WO2014066653A1 - Ketorolac-containing sustained release intraocular drug delivery systems - Google Patents
Ketorolac-containing sustained release intraocular drug delivery systems Download PDFInfo
- Publication number
- WO2014066653A1 WO2014066653A1 PCT/US2013/066637 US2013066637W WO2014066653A1 WO 2014066653 A1 WO2014066653 A1 WO 2014066653A1 US 2013066637 W US2013066637 W US 2013066637W WO 2014066653 A1 WO2014066653 A1 WO 2014066653A1
- Authority
- WO
- WIPO (PCT)
- Prior art keywords
- ketorolac
- implant
- eye
- drug delivery
- release
- Prior art date
- Legal status (The legal status is an assumption and is not a legal conclusion. Google has not performed a legal analysis and makes no representation as to the accuracy of the status listed.)
- Ceased
Links
- JWMGWJHHFXCAII-UHFFFAOYSA-N CC(C(N)=O)OC(C(C)ON)=O Chemical compound CC(C(N)=O)OC(C(C)ON)=O JWMGWJHHFXCAII-UHFFFAOYSA-N 0.000 description 1
Classifications
-
- A—HUMAN NECESSITIES
- A61—MEDICAL OR VETERINARY SCIENCE; HYGIENE
- A61K—PREPARATIONS FOR MEDICAL, DENTAL OR TOILETRY PURPOSES
- A61K31/00—Medicinal preparations containing organic active ingredients
- A61K31/33—Heterocyclic compounds
- A61K31/395—Heterocyclic compounds having nitrogen as a ring hetero atom, e.g. guanethidine or rifamycins
- A61K31/40—Heterocyclic compounds having nitrogen as a ring hetero atom, e.g. guanethidine or rifamycins having five-membered rings with one nitrogen as the only ring hetero atom, e.g. sulpiride, succinimide, tolmetin, buflomedil
- A61K31/407—Heterocyclic compounds having nitrogen as a ring hetero atom, e.g. guanethidine or rifamycins having five-membered rings with one nitrogen as the only ring hetero atom, e.g. sulpiride, succinimide, tolmetin, buflomedil condensed with other heterocyclic ring systems, e.g. ketorolac, physostigmine
-
- A—HUMAN NECESSITIES
- A61—MEDICAL OR VETERINARY SCIENCE; HYGIENE
- A61K—PREPARATIONS FOR MEDICAL, DENTAL OR TOILETRY PURPOSES
- A61K9/00—Medicinal preparations characterised by special physical form
- A61K9/0012—Galenical forms characterised by the site of application
- A61K9/0048—Eye, e.g. artificial tears
- A61K9/0051—Ocular inserts, ocular implants
Definitions
- Ketorolac is a chiral nonsteroidal anti-inflammatory drug (NSAID) and a potent non-narcotic analgesic compound with cyclooxygenase (COX) inhibitory activity that has been developed for the treatment of mild to moderately severe post-operative pain.
- NSAID nonsteroidal anti-inflammatory drug
- COX cyclooxygenase
- Ketorolac is typically administered as a racemic mixture of R(+)- and S(-)- enantiomers.
- the anti-inflammatory and analgesic activity of ketorolac resides almost exclusively with the S(-)-enantiomer (Guzman et al., "Absolute Configuration of (- )-5-Benzoyl-l,2-dihydro-3H-pyrrolo [l,2-a]pyrrole-l-carboxylic Acid, the Active
- the present invention relates to intraocular biodegradable implants capable of delivering a therapeutically effective amount of ketorolac to the eye for an extended period (for example, from about one day to about 6 weeks after placement in the eye) thereby reducing ocular inflammation and pain associated with a variety of diseases and events, including surgical trauma such as cataract surgery.
- the present invention provides for biodegradable implants that are sized and configured for placement in the anterior or posterior chamber of the eye during cataract or other ocular surgery. Because the spaces in the anterior and posterior chambers of the eye are limited, large implants must be avoided. However, reducing implant size limits the amount of active drug that may be loaded in the implant, thereby limiting the duration of therapeutic effect.
- the present invention solves this problem by recognizing that selectively loading the implants with the active enantiomer of ketorolac, the S(-)- enantiomer, can enable one to increase the amount of active pharmaceutical in the implant without having to increase the size of the implant beyond what is acceptable for placement in the anterior or posterior chamber. Moreover, by using preparations enriched in the active enantiomer, it may be possible to further reduce the size of the ocular implant needed to provide long-lasting relief from pain and inflammation.
- the present invention describes biodegradable drug delivery systems
- the invention further provides for methods for making these drug delivery systems and for methods of using these systems to reduce and/or prevent ocular inflammation and pain associated with cataract surgery.
- the implants can deliver effective amounts of ketorolac S(-)-enantiomer to those tissues, such as the iris-ciliary body, that may become inflamed following cataract surgery.
- the present invention relates to a sustained release drug delivery system for intraocular use to treat an ocular condition in a patient or for intraarticular use to treat a intraarticular condition in a patient.
- the intraocular drug delivery system comprises or consists of a biodegradable polymer matrix and S(-)-ketorolac free acid, a pharmaceutically acceptable salt of S(-)- ketorolac free acid, or a prodrug of S(-)-ketorolac associated with the polymer matrix.
- the drug delivery system comprises a tromethamine salt of S(-) -ketorolac associated with a biodegradable polymer matrix.
- the drug delivery system comprises an ester or amide prodrug of S(-)-ketorolac associated with a biodegradable polymer matrix.
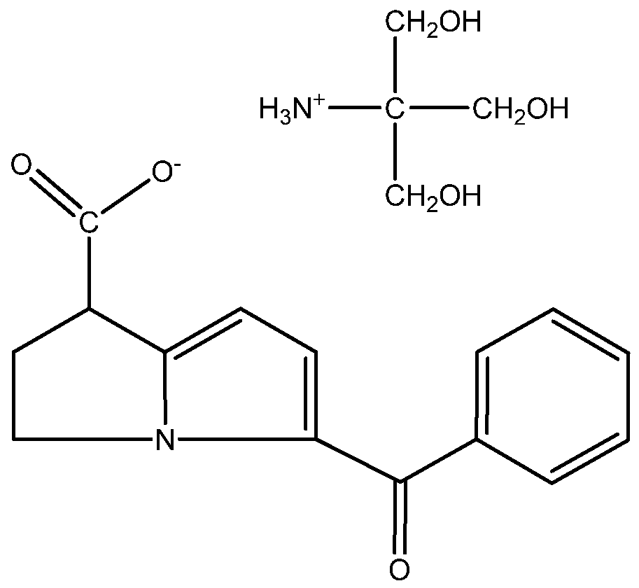
- the tromethamine salt of racemic ketorolac is shown below.
- Ketorolac tromethamine (CAS Registry No. 74103-07-4)
- the ketorolac contained by the drug delivery system is not a racemic mixture but a ketorolac preparation enriched in the S(-)-enantiomer of ketorolac.
- a drug delivery system according to the invention can contain an enantiomeric excess of S(-)-ketorolac relative to R(+)-ketorolac.
- the percent enantiomeric excess of S(-)-ketorolac in the drug delivery system can be from about 1 to about 100%, from about 5 to about 75%, from about 10%> to about 50%>, greater than about 50%, greater than about 75%, greater than about 90%, at least about 95%), at least about 98%>, or greater than about 99%. In other embodiments, the percent enantiomeric excess of S(-)-ketorolac in the drug delivery system is at least about 25%, at least about 50%>, at least about 75%, or at least about 90%.
- the ketorolac present in the drug delivery system consists of S(-)-ketorolac having an enantiomeric purity of at least about 95%, or at least about 98%.
- the ketorolac contained by the drug delivery system consists of S(-)-ketorolac and a biodegradable polymer matrix.
- the drug delivery system comprises S(-)-ketorolac, as a free acid, salt, or prodrug thereof, and contains less than 2% by weight ketorolac R(+)- enantiomer.
- the drug delivery system comprises S(-)-ketorolac, as a free acid, salt, or prodrug thereof, and contains less than 5% by weight ketorolac R(+)- enantiomer. In one embodiment the drug delivery system comprises S(-)-ketorolac, as a free acid, salt, or prodrug thereof, and contains less than 10% by weight ketorolac R(+)- enantiomer.
- the drug delivery systems described herein can comprise or consist of a plurality of microspheres or a solid or semi-solid ocular implant configured for intracameral (i.e. anterior chamber), posterior chamber proper (i.e. behind the iris in the ciliary sulcus), intravitreal, sub-retinal, suprachoroidal, intrascleral, anterior vitreal, subconjunctival, periocular, or sub-Tenon's space administration to a patient suffering from an adverse ocular condition such as pain and/or inflammation in the eye.
- the pain and inflammation may be due to cataract surgery or other surgical event, infection, or other ocular condition.
- solid implants include extruded implants (sometimes referred to as filaments, fibers, or rods) and compressed tablets.
- a drug delivery system may also be adapted for use in an intraarticular region of the body such as a joint to reduce pain and inflammation in a joint due to a medical condition or surgery in the joint.
- the extruded implant or compressed tablet can comprise a biodegradable polymer matrix in which ketorolac S(-)-enantiomer is homogenously or heterogeneously dispersed and/or dissolved.
- the delivery system is loaded with sufficient ketorolac S(-)-enantiomer to release therapeutically effective amounts of ketorolac S(-)-enantiomer into the eye of the patient over an extended period of time, which may be for about two weeks or more, for about three weeks or more, from about 1 day to about 6 weeks, for at least about 6 weeks, or for about 1 week to about 52 weeks.
- the implant is sized or configured to be comfortable and not irritating to the eye of the patient.
- an intraocular drug delivery system can comprise an extruded rod- shaped implant configured for administration to the anterior chamber.
- An implant configured for administration to the anterior chamber will be about 0.5 mm to about 3 mm in length, about 100 ⁇ to about 750 ⁇ in diameter, and about 50 ⁇ g to about 300 ⁇ g in total weight.
- the diameter (or other smallest dimension as in the case of non-cylindrical filaments) of the implant is about 100 ⁇ to about 500 ⁇ and the total weight of the implant is about 100 ⁇ g to about 500 ⁇ g.
- the implant can have a total weight of about 100 ⁇ g, about 150 ⁇ g, about 200 ⁇ g, about 250 ⁇ g, or about 300 ⁇ g.
- the implant can comprise or consist of a therapeutic component and a
- the therapeutic component may consist of S(-)-ketorolac (CAS No. 66635-92-5) or a non-racemic mixture of S(-)-ketorolac and R(+)-ketorolac in which S(-)-ketorolac is present in enantiomeric excess.
- the S(-)-ketorolac may be a free acid, a pharmaceutically acceptable salt of the free acid, or a prodrug (e.g, amide or ester prodrug) of S(-)-ketorolac.
- the S(-)-ketorolac can be a tromethamine salt of the S(-)-enantiomer.
- the drug delivery system can release a therapeutically effective amount of the therapeutic component (i.e, drug) into the eye of a patient in a pre-defined manner over an extended period of time, for example, over a period of time between about 1 day and about 6 weeks, for about two weeks or more, or for about 3 weeks or more.
- the pre-defined manner of drug release from the delivery system may consist of an initial rapid release phase followed by a slower release phase.
- the delivery system may release about 5 ⁇ g to about 200 ⁇ g of ketorolac S(-)-enantiomer on day 1 (that is, during the first 24 hours) after placement in an ocular region of the eye and from about 0 ⁇ g to about 5 ⁇ g of ketorolac S(-)-enantiomer each day thereafter for about 6 weeks after placement in the eye.
- the delivery system releases about 5 ⁇ g to about 200 ⁇ g of ketorolac S(-)-enantiomer within 24 hrs (day 1) after placement in an ocular region of the eye and from about 0.001 ⁇ g to about 5 ⁇ g of ketorolac S(-)-enantiomer each day thereafter for about 6 weeks.
- the delivery system releases about 5 ⁇ g to about 200 ⁇ g of ketorolac S(-)-enantiomer within 24 hrs (day 1) after placement in an ocular region of the eye and from about 0.01 ⁇ g to about 5 ⁇ g of ketorolac S(-)-enantiomer each day thereafter for about 6 weeks.
- the delivery system releases about 5 ⁇ g to about 200 ⁇ g of ketorolac S(-)-enantiomer within 24 hrs (day 1) after placement in an ocular region of the eye and from about 0.05 ⁇ g to about 5 ⁇ g of ketorolac S(-)-enantiomer each day thereafter for about 6 weeks.
- the delivery system releases about 5 ⁇ g to about 200 ⁇ g of ketorolac S(-)-enantiomer within 24 hrs (day 1) after placement in an ocular region of the eye and from about 0.1 ⁇ g to about 5 ⁇ g of ketorolac S(-)-enantiomer each day thereafter for about 6 weeks.
- the drug delivery system can comprise or consist of an extruded biodegradable implant or a compressed tablet, for example.
- the implant may be configured for placement in an eye, and referred to as an intraocular implant, or for placement in an intraarticular region of the body, and referred to as an intraarticular implant.
- Some embodiments provide for a method of reducing pain and inflammation after cataract surgery. Such a method includes making an incision in the eye and placing a ketorolac-containing implant of the present invention into an ocular region of the eye opened by the incision, wherein the incision is made in the eye as part of a cataract surgery.
- the method can comprise placing the ketorolac-containing implant into the anterior chamber of the eye during cataract surgery. Alternatively, or in addition, the method can comprise placing a ketorolac-containing implant into the posterior chamber of the eye during cataract surgery.
- the present invention provides new drug delivery systems, and methods of making and using such systems, for extended or sustained drug release into an eye to achieve one or more desired therapeutic effects.
- the drug delivery systems can be in the form of a plurality of microspheres or an extruded implant (such as a rod or filament) that may be placed in an eye.
- the present systems and methods advantageously provide for extended release times of ketorolac S(-)-enantiomer.
- the patient in whose eye the drug delivery system has been placed, receives a therapeutic amount of ketorolac S(-)-enantiomer, the pharmacologically active enantiomer, for an extended time without requiring additional administrations of ketorolac as is typically required with topical formulations.
- Implants of the present invention can deliver a therapeutically effective amount of ketorolac S(-)-enantiomer to the iris-ciliary body in the eye for at least about one day, at least about one week, for about two weeks or more, between about one week and six months, between about one day and about six weeks, or for at least about 6 weeks after receiving an implant or microspheres.
- the sustained local delivery of the therapeutic agent from the present system reduces the high transient concentrations associated with traditional bolus injection or pulsed dosing. Furthermore, direct intracameral or intravitreal administration of the present systems obviates the constraints posed by the blood-retinal barrier, increases the bioavailability of the drug, and significantly reduces the risk of systemic toxicity.
- the biodegradable polymer matrix may comprise or consist of a poly(D,L-lactide), a poly(L-lactide), a poly(D,L-lactide-co-glycolide), or a mixture of two or more of these polymers or copolymers.
- excipients can be incorporated into the matrix. These include, but not limited to, surfactants, anti-oxidants, pH modulating agents, chelating agents, bulking agents, tonicity agents, disintegrating agents, binders, fillers, gliding agents, lubricants, stabilizers, and/or plasticizers.
- the delivery system can be in different physical forms or geometric shapes including, but not limited to biodegradable sheets, films, compressed tablets, microspheres or microparticles, and extruded filaments.
- An extruded filament also referred to herein as an implant or extruded implant, can be cylindrical (e.g., a rod) or non-cylindrical, and may be formulated for intraarticular or intraocular administration (that is, for injection into a joint or any eye) to treat pain and inflammation.
- These delivery systems can be fabricated by conventional methods such as hot melt extrusion, pellet pressing, solvent casting, or molding.
- Microspheres can be made by methods such as emulsion and solvent
- Intraocular drug delivery systems in accordance with the disclosure herein comprise ketorolac S(-)-enantiomer, as the therapeutic component, and a drug release sustaining component (such as a biodegradable polymer matrix) associated with the therapeutic component.
- the therapeutic component comprises or consists of ketorolac S(- )-enantiomer.
- the therapeutic component may comprise, consist essentially of, or consist of ketorolac S(-)-enantiomer and one or more other therapeutic components useful for treating diseases and/or adverse conditions in the eye, e.g. pain and/or inflammation.
- Examples of other therapeutic components that may be included with ketorolac include corticosteroids, such as, for example, dexamethasone.
- Stereoisomers that are non-superposable mirror images of one another are enantiomers.
- Enantiomers rotate plane polarized light in opposite directions. The direction of the rotation, clockwise or counterclockwise, is indicated by the (+) or (-) symbol before the name of the compound. Because of their effect on plane-polarized light, separate enantiomers are said to be optically active.
- ketorolac S(-)-enantiomer S(-)-ketorolac is sometimes referred to herein as "ketorolac S(-)-enantiomer.”
- racemic ketorolac An equimolar mixture of R and S enantiomers is called a racemic mixture. If no optically active impurities are present, a racemic mixture of ketorolac (referred to as racemic ketorolac or the racemic form of ketorolac) does not rotate plane polarized light and is therefore optically inactive.
- a racemic mixture is indicated by the use of the symbol ( ⁇ ) before the name of the compound.
- a racemic mixture of ketorolac i.e., ( ⁇ )-ketorolac
- a non-racemic mixture of S(-)-ketorolac and R(+)-ketorolac is one in which the weight or molar ratio of S(-)-ketorolac to R(+)-ketorolac is greater than one.
- the sample can be said to contain an enantiomeric excess (ee) of that enantiomer.
- the drug delivery system comprises an enantiomeric excess of S(-)-ketorolac.
- the ketorolac may be the free acid or a pharmaceutically acceptable salt thereof.
- the enantiomeric excess (ee) can be expressed as a percentage, whereby
- %ee [(moles of one enantiomer - moles of other enantiomer) ⁇
- %ee of S(-)-ketorolac in any sample may be defined as:
- the percent enantiomeric excess (and enantiomeric purity) of an enantiomer in a sample can be determined by methods known to those of skill in the art. These methods include chiral high performance liquid chromatography (chiral HPLC), proton NMR spectroscopy (1H NMR), and optical rotation. For example, see Parker (1991) "NMR Determination of Enantiomeric Purity” Chem. Rev. 91 : 1441-1457; Patri et al. (2011) Chromatography Research Intl. Article ID 214793, 11 pages; and Tsina et al. (1996) J. Pharmaceutical and Biomedical Analysis 15 :403-417.
- the drug delivery system comprises an enantiomeric excess of S(-)-ketorolac.
- the intraocular drug delivery system comprises or consists of a non-racemic mixture of S(-)-ketorolac and R(+)-ketorolac associated with a biodegradable polymer matrix.
- the ketorolac is associated with a biodegradable polymer matrix that degrades at a rate effective to sustain release of an amount of the ketorolac S(-)-enantiomer from the system effective to treat an ocular or intraarticular condition.
- the drug delivery system may comprise or consist of one or more intracameral or intravitreal implants, or a plurality of microspheres, or combinations thereof.
- the implant can be produced by an extrusion process.
- the drug delivery system is an extruded implant comprising a biodegradable polymer matrix and ketorolac associated with the biodegradable polymer matrix, wherein the ketorolac comprises an enantiomeric excess of S(-)-ketorolac.
- the biodegradable polymer matrix of the foregoing systems may be a mixture of biodegradable polymers or the matrix may comprise a single type of biodegradable polymer.
- the polymer matrix may comprise or consist of a poly(lactide), poly(lactide-co-glycolide), polyglycolide, or a combination of any two or more of these polymers or copolymers.
- the polylactide is a poly(D,L-lactide) and the poly(lactide-co-glycolide) is a poly(D,L-lactide-co-glycolide).
- a method of making the present systems involves combining or mixing ketorolac
- S(-)-enantiomer or non-racemic mixture of S(-)- and R(+)-ketorolac, with a biodegradable polymer or polymers.
- the mixture may then be extruded or compressed to form a single composition.
- the single composition may then be processed (e.g., cut) to form individual implants suitable for placement in an eye of a patient.
- Another method may involve an emulsion/solvent evaporation process, which may be useful in producing biodegradable microspheres containing ketorolac, the ketorolac comprising an enantiomeric excess of S(- )-ketorolac.
- the drug delivery systems described herein can be used to treat an inflammation mediated condition of the eye or joints.
- Examples of ocular conditions that can be treated by an S(-)-ketorolac-containing intraocular drug delivery system include an inflammation-mediated condition of the eye, ocular pain and inflammation (pain and inflammation in the eye), post-operative ocular pain and inflammation, ocular pain and inflammation resulting from an ocular surgery (such as, for exmaple, cataract surgery, or laser-assisted refractive eye surgery), macular edema, uveitis (anterior, intermediate, posterior), exudative or dry age-related macular degeneration (AMD), diabetic retinopathy, diabetic macular edema, chronic diabetic macular edema, proliferative vitreal retinopathy, central retinal vein occlusion (CRVO), and branch retinal vein occlusion (BRVO).
- an inflammation-mediated condition of the eye ocular pain and inflammation (pain and inflammation in the eye), post-operative ocular pain and inflammation, ocular pain and inflammation resulting from an ocular surgery (such
- inflammation-mediated conditions of the joints that can be treated by an S(-)-ketorolac-containing intraocular drug delivery system include pain and
- Figure 2 shows plots of the in vitro cumulative release of ketorolac over time for Formulations #7 and #8.
- FIG. 3 shows plots of the in vitro cumulative release of ketorolac over time for
- FIG 4 shows plots of the in vitro cumulative release of ketorolac over 24 hours for Formulations #6, #9, and #10.
- Figure 5 shows plots of the in vitro cumulative release of ketorolac over time for Formulations # 12 to # 14.
