WO2014033189A1 - Control of thermally activated building systems - Google Patents
Control of thermally activated building systems Download PDFInfo
- Publication number
- WO2014033189A1 WO2014033189A1 PCT/EP2013/067852 EP2013067852W WO2014033189A1 WO 2014033189 A1 WO2014033189 A1 WO 2014033189A1 EP 2013067852 W EP2013067852 W EP 2013067852W WO 2014033189 A1 WO2014033189 A1 WO 2014033189A1
- Authority
- WO
- WIPO (PCT)
- Prior art keywords
- thermally activated
- tabs
- temperature
- activated building
- building component
- Prior art date
- Legal status (The legal status is an assumption and is not a legal conclusion. Google has not performed a legal analysis and makes no representation as to the accuracy of the status listed.)
- Ceased
Links
Classifications
-
- G—PHYSICS
- G05—CONTROLLING; REGULATING
- G05D—SYSTEMS FOR CONTROLLING OR REGULATING NON-ELECTRIC VARIABLES
- G05D23/00—Control of temperature
- G05D23/19—Control of temperature characterised by the use of electric means
- G05D23/1917—Control of temperature characterised by the use of electric means using digital means
-
- F—MECHANICAL ENGINEERING; LIGHTING; HEATING; WEAPONS; BLASTING
- F24—HEATING; RANGES; VENTILATING
- F24D—DOMESTIC- OR SPACE-HEATING SYSTEMS, e.g. CENTRAL HEATING SYSTEMS; DOMESTIC HOT-WATER SUPPLY SYSTEMS; ELEMENTS OR COMPONENTS THEREFOR
- F24D19/00—Details
- F24D19/10—Arrangement or mounting of control or safety devices
- F24D19/1006—Arrangement or mounting of control or safety devices for water heating systems
- F24D19/1009—Arrangement or mounting of control or safety devices for water heating systems for central heating
- F24D19/1048—Counting of energy consumption
-
- F—MECHANICAL ENGINEERING; LIGHTING; HEATING; WEAPONS; BLASTING
- F24—HEATING; RANGES; VENTILATING
- F24D—DOMESTIC- OR SPACE-HEATING SYSTEMS, e.g. CENTRAL HEATING SYSTEMS; DOMESTIC HOT-WATER SUPPLY SYSTEMS; ELEMENTS OR COMPONENTS THEREFOR
- F24D3/00—Hot-water central heating systems
- F24D3/12—Tube and panel arrangements for ceiling, wall, or underfloor heating
- F24D3/14—Tube and panel arrangements for ceiling, wall, or underfloor heating incorporated in a ceiling, wall or floor
-
- F—MECHANICAL ENGINEERING; LIGHTING; HEATING; WEAPONS; BLASTING
- F24—HEATING; RANGES; VENTILATING
- F24D—DOMESTIC- OR SPACE-HEATING SYSTEMS, e.g. CENTRAL HEATING SYSTEMS; DOMESTIC HOT-WATER SUPPLY SYSTEMS; ELEMENTS OR COMPONENTS THEREFOR
- F24D2220/00—Components of central heating installations excluding heat sources
- F24D2220/006—Parts of a building integrally forming part of heating systems, e.g. a wall as a heat storing mass
-
- Y—GENERAL TAGGING OF NEW TECHNOLOGICAL DEVELOPMENTS; GENERAL TAGGING OF CROSS-SECTIONAL TECHNOLOGIES SPANNING OVER SEVERAL SECTIONS OF THE IPC; TECHNICAL SUBJECTS COVERED BY FORMER USPC CROSS-REFERENCE ART COLLECTIONS [XRACs] AND DIGESTS
- Y02—TECHNOLOGIES OR APPLICATIONS FOR MITIGATION OR ADAPTATION AGAINST CLIMATE CHANGE
- Y02B—CLIMATE CHANGE MITIGATION TECHNOLOGIES RELATED TO BUILDINGS, e.g. HOUSING, HOUSE APPLIANCES OR RELATED END-USER APPLICATIONS
- Y02B30/00—Energy efficient heating, ventilation or air conditioning [HVAC]
Definitions
- the present invention relates to a device and method for controlling thermally activated building systems. More specifically, the present invention relates to a device and method for predicting and/or controlling and/or regulating at least one building zone comfort variable in a thermally activated building system.
- TABS and floor heating/cooling are not equal.
- the embedded pipes are separated from the building structure by a layer of insulation, with TABS the pipes are embedded into the building structure.
- Water supply temperatures in the tubes are relatively low for heating ( ⁇ 30 °C), and relatively high for cooling (> 15 °C).
- a combination of TABS with a (ground coupled) heat pump, passive cooling or night cooling results in low exergy installations. As such this holds the promise of an efficient heating and cooling system.
- a comparison between (a) an embedded floor system and (b)TABS is provided in Fig. 1.
- TABS as indicated above, are thus the concrete floor slabs of a building having integrated water tubes. Through these tubes, heated or cooled water can circulate to heat up or cool down the slab. The heated or cooled slab exchanges heat with the zone below and above by natural convection and radiation, controlling the zone temperature. Due to the large thermal inertia of the concrete slab, this is a very slow process.
- Measurements in a TABS building with room temperature feedback show the HVAC system switching between heating and cooling in a very short time frame.
- a simplified, generic room model is used to simulate, understand and evaluate this behaviour.
- For room temperature feedback control only 45% of the cold and 15% of the heat produced actually controls room temperature. The remainder is stored in the TABS and exchanged between the heating and cooling system. Enlarging the heating-to-cooling set point band improves this ratio, while maintaining thermal comfort.
- night time operation control of the circulation pump adapted to the TABS thermal time constant, eliminates this 'unused' energy completely. In this case, however, even with perfect heat gain forecasts, it is difficult to avoid room temperatures dropping below thermal comfort limits during initial office hours.
- embodiments of the present invention provide a good, e.g.an improved, device and method for controlling systems comprising Concrete Core Activation (CCA) elements. More specifically embodiments of the present invention provide means and device for controlling TABS based on the intrinsic steady-state and transient heat transfer parameters of the TABS.
- CCA Concrete Core Activation
- the present invention provides methods for predicting and/or controlling and/or regulating at least one zone comfort variable in a thermally activated building system, said building system comprising at least one thermally activated building component.
- the method comprises
- the at least one zone comfort variable is the temperature of a zone of said building system.
- the temperature may be the comfort temperature of the zone.
- a temperature distribution in the at least one thermally activated building component may comprise determining a time and space dependent temperature distribution in the at least one thermally activated building component. It is an advantage of embodiments of the present invention that not only variation as function of time but also variation as function of space in the at least one thermally activated building component can be obtained.
- Determining a quantity of energy stored may comprise determining a quantity of energy stored in said at least one thermally activated building component taking into account a temperature distribution based on at least one measured temperature in the at least one thermally activated building component.
- Determining a quantity of energy stored in said at least one thermally activated building component may comprise measuring a temperature distribution in said at least one thermally activated building component. It is an advantage of embodiments of the present invention that the temperature distribution can be based on a measurement of temperature at different positions in the thermally activated building component.
- Measuring a quantity of energy stored in said at least one thermally activated building component may comprise measuring a temperature at at least a point at a side and a point inside the thermally activated building component.
- Measuring a quantity of energy stored in said at least one thermally activated building component may comprise measuring a temperature at the surface of the thermally activated building component and at a middle of the thermally activated building component.
- Measuring a quantity of energy stored in said at least one thermally activated building component may comprise measuring a temperature at the surface of the thermally activated building component and at a water zone region in the activated building component.
- Taking into account a temperature distribution may comprise taking into account an initial temperature distribution. It is an advantage of embodiments of the present invention that based on an initial temperature measurement, an accurate control, prediction and/or regulation can be obtained over time.
- Determining a quantity of energy stored may comprise taking into account a heat flux in the thermally activated building component.
- Controlling and/or regulating at least one zone comfort variable may comprise generating control signals for actuators of a heating and/or cooling system.
- a heating and/or cooling system may be a heating or cooling system external to the thermally activated building component, or it may be or comprise the thermally activated building component.
- the heating and/or cooling system may be an embedded water based system.
- the quantity of energy stored is an amount of heat stored in said thermally activated building component.
- the amount of heat stored in said thermally activated building component can be measured by for instance a temperature sensor, which can be integrated in the thermally activated building component or positioned at several locations on the thermally activated building component, for instance on its surface.
- the amount of heat stored in the circuits and on the internal surfaces of a zone can be measured e.g. with a LG-NilOOO-sensor having an error of ⁇ 0.5K at 0 °C and +1K at 85 °C.
- the amount of heat stored in the TABS e.g. the temperature, can also be measured with T-type thermocouples.
- sensors can also be located or positioned in the middle of the TABS.
- evaluating of the quantity of energy comprises evaluating transient heat transferred to a zone of said building system as a result of heat stored in said thermally activated building component. More preferably the transient heat transfer is used to determine the temperature and heat flows inside the thermally activated building component.
- the determining of the temperature and heat flows inside the thermally activated building component is performed as a function of both location and time.
- the heat transfer rates determine an indicative maximum or minimum water supply temperature.
- the evaluating of said quantity of energy comprises determining the time which is required to obtain a certain amount of heat transfer, taking into account heat transfer parameters and an initial condition of the thermally activated building component.
- the method may comprise determining an energy input from the heating/cooling system to the TABS, energy stored in the TAB and/or energy transferred to the building zone using the knowledge of the initial temperature distribution and/or the initial quantity of energy stored.
- the method may comprise determining control signals for the heating and/or cooling system, based on the determined energy input.
- the heat transfer can be heat transfer from a thermally activated building component to a zone or from water to a thermally activated building component or to store thermal energy in a thermally activated building component.
- the evaluation of the quantity of energy stored is used to determine the startup time of thermally activated building system.
- Advantageously embodiments of the present invention provide a simplified dynamic model of TABS or systems comprising CCA or a TABS building system, whereby the simplified dynamic model can be integrated in a building controller. This knowledge of the dynamical behavior of TABS integrated in a building or CCA is of great importance.
- Embodiments of the present invention provide solutions to incorporate the slow reacting times of TABS building due to their very large thermal mass. By providing a means to optimize the control of such embodiments, embodiments of the present invention advantageously overcome problems related to the control systems and method known in the art which result in squandered energy.
- calculating transient heat transfer typically is solved with numerical methods in the prior art.
- Some embodiments of the present invention provide applying an analytical expression combining EMPA's ID-thermal TABS model and Carslaw and aeger's analytical expression (as disclosed in "Conduction of heat in solids” Oxford University Press, London, 2nd edition, 1959) to calculate transient heat transfer.
- the EMPA's ID-thermal TABS model is provided by the Swiss Federal Laboratories for Materials Testing and Research in the book 'Thermooxide B auteilsysteme tabs', where a simplified RC-model for TABS is presented. In some embodiments of the present invention, this model is used a basis and will be referred to as the ⁇ model'.
- the model advantageously provides a method to transfer a 3D heat transfer problem into ID thermal model, as a result separated layers above and below can be described as independent expressions, whereas the Carslaw and Jaeger's expression provides an analytical expression for transient temperature distribution in a ID TABS e.g. slab.
- Preferred embodiments of the present invention comprise applying the Carslaw an Jaeger' s expression to an upper and lower slab part of EMPA-model and applying correct boundary conditions to recombine the result.
- correct initial conditions are applied in a straightforward way with sufficient accuracy.
- a simplified analytical expression is used in a controller, whereby the ex ression preferably defines time to deliver a required amount of heat/cold into a building and is the following:
- the above expressions are extremely useful for control purposes according to preferred embodiments of the invention. They advantageously provide an analytical solution to find the time required to either transfer a certain amount of heat to a zone or to put an amount of heat into a TABS or concrete core activation element, e.g. a slab or to store an amount of heat in e.g. slab. Moreover, this is preferably achieved by taking into account the initial state of the thermally activated building element, e.g. slab, the heat transfer rate at both sides of the slab and the water and zone temperatures.
- TABS or concrete core activation element e.g. a slab or to store an amount of heat in e.g. slab.
- this is preferably achieved by taking into account the initial state of the thermally activated building element, e.g. slab, the heat transfer rate at both sides of the slab and the water and zone temperatures.
- a TABS control module as part of an intelligent building controller provides several advantages.
- parameter analysis according to embodiments of the invention determines optimal point relating (supply temperature)-(operation time) to obtain zone switching.
- Embodiments of the present invention provides a model with physical parameters, which enables defining start-up/shut down time and can be easily implemented in optimization routines.
- control systems known in the art retain a constant TABS temperature and provide feedback control without incorporate the dynamic TABS behaviour, which is not energy efficient.
- Embodiments of the present invention may be such that the method for predicting and/or controlling and/or regulating at least one zone comfort variable in a thermally activated building system comprises predicting and/or controlling and/or regulating at least one heat flow between water and concrete and/or concrete and a building zone thereby predicting and/or controlling and/or regulating at least one comfort variable in a thermally activated building system.
- Advantageously embodiments of the methods and devices of the present invention provide a control module for TABS or concrete core activation elements as part of an intelligent building controller. Advantageously embodiments of the present invention additionally provide optimal TABS control designed to each specific case, minimizing energy use and minimizing installed production power by applying zone-switching.
- the methods as described above may be computer implemented methods.
- a temperature distribution is taken into account, representative for e.g. an initial condition or a later condition.
- a temperature distribution is taken into account, representative for e.g. an initial condition or a later condition.
- the present invention relates to a computer program product comprising computer program code means adapted for performing all the steps of the method as described above, when the computer program product is run on a computer.
- the present invention provides a data carrier storing a computer program product according to the fourth aspect of the present invention.
- data carrier is equal to the terms “carrier medium” or "computer readable medium”, and refers to any medium that participates in providing instructions to a processor for execution.
- Such a medium may take many forms, including but not limited to, non-volatile media, volatile media, and transmission media.
- Non-volatile media include, for example, optical or magnetic disks, such as a storage device which is part of mass storage.
- Volatile media include dynamic memory such as RAM.
- Common forms of computer readable media include, for example, a floppy disk, a flexible disk, a hard disk, magnetic tape, or any other magnetic medium, a CD-ROM, any other optical medium, punch cards, paper tapes, any other physical medium with patterns of holes, a RAM, a PROM, an EPROM, a FLASH-EPROM, any other memory chip or cartridge, a carrier wave as described hereafter, or any other medium from which a computer can read.
- Various forms of computer readable media may be involved in carrying one or more sequences of one or more instructions to a processor for execution.
- the instructions may initially be carried on a magnetic disk of a remote computer.
- the remote computer can load the instructions into its dynamic memory and send the instructions over a telephone line using a modem.
- a modem local to the computer system can receive the data on the telephone line and use an infrared transmitter to convert the data to an infrared signal.
- An infrared detector coupled to a bus can receive the data carried in the infra-red signal and place the data on the bus.
- the bus carries data to main memory, from which a processor retrieves and executes the instructions.
- the instructions received by main memory may optionally be stored on a storage device either before or after execution by a processor.
- the instructions can also be transmitted via a carrier wave in a network, such as a LAN, a WAN or the internet.
- Transmission media can take the form of acoustic or light waves, such as those generated during radio wave and infrared data communications. Transmission media include coaxial cables, copper wire and fibre optics, including the wires that form a bus within a computer.
