WO2014041349A1 - Tetrahydropyran-4-ylethylamino- or tetrahydropyranyl-4-ethyloxy-pyrimidines or -pyridazines as isoprenylcysteincarboxymethyl transferase inhibitors - Google Patents
Tetrahydropyran-4-ylethylamino- or tetrahydropyranyl-4-ethyloxy-pyrimidines or -pyridazines as isoprenylcysteincarboxymethyl transferase inhibitors Download PDFInfo
- Publication number
- WO2014041349A1 WO2014041349A1 PCT/GB2013/052378 GB2013052378W WO2014041349A1 WO 2014041349 A1 WO2014041349 A1 WO 2014041349A1 GB 2013052378 W GB2013052378 W GB 2013052378W WO 2014041349 A1 WO2014041349 A1 WO 2014041349A1
- Authority
- WO
- WIPO (PCT)
- Prior art keywords
- mmol
- compound according
- meoh
- nmr
- arch
- Prior art date
- Legal status (The legal status is an assumption and is not a legal conclusion. Google has not performed a legal analysis and makes no representation as to the accuracy of the status listed.)
- Ceased
Links
- 0 CC(C)C1(*)CCOCC1 Chemical compound CC(C)C1(*)CCOCC1 0.000 description 4
- BMJXYMYMQCZKCX-UHFFFAOYSA-N CC(C)(C1)OCCC1(CCNc1nc(Cl)cnc1)c1ccccc1 Chemical compound CC(C)(C1)OCCC1(CCNc1nc(Cl)cnc1)c1ccccc1 BMJXYMYMQCZKCX-UHFFFAOYSA-N 0.000 description 3
- YZLPLFKCBAIVRZ-UHFFFAOYSA-N CC(C)(C1)OCCC1(CCN)c1ccccc1 Chemical compound CC(C)(C1)OCCC1(CCN)c1ccccc1 YZLPLFKCBAIVRZ-UHFFFAOYSA-N 0.000 description 2
- NLLGFYPSWCMUIV-UHFFFAOYSA-N COc1cc(B(O)O)ccc1 Chemical compound COc1cc(B(O)O)ccc1 NLLGFYPSWCMUIV-UHFFFAOYSA-N 0.000 description 2
- MQNJYVWUQFSZOX-UHFFFAOYSA-N CC(C)(C1)OCCC1(CCCCCc(nc1)nc(-c2cccc(C#N)c2)c1F)c1ccccc1 Chemical compound CC(C)(C1)OCCC1(CCCCCc(nc1)nc(-c2cccc(C#N)c2)c1F)c1ccccc1 MQNJYVWUQFSZOX-UHFFFAOYSA-N 0.000 description 1
- PHBQXEKJQITQDM-UHFFFAOYSA-N CC(C)(C1)OCCC1(CCNc(nc1-c2cc(OC)ccc2)ncc1F)c1ccccc1 Chemical compound CC(C)(C1)OCCC1(CCNc(nc1-c2cc(OC)ccc2)ncc1F)c1ccccc1 PHBQXEKJQITQDM-UHFFFAOYSA-N 0.000 description 1
- TYLLNLHLYHNVRC-UHFFFAOYSA-N CC(C)(C1)OCCC1(CCNc1nc(-c(cc2)ccc2-[n]2nccc2)cnc1)c1ccccc1 Chemical compound CC(C)(C1)OCCC1(CCNc1nc(-c(cc2)ccc2-[n]2nccc2)cnc1)c1ccccc1 TYLLNLHLYHNVRC-UHFFFAOYSA-N 0.000 description 1
- ISKGBBIDPOHURK-UHFFFAOYSA-N CC(C)(C1)OCCC1(CCNc1nc(-c2cc(C(F)(F)F)ccc2)cnc1)c1ccccc1 Chemical compound CC(C)(C1)OCCC1(CCNc1nc(-c2cc(C(F)(F)F)ccc2)cnc1)c1ccccc1 ISKGBBIDPOHURK-UHFFFAOYSA-N 0.000 description 1
- GRHVYFRBLCEMED-UHFFFAOYSA-N CC(C)(C1)OCCC1(CCNc1nc(-c2cc(F)ccc2F)cnc1)c1ccccc1 Chemical compound CC(C)(C1)OCCC1(CCNc1nc(-c2cc(F)ccc2F)cnc1)c1ccccc1 GRHVYFRBLCEMED-UHFFFAOYSA-N 0.000 description 1
- IIDFDKKCSUPRPF-UHFFFAOYSA-N CN(C1Cl)C(Cl)=NC=C1F Chemical compound CN(C1Cl)C(Cl)=NC=C1F IIDFDKKCSUPRPF-UHFFFAOYSA-N 0.000 description 1
- XCTVDOPRGBYMJZ-UHFFFAOYSA-N COc1cc(-c(nc(nc2)Cl)c2F)ccc1 Chemical compound COc1cc(-c(nc(nc2)Cl)c2F)ccc1 XCTVDOPRGBYMJZ-UHFFFAOYSA-N 0.000 description 1
- OSUPZVSLPIABHS-UHFFFAOYSA-N COc1cccc(-c2cncc(NCCC3(CCOCC3)c3ccccc3)n2)c1 Chemical compound COc1cccc(-c2cncc(NCCC3(CCOCC3)c3ccccc3)n2)c1 OSUPZVSLPIABHS-UHFFFAOYSA-N 0.000 description 1
- IFHLUWFKPFZLIQ-UHFFFAOYSA-N Clc1cncc(NCCC2(CCOCC2)c2ccccc2)n1 Chemical compound Clc1cncc(NCCC2(CCOCC2)c2ccccc2)n1 IFHLUWFKPFZLIQ-UHFFFAOYSA-N 0.000 description 1
- WHPFEQUEHBULBW-UHFFFAOYSA-N Fc(c(Cl)n1)cnc1Cl Chemical compound Fc(c(Cl)n1)cnc1Cl WHPFEQUEHBULBW-UHFFFAOYSA-N 0.000 description 1
- MQWGOIHBUSLZJO-UHFFFAOYSA-N N#Cc1cc(-c(nc(nc2)Cl)c2F)ccc1 Chemical compound N#Cc1cc(-c(nc(nc2)Cl)c2F)ccc1 MQWGOIHBUSLZJO-UHFFFAOYSA-N 0.000 description 1
- XDBHWPLGGBLUHH-UHFFFAOYSA-N N#Cc1cc(B(O)O)ccc1 Chemical compound N#Cc1cc(B(O)O)ccc1 XDBHWPLGGBLUHH-UHFFFAOYSA-N 0.000 description 1
- KTOJGSDLJNUAEP-UHFFFAOYSA-N OB(c(cc(cc1)F)c1F)O Chemical compound OB(c(cc(cc1)F)c1F)O KTOJGSDLJNUAEP-UHFFFAOYSA-N 0.000 description 1
- XTVMZKCCFLOJBL-UHFFFAOYSA-N OB(c(cc1)ccc1-[n]1nccc1)O Chemical compound OB(c(cc1)ccc1-[n]1nccc1)O XTVMZKCCFLOJBL-UHFFFAOYSA-N 0.000 description 1
- WOAORAPRPVIATR-UHFFFAOYSA-N OB(c1cc(C(F)(F)F)ccc1)O Chemical compound OB(c1cc(C(F)(F)F)ccc1)O WOAORAPRPVIATR-UHFFFAOYSA-N 0.000 description 1
Classifications
-
- C—CHEMISTRY; METALLURGY
- C07—ORGANIC CHEMISTRY
- C07D—HETEROCYCLIC COMPOUNDS
- C07D405/00—Heterocyclic compounds containing both one or more hetero rings having oxygen atoms as the only ring hetero atoms, and one or more rings having nitrogen as the only ring hetero atom
- C07D405/02—Heterocyclic compounds containing both one or more hetero rings having oxygen atoms as the only ring hetero atoms, and one or more rings having nitrogen as the only ring hetero atom containing two hetero rings
- C07D405/12—Heterocyclic compounds containing both one or more hetero rings having oxygen atoms as the only ring hetero atoms, and one or more rings having nitrogen as the only ring hetero atom containing two hetero rings linked by a chain containing hetero atoms as chain links
-
- A—HUMAN NECESSITIES
- A61—MEDICAL OR VETERINARY SCIENCE; HYGIENE
- A61P—SPECIFIC THERAPEUTIC ACTIVITY OF CHEMICAL COMPOUNDS OR MEDICINAL PREPARATIONS
- A61P35/00—Antineoplastic agents
-
- C—CHEMISTRY; METALLURGY
- C07—ORGANIC CHEMISTRY
- C07D—HETEROCYCLIC COMPOUNDS
- C07D405/00—Heterocyclic compounds containing both one or more hetero rings having oxygen atoms as the only ring hetero atoms, and one or more rings having nitrogen as the only ring hetero atom
- C07D405/14—Heterocyclic compounds containing both one or more hetero rings having oxygen atoms as the only ring hetero atoms, and one or more rings having nitrogen as the only ring hetero atom containing three or more hetero rings
Definitions
- the present invention relates to compounds which inhibit
- a C-terminal CaaX motif where C is cysteine, the a's are aliphatic amino acids, and X can be any of a number of amino acids, targets a variety of eukaryotic proteins to a series of post-translational modifications important for their localization and function (Zhang and Casey, 1996; Kloog and Cox, 2004).
- This processing is initiated by the covalent attachment of a 15-carbon farnesyl or a 20-carbon geranylgeranyl lipid to the cysteine of the CaaX motif, a reaction catalyzed by protein farnesyltransferase (FTase) or protein geranylgeranyltransferase type I (GGTase-l) (Casey and Seabra, 1996).
- FTase protein farnesyltransferase
- GTTase-l protein geranylgeranyltransferase type I
- Reel a specific endoprotease termed Reel (Boyartchuk et al, 1997; Otto et al, 1999) and the now C-terminal prenylcysteine moiety is methylated by the enzyme isoprenylcysteine carboxyl methyltransferase (ICMT) (Clarke et al, 1988; Hrycyna et al, 1991 ; Dai et al, 1998).
- ICMT isoprenylcysteine carboxyl methyltransferase
- ICMT In a number of pathological conditions such as inflammation, acute lung injury and acute respiratory distress syndrome, lung endothelial cells are aberrantly activated leading to increased vascular permeability, culminating in lung edema.
- Rho GTPases Studies implicating Rho GTPases in this process have led to the evaluation of targeting ICMT. This approach decreased RhoA carboxyl methylation and activation, which correlated with decreased monolayer permeability of pulmonary artery endothelial cells (Lu et al, 2004; Lu et al, 2007). These data suggest that targeting ICMT could be a useful therapeutic strategy against diseases characterized by increased vascular permeability.
- ICMT may also play a role in inflammatory conditions (WO 98/56924), and therefore inhibitors of ICMT may be useful as anti-inflammatory agents.
- WO 2006/102126 discloses a class of compounds as ICMT inhibitors.
- inhibitors of ICMT include:
- the present inventors have discovered a particular class of compounds which are effective as ICMT inhibitors. These compounds have a lower molecular weight than known compounds and may also have a lower logP value. These compounds may also be competitive binders.
- a first aspect of the invention provides the use of a compound of formula I :
- R is selected from:
- R 2 is selected from:
- X is selected from NH and O;
- R 4 is selected from phenyl, a 5-membered heteroaryl or a 6-membered heteroaryl, all of which are optionally substituted by one or more substituents selected from the group consisting of: methyl, methoxy, trifluoromethyl, trifluoromethoxy, cyano, fluoro, -OC 2 H 4 OMe, and pyrazolyl.
- a second aspect of the present invention provides a pharmaceutical composition comprising a compound of the first aspect and a pharmaceutically acceptable carrier or diluent. The second aspect of the invention also provides a compound of the first aspect for use in a method of therapy.
- a third aspect of the present invention provides a compound of the first aspect in the manufacture of a medicament for treating a disease ameliorated by the inhibition of ICMT.
- the third aspect of the invention also provides a compound of the first aspect for use in the method of treatment of a disease ameliorated by the inhibition of ICMT.
- Another aspect of the invention provides a method of inhibiting ICMT in vitro or in vivo, comprising contacting a cell with an effective amount of an active compound as described herein.
- a further aspect of the invention provides an active compound as described herein for use in a method of treatment of the human or animal body, preferably in the form of a pharmaceutical composition.
- R is selected from:
- R When R is phenyl, it may be unsubstituted, or bear a single fluoro group. This fluoro group may be in any available position, and thus R can be phenyl, 2-fluorophenyl, 3- fluorophenyl or 4-fluorophenyl:
- R When R is thienyl, it may be in either possible orientation and thus R can be thiophen-2-yl or thiophen-3-yl:
- R is furanyl, it may be in either possible orientation and thus R can be furan- 2-yl or furan-3-yl:
- R When R is Ci_ 4 alkyl, it may methyl (C , ethyl (C 2 ), propyl (C 3 ) or butyl (C 4 ). It may be a linear Ci_ 4 alkyl group, i.e., methyl (Ci), ethyl (C 2 ), n-propyl (C 3 ) or n-butyl (C 4 ), a branched Ci_ 4 alkyl group, i.e. include iso-propyl (C 3 ), iso-butyl (C 4 ), sec-butyl (C 4 ) or tert-butyl (C 4 ), or a cyclic C 3 . 4 alkyl group, i.e. cyclopropyl (C 3 ) or cyclobutyl (C 4 ).
- R may also be H.
- R 4 is selected from phenyl, a 5-membered heteroaryl or a 6-membered heteroaryl, all of which are optionally substituted by one or more substituents selected from the group consisting of: methyl, methoxy, trifluoromethyl, trifluoromethoxy, cyano, fluoro, -OC 2 H 4 OMe and pyrazolyl.
- 5-membered heteroaryl groups are monovalent groups derived from a compound having an aromatic ring with 5 ring atoms, one of which is not carbon.
- the non- carbon heteroatoms are usually selected from nitrogen, oxygen and sulphur, so possible groups include, but are not limited to: pyrrolyl (Ni), furanyl (Oi), thiophenyl (Si), oxazolyl (N1O1), isoxazolyl (N1O1), oxadiazolyl (Ni0 2 ), oxatriazolyl (N1O 3 ), thiazolyl (N1S1), isothiazolyl (N1S1), imidazolyl (N 2 ), pyrazolyl (N 2 ), triazolyl (N 3 ) and tetrazolyl (N 4 ).
- 6-membered heteroaryl groups are monovalent groups derived from a compound having an aromatic ring with 6 ring atoms, one of which is not carbon.
- the non- carbon heteroatoms are usually selected from nitrogen, oxygen and sulphur, so possible groups include, but are not limited to: pyridyl (N ⁇ , isoxazinyl ( ⁇ ), pyridazinyl (N 2 ), pyrimidinyl (N 2 ), pyrazinyl (N 2 ) and triazinyl (N 3 ).
- a reference to carboxylic acid also includes the anionic (carboxylate) form (-COO " ), a salt or solvate thereof, as well as conventional protected forms.
- a reference to an amino group includes the protonated form (-N + HR R 2 ), a salt or solvate of the amino group, for example, a hydrochloride salt, as well as conventional protected forms of an amino group.
- a reference to a hydroxyl group also includes the anionic form (-0 " ), a salt or solvate thereof, as well as conventional protected forms of a hydroxyl group.
- isomers are structural (or constitutional) isomers (i.e. isomers which differ in the connections between atoms rather than merely by the position of atoms in space).
- a reference to a methoxy group, -OCH 3 is not to be construed as a reference to its structural isomer, a hydroxymethyl group, -CH 2 OH.
- a reference to ortho-chlorophenyl is not to be construed as a reference to its structural isomer, meta-chlorophenyl.
- Ci- 7 alkyl includes n-propyl and iso-propyl; butyl includes n-, iso-, sec-, and tert- butyl; methoxyphenyl includes ortho-, meta-, and para-methoxyphenyl).
- H may be in any isotopic form, including H, 2 H (D), and 3 H (T); C may be in any isotopic form, including 2 C, 3 C and 4 C; O may be in any isotopic form, including 6 0 and 8 0; and the like.
- a reference to a particular compound also includes ionic, salt, solvate, and protected forms of thereof, for example, as discussed below. It may be convenient or desirable to prepare, purify, and/or handle a corresponding salt of the active compound, for example, a pharmaceutically-acceptable salt.
- Suitable organic cations include, but are not limited to, ammonium ion (i.e., NH 4+ ) and substituted ammonium ions (e.g., NH 3 R + , NH 2 R 2+ , NHR 3+ , NR 4+ ).
- suitable substituted ammonium ions are those derived from: ethylamine, diethylamine, dicyclohexylamine, triethylamine, butylamine, ethylenediamine, ethanolamine, diethanolamine, piperazine,
- benzylamine phenylbenzylamine, choline, meglumine, and tromethamine, as well as amino acids, such as lysine and arginine.
- amino acids such as lysine and arginine.
- An example of a common quaternary ammonium ion is N(CH 3 ) 4+ .
- Suitable organic anions include, but are not limited to, those derived from the following organic acids: acetic, propionic, succinic, glycolic, stearic, palmitic, lactic, malic, pamoic, tartaric, citric, gluconic, ascorbic, maleic, hydroxymaleic, phenylacetic, glutamic, aspartic, benzoic, cinnamic, pyruvic, salicyclic, sulfanilic, 2- acetyoxybenzoic, fumaric, phenylsulfonic, toluenesulfonic, methanesulfonic, ethanesulfonic, ethane disulfonic, oxalic, pantothenic, isethionic, valeric, lactobionic, and gluconic.
- suitable polymeric anions include, but are not limited to, those derived from the following polymeric acids: tannic acid, carboxymethyl cellulose.
- solvate is used herein in the conventional sense to refer to a complex of solute (e.g. active compound, salt of active compound) and solvent. If the solvent is water, the solvate may be conveniently referred to as a hydrate, for example, a mono-hydrate, a di-hydrate, a tri-hydrate, etc.
- chemically protected form pertains to a compound in which one or more reactive functional groups are protected from undesirable chemical reactions, that is, are in the form of a protected or protecting group (also known as a masked or masking group or a blocked or blocking group).
- a protected or protecting group also known as a masked or masking group or a blocked or blocking group.
- a reactive functional group By protecting a reactive functional group, reactions involving other unprotected reactive functional groups can be performed, without affecting the protected group; the protecting group may be removed, usually in a subsequent step, without substantially affecting the remainder of the molecule. See, for example, Protective Groups in Organic Synthesis (T. Green and P. Wuts, Wiley, 1999).
- a hydroxy group may be protected as an ether (-OR) or an ester
- an amine group may be protected, for example, as an amide or a urethane, for example, as: a methyl amide (-NHCO-CH 3 ); a benzyloxy amide (- NHCO-OCH 2 C 6 H 5 , -NH-Cbz); as a t-butoxy amide (-NHCO-OC(CH 3 ) 3 , -NH-Boc); a 2- biphenyl-2-propoxy amide (-NHCO-OC(CH 3 )2C 6 H 4 C 6 H5, -NH-Bpoc), as a 9- fluorenylmethoxy amide (-NH-Fmoc), as a 6-nitroveratryloxy amide (-NH-Nvoc), as a 2-trimethylsilylethyloxy amide (-NH-Teoc), as a 2,2,2-trichloroethyloxy amide (-NH- Troc), as an allyloxy amide (-NH-Alloc
- prodrug refers to a compound which, when metabolised (e.g. in vivo), yields the desired active compound.
- the prodrug is inactive, or less active than the active compound, but may provide advantageous handling, administration, or metabolic properties.
- metabolically labile esters include those wherein R is C1-7 alkyl (e.g. -Me, -Et); C ⁇ . ⁇ aminoalkyl (e.g. aminoethyl; 2-(N,N-diethylamino)ethyl; 2-(4- morpholino)ethyl); and acyloxy-Ci_ 7 alkyl (e.g. acyloxymethyl; acyloxyethyl; e.g.
- pivaloyloxymethyl acetoxymethyl; 1-acetoxyethyl; 1-(1-methoxy-1-methyl)ethyl- carbonxyloxyethyl; 1-(benzoyloxy)ethyl; isopropoxy-carbonyloxymethyl; 1- isopropoxy-carbonyloxyethyl; cyclohexyl-carbonyloxymethyl; 1-cyclohexyl- carbonyloxyethyl; cyclohexyloxy-carbonyloxymethyl; 1-cyclohexyloxy- carbonyloxyethyl; (4-tetrahydropyranyloxy) carbonyloxymethyl; 1-(4- tetrahydropyranyloxy)carbonyloxyethyl;
- R is phenyl.
- the phenyl group may be unsubstituted or substituted by a single fluoro group. It may be preferred that the phenyl group is unsubstituted (1a) or has a 3-fluoro group (1c).
- R is thienyl
- R is furanyl
- R is d -4 alkyl. It may be preferred it is C 3 . 4 alkyl, and it may be further preferred that it is C 3 alkyl, and in particular, iso-propyl.
- R is H.
- R 2 is (2b).
- R 2 is (2c).
- R 2 is (2d).
- R is (3a).
- R 3 is (3b).
- X is NH. In some embodiments, X is O.
- R 4 is phenyl, optionally substituted by one or more substituents selected from the group consisting of: methyl, methoxy, trifluoromethyl, trifluoromethoxy, cyano, fluoro, -OC 2 H 4 OMe and pyrazolyl.
- the phenyl group is unsubstituted.
- the phenyl group is substituted by at least group selected from methoxy, trifluoromethoxy, fluoro and -OC 2 H 4 OMe.
- R 4 is a 5-membered heteroaryl optionally substituted by one or more substituents selected from the group consisting of: methyl, methoxy, trifluoromethyl, trifluoromethoxy, cyano, fluoro, -OC 2 H 4 OMe and pyrazolyl.
- the 5-membered heteroaryl group may contain 1 or 2 nitrogen ring atoms, and may preferably be pyrazolyl.
- R 4 is a 5-membered heteroaryl, it may be unsubstituted. If it is substituted, the substituent may, in some embodiments, be methyl.
- R 4 is a 6-membered heteroaryl, optionally substituted by one or more substituents selected from the group consisting of: methyl, methoxy, trifluoromethyl, trifluoromethoxy, cyano, fluoro, -OC 2 H 4 OMe and pyrazolyl.
- the 6-membered heteroaryl group may contain 1 or 2 nitrogen ring atoms, and may preferably be selected from pyridyl (e.g. 3-pryidyl) and pyrimidyl (e.g. 5-pyrimidyl).
- R 4 When R 4 is a 6-membered heteroaryl, it may be unsubstituted. If it is substituted, the substituent may, in some embodiments, be cyano.
- 5-membered heteroaryl groups are monovalent groups derived from a compound having an aromatic ring with 5 ring atoms, one of which is not carbon.
- the non- carbon heteroatoms are usually selected from nitrogen, oxygen and sulphur, so possible groups include, but are not limited to: pyrrolyl (Ni), furanyl (Oi), thiophenyl (Si), oxazolyl (N 1 O 1 ), isoxazolyl (N 1 O 1 ), oxadiazolyl (Ni0 2 ), oxatriazolyl (Ni0 3 ), thiazolyl (N 1 S 1 ), isothiazolyl (N 1 S 1 ), imidazolyl (N 2 ), pyrazolyl (N 2 ), triazolyl (N 3 ) and tetrazolyl (N 4 ).
- 6-membered heteroaryl groups are monovalent groups derived from a compound having an aromatic ring with 6 ring atoms, one of which is not carbon.
- the non- carbon heteroatoms are usually selected from nitrogen, oxygen and sulphur, so possible groups include, but are not limited to: pyridyl (N ⁇ , isoxazinyl ( ⁇ ), pyridazinyl (N 2 ), pyrimidinyl (N 2 ), pyrazinyl (N 2 ) and triazinyl (N 3 ).
- R is phenyl, optionally substituted by one fluoro group
- R 2 is selected from:
- R 4 is selected from:
- Y is suitable leaving group such as CI, Br, I or OS0 2 CF 3 .
- the present invention provides active compounds, specifically, active A/-substituted- 6-aryl-pyrazin-2-amines and A/-substituted 5-fluoro-4-aryl-pyrimidin-2-amines.
- active pertains to compounds which are capable of inhibiting ICMT activity, and specifically includes both compounds with intrinsic activity (drugs) as well as prodrugs of such compounds, which prodrugs may themselves exhibit little or no intrinsic activity.
- the present invention further provides a method of inhibiting ICMT in a cell, comprising contacting said cell with an effective amount of an active compound, preferably in the form of a pharmaceutically acceptable composition. Such a method may be practised in vitro or in vivo.
- the present invention further provides active compounds which inhibit ICMT activity as well as methods of methods of inhibiting ICMT activity comprising contacting a cell with an effective amount of an active compound, whether in vitro or in vivo.
- Active compounds may also be used as part of an in vitro assay, for example, in order to determine whether a candidate host is likely to benefit from treatment with the compound in question.
- the present invention provides active compounds which are anticancer agents.
- One of ordinary skill in the art is readily able to determine whether or not a candidate compound treats a cancerous condition for any particular cell type, either alone or in combination.
- cancers include, but are not limited to, lung cancer, small cell lung cancer, gastrointestinal cancer, bowel cancer, colon cancer, breast carcinoma, ovarian carcinoma, prostate cancer, testicular cancer, liver cancer, kidney cancer, bladder cancer, pancreas cancer, thyroid cancer, brain cancer, seminoma, sarcoma, osteosarcoma, Kaposi's sarcoma, melanoma and leukaemias.
- Cancers of particular interest are those linked to mutant Ras overactivity, such as pancreatic carcinoma, thyroid carcinoma, colon carcinoma, lung carcinoma, ovarian carcinoma, thyroid carcinoma, seminoma, lung cancer, myelodysplasia syndrome (MDS)/acute myeloid leukemia (AML) and malignant melanoma.
- MDS myelodysplasia syndrome
- AML acute myeloid leukemia
- any type of cell may be treated, including but not limited to, lung, gastrointestinal (including, e.g., bowel, colon), breast (mammary), ovarian, prostate, liver (hepatic), kidney (renal), bladder, pancreas, brain, and skin.
- the anti cancer treatment defined hereinbefore may be applied as a sole therapy or may involve, in addition to the compound of the invention, conventional surgery or radiotherapy or chemotherapy.
- Such chemotherapy may include one or more of the following categories of anti-tumour agents:-
- antiproliferative/antineoplastic drugs and combinations thereof as used in medical oncology, such as alkylating agents (for example cisplatin, oxaliplatin, carboplatin, cyclophosphamide, nitrogen mustard, melphalan, chlorambucil, busulphan, temozolamide and nitrosoureas); antimetabolites (for example gemcitabine and antifolates such as fluoropyrimidines like 5 fluorouracil and tegafur, raltitrexed, methotrexate, cytosine arabinoside, and hydroxyurea); antitumour antibiotics (for example anthracyclines like adriamycin, bleomycin, doxorubicin, daunomycin, epirubicin, idarubicin, mitomycin-C, dactinomycin and mithramycin); antimitotic agents (for example vinca alkaloids like vincristine, vinblastine
- cytostatic agents such as antioestrogens (for example tamoxifen, fulvestrant, toremifene, raloxifene, droloxifene and iodoxyfene), antiandrogens (for example bicalutamide, flutamide, nilutamide and cyproterone acetate), LHRH antagonists or LHRH agonists (for example goserelin, leuprorelin and buserelin), progestogens (for example megestrol acetate), aromatase inhibitors (for example as anastrozole, letrozole, vorazole and exemestane) and inhibitors of 5*-reductase such as finasteride;
- antioestrogens for example tamoxifen, fulvestrant, toremifene, raloxifene, droloxifene and iodoxyfene
- antiandrogens for example
- antiangiogenic agents such as those which inhibit the effects of vascular endothelial growth factor, [for example the anti vascular endothelial cell growth factor antibody bevacizumab (AvastinT) and VEGF receptor tyrosine kinase inhibitors such as 4-(4-bromo-2-fluoroanilino)-6-methoxy-7-(1-methylpiperidin-4- ylmethoxy)quinazoline (ZD6474; Example 2 within WO 01/32651), 4-(4-fluoro-2- methylindol-5-yloxy)-6-methoxy-7-(3-pyrrolidin-1-ylpropoxy)quinazoline (AZD2171 ;
- Example 240 within WO 00/47212 vatalanib (PTK787; WO 98/35985) and SU1 1248 (sunitinib; WO 01/60814), compounds such as those disclosed in International Patent Applications W097/22596, WO 97/30035, WO 97/32856 and WO 98/13354 and compounds that work by other mechanisms (for example linomide, inhibitors of integrin avb3 function and angiostatin)];
- gene therapy approaches including for example approaches to replace aberrant genes such as aberrant p53 or aberrant BRCA1 or BRCA2, GDEPT (gene directed enzyme pro drug therapy) approaches such as those using cytosine deaminase, thymidine kinase or a bacterial nitroreductase enzyme and approaches to increase patient tolerance to chemotherapy or radiotherapy such as multi drug resistance gene therapy; and
- immunotherapy approaches including for example ex vivo and in vivo approaches to increase the immunogenicity of patient tumour cells, such as transfection with cytokines such as interleukin 2, interleukin 4 or granulocyte macrophage colony stimulating factor, approaches to decrease T cell anergy, approaches using transfected immune cells such as cytokine transfected dendritic cells, approaches using cytokine transfected tumour cell lines and approaches using anti idiotypic antibodies
- the active compound or pharmaceutical composition comprising the active compound may be administered to a subject by any convenient route of
- the subject may be a eukaryote, an animal, a vertebrate animal, a mammal, a rodent (e.g. a guinea pig, a hamster, a rat, a mouse), murine (e.g. a mouse), canine (e.g. a dog), feline (e.g. a cat), equine (e.g. a horse), a primate, simian (e.g. a monkey or ape), a monkey (e.g. marmoset, baboon), an ape (e.g. gorilla, chimpanzee, orang-utan, gibbon), or a human.
- a rodent e.g. a guinea pig, a hamster, a rat, a mouse
- murine e.g. a mouse
- canine e.g. a dog
- feline e.g. a cat
- the active compound While it is possible for the active compound to be administered alone, it is preferable to present it as a pharmaceutical composition (e.g. formulation) comprising at least one active compound, as defined above, together with one or more pharmaceutically acceptable carriers, adjuvants, excipients, diluents, fillers, buffers, stabilisers, preservatives, lubricants, or other materials well known to those skilled in the art and optionally other therapeutic or prophylactic agents.
- a pharmaceutical composition e.g. formulation
- pharmaceutically acceptable carriers as used herein pertains to compounds, materials, compositions, and/or dosage forms which are, within the scope of sound medical judgement, suitable for use in contact with the tissues of a subject (e.g. human) without excessive toxicity, irritation, allergic response, or other problem or complication, commensurate with a reasonable benefit/risk ratio.
- a subject e.g. human
- Each carrier, excipient, etc. must also be “acceptable” in the sense of being compatible with the other ingredients of the formulation.
- Suitable carriers, excipients, etc. can be found in standard pharmaceutical texts, for example, Remington: the science and practice of pharmacy, 21st edition,
- Formulations may be in the form of liquids, solutions, suspensions, emulsions, elixirs, syrups, tablets, losenges, granules, powders, capsules, cachets, pills, ampoules, suppositories, pessaries, ointments, gels, pastes, creams, sprays, mists, foams, lotions, oils, boluses, electuaries, or aerosols.
- Formulations suitable for oral administration may be presented as discrete units such as capsules, cachets or tablets, each containing a predetermined amount of the active compound; as a powder or granules; as a solution or suspension in an aqueous or non-aqueous liquid; or as an oil-in-water liquid emulsion or a water-in-oil liquid emulsion; as a bolus; as an electuary; or as a paste.
- a tablet may be made by conventional means, e.g., compression or moulding, optionally with one or more accessory ingredients.
- Compressed tablets may be prepared by compressing in a suitable machine the active compound in a free- flowing form such as a powder or granules, optionally mixed with one or more binders (e.g. povidone, gelatin, acacia, sorbitol, tragacanth, hydroxypropylmethyl cellulose); fillers or diluents (e.g. lactose, microcrystalline cellulose, calcium hydrogen phosphate); lubricants (e.g. magnesium stearate, talc, silica); disintegrants (e.g. sodium starch glycolate, cross-linked povidone, cross-linked sodium carboxymethyl cellulose); surface-active or dispersing or wetting agents (e.g.
- binders e.g. povidone, gelatin, acacia, sorbitol, tragacanth, hydroxypropylmethyl cellulose
- fillers or diluents e.g. lactose, microcrystalline cellulose, calcium hydrogen
- Moulded tablets may be made by moulding in a suitable machine a mixture of the powdered compound moistened with an inert liquid diluent.
- the tablets may optionally be coated or scored and may be formulated so as to provide slow or controlled release of the active compound therein using, for example,
- Tablets may optionally be provided with an enteric coating, to provide release in parts of the gut other than the stomach.
- Formulations suitable for topical administration may be formulated as an ointment, cream, suspension, lotion, powder, solution, past, gel, spray, aerosol, or oil.
- a formulation may comprise a patch or a dressing such as a bandage or adhesive plaster impregnated with active compounds and optionally one or more excipients or diluents.
- Formulations suitable for topical administration in the mouth include losenges comprising the active compound in a flavoured basis, usually sucrose and acacia or tragacanth; pastilles comprising the active compound in an inert basis such as gelatin and glycerin, or sucrose and acacia; and mouthwashes comprising the active compound in a suitable liquid carrier.
- Formulations suitable for topical administration to the eye also include eye drops wherein the active compound is dissolved or suspended in a suitable carrier, especially an aqueous solvent for the active compound.
- Formulations suitable for nasal administration wherein the carrier is a solid, include a coarse powder having a particle size, for example, in the range of about 20 to about 500 microns which is administered in the manner in which snuff is taken, i.e. by rapid inhalation through the nasal passage from a container of the powder held close up to the nose.
- Suitable formulations wherein the carrier is a liquid for administration as, for example, nasal spray, nasal drops, or by aerosol administration by nebuliser include aqueous or oily solutions of the active compound.
- Formulations suitable for administration by inhalation include those presented as an aerosol spray from a pressurised pack, with the use of a suitable propellant, such as dichlorodifluoromethane, trichlorofluoromethane, dichoro-tetrafluoroethane, carbon dioxide, or other suitable gases.
- a suitable propellant such as dichlorodifluoromethane, trichlorofluoromethane, dichoro-tetrafluoroethane, carbon dioxide, or other suitable gases.