- Figure 6 shows plots of the in vitro cumulative release of ketorolac over 24 hours for Formulations #12 to #14.
- Figure 7 shows the in vitro cumulative ketorolac release data for implants Nos. 6, 10, 11, 12, 13, and 14 from Example 1.
- ketorolac S(-)- enantiomer may improve treatment of an undesirable ocular or intraarticular condition, and can reduce pain and/or inflammation resulting from an ocular surgery or intraarticular surgery (surgery on a joint such as arthroscopic surgery) or other medical condition such as arthritis or gout.
- the systems comprise a biodegradable polymeric composition (matrix) and are formulated to release ketorolac S(-)-enantiomer over an extended period of time.
- the intraocular drug delivery systems are effective to provide a therapeutically effective dosage of ketorolac S(-)- enantiomer directly to an ocular region of the eye to treat, prevent, and/or reduce one or more symptoms of one or more undesirable ocular conditions.
- ketorolac S(-)-enantiomer will be made available at the site where it is needed and will be maintained for an extended period of time, rather than subjecting the patient to repeated injections or, in the case of self- administered eye drops, the burden of dosing multiple times every day and ineffective treatment with only limited bursts of exposure to the active agent or agents or, in the case of systemic administration, higher systemic exposure and concomitant side effects or, in the case of non-sustained release dosages, potentially toxic transient high tissue concentrations associated with pulsed, non-sustained release dosing.
- the drug delivery systems may be monolithic, i.e. having the active agent or agents homogenously distributed through the polymeric matrix, or encapsulated, where a reservoir of active agent is encapsulated by the polymeric matrix. Due to ease of manufacture, monolithic systems are usually preferred over encapsulated forms. However, the greater control afforded by the encapsulated or reservoir-type implants may be of benefit in some circumstances, where the therapeutic level of the drug falls within a narrow window.
- the therapeutic component such as ketorolac S(-)- enantiomer, may be distributed in a non-homogenous pattern in the polymer matrix.
- an implant may include a portion that has a greater concentration of the ketorolac S(-)-enantiomer component relative to a second portion of the implant.
- An intraocular drug delivery system in accordance with the disclosure herein may comprise an enantiomeric excess of the S(-)-ketorolac enantiomer and a drug release sustaining component.
- the drug release sustaining component can be, for example, a biodegradable polymer matrix.
- the drug release sustaining component may be associated with ketorolac S(-)-enantiomer to sustain release of a therapeutically effective amount of ketorolac S(-)-enantiomer into an eye in which the system is placed.
- the drug release sustaining component can sustain release of a therapeutically effective amount of the ketorolac S(-)-enantiomer in a pre-defined manner into an eye in which the system is placed.
- the pre-defined manner of ketorolac S(-)-enantiomer release from the drug delivery system may consist of a fast release phase followed by a slower release phase.
- the rate of ketorolac release can be expressed as the total mass of ketorolac released over a period of time.
- the delivery system releases ketorolac S(-)-enantiomer at a substantially high and consistent rate over a period of about 24 hours.
- the delivery system releases ketorolac S(-)-enantiomer at a rate substantially lower than that observed during the first 24 hrs.
- the rate of release of ketorolac S(-)-enantiomer from the drug delivery system during the fast release phase is at least about 2x, about 5x, about lOx, about 20x, about 50x, about lOOx, about lOOOx, or about ⁇ , ⁇ greater than the rate of release of ketorolac S(-)-enantiomer during the slower release phase.
- the release rate may be expressed as, for example, mass ketorolac released/time period.
- the delivery system may release about 5 ⁇ g to about 200 ⁇ g of ketorolac on day 1 (that is, during the first 24 hours) after placement in an ocular region of the eye and from about 0 ⁇ g to about 5 ⁇ g of ketorolac each day thereafter for two weeks or more, three weeks or more, or for about six weeks after placement in the eye.
- the delivery system releases about 5 ⁇ g to about 200 ⁇ g of ketorolac within 24 hrs (day 1) after placement in an ocular region of the eye and from about 0.001 ⁇ g to about 5 ⁇ g of ketorolac each day thereafter for two weeks or more, three weeks or more, or for about six weeks after placement in the eye.
- the delivery system releases about 5 ⁇ g to about 200 ⁇ g of ketorolac within 24 hrs (day 1) after placement in an ocular region of the eye and from about 0.01 ⁇ g to about 5 ⁇ g of ketorolac each day thereafter for two weeks or more, three weeks or more, or for about six weeks after placement in the eye.
- the delivery system releases about 5 ⁇ g to about 200 ⁇ g of ketorolac within 24 hrs (day 1) after placement in an ocular region of the eye and from about 0.05 ⁇ g to about 5 ⁇ g of ketorolac each day thereafter for two weeks or more, three weeks or more, or for about six weeks after placement in the eye.
- the delivery system releases about 5 ⁇ g to about 200 ⁇ g of ketorolac within 24 hrs (day 1) after placement in an ocular region of the eye and from about 0.1 ⁇ g to about 5 ⁇ g of ketorolac each day thereafter for two weeks or more, three weeks or more, or for about six weeks after placement in the eye.
- the release of S(-)-ketorolac according to the pre-defined manner described above, whereby the patient receives an initial burst of the drug followed by a lower maintenance dose of the drug for an extended period, may be especially effective for treating the pain and inflammation associated with cataract surgery.
- the present invention describes drug delivery systems (such as extruded implants) that will release ketorolac in this manner upon placement in the anterior chamber of the eye.
- an amount of ketorolac S(-)-enantiomer is released into the eye for about one day or for a period of time between about one day to about six weeks, for two weeks or more, three weeks or more, or for about six weeks after the system is placed in the eye, and is an amount effective for treating and/or reducing at least one symptom of one or more ocular conditions, such as post-operative pain and inflammation, macular edema, posterior uveitis, exudative age-related macular degeneration (AMD), diabetic retinopathy, diabetic macular edema, proliferative vitreal retinopathy, central retinal vein occlusion (CRVO), branch retinal vein occlusion (BRVO), and macular telangiectasia as well as other ocular conditions of the anterior and posterior segment.
- the post-operative pain and inflammation may be due to cataract surgery.
- a drug delivery system may comprise a prodrug of ketorolac.
- a "prodrug” means a compound (e.g., a drug precursor) that is transformed in vivo to yield an active form of the compound. The transformation may occur by various mechanisms (e.g., by metabolic or chemical processes), such as, for example, through hydrolysis.
- ketorolac prodrugs examples include esters formed by the replacement of the hydrogen atom of the carboxylic acid group in ketorolac with a linear or branched alkyl group such as, for example, a methyl, ethyl, propyl, isopropyl, butyl, isobutyl, or other (Ci-Cg)alkyl.
- ketorolac ester prodrugs are disclosed in Doh et al. (2003) "Synthesis and Evaluation of Ketorolac Ester Prodrugs for Transdermal Delivery" J. Pharmaceutical Sciences, Vol. 92, No. 5.
- ketorolac prodrugs include amides formed by replacement of the -OH group of the carboxylic acid group in ketorolac with an amine or group of formula -NR x R y , wherein R x and R y can be the same or independently H, alkyl, aryl, cycloalkyl, cycloalkenyl, or heterocycle.
- ketorolac amide prodrugs are disclosed in Kim et al. (2005) "Ketorolac amide prodrugs for transdermal delivery:
- alkyl refers to saturated monovalent or divalent hydrocarbon moieties having linear or branched moieties or combinations thereof and containing 1 to 6 carbon atoms.
- One methylene (-CH 2 -) group, of the alkyl can be optionally replaced by oxygen, sulfur, sulfoxide, nitrogen, carbonyl, carboxyl, sulfonyl, amide, sulfonamide, by a divalent C 3 _ 6 cycloalkyl, by a divalent heterocycle, or by a divalent aryl group.
- Non-limiting examples of suitable alkyl groups include methyl (- CH 3 ), ethyl (-CH 2 CH 3 ), n-propyl (-CH 2 CH 2 CH 3 ), isopropyl (-CH(CH 3 ) 2 ), and t-butyl (- C(CH 3 ) 3 ).
- a “patient” can be a human or non-human mammal.
- a “joint” as used herein refers to the point of contact between two or more bones of an animal or human skeleton with the parts that surround and support it. Examples of joints include without limitation the knee joint, toe and finger joints, wrist, ankle, hip, shoulder, back (vertebrae and vertebral discs), and elbow.
- Intraarticular region refers to a joint, such as a knee, elbow, shoulder, finger, toe, or hip joint. Intraarticular regions include joints in the wrist and vertebral column in the neck and back.
- An "intracameral” inplant is an implant that is sized, configured, and formulated for placement in the anterior chamber of the eye.
- An "intravitreal" implant is one that is sized, configured, and formulated for placement in the vitreous body of the eye.
- pharmaceutically acceptable salts refers to salts or complexes that retain the desired biological activity of the compound (ketorolac) and exhibit minimal or no undesired toxicological effects to the mammal or cell system to which they are administered.
- pharmaceutically acceptable salts according to the invention include therapeutically active salt forms of ketorolac.
- Useful salt forms can include those formed by treating ketorolac free acid with sodium hydroxide, magnesium hydroxide, potassium hydroxide, calcium hydroxide, ammonia and the like; or an organic base such as for example, L-arginine, ethanolamine, betaine, benzathine, morpholine, tromethamine, and the like. Salts formed with zinc are also of potential interest.
- a drug delivery system refers to one or more devices or elements that include at least one therapeutic agent or active ingredient, such as S(-)-ketorolac, and a drug release sustaining component, and is configured to be placed in an eye or a joint.
- a drug delivery system may comprise or consist of a plurality of microspheres, a compressed tablet, or an extruded intraocular or intraarticular implant and optionally one or more a pharmaceutically acceptable excipients that is/are non-toxic to and do/does not cause adverse reactions in the eye.
- Pharmaceutically acceptable excipients for use with the invention include but are not limited to preservatives, buffering agents, electrolytes, and thickeners, and combinations thereof.
- an "intraocular implant” or “intraocular drug delivery system” refers to a device or element that is structured, sized, or otherwise configured to be placed in an eye.
- Intraocular implants and drug delivery systems are generally biocompatible with the physiological conditions of an eye and do not cause unacceptable adverse side effects.
- Intraocular implants may be placed in an eye without disrupting vision of the eye.
- Non-limiting examples of intraocular implants include intracameral implants and intravitreal implants.
- Intraocular implants may be formed by an extrusion process.
- a "therapeutic component” refers to a portion of an intraocular drug delivery system or implant comprising one or more therapeutically active agents used to treat a medical condition of the eye.
- the therapeutic component may be a discrete region of an intraocular implant, or it may be homogenously distributed throughout the implant.
- the therapeutically active agent(s) (or therapeutic agent(s)) of the therapeutic component are typically ophthalmically acceptable, and do not cause adverse reactions when placed in an eye.
- Active agent refers to the chemical compound that produces a therapeutic effect in the patient (human or non-human mammal) to which it is administered and that can be used to treat a medical condition, such as an ocular condition or an adverse condition of a joint in the body, such as pain or inflammation of a joint.
- a therapeutically active agent in the context of the present invention is S-(-)-ketorolac.
- a drug release sustaining component refers to a portion of the intraocular drug delivery system that is effective to provide a sustained release of the therapeutic agents of the system.
- a drug release sustaining component may be a biodegradable polymer matrix.
- Associated with a biodegradable polymer matrix means mixed with, dissolved and/or dispersed within, encapsulated by, surrounded and/or covered by, or coupled to.
- an "ocular region” or “ocular site” refers generally to any area of the eyeball, including the anterior and posterior segment of the eye, and which generally includes, but is not limited to, any functional (e.g., for vision) or structural tissues found in the eyeball, or tissues or cellular layers that partly or completely line the interior or exterior of the eyeball.
- an ocular region in an eye include the anterior chamber, the posterior chamber, the vitreous body (sometimes referred to as the vitreous cavity or vitreous), the choroid, the suprachoroidal space, the conjunctiva, the subconjunctival space, the sub-Tenon's space, the episcleral space, the intracorneal space, the epicorneal space, the sclera, the pars plana, surgically-induced avascular regions, the macula, and the retina.
- the anterior chamber refers to the space inside the eye between the iris and the innermost corneal surface (endothelium).
- the posterior chamber refers to the space inside the eye between the back of the iris and the front face of the vitreous.
- the posterior chamber includes the space between the lens and the ciliary process, which produces the aqueous humor that nourishes the cornea, iris, and lens and maintains intraocular pressure.
- Suitable for insertion (or implantation) in (or into) an ocular region or site includes an implant which has a size (dimensions) such that it can be inserted or implanted without causing excessive tissue damage and without unduly physically interfering with the existing vision of the patient into which the implant is implanted or inserted.
- intraarticular condition is a disease, ailment, or condition that affects or involves an intraarticular region of the body and that impairs the normal function or use of that region of the body.
- intraarticular conditions include arthritis, pain, and inflammation.
- an "ocular condition" is a disease, ailment or condition which affects or involves the eye or one of the parts or regions of the eye.
- the eye includes the eyeball and the tissues and fluids which constitute the eyeball, the periocular muscles (such as the oblique and rectus muscles) and the portion of the optic nerve which is within or adjacent to the eyeball.
- Non-limiting examples of an ocular condition include ocular pain and/or inflammation resulting from, for example, ocular surgery (therefore, post-operative pain and inflammation).
- Drug delivery systems according to the present disclosure may be used to reduce pain and/or inflammation resulting from and associated with cataract surgery and refractive eye surgery (surgical remodeling of the cornea). Cataract surgery may cause inflammation of certain ocular tissues, including the iris and ciliary body. This
- inflammation may give rise to ocular pain.
- the inflammation and pain associated with cataract surgery may be effectively reduced, and thereby treated, by administration of an S(-)-ketorolac-containing drug delivery system described herein.
- An anterior ocular condition is a disease, ailment or condition which affects or which involves an anterior (i.e. front of the eye) ocular region or site, such as a periocular muscle, an eye lid or an eye ball tissue or fluid which is located anterior to the posterior wall of the lens capsule or ciliary muscles.
- an anterior ocular condition primarily affects or involves the conjunctiva, the cornea, the anterior chamber, the iris, the ciliary body, the posterior chamber (behind the iris but in front of the posterior wall of the lens capsule), the lens or the lens capsule and blood vessels and nerve which vascularize or innervate an anterior ocular region or site.
- an anterior ocular condition can include a disease, ailment or condition, such as for example, aphakia; pseudophakia; astigmatism; blepharospasm; cataract; conjunctival diseases; conjunctivitis; corneal diseases;, corneal ulcer; dry eye syndromes; eyelid diseases; lacrimal apparatus diseases; lacrimal duct obstruction; myopia; presbyopia; pupil disorders; refractive disorders, pain, inflammatory conditions, and strabismus.
- a disease, ailment or condition such as for example, aphakia; pseudophakia; astigmatism; blepharospasm; cataract; conjunctival diseases; conjunctivitis; corneal diseases;, corneal ulcer; dry eye syndromes; eyelid diseases; lacrimal apparatus diseases; lacrimal duct obstruction; myopia; presbyopia; pupil disorders; refractive disorders, pain, inflammatory conditions, and strabismus.
- a inflammatory condition is inflammation of the ciliary body.
- a posterior ocular condition is a disease, ailment or condition which primarily affects or involves a posterior ocular region or site such as choroid or sclera (in a position posterior to a plane through the posterior wall of the lens capsule), vitreous, vitreous chamber, retina, retinal pigmented epithelium, Bruch's membrane, optic nerve (i.e. the optic disc), and blood vessels and nerves which vascularize or innervate a posterior ocular region or site.
- a posterior ocular region or site such as choroid or sclera (in a position posterior to a plane through the posterior wall of the lens capsule), vitreous, vitreous chamber, retina, retinal pigmented epithelium, Bruch's membrane, optic nerve (i.e. the optic disc), and blood vessels and nerves which vascularize or innervate a posterior ocular region or site.
- a posterior ocular condition can include a disease, ailment or condition, such as for example, acute macular neuroretinopathy; Behcet's disease; choroidal
- neovascularization diabetic uveitis; histoplasmosis; infections, such as fungal or viral- caused infections; macular degeneration, such as acute macular degeneration, non- exudative age related macular degeneration and exudative age related macular
- edema such as macular edema, cystoid macular edema and diabetic macular edema
- multifocal choroiditis ocular trauma which affects a posterior ocular site or location
- ocular tumors retinal disorders, such as central retinal vein occlusion, diabetic retinopathy (including proliferative diabetic retinopathy), proliferative vitreoretinopathy (PVR), retinal arterial occlusive disease, retinal detachment, uveitic retinal disease;
- Glaucoma can be considered a posterior ocular condition because the therapeutic goal is to prevent the loss of or reduce the occurrence of loss of vision due to damage to or loss of retinal cells or optic nerve cells (i.e. neuroprotection).
- “Inflammation-mediated” in relation to an ocular condition means any condition of the eye which can benefit from treatment with an anti-inflammatory agent such as ketorolac and is meant to include, but is not limited to, uveitis, macular edema, acute macular degeneration, retinal detachment, ocular tumors, fungal, bacterial, or viral infections, multifocal choroiditis, diabetic uveitis, proliferative vitreoretinopathy (PVR), sympathetic opthalmia, Vogt Koyanagi-Harada (VKH) syndrome, histoplasmosis, and uveal diffusion.
- biodegradable polymer refers to a polymer or polymers which degrade in vivo, and wherein degradation of the polymer or polymers over time occurs concurrent with or subsequent to release of the therapeutic agent.
- a biodegradable polymer may be a homopolymer, a copolymer, or a polymer comprising more than two different structural repeating units.
- Treating” and “treatment” as used herein includes any beneficial effect in the eye or intraarticular region of an individual produced by the present methods.
- Treatment of an ocular or intraarticular condition may reduce, or retard the progression of, one or more signs or symptoms of the ocular or intraarticular condition.
- the sign(s) or symptom(s) positively affected by the treatment will depend on the particular condition.
- beneficial (and therefore positive) effects produced by the present methods may include but are not limited to a reduction in pain, burning and/or foreign body sensation, itching, redness, swelling, inflammation, and/or discomfort.
- terapéuticaally effective amount refers to the level or amount of active agent needed to treat an ocular or intraarticular condition without causing significant negative or adverse side effects to the eye or a region of the eye or body to which the agent is administered.
- an intraocular drug delivery system such as a microsphere or extruded implant, comprises a biodegradable polymer matrix.
- the biodegradable polymer matrix is one type of a drug release sustaining component.
- the biodegradable polymer matrix is effective in forming a biodegradable intraocular drug delivery system.
- the present invention provides for a biodegradable intraocular drug delivery system comprising ketorolac S(-)-enantiomer and a biodegradable polymer matrix, wherein ketorolac S(-)-enantiomer is present in the delivery system in
- the drug delivery system comprises an enantiomeric excess of S(-)-ketorolac.
- the S(-)-ketorolac is released via diffusion through the polymer matrix and/or via polymer degradation and erosion. The release can be sustained for a time of about one day or greater than about one day or about one week from the time in which the system is placed in an ocular region or ocular site, such as the anterior chamber, the posterior chamber, or the vitreous of an eye.
- the biodegradable polymer matrix will generally comprise biodegradable polymers that are biocompatible with the eye so as to cause no substantial interference with the functioning or physiology of the eye. Such polymers are preferably at least partially and more preferably substantially completely biodegradable or bioerodible.
- biodegradable polymers include poly(D,L-lactide) (PLA) polymers and poly(D,L-lactide-co-glycolide) (PLGA) copolymers.
- PLA poly(D,L-lactide)
- PLGA poly(D,L-lactide-co-glycolide)
- the biodegradable polymer matrix may comprise a PLA polymer, a PLGA copolymer, a mixture of two or more different PLA polymers, a mixture of two or more different PLGA copolymers, or a combination of one, two, or more PLA polymers and one, two, or more PLGA copolymers
- the biodegradable polymer matrix may comprise one or more poly(D,L- lactide-co-glycolide) copolymers and/or one or more poly(D,L-lactide) polymers.
- the polymer matrix may comprise or consist of one poly(D,L-lactide) polymer and/or one poly(D,L-lactide-co-glycolide) copolymer
- the implant may comprise two or more different poly(D,L-lactide) polymers and/or one, or two or more different poly(D,L- lactide-co-glycolide) copolymers.
- a polymer or copolymer may differ from another polymer or copolymer with regard to the end group, inherent viscosity, or repeating unit of the polymer or copolymer, or by any combination thereof.
- the first PLA polymer may have a first inherent viscosity and an acid end group while the second PLA polymer has a second inherent viscosity (different from the first) and an ester end group.
- an implant may comprise one, two, or more poly(D,L- lactide-co-glycolide) copolymers.
- the first poly(D,L-lactide-co-glycolide) copolymer may have a first inherent viscosity and an ester end group and the second poly(D,L-lactide-co-glycolide) copolymer may have a second inherent viscosity (different from the first) and an acid end group.
- the first and second poly(D,L-lactide-co-glycolide) copolymers may each have an ester end group.
- Polylactide, or PLA includes poly(D-lactide), poly(L-lactide), and poly(D,L- lactide), and may also be identified by CAS Number 26680-10-4, and may be represented b the formula:
- Poly(lactide-co-glycolide) or PLGA includes poly(D,L-lactide-co-glycolide), also identified b CAS Number 26780-50-7, and may be represented by a formula:
- PLGA comprises one or more blocks of D,L-lactide repeat units (x) and one or more blocks of glycolide repeat units (y), where the size and number of the respective blocks may vary.
