면에 형성되는 무기물 코팅층(75)을 포함하여 이루어질 수도 있다.That is, as shown in FIG. 4, the porous separator may include a
이때, 상기 무기물은 SiO2, Al2O3, TiO2, Li3PO4, 제올라이트, MgO, CaO, BaTiO3, Li2O, LiF, LiOH, Li3N, BaO, Na2O, Li2CO3, CaCO3, LiAlO2, SiO, SnO, SnO2, PbO2, ZnO, P2O5, CuO, MoO, V2O5, B2O3, Si3N4, CeO2, Mn3O4, Sn2P2O7, Sn2B2O5, Sn2BPO6 및 이들의 혼합물로 이루어진 군으로부터 선택되는 1종일 수 있으며, 크기는 0.5㎛일 수 있으나, 이에 한정되는 것은 아니다.At this time, the inorganic material is SiO 2 , Al 2 O 3 , TiO 2 , Li 3 PO 4 , zeolite, MgO, CaO, BaTiO 3 , Li 2 O, LiF, LiOH, Li 3 N, BaO, Na 2 O, Li 2 CO 3 , CaCO 3 , LiAlO 2 , SiO, SnO, SnO 2 , PbO 2 , ZnO, P 2 O 5 , CuO, MoO, V 2 O 5 , B 2 O 3 , Si 3 N 4 , CeO 2 , Mn 3 O 4 , Sn 2 P 2 O 7 , Sn 2 B 2 O 5 , Sn 2 It may be one selected from the group consisting of BPO 6 and mixtures thereof, the size may be 0.5㎛, but is not limited thereto.
또한, 상기 바인더는 폴리아크릴로니트릴, 폴리비닐리덴플루오라이드, 폴리이미드, 메타아라미드, 폴리메틸메타크릴레이트, 카복시메틸셀룰로오스, 폴리비닐알코올 및 스티렌부타디엔러버로 이루어진 군으로부터 선택되는 1종일 수 있으며, 상기 무기물 입자를 나노섬유 상에 코팅하는데 이용된다.In addition, the binder may be one selected from the group consisting of polyacrylonitrile, polyvinylidene fluoride, polyimide, metaaramid, polymethyl methacrylate, carboxymethyl cellulose, polyvinyl alcohol, and styrene butadiene rubber, It is used to coat the inorganic particles on nanofibers.
한편, 상기 무기물과 바인더의 중량비율은 특별히 한정되지 않으나, 95:5 내지 50:50인 것이 바람직하다.On the other hand, the weight ratio of the inorganic material and the binder is not particularly limited, but is preferably 95: 5 to 50:50.
상기 코팅 방법은 화학기상증착(Chemical vapor deposition, CVD), 물리증착(Physical vapor deposition, PVD), 용사코팅, 딥(Dip)코팅, 스핀(Spin)코팅, 캐스팅법 등 다양한 코팅방법을 사용할 수 있으며, 특히 캐스팅 방법에 의한 코팅이 바람직하다.The coating method may use various coating methods such as chemical vapor deposition (CVD), physical vapor deposition (PVD), thermal spray coating, dip coating, spin coating, and casting method. In particular, coating by a casting method is preferred.
이하, 본 발명의 방사용액을 제조하기 위해 사용되는 고분자에 대해 설명한다.Hereinafter, the polymer used to prepare the spinning solution of the present invention will be described.
여기서, 상기 방사용액은 각각의 고분자를 유기용매에 용해시킨 용액을 의미한다.Here, the spinning solution means a solution in which each polymer is dissolved in an organic solvent.
이때, 상기 고분자는 서로 동일하거나 상이할 수 있으며, 각각 독립적으로 내열성 고분자 또는 무기 고분자인 것이 바람직하다.In this case, the polymers may be the same or different from each other, and each of the polymers is preferably a heat resistant polymer or an inorganic polymer.
상기 내열성 고분자의 비제한적인 예로, 폴리비닐리덴플루오라이드, 폴리비닐리덴 플루오라이드-헥사플루오르 프로필렌 공중합체, 혹은 이들의 복합 조성물, 폴리아마이드, 폴리이미드, 폴리아미드이미드, 폴리(메타-페닐렌 이소프탈아미이드), 메타아라미드, 폴리에틸렌클로로트리플루오로에틸렌, 폴리클로로트리플루오로에틸렌, 폴리메틸메타크릴레이트, 폴리아크릴로니트릴, 폴리비닐리덴클로라이드-아크릴로니트릴 공중합체, 폴리아크릴아미드 등을 들 수 있는데, 폴리이미드, 폴리아크릴로니트릴, 메타아리미드 및 폴리비닐리덴플루오라이드로 이루어진 군에서 선택된 1종 이상을 사용하는 것이 바람직하다.Non-limiting examples of the heat resistant polymer include polyvinylidene fluoride, polyvinylidene fluoride-hexafluoro propylene copolymer, or a composite composition thereof, polyamide, polyimide, polyamideimide, poly (meth-phenylene isopropyl) Deamid), metaaramid, polyethylenechlorotrifluoroethylene, polychlorotrifluoroethylene, polymethylmethacrylate, polyacrylonitrile, polyvinylidene chloride-acrylonitrile copolymer, polyacrylamide, and the like. It is possible to use one or more selected from the group consisting of polyimide, polyacrylonitrile, metaarimid and polyvinylidene fluoride.
한편, 본 발명에서 사용되는 내열성 고분자 중 하나인 상기 폴리이미드는 2 단계의 반응에 의해 제조될 수 있다.Meanwhile, the polyimide, which is one of the heat resistant polymers used in the present invention, may be prepared by a two step reaction.
제1 단계는 폴리아믹산의 제조단계로서, 하기 반응식 1에 나타낸 바와 같이, 폴리아믹산는 다이아민(Diamine)이 용해된 반응용액에 디안하이드라이드(Dianhydride)를 첨가하여 진행되며, 중합도를 높이기 위해서는 반응온도, 용매의 수분 함유량 및 단량체의 순도 조절 등이 요구된다.The first step is to prepare a polyamic acid. As shown in Scheme 1, the polyamic acid proceeds by adding dianhydride to a reaction solution in which diamine is dissolved. Control of temperature, water content of the solvent, purity of the monomer, and the like are required.
[반응식 1]Scheme 1
상기 제1 단계에서 사용되는 용매로는 디메틸아세트아미드(DMAc), 디메틸포름아미드(DMF) 및 엔-메틸-2-피롤리돈(NMP)의 유기 극성 용매가 주로 사용된다. 상기 무수물로는 피로메릴틱디안하이드라이드(Pyromellyrtic dianhydride, PMDA), 벤조페논테트라카복시디안하이드라이드(Benzophenonetetracarboxylicdianhydride, BTDA), 4,4'-옥시디프탈릭안하이드라이드(4,4'-oxydiphthalic anhydride, ODPA), 바이페닐테트라카복실릭디안하이드라이드(biphenyltetracarboxylic dianhydride, BPDA) 및 비스(3,4'-디카복시페닐)디메틸실란디안하이드라이드(bis (3,4-dicarboxyphenyl) dimethylsilane dianhydride, SIDA) 중 적어도 하나를 포함하는 것을 사용할 수 있다. As the solvent used in the first step, organic polar solvents of dimethylacetamide (DMAc), dimethylformamide (DMF) and en-methyl-2-pyrrolidone (NMP) are mainly used. The anhydrides include pyromellyrtic dianhydride (PMDA), benzophenonetetracarboxylicdianhydride (BTDA), 4,4'-oxydiphthalic anhydride (4,4'-oxydiphthalic anhydride, ODPA), biphenyltetracarboxylic dianhydride (BPDA) and bis (3,4'-dicarboxyphenyl) dimethylsilanedihydride (bis (3,4-dicarboxyphenyl) dimethylsilane dianhydride (SIDA) It can be used to include one.
또한, 상기 디아민으로는 4,4'-옥시디아닐린(4,4'-oxydianiline, ODA), 파라페닐렌디아민(p-penylene diamine, p-PDA) 및 오르쏘페닐렌디아민(o-penylenediamine, o-PDA) 중 적어도 하나를 포함하는 것을 사용할 수 있다.Further, the diamine may be 4,4'-oxydianiline (4,4'-oxydianiline, ODA), paraphenylenediamine (p-penylene diamine, p-PDA) and orthophenylenediamine (o-penylenediamine, o-PDA) may be used.
여기서, 상기 폴리아믹산의 중량평균분자량(Mw)은 10,000 내지 500,000이 바람직하다. 만약 폴리아믹산의 분자량이 10,000 미만이면, 부직포를 이루기에 충분한 물성을 얻을 수 없고, 500,000을 초과할 경우에는 용액취급이 용이하지 않아 공정성이 저하될 수 있다.Here, the weight average molecular weight (Mw) of the polyamic acid is preferably 10,000 to 500,000. If the molecular weight of the polyamic acid is less than 10,000, it is not possible to obtain sufficient physical properties to form a nonwoven fabric, and if it exceeds 500,000, handling of the solution may not be easy and processability may be reduced.
