WO2014068461A2 - Compositions and methods for the treatment of acute inflammation - Google Patents
Compositions and methods for the treatment of acute inflammation Download PDFInfo
- Publication number
- WO2014068461A2 WO2014068461A2 PCT/IB2013/059648 IB2013059648W WO2014068461A2 WO 2014068461 A2 WO2014068461 A2 WO 2014068461A2 IB 2013059648 W IB2013059648 W IB 2013059648W WO 2014068461 A2 WO2014068461 A2 WO 2014068461A2
- Authority
- WO
- WIPO (PCT)
- Prior art keywords
- pharmaceutical composition
- administration
- compositions
- sulindac
- independently
- Prior art date
- Legal status (The legal status is an assumption and is not a legal conclusion. Google has not performed a legal analysis and makes no representation as to the accuracy of the status listed.)
- Ceased
Links
- AOCSUUGBCMTKJH-UHFFFAOYSA-N CC(C)(C)OC(NCCN)=O Chemical compound CC(C)(C)OC(NCCN)=O AOCSUUGBCMTKJH-UHFFFAOYSA-N 0.000 description 1
- UXWVQHXKKOGTSY-UHFFFAOYSA-N CC(C)(C)OC(Oc1ccccc1)=O Chemical compound CC(C)(C)OC(Oc1ccccc1)=O UXWVQHXKKOGTSY-UHFFFAOYSA-N 0.000 description 1
- BFDFPXBKJWGDCZ-CUUNVARJSA-N CC(c1cccc(OC([C@H](CCCNC2NC2NC)N)O)c1)=O Chemical compound CC(c1cccc(OC([C@H](CCCNC2NC2NC)N)O)c1)=O BFDFPXBKJWGDCZ-CUUNVARJSA-N 0.000 description 1
- SUZRRICLUFMAQD-UHFFFAOYSA-N CNCCS(O)(=O)=O Chemical compound CNCCS(O)(=O)=O SUZRRICLUFMAQD-UHFFFAOYSA-N 0.000 description 1
- MWZPENIJLUWBSY-VIFPVBQESA-N COC([C@H](Cc(cc1)ccc1O)N)=O Chemical compound COC([C@H](Cc(cc1)ccc1O)N)=O MWZPENIJLUWBSY-VIFPVBQESA-N 0.000 description 1
Classifications
-
- A—HUMAN NECESSITIES
- A61—MEDICAL OR VETERINARY SCIENCE; HYGIENE
- A61K—PREPARATIONS FOR MEDICAL, DENTAL OR TOILETRY PURPOSES
- A61K31/00—Medicinal preparations containing organic active ingredients
- A61K31/095—Sulfur, selenium, or tellurium compounds, e.g. thiols
- A61K31/10—Sulfides; Sulfoxides; Sulfones
Definitions
- This disclosure generally relates to compounds and compositions for the treatment of acute inflammation. More particularly, this invention relates to treating subjects with a pharmaceutically acceptable dose of compounds, crystals, solvates, enantiomer, stereoisomer, esters, salts, hydrates, prodrugs, or mixtures thereof.
- Inflammation is associated with a large range of mediators which initiate inflammatory response, recruit and activate other cells to the site of inflammation and subsequently resolve the inflammation.
- Cytokines are regulatory polypeptides that are produced by virtually all cells. In general, cytokines are not constitutively produced. However, in the presence of appropriate stimuli, for example lipopolysaccharide (LPS) from gram negative bacteria, increased gene expression and production of the cytokines will occur, leading to the initiation of an inflammatory response.
- LPS lipopolysaccharide
- TNF-a and IL-1 Two major cytokines involved in the initiation of inflammation. These proteins have multiple sites of action.
- cytokines can include induction of other cytokines, activation of arachidonic acid metabolism, priming of polymorphonuclear leukocytes (PMN), and up-regulation of adhesion molecules.
- PMN polymorphonuclear leukocytes
- Regulation of gene expression for these cytokines is in part controlled by activation of transcription factors such as NF-kB and AP-1.
- cytokines metabolites of arachidonic acid also participate in the inflammatory process. Products produced by the metabolism include both cyclooxygenase (COX) products (prostaglandins, thromboxanes) and lipooxygenase products (leukotrienes).
- Increased production of prostaglandins during an inflammatory response is achieved by induction of cyclooxygenase 2 (COX-2).
- COX-2 expression is mediated by NF-kB activation.
- the current treatment of inflammation includes aspirin, non- steriodal anti-inflammatory medications and dexamethasone.
- the sites of action of these compounds range from inhibition of enzymes responsible for production of arachidonic acid metabolites to inhibition of cytokine expression.
- Mitochondria are a major source of the generation of intracellular reactive free radicals including reactive oxygen species (ROS), hydroxyl radicals, and reactive nitrogen species. Furthermore, mitochondrial DNA is unprotected and susceptible to damage by reactive radicals. If mitochondrial generation of ROS were continued unchecked, cumulative damage would lead to severe cellular dysfunction and death. It is also known the reactive radicals are a common mechanism for activation of a variety of inflammatory signals by redox reactions including activation of specific kinases or deactivation of specific phosphatases. Activation of this inflammatory system would also activate NFkB with generation of multiple changes in gene expression including mechanisms to increase inflammatory cytokines and chemokines.
- ROS reactive oxygen species
- hydroxyl radicals hydroxyl radicals
- reactive nitrogen species reactive nitrogen species
- the present invention provides compounds, compositions containing these compounds and methods for using the same to treat, prevent and/or ameliorate the effects of the conditions such as acute inflammation.
- compositions comprising of formula I or pharmaceutical acceptable salts thereof.
- the invention also provides pharmaceutical compositions comprising one or more compounds of formula I or intermediates thereof and one or more of pharmaceutically acceptable carriers, vehicles or diluents. These compositions may be used in the treatment of acute inflammation and its associated complications.
- R 1 independently represents H, D, CH 3 CO-, acetyl, CD 3 CO-, null,
- n is independently 1, 2, 3, 4 or 5;
- a is independently 2,3 or 7;
- each b is independently 3, 5 or 6;
- e is independently 1, 2 or 6;
- c and d are each independently H, D, -OH, -OD, Ci-C 6 -alkyl, -NH 2 or -COCH 3.
- kits comprising any of the pharmaceutical compositions disclosed herein.
- the kit may comprise instructions for use in the treatment of acute inflammation or its related complications.
- the application also discloses a pharmaceutical composition comprising a pharmaceutically acceptable carrier and any of the compositions herein.
- the pharmaceutical composition is formulated for systemic administration, oral administration, sustained release, parenteral administration, injection, subdermal administration, or transdermal administration.
- the application additionally provides kits comprising the pharmaceutical compositions described herein. The kits may further comprise instructions for use in the treatment of acute inflammation or its related complications.
- compositions described herein have several uses.
- the present application provides, for example, methods of treating a patient suffering from acute inflammation or its related complications manifested from metabolic or genetic conditions or disorders, metabolic diseases, chronic diseases or disorders; neurodegenerative disorders, metabolic condition, Hepatology, Cancer, Respiratory, Hematological, Orthopedic, Cardiovascular, Renal, Skin, Vascular or Ocular complications.
- the compounds of the present invention can be present in the form of pharmaceutically acceptable salts.
- the compounds of the present invention can also be present in the form of pharmaceutically acceptable esters (i.e., the methyl and ethyl esters of the acids of formula I to be used as prodrugs).
- the compounds of the present invention can also be solvated, i.e. hydrated. The solvation can be affected in the course of the manufacturing process or can take place i.e. as a consequence of hygroscopic properties of an initially anhydrous compound of formula I (hydration).
- isomers Compounds that have the same molecular formula but differ in the nature or sequence of bonding of their atoms or the arrangement of their atoms in space are termed “isomers.” Isomers that differ in the arrangement of their atoms in space are termed “stereoisomers.” Diastereomers are stereoisomers with opposite configuration at one or more chiral centers which are not enantiomers. Stereoisomers bearing one or more asymmetric centers that are non- superimposable mirror images of each other are termed "enantiomers.” When a compound has an asymmetric center, for example, if a carbon atom is bonded to four different groups, a pair of enantiomers is possible.
- An enantiomer can be characterized by the absolute configuration of its asymmetric center or centers and is described by the R- and S- sequencing rules of Cahn, lngold and Prelog, or by the manner in which the molecule rotates the plane of polarized light and designated as dextrorotatory or levorotatory (i.e., as (+) or (- )-isomers respectively).
- a chiral compound can exist as either individual enantiomer or as a mixture thereof. A mixture containing equal proportions of the enantiomers is called a "racemic mixture".
- metabolic condition refers to an Inborn errors of metabolism (or genetic metabolic conditions) are genetic disorders that result from a defect in one or more metabolic pathways; specifically, the function of an enzyme is affected and is either deficient or completely absent.
- a molecular conjugate comprises of compounds selected from the group consisting of R-lipoic acid (CAS No. 1200-22-2), salsalate (CAS No. 552-94-3), acetylcysteine (CAS No. 616-91-1), Eicosapentaenoic acid (CAS No. 10417-94-4), Docosahexaenoic acid (CAS No. 6217-54-5).
- polymorph as used herein is art-recognized and refers to one crystal structure of a given compound.
- parenteral administration and “administered parenterally” as used herein refer to modes of administration other than enteral and topical administration, such as injections, and include without limitation intravenous, intramuscular, intrapleural, intravascular, intrapericardial, intraarterial, intrathecal, intracapsular, intraorbital, intracardiac, intradennal, intraperitoneal, transtracheal, subcutaneous, subcuticular, intraarticular, subcapsular, subarachnoid, intraspinal and intrastemal injection and infusion.
- a "patient,” “subject,” or “host” to be treated by the subject method may mean either a human or non-human animal, such as primates, mammals, and vertebrates.
- compositions, polymers and other materials and/or dosage forms which are, within the scope of sound medical judgment, suitable for use in contact with the tissues of mammals, human beings and animals without excessive toxicity, irritation, allergic response, or other problem or complication, commensurate with a reasonable benefit/risk ratio.
- phrases "pharmaceutically acceptable carrier” is art-recognized, and includes, for example, pharmaceutically acceptable materials, compositions or vehicles, such as a liquid or solid filler, diluent, solvent or encapsulating material involved in carrying or transporting any subject composition, from one organ, or portion of the body, to another organ, or portion of the body.
- a pharmaceutically acceptable carrier is non-pyrogenic.
- materials which may serve as pharmaceutically acceptable carriers include: (1) sugars, such as lactose, glucose and sucrose; (2) starches, such as corn starch and potato starch; (3) cellulose, and its derivatives, such as sodium carboxymethyl cellulose, ethyl cellulose and cellulose acetate; (4) powdered tragacanth; (5) malt; (6) gelatin; (7) talc; (8) cocoa butter and suppository waxes; (9) oils, such as peanut oil, cottonseed oil, sunflower oil, sesame oil, olive oil, corn oil and soybean oil; (10) glycols, such as propylene glycol; (11) polyols, such as glycerin, sorbitol, mannitol and polyethylene glycol; (12) esters, such as ethyl oleate and ethyl laurate; (13) agar; (14) buffering agents, such as magnesium hydroxide and aluminum hydroxide; (15) alginic acid; (16)
- prodrug is intended to encompass compounds that, under physiological conditions, are converted into the therapeutically active agents of the present invention.
- a common method for making a prodrug is to include selected moieties that are hydrolyzed under physiological conditions to reveal the desired molecule.
- the prodrug is converted by an enzymatic activity of the host animal.
- prophylactic or therapeutic treatment is art-recognized and includes administration to the host of one or more of the subject compositions. If it is administered prior to clinical manifestation of the unwanted condition (e.g., disease or other unwanted state of the host animal) then the treatment is prophylactic, i.e., it protects the host against developing the unwanted condition, whereas if it is administered after manifestation of the unwanted condition, the treatment is therapeutic, (i.e., it is intended to diminish, ameliorate, or stabilize the existing unwanted condition or side effects thereof).
- the unwanted condition e.g., disease or other unwanted state of the host animal
- the term "predicting" as used herein refers to assessing the probability related diseases patient will suffer from abnormalities or complication and/or terminal platelet aggregation or failure and/or death (i.e. mortality) within a defined time window (predictive window) in the future.
- the mortality may be caused by the central nervous system or complication.
- the predictive window is an interval in which the subject will develop one or more of the said complications according to the predicted probability.
- the predictive window may be the entire remaining lifespan of the subject upon analysis by the method of the present invention.
- treating includes preventing a disease, disorder or condition from occurring in an animal which may be predisposed to the disease, disorder and/or condition but has not yet been diagnosed as having it; inhibiting the disease, disorder or condition, e.g., impeding its progress; and relieving the disease, disorder, or condition, e.g., causing regression of the disease, disorder and/or condition.
- Treating the disease or condition includes ameliorating at least one symptom of the particular disease or condition, even if the underlying pathophysiology is not affected, such as inflammation, acute or chronic inflammatory conditions, reducing the growth of polyps and precancerous lesions in the colon, especially in association with familial adenomatous polyposis, cancer, Alzheimer's disease of a subject by administration of an agent even though such agent does not treat the cause of the condition.
- the term "treating”, “treat” or “treatment” as used herein includes curative, preventative (e.g., prophylactic), adjunct and palliative treatment.
- terapéuticaally effective amount is an art-recognized term.
- the term refers to an amount of a salt or composition disclosed herein that produces some desired effect at a reasonable benefit/risk ratio applicable to any medical treatment.
- the term refers to that amount necessary or sufficient to eliminate or reduce medical symptoms for a period of time.
- the effective amount may vary depending on such factors as the disease or condition being treated, the particular targeted constructs being administered, the size of the subject, or the severity of the disease or condition. One of ordinary skill in the art may empirically determine the effective amount of a particular composition without necessitating undue experimentation.
- the pharmaceutical compositions described herein are formulated in a manner such that said compositions will be delivered to a patient in a therapeutically effective amount, as part of a prophylactic or therapeutic treatment.
- the desired amount of the composition to be administered to a patient will depend on absorption, inactivation, and excretion rates of the drug as well as the delivery rate of the salts and compositions from the subject compositions. It is to be noted that dosage values may also vary with the severity of the condition to be alleviated. It is to be further understood that for any particular subject, specific dosage regimens should be adjusted over time according to the individual need and the professional judgment of the person administering or supervising the administration of the compositions. Typically, dosing will be determined using techniques known to one skilled in the art.
- the optimal concentration and/or quantities or amounts of any particular salt or composition may be adjusted to accommodate variations in the treatment parameters.
- treatment parameters include the clinical use to which the preparation is put, e.g., the site treated, the type of patient, e.g., human or non-human, adult or child, and the nature of the disease or condition.
- the dosage of the subject compositions provided herein may be determined by reference to the plasma concentrations of the therapeutic composition or other encapsulated materials.
- the maximum plasma concentration (Cmax) and the area under the plasma concentration-time curve from time 0 to infinity may be used.
- sustained release When used with respect to a pharmaceutical composition or other material, the term "sustained release" is art-recognized.
- a subject composition which releases a substance over time may exhibit sustained release characteristics, in contrast to a bolus type administration in which the entire amount of the substance is made biologically available at one time.
- one or more of the pharmaceutically acceptable excipients may undergo gradual or delayed degradation (e.g., through hydrolysis) with concomitant release of any material incorporated therein, e.g., an therapeutic and/or biologically active salt and/or composition, for a sustained or extended period (as compared to the release from a bolus).
- This release may result in prolonged delivery of therapeutically effective amounts of any of the therapeutic agents disclosed herein.
- systemic administration means administration of a subject composition, therapeutic or other material at a site remote from the disease being treated.
- Administration of an agent for the disease being treated may be termed “local” or “topical” or “regional” administration, other than directly into the central nervous system, e.g., by subcutaneous administration, such that it enters the patient's system and, thus, is subject to metabolism and other like processes.
- terapéuticaally effective amount is an art-recognized term.
- the term refers to an amount of a salt or composition disclosed herein that produces some desired effect at a reasonable benefit/risk ratio applicable to any medical treatment.
- the term refers to that amount necessary or sufficient to eliminate or reduce medical symptoms for a period of time.
- the effective amount may vary depending on such factors as the disease or condition being treated, the particular targeted constructs being administered, the size of the subject, or the severity of the disease or condition. One of ordinary skill in the art may empirically determine the effective amount of a particular composition without necessitating undue experimentation.