- Formulations suitable for topical administration via the skin include ointments, creams, and emulsions.
- the active compound When formulated in an ointment, the active compound may optionally be employed with either a paraffinic or a water-miscible ointment base.
- the active compounds may be formulated in a cream with an oil-in- water cream base.
- the aqueous phase of the cream base may include, for example, at least about 30% w/w of a polyhydric alcohol, i.e., an alcohol having two or more hydroxyl groups such as propylene glycol, butane-1 ,3-diol, mannitol, sorbitol, glycerol and polyethylene glycol and mixtures thereof.
- the topical formulations may desirably include a compound which enhances absorption or penetration of the active compound through the skin or other affected areas. Examples of such dermal penetration enhancers include dimethylsulfoxide and related analogues.
- the oily phase may optionally comprise merely an emulsifier (otherwise known as an emulgent), or it may comprises a mixture of at least one emulsifier with a fat or an oil or with both a fat and an oil.
- an emulsifier otherwise known as an emulgent
- the oily phase may optionally comprise merely an emulsifier (otherwise known as an emulgent), or it may comprises a mixture of at least one emulsifier with a fat or an oil or with both a fat and an oil.
- the emulsifier(s) with or without stabiliser(s) make up the so-called emulsifying wax
- the wax together with the oil and/or fat make up the so-called emulsifying ointment base which forms the oily dispersed phase of the cream formulations.
- Suitable emulgents and emulsion stabilisers include Tween 60, Span 80, cetostearyl alcohol, myristyl alcohol, glyceryl monostearate and sodium lauryl sulphate.
- the choice of suitable oils or fats for the formulation is based on achieving the desired cosmetic properties, since the solubility of the active compound in most oils likely to be used in pharmaceutical emulsion formulations may be very low.
- the cream should preferably be a non-greasy, non-staining and washable product with suitable consistency to avoid leakage from tubes or other containers.
- Straight or branched chain, mono- or dibasic alkyl esters such as di-isoadipate, isocetyl stearate, propylene glycol diester of coconut fatty acids, isopropyl myristate, decyl oleate, isopropyl palmitate, butyl stearate, 2-ethylhexyl palmitate or a blend of branched chain esters known as Crodamol CAP may be used, the last three being preferred esters. These may be used alone or in combination depending on the properties required.
- mono-isoadipate such as di-isoadipate, isocetyl stearate, propylene glycol diester of coconut fatty acids, isopropyl myristate, decyl oleate, isopropyl palmitate, butyl stearate, 2-ethylhexyl palmitate or a blend of branched chain esters known as Crodamol CAP may be used, the
- Formulations suitable for rectal administration may be presented as a suppository with a suitable base comprising, for example, cocoa butter or a salicylate.
- Formulations suitable for vaginal administration may be presented as pessaries, tampons, creams, gels, pastes, foams or spray formulations containing in addition to the active compound, such carriers as are known in the art to be appropriate.
- Formulations suitable for parenteral administration include aqueous and non-aqueous isotonic, pyrogen-free, sterile injection solutions which may contain anti-oxidants, buffers, preservatives, stabilisers, bacteriostats, and solutes which render the formulation isotonic with the blood of the intended recipient; and aqueous and non-aqueous sterile suspensions which may include suspending agents and thickening agents, and liposomes or other micro particulate systems which are designed to target the compound to blood components or one or more organs.
- appropriate dosages of the active compounds, and compositions comprising the active compounds can vary from patient to patient. Determining the optimal dosage will generally involve the balancing of the level of therapeutic benefit against any risk or deleterious side effects of the treatments of the present invention.
- the selected dosage level will depend on a variety of factors including, but not limited to, the activity of the particular compound, the route of administration, the time of administration, the rate of excretion of the compound, the duration of the treatment, other drugs, compounds, and/or materials used in combination, and the age, sex, weight, condition, general health, and prior medical history of the patient.
- the amount of compound and route of administration will ultimately be at the discretion of the physician, although generally the dosage will be to achieve local concentrations at the site of action which achieve the desired effect without causing substantial harmful or deleterious side-effects.
- Administration in vivo can be effected in one dose, continuously or intermittently (e.g. in divided doses at appropriate intervals) throughout the course of treatment.
- Methods of determining the most effective means and dosage of administration are well known to those of skill in the art and will vary with the formulation used for therapy, the purpose of the therapy, the target cell being treated, and the subject being treated. Single or multiple administrations can be carried out with the dose level and pattern being selected by the treating physician.
- NMR spectra were obtained at 298K, at the frequency stated using either a Varian Inova 500 or NMR System 600 MHz instrument and run as a dilute solution on CDCI 3 unless otherwise stated. All spectra were referenced using deuterium locking. All coupling constants are reported in hertz (Hz) with multiplicities labelled s (singlet), bs (broad singlet), d (doublet), t (triplet), q (quartet) and m (multiplet). NMR spectra where provided, were obtained for the title substance in each Synthesis or Example (or a suitable derivative thereof, such as the free base) unless otherwise stated.
- Mass spectra were recorded using an Agilent 1200 LC system coupled to an Agilent 6120 Triple quadropole mass spectrometer operating in ES(+) and ES(-) ionisation mode. Analysis was carried out using the same system and using an Agilent Eclipse Ci 8 column (4.5 x 150 mm) with a 5 ⁇ particle size. Mobile phase unless otherwise stated was a gradient of 5% water to 95% acetonitrile increasing over 10 minutes to 95% water 5% acetonitrile using 0.1 % TFA as a modifier and a flow rate of 0.8 mL/min. Microwave reactions were carried out in a Biotage Initiator.
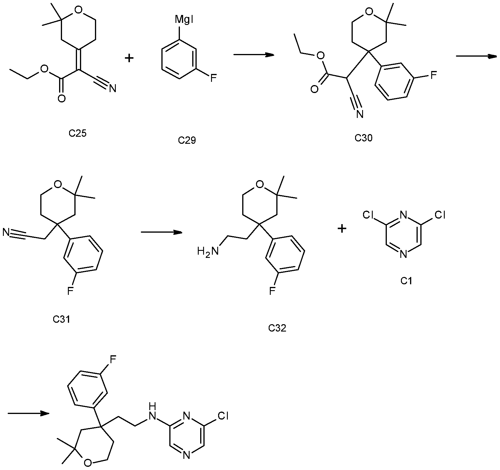
- Cuprous iodide (Aldrich, CAS: 7681-65-4, CAT: 20,554-0) (56.4 mg, 0.296 mmol) was added to a solution of the unsaturated cyano ester, ethyl 2-cyano-2-(oxan-4- ylidene)acetate (C10)(412.7 mg, 2.114 mmol) in dry Et 2 0 (10 ml) and the mixture was stirred for 5 min.
- a solution of PhMgBr (Aldrich CAT: 17, 156-5) (3M in diethylether, 1.43 ml_, 0.778 mmol) was added dropwise at 0°C, the solution was allowed to warm to room temperature then left to stir for 3 days.
- the oil was purified by chromatography (silica, 40 g, 10/90, ethyl acetate/hexane, 13 x 100 mm tubes). Fractions 9-15 were collected (pungent, red oil, 78 mg) and visible by UV and CAM stain. Fractions 16-22 were collected (oil that became red on addition of CDCI 3 , 92.2 mg) and visible by UV and CAM stain.
- Fractions 23-32 were collected (a colourless oil that solidified on standing, 316.4 mg) and faintly visible by UV and visible by CAM stain.
- Fractions 33-45 were collected (colourless oil, 80 mg) and faintly visible by UV and visible by CAM stain.
- Fractions 23-32 and 33-45 were combined and repurified (silica, 25 g, 10/90, ethyl
- Ethyl 2-cyano-2-(4-phenyloxan-4-yl)acetate (C11)(40.0mg, 1.46 mmol) and potassium hydroxide (41 1 mg, 7.33 mmol) were combined in ethylene glycol (10 mL) and heated to 190°C for 2 h.
- the reaction mixture was poured into 20 mL water and extracted with ethyl ether (3 x 50 mL).
- the combined organic phases were dried (Na 2 S0 4 ), filtered, and concentrated to give a colourless viscous oil that crystallized on standing.
- the sample was dried overnight under high vacuum, (0.2462 g, 84%).
- Tetrahydrothiopyran-4-one (C14)(520 mg, 4.5 mmol), ethyl cyanoacetate (C5)(1.4 ml, 1.48 g, 13.1 mmol), ammonium acetate (50 mg, 0.65 mmol) and toluene (50 mL) were heated to 150°C using a dean-stark trap.
- the reaction mixture was then heated at 150°C for a further 24h. The mixture was then concentrated to give a yellow oil.
- Phenyl magnesium bromide solution (3M in diethyl ether, 1.56 mL, 0.85 g, 4.7 mmol) was added dropwise to a solution of ethyl 2-cyano-2-(tetrahydrothiopyran-4- ylidene)acetate (C15)(330 mg, 1.6 mmol) in diethyl ether (20 mL) at room
- Phenyl magnesium bromide solution (4.1 mL, 2.2 g, 12.3 mmol, 3M in diethyl ether) was added dropwise to a solution of the compound C10 (810 mg, 4.15 mmol) in diethyl ether (40 mL) at room temperature. The reaction mixture was then heated to reflux for 1 h. The reaction mixture was then cooled to room temperature and quenched with a saturated solution of ammonium chloride (5 mL). The reaction mixture was then further diluted with a saturated solution of ammonium chloride (20 mL) and extracted with ethyl acetate (3 x 50), dried (Na 2 S0 4 ), filtered and
- reaction mixture was then further diluted with a saturated solution of ammonium chloride (10 mL) and extracted with ethyl acetate (3 x 50), dried (Na 2 S0 4 ), filtered and concentrated to give a yellow oil (crude yield, 527 mg, 88%). This mixture was immediately used in a
- aqueous layer was then made alkaline (pH 13) by addition of 1 M NaOH solution (aqueous, approx. 50 mL). This was then further extracted with EtOAc (3 x 50 mL). The EtOAc extractions from the alkaline aqueous solution were combined, dried (Na 2 S0 4 ), filtered and concentrated to give a light-yellow oil (140 mg, 49%).
- the reaction was mildly heated to 40°C for 15 mins, after which time the reaction solution was yellow. The reaction mixture was then allowed to stir for a further 45 mins at room- temperature. A solution of the unsaturated nitrile (Z)-ethyl 2-cyano-2-(2,2-dimethyl- tetrahydropyran-4-ylidene)acetate (C25)(0.55 g, 2.8 mmol) in THF (20 mL) was then added dropwise to the reaction mixture. After all of the nitrile solution had been added, the reaction mixture was refluxed for 1 h. The reaction mixture was then cooled to room temperature. Saturated ammonium chloride solution (aq, 10 mL) was then added carefully to the reaction mixture.
- reaction mixture was further diluted with a saturated solution of ammonium chloride (10 mL) and extracted with EtOAc (3 x 50 mL). The organic extracts were combined, dried (Na 2 S0 4 ), filtered and concentrated to give an orange oil. This was used in the decarboxylation reaction without further purification.
- the reaction mixture was then concentrated to give a black residue. This was then suspended in a 1 M HCI solution (aqueous, 50 mL), and extracted with EtOAC (3 x 20 mL). The aqueous layer was then made alkaline (pH13) by addition of 1 M NaOH solution (aqueous, approx. 50 mL). This was then further extracted with EtOAc (3 x 50 mL). The EtOAc extractions from the alkaline aqueous solution were combined, dried (Na 2 S0 4 ), filtered and concentrated to give a yellow oil (113 mg, 34%).
- the second cartridge was washed with MeOH and this fraction was loaded onto a third silica SCX cartridge.
- the third cartridge was washed with MeOH. All three of the cartridges were then eluted with 2M NH 3 in MeOH. The ammonium solutions were combined and concentrated to give an orange gum (62 mg, 84%).
- the cartridge was washed with methanol and the desired product was eluted upon addition of 2M NH 3 in MeOH. Further purification by silica column chromatography (4 g, DCM:MeOH 0-2%; stains - UV, Dragendorff) fractions 13-17 resulted in isolation of the product as an oil. Upon analysis by 1 H NMR the recovered material contained an impurity. Reverse phase (C18 silica) was used to remove the impurity (H 2 0:MeOH - 50:50 - 0: 100%) fractions 14-26 were collected to give the desired product (25.1 mg, 0.065 mmol, 76%).
- reaction mixture was then concentrated to give a black residue, resuspended in MeOH and loaded onto a SCX cartridge.
- the cartridge was washed with MeOH and then the desired product eluted with 2M NH 3 in MeOH (4 mL) and concentrated to give a white solid.
- the product was partially purified via silica column chromatography (2% MeOH in DCM). Fractions resulted in isolation of the impure product. Further purification via column chromatography (silica, DCM) fractions 7-20 were collected to give impure product (25.9 mg).
- Reverse phase (C18 silica) was used to remove impurity (H20:MeCN - 50:50 - 0: 100%; 50 mL flushes) fractions 9-25 were collected to give the desired product (22.5 mg, 0.049 mmol, 56%).
- reaction mixture was then concentrated to give a black residue, resuspended in MeOH and loaded onto a SCX cartridge.
- the cartridge was washed with MeOH and then the desired product eluted with 2M NH 3 in MeOH (4 mL) and concentrated to give a yellow oil.
- the product was purified via silica column chromatography (DCM:MeOH 0-2%).
- Example 17 6-(2,5-difluorophenyl)-A/-(2-(4-phenyltetrahydro-2H-pyran-4- yl ethyl)pyrazin-2-amine
- reaction mixture was then concentrated to give a black residue, resuspended in MeOH and loaded onto a SCX cartridge.
- the cartridge was washed with MeOH and then the desired product eluted with 2M NH 3 in MeOH (4 ml_) and concentrated to give a yellow oil.
- the product was partially purified via silica column chromatography (gradient elution: 20% EtOAc in hexane - 40% EtOAc in hexane) to yield a yellow oil.
- the recovered material was triturated with MeOH to give the off-white solid (5.2 mg, 13% yield) which was 95% pure by NMR and LCMS.
- reaction mixture was then concentrated to give a black residue, resuspended in MeOH and loaded onto a SCX cartridge.
- the cartridge was washed with MeOH and then the desired product eluted with 2M NH 3 in MeOH (4 ml_) and concentrated to give a yellow oil.
- the product was partially purified via silica column chromatography (40% EtOAc in hexane) to give the white solid.
- the recovered material contained residual grease and was washed with hexane to give the off-white solid (24.5 mg, 73% yield) which was 95% by NMR.
- Example 20 6-(3-(difluoromethoxy)phenyl)-A/-(2-(2,2-dimethyl-4- phenyltetrahydro-2H-pyran-4-yl)ethyl)pyrazin-2-amine
- reaction mixture was then concentrated to give a black residue, resuspended in MeOH and loaded onto a SCX cartridge.
- the cartridge was washed with MeOH and then the desired product eluted with 2M NH 3 in MeOH (4 ml_) and concentrated to give a dark yellow oil.
- the product was partially purified via silica column chromatography (gradient elution: 100% DCM - 1% MeOH in DCM) to give the off-white solid.
- the recovered material was triturated with MeOH to give a white solid (18.4 mg, 49%) which was 95% pure by NMR and LCMS.
- Example 21 V-(2-(2,2-dimethyl-4-phenyltetrahydro-2H-pyran-4-yl)ethyl)-6-(2- fluoro-5-methoxyphenyl)pyrazin-2-amine
- reaction mixture was then concentrated to give a black residue, resuspended in MeOH and loaded onto a SCX cartridge.
- the cartridge was washed with MeOH and then the desired product eluted with 2M NH 3 in MeOH (4 ml_) and concentrated to give a yellow oil.
- the product was purified via silica column chromatography (40% EtOAc in hexane) to yield a white solid (25.7 mg, 63%) which was 95% pure by NMR and LCMS.
- reaction mixture was then concentrated to give a black residue, resuspended in MeOH and loaded onto a SCX cartridge.
- the cartridge was washed with MeOH and then the desired product eluted with 2M NH 3 in MeOH (4 ml_) and concentrated to give a yellow oil.
- the product was partially purified via silica column chromatography (gradient elution: 2% MeOH in DCM - 4% MeOH in DCM) to give the yellow oil, which contained minor impurities by NMR.
- the recovered material was further purified via silica column chromatography (80% EtOAc in hexane) to give another yellow oil
- sample A (1 mg) as a white solid
- sample B 32 mg
- the sample was passed through a SCX cartridge eluting upon addition of 2M NH 3 in MeOH (4 mL), the solvent was removed at reduced pressure and triturated with hexane to yield a pale yellow solid (29 mg (75%).
- Example 27 6-(2,5-difluorophenyl)-A/-(2-(2,2,6,6-tetramethyl-4-phenyl- tetrah dro-2H-pyran-4-yl)ethyl)pyrazin-2-amine
- the reaction mixture was then concentrated to give a black residue. This was then resuspended in MeOH and loaded onto a silica SCX cartridge.
- the cartridge was washed with MeOH and the desired product was eluted upon addition of 2M NH 3 in MeOH.
- the MeOH wash fraction mostly contained the starting pyrazine.
- the recovered material was further purified by silica column chromatography (gradient elution: 100% DCM - 1 % MeOH in DCM) to give a yellow oil. This was further purified by reverse phase C-18 bonded silica cartridge (isocratic: 70% CH 3 CN in water), to yield a white solid (15 mg). This was then dissolved in MeOH and loaded onto a silica SCX cartridge.
- the cartridge was washed with MeOH and the desired product and impurity eluted upon addition of 2M NH 3 in MeOH. Attempted purification by silica column chromatography (gradient elution: 100% DCM - 1 % MeOH in DCM) failed to remove the impurity. Purification by mass directed semi- preparative HPLC resulted in separation of the impurity from the product. Fractions containing the desired product were concentrated and loaded onto a silica SCX cartridge. The cartridge was washed with MeOH and the desired product was eluted upon addition of 2M NH 3 in MeOH to reveal a white solid (6.75 mg, 9%). 5.73 mg submitted to CDCO and 1.02 mg submitted to the assay.
- Example 31 V-(2-(4-isopropyl-2,2-dimethyl-tetrahydro-2H-pyran-4-yl)ethyl)-6-(3- methox phenyl)pyrazin-2-amine
- the reaction mixture was then concentrated to give a black residue. This was then resuspended in MeOH and loaded onto a silica SCX cartridge. The cartridge was washed with MeOH (10 mL), this fraction was then concentrated and then redissolved in MeOH (1 mL) and loaded onto a new silica SCX cartridge. The second cartridge was washed with MeOH (10 mL), the desired product was then eluted from both cartridges by addition of 2M NH 3 in MeOH (4 mL). The combined ammonia solutions were concentrated to give a yellow oil.
- ICMT methyltransferase
- SAM S-Adenosylmethionine
- NaCI Sodium Chloride
- HEPES 4-(2- hydroxyethyl)-1-piperazineethanesulfonic acid
- DMSO dimethyl sulfoxide
- DTT dithiotreitol
- ICMT membrane protein (10 ⁇ g/ ⁇ L) stored at -80°C were thawed at 37°C and placed on ice.
- the ICMT membrane protein was diluted in assay buffer (140 mM HEPES, 200 mM NaCI, and 6 mM DTT, pH 7.5) to a 0.06 ⁇ g/ ⁇ L working
- the compound IC 50 values were determined in Abase using XLFit (IDBS) integrated into Microsoft ExcelTM. Enzyme inhibition data obtained from the SPA assay were analyzed via either a 4 parameter logistic model or sigmoidal dose-response model to return a concentration producing 50% inhibition. Results
Landscapes
- Chemical & Material Sciences (AREA)
- Organic Chemistry (AREA)
- Health & Medical Sciences (AREA)
- Chemical Kinetics & Catalysis (AREA)
- General Chemical & Material Sciences (AREA)
- Medicinal Chemistry (AREA)
- Nuclear Medicine, Radiotherapy & Molecular Imaging (AREA)
- Pharmacology & Pharmacy (AREA)
- Life Sciences & Earth Sciences (AREA)
- Animal Behavior & Ethology (AREA)
- General Health & Medical Sciences (AREA)
- Public Health (AREA)
- Veterinary Medicine (AREA)
- Pharmaceuticals Containing Other Organic And Inorganic Compounds (AREA)
Description
TETRAHYDROPYRAN-4-YLETHYLAMINO- OR
TETRAHYDROPYRANYL-4-ETHYLOXY-PYRIMIDINES OR -PYRIDAZINES AS
ISOPRENYLCYSTEINCARBOXYMETHYL TRANSFERASE INHIBITORS
The present invention relates to compounds which inhibit
ICMT(lsoprenylcysteinecarboxylmethyl transferase), their synthesis and their use as pharmaceuticals.
Background
A C-terminal CaaX motif, where C is cysteine, the a's are aliphatic amino acids, and X can be any of a number of amino acids, targets a variety of eukaryotic proteins to a series of post-translational modifications important for their localization and function (Zhang and Casey, 1996; Kloog and Cox, 2004). This processing is initiated by the covalent attachment of a 15-carbon farnesyl or a 20-carbon geranylgeranyl lipid to the cysteine of the CaaX motif, a reaction catalyzed by protein farnesyltransferase (FTase) or protein geranylgeranyltransferase type I (GGTase-l) (Casey and Seabra, 1996). Following prenylation, the C-terminal three amino acids (i.e., the -aaX) are removed by a specific endoprotease termed Reel (Boyartchuk et al, 1997; Otto et al, 1999) and the now C-terminal prenylcysteine moiety is methylated by the enzyme isoprenylcysteine carboxyl methyltransferase (ICMT) (Clarke et al, 1988; Hrycyna et al, 1991 ; Dai et al, 1998). As polytopic membrane proteins that are localized to the endoplasmic reticulum, both Reel and lemt are unusual in their respective classes (Young et al, 2000).
Genetic disruption of ICMT activity has profound consequences on tumorigenesis. Conditional deletion of ICMT almost completely blocks transformation of fibroblasts by oncogenic K-Ras, and also by activated B-Raf as well (Bergo et al, 2004). In another study, conditional inactivation of ICMT reduced lung tumor development and myeloproliferation phenotypes in a mouse model of K-Ras-induced cancer
(Wahlstrom et al, 2008). In mouse xenograft models of human prostate and liver cancer (PC3- and HepG2-derived tumors, respectively), pharmacological inhibition of ICMT using the agent cysmethynil impacted tumor growth (Wang et al, 2008; Wang et al, 2009). It has also recently been found that pharmacologic inhibition of ICMT impairs cancer cell migration and invasion through Matrigel, suggesting potential anti- metastatic activity of the target (Cushman & Casey, 2009). Inhibition of ICMT has also been shown to trigger apoptosis of endothelial cells; hence targeting the enzyme has potential anti-angiogenic potential (Lu et al, 2007).
In a number of pathological conditions such as inflammation, acute lung injury and acute respiratory distress syndrome, lung endothelial cells are aberrantly activated leading to increased vascular permeability, culminating in lung edema. Studies implicating Rho GTPases in this process have led to the evaluation of targeting ICMT. This approach decreased RhoA carboxyl methylation and activation, which correlated with decreased monolayer permeability of pulmonary artery endothelial cells (Lu et al, 2004; Lu et al, 2007). These data suggest that targeting ICMT could be a useful therapeutic strategy against diseases characterized by increased vascular permeability. ICMT may also play a role in inflammatory conditions (WO 98/56924), and therefore inhibitors of ICMT may be useful as anti-inflammatory agents.
WO 2006/102126 discloses a class of compounds as ICMT inhibitors. Of the
indol-3-yl] acetamide
has been subsequently been used as a pharmacological tool to inhibit the activity of ICMT (see above). Cysmethynil is also described in Winter-Vann et al (2005).
Other inhibitors of ICMT include:
The compounds described by Judd et al (201 1) whilst demonstrating biochemical activity against ICMT did not show significant activity in whole cell based assays, limiting their potential as therapeutic agents.
Summary of the invention
The present inventors have discovered a particular class of compounds which are effective as ICMT inhibitors. These compounds have a lower molecular weight than known compounds and may also have a lower logP value. These compounds may also be competitive binders.
A first aspect of the invention provides the use of a compound of formula I :
R1\ R2^^X^ r3' R wherein:
R is selected from:
(i) phenyl, optionally substituted by one fluoro group;
(ii) thienyl;
(iii) furanyl;
(iv) Ci-4 alkyl; and
(v) H;
R2 is selected from:
3a 3b
X is selected from NH and O;
R4 is selected from phenyl, a 5-membered heteroaryl or a 6-membered heteroaryl, all of which are optionally substituted by one or more substituents selected from the group consisting of: methyl, methoxy, trifluoromethyl, trifluoromethoxy, cyano, fluoro, -OC2H4OMe, and pyrazolyl.
A second aspect of the present invention provides a pharmaceutical composition comprising a compound of the first aspect and a pharmaceutically acceptable carrier or diluent. The second aspect of the invention also provides a compound of the first aspect for use in a method of therapy.
A third aspect of the present invention provides a compound of the first aspect in the manufacture of a medicament for treating a disease ameliorated by the inhibition of ICMT. The third aspect of the invention also provides a compound of the first aspect for use in the method of treatment of a disease ameliorated by the inhibition of ICMT.
In particular in the third aspect of the invention, the compounds may be used to treat, or in the preparation of a medicament for the treatment of, cancer.
Another aspect of the invention provides a method of inhibiting ICMT in vitro or in vivo, comprising contacting a cell with an effective amount of an active compound as described herein.
A further aspect of the invention provides an active compound as described herein for use in a method of treatment of the human or animal body, preferably in the form of a pharmaceutical composition.
Some of the groups will be discussed in more detail below.
R1
R is selected from:
(i) phenyl, optionally substituted by fluoro;
(ii) thienyl;
(iii) furanyl;
(iv) C- alkyl; and
(v) H.
When R is phenyl, it may be unsubstituted, or bear a single fluoro group. This fluoro group may be in any available position, and thus R can be phenyl, 2-fluorophenyl, 3- fluorophenyl or 4-fluorophenyl:
When R is thienyl, it may be in either possible orientation and thus R can be thiophen-2-yl or thiophen-3-yl:
When R is furanyl, it may be in either possible orientation and thus R can be furan- 2-yl or furan-3-yl:
When R is Ci_4 alkyl, it may methyl (C , ethyl (C2), propyl (C3) or butyl (C4). It may be a linear Ci_4 alkyl group, i.e., methyl (Ci), ethyl (C2), n-propyl (C3) or n-butyl (C4), a branched Ci_4 alkyl group, i.e. include iso-propyl (C3), iso-butyl (C4), sec-butyl (C4) or tert-butyl (C4), or a cyclic C3.4 alkyl group, i.e. cyclopropyl (C3) or cyclobutyl (C4).
R may also be H. R4
R4 is selected from phenyl, a 5-membered heteroaryl or a 6-membered heteroaryl, all of which are optionally substituted by one or more substituents selected from the group consisting of: methyl, methoxy, trifluoromethyl, trifluoromethoxy, cyano, fluoro, -OC2H4OMe and pyrazolyl.
5-membered heteroaryl groups are monovalent groups derived from a compound having an aromatic ring with 5 ring atoms, one of which is not carbon. The non-
carbon heteroatoms are usually selected from nitrogen, oxygen and sulphur, so possible groups include, but are not limited to: pyrrolyl (Ni), furanyl (Oi), thiophenyl (Si), oxazolyl (N1O1), isoxazolyl (N1O1), oxadiazolyl (Ni02), oxatriazolyl (N1O3), thiazolyl (N1S1), isothiazolyl (N1S1), imidazolyl (N2), pyrazolyl (N2), triazolyl (N3) and tetrazolyl (N4).
6-membered heteroaryl groups are monovalent groups derived from a compound having an aromatic ring with 6 ring atoms, one of which is not carbon. The non- carbon heteroatoms are usually selected from nitrogen, oxygen and sulphur, so possible groups include, but are not limited to: pyridyl (N^, isoxazinyl (Ν^Οι), pyridazinyl (N2), pyrimidinyl (N2), pyrazinyl (N2) and triazinyl (N3).
These groups may be any possible orientation, e.g. 2-pyridyl and 3-pyridyl. There may be one, two, three or four substituents, the maximum number depending on the group being substituted. These substituents may be in any available positions.
Includes Other Forms
Included in the above are the well known ionic, salt, solvate, and protected forms of these substituents. For example, a reference to carboxylic acid (-COOH) also includes the anionic (carboxylate) form (-COO"), a salt or solvate thereof, as well as conventional protected forms. Similarly, a reference to an amino group includes the protonated form (-N+HR R2), a salt or solvate of the amino group, for example, a hydrochloride salt, as well as conventional protected forms of an amino group.
Similarly, a reference to a hydroxyl group also includes the anionic form (-0"), a salt or solvate thereof, as well as conventional protected forms of a hydroxyl group.
Isomers, Salts, Solvates, Protected Forms, and Prodrugs
Certain compounds may exist in one or more particular geometric, optical, enantiomeric, diasteriomeric, epimeric, stereoisomeric, tautomeric, conformational, or anomeric forms, including but not limited to, cis- and trans-forms; E- and Z-forms; c-, t-, and r- forms; endo- and exo-forms; R-, S-, and meso-forms; D- and L-forms; d- and l-forms; (+) and (-) forms; keto-, enol-, and enolate-forms; syn- and anti-forms; synclinal- and anticlinal-forms; a- and β-forms; axial and equatorial forms; boat-,
chair-, twist-, envelope-, and halfchair-forms; and combinations thereof, hereinafter collectively referred to as "isomers" (or "isomeric forms").
Note that, except as discussed below for tautomeric forms, specifically excluded from the term "isomers", as used herein, are structural (or constitutional) isomers (i.e. isomers which differ in the connections between atoms rather than merely by the position of atoms in space). For example, a reference to a methoxy group, -OCH3, is not to be construed as a reference to its structural isomer, a hydroxymethyl group, -CH2OH. Similarly, a reference to ortho-chlorophenyl is not to be construed as a reference to its structural isomer, meta-chlorophenyl. However, a reference to a class of structures may well include structurally isomeric forms falling within that class (e.g. , Ci-7 alkyl includes n-propyl and iso-propyl; butyl includes n-, iso-, sec-, and tert- butyl; methoxyphenyl includes ortho-, meta-, and para-methoxyphenyl).
The above exclusion does not pertain to tautomeric forms, for example, keto-, enol-, and enolate-forms, as in, for example, the following tautomeric pairs: keto/enol (illustrated below), imine/enamine, amide/imino alcohol, amidine/amidine,
keto enol eno!ate
Note that specifically included in the term "isomer" are compounds with one or more isotopic substitutions. For example, H may be in any isotopic form, including H, 2H (D), and 3H (T); C may be in any isotopic form, including 2C, 3C and 4C; O may be in any isotopic form, including 60 and 80; and the like.
Unless otherwise specified, a reference to a particular compound includes all such isomeric forms, including (wholly or partially) racemic and other mixtures thereof. Methods for the preparation (e.g. asymmetric synthesis) and separation (e.g. , fractional crystallisation and chromatographic means) of such isomeric forms are either known in the art or are readily obtained by adapting the methods taught herein, or known methods, in a known manner.
Unless otherwise specified, a reference to a particular compound also includes ionic, salt, solvate, and protected forms of thereof, for example, as discussed below.
It may be convenient or desirable to prepare, purify, and/or handle a corresponding salt of the active compound, for example, a pharmaceutically-acceptable salt.
Examples of pharmaceutically acceptable salts are discussed in Berge et al. J.
Pharm. Sci., 66, 1-19 (1977).
For example, if the compound is anionic, or has a functional group which may be anionic (e.g., -COOH may be -COO"), then a salt may be formed with a suitable cation. Examples of suitable inorganic cations include, but are not limited to, alkali metal ions such as Na+ and K+, alkaline earth cations such as Ca2+ and Mg2+, and other cations such as Al3+. Examples of suitable organic cations include, but are not limited to, ammonium ion (i.e., NH4+) and substituted ammonium ions (e.g., NH3R+, NH2R2+, NHR3+, NR4+). Examples of some suitable substituted ammonium ions are those derived from: ethylamine, diethylamine, dicyclohexylamine, triethylamine, butylamine, ethylenediamine, ethanolamine, diethanolamine, piperazine,
benzylamine, phenylbenzylamine, choline, meglumine, and tromethamine, as well as amino acids, such as lysine and arginine. An example of a common quaternary ammonium ion is N(CH3)4+.
If the compound is cationic, or has a functional group which may be cationic (e.g., -NH2 may be -NH3+), then a salt may be formed with a suitable anion. Examples of suitable inorganic anions include, but are not limited to, those derived from the following inorganic acids: hydrochloric, hydrobromic, hydroiodic, sulphuric, sulphurous, nitric, nitrous, phosphoric, and phosphorous. Examples of suitable organic anions include, but are not limited to, those derived from the following organic acids: acetic, propionic, succinic, glycolic, stearic, palmitic, lactic, malic, pamoic, tartaric, citric, gluconic, ascorbic, maleic, hydroxymaleic, phenylacetic, glutamic, aspartic, benzoic, cinnamic, pyruvic, salicyclic, sulfanilic, 2- acetyoxybenzoic, fumaric, phenylsulfonic, toluenesulfonic, methanesulfonic, ethanesulfonic, ethane disulfonic, oxalic, pantothenic, isethionic, valeric, lactobionic, and gluconic. Examples of suitable polymeric anions include, but are not limited to, those derived from the following polymeric acids: tannic acid, carboxymethyl cellulose.
It may be convenient or desirable to prepare, purify, and/or handle a corresponding solvate of the active compound. The term "solvate" is used herein in the conventional sense to refer to a complex of solute (e.g. active compound, salt of active compound)
and solvent. If the solvent is water, the solvate may be conveniently referred to as a hydrate, for example, a mono-hydrate, a di-hydrate, a tri-hydrate, etc.
It may be convenient or desirable to prepare, purify, and/or handle the active compound in a chemically protected form. The term "chemically protected form", as used herein, pertains to a compound in which one or more reactive functional groups are protected from undesirable chemical reactions, that is, are in the form of a protected or protecting group (also known as a masked or masking group or a blocked or blocking group). By protecting a reactive functional group, reactions involving other unprotected reactive functional groups can be performed, without affecting the protected group; the protecting group may be removed, usually in a subsequent step, without substantially affecting the remainder of the molecule. See, for example, Protective Groups in Organic Synthesis (T. Green and P. Wuts, Wiley, 1999). For example, a hydroxy group may be protected as an ether (-OR) or an ester
(-OC(=0)R), for example, as: a t-butyl ether; a benzyl, benzhydryl (diphenylmethyl), or trityl (triphenylmethyl) ether; a trimethylsilyl or t-butyldimethylsilyl ether; or an acetyl ester (-OC(=0)CH3, -OAc). For example, an aldehyde or ketone group may be protected as an acetal or ketal, respectively, in which the carbonyl group (>C=0) is converted to a diether (>C(OR)2), by reaction with, for example, a primary alcohol. The aldehyde or ketone group is readily regenerated by hydrolysis using a large excess of water in the presence of acid.