- the present invention provides in transmission of a computer program product according to the third aspect of the present invention over a network.
- the present invention provides devices for predicting and/or controlling and/or regulating at least one zone comfort variable in a thermally activated building system, the building system comprising at least one thermally activated building component, the device comprising:
- the device may furthermore comprise a control unit programmed for generating control signals for actuators of a heating and/or cooling system for controlling and/or regulating at least one zone comfort variable in the building system based on the evaluated quantity of energy.
- the device is a control module, whereby said control module is a standalone hardware component.
- one or more components of the device may be implemented as a software component.
- the measuring unit, the evaluation unit, the control unit and/or a corresponding controller may correspond with a processor for processing data.
- a processor may be a conventional processing unit, but according to embodiments of the present invention.
- One or more components may for example be implemented based on predetermined rules, on an algorithm, on predetermined instructions or on a neural network.
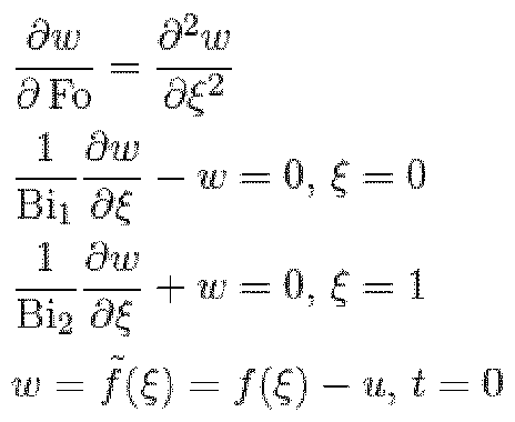
- Preferred embodiments of the present invention provide an analytical solution which can be used to calculate the transient heat transfer of TABS as a function of location in the slab x and of the time t. This results in a (x, t)-expression for temperature, heat power and cumulated heat.
- the propagation time of the water flow through the tubes is preferably integrated in this formulation.
- the expressions are advantageously used to analyze the transient behaviour of TABS in a heating, cooling or free running situation:
- the operation time required to reach a certain heat/cold output or stored thermal energy can be determined analytically, taking into account initial conditions, heat transfer rates and temperature levels. With the operation time known, advantageously the start time of the system is known.
- the analytical solution used in preferred embodiments of the invention provides information on the maximum allowable temperature levels of the supply water (cf. Fig. 35).
- Operating TABS requires a thermal power of the production unit which is higher than the steady state power for which units conventionally are designed.
- a whole building solution can be for instance to operate different zones consecutively, since the circulation pump for 1 zone can run intermittently. Therefore, according to embodiments of the present invention, the operation of different zones can be alternated.
- Operating TABS preferably results in a large amount of thermal energy being stored in the concrete slab: at least 50% of the thermal energy input is not used to condition the zone within the time frame considered.
- the embodiments of the present invention can advantageously be used to assess this effect and control the building production system accordingly.
- a simplified expression can be derived from the detailed analytical expression relating time with the cumulated heat qTABS ⁇ zone, qwater ⁇ TABS and q s torcd.
- ft can be used to advantageously determine the time which is required to obtain a certain amount of heat transfer, taking into account heat transfer parameters and the initial condition of the slab, whether the objective is heat transfer from TABS to zone, from water to TABS or to store thermal energy in the TABS.
- the simplified expression is valid both for heating and cooling of a TABS system. This expression can advantageously be used to determine start up times of the TABS, which is an extremely important control parameters in a TABS installation.
- the present invention also relates to a controller for controlling and/or regulating a zone comfort variable in a building system, the controller being programmed for determining a quantity of energy stored in at least one thermally activated building component taking into account a temperature distribution in the thermally activated building component and for generating, based on an evaluation of the determined energy control signals for actuators for controlling and/or regulating at least one zone comfort variable in said building system.
- the present invention relates to a thermally activated building system.
- the thermally activated building system comprises at least one thermally activated building component, a measuring unit, said measuring unit adapted to measure a quantity of energy stored in said at least one thermally activated building component taking into account a temperature distribution in the thermally activated building component, and an evaluation unit, said evaluation unit adapted for evaluating a quantity of energy inputted by the heating/cooling system, stored in said thermally activated building component and/or transferred to the building zone for predicting, controlling and/or regulating at least one zone comfort variable in said building system.
- the present invention relates to a thermally activated building component comprising at least a temperature sensing element inside the thermally activated building component and at least a temperature sensor element at a surface of the thermally activated building component.
- Fig. 1 (a)-(b) schematically illustrate a comparison between (a) an embedded floor system and (b)TABS.
- Fig. 2 schematically illustrates a representation of a two-zone office building with three disturbances: ambient temperature (Tamb), solar radiation (q ' ⁇ i) and internal gains (q ' int), two inputs: water supply temperature (T W s) and ventilation supply temperature (Tvs) and two outputs: the zone temperature (T z ) and concrete core temperature (Tc), the thermally activated building system being suitable for benefiting of embodiments of the present invention.
- ambient temperature Tamb
- solar radiation q ' ⁇ i
- internal gains q ' int
- T W s water supply temperature
- Tvs ventilation supply temperature
- Tc concrete core temperature
- Fig. 3 illustrates typical TABS, office building operation: (a) (1) zone temperature (Tz), (2) surface temperature T s , (3) TABS core temperature T c , (4) water temperature (T w ) and (b) (1) heat power water-TABS q ' w , (2) heat power TABS-zone q the thermally activated building system being suitable for benefiting of embodiments of the present invention.
- Fig. 4 schematically illustrates examples of different TABS configurations with thickness d, tube spacing d x and tube diameter dt 0 : (1) Full concrete TABS, (2) Hollow core TABS, and (3) Air box TABS, the thermally activated building system being suitable for benefiting of embodiments of the present invention.
- Fig. 5 illustrates the EMPA TABS model, more specifically the triangle-star transformation describing 2D heat flow in a ID thermal model, as can be used in an embodiment of the present invention.
- Fig. 6 shows a graph provide the TABS time constant based on the thermal diffusivity & as a function of thickness d, illustrating features as can be used in an embodiment of the present invention.
- Fig. 7 (a) schematically shows a hollow core TABS used for measurements. Numbers 1-13 indicate the location of the temperature sensors, as can be used in an embodiment of the present invention.
- Fig. 7 (b) schematically illustrates placement of a hollow core TABS test element in the 4x4x3m3 heat transfer test room, illustrating features as can be taken into account in an embodiment of the present invention.
- Fig. 8 (a) shows the response of the water return temperature T W r to a step excitation of the water supply temperature T W s for a full measurement period, illustrating features as can be taken into account in an embodiment of the present invention.
- Fig. 8 (b) shows in detail the effect of flow propagation, illustrating features as can be taken into account in an embodiment of the present invention.
- Fig. 9 (a) shows the response of T c to a step excitation of T W s for the full measurement period, illustrating features as can be taken into account in an embodiment of the present invention.
- Fig. 9 (b) shows in detail the combined effect of flow propagation and thermal capacity, illustrating features as can be taken into account in an embodiment of the present invention.
- Fig. 10 (a) shows the response of the surface temperature T s to a step excitation of T W s for the full measurement period, illustrating features as can be taken into account in an embodiment of the present invention.
- Fig. 10 (b) show in detail the combined effect of flow propagation and thermal capacity, illustrating features as can be taken into account in an embodiment of the present invention.
- Fig. 11 illustrates the measured heat power q ' w as a response to the step excitation of T W s, illustrating features as can be taken into account in an embodiment of the present invention.
- Fig. 12(a)-(b) show the nomenclature for the two operational modes in transient heat conduction, as can be used in an embodiment of the present invention.
- Fig. 13 (a) illustrates the real heat flow pattern in a TABS star network, illustrating features as can be taken into account in an embodiment of the present invention.
- Fig. 13 (b) illustrates the heat flow pattern resulting from the separate calculation of upper and lower slab part, illustrating features as can be taken into account in an embodiment of the present invention.
- Fig. 14 illustrates Eq. 3.12 for different Bi-numbers, illustrating features as can be taken into account in an embodiment of the present invention.
- the arrow indicates the direction of increasing Bi-number.
- Fig. 15 (a)-(e) illustrate parameter analysis of the different terms in the transient temperature, heat power and cumulated heat equations for a concrete slab, illustrating features as can be taken into account in an embodiment of the present invention.
- Fig. 17 (a) shows the linear approximation of water temperature progress along the TABS tube (adapted from Koschenz and Lehmann) , illustrating features as can be taken into account in an embodiment of the present invention.
- Fig. 18 illustrates the water flow propagating through the TABS tube, with t p the propagation time, v w the water speed and the tube length, illustrating features as can be taken into account in an embodiment of the present invention.
- Fig. 19 illustrates the thermal resistance R for propagation analysis as a function of d x (5 sets of data along the linear curve), m (within 1 d x data set, decreasing with increasing m ' w ), and d (within 1 d x -m ' w -data set a very small influence, which is only noticeable at low m ' w -values), illustrating features as can be taken into account in an embodiment of the present invention.
- Fig. 20 (a)-(b) illustrates the effect of flow propagation on the mean water temperature (a) and the heat transfer (b), and the effect of using the constant equivalent water supply temperature for a 10°C step change of the water supply temperature, illustrating features as can be taken into account in an embodiment of the present invention.
- Fig. 21 illustrates the dimensions of a TABS used for analyzing the impact of the simphfications of the analytical expression, illustrating features as can be taken into account in an embodiment of the present invention.
- Fig. 22 (a) illustrates T ws (-), T WI (- -) and, whereas Fig. 22 (b) illustrates T for the 'no-propagation'- ( ⁇ ), the 'propagation'- (x) and the 'finite difference'- (°) approach to calculate the TABS transient heat transfer, illustrating features as can be taken into account in an embodiment of the present invention.
- Fig. 23 (a) illustrates the specific heat transferred from the water flow to the TABS, as calculated by the 'no-propagation' - ( ⁇ ), the 'propagation'- (x) and the 'finite difference'- (°) approach
- Fig. 23 (b) illustrates the ratio /qro ( ⁇ ) and /qro (x), illustrating features as can be taken into account in an embodiment of the present invention.
- Fig. 24 (a) illustrates the mean concrete core temperature T c and Fig. 24 (b) illustrates the mean upper surface temperature for the 'no-propagation'- ( ⁇ ), the 'propagation'-(x) and the 'finite difference'- (°) approach, illustrating features as can be taken into account in an embodiment of the present invention.
- Figs. 25 (a)-(f) illustrate the results of the transient heat transfer analysis in TABS, illustrating features as can be taken into account in an embodiment of the present invention, case 1: constant water flow.
- Fig 25 (a) T starts at 20 °C and evolves from left to right, Fig. 25 (b) q ' evolving towards a constant value, Fig. 25 (c) q evolving from 0 to an over ⁇ constantly increasing value.
- Fig. 25 (d) The production energy (heating and cooling) is given by the solid line (-), while production and pump consumption is presented by the crosses (x).
- Figs. 26 illustrate results of the transient heat transfer analysis in TABS, illustrating features as can be taken into account in an embodiment of the present invention, case 2: 4 h on- 4 h off water flow, (a) ⁇ ( ⁇ , Fo) starts at 20 °C and evolves to the right for the first 4 h and back to the left when the slab is cooling down for the next 4 h. (b)-(e) shows that
- Fig. 26 (d) shows that the electricity use remains constant when the circulation shuts down.
- the y and x parameters are similar to that of Fig. 25.
- Figs. 27 (a)-(f) illustrate the results of the transient heat transfer analysis in TABS, illustrating features as can be taken into account in an embodiment of the present invention, case 3: Cooling at 17 °C with 8 h constant water flow, (a) The T-profile starts at 23 °C and evolves towards the left.
- Figs. 27 (b)-(c)-(d)-(e)-(f) represent the mirrored results compared to the heating up case (Fig. 25).
- the y and x parameters are similar to that of Fig. 25.
- Figs. 28 (a)-(f) illustrate the results of the transient heat transfer analysis in TABS, illustrating features as can be taken into account in an embodiment of the present invention
- case 4 Cooling down of a TABS slab without water flow (hour 1: 1 line every lOmins, then 1 line every hour).
- Fig. 28 (a) the T-profile starts at 25 °C and evolves to the right.
- the y and x parameters are similar to that of Fig. 25.
- Fig. 29 (a) illustrates specific cumulated heat from water to TABS, illustrating features as can be taken into account in an embodiment of the present invention
- Fig. 29 (b) illustrates specific cumulated heat from TABS to both zones below and above
- fig. 29 (c) the stored heat.
- Fig. 30 (a) illustrates the Heat pump (a) and chiller, illustrating features as can be taken into account in an embodiment of the present invention
- Cases 1-6 are represented by the ⁇ - ° - x-markers for each temperature, where case 1 is the most left hand marker and case 6 the most right hand marker.
- the dashed line is the steady-state solution 'LpcCFo' 1.15) indicating the slope to which both and evolve.
- Fig. 33 (a) illustrates the relative error of simplified -calculation for the upper slab part with water flow
- Fig. 33 (b) illustrates the relative error of simplified -calculation for a slab in free running mode, illustrating features as can be taken into account in an embodiment of the present invention.
- Figs. 35 (a)-(b) illustrate the tolerated water supply temperatures as a function of the zone temperature, in order to limit the slab surface temperature to 24 °C in heating regime, as illustrated in Fig. 35 (a) and 20 °C in cooling regime as illustrated in Fig. 35 (b), illustrating features as can be taken into account in an embodiment of the present invention.
- Fig. 37 illustrates the heat transfer from TABS to zone (- ⁇ ) and from water to TABS (o) for TABS subjected to an increasing zone temperature, illustrating features as can be taken into account in an embodiment of the present invention, more specifically Fig. 37 (a) illustrates 2 h heating - 4 h free - 2 h cooling and (a) 6 h free - 2 h cooling.
- Fig. 38 illustrates a hollow core RC-star network, adapted to incorporate the thermal resistance of the air holes, illustrating features as can be taken into account in an embodiment of the present invention.
- a device comprising means A and B should not be limited to devices consisting only of components A and B. It means that with respect to the present invention, the only relevant components of the device are A and B .
- the terms first, second, third and the like in the description and in the claims, are used for distinguishing between similar elements and not necessarily for describing a sequential or chronological order. It is to be understood that the terms so used are interchangeable under appropriate circumstances and that the embodiments of the invention described herein are capable of operation in other sequences than described or illustrated herein.
- the terms top, bottom, over, under and the like in the description and the claims are used for descriptive purposes and not necessarily for describing relative positions. It is to be understood that the terms so used are interchangeable under appropriate circumstances and that the embodiments of the invention described herein are capable of operation in other orientations than described or illustrated herein.
- a temperature distribution reference is made to data expressing at least the temperature of the at least two distinct points of a thermally activated building component in the thermally activated building system.
- the distribution may be temperature data over more than two distinct points.
- Such temperature data may be measured data, modelled data or a combination thereof.
- Modelled data may be based on an analytical model for a temperature profile or may be based on an interpolation of a number of point data, e.g. measured point data.
- embodiments of the present invention relate to a method for predicting and/or controlling and/or regulating at least one zone comfort variable in a thermally activated building system.
- the building system thereby comprises at least one thermally activated building component.