- compositions disclosed herein are contemplated, as well as pharmaceutically acceptable salts of said prodrugs.
- This application also discloses a pharmaceutical composition comprising a pharmaceutically acceptable carrier and the composition of a compound of Formula I may be formulated for systemic or topical or oral administration.
- the pharmaceutical composition may be also formulated for oral administration, oral solution, injection, subdermal administration, or transdermal administration.
- the pharmaceutical composition may further comprise at least one of a pharmaceutically acceptable stabilizer, diluent, surfactant, filler, binder, and lubricant.
- the pharmaceutical compositions described herein will incorporate the disclosed compounds and compositions (Formula I) to be delivered in an amount sufficient to deliver to a patient a therapeutically effective amount of a compound of formula I or composition as part of a prophylactic or therapeutic treatment.
- the desired concentration of formula I or its pharmaceutical acceptable salts will depend on absorption, inactivation, and excretion rates of the drug as well as the delivery rate of the salts and compositions from the subject compositions. It is to be noted that dosage values may also vary with the severity of the condition to be alleviated. It is to be further understood that for any particular subject, specific dosage regimens should be adjusted over time according to the individual need and the professional judgment of the person administering or supervising the administration of the compositions. Typically, dosing will be determined using techniques known to one skilled in the art.
- the optimal concentration and/or quantities or amounts of any particular compound of formula I may be adjusted to accommodate variations in the treatment parameters.
- treatment parameters include the clinical use to which the preparation is put, e.g., the site treated, the type of patient, e.g., human or non-human, adult or child, and the nature of the disease or condition.
- concentration and/or amount of any compound of formula I may be readily identified by routine screening in animals, e.g., rats, by screening a range of concentration and/or amounts of the material in question using appropriate assays.
- Known methods are also available to assay local tissue concentrations, diffusion rates of the salts or compositions, and local blood flow before and after administration of therapeutic formulations disclosed herein.
- One such method is microdialysis, as reviewed by T. E. Robinson et al., 1991, microdialysis in the neurosciences, Techniques, volume 7, Chapter 1.
- the methods reviewed by Robinson may be applied, in brief, as follows. A microdialysis loop is placed in situ in a test animal. Dialysis fluid is pumped through the loop.
- the dosage of the subject compounds of formula I provided herein may be determined by reference to the plasma concentrations of the therapeutic composition or other encapsulated materials.
- the maximum plasma concentration (Cmax) and the area under the plasma concentration-time curve from time 0 to infinity may be used.
- an effective dosage for the compounds of Formulas I is in the range of about 0.01 mg/kg/day to about 100 mg/kg/day in single or divided doses, for instance 0.01 mg/kg/day to about 50 mg/kg/day in single or divided doses.
- the compounds of Formulas I may be administered at a dose of, for example, less than 0.2 mg/kg/day, 0.5 mg/kg/day, 1.0 mg/kg/day, 5 mg/kg/day, 10 mg/kg/day, 20 mg/kg/day, 30 mg/kg/day, or 40 mg/kg/day.
- Compounds of Formula I may also be administered to a human patient at a dose of, for example, between 0.1 mg and 1000 mg, between 5 mg and 80 mg, or less than 1.0, 9.0, 12.0, 20.0, 50.0, 75.0, 100, 300, 400, 500, 800, 1000, 2000, 5000 mg per day.
- the compositions herein are administered at an amount that is less than 95%, 90%, 80%, 70%, 60%, 50%, 40%, 30%, 20%, or 10% of the compound of formula I required for the same therapeutic benefit.
- An effective amount of the compounds of formula I described herein refers to the amount of one of said salts or compositions which is capable of inhibiting or preventing a disease.
- An effective amount may be sufficient to prohibit, treat, alleviate, ameliorate, halt, restrain, slow or reverse the progression, or reduce the severity of a complication resulting from nerve damage or demyelization and/or elevated reactive oxidative-nitrosative species and/or abnormalities in physiological homeostasis's, in patients who are at risk for such complications.
- these methods include both medical therapeutic (acute) and/or prophylactic (prevention) administration as appropriate.
- the amount and timing of compositions administered will, of course, be dependent on the subject being treated, on the severity of the affliction, on the manner of administration and on the judgment of the prescribing physician.
- the dosages given above are a guideline and the physician may titrate doses of the drug to achieve the treatment that the physician considers appropriate for the patient.
- the physician must balance a variety of factors such as age of the patient, presence of preexisting disease, as well as presence of other diseases.
- compositions provided by this application may be administered to a subject in need of treatment by a variety of conventional routes of administration, including orally, topically, parenterally, e.g., intravenously, subcutaneously or intramedullary. Further, the compositions may be administered intranasally, as a rectal suppository, or using a "flash" formulation, i.e., allowing the medication to dissolve in the mouth without the need to use water. Furthermore, the compositions may be administered to a subject in need of treatment by controlled release dosage forms, site specific drug delivery, transdermal drug delivery, patch (active/passive) mediated drug delivery, by stereotactic injection, or in nanoparticles.
- compositions may be administered alone or in combination with pharmaceutically acceptable carriers, vehicles or diluents, in either single or multiple doses.
- suitable pharmaceutical carriers, vehicles and diluents include inert solid diluents or fillers, sterile aqueous solutions and various organic solvents.
- the pharmaceutical compositions formed by combining the compositions and the pharmaceutically acceptable carriers, vehicles or diluents are then readily administered in a variety of dosage forms such as tablets, powders, lozenges, syrups, injectable solutions and the like.
- These pharmaceutical compositions can, if desired, contain additional ingredients such as flavorings, binders, excipients and the like.
- tablets containing various excipients such as L-arginine, sodium citrate, calcium carbonate and calcium phosphate may be employed along with various disintegrates such as starch, alginic acid and certain complex silicates, together with binding agents such as polyvinylpyrrolidone, sucrose, gelatin and acacia.
- binding agents such as polyvinylpyrrolidone, sucrose, gelatin and acacia.
- lubricating agents such as magnesium stearate, sodium lauryl sulfate and talc are often useful for tabletting purposes.
- Solid compositions of a similar type may also be employed as fillers in soft and hard filled gelatin capsules. Appropriate materials for this include lactose or milk sugar and high molecular weight polyethylene glycols.
- the essential active ingredient therein may be combined with various sweetening or flavoring agents, coloring matter or dyes and, if desired, emulsifying or suspending agents, together with diluents such as water, ethanol, propylene glycol, glycerin and combinations thereof.
- the compounds of formula I may also comprise enterically coated comprising of various excipients, as is well known in the pharmaceutical art.
- solutions of the compositions may be prepared in (for example) sesame or peanut oil, aqueous propylene glycol, or in sterile aqueous solutions may be employed.
- aqueous solutions should be suitably buffered if necessary and the liquid diluent first rendered isotonic with sufficient saline or glucose.
- sterile aqueous media employed are all readily available by standard techniques known to those skilled in the art.
- the formulations for instance tablets, may contain e.g. 10 to 100, 50 to 250, 150 to 500 mg, or 350 to 800 mg e.g. 10, 50, 100, 300, 500, 700, 800 mg of the compounds of formula I disclosed herein, for instance, compounds of formula I or pharmaceutical acceptable salts of a compounds of Formula I.
- a composition as described herein may be administered orally, or parenterally (e.g., intravenous, intramuscular, subcutaneous or intramedullary). Topical administration may also be indicated, for example, where the patient is suffering from gastrointestinal disorder that prevent oral administration, or whenever the medication is best applied to the surface of a tissue or organ as determined by the attending physician. Localized administration may also be indicated, for example, when a high dose is desired at the target tissue or organ.
- the active composition may take the form of tablets or lozenges formulated in a conventional manner.
- the dosage administered will be dependent upon the identity of the metabolic disease; the type of host involved, including its age, health and weight; the kind of concurrent treatment, if any; the frequency of treatment and therapeutic ratio.
- dosage levels of the administered active ingredients are: intravenous, 0.1 to about 200 mg/kg; intramuscular, 1 to about 500 mg/kg; orally, 5 to about 1000 mg/kg; intranasal instillation, 5 to about 1000 mg/kg; and aerosol, 5 to about 1000 mg/kg of host body weight.
- an active ingredient can be present in the compositions of the present invention for localized use about the cutis, intranasally, pharyngolaryngeally, bronchially, intravaginally, rectally, or ocularly in a concentration of from about 0.01 to about 50% w/w of the composition; preferably about 1 to about 20% w/w of the composition; and for parenteral use in a concentration of from about 0.05 to about 50% w/v of the composition and preferably from about 5 to about 20% w/v.
- compositions of the present invention are preferably presented for administration to humans and animals in unit dosage forms, such as tablets, capsules, pills, powders, granules, suppositories, sterile parenteral solutions or suspensions, sterile non-parenteral solutions of suspensions, and oral solutions or suspensions and the like, containing suitable quantities of an active ingredient.
- unit dosage forms such as tablets, capsules, pills, powders, granules, suppositories, sterile parenteral solutions or suspensions, sterile non-parenteral solutions of suspensions, and oral solutions or suspensions and the like, containing suitable quantities of an active ingredient.
- unit dosage forms such as tablets, capsules, pills, powders, granules, suppositories, sterile parenteral solutions or suspensions, sterile non-parenteral solutions of suspensions, and oral solutions or suspensions and the like, containing suitable quantities of an active ingredient.
- the tablet core contains one or more hydrophilic polymers.
- Suitable hydrophilic polymers include, but are not limited to, water swellable cellulose derivatives, polyalkylene glycols, thermoplastic polyalkylene oxides, acrylic polymers, hydrocolloids, clays, gelling starches, swelling cross-linked polymers, and mixtures thereof.
- suitable water swellable cellulose derivatives include, but are not limited to, sodium carboxymethylcellulose, cross-linked hydroxypropylcellulose, hydroxypropyl cellulose (HPC), hydroxypropylmethylcellulose (HPMC), hydroxyisopropylcellulose, hydroxybutylcellulose, hydroxyphenylcellulose, hydroxyethylcellulose (HEC), hydroxypentylcellulose, hydroxypropylethylcellulose, hydroxypropylbutylcellulose, and hydroxypropylethylcellulose, and mixtures thereof.
- suitable polyalkylene glycols include, but are not limited to, polyethylene glycol.
- suitable thermoplastic polyalkylene oxides include, but are not limited to, poly(ethylene oxide).
- acrylic polymers examples include, but are not limited to, potassium methacrylatedivinylbenzene copolymer, polymethylmethacrylate, high-molecular weight crosslinked acrylic acid homopolymers and copolymers such as those commercially available from Noveon Chemicals under the tradename CARBOPOLTM.
- hydrocolloids include, but are not limited to, alginates, agar, guar gum, locust bean gum, kappa carrageenan, iota carrageenan, tara, gum arabic, tragacanth, pectin, xanthan gum, gellan gum, maltodextrin, galactomannan, pusstulan, laminarin, scleroglucan, gum arabic, inulin, pectin, gelatin, whelan, rhamsan, zooglan, methylan, chitin, cyclodextrin, chitosan, and mixtures thereof.
- Suitable clays include, but are not limited to, smectites such as bentonite, kaolin, and laponite; magnesium trisilicate; magnesium aluminum silicate; and mixtures thereof.
- suitable gelling starches include, but are not limited to, acid hydrolyzed starches, swelling starches such as sodium starch glycolate and derivatives thereof, and mixtures thereof.
- suitable swelling cross-linked polymers include, but are not limited to, cross-linked polyvinyl pyrrolidone, cross-linked agar, and cross-linked carboxymethylcellulose sodium, and mixtures thereof.
- the carrier may contain one or more suitable excipients for the formulation of tablets.
- suitable excipients include, but are not limited to, fillers, adsorbents, binders, disintegrants, lubricants, glidants, release-modifying excipients, superdisintegrants, antioxidants, and mixtures thereof.
- Suitable binders include, but are not limited to, dry binders such as polyvinyl pyrrolidone and hydroxypropylmethylcellulose; wet binders such as water-soluble polymers, including hydrocolloids such as acacia, alginates, agar, guar gum, locust bean, carrageenan, carboxymethylcellulose, tara, gum arabic, tragacanth, pectin, xanthan, gellan, gelatin, maltodextrin, galactomannan, pusstulan, laminarin, scleroglucan, inulin, whelan, rhamsan, zooglan, methylan, chitin, cyclodextrin, chitosan, polyvinyl pyrrolidone, cellulosics, sucrose, and starches; and mixtures thereof.
- Suitable disintegrants include, but are not limited to, sodium starch glycolate, cross-linked polyvinylpyrroli
- Suitable lubricants include, but are not limited to, long chain fatty acids and their salts, such as magnesium stearate and stearic acid, talc, glycerides waxes, and mixtures thereof.
- Suitable glidants include, but are not limited to, colloidal silicon dioxide.
- Suitable release-modifying excipients include, but are not limited to, insoluble edible materials, pH- dependent polymers, and mixtures thereof.
- Suitable insoluble edible materials for use as release-modifying excipients include, but are not limited to, water-insoluble polymers and low-melting hydrophobic materials, copolymers thereof, and mixtures thereof.
- suitable water-insoluble polymers include, but are not limited to, ethylcellulose, polyvinyl alcohols, polyvinyl acetate, polycaprolactones, cellulose acetate and its derivatives, acrylates, methacrylates, acrylic acid copolymers, copolymers thereof, and mixtures thereof.
- Suitable low-melting hydrophobic materials include, but are not limited to, fats, fatty acid esters, phospholipids, waxes, and mixtures thereof.
- suitable fats include, but are not limited to, hydrogenated vegetable oils such as for example cocoa butter, hydrogenated palm kernel oil, hydrogenated cottonseed oil, hydrogenated sunflower oil, and hydrogenated soybean oil, free fatty acids and their salts, and mixtures thereof.
- suitable fatty acid esters include, but are not limited to, sucrose fatty acid esters, mono-, di-, and triglycerides, glyceryl behenate, glyceryl palmitostearate, glyceryl monostearate, glyceryl tristearate, glyceryl trilaurylate, glyceryl myristate, GlycoWax-932, lauroyl macrogol-32 glycerides, stearoyl macrogol-32 glycerides, and mixtures thereof.
- Suitable phospholipids include phosphotidyl choline, phosphotidyl serene, phosphotidyl enositol, phosphotidic acid, and mixtures thereof.
- suitable waxes include, but are not limited to, carnauba wax, spermaceti wax, beeswax, candelilla wax, shellac wax, microcrystalline wax, and paraffin wax; fat-containing mixtures such as chocolate, and mixtures thereof.
- super disintegrants include, but are not limited to, croscarmellose sodium, sodium starch glycolate and cross-linked povidone (crospovidone). In one embodiment the tablet core contains up to about 5 percent by weight of such super disintegrant.
- antioxidants include, but are not limited to, tocopherols, ascorbic acid, sodium pyrosulfite, butylhydroxytoluene, butylated hydroxyanisole, edetic acid, and edetate salts, and mixtures thereof.
- preservatives include, but are not limited to, citric acid, tartaric acid, lactic acid, malic acid, acetic acid, benzoic acid, and sorbic acid, and mixtures thereof.
- the immediate release coating has an average thickness of at least 50 microns, such as from about 50 microns to about 2500 microns; e.g., from about 250 microns to about 1000 microns.
- the immediate release coating is typically compressed at a density of more than about 0.9 g/cc, as measured by the weight and volume of that specific layer.
- the immediate release coating contains a first portion and a second portion, wherein at least one of the portions contains the second pharmaceutically active agent.
- the portions contact each other at a center axis of the tablet.
- the first portion includes the first pharmaceutically active agent and the second portion includes the second pharmaceutically active agent.
- the first portion contains the first pharmaceutically active agent and the second portion contains the second pharmaceutically active agent. In one embodiment, one of the portions contains a third pharmaceutically active agent. In one embodiment one of the portions contains a second immediate release portion of the same pharmaceutically active agent as that contained in the tablet core.
- the outer coating portion is prepared as a dry blend of materials prior to addition to the coated tablet core. In another embodiment the outer coating portion is included of a dried granulation including the pharmaceutically active agent.
- Formulations with different drug release mechanisms described above could be combined in a final dosage form containing single or multiple units.