이후, 하기 반응식 2에 나타낸 바와 같이, 상기 제1 단계에서 제조된 폴리아믹산으로부터 폴리이미드를 제조하는 탈수, 폐환 반응하는 제2 단계로서 다음의 4가지 방법이 대표적이다.Thereafter, as shown in
[반응식 2]
먼저, 재침법은 과량의 빈용매(Poor solvent)에 폴리아믹산 용액을 투입하여 고체상의 폴리아믹산를 얻는 방법으로, 재침 용매로는 주로 물을 이용하지만, 톨루엔 또는 에테르 등을 공용매로 사용할 수 있다.First, the reprecipitation method is a method of obtaining a solid polyamic acid by adding a polyamic acid solution to an excess Poor solvent. Water is mainly used as a reprecipitation solvent, but toluene or ether may be used as a cosolvent. .
화학적 이미드화법은 아세틱안하이드라이드/피리딘(Acetic anhydride/pyridine) 등의 탈수 촉매를 이용하여 화학적으로 이미드화 반응을 수행하는 방법으로, 폴리이미드 필름의 제조에 유용하다.The chemical imidization method is a method of chemically imidizing a reaction using a dehydration catalyst such as acetic anhydride / pyridine, and is useful for producing a polyimide film.
열적 이미드화 방법은 폴리아믹산용액을 150~350℃로 가열하여 열적으로 이미드화하는 방법으로, 가장 간단한 공정이나 결정화도가 높고, 아민계 용제를 사용할 시 아민교환반응이 일어나기 때문에 중합체가 분해되는 단점이 있다.The thermal imidization method is a method of thermally imidating a polyamic acid solution by heating it to 150 to 350 ° C. The simplest process or crystallinity is high, and the polymer is decomposed because an amine exchange reaction occurs when an amine solvent is used. have.
이소시아네이트(Isocyanate)법은 디아민 대신 디이소시아네이트를 단량체로 사용하며, 단량체 혼합물을 120℃ 이상의 온도로 가열하면 CO2 가스가 발생하면서 폴리이미드가 제조되는 방법이다.Isocyanate method uses diisocyanate as a monomer instead of diamine, and polyimide is produced while CO 2 gas is generated when the monomer mixture is heated to a temperature of 120 ° C. or higher.
한편, 본 발명에서 사용되는 내열성 고분자 중 하나인 폴리아크릴로니트릴은 대부분을 구성하는 아크릴로니트릴과 단위체의 혼합물로부터 만들어지는 공중합체이다. 자주 들어가는 다른 단위체는 부타디엔스티렌염화비닐리덴, 또는 다른 비닐 화합물 등이다. 물론 같은 아크릴 섬유는 최소한 85%의 아크릴로니트릴을, 모드아크릴은 35~85%의 아크릴로니트릴을 포함하고 있다. 다른 단위체가 포함되면 섬유는 염료에 대한 친화력이 증가하는 등의 원하는 성질이다. 더 자세하게는 아크릴로니크릴계 공중합체 및 방사용액을 제조하는 데에 있어서, 아크릴로니트릴계 공중합체를 사용하여 제조하는 경우, 전기방사법으로 극세섬유를 제조하는 과정에서 노즐오염이 적고 전기방사성이 우수하여 용매에 대한 용해도를 증가시킴과 동시에 보다 좋은 기계적 물성을 부여할 수 있다.On the other hand, polyacrylonitrile, which is one of the heat resistant polymers used in the present invention, is a copolymer made from a mixture of acrylonitrile and units constituting most of them. Other monomers that frequently enter are butadiene styrene vinylidene chloride or other vinyl compounds. The same acrylic fiber, of course, contains at least 85% acrylonitrile and modacryl contains 35-85% acrylonitrile. When other monomers are included, the fiber is of a desired nature, such as an increase in affinity for the dye. More specifically, in the production of acrylonitrile-based copolymers and spinning solutions, in the case of using acrylonitrile-based copolymers, there is little nozzle contamination and excellent electrospinning properties in the process of producing ultrafine fibers by electrospinning. By increasing the solubility in the solvent it can be given a better mechanical properties.
상기 폴리아크릴로니트릴의 중합도는 1,000 내지 1,000,000인 것이 바람직하나, 2,000 내지 1,000,000인 것이 더욱 바람직하다. 상기 폴리아크릴로니트릴의 중합도가 너무 낮으면 카보네이트계 전해액에 용해되거나 팽윤되어 사이클이 진행될수록 집전체로부터 전극의 탈리를 유발시켜 전지의 효율이 낮아지는 경향이 있으며, 중합도가 너무 높으면 음극내의 전기저항이 높아지며, 전극 혼합물의 점도를 상승시켜 다루기 어려운 단점이 있다.The degree of polymerization of the polyacrylonitrile is preferably 1,000 to 1,000,000, more preferably 2,000 to 1,000,000. If the degree of polymerization of the polyacrylonitrile is too low, it dissolves or swells in a carbonate-based electrolyte and causes desorption of the electrode from the current collector as the cycle progresses, thereby decreasing the efficiency of the battery. This increases the viscosity of the electrode mixture is difficult to handle.
또한, 아크릴로니트릴 단량체, 소수성 단량체 및 친수성 단량체의 사용량은 만족시키는 범위 내에서 사용하는 것이 바람직하다. 고분자 중합 시 아크릴로니트릴 단랑체의 중량%는 친수성 단량체의 중량%와 소수성 단량체의 중량%를 3:4 비율로 하여 전체 단량체에서 뺀 값이 60보다 적을 경우, 전기방사하기에 점도가 너무 낮으며 여기에 가교제를 투입하더라도 노즐오염의 유발은 물론 전기방사 시 안정적인 젯(JET)형성이 어렵다. 또한, 99 이상일 경우 방사점도가 너무 높아 방사가 어렵고, 여기에 점도를 낮출 수 있는 첨가제를 투입하더라도 극세섬유의 직경이 굵어지고 전기방사의 생산성이 너무 낮아 본 발명의 목적을 달성할 수 없다. 또한, 아크릴계 고분자에서 공단량체의 양이 많이 투입될수록 가교제의 양도 많이 투입되어야만 전기방사의 안정성이 확보되고 나노섬유의 기계적물성 저하를 방지할 수 있다.In addition, it is preferable to use the acrylonitrile monomer, a hydrophobic monomer, and a hydrophilic monomer within the range which satisfy | fills. The weight percent of acrylonitrile monomer in the polymer polymerization is less than 60 when the total monomer subtracted less than 60 by using a weight ratio of the hydrophilic monomer and the hydrophobic monomer in a 3: 4 ratio, and the viscosity is too low for electrospinning. Even if a crosslinking agent is added thereto, it is difficult not only to cause nozzle contamination but also to form a stable jet during electrospinning. In addition, in the case of 99 or more, the spin viscosity is too high, it is difficult to spin, even if the additive to lower the viscosity is added to the diameter of the ultrafine fibers and the productivity of the electrospinning is too low to achieve the object of the present invention. In addition, as the amount of the comonomer in the acrylic polymer is increased, the amount of the crosslinking agent should be added to ensure the stability of electrospinning and to prevent the mechanical properties of the nanofibers from deteriorating.
한편, 상기 소수성 단량체는 메틸아크릴레이트, 에틸아크릴레이트, 메틸메타크릴레이트, 에틸메타크릴레이트, 부틸메타크릴레이트, 비닐아세테이트, 비닐피롤리돈, 비닐리덴클로라이드, 비닐클로라이드 등의 에틸렌계 화합물 및 그의 유도체에서 선택되는 어느 하나이상을 사용하는 것이 바람직하다.On the other hand, the hydrophobic monomer is an ethylene compound such as methyl acrylate, ethyl acrylate, methyl methacrylate, ethyl methacrylate, butyl methacrylate, vinyl acetate, vinylpyrrolidone, vinylidene chloride, vinyl chloride and the like Preference is given to using any one or more selected from derivatives.
또한, 상기 친수성 단량체는 아크릴산, 알릴알콜, 메타알릴알콜, 하이드록시 에틸 아크릴레이트, 하이드록시 에틸메타크릴레이트, 하이드록시프로필 아크릴레이트, 부탄디올모노아크릴레이트, 디메틸아미노에틸아크릴레이트, 부텐트리카르복실산, 비닐술폰산, 알릴술폰산, 메탈릴술폰산, 파라스티렌술폰산 등의 에틸렌계 화합물 및 다가산 또는 그들의 유도체에서 선택되는 어느 하나 이상을 사용하는 것이 바람직하다.In addition, the hydrophilic monomer is acrylic acid, allyl alcohol, metaallyl alcohol, hydroxy ethyl acrylate, hydroxy ethyl methacrylate, hydroxypropyl acrylate, butanediol monoacrylate, dimethylaminoethyl acrylate, butene tricarboxylic acid It is preferable to use any one or more selected from ethylene-based compounds such as vinylsulfonic acid, allylsulfonic acid, metalylsulfonic acid, parastyrenesulfonic acid, and polyhydric acids or derivatives thereof.
상기 아크릴로니트릴계 고분자를 제조하기 위하여 사용하는 개시제로는 아조계 화합물 또는 설페이트 화합물을 사용해도 큰 지장은 없으나, 일반적으로 산화환원 반응에 이용되는 라디칼 개시제를 사용하는 것이 바람직하다.As an initiator used to prepare the acrylonitrile-based polymer, even if an azo compound or a sulfate compound is used, there is no big problem, but in general, it is preferable to use a radical initiator used for a redox reaction.
