WO2014127112A9 - Memory enhancer and actin dynamics - Google Patents
Memory enhancer and actin dynamics Download PDFInfo
- Publication number
- WO2014127112A9 WO2014127112A9 PCT/US2014/016224 US2014016224W WO2014127112A9 WO 2014127112 A9 WO2014127112 A9 WO 2014127112A9 US 2014016224 W US2014016224 W US 2014016224W WO 2014127112 A9 WO2014127112 A9 WO 2014127112A9
- Authority
- WO
- WIPO (PCT)
- Prior art keywords
- memory
- individual
- mtorc2
- actin
- mice
- Prior art date
- Legal status (The legal status is an assumption and is not a legal conclusion. Google has not performed a legal analysis and makes no representation as to the accuracy of the status listed.)
- Ceased
Links
Classifications
-
- A—HUMAN NECESSITIES
- A61—MEDICAL OR VETERINARY SCIENCE; HYGIENE
- A61K—PREPARATIONS FOR MEDICAL, DENTAL OR TOILETRY PURPOSES
- A61K38/00—Medicinal preparations containing peptides
- A61K38/04—Peptides having up to 20 amino acids in a fully defined sequence; Derivatives thereof
- A61K38/12—Cyclic peptides, e.g. bacitracins; Polymyxins; Gramicidins S, C; Tyrocidins A, B or C
- A61K38/13—Cyclosporins
-
- A—HUMAN NECESSITIES
- A61—MEDICAL OR VETERINARY SCIENCE; HYGIENE
- A61K—PREPARATIONS FOR MEDICAL, DENTAL OR TOILETRY PURPOSES
- A61K31/00—Medicinal preparations containing organic active ingredients
- A61K31/33—Heterocyclic compounds
- A61K31/395—Heterocyclic compounds having nitrogen as a ring hetero atom, e.g. guanethidine or rifamycins
-
- A—HUMAN NECESSITIES
- A61—MEDICAL OR VETERINARY SCIENCE; HYGIENE
- A61K—PREPARATIONS FOR MEDICAL, DENTAL OR TOILETRY PURPOSES
- A61K31/00—Medicinal preparations containing organic active ingredients
- A61K31/33—Heterocyclic compounds
- A61K31/395—Heterocyclic compounds having nitrogen as a ring hetero atom, e.g. guanethidine or rifamycins
- A61K31/40—Heterocyclic compounds having nitrogen as a ring hetero atom, e.g. guanethidine or rifamycins having five-membered rings with one nitrogen as the only ring hetero atom, e.g. sulpiride, succinimide, tolmetin, buflomedil
- A61K31/403—Heterocyclic compounds having nitrogen as a ring hetero atom, e.g. guanethidine or rifamycins having five-membered rings with one nitrogen as the only ring hetero atom, e.g. sulpiride, succinimide, tolmetin, buflomedil condensed with carbocyclic rings, e.g. carbazole
- A61K31/404—Indoles, e.g. pindolol
-
- A—HUMAN NECESSITIES
- A61—MEDICAL OR VETERINARY SCIENCE; HYGIENE
- A61K—PREPARATIONS FOR MEDICAL, DENTAL OR TOILETRY PURPOSES
- A61K31/00—Medicinal preparations containing organic active ingredients
- A61K31/33—Heterocyclic compounds
- A61K31/395—Heterocyclic compounds having nitrogen as a ring hetero atom, e.g. guanethidine or rifamycins
- A61K31/40—Heterocyclic compounds having nitrogen as a ring hetero atom, e.g. guanethidine or rifamycins having five-membered rings with one nitrogen as the only ring hetero atom, e.g. sulpiride, succinimide, tolmetin, buflomedil
- A61K31/407—Heterocyclic compounds having nitrogen as a ring hetero atom, e.g. guanethidine or rifamycins having five-membered rings with one nitrogen as the only ring hetero atom, e.g. sulpiride, succinimide, tolmetin, buflomedil condensed with other heterocyclic ring systems, e.g. ketorolac, physostigmine
-
- A—HUMAN NECESSITIES
- A61—MEDICAL OR VETERINARY SCIENCE; HYGIENE
- A61K—PREPARATIONS FOR MEDICAL, DENTAL OR TOILETRY PURPOSES
- A61K45/00—Medicinal preparations containing active ingredients not provided for in groups A61K31/00 - A61K41/00
- A61K45/06—Mixtures of active ingredients without chemical characterisation, e.g. antiphlogistics and cardiaca
Definitions
- the present disclosure is directed at least to the fields of pharmacology, neuroscience, medicine, cell biology, molecular biology, and cognition.
- mTORCl The evolutionarily conserved mammalian target of rapamycin (mTOR) forms two complexes 11"13 .
- mTORC2 is largely insensitive to rapamycin and contains the core components mTOR, mSINl, mLST8 and Rictor (Rapamycin-Insensitive Companion of mTOR).
- Rictor is a defining component of mTORC2 and its interaction with mSINl appears to be required for mTORC2 stability and function 14 . Rictor is associated to membranes and is thought to regulate the actin cytoskeleton, but the precise molecular mechanism behind this effect remains unclear 11 ' 12 ' 16 . In addition, while little is known about mTORC2's up-stream regulation, we are beginning to understand its downstream regulation and effectors: mTORC2 phosphorylates AGC kinases at conserved motifs, including Akt at the hydrophobic motif (HM) site (Ser-473), the best characterized read out of mTORC2 activity 11 ' 12 .
- HM hydrophobic motif
- Rictor The key component of mTORC2, Rictor, is important for embryonic development as mice lacking rictor die in early embryogenesis 15 ' 16 . Rictor is highly expressed in the brain, notably in neurons 16 , and it seems to play a crucial role in various aspects of brain development and function. For example, genetic deletion of rictor in developing neurons disrupts normal brain development, resulting in smaller brains and neurons, as well as increased levels of monoamine transmitters and manifestations of cerebral malfunction suggestive of schizophrenia and anxiety-like behaviors 17 ' 18.
- the present disclosure addresses a need in the art for therapies related to cognitive function and enhancement thereof or improvement of dysfunctional cognitive function.
- Embodiments of the disclosure include methods and compositions related to Jasplakinolide (Invitrogen; (J7473, which may also be called Jaspamide or JPK) or one or more derivatives of Jasplakinolide), including combinations thereof.
- Jasplakinolide Invitrogen; (J7473, which may also be called Jaspamide or JPK
- JPK Jaspamide
- JPK Jaspamide
- JPK Jaspamide
- JPK Jaspamide
- JPK Jaspamide
- JPK Jaspamide
- JPK Jaspamide
- JPK Jaspamide
- JPK Jaspamide
- JPK Jaspamide
- JPK Jaspamide
- F-actin filaments
- the compositions may be used for any purpose related to memory and cognition in both health and disease, in particular embodiments.
- one or more of the compositions are employed for enhancement of memory or cognitive dysfunction.
- one or more of the compositions of the disclosure are used for treatment of autism spectrum disorders, mild cognitive impairment associated with aging, dementia, Alzheimer's disease, post-traumatic stress disorder, obsessive compulsive disorder, drug addiction, obesity, and epilepsy, for example
- the one or more compositions are employed for selective removal of memory.
- the disclosure does not encompass JPK alone or in combination with derivatives of JPK or other molecules.
- the one or more derivatives of JPK act by activating mTORC2, although in specific embodiments the one or more derivatives of JPK act through an alternative mechanism.
- the one or more derivatives act by promoting polymerization of actin, such as that then forms fibers for efficient connection, for example.
- a composition of the disclosure inhibits mTORC2 activity and/or expression (directly or indirectly) and in doing so, blocks memory.
- a composition of the disclosure enhances mTORC2 activity and/or expression (directly or indirectly) and in doing so, enhances memory.
- a composition of the disclosure regulates or modulates actin polymerization.
- One or more compositions of the disclosure may restore memory in those individuals with deficient memory capability, wherein in some cases one or more compositions of the disclosure enhance memory in an individual having normal memory capability.
- compositions of the disclosure include at least JPK; one or more of derivatives of JPK; phalloidin; or combinations thereof.
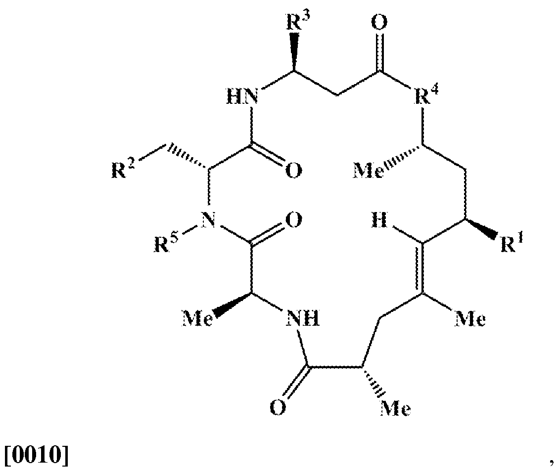
- exemplary derivatives of JPK include molecules of the formula (which may be referred to as Formula I):
- R 1 may be hydrogen, methyl, or ethyl
- R 2 may be selected from the group consisting of halogen, hydrogen, hydroxy, alkyl, substituted alkyl, alkenyl, substituted alkenyl, alkynyl, substituted alkynyl, substituted aryl, heteroaryl, substituted heteroaryl, nitro, trifluoromethyl, trifluoromethoxy, carboxyl, ester, ether, alkylthio, cyano, acetamido, acetoxy, acetyl, carbomyl, isocyanato, amino, alkylamino, dialkylamino, amido, thiol, thioether, phosphate, sulfonate, sulfonamide, and benzyl;
- R 3 may be selected from the group consisting of halogen, hydrogen, hydroxy, alkyl, substituted alkyl, alkenyl, substituted alkenyl, alkynyl, substituted alkynyl, aryl, substituted aryl, heteroaryl, substituted heteroaryl, nitro, trifluoromethyl, trifluoromethoxy, carboxyl, ester, ether, alkylthio, cyano, acetamido, acetoxy, acetyl, carbomyl, isocyanato, amino, alkylamino, dialkylamino, amido, thiol, thioether, phosphate, sulfonate, sulfonamide, and benzyl;
- R 4 may be NH or O
- R 5 may be H, CH or substituted or nonsubstituted benzyl.
- alkyl when used without the "substituted” modifier refers to a monovalent saturated aliphatic group with a carbon atom as the point of attachment, a linear or branched, cyclo, cyclic or acyclic structure, and no atoms other than carbon and hydrogen.
- cycloalkyl is a subset of alkyl.
- cyclobutyl cyclopentyl
- cyclohexyl cyclohexylmethyl
- cyclohexylmethyl are non- limiting examples of alkyl groups.
- one or more hydrogen atom has been independently replaced by -OH, -F, -CI, -Br, -I, -NH 2 , -N0 2 , -C0 2 H, -C0 2 CH 3 , -CN, -SH, -OCH 3 , -OCH 2 CH 3 , -C(0)CH 3 , -N(CH 3 ) 2 , - C(0)NH 2 , -OC(0)CH 3 , or -S(0) 2 NH 2 .
- the following groups are non-limiting examples of substituted alkyl groups: -CH 2 OH, -CH 2 C1, -CF 3 , -CH 2 CN, -CH 2 C(0)OH, -CH 2 C(0)OCH 3 , -CH 2 C(0)NH 2 , -CH 2 C(0)CH 3 , -CH 2 OCH 3 , -CH 2 OC(0)CH 3 , -CH 2 NH 2 , -CH 2 N(CH 3 ) 2 , and
- alkenyl when used without the "substituted” modifier refers to an monovalent unsaturated aliphatic group with a carbon atom as the point of attachment, a linear or branched, cyclo, cyclic or acyclic structure, at least one nonaromatic carbon-carbon double bond, no carbon-carbon triple bonds, and no atoms other than carbon and hydrogen.
- one or more hydrogen atom has been independently replaced by -OH, -F, -CI, -Br, -I, -NH 2 , -N0 2 , -C0 2 H, -C0 2 CH 3 , -CN, -SH, -OCH 3 , -OCH 2 CH 3 , -C(0)CH 3 , -N(CH 3 ) 2 , -C(0)NH 2 , -OC(0)CH 3 , or -S(0) 2 NH 2 .
- alkynyl when used without the "substituted” modifier refers to an monovalent unsaturated aliphatic group with a carbon atom as the point of attachment, a linear or branched, cyclo, cyclic or acyclic structure, at least one carbon-carbon triple bond, and no atoms other than carbon and hydrogen.
- alkynyl does not preclude the presence of one or more non-aromatic carbon-carbon double bonds.
- the groups, -C ⁇ CH, -C ⁇ CCH , and -CH 2 C ⁇ CCH are non-limiting examples of alkynyl groups.
- alkynyl When alkynyl is used with the "substituted" modifier one or more hydrogen atom has been independently replaced by -OH, -F, -CI, -Br, -I, -NH 2 , -N0 2 , -C0 2 H, -C0 2 CH 3 , -CN, -SH, -OCH 3 , -OCH 2 CH 3 , -C(0)CH 3 , -N(CH 3 ) 2 , -C(0)NH 2 , -OC(0)CH 3 , or -S(0) 2 NH 2 .
- aryl when used without the "substituted” modifier refers to a monovalent unsaturated aromatic group with an aromatic carbon atom as the point of attachment, said carbon atom forming part of a one or more six-membered aromatic ring structure, wherein the ring atoms are all carbon, and wherein the group consists of no atoms other than carbon and hydrogen. If more than one ring is present, the rings may be fused or unfused. As used herein, the term does not preclude the presence of one or more alkyl group (carbon number limitation permitting) attached to the first aromatic ring or any additional aromatic ring present.
- aryl groups include phenyl (Ph), methylphenyl, (dimethyl)phenyl,
- heteroaryl when used without the "substituted” modifier refers to a monovalent aromatic group with an aromatic carbon atom or nitrogen atom as the point of attachment, said carbon atom or nitrogen atom forming part of one or more aromatic ring structures wherein at least one of the ring atoms is nitrogen, oxygen or sulfur, and wherein the heteroaryl group consists of no atoms other than carbon, hydrogen, aromatic nitrogen, aromatic oxygen and aromatic sulfur.
- the term does not preclude the presence of one or more alkyl, aryl, and/or aralkyl groups (carbon number limitation permitting) attached to the aromatic ring or aromatic ring system. If more than one ring is present, the rings may be fused or unfused.
- heteroaryl groups include furanyl, imidazolyl, indolyl, indazolyl (Im), isoxazolyl, methylpyridinyl, oxazolyl, phenylpyridinyl, pyridinyl, pyrrolyl, pyrimidinyl, pyrazinyl, quinolyl, quinazolyl, quinoxalinyl, triazinyl, tetrazolyl, thiazolyl, thienyl, and triazolyl.
- compositions of the disclosure are utilized for memory enhancement, in certain embodiments.
- the compositions do not have an effect via new protein synthesis, although in other cases the compositions do have an effect via new protein synthesis.
- the compositions modify memory or affect cognition by regulating the activity and/or polymerization of actin.
- the compositions modify memory or affect cognition by affecting phosphorylation status of Akt, also known as Protein Kinase B (PKB), which is a serine/threonine- specific protein kinase.
- PKA Protein Kinase B
- compositions modify memory or affect cognition by affecting phosphorylation status of serine 473 of Akt, although other phosphorylation sites of Akt may be affected in lieu of or in addition to serine 473.
- Compositions of the disclosure may directly or indirectly affect Akt, or not at all, including by its phosphorylation or by any other means.
- compositions modify memory or affect cognition by affecting actin polymerization through or not through Akt.
- Actin polymerization may be affected by increasing or decreasing polymerization.
- memory is affected by one or more compositions of the disclosure.
- the memory may be long-term memory, short-term memory, or both.
- Compositions of the disclosure are utilized to enhance memory in an individual with or without cognitive dysfunction.
- the individual may or may not have cognitive decline as a result of age and/or of any clinical etiology.
- one or more compositions of the disclosure may prevent cognitive dysfunction, including memory impairment of any kind.
- the composition(s) are utilized to improve memory associated with one or more certain tasks.
- one or more compositions of the disclosure may be utilized to improve memory of a certain event or task.
- the event may be of any kind, including of an academic, vocational, and/or personal nature, for example. Examples of events include viewing an academic lecture, reading a book or literature of any kind, or experiencing a wedding, graduation, or birth of a child.
- the one or more compositions may be administered by any means to the individual prior to, during, and/or following (such as immediately following) the event or task.
- the one or more compositions are delivered to the individual following the event but upon exposure of the individual to a trigger of the event or task, such as viewing a photo of part of the event or task or hearing part of an audio of the event or task.
- the medical condition comprises cognitive dysfuntion, which may be further defined as impaired memory, incuding short-term or long-term memory.
- the normal faculty comprises memory, including short-term or long-term memory.
- the modulating of normal faculty comprises improving memory in the individual. In specific cases, the modulating of normal faculty comprises removing one or more memories from the individual.
- the medical condition is selected from the group consisting of cognitive dysfunction, autism spectrum disorders, mild cognitive impairment associated with aging, dementia, Alzheimer's disease, post-traumatic stress disorder, obsessive compulsive disorder, drug addiction, obesity, or epilepsy.
- the method(s) further comprises the administration of phalloidin.
- the modulator is a derivative of Jasplakinolide.
- the modulator modulates actin polymerization.
- the modulator is an activator of mTORC2 activity and/or expression and the individual is in need of memory improvement.
- the modulator is an inhibitor of mTORC2 activity and/or expression and the individual is in need of memory removal or erasure.
- the individual may have normal memory function or cognitive dysfunction. In some cases, the individual does not have cognitive dysfunction.
- the inhibitor of mTORC2 activity and/or expression is provided to the individual upon stimulation of the memory to be removed.
- the memory is long-term memory or short-term memory.
- composition comprising Formula I.
- the composition further comprises an inhibitor of mTORC2, a compound that promotes actin polymerization, a compound that promotes phosphorylation of AKT serine 473, a compound that inhibits phosphorylation of AKT serine 473, or a combination thereof.
- the composition further comprises Jasplakinolide; phalloidin; or combinations thereof.
- the composition is comprised in a pharmaceutically acceptable carrier.
- kits comprising one or more compositions of Formula I that are housed in a suitable container.
- FIG. 1 L-LTP, but not E-LTP, is impaired in mTORC2-deficient slices, a-c) Western blots show selective decrease in Rictor and mTORC2 activity (p-Akt Ser473) in CAl (a) and amygdala (b) but not in midbrain (c) of rictor fb-KO mice.
- CS context-alone
- US shock-alone
- mice were treated identically but were not given foot shocks whereas in the shock alone group (US) mice were given two foot-shocks and were immediately removed from the chamber, d)
- FIG. 3 Actin dynamics, Racl-GTPase activity and signaling are impaired in CAl of rictor fb-KO mice, a-f) Western blotting shows that the ratio of F-actin/G- actin (a), Racl-GTPase activities (c), p-PAK and p-Cofilin (e) are much reduced in CAl of rictor fb-KO mice.
- the inventors co-transfected HEK293T cells with myc- tagged Rictor and flag-tagged GEFs or GAPs, and then performed co-immunoprecipitation (IP) experiments.
- myc-Rictor selectively pulled-down flag-Tiaml (T-cell-lymphoma invasion and metastatis-1), a specific Racl-GEF that is highly enriched in neurons 62 .
- Flag-tagged -Tiaml, - ephexin, -Abr and -Bcr were coexpressed in HEK293T cells with myc-Rictor and anti-flag immunoprecipitates were analyzed by anti-flag (top) and anti-myc (middle) immunoblotting.
- Flag-tagged FL, DH or PDZ were co- expressed with myc-tagged Rictor in HEK293T cells, i) Anti-flag immunoprecipitates were analyzed by anti-myc (top) and anti-flag (middle) immunoblots whereas anti-myc immunoprecipitates (j) were analyzed by anti-flag (top) and anti-myc immunoblots (middle), k) Endogenous Tiaml interacts with endogenous Rictor. Immunoprecipitates of anti-Tiaml or anti- IgG (control) were prepared from adult hippocampal extracts and analyzed by Rictor (top) and Tiaml (bottom) immunoblots. Arrows point to the interaction between Tiaml and Rictor.
- jasplakinolide JPK; 50 nM
- JPK jasplakinolide
- Insets in b and c are superimposed traces recorded before and 220 min after tetani. Calibration: 5 ms, 2 mV.
- rictor fb-KO mice show normal visuo-motor function. In the visible platform version of the Morris water maze, latencies of escape did not differ between controls and rictor fb-KO mice.
- Fig. 8 Control tests of actin polymerization promoter (JPK) and inhibitor cytochalasin-D (Cyt-D).
- JPK actin polymerization promoter
- Cyt-D inhibitor cytochalasin-D
- Fig. 9 Sites of JPK infusion into dorsal hippocampus at five rostrocaudal planes. Coordinates are posterior to bregma and cannula tip placements are from mice infused with JPK (filled squares) and vehicle (filled circles). Below are photomicrographs showing representative cannulae tracks into the dorsal hippocampus. [0043] Fig. 10.