- multiple units include multilayer tablets, capsules containing tablets, beads, or granules in a solid or liquid form.
- Typical, immediate release formulations include compressed tablets, gels, films, coatings, liquids and particles that can be encapsulated, for example, in a gelatin capsule. Many methods for preparing coatings, covering or incorporating drugs, are known in the art.
- the immediate release dosage, unit of the dosage form i.e., a tablet, a plurality of drug-containing beads, granules or particles, or an outer layer of a coated core dosage form, contains a therapeutically effective quantity of the active agent with conventional pharmaceutical excipients.
- the immediate release dosage unit may or may not be coated, and may or may not be admixed with the delayed release dosage unit or units (as in an encapsulated mixture of immediate release drug-containing granules, particles or beads and delayed release drug-containing granules or beads).
- Extended release formulations are generally prepared as diffusion or osmotic systems, for example, as described in "Remington— The Science and Practice of Pharmacy", 20th. Ed., Lippincott Williams & Wilkins, Baltimore, Md., 2000).
- a diffusion system typically consists of one of two types of devices, reservoir and matrix, which are wellknown and described in die art.
- the matrix devices are generally prepared by compressing the drug with a slowly dissolving polymer carrier into a tablet form.
- An immediate release portion can be added to the extended release system by means of either applying an immediate release layer on top of the extended release core; using coating or compression processes or in a multiple unit system such as a capsule containing extended and immediate release beads.
- Delayed release dosage formulations are created by coating a solid dosage form with a film of a polymer which is insoluble in the acid environment of the stomach, but soluble in the neutral environment of small intestines.
- the delayed release dosage units can be prepared, for example, by coating a drug or a drug-containing composition with a selected coating material.
- the drug-containing composition may be a tablet for incorporation into a capsule, a tablet for use as an inner core in a "coated core" dosage form, or a plurality of drug-containing beads, particles or granules, for incorporation into either a tablet or capsule.
- a pulsed release dosage form is one that mimics a multiple dosing profile without repeated dosing and typically allows at least a twofold reduction in dosing frequency as compared to the drug presented as a conventional dosage form (e.g., as a solution or prompt drug-releasing, conventional solid dosage form).
- a pulsed release profile is characterized by a time period of no release (lag time) or reduced release followed by rapid drug release.
- Each dosage form contains a therapeutically effective amount of active agent.
- approximately 30 wt. % to 70 wt. , preferably 40 wt. % to 60 wt. , of the total amount of active agent in the dosage form is released in the initial pulse, and, correspondingly approximately 70 wt. % to 3.0 wt. , preferably 60 wt. % to 40 wt. , of the total amount of active agent in the dosage form is released in the second pulse.
- the second pulse is preferably released approximately 3 hours to less than 14 hours, and more preferably approximately 5 hours to 12 hours, following administration.
- Another dosage form contains a compressed tablet or a capsule having a drug- containing immediate release dosage unit, a delayed release dosage unit and an optional second delayed release dosage unit.
- the immediate release dosage unit contains a plurality of beads, granules particles that release drug substantially immediately following oral administration to provide an initial dose.
- the delayed release dosage unit contains a plurality of coated beads or granules, which release drug approximately 3 hours to 14 hours following oral administration to provide a second dose.
- dilute sterile, aqueous or partially aqueous solutions (usually in about 0.1% to 5% concentration), otherwise similar to the above parenteral solutions, may be prepared.
- subject compositions of the present application maybe lyophilized or subjected to another appropriate drying technique such as spray drying.
- the subject compositions may be administered once, or may be divided into a number of smaller doses to be administered at varying intervals of time, depending in part on the release rate of the compositions and the desired dosage.
- Formulations useful in the methods provided herein include those suitable for oral, nasal, topical (including buccal and sublingual), rectal, vaginal, aerosol and/or parenteral administration.
- the formulations may conveniently be presented in unit dosage form and may be prepared by any methods well known in the art of pharmacy.
- the amount of a subject composition which may be combined with a carrier material to produce a single dose may vary depending upon the subject being treated, and the particular mode of administration.
- Methods of preparing these formulations or compositions include the step of bringing into association subject compositions with the carrier and, optionally, one or more accessory ingredients.
- the formulations are prepared by uniformly and intimately bringing into association a subject composition with liquid carriers, or finely divided solid carriers, or both, and then, if necessary, shaping the product.
- the compounds of formula I described herein may be administered in inhalant or aerosol formulations.
- the inhalant or aerosol formulations may comprise one or more agents, such as adjuvants, diagnostic agents, imaging agents, or therapeutic agents useful in inhalation therapy.
- the final aerosol formulation may for example contain 0.005-90% w/w, for instance 0.005-50%, 0.005-5% w/w, or 0.01-1.0% w/w, of medicament relative to the total weight of the formulation.
- the subject composition is mixed with one or more pharmaceutically acceptable carriers and/or any of the following: (1) fillers or extenders, such as starches, lactose, sucrose, glucose, mannitol, and/or silicic acid; (2) binders, such as, for example, carboxymethylcellulose, alginates, gelatin, polyvinyl pyrrolidone, sucrose and/or acacia; (3) humectants, such as glycerol; (4) disintegrating agents, such as agar-agar, calcium carbonate, potato or tapioca starch, alginic acid, certain silicates, and sodium carbonate; (5) solution retarding agents, such as paraffin; (6) absorption accelerators, such as quaternary ammonium compounds; (7) wetting agents, such as, for example, acetyl alcohol and glycerol monostea
- compositions may also comprise buffering agents.
- Solid compositions of a similar type may also be employed as fillers in soft and hard-filled gelatin capsules using lactose or milk sugars, as well as high molecular weight polyethylene glycols and the like.
- Liquid dosage forms for oral administration include pharmaceutically acceptable emulsions, microemulsions, solutions, suspensions, syrups and elixirs.
- the liquid dosage forms may contain inert diluents commonly used in the art, such as, for example, water or other solvents, solubilizing agents and emulsifiers, such as ethyl alcohol, isopropyl alcohol, ethyl carbonate, ethyl acetate, benzyl alcohol, benzyl benzoate, propylene glycol, 1,3-butylene glycol, oils (in particular, cottonseed, corn, peanut, sunflower, soybean, olive, castor, and sesame oils), glycerol, tetrahydrofuryl alcohol, polyethylene glycols and fatty acid esters of sorbitan, and mixtures thereof.
- inert diluents commonly used in the art, such as, for example, water or other solvents, solubilizing agents and emuls
- Suspensions in addition to the subject compositions, may contain suspending agents such as, for example, ethoxylated isostearyl alcohols, polyoxyethylene sorbitol, and sorbitan esters, microcrystalline cellulose, aluminum metahydroxide, bentonite, agar-agar and tragacanth, and mixtures thereof.
- suspending agents such as, for example, ethoxylated isostearyl alcohols, polyoxyethylene sorbitol, and sorbitan esters, microcrystalline cellulose, aluminum metahydroxide, bentonite, agar-agar and tragacanth, and mixtures thereof.
- Formulations for rectal or vaginal administration may be presented as a suppository, which may be prepared by mixing a subject composition with one or more suitable non-irritating carriers comprising, for example, cocoa butter, polyethylene glycol, a suppository wax, or a salicylate, and which is solid at room temperature, but liquid at body temperature and, therefore, will melt in the appropriate body cavity and release the encapsulated compound(s) and composition(s).
- suitable non-irritating carriers comprising, for example, cocoa butter, polyethylene glycol, a suppository wax, or a salicylate, and which is solid at room temperature, but liquid at body temperature and, therefore, will melt in the appropriate body cavity and release the encapsulated compound(s) and composition(s).
- Formulations which are suitable for vaginal administration also include pessaries, tampons, creams, gels, pastes, foams, or spray formulations containing such carriers as are known in the art to be appropriate.
- Dosage forms for transdermal administration include powders, sprays, ointments, pastes, creams, lotions, gels, solutions, patches, and inhalants.
- a subject composition may be mixed under sterile conditions with a pharmaceutically acceptable carrier, and with any preservatives, buffers, or propellants that may be required.
- the complexes may include lipophilic and hydrophilic groups to achieve the desired water solubility and transport properties.
- the ointments, pastes, creams and gels may contain, in addition to subject compositions, other carriers, such as animal and vegetable fats, oils, waxes, paraffins, starch, tragacanth, cellulose derivatives, polyethylene glycols, silicones, bentonites, silicic acid, talc and zinc oxide, or mixtures thereof.
- Powders and sprays may contain, in addition to a subject composition, excipients such as lactose, talc, silicic acid, aluminum hydroxide, calcium silicates and polyamide powder, or mixtures of such substances.
- Sprays may additionally contain customary propellants, such as chlorofluorohydrocarbons and volatile unsubstituted hydrocarbons, such as butane and propane.
- a transdermal patch may comprise: a substrate sheet comprising a composite film formed of a resin composition comprising 100 parts by weight of a polyvinyl chloride-polyurethane composite and 2-10 parts by weight of a styrene- ethylene-butylene-styrene copolymer, a first adhesive layer on the one side of the composite film, and a polyalkylene terephthalate film adhered to the one side of the composite film by means of the first adhesive layer, a primer layer which comprises a saturated polyester resin and is formed on the surface of the polyalkylene terephthalate film; and a second adhesive layer comprising a styrene-diene-styrene block copolymer containing a pharmaceutical agent layered on the primer layer.
- a method for the manufacture of the above-mentioned substrate sheet comprises preparing the above resin composition molding the resin composition into a composite film by a calendar process, and then adhering a polyalkylene terephthalate film on one side of the composite film by means of an adhesive layer thereby forming the substrate sheet, and forming a primer layer comprising a saturated polyester resin on the outer surface of the polyalkylene terephthalate film.
- Another type of patch comprises incorporating the drug directly in a pharmaceutically acceptable adhesive and laminating the drug-containing adhesive onto a suitable backing member, e.g. a polyester backing membrane.
- the drug should be present at a concentration which will not affect the adhesive properties, and at the same time deliver the required clinical dose.
- Transdermal patches may be passive or active. Passive transdermal drug delivery systems currently available, such as the nicotine, estrogen and nitroglycerine patches, deliver small-molecule drugs. Many of the newly developed proteins and peptide drugs are too large to be delivered through passive transdermal patches and may be delivered using technology such as electrical assist (iontophoresis) for large-molecule drugs.
- Iontophoresis is a technique employed for enhancing the flux of ionized substances through membranes by application of electric current.
- An iontophoretic membrane is given in U.S. Pat. No. 5,080,646 to Theeuwes.
- the principal mechanisms by which iontophoresis enhances molecular transport across the skin are (a) repelling a charged ion from an electrode of the same charge, (b) electroosmosis, the convective movement of solvent that occurs through a charged pore in response the preferential passage of counter- ions when an electric field is applied or (c) increase skin permeability due to application of electrical current.
- kits may comprise a container for containing the separate compositions such as a divided bottle or a divided foil packet.
- the kit comprises directions for the administration of the separate components.
- the kit form is particularly advantageous when the separate components are preferably administered in different dosage forms (e.g., oral and parenteral), are administered at different dosage intervals, or when titration of the individual components of the combination is desired by the prescribing physician.
- Blister packs are well known in the packaging industry and are widely used for the packaging of pharmaceutical unit dosage forms (tablets, capsules, and the like). Blister packs generally consist of a sheet of relatively stiff material covered with a foil of a plastic material that may be transparent.
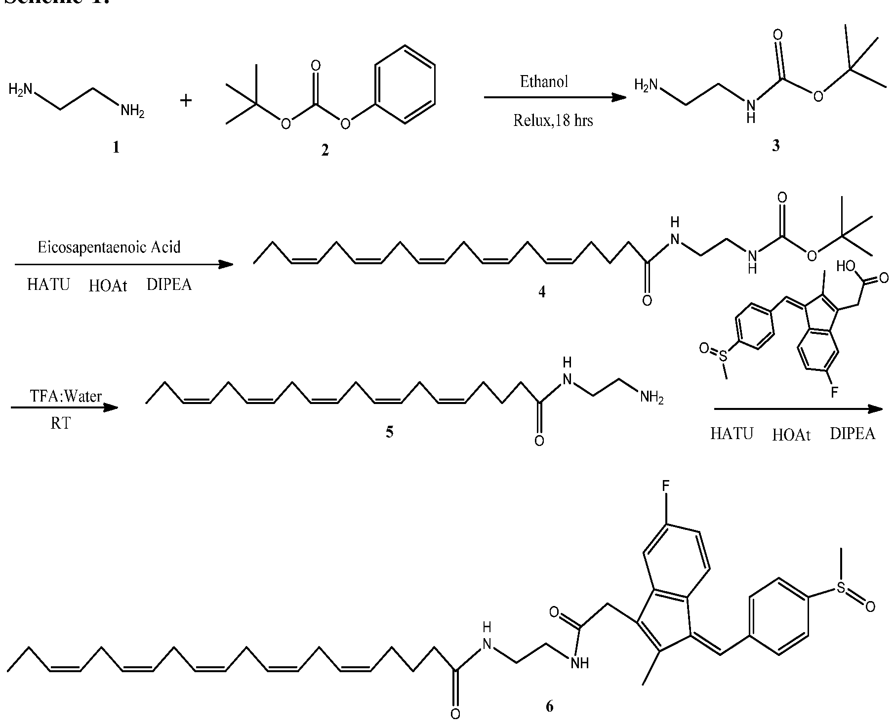
- Methods and compositions for the treatment of acute inflammation comprising administering to a patient in need thereof a therapeutically effective amount of compound of Formula I:
- R 1 independently represents H, D, CH 3 CO-, acetyl, CD 3 CO-, null,
- n is independently 1, 2, 3, 4 or 5;
- a is independently 2,3 or 7;
- each b is independently 3, 5 or 6;
- e is independently 1, 2 or 6;
- c and d are each independently H, D, -OH, -OD, Ci-C 6 -alkyl, -NH 2 or -COCH 3 .
- the invention also includes methods for treating inflammation, acute or chronic inflammatory conditions, reducing the growth of polyps and precancerous lesions in the colon, especially in association with familial adenomatous polyposis, cancer, Alzheimer's disease, pain, infiltration, nerve block, epidural, intrathecal anesthesia, pain, severe pain, chronic pain, chemotherapy induced pain, neuropathic pain, post herpetic neuralgia, neuralgia, motor neurone disease, diabetic neuropathy, postherpetic neuralgia, injury, postoperative pain, osteoarthritis, rheumatoid arthritis, multiple sclerosis, spinal cord injury, migraine, HIV related neuropathic pain, cancer pain and lower back pain and inflammation related diseases.
- the reaction mixture was cooled to room temperature and the solution was concentrated to approximately 150mL using a rotary evaporator (20°C, 20mmHg), which leaves a yellow solution.
- Water 300 mL was added and the pH was adjusted to approximately 3.0 by careful addition of aqueous HC1 (2M, approximately 110 mL) followed by extraction with CH 2 CI 2 (3 x 400 mL).
- the aqueous phase was adjusted to pH 12 by addition of aqueous NaOH (2M, 150 mL) and extracted with CH 2 Cl 2 (5 x 500 mL).
- sample refers to a sample of a body fluid, to a sample of separated cells or to a sample from a tissue or an organ.
- Samples of body fluids can be obtained by well known techniques and include, preferably, samples of blood, plasma, serum, or urine, more preferably, samples of blood, plasma or serum.
- Tissue or organ samples may be obtained from any tissue or organ by, e.g., biopsy.
- Separated cells may be obtained from the body fluids or the tissues or organs by separating techniques such as centrifugation or cell sorting.
- cell-, tissue- or organ samples are obtained from those cells, tissues or organs which express or produce the peptides referred to herein.
- compositions and methods for treating acute inflammation and their complications are provided among other things compositions and methods for treating acute inflammation and their complications. While specific embodiments of the subject disclosure have been discussed, the above specification is illustrative and not restrictive. Many variations of the systems and methods herein will become apparent to those skilled in the art upon review of this specification. The full scope of the claimed systems and methods should be determined by reference to the claims, along with their full scope of equivalents, and the specification, along with such variations.