한편, 본 발명에서 사용되는 내열성 고분자 중 하나인 메타아라미드는 중량평균 분자량이 3,000 내지 500,000인 것이 바람직하다. 메타아라미드의 중량평균 분자량이 3,000 미만인 경우, 섬유의 물성이 떨어지며, 중량평균 분자량이 500,000을 초과하면 공정성이 저하될 수 있다.On the other hand, meta-aramid, which is one of the heat resistant polymers used in the present invention, preferably has a weight average molecular weight of 3,000 to 500,000. If the weight average molecular weight of the metaaramid is less than 3,000, the physical properties of the fiber is inferior, and if the weight average molecular weight exceeds 500,000, the processability may be lowered.
상기 메타아라미드는 메타-배향된 합성 방향족 폴리아미드를 포함한다. 메타아라미드 중합체는 섬유-형성 분자량을 가져야 하며, 주로 방향족인 폴리아미드 단일중합체, 공중합체 및 그 혼합물을 포함할 수 있으며, 여기서 아미드(-CONH-) 결합의 적어도 85%는 2개의 방향족 고리에 직접 부착된다. 고리는 비치환되거나 치환될 수 있다. 중합체는 2개의 고리 또는 라디칼이 분자 쇄를 따라 서로에 대하여 메타 배향될 때 메타-아라미드가 된다. 바람직하게는, 공중합체는 중합체를 형성하는 데 사용된 일차 다이아민을 치환한 10% 이하의 다른 다이아민, 또는 중합체를 형성하는 데 사용된 일차 이산(diacid) 클로라이드를 치환한 10% 이하의 다른 이산 클로라이드를 가진다. 바람직한 메타아라미드는 폴리(메타-페닐렌 아이소프탈아미드)(MPD-I) 및 그 공중합체이다. 하나의 그러한 메타아라미드 섬유는 미국 델라웨어주 윌밍턴 소재의 이. 아이. 듀폰 디 네모아 앤드 컴퍼니(E. I. du Pont de Nemours and Company)로부터 입수가능한 노멕스(Nomex)(등록상표) 아라미드 섬유이지만, 메타아라미드 섬유는 일본 도쿄 소재의 테이진 리미티드(Teijin Ltd.)로부터 입수가능한 상표명 테이진코넥스(Tejinconex)(등록상표); 중국 산동성 소재의 얀타이 스판덱스 컴퍼니 리미티드(Yantai Spandex Co. Ltd)로부터 입수가능한 뉴 스타(New Star)(등록상표) 메타-아라미드; 및 중국 광동의 신후이 소재의 광동 차밍 케미칼 컴퍼니 리미티드(Guangdong Charming Chemical Co. Ltd.)로부터 입수가능한 친퍼넥스(Chinfunex)(등록상표) 아라미드 1313으로 다양한 스타일로 입수가능하다.The metaaramids include meta-oriented synthetic aromatic polyamides. Metaaramid polymers must have a fiber-forming molecular weight and can include polyamide homopolymers, copolymers, and mixtures thereof that are primarily aromatic, wherein at least 85% of the amide (-CONH-) bonds are directly directed to the two aromatic rings. Attached. The ring may be unsubstituted or substituted. The polymer becomes meta-aramid when two rings or radicals are meta-oriented relative to each other along the molecular chain. Preferably, the copolymer has up to 10% other diamines substituted with the primary diamine used to form the polymer, or up to 10% other substituted with the primary diacid chloride used to form the polymer. Have diacid chloride. Preferred metaaramids are poly (meth-phenylene isophthalamide) (MPD-I) and copolymers thereof. One such metaaramid fiber is Lee. Wilmington, Delaware, USA. Child. Nomex® aramid fibers available from EI du Pont de Nemours and Company, while metaaramid fibers are available from Teijin Ltd., Tokyo, Japan. Trade name Tejinconex (registered trademark); New Star® meta-aramid, available from Yantai Spandex Co. Ltd, Shandong, China; And Chinfunex® Aramid 1313, available from Guangdong Charming Chemical Co. Ltd., Xinhui, Guangdong, China.
이러한 메타아라미드는 최초의 고내열성 아라미드 섬유로서, 단시간내에는 350℃, 연속 사용시에는 210℃에서 사용이 가능하며, 이 이상의 온도에 노출되면 다른 섬유와 같이 녹거나 연소되지 않고 탄화되는 성질을 가지고 있다. 무엇보다 방염이나 내화처리를 한 다른 제품들과는 달리, 탄화시에도 유독가스나 유해물질을 배출하지 않아 친환경 섬유로도 우수한 성질을 지니고 있다.This meta-aramid is the first high heat-resistant aramid fiber, it can be used at 350 ℃ in a short time, 210 ℃ in continuous use, and when exposed to a temperature higher than this does not melt or burn like other fibers, it is carbonized . Above all, unlike other products that have been flame retardant or fireproof, it does not emit toxic gases or harmful substances even when carbonized and has excellent properties as an eco-friendly fiber.
또한, 메타아라미드는 섬유를 구성하는 분자 자체가 매우 견고한 분자구조를 가지고 있기 때문에, 본래 가지고 있는 강도가 강할 뿐만 아니라 방사단계에서 섬유 축방향으로 분자가 쉽게 배향되어 결정성을 향상시켜 섬유의 강도를 높일 수 있는 장점이 있다.In addition, since meta-aramid has a very strong molecular structure, the molecules constituting the fiber are not only strong in nature but also easily oriented in the fiber axial direction in the spinning step, thereby improving crystallinity and improving the strength of the fiber. There is an advantage to increase.
한편, 본 발명에서 사용되는 내열성 고분자 중 하나인 폴리비닐리덴플루오라이드(PVDF)계 고분자 전해질은 고분자 매트릭스를 서브마이크론 이하의 다공성을 갖도록 제조한 후, 유기 전해액을 이 작은 기공에 주입시켜 제조하는 것으로, 유기 전해액과의 호환성이 우수하여, 이 작은 기공에 들어간 유기 전해액은 누액이 되지 않고 안전한 전해질로 사용할 수 있다는 장점이 있고, 유기 용매 전해액을 나중에 주입하기 때문에 고분자 매트릭스를 대기 중에서도 제조할 수 있다.On the other hand, polyvinylidene fluoride (PVDF) -based polymer electrolyte, which is one of the heat resistant polymers used in the present invention, is prepared by preparing a polymer matrix to have a porosity of submicron or less, and then injecting an organic electrolyte into these small pores. The organic electrolyte solution, which has excellent compatibility with the organic electrolyte, has the advantage of being able to be used as a safe electrolyte without being leaked. Since the organic solvent electrolyte is injected later, the polymer matrix can be produced in the air.
또한, 상기 폴리비닐리덴플루오라이드는 불화비닐리덴의 호모폴리머, 또는, 불화비닐리덴을 몰비로 50% 이상 함유하는 공중합폴리머를 포함하는 것으로서, 폴리비닐리덴플루오라이드 수지의 강도가 우수한 관점에서 호모폴리머인 것이 보다 바람직하며, 폴리비닐리덴플루오라이드 수지가 공중합폴리머인 경우, 불화비닐리덴모노머와 공중합되는 다른 공중합모노머로서는, 공지의 것을 적절하게 선택하여 이용할 수 있고, 특별히 한정되지 않지만, 예컨대, 불소계 모노머나 염소계 모노머 등을 적합하게 이용할 수 있다.In addition, the polyvinylidene fluoride includes a homopolymer of vinylidene fluoride or a copolymer polymer containing 50% or more of vinylidene fluoride in a molar ratio, and the homopolymer from the viewpoint of excellent strength of the polyvinylidene fluoride resin It is more preferable that the polyvinylidene fluoride resin is a copolymerized polymer, and as other copolymerized monomer copolymerized with vinylidene fluoride monomer, a known one can be appropriately selected and used, but is not particularly limited. Chlorine monomers and the like can be suitably used.
또한, 상기 폴리비닐리덴플루오라이드 수지의 중량 평균 분자량(Mw)은, 특별히 한정되지 않지만, 10,000 내지 500,000인 것이 바람직하고, 50,000 내지 500,000인 것이 보다 바람직하다. 상기 폴리비닐리덴플루오라이드 수지의 중량평균분자량이 10,000 미만인 경우에는 나노섬유를 이루는 나노섬유가 충분한 강도를 얻을 수 없고, 500,000을 초과하는 경우에는 용액취급이 용이하지 않고, 공정성이 나빠 균일한 나노섬유를 얻기 어렵게 된다.The weight average molecular weight (Mw) of the polyvinylidene fluoride resin is not particularly limited, but is preferably 10,000 to 500,000, more preferably 50,000 to 500,000. When the weight average molecular weight of the polyvinylidene fluoride resin is less than 10,000, the nanofibers constituting the nanofibers may not obtain sufficient strength, and when the polyvinylidene fluoride resin exceeds 500,000, the solution may not be easily handled and the processability may be poor. It becomes difficult to obtain.