- the method comprises determining a quantity of energy stored in the at least one thermally activated building component taking into account a temperature distribution in the at least one thermally activated building component. Determining thereby may be based on measurements, on modelling or a combination of measurements and one or more models.
- the method also comprises evaluating said quantity of energy inputted by the heating/cooling system, stored in said thermally activated building component and or transferred to the building zone for predicting and/or controlling and/or regulating at least one zone comfort variable in said building system.
- the present invention also relates to a corresponding device for regulating and/or controlling and/or regulating at least one zone comfort variable in a thermally activated building system, a corresponding controller, a corresponding thermally activated building system, and corresponding computer program products.
- An office building is typically subjected to several 'disturbances' as illustrated in Fig. 2: ambient temperature which is the infiltration and conductive heat transfer, solar radiation through the windows (q ' ⁇ i) and internal gains from people, appliances and lights, indicated as q
- ambient temperature which is the infiltration and conductive heat transfer, solar radiation through the windows (q ' ⁇ i) and internal gains from people, appliances and lights, indicated as q
- q zone temperature
- T ws the fast reacting ventilation system having a lower production efficiency.
- TABS AU(T - T z ). Since TABS are operated with low heating and high cooling supply water temperatures, - T z ) is never very large. The so-called 'self-regulating' effect occurs here: when TABS are heating the zone and T z increases, - T z ) and therefore q ' TABS will quickly decrease. This prevents overheating the zone. The same applies for coohng. Firstly, looking at the steady-state, TABS are a heating and cooling system with a low power.
- Table 1 compares typically occurring heat gains and losses in an office building with the steady-state heating and cooling power from a 20 cm thick activated concrete slab: cooling is a critical issue, for which a backup system might be required. More specifically, Table 1 provides a comparison of typically occurring heat gains and losses in an office building with the steady-state heating and coohng power from a 20 cm TABS with a raised floor.
- a heating system with for instance q ' 60W/m 2 heating power would need 1 ⁇ 52' to increase its temperature with IK.
- the response of the surface temperature of the same concrete slab to a step excitation of the water supply temperature has a time constant of 4hl8'.
- An office zone cools down during the night, but heats up due to heat gains during the day, as illustrated in Fig. 3 (a).
- the TABS are cooled by the water during 4h at night time.
- the specific heat power from water to TABS q " w is a function of the temperature difference between water and concrete core
- the specific heat power from TABS to zone q ' TABS is a function of the temperature difference between TABS surface temperature (T s ) and the zone temperature (T s - T z )
- this example shows typical TABS behaviour.
- TABS type (1) is a full concrete floor made at the construction site
- types (2) and (3) are examples of prefabricated floors, which are made in factory and transported to the construction site, in order to save time. To reduce weight, these types have hollow cores, air boxes, ... , in the, regarding strength, neutral zone of the slab.
- embedded water based systems is used to refer to all kinds of TABS or floor heating systems.
- a simplified RCmodel for TABS is presented.
- this model is used a basis and will be referred to as the ⁇ model .
- the 3D heat flow pattern inside the concrete slab is transferred into a ID model by means of an analytic expression for the temperature in a homogeneous concrete floor with embedded tubes and by means of a triangle-star transformation on the thermal resistances network. Deriving this expression introduces the equivalent thermal resistance R x , while the temperature T c is the equivalent concrete core temperature.
- Fig. 5 shows the different thermal resistances in the RC-network with:
- the EMPA RC-model as illustrated in Fig. 5 is completed with thermal resistances Rt for the tube wall, R w for the water- tube forced convection and R z which takes into account the difference between the water supply temperature Tws and the mean water temperature in the slab Twm.
- This model is integrated in the building model of the transient system simulation program TRNSYS, manufactured by the University of Madison, Wisconsin, 2007.
- Hollow core TABS are constructed at the factory and transported as a whole to the construction site. In order to save material and thus reduce mass, hollow cores are integrated in the— regarding forces— neutral zone of the slab. Due to the presence of the hollow cores, the assumption of a homogeneous concrete floor is not correct anymore and the analytical expression which served as a basis for the EMPA model is no longer valid. However, since the focus shifted towards control, the results will only be presented briefly. Based on a finite elements (EE) model and measurement results, an extended RC- star network for hollow core TABS is proposed (Fig. 38).
- EE finite elements
- the FE results indicate that the physical interpretation of the EMPA model boundary condition - the constant temperature at the upper and lower boundary of the concrete slab - is still valid in the case of a 20 cm slab.
- the thermal resistance Ri is replaced by a series of three thermal conduction resistances: the concrete layer between tubes and hollow cores (di Vietnamese), a parallel connection of concrete and air with thickness dib and the upper concrete layer (di c ).
- the air gaps are approximated by squares with the length equal to the air gap diameter.
- thermal resistance of layer lb is calculated by:
- the adapted RC-model results are fitted to the FE-results including radiation and convection in order to find ⁇ 3 ⁇ 4 . Due to the heat flow direction, radiation and convection in the air holes is especially working in The EMPA model, is used throughout this work as the starting point to model the TABS, whether the objective is to analyze the steady state behaviour, the transient behaviour or to integrate the TABS model in a high level building controller.
- RC-models or analytical expression are sometimes used for the integration of TABS in buildings. For instance first principle based models of various water-embedded systems or by using a 2nd order RC-model for a ventilated hollow core TABS and integrated this in a 2nd order building model. Another possibility is using RC-models connected to a hydraulic model which are combined into macro elements to described a whole building element. Barton et al. used a FD-model to analyze a hollow cores TABS for which conditioned air flows through the hollow cores. They took the bends into account by an equivalent 'bend' length. Also measurements can be used to validate a finite volume model and find a good correlation for heat flows, but temperature deviations up to 2K.
- every TABS controller requires a model of TABS and building.
- Simple, analytical models can provide a low-cost solution, but are not available in literature.
- the procedure to find the correct model parameters is not straightforward, but indispensable to achieve a good controller performance.
- Embodiments of the present invention provide a set of guidelines for controller design.
- embodiments of the present invention provide an interaction between TABS and the ventilation system which has a high potential, because it combines a slow, but efficient system with a fast, but less efficient system.
- Embodiments of the present invention provide a solution to estimate and/or measure the transient behaviour of Thermally Activated Building Systems (TABS) comprising thermally activated thermal components.
- TABS Thermally Activated Building Systems
- Preferably embodiments of the present invention provide static and transient thermal properties of the TABS component.
- Embodiments of the present invention also provide a method to evaluate TABS and building interaction and looks at the corresponding control issues.
- Embodiments of the present invention provide a method which enables analyzing the transient behaviour of a TABS using measurements. Moreover preferred embodiments provide an analytical solution of the transient heat transfer is derived to determine the temperature and heat flows inside the TABS as a function of both location and time. The acquired formulation can be used to analyze the transient behaviour of TABS and derive insights regarding control.
- Embodiments of the present invention provide a method to analyze the transient heat transfer in a TABS floor.
- a TABS floor an uncovered concrete floor can be considered, for which a water flow rate, thickness and tube spacing are varied.
- measurements on TABS can be used to highlight important properties of the transient heat transfer from water in the TABS tubes to the zone below and above.
- an analytical solution of the heat diffusion equation preferably is adapted for the appropriate boundary conditions. This analytical solution can be used to investigate the time and space dependent temperature distribution in a slab.
- the power and the cumulated heat transfer distribution can be derived according to embodiments of the present invention.
- the thermal diffusivity ⁇ ⁇ /pc [m 2 /c] defined which is an important material parameter in the analysis of transient heat conduction, a is a measure for how quickly a material can carry away heat from a hot source.
- the square of a characteristic length (in this case the TABS thickness d) divided by a represents the time constant of the conductive heat transfer.
- Preferably data from a TABS-test setup can be used to demonstrate transient heat transfer effects for water flowing through the TABS.
- the results are generated with a 4x4x3m 3 heat transfer test room, constructed according to EN244-2 regulations, in which a prefabricated hollow core TABS was tested as illustrated in Fig. 7 (a).
- the test room, illustrated in Fig. 7 (b) has a 4x4 m2internal floor area and an internal height of 3m.
- Water in the 'Test setup circuit' and the 'Test room circuit' can be heated (max. 90 °C) or cooled (min. 6 °C) by means of a condensing gas boiler and an air-cooled chiller.
- the walls, floor and ceiling are water-filled metal panels, insulated with 10 cm PU-foam, through which warm or cold water of the 'Test room circuit' flows.
- a high flow rate of 156 1/min ensures a constant internal surface of the metal panels.
- a fully programmable controller like for instance a Siemens controller, can be used in combination with Matlab for controlling the measurements and for data acquisition.
- the water flow in both 'Test setup' and 'Test room' circuits are measured with an electromagnetic flow meter with an error of respectively 0.5% and 0.2%. The systematic error on the flow rate reading has been corrected for.
- the temperatures in both 'Test setup' and 'Test room' circuits can be controlled by three-way valves.
- Temperatures in the circuits and on the room internal surfaces can be measured with LG-NilOOO-sensor having an error of +0.5K at 0 °C and +1K at 85 °C. Temperatures in the TABS test element are measured with T-type thermocouples. Measurement data from a 2.4x2.4m 2 floor of these hollow core TABS elements show some important features which should be predicted by the transient model of the TABS. A step change from 20 °C to 30 °C in the water supply temperature T ws is induced and the reaction of the slab is registered using the temperature sensors indicated with the numbers 1-13 on Fig. 7(a). These sensors are located in the middle of the slab. Fig.
- Fig. 8 (b) shows the effect of flow propagation, which is the time delay corresponding to the water flow from tube inlet T ws to tube outlet T wr .
- a small drop in temperature is monitored when the valves are opened to activate the step excitation.
- Fig. 8 (b) shows that this drop is seen in T W r approximately 3 minutes later with a certain attenuation.
- Fig. 9 (a)-(b) shows the response of the mean core temperature T c , which is calculated as the mean of the sensor 1-5 values and corresponds to the equivalent mean core temperature as used in the star network presented previously. After 4 h a value of 25°C is reached, while the steady state value is 26.5 °C. Also here a time delay is measurable: after around 1.5 min, the drop in temperature is measured in T c , while the attenuation is much stronger than for the Twr-result. However, here, it is a combined effect of flow propagation and thermal capacity of the concrete. This delay time is evidently dependent on the position where the concrete temperatures are measured.
- Fig. 7 (a) shows the positions of the temperature sensors.
- T s ,u P is reacting slower than T s ,down, it eventually ends up at a lower steady state temperature (24.8°C against 26.1°C) because of the higher heat transfer coefficient at the surface (in the case of heating which is considered here).
- the time constants of the response of T and to the step excitation of T ws are presented in Table Due to the thermal resistance of the air holes, T reacts the slowest to the step excitation, although the heat transfer coefficient at the upper surface is larger (in the case of heating). For a 'full' concrete floor, this will differ.
- Table 2 comprises time constants of the heating step response of and time to reach + (1 - e
- TABS operate in two modes: with and without water flow. Both modes can be derived from the same analytical expression, since they require identical boundary conditions.
- Fig. 12 (a)-(b) presents the nomenclature for the two operational modes.
- the slab In the first mode, the so-called free running mode, without water flow, the slab is treated as a whole, with different convective heat transfer coefficients h2,i and h2,2 above and below, and, in order to generalize the solution, with different temperatures T2,i and T2,2 above and below the slab.
- the water flow mode the upper and lower part of the slab are treated separately.
- the equivalent concrete core temperature is the surface temperature.
- the temperature distribution T(x, t) in a slab 0 ⁇ x ⁇ is of importance for very practical implementations. This is enabled by solving the TABS T(x, t) problem with a semi-infinite approach, where only the water side boundary is taken into account and the concrete has an infinite thickness, shows that this is only suitable to analyze TABS transient heat transfer in a short time frame: the time at which the heat flow, induced by the hot water flowing through the tubes in the TABS, causes a temperature increase at a depth equal to d; ranges from 4min for a 0.1m slab to 50min for a 0.4m slab. The water flow rate m and the tube distance d x only have a minor influence on these results. Therefore, in order to analyze temperature variations in a TABS floor within time frames equal to its time constant, preferred embodiments of the present invention provide a method to incorporate the TABS upper and lower boundary into the analytical solution.
- Carslaw and Jaeger [present an equation T(x, t) for a slab 0 ⁇ x ⁇ L, subjected to different boundary conditions (hi and h 3 ⁇ 4 i) at upper and lower surface.
- x and t are replaced by their dimensionless counterparts ⁇ and together with the dimensionless material parameter Bi.
- the heat flux (W/m 2 ) in the slab can be derived using
- the solution is combined for the upper and lower slab part.
- the approach that calculates the upper and lower slab part separately asks for a correction when combining the two results. Since ⁇ 2, ⁇ ⁇ Bi2,2, due to a different heat transfer coefficient at the slab surfaces or a difference in slab thickness, the amount of heat transferred to the upper and lower part will also differ.
- Fig. 13 shows the difference between the real heat flow pattern in a star network (Fig. 13(a)), and the resulting heat flow pattern by combining the solution for the upper and lower slab part (b).
- the heat transfer coefficient at the ceiling is lower (thermal resistance larger) than at the floor surface (Rdi > R ⁇ E).
- Fig. 15 (a) shows that, except for the first root, the roots of the ⁇ -function approach ( ⁇ -1) ⁇ , which is indicated by the thick dashed line on the figure.
- the arrow indicates the impact of increasing values of Bii or B12.
- the value of A n decreases for larger n-values. It is affected by Bii and to a minor extend and only for the first n-values, by B12. This indicates the dominance of the first terms in the infinite sum.
- the space dependent Zn-term is presented in Fig. 15(c) for two values of Bii, which affects the amplitude of the solution. The higher the Bi-number, the lower the space dependent term in the infinite sum.
- the two time dependent factors, the decay factor in the solution for T and q " , and in the solution for q show that after a certain time, the influence of the initial condition will extinct. For higher ⁇ ⁇ - values this already occurs at a time which is only a fraction of the system's time constant. Since ⁇ ⁇ (n > 2) is only weakly dependent on the Bi-numbers (Fig. 15(a)), these decay times are almost independent of the specific situation. Supposing the nth term is negligible when it's value reaches 1% of its initial value, it follows that
- the initial condition factor Z n ,imt appears to decrease to zero for approximately n > 10 and will therefore have a large impact on the solution of the transient temperature profile.
- J.C.Cool et al. propose an analytical solution for a condensing fluid (constant temperature) around the tubes, while the fluid in the tubes is subjected to a step change. This approach is adapted to the TABS system according to embodiments of the invention.