Landscapes
- Health & Medical Sciences (AREA)
- Chemical & Material Sciences (AREA)
- Medicinal Chemistry (AREA)
- Pharmacology & Pharmacy (AREA)
- Epidemiology (AREA)
- Life Sciences & Earth Sciences (AREA)
- Animal Behavior & Ethology (AREA)
- General Health & Medical Sciences (AREA)
- Public Health (AREA)
- Veterinary Medicine (AREA)
- Acyclic And Carbocyclic Compounds In Medicinal Compositions (AREA)
- Pharmaceuticals Containing Other Organic And Inorganic Compounds (AREA)
- Organic Low-Molecular-Weight Compounds And Preparation Thereof (AREA)
Abstract
The invention relates to the compounds of formula I or its pharmaceutical acceptable salts, as well as polymorphs, solvates, enantiomers, stereoisomers and hydrates thereof. The pharmaceutical compositions comprising an effective amount of compounds of formula I, and methods for the treatment of acute inflammation may be formulated for oral, buccal, rectal, topical, transdermal, transmucosal, intravenous, parenteral administration, syrup, or injection. Such compositions may be used to treatment of neuropathy, polyps and precancerous lesions in the colon, especially in association with familial adenomatous polyposis, cancer, Alzheimer's disease and pain.
Description
COMPOSITIONS AND METHODS FOR THE TREATMENT
OF ACUTE INFLAMMATION
PRIORITY
[0001] The present application claims the benefit of Indian Provisional Patent Application No. 4578/CHE/2012 filed on 02-November-2012, the entire disclosure of which is relied on for all purposes and is incorporated into this application by reference.
FIELD OF THE INVENTION
[0002] This disclosure generally relates to compounds and compositions for the treatment of acute inflammation. More particularly, this invention relates to treating subjects with a pharmaceutically acceptable dose of compounds, crystals, solvates, enantiomer, stereoisomer, esters, salts, hydrates, prodrugs, or mixtures thereof.
BACKGROUND OF THE INVENTION
[0003] Inflammation is associated with a large range of mediators which initiate inflammatory response, recruit and activate other cells to the site of inflammation and subsequently resolve the inflammation. Cytokines are regulatory polypeptides that are produced by virtually all cells. In general, cytokines are not constitutively produced. However, in the presence of appropriate stimuli, for example lipopolysaccharide (LPS) from gram negative bacteria, increased gene expression and production of the cytokines will occur, leading to the initiation of an inflammatory response. Two major cytokines involved in the initiation of inflammation are TNF-a and IL-1. These proteins have multiple sites of action. Responses can include induction of other cytokines, activation of arachidonic acid metabolism, priming of polymorphonuclear leukocytes (PMN), and up-regulation of adhesion molecules.
[0004] Regulation of gene expression for these cytokines is in part controlled by activation of transcription factors such as NF-kB and AP-1. In addition to cytokines, metabolites of arachidonic acid also participate in the inflammatory process. Products produced by the metabolism include both cyclooxygenase (COX) products (prostaglandins, thromboxanes) and lipooxygenase products (leukotrienes). Products such as LTB4 and PGE2, which are representative of these two pathways, can initiate PMN recruitment and changes in vascular tone and blood flow. Increased production of prostaglandins during an inflammatory response is achieved by induction of cyclooxygenase 2 (COX-2). COX-2 expression is mediated by NF-kB activation. The current treatment of inflammation includes aspirin, non- steriodal anti-inflammatory medications and dexamethasone. The sites of action of these compounds range from inhibition of enzymes responsible for production of arachidonic acid metabolites to inhibition of cytokine expression.
[0005] Mitochondria are a major source of the generation of intracellular reactive free radicals including reactive oxygen species (ROS), hydroxyl radicals, and reactive nitrogen species. Furthermore, mitochondrial DNA is unprotected and susceptible to damage by reactive radicals. If mitochondrial generation of ROS were continued unchecked, cumulative damage would lead to severe cellular dysfunction and death. It is also known the reactive radicals are a common mechanism for activation of a variety of inflammatory signals by redox reactions including activation of specific kinases or deactivation of specific phosphatases. Activation of this inflammatory system would also activate NFkB with generation of multiple changes in gene expression including mechanisms to increase inflammatory cytokines and chemokines.
[0006] Managing acute pathology of often relies on the addressing underlying pathology and symptoms of the disease. There is currently a need in the art for new compositions to treatment or delay of the onset of inflammation and its associated complications progression.
SUMMARY OF THE INVENTION
[0007] The present invention provides compounds, compositions containing these compounds and methods for using the same to treat, prevent and/or ameliorate the effects of the conditions such as acute inflammation.
[0008] The invention herein provides compositions comprising of formula I or pharmaceutical acceptable salts thereof. The invention also provides pharmaceutical compositions comprising one or more compounds of formula I or intermediates thereof and one or more of pharmaceutically acceptable carriers, vehicles or diluents. These compositions may be used in the treatment of acute inflammation and its associated complications.
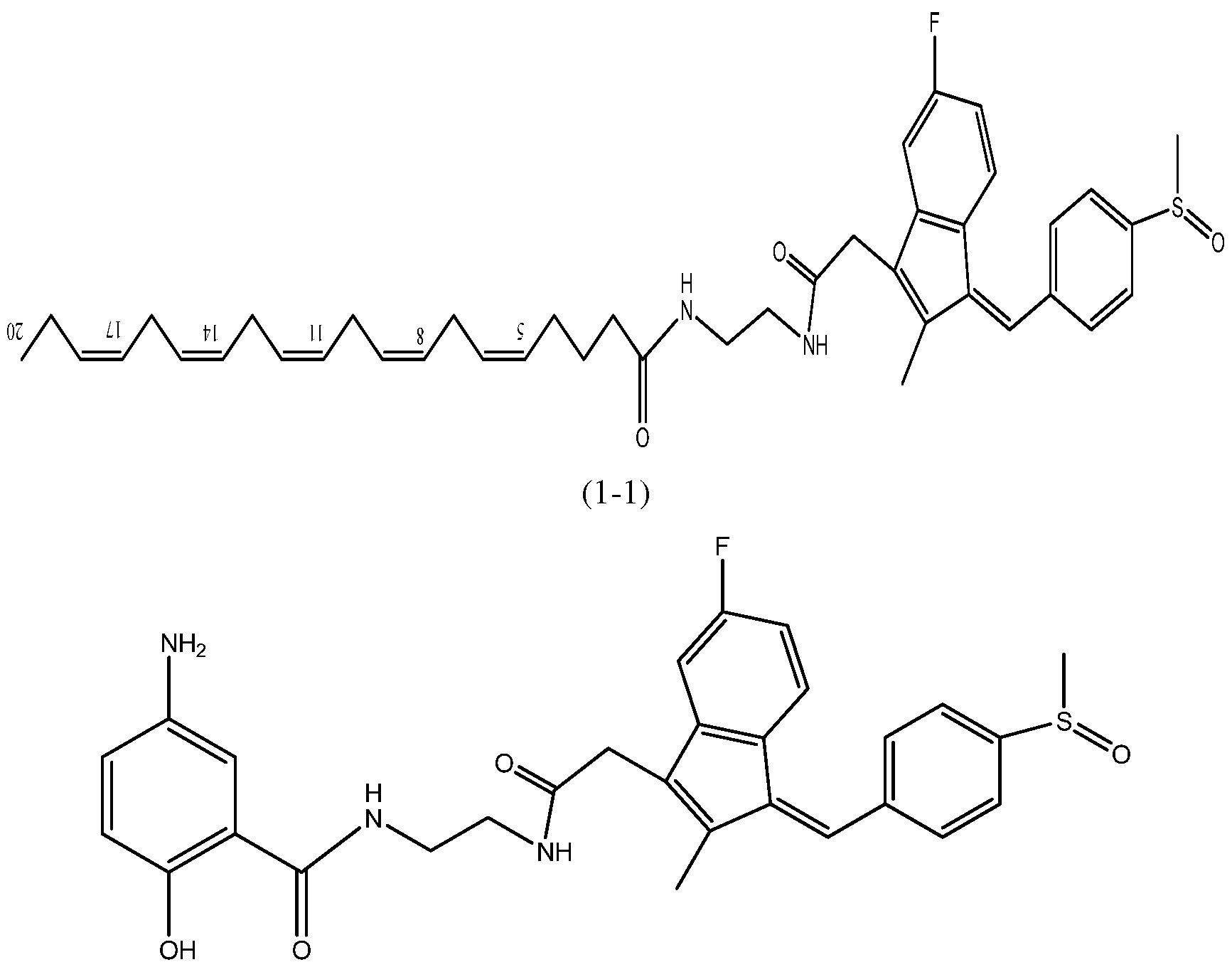
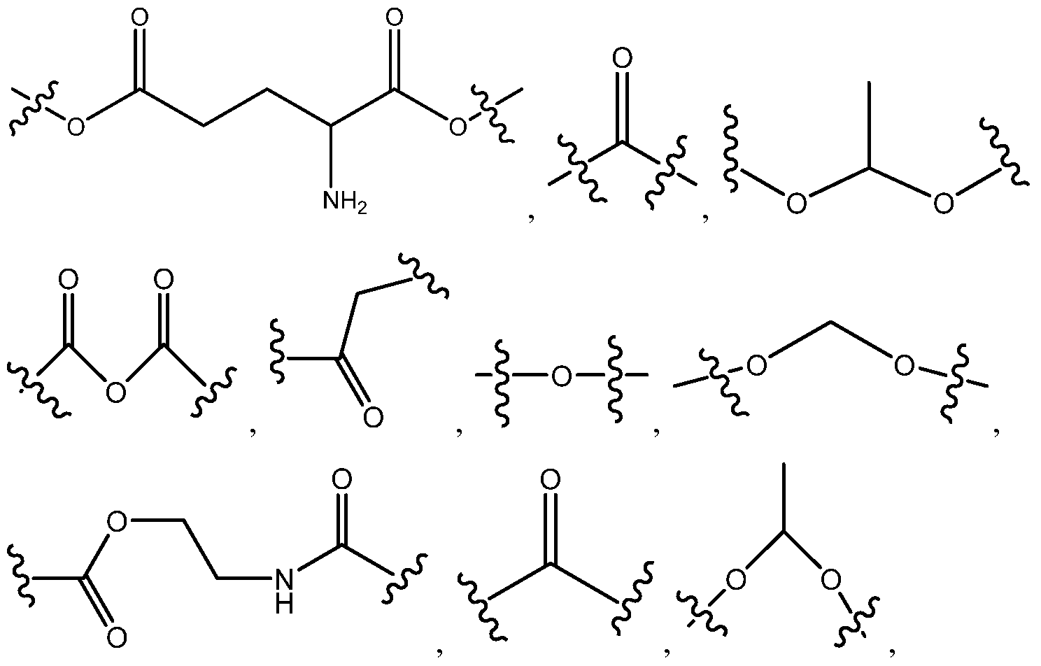
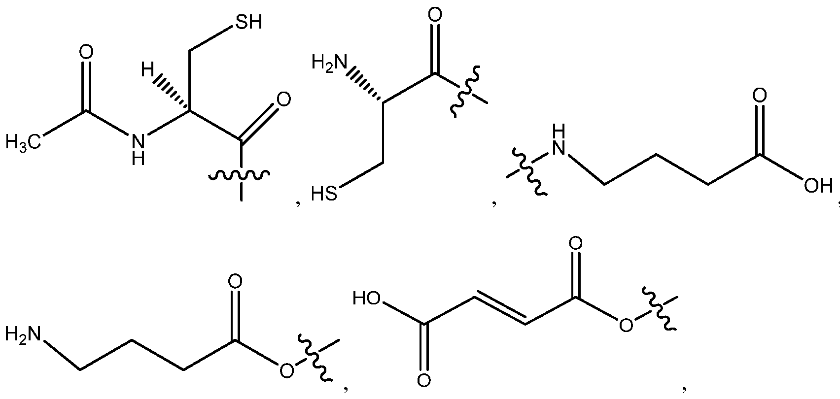
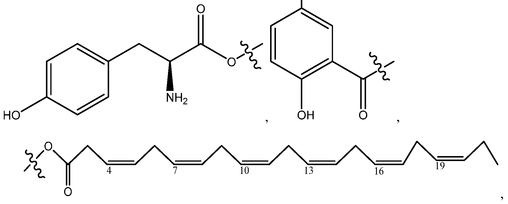
Formula I
and pharmaceutically acceptable salts, hydrates, solvates, prodrugs, enantiomers, and stereoisomers thereof;
[0010] Wherein,
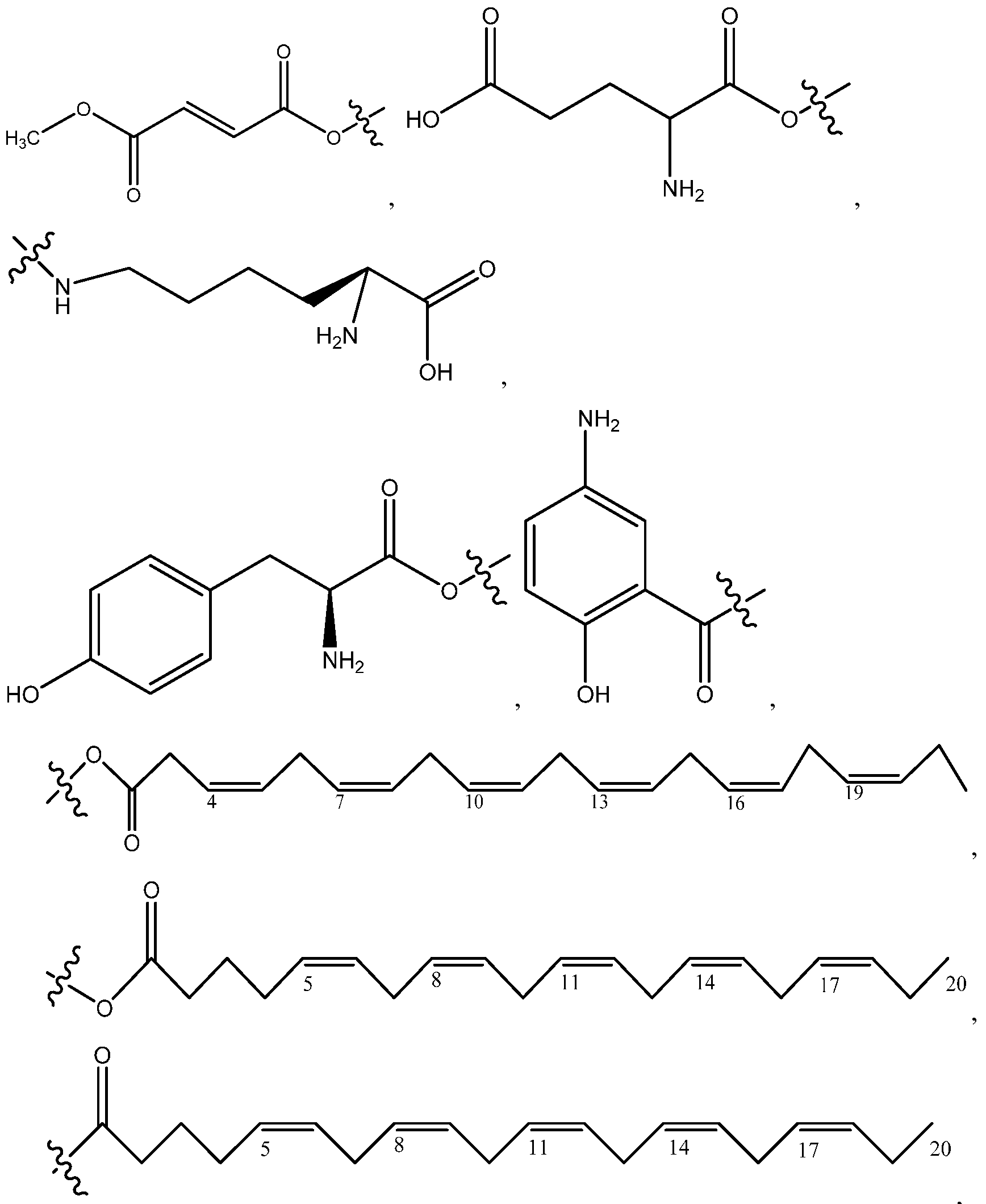
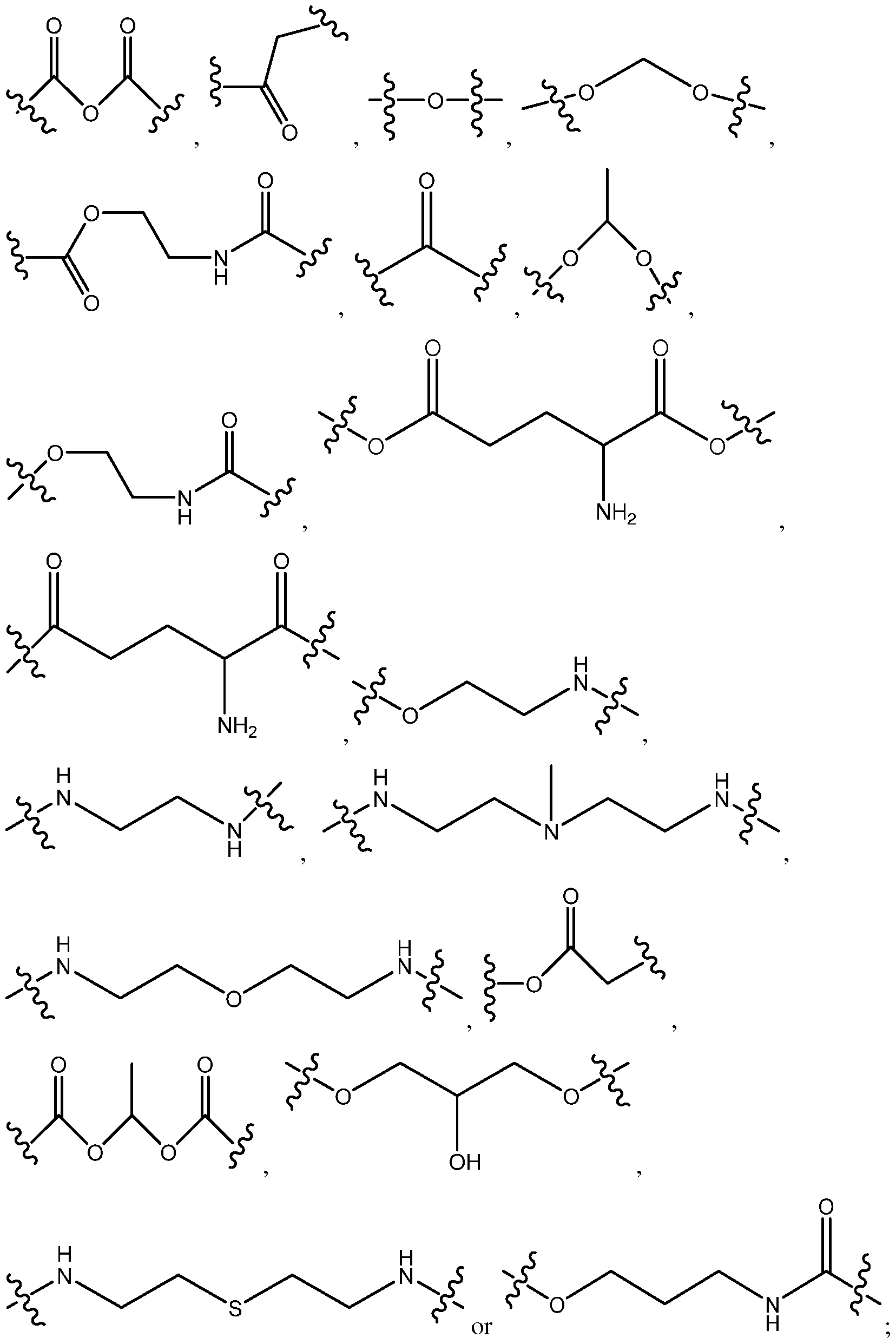
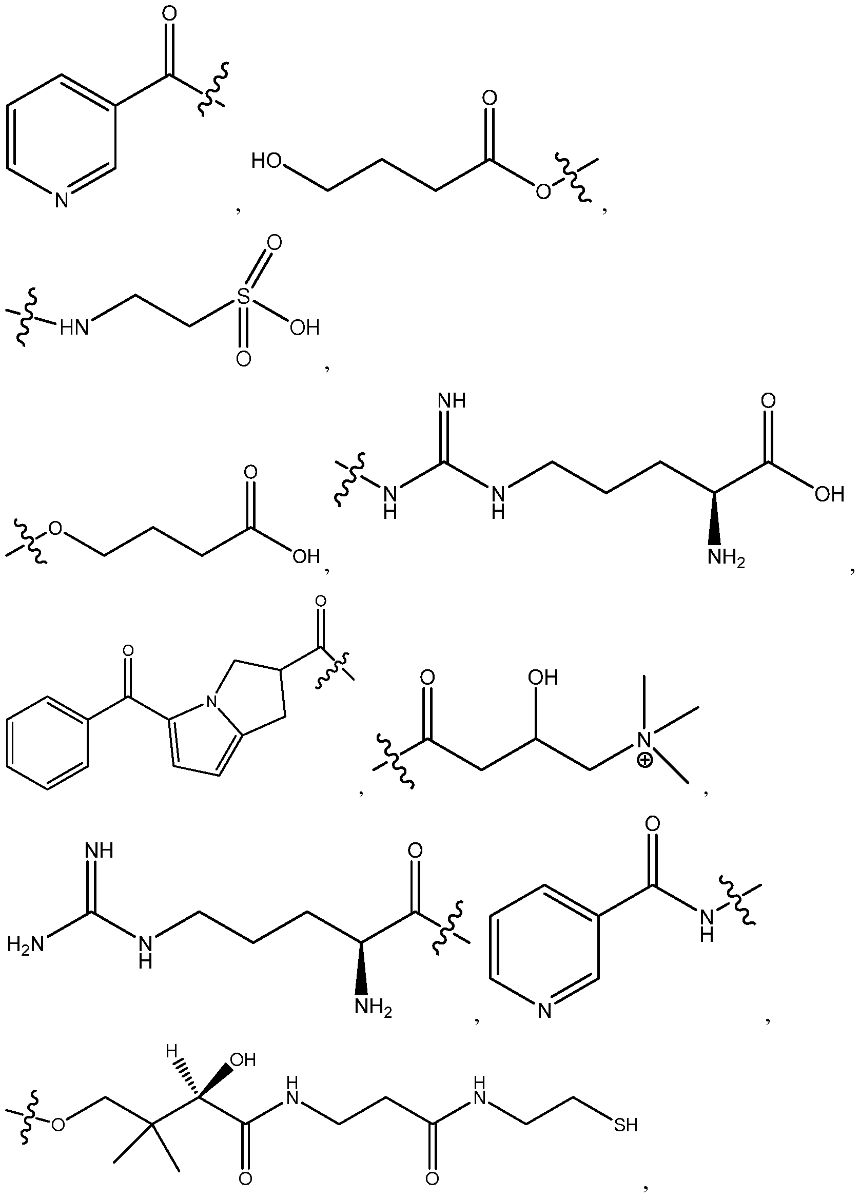
R1 independently represents H, D, CH3CO-, acetyl, CD3CO-, null,
n is independently 1, 2, 3, 4 or 5;
a is independently 2,3 or 7;
each b is independently 3, 5 or 6;
e is independently 1, 2 or 6;
c and d are each independently H, D, -OH, -OD, Ci-C6-alkyl, -NH2 or -COCH3.
[0011] Herein the application also provides a kit comprising any of the pharmaceutical compositions disclosed herein. The kit may comprise instructions for use in the treatment of acute inflammation or its related complications.