- a low dose of JPK infused into the hippocampus promotes actin polymerization in rictor fb-KO mice
- cogntive dysfunction refers to dysfunction in the mental process of knowing, including aspects such as awareness, perception, reasoning, and judgment, including but not limited to that which comes to be known, as through perception, reasoning, or intuition; knowledge.
- short-term memory refers to memory of an event that occurred within a maximum of 2-3 hours.
- long-term memory refers to memory of an event that occurred within at least one day.
- pharmaceutically acceptable refers to those compounds, materials, compositions, and/or dosage forms which are, within the scope of sound medical judgment, suitable for use in contact with the tissues, organs, and/or bodily fluids of human beings and animals without excessive toxicity, irritation, allergic response, or other problems or complications commensurate with a reasonable benefit/risk ratio.
- “Pharmaceutically acceptable salts” means salts of compounds of the present disclosure which are pharmaceutically acceptable, as defined above, and which possess the desired pharmacological activity.
- Such salts include acid addition salts formed with inorganic acids such as hydrochloric acid, hydrobromic acid, sulfuric acid, nitric acid, phosphoric acid, and the like; or with organic acids such as 1,2-ethanedisulfonic acid, 2-hydroxyethanesulfonic acid, 2-naphthalenesulfonic acid, 3-phenylpropionic acid, 4,4'-methylenebis(3-hydroxy-2-ene- 1-carboxylic acid), 4-methylbicyclo[2.2.2]oct-2-ene- 1-carboxylic acid, acetic acid, aliphatic mono- and dicarboxylic acids, aliphatic sulfuric acids, aromatic sulfuric acids, benzenesulfonic acid, benzoic acid, camphorsulfonic acid, carbonic acid, cinnamic acid, cit
- Pharmaceutically acceptable salts also include base addition salts which may be formed when acidic protons present are capable of reacting with inorganic or organic bases.
- Acceptable inorganic bases include sodium hydroxide, sodium carbonate, potassium hydroxide, aluminum hydroxide and calcium hydroxide.
- Acceptable organic bases include, but are not limited to ethanolamine, diethanolamine, triethanolamine, tromethamine, N-methylglucamine and the like. It should be recognized that the particular anion or cation forming a part of any salt of this disclosure is not critical, so long as the salt, as a whole, is pharmacologically acceptable. Additional examples of pharmaceutically acceptable salts and their methods of preparation and use are presented in Handbook of Pharmaceutical Salts: Properties, and Use (P. H. Stahl & C. G. Wermuth eds., Verlag Helvetica Chimica Acta, 2002).
- Prevention includes: (1) inhibiting the onset of a disease in a subject or patient which may be at risk and/or predisposed to the disease but does not yet experience or display any or all of the pathology or symptomatology of the disease, and/or (2) slowing the onset of the pathology or symptomatology of a disease in a subject or patient which may be at risk and/or predisposed to the disease but does not yet experience or display any or all of the pathology or symptomatology of the disease.
- pharmaceutically effective amount means that amount which, when administered to a subject or patient for treating a disease or condition, is sufficient to effect such treatment for the disease, such as to ameliorate one symptom or aspect of the disease or condition.
- the effective amount may be a noticeable improvement in memory, including the level of detail of recall and/or the ability to retain the memory longer and/or the ability to remember memories from longer ago than in the absence of exposure to one or more compositions of the disclosure, for example.
- Embodiments concern the identification of molecular mechanisms that can enhance memory.
- the present disclosure concerns, in some embodiments, a novel signaling pathway that regulates the conversion from short- to long-term memory.
- the mTOR complex 2 (mTORC2), which contains the key regulatory protein Rictor (Rapamycin-Insensitive Companion of mTOR), was discovered only recently, and little is known about its physiological role.
- conditional deletion of rictor in the postnatal murine forebrain greatly reduces mTORC2 activity and selectively impairs both long-term memory (LTM) and the late (but not the early) phase of hippocampal long-term potentiation (LTP).
- LTM long-term memory
- LTP hippocampal long-term potentiation
- the inventors characterized the role of mTORC2 in memory formation, specifically in sustained changes in synaptic efficacy (LTP) in hippocampal slices, and in behavioral tests of memory.
- the results show that through regulation of actin polymerization, mTORC2 is an essential component of memory consolidation.
- L-LTP and LTM are selective impairment in mice and flies deficient in TORC2 signaling.
- the inventors have identified the up-stream synaptic events that activate mTORC2 in the brain and unraveled the detail downstream molecular mechanism by which mTORC2 regulates L-LTP and LTM, namely regulation of actin polymerization.
- derivatives of a small molecule activator of mTORC2 and actin polymerization facilitates both L-LTP and LTM, further demonstrating that mTORC2 is a new type of molecular switch that controls the consolidation of a short-term memory process into a long-term one.
- this information is applied to a clinical setting, allowing provision for compositions and methods for the improvement of cognition, including memory.
- the individual receiving the methods and/or compositions may be in need of the inventive embodiments because of a defect in memory or cognition, or the individual may have normal memory or cognition and desire to enhance their memory or cognition.
- the individual may or may not be already employing measures to enhance their memory or cognition.
- the mdividual may receive treatment for such applications once or more than once.
- the individual may be of any age.
- the compositions of the disclosure may act through any molecular mechanism so long as an improvement in memory or cognition is thereby achieved, whether directly or indirectly from the intake of the composition.
- the compositions of the disclosure may be delivered to the individual in any suitable manner, including orally, subcutaneously, bucally, etc.
- JPK Jasplakinolide
- compositions of the disclosure include at least one or more of derivatives of Jasplakinolide; phalloidin; or combinations thereof.
- exemplary derivatives of JPK include molecules of the formula:
- R is hydrogen, methyl, or ethyl
- R 2 may be selected from the group consisting of halogen, hydrogen, hydroxy, alkyl, substituted alkyl, alkenyl, substituted alkenyl, alkynyl, substituted alkynyl, aryl, substituted aryl, heteroaryl, substituted heteroaryl, nitro, trifluoromethyl, trifluoromethoxy, carboxyl, ester, ether, alkylthio, cyano, acetamido, acetoxy, acetyl, carbomyl, isocyanato, amino, alkylamino, dialkylamino, amido, thiol, thioether, phosphate, sulfonate, sulfonamide, and benzyl;
- R 3 may be selected from the group consisting of halogen, hydrogen, hydroxy, alkyl, substituted alkyl, alkenyl, substituted alkenyl, alkynyl, substituted alkynyl, aryl, substituted aryl, heteroaryl, substituted heteroaryl, nitro, trifluoromethyl, trifluoromethoxy, carboxyl, ester, ether, alkylthio, cyano, acetamido, acetoxy, acetyl, carbomyl, isocyanato, amino, alkylamino, dialkylamino, amido, thiol, thioether, phosphate, sulfonate, sulfonamide, and benzyl;
- R 4 may be NH or O
- R 5 may be H, CH 3i or substituted or nonsubstituted benzyl.
- One or more derivatives of JPK may be obtained, including synthesized, prior to use in methods of the disclosure.
- the derivatives and use of the derivatives are encompassed in embodiments of the disclosure.
- routine methods ' for synthesizing a derivative of JPK the following exemplary synthetic reactions may be utilized. Exemplary reaction conditions are listed, but the reaction conditions may be altered and/or optimized, to account for different functional groups, by those of skill in the art.
- Reaction of 2 with triethyl orthopropionate and propionic acid at 140 °C affords the ortho-ester Claisen rearrangement product 3.
- Removal of the chiral auxiliary by lithium borohydride followed by Mitsunobu reaction of the resulting alcohol with acetone cyanohydrin gives terminal nitrile 4.
- Reduction of the nitrile with Raney nickel affords an intermediate aldehyde, which upon reaction with a methyl Grignard reagent affords secondary alcohol 5.
- one or more compositions are screened for a particular activity.
- one or more derivatives of JPK are screened for a particular activity.
- the activity may be of any kind, but in specific embodiments the activity is for modulation of mTORC2 activity and/or expression. In specific cases, the modulation is for activation of mTORC2 and/or actin polymerization. In some cases, the activity that is screened for is modulation of phosphorylation of AKT, including, for example, modulation of phosphorylation of serine 473 of AKT.
- one or more derivatives are provided to an assay environment (such as a plate with wells) having cells that have been starved (such as by removing nutrients) such that phosphorylation of serine 473 is significantly reduced; as determined by a phosphor-specific antibody, in particular cases the background is detectably zero.
- the phosphorylation of AKT serine 473 is assayed for, and when there is an increase in phosphorylation of AKT serine 473 over background, the derivative may be utilized for enhancement of memory and/or treatment of cognitive dysfunction.
- the derivative when there is an increase in phosphorylation of A T serine 473 over background, the derivative is considered an activator of mTORC2.
- the two-part structure-activity relastionship (SAR) approach is used.
- SAR structure-activity relastionship
- one or more derivatives are screened for the ability to eliminate one or more memories. In specific embodiments, one or more derivatives are screened for the ability to inhibit activity of mTORC2.
- one or more derivatives are provided to an assay environment (such as a plate with wells) having cells that have not been starved (have been provided nutrients) such that phosphorylation of serine 473 is detectable.
- the phosphorylation of AKT serine 473 is assayed for, and when there is an decrease in phosphorylation of AKT serine 473, the derivative may be utilized for memory removal.
- the derivative when there is a decrease in phosphorylation of AKT (such as serine 473), the derivative is considered an inhibitor of mTORC2.
- compositions of the disclosure are used in removal of one or more memories.
- the one or more compositions may be provided to an individual in a regimen that provides an environment to allow removal of the memory.
- a composition of the disclosure that blocks mTORC2 is utilized in removal of memory.
- the composition is identified as an inhibitor of mTORC2 upon screening of one or more derivatives of JPK.
- the composition is identified as an inhibitor of phosphorylation of AKT (such as serine 473) upon screening of one or more derivatives of JPK.
- a composition of the disclosure is administered to an individual to selectively remove one or more particular memories.
- the composition may be administered to the individual upon retrieval of the memory, such as being reminded of the memory.
- the composition may be administered to the individual upon reminder of the individual of the memory.
- the individual is subjected to a visual and/or audio reminder of the memory prior to and/or at the time of and/or immediately following subjecting the individual to the composition(s) of the disclosure.
- the visual and/or audio reminder may be provided to the individual alone or within a series of non-related images and/or signals. In such cases, during the sucesssion of non-related images and/or signals the individual is provided the composition only when the memory reminder is provided to the individual.
- the reminder of the memory may be of any kind, but in particular cases the reminder is a photo and/or video and/or audio signal of the actual event of the memory or a similar event of the memory.
- the memory to be removed is associated with post-traumatic stress disorder, for example.
- the memory may be associated with combat, for example.
- the present disclosure is directed to pharmaceutical compositions for use in treating and/or preventing cognitive dysfunction, providing memory manipulation (including enhancing or selective removal), autism, Asperger's syndrome, mild cognitive impairment, dementia, Alzheimer's disease, and so forth.
- the pharmaceutical compositions may comprise one or more compositions of the disclosure, including one or more derivatives of JP , phalloidin, and/or jasplakinolide.
- the treatment may be singular, multiply given and may be provided for a shot duration or may last for the remaining life of the individual.
- the administration may occur before there are any detectable symptoms of the medical condition.
- the administration occurs until a detectable improvement of at least one symptom occurs and, in further cases, continues to remain ameliorated.
- the composition(s) is provided to an individual with healthy cognitive function but that is in need of improving memory, either in general or of a specific event.
- compositions of the disclosure are directed to treating with the compounds of the present disclosure
- administration of the compounds of the disclosure with a suitable pharmaceutical excipient as necessary can be carried out via any of the accepted modes of administration.
- the compounds may be comprised in a pharmaceutically acceptable excipient, which may be considered as a molecular entity and/or composition that does not produce an adverse, allergic and/or other untoward reaction when administered to an animal, as appropriate. It includes any and/or all solvents, dispersion media, coatings, antibacterial and/or antifungal agents, isotonic and/or absorption delaying agents and/or the like. The use of such media and/or agents for pharmaceutical active substances is well known in the art. Except insofar as any conventional media and/or agent is incompatible with the active ingredient, its use in the therapeutic compositions is contemplated.
- administration can be, for example, intravenous, topical, subcutaneous, transcutaneous, intramuscular, oral, intra-joint, parenteral, peritoneal, intranasal, intravesical or by inhalation.
- Suitable sites of administration thus include, but are not limited to, skin, bronchial, gastrointestinal, anal, vaginal, eye, bladder, and ear.
- the formulations may take the form of solid, semi-solid, lyophilized powder, or liquid dosage forms, such as, for example, tablets, pills, capsules, powders, solutions, suspensions, emulsions, suppositories, retention enemas, creams, ointments, lotions, aerosols or the like, preferably in unit dosage forms suitable for simple administration of precise dosages.
- compositions typically include a conventional pharmaceutical carrier or excipient and may additionally include other medicinal agents, carriers, adjuvants, and the like.
- the composition will be about 5% to 75% by weight of a compound or compounds of the disclosure, with the remainder consisting of suitable pharmaceutical excipients.
- Appropriate excipients can be tailored to the particular composition and route of administration by methods well known in the art, e.g., REMINGTON'S PHARMACEUTICAL SCIENCES, 18TH ED., Mack Publishing Co., Easton, Pa. (1990).
- excipients include pharmaceutical grades of mannitol, lactose, starch, magnesium stearate, sodium saccharine, talcum, cellulose, glucose, gelatin, sucrose, magnesium carbonate, and the like.
- the composition may take the form of a solution, suspension, tablet, pill, capsule, powder, sustained-release formulation, and the like.
- the pharmaceutical compositions take the form of a pill, tablet or capsule, and thus, the composition can contain, along with the biologically active conjugate, any of the following: a diluent such as lactose, sucrose, dicalcium phosphate, and the like; a disintegrant such as starch or derivatives thereof; a lubricant such as magnesium stearate and the like; and a binder such a starch, gum acacia, polyvinylpyrrolidone, gelatin, cellulose and derivatives thereof.
- a diluent such as lactose, sucrose, dicalcium phosphate, and the like
- a disintegrant such as starch or derivatives thereof
- a lubricant such as magnesium stearate and the like
- a binder such a starch, gum acacia, polyvinylpyrrolidone, gelatin, cellulose and derivatives thereof.
- the active compounds of the formulas may be formulated into a suppository comprising, for example, about 0.5% to about 50% of a compound of the disclosure, disposed in a polyethylene glycol (PEG) carrier ⁇ e.g., PEG 1000 [96%] and PEG 4000 [4%]).
- PEG polyethylene glycol
- Liquid compositions can be prepared by dissolving or dispersing compound (about 0.5% to about 20%), and optional pharmaceutical adjuvants in a carrier, such as, for example, aqueous saline ⁇ e.g., 0.9% w/v sodium chloride), aqueous dextrose, glycerol, ethanol and the like, to form a solution or suspension, e.g., for intravenous administration.
- a carrier such as, for example, aqueous saline ⁇ e.g., 0.9% w/v sodium chloride), aqueous dextrose, glycerol, ethanol and the like, to form a solution or suspension, e.g., for intravenous administration.
- the active compounds may also be formulated into a retention enema.
- composition to be administered may also contain minor amounts of non-toxic auxiliary substances such as wetting or emulsifying agents, pH buffering agents, such as, for example, sodium acetate, sorbitan monolaurate, or triethanolamine oleate.
- non-toxic auxiliary substances such as wetting or emulsifying agents, pH buffering agents, such as, for example, sodium acetate, sorbitan monolaurate, or triethanolamine oleate.
- the composition is administered in any suitable format, such as a lotion or a transdermal patch.
- the composition can be delivered as a dry powder ⁇ e.g., Inhale Therapeutics) or in liquid form via a nebulizer.
- compositions to be administered will, in any event, contain a quantity of the pro-drug and/or active compound(s) in a pharmaceutically effective amount for relief of the condition being treated when administered in accordance with the teachings of this disclosure.
- the compounds of the disclosure are administered in a therapeutically effective amount, i.e., a dosage sufficient to effect treatment, which will vary depending on the individual and condition being treated.
- a therapeutically effective daily dose is from 0.1 to 100 mg/kg of body weight per day of drug.
- Most conditions respond to administration of a total dosage of between about 1 and about 30 mg/kg of body weight per day, or between about 70 mg and 2100 mg per day for a 70 kg person.
- the treatment with the disclosure may precede, follow, or both another treatment by intervals ranging from minutes to weeks.
- the inventive composition and the other agent are applied separately to the individual, one would generally ensure that a significant period of time did not expire between the time of each delivery, such that the inventive composition and the other agent would still be able to exert an advantageously combined effect on the cell.
- inventive treatment is "A” and the secondary agent for the medical condition of the disclosure as described herein, such as cognition or memory enhancement treatment (for example only), is "B":
- compositions of the present disclosure administered to a patient will follow general protocols for the administration of drugs, taking into account the toxicity, if any, of the molecule. It is expected that the treatment cycles would be repeated as necessary. It also is contemplated that various standard therapies, as well as surgical intervention, may be applied in combination with the described therapy.
- Exemplary combination treatments to be used with the disclosure include, for example, cholinesterase inhibitors (Donepezil; Rivastigmine; Galantamine); memantine; Vitamin E; or a combination thereof.
- cholinesterase inhibitors Donepezil; Rivastigmine; Galantamine
- memantine memantine
- Vitamin E or a combination thereof.
- kits associated with the compositions of the present disclosure comprise another aspect of the present disclosure.
- Such kits will generally contain, in suitable container means, a composition of the present disclosure.
- the kit may have a single container means that contains the composition or it may have distinct container means for the composition and other reagents that may be included within such kits.
- the components of the kit may be provided as liquid solution(s), or as dried powder(s).
- the liquid solution is an aqueous or non-aqueous solution, with a sterile aqueous or non-aqueous solution being particularly preferred.
- the powder can be reconstituted by the addition of a suitable solvent. It is envisioned that the solvent may also be provided in another container means.
- the container means will generally include at least one vial, test tube, flask, bottle, syringe or other container means, into which the composition may be placed, and preferably suitably aliquoted. Where a second agent is provided, the kit will also generally contain a second vial or other container into which this agent may be placed.
- the kits of the present disclosure will also typically include a means for containing the agent containers in close confinement for commercial sale. Such containers may include injection or blow-molded plastic containers into which the desired vials are retained, for example.
- kits of the disclosure two or more compositions may be provided separately or in a mixture together.
- Rictov fb-KO mice are viable and develop normally. They show neither gross brain abnormalities nor changes in the expression of several synaptic markers (Fig. 5). mTORC2 -mediated phosphorylation of Akt at Ser473 (an established readout of mTORC2 activity 11 ' 12 ) was greatly reduced in CAl and amygdala (Fig. la-b), but was normal in the midbrain (Fig. lc) of victor fb-KO mice.
- mTORC2 is activated in CAl by either glutamate (via NMD A receptor (NMDAR)) or neurotrophins.
- NMDAR NMD A receptor
- the inventors compared the effects of one train of tetanic stimulation (100 Hz for Is), which usually induces only short-lasting E-LTP, with that of four such trains (which typically induce a long-lasting L-LTP) 1 . Only an L-LTP-inducing stimulation consistently activated mTORC2 in CAl neurons of control (Fig. ld-f) but not victor fb-KO mice (Fig. lg-h). Hence, mT0RC2 is engaged selectively in long-lasting synaptic changes in synaptic strength.
- mTORC2 deficiency affects either E- LTP or L-LTP.
- a single train of tetanic stimulation generated a similar E-LTP in slices from rictorfb-KO and control littermates (Fig. li)
- four trains elicited a normal L-LTP in control littermates slices, but not in victor fb-KO slices (Fig. lj).
- Fig. 6 Several tests showed that the impaired L-LTP in mTORC2-deficient slices cannot be attributed to defective basal synaptic transmission (Fig. 6).
- reducing mTORC2 activity prevents the conversion of E-LTP into L-LTP.
- Contextual fear conditioning involves both the hippocampus and amygdala whereas auditory fear conditioning, in which the foot shock
- contextual fear LTM in rictor fb-KO mice may be explained by the smaller reduction in mTORC2 activity in the amygdala (compare Fig. la vs. Fig. lb). Spatial LTM was also deficient in rictor fb-KO mice when tested in the Morris water maze, where animals use visual cues to find a hidden platform in a circular pool 32 . Compared to controls, rictor fb-KO mice took significantly longer to find the hidden platform (Fig. 2f), and in the probe test, performed on day 7 in the absence of the platform, they failed to remember the platform location (target quadrant; Fig. 2g).
- the inventors also probed the molecular mechanism by which mTORC2 regulates L-LTP and LTM by first testing whether mTORC2 deficiency impairs actin dynamics in CAl neurons in vivo.
- Actin exists in two forms: monomelic globular actin (G-actin) and polymerized filamentous actin (F-actin) composed of aggregated G-actin. The transition between these two forms is controlled by synaptic activity 8 ' 9 .