For example, an amine group may be protected, for example, as an amide or a urethane, for example, as: a methyl amide (-NHCO-CH3); a benzyloxy amide (- NHCO-OCH2C6H5, -NH-Cbz); as a t-butoxy amide (-NHCO-OC(CH3)3, -NH-Boc); a 2- biphenyl-2-propoxy amide (-NHCO-OC(CH3)2C6H4C6H5, -NH-Bpoc), as a 9- fluorenylmethoxy amide (-NH-Fmoc), as a 6-nitroveratryloxy amide (-NH-Nvoc), as a 2-trimethylsilylethyloxy amide (-NH-Teoc), as a 2,2,2-trichloroethyloxy amide (-NH- Troc), as an allyloxy amide (-NH-Alloc), as a 2(-phenylsulphonyl)ethyloxy amide (- NH-Psec); or, in suitable cases, as an N-oxide (>ΝΟ·)- For example, a carboxylic acid group may be protected as an ester for example, as: an Ci-7 alkyl ester (e.g. a methyl ester; a t-butyl ester); a Ci-7 haloalkyl ester (e.g., a
Ci-7 trihaloalkyl ester); a triCi_7 alkylsilyl-Ci_7 alkyl ester; or a C5.2o aryl-Ci_7 alkyl ester (e.g. a benzyl ester; a nitrobenzyl ester); or as an amide, for example, as a methyl amide.
For example, a thiol group may be protected as a thioether (-SR), for example, as: a benzyl thioether; an acetamidomethyl ether (-S-CH2NHC(=0)CH3).
It may be convenient or desirable to prepare, purify, and/or handle the active compound in the form of a prodrug. The term "prodrug", as used herein, pertains to a compound which, when metabolised (e.g. in vivo), yields the desired active compound. Typically, the prodrug is inactive, or less active than the active compound, but may provide advantageous handling, administration, or metabolic properties. For example, some prodrugs are esters of the active compound (e.g. a physiologically acceptable metabolically labile ester). During metabolism, the ester group (-C(=0)OR) is cleaved to yield the active drug. Such esters may be formed by esterification, for example, of any of the carboxylic acid groups (-C(=0)OH) in the parent compound, with, where appropriate, prior protection of any other reactive groups present in the parent compound, followed by deprotection if required.
Examples of such metabolically labile esters include those wherein R is C1-7 alkyl (e.g. -Me, -Et); C^.^ aminoalkyl (e.g. aminoethyl; 2-(N,N-diethylamino)ethyl; 2-(4- morpholino)ethyl); and acyloxy-Ci_7 alkyl (e.g. acyloxymethyl; acyloxyethyl; e.g. pivaloyloxymethyl; acetoxymethyl; 1-acetoxyethyl; 1-(1-methoxy-1-methyl)ethyl- carbonxyloxyethyl; 1-(benzoyloxy)ethyl; isopropoxy-carbonyloxymethyl; 1- isopropoxy-carbonyloxyethyl; cyclohexyl-carbonyloxymethyl; 1-cyclohexyl- carbonyloxyethyl; cyclohexyloxy-carbonyloxymethyl; 1-cyclohexyloxy- carbonyloxyethyl; (4-tetrahydropyranyloxy) carbonyloxymethyl; 1-(4- tetrahydropyranyloxy)carbonyloxyethyl;
(4-tetrahydropyranyl)carbonyloxymethyl; and 1-(4- tetrahydropyranyl)carbonyloxyethyl). Also, some prodrugs are activated enzymatically to yield the active compound, or a compound which, upon further chemical reaction, yields the active compound. For example, the prodrug may be a sugar derivative or other glycoside conjugate, or may be an amino acid ester derivative.
Further Embodiments
The following embodiments and preferences may be combined with one another as appropriate.
R
In some embodiments, R is phenyl. In these embodiments, the phenyl group may be unsubstituted or substituted by a single fluoro group. It may be preferred that the phenyl group is unsubstituted (1a) or has a 3-fluoro group (1c).
In some embodiments, R is thienyl.
In some embodiments, R is furanyl.
In some embodiments, R is d-4 alkyl. It may be preferred it is C3.4 alkyl, and it may be further preferred that it is C3 alkyl, and in particular, iso-propyl.
In some embodiments, R is H.
In some embodiments,
In some embodiments, R2 is (2b).
In some embodiments, R2 is (2d).
R3
In some embodiments, R is (3a).
In some embodiments, R3 is (3b).
X
In some embodiments, X is NH. In some embodiments, X is O.
R4
In some embodiments, R4 is phenyl, optionally substituted by one or more substituents selected from the group consisting of: methyl, methoxy, trifluoromethyl, trifluoromethoxy, cyano, fluoro, -OC2H4OMe and pyrazolyl. In some these embodiments, the phenyl group is unsubstituted. In other embodiments, the phenyl group is substituted by at least group selected from methoxy, trifluoromethoxy, fluoro and -OC2H4OMe.
In some embodiments, R4 is a 5-membered heteroaryl optionally substituted by one or more substituents selected from the group consisting of: methyl, methoxy, trifluoromethyl, trifluoromethoxy, cyano, fluoro, -OC2H4OMe and pyrazolyl. In these embodiments, the 5-membered heteroaryl group may contain 1 or 2 nitrogen ring atoms, and may preferably be pyrazolyl.
When R4 is a 5-membered heteroaryl, it may be unsubstituted. If it is substituted, the substituent may, in some embodiments, be methyl. In some embodiments, R4 is a 6-membered heteroaryl, optionally substituted by one or more substituents selected from the group consisting of: methyl, methoxy, trifluoromethyl, trifluoromethoxy, cyano, fluoro, -OC2H4OMe and pyrazolyl. In these embodiments, the 6-membered heteroaryl group may contain 1 or 2 nitrogen ring atoms, and may preferably be selected from pyridyl (e.g. 3-pryidyl) and pyrimidyl (e.g. 5-pyrimidyl).
When R4 is a 6-membered heteroaryl, it may be unsubstituted. If it is substituted, the substituent may, in some embodiments, be cyano. 5-membered heteroaryl groups are monovalent groups derived from a compound having an aromatic ring with 5 ring atoms, one of which is not carbon. The non- carbon heteroatoms are usually selected from nitrogen, oxygen and sulphur, so possible groups include, but are not limited to: pyrrolyl (Ni), furanyl (Oi), thiophenyl (Si), oxazolyl (N1O1), isoxazolyl (N1O1), oxadiazolyl (Ni02), oxatriazolyl (Ni03), thiazolyl (N1S1), isothiazolyl (N1S1), imidazolyl (N2), pyrazolyl (N2), triazolyl (N3) and tetrazolyl (N4).
6-membered heteroaryl groups are monovalent groups derived from a compound having an aromatic ring with 6 ring atoms, one of which is not carbon. The non- carbon heteroatoms are usually selected from nitrogen, oxygen and sulphur, so possible groups include, but are not limited to: pyridyl (N^, isoxazinyl (Ν^Οι), pyridazinyl (N2), pyrimidinyl (N2), pyrazinyl (N2) and triazinyl (N3).
These groups may be any possible orientation, e.g. 2-pyridyl and 3-pyridyl.
There may be one, two, three or four substituents, the maximum number depending on the group being substituted. These substituents may be in any available positions. If the substituent is pyrazolyl, it may be in any possible orientation, and bound via a carbon or nitrogen ring atom.
In some embodiments of the present invention, there are provided compounds of formula la:
(la)
"FT 'X^R3' R wherein:
R is phenyl, optionally substituted by one fluoro group;
R2 is selected from:
3a 3b
X is selected from NH and O;
R4 is selected from:
(a) phenyl, optionally substituted by one or more substituents selected from the group consisting of: methyl, methoxy, trifluoromethyl, trifluoromethoxy, cyano, fluoro, -OC2H4OMe, and pyrazolyl;
(b) pyrazolyl, optionally substituted by one or more methyl groups;
(c) pyridyl, optionally substituted by cyano; and
(d) pyrimidyl.
The preferences expressed above in relation to compounds of formula I also apply to compounds of formula la, where appropriate.
Embodiments of the invention are compound of the examples, including compounds 1 to 33.
General synthesis methods
The compounds of the invention can be prepared employing the following general methods and using procedures described in detail in the experimental section. The reaction conditions referred to are illustrative and non-limiting.
Compounds of formula I, as described above, can be prepared by synthetic strategies outlined below.
may be synthesised by the Pd° mediated carbon carbon bond formation between a molecule of formula 2, where Q is I, CI or Br
R \ R2/\^x^R3/ Q Formula 2 with a compound of formula 3:
Formula 3
where Z is one of OS02CF3, B(OH)2 or other equivalent boronates such as boronic esters, SnR3 or other equivalent stannanes. Further methods to elucidate this coupling are well known to those skilled in the art, see for example Hassan et al, Chem. Rev. 2002, 102, 1359.
Compounds of formula 2 may be prepared by reaction of a compound of formula 4 R1
^R2^^^ Formula 4
Where X' is OH or NH, with a compound of formula 5
Y^ R3^Q Formula 5
where Y is suitable leaving group such as CI, Br, I or OS02CF3. Alternatively compounds of formula 2 where X = N may be prepared by the reaction of a compound of formula 4 with a compound of formula 5 under Pd° catalysis via the Buchwald Hartwig reaction. Similar reactions to facilitate this conversion are known to those skilled in the art and can be found for instance in Advanced Organic
Chemistry; M. Smith and J. March, 6th Edition, Wiley-lnterscience, ISBN 0-471- 72091-7.
Compounds of formula 4 where X' = NH2 or OH, and where R is aromatic (Ar) can be prepared from compounds of formula 6 where A = O and where R5, R6, R7, R8 = H; or where A = O and R5, R6, R7, R8 = CH3; or where A = O and R5, R6 = H and R7, R8 = CH3.
Where X'=NH2, this can be achieved by reduction of the pendant nitrile group via hydrogenation using Pd catalysis and hydrogen gas or via hydride reduction by treatment with LiAIH4 or similar reducing agents. Compounds of formula 4 where X' = OH can be prepared from compounds of formula 6 by acid or base hydrolysis of the pendant nitrile to afford the respective carboxylic acid, reduction of which by LiAIH4 or similar reducing agents affords the alcohol.
Com ounds of formula 6 can be prepared from compounds of Formula 7
by reaction with a suitable aryl organometallic intermediate such as an aryl Grignard or aryl zinc reagent followed by hydrolysis and decarboxylation to give the compound of formula 6.
Compounds of formula 7 can be prepared from compounds of formula 8 via an Aldol reaction with Ethyl cyanoacrylate or equivalent catalysed by base.
Formula 8
Compounds of formula 8 are known, where R5, R6, R7, R8 = H (CAS No 29943-42-8; or where A = O and R5, R6, R7, R8 = CH3 (CAS No 1 197-66-6); or where A = O and R5, R6 = H and R7, R8 = CH3 (CAS No 1194-16-7; all three compounds are commercially available.
Compounds of formula 4 where X' = NH2 and A = S02 can be prepared from the compound of formula 9, following removal of the 'Butoxycarbonyl protecting group under acidic conditions
The Compound of formula 9 is prepared from the compound of formula 10
Formula 10
by treatment with a suitable oxidising agent such as 3-chloroperoxybenzoic acid or similar. The Compound of formula 10 can be prepared from the compound of formula 4 where X' = NH2 and A = S by treatment with di-'butyl dicarbonate in a suitable solvent.
The Compound of formula 4 where X = NH2 and A = S can prepared as described above from tetrahydrothiopyran-4-one which is known, using the analogous methods described for compounds of formulae 6 and 7.
Compounds where R is not aromatic may be made by analogous processes.
Use of Compounds of the Invention
The present invention provides active compounds, specifically, active A/-substituted- 6-aryl-pyrazin-2-amines and A/-substituted 5-fluoro-4-aryl-pyrimidin-2-amines.
The term "active", as used herein, pertains to compounds which are capable of inhibiting ICMT activity, and specifically includes both compounds with intrinsic activity (drugs) as well as prodrugs of such compounds, which prodrugs may themselves exhibit little or no intrinsic activity.
Assays which may be used in order to assess the ICMT inhibition offered by a particular compound are described in the examples below.
The present invention further provides a method of inhibiting ICMT in a cell, comprising contacting said cell with an effective amount of an active compound, preferably in the form of a pharmaceutically acceptable composition. Such a method may be practised in vitro or in vivo.
The present invention further provides active compounds which inhibit ICMT activity as well as methods of methods of inhibiting ICMT activity comprising contacting a cell with an effective amount of an active compound, whether in vitro or in vivo.
Active compounds may also be used as part of an in vitro assay, for example, in order to determine whether a candidate host is likely to benefit from treatment with the compound in question.
The invention further provides active compounds for use in a method of treatment of the human or animal body. Such a method may comprise administering to such a subject a therapeutically-effective amount of an active compound, preferably in the form of a pharmaceutical composition.
The term "treatment", as used herein in the context of treating a condition, pertains generally to treatment and therapy, whether of a human or an animal (e.g. in veterinary applications), in which some desired therapeutic effect is achieved, for example, the inhibition of the progress of the condition, and includes a reduction in the rate of progress, a halt in the rate of progress, amelioration of the condition, and
cure of the condition. Treatment as a prophylactic measure (i.e. prophylaxis) is also included.
The term "therapeutically-effective amount" as used herein, pertains to that amount of an active compound, or a material, composition or dosage from comprising an active compound, which is effective for producing some desired therapeutic effect, commensurate with a reasonable benefit/risk ratio.
Cancer
The present invention provides active compounds which are anticancer agents. One of ordinary skill in the art is readily able to determine whether or not a candidate compound treats a cancerous condition for any particular cell type, either alone or in combination. Examples of cancers include, but are not limited to, lung cancer, small cell lung cancer, gastrointestinal cancer, bowel cancer, colon cancer, breast carcinoma, ovarian carcinoma, prostate cancer, testicular cancer, liver cancer, kidney cancer, bladder cancer, pancreas cancer, thyroid cancer, brain cancer, seminoma, sarcoma, osteosarcoma, Kaposi's sarcoma, melanoma and leukaemias.
Cancers of particular interest are those linked to mutant Ras overactivity, such as pancreatic carcinoma, thyroid carcinoma, colon carcinoma, lung carcinoma, ovarian carcinoma, thyroid carcinoma, seminoma, lung cancer, myelodysplasia syndrome (MDS)/acute myeloid leukemia (AML) and malignant melanoma.
Any type of cell may be treated, including but not limited to, lung, gastrointestinal (including, e.g., bowel, colon), breast (mammary), ovarian, prostate, liver (hepatic), kidney (renal), bladder, pancreas, brain, and skin. The anti cancer treatment defined hereinbefore may be applied as a sole therapy or may involve, in addition to the compound of the invention, conventional surgery or radiotherapy or chemotherapy. Such chemotherapy may include one or more of the following categories of anti-tumour agents:-
(i) other antiproliferative/antineoplastic drugs and combinations thereof, as used in medical oncology, such as alkylating agents (for example cisplatin, oxaliplatin, carboplatin, cyclophosphamide, nitrogen mustard, melphalan, chlorambucil,
busulphan, temozolamide and nitrosoureas); antimetabolites (for example gemcitabine and antifolates such as fluoropyrimidines like 5 fluorouracil and tegafur, raltitrexed, methotrexate, cytosine arabinoside, and hydroxyurea); antitumour antibiotics (for example anthracyclines like adriamycin, bleomycin, doxorubicin, daunomycin, epirubicin, idarubicin, mitomycin-C, dactinomycin and mithramycin); antimitotic agents (for example vinca alkaloids like vincristine, vinblastine, vindesine and vinorelbine and taxoids like taxol and taxotere and polokinase inhibitors); and topoisomerase inhibitors (for example epipodophyllotoxins like etoposide and teniposide, amsacrine, topotecan and camptothecin);
(ii) cytostatic agents such as antioestrogens (for example tamoxifen, fulvestrant, toremifene, raloxifene, droloxifene and iodoxyfene), antiandrogens (for example bicalutamide, flutamide, nilutamide and cyproterone acetate), LHRH antagonists or LHRH agonists (for example goserelin, leuprorelin and buserelin), progestogens (for example megestrol acetate), aromatase inhibitors (for example as anastrozole, letrozole, vorazole and exemestane) and inhibitors of 5*-reductase such as finasteride;
(iii) anti-invasion agents (for example c-Src kinase family inhibitors like 4-(6- chloro-2,3-methylenedioxyanilino)-7-[2-(4-methylpiperazin-1-yl)ethoxy]-5- tetrahydropyran-4-yloxyquinazoline (AZD0530; International Patent Application WO 01/94341) and N-(2-chloro-6-methylphenyl)-2-{6-[4-(2-hydroxyethyl)piperazin-1-yl]-2- methylpyrimidin-4-ylamino}thiazole-5-carboxamide (dasatinib, BMS-354825; J. Med. Chem., 2004, 47, 6658-6661), and metalloproteinase inhibitors like marimastat, inhibitors of urokinase plasminogen activator receptor function or antibodies to Heparanase);
(iv) inhibitors of growth factor function: for example such inhibitors include growth factor antibodies and growth factor receptor antibodies (for example the anti erbB2 antibody trastuzumab [HerceptinT], the anti-EGFR antibody panitumumab, the anti erbB1 antibody cetuximab [Erbitux, C225] and any growth factor or growth factor receptor antibodies disclosed by Stern et al. Critical reviews in
oncology/haematology, 2005, Vol. 54, pp11-29); such inhibitors also include tyrosine kinase inhibitors, for example inhibitors of the epidermal growth factor family (for example EGFR family tyrosine kinase inhibitors such as N-(3-chloro-4-fluorophenyl)- 7-methoxy-6-(3-morpholinopropoxy)quinazolin-4-amine (gefitinib, ZD1839), N-(3- ethynylphenyl)-6,7-bis(2-methoxyethoxy)quinazolin-4-amine (eriotinib, OSI 774) and 6-acrylamido-N-(3-chloro-4-fluorophenyl)-7-(3-morpholinopropoxy)-quinazolin-4- amine (CI 1033), erbB2 tyrosine kinase inhibitors such as lapatinib, inhibitors of the
hepatocyte growth factor family, inhibitors of the platelet-derived growth factor family such as imatinib, inhibitors of serine/threonine kinases (for example Ras/Raf signalling inhibitors such as farnesyl transferase inhibitors, for example sorafenib (BAY 43-9006)), inhibitors of cell signalling through MEK and/or AKT kinases, inhibitors of the hepatocyte growth factor family, c-kit inhibitors, abl kinase inhibitors, IGF receptor (insulin-like growth factor) kinase inhibitors; aurora kinase inhibitors (for example AZD1152, PH739358, VX-680, MLN8054, R763, MP235, MP529, VX-528 AND AX39459) and cyclin dependent kinase inhibitors such as CDK2 and/or CDK4 inhibitors;
(v) antiangiogenic agents such as those which inhibit the effects of vascular endothelial growth factor, [for example the anti vascular endothelial cell growth factor antibody bevacizumab (AvastinT) and VEGF receptor tyrosine kinase inhibitors such as 4-(4-bromo-2-fluoroanilino)-6-methoxy-7-(1-methylpiperidin-4- ylmethoxy)quinazoline (ZD6474; Example 2 within WO 01/32651), 4-(4-fluoro-2- methylindol-5-yloxy)-6-methoxy-7-(3-pyrrolidin-1-ylpropoxy)quinazoline (AZD2171 ;
Example 240 within WO 00/47212), vatalanib (PTK787; WO 98/35985) and SU1 1248 (sunitinib; WO 01/60814), compounds such as those disclosed in International Patent Applications W097/22596, WO 97/30035, WO 97/32856 and WO 98/13354 and compounds that work by other mechanisms (for example linomide, inhibitors of integrin avb3 function and angiostatin)];
(vi) vascular damaging agents such as Combretastatin A4 and compounds disclosed in International Patent Applications WO 99/02166, WO 00/40529, WO 00/41669, WO 01/92224, WO 02/04434 and WO 02/08213;
(vii) antisense therapies, for example those which are directed to the targets listed above, such as ISIS 2503, an anti-ras antisense;
(viii) gene therapy approaches, including for example approaches to replace aberrant genes such as aberrant p53 or aberrant BRCA1 or BRCA2, GDEPT (gene directed enzyme pro drug therapy) approaches such as those using cytosine deaminase, thymidine kinase or a bacterial nitroreductase enzyme and approaches to increase patient tolerance to chemotherapy or radiotherapy such as multi drug resistance gene therapy; and
(ix) immunotherapy approaches, including for example ex vivo and in vivo approaches to increase the immunogenicity of patient tumour cells, such as transfection with cytokines such as interleukin 2, interleukin 4 or granulocyte macrophage colony stimulating factor, approaches to decrease T cell anergy, approaches using transfected immune cells such as cytokine transfected dendritic
cells, approaches using cytokine transfected tumour cell lines and approaches using anti idiotypic antibodies
Administration
The active compound or pharmaceutical composition comprising the active compound may be administered to a subject by any convenient route of
administration, whether systemically/ peripherally or at the site of desired action, including but not limited to, oral (e.g. by ingestion); topical (including e.g.
transdermal, intranasal, ocular, buccal, and sublingual); pulmonary (e.g. by inhalation or insufflation therapy using, e.g. an aerosol, e.g. through mouth or nose); rectal; vaginal; parenteral, for example, by injection, including subcutaneous, intradermal, intramuscular, intravenous, intraarterial, intracardiac, intrathecal, intraspinal, intracapsular, subcapsular, intraorbital, intraperitoneal, intratracheal, subcuticular, intraarticular, subarachnoid, and intrasternal; by implant of a depot, for example, subcutaneously or intramuscularly. The subject may be a eukaryote, an animal, a vertebrate animal, a mammal, a rodent (e.g. a guinea pig, a hamster, a rat, a mouse), murine (e.g. a mouse), canine (e.g. a dog), feline (e.g. a cat), equine (e.g. a horse), a primate, simian (e.g. a monkey or ape), a monkey (e.g. marmoset, baboon), an ape (e.g. gorilla, chimpanzee, orang-utan, gibbon), or a human.
Formulations
While it is possible for the active compound to be administered alone, it is preferable to present it as a pharmaceutical composition (e.g. formulation) comprising at least one active compound, as defined above, together with one or more pharmaceutically acceptable carriers, adjuvants, excipients, diluents, fillers, buffers, stabilisers, preservatives, lubricants, or other materials well known to those skilled in the art and optionally other therapeutic or prophylactic agents.
Thus, the present invention further provides pharmaceutical compositions, as defined above, and methods of making a pharmaceutical composition comprising admixing at least one active compound, as defined above, together with one or more
pharmaceutically acceptable carriers, excipients, buffers, adjuvants, stabilisers, or other materials, as described herein. The term "pharmaceutically acceptable" as used herein pertains to compounds, materials, compositions, and/or dosage forms which are, within the scope of sound
medical judgement, suitable for use in contact with the tissues of a subject (e.g. human) without excessive toxicity, irritation, allergic response, or other problem or complication, commensurate with a reasonable benefit/risk ratio. Each carrier, excipient, etc. must also be "acceptable" in the sense of being compatible with the other ingredients of the formulation.
Suitable carriers, excipients, etc. can be found in standard pharmaceutical texts, for example, Remington: the science and practice of pharmacy, 21st edition,
Pharmaceutical Press, 2011.
The formulations may conveniently be presented in unit dosage form and may be prepared by any methods well known in the art of pharmacy. Such methods include the step of bringing into association the active compound with the carrier which constitutes one or more accessory ingredients. In general, the formulations are prepared by uniformly and intimately bringing into association the active compound with liquid carriers or finely divided solid carriers or both, and then if necessary shaping the product.
Formulations may be in the form of liquids, solutions, suspensions, emulsions, elixirs, syrups, tablets, losenges, granules, powders, capsules, cachets, pills, ampoules, suppositories, pessaries, ointments, gels, pastes, creams, sprays, mists, foams, lotions, oils, boluses, electuaries, or aerosols.
Formulations suitable for oral administration (e.g. by ingestion) may be presented as discrete units such as capsules, cachets or tablets, each containing a predetermined amount of the active compound; as a powder or granules; as a solution or suspension in an aqueous or non-aqueous liquid; or as an oil-in-water liquid emulsion or a water-in-oil liquid emulsion; as a bolus; as an electuary; or as a paste. A tablet may be made by conventional means, e.g., compression or moulding, optionally with one or more accessory ingredients. Compressed tablets may be prepared by compressing in a suitable machine the active compound in a free- flowing form such as a powder or granules, optionally mixed with one or more binders (e.g. povidone, gelatin, acacia, sorbitol, tragacanth, hydroxypropylmethyl cellulose); fillers or diluents (e.g. lactose, microcrystalline cellulose, calcium hydrogen phosphate); lubricants (e.g. magnesium stearate, talc, silica); disintegrants (e.g.
sodium starch glycolate, cross-linked povidone, cross-linked sodium carboxymethyl cellulose); surface-active or dispersing or wetting agents (e.g. sodium lauryl sulfate); and preservatives (e.g. methyl p-hydroxybenzoate, propyl p-hydroxybenzoate, sorbic acid). Moulded tablets may be made by moulding in a suitable machine a mixture of the powdered compound moistened with an inert liquid diluent. The tablets may optionally be coated or scored and may be formulated so as to provide slow or controlled release of the active compound therein using, for example,
hydroxypropylmethyl cellulose in varying proportions to provide the desired release profile. Tablets may optionally be provided with an enteric coating, to provide release in parts of the gut other than the stomach.
Formulations suitable for topical administration (e.g. transdermal, intranasal, ocular, buccal, and sublingual) may be formulated as an ointment, cream, suspension, lotion, powder, solution, past, gel, spray, aerosol, or oil. Alternatively, a formulation may comprise a patch or a dressing such as a bandage or adhesive plaster impregnated with active compounds and optionally one or more excipients or diluents.
Formulations suitable for topical administration in the mouth include losenges comprising the active compound in a flavoured basis, usually sucrose and acacia or tragacanth; pastilles comprising the active compound in an inert basis such as gelatin and glycerin, or sucrose and acacia; and mouthwashes comprising the active compound in a suitable liquid carrier. Formulations suitable for topical administration to the eye also include eye drops wherein the active compound is dissolved or suspended in a suitable carrier, especially an aqueous solvent for the active compound.
Formulations suitable for nasal administration, wherein the carrier is a solid, include a coarse powder having a particle size, for example, in the range of about 20 to about 500 microns which is administered in the manner in which snuff is taken, i.e. by rapid inhalation through the nasal passage from a container of the powder held close up to the nose. Suitable formulations wherein the carrier is a liquid for administration as, for example, nasal spray, nasal drops, or by aerosol administration by nebuliser, include aqueous or oily solutions of the active compound.
Formulations suitable for administration by inhalation include those presented as an aerosol spray from a pressurised pack, with the use of a suitable propellant, such as dichlorodifluoromethane, trichlorofluoromethane, dichoro-tetrafluoroethane, carbon dioxide, or other suitable gases.
Formulations suitable for topical administration via the skin include ointments, creams, and emulsions. When formulated in an ointment, the active compound may optionally be employed with either a paraffinic or a water-miscible ointment base. Alternatively, the active compounds may be formulated in a cream with an oil-in- water cream base. If desired, the aqueous phase of the cream base may include, for example, at least about 30% w/w of a polyhydric alcohol, i.e., an alcohol having two or more hydroxyl groups such as propylene glycol, butane-1 ,3-diol, mannitol, sorbitol, glycerol and polyethylene glycol and mixtures thereof. The topical formulations may desirably include a compound which enhances absorption or penetration of the active compound through the skin or other affected areas. Examples of such dermal penetration enhancers include dimethylsulfoxide and related analogues.
When formulated as a topical emulsion, the oily phase may optionally comprise merely an emulsifier (otherwise known as an emulgent), or it may comprises a mixture of at least one emulsifier with a fat or an oil or with both a fat and an oil.
Preferably, a hydrophilic emulsifier is included together with a lipophilic emulsifier which acts as a stabiliser. It is also preferred to include both an oil and a fat.
Together, the emulsifier(s) with or without stabiliser(s) make up the so-called emulsifying wax, and the wax together with the oil and/or fat make up the so-called emulsifying ointment base which forms the oily dispersed phase of the cream formulations.
Suitable emulgents and emulsion stabilisers include Tween 60, Span 80, cetostearyl alcohol, myristyl alcohol, glyceryl monostearate and sodium lauryl sulphate. The choice of suitable oils or fats for the formulation is based on achieving the desired cosmetic properties, since the solubility of the active compound in most oils likely to be used in pharmaceutical emulsion formulations may be very low. Thus the cream should preferably be a non-greasy, non-staining and washable product with suitable consistency to avoid leakage from tubes or other containers. Straight or branched chain, mono- or dibasic alkyl esters such as di-isoadipate, isocetyl stearate, propylene glycol diester of coconut fatty acids, isopropyl myristate, decyl oleate,
isopropyl palmitate, butyl stearate, 2-ethylhexyl palmitate or a blend of branched chain esters known as Crodamol CAP may be used, the last three being preferred esters. These may be used alone or in combination depending on the properties required.
Alternatively, high melting point lipids such as white soft paraffin and/or liquid paraffin or other mineral oils can be used.
Formulations suitable for rectal administration may be presented as a suppository with a suitable base comprising, for example, cocoa butter or a salicylate.
Formulations suitable for vaginal administration may be presented as pessaries, tampons, creams, gels, pastes, foams or spray formulations containing in addition to the active compound, such carriers as are known in the art to be appropriate.
Formulations suitable for parenteral administration (e.g. by injection, including cutaneous, subcutaneous, intramuscular, intravenous and intradermal), include aqueous and non-aqueous isotonic, pyrogen-free, sterile injection solutions which may contain anti-oxidants, buffers, preservatives, stabilisers, bacteriostats, and solutes which render the formulation isotonic with the blood of the intended recipient; and aqueous and non-aqueous sterile suspensions which may include suspending agents and thickening agents, and liposomes or other micro particulate systems which are designed to target the compound to blood components or one or more organs. Examples of suitable isotonic vehicles for use in such formulations include Sodium Chloride Injection, Ringer's Solution, or Lactated Ringer's Injection. Typically, the concentration of the active compound in the solution is from about 1 ng/ml to about 10 μg/ml, for example from about 10 ng/ml to about 1 μg/ml. The formulations may be presented in unit-dose or multi-dose sealed containers, for example, ampoules and vials, and may be stored in a freeze-dried (lyophilised) condition requiring only the addition of the sterile liquid carrier, for example water for injections, immediately prior to use. Extemporaneous injection solutions and suspensions may be prepared from sterile powders, granules, and tablets. Formulations may be in the form of liposomes or other microparticulate systems which are designed to target the active compound to blood components or one or more organs.
Dosage
It will be appreciated that appropriate dosages of the active compounds, and compositions comprising the active compounds, can vary from patient to patient. Determining the optimal dosage will generally involve the balancing of the level of therapeutic benefit against any risk or deleterious side effects of the treatments of the present invention. The selected dosage level will depend on a variety of factors including, but not limited to, the activity of the particular compound, the route of administration, the time of administration, the rate of excretion of the compound, the duration of the treatment, other drugs, compounds, and/or materials used in combination, and the age, sex, weight, condition, general health, and prior medical history of the patient. The amount of compound and route of administration will ultimately be at the discretion of the physician, although generally the dosage will be to achieve local concentrations at the site of action which achieve the desired effect without causing substantial harmful or deleterious side-effects.
Administration in vivo can be effected in one dose, continuously or intermittently (e.g. in divided doses at appropriate intervals) throughout the course of treatment.
Methods of determining the most effective means and dosage of administration are well known to those of skill in the art and will vary with the formulation used for therapy, the purpose of the therapy, the target cell being treated, and the subject being treated. Single or multiple administrations can be carried out with the dose level and pattern being selected by the treating physician.
In general, a suitable dose of the active compound is in the range of about 100 μg to about 250 mg per kilogram body weight of the subject per day. Where the active compound is a salt, an ester, prodrug, or the like, the amount administered is calculated on the basis of the parent compound and so the actual weight to be used is increased proportionately.
Examples
Acronyms
For convenience, many chemical moieties are represented using well known abbreviations, including but not limited to, methyl (Me), ethyl (Et), n-propyl (nPr), iso- propyl (iPr), n-butyl (nBu), tert-butyl (tBu), n-hexyl (nHex), cyclohexyl (cHex), phenyl (Ph), biphenyl (biPh), benzyl (Bn), naphthyl (naph), methoxy (MeO), ethoxy (EtO), benzoyl (Bz), and acetyl (Ac).
For convenience, many chemical compounds are represented using well known abbreviations, including but not limited to, methanol (MeOH), ethanol (EtOH), iso- propanol (i-PrOH), methyl ethyl ketone (MEK), ether or diethyl ether (Et20), acetic acid (AcOH), dichloromethane (methylene chloride, DCM), trifluoroacetic acid (TFA), dimethylformamide (DMF), tetrahydrofuran (THF), and dimethylsulfoxide (DMSO). General Experimental Methods
NMR spectra were obtained at 298K, at the frequency stated using either a Varian Inova 500 or NMR System 600 MHz instrument and run as a dilute solution on CDCI3 unless otherwise stated. All spectra were referenced using deuterium locking. All coupling constants are reported in hertz (Hz) with multiplicities labelled s (singlet), bs (broad singlet), d (doublet), t (triplet), q (quartet) and m (multiplet). NMR spectra where provided, were obtained for the title substance in each Synthesis or Example (or a suitable derivative thereof, such as the free base) unless otherwise stated.
Mass spectra were recorded using an Agilent 1200 LC system coupled to an Agilent 6120 Triple quadropole mass spectrometer operating in ES(+) and ES(-) ionisation mode. Analysis was carried out using the same system and using an Agilent Eclipse Ci8 column (4.5 x 150 mm) with a 5 μΜ particle size. Mobile phase unless otherwise stated was a gradient of 5% water to 95% acetonitrile increasing over 10 minutes to 95% water 5% acetonitrile using 0.1 % TFA as a modifier and a flow rate of 0.8 mL/min. Microwave reactions were carried out in a Biotage Initiator.