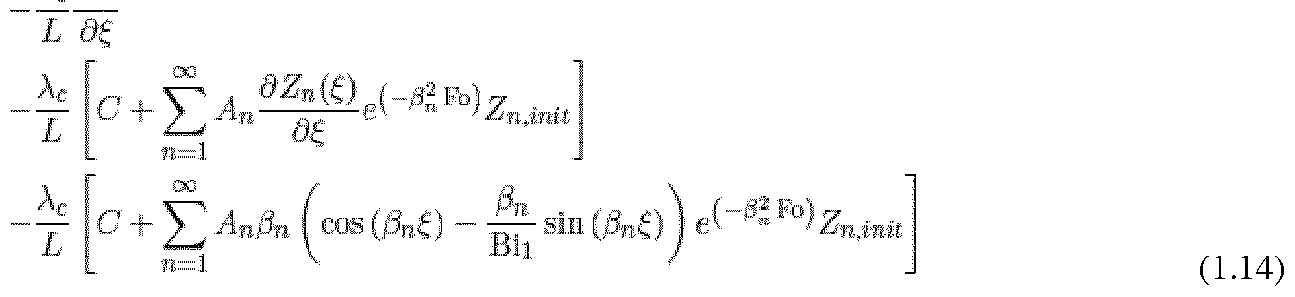
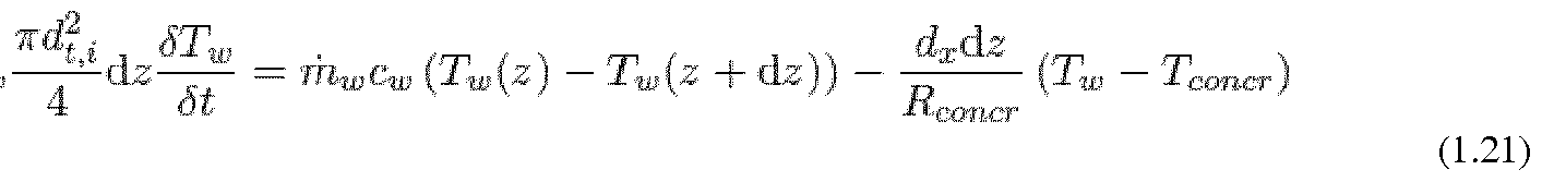
- the water temperature as a function of time and location can be used in embodiments of the invention. With the propagation time taken into account, the energy balance between a water temperature T w at some point in the slab and a constant, for the moment not specified, concrete temperature T CO ncr on a TABS-piece d z along the length of the tube is: f'wPm
- the Laplace transform is an ordinary differential equation in z:
- T w (z. t) T «, (0. t)(- ⁇ u(t -— )
- T W m mean water temperature T W m as a function of time.
- the effect of the propagation time on the mean water temperature T W m can be found by averaging T w (z, t) over the total length Lt of the tube:
- the delay factor u(t - z/v w ) divides the z-interval [0,Lt] in two parts (see Fig. 18):
- the mean water temperature is calculated by: - ⁇ dz + - ⁇ dz
- Eqs. 1.29 and 1.30 results in a global formulation (see Eq. 1.31) of the mean water temperature Twm as a function of time t, the propagation time t p , the inlet condition T w (0, t) and the heat transfer to the TABS, incorporated in the parameter ⁇ :
- T wm (t) T w (Q, t)
- Fig. 19 shows a parameter analysis of the thermal resistance RCOECI(I) as a function of d x , which give the 5 sets of data along the linear curve, (2) within 1 dx data set, as a function of m ' w (decreasing Rconcr with increasing m ' w ), and (3) within 1 dx-m w-data set, as a function of d (a very small influence, which is only noticeable at low mTM -values).
- Fig. 19 shows that d x has the largest influence on the value of R ⁇ ncr, followed by m ' w and finally d.
- Another parameter which is derived an can be used in embodiments of the present invention is the influence of flow propagation on the heat transfer.
- the flow propagation has an influence on the transferred heat from water to concrete.
- the heat power and the transferred energy during the propagation time for a step change of the water supply temperature can be expressed as:
- the impact on the heat transfer by taking into account the propagation time can be expressed by the ratio of ⁇ ⁇
- d 0.2m having a total area of 12m 2 .
- d 0.2m having a total area of 12m 2 .
- t p 319 s.
- Fig. 20(a) shows the effect of the propagation time on the mean water temperature in the slab, while Fig. 20(b) demonstrates the use of to calculate the cumulated heat transfer: at the end of the propagation time, the energy transferred is equal to the case where propagation is taken into account in detail.
- the ratio q /q is 65.6% in this case.
- Case 1 the 'finite difference'-approach, the analytical solution for a slab divided into n parts, to have a good approximation of the real water temperature profile and heat transfer from water to TABS.
- the TABS is initially at 20°C and the water temperature experiences a step to 30°C.
- the dimensions of the example TABS piece, as shown in Fig. 21, are chosen such that they fulfill the EMPA steady state conditions and the EMPA energy balance condition. This means that the EMPA star-RC-network can be applied to this TABS.
- the TABS is divided into 10 parts and the calculation time step dt is chosen to be 5s.
- the water speed v w is such that the water flows through 1 TABS part in 1 time step dt. This means that the effect of water propagation in 1 TABS part is not present from t to t + dt.
- the EMPA energy balance condition is fulfilled for both the whole TABS piece as well as for 1 dz-TABS part.
- Table 3 shows the data of the example TABS piece more specifically data of the example TABS piece used for validating the simplifications of the analytical expression.
- the tubes axe located in the center of the slab
- Fig. 22 presents the water supply, water return, and mean water temperatures, Tws, Twr and Tw,mean-
- Tw,mean-Tc the concrete core temperature
- T c the concrete core temperature (cfr.
- Fig. 23(a) shows the impact of taking into account the flow propagation in the calculation of the heat transfer q.
- q matches the 'finite difference'-approach much closer, which is also shown by looking at the ratio and in Fig. 23(b).
- both ratios are in the first seconds very high— but the absolute value of very low— the 'propagation'-ratio quickly drops towards a very small value: 0.07% after 4min and increasing slightly to 0.6% after lOmin. For the 'no-propagation'-approach, this is 10% after 4min and over 4% after lOmin.
- Fig. 24(b) shows that the 'finite difference' -approach leads to slightly higher surface temperatures than calculated by both simplified expressions. Also for T c , the 'finite difference' -approach leads to higher temperatures: 'finite difference' : 21.92°C, 'no-propagation': 21.91°C and 'propagation': 21.88°C after lOmin. However, the difference is very small, and therefore the impact on the heat transfer is negligible.
- Fig. 25 (a)-(f) show the hourly results.
- the results are presented in 6 figures (a)-(f).
- Fig. 25 (a) shows the temperature.
- ⁇ ( ⁇ , Fo) is present on the X-axis in °C and on the y-axis ⁇ is presented, the thick dashed line (- -) shows the upper and lower TABS surface, each line represents the temperature distribution of 1 h later.
- ⁇ ( ⁇ , Fo) is evolving from left to right.
- FIG. 25 (c) illustrates the specific cumulated heat, on the x-axis q is given in kWh/m 2 and on the y-axis ⁇ .
- Fig. 25 (d) shows the electricity use for production: heat pump (in heating mode) or chiller (in cooling mode) (Ede 3 ⁇ 4 heatpmnp chiiiei) illustrated as a (x) in kWh/m 2 .
- fig. 25 (d) illustrates the electricity use for production and circulation pump Eeiectotai represented as a solid line.
- Fig. 25 (e) illustrates the specific heat power (q ' ) in function of Fo. Moreover Fig. 25 (e) illustrates the sum of heat power to upper and lower slab part as q ' water in W/m 2 represented by (x) and the sum of heat power to the zone below and above represented by a solid line. Fig.
- the heat power the heat pump has to supply is larger than the steady state power for which the unit would normally be designed. In both cases a maximum of 153W/m 2 is attained (reached in the first hour of operation, between the first two x- markers in Fig. 25, which is a factor 2.4 higher compared to the steady state design power.
- a free running TABS the cooling down to eventually zone temperature is visualized in Fig. 28.
- the TABS starts initially at a constant temperature of 25 °C, while the zones below and above remain at 20 °C throughout the whole period.
- q ' gradually evolves towards zero.
- the TABS is still heating the zones with more than 20W/m 2 .
- q in Fig. 28(f) will eventually stop increasing, but again here, this is certainly not the case after 8 h.
- Advantageously embodiments of the present invention and more specifically the model used to describe TABS can be used to characterize TABS without water flow as well, resulting in the properties of the TABS which can be used in other applications as well, e.g. by the producers of TABS component to test their products and materials used in the process.
- pump-case 1 8 h period, sequence of 8 h pump operation
- pump-case 2 8 h period, sequence of 4 h pump operation, 4 h free running
- pump-case 3 8 h period, sequence of 2 h pump operation, 2 h free running
- pump-case 4 8 h period, sequence of 1 h pump operation, 1 h free running
- pump-case 5 8 h period, sequence of 30min pump operation, 30min free running
- pump-case 6 8 h period, sequence of lOmin pump operation, lOmin free running
- Fig. 29 shows the following trends for the different pump operation modes.
- the pump run time is equal over the 8 h period, and half of the run time of pump-case 1.
- the heat input from the water to the concrete slab appears to be almost equal for pump-cases 2-5 (Fig. 29(a)).
- Only pump-case 6 has a lower cumulated heat amount, due to the effect of the propagation time: from every lOmin pump operation, 5.3min are at the lower equivalent water supply temperature; However, the cumulated heat output to the zones below and above differ from case to case (Fig. 29(b)).
- Pump-case 5 which has, in contrast to pump-case 6, the lowest heat input, has the highest amount of stored heat for the 8 h period.
- the supply temperature is varied between 25 °C, 30 °C or 40 °C, and in the case of cooling, 8 °C or 17 °C.
- the vertical axis presents heat pump and chiller electricity consumption, together with the electricity needed to drive the circulation pump, as a function of the dimensionless time Fo needed to reach q re q. A trade-off is visible between time and amount of electricity needed to reach the required heat output.
- case 2 pump settings achieve qreq in the shortest time frame and at a comparable energy cost compared to cases 3-6, where case 1 always has the highest energy cost.
- pump cycle time should be around half of the time to reach q req .
- Fig. 31 shows the small deviation between the detailed solution in solid line (— ) and the solution where only the first term of the sum is taken into account (markers x and *).
- the dashed line is the steady-state solution 'LpcC Fo' indicating the slope to which both qti and q evolve.
- the ⁇ presents the stored energy q which is the difference between qi n and q
- the q-solution with the first term can be used as an approximation of the cumulated heat.
- the above expressions are extremely useful for control purposes according to preferred embodiments of the invention. They advantageously provide an analytical solution to find the time required to either transfer a certain amount of heat to the zone qm» (Eq. 1.42) or to put an amount of heat into the slab qwsw (Eq. 1.43) or to store an amount of heat in the slab uo (Eq. 1.44). Moreover, this is achieved by taking into account the initial state of the slab (through Zij/ut the heat transfer rate at both sides of the slab (through Bii and Bii) and the water and zone temperatures Ti and Tz (through the parameter C).
- the Fo-expressions are valid for both the case with water flow, where every slab part is treated separately, and for the case without water flow.
- Fig.32 shows the three different heat flows for a slab without water flow, initially at a temperature of 25 °C and cooling down towards the zone temperature of 20 °C.
- the error caused by taking only the first term of the infinite sum was already addressed in Fig. 16 showing the large deviation of the temperature profiles for Fo ⁇ 1.
- Figs. 33 ( Mb) shows the relative error on the cumulated heat transfer q for both a situation with water flow (Fig. 33(a)) and a slab cooling down by convection to the zones below and above (Fig. 33(b)).
- the free running case does not seem to cause too much problems, with errors decreasing rapidly in time and below 15% for the full period observed.
- the TABS will not be subject to a constant zone temperature as in the two previous examples.
- TABS systems e.g. buildings are known to experience a floating zone temperature during the course of the day.
- the moderate temperatures at which the TABS operate are of high importance in this respect.
- a rise in zone temperature will make the zone temperature T2 become equal or larger than the surface temperature of the slab. This means that heat transfer to the zone will stop and, when T2 rises above the slab surface temperature (e.g. by solar or internal gains), the slab will start absorbing heat, and therefore cools the zone.
- a rise in zone temperature will increase the heat transfer rate from the zone to the slab due to the increasing temperature difference.
- Fig. 34 shows that, in case the zone temperature rises, the heat transfer to the zone is blocked by the rising zone temperature (e), and is even reversed when T2 rises above the surface temperature of the slab.
- the surface temperature of the TABS should be limited to a value within the thermal comfort band.
- Fig. 35 shows the tolerated water supply temperatures Ti as a function of the zone temperature in order to limit the surface temperature to 24 °C in the case of heating (Fig. 35(a)) and to 20 °C in the case of cooling (Fig. 35(b)).
- Fig. 35 a situation is presented in which the zone is initially at 18 °C in the morning. However, due to heat gains, the temperature increases in the zone with 1 °C/h. Heating is on until the zone reaches 20 °C. Cooling starts at 24 °C.
- Fig. 36 (f) shows the heat put into and extracted from the slab by the water and the heat exchanged between the slab and the zone (solid line).
- Figs. 37 (a)-(b) present the cumulated heat q for two cases.
- the case illustrated in Fig. 37 (a) is identical to the situation presented in Fig. 36.
- the first 2 h of heating injects 0.31 kWh/m 2 in the slab without causing a noticeable heat transfer into the zone (0 kWh/m 2 ).
- the zone temperature increases above the TABS surface temperature: the TABS start cooling due to the self-regulating effect and extract 0.05 kWh/m 2 from the zone, qwater remains at 0.31 kWh/m 2 .
- the slab extracts another 0.10 kWh/m 2 (0.15-0.05) from the zone.
- the water has extracted 0.17 kWh/m 2 (0.14-0.31) from the slab.
- the heating is switched off, and only the cooling period is identical to the previous situation: cooling starts at hour 6.
- the TABS already extracts 0.18 kWh/m 2 from the zone by the self-regulating effect.
- another 0.13 kWh/m 2 is extracted from the zone, which is equal to the heat extracted by the water flow.
- the actively produced heat is therefore perfectly used in this case and the self-regulating effect is maximized.
- Fig. 37 (a) in total 0.13 kWhe/m 2 electric energy was used to extract 0.15 kWh/m 2 of heat from the zone (see Fig.
- this ratio is approximately 2.6-2.7. This means that, in order to guarantee the temperature levels required by the controller, the installed power should be almost 3 times higher than the value obtained by the steady state calculations.
- the value of Fo obtained from Eqs. 1-42-1.44 is an indication for the start up time of the system.
- the circulation pump should preferably run approximately for the first half of the period Fo obtained from Eqs. 1.24-1.44, in order not to overload the system.
- an actuator e.g. a water supply temperature T preferably is chosen according to Eq. 1.45 in order to not overheat or undercool the zone in case of a bad heat load prediction.
- the issue of installed production power (Eq. 1.47) is preferably addressed in combination with the controller design.
Landscapes
- Engineering & Computer Science (AREA)
- Physics & Mathematics (AREA)
- Thermal Sciences (AREA)
- Chemical & Material Sciences (AREA)
- Combustion & Propulsion (AREA)
- Mechanical Engineering (AREA)
- General Engineering & Computer Science (AREA)
- General Physics & Mathematics (AREA)
- Automation & Control Theory (AREA)
- Air Conditioning Control Device (AREA)
Description
CONTROL OF THERMALLY ACTIVATED BUILDING SYSTEMS
Field of the invention
The present invention relates to a device and method for controlling thermally activated building systems. More specifically, the present invention relates to a device and method for predicting and/or controlling and/or regulating at least one building zone comfort variable in a thermally activated building system.
Background of the invention
In recent years, the growing importance of energy efficiency has resulted in a search for new building heating and cooling concepts. Actively using the thermal mass of a building is an example of such a technique. The use of the latter in office buildings has increased. In order to maximize night cooling of the thermal building mass, and to avoid cooling at high outdoor temperatures, a water based radiant system was chosen, which actively conditions the core of the thermal building mass: Thermally Activated Building Systems or TABS (also called Concrete Core Activation or CCA).
