WO2014057118A1 - Pyrrolobenzodiazepine-anti-cd22 antibody conjugates - Google Patents
Pyrrolobenzodiazepine-anti-cd22 antibody conjugates Download PDFInfo
- Publication number
- WO2014057118A1 WO2014057118A1 PCT/EP2013/071347 EP2013071347W WO2014057118A1 WO 2014057118 A1 WO2014057118 A1 WO 2014057118A1 EP 2013071347 W EP2013071347 W EP 2013071347W WO 2014057118 A1 WO2014057118 A1 WO 2014057118A1
- Authority
- WO
- WIPO (PCT)
- Prior art keywords
- conjugate according
- group
- antibody
- alkyl
- conjugate
- Prior art date
- Legal status (The legal status is an assumption and is not a legal conclusion. Google has not performed a legal analysis and makes no representation as to the accuracy of the status listed.)
- Ceased
Links
- 0 CCN(C)C(C)=C(C=CC)C(C)=*C Chemical compound CCN(C)C(C)=C(C=CC)C(C)=*C 0.000 description 9
- RATWMRURSRGATN-UHFFFAOYSA-N CC(CC(N1C(C)(C)CC(C)(C)C(I)=O)=O)C1=O Chemical compound CC(CC(N1C(C)(C)CC(C)(C)C(I)=O)=O)C1=O RATWMRURSRGATN-UHFFFAOYSA-N 0.000 description 1
- UBKBBHXGZIKYGR-ZFWWWQNUSA-N CCCCC(CCCC)N[C@@H](C(C)C)C(N[C@@H](C)C(N(N)N)=O)=O Chemical compound CCCCC(CCCC)N[C@@H](C(C)C)C(N[C@@H](C)C(N(N)N)=O)=O UBKBBHXGZIKYGR-ZFWWWQNUSA-N 0.000 description 1
- SEEYREPSKCQBBF-UHFFFAOYSA-N CN(C(C=C1)=O)C1=O Chemical compound CN(C(C=C1)=O)C1=O SEEYREPSKCQBBF-UHFFFAOYSA-N 0.000 description 1
- KYEACNNYFNZCST-UHFFFAOYSA-N CN(C(CC1)=O)C1=O Chemical compound CN(C(CC1)=O)C1=O KYEACNNYFNZCST-UHFFFAOYSA-N 0.000 description 1
- ZXLYYQUMYFHCLQ-UHFFFAOYSA-N CN(C(c1c2cccc1)=O)C2=O Chemical compound CN(C(c1c2cccc1)=O)C2=O ZXLYYQUMYFHCLQ-UHFFFAOYSA-N 0.000 description 1
- NAVQWDDHALBEMW-KXHAZMDGSA-N C[C@]1(C=Nc(c(C2OC22)c3)cc(OCCCCCOc(c(OC)c4)cc(N=C[C@H]5N6C=C(C)C5)c4C6=O)c3OC)N2C=C(C)C1 Chemical compound C[C@]1(C=Nc(c(C2OC22)c3)cc(OCCCCCOc(c(OC)c4)cc(N=C[C@H]5N6C=C(C)C5)c4C6=O)c3OC)N2C=C(C)C1 NAVQWDDHALBEMW-KXHAZMDGSA-N 0.000 description 1
Classifications
-
- A—HUMAN NECESSITIES
- A61—MEDICAL OR VETERINARY SCIENCE; HYGIENE
- A61K—PREPARATIONS FOR MEDICAL, DENTAL OR TOILETRY PURPOSES
- A61K31/00—Medicinal preparations containing organic active ingredients
- A61K31/33—Heterocyclic compounds
- A61K31/395—Heterocyclic compounds having nitrogen as a ring hetero atom, e.g. guanethidine or rifamycins
- A61K31/55—Heterocyclic compounds having nitrogen as a ring hetero atom, e.g. guanethidine or rifamycins having seven-membered rings, e.g. azelastine, pentylenetetrazole
- A61K31/551—Heterocyclic compounds having nitrogen as a ring hetero atom, e.g. guanethidine or rifamycins having seven-membered rings, e.g. azelastine, pentylenetetrazole having two nitrogen atoms, e.g. dilazep
-
- A—HUMAN NECESSITIES
- A61—MEDICAL OR VETERINARY SCIENCE; HYGIENE
- A61K—PREPARATIONS FOR MEDICAL, DENTAL OR TOILETRY PURPOSES
- A61K47/00—Medicinal preparations characterised by the non-active ingredients used, e.g. carriers or inert additives; Targeting or modifying agents chemically bound to the active ingredient
- A61K47/50—Medicinal preparations characterised by the non-active ingredients used, e.g. carriers or inert additives; Targeting or modifying agents chemically bound to the active ingredient the non-active ingredient being chemically bound to the active ingredient, e.g. polymer-drug conjugates
- A61K47/51—Medicinal preparations characterised by the non-active ingredients used, e.g. carriers or inert additives; Targeting or modifying agents chemically bound to the active ingredient the non-active ingredient being chemically bound to the active ingredient, e.g. polymer-drug conjugates the non-active ingredient being a modifying agent
- A61K47/68—Medicinal preparations characterised by the non-active ingredients used, e.g. carriers or inert additives; Targeting or modifying agents chemically bound to the active ingredient the non-active ingredient being chemically bound to the active ingredient, e.g. polymer-drug conjugates the non-active ingredient being a modifying agent the modifying agent being an antibody, an immunoglobulin or a fragment thereof, e.g. an Fc-fragment
- A61K47/6801—Drug-antibody or immunoglobulin conjugates defined by the pharmacologically or therapeutically active agent
- A61K47/6803—Drugs conjugated to an antibody or immunoglobulin, e.g. cisplatin-antibody conjugates
- A61K47/68035—Drugs conjugated to an antibody or immunoglobulin, e.g. cisplatin-antibody conjugates the drug being a pyrrolobenzodiazepine
-
- A—HUMAN NECESSITIES
- A61—MEDICAL OR VETERINARY SCIENCE; HYGIENE
- A61K—PREPARATIONS FOR MEDICAL, DENTAL OR TOILETRY PURPOSES
- A61K47/00—Medicinal preparations characterised by the non-active ingredients used, e.g. carriers or inert additives; Targeting or modifying agents chemically bound to the active ingredient
- A61K47/50—Medicinal preparations characterised by the non-active ingredients used, e.g. carriers or inert additives; Targeting or modifying agents chemically bound to the active ingredient the non-active ingredient being chemically bound to the active ingredient, e.g. polymer-drug conjugates
- A61K47/51—Medicinal preparations characterised by the non-active ingredients used, e.g. carriers or inert additives; Targeting or modifying agents chemically bound to the active ingredient the non-active ingredient being chemically bound to the active ingredient, e.g. polymer-drug conjugates the non-active ingredient being a modifying agent
- A61K47/68—Medicinal preparations characterised by the non-active ingredients used, e.g. carriers or inert additives; Targeting or modifying agents chemically bound to the active ingredient the non-active ingredient being chemically bound to the active ingredient, e.g. polymer-drug conjugates the non-active ingredient being a modifying agent the modifying agent being an antibody, an immunoglobulin or a fragment thereof, e.g. an Fc-fragment
- A61K47/6835—Medicinal preparations characterised by the non-active ingredients used, e.g. carriers or inert additives; Targeting or modifying agents chemically bound to the active ingredient the non-active ingredient being chemically bound to the active ingredient, e.g. polymer-drug conjugates the non-active ingredient being a modifying agent the modifying agent being an antibody, an immunoglobulin or a fragment thereof, e.g. an Fc-fragment the modifying agent being an antibody or an immunoglobulin bearing at least one antigen-binding site
- A61K47/6851—Medicinal preparations characterised by the non-active ingredients used, e.g. carriers or inert additives; Targeting or modifying agents chemically bound to the active ingredient the non-active ingredient being chemically bound to the active ingredient, e.g. polymer-drug conjugates the non-active ingredient being a modifying agent the modifying agent being an antibody, an immunoglobulin or a fragment thereof, e.g. an Fc-fragment the modifying agent being an antibody or an immunoglobulin bearing at least one antigen-binding site the antibody targeting a determinant of a tumour cell
- A61K47/6867—Medicinal preparations characterised by the non-active ingredients used, e.g. carriers or inert additives; Targeting or modifying agents chemically bound to the active ingredient the non-active ingredient being chemically bound to the active ingredient, e.g. polymer-drug conjugates the non-active ingredient being a modifying agent the modifying agent being an antibody, an immunoglobulin or a fragment thereof, e.g. an Fc-fragment the modifying agent being an antibody or an immunoglobulin bearing at least one antigen-binding site the antibody targeting a determinant of a tumour cell the tumour determinant being from a cell of a blood cancer
-
- A—HUMAN NECESSITIES
- A61—MEDICAL OR VETERINARY SCIENCE; HYGIENE
- A61P—SPECIFIC THERAPEUTIC ACTIVITY OF CHEMICAL COMPOUNDS OR MEDICINAL PREPARATIONS
- A61P35/00—Antineoplastic agents
- A61P35/02—Antineoplastic agents specific for leukemia
-
- C07K16/1145—
-
- C—CHEMISTRY; METALLURGY
- C07—ORGANIC CHEMISTRY
- C07K—PEPTIDES
- C07K16/00—Immunoglobulins [IGs], e.g. monoclonal or polyclonal antibodies
- C07K16/18—Immunoglobulins [IGs], e.g. monoclonal or polyclonal antibodies against material from animals or humans
- C07K16/28—Immunoglobulins [IGs], e.g. monoclonal or polyclonal antibodies against material from animals or humans against receptors, cell surface antigens or cell surface determinants
- C07K16/2803—Immunoglobulins [IGs], e.g. monoclonal or polyclonal antibodies against material from animals or humans against receptors, cell surface antigens or cell surface determinants against the immunoglobulin superfamily
-
- A—HUMAN NECESSITIES
- A61—MEDICAL OR VETERINARY SCIENCE; HYGIENE
- A61K—PREPARATIONS FOR MEDICAL, DENTAL OR TOILETRY PURPOSES
- A61K39/00—Medicinal preparations containing antigens or antibodies
- A61K2039/505—Medicinal preparations containing antigens or antibodies comprising antibodies
-
- C—CHEMISTRY; METALLURGY
- C07—ORGANIC CHEMISTRY
- C07K—PEPTIDES
- C07K2317/00—Immunoglobulins specific features
- C07K2317/70—Immunoglobulins specific features characterized by effect upon binding to a cell or to an antigen
- C07K2317/73—Inducing cell death, e.g. apoptosis, necrosis or inhibition of cell proliferation
Definitions
- the present invention relates to pyrrolobenzodiazepines (PBDs) having a labile C2 or N10 protecting group in the form of a linker to an antibody.
- PBDs pyrrolobenzodiazepines
- PBDs pyrrolobenzodiazepines
- Family members include abbeymycin (Hochlowski, et al., J. Antibiotics, 40, 145-148 (1987)), chicamycin (Konishi, et al., J. Antibiotics, 37, 200-206 (1984)), DC-81 (Japanese Patent 58-180 487; Thurston, et al., Chem. Brit, 26, 767-772 (1990); Bose, et al., Tetrahedron, 48, 751 -758 (1992)), mazethramycin (Kuminoto, et al., J.
- PBDs are of the general structure:
- a particularly advantageous pyrrolobenzodiazepine compound is described by Gregson et al. (Chem. Commun. 1999, 797-798) as compound 1 , and by Gregson et al. (J. Med. Chem. 2001 , 44, 1 161 -1 174) as compound 4a.
- This compound also known as SG2000, is shown below:
- WO 2007/085930 describes the preparation of dimer PBD compounds having linker groups for connection to a cell binding agent, such as an antibody.
- the linker is present in the bridge linking the monomer PBD units of the dimer.
- the present inventors have described dimer PBD compounds having linker groups for connection to a cell binding agent, such as an antibody, in WO 201 1/130613 and WO 201 1/130616.
- the linker in these compounds is attached to the PBD core via the C2 position, and are generally cleaved by action of an enzyme on the linker group.
- the linker in these compounds is attached to one of the available N10 positions on the PBD core, and are generally cleaved by action of an enzyme on the linker group.
- ADC antibody-drug conjugates
- cytotoxic or cytostatic agents i.e. drugs to kill or inhibit tumor cells in the treatment of cancer
- cytotoxic or cytostatic agents i.e. drugs to kill or inhibit tumor cells in the treatment of cancer
- systemic administration of these unconjugated drug agents may result in unacceptable levels of toxicity to normal cells
- Drug moieties may impart their cytotoxic and cytostatic effects by mechanisms including tubulin binding, DNA binding, proteasome and/or topoisomerase inhibition. Some cytotoxic drugs tend to be inactive or less active when conjugated to large antibodies or protein receptor ligands.
- the present inventors have developed particular PBD dimer antibody conjugates.
- a first aspect of the present invention comprises a conjugate of formula L - (D L ) P , where D L is of formula I or II:
- L is an antibody (Ab) as defined below;
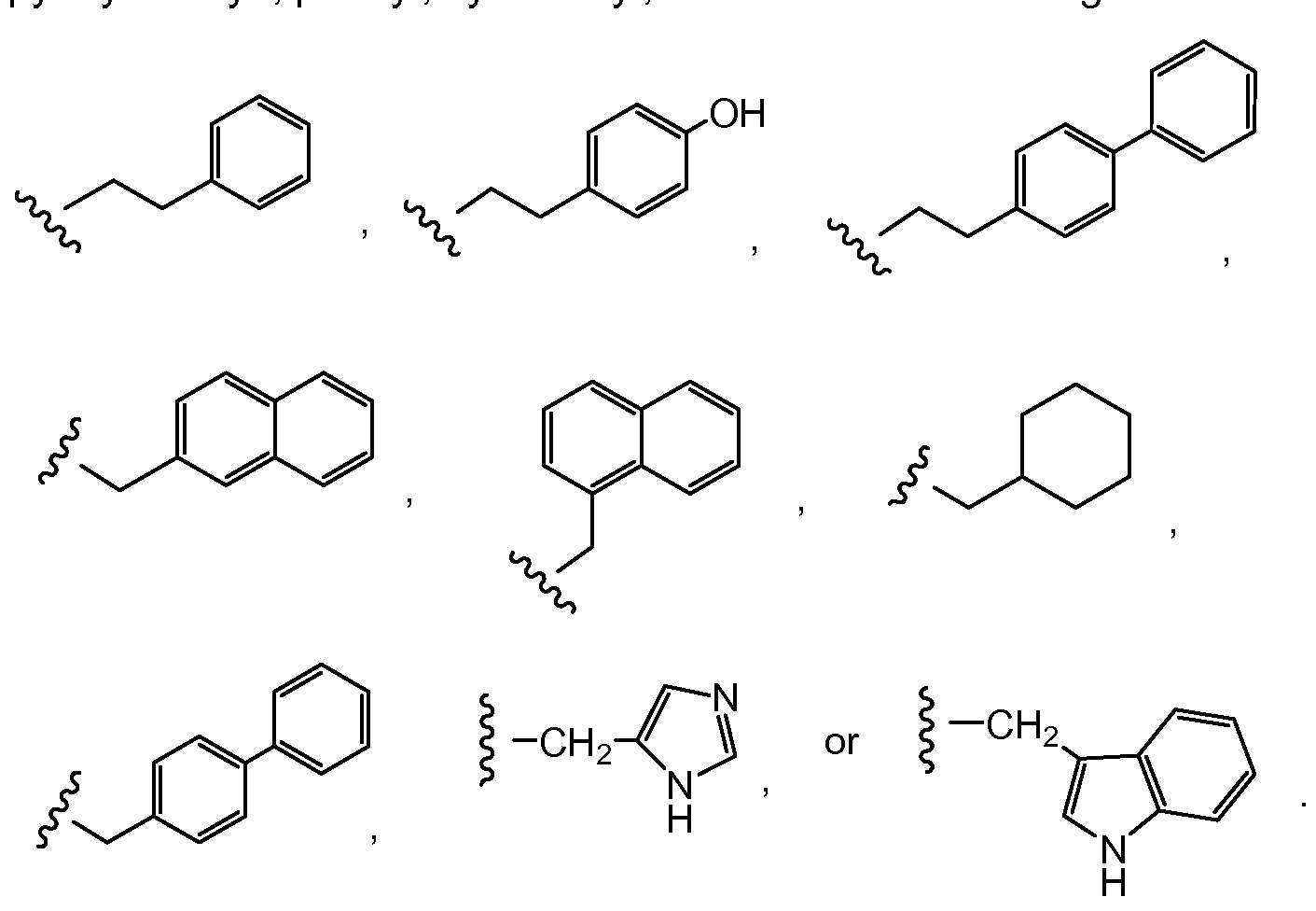
- R 12 is selected from the group consisting of:
- each of R 21 , R 22 and R 23 are independently selected from H, Ci -3 saturated alkyl, C2-3 alkenyl, C2-3 alkynyl and cyclopropyl, where the total number of carbon atoms in the R 12 group is no more than 5;
- R 25a and R 25b are H and the other is selected from: phenyl, which phenyl is optionally substituted by a group selected from halo, methyl, methoxy;
- R is selected from: H; Ci -3 saturated alkyl; C 2-3 alkenyl; C 2-3 alkynyl; cyclopropyl; phenyl, which phenyl is optionally substituted by a group selected from halo, methyl, methoxy; pyridyl; and thiophenyl;
- R and R are independently selected from H, F, C1-4 saturated alkyl, C 2-3 alkenyl, which alkyl and alkenyl groups are optionally substituted by a group selected from Ci -4 alkyl amido and Ci -4 alkyl ester; or, when one of R 26a and R 26b is H, the other is selected from nitrile and a C1-4 alkyl ester;
- R 6 and R 9 are independently selected from H, R, OH, OR, SH, SR, NH 2 , N HR, NRR', nitro, Me 3 Sn and halo;
- R and R' are independently selected from optionally substituted Ci_i 2 alkyl, C 3 - 20 heterocyclyl and C 5-2 o aryl groups;
- R 7 is selected from H, R, OH, OR, SH, SR, N H 2 , NHR, NHRR', nitro, Me 3 Sn and halo;
- R" is a C 3-12 alkylene group, which chain may be interrupted by one or more heteroatoms, e.g. O, S, NR N2 (where R N2 is H or C 1-4 alkyl), and/or aromatic rings, e.g. benzene or pyridine;
- Y and Y' are selected from O, S, or NH;
- R 6 , R 7 , R 9 are selected from the same groups as R 6 , R 7 and R 9 respectively;
- R L1 is a linker for connection to the antibody (Ab);
- R 11a is selected from OH, OR A , where R A is Ci -4 alkyl, and SO z M, where z is 2 or 3 and M is a monovalent pharmaceutically acceptable cation;
- R 20 and R 21 either together form a double bond between the nitrogen and carbon atoms to which they are bound or;
- R 20 is selected from H and R c , where R c is a capping group
- R 21 is selected from OH, OR A and SO z M;
- R 2 is selected from the group consisting of:
- R 15a and R 15b are H and the other is selected from: phenyl, which phenyl is optionally substituted by a group selected from halo, methyl, methoxy; pyridyl; and thiophenyl; and
- R 14 is selected from: H; C 1-3 saturated alkyl; C 2-3 alkenyl; C 2- 3 alkynyl; cyclopropyl; phenyl, which phenyl is optionally substituted by a group selected from halo, methyl, methoxy; pyridyl; and thiophenyl;
- R 2 is , where R 16a and R 16b are independently selected from H, F, Ci -4
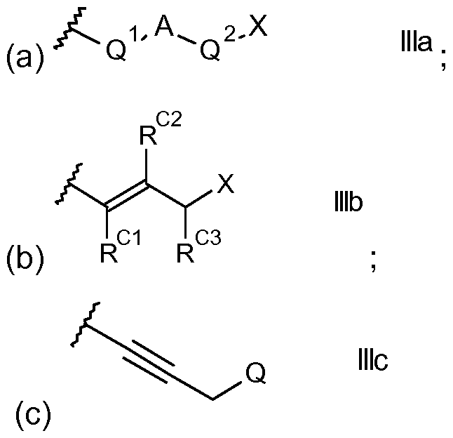
- R 22 is of formula Ilia, formula Illb or formula 111 c:
- A is a C5-7 aryl group
- Q 1 is a single bond
- Q 2 is selected from a single bond and -Z-(CH 2 ) n -, where Z is selected from a single bond, O, S and NH and n is from 1 to 3;
- R C1 , R C2 and R C3 are independently selected from H and unsubstituted Ci -2 alkyl;
- Q is selected from 0-R L2' , S-R L2' and NR N -R L2 , and R N is selected from H, methyl and ethyl
- R L2 is a linker for connection to the antibody (Ab);
- R 10 and R 11 either together form a double bond between the nitrogen and carbon atoms to which they are bound or;
- R 10 is H and R 11 is selected from OH, OR A and SO z M;
- R 30 and R 31 either together form a double bond between the nitrogen and carbon atoms to which they are bound or;
- R 30 is H and R 31 is selected from OH, OR A and SO z M.
- the conjugate is selected from a conjugate of formula ConjA, ConjB, ConjC, ConjD and ConjE.
- the subscript p in the formula I is an integer of from 1 to 20.
- the Conjugates comprise an antibody (Ab) as defined below covalently linked to at least one Drug unit by a Linker unit.
- the Ligand unit described more fully below, is a targeting agent that binds to a target moiety.
- the present invention also provides methods for the treatment of, for example, various cancers and autoimmune disease.
- the drug loading is represented by p, the number of drug molecules per antibody. Drug loading may range from 1 to 20 Drug units (D L ) per antibody.
- D L Drug units
- p represents the average drug loading of the Conjugates in the composition, and p ranges from 1 to 20.
- a second aspect of the invention provides a method of making a conjugate according to the first aspect of the invention comprising conjugating a compound of formula l L or ll L :
- R L1 is a linker suitable for conjugation to the antibody (Ab);
- 2 2L is of formula llla L , formula lllb L or formula 111 c L :
- Q L is selected from 0-R L2 , S-R L2 and NR N -R L2 , and R N is selected from H, methyl and ethyl L2
- R N is selected from the group comprising H and C 1-4 alkyl
- R L2 is a linker suitable for conjugation to the antibody (Ab);
- the invention provides a method of making a conjugate selected from the group consisting of ConjA, ConjB, ConjC, ConjD and ConjE comprising conjugating a compound which is selected respectively from A:
- W 201 1/130615 discloses compound 26: which is the parent compound of A.
- Compound A comprises this PBD with a linker for attachment to a cell binding agent.
- the cell binding agent provides a number of ethylene glycol moieties to provide solubility which is useful in the synthesis of conjugates.
- WO 2010/043380 and WO 201 1/130613 disclose compound 30:
- W 201 1/130613 also discloses compound 51 :
- Compound B differs from compound 30 by only having a (CH 2 )3 tether between the PBD moieties, instead of a (CH 2 )5 tether, which reduces the lipophilicity of the released PBD dimer.
- the linking group is attached to the C2-phenyl group in the para rather than meta
- Compound C differs from this in two respects.
- the cell binding agent provides an increased number of ethylene glycol moieties to provide solubility which is useful in the synthesis of conjugates, and the phenyl substiuent provide two rather than one oxygen atom, which also aids solubility.
- Compound C's strucutre may also mean it binds more strongly in the minor groove.
- Compounds A, B and C have two sp 2 centres in each C-ring, which may allow for stronger binding in the minor groove of DNA, than for compounds with only one sp 2 centre in each C- ring.
- WO 201 1/130598 discloses compound 80:
- Compound D differs from this by comprising an iodoacetamide group for linking to the cell binding agent.
- This group may offer advantages over compound 80 with regards to its stability when bound to a cell binding agent (see below).
- the malemide group in compound 80 can undergo a retro-Michael reaction, becoming unconjugated from the cell binding agent, and thus vunerable to scavenging by other thiol containing biological molecules, such as albumin and glutathione. Such unconjugation cannot occur with compound A.
- the iodoacetamide group may avoid other unwanted side reactions.
- Compound E differs from previously disclosed PBD dimers with a drug linker having a C2-3 endo-double bond, by having a smaller, less lipophilic C2 substituent, e.g. 4F-phenyl, propylene.
- the conjugates of compound B are less likely to aggregate once synthesised. Such aggregation of conjugates can be measured by Size exclusion chromatography (SEC).
- Both compound D and E have two sp 2 centres in each C-ring, which may allow for stronger binding in the minor groove of DNA, than for compounds with only one sp 2 centre in each C- ring.
- the drug linkers disclosed in WO 2010/043880, WO 201 1/130613, WO 201 1/130598 and WO 201 1/130616 may be used in the present invention, and are incorporated herein by reference.
- the drug linkers described herein may be synthesised as described in these disclosures. Detailed description of the invention
- the present invention is suitable for use in providing a PBD compound to a preferred site in a subject.
- the conjugate allows the release of an active PBD compound that does not retain any part of the linker. There is no stub present that could affect the reactivity of the PBD mpound. Thus ConjA would release the compound RelA:
- the speficied link between the PBD dimer and the antibody, in the present invention is preferably stable extracellularly.
- the antibody-drug conjugate (ADC) is preferably stable and remains intact, i.e. the antibody remains linked to the drug moiety.
- the linkers are stable outside the target cell and may be cleaved at some efficacious rate inside the cell.
- An effective linker will: (i) maintain the specific binding properties of the antibody; (ii) allow intracellular delivery of the conjugate or drug moiety; (iii) remain stable and intact, i.e.
- Stability of the ADC may be measured by standard analytical techniques such as mass spectroscopy, HPLC, and the separation/analysis technique LC/MS.
- Delivery of the compounds of formulae RelA, RelB, ReIC, RelD or RelE is achieved at the desired activation site of the conjugates of formulae ConjA, ConjB, ConjC, ConjD or ConjE by the action of an enzyme, such as cathepsin, on the linking group, and in particular on the valine-alanine dipeptide moiety.
- an enzyme such as cathepsin
- the antibody is an isolated humanized, anti-CD22 antibodies, having at least one antigen binding region derived from the high affinity VM1000, VM1001 , VM1002, VM1003, VM1004, VM1005, VM1006, VM1007, VM1008, VM1009, VM1010, VM101 1 , VM1012, VM1013, VM1014, or VM1015 anti-CD22 antibodies, as well as anti-CD22 antibody compositions, conjugated version of these anti-CD22 antibodies, encoding or complementary nucleic acids, vectors, host cells, compositions, formulations, devices, transgenic animals, transgenic plants related thereto, and methods of making and using thereof, as described and enabled herein, in combination with what is known in the art.
- the antibodies specifically neutralize human CD22 with high affinity.
- the antibody is any one of VM1000, VM1001 , VM1002, VM1003, VM1004, VM1005, VM1006, VM1007, VM1008, VM1009, VM1010, VM101 1 , VM1012, VM1013, VM1014, or VM1015, or any protein or peptide molecule that comprises at least one complementarity determining region (CDR) (e.g., CDR1 , CDR2 or CDR3) of a heavy or light chain or a ligand binding portion thereof, derived from one of VM1000, VM1001 , VM1002, VM1003, VM1004, VM1005, VM1006, VM1007, VM1008, VM1009, VM1010, VM101 1 , VM1012, VM1013, VM1014, or VM1015, in combination with a heavy chain or light chain constant region, a framework region, or any portion thereof, that can be incorporated into the antibody.
- CDR
- the antibody is an anti-CD22 antibody comprising a light chain and a heavy chain, each of the chains comprising at least part of a human constant region and at least part of a variable region (v) derived from one or more of VM1000, VM1001 , VM1002, VM1003, VM1004, VM1005, VM1006, VM1007, VM1008, VM1009, VM1010, VM101 1 , VM1012, VM1013, VM1014, or VM1015 each of which has specificity to human CD22, said antibody binding with high affinity to an inhibiting and/or neutralizing epitope of human CD22.
- v variable region
- antibody also includes fragments or a derivative, such as one or more portions of the antibody chain, such as the heavy chain constant, joining, diversity or variable regions, or the light chain constant, joining or variable regions.
- the antibody can comprise at least one specified portion of at least one complementarily determining region (CDR) (e.g., CDR1 , CDR2 or CDR3 of the heavy or light chain variable region) derived from an anti-CD22 antibody (as such term is defined herein), and/or at least one constant or variable framework region or any portion thereof.
- CDR complementarily determining region
- the antibody amino acid sequence can further optionally comprise at least one specified substitution, insertion or deletion as described herein or as known in the art.
- Preferred antibodies include VM1000, VM1001 , VM1002, VM1003, VM1004, VM1005, VM1006, VM1007, VM1008, VM1009, VM1010, VM101 1 , VM1012, VM1013, VM1014, and VM1015, as well as fragments and regions thereof.
- the antibody is an isolated antibody or antibody fragment that binds to human CD22, comprising a heavy chain variable region having the amino acid sequence of SEQ ID NO: 49, 50, 51 , 52, 53, 54, 55, 56, 57, 58, 59, 60, 61 , 62, 63, or 64; a light chain variable region having the amino acid sequence of SEQ ID NO: 17, 18, 19, 20, 21 , 22, 23, 24, 25, 26, 27, 28, 29, 30, 31 or 32; and a constant region derived from one or more human antibodies.
- the disclosure provides an isolated antibody or antibody fragment that binds to human CD22, comprising a heavy chain and light chain complementarity determining regions (CDRs) derived from the variable regions from one or more of VM1000, VM1001 , VM1002, VM1003, VM1004, VM1005, VM1006, VM1007, VM1008, VM1009, VM1010, VM101 1 , VM1012, VM1013, VM1014, and VM1015, and a constant region derived from one or more human antibodies.
- the disclosure provides an antibody or fragment according to claim 1 or 2, wherein said antibody or fragment competitively inhibits in vivo the binding to human CD22 of an anti CD22 murine antibody.
- Preferred antibodies are those that bind human CD22 and induce CD22 tyrosine
- the antibody binds at least one specified epitope specific to human CD22 protein, subunit, fragment, portion or any combination thereof, for example as described by (Stein R, Belisle E, Hansen HJ,
- the monoclonal antibody LL2 binds to the third immunoglobulin (Ig) repeat sequence in the extracellular domain of CD22 and is important for its modulatory effects on CD22 expressing B cell populations and lymphoma and leukemia cells.
- the epitope can comprise at least one antibody binding region, which epitope is preferably comprised of at least 1 -5 amino acids of at least one portion thereof, such as but not limited to, at least one functional, extracellular, soluble, hydrophillic, external or cytoplasmic domain of human CD22 protein, or any portion thereof.
- the antibody is an isolated mammalian anti-CD22 antibody, comprising at least one variable region from one of VM1000, VM1001 , VM1002, VM1003, VM1004, VM1005, VM1006, VM1007, VM1008, VM1009, VM1010, VM101 1 , VM1012, VM1013, VM1014, and VM1015 and the nucleic acid sequences encoding them.
- the antibody is an isolated mammalian anti-CD22 antibody, comprising either (i) all of the heavy chain complementarity determining regions (CDR) amino acid sequences derived from VM1000, VM1001 , VM1002, VM1003, VM1004, VM1005, VM1006, VM1007, VM1008, VM1009, VM1010, VM101 1 , VM1012, VM1013, VM1014, or VM1015 and the nucleic acid sequences encoding them; or (ii) all of the light chain CDR amino acids sequences from one of VM1000, VM1001 , VM1002, VM1003, VM1004, VM1005, VM1006, VM1007, VM1008, VM1009, VM1010, VM101 1 , VM1012, VM1013, VM1014, or VM1015 and the nucleic acid sequences encoding them.
- CDR heavy chain complementarity determining regions
- the antibody is an isolated mammalian anti-CD22 antibody, comprising at least one heavy chain or light chain CDR having the amino acid sequence derived from VM1000, VM1001 , VM1002, VM1003, VM1004, VM1005, VM1006, VM1007, VM1008, VM1009, VM1010, VM101 1 , VM1012, VM1013, VM1014, and VM1015 and the nucleic acid sequences encoding them.
- the antibody is an isolated mammalian chimeric, humanized or CDR-grafted anti-CD22 antibody, comprising at least one human CDR, or no human CDRs, wherein the antibody specifically binds at least one epitope comprising at least 1 -3 amino acids of an epitope of human CD22.
- the antibody can optionally further bind CD22 with an affinity (K D of at least 10 "9 M, preferably at least 10 "10 M, and/or substantially neutralize at least one activity of at least one CD22 protein.
- the antibody binds CD22 with an affinity (K Ds ) of at least 5 x 10 "10 M, preferably 5 x 10 "11 , more preferably 5 x 10 "12 and neutralizes human CD22.
- an "Anti-CD22 antibody,” “Anti-CD22 antibody,” “Anti-CD22 antibody portion,” or “Anti-CD22 antibody fragment” and/or “Anti-CD22 antibody variant” and the like include any protein or peptide containing molecule that comprises at least a portion of an immunoglobulin molecule, containing at least one complementarity determining region (CDR) of a heavy or light chain or a ligand binding portion thereof derived from at least one of VM1000, VM1001 , VM1002, VM1003, VM1004, VM1005, VM1006, VM1007, VM1008, VM1009, VM1010, VM101 1 , VM1012, VM1013, VM1014, or VM1015 , in combination with a heavy chain or light chain variable region, a heavy chain or light chain constant region, a framework region, or any portion thereof, of non-murine origin, preferably of human origin, which can be incorporated into the antibody.
- CDR complementarity determining region
- Anti-CD22 antibody shall refer collectively or individually to the humanized monoclonal antibodies VM1000, VM1001 , VM1002, VM1003, VM1004, VM1005, VM1006, VM1007, VM1008, VM1009, VM1010, VM101 1 , VM1012, VM1013, VM1014, and VM1015.
- Such antibody is capable of modulating, decreasing, antagonizes, mitigates, alleviates, blocks, inhibits, abrogates and/or interferes with at least one CD22 activity or binding, or with CD22 receptor activity or binding, in vitro, in situ and/or in vivo.
- a suitable Anti-CD22 antibody, specified portion or variant can bind with high affinity to an inhibiting and/or neutralizing epitope of human CD22 recognized by at least one of VM1000, VM1001 , VM1002, VM1003, VM1004, VM1005, VM1006, VM1007, VM1008, VM1009, VM1010, VM101 1 , VM1012, VM1013, VM1014, or VM1015 monoclonal antibody.
- a suitable Anti- CD22 antibody, specified portion, or variant can also optionally affect at least one of CD22 activity or function, such as but not limited to, RNA, DNA or protein synthesis, CD22 release, CD22 receptor signaling, membrane CD22 cleavage, CD22 activity, CD22 production and/or synthesis.
- CD22 activity or function such as but not limited to, RNA, DNA or protein synthesis, CD22 release, CD22 receptor signaling, membrane CD22 cleavage, CD22 activity, CD22 production and/or synthesis.
- antibody is further intended to encompass antibodies, digestion fragments, specified portions and variants thereof, including antibody mimetics or comprising portions of antibodies that mimic the structure and/or function of an antibody or specified fragment or portion thereof, including single chain antibodies and fragments thereof, each containing at least one CDR derived from an Anti-CD22.
- Functional fragments include antigen-binding fragments that bind to a mammalian CD22.
- antibody fragments capable of binding to CD22 or portions thereof including, but not limited to Fab (e.g., by papain digestion), Fab' (e.g., by pepsin digestion and partial reduction) and F(ab') 2 (e.g., by pepsin digestion), facb (e.g., by plasmin digestion), pFc' (e.g., by pepsin or plasmin digestion), Fd (e.g., by pepsin digestion, partial reduction and reaggregation), Fv or scFv (e.g., by molecular biology techniques) fragments, are encompassed by this disclosure (see, e.g., Colligan, Immunology, supra).
- Fab e.g., by papain digestion
- Fab' e.g., by pepsin digestion and partial reduction
- F(ab') 2 e.g., by pepsin digestion
- facb e.g., by plasmin digestion
- Antibody fragments can be produced by enzymatic cleavage, synthetic or recombinant techniques, as known in the art and/or as described herein. Antibodies can also be produced in a variety of truncated forms using antibody genes in which one or more stop codons have been introduced upstream of the natural stop site. For example, a combination gene encoding a F(ab') 2 heavy chain portion can be designed to include DNA sequences encoding the CH-i domain and/or hinge region of the heavy chain. The various portions of antibodies can be joined together chemically by conventional techniques, or can be prepared as a contiguous protein using genetic engineering techniques.
- chimeric antibodies or “humanized” antibodies or “CDR-grafted” include any combination of the herein described Anti-CD22 Abs, or any CDR derived therefrom combined with one or more proteins or peptides derived from a non-murine, preferably, human antibody.
- Chimeric or humanized antibodies include those wherein the CDR's are derived from one or more of the Anti-CD22 Abs described herein and at least a portion, or the remainder of the antibody is derived from one or more human antibodies.
- the human part of the antibody may include the framework, C L , C H domains (e.g., Cm, C H 2, Cm), hinge, (V L , V H )) regions which are substantially non-immunogenic in humans.
- the regions of the antibody that are derived from human antibodies need not have 100% identity with human antibodies.
- the human amino acid residues as many of the human amino acid residues as possible are retained in order for the immunogenicity to be negligible, but the human residues may be modified as necessary to support the antigen binding site formed by the CDR's while simultaneously maximizing the humanization of the antibody.
- Such changes or variations optionally and preferably retain or reduce the immunogenicity in humans or other species relative to non-modified antibodies.
- a humanized antibody can be produced by a non-human animal or prokaryotic or eukaryotic cell that is capable of expressing functionally rearranged human immunoglobulin (e.g., heavy chain and/or light chain) genes.
- an Fv can comprise a linker peptide, such as two to about eight glycine or other amino acid residues, which connects the variable region of the heavy chain and the variable region of the light chain.
- linker peptides are considered to be of human origin.
- Antibody humanization can be performed by, for example, synthesizing a combinatorial library comprising the six CDRs of a non-human target monoclonal antibody fused in frame to a pool of individual human frameworks.
- a human framework library that contains genes representative of all known heavy and light chain human germline genes can be utilized.
- the resulting combinatorial libraries can then be screened for binding to antigens of interest. This approach can allow for the selection of the most favorable combinations of fully human frameworks in terms of maintaining the binding activity to the parental antibody.
- Humanized antibodies can then be further optimized by a variety of techniques. For full-length antibody molecules, the immunoglobulin genes can be obtained from genomic DNA or mRNA of hybridoma cell lines.
- Antibody heavy and light chains are cloned in a mammalian vector system. Assembly is documented with double strand sequence analysis.
- the antibody construct can be expressed in other human or mammalian host cell lines. The construct can then be validated by transient transfection assays and Western blot analysis of the expressed antibody of interest. Stable cell lines with the highest productivity can be isolated and screened using rapid assay methods.
- the Anti-CD22 antibodies comprise any one of VM1000, VM1001 , VM1002, VM1003, VM1004, VM1005, VM1006, VM1007, VM1008, VM1009, VM1010, VM101 1 , VM1012, VM1013, VM1014, or VM1015 antibodies or an antibody in which the variable region or CDRs are derived from any one of VM1000, VM1001 , VM1002, VM1003, VM1004, VM1005, VM1006, VM1007, VM1008, VM1009, VM1010, VM101 1 , VM1012, VM1013, VM1014, or VM1015 antibody and the framework and constant regions of the antibody are derived from one or more human antibodies.
- variable region or CDRs derived from the antibody preferably have from about 90% to about 100% identity with the variable region or CDRs of any one of VM1000, VM1001 , VM1002, VM1003, VM1004, VM1005, VM1006, VM1007, VM1008, VM1009, VM1010, VM101 1 , VM1012, VM1013, VM1014, or VM1015 antibody, although any and all modifications, including substitutions, insertions and deletions, are contemplated so long as the chimeric antibody maintains the ability to bind to and inhibit CD22.
- the regions of the chimeric, humanized or CDR-grafted antibodies that are derived from human antibodies need not have 100% identity with the human antibodies.
- Each of the heavy and light chain variable regions contain three CDRs that combine to form the antigen binding site.
- the three CDRs are surrounded by four framework regions that primarily function to support the CDRs.
- the sequences of the CDRs within the sequences of the variable regions of the heavy and light chains can be identified by computer-assisted alignment according to Kabat et al. (1987) in Sequences of Proteins of Immunological Interest, 4 th ed., United States Department of Health and Human Services, U.S. Government Printing Office, Washington, D.C., or by molecular modeling of the variable regions, for example utilizing the ENCAD program as described by Levitt (1983) J. Mol. Biol. 168:595.
- the CDRs are derived from any one of VM1000, VM1001 , VM1002, VM1003, VM1004, VM1005, VM1006, VM1007, VM1008, VM1009, VM1010,
- VM101 1 VM1012, VM1013, VM1014, or VM1015.
- Determination of the heavy chain CDRs and light chain CDRs is well within the skill of one in the art. See, for example,
- the sequences of the CDRs of the Anti-CD22 antibody may be modified by insertions, substitutions and deletions to the extent that the CDR-grafted antibody maintains the ability to bind to and inhibit human CD22.
- the ordinarily skilled artisan can ascertain the maintenance of this activity by performing the functional assays described herein below.
- VM1000 comprises light chain VM1000LC (SEQ ID NO: 1 ) and heavy chain
- Clone VM1001 comprises light chain VM1001 LC (SEQ ID NO: 2) and heavy chain VM1001 HC (SEQ ID NO: 34).
- Clone VM1002 comprises light chain VM1002LC (SEQ ID NO: 3) and heavy chain VM1002HC (SEQ ID NO: 35).
- Clone VM1003 comprises light chain VM1003LC (SEQ ID NO: 4) and heavy chain VM1003HC (SEQ ID NO: 36).
- Clone VM1004 comprises light chain VM1004LC (SEQ ID NO: 5) and heavy chain VM1004HC (SEQ ID NO: 37).
- Clone VM1005 comprises light chain VM1005LC (SEQ ID NO: 6) and heavy chain VM1005HC (SEQ ID NO: 38).
- Clone VM1006 comprises light chain VM1006LC (SEQ ID NO: 7) and heavy chain VM1006HC (SEQ ID NO: 39).
- Clone VM1007 comprises light chain VM1007LC (SEQ ID NO: 8) and heavy chain VM1007HC (SEQ ID NO: 40).
- Clone VM1008 comprises light chain VM1008LC (SEQ ID NO: 9) and heavy chain VM1008HC (SEQ ID NO: 41 ).
- Clone VM1009 comprises light chain VM1009LC (SEQ ID NO: 10) and heavy chain VM1009HC (SEQ ID NO: 42).
- Clone VM1010 comprises light chain VM1010LC (SEQ ID NO: 1 1 ) and heavy chain VM1010HC (SEQ ID NO: 43).
- Clone VM101 1 comprises light chain VM101 1 LC (SEQ ID NO: 12) and heavy chain VM101 1 HC (SEQ ID NO: 44).
- Clone VM1012 comprises light chain VM1012LC (SEQ ID NO: 13) and heavy chain VM1012HC (SEQ ID NO: 45).
- Clone VM1013 comprises light chain VM1013LC (SEQ ID NO: 14) and heavy chain VM1013HC (SEQ ID NO: 46).
- Clone VM1014 comprises light chain VM1014LC (SEQ ID NO: 15) and heavy chain VM1014HC (SEQ ID NO: 47).
- Clone VM1015 comprises light chain VM1015LC (SEQ ID NO: 16) and heavy chain
- Human genes which encode the constant (C) regions of the humanized antibodies, fragments and regions can be derived from a human fetal liver library, by known methods. Human C region genes can be derived from any human cell including those which express and produce human immunoglobulins.
- the human C H region can be derived from any of the known classes or isotypes of human H chains, including ⁇ , ⁇ , ⁇ , ⁇ , ⁇ , and subtypes thereof, such as G1 , G2, G3 and G4. Since the H chain isotype is responsible for the various effector functions of an antibody, the choice of C H region will be guided by the desired effector functions, such as complement fixation, or activity in antibody-dependent cellular cytotoxicity (ADCC).
- ADCC antibody-dependent cellular cytotoxicity
- the C H region is derived from gamma 1 (lgG1 ).
- the human C L region can be derived from either human L chain isotype, kappa or lambda, preferably kappa.
- Genes encoding human immunoglobulin C regions are obtained from human cells by standard cloning techniques (Sambrook, et al. (Molecular Cloning: A Laboratory Manual, 2 nd Edition, Cold Spring Harbor Press, Cold Spring Harbor, N.Y. (1989) and Ausubel et al., eds. Current Protocols in Molecular Biology (1987-1993)).
- Human C region genes are readily available from known clones containing genes representing the two classes of L chains, the five classes of H chains and subclasses thereof.
- Chimeric antibody fragments such as F(ab 1 ) 2 and Fab, can be prepared by designing a chimeric H chain gene which is appropriately truncated.
- a chimeric gene encoding an H chain portion of an F(ab 1 ) 2 fragment would include DNA sequences encoding the CH1 domain and hinge region of the H chain, followed by a translational stop codon to yield the truncated molecule.
- humanized antibodies, fragments and regions are produced by cloning DNA segments encoding the H and L chain antigen-binding regions of the Anti CD22 specific antibody, and joining these DNA segments to DNA segments including C H and C L regions, respectively, to produce full length immunoglobulin-encoding genes.
- variable regions of the antibody may be modified by insertions, substitutions and deletions to the extent that the chimeric antibody maintains the ability to bind to and inhibit human CD22.
- the ordinarily skilled artisan can ascertain the
- variable regions can have, for example, from about 50% to about 100% homology to the variable regions of SEQ ID NOS: 1 -64.
- variable regions of the antibody have from about 80% to about 100% homology to the variable regions of SEQ ID NOS: 1 -64.
- variable regions have from about 90% to about 100% homology to the variable regions of SEQ ID NOS: 1-64.
- preferred anti-CD22 Mabs of the disclosure comprise variable light chain regions having 95%, 96%, 97%, 98% or 99% amino acid sequence homology to SEQ ID NO: 17-32 and further comprise variable heavy chain regions having 95%, 96%, 97%, 98% or 99% amino acid sequence homology to SEQ ID NO: 49-64.
- preferred anti-CD22 Mabs of the disclosure comprise a variable light chain region selected from one of SEQ ID NO: 1-16. In another specific aspect, preferred anti-CD22 Mabs of the disclosure comprise a variable heavy chain region selected from one of SEQ ID NO: 33-48.
- Methods for engineering or humanizing non-human or human antibodies can be used and are well known in the art.
- a humanized or engineered antibody has one or more amino acid residues from a source which is non-human, e.g., but not limited to mouse, rat, rabbit, non-human primate or other mammal. These human amino acid residues are often referred to as "import” residues, which are typically taken from an "import” variable, constant or other domain of a known human sequence.
- Known human Ig sequences are disclosed, e.g., www.ncbi.nlm.nih.gov/entrez/query.fcgi; www.atcc.org/phage/hdb.html;
- Such imported sequences can be used to reduce immunogenicity or reduce, enhance or modify binding, affinity, on-rate, off-rate, avidity, specificity, half-life, or any other suitable characteristic, as known in the art.
- Generally part or all of the non-human or human CDR sequences are maintained while the non-human sequences of the variable and constant regions are replaced with human or other amino acids.
- Antibodies can also optionally be humanized with retention of high affinity for the antigen and other favorable biological properties.
- humanized antibodies can be optionally prepared by a process of analysis of the parental sequences and various conceptual humanized products using three-dimensional models of the parental and humanized sequences. Three- dimensional immunoglobulin models are commonly available and are familiar to those skilled in the art.
- Humanization or engineering the antibody can be performed using any known method, such as but not limited to those described in, Winter (Jones et al., Nature 321 :522 (1986); Riechmann et al., Nature 332:323 (1988); Verhoeyen et al., Science 239:1534 (1988)), Sims et al., J. Immunol. 151 : 2296 (1993); Chothia and Lesk, J. Mol. Biol. 196:901 (1987), Carter et al., Proc. Natl. Acad. Sci. U.S.A. 89:4285 (1992); Presta et al., J. Immunol. 151 :2623 (1993), U.S. Pat.
- the human constant region of the humanized antibody can be of any class (IgG, IgA, IgM, IgE, IgD, etc.) or isotype and can comprise a kappa or lambda light chain.
- IgG IgG, IgA, IgM, IgE, IgD, etc.
- the human constant region comprises an IgG heavy chain or defined fragment, for example, at least one of isotypes, lgG1 , lgG2, lgG3 or lgG4.
- the anti-human CD22 human antibody comprises an lgG1 heavy chain and a lgG1 K light chain.
- the isolated anti-CD22 antibodies described herein comprise antibody amino acid sequences disclosed herein encoded by any suitable polynucleotide as well as.
- the antibody or antigen-binding fragment binds human CD22 and, thereby partially or substantially neutralizes at least one biological activity of the protein.
- the antibody, or specified portion or variant thereof partially or preferably substantially neutralizes at least one biological activity of at least one CD22 protein or fragment and thereby inhibit activities mediated through the binding of CD22 to the CD22 receptor or through other CD22- dependent or mediated mechanisms.
- neutralizing antibody refers to an antibody that can inhibit an CD22-dependent activity by about 20-120%, preferably by at least about 10, 20, 30, 40, 50, 55, 60, 65, 70, 75, 80, 85, 90, 91 , 92, 93, 94, 95, 96, 97, 98, 99, 100% or more depending on the assay.
- the capacity of an Anti-CD22 antibody to inhibit a CD22-dependent activity is preferably assessed by at least one suitable CD22 protein or receptor assay, as described herein and/or as known in the art.
- At least one antibody described herein binds at least one specified epitope specific to at least one CD22 protein, subunit, fragment, portion or any combination thereof.
- the at least one epitope can comprise at least one antibody binding region that comprises at least one portion of the protein, which epitope is preferably comprised of at least one extracellular, soluble, hydrophillic, external or cytoplasmic portion of the protein.
- the human antibody or antigen-binding fragment will comprise an antigen-binding region that comprises at least one human complementarity determining region (CDR1 , CDR2 and CDR3) or variant of at least one heavy chain variable region and at least one human complementarity determining region (CDR4, CDR5 and CDR6) or variant of at least one light chain variable region, derived from an anti-CD22 Ab described herein.
- the antibody or antigen-binding fragment can have an antigen-binding region that comprises at least a portion of at least one heavy chain CDR (i.e., CDR1 , CDR2 and/or CDR3) having the amino acid sequence of the corresponding CDRs 1 , 2 and/or 3.
- the antibody or antigen-binding portion or variant can have an antigen-binding region that comprises at least a portion of at least one light chain CDR (i.e., CDR4, CDR5 and/or CDR6) having the amino acid sequence of the corresponding CDRs 4, 5 and/or 6.
- CDR4 light chain CDR
- CDR5 light chain CDR5
- CDR6 having the amino acid sequence of the corresponding CDRs 4, 5 and/or 6.
- the three heavy chain CDRs and the three light chain CDRs of the antibody or antigen-binding fragment have the amino acid sequence of the corresponding CDR of at least one of VM1000, VM1001 , VM1002, VM1003, VM1004, VM1005, VM1006, VM1007, VM1008, VM1009, VM1010, VM101 1 , VM1012, VM1013, VM1014, or VM1015.
- Such antibodies can be prepared by chemically joining together the various portions (e.g., CDRs, framework) of the antibody using conventional techniques, by preparing and expressing a (i.e., one or more) nucleic acid molecule that encodes the antibody using conventional techniques of recombinant DNA technology or by using any other suitable method and using any of the possible redundant codons that will result in expression of an anti-CD22 antibody.
- a (i.e., one or more) nucleic acid molecule that encodes the antibody using conventional techniques of recombinant DNA technology or by using any other suitable method and using any of the possible redundant codons that will result in expression of an anti-CD22 antibody.
- Liquid phase synthesis of combinatorial variable domain humanized libraries for the light chain and the heavy chain can be employed.
- the assembly of a humanized light chain (LC) variable domain library for example, contains human light chain frameworks (FW) and non- human complementarity determining regions (CDR).
- the library is assembled by, for example, by using stepwise liquid phase ligation of FW and CDR DNA fragments.
- the libraries are assembled by using stepwise liquid phase ligation of FW and CDR DNA fragments in the order of FW1 -CDR1 -FW2-CDR2-FW3-CDR3 by techniques known to one of skill in the art. For example, by the techniques of one or more of the following references, each of which is incorporated herein by reference. Lo, B.K., 2003, Antibody humanization by CDR grafting. Antibody Engineering, Methods and protocols. Edit by Benny K. C.
- Antibodies that bind to human CD22 and that comprise the defined heavy or light chain variable region or CDR regions can be prepared using suitable methods, such as phage display (Katsube, Y., et al., Int J. Mol. Med, 1 (5):863-868 (1998)) or methods that employ transgenic animals, as known in the art and/or as described herein.
- the antibody, specified portion or variant can be expressed using the encoding nucleic acid or portion thereof in a suitable host cell.
- the "antibody” may be a full-length antibody, an antigen-binding fragment, an immunoglobulin chain and CDRs comprising amino acids in a sequence that is substantially the same as an amino acid sequence described herein.
- Anti-CD22 antibodies can include one or more amino acid substitutions, deletions or additions, either from natural mutations or human manipulation, as specified herein.
- such antibodies or antigen-binding fragments and antibodies comprising such chains or CDRs can bind human CD22 with high affinity (e.g., K D less than or equal to about 10 "9 M).
- Amino acid sequences that are substantially the same as the sequences described herein include sequences comprising conservative amino acid substitutions, as well as amino acid deletions and/or insertions.
- a conservative amino acid substitution refers to the replacement of a first amino acid by a second amino acid that has chemical and/or physical properties (e.g., charge, structure, polarity, hydrophobicity/hydrophilicity) that are similar to those of the first amino acid.
- Conservative substitutions include replacement of one amino acid by another within the following groups: lysine (K), arginine (R) and histidine (H); aspartate (D) and glutamate (E); asparagine (N), glutamine (Q), serine (S), threonine (T), tyrosine (Y), K, R, H, D and E; alanine (A), valine (V), leucine (L), isoleucine (I), proline (P), phenylalanine (F), tryptophan (W), methionine (M), cysteine (C) and glycine (G); F, W and Y; C, S and T.
- the number of amino acid substitutions a skilled artisan would make depends on many factors, including those described above. Generally speaking, the number of amino acid substitutions, insertions or deletions for any given Anti-CD22 antibody, fragment or variant will not be more than 40, 30, 20, 19, 18, 17, 16, 15, 14, 13, 12, 1 1 , 10, 9, 8, 7, 6, 5, 4, 3, 2, 1 , such as 1 -30 or any range or value therein, as specified herein.
- Amino acids in an Anti-CD22 antibody that are essential for function can be identified by methods known in the art, such as site-directed mutagenesis or alanine-scanning
- Anti-CD22 antibodies can include, but are not limited to, at least one portion, sequence or combination selected from 5 to all of the contiguous amino acids of at least one of CDRs derived from SEQ ID NOS: 17-32 and 49-64.
- An Anti-CD22 antibody can further optionally comprise a polypeptide of at least one of 70- 100% of the contiguous amino acids of the CDRs derived from at least one of SEQ ID NOS: 17-32 and 49-64.
- the anti-CD22 antibody comprises a polypeptide of 95-99% sequence homology to SEQ ID NO: 1 -16.
- the anti-CD22 antibody comprises a polypeptide of 95-99% sequence homology to SEQ ID NO: 33-48.
- the amino acid sequence of an immunoglobulin chain, or portion thereof has about 70-100% identity (e.g., 70, 71 , 72, 73, 74, 75, 76, 77, 78, 79, 80, 81 , 82, 83, 84, 85, 86, 87, 88, 89, 90, 91 , 92, 93, 94, 95, 96, 97, 98, 99, 100 or any range or value therein) to the amino acid sequence of at least one of SEQ ID NOS: 17- 32 or 49-64.
- 70-100% amino acid identity i.e., 90, 91 , 92, 93, 94, 95, 96, 97, 98, 99, 100 or any range or value therein
- the anti-CD22 antibody comprises a polypeptide of 95-99% sequence homology to SEQ ID NO: 17-32 or 49-64.
- Exemplary heavy chain and light chain variable regions sequences are provided in SEQ ID NOS: 1-64.
- the antibodies described herein, or specified variants thereof can comprise any number of contiguous amino acid residues from an antibody described herein, wherein that number is selected from the group of integers consisting of from 10-100% of the number of contiguous residues in an Anti-CD22 antibody.
- this subsequence of contiguous amino acids is at least about 10, 20, 30, 40, 50, 60, 70, 80, 90, 100, 1 10, 120, 130, 140, 150, 160, 170, 180, 190, 200, 210, 220, 230, 240, 250 or more amino acids in length, or any range or value therein.
- the number of such subsequences can be any integer selected from the group consisting of from 1 to 20, such as at least 2, 3, 4, or 5.
- the antibody includes at least one biologically active antibody.
- Biologically active antibodies have a specific activity at least 20%, 30%, or 40%, and preferably at least 50%, 60%, or 70%, and most preferably at least 80%, 90%, or 95%- 100% of that of the native (non-synthetic), endogenous or related and known antibody.
- the antibody may be a human antibody or antigen-binding fragment, as described herein, which is modified by the covalent attachment of an organic moiety. Such modification can produce an antibody or antigen-binding fragment with improved
- the organic moiety can be a linear or branched hydrophilic polymeric group, fatty acid group, or fatty acid ester group.
- the hydrophilic polymeric group can have a molecular weight of about 800 to about 120,000 Daltons and can be a polyalkane glycol (e.g., polyethylene glycol (PEG), polypropylene glycol (PPG)), carbohydrate polymer, amino acid polymer or polyvinyl pyrolidone, and the fatty acid or fatty acid ester group can comprise from about eight to about forty carbon atoms.
- the modified antibodies and antigen-binding fragments can comprise one or more organic moieties that are covalently bonded, directly or indirectly, to the antibody.
- Each organic moiety that is bonded to an antibody or antigen-binding fragment described herein can independently be a hydrophilic polymeric group, a fatty acid group or a fatty acid ester group.
- fatty acid encompasses mono-carboxylic acids and di-carboxylic acids.
- Hydrophilic polymers suitable for modifying antibodies described herein can be linear or branched and include, for example, polyalkane glycols (e.g., PEG, monomethoxy-polyethylene glycol (mPEG), PPG and the like), carbohydrates (e.g., dextran, cellulose, oligosaccharides, polysaccharides and the like), polymers of hydrophilic amino acids (e.g., polylysine, polyarginine, polyaspartate and the like), polyalkane oxides (e.g., polyethylene oxide, polypropylene oxide and the like) and polyvinyl pyrolidone.
- polyalkane glycols e.g., PEG, monomethoxy-polyethylene glycol (mPEG), PPG and the like
- carbohydrates e.g., dextran, cellulose, oligosaccharides, polysaccharides and the like
- polymers of hydrophilic amino acids e.g., polylysine,
- the hydrophilic polymer that modifies the antibody described herein has a molecular weight of about 800 to about 150,000 Daltons as a separate molecular entity.
- PEG5000 and PEG 2 o,ooo wherein the subscript is the average molecular weight of the polymer in Daltons, can be used.
- the hydrophilic polymeric group can be substituted with one to about six alkyl, fatty acid or fatty acid ester groups.
- Hydrophilic polymers that are substituted with a fatty acid or fatty acid ester group can be prepared by employing suitable methods.
- a polymer comprising an amine group can be coupled to a carboxylate of the fatty acid or fatty acid ester, and an activated carboxylate (e.g., activated with ⁇ , ⁇ -carbonyl diimidazole) on a fatty acid or fatty acid ester can be coupled to a hydroxyl group on a polymer.
- an activated carboxylate e.g., activated with ⁇ , ⁇ -carbonyl diimidazole
- Fatty acids and fatty acid esters suitable for modifying antibodies described herein can be saturated or can contain one or more units of unsaturation.
- Fatty acids that are suitable for modifying antibodies described herein include, for example, n-dodecanoate (C 12 , laurate), n- tetradecanoate (C 14 , myristate), n-octadecanoate (C 18 , stearate), n-eicosanoate (C 2 o, arachidate), n-docosanoate (C22, behenate), n-triacontanoate (C 3 o), n-tetracontanoate (C 40 ), cis- ⁇ 9-octadecanoate (Ci 8 , oleate), all cis- ⁇ 5,8, 1 1 , 14-eicosatetraenoate (C 2 o,
- Suitable fatty acid esters include mono-esters of dicarboxylic acids that comprise a linear or branched lower alkyl group.
- the lower alkyl group can comprise from one to about twelve, preferably one to about six, carbon atoms.
- modified human antibodies and antigen-binding fragments can be prepared using suitable methods, such as by reaction with one or more modifying agents.
- An “activating group” is a chemical moiety or functional group that can, under appropriate conditions, react with a second chemical group thereby forming a covalent bond between the modifying agent and the second chemical group.
- amine-reactive activating groups include electrophilic groups such as tosylate, mesylate, halo (chloro, bromo, fluoro, iodo), N- hydroxysuccinimidyl esters (NHS), and the like.
- Activating groups that can react with thiols include, for example, maleimide, iodoacetyl, acrylolyl, pyridyl disulfides, 5-thiol-2- nitrobenzoic acid thiol (TNB-thiol), and the like.
- An aldehyde functional group can be coupled to amine- or hydrazide-containing molecules, and an azide group can react with a trivalent phosphorous group to form phosphoramidate or phosphorimide linkages.
- Suitable methods to introduce activating groups into molecules are known in the art (see for example,
- An activating group can be bonded directly to the organic group (e.g., hydrophilic polymer, fatty acid, fatty acid ester), or through a linker moiety, for example a divalent C1-C12 group wherein one or more carbon atoms can be replaced by a heteroatom such as oxygen, nitrogen or sulfur.
- organic group e.g., hydrophilic polymer, fatty acid, fatty acid ester
- linker moiety for example a divalent C1-C12 group wherein one or more carbon atoms can be replaced by a heteroatom such as oxygen, nitrogen or sulfur.
- Suitable linker moieties include, for example, tetraethylene glycol,— (CH 2 ) 3 ⁇ , ⁇ NH ⁇ (CH 2 )6-NH ⁇ , ⁇ (CH 2 ) 2 ⁇ NH ⁇ and -CH 2 -0-CH 2 -CH 2 -0-CH 2 -CH 2 -0-CH- NH-.
- Modifying agents that comprise a linker moiety can be produced, for example, by reacting a mono-Boc-alkyldiamine (e.g., mono-Boc-ethylenediamine, mono-Boc- diaminohexane) with a fatty acid in the presence of 1 -ethyl-3-(3-dimethylaminopropyl) carbodiimide (EDC) to form an amide bond between the free amine and the fatty acid carboxylate.
- a mono-Boc-alkyldiamine e.g., mono-Boc-ethylenediamine, mono-Boc- diaminohexane
- EDC 1 -ethyl-3-(3-dimethylaminopropyl) carbodiimide
- the Boc protecting group can be removed from the product by treatment with trifluoroacetic acid (TFA) to expose a primary amine that can be coupled to another carboxylate as described, or can be reacted with maleic anhydride and the resulting product cyclized to produce an activated maleimido derivative of the fatty acid.
- TFA trifluoroacetic acid
- the modified antibodies can be produced by reacting a human antibody or antigen-binding fragment with a modifying agent.
- the organic moieties can be bonded to the antibody in a non-site specific manner by employing an amine-reactive modifying agent, for example, an NHS ester of PEG.
- Modified human antibodies or antigen-binding fragments can also be prepared by reducing disulfide bonds (e.g., intra-chain disulfide bonds) of an antibody or antigen-binding fragment.
- the reduced antibody or antigen-binding fragment can then be reacted with a thiol-reactive modifying agent to produce the modified antibody described herein.
- Modified human antibodies and antigen-binding fragments comprising an organic moiety that is bonded to specific sites of an antibody described herein can be prepared using suitable methods, such as reverse proteolysis (Fisch et al., Bioconjugate Chem., 3:147-153 (1992); Werlen et al., Bioconjugate Chem., 5:41 1-417 (1994); Kumaran et al., Protein Sci. 6(10):2233-2241 (1997); Itoh et al., Bioorg. Chem., 24(1 ): 59-68 (1996); Capellas et al., Biotechnol. Bioeng., 56(4):456-463 (1997)), and the methods described in Hermanson, G. T., Bioconjugate Techniques, Academic Press: San Diego, Calif. (1996).
- suitable methods such as reverse proteolysis (Fisch et al., Bioconjugate Chem., 3:147-153 (1992); Werlen et al., Bioconjugate Chem
- the antibodies described herein can bind human CD22 with a wide range of affinities (K D ).
- at least one human mAb described herein can optionally bind human CD22 with high affinity.
- a mAb can bind human CD22 with a K D equal to or less than about 10 "7 M, such as but not limited to, 0.1 -9.9 (or any range or value therein) X 10 "7 , 10 "8 , 10 "9 , 10 "10 , 10 "11 , 10 "12 , 10 “13 or any range or value therein.
- the affinity or avidity of an antibody for an antigen can be determined experimentally using any suitable method.
- the measured affinity of a particular antibody-antigen interaction can vary if measured under different conditions (e.g., salt concentration, pH).
- affinity and other antigen-binding parameters are preferably made with standardized solutions of antibody and antigen, and a standardized buffer, such as the buffer described herein.
- Anti-CD22 antibodies useful in the methods and compositions described herein are characterized by high affinity binding to CD22 and optionally and preferably having low toxicity.
- an antibody, specified fragment or variant described herein, where the individual components, such as the variable region, constant region and framework, individually and/or collectively, optionally and preferably possess low immunogenicity is useful.
- the antibodies that can be used are optionally characterized by their ability to treat patients for extended periods with measurable alleviation of symptoms and low and/or acceptable toxicity.
- Low or acceptable immunogenicity and/or high affinity, as well as other suitable properties can contribute to the therapeutic results achieved. "Low
- immunogenicity is defined herein as raising significant HAHA, HACA or HAMA responses in less than about 75%, or preferably less than about 50% of the patients treated and/or raising low titres in the patient treated (less than about 300, preferably less than about 100 measured with a double antigen enzyme immunoassay) (Elliott et al., Lancet 344:1 125-1 127 (1994), entirely incorporated herein by reference).
- Bispecific, heterospecific, heteroconjugate or similar antibodies can also be used that are monoclonal, humanized, antibodies that have binding specificities for at least two different antigens.
- one of the binding specificities is for at least one CD22 protein, the other one is for any other antigen.
- Methods for making bispecific antibodies are known in the art. Traditionally, the recombinant production of bispecific antibodies is based on the co-expression of two immunoglobulin heavy chain-light chain pairs, where the two heavy chains have different specificities (Milstein and Cuello, Nature 305:537 (1983)).
- the pharmaceutically acceptable cation may be inorganic or organic.
- Examples of pharmaceutically acceptable monovalent inorganic cations include, but are not limited to, alkali metal ions such as Na + and K + .
- Examples of pharmaceutically acceptable divalent inorganic cations include, but are not limited to, alkaline earth cations such as Ca 2+ and Mg 2+ .
- Examples of pharmaceutically acceptable organic cations include, but are not limited to, ammonium ion (i.e. NH 4 + ) and substituted ammonium ions (e.g. NH 3 R + , NH 2 R2 + , NHR 3 + , NR 4 + ).
- Examples of some suitable substituted ammonium ions are those derived from: ethylamine, diethylamine, dicyclohexylamine, triethylamine, butylamine,
- phenylbenzylamine choline, meglumine, and tromethamine, as well as amino acids, such as lysine and arginine.
- amino acids such as lysine and arginine.
- An example of a common quaternary ammonium ion is N(CH 3 ) 4 + .
- substituted refers to a parent group which bears one or more substituents.
- substituted is used herein in the conventional sense and refers to a chemical moiety which is covalently attached to, or if appropriate, fused to, a parent group.
- substituents are well known, and methods for their formation and introduction into a variety of parent groups are also well known.
- Ci-12 alkyl refers to a monovalent moiety obtained by removing a hydrogen atom from a carbon atom of a hydrocarbon compound having from 1 to 12 carbon atoms, which may be aliphatic or alicyclic, and which may be saturated or unsaturated (e.g. partially unsaturated, fully unsaturated).
- C1-4 alkyl as used herein, pertains to a monovalent moiety obtained by removing a hydrogen atom from a carbon atom of a hydrocarbon compound having from 1 to 4 carbon atoms, which may be aliphatic or alicyclic, and which may be saturated or unsaturated (e.g. partially unsaturated, fully unsaturated).
- alkyl includes the sub-classes alkenyl, alkynyl, cycloalkyl, etc., discussed below.
- saturated alkyl groups include, but are not limited to, methyl (Ci), ethyl (C 2 ), propyl (C 3 ), butyl (C 4 ), pentyl (C 5 ), hexyl (C 6 ) and heptyl (C 7 ).
- saturated linear alkyl groups include, but are not limited to, methyl (Ci), ethyl (C 2 ), n-propyl (C 3 ), n-butyl (C 4 ), n-pentyl (amyl) (C 5 ), n-hexyl (C 6 ) and n-heptyl (C 7 ).
- saturated branched alkyl groups include iso-propyl (C 3 ), iso-butyl (C 4 ), sec-butyl (C 4 ), tert-butyl (C 4 ), iso-pentyl (C 5 ), and neo-pentyl (C 5 ).
- C2-12 Alkenyl The term "C2-12 alkenyl" as used herein, pertains to an alkyl group having one or more carbon-carbon double bonds.
- C2-12 alkynyl refers to an alkyl group having one or more carbon-carbon triple bonds.
- unsaturated alkynyl groups include, but are not limited to, ethynyl (-C ⁇ CH) and 2-propynyl (propargyl, -CH 2 -C ⁇ CH).
- C3-12 cycloalkyl refers to an alkyl group which is also a cyclyl group; that is, a monovalent moiety obtained by removing a hydrogen atom from an alicyclic ring atom of a cyclic hydrocarbon (carbocyclic) compound, which moiety has from 3 to 7 carbon atoms, including from 3 to 7 ring atoms.
- cycloalkyl groups include, but are not limited to, those derived from:
- C3-20 heterocyclyl refers to a monovalent moiety obtained by removing a hydrogen atom from a ring atom of a heterocyclic compound, which moiety has from 3 to 20 ring atoms, of which from 1 to 10 are ring heteroatoms.
- each ring has from 3 to 7 ring atoms, of which from 1 to 4 are ring heteroatoms.
- the prefixes e.g. C3-20, C3-7, C 5- 6, etc.
- the prefixes denote the number of ring atoms, or range of number of ring atoms, whether carbon atoms or heteroatoms.
- C 5-6 heterocyclyl as used herein, pertains to a heterocyclyl group having 5 or 6 ring atoms.
- monocyclic heterocyclyl groups include, but are not limited to, those derived from:
- N 2 imidazolidine (C 5 ), pyrazolidine (diazolidine) (C 5 ), imidazoline (C 5 ), pyrazoline
- NiOi tetrahydrooxazole (C 5 ), dihydrooxazole (C 5 ), tetrahydroisoxazole (C 5 ),
- O1S1 oxathiole (C 5 ) and oxathiane (thioxane) (C 6 ); and,
- substituted monocyclic heterocyclyl groups include those derived from saccharides, in cyclic form, for example, furanoses (C 5 ), such as arabinofuranose, lyxofuranose, ribofuranose, and xylofuranse, and pyranoses (C 6 ), such as allopyranose, altropyranose, glucopyranose, mannopyranose, gulopyranose, idopyranose,
- C5-2 0 aryl The term "C5-2 0 aryl", as used herein, pertains to a monovalent moiety obtained by removing a hydrogen atom from an aromatic ring atom of an aromatic compound, which moiety has from 3 to 20 ring atoms.
- C 5-7 aryl refers to a monovalent moiety obtained by removing a hydrogen atom from an aromatic ring atom of an aromatic compound, which moiety has from 5 to 7 ring atoms
- C5-1 0 aryl pertains to a monovalent moiety obtained by removing a hydrogen atom from an aromatic ring atom of an aromatic compound, which moiety has from 5 to 10 ring atoms.
- each ring has from 5 to 7 ring atoms.
- the prefixes denote the number of ring atoms, or range of number of ring atoms, whether carbon atoms or heteroatoms.
- C 5-6 aryl as used herein, pertains to an aryl group having 5 or 6 ring atoms.
- the ring atoms may be all carbon atoms, as in "carboaryl groups”.
- carboaryl groups include, but are not limited to, those derived from benzene (i.e. phenyl) (C 6 ), naphthalene (C10), azulene (C10), anthracene (C14), phenanthrene (Ci 4 ), naphthacene (Ci 8 ), and pyrene (Ci 6 ).
- aryl groups which comprise fused rings, at least one of which is an aromatic ring include, but are not limited to, groups derived from indane (e.g. 2,3-dihydro-1 H-indene) (Cg), indene (C 9 ), isoindene (C 9 ), tetraline (1 ,2,3,4-tetrahydronaphthalene (C10),
- the ring atoms may include one or more heteroatoms, as in "heteroaryl groups".
- heteroaryl groups include, but are not limited to, those derived from:
- N3O1 oxatriazole (C 5 );
- N1S1 thiazole (C 5 ), isothiazole (C 5 );
- N 2 imidazole (1 ,3-diazole) (C 5 ), pyrazole (1 ,2-diazole) (C 5 ), pyridazine (1 ,2-diazine) (C 6 ), pyrimidine (1 ,3-diazine) (C 6 ) (e.g., cytosine, thymine, uracil), pyrazine (1 ,4-diazine) (C 6 );
- N 3 triazole (C 5 ), triazine (C 6 ); and,
- heteroaryl which comprise fused rings, include, but are not limited to:
- C 9 (with 2 fused rings) derived from benzofuran (Oi), isobenzofuran (Oi), indole (N-i), isoindole (N ⁇ , indolizine (N ⁇ , indoline (N ⁇ , isoindoline (N ⁇ , purine (N 4 ) (e.g., adenine, guanine), benzimidazole (N 2 ), indazole (N 2 ), benzoxazole (NiOi), benzisoxazole (NiOi), benzodioxole (0 2 ), benzofurazan (N ⁇ ), benzotriazole (N 3 ), benzothiofuran (S ⁇ , benzothiazole ( ⁇ ), benzothiadiazole (N 2 S);
- Ci 3 (with 3 fused rings) derived from carbazole (Ni), dibenzofuran (Oi),
- Ci 4 (with 3 fused rings) derived from acridine (N-i), xanthene (Oi), thioxanthene (Si), oxanthrene (0 2 ), phenoxathiin (O 1 S 1 ), phenazine (N 2 ), phenoxazine (N- ⁇ - ⁇ ), phenothiazine (N-I S-I), thianthrene (S 2 ), phenanthridine (N-i), phenanthroline (N 2 ), phenazine (N 2 ).
- Halo -F, -CI, -Br, and -I.
- Ether -OR, wherein R is an ether substituent, for example, a C 1-7 alkyl group (also referred to as a C 1-7 alkoxy group, discussed below), a C 3-20 heterocyclyl group (also referred to as a C 3-20 heterocyclyloxy group), or a C 5 - 2 o aryl group (also referred to as a C 5-2 o aryloxy group), preferably a Ci -7 alkyl group.
- Alkoxy -OR, wherein R is an alkyl group, for example, a Ci_ 7 alkyl group.
- Ci -7 alkoxy groups include, but are not limited to, -OMe (methoxy), -OEt (ethoxy), -O(nPr) (n- propoxy), -O(iPr) (isopropoxy), -O(nBu) (n-butoxy), -O(sBu) (sec-butoxy), -O(iBu)
- Acetal -CH(OR 1 )(OR 2 ), wherein R 1 and R 2 are independently acetal substituents, for example, a Ci -7 alkyl group, a C3-2 0 heterocyclyl group, or a C 5 -2o aryl group, preferably a Ci -7 alkyl group, or, in the case of a "cyclic" acetal group, R 1 and R 2 , taken together with the two oxygen atoms to which they are attached, and the carbon atoms to which they are attached, form a heterocyclic ring having from 4 to 8 ring atoms.
- acetal groups include, but are not limited to, -CH(OMe) 2 , -CH(OEt) 2 , and -CH(OMe)(OEt).
- Hemiacetal -CH(OH)(OR 1 ), wherein R 1 is a hemiacetal substituent, for example, a C 1-7 alkyl group, a C 3-2 o heterocyclyl group, or a C 5-2 o aryl group, preferably a C 1 -7 alkyl group.
- hemiacetal groups include, but are not limited to, -CH(OH)(OMe) and - CH(OH)(OEt).
- Ketal -CR(OR 1 )(OR 2 ), where R 1 and R 2 are as defined for acetals, and R is a ketal substituent other than hydrogen, for example, a Ci -7 alkyl group, a C 3-2 o heterocyclyl group, or a C 5-2 o aryl group, preferably a Ci -7 alkyl group.
- ketal groups include, but are not limited to, -C(Me)(OMe) 2 , -C(Me)(OEt) 2 , -C(Me)(OMe)(OEt), -C(Et)(OMe) 2 , -C(Et)(OEt) 2 , and -C(Et)(OMe)(OEt).
- R 1 is as defined for hemiacetals, and R is a hemiketal substituent other than hydrogen, for example, a Ci -7 alkyl group, a C 3-2 o heterocyclyl group, or a C 5-2 o aryl group, preferably a Ci -7 alkyl group.
- hemiacetal groups include, but are not limited to, -C(Me)(OH)(OMe), -C(Et)(OH)(OMe), -C(Me)(OH)(OEt), and
- Imino (imine): NR, wherein R is an imino substituent, for example, hydrogen, Ci -7 alkyl group, a C 3-2 o heterocyclyl group, or a C 5-2 o aryl group, preferably hydrogen or a Ci -7 alkyl group.
- R is an acyl substituent, for example, a Ci_ 7 alkyl group (also referred to as Ci -7 alkylacyl or Ci -7 alkanoyl), a C3-20 heterocyclyl group (also referred to as C3-20 heterocyclylacyl), or a C 5 -2o aryl group (also referred to as C5-20 arylacyl), preferably a C1-7 alkyl group.
- a Ci_ 7 alkyl group also referred to as Ci -7 alkylacyl or Ci -7 alkanoyl
- C3-20 heterocyclyl group also referred to as C3-20 heterocyclylacyl
- C 5 -2o aryl group also referred to as C5-20 arylacyl
- Carboxy (carboxylic acid): -C( 0)OH.
- acyloxy (reverse ester): -OC( 0)R, wherein R is an acyloxy substituent, for example, a C 1-7 alkyl group, a C 3-2 o heterocyclyl group, or a C 5-2 o aryl group, preferably a C 1-7 alkyl group.
- R is an acyloxy substituent, for example, a C 1-7 alkyl group, a C 3-2 o heterocyclyl group, or a C 5-2 o aryl group, preferably a C 1-7 alkyl group.
- Oxycarboyloxy: -OC( 0)OR, wherein R is an ester substituent, for example, a Ci -7 alkyl group, a C 3-2 o heterocyclyl group, or a C5-20 aryl group, preferably a Ci -7 alkyl group.
- R 1 and R 2 are independently amino substituents, for example, hydrogen, a Ci -7 alkyl group (also referred to as Ci -7 alkylamino or di-Ci -7 alkylamino), a C3-20 heterocyclyl group, or a C 5- 2o aryl group, preferably H or a Ci -7 alkyl group, or, in the case of a "cyclic" amino group, R 1 and R 2 , taken together with the nitrogen atom to which they are attached, form a heterocyclic ring having from 4 to 8 ring atoms.
- a Ci -7 alkyl group also referred to as Ci -7 alkylamino or di-Ci -7 alkylamino
- C3-20 heterocyclyl group or a C 5- 2o aryl group, preferably H or a Ci -7 alkyl group
- R 1 and R 2 taken together with the nitrogen atom to which they are attached, form a heterocyclic ring having from 4 to 8 ring atoms.
- Amino groups may be primary (-NH 2 ), secondary (-NHR 1 ), or tertiary (-NHR 1 R 2 ), and in cationic form, may be quaternary (- + NR 1 R 2 R 3 ).
- Examples of amino groups include, but are not limited to, -NH 2 ,
- cyclic amino groups include, but are not limited to, aziridino, azetidino, pyrrolidino, piperidino, piperazino, morpholino, and thiomorpholino.
- Amido (carbamoyl, carbamyl, aminocarbonyl, carboxamide): -C( 0)NR 1 R 2 , wherein R 1 and R 2 are independently amino substituents, as defined for amino groups.
- Thioamido (thiocarbamyl): -C( S)NR 1 R 2 , wherein R 1 and R 2 are independently amino substituents, as defined for amino groups.
- Acylamido (acylamino): -NR 1 C( 0)R 2 , wherein R 1 is an amide substituent, for example, hydrogen, a C 1-7 alkyl group, a C 3-20 heterocyclyl group, or a C 5-20 aryl group, preferably hydrogen or a C 1-7 alkyl group, and R 2 is an acyl substituent, for example, a C 1-7 alkyl group, a C 3-20 heterocyclyl group, or a C 5-2 oaryl group, preferably hydrogen or a C 1-7 alkyl group.
- R 1 and R 2 may together form a cyclic structure, as in, for example, succinimidyl, maleimidyl, and phthalimidyl:
- R 2 and R 3 are independently amino substituents, as defined for amino groups, and R 1 is a ureido substituent, for example, hydrogen, a Ci_ 7 alkyl group, a C3-2 0 heterocyclyl group, or a C 5 -2o aryl group, preferably hydrogen or a Ci -7 alkyl group.
- ureido groups include, but are not limited to, -NHCONH 2 , -NHCONHMe, -NHCONHEt, -NHCONMe 2 , -NHCONEt 2 , -NMeCONH 2 , -NMeCONHMe, -NMeCONHEt, - NMeCONMe 2 , and -NMeCONEt 2 .
- Tetrazolyl a five membered aromatic ring having four nitrogen atoms and one carbon atom
- Imino: NR, wherein R is an imino substituent, for example, for example, hydrogen, a C 1-7 alkyl group, a C 3-20 heterocyclyl group, or a C 5-20 aryl group, preferably H or a C 1-7 alkyl group.
- Isocyano -NC. Cyanato: -OCN. Isocyanato: -NCO.
- Ci -7 alkylthio groups include, but are not limited to,
- Disulfide -SS-R, wherein R is a disulfide substituent, for example, a Ci -7 alkyl group, a C3-2 0 heterocyclyl group, or a C 5- 2o aryl group, preferably a Ci -7 alkyl group (also referred to herein as Ci -7 alkyl disulfide).
- R is a disulfide substituent, for example, a Ci -7 alkyl group, a C3-2 0 heterocyclyl group, or a C 5- 2o aryl group, preferably a Ci -7 alkyl group (also referred to herein as Ci -7 alkyl disulfide).