[0012] The application also discloses a pharmaceutical composition comprising a pharmaceutically acceptable carrier and any of the compositions herein. In some aspects, the pharmaceutical composition is formulated for systemic administration, oral administration, sustained release, parenteral administration, injection, subdermal administration, or transdermal administration.
[0013] Herein, the application additionally provides kits comprising the pharmaceutical compositions described herein. The kits may further comprise instructions for use in the treatment of acute inflammation or its related complications.
[0014] The compositions described herein have several uses. The present application provides, for example, methods of treating a patient suffering from acute inflammation or its related complications manifested from metabolic or genetic conditions or disorders, metabolic diseases, chronic diseases or disorders; neurodegenerative disorders, metabolic condition, Hepatology, Cancer, Respiratory, Hematological, Orthopedic, Cardiovascular, Renal, Skin, Vascular or Ocular complications.
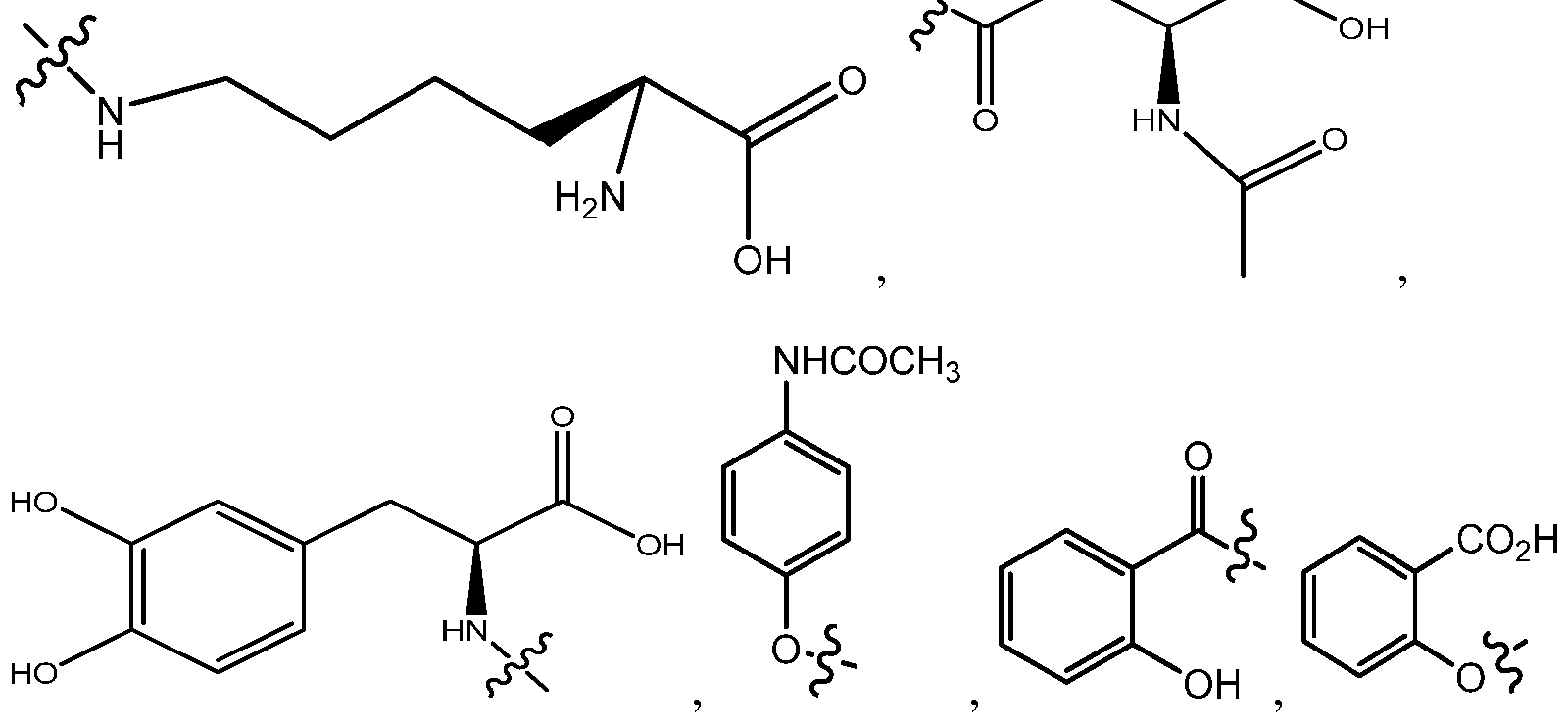
[0015] In the illustrative embodiments, examples of compounds of formula I are as set forth below:
Definitions
[0016] As used herein, the following terms and phrases shall have the meanings set forth below. Unless defined otherwise, all technical and scientific terms used herein have the same meaning as commonly understood to one of ordinary skill in the art.
[0017] The compounds of the present invention can be present in the form of pharmaceutically acceptable salts. The compounds of the present invention can also be present in the form of pharmaceutically acceptable esters (i.e., the methyl and ethyl esters of the acids of formula I to be used as prodrugs). The compounds of the present invention can also be solvated, i.e. hydrated. The solvation can be affected in the course of the manufacturing process or can take place i.e. as a consequence of hygroscopic properties of an initially anhydrous compound of formula I (hydration).
[0018] Compounds that have the same molecular formula but differ in the nature or sequence of bonding of their atoms or the arrangement of their atoms in space are termed "isomers." Isomers that differ in the arrangement of their atoms in space are termed "stereoisomers." Diastereomers are stereoisomers with opposite configuration at one or more chiral centers which are not enantiomers. Stereoisomers bearing one or more asymmetric centers that are non- superimposable mirror images of each other are termed "enantiomers." When a compound has an asymmetric center, for example, if a carbon atom is bonded to four different groups, a pair of enantiomers is possible. An enantiomer can be characterized by the absolute configuration of its asymmetric center or centers and is described by the R- and S- sequencing rules of Cahn, lngold and Prelog, or by the manner in which the molecule rotates the plane of polarized light and designated as dextrorotatory or levorotatory (i.e., as (+) or (- )-isomers respectively). A chiral compound can exist as either individual enantiomer or as a mixture thereof. A mixture containing equal proportions of the enantiomers is called a "racemic mixture".
[0019] As used herein, the term "metabolic condition" refers to an Inborn errors of metabolism (or genetic metabolic conditions) are genetic disorders that result from a defect in one or more metabolic pathways; specifically, the function of an enzyme is affected and is either deficient or completely absent.
[0020] In some embodiments, a molecular conjugate comprises of compounds selected from the group consisting of R-lipoic acid (CAS No. 1200-22-2), salsalate (CAS No. 552-94-3), acetylcysteine (CAS No. 616-91-1), Eicosapentaenoic acid (CAS No. 10417-94-4), Docosahexaenoic acid (CAS No. 6217-54-5).
[0021] The term "polymorph" as used herein is art-recognized and refers to one crystal structure of a given compound.
[0022] The phrases "parenteral administration" and "administered parenterally" as used herein refer to modes of administration other than enteral and topical administration, such as injections, and include without limitation intravenous, intramuscular, intrapleural, intravascular, intrapericardial, intraarterial, intrathecal, intracapsular, intraorbital, intracardiac, intradennal, intraperitoneal, transtracheal, subcutaneous, subcuticular, intraarticular, subcapsular, subarachnoid, intraspinal and intrastemal injection and infusion.
[0023] A "patient," "subject," or "host" to be treated by the subject method may mean either a human or non-human animal, such as primates, mammals, and vertebrates.
[0024] The phrase "pharmaceutically acceptable" is art-recognized. In certain embodiments, the term includes compositions, polymers and other materials and/or dosage forms which are, within the scope of sound medical judgment, suitable for use in contact with the tissues of mammals, human beings and animals without excessive toxicity, irritation, allergic response, or other problem or complication, commensurate with a reasonable benefit/risk ratio.
[0025] The phrase "pharmaceutically acceptable carrier" is art-recognized, and includes, for example, pharmaceutically acceptable materials, compositions or vehicles, such as a liquid or solid filler, diluent, solvent or encapsulating material involved in carrying or transporting any subject composition, from one organ, or portion of the body, to another organ, or portion of the body. Each carrier must be "acceptable" in the sense of being compatible with the other ingredients of a subject composition and not injurious to the patient. In certain embodiments, a pharmaceutically acceptable carrier is non-pyrogenic. Some examples of materials which may serve as pharmaceutically acceptable carriers include: (1) sugars, such as lactose, glucose and sucrose; (2) starches, such as corn starch and potato starch; (3) cellulose, and its derivatives, such as sodium carboxymethyl cellulose, ethyl cellulose and cellulose acetate; (4) powdered tragacanth; (5) malt; (6) gelatin; (7) talc; (8) cocoa butter and suppository waxes; (9) oils, such as peanut oil, cottonseed oil, sunflower oil, sesame oil, olive oil, corn oil and soybean oil; (10) glycols, such as propylene glycol; (11) polyols, such as glycerin, sorbitol, mannitol and polyethylene glycol; (12) esters, such as ethyl oleate and ethyl laurate; (13) agar; (14) buffering agents, such as magnesium hydroxide and aluminum hydroxide; (15) alginic acid; (16) pyrogen-free water; (17) isotonic saline; (18) Ringer's solution; (19) ethyl alcohol; (20) phosphate buffer solutions; and (21) other non-toxic compatible substances employed in pharmaceutical formulations.