TABS and floor heating/cooling are not equal. Where in a floor heating/cooling system, the embedded pipes are separated from the building structure by a layer of insulation, with TABS the pipes are embedded into the building structure. Thereby, the whole of the thermal mass of the building, which in modem office buildings is mostiy situated in the floor, is actively heated or cooled. Water supply temperatures in the tubes are relatively low for heating (< 30 °C), and relatively high for cooling (> 15 °C). A combination of TABS with a (ground coupled) heat pump, passive cooling or night cooling results in low exergy installations. As such this holds the promise of an efficient heating and cooling system. As way of illustration a comparison between (a) an embedded floor system and (b)TABS is provided in Fig. 1.
TABS, as indicated above, are thus the concrete floor slabs of a building having integrated water tubes. Through these tubes, heated or cooled water can circulate to heat up or cool down the slab. The heated or cooled slab exchanges heat with the zone below and above by natural convection and radiation, controlling the zone temperature. Due to the large thermal inertia of the concrete slab, this is a very slow process.
When for instance using TABS in office buildings, an important aim is to eliminate the destructive transient heating and cooling process that waste a great amount of energy. This process is recognized for instance by using a case study by Sourbron et al in Energy and Buildings, Volume 41, Issue 10, October 2009, Pages 1091-1098, ISSN 0378-7788. The study disclosed that the large thermal time constant of thermally activated building systems (TABS) hampers communication between the system's production and emission. Therefore, conventional building control strategies, typically using room temperature feedback, are unadapted to control thermal comfort efficiently. In this paper, measurement data and simulation results reveal that unadapted TABS control has a dramatic impact on overall energy performance. Measurements in a TABS building with room temperature feedback show the HVAC system switching between heating and cooling in a very short time frame. A simplified, generic room model is used to simulate, understand and evaluate this behaviour. For room temperature feedback control, only 45% of the cold and 15% of the heat produced actually controls room temperature. The remainder is stored in the TABS and exchanged between the heating and cooling system. Enlarging the heating-to-cooling set point band improves this ratio, while maintaining thermal comfort. On the other hand, night time operation control of the circulation pump, adapted to the TABS thermal time constant, eliminates this 'unused' energy completely. In this case, however, even with perfect heat gain forecasts, it is difficult to avoid room temperatures dropping below thermal comfort limits during initial office hours. Hence, a supplementary air-conditioning system seems inevitable. Thus by applying an appropriate control strategy problems linked to TABS building a proposal to eliminate the problem is provided. The following typical example of an unadapted control of TABS illustrates this. The office zone and the TABS are cold in the beginning of the day. A great deal of heat is wastefuUy used to heat up the concrete slab until it is warm enough to heat up the zone. At this point, the people working in the office zone, PC's, lights and perhaps solar radiation generate heat and the zone temperature rises above the set point for cooling. Cold water flows through the tubes, but, again, a great deal of cold is
wastefuUy used to cool down the concrete slab again until it is cold enough to cool down the zone. A need still exists for an improved method and device for controlling thermally activated building systems.
Summary of the invention
It is an object of the present invention to provide a good device and method for controlling thermally activated building systems.
It is an advantage of embodiments of the present invention to provide a good, e.g.an improved, device and method for controlling systems comprising Concrete Core Activation (CCA) elements. More specifically embodiments of the present invention provide means and device for controlling TABS based on the intrinsic steady-state and transient heat transfer parameters of the TABS.
This object is met by the method and device according to the independent claims of the present invention. The dependent claims relate to preferred embodiments.
In a first aspect the present invention provides methods for predicting and/or controlling and/or regulating at least one zone comfort variable in a thermally activated building system, said building system comprising at least one thermally activated building component. The method comprises
- determining, e.g. measuring, a quantity of energy stored in said at least one thermally activated building component thereby taking into account a temperature distribution in the at least one thermally activated building component, and
-evaluating said quantity of energy stored in said thermally activated building component for predicting and/or controlling and/or regulating at least one zone comfort variable in said building system.
It is an advantage of embodiments of the present invention that accurate control of at least one zone comfort variable can be obtained, thereby taking full account of the heat capacity of the thermally activated building components thus limiting, reducing or even avoiding waste of energy.
Preferably the at least one zone comfort variable is the temperature of a zone of said building system. The temperature may be the comfort temperature of the zone.
Taking into account a temperature distribution in the at least one thermally activated building component may comprise determining a time and space dependent temperature distribution in the at least one thermally activated building component. It is an advantage of embodiments of the present invention that not only variation as function of time but also variation as function of space in the at least one thermally activated building component can be obtained.
Determining a quantity of energy stored may comprise determining a quantity of energy stored in said at least one thermally activated building component taking into account a temperature distribution based on at least one measured temperature in the at least one thermally activated building component.
Determining a quantity of energy stored in said at least one thermally activated building component may comprise measuring a temperature distribution in said at least one thermally activated building component. It is an advantage of embodiments of the present invention that the temperature distribution can be based on a measurement of temperature at different positions in the thermally activated building component.
Measuring a quantity of energy stored in said at least one thermally activated building component may comprise measuring a temperature at at least a point at a side and a point inside the thermally activated building component.
Measuring a quantity of energy stored in said at least one thermally activated building component may comprise measuring a temperature at the surface of the thermally activated building component and at a middle of the thermally activated building component.
Measuring a quantity of energy stored in said at least one thermally activated building component may comprise measuring a temperature at the surface of the thermally activated building component and at a water zone region in the activated building component.
Taking into account a temperature distribution may comprise taking into account an initial temperature distribution.
It is an advantage of embodiments of the present invention that based on an initial temperature measurement, an accurate control, prediction and/or regulation can be obtained over time.
Determining a quantity of energy stored may comprise taking into account a heat flux in the thermally activated building component.
Controlling and/or regulating at least one zone comfort variable may comprise generating control signals for actuators of a heating and/or cooling system. Such a heating and/or cooling system may be a heating or cooling system external to the thermally activated building component, or it may be or comprise the thermally activated building component.
The heating and/or cooling system may be an embedded water based system.
In preferred embodiments the quantity of energy stored is an amount of heat stored in said thermally activated building component. The amount of heat stored in said thermally activated building component can be measured by for instance a temperature sensor, which can be integrated in the thermally activated building component or positioned at several locations on the thermally activated building component, for instance on its surface. For instance the amount of heat stored in the circuits and on the internal surfaces of a zone can be measured e.g. with a LG-NilOOO-sensor having an error of ±0.5K at 0 °C and +1K at 85 °C. The amount of heat stored in the TABS, e.g. the temperature, can also be measured with T-type thermocouples. In alternative embodiments of the invention sensors can also be located or positioned in the middle of the TABS.
Preferably evaluating of the quantity of energy comprises evaluating transient heat transferred to a zone of said building system as a result of heat stored in said thermally activated building component. More preferably the transient heat transfer is used to determine the temperature and heat flows inside the thermally activated building component.
In preferred embodiments the determining of the temperature and heat flows inside the thermally activated building component is performed as a function of both location and time.
Preferably the heat transfer rates determine an indicative maximum or minimum water supply temperature.
In preferred embodiments the evaluating of said quantity of energy comprises determining the time which is required to obtain a certain amount of heat transfer, taking into account heat transfer parameters and an initial condition of the thermally activated building component.
In some preferred embodiments the method may comprise determining an energy input from the heating/cooling system to the TABS, energy stored in the TAB and/or energy transferred to the building zone using the knowledge of the initial temperature distribution and/or the initial quantity of energy stored. The method may comprise determining control signals for the heating and/or cooling system, based on the determined energy input.
In other preferred embodiments the heat transfer can be heat transfer from a thermally activated building component to a zone or from water to a thermally activated building component or to store thermal energy in a thermally activated building component.
Preferably the evaluation of the quantity of energy stored is used to determine the startup time of thermally activated building system.
Advantageously embodiments of the present invention provide a simplified dynamic model of TABS or systems comprising CCA or a TABS building system, whereby the simplified dynamic model can be integrated in a building controller. This knowledge of the dynamical behavior of TABS integrated in a building or CCA is of great importance.
Embodiments of the present invention provide solutions to incorporate the slow reacting times of TABS building due to their very large thermal mass. By providing a means to optimize the control of such embodiments, embodiments of the present invention advantageously overcome problems related to the control systems and method known in the art which result in squandered energy.
In addition, calculating transient heat transfer typically is solved with numerical methods in the prior art. Some embodiments of the present invention provide applying an analytical expression combining EMPA's ID-thermal TABS model and Carslaw and aeger's analytical expression (as disclosed in "Conduction of heat in solids" Oxford University Press, London,
2nd edition, 1959) to calculate transient heat transfer. The EMPA's ID-thermal TABS model, is provided by the Swiss Federal Laboratories for Materials Testing and Research in the book 'Thermoaktive B auteilsysteme tabs', where a simplified RC-model for TABS is presented. In some embodiments of the present invention, this model is used a basis and will be referred to as the ΈΜΡΑ model'. The model advantageously provides a method to transfer a 3D heat transfer problem into ID thermal model, as a result separated layers above and below can be described as independent expressions, whereas the Carslaw and Jaeger's expression provides an analytical expression for transient temperature distribution in a ID TABS e.g. slab.
Preferred embodiments of the present invention comprise applying the Carslaw an Jaeger' s expression to an upper and lower slab part of EMPA-model and applying correct boundary conditions to recombine the result. In addition, correct initial conditions are applied in a straightforward way with sufficient accuracy.
As indicated above, further derivation of the approach results in a simplified model which can be used in a controller according to some embodiments of the present invention, whereby the model relates to time required to transmit an amount of heat into the zone or to transmit an amount of heat from the water to the TABS.
In preferred embodiments of the present invention a simplified analytical expression is used in a controller, whereby the ex ression preferably defines time to deliver a required amount of heat/cold into a building and is the following:
The above expressions are extremely useful for control purposes according to preferred embodiments of the invention. They advantageously provide an analytical solution to find the time required to either transfer a certain amount of heat to a zone or to put an amount of heat into a TABS or concrete core activation element, e.g. a slab or to store an amount of heat in e.g. slab. Moreover, this is preferably achieved by taking into account the initial state of the thermally activated building element, e.g. slab, the heat transfer rate at both sides of the slab and the water and zone temperatures. These expressions are advantageously valid for both the case with water flow, where every slab part is treated separately, and for the case without water flow.
Providing embodiments of the invention in a TABS control module as part of an intelligent building controller provides several advantages. The latter can estimate required heating/cooling energy (= input to module), moreover it can determine the operation/start-up time. In addition parameter analysis according to embodiments of the invention determines optimal point relating (supply temperature)-(operation time) to obtain zone switching.
Embodiments of the present invention provides a model with physical parameters, which enables defining start-up/shut down time and can be easily implemented in optimization routines. Whereas control systems known in the art retain a constant TABS temperature and provide feedback control without incorporate the dynamic TABS behaviour, which is not energy efficient.
Embodiments of the present invention may be such that the method for predicting and/or controlling and/or regulating at least one zone comfort variable in a thermally activated building system comprises predicting and/or controlling and/or regulating at least one heat flow between water and concrete and/or concrete and a building zone thereby predicting and/or controlling and/or regulating at least one comfort variable in a thermally activated building system.
Advantageously embodiments of the methods and devices of the present invention provide a control module for TABS or concrete core activation elements as part of an intelligent building controller.
Advantageously embodiments of the present invention additionally provide optimal TABS control designed to each specific case, minimizing energy use and minimizing installed production power by applying zone-switching.
The methods as described above may be computer implemented methods.
It is an advantage of embodiments of the present invention that a temperature distribution is taken into account, representative for e.g. an initial condition or a later condition. By taking into account a temperature distribution and not merely a single temperature measurement, far more accurate results can be obtained. Such results may also be more accurate with respect to systems based on heat flow model calculations, albeit extensive calculations, in as far as they do not take into account a temperature distribution of the component, measured and/or modelled. Such advantageous accurateness may be e.g. especially pronounced in particular building and/or heating conditions.
In a second aspect, the present invention relates to a computer program product comprising computer program code means adapted for performing all the steps of the method as described above, when the computer program product is run on a computer.
In a third aspect, the present invention provides a data carrier storing a computer program product according to the fourth aspect of the present invention. The term "data carrier" is equal to the terms "carrier medium" or "computer readable medium", and refers to any medium that participates in providing instructions to a processor for execution. Such a medium may take many forms, including but not limited to, non-volatile media, volatile media, and transmission media. Non-volatile media include, for example, optical or magnetic disks, such as a storage device which is part of mass storage. Volatile media include dynamic memory such as RAM. Common forms of computer readable media include, for example, a floppy disk, a flexible disk, a hard disk, magnetic tape, or any other magnetic medium, a CD-ROM, any other optical medium, punch cards, paper tapes, any other physical medium with patterns of holes, a RAM, a PROM, an EPROM, a FLASH-EPROM, any other memory chip or cartridge, a carrier wave as described hereafter, or any other medium from which a computer can read. Various forms of computer readable media may be involved in carrying one or more sequences of one or more instructions to a processor for execution. For example, the instructions may initially be carried on a magnetic disk of a remote computer. The remote computer can load the instructions into its dynamic memory and send the instructions over a telephone line using a modem. A modem local to the computer system can receive the data on the telephone line and use an infrared transmitter to convert the data to an infrared signal. An infrared detector coupled to a bus can receive the data carried in the infra-red signal and place the data on the bus. The bus carries data to main memory, from which a processor retrieves and executes the instructions. The instructions received by main memory may optionally be stored on a storage device either before or after execution by a processor. The instructions can also be transmitted via a carrier wave in a network, such as a LAN, a WAN or the internet. Transmission media can take the form of acoustic or light waves, such as those generated during radio wave and infrared data communications. Transmission media include coaxial cables, copper wire and fibre optics, including the wires that form a bus within a computer.
In a fourth aspect, the present invention provides in transmission of a computer program product according to the third aspect of the present invention over a network.
In a fifth aspect the present invention provides devices for predicting and/or controlling and/or regulating at least one zone comfort variable in a thermally activated building system, the building system comprising at least one thermally activated building component, the device comprising:
- a measuring unit, said measuring unit adapted to measure a quantity of energy stored in said at least one thermally activated building component taking into account a temperature distribution in the thermally activated building component, - an evaluation unit, said evaluation unit adapted for evaluating a quantity of energy inputted by the heating/cooling systems, stored in said thermally activated building component and/or transferred to the building zone for predicting, controlling and/or regulating at least one zone comfort variable in said building system. The device may furthermore comprise a control unit programmed for generating control signals for actuators of a heating and/or cooling system for controlling and/or regulating at least one zone comfort variable in the building system based on the evaluated quantity of energy.
Preferably the device according to embodiments of the invention is a control module, whereby said control module is a standalone hardware component. Alternatively or in addition thereto, one or more components of the device may be implemented as a software component. The measuring unit, the evaluation unit, the control unit and/or a corresponding controller may correspond with a processor for processing data. Such a processor may be a conventional processing unit, but according to embodiments of the present invention. One or more components may for example be implemented based on predetermined rules, on an algorithm, on predetermined instructions or on a neural network.