- PLGA copolymer may be 0-100%, about 15-85%, about 25-75%, or about 35-65%. In certain variations, 25/75 PLGA and/or 50/50 PLGA copolymers are used. In some embodiments, the D,L-lactide may be about 50% to about 75% of the PLGA polymer on a molar basis, such as: about 48% to about 52%, or about 50%>; or about 73% to about 77%, or about 75%. The balance of the polymer may essentially be the glycolide repeat units.
- the glycolide may be about 25% to about 50% of the PLGA polymer on a molar basis, such as: about 23% to about 27%, or about 25%; or about 48% to about 52%, or about 50%.
- Other groups, such as terminal or capping groups may be present in small amounts.
- PLGA copolymers are used in conjunction with polylactide polymers.
- the molar ratio of glycolide/lactide is about 25/75 to about 50/50.
- the implant can comprise about 40% to about 90%> by weight of a poly(lactide-co-glycolide), polylactide, or a combination thereof, and about 10% to about 60% ketorolac S(-)-enantiomer by weight.
- the implant preferably comprises less than 25%, less than 10%, less than 5%, or less than about 2.5% by weight R(+)-ketorolac.
- the polylactide can be a poly(D,L-lactide) and the poly(lactide-co-glycolide) can be a poly(D,L-lactide-co- glycolide).
- a drug delivery system may comprise or consist of an intraocular implant formed by an extrusion process (e.g., an extruded filament cut to a length and having a weight suitable for placement in an eye).
- an extrusion process e.g., an extruded filament cut to a length and having a weight suitable for placement in an eye.
- the biodegradable polymer matrix of an intraocular implant may comprise one biodegradable polymer or a mixture of two or more biodegradable polymers.
- an implant may comprise a mixture of a first biodegradable polymer and a different second biodegradable polymer.
- the implant may comprise a mixture of first, second, and third biodegradable polymers, each polymer distinct from the other in terms of its inherent viscosity, structural repeating unit, or end groups, or combination thereof.
- One or more of the biodegradable polymers may have terminal acid groups (acid end groups; uncapped). Additionally, or alternatively, one or more of the biodegradable polymers in the matrix may have terminal ester groups (ester end groups; ester capped).
- biodegradable polymers include poly(D,L-lactide) polymers and poly(D,L- lactide-co-glycolide) polymers. Specific examples of polymers that can be used
- biodegradable polymer matrix of a ketorolac- containing sustained release intraocular drug delivery system include RESOMER® R203S, R203H, R202S, R202H, RG502, RG502H, RG753S, and RG752S.
- RESOMER® R203H is a poly(D,L-lactide) having an acid end group and an inherent viscosity of about 0.25-0.35 dl/g, as measured for a 0.1% solution in chloroform at 25°C.
- RESOMER® R203S is a poly(D,L-lactide) having an ester end group and an inherent viscosity of about 0.25-0.35 dl/g, as measured for a 0.1 % solution in chloroform at 25°C.
- RESOMER® R202H is a poly(D,L-lactide) having an acid end group and an inherent viscosity of about 0.16-0.24 dl/g, as measured for a 0.1% solution in chloroform at 25°C.
- RESOMER® R202S is a poly(D,L-lactide) having an ester end group and an inherent viscosity of about 0.16-0.24 dl/g, as measured for a 0.1% solution in chloroform at 25°C.
- RESOMER® RG502 is a poly(D,L-lactide-co-glycolide) having an ester end group and an inherent viscosity of about 0.16-0.24 dl/g (as measured for a 0.1% solution in chloroform at 25°C), and a D,L-lactide:glycolide ratio of about 50:50.
- RESOMER® RG502H is a poly(D,L-lactide-co-glycolide) having an acid end group and an inherent viscosity of about 0.16-0.24 dl/g (as measured for a 0.1 % solution in chloroform at 25°C), and a D,L-lactide:glycolide ratio of about 50:50.
- RESOMER® RG753S is a poly(D,L-lactide-co-glycolide) having an ester end group and an inherent viscosity of about 0.32-0.44 dl/g (as measured for a 0.1 % solution in chloroform at 25°C), and a D,L-lactide:glycolide ratio of about 75:25.
- RESOMER® RG752S is a poly(D,L-lactide-co-glycolide) having an ester end group and an inherent viscosity of about 0.16-0.24 dl/g (as measured for a 0.1 % solution in chloroform at 25°C), and a D,L-lactide:glycolide ratio of about 75:25.
- the intraocular drug delivery system may release drug at a rate effective to sustain release of an amount of ketorolac S(-)-enantiomer component for one day or more, or for about one week or more after implantation into an eye. In certain systems, therapeutic amounts of ketorolac S(-)-enantiomer component are released for more than about one month, and even for about six months or more.
- biodegradable intraocular drug delivery system comprises ketorolac S(-)-enantiomer and a biodegradable polymer matrix that comprises a poly(lactide-co-glycolide) or a poly(D,L-lactide-co-glycolide), or a combination thereof.
- the system may have an amount of ketorolac S(-)-enantiomer from about 20% to about 60%) by weight of the system and less than about 5% by weight R(+)-ketorolac; or the system may have about 30% to about 50% by weight S(-)-ketorolac and less than 1% or less than 5% by weight R(+)-ketorolac,
- Such a formulation is effective in sustaining release of a therapeutically effective amount of ketorolac S(-)-enantiomer for a time period from about one day to about six weeks, or for about one month to about four months from the time the system is placed in an eye.
- the release of ketorolac S(-)-enantiomer from the intraocular drug delivery system comprising a biodegradable polymer matrix may include an initial burst of release of S(-)- ketorolac followed by a gradual increase in the amount of ketorolac S(-)-enantiomer released, or the release may include an initial delay in release of the ketorolac S(-)- enantiomer followed by an increase in release.
- the initial drug burst followed by a lower maintenance drug release may be especially beneficial for treating a number of ocular inflammatory conditions.
- the percent of the ketorolac S(-)-enantiomer that has been released is about one hundred.
- the drug delivery systems disclosed herein do not completely release, or release about 100% of the ketorolac S(-)-enantiomer, until after about one day, about one week , about four weeks, or about 6 weeks of being placed in an eye.
- ketorolac S(-)-enantiomer may be desirable to provide a relatively constant rate of release of the ketorolac S(-)-enantiomer from the drug delivery system over the life of the system.
- the ketorolac S(-)-enantiomer may be released in amounts from about 0.01 ⁇ g to about 2 ⁇ g per day for the life of the system.
- An intraocular implant may have a diameter of between about 50 ⁇ and about 2 mm, about 100 ⁇ to about 750 ⁇ , or between about 100 ⁇ and about 1 mm for administration with a needle, and from about 1 mm to about 2 mm for administration by surgical implantation.
- An implant may be a cylindrical pellet (for example, a rod or extruded filament) with dimensions of about 2 mm in length x 0.75 mm diameter.
- an implant may be a cylindrical pellet with a length of about 5 mm to about 10 mm, and a diameter of about 0.05 mm to about 1.5 mm.
- Intracameral implants may have a diameter or other smallest dimension (as appropriate for non-cylindrical implants) of about 100 ⁇ to about 750 ⁇ , about 100 ⁇ to about 500 ⁇ , or about 100 ⁇ to about 400 ⁇ . In some embodiments, an
- intracameral implant may have a diameter or other smallest dimension about 200 to 300 ⁇ , corresponding to a 28 gauge needle, to about 360 ⁇ , corresponding to a 25 gauge needle.
- the intracameral implants may have a length of about 0.5 mm to about 3 mm.
- the implants of this invention can be smaller than implants comprising racemic ketorolac as a result of the increased potency of the ketorolac S(-) enantiomer as compared to the racemic mixture.
- the greater the concentration of ketorolac S(-) enantiomer in the implant the smaller the implant can be and a therapeutic level still obtained. This is especially desired for intracameral administration.
- Intraocular and intraarticular implants may also be at least somewhat flexible so as to facilitate both insertion of the implant in the eye, such as in the vitreous, and
- the total weight of the intraocular or intraarticular implant is usually about 20-5000 ⁇ g. In some embodiments the total weight of the implant is about 50-1000 ⁇ g. In other embodiments, the total weight of the implant is about 100 ⁇ g to about 500 ⁇ g, or more specifically 200 ⁇ g to about 400 ⁇ g. For example, an implant may weigh about 50 ⁇ g, 100 ⁇ g, 200 ⁇ g, 300 ⁇ g, 500 ⁇ g, or about 1000 ⁇ g.
- the dimensions and total weight of the implant(s) may be larger or smaller, depending on the type of individual.
- humans have a vitreous volume of approximately 3.8 ml, compared with approximately 30 ml for horses, and approximately 60-100 ml for elephants.
- An implant sized for use in a human may be scaled up or down accordingly for other animals, for example, about 8 times larger for an implant for a horse, or about, for example, 26 times larger for an implant for an elephant.
- the total weight of an intracameral implant is usually between about 30 ⁇ g and 1000 ⁇ g, and is more preferably about 50 ⁇ g to about 500 ⁇ g. In some embodiments the intracameral implant weighs about 50 ⁇ g to about 300 ⁇ g.
- the total weight of an intracameral implant may be about 50 ⁇ g, about 100 ⁇ g to about 400 ⁇ g, about 150 ⁇ g, about 190 ⁇ g, 200 ⁇ g, about 300 ⁇ g, about 400 ⁇ g, or about 500 ⁇ g.
- Typical sizes for intracameral implants range from 200 ⁇ (28 gauge ultra-thin wall needle) to 360 ⁇ (25 gauge needle) in diameter and from 0.5 to 2 mm in length.
- An intracameral implant may have a diameter of from about 100 to about 500 ⁇ , a length of about 0.5 mm to about 2.5 mm, and a total weight of about 100 to about 500 ⁇ g.
- the intracameral implant can be an extruded filament.
- the filament can be cylindrical or non-cylindrical in shape.
- the drug delivery systems may be of any geometry including fibers, sheets, films, microspheres, spheres, circular discs, plaques and the like.
- the upper limit for the implant size will be determined by factors such as toleration for the implant, size limitations on insertion, ease of handling, etc.
- the sheets or films will be in the range of at least about 0.5 mm x 0.5 mm, usually about 2-10 mm x 2-10 mm with a thickness of about 0.05-1.0 mm for ease of handling.
- the fiber diameter will generally be in the range of about 0.05 to 2 mm and the fiber length will generally be in the range of about 0.5-10 mm.
- One example of a fiber is an extruded filament.
- the size and form of the drug delivery system can also be used to control the rate of release, period of treatment, and drug concentration at the site of implantation. Larger systems will deliver a proportionately larger dose, but depending on the surface to mass ratio, may have a slower release rate.
- the particular size and geometry of the system are chosen to suit the site of implantation or administration.
- the drug delivery systems may be provided in kits, such as sealed packages and the like.
- the systems may be sterilized or non-sterilized.
- the present systems remain stable for relatively long periods of time such as six months or more in either sterile or non-sterile settings.
- the present systems retain their physical appearance and release profiles of the ketorolac component (S(-)-ketorolac or non-racemic mixture of ketorolac) after being stored for 6 months, and even for up to a year under temperature ranges from about twenty degrees Celsius to about 25 degrees Celsius.
- the systems may be stored for substantial periods of time without significant loss of therapeutic efficacy.
- the release rate of ketorolac S(-)-enantiomer and any other constituents in a drug delivery system may be empirically determined using a variety of methods.
- a USP approved method for dissolution or release test can be used to measure the rate of release (USP 23; NF 18 (1995) pp. 1790-1798).
- USP 23; NF 18 (1995) pp. 1790-1798 For example, using the infinite sink method, a weighed sample of the implant is added to a measured volume of a solution containing 0.9% NaCl in water (or other suitable release medium such as phosphate buffered saline (PBS), pH 7.4), where the solution volume will be such that the drug concentration after release is less than 5% of saturation.
- PBS phosphate buffered saline
- the mixture is maintained at 37°C and stirred slowly to maintain the implants in suspension.
- the amount of the released drug as a function of time may be followed by various methods known in the art, such as
- an intraocular drug delivery system may include one or more additional therapeutic agents.
- the systems may include one or more antihistamines, one or more antibiotics, one or more beta blockers, one or more steroids, one or more antineoplastic agents, one or more immunosuppressive agents, one or more antiviral agents, one or more antioxidant agents, and mixtures thereof.
- the intraocular drug delivery system comprises a biodegradable polymer matrix and an enantiomeric excess of S(-)-ketorolac as the active agent and less than 10% or less than 5% by weight R(+)-ketorolac and does not contain any active agent other than ketorolac.
- antihistamines examples include, and are not limited to, loradatine,
- hydroxyzine diphenhydramine, chlorpheniramine, brompheniramine, cyproheptadine, terfenadine, clemastine, triprolidine, carbinoxamine, diphenylpyraline, phenindamine, azatadine, tripelennamine, dexchlorpheniramine, dexbrompheniramine, methdilazine, and trimprazine doxylamine, pheniramine, pyrilamine, chiorcyclizine, thonzylamine, and derivatives thereof.
- antibiotics include without limitation, cefazolin, cephradine, cefaclor, cephapirin, ceftizoxime, cefoperazone, cefotetan, cefotaxime, cefotaxime, cefadroxil, ceftazidime, cephalexin, cephalothin, cefamandole, cefoxitin, cefonicid, ceforanide, ceftriaxone, cefadroxil, cephradine, cefuroxime, cyclosporine, ampicillin, amoxicillin, cyclacillin, ampicillin, penicillin G, penicillin V potassium, piperacillin, oxacillin, bacampicillin, cloxacillin, ticarcillin, azlocillin, carbenicillin, methicillin, nafcillin, erythromycin, tetracycline, doxycycline, minocycline, aztreonam, chloramphenicol,
- beta blockers examples include acebutolol, atenolol, labetalol, metoprolol, propranolol, timolol, and derivatives thereof.
- steroids examples include corticosteroids, such as cortisone, prednisolone, flurometholone, dexamethasone, medrysone, loteprednol, fluazacort, hydrocortisone, prednisone, betamethasone, prednisone, methylprednisolone, triamcinolone hexacatonide, paramethasone acetate, diflorasone, fluocinonide, fluocinolone, triamcinolone, derivatives thereof, and mixtures thereof.
- corticosteroids such as cortisone, prednisolone, flurometholone, dexamethasone, medrysone, loteprednol, fluazacort, hydrocortisone, prednisone, betamethasone, prednisone, methylprednisolone, triamcinolone hexacatonide, paramethasone acetate, diflorasone
- antineoplastic agents include adriamycin, cyclophosphamide, actinomycin, bleomycin, duanorubicin, doxorubicin, epirubicin, mitomycin, methotrexate, fluorouracil, carboplatin, carmustine (BCNU), methyl-CCNU, cisplatin, etoposide, interferons, camptothecin and derivatives thereof, phenesterine, taxol and derivatives thereof, taxotere and derivatives thereof, vinblastine, vincristine, tamoxifen, etoposide, piposulfan, cyclophosphamide, and flutamide, and derivatives thereof.
- antineoplastic agents include adriamycin, cyclophosphamide, actinomycin, bleomycin, duanorubicin, doxorubicin, epirubicin, mitomycin, methotrexate, fluorouracil, carbop
- immunosuppresive agents include cyclosporine, azathioprine, tacrolimus, and derivatives thereof.
- antiviral agents examples include interferon gamma, zidovudine, amantadine hydrochloride, ribavirin, acyclovir, valaciclovir, dideoxycytidine, phosphonoformic acid, ganciclovir and derivatives thereof.
- antioxidant agents include ascorbate, alpha-tocopherol, mannitol, reduced glutathione, various carotenoids, cysteine, uric acid, taurine, tyrosine, superoxide dismutase, lutein, zeaxanthin, cryptoxanthin, astaxanthin, lycopene, N-acetyl-cysteine, carnosine, gamma-glutamylcysteine, quercitin, lactoferrin, dihydrolipoic acid, citrate, Ginkgo Biloba extract, tea catechins, bilberry extract, vitamins E or esters of vitamin E, retinyl palmitate, and derivatives thereof.
- ketorolac Other therapeutic agents that may be included with ketorolac include squalamine, carbonic anhydrase inhibitors, alpha agonists, prostamides, prostaglandins, antiparasitics, antifungals, and derivatives thereof.
- the amount of active agent or agents employed in the drug delivery systems will vary widely depending on the effective dosage required and the desired rate of release from the system.
- the intraocular drug delivery systems disclosed herein may optionally further include one or more buffering agents (pH modulating agents), preservatives, salts, saccharides, or polyethylene glycols.
- buffering agents pH modulating agents
- preservatives salts, saccharides, or polyethylene glycols.
- Suitable water soluble buffering agents include, without limitation, alkali and alkaline earth carbonates, phosphates, bicarbonates, citrates, borates, acetates, succinates and the like, such as sodium phosphate, citrate, borate, acetate, bicarbonate, carbonate and the like. These agents are advantageously present in amounts sufficient to maintain a pH of the system of between about 2 to about 9 and more preferably about 4 to about 8. As such the buffering agent may constitute from about 0.001% to about 5% by weight of the total drug delivery system.
- Suitable water soluble preservatives include sodium bisulfite, sodium bisulfate, sodium thiosulfate, ascorbate, benzalkonium chloride, chlorobutanol, thimerosal, phenylmercuric acetate, phenylmercuric borate, phenylmercuric nitrate, parabens, methylparaben, polyvinyl alcohol, benzyl alcohol, phenylethanol and the like and mixtures thereof. These agents may be present in amounts of from 0.001 to about 5% by weight and preferably 0.01 to about 2% by weight.
- Some implants may include a low molecular weight water soluble substance, such as a compound or material having a molecular weight of less than about 5,000 Daltons, less than about 1,000 Daltons, about 25 Daltons to about 500 Daltons, about 25 Daltons to about 400 Daltons, about 25 Daltons to about 300 Daltons, or about 25 Daltons to about 200 Daltons.
- a low molecular weight water soluble substance such as a compound or material having a molecular weight of less than about 5,000 Daltons, less than about 1,000 Daltons, about 25 Daltons to about 500 Daltons, about 25 Daltons to about 400 Daltons, about 25 Daltons to about 300 Daltons, or about 25 Daltons to about 200 Daltons.
- Examples may include, but are not limited to, a saccharide, e.g.
- a monosaccharide including a tetrose, a tetrulose, a pentose, a pentulose, a hexose such as dextrose, a hexulose, a heptose, a heptulose, an octose, an octulose, etc.; a disaccharide such as trehalose, sucrose, etc.; a sugar alcohol such as mannitol, galactitol, sorbitol, etc.; glycerol; or a salt, such as NaCl, KC1, Na 2 S0 4 , K 2 S0 4 , CaS0 4 , MgS0 4 , NH 4 C1, or phosphate salts.
- a salt such as NaCl, KC1, Na 2 S0 4 , K 2 S0 4 , CaS0 4 , MgS0 4 , NH 4 C1, or phosphate salts
- the amount of low molecular weight water-soluble substance may vary.
- an implant may contain about 0.1% to about 10% or about 1% to about 10%) saccharide, or other low molecular weight water-soluble substance, by weight.
- Useful saccharides include trehalose, sucrose, dextrose, and mannitol. Inclusion of one or more of these substances may modulate the release of ketorolac from the implant.
- Some implants may include a polyethylene glycol or polyethylene oxide, such as a polyethylene glycol or a polyethylene oxide having a molecular weight of about 300
- an implant may comprise polyethylene glycol 3350 (PEG 3350) or polyethylene glycol 20,000 (PEG 20K), which may be included in an implant in an amount of about 1% to about 20%, about 5% to about 10%, or about 10% by weight of the implant. This may help to modulate release of ketorolac.
- PEG 3350 polyethylene glycol 3350
- PEG 20K polyethylene glycol 20,000
- Useful techniques include, but are not necessarily limited to, solvent evaporation methods, phase separation methods, interfacial methods, molding methods, injection molding methods, extrusion methods, co-extrusion methods, carver press method, die cutting methods, heat compression, combinations thereof and the like.
- Extrusion methods may be used to avoid the need for solvents in manufacturing.
- the polymer and drug are chosen so as to be stable at the temperatures required for manufacturing.
- Extrusion methods may use temperatures of about 65°C to about 150°C, or about 65°C to about 130°C.
- An implant may be produced by bringing the temperature to about 65°C to about 150°C for drug/polymer mixing, such as about 100°C, 110°C, or about 130°C, for a time period of about 0 to 1 hour, 0 to 30 minutes, or 5-15 minutes. For example, a time period may be about 10 minutes, preferably about 0 to 5 min.
- the implants are then extruded at a temperature of about 65°C to about 130°C.
- the temperature is not substantially greater than the denaturation temperature associated with the therapeutic agent.
- the implant may be coextruded so that a coating is formed over a core region during the manufacture of the implant.
- Compression methods may be used to make the implants, and typically yield implants with faster release rates than extrusion methods. Compression methods may use pressures of about 50-150 psi and use temperatures of about 0°C to about 115°C.
- the implants may include an additive, such as a lubricant or plasticizer, that is effective to reduce the brittleness of the implant relative to substantially identical implants that do not have an additive.
- an additive such as a lubricant or plasticizer
- Microspheres may be produced using a solvent evaporation or emulsion process.
- Such a process may include steps of liquid sieving, freeze drying, and sterilizing the various composition components.
- ketorolac S(-)-enantiomer and a polymer can be combined with methylene chloride to form a first composition, and water and polyvinyl alcohol can be combined to form a second composition.
- the first and second compositions can be combined to form an emulsion.
- the emulsion can be rinsed and/or centrifuged, and the resulting product can be dried.
- the emulsion undergoes an evaporation process to remove methylene chloride from the emulsion.
- the emulsion can be evaporated for about 2 hours to about 2 days or more.