Unless otherwise stated all starting materials, reagents and solvents were obtained from commercial suppliers and used without further purification. Post reaction work ups used were of the types standard in the art.
Intermediate 1 : 6-chloro-N-(2-(2,2-dimethyl-4-phenyl-tetrahydro-2H-pyran-4- yl)ethyl)pyrazin-2-amine
2,6-dichloropyrazine (C1)(ALFA AESAR, CAS: 4774-14-5, CAT: 132497) (191 mg, 1.3 mmol) was added to a solution of the 2-(2,2-dimethyl-4-phenyltetrahydro-2 -- pyran-4-yl)ethanamine (C2)(CHEM BRIDGE, CAS: 126317-99-5, CAT: 4005819) (200 mg, 0.86 mmol) and triethylamine (155 μΙ_, 112 mg, 1.1 mmol) in DMF (0.5 mL) and heated to 95°C overnight (ca. 18h). The reaction mixture was then concentrated to give a brown residue. Purification by silica column chromatography (gradient elution: 100% DCM-1 % MeOH in DCM) resulted in isolation of a clear oil. H NMR and LCMS revealed the desired product however a trace of DMF remained in the sample. 31.3 mg was transferred to a microwave vial for Suzuki coupling of 2,5- difluorophenyl boronic acid. After exhaustive attempts to remove the DMF under high vacuum, the sample was resuspended in MeOH and loaded onto a silica SCX cartridge. The cartridge was washed with methanol (10 mL) and this fraction was concentrated to give Fraction 1. The cartridge was then washed with 2M NH3 in MeOH (5 mL), the yellow eluting band was collected in a new test tube and the later eluting orange band was eluted into a second test tube. The yellow solution collected from the 2M NH3 in MeOH wash was concentrated to give Fraction 2. H NMR revealed that Fraction 1 and Fraction 2 both contained the desired product however Fraction 1 (clear oil, 1 18.2 mg) contained traces of DMF and other impurities. Fraction 2 (clear oil, 19.7 mg) appeared to be clean by H NMR and LCMS. Total yield (Fraction 1 + Fraction 2 = 137.8 mg, 46%). H NMR (500 MHz, CD3OD) δ 7.54 (brs, 2H, 2 x Ar-H), 7.42 (d, 2H, J = 7.7 Hz, H2', H6') 7.35 (brt, 2H, J = 7.8 Hz, H3', H5'), 7.21 (brt, 1 H, J = 7.3 Hz, H4'), 3.83 (td, 1 H, J = 11.7 and 1.9 Hz, CHO), 3.77 (dt, 1 H, J = 11.5 and 3.8 Hz, CHO), 3.15 (ddd, 1 H, J = 14.6 and 9.3 and 5.3 Hz, CHN), 2.75 (ddd, 1 H, J = 14.6 and 9.1 and 5.5 Hz, CHN), 2.51 (dd, 1 H, J = 14.3 and 2.4 Hz, CH), 2.28 (dd, 1 H, J = 14.1 and 2.2 Hz, CH), 1.94 (ddd, 1 H, J =
14.6 and 9.2 and 5.5 Hz, CH), 1.75-1.68 (m, 3H, 3 x CH; 1.19, s, 3H, CH3), 0.67 (s, 3H, CH3). LCMS (ESI) m/z 346 (C19H24CIN3OH+).
Intermediate 2: 2-(2,2,6,6-tetramethyl-4-phenyloxan-4-yl)ethan-1 -amine
(a) 2,2,6,6-Tetramethyloxan-4-one (C4)
Phorone (C3)(ABCR, CAS: 504-20-1 , CAT: AB141943) (9.967 g, 72.1 mmol) was suspended in 1 N HCI (100 mL). The mixture was heated at 40°C for 7 days then washed with diethyl ether (3 x 50 mL). The organic layers were combined and dried (Na2S04) filtered and the solvent removed to give a yellow oil. The oil was subjected to purification by chromatography (silica, 80%, ethyl acetate/hexane; 20/80, 13 x 100 mm tubes). The product was visualized by PMA stain. Fractions 3-16 were collected to give a pale, yellow oil (4.6825 g, 42%, contains minor impurities but was used in the next step without further purification). H NMR (500 MHz, CDCI3) δ 2.39 (brs, 4H, 2 x CH20), 1.28 (brs, 12H, 4 x CH3). 3C NMR (125 MHz, CDCI3) δ 208.61 , CO; 75.08, C2 and C6; 51.64, C3 and C5, 31.47, 4 x CH3.
(b) Ethyl 2-cyano-2-(2,2,6,6-tetramethyloxan-4-ylidene)acetate (C6)
A mixture of 2,2,6,6-tetramethyloxan-4-one (C4)(4.683 g, 0.030 mol), ammonium acetate (0.231 g, 0.003 mol) and ethyl cyanoacetate (C5)(Aldrich, CAS: 105-56-6, CAT: E18425), (5.0865 g, 0.045 mmol) was heated under reflux in toluene (150 mL) for 3 days using a Dean-Stark trap. Analytical TLC indicated a new UV active compound and some starting material plus other impurities (visualised by UV and PMA stain). The reaction was allowed to cool to room temperature, the solvent evaporated, and the pale yellow oil subjected to purification (silica, 80 g, ethyl
acetate/hexane; 10/90, 13 x 100 mm tubes). Fractions 15-17 were the most pure by analytical TLC (UV active and stains with PMA; starting material runs slightly lower is not UV active and stains very strongly with PMA) and collected to give the required product as a light yellow crystalline solid (1.9300 g). Fractions 9-14 (1.5249 g) and fractions 18-45 (2.6121 g) were collected separately and re-purified. Fractions 9-14 were purified using chromatography (silica, 25 g, 5/95 ethyl acetate/hexane, 13 x 100 mm tubes) to give the product as colourless crystals (1.2737 g). Fractions 18-45 were purified using chromatography (silica, 40 g, 5/95 ethyl acetate/hexane, 13 x 100 mm tubes) to give the product as a colourless, sweet smelling oil that crystallized on standing (2.6008 g). Total yield of the alkylidene: (5.8045 g, 77%). H NMR (500
MHz, CDCIs) δ 4.27 (q, 2H, J = 7.2 Hz, CH2CH3), 3.04 (s, 2H, 2 x CH), 2.66 (s, 2H, 2 x CH), 1.33 (t, 3H, J = 7.2 Hz, CH3CH2), 1.24 (s, 6H, 2 x CH3), 1.19 (s, 6H, 2 x CH3). 3C NMR (125 MHz, CDCI3) δ 173.68, 161.54, 115.18, 104.97, 75.61 , 75.58, 61.85, 47.22, 42.51 , 30.69, 30.51 , 14.07.
(c) Ethyl 2-cyano-2-(2,2,6,6-tetramethyl-4-phenyloxan-4-yl)acetate (C7)
A solution of PhMgBr (Aldrich CAT: 171565) (3 M in diethyl ether, 3.84 mL,
2.09 mmol) was added dropwise to a solution of cyanoester (C6)(1.93 g, 7.68 mmol) in diethylether (100 mL) at room temperature then heated under reflux for 2 hours. After allowing to cool to room temperature, the reaction was stirred overnight then quenched with sat'd ammonium chloride solution (20 mL). The aqueous phase washed with ethyl acetate (3 x 50 mL) and the combined organic layers were washed with sat'd NaHC03 solution (50 mL) then dried (Na2S04), filtered and the solvent evaporated to give a green oil that crystallized on standing (2.394 g, 95%). The material was used in the next step without further purification. H NMR (500 MHz,
CDCI3) δ 7.48 (brd, 2H, J = 7.5 Hz, Ar-H2 and Ar-H6), 7.34 (brt, 2H, J = 7.5 Hz, Ar-H3 and Ar-H5), 7.30 (brt, 1 H, J = 7.5 Hz, Ar-H4), 3.92-3.84 (m, 2H, CH2CH3), 3.61 (s, 1 H, CHCN), 2.76 (brd, 1 H, J = 14.5 Hz, CH), 2.68 (brd, 1 H, J = 14.5 Hz, CH), 2.10 (d, 1 H, J = 14.5 Hz, CH), 1.99 (d, 1 H, J = 14.5 Hz, CH), 1.34 (s, 3H, CH3), 1.33 (s, 3H, CH3), 1.04 (s, 3H, CH3), 1.02(s, 3H, CH3), 0.97 (t, J = 7.0 Hz, 3H, CH3CH2).
(d) 2-(2,2,6,6-Tetramethyl-4-phenyloxan-4-yl)acetonitrile (C8)
Ethyl 2-cyano-2-(2,2,6,6-tetramethyl-4-phenyloxan-4-yl)acetate (C7)(2.394 g, 7.27 mmol) and potassium hydroxide (1.781 g, 31.75 mmol) were combined in ethylene glycol (50 mL) and heated to 190°C for 2 h. The reaction mixture was poured into 50 mL water and extracted with ethyl ether (3 x 100 mL). The combined organic phases
were dried (Na2S04), filtered, and concentrated to give a colourless viscous oil that crystallized on standing (>2 g, contains some ethylene glycol). The solid was subjected to purification by chromatography, (silica 40 g, 5/95 ethyl acetate/hexane), 13 x 100 mm tubes). Fractions 2-17 were collected to give the product as a pale yellow solid (1.2713 g, 68%). H NMR (500 MHz, CDCI3) δ 7.49 (brd, 2H, J = 7.5 Hz, Ar-H2 and Ar-H6), 7.39 (brt, 2H, J = 7.5 Hz, Ar-H3 and Ar-H5), 7.29 (brt, 1 H, J = 7.5 Hz, Ar-H4), 2.61 (s, 2H, CH2CN), 2.47 (d, 2H, J = 14.3 Hz, 2 x CH), 1.90 (d, 2H, J = 14.3 Hz, 2 x CH), 1.30 (s, 6H, 2 x CH3), 1.12 (s, 6H, 2 x CH3). 3C NMR (125 MHz, CDCIs) δ 143.90, ArC1 ; 128.63, ArC3 and ArC5; 127.33, ArC4; 126.40, ArC2 and ArC6; 117.54, CN; 71.85, C2 and C6; 43.19, C3 and C5; 38.64, 36.37, C and CH2; 34.30, 2 x CH3; 31.02, 2 x CH3.
(e) 2- (2, 2, 6, 6-tetramethyl-4 -phenyloxan-4 -yl) ethan- 1 -amine ( 12)
Cobalt chloride hexahydrate (3.27 g, 0.014 mol) was added to a solution of
2-(2,2,6,6-tetramethyl-4-phenyloxan-4-yl)acetonitrile (C8)(1.015 g, 0.004 mol) in methanol (100 ml_). Sodium borohydride (3.21 g, 0.085 mol) was added gradually over one hour to the clear pink solution with stirring (mixture fizzed and became black). After stirring for 3 hours at room temperature, the solvent was evaporated and the slurry taken up in water (100 ml_) and DCM (100 ml_). The mixture was filtered using a phase separator and the aqueous phase washed with DCM (3 x 100 ml_) - filtration took time and the water/DCM phase was sonicated each time for ~5 minutes prior to filtration. The organic phase was dried (Na2S04), filtered and the solvent evaporated to give a brown oil, (0.7092 g). Analysis by LCMS of the crude material indicated the required product (m/z 262) and the by-product m/z 506 (secondary amine). Approximately half of the residue was purified by
chromatography (silica, 25 g) using eluant DCM/MeOH, 95/5 for fractions 1-30 then DCM/MeOH/ NH4OH; 95/5/trace for fractions 31-62. Fractions 16-19 contained the secondary amine (4.7 mg). Fractions 26-62 contained the required product as a colourless viscous oil (256.1 mg). The remaining residue was purified as above, (silica 25 g, DCM/MeOH/NH4OH; 95/5/trace). Fractions 20-30 collected as a pale yellow oil; the secondary amine (16.6 mg; total yield, 21.3 mg, 1 %). Fractions 57-73 collected as a pale yellow oil, required amine, 2-(2,2,6,6-tetramethyl-4-phenyloxan-4- yl)ethan-1 -amine (272.6 mg; total yield, 528.7 mg, 51 %). H NMR (500 MHz, CD2CI2) δ 7.39-7.38 (m, 2H, Ar-H2 and 6), 7.31-7.28 (m, 2H, Ar-H3 and 5), 7.19-7.16 (m, 1 H, Ar-H4), 2.36 (d, 2H, J = 14.5 Hz, 2 x CH (THP ring)), 2.29-2.21 (m, 2H, CH2NH2),
1.75 (d, 2H, J = 14.5 Hz, 2 x CH (THP ring)), 1.72-1.69 (m, 2H, CH2CH2N), 1.00 (s,
6H, 2 x CH3), 1.25 (s, 6H, 2 x CH3). 3C NMR (125 MHz, CD2CI2) δ 147.63, 128.31 , 127.39, 126.13, 72.25, 53.41 , 44.78, 39.26, 37.64, 34.42, 31.50. LCMS (ESI) m/z 262 (C17H27NOH+). Intermediate 3: 2- 4-Phenyloxan-4-yl)ethan-1 -amine
C12 I3
(a) Ethyl 2-cyano-2-(oxan-4-ylidene)acetate (C10)
A mixture of tetrahydropyran-4-one (C9)(Aldrich, CAS: 29943-42-8, CAT: 198242) (2 g, 1.84 ml_, 19.98 mmol), ethyl cyanoacetate (C5)(2.26 g, 2.13 ml_, 19.98 mmol), ammonium acetate (0.213 g, 2.797 mmol) and acetic acid (0.4 ml_) in toluene (2.5 ml_) was stirred under reflux for 19 hours. The reaction was cooled to room temperature and toluene was evaporated. The residue was dissolved in EtOAc (30 ml_) and washed with water (20 ml_) and brine. The organic layer was dried over anhydrous MgS04 and concentrated to dryness to get reddish orange oil. The residue was purified by flash chromatography using DCM as eluent. The desired fractions were combined and concentrated to get very light yellow oil. H NMR revealed presence of unreacted starting material. Another batch (tetrahydropyran-4- one (2g), ethyl cyanoacetate (2.13 ml_), ammonium acetate (0.213 g), acetic acid (0.4 ml_) in toluene (2.5 ml_)) was set up described as above. The reaction was heated at reflux over the weekend. LCMS / TLC: No significant difference compared to first attempt. ~ 30% starting material left. After aqueous work up both batches were combined and repurified by flash chromatography using DCM/ EtOAc. A small amount of the starting material was still present by H NMR. Pure desired product was obtained as white solid by triturating with ether and hexane. The filtrate was retained. Yield: 1.46 g, 37%. H NMR (500 MHz, DMSO-cfe) δ 4.23 (q, 2H, J = 5.0
Hz, CH2CH3), 3.79 (t, 2H, J = 5.0 Hz, 2 x CHO), 3.70 (t, 2H, J = 5.0 Hz, 2 x CHO), 3.07 (t, 2H, J = 5.0 Hz, 2 x CH), 2.70 (t, 2H, J = 5.0 Hz, 2 x CH), 1.36-1.30 (t, 3H, J = 5.0 Hz, CH3). (b) Ethyl 2-cyano-2-(4-phenyloxan-4-yl)acetate (C1 1)
(i) Method A
Cuprous iodide (Aldrich, CAS: 7681-65-4, CAT: 20,554-0) (56.4 mg, 0.296 mmol) was added to a solution of the unsaturated cyano ester, ethyl 2-cyano-2-(oxan-4- ylidene)acetate (C10)(412.7 mg, 2.114 mmol) in dry Et20 (10 ml) and the mixture was stirred for 5 min. A solution of PhMgBr (Aldrich CAT: 17, 156-5) (3M in diethylether, 1.43 ml_, 0.778 mmol) was added dropwise at 0°C, the solution was allowed to warm to room temperature then left to stir for 3 days. After this time, no starting material was observed by analytical TLC (silica, 20/80 ethyl acetate/hexane). Product was only faintly visible by UV but some spots visible by PMA and CAM stain. The reaction was quenched with 1 N HCI (20 ml_) and the aqueous phase washed with ethyl acetate (3 x 20 ml_). The combined organic layers were washed with sat'd NaHC03 solution (30 ml_) then dried (Na2S04), filtered and the solvent evaporated to give a yellow oil. The oil was purified by chromatography (silica, 40 g, 10/90, ethyl acetate/hexane, 13 x 100 mm tubes). Fractions 9-15 were collected (pungent, red oil, 78 mg) and visible by UV and CAM stain. Fractions 16-22 were collected (oil that became red on addition of CDCI3, 92.2 mg) and visible by UV and CAM stain.
Fractions 23-32 were collected (a colourless oil that solidified on standing, 316.4 mg) and faintly visible by UV and visible by CAM stain. Fractions 33-45 were collected (colourless oil, 80 mg) and faintly visible by UV and visible by CAM stain. Fractions 23-32 and 33-45 were combined and repurified (silica, 25 g, 10/90, ethyl
acetate/hexane, 13x 100mm tubes) and fractions 30-45 collected to give a colourless oil that crystallized on standing (279.4 mg, 48%). H NMR (500 MHz, CDCI3) δ 7.42- 7.31 (m, 5H, 5 x Ar-H), 3.95 (q, 2H, J = 7.0 Hz, CH2CH3), 3.85 (dt, 2H, J = 12.0 and 4.0 Hz, 2 x CHO), 3.65 (s, 1 H, CHCN), 3.52-3.46 (m, 2H, 2 x CHO), 2.56-2.49 (m, 2H, 2 x CH), 2.27-2.17 (m, 2H, 2 x CH), 1.00 (t, 3H, J = 7.0 Hz, CH3). 3C NMR
(125 MHz, CDCI3) δ 164.06, 137.97, 128.99, 127.88, 127.20, 114.99, 63.84, 63.83, 62.40, 50.71 , 42.72, 34.32, 34.18, 13.63.
(ii) Method B
A solution of 3M phenylmagnesium bromide (Aldrich CAT: 17, 156-5) (-50% pure) in ether (2.54 ml_, 3.81 mmol) was added over 5 minutes to a solution of ethyl 2-cyano-
2-(oxan-4-ylidene)acetate (C10)(0.744 g, 3.81 mmol) in ether (6.5 mL). Reflux was maintained for 2 hours. Then the reaction was cooled to room temperature and poured onto ice. The aqueous layer was neutralized with cone. HCI, then extracted with ether (50 mL x2). The combined organic layers were washed with brine and dried over anhydrous MgS04,then concentrated to dryness to get light yellow brown solid. The residue was purified by flash chromatography using EtOAc/ hexane as eluent. Appropriate fractions were combined to get the pure product as a tan solid: Yield: 0.793 g (76 %). H NMR (500 MHz, CDCI3) δ 7.40-7.29 (m, 5H, 5 x Ar-H), 3.92 (q, 2H, CH2CH3), 3.81 (dt, 2H, 2 x CHO), 3.63 (s, 1 H, CHCN), 3.48-3.46 (m, 2H, 2 x CHO), 2.53-2.46 (m, 2H, 2 x CH), 2.21-2.17 (m, 2H, 2 x CH), 0.98 (t, 3H, J = 7.5 Hz, CH3). 3C NMR (125 MHz, CDCI3) δ 164.28, 138.19, 129.20, 128.09, 127.41 , 1 15.20, 64.05, 64.04, 62.61 , 50.92, 42.93, 34.53, 34.39, 13.84.
(c) 2-(4-Phenyloxan-4-yl)acetonitrile (C12)
(i) Method A
Ethyl 2-cyano-2-(4-phenyloxan-4-yl)acetate (C11)(250 mg, 0.915 mmol) and potassium hydroxide (102 mg, 1.83 mmol) were combined in ethylene glycol (5 mL) and heated to 190°C for 2 h. The reaction mixture was poured into water (10 mL) and extracted with ethyl ether (3 x 20 mL). The combined organic phase was dried (Na2S04), filtered, and concentrated to give a yellow solid (0.2890 g). This was subjected to purification (silica, 12 g, 20/80 ethyl acetate/hexane, 12 x 75 mm tubes) and fractions 12-20 were collected (faintly visible by UV). The product was obtained as a colourless oil that crystallized on standing (140.4 mg, 76%). H NMR (500 MHz, CDCI3) δ 7.43-7.29 (m, 5H, 5 x Ar-H), 3.81-3.77 (m, 2H, 2 x CHO), 3.61-3.56 (m, 2H, 2 x CHO), 2.60 (s, 2H, CH2CN), 2.34-2.30 (m, 2H, 2 x CH), 2.03-1.98 (m, 2H, 2 x
CH). 3C NMR (125 MHz, CDCI3) δ 142.02, ArC1'; 129.27, 2 x ArCH; 127.55, ArC4'; 126.41 , 2 x ArCH; 117.18, CN; 64.09, 2 x CH20; 38.36, spiro C; 35.36, C3 and C5 (THP ring); 32.66, CH2CN. (ii) Method B
Ethyl 2-cyano-2-(4-phenyloxan-4-yl)acetate (C11)(40.0mg, 1.46 mmol) and potassium hydroxide (41 1 mg, 7.33 mmol) were combined in ethylene glycol (10 mL) and heated to 190°C for 2 h. The reaction mixture was poured into 20 mL water and extracted with ethyl ether (3 x 50 mL). The combined organic phases were dried (Na2S04), filtered, and concentrated to give a colourless viscous oil that crystallized on standing. The sample was dried overnight under high vacuum,
(0.2462 g, 84%). H NMR (500 MHz, CDCI3) δ 7.53-7.23 (m, 5H, 5 x Ar-H), 3.83-3.71 (m, 2H, 2 x CHO), 3.60-3.58 (m, 2H, 2 x CHO), 2.61 (s, 2H, CH2CN), 2.34-2.31 (m, 2H, 2 x CH), 2.04-2.01 (m, 2H, 2 x CH). (Hi) Method C
A solution of ethyl 2-cyano-2-(4-phenyloxan-4-yl)acetate (C1 1)(1 g, 3.66 mmol) in ethylene glycol (7 mL), water (1 mL) and potassium hydroxide (1 g, 17.82 mmol) was refluxed for 24 hours. After cooling to room temperature, the reaction mixture was poured onto ice and acidified with cone. HCI, then extracted with ether (30 mL x2). The combined organic layers were washed with brine and dried over anhydrous MgS04, then concentrated to dryness to get light brown oil which solidified upon standing. Yield: 0.7 g (95 %): -90% purity by H NMR. H NMR (500 MHz,
DMSO-cfe) δ 7.37-7.30 (m, 4H, 4 x Ar-H), 7.19 (t, 1 H, J = 7.5 Hz, Ar-H), 3.68-3.66 (m, 2H, 2 x CHO), 3.46-3.42 (m, 2H, 2 x CHO), 2.58 (s, 2H, CH2CN), 2.10-2.09 (m, 2H, 2 x CH), 2.01-1.98 (m, 2H, 2 x CH).
(d) 2-(4-Phenyloxan-4-yl)ethan-1 -amine (13)
2-(4-Phenyloxan-4-yl)acetonitrile (C12)(137.8 mg, 0.685 mmol) was dissolved in ether (10 mL) and cooled to 0°C. Lithium aluminum hydride (2.0 equiv, 52 mg, 1.37 mmol) was added portionwise, then the mixture was warmed to room temperature and stirred for 3 d. The reaction was quenched by the sequential addition of water (0.5 mL), 15% sodium hydroxide solution (0.5 mL), and water (1.5 mL). The layers were separated and the organic phase dried (Na2S04), filtered and the solvent removed to give a colourless oil (0.1153 g). Purification by chromatography (silica, 4 g, 98/2, CHCI3/MeOH) gave the amine as a colourless oil (20 mg, 14%). H NMR (500 MHz, CDCIs) δ 7.37-7.34 (m, 2H, 2 x Ar-H), 7.29-7.28 (m, 2H, 2 x Ar-H), 7.24- 7.21 (t, 1 H, J = 7.2 Hz, Ar-H4), 3.81-3.77 (m, 2H, 2 x CHO), 3.60-3.55 (m, 2H, 2 x CHO), 2.41-2.38 (m, 2H, CH2N), 2.16 (brd, J = 14.1 Hz, 2H, 2 x CH), 1.87 (ddd, J = 13.1 , 9.0, 3.3 Hz, 2H, 2 x CH), 1.81-1.78 (m, 2H, CH2CH2N). 3C NMR (125 MHz, CDCI3) δ 145.29, ArC1 ; 128.62, 2 x ArCH; 126.71 , 2 x ArCH; 126.09, ArC4; 64.36,
2 x CH20; 47.31 , spiro C; 38.67, 37.12, CH2 and CH2CN; 36.57, 2 x CH2 (THP ring). LCMS (ESI) m/z 206 (C13H19NOH+)
Intermediate 4: 2-Chloro-5-fluoro-4- henylpyrimidine
C13 I4
A mixture of 2,4-dichloro-5-fluoropyrimidine (C13)(Synquest, CAS: 2927-71-1 , CAT: 3H32-7-55) (100 mg, 0.60 mmol), phenylboronic acid (Aldrich, CAS: 98-80-6, CAT: P2, 000-9) (88 mg, 0.72 mmol), potassium carbonate (aq. 2M, 199 mg, 1.44 mmol), triphenylphosphine (31 mg, 0.12 mmol) and palladium acetate (Aldrich, CAT: 3375- 31-3, CAT: 20569) (13 mg, 0.06 mmol in DME (5 ml_) were heated in a microwave vial at 85°C for 18 hours. Analytical TLC indicated that starting material was still present so a further quantity of Pd(OAc)2 (13 mg, 0.06 mmol) was added and heating continued for another 18 hours. The solvent was evaporated and the residue subjected to purification by chromatography (4 g silica, 100% DCM)-isolated the required product as a beige solid (88 mg, 70%). H NMR (CDCI3, 500 MHz) δ 8.52 (d, 3JHF = 3.0 Hz, 1 H, H6'), 8.14 (d, J = 8.0 Hz, 2H, H2 and H6), 7.58-7.51 (m, 3H, H3, 4 and 5). 3C NMR (CDCI3, 125 MHz) δ 155.71 (d, VCF = 3.7 Hz, C2'), 155.18 (d, JCF = 266.5 Hz, C5'), 154.82 (d, 2JCF = 9.3 Hz, C4'), 148.55 (d, 2JCF = 26.7 Hz, C6'), 132.16 (d, 6JCF = 0.9 Hz, C4), 131.82 (d, 3JCF = 5.4 Hz, C1), 129.43 (d, VCF = 6.9 Hz, C2 and C6), 129.06 (C3 and C5). LCMS (ESI) m/z 209 (C10H6N2F35CIH+)
Intermediate 5: 6-chloro- V-(2-(2,2,6,6-tetramethyl-4-phenyl-tetrahydro-2H- pyran-4-yl)ethyl)pyrazin-2-amine
I2 C1
2,6-dichloropyrazine (C1)(46 mg, 0.3 mmol) was added to a solution I2 (48.3 mg, 0.19 mmol) and triethylamine (33.48 μΙ_, 24.3 mg, 0.24 mmol) in DMF (0.5 ml_) and heated to 95°C overnight (ca. 18h). The reaction mixture was then concentrated in
vacuo to give a yellow oil. Purification by silica column chromatography (gradient elution: 100% DCM- 1 % MeOH in DCM) resulted in isolation of an off-white crystalline solid (31.67 mg). 1H NMR (500 MHz, CD3OD) δ 7.53 (s, 1 H), 7.52 (s, 1 H), 7.50 (brd, 2H, J = 7.6 Hz), 7.33 (brt, 2H, J = 7.8 Hz), 7.20 (brt, 1 H, J = 7.2 Hz), 2.96- 2.92 (m, 2H), 2.52 (d, 2H, J = 14.5 Hz), 1.92-1.89 (m, 4H), 1.30 (s, 6H), 1.05 (s, 6H). LCMS (ESI) m/z 374 (C2iH28CIN3OH+).
Intermediate 6: 4-{2-[(6-chloropyrazin-2-yl)amino]ethyl}-4-phenyl- 1 6-thiane- 1 1 -dione
(a) Ethyl 2-cyano-2-(tetrahydrothiopyran-4-ylidene)acetate (C15)
Tetrahydrothiopyran-4-one (C14)(520 mg, 4.5 mmol), ethyl cyanoacetate (C5)(1.4 ml, 1.48 g, 13.1 mmol), ammonium acetate (50 mg, 0.65 mmol) and toluene (50 mL) were heated to 150°C using a dean-stark trap. 1H NMR after 24 h indicated that no reaction had occurred so a spatula of ammonium acetate (approx. 200 mg) was
added to the reaction mixture and additional toluene (50 mL) was added to replace evaporative losses. The reaction mixture was then heated at 150°C for a further 24h. The mixture was then concentrated to give a yellow oil. Purification by silica column chromatography (gradient elution: 10% EtOAc in hexane - 15% EtOAc in hexane) resulted in the desired compound as a clear oil (355 mg, 39%). 1H NMR (500 MHz, CDCI3) δ 4.26 (q, 2H, J = 7.2 Hz), 3.32-3.30 (m, 2H), 3.00-2.98 (m, 2H), 2.90-2.87 (m, 2H), 2.83-2.81 (m, 2H), 1.33 (t, 3H, J = 7.2 Hz). 13C NMR (125 MHz, CDCI3) δ 175.5, 161.5, 1 14.8, 104.3, 62.1 , 38.2, 33.4, 31.0, 30.8, 14.0. (b) Ethyl 2-cyano-2-(4-phenyl-tetrahydro-2H-thiopyran-4-yl)acetate (C 16)
Phenyl magnesium bromide solution (3M in diethyl ether, 1.56 mL, 0.85 g, 4.7 mmol) was added dropwise to a solution of ethyl 2-cyano-2-(tetrahydrothiopyran-4- ylidene)acetate (C15)(330 mg, 1.6 mmol) in diethyl ether (20 mL) at room
temperature. The reaction mixture was then heated to reflux for 1 h. The reaction mixture was then cooled to room temperature and quenched with a saturated solution of ammonium chloride (5 mL). The reaction mixture was then extracted with ethyl acetate (3 x 50 mL), dried (Na2S04), filtered and concentrated to give a yellow oil. Purification by silica column chromatography (20% EtOAc in hexane resulted in isolation of a clear oil (385 mg, 85%). This material was immediately carried forward to the next step. 1H NMR (500 MHz, CD3OD) δ 7.44-7.30 (m, 5H), 3.96-3.88 (m, 2H), 3.00-2.90 (m, 2H), 2.79-2.67 (m, 2H), 2.53-2.48 (m, 2H), 2.29-2.20 (m, 2H), 0.99 (t, 3H, J 7.2 Hz).
(c) 2-(4-phenyl-tetrahydro-2H-thiopyran-4-yl)acetonitrile (C17)
Ethyl 2-cyano-2-(4-phenyl-tetrahydro-2H-thiopyran-4-yl)acetate (C16)(385 mg, 1.33 mmol) and potassium hydroxide (300 mg, 5.3 mmol) were combined in ethylene glycol (8 mL) and heated to 190°C for 2h. The reaction mixture was then cooled to room-temperature. Water (50 mL) was then cautiously added to the reaction mixture which was then extracted with Et20 (3 x 40 mL). The organic layers were combined and washed with brine (1 x 30 mL), dried (Na2S04), filtered, and concentrated to give a clear oil (298 mg, crude yield). The crude product contained residual ethylene glycol however was deemed clean enough for the next step, and was immediately carried forward for the reduction step. 1H NMR (500 MHz, CDCI3) δ 7.44-7.24 (m, 5H), 2.78-2.67 (m, 4H), 2.54-2.50 (2H, m), 2.47 (s, 2H), 2.10-2.05 (m, 2H). 13C NMR
(125 MHz, CDCI3) δ 129.3, 127.4, 126.4, 1 16.9 (weak), 42.4 (weak), 39.7 (weak), 36.3, 33.8, 24.0.
(d) 2-(4-phenyl-tetrahydro-2H-thiopyran-4-yl)ethanamine (C18)
CoCI2 (652 mg, 2.7 mmol) was added in one portion to a 0°C cooled solution of the 2-(4-phenyl-tetrahydro-2 - -thiopyran-4-yl)acetonitrile (C17)(298 mg, approx. 1 .3 mmol) in MeOH (15 mL). NaBH4 (1.04 g, 27.5 mmol) was then added without delay in a portion-wise manner. The reaction was then allowed to warm to room temperature and stirred at room temperature for 30 mins. The reaction mixture was then concentrated to give a black residue. This was then resuspended in DCM and filtered through a phase separator. The black residue that remained in the phase separator was then washed with DCM (3 x 50 mL). The black residue was then resuspended in water (20 mL) and extracted in the phase separator with more DCM (2 x 10 mL). The organic washings were combined and concentrated to give a brown oil. This was resuspended in DCM and filtered through a fresh phase separator to remove residual black solid. The DCM was then concentrated to reveal an orange oil. Purification by silica column chromatography (85% DCM/14%
MeOH/1 % ammonia solution (aq)) resulted in isolation of a waxy white solid (90 mg, 30%). 1 H NMR (500 MHz, CD3OD) δ 7.37-7.33 (m, 4H), 7.22-7.19 (m, 1 H), 2.68- 2.63 (m, 2H), 2.58-2.48(m, 4H), 2.35-2.32 (m, 2H), 2.00-1 .95 (m, 2H), 1 .76-1 .73 (m, 2H). LCMS (ESI) m/z 222 (Ci3H19NSH+).
(e) tert-butyl 2-(4-phenyl-tetrahydro-2H-thiopyran-4-yl)ethylcarbamate (C19)
BOC anhydride (341 mg, 1.96 mmol) was added to a solution of 2-(4-phenyl- tetrahydro-2H-thiopyran-4-yl)ethanamine (C18)(90 mg, 0.41 mmol) and DI PEA (85 μί, 63 mg, 0.49 mmol) in DCM/MeOH (10: 1 , 10 mL) and stirred at room temperature overnight. The reaction mixture was then concentrated to give a clear oil. Trituration with hexane removed the majority of the remaining BOC anhydride, to reveal a white solid (104 mg, 80%). 1 H NMR (500 M Hz, CD3OD) 57.38-7.33 (m, 4H), 7.22-7.19 (m, 1 H), 2.73-2.48 (m, 8H), 2.02-1.97 (m, 2H), 1.76-1 .72 (m, 2H), 1.38 (s, 9H). LCMS (ESI) m/z 222 (M-100+H+).