- Ci -7 alkyl disulfide groups include, but are not limited to,
- Sulfine (sulfinyl, sulfoxide): -S( 0)R, wherein R is a sulfine substituent, for example, a C 1-7 alkyl group, a C 3-2 o heterocyclyl group, or a C 5-2 o aryl group, preferably a C 1-7 alkyl group.
- R is a sulfine substituent, for example, a C 1-7 alkyl group, a C 3-2 o heterocyclyl group, or a C 5-2 o aryl group, preferably a C 1-7 alkyl group.
- Sulfonate (sulfonic acid ester): -S( 0) 2 OR, wherein R is a sulfonate substituent, for example, a Ci-7 alkyl group, a C 3-20 heterocyclyl group, or a C 5-2 o aryl group, preferably a Ci -7 alkyl group.
- R is a sulfonate substituent, for example, a Ci-7 alkyl group, a C 3-20 heterocyclyl group, or a C 5-2 o aryl group, preferably a Ci -7 alkyl group.
- R is a sulfinyloxy substituent, for example, a Ci -7 alkyl group, a C 3-20 heterocyclyl group, or a C 5-2 o aryl group, preferably a Ci -7 alkyl group.
- R is a sulfonyloxy substituent, for example, a Ci -7 alkyl group, a C 3-20 heterocyclyl group, or a C 5 - 2 o aryl group, preferably a Ci -7 alkyl group.
- R is a sulfate substituent, for example, a C 1-7 alkyl group, a C 3-20 heterocyclyl group, or a C 5-20 aryl group, preferably a C 1-7 alkyl group.
- R 1 and R 2 are independently amino substituents, as defined for amino groups.
- R 1 is an amino substituent, as defined for amino groups.
- R 1 is an amino substituent, as defined for amino groups
- R is a sulfonamino substituent, for example, a C -7 alkyl group, a C 3-20 heterocyclyl group, or a C 5-20 aryl group, preferably a C 1-7 alkyl group.
- R 1 is an amino substituent, as defined for amino groups
- R is a sulfinamino substituent, for example, a Ci -7 alkyl group, a C 3-20 heterocyclyl group, or a C 5-2 o aryl group, preferably a Ci -7 alkyl group.
- R is a phosphino substituent, for example, -H, a Ci -7 alkyl group, a C 3-20 heterocyclyl group, or a C 5-2 o aryl group, preferably -H, a Ci -7 alkyl group, or a C 5-2 o aryl group.
- Examples of phosphino groups include, but are not limited to, -PH 2 , -P(CH 3 ) 2 , -P(CH 2 CH 3 ) 2 , -P(t-Bu) 2 , and -P(Ph) 2 .
- R is a phosphinyl substituent, for example, a C 1-7 alkyl group, a C 3-20 heterocyclyl group, or a C 5-2 o aryl group, preferably a C 1-7 alkyl group or a C 5-20 aryl group.
- R is a phosphonate substituent, for example, -H, a Ci -7 alkyl group, a C 3-20 heterocyclyl group, or a C 5-2 o aryl group, preferably -H, a C1-7 alkyl group, or a C 5 - 2 o aryl group.
- Phosphate (phosphonooxy ester): -OP( 0)(OR) 2 , where R is a phosphate substituent, for example, -H, a Ci -7 alkyl group, a C 3-2 o heterocyclyl group, or a C 5-2 o aryl group, preferably -H, a C1-7 alkyl group, or a C 5 - 2 o aryl group.
- Phosphorous acid -OP(OH) 2 .
- Phosphite -OP(OR) 2
- R is a phosphite substituent, for example, -H, a C 1-7 alkyl group, a C 3-20 heterocyclyl group, or a C 5-20 aryl group, preferably -H, a C 1-7 alkyl group, or a C 5-20 aryl group.
- phosphite groups include, but are not limited to, -OP(OCH 3 ) 2 ,
- Phosphoramidite -OP(OR 1 )-NR 2 2 , where R 1 and R 2 are phosphoramidite substituents, for example, -H, a (optionally substituted) Ci -7 alkyl group, a C 3-20 heterocyclyl group, or a C 5-2 o aryl group, preferably -H, a Ci -7 alkyl group, or a C 5-2 o aryl group.
- R 1 and R 2 are phosphoramidite substituents, for example, -H, a (optionally substituted) Ci -7 alkyl group, a C 3-20 heterocyclyl group, or a C 5-2 o aryl group, preferably -H, a Ci -7 alkyl group, or a C 5-2 o aryl group.
- phosphoramidite groups include, but are not limited to, -OP(OCH 2 CH 3 )-N(CH 3 ) 2 ,
- C 3- i 2 alkylene refers to a bidentate moiety obtained by removing two hydrogen atoms, either both from the same carbon atom, or one from each of two different carbon atoms, of a hydrocarbon compound having from 3 to 12 carbon atoms (unless otherwise specified), which may be aliphatic or alicyclic, and which may be saturated, partially unsaturated, or fully unsaturated.
- alkylene includes the sub-classes alkenylene, alkynylene, cycloalkylene, etc., discussed below.
- Examples of linear saturated C 3- i 2 alkylene groups include, but are not limited to, -(CH 2 ) n - where n is an integer from 3 to 12, for example, -CH 2 CH 2 CH 2 - (propylene),
- Examples of branched saturated C 3 -i 2 alkylene groups include, but are not limited to, -CH(CH 3 )CH 2 -, -CH(CH 3 )CH 2 CH 2 -, -CH(CH 3 )CH 2 CH 2 CH2-, -CH 2 CH(CH 3 )CH 2 -,
- C 3- i 2 cycloalkylenes examples include, but are not limited to, cyclopentylene (e.g. cyclopent-1 ,3-ylene), and cyclohexylene
- C 3- i 2 cycloalkylenes examples include, but are not limited to, cyclopentenylene (e.g. 4-cyclopenten-1 ,3-ylene), cyclohexenylene (e.g. 2-cyclohexen-1 ,4-ylene; 3-cyclohexen-1 ,2-ylene; 2,5-cyclohexadien- 1 ,4-ylene).
- Carbamate nitrogen protecting group the term “carbamate nitrogen protecting group” pertains to a moiety which masks the nitrogen in the imine bond, and these are well known in the art. These groups have the following structure: wherein R' 10 is R as defined above. A large number of suitable groups are described on pages 503 to 549 of Greene, T.W. and Wuts, G.M., Protective Groups in Organic Synthesis, 3 rd Edition, John Wiley & Sons, Inc., 1999, which is incorporated herein by reference.
- Hemi-aminal nitrogen protecting group the term “hemi-aminal nitrogen protecting group” pertains to a group having the following structure: wherein R' 10 is R as defined above.
- the groups Carbamate nitrogen protecting group and Hemi-aminal nitrogen protecting group may be jointly termed a "nitrogen protecting group for synthesis”.
- the present invention provides a conjugate comprising a PBD compound connected to the antibody via a Linker Unit.
- the conjugate comprises the antibody connected to a spacer connecting group, the spacer connected to a trigger, the trigger connected to a self-immolative linker, and the self-immolative linker connected to the N10 position of the PBD compound.
- a conjugate is illustrated below:
- R L may be either R L1 or R L2 .
- D is D L with R L or R L2' removed.
- the present invention is suitable for use in providing a PBD compound to a preferred site in a subject.
- the conjugate allows the release of an active PBD compound that does not retain any part of the linker. There is no stub present that could affect the reactivity of the PBD compound.
- the linker attaches the antibody to the PBD drug moiety D through covalent bond(s).
- the linker is a bifunctional or multifunctional moiety which can be used to link one or more drug moiety (D) and an antibody unit (Ab) to form antibody-drug conjugates (ADC).
- the linker (R L ) may be stable outside a cell, i.e. extracellular, or it may be cleavable by enzymatic activity, hydrolysis, or other metabolic conditions.
- Antibody-drug conjugates (ADC) can be conveniently prepared using a linker having reactive functionality for binding to the drug moiety and to the antibody.
- N-terminus or amino acid side chain such as lysine, of the antibody (Ab) can form a bond with a functional group of a linker or spacer reagent, PBD drug moiety (D) or drug-linker reagent (D L , D -R L ), where R L can be
- the linkers of the ADC preferably prevent aggregation of ADC molecules and keep the ADC freely soluble in aqueous media and in a monomeric state.
- the linkers of the ADC are preferably stable extracellularly.
- the antibody-drug conjugate (ADC) is preferably stable and remains intact, i.e. the antibody remains linked to the drug moiety.
- the linkers are stable outside the target cell and may be cleaved at some efficacious rate inside the cell.
- An effective linker will: (i) maintain the specific binding properties of the antibody; (ii) allow intracellular delivery of the conjugate or drug moiety; (iii) remain stable and intact, i.e. not cleaved, until the conjugate has been delivered or transported to its targetted site; and (iv) maintain a cytotoxic, cell-killing effect or a cytostatic effect of the PBD drug moiety.
- Stability of the ADC may be measured by standard analytical techniques such as mass spectroscopy, HPLC, and the
- bivalent linker reagents which are useful to attach two or more functional or biologically active moieties, such as peptides, nucleic acids, drugs, toxins, antibodies, haptens, and reporter groups are known, and methods have been described their resulting conjugates (Hermanson, G.T. (1996)
- the linker may be substituted with groups which modulate aggregation, solubility or reactivity.
- a sulfonate substituent may increase water solubility of the reagent and facilitate the coupling reaction of the linker reagent with the antibody or the drug moiety, or facilitate the coupling reaction of Ab-L with D L , or D L -L with Ab, depending on the synthetic route employed to prepare the ADC.
- L-R L is a g
- Ab is the antibody (L)
- L 1 is a linker
- A is a connecting group connecting L 1 to the antibody
- L 1 or L 2 is a cleavable linker.
- L 1 is preferably the cleavable linker, and may be referred to as a trigger for activation of the linker for cleavage.
- L 1 and L 2 can vary widely. These groups are chosen on the basis of their cleavage characteristics, which may be dictated by the conditions at the site to which the conjugate is delivered. Those linkers that are cleaved by the action of enzymes are preferred, although linkers that are cleavable by changes in pH (e.g. acid or base labile), temperature or upon irradiation (e.g. photolabile) may also be used. Linkers that are cleavable under reducing or oxidising conditions may also find use in the present invention.
- pH e.g. acid or base labile
- temperature or upon irradiation e.g. photolabile
- L 1 may comprise a contiguous sequence of amino acids.
- the amino acid sequence may be the target substrate for enzymatic cleavage, thereby allowing release of L-R L from the N10 position.
- L 1 is cleavable by the action of an enzyme.
- the enzyme is an esterase or a peptidase.
- the enzyme cleaves the bond between L 1 and L 2 .
- L 1 and L 2 where present, may be connected by a bond selected from:
- An amino group of L 1 that connects to L 2 may be the N-terminus of an amino acid or may be derived from an amino group of an amino acid side chain, for example a lysine amino acid side chain.
- a carboxyl group of L 1 that connects to L 2 may be the C-terminus of an amino acid or may be derived from a carboxyl group of an amino acid side chain, for example a glutamic acid amino acid side chain.
- a hydroxyl group of L 1 that connects to L 2 may be derived from a hydroxyl group of an amino acid side chain, for example a serine amino acid side chain.
- amino acid side chain includes those groups found in: (i) naturally occurring amino acids such as alanine, arginine, asparagine, aspartic acid, cysteine, glutamine, glutamic acid, glycine, histidine, isoleucine, leucine, lysine, methionine, phenylalanine, proline, serine, threonine, tryptophan, tyrosine, and valine; (ii) minor amino acids such as ornithine and citrulline; (iii) unnatural amino acids, beta-amino acids, synthetic analogs and derivatives of naturally occurring amino acids; and (iv) all enantiomers, diastereomers, isomerically enriched, isotopically labelled (e.g. 2 H, 3 H, 14 C, 15 N), protected forms, and racemic mixtures thereof.
- naturally occurring amino acids such as alanine, arginine, asparagine, aspartic acid, cysteine, glutamine
- the phenylene ring is optionally substituted with one, two or three substituents as described herein.
- the phenylene group is optionally substituted with halo, N0 2 , R or OR.
- Y is NH.
- n is 0 or 1 .
- n is 0.
- the self-immolative linker may be referred to as a p-aminobenzylcarbonyl linker (PABC).
- L is the activated form of the remaining portion of the linker.
- the group L * is a linker L 1 as described herein, which may include a dipeptide group.
- Each phenylene ring is optionally substituted with one, two or three substituents as described herein. In one embodiment, the phenylene ring having the Y substituent is optionally substituted and the phenylene ring not having the Y substituent is unsubstituted. In one embodiment, the phenylene ring having the Y substituent is unsubstituted and the phenylene ring not having the Y substituent is optionally substituted.
- E is O, S or NR
- D is N, CH, or CR
- F is N, CH, or CR.
- D is N.
- D is CH.
- E is O or S.
- F is CH.
- the linker is a cathepsin labile linker.
- L 1 comprises a dipeptide
- the dipeptide may be represented as -NH-X X 2 -CO-, where -NH- and -CO- represent the N- and C-terminals of the amino acid groups Xi and X 2 respectively.
- the amino acids in the dipeptide may be any combination of natural amino acids.
- the linker is a cathepsin labile linker
- the dipeptide may be the site of action for cathepsin-mediated cleavage.
- CO and NH may represent that side chain
- the group -X X 2 - in dipeptide is selected from:
- the group -XrX 2 - in dipeptide, -NH-XrX 2 -CO-, is selected from:
- the group -Xi-X 2 - in dipeptide, - ⁇ -X X ⁇ CO-, is -Phe-Lys- or -Val-Ala-.
- dipeptide combinations may be used, including those described by Dubowchik et al., Bioconjugate Chemistry, 2002, 13,855-869, which is incorporated herein by reference.
- the amino acid side chain is derivatised, where appropriate.
- an amino group or carboxy group of an amino acid side chain may be derivatised.
- an amino group NH 2 of a side chain amino acid, such as lysine is a derivatised form selected from the group consisting of NHR and NRR'.
- a carboxy group COOH of a side chain amino acid is a derivatised form selected from the group consisting of COOR, CONH 2 , CONHR and CONRR'.
- the amino acid side chain is chemically protected, where appropriate.
- the side chain protecting group may be a group as discussed below in relation to the group R L .
- the present inventors have established that protected amino acid sequences are cleavable by enzymes. For example, it has been established that a dipeptide sequence comprising a Boc side chain-protected Lys residue is cleavable by cathepsin.
- Lys Boc, Z-CI, Fmoc, Z, Alloc;
- the side chain protection is selected to be orthogonal to a group provided as, or as part of, a capping group, where present.
- the removal of the side chain protecting group does not remove the capping group, or any protecting group functionality that is part of the capping group.
- the amino acids selected are those having no reactive side chain functionality.
- the amino acids may be selected from: Ala, Gly, lie, Leu, Met, Phe, Pro, and Val.
- the dipeptide is used in combination with a self-immolative linker.
- the self-immolative linker may be connected to -X 2 -.
- -X 2 - is connected directly to the self-immolative linker.
- the group -X 2 -CO- is connected to Y, where Y is NH, thereby forming the group -X2-CO-NH-.
- A may comprise the functionality -CO- thereby to form an amide link with -X .
- NH-X X 2 -CO-PABC- The PABC group is connected directly to the N10 position.
- the self-immolative linker and the dipeptide together form the group -NH-Phe- Lys-CO-NH-PABC-, which is illustrated below:
- the asterisk indicates the point of attachment to the N10 position
- the wavy line indicates the point of attachment to the remaining portion of the linker L 1 or the point of attachment to A.
- the wavy line indicates the point of attachment to A.
- the side chain of the Lys amino acid may be protected, for example, with Boc, Fmoc, or Alloc, as described above.
- the self-immolative linker and the dipeptide together form the group
- A is a covalent bond.
- L 1 and the antibody are directly connected.
- L 1 comprises a contiguous amino acid sequence
- the N-terminus of the sequence may connect directly to the antibody.
- A is a covalent bond
- the connection between the antibody and L 1 may be selected from:
- An amino group of L 1 that connects to the antibody may be the N-terminus of an amino acid or may be derived from an amino group of an amino acid side chain, for example a lysine amino acid side chain.
- An carboxyl group of L 1 that connects to the antibody may be the C-terminus of an amino acid or may be derived from a carboxyl group of an amino acid side chain, for example a glutamic acid amino acid side chain.
- a hydroxyl group of L 1 that connects to the antibody may be derived from a hydroxyl group of an amino acid side chain, for example a serine amino acid side chain.
- a thiol group of L 1 that connects to the antibody may be derived from a thiol group of an amino acid side chain, for example a serine amino acid side chain.
- n 0 to 3
- Y is a covalent bond or a functional group
- E is an activatable group, for example by enzymatic action or light, thereby to generate a self-immolative unit.
- the phenylene ring is optionally further substituted with one, two or three substituents as described herein.
- the phenylene group is optionally further substituted with halo, N0 2 , R or OR.
- n is 0 or 1 , most preferably 0.
- E is selected such that the group is susceptible to activation, e.g. by light or by the action of an enzyme.
- E may be -N0 2 or glucoronic acid.
- the former may be susceptible to the action of a nitroreductase, the latter to the action of a ⁇ -glucoronidase.
- E * is the activated form of E
- Y is as described above.
- the group Y may be a covalent bond to L 1 .
- the group Y may be a functional group selected from
- L 1 is a dipeptide
- the dipeptide sequence need not be a substrate for an enzymatic activity.
- A is a spacer group.
- L 1 and the antibody are indirectly connected.
- L 1 and A may be connected by a bond selected from:
- the group A is:
- n 0 to 6. In one embodiment, n is 5. In one embodiment, the group A is:
- n is 0 to 6. In one embodiment, n is 5.
- the group A is:
- n is 0 or 1
- m is 0 to 30.
- n is 1 and m is 0 to 10, 1 to 8, preferably 4 to 8, and most preferably 4 or 8.
- m is 10 to 30, and preferably 20 to 30.
- m is 0 to 50.
- m is preferably 10-40 and n is 1 .
- the group A is:
- n is 0 or 1
- m is 0 to 30.
- n is 1 and m is 0 to 10, 1 to 8, preferably 4 to 8, and most preferably 4 or 8.
- m is 10 to 30, and preferably 20 to 30.
- m is 0 to 50.
- m is preferably 10-40 and n is 1 .
- connection between the antibody and A is through a thiol residue of the antibody and a maleimide group of A. In one embodiment, the connection between the antibody and A is:
- the S atom is typically derived from the antibody.
- the maleimide-derived group is replaced with the group:
- the maleimide-derived group is replaced with a group, which optionally together with the antibody, is selected from:
- the maleimide-derived group is replaced with a group, which optionally together with the antibody, is selected from:
- the wavy line indicates either the point of attachment to the antibody or the bond to the remaining portion of the A group
- the asterisk indicates the other of the point of attachment to the antibody or the bond to the remaining portion of the A group.
- the Connecting Group A is present, the Trigger L 1 is present and Self- Immolative Linker L 2 is absent.
- L 1 and the Drug unit are directly connected via a bond.
- L 2 is a bond. This may be particularly relevant when D L is of Formula II.
- L 1 and D may be connected by a bond selected from:
- L 1 and D are preferably connected by a bond selected from:
- L 1 comprises a dipeptide and one end of the dipeptide is linked to D.
- the amino acids in the dipeptide may be any combination of natural amino acids and non-natural amino acids.
- the dipeptide comprises natural amino acids.
- the linker is a cathepsin labile linker
- the dipeptide is the site of action for cathepsin-mediated cleavage. The dipeptide then is a recognition site for cathepsin.
- the group -X X 2 - in dipeptide is selected from:
- Cit is citrulline.
- -NH- is the amino group of X-i
- CO is the carbonyl group of X 2 .
- the group -X X 2 - in dipeptide, -NH-XrX 2 -CO-, is selected from:
- the group -X X 2 - in dipeptide, -NH-XrX 2 -CO-, is -Phe-Lys- or -Val-Ala-.
- dipeptide combinations of interest include: -Gly-Gly-,
- L 1 - D is: where -NH-XrX 2 -CO is the dipeptide, -N ⁇ is part of the Drug unit, the asterisk indicates the points of attachment to the remainder of the Drug unit, and the wavy line indicates the point of attachment to the remaining portion of L 1 or the point of attachment to A. Preferably, the wavy line indicates the point of attachment to A.
- the dipeptide is valine-alanine and L 1 - D is:
- the dipeptide is phenylalnine-lysine and L 1 - D is:
- the dipeptide is valine-citrulline.
- the groups A-L 1 are:
- n 0 to 6. In one embodiment, n is 5. In one embodiment, the groups A-L 1 are:
- n is 0 to 6. In one embodiment, n is 5.
- the groups A-L 1 are:
- n is 0 or 1
- m is 0 to 30.
- n is 1 and m is 0 to 10, 1 to 8, preferably 4 to 8, most preferably 4 or 8.
- the groups A-L 1 are:
- n is 0 or 1
- m is 0 to 30.
- n is 1 and m is 0 to 10, 1 to 7, preferably 3 to 7, most preferably 3 or 7.
- the groups A-L 1 are:
- n is 0 to 6. In one embodiment, n is 5.
- the groups A-L 1 are:
- n is 0 to 6. In one embodiment, n is 5.
- the groups A-L 1 are:
- n is 0 or 1
- m is 0 to 30.
- n is 1 and m is 0 to 10, 1 to 8, preferably 4 to 8, most preferably 4 or 8.
- the groups A-L 1 is:
- n is 0 or 1
- m is 0 to 30.
- n is 1 and m is 0 to 10, 1 to 8, preferably 4 to 8, most preferably 4 or 8.
- the groups A-L 1 are:
- n 0 to 6. In one embodiment, n is 5.
- the group A-L 1 are:
- n 0 to 6. In one embodiment, n is 5.
- the groups A 1 -L 1 are:
- n is 0 or 1
- m is 0 to 30.
- n is 1 and m is 0 to 10, 1 to 8, preferably 4 to 8, most preferably 4 or 8.
- the groups A 1 are identical to each other. In one embodiment, the groups A 1
- n is 0 or 1
- m is 0 to 30.
- n is 1 and m is 0 to 10, 1 to 7, preferably 4 to 8, most preferably 4 or 8.
- the groups A 1 -L 1 are:
- n is 5.
- n is 0 to 6. In one embodiment, n is 5.
- the groups A 1 -L 1 are:
- n is 0 or 1
- m is 0 to 30.
- n is 1 and m is 0 to 10, 1 to 8, preferably 4 to 8, most preferably 4 or 8.
- the groups A 1 are identical to each other. In one embodiment, the groups A 1
- n is 0 or 1
- m is to 30.
- n is 1 and m is 0 to 10, 1 to 8, preferably 4 to 8, most preferably 4 or 8.
- the group R L is derivable from the group R L .
- the group R L may be converted to a group R L by connection of an antibody to a functional group of R L .
- Other steps may be taken to convert R L to R L . These steps may include the removal of protecting groups, where present, or the installation of an appropriate functional group.
- Linkers can include protease-cleavable peptidic moieties comprising one or more amino acid units.
- Peptide linker reagents may be prepared by solid phase or liquid phase synthesis methods (E. Schroder and K. Lubke, The Peptides, volume 1 , pp 76-136 (1965) Academic Press) that are well known in the field of peptide chemistry, including t-BOC chemistry (Geiser et al "Automation of solid-phase peptide synthesis" in Macromolecular Sequencing and Synthesis, Alan R. Liss, Inc., 1988, pp. 199-218) and Fmoc/HBTU chemistry (Fields, G. and Noble, R.
- Exemplary amino acid linkers include a dipeptide, a tripeptide, a tetrapeptide or a pentapeptide.
- Exemplary dipeptides include: valine-citrulline (vc or val-cit), alanine- phenylalanine (af or ala-phe).
- Exemplary tripeptides include: glycine-valine-citrulline (gly- val-cit) and glycine-glycine-glycine (gly-gly-gly)- Amino acid residues which comprise an amino acid linker component include those occurring naturally, as well as minor amino acids and non-naturally occurring amino acid analogs, such as citrulline.
- Amino acid linker components can be designed and optimized in their selectivity for enzymatic cleavage by a particular enzymes, for example, a tumor-associated protease, cathepsin B, C and D, or a plasmin protease.
- Amino acid side chains include those occurring naturally, as well as minor amino acids and non-naturally occurring amino acid analogs, such as citrulline.
- the carbon atom to which the amino acid side chain is attached is chiral.
- Each carbon atom to which the amino acid side chain is attached is independently in the (S) or (R) configuration, or a racemic mixture.
- Drug-linker reagents may thus be enantiomerically pure, racemic, or
- amino acid side chains are selected from those of natural and non-natural amino acids, including alanine, 2-amino-2-cyclohexylacetic acid, 2-amino-2- phenylacetic acid, arginine, asparagine, aspartic acid, cysteine, glutamine, glutamic acid, glycine, histidine, isoleucine, leucine, lysine, methionine, norleucine, phenylalanine, proline, serine, threonine, tryptophan, tyrosine, valine, ⁇ -aminobutyric acid, ⁇ , ⁇ -dimethyl ⁇ - aminobutyric acid, ⁇ , ⁇ -dimethyl ⁇ -aminobutyric acid, ornithine, and citrulline (Cit).
- alanine 2-amino-2-cyclohexylacetic acid
- 2-amino-2- phenylacetic acid arginine, asparagine, aspartic acid
- valine-citrulline (val-cit or vc) dipeptide linker reagent useful for constructing a linker-PBD drug moiety intermediate for conjugation to an antibody, having a para- aminobenzylcarbamoyl (PAB) self-immolative spacer has the structure:
- Q is Ci-C 8 alkyl, -0-(Ci-C 8 alkyl), -halogen, -N0 2 or -CN; and m is an integer ranging from 0-4.
- An exemplary phe-lys(Mtr) dipeptide linker reagent having a p-aminobenzyl group can be prepared according to Dubowchik, et al. (1997) Tetrahedron Letters, 38:5257-60, and has the structure:
- Mtr is mono-4-methoxytrityl
- Q is Ci-C 8 alkyl, -0-(Ci-C 8 alkyl), -halogen, -N0 2 or -CN
- m is an integer ranging from 0-4.
- the "self-immolative linker” PAB para-aminobenzyloxycarbonyl
- PAB para-aminobenzyloxycarbonyl
- PAB self-immolative spacers besides PAB include, but are not limited to: (i) aromatic compounds that are electronically similar to the PAB group such as 2-aminoimidazol-5-methanol derivatives (Hay et al. (1999) Bioorg.
- Spacers can be used that undergo cyclization upon amide bond hydrolysis, such as substituted and unsubstituted 4- aminobutyric acid amides (Rodrigues et al (1995) Chemistry Biology 2:223), appropriately substituted bicyclo[2.2.1] and bicyclo[2.2.2] ring systems (Storm et al (1972) J. Amer. Chem.
- valine-citrulline dipeptide PAB analog reagent has a 2,6 dimethyl hen l rou and has the structure:
- Linker reagents useful for the antibody drug conjugates of the invention include, but are not limited to: BMPEO, BMPS, EMCS, GMBS, HBVS, LC-SMCC, MBS, MPBH, SBAP, SIA, SIAB, SMCC, SMPB, SMPH, sulfo-EMCS, sulfo-GMBS, sulfo-KMUS, sulfo-MBS, sulfo- SIAB, sulfo-SMCC, and sulfo-SMPB, and SVSB (succinimidyl-(4-vinylsulfone)benzoate), and bis-maleimide reagents: DTME, BMB, BMDB, BMH, BMOE, 1 ,8-bis- maleimidodiethyleneglycol (BM(PEO) 2 ), and 1 ,1 1-bis-maleimidotriethyleneglycol (BM(PEO) 3 ), which are commercially
- Bis-maleimide reagents allow the attachment of a free thiol group of a cysteine residue of an antibody to a thiol-containing drug moiety, label, or linker intermediate, in a sequential or concurrent fashion.
- Other functional groups besides maleimide, which are reactive with a thiol group of an antibody, PBD drug moiety, or linker intermediate include iodoacetamide, bromoacetamide, vinyl pyridine, disulfide, pyridyl disulfide, isocyanate, and isothiocyanate.
- linker reagents are: N-succinimidyl-4-(2-pyridylthio)pentanoate (SPP), N-succinimidyl-3-(2-pyridyldithio) propionate (SPDP, Carlsson et al (1978) Biochem. J.
- succinimidyl-4-(N-maleimidomethyl) cyclohexane-1-carboxylate SMCC
- iminothiolane IT
- bifunctional derivatives of imidoesters such as dimethyl adipimidate HCI
- active esters such as disuccinimidyl suberate
- aldehydes such as glutaraldehyde
- bis- azido compounds such as bis (p-azidobenzoyl) hexanediamine
- bis-diazonium derivatives such as bis-(p-diazoniumbenzoyl)-ethylenediamine
- diisocyanates such as toluene 2,6- diisocyanate
- bis-active fluorine compounds such as 1 ,5-difluoro-2,4-dinitrobenzene.
- Useful linker reagents can also be obtained via other commercial sources, such as
- the Linker may be a dendritic type linker for covalent attachment of more than one drug moiety through a branching, multifunctional linker moiety to an antibody (US 2006/1 16422; US 2005/271615; de Groot et al (2003) Angew. Chem. Int. Ed. 42:4490-4494; Amir et al (2003) Angew. Chem. Int. Ed. 42:4494-4499; Shamis et al (2004) J. Am. Chem. Soc.
- Dendritic linkers can increase the molar ratio of drug to antibody, i.e. loading, which is related to the potency of the ADC.
- loading i.e. loading
- a multitude of drug moieties may be attached through a dendritic or branched linker.
- the conjugate of the first aspect of the invention may have a capping group R c at the N10 position.
- Compound E may have a capping group R c .
- the group R 10 in one of the monomer units is a capping group R c or is a group R 10 .
- the group R 10 in one of the monomer units is a capping group R c .
- the group R L in one of the monomer units is a capping group R c or is a linker for connection to an antibody. In one embodiment, where compound E is a dimer with each monomer being of formula (E), the group R L in one of the monomer units is a capping group R c .
- the group R c is removable from the N10 position of the PBD moiety to leave an N 10-C1 1 imine bond, a carbinolamine, a substituted carbinolamine, where QR 11 is OS0 3 M, a bisulfite adduct, a thiocarbinolamine, a substituted thiocarbinolamine, or a substituted carbinalamine.
- R c may be a protecting group that is removable to leave an N10-C1 1 imine bond, a carbinolamine, a substituted cabinolamine, or, where QR 11 is OS0 3 M, a bisulfite adduct. In one embodiment, R c is a protecting group that is removable to leave an N10-C1 1 imine bond.
- the group R c is intended to be removable under the same conditions as those required for the removal of the group R 10 , for example to yield an N10-C1 1 imine bond, a carbinolamine and so on.
- the capping group acts as a protecting group for the intended functionality at the N10 position.
- the capping group is intended not to be reactive towards an antibody.
- R c is not the same as R L .
- the capping group may be used as intermediates in the synthesis of dimers having an imine monomer.
- compounds having a capping group may be used as conjugates, where the capping group is removed at the target location to yield an imine, a carbinolamine, a substituted cabinolamine and so on.
- the capping group may be referred to as a therapeutically removable nitrogen protecting group, as defined in the inventors' earlier application WO 00/12507.
- the group R c is removable under the conditions that cleave the linker R L of the group R 10 .
- the capping group is cleavable by the action of an enzyme.
- the capping group is removable prior to the connection of the linker R L to the antibody.
- the capping group is removable under conditions that do not cleave the linker R L .
- the capping group is removable prior to the addition or unmasking of G 1 .
- the capping group may be used as part of a protecting group strategy to ensure that only one of the monomer units in a dimer is connected to an antibody.
- the capping group may be used as a mask for a N10-C1 1 imine bond.
- the capping group may be removed at such time as the imine functionality is required in the compound.
- the capping group is also a mask for a carbinolamine, a substituted cabinolamine, and a bisulfite adduct, as described above.
- R c may be an N10 protecting group, such as those groups described in the inventors' earlier application, WO 00/12507. In one embodiment, R c is a therapeutically removable nitrogen protecting group, as defined in the inventors' earlier application, WO 00/12507.
- R c is a carbamate protecting group.
- the carbamate protecting group is selected from:
- the carbamate protecting group is further selected from Moc.
- R c is a linker group R L lacking the functional group for connection to the antibody.
- This application is particularly concerned with those R c groups which are carbamates.
- L 1 is as defined above in relation to R 10 .
- L 2 is as defined above in relation to R 10 .
- G 2 is Ac (acetyl) or Moc, or a carbamate protecting group selected from:
- the carbamate protecting group is further selected from Moc.
- the acyl group together with an amino group of L 3 or L 2 may form an amide bond.
- the acyl group together with a hydroxy group of L 3 or L 2 may form an ester bond.
- G 3 is heteroalkyi.
- the heteroalkyi group may comprise polyethylene glycol.
- the heteroalkyi group may have a heteroatom, such as O or N, adjacent to the acyl group, thereby forming a carbamate or carbonate group, where appropriate, with a heteroatom present in the group L 3 or L 2 , where appropriate.
- G 3 is selected from NH 2 , NHR and NRR'.
- G 3 is NRR'.
- G 2 is the group: where the asterisk indicates the point of attachment to L 3
- n is 0 to 6
- G 4 is selected from OH, OR, SH, SR, COOR, CONH 2 , CONHR, CONRR', NH 2 , NHR, NRR', N0 2 , and halo.
- the groups OH, SH, NH 2 and NHR are protected.
- n is 1 to 6, and preferably n is 5.
- G 4 is OR, SR, COOR, CONH 2 , CONHR,
- G 4 is OR, SR, and NRR'.
- G 4 is selected from OR and NRR', most preferably G 4 is OR.
- Most preferably G 4 is OMe.
- the group G 2 is:
- the group G 2 is:
- n is 0 or 1
- m is 0 to 50
- G 4 is selected from OH, OR, SH, SR, COOR, CONH 2 , CONHR, CONRR', NH 2 , NHR, NRR', N0 2 , and halo.
- n is 1 and m is 0 to 10, 1 to 2, preferably 4 to 8, and most preferably 4 or 8.
- n is 1 and m is 10 to 50, preferably 20 to 40.
- the groups OH, SH, NH 2 and NHR are protected.
- G 4 is OR, SR, COOR, CONH 2 , CONHR, CONRR', and NRR'.
- G 4 is OR, SR, and NRR'.
- G 4 is selected from OR and NRR', most preferably G 4 is OR.
- G 4 is OMe.
- the group G 2 is:
- the group G 2 is:
- n is 1-20, m is 0-6, and G 4 is selected from OH, OR, SH, SR, COOR, CONH 2 , CONHR, CONRR', NH 2 , NHR, NRR', N0 2 , and halo.
- n is 1 -10.
- n is 10 to 50, preferably 20 to 40.
- n is 1 .
- m is 1.
- the groups OH, SH, NH 2 and NHR are protected.
- G 4 is OR, SR, COOR, CONH 2 , CONHR, CONRR', and NRR'.
- G 4 is OR, SR, and NRR'.
- G 4 is selected from OR and NRR', most preferably G 4 is OR.
- G 4 is OMe.
- the group G 2 is:
- n, m and G 4 are as defined above.
- G 4 may be OH, SH, NH 2 and NHR. These groups are preferably protected.
- OH is protected with Bzl, TBDMS, or TBDPS.
- SH is protected with Acm, Bzl, Bzl-OMe, Bzl-Me, or Trt.
- NH 2 or NHR are protected with Boc, Moc, Z-CI, Fmoc, Z, or Alloc.
- the group G 2 is present in combination with a group L 3 , which group is a dipeptide.
- the capping group is not intended for connection to the antibody.
- the other monomer present in the dimer serves as the point of connection to the antibody via a linker.
- the functionality present in the capping group is not available for reaction with an antibody.
- reactive functional groups such as OH, SH, NH 2 , COOH are preferably avoided.
- such functionality may be present in the capping group if protected, as described above.
- Embodiments of the present invention include ConjA wherein the antibody is as defined above.
- Embodiments of the present invention include ConjB wherein the antibody is as defined above.
- Embodiments of the present invention include ConjC wherein the antibody is as defined above.
- Embodiments of the present invention include ConjD wherein the antibody is as defined above.
- Embodiments of the present invention include ConjE wherein the antibody is as defined above.
- some embodiments of the invention exclude ConjA, ConjB, ConjC, ConjD and ConjE.
- the drug loading is the average number of PBD drugs per antibody, e.g. antibody.
- drug loading may range from 1 to 8 drugs (D L ) per antibody, i.e. where 1 , 2, 3, 4, 5, 6, 7, and 8 drug moieties are covalently attached to the antibody.
- Compositions of conjgates include collections of antibodies, conjugated with a range of drugs, from 1 to 8.
- drug loading may range from 1 to 80 drugs (D L ) per antibody, although an upper limit of 40, 20, 10 or 8 may be preferred.
- Compositions of conjgates include collections of antibodies, conjugated with a range of drugs, from 1 to 80, 1 to 40, 1 to 20, 1 to 10 or 1 to 8.
- the average number of drugs per antibody in preparations of ADC from conjugation reactions may be characterized by conventional means such as UV, reverse phase HPLC, HIC, mass spectroscopy, ELISA assay, and electrophoresis.
- the quantitative distribution of ADC in terms of p may also be determined.
- ELISA the averaged value of p in a particular preparation of ADC may be determined (Hamblett et al (2004) Clin. Cancer Res. 10:7063-7070; Sanderson et al (2005) Clin. Cancer Res. 1 1 :843-852).
- the distribution of p (drug) values is not discernible by the antibody-antigen binding and detection limitation of ELISA.
- ELISA assay for detection of antibody-drug conjugates does not determine where the drug moieties are attached to the antibody, such as the heavy chain or light chain fragments, or the particular amino acid residues.
- separation, purification, and characterization of homogeneous ADC where p is a certain value from ADC with other drug loadings may be achieved by means such as reverse phase HPLC or electrophoresis.
- Such techniques are also applicable to other types of conjugates.
- p may be limited by the number of attachment sites on the antibody.
- an antibody may have only one or several cysteine thiol groups, or may have only one or several sufficiently reactive thiol groups through which a linker may be attached.
- Higher drug loading, e.g. p >5 may cause aggregation, insolubility, toxicity, or loss of cellular permeability of certain antibody-drug conjugates.
- an antibody may contain, for example, many lysine residues that do not react with the drug-linker intermediate (D-L) or linker reagent. Only the most reactive lysine groups may react with an amine-reactive linker reagent. Also, only the most reactive cysteine thiol groups may react with a thiol-reactive linker reagent. Generally, antibodies do not contain many, if any, free and reactive cysteine thiol groups which may be linked to a drug moiety.
- cysteine thiol residues in the antibodies of the compounds exist as disulfide bridges and must be reduced with a reducing agent such as dithiothreitol (DTT) or TCEP, under partial or total reducing conditions.
- DTT dithiothreitol
- the loading (drug/antibody ratio) of an ADC may be controlled in several different manners, including: (i) limiting the molar excess of drug-linker intermediate (D-L) or linker reagent relative to antibody, (ii) limiting the conjugation reaction time or temperature, and (iii) partial or limiting reductive conditions for cysteine thiol modification.
- Certain antibodies have reducible interchain disulfides, i.e. cysteine bridges.
- Antibodies may be made reactive for conjugation with linker reagents by treatment with a reducing agent such as DTT (dithiothreitol). Each cysteine bridge will thus form, theoretically, two reactive thiol nucleophiles. Additional nucleophilic groups can be introduced into antibodies through the reaction of lysines with 2-iminothiolane (Traut's reagent) resulting in conversion of an amine into a thiol. Reactive thiol groups may be introduced into the antibody (or fragment thereof) by engineering one, two, three, four, or more cysteine residues (e.g., preparing mutant antibodies comprising one or more non-native cysteine amino acid residues). US 7521541 teaches engineering antibodies by introduction of reactive cysteine amino acids.
- Cysteine amino acids may be engineered at reactive sites in an antibody and which do not form intrachain or intermolecular disulfide linkages (Junutula, et al., 2008b Nature Biotech., 26(8):925-932; Dornan et al (2009) Blood 1 14(13):2721 -2729; US 7521541 ; US 7723485; WO2009/052249).
- the engineered cysteine thiols may react with linker reagents or the drug-linker reagents of the present invention which have thiol-reactive, electrophilic groups such as maleimide or alpha-halo amides to form ADC with cysteine engineered antibodies and the PBD drug moieties.
- the location of the drug moiety can thus be designed, controlled, and known.
- the drug loading can be controlled since the engineered cysteine thiol groups typically react with thiol-reactive linker reagents or drug-linker reagents in high yield.
- Engineering an IgG antibody to introduce a cysteine amino acid by substitution at a single site on the heavy or light chain gives two new cysteines on the symmetrical antibody.
- a drug loading near 2 can be achieved with near homogeneity of the conjugation product ADC.
- site-specific conjugation can be achieved by engineering antibodies to contain unnatural amino acids in their heavy and/or light chains as described by Axup et al. ((2012), Proc Natl Acad Sci U S A. 109(40):16101 -161 16).
- the unnatural amino acids provide the additional advantage that orthogonal chemistry can be designed to attach the linker reagent and drug.
- the resulting product is a mixture of ADC compounds with a distribution of drug moieties attached to an antibody, e.g. 1 , 2, 3, etc.
- Liquid chromatography methods such as polymeric reverse phase (PLRP) and hydrophobic interaction (HIC) may separate compounds in the mixture by drug loading value.
- Preparations of ADC with a single drug loading value (p) may be isolated, however, these single loading value ADCs may still be heterogeneous mixtures because the drug moieties may be attached, via the linker, at different sites on the antibody.
- the antibody-drug conjugate compositions of the invention include mixtures of antibody-drug conjugate compounds where the antibody has one or more PBD drug moieties and where the drug moieties may be attached to the antibody at various amino acid residues.
- the average number of dimer pyrrolobenzodiazepine groups per antibody is in the range 1 to 20. In some embodiments the range is selected from 1 to 8, 2 to 8, 2 to 6, 2 to 4, and 4 to 8.
- dimer pyrrolobenzodiazepine group per antibody.
- a reference to carboxylic acid also includes the anionic (carboxylate) form (-COO " ), a salt or solvate thereof, as well as conventional protected forms.
- a reference to an amino group includes the protonated form (-N + HR 1 R 2 ), a salt or solvate of the amino group, for example, a
- hydrochloride salt as well as conventional protected forms of an amino group.
- a reference to a hydroxyl group also includes the anionic form (-0 " ), a salt or solvate thereof, as well as conventional protected forms.
- a corresponding salt of the active compound for example, a pharmaceutically-acceptable salt.
- a pharmaceutically-acceptable salt examples are discussed in Berge, et al., J. Pharm. Sci., 66, 1-19 (1977).
- a salt may be formed with a suitable cation.
- suitable inorganic cations include, but are not limited to, alkali metal ions such as Na + and K + , alkaline earth cations such as Ca 2+ and Mg 2+ , and other cations such as ⁇ 3 .
- suitable organic cations include, but are not limited to, ammonium ion (i.e. NH 4 + ) and substituted ammonium ions (e.g. NH 3 R + , NH 2 R2 + , NHR 3 + , NR 4 + ).
- suitable substituted ammonium ions are those derived from: ethylamine, diethylamine,
- a common quaternary ammonium ion is N(CH 3 ) 4 + .
- a salt may be formed with a suitable anion.
- suitable inorganic anions include, but are not limited to, those derived from the following inorganic acids:
- hydrochloric hydrobromic, hydroiodic, sulfuric, sulfurous, nitric, nitrous, phosphoric, and phosphorous.
- Suitable organic anions include, but are not limited to, those derived from the following organic acids: 2-acetyoxybenzoic, acetic, ascorbic, aspartic, benzoic,
- Suitable polymeric organic anions include, but are not limited to, those derived from the following polymeric acids: tannic acid, carboxymethyl cellulose.
- solvate is used herein in the conventional sense to refer to a complex of solute (e.g. active compound, salt of active compound) and solvent. If the solvent is water, the solvate may be conveniently referred to as a hydrate, for example, a mono-hydrate, a di-hydrate, a tri-hydrate, etc.
- the invention includes compounds where a solvent adds across the imine bond of the PBD moiety, which is illustrated below where the solvent is water or an alcohol (R A OH, where R A is Ci-4 alkyl):
- carbinolamine and carbinolamine ether forms of the PBD can be called the carbinolamine and carbinolamine ether forms of the PBD (as described in the section relating to R 10 above).
- the balance of these equilibria depend on the conditions in which the compounds are found, as well as the nature of the moiety itself.
- Certain compounds of the invention may exist in one or more particular geometric, optical, enantiomeric, diasteriomeric, epimeric, atropic, stereoisomeric, tautomeric, conformational, or anomeric forms, including but not limited to, cis- and trans-forms; E- and Z-forms; c-, t-, and r- forms; endo- and exo-forms; R-, S-, and meso-forms; D- and L-forms; d- and l-forms; (+) and (-) forms; keto-, enol-, and enolate-forms; syn- and anti-forms; synclinal- and anticlinal-forms; a- and ⁇ -forms; axial and equatorial forms; boat-, chair-, twist-, envelope-, and halfchair-forms; and combinations thereof, hereinafter collectively referred to as "isomers” (or "isomeric forms").
- chiral refers to molecules which have the property of non-superimposability of the mirror image partner, while the term “achiral” refers to molecules which are superimposable on their mirror image partner.
- stereoisomers refers to compounds which have identical chemical constitution, but differ with regard to the arrangement of the atoms or groups in space.
- Diastereomer refers to a stereoisomer with two or more centers of chirality and whose molecules are not mirror images of one another. Diastereomers have different physical properties, e.g. melting points, boiling points, spectral properties, and reactivities. Mixtures of diastereomers may separate under high resolution analytical procedures such as electrophoresis and chromatography.
- Enantiomers refer to two stereoisomers of a compound which are non-superimposable mirror images of one another.
- the compounds of the invention may contain asymmetric or chiral centers, and therefore exist in different stereoisomeric forms. It is intended that all stereoisomeric forms of the compounds of the invention, including but not limited to, diastereomers, enantiomers and atropisomers, as well as mixtures thereof such as racemic mixtures, form part of the present invention.
- a specific stereoisomer may also be referred to as an enantiomer, and a mixture of such isomers is often called an enantiomeric mixture.
- a 50:50 mixture of enantiomers is referred to as a racemic mixture or a racemate, which may occur where there has been no stereoselection or stereospecificity in a chemical reaction or process.
- the terms “racemic mixture” and “racemate” refer to an equimolar mixture of two enantiomeric species, devoid of optical activity.
- isomers are structural (or constitutional) isomers (i.e. isomers which differ in the connections between atoms rather than merely by the position of atoms in space).
- a reference to a methoxy group, -OCH 3 is not to be construed as a reference to its structural isomer, a hydroxymethyl group, -CH 2 OH.
- a reference to ortho-chlorophenyl is not to be construed as a reference to its structural isomer, meta- chlorophenyl.
- Ci -7 alkyl includes n-propyl and iso-propyl; butyl includes n-, iso-, sec-, and tert-butyl; methoxyphenyl includes ortho-, meta-, and para- methoxyphenyl).
- keto/enol (illustrated below), imine/enamine, amide/imino alcohol, amidine/amidine, nitroso/oxime,
- tautomer or “tautomeric form” refers to structural isomers of different energies which are interconvertible via a low energy barrier.
- proton tautomers also known as prototropic tautomers
- Valence tautomers include interconversions by reorganization of some of the bonding electrons.
- H may be in any isotopic form, including 1 H, 2 H (D), and 3 H (T); C may be in any isotopic form, including 12 C, 13 C, and 14 C; O may be in any isotopic form, including 16 0 and 18 0; and the like.
- isotopes examples include isotopes of hydrogen, carbon, nitrogen, oxygen, phosphorous, fluorine, and chlorine, such as, but not limited to 2 H (deuterium, D), 3 H (tritium), 11 C, 13 C, 14 C, 15 N, 18 F, 31 P, 32 P, 35 S, 36 CI, and 125 l.
- isotopically labeled compounds of the present invention for example those into which radioactive isotopes such as 3H, 13C, and 14C are incorporated.
- Such isotopically labelled compounds may be useful in metabolic studies, reaction kinetic studies, detection or imaging techniques, such as positron emission tomography (PET) or single- photon emission computed tomography (SPECT) including drug or substrate tissue distribution assays, or in radioactive treatment of patients.
- Deuterium labelled or substituted therapeutic compounds of the invention may have improved DMPK (drug metabolism and pharmacokinetics) properties, relating to distribution, metabolism, and excretion (ADME). Substitution with heavier isotopes such as deuterium may afford certain therapeutic advantages resulting from greater metabolic stability, for example increased in vivo half-life or reduced dosage requirements.
- An 18F labeled compound may be useful for PET or SPECT studies.
- Isotopically labeled compounds of this invention and prodrugs thereof can generally be prepared by carrying out the procedures disclosed in the schemes or in the examples and preparations described below by substituting a readily available isotopically labeled reagent for a non-isotopically labeled reagent.
- substitution with heavier isotopes, particularly deuterium may afford certain therapeutic advantages resulting from greater metabolic stability, for example increased in vivo half-life or reduced dosage requirements or an improvement in therapeutic index. It is understood that deuterium in this context is regarded as a substituent.
- the concentration of such a heavier isotope, specifically deuterium may be defined by an isotopic enrichment factor.
- any atom not specifically designated as a particular isotope is meant to represent any stable isotope of that atom.
- a reference to a particular compound includes all such isomeric forms, including (wholly or partially) racemic and other mixtures thereof.
- Methods for the preparation (e.g. asymmetric synthesis) and separation (e.g. fractional crystallisation and chromatographic means) of such isomeric forms are either known in the art or are readily obtained by adapting the methods taught herein, or known methods, in a known manner.
- the cytotoxic or cytostatic activity of an antibody-drug conjugate is measured by: exposing mammalian cells having receptor proteins to the antibody of the ADC in a cell culture medium; culturing the cells for a period from about 6 hours to about 5 days; and measuring cell viability.
- Cell-based in vitro assays are used to measure viability (proliferation), cytotoxicity, and induction of apoptosis (caspase activation) of an ADC of the invention.
- the in vitro potency of antibody-drug conjugates can be measured by a cell proliferation assay.
- the CellTiter-Glo ® Luminescent Cell Viability Assay is a commercially available (Promega Corp., Madison, Wl), homogeneous assay method based on the recombinant expression of Coleoptera luciferase (US Patent Nos. 5583024; 5674713 and 5700670). This cell proliferation assay determines the number of viable cells in culture based on quantitation of the ATP present, an indicator of metabolically active cells (Crouch et al (1993) J. Immunol. Meth. 160:81 -88; US 6602677).
- the CellTiter-Glo ® Assay is conducted in 96 well format, making it amenable to automated high-throughput screening (HTS) (Cree et al (1995) Anticancer Drugs 6:398-404).
- the homogeneous assay procedure involves adding the single reagent (CellTiter-Glo ® Reagent) directly to cells cultured in serum-supplemented medium. Cell washing, removal of medium and multiple pipetting steps are not required.
- the system detects as few as 15 cells/well in a 384-well format in 10 minutes after adding reagent and mixing.
- the cells may be treated continuously with ADC, or they may be treated and separated from ADC. Generally, cells treated briefly, i.e. 3 hours, showed the same potency effects as continuously treated cells.
- the homogeneous "add-mix-measure” format results in cell lysis and generation of a luminescent signal proportional to the amount of ATP present.
- the amount of ATP is directly proportional to the number of cells present in culture.
- the CellTiter-Glo ® Assay generates a "glow-type" luminescent signal, produced by the luciferase reaction, which has a half-life generally greater than five hours, depending on cell type and medium used. Viable cells are reflected in relative luminescence units (RLU).
- the substrate, Beetle Luciferin is oxidatively decarboxylated by recombinant firefly luciferase with concomitant conversion of ATP to AMP and generation of photons.
- the in vitro potency of antibody-drug conjugates can also be measured by a cytotoxicity assay.
- Cultured adherent cells are washed with PBS, detached with trypsin, diluted in complete medium, containing 10% FCS, centrifuged, re-suspended in fresh medium and counted with a haemocytometer. Suspension cultures are counted directly. Monodisperse cell suspensions suitable for counting may require agitation of the suspension by repeated aspiration to break up cell clumps.
- the cell suspension is diluted to the desired seeding density and dispensed (1 ⁇ per well) into black 96 well plates. Plates of adherent cell lines are incubated overnight to allow adherence. Suspension cell cultures can be used on the day of seeding.
- a stock solution (1 ml) of ADC (20pg/ml) is made in the appropriate cell culture medium.
- Serial 10-fold dilutions of stock ADC are made in 15ml centrifuge tubes by serially transferring 10 ⁇ to 900 ⁇ of cell culture medium.
- Alamar blue assay At the end of the incubation period, cell viability is assessed with the Alamar blue assay.
- AlamarBlue Invitrogen
- Alamar blue fluorescence is measured at excitation 570nm, emission 585nm on the Varioskan flash plate reader. Percentage cell survival is calculated from the mean fluorescence in the ADC treated wells compared to the mean fluorescence in the control wells.
- the conjugates of the invention may be used to provide a PBD compound at a target location.
- the target location is preferably a proliferative cell population.
- the antibody is an antibody for an antigen present on a proliferative cell population.
- the antigen is absent or present at a reduced level in a non-proliferative cell population compared to the amount of antigen present in the proliferative cell population, for example a tumour cell population.
- the linker may be cleaved so as to release a compound RelA, RelB, ReIC, RelD or RelE.
- the conjugate may be used to selectively provide a compound RelA, RelB, Rel C, RelD or RelE to the target location.
- the linker may be cleaved by an enzyme present at the target location.
- the target location may be in vitro, in vivo or ex vivo.
- the antibody-drug conjugate (ADC) compounds of the invention include those with utility for anticancer activity.
- the compounds include an antibody conjugated, i.e.
- ADC antibody-drug conjugates
- the present invention provides a conjugate compound as described herein for use in therapy.
- conjugate compound as described herein for use in the treatment of a proliferative disease.
- a second aspect of the present invention provides the use of a conjugate compound in the manufacture of a medicament for treating a proliferative disease.
- proliferative disease pertains to an unwanted or uncontrolled cellular proliferation of excessive or abnormal cells which is undesired, such as, neoplastic or hyperplastic growth, whether in vitro or in vivo.
- proliferative conditions include, but are not limited to, benign, pre-malignant, and malignant cellular proliferation, including but not limited to, neoplasms and tumours (e.g. histocytoma, glioma, astrocyoma, osteoma), cancers (e.g.
- lung cancer small cell lung cancer, gastrointestinal cancer, bowel cancer, colon cancer, breast carinoma, ovarian carcinoma, prostate cancer, testicular cancer, liver cancer, kidney cancer, bladder cancer, pancreas cancer, brain cancer, sarcoma, osteosarcoma, Kaposi's sarcoma, melanoma), lymphomas, leukemias, psoriasis, bone diseases, fibroproliferative disorders (e.g. of connective tissues), and atherosclerosis.
- Cancers of particular interest include, but are not limited to, leukemias and ovarian cancers.
- Any type of cell may be treated, including but not limited to, lung, gastrointestinal (including, e.g. bowel, colon), breast (mammary), ovarian, prostate, liver (hepatic), kidney (renal), bladder, pancreas, brain, and skin.
- gastrointestinal including, e.g. bowel, colon
- breast mammary
- ovarian prostate
- liver hepatic
- kidney renal
- bladder pancreas
- brain and skin.
- non-Hodgkin Lymphoma including diffuse large B-cell lymphoma (DLBCL), follicular lymphoma, (FL), Mantle Cell lymphoma (MCL), chronic lymphatic lymphoma (CLL) nd leukemias such as Hairy cell leukemia (HCL), Hairy cell leukemia variant (HCL-v) and Acute Lymphoblastic Leukaemia (ALL).
- DLBCL diffuse large B-cell lymphoma
- FL follicular lymphoma
- MCL Mantle Cell lymphoma
- CLL chronic lymphatic lymphoma
- HCL Hairy cell leukemia
- HCL-v Hairy cell leukemia variant
- ALL Acute Lymphoblastic Leukaemia
- the antibody-drug conjugates (ADC) of the present invention may be used to treat various diseases or disorders, e.g. characterized by the overexpression of a tumor antigen.
- exemplary conditions or hyperproliferative disorders include benign or malignant tumors; leukemia, haematological, and lymphoid malignancies.
- Others include neuronal, glial, astrocytal, hypothalamic, glandular, macrophagal, epithelial, stromal, blastocoelic, inflammatory, angiogenic and immunologic, including autoimmune, disorders.
- the disease or disorder to be treated is a hyperproliferative disease such as cancer.
- cancer to be treated herein include, but are not limited to, carcinoma, lymphoma, blastoma, sarcoma, and leukemia or lymphoid malignancies. More particular examples of such cancers include squamous cell cancer (e.g. epithelial squamous cell cancer), lung cancer including small-cell lung cancer, non-small cell lung cancer,
- adenocarcinoma of the lung and squamous carcinoma of the lung cancer of the peritoneum, hepatocellular cancer, gastric or stomach cancer including gastrointestinal cancer, pancreatic cancer, glioblastoma, cervical cancer, ovarian cancer, liver cancer, bladder cancer, hepatoma, breast cancer, colon cancer, rectal cancer, colorectal cancer, endometrial or uterine carcinoma, salivary gland carcinoma, kidney or renal cancer, prostate cancer, vulval cancer, thyroid cancer, hepatic carcinoma, anal carcinoma, penile carcinoma, as well as head and neck cancer.
- Autoimmune diseases for which the ADC compounds may be used in treatment include rheumatologic disorders (such as, for example, rheumatoid arthritis, Sjogren's syndrome, scleroderma, lupus such as SLE and lupus nephritis, polymyositis/dermatomyositis, cryoglobulinemia, anti-phospholipid antibody syndrome, and psoriatic arthritis), osteoarthritis, autoimmune gastrointestinal and liver disorders (such as, for example, inflammatory bowel diseases (e.g.
- autoimmune gastritis and pernicious anemia such as, for example, ANCA-associated vasculitis, including Churg-Strauss vasculitis, Wegener's granulomatosis, and polyarteritis
- vasculitis such as, for example, ANCA-associated vasculitis, including Churg-Strauss vasculitis, Wegener's granulomatosis, and polyarteritis
- autoimmune neurological disorders such as, for example, multiple sclerosis, opsoclonus myoclonus syndrome, myasthenia gravis, neuromyelitis optica, Parkinson's disease, Alzheimer's disease, and autoimmune polyneuropathies
- renal disorders such as, for example, glomerulonephritis, Goodpasture's syndrome, and Berger's disease
- autoimmune dermatologic disorders such as, for example, psoriasis, urticaria, hives, pemphigus vulgaris, bullous pemphigoid,
- Graves' disease and thyroiditis More preferred such diseases include, for example, rheumatoid arthritis, ulcerative colitis, ANCA-associated vasculitis, lupus, multiple sclerosis, Sjogren's syndrome, Graves' disease, IDDM, pernicious anemia, thyroiditis, and
- the conjugates of the present invention may be used in a method of therapy. Also provided is a method of treatment, comprising administering to a subject in need of treatment a therapeutically-effective amount of a conjugate compound of the invention.
- a method of treatment comprising administering to a subject in need of treatment a therapeutically-effective amount of a conjugate compound of the invention.
- terapéuticaally effective amount is an amount sufficient to show benefit to a patient. Such benefit may be at least amelioration of at least one symptom.
- a compound of the invention may be administered alone or in combination with other treatments, either simultaneously or sequentially dependent upon the condition to be treated.
- treatments and therapies include, but are not limited to, chemotherapy (the administration of active agents, including, e.g. drugs, such as chemotherapeutics); surgery; and radiation therapy.
- a "chemotherapeutic agent” is a chemical compound useful in the treatment of cancer, regardless of mechanism of action. Classes of chemotherapeutic agents include, but are not limited to: alkylating agents, antimetabolites, spindle poison plant alkaloids,
- Chemotherapeutic agents include compounds used in "targeted therapy” and conventional chemotherapy.
- chemotherapeutic agents include: erlotinib (TARCEVA®, Genentech/OSI Pharm.), docetaxel (TAXOTERE®, Sanofi-Aventis), 5-FU (fluorouracil, 5-fluorouracil, CAS No. 51-21-8), gemcitabine (GEMZAR®, Lilly), PD-0325901 (CAS No. 391210-10-9, Pfizer), cisplatin (cis-diamine, dichloroplatinum(ll), CAS No. 15663-27-1 ), carboplatin (CAS No.
- paclitaxel TAXOL®, Bristol-Myers Squibb Oncology, Princeton, N.J.
- trastuzumab HERCEPTIN®, Genentech
- temozolomide 4-methyl-5-oxo- 2,3,4,6,8- pentazabicyclo [4.3.0] nona-2,7,9-triene- 9-carboxamide, CAS No. 85622-93-1 ,
- TEMODAR® TEMODAL®, Schering Plough
- tamoxifen (Z)-2-[4-(1 ,2-diphenylbut-1- enyl)phenoxy]-/V,/V-dimethylethanamine
- NOLVADEX® NOLVADEX®
- ISTUBAL® ISTUBAL®
- VALODEX® doxorubicin
- ADRIAMYCIN® doxorubicin
- chemotherapeutic agents include: oxaliplatin (ELOXATIN®, Sanofi), bortezomib (VELCADE®, Millennium Pharm.), sutent (SUNITINIB®, SU1 1248, Pfizer), letrozole (FEMARA®, Novartis), imatinib mesylate (GLEEVEC®, Novartis), XL-518 (Mek inhibitor, Exelixis, WO 2007/044515), ARRY-886 (Mek inhibitor, AZD6244, Array BioPharma, Astra Zeneca), SF-1 126 (PI3K inhibitor, Semafore Pharmaceuticals), BEZ-235 (PI3K inhibitor, Novartis), XL-147 (PI3K inhibitor, Exelixis), PTK787/ZK 222584 (Novartis), fulvestrant (FASLODEX®, AstraZeneca), leucovorin (folinic acid), rapamycin (si
- alkyl sulfonates such as busulfan, improsulfan and piposulfan; aziridines such as benzodopa, carboquone, meturedopa, and uredopa; ethylenimines and methylamelamines including altretamine, triethylenemelamine, triethylenephosphoramide, triethylenethiophosphoramide and trimethylomelamine; acetogenins (especially bullatacin and bullatacinone); a camptothecin (including the synthetic analog topotecan); bryostatin; callystatin; CC-1065 (including its adozelesin, carzelesin and bizelesin synthetic analogs); cryptophycins (particularly cryptophycin 1 and cryptophycin 8); dolast
- calicheamicin calicheamicin gammal l, calicheamicin omegaH (Angew Chem. Intl. Ed. Engl. (1994) 33:183-186); dynemicin, dynemicin A; bisphosphonates, such as clodronate; an
- esperamicin as well as neocarzinostatin chromophore and related chromoprotein enediyne antibiotic chromophores), aclacinomysins, actinomycin, authramycin, azaserine, bleomycins, cactinomycin, carabicin, carminomycin, carzinophilin, chromomycinis, dactinomycin, daunorubicin, detorubicin, 6-diazo-5-oxo-L-norleucine, morpholino-doxorubicin,
- cyanomorpholino-doxorubicin 2-pyrrolino-doxorubicin and deoxydoxorubicin
- epirubicin esorubicin, idarubicin, nemorubicin, marcellomycin
- mitomycins such as mitomycin C, mycophenolic acid, nogalamycin, olivomycins, peplomycin, porfiromycin, puromycin, quelamycin, rodorubicin, streptonigrin, streptozocin, tubercidin, ubenimex, zinostatin, zorubicin
- anti-metabolites such as methotrexate and 5-fluorouracil (5-FU); folic acid analogs such as denopterin, methotrexate, pteropterin, trimetrexate; purine analogs such as fludarabine, 6-mercaptopurine, thiamiprine, thioguanine; pyrimidine analogs such as ancitabine, azacitidine, 6-aza
- etoglucid gallium nitrate; hydroxyurea; lentinan; lonidainine; maytansinoids such as maytansine and ansamitocins; mitoguazone; mitoxantrone; mopidanmol; nitraerine;
- pentostatin phenamet
- pirarubicin losoxantrone
- podophyllinic acid 2-ethylhydrazide
- PSK® polysaccharide complex JHS Natural Products, Eugene, OR
- razoxane rhizoxin; sizofiran; spirogermanium; tenuazonic acid; triaziquone; 2, 2', 2"- trichlorotriethylamine; trichothecenes (especially T-2 toxin, verracurin A, roridin A and anguidine); urethan; vindesine; dacarbazine; mannomustine; mitobronitol; mitolactol;
- pipobroman gacytosine; arabinoside ("Ara-C”); cyclophosphamide; thiotepa; 6-thioguanine; mercaptopurine; methotrexate; platinum analogs such as cisplatin and carboplatin;
- vinblastine etoposide (VP-16); ifosfamide; mitoxantrone; vincristine; vinorelbine
- NAVELBINE® novantrone
- teniposide edatrexate
- daunomycin aminopterin
- capecitabine XELODA®, Roche
- ibandronate CPT-1 1 ; topoisomerase inhibitor RFS 2000;
- DMFO difluoromethylornithine
- retinoids such as retinoic acid
- pharmaceutically acceptable salts, acids and derivatives of any of the above DMFO
- DMFO difluoromethylornithine
- chemotherapeutic agent include: (i) anti-hormonal agents that act to regulate or inhibit hormone action on tumors such as anti-estrogens and selective estrogen receptor modulators (SERMs), including, for example, tamoxifen (including NOLVADEX®; tamoxifen citrate), raloxifene, droloxifene, 4-hydroxytamoxifen, trioxifene, keoxifene, LY1 17018, onapristone, and FARESTON® (toremifine citrate); (ii) aromatase inhibitors that inhibit the enzyme aromatase, which regulates estrogen production in the adrenal glands, such as, for example, 4(5)-imidazoles, aminoglutethimide, MEGASE® (megestrol acetate), AROMASIN® (exemestane; Pfizer), formestanie, fadrozole, RIVISOR® (vorozole), FEMARA® (letrozole
- panitumumab VECTIBIX®, Amgen
- rituximab RVUXAN®, Genentech/Biogen personalize
- ARZERRA® GSK
- pertuzumab PERJETATM, OMNITARGTM, 2C4, Genentech
- trastuzumab HERCEPTIN®, Genentech
- tositumomab Bexxar, Corixia
- antibody drug conjugate gemtuzumab ozogamicin
- Humanized monoclonal antibodies with therapeutic potential as chemotherapeutic agents in combination with the conjugates of the invention include: alemtuzumab, apolizumab, aselizumab, atlizumab, bapineuzumab, bevacizumab, bivatuzumab mertansine, cantuzumab mertansine, cedelizumab, certolizumab pegol, cidfusituzumab, cidtuzumab, daclizumab, eculizumab, efalizumab, epratuzumab, erlizumab, felvizumab, fontolizumab, gemtuzumab ozogamicin, inotuzumab ozogamicin, ipilimumab, labetuzumab, lintuzumab, matuzumab, mepolizumab, motavizumab, motovizumab,
- tacatuzumab tetraxetan tadocizumab, talizumab, tefibazumab, tocilizumab, toralizumab, trastuzumab, tucotuzumab celmoleukin, tucusituzumab, umavizumab, urtoxazumab, and visilizumab.
- compositions according to the present invention may comprise, in addition to the active ingredient, i.e. a conjugate compound, a pharmaceutically acceptable excipient, carrier, buffer, stabiliser or other materials well known to those skilled in the art. Such materials should be non-toxic and should not interfere with the efficacy of the active ingredient.
- a pharmaceutically acceptable excipient e.g. a conjugate compound
- carrier e.g. a pharmaceutically acceptable excipient
- buffer e.g. cutaneous, subcutaneous, or intravenous.
- compositions for oral administration may be in tablet, capsule, powder or liquid form.
- a tablet may comprise a solid carrier or an adjuvant.
- Liquid pharmaceutical compositions generally comprise a liquid carrier such as water, petroleum, animal or vegetable oils, mineral oil or synthetic oil. Physiological saline solution, dextrose or other saccharide solution or glycols such as ethylene glycol, propylene glycol or polyethylene glycol may be included.
- a capsule may comprise a solid carrier such a gelatin.
- the active ingredient will be in the form of a parenterally acceptable aqueous solution which is pyrogen-free and has suitable pH, isotonicity and stability.
- isotonic vehicles such as Sodium Chloride Injection, Ringer's Injection, Lactated Ringer's Injection.
- Preservatives, stabilisers, buffers, antioxidants and/or other additives may be included, as required.
- conjugate compound While it is possible for the conjugate compound to be used (e.g., administered) alone, it is often preferable to present it as a composition or formulation.
- the composition is a pharmaceutical composition (e.g., formulation, preparation, medicament) comprising a conjugate compound, as described herein, and a pharmaceutically acceptable carrier, diluent, or excipient.
- a pharmaceutical composition e.g., formulation, preparation, medicament
- a pharmaceutically acceptable carrier e.g., diluent, or excipient.
- the composition is a pharmaceutical composition comprising at least one conjugate compound, as described herein, together with one or more other
- compositions further comprises other active agents, for example, other therapeutic or prophylactic agents.
- Suitable carriers, diluents, excipients, etc. can be found in standard pharmaceutical texts. See, for example, Handbook of Pharmaceutical Additives, 2nd Edition (eds. M. Ash and I. Ash), 2001 (Synapse Information Resources, Inc., Endicott, New York, USA), Remington's Pharmaceutical Sciences, 20th edition, pub. Lippincott, Williams & Wilkins, 2000; and
- Another aspect of the present invention pertains to methods of making a pharmaceutical composition
- a pharmaceutical composition comprising admixing at least one [ 11 C]-radiolabelled conjugate or conjugate-like compound, as defined herein, together with one or more other pharmaceutically acceptable ingredients well known to those skilled in the art, e.g., carriers, diluents, excipients, etc. If formulated as discrete units (e.g., tablets, etc.), each unit contains a predetermined amount (dosage) of the active compound.
- pharmaceutically acceptable as used herein, pertains to compounds,
- ingredients, materials, compositions, dosage forms, etc. which are, within the scope of sound medical judgment, suitable for use in contact with the tissues of the subject in question (e.g., human) without excessive toxicity, irritation, allergic response, or other problem or complication, commensurate with a reasonable benefit/risk ratio.
- Each carrier, diluent, excipient, etc. must also be "acceptable" in the sense of being compatible with the other ingredients of the formulation.
- the formulations may be prepared by any methods well known in the art of pharmacy. Such methods include the step of bringing into association the active compound with a carrier which constitutes one or more accessory ingredients. In general, the formulations are prepared by uniformly and intimately bringing into association the active compound with carriers (e.g., liquid carriers, finely divided solid carrier, etc.), and then shaping the product, if necessary.
- the formulation may be prepared to provide for rapid or slow release; immediate, delayed, timed, or sustained release; or a combination thereof.
- Formulations suitable for parenteral administration include aqueous or non-aqueous, isotonic, pyrogen-free, sterile liquids (e.g., solutions, suspensions), in which the active ingredient is dissolved, suspended, or otherwise provided (e.g., in a liposome or other microparticulate).
- sterile liquids e.g., solutions, suspensions
- Such liquids may additional contain other pharmaceutically acceptable ingredients, such as anti-oxidants, buffers, preservatives, stabilisers,
- bacteriostats suspending agents, thickening agents, and solutes which render the formulation isotonic with the blood (or other relevant bodily fluid) of the intended recipient.
- excipients include, for example, water, alcohols, polyols, glycerol, vegetable oils, and the like.
- suitable isotonic carriers for use in such formulations include Sodium Chloride Injection, Ringer's Solution, or Lactated Ringer's Injection.
- concentration of the active ingredient in the liquid is from about 1 ng/ml to about 10 ⁇ g ml, for example from about 10 ng/ml to about 1 ⁇ g/ml.
- the formulations may be presented in unit-dose or multi-dose sealed containers, for example, ampoules and vials, and may be stored in a freeze-dried (lyophilised) condition requiring only the addition of the sterile liquid carrier, for example water for injections, immediately prior to use.
- sterile liquid carrier for example water for injections, immediately prior to use.
- Extemporaneous injection solutions and suspensions may be prepared from sterile powders, granules, and tablets.
- appropriate dosages of the conjugate compound, and compositions comprising the conjugate compound can vary from patient to patient. Determining the optimal dosage will generally involve the balancing of the level of therapeutic benefit against any risk or deleterious side effects.
- the selected dosage level will depend on a variety of factors including, but not limited to, the activity of the particular compound, the route of administration, the time of administration, the rate of excretion of the compound, the duration of the treatment, other drugs, compounds, and/or materials used in combination, the severity of the condition, and the species, sex, age, weight, condition, general health, and prior medical history of the patient.
- the amount of compound and route of administration will ultimately be at the discretion of the physician, veterinarian, or clinician, although generally the dosage will be selected to achieve local concentrations at the site of action which achieve the desired effect without causing substantial harmful or deleterious side-effects.
- Administration can be effected in one dose, continuously or intermittently (e.g., in divided doses at appropriate intervals) throughout the course of treatment. Methods of determining the most effective means and dosage of administration are well known to those of skill in the art and will vary with the formulation used for therapy, the purpose of the therapy, the target cell(s) being treated, and the subject being treated. Single or multiple administrations can be carried out with the dose level and pattern being selected by the treating physician, veterinarian, or clinician.
- a suitable dose of the active compound is in the range of about 100 ng to about 25 mg (more typically about 1 ⁇ g to about 10 mg) per kilogram body weight of the subject per day.
- the active compound is a salt, an ester, an amide, a prodrug, or the like
- the amount administered is calculated on the basis of the parent compound and so the actual weight to be used is increased proportionately.
- the active compound is administered to a human patient according to the following dosage regime: about 100 mg, 3 times daily. In one embodiment, the active compound is administered to a human patient according to the following dosage regime: about 150 mg, 2 times daily.
- the active compound is administered to a human patient according to the following dosage regime: about 200 mg, 2 times daily.
- the conjugate compound is administered to a human patient according to the following dosage regime: about 50 or about 75 mg, 3 or 4 times daily. In one embodiment, the conjugate compound is administered to a human patient according to the following dosage regime: about 100 or about 125 mg, 2 times daily.
- the dosage amounts described above may apply to the conjugate (including the PBD moiety and the linker to the antibody) or to the effective amount of PBD compound provided, for example the amount of compound that is releasable after cleavage of the linker.
- an ADC of the invention will depend on the type of disease to be treated, as defined above, the severity and course of the disease, whether the molecule is administered for preventive or therapeutic purposes, previous therapy, the patient's clinical history and response to the antibody, and the discretion of the attending physician.
- the molecule is suitably
- a typical daily dosage might range from about 1 ⁇ g/kg to 100 mg/kg or more, depending on the factors mentioned above.
- An exemplary dosage of ADC to be administered to a patient is in the range of about 0.1 to about 10 mg/kg of patient weight. For repeated administrations over several days or longer, depending on the condition, the treatment is sustained until a desired suppression of disease symptoms occurs.
- An exemplary dosing regimen comprises a course of administering an initial loading dose of about 4 mg/kg, followed by additional doses every week, two weeks, or three weeks of an ADC. Other dosage regimens may be useful. The progress of this therapy is easily monitored by conventional techniques and assays. Treatment
- treatment pertains generally to treatment and therapy, whether of a human or an animal (e.g., in veterinary applications), in which some desired therapeutic effect is achieved, for example, the inhibition of the progress of the condition, and includes a reduction in the rate of progress, a halt in the rate of progress, regression of the condition, amelioration of the condition, and cure of the condition.
- Treatment as a prophylactic measure i.e., prophylaxis, prevention is also included.
- terapéuticaally-effective amount pertains to that amount of an active compound, or a material, composition or dosage from comprising an active compound, which is effective for producing some desired therapeutic effect, commensurate with a reasonable benefit/risk ratio, when administered in accordance with a desired treatment regimen.
- prophylactically-effective amount refers to that amount of an active compound, or a material, composition or dosage from comprising an active compound, which is effective for producing some desired prophylactic effect, commensurate with a reasonable benefit/risk ratio, when administered in accordance with a desired treatment regimen.
- Antibody drug conjugates may be prepared by several routes, employing organic chemistry reactions, conditions, and reagents known to those skilled in the art, including reaction of a nucleophilic group of an antibody with a drug-linker reagent. This method may be employed to prepare the antibody-drug conjugates of the invention.
- Nucleophilic groups on antibodies include, but are not limited to side chain thiol groups, e.g. cysteine.
- Thiol groups are nucleophilic and capable of reacting to form covalent bonds with electrophilic groups on linker moieties such as those of the present invention.
- Certain antibodies have reducible interchain disulfides, i.e. cysteine bridges.
- Antibodies may be made reactive for conjugation with linker reagents by treatment with a reducing agent such as DTT (Cleland's reagent, dithiothreitol) or TCEP (tris(2-carboxyethyl)phosphine hydrochloride; Getz et al (1999) Anal. Biochem.
- Each cysteine disulfide bridge will thus form, theoretically, two reactive thiol nucleophiles. Additional nucleophilic groups can be introduced into antibodies through the reaction of lysines with 2-iminothiolane (Traut's reagent) resulting in conversion of an amine into a thiol.
- the subject/patient may be an animal, mammal, a placental mammal, a marsupial
- a monotreme e.g., duckbilled platypus
- a rodent e.g., a guinea pig, a hamster, a rat, a mouse
- murine e.g., a mouse
- a lagomorph e.g., a rabbit
- avian e.g., a bird
- canine e.g., a dog
- feline e.g., a cat
- equine e.g., a horse
- porcine e.g., a pig
- ovine e.g., a sheep
- bovine e.g., a cow
- a primate simian (e.g., a monkey or ape), a monkey (e.g., marmoset, baboon), an ape (e.g., gorilla, chimpanzee, orangutang, gibbon), or a
- the subject/patient may be any of its forms of development, for example, a foetus.
- the subject/patient is a human.
- R 6 , R 7 , R 9 , and Y' are preferably the same as R 6 , R 7 , R 9 , and Y respectively.
- Y and Y' are preferably O.
- R" is preferably a C 3-7 alkylene group with no substituents. More preferably R" is a C 3 , C 5 or C 7 alkylene. Most preferably, R" is a C 3 or C 5 alkylene. R 6 to R 9
- R 9 is preferably H.
- R 6 is preferably selected from H, OH, OR, SH, NH 2 , nitro and halo, and is more preferably H or halo, and most preferably is H.
- R 7 is preferably selected from H, OH, OR, SH, SR, NH 2 , NHR, NRR', and halo, and more preferably independently selected from H, OH and OR, where R is preferably selected from optionally substituted Ci -7 alkyl, C 3- io heterocyclyl and C 5- io aryl groups. R may be more preferably a Ci -4 alkyl group, which may or may not be substituted.
- a substituent of interest is a C 5 -6 aryl group (e.g. phenyl). Particularly preferred substituents at the 7- positions are OMe and OCH 2 Ph. Other substituents of particular interest are dimethylamino (i.e.
- R 12 is selected from:
- each of R , R and R are independently selected from H, Ci -3 saturated alkyl, C2-3 alkenyl, C2-3 alkynyl and cyclopropyl, where the total number of carbon ato group is no more than 5;
- R 25a and R 25b are H and the other is selected from: phenyl, which phenyl is optionally substituted by a group selected from halo methyl, methoxy;
- R 24 is selected from: H; C 1-3 saturated alkyl; C 2- 3 alkenyl; C 2- 3 alkynyl; cyclopropyl; phenyl, which phenyl is optionally substituted by a group selected from halo methyl, methoxy; pyridyl; and thiophenyl.
- R 12 When R 12 is a C5-10 aryl group, it may be a C5-7 aryl group.
- a C5-7 aryl group may be a phenyl group or a C5-7 heteroaryl group, for example furanyl, thiophenyl and pyridyl.
- R 12 is preferably phenyl.
- R 12 is preferably thiophenyl, for example, thiophen-2-yl and thiophen-3-yl.
- R 12 When R 12 is a C5-10 aryl group, it may be a C 8- io aryl, for example a quinolinyl or isoquinolinyl group.
- the quinolinyl or isoquinolinyl group may be bound to the PBD core through any available ring position.
- the quinolinyl may be quinolin-2-yl, quinolin-3-yl, quinolin-4yl, quinolin-5-yl, quinolin-6-yl, quinolin-7-yl and quinolin-8-yl. Of these quinolin-3-yl and quinolin-6-yl may be preferred.
- the isoquinolinyl may be isoquinolin-1 -yl, isoquinolin-3- yl, isoquinolin-4yl, isoquinolin-5-yl, isoquinolin-6-yl, isoquinolin-7-yl and isoquinolin-8-yl. Of these isoquinolin-3-yl and isoquinolin-6-yl may be preferred.
- R 12 When R 12 is a C 5-10 aryl group, it may bear any number of substituent groups. It preferably bears from 1 to 3 substituent groups, with 1 and 2 being more preferred, and singly substituted groups being most preferred.
- the substituents may be any position.
- R 12 is C 5 - 7 aryl group, a single substituent is preferably on a ring atom that is not adjacent the bond to the remainder of the compound, i.e. it is preferably ⁇ or ⁇ to the bond to the remainder of the compound. Therefore, where the C 5-7 aryl group is phenyl, the substituent is preferably in the meta- or para- positions, and more preferably is in the para- position.
- R 12 is a C 8- io aryl group, for example quinolinyl or isoquinolinyl, it may bear any number of substituents at any position of the quinoline or isoquinoline rings. In some embodiments, it bears one, two or three substituents, and these may be on either the proximal and distal rings or both (if more than one substituent).
- R 12 substituents, when R 12 is a C 5 -w aryl group
- R 12 when R 12 is a C 5-10 aryl group is halo, it is preferably F or CI, more preferably CI.
- R 12 when R 12 is a C 5- io aryl group is ether, it may in some embodiments be an alkoxy group, for example, a Ci -7 alkoxy group (e.g. methoxy, ethoxy) or it may in some embodiments be a C 5-7 aryloxy group (e.g phenoxy, pyridyloxy, furanyloxy).
- the alkoxy group may itself be further substituted, for example by an amino group (e.g.
- a substituent on R 12 when R 12 is a C 5- io aryl group is Ci -7 alkyl, it may preferably be a C1-4 alkyl group (e.g. methyl, ethyl, propryl, butyl).
- a substituent on R 12 when R 12 is a C5-10 aryl group is C 3-7 heterocyclyl, it may in some embodiments be C 6 nitrogen containing heterocyclyl group, e.g. morpholino, thiomorpholino, piperidinyl, piperazinyl. These groups may be bound to the rest of the PBD moiety via the nitrogen atom. These groups may be further substituted, for example, by C 1-4 alkyl groups. If the C 6 nitrogen containing heterocyclyl group is piperazinyl, the said further substituent may be on the second nitrogen ring atom.