- the ratio of F-actin to G-actin which reflects the balance between actin polymerization and depolymerization, was significantly reduced in CAl of rictor fb-KO mice (Fig. 3a-b).
- Rho-GTPases have been identified as key intracellular signaling molecules that regulate actin dynamics at synapses 36 , the inventors measured the activity of Rho-GTPases in CAl of mTORC2 -deficient mice.
- Racl Ras-related C3 botulinum toxin substrate 1
- Cdc42 cell division cycle 42
- Rho GTPases induce actin polymerization by promoting PAK and Cofilin phosphorylation .
- Racl-GTPase activity but not Cdc42 activity
- the phosphorylation of PAK and Cofilin were greatly diminished in CAl neurons of rictor fb-KO mice (Fig. 3c-f).
- cytochalasin D an inhibitor of actin polymerization
- cytochalasin D blocked L-LTP in WT slices (Fig. 4c), but had no effect on the short-lasting LTP evoked either by a single tetanic train in control slices (Fig. 8b) or by repeated tetanic stimulation in mTORC2- deficient slices (Fig. 4b).
- the deficient L-LTP in mTORC2-deficient slices is therefore primarily caused by impaired actin polymerization.
- the inventors then bilaterally-infused JPK or vehicle into CA1 of WT mice immediately after a weak Pavlovian fear conditioning training (a single pairing of a tone with a Is, 0.7 mA foot-shock).
- This protocol generated only a relatively weak memory in vehicle- infused mice, as measured 24 hr after training (Fig. 4h).
- JPK-infused mice the same protocol induced a greatly enhanced contextual fear LTM (Fig. 4h).
- JPK had no effect on contextual fear STM (Fig. 4i) or hippocampus-independent auditory fear LTM (Fig. 10b). Because JPK acts directly on actin itself by increasing its polymerization 37 , our data support the idea that actin polymerization is an essential mechanism for the consolidation of L- LTP and LTM.
- mTORC2 regulates actin polymerization-dependent long-term in synaptic strength and memory
- the restoration of actin dynamics in mTORC2-deficient synapses could induce a functional rather than a morphological change as AMPA receptors insertion in the hippocampus during LTP might occur independently of changes in spine shape .
- changes in actin remodeling regulate changes in gene expression at synapses that are required for L-LTP and LTM.
- L- LTP induction is associated with an increase in the F-actin/G-actin ratio 40"42 as well as with changes in synaptic morphology and actin signaling 43 .
- inhibitors of actin polymerization block the late-phase of LTP, leaving the early phase of LTP intact 44"46 . Consistent with these data, only stimulation that induces a stable L-LTP reliably increases F-actin at spines 45 .
- direct activation of actin polymerization by JPK converts E-LTP into L-LTP and enhances LTM (Fig. 4g-h).
- LTM is distinguished from STM by its dependence on protein synthesis 1"7 . Consequently, all the “molecular switches” identified so far are transcription or translation factors that regulate gene expression (from CREB 50 to eIF2 51 to Npas4 52 ). However, like protein synthesis, mTORC2- mediated actin polymerization determines whether synaptic and memory processes remain transient or become consolidated in the brain.
- actin-mediated changes in synaptic strength depend on, or are perhaps triggered by, changes in gene or protein expression is not immediately clear. Nevertheless, a step towards clarifying the link between actin polymerization and protein synthesis during L-LTP is the finding that actin polymerization, triggered by LTP-inducing stimulation, induces the synthesis of the PKMzeta 53 , a kinase necessary for the maintenance of L-LTP 54 . In agreement with these data, the inventors found that the JPK-facilitated L-LTP induced by one tetanic train was blocked by anisomycin (Fig. 11a). These results support the aspect that actin polymerization is up-stream of protein synthesis.
- actin polymerization in certain cases protein synthesis and actin polymerization are parallel processes during L-LTP and LTM.
- changes in actin polymerization could directly affect changes in gene expression.
- actin polymerization promotes the shuttling of the myocardin-related transcription factor (MRTF) protein MKL to the nucleus where it interacts with the Serum Response factor (SRF), thus inducing activity-dependent gene expression in neurons 55 ' 56 .
- SRF Serum Response factor
- incorporation of G-actin into F-actin filaments could alter local translation at synapses, by modulation the trafficking of ribosomes, translation initiation factors, RNA bindings proteins or even specifics mRNAs 57 . If so, the facilitated L-LTP induced by promoting actin polymerization should be insensitive to transcriptional inhibitors.
- mTOR is a key regulator of memory consolidation, controlling "distinct" aspects, the temporal through mTORCl and the structural through mTORC2.
- Dysregulation of mTORCl and mTORC2 signaling has role in memory disorders, in particular embodiments of the disclosure, such as the cognitive deficit associated with Autism Spectrum Disorder (ASD), for example.
- ASD Autism Spectrum Disorder
- the activity of mTORC2 is altered in the brain of ASD-patients harboring mutations in PTEN and/or TSCl/2 (two upstream negative regulators of mTORCl) 58 ' 59 .
- PTEN and TSC2 ASD-mouse models prolonged rapamycin treatment in vivo, which indeed ameliorates the ASD-like phenotypes and restores mTORCl activity, also corrects the abnormal mTORC2 activity 23 ' 60 .
- mTORC2 plays a crucial role in memory consolidation and the neurological dysfunction in ASD is caused by dysregulation of mTORC2 rather than mTORCl signaling.
- Embodiments of the present disclosure not only helps to define key basic cellular and molecular mechanisms of physiological learning and memory but provides a new therapeutic approach to the treatment of human memory dysfunction in cognitive disorders or even aging, in at least some cases in which mTORC2 activity is known to be abnormally low.
- rictor fb-KO mice Floxed/Rictor mice 14 were first backcrossed for eight generations with C57BL/6 mice and subsequently crossed with the a subunit of calcium/calmodulin-dependent protein kinase II (aCaMKII)-Cre mice (rictor +/+;Cre/+ f. RictoS ox/+:Cre/+ mice were crossed to both rictor flox/flox; +/+ mice and rictor flox/+: +/+ mice.
- aCaMKII calcium/calmodulin-dependent protein kinase II
- mice rictor forebrain-specific knockout (rictor ⁇ ox/ ⁇ ox ' Cre/+ mice, here defined as rictor fb-KO mice) and three kinds of control littermates (rictor +/+ ' +/+ mice; rictor +/+ ' Cre/+ mice; rictor ⁇ ⁇ / ⁇ ⁇ +/+ mice), as previously described 45 .
- rictor forebrain-specific knockout mice here defined as rictor fb-KO mice
- three kinds of control littermates rictor +/+ ' +/+ mice; rictor +/+ ' Cre/+ mice; rictor ⁇ ⁇ / ⁇ ⁇ +/+ mice
- mice were weaned at the third postnatal week and genotyped by PCR. Rictor mutant and WT alleles were detected by PCR assay in which primer PiaT41 (5 ' -ACTGAATATGTTCATGGTTGTG-3 ' ; SEQ ID NO:l) and primer PiaEx3 (5 ' -GAAGTTATTCAGATGGCCCAGC-3 ' ; SEQ ID NO:2) amplify a WT band of 466 base-pair fragment and a 554-base-pair fragment of the rictor-exonS conditional allele.
- primer PiaT41 (5 ' -ACTGAATATGTTCATGGTTGTG-3 ' ; SEQ ID NO:l
- primer PiaEx3 (5 ' -GAAGTTATTCAGATGGCCCAGC-3 ' ; SEQ ID NO:2
- Cre expression was detected by PCR with primers CreF2 (5'- GGCGTTTCTGAGCATACCTGGAA-3 ' ; SEQ ID NO:3) and CreR2 (5'- CACCATTGCCCCTGTTTCACTATC-3 ' ; SEQ ID NO:4) which amplify a 902 base-pair fragment. All experiments were performed on 8-16 weeks old males. The mice were kept on a 12 h light/dark cycle, and the behavioral tests were always conducted during the light phase of the cycle. The mice had access to food and water ad libitum, except during tests. Animal care and experimental procedures were approved by the animal care committee of Baylor College of Medicine, according to NIH Guidelines.
- Electrophysiology Horizontal hippocampal slices (350 ⁇ ) were cut with a Leica (VT 1000S) vibratome (Buffalo Grove, IL) from brains of controls or victor fb-KO littermates in 4°C artificial cerebrospinal fluid (ACSF) and kept in ACSF at room temperature for at least one hr before recording 46 ' 47 . Slices were maintained in an interface-type chamber perfused (2-3 ml/min) with oxygenated ACSF (95% 0 2 and 5% C0 2 ) containing in mM: 124 NaCl, 2.0 KC1, 1.3 MgS0 4 , 2.5 CaCl 2 , 1.2 KH 2 P0 4 , 25 NaHC0 3 , and 10 glucose.
- VT 1000S Leica
- IL 4°C artificial cerebrospinal fluid
- Bipolar stimulating electrodes were placed in the CA1 stratum radiatum to excite Schaffer collateral and commissural fibers.
- Field EPSPs were recorded at 28-29 °C, with ACSF-filled micropipettes. The recording electrodes were placed in the stratum radiatum and the intensity of the 0.1 ms pulses was adjusted to evoke 30-35% of maximal response.
- Tetanic LTP was induced by brief high-frequency trains (100 Hz, 1 s), applied either singly or in groups of four separated by 5 min intervals, as previously described 46 8 . A stable baseline of responses at 0.033 Hz was established for at least 30 min.
- n's refer to both the number of slices and the number of mice.
- mice received one pairing of a tone (2800 Hz, 85 db, 30 s) with a co- terminating foot-shock (0.7 mA, 1 s) for the weak training protocol, or two pairings of a tone (2800 Hz, 85 db, 30 s) with a co-terminating foot-shock (0.7 mA, 2 s) for the stvong protocol, after which they remained in the chamber for one additional min and then were returned to their home cages.
- mice were tested for "freezing" (immobility with the exception of respiration) in response to the tone (in a chamber to which they had not been conditioned) and to the training context (training chamber).
- “freezing” immobility with the exception of respiration
- mice were placed in the chamber and freezing responses were recorded during the initial 2 min (pre-CS period) and during the last 3 min when the tone sounded. Mice were returned to their cages 30 s after the end of the tone.
- For tests of contextual fear memory mice were returned to the conditioning chamber for 5 min and freezing behavior was hand-scored at 5 s intervals by a rater who was blind to the genotype.
- tests of responses to the training context (chamber A) and to the tone (chamber B) were done in a counterbalanced manner.
- the percent of time spent freezing was taken as an index of learning and memory.
- a composition can be freshly dissolved in saline and the injected intraperitoneally (i.p.) at a dose of 2.5 mg/kg immediately after training.
- AP anteriorposterior
- ML mediolateral
- DV dorsoventral
- JPK Invitrogen, Carlsbad, CA
- DMSO fetal sulfate
- saline 0.9% NaCl
- One microliter of JPK (50 ng) or vehicle was infused bilaterally. The infusion was driven by a motorized syringe pump (KdScientific) at a rate of 0.2 ⁇ /min. Following 5 min of infusion the injector remained in the cannulae for an additional minute to allow complete diffusion of the solution from the tip of the injector.
- KdScientific motorized syringe pump
- mice were fixed in 4% paraformaldehyde and 50 ⁇ sections were cut and Nissl-stained to identify the placements of the cannulae. Only mice that had correct bilateral placements were included in the analyses. Cannulae and accessories were custom made by Plastic One (Roanoke, VA).
- IPs Western Blotting and Immunoprecipitations
- Antibodies Primary antibodies for Western blotting are Rictor, p-S6Kl (Thr389), p-Akt (Ser473), p-cofilin (Ser3), total S6K, total cofilin, total Akt, ⁇ -actin, PSD95, synaptophysin, p-dAkt (Ser505) and total-dAkt (all from Cell Signaling and Technology Laboratories, Danver, MA), GAD67 (Millipore, Temecula, CA).
- p-PAK Ser 198/203 and total PAK antibodies 50 were a generous gift from . Tolias (Baylor College of Medicine). Antibodies against Tiaml, myc (both from Santa Cruz, Santa Cruz, CA), and FLAG (Sigma, St. Louis, MO) were used for immunoprecipitation.
- F-actin/G-actin ratio The F-actin/G-actin ratio was determined by Western blotting, as previously described 51 . Briefly, the two forms of actin differ in that F-actin is insoluble, while G-actin is soluble.
- the CA1 area of the hippocampus from control and rictor fb- KO mice was isolated, homogenized in cold lysis buffer (10 mM K 2 HP0 4 , 100 mM NaF, 50 mM KC1, 2 mM MgCl 2 , 1 mM EGTA, 0.2 mM DTT, 0.5% Triton X-100, 1 mM sucrose, pH 7.0) and centrifuged at 15,000 x g for 30 min. Soluble actin (G-actin) was measured in the supernatant.
- the insoluble F-actin in the pellet was resuspended in lysis buffer plus an equal volume of buffer 2 (1.5 mM guanidine hydrochloride, 1 mM sodium acetate, 1 mM CaCl 2 , 1 mM ATP, and 20 mM Tris-HCl, pH 7.5) and incubated on ice for 1 h to convert F-actin into soluble G-actin, with gentle mixing every 15 min. The samples were centrifuged at 15,000 x g for 30 min, and F-actin was measured in this supernatant.
- buffer 2 1.5 mM guanidine hydrochloride, 1 mM sodium acetate, 1 mM CaCl 2 , 1 mM ATP, and 20 mM Tris-HCl, pH 7.5
- Slices were first treated with APV (100 ⁇ ), NBQX (100 ⁇ ), MK801 (50 ⁇ ), TrkB-Fc (1 ⁇ g/ml) or human IgG (1 ⁇ g/ml) for 30 min and then with glutamate (100 ⁇ ), NMDA (100 ⁇ ) for 10 min or BDNF (50 ng ml) for 30 min before snap-freezing over dry ice.
- slices were treated with JPK (50 nM) or A-443654 (0.5 ⁇ ). In all instances, slices were treated with vehicle as a control. Frozen slices were briefly thawed, the CAl area was microdissected and then suspended in homogenizing buffer and analyzed by Western blotting as described above.
- Myc-rictor cDNA was purchased from Addgene, whereas flag-Tiaml, flag-Abr, flag-Bcr, flag-ephexin, flag-Tiaml-DH and flag-Tiaml-PDZ 52 were received as gifts from Kimberly Tolias (Baylor College of Medicine).
- HEK293T cells or hippocampal extracts were homogenized in ice-cold lysis buffer [40 mM HEPES (pH 7.5), 120 mM NaCl, 1 mM EDTA, 10 mM glycerophosphate, 50 mM NaF, 1.5 mM Na 3 V0 3 , 0.3% CHAPs and EDTA-free complete ULTRA Tablets (Roche, Indianapolis, IN)]. After centrifugation at 13,000 g for 20 min, 2-5 ⁇ g of the indicated antibodies were added to the cleared supernatant and incubated with rotation for 1 hr.
Landscapes
- Health & Medical Sciences (AREA)
- Life Sciences & Earth Sciences (AREA)
- Public Health (AREA)
- Veterinary Medicine (AREA)
- Epidemiology (AREA)
- Medicinal Chemistry (AREA)
- Animal Behavior & Ethology (AREA)
- General Health & Medical Sciences (AREA)
- Chemical & Material Sciences (AREA)
- Pharmacology & Pharmacy (AREA)
- Gastroenterology & Hepatology (AREA)
- Engineering & Computer Science (AREA)
- Bioinformatics & Cheminformatics (AREA)
- Immunology (AREA)
- Proteomics, Peptides & Aminoacids (AREA)
- Medicines That Contain Protein Lipid Enzymes And Other Medicines (AREA)
- Pharmaceuticals Containing Other Organic And Inorganic Compounds (AREA)
Abstract
Embodiments of the present disclosure concern methods and compositions for the enhancement or removal of memory. In certain cases the present disclosure concerns the enhancement of cognitive function or treatment of dysfunctional cognitive function. Specific embodiments include Jasplakinolide, one or more derivatives of Jasplakinolide, phalloidin, or combinations thereof. The present disclosure is directed at least to the fields of pharmacology, neuroscience, medicine, cell biology, molecular biology, and cognition.
Description
MEMORY ENHANCER AND ACTIN DYNAMICS
[0001] This application claims priority to U.S. Provisional Patent Application Serial No. 61/764,285, filed February 13, 2013, which is incorporated by reference herein in its entirety.
This invention was made with government support under NIMH 096816 and NINDS 076708, awarded by National Institute of Mental Health and National Institute of Neurological Disorders and Stroke, respectively. The government has certain rights in the invention.
TECHNICAL FIELD
[0002] The present disclosure is directed at least to the fields of pharmacology, neuroscience, medicine, cell biology, molecular biology, and cognition.
BACKGROUND
[0003] How memories are stored in the brain is a question that has intrigued mankind over many generations. While neuroscientists have already made great strides indentifying key brain regions and relevant neuronal circuits, many questions regarding the specialized molecular and neuronal mechanisms underlying memory formation remain unanswered. Post-translational modifications of synaptic proteins can explain transient changes in synaptic efficacy, such as short-term memory (STM) and the early phase of LTP (E-LTP, lasting 1-3 hours); but new protein synthesis is required for long-lasting ones, such as LTM and the late phase of LTP (L-LTP, lasting several hours) 1-"7. Changes in actin dynamics that mediate structural changes at synapses are also necessary for L-LTP and for LTM storage 8-"10. However, relatively little is known about the molecular mechanisms that underlie these processes.
[0004] The evolutionarily conserved mammalian target of rapamycin (mTOR) forms two complexes11"13. The first, mTORCl, consisting of mTOR, Raptor and mLST8 (ϋβί), is sensitive to rapamycin, and is thought to regulate mRNA translation . Although significant progress has been made in the identification of the mTORCl pathway and understanding its function in cells and in vivo, much less is known about the second complex, mTORC2. mTORC2 is largely insensitive to rapamycin and contains the core components mTOR, mSINl, mLST8 and Rictor (Rapamycin-Insensitive Companion of mTOR). Rictor is a defining component of
mTORC2 and its interaction with mSINl appears to be required for mTORC2 stability and function14. Rictor is associated to membranes and is thought to regulate the actin cytoskeleton, but the precise molecular mechanism behind this effect remains unclear11'12'16. In addition, while little is known about mTORC2's up-stream regulation, we are beginning to understand its downstream regulation and effectors: mTORC2 phosphorylates AGC kinases at conserved motifs, including Akt at the hydrophobic motif (HM) site (Ser-473), the best characterized read out of mTORC2 activity11'12.
[0005] The key component of mTORC2, Rictor, is important for embryonic development as mice lacking rictor die in early embryogenesis15'16. Rictor is highly expressed in the brain, notably in neurons16, and it seems to play a crucial role in various aspects of brain development and function. For example, genetic deletion of rictor in developing neurons disrupts normal brain development, resulting in smaller brains and neurons, as well as increased levels of monoamine transmitters and manifestations of cerebral malfunction suggestive of schizophrenia and anxiety-like behaviors 17 ' 18.
[0006] The present disclosure addresses a need in the art for therapies related to cognitive function and enhancement thereof or improvement of dysfunctional cognitive function.
BRIEF SUMMARY
[0007] Embodiments of the disclosure include methods and compositions related to Jasplakinolide (Invitrogen; (J7473, which may also be called Jaspamide or JPK) or one or more derivatives of Jasplakinolide), including combinations thereof. It is a macrocyclic peptide natural product from the marine sponge Jaspis johnstoni that induces the polymerization of actin into filaments (F-actin). The compositions may be used for any purpose related to memory and cognition in both health and disease, in particular embodiments. In specific embodiments, one or more of the compositions are employed for enhancement of memory or cognitive dysfunction. In specific embodiments, one or more of the compositions of the disclosure are used for treatment of autism spectrum disorders, mild cognitive impairment associated with aging, dementia, Alzheimer's disease, post-traumatic stress disorder, obsessive compulsive disorder, drug addiction, obesity, and epilepsy, for example In certain embodiments, the one or more compositions are employed for selective removal of memory. In particular embodiments, the disclosure does not encompass JPK alone or in combination with derivatives of JPK or other molecules.
[0008] In specific cases, the one or more derivatives of JPK act by activating mTORC2, although in specific embodiments the one or more derivatives of JPK act through an alternative mechanism. In some cases, the one or more derivatives act by promoting polymerization of actin, such as that then forms fibers for efficient connection, for example. In certain embodiments, a composition of the disclosure inhibits mTORC2 activity and/or expression (directly or indirectly) and in doing so, blocks memory. In other certain embodiments, a composition of the disclosure enhances mTORC2 activity and/or expression (directly or indirectly) and in doing so, enhances memory. In some embodiments, a composition of the disclosure regulates or modulates actin polymerization. One or more compositions of the disclosure may restore memory in those individuals with deficient memory capability, wherein in some cases one or more compositions of the disclosure enhance memory in an individual having normal memory capability.