- the method comprises sieving ketorolac S(-)-enantiomer- containing microspheres in a liquid phase, as compared to a method which comprises sieving ketorolac S(-)-enantiomer-containing microspheres in a dry phase.
- This method can also comprise a step of freeze drying the sieved microspheres, and a step of packaging the freeze dried microspheres. After freeze drying, the microspheres can be stored in a package, and/or may be sterilized by a sterilization device, such as a source of gamma radiation.
- a sterilization device such as a source of gamma radiation.
- the drug delivery systems of the present invention may be inserted into the eye, for example the vitreous or anterior chamber of the eye, by a variety of methods, including by injection through a needle, placement by forceps, or by trocar.
- the implant may be placed in the anterior chamber of an eye during cataract surgery.
- a device that may be used to insert the implant into an eye is disclosed in U.S. Patent Publication No. 2004/0054374.
- the method of placement may influence the therapeutic component or drug release kinetics. For example, delivering an implant into the vitreous with a trocar may result in placement of the implant deeper within the vitreous than placement by forceps, which may result in the implant being closer to the edge of the vitreous.
- the location of the implant may influence the concentration gradients of therapeutic component or drug surrounding the element, and thus influence the release rates (e.g., an element placed closer to the edge of the vitreous may result in a slower release rate).
- Microspheres of the present invention can be injected into the anterior chamber or vitreous of an eye using a needle-tipped apparatus or similar device.
- the present drug delivery systems can be used to reduce ocular pain or
- the ocular surgery may be cataract surgery or refractive eye surgery, including incisional refractive surgery, or corneal refractive surgery.
- the ocular pain treatable with the present drug delivery systems may be perceived by the patient as a burning or stinging sensation.
- Refractive eye surgery is any eye surgery used to improve the refractive state of the eye and decrease or eliminate dependency on glasses or contact lenses.
- Refractive eye surgery can include surgical remodeling of the cornea. Examples of refractive eye surgery include radial keratotomy, photorefractive keratectomy (PRK), and laser assisted sub-epithelium keratomileusis (LASEK).
- the method may comprise placing the drug delivery system in the anterior chamber, posterior chamber, or vitreous body of the eye during ocular surgery of the eye.
- a drug delivery system such as the implants disclosed herein, is administered to a posterior segment of an eye of a patient.
- an implant is administered without accessing the subretinal space of the eye.
- a method of treating a patient may include placing the implant or microspheres directly into the posterior segment of the eye.
- a method of treating a patient may comprise administering a ketorolac-containing implant or preparation of microspheres (such as microspheres prepared by an emulsion process) to the patient by at least one of the methods of intraarticular injection, intravitreal injection, intracameral injection, subconjunctival injection, sub-tenon injection, retrobulbar injection, and suprachoroidal injection.
- a method of treating a patient comprises administering one or more implants containing an enantiomeric excess of ketorolac S(-)-enantiomer to a patient by at least one of intraarticular injection, intravitreal injection, intracameral injection, subconjunctival injection, sub-tenon injection, retrobulbar injection, and suprachoroidal injection.
- a syringe apparatus including an appropriately sized needle for example, a 22 gauge needle, a 27 gauge needle or a 30 gauge needle, can be effectively used to inject the drug delivery system into the eye of a human or non-human mammal. Repeat injections are often not necessary due to the extended release of ketorolac S(-)- enantiomer from the systems.
- two or more implants are injected into the eye of a patient in need thereof (for example, a patient suffering from or at risk of experiencing ocular pain and/or inflammation).
- kits for treating an ocular condition of the eye comprising: a) a container or package comprising an extended release implant or microspheres comprising ketorolac S(-)-enantiomer and a drug release sustaining component; and b) instructions for use. Instructions may include steps of how to handle the drug delivery systems, how to insert the systems into an ocular region, and what to expect from using the systems.
- a drug delivery system such as the implants disclosed herein, is administered to the anterior segment of an eye of a human or animal patient, and preferably, a living human or animal.
- the implant is administered to the anterior chamber of the eye to reduce inflammation and/or pain associated with an ocular condition or surgery.
- the implant is placed in the anterior chamber of the eye during ocular surgery, such as during cataract surgery to thereby reduce inflammation and/or pain relating to the surgery.
- Ketorolac S(-)-enantiomer is available commercially from, for example, TRC,
- RESOMER® polymers can be obtained from Evonik Industries AG, Germany.
- PEG3350 is poly(ethylene glycol) with an average molecular weight of 3350 daltons.
- PEG 20K or PEG 20,000 is poly(ethylene glycol) with an average molecular weight of 20,000 daltons.
- the present invention includes, but is not limited to, the following embodiments
- An implant according to claim 1 comprising an enantiomeric excess of S(-)- ketorolac of at least about 10%, 20%, 30%, 40%, 50%, 60%, 70%, 80%, 90%, or at least about 95%>.
- An extruded biodegradable intraocular implant comprising a biodegradable
- polymer matrix and about 20%>, about 30%>, about 35%>, about 40%>, about 45%>, or about 50%) by weight S(-)-ketorolac and less than 10%>, 5%>, or 2.5%> by weight R(+)-ketorolac.
- an implant according any of embodiments 1-4 wherein the implant releases at least 1% of its initial ketorolac load but no more than 50% of its initial ketorolac load during the first 60 minutes following placement of the implant in an ocular region of an eye of a mammal.
- An implant according to any of embodiments 1-5 wherein the implant releases about 5 ⁇ g to about 200 ⁇ g of ketorolac during the first 24 hours after placement of the implant in an eye of a mammal and about 0 ⁇ g to about 5 ⁇ g/day thereafter for about two to six weeks.
- an implant according to any of embodiments 1-6 wherein the implant releases about 5 ⁇ g to about 200 ⁇ g of ketorolac during the first 24 hours after placement of the implant in an eye of a mammal and about 0.001 ⁇ g to about 5 ⁇ g/day thereafter for about two to six weeks.
- biodegradable polymer matrix comprises a polylactide, a poly(lactide-co-glycolide), or a mixture thereof.
- An implant according to any of embodiments 1-10 further comprising about 0.1% to about 10% by weight of polyethylene glycol or polyethylene oxide, said polyethylene glycol or polyethylene oxide having an average molecular weight of between about 300-40,000 daltons, about 3350 daltons, or about 20,000 daltons.
- a method of making a biodegradable intraocular drug delivery system comprising the step of extruding a mixture comprising i) a non-racemic ketorolac preparation that comprises an enantiomeric excess of (S)-ketorolac and ii) one or more biodegradable polymers to form a biodegradable material composite that will release an amount of ketorolac sufficient to reduce inflammation and pain in the eye for at least about one day after the drug delivery system is placed in an eye, wherein the one or more polymer(s) is/are selected from the group consisting of polylactide polymers, poly (lactide-co-glycolide) copolymers, and combinations thereof.
- a method for reducing pain and inflammation in an eye of a patient following cataract surgery comprising placing an implant according to any of embodiments 1-14 in the anterior chamber, posterior chamber, or vitreous body of the eye of the patient during cataract surgery, thereby reducing pain and inflammation in the eye associated with the surgery for at least one day, for at least two weeks, or for 3 weeks or more after the surgery.
- Biodegradable implants comprising ketorolac may be fabricated by a hot-melt extrusion method using a single or twin-screw extruder or piston extruder.
- the release rate and release profile of the implants can be modulated by altering the formulation parameters including drug loading, type of polymers, ratio of the polymers, and molecular weight of the polymers.
- the fabrication process includes 3 steps.
- Powder blending weigh all the components of each formulation and add them into the blending jar together with two stainless steel balls.
- the jar is sealed and loaded onto a Turbula Mixer.
- the formulations are blended twice using the Turbula Mixer, each time for 15 minutes, with a manual mixing using a spatula in between the two turbula blendings;
- Filament extrusion the mixed powder formulations are fed through a force feeder and extruded using a Haake Minilab twin-screw extruder.
- the barrel and nozzle temperature is in the range of 75- 120°C and the diameter of the filaments is in the range of 200 ⁇ to 500 ⁇ ;
- the biodegradable implants can also be fabricated using a piston extruder.
- the preparation process includes 4 steps.
- Powder blending weigh all the components of each formulation and add them into the blending jar together with 2 stainless steel balls.
- the jar is sealed and loaded onto a Turbula Mixer.
- the formulations are blended twice using the Turbula Mixer, each time for 15 minutes, with a manual mixing using a spatula in between the two turbula blendings;
- Melt granulation The mixed powder formulation is placed on a Teflon plate, heated at 100°C to 110°C in an oven for 5 minutes to melt and mixed with a spatula.
- the mixed melt is cooled down to room temperature and then ground using a mortar and pestle to make granules; (3) Filament extrusion: the granules are fed into a piston extruder through a stainless steel funnel and extruded at 80-120°C.
- the diameter of the filaments is in the range of 200 ⁇ to 500 ⁇ ; (4) Cutting the filaments into implants with desired lengths using a blade.
- ketorolac The weight percentage (% w/w) of ketorolac in each of the implants in the tables below is based on the total weight of the drug substance: ketorolac free acid or ketorolac tromethamine.
- the implants in Table 1 were 350-370 ⁇ in diameter and 1.8-2.2 mm in length.
- Implants #7, #8, and #9 were 350-370 ⁇ in diameter and 1.4-1.6 mm in length.
- Implants #10 and #1 1 had diameters of 240-260 ⁇ and 290-310 ⁇ , respectively, and lengths of 1.9-2.1 mm and 1.7-1.9 mm, respectively.
- Table 3 Formulations im lants extruded usin the iston extruder
- the implants in Table 3 were 360-380 ⁇ in diameter and 1.6-1.8 mm in length.
- the rate of ketorolac release from each implant was determined in vitro by placing the implant into a sealed vial containing 10 mM Phosphate Buffered Saline solution (pH7.4) at 37°C (release medium). At a given time point part of or all of the release medium was removed and replaced with an equal volume of fresh medium.
- the amount of Ketorolac in a sample of the release medium was determined using a High Performance Liquid Chromatography instrument equipped with a Waters 2690 Separation Module (or 2696), and a Waters 2489 UV detector.
- a Waters Symmetry CI 8, 5 ⁇ , 4.6 xl50 mm column heated at 30°C can be used for separation and the detector can be set at 247 nm.
- the mobile phase may comprise acetonitrile containing 0.1%
- FIG 1 shows the in vitro cumulative release profile of ketorolac for Formulations #1 to #6
- Figure 2 shows the in vitro cumulative release profile of ketorolac for Formulations #7 and #8.
- Figure 3 shows the in vitro cumulative release profile of ketorolac for Formulations #9 to #11.
- Figure 4 shows the in vitro cumulative release profile of ketorolac over 24 hours for Formulations #6, #9, and #10.
- Figure 5 shows the in vitro cumulative release profile of ketorolac for Formulations #12 to #14.
- Figure 6 shows the in vitro cumulative release profile of ketorolac over 24 hours for Formulations #12 to #14.
- Formulation #6 means
- Formulations #6 and #12 have desirable release profiles because these formulations provide an initial fast release of ketorolac followed by a substantially slower release. This type of release can be beneficial for treating ocular pain and inflammation, such as that occurring after cataract surgery.
- the initial fast release can ensure sufficiently high tissue concentration immediately after surgery and therefore provide fast pain relief.
- the subsequent slow release can provide a maintenance dose for sustaining the therapeutic effect.
Landscapes
- Health & Medical Sciences (AREA)
- Chemical & Material Sciences (AREA)
- Medicinal Chemistry (AREA)
- Pharmacology & Pharmacy (AREA)
- Epidemiology (AREA)
- Life Sciences & Earth Sciences (AREA)
- Animal Behavior & Ethology (AREA)
- General Health & Medical Sciences (AREA)
- Public Health (AREA)
- Veterinary Medicine (AREA)
- Ophthalmology & Optometry (AREA)
- Pharmaceuticals Containing Other Organic And Inorganic Compounds (AREA)
- Medicinal Preparation (AREA)
Abstract
Biodegradable drug delivery systems comprising an enantiomeric excess of S(-)-ketorolac and a biodegradable polymer matrix that can release ketorolac into an eye or joint for an extended period of time are described. The drug delivery systems may be used to treat one or more inflammation-mediated conditions, such as ocular pain and/or inflammation following an ocular surgery such as cataract surgery.
Description
KETOROLAC-CONTAINING SUSTAINED RELEASE INTRAOCULAR DRUG
DELIVERY SYSTEMS
CROSS REFERENCE TO RELATED APPLICATIONS
This application claims the benefit of U.S. Provisional Patent Application Serial No. 61/718,804, filed on October 26, 2012, the entire disclosure of which is incorporated herein by reference.
BACKGROUND
Ketorolac is a chiral nonsteroidal anti-inflammatory drug (NSAID) and a potent non-narcotic analgesic compound with cyclooxygenase (COX) inhibitory activity that has been developed for the treatment of mild to moderately severe post-operative pain.
Ketorolac is typically administered as a racemic mixture of R(+)- and S(-)- enantiomers. However, the anti-inflammatory and analgesic activity of ketorolac resides almost exclusively with the S(-)-enantiomer (Guzman et al., "Absolute Configuration of (- )-5-Benzoyl-l,2-dihydro-3H-pyrrolo [l,2-a]pyrrole-l-carboxylic Acid, the Active
Enantiomer of Ketorolac" J. Med. Chem. 1986, Vol. 29, pp. 589-591). Management of ophthalmic pain and inflammation, such as that following cataract or refractive eye surgery, may require that the patient administer a ketorolac solution topically to an affected eye 2 or 4 times daily for an extended period.
It would be desirable to have a long-lasting ketorolac delivery system that can provide sustained relief of ocular pain and inflammation with a single administration. The present invention relates to intraocular biodegradable implants capable of delivering a therapeutically effective amount of ketorolac to the eye for an extended period (for example, from about one day to about 6 weeks after placement in the eye) thereby reducing ocular inflammation and pain associated with a variety of diseases and events, including surgical trauma such as cataract surgery.
In patients undergoing cataract surgery, it would be particularly useful to develop a localized drug delivery system that provided not only for long-lasting relief from inflammation but that could deliver an effective amount of the anti-inflammatory drug
directly to the traumatized site without adversely affecting the surrounding tissue or impairing vision.
Accordingly, the present invention provides for biodegradable implants that are sized and configured for placement in the anterior or posterior chamber of the eye during cataract or other ocular surgery. Because the spaces in the anterior and posterior chambers of the eye are limited, large implants must be avoided. However, reducing implant size limits the amount of active drug that may be loaded in the implant, thereby limiting the duration of therapeutic effect. The present invention solves this problem by recognizing that selectively loading the implants with the active enantiomer of ketorolac, the S(-)- enantiomer, can enable one to increase the amount of active pharmaceutical in the implant without having to increase the size of the implant beyond what is acceptable for placement in the anterior or posterior chamber. Moreover, by using preparations enriched in the active enantiomer, it may be possible to further reduce the size of the ocular implant needed to provide long-lasting relief from pain and inflammation.
Accordingly, the present invention describes biodegradable drug delivery systems
(such as implants and microspheres) containing an enantiomeric excess of ketorolac S(-)- enantiomer relative to ketorolac R(+) enantiomer that provide for the extended release of the S(-)-enantiomer. The invention further provides for methods for making these drug delivery systems and for methods of using these systems to reduce and/or prevent ocular inflammation and pain associated with cataract surgery. The implants can deliver effective amounts of ketorolac S(-)-enantiomer to those tissues, such as the iris-ciliary body, that may become inflamed following cataract surgery.
SUMMARY
The present invention relates to a sustained release drug delivery system for intraocular use to treat an ocular condition in a patient or for intraarticular use to treat a intraarticular condition in a patient.
The intraocular drug delivery system comprises or consists of a biodegradable polymer matrix and S(-)-ketorolac free acid, a pharmaceutically acceptable salt of S(-)- ketorolac free acid, or a prodrug of S(-)-ketorolac associated with the polymer matrix. For example, in one embodiment the drug delivery system comprises a tromethamine salt of S(-) -ketorolac associated with a biodegradable polymer matrix. In another embodiment, the drug delivery system comprises an ester or amide prodrug of S(-)-ketorolac associated with a biodegradable polymer matrix.
The tromethamine salt of racemic ketorolac is shown below.
Ketorolac tromethamine (CAS Registry No. 74103-07-4)
In certain embodiments the ketorolac contained by the drug delivery system is not a racemic mixture but a ketorolac preparation enriched in the S(-)-enantiomer of ketorolac. Thus, a drug delivery system according to the invention can contain an enantiomeric excess of S(-)-ketorolac relative to R(+)-ketorolac.
The percent enantiomeric excess of S(-)-ketorolac in the drug delivery system can be from about 1 to about 100%, from about 5 to about 75%, from about 10%> to about 50%>, greater than about 50%, greater than about 75%, greater than about 90%, at least about 95%), at least about 98%>, or greater than about 99%. In other embodiments, the percent enantiomeric excess of S(-)-ketorolac in the drug delivery system is at least about 25%, at least about 50%>, at least about 75%, or at least about 90%.
In other embodiments, the ketorolac present in the drug delivery system consists of S(-)-ketorolac having an enantiomeric purity of at least about 95%, or at least about 98%.
In one embodiment the ketorolac contained by the drug delivery system consists of S(-)-ketorolac and a biodegradable polymer matrix.
In one embodiment the drug delivery system comprises S(-)-ketorolac, as a free acid, salt, or prodrug thereof, and contains less than 2% by weight ketorolac R(+)- enantiomer.
In one embodiment the drug delivery system comprises S(-)-ketorolac, as a free acid, salt, or prodrug thereof, and contains less than 5% by weight ketorolac R(+)- enantiomer.
In one embodiment the drug delivery system comprises S(-)-ketorolac, as a free acid, salt, or prodrug thereof, and contains less than 10% by weight ketorolac R(+)- enantiomer.
The drug delivery systems described herein can comprise or consist of a plurality of microspheres or a solid or semi-solid ocular implant configured for intracameral (i.e. anterior chamber), posterior chamber proper (i.e. behind the iris in the ciliary sulcus), intravitreal, sub-retinal, suprachoroidal, intrascleral, anterior vitreal, subconjunctival, periocular, or sub-Tenon's space administration to a patient suffering from an adverse ocular condition such as pain and/or inflammation in the eye. The pain and inflammation may be due to cataract surgery or other surgical event, infection, or other ocular condition. Examples of solid implants include extruded implants (sometimes referred to as filaments, fibers, or rods) and compressed tablets. As described herein, a drug delivery system may also be adapted for use in an intraarticular region of the body such as a joint to reduce pain and inflammation in a joint due to a medical condition or surgery in the joint.
The extruded implant or compressed tablet can comprise a biodegradable polymer matrix in which ketorolac S(-)-enantiomer is homogenously or heterogeneously dispersed and/or dissolved. The delivery system is loaded with sufficient ketorolac S(-)-enantiomer to release therapeutically effective amounts of ketorolac S(-)-enantiomer into the eye of the patient over an extended period of time, which may be for about two weeks or more, for about three weeks or more, from about 1 day to about 6 weeks, for at least about 6 weeks, or for about 1 week to about 52 weeks. Yet, the implant is sized or configured to be comfortable and not irritating to the eye of the patient.
As an example, an intraocular drug delivery system can comprise an extruded rod- shaped implant configured for administration to the anterior chamber. An implant configured for administration to the anterior chamber will be about 0.5 mm to about 3 mm in length, about 100 μιη to about 750 μιη in diameter, and about 50 μg to about 300 μg in total weight. In one embodiment, the diameter (or other smallest dimension as in the case of non-cylindrical filaments) of the implant is about 100 μιη to about 500 μιη and the total weight of the implant is about 100 μg to about 500 μg. For example the implant can have a total weight of about 100 μg, about 150 μg, about 200 μg, about 250 μg, or about 300 μg.
The implant can comprise or consist of a therapeutic component and a
biodegradable polymer matrix. The therapeutic component may consist of S(-)-ketorolac (CAS No. 66635-92-5) or a non-racemic mixture of S(-)-ketorolac and R(+)-ketorolac in which S(-)-ketorolac is present in enantiomeric excess. The S(-)-ketorolac may be a free
acid, a pharmaceutically acceptable salt of the free acid, or a prodrug (e.g, amide or ester prodrug) of S(-)-ketorolac. For example, the S(-)-ketorolac can be a tromethamine salt of the S(-)-enantiomer.
The drug delivery system can release a therapeutically effective amount of the therapeutic component (i.e, drug) into the eye of a patient in a pre-defined manner over an extended period of time, for example, over a period of time between about 1 day and about 6 weeks, for about two weeks or more, or for about 3 weeks or more. The pre-defined manner of drug release from the delivery system may consist of an initial rapid release phase followed by a slower release phase. For example, the delivery system may release about 5 μg to about 200 μg of ketorolac S(-)-enantiomer on day 1 (that is, during the first 24 hours) after placement in an ocular region of the eye and from about 0 μg to about 5 μg of ketorolac S(-)-enantiomer each day thereafter for about 6 weeks after placement in the eye.
In one embodiment the delivery system releases about 5 μg to about 200 μg of ketorolac S(-)-enantiomer within 24 hrs (day 1) after placement in an ocular region of the eye and from about 0.001 μg to about 5 μg of ketorolac S(-)-enantiomer each day thereafter for about 6 weeks.
In one embodiment the delivery system releases about 5 μg to about 200 μg of ketorolac S(-)-enantiomer within 24 hrs (day 1) after placement in an ocular region of the eye and from about 0.01 μg to about 5 μg of ketorolac S(-)-enantiomer each day thereafter for about 6 weeks.