또한, 본 발명에서 사용가능한 무기 고분자로는 실란기 또는 실록산기를 포함하는 단독 고분자이거나, 실란기 또는 실록산기와 모노메타크릴레이트, 비닐, 하이드라이드, 디스테아레이트, 비스(12-하이드록시-스테아레이트), 메톡시, 에톡시레이트, 프로폭시레이트, 디글리시딜 에테르, 모노글리시딜 에테르, 모노하이드록시, 비스(하이드록시알킬), 클로린, 비스(3-아미노프로필) 및 비스((아미노에틸-아미노프로필)디메톡시실릴)에테르 중에서 선택된 결합기가 포함된 공중합체 고분자 등을 사용할 수 있는데, 이에 한정되는 것은 아니다.In addition, the inorganic polymer that can be used in the present invention is a homopolymer containing a silane group or a siloxane group, or a silane group or a siloxane group and a monomethacrylate, vinyl, hydride, distearate, bis (12-hydroxy-stearate). ), Methoxy, ethoxylate, propoxylate, diglycidyl ether, monoglycidyl ether, monohydroxy, bis (hydroxyalkyl), chlorine, bis (3-aminopropyl) and bis ((amino A copolymer polymer including a linking group selected from ethyl-aminopropyl) dimethoxysilyl) ether may be used, but is not limited thereto.
이때, 상기 무기고분자의 수평균 분자량(Mn)은 10,000 내지 100,000범위인 것이 보다 바람직하다. 무기고분자의 수평균 분자량이 10,000 미만일 경우, 부직포를 제조하기 위한 물성을 충분히 얻을 수 없고, 100,000을 초과하는 경우에는 용액 취급이 용이하지 않아 공정성이 저하될 수 있다.At this time, the number average molecular weight (Mn) of the inorganic polymer is more preferably in the range of 10,000 to 100,000. When the number average molecular weight of the inorganic polymer is less than 10,000, physical properties for producing the nonwoven fabric may not be sufficiently obtained. If the number average molecular weight of the inorganic polymer is greater than 100,000, the handling may not be easy and the processability may be reduced.
이하, 본 발명을 실시예를 통해 구체적으로 설명하나, 하기 실시예 및 실험예는 본 발명의 한 형태를 예시하는 것에 불과할 뿐이며, 본 발명의 범위가 하기 실시예 및 실험예에 의해 제한되는 것은 아니다.Hereinafter, the present invention will be described in detail by way of Examples, but the following Examples and Experimental Examples are only illustrative of one embodiment of the present invention, and the scope of the present invention is not limited to the following Examples and Experimental Examples. .
[실시예 1] 폴리아믹산을 이용한 이차전지용 다공성 분리막의 제조Example 1 Preparation of a Porous Separator for Secondary Battery Using Polyamic Acid
<단계 1> 방사용액의 제조<Step 1> Preparation of spinning solution
중량평균분자량이 100,000인 폴리아믹산을 디메틸아세트아미드(DMAc)에 용해시켜 폴리아믹산 방사용액을 제조하였다.A polyamic acid spinning solution was prepared by dissolving polyamic acid having a weight average molecular weight of 100,000 in dimethylacetamide (DMAc).
<단계 2> 이차전지용 다공성 분리막의 제조<
상기 폴리아믹산 방사용액을 상향식 전기방사장치에 투입하고 방사노즐에 공급하여 컬렉터 상에 상향식으로 전기방사하여 두께가 10㎛인 폴리아믹산 나노섬유를 제조하였다. 이때, 방사노즐당 토출량은 10㎖/분이었으며, 전극과 컬렉터 간의 거리는 40cm, 인가전압은 20kV로 하였다. 전기방사하여 제조된 상기 폴리아믹산 나노섬유를 300℃에서 열처리를 하여 폴리아믹산 나노섬유를 폴리이미드 나노섬유로 이미드화 시켜 폴리이미드 나노섬유로 이루어진 이차전지용 다공성 분리막을 제조하였다.The polyamic acid spinning solution was put into a bottom-up electrospinning apparatus and supplied to a spinning nozzle to be electrospun upward on a collector to prepare a polyamic acid nanofiber having a thickness of 10 μm. At this time, the discharge amount per spinning nozzle was 10ml / min, the distance between the electrode and the collector was 40cm, the applied voltage was 20kV. The polyamic acid nanofibers prepared by electrospinning were subjected to heat treatment at 300 ° C. to imidize the polyamic acid nanofibers with polyimide nanofibers to prepare a porous separator for secondary batteries made of polyimide nanofibers.
[실시예 2] 폴리아크릴로니트릴을 이용한 이차전지용 다공성 분리막의 제조Example 2 Preparation of Porous Membrane for Secondary Battery Using Polyacrylonitrile
<단계 1> 방사용액의 제조<Step 1> Preparation of spinning solution
중량평균분자량이 157,000인 폴리아크릴로니트릴(한일합섬)을 디메틸포름아마이드(DMF)에 용해시켜 폴리아크릴로니트릴 방사용액을 제조하였다.Polyacrylonitrile (Hanil Synthetic Fiber) having a weight average molecular weight of 157,000 was dissolved in dimethylformamide (DMF) to prepare a polyacrylonitrile spinning solution.
<단계 2> 이차전지용 다공성 분리막의 제조<
상기 폴리아크릴로니트릴 방사용액을 상향식 전기방사장치에 투입하고 방사노즐에 공급하여 컬렉터 상에 상향식으로 전기방사하여 두께가 5㎛인 폴리아크릴로니트릴 나노섬유로 이루어진 이차전지용 다공성 분리막을 제조하였다. 이때, 방사노즐당 토출량은 10㎖/분이었으며, 전극과 컬렉터 간의 거리는 40cm, 인가전압은 20kV로 하였다.The polyacrylonitrile spinning solution was added to a bottom-up electrospinning apparatus and supplied to a spinning nozzle to be electrospun upward on a collector to prepare a porous separator for secondary batteries made of polyacrylonitrile nanofibers having a thickness of 5 μm. At this time, the discharge amount per spinning nozzle was 10ml / min, the distance between the electrode and the collector was 40cm, the applied voltage was 20kV.
[실시예 3] 폴리비닐리덴플루오라이드 및 메타아라미드를 이용한 이차전지용 다공성 분리막의 제조Example 3 Preparation of Porous Membrane for Secondary Battery Using Polyvinylidene Fluoride and Meta-Aramid
<단계 1> 방사용액의 제조<Step 1> Preparation of spinning solution
폴리비닐리덴플루오라이드(KYNAR741)를 디메틸아세트아미드(DMAc)에 용해시켜 폴리비닐리덴플루오라이드 방사용액을 제조하였고, 중량평균분자량이 300,000인 메타아라미드(E. I. du Pont de Nemours and Company)를 디메틸포름아마이드(DMF)에 용해시켜 메타아라미드 방사용액을 제조하였다.Polyvinylidene fluoride (KYNAR741) was dissolved in dimethylacetamide (DMAc) to prepare a polyvinylidene fluoride spinning solution. It was dissolved in (DMF) to prepare a metaaramid spinning solution.
<단계 2> 이차전지용 다공성 분리막의 제조<
상향식 전기방사장치의 방사구역을 2구간으로 구획하고, 제1 방사구간에 연결설치된 제1 공급장치에 상기 폴리비닐리덴플루오라이드 방사용액을 투입하고, 제2 방사구간에 연결설치된 제2 공급장치에는 상기 메타아라미드 용액을 투입하여 연속적으로 상향식으로 전기방사를 실시하였다. 상기 제1 공급장치가 연결된 제1 구간에서는 컬렉터상에 폴리비닐리덴플루오라이드 나노섬유가 형성되고, 일정속도로 컬렉터가 이동하여 제2 공급장치가 연결된 제2 구간에서는 상기 폴리비닐리덴플루오라이드 나노섬유 상층에 메타아라미드 용액을 방사하여 메타아라미드 나노섬유를 적층형성하여 2층으로 형성된 이차전지용 다공성 분리막을 형성하였다. 이때, 방사노즐당 토출량은 10㎖/분이었으며, 전극과 컬렉터 간의 거리는 40cm, 인가전압은 20kV로 하였으며, 각각의 나노섬유층의 두께는 5로, 제조된 이차전지용 다공성 분리막의 총 두께는 10㎛로 제조하였다.The radiation zone of the bottom-up electrospinning device is divided into two sections, the polyvinylidene fluoride spinning solution is introduced into a first supply device connected to the first radiation section, and the second supply device is connected to the second spinning section. The metaaramid solution was added thereto, and the electrospinning was continuously performed in a bottom-up manner. Polyvinylidene fluoride nanofibers are formed on a collector in a first section to which the first feeder is connected, and the polyvinylidene fluoride nanofibers are formed on a second section to which a second feeder is connected by moving the collector at a constant speed. The meta-aramid solution was spun on the upper layer to form the meta-aramid nanofibers, thereby forming a porous separator for secondary batteries formed of two layers. At this time, the discharge amount per spinning nozzle was 10ml / min, the distance between the electrode and the collector was 40cm, the applied voltage was 20kV, the thickness of each nanofiber layer was 5, the total thickness of the prepared porous separator for secondary battery is 10㎛ Prepared.