[0026] The term "prodrug" is intended to encompass compounds that, under physiological conditions, are converted into the therapeutically active agents of the present invention. A common method for making a prodrug is to include selected moieties that are hydrolyzed under physiological conditions to reveal the desired molecule. In other embodiments, the prodrug is converted by an enzymatic activity of the host animal.
[0027] The term "prophylactic or therapeutic" treatment is art-recognized and includes administration to the host of one or more of the subject compositions. If it is administered prior to clinical manifestation of the unwanted condition (e.g., disease or other unwanted state of the host animal) then the treatment is prophylactic, i.e., it protects the host against developing the unwanted condition, whereas if it is administered after manifestation of the
unwanted condition, the treatment is therapeutic, (i.e., it is intended to diminish, ameliorate, or stabilize the existing unwanted condition or side effects thereof).
[0028] The term "predicting" as used herein refers to assessing the probability related diseases patient will suffer from abnormalities or complication and/or terminal platelet aggregation or failure and/or death (i.e. mortality) within a defined time window (predictive window) in the future. The mortality may be caused by the central nervous system or complication. The predictive window is an interval in which the subject will develop one or more of the said complications according to the predicted probability. The predictive window may be the entire remaining lifespan of the subject upon analysis by the method of the present invention.
[0029] The term "treating" is art -recognized and includes preventing a disease, disorder or condition from occurring in an animal which may be predisposed to the disease, disorder and/or condition but has not yet been diagnosed as having it; inhibiting the disease, disorder or condition, e.g., impeding its progress; and relieving the disease, disorder, or condition, e.g., causing regression of the disease, disorder and/or condition. Treating the disease or condition includes ameliorating at least one symptom of the particular disease or condition, even if the underlying pathophysiology is not affected, such as inflammation, acute or chronic inflammatory conditions, reducing the growth of polyps and precancerous lesions in the colon, especially in association with familial adenomatous polyposis, cancer, Alzheimer's disease of a subject by administration of an agent even though such agent does not treat the cause of the condition. The term "treating", "treat" or "treatment" as used herein includes curative, preventative (e.g., prophylactic), adjunct and palliative treatment.
[0030] The phrase "therapeutically effective amount" is an art-recognized term. In certain embodiments, the term refers to an amount of a salt or composition disclosed herein that produces some desired effect at a reasonable benefit/risk ratio applicable to any medical treatment. In certain embodiments, the term refers to that amount necessary or sufficient to eliminate or reduce medical symptoms for a period of time. The effective amount may vary depending on such factors as the disease or condition being treated, the particular targeted
constructs being administered, the size of the subject, or the severity of the disease or condition. One of ordinary skill in the art may empirically determine the effective amount of a particular composition without necessitating undue experimentation.
[0031] In certain embodiments, the pharmaceutical compositions described herein are formulated in a manner such that said compositions will be delivered to a patient in a therapeutically effective amount, as part of a prophylactic or therapeutic treatment. The desired amount of the composition to be administered to a patient will depend on absorption, inactivation, and excretion rates of the drug as well as the delivery rate of the salts and compositions from the subject compositions. It is to be noted that dosage values may also vary with the severity of the condition to be alleviated. It is to be further understood that for any particular subject, specific dosage regimens should be adjusted over time according to the individual need and the professional judgment of the person administering or supervising the administration of the compositions. Typically, dosing will be determined using techniques known to one skilled in the art.
[0032] Additionally, the optimal concentration and/or quantities or amounts of any particular salt or composition may be adjusted to accommodate variations in the treatment parameters. Such treatment parameters include the clinical use to which the preparation is put, e.g., the site treated, the type of patient, e.g., human or non-human, adult or child, and the nature of the disease or condition.
[0033] In certain embodiments, the dosage of the subject compositions provided herein may be determined by reference to the plasma concentrations of the therapeutic composition or other encapsulated materials. For example, the maximum plasma concentration (Cmax) and the area under the plasma concentration-time curve from time 0 to infinity may be used.
[0034] When used with respect to a pharmaceutical composition or other material, the term "sustained release" is art-recognized. For example, a subject composition which releases a substance over time may exhibit sustained release characteristics, in contrast to a bolus type administration in which the entire amount of the substance is made biologically available at
one time. For example, in particular embodiments, upon contact with body fluids including blood, spinal fluid, mucus secretions, lymph or the like, one or more of the pharmaceutically acceptable excipients may undergo gradual or delayed degradation (e.g., through hydrolysis) with concomitant release of any material incorporated therein, e.g., an therapeutic and/or biologically active salt and/or composition, for a sustained or extended period (as compared to the release from a bolus). This release may result in prolonged delivery of therapeutically effective amounts of any of the therapeutic agents disclosed herein.
[0035] The phrases "systemic administration," "administered systemically," "peripheral administration" and "administered peripherally" are art-recognized, and include the administration of a subject composition, therapeutic or other material at a site remote from the disease being treated. Administration of an agent for the disease being treated, even if the agent is subsequently distributed systemically, may be termed "local" or "topical" or "regional" administration, other than directly into the central nervous system, e.g., by subcutaneous administration, such that it enters the patient's system and, thus, is subject to metabolism and other like processes.
[0036] The phrase "therapeutically effective amount" is an art-recognized term. In certain embodiments, the term refers to an amount of a salt or composition disclosed herein that produces some desired effect at a reasonable benefit/risk ratio applicable to any medical treatment. In certain embodiments, the term refers to that amount necessary or sufficient to eliminate or reduce medical symptoms for a period of time. The effective amount may vary depending on such factors as the disease or condition being treated, the particular targeted constructs being administered, the size of the subject, or the severity of the disease or condition. One of ordinary skill in the art may empirically determine the effective amount of a particular composition without necessitating undue experimentation.
[0037] The present disclosure also contemplates prodrugs of the compositions disclosed herein, as well as pharmaceutically acceptable salts of said prodrugs.
[0038] This application also discloses a pharmaceutical composition comprising a pharmaceutically acceptable carrier and the composition of a compound of Formula I may be formulated for systemic or topical or oral administration. The pharmaceutical composition may be also formulated for oral administration, oral solution, injection, subdermal administration, or transdermal administration. The pharmaceutical composition may further comprise at least one of a pharmaceutically acceptable stabilizer, diluent, surfactant, filler, binder, and lubricant.
[0039] In many embodiments, the pharmaceutical compositions described herein will incorporate the disclosed compounds and compositions (Formula I) to be delivered in an amount sufficient to deliver to a patient a therapeutically effective amount of a compound of formula I or composition as part of a prophylactic or therapeutic treatment. The desired concentration of formula I or its pharmaceutical acceptable salts will depend on absorption, inactivation, and excretion rates of the drug as well as the delivery rate of the salts and compositions from the subject compositions. It is to be noted that dosage values may also vary with the severity of the condition to be alleviated. It is to be further understood that for any particular subject, specific dosage regimens should be adjusted over time according to the individual need and the professional judgment of the person administering or supervising the administration of the compositions. Typically, dosing will be determined using techniques known to one skilled in the art.
[0040] Additionally, the optimal concentration and/or quantities or amounts of any particular compound of formula I may be adjusted to accommodate variations in the treatment parameters. Such treatment parameters include the clinical use to which the preparation is put, e.g., the site treated, the type of patient, e.g., human or non-human, adult or child, and the nature of the disease or condition.
[0041] The concentration and/or amount of any compound of formula I may be readily identified by routine screening in animals, e.g., rats, by screening a range of concentration and/or amounts of the material in question using appropriate assays. Known methods are also available to assay local tissue concentrations, diffusion rates of the salts or compositions,
and local blood flow before and after administration of therapeutic formulations disclosed herein. One such method is microdialysis, as reviewed by T. E. Robinson et al., 1991, microdialysis in the neurosciences, Techniques, volume 7, Chapter 1. The methods reviewed by Robinson may be applied, in brief, as follows. A microdialysis loop is placed in situ in a test animal. Dialysis fluid is pumped through the loop. When compounds with formula I such as those disclosed herein are injected adjacent to the loop, released drugs are collected in the dialysate in proportion to their local tissue concentrations. The progress of diffusion of the salts or compositions may be determined thereby with suitable calibration procedures using known concentrations of salts or compositions.
[0042] In certain embodiments, the dosage of the subject compounds of formula I provided herein may be determined by reference to the plasma concentrations of the therapeutic composition or other encapsulated materials. For example, the maximum plasma concentration (Cmax) and the area under the plasma concentration-time curve from time 0 to infinity may be used.
[0043] Generally, in carrying out the methods detailed in this application, an effective dosage for the compounds of Formulas I is in the range of about 0.01 mg/kg/day to about 100 mg/kg/day in single or divided doses, for instance 0.01 mg/kg/day to about 50 mg/kg/day in single or divided doses. The compounds of Formulas I may be administered at a dose of, for example, less than 0.2 mg/kg/day, 0.5 mg/kg/day, 1.0 mg/kg/day, 5 mg/kg/day, 10 mg/kg/day, 20 mg/kg/day, 30 mg/kg/day, or 40 mg/kg/day. Compounds of Formula I may also be administered to a human patient at a dose of, for example, between 0.1 mg and 1000 mg, between 5 mg and 80 mg, or less than 1.0, 9.0, 12.0, 20.0, 50.0, 75.0, 100, 300, 400, 500, 800, 1000, 2000, 5000 mg per day. In certain embodiments, the compositions herein are administered at an amount that is less than 95%, 90%, 80%, 70%, 60%, 50%, 40%, 30%, 20%, or 10% of the compound of formula I required for the same therapeutic benefit.
[0044] An effective amount of the compounds of formula I described herein refers to the amount of one of said salts or compositions which is capable of inhibiting or preventing a disease.
[0045] An effective amount may be sufficient to prohibit, treat, alleviate, ameliorate, halt, restrain, slow or reverse the progression, or reduce the severity of a complication resulting from nerve damage or demyelization and/or elevated reactive oxidative-nitrosative species and/or abnormalities in physiological homeostasis's, in patients who are at risk for such complications. As such, these methods include both medical therapeutic (acute) and/or prophylactic (prevention) administration as appropriate. The amount and timing of compositions administered will, of course, be dependent on the subject being treated, on the severity of the affliction, on the manner of administration and on the judgment of the prescribing physician. Thus, because of patient-to-patient variability, the dosages given above are a guideline and the physician may titrate doses of the drug to achieve the treatment that the physician considers appropriate for the patient. In considering the degree of treatment desired, the physician must balance a variety of factors such as age of the patient, presence of preexisting disease, as well as presence of other diseases.
[0046] The compositions provided by this application may be administered to a subject in need of treatment by a variety of conventional routes of administration, including orally, topically, parenterally, e.g., intravenously, subcutaneously or intramedullary. Further, the compositions may be administered intranasally, as a rectal suppository, or using a "flash" formulation, i.e., allowing the medication to dissolve in the mouth without the need to use water. Furthermore, the compositions may be administered to a subject in need of treatment by controlled release dosage forms, site specific drug delivery, transdermal drug delivery, patch (active/passive) mediated drug delivery, by stereotactic injection, or in nanoparticles.
[0047] The compositions may be administered alone or in combination with pharmaceutically acceptable carriers, vehicles or diluents, in either single or multiple doses. Suitable pharmaceutical carriers, vehicles and diluents include inert solid diluents or fillers, sterile aqueous solutions and various organic solvents. The pharmaceutical compositions
formed by combining the compositions and the pharmaceutically acceptable carriers, vehicles or diluents are then readily administered in a variety of dosage forms such as tablets, powders, lozenges, syrups, injectable solutions and the like. These pharmaceutical compositions can, if desired, contain additional ingredients such as flavorings, binders, excipients and the like. Thus, for purposes of oral administration, tablets containing various excipients such as L-arginine, sodium citrate, calcium carbonate and calcium phosphate may be employed along with various disintegrates such as starch, alginic acid and certain complex silicates, together with binding agents such as polyvinylpyrrolidone, sucrose, gelatin and acacia. Additionally, lubricating agents such as magnesium stearate, sodium lauryl sulfate and talc are often useful for tabletting purposes. Solid compositions of a similar type may also be employed as fillers in soft and hard filled gelatin capsules. Appropriate materials for this include lactose or milk sugar and high molecular weight polyethylene glycols. When aqueous suspensions or elixirs are desired for oral administration, the essential active ingredient therein may be combined with various sweetening or flavoring agents, coloring matter or dyes and, if desired, emulsifying or suspending agents, together with diluents such as water, ethanol, propylene glycol, glycerin and combinations thereof. The compounds of formula I may also comprise enterically coated comprising of various excipients, as is well known in the pharmaceutical art.
[0048] For parenteral administration, solutions of the compositions may be prepared in (for example) sesame or peanut oil, aqueous propylene glycol, or in sterile aqueous solutions may be employed. Such aqueous solutions should be suitably buffered if necessary and the liquid diluent first rendered isotonic with sufficient saline or glucose. These particular aqueous solutions are especially suitable for intravenous, intramuscular, subcutaneous and intraperitoneal administration. In this connection, the sterile aqueous media employed are all readily available by standard techniques known to those skilled in the art.
[0049] The formulations, for instance tablets, may contain e.g. 10 to 100, 50 to 250, 150 to 500 mg, or 350 to 800 mg e.g. 10, 50, 100, 300, 500, 700, 800 mg of the compounds of
formula I disclosed herein, for instance, compounds of formula I or pharmaceutical acceptable salts of a compounds of Formula I.
[0050] Generally, a composition as described herein may be administered orally, or parenterally (e.g., intravenous, intramuscular, subcutaneous or intramedullary). Topical administration may also be indicated, for example, where the patient is suffering from gastrointestinal disorder that prevent oral administration, or whenever the medication is best applied to the surface of a tissue or organ as determined by the attending physician. Localized administration may also be indicated, for example, when a high dose is desired at the target tissue or organ. For buccal administration the active composition may take the form of tablets or lozenges formulated in a conventional manner.
[0051] The dosage administered will be dependent upon the identity of the metabolic disease; the type of host involved, including its age, health and weight; the kind of concurrent treatment, if any; the frequency of treatment and therapeutic ratio.
[0052] Illustratively, dosage levels of the administered active ingredients are: intravenous, 0.1 to about 200 mg/kg; intramuscular, 1 to about 500 mg/kg; orally, 5 to about 1000 mg/kg; intranasal instillation, 5 to about 1000 mg/kg; and aerosol, 5 to about 1000 mg/kg of host body weight.
[0053] Expressed in terms of concentration, an active ingredient can be present in the compositions of the present invention for localized use about the cutis, intranasally, pharyngolaryngeally, bronchially, intravaginally, rectally, or ocularly in a concentration of from about 0.01 to about 50% w/w of the composition; preferably about 1 to about 20% w/w of the composition; and for parenteral use in a concentration of from about 0.05 to about 50% w/v of the composition and preferably from about 5 to about 20% w/v.
[0054] The compositions of the present invention are preferably presented for administration to humans and animals in unit dosage forms, such as tablets, capsules, pills, powders, granules, suppositories, sterile parenteral solutions or suspensions, sterile non-parenteral
solutions of suspensions, and oral solutions or suspensions and the like, containing suitable quantities of an active ingredient. For oral administration either solid or fluid unit dosage forms can be prepared.