- substituent on R 12 when R 12 is a C 5-10 aryl group is bis-oxy-C 1-3 alkylene, this is preferably bis-oxy-methylene or bis-oxy-ethylene. If a substituent on R 12 when R 12 is a C5-10 aryl group is ester, this is preferably methyl ester or ethyl ester. Particularly preferred substituents when R 12 is a C 5- io aryl group include methoxy, ethoxy, fluoro, chloro, cyano, bis-oxy-methylene, methyl-piperazinyl, morpholino and methyl- thiophenyl. Other particularly preferred substituent for R 12 are dimethylaminopropyloxy and carboxy.
- Particularly preferred substituted R 12 groups when R 12 is a C5-10 aryl group include, but are not limited to, 4-methoxy-phenyl, 3-methoxyphenyl, 4-ethoxy-phenyl, 3-ethoxy-phenyl, 4- fluoro-phenyl, 4-chloro-phenyl, 3,4-bisoxymethylene-phenyl, 4-methylthiophenyl, 4- cyanophenyl, 4-phenoxyphenyl, quinolin-3-yl and quinolin-6-yl, isoquinolin-3-yl and isoquinolin-6-yl, 2-thienyl, 2-furanyl, methoxynaphthyl, and naphthyl.
- R 12 groups of particular interest include 4-(4- methylpiperazin-1 -yl)phenyl and 3,4-bisoxymethylene-phenyl.
- R 12 When R 12 is Ci -5 saturated aliphatic alkyl, it may be methyl, ethyl, propyl, butyl or pentyl. In some embodiments, it may be methyl, ethyl or propyl (n-pentyl or isopropyl). In some of these embodiments, it may be methyl. In other embodiments, it may be butyl or pentyl, which may be linear or branched. When R 12 is C 3- 6 saturated cycloalkyl, it may be cyclopropyl, cyclobutyl, cyclopentyl or cyclohexyl. In some embodiments, it may be cyclopropyl.
- each of R , R and R are independently selected from H, Ci -3 saturated alkyl, C 2-3 alkenyl, C 2- 3 alkynyl and cyclopropyl, where the total number of carbon atoms in the R 12 group is no more than 5. In some embodiments, the total number of carbon atoms in the R 12 group is no more than 4 or no more than 3.
- one of R 21 , R 22 and R 23 is H , with the other two groups being selected from H, Ci-3 saturated alkyl, C 2- 3 alkenyl, C 2- 3 alkynyl and cyclopropyl.
- two of R 21 , R 22 and R 23 are H, with the other group being selected from H, C 1-3 saturated alkyl, C 2-3 alkenyl, C 2-3 alkynyl and cyclopropyl.
- the groups that are not H are selected from methyl and ethyl. In some of these embodiments, the groups that re not H are methyl.
- R is H.
- R is H.
- R is H.
- R and R are H
- R and R are H.
- R and R are H
- R 12 group of particular interest is:
- R 25a and R 25b are H and the other is selected from: phenyl, which phenyl is optionally substituted by a group selected from halo, methyl, methoxy;
- the group which is not H is optionally substituted phenyl. If the phenyl optional substituent is halo, it is preferably fluoro. In some embodiment, the phenyl group is unsubstituted.
- R 24 is selected from: H; d -3 saturated alkyl; C 2- 3 alkenyl; C 2- 3 alkynyl; cyclopropyl; phenyl, which phenyl is optionally substituted by a group selected from halo methyl, methoxy; pyridyl; and thiophenyl. If the phenyl optional substituent is halo, it is preferably fluoro. In some embodiment, the phenyl group is unsubstituted.
- R 24 is selected from H, methyl, ethyl, ethenyl and ethynyl. In some of these embodiments, R 24 is selected from H and methyl.
- R and R are independently selected from H, F, C1-4 saturated alkyl, C 2-3 alkenyl, which alkyl and alkenyl groups are optionally substituted by a group selected from C 1-4 alkyl amido and C 1-4 alkyl ester; or, when one of R 26a and R 26b is H, the other is selected from nitrile and a C 1-4 alkyl ester.
- R 26a and R 26b are both H.
- R 26a and R 26b are both methyl.
- one of R 26a and R 26b is H, and the other is selected from Ci -4 saturated alkyl, C 2-3 alkenyl, which alkyl and alkenyl groups are optionally substituted.
- the group which is not H is selected from methyl and ethyl.
- R is of formula lla.
- a in R when it is of formula I la may be phenyl group or a C 5-7 heteroaryl group, for example furanyl, thiophenyl and pyridyl. In some embodiments, A is preferably phenyl.
- Q 2 -X may be on any of the available ring atoms of the C 5-7 aryl group, but is preferably on a ring atom that is not adjacent the bond to the remainder of the compound, i.e. it is preferably ⁇ or Y to the bond to the remainder of the compound. Therefore, where the C 5-7 aryl group (A) is phenyl, the substituent (Q 2 -X) is preferably in the meta- or para- positions, and more preferably is in the para- position.
- Q 1 is a single bond.
- Q 2 is selected from a single bond and -Z-(CH 2 ) n -, where Z is selected from a single bond, O, S and NH and is from 1 to 3.
- Q 2 is a single bond.
- Q 2 is -Z- (CH 2 ) n -.
- Z may be O or S and n may be 1 or n may be 2.
- Z may be a single bond and n may be 1.
- R is of formula lib.
- R , R and R are independently selected from H and unsubstituted Ci -2 alkyl. In some preferred
- R C1 , R C2 and R C3 are all H. In other embodiments, R C1 , R C2 and R C3 are all methyl. In certain embodiments, R C1 , R C2 and R C3 are independently selected from H and methyl.
- R L2 NHNH-R L2 , CONHNH-R L2 , , NR N R L2' , wherein R N is selected from the group comprising H and C 1 -4 alkyl.
- X may preferably be: OH, SH, C0 2 H,
- PPaarrttiiccuullaarrllyy pprreeff(erred groups include: 0-R L2' , S-R L2' and NH-R L2' , with NH-R L2' being the most preferred group.
- R is of formula lie. In these embodiments, it is preferred that Q is NR N -R L2' . In other embodiments, Q is 0-R L2' . In further embodiments, Q is S-R L2' . R N is preferably selected from H and methyl. In some embodiment, R N is H. In other words,
- R N is methyl
- R 22 may be -A-CH 2 -X and -A-X.
- X may be O- R L2' , S-R L2' , C0 2 -R L2' , CO-R L2' and NH-R L2' .
- X may be NH-R L2' .
- R 10 and R 11 together form a double bond between the nitrogen and carbon atoms to which they are bound.
- R 11 is OH
- R 11 is OMe. In some embodiments, R 11 is SO z M, where z is 2 or 3 and M is a monovalent pharmaceutically acceptable cation.
- R 11a is OH. In some embodiments, R 11a is OMe.
- R 11a is SO z M, where z is 2 or 3 and M is a monovalent
- R 20 and R 21 together form a double bond between the nitrogen and carbon atoms to which they are bound.
- R 20 is H.
- R 20 is R c .
- R 21 is OH.
- R 21 is OMe.
- R is SO z M, where z is 2 or 3 and M is a monovalent
- R 30 and R 31 together form a double bond between the nitrogen and carbon atoms to which they are bound.
- R 31 is OH
- R is OMe
- R is SO z M, where z is 2 or 3 and M is a monovalent
- M is a monovalent pharmaceutically acceptable cation, and is more preferably Na + .
- z is preferably 3.
- Preferred conjugates of the first aspect of the present invention may have a D L of formula la:
- R L , R 20 and R 21 are as defined above;
- n 1 or 3;
- R 1a is methyl or phenyl
- R 2a is selected from: (b) c)
- Preferred conjugates of the first aspect of the present invention may have a D L of formula lb:
- R L , R 20 and R 21 are as defined above;
- n 1 or 3;
- R 1a is methyl or phenyl.
- Preferred conjugates of the first aspect of the present invention may have a D L of formula Ic:
- R L2' , R 10 , R 11 , R 30 and R 31 are as defined above
- n 1 or 3;
- R 12a is selected from:
- the amino group is at either the meta or para positions of the phenyl group.
- Preferred conjugates of the first aspect of the present invention may have a D L of formula Id
- R L2' , R 10 , R 11 , R 30 and R 31 are as defined above
- n 1 or 3;
- R 1a is methyl or phenyl
- R 12a is selected from:
- Preferred conjugates of the first aspect of the present invention may have a D L of formula le:
- R , R , R JU and R J1 are as defined above
- n 1 or 3;
- R 1a is methyl or phenyl
- R 12a is selected from:
- MS Mass spectroscopy
- Thin Layer Chromatography (TLC) was performed on silica gel aluminium plates (Merck 60, F254), and flash chromatography utilised silica gel (Merck 60, 230-400 mesh ASTM). Except for the HOBt (NovaBiochem) and solid-supported reagents (Argonaut), all other chemicals and solvents were purchased from
Landscapes
- Health & Medical Sciences (AREA)
- Chemical & Material Sciences (AREA)
- Engineering & Computer Science (AREA)
- Life Sciences & Earth Sciences (AREA)
- Bioinformatics & Cheminformatics (AREA)
- General Health & Medical Sciences (AREA)
- Medicinal Chemistry (AREA)
- Public Health (AREA)
- Immunology (AREA)
- Veterinary Medicine (AREA)
- Animal Behavior & Ethology (AREA)
- Pharmacology & Pharmacy (AREA)
- Epidemiology (AREA)
- Organic Chemistry (AREA)
- Hematology (AREA)
- Oncology (AREA)
- Cell Biology (AREA)
- Nuclear Medicine, Radiotherapy & Molecular Imaging (AREA)
- General Chemical & Material Sciences (AREA)
- Chemical Kinetics & Catalysis (AREA)
- Biochemistry (AREA)
- Biophysics (AREA)
- Genetics & Genomics (AREA)
- Molecular Biology (AREA)
- Proteomics, Peptides & Aminoacids (AREA)
- Medicinal Preparation (AREA)
- Peptides Or Proteins (AREA)
- Pharmaceuticals Containing Other Organic And Inorganic Compounds (AREA)
Abstract
Conjugates of an isolated humanized, anti-CD22 antibody with PBD dimers.
Description
PYRROLOBENZODIAZEPINE-ANTI-CD22 ANTIBODY CONJUGATES
The present invention relates to pyrrolobenzodiazepines (PBDs) having a labile C2 or N10 protecting group in the form of a linker to an antibody.
Background to the invention
Pyrrolobenzodiazepines
Some pyrrolobenzodiazepines (PBDs) have the ability to recognise and bond to specific sequences of DNA; the preferred sequence is PuGPu. The first PBD antitumour antibiotic, anthramycin, was discovered in 1965 (Leimgruber, et al., J. Am. Chem. Soc, 87, 5793-5795 (1965); Leimgruber, et al., J. Am. Chem. Soc, 87, 5791 -5793 (1965)). Since then, a number of naturally occurring PBDs have been reported, and over 10 synthetic routes have been developed to a variety of analogues (Thurston, et al., Chem. Rev. 1994, 433-465 (1994); Antonow, D. and Thurston, D.E., Chem. Rev. 2011 1 1 1 (4), 2815-2864). Family members include abbeymycin (Hochlowski, et al., J. Antibiotics, 40, 145-148 (1987)), chicamycin (Konishi, et al., J. Antibiotics, 37, 200-206 (1984)), DC-81 (Japanese Patent 58-180 487; Thurston, et al., Chem. Brit, 26, 767-772 (1990); Bose, et al., Tetrahedron, 48, 751 -758 (1992)), mazethramycin (Kuminoto, et al., J. Antibiotics, 33, 665-667 (1980)), neothramycins A and B (Takeuchi, et al., J. Antibiotics, 29, 93-96 (1976)), porothramycin (Tsunakawa, et al., J. Antibiotics, 41 , 1366-1373 (1988)), prothracarcin (Shimizu, et al, J. Antibiotics, 29, 2492- 2503 (1982); Langley and Thurston, J. Org. Chem., 52, 91-97 (1987)), sibanomicin (DC- 102)(Hara, et al., J. Antibiotics, 41 , 702-704 (1988); Itoh, et al., J. Antibiotics, 41 , 1281 -1284 (1988)), sibiromycin (Leber, et al., J. Am. Chem. Soc, 110, 2992-2993 (1988)) and tomamycin (Arima, et al., J. Antibiotics, 25, 437-444 (1972)). PBDs are of the general structure:
They differ in the number, type and position of substituents, in both their aromatic A rings and pyrrolo C rings, and in the degree of saturation of the C ring. In the B-ring there is either an imine (N=C), a carbinolamine(NH-CH(OH)), or a carbinolamine methyl ether (NH- CH(OMe)) at the N10-C1 1 position which is the electrophilic centre responsible for alkylating
DNA. All of the known natural products have an (S)-configuration at the chiral C1 1 a position which provides them with a right-handed twist when viewed from the C ring towards the A ring. This gives them the appropriate three-dimensional shape for isohelicity with the minor groove of B-form DNA, leading to a snug fit at the binding site (Kohn, In Antibiotics III.
Springer-Verlag, New York, pp. 3-1 1 (1975); Hurley and Needham-VanDevanter, Acc.
Chem. Res., 19, 230-237 (1986)). Their ability to form an adduct in the minor groove, enables them to interfere with DNA processing, hence their use as antitumour agents.
A particularly advantageous pyrrolobenzodiazepine compound is described by Gregson et al. (Chem. Commun. 1999, 797-798) as compound 1 , and by Gregson et al. (J. Med. Chem. 2001 , 44, 1 161 -1 174) as compound 4a. This compound, also known as SG2000, is shown below:
SG2000
WO 2007/085930 describes the preparation of dimer PBD compounds having linker groups for connection to a cell binding agent, such as an antibody. The linker is present in the bridge linking the monomer PBD units of the dimer.
The present inventors have described dimer PBD compounds having linker groups for connection to a cell binding agent, such as an antibody, in WO 201 1/130613 and WO 201 1/130616. The linker in these compounds is attached to the PBD core via the C2 position, and are generally cleaved by action of an enzyme on the linker group. In WO 201 1/130598, the linker in these compounds is attached to one of the available N10 positions on the PBD core, and are generally cleaved by action of an enzyme on the linker group.
Antibody-drug conjugates
Antibody therapy has been established for the targeted treatment of patients with cancer, immunological and angiogenic disorders (Carter, P. (2006) Nature Reviews Immunology 6:343-357). The use of antibody-drug conjugates (ADC), i.e. immunoconjugates, for the local delivery of cytotoxic or cytostatic agents, i.e. drugs to kill or inhibit tumor cells in the treatment of cancer, targets delivery of the drug moiety to tumors, and intracellular accumulation therein, whereas systemic administration of these unconjugated drug agents
may result in unacceptable levels of toxicity to normal cells (Xie et al (2006) Expert. Opin. Biol. Ther. 6(3):281-291 ; Kovtun ef a/ (2006) Cancer Res. 66(6):3214-3121 ; Law et al (2006) Cancer Res. 66(4):2328-2337; Wu et al (2005) Nature Biotech. 23(9):1 137-1 145; Lambert J. (2005) Current Opin. in Pharmacol. 5:543-549; Hamann P. (2005) Expert Opin. Ther.
Patents 15(9): 1087-1 103; Payne, G. (2003) Cancer Cell 3:207-212; Trail ef a/ (2003) Cancer Immunol. Immunother. 52:328-337; Syrigos and Epenetos (1999) Anticancer Research 19:605-614).
Maximal efficacy with minimal toxicity is sought thereby. Efforts to design and refine ADC have focused on the selectivity of monoclonal antibodies (mAbs) as well as drug mechanism of action, drug-linking, drug/antibody ratio (loading), and drug-releasing properties (Junutula, et al., 2008b Nature Biotech., 26(8):925-932; Dornan et al (2009) Blood 1 14(13):2721 -2729; US 7521541 ; US 7723485; WO2009/052249; McDonagh (2006) Protein Eng. Design & Sel. 19(7): 299-307; Doronina ef a/ (2006) Bioconj. Chem. 17:1 14-124; Erickson ef a/ (2006) Cancer Res. 66(8): 1 -8; Sanderson ef a/ (2005) Clin. Cancer Res. 1 1 :843-852; Jeffrey ef a/ (2005) J. Med. Chem. 48:1344-1358; Hamblett ef a/ (2004) Clin. Cancer Res. 10:7063- 7070). Drug moieties may impart their cytotoxic and cytostatic effects by mechanisms including tubulin binding, DNA binding, proteasome and/or topoisomerase inhibition. Some cytotoxic drugs tend to be inactive or less active when conjugated to large antibodies or protein receptor ligands.
The present inventors have developed particular PBD dimer antibody conjugates.
Disclosure of the Invention
A first aspect of the present invention comprises a conjugate of formula L - (DL)P, where DL is of formula I or II:
wherein:
L is an antibody (Ab) as defined below;
when there is a double bond present between C2' and C3', R12 is selected from the group consisting of:
(ia) C5-10 aryl group, optionally substituted by one or more substituents selected from the group comprising: halo, nitro, cyano, ether, carboxy, ester, Ci-7 alkyl, C3-7 heterocyclyl and bis-oxy-Ci-3 alkylene;
(ib) C1-5 saturated aliphatic alkyl;
(ic) C3-6 saturated cycloalkyl;
(id)
, wherein each of R21 , R22 and R23 are independently selected from H, Ci-3 saturated alkyl, C2-3 alkenyl, C2-3 alkynyl and cyclopropyl, where the total number of carbon atoms in the R12 group is no more than 5;
25b
R
,25a
(ie) ~ R , wherein one of R25a and R25b is H and the other is selected from: phenyl, which phenyl is optionally substituted by a group selected from halo, methyl, methoxy;
pyridyl; and thiophenyl; and
, where R is selected from: H; Ci-3 saturated alkyl; C2-3 alkenyl; C2-3 alkynyl; cyclopropyl; phenyl, which phenyl is optionally substituted by a group selected from halo, methyl, methoxy; pyridyl; and thiophenyl;
single bond present between C2' and C3',
, where R and R are independently selected from H, F, C1-4 saturated alkyl, C2-3 alkenyl, which alkyl and alkenyl groups are optionally substituted by a group selected from Ci-4 alkyl amido and Ci-4 alkyl ester; or, when one of R26a and R26b is H, the other is selected from nitrile and a C1-4 alkyl ester;
R6 and R9 are independently selected from H, R, OH, OR, SH, SR, NH2, N HR, NRR', nitro, Me3Sn and halo;
where R and R' are independently selected from optionally substituted Ci_i2 alkyl, C3-20 heterocyclyl and C5-2o aryl groups;
R7 is selected from H, R, OH, OR, SH, SR, N H2, NHR, NHRR', nitro, Me3Sn and halo; R" is a C3-12 alkylene group, which chain may be interrupted by one or more heteroatoms, e.g. O, S, NRN2 (where RN2 is H or C1-4 alkyl), and/or aromatic rings, e.g. benzene or pyridine;
Y and Y' are selected from O, S, or NH;
R6 , R7 , R9 are selected from the same groups as R6, R7 and R9 respectively;
[Formula I]
RL1 is a linker for connection to the antibody (Ab);
R11a is selected from OH, ORA, where RA is Ci-4 alkyl, and SOzM, where z is 2 or 3 and M is a monovalent pharmaceutically acceptable cation;
R20 and R21 either together form a double bond between the nitrogen and carbon atoms to which they are bound or;
R20 is selected from H and Rc, where Rc is a capping group;
R21 is selected from OH, ORA and SOzM;
when there is a double bond present between C2 and C3, R2 is selected from the group consisting of:
(ia) C5-10 aryl group, optionally substituted by one or more substituents selected from the group comprising: halo, nitro, cyano, ether, carboxy, ester, Ci-7 alkyl, C3-7 heterocyclyl and bis-oxy-Ci-3 alkylene;
(ib) C1-5 saturated aliphatic alkyl;
(ic) C3-6 saturated cycloalkyl;
(id)
, wherein each of - R11 , D R12„ a„ndJ D R13 are independently selected from H,
C1-3 saturated alkyl, C2-3 alkenyl, C2-3 alkynyl and cyclopropyl, where the total number of carbon atoms in the R2 group is no more than 5;
(ie) , wherein one of R15a and R15b is H and the other is selected from: phenyl, which phenyl is optionally substituted by a group selected from halo, methyl, methoxy; pyridyl; and thiophenyl; and
(if)
, where R14 is selected from: H; C1-3 saturated alkyl; C2-3 alkenyl; C2-3 alkynyl; cyclopropyl; phenyl, which phenyl is optionally substituted by a group selected from halo, methyl, methoxy; pyridyl; and thiophenyl;
when there is a single bond present between C2 and C3,
saturated alkyl, C2-3 alkenyl, which alkyl and alkenyl groups are optionally substituted by a group selected from Ci-4 alkyl amido and Ci-4 alkyl ester; or, when one of R16a and R16b is H, the other is selected from nitrile and a C1-4 alkyl ester;
[Formula II]
R22 is of formula Ilia, formula Illb or formula 111 c:
(a) ^Q1' A-Q2'X "la
where A is a C5-7 aryl group, and either
(i) Q1 is a single bond, and Q2 is selected from a single bond and -Z-(CH2)n-, where Z is selected from a single bond, O, S and NH and n is from 1 to 3; or
(ii) Q1 is -CH=CH-, and Q2 is a single bond;
where;
where Q is selected from 0-RL2', S-RL2' and NRN-RL2 , and RN is selected from H, methyl and ethyl
selected from the group comprising H and C1-4 alkyl;
RL2 is a linker for connection to the antibody (Ab);
R10 and R11 either together form a double bond between the nitrogen and carbon atoms to which they are bound or;
R10 is H and R11 is selected from OH, ORA and SOzM;
R30 and R31 either together form a double bond between the nitrogen and carbon atoms to which they are bound or;
R30 is H and R31 is selected from OH, ORA and SOzM.
ConjE
In other embodiments, it may be preferred that the conjugate is selected from a conjugate of formula ConjA, ConjB, ConjC, ConjD and ConjE. The subscript p in the formula I is an integer of from 1 to 20. Accordingly, the Conjugates comprise an antibody (Ab) as defined below covalently linked to at least one Drug unit by a
Linker unit. The Ligand unit, described more fully below, is a targeting agent that binds to a target moiety. Accordingly, the present invention also provides methods for the treatment of, for example, various cancers and autoimmune disease. The drug loading is represented by p, the number of drug molecules per antibody. Drug loading may range from 1 to 20 Drug units (DL) per antibody. For compositions, p represents the average drug loading of the Conjugates in the composition, and p ranges from 1 to 20.
A second aspect of the invention provides a method of making a conjugate according to the first aspect of the invention comprising conjugating a compound of formula lL or llL:
to the antibody (Ab) as defined below, wherein:
RL1 is a linker suitable for conjugation to the antibody (Ab);
22L is of formula lllaL, formula lllbL or formula 111 cL:
where QL is selected from 0-RL2, S-RL2 and NRN-RL2, and RN is selected from H, methyl and ethyl
L2
XL is selected from the group comprising: 0-RL2, S-RL2, C02-RL2, CO-RL2, N=C=0-R >RL2' h N— R
NHNH-R , CONHNH-R1 NRNRL, wherein RN is selected from the group comprising H and C1-4 alkyl;
RL2 is a linker suitable for conjugation to the antibody (Ab);
and all the remaining groups are as defined in the first aspect.
Thus it may be preferred in the second aspect, that the invention provides a method of making a conjugate selected from the group consisting of ConjA, ConjB, ConjC, ConjD and ConjE comprising conjugating a compound which is selected respectively from A:
B:
C:
W 201 1/130615 discloses compound 26:
which is the parent compound of A. Compound A comprises this PBD with a linker for attachment to a cell binding agent. The cell binding agent provides a number of ethylene glycol moieties to provide solubility which is useful in the synthesis of conjugates.
W 201 1/130613 also discloses compound 51 :
Compound B differs from compound 30 by only having a (CH2)3 tether between the PBD moieties, instead of a (CH2)5 tether, which reduces the lipophilicity of the released PBD dimer. The linking group is attached to the C2-phenyl group in the para rather than meta
Compound C differs from this in two respects. The cell binding agent provides an increased number of ethylene glycol moieties to provide solubility which is useful in the synthesis of conjugates, and the phenyl substiuent provide two rather than one oxygen atom, which also aids solubility. Compound C's strucutre may also mean it binds more strongly in the minor groove.
Compounds A, B and C have two sp2 centres in each C-ring, which may allow for stronger binding in the minor groove of DNA, than for compounds with only one sp2 centre in each C- ring.
WO 201 1/130598 discloses compound 80:
Compound D differs from this by comprising an iodoacetamide group for linking to the cell binding agent. This group may offer advantages over compound 80 with regards to its stability when bound to a cell binding agent (see below). The malemide group in compound 80 can undergo a retro-Michael reaction, becoming unconjugated from the cell binding agent, and thus vunerable to scavenging by other thiol containing biological molecules, such as albumin and glutathione. Such unconjugation cannot occur with compound A. Also, the iodoacetamide group may avoid other unwanted side reactions. Compound E differs from previously disclosed PBD dimers with a drug linker having a C2-3 endo-double bond, by having a smaller, less lipophilic C2 substituent, e.g. 4F-phenyl, propylene. As such, the conjugates of compound B (see below) are less likely to aggregate once synthesised. Such aggregation of conjugates can be measured by Size exclusion chromatography (SEC).
Both compound D and E have two sp2 centres in each C-ring, which may allow for stronger binding in the minor groove of DNA, than for compounds with only one sp2 centre in each C- ring. The drug linkers disclosed in WO 2010/043880, WO 201 1/130613, WO 201 1/130598 and WO 201 1/130616 may be used in the present invention, and are incorporated herein by reference. The drug linkers described herein may be synthesised as described in these disclosures. Detailed description of the invention
The present invention is suitable for use in providing a PBD compound to a preferred site in a subject. The conjugate allows the release of an active PBD compound that does not retain
any part of the linker. There is no stub present that could affect the reactivity of the PBD mpound. Thus ConjA would release the compound RelA:
Con B would release the compound RelB:
Con D would release the compound RelD:
RelE
The speficied link between the PBD dimer and the antibody, in the present invention is preferably stable extracellularly. Before transport or delivery into a cell, the antibody-drug conjugate (ADC) is preferably stable and remains intact, i.e. the antibody remains linked to the drug moiety. The linkers are stable outside the target cell and may be cleaved at some efficacious rate inside the cell. An effective linker will: (i) maintain the specific binding properties of the antibody; (ii) allow intracellular delivery of the conjugate or drug moiety; (iii) remain stable and intact, i.e. not cleaved, until the conjugate has been delivered or
transported to its targetted site; and (iv) maintain a cytotoxic, cell-killing effect or a cytostatic effect of the PBD drug moiety. Stability of the ADC may be measured by standard analytical techniques such as mass spectroscopy, HPLC, and the separation/analysis technique LC/MS.
Delivery of the compounds of formulae RelA, RelB, ReIC, RelD or RelE is achieved at the desired activation site of the conjugates of formulae ConjA, ConjB, ConjC, ConjD or ConjE by the action of an enzyme, such as cathepsin, on the linking group, and in particular on the valine-alanine dipeptide moiety.
Antibody
In one aspect the antibody is an isolated humanized, anti-CD22 antibodies, having at least one antigen binding region derived from the high affinity VM1000, VM1001 , VM1002, VM1003, VM1004, VM1005, VM1006, VM1007, VM1008, VM1009, VM1010, VM101 1 , VM1012, VM1013, VM1014, or VM1015 anti-CD22 antibodies, as well as anti-CD22 antibody compositions, conjugated version of these anti-CD22 antibodies, encoding or complementary nucleic acids, vectors, host cells, compositions, formulations, devices, transgenic animals, transgenic plants related thereto, and methods of making and using thereof, as described and enabled herein, in combination with what is known in the art. The antibodies specifically neutralize human CD22 with high affinity.
In some embodiments the antibody is any one of VM1000, VM1001 , VM1002, VM1003, VM1004, VM1005, VM1006, VM1007, VM1008, VM1009, VM1010, VM101 1 , VM1012, VM1013, VM1014, or VM1015, or any protein or peptide molecule that comprises at least one complementarity determining region (CDR) (e.g., CDR1 , CDR2 or CDR3) of a heavy or light chain or a ligand binding portion thereof, derived from one of VM1000, VM1001 , VM1002, VM1003, VM1004, VM1005, VM1006, VM1007, VM1008, VM1009, VM1010, VM101 1 , VM1012, VM1013, VM1014, or VM1015, in combination with a heavy chain or light chain constant region, a framework region, or any portion thereof, that can be incorporated into the antibody. In one embodiment the antibody is an anti-CD22 antibody comprising a light chain and a heavy chain, each of the chains comprising at least part of a human constant region and at least part of a variable region (v) derived from one or more of VM1000, VM1001 , VM1002, VM1003, VM1004, VM1005, VM1006, VM1007, VM1008, VM1009, VM1010, VM101 1 , VM1012, VM1013, VM1014, or VM1015 each of which has specificity to human CD22, said antibody binding with high affinity to an inhibiting and/or neutralizing epitope of human CD22. The term "antibody" also includes fragments or a
derivative, such as one or more portions of the antibody chain, such as the heavy chain constant, joining, diversity or variable regions, or the light chain constant, joining or variable regions. The antibody can comprise at least one specified portion of at least one complementarily determining region (CDR) (e.g., CDR1 , CDR2 or CDR3 of the heavy or light chain variable region) derived from an anti-CD22 antibody (as such term is defined herein), and/or at least one constant or variable framework region or any portion thereof. The antibody amino acid sequence can further optionally comprise at least one specified substitution, insertion or deletion as described herein or as known in the art.
Preferred antibodies include VM1000, VM1001 , VM1002, VM1003, VM1004, VM1005, VM1006, VM1007, VM1008, VM1009, VM1010, VM101 1 , VM1012, VM1013, VM1014, and VM1015, as well as fragments and regions thereof.
In one embodiment, the antibody is an isolated antibody or antibody fragment that binds to human CD22, comprising a heavy chain variable region having the amino acid sequence of SEQ ID NO: 49, 50, 51 , 52, 53, 54, 55, 56, 57, 58, 59, 60, 61 , 62, 63, or 64; a light chain variable region having the amino acid sequence of SEQ ID NO: 17, 18, 19, 20, 21 , 22, 23, 24, 25, 26, 27, 28, 29, 30, 31 or 32; and a constant region derived from one or more human antibodies. In one aspect, the disclosure provides an isolated antibody or antibody fragment that binds to human CD22, comprising a heavy chain and light chain complementarity determining regions (CDRs) derived from the variable regions from one or more of VM1000, VM1001 , VM1002, VM1003, VM1004, VM1005, VM1006, VM1007, VM1008, VM1009, VM1010, VM101 1 , VM1012, VM1013, VM1014, and VM1015, and a constant region derived from one or more human antibodies. In another aspect, the disclosure provides an antibody or fragment according to claim 1 or 2, wherein said antibody or fragment competitively inhibits in vivo the binding to human CD22 of an anti CD22 murine antibody. Preferred antibodies are those that bind human CD22 and induce CD22 tyrosine
phosphorylation and internalization and negatively regulate B-cell growth and differentiation. Preferred methods for determining monoclonal antibody specificity and affinity by
competitive inhibition can be found in Harlow, et al, Antibodies: A Laboratory Manual, Cold Spring Harbor Laboratory Press, Cold Spring Harbor, N.Y., 1988), hereby incorporated by reference into the present application. In some embodiments the antibody binds at least one specified epitope specific to human CD22 protein, subunit, fragment, portion or any
combination thereof, for example as described by (Stein R, Belisle E, Hansen HJ,
Goldenberg DM: Epitope specificityof the anti-(B cell lymphoma) monoclonal antibody, LL2. Cancer Immunol Immunother 1993, 37:293-298.) The monoclonal antibody LL2 binds to the third immunoglobulin (Ig) repeat sequence in the extracellular domain of CD22 and is important for its modulatory effects on CD22 expressing B cell populations and lymphoma and leukemia cells. The epitope can comprise at least one antibody binding region, which epitope is preferably comprised of at least 1 -5 amino acids of at least one portion thereof, such as but not limited to, at least one functional, extracellular, soluble, hydrophillic, external or cytoplasmic domain of human CD22 protein, or any portion thereof.
In one aspect, the antibody is an isolated mammalian anti-CD22 antibody, comprising at least one variable region from one of VM1000, VM1001 , VM1002, VM1003, VM1004, VM1005, VM1006, VM1007, VM1008, VM1009, VM1010, VM101 1 , VM1012, VM1013, VM1014, and VM1015 and the nucleic acid sequences encoding them.
In another aspect, the antibody is an isolated mammalian anti-CD22 antibody, comprising either (i) all of the heavy chain complementarity determining regions (CDR) amino acid sequences derived from VM1000, VM1001 , VM1002, VM1003, VM1004, VM1005, VM1006, VM1007, VM1008, VM1009, VM1010, VM101 1 , VM1012, VM1013, VM1014, or VM1015 and the nucleic acid sequences encoding them; or (ii) all of the light chain CDR amino acids sequences from one of VM1000, VM1001 , VM1002, VM1003, VM1004, VM1005, VM1006, VM1007, VM1008, VM1009, VM1010, VM101 1 , VM1012, VM1013, VM1014, or VM1015 and the nucleic acid sequences encoding them. In another aspect, the antibody is an isolated mammalian anti-CD22 antibody, comprising at least one heavy chain or light chain CDR having the amino acid sequence derived from VM1000, VM1001 , VM1002, VM1003, VM1004, VM1005, VM1006, VM1007, VM1008, VM1009, VM1010, VM101 1 , VM1012, VM1013, VM1014, and VM1015 and the nucleic acid sequences encoding them.
In other aspect the antibody is an isolated mammalian chimeric, humanized or CDR-grafted anti-CD22 antibody, comprising at least one human CDR, or no human CDRs, wherein the antibody specifically binds at least one epitope comprising at least 1 -3 amino acids of an epitope of human CD22.
In some embodiments the antibody can optionally further bind CD22 with an affinity (KDof at least 10"9 M, preferably at least 10"10 M, and/or substantially neutralize at least one activity of at least one CD22 protein. In a preferred embodiment, the antibody binds CD22 with an affinity (KDs) of at least 5 x 10"10 M, preferably 5 x 10"11, more preferably 5 x 10"12 and neutralizes human CD22.
Definitions
As used herein, an "Anti-CD22 antibody," "Anti-CD22 antibody," "Anti-CD22 antibody portion," or "Anti-CD22 antibody fragment" and/or "Anti-CD22 antibody variant" and the like include any protein or peptide containing molecule that comprises at least a portion of an immunoglobulin molecule, containing at least one complementarity determining region (CDR) of a heavy or light chain or a ligand binding portion thereof derived from at least one of VM1000, VM1001 , VM1002, VM1003, VM1004, VM1005, VM1006, VM1007, VM1008, VM1009, VM1010, VM101 1 , VM1012, VM1013, VM1014, or VM1015 , in combination with a heavy chain or light chain variable region, a heavy chain or light chain constant region, a framework region, or any portion thereof, of non-murine origin, preferably of human origin, which can be incorporated into the antibody. Alternatively, the term "Anti-CD22 antibody" shall refer collectively or individually to the humanized monoclonal antibodies VM1000, VM1001 , VM1002, VM1003, VM1004, VM1005, VM1006, VM1007, VM1008, VM1009, VM1010, VM101 1 , VM1012, VM1013, VM1014, and VM1015. Such antibody is capable of modulating, decreasing, antagonizes, mitigates, alleviates, blocks, inhibits, abrogates and/or interferes with at least one CD22 activity or binding, or with CD22 receptor activity or binding, in vitro, in situ and/or in vivo. As a non-limiting example, a suitable Anti-CD22 antibody, specified portion or variant can bind with high affinity to an inhibiting and/or neutralizing epitope of human CD22 recognized by at least one of VM1000, VM1001 , VM1002, VM1003, VM1004, VM1005, VM1006, VM1007, VM1008, VM1009, VM1010, VM101 1 , VM1012, VM1013, VM1014, or VM1015 monoclonal antibody. A suitable Anti- CD22 antibody, specified portion, or variant can also optionally affect at least one of CD22 activity or function, such as but not limited to, RNA, DNA or protein synthesis, CD22 release, CD22 receptor signaling, membrane CD22 cleavage, CD22 activity, CD22 production and/or synthesis.
The term "antibody" is further intended to encompass antibodies, digestion fragments, specified portions and variants thereof, including antibody mimetics or comprising portions of antibodies that mimic the structure and/or function of an antibody or specified fragment or portion thereof, including single chain antibodies and fragments thereof, each containing at
least one CDR derived from an Anti-CD22. Functional fragments include antigen-binding fragments that bind to a mammalian CD22. For example, antibody fragments capable of binding to CD22 or portions thereof, including, but not limited to Fab (e.g., by papain digestion), Fab' (e.g., by pepsin digestion and partial reduction) and F(ab')2 (e.g., by pepsin digestion), facb (e.g., by plasmin digestion), pFc' (e.g., by pepsin or plasmin digestion), Fd (e.g., by pepsin digestion, partial reduction and reaggregation), Fv or scFv (e.g., by molecular biology techniques) fragments, are encompassed by this disclosure (see, e.g., Colligan, Immunology, supra). Antibody fragments can be produced by enzymatic cleavage, synthetic or recombinant techniques, as known in the art and/or as described herein. Antibodies can also be produced in a variety of truncated forms using antibody genes in which one or more stop codons have been introduced upstream of the natural stop site. For example, a combination gene encoding a F(ab')2 heavy chain portion can be designed to include DNA sequences encoding the CH-i domain and/or hinge region of the heavy chain. The various portions of antibodies can be joined together chemically by conventional techniques, or can be prepared as a contiguous protein using genetic engineering techniques.
As used herein "chimeric" antibodies or "humanized" antibodies or "CDR-grafted" include any combination of the herein described Anti-CD22 Abs, or any CDR derived therefrom combined with one or more proteins or peptides derived from a non-murine, preferably, human antibody. Chimeric or humanized antibodies include those wherein the CDR's are derived from one or more of the Anti-CD22 Abs described herein and at least a portion, or the remainder of the antibody is derived from one or more human antibodies. Thus, the human part of the antibody may include the framework, CL, CH domains (e.g., Cm, CH2, Cm), hinge, (VL, VH)) regions which are substantially non-immunogenic in humans. The regions of the antibody that are derived from human antibodies need not have 100% identity with human antibodies. In a preferred embodiment, as many of the human amino acid residues as possible are retained in order for the immunogenicity to be negligible, but the human residues may be modified as necessary to support the antigen binding site formed by the CDR's while simultaneously maximizing the humanization of the antibody. Such changes or variations optionally and preferably retain or reduce the immunogenicity in humans or other species relative to non-modified antibodies. It is pointed out that a humanized antibody can be produced by a non-human animal or prokaryotic or eukaryotic cell that is capable of expressing functionally rearranged human immunoglobulin (e.g., heavy chain and/or light chain) genes. Further, when the antibody is a single chain antibody, it can comprise a linker
peptide that is not found in native human antibodies. For example, an Fv can comprise a linker peptide, such as two to about eight glycine or other amino acid residues, which connects the variable region of the heavy chain and the variable region of the light chain. Such linker peptides are considered to be of human origin.
Antibody humanization can be performed by, for example, synthesizing a combinatorial library comprising the six CDRs of a non-human target monoclonal antibody fused in frame to a pool of individual human frameworks. A human framework library that contains genes representative of all known heavy and light chain human germline genes can be utilized. The resulting combinatorial libraries can then be screened for binding to antigens of interest. This approach can allow for the selection of the most favorable combinations of fully human frameworks in terms of maintaining the binding activity to the parental antibody. Humanized antibodies can then be further optimized by a variety of techniques. For full-length antibody molecules, the immunoglobulin genes can be obtained from genomic DNA or mRNA of hybridoma cell lines. Antibody heavy and light chains are cloned in a mammalian vector system. Assembly is documented with double strand sequence analysis. The antibody construct can be expressed in other human or mammalian host cell lines. The construct can then be validated by transient transfection assays and Western blot analysis of the expressed antibody of interest. Stable cell lines with the highest productivity can be isolated and screened using rapid assay methods.
Several publications describe in detail uses, applications and methods of use and application of anti-CD22 antibodies, for example U.S. Patent Application Number US201 10182887 entitled "Humanized Anti-CD22 Antibodies and Their Use", U.S. Patent Application Number US201 10020344 entitled "Human Monoclonal Antibodies Specific for CD22", and U.S.
Patent Application Number US20100143368 entitled "Human Antibodies That Bind CD22 and Uses Thereof" all of which are incorporated herein by reference. The Anti-CD22 antibodies comprise any one of VM1000, VM1001 , VM1002, VM1003, VM1004, VM1005, VM1006, VM1007, VM1008, VM1009, VM1010, VM101 1 , VM1012, VM1013, VM1014, or VM1015 antibodies or an antibody in which the variable region or CDRs are derived from any one of VM1000, VM1001 , VM1002, VM1003, VM1004, VM1005, VM1006, VM1007, VM1008, VM1009, VM1010, VM101 1 , VM1012, VM1013, VM1014, or VM1015 antibody and the framework and constant regions of the antibody are derived from one or more human antibodies. The variable region or CDRs derived from the antibody
preferably have from about 90% to about 100% identity with the variable region or CDRs of any one of VM1000, VM1001 , VM1002, VM1003, VM1004, VM1005, VM1006, VM1007, VM1008, VM1009, VM1010, VM101 1 , VM1012, VM1013, VM1014, or VM1015 antibody, although any and all modifications, including substitutions, insertions and deletions, are contemplated so long as the chimeric antibody maintains the ability to bind to and inhibit CD22. The regions of the chimeric, humanized or CDR-grafted antibodies that are derived from human antibodies need not have 100% identity with the human antibodies. In a preferred embodiment, as many of the human amino acid residues as possible are retained in order that immunogenicity is negligible, but the human residues, in particular residues of the framework region, are substituted as required and as taught herein. Such modifications as disclosed herein are necessary to support the antigen binding site formed by the CDRs while simultaneously maximizing the humanization of the antibody.
The nucleic acid sequences and the deduced amino acid sequences of the variable regions (light and heavy chain) of the Anti-CD22 antibodies are set forth in Figures 1-15. Each of the heavy and light chain variable regions contain three CDRs that combine to form the antigen binding site. The three CDRs are surrounded by four framework regions that primarily function to support the CDRs. The sequences of the CDRs within the sequences of the variable regions of the heavy and light chains can be identified by computer-assisted alignment according to Kabat et al. (1987) in Sequences of Proteins of Immunological Interest, 4th ed., United States Department of Health and Human Services, U.S. Government Printing Office, Washington, D.C., or by molecular modeling of the variable regions, for example utilizing the ENCAD program as described by Levitt (1983) J. Mol. Biol. 168:595.
In a preferred embodiment the CDRs are derived from any one of VM1000, VM1001 , VM1002, VM1003, VM1004, VM1005, VM1006, VM1007, VM1008, VM1009, VM1010,
VM101 1 , VM1012, VM1013, VM1014, or VM1015. Determination of the heavy chain CDRs and light chain CDRs is well within the skill of one in the art. See, for example,
http://www.bioinf.org.uk/abs/. The sequences of the CDRs of the Anti-CD22 antibody may be modified by insertions, substitutions and deletions to the extent that the CDR-grafted antibody maintains the ability to bind to and inhibit human CD22. The ordinarily skilled artisan can ascertain the maintenance of this activity by performing the functional assays described herein below. Alternatively, the entire heavy chain variable region and light chain variable region of any one of VM1000, VM1001 , VM1002, VM1003, VM1004, VM1005, VM1006, VM1007,
VM1008, VM1009, VM1010, VM101 1 , VM1012, VM1013, VM1014, or VM1015 may be combined with the human constant and framework regions to form a chimeric antibody. Clone VM1000 comprises light chain VM1000LC (SEQ ID NO: 1 ) and heavy chain
VM1000HC (SEQ ID NO: 33). Clone VM1001 comprises light chain VM1001 LC (SEQ ID NO: 2) and heavy chain VM1001 HC (SEQ ID NO: 34). Clone VM1002 comprises light chain VM1002LC (SEQ ID NO: 3) and heavy chain VM1002HC (SEQ ID NO: 35). Clone VM1003 comprises light chain VM1003LC (SEQ ID NO: 4) and heavy chain VM1003HC (SEQ ID NO: 36). Clone VM1004 comprises light chain VM1004LC (SEQ ID NO: 5) and heavy chain VM1004HC (SEQ ID NO: 37). Clone VM1005 comprises light chain VM1005LC (SEQ ID NO: 6) and heavy chain VM1005HC (SEQ ID NO: 38). Clone VM1006 comprises light chain VM1006LC (SEQ ID NO: 7) and heavy chain VM1006HC (SEQ ID NO: 39). Clone VM1007 comprises light chain VM1007LC (SEQ ID NO: 8) and heavy chain VM1007HC (SEQ ID NO: 40). Clone VM1008 comprises light chain VM1008LC (SEQ ID NO: 9) and heavy chain VM1008HC (SEQ ID NO: 41 ). Clone VM1009 comprises light chain VM1009LC (SEQ ID NO: 10) and heavy chain VM1009HC (SEQ ID NO: 42). Clone VM1010 comprises light chain VM1010LC (SEQ ID NO: 1 1 ) and heavy chain VM1010HC (SEQ ID NO: 43). Clone VM101 1 comprises light chain VM101 1 LC (SEQ ID NO: 12) and heavy chain VM101 1 HC (SEQ ID NO: 44). Clone VM1012 comprises light chain VM1012LC (SEQ ID NO: 13) and heavy chain VM1012HC (SEQ ID NO: 45). Clone VM1013 comprises light chain VM1013LC (SEQ ID NO: 14) and heavy chain VM1013HC (SEQ ID NO: 46). Clone VM1014 comprises light chain VM1014LC (SEQ ID NO: 15) and heavy chain VM1014HC (SEQ ID NO: 47). Clone VM1015 comprises light chain VM1015LC (SEQ ID NO: 16) and heavy chain
VM1015HC (SEQ ID NO: 48). Human genes which encode the constant (C) regions of the humanized antibodies, fragments and regions can be derived from a human fetal liver library, by known methods. Human C region genes can be derived from any human cell including those which express and produce human immunoglobulins. The human CH region can be derived from any of the known classes or isotypes of human H chains, including γ, μ, α, δ, ε, and subtypes thereof, such as G1 , G2, G3 and G4. Since the H chain isotype is responsible for the various effector functions of an antibody, the choice of CH region will be guided by the desired effector functions, such as complement fixation, or activity in antibody-dependent cellular cytotoxicity (ADCC). Preferably, the CH region is derived from gamma 1 (lgG1 ). The human CL region can be derived from either human L chain isotype, kappa or lambda, preferably kappa.
Genes encoding human immunoglobulin C regions are obtained from human cells by standard cloning techniques (Sambrook, et al. (Molecular Cloning: A Laboratory Manual, 2nd Edition, Cold Spring Harbor Press, Cold Spring Harbor, N.Y. (1989) and Ausubel et al., eds. Current Protocols in Molecular Biology (1987-1993)). Human C region genes are readily available from known clones containing genes representing the two classes of L chains, the five classes of H chains and subclasses thereof. Chimeric antibody fragments, such as F(ab1)2 and Fab, can be prepared by designing a chimeric H chain gene which is appropriately truncated. For example, a chimeric gene encoding an H chain portion of an F(ab1)2 fragment would include DNA sequences encoding the CH1 domain and hinge region of the H chain, followed by a translational stop codon to yield the truncated molecule.
Generally, in one example, humanized antibodies, fragments and regions are produced by cloning DNA segments encoding the H and L chain antigen-binding regions of the Anti CD22 specific antibody, and joining these DNA segments to DNA segments including CH and CL regions, respectively, to produce full length immunoglobulin-encoding genes.
The sequences of the variable regions of the antibody may be modified by insertions, substitutions and deletions to the extent that the chimeric antibody maintains the ability to bind to and inhibit human CD22. The ordinarily skilled artisan can ascertain the
maintenance of this activity by performing the functional assays described hereinbelow. The variable regions can have, for example, from about 50% to about 100% homology to the variable regions of SEQ ID NOS: 1 -64. In a preferred embodiment, the variable regions of the antibody have from about 80% to about 100% homology to the variable regions of SEQ ID NOS: 1 -64. In a more preferred embodiment the variable regions have from about 90% to about 100% homology to the variable regions of SEQ ID NOS: 1-64.
In one specific aspect, preferred anti-CD22 Mabs of the disclosure comprise variable light chain regions having 95%, 96%, 97%, 98% or 99% amino acid sequence homology to SEQ ID NO: 17-32 and further comprise variable heavy chain regions having 95%, 96%, 97%, 98% or 99% amino acid sequence homology to SEQ ID NO: 49-64.
In one specific aspect, preferred anti-CD22 Mabs of the disclosure comprise a variable light chain region selected from one of SEQ ID NO: 1-16. In another specific aspect, preferred anti-CD22 Mabs of the disclosure comprise a variable heavy chain region selected from one of SEQ ID NO: 33-48.
Methods for engineering or humanizing non-human or human antibodies can be used and are well known in the art. Generally, a humanized or engineered antibody has one or more amino acid residues from a source which is non-human, e.g., but not limited to mouse, rat, rabbit, non-human primate or other mammal. These human amino acid residues are often referred to as "import" residues, which are typically taken from an "import" variable, constant or other domain of a known human sequence. Known human Ig sequences are disclosed, e.g., www.ncbi.nlm.nih.gov/entrez/query.fcgi; www.atcc.org/phage/hdb.html;
www.sciquest.com/; www.abcam.com/; www.antibodyresource.com/onlinecomp.html;
www.public.iastate.edu/.about.pedro/research_tools.html; www. mgen.uni- heidelberg.de/SD/IT/IT.html; www.whfreeman.com/immunology/CH05/kuby05.htm;
www.library.thinkquest.org/12429/lmmune/Antibody.html;
www.hhmi.org/grants/lectures/1996/vlab/;
www.path. cam. ac.uk/. about.mrc7/mikeimages. html; www.antibodyresource.com/;
mcb.harvard.edu/BioLinks/lmmunology.html. www.immunologylink.com/;
pathbox.wustl.edu/. about. hcenter/index. html; www.biotech.ufl. edu/.about.hcl/;
www.pebio.com/pa/340913/340913.html; www.nal.usda.gov/awic/pubs/antibody/;
www.m. ehime-u.ac.jp/. about. yasuhito/Elisa. html; www.biodesign.com/table.asp;
www.icnet.uk/axp/facs/davies/links.html; www.biotech.ufl.edu/.about.fccl/protocol.html; www. isac-net.org/sites_geo.html; aximtl .imt.uni-marburg.de/.about.rek/AEPStart.html;
baserv.uci.kun.nI/.about.jraats/links1. html; www.recab.uni-hd.de/immuno.bme.nwvu.edu/; www.mrc-cpe.cam.ac.uk/imt-doc/public/INTRO.html; www.ibt.unam.mx/vir/V_mice.html; imgt.cnusc.fr:8104/; www.biochem.ucl.ac.uk/.about.martin/abs/index.html;
antibody.bath.ac.uk/; abgen.cvm.tamu.edu/lab/wwwabgen.html;
www.unizh.ch/.about.honegger/AHOseminar/SlideOI .html;
www.cryst.bbk. ac.uk/. about. ubcg07s/; www.nimr.mrc.ac.uk/CC/ccaewg/ccaewg.htm;
www.path. cam. ac.uk/. about. mrc7/humanisation/TAHHP. html;
www.ibt.unam.mx/vir/structure/stat_aim.html; www.biosci.missouri.edu/smithgp/index.html; www.cryst.bioc. cam. ac.uk/. about.fmolina/Web-pages/Pept/spottech. html;
www.jerini.de/fr_products.htm; www. patents. ibm.con/ibm. html. Kabat et al. Sequences of Proteins of Immunological Interest, U.S. Dept. Health (1983), each entirely incorporated herein by reference.
Such imported sequences can be used to reduce immunogenicity or reduce, enhance or modify binding, affinity, on-rate, off-rate, avidity, specificity, half-life, or any other suitable characteristic, as known in the art. Generally part or all of the non-human or human CDR
sequences are maintained while the non-human sequences of the variable and constant regions are replaced with human or other amino acids. Antibodies can also optionally be humanized with retention of high affinity for the antigen and other favorable biological properties. To achieve this goal, humanized antibodies can be optionally prepared by a process of analysis of the parental sequences and various conceptual humanized products using three-dimensional models of the parental and humanized sequences. Three- dimensional immunoglobulin models are commonly available and are familiar to those skilled in the art. Computer programs are available which illustrate and display probable three- dimensional conformational structures of selected candidate immunoglobulin sequences. Inspection of these displays permits analysis of the likely role of the residues in the functioning of the candidate immunoglobulin sequence, i.e., the analysis of residues that influence the ability of the candidate immunoglobulin to bind its antigen. In this way, FR residues can be selected and combined from the consensus and import sequences so that the desired antibody characteristic, such as increased affinity for the target antigen(s), is achieved. In general, the CDR residues are directly and most substantially involved in influencing antigen binding. Humanization or engineering the antibody can be performed using any known method, such as but not limited to those described in, Winter (Jones et al., Nature 321 :522 (1986); Riechmann et al., Nature 332:323 (1988); Verhoeyen et al., Science 239:1534 (1988)), Sims et al., J. Immunol. 151 : 2296 (1993); Chothia and Lesk, J. Mol. Biol. 196:901 (1987), Carter et al., Proc. Natl. Acad. Sci. U.S.A. 89:4285 (1992); Presta et al., J. Immunol. 151 :2623 (1993), U.S. Pat. Nos. 5,723,323, 5,976,862, 5,824,514, 5,817,483, 5,814,476, 5,763, 192, 5,723,323, 5,766,886, 5,714,352, 6,204,023, 6,180,370, 5,693,762, 5,530,101 , 5,585,089, 5,225,539; 4,816,567, PCT/: US98/16280, US96/18978, US91/09630, US91/05939, US94/01234, GB89/01334, GB91/01 134, GB92/01755; WO90/14443,
WO90/14424, WO90/14430, EP 229246, each entirely incorporated herein by reference, included references cited therein.
The human constant region of the humanized antibody can be of any class (IgG, IgA, IgM, IgE, IgD, etc.) or isotype and can comprise a kappa or lambda light chain. In one
embodiment, the human constant region comprises an IgG heavy chain or defined fragment, for example, at least one of isotypes, lgG1 , lgG2, lgG3 or lgG4. In another embodiment, the anti-human CD22 human antibody comprises an lgG1 heavy chain and a lgG1 K light chain. The isolated anti-CD22 antibodies described herein comprise antibody amino acid sequences disclosed herein encoded by any suitable polynucleotide as well as. Preferably, the antibody or antigen-binding fragment binds human CD22 and, thereby partially or substantially neutralizes at least one biological activity of the protein. The antibody, or
specified portion or variant thereof, partially or preferably substantially neutralizes at least one biological activity of at least one CD22 protein or fragment and thereby inhibit activities mediated through the binding of CD22 to the CD22 receptor or through other CD22- dependent or mediated mechanisms. As used herein, the term "neutralizing antibody" refers to an antibody that can inhibit an CD22-dependent activity by about 20-120%, preferably by at least about 10, 20, 30, 40, 50, 55, 60, 65, 70, 75, 80, 85, 90, 91 , 92, 93, 94, 95, 96, 97, 98, 99, 100% or more depending on the assay. The capacity of an Anti-CD22 antibody to inhibit a CD22-dependent activity is preferably assessed by at least one suitable CD22 protein or receptor assay, as described herein and/or as known in the art.
At least one antibody described herein binds at least one specified epitope specific to at least one CD22 protein, subunit, fragment, portion or any combination thereof. The at least one epitope can comprise at least one antibody binding region that comprises at least one portion of the protein, which epitope is preferably comprised of at least one extracellular, soluble, hydrophillic, external or cytoplasmic portion of the protein. Generally, the human antibody or antigen-binding fragment will comprise an antigen-binding region that comprises at least one human complementarity determining region (CDR1 , CDR2 and CDR3) or variant of at least one heavy chain variable region and at least one human complementarity determining region (CDR4, CDR5 and CDR6) or variant of at least one light chain variable region, derived from an anti-CD22 Ab described herein. In a particular embodiment, the antibody or antigen-binding fragment can have an antigen-binding region that comprises at least a portion of at least one heavy chain CDR (i.e., CDR1 , CDR2 and/or CDR3) having the amino acid sequence of the corresponding CDRs 1 , 2 and/or 3. In another particular embodiment, the antibody or antigen-binding portion or variant can have an antigen-binding region that comprises at least a portion of at least one light chain CDR (i.e., CDR4, CDR5 and/or CDR6) having the amino acid sequence of the corresponding CDRs 4, 5 and/or 6. In a preferred embodiment the three heavy chain CDRs and the three light chain CDRs of the antibody or antigen-binding fragment have the amino acid sequence of the corresponding CDR of at least one of VM1000, VM1001 , VM1002, VM1003, VM1004, VM1005, VM1006, VM1007, VM1008, VM1009, VM1010, VM101 1 , VM1012, VM1013, VM1014, or VM1015. Such antibodies can be prepared by chemically joining together the various portions (e.g., CDRs, framework) of the antibody using conventional techniques, by preparing and expressing a (i.e., one or more) nucleic acid molecule that encodes the antibody using conventional techniques of recombinant DNA technology or by using any other suitable method and using any of the possible redundant codons that will result in expression of an anti-CD22 antibody.
Liquid phase synthesis of combinatorial variable domain humanized libraries for the light chain and the heavy chain can be employed. The assembly of a humanized light chain (LC) variable domain library, for example, contains human light chain frameworks (FW) and non- human complementarity determining regions (CDR). The library is assembled by, for example, by using stepwise liquid phase ligation of FW and CDR DNA fragments. The libraries are assembled by using stepwise liquid phase ligation of FW and CDR DNA fragments in the order of FW1 -CDR1 -FW2-CDR2-FW3-CDR3 by techniques known to one of skill in the art. For example, by the techniques of one or more of the following references, each of which is incorporated herein by reference. Lo, B.K., 2003, Antibody humanization by CDR grafting. Antibody Engineering, Methods and protocols. Edit by Benny K. C. Lo, Methods in Molecular Biology, 248, 135-159; Kashmiri et al., 2003, Developing a minimally immunogenic humanized antibody by CDR grafting. Antibody Engineering, Methods and protocols. Edit by Benny K. C. Lo, Methods in Molecular Biology, 248, 361 -376; Bassette, P. H., et al., 2003, Construction of Designed Protein Libraries Using Gene Assembly
Mutagenesis. Directed Evolution Library Creation, Methods and protocols. Edit. Arnold and Georgiou, Methods in Molecular Biology, 231 , 29-37; Chames, P., et al., 2001 , Selections on Biotinylated antigens. Antibody Engineering, Edit by R. Kontermann and S. Dubel, Springer Lab Manual, 149-166; O'Brien S., and Jones, T., 2001 , Humanising antibodies by CDR grafting. Antibody Engineering, Edit by R. Kontermann and S. Dubel, Springer Lab Manual, 567-590.
Antibodies that bind to human CD22 and that comprise the defined heavy or light chain variable region or CDR regions can be prepared using suitable methods, such as phage display (Katsube, Y., et al., Int J. Mol. Med, 1 (5):863-868 (1998)) or methods that employ transgenic animals, as known in the art and/or as described herein. For example, the antibody, specified portion or variant can be expressed using the encoding nucleic acid or portion thereof in a suitable host cell. As stated, the "antibody" may be a full-length antibody, an antigen-binding fragment, an immunoglobulin chain and CDRs comprising amino acids in a sequence that is substantially the same as an amino acid sequence described herein. Such Anti-CD22 antibodies can include one or more amino acid substitutions, deletions or additions, either from natural mutations or human manipulation, as specified herein. Preferably, such antibodies or antigen-binding fragments and antibodies comprising such chains or CDRs can bind human CD22 with high affinity (e.g., KD less than or equal to about 10"9 M). Amino acid sequences
that are substantially the same as the sequences described herein include sequences comprising conservative amino acid substitutions, as well as amino acid deletions and/or insertions. A conservative amino acid substitution refers to the replacement of a first amino acid by a second amino acid that has chemical and/or physical properties (e.g., charge, structure, polarity, hydrophobicity/hydrophilicity) that are similar to those of the first amino acid. Conservative substitutions include replacement of one amino acid by another within the following groups: lysine (K), arginine (R) and histidine (H); aspartate (D) and glutamate (E); asparagine (N), glutamine (Q), serine (S), threonine (T), tyrosine (Y), K, R, H, D and E; alanine (A), valine (V), leucine (L), isoleucine (I), proline (P), phenylalanine (F), tryptophan (W), methionine (M), cysteine (C) and glycine (G); F, W and Y; C, S and T.
Of course, the number of amino acid substitutions a skilled artisan would make depends on many factors, including those described above. Generally speaking, the number of amino acid substitutions, insertions or deletions for any given Anti-CD22 antibody, fragment or variant will not be more than 40, 30, 20, 19, 18, 17, 16, 15, 14, 13, 12, 1 1 , 10, 9, 8, 7, 6, 5, 4, 3, 2, 1 , such as 1 -30 or any range or value therein, as specified herein.
Amino acids in an Anti-CD22 antibody that are essential for function can be identified by methods known in the art, such as site-directed mutagenesis or alanine-scanning
mutagenesis (e.g., Ausubel, supra, Chapters 8, 15; Cunningham and Wells, Science
244:1081-1085 (1989)). The latter procedure introduces single alanine mutations at every residue in the molecule. The resulting mutant molecules are then tested for biological activity, such as, but not limited to at least one CD22 neutralizing activity. Sites that are critical for antibody binding can also be identified by structural analysis such as
crystallization, nuclear magnetic resonance or photoaffinity labeling (Smith, et al., J. Mol. Biol. 224:899-904 (1992) and de Vos, et al., Science 255:306-312 (1992)).
Anti-CD22 antibodies can include, but are not limited to, at least one portion, sequence or combination selected from 5 to all of the contiguous amino acids of at least one of CDRs derived from SEQ ID NOS: 17-32 and 49-64.
An Anti-CD22 antibody can further optionally comprise a polypeptide of at least one of 70- 100% of the contiguous amino acids of the CDRs derived from at least one of SEQ ID NOS: 17-32 and 49-64. In one specific aspect, the anti-CD22 antibody comprises a polypeptide of 95-99% sequence homology to SEQ ID NO: 1 -16. In another specific aspect, the anti-CD22 antibody comprises a polypeptide of 95-99% sequence homology to SEQ ID NO: 33-48.
In one embodiment, the amino acid sequence of an immunoglobulin chain, or portion thereof (e.g., variable region, CDR) has about 70-100% identity (e.g., 70, 71 , 72, 73, 74, 75, 76, 77, 78, 79, 80, 81 , 82, 83, 84, 85, 86, 87, 88, 89, 90, 91 , 92, 93, 94, 95, 96, 97, 98, 99, 100 or any range or value therein) to the amino acid sequence of at least one of SEQ ID NOS: 17- 32 or 49-64. Preferably, 70-100% amino acid identity (i.e., 90, 91 , 92, 93, 94, 95, 96, 97, 98, 99, 100 or any range or value therein) is determined using a suitable computer algorithm, as known in the art. In one specific aspect, the anti-CD22 antibody comprises a polypeptide of 95-99% sequence homology to SEQ ID NO: 17-32 or 49-64.
Exemplary heavy chain and light chain variable regions sequences are provided in SEQ ID NOS: 1-64. The antibodies described herein, or specified variants thereof, can comprise any number of contiguous amino acid residues from an antibody described herein, wherein that number is selected from the group of integers consisting of from 10-100% of the number of contiguous residues in an Anti-CD22 antibody. Optionally, this subsequence of contiguous amino acids is at least about 10, 20, 30, 40, 50, 60, 70, 80, 90, 100, 1 10, 120, 130, 140, 150, 160, 170, 180, 190, 200, 210, 220, 230, 240, 250 or more amino acids in length, or any range or value therein. Further, the number of such subsequences can be any integer selected from the group consisting of from 1 to 20, such as at least 2, 3, 4, or 5.
As those of skill will appreciate, the antibody includes at least one biologically active antibody. Biologically active antibodies have a specific activity at least 20%, 30%, or 40%, and preferably at least 50%, 60%, or 70%, and most preferably at least 80%, 90%, or 95%- 100% of that of the native (non-synthetic), endogenous or related and known antibody.
Methods of assaying and quantifying measures of enzymatic activity and substrate specificity, are well known to those of skill in the art.
In another aspect, the antibody may be a human antibody or antigen-binding fragment, as described herein, which is modified by the covalent attachment of an organic moiety. Such modification can produce an antibody or antigen-binding fragment with improved
pharmacokinetic properties (e.g., increased in vivo serum half-life). The organic moiety can be a linear or branched hydrophilic polymeric group, fatty acid group, or fatty acid ester group. In particular embodiments, the hydrophilic polymeric group can have a molecular weight of about 800 to about 120,000 Daltons and can be a polyalkane glycol (e.g., polyethylene glycol (PEG), polypropylene glycol (PPG)), carbohydrate polymer, amino acid
polymer or polyvinyl pyrolidone, and the fatty acid or fatty acid ester group can comprise from about eight to about forty carbon atoms.
The modified antibodies and antigen-binding fragments can comprise one or more organic moieties that are covalently bonded, directly or indirectly, to the antibody. Each organic moiety that is bonded to an antibody or antigen-binding fragment described herein can independently be a hydrophilic polymeric group, a fatty acid group or a fatty acid ester group. As used herein, the term "fatty acid" encompasses mono-carboxylic acids and di-carboxylic acids. A "hydrophilic polymeric group," as the term is used herein, refers to an organic polymer that is more soluble in water than in octane. For example, polylysine is more soluble in water than in octane. Thus, an antibody modified by the covalent attachment of polylysine is encompassed by the present disclosure. Hydrophilic polymers suitable for modifying antibodies described herein can be linear or branched and include, for example, polyalkane glycols (e.g., PEG, monomethoxy-polyethylene glycol (mPEG), PPG and the like), carbohydrates (e.g., dextran, cellulose, oligosaccharides, polysaccharides and the like), polymers of hydrophilic amino acids (e.g., polylysine, polyarginine, polyaspartate and the like), polyalkane oxides (e.g., polyethylene oxide, polypropylene oxide and the like) and polyvinyl pyrolidone. Preferably, the hydrophilic polymer that modifies the antibody described herein has a molecular weight of about 800 to about 150,000 Daltons as a separate molecular entity. For example PEG5000 and PEG2o,ooo, wherein the subscript is the average molecular weight of the polymer in Daltons, can be used. The hydrophilic polymeric group can be substituted with one to about six alkyl, fatty acid or fatty acid ester groups.
Hydrophilic polymers that are substituted with a fatty acid or fatty acid ester group can be prepared by employing suitable methods. For example, a polymer comprising an amine group can be coupled to a carboxylate of the fatty acid or fatty acid ester, and an activated carboxylate (e.g., activated with Ν,Ν-carbonyl diimidazole) on a fatty acid or fatty acid ester can be coupled to a hydroxyl group on a polymer.
Fatty acids and fatty acid esters suitable for modifying antibodies described herein can be saturated or can contain one or more units of unsaturation. Fatty acids that are suitable for modifying antibodies described herein include, for example, n-dodecanoate (C12, laurate), n- tetradecanoate (C14, myristate), n-octadecanoate (C18, stearate), n-eicosanoate (C2o, arachidate), n-docosanoate (C22, behenate), n-triacontanoate (C3o), n-tetracontanoate (C40), cis-δ 9-octadecanoate (Ci8, oleate), all cis-δ 5,8, 1 1 , 14-eicosatetraenoate (C2o,
arachidonate), octanedioic acid, tetradecanedioic acid, octadecanedioic acid, docosanedioic acid, and the like. Suitable fatty acid esters include mono-esters of dicarboxylic acids that
comprise a linear or branched lower alkyl group. The lower alkyl group can comprise from one to about twelve, preferably one to about six, carbon atoms.
The modified human antibodies and antigen-binding fragments can be prepared using suitable methods, such as by reaction with one or more modifying agents. A "modifying agent" as the term is used herein, refers to a suitable organic group (e.g., hydrophilic polymer, a fatty acid, a fatty acid ester) that comprises an activating group. An "activating group" is a chemical moiety or functional group that can, under appropriate conditions, react with a second chemical group thereby forming a covalent bond between the modifying agent and the second chemical group. For example, amine-reactive activating groups include electrophilic groups such as tosylate, mesylate, halo (chloro, bromo, fluoro, iodo), N- hydroxysuccinimidyl esters (NHS), and the like. Activating groups that can react with thiols include, for example, maleimide, iodoacetyl, acrylolyl, pyridyl disulfides, 5-thiol-2- nitrobenzoic acid thiol (TNB-thiol), and the like. An aldehyde functional group can be coupled to amine- or hydrazide-containing molecules, and an azide group can react with a trivalent phosphorous group to form phosphoramidate or phosphorimide linkages. Suitable methods to introduce activating groups into molecules are known in the art (see for example,
Hernanson, G. T., Bioconjugate Techniques, Academic Press: San Diego, Calif. (1996)). An activating group can be bonded directly to the organic group (e.g., hydrophilic polymer, fatty acid, fatty acid ester), or through a linker moiety, for example a divalent C1-C12 group wherein one or more carbon atoms can be replaced by a heteroatom such as oxygen, nitrogen or sulfur. Suitable linker moieties include, for example, tetraethylene glycol,— (CH2)3~, ~NH~(CH2)6-NH~, ~(CH2)2~NH~ and -CH2-0-CH2-CH2-0-CH2-CH2-0-CH- NH-. Modifying agents that comprise a linker moiety can be produced, for example, by reacting a mono-Boc-alkyldiamine (e.g., mono-Boc-ethylenediamine, mono-Boc- diaminohexane) with a fatty acid in the presence of 1 -ethyl-3-(3-dimethylaminopropyl) carbodiimide (EDC) to form an amide bond between the free amine and the fatty acid carboxylate. The Boc protecting group can be removed from the product by treatment with trifluoroacetic acid (TFA) to expose a primary amine that can be coupled to another carboxylate as described, or can be reacted with maleic anhydride and the resulting product cyclized to produce an activated maleimido derivative of the fatty acid. (See, for example, Thompson, et al., WO 92/16221 the entire teachings of which are incorporated herein by reference.) The modified antibodies can be produced by reacting a human antibody or antigen-binding fragment with a modifying agent. For example, the organic moieties can be bonded to the
antibody in a non-site specific manner by employing an amine-reactive modifying agent, for example, an NHS ester of PEG. Modified human antibodies or antigen-binding fragments can also be prepared by reducing disulfide bonds (e.g., intra-chain disulfide bonds) of an antibody or antigen-binding fragment. The reduced antibody or antigen-binding fragment can then be reacted with a thiol-reactive modifying agent to produce the modified antibody described herein. Modified human antibodies and antigen-binding fragments comprising an organic moiety that is bonded to specific sites of an antibody described herein can be prepared using suitable methods, such as reverse proteolysis (Fisch et al., Bioconjugate Chem., 3:147-153 (1992); Werlen et al., Bioconjugate Chem., 5:41 1-417 (1994); Kumaran et al., Protein Sci. 6(10):2233-2241 (1997); Itoh et al., Bioorg. Chem., 24(1 ): 59-68 (1996); Capellas et al., Biotechnol. Bioeng., 56(4):456-463 (1997)), and the methods described in Hermanson, G. T., Bioconjugate Techniques, Academic Press: San Diego, Calif. (1996).
The antibodies described herein can bind human CD22 with a wide range of affinities (KD). In a preferred embodiment at least one human mAb described herein can optionally bind human CD22 with high affinity. For example, a mAb can bind human CD22 with a KD equal to or less than about 10"7 M, such as but not limited to, 0.1 -9.9 (or any range or value therein) X 10"7, 10"8, 10"9, 10"10, 10"11, 10"12, 10"13 or any range or value therein. The affinity or avidity of an antibody for an antigen can be determined experimentally using any suitable method. (See, for example, Berzofsky, et al., "Antibody-Antigen Interactions," In Fundamental Immunology, Paul, W. E., Ed., Raven Press: New York, N.Y. (1984); Kuby, Janis Immunology, W. H. Freeman and Company: New York, N.Y. (1992); and methods described herein). The measured affinity of a particular antibody-antigen interaction can vary if measured under different conditions (e.g., salt concentration, pH). Thus,
measurements of affinity and other antigen-binding parameters (e.g., KD, Ka, Kd) are preferably made with standardized solutions of antibody and antigen, and a standardized buffer, such as the buffer described herein. Anti-CD22 antibodies useful in the methods and compositions described herein are characterized by high affinity binding to CD22 and optionally and preferably having low toxicity. In particular, an antibody, specified fragment or variant described herein, where the individual components, such as the variable region, constant region and framework, individually and/or collectively, optionally and preferably possess low immunogenicity, is useful. The antibodies that can be used are optionally characterized by their ability to treat patients for extended periods with measurable alleviation of symptoms and low and/or
acceptable toxicity. Low or acceptable immunogenicity and/or high affinity, as well as other suitable properties, can contribute to the therapeutic results achieved. "Low
immunogenicity" is defined herein as raising significant HAHA, HACA or HAMA responses in less than about 75%, or preferably less than about 50% of the patients treated and/or raising low titres in the patient treated (less than about 300, preferably less than about 100 measured with a double antigen enzyme immunoassay) (Elliott et al., Lancet 344:1 125-1 127 (1994), entirely incorporated herein by reference).
Bispecific, heterospecific, heteroconjugate or similar antibodies can also be used that are monoclonal, humanized, antibodies that have binding specificities for at least two different antigens. In the present case, one of the binding specificities is for at least one CD22 protein, the other one is for any other antigen. Methods for making bispecific antibodies are known in the art. Traditionally, the recombinant production of bispecific antibodies is based on the co-expression of two immunoglobulin heavy chain-light chain pairs, where the two heavy chains have different specificities (Milstein and Cuello, Nature 305:537 (1983)).
Because of the random assortment of immunoglobulin heavy and light chains, these hybridomas (quadromas) produce a potential mixture of 10 different antibody molecules, of which only one has the correct bispecific structure. The purification of the correct molecule, which is usually done by affinity chromatography steps, is rather cumbersome, and the product yields are low. Similar procedures are disclosed, e.g., in WO 93/08829, U.S. Pat. Nos. 6,210,668, 6, 193,967, 6, 132,992, 6, 106,833, 6,060,285, 6,037,453, 6,010,902, 5,989,530, 5,959,084, 5,959,083, 5,932,448, 5,833,985, 5,821 ,333, 5,807,706, 5,643,759, 5,601 ,819, 5,582,996, 5,496,549, 4,676,980, WO 91/00360, WO 92/00373, EP 03089, Traunecker et al., EMBO J. 10:3655 (1991 ), Suresh et al., Methods in Enzymology 121 :210 (1986), each entirely incorporated herein by reference.
Definitions
Pharmaceutically acceptable cations
Examples of pharmaceutically acceptable monovalent and divalent cations are discussed in Berge, et al., J. Pharm. Sci., 66, 1-19 (1977), which is incorporated herein by reference.
The pharmaceutically acceptable cation may be inorganic or organic.
Examples of pharmaceutically acceptable monovalent inorganic cations include, but are not limited to, alkali metal ions such as Na+ and K+. Examples of pharmaceutically acceptable divalent inorganic cations include, but are not limited to, alkaline earth cations such as Ca2+
and Mg2+. Examples of pharmaceutically acceptable organic cations include, but are not limited to, ammonium ion (i.e. NH4 +) and substituted ammonium ions (e.g. NH3R+, NH2R2+, NHR3 +, NR4 +). Examples of some suitable substituted ammonium ions are those derived from: ethylamine, diethylamine, dicyclohexylamine, triethylamine, butylamine,
ethylenediamine, ethanolamine, diethanolamine, piperazine, benzylamine,
phenylbenzylamine, choline, meglumine, and tromethamine, as well as amino acids, such as lysine and arginine. An example of a common quaternary ammonium ion is N(CH3)4 +.
Substituents
The phrase "optionally substituted" as used herein, pertains to a parent group which may be unsubstituted or which may be substituted.
Unless otherwise specified, the term "substituted" as used herein, pertains to a parent group which bears one or more substituents. The term "substituent" is used herein in the conventional sense and refers to a chemical moiety which is covalently attached to, or if appropriate, fused to, a parent group. A wide variety of substituents are well known, and methods for their formation and introduction into a variety of parent groups are also well known.
Examples of substituents are described in more detail below.
Ci-12 alkyl: The term "C1-12 alkyl" as used herein, pertains to a monovalent moiety obtained by removing a hydrogen atom from a carbon atom of a hydrocarbon compound having from 1 to 12 carbon atoms, which may be aliphatic or alicyclic, and which may be saturated or unsaturated (e.g. partially unsaturated, fully unsaturated). The term "C1-4 alkyl" as used herein, pertains to a monovalent moiety obtained by removing a hydrogen atom from a carbon atom of a hydrocarbon compound having from 1 to 4 carbon atoms, which may be aliphatic or alicyclic, and which may be saturated or unsaturated (e.g. partially unsaturated, fully unsaturated). Thus, the term "alkyl" includes the sub-classes alkenyl, alkynyl, cycloalkyl, etc., discussed below.
Examples of saturated alkyl groups include, but are not limited to, methyl (Ci), ethyl (C2), propyl (C3), butyl (C4), pentyl (C5), hexyl (C6) and heptyl (C7).
Examples of saturated linear alkyl groups include, but are not limited to, methyl (Ci), ethyl (C2), n-propyl (C3), n-butyl (C4), n-pentyl (amyl) (C5), n-hexyl (C6) and n-heptyl (C7).
Examples of saturated branched alkyl groups include iso-propyl (C3), iso-butyl (C4), sec-butyl (C4), tert-butyl (C4), iso-pentyl (C5), and neo-pentyl (C5). C2-12 Alkenyl: The term "C2-12 alkenyl" as used herein, pertains to an alkyl group having one or more carbon-carbon double bonds.
Examples of unsaturated alkenyl groups include, but are not limited to, ethenyl (vinyl, - CH=CH2), 1-propenyl (-CH=CH-CH3), 2-propenyl (allyl, -CH-CH=CH2), isopropenyl (1 - methylvinyl, -C(CH3)=CH2), butenyl (C4), pentenyl (C5), and hexenyl (C6).
C2-12 alkynyl: The term "C2-12 alkynyl" as used herein, pertains to an alkyl group having one or more carbon-carbon triple bonds. Examples of unsaturated alkynyl groups include, but are not limited to, ethynyl (-C≡CH) and 2-propynyl (propargyl, -CH2-C≡CH).
C3-12 cycloalkyl: The term "C3-12 cycloalkyl" as used herein, pertains to an alkyl group which is also a cyclyl group; that is, a monovalent moiety obtained by removing a hydrogen atom from an alicyclic ring atom of a cyclic hydrocarbon (carbocyclic) compound, which moiety has from 3 to 7 carbon atoms, including from 3 to 7 ring atoms.
Examples of cycloalkyl groups include, but are not limited to, those derived from:
saturated monocyclic hydrocarbon compounds:
cyclopropane (C3), cyclobutane (C4), cyclopentane (C5), cyclohexane (C6), cycloheptane (C7), methylcyclopropane (C4), dimethylcyclopropane (C5), methylcyclobutane (C5), dimethylcyclobutane (C6), methylcyclopentane (C6), dimethylcyclopentane (C7) and methylcyclohexane (C7);
unsaturated monocyclic hydrocarbon compounds:
cyclopropene (C3), cyclobutene (C4), cyclopentene (C5), cyclohexene (C6),
methylcyclopropene (C4), dimethylcyclopropene (C5), methylcyclobutene (C5),
dimethylcyclobutene (C6), methylcyclopentene (C6), dimethylcyclopentene (C7) and methylcyclohexene (C7); and
saturated polycyclic hydrocarbon compounds:
norcarane (C7), norpinane (C7), norbornane (C7).
C3-20 heterocyclyl: The term "C3-20 heterocyclyl" as used herein, pertains to a monovalent moiety obtained by removing a hydrogen atom from a ring atom of a heterocyclic compound, which moiety has from 3 to 20 ring atoms, of which from 1 to 10 are ring heteroatoms.
Preferably, each ring has from 3 to 7 ring atoms, of which from 1 to 4 are ring heteroatoms.
In this context, the prefixes (e.g. C3-20, C3-7, C5-6, etc.) denote the number of ring atoms, or range of number of ring atoms, whether carbon atoms or heteroatoms. For example, the term "C5-6heterocyclyl", as used herein, pertains to a heterocyclyl group having 5 or 6 ring atoms.
Examples of monocyclic heterocyclyl groups include, but are not limited to, those derived from:
aziridine (C3), azetidine (C4), pyrrolidine (tetrahydropyrrole) (C5), pyrroline (e.g.,
3-pyrroline, 2,5-dihydropyrrole) (C5), 2H-pyrrole or 3H-pyrrole (isopyrrole, isoazole) (C5), piperidine (C6), dihydropyridine (C6), tetrahydropyridine (C6), azepine (C7);
O1 : oxirane (C3), oxetane (C4), oxolane (tetrahydrofuran) (C5), oxole (dihydrofuran) (C5), oxane (tetrahydropyran) (C6), dihydropyran (C6), pyran (C6), oxepin (C7);
Si : thiirane (C3), thietane (C4), thiolane (tetrahydrothiophene) (C5), thiane
(tetrahydrothiopyran) (C6), thiepane (C7);
02: dioxolane (C5), dioxane (C6), and dioxepane (C7);
03: trioxane (C6);
N2: imidazolidine (C5), pyrazolidine (diazolidine) (C5), imidazoline (C5), pyrazoline
(dihydropyrazole) (C5), piperazine (C6);
NiOi : tetrahydrooxazole (C5), dihydrooxazole (C5), tetrahydroisoxazole (C5),
dihydroisoxazole (C5), morpholine (C6), tetrahydrooxazine (C6), dihydrooxazine (C6), oxazine
(C6);
thiazoline (C5), thiazolidine (C5), thiomorpholine (C6);
N2Oi : oxadiazine (C6);
O1S1 : oxathiole (C5) and oxathiane (thioxane) (C6); and,
Ν-ιΟ-iS·, : oxathiazine (C6).
Examples of substituted monocyclic heterocyclyl groups include those derived from saccharides, in cyclic form, for example, furanoses (C5), such as arabinofuranose, lyxofuranose, ribofuranose, and xylofuranse, and pyranoses (C6), such as allopyranose, altropyranose, glucopyranose, mannopyranose, gulopyranose, idopyranose,
galactopyranose, and talopyranose.