[0009] Exemplary compositions of the disclosure include at least JPK; one or more of derivatives of JPK; phalloidin; or combinations thereof. Exemplary derivatives of JPK include molecules of the formula (which may be referred to as Formula I):
[0011] wherein R1 may be hydrogen, methyl, or ethyl;
[0012] R2 may be selected from the group consisting of halogen, hydrogen, hydroxy, alkyl, substituted alkyl, alkenyl, substituted alkenyl, alkynyl, substituted alkynyl, substituted aryl, heteroaryl, substituted heteroaryl, nitro, trifluoromethyl, trifluoromethoxy,
carboxyl, ester, ether, alkylthio, cyano, acetamido, acetoxy, acetyl, carbomyl, isocyanato, amino, alkylamino, dialkylamino, amido, thiol, thioether, phosphate, sulfonate, sulfonamide, and benzyl;
[0013] R3 may be selected from the group consisting of halogen, hydrogen, hydroxy, alkyl, substituted alkyl, alkenyl, substituted alkenyl, alkynyl, substituted alkynyl, aryl, substituted aryl, heteroaryl, substituted heteroaryl, nitro, trifluoromethyl, trifluoromethoxy, carboxyl, ester, ether, alkylthio, cyano, acetamido, acetoxy, acetyl, carbomyl, isocyanato, amino, alkylamino, dialkylamino, amido, thiol, thioether, phosphate, sulfonate, sulfonamide, and benzyl;
[0014] R4 may be NH or O; and
[0015] R5 may be H, CH or substituted or nonsubstituted benzyl.
[0016] The term "alkyl" when used without the "substituted" modifier refers to a monovalent saturated aliphatic group with a carbon atom as the point of attachment, a linear or branched, cyclo, cyclic or acyclic structure, and no atoms other than carbon and hydrogen. Thus, as used herein cycloalkyl is a subset of alkyl. The groups -CH (Me), -CH2CH (Et),
-CH2CH2CH3 (n-Pr), -CH(CH3)2 (iso-Pr), -CH(CH2)2 (cyclopropyl), -CH2CH2CH2CH3 (w-Bu), -CH(CH3)CH2CH3 (sec-butyl), -CH2CH(CH3)2 (wo-butyl), -C(CH3)3 (ierf-butyl),
-CH2C(CH3)3 (neo-pentyl), cyclobutyl, cyclopentyl, cyclohexyl, and cyclohexylmethyl are non- limiting examples of alkyl groups. When any of these terms is used with the "substituted" modifier one or more hydrogen atom has been independently replaced by -OH, -F, -CI, -Br, -I, -NH2, -N02, -C02H, -C02CH3, -CN, -SH, -OCH3, -OCH2CH3, -C(0)CH3, -N(CH3)2, - C(0)NH2, -OC(0)CH3, or -S(0)2NH2. The following groups are non-limiting examples of substituted alkyl groups: -CH2OH, -CH2C1, -CF3, -CH2CN, -CH2C(0)OH, -CH2C(0)OCH3, -CH2C(0)NH2, -CH2C(0)CH3, -CH2OCH3, -CH2OC(0)CH3, -CH2NH2, -CH2N(CH3)2, and
[0017] The term "alkenyl" when used without the "substituted" modifier refers to an monovalent unsaturated aliphatic group with a carbon atom as the point of attachment, a linear or branched, cyclo, cyclic or acyclic structure, at least one nonaromatic carbon-carbon double bond, no carbon-carbon triple bonds, and no atoms other than carbon and hydrogen. Non-limiting examples of alkenyl groups include: -CH=CH2 (vinyl), -CH=CHCH3,
-CH=CHCH2CH3, -CH2CH=CH2 (allyl), -CH2CH=CHCH3, and -CH=CH-C6H5. When these terms are used with the "substituted" modifier one or more hydrogen atom has been
independently replaced by -OH, -F, -CI, -Br, -I, -NH2, -N02, -C02H, -C02CH3, -CN, -SH, -OCH3, -OCH2CH3, -C(0)CH3, -N(CH3)2, -C(0)NH2, -OC(0)CH3, or -S(0)2NH2. The groups, -CH=CHF, -CH=CHC1 and -CH=CHBr, are non-limiting examples of substituted alkenyl groups.
[0018] The term "alkynyl" when used without the "substituted" modifier refers to an monovalent unsaturated aliphatic group with a carbon atom as the point of attachment, a linear or branched, cyclo, cyclic or acyclic structure, at least one carbon-carbon triple bond, and no atoms other than carbon and hydrogen. As used herein, the term alkynyl does not preclude the presence of one or more non-aromatic carbon-carbon double bonds. The groups, -C≡CH, -C≡CCH , and -CH2C≡CCH , are non-limiting examples of alkynyl groups. When alkynyl is used with the "substituted" modifier one or more hydrogen atom has been independently replaced by -OH, -F, -CI, -Br, -I, -NH2, -N02, -C02H, -C02CH3, -CN, -SH, -OCH3, -OCH2CH3, -C(0)CH3, -N(CH3)2, -C(0)NH2, -OC(0)CH3, or -S(0)2NH2.
[0019] The term "aryl" when used without the "substituted" modifier refers to a monovalent unsaturated aromatic group with an aromatic carbon atom as the point of attachment, said carbon atom forming part of a one or more six-membered aromatic ring structure, wherein the ring atoms are all carbon, and wherein the group consists of no atoms other than carbon and hydrogen. If more than one ring is present, the rings may be fused or unfused. As used herein, the term does not preclude the presence of one or more alkyl group (carbon number limitation permitting) attached to the first aromatic ring or any additional aromatic ring present. Non- limiting examples of aryl groups include phenyl (Ph), methylphenyl, (dimethyl)phenyl,
-C6H4CH2CH (ethylphenyl), naphthyl, and the monovalent group derived from biphenyl. If more than one ring is present, the rings may be fused or unfused. When these terms are used with the "substituted" modifier one or more hydrogen atom has been independently replaced by -OH, -F, -CI, -Br, -I, -NH2, -N02, -C02H, -C02CH3, -CN, -SH, -OCH3, -OCH2CH3, -C(0)CH3, -N(CH3)2, -C(0)NH2, -OC(0)CH3, or -S(0)2NH2.
[0020] The term "heteroaryl" when used without the "substituted" modifier refers to a monovalent aromatic group with an aromatic carbon atom or nitrogen atom as the point of attachment, said carbon atom or nitrogen atom forming part of one or more aromatic ring structures wherein at least one of the ring atoms is nitrogen, oxygen or sulfur, and wherein the heteroaryl group consists of no atoms other than carbon, hydrogen, aromatic nitrogen, aromatic
oxygen and aromatic sulfur. As used herein, the term does not preclude the presence of one or more alkyl, aryl, and/or aralkyl groups (carbon number limitation permitting) attached to the aromatic ring or aromatic ring system. If more than one ring is present, the rings may be fused or unfused. Non-limiting examples of heteroaryl groups include furanyl, imidazolyl, indolyl, indazolyl (Im), isoxazolyl, methylpyridinyl, oxazolyl, phenylpyridinyl, pyridinyl, pyrrolyl, pyrimidinyl, pyrazinyl, quinolyl, quinazolyl, quinoxalinyl, triazinyl, tetrazolyl, thiazolyl, thienyl, and triazolyl. When these terms are used with the "substituted" modifier one or more hydrogen atom has been independently replaced by -OH, -F, -CI, -Br, -I, -NH2, -N02, -C02H,
-C02CH3, -CN, -SH, -OCH3, -OCH2CH3, -C(0)CH3, -N(CH3)2, -C(0)NH2, -OC(0)CH3, or -S(0)2NH2.
[0021] Additionally, all possible stereochemical isomers, pharmaceutically acceptable salts, hydrates, solvates, and tautomers are contemplated as part of this disclosure.
[0022] Compositions of the disclosure are utilized for memory enhancement, in certain embodiments. In some cases, the compositions do not have an effect via new protein synthesis, although in other cases the compositions do have an effect via new protein synthesis. In specific aspects, the compositions modify memory or affect cognition by regulating the activity and/or polymerization of actin. In specific aspects, the compositions modify memory or affect cognition by affecting phosphorylation status of Akt, also known as Protein Kinase B (PKB), which is a serine/threonine- specific protein kinase. In specific embodiments the compositions modify memory or affect cognition by affecting phosphorylation status of serine 473 of Akt, although other phosphorylation sites of Akt may be affected in lieu of or in addition to serine 473. Compositions of the disclosure may directly or indirectly affect Akt, or not at all, including by its phosphorylation or by any other means.
[0023] In specific embodiments the compositions modify memory or affect cognition by affecting actin polymerization through or not through Akt. Actin polymerization may be affected by increasing or decreasing polymerization.
[0024] In some embodiments of the disclosure, memory is affected by one or more compositions of the disclosure. The memory may be long-term memory, short-term memory, or both.
[0025] Compositions of the disclosure are utilized to enhance memory in an individual with or without cognitive dysfunction. The individual may or may not have cognitive decline as a result of age and/or of any clinical etiology. In specific embodiments of the disclosure, one or more compositions of the disclosure may prevent cognitive dysfunction, including memory impairment of any kind.
[0026] In specific embodiments, the composition(s) are utilized to improve memory associated with one or more certain tasks. For example, one or more compositions of the disclosure may be utilized to improve memory of a certain event or task. The event may be of any kind, including of an academic, vocational, and/or personal nature, for example. Examples of events include viewing an academic lecture, reading a book or literature of any kind, or experiencing a wedding, graduation, or birth of a child. The one or more compositions may be administered by any means to the individual prior to, during, and/or following (such as immediately following) the event or task. In specific embodiments, the one or more compositions are delivered to the individual following the event but upon exposure of the individual to a trigger of the event or task, such as viewing a photo of part of the event or task or hearing part of an audio of the event or task.
[0027] In some embodiments, there is a method of treating a medical condition or modulating a normal faculty in an individual in need thereof, comprising the step of delivering an effective amount of a composition to the individual, wherein said composition comprises Jasplakinolide and/or at least one compound of the Formula I. In some emboidments, the medical condition comprises cognitive dysfuntion, which may be further defined as impaired memory, incuding short-term or long-term memory. In certain embodiments, the normal faculty comprises memory, including short-term or long-term memory. In some embodiments, the modulating of normal faculty comprises improving memory in the individual. In specific cases, the modulating of normal faculty comprises removing one or more memories from the individual. In particular embodiments, the medical condition is selected from the group consisting of cognitive dysfunction, autism spectrum disorders, mild cognitive impairment associated with aging, dementia, Alzheimer's disease, post-traumatic stress disorder, obsessive compulsive disorder, drug addiction, obesity, or epilepsy. In some embodiments, the method(s) further comprises the administration of phalloidin.
[0028] In some embodiments, there is a method of modulating memory of an individual in need thereof, comprising the step of providing an effective amount of a modulator of mTORC2 activity to the individual. In some embodiments, the modulator is a derivative of Jasplakinolide. In specific embodiments, the modulator modulates actin polymerization. In specific embodiments, the modulator is an activator of mTORC2 activity and/or expression and the individual is in need of memory improvement. In some cases, the modulator is an inhibitor of mTORC2 activity and/or expression and the individual is in need of memory removal or erasure. The individual may have normal memory function or cognitive dysfunction. In some cases, the individual does not have cognitive dysfunction. In certain embodiments, the inhibitor of mTORC2 activity and/or expression is provided to the individual upon stimulation of the memory to be removed. In some aspects, the memory is long-term memory or short-term memory.
[0029] In certain embodiments, there is a composition comprising Formula I. In specific embodiments, the composition further comprises an inhibitor of mTORC2, a compound that promotes actin polymerization, a compound that promotes phosphorylation of AKT serine 473, a compound that inhibits phosphorylation of AKT serine 473, or a combination thereof. In some cases, the composition further comprises Jasplakinolide; phalloidin; or combinations thereof. In at least some cases, the composition is comprised in a pharmaceutically acceptable carrier.
[0030] In certain embodiments, there is a kit comprising one or more compositions of Formula I that are housed in a suitable container.
[0031] The foregoing has outlined rather broadly the features and technical advantages of the present disclosure in order that the detailed description of the disclosure that follows may be better understood. Additional features and advantages of the disclosure will be described hereinafter which form the subject of the claims of the disclosure. It should be appreciated that the conception and specific embodiment disclosed may be readily utilized as a basis for modifying or designing other structures for carrying out the same purposes of the present disclosure. It should also be realized that such equivalent constructions do not depart from the disclosure as set forth in the appended claims. The novel features which are believed to be characteristic of the disclosure, both as to its organization and method of operation, together with further objects and advantages will be better understood from the following description
when considered in connection with the accompanying figures. It is to be expressly understood, however, that each of the figures is provided for the purpose of illustration and description only and is not intended as a definition of the limits of the present disclosure.
BRIEF DESCRIPTION OF THE DRAWINGS
[0032] For a more complete understanding of the present disclosure, reference is now made to the following descriptions taken in conjunction with the accompanying drawings.
[0033] Fig. 1. L-LTP, but not E-LTP, is impaired in mTORC2-deficient slices, a-c) Western blots show selective decrease in Rictor and mTORC2 activity (p-Akt Ser473) in CAl (a) and amygdala (b) but not in midbrain (c) of rictor fb-KO mice. Below: normalized data (a; n=4 per group, t=9.794, **p<0.01; b; n=5 per group, t=2.976, *p < 0.05, c; n=4 per group, t=0.470, p=0.663). d-e) In CAl extracts from control mice 30 min post-stimulation mTORC2 activity was consistently increased with four tetanic trains, but not a single train. Hippocampal slices were stimulated at 0.033 Hz (control), tetanized by one train (100 Hz for 1 s; d), or four such trains at 5 min intervals (e). f) Normalized mTORC2 activity (n=5 per group, 1 X 100 Hz: t=0.31, p=0.23; 4 X 100 Hz: t=6.01, **p<0.01). g) In CAl from rictor fb-KO mice repeated trains failed to increase mTORC2 activity 30 min after stimulation, h) Normalized data (n=5 per group, U=5.00, p=0.151). i) Similar E-LTP was elicited in control (n=9) and rictor fb-KO slices (n=8) (LTP at 30 min: 41 + 5.6% for controls and 44 + 5.7% for rictor fb-KO, F(i, 14)=0.130, p=0.724; LTP at 180 min: 23.7 + 5.3% for controls and 24.7 + 8.5% for rictor fb-KO, F(1> 15)=0.011, p=0.917). j) L-LTP elicited by four trains in rictor fb-KO slices (n=l l) was impaired vs. control slices (n=14; LTP was similar at 30 min, control 72 + 11.3% and rictor fb-KO 67 + 13.2%, F(i, 23)=0.811, p=0.368; but at 220 min L-LTP was only 21 + 10.8% for rictor fb-KO slices vs. 70 + 14.8% for controls; F(1> 23)=23.4, p<0.01). Superimposed single traces were recorded before and 180 min after tetani (i) or before and 220 min after tetani (j). Calibration: 5 ms, 2 mV.
[0034] Fig. 2. Long-term, but not short-term, fear memory is impaired in mTORC2-deficient mice, a) In Western blots of control dorsal hippocampus, phosphorylation of both Akt at Ser473 and PAK is transiently enhanced 15 min after fear conditioning, b) Normalized data (top, n=6 per condition, t=2.599, *p<0.05; bottom, n=5 per condition, t=2.930, *p<0.05). c) Compared to home-cage mice, either context-alone (CS) or shock-alone (US) failed to increase mTORC2 activity (n=4 per group,
p=0.882). In the context-alone group
(CS) mice were treated identically but were not given foot shocks whereas in the shock alone group (US) mice were given two foot-shocks and were immediately removed from the chamber, d) For contextual fear conditioning, freezing was assessed in control (n=22) and rictor fb-KO mice (n=14) during a 2 min period before conditioning (naive) and then during a 5 min period at 2hr (STM) and 24 hr (LTM) after a strong training protocol (two pairings of a tone with a 0.7 mA foot-shock, 2s). e) For auditory fear conditioning, freezing was assessed 2 hr and 24 hr after training, for 2 min before the tone presentation (pre-CS) and then during a 3 min period while the tone sounded (CS). Decreased freezing at 24 hr after training indicates deficient fear LTM in rictor fb-KO mice (d, F(i, 34) =20.253, ***p<0.001; e, F(i>34) =4.704, *p<0.05). f-g) Spatial LTM is impaired in rictor fb-KO mice, f) In the hidden-platform version of the Morris water maze, on days 4, 5 and 6 escape latencies were significantly longer for rictor fb-KO mice (F(ij37)=8.585; **p<0.01; F(i,37)=14.651; ***p<0.001, F(i,37)=18.101, ***p<0.001). g) In the probe test on day 7, only control mice showed preference for the target quadrant (control vs. rictor fb-KO mice; F(1> 37)=15.554, ***p<0.001; within control group F(3> 96)=28.840, ***p<0.001).
[0035] Fig. 3. Actin dynamics, Racl-GTPase activity and signaling are impaired in CAl of rictor fb-KO mice, a-f) Western blotting shows that the ratio of F-actin/G- actin (a), Racl-GTPase activities (c), p-PAK and p-Cofilin (e) are much reduced in CAl of rictor fb-KO mice. Normalized data (b; n=4 per group, t=4.042, **p<0.01; d left; n=4 per group, t=2.762, *p<0.05; d right; n=4 per group, t=0.519, p=0.623; f; p-PAK n=4 per group, t=9.054, ***p<0.001; p-Cofilin n=4 per group, t=4.486, **p<0.01). g) The inventors considered that mTORC2 regulates Racl-GTPase activity (and signaling) through the recruitment of a specific Racl-GTPase GEF. To characterize this, the inventors co-transfected HEK293T cells with myc- tagged Rictor and flag-tagged GEFs or GAPs, and then performed co-immunoprecipitation (IP) experiments. myc-Rictor selectively pulled-down flag-Tiaml (T-cell-lymphoma invasion and metastatis-1), a specific Racl-GEF that is highly enriched in neurons62. Flag-tagged -Tiaml, - ephexin, -Abr and -Bcr were coexpressed in HEK293T cells with myc-Rictor and anti-flag immunoprecipitates were analyzed by anti-flag (top) and anti-myc (middle) immunoblotting. h) Diagram of the Tiaml constructs (FL=full length, DH=point mutations in the DH domain; PDZ=deletion mutant encoding only the PDZ domain). Flag-tagged FL, DH or PDZ were co- expressed with myc-tagged Rictor in HEK293T cells, i) Anti-flag immunoprecipitates were analyzed by anti-myc (top) and anti-flag (middle) immunoblots whereas anti-myc
immunoprecipitates (j) were analyzed by anti-flag (top) and anti-myc immunoblots (middle), k) Endogenous Tiaml interacts with endogenous Rictor. Immunoprecipitates of anti-Tiaml or anti- IgG (control) were prepared from adult hippocampal extracts and analyzed by Rictor (top) and Tiaml (bottom) immunoblots. Arrows point to the interaction between Tiaml and Rictor. 1) Golgi-impregnation shows that spine density of apical CA1 pyramidal neurons is reduced in rictor fb-KO mice [scale bar 5 m; n=70 (20-25 neurons/mouse; 3 mice per group), t=2.791, **p<0.01].
[0036] Fig. 4. Restoring actin polymerization rescues the impaired L-LTP and contextual LTM caused by mTORC2 deficiency, a) Western blots show that jasplakinolide (JPK; 50 nM) increased the low F-actin/G- actin ratio in CA1 slices from rictor fb-KO mice (n=4 per group, t=3.821, *p<0.05) but not in control slices (n=4 per group, t=0.253, p=0.157). b) The same concentration of JPK restored L-LTP in rictor fb-KO slices (n=7 per group, LTP at 30 min, vehicle 67 + 7.7%, JPK 73 + 11.3%, H=0.0667, ANOVA on Ranks, p=0.852; LTP at 220 min, vehicle 23 + 4.9%, JPK 73 + 12.5%, F(i, 12)=9.81, p<0.01) but had no effect on L-LTP in WT slices (c; n=7 per group, LTP at 30 min: vehicle 74 + 9.4%, JPK 72 + 11.4%, F(1> 12)=0.989, p=0.784; LTP at 220 min: vehicle 64 + 8.7%, JPK 68 + 14.2%; F(1> 12)=0.010, p=0.921).
[0037] The actin polymerization inhibitor Cytochalasin-D (Cyt-D; 100 nM) blocked L-LTP in WT slices (c; at 220 min 26 + 7.8%, F(U2)=9.215, p<0.01) but had no effect in rictor fb-KO slices (b, at 220 min 21 + 7.9%, F(1> 13)=0.163, p=0.694). Insets in b and c are superimposed traces recorded before and 220 min after tetani. Calibration: 5 ms, 2 mV. d-e) Bilateral infusion of JPK (50 ng) into the dorsal hippocampus of rictor fb-KO mice (n=8 per group), immediately after a strong training protocol (two pairings of a tone with a 0.7 mA foot- shock, 2s), boosted contextual LTM (d; F(1, 14)=4.827, *p<0.05) but not auditory LTM (e; F(1, 14)=0.0407, p=0.843). Freezing was assessed 24 hr after training, as described in Fig. 2. f) In WT mice (n=8 per group) JPK bilateral infusion (50 ng) had no effect on contextual LTM (F(1> 14)=0.129, p=0.726). g) A single tetanic train elicits only E-LTP in vehicle-treated slices but a sustained L-LTP in JPK- treated slices (n=7 for vehicle, n=8 for JPK; LTP at 180 min: vehicle 19 + 5.2%, JPK 81 + 14.5%, ANOVA on Ranks H=10.59; p<0.001). Inset in g are superimposed single traces recorded before and 180 min after tetani. Calibration: 5 ms, 2 mV. h) Intra- hippocampal infusion of JPK immediately after a weak training (a single pairing of a tone with a Is, 0.7 mA foot-shock) enhanced contextual fear LTM (n=15 for vehicle and n=16 for JPK; F(1>
29)=4.320, *p<0.05) but not contextual fear STM (i, n=9 for vehicle and n=10 for JPK, H=0.00167, ANOVA on Ranks, p=0.967).