[0055] As discussed above, the tablet core contains one or more hydrophilic polymers. Suitable hydrophilic polymers include, but are not limited to, water swellable cellulose derivatives, polyalkylene glycols, thermoplastic polyalkylene oxides, acrylic polymers, hydrocolloids, clays, gelling starches, swelling cross-linked polymers, and mixtures thereof. Examples of suitable water swellable cellulose derivatives include, but are not limited to, sodium carboxymethylcellulose, cross-linked hydroxypropylcellulose, hydroxypropyl cellulose (HPC), hydroxypropylmethylcellulose (HPMC), hydroxyisopropylcellulose, hydroxybutylcellulose, hydroxyphenylcellulose, hydroxyethylcellulose (HEC), hydroxypentylcellulose, hydroxypropylethylcellulose, hydroxypropylbutylcellulose, and hydroxypropylethylcellulose, and mixtures thereof. Examples of suitable polyalkylene glycols include, but are not limited to, polyethylene glycol. Examples of suitable thermoplastic polyalkylene oxides include, but are not limited to, poly(ethylene oxide). Examples of suitable acrylic polymers include, but are not limited to, potassium methacrylatedivinylbenzene copolymer, polymethylmethacrylate, high-molecular weight crosslinked acrylic acid homopolymers and copolymers such as those commercially available from Noveon Chemicals under the tradename CARBOPOL™. Examples of suitable hydrocolloids include, but are not limited to, alginates, agar, guar gum, locust bean gum, kappa carrageenan, iota carrageenan, tara, gum arabic, tragacanth, pectin, xanthan gum, gellan gum, maltodextrin, galactomannan, pusstulan, laminarin, scleroglucan, gum arabic, inulin, pectin, gelatin, whelan, rhamsan, zooglan, methylan, chitin, cyclodextrin, chitosan, and mixtures thereof. Examples of suitable clays include, but are not limited to, smectites such as bentonite, kaolin, and laponite; magnesium trisilicate; magnesium aluminum silicate; and mixtures thereof. Examples of suitable gelling starches include, but are not limited to, acid hydrolyzed starches, swelling starches such as sodium starch glycolate and derivatives thereof, and mixtures thereof. Examples of suitable swelling cross-linked polymers include,
but are not limited to, cross-linked polyvinyl pyrrolidone, cross-linked agar, and cross-linked carboxymethylcellulose sodium, and mixtures thereof.
[0056] The carrier may contain one or more suitable excipients for the formulation of tablets. Examples of suitable excipients include, but are not limited to, fillers, adsorbents, binders, disintegrants, lubricants, glidants, release-modifying excipients, superdisintegrants, antioxidants, and mixtures thereof.
[0057] Suitable binders include, but are not limited to, dry binders such as polyvinyl pyrrolidone and hydroxypropylmethylcellulose; wet binders such as water-soluble polymers, including hydrocolloids such as acacia, alginates, agar, guar gum, locust bean, carrageenan, carboxymethylcellulose, tara, gum arabic, tragacanth, pectin, xanthan, gellan, gelatin, maltodextrin, galactomannan, pusstulan, laminarin, scleroglucan, inulin, whelan, rhamsan, zooglan, methylan, chitin, cyclodextrin, chitosan, polyvinyl pyrrolidone, cellulosics, sucrose, and starches; and mixtures thereof. Suitable disintegrants include, but are not limited to, sodium starch glycolate, cross-linked polyvinylpyrrolidone, cross-linked carboxymethylcellulose, starches, microcrystalline cellulose, and mixtures thereof.
[0058] Suitable lubricants include, but are not limited to, long chain fatty acids and their salts, such as magnesium stearate and stearic acid, talc, glycerides waxes, and mixtures thereof. Suitable glidants include, but are not limited to, colloidal silicon dioxide. Suitable release-modifying excipients include, but are not limited to, insoluble edible materials, pH- dependent polymers, and mixtures thereof.
[0059] Suitable insoluble edible materials for use as release-modifying excipients include, but are not limited to, water-insoluble polymers and low-melting hydrophobic materials, copolymers thereof, and mixtures thereof. Examples of suitable water-insoluble polymers include, but are not limited to, ethylcellulose, polyvinyl alcohols, polyvinyl acetate, polycaprolactones, cellulose acetate and its derivatives, acrylates, methacrylates, acrylic acid copolymers, copolymers thereof, and mixtures thereof. Suitable low-melting hydrophobic materials include, but are not limited to, fats, fatty acid esters, phospholipids, waxes, and
mixtures thereof. Examples of suitable fats include, but are not limited to, hydrogenated vegetable oils such as for example cocoa butter, hydrogenated palm kernel oil, hydrogenated cottonseed oil, hydrogenated sunflower oil, and hydrogenated soybean oil, free fatty acids and their salts, and mixtures thereof. Examples of suitable fatty acid esters include, but are not limited to, sucrose fatty acid esters, mono-, di-, and triglycerides, glyceryl behenate, glyceryl palmitostearate, glyceryl monostearate, glyceryl tristearate, glyceryl trilaurylate, glyceryl myristate, GlycoWax-932, lauroyl macrogol-32 glycerides, stearoyl macrogol-32 glycerides, and mixtures thereof. Examples of suitable phospholipids include phosphotidyl choline, phosphotidyl serene, phosphotidyl enositol, phosphotidic acid, and mixtures thereof. Examples of suitable waxes include, but are not limited to, carnauba wax, spermaceti wax, beeswax, candelilla wax, shellac wax, microcrystalline wax, and paraffin wax; fat-containing mixtures such as chocolate, and mixtures thereof. Examples of super disintegrants include, but are not limited to, croscarmellose sodium, sodium starch glycolate and cross-linked povidone (crospovidone). In one embodiment the tablet core contains up to about 5 percent by weight of such super disintegrant.
[0060] Examples of antioxidants include, but are not limited to, tocopherols, ascorbic acid, sodium pyrosulfite, butylhydroxytoluene, butylated hydroxyanisole, edetic acid, and edetate salts, and mixtures thereof. Examples of preservatives include, but are not limited to, citric acid, tartaric acid, lactic acid, malic acid, acetic acid, benzoic acid, and sorbic acid, and mixtures thereof.
[0061] In one embodiment, the immediate release coating has an average thickness of at least 50 microns, such as from about 50 microns to about 2500 microns; e.g., from about 250 microns to about 1000 microns. In embodiment, the immediate release coating is typically compressed at a density of more than about 0.9 g/cc, as measured by the weight and volume of that specific layer.
[0062] In one embodiment, the immediate release coating contains a first portion and a second portion, wherein at least one of the portions contains the second pharmaceutically
active agent. In one embodiment, the portions contact each other at a center axis of the tablet. In one embodiment, the first portion includes the first pharmaceutically active agent and the second portion includes the second pharmaceutically active agent.
[0063] In one embodiment, the first portion contains the first pharmaceutically active agent and the second portion contains the second pharmaceutically active agent. In one embodiment, one of the portions contains a third pharmaceutically active agent. In one embodiment one of the portions contains a second immediate release portion of the same pharmaceutically active agent as that contained in the tablet core.
[0064] In one embodiment, the outer coating portion is prepared as a dry blend of materials prior to addition to the coated tablet core. In another embodiment the outer coating portion is included of a dried granulation including the pharmaceutically active agent.
[0065] Formulations with different drug release mechanisms described above could be combined in a final dosage form containing single or multiple units. Examples of multiple units include multilayer tablets, capsules containing tablets, beads, or granules in a solid or liquid form. Typical, immediate release formulations include compressed tablets, gels, films, coatings, liquids and particles that can be encapsulated, for example, in a gelatin capsule. Many methods for preparing coatings, covering or incorporating drugs, are known in the art.
[0066] The immediate release dosage, unit of the dosage form, i.e., a tablet, a plurality of drug-containing beads, granules or particles, or an outer layer of a coated core dosage form, contains a therapeutically effective quantity of the active agent with conventional pharmaceutical excipients. The immediate release dosage unit may or may not be coated, and may or may not be admixed with the delayed release dosage unit or units (as in an encapsulated mixture of immediate release drug-containing granules, particles or beads and delayed release drug-containing granules or beads).
[0067] Extended release formulations are generally prepared as diffusion or osmotic systems, for example, as described in "Remington— The Science and Practice of Pharmacy", 20th.
Ed., Lippincott Williams & Wilkins, Baltimore, Md., 2000). A diffusion system typically consists of one of two types of devices, reservoir and matrix, which are wellknown and described in die art. The matrix devices are generally prepared by compressing the drug with a slowly dissolving polymer carrier into a tablet form.
[0068] An immediate release portion can be added to the extended release system by means of either applying an immediate release layer on top of the extended release core; using coating or compression processes or in a multiple unit system such as a capsule containing extended and immediate release beads.
[0069] Delayed release dosage formulations are created by coating a solid dosage form with a film of a polymer which is insoluble in the acid environment of the stomach, but soluble in the neutral environment of small intestines. The delayed release dosage units can be prepared, for example, by coating a drug or a drug-containing composition with a selected coating material. The drug-containing composition may be a tablet for incorporation into a capsule, a tablet for use as an inner core in a "coated core" dosage form, or a plurality of drug-containing beads, particles or granules, for incorporation into either a tablet or capsule.
[0070] A pulsed release dosage form is one that mimics a multiple dosing profile without repeated dosing and typically allows at least a twofold reduction in dosing frequency as compared to the drug presented as a conventional dosage form (e.g., as a solution or prompt drug-releasing, conventional solid dosage form). A pulsed release profile is characterized by a time period of no release (lag time) or reduced release followed by rapid drug release.
[0071] Each dosage form contains a therapeutically effective amount of active agent. In one embodiment of dosage forms that mimic a twice daily dosing profile, approximately 30 wt. % to 70 wt. , preferably 40 wt. % to 60 wt. , of the total amount of active agent in the dosage form is released in the initial pulse, and, correspondingly approximately 70 wt. % to 3.0 wt. , preferably 60 wt. % to 40 wt. , of the total amount of active agent in the dosage form is released in the second pulse. For dosage forms mimicking the twice daily dosing
profile, the second pulse is preferably released approximately 3 hours to less than 14 hours, and more preferably approximately 5 hours to 12 hours, following administration.
[0072] Another dosage form contains a compressed tablet or a capsule having a drug- containing immediate release dosage unit, a delayed release dosage unit and an optional second delayed release dosage unit. In this dosage form, the immediate release dosage unit contains a plurality of beads, granules particles that release drug substantially immediately following oral administration to provide an initial dose. The delayed release dosage unit contains a plurality of coated beads or granules, which release drug approximately 3 hours to 14 hours following oral administration to provide a second dose.
[0073] For purposes of transdermal (e.g., topical) administration, dilute sterile, aqueous or partially aqueous solutions (usually in about 0.1% to 5% concentration), otherwise similar to the above parenteral solutions, may be prepared.
[0074] Methods of preparing various pharmaceutical compositions with a certain amount of one or more compounds of formula I or other active agents are known, or will be apparent in light of this disclosure, to those skilled in this art. For examples of methods of preparing pharmaceutical compositions, see Remington's Pharmaceutical Sciences, Mack Publishing Company, Easton, Pa., 19th Edition (1995).
[0075] In addition, in certain embodiments, subject compositions of the present application maybe lyophilized or subjected to another appropriate drying technique such as spray drying. The subject compositions may be administered once, or may be divided into a number of smaller doses to be administered at varying intervals of time, depending in part on the release rate of the compositions and the desired dosage.
[0076] Formulations useful in the methods provided herein include those suitable for oral, nasal, topical (including buccal and sublingual), rectal, vaginal, aerosol and/or parenteral administration. The formulations may conveniently be presented in unit dosage form and may be prepared by any methods well known in the art of pharmacy. The amount of a
subject composition which may be combined with a carrier material to produce a single dose may vary depending upon the subject being treated, and the particular mode of administration.
[0077] Methods of preparing these formulations or compositions include the step of bringing into association subject compositions with the carrier and, optionally, one or more accessory ingredients. In general, the formulations are prepared by uniformly and intimately bringing into association a subject composition with liquid carriers, or finely divided solid carriers, or both, and then, if necessary, shaping the product.
[0078] The compounds of formula I described herein may be administered in inhalant or aerosol formulations. The inhalant or aerosol formulations may comprise one or more agents, such as adjuvants, diagnostic agents, imaging agents, or therapeutic agents useful in inhalation therapy. The final aerosol formulation may for example contain 0.005-90% w/w, for instance 0.005-50%, 0.005-5% w/w, or 0.01-1.0% w/w, of medicament relative to the total weight of the formulation.
[0079] In solid dosage forms for oral administration (capsules, tablets, pills, dragees, powders, granules and the like), the subject composition is mixed with one or more pharmaceutically acceptable carriers and/or any of the following: (1) fillers or extenders, such as starches, lactose, sucrose, glucose, mannitol, and/or silicic acid; (2) binders, such as, for example, carboxymethylcellulose, alginates, gelatin, polyvinyl pyrrolidone, sucrose and/or acacia; (3) humectants, such as glycerol; (4) disintegrating agents, such as agar-agar, calcium carbonate, potato or tapioca starch, alginic acid, certain silicates, and sodium carbonate; (5) solution retarding agents, such as paraffin; (6) absorption accelerators, such as quaternary ammonium compounds; (7) wetting agents, such as, for example, acetyl alcohol and glycerol monostearate; (8) absorbents, such as kaolin and bentonite clay; (9) lubricants, such a talc, calcium stearate, magnesium stearate, solid polyethylene glycols, sodium lauryl sulfate, and mixtures thereof; and (10) coloring agents. In the case of capsules, tablets and pills, the pharmaceutical compositions may also comprise buffering agents. Solid compositions of a similar type may also be employed as fillers in soft and hard-filled gelatin
capsules using lactose or milk sugars, as well as high molecular weight polyethylene glycols and the like.
[0080] Liquid dosage forms for oral administration include pharmaceutically acceptable emulsions, microemulsions, solutions, suspensions, syrups and elixirs. In addition to the subject compositions, the liquid dosage forms may contain inert diluents commonly used in the art, such as, for example, water or other solvents, solubilizing agents and emulsifiers, such as ethyl alcohol, isopropyl alcohol, ethyl carbonate, ethyl acetate, benzyl alcohol, benzyl benzoate, propylene glycol, 1,3-butylene glycol, oils (in particular, cottonseed, corn, peanut, sunflower, soybean, olive, castor, and sesame oils), glycerol, tetrahydrofuryl alcohol, polyethylene glycols and fatty acid esters of sorbitan, and mixtures thereof.
[0081] Suspensions, in addition to the subject compositions, may contain suspending agents such as, for example, ethoxylated isostearyl alcohols, polyoxyethylene sorbitol, and sorbitan esters, microcrystalline cellulose, aluminum metahydroxide, bentonite, agar-agar and tragacanth, and mixtures thereof.
[0082] Formulations for rectal or vaginal administration may be presented as a suppository, which may be prepared by mixing a subject composition with one or more suitable non-irritating carriers comprising, for example, cocoa butter, polyethylene glycol, a suppository wax, or a salicylate, and which is solid at room temperature, but liquid at body temperature and, therefore, will melt in the appropriate body cavity and release the encapsulated compound(s) and composition(s). Formulations which are suitable for vaginal administration also include pessaries, tampons, creams, gels, pastes, foams, or spray formulations containing such carriers as are known in the art to be appropriate.
[0083] Dosage forms for transdermal administration include powders, sprays, ointments, pastes, creams, lotions, gels, solutions, patches, and inhalants. A subject composition may be mixed under sterile conditions with a pharmaceutically acceptable carrier, and with any preservatives, buffers, or propellants that may be required. For transdermal administration,
the complexes may include lipophilic and hydrophilic groups to achieve the desired water solubility and transport properties.
[0084] The ointments, pastes, creams and gels may contain, in addition to subject compositions, other carriers, such as animal and vegetable fats, oils, waxes, paraffins, starch, tragacanth, cellulose derivatives, polyethylene glycols, silicones, bentonites, silicic acid, talc and zinc oxide, or mixtures thereof. Powders and sprays may contain, in addition to a subject composition, excipients such as lactose, talc, silicic acid, aluminum hydroxide, calcium silicates and polyamide powder, or mixtures of such substances. Sprays may additionally contain customary propellants, such as chlorofluorohydrocarbons and volatile unsubstituted hydrocarbons, such as butane and propane.
[0085] Methods of delivering a composition or compositions via a transdermal patch are known in the art. Exemplary patches and methods of patch delivery are described in US Patent Nos. 6,974,588, 6,564,093, 6,312,716, 6,440,454, 6,267,983, 6,239,180, and 6,103,275.