C5-20 aryl: The term "C5-20 aryl", as used herein, pertains to a monovalent moiety obtained by removing a hydrogen atom from an aromatic ring atom of an aromatic compound, which moiety has from 3 to 20 ring atoms. The term "C5-7 aryl", as used herein, pertains to a monovalent moiety obtained by removing a hydrogen atom from an aromatic ring atom of an aromatic compound, which moiety has from 5 to 7 ring atoms and the term "C5-10 aryl", as used herein, pertains to a monovalent moiety obtained by removing a hydrogen atom from an aromatic ring atom of an aromatic compound, which moiety has from 5 to 10 ring atoms. Preferably, each ring has from 5 to 7 ring atoms.
In this context, the prefixes (e.g. C3-2o, C5-7, C5-6, C5-10, etc.) denote the number of ring atoms, or range of number of ring atoms, whether carbon atoms or heteroatoms. For example, the term "C5-6 aryl" as used herein, pertains to an aryl group having 5 or 6 ring atoms. The ring atoms may be all carbon atoms, as in "carboaryl groups".
Examples of carboaryl groups include, but are not limited to, those derived from benzene (i.e. phenyl) (C6), naphthalene (C10), azulene (C10), anthracene (C14), phenanthrene (Ci4), naphthacene (Ci8), and pyrene (Ci6). Examples of aryl groups which comprise fused rings, at least one of which is an aromatic ring, include, but are not limited to, groups derived from indane (e.g. 2,3-dihydro-1 H-indene) (Cg), indene (C9), isoindene (C9), tetraline (1 ,2,3,4-tetrahydronaphthalene (C10),
acenaphthene (C12), fluorene (C13), phenalene (C13), acephenanthrene (C15), and
aceanthrene (Ci6).
Alternatively, the ring atoms may include one or more heteroatoms, as in "heteroaryl groups". Examples of monocyclic heteroaryl groups include, but are not limited to, those derived from:
pyrrole (azole) (C5), pyridine (azine) (C6);
0·,: furan (oxole) (C5);
Si : thiophene (thiole) (C5);
Ν^Οι: oxazole (C5), isoxazole (C5), isoxazine (C6);
N2Oi : oxadiazole (furazan) (C5);
N3O1 : oxatriazole (C5);
N1S1 : thiazole (C5), isothiazole (C5);
N2: imidazole (1 ,3-diazole) (C5), pyrazole (1 ,2-diazole) (C5), pyridazine (1 ,2-diazine) (C6), pyrimidine (1 ,3-diazine) (C6) (e.g., cytosine, thymine, uracil), pyrazine (1 ,4-diazine) (C6); N3: triazole (C5), triazine (C6); and,
N4: tetrazole (C5).
Examples of heteroaryl which comprise fused rings, include, but are not limited to:
C9 (with 2 fused rings) derived from benzofuran (Oi), isobenzofuran (Oi), indole (N-i), isoindole (N^, indolizine (N^, indoline (N^, isoindoline (N^, purine (N4) (e.g., adenine, guanine), benzimidazole (N2), indazole (N2), benzoxazole (NiOi), benzisoxazole (NiOi), benzodioxole (02), benzofurazan (N^), benzotriazole (N3), benzothiofuran (S^, benzothiazole (Ν^), benzothiadiazole (N2S);
C10 (with 2 fused rings) derived from chromene (O-i), isochromene (O-i), chroman (O^, isochroman (O^, benzodioxan (02), quinoline (N^, isoquinoline (N^, quinolizine (N^, benzoxazine (Ν^), benzodiazine (N2), pyridopyridine (N2), quinoxaline (N2), quinazoline (N2), cinnoline (N2), phthalazine (N2), naphthyridine (N2), pteridine (N4);
On (with 2 fused rings) derived from benzodiazepine (N2);
Ci3 (with 3 fused rings) derived from carbazole (Ni), dibenzofuran (Oi),
dibenzothiophene (Si), carboline (N2), perimidine (N2), pyridoindole (N2); and,
Ci4 (with 3 fused rings) derived from acridine (N-i), xanthene (Oi), thioxanthene (Si), oxanthrene (02), phenoxathiin (O1S1), phenazine (N2), phenoxazine (N-ιΟ-ι), phenothiazine (N-I S-I), thianthrene (S2), phenanthridine (N-i), phenanthroline (N2), phenazine (N2).
The above groups, whether alone or part of another substituent, may themselves optionally be substituted with one or more groups selected from themselves and the additional substituents listed below.
Halo: -F, -CI, -Br, and -I.
Hydroxy: -OH.
Ether: -OR, wherein R is an ether substituent, for example, a C1-7 alkyl group (also referred to as a C1-7 alkoxy group, discussed below), a C3-20 heterocyclyl group (also referred to as a C3-20 heterocyclyloxy group), or a C5-2o aryl group (also referred to as a C5-2o aryloxy group), preferably a Ci-7alkyl group.
Alkoxy: -OR, wherein R is an alkyl group, for example, a Ci_7 alkyl group. Examples of Ci-7 alkoxy groups include, but are not limited to, -OMe (methoxy), -OEt (ethoxy), -O(nPr) (n- propoxy), -O(iPr) (isopropoxy), -O(nBu) (n-butoxy), -O(sBu) (sec-butoxy), -O(iBu)
(isobutoxy), and -O(tBu) (tert-butoxy).
Acetal: -CH(OR1)(OR2), wherein R1 and R2 are independently acetal substituents, for example, a Ci-7 alkyl group, a C3-20 heterocyclyl group, or a C5-2o aryl group, preferably a Ci-7 alkyl group, or, in the case of a "cyclic" acetal group, R1 and R2, taken together with the two oxygen atoms to which they are attached, and the carbon atoms to which they are attached, form a heterocyclic ring having from 4 to 8 ring atoms. Examples of acetal groups include, but are not limited to, -CH(OMe)2, -CH(OEt)2, and -CH(OMe)(OEt).
Hemiacetal: -CH(OH)(OR1), wherein R1 is a hemiacetal substituent, for example, a C1-7 alkyl group, a C3-2o heterocyclyl group, or a C5-2o aryl group, preferably a C1 -7 alkyl group.
Examples of hemiacetal groups include, but are not limited to, -CH(OH)(OMe) and - CH(OH)(OEt).
Ketal: -CR(OR1 )(OR2), where R1 and R2 are as defined for acetals, and R is a ketal substituent other than hydrogen, for example, a Ci-7 alkyl group, a C3-2o heterocyclyl group, or a C5-2o aryl group, preferably a Ci-7 alkyl group. Examples ketal groups include, but are not limited to, -C(Me)(OMe)2, -C(Me)(OEt)2, -C(Me)(OMe)(OEt), -C(Et)(OMe)2, -C(Et)(OEt)2, and -C(Et)(OMe)(OEt).
Hemiketal: -CR(OH)(OR1), where R1 is as defined for hemiacetals, and R is a hemiketal substituent other than hydrogen, for example, a Ci-7 alkyl group, a C3-2o heterocyclyl group, or a C5-2o aryl group, preferably a Ci-7 alkyl group. Examples of hemiacetal groups include, but are not limited to, -C(Me)(OH)(OMe), -C(Et)(OH)(OMe), -C(Me)(OH)(OEt), and
-C(Et)(OH)(OEt). Oxo (keto, -one): =0.
Thione (thioketone): =S.
Imino (imine): =NR, wherein R is an imino substituent, for example, hydrogen, Ci-7 alkyl group, a C3-2o heterocyclyl group, or a C5-2o aryl group, preferably hydrogen or a Ci-7 alkyl
group. Examples of ester groups include, but are not limited to, =NH, =NMe, =NEt, and =NPh.
Formyl (carbaldehyde, carboxaldehyde): -C(=0)H.
Acyl (keto): -C(=0)R, wherein R is an acyl substituent, for example, a Ci_7 alkyl group (also referred to as Ci-7 alkylacyl or Ci-7 alkanoyl), a C3-20 heterocyclyl group (also referred to as C3-20 heterocyclylacyl), or a C5-2o aryl group (also referred to as C5-20 arylacyl), preferably a C1-7 alkyl group. Examples of acyl groups include, but are not limited to, -C(=0)CH3 (acetyl), -C(=0)CH2CH3 (propionyl), -C(=0)C(CH3)3 (t-butyryl), and -C(=0)Ph (benzoyl, phenone).
Carboxy (carboxylic acid): -C(=0)OH.
Thiocarboxy (thiocarboxylic acid): -C(=S)SH.
Thiolocarboxy (thiolocarboxylic acid): -C(=0)SH. Thionocarboxy (thionocarboxylic acid): -C(=S)OH. lmidic acid: -C(=NH)OH.
Hydroxamic acid: -C(=NOH)OH.
Ester (carboxylate, carboxylic acid ester, oxycarbonyl): -C(=0)OR, wherein R is an ester substituent, for example, a Ci-7 alkyl group, a C3-2o heterocyclyl group, or a C5-20 aryl group, preferably a Ci-7 alkyl group. Examples of ester groups include, but are not limited to, -C(=0)OCH3, -C(=0)OCH2CH3, -C(=0)OC(CH3)3, and -C(=0)OPh.
Acyloxy (reverse ester): -OC(=0)R, wherein R is an acyloxy substituent, for example, a C1-7 alkyl group, a C3-2o heterocyclyl group, or a C5-2o aryl group, preferably a C1-7 alkyl group. Examples of acyloxy groups include, but are not limited to, -OC(=0)CH3 (acetoxy),
-OC(=0)CH2CH3, -OC(=0)C(CH3)3, -OC(=0)Ph, and -OC(=0)CH2Ph.
Oxycarboyloxy: -OC(=0)OR, wherein R is an ester substituent, for example, a Ci-7 alkyl group, a C3-2o heterocyclyl group, or a C5-20 aryl group, preferably a Ci-7 alkyl group.
Examples of ester groups include, but are not limited to, -OC(=0)OCH3, -OC(=0)OCH2CH3, -OC(=0)OC(CH3)3, and -OC(=0)OPh.
Amino: -NR1R2, wherein R1 and R2 are independently amino substituents, for example, hydrogen, a Ci-7 alkyl group (also referred to as Ci-7 alkylamino or di-Ci-7 alkylamino), a C3-20 heterocyclyl group, or a C5-2o aryl group, preferably H or a Ci-7 alkyl group, or, in the case of a "cyclic" amino group, R1 and R2, taken together with the nitrogen atom to which they are attached, form a heterocyclic ring having from 4 to 8 ring atoms. Amino groups may be primary (-NH2), secondary (-NHR1), or tertiary (-NHR1R2), and in cationic form, may be quaternary (-+NR1 R2R3). Examples of amino groups include, but are not limited to, -NH2,
-NHCH3, -NHC(CH3)2, -N(CH3)2, -N(CH2CH3)2, and -NHPh. Examples of cyclic amino groups include, but are not limited to, aziridino, azetidino, pyrrolidino, piperidino, piperazino, morpholino, and thiomorpholino. Amido (carbamoyl, carbamyl, aminocarbonyl, carboxamide): -C(=0)NR1 R2, wherein R1 and R2 are independently amino substituents, as defined for amino groups. Examples of amido groups include, but are not limited to, -C(=0)NH2, -C(=0)NHCH3, -C(=0)N(CH3)2,
-C(=0)NHCH2CH3, and -C(=0)N(CH2CH3)2, as well as amido groups in which R1 and R2, together with the nitrogen atom to which they are attached, form a heterocyclic structure as in, for example, piperidinocarbonyl, morpholinocarbonyl, thiomorpholinocarbonyl, and piperazinocarbonyl.
Thioamido (thiocarbamyl): -C(=S)NR1R2, wherein R1 and R2 are independently amino substituents, as defined for amino groups. Examples of amido groups include, but are not limited to, -C(=S)NH2, -C(=S)NHCH3, -C(=S)N(CH3)2, and -C(=S)NHCH2CH3.
Acylamido (acylamino): -NR1C(=0)R2, wherein R1 is an amide substituent, for example, hydrogen, a C1-7 alkyl group, a C3-20 heterocyclyl group, or a C5-20 aryl group, preferably hydrogen or a C1-7 alkyl group, and R2 is an acyl substituent, for example, a C1-7 alkyl group, a C3-20 heterocyclyl group, or a C5-2oaryl group, preferably hydrogen or a C1-7 alkyl group. Examples of acylamide groups include, but are not limited to, -NHC(=0)CH3 ,
-NHC(=0)CH2CH3, and -NHC(=0)Ph. R1 and R2 may together form a cyclic structure, as in, for example, succinimidyl, maleimidyl, and phthalimidyl:
succinimidyl maleimidyl phthalimidyl
Aminocarbonyloxy: -OC(=0)NR1R2, wherein R1 and R2 are independently amino
substituents, as defined for amino groups. Examples of aminocarbonyloxy groups include, but are not limited to, -OC(=0)NH2, -OC(=0)NHMe, -OC(=0)NMe2, and -OC(=0)NEt2.
Ureido: -N(R1)CONR2R3 wherein R2 and R3 are independently amino substituents, as defined for amino groups, and R1 is a ureido substituent, for example, hydrogen, a Ci_7 alkyl group, a C3-20 heterocyclyl group, or a C5-2o aryl group, preferably hydrogen or a Ci-7 alkyl group. Examples of ureido groups include, but are not limited to, -NHCONH2, -NHCONHMe, -NHCONHEt, -NHCONMe2, -NHCONEt2, -NMeCONH2, -NMeCONHMe, -NMeCONHEt, - NMeCONMe2, and -NMeCONEt2.
Guanidino: -NH-C(=NH)N H2.
Imino: =NR, wherein R is an imino substituent, for example, for example, hydrogen, a C1-7 alkyl group, a C3-20 heterocyclyl group, or a C5-20 aryl group, preferably H or a C1-7alkyl group. Examples of imino groups include, but are not limited to, =NH, =NMe, and =NEt.
Amidine (amidino): -C(=NR)N R2, wherein each R is an amidine substituent, for example, hydrogen, a Ci-7 alkyl group, a C3-2o heterocyclyl group, or a C5-2o aryl group, preferably H or a Ci-7 alkyl group. Examples of amidine groups include, but are not limited to, -C(=NH)NH2, -C(=NH)NMe2, and -C(=NMe)NMe2.
Nitro: -N02. Nitroso: -NO.
Azido: -N3.
Cyano (nitrile, carbonitrile): -CN.
Isocyano: -NC. Cyanato: -OCN. Isocyanato: -NCO.
Thiocyano (thiocyanato): -SCN. Isothiocyano (isothiocyanato): -NCS.
Sulfhydryl (thiol, mercapto): -SH.
Thioether (sulfide): -SR, wherein R is a thioether substituent, for example, a Ci_7 alkyl group (also referred to as a Ci-7alkylthio group), a C3-20 heterocyclyl group, or a C5-20 aryl group, preferably a Ci-7 alkyl group. Examples of Ci-7 alkylthio groups include, but are not limited to,
Disulfide: -SS-R, wherein R is a disulfide substituent, for example, a Ci-7 alkyl group, a C3-20 heterocyclyl group, or a C5-2o aryl group, preferably a Ci-7 alkyl group (also referred to herein as Ci-7 alkyl disulfide). Examples of Ci-7 alkyl disulfide groups include, but are not limited to,
Sulfine (sulfinyl, sulfoxide): -S(=0)R, wherein R is a sulfine substituent, for example, a C1-7 alkyl group, a C3-2o heterocyclyl group, or a C5-2o aryl group, preferably a C1-7 alkyl group. Examples of sulfine groups include, but are not limited to, -S(=0)CH3 and -S(=0)CH2CH3.
Sulfone (sulfonyl): -S(=0)2R, wherein R is a sulfone substituent, for example, a C1 -7 alkyl group, a C3-20 heterocyclyl group, or a C5-2o aryl group, preferably a Ci-7 alkyl group, including, for example, a fluorinated or perfluorinated Ci-7 alkyl group. Examples of sulfone groups include, but are not limited to, -S(=0)2CH3 (methanesulfonyl, mesyl), -S(=0)2CF3 (triflyl), -S(=0)2CH2CH3 (esyl), -S(=0)2C4F9 (nonaflyl), -S(=0)2CH2CF3 (tresyl), -S(=0)2CH2CH2NH2
(tauryl), -S(=0)2Ph (phenylsulfonyl, besyl), 4-methylphenylsulfonyl (tosyl),
4-chlorophenylsulfonyl (closyl), 4-bromophenylsulfonyl (brosyl), 4-nitrophenyl (nosyl), 2-naphthalenesulfonate (napsyl), and 5-dimethylamino-naphthalen-1-ylsulfonate (dansyl). Sulfinic acid (sulfino): -S(=0)OH, -S02H.
Sulfonic acid (sulfo): -S(=0)2OH, -S03H.
Sulfinate (sulfinic acid ester): -S(=0)OR; wherein R is a sulfinate substituent, for example, a C1-7 alkyl group, a C3-2o heterocyclyl group, or a C5-2o aryl group, preferably a C1-7 alkyl group. Examples of sulfinate groups include, but are not limited to, -S(=0)OCH3 (methoxysulfinyl; methyl sulfinate) and -S(=0)OCH2CH3 (ethoxysulfinyl; ethyl sulfinate).
Sulfonate (sulfonic acid ester): -S(=0)2OR, wherein R is a sulfonate substituent, for example, a Ci-7 alkyl group, a C3-20 heterocyclyl group, or a C5-2o aryl group, preferably a Ci-7 alkyl group. Examples of sulfonate groups include, but are not limited to, -S(=0)2OCH3
(methoxysulfonyl; methyl sulfonate) and -S(=0)2OCH2CH3 (ethoxysulfonyl; ethyl sulfonate).
Sulfinyloxy: -OS(=0)R, wherein R is a sulfinyloxy substituent, for example, a Ci-7 alkyl group, a C3-20 heterocyclyl group, or a C5-2o aryl group, preferably a Ci-7 alkyl group. Examples of sulfinyloxy groups include, but are not limited to, -OS(=0)CH3 and -OS(=0)CH2CH3.
Sulfonyloxy: -OS(=0)2R, wherein R is a sulfonyloxy substituent, for example, a Ci-7 alkyl group, a C3-20 heterocyclyl group, or a C5-2o aryl group, preferably a Ci-7 alkyl group.
Examples of sulfonyloxy groups include, but are not limited to, -OS(=0)2CH3 (mesylate) and -OS(=0)2CH2CH3 (esylate).
Sulfate: -OS(=0)2OR; wherein R is a sulfate substituent, for example, a C1-7 alkyl group, a C3-20 heterocyclyl group, or a C5-20 aryl group, preferably a C1-7 alkyl group. Examples of sulfate groups include, but are not limited to, -OS(=0)2OCH3 and -SO(=0)2OCH2CH3.
Sulfamyl (sulfamoyl; sulfinic acid amide; sulfinamide): -S(=0)NR1 R2, wherein R1 and R2 are independently amino substituents, as defined for amino groups. Examples of sulfamyl groups include, but are not limited to, -S(=0)NH2, -S(=0)NH(CH3), -S(=0)N(CH3)2,
-S(=0)NH(CH2CH3), -S(=0)N(CH2CH3)2, and -S(=0)NHPh.
Sulfonamido (sulfinamoyl; sulfonic acid amide; sulfonamide): -S(=0)2NR1R2, wherein R1 and R2 are independently amino substituents, as defined for amino groups. Examples of sulfonamido groups include, but are not limited to, -S(=0)2NH2, -S(=0)2NH(CH3),
-S(=0)2N(CH3)2, -S(=0)2NH(CH2CH3), -S(=0)2N(CH2CH3)2, and -S(=0)2NHPh.
Sulfamino: -NR1S(=0)2OH, wherein R1 is an amino substituent, as defined for amino groups. Examples of sulfamino groups include, but are not limited to, -NHS(=0)2OH and
-N(CH3)S(=0)2OH. Sulfonamino: -NR1S(=0)2R, wherein R1 is an amino substituent, as defined for amino groups, and R is a sulfonamino substituent, for example, a C -7 alkyl group, a C3-20 heterocyclyl group, or a C5-20 aryl group, preferably a C1-7 alkyl group. Examples of sulfonamino groups include, but are not limited to, -NHS(=0)2CH3 and -N(CH3)S(=0)2C6H5. Sulfinamino: -NR1S(=0)R, wherein R1 is an amino substituent, as defined for amino groups, and R is a sulfinamino substituent, for example, a Ci-7 alkyl group, a C3-20 heterocyclyl group, or a C5-2o aryl group, preferably a Ci-7 alkyl group. Examples of sulfinamino groups include, but are not limited to, -NHS(=0)CH3 and -N(CH3)S(=0)C6H5. Phosphino (phosphine): -PR2, wherein R is a phosphino substituent, for example, -H, a Ci-7 alkyl group, a C3-20 heterocyclyl group, or a C5-2o aryl group, preferably -H, a Ci-7 alkyl group, or a C5-2o aryl group. Examples of phosphino groups include, but are not limited to, -PH2, -P(CH3)2, -P(CH2CH3)2, -P(t-Bu)2, and -P(Ph)2. Phospho: -P(=0)2.
Phosphinyl (phosphine oxide): -P(=0)R2, wherein R is a phosphinyl substituent, for example, a C1-7 alkyl group, a C3-20 heterocyclyl group, or a C5-2o aryl group, preferably a C1-7 alkyl group or a C5-20 aryl group. Examples of phosphinyl groups include, but are not limited to, -P(=0)(CH3)2, -P(=0)(CH2CH3)2, -P(=0)(t-Bu)2, and -P(=0)(Ph)2.
Phosphonic acid (phosphono): -P(=0)(OH)2.
Phosphonate (phosphono ester): -P(=0)(OR)2, where R is a phosphonate substituent, for example, -H, a Ci-7 alkyl group, a C3-20 heterocyclyl group, or a C5-2o aryl group, preferably -H,
a C1-7 alkyl group, or a C5-2o aryl group. Examples of phosphonate groups include, but are not limited to, -P(=0)(OCH3)2, -P(=0)(OCH2CH3)2, -P(=0)(0-t-Bu)2, and -P(=0)(OPh)2.
Phosphoric acid (phosphonooxy): -OP(=0)(OH)2.
Phosphate (phosphonooxy ester): -OP(=0)(OR)2, where R is a phosphate substituent, for example, -H, a Ci-7 alkyl group, a C3-2o heterocyclyl group, or a C5-2o aryl group, preferably -H, a C1-7 alkyl group, or a C5-2o aryl group. Examples of phosphate groups include, but are not limited to, -OP(=0)(OCH3)2, -OP(=0)(OCH2CH3)2, -OP(=0)(0-t-Bu)2, and -OP(=0)(OPh)2.
Phosphorous acid: -OP(OH)2.
Phosphite: -OP(OR)2, where R is a phosphite substituent, for example, -H, a C1-7 alkyl group, a C3-20 heterocyclyl group, or a C5-20 aryl group, preferably -H, a C1-7 alkyl group, or a C5-20 aryl group. Examples of phosphite groups include, but are not limited to, -OP(OCH3)2,
-OP(OCH2CH3)2, -OP(0-t-Bu)2, and -OP(OPh)2.
Phosphoramidite: -OP(OR1)-NR2 2, where R1 and R2 are phosphoramidite substituents, for example, -H, a (optionally substituted) Ci-7 alkyl group, a C3-20 heterocyclyl group, or a C5-2o aryl group, preferably -H, a Ci-7 alkyl group, or a C5-2o aryl group. Examples of
phosphoramidite groups include, but are not limited to, -OP(OCH2CH3)-N(CH3)2,
-OP(OCH2CH3)-N(i-Pr)2, and -OP(OCH2CH2CN)-N(i-Pr)2.
Phosphoramidate: -OP(=0)(OR1)-NR2 2, where R1 and R2 are phosphoramidate substituents, for example, -H, a (optionally substituted) Ci-7 alkyl group, a C3-20 heterocyclyl group, or a C5-2o aryl group, preferably -H, a Ci-7 alkyl group, or a C5-2o aryl group. Examples of phosphoramidate groups include, but are not limited to, -OP(=0)(OCH2CH3)-N(CH3)2, -OP(=0)(OCH2CH3)-N(i-Pr)2, and -OP(=0)(OCH2CH2CN)-N(i-Pr)2.
Alkylene
C3-i2 alkylene: The term "C3-i2 alkylene", as used herein, pertains to a bidentate moiety obtained by removing two hydrogen atoms, either both from the same carbon atom, or one from each of two different carbon atoms, of a hydrocarbon compound having from 3 to 12 carbon atoms (unless otherwise specified), which may be aliphatic or alicyclic, and which may be saturated, partially unsaturated, or fully unsaturated. Thus, the term "alkylene" includes the sub-classes alkenylene, alkynylene, cycloalkylene, etc., discussed below.
Examples of linear saturated C3-i2 alkylene groups include, but are not limited to, -(CH2)n- where n is an integer from 3 to 12, for example, -CH2CH2CH2- (propylene),
-CH2CH2CH2CH2- (butylene), -CH2CH2CH2CH2CH2- (pentylene) and
-CH2CH2CH2CH-2CH2CH2CH2- (heptylene).
Examples of branched saturated C3-i2 alkylene groups include, but are not limited to, -CH(CH3)CH2-, -CH(CH3)CH2CH2-, -CH(CH3)CH2CH2CH2-, -CH2CH(CH3)CH2-,
-CH2CH(CH3)CH2CH2-, -CH(CH2CH3)-, -CH(CH2CH3)CH2-, and -CH2CH(CH2CH3)CH2-.
Examples of linear partially unsaturated C3-12 alkylene groups (C3-12 alkenylene, and alkynylene groups) include, but are not limited to, -CH=CH-CH2-, -CH2-CH=CH2-,
-CH=CH-CH2-CH2-, -CH=CH-CH2-CH2-CH2-, -CH=CH-CH=CH-, -CH=CH-CH=CH-CH2-, - CH=CH-CH=CH-CH2-CH2-, -CH=CH-CH2-CH=CH-, -CH=CH-CH2-CH2-CH=CH-, and -CH2- C≡C-CH2-.
Examples of branched partially unsaturated C3-i2 alkylene groups (C3-i2 alkenylene and alkynylene groups) include, but are not limited to, -C(CH3)=CH-, -C(CH3)=CH-CH2-, -CH=CH-CH(CH3)- and -C≡C-CH(CH3)-.
Examples of alicyclic saturated C3-i2 alkylene groups (C3-i2 cycloalkylenes) include, but are not limited to, cyclopentylene (e.g. cyclopent-1 ,3-ylene), and cyclohexylene
(e.g. cyclohex-1 ,4-ylene). Examples of alicyclic partially unsaturated C3-i2 alkylene groups (C3-i2 cycloalkylenes) include, but are not limited to, cyclopentenylene (e.g. 4-cyclopenten-1 ,3-ylene), cyclohexenylene (e.g. 2-cyclohexen-1 ,4-ylene; 3-cyclohexen-1 ,2-ylene; 2,5-cyclohexadien- 1 ,4-ylene).
Carbamate nitrogen protecting group: the term "carbamate nitrogen protecting group" pertains to a moiety which masks the nitrogen in the imine bond, and these are well known in the art. These groups have the following structure:
wherein R'10 is R as defined above. A large number of suitable groups are described on pages 503 to 549 of Greene, T.W. and Wuts, G.M., Protective Groups in Organic Synthesis, 3rd Edition, John Wiley & Sons, Inc., 1999, which is incorporated herein by reference. Hemi-aminal nitrogen protecting group: the term "hemi-aminal nitrogen protecting group" pertains to a group having the following structure:
wherein R'10 is R as defined above. A large number of suitable groups are described on pages 633 to 647 as amide protecting groups of Greene, T.W. and Wuts, G.M., Protective Groups in Organic Synthesis, 3rd Edition, John Wiley & Sons, Inc., 1999, which is incorporated herein by reference.
The groups Carbamate nitrogen protecting group and Hemi-aminal nitrogen protecting group may be jointly termed a "nitrogen protecting group for synthesis".
Conjugates
The present invention provides a conjugate comprising a PBD compound connected to the antibody via a Linker Unit.
In one embodiment, the conjugate comprises the antibody connected to a spacer connecting group, the spacer connected to a trigger, the trigger connected to a self-immolative linker, and the self-immolative linker connected to the N10 position of the PBD compound. Such a conjugate is illustrated below:
where Ab is the antibody as defined above and PBD is a pyrrolobenzodiazepine compound (D), as described herein. The illustration shows the portions that correspond to RL , A, L1 and L2 in certain embodiments of the invention. RL may be either RL1 or RL2. D is DL with RL or RL2' removed. The present invention is suitable for use in providing a PBD compound to a preferred site in a subject. In the preferred embodiments, the conjugate allows the release of an active PBD compound that does not retain any part of the linker. There is no stub present that could affect the reactivity of the PBD compound. The linker attaches the antibody to the PBD drug moiety D through covalent bond(s). The linker is a bifunctional or multifunctional moiety which can be used to link one or more drug moiety (D) and an antibody unit (Ab) to form antibody-drug conjugates (ADC). The linker (RL ) may be stable outside a cell, i.e. extracellular, or it may be cleavable by enzymatic activity, hydrolysis, or other metabolic conditions. Antibody-drug conjugates (ADC) can be conveniently prepared using a linker having reactive functionality for binding to the drug moiety and to the antibody. A cysteine thiol, or an amine, e.g. N-terminus or amino acid side chain such as lysine, of the antibody (Ab) can form a bond with a functional group of a linker or spacer reagent, PBD drug moiety (D) or drug-linker reagent (DL, D -RL), where RL can be
The linkers of the ADC preferably prevent aggregation of ADC molecules and keep the ADC freely soluble in aqueous media and in a monomeric state. The linkers of the ADC are preferably stable extracellularly. Before transport or delivery into a cell, the antibody-drug conjugate (ADC) is preferably stable and remains intact, i.e. the antibody remains linked to the drug moiety. The linkers are stable outside the target cell and may be cleaved at some efficacious rate inside the cell. An effective linker will: (i) maintain the specific binding properties of the antibody; (ii) allow intracellular delivery of the conjugate or drug moiety; (iii) remain stable and intact, i.e. not cleaved, until the conjugate has been delivered or transported to its targetted site; and (iv) maintain a cytotoxic, cell-killing effect or a cytostatic effect of the PBD drug moiety. Stability of the ADC may be measured by standard analytical techniques such as mass spectroscopy, HPLC, and the
separation/analysis technique LC/MS.
Covalent attachment of the antibody and the drug moiety requires the linker to have two reactive functional groups, i.e. bivalency in a reactive sense. Bivalent linker reagents which are useful to attach two or more functional or biologically active moieties, such as peptides, nucleic acids, drugs, toxins, antibodies, haptens, and reporter groups are known, and methods have been described their resulting conjugates (Hermanson, G.T. (1996)
Bioconjugate Techniques; Academic Press: New York, p 234-242).
In another embodiment, the linker may be substituted with groups which modulate aggregation, solubility or reactivity. For example, a sulfonate substituent may increase water solubility of the reagent and facilitate the coupling reaction of the linker reagent with the antibody or the drug moiety, or facilitate the coupling reaction of Ab-L with DL, or DL -L with Ab, depending on the synthetic route employed to prepare the ADC.
O
where the asterisk indicates the point of attachment to the Drug Unit (D), Ab is the antibody (L), L1 is a linker, A is a connecting group connecting L1 to the antibody, L2 is a
covalent bond or together with -OC(=0)- forms a self-immolative linker, and L1 or L2 is a cleavable linker.
L1 is preferably the cleavable linker, and may be referred to as a trigger for activation of the linker for cleavage.
The nature of L1 and L2, where present, can vary widely. These groups are chosen on the basis of their cleavage characteristics, which may be dictated by the conditions at the site to which the conjugate is delivered. Those linkers that are cleaved by the action of enzymes are preferred, although linkers that are cleavable by changes in pH (e.g. acid or base labile), temperature or upon irradiation (e.g. photolabile) may also be used. Linkers that are cleavable under reducing or oxidising conditions may also find use in the present invention.
L1 may comprise a contiguous sequence of amino acids. The amino acid sequence may be the target substrate for enzymatic cleavage, thereby allowing release of L-RL from the N10 position.
In one embodiment, L1 is cleavable by the action of an enzyme. In one embodiment, the enzyme is an esterase or a peptidase.
In one embodiment, L2 is present and together with -C(=0)0- forms a self-immolative linker. In one embodiment, L2 is a substrate for enzymatic activity, thereby allowing release of L-RL from the N10 position.
In one embodiment, where L1 is cleavable by the action of an enzyme and L2 is present, the enzyme cleaves the bond between L1 and L2.
L1 and L2, where present, may be connected by a bond selected from:
-C(=0)NH-,
-C(=0)0-
-NHC(=0)-,
-OC(=0)-,
-OC(=0)0-,
-NHC(=0)0-,
-OC(=0)NH-, and
-NHC(=0)NH-.
An amino group of L1 that connects to L2 may be the N-terminus of an amino acid or may be derived from an amino group of an amino acid side chain, for example a lysine amino acid side chain.
A carboxyl group of L1 that connects to L2 may be the C-terminus of an amino acid or may be derived from a carboxyl group of an amino acid side chain, for example a glutamic acid amino acid side chain. A hydroxyl group of L1 that connects to L2 may be derived from a hydroxyl group of an amino acid side chain, for example a serine amino acid side chain.
The term "amino acid side chain" includes those groups found in: (i) naturally occurring amino acids such as alanine, arginine, asparagine, aspartic acid, cysteine, glutamine, glutamic acid, glycine, histidine, isoleucine, leucine, lysine, methionine, phenylalanine, proline, serine, threonine, tryptophan, tyrosine, and valine; (ii) minor amino acids such as ornithine and citrulline; (iii) unnatural amino acids, beta-amino acids, synthetic analogs and derivatives of naturally occurring amino acids; and (iv) all enantiomers, diastereomers, isomerically enriched, isotopically labelled (e.g. 2H, 3H, 14C, 15N), protected forms, and racemic mixtures thereof.
In one embodiment, -C(=0) - and L2 together form the group:
where the asterisk indicates the point of attachment to the N10 position, the wavy line indicates the point of attachment to the linker L1, Y is -N(H)-, -0-, -C(=0)N(H)- or -C(=0)0-, and n is 0 to 3. The phenylene ring is optionally substituted with one, two or three substituents as described herein. In one embodiment, the phenylene group is optionally substituted with halo, N02, R or OR. In one embodiment, Y is NH.
In one embodiment, n is 0 or 1 . Preferably, n is 0.
Where Y is NH and n is 0, the self-immolative linker may be referred to as a p-aminobenzylcarbonyl linker (PABC).
The self-immolative linker will allow for release of the protected compound when a remote site is activated, proceeding along the lines shown below (for n=0):
where L is the activated form of the remaining portion of the linker. These groups have the advantage of separating the site of activation from the compound being protected. As described above, the phenylene group may be optionally substituted.
In one embodiment described herein, the group L* is a linker L1 as described herein, which may include a dipeptide group.
In another embodiment, -C(=0)0- and L2 together form a group selected from:
where the asterisk, the wavy line, Y, and n are as defined above. Each phenylene ring is optionally substituted with one, two or three substituents as described herein. In one embodiment, the phenylene ring having the Y substituent is optionally substituted and the phenylene ring not having the Y substituent is unsubstituted. In one embodiment, the
phenylene ring having the Y substituent is unsubstituted and the phenylene ring not having the Y substituent is optionally substituted.
In another embodiment, -C(=0)0- and L2 together form a group selected from:
where the asterisk, the wavy line, Y, and n are as defined above, E is O, S or NR, D is N, CH, or CR, and F is N, CH, or CR.
In one embodiment, D is N.
In one embodiment, D is CH.
In one embodiment, E is O or S.
In one embodiment, F is CH.
In a preferred embodiment, the linker is a cathepsin labile linker.
In one embodiment, L1 comprises a dipeptide The dipeptide may be represented as -NH-X X2-CO-, where -NH- and -CO- represent the N- and C-terminals of the amino acid groups Xi and X2 respectively. The amino acids in the dipeptide may be any combination of natural amino acids. Where the linker is a cathepsin labile linker, the dipeptide may be the site of action for cathepsin-mediated cleavage.
Additionally, for those amino acids groups having carboxyl or amino side chain functionality, for example Glu and Lys respectively, CO and NH may represent that side chain
functionality.
-Phe-Lys-,
-Val-Ala-
-Val-Lys-
-Ala-Lys-,
-Val-Cit-,
-Phe-Cit-,
-Leu-Cit-,
-lle-Cit-,
-Phe-Arg-,
-Trp-Cit- where Cit is citrulline.
Preferably, the group -XrX2- in dipeptide, -NH-XrX2-CO-, is selected from:
-Phe-Lys-,
-Val-Ala- -Val-Lys- -Ala-Lys-,
-Val-Cit-.
Most preferably, the group -Xi-X2- in dipeptide, -ΝΗ-X X^CO-, is -Phe-Lys- or -Val-Ala-.
Other dipeptide combinations may be used, including those described by Dubowchik et al., Bioconjugate Chemistry, 2002, 13,855-869, which is incorporated herein by reference.
In one embodiment, the amino acid side chain is derivatised, where appropriate. For example, an amino group or carboxy group of an amino acid side chain may be derivatised. In one embodiment, an amino group NH2 of a side chain amino acid, such as lysine, is a derivatised form selected from the group consisting of NHR and NRR'.
In one embodiment, a carboxy group COOH of a side chain amino acid, such as aspartic acid, is a derivatised form selected from the group consisting of COOR, CONH2, CONHR and CONRR'.
In one embodiment, the amino acid side chain is chemically protected, where appropriate. The side chain protecting group may be a group as discussed below in relation to the group RL. The present inventors have established that protected amino acid sequences are cleavable by enzymes. For example, it has been established that a dipeptide sequence comprising a Boc side chain-protected Lys residue is cleavable by cathepsin.
Protecting groups for the side chains of amino acids are well known in the art and are described in the Novabiochem Catalog. Additional protecting group strategies are set out in Protective Groups in Organic Synthesis, Greene and Wuts.
Possible side chain protecting groups are shown below for those amino acids having reactive side chain functionality:
Arg: Z, Mtr, Tos;
Asn: Trt, Xan;
Asp: Bzl, t-Bu;
Cys: Acm, Bzl, Bzl-OMe, Bzl-Me, Trt;
Glu: Bzl, t-Bu;
Gin: Trt, Xan;
His: Boc, Dnp, Tos, Trt;
Lys: Boc, Z-CI, Fmoc, Z, Alloc;
Ser: Bzl, TBDMS, TBDPS;
Thr: Bz;
Trp: Boc;
Tyr: Bzl, Z, Z-Br.
In one embodiment, the side chain protection is selected to be orthogonal to a group provided as, or as part of, a capping group, where present. Thus, the removal of the side chain protecting group does not remove the capping group, or any protecting group functionality that is part of the capping group.
In other embodiments of the invention, the amino acids selected are those having no reactive side chain functionality. For example, the amino acids may be selected from: Ala, Gly, lie, Leu, Met, Phe, Pro, and Val.
In one embodiment, the dipeptide is used in combination with a self-immolative linker. The self-immolative linker may be connected to -X2-.
Where a self-immolative linker is present, -X2- is connected directly to the self-immolative linker. Preferably the group -X2-CO- is connected to Y, where Y is NH, thereby forming the group -X2-CO-NH-.
-NH-X-i- is connected directly to A. A may comprise the functionality -CO- thereby to form an amide link with -X .
In one embodiment, L1 and L2 together with -OC(=0)- comprise the group
NH-X X2-CO-PABC-. The PABC group is connected directly to the N10 position.
Preferably, the self-immolative linker and the dipeptide together form the group -NH-Phe- Lys-CO-NH-PABC-, which is illustrated below:
where the asterisk indicates the point of attachment to the N10 position, and the wavy line indicates the point of attachment to the remaining portion of the linker L1 or the point of attachment to A. Preferably, the wavy line indicates the point of attachment to A. The side chain of the Lys amino acid may be protected, for example, with Boc, Fmoc, or Alloc, as described above. Alternatively, the self-immolative linker and the dipeptide together form the group
-NH-Val-Ala-CO-NH-PABC-, which is illustrated below:
where the asterisk and the wavy line are as defined above. Alternatively, the self-immolative linker and the dipeptide together form the group
-NH-Val-Cit-CO-NH-PABC-, which is illustrated below:
where the asterisk and the wavy line are as defined above.
In one embodiment, A is a covalent bond. Thus, L1 and the antibody are directly connected. For example, where L1 comprises a contiguous amino acid sequence, the N-terminus of the sequence may connect directly to the antibody. Thus, where A is a covalent bond, the connection between the antibody and L1 may be selected from:
-C(=0)NH-,
-C(=0)0-
-NHC(=0)-,
-OC(=0)-,
-OC(=0)0-,
-NHC(=0)0-,
-OC(=0)NH-,
-NHC(=0)NH-,
-C(=0)NHC(=0)-,
-S-,
-S-S-,
-CH2C(=0)-, and
=N-NH-.
An amino group of L1 that connects to the antibody may be the N-terminus of an amino acid or may be derived from an amino group of an amino acid side chain, for example a lysine amino acid side chain.
An carboxyl group of L1 that connects to the antibody may be the C-terminus of an amino acid or may be derived from a carboxyl group of an amino acid side chain, for example a glutamic acid amino acid side chain.
A hydroxyl group of L1 that connects to the antibody may be derived from a hydroxyl group of an amino acid side chain, for example a serine amino acid side chain.
A thiol group of L1 that connects to the antibody may be derived from a thiol group of an amino acid side chain, for example a serine amino acid side chain.
The comments above in relation to the amino, carboxyl, hydroxyl and thiol groups of L1 also apply to the antibody. In one embodiment, L2 together with -OC(=0)- represents:
where the asterisk indicates the point of attachment to the N10 position, the wavy line indicates the point of attachment to L1, n is 0 to 3, Y is a covalent bond or a functional group, and E is an activatable group, for example by enzymatic action or light, thereby to generate a self-immolative unit. The phenylene ring is optionally further substituted with one, two or three substituents as described herein. In one embodiment, the phenylene group is optionally further substituted with halo, N02, R or OR. Preferably n is 0 or 1 , most preferably 0. E is selected such that the group is susceptible to activation, e.g. by light or by the action of an enzyme. E may be -N02 or glucoronic acid. The former may be susceptible to the action of a nitroreductase, the latter to the action of a β-glucoronidase.
In this embodiment, the self-immolative linker will allow for release of the protected compound when E is activated, proceeding along the lines shown below (for n=0):
where the asterisk indicates the point of attachment to the N10 position, E* is the activated form of E, and Y is as described above. These groups have the advantage of separating the site of activation from the compound being protected. As described above, the phenylene group may be optionally further substituted.
The group Y may be a covalent bond to L1.
The group Y may be a functional group selected from
-C(=0)-
-NH-
-O-
-C(=0)NH-,
-C(=0)0-,
-NHC(=0)-,
-OC(=0)-,
-OC(=0)0-,
-NHC(=0)0-,
-OC(=0)NH-,
-NHC(=0)NH-,
-NHC(=0)NH,
-C(=0)NHC(=0)-, and
-S-.
Where L1 is a dipeptide, it is preferred that Y is -NH- or -C(=0)-, thereby to form an amide bond between L1 and Y. In this embodiment, the dipeptide sequence need not be a substrate for an enzymatic activity.
In another embodiment, A is a spacer group. Thus, L1 and the antibody are indirectly connected.
L1 and A may be connected by a bond selected from:
-C(=0)NH-,
-C(=0)0-,
-NHC(=0)-,
-OC(=0)-,
-OC(=0)0-,
-NHC(=0)0-,
-OC(=0)NH-, and
-NHC(=0)NH-.
where the asterisk indicates the point of attachment to L1, the wavy line indicates the point of attachment to the antibody, and n is 0 to 6. In one embodiment, n is 5.
In one embodiment, the group A is:
where the asterisk indicates the point of attachment to L1, the wavy line indicates the point of attachment to the antibody, and n is 0 to 6. In one embodiment, n is 5.
In one embodiment, the group A is:
where the asterisk indicates the point of attachment to L1, the wavy line indicates the point of attachment to the antibody, n is 0 or 1 , and m is 0 to 30. In a preferred embodiment, n is 1 and m is 0 to 10, 1 to 8, preferably 4 to 8, and most preferably 4 or 8. In another embodiment, m is 10 to 30, and preferably 20 to 30. Alternatively, m is 0 to 50. In this embodiment, m is preferably 10-40 and n is 1 .
In one embodiment, the group A is:
where the asterisk indicates the point of attachment to L1, the wavy line indicates the point of attachment to the antibody, n is 0 or 1 , and m is 0 to 30. In a preferred embodiment, n is 1 and m is 0 to 10, 1 to 8, preferably 4 to 8, and most preferably 4 or 8. In another embodiment, m is 10 to 30, and preferably 20 to 30. Alternatively, m is 0 to 50. In this embodiment, m is preferably 10-40 and n is 1 .
In one embodiment, the connection between the antibody and A is through a thiol residue of the antibody and a maleimide group of A.
In one embodiment, the connection between the antibody and A is:
where the asterisk indicates the point of attachment to the remaining portion of A and the wavy line indicates the point of attachment to the remaining portion of the antibody. In this embodiment, the S atom is typically derived from the antibody.
In each of the embodiments above, an alternative functionality may be used in place of the maleimide-derived group shown below
where the wavy line indicates the point of attachment to the antibody as before, and the asterisk indicates the bond to the remaining portion of the A group.
In one embodiment, the maleimide-derived group is replaced with the group:
where the wavy line indicates point of attachment to the antibody, and the asterisk indicates the bond to the remaining portion of the A group.
In one embodiment, the maleimide-derived group is replaced with a group, which optionally together with the antibody, is selected from:
-C(=0)NH-,
-C(=0)0-,
-NHC(=0)-,
-OC(=0)-,
-OC(=0)0-,
-NHC(=0)0-,
-OC(=0)NH-,
-NHC(=0)NH-,
-NHC(=0)NH,
-C(=0)NHC(=0)-,
-S-,
-S-S-,
-CH2C(=0)- -C(=0)CH2-,
=N-NH-, and
-NH-N=. In one embodiment, the maleimide-derived group is replaced with a group, which optionally together with the antibody, is selected from:
where the wavy line indicates either the point of attachment to the antibody or the bond to the remaining portion of the A group, and the asterisk indicates the other of the point of attachment to the antibody or the bond to the remaining portion of the A group.
Other groups suitable for connecting L1 to the antibody are described in WO 2005/082023.
In one embodiment, the Connecting Group A is present, the Trigger L1 is present and Self- Immolative Linker L2 is absent. Thus, L1 and the Drug unit are directly connected via a bond. Equivalently in this embodiment, L2 is a bond. This may be particularly relevant when DL is of Formula II.
L1 and D may be connected by a bond selected from:
-C(=0)N<,
-C(=0)0-,
-NHC(=0)-,
-OC(=0)-,
-OC(=0)0-,
-NHC(=0)0-,
-OC(=0)N<, and
-NHC(=0)N<,
where N< or O- are part of D.
In one embodiment, L1 and D are preferably connected by a bond selected from:
-C(=0)N<, and
-NHC(=0)-.
In one embodiment, L1 comprises a dipeptide and one end of the dipeptide is linked to D. As described above, the amino acids in the dipeptide may be any combination of natural amino acids and non-natural amino acids. In some embodiments, the dipeptide comprises natural amino acids. Where the linker is a cathepsin labile linker, the dipeptide is the site of action for cathepsin-mediated cleavage. The dipeptide then is a recognition site for cathepsin.
-Phe-Lys-,
-Val-Ala-,
-Val-Lys-,
-Ala-Lys-,
-Val-Cit-,
-Phe-Cit-,
-Leu-Cit-,
-lle-Cit-,
-Phe-Arg-, and
-Trp-Cit-;
where Cit is citrulline. In such a dipeptide, -NH- is the amino group of X-i, and CO is the carbonyl group of X2.
Preferably, the group -X X2- in dipeptide, -NH-XrX2-CO-, is selected from:
-Phe-Lys-,
-Val-Ala-,
-Val-Lys-,
-Ala-Lys-, and
-Val-Cit-.
Most preferably, the group -X X2- in dipeptide, -NH-XrX2-CO-, is -Phe-Lys- or -Val-Ala-.
Other dipeptide combinations of interest include:
-Gly-Gly-,
-Pro-Pro-, and
-Val-Glu-. Other dipeptide combinations may be used, including those described above. In one embodiment, L1- D is:
where -NH-XrX2-CO is the dipeptide, -N< is part of the Drug unit, the asterisk indicates the points of attachment to the remainder of the Drug unit, and the wavy line indicates the point of attachment to the remaining portion of L1 or the point of attachment to A. Preferably, the wavy line indicates the point of attachment to A.
In one embodiment, the dipeptide is valine-alanine and L1- D is:
where the asterisks, -N< and the wavy line are as defined above, one embodiment, the dipeptide is phenylalnine-lysine and L1- D is:
where the asterisks, -N< and the wavy line are as defined above.
In one embodiment, the dipeptide is valine-citrulline.
In one embodiment, the groups A-L1 are:
where the asterisk indicates the point of attachment to L2 or D, the wavy line indicates the point of attachment to the Ligand unit, and n is 0 to 6. In one embodiment, n is 5. In one embodiment, the groups A-L1 are:
where the asterisk indicates the point of attachment to L2 or D, the wavy line indicates the point of attachment to the Ligand unit, and n is 0 to 6. In one embodiment, n is 5.
In one embodiment, the groups A-L1 are:
where the asterisk indicates the point of attachment to L2 or D, the wavy line indicates the point of attachment to the Ligand unit, n is 0 or 1 , and m is 0 to 30. In a preferred embodiment, n is 1 and m is 0 to 10, 1 to 8, preferably 4 to 8, most preferably 4 or 8.
In one embodiment, the groups A-L1 are:
where the asterisk indicates the point of attachment to L2 or D, the wavy line indicates the point of attachment to the Ligand unit, n is 0 or 1 , and m is 0 to 30. In a preferred embodiment, n is 1 and m is 0 to 10, 1 to 7, preferably 3 to 7, most preferably 3 or 7.
In one embodiment, the groups A-L1 are:
where the asterisk indicates the point of attachment to L2 or D, the wavy line indicates the point of attachment to the Ligand unit, and n is 0 to 6. In one embodiment, n is 5.
In one embodiment, the groups A-L1 are:
where the asterisk indicates the point of attachment to L or D, the wavy line indicates the point of attachment to the Ligand unit, and n is 0 to 6. In one embodiment, n is 5.
In one embodiment, the groups A-L1 are:
where the asterisk indicates the point of attachment to L2 or D, the wavy line indicates the point of attachment to the Ligand unit, n is 0 or 1 , and m is 0 to 30. In a preferred embodiment, n is 1 and m is 0 to 10, 1 to 8, preferably 4 to 8, most preferably 4 or 8.
where the asterisk indicates the point of attachment to L2 or D, the wavy line indicates the point of attachment to the Ligand unit, n is 0 or 1 , and m is 0 to 30. In a preferred embodiment, n is 1 and m is 0 to 10, 1 to 8, preferably 4 to 8, most preferably 4 or 8.
In one embodiment, the groups A-L1 are:
where the asterisk indicates the point of attachment to L2 or D, S is a sulfur group of the Ligand unit, the wavy line indicates the point of attachment to the rest of the Ligand unit, and n is 0 to 6. In one embodiment, n is 5.
where the asterisk indicates the point of attachment to L2 or D, S is a sulfur group of the Ligand unit, the wavy line indicates the point of attachment to the remainder of the Ligand unit, and n is 0 to 6. In one embodiment, n is 5.
In one embodiment, the groups A1-L1 are:
where the asterisk indicates the point of attachment to L2 or D, S is a sulfur group of the Ligand unit, the wavy line indicates the point of attachment to the remainder of the Ligand unit, n is 0 or 1 , and m is 0 to 30. In a preferred embodiment, n is 1 and m is 0 to 10, 1 to 8, preferably 4 to 8, most preferably 4 or 8.
In one embodiment, the groups A1
where the asterisk indicates the point of attachment to L or D, the wavy line indicates the point of attachment to the Ligand unit, n is 0 or 1 , and m is 0 to 30. In a preferred embodiment, n is 1 and m is 0 to 10, 1 to 7, preferably 4 to 8, most preferably 4 or 8.
where the asterisk indicates the point of attachment to L2 or D, the wavy line indicates the point of attachment to the remainder of the Ligand unit, and n is 0 to 6.
embodiment, n is 5.
In one embodiment, the groups A
where the asterisk indicates the point of attachment to L or D, the wavy line indicates the point of attachment to the remainder of the Ligand unit, and n is 0 to 6. In one embodiment, n is 5.
where the asterisk indicates the point of attachment to L2 or D, the wavy line indicates the point of attachment to the remainder of the Ligand unit, n is 0 or 1 , and m is 0 to 30. In a preferred embodiment, n is 1 and m is 0 to 10, 1 to 8, preferably 4 to 8, most preferably 4 or 8.
where the asterisk indicates the point of attachment to L2 or D, the wavy line indicates the point of attachment to the remainder of the Ligand unit, n is 0 or 1 , and m is to 30. In a preferred embodiment, n is 1 and m is 0 to 10, 1 to 8, preferably 4 to 8, most preferably 4 or 8.
The group RL is derivable from the group RL. The group RL may be converted to a group RL by connection of an antibody to a functional group of RL. Other steps may be taken to convert RL to RL . These steps may include the removal of protecting groups, where present, or the installation of an appropriate functional group.
RL
Linkers can include protease-cleavable peptidic moieties comprising one or more amino acid units. Peptide linker reagents may be prepared by solid phase or liquid phase synthesis methods (E. Schroder and K. Lubke, The Peptides, volume 1 , pp 76-136 (1965) Academic Press) that are well known in the field of peptide chemistry, including t-BOC chemistry (Geiser et al "Automation of solid-phase peptide synthesis" in Macromolecular Sequencing and Synthesis, Alan R. Liss, Inc., 1988, pp. 199-218) and Fmoc/HBTU chemistry (Fields, G.
and Noble, R. (1990) "Solid phase peptide synthesis utilizing 9-fluoroenylmethoxycarbonyl amino acids", Int. J. Peptide Protein Res. 35:161-214), on an automated synthesizer such as the Rainin Symphony Peptide Synthesizer (Protein Technologies, Inc., Tucson, AZ), or Model 433 (Applied Biosystems, Foster City, CA).
Exemplary amino acid linkers include a dipeptide, a tripeptide, a tetrapeptide or a pentapeptide. Exemplary dipeptides include: valine-citrulline (vc or val-cit), alanine- phenylalanine (af or ala-phe). Exemplary tripeptides include: glycine-valine-citrulline (gly- val-cit) and glycine-glycine-glycine (gly-gly-gly)- Amino acid residues which comprise an amino acid linker component include those occurring naturally, as well as minor amino acids and non-naturally occurring amino acid analogs, such as citrulline. Amino acid linker components can be designed and optimized in their selectivity for enzymatic cleavage by a particular enzymes, for example, a tumor-associated protease, cathepsin B, C and D, or a plasmin protease.
Amino acid side chains include those occurring naturally, as well as minor amino acids and non-naturally occurring amino acid analogs, such as citrulline. Amino acid side chains include hydrogen, methyl, isopropyl, isobutyl, sec-butyl, benzyl, p-hydroxybenzyl, -CH2OH,■ CH(OH)CH3, -CH2CH2SCH3, -CH2CONH2, -CH2COOH, -CH2CH2CONH2, -CH2CH2COOH, - (CH2)3NHC(=NH)NH2, -(CH2)3NH2, -(CH2)3NHCOCH3, -(CH2)3NHCHO, - (CH2)4NHC(=NH)NH2, -(CH2)4NH2, -(CH2)4NHCOCH3, -(CH2)4NHCHO, -(CH2)3NHCONH2, - (CH2)4NHCONH2, -CH2CH2CH(OH)CH2NH2, 2-pyridylmethyl-, 3-pyridylmethyl-, 4- pyridylmethyl-, phenyl, cyclohexyl, as well as the following structures:
When the amino acid side chains include other than hydrogen (glycine), the carbon atom to which the amino acid side chain is attached is chiral. Each carbon atom to which the amino acid side chain is attached is independently in the (S) or (R) configuration, or a racemic mixture. Drug-linker reagents may thus be enantiomerically pure, racemic, or
diastereomeric.
In exemplary embodiments, amino acid side chains are selected from those of natural and non-natural amino acids, including alanine, 2-amino-2-cyclohexylacetic acid, 2-amino-2- phenylacetic acid, arginine, asparagine, aspartic acid, cysteine, glutamine, glutamic acid, glycine, histidine, isoleucine, leucine, lysine, methionine, norleucine, phenylalanine, proline, serine, threonine, tryptophan, tyrosine, valine, γ-aminobutyric acid, α,α-dimethyl γ- aminobutyric acid, β,β-dimethyl γ-aminobutyric acid, ornithine, and citrulline (Cit).
An exemplary valine-citrulline (val-cit or vc) dipeptide linker reagent useful for constructing a linker-PBD drug moiety intermediate for conjugation to an antibody, having a para- aminobenzylcarbamoyl (PAB) self-immolative spacer has the structure:
where Q is Ci-C8 alkyl, -0-(Ci-C8 alkyl), -halogen, -N02 or -CN; and m is an integer ranging from 0-4.
An exemplary phe-lys(Mtr) dipeptide linker reagent having a p-aminobenzyl group can be prepared according to Dubowchik, et al. (1997) Tetrahedron Letters, 38:5257-60, and has the structure:
where Mtr is mono-4-methoxytrityl, Q is Ci-C8 alkyl, -0-(Ci-C8 alkyl), -halogen, -N02 or -CN; and m is an integer ranging from 0-4.
The "self-immolative linker" PAB (para-aminobenzyloxycarbonyl), attaches the drug moiety to the antibody in the antibody drug conjugate (Carl et al (1981 ) J. Med. Chem. 24:479-480;
Chakravarty et al (1983) J. Med. Chem. 26:638-644; US 6214345; US20030130189;
US20030096743; US6759509; US20040052793; US6218519; US6835807; US6268488;
US20040018194; WO98/13059; US20040052793; US6677435; US5621002;
US20040121940; WO2004/032828). Other examples of self-immolative spacers besides PAB include, but are not limited to: (i) aromatic compounds that are electronically similar to the PAB group such as 2-aminoimidazol-5-methanol derivatives (Hay et al. (1999) Bioorg.
Med. Chem. Lett. 9:2237), thiazoles (US 7375078), multiple, elongated PAB units (de Groot et al (2001 ) J. Org. Chem. 66:8815-8830); and ortho or para-aminobenzylacetals; and (ii) homologated styryl PAB analogs (US 7223837). Spacers can be used that undergo cyclization upon amide bond hydrolysis, such as substituted and unsubstituted 4- aminobutyric acid amides (Rodrigues et al (1995) Chemistry Biology 2:223), appropriately substituted bicyclo[2.2.1] and bicyclo[2.2.2] ring systems (Storm et al (1972) J. Amer. Chem.
Soc. 94:5815) and 2-aminophenylpropionic acid amides (Amsberry, et al (1990) J. Org.
Chem. 55:5867). Elimination of amine-containing drugs that are substituted at glycine (Kingsbury et al (1984) J. Med. Chem. 27:1447) are also examples of self-immolative spacers useful in ADC.
In one embodiment, a valine-citrulline dipeptide PAB analog reagent has a 2,6 dimethyl hen l rou and has the structure:
Linker reagents useful for the antibody drug conjugates of the invention include, but are not limited to: BMPEO, BMPS, EMCS, GMBS, HBVS, LC-SMCC, MBS, MPBH, SBAP, SIA, SIAB, SMCC, SMPB, SMPH, sulfo-EMCS, sulfo-GMBS, sulfo-KMUS, sulfo-MBS, sulfo- SIAB, sulfo-SMCC, and sulfo-SMPB, and SVSB (succinimidyl-(4-vinylsulfone)benzoate), and bis-maleimide reagents: DTME, BMB, BMDB, BMH, BMOE, 1 ,8-bis-
maleimidodiethyleneglycol (BM(PEO)2), and 1 ,1 1-bis-maleimidotriethyleneglycol (BM(PEO)3), which are commercially available from Pierce Biotechnology, Inc.,
ThermoScientific, Rockford, IL, and other reagent suppliers. Bis-maleimide reagents allow the attachment of a free thiol group of a cysteine residue of an antibody to a thiol-containing drug moiety, label, or linker intermediate, in a sequential or concurrent fashion. Other functional groups besides maleimide, which are reactive with a thiol group of an antibody, PBD drug moiety, or linker intermediate include iodoacetamide, bromoacetamide, vinyl pyridine, disulfide, pyridyl disulfide, isocyanate, and isothiocyanate.
BM(PEO)2 BM(PEO)3
Other embodiments of linker reagents are: N-succinimidyl-4-(2-pyridylthio)pentanoate (SPP), N-succinimidyl-3-(2-pyridyldithio) propionate (SPDP, Carlsson et al (1978) Biochem. J.
173:723-737), succinimidyl-4-(N-maleimidomethyl) cyclohexane-1-carboxylate (SMCC), iminothiolane (IT), bifunctional derivatives of imidoesters (such as dimethyl adipimidate HCI), active esters (such as disuccinimidyl suberate), aldehydes (such as glutaraldehyde), bis- azido compounds (such as bis (p-azidobenzoyl) hexanediamine), bis-diazonium derivatives (such as bis-(p-diazoniumbenzoyl)-ethylenediamine), diisocyanates (such as toluene 2,6- diisocyanate), and bis-active fluorine compounds (such as 1 ,5-difluoro-2,4-dinitrobenzene). Useful linker reagents can also be obtained via other commercial sources, such as
Molecular Biosciences Inc. (Boulder, CO), or synthesized in accordance with procedures described in Toki et al (2002) J. Org. Chem. 67:1866-1872; US 6214345; WO 02/088172; US 2003130189; US2003096743; WO 03/026577; WO 03/043583; and WO 04/032828.
The Linker may be a dendritic type linker for covalent attachment of more than one drug moiety through a branching, multifunctional linker moiety to an antibody (US 2006/1 16422; US 2005/271615; de Groot et al (2003) Angew. Chem. Int. Ed. 42:4490-4494; Amir et al (2003) Angew. Chem. Int. Ed. 42:4494-4499; Shamis et al (2004) J. Am. Chem. Soc.
126:1726-1731 ; Sun et al (2002) Bioorganic & Medicinal Chemistry Letters 12:2213-2215; Sun et al (2003) Bioorganic & Medicinal Chemistry 1 1 :1761-1768; King et al (2002)
Tetrahedron Letters 43:1987-1990). Dendritic linkers can increase the molar ratio of drug to antibody, i.e. loading, which is related to the potency of the ADC. Thus, where an antibody
bears only one reactive cysteine thiol group, a multitude of drug moieties may be attached through a dendritic or branched linker.
One exemplary embodiment of a dendritic type linker has the structure:
*
where the asterisk indicate the point of attachment to the N10 position of a PBD moiety. R°, Capping Group
The conjugate of the first aspect of the invention may have a capping group Rc at the N10 position. Compound E may have a capping group Rc.
In one embodiment, where the conjugate is a dimer with each monomer being of formula (A), the group R10 in one of the monomer units is a capping group Rc or is a group R10.
In one embodiment, where the conjugate is a dimer with each monomer being of formula (A), the group R10 in one of the monomer units is a capping group Rc.
In one embodiment, where compound E is a dimer with each monomer being of formula (E), the group RL in one of the monomer units is a capping group Rc or is a linker for connection to an antibody. In one embodiment, where compound E is a dimer with each monomer being of formula (E), the group RL in one of the monomer units is a capping group Rc.
The group Rc is removable from the N10 position of the PBD moiety to leave an N 10-C1 1 imine bond, a carbinolamine, a substituted carbinolamine, where QR11 is OS03M, a bisulfite adduct, a thiocarbinolamine, a substituted thiocarbinolamine, or a substituted carbinalamine.
In one embodiment, Rc, may be a protecting group that is removable to leave an N10-C1 1 imine bond, a carbinolamine, a substituted cabinolamine, or, where QR11 is OS03M, a bisulfite adduct. In one embodiment, Rc is a protecting group that is removable to leave an N10-C1 1 imine bond.
The group Rc is intended to be removable under the same conditions as those required for the removal of the group R10, for example to yield an N10-C1 1 imine bond, a carbinolamine and so on. The capping group acts as a protecting group for the intended functionality at the N10 position. The capping group is intended not to be reactive towards an antibody. For example, Rc is not the same as RL.
Compounds having a capping group may be used as intermediates in the synthesis of dimers having an imine monomer. Alternatively, compounds having a capping group may be used as conjugates, where the capping group is removed at the target location to yield an imine, a carbinolamine, a substituted cabinolamine and so on. Thus, in this embodiment, the capping group may be referred to as a therapeutically removable nitrogen protecting group, as defined in the inventors' earlier application WO 00/12507. In one embodiment, the group Rc is removable under the conditions that cleave the linker RL of the group R10. Thus, in one embodiment, the capping group is cleavable by the action of an enzyme.
In an alternative embodiment, the capping group is removable prior to the connection of the linker RL to the antibody. In this embodiment, the capping group is removable under conditions that do not cleave the linker RL.
Where a compound includes a functional group G1 to form a connection to the antibody, the capping group is removable prior to the addition or unmasking of G1. The capping group may be used as part of a protecting group strategy to ensure that only one of the monomer units in a dimer is connected to an antibody.
The capping group may be used as a mask for a N10-C1 1 imine bond. The capping group may be removed at such time as the imine functionality is required in the compound. The capping group is also a mask for a carbinolamine, a substituted cabinolamine, and a bisulfite adduct, as described above.
Rc may be an N10 protecting group, such as those groups described in the inventors' earlier application, WO 00/12507. In one embodiment, Rc is a therapeutically removable nitrogen protecting group, as defined in the inventors' earlier application, WO 00/12507.
In one embodiment, Rc is a carbamate protecting group.
In one embodiment, the carbamate protecting group is selected from:
Alloc, Fmoc, Boc, Troc, Teoc, Psec, Cbz and PNZ.
Optionally, the carbamate protecting group is further selected from Moc.
In one embodiment, Rc is a linker group RL lacking the functional group for connection to the antibody.
This application is particularly concerned with those Rc groups which are carbamates.
In one embodiment, Rc is a group:
where the asterisk indicates the point of attachment to the N10 position, G2 is a terminating group, L3 is a covalent bond or a cleavable linker L1, L2 is a covalent bond or together with OC(=0) forms a self-immolative linker.
Where L3 and L2 are both covalent bonds, G2 and OC(=0) together form a carbamate protecting group as defined above.
L1 is as defined above in relation to R10.
L2 is as defined above in relation to R10.
Various terminating groups are described below, including those based on well known protecting groups. In one embodiment L3 is a cleavable linker L1, and L2, together with OC(=0), forms a self- immolative linker. In this embodiment, G2 is Ac (acetyl) or Moc, or a carbamate protecting group selected from:
Alloc, Fmoc, Boc, Troc, Teoc, Psec, Cbz and PNZ.
Optionally, the carbamate protecting group is further selected from Moc.
In another embodiment, G2 is an acyl group -C(=0)G3, where G3 is selected from alkyl (including cycloalkyl, alkenyl and alkynyl), heteroalkyi, heterocyclyl and aryl (including heteroaryl and carboaryl). These groups may be optionally substituted. The acyl group together with an amino group of L3 or L2, where appropriate, may form an amide bond. The acyl group together with a hydroxy group of L3 or L2, where appropriate, may form an ester bond.
In one embodiment, G3 is heteroalkyi. The heteroalkyi group may comprise polyethylene glycol. The heteroalkyi group may have a heteroatom, such as O or N, adjacent to the acyl group, thereby forming a carbamate or carbonate group, where appropriate, with a heteroatom present in the group L3 or L2, where appropriate.
In one embodiment, G3 is selected from NH2, NHR and NRR'. Preferably, G3 is NRR'. In one embodiment G2 is the group:
where the asterisk indicates the point of attachment to L3, n is 0 to 6 and G4 is selected from OH, OR, SH, SR, COOR, CONH2, CONHR, CONRR', NH2, NHR, NRR', N02, and halo. The groups OH, SH, NH2 and NHR are protected. In one embodiment, n is 1 to 6,
and preferably n is 5. In one embodiment, G4 is OR, SR, COOR, CONH2, CONHR,
CONRR', and NRR'. In one embodiment, G4 is OR, SR, and NRR'. Preferably G4 is selected from OR and NRR', most preferably G4 is OR. Most preferably G4 is OMe. In one embodiment, the group G2 is:
where the asterisk indicates the point of attachment to L3, and n and G4 are as defined above. In one embodiment, the group G2 is:
where the asterisk indicates the point of attachment to L3, n is 0 or 1 , m is 0 to 50, and G4 is selected from OH, OR, SH, SR, COOR, CONH2, CONHR, CONRR', NH2, NHR, NRR', N02, and halo. In a preferred embodiment, n is 1 and m is 0 to 10, 1 to 2, preferably 4 to 8, and most preferably 4 or 8. In another embodiment, n is 1 and m is 10 to 50, preferably 20 to 40. The groups OH, SH, NH2 and NHR are protected. In one embodiment, G4 is OR, SR, COOR, CONH2, CONHR, CONRR', and NRR'. In one embodiment, G4 is OR, SR, and NRR'. Preferably G4 is selected from OR and NRR', most preferably G4 is OR. Preferably G4 is OMe.
where the asterisk indicates the point of attachment to L3, and n, m and G4 are as defined above.
In one embodiment, the group G2 is:
where n is 1-20, m is 0-6, and G4 is selected from OH, OR, SH, SR, COOR, CONH2, CONHR, CONRR', NH2, NHR, NRR', N02, and halo. In one embodiment, n is 1 -10. In another embodiment, n is 10 to 50, preferably 20 to 40. In one embodiment, n is 1 . In one embodiment, m is 1. The groups OH, SH, NH2 and NHR are protected. In one embodiment, G4 is OR, SR, COOR, CONH2, CONHR, CONRR', and NRR'. In one embodiment, G4 is OR, SR, and NRR'. Preferably G4 is selected from OR and NRR', most preferably G4 is OR. Preferably G4 is OMe.
where the asterisk indicates the point of attachment to L3, and n, m and G4 are as defined above.
In each of the embodiments above G4 may be OH, SH, NH2 and NHR. These groups are preferably protected.
In one embodiment, OH is protected with Bzl, TBDMS, or TBDPS.
In one embodiment, SH is protected with Acm, Bzl, Bzl-OMe, Bzl-Me, or Trt.
In one embodiment, NH2 or NHR are protected with Boc, Moc, Z-CI, Fmoc, Z, or Alloc.
In one embodiment, the group G2 is present in combination with a group L3, which group is a dipeptide. The capping group is not intended for connection to the antibody. Thus, the other monomer present in the dimer serves as the point of connection to the antibody via a linker.
Accordingly, it is preferred that the functionality present in the capping group is not available for reaction with an antibody. Thus, reactive functional groups such as OH, SH, NH2, COOH are preferably avoided. However, such functionality may be present in the capping group if protected, as described above.
Embodiments
Embodiments of the present invention include ConjA wherein the antibody is as defined above.
Embodiments of the present invention include ConjB wherein the antibody is as defined above.
Embodiments of the present invention include ConjC wherein the antibody is as defined above.
Embodiments of the present invention include ConjD wherein the antibody is as defined above. Embodiments of the present invention include ConjE wherein the antibody is as defined above.
As mentioned above, some embodiments of the invention exclude ConjA, ConjB, ConjC, ConjD and ConjE.
Drug loading
The drug loading is the average number of PBD drugs per antibody, e.g. antibody. Where the compounds of the invention are bound to cysteines, drug loading may range from 1 to 8 drugs (DL) per antibody, i.e. where 1 , 2, 3, 4, 5, 6, 7, and 8 drug moieties are covalently attached to the antibody. Compositions of conjgates include collections of antibodies, conjugated with a range of drugs, from 1 to 8. Where the compounds of the invention are bound to lysines, drug loading may range from 1 to 80 drugs (DL) per antibody, although an upper limit of 40, 20, 10 or 8 may be preferred. Compositions of conjgates include collections of antibodies, conjugated with a range of drugs, from 1 to 80, 1 to 40, 1 to 20, 1 to 10 or 1 to 8.
The average number of drugs per antibody in preparations of ADC from conjugation reactions may be characterized by conventional means such as UV, reverse phase HPLC, HIC, mass spectroscopy, ELISA assay, and electrophoresis. The quantitative distribution of ADC in terms of p may also be determined. By ELISA, the averaged value of p in a particular preparation of ADC may be determined (Hamblett et al (2004) Clin. Cancer Res.
10:7063-7070; Sanderson et al (2005) Clin. Cancer Res. 1 1 :843-852). However, the distribution of p (drug) values is not discernible by the antibody-antigen binding and detection limitation of ELISA. Also, ELISA assay for detection of antibody-drug conjugates does not determine where the drug moieties are attached to the antibody, such as the heavy chain or light chain fragments, or the particular amino acid residues. In some instances, separation, purification, and characterization of homogeneous ADC where p is a certain value from ADC with other drug loadings may be achieved by means such as reverse phase HPLC or electrophoresis. Such techniques are also applicable to other types of conjugates. For some antibody-drug conjugates, p may be limited by the number of attachment sites on the antibody. For example, an antibody may have only one or several cysteine thiol groups, or may have only one or several sufficiently reactive thiol groups through which a linker may be attached. Higher drug loading, e.g. p >5, may cause aggregation, insolubility, toxicity, or loss of cellular permeability of certain antibody-drug conjugates.
Typically, fewer than the theoretical maximum of drug moieties are conjugated to an antibody during a conjugation reaction. An antibody may contain, for example, many lysine residues that do not react with the drug-linker intermediate (D-L) or linker reagent. Only the most reactive lysine groups may react with an amine-reactive linker reagent. Also, only the most reactive cysteine thiol groups may react with a thiol-reactive linker reagent. Generally, antibodies do not contain many, if any, free and reactive cysteine thiol groups which may be linked to a drug moiety. Most cysteine thiol residues in the antibodies of the compounds exist as disulfide bridges and must be reduced with a reducing agent such as dithiothreitol (DTT) or TCEP, under partial or total reducing conditions. The loading (drug/antibody ratio) of an ADC may be controlled in several different manners, including: (i) limiting the molar excess of drug-linker intermediate (D-L) or linker reagent relative to antibody, (ii) limiting the conjugation reaction time or temperature, and (iii) partial or limiting reductive conditions for cysteine thiol modification. Certain antibodies have reducible interchain disulfides, i.e. cysteine bridges. Antibodies may be made reactive for conjugation with linker reagents by treatment with a reducing agent such as DTT (dithiothreitol). Each cysteine bridge will thus form, theoretically, two reactive thiol nucleophiles. Additional nucleophilic groups can be introduced into antibodies through the reaction of lysines with 2-iminothiolane (Traut's reagent) resulting in conversion of an amine into a thiol. Reactive thiol groups may be introduced into the antibody (or fragment thereof) by engineering one, two, three, four, or more cysteine residues (e.g., preparing
mutant antibodies comprising one or more non-native cysteine amino acid residues). US 7521541 teaches engineering antibodies by introduction of reactive cysteine amino acids.
Cysteine amino acids may be engineered at reactive sites in an antibody and which do not form intrachain or intermolecular disulfide linkages (Junutula, et al., 2008b Nature Biotech., 26(8):925-932; Dornan et al (2009) Blood 1 14(13):2721 -2729; US 7521541 ; US 7723485; WO2009/052249). The engineered cysteine thiols may react with linker reagents or the drug-linker reagents of the present invention which have thiol-reactive, electrophilic groups such as maleimide or alpha-halo amides to form ADC with cysteine engineered antibodies and the PBD drug moieties. The location of the drug moiety can thus be designed, controlled, and known. The drug loading can be controlled since the engineered cysteine thiol groups typically react with thiol-reactive linker reagents or drug-linker reagents in high yield. Engineering an IgG antibody to introduce a cysteine amino acid by substitution at a single site on the heavy or light chain gives two new cysteines on the symmetrical antibody. A drug loading near 2 can be achieved with near homogeneity of the conjugation product ADC.
Alternatively, site-specific conjugation can be achieved by engineering antibodies to contain unnatural amino acids in their heavy and/or light chains as described by Axup et al. ((2012), Proc Natl Acad Sci U S A. 109(40):16101 -161 16). The unnatural amino acids provide the additional advantage that orthogonal chemistry can be designed to attach the linker reagent and drug.
Where more than one nucleophilic or electrophilic group of the antibody reacts with a drug- linker intermediate, or linker reagent followed by drug moiety reagent, then the resulting product is a mixture of ADC compounds with a distribution of drug moieties attached to an antibody, e.g. 1 , 2, 3, etc. Liquid chromatography methods such as polymeric reverse phase (PLRP) and hydrophobic interaction (HIC) may separate compounds in the mixture by drug loading value. Preparations of ADC with a single drug loading value (p) may be isolated, however, these single loading value ADCs may still be heterogeneous mixtures because the drug moieties may be attached, via the linker, at different sites on the antibody.
Thus the antibody-drug conjugate compositions of the invention include mixtures of antibody-drug conjugate compounds where the antibody has one or more PBD drug moieties and where the drug moieties may be attached to the antibody at various amino acid residues.
In one embodiment, the average number of dimer pyrrolobenzodiazepine groups per antibody is in the range 1 to 20. In some embodiments the range is selected from 1 to 8, 2 to 8, 2 to 6, 2 to 4, and 4 to 8.
In some embodiments, there is one dimer pyrrolobenzodiazepine group per antibody. Includes Other Forms
Unless otherwise specified, included in the above are the well known ionic, salt, solvate, and protected forms of these substituents. For example, a reference to carboxylic acid (-COOH) also includes the anionic (carboxylate) form (-COO"), a salt or solvate thereof, as well as conventional protected forms. Similarly, a reference to an amino group includes the protonated form (-N+HR1R2), a salt or solvate of the amino group, for example, a
hydrochloride salt, as well as conventional protected forms of an amino group. Similarly, a reference to a hydroxyl group also includes the anionic form (-0"), a salt or solvate thereof, as well as conventional protected forms.
Salts
It may be convenient or desirable to prepare, purify, and/or handle a corresponding salt of the active compound, for example, a pharmaceutically-acceptable salt. Examples of pharmaceutically acceptable salts are discussed in Berge, et al., J. Pharm. Sci., 66, 1-19 (1977).
For example, if the compound is anionic, or has a functional group which may be anionic (e.g. -COOH may be -COO"), then a salt may be formed with a suitable cation. Examples of suitable inorganic cations include, but are not limited to, alkali metal ions such as Na+ and K+, alkaline earth cations such as Ca2+ and Mg2+, and other cations such as Α 3. Examples of suitable organic cations include, but are not limited to, ammonium ion (i.e. NH4 +) and substituted ammonium ions (e.g. NH3R+, NH2R2+, NHR3 +, NR4 +). Examples of some suitable substituted ammonium ions are those derived from: ethylamine, diethylamine,
dicyclohexylamine, triethylamine, butylamine, ethylenediamine, ethanolamine,
diethanolamine, piperazine, benzylamine, phenylbenzylamine, choline, meglumine, and tromethamine, as well as amino acids, such as lysine and arginine. An example of a common quaternary ammonium ion is N(CH3)4 +.
If the compound is cationic, or has a functional group which may be cationic (e.g. -NH2 may be -NH3 +), then a salt may be formed with a suitable anion. Examples of suitable inorganic anions include, but are not limited to, those derived from the following inorganic acids:
hydrochloric, hydrobromic, hydroiodic, sulfuric, sulfurous, nitric, nitrous, phosphoric, and phosphorous.
Examples of suitable organic anions include, but are not limited to, those derived from the following organic acids: 2-acetyoxybenzoic, acetic, ascorbic, aspartic, benzoic,
camphorsulfonic, cinnamic, citric, edetic, ethanedisulfonic, ethanesulfonic, fumaric, glucheptonic, gluconic, glutamic, glycolic, hydroxymaleic, hydroxynaphthalene carboxylic, isethionic, lactic, lactobionic, lauric, maleic, malic, methanesulfonic, mucic, oleic, oxalic, palmitic, pamoic, pantothenic, phenylacetic, phenylsulfonic, propionic, pyruvic, salicylic, stearic, succinic, sulfanilic, tartaric, toluenesulfonic, trifluoroacetic acid and valeric.
Examples of suitable polymeric organic anions include, but are not limited to, those derived from the following polymeric acids: tannic acid, carboxymethyl cellulose.
Solvates
It may be convenient or desirable to prepare, purify, and/or handle a corresponding solvate of the active compound. The term "solvate" is used herein in the conventional sense to refer to a complex of solute (e.g. active compound, salt of active compound) and solvent. If the solvent is water, the solvate may be conveniently referred to as a hydrate, for example, a mono-hydrate, a di-hydrate, a tri-hydrate, etc.
The invention includes compounds where a solvent adds across the imine bond of the PBD moiety, which is illustrated below where the solvent is water or an alcohol (RAOH, where RA is Ci-4 alkyl):
These forms can be called the carbinolamine and carbinolamine ether forms of the PBD (as described in the section relating to R10 above). The balance of these equilibria depend on the conditions in which the compounds are found, as well as the nature of the moiety itself.
These particular compounds may be isolated in solid form, for example, by lyophilisation.
Isomers
Certain compounds of the invention may exist in one or more particular geometric, optical, enantiomeric, diasteriomeric, epimeric, atropic, stereoisomeric, tautomeric, conformational, or anomeric forms, including but not limited to, cis- and trans-forms; E- and Z-forms; c-, t-, and r- forms; endo- and exo-forms; R-, S-, and meso-forms; D- and L-forms; d- and l-forms; (+) and (-) forms; keto-, enol-, and enolate-forms; syn- and anti-forms; synclinal- and anticlinal-forms; a- and β-forms; axial and equatorial forms; boat-, chair-, twist-, envelope-, and halfchair-forms; and combinations thereof, hereinafter collectively referred to as "isomers" (or "isomeric forms").
The term "chiral" refers to molecules which have the property of non-superimposability of the mirror image partner, while the term "achiral" refers to molecules which are superimposable on their mirror image partner. The term "stereoisomers" refers to compounds which have identical chemical constitution, but differ with regard to the arrangement of the atoms or groups in space.
"Diastereomer" refers to a stereoisomer with two or more centers of chirality and whose molecules are not mirror images of one another. Diastereomers have different physical properties, e.g. melting points, boiling points, spectral properties, and reactivities. Mixtures of diastereomers may separate under high resolution analytical procedures such as electrophoresis and chromatography.
"Enantiomers" refer to two stereoisomers of a compound which are non-superimposable mirror images of one another.