[0038] Fig. 5. Lack of Rictor does not alter gross brain morphology or synaptic markers. a) Nissl-stained hippocampal sections from WT and rictor fb-KO mice, b) Antibodies against synaptophysin (t=0.152; p=0.885), PSD95 (t=0.147; p=0.889) and GAD67 (t=0.289; p=0.784) showed no difference in CA1 between WT (n=3) and rictor fb-KO mice (n=4).
[0039] Fig. 6. Basal synaptic transmission in CA1 does not differ between slices from control and rictor fb-KO mice, a) Plots of presynaptic fiber volley as function of stimulus intensity show no difference in fiber excitability between control (n=26) and rictor fb-
KO mice (n=21). The data were fitted by linear regressions: R 2" = 0.9901 for controls and 0.9838 for rictor fb-KO mice. b) Input-output plots show similar EPSPs as function of presynaptic fiber volley amplitude over a wide range of stimulus intensities. The corresponding linear regressions are: R2 = 0.6983 for controls and 0.7392 for rictor fb-KO mice, c) Paired-pulse facilitation of fEPSPs also did not differ between WT and rictor fb-KO mice, as shown by the plots of the PP ratio (fEPSP2/ fEPSP for various intervals of paired stimulation.
[0040] Fig. 7. rictor fb-KO mice show normal visuo-motor function. In the visible platform version of the Morris water maze, latencies of escape did not differ between controls and rictor fb-KO mice.
[0041] Fig. 8. Control tests of actin polymerization promoter (JPK) and inhibitor cytochalasin-D (Cyt-D). a) In slices from rictor fb-KO mice, JPK (50 nM) had no effect on basal synaptic transmission expressed by fEPSPs (n=5 per group, t=l .801 ; p=0.102). b) In WT slices Cyt-D (100 nM) did not affect early- LTP induced by a single high frequency train (100 Hz, Is). For these plots, n=5 for controls (vehicle) and 6 for cyt-D: at 200 min (F^ 1o)=0.042, p=0.993). Inset averaged traces were obtained before and after prolonged application of JPK (a) or before and after 200 min after tetanus (b).
[0042] Fig. 9. Sites of JPK infusion into dorsal hippocampus at five rostrocaudal planes. Coordinates are posterior to bregma and cannula tip placements are from mice infused with JPK (filled squares) and vehicle (filled circles). Below are photomicrographs showing representative cannulae tracks into the dorsal hippocampus.
[0043] Fig. 10. A low dose of JPK infused into the hippocampus promotes actin polymerization in rictor fb-KO mice, a) Western blots show that thirty min after infusion of JPK (50 ng/ml) in the dorsal hippocampus from rictor fb-KO mice the F-actin/G- actin ratio was increased (at left; n=4, t=2.942; *p<0.05), but not in the dorsal hippocampus from WT mice (at right; n=3, t=l .057; p=0.187). Normalized data are shown below, b) Intra-hippocampal infusion of JPK immediately after a weak training (a single pairing of a tone with a Is, 0.7 mA foot-shock) had no effect on auditory fear LTM (n=15 for vehicle and n=16 for JPK; H=0.0768, ANOVA on Ranks, p=0.78)
[0044] Fig. 11. Late-LTP induced by a single tetanic stimulation in combination with JPK is dependent on mRNA translation, a) The facilitated L-LTP induced by JPK (50 nM) and one tetanic train was suppressed by anisomycin (Aniso 40 μΜ, at 180 min: 79 + 12.7% for JPK and 17 + 4.1% for JPK + Aniso, H=9.6, p<0.001). b) JPK (50 nM) had no effect on the impaired L-LTP induced by four tetanic trains in the presence of anisomycin (40 μΜ, at 220 min: 27 + 8.6% for Aniso and 33 + 11.4%+ for JPK + Aniso, F(1> 7)=0.005, p=0.945).
[0045] Fig. 12. L-LTP and fear LTM did not differ between WT, CamKII-Cre and rictor floxed mice, a) Similar L-LTP was induced four tetanic trains in slices from WT (rictor +/+; +/+, n=7) aCamKII-Cre (rictor +/+; Cre/+, n=6) and floxed mice (rictor fl→ox; +/+, n=6) (at 220 min F(2ji7)=0.054, p=0.95). b) For contextual fear conditioning, freezing times were determined before the conditioning (Naive, during 2-min period) and then 24 h after training (during a 3-min period). Similar freezing at 24 hr reflects normal contextual LTM in WT (n=7), aCamKII-Cre (n=7) and rictor floxed (n=7) mice (F(2j l9)=0.241, p=0.79). c) For auditory fear conditioning, freezing times were measured 24 hr post-training either before the onset of the tone (Pre-CS, 2 min) or during the tone presentation (Post-CS, 3 min) (n=7 per group,
p=0.94).
[0046] Other and further objects, features, and advantages will be apparent from the following description of the presently preferred embodiments of the disclosure, which are given for the purpose of disclosure.
DETAILED DESCRIPTION
I. [0047] Definitions
[0048] As used herein the specification, "a" or "an" may mean one or more. As used herein in the claim(s), when used in conjunction with the word "comprising", the words "a" or "an" may mean one or more than one. As used herein "another" may mean at least a second or more.
[0049] The term "cognitive dysfunction" as used herein refers to dysfunction in the mental process of knowing, including aspects such as awareness, perception, reasoning, and judgment, including but not limited to that which comes to be known, as through perception, reasoning, or intuition; knowledge.
[0050] The term "short-term memory" as used herein refers to memory of an event that occurred within a maximum of 2-3 hours.
[0051] The term "long-term memory" as used herein refers to memory of an event that occurred within at least one day.
[0052] As generally used herein "pharmaceutically acceptable" refers to those compounds, materials, compositions, and/or dosage forms which are, within the scope of sound medical judgment, suitable for use in contact with the tissues, organs, and/or bodily fluids of human beings and animals without excessive toxicity, irritation, allergic response, or other problems or complications commensurate with a reasonable benefit/risk ratio.
[0053] "Pharmaceutically acceptable salts" means salts of compounds of the present disclosure which are pharmaceutically acceptable, as defined above, and which possess the desired pharmacological activity. Such salts include acid addition salts formed with inorganic acids such as hydrochloric acid, hydrobromic acid, sulfuric acid, nitric acid, phosphoric acid, and the like; or with organic acids such as 1,2-ethanedisulfonic acid, 2-hydroxyethanesulfonic acid, 2-naphthalenesulfonic acid, 3-phenylpropionic acid, 4,4'-methylenebis(3-hydroxy-2-ene- 1-carboxylic acid), 4-methylbicyclo[2.2.2]oct-2-ene- 1-carboxylic acid, acetic acid, aliphatic mono- and dicarboxylic acids, aliphatic sulfuric acids, aromatic sulfuric acids, benzenesulfonic acid, benzoic acid, camphorsulfonic acid, carbonic acid, cinnamic acid, citric acid, cyclopentanepropionic acid, ethanesulfonic acid, fumaric acid, glucoheptonic acid, gluconic acid, glutamic acid, glycolic acid, heptanoic acid, hexanoic acid,
hydroxynaphthoic acid, lactic acid, laurylsulfuric acid, maleic acid, malic acid, malonic acid, mandelic acid, methanesulfonic acid, muconic acid, o(4-hydroxybenzoyl)benzoic acid, oxalic acid, /7-chlorobenzenesulfonic acid, phenyl- substituted alkanoic acids, propionic acid, /7-toluenesulfonic acid, pyruvic acid, salicylic acid, stearic acid, succinic acid, tartaric acid, tertiarybutylacetic acid, trimethylacetic acid, trifluoroacetic acid, trifluormethyl sulfonic (triflic) acid and the like. Pharmaceutically acceptable salts also include base addition salts which may be formed when acidic protons present are capable of reacting with inorganic or organic bases. Acceptable inorganic bases include sodium hydroxide, sodium carbonate, potassium hydroxide, aluminum hydroxide and calcium hydroxide. Acceptable organic bases include, but are not limited to ethanolamine, diethanolamine, triethanolamine, tromethamine, N-methylglucamine and the like. It should be recognized that the particular anion or cation forming a part of any salt of this disclosure is not critical, so long as the salt, as a whole, is pharmacologically acceptable. Additional examples of pharmaceutically acceptable salts and their methods of preparation and use are presented in Handbook of Pharmaceutical Salts: Properties, and Use (P. H. Stahl & C. G. Wermuth eds., Verlag Helvetica Chimica Acta, 2002).
[0054] "Prevention" or "preventing" includes: (1) inhibiting the onset of a disease in a subject or patient which may be at risk and/or predisposed to the disease but does not yet experience or display any or all of the pathology or symptomatology of the disease, and/or (2) slowing the onset of the pathology or symptomatology of a disease in a subject or patient which may be at risk and/or predisposed to the disease but does not yet experience or display any or all of the pathology or symptomatology of the disease.
[0055] "Effective amount," "Therapeutically effective amount" or
"pharmaceutically effective amount" means that amount which, when administered to a subject or patient for treating a disease or condition, is sufficient to effect such treatment for the disease, such as to ameliorate one symptom or aspect of the disease or condition. In embodiments where in an individual does not have a disease or condition, such as has normal memory faculties and no detectable cognitive dysfunction, the effective amount may be a noticeable improvement in memory, including the level of detail of recall and/or the ability to retain the memory longer and/or the ability to remember memories from longer ago than in the absence of exposure to one or more compositions of the disclosure, for example.
[0056] The above definitions supersede any conflicting definition in any of the reference that is incorporated by reference herein. The fact that certain terms are defined, however, should not be considered as indicative that any term that is undefined is indefinite. Rather, all terms used are believed to describe the disclosure in terms such that one of ordinary skill can appreciate the scope and practice the present disclosure.
II. [0057] General Embodiments
[0058] Embodiments concern the identification of molecular mechanisms that can enhance memory. The present disclosure concerns, in some embodiments, a novel signaling pathway that regulates the conversion from short- to long-term memory. The mTOR complex 2 (mTORC2), which contains the key regulatory protein Rictor (Rapamycin-Insensitive Companion of mTOR), was discovered only recently, and little is known about its physiological role. As shown herein, conditional deletion of rictor in the postnatal murine forebrain greatly reduces mTORC2 activity and selectively impairs both long-term memory (LTM) and the late (but not the early) phase of hippocampal long-term potentiation (LTP). Actin polymerization is reduced in the hippocampus of mTORC2-deficient mice and its restoration rescues both L-LTP and LTM. More importantly, a compound that selectively promotes mTORC2 activity converts early- LTP into late-LTP and enhances LTM. These findings indicate that mTORC2 is a novel therapeutic target for the treatment of cognitive dysfunction.
[0059] Thus, the inventors characterized the role of mTORC2 in memory formation, specifically in sustained changes in synaptic efficacy (LTP) in hippocampal slices, and in behavioral tests of memory. The results show that through regulation of actin polymerization, mTORC2 is an essential component of memory consolidation. There is a selective impairment in L-LTP and LTM in mice and flies deficient in TORC2 signaling. Moreover, the inventors have identified the up-stream synaptic events that activate mTORC2 in the brain and unraveled the detail downstream molecular mechanism by which mTORC2 regulates L-LTP and LTM, namely regulation of actin polymerization. In specific embodiments, derivatives of a small molecule activator of mTORC2 and actin polymerization facilitates both L-LTP and LTM, further demonstrating that mTORC2 is a new type of molecular switch that controls the consolidation of a short-term memory process into a long-term one.
[0060] In general embodiments of the disclosure, this information is applied to a clinical setting, allowing provision for compositions and methods for the improvement of
cognition, including memory. The individual receiving the methods and/or compositions may be in need of the inventive embodiments because of a defect in memory or cognition, or the individual may have normal memory or cognition and desire to enhance their memory or cognition. The individual may or may not be already employing measures to enhance their memory or cognition. The mdividual may receive treatment for such applications once or more than once. The individual may be of any age. The compositions of the disclosure may act through any molecular mechanism so long as an improvement in memory or cognition is thereby achieved, whether directly or indirectly from the intake of the composition. The compositions of the disclosure may be delivered to the individual in any suitable manner, including orally, subcutaneously, bucally, etc.
III. [0061] Derivatives of Jasplakinolide (JPK)
[0062] Compositions of the disclosure include at least one or more of derivatives of Jasplakinolide; phalloidin; or combinations thereof. Exemplary derivatives of JPK include molecules of the formula:
[0063]
[0064] wherein R is hydrogen, methyl, or ethyl;
[0065] R2 may be selected from the group consisting of halogen, hydrogen, hydroxy, alkyl, substituted alkyl, alkenyl, substituted alkenyl, alkynyl, substituted alkynyl, aryl, substituted aryl, heteroaryl, substituted heteroaryl, nitro, trifluoromethyl, trifluoromethoxy,
carboxyl, ester, ether, alkylthio, cyano, acetamido, acetoxy, acetyl, carbomyl, isocyanato, amino, alkylamino, dialkylamino, amido, thiol, thioether, phosphate, sulfonate, sulfonamide, and benzyl;
[0066] R3 may be selected from the group consisting of halogen, hydrogen, hydroxy, alkyl, substituted alkyl, alkenyl, substituted alkenyl, alkynyl, substituted alkynyl, aryl, substituted aryl, heteroaryl, substituted heteroaryl, nitro, trifluoromethyl, trifluoromethoxy, carboxyl, ester, ether, alkylthio, cyano, acetamido, acetoxy, acetyl, carbomyl, isocyanato, amino, alkylamino, dialkylamino, amido, thiol, thioether, phosphate, sulfonate, sulfonamide, and benzyl;
[0067] R4 may be NH or O; and
[0068] R5 may be H, CH3i or substituted or nonsubstituted benzyl.
[0069] Additionally, all possible stereochemical isomers, pharmaceutically acceptable salts, hydrates, solvates, and tautomers are contemplated as part of this disclosure.
IV. [0070] Synthesis of Derivatives of JPK
[0071] One or more derivatives of JPK may be obtained, including synthesized, prior to use in methods of the disclosure. The derivatives and use of the derivatives are encompassed in embodiments of the disclosure. Although one of skill in the art is aware of routine methods ' for synthesizing a derivative of JPK, the following exemplary synthetic reactions may be utilized. Exemplary reaction conditions are listed, but the reaction conditions may be altered and/or optimized, to account for different functional groups, by those of skill in the art.
[0072]
[0074]
[0075] Asymmetric aldol addition of the enolate of asymmetric oxazolidinone 1 (with R1 = hydrogen, methyl, or ethyl) with methacrolein affords allylic alcohol 2. Reaction of 2 with triethyl orthopropionate and propionic acid at 140 °C affords the ortho-ester Claisen rearrangement product 3. Removal of the chiral auxiliary by lithium borohydride followed by Mitsunobu reaction of the resulting alcohol with acetone cyanohydrin gives terminal nitrile 4. Reduction of the nitrile with Raney nickel affords an intermediate aldehyde, which upon reaction with a methyl Grignard reagent affords secondary alcohol 5. Mitsunobu inversion of the alcohol yields the (S)-alcohol 6, which would be temporarily protected by functional group(s) known to those of skill in the art. Alternatively, ammonia may be used as the Mitsunobu nucleophile to convert alcohol 5 into amine derivative 6.1. This amine derivative would be a precursor to the JPK-macrolactam derivative where R4 = NH. Ester hydrolysis of 6 yields intermediate nonenoic acid 7, where R4 is a protected amine or protected alcohol.
[0076]
[0077] Diimide coupling between amino acid derivative 11 and the carboxylic acid of Boc-protected alanine yields 12. Those of skill in the art recognize that R2 and/or R5 may be changed to yield the corresponding R2 and/or R5 JPK derivatives. Ester hydrolysis of coupling product 12 produces free carboxylic acid 13.
[0078]
[0079] Diimide coupling of acid 13 with R -substituted β-amino ester and subsequent Boc-deprotection yields intermediate 14. Those of skill in the art recognize that different R3 -substituted β-amino esters may be employed to yield JPK derivatives with different R3 functional groups.
[0080]
[0081] Diimide coupling between intermediates 14 and 7 followed by ester hydrolysis yields the coupling product 15. Deprotection of protected amine or protected alcohol followed by Yamaguchi macrolactonization, or corresponding macrolactamization, affords macrocyclic JPK derivative 16.
V. [0082] Screening for Compositions
[0083] In embodiments of the disclosure, one or more compositions are screened for a particular activity. In specific embodiments, one or more derivatives of JPK are screened for a particular activity. The activity may be of any kind, but in specific embodiments the activity is for modulation of mTORC2 activity and/or expression. In specific cases, the modulation is for activation of mTORC2 and/or actin polymerization. In some cases, the activity that is screened for is modulation of phosphorylation of AKT, including, for example, modulation of phosphorylation of serine 473 of AKT.
[0084] In specific embodiments, one or more derivatives are provided to an assay environment (such as a plate with wells) having cells that have been starved (such as by removing nutrients) such that phosphorylation of serine 473 is significantly reduced; as determined by a phosphor-specific antibody, in particular cases the background is detectably zero. Upon exposure of a particular one or more derivatives, the phosphorylation of AKT serine 473 is assayed for, and when there is an increase in phosphorylation of AKT serine 473 over background, the derivative may be utilized for enhancement of memory and/or treatment of
cognitive dysfunction. In particular embodiments, when there is an increase in phosphorylation of A T serine 473 over background, the derivative is considered an activator of mTORC2.
[0085] In some particular embodiments, the two-part structure-activity relastionship (SAR) approach is used. Using IMAP technologies, a non-radioactive, homogeneous assay applicable to a wide variety of kinases without regard for substrate peptide sequence. The assay is a simple "mix-and-read" procedure that allows accurate determination of kinase acivity based on fluorescence.
[0086] In some embodiments, one or more derivatives are screened for the ability to eliminate one or more memories. In specific embodiments, one or more derivatives are screened for the ability to inhibit activity of mTORC2. In exemplary cases, one or more derivatives are provided to an assay environment (such as a plate with wells) having cells that have not been starved (have been provided nutrients) such that phosphorylation of serine 473 is detectable. Upon exposure of a particular one or more derivatives, the phosphorylation of AKT serine 473 is assayed for, and when there is an decrease in phosphorylation of AKT serine 473, the derivative may be utilized for memory removal. In specific embodiments, when there is a decrease in phosphorylation of AKT (such as serine 473), the derivative is considered an inhibitor of mTORC2.
VI. [0087] Erasure of Memory
[0088] In particular embodiments, one or more compositions of the disclosure are used in removal of one or more memories. The one or more compositions may be provided to an individual in a regimen that provides an environment to allow removal of the memory.
[0089] In some embodiments, a composition of the disclosure that blocks mTORC2 is utilized in removal of memory. In some cases, the composition is identified as an inhibitor of mTORC2 upon screening of one or more derivatives of JPK. In some cases, the composition is identified as an inhibitor of phosphorylation of AKT (such as serine 473) upon screening of one or more derivatives of JPK.
[0090] In embodiments of the disclosure, a composition of the disclosure is administered to an individual to selectively remove one or more particular memories. The composition may be administered to the individual upon retrieval of the memory, such as being reminded of the memory. The composition may be administered to the individual upon reminder
of the individual of the memory. In specific cases, the individual is subjected to a visual and/or audio reminder of the memory prior to and/or at the time of and/or immediately following subjecting the individual to the composition(s) of the disclosure. The visual and/or audio reminder may be provided to the individual alone or within a series of non-related images and/or signals. In such cases, during the sucesssion of non-related images and/or signals the individual is provided the composition only when the memory reminder is provided to the individual.
[0091] The reminder of the memory may be of any kind, but in particular cases the reminder is a photo and/or video and/or audio signal of the actual event of the memory or a similar event of the memory. In specific embodiments, the memory to be removed is associated with post-traumatic stress disorder, for example. The memory may be associated with combat, for example.
VII. [0092] Pharmaceutical Compositions
[0093] In particular embodiments, the present disclosure is directed to pharmaceutical compositions for use in treating and/or preventing cognitive dysfunction, providing memory manipulation (including enhancing or selective removal), autism, Asperger's syndrome, mild cognitive impairment, dementia, Alzheimer's disease, and so forth. The pharmaceutical compositions may comprise one or more compositions of the disclosure, including one or more derivatives of JP , phalloidin, and/or jasplakinolide.