[비교예 1]Comparative Example 1
상향식 전기방사장치 대신 하향식 전기방사장치를 사용한 것을 제외하고는, 실시예 1과 동일한 과정을 실시하여 다공성 분리막을 제조하였다. Except for using a top-down electrospinning device instead of a bottom-up electrospinning apparatus, a porous separator was prepared in the same manner as in Example 1.
[실험예 1] 섬유균일도 평가Experimental Example 1 Evaluation of Fiber Uniformity
실시예 1 내지 3 및 비교예 1에서 각각 제조한 다공성 분리막의 섬유 균일도를 평가하였다. 평가한 결과, 실시예 1 내지 3에서 각각 제조한 다공성 분리막의 섬유 직경은 균일하여 섬유균일도가 우수하고 드롭렛 현상이 발생하지 않아 분리막의 품질이 우수한 반면, 비교예 1에서 제조한 다공성 분리막은 드롭렛 현상이 발생하여 품질이 저하된 것을 알 수 있었다.Fiber uniformity of the porous separators prepared in Examples 1 to 3 and Comparative Example 1, respectively, was evaluated. As a result, the fiber diameter of the porous membranes prepared in Examples 1 to 3 were uniform, so that the fiber uniformity was excellent and the droplet phenomenon did not occur, so the membrane quality was excellent, whereas the porous membrane prepared in Comparative Example 1 was dropped. It was found that the let phenomenon occurred, the quality was reduced.
[실시예 4] 폴리실록산을 이용한 이차전지용 다공성 분리막의 제조Example 4 Preparation of a Porous Separator for Secondary Batteries Using Polysiloxane
수평균 분자량이 50,000인 폴리실록산(DOW CORNING, MB50-010)을 아세톤 용매에 용해시켜 20질량%의 폴리실록산 방사용액을 제조하고, 상기 방사용액을 10㎛ 두께의 폴리올레핀 기재(Celgard 2400) 상에 전극과 컬렉터 간의 거리를 40cm, 인가 전압 15kV, 방사용액 유량 0.1mL/h, 온도 22, 습도 20%로 상향식 전기방사하여 3㎛ 두께의 폴리실록산 나노섬유를 형성하였다.A polysiloxane (DOW CORNING, MB50-010) having a number average molecular weight of 50,000 was dissolved in an acetone solvent to prepare a 20 mass% polysiloxane spinning solution, and the spinning solution was coated on an 10-micron-thick polyolefin substrate (Celgard 2400). The distance between the collectors was 40 cm, an applied voltage of 15 kV, a spinning solution flow rate of 0.1 mL / h, a temperature of 22, and a humidity of 20%.
[실시예 5] 폴리실록산을 이용한 이차전지용 다공성 분리막의 제조Example 5 Preparation of Porous Membrane for Secondary Battery Using Polysiloxane
20질량%의 폴리실록산 방사용액 대신 10질량%의 폴리실록산 방사용액을 제조하여 사용한 것을 제외하고는, 실시예 4와 동일한 과정을 실시하여 폴리실록산 나노섬유를 제조하였다.A polysiloxane nanofiber was prepared in the same manner as in Example 4 except that 10 mass% of the polysiloxane spinning solution was prepared and used instead of 20 mass% of the polysiloxane spinning solution.
[비교예 2]Comparative Example 2
별도의 처리를 하지 않은 13㎛ 두께의 폴리올레핀 필름(Celgard 2400)이용하여 분리막을 제조하였다.Separation membranes were prepared using a 13 μm thick polyolefin film (Celgard 2400) which was not treated separately.
[실험예 2] 열 수축율 평가Experimental Example 2 Evaluation of Heat Shrinkage
실시예 4 및 5에서 각각 제조한 다공성 분리막과 비교예 2에서 제조한 분리막을 각각 5㎝×2.5㎝의 크기로 준비한 후, 두 장의 슬라이드 글라스 사이에 각각 넣고 클립으로 조인 다음 150℃에서 30분간 방지한 후 수축율을 계산하였으며, 그 결과는 하기 표 1에 나타내었다.Prepare the porous membranes prepared in Examples 4 and 5 and the separators prepared in Comparative Example 2, respectively, in sizes of 5 cm × 2.5 cm, put them between two slide glasses, tighten them with clips, and then prevent them at 150 ° C. for 30 minutes. After shrinkage was calculated, the results are shown in Table 1 below.
표 1
상기 표 1에서 알 수 있는 바와 같이, 전기방사에 의한 무기고분자 나노섬유 층을 포함하는 다공성 분리막(실시예 4 및 5)의 경우, 일반 폴리올레핀 필름(비교예 2)에 비해 내열 안정성이 월등히 향상되었음을 알 수 있었다.As can be seen in Table 1, in the case of the porous separators (Examples 4 and 5) including the inorganic polymer nanofiber layer by electrospinning, the thermal stability was significantly improved compared to the general polyolefin film (Comparative Example 2). Could know.
[실시예 6] 무기물 코팅층을 포함하는 이차전지용 다공성 분리막의 제조Example 6 Preparation of a Porous Separator for a Secondary Battery Including an Inorganic Coating Layer
<단계 1> 다공성 분리막의 제조Step 1 Preparation of Porous Membrane
중량평균 분자량이 100,000인 폴리아믹산을 THF/DMAc 8:2 혼합용매에 용해시켜 방사용액을 제조하고, 상기 방사용액을 10 두께의 폴리올레핀 기재(Celgard 2400) 상에 전극과 컬렉터 간의 거리를 40cm, 인가 전압 15kV, 방사용액 유량 0.1mL/h, 온도 22℃, 습도 20%로 상향식 전기방사하여 3㎛ 두께의 폴리아믹산 나노섬유를 형성하였다. 이후, 상기 폴리아믹산 나노섬유를 300℃로 소성하여 폴리아미드 나노섬유로 이미드화 시켰다.A polyamic acid having a weight average molecular weight of 100,000 was dissolved in a THF / DMAc 8: 2 mixed solvent to prepare a spinning solution, and the spinning solution was applied to a polyolefin substrate (Celgard 2400) having a thickness of 10 cm and a distance of 40 cm was applied. Upward electrospinning was performed at a voltage of 15 kV, a spinning solution flow rate of 0.1 mL / h, a temperature of 22 ° C., and a humidity of 20% to form polyamic acid nanofibers having a thickness of 3 μm. Thereafter, the polyamic acid nanofibers were calcined at 300 ° C. and imidized into polyamide nanofibers.
<단계 2> 무기물 코팅층의 형성<
0.5㎛ 크기의 Al2O3 무기물입자와 중량평균분자량이 50,000인 폴리비닐리덴플루오라이드(PVDF)를 9:1 중량비로 아세톤에 첨가하여 슬러리를 제조하였다. 이후, 제조된 슬러리를 단계 1에서 제조된 폴리아미드 나노섬유 상에 캐스팅 방법으로 5℃ 두께 만큼 코팅하여 무기물 코팅층을 형성하였다.A slurry was prepared by adding 0.5 μm size Al 2 O 3 inorganic particles and polyvinylidene fluoride (PVDF) having a weight average molecular weight of 50,000 to acetone in a 9: 1 weight ratio. Thereafter, the prepared slurry was coated on the polyamide nanofiber prepared in Step 1 by a casting method by 5 ° C. in thickness to form an inorganic coating layer.
[실시예 7] 무기물 코팅층을 포함하는 이차전지용 다공성 분리막의 제조Example 7 Preparation of a Porous Separator for a Secondary Battery Including an Inorganic Coating Layer
0.5㎛ 크기의 Al2O3 무기물입자와 중량평균분자량이 50,000인 폴리비닐리덴플루오라이드(PVDF)를 9:1 중량비가 아닌 8:2 중량비로 아세톤에 첨가한 것을 제외하고는, 실시예 6와 동일한 과정을 실시하여 무기물 코팅층을 포함하는 이차전지용 다공성 분리막을 제조하였다.Example 6 except that 0.5 μm-sized Al 2 O 3 inorganic particles and polyvinylidene fluoride (PVDF) having a weight average molecular weight of 50,000 were added to acetone in an 8: 2 weight ratio instead of a 9: 1 weight ratio. By performing the same process to prepare a porous separator for a secondary battery including an inorganic coating layer.
[비교예 3]Comparative Example 3
별도의 처리를 하지 않은 18㎛ 두께의 폴리올레핀 필름(Celgard 2400)을 이용하여 분리막을 제조하였다.Separation membrane was prepared using a polyolefin film (Celgard 2400) of 18㎛ thickness not treated separately.
[비교예 4][Comparative Example 4]
13㎛ 두께의 폴리올레핀 필름(Celgard 2400) 상에 0.5㎛ 크기의 Al2O3 무기물입자와 중량평균분자량이 50,000인 폴리비닐리덴플루오라이드(PVDF)를 9:1 중량비로 아세톤에 첨가하여 제조한 슬러리를 5㎛ 두께로 코팅하여 분리막을 제조하였다.A slurry prepared by adding 0.5 μm-sized Al 2 O 3 inorganic particles and a polyvinylidene fluoride (PVDF) having a weight average molecular weight of 50,000 to acetone on a 13 μm thick polyolefin film (Celgard 2400) in a 9: 1 weight ratio. Was coated with a thickness of 5㎛ to prepare a separator.