Stereochemical definitions and conventions used herein generally follow S. P. Parker, Ed., McGraw-Hill Dictionary of Chemical Terms (1984) McGraw-Hill Book Company, New York; and Eliel, E. and Wilen, S., "Stereochemistry of Organic Compounds", John Wiley & Sons, Inc., New York, 1994. The compounds of the invention may contain asymmetric or chiral centers, and therefore exist in different stereoisomeric forms. It is intended that all stereoisomeric forms of the compounds of the invention, including but not limited to, diastereomers, enantiomers and atropisomers, as well as mixtures thereof such as racemic mixtures, form part of the present invention. Many organic compounds exist in optically active forms, i.e., they have the ability to rotate the plane of plane-polarized light. In describing an optically active compound, the prefixes D and L, or R and S, are used to
denote the absolute configuration of the molecule about its chiral center(s). The prefixes d and I or (+) and (-) are employed to designate the sign of rotation of plane-polarized light by the compound, with (-) or I meaning that the compound is levorotatory. A compound prefixed with (+) or d is dextrorotatory. For a given chemical structure, these stereoisomers are identical except that they are mirror images of one another. A specific stereoisomer may also be referred to as an enantiomer, and a mixture of such isomers is often called an enantiomeric mixture. A 50:50 mixture of enantiomers is referred to as a racemic mixture or a racemate, which may occur where there has been no stereoselection or stereospecificity in a chemical reaction or process. The terms "racemic mixture" and "racemate" refer to an equimolar mixture of two enantiomeric species, devoid of optical activity.
Note that, except as discussed below for tautomeric forms, specifically excluded from the term "isomers", as used herein, are structural (or constitutional) isomers (i.e. isomers which differ in the connections between atoms rather than merely by the position of atoms in space). For example, a reference to a methoxy group, -OCH3, is not to be construed as a reference to its structural isomer, a hydroxymethyl group, -CH2OH. Similarly, a reference to ortho-chlorophenyl is not to be construed as a reference to its structural isomer, meta- chlorophenyl. However, a reference to a class of structures may well include structurally isomeric forms falling within that class (e.g. Ci-7 alkyl includes n-propyl and iso-propyl; butyl includes n-, iso-, sec-, and tert-butyl; methoxyphenyl includes ortho-, meta-, and para- methoxyphenyl).
The above exclusion does not pertain to tautomeric forms, for example, keto-, enol-, and enolate-forms, as in, for example, the following tautomeric pairs: keto/enol (illustrated below), imine/enamine, amide/imino alcohol, amidine/amidine, nitroso/oxime,
keto enol enolate
The term "tautomer" or "tautomeric form" refers to structural isomers of different energies which are interconvertible via a low energy barrier. For example, proton tautomers (also known as prototropic tautomers) include interconversions via migration of a proton, such as
keto-enol and imine-enamine isomerizations. Valence tautomers include interconversions by reorganization of some of the bonding electrons.
Note that specifically included in the term "isomer" are compounds with one or more isotopic substitutions. For example, H may be in any isotopic form, including 1H, 2H (D), and 3H (T); C may be in any isotopic form, including 12C, 13C, and 14C; O may be in any isotopic form, including 160 and 180; and the like.
Examples of isotopes that can be incorporated into compounds of the invention include isotopes of hydrogen, carbon, nitrogen, oxygen, phosphorous, fluorine, and chlorine, such as, but not limited to 2H (deuterium, D), 3H (tritium), 11C, 13C, 14C, 15N, 18F, 31 P, 32P, 35S, 36CI, and 125l. Various isotopically labeled compounds of the present invention, for example those into which radioactive isotopes such as 3H, 13C, and 14C are incorporated. Such isotopically labelled compounds may be useful in metabolic studies, reaction kinetic studies, detection or imaging techniques, such as positron emission tomography (PET) or single- photon emission computed tomography (SPECT) including drug or substrate tissue distribution assays, or in radioactive treatment of patients. Deuterium labelled or substituted therapeutic compounds of the invention may have improved DMPK (drug metabolism and pharmacokinetics) properties, relating to distribution, metabolism, and excretion (ADME). Substitution with heavier isotopes such as deuterium may afford certain therapeutic advantages resulting from greater metabolic stability, for example increased in vivo half-life or reduced dosage requirements. An 18F labeled compound may be useful for PET or SPECT studies. Isotopically labeled compounds of this invention and prodrugs thereof can generally be prepared by carrying out the procedures disclosed in the schemes or in the examples and preparations described below by substituting a readily available isotopically labeled reagent for a non-isotopically labeled reagent. Further, substitution with heavier isotopes, particularly deuterium (i.e., 2H or D) may afford certain therapeutic advantages resulting from greater metabolic stability, for example increased in vivo half-life or reduced dosage requirements or an improvement in therapeutic index. It is understood that deuterium in this context is regarded as a substituent. The concentration of such a heavier isotope, specifically deuterium, may be defined by an isotopic enrichment factor. In the compounds of this invention any atom not specifically designated as a particular isotope is meant to represent any stable isotope of that atom. Unless otherwise specified, a reference to a particular compound includes all such isomeric forms, including (wholly or partially) racemic and other mixtures thereof. Methods for the
preparation (e.g. asymmetric synthesis) and separation (e.g. fractional crystallisation and chromatographic means) of such isomeric forms are either known in the art or are readily obtained by adapting the methods taught herein, or known methods, in a known manner.
Biological Activity
In vitro cell proliferation assays
Generally, the cytotoxic or cytostatic activity of an antibody-drug conjugate (ADC) is measured by: exposing mammalian cells having receptor proteins to the antibody of the ADC in a cell culture medium; culturing the cells for a period from about 6 hours to about 5 days; and measuring cell viability. Cell-based in vitro assays are used to measure viability (proliferation), cytotoxicity, and induction of apoptosis (caspase activation) of an ADC of the invention. The in vitro potency of antibody-drug conjugates can be measured by a cell proliferation assay. The CellTiter-Glo® Luminescent Cell Viability Assay is a commercially available (Promega Corp., Madison, Wl), homogeneous assay method based on the recombinant expression of Coleoptera luciferase (US Patent Nos. 5583024; 5674713 and 5700670). This cell proliferation assay determines the number of viable cells in culture based on quantitation of the ATP present, an indicator of metabolically active cells (Crouch et al (1993) J. Immunol. Meth. 160:81 -88; US 6602677). The CellTiter-Glo® Assay is conducted in 96 well format, making it amenable to automated high-throughput screening (HTS) (Cree et al (1995) Anticancer Drugs 6:398-404). The homogeneous assay procedure involves adding the single reagent (CellTiter-Glo® Reagent) directly to cells cultured in serum-supplemented medium. Cell washing, removal of medium and multiple pipetting steps are not required. The system detects as few as 15 cells/well in a 384-well format in 10 minutes after adding reagent and mixing. The cells may be treated continuously with ADC, or they may be treated and separated from ADC. Generally, cells treated briefly, i.e. 3 hours, showed the same potency effects as continuously treated cells.
The homogeneous "add-mix-measure" format results in cell lysis and generation of a luminescent signal proportional to the amount of ATP present. The amount of ATP is directly proportional to the number of cells present in culture. The CellTiter-Glo® Assay generates a "glow-type" luminescent signal, produced by the luciferase reaction, which has a half-life generally greater than five hours, depending on cell type and medium used. Viable cells are reflected in relative luminescence units (RLU). The substrate, Beetle Luciferin, is oxidatively decarboxylated by recombinant firefly luciferase with concomitant conversion of ATP to AMP and generation of photons. The in vitro potency of antibody-drug conjugates can also be measured by a cytotoxicity assay. Cultured adherent cells are washed with PBS, detached with trypsin, diluted in
complete medium, containing 10% FCS, centrifuged, re-suspended in fresh medium and counted with a haemocytometer. Suspension cultures are counted directly. Monodisperse cell suspensions suitable for counting may require agitation of the suspension by repeated aspiration to break up cell clumps.
The cell suspension is diluted to the desired seeding density and dispensed (1 ΟΟμΙ per well) into black 96 well plates. Plates of adherent cell lines are incubated overnight to allow adherence. Suspension cell cultures can be used on the day of seeding.
A stock solution (1 ml) of ADC (20pg/ml) is made in the appropriate cell culture medium. Serial 10-fold dilutions of stock ADC are made in 15ml centrifuge tubes by serially transferring 10ΟμΙ to 900μΙ of cell culture medium.
Four replicate wells of each ADC dilution (1 ΟΟμΙ) are dispensed in 96-well black plates, previously plated with cell suspension (1 ΟΟμΙ), resulting in a final volume of 200 μΙ. Control wells receive cell culture medium (100μΙ). If the doubling time of the cell line is greater than 30 hours, ADC incubation is for 5 days, otherwise a four day incubation is done.
At the end of the incubation period, cell viability is assessed with the Alamar blue assay. AlamarBlue (Invitrogen) is dispensed over the whole plate (20μΙ per well) and incubated for 4 hours. Alamar blue fluorescence is measured at excitation 570nm, emission 585nm on the Varioskan flash plate reader. Percentage cell survival is calculated from the mean fluorescence in the ADC treated wells compared to the mean fluorescence in the control wells.
Use
The conjugates of the invention may be used to provide a PBD compound at a target location.
The target location is preferably a proliferative cell population. The antibody is an antibody for an antigen present on a proliferative cell population.
In one embodiment the antigen is absent or present at a reduced level in a non-proliferative cell population compared to the amount of antigen present in the proliferative cell population, for example a tumour cell population.
At the target location the linker may be cleaved so as to release a compound RelA, RelB, ReIC, RelD or RelE. Thus, the conjugate may be used to selectively provide a compound RelA, RelB, Rel C, RelD or RelE to the target location.
The linker may be cleaved by an enzyme present at the target location. The target location may be in vitro, in vivo or ex vivo. The antibody-drug conjugate (ADC) compounds of the invention include those with utility for anticancer activity. In particular, the compounds include an antibody conjugated, i.e.
covalently attached by a linker, to a PBD drug moiety, i.e. toxin. When the drug is not conjugated to an antibody, the PBD drug has a cytotoxic effect. The biological activity of the PBD drug moiety is thus modulated by conjugation to an antibody. The antibody-drug conjugates (ADC) of the invention selectively deliver an effective dose of a cytotoxic agent to tumor tissue whereby greater selectivity, i.e. a lower efficacious dose, may be achieved.
Thus, in one aspect, the present invention provides a conjugate compound as described herein for use in therapy.
In a further aspect there is also provides a conjugate compound as described herein for use in the treatment of a proliferative disease. A second aspect of the present invention provides the use of a conjugate compound in the manufacture of a medicament for treating a proliferative disease.
One of ordinary skill in the art is readily able to determine whether or not a candidate conjugate treats a proliferative condition for any particular cell type. For example, assays which may conveniently be used to assess the activity offered by a particular compound are described in the examples below.
The term "proliferative disease" pertains to an unwanted or uncontrolled cellular proliferation of excessive or abnormal cells which is undesired, such as, neoplastic or hyperplastic growth, whether in vitro or in vivo. Examples of proliferative conditions include, but are not limited to, benign, pre-malignant, and malignant cellular proliferation, including but not limited to, neoplasms and tumours (e.g.
histocytoma, glioma, astrocyoma, osteoma), cancers (e.g. lung cancer, small cell lung cancer, gastrointestinal cancer, bowel cancer, colon cancer, breast carinoma, ovarian carcinoma, prostate cancer, testicular cancer, liver cancer, kidney cancer, bladder cancer, pancreas cancer, brain cancer, sarcoma, osteosarcoma, Kaposi's sarcoma, melanoma), lymphomas, leukemias, psoriasis, bone diseases, fibroproliferative disorders (e.g. of connective tissues), and atherosclerosis. Cancers of particular interest include, but are not limited to, leukemias and ovarian cancers.
Any type of cell may be treated, including but not limited to, lung, gastrointestinal (including, e.g. bowel, colon), breast (mammary), ovarian, prostate, liver (hepatic), kidney (renal), bladder, pancreas, brain, and skin.
Disorders of particular interest include, but are not limited to, non-Hodgkin Lymphoma including diffuse large B-cell lymphoma (DLBCL), follicular lymphoma, (FL), Mantle Cell lymphoma (MCL), chronic lymphatic lymphoma (CLL) nd leukemias such as Hairy cell leukemia (HCL), Hairy cell leukemia variant (HCL-v) and Acute Lymphoblastic Leukaemia (ALL).
It is contemplated that the antibody-drug conjugates (ADC) of the present invention may be used to treat various diseases or disorders, e.g. characterized by the overexpression of a tumor antigen. Exemplary conditions or hyperproliferative disorders include benign or malignant tumors; leukemia, haematological, and lymphoid malignancies. Others include neuronal, glial, astrocytal, hypothalamic, glandular, macrophagal, epithelial, stromal, blastocoelic, inflammatory, angiogenic and immunologic, including autoimmune, disorders.
Generally, the disease or disorder to be treated is a hyperproliferative disease such as cancer. Examples of cancer to be treated herein include, but are not limited to, carcinoma, lymphoma, blastoma, sarcoma, and leukemia or lymphoid malignancies. More particular examples of such cancers include squamous cell cancer (e.g. epithelial squamous cell cancer), lung cancer including small-cell lung cancer, non-small cell lung cancer,
adenocarcinoma of the lung and squamous carcinoma of the lung, cancer of the peritoneum, hepatocellular cancer, gastric or stomach cancer including gastrointestinal cancer, pancreatic cancer, glioblastoma, cervical cancer, ovarian cancer, liver cancer, bladder cancer, hepatoma, breast cancer, colon cancer, rectal cancer, colorectal cancer, endometrial or uterine carcinoma, salivary gland carcinoma, kidney or renal cancer, prostate cancer,
vulval cancer, thyroid cancer, hepatic carcinoma, anal carcinoma, penile carcinoma, as well as head and neck cancer.
Autoimmune diseases for which the ADC compounds may be used in treatment include rheumatologic disorders (such as, for example, rheumatoid arthritis, Sjogren's syndrome, scleroderma, lupus such as SLE and lupus nephritis, polymyositis/dermatomyositis, cryoglobulinemia, anti-phospholipid antibody syndrome, and psoriatic arthritis), osteoarthritis, autoimmune gastrointestinal and liver disorders (such as, for example, inflammatory bowel diseases (e.g. ulcerative colitis and Crohn's disease), autoimmune gastritis and pernicious anemia, autoimmune hepatitis, primary biliary cirrhosis, primary sclerosing cholangitis, and celiac disease), vasculitis (such as, for example, ANCA-associated vasculitis, including Churg-Strauss vasculitis, Wegener's granulomatosis, and polyarteritis), autoimmune neurological disorders (such as, for example, multiple sclerosis, opsoclonus myoclonus syndrome, myasthenia gravis, neuromyelitis optica, Parkinson's disease, Alzheimer's disease, and autoimmune polyneuropathies), renal disorders (such as, for example, glomerulonephritis, Goodpasture's syndrome, and Berger's disease), autoimmune dermatologic disorders (such as, for example, psoriasis, urticaria, hives, pemphigus vulgaris, bullous pemphigoid, and cutaneous lupus erythematosus), hematologic disorders (such as, for example, thrombocytopenic purpura, thrombotic thrombocytopenic purpura, post- transfusion purpura, and autoimmune hemolytic anemia), atherosclerosis, uveitis, autoimmune hearing diseases (such as, for example, inner ear disease and hearing loss), Behcet's disease, Raynaud's syndrome, organ transplant, and autoimmune endocrine disorders (such as, for example, diabetic-related autoimmune diseases such as insulin- dependent diabetes mellitus (IDDM), Addison's disease, and autoimmune thyroid disease (e.g. Graves' disease and thyroiditis)). More preferred such diseases include, for example, rheumatoid arthritis, ulcerative colitis, ANCA-associated vasculitis, lupus, multiple sclerosis, Sjogren's syndrome, Graves' disease, IDDM, pernicious anemia, thyroiditis, and
glomerulonephritis. Methods of Treatment
The conjugates of the present invention may be used in a method of therapy. Also provided is a method of treatment, comprising administering to a subject in need of treatment a therapeutically-effective amount of a conjugate compound of the invention. The term
"therapeutically effective amount" is an amount sufficient to show benefit to a patient. Such benefit may be at least amelioration of at least one symptom. The actual amount
administered, and rate and time-course of administration, will depend on the nature and
severity of what is being treated. Prescription of treatment, e.g. decisions on dosage, is within the responsibility of general practitioners and other medical doctors.
A compound of the invention may be administered alone or in combination with other treatments, either simultaneously or sequentially dependent upon the condition to be treated. Examples of treatments and therapies include, but are not limited to, chemotherapy (the administration of active agents, including, e.g. drugs, such as chemotherapeutics); surgery; and radiation therapy. A "chemotherapeutic agent" is a chemical compound useful in the treatment of cancer, regardless of mechanism of action. Classes of chemotherapeutic agents include, but are not limited to: alkylating agents, antimetabolites, spindle poison plant alkaloids,
cytotoxic/antitumor antibiotics, topoisomerase inhibitors, antibodies, photosensitizers, and kinase inhibitors. Chemotherapeutic agents include compounds used in "targeted therapy" and conventional chemotherapy.
Examples of chemotherapeutic agents include: erlotinib (TARCEVA®, Genentech/OSI Pharm.), docetaxel (TAXOTERE®, Sanofi-Aventis), 5-FU (fluorouracil, 5-fluorouracil, CAS No. 51-21-8), gemcitabine (GEMZAR®, Lilly), PD-0325901 (CAS No. 391210-10-9, Pfizer), cisplatin (cis-diamine, dichloroplatinum(ll), CAS No. 15663-27-1 ), carboplatin (CAS No. 41575-94-4), paclitaxel (TAXOL®, Bristol-Myers Squibb Oncology, Princeton, N.J.), trastuzumab (HERCEPTIN®, Genentech), temozolomide (4-methyl-5-oxo- 2,3,4,6,8- pentazabicyclo [4.3.0] nona-2,7,9-triene- 9-carboxamide, CAS No. 85622-93-1 ,
TEMODAR®, TEMODAL®, Schering Plough), tamoxifen ((Z)-2-[4-(1 ,2-diphenylbut-1- enyl)phenoxy]-/V,/V-dimethylethanamine, NOLVADEX®, ISTUBAL®, VALODEX®), and doxorubicin (ADRIAMYCIN®), Akti-1/2, HPPD, and rapamycin.
More examples of chemotherapeutic agents include: oxaliplatin (ELOXATIN®, Sanofi), bortezomib (VELCADE®, Millennium Pharm.), sutent (SUNITINIB®, SU1 1248, Pfizer), letrozole (FEMARA®, Novartis), imatinib mesylate (GLEEVEC®, Novartis), XL-518 (Mek inhibitor, Exelixis, WO 2007/044515), ARRY-886 (Mek inhibitor, AZD6244, Array BioPharma, Astra Zeneca), SF-1 126 (PI3K inhibitor, Semafore Pharmaceuticals), BEZ-235 (PI3K inhibitor, Novartis), XL-147 (PI3K inhibitor, Exelixis), PTK787/ZK 222584 (Novartis), fulvestrant (FASLODEX®, AstraZeneca), leucovorin (folinic acid), rapamycin (sirolimus, RAPAMUNE®, Wyeth), lapatinib (TYKERB®, GSK572016, Glaxo Smith Kline), lonafarnib (SARASAR™, SCH 66336, Schering Plough), sorafenib (NEXAVAR®, BAY43-9006, Bayer Labs), gefitinib (IRESSA®, AstraZeneca), irinotecan (CAMPTOSAR®, CPT-1 1 , Pfizer),
tipifarnib (ZARNESTRA™, Johnson & Johnson), ABRAXANE™ (Cremophor-free), albumin- engineered nanoparticle formulations of paclitaxel (American Pharmaceutical Partners, Schaumberg, II), vandetanib (rINN, ZD6474, ZACTIMA®, AstraZeneca), chloranmbucil, AG1478, AG1571 (SU 5271 ; Sugen), temsirolimus (TORISEL®, Wyeth), pazopanib
(GlaxoSmithKline), canfosfamide (TELCYTA®, Telik), thiotepa and cyclosphosphamide (CYTOXAN®, NEOSAR®); alkyl sulfonates such as busulfan, improsulfan and piposulfan; aziridines such as benzodopa, carboquone, meturedopa, and uredopa; ethylenimines and methylamelamines including altretamine, triethylenemelamine, triethylenephosphoramide, triethylenethiophosphoramide and trimethylomelamine; acetogenins (especially bullatacin and bullatacinone); a camptothecin (including the synthetic analog topotecan); bryostatin; callystatin; CC-1065 (including its adozelesin, carzelesin and bizelesin synthetic analogs); cryptophycins (particularly cryptophycin 1 and cryptophycin 8); dolastatin; duocarmycin (including the synthetic analogs, KW-2189 and CB1-TM1 ); eleutherobin; pancratistatin; a sarcodictyin; spongistatin; nitrogen mustards such as chlorambucil, chlornaphazine, chlorophosphamide, estramustine, ifosfamide, mechlorethamine, mechlorethamine oxide hydrochloride, melphalan, novembichin, phenesterine, prednimustine, trofosfamide, uracil mustard; nitrosoureas such as carmustine, chlorozotocin, fotemustine, lomustine, nimustine, and ranimnustine; antibiotics such as the enediyne antibiotics (e.g. calicheamicin, calicheamicin gammal l, calicheamicin omegaH (Angew Chem. Intl. Ed. Engl. (1994) 33:183-186); dynemicin, dynemicin A; bisphosphonates, such as clodronate; an
esperamicin; as well as neocarzinostatin chromophore and related chromoprotein enediyne antibiotic chromophores), aclacinomysins, actinomycin, authramycin, azaserine, bleomycins, cactinomycin, carabicin, carminomycin, carzinophilin, chromomycinis, dactinomycin, daunorubicin, detorubicin, 6-diazo-5-oxo-L-norleucine, morpholino-doxorubicin,
cyanomorpholino-doxorubicin, 2-pyrrolino-doxorubicin and deoxydoxorubicin), epirubicin, esorubicin, idarubicin, nemorubicin, marcellomycin, mitomycins such as mitomycin C, mycophenolic acid, nogalamycin, olivomycins, peplomycin, porfiromycin, puromycin, quelamycin, rodorubicin, streptonigrin, streptozocin, tubercidin, ubenimex, zinostatin, zorubicin; anti-metabolites such as methotrexate and 5-fluorouracil (5-FU); folic acid analogs such as denopterin, methotrexate, pteropterin, trimetrexate; purine analogs such as fludarabine, 6-mercaptopurine, thiamiprine, thioguanine; pyrimidine analogs such as ancitabine, azacitidine, 6-azauridine, carmofur, cytarabine, dideoxyuridine, doxifluridine, enocitabine, floxuridine; androgens such as calusterone, dromostanolone propionate, epitiostanol, mepitiostane, testolactone; anti-adrenals such as aminoglutethimide, mitotane, trilostane; folic acid replenisher such as frolinic acid; aceglatone; aldophosphamide glycoside; aminolevulinic acid; eniluracil; amsacrine; bestrabucil; bisantrene; edatraxate;
defofamine; demecolcine; diaziquone; elfornithine; elliptinium acetate; an epothilone;
etoglucid; gallium nitrate; hydroxyurea; lentinan; lonidainine; maytansinoids such as maytansine and ansamitocins; mitoguazone; mitoxantrone; mopidanmol; nitraerine;
pentostatin; phenamet; pirarubicin; losoxantrone; podophyllinic acid; 2-ethylhydrazide;
procarbazine; PSK® polysaccharide complex (JHS Natural Products, Eugene, OR);
razoxane; rhizoxin; sizofiran; spirogermanium; tenuazonic acid; triaziquone; 2, 2', 2"- trichlorotriethylamine; trichothecenes (especially T-2 toxin, verracurin A, roridin A and anguidine); urethan; vindesine; dacarbazine; mannomustine; mitobronitol; mitolactol;
pipobroman; gacytosine; arabinoside ("Ara-C"); cyclophosphamide; thiotepa; 6-thioguanine; mercaptopurine; methotrexate; platinum analogs such as cisplatin and carboplatin;
vinblastine; etoposide (VP-16); ifosfamide; mitoxantrone; vincristine; vinorelbine
(NAVELBINE®); novantrone; teniposide; edatrexate; daunomycin; aminopterin; capecitabine (XELODA®, Roche); ibandronate; CPT-1 1 ; topoisomerase inhibitor RFS 2000;
difluoromethylornithine (DMFO); retinoids such as retinoic acid; and pharmaceutically acceptable salts, acids and derivatives of any of the above.
Also included in the definition of "chemotherapeutic agent" are: (i) anti-hormonal agents that act to regulate or inhibit hormone action on tumors such as anti-estrogens and selective estrogen receptor modulators (SERMs), including, for example, tamoxifen (including NOLVADEX®; tamoxifen citrate), raloxifene, droloxifene, 4-hydroxytamoxifen, trioxifene, keoxifene, LY1 17018, onapristone, and FARESTON® (toremifine citrate); (ii) aromatase inhibitors that inhibit the enzyme aromatase, which regulates estrogen production in the adrenal glands, such as, for example, 4(5)-imidazoles, aminoglutethimide, MEGASE® (megestrol acetate), AROMASIN® (exemestane; Pfizer), formestanie, fadrozole, RIVISOR® (vorozole), FEMARA® (letrozole; Novartis), and ARIMIDEX® (anastrozole; AstraZeneca); (iii) anti-androgens such as flutamide, nilutamide, bicalutamide, leuprolide, and goserelin; as well as troxacitabine (a 1 ,3-dioxolane nucleoside cytosine analog); (iv) protein kinase inhibitors such as MEK inhibitors (WO 2007/044515); (v) lipid kinase inhibitors; (vi) antisense oligonucleotides, particularly those which inhibit expression of genes in signaling pathways implicated in aberrant cell proliferation, for example, PKC-alpha, Raf and H-Ras, such as oblimersen (GENASENSE®, Genta Inc.); (vii) ribozymes such as VEGF expression inhibitors (e.g., ANGIOZYME®) and HER2 expression inhibitors; (viii) vaccines such as gene therapy vaccines, for example, ALLOVECTIN®, LEUVECTIN®, and VAXID®; PROLEUKIN® rlL-2; topoisomerase 1 inhibitors such as LURTOTECAN®; ABARELIX® rmRH; (ix) anti- angiogenic agents such as bevacizumab (AVASTIN®, Genentech); and pharmaceutically acceptable salts, acids and derivatives of any of the above.
Also included in the definition of "chemotherapeutic agent" are therapeutic antibodies such as alemtuzumab (Campath), bevacizumab (AVASTIN®, Genentech); cetuximab
(ERBITUX®, Imclone); panitumumab (VECTIBIX®, Amgen), rituximab (RITUXAN®, Genentech/Biogen Idee), ofatumumab (ARZERRA®, GSK), pertuzumab (PERJETA™, OMNITARG™, 2C4, Genentech), trastuzumab (HERCEPTIN®, Genentech), tositumomab (Bexxar, Corixia), and the antibody drug conjugate, gemtuzumab ozogamicin
(MYLOTARG®, Wyeth).
Humanized monoclonal antibodies with therapeutic potential as chemotherapeutic agents in combination with the conjugates of the invention include: alemtuzumab, apolizumab, aselizumab, atlizumab, bapineuzumab, bevacizumab, bivatuzumab mertansine, cantuzumab mertansine, cedelizumab, certolizumab pegol, cidfusituzumab, cidtuzumab, daclizumab, eculizumab, efalizumab, epratuzumab, erlizumab, felvizumab, fontolizumab, gemtuzumab ozogamicin, inotuzumab ozogamicin, ipilimumab, labetuzumab, lintuzumab, matuzumab, mepolizumab, motavizumab, motovizumab, natalizumab, nimotuzumab, nolovizumab, numavizumab, ocrelizumab, omalizumab, palivizumab, pascolizumab, pecfusituzumab, pectuzumab, pertuzumab, pexelizumab, ralivizumab, ranibizumab, reslivizumab, reslizumab, resyvizumab, rovelizumab, ruplizumab, sibrotuzumab, siplizumab, sontuzumab,
tacatuzumab tetraxetan, tadocizumab, talizumab, tefibazumab, tocilizumab, toralizumab, trastuzumab, tucotuzumab celmoleukin, tucusituzumab, umavizumab, urtoxazumab, and visilizumab.
Pharmaceutical compositions according to the present invention, and for use in accordance with the present invention, may comprise, in addition to the active ingredient, i.e. a conjugate compound, a pharmaceutically acceptable excipient, carrier, buffer, stabiliser or other materials well known to those skilled in the art. Such materials should be non-toxic and should not interfere with the efficacy of the active ingredient. The precise nature of the carrier or other material will depend on the route of administration, which may be oral, or by injection, e.g. cutaneous, subcutaneous, or intravenous.
Pharmaceutical compositions for oral administration may be in tablet, capsule, powder or liquid form. A tablet may comprise a solid carrier or an adjuvant. Liquid pharmaceutical compositions generally comprise a liquid carrier such as water, petroleum, animal or vegetable oils, mineral oil or synthetic oil. Physiological saline solution, dextrose or other saccharide solution or glycols such as ethylene glycol, propylene glycol or polyethylene glycol may be included. A capsule may comprise a solid carrier such a gelatin.
For intravenous, cutaneous or subcutaneous injection, or injection at the site of affliction, the active ingredient will be in the form of a parenterally acceptable aqueous solution which is pyrogen-free and has suitable pH, isotonicity and stability. Those of relevant skill in the art are well able to prepare suitable solutions using, for example, isotonic vehicles such as Sodium Chloride Injection, Ringer's Injection, Lactated Ringer's Injection. Preservatives, stabilisers, buffers, antioxidants and/or other additives may be included, as required.
Formulations
While it is possible for the conjugate compound to be used (e.g., administered) alone, it is often preferable to present it as a composition or formulation.
In one embodiment, the composition is a pharmaceutical composition (e.g., formulation, preparation, medicament) comprising a conjugate compound, as described herein, and a pharmaceutically acceptable carrier, diluent, or excipient.
In one embodiment, the composition is a pharmaceutical composition comprising at least one conjugate compound, as described herein, together with one or more other
pharmaceutically acceptable ingredients well known to those skilled in the art, including, but not limited to, pharmaceutically acceptable carriers, diluents, excipients, adjuvants, fillers, buffers, preservatives, anti-oxidants, lubricants, stabilisers, solubilisers, surfactants (e.g., wetting agents), masking agents, colouring agents, flavouring agents, and sweetening agents. In one embodiment, the composition further comprises other active agents, for example, other therapeutic or prophylactic agents.
Suitable carriers, diluents, excipients, etc. can be found in standard pharmaceutical texts. See, for example, Handbook of Pharmaceutical Additives, 2nd Edition (eds. M. Ash and I. Ash), 2001 (Synapse Information Resources, Inc., Endicott, New York, USA), Remington's Pharmaceutical Sciences, 20th edition, pub. Lippincott, Williams & Wilkins, 2000; and
Handbook of Pharmaceutical Excipients, 2nd edition, 1994.
Another aspect of the present invention pertains to methods of making a pharmaceutical composition comprising admixing at least one [11C]-radiolabelled conjugate or conjugate-like compound, as defined herein, together with one or more other pharmaceutically acceptable
ingredients well known to those skilled in the art, e.g., carriers, diluents, excipients, etc. If formulated as discrete units (e.g., tablets, etc.), each unit contains a predetermined amount (dosage) of the active compound. The term "pharmaceutically acceptable," as used herein, pertains to compounds,
ingredients, materials, compositions, dosage forms, etc., which are, within the scope of sound medical judgment, suitable for use in contact with the tissues of the subject in question (e.g., human) without excessive toxicity, irritation, allergic response, or other problem or complication, commensurate with a reasonable benefit/risk ratio. Each carrier, diluent, excipient, etc. must also be "acceptable" in the sense of being compatible with the other ingredients of the formulation.
The formulations may be prepared by any methods well known in the art of pharmacy. Such methods include the step of bringing into association the active compound with a carrier which constitutes one or more accessory ingredients. In general, the formulations are prepared by uniformly and intimately bringing into association the active compound with carriers (e.g., liquid carriers, finely divided solid carrier, etc.), and then shaping the product, if necessary. The formulation may be prepared to provide for rapid or slow release; immediate, delayed, timed, or sustained release; or a combination thereof.
Formulations suitable for parenteral administration (e.g., by injection), include aqueous or non-aqueous, isotonic, pyrogen-free, sterile liquids (e.g., solutions, suspensions), in which the active ingredient is dissolved, suspended, or otherwise provided (e.g., in a liposome or other microparticulate). Such liquids may additional contain other pharmaceutically acceptable ingredients, such as anti-oxidants, buffers, preservatives, stabilisers,
bacteriostats, suspending agents, thickening agents, and solutes which render the formulation isotonic with the blood (or other relevant bodily fluid) of the intended recipient. Examples of excipients include, for example, water, alcohols, polyols, glycerol, vegetable oils, and the like. Examples of suitable isotonic carriers for use in such formulations include Sodium Chloride Injection, Ringer's Solution, or Lactated Ringer's Injection. Typically, the concentration of the active ingredient in the liquid is from about 1 ng/ml to about 10 μg ml, for example from about 10 ng/ml to about 1 μg/ml. The formulations may be presented in unit-dose or multi-dose sealed containers, for example, ampoules and vials, and may be stored in a freeze-dried (lyophilised) condition requiring only the addition of the sterile liquid
carrier, for example water for injections, immediately prior to use. Extemporaneous injection solutions and suspensions may be prepared from sterile powders, granules, and tablets.
Dosage
It will be appreciated by one of skill in the art that appropriate dosages of the conjugate compound, and compositions comprising the conjugate compound, can vary from patient to patient. Determining the optimal dosage will generally involve the balancing of the level of therapeutic benefit against any risk or deleterious side effects. The selected dosage level will depend on a variety of factors including, but not limited to, the activity of the particular compound, the route of administration, the time of administration, the rate of excretion of the compound, the duration of the treatment, other drugs, compounds, and/or materials used in combination, the severity of the condition, and the species, sex, age, weight, condition, general health, and prior medical history of the patient. The amount of compound and route of administration will ultimately be at the discretion of the physician, veterinarian, or clinician, although generally the dosage will be selected to achieve local concentrations at the site of action which achieve the desired effect without causing substantial harmful or deleterious side-effects.
Administration can be effected in one dose, continuously or intermittently (e.g., in divided doses at appropriate intervals) throughout the course of treatment. Methods of determining the most effective means and dosage of administration are well known to those of skill in the art and will vary with the formulation used for therapy, the purpose of the therapy, the target cell(s) being treated, and the subject being treated. Single or multiple administrations can be carried out with the dose level and pattern being selected by the treating physician, veterinarian, or clinician.
In general, a suitable dose of the active compound is in the range of about 100 ng to about 25 mg (more typically about 1 μg to about 10 mg) per kilogram body weight of the subject per day. Where the active compound is a salt, an ester, an amide, a prodrug, or the like, the amount administered is calculated on the basis of the parent compound and so the actual weight to be used is increased proportionately.
In one embodiment, the active compound is administered to a human patient according to the following dosage regime: about 100 mg, 3 times daily.
In one embodiment, the active compound is administered to a human patient according to the following dosage regime: about 150 mg, 2 times daily.
In one embodiment, the active compound is administered to a human patient according to the following dosage regime: about 200 mg, 2 times daily.
However in one embodiment, the conjugate compound is administered to a human patient according to the following dosage regime: about 50 or about 75 mg, 3 or 4 times daily. In one embodiment, the conjugate compound is administered to a human patient according to the following dosage regime: about 100 or about 125 mg, 2 times daily.
The dosage amounts described above may apply to the conjugate (including the PBD moiety and the linker to the antibody) or to the effective amount of PBD compound provided, for example the amount of compound that is releasable after cleavage of the linker.
For the prevention or treatment of disease, the appropriate dosage of an ADC of the invention will depend on the type of disease to be treated, as defined above, the severity and course of the disease, whether the molecule is administered for preventive or therapeutic purposes, previous therapy, the patient's clinical history and response to the antibody, and the discretion of the attending physician. The molecule is suitably
administered to the patient at one time or over a series of treatments. Depending on the type and severity of the disease, about 1 μg kg to 15 mg/kg (e.g. 0.1 -20 mg/kg) of molecule is an initial candidate dosage for administration to the patient, whether, for example, by one or more separate administrations, or by continuous infusion. A typical daily dosage might range from about 1 μg/kg to 100 mg/kg or more, depending on the factors mentioned above. An exemplary dosage of ADC to be administered to a patient is in the range of about 0.1 to about 10 mg/kg of patient weight. For repeated administrations over several days or longer, depending on the condition, the treatment is sustained until a desired suppression of disease symptoms occurs. An exemplary dosing regimen comprises a course of administering an initial loading dose of about 4 mg/kg, followed by additional doses every week, two weeks, or three weeks of an ADC. Other dosage regimens may be useful. The progress of this therapy is easily monitored by conventional techniques and assays.
Treatment
The term "treatment," as used herein in the context of treating a condition, pertains generally to treatment and therapy, whether of a human or an animal (e.g., in veterinary applications), in which some desired therapeutic effect is achieved, for example, the inhibition of the progress of the condition, and includes a reduction in the rate of progress, a halt in the rate of progress, regression of the condition, amelioration of the condition, and cure of the condition. Treatment as a prophylactic measure (i.e., prophylaxis, prevention) is also included. The term "therapeutically-effective amount," as used herein, pertains to that amount of an active compound, or a material, composition or dosage from comprising an active compound, which is effective for producing some desired therapeutic effect, commensurate with a reasonable benefit/risk ratio, when administered in accordance with a desired treatment regimen.
Similarly, the term "prophylactically-effective amount," as used herein, pertains to that amount of an active compound, or a material, composition or dosage from comprising an active compound, which is effective for producing some desired prophylactic effect, commensurate with a reasonable benefit/risk ratio, when administered in accordance with a desired treatment regimen.
Preparation of Drug conjugates
Antibody drug conjugates may be prepared by several routes, employing organic chemistry reactions, conditions, and reagents known to those skilled in the art, including reaction of a nucleophilic group of an antibody with a drug-linker reagent. This method may be employed to prepare the antibody-drug conjugates of the invention.
Nucleophilic groups on antibodies include, but are not limited to side chain thiol groups, e.g. cysteine. Thiol groups are nucleophilic and capable of reacting to form covalent bonds with electrophilic groups on linker moieties such as those of the present invention. Certain antibodies have reducible interchain disulfides, i.e. cysteine bridges. Antibodies may be made reactive for conjugation with linker reagents by treatment with a reducing agent such as DTT (Cleland's reagent, dithiothreitol) or TCEP (tris(2-carboxyethyl)phosphine hydrochloride; Getz et al (1999) Anal. Biochem. Vol 273:73-80; Soltec Ventures, Beverly, MA). Each cysteine disulfide bridge will thus form, theoretically, two reactive thiol nucleophiles. Additional nucleophilic groups can be introduced into antibodies through the
reaction of lysines with 2-iminothiolane (Traut's reagent) resulting in conversion of an amine into a thiol.
The Subject/Patient
The subject/patient may be an animal, mammal, a placental mammal, a marsupial
(e.g., kangaroo, wombat), a monotreme (e.g., duckbilled platypus), a rodent (e.g., a guinea pig, a hamster, a rat, a mouse), murine (e.g., a mouse), a lagomorph (e.g., a rabbit), avian (e.g., a bird), canine (e.g., a dog), feline (e.g., a cat), equine (e.g., a horse), porcine (e.g., a pig), ovine (e.g., a sheep), bovine (e.g., a cow), a primate, simian (e.g., a monkey or ape), a monkey (e.g., marmoset, baboon), an ape (e.g., gorilla, chimpanzee, orangutang, gibbon), or a human.
Furthermore, the subject/patient may be any of its forms of development, for example, a foetus. In one preferred embodiment, the subject/patient is a human.
Further Preferences
The following preferences may apply to all aspects of the invention as described above, or may relate to a single aspect. The preferences may be combined together in any combination.
In some embodiments, R6 , R7 , R9 , and Y' are preferably the same as R6, R7, R9, and Y respectively.
Dimer link
Y and Y' are preferably O.
R" is preferably a C3-7 alkylene group with no substituents. More preferably R" is a C3, C5 or C7 alkylene. Most preferably, R" is a C3 or C5 alkylene. R6 to R9
R9 is preferably H.
R6 is preferably selected from H, OH, OR, SH, NH2, nitro and halo, and is more preferably H or halo, and most preferably is H.
R7 is preferably selected from H, OH, OR, SH, SR, NH2, NHR, NRR', and halo, and more preferably independently selected from H, OH and OR, where R is preferably selected from optionally substituted Ci-7 alkyl, C3-io heterocyclyl and C5-io aryl groups. R may be more preferably a Ci-4 alkyl group, which may or may not be substituted. A substituent of interest is a C5-6 aryl group (e.g. phenyl). Particularly preferred substituents at the 7- positions are OMe and OCH2Ph. Other substituents of particular interest are dimethylamino (i.e. -NMe2); -(OC2H4)qOMe, where q is from 0 to 2; nitrogen-containing C6 heterocyclyls, including morpholino, piperidinyl and N-methyl-piperazinyl. These preferences apply to R9 , R6 and R7 respectively.
R12
When there is a double bond present between C2' and C3', R12 is selected from:
(a) C5-10 aryl group, optionally substituted by one or more substituents selected from the group comprising: halo, nitro, cyano, ether, Ci-7 alkyl, C3-7 heterocyclyl and bis-oxy-Ci-3 alkylene;
(b) Ci-5 saturated aliphatic alkyl;
(c) C3-6 saturated cycloalkyl;
(d)
, wherein each of R , R and R are independently selected from H, Ci-3 saturated alkyl, C2-3 alkenyl, C2-3 alkynyl and cyclopropyl, where the total number of carbon ato group is no more than 5;
(e)
, wherein one of R25a and R25b is H and the other is selected from: phenyl, which phenyl is optionally substituted by a group selected from halo methyl, methoxy;
pyrid l; and thiophenyl; and
(f)
, where R24 is selected from: H; C1-3 saturated alkyl; C2-3 alkenyl; C2-3 alkynyl; cyclopropyl; phenyl, which phenyl is optionally substituted by a group selected from halo methyl, methoxy; pyridyl; and thiophenyl.
When R12 is a C5-10 aryl group, it may be a C5-7 aryl group. A C5-7 aryl group may be a phenyl group or a C5-7 heteroaryl group, for example furanyl, thiophenyl and pyridyl. In some embodiments, R12 is preferably phenyl. In other embodiments, R12 is preferably thiophenyl, for example, thiophen-2-yl and thiophen-3-yl.
When R12 is a C5-10 aryl group, it may be a C8-io aryl, for example a quinolinyl or isoquinolinyl group. The quinolinyl or isoquinolinyl group may be bound to the PBD core through any available ring position. For example, the quinolinyl may be quinolin-2-yl, quinolin-3-yl, quinolin-4yl, quinolin-5-yl, quinolin-6-yl, quinolin-7-yl and quinolin-8-yl. Of these quinolin-3-yl and quinolin-6-yl may be preferred. The isoquinolinyl may be isoquinolin-1 -yl, isoquinolin-3- yl, isoquinolin-4yl, isoquinolin-5-yl, isoquinolin-6-yl, isoquinolin-7-yl and isoquinolin-8-yl. Of these isoquinolin-3-yl and isoquinolin-6-yl may be preferred.
When R12 is a C5-10 aryl group, it may bear any number of substituent groups. It preferably bears from 1 to 3 substituent groups, with 1 and 2 being more preferred, and singly substituted groups being most preferred. The substituents may be any position.
Where R12 is C5-7 aryl group, a single substituent is preferably on a ring atom that is not adjacent the bond to the remainder of the compound, i.e. it is preferably β or γ to the bond to the remainder of the compound. Therefore, where the C5-7 aryl group is phenyl, the substituent is preferably in the meta- or para- positions, and more preferably is in the para- position.
Where R12 is a C8-io aryl group, for example quinolinyl or isoquinolinyl, it may bear any number of substituents at any position of the quinoline or isoquinoline rings. In some embodiments, it bears one, two or three substituents, and these may be on either the proximal and distal rings or both (if more than one substituent).
R12 substituents, when R12 is a C5-w aryl group
If a substituent on R12 when R12 is a C5-10 aryl group is halo, it is preferably F or CI, more preferably CI.
If a substituent on R12 when R12 is a C5-io aryl group is ether, it may in some embodiments be an alkoxy group, for example, a Ci-7 alkoxy group (e.g. methoxy, ethoxy) or it may in some embodiments be a C5-7 aryloxy group (e.g phenoxy, pyridyloxy, furanyloxy). The alkoxy group may itself be further substituted, for example by an amino group (e.g.
dimethylamino).
If a substituent on R12 when R12 is a C5-io aryl group is Ci-7 alkyl, it may preferably be a C1-4 alkyl group (e.g. methyl, ethyl, propryl, butyl). If a substituent on R12 when R12 is a C5-10 aryl group is C3-7 heterocyclyl, it may in some embodiments be C6 nitrogen containing heterocyclyl group, e.g. morpholino, thiomorpholino, piperidinyl, piperazinyl. These groups may be bound to the rest of the PBD moiety via the nitrogen atom. These groups may be further substituted, for example, by C1-4 alkyl groups. If the C6 nitrogen containing heterocyclyl group is piperazinyl, the said further substituent may be on the second nitrogen ring atom.
If a substituent on R12 when R12 is a C5-10 aryl group is bis-oxy-C1-3 alkylene, this is preferably bis-oxy-methylene or bis-oxy-ethylene. If a substituent on R12 when R12 is a C5-10 aryl group is ester, this is preferably methyl ester or ethyl ester.
Particularly preferred substituents when R12 is a C5-io aryl group include methoxy, ethoxy, fluoro, chloro, cyano, bis-oxy-methylene, methyl-piperazinyl, morpholino and methyl- thiophenyl. Other particularly preferred substituent for R12 are dimethylaminopropyloxy and carboxy.
Particularly preferred substituted R12 groups when R12 is a C5-10 aryl group include, but are not limited to, 4-methoxy-phenyl, 3-methoxyphenyl, 4-ethoxy-phenyl, 3-ethoxy-phenyl, 4- fluoro-phenyl, 4-chloro-phenyl, 3,4-bisoxymethylene-phenyl, 4-methylthiophenyl, 4- cyanophenyl, 4-phenoxyphenyl, quinolin-3-yl and quinolin-6-yl, isoquinolin-3-yl and isoquinolin-6-yl, 2-thienyl, 2-furanyl, methoxynaphthyl, and naphthyl. Another possible substituted R12 group is 4-nitrophenyl. R12 groups of particular interest include 4-(4- methylpiperazin-1 -yl)phenyl and 3,4-bisoxymethylene-phenyl. When R12 is Ci-5 saturated aliphatic alkyl, it may be methyl, ethyl, propyl, butyl or pentyl. In some embodiments, it may be methyl, ethyl or propyl (n-pentyl or isopropyl). In some of these embodiments, it may be methyl. In other embodiments, it may be butyl or pentyl, which may be linear or branched. When R12 is C3-6 saturated cycloalkyl, it may be cyclopropyl, cyclobutyl, cyclopentyl or cyclohexyl. In some embodiments, it may be cyclopropyl.
, each of R , R and R are independently selected from H, Ci-3 saturated alkyl, C2-3 alkenyl, C2-3 alkynyl and cyclopropyl, where the total number of carbon atoms in the R12 group is no more than 5. In some embodiments, the total number of carbon atoms in the R12 group is no more than 4 or no more than 3.
In some embodiments, one of R21 , R22 and R23 is H , with the other two groups being selected from H, Ci-3 saturated alkyl, C2-3 alkenyl, C2-3 alkynyl and cyclopropyl.
In other embodiments, two of R21 , R22 and R23 are H, with the other group being selected from H, C1-3 saturated alkyl, C2-3 alkenyl, C2-3 alkynyl and cyclopropyl.
In some embodiments, the groups that are not H are selected from methyl and ethyl. In some of these embodiments, the groups that re not H are methyl.
In some embodiments, R is H.
In some embodiments, R is H.
In some embodiments, R is H.
In some embodiments, R and R are H
In some embodiments, R and R are H.
In some embodiments, R and R are H
An R12 group of particular interest is:
25b
R
,25a
When R12 is R , one of R25a and R25b is H and the other is selected from: phenyl, which phenyl is optionally substituted by a group selected from halo, methyl, methoxy;
pyridyl; and thiophenyl. In some embodiments, the group which is not H is optionally substituted phenyl. If the phenyl optional substituent is halo, it is preferably fluoro. In some embodiment, the phenyl group is unsubstituted.
When R12 is
, R24 is selected from: H; d-3 saturated alkyl; C2-3 alkenyl; C2-3 alkynyl; cyclopropyl; phenyl, which phenyl is optionally substituted by a group selected from halo methyl, methoxy; pyridyl; and thiophenyl. If the phenyl optional substituent is halo, it is preferably fluoro. In some embodiment, the phenyl group is unsubstituted.
In some embodiments, R24 is selected from H, methyl, ethyl, ethenyl and ethynyl. In some of these embodiments, R24 is selected from H and methyl.
When there is a single bond present between C2' and C3',
, where R and R are independently selected from H, F, C1-4 saturated alkyl, C2-3 alkenyl, which alkyl and alkenyl groups are optionally substituted by a group selected from C1-4 alkyl amido and C1-4 alkyl ester; or, when one of R26a and R26b is H, the other is selected from nitrile and a C1-4 alkyl ester.
In some embodiments, it is preferred that R26a and R26b are both H.
In other embodiments, it is preferred that R26a and R26b are both methyl. In further embodiments, it is preferred that one of R26a and R26b is H, and the other is selected from Ci-4 saturated alkyl, C2-3 alkenyl, which alkyl and alkenyl groups are optionally substituted. In these further embodiment, it may be further preferred that the group which is not H is selected from methyl and ethyl.
The above preferences for R12 apply equally to R2
R >22
In some embodiments, R is of formula lla.
A in R when it is of formula I la may be phenyl group or a C5-7 heteroaryl group, for example furanyl, thiophenyl and pyridyl. In some embodiments, A is preferably phenyl.
Q2-X may be on any of the available ring atoms of the C5-7 aryl group, but is preferably on a ring atom that is not adjacent the bond to the remainder of the compound, i.e. it is preferably β or Y to the bond to the remainder of the compound. Therefore, where the C5-7 aryl group (A) is phenyl, the substituent (Q2-X) is preferably in the meta- or para- positions, and more preferably is in the para- position. In some embodiments, Q1 is a single bond. In these embodiments, Q2 is selected from a single bond and -Z-(CH2)n-, where Z is selected from a single bond, O, S and NH and is from 1 to 3. In some of these embodiments, Q2 is a single bond. In other embodiments, Q2 is -Z- (CH2)n-. In these embodiments, Z may be O or S and n may be 1 or n may be 2. In other of these embodiments, Z may be a single bond and n may be 1.
In other embodiments, Q1 is -CH=CH-.
In other embodiments, R is of formula lib. In these embodiments, R , R and R are independently selected from H and unsubstituted Ci-2 alkyl. In some preferred
embodiments, RC1, RC2 and RC3 are all H. In other embodiments, RC1 , RC2 and RC3 are all methyl. In certain embodiments, RC1, RC2 and RC3 are independently selected from H and methyl. X is a group selected from the list com rising: 0-RL2', S-RL2', C02-RL2', CO-RL2', NH-C(=0)-
RL2 , NHNH-RL2 , CONHNH-RL2 , , , NRNRL2', wherein RN is selected from the group comprising H and C1-4 alkyl. X may preferably be: OH, SH, C02H,
-N=C=0 or NHR , and may more preferably be: 0-RL , S-RL , C02-R , -NH-C(=0)-R' NNHH--RRLL22''.. PPaarrttiiccuullaarrllyy pprreeff(erred groups include: 0-RL2', S-RL2' and NH-RL2', with NH-RL2' being the most preferred group.
In some embodiments R is of formula lie. In these embodiments, it is preferred that Q is NRN-RL2'. In other embodiments, Q is 0-RL2'. In further embodiments, Q is S-RL2'. RN is preferably selected from H and methyl. In some embodiment, RN is H. In other
embodiments, RN is methyl.
In some embodiments, R22 may be -A-CH2-X and -A-X. In these embodiments, X may be O- RL2', S-RL2', C02-RL2', CO-RL2' and NH-RL2'. In particularly preferred embodiments, X may be NH-RL2'.
R10, R11
In some embodiments, R10 and R11 together form a double bond between the nitrogen and carbon atoms to which they are bound.
In some embodiments, R11 is OH.
In some embodiments, R11 is OMe.
In some embodiments, R11 is SOzM, where z is 2 or 3 and M is a monovalent pharmaceutically acceptable cation.
R11a
In some embodiments, R11a is OH. In some embodiments, R11a is OMe.
In some embodiments, R11a is SOzM, where z is 2 or 3 and M is a monovalent
pharmaceutically acceptable cation.
R20, R21
In some embodiments, R20 and R21 together form a double bond between the nitrogen and carbon atoms to which they are bound.
In some embodiments R20 is H.
In some embodiments, R20 is Rc. In some embodiments, R21 is OH. In some embodiments, R21 is OMe.
In some embodiments, R is SOzM, where z is 2 or 3 and M is a monovalent
pharmaceutically acceptable cation.
R30, R31
In some embodiments, R30 and R31 together form a double bond between the nitrogen and carbon atoms to which they are bound.
In some embodiments, R31 is OH.
In some embodiments, R is OMe.
In some embodiments, R is SOzM, where z is 2 or 3 and M is a monovalent
pharmaceutically acceptable cation.
M and z
It is preferred that M is a monovalent pharmaceutically acceptable cation, and is more preferably Na+. z is preferably 3.
Preferred conjugates of the first aspect of the present invention may have a DL of formula la:
where
RL , R20 and R21 are as defined above;
n is 1 or 3;
R1a is methyl or phenyl; and
(h)
Preferred conjugates of the first aspect of the present invention may have a DL of formula lb:
where
RL , R20 and R21 are as defined above;
n is 1 or 3; and
R1a is methyl or phenyl.
Preferred conjugates of the first aspect of the present invention may have a DL of formula Ic:
where RL2', R10, R11 , R30 and R31 are as defined above
n is 1 or 3;
the amino group is at either the meta or para positions of the phenyl group.
Preferred conjugates of the first aspect of the present invention may have a DL of formula Id
where RL2', R10, R11 , R30 and R31 are as defined above
n is 1 or 3;
R1a is methyl or phenyl;
where R , R , R , RJU and RJ1 are as defined above
n is 1 or 3;
R1a is methyl or phenyl;
(b) ^ c)
General Experimental Methods
Optical rotations were measured on an ADP 220 polarimeter (Bellingham Stanley Ltd.) and concentrations (c) are given in g/100mL. Melting points were measured using a digital melting point apparatus (Electrothermal). IR spectra were recorded on a Perkin-Elmer
Spectrum 1000 FT IR Spectrometer. 1 H and 13C NMR spectra were acquired at 300 K using a Bruker Avance NMR spectrometer at 400 and 100 MHz, respectively. Chemical shifts are reported relative to TMS (δ = 0.0 ppm), and signals are designated as s (singlet), d
(doublet), t (triplet), dt (double triplet), dd (doublet of doublets), ddd (double doublet of doublets) or m (multiplet), with coupling constants given in Hertz (Hz). Mass spectroscopy (MS) data were collected using a Waters Micromass ZQ instrument coupled to a Waters 2695 HPLC with a Waters 2996 PDA. Waters Micromass ZQ parameters used were:
Capillary (kV), 3.38; Cone (V), 35; Extractor (V), 3.0; Source temperature (°C), 100;
Desolvation Temperature (°C), 200; Cone flow rate (L/h), 50; De-solvation flow rate (L/h), 250. High-resolution mass spectroscopy (HRMS) data were recorded on a Waters
Micromass QTOF Global in positive W-mode using metal-coated borosilicate glass tips to introduce the samples into the instrument. Thin Layer Chromatography (TLC) was performed on silica gel aluminium plates (Merck 60, F254), and flash chromatography utilised silica gel (Merck 60, 230-400 mesh ASTM). Except for the HOBt (NovaBiochem) and solid- supported reagents (Argonaut), all other chemicals and solvents were purchased from
Sigma-Aldrich and were used as supplied without further purification. Anhydrous solvents were prepared by distillation under a dry nitrogen atmosphere in the presence of an appropriate drying agent, and were stored over 4A molecular sieves or sodium wire.
Petroleum ether refers to the fraction boiling at 40-60°C.
General LC/MS conditions:
Method 1 (default method, used unless stated otherwise)
The HPLC (Waters Alliance 2695) was run using a mobile phase of water (A) (formic acid 0.1 %) and acetonitrile (B) (formic acid 0.1 %). Gradient: initial composition 5% B held over 1.0 min, then increase from 5% B to 95% B over a 3 min period. The composition was held for 0.1 min at 95% B, then returned to 5% B in 0.03 minutes and hold there for 0.87 min. Total gradient run time equals 5 minutes.
Method 2
The HPLC (Waters Alliance 2695) was run using a mobile phase of water (A) (formic acid 0.1 %) and acetonitrile (B) (formic acid 0.1 %). Gradient: initial composition 5% B held over
1 .0 minute, then increase from 5% B to 95% B over a 2.5 minute period. The composition was held for 0.5 minutes at 95% B, then returned to 5% B in 0.1 minutes and hold there for 0.9 min. Total gradient run time equals 5 minutes. For both methods
Flow rate 3.0 mL/min, 400μΙ_ was split via a zero dead volume tee piece which passes into the mass spectrometer. Wavelength detection range: 220 to 400 nm. Function type: diode array (535 scans). Column: Phenomenex Onyx Monolithic C18 50 x 4.60 mm. The reverse phase flash purification conditions were as follows: The Flash purification system (Varian 971 -Fp) was run using a mobile phase of water (A) and acetonitrile (B). Gradient: initial composition 5% B over 20 C.V. (Column Volume) then 5% B to 70% B within 60 C.V. The composition was held for 15 C.V. at 95% B, and then returned to 5% B in 5 C.V. and held at 5%B for 10 C.V. Total gradient run time equals 120 C.V. Flow rate 6.0 mL/min. Wavelength detection range: 254 nm. Column: Agilent AX1372-1 SF10-5.5gC8.
Preparative HPLC: Reverse-phase ultra-high-performance liquid chromatography (UPLC) was carried out on Phenomenex Gemini NX 5μ C-18 columns of the following dimensions: 150 x 4.6 mm for analysis, and 150 x 21.20 mm for preparative work. All UPLC experiments were performed with gradient conditions. Eluents used were solvent A (H20 with 0.1 % Formic acid) and solvent B (CH3CN with 0.1 % Formic acid). Flow rates used were 1 .0 ml/min for analytical, and 20.0 ml/min for preparative HPLC. Detection was at 254 and 280 nm. Synthesis of Intermediate 12
(a) 1',3'-Bis[2-methoxy-4-(methoxycarbonyl)phenoxy]propane (3)
Diisopropyl azodicarboxylate (71.3 ml_, 73.2 g, 362 mmol) was added drop-wise over a period of 60 min to an overhead stirred solution of methyl vanillate 2 (60.0 g, 329 mmol) and Ph3P (129.4 g, 494 mmol) in anhydrous THF (800 ml.) at 0-5°C (ice/acetone) under a nitrogen atmosphere. The reaction mixture was allowed to stir at 0-5°C for an additional 1 hour after which time a solution of 1 ,3-propanediol (1 1.4 ml_, 12.0 g, 158 mmol) in THF (12 ml.) was added drop-wise over a period of 20 min. The reaction mixture was allowed to warm to room temperature and stirred for 5 days. The resulting white precipitate 3 was collected by vacuum filtration, washed with THF and dried in a vacuum desiccator to constant weight. Yield = 54.7 g (84% based on 1 ,3-propanediol). Purity satisfactory by LC/MS (3.20 min (ES+) m/z (relative intensity) 427 {[M + Na]+ , 10); 1H NMR (400 MHz, CDCIs) δ 7.64 (dd, 2H, J = 1 .8, 8.3 Hz), 7.54 (d, 2H, J = 1.8 Hz), 6.93 (d, 2H, J = 8.5 Hz), 4.30 (t, 4H, J = 6.1 Hz), 3.90 (s, 6H), 3.89 (s, 6H), 2.40 (p, 2H, J = 6.0 Hz).
(b) 1 ',3'-Bis[2-methoxy-4-(methoxycarbonyl)-5-nitrophenoxy]propane (4)
Solid Cu(N03)2.3H20 (81.5 g, 337.5 mmol) was added slowly to an overhead stirred slurry of the bis-ester 3 (54.7 g, 135 mmol) in acetic anhydride (650 ml.) at 0-5°C (ice/acetone). The reaction mixture was allowed to stir for 1 hour at 0-5°C and then allowed to warm to room temperature. A mild exotherm (ca. 40-50°C), accompanied by thickening of the mixture and evolution of N02 was observed at this stage. Additional acetic anhydride (300 ml.) was added and the reaction mixture was allowed to stir for 16 hours at room temperature. The
reaction mixture was poured on to ice (~ 1.5 L), stirred and allowed to return to room temperature. The resulting yellow precipitate was collected by vacuum filtration and dried in a desiccator to afford the desired 6/s-nitro compound 4 as a yellow solid. Yield = 66.7 g (100%). Purity satisfactory by LC/MS (3.25 min (ES+) m/z (relative intensity) 517 {[M + Na]+ , 40); 1H NMR (400 MHz, CDCI3) δ 7.49 (s, 2H), 7.06 (s, 2H), 4.32 (t, 4H, J = 6.0 Hz), 3.95 (s, 6H), 3.90 (s, 6H), 2.45-2.40 (m, 2H).
(c) ,3'-Bis(4-carboxy-2-methoxy-5-nitrophenoxy) propane (5)
A slurry of the methyl ester 4 (66.7 g, 135 mmol) in THF (700 mL) was treated with 1 N NaOH (700 mL) and the reaction mixture was allowed to stir vigorously at room temperature. After 4 days stirring, the slurry became a dark coloured solution which was subjected to rotary evaporation under reduced pressure to remove THF. The resulting aqueous residue was acidified to pH 1 with concentrated HCI and the colourless precipitate 5 was collected and dried thoroughly in a vacuum oven (50 °C). Yield = 54.5 g (87%). Purity satisfactory by LC/MS (2.65 min (ES+) m/z (relative intensity) 489 {[M + Na]+ , 30)); 1H NMR (400 MHz, DMSO-de) δ 7.62 (s, 2H), 7.30 (s, 2H), 4.29 (t, 4H, J = 6.0 Hz), 3.85 (s, 6H), 2.30-2.26 (m, 2H).
(d) 1 , 1 '-[[(Propane-1 ,3-diyl)dioxy]bis[(5-methoxy-2-nitro-1 ,4-phenylene)carbonyl]]bis[(2S,4R)- methyl-4-hydroxypyrrolidine-2-carboxylate] (6)
Oxalyl chloride (24.5 mL, 35.6 g, 281 mmol) was added to a stirred suspension of the nitrobenzoic acid 5 (43 g, 92.3 mmol) and DMF (6 mL) in anhydrous DCM (600mL).
Following initial effervescence the reaction suspension became a solution and the mixture was allowed to stir at room temperature for 16 hours. Conversion to the acid chloride was confirmed by treating a sample of the reaction mixture with MeOH and the resulting bis- methyl ester was observed by LC/MS. The majority of solvent was removed by evaporation under reduced pressure; the resulting concentrated solution was re-dissolved in a minimum amount of dry DCM and triturated with diethyl ether. The resulting yellow precipitate was collected by filtration, washed with cold diethyl ether and dried for 1 hour in a vacuum oven at 40°C. The solid acid chloride was added portionwise over a period of 25 min to a stirred suspension of (2S,4R)-methyl-4-hydroxypyrrolidine-2-carboxylate hydrochloride (38.1 g, 210 mmol) and TEA (64.5 mL, g, 463 mmol) in DCM (400mL) at -40°C (dry ice/CH3CN).
Immediately, the reaction was complete as judged by LC/MS (2.47 min (ES+) m/z (relative intensity) 721 ([M + H]+ , 100). The mixture was diluted with DCM (200 mL) and washed with 1 N HCI ( 300 mL), saturated NaHC03 (300 mL), brine (400 mL), dried (MgS04), filtered and the solvent evaporated in vacuo to give the pure product 6 as an orange solid (66.7 g,
100%). [a]22D = -46.1 ° (c = 0.47, CHCI3); 1H NMR (400 MHz, CDCI3) (rotamers) δ 7.63 (s, 2H), 6.82 (s, 2H), 4.79-4.72 (m, 2H), 4.49-4.28 (m, 6H), 3.96 (s, 6H), 3.79 (s, 6H), 3.46- 3.38 (m, 2H), 3.02 (d, 2H, J = 1 1 .1 Hz), 2.48-2.30 (m, 4H), 2.29-2.04 (m, 4H); 13C NMR (100 MHz, CDCIs) (rotamers) δ 172.4, 166.7, 154.6, 148.4, 137.2, 127.0, 109.7, 108.2, 69.7, 65.1 , 57.4, 57.0, 56.7, 52.4, 37.8, 29.0; IR (ATR, CHCI3) 3410 (br), 3010, 2953, 1741 , 1622, 1577, 1519, 1455, 1429, 1334, 1274, 121 1 , 1 177, 1072, 1050, 1008, 871 cm"1; MS (ES+) m/z (relative intensity) 721 {[M + H]+ , 47), 388 (80); HRMS [M + H]+ theoretical C3i H36N4016 m/z 721 .2199, found (ES+) m/z 721.2227. (e) 1, 1 '-[[(Propane-1,3-diyl)dioxy]bis(11aS,2R)-2-(hydroxy)-7-methoxy-1,2,3, 10, 11, 11a- hexahydro-5H-pyrrolo[2, 1-c][1 ,4]-benzodiazepin-5, 11-dione] (7)
Method A: A solution of the nitro-ester 6 (44 g, 61 .1 mmol) in MeOH (2.8 L) was added to freshly purchased Raney® nickel (~ 50 g of a ~ 50% slurry in H20) and anti-bumping granules in a 5L 3-neck round bottomed flask. The mixture was heated at reflux and then treated dropwise with a solution of hydrazine hydrate (21.6 ml_, 22.2 g, 693 mmol) in MeOH (200 ml.) at which point vigorous effervescence was observed. When the addition was complete (~ 45 min) additional Raney® nickel was added carefully until effervescence had ceased and the initial yellow colour of the reaction mixture was discharged. The mixture was heated at reflux for a further 5 min at which point the reaction was deemed complete by TLC (90:10 v/v CHCI3/MeOH) and LC/MS (2.12 min (ES+) m/z (relative intensity) 597 {[M + H]+ , 100)). The reaction mixture was filtered hot immediately through a sinter funnel containing celite with vacuum suction. The filtrate was reduced in volume by evaporation in vacuo at which point a colourless precipitate formed which was collected by filtration and dried in a vacuum desiccator to provide 7 (31 g, 85%). [a]27 D = +404° (c = 0.10, DMF); 1H NMR (400 MHz, DMSO-d6) δ 10.2 (s, 2H, NH), 7.26 (s, 2H), 6.73 (s, 2H), 5.1 1 (d, 2H, J = 3.98 Hz, OH), 4.32-4.27 (m, 2H), 4.19-4.07 (m, 6H), 3.78 (s, 6H), 3.62 (dd, 2H, J = 12.1 , 3.60 Hz), 3.43 (dd, 2H, J = 12.0, 4.72 Hz), 2.67-2.57 (m, 2H), 2.26 (p, 2H, J = 5.90 Hz), 1.99-1 .89 (m, 2H); 13C NMR (100 MHz, DMSO-d6) δ 169.1 , 164.0, 149.9, 144.5, 129.8, 1 17.1 , 1 1 1 .3, 104.5, 54.8, 54.4, 53.1 , 33.5, 27.5; IR (ATR, neat) 3438, 1680, 1654, 1610, 1605, 1516, 1490, 1434, 1379, 1263, 1234, 1216, 1 177, 1 156, 1 1 15, 1089, 1038, 1018, 952, 870 cm"1; MS (ES+) m/z (relative intensity) 619 {[M + Na]+ , 10), 597 {[M + H]+ , 52), 445 (12), 326 (1 1 ); HRMS [M + H]+ theoretical C29H32N4Oio m/z 597.2191 , found (ES+) m/z 597.2205.
Method B: A suspension of 10% Pd/C (7.5 g, 10% w/w) in DMF (40 ml.) was added to a solution of the nitro-ester 6 (75 g, 104 mmol) in DMF (360 ml_). The suspension was hydrogenated in a Parr hydrogenation apparatus over 8 hours. Progress of the reaction was
monitored by LC/MS after the hydrogen uptake had stopped. Solid Pd/C was removed by filtration and the filtrate was concentrated by rotary evaporation under vacuum (below 10mbar) at 40°C to afford a dark oil containing traces of DMF and residual charcoal. The residue was digested in EtOH (500 mL) at 40°C on a water bath (rotary evaporator bath) and the resulting suspension was filtered through celite and washed with ethanol (500 mL) to give a clear filtrate. Hydrazine hydrate (10 mL, 321 mmol) was added to the solution and the reaction mixture was heated at reflux. After 20 minutes the formation of a white precipitate was observed and reflux was allowed to continue for a further 30 minutes. The mixture was allowed to cool down to room temperature and the precipitate was retrieved by filtration, washed with diethyl ether (2:1 volume of precipitate) and dried in a vacuum desiccator to provide 7 (50 g, 81 %). Analytical data for method B: Identical to those obtained for Method A (optical rotation, 1 H NMR, LC/MS and TLC).
(f) 1, 1 '-[[(Propane- 1, 3-diyl)dioxy]bis(11aS, 2R)-2-(tert-butyldimethylsilyloxy)-7-methoxy- 1,2,3, 10, 11, 11 a-hexahydro-5H-pyrrolo[2, 1-c][1 ,4]-benzodiazepin-5, 11-dione] (8)
TBSCI (27.6 g, 182.9 mmol) and imidazole (29.9 g, 438.8 mmol) were added to a cloudy solution of the tetralactam 7 (21 .8 g, 36.6 mmol) in anhydrous DMF (400 mL) at 0°C
(ice/acetone). The mixture was allowed to stir under a nitrogen atmosphere for 3 hours after which time the reaction was deemed complete as judged by LC/MS (3.90 min (ES+) m/z (relative intensity) 825 {[M + H]+ , 100). The reaction mixture was poured onto ice (~ 1.75 L) and allowed to warm to room temperature with stirring. The resulting white precipitate was collected by vacuum filtration, washed with H20, diethyl ether and dried in the vacuum desicator to provide pure 8 (30.1 g, 99%). [a]23 D = +234° (c = 0.41 , CHCI3); 1 H NMR (400 MHz, CDCIs) δ 8.65 (s, 2H, NH), 7.44 (s, 2H), 6.54 (s, 2H), 4.50 (p, 2H, J = 5.38 Hz), 4.21- 4.10 (m, 6H), 3.87 (s, 6H), 3.73-3.63 (m, 4H), 2.85-2.79 (m, 2H), 2.36-2.29 (m, 2H), 2.07- 1 .99 (m, 2H), 0.86 (s, 18H), 0.08 (s, 12H); 13C NMR (100 MHz, CDCI3) δ 170.4, 165.7, 151 .4, 146.6, 129.7, 1 18.9, 1 12.8, 105.3, 69.2, 65.4, 56.3, 55.7, 54.2, 35.2, 28.7, 25.7, 18.0, -4.82 and -4.86; IR (ATR, CHCI3) 3235, 2955, 2926, 2855, 1698, 1695, 1603, 1518, 1491 , 1446, 1380, 1356, 1251 , 1220, 1 120, 1099, 1033 cm"1; MS (ES+) m/z (relative intensity) 825 {[M + H]+ , 62), 721 (14), 440 (38); HRMS [M + H]+ theoretical C4iH6oN4010Si2 m/z 825.3921 , found (ES+) m/z 825.3948.
(9) 1, 1 '-[[(Propane-1,3-diyl)dioxy]bis(11aS,2R)-2-(tert-butyldimethylsilyloxy)-7-methoxy-10- ((2-(trimethylsilyl)ethoxy)methyl)-1,2,3, 10, 11, 11a-hexahydro-5H-pyrrolo[2, 1-c][1,4]- benzodiazepine, 11-dione] (9)
A solution of n-BuLi (68.3 mL of a 1 .6 M solution in hexane, 109 mmol) was added dropwise to a stirred suspension of the tetralactam 8 (30.08 g, 36.4 mmol) in anhydrous THF (600 mL) at -30°C (dry ice/ethylene glycol) under a nitrogen atmosphere. The reaction mixture was allowed to stir at this temperature for 1 hour (now a reddish orange colour) at which point a solution of SEMCI (19.3 mL, 18.2 g, 109 mmol) in anhydrous THF (120 mL) was added dropwise. The reaction mixture was allowed to slowly warm to room temperature and was stirred for 16 hours under a nitrogen atmosphere. The reaction was deemed complete as judged by TLC (EtOAc) and LC/MS (4.77 min (ES+) m/z (relative intensity) 1085 {[M + H]+ , 100). The THF was removed by evaporation in vacuo and the resulting residue dissolved in EtOAc (750 mL), washed with H20 (250 mL), brine (250 mL), dried (MgS04) filtered and evaporated in vacuo to provide the crude N 10-SEM-protected tetralactam 9 as an oil (maxm 39.5 g, 100%). Product carried through to next step without purification. [a]23 D = +163° (c = 0.41 , CHCIs); 1 H NMR (400 MHz, CDCI3) δ 7.33 (s, 2H), 7.22 (s, 2H), 5.47 (d, 2H, J = 9.98 Hz), 4.68 (d, 2H, J = 9.99 Hz), 4.57 (p, 2H, J = 5.77 Hz), 4.29-4.19 (m, 6H), 3.89 (s, 6H), 3.79-3.51 (m, 8H), 2.87-2.81 (m, 2H), 2.41 (p, 2H, J = 5.81 Hz), 2.03-1.90 (m, 2H), 1 .02- 0.81 (m, 22H), 0.09 (s, 12H), 0.01 (s, 18H); 13C NMR (100 MHz, CDCI3) δ 170.0, 165.7, 151 .2, 147.5, 133.8, 121.8, 1 1 1.6, 106.9, 78.1 , 69.6, 67.1 , 65.5, 56.6, 56.3, 53.7, 35.6, 30.0, 25.8, 18.4, 18.1 , -1 .24, -4.73; IR (ATR, CHCI3) 2951 , 1685, 1640, 1606, 1517, 1462, 1433, 1360, 1247, 1 127, 1065 cm"1 ; MS (ES+) m/z (relative intensity) 1 1 13 {[M + Na]+ , 48), 1085 {[M + H]+ , 100), 1009 (5), 813 (6); HRMS [M + H]+ theoretical C53H88N4Oi2Si4 m/z
1085.5548, found (ES+) m/z 1085.5542.
(h) 1, 1 '-[[(Propane-1,3-diyl)dioxy]bis(11aS,2R)-2-hydroxy-7-methoxy-10-((2- (trimethylsilyl)ethoxy)methyl)-1,2,3, 10, 11, 11 a-hexahydro-5H-pyrrolo[2, 1-c][1,4]- benzodiazepin-5, 11-dione] (10)
A solution of TBAF (150 mL of a 1.0 M solution in THF, 150 mmol) was added to a stirred solution of the crude bis-silyl ether 9 [84.0 g (maxm 56.8 g), 52.4 mmol] in THF (800 mL) at room temperature. After stirring for 1 hour, analysis of the reaction mixture by TLC (95:5 v/v CHCI3/MeOH) revealed completion of reaction. The THF was removed by evaporation under reduced pressure at room temperature and the resulting residue dissolved in EtOAc (500 mL) and washed with NH4CI (300 mL). The combined organic layers were washed with brine (60 mL), dried (MgS04), filtered and evaporated under reduced pressure to provide the crude product. Purification by flash chromatography (gradient elution: 100% CHCI3 to 96:4 v/v CHCI3/MeOH) gave the pure tetralactam 10 as a white foam (36.0 g, 79%). LC/MS 3.33 min (ES+) m/z (relative intensity) 879 {[M + Na]+ , 100), 857 {[M + H]+ , 40); [a]23 D = +202° (c = 0.34, CHCI3); 1H NMR (400 MHz, CDCI3) δ 7.28 (s, 2H), 7.20 (s, 2H), 5.44 (d, 2H, J = 10.0
Hz), 4.72 (d, 2H, J = 10.0 Hz), 4.61-4.58 (m, 2H), 4.25 (t, 4H, J = 5.83 Hz), 4.20-4.16 (m, 2H), 3.91-3.85 (m, 8H), 3.77-3.54 (m, 6H), 3.01 (br s, 2H, OH), 2.96-2.90 (m, 2H), 2.38 (p, 2H, J = 5.77 Hz), 2.1 1-2.05 (m, 2H), 1 .00-0.91 (m, 4H), 0.00 (s, 18H); 13C NMR (100 MHz, CDCI3) 5 169.5, 165.9, 151 .3, 147.4, 133.7, 121.5, 1 1 1.6, 106.9, 79.4, 69.3, 67.2, 65.2, 56.5, 56.2, 54.1 , 35.2, 29.1 , 18.4, -1 .23; IR (ATR, CHCI3) 2956, 1684, 1625, 1604, 1518, 1464, 1434, 1361 , 1238, 1058, 1021 cm"1; MS (ES+) m/z (relative intensity) 885 {[M + 29]+ , 70), 857 {[M + H]+ , 100), 71 1 (8), 448 (17); HRMS [M + H]+ theoretical C4i H6oN4Oi2Si2 m/z 857.3819, found (ES+) m/z 857.3826. (i) 1, 1 '-[[(Propane- 1, 3-diyl)dioxy]bis(11aS)- 7-methoxy-2-oxo-10-((2-
(trimethylsilyl)ethoxy)methyl)-1,2,3, 10, 11, 11 a-hexahydro-5H-pyrrolo[2, 1-c][1,4]- benzodiazepin-5, 11-dione] (11)
Diol 10 (25.6 g, 30 mmol, 1 eq.), NaOAc (6.9 g, 84 mmol, 2.8 eq.) and TEMPO (188 mg, 1.2 mmol, 0.04 eq.) were dissolved in DCM (326 mL) under Ar. This was cooled to -8°C (internal temperature) and TCCA (9.7 g, 42 mmol, 1 .4 eq.) was added portionwise over 15 minutes. TLC (EtOAc) and LC/MS [3.60 min. (ES+) m/z (relative intensity) 854.21 ([M + H]+ , 40), (ES- ) m/z (relative intensity) 887.07 ([M - H + CI]" , 10)] after 30 minutes indicated that reaction was complete. Cold DCM (200 mL) was added and the mixture was filtered through a pad of Celite before washing with a solution of saturated sodium hydrogen carbonate/ sodium thiosulfate (1 :1 v/v; 200 mL x 2). The organic layer was dried with MgS0 , filtered and the solvent removed in vacuo to yield a yellow/orange sponge (25.4 g, 99%). LC/MS [3.60 min. (ES+) m/z (relative intensity) 854.21 ([M + H]+ , 40); [a]20 D = +291 ° (c = 0.26, CHCI3); 1H NMR (400 MHz, CDCIs) δ 7.32 (s, 2H), 7.25 (s, 2H), 5.50 (d, 2H, J = 10.1 Hz), 4.75 (d, 2H, J = 10.1 Hz), 4.60 (dd, 2H, J = 9.85, 3.07 Hz), 4.31-4.18 (m, 6H), 3.89-3.84 (m, 8H), 3.78-3.62 (m, 4H), 3.55 (dd, 2H, J = 19.2, 2.85 Hz), 2.76 (dd, 2H, J = 19.2, 9.90 Hz), 2.42 (p, 2H, J = 5.77 Hz), 0.98-0.91 (m, 4H), 0.00 (s, 18H); 13C NMR (100 MHz, CDCI3) δ 206.8, 168.8, 165.9, 151 .8, 148.0, 133.9, 120.9, 1 1 1.6, 107.2, 78.2, 67.3, 65.6, 56.3, 54.9, 52.4, 37.4, 29.0, 18.4, -1 .24; IR (ATR, CHCI3) 2957, 1763, 1685, 1644, 1606, 1516, 1457, 1434, 1360, 1247, 1209, 1098, 1066, 1023 cm"1; MS (ES+) m/z (relative intensity) 881 {[M + 29]+ , 38), 853 {[M + H]+ , 100), 707 (8), 542 (12); HRMS [M + H]+ theoretical C41 H56N4012Si2 m/z 853.3506, found (ES+) m/z 853.3502.
(j) 1> 1 '-[[(Propane-1,3-diyl)dioxy]bis( 11 aS)-7-methoxy-2-[[(trifluoromethyl)sulfonyl]oxy]-10- ((2-(trimethylsilyl)ethoxy)methyl)-1, 10, 11, 11a-tetrahydro-5H-pyrrolo[2, 1-c][1,4]- benzodiazepin-5, 11-dione] ( 12)
Anhydrous 2,6-lutidine (5.15 mL, 4.74 g, 44.2 mmol) was injected in one portion to a vigorously stirred solution of bis-ketone 11 (6.08 g, 7.1 mmol) in dry DCM (180 mL) at -45°C (dry ice/acetonitrile) under a nitrogen atmosphere. Anhydrous triflic anhydride, taken from a freshly opened ampoule (7.2 mL, 12.08 g, 42.8 mmol), was injected rapidly dropwise, while maintaining the temperature at -40°C or below. The reaction mixture was allowed to stir at - 45°C for 1 hour at which point TLC (50/50 v/v n-hexane/EtOAc) revealed the complete consumption of starting material. The cold reaction mixture was immediately diluted with DCM (200 mL) and, with vigorous shaking, washed with water (1 x 100 mL), 5% citric acid solution (1 x 200 mL) saturated NaHC03 (200 mL), brine (100 mL) and dried (MgS04). Filtration and evaporation of the solvent under reduced pressure afforded the crude product which was purified by flash column chromatography (gradient elution: 90:10 v/v n- hexane/EtOAc to 70:30 v/v n-hexane/EtOAc) to afford bis-enol triflate 12 as a yellow foam (5.5 g, 70%). LC/MS 4.32 min (ES+) m/z (relative intensity) 1 139 {[M + Na]+ , 20); [a]24 D = +271 ° (c = 0.18, CHCI3); 1H NMR (400 MHz, CDCI3) δ 7.33 (s, 2H), 7.26 (s, 2H), 7.14 (t, 2H, J = 1 .97 Hz), 5.51 (d, 2H, J = 10.1 Hz), 4.76 (d, 2H, J = 10.1 Hz), 4.62 (dd, 2H, J = 1 1.0,
3.69 Hz), 4.32-4.23 (m, 4H), 3.94-3.90 (m, 8H), 3.81-3.64 (m, 4H), 3.16 (ddd, 2H, J = 16.3, 1 1.0, 2.36 Hz), 2.43 (p, 2H, J = 5.85 Hz), 1.23-0.92 (m, 4H), 0.02 (s, 18H); 13C NMR (100 MHz, CDCI3) 5 167.1 , 162.7, 151 .9, 148.0, 138.4, 133.6, 120.2, 1 18.8, 1 1 1.9, 107.4, 78.6, 67.5, 65.6, 56.7, 56.3, 30.8, 29.0, 18.4, -1.25; IR (ATR, CHCI3) 2958, 1690, 1646, 1605, 1517, 1456, 1428, 1360, 1327, 1207, 1 136, 1096, 1060, 1022, 938, 913 cm"1; MS (ES+) m/z (relative intensity) 1 144 ([M + 28]+ , 100), 1 1 17 {[M + H]+ , 48), 1041 (40), 578 (8); HRMS [M + H]+ theoretical C43H54N4Oi6Si2S2F6 m/z 1 1 17.2491 , found (ES+) m/z 1 1 17.2465.