Preferred embodiments of the present invention provide an analytical solution which can be used to calculate the transient heat transfer of TABS as a function of location in the slab x and of the time t. This results in a (x, t)-expression for temperature, heat power and cumulated heat. The propagation time of the water flow through the tubes is preferably integrated in this formulation. The expressions are advantageously used to analyze the transient behaviour of TABS in a heating, cooling or free running situation:
In preferred embodiments the operation time required to reach a certain heat/cold output or stored thermal energy can be determined analytically, taking into account initial conditions, heat transfer rates and temperature levels. With the operation time known, advantageously the start time of the system is known.
In order not to overheat or undercool the slab, the analytical solution used in preferred embodiments of the invention provides information on the maximum allowable temperature levels of the supply water (cf. Fig. 35). Operating TABS requires a thermal power of the production unit which is higher than the steady state power for which units conventionally are designed. A whole building solution can be for instance to operate different zones consecutively, since the circulation pump for 1 zone can run intermittently. Therefore, according to embodiments of the present invention, the operation of different zones can be alternated.
Operating TABS preferably results in a large amount of thermal energy being stored in the concrete slab: at least 50% of the thermal energy input is not used to condition the zone within the time frame considered. The embodiments of the present invention can advantageously be used to assess this effect and control the building production system accordingly.
Advantageously a simplified expression can be derived from the detailed analytical expression relating time with the cumulated heat qTABS→zone, qwater→TABS and qstorcd. ft can be used to advantageously determine the time which is required to obtain a certain amount of heat transfer, taking into account heat transfer parameters and the initial condition of the slab, whether the objective is heat transfer from TABS to zone, from water to TABS or to store thermal energy in the TABS. The simplified expression is valid both for heating and cooling of a TABS system. This expression can advantageously be used to determine start up times of the TABS, which is an extremely important control parameters in a TABS installation.
In one aspect, the present invention also relates to a controller for controlling and/or regulating a zone comfort variable in a building system, the controller being programmed for determining a quantity of energy stored in at least one thermally activated building component taking into account a temperature distribution in the thermally activated building component and for generating, based on an evaluation of the determined energy control signals for actuators for controlling and/or regulating at least one zone comfort variable in said building system.
In yet another aspect, the present invention relates to a thermally activated building system. The thermally activated building system comprises at least one thermally activated building component, a measuring unit, said measuring unit adapted to measure a quantity of energy stored in said at least one thermally activated building component taking into account a temperature distribution in the thermally activated building component, and an evaluation unit, said evaluation unit adapted for evaluating a quantity of energy inputted by the heating/cooling system, stored in said thermally activated building component and/or transferred to the building zone for predicting, controlling and/or regulating at least one zone comfort variable in said building system.
In still another aspect, the present invention relates to a thermally activated building component comprising at least a temperature sensing element inside the thermally activated building component and at least a temperature sensor element at a surface of the thermally activated building component.
Particular and preferred aspects of the invention are set out in the accompanying independent and dependent claims. Features from the dependent claims may be combined with features of the independent claims and with features of other dependent claims as appropriate and not merely as explicitly set out in the claims.
These and other aspects of the invention will be apparent from and elucidated with reference to the embodiment(s) described hereinafter.
Brief description of the drawings
Further features of the present invention will become apparent from the examples and figures, wherein:
Fig. 1 (a)-(b) schematically illustrate a comparison between (a) an embedded floor system and (b)TABS.
Fig. 2 schematically illustrates a representation of a two-zone office building with three disturbances: ambient temperature (Tamb), solar radiation (q'∞i) and internal gains (q'int), two inputs: water supply temperature (TWs) and ventilation supply temperature (Tvs) and two outputs: the zone temperature (Tz) and concrete core temperature (Tc), the thermally activated building system being suitable for benefiting of embodiments of the present invention.
Fig. 3 illustrates typical TABS, office building operation: (a) (1) zone temperature (Tz), (2) surface temperature Ts, (3) TABS core temperature Tc, (4) water temperature (Tw) and (b) (1) heat power water-TABS q' w, (2) heat power TABS-zone q the thermally activated building system being suitable for benefiting of embodiments of the present invention.
Fig. 4 schematically illustrates examples of different TABS configurations with thickness d, tube spacing dx and tube diameter dt0: (1) Full concrete TABS, (2) Hollow core TABS, and (3) Air box TABS, the thermally activated building system being suitable for benefiting of embodiments of the present invention.
Fig. 5 illustrates the EMPA TABS model, more specifically the triangle-star transformation describing 2D heat flow in a ID thermal model, as can be used in an embodiment of the present invention.
Fig. 6 shows a graph provide the TABS time constant based on the thermal diffusivity & as a function of thickness d, illustrating features as can be used in an embodiment of the present invention.
Fig. 7 (a) schematically shows a hollow core TABS used for measurements. Numbers 1-13 indicate the location of the temperature sensors, as can be used in an embodiment of the present invention.
Fig. 7 (b) schematically illustrates placement of a hollow core TABS test element in the 4x4x3m3 heat transfer test room, illustrating features as can be taken into account in an embodiment of the present invention.
Fig. 8 (a) shows the response of the water return temperature TWr to a step excitation of the water supply temperature TWs for a full measurement period, illustrating features as can be taken into account in an embodiment of the present invention. Fig. 8 (b) shows in detail the effect of flow propagation, illustrating features as can be taken into account in an embodiment of the present invention.
Fig. 9 (a) shows the response of Tc to a step excitation of TWs for the full measurement period, illustrating features as can be taken into account in an embodiment of the present invention.
Fig. 9 (b) shows in detail the combined effect of flow propagation and thermal capacity, illustrating features as can be taken into account in an embodiment of the present invention.
Fig. 10 (a) shows the response of the surface temperature Ts to a step excitation of TWs for the full measurement period, illustrating features as can be taken into account in an embodiment of the present invention.
Fig. 10 (b) show in detail the combined effect of flow propagation and thermal capacity, illustrating features as can be taken into account in an embodiment of the present invention.
Fig. 11 illustrates the measured heat power q' w as a response to the step excitation of TWs, illustrating features as can be taken into account in an embodiment of the present invention.
Fig. 12(a)-(b) show the nomenclature for the two operational modes in transient heat conduction, as can be used in an embodiment of the present invention.
Fig. 13 (a) illustrates the real heat flow pattern in a TABS star network, illustrating features as can be taken into account in
an embodiment of the present invention.
Fig. 13 (b) illustrates the heat flow pattern resulting from the separate calculation of upper and lower slab part, illustrating features as can be taken into account in an embodiment of the present invention.
Fig. 14 illustrates Eq. 3.12 for different Bi-numbers, illustrating features as can be taken into account in an embodiment of the present invention. The arrow indicates the direction of increasing Bi-number.
Fig. 15 (a)-(e) illustrate parameter analysis of the different terms in the transient temperature, heat power and cumulated heat equations for a concrete slab, illustrating features as can be taken into account in an embodiment of the present invention. Fig. 16 (a)-(b) shows the different terms of the temperature equation (a) and the difference between T(n = 1) and T(n = 1..100) (b) for = 0.6 = 0.8, illustrating features as can be taken into account in an embodiment of the present invention.
Fig. 17 (a) shows the linear approximation of water temperature progress along the TABS tube (adapted from Koschenz and Lehmann) , illustrating features as can be taken into account in an embodiment of the present invention.
Fig. 17 (b) shows the division of the TABS tube in two parts (taken from Koschenz and Lehmann) whereby Θ: temperature, vl: 'Vorlauf = water supply, rl: 'Riicklauf = water return, k: 'Kern' = concrete core, illustrating features as can be taken into account in an embodiment of the present invention.
Fig. 18 illustrates the water flow propagating through the TABS tube, with tp the propagation time, vw the water speed and the tube length, illustrating features as can be taken into account in an embodiment of the present invention.
Fig. 19 illustrates the thermal resistance R for propagation analysis as a function of dx (5 sets of data along the linear curve), m (within 1 dx data set, decreasing with increasing m' w), and d (within 1 dx-m' w-data set a very small influence, which is only noticeable at low m' w -values), illustrating features as can be taken into account in an embodiment of the present invention.
Fig. 20 (a)-(b) illustrates the effect of flow propagation on the mean water temperature (a) and the heat transfer (b), and the effect of using the constant equivalent water supply temperature for a 10°C step change of the water supply temperature, illustrating features as can be taken into account in an embodiment of the present invention.
Fig. 21 illustrates the dimensions of a TABS used for analyzing the impact of the simphfications of the analytical expression, illustrating features as can be taken into account in an embodiment of the present invention.
Fig. 22 (a) illustrates Tws (-), TWI (- -) and, whereas Fig. 22 (b) illustrates T for the 'no-propagation'- (□), the 'propagation'- (x) and the 'finite difference'- (°) approach to calculate the TABS transient heat transfer, illustrating features as can be taken into account in an embodiment of the present invention.
Fig. 23 (a) illustrates the specific heat transferred from the water flow to the TABS, as calculated by the 'no-propagation' - (□), the 'propagation'- (x) and the 'finite difference'- (°) approach, whereas Fig. 23 (b) illustrates the ratio /qro (□) and /qro (x), illustrating features as can be taken into account in an embodiment of the present invention.
Fig. 24 (a) illustrates the mean concrete core temperature Tc and Fig. 24 (b) illustrates the mean upper surface temperature for the 'no-propagation'- (□), the 'propagation'-(x) and the 'finite difference'- (°) approach, illustrating features as can be taken into account in an embodiment of the present invention.
Figs. 25 (a)-(f) illustrate the results of the transient heat transfer analysis in TABS, illustrating features as can be taken into account in an embodiment of the present invention, case 1: constant water flow. Fig 25 (a) T starts at 20 °C and evolves from left to right, Fig. 25 (b) q' evolving towards a constant value, Fig. 25 (c) q evolving from 0 to an over ξ constantly increasing value. Fig. 25 (d) The production energy (heating and cooling) is given by the solid line (-), while production and pump consumption is presented by the crosses (x). Fig 25 (e) Summed upper and lower q', q'¾ = 0.5) indicated with x, q'¾ = 0, 1) indicated with the solid line (-). Fig 25 (f) Summed upper and lower cumulated heat q, q¾ = 0) indicated with °, q¾ = 0, 1) indicated with the solid line (-).
Figs. 26 (a)-(d) illustrate results of the transient heat transfer analysis in TABS, illustrating features as can be taken into account in an embodiment of the present invention, case 2: 4 h on- 4 h off water flow, (a) Τ(ξ, Fo) starts at 20 °C and
evolves to the right for the first 4 h and back to the left when the slab is cooling down for the next 4 h. (b)-(e) shows that
0 at the tube level (ξ = 0.5) for the last 4 h, while heat transfer remains at the surface due to the heat stored in the slab, which is released gradually. Figs. 26 (c)-(f) show the same effect where stops increasing at ξ = 0.5. Fig. 26 (d) shows that the electricity use remains constant when the circulation shuts down. The y and x parameters are similar to that of Fig. 25. Figs. 27 (a)-(f) illustrate the results of the transient heat transfer analysis in TABS, illustrating features as can be taken into account in an embodiment of the present invention, case 3: Cooling at 17 °C with 8 h constant water flow, (a) The T-profile starts at 23 °C and evolves towards the left. Figs. 27 (b)-(c)-(d)-(e)-(f) represent the mirrored results compared to the heating up case (Fig. 25). The y and x parameters are similar to that of Fig. 25.
Figs. 28 (a)-(f) illustrate the results of the transient heat transfer analysis in TABS, illustrating features as can be taken into account in an embodiment of the present invention, case 4: Cooling down of a TABS slab without water flow (hour 1: 1 line every lOmins, then 1 line every hour). In Fig. 28 (a) the T-profile starts at 25 °C and evolves to the right. The y and x parameters are similar to that of Fig. 25.
Fig. 29 (a) illustrates specific cumulated heat from water to TABS, illustrating features as can be taken into account in an embodiment of the present invention, Fig. 29 (b) illustrates specific cumulated heat from TABS to both zones below and above and fig. 29 (c) the stored heat.
Fig. 30 (a) illustrates the Heat pump (a) and chiller, illustrating features as can be taken into account in an embodiment of the present invention, whereas Fig. 30 (b) illustrates the electricity consumption (circulation pump consumption included) for different supply temperatures as a function of the dimensionless time to reach = ±0.1 kWh/m2 cumulated heat transfer to the zone. Cases 1-6 are represented by the□ - ° - x-markers for each temperature, where case 1 is the most left hand marker and case 6 the most right hand marker.
Fig. 31 illustrates a detailed (-) and approximated solution of (x) and (Δ) for the upper half of a 0.2 m slab with = 30 °C and = 20 °C, illustrating features as can be taken into account in an embodiment of the present invention. The dashed line is the steady-state solution 'LpcCFo' 1.15) indicating the slope to which both and evolve.
Fig. 32 illustrates detailed (-) and approximated solution of (x) and (Δ) for a 0.2m slab without water flow with = 25 °C and Τζο∞ = 20 °C, illustrating features as can be taken into account in an embodiment of the present invention.
Fig. 33 (a) illustrates the relative error of simplified -calculation for the upper slab part with water flow and Fig. 33 (b) illustrates the relative error of simplified -calculation for a slab in free running mode, illustrating features as can be taken into account in an embodiment of the present invention.
Figs. 34 (a)-(c) illustrate the self-regulating effect of a 0.2m slab, = 30 °C and increasing from 20 )C to 26 °C (hour 1:
1 line every lOmin, then 1 line every hour). The y and x parameters are similar to that of Fig. 25, illustrating features as can be taken into account in an embodiment of the present invention.
Figs. 35 (a)-(b) illustrate the tolerated water supply temperatures as a function of the zone temperature, in order to limit the slab surface temperature to 24 °C in heating regime, as illustrated in Fig. 35 (a) and 20 °C in cooling regime as illustrated in Fig. 35 (b), illustrating features as can be taken into account in an embodiment of the present invention.
Figs. 36 (a)-(f) illustrate TABS with zone temperature feedback, illustrating features as can be taken into account in an embodiment of the present invention. Heating starts at = 30 °C until the zone temperature = 20 °C. Assumed zone gains and stored slab energy keep increasing. Cooling at = 15 °C starts from the zone temperature reaches = 24 °C. The initial slab condition is = 18 °C. The y and x parameters are similar to that of Fig. 25.
Fig. 37 illustrates the heat transfer from TABS to zone (-□) and from water to TABS (o) for TABS subjected to an increasing zone temperature, illustrating features as can be taken into account in an embodiment of the present invention, more specifically Fig. 37 (a) illustrates 2 h heating - 4 h free - 2 h cooling and (a) 6 h free - 2 h cooling.
Fig. 38 illustrates a hollow core RC-star network, adapted to incorporate the thermal resistance of the air holes, illustrating
features as can be taken into account in an embodiment of the present invention.
The drawings are only schematic and are non-limiting. In the drawings, the size of some of the elements may be exaggerated and not drawn on scale for illustrative purposes.
Any reference signs in the claims shall not be construed as limiting the scope. In the different drawings, the same reference signs refer to the same or analogous elements.