[0094] In some cases the treatment may be singular, multiply given and may be provided for a shot duration or may last for the remaining life of the individual. In specific embodiments, the administration may occur before there are any detectable symptoms of the medical condition. In specific embodiments, the administration occurs until a detectable improvement of at least one symptom occurs and, in further cases, continues to remain ameliorated. In some cases the composition(s) is provided to an individual with healthy cognitive function but that is in need of improving memory, either in general or of a specific event.
[0095] Where the disclosure is directed to treating with the compounds of the present disclosure, administration of the compounds of the disclosure with a suitable pharmaceutical excipient as necessary can be carried out via any of the accepted modes of administration. The compounds may be comprised in a pharmaceutically acceptable excipient, which may be considered as a molecular entity and/or composition that does not produce an
adverse, allergic and/or other untoward reaction when administered to an animal, as appropriate. It includes any and/or all solvents, dispersion media, coatings, antibacterial and/or antifungal agents, isotonic and/or absorption delaying agents and/or the like. The use of such media and/or agents for pharmaceutical active substances is well known in the art. Except insofar as any conventional media and/or agent is incompatible with the active ingredient, its use in the therapeutic compositions is contemplated.
[0096] Thus, administration can be, for example, intravenous, topical, subcutaneous, transcutaneous, intramuscular, oral, intra-joint, parenteral, peritoneal, intranasal, intravesical or by inhalation. Suitable sites of administration thus include, but are not limited to, skin, bronchial, gastrointestinal, anal, vaginal, eye, bladder, and ear. The formulations may take the form of solid, semi-solid, lyophilized powder, or liquid dosage forms, such as, for example, tablets, pills, capsules, powders, solutions, suspensions, emulsions, suppositories, retention enemas, creams, ointments, lotions, aerosols or the like, preferably in unit dosage forms suitable for simple administration of precise dosages.
[0097] The compositions typically include a conventional pharmaceutical carrier or excipient and may additionally include other medicinal agents, carriers, adjuvants, and the like. Preferably, the composition will be about 5% to 75% by weight of a compound or compounds of the disclosure, with the remainder consisting of suitable pharmaceutical excipients. Appropriate excipients can be tailored to the particular composition and route of administration by methods well known in the art, e.g., REMINGTON'S PHARMACEUTICAL SCIENCES, 18TH ED., Mack Publishing Co., Easton, Pa. (1990).
[0098] For oral administration, such excipients include pharmaceutical grades of mannitol, lactose, starch, magnesium stearate, sodium saccharine, talcum, cellulose, glucose, gelatin, sucrose, magnesium carbonate, and the like. The composition may take the form of a solution, suspension, tablet, pill, capsule, powder, sustained-release formulation, and the like.
[0099] In some embodiments, the pharmaceutical compositions take the form of a pill, tablet or capsule, and thus, the composition can contain, along with the biologically active conjugate, any of the following: a diluent such as lactose, sucrose, dicalcium phosphate, and the like; a disintegrant such as starch or derivatives thereof; a lubricant such as magnesium stearate and the like; and a binder such a starch, gum acacia, polyvinylpyrrolidone, gelatin, cellulose and derivatives thereof.
[0100] The active compounds of the formulas may be formulated into a suppository comprising, for example, about 0.5% to about 50% of a compound of the disclosure, disposed in a polyethylene glycol (PEG) carrier {e.g., PEG 1000 [96%] and PEG 4000 [4%]).
[0101] Liquid compositions can be prepared by dissolving or dispersing compound (about 0.5% to about 20%), and optional pharmaceutical adjuvants in a carrier, such as, for example, aqueous saline {e.g., 0.9% w/v sodium chloride), aqueous dextrose, glycerol, ethanol and the like, to form a solution or suspension, e.g., for intravenous administration. The active compounds may also be formulated into a retention enema.
[0102] If desired, the composition to be administered may also contain minor amounts of non-toxic auxiliary substances such as wetting or emulsifying agents, pH buffering agents, such as, for example, sodium acetate, sorbitan monolaurate, or triethanolamine oleate.
[0103] For topical administration, the composition is administered in any suitable format, such as a lotion or a transdermal patch. For delivery by inhalation, the composition can be delivered as a dry powder {e.g., Inhale Therapeutics) or in liquid form via a nebulizer.
[0104] Methods for preparing such dosage forms are known or will be apparent to those skilled in the art; for example, see Remington's Pharmaceutical Sciences, supra., and similar publications. The composition to be administered will, in any event, contain a quantity of the pro-drug and/or active compound(s) in a pharmaceutically effective amount for relief of the condition being treated when administered in accordance with the teachings of this disclosure.
[0105] Generally, the compounds of the disclosure are administered in a therapeutically effective amount, i.e., a dosage sufficient to effect treatment, which will vary depending on the individual and condition being treated. Typically, a therapeutically effective daily dose is from 0.1 to 100 mg/kg of body weight per day of drug. Most conditions respond to administration of a total dosage of between about 1 and about 30 mg/kg of body weight per day, or between about 70 mg and 2100 mg per day for a 70 kg person.
VIII. [0106] Combination Treatments
[0107] In some cases, the treatment with the disclosure may precede, follow, or both another treatment by intervals ranging from minutes to weeks. In embodiments where the inventive composition and the other agent are applied separately to the individual, one would generally ensure that a significant period of time did not expire between the time of each delivery, such that the
inventive composition and the other agent would still be able to exert an advantageously combined effect on the cell. In such instances, it is contemplated that one may contact the cell with both modalities within about 12-24 h of each other and, more preferably, within about 6-12 h of each other. In some situations, it may be desirable to extend the time period for treatment significantly, however, where several days (2, 3, 4, 5, 6 or 7) to several weeks (1, 2, 3, 4, 5, 6, 7 or 8) lapse between the respective administrations.
[0108] Various combinations may be employed, for example, wherein the inventive treatment is "A" and the secondary agent for the medical condition of the disclosure as described herein, such as cognition or memory enhancement treatment (for example only), is "B":
A/B/A B/A/B B/B/A A/A B A/B/B B/A/A A/B/B/B B/A B/B
B/B B/A B B/A/B A/A/B B A/B/A/B A/B/B/A B/B/A/A
B/A/B/A B/A/A/B A/A/A B B/A/A/A A B/A/A A/A B/A
[0109] Administration of the inventive compositions of the present disclosure to a patient will follow general protocols for the administration of drugs, taking into account the toxicity, if any, of the molecule. It is expected that the treatment cycles would be repeated as necessary. It also is contemplated that various standard therapies, as well as surgical intervention, may be applied in combination with the described therapy.
[0110] Exemplary combination treatments to be used with the disclosure include, for example, cholinesterase inhibitors (Donepezil; Rivastigmine; Galantamine); memantine; Vitamin E; or a combination thereof.
IX. [0111] Kits
[0112] Therapeutic kits associated with the compositions of the present disclosure comprise another aspect of the present disclosure. Such kits will generally contain, in suitable container means, a composition of the present disclosure. The kit may have a single container means that contains the composition or it may have distinct container means for the composition and other reagents that may be included within such kits.
[0113] The components of the kit may be provided as liquid solution(s), or as dried powder(s). When the components are provided in a liquid solution, the liquid solution is an aqueous or non-aqueous solution, with a sterile aqueous or non-aqueous solution being
particularly preferred. When reagents or components are provided as a dry powder, the powder can be reconstituted by the addition of a suitable solvent. It is envisioned that the solvent may also be provided in another container means.
[0114] The container means will generally include at least one vial, test tube, flask, bottle, syringe or other container means, into which the composition may be placed, and preferably suitably aliquoted. Where a second agent is provided, the kit will also generally contain a second vial or other container into which this agent may be placed. The kits of the present disclosure will also typically include a means for containing the agent containers in close confinement for commercial sale. Such containers may include injection or blow-molded plastic containers into which the desired vials are retained, for example.
[0115] In the kit of the disclosure, two or more compositions may be provided separately or in a mixture together.
X. [0116] Examples
[0117] The following examples are included to demonstrate preferred embodiments of the disclosure. It should be appreciated by those of skill in the art that the techniques disclosed in the examples which follow present techniques discovered by the inventors to function well in the practice of the disclosure, and thus can be considered to constitute preferred modes for its practice. However, those of skill in the art should, in light of the present disclosure, appreciate that many changes can be made in the specific embodiments which are disclosed and still obtain a like or similar result without departing from the spirit and scope of the disclosure.
EXAMPLE 1
CHARACTERIZATION OF RICTOR FOREBRAIN-SPECIFIC KNOCKOUT (RICTOR
ΓΒ-ΚΟ) MICE
[0118] Pharmacological inhibitors of mTORC2 are not available, and mice lacking victor in the developing brain show abnormal brain development. To circumvent this problem, the inventors conditionally deleted victor in the postnatal forebrain by crossing "floxed" victov mice16 with the a subunit of calcium/calmodulin-dependent protein kinase II (aCaMKII)-Cre mice , generating victor forebrain-specific knockout mice (victov fb-KO mice; Fig. 14). Because
97
the aCaMKII promoter is inactive before birth , this manipulation diminishes possible developmental defects caused by the loss of victov.
[0119] Rictov fb-KO mice are viable and develop normally. They show neither gross brain abnormalities nor changes in the expression of several synaptic markers (Fig. 5). mTORC2 -mediated phosphorylation of Akt at Ser473 (an established readout of mTORC2 activity11'12) was greatly reduced in CAl and amygdala (Fig. la-b), but was normal in the midbrain (Fig. lc) of victor fb-KO mice. By contrast, in mTORC2-deficient mice, mTORCl- mediated phosphorylation of S6K1 at Thr389 (a well-established readout of mTORCl activity28) remained unchanged in CAl, amygdala or midbrain (Fig. la-c). Thus, conditional deletion of rictov selectively reduces mTORC2 activity in forebrain neurons.
EXAMPLE 2
DEFICIENT MTORC2 ACTIVITY PREVENTS L-LTP BUT NOT E-LTP IN RICTOR
FB-KO MICE
[0120] To investigate the role of mTORC2 in synaptic function, the inventors first showed that mTORC2 is activated in CAl by either glutamate (via NMD A receptor (NMDAR)) or neurotrophins. Next, to determine whether short-term or long-term changes in synaptic potency alter mTORC2 activity, the inventors compared the effects of one train of tetanic stimulation (100 Hz for Is), which usually induces only short-lasting E-LTP, with that of four such trains (which typically induce a long-lasting L-LTP)1. Only an L-LTP-inducing stimulation consistently activated mTORC2 in CAl neurons of control (Fig. ld-f) but not victor fb-KO mice
(Fig. lg-h). Hence, mT0RC2 is engaged selectively in long-lasting synaptic changes in synaptic strength.
[0121] The inventors then examined whether mTORC2 deficiency affects either E- LTP or L-LTP. Whereas a single train of tetanic stimulation generated a similar E-LTP in slices from rictorfb-KO and control littermates (Fig. li), four trains elicited a normal L-LTP in control littermates slices, but not in victor fb-KO slices (Fig. lj). Several tests showed that the impaired L-LTP in mTORC2-deficient slices cannot be attributed to defective basal synaptic transmission (Fig. 6). Thus, reducing mTORC2 activity prevents the conversion of E-LTP into L-LTP.
EXAMPLE 3
DEFICIENT TORC2 ACTIVITY SELECTIVELY IMPAIRS LONG-TERM MEMORY
BOTH IN MICE
[0122] Since L-LTP-inducing stimulation increases mTORC2 activity, the inventors then investigated whether mTORC2 is activated as a result of behavioral learning. Contextual fear conditioning, induced by pairing a context (conditioned stimulus; CS) with a foot shock (unconditioned stimulus; US), resulted in sharp temporarily increase in mTORC2 activity and phosphorylation of the p21 -activated kinase PAK (a key regulator of actin cytoskeleton dynamics29'30) 15 min after training (Fig. 2a-b). In contrast, the shock-alone (US) and the context-alone (CS) failed to increase mTORC2 activity (Fig. 2c). Thus, hippocampal mTORC2 is selectively activated by behavioral learning (CS+US).
[0123] The inventors next studied memory storage in two forms of Pavlovian conditioning, contextual and auditory fear conditioning. Contextual fear conditioning involves both the hippocampus and amygdala whereas auditory fear conditioning, in which the foot shock
31
(US) is paired with a tone (CS), requires only the amygdala . When mice were subsequently exposed to the same CS, fear responses ("freezing") were taken as an index of the strength of the CS-US association. Rictor fb-KO mice and control littermates showed similar "freezing" behavior before training (naive) and 2 hr after training, when their STM was measured (Fig. 2d- e). However, when examined 24 hr after training, both contextual and auditory LTM were significantly impaired in mTORC2-deficient mice (Fig. 2d-e). The less pronounced change in auditory fear LTM vs. contextual fear LTM in rictor fb-KO mice may be explained by the smaller reduction in mTORC2 activity in the amygdala (compare Fig. la vs. Fig. lb). Spatial
LTM was also deficient in rictor fb-KO mice when tested in the Morris water maze, where animals use visual cues to find a hidden platform in a circular pool32. Compared to controls, rictor fb-KO mice took significantly longer to find the hidden platform (Fig. 2f), and in the probe test, performed on day 7 in the absence of the platform, they failed to remember the platform location (target quadrant; Fig. 2g). The impaired spatial LTM was probably not caused by deficient visual or motor function since control and rictor fb-KO mice performed similarly when the platform was visible (Fig. 7) and showed no significant difference in swimming speed (19.8 ± 0.6 vs. 19.6 ± 0.5 cm/s for control and rictor fb-KO mice). Hence, mTORC2 selectively fosters long-term memory processes.
EXAMPLE 4
DEFICIENT ACTIN DYNAMICS AND RAC 1-GTPASE-MEDIATED SIGNALING IN
CAl NEURONS OF RICTOR FB-KO MICE
[0124] The inventors also probed the molecular mechanism by which mTORC2 regulates L-LTP and LTM by first testing whether mTORC2 deficiency impairs actin dynamics in CAl neurons in vivo. Actin exists in two forms: monomelic globular actin (G-actin) and polymerized filamentous actin (F-actin) composed of aggregated G-actin. The transition between these two forms is controlled by synaptic activity8'9. The ratio of F-actin to G-actin, which reflects the balance between actin polymerization and depolymerization, was significantly reduced in CAl of rictor fb-KO mice (Fig. 3a-b). Since Rho-GTPases have been identified as key intracellular signaling molecules that regulate actin dynamics at synapses36, the inventors measured the activity of Rho-GTPases in CAl of mTORC2 -deficient mice. Racl (Ras-related C3 botulinum toxin substrate 1) and Cdc42 (cell division cycle 42), two major Rho GTPases, induce actin polymerization by promoting PAK and Cofilin phosphorylation . Racl-GTPase activity (but not Cdc42 activity) and the phosphorylation of PAK and Cofilin were greatly diminished in CAl neurons of rictor fb-KO mice (Fig. 3c-f). Moreover, the Racl -specific guanine nucleotide-exchange factor (GEF) Tiaml links Rictor (mTORC2) to Racl signaling (Fig. 3g-k). Finally, dendritic spine density in CAl pyramidal neurons was significantly reduced in rictor fb-KO mice (Fig. 31). Thus, in the adult hippocampus, mTORC2 regulates actin dynamics-mediated changes in synaptic potency and architecture.
EXAMPLE 5
RESTORING ACTIN POLYMERIZATION RESCUES THE IMPAIRED L-LTP AND
LTM CAUSED BY MTORC2 DEFICIENCY
[0125] If L-LTP is impaired in mTORC2-deficient slices because actin polymerization is abnormally low, increasing the F-actin/G-actin ratio should convert the impaired, short-lasting LTP elicited by four tetanic trains into a normal L-LTP. The inventors therefore predicted that jasplakinolide (JPK), a compound which directly promotes actin polymerization37, should restore the normal function. Indeed, a low concentration of JPK (50 nM), raised the low F-actin/G-actin ratio and restored L-LTP in victor f -KO slices (Fig. 4a-b), but had no effect on wild-type (WT) slices (Fig. 4a, c) or on baseline synaptic transmission in rictor fb-KO slices (Fig. 8a). In addition, cytochalasin D, an inhibitor of actin polymerization, blocked L-LTP in WT slices (Fig. 4c), but had no effect on the short-lasting LTP evoked either by a single tetanic train in control slices (Fig. 8b) or by repeated tetanic stimulation in mTORC2- deficient slices (Fig. 4b). The deficient L-LTP in mTORC2-deficient slices is therefore primarily caused by impaired actin polymerization.
[0126] To determine whether deficient actin dynamics underlie the impaired LTM in rictor fb-KO mice, the inventors bilaterally infused JPK into the CA1 region (Fig. 9), at a low dose (50 ng) that promoted F-actin polymerization only in rictor fb-KO mice (Fig. 10a). JPK infused immediately after training boosted contextual LTM (Fig. 4d), but had no comparable effect on hippocampus-independent auditory LTM (Fig. 4e) in rictor fb-KO mice or on contextual LTM in WT mice (Fig. 4f). These pharmacogenetic rescue experiments provide strong evidence that deficient actin dynamics account, at least in part, for the impaired LTM in rictor fb-KO mice.
EXAMPLE 6
DIRECT STIMULATION OF ACTIN POLYMERIZATION PROMOTES L-LTP AND
ENHANCES LTM
[0127] Given that i) a short-lasting LTP is evoked by either repeated tetanic stimulation in mTORC2-deficient slices (Fig. li) or by a single tetanic train in control slices (Fig. lh) and ii) JPK restored the deficient L-LTP in mTORC2-deficient slices (Fig. 4b), the inventors considered that JPK would facilitate the induction of L-LTP in control slices. Combining JPK
with a weak stimulation, that normally elicits only a short-lasting E-LTP, indeed JPK lowers the threshold for the induction of L-LTP in WT slices (Fig. 4g).
[0128] Having shown that boosting actin polymerization converts short-lasting LTP into long-lasting LTP, the inventors considered whether this JPK-facilitated L-LTP depended on new protein synthesis. The sustained LTP induced by a single train at 100 Hz in combination with JPK was blocked by the protein synthesis inhibitor anisomycin (Fig. 11a). Furthermore, JPK could not rescue the impaired L-LTP induced by four trains at 100 Hz in the presence of anisomycin (Fig. 1 lb). These data indicate that the actin cytoskeleton-mediated facilitation of L-LTP depends on protein synthesis.
[0129] The inventors then bilaterally-infused JPK or vehicle into CA1 of WT mice immediately after a weak Pavlovian fear conditioning training (a single pairing of a tone with a Is, 0.7 mA foot-shock). This protocol generated only a relatively weak memory in vehicle- infused mice, as measured 24 hr after training (Fig. 4h). In contrast, in JPK-infused mice the same protocol induced a greatly enhanced contextual fear LTM (Fig. 4h). As expected, JPK had no effect on contextual fear STM (Fig. 4i) or hippocampus-independent auditory fear LTM (Fig. 10b). Because JPK acts directly on actin itself by increasing its polymerization37, our data support the idea that actin polymerization is an essential mechanism for the consolidation of L- LTP and LTM.
EXAMPLE 7
SIGNIFICANCE OF CERTAIN EMBODIMENTS
[0130] mTORC2 regulates actin polymerization-dependent long-term in synaptic strength and memory
[0131] Changes in actin dynamics are required for long-lasting synaptic plasticity and memory consolidation " . Although changes in synaptic actin dynamics are thought to occur during learning, how the synaptic actin cytoskeleton controls memory storage remains poorly understood. The findings herein reveal that the recently discovered mTOR complex 2 (mTORC2) bidirectionally controls the actin polymerization that is required for the conversion of a short-term synaptic process (E-LTP, STM) into a long-lasting one (L-LTP, LTM). Specifically, the inventors found that genetic inhibition of mTORC2 activity blocks actin
polymerization, actin regulatory signaling (Fig. 3) and selectively suppresses LTM and L-LTP (Fig. 1 and 2).
[0132] More importantly, restoring pharmacologically actin polymerization in mTORC2-deficient mice reverses the impaired L-LTP and LTM (Fig. 4b, 4d). In specific aspects to the disclosure, the stabilization of the actin cytoskeleton in mTORC2-deficient neurons leads to a morphological re-organization of the synapse which, in response to activity, facilitates the trafficking and insertion of AMPA receptors clustered at the Postsynaptic Density (PSD). Consistent with this notion, structural plasticity was found to be altered in mTORC2-deficient hippocampal neurons (Fig. 31). Alternatively, in some embodiments the restoration of actin dynamics in mTORC2-deficient synapses could induce a functional rather than a morphological change as AMPA receptors insertion in the hippocampus during LTP might occur independently of changes in spine shape . In another embodiments, changes in actin remodeling regulate changes in gene expression at synapses that are required for L-LTP and LTM.