In one embodiment the delivery system releases about 5 μg to about 200 μg of ketorolac S(-)-enantiomer within 24 hrs (day 1) after placement in an ocular region of the eye and from about 0.05 μg to about 5 μg of ketorolac S(-)-enantiomer each day thereafter for about 6 weeks.
In one embodiment the delivery system releases about 5 μg to about 200 μg of ketorolac S(-)-enantiomer within 24 hrs (day 1) after placement in an ocular region of the eye and from about 0.1 μg to about 5 μg of ketorolac S(-)-enantiomer each day thereafter for about 6 weeks.
The drug delivery system can comprise or consist of an extruded biodegradable implant or a compressed tablet, for example. The implant may be configured for placement in an eye, and referred to as an intraocular implant, or for placement in an intraarticular region of the body, and referred to as an intraarticular implant.
Some embodiments provide for a method of reducing pain and inflammation after cataract surgery. Such a method includes making an incision in the eye and placing a ketorolac-containing implant of the present invention into an ocular region of the eye opened by the incision, wherein the incision is made in the eye as part of a cataract surgery. Use of the implant may reduce pain and inflammation arising from cataract surgery and provide for shorter recovery times and more rapid improvement in vision as compared to the administration of ketorolac solely by use of eye drops. The method can comprise placing the ketorolac-containing implant into the anterior chamber of the eye during cataract surgery. Alternatively, or in addition, the method can comprise placing a ketorolac-containing implant into the posterior chamber of the eye during cataract surgery.
The present invention provides new drug delivery systems, and methods of making and using such systems, for extended or sustained drug release into an eye to achieve one or more desired therapeutic effects. The drug delivery systems can be in the form of a plurality of microspheres or an extruded implant (such as a rod or filament) that may be placed in an eye.
The present systems and methods advantageously provide for extended release times of ketorolac S(-)-enantiomer. Thus, the patient, in whose eye the drug delivery system has been placed, receives a therapeutic amount of ketorolac S(-)-enantiomer, the pharmacologically active enantiomer, for an extended time without requiring additional administrations of ketorolac as is typically required with topical formulations.
Implants of the present invention can deliver a therapeutically effective amount of ketorolac S(-)-enantiomer to the iris-ciliary body in the eye for at least about one day, at least about one week, for about two weeks or more, between about one week and six months, between about one day and about six weeks, or for at least about 6 weeks after receiving an implant or microspheres.
The sustained local delivery of the therapeutic agent from the present system reduces the high transient concentrations associated with traditional bolus injection or pulsed dosing. Furthermore, direct intracameral or intravitreal administration of the present systems obviates the constraints posed by the blood-retinal barrier, increases the bioavailability of the drug, and significantly reduces the risk of systemic toxicity.
The biodegradable polymer matrix may comprise or consist of a poly(D,L-lactide), a poly(L-lactide), a poly(D,L-lactide-co-glycolide), or a mixture of two or more of these polymers or copolymers.
A variety of excipients can be incorporated into the matrix. These include, but not limited to, surfactants, anti-oxidants, pH modulating agents, chelating agents, bulking agents, tonicity agents, disintegrating agents, binders, fillers, gliding agents, lubricants, stabilizers, and/or plasticizers.
The delivery system can be in different physical forms or geometric shapes including, but not limited to biodegradable sheets, films, compressed tablets, microspheres or microparticles, and extruded filaments. An extruded filament, also referred to herein as an implant or extruded implant, can be cylindrical (e.g., a rod) or non-cylindrical, and may be formulated for intraarticular or intraocular administration (that is, for injection into a joint or any eye) to treat pain and inflammation. These delivery systems can be fabricated by conventional methods such as hot melt extrusion, pellet pressing, solvent casting, or molding. Microspheres can be made by methods such as emulsion and solvent
evaporation, spray drying, or precipitation.
Intraocular drug delivery systems in accordance with the disclosure herein comprise ketorolac S(-)-enantiomer, as the therapeutic component, and a drug release sustaining component (such as a biodegradable polymer matrix) associated with the therapeutic component. The therapeutic component comprises or consists of ketorolac S(- )-enantiomer. In some embodiments, the therapeutic component may comprise, consist essentially of, or consist of ketorolac S(-)-enantiomer and one or more other therapeutic components useful for treating diseases and/or adverse conditions in the eye, e.g. pain and/or inflammation. Examples of other therapeutic components that may be included with ketorolac include corticosteroids, such as, for example, dexamethasone.
Stereoisomers that are non-superposable mirror images of one another are enantiomers. Enantiomers rotate plane polarized light in opposite directions. The direction of the rotation, clockwise or counterclockwise, is indicated by the (+) or (-) symbol before the name of the compound. Because of their effect on plane-polarized light, separate enantiomers are said to be optically active.
The chemical formulas for S(-)-ketorolac and R(+)-ketorolac free acid are shown below:
C02H
S(-)-ketorolac (CAS No. 66635-92-5)
R(+)-ketorolac (CAS No. 66635-93-6)
S(-)-ketorolac is sometimes referred to herein as "ketorolac S(-)-enantiomer."
An equimolar mixture of R and S enantiomers is called a racemic mixture. If no optically active impurities are present, a racemic mixture of ketorolac (referred to as racemic ketorolac or the racemic form of ketorolac) does not rotate plane polarized light and is therefore optically inactive.
A racemic mixture is indicated by the use of the symbol (±) before the name of the compound. A racemic mixture of ketorolac (i.e., (±)-ketorolac) contains a 1 : 1 molar ratio of the R(+) and S(-) enantiomers.
A non-racemic mixture of S(-)-ketorolac and R(+)-ketorolac is one in which the weight or molar ratio of S(-)-ketorolac to R(+)-ketorolac is greater than one.
If, in any sample, one enantiomer of a pair of stereoisomers is present to a greater extent (that is, if the sample contains a greater amount of one enantiomer relative to the other enantiomer), the sample can be said to contain an enantiomeric excess (ee) of that enantiomer. Accordingly, when the weight or molar ratio of S(-)-ketorolac to R(+)- ketorolac in a drug delivery system (such as an implant) is greater than one, the drug
delivery system comprises an enantiomeric excess of S(-)-ketorolac. The ketorolac may be the free acid or a pharmaceutically acceptable salt thereof.
The enantiomeric excess (ee) can be expressed as a percentage, whereby
%ee = [(moles of one enantiomer - moles of other enantiomer) ÷
(total moles of both enantiomers)] x 100
Accordingly, the %ee of S(-)-ketorolac in any sample may be defined as:
(mole fraction S(-)-ketorolac - mole fraction R(+)-ketorolac) x 100 For example, if a non-racemic mixture of S(-)- and R(+)-ketorolac is determined to have a 50% enantiomeric excess of S(-)-ketorolac, then 50% of the mixture consists of S(- )-ketorolac and 50% consists of the racemic form. Since the racemic form consists of equal amounts of the S(-) and R(+) enantiomers, the non-racemic mixture in this example, as a whole, is 75% S(-)-ketorolac and 25% R(+)-ketorolac. Thus, in this example the enantiomeric purity of S(-)-ketorolac is 75%.
The percent enantiomeric excess (and enantiomeric purity) of an enantiomer in a sample can be determined by methods known to those of skill in the art. These methods include chiral high performance liquid chromatography (chiral HPLC), proton NMR spectroscopy (1H NMR), and optical rotation. For example, see Parker (1991) "NMR Determination of Enantiomeric Purity" Chem. Rev. 91 : 1441-1457; Patri et al. (2011) Chromatography Research Intl. Article ID 214793, 11 pages; and Tsina et al. (1996) J. Pharmaceutical and Biomedical Analysis 15 :403-417.
For instance, in samples containing a single enantiomer or mixtures of enantiomers only (no optically active impurities): ((observed specific rotation of the sample)/(specific rotation for the pure enantiomer)) x 100 = % enantiomeric excess.
In one embodiment of the present invention the drug delivery system comprises an enantiomeric excess of S(-)-ketorolac.
In another embodiment, the intraocular drug delivery system comprises or consists of a non-racemic mixture of S(-)-ketorolac and R(+)-ketorolac associated with a biodegradable polymer matrix.
The ketorolac is associated with a biodegradable polymer matrix that degrades at a rate effective to sustain release of an amount of the ketorolac S(-)-enantiomer from the system effective to treat an ocular or intraarticular condition. The drug delivery system may comprise or consist of one or more intracameral or intravitreal implants, or a plurality of microspheres, or combinations thereof. The implant can be produced by an extrusion process. Thus, in one form of the present invention the drug delivery system is an extruded
implant comprising a biodegradable polymer matrix and ketorolac associated with the biodegradable polymer matrix, wherein the ketorolac comprises an enantiomeric excess of S(-)-ketorolac.
The biodegradable polymer matrix of the foregoing systems may be a mixture of biodegradable polymers or the matrix may comprise a single type of biodegradable polymer. For example, the polymer matrix may comprise or consist of a poly(lactide), poly(lactide-co-glycolide), polyglycolide, or a combination of any two or more of these polymers or copolymers. In specific embodiments, the polylactide is a poly(D,L-lactide) and the poly(lactide-co-glycolide) is a poly(D,L-lactide-co-glycolide).
A method of making the present systems involves combining or mixing ketorolac
S(-)-enantiomer, or non-racemic mixture of S(-)- and R(+)-ketorolac, with a biodegradable polymer or polymers. The mixture may then be extruded or compressed to form a single composition. The single composition may then be processed (e.g., cut) to form individual implants suitable for placement in an eye of a patient. Another method may involve an emulsion/solvent evaporation process, which may be useful in producing biodegradable microspheres containing ketorolac, the ketorolac comprising an enantiomeric excess of S(- )-ketorolac.
The drug delivery systems described herein can be used to treat an inflammation mediated condition of the eye or joints.
Examples of ocular conditions that can be treated by an S(-)-ketorolac-containing intraocular drug delivery system include an inflammation-mediated condition of the eye, ocular pain and inflammation (pain and inflammation in the eye), post-operative ocular pain and inflammation, ocular pain and inflammation resulting from an ocular surgery (such as, for exmaple, cataract surgery, or laser-assisted refractive eye surgery), macular edema, uveitis (anterior, intermediate, posterior), exudative or dry age-related macular degeneration (AMD), diabetic retinopathy, diabetic macular edema, chronic diabetic macular edema, proliferative vitreal retinopathy, central retinal vein occlusion (CRVO), and branch retinal vein occlusion (BRVO).
Examples of inflammation-mediated conditions of the joints that can be treated by an S(-)-ketorolac-containing intraocular drug delivery system include pain and
inflammation due to a surgery on the joint (such as arthroscopic surgery), arthritis, or gout.
Brief Description of the Drawings
Figure 1 shows plots of the in vitro cumulative release of ketorolac over time for Formulations #1 to #6. (# = No.; for example, Formulation #1 means Formulation No. 1)
Figure 2 shows plots of the in vitro cumulative release of ketorolac over time for Formulations #7 and #8.
Figure 3 shows plots of the in vitro cumulative release of ketorolac over time for
Formulations #9 to #11.
Figure 4 shows plots of the in vitro cumulative release of ketorolac over 24 hours for Formulations #6, #9, and #10.
Figure 5 shows plots of the in vitro cumulative release of ketorolac over time for Formulations # 12 to # 14.
Figure 6 shows plots of the in vitro cumulative release of ketorolac over 24 hours for Formulations #12 to #14.
Figure 7 shows the in vitro cumulative ketorolac release data for implants Nos. 6, 10, 11, 12, 13, and 14 from Example 1.
Detailed Description of the Invention
As described herein, controlled and sustained administration of ketorolac S(-)- enantiomer through the use of one or more of the intraocular or intraarticular drug delivery systems described herein, such as implants and microspheres, may improve treatment of an undesirable ocular or intraarticular condition, and can reduce pain and/or inflammation resulting from an ocular surgery or intraarticular surgery (surgery on a joint such as arthroscopic surgery) or other medical condition such as arthritis or gout. The systems comprise a biodegradable polymeric composition (matrix) and are formulated to release ketorolac S(-)-enantiomer over an extended period of time. The intraocular drug delivery systems are effective to provide a therapeutically effective dosage of ketorolac S(-)- enantiomer directly to an ocular region of the eye to treat, prevent, and/or reduce one or more symptoms of one or more undesirable ocular conditions. Thus, with a single administration of the drug delivery system, ketorolac S(-)-enantiomer will be made available at the site where it is needed and will be maintained for an extended period of time, rather than subjecting the patient to repeated injections or, in the case of self- administered eye drops, the burden of dosing multiple times every day and ineffective treatment with only limited bursts of exposure to the active agent or agents or, in the case of systemic administration, higher systemic exposure and concomitant side effects or, in
the case of non-sustained release dosages, potentially toxic transient high tissue concentrations associated with pulsed, non-sustained release dosing.
The drug delivery systems may be monolithic, i.e. having the active agent or agents homogenously distributed through the polymeric matrix, or encapsulated, where a reservoir of active agent is encapsulated by the polymeric matrix. Due to ease of manufacture, monolithic systems are usually preferred over encapsulated forms. However, the greater control afforded by the encapsulated or reservoir-type implants may be of benefit in some circumstances, where the therapeutic level of the drug falls within a narrow window. Alternatively, the therapeutic component, such as ketorolac S(-)- enantiomer, may be distributed in a non-homogenous pattern in the polymer matrix. For example, an implant may include a portion that has a greater concentration of the ketorolac S(-)-enantiomer component relative to a second portion of the implant.
An intraocular drug delivery system in accordance with the disclosure herein may comprise an enantiomeric excess of the S(-)-ketorolac enantiomer and a drug release sustaining component. The drug release sustaining component can be, for example, a biodegradable polymer matrix. The drug release sustaining component may be associated with ketorolac S(-)-enantiomer to sustain release of a therapeutically effective amount of ketorolac S(-)-enantiomer into an eye in which the system is placed.
The drug release sustaining component can sustain release of a therapeutically effective amount of the ketorolac S(-)-enantiomer in a pre-defined manner into an eye in which the system is placed. The pre-defined manner of ketorolac S(-)-enantiomer release from the drug delivery system may consist of a fast release phase followed by a slower release phase. The fast release phase refers to the rate of ketorolac release during the first 24 hours after placement of the drug delivery system in the eye (that is, from t =0 hr to about t = 24 hr, where t stands for time). The rate of ketorolac release can be expressed as the total mass of ketorolac released over a period of time. In the fast release phase, the delivery system releases ketorolac S(-)-enantiomer at a substantially high and consistent rate over a period of about 24 hours. In the slower release phase the delivery system releases ketorolac S(-)-enantiomer at a rate substantially lower than that observed during the first 24 hrs. The slower release phase refers to the period beginning on about the second day (therefore, on day 2, beginning at about t = 24 hrs) and lasting for about 1 day to about 6 weeks thereafter. For example, the slower release phase may last for two to six weeks after placement of the drug delivery system in an eye.
In some embodiments, the rate of release of ketorolac S(-)-enantiomer from the drug delivery system during the fast release phase is at least about 2x, about 5x, about lOx, about 20x, about 50x, about lOOx, about lOOOx, or about ΙΟ,ΟΟΟχ greater than the rate of release of ketorolac S(-)-enantiomer during the slower release phase. The release rate may be expressed as, for example, mass ketorolac released/time period.
For example, the delivery system may release about 5 μg to about 200 μg of ketorolac on day 1 (that is, during the first 24 hours) after placement in an ocular region of the eye and from about 0 μg to about 5 μg of ketorolac each day thereafter for two weeks or more, three weeks or more, or for about six weeks after placement in the eye.
In one embodiment the delivery system releases about 5 μg to about 200 μg of ketorolac within 24 hrs (day 1) after placement in an ocular region of the eye and from about 0.001 μg to about 5 μg of ketorolac each day thereafter for two weeks or more, three weeks or more, or for about six weeks after placement in the eye.
In one embodiment the delivery system releases about 5 μg to about 200 μg of ketorolac within 24 hrs (day 1) after placement in an ocular region of the eye and from about 0.01 μg to about 5 μg of ketorolac each day thereafter for two weeks or more, three weeks or more, or for about six weeks after placement in the eye.
In one embodiment the delivery system releases about 5 μg to about 200 μg of ketorolac within 24 hrs (day 1) after placement in an ocular region of the eye and from about 0.05 μg to about 5 μg of ketorolac each day thereafter for two weeks or more, three weeks or more, or for about six weeks after placement in the eye.
In one embodiment the delivery system releases about 5 μg to about 200 μg of ketorolac within 24 hrs (day 1) after placement in an ocular region of the eye and from about 0.1 μg to about 5 μg of ketorolac each day thereafter for two weeks or more, three weeks or more, or for about six weeks after placement in the eye.
The release of S(-)-ketorolac according to the pre-defined manner described above, whereby the patient receives an initial burst of the drug followed by a lower maintenance dose of the drug for an extended period, may be especially effective for treating the pain and inflammation associated with cataract surgery. Accordingly, the present invention describes drug delivery systems (such as extruded implants) that will release ketorolac in this manner upon placement in the anterior chamber of the eye.
In some embodiments, an amount of ketorolac S(-)-enantiomer is released into the eye for about one day or for a period of time between about one day to about six weeks, for two weeks or more, three weeks or more, or for about six weeks after the system is
placed in the eye, and is an amount effective for treating and/or reducing at least one symptom of one or more ocular conditions, such as post-operative pain and inflammation, macular edema, posterior uveitis, exudative age-related macular degeneration (AMD), diabetic retinopathy, diabetic macular edema, proliferative vitreal retinopathy, central retinal vein occlusion (CRVO), branch retinal vein occlusion (BRVO), and macular telangiectasia as well as other ocular conditions of the anterior and posterior segment. The post-operative pain and inflammation may be due to cataract surgery.
In addition to or in place of ketorolac free acid or a salt thereof, a drug delivery system according to the present disclosure may comprise a prodrug of ketorolac. A "prodrug" means a compound (e.g., a drug precursor) that is transformed in vivo to yield an active form of the compound. The transformation may occur by various mechanisms (e.g., by metabolic or chemical processes), such as, for example, through hydrolysis. Examples of useful ketorolac prodrugs include esters formed by the replacement of the hydrogen atom of the carboxylic acid group in ketorolac with a linear or branched alkyl group such as, for example, a methyl, ethyl, propyl, isopropyl, butyl, isobutyl, or other (Ci-Cg)alkyl. Examples of ketorolac ester prodrugs are disclosed in Doh et al. (2003) "Synthesis and Evaluation of Ketorolac Ester Prodrugs for Transdermal Delivery" J. Pharmaceutical Sciences, Vol. 92, No. 5.
Additional examples of useful ketorolac prodrugs include amides formed by replacement of the -OH group of the carboxylic acid group in ketorolac with an amine or group of formula -NRxRy, wherein Rx and Ry can be the same or independently H, alkyl, aryl, cycloalkyl, cycloalkenyl, or heterocycle. Examples of ketorolac amide prodrugs are disclosed in Kim et al. (2005) "Ketorolac amide prodrugs for transdermal delivery:
stability and in vitro rat skin permeation studies" International Journal of Pharmaceutics Volume 293, Issues 1-2, Pages 193-202.
The term "alkyl", as used herein, refers to saturated monovalent or divalent hydrocarbon moieties having linear or branched moieties or combinations thereof and containing 1 to 6 carbon atoms. One methylene (-CH2-) group, of the alkyl can be optionally replaced by oxygen, sulfur, sulfoxide, nitrogen, carbonyl, carboxyl, sulfonyl, amide, sulfonamide, by a divalent C3_6 cycloalkyl, by a divalent heterocycle, or by a divalent aryl group. Non-limiting examples of suitable alkyl groups include methyl (- CH3), ethyl (-CH2CH3), n-propyl (-CH2CH2CH3), isopropyl (-CH(CH3)2), and t-butyl (- C(CH3)3).
A "patient" can be a human or non-human mammal.
A "joint" as used herein refers to the point of contact between two or more bones of an animal or human skeleton with the parts that surround and support it. Examples of joints include without limitation the knee joint, toe and finger joints, wrist, ankle, hip, shoulder, back (vertebrae and vertebral discs), and elbow.
An "intraarticular region" refers to a joint, such as a knee, elbow, shoulder, finger, toe, or hip joint. Intraarticular regions include joints in the wrist and vertebral column in the neck and back.
An "intracameral" inplant is an implant that is sized, configured, and formulated for placement in the anterior chamber of the eye.
An "intravitreal" implant is one that is sized, configured, and formulated for placement in the vitreous body of the eye.
The term "pharmaceutically acceptable salts" refers to salts or complexes that retain the desired biological activity of the compound (ketorolac) and exhibit minimal or no undesired toxicological effects to the mammal or cell system to which they are administered. The "pharmaceutically acceptable salts" according to the invention include therapeutically active salt forms of ketorolac.
Useful salt forms can include those formed by treating ketorolac free acid with sodium hydroxide, magnesium hydroxide, potassium hydroxide, calcium hydroxide, ammonia and the like; or an organic base such as for example, L-arginine, ethanolamine, betaine, benzathine, morpholine, tromethamine, and the like. Salts formed with zinc are also of potential interest.
As used herein, a "drug delivery system" refers to one or more devices or elements that include at least one therapeutic agent or active ingredient, such as S(-)-ketorolac, and a drug release sustaining component, and is configured to be placed in an eye or a joint. A drug delivery system may comprise or consist of a plurality of microspheres, a compressed tablet, or an extruded intraocular or intraarticular implant and optionally one or more a pharmaceutically acceptable excipients that is/are non-toxic to and do/does not cause adverse reactions in the eye. Pharmaceutically acceptable excipients for use with the invention include but are not limited to preservatives, buffering agents, electrolytes, and thickeners, and combinations thereof.