[실험예 3] 전해액 흡수율 평가Experimental Example 3 Evaluation of Electrolyte Absorption Rate
실시예 6 및 실시예 7에서 각각 제조한 다공성 분리막과 비교예 3 및 비교예 4에서 각각 제조한 분리막을 5㎝×5㎝의 크기로 절단한 후, 1M LiPF6 EC/DMC/DEC(1/1/1) 전해질 용액에 실온에서 약 1시간 동안 침지한 다음, 표면에 묻은 과량의 전해액은 종이 여과지로 제거한 뒤 전해액에 침지하기 전후의 무게를 비교측정하여 전해액 흡수율을 측정하였으며, 그 결과는 하기 표 2에 나타내었다.The porous separators prepared in Examples 6 and 7 and the separators prepared in Comparative Examples 3 and 4, respectively, were cut to a size of 5 cm × 5 cm, and then 1M LiPF 6 EC / DMC / DEC (1 / 1/1) After immersing in the electrolyte solution for about 1 hour at room temperature, the excess electrolyte solution on the surface was removed by paper filter paper, and then measured by comparing the weight before and after immersion in the electrolyte solution, the electrolyte absorption rate was measured as follows. Table 2 shows.
[실험예 4] 열 수축율 평가Experimental Example 4 Evaluation of Heat Shrinkage
실시예 6 및 7에서 각각 제조한 다공성 분리막과 비교예 3 및 4에서 각각 제조한 분리막을 각각 5㎝×2.5㎝의 크기로 준비한 후, 두 장의 슬라이드 글라스 사이에 각각 넣고 클립으로 조인 다음 150℃에서 30분간 방지한 후 수축율을 계산하였으며, 그 결과는 하기 표 2에 나타내었다.The porous membranes prepared in Examples 6 and 7 and the membranes prepared in Comparative Examples 3 and 4, respectively, were prepared in a size of 5 cm × 2.5 cm, respectively, sandwiched between two slide glasses, and then tightened with clips, and then at 150 ° C. After preventing for 30 minutes, the shrinkage was calculated, and the results are shown in Table 2 below.
표 2
상기 표 2에서 알 수 있는 바와 같이, 전기방사에 의한 나노섬유와 무기물 코팅층이 견고하게 부착되어 있는 다공성 분리막(실시예 6 및 7)은, 일반 폴리올레핀 필름(비교예 3) 및 폴리올레핀 필름에 무기물을 직접 코팅한 분리막(비교예 4)에 비해 내열 안정성 및 전해액 젖음성이 월등히 향상되었다.As can be seen in Table 2, the porous membranes (Examples 6 and 7) to which the nanofibers and the inorganic coating layer are firmly attached by electrospinning, the inorganic material is added to the general polyolefin film (Comparative Example 3) and the polyolefin film. Compared with the directly coated separator (Comparative Example 4), the heat resistance and electrolyte wettability were significantly improved.
[실시예 8] 무기물 코팅층을 포함하는 이차전지용 다공성 분리막의 제조Example 8 Preparation of a Porous Separator for a Secondary Battery Including an Inorganic Coating Layer
<단계 1> 다공성 분리막의 제조Step 1 Preparation of Porous Membrane
중량평균분자량이 157,000인 폴리아크릴로니트릴(한일합섬)을 DMF 용매에 용해시켜 방사용액을 제조하고, 상기 방사용액을 10㎛ 두께의 폴리올레핀 기재(Celgard 2400) 상에 전극과 컬렉터 간의 거리를 40cm, 인가 전압 15kV, 방사용액 유량 0.1mL/h, 온도 22℃, 습도 20%로 상향식 전기방사하여 3㎛ 두께의 폴리아크릴로니트릴 나노섬유를 형성하였다.A polyacrylonitrile (Hanil Synthetic Fiber) having a weight average molecular weight of 157,000 was dissolved in a DMF solvent to prepare a spinning solution, and the spinning solution was separated from the electrode on the polyolefin substrate (Celgard 2400) having a thickness of 10 μm by 40 cm, Upward electrospinning was performed at an applied voltage of 15 kV, a spinning solution flow rate of 0.1 mL / h, a temperature of 22 ° C., and a humidity of 20% to form polyacrylonitrile nanofibers having a thickness of 3 μm.
<단계 2> 무기물 코팅층의 형성<
0.5㎛ 크기의 Al2O3 무기물입자와 폴리메틸메타크릴레이트(Poly(methyl methacrylate), PMMA)(LG IG840)를 9:1 중량비로 아세톤에 첨가하여 슬러리를 제조하였다. 이후, 제조된 슬러리를 단계 1에서 제조된 폴리아크릴로니트릴 나노섬유 상에 캐스팅 방법으로 5㎛ 두께 만큼 코팅하여 무기물 코팅층을 형성하였다.A slurry was prepared by adding 0.5 μm size Al 2 O 3 inorganic particles and polymethyl methacrylate (Poly (methyl methacrylate), PMMA) (LG IG840) to acetone in a 9: 1 weight ratio. Thereafter, the prepared slurry was coated on the polyacrylonitrile nanofiber prepared in Step 1 by a casting method with a thickness of 5 μm to form an inorganic coating layer.
[실시예 9] 무기물 코팅층을 포함하는 이차전지용 다공성 분리막의 제조Example 9 Preparation of a Porous Separator for a Secondary Battery Including an Inorganic Coating Layer
0.5㎛ 크기의 Al2O3 무기물입자와 폴리메틸메타크릴레이트(Poly(methyl methacrylate), PMMA)(LG IG840)를 9:1 중량비가 아닌 8:2 중량비로 아세톤에 첨가한 것을 제외하고는, 실시예 8과 동일한 과정을 실시하여 무기물 코팅층을 포함하는 이차전지용 다공성 분리막을 제조하였다.Except that 0.5 μm-sized Al 2 O 3 inorganic particles and polymethyl methacrylate (PMMA) (LG IG840) were added to acetone in an 8: 2 weight ratio instead of a 9: 1 weight ratio, By performing the same process as in Example 8, a porous separator for a secondary battery including an inorganic coating layer was prepared.
[실시예 10] 무기물 코팅층을 포함하는 이차전지용 다공성 분리막의 제조Example 10 Preparation of a Porous Separator for a Secondary Battery Including an Inorganic Coating Layer
<단계 1> 다공성 분리막의 제조Step 1 Preparation of Porous Membrane
중량평균 분자량(Mw)이 50,000인 폴리비닐리덴플루오라이드를 DMAc 용매에 용해시켜 방사용액을 제조하고, 상기 방사용액을 10㎛ 두께의 폴리올레핀 기재(Celgard 2400) 상에 전극과 컬렉터 간의 거리를 40cm, 인가 전압 15kV, 방사용액 유량 0.1mL/h, 온도 22℃, 습도 20%로 상향식 전기방사하여 3㎛ 두께의 폴리비닐리덴플루오라이드 나노섬유를 형성하였다.A polyvinylidene fluoride having a weight average molecular weight (Mw) of 50,000 was dissolved in a DMAc solvent to prepare a spinning solution. A 3 μm-thick polyvinylidene fluoride nanofiber was formed by upward electrospinning at an applied voltage of 15 kV, a spinning solution flow rate of 0.1 mL / h, a temperature of 22 ° C., and a humidity of 20%.
<단계 2> 무기물 코팅층의 형성<
0.5㎛ 크기의 Al2O3 무기물입자와 폴리메틸메타크릴레이트(Poly(methyl methacrylate), PMMA)(LG IG840)를 9:1 중량비로 아세톤에 첨가하여 슬러리를 제조하였다. 이후, 제조된 슬러리를 단계 1에서 제조된 폴리비닐리덴플루오라이드 나노섬유 상에 캐스팅 방법으로 5㎛ 두께 만큼 코팅하여 무기물 코팅층을 형성하였다.A slurry was prepared by adding 0.5 μm size Al 2 O 3 inorganic particles and polymethyl methacrylate (Poly (methyl methacrylate), PMMA) (LG IG840) to acetone in a 9: 1 weight ratio. Thereafter, the prepared slurry was coated on the polyvinylidene fluoride nanofiber prepared in Step 1 by a thickness of about 5 μm to form an inorganic coating layer.
[실시예 11] 무기물 코팅층을 포함하는 이차전지용 다공성 분리막의 제조Example 11 Preparation of a Porous Separator for Secondary Battery Including an Inorganic Coating Layer
0.5㎛ 크기의 Al2O3 무기물입자와 폴리메틸메타크릴레이트(Poly(methyl methacrylate), PMMA)(LG IG840)를 9:1 중량비가 아닌 8:2 중량비로 아세톤에 첨가한 것을 제외하고는, 실시예 10과 동일한 과정을 실시하여 무기물 코팅층을 포함하는 이차전지용 다공성 분리막을 제조하였다.Except that 0.5 μm-sized Al 2 O 3 inorganic particles and polymethyl methacrylate (PMMA) (LG IG840) were added to acetone in an 8: 2 weight ratio instead of a 9: 1 weight ratio, By performing the same process as in Example 10 to prepare a porous separator for a secondary battery including an inorganic coating layer.