[0133] Other lines of evidence further support the embodiment that mTORC2 promotes long-term changes in synaptic strength by promoting actin polymerization. First, L- LTP induction is associated with an increase in the F-actin/G-actin ratio40"42 as well as with changes in synaptic morphology and actin signaling43. Second, inhibitors of actin polymerization block the late-phase of LTP, leaving the early phase of LTP intact44"46. Consistent with these data, only stimulation that induces a stable L-LTP reliably increases F-actin at spines45. Third, direct activation of actin polymerization by JPK converts E-LTP into L-LTP and enhances LTM (Fig. 4g-h). Fourth, the disruption of actin filaments in CAl impairs the consolidation of contextual fear LTM47. Fifth, inhibition of actin polymerization and/or actin regulatory protein signaling in the lateral amygdala blocks auditory fear LTM but not STM48'49. Finally, mTORC2 is activated during learning (Fig. 2a-c), but only by protocols that induce late-LTP (Fig. ld-f).
[0134] Temporal and structural aspects of LTP and memory consolidation: protein synthesis vs. actin cytoskeleton polymerization.
[0135] According to the prevailing view of memory consolidation, LTM is distinguished from STM by its dependence on protein synthesis1"7. Consequently, all the "molecular switches" identified so far are transcription or translation factors that regulate gene expression (from CREB50 to eIF2 51 to Npas452). However, like protein synthesis, mTORC2-
mediated actin polymerization determines whether synaptic and memory processes remain transient or become consolidated in the brain.
[0136] Whether actin-mediated changes in synaptic strength depend on, or are perhaps triggered by, changes in gene or protein expression is not immediately clear. Nevertheless, a step towards clarifying the link between actin polymerization and protein synthesis during L-LTP is the finding that actin polymerization, triggered by LTP-inducing stimulation, induces the synthesis of the PKMzeta53, a kinase necessary for the maintenance of L-LTP54. In agreement with these data, the inventors found that the JPK-facilitated L-LTP induced by one tetanic train was blocked by anisomycin (Fig. 11a). These results support the aspect that actin polymerization is up-stream of protein synthesis. However, in certain cases protein synthesis and actin polymerization are parallel processes during L-LTP and LTM. In some aspects, changes in actin polymerization could directly affect changes in gene expression. For example, actin polymerization promotes the shuttling of the myocardin-related transcription factor (MRTF) protein MKL to the nucleus where it interacts with the Serum Response factor (SRF), thus inducing activity-dependent gene expression in neurons55'56. Alternatively, incorporation of G-actin into F-actin filaments could alter local translation at synapses, by modulation the trafficking of ribosomes, translation initiation factors, RNA bindings proteins or even specifics mRNAs57. If so, the facilitated L-LTP induced by promoting actin polymerization should be insensitive to transcriptional inhibitors.
[0137] The results indicate that neurons have evolved a remarkable bimodal strategy that allows them to control L-LTP and LTM storage both temporally (through regulation of protein synthesis) and structurally (through control of actin dynamics). In this respect, given that mTOR regulates two key processes of L-LTP and LTM - namely mTORCl -mediated
3 5
protein synthesis ' and mTORC2 -mediated actin cytoskeleton dynamics - in certain embodiments of the disclosure mTOR is a key regulator of memory consolidation, controlling "distinct" aspects, the temporal through mTORCl and the structural through mTORC2.
[0138] Dysregulation of mTORCl and mTORC2 signaling has role in memory disorders, in particular embodiments of the disclosure, such as the cognitive deficit associated with Autism Spectrum Disorder (ASD), for example. Interestingly, the activity of mTORC2 is altered in the brain of ASD-patients harboring mutations in PTEN and/or TSCl/2 (two upstream negative regulators of mTORCl)58'59. In addition, in PTEN and TSC2 ASD-mouse models,
prolonged rapamycin treatment in vivo, which indeed ameliorates the ASD-like phenotypes and restores mTORCl activity, also corrects the abnormal mTORC2 activity23'60 . In embodiments of the disclosure, mTORC2 plays a crucial role in memory consolidation and the neurological dysfunction in ASD is caused by dysregulation of mTORC2 rather than mTORCl signaling.
[0139] Embodiments of the present disclosure not only helps to define key basic cellular and molecular mechanisms of physiological learning and memory but provides a new therapeutic approach to the treatment of human memory dysfunction in cognitive disorders or even aging, in at least some cases in which mTORC2 activity is known to be abnormally low.
EXAMPLE 8
EXEMPLARY MATERIALS AND METHODS
[0140] Generation of rictor fb-KO mice. Floxed/Rictor mice14 were first backcrossed for eight generations with C57BL/6 mice and subsequently crossed with the a subunit of calcium/calmodulin-dependent protein kinase II (aCaMKII)-Cre mice (rictor+/+;Cre/+f. RictoSox/+:Cre/+ mice were crossed to both rictor flox/flox; +/+ mice and rictorflox/+: +/+ mice. The inventors thus studied the following experimental mice: rictor forebrain-specific knockout (rictor ^ox/^ox' Cre/+ mice, here defined as rictor fb-KO mice) and three kinds of control littermates (rictor +/+' +/+ mice; rictor +/+' Cre/+ mice; rictor ^οχ/^οχ· +/+ mice), as previously described45. In our pilot LTP and behavioral experiments, there was no significant difference between these three control groups (Fig. 13); hence the data from these groups were pooled and defined as the "control group" (unless otherwise indicated), as previously described45. Mice were weaned at the third postnatal week and genotyped by PCR. Rictor mutant and WT alleles were detected by PCR assay in which primer PiaT41 (5 ' -ACTGAATATGTTCATGGTTGTG-3 ' ; SEQ ID NO:l) and primer PiaEx3 (5 ' -GAAGTTATTCAGATGGCCCAGC-3 ' ; SEQ ID NO:2) amplify a WT band of 466 base-pair fragment and a 554-base-pair fragment of the rictor-exonS conditional allele. Cre expression was detected by PCR with primers CreF2 (5'- GGCGTTTCTGAGCATACCTGGAA-3 ' ; SEQ ID NO:3) and CreR2 (5'- CACCATTGCCCCTGTTTCACTATC-3 ' ; SEQ ID NO:4) which amplify a 902 base-pair fragment. All experiments were performed on 8-16 weeks old males. The mice were kept on a 12 h light/dark cycle, and the behavioral tests were always conducted during the light phase of the cycle. The mice had access to food and water ad libitum, except during tests. Animal care and
experimental procedures were approved by the animal care committee of Baylor College of Medicine, according to NIH Guidelines.
[0141] Electrophysiology. Horizontal hippocampal slices (350 μπι) were cut with a Leica (VT 1000S) vibratome (Buffalo Grove, IL) from brains of controls or victor fb-KO littermates in 4°C artificial cerebrospinal fluid (ACSF) and kept in ACSF at room temperature for at least one hr before recording46'47. Slices were maintained in an interface-type chamber perfused (2-3 ml/min) with oxygenated ACSF (95% 02 and 5% C02) containing in mM: 124 NaCl, 2.0 KC1, 1.3 MgS04, 2.5 CaCl2, 1.2 KH2P04, 25 NaHC03, and 10 glucose. Bipolar stimulating electrodes were placed in the CA1 stratum radiatum to excite Schaffer collateral and commissural fibers. Field EPSPs were recorded at 28-29 °C, with ACSF-filled micropipettes. The recording electrodes were placed in the stratum radiatum and the intensity of the 0.1 ms pulses was adjusted to evoke 30-35% of maximal response. Tetanic LTP was induced by brief high-frequency trains (100 Hz, 1 s), applied either singly or in groups of four separated by 5 min intervals, as previously described46 8. A stable baseline of responses at 0.033 Hz was established for at least 30 min. To reduce day-to-day variations, on a given day, the inventors recorded from control and victor fb-KO slices or from slices treated with vehicle, Jasplakinolide (JPK, Invitrogen, Carlsbad, CA), Cytochalasin-D (EMD Millipore, MA) or Anisomycin (Aniso, Sigma, St. Louis, MO). Furthermore, in a given experiment the inventors recorded from control and victov fb-KO slices in parallel from only one slice per genotype (in the same chamber to ensure uniformity in experimental conditions across groups). Thus, n's refer to both the number of slices and the number of mice.
[0142] Contextual and auditory fear conditioning. The experimenters were blind to the genotype and drug treatment for all behavioral tests. Fear conditioning was performed as previously described46'47. Mice were first handled for 5 min for 3 days and then habituated to the conditioning chamber for 20 min for another day. On the training day, after 2 min in the conditioning chamber, mice received one pairing of a tone (2800 Hz, 85 db, 30 s) with a co- terminating foot-shock (0.7 mA, 1 s) for the weak training protocol, or two pairings of a tone (2800 Hz, 85 db, 30 s) with a co-terminating foot-shock (0.7 mA, 2 s) for the stvong protocol, after which they remained in the chamber for one additional min and then were returned to their home cages. At 2 hr and 24 hr after training, mice were tested for "freezing" (immobility with the exception of respiration) in response to the tone (in a chamber to which they had not been conditioned) and to the training context (training chamber).
[0143] During tests of auditory fear conditioning, mice were placed in the chamber and freezing responses were recorded during the initial 2 min (pre-CS period) and during the last 3 min when the tone sounded. Mice were returned to their cages 30 s after the end of the tone. For tests of contextual fear memory, mice were returned to the conditioning chamber for 5 min and freezing behavior was hand-scored at 5 s intervals by a rater who was blind to the genotype. Tests of responses to the training context (chamber A) and to the tone (chamber B) were done in a counterbalanced manner. The percent of time spent freezing was taken as an index of learning and memory. For the in vivo experiments, a composition can be freshly dissolved in saline and the injected intraperitoneally (i.p.) at a dose of 2.5 mg/kg immediately after training.
[0144] Morris water maze. Tests were performed in a circular pool (140 cm of diameter) of opaque water (kept at 22-23°C). Rictor fb- O and control littermates were trained four times per day, at 30 min inter-trial intervals, for 6 days, as previously described47'48. The latencies of escape from the water onto the hidden (submerged) platform (10 cm in diameter) were monitored by an automated video tracking system (HVS Image, Buckingham, UK). For the probe trial, which was performed on day 7, the platform was removed from the pool and the animals were allowed to search for 60 s. The percent of time spent in each quadrant of the pool (quadrant occupancy) was recorded. The animals were trained at the same time of day during their light phase.
[0145] Cannulation and JPK infusion. After intrahippocampal cannulation, mice were allowed a week to recover from surgery before the behavioral procedure. Briefly, mice were anesthetized with isoflurane (2-3%) and mounted in a stereotaxic frame. Bilateral cannulae (22 gauge), targeting the dorsal hippocampus, were implanted at an angle of 10° from the midline at these coordinates: anterioposterior (AP)=2.0 mm, mediolateral (ML)=1.8 mm, dorsoventral (DV)=2.0 mm (as determined from a mouse brain Atlas49). Two jewelry screws were inserted into the skull and the cannulae were held in place by acrylic cement. A 28 gauge probe was inserted into the guide to prevent clogging. JPK (Invitrogen, Carlsbad, CA) was freshly dissolved in DMSO and further diluted in 0.9% NaCl (saline). One microliter of JPK (50 ng) or vehicle was infused bilaterally. The infusion was driven by a motorized syringe pump (KdScientific) at a rate of 0.2 μΐ/min. Following 5 min of infusion the injector remained in the cannulae for an additional minute to allow complete diffusion of the solution from the tip of the injector. JPK was injected immediately after training and animals were trained as described above. After completion of the behavioral tests, mice were anesthetized with isoflurane and
decapitated. The brains were fixed in 4% paraformaldehyde and 50 μιη sections were cut and Nissl-stained to identify the placements of the cannulae. Only mice that had correct bilateral placements were included in the analyses. Cannulae and accessories were custom made by Plastic One (Roanoke, VA).
[0146] Western Blotting and Immunoprecipitations (IPs).
[0147] Western Blotting. Samples were homogenized in buffer containing (200 mM HEPES, 50 mM NaCl, 10% Glycerol, 1% Triton X-100, 1 niM EDTA, 50 mM NaF, 2 mM Na3V04, 25 mM β-glycerophosphate, and EDTA-free complete ULTRA tablets (Roche, Indianapolis, IN). A total of 50 μg of protein/sample was resolved on SDS-PAGE (15%) and transferred onto nitrocellulose membranes (Pall, Port Washington, NY) and Western blotting was performed as described earlier46.
[0148] Antibodies. Primary antibodies for Western blotting are Rictor, p-S6Kl (Thr389), p-Akt (Ser473), p-cofilin (Ser3), total S6K, total cofilin, total Akt, β-actin, PSD95, synaptophysin, p-dAkt (Ser505) and total-dAkt (all from Cell Signaling and Technology Laboratories, Danver, MA), GAD67 (Millipore, Temecula, CA). p-PAK (Ser 198/203) and total PAK antibodies50 were a generous gift from . Tolias (Baylor College of Medicine). Antibodies against Tiaml, myc (both from Santa Cruz, Santa Cruz, CA), and FLAG (Sigma, St. Louis, MO) were used for immunoprecipitation.
[0149] F-actin/G-actin ratio. The F-actin/G-actin ratio was determined by Western blotting, as previously described51. Briefly, the two forms of actin differ in that F-actin is insoluble, while G-actin is soluble. The CA1 area of the hippocampus from control and rictor fb- KO mice was isolated, homogenized in cold lysis buffer (10 mM K2HP04, 100 mM NaF, 50 mM KC1, 2 mM MgCl2, 1 mM EGTA, 0.2 mM DTT, 0.5% Triton X-100, 1 mM sucrose, pH 7.0) and centrifuged at 15,000 x g for 30 min. Soluble actin (G-actin) was measured in the supernatant. The insoluble F-actin in the pellet was resuspended in lysis buffer plus an equal volume of buffer 2 (1.5 mM guanidine hydrochloride, 1 mM sodium acetate, 1 mM CaCl2, 1 mM ATP, and 20 mM Tris-HCl, pH 7.5) and incubated on ice for 1 h to convert F-actin into soluble G-actin, with gentle mixing every 15 min. The samples were centrifuged at 15,000 x g for 30 min, and F-actin was measured in this supernatant. Samples from the supernatant (G-actin) and pellet (F-actin) fractions were proportionally loaded and analyzed by Western blotting using a specific actin antibody (Millipore, Temecula, CA).
[0150] Treatment of slices. Ex-vivo slices treatment was carried out as previously described46. Slices were cut (350 μιη) with a Mcllwain Tissue Chopper (Mickle, UK) and incubated for at least one hour at room temperature in oxygenated (95% 02, 5% C02) ACSF prior to treatment. Slices were first treated with APV (100 μΜ), NBQX (100 μΜ), MK801 (50 μΜ), TrkB-Fc (1 μg/ml) or human IgG (1 μg/ml) for 30 min and then with glutamate (100 μΜ), NMDA (100 μΜ) for 10 min or BDNF (50 ng ml) for 30 min before snap-freezing over dry ice. In other slice recording experiments, slices were treated with JPK (50 nM) or A-443654 (0.5 μΜ). In all instances, slices were treated with vehicle as a control. Frozen slices were briefly thawed, the CAl area was microdissected and then suspended in homogenizing buffer and analyzed by Western blotting as described above.
[0151] Immunoprecipitations. Myc-rictor cDNA was purchased from Addgene, whereas flag-Tiaml, flag-Abr, flag-Bcr, flag-ephexin, flag-Tiaml-DH and flag-Tiaml-PDZ52 were received as gifts from Kimberly Tolias (Baylor College of Medicine). HEK293T cells or hippocampal extracts were homogenized in ice-cold lysis buffer [40 mM HEPES (pH 7.5), 120 mM NaCl, 1 mM EDTA, 10 mM glycerophosphate, 50 mM NaF, 1.5 mM Na3V03, 0.3% CHAPs and EDTA-free complete ULTRA Tablets (Roche, Indianapolis, IN)]. After centrifugation at 13,000 g for 20 min, 2-5 μg of the indicated antibodies were added to the cleared supernatant and incubated with rotation for 1 hr. Then 30 μΐ of a 50% slurry of protein G-sepharose were added for 1 hr (to the HEK293 extracts) or overnight (to the hippocampal extracts). Immunoprecipitates were washed four times with lysis buffer and samples were resolved by SDS-PAGE (10%) and immunoblotted with specific primary antibodies (as described above). The n's refer to both the number of slices and the number of mice.
[0152] Pull-down assays for Rac/Cdc42 GTPases. CAl was dissected and homogenized in Mg2+ lysis buffer (Millipore) with complete protease inhibitor cocktail and assayed using Cdc42/Rac pull-down kit (Millipore), according to the manufacturer's instructions. Briefly, samples were incubated with PBD (PAK-binding domain) resin for 1 h at 4°C. Beads were subsequently collected by centrifugation (for 10 s at 14,000 g at 4°C), washed and resuspended in Laemmli buffer. Western blotting was performed as described above using antibodies against anti-Rac (Millipore), or anti-Cdc42 (Millipore). GTP and GDP loading controls were samples incubated with 100 μΜ GTP-yS or 1 mM GDP for 30 min at 30 °C.
[0153] Statistical Analyses. All data are presented as means ± SEMs. The statistics were based on the Student's t test, one-way ANOVA and between-group comparisons using Tukey's Test or ANOVA on Ranks followed by Dunn's methods; unless otherwise indicated. p<0.05 was considered significant (*p<0.05, **p<0.01, ***p<0.001).
REFERENCES
[0154] All patents and publications mentioned in this specification are indicative of the level of those skilled in the art to which the disclosure pertains. All patents and publications herein are incorporated by reference to the same extent as if each individual publication was specifically and individually indicated to be incorporated by reference in their entirety.
PUBLICATIONS
[0155] 1. Kandel, E.R. The molecular biology of memory storage: a dialogue between genes and synapses. Science 294, 1030-8 (2001).
[0156] 2. McGaugh, J.L. Memory~a century of consolidation. Science 287, 248-51 (2000).
[0157] 3. Costa-Mattioli, M., Sossin, W.S., Klann, E. & Sonenberg, N. Translational Control of Long-Lasting Synaptic Plasticity and Memory. Neuron 61, 10-26
(2009) .
[0158] 4. Davis, H.P. & Squire, L.R. Protein synthesis and memory: a review. Psychol Bull 96, 518-59 (1984).
[0159] 5. Richter, J.D. & Klann, E. Making synaptic plasticity and memory last: mechanisms of translational regulation. Genes Dev 23, 1-11 (2009).
[0160] 6. Wang, S.H. & Morris, R.G. Hippocampal-neocortical interactions in memory formation, consolidation, and reconsolidation. Annu Rev Psychol 61, 49-79, CI -4
(2010) .
[0161] 7. Kelleher, R.J., 3rd, Govindarajan, A. & Tonegawa, S. Translational regulatory mechanisms in persistent forms of synaptic plasticity. Neuron 44, 59-73 (2004).
[0162] 8. Cingolani, L.A. & Goda, Y. Actin in action: the interplay between the actin cytoskeleton and synaptic efficacy. Nat Rev Neurosci 9, 344-56 (2008).
[0163] 9. Lamprecht, R. & LeDoux, J. Structural plasticity and memory. Nat Rev Neurosci 5, 45-54 (2004).
[0164] 10. Lynch, G., Rex, C.S. & Gall, CM. LTP consolidation: substrates, explanatory power, and functional significance. Neuropharmacology 52, 12-23 (2007).
[0165] 11. Guertin, D.A. & Sabatini, D.M. Defining the role of mTOR in cancer. Cancer Cell 12, 9-22 (2007).
[0166] 12. Wullschleger, S., Loewith, R. & Hall, M.N. TOR signaling in growth and metabolism. Cell 124, 471-84 (2006).
[0167] 13. Hay, N. & Sonenberg, N. Upstream and downstream of mTOR. Genes Dev 18, 1926-45 (2004).
[0168] 14. Oh, WJ. & Jacinto, E. mTOR complex 2 signaling and functions. Cell Cycle 10, 2305-16 (2011).
[0169] 15. Guertin, D.A. et al. Ablation in mice of the mTORC components raptor, rictor, or mLST8 reveals that mTORC2 is required for signaling to Akt-FOXO and PKCalpha, but not S6 1. Dev Cell 11, 859-71 (2006).
[0170] 16. Shiota, C, Woo, J.T., Lindner, J., Shelton, K.D. & Magnuson, M.A. Multiallelic disruption of the rictor gene in mice reveals that mTOR complex 2 is essential for fetal growth and viability. Dev Cell 11, 583-9 (2006).
[0171] 17. Carson, R.P., Fu, C, Winzenburger, P. & Ess, .C. Deletion of Rictor in neural progenitor cells reveals contributions of mTORC2 signaling to tuberous sclerosis complex. Hum Mol Genet (2012).
[0172] 18. Siuta, M.A. et al. Dysregulation of the norepinephrine transporter sustains cortical hypodopaminergia and schizophrenia-like behaviors in neuronal rictor null mice. PLoSBiol 8, el000393 (2010).
[0173] 19. Cybulski, N. & Hall, M.N. TOR complex 2: a signaling pathway of its own. Trends Biochem Sci 34, 620-7 (2009).