Exam le 1
(a) (S)-8-(3-(((S)-2-(4-aminophenyl)-7-methoxy-5, 11-dioxo-10-((2-
(trimethylsilyl)ethoxy)methyl)-5, 10, 11, 11 a-tetrahydro-1 H-benzo[e]pyrrolo[1 ,2-a][1 ,4]diazepin- 8-yl)oxy)propoxy)-7-methoxy-5, 11-dioxo-10-((2-(trimethylsilyl)ethoxy)methyl)-5, 10, 11, 11a- tetrahydro-1 H-benzo[e]pyrrolo[1 ,2-a][1 ,4]diazepin-2-yl trifluoromethanesulfonate ( 13) Pd(PPh3)4 (1 16.9 mg, 0.101 mmol) was added to a stirred mixture of the bis-enol triflate 12 (5.65 g, 5.06 mmol), 4-Aminophenylboronic acid pinacol ester (1 g, 4.56 mmol), Na2C03 (2.46 g, 23.2 mmol), MeOH (37 mL), toluene (74 mL) and water (37 mL). The reaction mixture was allowed to stir at 30°C under a nitrogen atmosphere for 24 hours after which time all the boronic ester has consumed. The reaction mixture was then evaporated to dryness before the residue was taken up in EtOAc (150 mL) and washed with H20 (2 x 100 mL), brine (150 mL), dried (MgS04), filtered and evaporated under reduced pressure to provide the crude product. Purification by flash chromatography (gradient elution: 80:20 v/v Hexane/EtOAc to 60:40 v/v Hexane/EtOAc) afforded product 13 as a yellowish foam (2.4 g, 45%). LC/MS 4.02 min (ES+) m/z (relative intensity) 1060.21 {[M + H]+ , 100); 1H-NMR: (CDCIs, 400 MHz) δ 7.40 (s, 1 H), 7.33 (s, 1 H), 7.27 (bs, 3H), 7.24 (d, 2H, J = 8.5 Hz), 7.15 (t, 1 H, J = 2.0 Hz), 6.66 (d, 2H, J = 8.5 Hz), 5.52 (d, 2H, J = 10.0 Hz), 4.77 (d, 1 H, J = 10.0 Hz),
4.76 (d, 1 H, J = 10.0 Hz), 4.62 ( dd, 1 H, J = 3.7, 1 1 .0 Hz), 4.58 (dd, 1 H, J = 3.4, 10.6 Hz), 4.29 (t, 4H, J = 5.6 Hz), 4.00-3.85 (m, 8H), 3.80 - 3.60 (m, 4H), 3.16 (ddd, 1 H, J = 2.4, 1 1 .0, 16.3 Hz), 3.1 1 (ddd, 1 H, J = 2.2, 10.5, 16.1 Hz), 2.43 (p, 2H, J = 5.9 Hz), 1 .1 -0.9 (m, 4H), 0.2 (s, 18H). 13C-NMR: (CDCI3, 100 MHz) δ 169.8, 168.3, 164.0, 162.7, 153.3, 152.6, 149.28, 149.0, 147.6, 139.6, 134.8, 134.5, 127.9, 127.5, 125.1 , 123.21 , 121.5, 120.5, 120.1 , 1 16.4, 1 13.2, 108.7, 79.8, 79.6, 68.7, 68.5, 67.0, 66.8, 58.8, 58.0, 57.6, 32.8, 32.0, 30.3, 19.7, 0.25.
(b) (S)-2-(4-Aminophenyl)-8-(3-(((S)-2-cyclopropyl-7-methoxy-5, 11-dioxo-10-((2- (trimethylsilyl)ethoxy)methyl)-5, 10, 11, 11 a-tetrahydro-1 H-benzo[e]pyrrolo[1 ,2-a][1 ,4]diazepin- 8-yl)oxy)propoxy)-7-methoxy-10-((2-(trimethylsilyl)ethoxy)methyi
a][1,4]diazepine-5, 11(10H, 11aH)-dione (14)
Triphenylarsine (0.24 g, 0.8 mmol), silver (I) oxide (1.02 g, 4.4 mmol), cyclopropylboronic acid (0.47 g, 5.5 mmol) and starting material 13 (1.15 g, 1 .1 mmol) were dissolved in dioxane (30 ml.) under an argon atmosphere. Potassium phosphate tribasic (2.8 g, 13.2 mmol) was ground-up with a pestle and mortar and quickly added to the reaction mixture. The reaction mixture was evacuated and flushed with argon 3 times and heated to 71 °C. Palladium (II) bis (benzonitrile chloride) (84 mg, 0.22 mmol) was added and the reaction vessel was evacuated and flushed with argon 3 times. After 10 minutes a small sample was taken for analysis by TLC (80:20 v/v ethyl acetate/hexane) and LC/MS. After 30 minutes the reaction had gone to completion (LC/MS analysis indicated complete consumption of starting material) and the reaction was filtered through celite and the filter pad washed with ethyl acetate (400 mL). The filtrate was washed with water (2 x 200 mL) and brine (2 x 200 mL). The organic layer was dried with MgS04, filtered and the solvent removed in vacuo.
Purification by silica gel column chromatography (30:70 v/v Hexane/ Ethyl acetate) afforded the product 14 as an orangey/yellow solid (0.66 g, 63%). Method 1 , LC/MS (3.85 min (ES+) m/z (relative intensity) 952.17 ([M + H]+ , 100). 1H NMR (400 MHz, CDCI3) δ 7.36 (d, 2H, J = 8.4 Hz), 7.30 (s, 1 H), 7.25 - 7.19 (m, 4H), 6.68 (s, 1 H), 6.62 (d, 2H, J = 8.4 Hz), 5.49 (dd, 2H, J = 5.6, 10.0 Hz), 4.73 (app. t, 2H, J = 10.8 Hz), 4.54 (dd, 1 H, J = 3.2, 10.4 Hz), 4.40 (dd, 1 H, J = 3.2, 10.4 Hz), 4.29 - 4.23 (m, 4H), 3.91 - 3.85 (m, 7H), 3.80 - 3.71 (m, 2H), 3.70 - 3.61 (m, 2H), 3.38 - 3.32 (m, 1 H), 3.12 - 3.01 (m, 1 H), 2.50 - 2.69 (m, 1 H), 2.40 (q, 2H, J = 5.6 Hz), 1 .50 - 1 .43 (m, 1 H), 0.99 - 0.71 (m, 6H), 0.54 - 0.59 (m, 2H), 0.00 (s, 18H) ppm.
(c) (S)-2-(4-Aminophenyl)-8-(3-(((S)-2-cyclopropyl-7-methoxy-5-oxo-5, 11a-dihydro-1H- benzo[e]pyrrolo[1 ,2-a][1 ,4]diazepin-8-yl)oxy)propoxy)-7-methoxy-1 H-benzo[e]pyrrolo[1 ,2- a][1,4]diazepin-5(11aH)-one (15)
SEM dilactam 14 (0.66 g, 0.69 mmol) was dissolved in THF (23 mL) and cooled to -78°C under an argon atmosphere. Super-Hydride® solution (1 .7 mL, 1 M in THF) was added drop wise over 5 minutes while monitoring the temperature. After 20 minutes a small sample was taken and washed with water for LC/MS analysis. Water (50 mL) was added and the cold bath was removed. The organic layer was extracted and washed with brine (60 mL). The combined aqueous layers were washed with CH2CI2/MeOH (90/10 v/v) (2 x 50 mL). The combined organic layers were dried with MgS04, filtered and the solvent removed in vacuo. The crude product was dissolved in MeOH (48 mL), CH2CI2 (18 mL) and water (6 mL) and sufficient silica gel was added to afford a thick suspension. After 5 days stirring, the suspension was filtered through a sintered funnel and washed with CH2CI2/MeOH (9:1 ) (~ 200 mL) until product ceased to be eluted. The organic layer was washed with brine (2 x 70 mL), dried with MgS04, filtered and the solvent removed in vacuo. Purification by silica gel column chromatography (100% CHCI3 to 96/4 v/v CHCI3/MeOH) afforded the product 15 as a yellow solid (302 mg, 66%). Method 1 , LC/MS (2.42 min (ES+) m/z (relative intensity) 660.74 ([M + H]+ , 30). 1H NMR (400 MHz, CDCI3) δ 7.86 (d, 1 H, J = 3.6 Hz), 7.78 (d, 1 H, J = 3.6 Hz), 7.58 - 7.44 (m, 3H), 7.34 - 7.20 (m, 3H), 6.88 - 6.66 (m, 4H), 4.35 - 4.15 (m, 6H), 3.95 - 3.75 (m, 7H), 3.39 - 3.22 (m, 1 H), 3.14 - 3.04 (m, 1 H), 2.93 - 2.85 (m, 1 H), 2.46 - 2.36 (m, 2H), 1.49 - 1.41 (m, 1 H), 0.80 - 0.72 (m, 2H), 0.58 - 0.51 (app. s, 2H) ppm.
(d) Allyl ((2S)-1-(((2S)-1-((4-(8-(3-((2-cyclopropyl-7-methoxy-5-oxo-5, 11^
benzo[e]pyrrolo[1 ,2-a][1 ,4]diazepin-8-yl)oxy)propoxy)-7-methoxy-5-oxo-5, 11 a-dihydro-1 H- benzo[e]pyrrolo[1,2-a][1,4]diazepin-2-yl)phenyl)amino)-1-oxopropan-2-yl)amino)-3-methyl-1- oxobutan-2-yl)carbamate ( 16)
In a degassed round bottom flask filled with argon, HO-Ala-Val-alloc (149.6 mg, 0.549 mmol) and EEDQ (135.8 mg, 0.549 mmol) were dissolved in a 9:1 mixture of dry CH2CI2/MeOH (5 mL). The flask was wrapped in aluminium foil and the reaction mixture was allowed to stir at room temperature for 1 hour before starting material 15 (302 mg, 0.457 mmol) was added. The reaction mixture was left to stir for a further 40 hours at room temperature before the volatiles were removed by rotary evaporation under reduced pressure (the reaction was followed by LC/MS, RT starting material 2.32 min, (ES+ 660.29 {[M+ ]+ ,100)). The crude product was directly purified by silica gel chromatography column (100% CHCI3 to 90/10 v/v CHCI3/MeOH) to afford the pure product (16) in 42% yield (174 mg). Method 2 LC/MS (2.70 min (ES+) m/z (relative intensity) 914.73 ([M+H]+ , 60), 660.43 (60), 184.31 (100)).
(e) (2S)-2-amino-N-((2S)-1-((4-(8-(3-((2-cyclopropyl-7-methoxy-5-oxo-5, 11 a-dihydro-1 H- benzo[e]pyrrolo[1 ,2-a][1 ,4]diazepin-8-yl)oxy)propoxy)-7-methoxy-5-oxo-5, 11 a-dihydro-1 H- benzo[e]pyrrolo[ 1, 2-a][ 1, 4]diazepin-2-yl)phenyl)amino)-1-oxopropan-2-yl)-3- methylbutanamide (17)
The starting material 16 (170 mg, 0.185 mmol) was dissolved in dry CH2CI2 (5 ml.) in a round bottom flask filled with argon, before pyrrolidine (41 μΙ_, 0.21 mmol) was added. The flask was purged/refilled three times with argon before Pd(PPh3)4 (14 mg, 0.084 mmol) was added and the flushing operation repeated. After 1 hour, complete consumption of starting material was observed (the reaction was followed by LC/MS) and Et20 (50 ml.) was added to the reaction mixture which was allowed to stir until all the product had crashed out of solution. The solid was filtered through a sintered funnel and washed twice with Et20 (2 x 25 ml_). The collecting flask was replaced and the isolated solid was dissolved in CHCI3 (100 ml. or until all the product had passed through the sintered funnel). The volatiles were then removed by rotary evaporation under reduced pressure to afford the crude product 17 which was used directly in the next step (168 mg). LC/MS method 2 (2.70 min (ES+) m/z (relative intensity) 830.27 ([M+H]+ , 50), 660.13 (80), 171 .15 (100)).
(f) A/-((R -'/-('('('S -i-('('4-('('S -8-('3-('('('S -2-cyc/opropy/-7-mef/?oxy-5-oxo-5, 11 a-dihydro-1 H- benzo[e]pyrrolo[1 ,2-a][1 ,4]diazepin-8-yl)oxy)propoxy)-7-methoxy-5-oxo-5, 11 a-dihydro-1 H- benzo[e]pyrrolo[1,2-a][1,4]diazepin-2-yl)phenyl)amino)-1-oxopropan-2-yl)amino)-3-me oxobutan-2-yl)-1-(3-(2,5-dioxo-2,5-dihydro-1H-pyrrol-1-yl)propanamido)-
3, 6,9, 12, 15, 18,21,24-octaoxaheptacosan-27-amide (18)
Starting material 17 (154 mg, 0.185 mmol) and EDCI .HCI (1 10 mg, 0.185 mmol) were solubilised in dry CH2CI2 (5 mL) in a round bottom flask purged and filled with argon. The mixture was left to stir at room temperature for 1 hour before PEG8-maleimide (35.6 mg, 0.185 mmol) was added and the reaction mixture stirred for a further 16 hours (or until the reaction is complete, monitered by LC/MS). The reaction solution was diluted with CH2CI2 (50 mL) and the organics were washed with H20 (50 mL) and brine (50 mL) before being dried with MgS04, filtered and the solvent removed by rotary evaporation under reduced pressure to afford the crude product. Purification on silica gel column chromatography (100% CHCI3 to 85/15 v/v CHCIs/MeOH) gave the desired product (135mg), however remaining traces of unreacted PEG8-maleimide were observed (by LC/MS, 2.21 min, method 2). Automated reverse phase silica gel chromatography (H20/CH3CN) (see general information for conditions) successfully removed the impurity affording pure final product (18, 37mg of pure product starting from 1 10mg, 33%). Overall yield = 17%. Method 2 LC/MS
(2.58 min (ES+) m/z (relative intensity) 1404.03 ([M+H]+ , 20), 702.63 (100)). 1H NMR (400 MHz, CDCIs) δ 7.91 (t, J = 3.5 Hz, 1 H), 7.80 (d, J = 4.0 Hz, 1 H), 7.75 (d, J = 8.8 Hz, 1 H), 7.69 (d, J = 8.7 Hz, 1 H), 7.54 - 7.50 (m, 2H), 7.45 (s, 1 H), 7.39 - 7.31 (m, 2H), 6.87 (d, J = 10.5 Hz, 2H), 6.76 (s, 1 H), 6.72 - 6.68 (m, 2H), 4.74 - 4.62 (m, 1 H), 4.45 - 4.17 (m, 7H), 3.95 (s, 3H), 3.94 (s, 3H), 3.67 - 3.58 (m, 34H), 3.54 (m, 2H), 3.42 (dd, J = 10.2, 5.2 Hz, 2H), 3.16-3.07 (m, 1H),2.92 {dd, J = 16.1,4.1 Hz, 1 H), 2.62 - 2.49 (m, 4H), 2.48-2.39 (m,2H), 2.37-2.25 (m, 1H), 1.92 (s, 1H), 1.52- 1.44 (m, 3H), 1.10-0.93 (m, 6H), 0.79 (dd, J = 9.2, 5.3 Hz, 2H), 0.57 (dd, J = 9.2, 5.3 Hz, 2H), NH were not observed.
HO-Ala-Val-H 20a (350 mg, 1.86 mmol) and Na2C03 (493 mg, 4.65 mmol) were dissolved in distilled H20 (15 ml.) and the mixture was cooled to 0°C before dioxane (15 ml.) was added (partial precipitation of the amino acid salt occurred). A solution of Fmoc-CI (504 mg, 1 .95 mmol) in dioxane (15 ml.) was added dropwise with vigorous stirring over 10 minutes. The resulting mixture was stirred at 0°C for 2 hours before the ice bath was removed and stirring was maintained for 16 hours. The solvent was removed by rotary evaporation under reduced pressure and the residue dissolved in water (150 ml_). The pH was adjusted from 9 to 2 with 1 N HCI and the aqueous layer was subsequently extracted with EtOAc (3x100 ml_). The combined organics were washed with brine (100 ml_), dried with MgS04, filtered and the volatiles removed by rotary evaporation under reduced pressure to afford pure HO-Ala-Val- Fmoc 20b (746 mg, 97% yield). LC/MS 2.85 min (ES+) m/z (relative intensity) 410.60 ; 1H- NMR (400 MHz, CDCI3) δ 7.79 (d, J=7.77 Hz, 2H), 7.60(d, J=7.77 Hz, 2H), 7.43(d, J=7.5 Hz, 2H), 7.34 (d, J=7.5 Hz, 2H), 6.30 (bs, 1 H), 5.30 (bs, 1 H), 4.71-7.56 (m, 1 H), 4.54-4.36 (m, 2H), 4.08-3.91 (m, 1 H), 2.21-2.07 (m, 1 H), 1.50 (d, J=l A Hz, 3H), 1 .06-0.90 (m, 6H).
(b) (9H-fluoren-9-yl)methyl ((S)-3-methyl- 1-oxo-1-(((S)-1-oxo- 1-((4-(4, 4, 5, 5-tetramethyl- 1, 3, 2-dioxaborolan-2-yl)phenyl)amino)propan-2-yl)amino)butan-2-yl)carbamate (20)
4-Aminophenylboronic acid pinacol ester was added (146.9 mg, 0.67 mmol) was added to a solution of HO-Ala-Val-Fmoc 20b (330mg, 0.8 mmol), DCC (166 mg, 0.8 mmol) and DMAP (5 mg, cat.) in dry DCM (8 ml.) previously stirred for 30 minutes at room temperature in a flask flushed with argon. The reaction mixture was then allowed to stir at room temperature overnight. The reaction was followed by LCMS and TLC. The reaction mixture was diluted with CH2CI2 and the organics were washed with H20 and brine before being dried with
MgS04, filtered and the solvent removed by rotary evaporation under reduced pressure. The crude product was dryloaded on a silicagel chromatography column (Hexane/EtOAc, 6:4) and pure product 20 was isolated as a white solid in 88% yield (360 mg). (c) 8-(3-((2-(4-((S)-2-((S)-2-((((9H-fluoren-9-yl)metho^
methylbutanamido)propanamido)phenyl)-7-methoxy-5, 11-dioxo-10-((2- (trimethylsilyl)ethoxy)methyl)-5, 10, 11, 11 a-tetrahydro-1 H-benzo[e]pyrrolo[1 ,2-a][1 ,4]diazepin- 8-yl)oxy)propoxy)-7-methoxy-5, 11-dioxo-10-((2-(trimethylsilyl)ethoxy)methyl)-5, 10, 11, 11a- tetrahydro-1 H-benzo[e]pyrrolo[1 ,2-a][1 ,4]diazepin-2-yl trifluoromethanesulfonate (21)
Bis-triflate 12 (2.03g, 1.81 mmol), boronic pinacol ester (1 g, 1 .63 mmol) and Na2C03 (881 mg, 8.31 mmol) were dissolved in a mixture of toluene/MeOH/H20, 2:1 :1 (40 ml_). The
reaction flask was purged and filled with argon three times before
fefra/i/s(triphenylphosphine)palladium(0) (41 mg, 0.035 mmol) was added and the reaction mixture heated to 30°C overnight. The solvents were removed under reduce pressure and the residue was taken up in H20 (100 ml.) and extracted with EtOAc (3 x 100 ml_). The combined organics were washed with brine (100 ml_), dried with MgS04, filtered and the volatiles removed by rotary evaporation under reduced pressure. The crude product was purified by silica gel chromatography column (Hexane/EtOAc, 8:2 to 25:75) to afford pure 21 in 33% yield (885 mg). LC/MS 3.85 min (ES+) m/z (relative intensity) 1452.90 ; 1 H NMR (400 MHz, CDCI3) δ 7.78 - 7.16 (m, 17H), 7.13 (s, 1 H), 6.51 - 6.24 (m, 1 H), 5.51 (dd, J = 10.0, 5.1 Hz, 2H), 5.36 - 5.1 1 (m, 1 H), 4.74 (dd, J = 10.1 , 4.4 Hz, 2H), 4.70 - 4.53 (m, 2H), 4.47 (d, J = 6.4 Hz, 1 H), 4.37 (d, J = 7.2 Hz, 1 H), 4.27 (m, 4H), 4.20 - 4.14 (m, 1 H), 3.90 (s, 3H), 3.89 (s, 3H), 3.77 (ddd, J = 16.7, 9.0, 6.4 Hz, 3H), 3.71 - 3.61 (m, 2H), 3.24 - 2.91 (m, 3H), 2.55 - 2.33 (m, 2H), 2.22 - 2.07 (m, 1 H), 1.52 - 1 .37 (m, 3H), 1 .04 - 0.86 (m, 10H), 0.00 (s, 18H).
(d) (9H-fluomn-9-yl)methyl((2S)-1-(((2S)-1-((4-(8-(3-((2-cyclo^ 11-dioxo-
10-((2-(trimethylsilyl)ethoxy)methyl)-5, 10, 11, 11a-tetrahydro-1H-benzo[e]pyrrolo[1,2-
,4]diazepin-8-yl)oxy)propoxy)-7-methoxy-5, 11 -dioxo-10-((2-(trimethylsilyl)ethoxy)methyl)- 5, 10, 11 , 11 a-tetrahydro-1 H-benzo[e]pyrrolo[1 ,2-a][1 ,4]diazepin-2-yl)phenyl)amino)-1- oxopropan-2-yl)amino)-3-methyl-1-oxobutan-2-yl)carbamate (22)
Triphenylarsine (42 mg, 0.137 mmol) was added to a mixture of PBD-triflate 21 (250 mg, 0.172 mmol), cyclopropylboronic acid (73.9 mg, 0.86 mmol), silver oxide (159 mg, 0.688 mmol) and potassium phosphate tribasic (438 mg, 2.06 mmol) in dry dioxane (10 ml.) under an argon atmosphere. The reaction was flushed with argon 3 times and
i)/s(benzonitrile)palladium(ll) chloride (13.2 mg, 0.034 mmol) was added. The reaction was flushed with Argon 3 more times before being warmed to 75°C and stirred for 10 minutes. The reaction mixture was filtered through a pad of celite which was subsequently rinsed with ethyl acetate. The solvent was removed by rotary evaporation under reduced pressure. The resulting residue was subjected to flash column chromatography (silica gel; 1 %
methanol/chloroform). Pure fractions were collected and combined, and excess eluent was removed by rotary evaporation under reduced pressure to afford the desired product 22 (132 mg, 50 % yield). LC/MS 3.83 min (ES+) m/z (relative intensity) 1345.91 ; 1H NMR (400 MHz, CDCI3) δ 7.88 - 7.14 (m, 17H), 6.69 (s, 1 H), 6.45 - 6.25 (m, 1 H), 5.57 - 5.41 (m, 2H), 5.34 - 5.14 (m, 1 H), 4.78 - 4.67 (m, 2H), 4.62 - 4.55 (m, 1 H), 4.50 - 4.45 (m, 2H), 4.51 - 4.44 (m, 1 H), 4.31 - 4.21 (m, 4H), 4.16 (m, 1 H), 3.92 (s, 3H), 3.86 (s, 3H), 3.82 - 3.71 (m, 2H), 3.66 (m, 3H), 3.40 - 3.28 (m, 1 H), 3.07 (m, 1 H), 2.70 - 2.57 (m, 1 H), 2.47 - 2.36 (m, 2H), 2.15
(m, 1 H), 1 .51 - 1.40 (m, 3H), 1.03 - 0.87 (m, 1 1 H), 0.77 - 0.71 (m, 2H), 0.60 - 0.54 (m, 2H), 0.00 (t, J = 3.0 Hz, 18H).
(e) (9H-fluoren-9-yl)methyl((2S)-1-(((2S)-1-((4-(8-(3-((2-cy^^ 11a- dihydro-1 H-benzo[e]pyrrolo[1 ,2-a][1 ,4]diazepin-8-yl)oxy)propoxy)-7-metho
dihydro-1 H-benzo[e]pyrrolo[1 ,2-a][1 ,4]diazepin-2-yl)phenyl)amino)-1-oxopropan-2-yl)amino)- 3-methyl- 1-oxobutan-2-yl)carbamate (23)
A solution of Super-Hydride® (0.5 mL, 1 M in THF) was added dropwise to a solution of SEM dilactam 22 (265 mg g, 0.19 mmol) in THF (10 mL) at -78°C under an argon atmosphere. The addition was completed over 5 minutes in order to maintain the internal temperature of the reaction mixture constant. After 20 minutes, an aliquot was quenched with water for LC/MS analysis, which revealed that the reaction was complete. Water (20 mL) was added to the reaction mixture and the cold bath was removed. The organic layer was extracted with EtOAc (3 x 30 mL) and the combined organics were washed with brine (50 mL), dried with MgS04, filtered and the solvent removed by rotary evaporation under reduced pressure. The crude product was dissolved in MeOH (12 mL), CH2CI2 (6 mL), water (2 mL) and enough silica gel to form a thick stirring suspension. After 5 days, the suspension was filtered through a sintered funnel and washed with CH2Cl2/MeOH (9:1 ) (200 mL) until the elution of the product was complete. The organic layer was washed with brine (2 x 70 mL), dried with MgS04, filtered and the solvent removed by rotary evaporation under reduced pressure. Purification by silica gel column chromatography (100% CHCI3 to 96% CHCI3/ 4% MeOH) afforded the product 23 as a yellow solid (162 mg, 78%). LC/MS 3.02 min (ES+) m/z
(relative intensity) 1052.37. (f) (2S)-2-amino-N-((2S)-1-((4-(8-(3-((2-cyclopropyl- 7-methoxy-5-oxo-5, 11a-dihydro-1H- benzo[e]pyrrolo[1 ,2-a][1 ,4]diazepin-8-yl)oxy)propoxy)-7-methoxy-5-oxo-5, 11 a-dihydro-1 H- benzo[e]pyrrolo[ 1, 2-a][ 1, 4]diazepin-2-yl)phenyl)amino)-1-oxopropan-2-yl)-3- methylbutanamide (17)
Excess piperidine was added (0.2 mL, 2 mmol) to a solution of SEM-dilactam 23 (76 mg, 0.073 mmol) in DMF (1 mL). The mixture was allowed to stir at room temperature for 20 min, at which point the reaction had gone to completion (as monitored by LC/MS). The reaction mixture was diluted with CH2CI2 (75 mL) and the organic phase was washed with H20 (3x75 mL) until complete piperidine removal. The organic phase was dried over MgS04, filtered and excess solvent removed by rotary evaporation under reduced pressure to afford crude product 17 which was used as such in the next step. LC/MS 2.32 min (ES+) m/z (relative intensity) 830.00.
(g) N-((2S)-1-(((2S)-1-((4-(8-(3-((2-cyclopropyl-7-methoxy-5-oxo-5, 11 a-dihydro-1 H- benzo[e]pyrrolo[1 ,2-a][1 ,4]diazepin-8-yl)oxy)propoxy)-7-methoxy-5-oxo-5, 11 a-dihydro-1 H- benzo[e]pyrrolo[1,2-a][1,4]diazepin-2-yl)phenyl)amino)-1-oxopropan-2-yl)ami
oxobutan-2-yl)-1-(3-(2,5-dioxo-2,5-dihydro-1H-pyrrol-1-yl)propanamido)- 3, 6,9, 12, 15, 18,21,24-octaoxaheptacosan-27-amide (18)
EDCI hydrochloride (14 mg, 0.0732 mmol) was added to a suspension of Maleimide-PEG8- acid (43.4 mg, 0.0732 mmol) in dry CH2CI2 (5 ml.) under argon atmosphere. The mixture was stirred for 1 hour at room temperature before PBD 17 (60.7 mg, 0.0732 mmol) was added. Stirring was maintained until the reaction was complete (usually 5 hours). The reaction was diluted with CH2CI2 and the organic phase was washed with H20 and brine before being dried over MgS04, filtered and excess solvent removed by rotary evaporation under reduced pressure by rotary evaporation under reduced pressure. The product was purified by careful silica gel chromatography (slow elution starting with 100% CHCI3 up to 9: 1 CHCI3/MeOH) followed by reverse phase chromatography to remove unreacted maleimide- PEGe-acid. The product 18 was isolated in 17.6% (21 .8 mg). LC/MS 2.57 min (ES+) m/z (relative intensity) 1405.30 ; 1 H NMR (400 MHz, CDCI3) 5 7.91 (t, J = 3.5 Hz, 1 H), 7.80 (d, J = 4.0 Hz, 1 H), 7.75 (d, J = 8.8 Hz, 1 H), 7.69 (d, J = 8.7 Hz, 1 H), 7.54 - 7.50 (m, 2H), 7.45 (s, 1 H), 7.39 - 7.31 (m, 2H), 6.87 (d, J = 10.5 Hz, 2H), 6.76 (s, 1 H), 6.72 - 6.68 (m, 2H), 4.74 - 4.62 (m, 1 H), 4.45 - 4.17 (m, 7H), 3.95 (s, 3H), 3.94 (s, 3H), 3.67 - 3.58 (m, 34H), 3.54 (m, 2H), 3.42 (dd, J = 10.2, 5.2 Hz, 2H), 3.16 - 3.07 (m, 1 H), 2.92 (dd, J = 16.1 , 4.1 Hz, 1 H), 2.62 - 2.49 (m, 4H), 2.48 - 2.39 (m, 2H), 2.37 - 2.25 (m, 1 H), 1 .92 (s, 1 H), 1 .52 - 1 .44 (m, 3H), 1 .10 - 0.93 (m, 6H), 0.79 (dd, J = 9.2, 5.3 Hz, 2H), 0.57 (dd, J = 9.2, 5.3 Hz, 2H), NH were not observed.
Example 3
(a) (S)-7-methoxy-8-(3-(((S)-7-methoxy-2-(4-(4-methylpiperazin-1-yl)ph 11-dioxo-10-
((2-(trimethylsilyl)ethoxy)methyl)-5, 10, 11, 11 a-tetrahydro-1 H-pyrrolo[2, 1- c][1,4]benzodiazepin-8-yl)oxy)propoxy)-5, 11-dioxo-10-((2-(trimethylsilyl)ethoxy)meth^
5, 10, 11, 11 a-tetrahydro-1 H-pyrrolo[2, 1 -c][1 ,4]benzodiazepin-2-yl trifluoromethanesulfonate (24)
Pd(PPh3)4 (20.6 mg, 0.018 mmol) was added to a stirred mixture of the bis-enol triflate 12 (500 mg, 0.44 mmol), N-methyl piperazine boronic ester (100 mg, 0.4 mmol), Na2C03 (218 mg, 2.05 mmol), MeOH (2.5 ml_), toluene (5 ml.) and water (2.5 ml_). The reaction mixture was allowed to stir at 30°C under a nitrogen atmosphere for 24 hours after which time all the boronic ester has consumed. The reaction mixture was then evaporated to dryness before the residue was taken up in EtOAc (100 ml.) and washed with H20 (2 x 50 ml_), brine (50 ml_), dried (MgS04), filtered and evaporated under reduced pressure to provide the crude product. Purification by flash chromatography (gradient elution: 80:20 v/v Hexane/EtOAc to 60:40 v/v Hexane/EtOAc) afforded product 24 as a yellowish foam (122.6 mg, 25%).
LC/MS 3.15 min (ES+) m/z (relative intensity) 1 144 {[M + Hf, 20%).
(b) (9H-fluoren-9-yl)methyl f('S -i-('('('S -i-('f4-('('S -7-mef/?oxy-8-('3-('('('S -7-mef/?oxy-2-('4-('4- methylpiperazin-1 -yl)phenyl)-5, 11-dioxo-10-((2-(trimethylsilyl)ethoxy)methyl)-5, 10, 11, 11a- tetrahydro-1 H-pyrrolo[2, 1 -c][1 ,4]benzodiazepin-8-yl)oxy)propoxy)-5, 11-dioxo-10-((2-
(trimethylsilyl)ethoxy)methyl)-5, 10, 11, 11 a-tetrahydro-1 H-pyrrolo[2, 1 -c][1 ,4]benzodiazepin-2- yl)phenyl)amino)-1-oxopropan-2-yl)amino)-3-methyl-1-oxobutan-2-yl)carbamate (25)
PBD-triflate 24 (359 mg, 0.314 mmol), boronic pinacol ester 20 (250 mg, 0.408 mmol) and triethylamine (0.35 mL, 2.51 mmol) were dissolved in a mixture of toluene/MeOH/H20, 2:1 :1 (3 mL). The microwave vessel was purged and filled with argon three times before fefra/i/s(triphenylphosphine)palladium(0) (21 .7 mg, 0.018 mmol) was added and the reaction mixture placed in the microwave at 80°C for 10 minutes. Subsequently, CH2CI2 (100 mL) was added and the organics were washed with water (2 x 50 mL) and brine (50 mL) before being dried with MgS04, filtered and the volatiles removed by rotary evaporation under reduced pressure. The crude product was purified by silica gel chromatography column
(CHCIs/MeOH, 100% to 9:1 ) to afford pure 25 (200 mg, 43% yield). LC/MS 3.27 min (ES+) m/z (relative intensity) 1478 {[M + H]+ , 100%).
(c) (9H-fluoren-9-yl)methyl ('('S -^('('('S -i-('('4-('('S -7-mef/?oxy-8-('3-('('('S -7-mef/?oxy-2-f4-f4- methylpiperazin-1-yl)phenyl)-5-oxo-5, 11 a-dihydro-1 H-pyrrolo[2, 1 -c][1 ,4]benzodiazepin-8- yl)oxy)propoxy)-5-oxo-5, 11 a-dihydro-1 H-pyrrolo[2, 1-c][1,4]benzodiazepin-2- yl)phenyl)amino)-1-oxopropan-2-yl)amino)-3-methyl-1-oxobutan-2-yl)carbamate (26)
A solution of Super-Hydride® (0.34 mL, 1 M in THF) was added dropwise to a solution of SEM-dilactam 25 (200 mg, 0.135 mmol) in THF (5 mL) at -78°C under an argon atmosphere. The addition was completed over 5 minutes in order to maintain the internal temperature of the reaction mixture constant. After 20 minutes, an aliquot was quenched with water for LC/MS analysis, which revealed that the reaction was complete. Water (20 mL) was added to the reaction mixture and the cold bath was removed. The organic layer was extracted with EtOAc (3 x 30 mL) and the combined organics were washed with brine (50 mL), dried with MgS04, filtered and the solvent removed by rotary evaporation under reduced pressure. The crude product was dissolved in MeOH (6 mL), CH2CI2 (3 mL), water (1 mL) and enough silica gel to form a thick stirring suspension. After 5 days, the suspension was filtered through a sintered funnel and washed with CH2CI2/MeOH (9:1 ) (100 mL) until the elution of the product was complete. The organic layer was washed with brine (2 x 50 mL), dried with MgS04, filtered and the solvent removed by rotary evaporation under reduced pressure. Purification by silica gel column chromatography (100% CHCI3 to 96% CHCI3/ 4% MeOH)
afforded the product 26 as a yellow solid (100 mg, 63%). LC/MS 2.67 min (ES+) m/z (relative intensity) 1 186 {[M + H]+ , 5%).
(d) (S)-2-amino-N-((S)-1-((4-((R)-7-methoxy-8-(3-(((R)-7-methoxy-2-(4-^
yl)phenyl)-5-oxo-5, 11 a-dihydro-1 H-pyrrolo[2, 1 -c][1 ,4]benzodiazepin-8-yl)oxy)propoxy)-5-oxo- 5, 1 Ί 'a-dihydro-1 H-pyrrolo[2, 1 '-c][1 ,4]benzodiazepin-2-yl)phenyl)amino)-1 -oxopropan-2-yl)-3- methylbutanamide (27)
Excess piperidine was added (0.1 ml_, 1 mmol) to a solution of PBD 26 (36.4 mg, 0.03 mmol) in DMF (0.9 ml_). The mixture was allowed to stir at room temperature for 20 min, at which point the reaction had gone to completion (as monitored by LC/MS). The reaction mixture was diluted with CH2CI2 (50 ml.) and the organic phase was washed with H20 (3 x 50 ml.) until complete piperidine removal. The organic phase was dried over MgS04, filtered and excess solvent removed by rotary evaporation under reduced pressure to afford crude product 27 which was used as such in the next step. LC/MS 2.20 min (ES+) m/z (relative intensity) 964 {[M + Hf, 5%).
(e) 6-(2, 5-dioxo-2, 5-dihydro-1H-pyrrol- 1-yl)-N-((S)-1-(((S)-1-((4-((S)- 7-methoxy-8-(3-(((S)-7- methoxy-2-(4-(4-methylpiperazin-1-yl)phenyl)-5-oxo-5, 11 a-dihydro-1 H-pyrrolo[2, 1- c][1,4]benzodiazepin-8-yl)oxy)propoxy)-5-oxo-5, 11 a-dihydro-1 H-pyrrolo[2, 1- c][1 ,4]benzodiazepin-2-yl)phenyl)amino)-1 -oxopropan-2-yl)amino)-3-methyl-1 -oxobutan-2- yl)hexanamide (28)
EDCI hydrochloride (4.7 mg, 0.03 mmol) was added to a suspension of 6- maleimidohexanoic acid (6.5 mg, 0.03 mmol) in dry CH2CI2 (3 mL) under argon atmosphere. The mixture was stirred for 1 hour at room temperature before PBD 27 (34 mg, crude) was added. Stirring was maintained until the reaction was complete (6 hours). The reaction was diluted with CH2CI2 and the organic phase was washed with H20 and brine before being dried over MgS04, filtered and excess solvent removed by rotary evaporation under reduced pressure by rotary evaporation under reduced pressure. The product was purified by careful silica gel chromatography (slow elution starting with 100% CHCI3 up to 9:1 CHCI3/MeOH) followed by reverse phase chromatography to remove unreacted maleimide-PEG8-acid. The product 28 was isolated in 41 % over two steps (14.6 mg). LC/MS 2.40 min (ES+) m/z (relative intensity) 1 157 ([M + H]+ , 5%)
Example 4 - alternative synthesis of compound 25
PBD-triflate 21 (469 mg, 0.323 mmol), boronic pinacol ester (146.5 mg, 0.484 mmol) and Na2C03 (157 mg, 1 .48 mmol) were dissolved in a mixture of toluene/MeOH/H20, 2:1 :1 (10 ml_). The reaction flask was purged with argon three times before
fefra/i/s(triphenylphosphine)palladium(0) (7.41 mg, 0.0064 mmol) was added and the reaction mixture heated to 30°C overnight. The solvents were removed under reduced pressure and the residue was taken up in H20 (50 ml.) and extracted with EtOAc (3 x 50 ml_). The combined organics were washed with brine (100 ml_), dried with MgS04, filtered and the volatiles removed by rotary evaporation under reduced pressure. The crude product was purified by silica gel column chromatography (CHCI3 100% to CHCI3/MeOH 95%:5%) to afford pure 25 in 33% yield (885 mg). LC/MS 3.27 min (ES+) m/z (relative intensity) 1478 {[M + H]+ , 100%).
Exam le 5
(a) (S)-2-(4-Aminophenyl)-8-(3-(((S)-2-(benzo[d][1,3]dioxol-5-yl)- 7-methoxy-5, 11-dioxo- 10- ((2-(trimethylsilyl)ethoxy)methyl)-5, 10, 11, 11 a-tetrahydro-1 H-pyrrolo[2, 1- c][1,4]benzodiazepin-8-yl)oxy)propoxy)-7-methoxy-10-((2-(trimethylsilyl)etho
pyrrolo[2, 1-c][1 ,4]benzodiazepine-5, 11(1 OH, 11aH)-dione (29)
3, 4-(Methylenedioxy)phenyl boronic acid (356 mg, 2.1 mmol, 1.3 equiv.), TEA (1.8 mL, 12.9 mmol, 8 equiv.) and triflate/aniline 13 (1 .75 g, 1.7 mmol, 1 equiv.) were dissolved in a mixture of ethanol (7 mL), toluene (13 mL) and water (2 mL) under an Ar atmosphere. The reaction mixture was evacuated and flushed with Ar 3 times, before addition of
tetrakis(triphenylphosphine)palladium(0) (1 14 mg, 0.1 mmol, 0.06 equiv.). The flask was
again evacuated and flushed with Ar 3 times and heated in a microwave at 80°C for 8 minutes with 30 seconds pre-stirring time. Analysis by TLC (80:20 v/v ethyl acetate/hexane) indicated complete consumption of starting material. The reaction mixture was diluted with dichloromethane (50 mL) and washed with water (50 mL). The organic layer was dried with MgS04, filtered and the solvent removed in vacuo. Purification by silica gel column chromatography (60:40 to 20:80 v/v hexane/ ethyl acetate) afforded the product 29 as a yellow solid (1.21 g, 71 %). LC/MS (3.92 min (ES+) m/z (relative intensity) 1032.44 {[M + Hf, 100). (b) (S)-2-(4-Aminophenyl)-8-(3-(((S)-2-(benzo[d][1, 3]dioxol-5-yl)-7-methoxy-5-oxo-5, 11a- dihydro-1 H-pyrrolo[2, 1-c][1 ,4]benzodiazepin-8-yl)oxy)propoxy)-7-methoxy-1 H-pyrrolo[2, 1- c][1 ,4]benzodiazepin-5(11aH)-one (30)
SEM dilactam 29 (0.25 g, 0.24 mmol, 1 equiv.) was dissolved in THF (8 mL) and cooled to -78°C under an Ar atmosphere. Super-Hydride® (0.6 mL, 1 M in THF, 2.5 equiv.) was added drop wise over 5 minutes while monitoring the temperature. After 20 minutes a small sample was taken and worked-up for LCMS analysis. Water (50 mL) was added, the cold bath was removed and the solution washed with ethyl acetate (50 mL). The organic layer was extracted and washed with brine (60 mL), dried with MgS04, filtered and the solvent removed in vacuo. The crude product was dissolved in EtOH (15 mL), CH2CI2 (7.5 mL) and water (2.5 mL) and enough silica gel was added until it was a thick suspension. After 5 days stirring, it was filtered through a sintered funnel and washed with CH2Cl2/MeOH (9:1 ) (100 mL) until product ceased to be eluted. The organic layer was washed with brine (2 x 50 mL), dried with MgS04, filtered and the solvent removed in vacuo. Purification by silica gel column chromatography (CHCI3 with 1 % to 4% MeOH gradient) afforded the product 30 as a yellow solid (94 mg, 53%). LC/MS (2.53 min (ES+) m/z (relative intensity) 739.64 {[M ]+ , 70).
(c) Allyl ((S)-1-(((S)-1-((4-((S)-8-(3-(((S)-2-(benzo[d][1,3]dioxo^ 11a- dihydro-1H-pyrrolo[2, 1-c][1,4]benzodiazepin-8-yl)oxy)propoxy)-7-methoxy-5-oxo-5, 11a- dihydro-1H-pyrrolo[2, 1-c][1,4]benzodiazepin-2-yl)phenyl)amino)-1-oxopropan-2-yl)amino)-3- methyl-1-oxobutan-2-yl)carbamate (31)
Under an Ar atmosphere, Alanine-Valine-Alloc (180 mg, 0.66 mmol, 1.2 equiv.) was stirred with EEDQ (163 mg, 0.66 mmol, 1 .2 equiv.) in anhydrous CH2CI2 (21 mL) and methanol (1 mL) for 1 hour. The PBD 30 (407 mg, 0.55 mmol, 1 equiv.) was dissolved in anhydrous CH2CI2 (21 mL) and methanol (1 mL) and added to the reaction. LC/MS after 5 days stirring at room temperature showed majority product formation. The solvent was removed in vacuo before purification by column chromatography (CH2CI2 with 1 % to 6% MeOH gradient) to
yield the product 31 as a yellow solid (184 mg, 34%). LC/MS (2.95 min (ES+) m/z (relative intensity) 994.95 {[M + Hf, 60).
(d) (S)-2-Amino-N-((S)-1-((4-((S)-8-(3-(((S)-2-(benzo[d^
5, 11 a-dihydro-1 H-pyrrolo[2, 1 -c][1 ,4]benzodiazepin-8-yl)oxy)propoxy)-7-methoxy-5-oxo- 5, 11a-dihydro-1 H-pyrrolo[2, 1-c][1 ,4]benzodiazepin-2-yl)phenyl)amino)-1-oxopropan-2-yl)-3- methylbutanamide (32)
The imine 31 (100 mg, 0.1 mmol, 1 equiv.) was dissolved in anhydrous DCM (10 ml.) (with the aid of one drop of methanol to aid dissolution) under an Ar atmosphere. Pyrrolidine (30 μΙ_, 0.15 mmol, 1.5 equiv.) was added drop wise before the flask was evacuated and flushed with Ar three times. Pd(PPh3)4 (7 mg, 6 μηηοΙ, 0.06 equiv.) was added and the flask was evacuated and flushed with Ar three times. LC/MS analysis after 1 hour indicated product formation and complete loss of starting material. Et20 (60 ml.) was added to the reaction mixture and it was left to stir until all the product had crashed out of solution. The precipitate was filtered through a sintered funnel and washed twice with Et20 (2 x 20 ml_). The collection flask was replaced and the isolated solid was dissolved and washed through the sinter with CHCI3 (100 ml_). The solvent was removed in vacuo to afford the crude product 32 as a yellow solid which was used directly in the next step. LC/MS (1 .14 min (ES+) m/z (relative intensity) 910.40 {[M + H]+ , 67).
(e) N-((S)- 1-(((S)- 1-((4-((S)-8-(3-(((S)-2-(Benzo[d][1, 3]dioxol-5-yl)-7-methoxy-5-oxo-5, 11a- dihydro-1H-pyrrolo[2, 1-c][1,4]benzodiazepin-8-yl)oxy)propoxy)-7-methoxy-5-oxo-5, 11a- dihydro-1H-pyrrolo[2, 1-c][1,4]benzodiazepin-2-yl)phenyl)amino)-1-oxopropan-2-yl)amino)-3- methyl- 1 -oxobutan-2-yl)- 1-(3-(2, 5-dioxo-2, 5-di hydro- 1H-pyrrol- 1 -yl)propanamido)- 3,6,9, 12, 15, 18,21 ,24-octaoxaheptacosan-27-amide (33)
The imine 32 (92 mg, 0.1 mmol, 1.1 equiv.) was dissolved in CHCI3 (6 mL) with one drop of anhydrous MeOH to aid dissolution. Maleimide-PEG8-acid (53 mg, 0.09 mmol, 1 equiv.) was added followed by EEDQ (33 mg, 0.14 mmol, 1 .5 equiv.). This was left to stir vigorously at room temperature under Ar for 4 days until LC/MS analysis showed majority product formation. The solvent was removed in vacuo and the crude product was partially purified by silica gel column chromatography (CHCI3 with 1 % to 10% MeOH gradient) yielding 33
(81 mg). The material was purified further by preparative HPLC to give 33 as a yellow solid (26.3 mg, 18%). Fast Formic run: LC/MS (1 .39 min (ES+) m/z (relative intensity) 1485.00 ([M + H]+., 64).
Example 6
(a) 9H-Fluoren-9-yl)methyl ('('S - ('('('S -^('f -('('S -8-('3-('('('S -2-('6enzo 37d'o o/-5- / -7- methoxy-5, 11-dioxo-10-((2-(trimethylsilyl)ethoxy)methyl)-5, 10, 11, 11a-tetrahydro-1H- pyrrolo[2, 1 -c][1 ,4]benzodiazepin-8-yl)oxy)propoxy)-7-methoxy-5, 11-dioxo-10-((2-
(trimethylsilyl)ethoxy)methyl)-5, 10, 11, 11 a-tetrahydro-1 H-pyrrolo[2, 1 -c][1 ,4]benzodiazepin-2- yl)phenyl)amino)-1-oxopropan-2-yl)amino)-3-methyl-1-oxobutan-2-yl)carbamate (34)
The triflate 21 (0.5 g, 0.35 mmol, 1 equiv.), 3, 4-(methylenedioxy)phenyl boronic acid (75 mg, 0.45 mmol, 1.3 equiv.) and Na2CO3 (0.17 g, 1 .6 mmol, 4.5 equiv.) were dissolved in toluene (1 1 ml_), EtOH (5.5 ml.) and water (5.5 ml.) under an Ar atmosphere. The flask was evacuated and flushed with Ar three times. Pd(PPh3)4 (24 mg, 0.02 mmol, 0.06 equiv.) was added and again the flask was evacuated and flushed with Ar three times. This was heated to 30°C and left stirring overnight. Analysis by LC/MS showed complete loss of starting material. The solvent was removed in vacuo and the residue dissolved in water (60 ml.) before washing with ethyl acetate (60 ml. x 3). The combined organic layers were washed with brine (50 ml_), dried with MgS04, filtered and the solvent removed in vacuo. Purification by column chromatography (50:50 to 25:75 v/v hexane/ ethyl acetate) afforded the product 34 as a yellow solid (310 mg, 64%). LC/MS (1.44 min (ES") m/z (relative intensity) 1423.35 ([M - H]- , 79).
(b) (9H-Fluoren-9-yl)methyl ('('S -^('('('S - ('f -('('S -8-('3-('('('S -2-^enzo 37d'o o/-5- / -7- methoxy-5-oxo-5, 11 a-dihydro-1 H-pyrrolo[2, 1-c][ 1,4]benzodiazepin-8-yl)oxy)propoxy)-7- methoxy-5-oxo-5, 11 a-dihydro-1 'H-pyrrolo[2, 1-c][1,4]benzodiazepin-2-yl)phenyl)amino)-1- oxopropan-2-yl)amino)-3-methyl-1-oxobutan-2-yl)carbamate (35)
SEM dilactam 34 (0.31 g, 0.22 mmol, 1 equiv.) was dissolved in THF (10 mL) and cooled to -78°C under an Ar atmosphere. Super-Hydride® (0.5 mL, 1 M in THF, 2.5 equiv.) was added drop wise over 5 minutes while monitoring the temperature. After 30 minutes a small sample was taken and worked-up for LC/MS analysis. Water (50 mL) was added, the cold bath was removed and the solution washed with ethyl acetate (50 mL). The organic layer was extracted and washed with brine (60 mL), dried with MgS04, filtered and the solvent removed in vacuo. The crude product was dissolved in EtOH (13.2 mL), CH2CI2 (6.6 mL) and water (2.2 mL) and enough silica gel was added until it was a thick suspension. After 5 days stirring, it was filtered through a sintered funnel and washed with CH2CI2/MeOH (9:1 ) (100 mL) until product ceased to be eluted. The organic layer was washed with brine (2 x 50 mL), dried with MgS04, filtered and the solvent removed in vacuo. Purification by silica gel column chromatography (CHCI3 with 1 % to 4% MeOH gradient) afforded the pure product 35 as a yellow solid (185 mg, 75%). LC/MS (1.70 min (ES+) m/z (relative intensity) 1 132.85 {[M + H]+ , 60). (c) (S)-2-Amino-N-((S)-1-((4-((S)-8-(3-(((S)-2-(benzo[d][1,3
5, 11 a-dihydro-1 H-pyrrolo[2, 1-c][1 ,4]benzodiazepin-8-yl)oxy)propoxy)-7-methoxy-5-oxo- 5, 11 a-dihydro-1 H-pyrrolo[2, 1-c][1 ,4]benzodiazepin-2-yl)phenyl)amino)-1-oxopropan-2-yl)-3- methylbutanamide (32)
The imine 35 (82 mg, 0.07 mmol, 1 equiv.) was dissolved in DMF (1 mL) before piperidine (0.2 mL, 2 mmol, excess) was added slowly. This solution was left to stir at room
temperature for 20 minutes until LC/MS analysis showed complete consumption of starting material. The reaction mixture was diluted with CH2CI2 (50 mL), washed with water (50 mL x 4), dried with MgS04, filtered and the solvent removed in vacuo. The product 33 was used without further purification in the next step. LC/MS (1.15 min (ES+) m/z (relative intensity) 910.60 {[M + H]+ , 58).
Example 7
(i) (S)-(2-arriino-5-methoxy-4-((triisopropylsilyl)oxy)phenyl)(2-(((tert- butyldimethylsilyl)oxy)methyl)-4-methyl-2,3-dihvdro-1 H-pyrrol-1 -vDmethanone (49)
48 49
(a) 5-methoxy-2-nitro-4-((triisopropylsilyl)oxy)benzaldehyde ( 42)
Neat triisopropylsilylchloride (56.4 mL, 262 mmol) was added to a mixture of imidazole (48.7 g, 715.23 mmol) and 4-hydroxy-5-methoxy-2-nitrobenzaldehyde 41 (47 g, 238 mmol) (ground together). The mixture was heated until the phenol and imidazole melted and went into solution (100 °C). The reaction mixture was allowed to stir for 15 minutes and was then allowed to cool, whereupon a solid was observed to form at the bottom of the flask
(imidazole chloride). The reaction mixture was diluted with 5% EtOAc/ hexanes and loaded directly onto silica gel and the pad was eluted with 5% EtOAc/ hexanes , followed by 10% EtOAc/hexanes (due to the low excess, very little unreacted TIPSCI was found in the product). The desired product was eluted with 5 % ethyl acetate in hexane. Excess eluent was removed by rotary evaporation under reduced pressure, followed by drying under high vacuum to afford a crystalline light sensitive solid (74.4 g, 88 %). Purity satisfactory by LC/MS (4.22 min (ES+) m/z (relative intensity) 353.88 {[M + H]+ , 100)); 1 H NMR (400 MHz, CDCI3) 5 10.43 (s, 1 H), 7.60 (s, 1 H), 7.40 (s, 1 H), 3.96 (s, 3H), 1 .35 - 1.24 (m, 3H), 1.10 (m, 18H).
(b) 5-methoxy-2-nitro-4-((triisopropylsilyl)oxy)benzoic acid (43)
A solution of sodium chlorite (47.3 g, 523 mmol, 80 % technical grade) and sodium dihydrogenphosphate monobasic (35.2 g, 293 mmol) (NaH2P04) in water (800 mL) was added to a solution of compound 2 (74 g, 209 mmol) in tetrahydrofuran (500 mL) at room temperature. Hydrogen peroxide (60 % w/w, 140 mL, 2.93 mol) was immediately added to the vigorously stirred biphasic mixture. The reaction mixture evolved gas (oxygen), the starting material dissolved and the temperature of the reaction mixture rose to 45°C. After 30 minutes LC/MS revealed that the reaction was complete. The reaction mixture was cooled in an ice bath and hydrochloric acid (1 M) was added to lower the pH to 3 (this step was found unnecessary in many instances, as the pH at the end of the reaction is already acidic; please check the pH before extraction). The reaction mixture was then extracted with ethyl acetate (1 L) and the organic phases washed with brine (2 x 100 mL) and dried over magnesium sulphate. The organic phase was filtered and excess solvent removed by rotary evaporation under reduced pressure to afford the product 43 in quantitative yield as a yellow solid. LC/MS (3.93 min (ES-) m/z (relative intensity) 367.74 ([M - H]" , 100)); 1H NMR (400 MHz, CDCI3) δ 7.36 (s, 1 H), 7.24 (s, 1 H), 3.93 (s, 3H), 1 .34 - 1 .22 (m, 3H), 1.10 (m, 18H).
(c) ((2S,4R)-2-(((tert-butyldimethylsilyl)oxy)methyl)-4-hydroxypyrrol^
nitro-4-( ( triisopropylsilyl)oxy)phenyl)methanone ( 45)
DCC (29.2 g, 141 mmol, 1.2 eq) was added to a solution of acid 3 (43.5 g, 1 17.8 mmol, 1 eq), and hydroxybenzotriazole hydrate (19.8 g, 129.6 mmol, 1 .1 eq) in dichloromethane (200 mL) at 0 °C. The cold bath was removed and the reaction was allowed to proceed for 30 mins at room temperature, at which time a solution of (2S,4R)-2-f-butyldimethylsilyloxymethyl-4- hydroxypyrrolidine 44 (30 g, 129.6 mmol, 1.1 eq) and triethylamine (24.66 mL, 176 mmol, 1.5 eq) in dichloromethane (100 mL) was added rapidly at -10 °C under argon (on large scale, the addition time could be shortened by cooling the reaction mixture even further. The reaction mixture was allowed to stir at room temperature for 40 minutes to 1 hour and monitored by LC/MS and TLC (EtOAc). The solids were removed by filtration over celite and the organic phase was washed with cold aqueous 0.1 M HCI until the pH was measured at 4 or 5. The organic phase was then washed with water, followed by saturated aqueous sodium bicarbonate and brine. The organic layer was dried over magnesium sulphate, filtered and excess solvent removed by rotary evaporation under reduced pressure. The residue was subjected to column flash chromatography (silica gel; gradient 40/60 ethyl acetate/hexane to 80/20 ethyl acetate/ hexane). Excess solvent was removed by rotary evaporation under reduced pressure afforded the pure product 45, (45.5 g of pure product 66%, and 17 g of slightly impure product, 90% in total). LC/MS 4.43 min (ES+) m/z (relative intensity) 582.92
([Μ + Η]+ , 100); 1H NMR (400 MHz, CDCI3) δ 7.66 (s, 1 H), 6.74 (s, 1 H), 4.54 (s, 1 H), 4.40 (s, 1 H), 4.13 (s, 1 H), 3.86 (s, 3H), 3.77 (d, J = 9.2 Hz, 1 H), 3.36 (dd, J = 1 1.3, 4.5 Hz, 1 H), 3.14 - 3.02 (m, 1 H), 2.38 - 2.28 (m, 1 H), 2.10 (ddd, J = 13.3, 8.4, 2.2 Hz, 1 H), 1.36 - 1 .19 (m, 3H), 1 .15 - 1.05 (m, 18H), 0.91 (s, 9H), 0.17 - 0.05 (m, 6H), (presence of rotamers).
(d) (S)-5-(((tert-butyldimethylsilyl)oxy)methyl)-1-(5-methoxy-2-nitro-4- ((triisopropylsilyl)oxy)benzoyl)pyrrolidin-3-one (46)
TCCA (8.82 g, 40 mmol, 0.7 eq) was added to a stirred solution of 45 (31 .7 g, 54 mmol, 1 eq) and TEMPO (0.85 g, 5.4 mmol, 0.1 eq) in dry dichloromethane (250 mL) at 0 °C. The reaction mixture was vigorously stirred for 20 minutess, at which point TLC (50/50 ethyl acetate/hexane) revealed complete consumption of the starting material. The reaction mixture was filtered through celite and the filtrate washed with aqueous saturated sodium bicarbonate (100 mL), sodium thiosulphate (9 g in 300 mL), brine (100 mL) and dried over magnesium sulphate. Rotary evaporation under reduced pressure afforded product 46 in quantitative yield. LC/MS 4.52 min (ES+) m/z (relative intensity) 581 .08 {[M + H]+ , 100); 1H NMR (400 MHz, CDCI3) δ 7.78 - 7.60 (m, 1 H), 6.85 - 6.62 (m, 1 H), 4.94 (dd, J = 30.8, 7.8 Hz, 1 H), 4.50 - 4.16 (m, 1 H), 3.99 - 3.82 (m, 3H), 3.80 - 3.34 (m, 3H), 2.92 - 2.17 (m, 2H), 1 .40 - 1.18 (m, 3H), 1 .1 1 (t, J = 6.2 Hz, 18H), 0.97 - 0.75 (m, 9H), 0.15 - -0.06 (m, 6H), (presence of rotamers).
(e) (S)-5-(((tert-butyldimethylsilyl)oxy)methyl)-1-(5-methoxy-2-nitro-4- ((triisopropylsilyl)oxy)benzoyl)-4,5-dihydro-1H-pyrrol-3-yl trifluoromethanesulfonate (47) Triflic anhydride (27.7 mL, 46.4 g, 165 mmol, 3 eq) was injected (temperature controlled) to a vigorously stirred suspension of ketone 46 (31.9 g, 55 mmol, 1 eq) in dry dichloromethane (900 mL) in the presence of 2,6-lutidine (25.6 mL, 23.5 g, 220 mmol, 4 eq, dried over sieves) at -50 °C (acetone/dry ice bath). The reaction mixture was allowed to stir for 1.5 hours when LC/MS, following a mini work-up (water/dichloromethane), revealed the reaction to be complete. Water was added to the still cold reaction mixture and the organic layer was separated and washed with saturated sodium bicarbonate, brine and magnesium sulphate. The organic phase was filtered and excess solvent was removed by rotary evaporation under reduced pressure. The residue was subjected to column flash chromatography (silica gel; 10/90 v/v ethyl acetate/hexane), removal of excess eluent afforded the product 47 (37.6 g, 96 %) LC/MS, method 2, 4.32 min (ES+) m/z (relative intensity) 712.89 {[M + H]+ , 100); 1H NMR (400 MHz, CDCI3) δ 7.71 (s, 1 H), 6.75 (s, 1 H), 6.05 (d, J = 1 .8 Hz, 1 H), 4.78 (dd, J = 9.8, 5.5 Hz, 1 H), 4.15 - 3.75 (m, 5H), 3.17 (ddd, J = 16.2, 10.4, 2.3 Hz, 1 H), 2.99 (ddd, J =
16.3, 4.0, 1.6 Hz, 1 H), 1 .45 - 1.19 (m, 3H), 1.15 - 1 .08 (m, 18H), 1 .05 (s, 6H), 0.95 - 0.87 (m, 9H), 0.15 - 0.08 (m, 6H).
(f) (S)-(2-(((tei1-butyldimethylsilyl)oxy)methyl)-4-methyl-2,3-dih
methoxy-2-nitro-4-( (triisopropylsilyl)oxy)phenyl)methanone ( 48)
Triphenylarsine (1 .71 g, 5.60 mmol, 0.4 eq) was added to a mixture of triflate 47 (10.00 g, 14 mmol, 1 eq), methylboronic acid (2.94 g, 49.1 mmol, 3.5 eq), silver oxide (13 g, 56 mmol, 4 eq) and potassium phosphate tribasic (17.8 g, 84 mmol, 6 eq) in dry dioxane (80 ml.) under an argon atmosphere. The reaction was flushed with argon 3 times and
bis(benzonitrile)palladium(ll) chloride (540 mg, 1.40 mmol, 0.1 eq) was added. The reaction was flushed with argon 3 more times before being warmed instantaneously to 1 10°C (the drysyn heating block was previously warmed to 1 10°C prior addition of the flask). After 10 mins the reaction was cooled to room temperature and filtered through a pad celite. The solvent was removed by rotary evaporation under reduced pressure. The resulting residue was subjected to column flash chromatography (silica gel; 10 % ethyl acetate / hexane). Pure fractions were collected and combined, and excess eluent was removed by rotary evaporation under reduced pressure afforded the product 48 (4.5 g, 55 %). LC/MS, 4.27 min (ES+) m/z (relative intensity) 579.18 {[M + H]+ , 100); 1H NMR (400 MHz, CDCI3) δ 7.70 (s, 1 H), 6.77 (s, 1 H), 5.51 (d, J = 1.7 Hz, 1 H), 4.77 - 4.59 (m, 1 H), 3.89 (s, 3H), 2.92 - 2.65 (m, 1 H), 2.55 (d, J = 14.8 Hz, 1 H), 1.62 (d, J = 1.1 Hz, 3H), 1 .40 - 1 .18 (m, 3H), 1.1 1 (s, 9H), 1 .10 (s, 9H), 0.90 (s, 9H), 0.1 1 (d, J = 2.3 Hz, 6H).
(g) ( S)-(2-amino-5-methoxy-4-( ( triisopropylsilyl)oxy)phenyl) (2-(( (tert- butyldimethylsilyl)oxy)methyl)-4-methyl-2,3-dihydro-1H-pyrrol-1-yl)methanone (49)
Zinc powder (28 g, 430 mmol, 37 eq) was added to a solution of compound 48 (6.7 g, 1 1.58 mmol) in 5% formic acid in ethanol v/v (70 ml.) at around 15°C. The resulting exotherm was controlled using an ice bath to maintain the temperature of the reaction mixture below 30°C. After 30 minutes the reaction mixture was filtered through a pad of celite. The filtrate was diluted with ethyl acetate and the organic phase was washed with water, saturated aqueous sodium bicarbonate and brine. The organic phase was dried over magnesium sulphate, filtered and excess solvent removed by rotary evaporation under reduced pressure. The resulting residue was subjected to flash column chromatography (silica gel; 10 % ethyl acetate in hexane). The pure fractions were collected and combined and excess solvent was removed by rotary evaporation under reduced pressure to afford the product 49 (5.1 g, 80 %). LC/MS, 4.23 min (ES+) m/z (relative intensity) 550.21 {[M + H]+ , 100); 1H NMR (400 MHz, CDCI3) δ 7.28 (s, 1 H), 6.67 (s, 1 H), 6.19 (s, 1 H), 4.64 - 4.53 (m, J = 4.1 Hz, 1 H), 4.17
(s, 1 H), 3.87 (s, 1 H), 3.77 - 3.69 (m, 1 H), 3.66 (s, 3H), 2.71 - 2.60 (m, 1 H), 2.53 - 2.43 (m, 1 H), 2.04 - 1.97 (m, J = 1 1 .9 Hz, 1 H), 1 .62 (s, 3H), 1 .26 - 1 .13 (m, 3H), 1.08 - 0.99 (m, 18H), 0.82 (s, 9H), 0.03 - -0.03 (m, J = 6.2 Hz, 6H). (ii) (1 1 S.1 1 aSVallyl 1 1-((tert-butyldimethylsilvnoxyV8-((5-iodopentvnoxyV7-methoxy-2- methyl-5-oxo-1 1 ,1 1 a-dihydro-1 H-benzorelpyrroloH ,2-alH ,4ldiazepine-10(5H)-carboxylate
55
(a) (S)-allyl (2-(2-(((tert-butyldimethylsilyl)oxy)methyl)-4-methyl-2^
carbonyl)-4-methoxy-5-((triisopropylsilyl)oxy)phenyl)carbamate (50)
Allyl chloroformate (0.30 mL, 3.00 mmol, 1.1 eq) was added to a solution of amine 49 (1.5 g, 2.73 mmol) in the presence of dry pyridine (0.48 mL, 6.00 mmol, 2.2 eq) in dry
dichloromethane (20 mL) at -78°C (acetone/dry ice bath). After 30 minutes, the bath was removed and the reaction mixture was allowed to warm to room temperature. The reaction mixture was diluted with dichloromethane and saturated aqueous copper sulphate was added. The organic layer was then washed sequentially with saturated aqueous sodium bicarbonate and brine. The organic phase was dried over magnesium sulphate, filtered and excess solvent removed by rotary evaporation under reduced pressure to afford the product 50 which was used directly in the next reaction. LC/MS, 4.45 min (ES+) m/z (relative intensity) 632.91 {[M + H]+ , 100)
(b) (S)-allyl (2-(2-(hydroxymethyl)-4-methyl-2,3-dihydro-1H-pyrrole-1-carbo
((triisopropylsilyl)oxy)phenyl)carbamate (51)
The crude 50 was dissolved in a 7:1 :1 :2 mixture of acetic
acid/methanol/tetrahydrofuran/water (28:4:4:8 mL) and allowed to stir at room temperature. After 3 hours, complete disappearance of starting material was observed by LC/MS. The reaction mixture was diluted with ethyl acetate and washed sequentially with water (2 x 500 mL), saturated aqueous sodium bicarbonate (200 mL) and brine. The organic phase was dried over magnesium sulphate filtered and excess ethyl acetate removed by rotary evaporation under reduced pressure. The resulting residue was subjected to flash column chromatography (silica gel, 25% ethyl acetate in hexane). Pure fractions were collected and combined and excess eluent was removed by rotary evaporation under reduced pressure to afford the desired product 51 (1 g, 71 %). LC/MS, 3.70 min (ES+) m/z (relative intensity) 519.13 {[M + H]+ , 95); 1H NMR (400 MHz, CDCI3) δ 8.34 (s, 1 H), 7.69 (s, 1 H), 6.78 (s, 1 H), 6.15 (s, 1 H), 5.95 (ddt, J = 17.2, 10.5, 5.7 Hz, 1 H), 5.33 (dq, J = 17.2, 1.5 Hz, 1 H), 5.23 (ddd, J = 10.4, 2.6, 1 .3 Hz, 1 H), 4.73 (tt, J = 7.8, 4.8 Hz, 1 H), 4.63 (dt, J = 5.7, 1 .4 Hz, 2H), 4.54 (s, 1 H), 3.89 - 3.70 (m, 5H), 2.87 (dd, J = 16.5, 10.5 Hz, 1 H), 2.19 (dd, J = 16.8, 4.6 Hz, 1 H), 1 .70 (d, J = 1 .3 Hz, 3H), 1.38 - 1.23 (m, 3H), 1.12 (s, 10H), 1.10 (s, 8H).
(c) (11S, 11aS)-allyl 11-hydroxy-7-methoxy-2-methyl-5-oxo-8-((triisopropylsilyl)oxy)-11, 11a- di hydro- 1 H-benzo[e]pyrrolo[ 1,2-a ][ 1 ,4]diazepine- 10(5H)-carboxylate ( 52)
Dimethyl sulphoxide (0.35 mL, 4.83 mmol, 2.5 eq) was added dropwise to a solution of oxalyl chloride (0.2 mL, 2.32 mmol, 1.2 eq) in dry dichloromethane (10 mL) at -78°C (dry ice /acetone bath) under an atmosphere of argon. After 10 minutes a solution of 51 (1 g, 1.93 mmol) in dry dichloromethane (8 mL) was added slowly with the temperature still at -78°C. After 15 min triethylamine (1.35 mL, dried over 4A molecular sieves, 9.65 mmol, 5 eq) was added dropwise and the dry ice/acetone bath was removed. The reaction mixture was allowed to reach room temperature and was extracted with cold hydrochloric acid (0.1 M), saturated aqueous sodium bicarbonate and brine. The organic phase was dried over magnesium sulphate, filtered and excess dichloromethane was removed by rotary evaporation under reduced pressure to afford product 52 (658 mg, 66%). LC/MS, 3.52 min (ES+) m/z (relative intensity) 517.14 {[M + H]+ , 100); 1H NMR (400 MHz, CDCI3) δ 7.20 (s, 1 H), 6.75 - 6.63 (m, J = 8.8, 4.0 Hz, 2H), 5.89 - 5.64 (m, J = 9.6, 4.1 Hz, 2H), 5.23 - 5.03 (m, 2H), 4.68 - 4.38 (m, 2H), 3.84 (s, 3H), 3.83 - 3.77 (m, 1 H), 3.40 (s, 1 H), 3.05 - 2.83 (m, 1 H), 2.59 (d, J = 17.1 Hz, 1 H), 1.78 (d, J = 1.3 Hz, 3H), 1 .33 - 1 .16 (m, 3H), 1.09 (d, J = 2.2 Hz, 9H), 1.07 (d, J = 2.1 Hz, 9H).
(d) (11S, 11aS)-allyl 11-((tert-butyldimethylsilyl)oxy)-7-methoxy-2-methyl-5-oxo-8-
( ( triisopropylsilyl)oxy)- 11, 11 a-dihydro-1 H-benzo[e ]pyrrolo[ 1, 2-a ][ 1 ,4]diazepine- 10(5H)- carboxylate (53)
Terf-butyldimethylsilyltriflate (0.70 ml_, 3.00 mmol, 3 eq) was added to a solution of compound 52 (520 mg, 1 .00 mmol) and 2,6-lutidine (0.46 ml_, 4.00 mmol, 4 eq) in dry dichloromethane (40 ml.) at 0°C under argon. After 10 min, the cold bath was removed and the reaction mixture was stirred at room temperature for 1 hour. The reaction mixture was extracted with water, saturated aqueous sodium bicarbonate and brine. The organic phase was dried over magnesium sulphate, filtered and excess was removed by rotary evaporation under reduced pressure. The resulting residue was subjected to flash column
chromatography (silica gel; gradient, 10 % ethyl acetate in hexane to 20 % ethyl acetate in hexane). Pure fractions were collected and combined and excess eluent was removed by rotary evaporation under reduced pressure to give the product 53 (540 mg, 85 %). LC/MS, 4.42 min (ES+) m/z (relative intensity) 653.14 {[M + Na]+ , 100); 1 H NMR (400 MHz, CDCI3) δ 7.20 (s, 1 H), 6.71 - 6.64 (m, J = 5.5 Hz, 2H), 5.83 (d, J = 9.0 Hz, 1 H), 5.80 - 5.68 (m, J = 5.9 Hz, 1 H), 5.14 - 5.06 (m, 2H), 4.58 (dd, J = 13.2, 5.2 Hz, 1 H), 4.36 (dd, J = 13.3, 5.5 Hz, 1 H), 3.84 (s, 3H), 3.71 (td, J = 10.1 , 3.8 Hz, 1 H), 2.91 (dd, J = 16.9, 10.3 Hz, 1 H), 2.36 (d, J = 16.8 Hz, 1 H), 1 .75 (s, 3H), 1 .31 - 1 .16 (m, 3H), 1 .12 - 1 .01 (m, J = 7.4, 2.1 Hz, 18H), 0.89 - 0.81 (m, 9H), 0.25 (s, 3H), 0.19 (s, 3H).
(e) (11S, 11aS)-allyl 11-((tert-butyldimethylsilyl)oxy)-8-hydroxy-7-methoxy-2-methyl-5-oxo- 11, 11 a-di hydro- 1 H-benzo[e ]pyrrolo[ 1, 2-a] [1,4 Jdiazepine- 10(5H) -carboxylate ( 54)
Lithium acetate (87 mg, 0.85 mmol) was added to a solution of compound 53 (540 mg, 0.85 mmol) in wet dimethylformamide (6 mL, 50: 1 DMF/water). After 4 hours, the reaction was complete and the reaction mixture was diluted with ethyl acetate (25 mL) and washed with aqueous citric acid solution (pH ~ 3), water and brine. The organic layer was dried over magnesium sulphate filtered and excess ethyl acetate was removed by rotary evaporation under reduced pressure. The resulting residue was subjected to flash column
chromatography (silica gel; gradient, 25% to 75% ethyl acetate in hexane). Pure fractions were collected and combined and excess eluent was removed by rotary evaporation under reduced pressure to give the product 54 (400 mg, quantitative). LC/MS, (3.33 min (ES+) m/z (relative intensity) 475.26 ([M+H]+, 100).
(f) (11S, 11aS)-allyl 11-((tei1-butyldimethylsilyl)oxy)-8-((5-iodopentyl)oxy)-7-methoxy-2- methyl-5-oxo-11, 11 a-dihydro-1 H-benzo[e]pyrrolo[1 ,2-a][1 ,4]diazepine-10(5H)-carboxylate (55)
Diiodopentane (0.63 mL, 4.21 mmol, 5 eq) and potassium carbonate (1 16 mg, 0.84 mmol, 1 eq) were added to a solution of phenol 54 (400 mg, 0.84 mmol) in acetone (4 mL, dried over molecular sieves). The reaction mixture was then warmed to 60°C and stirred for 6 hours. Acetone was removed by rotary evaporation under reduced pressure. The resulting residue was subjected to flash column chromatography (silica gel; 50/50, v/v, hexane/ethyl acetate,). Pure fractions were collected and combined and excess eluent was removed to provide 55 in 90% yield. LC/MS, 3.90 min (ES+) m/z (relative intensity) 670.91 ([M]+, 100). 1 H NMR (400 MHz, CDCI3) δ 7.23 (s, 1 H), 6.69 (s, 1 H), 6.60 (s, 1 H), 5.87 (d, J = 8.8 Hz, 1 H), 5.83 - 5.68 (m, J = 5.6 Hz, 1 H), 5.15 - 5.01 (m, 2H), 4.67 - 4.58 (m, 1 H), 4.45 - 4.35 (m, 1 H), 4.04 - 3.93 (m, 2H), 3.91 (s, 3H), 3.73 (td, J = 10.0, 3.8 Hz, 1 H), 3.25 - 3.14 (m, J = 8.5, 7.0 Hz, 2H), 2.92 (dd, J = 16.8, 10.3 Hz, 1 H), 2.38 (d, J = 16.8 Hz, 1 H), 1.95 - 1.81 (m, 4H), 1 .77 (s, 3H), 1 .64 - 1.49 (m, 2H), 0.88 (s, 9H), 0.25 (s, 3H), 0.23 (s, 3H).
(iii) (1 1 S,1 1 aS)-4-(2-(1-((1-(allyloxy)-4-methyl-1 ,2-dioxopentan-3-yl)amino)-1 -oxopropan-2- vDhvdrazinvDbenzyl 1 1 -((tert-butyldimethylsilyl)oxy)-8-hvdroxy-7-methoxy-2-methyl-5-oxo- 1 1 ,1 1 a-dihvdro-1 H-benzorelpyrroloH ,2-alH ,4ldiazepine-10(5H)-carboxylate (70)
(a) Allyl 3-(2-(2-(4-((((2-((S)-2-(((tert-butyldimethyls^
pyrrole- 1 -carbonyl)-4-methoxy-5-
((triisopropylsilyl)oxy)phenyl)carbamoyl)oxy)methyl)phenyl)hydrazinyl)propanam
methyl-2-oxopentanoate (56)
Triethylamine (2.23 mL, 18.04 mmol, 2.2 eq) was added to a stirred solution of the amine 49 (4 g, 8.20 mmol) and triphosgene (778 mg, 2.95 mmol, 0.36 eq) in dry tetrahydrofuran (40 mL) at 5 °C (ice bath). The progress of the isocyanate reaction was monitored by periodically removing aliquots from the reaction mixture and quenching with methanol and
performing LC/MS analysis. Once the isocyanate formation was complete a solution of the alloc-Val-Ala-PABOH (4.12 g, 12.30 mmol, 1.5 eq) and triethylamine (1 .52 mL, 12.30 mmol, 1.5 eq) in dry tetrahydrofuran (40 mL) was rapidly added by injection to the freshly prepared isocyanate. The reaction mixture was allowed to stir at 40 °C for 4 hours. Excess solvent was removed by rotary evaporation under reduced pressure. The resulting residue was subjected to flash column chromatography (silica gel; gradient, 1 % methanol to 5% methanol in dichloromethane). (Alternative chromatography conditions using EtOAc and Hexane have also been successful). Pure fractions were collected and combined and excess eluent was removed by rotary evaporation under reduced pressure to give the product 56 (3.9 g, 50%). LC/MS, 4.23 min (ES+) m/z (relative intensity) 952.36 {[M + H]+ , 100); 1 H NMR (400 MHz, CDCI3) δ 8.62 (br s, 1 H), 8.46 (s, 1 H), 7.77 (br s, 1 H), 7.53 (d, J = 8.4 Hz, 2H), 7.32 (d, J = 8.5 Hz, 2H), 6.76 (s, 1 H), 6.57 (d, J = 7.6 Hz, 1 H), 6.17 (s, 1 H), 6.03 - 5.83 (m, 1 H), 5.26 (dd, J = 33.8, 13.5 Hz, 3H), 5.10 (s, 2H), 4.70 - 4.60 (m, 2H), 4.58 (dd, J = 5.7, 1.3 Hz, 2H), 4.06 - 3.99 (m, 1 H), 3.92 (s, 1 H), 3.82 - 3.71 (m, 1 H), 3.75 (s, 3H), 2.79 - 2.64 (m, 1 H), 2.54 (d, J = 12.9 Hz, 1 H), 2.16 (dq, J = 13.5, 6.7 Hz, 1 H), 1 .67 (s, 3H), 1 .46 (d, J = 7.0 Hz, 3H), 1.35 - 1.24 (m, 3H), 1 .12 (s, 9H), 1 .10 (s, 9H), 0.97 (d, J = 6.8 Hz, 3H), 0.94 (d, J = 6.8 Hz, 3H), 0.87 (s, 9H), 0.07 - -0.02 (m, 6H).
(b) Allyl 3-(2-(2-(4-((((2-((S)-2-(hydroxymethyl)-4-methyl-2,3-dihy^
4-methoxy-5-
((triisopropylsilyl)oxy)phenyl)carbamoyl)oxy)methyl)ph
methyl-2-oxopentanoate (57)
The TBS ether 56 (1.32 g, 1.38 mmol) was dissolved in a 7:1 :1 :2 mixture of acetic acid/methanol/tetrahydrofuran/water (14:2:2:4 mL) and allowed to stir at room temperature. After 3 hours no more starting material was observed by LC/MS. The reaction mixture was diluted with ethyl acetate (25 mL) and washed sequentially with water, saturated aqueous sodium bicarbonate and brine. The organic phase was dried over magnesium sulphate filtered and excess ethyl acetate removed by rotary evaporation under reduced pressure. The resulting residue was subjected to flash column chromatography (silica gel, 2% methanol in dichloromethane). Pure fractions were collected and combined and excess eluent was removed by rotary evaporation under reduced pressure to afford the desired product 57 (920 mg, 80%). LC/MS, 3.60 min (ES+) m/z (relative intensity) 838.18 ([M+H]+ , 100).1H NMR (400 MHz, CDCI3) δ 8.55 (s, 1 H), 8.35 (s, 1 H), 7.68 (s, 1 H), 7.52 (d, J = 8.1 Hz, 2H), 7.31 (d, J = 8.4 Hz, 2H), 6.77 (s, 1 H), 6.71 (d, J = 7.5 Hz, 1 H), 6.13 (s, 1 H), 5.97 - 5.82 (m, J = 5.7 Hz, 1 H), 5.41 - 5.15 (m, 3H), 5.10 (d, J = 3.5 Hz, 2H), 4.76 - 4.42 (m, 5H), 4.03 (t, J = 6.6 Hz, 1 H), 3.77 (s, 5H), 2.84 (dd, J = 16.7, 10.4 Hz, 1 H), 2.26 - 2.08 (m, 2H),
1 .68 (s, 3H), 1 .44 (d, J = 7.0 Hz, 3H), 1.30 (dt, J = 14.7, 7.4 Hz, 3H), 1 .12 (s, 9H), 1 .10 (s, 9H), 0.96 (d, J = 6.8 Hz, 3H), 0.93 (d, J = 6.8 Hz, 3H).