(f) tert-butyl N-[2-(1, 1-dioxo-4-phenyl- U6-thian-4-yl)ethyl]carbamate (C20) mCPBA (77% max, 150 mg, 0.67 mmol) was added portionwise to a chilled solution of the ferf-butyl 2-(4-phenyl-tetrahydro-2 - -thiopyran-4-yl)ethylcarbamate (C19)(50
mg) in DCM (10 ml_) which was subsequently allowed to warm to room temperature and stirred for ca. 64h. The reaction mixture was then washed with a saturated solution of sodium bicarbonate solution (20 ml_). The aqueous layer was then further extracted by addition of DCM (2 x 10 ml_). The organic layers were then combined, dried (Na2S04), filtered and concentrated to give a white solid. Partial purification by silica column chromatography (2% MeOH in DCM) resulted in isolation of a white solid (approx. 50% pure by 1H NMR, 100 mg). This was immediately carried over to the BOC deprotection step. (g) 4-(2-aminoethyl)-4-phenyl- U6-thiane- 1, 1 -dione hydrochloride (C21 )
4M HCI in dioxane (3 ml_) was added neat to tert-butyl A/-[2-(1 , 1-dioxo-4-phenyl-^6- thian-4-yl)ethyl]carbamate (C20)(100 mg) and allowed to stand for 20 mins. The reaction mixture was then concentrated in vacuo to give a yellow solid. Trituration with Et20 resulted in isolation of an off-white solid (70 mg). The desired mass was detected via LCMS. This material was immediately carried forward to the next reaction. LCMS (ESI) m/z 254 (C13H19N02SH+).
(h) 4-{2-[(6-chloropyrazin-2-yl)amino]ethyl}^henyl-U6-thiane (16) 2,6-dichloropyrazine (C1)(58 mg, 0.39 mmol) was added to a solution of the crude 4- (2-aminoethyl)-4-phenyl-^6-thiane-1 ,1 -dione hydrochloride (C21)(70 mg maximum, 0.24 mmol, HCI salt) and triethylamine (100 μΙ_, 72.6 mg, 0.72 mmol) in DMF
(0.5 ml_) and heated to 95°C overnight (ca. 18h). The reaction mixture was then concentrated to give a brown oil. Partial purification by silica column chromatography (gradient elution: 100% DCM- 2% MeOH in DCM) resulted in isolation of a yellow oil. This was then suspended in MeOH and loaded onto an SCX cartridge. The cartridge was washed with MeOH and the desired product eluted upon addition of 2M NH3 in MeOH to give a light yellow oil (90% pure by NMR). Purification by reverse phase chromatography C18-bonded silica 6 ml_ cartridge (gradient elution: 50% CH3CN in water - 80% CH3CN in water) resulted in isolation of a white solid (7.26 mg, 8.2%). 1H NMR (500 MHz, CD3OD) δ 7.56 (brs, 2H), 7.50-7.42 (m, 4H), 7.31-7.28 (m, 1 H), 3.14-3.11 (m, 2H), 3.06-3.03 (m, 2H), 2.96-2.91 (m, 2H), 2.79-2.76 (m, 2H), 2.37- 2.31 (m, 2H), 1.96-1.93 (m, 2H). LCMS (ESI) m/z 366 (Ci7H2oN302SCIH+).
Intermediate 7: 2-chloro-6-(2-(4-phenyl-tetrahydro-2H-pyran-4-yl)ethoxy) p razine
C22
(a) Ethyl 2-cyano-2-(4-phenyl-tetrahydro-2H-pyran-4-yl)acetate (C1 1)
Phenyl magnesium bromide solution (4.1 mL, 2.2 g, 12.3 mmol, 3M in diethyl ether) was added dropwise to a solution of the compound C10 (810 mg, 4.15 mmol) in diethyl ether (40 mL) at room temperature. The reaction mixture was then heated to reflux for 1 h. The reaction mixture was then cooled to room temperature and quenched with a saturated solution of ammonium chloride (5 mL). The reaction mixture was then further diluted with a saturated solution of ammonium chloride (20 mL) and extracted with ethyl acetate (3 x 50), dried (Na2S04), filtered and
concentrated to give a yellow gum (crude mass = 1.6 g). This material was >80% pure by 1H NMR and used as recovered. (b) 2-(4-Phenyl-tetrahydro-2H-pyran-4-yl)acetic acid (C22)
Ethyl 2-cyano-2-(4-phenyl-tetrahydro-2H-pyran-4-yl)acetate (C1 1)(489 mg, 1.79 mmol) and potassium hydroxide (1.54 g, 27.5 mmol) were combined in ethylene glycol (8 mL) and heated to 160°C overnight. The reaction mixture was then cooled and diluted with water (50 mL). The aqueous solution was then extracted with Et20 (3 x 20 mL). The aqueous solution was then acidified to pH 1 by addition of 1 M HCI solution. This was then extracted with EtOAc (3 x 40 mL). The ethyl acetate solution was then concentrated to give a brown gum (570 mg). The ethereal solution was then concentrated to give a light yellow oil. 1H NMR indicated that the ethereal extract contained the desired product and ethylene glycol. 1H NMR (500 MHz, CD3OD) δ 7.39-7.32 (m, 4H), 7.22-7.19 (m, 1 H), 3.81-3.75 (m, 2H), 3.59-3.56 (m,
2H), 2.62 (brs, 2H), 2.13-2.29 (2H, m), 2.10-1.97 (m, 2H). LCMS (ESI) m/z 219
(c) 2-(4-Phenyl-tetrahydro-2H-pyran-4-yl)ethanol (C23)
UAIH4 (78 mg, 2.05 mmol) was cautiously added portionwise to a stirred suspension of 2-(4-phenyl-tetrahydro-2 --pyran-4-yl)acetic acid (C22)(after residual ethylene glycol was removed under high vacuum, 120 mg, 0.54 mmol) in THF (10 mL) at room temperature under a nitrogen atmosphere. The reaction was allowed to stir at room temperature for 1.5h. Sodium sulphate decahydrate (2g) was carefully added to the reaction mixture and allowed to stir for 30 mins before being filtered and
concentrated to give a clear oil (91.6 mg, 82%). Proton NMR was consistent with the expected product. 1H NMR (500 MHz, CD3OD) δ 7.37-7.34 (m, 4H), 7.22-7.19 (m, 1 H), 3.80-3.76 (m, 2H), 3.57-3.52 (m, 2H), 3.24 (brt, 2H, J = 7.7 Hz), 2.20-2.17 (m, 2H), 1.92-1.87 (m, 4H).
(d) 2-Chloro-6-(2-(4-phenyl-tetrahydro-2H-pyran-4-yl)ethoxy)pyrazine (17)
A solution of the alcohol (2-(4-phenyl-tetrahydro-2 --pyran-4-yl)ethanol (C23)(33 mg, 0.16 mmol) in THF (1 mL) was added dropwise to a chilled (0°C) suspension of NaH (60% emulsion in mineral oil, 20 mg) in THF (1 mL). After 5 mins of stirring 2,6- dichloropyrazine (C1)(28 mg, 0.19 mmol) was added to the reaction, which was then allowed to warm to room-temperature and stir overnight. The reaction mixture was then quenched with a saturated solution of ammonium chloride (5 mL) and extracted with EtOAc (3 x 30 mL). The combined organic extracts were washed with brine (30 mL), dried (Na2S04), filtered and concentrated to give a clear oil. Trituration with hexane failed to remove the mineral oil as the sample was similarly soluble in hexane (LCMS indicates the presence of the desired product). Further purification via silica column chromatography (10% EtOAc in hexane) resulted in isolation of the desired product (28 mg, 55%). 1H NMR (500 MHz, CD3OD) δ 8.11 (s, 1 H), 7.94 (s, 1 H), 7.43-7.35 (m, 4H), 7.25-7.21 (m, 1 H), 4.14-4.08 (m, 2H), 3.84-3.82 (m, 2H), 3.62- 3.58 (m, 2H), 2.30-2.26 (m, 2H), 2.19-2.15 (m, 2H), 2.00-1.89 (m, 2H). LCMS (ESI) m/z 319 (Ci7H19N202CIH+).
Intermediate 8: 6-chloro-N-(2-(4-phenyltetrahydro-2H-pyran-4-yl)ethyl)pyrazin- 2-amine
C1
2,6-dichloropyrazine (C1)(59.5 mg, 0.40 mmol) was added to a stirred solution of the compound I3 (50.9 mg, 0.25 mmol) and triethylamine (44.1 μΙ_, 32.0 mg, 0.32 mmol) in anhydrous DMF (0.5 ml_) and heated at 80-90°C overnight (23 h) under N2. The reaction mixture was subsequently concentrated to give a yellow oil and the product purified via silica column chromatography (gradient elution: 100% DCM - 1 % MeOH in DCM). Fractions 5-13 were combined and concentrated to give the desired product as a yellow oil. Fractions 20-28 were combined and concentrated to give the yellow oil which was impure but contained some of the desired product. By NMR this sample contained residual DMF and was dried under high vacuum overnight to give the off-white solid (90% purity, 36.5 mg, 46% yield). The recovered product was further purified by resuspending the solid in MeOH and adding to an SCX cartridge (washing with MeOH) and then eluting with the addition of 2M NH3 in MeOH (4 ml_). The solvent was removed in vacuo to give an off-white solid which was not any purer by NMR. The recovered material was then triturated with Et20 to give a white solid which was dried overnight under high vacuum (4.7 mg) which was 95% pure by NMR. 1H NMR (500 MHz, CDCI3): δ 7.73 (s, 1 H, 1 x pyrazine-H), 7.41 (t, J = 7.6 Hz, 2H, 2 x Ar-H), 7.28-7.37 (m, 4H, 3 x Ar-H and 1 x pyrazine-H), 3.81-3.85 (m, 2H, 2 x oxane-H), 3.63 (td, J = 10.3, 2.4 Hz, 2H, 2 x oxane-H), 3.1 1 (dd, J = 14.0, 6.4 Hz, 2H, CH2), 2.24 (br d, J = 11.5 Hz, 2H, 2 x oxane-H), 1.90-1.99 (m, 4H, 2 x oxane-H and CH2). LCMS m/z: 318.2, Rt 4.49 min.
Intermediate 9: 6-chloro- V-(2-(4-isopropyl-2,2-dimethyl-tetrahydro-2H-pyran-4- yl)ethyl) pyrazin-2-amine
(a) (Z)-ethyl 2-cyano-2-(2,2-dimethyl-tetrahydropyran-4-ylidene)acetate (C25) 2,2-dimethyl-tetrahydropyran-4-one (1 g, 7.8 mmol), ethyl cyanoacetate (2.5 ml, 2.65 g, 23.4 mmol), ammonium acetate (400 mg, 5.2 mmol) and toluene (60 mL) were heated to 150°C using a dean-stark trap for 24h. After this time the reaction mixture was concentrated to give an orange oil. Purification via silica column chromatography (15% EtOAc in n-hexane) allowed isolation of a light yellow oil (1 .2 g, 69%). 1 H NMR (500 MHz, CD3OD) δ 4.31 -4.26 (m, 2H), 3.90 (t, 1 H, J = 5.7
Hz), 3.82 (t, 1 H, J = 5.7 Hz), 3.1 1 (t, 1 H, J = 5.7 Hz), 3.07 (s, 1 H), 2.72 (t, 1 H, J = 5.7 Hz), 2.68 (s, 1 H), 1 .35-1.31 (m, 3H), 1 .25 (s, 3H), 1 .22 (s, 3H). LCMS (ESI) m/z 224
(b) Ethyl 2-cyano-2-(4-isopropyl-2,2-dimethyl-tetrahydro-2H-pyran-4-yl)acetate (C26) Isopropylmagnesium bromide solution (2.3 mL, 1 .0 g, 6.7 mmol, 2.9 M in
2-methyltetrahydrofuran) was added dropwise to a solution of (Z)-ethyl 2-cyano-2- (2,2-dimethyl-tetrahydropyran-4-ylidene)acetate (C25), 0.5 g, 2.2 mmol) in THF (30 mL) at room-temperature. The reaction mixture was then heated to 95°C for 1 h. The reaction mixture was then cooled to room-temperature and quenched with a
saturated solution of ammonium chloride (5 mL). The reaction mixture was then further diluted with a saturated solution of ammonium chloride (10 mL) and extracted with ethyl acetate (3 x 50), dried (Na2S04), filtered and concentrated to give a yellow oil (crude yield, 527 mg, 88%). This mixture was immediately used in a
decarboxylation reaction.
(c) 2-(4-isopropyl-2,2-dimethyl-tetrahydro-2H-pyran-4-yl)acetonitrile (C27)
Ethyl 2-cyano-2-(4-isopropyl-2,2-dimethyl-tetrahydro-2 - -pyran-4-yl)acetate (C26), 525 mg, 1 .96 mmol) and potassium hydroxide (494 mg, 8.8 mmol) were combined in ethylene glycol (8 mL) and heated to 150°C for 45 min. The reaction mixture was then cooled to room-temperature. Water (50 mL) was then cautiously added to the reaction mixture. This was then extracted with Et20 (3 x 100 mL). The organic layers were combined, dried (Na2S04), filtered, and concentrated to give a yellow oil (284 mg, 74%). Concentration under high vacuum was necessary to remove the majority of the ethylene glycol. This material was immediately carried forward to the reduction step. 1 H NMR (500 MHz, CD3OD) δ 3.77-3.67 (m, 2H), 2.70 (d, 1 H, J = 17.7 Hz), 2.60 (d, 1 H, J = 17.7 Hz), 1.79-1 .69 (m, 2H), 1.60-1 .55 (m, 1 H), 1 .51 (d, 1 H, J 14.4 Hz), 1 .43-1.40 (m, 1 H), 1.30 (s, 3H), 1.24 (s, 3H), 0.98 (d, 3H, J = 7.0 Hz), 0.94 (d, 3H, J = 6.9 Hz).
(d) 2-(4-isopropyl-2,2-dimethyl-tetrahydro-2H-pyran-4-yl)ethanamine ( C28)
CoCI2 (670 mg, 2.8 mmol) was added in one portion to a 0°C cooled solution of the 2-(4-isopropyl-2,2-dimethyl-tetrahydro-2 - -pyran-4-yl)acetonitrile (C27)(282 mg, 1 .4 mmol) in MeOH (15 mL). NaBH4 (1.0 g, 26.4 mmol) was then added without delay in a portion-wise manner. The reaction was then allowed to warm to room-temperature and stirred at room temperature for 2h. The reaction mixture was then concentrated to give a black residue. This was then suspended in a 1 M HCI solution (aqueous, 50 mL), and extracted with EtOAC (3 x 20 mL). The aqueous layer was then made alkaline (pH 13) by addition of 1 M NaOH solution (aqueous, approx. 50 mL). This was then further extracted with EtOAc (3 x 50 mL). The EtOAc extractions from the alkaline aqueous solution were combined, dried (Na2S04), filtered and concentrated to give a light-yellow oil (140 mg, 49%). 1 H NMR (500 MHz, CD3OD) δ 3.81 -3.76 (m, 1 H), 3.68-3.64 (m, 1 H), 2.73 (t, 2H, J = 8.6 Hz), 1.80-1 .63 (m, 3H), 1 .57-1.52 (m, 1 H), 1.48 (d, 1 H, J = 14.2 Hz), 1.37 (d, 1 H, J = 14.2 Hz), 1 .30 (s, 3H), 1.21 (s, 3H), 0.91- 0.89 (m, 6H). LCMS (ESI) m/z 200 (Ci2H25NOH+).
(e) 6-chloro^-(2-(4-isopropyl-2,2-dimethyl-tetrahydro-2H-pyran-4-yl)ethyl) pyrazin-2- amine (19)
2,6-dichloropyrazine (C1)(70 mg, 0.46 mmol) was added to a solution of the amine 2- (4-isopropyl-2,2-dimethyl-tetrahydro-2 - -pyran-4-yl)ethanamine (C28), 60 mg, 0.3 mmol)and triethylamine (54.5 μΙ_, 39.6 mg, 0.4 mmol) in DMF (0.5 mL) and heated to 95°C overnight. The reaction mixture was then concentrated to give an orange oil. This was then purified by silica column chromatography (gradient elution: 100% DCM - 1 % MeOH in DCM) to reveal a clear oil (62 mg, 66%), which solidifies upon standing to yield an off-white solid. 1 H NMR (500 MHz, CD3OD) 57.72 (s, 1 H), 7.57 (s, 1 H), 3.85-3.80 (m, 1 H), 3.68-3.64 (m, 1 H), 3.39-3.28 (m, 2H), 1.92-1 .76 (m, 2H), 1.73-1 .64 (m, 1 H), 1.58-1 .36 (m, 4H), 1 .32 (s, 3H), 1.21 (s, 3H), 0.95-0.93 (m, 6H). LCMS (ESI) m/z 312 (Ci6H26N3OCIH+).
Intermediate 10: 6-chloro- V-(2-(4-(3-fluorophenyl)-2,2-dimethyl-tetrahydro-2H- pyran-4-yl)ethyl) pyrazin-2-amine
110
(a) Ethyl 2-cyano-2-(4-(3-fluorophenyl)-2,2-dimethyl-tetrahydro-2H-pyran-4-yl)acetate (C30)
Magnesium turnings (0.27 g) were added to an oven-dried three-necked 100 mL round- bottomed flask, which was attached to a pressure equalizing dropping funnel and a condenser. This reaction vessel was placed under vacuum and heated moderately with a heat gun to remove any final traces of water. Once the flask had cooled it was placed under nitrogen. THF (anhydrous, 0.8 mL) and 3-fluoro- iodobenzene (0.38 mL) were added to the flask and stirred vigorously. Once the reaction had initiated a solution of 3-fluoro-iodobenzene (0.7 mL) in THF (3 mL) was added cautiously to the reaction mixture and stirred vigorously. The reaction was mildly heated to 40°C for 15 mins, after which time the reaction solution was yellow.
The reaction mixture was then allowed to stir for a further 45 mins at room- temperature. A solution of the unsaturated nitrile (Z)-ethyl 2-cyano-2-(2,2-dimethyl- tetrahydropyran-4-ylidene)acetate (C25)(0.55 g, 2.8 mmol) in THF (20 mL) was then added dropwise to the reaction mixture. After all of the nitrile solution had been added, the reaction mixture was refluxed for 1 h. The reaction mixture was then cooled to room temperature. Saturated ammonium chloride solution (aq, 10 mL) was then added carefully to the reaction mixture. The reaction mixture was further diluted with a saturated solution of ammonium chloride (10 mL) and extracted with EtOAc (3 x 50 mL). The organic extracts were combined, dried (Na2S04), filtered and concentrated to give an orange oil. This was used in the decarboxylation reaction without further purification.
(b) 2-(4-(3-fluorophenyl)-2,2-dimethyl-tetrahydro-2H yran4-yl)^ (C31) Ethyl 2-cyano-2-(4-(3-fluorophenyl)-2,2-dimethyl-tetrahydro-2 --pyran-4-yl)acetate (C30)(960 mg, 3 mmol) and potassium hydroxide (820 mg, 14.6 mmol) were combined in ethylene glycol (8 mL) and heated to 150°C for 45 min. The reaction mixture was then cooled to room temperature. Water (50 mL) was then cautiously added to the reaction mixture which was then extracted with Et20 (3 x 50 mL). The organic layers were combined and washed with water (1 x 30 mL), dried (Na2S04), filtered, and concentrated to give a yellow oil (327 mg, 85% pure, 37%). This was immediately used in the reduction step.
(c) 2-(4-(3-fluorophenyl)-2,2 imethyl-tetrahydro-2H yran (C32) CoCI2 (630 mg, 2.6 mmol) was added in one portion to a 0°C cooled solution of the nitrile (2-(4-(3-fluorophenyl)-2,2-dimethyl-tetrahydro-2 --pyran-4-yl)acetonitrile (C31)(327 mg) in MeOH (15 mL). NaBH4 (1.03 g, 27.2 mmol) was then added without delay in a portion-wise manner. The reaction was then allowed to warm to room temperature and stirred at room-temperature for 4h. The reaction mixture was then concentrated to give a black residue. This was then suspended in a 1 M HCI solution (aqueous, 50 mL), and extracted with EtOAC (3 x 20 mL). The aqueous layer was then made alkaline (pH13) by addition of 1 M NaOH solution (aqueous, approx. 50 mL). This was then further extracted with EtOAc (3 x 50 mL). The EtOAc extractions from the alkaline aqueous solution were combined, dried (Na2S04), filtered and concentrated to give a yellow oil (113 mg, 34%). 1H NMR (500 MHz, CD3OD) δ 7.38-7.34 (m, 1 H), 7.21 (brd, 1 H, J = 7.5 Hz), 7.15-7.13 (m, 1 H), 6.96-6.93
(m, 1 H), 3.82-3.73 (m, 2H), 2.52-2.46 (m, 1 H), 2.40-2.37 (m, 1 H), 2.27-2.24 (m, 1 H), 2.07-2.01 (m, 1 H), 1.83-1.77 (m, 1 H), 1.71-1.57 (m, 3H), 1.19 (s, 3H), 0.68 (s, 3H). LCMS (ESI) m/z 252 (Ci5H22NOFH+). (d) 6-chloro-N-(2-(4-(3-fluorophenyl)-2,2-dimethyl-tetrahydro-2H-pyran-4- yl)ethyl)pyrazin-2-amine (110)
2,6-dichloropyrazine (C1)(53 mg, 0.35 mmol) was added to a solution of the amine (2-(4-(3-fluorophenyl)-2,2-dimethyl-tetrahydro-2 --pyran-4-yl)ethanamine (C28), 61 mg, 0.24 mmol) and triethylamine (43.2 μΙ_, 31.4 mg, 0.3 mmol) in DMF (0.5 mL) and heated to 95°C overnight. The reaction mixture was then concentrated to give a yellow oil. This was then purified by silica column chromatography (gradient elution: 100% DCM - 1 % MeOH in DCM) to reveal a clear oil (47.3 mg, 54%). 1H NMR (500 MHz, CD3OD) δ 7.54 (s, 1 H), 7.53 (s, 1 H), 7.39-7.34 (m, 1 H), 7.24 (brd, 1 H, J = 7.9 Hz), 7.18-7.16 (m, 1 H), 6.98-6.95 (m, 1 H), 3.86-3.76 (m, 2H), 3.18-3.13 (m, 1 H), 2.81-2.76 (m, 1 H), 2.48-2.45 (m, 1 H), 2.25 (dd, 1 H, J = 14.1 and 2.0 Hz), 1.97- 1.92 (m, 1 H), 1.77-1.70 (m, 3H), 1.20 (s, 3H), 0.70 (s, 3H). LCMS (ESI) m/z 364 (Ci9H23N3OFCIH+).
Intermediate 11 : 6-chloro- V-(2-(4-(4-fluorophenyl)-2,2-dimethyl-tetrahydro-2H- ran-4-yl)ethyl) pyrazin-2-amine
C36 C1
111
(a) Ethyl 2-cyano-2-(4-(4-fluorophenyl)-2,2-dimethyl-tetrahydro-2H-pyran-4-yl)acetate (C34)
Magnesium turnings (0.24 g) were added to an oven-dried three-necked 100 mL round- bottomed flask, which was attached to a pressure equalizing dropping funnel
and a condenser. This reaction vessel was placed under vacuum and heated moderately with a heat gun to remove any final traces of water. Once the flask had cooled it was placed under nitrogen. Diethyl ether (1 mL) and 4-fluoro-iodobenzene (0.35 mL) were added to the flask and stirred vigorously. Once the reaction had initiated a solution of 4-fluoro-iodobenzene (0.58 mL) in diethyl ether (3 mL) was added cautiously to the reaction mixture and stirred vigorously. The magnesium did not appear to be dissolving as expected so the reaction was mildly heated to 40°C for 30 mins, after which time the reaction solution was yellow. The reaction mixture was then allowed to stir for a further 30 mins at room-temperature. A solution of the unsaturated nitrile (Z)-ethyl 2-cyano-2-(2,2-dimethyl-tetrahydropyran-4- ylidene)acetate, (C25) 0.6 g, 2.7 mmol) in THF (20 mL) was then added dropwise to the reaction mixture. After all of the nitrile solution had been added the reaction mixture, it was refluxed for 2 h. The reaction mixture was then cooled to room- temperature. Saturated ammonium chloride solution (aq, 10 mL) was then added carefully to the reaction mixture. The reaction mixture was further diluted with a saturated solution of ammonium chloride (10 mL) and extracted with EtOAc (3 x 30 mL). The organic extracts were combined, dried (Na2S04), filtered and concentrated to give an orange oil. Partial purification by silica column chromatography (15% EtOAc in n-hexane) led to isolation of a yellow oil (540 mg). This was immediately carried over to a decarboxylation reaction.
(b) 2-(4-(4-nuorop eny\)-2,2-dmet y\Aetra ydro-2 ^ (C35) Ethyl 2-cyano-2-(4-(4-fluorophenyl)-2,2-dimethyl-tetrahydro-2 --pyran-4-yl)acetate (C34)(540 mg) and potassium hydroxide (470mg) were combined in ethylene glycol (8 mL) and heated to 150°C for 45 min. The reaction mixture was then cooled to room-temperature. Water (50 mL) was then cautiously added to the reaction mixture which was then extracted with Et20 (3 x 50 mL). The organic layers were combined and washed with water (1 x 30 mL), dried (Na2S04), filtered, and concentrated to give a yellow oil. This was then placed under high vacuum overnight, in an attempt to remove excess ethylene glycol (crude weight = 340 mg). This material was used without further purification in a nitrile reduction reaction. 1 H NMR (500 MHz, CD3OD) δ 7.52-7.50 (m, 2H), 7.14-7.10 (m, 2H), 3.80-3.78 (m, 2H), 2.69 (d, 1 H, J = 16.8 Hz), 2.60 (d, 1 H, J = 16.8 Hz), 2.52-2.48 (m, 1 H), 2.37 (brdd, J = 14.1 and 2.4 Hz), 1.85- 1.77 (m, 2H), 1.23 (s, 3H), 0.69 (s, 3H). 13C NMR (125 MHz, CD3OD) δ 163.2 (J =
243.7 Hz), 139.8 (J = 3.5 Hz), 129.8 (J = 7.9 Hz), 1 18.5, 116.4 (J = 21.2 Hz), 73.0, 59.6, 46.7, 38.9, 35.8, 34.3, 32.0, 24.8.
(c) 2-(4-(4-fluorophenyl)-2,2-dimethyl-tetrahydro-2H-pyran-4-yl)ethanamine (C36) CoCI2 (640 mg, 2.7 mmol) was added in one portion to a 0°C cooled solution of the nitrile (2-(4-(4-fluorophenyl)-2,2-dimethyl-tetrahydro-2 --pyran-4-yl)acetonitrile (C35), 340 mg, 1.4 mmol) in MeOH (15 mL). NaBH4 (1.01 g, 26.7 mmol) was then added without delay in a portion-wise manner. The reaction was then allowed to warm to room-temperature and stirred at room temperature for 2 hours. The reaction mixture was then concentrated to give a black residue. This was then suspended in a 1 M
HCI solution (aqueous, 50 mL), and extracted with EtOAC (3 x 20 mL). The aqueous layer was then made alkaline (pH 13) by addition of 1 M NaOH solution (aqueous, approx. 50 mL). This was then further extracted with EtOAc (3 x 50 mL). The EtOAc extractions from the alkaline aqueous solution were combined, dried (Na2S04), filtered and concentrated to give a clear oil (179 mg, 52%). 1H NMR (500 MHz,
CD3OD) 57.41-7.38 (m, 2H), 7.08-7.05 (m, 2H), 3.81-3.71 (m, 2H), 2.52-2.46 (m, 1 H), 2.41-2.38 (m, 1 H), 2.26 (dd, 1 H, J = 14.1 and 2.1 Hz), 2.09-2.04 (m, 1 H), 1.83-1.77 (m, 1 H), 1.69-1.57 (m, 3H). LCMS (ESI) m/z 252 (C15H22NOFH+). (d) 6-chloro-N-(2-(4-(4-fluorophenyl)-2,2-dimethyl-tetrahydro-2H^
yl)ethyl)pyrazin-2-amine (111)
2,6-dichloropyrazine (C1)(39 mg, 0.26 mmol) was added to a solution of the amine (2-(4-(4-fluorophenyl)-2,2-dimethyl-tetrahydro-2 --pyran-4-yl)ethanamine (C36), (51 mg, 0.2 mmol) and triethylamine (41.6 μΐ, 30.2 mg, 0.3 mmol) in DMF (0.5 mL) and heated to 95°C overnight (ca. 20 h). The reaction mixture was then concentrated to give an orange oil. This was then dissolved in MeOH and loaded onto a silica SCX cartridge. The cartridge was washed with MeOH and this fraction was then loaded onto a second silica SCX cartridge. The second cartridge was washed with MeOH and this fraction was loaded onto a third silica SCX cartridge. The third cartridge was washed with MeOH. All three of the cartridges were then eluted with 2M NH3 in MeOH. The ammonium solutions were combined and concentrated to give an orange gum (62 mg, 84%). 1H NMR (500 MHz, CD3OD) 57.56 (s, 1 H), 7.53 (s, 1 H), 7.46-7.43 (m, 2H), 7.11-7.07 (m, 2H), 3.87-3.77 (m, 2H), 3.19-3.13 (m, 1 H), 2.83-
2.78 (m, 1 H), 2.51-2.48 (m, 1 H), 2.27 (dd, 1 H, J = 14.1 and 2.2 Hz), 1.98-1.91 (m, 1 H), 1.78-1.72 (m, 3H). LCMS (ESI) m/z 263.9 (Ci9H23N3OFCIH+).
Example 1 : 6-(2,5-difluorophenyl)- V-(2-(2,2-dimethyl-4-phenyl-tetrahydro-2H- pyran-4-yl)ethyl)pyrazin-2-amine
11 C37
1
2M K2C03 solution (aq, 113 μΙ_, 31.2 mg, 0.23 mmol) was added to a solution of the compound of 11 (31.3 mg, 0.09 mmol), 2,5-difluorophenylboronic acid (C37)(34.3 mg, 0.22 mmol) and fefra/c/s(triphenylphosphine)palladium(0) (8 mg, 0.007 mmol) in dioxane (0.5 ml_) and heated to 150°C under microwave irradiation for 1 h. The solution was then concentrated and resuspended in methanol before being loaded onto a silica SCX cartridge. The cartridge was washed with methanol and the desired product was eluted upon addition of 2M NH3 in MeOH. Partial purification by reverse phase C-18 bonded silica cartridge (approx. 3g) (isocratic: 70% CH3CN in water) resulted in isolation of the desired product as a clear oil (17.5 mg, 46%). 1H NMR (500 MHz, CD3OD) δ 8.09 (d, 1 H, J = 2.3 Hz, Ar-H), 7.65-7.62 (m, 1 H, Ar-H), 7.62 (s, 1 H, Ar-H), 7.43 (d, 2H, J = 7.8 Hz, 2 x Ar-H), 7.35 (t, 2H, J = 7.7 Hz, 2 x Ar- H), 7.24 - 7.14 (m, 3H, 3 x Ar-H), 3.85 (td, 1 H, J = 1 1.8 and 1.6 Hz, CHO), 3.76 (dt, 1 H, J = 1 1.8 and 3.7 Hz, CHO), 3.21 (ddd, 1 H, J = 13.2 and 11.0 and 5.1 Hz, CHN), 2.90 (ddd, 1 H, J = 13.3 and 10.7 and 5.3 Hz, CHN), 2.56 (brd, 1 H, J = 14.2 Hz, CH), 2.31 (dd, 1 H, J = 14.1 and 2.0 Hz, CH), 2.01-1.95 (m, 1 H, CH), 1.77-1.70 (m, 3H, 3 x CH), 1.17 (s, 3H, CH3), 0.66 (s, 3H, CH3). LCMS (ESI) m/z 424 (C25 27F2NzO +).
Example 2: A/-(2-(2,2-dimethyl-4-phenyl-tetrahydro-2H-pyran-4-yl)ethyl)-6-(3- methoxyphenyl)pyrazin-2-amine
C38
2M aqueous K2C03 solution (104 μΙ_, 28.7 mg, 0.21 mmol) was added to a solution of the compound of 11 (31.4 mg, 0.09 mmol), 3-methoxyphenylboronic acid (C38)(19.0 mg, 0.13 mmol) and fefra/c/s(triphenylphosphine)palladium (0) (5.0 mg, 0.004 mmol) in 1 ,4-dioxane (0.5 mL) and heated at 150°C for 1 h under microwave irradiation. The reaction mixture was then concentrated to give a black residue, resuspended in
MeOH and loaded onto a SCX cartridge. The cartridge was washed with MeOH and then the desired product eluted with 2M NH3 in MeOH (4 mL) and concentrated to give a yellow oil. The product was partially purified via silica column chromatography (40% EtOAc in hexane). Fractions 6-16 were combined, concentrated and dried to give the crude product, which still contained residual starting material by NMR. The recovered product was resubjected to silica column chromatography (gradient elution: 20% EtOAc in hexane - 40% EtOAc in hexane). Fractions 34-37 were combined, concentrated and dried to give the off-white solid which contained residual grease by NMR. The recovered product was triturated with MeOH to give an off-white solid which still contained residual grease. The recovered product was washed with hexane to give the desired compound as an off-white solid (8.4 mg, 22%) which was 95% pure by NMR (Note: the solid became discoloured on the addition of CDCI3). 1H NMR (500 MHz, CDCI3) δ 8.20 (s, 1 H, Ar-H), 7.50-7.47 (m, 2H, 2 x Ar-H), 7.46 (s, 1 H, Ar-H), 7.40-7.35 ( m, 5H, 5 x Ar-H), 7.27-7.24 (m, 1 H, Ar-H), 6.99 (dd, J = 8.3 and 2.5 Hz, 1 H, Ar-H), 4.15 (t, 1 H, J = 5.8 Hz), 3.88 (s, 3H, OCH3), 3.86-3.80 (m,
2H), 3.37-3.31 (m, 1 H), 2.96-2.91 (m, 1 H), 2.49 (dd, 1 H, J = 14.1 and 2.3 Hz), 2.24 (dd, 1 H, J = 14.0 and 2.2 Hz), 2.00-1.94 (m, 1 H), 1.80-1.71 , (m, 3H), 1.21 (s, 3H, CH3), 0.69 (s, 3H, CH3). 13C NMR (125 MHz, CDCI3) δ 160.1 , 153.7, 149.5, 144.8, 138.7, 130.2, 129.83, 129.77, 128.8, 126.8, 126.3, 119.3, 115.1 , 112.4, 71.9, 59.0, 55.5, 48.4, 47.1 , 38.7, 36.7, 33.9, 32.2, 24.8.