As used herein, an "intraocular implant" or "intraocular drug delivery system" refers to a device or element that is structured, sized, or otherwise configured to be placed in an eye. Intraocular implants and drug delivery systems are generally biocompatible
with the physiological conditions of an eye and do not cause unacceptable adverse side effects. Intraocular implants may be placed in an eye without disrupting vision of the eye. Non-limiting examples of intraocular implants include intracameral implants and intravitreal implants. Intraocular implants may be formed by an extrusion process.
As used herein, a "therapeutic component" refers to a portion of an intraocular drug delivery system or implant comprising one or more therapeutically active agents used to treat a medical condition of the eye. The therapeutic component may be a discrete region of an intraocular implant, or it may be homogenously distributed throughout the implant. The therapeutically active agent(s) (or therapeutic agent(s)) of the therapeutic component are typically ophthalmically acceptable, and do not cause adverse reactions when placed in an eye.
"Active agent", "drug", "therapeutically active agent," and "pharmaceutically active agent" refer to the chemical compound that produces a therapeutic effect in the patient (human or non-human mammal) to which it is administered and that can be used to treat a medical condition, such as an ocular condition or an adverse condition of a joint in the body, such as pain or inflammation of a joint. One example of a therapeutically active agent in the context of the present invention is S-(-)-ketorolac.
As used herein, a "drug release sustaining component" refers to a portion of the intraocular drug delivery system that is effective to provide a sustained release of the therapeutic agents of the system. A drug release sustaining component may be a biodegradable polymer matrix.
"Associated with a biodegradable polymer matrix" means mixed with, dissolved and/or dispersed within, encapsulated by, surrounded and/or covered by, or coupled to.
As used herein, an "ocular region" or "ocular site" refers generally to any area of the eyeball, including the anterior and posterior segment of the eye, and which generally includes, but is not limited to, any functional (e.g., for vision) or structural tissues found in the eyeball, or tissues or cellular layers that partly or completely line the interior or exterior of the eyeball. Specific examples of an ocular region in an eye include the anterior chamber, the posterior chamber, the vitreous body (sometimes referred to as the vitreous cavity or vitreous), the choroid, the suprachoroidal space, the conjunctiva, the subconjunctival space, the sub-Tenon's space, the episcleral space, the intracorneal space, the epicorneal space, the sclera, the pars plana, surgically-induced avascular regions, the macula, and the retina.
The anterior chamber refers to the space inside the eye between the iris and the innermost corneal surface (endothelium).
The posterior chamber refers to the space inside the eye between the back of the iris and the front face of the vitreous. The posterior chamber includes the space between the lens and the ciliary process, which produces the aqueous humor that nourishes the cornea, iris, and lens and maintains intraocular pressure.
"Suitable for insertion (or implantation) in (or into) an ocular region or site" with regard to an implant, includes an implant which has a size (dimensions) such that it can be inserted or implanted without causing excessive tissue damage and without unduly physically interfering with the existing vision of the patient into which the implant is implanted or inserted.
An "intraarticular condition" is a disease, ailment, or condition that affects or involves an intraarticular region of the body and that impairs the normal function or use of that region of the body. Non-limiting examples of intraarticular conditions include arthritis, pain, and inflammation.
As used herein, an "ocular condition" is a disease, ailment or condition which affects or involves the eye or one of the parts or regions of the eye. Broadly speaking the eye includes the eyeball and the tissues and fluids which constitute the eyeball, the periocular muscles (such as the oblique and rectus muscles) and the portion of the optic nerve which is within or adjacent to the eyeball.
Non-limiting examples of an ocular condition include ocular pain and/or inflammation resulting from, for example, ocular surgery (therefore, post-operative pain and inflammation). Drug delivery systems according to the present disclosure may be used to reduce pain and/or inflammation resulting from and associated with cataract surgery and refractive eye surgery (surgical remodeling of the cornea). Cataract surgery may cause inflammation of certain ocular tissues, including the iris and ciliary body. This
inflammation may give rise to ocular pain. The inflammation and pain associated with cataract surgery may be effectively reduced, and thereby treated, by administration of an S(-)-ketorolac-containing drug delivery system described herein.
An anterior ocular condition is a disease, ailment or condition which affects or which involves an anterior (i.e. front of the eye) ocular region or site, such as a periocular muscle, an eye lid or an eye ball tissue or fluid which is located anterior to the posterior wall of the lens capsule or ciliary muscles. Thus, an anterior ocular condition primarily affects or involves the conjunctiva, the cornea, the anterior chamber, the iris, the ciliary
body, the posterior chamber (behind the iris but in front of the posterior wall of the lens capsule), the lens or the lens capsule and blood vessels and nerve which vascularize or innervate an anterior ocular region or site.
Thus, an anterior ocular condition can include a disease, ailment or condition, such as for example, aphakia; pseudophakia; astigmatism; blepharospasm; cataract; conjunctival diseases; conjunctivitis; corneal diseases;, corneal ulcer; dry eye syndromes; eyelid diseases; lacrimal apparatus diseases; lacrimal duct obstruction; myopia; presbyopia; pupil disorders; refractive disorders, pain, inflammatory conditions, and strabismus. One example of an inflammatory condition is inflammation of the ciliary body. Glaucoma can also be considered to be an anterior ocular condition because a clinical goal of glaucoma treatment can be to reduce a hypertension of aqueous fluid in the anterior chamber of the eye (i.e. reduce intraocular pressure).
A posterior ocular condition is a disease, ailment or condition which primarily affects or involves a posterior ocular region or site such as choroid or sclera (in a position posterior to a plane through the posterior wall of the lens capsule), vitreous, vitreous chamber, retina, retinal pigmented epithelium, Bruch's membrane, optic nerve (i.e. the optic disc), and blood vessels and nerves which vascularize or innervate a posterior ocular region or site.
Thus, a posterior ocular condition can include a disease, ailment or condition, such as for example, acute macular neuroretinopathy; Behcet's disease; choroidal
neovascularization; diabetic uveitis; histoplasmosis; infections, such as fungal or viral- caused infections; macular degeneration, such as acute macular degeneration, non- exudative age related macular degeneration and exudative age related macular
degeneration; edema, such as macular edema, cystoid macular edema and diabetic macular edema; multifocal choroiditis; ocular trauma which affects a posterior ocular site or location; ocular tumors; retinal disorders, such as central retinal vein occlusion, diabetic retinopathy (including proliferative diabetic retinopathy), proliferative vitreoretinopathy (PVR), retinal arterial occlusive disease, retinal detachment, uveitic retinal disease;
sympathetic opthalmia; Vogt Koyanagi-Harada (VKH) syndrome; uveal diffusion; a posterior ocular condition caused by or influenced by an ocular laser treatment; posterior ocular conditions caused by or influenced by a photodynamic therapy, photocoagulation, radiation retinopathy, epiretinal membrane disorders, branch retinal vein occlusion, anterior ischemic optic neuropathy, non-retinopathy diabetic retinal dysfunction, retinitis pigmentosa, and glaucoma. Glaucoma can be considered a posterior ocular condition
because the therapeutic goal is to prevent the loss of or reduce the occurrence of loss of vision due to damage to or loss of retinal cells or optic nerve cells (i.e. neuroprotection).
"Inflammation-mediated" in relation to an ocular condition means any condition of the eye which can benefit from treatment with an anti-inflammatory agent such as ketorolac and is meant to include, but is not limited to, uveitis, macular edema, acute macular degeneration, retinal detachment, ocular tumors, fungal, bacterial, or viral infections, multifocal choroiditis, diabetic uveitis, proliferative vitreoretinopathy (PVR), sympathetic opthalmia, Vogt Koyanagi-Harada (VKH) syndrome, histoplasmosis, and uveal diffusion.
The term "biodegradable polymer" refers to a polymer or polymers which degrade in vivo, and wherein degradation of the polymer or polymers over time occurs concurrent with or subsequent to release of the therapeutic agent. A biodegradable polymer may be a homopolymer, a copolymer, or a polymer comprising more than two different structural repeating units.
"Treating" and "treatment" as used herein includes any beneficial effect in the eye or intraarticular region of an individual produced by the present methods. Treatment of an ocular or intraarticular condition may reduce, or retard the progression of, one or more signs or symptoms of the ocular or intraarticular condition. The sign(s) or symptom(s) positively affected by the treatment will depend on the particular condition. Examples of beneficial (and therefore positive) effects produced by the present methods may include but are not limited to a reduction in pain, burning and/or foreign body sensation, itching, redness, swelling, inflammation, and/or discomfort.
The term "therapeutically effective amount" or "effective amount" refers to the level or amount of active agent needed to treat an ocular or intraarticular condition without causing significant negative or adverse side effects to the eye or a region of the eye or body to which the agent is administered.
"Cumulative release profile" means the cumulative total percent of an active agent
(such as ketorolac) released from an implant into an ocular region or site in vivo over time or into a specific release medium in vitro over time.
In one embodiment of the present invention, an intraocular drug delivery system, such as a microsphere or extruded implant, comprises a biodegradable polymer matrix.
The biodegradable polymer matrix is one type of a drug release sustaining component.
The biodegradable polymer matrix is effective in forming a biodegradable intraocular drug delivery system.
In one embodiment the present invention provides for a biodegradable intraocular drug delivery system comprising ketorolac S(-)-enantiomer and a biodegradable polymer matrix, wherein ketorolac S(-)-enantiomer is present in the delivery system in
enantiomeric excess, as compared to the R(+) enantiomer of ketorolac. Thus, the drug delivery system comprises an enantiomeric excess of S(-)-ketorolac. The S(-)-ketorolac is released via diffusion through the polymer matrix and/or via polymer degradation and erosion. The release can be sustained for a time of about one day or greater than about one day or about one week from the time in which the system is placed in an ocular region or ocular site, such as the anterior chamber, the posterior chamber, or the vitreous of an eye.
The biodegradable polymer matrix will generally comprise biodegradable polymers that are biocompatible with the eye so as to cause no substantial interference with the functioning or physiology of the eye. Such polymers are preferably at least partially and more preferably substantially completely biodegradable or bioerodible.
Useful biodegradable polymers include poly(D,L-lactide) (PLA) polymers and poly(D,L-lactide-co-glycolide) (PLGA) copolymers. In general, the biodegradable polymer matrix may comprise a PLA polymer, a PLGA copolymer, a mixture of two or more different PLA polymers, a mixture of two or more different PLGA copolymers, or a combination of one, two, or more PLA polymers and one, two, or more PLGA copolymers For example, the biodegradable polymer matrix may comprise one or more poly(D,L- lactide-co-glycolide) copolymers and/or one or more poly(D,L-lactide) polymers. For example, the polymer matrix may comprise or consist of one poly(D,L-lactide) polymer and/or one poly(D,L-lactide-co-glycolide) copolymer, or the implant may comprise two or more different poly(D,L-lactide) polymers and/or one, or two or more different poly(D,L- lactide-co-glycolide) copolymers. A polymer or copolymer may differ from another polymer or copolymer with regard to the end group, inherent viscosity, or repeating unit of the polymer or copolymer, or by any combination thereof. For example, when two poly(D,L-lactide) polymers are present, the first PLA polymer may have a first inherent viscosity and an acid end group while the second PLA polymer has a second inherent viscosity (different from the first) and an ester end group. Thus, in addition to one, two, or more poly(D,L-lactide) polymers, an implant may comprise one, two, or more poly(D,L- lactide-co-glycolide) copolymers. When two poly(D,L-lactide-co-glycolide) copolymers are present, the first poly(D,L-lactide-co-glycolide) copolymer may have a first inherent viscosity and an ester end group and the second poly(D,L-lactide-co-glycolide) copolymer may have a second inherent viscosity (different from the first) and an acid end group.
Alternatively, the first and second poly(D,L-lactide-co-glycolide) copolymers may each have an ester end group.
Polylactide, or PLA, includes poly(D-lactide), poly(L-lactide), and poly(D,L- lactide), and may also be identified by CAS Number 26680-10-4, and may be represented b the formula:
Poly(lactide-co-glycolide) or PLGA, includes poly(D,L-lactide-co-glycolide), also identified b CAS Number 26780-50-7, and may be represented by a formula:
Thus, PLGA comprises one or more blocks of D,L-lactide repeat units (x) and one or more blocks of glycolide repeat units (y), where the size and number of the respective blocks may vary.
The molar percent of each monomer (repeat unit) in poly(lactic-co-glycolic)acid
(PLGA) copolymer may be 0-100%, about 15-85%, about 25-75%, or about 35-65%. In certain variations, 25/75 PLGA and/or 50/50 PLGA copolymers are used. In some embodiments, the D,L-lactide may be about 50% to about 75% of the PLGA polymer on a molar basis, such as: about 48% to about 52%, or about 50%>; or about 73% to about 77%, or about 75%. The balance of the polymer may essentially be the glycolide repeat units.
For example, the glycolide may be about 25% to about 50% of the PLGA polymer on a molar basis, such as: about 23% to about 27%, or about 25%; or about 48% to about 52%, or about 50%. Other groups, such as terminal or capping groups may be present in small amounts. In other variations, PLGA copolymers are used in conjunction with polylactide
polymers. For some PLGA polymers, the molar ratio of glycolide/lactide is about 25/75 to about 50/50.
One example of a sustained release intraocular drug delivery system according to the present invention is an extruded biodegradable implant. The implant can comprise about 40% to about 90%> by weight of a poly(lactide-co-glycolide), polylactide, or a combination thereof, and about 10% to about 60% ketorolac S(-)-enantiomer by weight. In any of these embodiments, the implant preferably comprises less than 25%, less than 10%, less than 5%, or less than about 2.5% by weight R(+)-ketorolac. The polylactide can be a poly(D,L-lactide) and the poly(lactide-co-glycolide) can be a poly(D,L-lactide-co- glycolide).
As discussed herein, a drug delivery system according to the present invention may comprise or consist of an intraocular implant formed by an extrusion process (e.g., an extruded filament cut to a length and having a weight suitable for placement in an eye).
The biodegradable polymer matrix of an intraocular implant may comprise one biodegradable polymer or a mixture of two or more biodegradable polymers. For example, an implant may comprise a mixture of a first biodegradable polymer and a different second biodegradable polymer. In another example, the implant may comprise a mixture of first, second, and third biodegradable polymers, each polymer distinct from the other in terms of its inherent viscosity, structural repeating unit, or end groups, or combination thereof. One or more of the biodegradable polymers may have terminal acid groups (acid end groups; uncapped). Additionally, or alternatively, one or more of the biodegradable polymers in the matrix may have terminal ester groups (ester end groups; ester capped).
Useful biodegradable polymers include poly(D,L-lactide) polymers and poly(D,L- lactide-co-glycolide) polymers. Specific examples of polymers that can be used
individually or in combination to form the biodegradable polymer matrix of a ketorolac- containing sustained release intraocular drug delivery system according to the present disclosure include RESOMER® R203S, R203H, R202S, R202H, RG502, RG502H, RG753S, and RG752S.
RESOMER® R203H is a poly(D,L-lactide) having an acid end group and an inherent viscosity of about 0.25-0.35 dl/g, as measured for a 0.1% solution in chloroform at 25°C.
RESOMER® R203S is a poly(D,L-lactide) having an ester end group and an inherent viscosity of about 0.25-0.35 dl/g, as measured for a 0.1 % solution in chloroform at 25°C.
RESOMER® R202H is a poly(D,L-lactide) having an acid end group and an inherent viscosity of about 0.16-0.24 dl/g, as measured for a 0.1% solution in chloroform at 25°C.
RESOMER® R202S is a poly(D,L-lactide) having an ester end group and an inherent viscosity of about 0.16-0.24 dl/g, as measured for a 0.1% solution in chloroform at 25°C.
RESOMER® RG502 is a poly(D,L-lactide-co-glycolide) having an ester end group and an inherent viscosity of about 0.16-0.24 dl/g (as measured for a 0.1% solution in chloroform at 25°C), and a D,L-lactide:glycolide ratio of about 50:50.
RESOMER® RG502H is a poly(D,L-lactide-co-glycolide) having an acid end group and an inherent viscosity of about 0.16-0.24 dl/g (as measured for a 0.1 % solution in chloroform at 25°C), and a D,L-lactide:glycolide ratio of about 50:50.
RESOMER® RG753S is a poly(D,L-lactide-co-glycolide) having an ester end group and an inherent viscosity of about 0.32-0.44 dl/g (as measured for a 0.1 % solution in chloroform at 25°C), and a D,L-lactide:glycolide ratio of about 75:25.
RESOMER® RG752S is a poly(D,L-lactide-co-glycolide) having an ester end group and an inherent viscosity of about 0.16-0.24 dl/g (as measured for a 0.1 % solution in chloroform at 25°C), and a D,L-lactide:glycolide ratio of about 75:25.
Release of a drug from an erodible polymer is the consequence of several mechanisms or combinations of mechanisms. Some of these mechanisms include desorption from the systems surface, dissolution, diffusion through porous channels of the hydrated polymer and erosion. Erosion can be bulk or surface or a combination of both. As discussed herein, the intraocular drug delivery system may release drug at a rate effective to sustain release of an amount of ketorolac S(-)-enantiomer component for one day or more, or for about one week or more after implantation into an eye. In certain systems, therapeutic amounts of ketorolac S(-)-enantiomer component are released for more than about one month, and even for about six months or more.
One example of a biodegradable intraocular drug delivery system comprises ketorolac S(-)-enantiomer and a biodegradable polymer matrix that comprises a poly(lactide-co-glycolide) or a poly(D,L-lactide-co-glycolide), or a combination thereof. The system may have an amount of ketorolac S(-)-enantiomer from about 20% to about 60%) by weight of the system and less than about 5% by weight R(+)-ketorolac; or the system may have about 30% to about 50% by weight S(-)-ketorolac and less than 1% or
less than 5% by weight R(+)-ketorolac, Such a formulation is effective in sustaining release of a therapeutically effective amount of ketorolac S(-)-enantiomer for a time period from about one day to about six weeks, or for about one month to about four months from the time the system is placed in an eye.
The release of ketorolac S(-)-enantiomer from the intraocular drug delivery system comprising a biodegradable polymer matrix may include an initial burst of release of S(-)- ketorolac followed by a gradual increase in the amount of ketorolac S(-)-enantiomer released, or the release may include an initial delay in release of the ketorolac S(-)- enantiomer followed by an increase in release. The initial drug burst followed by a lower maintenance drug release may be especially beneficial for treating a number of ocular inflammatory conditions. When the polymers in the drug delivery system are substantially completely degraded, the percent of the ketorolac S(-)-enantiomer that has been released is about one hundred. Compared to existing drug delivery systems, the drug delivery systems disclosed herein do not completely release, or release about 100% of the ketorolac S(-)-enantiomer, until after about one day, about one week , about four weeks, or about 6 weeks of being placed in an eye.
In some cases it may be desirable to provide a relatively constant rate of release of the ketorolac S(-)-enantiomer from the drug delivery system over the life of the system. For example, it may be desirable for the ketorolac S(-)-enantiomer to be released in amounts from about 0.01 μg to about 2 μg per day for the life of the system.
An intraocular implant, as disclosed herein, may have a diameter of between about 50 μιη and about 2 mm, about 100 μιη to about 750 μιη, or between about 100 μιη and about 1 mm for administration with a needle, and from about 1 mm to about 2 mm for administration by surgical implantation.
The vitreous body in humans is able to accommodate relatively large implants of varying geometries, having lengths of, for example, 1 to 10 mm. An implant may be a cylindrical pellet (for example, a rod or extruded filament) with dimensions of about 2 mm in length x 0.75 mm diameter. Or an implant may be a cylindrical pellet with a length of about 5 mm to about 10 mm, and a diameter of about 0.05 mm to about 1.5 mm.
Intracameral implants may have a diameter or other smallest dimension (as appropriate for non-cylindrical implants) of about 100 μιη to about 750 μιη, about 100 μιη to about 500 μιη, or about 100 μιη to about 400 μιη. In some embodiments, an
intracameral implant may have a diameter or other smallest dimension about 200 to 300 μιη, corresponding to a 28 gauge needle, to about 360 μιη, corresponding to a 25 gauge
needle. In any of these embodiments, the intracameral implants may have a length of about 0.5 mm to about 3 mm.
As discussed above, the implants of this invention can be smaller than implants comprising racemic ketorolac as a result of the increased potency of the ketorolac S(-) enantiomer as compared to the racemic mixture. In fact, the greater the concentration of ketorolac S(-) enantiomer in the implant the smaller the implant can be and a therapeutic level still obtained. This is especially desired for intracameral administration.
Intraocular and intraarticular implants may also be at least somewhat flexible so as to facilitate both insertion of the implant in the eye, such as in the vitreous, and
accommodation of the implant. The total weight of the intraocular or intraarticular implant is usually about 20-5000 μg. In some embodiments the total weight of the implant is about 50-1000 μg. In other embodiments, the total weight of the implant is about 100 μg to about 500 μg, or more specifically 200 μg to about 400 μg. For example, an implant may weigh about 50 μg, 100 μg, 200 μg, 300 μg, 500 μg, or about 1000 μg.
For non-human patients, the dimensions and total weight of the implant(s) may be larger or smaller, depending on the type of individual. For example, humans have a vitreous volume of approximately 3.8 ml, compared with approximately 30 ml for horses, and approximately 60-100 ml for elephants. An implant sized for use in a human may be scaled up or down accordingly for other animals, for example, about 8 times larger for an implant for a horse, or about, for example, 26 times larger for an implant for an elephant.