(c) (11S, 11aS)-4-(2-( 1-((1-(allyloxy)-4-methyl-1,2-dioxopentan-3-yl)amino)-1-oxopropan-2- yl)hydrazinyl)benzyl 11-hydroxy-7-methoxy-2-methyl-5-oxo-8-((triisopropylsilyl)oxy)-11, 11a- di hydro- 1 H-benzo[e]pyrrolo[ 1,2-a ][ 1 ,4]diazepine- 10(5H)-carboxylate ( 58)
Dimethyl sulphoxide (0.2 mL, 2.75 mmol, 2.5 eq) was added dropwise to a solution of oxalyl chloride (0.1 1 mL, 1 .32 mmol, 1.2 eq) in dry dichloromethane (7 mL) at -78°C (dry ice /acetone bath) under an atmosphere of argon. After 10 minutes a solution of 57 (920 mg, 1.10 mmol) in dry dichloromethane (5 mL) was added slowly with the temperature still at - 78°C. After 15 min triethylamine (0.77 mL, dried over 4A molecular sieves, 5.50 mmol, 5 eq) was added dropwise and the dry ice/acetone bath was removed. The reaction mixture was allowed to reach room temperature and was extracted with cold hydrochloric acid (0.1 M), saturated aqueous sodium bicarbonate and brine. The organic phase was dried over magnesium sulphate, filtered and excess dichloromethane was removed by rotary evaporation under reduced pressure. The resulting residue was subjected to column flash chromatography (silica gel; gradient 2% methanol to 5 % methanol in dichloromethane). Pure fractions were collected and combined and removal of excess eluent by rotary evaporation under reduced pressure afforded the product 58 (550 mg, 60%). LC/MS, 3.43 min (ES+) m/z (relative intensity) 836.01 ([M]+ , 100). 1 H NMR (400 MHz, CDCI3) δ 8.39 (s, 1 H), 7.52 - 7.40 (m, 2H), 7.21 - 7.08 (m, J = 1 1 .5 Hz, 2H), 6.67 (s, 1 H), 6.60 - 6.47 (m, J = 7.4 Hz, 1 H), 5.97 - 5.83 (m, 1 H), 5.79 - 5.66 (m, 1 H), 5.38 - 4.90 (m, 6H), 4.68 - 4.52 (m, J = 18.4, 5.5 Hz, 4H), 4.04 - 3.94 (m, J = 6.5 Hz, 1 H), 3.87 - 3.76 (m, 5H), 3.00 - 2.88 (m, 1 H), 2.66 - 2.49 (m, 2H), 2.21 - 2.08 (m, 2H), 1 .76 (s, 3H), 1 .45 (d, J = 7.0 Hz, 3H), 1.09 - 0.98 (m, J = 8.9 Hz, 18H), 0.96 (d, J = 6.7 Hz, 3H), 0.93 (d, J = 6.9 Hz, 3H).
(d) (11S, 11aS)-4-(2-(1-((1-(Allyloxy)-4-methyl-1,2-dioxopentan-3-yl)amino)-1^
yl)hydrazinyl)benzyl 11-((tert-butyldimethylsilyl)oxy)-7-methoxy-2-methyl-5-oxo-8-
( ( triisopropylsilyl)oxy)- 11, 11a-dihydro- 1 H-benzo[e]pyrrolo[ 1, 2-a ][ 1 ,4]diazepine- 10( 5H)- carboxylate (59)
Terf-butyldimethylsilyltriflate (0.38 mL, 1.62 mmol, 3 eq) was added to a solution of compound 58 (450 mg, 0.54 mmol) and 2,6-lutidine (0.25 mL, 2.16 mmol, 4 eq) in dry dichloromethane (5 mL) at 0°C under argon. After 10 min, the cold bath was removed and the reaction mixture was stirred at room temperature for 1 hour. The reaction mixture was extracted with water, saturated aqueous sodium bicarbonate and brine. The organic phase was dried over magnesium sulphate, filtered and excess solvent was removed by rotary
evaporation under reduced pressure. The resulting residue was subjected to column flash chromatography (silica gel; 50/50 v/v hexane/ethyl acetate). Pure fractions were collected and combined and excess eluent was removed by rotary evaporation under reduced pressure to give the product 59 (334 mg, 65%). LC/MS, 4.18 min (ES+) m/z (relative intensity) 950.50 ([M]+ , 100). 1 H NMR (400 MHz, CDCI3) δ 8.53 (s, 1 H), 8.02 (s, 1 H), 7.44 (d, J = 7.6 Hz, 2H), 7.21 (s, 1 H), 7.08 (d, J = 8.2 Hz, 2H), 6.72 - 6.61 (m, J = 8.9 Hz, 2H), 6.16 (s, 1 H), 5.97 - 5.79 (m, J = 24.4, 7.5 Hz, 2H), 5.41 - 5.08 (m, 5H), 4.86 (d, J = 12.5 Hz, 1 H), 4.69 - 4.60 (m, 1 H), 4.57 (s, 1 H), 4.03 (t, J = 6.7 Hz, 1 H), 3.87 (s, 3H), 3.74 (td, J = 9.6, 3.6 Hz, 1 H), 2.43 - 2.09 (m, J = 34.8, 19.4, 1 1.7 Hz, 3H), 1.76 (s, 3H), 1 .43 (d, J = 6.9 Hz, 3H), 1 .30 - 1 .21 (m, 3H), 0.97 (d, J = 6.7 Hz, 3H), 0.92 (t, J = 8.4 Hz, 3H), 0.84 (s, 9H), 0.23 (s, 3H), 0.12 (s, 3H).
(e) (11S, 11aS)-4-(2-(1-((1-(Allyloxy)-4-methyl-1,2-dioxopentan-3-yl)am
yl)hydrazinyl)benzyl 11-((tert-butyldimethylsilyl)oxy)-8-hydroxy-7-methoxy-2-methyl-5-oxo- 11 , 11 a-dihydro-1 H-benzo[e]pyrrolo[1 ,2-a][1 ,4]diazepine-10(5H)-carboxylate (60)
Lithium acetate (50 mg, 0.49 mmol) was added to a solution of compound 59 (470 mg, 0.49 mmol) in wet dimethylformamide (4 mL, 50:1 DMF/water). After 4 hours, the reaction was complete and the reaction mixture was diluted with ethyl acetate and washed with citric acid (pH ~ 3), water and brine. The organic layer was dried over magnesium sulphate filtered and excess ethyl acetate was removed by rotary evaporation under reduced pressure. The resulting residue was subjected to column flash chromatography (silica gel; gradient, 50/50 to 25/75 v/v hexane/ethyl acetate). Pure fractions were collected and combined and excess eluent was removed by rotary evaporation under reduced pressure to give the product 60 (400 mg, quantitative). LC/MS, 3.32 min (ES+) m/z (relative intensity) 794.18 ([M+H]+ , 100). 1H NMR (400 MHz, CDCI3) δ 8.53 (s, 1 H), 8.02 (s, 1 H), 7.44 (d, J = 7.6 Hz, 2H), 7.21 (s, 1 H), 7.08 (d, J = 8.2 Hz, 2H), 6.72 - 6.61 (m, J = 8.9 Hz, 2H), 6.16 (s, 1 H), 5.97 - 5.79 (m, J = 24.4, 7.5 Hz, 2H), 5.41 - 5.08 (m, 5H), 4.86 (d, J = 12.5 Hz, 1 H), 4.69 - 4.60 (m, 1 H), 4.57 (s, 1 H), 4.03 (t, J = 6.7 Hz, 1 H), 3.87 (s, 3H), 3.74 (td, J = 9.6, 3.6 Hz, 1 H), 2.43 - 2.09 (m, J = 34.8, 19.4, 1 1 .7 Hz, 3H), 1 .76 (s, 3H), 1 .43 (d, J = 6.9 Hz, 3H), 1.30 - 1 .21 (m, 3H), 0.97 (d, J = 6.7 Hz, 3H), 0.92 (t, J = 8.4 Hz, 3H), 0.84 (s, 9H), 0.23 (s, 3H), 0.12 (s, 3H).
(iv) (1 1 S.1 1 aSV4-((2S.5S V37-(2.5-dioxo-2.5-dihvdro-1 H-pyrrol-1 -vn-5-isopropyl-2-methyl- 4,7,35-trioxo-10,13,16 ,19,22,25,28,31 -octaoxa-3,6,34-triazaheptatriacontanamido)benzyl 1 1 - hvdroxy-7-methoxy-8-((5-(((S)-7-methoxy-2-methyl-5-oxo-5,1 1 a-dihvdro-1 H- benzorelpyrrolori ,2-alH ,4ldiazepin-8-yl)oxy)pentyl)oxy)-2-methyl-5-oxo-1 1 ,1 1 a-dihydro-1 H- benzorelpyrroloH ,2-alH ,4ldiazepine-10(5H)-carboxylate (64)
(a) (11S)-allyl 8-((5-(((11 S)-10-(((4-(2-(1-((1-(allyloxy)-4-methyl-1 ,2-dioxopentan-3-yl)amino)- 1-oxopropan-2-yl)hydrazinyl)benzyl)oxy)carbonyl)-11-((teii-butyldimethylsilyl)oxy)-7- methoxy-2-methyl-5-oxo-5, 10, 11, 11 a-tetrahydro-1 H-benzo[e]pyrrolo[1 ,2-a][1 ,4]diazepin-8- yl)oxy)pentyl)oxy)-11-((tert-butyldimethylsilyl)oxy)-7-methoxy-2-methyl-5-oxo-11 , 11a- dihydro-1H-benzo[e]pyrrolo[1,2-a][1,4]diazepine-10(5H)-carboxylate (61)
Potassium carbonate (70 mg, 0.504 mmol, 1 eq) was added to a solution of 55 (370 mg, 0.552 mmol, 1 .2 eq) and phenol 60 (400 mg, 0.504 mmol) in dry acetone (25 ml_). The reaction was stirred 8 hours at 70°C. The LC/MS showed that all the starting material was not consumed, so the reaction was allowed to stir overnight at room temperature and stirred for an additional 2 hours the next day. Acetone was removed by rotary evaporation under reduced pressure. The resulting residue was subjected to flash column chromatography (silica gel; 80% ethyl acetate in hexane to 100% ethyl acetate). Pure fractions were collected and combined and excess eluent was removed by rotary evaporation under reduced
pressure to give the product 61 (385 mg, 57%). LC/MS, 4.07 min (ES+) m/z (relative intensity) 1336.55 ([M+H]+ , 50).
(b) (11S)-allyl 8-((5-(((11 S)-10-(((4-(2-(1-((1-(allyloxy)-4-methyl-1 ,2-dioxop
1-oxopropan-2-yl)hydrazinyl)benzyl)oxy)carbonyl)-11-hydroxy-7-methoxy-2-methyl-5-oxo- 5, 10, 11 , 11 a-tetrahydro-1 H-benzo[e]pyrrolo[1 ,2-a][1 ,4]diazepin-8-yl)oxy)pentyl)oxy)-11 - hydroxy-7-methoxy-2-methyl-5-oxo-11 , 11 a-dihydro-1 H-benzo[e]pyrrolo[1 ,2-a][1 ,4]diazepine- 10(5H)-carboxylate (62)
Tetra-n-butylammonium fluoride (1 M, 0.34 mL, 0.34 mmol, 2 eq) was added to a solution of 61 (230 mg, 0.172 mmol) in dry tetrahydrofuran (3 mL). The starting material was totally consumed after 10 minutes. The reaction mixture was diluted with ethyl acetate (30 mL) and washed sequentially with water and brine. The organic phase was dried over magnesium sulphate filtered and excess ethyl acetate removed by rotary evaporation under reduced pressure. The resulting residue 62 was used as a crude mixture for the next reaction.
LC/MS, 2.87 min (ES+) m/z (relative intensity) 1 108.1 1 ([M+H]+ , 100).
(c) (11S)-4-(2-(1-((1-amino-3-methyl-1-oxobutan-2-yl)amino)-1-oxopropan-2- yl)hydrazinyl)benzyl 11-hydroxy-7-methoxy-8-((5-((7-methoxy-2-methyl-5-oxo-5, 11a-dihydro- 1 H-benzo[e]pyrrolo[ 1, 2-a][ 1, 4]diazepin-8-yl)oxy)pentyl)oxy)-2-methyl-5-oxo- 11, 11a-dihydro- 1H-benzo[e]pyrrolo[ 1, 2-a][ 1, 4]diazepine- 10(5H)-carboxylate (63)
7efra/i/'s(triphenylphosphine)palladium(0) (12 mg, 0.01 mmol, 0.06 eq) was added to a solution of crude 62 (0.172 mmol) and pyrrolidine (36 μί, 0.43 mmol, 2.5 eq) in dry dichloromethane (10 mL). The reaction mixture was stirred 20 minutes and diluted with dichloromethane and washed sequentially with saturated aqueous ammonium chloride and brine. The organic phase was dried over magnesium sulphate filtered and excess
dichloromethane removed by rotary evaporation under reduced pressure. The resulting residue 63 was used as a crude mixture for the next reaction. LC/MS, 2.38 min (ES+) m/z (relative intensity) 922.16 ([M+H]+ , 40). (d) (11S, 11aS)-4-((2S,5S)-37-(2,5-dioxo-2,5-dihydro-1H-pyrrol-1-yl)-5-iso^
4, 7,35-trioxo-10, 13, 16, 19,22,25,28,31-octaoxa-3,6,34-triazaheptatriacontanamido)benzyl 11- hydroxy- 7-methoxy-8-(( 5-((( S)-7-methoxy-2-methyl-5-oxo-5, 11 a-dihydro-1 H- benzo[e]pyrrolo[1 ,2-a][1 ,4]diazepin-8-yl)oxy)pentyl)oxy)-2-methyl-5-oxo-11 , 11 a-dihydro-1 H- benzo[e]pyrrolo[ 1, 2-a][ 1, 4]diazepine- 10(5H)-carboxylate ( 64)
1 -ethyl-3-(3'-dimethylaminopropyl)carbodiimide (EDCI, 33 mg, 0.172 mmol) was added to a solution of crude 63 (0.172 mmol) and Mal-(PEG)8-acid (100 mg, 0.172 mmol) in dry
dichloromethane (10 mL). The reaction was stirred for 2 hours and the presence ofstarting material was no longer observed by LC/MS. The reaction was diluted with dichloromethane and washed sequentially with water and brine. The organic phase was dried over magnesium sulphate filtered and excess dichloromethane removed by rotary evaporation under reduced pressure. The resulting residue was subjected to flash column
chromatography (silica gel; 100% chloroform to 10% methanol in chloroform). Pure fractions were collected and combined and excess eluent was removed by rotary evaporation under reduced pressure to give 64 (E) (60 mg, 25% over 3 steps). Example 8
Compound 65 is compound 79 of WO 201 1/130598
(11S)-4-(1-iodo-20-isopropyl-23-methyl-2, 18,21-trioxo-6,9, 12, 15-tetraoxa-3, 19,22- triazatetracosanamido)benzyl 11-hydroxy-7-methoxy-8-(3-((7-methoxy-5-oxo-2-((E)-prop-1- en-1 -yl)-5, 11 a-dihydro-1 H-benzo[e]pyrrolo[1 ,2-a][1 ,4]diazepin-8-yl)oxy)propoxy)-5-oxo-2- ((E)-prop- 1-en- 1-yl)- 11, 11a-dihydro- 1 H-benzo[e]pyrrolo[ 1, 2-a][ 1, 4]diazepine- 10( 5H)- carboxylate (66)
Λ/,Λ/'-diisopropylcarbodiimide (DIC, 4.71 μΙ_, 0.0304 mmol) was added to a solution of amine 65 (0.0276 mmol) and lodo-(PEG)4-acid (13.1 mg, 0.0304 mmol) in dry dichloromethane (0.8 mL). The reaction was stirred for 3 hours and the presence of starting material was no longer observed by LC/MS. The reaction mixture was directly loaded onto a thin-layer
chromatography (TLC) plate and purified by prep-TLC (10% methanol in chloroform). Pure bands were scraped off the TLC plate, taken up in 10% methanol in chloroform, filtered and excess eluent removed by rotary evaporation under reduced pressure to give 66 (D) (20.9 mg, 56%). LC/MS, method 2, 3.08 min (ES+) m/z (relative intensity) 1361 .16 ([M+H]+, 100).
General Experimental Methods for Example 9
LCMS data were obtained using an Agilent 1200 series LC/MS with an Agilent 61 10 quadrupole MS, with Electrospray ionisation. Mobile phase A - 0.1 % Acetic acid in water. Mobile Phase B - 0.1 % in acetonitrile. Flow rate of 1.00ml/min. Gradient from 5% B rising up to 95% B over 3 minutes, remaining at 95% B for 1 minute and then back down to 5% B over 6 seconds. The total run time is 5 minutes. Column: Phenomenex Gemini-NX 3μηη C18, 30 x 2.00mm. Chromatograms based on UV detection at 254nm. Mass Spectra were achieved using the MS in positive mode. Proton NMR chemical shift values were measured on the delta scale at 400 MHz using a Bruker AV400. The following abbreviations have been used: s, singlet; d, doublet; t, triplet; q, quartet; m, multiplet; br, broad. Coupling constants are reported in Hz. Unless otherwise stated, column chromatography (by the flash procedure) were performed on Merck Kieselgel silica (Art. 9385). Mass spectroscopy (MS) data were collected using a Waters Micromass LCT instrument coupled to a Waters 2795 HPLC separations module. Thin Layer Chromatography (TLC) was performed on silica gel aluminium plates (Merck 60, F254). All other chemicals and solvents were purchased from Sigma-Aldrich or Fisher Scientific and were used as supplied without further purification.
Optical rotations were measured on an ADP 220 polarimeter (Bellingham Stanley Ltd.) and concentrations (c) are given in g/100mL. Melting points were measured using a digital melting point apparatus (Electrothermal). IR spectra were recorded on a Perkin-Elmer
Spectrum 1000 FT IR Spectrometer. 1 H and 13C NMR spectra were acquired at 300 K using a Bruker Avance NMR spectrometer at 400 and 100 MHz, respectively. Chemical shifts are reported relative to TMS (δ = 0.0 ppm), and signals are designated as s (singlet), d (doublet), t (triplet), dt (double triplet), dd (doublet of doublets), ddd (double doublet of doublets) or m (multiplet), with coupling constants given in Hertz (Hz). Mass spectroscopy (MS) data were collected using a Waters Micromass ZQ instrument coupled to a Waters 2695 HPLC with a Waters 2996 PDA. Waters Micromass ZQ parameters used were: Capillary (kV), 3.38; Cone (V), 35; Extractor (V), 3.0; Source temperature (°C), 100; Desolvation Temperature (°C), 200; Cone flow rate (L/h), 50; De-solvation flow rate (L/h), 250. High-resolution mass spectroscopy (HRMS) data were recorded on a Waters Micromass QTOF Global in positive W-mode using metal-coated borosilicate glass tips to introduce the samples into the instrument. Thin Layer Chromatography (TLC) was performed on silica gel aluminium plates (Merck 60, F254), and flash chromatography utilised silica gel (Merck 60, 230-400 mesh ASTM). Except for the HOBt (NovaBiochem) and solid-supported reagents (Argonaut), all other chemicals and solvents were purchased from Sigma-Aldrich and were used as supplied without further purification. Anhydrous solvents were prepared by distillation under
a dry nitrogen atmosphere in the presence of an appropriate drying agent, and were stored over 4A molecular sieves or sodium wire. Petroleum ether refers to the fraction boiling at 40-60°C. General LC/MS conditions: The HPLC (Waters Alliance 2695) was run using a mobile phase of water (A) (formic acid 0.1 %) and acetonitrile (B) (formic acid 0.1 %). Gradient: initial composition 5% B over 1 .0 min then 5% B to 95% B within 3 min. The composition was held for 0.5 min at 95% B, and then returned to 5% B in 0.3 minutes. Total gradient run time equals 5 min. Flow rate 3.0 mL/min, 400μΙ_ was split via a zero dead volume tee piece which passes into the mass spectrometer. Wavelength detection range: 220 to 400 nm. Function type: diode array (535 scans). Column: Phenomenex® Onyx Monolithic C18 50 x 4.60 mm
Example 9
(i) Key Intermediates
(a)
(a-i) (S)-2-(allyloxycarbonylamino)-3-methylbutanoic acid (12)
Allyl chloroformate (36.2 ml, 340.59 mmol, 1 .2 eq) was added dropwise to a stirred solution of L-valine (11 )(33.25 g, 283.82 mmol, 1.0 eq) and potassium carbonate (59.27 g, 425.74 mmol, 1.5 eq) in water (650 ml.) and THF (650 ml_). The reaction mixture was stirred at room temperature for 18 hours, then the solvent was concentrated under reduced pressure and the remaining solution extracted with diethyl ether (3 x 100 ml_). The aqueous portion was acidified to pH 2 with cone. HCI and extracted with DCM (3 x 100 ml_). The combined organics were washed with brine, dried over MgS04, filtered and concentrated under reduced pressure to afford the product as a colourless oil (57.1 g, assumed 100% yield). LC/MS (1.966 min (ES+)), m/z: 202.1 [M+H]+. 1 H NMR (400 MHz, DMSO-d6) δ 12.57 (br s, 1 H), 7.43 (d, 1 H, J = 8.6 Hz), 5.96 - 5.86 (m, 1 H), 5.30 (ddd, 1 H, J = 17.2, 3.4, 1.7 Hz), 5.18
(ddd, 1 H, J = 10.4, 2.9, 1 .6 Hz), 4.48 (dt, 2H, J = 5.3, 1 .5 Hz), 3.85 (dd, 1 H , J = 8.6, 6.0 Hz), 2.03 (oct, 1 H, J = 6.6 Hz), 0.89 (d, 3H, J = 6.4 Hz), 0.87 (d, 3H, J = 6.5 Hz).
(a-ii) (S)-2,5-dioxopyrrolidin-1-yl 2-(allyloxycarbonylamino)-3-methylbutanoate (13)
To a stirred solution of the protected acid 12 (60.6 g, 301 .16 mmol, 1 .0 eq) and N- hydroxysuccinimide (34.66 g, 301 .16 mmol, 1 .0 eq) in dry THF (800 ml_) was added dicydohexylcarbodiimide (62.14 g, 301 .16 mmol, 1 eq). The reaction was stirred for 18 hours at room temperature. The reaction mixture was then filtered, the solid washed with THF and the combined filtrate was concentrated under reduced pressure. The residue was re- dissolved in DCM and left to stand at 0°C for 30 minutes. The suspension was filtered and washed with cold DCM. Concentration of the filtrate under reduced pressure afforded the product as a viscous colourless oil (84.7 g, assumed 100% yield) which was used in the next step without further purification. LC/MS (2.194 min (ES+)), m/z: 321 .0 [M+Na]+. 1 H NMR (400 MHz, DMSO-d6) 5 8.0 (d, 1 H, J = 8.3 Hz), 5.97 - 5.87 (m, 1 H), 5.30 (ddd, 1 H, J = 17.2, 3.0, 1 .7 Hz), 5.19 (ddd, 1 H, J = 10.4, 2.7, 1 .4 Hz), 4.52 (dt, 2H , J = 5.3, 1 .4 Hz), 4.32 (dd, 1 H, J = 8.3, 6.6 Hz), 2.81 (m, 4H), 2.18 (oct, 1 H, J = 6.7 Hz), 1 .00 (d, 6H, J = 6.8 Hz),
(a-iii) (S)-2-((S)-2-(allyloxycarbonylamino)-3-methylbutanamido)propanoic acid (14)
A solution of succinimide ester 13(12.99 g, 43.55 mmol, 1 .0 eq) in THF (50 mL) was added to a solution of L-alanine (4.07 g, 45.73 mmol, 1 .05 eq) and NaHC03 (4.02 g, 47.90 mmol, 1 .1 eq) in THF (100 mL) and H20 (100 mL). The mixture was stirred at room temperature for 72 hours when the THF was removed under reduced pressure. The pH was adjusted to 3-4 with citric acid to precipitate a white gum. After extraction with ethyl acetate (6 x 150 mL), the combined organics were washed with H20 (200 mL), dried over MgS04, filtered and concentrated under reduced pressure. Trituration with diethyl ether afforded the product as a white powder which was collected by filtration and washed with diethyl ether (5.78 g, 49%). LC/MS (1 .925 min (ES+)), m/z: 273.1 [M+H]+. 1 H NMR (400 MHz, DMSO-d6) δ 12.47 (br s, 1 H), 8.17 (d, 1 H, J = 6.8 Hz), 7.16 (d, 1 H, J = 9.0 Hz), 5.95 - 5.85 (m, 1 H), 5.29 (dd, 1 H, J = 17.2, 1 .7 Hz), 5.17 (dd, 1 H, J = 10.4, 1 .5 Hz), 4.46 (m, 2H), 4.18 (quin, 1 H, J = 7.2 Hz), 3.87 (dd, 1 H, J = 9.0, 7.1 Hz), 1 .95 (oct, 1 H, J = 6.8 Hz), 1 .26 (d, 3H, J = 7.3 Hz), 0.88 (d, 3H, J = 6.8 Hz), 0.83 (d, 3H, J = 6.8 Hz).
(a-iv) Ally! (S)-1-((S)-1-(4-(hydroxymethyl)phenylamino)-1-oxopropan-2-ylamino)-3-methyl-1- oxobutan-2-ylcarbamate (15)
EEDQ (5.51 g, 22.29 mmol, 1 .05 eq) was added to a solution of p-aminobenzyl alcohol (2.74 g, 22.29 mmol, 1 .05 eq) and acid I4 (5.78 g, 21 .23 mmol, 1 eq) in dry THF (100 mL). and
stirred at room temperature for 72 hours. The reaction mixture was then concentrated under reduced pressure and the resulting brown solid was triturated with diethyl ether and filtered with subsequent washing with an excess of diethyl ether to afford the product as an off-white solid (7.1 g, 88 %). LC/MS (1 .980 min (ES+)), m/z: 378.0 [M+H]+. 1 H NMR (400 MHz, DMSO-de) δ 9.89 (br s, 1 H), 8.13 (d, 1 H, J = 7.0 Hz), 7.52 (d, 2H, J = 8.5 Hz), 7.26 (m, 1 H), 7.23 (d, 2H, J = 8.5 Hz), 5.91 (m, 1 H), 5.30 (m, 1 H), 5.17 (m, 1 H), 4.46 (m, 2H), 5.09 (t, 1 H, J = 5.6 Hz), 4.48 (m, 2H), 4.42 (m, 3H), 3.89 (dd, 1 H, J = 8.6, 6.8 Hz), 1 .97 (m, 1 H), 1 .30 (d, 3H, J = 7.1 Hz), 0.88 (d, 3H, J = 6.8 Hz), 0.83 (d, 3H, J = 6.7 Hz). (b)
1-iodo-2-oxo-6,9, 12, 15-tetraoxa-3-azaoctadecan-18-oic acid (17)
A solution of iodoacetic anhydride (0.250 g, 0.706 mmol, 1 .1 eq) in dry DCM (1 ml.) was added to amino-PEG(4)-acid I6 (0.170 g, 0.642 mmol, 1.0 eq) in DCM (1 ml_). The mixture was stirred in the dark at room temperature overnight. The reaction mixture was washed with 0.1 M HCI, water, dried over MgS04, filtered and concentrated under reduced pressure. The residue was purified by flash chromatography (silica gel, 3% MeOH and 0.1 % formic acid in chloroform to 10% MeOH and 0.1 % formic acid in chloroform) to afford the product as an orange oil (0.1 18 g, 42%). LC/MS (1.623 min (ES+)), m/z: 433..98 [M+H]+. 1H NMR (400 MHz, CDCIs) δ 8.069 (s, 1 H), 7.22 (br s, 1 H), 3.79 (t, 2H, J = 5.8 Hz), 3.74 (s, 2H), 3.72 - 3.58 (m, 14H), 3.50 - 3.46 (m, 2H), 2.62 (t, 2H, J = 5.8 Hz).
(ii) (1 1 S,1 1 aSVallyl 1 1-(tert-butyldimethylsilyloxy)-8-(3-iodopropoxy)-7-methoxy-5-oxo-2- ((E)-prop-1-enyl)-1 1 ,1 1 a-dihydro-1 H-benzoielpyrrolon ,2-alH ,4ldiazepine-10(5H)- carboxylate (74)
(a) (S)-5-((tert-butyldimethylsilyloxy)methyl)-1-(5-methoxy-2-nitro-4- (triisopropylsilyloxy)benzoyl)-4,5-dihydro-1H-pyrrol-3-yl trifluoromethanesulfonate (47) Triflic anhydride (28.4 g, 100.0 mmol, 3.0 eq) was added dropwise, over 25 mins, to a vigorously stirred solution of the ketone 46 (19.5 g, 30.0 mmol, 1.0 eq) in DCM (550 mL) containing 2,6-lutidine (14.4 g, 130.0 mmol, 4.0 eq) at -50°C. The reaction mixture was stirred for 1 .5 hours when LC/MS indicated complete reaction. The organic phase was washed successively with water (100 mL), saturated sodium bicarbonate (150 mL), brine (50 mL), and the organic phase was dried over MgS04, filtered and concentrated under reduced pressure. The residue was purified by flash chromatography (silica gel, 90/10 v/v n- hexane/EtOAc) to afford the product as a pale yellow oil (19.5 g, 82 %). LC/MS (4.391 min (ES+)), m/z: 713.25 [M+H]+. 1H NMR (400 MHz, CDCI3) δ 7.68 (s, 1 H), 6.72 (s, 1 H), 6.02 (t, 1 H, J = 1 .9 Hz), 4.75 (m, 1 H), 4.05 (m, 2H), 3.87 (s, 3H), 3.15 (ddd, 1 H, J = 16.2, 10.3, 2.3 Hz), 2.96 (ddd, 1 H, J = 16.2, 4.0, 1 .6 Hz), 1 .28 - 1.21 (m, 3H), 1.07 (d, 18H, J = 7.2 Hz), 0.88 (s, 9H), 0.09 (s, 3H), 0.08 (s, 3H).
(b) (S,E)-(2-((tert-butyldimethylsilyloxy)methyl)-4-(prop-1-en
methoxy-2-nitro-4-(triisopropylsilyloxy)phenyl)methanone (67)
Tetrakis(triphenylphosphine)palladium(0) (0.41 g, 0.35 mmol, 0.03 eq) was added to a mixture of the triflate 47 (8.4 g, 1 1.8 mmol, 1.0 eq), £-1-propene-1 -ylboronic acid (1.42 g, 16.5 mmol, 1.4 eq) and potassium phosphate (5.0 g, 23.6 mmol, 2.0 eq) in dry dioxane (60 mL) under a nitrogen atmosphere. The mixture was stirred at 25°C for 120 mins when LC/MS indicated complete reaction. Ethyl acetate (120 mL) and water (120 mL) were added, the organic phase was removed, washed with brine (20 mL), dried over MgS04, filtered and concentrated under reduced pressure. The residue was purified by flash chromatography (silica gel, 95/5 v/v n-hexane/EtOAc to 90/10 v/v n-hexane/EtOAc) to afford the product as a yellow foam (4.96 g, 70 %). LC/MS (4.477 min (ES+)), m/z: 605.0 [M+H]+. 1H NMR (400 MHz, CDCI3) δ 7.67 (s, 1 H), 6.74 (s, 1 H), 5.93 (d, 1 H, J = 15.4 Hz), 5.67 (s, 1 H), 4.65 (m, 1 H), 4.04 (m, 2H), 3.86 (s, 3H), 2.85 (m, 1 H), 2.71 (m, 1 H), 1 .72 (dd, 3H, J = 6.8, 1 .0 Hz), 1 .30 - 1 .22 (m, 3H), 1 .07 (d, 18H, J = 7.2 Hz), 0.87 (s, 9H), 0.08 (s, 3H), 0.07 (s, 3H).
(c) (S,E)-(2-amino-5-methoxy-4-(triisopropylsilyloxy)phenyl)(2-((tert- butyldimethylsilyloxy)methyl)-4-(prop- 1-enyl)-2, 3-dihydro-1H-pyrrol-1-yl)methanone ( 68) Zinc dust (22.0 g, 0.33 mol, 37 eq) was added, in portions over 20 mins, to a solution of the propenyl intermediate 67 (5.5 g, 9.1 mmol, 1.0 eq) in 5% v/v formic acid / ethanol (55 mL), using an ice bath to maintain the temperature between 25-30°C. After 30 mins, the reaction mixture was filtered through a short bed of celite®. The celite® was washed with ethyl acetate (65 mL) and the combined organics were washed successively with water (35 mL), saturated sodium bicarbonate (35 mL) and brine (10 mL). The organic phase was dried over MgS04, filtered and concentrated under reduced pressure. The residue was purified by flash chromatography (silica gel, 90/10 v/v n-hexane/EtOAc) to afford the product as a pale yellow oil (3.6 g, 69.0 %). LC/MS (4.439 min (ES+)), m/z: 575.2 [M+H]+. 1H NMR (400 MHz, CDCI3) 5 6.75 (m, 1 H), 6.40 (br s, 1 H), 6.28 (m, 1 H), 6.1 1 (d, 1 H, J = 15.4 Hz), 5.53 (m, 1 H), 4.67 (m, 1 H), 4.36 (m, 2H), 3.93 (br s, 1 H), 3.84 (br s, 1 H), 3.73 (s, 3H), 2.86 (dd, 1 H, J = 15.7, 10.4 Hz), 2.73 (dd, 1 H, J = 15.9, 4.5 Hz), 1.80 (dd, 3H, J = 6.8, 1.3 Hz), 1 .35 - 1 .23 (m, 3H), 1 .12 (d, 18H, J = 7.3 Hz), 0.89 (s, 9H), 0.08 (s, 3H), 0.07 (s, 3H).
(d) (S,E)-allyl 2-(2-((tert-butyldimethylsilyloxy)methyl)-4-(prop-1-enyl)-2,3-dihydro-1H-pyrrole- 1-carbonyl)-4-methoxy-5-(triisopropylsilyloxy)phenylcarbamate (69)
Allyl chloroformate (0.83 g, 6.88 mmol, 1 .1 eq) was added to a solution of the amine 68 (3.6 g, 6.26 mmol, 1.0 eq) in dry DCM (80 mL) containing dry pyridine (1.09 g, 13.77 mmol, 2.2 eq) at -78°C. The dry ice was removed and the reaction mixture allowed to warm to room
temperature. After stirring for a further 15 minutes, LC/MS indicated complete reaction. The organic phase was washed successively with 0.01 N HCI (50 mL), saturated sodium bicarbonate (50 mL), brine (10 mL), dried over MgS04, filtered and concentrated under reduced pressure to leave a pale yellow oil which was used in the next step without further purification (4.12g, assumed 100% yield). LC/MS (4.862 min (ES+)), m/z: 659.2 [M+H]+.
(e) (S,E)-allyl 2-(2-(hydroxymethyl)-4-(prop-1-enyl)-2,3-dihydro-1H-pyrrole-1-carbonyl)-4- methoxy-5-(triisopropylsilyloxy)phenylcarbamate (70)
The crude intermediate 69 (assumed 100% yield, 4.12 g, 6.25 mmol, 1.0 eq) was dissolved in a mixture of acetic acid (70 mL), methanol (10 mL), THF (10 mL) and water (20 mL) and allowed to stir at room temperature. After 6 hours the reaction mixture was diluted with ethyl acetate (500 mL) and washed successively with water (2 x 500 mL), saturated sodium bicarbonate (300 mL) and brine (50 mL). The organic phase was dried over MgS04, filtered and concentrated under reduced pressure. The residue was purified by flash
chromatography (silica gel, 1/99 v/v methanol/DCM to 5/95 v/v methanol/DCM) to afford the product as a yellow oil and a further 1 g of unreacted starting material was recovered. This material was subjected to the same reaction conditions as above, but was left stirring for 16 h. After work up and purification, additional product was isolated (2.7 g, 79%, 2 steps) LC/MS (3.742 min (ES+)), m/z: 545.2 [M+H]+. 1H NMR (400 MHz, CDCI3) δ 8.38 (m, 1 H), 7.72 (m, 1 H), 6.81 (s, 1 H), 6.37 (m, 1 H), 6.10 (d, 1 H, J = 15.8 Hz), 5.97 (m, 1 H), 5.53 (m,
1 H), 5.36 (ddd, 1 H, J = 17.2, 3.1 , 1.5 Hz), 5.25 (ddd, 1 H, J = 10.4, 2.5, 1 .3 Hz), 4.78 (m, 1 H), 4.65 (dt, 2H, J = 5.7, 1.3 Hz), 3.84 (m, 3H), 3.79 (s, 3H), 3.04 (dd, 1 H, J = 16.7, 10.5 Hz), 2.40 (dd, 1 H, J = 16.0, 4.5 Hz), 1.82 (dd, 3H, J = 6.8, 1 .0 Hz), 1 .36 - 1.26 (m, 3H), 1.14 (d, 18H, J = 7.3 Hz).
(f) (11S, 11aS)-allyl 11-hydroxy-7-methoxy-5-oxo-2-((E)-prop-1-enyl)-8-(triisopropylsilyloxy)- 11, 11 a-di hydro- 1 H-benzo[e ]pyrrolo[ 1,2-a][1,4 Jdiazepine- 10(5H) -carboxylate (71)
Dry dimethyl sulfoxide (1.16 g, 14.87 mmol, 3.0 eq) was added dropwise to a solution of oxalyl chloride (0.94 g, 7.43 mmol, 1.5 eq) in DCM (25 mL) at -78°C under an atmosphere of nitrogen. Maintaining the temperature at -78°C, after 10 mins a solution of the primary alcohol 70 (2.7 g, 4.96 mmol, 1.0 eq) in DCM (20 mL) was added dropwise. After a further 15 mins, dry triethylamine (2.5g, 24.78 mmol, 5.0 eq) was added, and the reaction mixture allowed to warm to room temperature. The reaction mixture was washed successively with cold 0.1 N HCI (50 mL), saturated sodium hydrogen carbonate (50 mL) and brine (10 mL) and the organic layer was dried over MgS04, filtered and concentrated under reduced
pressure to afford the product as a yellow oil which was used in the next step without further purification (2.68g, assumed 100% yield). LC/MS (3.548 min (ES+)), m/z: 543.2 [M+H]+.
(g) (11S, 11aS)-allyl 11-(tert-butyldimethylsilyloxy)-7-methoxy-5-oxo-2-((E)-prop-1-enyl)-8- (triisopropylsilyloxy)-l 1 , 11 a-dihydro-1 H-benzo[e]pyrrolo[1 ,2-a][1 ,4]diazepine-10(5H)- carboxylate (72)
Te/t-butyldimethylsilyltrifluoromethane sulfonate (3.93 g, 14.87 mmol, 3.0 eq) was added to a solution of the carbinolamine 71 (assumed 100% yield, 2.68 g, 4.96 mmol, 1.0 eq) and 2,6- lutidine (2.12 g, 19.83 mmol, 4.0 eq) in dry DCM (40 ml.) at 0°C under an atmosphere of nitrogen. After 10 minutes, the reaction mixture was allowed to warm to room temperature and stirred for a further 60 minutes. The organic phase was washed successively with water (10 ml_), saturated sodium bicarbonate (10 ml.) and brine (5 ml_), dried over MgS04, filtered and concentrated under reduced pressure. The residue was purified by flash
chromatography (silica gel, chloroform to 2/98 v/v Methanol/chloroform) to afford the product as a yellow oil (2.0g, 63%, 2 steps). LC/MS (4.748 min (ES+)), m/z: 657.2 [M+H]+. 1H NMR (400 MHz, CDCI3) δ 7.19 (s, 1 H), 6.86 (m, 1 H), 6.66 (s, 1 H), 6.22 (d, 1 H, J = 15.4 Hz), 5.81 (d, 1 H, J = 8.8 Hz), 5.78 (m, 1 H), 5.48 (m, 1 H), 5.1 1 (d, 1 H, J = 5.0 Hz), 5.08 (m, 1 H), 4.58 (dd, 1 H, J = 13.4, 5.4 Hz), 4.35 (dd, 1 H, J = 13.2, 5.7 Hz), 3.83 (s, 3H), 3.76 (s, 1 H), 3.00 (dd, 1 H, J = 15.6, 1 1 .0 Hz), 2.53 (m, 1 H), 1.81 (dd, 3H, J = 6.8, 0.9 Hz), 1 .30 - 1 .18 (m, 3H), 1 .08 (d, 9H, J = 2.3 Hz), 1.06 (d, 9H, J = 2.3 Hz), 0.86 (s, 9H), 0.25 (s, 3H), 0.18 (s, 3H).
(h) (11S, 11aS)-allyl 11 -(tert-butyldimethylsilyloxy)-8-hydroxy-7-methoxy-5-oxo-2-((E)-prop-1 - enyl)-11 , 11 a-dihydro-1 H-benzo[e]pyrrolo[1 ,2-a][1 ,4]diazepine-10(5H)-carboxylate (73)
Lithium acetate dihydrate (0.31 g, 3.04 mmol, 1.0 eq) was added to a solution of the diazepine 72 (2.0 g, 3.04 mmol, 1.0 eq) in wet DMF (20 mL) at 25°C and stirred for 4 hours. The reaction mixture was diluted with ethyl acetate (200 mL) and washed successively with 0.1 M citric acid (50 mL, pH 3), water (50 mL) and brine (10 mL), dried over MgS04, filtered and concentrated under reduced pressure. The residue was purified by flash
chromatography (silica gel, 50/50 v/v n-hexane/EtOAc to 25/75 v/v n-hexane/EtOAc) to afford the product as a pale yellow solid (0.68g, 45 %). LC/MS (3.352 min (ES+)), m/z: 501 .1 [M+H]+. 1H NMR (400 MHz, CDCI3) δ 7.02 (s, 1 H), 6.66 (m, 1 H), 6.53 (s, 1 H), 6.03 (d, 1 H, J = 15.5 Hz), 5.80 (s, 1 H), 5.63 (d, 1 H, J = 8.9 Hz), 5.55 (m, 1 H), 5.29 (m, 1 H), 4.87 (m, 2H), 4.39 (dd, 1 H, J = 13.5, 4.2 Hz), 4.20 (dd, 1 H, J = 13.2, 5.7 Hz), 3.73 (s, 3H), 3.59 (m, 1 H), 2.81 (dd, 1 H, J = 16.1 , 10.5 Hz), 2.35 (d, 1 H, J = 15.7 Hz), 1.61 (d, 3H, J = 6.4 Hz), 0.67 (s, 9H), 0.05 (s, 3H), 0.00 (s, 3H).
(i) (11S, 11aS)-allyl 11-(tert-butyldimethylsilyloxy)-8-(3-iodopropoxy)-7-methoxy-5-oxo-2-((E)- prop-1-enyl)- 11, 11 a-dihydro- 1 H-benzo[e ]pyrrolo[ 1, 2-a ][ 1 ,4]diazepine- 10(5H)-carboxylate (74)
Diiodopropane (0.295 g, 1 .00 mmol, 5.0 eq) and potassium carbonate (0.028 g, 0.20 mmol, 1 .0 eq) were added to a solution of the phenol 33 (0.100 g, 0.020 mmol, 1.0 eq) in dry acetone (5 mL). The reaction mixture was heated at 60°C for 6 hours when LC/MS showed complete reaction. The reaction mixture was concentrated to dryness under reduced pressure and the residue was purified by flash chromatography (silica gel, 75/25 v/v n- hexane/EtOAc to 50/50 v/v n-hexane/EtOAc) to afford the product as a colourless oil (0.074 g, 56%). LC/MS (3.853 min (ES+)), m/z: 669.0 [M+H]+. 1H NMR (400 MHz, CDCI3) δ 7.26 (s, 1 H), 6.90 (s, 1 H), 6.68 (s, 1 H), 6.24 (d, 1 H, J = 15.3 Hz), 5.87 (d, 1 H, J = 8.9 Hz), 5.78 (m, 1 H), 5.53 (m, 1 H), 5.12 (m, 2H), 4.65 (m, 2H), 4.41 (m, 1 H), 4.1 1 (m, 1 H), 3.93 (s, 3H), 3.81 (m, 1 H), 3.40 (t, 2H, J = 6.7 Hz), 3.05 (dd, 1 H, J = 16.3, 10.1 Hz), 2.57 (m, 1 H), 2.34 (m, 2H), 1 .84 (d, 3H, J = 6.6 Hz), 0.92 (s, 9H), 0.28 (s, 3H), 0.26 (s, 3H).
(iiiU1 1 S.1 1 aSV4-((S)-2-((SV2-(allyloxycarbonylaminoV3- methylbutanamido)propanamido)benzyl 1 1 -(tert-butyldimethylsilyloxy)-8-hvdroxy-7-methoxy- 5-oxo-2-((E)-prop-1 -enyl)-1 1 ,1 1 a-dihydro-1 H-benzorelpyrroloH ,2-alH ,4ldiazepine-10(5H)- carboxylate 79)
(a) Allyl ((S)-1-(((S)-1-((4-((((2-((S)-2-(((tei1-butyld^
yl)-2,3-dihydro-1H-pyrrole-1-carbonyl)-4-methoxy-5- ((triisopropylsilyl)oxy)phenyl)carbamoyl)oxy)methyl)phenyl)amino
3-methyl- 1-oxobutan-2-yl)carbamate (75)
Triethylamine (0.256 mL, 1.84 mmol, 2.2 eq) was added to a stirred solution of the amine 68 (0.480 g, 0.835 mmol, 1.0 eq) and triphosgene (0.089 g, 0.301 mmol, 0.36 eq) in dry THF (15 mL) at 5°C (ice bath). The progress of the isocyanate reaction was monitored by periodically removing aliquots from the reaction mixture and quenching with methanol and performing LCMS analysis. Once the isocyanate reaction was complete a solution of Alloc- Val-Ala-PABOH I5 (0.473 g, 1.25 mmol, 1 .5 eq) and triethylamine (0.174 mL, 1.25 mmol, 1 .5 eq) in dry THF (10 mL) was rapidly added by injection to the freshly prepared isocyanate. The reaction was allowed to stir at 40°C for 4 hours followed by stirring at room temperature overnight. The mixture was concentrated under reduced pressure, and purified by flash chromatography (silica gel, 20/80 v/v n-hexane/EtOAc to 50/50 v/v n-hexane/EtOAc, then
1/99 v/v DCM/MeOH to 5/95 v/v DCM/MeOH) to afford the product as a yellow solid (0.579 g, 71 %). LC/MS (4.468 min (ES+)), m/z: 978.55 [M+H]+. 1H NMR (400 MHz, CDCI3) δ 8.63 (br s, 1 H), 8.42 (s, 1 H), 7.78 (br s, 1 H), 7.53 (d, 2H, J = 8.1 Hz), 7.31 (d, 2H, J = 8.6 Hz), 6.76 (s, 1 H), 6.59 (d, 1 H, J = 7.6 Hz), 6.36 (br s, 1 H), 6.04 (d, 1 H, J = 15.9 Hz), 5.90 (m, 1 H), 5.55 (m, 1 H), 5.33 - 5.21 (m, 3H), 5.10 (s, 2H), 4.66 (m, 2H), 4.57 (dd, 2H, J = 5.6, 1 .0 Hz), 3.98 (dd, 1 H, J = 7.3, 6.8 Hz), 3.90 (m, 1 H), 3.81 (m, 1 H), 3.78 (s, 3H), 2.82 (dd, 1 H, J = 15.4, 9.6 Hz), 2.72 (dd, 1 H, J = 15.9, 3.5 Hz), 2.17 (m, 1 H), 1 .78 (dd, 3H, J = 6.5, 0.8 Hz), 1 .46 (d, 3H, J = 7.1 Hz), 1 .29 (m, 3H), 1.1 1 (d, 18H, J = 7.1 Hz), 0.97 (d, 3H, J = 6.8 Hz), 0.92 (d, 3H, J = 6.8 Hz), 0.83 (s, 9H), 0.04 (s, 3H), 0.01 (s, 3H).
(b) Allyl ((S)-1-(((S)-1-((4-((((2-((S)-2-(hydroxymethyl)^
pyrrole- 1 -carbonyl)-4-methoxy-5-
((triisopropylsilyl)oxy)phenyl)carbamoyl)oxy)methyl)phenyl)amino)-1-oxopropan-2-yl)amin 3-methyl- 1-oxobutan-2-yl)carbamate (76)
The silyl ether 75 (1 .49 g, 1 .52 mmol, 1.0 eq) was dissolved in a 7:1 :1 :2 mixture of acetic acid/ methanol/ tetrahydrofuran/ water (14:2:2:4 mL) and allowed to stir at room temperature. After 2 hours the reaction was diluted with EtOAc (100 mL), washed sequentially with water, aq. sodium bicarbonate then brine. The organic phase was then dried over MgS04, filtered and concentrated under reduced pressure. The residue was purified by flash
chromatography (silica gel, 100/0 then 99/1 to 92/8 v/v DCM/ MeOH) to afford the product as an orange solid (1 .2 g, 92%). LC/MS (3.649 min (ES+)), m/z: 865.44 [M+H]+. 1H NMR (400 MHz, CDCIs) δ 8.44 (s, 1 H), 8.35 (s, 1 H), 7.69 (br s, 1 H), 7.53 (d, 2H, J = 8.7 Hz), 7.32 (d, 2H, J = 8.3 Hz), 6.78 (s, 1 H), 6.56 (m, 2H), 6.32 (br s, 1 H), 6.05 (d, 1 H, J = 14.9 Hz), 5.90 (m, 1 H), 5.56 (m, 1 H), 5.30 (m, 2H), 5.22 (m, 1 H), 5.10 (d, 2H, J = 3.1 Hz), 4.73 (m, 1 H), 4.64 (m, 1 H), 4.57 (d, 2H, J = 5.8 Hz), 4.01 (m, 1 H), 3.79 (m, 2H), 3.76 (s, 3H), 2.98 (dd, 1 H, J = 16.3, 10.2 Hz), 2.38 (dd, 1 H, J = 16.6, 4.1 Hz), 2.16 (m, 1 H), 1.78 (dd, 3H, J = 6.8, 0.9 Hz), 1.46 (d, 3H, J = 7.1 Hz), 1.29 (m, 3H), 1.1 1 (d, 18H, J = 7.4 Hz), 0.97 (d, 3H, J = 6.7 Hz), 0.92 (d, 3H, J = 6.8 Hz). (c) (11S, 11aS)-4-((S)-2-((S)-2-(allyloxycarbonylamino)-3- methylbutanamido)propanamido)benzyl 11-hydroxy-7-methoxy-5-oxo-2-((E)-prop-1-enyl)-8- (triisopropylsilyloxy)-l 1 , 11 a-dihydro-1 H-benzo[e]pyrrolo[1 ,2-a][1 ,4]diazepine-10(5H)- carboxylate (77)
Dry dimethyl sulfoxide (0.180 g, 2.3 mmol, 3.0 eq) was added dropwise to a solution of oxalyl chloride (0.147 g, 1 .1 mmol, 1.5 eq) in DCM (10 mL) at -78°C under an atmosphere of nitrogen. Maintaining the temperature at -78°C, after 20 minutes, a solution of the primary
alcohol 76 (0.666 g, 0.77 mmol, 1.0 eq) in DCM (10 mL) was added dropwise. After a further 15 minutes, dry triethylamine (0.390 g, 3.85 mmol, 5.0 eq) was added, and the reaction mixture allowed to warm to room temperature. The reaction mixture was washed
successively with cold 0.1 N HCI (10 mL), saturated sodium hydrogen carbonate (10 mL) and brine (5 mL). The organic layer was then dried over MgS04, filtered and concentrated under reduced pressure. The residue was then purified by flash chromatography (silica gel, 50/50 v/v n-hexane/EtOAc to 25/75 v/v n-hexane/EtOAc) to afford the product as a white solid (0.356g, 54 %). LC/MS (3.487 min (ES+)), m/z: 862.2 [M+H]+. 1H NMR (400 MHz, CDCI3) δ 8.34 (br s, 1 H), 7.47 (d, 2H, J = 7.6 Hz), 7.17 (s, 1 H), 7.14 (d, 2H, J = 7.5 Hz), 6.86 (br s, 1 H), 6.65 (br s, 1 H), 6.42 (d, 1 H, J = 7.6 Hz), 6.22 (d, 1 H, J = 14.4 Hz), 5.80 (m, 1 H), 5.40 (m, 1 H), 5.53 (m, 1 H), 5.32 (m, 1 H), 5.21 (d, 2H, J = 9.6 Hz), 5.06 (d, 1 H, J = 12.3 Hz), 4.90 (m, 1 H), 4.58 (m, 3H), 3.98 (m, 1 H), 3.84 (m, 1 H), 3.81 (s, 3H), 3.50 (m, 1 H), 3.05 (dd, 1 H, J = 16.0, 10.3 Hz), 2.76 (m, 1 H), 2.15 (m, 1 H), 1.80 (dd, 3H, J = 6.7, 0.8 Hz), 1.44 (d, 3H, J = 7.1 Hz), 1 .16 (m, 3H), 1 .01 (d, 18H, J = 6.6 Hz), 0.96 (d, 3H, J = 6.8 Hz), 0.92 (d, 3H, J = 6.8 Hz).
(d) (11S, 11aS)-4-((S)-2-((S)-2-(allyloxycarbonylamino)-3- methylbutanamido)propanamido)benzyl 11-(tert-butyldimethylsilyloxy)-7-methoxy-5-oxo-2- ((E)-prop-1-enyl)-8-(triisopropylsilyloxy)-11 , 11 a-dihydro-1 H-benzo[e]pyrrolo[1 ,2- a][1,4]diazepine-10(5H)-carboxylate (78)
Te/t-butyldimethylsilyltrifluoromethane sulfonate (0.46 g, 1 .74mmol, 3.0 eq) was added to a solution of secondary alcohol 77 (0.5 g, 0.58 mmol, 1.0 eq) and 2,6-lutidine (0.25 g, 2.32 mmol, 4.0 eq) in dry DCM (10 mL) at 0°C under an atmosphere of nitrogen. After 10 minutes, the reaction mixture was allowed to warm to room temperature and stirred for a further 120 mins. The organic phase was then washed successively with water (10 mL), saturated sodium bicarbonate (10 mL) and brine (5 mL), dried over MgS04, filtered and concentrated under reduced pressure. The residue was purified by flash chromatography (silica gel, 50/50 v/v n-hexane/EtOAc) to afford the product as a white solid (0.320 g, 57 %). LC/MS (4.415 min (ES+)), m/z: 976.52 [M+H]+. 1H NMR (400 MHz, CDCI3) δ 8.31 (br s, 1 H), 7.48 (d, 2H, J = 8.0 Hz), 7.21 (s, 1 H), 7.14 (d, 2H, J = 8.3 Hz), 6.89 (s, 1 H), 6.65 (s, 1 H), 6.38 (d, 1 H, J = 7.3 Hz), 6.25 (d, 1 H, J = 14.6 Hz), 5.93 (m, 1 H), 5.85 (d, 1 H, J = 8.8 Hz), 5.50 (m, 1 H), 5.34 (m, 1 H), 5.24 (m, 2H), 5.15 (d, 1 H, J = 12.5 Hz), 4.86 (d, 1 H, J = 12.2 Hz), 4.62 (m, 3H), 4.01 (m, 1 H), 3.86 (s, 3H), 3.78 (m, 1 H), 3.04 (m, 1 H), 2.56 (m, 1 H), 2.20 (m, 1 H), 1 .84 (dd, 3H, J = 6.6, 0.7 Hz), 1.48 (d, 3H, J = 6.8 Hz), 1.20 (m, 3H), 1 .05 (d, 9H, J = 2.9 Hz), 1 .03 (d, 9H, J = 2.9 Hz), 0.99 (d, 3H, J = 6.8 Hz), 0.95 (d, 3H, J = 6.8 Hz), 0.88 (s, 9H), 0.27 (s, 3H), 0.14 (s, 3H).
(e) (11S, 11aS)-4-((S)-2-((S)-2-(allyloxycarbonylamino)-3- methylbutanamido)propanamido)benzyl 11 -(tert-butyldimethylsilyloxy)-8-hydroxy-7-methoxy- 5-oxo-2-((E)-prop-1 -enyl)-11 , 11 a-dihydro-1 H-benzo[e]pyrrolo[1 ,2-a][1 ,4]diazepine-10(5H)- carboxylate (79)
Lithium acetate dihydrate (0.010 g, 0.10 mmol, 1 .0 eq) was added to a solution of the silyl ether 78 (0.100 g, 0.10 mmol, 1.0 eq) in wet DMF (2 mL) at 25°C for 3 hours. The reaction mixture was then diluted with ethyl acetate (20 mL) and washed successively with 0.1 M citric acid (20 mL, pH 3), water (20 mL) and brine (5 mL), dried over MgS04, filtered and concentrated under reduced pressure. The residue was purified by flash chromatography (silica gel, 5/95 v/v methanol/DCM) to afford the product as a pale yellow oil (0.070 g, 83 %). LC/MS (3.362 min (ES+)), m/z: 820.2 [M+H]+. 1H NMR (400 MHz, CDCI3) δ 8.39 (s, 1 H), 7.48 (d, 2H, J = 8.2 Hz), 7.25 (s, 1 H), 7.12 (d, 2H, J = 8.1 Hz), 6.88 (s, 1 H), 6.68 (s, 1 H), 6.47 (d, 1 H, J = 7.6 Hz), 6.24 (d, 1 H, J = 15.2 Hz), 6.03 (s, 1 H), 5.92 (m, 1 H), 5.84 (d, 1 H, J = 8.9 Hz), 5.50 (m, 1 H), 5.34 (m, 1 H), 5.26 (m, 2H), 5.18 (d, 1 H, J = 12.3 Hz), 4.80 (d, 1 H, J = 12.4 Hz), 4.66 - 4.60 (m, 3H), 4.02 (m, 1 H), 3.95 (s, 3H), 3.81 (m, 1 H), 3.03 (m, 1 H), 2.57 (m, 1 H), 2.19 (m, 1 H), 1.84 (dd, 3H, J = 6.8, 0.8 Hz), 1 .48 (d, 3H, J = 7.1 Hz), 1 .00 (d, 3H, J = 6.8 Hz), 0.95 (d, 3H, J = 6.8 Hz), 0.87 (s, 9H), 0.26 (s, 3H), 0.12 (s, 3H).
(iv) (11S.11aSV4-((20S.23SV1-iodo-20-isopropyl-23-methyl-2.18.21-trioxo-6.9.12.15- tetraoxa-3,19,22-triazatetracosanamido)benzyl 11-hvdroxy-7-methoxy-8-(3-((S)-7-methoxy- 5-oxo-2-((E)-prop-1-enyl)-5,11a-dihvdro-1H-benzorelpyrrolori,2-ain,4ldiazepin-8- yloxy)propoxy)-5-oxo-2-((E)-prop-1-enyl)-11 ,11a-dihydro-1 H-benzorelpyrroloH ,2- airi,4ldiazepine-10(5H)-carboxylate (66. D)
(a) (11S, 11aS)-allyl 8-(3-((11S, 11aS)-10-((4-((R)-2-((R)-2-(allyloxycarbonylamino)-3- methylbutanamido)propanamido)benzyloxy)carbonyl)-11-(tert-butyldi
methoxy-5-oxo-2-((E)-prop-1-enyl)-5, 10, 11 , 11 a-tetrahydro-1 H-benzo[e]pyrrolo[1 ,2- a][1,4 ]diazepin-8-yloxy)propoxy)- 11-(tert-b utyldime thylsilyloxy) - 7 -me thoxy-5-oxo-2- ((E) -prop- 1-enyl)- 11, 11 a-dihydro-1 H-benzo[e]pyrrolo[ 1, 2-a][ 1, 4]diazepine- 10( 5H)-carboxylate ( 80) Potassium carbonate (0.030 g, 0.21 mmol, 1 .0 eq) was added to a solution of the phenol 79 (0.175 g, 0.21 mmol, 1 .0 eq) and the iodo Iinker 74 (0.214 g, 0.32 mmol, 1.5 eq) in acetone (10 ml_). The reaction mixture was heated under a nitrogen atmosphere at 75°C in a sealed flask for 17 hours. The reaction mixture was concentrated to dryness under reduced pressure and purified by flash chromatography (silica gel, 2/98 v/v methanol/DCM to 5/95 v/v methanol/DCM) to afford the product as a pale yellow solid (0.100 g, 35%). LC/MS (4.293 min (ES+)), m/z: 1359.13 [M]+.
(b) (11S, 11aS)-allyl 8-(3-((11S, 11aS)-10-((4-((R)-2-((R)-2-(allyloxycarbonylamino)-3- methylbutanamido)propanamido)benzyloxy)carbonyl)-11-hydroxy-7-methoxy-5-oxo-2-((E)- prop-1-enyl)-5, 10, 11, 11 a-tetrahydro-1 H-benzo[e]pyrrolo[ 1,2-a][ 1,4]diazepin-8- yloxy)propoxy)-11-hydroxy-7-methoxy-5-oxo-2-((E)-prop-1-enyl)-11, 11 a-dihydro-1 H- benzo[e]pyrrolo[ 1, 2-a][ 1, 4]diazepine- 10(5H)-carboxylate (81)
Tetra-n-butylammonium fluoride (1 M, 0.22 ml_, 0.22 mmol, 2.0 eq) was added to a solution of silyl ether 80 (0.150 g, 0.1 1 mmol, 1 .0 eq) in dry THF (2 ml_). The reaction mixture was stirred at room temperature for 20 minutes, after which LC/MS indicated complete reaction. The reaction mixture was diluted with ethyl acetate (10 ml.) and washed sequentially with water (5 ml.) and brine (5 ml_). The organic phase was dried over MgS04, filtered and concentrated under reduced pressure to leave a yellow solid. Purification by flash
chromatography (silica gel, 6/94 v/v methanol/DCM to 10/90 v/v methanol/DCM) afforded the product as a pale yellow solid (0.090 g, 73%). LC/MS (2.947 min (ES+)), m/z: 1 154.0
[M+Na]+. 1H NMR (400 MHz, CDCI3) δ 8.39 (br s, 1 H), 7.39 (d, 2H, J = 7.6 Hz), 7.18 (d, 2H, J = 10.6 Hz), 7.10 (m, 3H), 6.86 (d, 2H, J = 10.0 Hz), 6.74 (s, 1 H), 6.55 (s, 1 H), 6.22 (dd, 2H, J = 15.3, 6.6 Hz), 5.85 (m, 2H), 5.74 (m, 3H), 5.52 (m, 2H), 5.22 (m, 1 H), 5.00 (m, 2H), 4.57 (m, 6H), 4.41 (m, 2H), 4.09 (m, 4H), 3.85 (m, 1 1 H), 3.06 (m, 2H), 2.76 (m, 2H), 2.20 (m, 2H), 2.08 (m, 1 H), 1.79 (d, 6H, J = 6.4 Hz), 1.40 (d, 3H, J = 6.1 Hz), 0.90 (m, 6H).
(c) (11S, 11aS)-4-((R)-2-((R)-2-amino-3-methylbutanamido)propanamido)benzyl 11-hydroxy- 7-methoxy-8-(3-((S)-7-methoxy-5-oxo-2-((E)-prop-1-enyl)-5, 11a-dihydro-1H- benzo[e]pyrrolo[1,2-a][1,4]diazepin-8-yloxy)propoxy)-5-oxo-2-((E)-prop-1-enyl)-11, 11a- dihydro-1H-benzo[e]pyrrolo[1,2-a][1,4]diazepine-10(5H)-carboxylate (65)
Tetrakis(triphenylphospene)palladium(0) (0.005 g, 0.005 mmol, 0.06 eq) was added to a solution of the bis-carbinolamine 81 (0.090 g, 0.08 mmol, 1 .0 eq) and pyrrolidine (16 μΙ_, 0.20 mmol, 2.5 eq) in dry DCM (5 mL). After 20 minutes, the reaction mixture was diluted with DCM (10 mL) and washed sequentially with saturated ammonium chloride (5 mL) and brine (5 mL), dried over MgS04, filtered and the solvent was removed under reduced pressure to leave the crude product as a pale yellow solid which was used in the next step without further purification (0.075 g, assumed 100% yield). LC/MS (2.060 min (ES+)), m/z: 947.2 [M+H]+.
(d) (11S, 11aS)-4-((20S,23S)-1-iodo-20-isopropyl-23-methyl-2, 18,21-trioxo-6,9, 12, 15- tetraoxa-3, 19,22-triazatetracosanamido)benzyl 11-hydroxy-7-methoxy-8-(3-((S)-7-methoxy- 5-oxo-2-((E)-prop-1-enyl)-5, 11a-dihydro-1H-benzo[e]pyrrolo[1 ,2-a][1 ,4]diazepin-8- yloxy)propoxy)-5-oxo-2-((E)-prop-1 -enyl)-11 , 11 a-dihydro-1 H-benzo[e]pyrrolo[1 ,2- a][1,4]diazepine-10(5H)-carboxylate (66, D)
EDCI (0.015 g, 0.08 mmol, 1.0 eq) was added to a solution of amine 65 (assumed 100% yield 0.075 g, 0.08 mmol, 1 .0 eq) and iodoacetamide-PEG4-acid I7 (0.034 g, 0.08 mmol, 1 .0 eq) in dry dichloromethane (5 mL) and the reaction was stirred in the dark. After 50 minutes, a further amount of iodoacetamide-PEG4-acid I7 (0.007 g, 0.016 mmol, 0.2 eq) was added along with a further amount of EDCI (0.003 g, 0.016 mmol, 0.2 eq). After a total of 2.5 hours, the reaction mixture was diluted with dichloromethane (15 mL) and washed sequentially with water (10 mL) and brine (10 mL). The organic phase was dried over MgS04, filtered and concentrated under reduced pressure. The resulting residue was purified by flash chromatography (silica gel, Chloroform 100% to 90:10 v/v Chloroform:Methanol). Pure fractions were combined to afford the product (0.0254 g, 23%, 2 steps). The crude fractions were collected and purified by preparative TLC (silica gel, 90:10 v/v Chloroform:Methanol) to afford a second batch of product (0.0036 g, 3%, 2 steps). LC/MS (2.689 min (ES+)), m/z: 681.0 1/2[M+2H]+.
Example 10: Activity of released compounds
K562 assay
K562 human chronic myeloid leukaemia cells were maintained in RPM1 1640 medium supplemented with 10% fetal calf serum and 2 mM glutamine at 37°C in a humidified
atmosphere containing 5% C02 and were incubated with a specified dose of drug for 1 hour or 96 hours at 37°C in the dark. The incubation was terminated by centrifugation (5 min, 300 g) and the cells were washed once with drug-free medium. Following the appropriate drug treatment, the cells were transferred to 96-well microtiter plates (104 cells per well, 8 wells per sample). Plates were then kept in the dark at 37°C in a humidified atmosphere containing 5% C02. The assay is based on the ability of viable cells to reduce a yellow soluble tetrazolium salt, 3-(4,5-dimethylthiazol-2-yl)-2,5-diphenyl-2H-tetrazolium bromide (MTT, Aldrich-Sigma), to an insoluble purple formazan precipitate. Following incubation of the plates for 4 days (to allow control cells to increase in number by approximately 10 fold), 20 μΙ_ of MTT solution (5 mg/mL in phosphate-buffered saline) was added to each well and the plates further incubated for 5 h. The plates were then centrifuged for 5 min at 300 g and the bulk of the medium pipetted from the cell pellet leaving 10-20 μΙ_ per well. DMSO (200 μΙ_) was added to each well and the samples agitated to ensure complete mixing. The optical density was then read at a wavelength of 550 nm on a Titertek Multiscan ELISA plate reader, and a dose-response curve was constructed. For each curve, an IC5o value was read as the dose required to reduce the final optical density to 50% of the control value.
Compound ReIC has an IC50 of less than 0.1 pM in this assay. Compound RelE has an IC50 of 0.425 nM in this assay.
Example 11 : Formation of conjugates
General antibody conjugation procedure
Antibodies are diluted to 1 -5 mg/mL in a reduction buffer (examples: phosphate buffered saline PBS, histidine buffer, sodium borate buffer,TRIS buffer). A freshly prepared solution of TCEP (tris(2-carboxyethyl)phosphine hydrochloride) is added to selectively reduce cysteine disulfide bridges. The amount of TCEP is proportional to the target level of reduction, within 1 to 4 molar equivalents per antibody, generating 2 to 8 reactive thiols. After reduction for several hours at 37°C, the mixture is cooled down to room temperature and excess drug- linker (A, B, C, D, E) added as a diluted DMSO solution (final DMSO content of up to 10% volume/volume of reaction mixture). The mixture was gently shaken at either 4°C or room temperature for the appropriate time, generally 1 -3 hours. Excess reactive thiols can be reacted with a 'thiol capping reagent' like N-ethyl maleimide (NEM) at the end of the conjugation. Antibody-drug conjugates are concentrated using centrifugal spin-filters with a molecular weight cut-off of 10 kDa or higher, then purified by tangential flow filtration (TFF) or Fast Protein Liquid Chromatography (FPLC). Corresponding antibody-drug conjugates can be determined by analysis by High-Performance Liquid Chromatography (HPLC) or Ultra-High-Performance Liquid Chromatography (UHPLC) to assess drug-per-antibody ratio (DAR) using reverse-phase chromatography (RP) or Hydrophobic-lnteraction
Chromatography (HIC), coupled with UV-Visible, Fluorescence or Mass-Spectrometer detection; aggregate level and monomer purity can be analysed by HPLC or UHPLC using size-exclusion chromatography coupled with UV-Visible, Fluorescence or Mass- Spectrometer detection. Final conjugate concentration is determined by a combination of spectroscopic (absorbance at 280, 214 and 330 nm) and biochemical assay (bicinchonic acid assay BCA; Smith, P.K., et al. (1985) Anal. Biochem. 150 (1 ): 76-85; using a known- concentration IgG antibody as reference). Antibody-drug conjugates are generally sterile filtered using 0.2 μηη filters under aseptic conditions, and stored at +4°C, -20°C or -80°C.
DAR Determination
Antibody or ADC (ca. 35 μg in 35 μί) was reduced by addition of 10 μί borate buffer (100 mM, pH 8.4) and 5 μί DTT (0.5 M in water), and heated at 37°C for 15 minutes. The sample was diluted with 1 volume of acetonitrile: water: formic acid (49%: 49%: 2% v/v), and injected onto a Widepore 3.6μ XB-C18 150 x 2.1 mm (P/N 00F-4482-AN) column (Phenomenex Aeris) at 80°C, in a UPLC system (Shimadzu Nexera) with a flow rate of 1 ml/min equilibrated in 75% Buffer A (Water, Trifluoroacetic acid (0.1 % v/v) (TFA), 25% buffer B (Acetonitrile: water: TFA 90%: 10%: 0.1 % v/v). Bound material was eluted using a gradient
from 25% to 55% buffer B in 10 min. Peaks of UV absorption at 214 nm were integrated. The following peaks were identified for each ADC or antibody: native antibody light chain (L0), native antibody heavy chain (HO), and each of these chains with added drug-linkers (labelled L1 for light chain with one drug and H1 , H2, H3 for heavy chain with 1 , 2 or 3 attached drug- linkers). The UV chromatogram at 330 nm was used for identification of fragments containing drug-linkers (i.e., L1 , H1 , H2, H3).
A PBD/protein molar ratio was calculated for both light chains and heavy chains:
Br&ff %Area or li4am erLl
Pra-tifrtn ■.m' t 'is■ · e■·m U$M
■ ' # - cat■im—■ %Srtm, t 21'4- em, jFst* f,ft natfit if
SUB
F etetxt. ' Si=:B ¾ s'™ et 2i4 fsr Sm-
Final DAR is calculated as:
Bru
am = 2 x rstie' ©a light chmM, ÷ ratiff ea heavy ekain,
DAR measurement is carried out at 214 nm because it minimises interference from drug- linker absorbance.
Generation ofADCs
Antibody A (comprising a variable domain which is SEQ ID NO. 60 paired with SEQ ID NO. 18) was conjugated with drug linker A to give Conj A-A, and the DAR was measured to be 2.36.
Other ADCs were prepared, as shown in the table below.
VM101 is an anti-CD22 antibody comprising a VH domain having the sequence according to SEQ ID NO. 60 and a VL domain having the sequence according to SEQ ID NO. 18. BA2 is an anti-CD22 antibody comprising a VH domain having the sequence according to SEQ ID NO. 49 and a VL domain having the sequence according to SEQ ID NO. 18.
ADCs targeted to CD22 were generated by conjugating VM101 and BA2 antibodies to warhead-linker A, as described above. The resulting ADCs are listed in the table below. B12 anti-HIV gp120 antibody was used to generate control non-CD22 targeted ADCs.
EXAMPLE 12: in vitro cytotoxicity of ADCs
Cell Culture
WSU-DLCL2 and SU-DHL-1 cells were from the Leibniz Institute DSMZ-German Collection of Microorganisms and Cell Cultures. Ramos and Daudi cells were from the American Type Culture Collection. Cell culture medium was RPMI 1640 supplemented with L-Glutamine and 10% FBS. Cells were grown at 37°C, 5% C02, in a humidified incubator.
Cytotoxicity assay
The concentration and viability of cultures of suspended cells (at up to 1 χ 106/ml) were determined by mixing 1 :1 with Trypan blue and counting clear (live)/blue (dead) cells with a haemocytometer. The cell suspension was diluted to the required seeding density (generally 105/ml) and dispensed into 96-well flat bottomed plates. For Alamar blue assay, 100 μΙ/well was dispensed in black-well plates. For MTS assay, 50 μΙ/well was dispensed in clear-well plates. A stock solution (1 ml) of ADC (20 Mg/ml) was made by dilution of filter-sterile ADC into cell culture medium. A set of 8 x 10-fold dilutions of stock ADC were made in a 24 well plate by serial transfer of 100 μΙ onto 900 μΙ of cell culture medium. Each ADC dilution (100 μΙ/well for Alamar blue, 50 μΙ/well for MTS) was dispensed into 4 replicate wells of the 96- well plate, containing cell suspension. Control wells received the same volume of culture medium only. After incubation for 4 days, cell viability was measured by either Alamar blue or MTS assay.
AlamarBlue® (Invitrogen, catalogue number DAL1025) was dispensed (20 μΙ per well) into each well and incubated for 4 hours at 37°C in the C02-gassed incubator. Well fluorescence was measured at excitation 570 nm, emission 585 nm. Cell survival (%) was calculated from the ratio of mean fluorescence in the 4 ADC-treated wells compared to the mean fluorescence in the 4 control wells (100%).
MTS (Promega, catalogue number G5421 ) was dispensed (20 μΙ per well) into each well and incubated for 4 hours at 37°C in the C02-gassed incubator. Absorbance was measured at 490 nm. Cell survival (%) was calculated from the mean absorbance in the 4 ADC-treated wells compared to the mean absorbance in the 4 control wells (100%). Dose response curves were generated from the mean data of 3 replicate experiments and the EC50 was determined by fitting data to a sigmoidal dose-response curve with variable slope using Prism (GraphPad, San Diego, CA). In vitro cytotoxicity
The efficacy of VM 101 -A was tested against CD22 +ve cell lines, Daudi, Ramos and WSU- DLCL2. As a CD22 -ve control, SU-DHL-1 cells were used.
Figure 1 shows in vitro efficacy of VM101-A. Serial 10-fold dilutions ( g/mL) of VM101 -A were incubated with Daudi, Ramos, WSU-DLCL2 or SU-DHL-1 cells. The Alamar Blue assay was performed at the end of the incubation period and cell survival calculated. Graphs represent the average of three replicate experiments.
VM101-A showed significant cytotoxicity against Daudi, Ramos and WSU-DLCL2 cells (Figure 1 ). In all cases, the cytotoxicity observed with VM101 -A significantly exceeded that seen with the equivalent non-CD22-binding ADC B12-A (see Figure 2).
Figure 2 shows in vitro efficacy of B12-A. Serial 10-fold dilutions ^g/mL) of B12-A were incubated with Daudi, Ramos, WSU-DLCL2 or SU-DHL-1 cells. The Alamar Blue assay was performed at the end of the incubation period and cell survival calculated. Graphs represent the average of three replicate experiments.
Figure 3 shows in vitro efficacy of BA2-A. Serial 10-fold dilutions ^g/mL) of BA2-A were incubated with Daudi, Ramos, WSU-DLCL2 or SU-DHL-1 cells. The Alamar Blue assay was performed at the end of the incubation period and cell survival calculated. Graphs represent the average of three replicate experiments.
BA2-A showed significant cytotoxicity against Daudi, Ramos and WSU-DLCL2 cells (Figure 3).
EXAMPLE 13 - in vivo anti-tumour activity of ADCs
The CD22 +(ve) human Burkitt's lymphoma-derived cell line Ramos was used in a mouse xenograft model to test the in vivo efficacy of the VM101-A and BA2-A ADCs. As a non- CD22-binding control, the anti-HIV gp120 antibody, B12, linked to A was used in the same model. At the same time, to investigate any potential anti-tumor activity of the VM101 antibody alone, the anti-tumour effect of this antibody without conjugated PBD warhead was assessed.
Study design
Drugs and treatment:
Procedures:
• Set up CR female NCr nu/nu mice with I x Ramos-SPN tumor cells in 0%
Matrigel sc in flank.
• Cell Injection Volume is 0.1 mL/mouse.
• Age at Start Date: 8 to 12 weeks.
• Perform a pair match when tumors reach an average size of 100 - 150 mm3 and begin treatment.
• Body Weight: qd x 5 then bi-wk to end
• Caliper Measurement: bi-wk to end
• Report any adverse reactions or death immediately.
• Any individual animal with a single observation of >30% body weight loss or three consecutive measurements of >25% body weight loss will be euthanized.
• Any group with two measurements of mean body weight loss of >20% or > 10% mortality will stop dosing. The group is not euthanized and recovery is allowed. Within a group with
>20% weight loss, individuals hitting the individual body weight loss endpoint will be euthanized. If the group treatment related body weight loss is recovered to within 10% of the original weights, dosing may resume at a lower dose or less frequent dosing schedule. Exceptions to non-treatment body weight% recovery may be allowed on a case-by-case basis.
• Endpoint TGD. Animals are to be monitored individually. The endpoint of the experiment is a tumor volume of 2000mm3 or 60 days, whichever comes first. Responders can be followed longer. When the endpoint is reached, the animals are to be euthanized. General methodological approach
For the calculation of group mean tumor volumes the following rule was applied: when an animal exited the study due to tumor size, the final tumor volume recorded for the animal was included with the data used to calculate the mean volume at subsequent time points. Error bars indicate standard error of the mean (SEM). Tumor volumes values were not used to calculate group mean tumor volumes when fewer than 50% of the animals in a group remained in the study. Prism (GraphPad, San Diego, CA) was used for graphical presentations and statistical analyses.
Results
Figure 4 shows VM101-A and BA2-A in Ramos xenograft model. Mice were dosed when the mean tumor volume per experimental group reached 0.1 cm3 and they were treated with a single dose of the ADC at 0.3 and 1 mg/kg (for VM101 and BA2 ADCs) and 1 mg/kg (for B12 ADC) via IV in the tail vein. Data represent the mean tumour volume (+/- SEM) from ten mice in each group.
VM101-A at 1 .0mg/kg exhibited the most potent anti-tumor activity (Figure 4); BA2-A at 1 .0mg/kg also exhibited significant anti-tumour activity. Neither the non-binding ADC control (B12-A) nor the VM101 antibody without PBD warhead showed significant anti-tumor activity.