[0086] In another embodiment, a transdermal patch may comprise: a substrate sheet comprising a composite film formed of a resin composition comprising 100 parts by weight of a polyvinyl chloride-polyurethane composite and 2-10 parts by weight of a styrene- ethylene-butylene-styrene copolymer, a first adhesive layer on the one side of the composite film, and a polyalkylene terephthalate film adhered to the one side of the composite film by means of the first adhesive layer, a primer layer which comprises a saturated polyester resin and is formed on the surface of the polyalkylene terephthalate film; and a second adhesive layer comprising a styrene-diene-styrene block copolymer containing a pharmaceutical agent layered on the primer layer. A method for the manufacture of the above-mentioned substrate sheet comprises preparing the above resin composition molding the resin composition into a composite film by a calendar process, and then adhering a polyalkylene terephthalate film on one side of the composite film by means of an adhesive layer thereby forming the substrate
sheet, and forming a primer layer comprising a saturated polyester resin on the outer surface of the polyalkylene terephthalate film.
[0087] Another type of patch comprises incorporating the drug directly in a pharmaceutically acceptable adhesive and laminating the drug-containing adhesive onto a suitable backing member, e.g. a polyester backing membrane. The drug should be present at a concentration which will not affect the adhesive properties, and at the same time deliver the required clinical dose.
[0088] Transdermal patches may be passive or active. Passive transdermal drug delivery systems currently available, such as the nicotine, estrogen and nitroglycerine patches, deliver small-molecule drugs. Many of the newly developed proteins and peptide drugs are too large to be delivered through passive transdermal patches and may be delivered using technology such as electrical assist (iontophoresis) for large-molecule drugs.
[0089] Iontophoresis is a technique employed for enhancing the flux of ionized substances through membranes by application of electric current. One example of an iontophoretic membrane is given in U.S. Pat. No. 5,080,646 to Theeuwes. The principal mechanisms by which iontophoresis enhances molecular transport across the skin are (a) repelling a charged ion from an electrode of the same charge, (b) electroosmosis, the convective movement of solvent that occurs through a charged pore in response the preferential passage of counter- ions when an electric field is applied or (c) increase skin permeability due to application of electrical current.
[0090] In some cases, it may be desirable to administer in the form of a kit, it may comprise a container for containing the separate compositions such as a divided bottle or a divided foil packet. Typically the kit comprises directions for the administration of the separate components. The kit form is particularly advantageous when the separate components are preferably administered in different dosage forms (e.g., oral and parenteral),
are administered at different dosage intervals, or when titration of the individual components of the combination is desired by the prescribing physician.
[0091] An example of such a kit is a so-called blister pack. Blister packs are well known in the packaging industry and are widely used for the packaging of pharmaceutical unit dosage forms (tablets, capsules, and the like). Blister packs generally consist of a sheet of relatively stiff material covered with a foil of a plastic material that may be transparent.
[0092] Methods and compositions for the treatment of acute inflammation. Among other things, herein is provided a method of treating acute inflammation, comprising administering to a patient in need thereof a therapeutically effective amount of compound of Formula I:
Formula I
and pharmaceutically acceptable salts, hydrates, solvates, prodrugs, enantiomers, and stereoisomers thereof;
[0093] Wherein,
R1 independently represents H, D, CH3CO-, acetyl, CD3CO-, null,
n is independently 1, 2, 3, 4 or 5;
a is independently 2,3 or 7;
each b is independently 3, 5 or 6;
e is independently 1, 2 or 6;
c and d are each independently H, D, -OH, -OD, Ci-C6-alkyl, -NH2 or -COCH3.
Methods for using compounds of formula I:
[0094] The invention also includes methods for treating inflammation, acute or chronic inflammatory conditions, reducing the growth of polyps and precancerous lesions in the colon, especially in association with familial adenomatous polyposis, cancer, Alzheimer's disease, pain, infiltration, nerve block, epidural, intrathecal anesthesia, pain, severe pain, chronic pain, chemotherapy induced pain, neuropathic pain, post herpetic neuralgia, neuralgia, motor neurone disease, diabetic neuropathy, postherpetic neuralgia, injury, postoperative pain, osteoarthritis, rheumatoid arthritis, multiple sclerosis, spinal cord injury,
migraine, HIV related neuropathic pain, cancer pain and lower back pain and inflammation related diseases.
METHODS OF MAKING
[0095] Examples of synthetic pathways useful for making compounds of formula I are set forth in example below and generalized in scheme 1 :
Scheme-1:
[0096] Step-1: Synthesis of compound 3:
[0097] Tert-Butyl phenyl carbonate (64.62 g, 61.6 mL, 0.33 mol) was added to a solution of 1,2- ethanediamine (20.0 g, 22.3 mL, 0.33 mol) in absolute ethanol (200 mL) in a 500mL, single-necked, round-bottomed flask equipped with a stirring bar and a reflux condenser. The reaction mixture was heated gently to reflux overnight (18 hrs) ensuring that the temperature of the oil bath was at a maximum of 80°C resulting in a yellow solution. The reaction mixture was cooled to room temperature and the solution was concentrated to approximately 150mL using a rotary evaporator (20°C, 20mmHg), which leaves a yellow solution. Water (300 mL) was added and the pH was adjusted to approximately 3.0 by careful addition of aqueous HC1 (2M, approximately 110 mL) followed by extraction with CH2CI2 (3 x 400 mL). The aqueous phase was adjusted to pH 12 by addition of aqueous NaOH (2M, 150 mL) and extracted with CH2Cl2 (5 x 500 mL). The combined organic extracts are dried over Na2S04, filtered and concentrated using a rotary evaporator (20 °C, 20 mmHg) to afford 27.0 g (51 ) of the title compound as yellow oil. -2: Synthesis of compound 4:
4
[0099] To a stirred solution of eicosapentaenoic acid in DMF (10.0 vol), DIEA (3.0 eq), HOAt (1.0 eq) and HATU (1.0 eq) were added at room temperature and stirred for 30.0 minutes, then Compound-3 was added slowly to it and stirred for 2.0 hrs. Reaction was monitored by TLC. On completion of the reaction, the solvent was removed in vacuo and the crude was diluted with water and extracted twice with DCM. The organic layer was washed with water followed by brine and dried over anhydrous Na2S04 and evaporated under reduced pressure (yield 75%).
[00100] Step-3: Synthesis of compound 5:
[00101] The compound 4 was dissolved in 1 :1 trifluoroacetic acid: water (20.0 Vol) and stirred at room temperature until complete by TLC (usually <2 hrs). The solution was concentrated invacuo and purified by flash chromatography (Si02) to yield compound -5 (yield: 90%).
[00102] Step-4: Synthesis of compound 6:
[00103] To a stirred solution of Sulindac in DMF (10.0 vol), DIEA(3.0 eq), HOAtQ.O eq) and HATU(1.0 eq) were added at room temperature and stirred for 30.0 minutes, then compound-5 was added slowly to it and stirred for 2.0 hrs. Reaction was monitored by TLC. On completion of the reaction, the solvent was removed in vacuo and the crude was diluted with water and extracted twice with DCM. The organic layer was washed with water followed by brine and dried over anhydrous Na2S04 and evaporated under reduced pressure
to yield the final product compound 6 (Yield: 75%). Mol.Formula: C42H5iN203SF ; Mol. Wt.: 682.93.
[00104] The term "sample" refers to a sample of a body fluid, to a sample of separated cells or to a sample from a tissue or an organ. Samples of body fluids can be obtained by well known techniques and include, preferably, samples of blood, plasma, serum, or urine, more preferably, samples of blood, plasma or serum. Tissue or organ samples may be obtained from any tissue or organ by, e.g., biopsy. Separated cells may be obtained from the body fluids or the tissues or organs by separating techniques such as centrifugation or cell sorting. Preferably, cell-, tissue- or organ samples are obtained from those cells, tissues or organs which express or produce the peptides referred to herein.
EQUIVALENTS
[00105] The present disclosure provides among other things compositions and methods for treating acute inflammation and their complications. While specific embodiments of the subject disclosure have been discussed, the above specification is illustrative and not restrictive. Many variations of the systems and methods herein will become apparent to those skilled in the art upon review of this specification. The full scope of the claimed systems and methods should be determined by reference to the claims, along with their full scope of equivalents, and the specification, along with such variations.
INCORPORATION BY REFERENCE
[00106] All publications and patents mentioned herein, including those items listed above, are hereby incorporated by reference in their entirety as if each individual publication or patent was specifically and individually indicated to be incorporated by reference. In case of conflict, the present application, including any definitions herein, will control.
Claims
1. A compound of formula I:
Formula I
and pharmaceutically acceptable salts, hydrates, solvates, prodrugs, enantiomers, and stereoisomers thereof;
Wherein,
R1 independently represents H, D, CH3CO-, acetyl, CD3CO-, null,
n is independently 1, 2, 3, 4 or 5;
a is independently 2,3 or 7;
each b is independently 3, 5 or 6;
e is independently 1, 2 or 6;
c and d are each independently H, D, -OH, -OD, Ci-C6-alkyl, -NH2 or -COCH3.
2. A Pharmaceutical composition comprising a compound of claim 1 and a pharmaceutically acceptable carrier.
The pharmaceutical composition of claim 2, which is formulated to treat the underlying etiology with an effective amount administering the patient in need by oral administration, delayed release or sustained release, transmucosal, syrup, topical, parenteral administration, injection, subdermal, oral solution, rectal administration, buccal administration or transdermal administration.
A method of treating acute inflammation related diseases as the underlying etiology, the method comprising administering to a patient in need thereof an effective amount of claim 3.
5. The method of claim 4, wherein the acute inflammation as the underlying etiology is selected from neuropathy, polyps and precancerous lesions in the colon, especially in association with familial adenomatous polyposis, cancer, Alzheimer's disease and pain.
6. A pharmaceutical composition comprising a molecular conjugate of sulindac and R- Lipoic acid.
7. A pharmaceutical composition comprising a molecular conjugate of sulindac and eicosapentaenoic acid.
8. A pharmaceutical composition comprising a molecular conjugate of sulindac and docosahexaenoic acid.
9. A pharmaceutical composition comprising a molecular conjugate of sulindac and salsalate.
10. A pharmaceutical composition comprising a molecular conjugate of sulindac and acetylsalicylic acid.
11. A pharmaceutical composition comprising a molecular conjugate of sulindac and pantothenic acid.
12. A pharmaceutical composition comprising a molecular conjugate of sulindac and pyridoxamine.
Applications Claiming Priority (2)
| Application Number | Priority Date | Filing Date | Title |
|---|---|---|---|
| IN4578CH2012 | 2012-11-02 | ||
| IN4578/CHE/2012 | 2012-11-02 |
Publications (2)
| Publication Number | Publication Date |
|---|---|
| WO2014068461A2 true WO2014068461A2 (en) | 2014-05-08 |
| WO2014068461A3 WO2014068461A3 (en) | 2014-12-24 |
Family
ID=50628193
Family Applications (1)
| Application Number | Title | Priority Date | Filing Date |
|---|---|---|---|
| PCT/IB2013/059648 Ceased WO2014068461A2 (en) | 2012-11-02 | 2013-10-25 | Compositions and methods for the treatment of acute inflammation |
Country Status (1)
| Country | Link |
|---|---|
| WO (1) | WO2014068461A2 (en) |
Cited By (2)
| Publication number | Priority date | Publication date | Assignee | Title |
|---|---|---|---|---|
| CN110167548A (en) * | 2016-11-11 | 2019-08-23 | 赛力克斯生物私人有限公司 | Compositions and methods for treating gastrointestinal polyps |
| KR20190111376A (en) * | 2018-03-22 | 2019-10-02 | 경북대학교 산학협력단 | Novel compound, antiinflammatory drug comprising the compound and matrix metalloprotease-9 inhibitor comprising the compound |
Family Cites Families (2)
| Publication number | Priority date | Publication date | Assignee | Title |
|---|---|---|---|---|
| ITMI20051107A1 (en) * | 2005-06-14 | 2005-09-13 | Ctg Pharma S R L | METHOD FOR CANCER TREATMENT |
| NZ569430A (en) * | 2006-01-04 | 2012-05-25 | Southern Res Inst | Derivatives of sulindac, use thereof and preparation thereof |
-
2013
- 2013-10-25 WO PCT/IB2013/059648 patent/WO2014068461A2/en not_active Ceased
Cited By (7)
| Publication number | Priority date | Publication date | Assignee | Title |
|---|---|---|---|---|
| CN110167548A (en) * | 2016-11-11 | 2019-08-23 | 赛力克斯生物私人有限公司 | Compositions and methods for treating gastrointestinal polyps |
| KR20190100178A (en) * | 2016-11-11 | 2019-08-28 | 셀릭스 바이오 프라이빗 리미티드 | Compositions and methods for treating gastrointestinal polyps |
| JP2019535824A (en) * | 2016-11-11 | 2019-12-12 | セリックス バイオ プライベート リミティッド | Compositions and methods for the treatment of gastrointestinal polyps |
| EP3538086A4 (en) * | 2016-11-11 | 2021-01-20 | Cellix Bio Private Limited | COMPOSITIONS AND METHODS OF TREATMENT OF GASTROINTESTINAL POLYPES |
| KR102408871B1 (en) * | 2016-11-11 | 2022-06-15 | 셀릭스 바이오 프라이빗 리미티드 | Compositions and methods for the treatment of gastrointestinal polyps |
| KR20190111376A (en) * | 2018-03-22 | 2019-10-02 | 경북대학교 산학협력단 | Novel compound, antiinflammatory drug comprising the compound and matrix metalloprotease-9 inhibitor comprising the compound |
| KR102068727B1 (en) | 2018-03-22 | 2020-01-21 | 경북대학교 산학협력단 | Novel compound, antiinflammatory drug comprising the compound and matrix metalloprotease-9 inhibitor comprising the compound |
Also Published As
| Publication number | Publication date |
|---|---|
| WO2014068461A3 (en) | 2014-12-24 |
Similar Documents
| Publication | Publication Date | Title |
|---|---|---|
| US9499527B2 (en) | Compositions and methods for the treatment of familial amyloid polyneuropathy | |
| WO2013167993A1 (en) | Compositions and methods for the treatment of neurological degenerative disorders | |
| US9102649B1 (en) | Compositions and methods for the treatment of multiple sclerosis | |
| US9492409B2 (en) | Compositions and methods for the treatment of local pain | |
| WO2014068463A2 (en) | Compositions and methods for the treatment of inflammation and metabolic disorders | |
| US9108942B1 (en) | Compositions and methods for the treatment of moderate to severe pain | |
| WO2015033279A1 (en) | Compositions and methods for the treatment of homocystinuria | |
| US20220162171A1 (en) | Compositions and methods for the treatment of gastrointestinal polyps | |
| US10208014B2 (en) | Compositions and methods for the treatment of neurological disorders | |
| US10774059B2 (en) | Compositions and methods for the treatment of inflammation | |
| US20150210667A1 (en) | Compositions and methods for the treatment of autonomic and other neurological disorders | |
| AU2013257710B2 (en) | Compositions and methods for the treatment of neurological disorders | |
| WO2014068506A2 (en) | Compositions and methods for the treatment of autoimmune diseases | |
| WO2014068461A2 (en) | Compositions and methods for the treatment of acute inflammation | |
| US9403857B2 (en) | Compositions and methods for the treatment of metabolic syndrome | |
| WO2015028976A2 (en) | Compounds and methods for the treatment of inflammatory diseases | |
| WO2014118649A2 (en) | Compositions and methods for the treatment of cardiovascular diseases | |
| WO2014195810A2 (en) | Compositions and methods for the treatment of diabetes and pre-diabetes | |
| US9309233B2 (en) | Compositions and methods for the treatment of blood clotting disorders | |
| US20150087670A1 (en) | Compositions and methods for the treatment of respiratory disorders | |
| US20150152057A1 (en) | Compositions and methods for the treatment of neurologic diseases | |
| US20190023660A1 (en) | Compositions and methods for the treatment of parkinson's disease | |
| WO2017208088A2 (en) | Compositions and methods for the treatment of parkinson's disease | |
| US9266823B2 (en) | Compositions and methods for the treatment of parkinson's disease | |
| US9303038B2 (en) | Compositions and methods for the treatment of epilepsy and neurological diseases |
Legal Events
| Date | Code | Title | Description |
|---|---|---|---|
| 121 | Ep: the epo has been informed by wipo that ep was designated in this application |
Ref document number: 13852313 Country of ref document: EP Kind code of ref document: A2 |
|
| 122 | Ep: pct application non-entry in european phase |
Ref document number: 13852313 Country of ref document: EP Kind code of ref document: A2 |






