[실시예 12] 무기물 코팅층을 포함하는 이차전지용 다공성 분리막의 제조Example 12 Preparation of a Porous Separator for Secondary Battery Including an Inorganic Coating Layer
<단계 1> 다공성 분리막의 제조Step 1 Preparation of Porous Membrane
중량평균 분자량(Mw)이 50,000인 메타아라미드를 DMAc 용매에 용해시켜 방사용액을 제조하고, 상기 방사용액을 10㎛ 두께의 폴리올레핀 기재(Celgard 2400) 상에 전극과 컬렉터 간의 거리를 40cm, 인가 전압 15kV, 방사용액 유량 0.1mL/h, 온도 22℃, 습도 20%로 상향식 전기방사하여 3㎛ 두께의 메타아라미드 나노섬유를 형성하였다.Meta-aramid having a weight average molecular weight (Mw) of 50,000 was dissolved in a DMAc solvent to prepare a spinning solution.The spinning solution was placed on a polyolefin substrate (Celgard 2400) having a thickness of 10 µm with a distance of 40 cm and an applied voltage of 15 kV. , Spin-down electrospinning at a flow rate of 0.1 mL / h, a temperature of 22 ° C., and a humidity of 20% to form meta-aramid nanofibers having a thickness of 3 μm.
<단계 2> 무기물 코팅층의 형성<
0.5㎛ 크기의 Al2O3 무기물입자와 폴리메틸메타크릴레이트(Poly(methyl methacrylate), PMMA)(LG IG840)를 9:1 중량비로 아세톤에 첨가하여 슬러리를 제조하였다. 이후, 제조된 슬러리를 단계 1에서 제조된 메타아라미드 나노섬유 상에 캐스팅 방법으로 5㎛ 두께 만큼 코팅하여 무기물 코팅층을 형성하였다.A slurry was prepared by adding 0.5 μm size Al 2 O 3 inorganic particles and polymethyl methacrylate (Poly (methyl methacrylate), PMMA) (LG IG840) to acetone in a 9: 1 weight ratio. Thereafter, the prepared slurry was coated on the meta-aramid nanofiber prepared in step 1 by a casting method with a thickness of 5 μm to form an inorganic coating layer.
[실시예 13] 무기물 코팅층을 포함하는 이차전지용 다공성 분리막의 제조Example 13 Preparation of a Porous Separator for Secondary Battery Including an Inorganic Coating Layer
0.5㎛ 크기의 Al2O3 무기물입자와 폴리메틸메타크릴레이트(Poly(methyl methacrylate), PMMA)(LG IG840)를 9:1 중량비가 아닌 8:2 중량비로 아세톤에 첨가한 것을 제외하고는, 실시예 11과 동일한 과정을 실시하여 무기물 코팅층을 포함하는 이차전지용 다공성 분리막을 제조하였다.Except that 0.5 μm-sized Al 2 O 3 inorganic particles and polymethyl methacrylate (PMMA) (LG IG840) were added to acetone in an 8: 2 weight ratio instead of a 9: 1 weight ratio, By performing the same process as in Example 11, a porous separator for a secondary battery including an inorganic coating layer was prepared.
[비교예 5][Comparative Example 5]
13 두께의 폴리올레핀 필름(Celgard 2400) 상에 0.5㎛ 크기의 Al2O3 무기물입자와 폴리메틸메타크릴레이트(PMMA)를 9:1 중량비로 아세톤에 첨가하여 제조한 슬러리를 5㎛ 두께로 코팅하여 분리막을 제조하였다.A slurry prepared by adding 0.5 μm Al 2 O 3 inorganic particles and polymethyl methacrylate (PMMA) to acetone in a 9: 1 weight ratio on a polyolefin film (Celgard 2400) having a thickness of 13 μm was coated with a thickness of 5 μm. A separator was prepared.
[실험예 5] 열 수축율 평가Experimental Example 5 Evaluation of Heat Shrinkage
실시예 8 내지 13에서 각각 제조한 다공성 분리막과 비교예 3 및 5에서 각각 제조한 분리막을 각각 5㎝×2.5㎝의 크기로 준비한 후, 두 장의 슬라이드 글라스 사이에 각각 넣고 클립으로 조인 다음 150℃에서 30분간 방지한 후 수축율을 계산하였으며, 그 결과는 하기 표 3에 나타내었다.The porous membranes prepared in Examples 8 to 13 and the membranes prepared in Comparative Examples 3 and 5, respectively, were prepared in a size of 5 cm × 2.5 cm, respectively, sandwiched between two slide glasses, and then tightened with clips, and then, at 150 ° C. After preventing for 30 minutes, the shrinkage was calculated, and the results are shown in Table 3 below.
표 3
상기 표 3에서 알 수 있는 바와 같이, 전기방사에 의한 나노섬유와 무기물 코팅층이 견고하게 부착되어 있는 다공성 분리막(실시예 8 내지 13)은, 일반 폴리올레핀 필름(비교예 3) 및 폴리올레핀 필름에 무기물을 직접 코팅한 분리막(비교예 5)에 비해 내열 안정성이 월등히 향상되었다.As can be seen in Table 3, the porous separator (Examples 8 to 13) to which the nanofibers and the inorganic coating layer by electrospinning are firmly attached, the inorganic material is added to the general polyolefin film (Comparative Example 3) and the polyolefin film. Compared with the directly coated separator (Comparative Example 5), the heat resistance was much improved.
Claims (14)
Applications Claiming Priority (12)
| Application Number | Priority Date | Filing Date | Title |
|---|---|---|---|
| KR1020130026998A KR101447564B1 (en) | 2013-03-14 | 2013-03-14 | A method for preparing separator for secondary batteries by using Bottom-up electrospinning and separator for secondary batteries using the same |
| KR10-2013-0026999 | 2013-03-14 | ||
| KR1020130027005A KR101402981B1 (en) | 2013-03-14 | 2013-03-14 | Porous separator and its preparation method with inorganic polymer electrospinning on polyolefin substrate |
| KR10-2013-0027002 | 2013-03-14 | ||
| KR1020130027003A KR101402976B1 (en) | 2013-03-14 | 2013-03-14 | Porous separator for secondary cell and its preparation method with polyimide electrospinning on polyolefin substrate and inorganic compound coating |
| KR10-2013-0027005 | 2013-03-14 | ||
| KR10-2013-0027003 | 2013-03-14 | ||
| KR20130027002A KR101479749B1 (en) | 2013-03-14 | 2013-03-14 | Porous Separator for Secondary cell and its manufacturing method with Polyvinylidene fluoride electrospinning on polyolefin substrate and inorganic compound coating |
| KR10-2013-0027004 | 2013-03-14 | ||
| KR10-2013-0026998 | 2013-03-14 | ||
| KR1020130027004A KR101402979B1 (en) | 2013-03-14 | 2013-03-14 | Porous separator for secondary cell and its preparation method with meta aramide electrospinning and inorganic compound coating on polyolefin substrate |
| KR1020130026999A KR101447565B1 (en) | 2013-03-14 | 2013-03-14 | Porous separating membrane for secondary battery which contains inorganic coating layer method of |
Publications (1)
| Publication Number | Publication Date |
|---|---|
| WO2014142450A1 true WO2014142450A1 (en) | 2014-09-18 |
Family
ID=51537047
Family Applications (1)
| Application Number | Title | Priority Date | Filing Date |
|---|---|---|---|
| PCT/KR2014/001566 Ceased WO2014142450A1 (en) | 2013-03-14 | 2014-02-26 | Method for preparing porous separation membrane for second battery and porous separation membrane for second battery prepared thereby |
Country Status (1)
| Country | Link |
|---|---|
| WO (1) | WO2014142450A1 (en) |
Cited By (12)
| Publication number | Priority date | Publication date | Assignee | Title |
|---|---|---|---|---|
| CN105552279A (en) * | 2016-01-29 | 2016-05-04 | 常州达奥新材料科技有限公司 | Method for preparing overcharge protection battery separator with high heat stability by electrospinning method |
| WO2016159720A1 (en) * | 2015-04-02 | 2016-10-06 | 에스케이이노베이션 주식회사 | Composite separation membrane for lithium secondary battery and manufacturing method therefor |
| EP3490031A4 (en) * | 2016-08-29 | 2019-05-29 | BYD Company Limited | Lithium ion battery separator and preparation method therefor, and lithium ion battery |
| EP3493297A4 (en) * | 2016-08-29 | 2019-06-05 | BYD Company Limited | POLYMERIC COMPOSITE FILM AND ITS PREPARATION METHOD AND LITHIUM ION BATTERY COMPRISING THE POLYMER COMPOSITE FILM |
| EP3493298A4 (en) * | 2016-08-29 | 2019-06-05 | BYD Company Limited | Polymer composite film and preparation method therefor and lithium ion battery comprising same |
| CN110808351A (en) * | 2019-11-07 | 2020-02-18 | 贵州梅岭电源有限公司 | Polyimide composite diaphragm of lithium ion power battery and preparation method thereof |
| CN111653821A (en) * | 2020-05-29 | 2020-09-11 | 东南大学 | A kind of polyimide electrospinning fiber modified siloxane composite solid polymer electrolyte and its preparation and application |
| US10985356B2 (en) | 2015-04-02 | 2021-04-20 | Sk Innovation Co., Ltd. | Composite separation membrane for lithium secondary battery and manufacturing method therefor |
| WO2023021274A1 (en) * | 2021-08-16 | 2023-02-23 | University Of Surrey | A supercapacitor comprising a separator with a permanent electrical dipole |
| CN116103837A (en) * | 2023-02-09 | 2023-05-12 | 湖州南木纳米科技有限公司 | A kind of high temperature resistant polyimide composite diaphragm and preparation method thereof |
| CN116695290A (en) * | 2023-07-11 | 2023-09-05 | 陕西科技大学 | Method for recycling meta-aramid fiber waste silk |
| CN118630422A (en) * | 2024-07-02 | 2024-09-10 | 青岛科技大学 | A battery nanofiber barrier film and preparation method thereof |
Citations (4)
| Publication number | Priority date | Publication date | Assignee | Title |
|---|---|---|---|---|
| KR20080017114A (en) * | 2006-08-21 | 2008-02-26 | 주식회사 엘지화학 | Electrode assembly with excellent bonding force and conductivity between electrode and separator and electrochemical cell containing the same |