Abbreviations
Ac acetyl
Acm acetamidomethyl
Alloc allyloxycarbonyl
Boc di-ferf-butyl dicarbonate
t-Bu tert-butyl
Bzl benzyl, where Bzl-OMe is methoxybenzyl and Bzl-Me is methylbenzene Cbz or Z benzyloxy-carbonyl, where Z-CI and Z-Br are chloro- and bromobenzyloxy carbonyl respectively
DMF /V,/V-dimethylformamide
Dnp dinitrophenyl
DTT dithiothreitol
Fmoc 9/-/-fluoren-9-ylmethoxycarbonyl
imp Λ/-10 imine protecting group: 3-(2-methoxyethoxy)propanoate-Val-Ala-PAB
MC-OSu maleimidocaproyl-0-/\/-succinimide
Moc methoxycarbonyl
MP maleimidopropanamide
Mtr 4-methoxy-2,3,6-trimethtylbenzenesulfonyl
PAB para-aminobenzyloxycarbonyl
PEG ethyleneoxy
PNZ p-nitrobenzyl carbamate
Psec 2-(phenylsulfonyl)ethoxycarbonyl
TBDMS tert-butyldimethylsilyl
TBDPS tert-butyldiphenylsilyl
Teoc 2-(trimethylsilyl)ethoxycarbonyl
Tos tosyl
Troc 2,2,2-trichlorethoxycarbonyl chloride
Trt trityl
Xan xanthyl
SEQUENCES
SEQ ID NO:1 VM1000 LC
GAAATTGTGTTGACACAGTCTCCAGCCACCCTGTCTTTGTCTCCAGGGGAAAGAGCCA CCCTCTCCTGCAAGTCCAGTCAAAGTGTTTTATACAGTGCAGTGGAGAAGAACTACTTG GCCTGGTATCAGCAGAAACCAGGGAAAGCTCCTAAGCTCCTGATCTATTGGGCATCCA CTAGGGAAAGGGGGGTCCCATCAAGGTTCAGTGGAAGTGGATCTGGGACAGATTTTAC TTTCACCATCAGCAGCCTGCAGCCTGAAGATATTGCAACATATTACTGTAAGCAATACCT CTCCTCGTGGACGTTCGGCCAAGGG
SEQ ID N0:17 VM1000 LC
EIVLTQSPATLSLSPGERATLSCKSSQSVLYSAVEKNYLAWYQQKPGKAPKLLIYWASTRER GVPSRFSGSGSGTDFTFTISSLQPEDIATYYCKQYLSSWTFGQG SEQ ID NO:33 VM1000 HC
CAGGTTCAGCTGGTGCAGTCTGGAGCTGAGGTGAAGAAGCCTGGGGCCTCAGTGAAG GTCTCCTGCAAGGCTTCTGGCTACGTTTTTACTAGCTACTGGCTGCACTGGATCAGGCA GTCCCCATCGAGAGGCCTTGAGTGGCTGGGTTACATTAATCCTAGGAATGATTATACTG AGTACAATCGGATTTTCAAGGGGAGACTCACCATCTCCAAGGACACCTCCAAAAACCAG GTGGTCCTTACAATGACCAACATGGACCCTGTGGACACAGCCACGTATTACTGTGCAA GAAGGGGGATTACTACGTTCTACTGGGGCCAGGGA
SEQ ID NO:49 VM1000 HC
QVQLVQSGAEVKKPGASVKVSCKASGYVFTSYWLHWIRQSPSRGLEWLGYINPRNDYTEY NRIFKGRLTISKDTSKNQVVLTMTNMDPVDTATYYCARRGITTFYWGQG
SEQ ID N0:2 VM1001 LC
GAAATTGTGTTGACACAGTCTCCAGCCACCCTGTCTTTGTCTCCAGGGGAAAGAGCCA CCCTCTCCTGCAAGTCCAGTCAAAGTGTTTTATACAGTGCAGTGGAGAAGAACTACTTG GCCTGGTACCAGCAGAAACCTGGCCAGGCTCCCAGGCTCCTCATCTATTGGGCATCCA CTAGGGAAAGGGGGATCCCAGACAGGTTCAGTGGCAGTGGGTCTGGGACAGACTTCA CTCTCACCATCAGCAGACTGGAGCCTGAAGATTTTGCAGTGTATTACTGTAAGCAATAC CTCTCCTCGTGGACGTTCGGCCAAGGG SEQ ID N0:18 VM1001 LC
EIVLTQSPATLSLSPGERATLSCKSSQSVLYSAVEKNYLAWYQQKPGQAPRLLIYWASTRE RGIPDRFSGSGSGTDFTLTISRLEPEDFAVYYCKQYLSSWTFGQG
SEQ ID NO:34 VM1001 HC
CAGGTTCAGCTGGTGCAGTCTGGAGCTGAGGTGAAGAAGCCTGGGGCCTCAGTGAAG GTCTCCTGCAAGGCTTCTGGCTACGTTTTTACTAGCTACTGGCTGCACTGGATCAGGCA GTCCCCATCGAGAGGCCTTGAGTGGCTGGGTTACATTAATCCTAGGAATGATTATACTG AGTACAATCGGATTTTCAAGGGGAGACTCACCATCTCCAAGGACACCTCCAAAAACCAG GTGGTCCTTACAATGACCAACATGGACCCTGTGGACACAGCCACGTATTACTGTGCAA GAAGGGGGATTACTACGTTCTACTGGGGCCAGGGA
SEQ ID NO:50 VM1001 HC
QVQLVQSGAEVKKPGASVKVSCKASGYVFTSYWLHWIRQSPSRGLEWLGYINPRNDYTEY NRIFKGRLTISKDTSKNQVVLTMTNMDPVDTATYYCARRGITTFYWGQG
SEQ ID N0:3 VM1002 LC
GAAATTGTGTTGACACAGTCTCCAGCCACCCTGTCTTTGTCTCCAGGGGAAAGAGCCA CCCTCTCCTGCAAGTCCAGTCAAAGTGTTTTATACAGTGCAGTGGAGAAGAACTACTTG GCCTGGTACCAGCAGAAACCTGGCCAGGCTCCCAGGCTCCTCATCTATTGGGCATCCA CTAGGGAAAGGGGGATCCCAGACAGGTTCAGTGGCAGTGGGTCTGGGACAGACTTCA CTCTCACCATCAGCAGACTGGAGCCTGAAGATTTTGCAGTGTATTACTGTAAGCAATAC CTCTCCTCGTGGACGTTCGGCCAAGGG
SEQ ID N0:19 VM1002 LC
EIVLTQSPATLSLSPGERATLSCKSSQSVLYSAVEKNYLAWYQQKPGQAPRLLIYWASTRE RGIPDRFSGSGSGTDFTLTISRLEPEDFAVYYCKQYLSSWTFGQG
SEQ ID NO:35 VM1002 HC
GAAGTGCAGCTGGTGCAGTCTGGAGCAGAGGTGAAAAAGCCCGGGGAGTCTCTGAGG ATCTCCTGTAAGGGTTCTGGCTACGTTTTTACTAGCTACTGGCTGCACTGGGTGCGACA GGCCCCTGGACAAGGGCTTGAGTGGATGGGTTACATTAATCCTAGGAATGATTATACTG AGTACAATCGGATTTTCAAGGGGAGAGTCACGATTACCGCGGACAAATCCACGAGCAC AGCCTACATGGAGCTGAGCAGCCTGAGATCTGAGGACACGGCCGTGTATTACTGTGCG AG AAG G G G G ATTACTAC GTTCTACTG G G G C C AG G G A
SEQ ID N0:51 VM1002 HC
EVQLVQSGAEVKKPGESLRISCKGSGYVFTSYWLHWVRQAPGQGLEWMGYINPRNDYTE YNRIFKGRVTITADKSTSTAYMELSSLRSEDTAVYYCARRGITTFYWGQG
SEQ ID NO:4 VM1003 LC
GAAATTGTGTTGACACAGTCTCCAGCCACCCTGTCTTTGTCTCCAGGGGAAAGAGCCA CCCTCTCCTGCAAGTCCAGTCAAAGTGTTTTATACAGTGCAGTGGAGAAGAACTACTTG GCCTGGTACCAGCAGAAACCTGGCCAGGCTCCCAGGCTCCTCATCTATTGGGCATCCA CTAGGGAAAGGGGGATCCCAGACAGGTTCAGTGGCAGTGGGTCTGGGACAGACTTCA CTCTCACCATCAGCAGACTGGAGCCTGAAGATTTTGCAGTGTATTACTGTAAGCAATAC CTCTCCTCGTGGACGTTCGGCCAAGGG
SEQ ID NO:20 VM1003 LC
EIVLTQSPATLSLSPGERATLSCKSSQSVLYSAVEKNYLAWYQQKPGQAPRLLIYWASTRE RGIPDRFSGSGSGTDFTLTISRLEPEDFAVYYCKQYLSSWTFGQG
SEQ ID NO:36 VM1003 HC
GAGGTCCAGCTGGTACAGTCTGGGGCTGAGGTGAAGAAGCCTGGGGCTACAGTGAAA ATCTCCTGCAAGGTTTCTGGCTACGTTTTTACTAGCTACTGGCTGCACTGGATCAGGCA GTCCCCATCGAGAGGCCTTGAGTGGCTGGGTTACATTAATCCTAGGAATGATTATACTG AGTACAATCGGATTTTCAAGGGGAGATTTGTCTTCTCCTTGGACACCTCTGTCAGCACG GCATATCTGCAGATCTGCAGCCTAAAGGCTGAGGACACTGCCGTGTATTACTGTGCGA GAAGGGGGATTACTACGTTCTACTGGGGCCAGGGA
SEQ ID NO:52 VM1003 HC
EVQLVQSGAEVKKPGATVKISCKVSGYVFTSYWLHWIRQSPSRGLEWLGYINPRNDYTEY NRIFKGRFVFSLDTSVSTAYLQICSLKAEDTAVYYCARRGITTFYWGQG
SEQ ID N0:5 VM1004 LC
GAAATTGTGTTGACACAGTCTCCAGCCACCCTGTCTTTGTCTCCAGGGGAAAGAGCCA CCCTCTCCTGCAAGTCCAGTCAAAGTGTTTTATACAGTGCAGTGGAGAAGAACTACTTG GCCTGGTATCAGCAGAAACCAGGGAAAGCTCCTAAGCTCCTGATCTATTGGGCATCCA CTAGGGAAAGGGGGATCCCAGACAGGTTCAGTGGCAGTGGGTCTGGGACAGACTTCA CTCTCACCATCAGCAGACTGGAGCCTGAAGATTTTGCAGTGTATTACTGTAAGCAATAC CTCTCCTCGTGGACGTTCGGCCAAGGG
SEQ ID N0:21 VM1004 LC
EIVLTQSPATLSLSPGERATLSCKSSQSVLYSAVEKNYLAWYQQKPGKAPKLLIYWASTRER GIPDRFSGSGSGTDFTLTISRLEPEDFAVYYCKQYLSSWTFGQG
SEQ ID NO:37 VM1004 HC
GAGGTCCAGCTGGTACAGTCTGGGGCTGAGGTGAAGAAGCCTGGGGCTACAGTGAAA ATCTCCTGCAAGGTTTCTGGCTACGTTTTTACTAGCTACTGGCTGCACTGGATCAGGCA GTCCCCATCGAGAGGCCTTGAGTGGCTGGGTTACATTAATCCTAGGAATGATTATACTG AGTACAATCGGATTTTCAAGGGGAGATTTGTCTTCTCCTTGGACACCTCTGTCAGCACG GCATATCTGCAGATCTGCAGCCTAAAGGCTGAGGACACTGCCGTGTATTACTGTGCGA GAAGGGGGATTACTACGTTCTACTGGGGCCAGGGA
SEQ ID NO:53 VM1004 HC
EVQLVQSGAEVKKPGATVKISCKVSGYVFTSYWLHWIRQSPSRGLEWLGYINPRNDYTEY NRIFKGRFVFSLDTSVSTAYLQICSLKAEDTAVYYCARRGITTFYWGQG
SEQ ID N0:6 VM1005 LC
GCCATCCAGTTGACCCAGTCTCCATCCTCCCTGTCTGCATCTGTAGGAGACAGAGTCA CCATCACTTGCAAGTCCAGTCAAAGTGTTTTATACAGTGCAGTGGAGAAGAACTACTTG GCCTGGTACCAGCAGAAACCTGGCCAGGCTCCCAGGCTCCTCATCTATTGGGCATCCA CTAGGGAAAGGGGGGTCCCATCAAGGTTCAGCGGCAGTGGATCTGGGACAGATTTCA CTCTCACCATCAGCAGCCTGCAGCCTGAAGATTTTGCAACTTATTACTGTAAGCAATAC CTCTCCTCGTGGACGTTCGGCCAAGGG
SEQ ID NO:22 VM1005 LC
AIQLTQSPSSLSASVGDRVTITCKSSQSVLYSAVEKNYLAWYQQKPGQAPRLLIYWASTRE RGVPSRFSGSGSGTDFTLTISSLQPEDFATYYCKQYLSSWTFGQG
SEQ ID NO:38 VM1005 HC
GAGGTCCAGCTGGTACAGTCTGGGGCTGAGGTGAAGAAGCCTGGGGCTACAGTGAAA ATCTCCTGCAAGGTTTCTGGCTACGTTTTTACTAGCTACTGGCTGCACTGGATCAGGCA GTCCCCATCGAGAGGCCTTGAGTGGCTGGGTTACATTAATCCTAGGAATGATTATACTG AGTACAATCGGATTTTCAAGGGGAGATTTGTCTTCTCCTTGGACACCTCTGTCAGCACG GCATATCTGCAGATCTGCAGCCTAAAGGCTGAGGACACTGCCGTGTATTACTGTGCGA GAAGGGGGATTACTACGTTCTACTGGGGCCAGGGA
SEQ ID NO:54 VM1005 HC
EVQLVQSGAEVKKPGATVKISCKVSGYVFTSYWLHWIRQSPSRGLEWLGYINPRNDYTEY NRIFKGRFVFSLDTSVSTAYLQICSLKAEDTAVYYCARRGITTFYWGQG
SEQ ID NO:7 VM1006 LC
GACATCCAGATGACCCAGTCTCCATCCTCCCTGTCTGCATCTGTAGGAGACAGAGTCA CCATCACTTGCAAGTCCAGTCAAAGTGTTTTATACAGTGCAGTGGAGAAGAACTACTTG GCCTGGTATCAGCAGAAACCAGGGAAAGCTCCTAAGCTCCTGATCTATTGGGCATCCA CTAGGGAAAGGGGGATCCCAGACAGGTTCAGTGGCAGTGGGTCTGGGACAGACTTCA CTCTCACCATCAGCAGACTGGAGCCTGAAGATTTTGCAGTGTATTACTGTAAGCAATAC CTCTCCTCGTGGACGTTCGGCCAAGGG
SEQ ID NO:23 VM1006 LC
DIQMTQSPSSLSASVGDRVTITCKSSQSVLYSAVEKNYLAWYQQKPGKAPKLLIYWASTRE RGIPDRFSGSGSGTDFTLTISRLEPEDFAVYYCKQYLSSWTFGQG
SEQ ID NO:39 VM1006 HC
CAGGTTCAGCTGGTGCAGTCTGGAGCTGAGGTGAAGAAGCCTGGGGCCTCAGTGAAG GTCTCCTGCAAGGCTTCTGGCTACGTTTTTACTAGCTACTGGCTGCACTGGATCAGGCA GTCCCCATCGAGAGGCCTTGAGTGGCTGGGTTACATTAATCCTAGGAATGATTATACTG AGTACAATCGGATTTTCAAGGGGAGATTTGTCTTCTCCTTGGACACCTCTGTCAGCACG GCATATCTGCAGATCTGCAGCCTAAAGGCTGAGGACACTGCCGTGTATTACTGTGCGA GAAGGGGGATTACTACGTTCTACTGGGGCCAGGGA
SEQ ID NO:55 VM1006 HC
QVQLVQSGAEVKKPGASVKVSCKASGYVFTSYWLHWIRQSPSRGLEWLGYINPRNDYTEY NRIFKGRFVFSLDTSVSTAYLQICSLKAEDTAVYYCARRGITTFYWGQG
SEQ ID N0:8 VM1007 LC
GCCATCCAGTTGACCCAGTCTCCATCCTCCCTGTCTGCATCTGTAGGAGACAGAGTCA CCATCACTTGCAAGTCCAGTCAAAGTGTTTTATACAGTGCAGTGGAGAAGAACTACTTG GCCTGGTATCAGCAGAAACCAGGGAAAGCTCCTAAGCTCCTGATCTATTGGGCATCCA CTAGGGAAAGGGGGGTCCCCTCGAGGTTCAGTGGCAGTGGATCTGGGACAGATTTCA CCTTTACCATCAGTAGCCTGGAAGCTGAAGATGCTGCAACATATTACTGTAAGCAATAC CTCTCCTCGTGGACGTTCGGCCAAGGG
SEQ ID NO:24 VM1007 LC
AIQLTQSPSSLSASVGDRVTITCKSSQSVLYSAVEKNYLAWYQQKPGKAPKLLIYWASTRER GVPSRFSGSGSGTDFTFTISSLEAEDAATYYCKQYLSSWTFGQG
SEQ ID NO:40 VM1007 HC
CAGGTTCAGCTGGTGCAGTCTGGAGCTGAGGTGAAGAAGCCTGGGGCCTCAGTGAAG GTCTCCTGCAAGGCTTCTGGCTACGTTTTTACTAGCTACTGGCTGCACTGGGTGCGACA GGCTCGTGGACAACGCCTTGAGTGGATAGGTTACATTAATCCTAGGAATGATTATACTG AGTACAATCGGATTTTCAAGGGGAGAGTCACGATTACCGCGGACAAATCCACGAGCAC AGCCTACATGGAGCTGAGCAGCCTGAGATCTGAGGACACGGCCGTGTATTACTGTGCG AG AAG G G G G ATTACTAC GTTCTACTG G G G C C AG G G A
SEQ ID NO:56 VM1007 HC
QVQLVQSGAEVKKPGASVKVSC KASGYVFTSYWLH WVRQARGQRLE Wl GYI N P RN DYTE YNRIFKGRVTITADKSTSTAYMELSSLRSEDTAVYYCARRGITTFYWGQG
SEQ ID N0:9 VM1008 LC
GACATCCAGATGACCCAGTCTCCATCCTCCCTGTCTGCATCTGTAGGAGACAGAGTCA CCATCACTTGCAAGTCCAGTCAAAGTGTTTTATACAGTGCAGTGGAGAAGAACTACTTG GCCTGGTACCAGCAGAAACCTGGCCAGGCTCCCAGGCTCCTCATCTATTGGGCATCCA CTAGGGAAAGGGGGATCCCAGACAGGTTCAGTGGCAGTGGGTCTGGGACAGACTTCA CTCTCACCATCAGCAGACTGGAGCCTGAAGATTTTGCAGTGTATTACTGTAAGCAATAC CTCTCCTCGTGGACGTTCGGCCAAGGG
SEQ ID NO:25 VM1008 LC
DIQMTQSPSSLSASVGDRVTITCKSSQSVLYSAVEKNYLAWYQQKPGQAPRLLIYWASTRE RGIPDRFSGSGSGTDFTLTISRLEPEDFAVYYCKQYLSSWTFGQG
SEQ ID N0:41 VM1008 HC
CAGGTTCAGCTGGTGCAGTCTGGAGCTGAGGTGAAGAAGCCTGGGGCCTCAGTGAAG GTCTCCTGCAAGGCTTCTGGCTACGTTTTTACTAGCTACTGGCTGCACTGGGTGCGACA GGCTCGTGGACAACGCCTTGAGTGGATAGGTTACATTAATCCTAGGAATGATTATACTG AGTACAATCGGATTTTCAAGGGGAGAGTCACGATTACCGCGGACAAATCCACGAGCAC AGCCTACATGGAGCTGAGCAGCCTGAGATCTGAGGACACGGCCGTGTATTACTGTGCG AG AAG G G G G ATTACTAC GTTCTACTG G G G C C AG G G A
SEQ ID NO:57 VM1008 HC
QVQLVQSGAEVKKPGASVKVSC KASGYVFTSYWLH WVRQARGQRLE Wl GYI N P RN DYTE YNRIFKGRVTITADKSTSTAYMELSSLRSEDTAVYYCARRGITTFYWGQG
SEQ ID NO:10 VM1009 LC
GAAATTGTGTTGACACAGTCTCCAGCCACCCTGTCTTTGTCTCCAGGGGAAAGAGCCA CCCTCTCCTGCAAGTCCAGTCAAAGTGTTTTATACAGTGCAGTGGAGAAGAACTACTTG GCCTGGTATCAGCAGAAACCAGGGAAAGCTCCTAAGCTCCTGATCTATTGGGCATCCA CTAGGGAAAGGGGGGTCCCCTCGAGGTTCAGTGGCAGTGGATCTGGGACAGATTTCA CCTTTACCATCAGTAGCCTGGAAGCTGAAGATGCTGCAACATATTACTGTAAGCAATAC CTCTCCTCGTGGACGTTCGGCCAAGGG
SEQ ID NO:26 VM1009 LC
EIVLTQSPATLSLSPGERATLSCKSSQSVLYSAVEKNYLAWYQQKPGKAPKLLIYWASTRER GVPSRFSGSGSGTDFTFTISSLEAEDAATYYCKQYLSSWTFGQG
SEQ ID NO:42 VM1009 HC
CAGGTTCAGCTGGTGCAGTCTGGAGCTGAGGTGAAGAAGCCTGGGGCCTCAGTGAAG GTCTCCTGCAAGGCTTCTGGCTACGTTTTTACTAGCTACTGGCTGCACTGGATCAGGCA GTCCCCATCGAGAGGCCTTGAGTGGCTGGGTTACATTAATCCTAGGAATGATTATACTG AGTACAATCGGATTTTCAAGGGGAGATTTGTCTTCTCCTTGGACACCTCTGTCAGCACG GCATATCTGCAGATCTGCAGCCTAAAGGCTGAGGACACTGCCGTGTATTACTGTGCGA GAAGGGGGATTACTACGTTCTACTGGGGCCAGGGA
SEQ ID NO:58 VM1009 HC
QVQLVQSGAEVKKPGASVKVSCKASGYVFTSYWLHWIRQSPSRGLEWLGYINPRNDYTEY NRIFKGRFVFSLDTSVSTAYLQICSLKAEDTAVYYCARRGITTFYWGQG
SEQ ID N0:11 VM1010 LC
GAAATTGTGTTGACACAGTCTCCAGCCACCCTGTCTTTGTCTCCAGGGGAAAGAGCCA CCCTCTCCTGCAAGTCCAGTCAAAGTGTTTTATACAGTGCAGTGGAGAAGAACTACTTG GCCTGGTATCAGCAGAAACCAGGGAAAGCTCCTAAGCTCCTGATCTATTGGGCATCCA CTAGGGAAAGGGGGGTCCCATCAAGGTTCAGTGGAAGTGGATCTGGGACAGATTTTAC TTTCACCATCAGCAGCCTGCAGCCTGAAGATATTGCAACATATTACTGTAAGCAATACCT CTCCTCGTGGACGTTCGGCCAAGGG
SEQ ID NO:27 VM1010 LC
EIVLTQSPATLSLSPGERATLSCKSSQSVLYSAVEKNYLAWYQQKPGKAPKLLIYWASTRER GVPSRFSGSGSGTDFTFTISSLQPEDIATYYCKQYLSSWTFGQG
SEQ ID NO:43 VM1010 HC
GAAGTGCAGCTGGTGCAGTCTGGAGCAGAGGTGAAAAAGCCCGGGGAGTCTCTGAGG ATCTCCTGTAAGGTTTCTGGCTACGTTTTTACTAGCTACTGGCTGCACTGGATCAGGCA GTCCCCATCGAGAGGCCTTGAGTGGCTGGGTTACATTAATCCTAGGAATGATTATACTG AGTACAATCGGATTTTCAAGGGGAGATTCACCATCTCCAGAGACAACGCCAAGAACTCA CTGTATCTGCAAATGAACAGCCTGAGAGCCGAGGACACGGCTGTGTATTACTGTGCGA GAAGGGGGATTACTACGTTCTACTGGGGCCAGGGA
SEQ ID NO:59 VM1010 HC
EVQLVQSGAEVKKPGESLRISCKVSGYVFTSYWLHWIRQSPSRGLEWLGYINPRNDYTEY NRIFKGRFTISRDNAKNSLYLQMNSLRAEDTAVYYCARRGITTFYWGQG
SEQ ID N0:12 VM101 1 LC
GAAATTGTGTTGACACAGTCTCCAGCCACCCTGTCTTTGTCTCCAGGGGAAAGAGCCA CCCTCTCCTGCAAGTCCAGTCAAAGTGTTTTATACAGTGCAGTGGAGAAGAACTACTTG GCCTGGTACCAGCAGAAACCTGGCCAGGCTCCCAGGCTCCTCATCTATTGGGCATCCA CTAGGGAAAGGGGGATCCCAGACAGGTTCAGTGGCAGTGGGTCTGGGACAGACTTCA CTCTCACCATCAGCAGACTGGAGCCTGAAGATTTTGCAGTGTATTACTGTAAGCAATAC CTCTCCTCGTGGACGTTCGGCCAAGGG
SEQ ID NO:28 VM101 1 LC
EIVLTQSPATLSLSPGERATLSCKSSQSVLYSAVEKNYLAWYQQKPGQAPRLLIYWASTRE RGIPDRFSGSGSGTDFTLTISRLEPEDFAVYYCKQYLSSWTFGQG
SEQ ID NO:44 VM101 1 HC
CAGGTGCAGCTGCAGGAGTCGGGCCCAGGACTGGTGAAGCCTTCACAGACCCTGTCC CTCACCTGCACTGTCTCTGGCTACGTTTTTACTAGCTACTGGCTGCACTGGATCCGCCA GCCCCCAGGGAAGGGGCTGGAGTGGATTGGTTACATTAATCCTAGGAATGATTATACT GAGTACAATCGGATTTTCAAGGGGAGAGTCACGATTACCGCGGACAAATCCACGAGCA CAGCCTACATGGAGCTGAGCAGCCTGAGATCTGAGGACACGGCCGTGTATTACTGTGC GAGAAGGGGGATTACTACGTTCTACTGGGGCCAGGGA
SEQ ID NO:60 VM101 1 HC
QVQLQESGPGLVKPSQTLSLTCTVSGYVFTSYWLHWIRQPPGKGLEWIGYINPRNDYTEYN RIFKGRVTITADKSTSTAYMELSSLRSEDTAVYYCARRGITTFYWGQG
SEQ ID NO:13 VM1012 LC
GAAATTGTGTTGACACAGTCTCCAGCCACCCTGTCTGTGTCTCCAGGGGAAAGAGCCA CCCTCTCCTGCAAGTCCAGTCAAAGTGTTTTATACAGTGCAGTGGAGAAGAACTACTTG GCCTGGTACCAGCAGAAACCTGGCCAGGCTCCCAGGCTCCTCATCTATTGGGCATCCA CTAGGGAAAGGGGGGTCCCATCAAGGTTCAGTGGAAGTGGATCTGGGACAGATTTTAC TTTCACCATCAGCAGCCTGCAGCCTGAAGATATTGCAACATATTACTGTAAGCAATACCT CTCCTCGTGGACGTTCGGCCAAGGG
SEQ ID NO:29 VM1012 LC
EIVLTQSPATLSVSPGERATLSCKSSQSVLYSAVEKNYLAWYQQKPGQAPRLLIYWASTRE RGVPSRFSGSGSGTDFTFTISSLQPEDIATYYCKQYLSSWTFGQG
SEQ ID NO:45 VM1012 HC
CAGGTTCAGCTGGTGCAGTCTGGAGCTGAGGTGAAGAAGCCTGGGGCCTCAGTGAAG GTCTCCTGCAAGGCTTCTGGCTACGTTTTTACTAGCTACTGGCTGCACTGGGTGCGACA GGCCCCTGGACAAGGGCTTGAGTGGATGGGTTACATTAATCCTAGGAATGATTATACTG AGTACAATCGGATTTTCAAGGGGAGATTCACCATCTCCAGAGACAACGCCAAGAACTCA CTGTATCTGCAAATGAACAGCCTGAGAGCCGAGGACACGGCTGTGTATTACTGTGCGA GAAGGGGGATTACTACGTTCTACTGGGGCCAGGGA
SEQ ID N0:61 VM1012 HC
QVQLVQSGAEVKKPGASVKVSCKASGYVFTSYWLHWVRQAPGQGLEWMGYINPRNDYT EYNRIFKGRFTISRDNAKNSLYLQMNSLRAEDTAVYYCARRGITTFYWGQG
SEQ ID N0:14 VM1013 LC
GCCATCCAGTTGACCCAGTCTCCATCCTCCCTGTCTGCATCTGTAGGAGACAGAGTCA CCATCACTTGCAAGTCCAGTCAAAGTGTTTTATACAGTGCAGTGGAGAAGAACTACTTG GCCTGGTACCAGCAGAAACCTGGCCAGGCTCCCAGGCTCCTCATCTATTGGGCATCCA CTAGGGAAAGGGGGGTCCCATCAAGGTTCAGCGGCAGTGGATCTGGGACAGATTTCA CTCTCACCATCAGCAGCCTGCAGCCTGAAGATTTTGCAACTTATTACTGTAAGCAATAC CTCTCCTCGTGGACGTTCGGCCAAGGG
SEQ ID NO:30 VM1013 LC
AIQLTQSPSSLSASVGDRVTITCKSSQSVLYSAVEKNYLAWYQQKPGQAPRLLIYWASTRE RGVPSRFSGSGSGTDFTLTISSLQPEDFATYYCKQYLSSWTFGQG
SEQ ID NO:46 VM1013 HC
CAGGTGCAGCTGCAGGAGTCGGGCCCAGGACTGGTGAAGCCTTCACAGACCCTGTCC CTCACCTGCACTGTCTCTGGCTACGTTTTTACTAGCTACTGGCTGCACTGGATCCGCCA GCCCCCAGGGAAGGGGCTGGAGTGGATTGGTTACATTAATCCTAGGAATGATTATACT GAGTACAATCGGATTTTCAAGGGGAGATTCACCATCTCCAGAGACAACGCCAAGAACTC ACTGTATCTGCAAATGAACAGCCTGAGAGCCGAGGACACGGCTGTGTATTACTGTGCG AG AAG G G G G ATTACTAC GTTCTACTG G G G C C AG G G A
SEQ ID NO:62 VM1013 HC
QVQLQESGPGLVKPSQTLSLTCTVSGYVFTSYWLHWIRQPPGKGLEWIGYINPRNDYTEYN RIFKGRFTISRDNAKNSLYLQMNSLRAEDTAVYYCARRGITTFYWGQG
SEQ ID N0:15 VM1014 LC
GAAATTGTGTTGACACAGTCTCCAGCCACCCTGGCCTTGTCCCCTGGGGAAAAAGCCC CCCTCTCCTGGAAGTCCAGTCAAAGTGTTTTATACAGTGGAGTGGAAAAGAACTACTTG GCCTGGTATCAGCAGAAACCAGGGAAAGCTCCTAAGCTCCTGATCTATTGGGCATCCA CTAGGGAAAGGGGGGTCCCCTCCAGGTTCAGTGGCAGTGGATCTGGGACAGATTTCA CTCTCACCATCAG CAG CCTG CAAG CTG AAGATTTTG CAACTTATTACTGTAAG CAATAC CTCTCCTCGTGGACGTTCGGCCAAGGG
SEQ ID N0:31 VM1014 LC
EIVLTQSPATLALSPGEKAPLSWKSSQSVLYSGVEKNYLAWYQQKPGKAPKLLIYWASTRE RGVPSRFSGSGSGTDFTLTISSLQAEDFATYYCKQYLSSWTFGQG
SEQ ID NO:47 VM1014 HC
CAGGTTCAGCTGGTGCAGTCTGGAGCTGAGGTGAAGAAGCCTGGGGCTACAGTGAAA ATCTCCTGCAAGGTTTCTGGCTACGTTTTTACTAGCTACTGGCTGCACTGGATCCGCCA GCCCCCAGGGAAGGGGCTGGAGTGGATTGGTTACATTAATCCTAGGAATGATTATACT GAGTACAATCGGATTTTCAAGGGGAGAGTCACGATTACCGCGGACAAATCCACGAGCA CAGCCTACATGGAGCTGAGCAGCCTGAGATCTGAGGACACGGCCGTGTATTACTGTGC GAGAAGGGGGATTACTACGTTCTACTGGGGCCAGGGA
SEQ ID NO:63 VM1014 HC
QVQLVQSGAEVKKPGATVKISCKVSGYVFTSYWLHWIRQPPGKGLEWIGYINPRNDYTEYN RIFKGRVTITADKSTSTAYMELSSLRSEDTAVYYCARRGITTFYWGQG
SEQ ID NO:16 VM1015 LC
GAAATTGTGTTGACACAGTCTCCAGCCACCCTGGCCTTGTCCCCTGGGGAAAAAGCCC CCCTCTCCTGGAAGTCCAGTCAAAGTGTTTTATACAGTGGAGTGGAAAAGAACTACTTG GCCTGGTATCAGCAGAAACCAGGGAAAGCTCCTAAGCTCCTGATCTATTGGGCATCCA CTAGGGAAAGGGGGGTCCCCTCCAGGTTCAGTGGCAGTGGATCTGGGACAGATTTCA CTCTCACCATCAG CAG CCTG CAAG CTG AAGATTTTG CAACTTATTACTGTAAG CAATAC CTCTCCTCGTGGACGTTCGGCCAAGGG
SEQ ID NO:32 VM1015 LC
EIVLTQSPATLALSPGEKAPLSWKSSQSVLYSGVEKNYLAWYQQKPGKAPKLLIYWASTRE RGVPSRFSGSGSGTDFTLTISSLQAEDFATYYCKQYLSSWTFGQG
SEQ ID NO:48 VM1015 HC
GAAGTGCAGCTGGTGCAGTCTGGACCAGAAGTGAAAAAGCCCGGGGAGTCTCTGAGG ATCTCCTGTAAGGGTTCTGGCTACGTTTTTACTAGCTACTGGCTGCACTGGGTGCGACA GGCCCCTGGACAAGGGCTTGAGTGGATGGGTTACATTAATCCTAGGAATGATTATACTG AGTACAATCGGATTTTCAAGGGGAGAGTCACCATCTCAGCCGACAAGTCCATCAACACC GCCTACCTGCAGTGGAGCAGCCTGAAGGCCTCGGACACCGCCATGTATTACTGTGCGA GAAGGGGGATTACTACGTTCTACTGGGGCCAGGGA
SEQ ID NO:64 VM1015 HC
EVQLVQSGPEVKKPGESLRISCKGSGYVFTSYWLHWVRQAPGQGLEWMGYINPRNDYTE YNRIFKGRVTISADKSINTAYLQWSSLKASDTAMYYCARRGITTFYWGQG
Claims
1 . A conjugate of formula L - (DL)P, where DL is of formula I or II:
wherein:
L is an antibody (Ab) which is an isolated antibody or antibody fragment that binds to human CD22, comprising a heavy chain variable region having the amino acid sequence of SEQ I D NO: 49, 50, 51 , 52, 53, 54, 55, 56, 57, 58, 59, 60, 61 , 62, 63, or 64; a light chain variable region having the amino acid sequence of SEQ I D NO: 17, 18, 19, 20, 21 , 22, 23, 24, 25, 26, 27, 28, 29, 30, 31 , or 32; and a constant region derived from one or more human antibodies.; when there is a double bond present between C2' and C3', R12 is selected from the group consisting of:
(ia) C5-10 aryl group, optionally substituted by one or more substituents selected from the group comprising: halo, nitro, cyano, ether, carboxy, ester, C1-7 alkyl, C3-7 heterocyclyl and bis-oxy-C1 -3 alkylene;
(ib) Ci-5 saturated aliphatic alkyl;
(ic) d cycloalkyl;
(id)
, wherein each of R , R and R are independently selected from H, Ci-3 saturated alkyl, C2-3 alkenyl, C2-3 alkynyl and cyclopropyl, where the total number of carbon atoms in the R12 group is no more than 5;
(ie)
, wherein one of R and R is H and the other is selected from: phenyl, which phenyl is optionally substituted by a group selected from halo, methyl, methoxy;
alkynyl; cyclopropyl; phenyl, which phenyl is optionally substituted by a group selected from halo, methyl, methoxy; pyridyl; and thiophenyl;
single bond present between C2' and C3',
, where R and R are independently selected from H, F, C1-4 saturated alkyl, C2-3 alkenyl, which alkyl and alkenyl groups are optionally substituted by a group selected from Ci-4 alkyl amido and Ci-4 alkyl ester; or, when one of R26a and R26b is H , the other is selected from nitrile and a C1-4 alkyl ester;
R6 and R9 are independently selected from H, R, OH, OR, SH, SR, NH2, NHR, NRR', nitro, Me3Sn and halo;
where R and R' are independently selected from optionally substituted C1-12 alkyl, C3-2o heterocyclyl and C5-20 aryl groups;
R7 is selected from H, R, OH, OR, SH, SR, NH2, NHR, NHRR', nitro, Me3Sn and halo;
R" is a C3-12 alkylene group, which chain may be interrupted by one or more heteroatoms, e.g. O, S, NRN2 (where RN2 is H or Ci-4 alkyl), and/or aromatic rings, e.g. benzene or pyridine;
Y and Y' are selected from O, S, or NH;
R6 , R7 , R9 are selected from the same groups as R6, R7 and R9 respectively;
[Formula I]
RL1 is a linker for connection to the antibody (Ab);
R11a is selected from OH, ORA, where RA is Ci-4 alkyl, and SOzM, where z is 2 or 3 and M is a monovalent pharmaceutically acceptable cation;
R20 and R21 either together form a double bond between the nitrogen and carbon atoms to which they are bound or;
R20 is selected from H and Rc, where Rc is a capping group;
R21 is selected from OH, ORA and SOzM;
when there is a double bond present between C2 and C3, R2 is selected from the group consisting of:
(ia) C5-10 aryl group, optionally substituted by one or more substituents selected from the group comprising: halo, nitro, cyano, ether, carboxy, ester, Ci-7 alkyl, C3-7 heterocyclyl and bis-oxy-Ci-3 alkylene;
(ib) C1-5 saturated aliphatic alkyl;
(ic) C3-6 saturated cycloalkyl;
C1-3 saturated alkyl, C2-3 alkenyl, C2-3 alkynyl and cyclopropyl, where the total number of carbon atoms in the R2 group is no more than 5;
(ie) , wherein one of R15a and R15b is H and the other is selected from phenyl, which phenyl is optionally substituted by a group selected from halo, methyl, methoxy; pyridyl; and thiophenyl; and
(if)
, where R14 is selected from: H; Ci-3 saturated alkyl; C2-3 alkenyl; C2-3 alkynyl; cyclopropyl; phenyl, which phenyl is optionally substituted by a group selected from halo, methyl, methoxy; pyridyl; and thiophenyl;
when there is a single bond present between C2 and C3,
saturated alkyl, C2-3 alkenyl, which alkyl and alkenyl groups are optionally substituted by a group selected from C1-4 alkyl amido and C1-4 alkyl ester; or, when one of R16a and R16b is H, the other is selected from nitrile and a C1-4 alkyl ester;
[Formula II]
R22 is of formula Ilia, formula 1Mb or formula 111 c:
(a) ^ Q1' A-Q2'X "la
where A is a C5-7 aryl group, and either
(i) Q1 is a single bond, and Q2 is selected from a single bond and -Z-(CH2)n-, where Z is selected from a single bond, O, S and NH and n is from 1 to 3; or
where;
where Q is selected from 0-RL2', S-RL2' and NRN-RL2 , and RN is selected from H , methyl and ethyl
NHNH-RL2 , CONHNH-RL2 , , , NRNRL2 , wherein RN is selected from the group comprising H and C1-4 alkyl;
RL2 is a linker for connection to the antibody (Ab);
R10 and R11 either together form a double bond between the nitrogen and carbon atoms to which they are bound or;
R10 is H and R11 is selected from OH, ORA and SOzM;
R30 and R31 either together form a double bond between the nitrogen and carbon atoms to which they are bound or;
R30 is H and R31 is selected from OH, ORA and SOzM.
ConjD
ConjE
3. The conjugate according to either claim 1 or claim 2, wherein R7 is selected from H, OH and OR. 4. The conjugate according to claim 3, wherein R7 is a Ci-4 alkyloxy group.
5. The conjugate according to any one of claims 1 to 4, wherein Y is O.
6. The conjugate according to any one of the preceding claims, wherein R" is C3-7 alkylene.
7. The conjugate according to any one of claims 1 to 6, wherein R9 is H.
8. The conjugate according to any one of claims 1 to 7, wherein R6 is selected from H and halo.
9. The conjugate according to any one of claims 1 to 8, wherein there is a double bond between C2' and C3\ and R12 is a C5-7 aryl group. 10. The conjugate according to claim 9, wherein R12 is phenyl.
1 1. The conjugate according to any one of claims 1 to 8, wherein there is a double bond between C2' and C3\ and R12 is a C8-io aryl group. 12. The conjugate according to any one of claims 9 to 1 1 , wherein R12 bears one to three substituent groups.
13. The conjugate according to any one of claims 9 to 12, wherein the substituents are selected from methoxy, ethoxy, fluoro, chloro, cyano, bis-oxy-methylene, methyl-piperazinyl, morpholino and methyl-thiophenyl.
14. The conjugate according to any one of claims 1 to 8, wherein there is a double bond between C2' and C3', and R12 is a Ci-5 saturated aliphatic alkyl group. 15. A compound according to claim 16, wherein R12 is methyl, ethyl or propyl.
16. The conjugate according to any one of claims 1 to 8, wherein there is a double bond between C2' and C3\ and R12 is a C3-6 saturated cycloalkyl group.
17. The conjugate according to claim 16, wherein R12 is cyclopropyl.
18. The conjugate according to any one of claims 1 to 8, wherein there is a double bond and R12 is a group of formula:
The conjugate according to claim 18, wherein the total number of carbon atoms in 2 group is no more than 4.
20. The conjugate according to claim 19, wherein the total number of carbon atoms in the R12 group is no more than 3.
21. The conjugate according to any one of claims 18 to 20, wherein one of R21, R22 and R23 is H, with the other two groups being selected from H, C1-3 saturated alkyl, C2-3 alkenyl, C2-3 alkynyl and cyclopropyl. 22. The conjugate according to any one of claims 18 to 20, wherein two of R21, R22 and R23 are H, with the other group being selected from H, Ci-3 saturated alkyl, C2-3 alkenyl, C2-3 alkynyl and cyclopropyl.
23. The conjugate according to any one of claims 1 to 8, wherein there is a double bond and C3', and R12 is a group of formula:
25. The conjugate according to any one of claims 1 to 8, wherein there is a double bond and R12 is a group of formula:
26. The conjugate according to claim 25, wherein R is selected from H, methyl, ethyl, ethenyl and ethynyl.
27. The conjugate according to claim 26, wherein R24 is selected from H and methyl. 28. The conjugate according to any one of claims 1 to 8, wherein there is a single bond
The conjugate according to any one of claims 1 to 8, wherein there is a single bond
30. The conjugate according to any one of claims 1 to 8, wherein there is a single bond
between C2' and C3', R12 is
, one of R26a and R26b is H, and the other is selected from C-i-4 saturated alkyl, C2-3 alkenyl, which alkyl and alkenyl groups are optionally substituted.
[Formula I]
31. The conjugate according to any one of claims 1 to 30, wherein there is a double bond between C2 and C3, and R2 is a C5-7 aryl group. 32. The conjugate according to claim 31 , wherein R2 is phenyl.
33. The conjugate according to any one of claims 1 to 30, wherein there is a double bond between C2 and C3, and R1 is a C8-io aryl group.
34. A compound according to any one of claims 31 to 33, wherein R2 bears one to three substituent groups.
35. The conjugate according to any one of claims 31 to 34, wherein the substituents are selected from methoxy, ethoxy, fluoro, chloro, cyano, bis-oxy-methylene, methyl-piperazinyl, morpholino and methyl-thiophenyl.
36. The conjugate according to any one of claims 1 to 30, wherein there is a double bond between C2 and C3, and R2 is a Ci-5 saturated aliphatic alkyl group.
37. The conjugate according to claim 36, wherein R2 is methyl, ethyl or propyl.
38. The conjugate according to any one of claims 1 to 30, wherein there is a double bond between C2 and C3, and R2 is a C3-6 saturated cycloalkyl group.
39. The conjugate according to claim 38, wherein R2 is cyclopropyl.
40. The conjugate according to any one of claims 1 to 30, wherein there is a double bond between C2 and C3, and R2 is a group of formula:
41. The conjugate according to claim 40, wherein the total number of carbon atoms in the R2 group is no more than 4. 42. The conjugate according to claim 41 , wherein the total number of carbon atoms in the R2 group is no more than 3.
43. The conjugate according to any one of claims 40 to 42, wherein one of R11, R12 and R13 is H, with the other two groups being selected from H, Ci-3 saturated alkyl, C2-3 alkenyl, C2-3 alkynyl and cyclopropyl.
44. The conjugate according to any one of claims 40 to 42, wherein two of R11 , R12 and R13 are H, with the other group being selected from H, Ci-3 saturated alkyl, C2-3 alkenyl, C2-3 alkynyl and cyclopropyl. 45. The conjugate according to any one of claims 1 to 30, wherein there is a double bond between C2 and C3, and R2 is a group of formula:
ugate according to claim 45, wherein R2 is the group
47. The conjugate according to any one of claims 1 to 30, wherein there is a double bond between C2 and C3, and R2 is a group of formula:
48. The conjugate according to claim 48, wherein R 4 is selected from H, methyl, ethyl, ethenyl and ethynyl.
49. The conjugate according to claim 48, wherein R14 is selected from H and methyl.
50. The conjugate according to any one of claims 1 to 30, wherein there is a single bond
51. The conjugate according to any one of claims 1 to 30, wherein there is a single bond
between C2 and C3, R2 is
, and R16a and R16 are both methyl.
The conjugate according to any one of claims 1 to 30, wherein there is a single bond
, one of R16a and R16b is H, and the other is selected from C-i-4 saturated alkyl, C2-3 alkenyl, which alkyl and alkenyl groups are optionally substituted.
53. The conjugate according to any one of claims 1 to 52, wherein R11a is OH.
54. The conjugate according to any one of claims 1 to 53, wherein R21 is OH. 55. The conjugate according to any one of claims 1 to 53, wherein R21 is OMe.
56. The conjugate according to any one of claims 1 to 55, wherein R20 is H.
57. The conjugate according to any one of claims 1 to 55, wherein R20 is Rc.
58. The conjugate according to claim 57, wherein Rc is selected from the group consisting of: Alloc, Fmoc, Boc, Troc, Teoc, Psec, Cbz and PNZ.
where the asterisk indicates the point of attachment to the N10 position, G2 is a terminating group, L3 is a covalent bond or a cleavable linker L1, L2 is a covalent bond or together with OC(=0) forms a self-immolative linker.
61. The conjugate according to claim 60, wherein G2 is Ac or Moc or is selected from the group consisting of: Alloc, Fmoc, Boc, Troc, Teoc, Psec, Cbz and PNZ.
62. The conjugate according to any one of claims 1 to 53, wherein R20 and R21 together form a double bond between the nitrogen and carbon atoms to which they are bound.
[Formula II]
63. The conjugate according to any one of claims 1 to 30, wherein R is of formula Ilia, and A is phenyl.
64. The conjugate according to any one of claims 1 to 30 and claim 63, wherein R22 is of formula lla, and Q1 is a single bond.
65. The conjugate according to claim 63, wherein Q2 is a single bond.
66. The conjugate according to claim 63, wherein Q2 is -Z-(CH2)n-, Z is O or S and n is 1 or 2.
67. The conjugate according any one of claims 1 to 30 and claim 63, wherein R22 is of formula Ilia, and Q1 is -CH=CH-. 68. The conjugate according to any one of claims 1 to 30, wherein R22 is of formula 1Mb, and RC1 , RC2 and RC3 are independently selected from H and methyl.
69. The conjugate according to claim 68, wherein RC1 , RC2 and RC3 are all H. 70. The conjugate according to claim 68, wherein RC1 , RC2 and RC3 are all methyl.
71. The conjugate according to any one of claims 1 to 30 and claims 63 to 70, wherein is of for mmuullaa IIlliiaa oorr ffoorrnmula 1Mb and X is selected from 0-RL2. S-RL2. C02
-N-C(=0)-RL2' and NH-RL2'.
72. The conjugate according to claim 71 , wherein X is NH-RL2.
73. The conjugate according to any one of claims 1 to 30, wherein R22 is of formula 111 c, and Q is NRN-RL2'.
74. The conjugate according to claim 73, wherein RN is H or methyl.
The conjugate according to any one of claims 1 to 30, wherein R is of formula 111 c, and Q is 0-RL2' or S-R1
76. The conjugate according to any one of claims 1 to 30 and claims 63 to 75, wherein R11 is OH.
77. The conjugate according to any one of claims 1 to 30 and claims 63 to 75, wherein R11 is OMe.
78. The conjugate according to any one of claims 1 to 30 and claims 63 to 77, wherein R10 is H. 79. The conjugate according to any one of claims 1 to 30 and claims 63 to 75, wherein R10 and R11 together form a double bond between the nitrogen and carbon atoms to which they are bound.
80. The conjugate according to any one of claims 1 to 30 and claims 63 to 79, wherein R31 is OH.
81. The conjugate according to any one of claims 1 to 30 and claims 63 to 79, wherein R31 is OMe. 82. The conjugate according to any one of claims 1 to 30 and claims 63 to 81 , wherein R30 is H.
83. The conjugate according to any one of claims 1 to 30 and claims 63 to 79, wherein R30 and R31 together form a double bond between the nitrogen and carbon atoms to which they are bound.
84. The conjugate according to any one of claims 1 to 83, wherein R6 , R7 , R9 , and Y' are the same as R6, R7, R9, and Y. 85. The conjugate according to any one of claims 1 to 84 wherein, wherein L-RL1 or L-RL2 is a group:
Θ , 1 o
where the asterisk indicates the point of attachment to the PBD, Ab is the antibody, L1 is a cleavable linker, A is a connecting group connecting L1 to the antibody, L2 is a covalent bond or together with -OC(=0)- forms a self-immolative linker.
86. The conjugate of claim 85, wherein L1 is enzyme cleavable.
87. The conjugate of claim 85 or claim 86, wherein L1 comprises a contiguous sequence of amino acids.
88. The conjugate of claim 87, wherein L1 comprises a dipeptide and the group -X-|-X2- in dipeptide,
is selected from:
-Phe-Lys-,
-Val-Ala-,
-Val-Lys-,
-Ala-Lys-,
-Val-Cit-,
-Phe-Cit-,
-Leu-Cit-,
-lle-Cit-,
-Phe-Arg-,
-Trp-Cit-.
89. The conjugate according to claim 88, wherein the group -X X2- in dipeptide, -NH-X X2-CO-, is selected from:
-Phe-Lys-,
-Val-Ala-,
-Val-Lys-,
-Ala-Lys-,
-Val-Cit-.
90. The conjugate according to claim 89, wherein the group -X X2- in dipeptide, -NH-X-i- X2-CO-, is -Phe-Lys-, -Val-Ala- or -Val-Cit-.
91. The conjugate according to any one of claims 88 to 90, wherein the group X2-CO- is connected to L2. 92. The conjugate according to any one of claims 88 to 91 , wherein the group NH-X is connected to A.
93. The conjugate according to any one of claims 88 to 92, wherein L2 together with OC(=0) forms a self-immolative linker.
94. The conjugate according to claim 93, wherein C(=0)0 and L2 together form the group:
where the asterisk indicates the point of attachment to the PBD, the wavy line indicates the point of attachment to the linker L1, Y is NH, O, C(=0)NH or C(=0)0, and n is 0 to 3.
95. The conjugate according to claim 94, wherein Y is NH. 96. The conjugate according to claim 94 or claim 95, wherein n is 0.
97. The conjugate according to claim 95, wherein L1 and L2 together with -OC(=0)- comprise a group selected from:
or
where the asterisk indicates the point of attachment to the PBD, and the wavy line indicates the point of attachment to the remaining portion of the linker L1 or the point of attachment to A.
98. The conjugate according to claim 97, wherein the wavy line indicates the point of attachment to A. 99. The conjugate according to any one of claims 85 to 98, wherein A is: (i)
where the asterisk indicates the point of attachment to L1, the wavy line indicates the point of attachment to the antibody, and n is 0 to 6; or
(ii)
where the asterisk indicates the point of attachment to L1, the wavy line indicates the point of attachment to the antibody, n is 0 or 1 , and m is 0 to 30.
100. A conjugate according to claim 1 of formula ConjA:
ConjD
ConjE
101 . The conjugate according to any one of claims 1 to 100 wherein the antibody is an isolated antibody or antibody fragment that binds to human CD22, comprising a heavy chain and light chain complementarity determining regions (CDRs) derived from the variable regions from one or more of VM1000, VM1001 , VM1002, VM1003, VM1004, VM1005, VM1006, VM1007, VM1008, VM1009, VM1010, VM101 1 , VM1012, VM1013, VM1014, or VM1015, and a constant region derived from one or more human antibodies. 102. The conjugate according to claim 101 wherein the paired VH and VL domains have the sequences of: SEQ ID NO. 1 paired with SEQ ID NO. 7, SEQ ID NO. 2 paired with SEQ ID NO. 8, SEQ ID NO. 3 paired with SEQ ID NO. 9, SEQ ID NO. 4 paired with SEQ ID NO. 10, SEQ ID NO. 5 paired with SEQ ID NO. 1 1 , or SEQ ID NO. 6 paired with SEQ ID NO. 12. 103. The conjugate according to any one of claims 1 to 101 wherein the isolated antibody or antibody fragment comprises:
(i) a heavy chain variable region having the amino acid sequence of SEQ ID NO: 60 and a light chain variable region having the amino acid sequence of SEQ ID NO: 18;
(ii) a heavy chain variable region having the amino acid sequence of SEQ ID NO: 50 and a light chain variable region having the amino acid sequence of SEQ ID NO: 18;
(iii) a heavy chain variable region having the amino acid sequence of SEQ ID NO: 51 and a light chain variable region having the amino acid sequence of SEQ ID NO: 18.
104. The conjugate according to any one of claims 1 to 103 wherein said antibody or fragment competitively inhibits in vivo the binding to human CD22 of an anti CD22 murine antibody. 105. The conjugate according to any one of claims 1 to 103 wherein said antibody or specified portion or variant binds CD22 with an affinity (Kd) of at least 10"9 M.
106. The conjugate according to any one of claims 1 to 103 wherein said antibody or specified portion or variant binds CD22 with an affinity (Kd) of at least 10"11 M.
107. The conjugate according to any one of claims 1 to 103 wherein said antibody or specified portion or variant binds CD22 with an affinity (Kd) of at least 10"12 M.
108. The conjugate according to any one of claims 1 to 103 wherein said antibody or specified portion or variant substantially neutralizes at least one activity of at least one
CD22.
109. The conjugate according to any one of claims 1 to 108 wherein the drug loading (p) of drugs (D) to antibody (Ab) is an integer from 1 to about 8.
1 10. The conjugate according to claim 109, wherein p is 1 , 2, 3, or 4.
1 1 1 . The conjugate according to claim 109 comprising a mixture of the antibody-drug conjugate compounds, wherein the average drug loading per antibody in the mixture of antibody-drug conjugate compounds is about 2 to about 5.
1 12. The conjugate according to any one of claims 1 to 1 1 1 , for use in therapy.
1 13. The conjugate according to any one of claims 1 to 1 1 1 , for use in the treatment of a proliferative disease in a subject.
1 14. The conjugate according to claim 1 13, wherein the disease is cancer.
1 15. A pharmaceutical composition comprising the conjugate of any one of claims 1 to 1 1 1 and a pharmaceutically acceptable diluent, carrier or excipient.
1 16. The pharmaceutical composition of claim 1 15 further comprising a therapeutically effective amount of a chemotherapeutic agent.
1 17. Use of a conjugate according to any one of claims 1 to 1 1 1 in the preparation of a medicament for use in the treatment of a proliferative disease in a subject.
1 18. A method of treating cancer comprising administering to a patient the pharmaceutical composition of claim 1 15. 1 19. The method of claim 1 18 wherein the patient is administered a chemotherapeutic agent, in combination with the conjugate.
Applications Claiming Priority (10)
| Application Number | Priority Date | Filing Date | Title |
|---|---|---|---|
| US201261712924P | 2012-10-12 | 2012-10-12 | |
| US201261712928P | 2012-10-12 | 2012-10-12 | |
| US61/712,928 | 2012-10-12 | ||
| US61/712,924 | 2012-10-12 | ||
| US201361794884P | 2013-03-15 | 2013-03-15 | |
| US201361794843P | 2013-03-15 | 2013-03-15 | |
| US201361794797P | 2013-03-15 | 2013-03-15 | |
| US61/794,884 | 2013-03-15 | ||
| US61/794,843 | 2013-03-15 | ||
| US61/794,797 | 2013-03-15 |
Publications (1)
| Publication Number | Publication Date |
|---|---|
| WO2014057118A1 true WO2014057118A1 (en) | 2014-04-17 |
Family
ID=49622781
Family Applications (1)
| Application Number | Title | Priority Date | Filing Date |
|---|---|---|---|
| PCT/EP2013/071347 Ceased WO2014057118A1 (en) | 2012-10-12 | 2013-10-11 | Pyrrolobenzodiazepine-anti-cd22 antibody conjugates |
Country Status (1)
| Country | Link |
|---|---|
| WO (1) | WO2014057118A1 (en) |
Cited By (52)
| Publication number | Priority date | Publication date | Assignee | Title |
|---|---|---|---|---|
| WO2015196089A1 (en) * | 2014-06-20 | 2015-12-23 | Bioalliance C.V. | Anti-cd22 antibody-drug conjugates and methods of using thereof |
| EP2841459A4 (en) * | 2012-04-26 | 2016-04-13 | Bioatla Llc | Anti-cd22 antibodies |
| US9388187B2 (en) | 2011-10-14 | 2016-07-12 | Medimmune Limited | Pyrrolobenzodiazepines |
| US9387259B2 (en) | 2011-10-14 | 2016-07-12 | Seattle Genetics, Inc. | Pyrrolobenzodiazepines and targeted conjugates |
| US9399641B2 (en) | 2011-09-20 | 2016-07-26 | Medimmune Limited | Pyrrolobenzodiazepines as unsymmetrical dimeric PBD compounds for inclusion in targeted conjugates |
| US9399073B2 (en) | 2011-10-14 | 2016-07-26 | Seattle Genetics, Inc. | Pyrrolobenzodiazepines |
| US9408923B2 (en) | 2012-12-21 | 2016-08-09 | Bioalliance C.V. | Hydrophilic self-immolative linkers and conjugates thereof |
| US9415117B2 (en) | 2012-10-12 | 2016-08-16 | Medimmune Limited | Pyrrolobenzodiazepines and conjugates thereof |
| WO2016166307A1 (en) * | 2015-04-15 | 2016-10-20 | Van Berkel Patricius Hendrikus Cornelis | Site-specific antibody-drug conjugates |
| WO2016166304A1 (en) * | 2015-04-15 | 2016-10-20 | Van Berkel Patricius Hendrikus Cornelis | Site-specific antibody-drug conjugates |
| US9526798B2 (en) | 2011-10-14 | 2016-12-27 | Seattle Genetics, Inc. | Pyrrolobenzodiazepines and targeted conjugates |
| US9562049B2 (en) | 2012-12-21 | 2017-02-07 | Medimmune Limited | Pyrrolobenzodiazepines and conjugates thereof |
| US9567340B2 (en) | 2012-12-21 | 2017-02-14 | Medimmune Limited | Unsymmetrical pyrrolobenzodiazepines-dimers for use in the treatment of proliferative and autoimmune diseases |
| US9592240B2 (en) | 2010-04-15 | 2017-03-14 | Seattle Genetics Inc. | Targeted pyrrolobenzodiazapine conjugates |
| US9624227B2 (en) | 2008-10-17 | 2017-04-18 | Medimmune Limited | Unsymmetrical pyrrolobenzodiazepine-dimers for treatment of proliferative diseases |
| US9649390B2 (en) | 2013-03-13 | 2017-05-16 | Medimmune Limited | Pyrrolobenzodiazepines and conjugates thereof |
| US9732084B2 (en) | 2010-04-15 | 2017-08-15 | Medimmune Limited | Pyrrolobenzodiazepines used to treat proliferative diseases |
| US9745303B2 (en) | 2012-10-12 | 2017-08-29 | Medimmune Limited | Synthesis and intermediates of pyrrolobenzodiazepine derivatives for conjugation |
| EP2906251B1 (en) * | 2012-10-12 | 2017-09-27 | ADC Therapeutics SA | Pyrrolobenzodiazepine-anti-cd22 antibody conjugates |
| US9821074B2 (en) | 2013-03-13 | 2017-11-21 | Genentech, Inc. | Pyrrolobenzodiazepines and conjugates thereof |
| US9889207B2 (en) | 2012-10-12 | 2018-02-13 | Medimmune Limited | Pyrrolobenzodiazepines and conjugates thereof |
| US9950077B2 (en) | 2014-06-20 | 2018-04-24 | Bioalliance C.V. | Anti-folate receptor alpha (FRA) antibody-drug conjugates and methods of using thereof |
| US9956298B2 (en) | 2013-10-11 | 2018-05-01 | Medimmune Limited | Pyrrolobenzodiazepines and conjugates thereof |
| US10029018B2 (en) | 2013-10-11 | 2018-07-24 | Medimmune Limited | Pyrrolobenzodiazepines and conjugates thereof |
| US10058613B2 (en) | 2015-10-02 | 2018-08-28 | Genentech, Inc. | Pyrrolobenzodiazepine antibody drug conjugates and methods of use |
| US10179820B2 (en) | 2014-09-12 | 2019-01-15 | Genentech, Inc. | Anti-HER2 antibodies and immunoconjugates |
| US10392393B2 (en) | 2016-01-26 | 2019-08-27 | Medimmune Limited | Pyrrolobenzodiazepines |
| US10420777B2 (en) | 2014-09-12 | 2019-09-24 | Medimmune Limited | Pyrrolobenzodiazepines and conjugates thereof |
| US10472422B2 (en) | 2016-01-08 | 2019-11-12 | Abgenomics International Inc. | Tetravalent anti-PSGL-1 antibodies and uses thereof |
| US10543279B2 (en) | 2016-04-29 | 2020-01-28 | Medimmune Limited | Pyrrolobenzodiazepine conjugates and their use for the treatment of cancer |
| US10544223B2 (en) | 2017-04-20 | 2020-01-28 | Adc Therapeutics Sa | Combination therapy with an anti-axl antibody-drug conjugate |
| US10695439B2 (en) | 2016-02-10 | 2020-06-30 | Medimmune Limited | Pyrrolobenzodiazepine conjugates |
| US10780096B2 (en) | 2014-11-25 | 2020-09-22 | Adc Therapeutics Sa | Pyrrolobenzodiazepine-antibody conjugates |
| US10799595B2 (en) | 2016-10-14 | 2020-10-13 | Medimmune Limited | Pyrrolobenzodiazepine conjugates |
| US11059893B2 (en) | 2015-04-15 | 2021-07-13 | Bergenbio Asa | Humanized anti-AXL antibodies |
| US11160872B2 (en) | 2017-02-08 | 2021-11-02 | Adc Therapeutics Sa | Pyrrolobenzodiazepine-antibody conjugates |
| US11318211B2 (en) | 2017-06-14 | 2022-05-03 | Adc Therapeutics Sa | Dosage regimes for the administration of an anti-CD19 ADC |
| US11352324B2 (en) | 2018-03-01 | 2022-06-07 | Medimmune Limited | Methods |
| US11370801B2 (en) | 2017-04-18 | 2022-06-28 | Medimmune Limited | Pyrrolobenzodiazepine conjugates |
| US11384098B2 (en) | 2017-02-08 | 2022-07-12 | Adc Therapeutics Sa | Pyrrolobenzodiazepine-antibody conjugates |
| US11426467B2 (en) | 2017-06-14 | 2022-08-30 | Adc Therapeutics Sa | Dosage regimes for the administration of an anti-CD25 ADC |
| US11484606B2 (en) | 2019-06-07 | 2022-11-01 | Adc Therapeutics Sa | Pyrrolobenzodiazepine-antibody conjugates |
| US11517626B2 (en) | 2016-02-10 | 2022-12-06 | Medimmune Limited | Pyrrolobenzodiazepine antibody conjugates |
| US11524969B2 (en) | 2018-04-12 | 2022-12-13 | Medimmune Limited | Pyrrolobenzodiazepines and conjugates thereof as antitumour agents |
| US11583590B2 (en) | 2017-09-29 | 2023-02-21 | Daiichi Sankyo Company, Limited | Antibody-pyrrolobenzodiazepine derivative conjugate and method of use thereof for treating a tumor |
| US11596696B2 (en) | 2017-04-20 | 2023-03-07 | Adc Therapeutics Sa | Combination therapy with an anti-CD25 antibody-drug conjugate |
| US11612665B2 (en) | 2017-02-08 | 2023-03-28 | Medimmune Limited | Pyrrolobenzodiazepine-antibody conjugates |
| US11649250B2 (en) | 2017-08-18 | 2023-05-16 | Medimmune Limited | Pyrrolobenzodiazepine conjugates |
| US11752197B2 (en) | 2019-08-12 | 2023-09-12 | Regeneron Pharmaceuticals, Inc. | Macrophage stimulating 1 receptor (MST1R) variants and uses thereof |
| WO2024005123A1 (en) | 2022-06-30 | 2024-01-04 | 東レ株式会社 | Pharmaceutical composition for treating and/or preventing cancer |
| US11976122B2 (en) | 2020-07-31 | 2024-05-07 | Adc Therapeutics Sa | Anti-IL13Rα2 antibodies |
| US12209099B2 (en) | 2019-03-15 | 2025-01-28 | Medimmune Limited | Azetidobenzodiazepine dimers and conjugates comprising them for use in the treatment of cancer |
Citations (11)
| Publication number | Priority date | Publication date | Assignee | Title |
|---|---|---|---|---|
| WO2003104425A2 (en) * | 2002-06-07 | 2003-12-18 | The Government Of The United States Of America, As Represented By The Secretary Of The Department Of Health And Human Services | Novel stable anti-cd22 antibodies |
| EP1609803A1 (en) * | 2003-03-31 | 2005-12-28 | Chugai Seiyaku Kabushiki Kaisha | Modified antibody against cd22 and utilization thereof |
| WO2011050262A2 (en) * | 2009-10-23 | 2011-04-28 | Abbott Laboratories | Dual variable domain immunoglobulins and uses thereof |
| WO2011130613A1 (en) * | 2010-04-15 | 2011-10-20 | Seattle Genetics, Inc. | Targeted pyrrolobenzodiazapine conjugates |
| WO2011130598A1 (en) * | 2010-04-15 | 2011-10-20 | Spirogen Limited | Pyrrolobenzodiazepines and conjugates thereof |
| WO2011130616A1 (en) * | 2010-04-15 | 2011-10-20 | Spirogen Limited | Pyrrolobenzodiazepines used to treat proliferative diseases |
| WO2012112687A1 (en) * | 2011-02-15 | 2012-08-23 | Immunogen, Inc. | Methods of preparation of conjugates |
| WO2013055987A1 (en) * | 2011-10-14 | 2013-04-18 | Spirogen Sàrl | Pyrrolobenzodiazepines and conjugates thereof |
| WO2013163519A1 (en) * | 2012-04-26 | 2013-10-31 | Jay Short | Anti-cd22 antibodies |
| WO2013177481A1 (en) * | 2012-05-25 | 2013-11-28 | Immunogen, Inc. | Benzodiazepines and conjugates thereof |
| WO2014011518A1 (en) * | 2012-07-09 | 2014-01-16 | Genentech, Inc. | Immunoconjugates comprising anti-cd22 antibodies |
-
2013
- 2013-10-11 WO PCT/EP2013/071347 patent/WO2014057118A1/en not_active Ceased
Patent Citations (11)
| Publication number | Priority date | Publication date | Assignee | Title |
|---|---|---|---|---|
| WO2003104425A2 (en) * | 2002-06-07 | 2003-12-18 | The Government Of The United States Of America, As Represented By The Secretary Of The Department Of Health And Human Services | Novel stable anti-cd22 antibodies |
| EP1609803A1 (en) * | 2003-03-31 | 2005-12-28 | Chugai Seiyaku Kabushiki Kaisha | Modified antibody against cd22 and utilization thereof |
| WO2011050262A2 (en) * | 2009-10-23 | 2011-04-28 | Abbott Laboratories | Dual variable domain immunoglobulins and uses thereof |
| WO2011130613A1 (en) * | 2010-04-15 | 2011-10-20 | Seattle Genetics, Inc. | Targeted pyrrolobenzodiazapine conjugates |
| WO2011130598A1 (en) * | 2010-04-15 | 2011-10-20 | Spirogen Limited | Pyrrolobenzodiazepines and conjugates thereof |
| WO2011130616A1 (en) * | 2010-04-15 | 2011-10-20 | Spirogen Limited | Pyrrolobenzodiazepines used to treat proliferative diseases |
| WO2012112687A1 (en) * | 2011-02-15 | 2012-08-23 | Immunogen, Inc. | Methods of preparation of conjugates |
| WO2013055987A1 (en) * | 2011-10-14 | 2013-04-18 | Spirogen Sàrl | Pyrrolobenzodiazepines and conjugates thereof |
| WO2013163519A1 (en) * | 2012-04-26 | 2013-10-31 | Jay Short | Anti-cd22 antibodies |
| WO2013177481A1 (en) * | 2012-05-25 | 2013-11-28 | Immunogen, Inc. | Benzodiazepines and conjugates thereof |
| WO2014011518A1 (en) * | 2012-07-09 | 2014-01-16 | Genentech, Inc. | Immunoconjugates comprising anti-cd22 antibodies |
Cited By (84)
| Publication number | Priority date | Publication date | Assignee | Title |
|---|---|---|---|---|
| US9624227B2 (en) | 2008-10-17 | 2017-04-18 | Medimmune Limited | Unsymmetrical pyrrolobenzodiazepine-dimers for treatment of proliferative diseases |
| US9592240B2 (en) | 2010-04-15 | 2017-03-14 | Seattle Genetics Inc. | Targeted pyrrolobenzodiazapine conjugates |
| US10561739B2 (en) | 2010-04-15 | 2020-02-18 | Seattle Genetics Inc. | Targeted pyrrolobenzodiazapine conjugates |
| US9732084B2 (en) | 2010-04-15 | 2017-08-15 | Medimmune Limited | Pyrrolobenzodiazepines used to treat proliferative diseases |
| US9399641B2 (en) | 2011-09-20 | 2016-07-26 | Medimmune Limited | Pyrrolobenzodiazepines as unsymmetrical dimeric PBD compounds for inclusion in targeted conjugates |
| US9399073B2 (en) | 2011-10-14 | 2016-07-26 | Seattle Genetics, Inc. | Pyrrolobenzodiazepines |
| US10329352B2 (en) | 2011-10-14 | 2019-06-25 | Seattle Genetics, Inc. | Pyrrolobenzodiazepines and targeted conjugates |
| US10328084B2 (en) | 2011-10-14 | 2019-06-25 | Seattle Genetics, Inc. | Pyrrolobenzodiazepines and targeted conjugates |
| US9526798B2 (en) | 2011-10-14 | 2016-12-27 | Seattle Genetics, Inc. | Pyrrolobenzodiazepines and targeted conjugates |
| US9713647B2 (en) | 2011-10-14 | 2017-07-25 | Seattle Genetics, Inc. | Pyrrolobenzodiazepines and targeted conjugates |
| US9707301B2 (en) | 2011-10-14 | 2017-07-18 | Seattle Genetics, Inc. | Pyrrolobenzodiazepines and targeted conjugates |
| US9387259B2 (en) | 2011-10-14 | 2016-07-12 | Seattle Genetics, Inc. | Pyrrolobenzodiazepines and targeted conjugates |
| US9388187B2 (en) | 2011-10-14 | 2016-07-12 | Medimmune Limited | Pyrrolobenzodiazepines |
| US9856323B2 (en) | 2012-04-26 | 2018-01-02 | Bioatla, Llc | Anti-CD22 antibodies |
| EP2841459A4 (en) * | 2012-04-26 | 2016-04-13 | Bioatla Llc | Anti-cd22 antibodies |
| EP2906251B1 (en) * | 2012-10-12 | 2017-09-27 | ADC Therapeutics SA | Pyrrolobenzodiazepine-anti-cd22 antibody conjugates |
| US10646584B2 (en) | 2012-10-12 | 2020-05-12 | Medimmune Limited | Pyrrolobenzodiazepines and conjugates thereof |
| US12121590B2 (en) | 2012-10-12 | 2024-10-22 | Medimmune Limited | Pyrrolobenzodiazepines and conjugates thereof |
| US9745303B2 (en) | 2012-10-12 | 2017-08-29 | Medimmune Limited | Synthesis and intermediates of pyrrolobenzodiazepine derivatives for conjugation |
| US10994023B2 (en) | 2012-10-12 | 2021-05-04 | Medimmune Limited | Pyrrolobenzodiazepines and conjugates thereof |
| US10335497B2 (en) | 2012-10-12 | 2019-07-02 | Medimmune Limited | Pyrrolobenzodiazepines and conjugates thereof |
| US11701430B2 (en) | 2012-10-12 | 2023-07-18 | Medimmune Limited | Pyrrolobenzodiazepines and conjugates thereof |
| US9415117B2 (en) | 2012-10-12 | 2016-08-16 | Medimmune Limited | Pyrrolobenzodiazepines and conjugates thereof |
| US9889207B2 (en) | 2012-10-12 | 2018-02-13 | Medimmune Limited | Pyrrolobenzodiazepines and conjugates thereof |
| US9567340B2 (en) | 2012-12-21 | 2017-02-14 | Medimmune Limited | Unsymmetrical pyrrolobenzodiazepines-dimers for use in the treatment of proliferative and autoimmune diseases |
| US9562049B2 (en) | 2012-12-21 | 2017-02-07 | Medimmune Limited | Pyrrolobenzodiazepines and conjugates thereof |
| US9943610B2 (en) | 2012-12-21 | 2018-04-17 | Bioalliance C.V. | Hydrophilic self-immolative linkers and conjugates thereof |
| US9408923B2 (en) | 2012-12-21 | 2016-08-09 | Bioalliance C.V. | Hydrophilic self-immolative linkers and conjugates thereof |
| US10576164B2 (en) | 2013-03-13 | 2020-03-03 | Medimmune Limited | Pyrrolobenzodiazepines and conjugates thereof |
| US9821074B2 (en) | 2013-03-13 | 2017-11-21 | Genentech, Inc. | Pyrrolobenzodiazepines and conjugates thereof |
| US9649390B2 (en) | 2013-03-13 | 2017-05-16 | Medimmune Limited | Pyrrolobenzodiazepines and conjugates thereof |
| US9956298B2 (en) | 2013-10-11 | 2018-05-01 | Medimmune Limited | Pyrrolobenzodiazepines and conjugates thereof |
| US10029018B2 (en) | 2013-10-11 | 2018-07-24 | Medimmune Limited | Pyrrolobenzodiazepines and conjugates thereof |
| WO2015196089A1 (en) * | 2014-06-20 | 2015-12-23 | Bioalliance C.V. | Anti-cd22 antibody-drug conjugates and methods of using thereof |
| CN106661123A (en) * | 2014-06-20 | 2017-05-10 | 荷商台医(有限合伙)公司 | Anti-Cd22 Antibody-Drug Conjugates And Methods Of Using Thereof |
| US9950077B2 (en) | 2014-06-20 | 2018-04-24 | Bioalliance C.V. | Anti-folate receptor alpha (FRA) antibody-drug conjugates and methods of using thereof |
| EP3157961A4 (en) * | 2014-06-20 | 2018-01-24 | BioAlliance C.V. | Anti-cd22 antibody-drug conjugates and methods of using thereof |
| US12492263B2 (en) | 2014-09-12 | 2025-12-09 | Genentech, Inc. | Anti-HER2 antibodies and immunoconjugates |
| US10179820B2 (en) | 2014-09-12 | 2019-01-15 | Genentech, Inc. | Anti-HER2 antibodies and immunoconjugates |
| US10420777B2 (en) | 2014-09-12 | 2019-09-24 | Medimmune Limited | Pyrrolobenzodiazepines and conjugates thereof |
| US10556966B2 (en) | 2014-09-12 | 2020-02-11 | Genentech, Inc. | Anti-HER2 antibodies and immunoconjugates |
| US10780096B2 (en) | 2014-11-25 | 2020-09-22 | Adc Therapeutics Sa | Pyrrolobenzodiazepine-antibody conjugates |
| AU2016247584B2 (en) * | 2015-04-15 | 2021-01-28 | Adc Therapeutics S.A. | Site-specific antibody-drug conjugates |
| WO2016166301A1 (en) * | 2015-04-15 | 2016-10-20 | Van Berkel Patricius Hendrikus Cornelis | Site-specific antibody-drug conjugates |
| CN108093640B (en) * | 2015-04-15 | 2022-05-17 | Adc治疗股份有限公司 | Site-specific antibody-drug conjugates |
| CN108093640A (en) * | 2015-04-15 | 2018-05-29 | Adc治疗股份有限公司 | Site-specific antibodie-drug conjugate |
| US11702473B2 (en) | 2015-04-15 | 2023-07-18 | Medimmune Limited | Site-specific antibody-drug conjugates |
| KR20170137116A (en) * | 2015-04-15 | 2017-12-12 | 에이디씨 테라퓨틱스 에스에이 | Site-specific antibody-drug conjugate |
| KR102315256B1 (en) | 2015-04-15 | 2021-10-21 | 에이디씨 테라퓨틱스 에스에이 | Site-specific antibody-drug conjugates |
| JP2018516860A (en) * | 2015-04-15 | 2018-06-28 | メディミューン リミテッド | Site-specific antibody-drug complex |
| US11059893B2 (en) | 2015-04-15 | 2021-07-13 | Bergenbio Asa | Humanized anti-AXL antibodies |
| WO2016166307A1 (en) * | 2015-04-15 | 2016-10-20 | Van Berkel Patricius Hendrikus Cornelis | Site-specific antibody-drug conjugates |
| WO2016166304A1 (en) * | 2015-04-15 | 2016-10-20 | Van Berkel Patricius Hendrikus Cornelis | Site-specific antibody-drug conjugates |
| US10632196B2 (en) | 2015-10-02 | 2020-04-28 | Genentech, Inc. | Pyrrolobenzodiazepine antibody drug conjugates and methods of use |
| US10639373B2 (en) | 2015-10-02 | 2020-05-05 | Genentech, Inc. | Pyrrolobenzodiazepine antibody drug conjugates and methods of use |
| US10058613B2 (en) | 2015-10-02 | 2018-08-28 | Genentech, Inc. | Pyrrolobenzodiazepine antibody drug conjugates and methods of use |
| US10472422B2 (en) | 2016-01-08 | 2019-11-12 | Abgenomics International Inc. | Tetravalent anti-PSGL-1 antibodies and uses thereof |
| US10392393B2 (en) | 2016-01-26 | 2019-08-27 | Medimmune Limited | Pyrrolobenzodiazepines |
| US10695439B2 (en) | 2016-02-10 | 2020-06-30 | Medimmune Limited | Pyrrolobenzodiazepine conjugates |
| US11517626B2 (en) | 2016-02-10 | 2022-12-06 | Medimmune Limited | Pyrrolobenzodiazepine antibody conjugates |
| US10543279B2 (en) | 2016-04-29 | 2020-01-28 | Medimmune Limited | Pyrrolobenzodiazepine conjugates and their use for the treatment of cancer |
| US10799595B2 (en) | 2016-10-14 | 2020-10-13 | Medimmune Limited | Pyrrolobenzodiazepine conjugates |
| US11160872B2 (en) | 2017-02-08 | 2021-11-02 | Adc Therapeutics Sa | Pyrrolobenzodiazepine-antibody conjugates |
| US11612665B2 (en) | 2017-02-08 | 2023-03-28 | Medimmune Limited | Pyrrolobenzodiazepine-antibody conjugates |
| US11813335B2 (en) | 2017-02-08 | 2023-11-14 | Medimmune Limited | Pyrrolobenzodiazepine-antibody conjugates |
| US11384098B2 (en) | 2017-02-08 | 2022-07-12 | Adc Therapeutics Sa | Pyrrolobenzodiazepine-antibody conjugates |
| US11370801B2 (en) | 2017-04-18 | 2022-06-28 | Medimmune Limited | Pyrrolobenzodiazepine conjugates |
| US10544223B2 (en) | 2017-04-20 | 2020-01-28 | Adc Therapeutics Sa | Combination therapy with an anti-axl antibody-drug conjugate |
| US11596696B2 (en) | 2017-04-20 | 2023-03-07 | Adc Therapeutics Sa | Combination therapy with an anti-CD25 antibody-drug conjugate |
| US11318211B2 (en) | 2017-06-14 | 2022-05-03 | Adc Therapeutics Sa | Dosage regimes for the administration of an anti-CD19 ADC |
| US11426467B2 (en) | 2017-06-14 | 2022-08-30 | Adc Therapeutics Sa | Dosage regimes for the administration of an anti-CD25 ADC |
| US11938192B2 (en) | 2017-06-14 | 2024-03-26 | Medimmune Limited | Dosage regimes for the administration of an anti-CD19 ADC |
| US11649250B2 (en) | 2017-08-18 | 2023-05-16 | Medimmune Limited | Pyrrolobenzodiazepine conjugates |
| US11628223B2 (en) | 2017-09-29 | 2023-04-18 | Daiichi Sankyo Company, Limited | Antibody-drug conjugates comprising substituted benzo[e]pyrrolo[1,2-α][1,4]diazepines |
| US11583590B2 (en) | 2017-09-29 | 2023-02-21 | Daiichi Sankyo Company, Limited | Antibody-pyrrolobenzodiazepine derivative conjugate and method of use thereof for treating a tumor |
| US12350344B2 (en) | 2017-09-29 | 2025-07-08 | Daiichi Sankyo Company, Limited | Methods of treating a tumor by administering a claudin-6 (CLDN6) or CLDN9 antibody-pyrrolobenzodiazepine derivative conjugate |
| US12246196B2 (en) | 2017-09-29 | 2025-03-11 | Daiichi Sankyo Company, Limited | Antibody-drug conjugates comprising substituted benzo[e]pyrrolo[1,2-a][1,4]diazepines |
| US11352324B2 (en) | 2018-03-01 | 2022-06-07 | Medimmune Limited | Methods |
| US11524969B2 (en) | 2018-04-12 | 2022-12-13 | Medimmune Limited | Pyrrolobenzodiazepines and conjugates thereof as antitumour agents |
| US12209099B2 (en) | 2019-03-15 | 2025-01-28 | Medimmune Limited | Azetidobenzodiazepine dimers and conjugates comprising them for use in the treatment of cancer |
| US11484606B2 (en) | 2019-06-07 | 2022-11-01 | Adc Therapeutics Sa | Pyrrolobenzodiazepine-antibody conjugates |
| US11752197B2 (en) | 2019-08-12 | 2023-09-12 | Regeneron Pharmaceuticals, Inc. | Macrophage stimulating 1 receptor (MST1R) variants and uses thereof |
| US11976122B2 (en) | 2020-07-31 | 2024-05-07 | Adc Therapeutics Sa | Anti-IL13Rα2 antibodies |
| WO2024005123A1 (en) | 2022-06-30 | 2024-01-04 | 東レ株式会社 | Pharmaceutical composition for treating and/or preventing cancer |
Similar Documents
| Publication | Publication Date | Title |
|---|---|---|
| US11771775B2 (en) | Pyrrolobenzodiazepine-antibody conjugates | |
| US11779650B2 (en) | Pyrrolobenzodiazepine-antibody conjugates | |
| US10722594B2 (en) | Pyrrolobenzodiazepine-anti-CD22 antibody conjugates | |
| US10017580B2 (en) | Humanized anti-Tn-MUC1 antibodies and their conjugates | |
| AU2013328619B2 (en) | Pyrrolobenzodiazepine - anti-PSMA antibody conjugates | |
| AU2013328621B2 (en) | Pyrrolobenzodiazepine-anti-HER2 antibody conjugates | |
| WO2014057118A1 (en) | Pyrrolobenzodiazepine-anti-cd22 antibody conjugates | |
| EP2906297A1 (en) | Pyrrolobenzodiazepine-antibody conjugates | |
| EP2906250A1 (en) | Pyrrolobenzodiazepine-anti-psma antibody conjugates | |
| EP3283117A1 (en) | Site-specific antibody-drug conjugates | |
| EP3283119A1 (en) | Site-specific antibody-drug conjugates |
Legal Events
| Date | Code | Title | Description |
|---|---|---|---|
| 121 | Ep: the epo has been informed by wipo that ep was designated in this application |
Ref document number: 13792856 Country of ref document: EP Kind code of ref document: A1 |
|
| NENP | Non-entry into the national phase |
Ref country code: DE |
|
| 122 | Ep: pct application non-entry in european phase |
Ref document number: 13792856 Country of ref document: EP Kind code of ref document: A1 |
































































































































