[0174] 20. Griffin, R.J. et al. Activation of Akt/PKB, increased phosphorylation of Akt substrates and loss and altered distribution of Akt and PTEN are features of Alzheimer's disease pathology. JNeurochem 93, 105-17 (2005).
[0175] 21. Humbert, S. et al. The IGF-l/Akt pathway is neuroprotective in Huntington's disease and involves Huntingtin phosphorylation by Akt. Dev Cell 2, 831-7 (2002).
[0176] 22. Malagelada, C, Jin, Z.H. & Greene, L.A. RTP801 is induced in Parkinson's disease and mediates neuron death by inhibiting Akt phosphorylation/activation. J Neurosci 28, 14363-71 (2008).
[0177] 23. Meikle, L. et al. Response of a neuronal model of tuberous sclerosis to mammalian target of rapamycin (mTOR) inhibitors: effects on mTORCl and Akt signaling lead to improved survival and function. J Neurosci 28, 5422-32 (2008).
[0178] 24. Sharma, A. et al. Dysregulation of mTOR signaling in fragile X syndrome. J Neurosci 3d, 694-702 (2010).
[0179] 25. Siarey, R.J. et al. Altered signaling pathways underlying abnormal hippocampal synaptic plasticity in the Ts65Dn mouse model of Down syndrome. J Neurochem 98, 1266-77 (2006).
[0180] 26. Dragatsis, I. & Zeitlin, S. CaMKIIalpha-Cre transgene expression and recombination patterns in the mouse brain. Genesis 26, 133-5 (2000).
[0181] 27. Tsien, J.Z. et al. Subregion- and cell type-restricted gene knockout in mouse brain. Cell 87, 1317-26 (1996).
[0182] 28. Ma, X.M. & Blenis, J. Molecular mechanisms of mTOR-mediated translational control. Nat Rev Mol Cell Biol 10, 307-18 (2009).
[0183] 29. Parsons, J.T., Horwitz, A.R. & Schwartz, M.A. Cell adhesion: integrating cytoskeletal dynamics and cellular tension. NatRev Mol Cell Biol 11, 633-43 (2010).
[0184] 30. Pollard, T.D. & Borisy, G.G. Cellular motility driven by assembly and disassembly of actin filaments. Cell 112, 453-65 (2003).
[0185] 31. LeDoux, J.E. Emotion circuits in the brain. Annu Rev Neurosci 23, 155-84 (2000).
[0186] 32. Morris, R.G., Garrud, P., Rawlins, J.N. & O'Keefe, J. Place navigation impaired in rats with hippocampal lesions. Nature 297, 681-3 (1982).
[0187] 33. Hietakangas, V. & Cohen, S.M. Re-evaluating AKT regulation: role of TOR complex 2 in tissue growth. Genes Dev 21, 632-7 (2007).
[0188] 34. Sarbassov, D.D., Guertin, D.A., Ali, S.M. & Sabatini, D.M. Phosphorylation and regulation of Akt/PKB by the rictor-mTOR complex. Science 307, 1098- 101 (2005).
[0189] 35. Tully, T., Preat, T., Boynton, S.C. & Del Vecchio, M. Genetic dissection of consolidated memory in Drosophila. Cell 79, 35-47 (1994).
[0190] 36. Heasman, S.J. & Ridley, A.J. Mammalian Rho GTPases: new insights into their functions from in vivo studies. Nat Rev Mol Cell Biol 9, 690-701 (2008).
[0191] 37. Holzinger, A. Jasplakinolide: an actin-specific reagent that promotes actin polymerization. Methods Mol Biol 586, 71-87 (2009).
[0192] 39. Kopec, CD., Li, B., Wei, W., Boehm, J. & Malinow, R. Glutamate receptor exocytosis and spine enlargement during chemically induced long-term potentiation. J Neurosci 26, 2000-9 (2006).
[0193] 40. Fukazawa, Y. et al. Hippocampal LTP is accompanied by enhanced F-actin content within the dendritic spine that is essential for late LTP maintenance in vivo. Neuron 38, 447-60 (2003).
[0194] 41. Matsuzaki, M., Honkura, N., Ellis-Davies, G.C. & Kasai, H. Structural basis of long-term potentiation in single dendritic spines. Nature 429, 761-6 (2004).
[0195] 42. Okamoto, K., Nagai, T., Miyawaki, A. & Hayashi, Y. Rapid and persistent modulation of actin dynamics regulates postsynaptic reorganization underlying bidirectional plasticity. NatNeurosci 7, 1104-12 (2004).
[0196] 43. Chen, L.Y., Rex, C.S., Casale, M.S., Gall, CM. & Lynch, G. Changes in synaptic morphology accompany actin signaling during LTP. JNeurosci 27, 5363-72 (2007).
[0197] 44. Kim, C.H. & Lisman, J.E. A role of actin filament in synaptic transmission and long-term potentiation. JNeurosci 19, 4314-24 (1999).
[0198] 45. Kramar, E.A., Lin, B., Rex, C.S., Gall, CM. & Lynch, G. hitegrin- driven actin polymerization consolidates long-term potentiation. Proc Natl Acad Sci U S A 103, 5579-84 (2006).
[0199] 46. Krucker, T., Siggins, G.R. & Halpain, S. Dynamic actin filaments are required for stable long-term potentiation (LTP) in area CA1 of the hippocampus. Proc Natl Acad Sci USA 97, 6856-61 (2000).
[0200] 47. Fischer, A., Sananbenesi, F., Schrick, C, Spiess, J. & Radulovic, J. Distinct roles of hippocampal de novo protein synthesis and actin rearrangement in extinction of contextual fear. JNeurosci 24, 1962-6 (2004).
[0201] 48. Lamprecht, R., Farb, C.R. & LeDoux, J.E. Fear memory formation involves pi 90 RhoGAP and ROCK proteins through a GRB2-mediated complex. Neuron 36, 727-38 (2002).
[0202] 49. Mantzur, L., Joels, G. & Lamprecht, R. Actin polymerization in lateral amygdala is essential for fear memory formation. Neurobiol Learn Mem 91, 85-8 (2009).
[0203] 50. Bourtchuladze, R. et al. Deficient long-term memory in mice with a targeted mutation of the cAMP-responsive element-binding protein. Cell 79, 59-68 (1994).
[0204] 51. Costa-Mattioli, M. et al. eIF2alpha phosphorylation bidirectionally regulates the switch from short- to long-term synaptic plasticity and memory. Cell 129, 195-206 (2007).
[0205] 52. Ramamoorthi, K. et al. Npas4 regulates a transcriptional program in CA3 required for contextual memory formation. Science 334, 1669-75 (2011).
[0206] 53. Kelly, M.T., Crary, J.F. & Sacktor, T.C. Regulation of protein kinase Mzeta synthesis by multiple kinases in long-term potentiation. J Neurosci 27, 3439-44 (2007).
[0207] 54. Sacktor, T.C. How does PKMzeta maintain long-term memory? Nat Rev Neurosci 12, 9-15 (2011).
[0208] 55. Kalita, K., Kuzniewska, B. & Kaczmarek, L. MKLs: co-factors of serum response factor (SRF) in neuronal responses. IntJBiochem Cell Biol 44, 1444-7 (2012).
[0209] 56. Olson, E.N. & Nordheim, A. Linking actin dynamics and gene transcription to drive cellular motile functions. Nat Rev Mol Cell Biol 11, 353-65 (2010).
[0210] 57. Van Horck, F.P. & Holt, C.E. A cytoskeletal platform for local translation in axons. Sci Signal 1, pell (2008).
[0211] 58. Ljungberg, M.C. et al. Activation of mammalian target of rapamycin in cytomegalic neurons of human cortical dysplasia. Ann Neurol 60, 420-9 (2006).
[0212] 59. Knobbe, C.B., Trampe-Kieslich, A. & Reifenberger, G. Genetic alteration and expression of the phosphoinositol-3-kinase/Akt pathway genes PIK3CA and PIKE in human glioblastomas. Neuropathol Appl Neurobiol 31, 486-90 (2005).
[0213] 60. Zhou, J. et al. Pharmacological inhibition of mTORCl suppresses anatomical, cellular, and behavioral abnormalities in neural-specific Pten knock-out mice. J Neurosci 29, 1773-83 (2009).
[0214] 61. Ghosh, A. K., Moon, D. K. Enantioselective Total Synthesis of (+)- Jasplakinolide. Org Lett 9, 2425-24 (2007).
[0215] 62.Chu, K. S., Negrete, G. R. & Konopelski, J. P. Asymmetric Total Synthesis of (+)-Jasplakinolide. J Org Chem 56, 5196-5202 (1991).
[0216] Although the present disclosure and its advantages have been described in detail, it should be understood that various changes, substitutions and alterations can be made
herein without departing from the disclosure as defined by the claims. Moreover, the scope of the present application is not intended to be limited to the particular embodiments of the process, machine, manufacture, composition of matter, means, methods and steps described in the specification. As one will readily appreciate from the disclosure, processes, machines, manufacture, compositions of matter, means, methods, or steps, presently existing or later to be developed that perform substantially the same function or achieve substantially the same result as the corresponding embodiments described herein may be utilized. Accordingly, the claims are intended to include within their scope such processes, machines, manufacture, compositions of matter, means, methods, or steps.
Claims
1. A method of treating a medical condition or modulating a normal faculty in an individual in need thereof, comprising the step of delivering an effective amount of a composition to the individual, wherein said composition comprises Jasplakinolide and/or at least one compound of the formula:
R may be selected from the group consisting of halogen, hydrogen, hydroxy, linear alkyl, branched alkyl, cycloalkyl, haloalkyl, hydroxyalkyl, alkenyl, alkynyl, alkyldienyl, aryl, heteroaryl, heterocycle, nitro, trifluoromethyl, trifluoromethoxy, carboxyl, ester, ether, alkylthio, cyano, acetamido, acetoxy, acetyl, carbomyl, isocyanato, amino, alkylamino, dialkylamino, amido, thiol, thioether, phosphate, sulfonate, sulfonamide, pyrollidinyl, morpholinyl, pyranyl, benzamido, benzenesulfonamido, benzenesulfonyl, benzyl, piperazinyl, piperidinyl, dioxane, dithiane,thiazolidinyl, isothiazolidinyl, pyrazolidinyl, imidazolidinyl, oxanyl, thianyl, thiomorpholinyl, pyranl, and thiomorpholinyl ;
R may be selected from the group consisting of halogen, hydrogen, hydroxy, linear alkyl, branched alkyl, cycloalkyl, haloalkyl, hydroxyalkyl, alkenyl, alkynyl, alkyldienyl, aryl, heteroaryl, heterocycle, nitro, trifluoromethyl, trifluoromethoxy, carboxyl, ester, ether, alkylthio, cyano, acetamido, acetoxy, acetyl, carbomyl, isocyanato, amino, alkylamino, dialkylamino, amido, thiol, thioether, phosphate, sulfonate, sulfonamide, pyrollidinyl, morpholinyl, pyranyl, benzamido, benzenesulfonamido, benzenesulfonyl, benzyl, piperazinyl, piperidinyl, dioxane, dithiane,thiazolidinyl, isothiazolidinyl, pyrazolidinyl, imidazolidinyl, oxanyl, thianyl, thiomorpholinyl, pyranl, and thiomorpholinyl ;
R4 may be NH or O; and
R5 may be hydrogen, methyl, or substituted or nonsubstituted benzyl.
2. The method of claim 1, wherein the medical condition comprises cognitive dysfuntion.
3. The method of claim 2, wherein the cognitive dysfunction is further defined as impaired memory.
4. The method of claim 3, wherein the impaired memory is short-term or long-term memory.
5. The method of claim 1, wherein the normal faculty comprises memory.
6. The method of claim 5, wherein the memory is short-term or long- term memory.
7. The method of claim 1, wherein the modulating of normal faculty comprises improving memory in the individual.
8. The method of claim 1, wherein the modulating of normal faculty comprises removing one or more memories from the individual.
9. The method of claim 1, wherein the medical condition is selected from the group consisting of cognitive dysfunction, autism spectrum disorders, mild cognitive impairment associated with aging, dementia, Alzheimer's disease, post-traumatic stress disorder, obsessive compulsive disorder, drug addiction, obesity, or epilepsy.
10. The method of claim 1, further comprising the administration of phalloidin.
11. A method of modulating memory of an individual in need thereof, comprising the step of providing an effective amount of a modulator of mTORC2 activity to the individual.
12. The method of claim 11, wherein the modulator is a derivative of Jasplakinolide.
13. The method of claim 11, wherein the modulator modulates actin polymerization.
14. The method of claim 11, wherein the modulator is an activator of mTORC2 activity and/or expression and the individual is in need of memory improvement.
15. The method of claim 11, wherein the modulator is an inhibitor of mTORC2 activity and/or expression and the individual is in need of memory removal.
16. The method of claim 11, wherein the individual has normal memory function.
17. The method of claim 11, wherein the individual has cognitive dysfunction.
18. The method of claim 11, wherein the individual does not have cognitive dysfunction.
19. The method of claim 15, wherein the inhibitor of mTORC2 activity and/or expression is provided to the individual upon stimulation of the memory to be removed.
20. The method of claim 11, wherein the memory is long-term memory or short-term memory.
21. A composition, comprising: at least one compound of the formula:
wherein R is hydrogen, methyl, or ethyl;
R may be selected from the group consisting of halogen, hydrogen, hydroxy, linear alkyl, branched alkyl, cycloalkyl, haloalkyl, hydroxyalkyl, alkenyl, alkynyl, alkyldienyl, aryl, heteroaryl, heterocycle, nitro, trifluoromethyl, trifluoromethoxy, carboxyl, ester, ether, alkylthio, cyano, acetamido, acetoxy, acetyl, carbomyl, isocyanato, amino, alkylamino, dialkylamino, amido, thiol, thioether, phosphate, sulfonate, sulfonamide, pyrollidinyl, morpholinyl, pyranyl, benzamido, benzenesulfonamido, benzenesulfonyl, benzyl, piperazinyl, piperidinyl, dioxane,
dithiane,thiazolidinyl, isothiazolidinyl, pyrazolidinyl, imidazolidinyl, oxanyl, thianyl, thiomorpholinyl, pyranl, and thiomorpholinyl ;
R may be selected from the group consisting of halogen, hydrogen, hydroxy, linear alkyl, branched alkyl, cycloalkyl, haloalkyl, hydroxyalkyl, alkenyl, alkynyl, alkyldienyl, aryl, heteroaryl, heterocycle, nitro, trifluoromethyl, trifluoromethoxy, carboxyl, ester, ether, alkylthio, cyano, acetamido, acetoxy, acetyl, carbomyl, isocyanato, amino, alkylamino, dialkylamino, amido, thiol, thioether, phosphate, sulfonate, sulfonamide, pyrollidinyl, morpholinyl, pyranyl, benzamido, benzenesulfonamido, benzenesulfonyl, benzyl, piperazinyl, piperidinyl, dioxane, dithiane,thiazolidinyl, isothiazolidinyl, pyrazolidinyl, imidazolidinyl, oxanyl, thianyl, thiomorpholinyl, pyranl, and thiomorpholinyl ;
R4 may be NH or O; and
R5 may be hydrogen, methyl, or substituted or nonsubstituted benzyl.
22. The composition of claim 21, further comprising an inhibitor of mTORC2, a compound that promotes actin polymerization, a compound that promotes phosphorylation of AKT serine 473, a compound that inhibits phosphorylation of AKT serine 473, or a combination thereof.
23. The composition of claim 21, further comprising Jasplakinolide; phalloidin; or combinations thereof.
24. The composition of claim 21, comprised in a pharmaceutically acceptable carrier.
25. A kit comprising one or more compositions of claim 21, said compositions housed in a suitable container.
Applications Claiming Priority (2)
| Application Number | Priority Date | Filing Date | Title |
|---|---|---|---|
| US201361764285P | 2013-02-13 | 2013-02-13 | |
| US61/764,285 | 2013-02-13 |
Publications (2)
| Publication Number | Publication Date |
|---|---|
| WO2014127112A1 WO2014127112A1 (en) | 2014-08-21 |
| WO2014127112A9 true WO2014127112A9 (en) | 2014-12-18 |
Family
ID=51354541
Family Applications (1)
| Application Number | Title | Priority Date | Filing Date |
|---|---|---|---|
| PCT/US2014/016224 Ceased WO2014127112A1 (en) | 2013-02-13 | 2014-02-13 | Memory enhancer and actin dynamics |
Country Status (1)
| Country | Link |
|---|---|
| WO (1) | WO2014127112A1 (en) |
Family Cites Families (4)
| Publication number | Priority date | Publication date | Assignee | Title |
|---|---|---|---|---|
| EP0992793A3 (en) * | 1998-10-06 | 2004-10-27 | Novartis AG | Screening organic compounds for cognitive function modulating activity |
| WO2006121518A2 (en) * | 2005-05-10 | 2006-11-16 | Angiotech International Ag | Electrical devices, anti-scarring agents, and therapeutic compositions |
| WO2011044535A2 (en) * | 2009-10-09 | 2011-04-14 | Afraxis, Inc. | 8-ethyl-6-(aryl)pyrido[2,3-d]pyrimidin-7(8h)-ones for the treatment of cns disorders |
| CN103347406B (en) * | 2011-02-17 | 2015-08-05 | 雅培制药有限公司 | Beta-hydroxy-Beta-methyl butyrate is used to improve the method for brain development and cognitive function |
-
2014
- 2014-02-13 WO PCT/US2014/016224 patent/WO2014127112A1/en not_active Ceased
Also Published As
| Publication number | Publication date |
|---|---|
| WO2014127112A1 (en) | 2014-08-21 |
Similar Documents
| Publication | Publication Date | Title |
|---|---|---|
| Burke et al. | Beyond PI3Ks: targeting phosphoinositide kinases in disease | |
| Zhang et al. | Endoplasmic reticulum stress is involved in restraint stress-induced hippocampal apoptosis and cognitive impairments in rats | |
| Russo et al. | The mTOR signaling pathway in the brain: focus on epilepsy and epileptogenesis | |
| US11197856B2 (en) | Bicyclic compounds and methods for their use in treating autism | |
| Sherrin et al. | Hippocampal c-Jun-N-terminal kinases serve as negative regulators of associative learning | |
| US20200339591A1 (en) | Compositions and methods of treatment for neurological disorders comprising a dementia | |
| US20200325148A1 (en) | Compositions and methods of treatment for neurological disorders comprising motor neuron diseases | |
| Zhu et al. | HDAC6 alleviates prion peptide-mediated neuronal death via modulating PI3K-Akt-mTOR pathway | |
| JP7570100B2 (en) | Method for removing senescent cells and method for preparing senescent cells | |
| CN105153042B (en) | A kind of compound and its purposes in the medicine for preparing treatment cocaine habituation | |
| Bragina et al. | Smoothened agonist augments proliferation and survival of neural cells | |
| Min et al. | Ruxolitinib attenuates microglial inflammatory response by inhibiting NF-κB/MAPK signaling pathway | |
| CN109843290A (en) | Therapeutic agent and therapeutic composition for amyotrophic lateral sclerosis | |
| Feng et al. | Trilobatin attenuates cerebral ischaemia/reperfusion‐induced blood–brain barrier dysfunction by targeting matrix metalloproteinase 9: The legend of a food additive | |
| Shi et al. | MEF2D participates in microglia-mediated neuroprotection in cerebral ischemia-reperfusion rats | |
| US9327011B2 (en) | Neurotrophic peptides for the treatment of tauopathies | |
| TW200538181A (en) | Treatment of depressive disorders | |
| US20190105341A1 (en) | Compositions and Methods for Treating Alzheimer's Disease and Other Tauopathies | |
| Jiang et al. | Phosphorylated S6K1 and 4E-BP1 play different roles in constitutively active Rheb-mediated retinal ganglion cell survival and axon regeneration after optic nerve injury | |
| Hong et al. | Retroviral expression of human arginine decarboxylase reduces oxidative stress injury in mouse cortical astrocytes | |
| CN102784160B (en) | Application of forsythin to preparation of medicine for improving cognitive function and treating Alzheimer's diseases | |
| WO2014127112A9 (en) | Memory enhancer and actin dynamics | |
| JPWO2019188950A1 (en) | Pharmaceutical composition | |
| Zhou et al. | Metrnl/C‐KIT Axis Attenuates Early Brain Injury Following Subarachnoid Hemorrhage by Inhibiting Neuronal Ferroptosis | |
| CN116421605A (en) | Use of ISX-9 in the treatment of circadian amplitude decline and sleep disorders associated with aging |
Legal Events
| Date | Code | Title | Description |
|---|---|---|---|
| 121 | Ep: the epo has been informed by wipo that ep was designated in this application |
Ref document number: 14751460 Country of ref document: EP Kind code of ref document: A1 |
|
| NENP | Non-entry into the national phase |
Ref country code: DE |
|
| 122 | Ep: pct application non-entry in european phase |
Ref document number: 14751460 Country of ref document: EP Kind code of ref document: A1 |