The total weight of an intracameral implant is usually between about 30 μg and 1000 μg, and is more preferably about 50 μg to about 500 μg. In some embodiments the intracameral implant weighs about 50 μg to about 300 μg. For example, the total weight of an intracameral implant may be about 50 μg, about 100 μg to about 400 μg, about 150 μg, about 190 μg, 200 μg, about 300 μg, about 400 μg, or about 500 μg. Typical sizes for intracameral implants range from 200 μιη (28 gauge ultra-thin wall needle) to 360 μιη (25 gauge needle) in diameter and from 0.5 to 2 mm in length. An intracameral implant may have a diameter of from about 100 to about 500 μιη, a length of about 0.5 mm to about 2.5 mm, and a total weight of about 100 to about 500 μg.
The intracameral implant can be an extruded filament. The filament can be cylindrical or non-cylindrical in shape.
The drug delivery systems may be of any geometry including fibers, sheets, films, microspheres, spheres, circular discs, plaques and the like. The upper limit for the implant size will be determined by factors such as toleration for the implant, size limitations on
insertion, ease of handling, etc. Where sheets or films are employed, the sheets or films will be in the range of at least about 0.5 mm x 0.5 mm, usually about 2-10 mm x 2-10 mm with a thickness of about 0.05-1.0 mm for ease of handling. Where fibers are employed, the fiber diameter will generally be in the range of about 0.05 to 2 mm and the fiber length will generally be in the range of about 0.5-10 mm. One example of a fiber is an extruded filament.
The size and form of the drug delivery system can also be used to control the rate of release, period of treatment, and drug concentration at the site of implantation. Larger systems will deliver a proportionately larger dose, but depending on the surface to mass ratio, may have a slower release rate. The particular size and geometry of the system are chosen to suit the site of implantation or administration.
The drug delivery systems may be provided in kits, such as sealed packages and the like. The systems may be sterilized or non-sterilized. Advantageously, the present systems remain stable for relatively long periods of time such as six months or more in either sterile or non-sterile settings. For example, the present systems retain their physical appearance and release profiles of the ketorolac component (S(-)-ketorolac or non-racemic mixture of ketorolac) after being stored for 6 months, and even for up to a year under temperature ranges from about twenty degrees Celsius to about 25 degrees Celsius. Thus, the systems may be stored for substantial periods of time without significant loss of therapeutic efficacy.
The release rate of ketorolac S(-)-enantiomer and any other constituents in a drug delivery system may be empirically determined using a variety of methods. A USP approved method for dissolution or release test can be used to measure the rate of release (USP 23; NF 18 (1995) pp. 1790-1798). For example, using the infinite sink method, a weighed sample of the implant is added to a measured volume of a solution containing 0.9% NaCl in water (or other suitable release medium such as phosphate buffered saline (PBS), pH 7.4), where the solution volume will be such that the drug concentration after release is less than 5% of saturation. The mixture is maintained at 37°C and stirred slowly to maintain the implants in suspension. The amount of the released drug as a function of time may be followed by various methods known in the art, such as
spectrophotometrically, HPLC, mass spectroscopy, etc. until greater than 90% of the drug has been released.
In addition to ketorolac S(-)-enantiomer, an intraocular drug delivery system according to the present invention may include one or more additional therapeutic agents.
For example, the systems may include one or more antihistamines, one or more antibiotics, one or more beta blockers, one or more steroids, one or more antineoplastic agents, one or more immunosuppressive agents, one or more antiviral agents, one or more antioxidant agents, and mixtures thereof.
In another embodiment, the intraocular drug delivery system comprises a biodegradable polymer matrix and an enantiomeric excess of S(-)-ketorolac as the active agent and less than 10% or less than 5% by weight R(+)-ketorolac and does not contain any active agent other than ketorolac.
Examples of antihistamines include, and are not limited to, loradatine,
hydroxyzine, diphenhydramine, chlorpheniramine, brompheniramine, cyproheptadine, terfenadine, clemastine, triprolidine, carbinoxamine, diphenylpyraline, phenindamine, azatadine, tripelennamine, dexchlorpheniramine, dexbrompheniramine, methdilazine, and trimprazine doxylamine, pheniramine, pyrilamine, chiorcyclizine, thonzylamine, and derivatives thereof.
Examples of antibiotics include without limitation, cefazolin, cephradine, cefaclor, cephapirin, ceftizoxime, cefoperazone, cefotetan, cefotaxime, cefotaxime, cefadroxil, ceftazidime, cephalexin, cephalothin, cefamandole, cefoxitin, cefonicid, ceforanide, ceftriaxone, cefadroxil, cephradine, cefuroxime, cyclosporine, ampicillin, amoxicillin, cyclacillin, ampicillin, penicillin G, penicillin V potassium, piperacillin, oxacillin, bacampicillin, cloxacillin, ticarcillin, azlocillin, carbenicillin, methicillin, nafcillin, erythromycin, tetracycline, doxycycline, minocycline, aztreonam, chloramphenicol, ciprofloxacin hydrochloride, clindamycin, metronidazole, gentamicin, lincomycin, tobramycin, vancomycin, polymyxin B sulfate, colistimethate, colistin, azithromycin, augmentin, sulfamethoxazole, trimethoprim, gatifloxacin, ofloxacin, and derivatives thereof.
Examples of beta blockers include acebutolol, atenolol, labetalol, metoprolol, propranolol, timolol, and derivatives thereof.
Examples of steroids include corticosteroids, such as cortisone, prednisolone, flurometholone, dexamethasone, medrysone, loteprednol, fluazacort, hydrocortisone, prednisone, betamethasone, prednisone, methylprednisolone, triamcinolone hexacatonide, paramethasone acetate, diflorasone, fluocinonide, fluocinolone, triamcinolone, derivatives thereof, and mixtures thereof.
Examples of antineoplastic agents include adriamycin, cyclophosphamide, actinomycin, bleomycin, duanorubicin, doxorubicin, epirubicin, mitomycin, methotrexate,
fluorouracil, carboplatin, carmustine (BCNU), methyl-CCNU, cisplatin, etoposide, interferons, camptothecin and derivatives thereof, phenesterine, taxol and derivatives thereof, taxotere and derivatives thereof, vinblastine, vincristine, tamoxifen, etoposide, piposulfan, cyclophosphamide, and flutamide, and derivatives thereof.
Examples of immunosuppresive agents include cyclosporine, azathioprine, tacrolimus, and derivatives thereof.
Examples of antiviral agents include interferon gamma, zidovudine, amantadine hydrochloride, ribavirin, acyclovir, valaciclovir, dideoxycytidine, phosphonoformic acid, ganciclovir and derivatives thereof.
Examples of antioxidant agents include ascorbate, alpha-tocopherol, mannitol, reduced glutathione, various carotenoids, cysteine, uric acid, taurine, tyrosine, superoxide dismutase, lutein, zeaxanthin, cryptoxanthin, astaxanthin, lycopene, N-acetyl-cysteine, carnosine, gamma-glutamylcysteine, quercitin, lactoferrin, dihydrolipoic acid, citrate, Ginkgo Biloba extract, tea catechins, bilberry extract, vitamins E or esters of vitamin E, retinyl palmitate, and derivatives thereof.
Other therapeutic agents that may be included with ketorolac include squalamine, carbonic anhydrase inhibitors, alpha agonists, prostamides, prostaglandins, antiparasitics, antifungals, and derivatives thereof.
The amount of active agent or agents employed in the drug delivery systems, individually or in combination, will vary widely depending on the effective dosage required and the desired rate of release from the system.
In addition to S(-)-ketorolac and a biodegradable polymer matrix, the intraocular drug delivery systems disclosed herein may optionally further include one or more buffering agents (pH modulating agents), preservatives, salts, saccharides, or polyethylene glycols.
Suitable water soluble buffering agents include, without limitation, alkali and alkaline earth carbonates, phosphates, bicarbonates, citrates, borates, acetates, succinates and the like, such as sodium phosphate, citrate, borate, acetate, bicarbonate, carbonate and the like. These agents are advantageously present in amounts sufficient to maintain a pH of the system of between about 2 to about 9 and more preferably about 4 to about 8. As such the buffering agent may constitute from about 0.001% to about 5% by weight of the total drug delivery system.
Suitable water soluble preservatives include sodium bisulfite, sodium bisulfate, sodium thiosulfate, ascorbate, benzalkonium chloride, chlorobutanol, thimerosal,
phenylmercuric acetate, phenylmercuric borate, phenylmercuric nitrate, parabens, methylparaben, polyvinyl alcohol, benzyl alcohol, phenylethanol and the like and mixtures thereof. These agents may be present in amounts of from 0.001 to about 5% by weight and preferably 0.01 to about 2% by weight.
Some implants may include a low molecular weight water soluble substance, such as a compound or material having a molecular weight of less than about 5,000 Daltons, less than about 1,000 Daltons, about 25 Daltons to about 500 Daltons, about 25 Daltons to about 400 Daltons, about 25 Daltons to about 300 Daltons, or about 25 Daltons to about 200 Daltons. Examples may include, but are not limited to, a saccharide, e.g. as a monosaccharide, including a tetrose, a tetrulose, a pentose, a pentulose, a hexose such as dextrose, a hexulose, a heptose, a heptulose, an octose, an octulose, etc.; a disaccharide such as trehalose, sucrose, etc.; a sugar alcohol such as mannitol, galactitol, sorbitol, etc.; glycerol; or a salt, such as NaCl, KC1, Na2S04, K2S04, CaS04, MgS04, NH4C1, or phosphate salts. If present, the amount of low molecular weight water-soluble substance, may vary. For example, an implant may contain about 0.1% to about 10% or about 1% to about 10%) saccharide, or other low molecular weight water-soluble substance, by weight. Useful saccharides include trehalose, sucrose, dextrose, and mannitol. Inclusion of one or more of these substances may modulate the release of ketorolac from the implant.
Some implants may include a polyethylene glycol or polyethylene oxide, such as a polyethylene glycol or a polyethylene oxide having a molecular weight of about 300
Daltons to about 40,000 Daltons, about 300 Daltons to about 40,000 Daltons, about 1,000 Daltons to about 10,000 Daltons, about 3000 Daltons to about 40,000 Daltons, about 3350 Daltons, about 20,000 Daltons, or about 40,000 Daltons. For example, an implant may comprise polyethylene glycol 3350 (PEG 3350) or polyethylene glycol 20,000 (PEG 20K), which may be included in an implant in an amount of about 1% to about 20%, about 5% to about 10%, or about 10% by weight of the implant. This may help to modulate release of ketorolac.
Various techniques may be employed to produce the drug delivery systems described herein. Useful techniques include, but are not necessarily limited to, solvent evaporation methods, phase separation methods, interfacial methods, molding methods, injection molding methods, extrusion methods, co-extrusion methods, carver press method, die cutting methods, heat compression, combinations thereof and the like.
Specific methods are discussed in U.S. Pat. No. 4,997,652. Extrusion methods may be used to avoid the need for solvents in manufacturing. When using extrusion methods,
the polymer and drug are chosen so as to be stable at the temperatures required for manufacturing. Extrusion methods may use temperatures of about 65°C to about 150°C, or about 65°C to about 130°C. An implant may be produced by bringing the temperature to about 65°C to about 150°C for drug/polymer mixing, such as about 100°C, 110°C, or about 130°C, for a time period of about 0 to 1 hour, 0 to 30 minutes, or 5-15 minutes. For example, a time period may be about 10 minutes, preferably about 0 to 5 min. The implants are then extruded at a temperature of about 65°C to about 130°C. Preferably, the temperature is not substantially greater than the denaturation temperature associated with the therapeutic agent.
In addition, the implant may be coextruded so that a coating is formed over a core region during the manufacture of the implant.
Compression methods may be used to make the implants, and typically yield implants with faster release rates than extrusion methods. Compression methods may use pressures of about 50-150 psi and use temperatures of about 0°C to about 115°C.
In addition, the implants, particularly implants which are cut to the desired size and shape, such as wafer implants, may include an additive, such as a lubricant or plasticizer, that is effective to reduce the brittleness of the implant relative to substantially identical implants that do not have an additive. By providing such an additive in the implant, the amount of damaged or unusable implants due to breakage is substantially reduced.
Microspheres may be produced using a solvent evaporation or emulsion process.
Such a process may include steps of liquid sieving, freeze drying, and sterilizing the various composition components. In one embodiment, ketorolac S(-)-enantiomer and a polymer can be combined with methylene chloride to form a first composition, and water and polyvinyl alcohol can be combined to form a second composition. The first and second compositions can be combined to form an emulsion. The emulsion can be rinsed and/or centrifuged, and the resulting product can be dried. In a further embodiment, the emulsion undergoes an evaporation process to remove methylene chloride from the emulsion. For example, the emulsion can be evaporated for about 2 hours to about 2 days or more. In this embodiment, the method comprises sieving ketorolac S(-)-enantiomer- containing microspheres in a liquid phase, as compared to a method which comprises sieving ketorolac S(-)-enantiomer-containing microspheres in a dry phase. This method can also comprise a step of freeze drying the sieved microspheres, and a step of packaging the freeze dried microspheres. After freeze drying, the microspheres can be stored in a package, and/or may be sterilized by a sterilization device, such as a source of gamma
radiation. Another example of a method for producing ketorolac S(-)-enantiomer- containing microspheres is disclosed in U.S. Patent Publication No. 2005/0003007 (Boix et al).
The drug delivery systems of the present invention may be inserted into the eye, for example the vitreous or anterior chamber of the eye, by a variety of methods, including by injection through a needle, placement by forceps, or by trocar. The implant may be placed in the anterior chamber of an eye during cataract surgery. One non-limiting example of a device that may be used to insert the implant into an eye is disclosed in U.S. Patent Publication No. 2004/0054374. The method of placement may influence the therapeutic component or drug release kinetics. For example, delivering an implant into the vitreous with a trocar may result in placement of the implant deeper within the vitreous than placement by forceps, which may result in the implant being closer to the edge of the vitreous. The location of the implant may influence the concentration gradients of therapeutic component or drug surrounding the element, and thus influence the release rates (e.g., an element placed closer to the edge of the vitreous may result in a slower release rate). Microspheres of the present invention can be injected into the anterior chamber or vitreous of an eye using a needle-tipped apparatus or similar device.
The present drug delivery systems can be used to reduce ocular pain or
inflammation or both following ocular surgery. The ocular surgery may be cataract surgery or refractive eye surgery, including incisional refractive surgery, or corneal refractive surgery. The ocular pain treatable with the present drug delivery systems may be perceived by the patient as a burning or stinging sensation. Refractive eye surgery is any eye surgery used to improve the refractive state of the eye and decrease or eliminate dependency on glasses or contact lenses. Refractive eye surgery can include surgical remodeling of the cornea. Examples of refractive eye surgery include radial keratotomy, photorefractive keratectomy (PRK), and laser assisted sub-epithelium keratomileusis (LASEK).
The method may comprise placing the drug delivery system in the anterior chamber, posterior chamber, or vitreous body of the eye during ocular surgery of the eye.
In one embodiment, a drug delivery system, such as the implants disclosed herein, is administered to a posterior segment of an eye of a patient. In at least one embodiment, an implant is administered without accessing the subretinal space of the eye. For example, a method of treating a patient may include placing the implant or microspheres directly into the posterior segment of the eye.
In other embodiments, a method of treating a patient may comprise administering a ketorolac-containing implant or preparation of microspheres (such as microspheres prepared by an emulsion process) to the patient by at least one of the methods of intraarticular injection, intravitreal injection, intracameral injection, subconjunctival injection, sub-tenon injection, retrobulbar injection, and suprachoroidal injection.
In at least one embodiment, a method of treating a patient comprises administering one or more implants containing an enantiomeric excess of ketorolac S(-)-enantiomer to a patient by at least one of intraarticular injection, intravitreal injection, intracameral injection, subconjunctival injection, sub-tenon injection, retrobulbar injection, and suprachoroidal injection. A syringe apparatus including an appropriately sized needle, for example, a 22 gauge needle, a 27 gauge needle or a 30 gauge needle, can be effectively used to inject the drug delivery system into the eye of a human or non-human mammal. Repeat injections are often not necessary due to the extended release of ketorolac S(-)- enantiomer from the systems. In some forms of this method two or more implants are injected into the eye of a patient in need thereof (for example, a patient suffering from or at risk of experiencing ocular pain and/or inflammation).
In another aspect of the invention, kits for treating an ocular condition of the eye are provided, comprising: a) a container or package comprising an extended release implant or microspheres comprising ketorolac S(-)-enantiomer and a drug release sustaining component; and b) instructions for use. Instructions may include steps of how to handle the drug delivery systems, how to insert the systems into an ocular region, and what to expect from using the systems.
In another embodiment, a drug delivery system, such as the implants disclosed herein, is administered to the anterior segment of an eye of a human or animal patient, and preferably, a living human or animal. In one embodiment the implant is administered to the anterior chamber of the eye to reduce inflammation and/or pain associated with an ocular condition or surgery. In a particular embodiment, the implant is placed in the anterior chamber of the eye during ocular surgery, such as during cataract surgery to thereby reduce inflammation and/or pain relating to the surgery.
Ketorolac S(-)-enantiomer is available commercially from, for example, TRC,
Toronto Research Chemicals, Inc. (Toronto, Canada; Catalog No. K235605; CAS Registry Number: 66635-92-5). Methods for the enantioselective synthesis and preparation of S(-)- ketorolac have also been described. See, for example, Baran et al. (2005) Angew Chem. Int. Ed. 44:609-612; and Fulling (1987) J. Am. Chem. Soc. 109:2845-2846; and Pederson
et al. (2002) Adv. Synth. Catal. 344:728-735. The preparation of ketorolac is described in U.S. Patent 6197976.
RESOMER® polymers can be obtained from Evonik Industries AG, Germany.
PEG3350 is poly(ethylene glycol) with an average molecular weight of 3350 daltons. PEG 20K or PEG 20,000 is poly(ethylene glycol) with an average molecular weight of 20,000 daltons.
The present invention includes, but is not limited to, the following embodiments
(1-16): 1. An extruded biodegradable intraocular implant comprising a biodegradable
polymer matrix and an enantiomeric excess (ee) of S(-)-ketorolac, wherein said S(-)-ketorolac is associated with the biodegradable polymer matrix and wherein the implant releases an amount of ketorolac effective for the treatment of an ocular condition for at least about one day after placement in an ocular region of an eye of a mammal.
2. An implant according to claim 1 comprising an enantiomeric excess of S(-)- ketorolac of at least about 10%, 20%, 30%, 40%, 50%, 60%, 70%, 80%, 90%, or at least about 95%>.
3. An extruded biodegradable intraocular implant comprising a biodegradable
polymer matrix and about 10% to about 60% by weight S(-)-ketorolac and less than 10%, 5%, or 2.5% by weight R(+)-ketorolac, wherein the implant releases an amount of ketorolac effective for the treatment of an ocular condition for at least about one day after placement in an ocular region of an eye of a mammal.
4. An extruded biodegradable intraocular implant comprising a biodegradable
polymer matrix and about 20%>, about 30%>, about 35%>, about 40%>, about 45%>, or about 50%) by weight S(-)-ketorolac and less than 10%>, 5%>, or 2.5%> by weight R(+)-ketorolac.
5. An implant according any of embodiments 1-4, wherein the implant releases at least 1% of its initial ketorolac load but no more than 50% of its initial ketorolac load during the first 60 minutes following placement of the implant in an ocular region of an eye of a mammal.
An implant according to any of embodiments 1-5, wherein the implant releases about 5 μg to about 200 μg of ketorolac during the first 24 hours after placement of the implant in an eye of a mammal and about 0 μg to about 5 μg/day thereafter for about two to six weeks.
An implant according to any of embodiments 1-6, wherein the implant releases about 5 μg to about 200 μg of ketorolac during the first 24 hours after placement of the implant in an eye of a mammal and about 0.001 μg to about 5 μg/day thereafter for about two to six weeks.
An implant according to any of embodiments 1-7, wherein the implant comprises no pharmaceutically active agent other than ketorolac.
An implant according to any of embodiments 1-8, wherein the amount of ketorolac released by the implant on day 1 is at least about 5 times greater than the daily amount released thereafter following placement of the implant in an eye of a mammal.
An implant according to any of embodiments 1-9, wherein the biodegradable polymer matrix comprises a polylactide, a poly(lactide-co-glycolide), or a mixture thereof.
An implant according to any of embodiments 1-10, further comprising about 0.1% to about 10% by weight of polyethylene glycol or polyethylene oxide, said polyethylene glycol or polyethylene oxide having an average molecular weight of between about 300-40,000 daltons, about 3350 daltons, or about 20,000 daltons.
An implant according to any of embodiments 1-11, further comprising about 0.1% to about 10%) by weight trehalose, sucrose, mannitol, or dextrose.
An implant according to any of embodiments 1-12, wherein upon placement in the eye the implant is effective for reducing pain and inflammation in the eye associated with cataract surgery in the eye.
An extruded biodegradable implant according to any of the formulations listed in
Tables 1, 2, or 3, wherein the racemic ketorolac is replaced with an equal percent
by weight of non-racemic ketorolac that comprises an enantiomeric excess of S(-)- ketorolac.
A method of making a biodegradable intraocular drug delivery system, comprising the step of extruding a mixture comprising i) a non-racemic ketorolac preparation that comprises an enantiomeric excess of (S)-ketorolac and ii) one or more biodegradable polymers to form a biodegradable material composite that will release an amount of ketorolac sufficient to reduce inflammation and pain in the eye for at least about one day after the drug delivery system is placed in an eye, wherein the one or more polymer(s) is/are selected from the group consisting of polylactide polymers, poly (lactide-co-glycolide) copolymers, and combinations thereof.