Example 3: 3-(6-(2-(2,2-dimethyl-4-phenyltetrahydro-2H-pyran-4- yl)ethylamino)pyrazin-2-yl)benzonitrile
11 C39 3
2M K2C03 solution (aq, 104 μί, 28.7 mg, 0.208 mmol) was added to a solution of the compound of 11 (30 mg, 0.087 mmol), 3-cyanophenylboronic acid (C39)(Aldrich,
CAS: 150255-96-2, CAT: 51 ,301-6) (25.5 mg, 0.173 mmol) and
fefra/i/s(triphenylphosphine)palladium(0) (5 mg, 0.004 mmol) in dioxane (0.5 mL) and heated to 150°C under microwave irradiation for 1 h. The solution was then concentrated and resuspended in methanol before being loaded onto a silica SCX cartridge. The cartridge was washed with methanol and the desired product was eluted upon addition of 2M NH3 in MeOH. Further purification by silica column chromatography (4g, Hexane: EtOAc 20%; stains - UV, Dragendroff) fractions 24-39 resulted in isolation of the desired product as a green/blue oil (28.3 mg, 0.069 mmol, 79%). 1H NMR (CDCI3, 500 MHz) δ 8.176 (d, J = 17.5 Hz, 2H, ArCH), 8.065 (d, J = 7.5 Hz, 1 H, ArCH), 7.666 (d, J = 7.5 Hz, 1 H, ArCH), 7.50-7.56 (m, 2H, ArCH), 7.33- 7.40 (m, 4H, ArCH), 7.22-7.29 (m, 1 H, ArCH), 4.408 (brs, 1 H, NH), 3.77-3.88 (m, 2H, OCH2), 3.27-3.36 (m, 1 H, CH2), 2.92-3.02 (m, 1 H, CH2), 2.44-2.50 (m, 1 H, CH2), 2.20-2.26 (m, 1 H, CH2), 1.91-2.03 (m, 1 H, CH2), 1.67-1.78 (m, 3H, CH2), 1.185 (s, 3H, CH3), 0.666 (s, 3H, CH3). LCMS m/z C26H28N40 ES+ (RT: 6.38 min) 414.2 [MH+ + 1] (20%), 413.2 [MH+] (100%).
Example 4: 2-(6-(2-(2,2-dimethyl-4-phenyltetrahydro-2H-pyran-4- yl)ethylamino)pyrazin-2-yl)benzonitrile
C40
2M K2C03 solution (aq, 104 μΐ, 28.7 mg, 0.208 mmol) was added to a solution of the compound of 11 (30 mg, 0.087 mmol), 2-cyanophenylboronic acid (C40)(Combi- Blocks, CAS: 138642-62-3, CAT: BB-2471) (25.5 mg, 0.173 mmol) and
fefra/c/s(triphenylphosphine)palladium(0) (5 mg, 0.004 mmol) in dioxane (0.5 mL) and heated to 150°C under microwave irradiation for 1 h. The solution was then concentrated and resuspended in methanol before being loaded onto a silica SCX cartridge. The cartridge was washed with methanol and the desired product was eluted upon addition of 2M NH3 in MeOH. Further purification by silica column chromatography (4g, Hexane: EtOAc 20%; stains - UV, vanillin (yellow)) fractions 28-29 resulted in isolation of the desired product as an orange/brown oil (17.8 mg). The recovered material contained a slight impurity and was purified via silica column chromatography (DCM) fractions were collected to give the desired product.
(29.4 mg, 0.071 mmol, 82%). 1H NMR (CDCI3, 500 MHz) δ 8.073 (brs, 1 H, ArCH),
7.778 (d, J = 8 Hz, 1 H, ArCH), 7.703 (d, J = 7.5 Hz, 1 H, ArCH), 7.631 (dd, J = 7.5, 7.5 Hz, 1 H, ArCH), 7.519 (bs, 1 H, ArCH), 7.485 (dd, J = 7.5, 8 Hz, 1 H, ArCH), 7.30- 7.37 (m, 4H, ArCH), 7.18-7.23 (m, 1 H, ArCH), 4.282 (brs, 1 H, NH), 3.73-3.85 (m, 2H, OCH2), 3.39-3.49 (m, 1 H, CH2), 2.92-3.02 (m, 1 H, CH2), 2.42-2.50 (m, 1 H, CH2), 2.18-2.25 (m, 1 H, CH2), 1.89-1.91 (m, 1 H, CH2), 1.75-1.85 (m, 1 H, CH2), 1.66-1.75 (m, 2H, CH2), 1.170 (s, 3H, CH3), 0.659 (s, 3H, CH3). LCMS m/z C26H28N40 ES+ (RT: 6.29 min) 414.2 [MH+ + 1] (20%), 413.2 [MH+] (100%).
Example 5: 5-(6-(2-(2,2-dimethyl-4-phenyltetrahydro-2H-pyran-4- yl)ethylamino)pyrazin-2-yl)nicotinonitrile
C41
2M K2C03 solution (aq, 104 μΙ_, 28.7 mg, 0.208 mmol) was added to a solution of the compound of 11 (30 mg, 0.087 mmol), 3-cyanopyridine-5-boronic acid
(C41)(BoronMolecular, CAS: 402718-29-0, CAT: C1776) (39.9 mg, 0.173 mmol) and fefra/c/s(triphenylphosphine)palladium(0) (5 mg, 0.004 mmol) in dioxane (0.5 mL) and heated to 150°C under microwave irradiation for 1 h. The solution was then concentrated and resuspended in methanol before being loaded onto a silica SCX cartridge. The cartridge was washed with methanol and the desired product was eluted upon addition of 2M NH3 in MeOH. Further purification by silica column chromatography (4g, Hexane: EtOAc 20%; stains - UV, vanillin) fractions 5-6 resulted in isolation of the desired product as an orange/brown oil (19.3 mg,
0.047 mmol, 54%). 1 H NMR (CDCI3, 500 MHz) δ 9.260 (s, 1 H, ArCH), 8.882 (s, 1 H, ArCH), 8.414 (s, 1 H, ArCH), 8.183 (s, 1 H, ArCH), 7.634 (s, 1 H, ArCH), 7.31-7.42 (m, 4H, ArCH), 7.277 (dd, J = 7, 7 Hz, 1 H, ArCH), 4.532 (s, 1 H, NH), 3.74-3.83 (m, 2H, OCH2), 3.26-3.37 (m, 1 H, CH2), 2.91-3.06 (m, 1 H, CH2), 2.41-2.51 (m, 1 H, CH2),
2.14-2.27 (m, 1 H, CH2), 1.91-2.02 (m, 1 H, CH2), 1.64-1.82 (m, 3H, CH2), 1.184 (s 3H, CH3), 0.664 (s 3H, CH3). LCMS m/z C25H27N50 ES+ (RT: 6.15 min) 415.3 [MH+ + 1] (30%), 414.2 [MH+] (100%).
Example 6: 6-(4-(1 H-pyrazol-1 -yl)phenyl)- V-(2-(2,2-dimethyl-4-phenyltetrahydro- 2H- ran-4-yl)ethyl)pyrazin-2-amine
2M K2C03 solution (aq, 104 μΙ_, 28.7 mg, 0.208 mmol) was added to a solution of the compound of 11 (30 mg, 0.087 mmol), 4-(pyrazol-1-yl)phenylboronic acid
(C42)(Combi-blocks, CAS: 891270-35-2, CAT: BB5117-001) (32.6 mg, 0.173 mmol) and fefra/c/s(triphenylphosphine)palladium(0) (5 mg, 0.004 mmol) in dioxane (0.5 mL) and heated to 150°C under microwave irradiation for 1 h. The solution was then concentrated and resuspended in methanol before being loaded onto a silica SCX cartridge. The cartridge was washed with methanol and the desired product was eluted upon addition of 2M NH3 in MeOH. Further purification by silica column chromatography (4g, Hexane: EtOAc 20%; stains - UV, vanillin (yellow)) fractions 4-6 resulted in isolation of the product as an orange/brown oil. The recovered material contained an impurity and was purified by silica column chromatography (DCM:MeOH 2%) fractions 20-31 indicated impure product (-20 mg). Reverse phase (C18 silica) was used to remove grease impurity (H20:MeOH - 50:50 - 30:70 - 0: 100% 80 mL flushes) fractions 21-38 were collected to give the desired product. 1H NMR (CDCI3, 500 MHz) δ 8.186 (s, 1 H, ArCH), 7.92-8.03 (m, 3H, ArCH),
7.71-7.81 (m, 3H, ArCH), 7.535 (s, 1 H, ArCH), 7.30-7.39 (m, 3H, ArCH), 7.20-7.28 (m, 2H, ArCH), 6.51-6.56 (m, 1 H, ArCH), 4.728 (s, 1 H, NH), 3.74-3.88 (m, 2H, OCH2), 3.26-3.38 (m, 1 H, CH2), 2.90-3.01 (m, 1 H, CH2), 2.41-2.51 (m, 1 H, CH2), 2.16-2.27 (m, 1 H, CH2), 1.95-2.05 (m, 1 H, CH2), 1.69-1.88 (m, 3H, CH2), 1.263 (s 3H, CH3), 0.714 (s 3H, CH3). LCMS m/z C28H31 N5O ES+ (RT: 6.20 min) 456.4 [MH+ + 2] (20%), 454.2 [MH+] (100%).
Example 7: V-(2-(2,2-dimethyl-4-phenyltetrahydro-2H-pyran-4-yl)ethyl)-6-(1- methyl-1 H-pyrazol-3-yl)pyrazin-2-amine
2M K2C03 solution (aq, 104 μΙ_, 28.7 mg, 0.208 mmol) was added to a solution of the compound of 11 (30 mg, 0.087 mmol), methyl-pyrazole-4-boronic acid pinacol ester (C43)(Boron Molecular, CAS: 761446-44-0, CAT: BM103) (36 mg, 0.173 mmol) and fefra/c/s(triphenylphosphine)palladium(0) (5 mg, 0.004 mmol) in dioxane (0.5 mL) and heated to 150°C under microwave irradiation for 1 h. The solution was then concentrated and resuspended in methanol before being loaded onto a silica SCX cartridge. The cartridge was washed with methanol and the desired product was eluted upon addition of 2M NH3 in MeOH. Further purification by silica column chromatography (4 g, DCM:MeOH 0-2%; stains - UV, Dragendorff) fractions 51-57 resulted in isolation of the product as a clear oil. (25.8 mg, 0.066 mmol, 76%).
Fractions 58-62 were also collected however they contained a slight impurity. 1 H NMR (MeOD, 500 MHz) δ 7.945 (bs, 1 H, ArCH), 7.858 (bs, 1 H, ArCH), 7.813 (bs,
1 H, ArCH), 7.36-7.47 (m, 5H, ArCH), 7.25-7.30 (m, 1 H, ArCH), 3.949 (s, 3H, NCH3), 3.80-3.89 (m, 1 H, OCH2), 3.72-3.80 (m, 1 H, OCH2), 3.16-3.26 (m, 1 H, CH2), 2.86- 2.96 (m, 1 H, CH2), 2.51-2.59 (m, 1 H, CH2), 2.27 -2.36 (m, 1 H, CH2), 1.88-1.98 (m, 1 H, CH2), 1.65-1.77 (m, 3H, CH2), 1.187 (s, 3H, CH3), 0.669 (s, 3H, CH3), NH not observed. LCMS m/z C23H29N50 ES+ (RT: 5.05 min) 393.3 [MH+ + 1] (20%), 392.3 [MH+] (100%).
Example 8: V-(2-(2,2-dimethyl-4-phenyltetrahydro-2H-pyran-4-yl)ethyl)-6-(3- (trifluoromethoxy)phenyl)pyrazin-2-amine
11 C44 8
2M K2C03 solution (aq, 104 μΙ_, 28.7 mg, 0.208 mmol) was added to a solution of the compound of 11 (30 mg, 0.087 mmol), 3-(trifluoromethoxy)phenylboronic acid
(C44)(Aldrich, CAS: 179113-90-7, CAT: 51 ,012-2) (36 mg, 0.173 mmol) and fefra/i/s(triphenylphosphine)palladium(0) (5 mg, 0.004 mmol) in dioxane (0.5 mL) and heated to 150°C under microwave irradiation for 1 h. The solution was then concentrated and resuspended in methanol before being loaded onto a silica SCX cartridge. The cartridge was washed with methanol and the desired product was eluted upon addition of 2M NH3 in MeOH. Further purification by silica column chromatography (4 g, DCM:MeOH 0-2%; stains - UV, Dragendorff) fractions 18-21 resulted in isolation of the product as an oil (16.4 mg), contain trace impurities.
Fractions 22-29 were also collected to afford pure product, (25.7 mg, 0.055 mmol, 63%). 1 H NMR (MeOD, 500 MHz) δ 8.219 (s, 1 H, ArCH), 7.87-7.92 (m, 2H, ArCH), 7.61-7.69 (m, 2H, ArCH), 7.52-7.60 (m, 2H, ArCH), 7.42-7.48 (m, 2H, ArCH), 7.32- 7.41 (m, 3H, ArCH), 7.250 (dd, J = 7, 7.5 Hz, 1 H, ArCH), 3.83-3.92 (m, 1 H, OCH2), 3.74-3.82 (m, 1 H, OCH2), 3.26-3.32 (m, 1 H, CH2), 2.87-2.97 (m, 1 H, CH2), 2.55-2.63 (m, 1 H, CH2), 2.30 -2.36 (m, 1 H, CH2), 1.95-2.04 (m, 1 H, CH2), 1.69-1.84 (m, 3H, CH2), 1.195 (s, 3H, CH3), 0.685 (s, 3H, CH3), NH not observed. LCMS m/z
C26H28F3N302 ES+ (RT: 7.22 min) 473.3 [MH+ + 1] (20%), 472.3 [MH+] (100%).
Example 9: V-(2-(2,2-dimethyl-4-phenyltetrahydro-2H-pyran-4-yl)ethyl)-6- phenylpyrazin-2-amine
2M K2C03 solution (aq, 104 μΙ_, 28.7 mg, 0.208 mmol) was added to a solution of the compound of 11 (30 mg, 0.087 mmol), phenylboronic acid (C45)(Aldrich, CAS: 98-80- 6, CAT: P20009) (21 mg, 0.173 mmol) and fefra/c/'s(triphenylphosphine)palladium(0) (5 mg, 0.004 mmol) in dioxane (0.5 mL) and heated to 150°C under microwave irradiation for 1 h. The solution was then concentrated and resuspended in methanol before being loaded onto a silica SCX cartridge. The cartridge was washed with methanol and the desired product was eluted upon addition of 2M NH3 in MeOH. Further purification by silica column chromatography (4 g, DCM:MeOH 0-2%; stains - UV, Dragendorff) fractions 13-17 resulted in isolation of the product as an oil. Upon analysis by 1H NMR the recovered material contained an impurity. Reverse phase (C18 silica) was used to remove the impurity (H20:MeOH - 50:50 - 0: 100%)
fractions 14-26 were collected to give the desired product (25.1 mg, 0.065 mmol, 76%). 1 H NMR (MeOD, 500 MHz) δ 8.1 14 (s, 1 H, ArCH), 7.908 (d, J = 8 Hz, 2H, ArCH), 7.595 (s, 1 H, ArCH), 7.40-7.49 (m, 5H, ArCH), 7.381 (dd, J = 7, 7.5 Hz, 2H, ArCH), 7.258 (dd, J = 7.5, 7 Hz, 1 H, ArCH), 3.80-3.88 (m, 1 H, OCH2), 3.73-3.79 (m, 1 H, OCH2), 3.23-3.31 (m, 1 H, CH2), 2.93-3.02 (m, 1 H, CH2), 2.52-2.59 (m, 1 H, CH2), 2.28 -2.35 (m, 1 H, CH2), 1.94-2.03 (m, 1 H, CH2), 1.68-1.80 (m, 3H, CH2), 1.184 (s, 3H, CH3), 0.671 (s, 3H, CH3), NH not observed. 13C NMR (MeOD, 500 MHz) δ 144.5 (ArC), 136.6 (ArC), 129.3 (ArCH), 128.9 (ArCH), 128.3 (ArCH), 128.2 (ArCH), 126.6 (ArCH), 126.3 (ArCH), 125.7 (ArCH), 124.7 (ArCH), 73.4 (OC), 60.1 (OCH), 47.5 (CH2), 39.5 (CH2), 36.9 (CH2), 34.7 (CH2), 32.2 (CH2), 25.0 (2xCH2).
Example 10: 3-(6-(2-(2,2-dimethyl-4-phenyltetrahydro-2H-pyran-4- yl)ethylamino)pyrazin-2-yl)-4-fluorobenzonitrile
C46 10
2M K2C03 solution (aq, 104 μΙ_, 28.7 mg, 0.208 mmol) was added to a solution of the compound of 11 (30 mg, 0.087 mmol), 5-cyano-2-fluorophenylboronic acid
(C46)(Combi-blocks, CAS: 468718-30-1 , CAT: BB-2609-011) (28.6 mg, 0.173 mmol) and fefra/c/s(triphenylphosphine)palladium(0) (5 mg, 0.004 mmol) in dioxane (0.5 ml_) and heated to 150°C under microwave irradiation for 1 h. The solution was then concentrated and resuspended in methanol before being loaded onto a silica SCX cartridge. The cartridge was washed with methanol and the desired product was eluted upon addition of 2M NH3 in MeOH. Further purification by silica column chromatography (4g, DCM:MeOH 0-2%; stains - UV, Dragendorff) fractions 12-16 resulted in isolation of the product as an oil. 1 H NMR analysis identified an impurity in and the recovered material was purified by reverse phase (C18 silica)
chromatography; (H20:MeOH - 50:50 - 0: 100%). Fractions 1 1-18 were collected to give the desired product (20.7 mg, 0.048 mmol, 55%). 1H NMR (MeOD, 500 MHz) δ 8.298 (d, J = 7.5 Hz, 1 H, ArCH), 8.113 (s, 1 H, ArCH), 7.82-7.87 (m, 1 H, ArCH), 7.697 (s, 1 H, ArCH), 7.35-7.49 (m, 5H, ArCH), 7.260 (dd, J = 7, 7.5 Hz, 1 H, ArCH), 3.78- 3.92 (m, 2H, OCH2), 3.21-3.30 (m, 1 H, CH2), 2.85-2.93 (m, 1 H, CH2), 2.57-2.64 (m, 1 H, CH2), 2.29-2.36 (m, 1 H, CH2), 1.95-2.04 (m, 1 H, CH2), 1.69-1.82 (m, 3H, CH2),
1.197 (s, 3H, CH3), 0.689 (s, 3H, CH3), NH not observed. 13C NMR (MeOD, 500 MHz) δ 164.3 (Jc-f = 250 Hz, ArCF), 156.3 (ArC), 145.9 (ArC), 136.4 (ArCH), 136.3 (ArCH), 136.0 (ArCH), 135.9 (ArCH), 134.1 (ArCH), 131.4 (Jc-f = 14.6 Hz, ArC), 129.7 (2xArCH), 128.1 (ArCH), 127.4 (ArCH), 1 19.2 (Jc-f = 25.5 Hz, ArC), 110.4 (ArCN), 106.5 (ArC), 73.6 (OC), 60.2 (OCH), 47.6 (CH2), 39.7 (CH2), 37.1 (CH2), 35.0 (CH2), 32.4 (CH2), 25.2 (2xCH2).
Example 11 : 4-(6-(2-(2,2-dimethyl-4-phenyltetrahydro-2H-pyran-4- yl)ethylamino)pyrazin-2-yl)benzonitrile
2M K2C03 solution (aq, 104 μΙ_, 28.7 mg, 0.208 mmol) was added to a solution of the compound of 11 (30 mg, 0.087 mmol), 4-cyanophenylboronic acid (C47)(Combi- blocks, CAS: 126747-14-6, CAT: BB-2264-001) (25.5 mg, 0.173 mmol) and fefra/c/s(triphenylphosphine)palladium(0) (5 mg, 0.004 mmol) in dioxane (0.5 mL) and heated to 150°C under microwave irradiation for 1 h. The solution was then concentrated and resuspended in methanol before being loaded onto a silica SCX cartridge. The cartridge was washed with methanol and the desired product was eluted upon addition of 2M NH3 in MeOH. Further purification by silica column chromatography (4 g, DCM:MeOH 0-2%; stains - UV, Dragendorff) fractions 29-36 resulted in isolation of the product as a yellow solid (30.9 mg, 0.075 mmol, 86 %). 1H NMR (MeOD, 500 MHz) δ 8.139 (s, 1 H, ArCH), 8.00-8.04 (m, 2H, ArCH), 7.76- 7.79 (m, 2H, ArCH), 7.647 (s, 1 H, ArCH), 7.45 (d, J = 7.5 Hz, 2H, ArCH), 7.395 (dd, J = 7, 8 Hz, 2H, ArCH), 7.283 (dd, J = 7, 7.5 Hz, 1 H, ArCH), 3.81-3.89 (m, 1 H, OCH2), 3.74-3.80 (m, 1 H, OCH2), 3.21-3.29 (m, 1 H, CH2), 2.91-3.00 (m, 1 H, CH2), 2.52-2.59 (m, 1 H, CH2), 2.29 -2.35 (m, 1 H, CH2), 1.93-2.01 (m, 1 H, CH2), 1.67-1.78 (m, 3H, CH2), 1.189 (s, 3H, CH3), 0.674 (s, 3H, CH3), NH not observed. 13C NMR (MeOD, 500 MHz) δ 155.9 (ArC), 148.8 (ArC), 145.9 (ArC), 142.9 (ArC), 133.5 (ArCH), 129.5 (ArCH), 128.3 (ArCH), 128.2 (ArCH), 128.0 (ArCH), 127.0 (ArCH), 119.6 (ArC), 1 13.5 (ArCCN), 106.3 (ArC), 73.4 (OC), 60.0 (OCH), 47.6 (CH2), 39.5 (CH2), 36.7 (CH2), 34.8 (CH2), 32.3 (CH2), 24.9 (2xCH2).
Example 12: V-(2-(2,2-dimethyl-4-phenyltetrahydro-2H-pyran-4-yl)ethyl)-6-(6- methoxypyridin-3-yl)pyrazin-2-amine
2M aqueous K2C03 solution (104 μΙ_, 28.7 mg, 0.21 mmol) was added to a solution of the compound of 11 (30 mg, 0.087 mmol), 2-methoxypyridine-5-boronic acid
(C48)(Boron Molecular, CAS: 163105-89-3, CAT: M02-BM133) (26.5 mg,
0.173 mmol) and fefra/c/s(triphenylphosphine)palladium (0) (5 mg, 0.004 mmol) in 1 ,4-dioxane (0.5 ml_) and heated at 150°C for 1 h under microwave irradiation. The reaction mixture was then concentrated to give a black residue, resuspended in MeOH and loaded onto a SCX cartridge. The cartridge was washed with MeOH and then the desired product eluted with 2M NH3 in MeOH (4 ml_) and concentrated to give a yellow oil. The product was partially purified via silica column chromatography (2% MeOH in DCM). Fractions 3-8 resulted in isolation of the impure product.
Further purification via column chromatography (silica, DCM) fractions 45-49 were collected to give impure product (8.1 mg). Reverse phase (C18 silica) was used to remove impurity (H20:MeCN -50:50 - 0:100%; 50 ml_ flushes) fractions 24-27 were collected to give the desired product (5.3 mg, 14%). 1H NMR (MeOD, 500 MHz) δ 8.71 (s, 1 H, ArCH), 8.15 (d, J = 6.5 Hz, 1 H, ArCH), 8.05 (s, 1 H, ArCH), 7.53 (s, 1 H, ArCH), 7.46 (d, J = 8 Hz, 2H, ArCH), 7.41 (dd, J = 7.5, 8 Hz, 2H, ArCH), 7.27 (dd, J = 7, 6.5 Hz, 1 H, ArCH), 6.89 (d, J = 8.5 Hz, 1 Hh ArCH), 4.01 (s, 3H, OCH3), 3.84-3.92 (m, 1 H, CH2), 3.76-3.86 (m, 1 H, CH2), 3.23-3.31 (m, 1 H, CH2), 2.91-2.99 (m, 1 H, CH2), 2.56-2.63 (m, 1 H, CH2), 2.31-2.38 (m, 1 H, CH2), 1.96-2.05 (m, 1 H, CH2), 1.70- 1.83 (m, 3H, CH2), 1.99 (s, 3H, CH3), 0.69 (m, 3H, CH3). LCMS m/z C25H30N4O2 ES+ (RT: 6.09 min) 420.2 [MH+ + 1] (30%); 419.3 [MH+] (100%).
Example 13: V-(2-(2,2-dimethyl-4-phenyltetrahydro-2H-pyran-4-yl)ethyl)-6- (pyrimidin-5-yl)pyrazin-2-amine
C49 13
A solution of compound of 11 (30 mg, 0.087 mmol), 5-pyrimidineboronic acid (Combi- blocks, CAS: 109299-78-7, CAT: BB-2360-001) (16.1 mg, 0.130 mmol),
fefra/c/s(triphenylphosphine)palladium (C49)(5 mg, 0.004 mmol) and K2C03 (24 mg, 0.173 mmol) were dissolved in DME and H20 (0.9 mL/0.4 ml_) in a 0.5-2.0 ml_ microwave vial. The reaction mixture was heated to 90°C for 45 mins under microwave irradiation. The crude mixture was reduced in vacuo and was
resuspended in MeOH and loaded onto a SCX cartridge. The cartridge was washed with MeOH and then the desired product eluted with 2M NH3 in MeOH (4 ml_) and concentrated to give a yellow oil. The product was partially purified via silica column chromatography (2% MeOH in DCM). Fractions were collected and analysis showed isolation of impure product. Reverse phase (C18 silica) was used to remove impurity (H20:MeCN -50:50 - 0:100%; 50 ml_ flushes) fractions 20-22 were collected to give the desired product (6.1 mg, 18 %). 1H NMR (MeOD, 500 MHz) δ 9.23 (s, 2H, ArCH), 9.18 (s, 1 H, ArCH), 8.18 (s, 1 H, ArCH), 7.70 (s, 1 H, ArCH), 7.44 (d, J = 7.5 Hz, 2H, ArCH), 7.38 (dd, J = 7.5, 8 Hz, 2H, ArCH), 7.24 (dd, J = 7, 7.5 Hz, 1 H, ArCH), 3.81-3.89 (m, 1 H, CH2), 3.73-3.79 (m, 1 H, CH2), 3.19-3.28 (m, 1 H, CH2), 2.90-2.99 (m, 1 H, CH2), 2.54-2.61 (m, 1 H, CH2), 2.28-2.35 (m, 1 H, CH2), 1.95-2.04 (m, 1 H, CH2), 1.66-1.77 (m, 3H, CH2), 1.17 (s, 3H, CH3), 0.66 (m, 3H, CH3). LCMS m/z C23H27N50 ES+ (RT: 5.71 min) 391.2 [MH+ + 1] (10%); 390.2 [MH+] (100%).
Example 14: A/-(2-(2,2-dimethyl-4-phenyltetrahydro-2H-pyran-4-yl)ethyl)-6-(4- methoxyphenyl)pyrazin-2-amine
2M aqueous K2C03 solution (104 μΙ_, 28.7 mg, 0.21 mmol) was added to a solution of
the compound of 11 (30 mg, 0.087 mmol), 4-methoxyphenylboronic acid
(C50)(Aldrich, CAS: 5720-07-0, CAT: 41 ,759-9) (26.3 mg, 0.173 mmol) and fefra/c/s(triphenylphosphine)palladium (0) (5 mg, 0.004 mmol) in 1 ,4-dioxane (0.5 mL) and heated at 150°C for 1 h under microwave irradiation. The reaction mixture was then concentrated to give a black residue, resuspended in MeOH and loaded onto a SCX cartridge. The cartridge was washed with MeOH and then the desired product eluted with 2M NH3 in MeOH (4 mL) and concentrated to give a yellow oil. The product was partially purified via silica column chromatography (2% MeOH in DCM). Fractions 3-4, 5-10 and 18-19 were collected. Further purification via column chromatography was required (silica, DCM) to give impure product. Reverse phase (C18 silica) was used to remove impurity (H20:MeCN -50:50 - 0: 100%; 50 mL flushes) fractions 32-40 were collected to give impure product (26.2 mg). Unknown impurity was still identifiable by NMR, further purification via column chromatography (silica, DCM - 10% MeOH) fractions 22-31 were collected to give product (23.2 mg, 64 %). 1 H NMR (MeOD, 500 M Hz) δ 8.02 (s, 1 H, ArCH), 7.85 (d, J = 8.5 Hz, 2H, ArCH), 7.49 (s, 1 H, ArCH), 7.44 (d, J = 7.5 Hz, 2H, ArCH), 7.39 (dd, J = 7, 8.5 Hz, 2H , ArCH), 7.27 (dd, J = 7.5, 7 Hz, 1 H, ArCH), 7.00 (d, J = 7 Hz, 2H, ArCH), 3.87 (s, 3H , OCH3), 3.81-3.90 (m, 1 H, CH2), 3.73-3.80 (m, 1 H, CH2), 3.20-3.29 (m, 1 H, CH2), 2.89-2.98 (m, 1 H, CH2), 2.51 -2.56 (m, 1 H, CH2), 2.27-2.34 (m, 1 H, CH2), 1 .92-2.00 (m, 1 H , CH2), 1 .67-1.80 (m, 3H, CH2), 1.18 (s, 3H, CH3), 0.67 (m, 3H, CH3). LCMS m/z C26H3i N302 ES+ (RT: min) 5.99 min) 419.2 [MH+ + 1] (40%); 418.3 [MH+] (100%).
Example 15: V-(2-(2,2-dimethyl-4-phenyltetrahydro-2H-pyran-4-yl)ethyl)-6-(3-(2- methoxyethoxy)phenyl)pyrazin-2-amine
2M aqueous K2C03 solution (104 μί, 28.7 mg, 0.21 mmol) was added to a solution of the compound of 11 (30 mg, 0.087 mmol), 3-(2-methoxyethoxy)phenylboronic acid (C51)(Combi-blocks, CAS: 227305-67-1 , CAT: FA-1963) (34.0 mg, 0.173 mmol) and
fefra/c/s(triphenylphosphine)palladium (0) (5 mg, 0.004 mmol) in 1 ,4-dioxane (0.5 mL) and heated at 150°C for 1 h under microwave irradiation. The reaction mixture was then concentrated to give a black residue, resuspended in MeOH and loaded onto a SCX cartridge. The cartridge was washed with MeOH and then the desired product eluted with 2M NH3 in MeOH (4 mL) and concentrated to give a white solid. The product was partially purified via silica column chromatography (2% MeOH in DCM). Fractions resulted in isolation of the impure product. Further purification via column chromatography (silica, DCM) fractions 7-20 were collected to give impure product (25.9 mg). Reverse phase (C18 silica) was used to remove impurity (H20:MeCN - 50:50 - 0: 100%; 50 mL flushes) fractions 9-25 were collected to give the desired product (22.5 mg, 0.049 mmol, 56%). 1H NMR (CDCI3, 500 MHz) δ 8.17 (s, 1 H, ArCH), 7.40-7.52 (m, 3H, ArCH), 7.28-7.38 (m, 5H, ArCH), 7.20-7.26 (m, 1 H, ArCH), 6.96 (d, J = 6 Hz, 1 H, ArCH), 4.46 (bs, 1 H, NH), 4.09-4.21 (m, 3H, OCH2), 3.71-3.88 (m, 4H, CH2), 3.46 (s, 3H, OCH3) 3.26-3.36 (m, 1 H, CH2), 2.86-2.95 (m, 1 H, CH2), 2.42-2.50 (m, 1 H, CH2), 2.17-2.26 (m, 1 H, CH2), 1.90-2.00 (m, 1 H, CH2), 1.60-1.82 (m, 6H, CH2), 1.89 (s, 3H, CH3), 0.67 (s, 3H, CH3). LCMS m/z C28H35N303 ES+ (RT: 6.14 min) 463.0 [MH+ + 1] (20%); 461.9 [MH+] (100%).
Example 16: 6-(3-methoxyphenyl)-A/-(2-(4-phenyltetrahydro-2H-pyran-4- yl)ethyl)pyrazin-2-amine
2M aqueous K2C03 solution (189 μί, 52.2 mg, 0.378 mmol) was added to a solution of the 2-chloro-6-(2-(4-phenyl-tetrahydro-2 --pyran-4-yl)ethoxy)pyrazine (I7, 850 mg, 0.157 mmol), 3-methoxyphenylboronic acid (C38) (47.8 mg, 0.315 mmol) and fefra/c/s(triphenylphosphine)palladium(0) (9.1 mg, 0.008 mmol) in 1 ,4-dioxane (0.5 mL) and heated at 150°C for 1 h under microwave irradiation. The reaction mixture was then concentrated to give a black residue, resuspended in MeOH and loaded onto a SCX cartridge. The cartridge was washed with MeOH and then the desired product eluted with 2M NH3 in MeOH (4 mL) and concentrated to give a yellow oil. The product was purified via silica column chromatography (DCM:MeOH 0-2%).
Fractions 7-47 were combined, concentrated and dried to give the desired product, (53.8 mg, 0.138 mmol, 88%). 1H NMR (MeOD, 500 MHz) δ 8.07 (s, 1 H, ArCH), 7.57
(s, 1 H, ArCH), 7.52-7.55 (m, 1 H, ArCH), 7.48 (d, J= 7.5 Hz, 1 H, ArCH), 7.33-7.43 (m, 4H, ArCH), 7.21-7.27 (m, 1 H, ArCH), 6.98-7.02 (m, 1 H, ArCH), 3.87 (s, 3H, OCH3), 3.77-3.84 (m, 2H, CH2), 3.54-3.61 (m, 2H, CH2), 3.11-3.16 (m, 2H, CH2), 2.21-2.28 (m, 2H, CH2), 1.91-2.04 (m, 4H, CH2). LCMS m/z C24H27N302 ES+ (RT: 5.89 min) 391.3 [MH+ + 1] (20%); 390.2 [MH+] (100%).