| KR20110026186A (en) * | 2009-09-07 | 2011-03-15 | 한국생산기술연구원 | Hydrophilic Polyolefin-Based Membrane, Manufacturing Method Thereof and Secondary Battery Using the Same |
| KR20110057079A (en) * | 2009-11-23 | 2011-05-31 | 주식회사 엘지화학 | Method for producing a separator having a porous coating layer, a separator formed therefrom and an electrochemical device having the same |
| KR20110105365A (en) * | 2010-03-18 | 2011-09-26 | 주식회사 아모그린텍 | Ultra-fine fibrous porous membrane with shutdown function, manufacturing method and apparatus therefor |
-
2014
- 2014-02-26 WO PCT/KR2014/001566 patent/WO2014142450A1/en not_active Ceased
Patent Citations (4)
| Publication number | Priority date | Publication date | Assignee | Title |
|---|---|---|---|---|
| KR20080017114A (en) * | 2006-08-21 | 2008-02-26 | 주식회사 엘지화학 | Electrode assembly with excellent bonding force and conductivity between electrode and separator and electrochemical cell containing the same |
| KR20110026186A (en) * | 2009-09-07 | 2011-03-15 | 한국생산기술연구원 | Hydrophilic Polyolefin-Based Membrane, Manufacturing Method Thereof and Secondary Battery Using the Same |
| KR20110057079A (en) * | 2009-11-23 | 2011-05-31 | 주식회사 엘지화학 | Method for producing a separator having a porous coating layer, a separator formed therefrom and an electrochemical device having the same |
| KR20110105365A (en) * | 2010-03-18 | 2011-09-26 | 주식회사 아모그린텍 | Ultra-fine fibrous porous membrane with shutdown function, manufacturing method and apparatus therefor |
Cited By (15)
| Publication number | Priority date | Publication date | Assignee | Title |
|---|---|---|---|---|
| US10985356B2 (en) | 2015-04-02 | 2021-04-20 | Sk Innovation Co., Ltd. | Composite separation membrane for lithium secondary battery and manufacturing method therefor |
| WO2016159720A1 (en) * | 2015-04-02 | 2016-10-06 | 에스케이이노베이션 주식회사 | Composite separation membrane for lithium secondary battery and manufacturing method therefor |
| CN105552279A (en) * | 2016-01-29 | 2016-05-04 | 常州达奥新材料科技有限公司 | Method for preparing overcharge protection battery separator with high heat stability by electrospinning method |
| US11264674B2 (en) | 2016-08-29 | 2022-03-01 | Byd Company Limited | Polymer composite membrane, preparation method for same, and lithium-ion battery including same |
| EP3493298A4 (en) * | 2016-08-29 | 2019-06-05 | BYD Company Limited | Polymer composite film and preparation method therefor and lithium ion battery comprising same |
| EP3493297A4 (en) * | 2016-08-29 | 2019-06-05 | BYD Company Limited | POLYMERIC COMPOSITE FILM AND ITS PREPARATION METHOD AND LITHIUM ION BATTERY COMPRISING THE POLYMER COMPOSITE FILM |
| US11223090B2 (en) | 2016-08-29 | 2022-01-11 | Byd Company Limited | Polymer composite membrane, preparation method thereof, and lithium-ion battery including the same |
| EP3490031A4 (en) * | 2016-08-29 | 2019-05-29 | BYD Company Limited | Lithium ion battery separator and preparation method therefor, and lithium ion battery |
| CN110808351A (en) * | 2019-11-07 | 2020-02-18 | 贵州梅岭电源有限公司 | Polyimide composite diaphragm of lithium ion power battery and preparation method thereof |
| CN111653821A (en) * | 2020-05-29 | 2020-09-11 | 东南大学 | A kind of polyimide electrospinning fiber modified siloxane composite solid polymer electrolyte and its preparation and application |
| CN111653821B (en) * | 2020-05-29 | 2022-06-07 | 东南大学 | A polyimide electrospinning fiber modified siloxane composite solid polymer electrolyte and its preparation and application |
| WO2023021274A1 (en) * | 2021-08-16 | 2023-02-23 | University Of Surrey | A supercapacitor comprising a separator with a permanent electrical dipole |
| CN116103837A (en) * | 2023-02-09 | 2023-05-12 | 湖州南木纳米科技有限公司 | A kind of high temperature resistant polyimide composite diaphragm and preparation method thereof |
| CN116695290A (en) * | 2023-07-11 | 2023-09-05 | 陕西科技大学 | Method for recycling meta-aramid fiber waste silk |
| CN118630422A (en) * | 2024-07-02 | 2024-09-10 | 青岛科技大学 | A battery nanofiber barrier film and preparation method thereof |
Similar Documents
| Publication | Publication Date | Title |
|---|---|---|
| WO2014142450A1 (en) | Method for preparing porous separation membrane for second battery and porous separation membrane for second battery prepared thereby | |
| WO2011055967A2 (en) | Heat-resistant and high-tenacity ultrafine fibrous separation layer, method for manufacturing same, and secondary cell using same | |
| WO2020055217A1 (en) | Separator for electrochemical device, and manufacturing method therefor | |
| WO2009125985A2 (en) | Method of manufacturing the microporous polyolefin composite film with a thermally stable layer at high temperature | |
| WO2015016450A1 (en) | Multi-layered nanofiber filter medium using electro-blowing, melt-blowing or electrospinning, and method for manufacturing same | |
| WO2009125984A2 (en) | Microporous polyolefin composite film with a thermally stable porous layer at high temperature | |
| WO2021020939A1 (en) | Negative electrode, secondary battery including negative electrode, and method for manufacturing negative electrode | |
| WO2011115453A2 (en) | Ultra-fine fibrous porous separator having shutdown function and method for producing same | |
| WO2022197068A1 (en) | Method of manufacturing anode electrode for lithium metal battery using irradiation of photoelectromagnetic energy and anode electrode for lithium metal battery | |
| WO2015093852A1 (en) | Separation membrane for electrochemical device | |
| WO2013089313A1 (en) | High heat resistance composite separator for lithium secondary battery and lithium secondary battery including same | |
| WO2012060604A2 (en) | Heat-resistant separator, electrode assembly and secondary battery using the same, and method for manufacturing secondary battery | |
| WO2015065047A1 (en) | Negative electrode active material and method for preparing same | |
| WO2019245343A1 (en) | Separator for electrochemical device, electrochemical device comprising same, and method for manufacturing separator | |
| WO2020013675A1 (en) | Electrochemical element separation membrane including low-resistance coating layer, and method for manufacturing same | |
| WO2014142449A1 (en) | Method for manufacturing multi-layer separation film for secondary battery having improved heat resistance, and multi-layer separation film manufactured thereby | |
| KR101402976B1 (en) | Porous separator for secondary cell and its preparation method with polyimide electrospinning on polyolefin substrate and inorganic compound coating | |
| WO2019103545A1 (en) | Separator fabrication method, separator fabricated thereby, and electrochemical element comprising same separator | |
| WO2016032166A1 (en) | Separator membrane having high heat resistance and flame retardancy, and electrochemical battery | |
| WO2019245202A1 (en) | Separator for electrochemical device, method for manufacturing same, and electrochemical device comprising same | |
| WO2022086289A1 (en) | Negative electrode and secondary battery comprising same | |
| WO2014112776A1 (en) | Polymer electrolyte, lithium secondary battery using same, and method for manufacturing lithium secondary battery | |
| WO2014137095A1 (en) | Filter medium having nanofibers on both sides of base and having improved heat resistance, and manufacturing method therefor | |
| WO2022045858A1 (en) | Electrochemical device separator and electrochemical device comprising same | |
| WO2014098519A1 (en) | Porous separation membrane, secondary battery using same, and method for manufacturing said secondary battery |
Legal Events
| Date | Code | Title | Description |
|---|---|---|---|
| 121 | Ep: the epo has been informed by wipo that ep was designated in this application |
Ref document number: 14765265 Country of ref document: EP Kind code of ref document: A1 |
|
| NENP | Non-entry into the national phase |
Ref country code: DE |
|
| 122 | Ep: pct application non-entry in european phase |
Ref document number: 14765265 Country of ref document: EP Kind code of ref document: A1 |