A method for reducing pain and inflammation in an eye of a patient following cataract surgery, the method comprising placing an implant according to any of embodiments 1-14 in the anterior chamber, posterior chamber, or vitreous body of the eye of the patient during cataract surgery, thereby reducing pain and inflammation in the eye associated with the surgery for at least one day, for at least two weeks, or for 3 weeks or more after the surgery.
Example 1
Manufacture and testing of implants containing (±)-ketorolac
and a biodegradable polymer matrix
Biodegradable implants comprising ketorolac may be fabricated by a hot-melt extrusion method using a single or twin-screw extruder or piston extruder. The release rate and release profile of the implants can be modulated by altering the formulation parameters including drug loading, type of polymers, ratio of the polymers, and molecular weight of the polymers.
The fabrication process includes 3 steps. (1) Powder blending: weigh all the components of each formulation and add them into the blending jar together with two stainless steel balls. The jar is sealed and loaded onto a Turbula Mixer. The formulations are blended twice using the Turbula Mixer, each time for 15 minutes, with a manual
mixing using a spatula in between the two turbula blendings; (2) Filament extrusion: the mixed powder formulations are fed through a force feeder and extruded using a Haake Minilab twin-screw extruder. The barrel and nozzle temperature is in the range of 75- 120°C and the diameter of the filaments is in the range of 200 μιη to 500 μιη; (3) Cutting the filaments into implants with desired lengths using a blade.
The biodegradable implants can also be fabricated using a piston extruder. The preparation process includes 4 steps. (1) Powder blending: weigh all the components of each formulation and add them into the blending jar together with 2 stainless steel balls. The jar is sealed and loaded onto a Turbula Mixer. The formulations are blended twice using the Turbula Mixer, each time for 15 minutes, with a manual mixing using a spatula in between the two turbula blendings; (2) Melt granulation: The mixed powder formulation is placed on a Teflon plate, heated at 100°C to 110°C in an oven for 5 minutes to melt and mixed with a spatula. The mixed melt is cooled down to room temperature and then ground using a mortar and pestle to make granules; (3) Filament extrusion: the granules are fed into a piston extruder through a stainless steel funnel and extruded at 80-120°C. The diameter of the filaments is in the range of 200 μιη to 500 μιη; (4) Cutting the filaments into implants with desired lengths using a blade.
Examples of extruded implants prepared with racemic (±)-ketorolac according to the above procedures (Example 1) are shown in Tables 1, 2, and 3.
The weight percentage (% w/w) of ketorolac in each of the implants in the tables below is based on the total weight of the drug substance: ketorolac free acid or ketorolac tromethamine.
Table 1. Formulations (implants) extruded using a Haake twin-screw extruder
*Average of three implants. The implants in Table 1 were 350-370 μιη in diameter and 1.8-2.2 mm in length.
Table 2. Formulations (implants) extruded using a Haake twin-screw extruder
* Average of three implants. Implants #7, #8, and #9 were 350-370 μιη in diameter and 1.4-1.6 mm in length. Implants #10 and #1 1 had diameters of 240-260 μιη and 290-310 μιη, respectively, and lengths of 1.9-2.1 mm and 1.7-1.9 mm, respectively.
Table 3 . Formulations im lants extruded usin the iston extruder
* Average of three implants. The implants in Table 3 were 360-380 μιη in diameter and 1.6-1.8 mm in length.
The rate of ketorolac release from each implant was determined in vitro by placing the implant into a sealed vial containing 10 mM Phosphate Buffered Saline solution (pH7.4) at 37°C (release medium). At a given time point part of or all of the release medium was removed and replaced with an equal volume of fresh medium.
The amount of Ketorolac in a sample of the release medium was determined using a High Performance Liquid Chromatography instrument equipped with a Waters 2690 Separation Module (or 2696), and a Waters 2489 UV detector. A Waters Symmetry CI 8, 5 μιη, 4.6 xl50 mm column heated at 30°C can be used for separation and the detector can be set at 247 nm. The mobile phase may comprise acetonitrile containing 0.1%
trifluoroacetic acid (mobile phase A) and water containing 0.1% trifluoroacetic acid (mobile phase B) at the following gradient:
Time (min) Flow rate (mL/min) Mobile phase
0 0.5 40
10 0.5 55
11 0.5 40
14 0.5 40
Figure 1 shows the in vitro cumulative release profile of ketorolac for Formulations #1 to #6
Figure 2 shows the in vitro cumulative release profile of ketorolac for Formulations #7 and #8.
Figure 3 shows the in vitro cumulative release profile of ketorolac for Formulations #9 to #11.
Figure 4 shows the in vitro cumulative release profile of ketorolac over 24 hours for Formulations #6, #9, and #10.
Figure 5 shows the in vitro cumulative release profile of ketorolac for Formulations #12 to #14.
Figure 6 shows the in vitro cumulative release profile of ketorolac over 24 hours for Formulations #12 to #14.
Figure 7 lists the in vitro cumulative release data for implant formulations #6, #10, #11, #12, #13, and #14. (Note that # = No. For example, Formulation #6 means
Formulation No. 6)
Formulations #6 and #12 have desirable release profiles because these formulations provide an initial fast release of ketorolac followed by a substantially slower release. This type of release can be beneficial for treating ocular pain and inflammation, such as that occurring after cataract surgery. The initial fast release can ensure sufficiently high tissue concentration immediately after surgery and therefore provide fast pain relief. The subsequent slow release can provide a maintenance dose for sustaining the therapeutic effect.
Claims
1. An extruded biodegradable intraocular implant comprising a biodegradable
polymer matrix and an enantiomeric excess (ee) of S(-)-ketorolac, wherein said S(-)-ketorolac is associated with the biodegradable polymer matrix and wherein the implant releases an amount of ketorolac effective for the treatment of an ocular condition for at least one day after placement in an ocular region of an eye of a mammal.
2. An extruded biodegradable intraocular implant comprising a biodegradable
polymer matrix and 10% to 60% by weight S(-)-ketorolac and less than 2.5% by weight R(+)-ketorolac, wherein the implant releases an amount of ketorolac effective for the treatment of an ocular condition for at least one day after placement in an ocular region of an eye of a mammal.
3. An implant according to claim 1 or 2, wherein the implant releases at least 1% of its initial ketorolac load but no more than 50% of its initial ketorolac load during the first 60 minutes following placement of the implant in an ocular region of an eye of a mammal.
4. An implant according to claim 3, wherein the implant releases 5 μg to 200 μg of ketorolac during the first 24 hours after placement of the implant in an eye of a mammal and 0.001 μg to 5 μg/day thereafter for two to six weeks.
5. An implant according to claim 4, wherein the implant comprises no
pharmaceutically active agent other than ketorolac.
6. An implant according to claim 5, wherein the amount of ketorolac released by the implant on day 1 is at least 5 times greater than the daily amount released thereafter following placement of the implant in an eye of a mammal.
7. An implant according to claim 6, wherein the biodegradable polymer matrix
comprises a polylactide, a poly(lactide-co-glycolide), or a mixture thereof.
8. An implant according to claim 7, further comprising 0.1% to 10% by weight of polyethylene glycol or polyethylene oxide, said polyethylene glycol or
polyethylene oxide having an average molecular weight of between 300-40,000 daltons.
9. An implant according to claim 8, further comprising 0.1% to 10% by weight
trehalose, sucrose, mannitol, or dextrose.
10. An implant according to claim 9, wherein upon placement in the eye the implant is effective for reducing pain and inflammation in the eye associated with cataract surgery in the eye.
11. A method of making a biodegradable intraocular drug delivery system, comprising the step of extruding a mixture comprising i) a non-racemic ketorolac preparation that comprises an enantiomeric excess of (S)-ketorolac and ii) one or more biodegradable polymers to form a biodegradable material composite that will release an amount of ketorolac sufficient to reduce inflammation and pain in the eye for at least one day after the drug delivery system is placed in an eye, wherein the one or more polymer(s) is/are selected from the group consisting of polylactide polymers, poly(lactide-co-glycolide) copolymers, and combinations thereof.
12. A method for reducing pain and inflammation in an eye of a patient following cataract surgery, the method comprising placing an implant according to claim 7 in the anterior chamber, posterior chamber, or vitreous body of the eye of the patient during cataract surgery, thereby reducing pain and inflammation in the eye associated with the surgery for at least two weeks after the surgery.
Applications Claiming Priority (2)
| Application Number | Priority Date | Filing Date | Title |
|---|---|---|---|
| US201261718804P | 2012-10-26 | 2012-10-26 | |
| US61/718,804 | 2012-10-26 |
Publications (1)
| Publication Number | Publication Date |
|---|---|
| WO2014066653A1 true WO2014066653A1 (en) | 2014-05-01 |
Family
ID=49554496
Family Applications (1)
| Application Number | Title | Priority Date | Filing Date |
|---|---|---|---|
| PCT/US2013/066637 Ceased WO2014066653A1 (en) | 2012-10-26 | 2013-10-24 | Ketorolac-containing sustained release intraocular drug delivery systems |
Country Status (1)
| Country | Link |
|---|---|
| WO (1) | WO2014066653A1 (en) |
Cited By (5)
| Publication number | Priority date | Publication date | Assignee | Title |
|---|---|---|---|---|
| US11202754B2 (en) | 2017-10-06 | 2021-12-21 | Foundry Therapeutics, Inc. | Implantable depots for the controlled release of therapeutic agents |
| US11964076B2 (en) | 2015-03-31 | 2024-04-23 | Foundry Therapeutics, Inc. | Multi-layered polymer film for sustained release of agents |
| US12303619B2 (en) | 2018-08-28 | 2025-05-20 | Foundry Therapeutics, Inc. | Polymer implants |
| US12364792B2 (en) | 2018-01-08 | 2025-07-22 | Foundry Therapeutics, Inc. | Devices, systems, and methods for treating intraluminal cancer via controlled delivery of therapeutic agents |
| US12458589B2 (en) | 2018-05-12 | 2025-11-04 | Foundry Therapeutics, Inc. | Implantable polymer depots for the controlled release of therapeutic agents |
Citations (15)
| Publication number | Priority date | Publication date | Assignee | Title |
|---|---|---|---|---|
| US4997652A (en) | 1987-12-22 | 1991-03-05 | Visionex | Biodegradable ocular implants |
| US5589498A (en) * | 1992-11-09 | 1996-12-31 | Pharmetrix Corporation | Transdermal delivery of the active enantiomer of ketorolac |
| EP0761211A1 (en) * | 1995-08-30 | 1997-03-12 | F. Hoffmann-La Roche Ag | Sustained release composition |
| US6197976B1 (en) | 1998-12-14 | 2001-03-06 | Syntex (U.S.A.) Llc | Preparation of ketorolac |
| US20030185872A1 (en) * | 2002-03-27 | 2003-10-02 | Frank Kochinke | Methods and drug delivery systems for the treatment of orofacial diseases |
| US20040054374A1 (en) | 2002-09-18 | 2004-03-18 | David Weber | Methods and apparatus for delivery of ocular implants |
| US20050003007A1 (en) | 2003-07-02 | 2005-01-06 | Michele Boix | Method of sterilization of polymeric microparticles |
| US20050244469A1 (en) * | 2004-04-30 | 2005-11-03 | Allergan, Inc. | Extended therapeutic effect ocular implant treatments |
| WO2005110362A1 (en) * | 2004-04-30 | 2005-11-24 | Allergan, Inc. | Biodegradable ocular implants with long-term release characteristics |
| US20080292679A1 (en) * | 2007-05-24 | 2008-11-27 | Allergan, Inc. | Biodegradable drug delivery system |
| US20090263319A1 (en) * | 2008-04-18 | 2009-10-22 | Warsaw Orthopedic, Inc. | Methods and compositions for treating postoperative pain comprosing ketorolac |
| US20100278898A1 (en) * | 2004-04-30 | 2010-11-04 | Allergan, Inc. | Intraocular pressure reduction with intracameral bimatoprost implants |
| US20110034448A1 (en) * | 2004-04-30 | 2011-02-10 | Allergan, Inc. | Carbonic anhydrase inhibitor sustained release intraocular drug delivery systems |
| WO2011091205A2 (en) * | 2010-01-22 | 2011-07-28 | Allergan, Inc. | Intracameral sustained release therapeutic agent implants |
| CN103263413A (en) * | 2013-05-29 | 2013-08-28 | 广州市赛普特医药科技有限公司 | Ketorolac implant and preparation method thereof |
-
2013
- 2013-10-24 WO PCT/US2013/066637 patent/WO2014066653A1/en not_active Ceased
Patent Citations (15)
| Publication number | Priority date | Publication date | Assignee | Title |
|---|---|---|---|---|
| US4997652A (en) | 1987-12-22 | 1991-03-05 | Visionex | Biodegradable ocular implants |
| US5589498A (en) * | 1992-11-09 | 1996-12-31 | Pharmetrix Corporation | Transdermal delivery of the active enantiomer of ketorolac |
| EP0761211A1 (en) * | 1995-08-30 | 1997-03-12 | F. Hoffmann-La Roche Ag | Sustained release composition |
| US6197976B1 (en) | 1998-12-14 | 2001-03-06 | Syntex (U.S.A.) Llc | Preparation of ketorolac |
| US20030185872A1 (en) * | 2002-03-27 | 2003-10-02 | Frank Kochinke | Methods and drug delivery systems for the treatment of orofacial diseases |
| US20040054374A1 (en) | 2002-09-18 | 2004-03-18 | David Weber | Methods and apparatus for delivery of ocular implants |
| US20050003007A1 (en) | 2003-07-02 | 2005-01-06 | Michele Boix | Method of sterilization of polymeric microparticles |
| US20050244469A1 (en) * | 2004-04-30 | 2005-11-03 | Allergan, Inc. | Extended therapeutic effect ocular implant treatments |
| WO2005110362A1 (en) * | 2004-04-30 | 2005-11-24 | Allergan, Inc. | Biodegradable ocular implants with long-term release characteristics |
| US20100278898A1 (en) * | 2004-04-30 | 2010-11-04 | Allergan, Inc. | Intraocular pressure reduction with intracameral bimatoprost implants |
| US20110034448A1 (en) * | 2004-04-30 | 2011-02-10 | Allergan, Inc. | Carbonic anhydrase inhibitor sustained release intraocular drug delivery systems |
| US20080292679A1 (en) * | 2007-05-24 | 2008-11-27 | Allergan, Inc. | Biodegradable drug delivery system |
| US20090263319A1 (en) * | 2008-04-18 | 2009-10-22 | Warsaw Orthopedic, Inc. | Methods and compositions for treating postoperative pain comprosing ketorolac |
| WO2011091205A2 (en) * | 2010-01-22 | 2011-07-28 | Allergan, Inc. | Intracameral sustained release therapeutic agent implants |
| CN103263413A (en) * | 2013-05-29 | 2013-08-28 | 广州市赛普特医药科技有限公司 | Ketorolac implant and preparation method thereof |
Non-Patent Citations (14)
| Title |
|---|
| BARAN ET AL., ANGEW CHEM. INT. ED., vol. 44, 2005, pages 609 - 612 |
| DATABASE CA [online] CHEMICAL ABSTRACTS SERVICE, COLUMBUS, OHIO, US; LIN, JUN ET AL: "Ketorolac acid implant and the production method thereof", XP002719497, retrieved from STN Database accession no. 2013:1341118 * |
| DOH ET AL.: "Synthesis and Evaluation of Ketorolac Ester Prodrugs for Transdermal Delivery", J. PHARMACEUTICAL SCIENCES, vol. 92, no. 5, 2003 |
| ERIC D DONNENFELD ET AL: "Twice-Daily, Preservative-Free Ketorolac 0.45% for Treatment of Inflammation and Pain After Cataract Surgery", AMERICAN JOURNAL OF OPHTHALMOLOGY, ELSEVIER, AMSTERDAM, NL, vol. 151, no. 3, March 2011 (2011-03-01), pages 420 - 426.e1, XP028153472, ISSN: 0002-9394, [retrieved on 20100915], DOI: 10.1016/J.AJO.2010.09.003 * |
| FULLING, J. AM. CHEM. SOC., vol. 109, 1987, pages 2845 - 2846 |
| GUZMÁN A ET AL: "Absolute configuration of (-)-5-benzoyl-1,2-dihydro-3H-pyrrolo[1,2-alpha]pyrrole-1-carboxylic acid, the active enantiomer of ketorolac", JOURNAL OF MEDICINAL CHEMISTRY, vol. 29, no. 4, April 1986 (1986-04-01), pages 589 - 591, XP002720053 * |
| GUZMAN ET AL.: "Absolute Configuration of (- )-5-Benzoyl-1,2-dihydro-3H-pyrrolo [1,2-a]pyrrole-1-carboxylic Acid, the Active Enantiomer of Ketorolac", J. MED. CHEM., vol. 29, 1986, pages 589 - 591 |
| KIM ET AL.: "Ketorolac amide prodrugs for transdermal delivery: stability and in vitro rat skin permeation studies", INTERNATIONAL JOURNAL OF PHARMACEUTICS, vol. 293, no. 1-2, 2005, pages 193 - 202 |
| LEONOV ANDREY ET AL: "Chirality in ocular agents", CURRENT OPINION IN ALLERGY AND CLINICAL IMMUNOLOGY, LIPPINCOTT WILLIAMS AND WILKINS, US, vol. 7, no. 5, 1 October 2007 (2007-10-01), pages 418 - 423, XP008167308, ISSN: 1528-4050, DOI: 10.1097/ACI.0B013E3282EF705B * |
| PARKER: "NMR Determination of Enantiomeric Purity", CHERN. REV., vol. 91, 1991, pages 1441 - 1457 |
| PATRI ET AL., CHROMATOGRAPHY RESEARCH INTL., 2011, pages 11 |
| PEDERSON ET AL., ADV. SYNTH. CATAL., vol. 344, 2002, pages 728 - 735 |
| TSINA ET AL., J. PHARMACEUTICAL AND BIOMEDICAL ANALYSIS, vol. 15, 1996, pages 403 - 417 |
| USP 23, vol. 18, 1995, pages 1790 - 1798 |
Cited By (9)
| Publication number | Priority date | Publication date | Assignee | Title |
|---|---|---|---|---|
| US11964076B2 (en) | 2015-03-31 | 2024-04-23 | Foundry Therapeutics, Inc. | Multi-layered polymer film for sustained release of agents |
| US12290616B2 (en) | 2015-03-31 | 2025-05-06 | Foundry Therapeutics, Inc. | Multi-layered polymer film for sustained release of agents |
| US11202754B2 (en) | 2017-10-06 | 2021-12-21 | Foundry Therapeutics, Inc. | Implantable depots for the controlled release of therapeutic agents |
| US11224570B2 (en) | 2017-10-06 | 2022-01-18 | Foundry Therapeutics, Inc. | Implantable depots for the controlled release of therapeutic agents |
| US11969500B2 (en) | 2017-10-06 | 2024-04-30 | Foundry Therapeutics, Inc. | Implantable depots for the controlled release of therapeutic agents |
| US12290595B2 (en) | 2017-10-06 | 2025-05-06 | Foundry Therapeutics, Inc. | Implantable depots for the controlled release of therapeutic agents |
| US12364792B2 (en) | 2018-01-08 | 2025-07-22 | Foundry Therapeutics, Inc. | Devices, systems, and methods for treating intraluminal cancer via controlled delivery of therapeutic agents |
| US12458589B2 (en) | 2018-05-12 | 2025-11-04 | Foundry Therapeutics, Inc. | Implantable polymer depots for the controlled release of therapeutic agents |
| US12303619B2 (en) | 2018-08-28 | 2025-05-20 | Foundry Therapeutics, Inc. | Polymer implants |
Similar Documents
| Publication | Publication Date | Title |
|---|---|---|
| US20230285279A1 (en) | Biodegradable alpha-2 agonist polymeric implants and therapeutic uses thereof | |
| ES2297716T3 (en) | INTROCULAR IMPLANTS OF PROLONGED SUSTAINED RELEASE STEROIDS FOR A PERIOD OVER TWO MONTHS. | |
| EP2981248B1 (en) | Microsphere drug delivery system for sustained intraocular release | |
| AU2007337139B2 (en) | Processes for making cyclic lipid implants for intraocular use | |
| US8529927B2 (en) | Alpha-2 agonist polymeric drug delivery systems | |
| TWI722298B (en) | Prostamide-containing intraocular implant | |
| US20060233858A1 (en) | Systems and methods providing targeted intraocular drug delivery | |
| JP2013035874A (en) | α-2 ADRENERGIC RECEPTOR AGONIST CONTAINING BIODEGRADABLE INTRAOCULAR IMPLANT | |
| WO2011075481A1 (en) | Intracameral devices for sustained delivery | |
| US20150272877A1 (en) | Ketorolac-containing sustained release drug delivery systems | |
| JP2007535564A (en) | Anti-excitotoxic agent sustained release intraocular implant and related methods | |
| US20100278897A1 (en) | Intraocular bioactive agent delivery system with molecular partitioning system | |
| WO2014066653A1 (en) | Ketorolac-containing sustained release intraocular drug delivery systems | |
| AU2020203616B2 (en) | Processes for making cyclic lipid implants for intraocular use | |
| AU2018203995B2 (en) | Processes for making cyclic lipid implants for intraocular use |
Legal Events
| Date | Code | Title | Description |
|---|---|---|---|
| 121 | Ep: the epo has been informed by wipo that ep was designated in this application |
Ref document number: 13789426 Country of ref document: EP Kind code of ref document: A1 |
|
| NENP | Non-entry into the national phase |
Ref country code: DE |
|
| 122 | Ep: pct application non-entry in european phase |
Ref document number: 13789426 Country of ref document: EP Kind code of ref document: A1 |