Example 17: 6-(2,5-difluorophenyl)-A/-(2-(4-phenyltetrahydro-2H-pyran-4- yl ethyl)pyrazin-2-amine
C52 17
2M aqueous K2C03 solution (94 μΙ_, 26.0 mg, 0.19 mmol) was added to a solution of the compound of I8 (25.4 mg, 0.08 mmol), 2,5-difluorobenzeneboronic acid
(C52)(Combi-blocks, CAS: 193353-34-3, CAT: BB-2663) (18.8 mg, 0.12 mmol) and fefra/c/s(triphenylphosphine)palladium (0) (5.6 mg, 0.005 mmol) in 1 ,4-dioxane (0.5 ml_) and heated at 150 °C for 1 h under microwave irradiation. The reaction mixture was then concentrated to give a black residue, suspended in MeOH and loaded onto a SCX cartridge. The cartridge was washed with MeOH and then the desired product eluted with 2M NH3 in MeOH (4 ml_) and concentrated to give a clear oil. The product was purified via silica column chromatography (gradient elution: 100% DCM - 1 % MeOH in DCM). Fractions 18-20 were combined and concentrated in vacuo to yield a yellow oil (20.5 mg, 65% yield) which was the desired compound by NMR (95% pure) and LCMS. 1 H NMR (500 MHz, CD3OD): δ 8.08 (d, J = 2.5 Hz, 1 H, pyrazine-H), 7.60-7.64 (m, 2H, 1 x Ar-H and 1 x pyrazine-H), 7.33-7.40 (m, 4H, 4 x Ar-H), 7.14-7.22 (m, 3H, 3 x Ar-H), 3.76-3.80 (m, 2H, 2 x oxane-H), 3.53-3.58 (m, 2H, 2 x oxane-H), 3.07-3.1 1 (m, 2H, CH2), 2.21-2.24 (m, 2H, 2 x oxane-H), 1.90-2.01 (m, 4H, 2 x oxane-H and CH2). LCMS m/z: 396.2, Rt 1.99 min.
Example 18: V-(2-(2,2-dimethyl-4-phenyltetrahydro-2H-pyran-4-yl)ethyl)-6-(5- fluoro-2-methoxyphenyl)pyrazin-2-amine
2M aqueous K2C03 solution (104 μΙ_, 28.7 mg, 0.21 mmol) was added to a solution of the compound of 11 (31.8 mg, 0.09 mmol), 2-methoxy-5-fluorophenyl boronic acid (C53)(Combi-blocks, CAS: 179897-94-0, CAT: BB-2692-001) (35.6 mg, 0.21 mmol) and fefra/c/s(triphenylphosphine)palladium(0) (9.8 mg, 0.008 mmol) in 1 ,4-dioxane (0.5 ml_) and heated at 150 °C for 1 h under microwave irradiation. The reaction mixture was then concentrated to give a black residue, resuspended in MeOH and loaded onto a SCX cartridge. The cartridge was washed with MeOH and then the desired product eluted with 2M NH3 in MeOH (4 ml_) and concentrated to give a yellow oil. The product was partially purified via silica column chromatography (gradient elution: 20% EtOAc in hexane - 40% EtOAc in hexane) to yield a yellow oil. The recovered material was triturated with MeOH to give the off-white solid (5.2 mg, 13% yield) which was 95% pure by NMR and LCMS. 1H NMR (500 MHz, CDCI3): δ 8.34 (br s, pyrazine-H), 7.46 (dd, J = 9.7, 3.3 Hz, 1 H, Ar-H), 7.35 (br s, 1 H, pyrazine- H), 7.25-7.29 (m, 3H, 3 x Ar-H), 7.13-7.17 (m, 2H, 2 x Ar-H), 6.94 (ddd, J = 9.0, 7.6, 3.3 Hz, 1 H, Ar-H), 6.81 (dd, J = 9.0, 4.4 Hz, 1 H, Ar-H), 4.01 (t, J = 5.6 Hz, 1 H), 3.68- 3.77 (m, 4H), 3.14-3.21 (m, 1 H), 2.79-2.83 (m, 1 H), 2.37 (dd, J = 14.1 , 2.4 Hz, 1 H), 2.13 (dd, J = 14.0, 2.2 Hz, 1 H), 1.84-1.90 (m, 1 H), 1.60-1.69 (m, 3H), 1.10 (s, 3H, CH3), 0.59 (s, 3H, CH3). LCMS m/z: 436.2, Rt 6.24 min.
Example 19: V-(2-(2,2-dimethyl-4-phenyltetrahydro-2H-pyran-4-yl)ethyl)-6-(3- (trifluoromethyl)phenyl)pyrazin-2-amine
2M aqueous K2C03 solution (104 μΙ_, 28.7 mg, 0.21 mmol) was added to a solution of the compound of 11 (25.5 mg, 0.07 mmol), 3-trifluoromethylphenylboronic acid
(C54)(Sigma, CAS: 1423-26-3, CAT: 432032) (22.2 mg, 0.12 mmol) and tetrakis- (triphenylphosphine)palladium(O) (5.3 mg, 0.005 mmol) in 1 ,4-dioxane (0.5 ml_) and heated at 150°C for 1 h under microwave irradiation. The reaction mixture was then concentrated to give a black residue, resuspended in MeOH and loaded onto a SCX cartridge. The cartridge was washed with MeOH and then the desired product eluted with 2M NH3 in MeOH (4 ml_) and concentrated to give a yellow oil. The product was partially purified via silica column chromatography (40% EtOAc in hexane) to give the white solid. By NMR the recovered material contained residual grease and was washed with hexane to give the off-white solid (24.5 mg, 73% yield) which was 95% by NMR. 1H NMR (500 MHz, CDCI3): δ 8.23 (s, 1 H, Ar-H), 8.22 (br d, 1 H, Ar-H), 8.06 (d, J = 7.8 Hz, 1 H, Ar-H), 7.66 (d, J = 7.8 Hz, 1 H, Ar-H), 7.57 (t, J = 7.8 Hz, 1 H, Ar- H), 7.52 (s, 1 H, pyrazine-H), 7.36-7.38 (m, 4H, 4 x Ar-H), 7.25-7.28 (m, 1 H, Ar-H), 4.23 (t, J = 5.7 Hz, 1 H), 3.80-3.89 (m, 2H), 3.34-3.39 (m, 1 H), 2.92-2.96 (m, 1 H), 2.50 (dd, J = 14.2, 2.4 Hz, 1 H), 2.24 (dd, J = 14.0, 2.3 Hz, 1 H), 1.94-2.00 (m, 1 H), 1.71-1.83 (m, 3H), 1.21 (s, 3H, CH3), 0.69 (s, 3H, CH3). 13C NMR (125 MHz, CDCI3): δ 153.8, 148.0, 144.73, 138.1 1 , 131.3 (q, J = 35 Hz), 131.2, 129.8 (d, J = 1.2 Hz), 129.4, 129.3, 128.8, 126.7, 126.4, 125.9 (q, J = 3.7 Hz), 124.3 (q, J = 271 Hz, CF3), 123.8 (q, J = 3.8 Hz), 71.9, 59.0, 48.4, 47.0, 38.6, 36.7, 33.9, 32.1 , 24.8. Example 20: 6-(3-(difluoromethoxy)phenyl)-A/-(2-(2,2-dimethyl-4- phenyltetrahydro-2H-pyran-4-yl)ethyl)pyrazin-2-amine
2M aqueous K2C03 solution (104 μΙ_, 28.7 mg, 0.21 mmol) was added to a solution of the compound of 11 (28.9 mg, 0.08 mmol), 3-difluoromethoxyphenyl boronic acid (C55)(Combi-blocks, CAS: 866607-09-2, CAT: FA-1578) (20.6 mg, 0.1 1 mmol) and fefra/c/s(triphenylphosphine)palladium(0) (4.7 mg, 0.004 mmol) in 1 ,4-dioxane (0.5 ml_) and heated at 150°C for 1 h under microwave irradiation. The reaction mixture was then concentrated to give a black residue, resuspended in MeOH and loaded onto a SCX cartridge. The cartridge was washed with MeOH and then the desired product eluted with 2M NH3 in MeOH (4 ml_) and concentrated to give a dark yellow oil. The product was partially purified via silica column chromatography (gradient
elution: 100% DCM - 1% MeOH in DCM) to give the off-white solid. The recovered material was triturated with MeOH to give a white solid (18.4 mg, 49%) which was 95% pure by NMR and LCMS. 1H NMR (500 MHz, CDCI3): δ 8.20 (s, 1H, pyrazine- H), 7.72-7.74 (m, 2H, 2xAr-H), 7.49 (s, 1H, pyrazine-H), 7.44 (t, J= 8.0 Hz, 1H, Ar- H), 7.36-7.40 (m, 4H, 4xAr-H), 7.25-7.28 (m, 1H, Ar-H), 7.16 (brd, J= 7.6 Hz, 1H, Ar-H), 6.57 (t, J= 73.9 Hz, 1H, CF2H), 4.17 (t, J= 5.7 Hz, 1H), 3.79-3.88 (m, 2H), 3.31-3.38 (m, 1H), 2.91-2.99 (m, 1H), 2.49 (dd, J= 14.2, 2.3 Hz, 1H), 2.25 (dd, J = 14.0, 2.3 Hz, 1H), 1.94-2.00 (m, 1H), 1.71-1.82 (m, 3H), 1.21 (s, 3H, CH3), 0.69 (s, 3H, CH3). LCMS m/z: 454.3, Rt 6.54 min.
Example 21 : V-(2-(2,2-dimethyl-4-phenyltetrahydro-2H-pyran-4-yl)ethyl)-6-(2- fluoro-5-methoxyphenyl)pyrazin-2-amine
2M aqueous K2C03 solution (104 μΙ_, 28.7 mg, 0.21 mmol) was added to a solution of the compound of 11 (32.4 mg, 0.09 mmol), 2-fluoro-5-methoxy-phenylboronic acid (C56)(Combi-blocks, CAS: 406482-19-7, CAT: BB-8476-001) (35.8 mg, 0.21 mmol) and fefra/c/s(triphenylphosphine)palladium(0) (9.6 mg, 0.008mmol) in 1,4-dioxane (0.5 ml_) and heated at 150°C for 1 h under microwave irradiation. The reaction mixture was then concentrated to give a black residue, resuspended in MeOH and loaded onto a SCX cartridge. The cartridge was washed with MeOH and then the desired product eluted with 2M NH3 in MeOH (4 ml_) and concentrated to give a yellow oil. The product was purified via silica column chromatography (40% EtOAc in hexane) to yield a white solid (25.7 mg, 63%) which was 95% pure by NMR and LCMS. 1H NMR (500 MHz, CDCI3): δ 8.30 (d, J= 2.5Hz, 1H, pyrazine-H), 7.48 (s, 1H, pyrazine-H), 7.45 (dd, J= 6.0, 3.3, 1H, Ar-H), 7.36 (d, J= 4.4 Hz, 4H, 4 x Ar-H), 7.24-7.25 (m, 1H, Ar-H), 7.06 (t, J= 9.8 Hz, 1H, Ar-H), 6.87-6.90 (m, 1H, Ar-H), 4.14 (t, J= 5.3 Hz, 1H), 3.78-3.88 (m, 4H), 3.29-3.35 (m, 1H), 2.87-2.94 (m, 1H), 2.48 (dd, J= 14.1, 2.2 Hz, 1H), 2.24 (dd, J= 14.0, 2.0 Hz, 1H), 1.94-2.00 (m, 1H), 1.70-1.82 (m, 3H), 1.20 (s, 3H, CH3), 0.68 (s, 3H, CH3). LCMS m/z: 436.2.2, Rt6.58 min.
Example 22: 6-(3,5-dimethyl-1 H-pyrazol-4-yl)-/V-(2-(2,2-dimethyl-4- phenyltetrahydro-2H-pyran-4-yl)ethyl)pyrazin-2-amine
2M aqueous K2C03 solution (104 μΙ_, 28.7 mg, 0.21 mmol) was added to a solution of the compound of 11 (33.0 mg, 0.10 mmol), 3,5-dimethylpyrazole-4-boronic acid pinacol ester (C57)(BoronMolecular, CAS: 857530-80-4, CAT: BM 152) (29.7 mg, 0.13 mmol) and fefra/c/s(triphenylphosphine)palladium(0) (6.5 mg, 0.006 mmol) in 1 ,4-dioxane (0.5 ml_) and heated at 150°C for 1 h under microwave irradiation. The reaction mixture was then concentrated to give a black residue, resuspended in MeOH and loaded onto a SCX cartridge. The cartridge was washed with MeOH and then the desired product eluted with 2M NH3 in MeOH (4 ml_) and concentrated to give a yellow oil. The product was partially purified via silica column chromatography (gradient elution: 2% MeOH in DCM - 4% MeOH in DCM) to give the yellow oil, which contained minor impurities by NMR. The recovered material was further purified via silica column chromatography (80% EtOAc in hexane) to give another yellow oil
(21.2 mg). The recovered material contained some residual impurities by NMR and was triturated with Et20 to give a yellow residue (14.3 mg, 37% yield) which was 95% pure by NMR and LCMS. 1H NMR (500 MHz, CD3OD): δ 7.63 (s, 1 H, pyrazine-H), 7.45 (s, 1 H, pyrazine-H), 7.41 (dd, J = 8.4, 1.0 Hz, 2H, 2 x Ar-H), 7.34 (t, J = 7.8 Hz, 2H, 2 x Ar-H), 7.21 (t, J = 7.0 Hz, 1 H, Ar-H), 3.81-3.86 (m, 1 H), 3.72-3.76 (m, 1 H), 3.17-3.23 (m, 1 H), 2.84-2.89 (m, 1 H), 2.53 (d, J = 14.5 Hz, 1 H), 2.32-2.34 (m, 7H), 1.91-1.97 (m, 1 H), 1.69-1.76 (m, 3H), 1.17 (s, 3H, CH3), 0.65 (s, 3H, CH3). LCMS m/z: 406.2, Rt 4.81 min.
Example 23: V-(2-(2,2-dimethyl-4-phenyltetrahydro-2H-pyran-4-yl)ethyl)-5- fluoro-4- 3-methoxyphenyl)pyrimidin-2-amine
23
(a) 2-chloro-5-fluoro-4-(3-methoxyphenyl)pyrimidine (C59)
2,4-dichloro-5-fluoropyrimidine (C13)(Aldrich, CAS: 2927-71-1 , CAT: 653233) (144 mg, 0.838 mmol), 3-methoxyphenyl boronic acid (C58)(Aldrich, CAS: 10365-98-7, CAT: 44, 168-6) (160 mg, 1.053 mmol), Pd(OAc)2 (20 mg, 0.089 mmol), and PPh3 (21 mg, 0.080 mmol) were added in single portions into a reaction vessel. The reagents were dissolved in 1 ,2-dimethoxyethane (2 ml_) and flushed with nitrogen. Then added 2M K2C03 (723 μΙ_, 1.446 mmol). After heating for 18 hours at 90°C, TLC of the reaction mixture indicated that there was still starting material present. Further Pd(OAc)2 (16 mg, 0.071 mmol) and PPh3 (24 mg, 0.092 mmol) were added and the reaction mixture heated for an additional 7 hours at 90°C. The solvent was removed at reduced pressure and the resulting residue dissolved in methanol and passed through a pad of Celite. The sample was purified by silica chromatography
(2%EtOAc:hexane) to yield a white solid (1 10 mg, 55 %). 1H NMR (CDCI3, 500 MHz) δ 8.46 (s, 1 H); 7.67 (d, J = 5 Hz, 1 H); 7.63 (s, 1 H); 7.40 (t, J = 5Hz, 1 H); 7.06 (d, J = 5 Hz, 1 H); 3.85 (s, 3H). 13C NMR (CDCI3, 125 MHz) δ 159.93; 156.09 (d, J = 265 Hz); 155.49 (d, J = 3.75 Hz); 154.35 (d, J = 10 Hz); 148.61 (d, J = 26.25 Hz); 132.89 (d, J = 6.25 Hz); 129.93; 121.83 (d, J = 8.75 Hz); 118.10; 114.20 (d, J = 6.25 Hz); 55.48.
(b) -(2-(2,2-dmet y\ ^ eny\tetra ydro-2 ^yran -y\)et y\)-5^
methoxyphenyl)pyrimidin-2-amine (23)
2-(2,2-dimethyl-4-phenyltetrahydro-2 --pyran-4yl)ethanamine (C2)(29 mg, 0.124 mmol) 2-chloro-5-fluoro-4-(3-methoxyphenyl)pyrimidine (C59)(24 mg, 0.101 mmol) and triethylamine (24 μΙ_, 0.172 mmol) were dissolved in DMF (850 μΙ_) and heated to
90°C. After 16 hours the solvent was removed at reduced pressure and the sample purified by silica chromatography (1 % MeOH:DCM) to yield yellow oil. By 1 HNMR there were impurities present. The sample was passed through a SCX cartridge eluting upon addition of 2 M NH3 in methanol (6 ml_) to yield off-white solid (31 mg (71 %). 1H NMR (CD3OD, 500MHz) δ 8.13 (s, 1 H); 7.55 (m, 2H); 7.40 (m, 2H); 7.35 (m, 2H); 7.22 (t, 1 H); 7.07 (d, 1 H); 3.84 (s, 3H); 3.80 (m, 1 H); 3.74 (m, 1 H); 3.21 (m, 1 H); 2.81 (m, 1 H); 2.53 (d, 1 H); 2.28 (d, 1 H); 1.92 (m, 1 H); 1.73 (m, 3H); 1.16 (s, 3H); 0.64 (s, 3H). 13C NMR (CD3OD, 125MHz) δ 161.15; 160.37; 152.02 (d, J = 247.5 Hz); 148.01 (d, J = 25 Hz); 145.91 ; 136.44 (d, J = 6.25 Hz); 130.52; 129.53; 127.94; 126.98; 122.47 (d, J = 8.75); 117.28; 1 15.33 (d, J = 5 Hz); 73.40; 60.06; 55.86;
49.27; 47.82; 39.44; 38.08; 34.77; 32.30; 25.01.
Example 24: 3-(2-(2-(2,2-dimethyl-4-phenyltetrahydro-2H-pyran-4- l)ethylamino)-5-fluoropyrimidin-4-yl)benzonitrile
(a) 3-(2-chloro-5-fluoropyrimidin-4-yl)benzonitrile (C61)
2,4-dichloro-5-fluoropyrimidine (C13)(1 10 mg, 0.659 mmol), 3-cyanophenyl boronic acid (C60)(Aldrich, CAS: 150255-96-2, CAT: 51 ,301-6) (1 10 mg, 0.749 mmol), Pd(OAc)2 (15 mg, 0.067 mmol) and PPh3 (17 mg, 0.065 mmol) were dissolved in dioxane (2 ml_) followed by the addition of 2M K2C03 (600 μΙ_, 0.067 mmol). The sample was subjected to microwave irradiation at 140°C, normal absorption for 60 minutes. TLC of the reaction mixture indicated that there was some pyrimidine starting material present. Removed solvent at reduced pressure and passed sample through a pad of Celite. The sample was purified by silica chromatography
(1 %EtOAc:hexane to 20%EtOAc:hexane) to yield the desired product, (45 mg, 30%)
as a white solid. 1H NMR (CDCI3, 500MHz) δ 8.61 (d, J=5Hz, 1H);8.45(s, 1H); 8.40 (d, J= 5 Hz, 1H); 7.85 (d, J= 10 Hz, 1 H); 7.67 (t, J= 10, 5 Hz, 1H). 13C NMR (CDCI3, 125 MHz) δ 156.20 (d, J = 266.25 Hz); 156.06 (d, J= 3.75 Hz); 152.10 (d, J = 8.75 Hz); 149.46 (d, J= 6.25 Hz); 135.10; 133.31 (d, J= 7.5 Hz); 132.93 (d, J= 7.5 Hz); 130.04; 117.98; 113.73.
(b) 3-(2-(2-(2,2-dmet y\ ^ eny\tetra ydro-2 ^yran -y\)et y\am^
pyrimidin-4-yl)benzonitrile (24)
3-(2-chloro-5-fluoropyrimidin-4-yl)benzonitrile (C61)(21 mg, 0.090 mmol) and 2-(2,2- dimethyl-4-phenyltetrahydro-2--pyran-4yl)ethanamine) (C2)(ALFA AESAR, CAS: 4774-14-5, CAT: 132497) (40 mg, 0.171 mmol) were dissolved in DMF (800 μΙ_) followed by the addition of triethylamine (36 μΙ_ , 0.258 mmol). After heating for 16 hours at 90°C, the solvent was removed at reduced pressure and the resulting residue passed through a SCX cartridge eluting upon addition of 2M NH3 in MeOH (6 mL). The recovered sample was purified by silica chromatography (1% MeOH:DCM) to yield two samples; sample A (1 mg) as a white solid and sample B (32 mg) as a white solid. There were impurities noted in the 1H NMR of sample B. The sample was passed through a SCX cartridge eluting upon addition of 2M NH3 in MeOH (4 mL), the solvent was removed at reduced pressure and triturated with hexane to yield a pale yellow solid (29 mg (75%). 1H NMR (CD3OD, 500 MHz) δ 8.30 (s, 1H); 8.22 (m, 2H); 7.87 (d, J= 10 Hz, 1H); 7.68 (t, J= 5 Hz, 1H); 7.42 (d, J= 10 Hz, 2H); 7.37 (t, J= 5 Hz, 2H); 7.24 (t, J= 5Hz, 1Hz); 3.87 (t, J= 10Hz, 1H); 3.79 (m, 1H); 3.21 (td, J= 15, 5 Hz, 1H); 2.87 (td, J= 15,5 Hz, 1H); 2.58 (d, J= 15 Hz, 1H); 2.32 (d, J= 15 Hz, 1H); 1.98 (td, J= 15, 5 Hz, 1H); 1.72 (m, 3H); 1.17 (s, 3H); 0.66 (s, 3H). 13C NMR (CD3OD, 125 MHz) δ 160.54 (d, J= 1.25 Hz); 151.97 (d, J =
248.75 Hz); 145.91; 136.61 (d, J= 5 Hz); 134.87; 134.30 (d, J= 7.5 Hz); 133.24 (d, J=6.25 Hz); 130.80; 129.56; 127.97; 127.09; 119.35; 113.91 ; 73.43; 60.09; 47.81; 39.48; 38.08; 34.82; 32.30; 25.01
Example 25: V-(2-(2,2-dimethyl-4-phenyltetrahydro-2H-pyran-4-yl)ethyl)-5- fluoro-4- 3-fluorophenyl)pyrimidin-2-amine
(a) 2-chloro-5-fluoro-4-(3-fluorophenyl)pyrimidine (C63)
2,4-dichloro-5-fluoropyrimidine (C13) (106 mg, 0.635 mmol) 3-fluorophenyl boronic acid (C62)(Aldrich, CAS: 768-35-4, CAT: 44, 164-3) (101 mg, 0.722 mmol) triphenyl phosphine (17.7 mg, 0.0655 mmol) and palladium acetate (19 mg, 0.085 mmol) were dissolved in 1 ,2-dimethoxyethane (2 ml_). To this solution added 2M K2C03 (600 μΙ_, 1.2 mmol) and heated to 90°C. After 17 hours the reaction was found to be complete by TLC. The solvent was removed at reduced pressure and the resulting residue dissolved in methanol, and passed through a pad of Celite. The sample was purified by silica chromatography (10%EtOAc:hexane) to yield a white solid (100 mg, 70 %). 1H NMR (CDCI3, 500 MHz) δ 8.55 (d, J = 5Hz, 1 H); 7.97 (d, J = 10 Hz, 1 H); 7.90 (d, J = 10 Hz, 1 H); 7.52 (q, J = 10, 5 Hz, 1 H); 7.28 (m, 1 H). 13C NMR (CDCI3, 125 MHz) δ 163.97 (d, J = 246.25Hz); 156.14 (d, J = 140 Hz); 155.76 (d, J = 3.75 Hz); 153.21
(dd, J = 8.75, 2.5 Hz); 149.05; 148.84; 133.80 (dd, J = 8.75, 6.25 Hz); 130.70 (d, J = 7.5 Hz); 125.19 (dd, J = 7.5, 3.75Hz); 1 19.25 (d, J = 21.25 Hz); 116.40 (dd, J = 23.75, 7.5 Hz). (b) -(2-(2,2-dmet y\ ^ eny\tetra ydro-2 ^yran -y\)et y\)-5^
fluorophenyl)pyrimidin-2-amine (25)
2-chloro-5-fluoro-4-(3-fluorophenyl)pyrimidine (C63)(24 mg, 0.106 mmol) and 2-(2,2- dimethyl-4-phenyltetrahydro-2 --pyran-4yl)ethanamine (C2)(28 mg, 0.120 mmol) were dissolved in DMF (800 μΙ_). To this solution added triethylamine (20 μΙ_, 0.143 mmol). The reaction was heated at 90°C for 16 hours after which time the reaction was found to be complete by LCMS. The solvent was removed at reduced pressure
and the resulting residue dissolved in methanol and passed through a SCX cartridge, eluting upon addition of 2M NH3 in methanol (6 ml_) to yield a yellow oil (40 mg). The sample was purified by silica chromatography (1 % MeOH:DCM) to yield a white solid (27 mg, 60%). 1 H NMR (CD3OD, 500 MHz) δ 8.17 (d, J = 5 Hz, 1 H); 7.80 (d, J = 10 Hz, 1 H); 7.72 (d, J = 10 Hz, 1 H); 7.49 (q, J = 5 Hz, 1 H); 7.42 (d, J = 5Hz, 2H); 7.35 (t, J = 10 Hz, 2H); 7.22 (q, J = 10Hz, 2H); 3.86 (t, J = 10Hz, 1 H); 3.76 (m, 1 H); 3.18 (td, J = 10, 5Hz, 1 H); 2.89 (td, J = 10, 5Hz, 1 H); 2.55 (dd, J = 15, 5Hz); 2.31 (dd, J = 15. 5Hz, 1 H); 1.94 (td, J = 15, 5 Hz, 1 H); 1.74 (m, 3H); 1.17 (s, 3H); 0.66 (s, 3H). 13C NMR (CD3OD, 125 MHz) δ 165.09 (d, J = 2.5Hz); 163.15 (d, J = 2.5Hz); 160.33 (d, J = 3.75 Hz); 151.91 (d, J = 248.75Hz); 148.46 (d, J = 27.5Hz) 145.84; 137.39; 131.33 (d, J = 7.25 Hz); 129.53; 127.89; 127.02; 125.88 (dd, J = 11.25, 5 Hz); 118.49 (d, J = 21.25 Hz); 1 16.44 (dd, J = 30, 17.5Hz); 73.37 ; 60.02; 47.78; 39.40; 38.01 ; 34.77; 32.30; 25.04. Example 26: A/-[2-(2,2-dimethyl-4-phenyloxan-4-yl)ethyl]-5-fluoro-4- phenylpyrimidin-2-amine
A mixture of the 2-(2,2-dimethyl-4-phenyltetrahydro-2 --pyran-4-yl)ethanamine (C2) (1 14.1 mg, 0.489 mmol), the compound I4 (85 mg, 0.407 mmol) and DIPEA (79 mg, 0.611 mmol) in n-BuOH (5 ml_) was heated in a pressurized vessel at 130°C for 18 hours. LCMS indicated none of the starting pyrimidine present and very little of the starting ethylamine. The mixture was purified by chromatography (silica, 12 g, 100% DCM). Fractions 10-15 contained the required product by LCMS. These fractions subjected to further purification, silica (4 g, DCM/hexanes 50/50; fractions 1-40 then DCM/MeOH, 95/5 fractions 41-50). The required product was eluted in fractions 45- 48. The residue was subjected to further purification (silica, 4 g, 100% DCM) and fractions 2-8 collected as a pale yellow oil, which contained a minor impurity by LCMS, m/z 364. The material was purified on reverse phase silica (4 g, 100% ACN). The product was obtained as a pale yellow oil, (1 19 mg, 72%). LCMS did not indicate the impurity observed earlier. Product observed m/z 406 (100%). 1H NMR (500 MHz, CDCI3) δ 8.14 (d, 1 H, 3JHF = 3.7 Hz, H6), 7.99-7.98 (m, 2H, Ar-H2' and Ar-
Η6'), 7.47-7.46 (m, 3H, 3 x Ar-H), 7.36-7.35 (m, 4H, 4 x Ar-H), 7.25-7.23 (m, 1 H, Ar- H4), 4.73 (bt, 1 H, J = 5.5 Hz, NH), 3.85-3.79 (m, 2H, CH20), 3.32-3.27 (m, 1 H, CHN), 2.96-2.91 (m, 1 H, CHN), 2.47 (bdd, 1 H, J = 14.0 and 2.2 Hz, 5-CH, THP ring), 2.23 (dd, 1 H, J = 14.0 and 2.1 Hz, 3-CH, THP ring), 1.95-1.90 (m, 1 H, CHCH2N), 1.82- 1.72 (m, 3H, CHCH2N, 5-CH and 3-CH THP ring).1.20 (s, 3H, CH3), 0.69 (m, 3H, CH3). 13C NMR (125 MHz, CDCI3) δ 158.99 (d, VCF = 1 -7 Hz, C2 pyrazine), 151.69 (d, 2JCF = 7.2 Hz, C4 pyrazine?), 150.16 (d, 1JCF = 250.6 Hz, C5 pyrazine), 146.96 (d, 2JCF = 26.2 Hz, C6 pyrazine?), 144.82 (C1), 133.97 (d, 3JCF = 5.3 Hz, C1') 130.63 (ArCH), 128.97 and 128.57 (d, J = 6.7 Hz and d, J = 8.5 Hz respectively, C2', C6' and C3, C5'), 126.71 (ArCH), 126.06 (ArCH), 71.81 (C2 THP ring), 58.99 (C6 THP ring), 48.28 (C3 THP ring), 47.07 (CH2CH2N), 38.53 (C4 THP ring), 37.35 (CH2N), 33.88 (C5 THP ring), 32.05 (CH3), 24.84 (CH3). LCMS (ESI) m/z 406 (C25H28N3OFH+).
Example 27: 6-(2,5-difluorophenyl)-A/-(2-(2,2,6,6-tetramethyl-4-phenyl- tetrah dro-2H-pyran-4-yl)ethyl)pyrazin-2-amine
2M K2C03 solution (aq, 88.7 μΙ_, 24.5 mg, 0.18 mmol) was added to a solution of the 6-chloro-A/-(2-(2,2,6,6-tetramethyl-4-phenyl-tetrahydro-2 --pyran-4-yl)ethyl)pyrazin-2- amine (I5, 22.1 mg, 0.059 mmol), 2,5-difluorophenylboronic acid (C37)(24 mg, 0.15 mmol) and fefra/c/s(triphenylphosphine)palladium(0) (7 mg, 0.006 mmol) in dioxane (0.15 mL) and heated to 150°C under microwave irradiation for 1 h. The sample was concentrated and resuspended in MeOH. This solution was then loaded onto a silica SCX cartridge which was washed with MeOH and the desired product was eluted upon addition of 2M NH3 in MeOH. Purification by silica column chromatography (gradient elution: 100% DCM - 2% MeOH in DCM) resulted in isolation of an off-white solid (23.2 mg, 87%). 1H NMR (500 MHz, CD3OD) δ 8.09 (d, 1 H, J = 2.4 Hz), 7.66- 7.62 (m, 2H), 7.50 (brd, 2H, J = 7.9 Hz), 7.33 (brt, 2H, J = 7.7 Hz), 7.23-7.15 (m, 3H), 3.06-3.03 (m, 2H), 2.55 (d, 2H, J = 14.5 Hz), 1.92-1.89 (m, 2H), 1.86 (d, 2H, J = 14.5 Hz), 1.26 (s, 6H), 1.02 (s, 6H). LCMS (ESI) m/z 452 (C27H31 F2N3OH+).
Example 28: 3-(6-{[2-(1,1 -dioxo-4-phenyl- 6-thian-4-yl)ethyl]amino}pyrazin-2- yl)benzonitrile
2M K2C03 solution (aq, 0.1 ml_, 27.6 mg, 0.2 mmol) was added to a solution of the compound of I6 (22.7 mg, 0.06 mmol), 3-cyanophenylboronic acid (C39)(26.3 mg, 0.18 mmol) and fefra/c/s(triphenylphosphine)palladium(0) (4 mg, 0.003 mmol) in dioxane (0.5 ml_) and heated to 150°C under microwave irradiation for 1 h. The sample was concentrated and filtered to give a black residue. This was resuspended in MeOH and loaded onto a silica SCX cartridge. The cartridge was washed with MeOH and the desired product was eluted upon addition of 2M NH3 in MeOH.
Further purification by silica column chromatography (gradient elution: 100% DCM - 2% MeOH in DCM) resulted in isolation of the desired product as an off-white solid (13 mg, 48%). 1 H NMR (500 MHz, CD3OD) δ 8.25 (s, 1 H), 8.18-8.15 (m, 2H), 7.77 (d, 1 H, J = 6.7 Hz), 7.68 (s, 1 H), 7.64 (t, 1 H, J = 7.8 Hz), 7.51-7.46 (m, 4H), 7.37-7.34 (m, 1 H), 3.21-3.18 (m, 2H), 3.10-3.07 (m, 2H), 2.95-2.84 (m, 4H), 2.37-2.31 (m, 2H), 1.97-1.94 (m, 2H). LCMS (ESI) m/z 433 (C24H24N402SH+), m/z 455
(C24H24N402SNa+). Example 29: 3-(6-(2-(4-phenyl-tetrahydro-2H-pyran-4-yl)ethoxy)pyrazin-2- yl)benzonitrile
2M K2C03 solution (aq, 110 μΙ_, 30 mg, 0.22 mmol) was added to a solution of 2-chloro-6-(2-(4-phenyl-tetrahydro-2 --pyran-4-yl)ethoxy)pyrazine (I7)
26 mg, 0.08 mmol), 3-cyanophenylboronic acid (C39)(30 mg, 0.2 mmol) and fefra/c/s(triphenylphosphine)palladium(0) (KAR_001_99, 5.5 mg, 0.005 mmol) in dioxane (0.6 ml_) and heated to 150°C under microwave irradiation for 1 h. The
sample was concentrated and filtered to give a black residue. This was then purified by silica column chromatography (20% EtOAc in hexane, sample was suspended in 40% EtOAc in hexane and then loaded onto the silica column) to give a clear oil (23.5 mg, 75%). 1H NMR (500 MHz, CD3OD) δ 8.61 (s, 1 H), 8.26 (s, 1 H), 8.21 (dd, 1 H, J = 8.0 and 1.0 Hz), 7.98 (s, 1 H), 7.78 (dd, 1 H, J = 7.7 and 1.1 Hz), 7.64 (t, 1 H, J = 7.9 Hz), 7.41-7.36 (m, 3H), 7.25-7.23 (m, 1 H), 4.20 (t, 2H, J = 7.0 Hz), 3.82-3.78 (m, 2H), 3.57 (brt, 2H, J = 9.8 Hz), 2.28 (brd, 2H, J = 13.7 Hz), 2.18 (t, 2H, J = 7.1 Hz), 2.00-1.95 (m, 2H). LCMS (ESI) m/z 386 (C24 2ZNz02 +).