Detailed description of preferred embodiments
The present invention will be described with respect to particular embodiments and with reference to certain drawings but the invention is not limited thereto but only by the claims. The drawings described are only schematic and are non-limiting. In the drawings, the size of some of the elements may be exaggerated and not drawn on scale for illustrative purposes. Where the term "comprising" is used in the present description and claims, it does not exclude other elements or steps. Where an indefinite or definite article is used when referring to a singular noun e.g. "a" or "an", "the", this includes a plural of that noun unless something else is specifically stated. The term "comprising", used in the claims, should not be interpreted as being restricted to the means listed thereafter; it does not exclude other elements or steps. Thus, the scope of the expression "a device comprising means A and B" should not be limited to devices consisting only of components A and B. It means that with respect to the present invention, the only relevant components of the device are A and B . Furthermore, the terms first, second, third and the like in the description and in the claims, are used for distinguishing between similar elements and not necessarily for describing a sequential or chronological order. It is to be understood that the terms so used are interchangeable under appropriate circumstances and that the embodiments of the invention described herein are capable of operation in other sequences than described or illustrated herein. Moreover, the terms top, bottom, over, under and the like in the description and the claims are used for descriptive purposes and not necessarily for describing relative positions. It is to be understood that the terms so used are interchangeable under appropriate circumstances and that the embodiments of the invention described herein are capable of operation in other orientations than described or illustrated herein.
In the drawings, like reference numerals indicate like features; and, a reference numeral appearing in more than one figure refers to the same element. The drawings and the following detailed descriptions show specific embodiments of a device and method for controlling thermally activated building systems.
Where in embodiments of the present invention reference is made to a temperature distribution, reference is made to data expressing at least the temperature of the at least two distinct points of a thermally activated building component in the thermally activated building system. The distribution may be temperature data over more than two distinct points. Such temperature data may be measured data, modelled data or a combination thereof. Modelled data may be based on an analytical model for a temperature profile or may be based on an interpolation of a number of point data, e.g. measured point data.
According to an aspect of the present invention, embodiments of the present invention relate to a method for predicting and/or controlling and/or regulating at least one zone comfort variable in a thermally activated building system. The building system thereby comprises at least one thermally activated building component. According to embodiments of the present invention, the method comprises determining a quantity of energy stored in the at least one thermally activated building component taking into account a temperature distribution in the at least one thermally activated building component. Determining thereby may be based on measurements, on modelling or a combination of measurements and one or more models. The method also comprises evaluating said quantity of energy inputted by the heating/cooling system, stored in said thermally activated building component and or transferred to the building zone for predicting and/or controlling and/or regulating at least one zone comfort variable in said building system. The present invention also relates to a corresponding device for regulating and/or controlling and/or regulating at least one zone comfort variable in a thermally activated building system, a corresponding controller, a corresponding thermally activated building system, and corresponding computer program products.
By way of illustration, embodiments of the present invention not being limited thereto, features of exemplary embodiments will be further discussed below.
An office building is typically subjected to several 'disturbances' as illustrated in Fig. 2: ambient temperature which is the infiltration and conductive heat transfer, solar radiation through the windows (q' ∞i) and internal gains from people, appliances and lights, indicated as q These disturbances influence the zone temperature (Tz) and have to be compensated either by the slow reacting, but high efficient TABS (Tws) water supply temperature or by the fast reacting ventilation system having a lower production efficiency.
Heat transfer between TABS and building zone is driven by the temperature difference between the TABS surface temperature and the indoor air temperature of the zone: q TABS = AU(T - Tz). Since TABS are operated with low heating and high cooling supply water temperatures, - Tz) is never very large. The so-called 'self-regulating' effect occurs here: when TABS are heating the zone and Tz increases, - Tz) and therefore q'TABS will quickly decrease. This prevents overheating the zone. The same applies for coohng. Firstly, looking at the steady-state, TABS are a heating and cooling system with a low power. Table 1 compares typically occurring heat gains and losses in an office building with the steady-state heating and cooling power from a 20 cm thick activated concrete slab: cooling is a critical issue, for which a backup system might be required. More specifically, Table 1 provides a comparison of typically occurring heat gains and losses in an office building with the steady-state heating and coohng power from a 20 cm TABS with a raised floor.
Secondly, looking at the transient behaviour, the use of TABS introduces a large thermal inertia in the HVAC system of the building: a 20 cm full concrete slab has a heat capacity of C = 403 kJ/m2K. A heating system with for instance q' = 60W/m2 heating power would need 1η52' to increase its temperature with IK. The response of the surface temperature of the same concrete slab to a step excitation of the water supply temperature has a time constant of 4hl8'. This large thermal inertia seriously hampers the interaction between the heat and cold production system and the zone: a change in zone temperature does not immediately effect the water temperature in the tubes, while a change of the water supply temperature does not quickly result in a changing heating/cooling power into the zone.
A simple example, using a simplified low-order TABS-building model presented according to embodiments of the invention, clearly illustrates the transient behaviour of TABS. An office zone cools down during the night, but heats up due to heat gains during the day, as illustrated in Fig. 3 (a). The TABS are cooled by the water during 4h at night time. Knowing that the specific heat power from water to TABS q" w is a function of the temperature difference between water and concrete core and that the specific heat power from TABS to zone q'TABS is a function of the temperature difference between TABS surface temperature (Ts) and the zone temperature (Ts - Tz), this example shows typical TABS behaviour. During the night, the office cools down, due to e.g. a cold ambient temperature. Tz drops faster than Ts, which means that the TABS are heating the zone at that moment as illustrated in Fig. 3 (b), the latter figure shows that q TABS is positive during the night. However, cold water starts cooling down the TABS at 0 AM to compensate for the heat gains of the next day, Fig. 3(b) for instance shows that q' w is negative from 0 AM-4 AM. This means that at night the TABS are heating the zone, while the water is cooling the TABS. During the day, the TABS are cooling the zone, while there is no water flow to cool or heat the TABS. The typical floating zone temperature in a TABS building is observed in the results.
All these observations are the combined result of both the steady-state as well as the transient properties of TABS. This example demonstrates that the control of TABS should be addressed with care. A representative transient model of TABS-
and-building is required and provided according to embodiments of the invention, whereby said model is adapted to be integrated in a building-controller according to embodiments of the invention.
Conventional water based systems, such as radiators, chilled beams or climate ceilings react faster than any of the occurring thermal loads in the building. Therefore, advantageously they can be controlled with a heating/cooling curve controller, which determines the water supply temperature based on a static model of building and system. A low level feedback loop on the zone temperature determines the on-off signal of the circulation pump. This feedback loop is no longer possible with TABS. Due to the large time constant of the TABS in relation to the occurring heat gains and heat losses, embodiments of a device or controller according to the invention can look forward in time and define an accurate control signal.
Since different type of concrete floors exist, also different type of TABS exist, see for instance in Fig. 4. which illustrates TABS type (1) is a full concrete floor made at the construction site, while types (2) and (3) are examples of prefabricated floors, which are made in factory and transported to the construction site, in order to save time. To reduce weight, these types have hollow cores, air boxes, ... , in the, regarding strength, neutral zone of the slab. In general, the term embedded water based systems is used to refer to all kinds of TABS or floor heating systems.
As indicated above, pioneer work on simplified modeling of TABS has been performed by EMPA, the Swiss Federal Laboratories for Materials Testing and Research. In the book 'Thermoaktive Bauteilsysteme tabs', a simplified RCmodel for TABS is presented. In embodiments of the present invention, this model is used a basis and will be referred to as the ΈΜΡΑ model . The 3D heat flow pattern inside the concrete slab is transferred into a ID model by means of an analytic expression for the temperature in a homogeneous concrete floor with embedded tubes and by means of a triangle-star transformation on the thermal resistances network. Deriving this expression introduces the equivalent thermal resistance Rx, while the temperature Tc is the equivalent concrete core temperature. Fig. 5 shows the different thermal resistances in the RC-network with:
(K/W): Thermal resistance to heat transfer from tube wall to upper TABS surface
(K/W): Thermal resistance to heat transfer from tube wall to lower TABS surface
(K W): Thermal resistance to heat transfer between upper and lower TABS surface
= (K/W): Upwards (i = or downwards (i = 2) heat transfer through upper and lower TABS slab into the zone at temperature T (conduction and convection)
(K/W): Equivalent core thermal resistance
(K W): Thermal resistance of tube wall (conduction)
(K/W): Thermal resistance from water to tube wall (forced convection)
-Rz (K/W): Thermal resistance from water supply temperature to mean water temperature. If the conditions
-^- > 0.3 and— < 0.2 (1.1) are fulfilled (with the thickness of the concrete layer below or above the tubes, dx the distance between the tubes and the tube diameter), the thermal resistances Rx, and Rd2 are represented by:
dr \n{dr 1 id, , ) Rdi = ^- (1.3)
with λ« (W/mK) the thermal conductivity of concrete.
Meeting these conditions mathematically means that Rx is only a function of the parameters and and no longer a function of the TABS thickness d. Furthermore, and Rd2 represent the heat resistances to the upper and lower zone and are only a function of the TABS thickness d and no longer a function of tube parameters, nor of the opposite concrete layer. Physically, meeting these conditions means that the temperature profile which exists in the core of the tabs is
flattened when reaching the upper or lower boundary of the slab and the assumption of ID heat flux to the zone below or above is justified.
The EMPA RC-model as illustrated in Fig. 5 is completed with thermal resistances Rt for the tube wall, Rw for the water- tube forced convection and Rz which takes into account the difference between the water supply temperature Tws and the mean water temperature in the slab Twm. This model is integrated in the building model of the transient system simulation program TRNSYS, manufactured by the University of Madison, Wisconsin, 2007.
In addition it is possible to use this star RC-network to describe the two dimensional heat flow occurring in an asymmetrical TABS floor. Only when the layer on top of the pipes becomes too thin, the results will deviate significantly from reality. Also, for cycling periods < 40min of e.g. the water supply temperature, the heat flow from water to concrete deviates with more than 10% compared to FE-results. However deviations < 0.2 K between a finite elements model and an 11th order RC- star network model of a TABS with raised floor. Being relevant for whole building models, when adding an extra RC-link for the air and for the raised floor tiles, provides a good representation to obtain accurate temperatures inside the concrete floor.
Hollow core TABS are constructed at the factory and transported as a whole to the construction site. In order to save material and thus reduce mass, hollow cores are integrated in the— regarding forces— neutral zone of the slab. Due to the presence of the hollow cores, the assumption of a homogeneous concrete floor is not correct anymore and the analytical expression which served as a basis for the EMPA model is no longer valid. However, since the focus shifted towards control, the results will only be presented briefly. Based on a finite elements (EE) model and measurement results, an extended RC- star network for hollow core TABS is proposed (Fig. 38). The FE results indicate that the physical interpretation of the EMPA model boundary condition - the constant temperature at the upper and lower boundary of the concrete slab - is still valid in the case of a 20 cm slab. In such an extended RC-model (Fig. 38), the thermal resistance Ri is replaced by a series of three thermal conduction resistances: the concrete layer between tubes and hollow cores (di„), a parallel connection of concrete and air with thickness dib and the upper concrete layer (dic). In layer lb, the air gaps are approximated by squares with the length equal to the air gap diameter. The results of this RC-model are compared with the FE results. Since the difference between the FE- and the RC-calculated is only weakly dependent on the value di¾ it can be concluded that the deviation is mainly caused by the simplified RC-equivalent of layer dit>. After all, for dia > 45mm, the simplification condition (Eq. 1.1) was satisfied for the observed hollow core case, which means that the temperature at the upper boundary of layer dla is reasonably constant. The effect of radiation and convection inside the air holes was analyzed to improve the simplified RC-equivalent of the layer dib, containing the hollow cores. At first, the air was calculated as a solid with λ = 0.024W/mK, thereby neglecting the effects of radiation and convection in the air holes. Due to the different surface temperature at the bottom and the top of the air holes, radiative and convective heat exchange occurs inside the air hole. The FE-results identify thermal radiation as an important parameter: including thermal radiation increases heat transfer with 10%, while convection enhances heat transfer with only 2%. As a next step, these effects are incorporated in the extended RC-model by introducing an equivalent heat conductivity ,q for the air holes, as proposed by Cengel et al. The thermal resistance of layer lb is calculated by:
The adapted RC-model results are fitted to the FE-results including radiation and convection in order to find λε¾. Due to the heat flow direction, radiation and convection in the air holes is especially working in The EMPA model, is used throughout this work as the starting point to model the TABS, whether the objective is to analyze the steady state behaviour, the transient behaviour or to integrate the TABS model in a high level building controller.
However other models can also be used to describe and model TABS. Very often a numerical solution is sought to calculate the 3D or 2D temperature distribution in the concrete slab. For instance a finite difference (FD) method can be used to model
a full concrete TABS. Also comparison of a 3D and 2D (neglecting the Z-direction along the tubes) FD-method is possible with experimental results. Using a FD-model to analyze the cooling capacity and perform some parametric analysis is possible. The FD-model is also incorporated in the European standard EN15377 on water based embedded heating and cooling systems. In the transient system simulation program TRNSYS a FD-difference model for an embedded water based system is available. Also combination of a finite volume model and hydraulic model in the Modelica-language is possible as is using a finite element model to observe the depth of on average 15 cm at which a sinusoidal zone temperature with a 24 h period is transmitted through the concrete slab.
RC-models or analytical expression are sometimes used for the integration of TABS in buildings. For instance first principle based models of various water-embedded systems or by using a 2nd order RC-model for a ventilated hollow core TABS and integrated this in a 2nd order building model. Another possibility is using RC-models connected to a hydraulic model which are combined into macro elements to described a whole building element. Barton et al. used a FD-model to analyze a hollow cores TABS for which conditioned air flows through the hollow cores. They took the bends into account by an equivalent 'bend' length. Also measurements can be used to validate a finite volume model and find a good correlation for heat flows, but temperature deviations up to 2K.
Preferably every TABS controller requires a model of TABS and building. Simple, analytical models can provide a low-cost solution, but are not available in literature. On the other hand, for more complex models the procedure to find the correct model parameters is not straightforward, but indispensable to achieve a good controller performance. These both topics are addressed in embodiments of the present invention. Secondly, regarding the control of TABS, prior art solutions present several pieces of the puzzle, without however deriving simple but robust guidelines for controller design. Embodiments of the present invention provide a set of guidelines for controller design. Moreover, embodiments of the present invention provide an interaction between TABS and the ventilation system which has a high potential, because it combines a slow, but efficient system with a fast, but less efficient system. The way the TABS controller should deal with this interaction is a limited explored area in building system control. Embodiments of the present invention provide a solution to estimate and/or measure the transient behaviour of Thermally Activated Building Systems (TABS) comprising thermally activated thermal components. Preferably embodiments of the present invention provide static and transient thermal properties of the TABS component. Embodiments of the present invention also provide a method to evaluate TABS and building interaction and looks at the corresponding control issues.
Embodiments of the present invention provide a method which enables analyzing the transient behaviour of a TABS using measurements. Moreover preferred embodiments provide an analytical solution of the transient heat transfer is derived to determine the temperature and heat flows inside the TABS as a function of both location and time. The acquired formulation can be used to analyze the transient behaviour of TABS and derive insights regarding control.