2M K2C03 solution (aq, 214 μΙ_, 59 mg, 0.42 mmol) was added to a solution of the 6-chloro-A/-(2-(4-(4-fluorophenyl)-2,2-dimethyl-tetrahydro-2 --pyran-4-yl)ethyl) pyrazin-2-amine (11 1 , 62 mg, 0.17 mmol), 2,5-difluorophenylboronic acid (C37)(60 mg, 0.38 mmol) and fefra/c/s(triphenylphosphine)palladium(0) (10 mg, 0.009 mmol) in dioxane (0.5 mL) and heated to 150°C under microwave irradiation for 1.5 h. The reaction mixture was then concentrated to give a black residue. This was then resuspended in MeOH and loaded onto a silica SCX cartridge. The cartridge was washed with MeOH and the desired product was eluted upon addition of 2M NH3 in MeOH. The MeOH wash fraction mostly contained the starting pyrazine. The recovered material was further purified by silica column chromatography (gradient elution: 100% DCM - 1 % MeOH in DCM) to give a yellow oil. This was further purified by reverse phase C-18 bonded silica cartridge (isocratic: 70% CH3CN in water), to yield a white solid (15 mg). This was then dissolved in MeOH and loaded onto a silica SCX cartridge. The cartridge was washed with MeOH and the desired product and impurity eluted upon addition of 2M NH3 in MeOH. Attempted purification by silica column chromatography (gradient elution: 100% DCM - 1 % MeOH in DCM) failed to remove the impurity. Purification by mass directed semi- preparative HPLC resulted in separation of the impurity from the product. Fractions containing the desired product were concentrated and loaded onto a silica SCX
cartridge. The cartridge was washed with MeOH and the desired product was eluted upon addition of 2M NH3 in MeOH to reveal a white solid (6.75 mg, 9%). 5.73 mg submitted to CDCO and 1.02 mg submitted to the assay. 1H NMR (500 MHz, CD3OD) δ 8.10 (s, 1 H), 7.66-7.65 (m, 2H), 7.45-7.43 (m, 2H), 7.23-7.16 (m, 2H), 7.09-7.05 (m, 2H), 3.84-3.75 (m, 2H), 3.26-3.20 (m, 1 H), 2.96-2.91 (m, 1 H), 2.53
(brd, 1 H, J = 14.3 Hz), 2.28 (brd, 1 H, J = 14.1 Hz), 2.00-1.95 (m, 1 H), 1.77-1.71 (m, 3H). LCMS (ESI) m/z 442 (CzsHzeNsOFsH*).
Example 31 : V-(2-(4-isopropyl-2,2-dimethyl-tetrahydro-2H-pyran-4-yl)ethyl)-6-(3- methox phenyl)pyrazin-2-amine
2M K2C03 solution (aq, 104 μΙ_, 28.7 mg, 0.21 mmol) was added to a solution of 6-chloro-A/-(2-(4-isopropyl-2,2-dimethyl-tetrahydro-2 --pyran-4-yl)ethyl)pyrazin-2- amine, (I9, 27 mg, 0.09 mmol), 3-methoxyphenylboronic acid (C38)(28 mg, 0.18 mmol) and [1 ,1 '-Bis(diphenylphosphino)ferrocene]dichloropalladium(ll), complex with dichloromethane (7 mg, 0.008 mmol) in dimethoxyethane (0.5 ml_) and heated to 105°C under microwave irradiation for 1.3 h. The reaction mixture was then concentrated to give a black residue. This was then resuspended in MeOH and loaded onto a silica SCX cartridge. The cartridge was washed with MeOH (10 ml_). This was concentrated to give a black solid. The desired product was then eluted by addition of 2M NH3 in MeOH (4 ml_). This was concentrated to give a brown oil. Further purification by silica column chromatography (gradient elution: 100% DCM - 1 % MeOH in DCM) resulted in isolation of a clear oil (31 mg, 93%,). 1H NMR
(500 MHz, CD3OD) 58.08 (s, 1 H), 7.74 (s, 1 H), 7.59-7.53 (m, 2H), 7.35 (brt, 1 H, J = 8.0), 6.99-6.97 (m, 1 H), 3.85 (s, 3H), 3.81-3.76 (m, 1 H), 3.65-3.61 (m, 1 H), 3.57-3.51 (m, 1 H), 3.46-3.40 (m, 1 H), 1.97-1.90 (m, 1 H), 1.83-1.74 (m, 2H), 1.59-1.40 (m, 4H), 1.27 (s, 3H), 1.20 (s, 3H), 0.96-0.93 (m, 6H). LCMS (ESI) m/z 384 (CzsHssNsOzH*).
Example 32: 6-(2,5-difluorophenyl)-A/-(2-(4-(3-fluorophenyl)-2,2-dimethyl- tetrah dro-2H-pyran-4-yl)ethyl)pyrazin-2-amine
2M K2C03 solution (aq, 155 μΙ_, 42.8 mg, 0.31 mmol) was added to a solution of 6 chloro-A/-(2-(4-(3-fluorophenyl)-2,2-dimethyl-tetrahydro-2 --pyran-4-yl)ethyl)pyrazin -2-amine, (110, 47.3 mg, 0.13 mmol), 2,5-difluorophenylboronic acid (C37)(46 mg, 0.29 mmol) and fefra/c/s(triphenylphosphine)palladium(0) (9.3 mg, 0.008 mmol) in dioxane (0.5 mL) and heated to 135°C under microwave irradiation for 1.5 h. The reaction mixture was then concentrated to give a black residue. This was then resuspended in MeOH and loaded onto a silica SCX cartridge. The cartridge was washed with MeOH (10 mL), this fraction was then concentrated and then redissolved in MeOH (1 mL) and loaded onto a new silica SCX cartridge. The second cartridge was washed with MeOH (10 mL), the desired product was then eluted from both cartridges by addition of 2M NH3 in MeOH (4 mL). The combined ammonia solutions were concentrated to give a yellow oil. Further purification by silica column chromatography (gradient elution: 100% DCM - 1 % MeOH in DCM) resulted in isolation of the desired product as an off-white solid (50 mg, 87%). 1H NMR (500 MHz, CD3OD) δ 8.08 (s, 1 H), 7.63 (s, 1 H), 7.62-7.58 (m, 1 H), 7.37-7.32 (m, 1 H), 7.23-7.14 (m, 4H), 6.95-6.92 (m, 1 H), 3.83-3.73 (m, 2H), 3.24-3.18 (m, 1 H), 2.93-2.87 (m, 1 H), 2.49 (brd, 1 H, J = 14.3 Hz), 2.24 (d, 1 H, J = 14.2 Hz), 1.97-1.91 (m, 1 H), 1.77-1.69 (m, 3H), 1.17 (s, 3H), 0.68 (s, 3H). LCMS (ESI) m/z 442
(C25H26N3OF3H+).
Example 33: 4-(2,5-difluorophenyl)-N-(2-(2,2-dimethyl-4-phenyltetrahydro-2H- ran-4-yl)ethyl)-5-fluoropyrimidin-2-amine
C2 33
(a) 2-chloro-4-(2,5-difluorophenyl)-5-fluoropyrimidine (C65)
2,4-dichloro-5-fluoropyrimidine (C13)(103 mg, 0.617 mmol), 2,5-difluorophenyl boronic acid (64)(100 mg, 0.633 mmol), triphenyl phosphine (16 mg, 0.062 mmol) and palladium acetate (17 mg, 0.062 mmol) were dissolved in 1 ,2-dimethoxyethane (2 mL). To this solution added 2M K2C03 (600 μΙ_, 1.2 mmol) and heated to 90 °C. After 17 hours the reaction was found to be complete by TLC. The solvent was removed at reduced pressure and the resulting residue dissolved in methanol, and passed through a pad of Celite. The sample was purified by silica chromatography (5%EtOAc:hexane) to yield a white solid (18.3 mg (12%). 1H NMR (500 MHz, CDCI3) δ 8.59 (s, 1 H); 7.42 (m, 1 H); 7.20 (m, 2H). (b) 4-(2,5-difluorophenyl)^-(2-(2,2-dimethyl-4^henyltetrahyd^
5-fluoropyrimidin-2-amine (33)
2-chloro-4-(2,5-difluorophenyl)-5-fluoropyrimidine (C65)(18 mg, 0.074 mmol) and 2- (2,2-dimethyl-4-phenyltetrahydro-2 --pyran-4yl)ethamine (C2)(35 mg, 0.15mmol) were dissolved in DMF (800 μΙ_) followed by the addition of triethylamine (20 μΙ_, 0.143 mmol). The reaction was heated to 90 °C for 17 hours after which the solvent was removed at reduced pressure. The sample was dissolved in methanol and passed through a SCX cartridge eluting upon addition of 2M NH3 in methanol (5 mL) to give a yellow oil (29.7 mg,). The recovered material was purified by silica chromatography (1 %MeOH:DCM) to give the desired product as a white solid (17.5 mg, 54%).
Biological Assay
Reagents
Sf9 membranes containing recombinant Isoprenylcysteine carboxyl
methyltransferase (ICMT) was provided by Duke University (Otto et al, 1999; Winter- Vann et al, 2003). S-Adenosylmethionine (SAM), Sodium Chloride (NaCI), 4-(2- hydroxyethyl)-1-piperazineethanesulfonic acid (HEPES), dimethyl sulfoxide (DMSO) and dithiotreitol (DTT) were purchased from Sigma (Mo, USA). [3H] S- Adenosylmethionine and Streptavidin PVT SPA Beads were purchased from
PerkinElmer ( -S-farnesyl-L-cysteine (BFC) has the structure:
Assays were performed in white small volume 384 well microtitre plates from
PerkinElmer.
Method
Stocks of ICMT membrane protein (10μg/μL) stored at -80°C were thawed at 37°C and placed on ice. The ICMT membrane protein was diluted in assay buffer (140 mM HEPES, 200 mM NaCI, and 6 mM DTT, pH 7.5) to a 0.06μg/μL working
concentration and added to the wells of a microtitre plate (δμΙ/well). The reaction was initiated with the addition of 5 μΙ_ of substrate solution containing BFC (6μΜ), SAM (3μΜ) and 30 μΟί/ηιΙ_ [3H] SAM [10 Ci/mmol] (all of these reagents stored at - 20°C, SAM reagents thawed on ice, BFC thawed at room temperature). The plate was incubated at 37°C for 30 minutes. The reaction was stopped with the addition of 5 μΙ_ of SAM (150 μΜ) and Streptavidin SPA beads (20 mg/mL). Following overnight incubation at ambient temperature radioactivity was counted on a Microbeta Trilux™ (Perkin Elmer, Turku, Finland). The compound IC50 values were determined in Abase using XLFit (IDBS) integrated into Microsoft Excel™. Enzyme inhibition data obtained from the SPA assay were analyzed via either a 4 parameter logistic model or sigmoidal dose-response model to return a concentration producing 50% inhibition.
Results
Compound ICso (μΜ)
1 0.0031
2 0.0014
3 0.0043
4 0.0789
5 0.0053
6 0.0489
7 0.0501
8 0.0292
9 0.0064
10 0.0020
1 1 0.0656
12 0.0445
13 0.0376
14 0.0941
15 0.0049
16 0.2071
17 0.2122
18 0.0818
19 0.0485
20 0.0031
21 0.0032
22 0.9027
23 0.0087
24 0.0202
25 0.0306
26 0.0557
27 0.0100
28 0.3306
29 0.3051
30 0.2431
31 0.0046
32 0.0440
33 0.0730
References
Zhang and Casey, Annu. Rev. Biochem., 1565:241-269 (1996)
Kloog and Cox, Semin. Cancer Biol., 14:253-261 (2004)
Casey and Seabra, J. Biol. Chem., 271 :5289-5292 (1996)
Boyartchuk et al, Science, 275:1796-1800 (1997)
Otto et al, J. Biol. Chem., 274:8379-8382 (1999)
Clarke et al, Proc. Natl. Acad. Sci. USA, 85:4643-4637 (1988),
Hrycyna et al, EMBO J., 10:1699-1709 (1991),
Dai et al, J. Biol. Chem., 273:15030-15034 (1998)
Young et al, The Enzymes, 21 :156-213 (2000)
Bergo et al, J. Clin. Invest., 113:539-550 (2004)
Wahlstrom et al, Blood, 112:1357-65 (2008)
Wang et al, J. Biol. Chem., 283:18678-18684 (2008)
Wang et al, J. Chromatogr. B Analyt. Technol. Biomed. Life Sci., 877:553-557 (2009)
Cushman et al, J. Biol. Chem., 284:27964-27973 (2009)
Lu et al, Am. J. Respir. Cell Mol. Biol., 37:20-30 (2007)
Lu et al, Circ. Res., 94:306-15 (2004)
Buchanan et al, Phytochemistry, 69:1886-1889 (2008a)
Buchanan et al, Bioorganic & Medicinal Chemistry Letters, 17:6860-6863 (2007)
Buchanan et al, J. Nat Prod, 71 , 1066-1067 (2008b)
Wnter-Vann et al, PNAS, 102:4336-4341 (2005)
Donelson et al, Bioorganic & Medicinal Chemistry Letters, 16: 4420-4423(2006) Wnter-Vann et al, PNAS, 100:6529-6534 (2003)
Judd et al, J. Med Chem., 54: 5031-5047 (2011)
WO 2006/102126
WO 98/56924
Claims
Claims
1. A compound of formula I :
1
R (I)
^ R3 wherein:
R1 is selected from:
(i) phenyl, optionally substituted by one fluoro group;
(ii) thienyl;
(iii) furanyl;
(iv) Ci-4 alkyl; and
(v) H;
R2 is selected from:
R4 is selected from phenyl, a 5-membered heteroaryl or a 6-membered heteroaryl, all of which are optionally substituted by one or more substituents selected from the group consisting of: methyl, methoxy, trifluoromethyl, trifluoromethoxy, cyano, fluoro, -OC2H4OMe, and pyrazolyl.
A compound according to claim 1 , wherein R1 is phenyl.
3. A compound according to claim 2, whererin R1 is unsubstituted phenyl.
4. A compound according to claim 2, whererin R1 is phenyl substituted by a single fluoro group.
5. A compound according to claim 1 , whererin R1 is thienyl.
6. A compound according to claim 1 , whererin R1 is furanyl.
7. A compound according to claim 1 , whererin R1 is d_4 alkyl.
8. A compound according to claim 7, wherein R1 is C3.4 alkyl.
9. A compound according to claim 8, wherein R1 is C3 alkyl.
10. A compound according to claim 9, wherein R1 is iso-propyl.
(2c).
(2d).
A compound according to any one of claims 1 to 16, wherein X is NH
A compound according to any one of claims 1 to 16, wherein X is O.
19. A compound according to any one of claims 1 to 18, wherein R4 is phenyl, optionally substituted by one or more substituents selected from the group consisting of: methyl, methoxy, trifluoromethyl, trifluoromethoxy, cyano, fluoro, -OC2H4OMe and pyrazolyl.
20. A compound according to claim 19, wherein R4 is unsubstituted phenyl.
21. A compound according to claim 19, wherein R4 is phenyl substituted by at least group selected from methoxy, trifluoromethoxy, fluoro and -OC2H4OMe.
22. A compound according to any one of claims 1 to 18, wherein R4 is pyrazolyl, optionally substituted by one or more methyl groups.
23. A compound according to claim 22, wherein R4 is unsubstituted pyrazolyl.
24. A compound according to any one of claims 1 to 18, wherein R4 is pyridyl, optionally substituted by cyano.
25. A compound according to claim 24, wherein R4 is unsubstituted pyridyl.
26. A compound according to any one of claims 1 to 18, wherein R4 is pyrimidyl.
wherein:
R1 is phenyl, optionally substituted by one fluoro group;
R2 is selected from:
3a 3b
X is selected from NH and O;
R4 is selected from:
(a) phenyl, optionally substituted by one or more substituents selected from the group consisting of: methyl, methoxy, trifluoromethyl, trifluoromethoxy, cyano, fluoro, -OC2H4OMe, and pyrazolyl;
(b) pyrazolyl, optionally substituted by one or more methyl groups;
(c) pyridyl, optionally substituted by cyano; and
(d) pyrimidyl.
28. A pharmaceutical composition comprising a compound according to any one of claims 1 to 27 and a pharmaceutically acceptable carrier or diluent.
29. A compound according to any one of claims 1 to 27 for use in a method of therapy.
30. The use of a compound according to any of claims 1 to 27 in the manufacture of a medicament for treating a disease ameliorated by the inhibition of ICMT.
31. A compound as described in any of claims 1 to 27 for use in the method of treatment of a disease ameliorated by the inhibition of ICMT. 32. The use according to claim 30, or the compound according to claim 31 , wherein the disease to be ameliorated by the inhibition of ICMT is cancer.
33. The use or compound according to claim 32, wherein the cancer is one linked to mutant Ras overactivity.
Applications Claiming Priority (2)
| Application Number | Priority Date | Filing Date | Title |
|---|---|---|---|
| US201261699960P | 2012-09-12 | 2012-09-12 | |
| US61/699,960 | 2012-09-12 |
Publications (1)
| Publication Number | Publication Date |
|---|---|
| WO2014041349A1 true WO2014041349A1 (en) | 2014-03-20 |
Family
ID=49212990
Family Applications (1)
| Application Number | Title | Priority Date | Filing Date |
|---|---|---|---|
| PCT/GB2013/052378 Ceased WO2014041349A1 (en) | 2012-09-12 | 2013-09-12 | Tetrahydropyran-4-ylethylamino- or tetrahydropyranyl-4-ethyloxy-pyrimidines or -pyridazines as isoprenylcysteincarboxymethyl transferase inhibitors |
Country Status (1)
| Country | Link |
|---|---|
| WO (1) | WO2014041349A1 (en) |
Cited By (3)
| Publication number | Priority date | Publication date | Assignee | Title |
|---|---|---|---|---|
| WO2019054944A1 (en) | 2017-09-12 | 2019-03-21 | Agency For Science, Technology And Research | Compounds useful as inhibitors of isoprenylcysteine carboxyl methyltransferase |
| JP2024501554A (en) * | 2020-12-29 | 2024-01-12 | 上海海雁医薬科技有限公司 | Oxyspiro ring-substituted pyrrolopyrazole derivatives and intermediates thereof and methods for their preparation |
| JP2024524719A (en) * | 2021-07-13 | 2024-07-05 | 上海海雁医薬科技有限公司 | Pharmaceutically acceptable salts of MOR receptor agonists, polymorphs thereof and uses thereof - Patents.com |
Citations (20)
| Publication number | Priority date | Publication date | Assignee | Title |
|---|---|---|---|---|
| SU11248A1 (en) | 1927-03-29 | 1929-09-30 | В.С. Григорьев | Anthracene cleaning method |
| WO1997022596A1 (en) | 1995-12-18 | 1997-06-26 | Zeneca Limited | Quinazoline derivatives |
| WO1997030035A1 (en) | 1996-02-13 | 1997-08-21 | Zeneca Limited | Quinazoline derivatives as vegf inhibitors |
| WO1997032856A1 (en) | 1996-03-05 | 1997-09-12 | Zeneca Limited | 4-anilinoquinazoline derivatives |
| WO1998013354A1 (en) | 1996-09-25 | 1998-04-02 | Zeneca Limited | Quinazoline derivatives and pharmaceutical compositions containing them |
| WO1998035985A1 (en) | 1997-02-12 | 1998-08-20 | The Regents Of The University Of Michigan | Protein markers for lung cancer and use thereof |
| WO1998050029A1 (en) * | 1997-05-07 | 1998-11-12 | University Of Pittsburgh | Inhibitors of protein isoprenyl transferases |
| WO1998056924A1 (en) | 1997-06-11 | 1998-12-17 | New York University | Prenylcysteine carboxyl methyltransferase, dna encoding same, and a method of screening for inhibitors thereof |
| WO1999002166A1 (en) | 1997-07-08 | 1999-01-21 | Angiogene Pharmaceuticals Ltd. | Use of colchinol derivatives as vascular damaging agents |
| WO2000040529A1 (en) | 1999-01-07 | 2000-07-13 | Angiogene Pharmaceuticals Ltd. | Colchinol derivatives as vascular damaging agents |
| WO2000041669A2 (en) | 1999-01-15 | 2000-07-20 | Angiogene Pharmaceuticals Ltd. | Benzimidazole vascular damaging agents |
| WO2000047212A1 (en) | 1999-02-10 | 2000-08-17 | Astrazeneca Ab | Quinazoline derivatives as angiogenesis inhibitors |
| WO2001032651A1 (en) | 1999-11-05 | 2001-05-10 | Astrazeneca Ab | Quinazoline derivatives as vegf inhibitors |
| WO2001060814A2 (en) | 2000-02-15 | 2001-08-23 | Sugen, Inc. | Pyrrole substituted 2-indolinone protein kinase inhibitors |
| WO2001092224A1 (en) | 2000-05-31 | 2001-12-06 | Astrazeneca Ab | Indole derivatives with vascular damaging activity |
| WO2001094341A1 (en) | 2000-06-06 | 2001-12-13 | Astrazeneca Ab | Quinazoline derivatives for the treatment of tumours |
| WO2002004434A1 (en) | 2000-07-07 | 2002-01-17 | Angiogene Pharmaceuticals Limited | Colchinol derivatives as vascular damaging agents |
| WO2002008213A1 (en) | 2000-07-07 | 2002-01-31 | Angiogene Pharmaceuticals Limited | Colchinol derivatives as angiogenesis inhibitors |
| WO2005028444A1 (en) * | 2003-09-24 | 2005-03-31 | Novartis Ag | 1,4-disubstituted isoquinilone derivatives as raf-kinase inhibitors useful for the treatment of proliferative diseases |
| WO2006102126A2 (en) | 2005-03-18 | 2006-09-28 | Duke University | Inhibitors of isoprenylcysteine carboxyl methyltransferase |
-
2013
- 2013-09-12 WO PCT/GB2013/052378 patent/WO2014041349A1/en not_active Ceased
Patent Citations (20)
| Publication number | Priority date | Publication date | Assignee | Title |
|---|---|---|---|---|
| SU11248A1 (en) | 1927-03-29 | 1929-09-30 | В.С. Григорьев | Anthracene cleaning method |
| WO1997022596A1 (en) | 1995-12-18 | 1997-06-26 | Zeneca Limited | Quinazoline derivatives |
| WO1997030035A1 (en) | 1996-02-13 | 1997-08-21 | Zeneca Limited | Quinazoline derivatives as vegf inhibitors |
| WO1997032856A1 (en) | 1996-03-05 | 1997-09-12 | Zeneca Limited | 4-anilinoquinazoline derivatives |
| WO1998013354A1 (en) | 1996-09-25 | 1998-04-02 | Zeneca Limited | Quinazoline derivatives and pharmaceutical compositions containing them |
| WO1998035985A1 (en) | 1997-02-12 | 1998-08-20 | The Regents Of The University Of Michigan | Protein markers for lung cancer and use thereof |
| WO1998050029A1 (en) * | 1997-05-07 | 1998-11-12 | University Of Pittsburgh | Inhibitors of protein isoprenyl transferases |
| WO1998056924A1 (en) | 1997-06-11 | 1998-12-17 | New York University | Prenylcysteine carboxyl methyltransferase, dna encoding same, and a method of screening for inhibitors thereof |
| WO1999002166A1 (en) | 1997-07-08 | 1999-01-21 | Angiogene Pharmaceuticals Ltd. | Use of colchinol derivatives as vascular damaging agents |
| WO2000040529A1 (en) | 1999-01-07 | 2000-07-13 | Angiogene Pharmaceuticals Ltd. | Colchinol derivatives as vascular damaging agents |
| WO2000041669A2 (en) | 1999-01-15 | 2000-07-20 | Angiogene Pharmaceuticals Ltd. | Benzimidazole vascular damaging agents |
| WO2000047212A1 (en) | 1999-02-10 | 2000-08-17 | Astrazeneca Ab | Quinazoline derivatives as angiogenesis inhibitors |
| WO2001032651A1 (en) | 1999-11-05 | 2001-05-10 | Astrazeneca Ab | Quinazoline derivatives as vegf inhibitors |
| WO2001060814A2 (en) | 2000-02-15 | 2001-08-23 | Sugen, Inc. | Pyrrole substituted 2-indolinone protein kinase inhibitors |
| WO2001092224A1 (en) | 2000-05-31 | 2001-12-06 | Astrazeneca Ab | Indole derivatives with vascular damaging activity |
| WO2001094341A1 (en) | 2000-06-06 | 2001-12-13 | Astrazeneca Ab | Quinazoline derivatives for the treatment of tumours |
| WO2002004434A1 (en) | 2000-07-07 | 2002-01-17 | Angiogene Pharmaceuticals Limited | Colchinol derivatives as vascular damaging agents |
| WO2002008213A1 (en) | 2000-07-07 | 2002-01-31 | Angiogene Pharmaceuticals Limited | Colchinol derivatives as angiogenesis inhibitors |
| WO2005028444A1 (en) * | 2003-09-24 | 2005-03-31 | Novartis Ag | 1,4-disubstituted isoquinilone derivatives as raf-kinase inhibitors useful for the treatment of proliferative diseases |
| WO2006102126A2 (en) | 2005-03-18 | 2006-09-28 | Duke University | Inhibitors of isoprenylcysteine carboxyl methyltransferase |
Non-Patent Citations (30)
| Title |
|---|
| "Remington: the science and practice of pharmacy", 2011, PHARMACEUTICAL PRESS |
| BERGE ET AL., J. PHARM. SCI., vol. 66, 1977, pages 1 - 19 |
| BERGO ET AL., J. CLIN. INVEST., vol. 113, 2004, pages 539 - 550 |
| BOYARTCHUK ET AL., SCIENCE, vol. 275, 1997, pages 1796 - 1800 |
| BUCHANAN ET AL., BIOORGANIC & MEDICINAL CHEMISTRY LETTERS, vol. 17, 2007, pages 6860 - 6863 |
| BUCHANAN ET AL., J. NAT PROD, vol. 71, 2008, pages 1066 - 1067 |
| BUCHANAN ET AL., PHYTOCHEMISTRY, vol. 69, 2008, pages 1886 - 1889 |
| CASEY; SEABRA, J. BIOL. CHEM., vol. 271, 1996, pages 5289 - 5292 |
| CLARKE ET AL., PROC. NATL. ACAD. SCI. USA, vol. 85, 1988, pages 4643 - 4637 |
| CUSHMAN ET AL., J. BIOL. CHEM., vol. 284, 2009, pages 27964 - 27973 |
| DAI ET AL., J. BIOL. CHEM., vol. 273, 1998, pages 15030 - 15034 |
| DONELSON ET AL., BIOORGANIC & MEDICINAL CHEMISTRY LETTERS, vol. 16, 2006, pages 4420 - 4423 |
| HRYCYNA ET AL., EMBO J., vol. 10, 1991, pages 1699 - 1709 |
| J. MED. CHEM., vol. 47, 2004, pages 6658 - 6661 |
| JUDD ET AL., J. MED CHEM., vol. 54, 2011, pages 5031 - 5047 |
| KLOOG; COX, SEMIN. CANCER BIOL., vol. 14, 2004, pages 253 - 261 |
| LU ET AL., AM. J. RESPIR. CELL MOL. BIOL., vol. 37, 2007, pages 20 - 30 |
| LU ET AL., CIRC. RES., vol. 94, 2004, pages 306 - 15 |
| M. SMITH; J. MARCH: "Advanced Organic Chemistry", WILEY-INTERSCIENCE |
| OTTO ET AL., J. BIOL. CHEM., vol. 274, 1999, pages 8379 - 8382 |
| STERN ET AL., CRITICAL REVIEWS IN ONCOLOGY/HAEMATOLOGY, vol. 54, 2005, pages 11 - 29 |
| T. GREEN; P. WUTS: "Protective Groups in Organic Synthesis", 1999, WILEY |
| WAHLSTROM ET AL., BLOOD, vol. 112, 2008, pages 1357 - 65 |
| WANG ET AL., J. BIOL. CHEM., vol. 283, 2008, pages 18678 - 18684 |
| WANG ET AL., J. CHROMATOGR. B ANALYT. TECHNOL. BIOMED. LIFE SCI., vol. 877, 2009, pages 553 - 557 |
| WESTON R. JUDD ET AL: "Discovery and SAR of Methylated Tetrahydropyranyl Derivatives as Inhibitors of Isoprenylcysteine Carboxyl Methyltransferase (ICMT)", JOURNAL OF MEDICINAL CHEMISTRY, vol. 54, no. 14, 28 July 2011 (2011-07-28), pages 5031 - 5047, XP055085875, ISSN: 0022-2623, DOI: 10.1021/jm200249a * |
| WINTER-VANN ET AL., PNAS, vol. 100, 2003, pages 6529 - 6534 |
| WINTER-VANN ET AL., PNAS, vol. 102, 2005, pages 4336 - 4341 |
| YOUNG ET AL., THE ENZYMES, vol. 21, 2000, pages 156 - 213 |
| ZHANG; CASEY, ANNU. REV. BIOCHEM., vol. 1565, 1996, pages 241 - 269 |
Cited By (9)
| Publication number | Priority date | Publication date | Assignee | Title |
|---|---|---|---|---|
| WO2019054944A1 (en) | 2017-09-12 | 2019-03-21 | Agency For Science, Technology And Research | Compounds useful as inhibitors of isoprenylcysteine carboxyl methyltransferase |
| CN111344284A (en) * | 2017-09-12 | 2020-06-26 | 新加坡科技研究局 | Compounds useful as inhibitors of isoprene cysteine carboxymethyltransferase |
| EP3681878A4 (en) * | 2017-09-12 | 2021-02-24 | Agency for Science, Technology and Research | COMPOUNDS FOR USE AS ISOPRENYLCYSTEIN-CARBOXYLMETHYL TRANSFERASE INHIBITORS |
| US11834430B2 (en) | 2017-09-12 | 2023-12-05 | Agency For Science, Technology And Research | Compounds useful as inhibitors of isoprenylcysteine carboxyl methyltransferase |
| CN111344284B (en) * | 2017-09-12 | 2024-03-12 | 新加坡科技研究局 | Compounds used as inhibitors of isoprenylcysteine carboxymethyltransferase |
| JP2024501554A (en) * | 2020-12-29 | 2024-01-12 | 上海海雁医薬科技有限公司 | Oxyspiro ring-substituted pyrrolopyrazole derivatives and intermediates thereof and methods for their preparation |
| JP7751645B2 (en) | 2020-12-29 | 2025-10-08 | 上海海雁医薬科技有限公司 | Oxyspiro ring-substituted pyrrolopyrazole derivatives, intermediates therefor, and preparation method thereof |
| JP2024524719A (en) * | 2021-07-13 | 2024-07-05 | 上海海雁医薬科技有限公司 | Pharmaceutically acceptable salts of MOR receptor agonists, polymorphs thereof and uses thereof - Patents.com |
| JP7707406B2 (en) | 2021-07-13 | 2025-07-14 | 上海海雁医薬科技有限公司 | Pharmaceutically acceptable salts of MOR receptor agonists, polymorphs thereof and uses thereof - Patents.com |
Similar Documents
| Publication | Publication Date | Title |
|---|---|---|
| US7696203B2 (en) | DNA-PK inhibitors | |
| CA2659851C (en) | 2-methylmorpholine pyrido-, pyrazo- and pyrimido-pyrimidine derivatives as mtor inhibitors | |
| AU2016277367B2 (en) | Aryl sulfonohydrazides | |
| WO2009010761A1 (en) | Dna pk inhibitors | |
| WO2006032869A1 (en) | Dna-pk inhibitors | |
| US20090209520A1 (en) | 2 -oxybenzamide derivatives as parp inhibitors | |
| ZA200706673B (en) | Hydrazinomethyl, hydr zonomethyl and 5-membered heterocylic compounds which act as m TOR inhibitors and their use as anti cancer agents | |
| EP1871377A1 (en) | 2,4-diamino-pyridopyrimidine derivatives and their use as mtor inhibitors | |
| US20090181951A1 (en) | Parp inhibitors | |
| US20090281086A1 (en) | 2 -oxyheteroarylamide derivatives as parp inhibitors | |
| JP2020527166A (en) | N-Benzenesulfonylbenzamide compounds for inhibiting the Bcl-2 protein, their compositions and uses | |
| US10787434B2 (en) | Benzopiperdine derivatives and their use in the treatment of cancer and hemoglobinopathies | |
| WO2014041349A1 (en) | Tetrahydropyran-4-ylethylamino- or tetrahydropyranyl-4-ethyloxy-pyrimidines or -pyridazines as isoprenylcysteincarboxymethyl transferase inhibitors | |
| WO2009130469A1 (en) | Dna-pk inhibitors | |
| CN112707907A (en) | Novel purine derivative and intermediate thereof and application of purine derivative in preparation of anti-cancer drugs | |
| CN101287725A (en) | DNA-PK inhibitors | |
| BRPI0610675A2 (en) | dna-pk inhibitors |
Legal Events
| Date | Code | Title | Description |
|---|---|---|---|
| 121 | Ep: the epo has been informed by wipo that ep was designated in this application |
Ref document number: 13763281 Country of ref document: EP Kind code of ref document: A1 |
|
| NENP | Non-entry into the national phase |
Ref country code: DE |
|
| 122 | Ep: pct application non-entry in european phase |
Ref document number: 13763281 Country of ref document: EP Kind code of ref document: A1 |












































