Embodiments of the present invention provide a method to analyze the transient heat transfer in a TABS floor. To illustrate the latter, an uncovered concrete floor can be considered, for which a water flow rate, thickness and tube spacing are varied. First, measurements on TABS can be used to highlight important properties of the transient heat transfer from water in the TABS tubes to the zone below and above. In order to analyze the transient heat transfer in a concrete slab, an analytical solution of the heat diffusion equation preferably is adapted for the appropriate boundary conditions. This analytical solution can be used to investigate the time and space dependent temperature distribution in a slab. Moreover, the power and the cumulated heat transfer distribution can be derived according to embodiments of the present invention. These expressions advantageously allow an analysis of the effect of start-stop pump operation, the self-regulating effect of TABS and the heat storage potential under different circumstances.
Since the time constant of TABS is in the range of 10 - 15 h, a TABS based system will never be in a steady-state regime when operating in a building. Regarding heat transfer, the system is continuously in a transient state, meaning that the temperature inside the concrete slab will vary with time and with position. Fourier's law and the conservation of energy principle applied to a one-dimensional element, without internal heat generation, yields the heat diffusion equation. For
incompressible substances (cv = cP = c), and with the thermal conductivity assumed constant, this heat diffusion equation reduces to: pc = (1.4)
dt x2
From the heat diffusion equation the thermal diffusivity α≡ λ /pc [m2/c] defined, which is an important material parameter in the analysis of transient heat conduction, a is a measure for how quickly a material can carry away heat from a hot source. Furthermore, the square of a characteristic length (in this case the TABS thickness d) divided by a represents the time constant of the conductive heat transfer. The time constant τ = d2/a ranges from 2.8 h to 44.8 h for a thickness of 10 cm to 40 cm as illustrated in Fig. 6. Since these time constants are in the range of or larger than the time constants of the heat gains and losses occurring in an office building, the heat transfer in a TABS floor will always be in transient regime.
Preferably data from a TABS-test setup can be used to demonstrate transient heat transfer effects for water flowing through the TABS. The results are generated with a 4x4x3m3 heat transfer test room, constructed according to EN244-2 regulations, in which a prefabricated hollow core TABS was tested as illustrated in Fig. 7 (a). The test room, illustrated in Fig. 7 (b), has a 4x4 m2internal floor area and an internal height of 3m. Water in the 'Test setup circuit' and the 'Test room circuit' can be heated (max. 90 °C) or cooled (min. 6 °C) by means of a condensing gas boiler and an air-cooled chiller. The walls, floor and ceiling are water-filled metal panels, insulated with 10 cm PU-foam, through which warm or cold water of the 'Test room circuit' flows. A high flow rate of 156 1/min ensures a constant internal surface of the metal panels. A fully programmable controller, like for instance a Siemens controller, can be used in combination with Matlab for controlling the measurements and for data acquisition. The water flow in both 'Test setup' and 'Test room' circuits are measured with an electromagnetic flow meter with an error of respectively 0.5% and 0.2%. The systematic error on the flow rate reading has been corrected for. The temperatures in both 'Test setup' and 'Test room' circuits can be controlled by three-way valves. Temperatures in the circuits and on the room internal surfaces can be measured with LG-NilOOO-sensor having an error of +0.5K at 0 °C and +1K at 85 °C. Temperatures in the TABS test element are measured with T-type thermocouples. Measurement data from a 2.4x2.4m2 floor of these hollow core TABS elements show some important features which should be predicted by the transient model of the TABS. A step change from 20 °C to 30 °C in the water supply temperature Tws is induced and the reaction of the slab is registered using the temperature sensors indicated with the numbers 1-13 on Fig. 7(a). These sensors are located in the middle of the slab. Fig. 8 (a) shows the evolution of the supply and return water temperatures, Tws and TWI respectively. Initially the step excitation is not perfectly followed, the overshoot to 38 °C is caused by the setting of the PID controller of the three-way valve used to control Tws.
Zooming into the first minutes of this graph, Fig. 8 (b), shows the effect of flow propagation, which is the time delay corresponding to the water flow from tube inlet Tws to tube outlet Twr. A small drop in temperature is monitored when the valves are opened to activate the step excitation. Fig. 8 (b) shows that this drop is seen in TWr approximately 3 minutes later with a certain attenuation.
Fig. 9 (a)-(b) shows the response of the mean core temperature Tc, which is calculated as the mean of the sensor 1-5 values and corresponds to the equivalent mean core temperature as used in the star network presented previously. After 4 h a value of 25°C is reached, while the steady state value is 26.5 °C. Also here a time delay is measurable: after around 1.5 min, the drop in temperature is measured in Tc, while the attenuation is much stronger than for the Twr-result. However, here, it is a combined effect of flow propagation and thermal capacity of the concrete. This delay time is evidently dependent on the position where the concrete temperatures are measured.
For the surface temperatures (Fig. 10 (a)-(b)), evaluated as the mean of the sensor 6-9 values for Ts,up and the sensor 10-13 values for Ts,down, the delay time is respectively 14 min and 9 min. Fig. 7 (a) shows the positions of the temperature sensors. Although, due to the thermal resistance of the air holes, Ts,uP is reacting slower than Ts,down, it eventually ends up at a lower steady state temperature (24.8°C against 26.1°C) because of the higher heat transfer coefficient at the surface (in the case of
heating which is considered here).
The heat power q' w transferred from water to concrete - m - Twr) - shows a very high initial value compared to the steady state situation as illustrated in Fig. 11. After the first peak, which was caused by the initial overshoot of T going up to °C, ~ 190W/m2 and drops down to a steady state value of q' w = /m2. Initially, the temperature difference between water and concrete is maximal, which explains the high initial power. The time constants of the response of T and to the step excitation of Tws are presented in Table Due to the thermal resistance of the air holes, T reacts the slowest to the step excitation, although the heat transfer coefficient at the upper surface is larger (in the case of heating). For a 'full' concrete floor, this will differ.
Table
Table 2 comprises time constants of the heating step response of and time to reach + (1 - e
These measurements reveal important phenomena, which a transient TABS model should preferably be able to reproduce:
• Flow propagation
• The input signal is delayed when measuring Tc and Tsurface
· The input signal is damped when measuring Twr, Tc or Tsurface
• High power peaks at the start of an excitation
• Time constant for surface temperature reaction of 3 - 4 h
The choice to derive an analytical expression was made in order to obtain a result which would be easily implementable in a building controller, without relying on specific software or skills. Analyzing these analytical expressions will help to clarify these transient phenomena and are used to explain and quantify control behaviour of TABS. In order to obtain general results, the analytical expressions are generated for an uncovered full concrete slab (without air holes) but can be generated for other types of concrete slabs as well.
Analytical solutions of the transient heat diffusion equation Eq. 1.4 for slabs are presented by Carslaw and Jaeger for various boundary conditions. The difference with the TABS case is the fact that water flows through the tubes at discrete points instead of the continuous boundary assumed in the analytical solutions. However, the knowledge of the thermal resistances in the TABS component can be used to transform the location dependent temperature profile at the TABS core to a uniform temperature In this way, the existing analytical solutions for transient heat conduction in materials can be used to observe the time dependent behaviour.
TABS operate in two modes: with and without water flow. Both modes can be derived from the same analytical expression, since they require identical boundary conditions. Fig. 12 (a)-(b) presents the nomenclature for the two operational modes. In the first mode, the so-called free running mode, without water flow, the slab is treated as a whole, with different convective heat transfer coefficients h2,i and h2,2 above and below, and, in order to generalize the solution, with different temperatures T2,i and T2,2 above and below the slab. In the second mode, the water flow mode, the upper and lower part of the slab are treated separately. At the water side, the equivalent concrete core temperature is the surface temperature. The inverse of the equivalent thermal resistance from a star network determines the heat transfer coefficient from supply water to It is important to notice that no thermal inertia is assumed between and At the zone side, the temperature is respectively T2 and ¾2 for the upper and the lower part of the slab. The corresponding heat transfer coefficients are again h2 and h2,2. The boundary conditions at the slab surfaces represent a linear dependency of the heat flow on the temperature difference. In the two operational modes, the conventions used for the heat diffusion equation are:
1. Free running TABS (Fig. 12(a)):
• Slab thickness L = d,
• x = 0 at the ceiling surface (lower surface), (0, t) = ∞mng
• x = d at the floor surface (upper surface), T(l, t) =
Analytical expression for TABS transient heat transfer
• hi: global heat transfer coefficient for radiation and convection at the ceiling,
• r. global heat transfer coefficient for radiation and convection at the floor.
2. TABS with water flow (Fig. 12(b)):
• Slab thickness L = di (i = 1, 2),
• x = 0 at the tube level, T(0, t) = Tc =, the mean core temperature,
• x = di at the upper or lower TABS surface, T(l, t) = T
• hf = )_1/2 is the equivalent heat transfer coefficient between T and Tc,
• hzi and global heat transfer coefficient for radiation and convection to the adjacent zone.
The temperature distribution T(x, t) in a slab 0 < x < is of importance for very practical implementations. This is enabled by solving the TABS T(x, t) problem with a semi-infinite approach, where only the water side boundary is taken into account and the concrete has an infinite thickness, shows that this is only suitable to analyze TABS transient heat transfer in a short time frame: the time at which the heat flow, induced by the hot water flowing through the tubes in the TABS, causes a temperature increase at a depth equal to d; ranges from 4min for a 0.1m slab to 50min for a 0.4m slab. The water flow rate m and the tube distance dx only have a minor influence on these results. Therefore, in order to analyze temperature variations in a TABS floor within time frames equal to its time constant, preferred embodiments of the present invention provide a method to incorporate the TABS upper and lower boundary into the analytical solution.
Carslaw and Jaeger [present an equation T(x, t) for a slab 0 < x < L, subjected to different boundary conditions (hi and h¾i) at upper and lower surface. First, in order to generalize the results, x and t are replaced by their dimensionless counterparts ξ and together with the dimensionless material parameter Bi. The equation expresses the 1-dimensional temperature distribution in a slab of general thickness L as a function of time and space for a temperature = 0 (i = 1, 2), thus the same upper and lower zone temperatures.
ξ ^ χ / L (1.5)
Fo = t / (L2/otc) : the Fourier number (1.6)
.i = ,ίΙ7λ (i=l,2) : the Biot number at surface or 2 (1.7)
The dimensionless counterparts of the boundary conditions for which Carslaw and Jaeger derive their analytical expression, are:
&T d2T ΘΤ d2T
The dimensionless formulation of the analytical expression given by Carslaw and Jaeger, is then:
(1.12) with :
Z„ (£, Bi|) = cm (βηξ) + sin { ¾,£)
1:512
¾νΐΜί,(Β¾, Γ«πΛ) = 1 ,„.¾(i')/(i') ¾' (2.12)
Jo
and 3„,(Bi,). n=l,2,. . . the positive roots of :
Bil gj2 (3.12) cot 8 -
5 (Bii + Bi2)
This part provides a novel approach to solve the Carslaw and Jaeger equations, for different upper and lower temperatures Temperature distribution Τ(ξ, Fo). For the free running TABS, it is required that the temperature distribution can be determined for non-zero zone temperatures, which differ above and below the slab. For the TABS with water flow, the upper and lower part of the slab are treated separately: in the 0 < x < L concrete slab part, x = 0 at the tube level, where the water supply temperature acts and x = L is respectively the upper and lower slab surface, where the zone temperatures acts. For both operational modes, the analytical expression Eq. 1.12 is extended in embodiments of the present invention to nonzero and different temperatures below and above the slab. This is implemented by separating the temperature variable Τ(ξ, Fo) into υ(ξ) and w¾, Fo). The problem description with boundary conditions (Eqs. 1.8 - 1.11) changes into:
iff _ d*T
d Fo θξ2
1 dT
- (T - Ti) = 0, £ = 0
Bi'i £¾'
1 dT
+ (T - T2) = 0, £ = 1
¾ ¾"
T = !((,), t
by substituting T = u+w in these equations the following set of equations is obtained: ^2 - 0 or u = (6"£ + D)
1 &u
(u - Ti) = 0, £ - 0
ϊϊΰ ϋ
1 du
■ (u - T2) = 0, £ = i
For the free running TABS, Ti must be replaced by T¾2 and T2 by T2,i as shown in Fig. 12(a). Parameters C and D in the equations above can be found by using the appropriate boundary conditions:
^-C— (C¾ + D - Ti) = 0, ξ = 0
- -C + (Ρξ + D - To) = 0, ζ = 1
Bit
resulting in:
(Τ2 - Ϊ1)
C =
D --
+ ¾ (ΈΪΪ + 1)
The solution for w(4, Fo) is equal to Eq. 1.12 with the only difference that the initial temperature distribution
m =
whereby ί(ξ) is the initial temperature profile at time t = 0. In order to avoid solving the integral in Eq. 2.12 each time for different initial temperature distributions, a general applicable approach is proposed: this initial temperature distribution is approximated by discretizing the resulting Tinit-profile into K parts and interpolating linearly between its values:
/¾ )fc→fe+i = ( Μ(ξ - 0) + N) - ipi + D) = Μ'ξ + Ν',
where the values of M, N and O are determined by Tmit(k) and Tmit(k+1), k e [0,K - 1]. Integrating this initial temperature distribution into the integrand part of Eq. 2.12 results in:
¾,«« = Α„Ζη{ξ) (Μ'ξ + Ν') άξ
With the known temperature distribution in the slab, the heat flux (W/m2) in the slab can be derived using
Xr ffT
with "k L the heat flux per degree K (W/m2K). From Eq. 1.14 it follows that after a certain time, the specific power reaches a steady-state value, determined by the parameter C, which is the steady-state heat flux q' = ΔΤ/R:
(2.14)
The cumulated specific heat (J/m2) can be deduced from Eq. 1.14.
9(ί , >ο) = i f di = f — -—— d l»
Jo Jo A' ·-¾ α
F0 L ^ d ¥"
Jo θξ
Fo
Λ Jo οξ
— ^
(1.15) with Lpc : cumulated specific heat per degree K (JYm2K). Again, for large Fo » 1, the specific heat reaches a steady-state value LpcCFo, which is linearly dependent on Fo. Moreover, since βη increases rapidly (βι < π/2, βη>2 = (n - 1)π), this relation can be simplified by using only the first term of the infinite sum (this analysis will be elaborated further below):
In summary, it can be concluded that the temperature and flux profiles can be found from:
T (ξ, Fo) = d + D + T ΛτιΖη(ξ≠ A i¾) ¾„;, (1.16)
8,
\ C + ∑Αηβη ( eoe (,SnC) ■Εάη {βηξ) ■ Kb 7 ■ (1.17)
lit: ς{ξ, Fo)
In free running mode, for a situation with equal temperatures Tzo∞ below and above the slab, the C parameter equals zero and D = T∞ne. In the case where Tzone = 0 below and above the slab, the above expression for T reduces to the expression formulated by Carslaw and Jaeger. In a next step according to preferred embodiments, the solution is combined for the upper and lower slab part. The approach that calculates the upper and lower slab part separately asks for a correction when combining the two results. Since Βΐ2,ι φ Bi2,2, due to a different heat transfer coefficient at the slab surfaces or a difference in slab thickness, the amount of heat transferred to the upper and lower part will also differ. If, as assumed up to now, the value of hi is equal for upper and lower slab part (= (Rz + Rw + Rt + Rx)-1 12), the Τ(ξ, Fo)-solution will result in a different Tc- value for upper and lower part. This is, considering the physical meaning of the equivalent core temperature Tc, not feasible. Fig. 13 shows the difference between the real heat flow pattern in a star network (Fig. 13(a)), and the resulting heat flow pattern by combining the solution for the upper and lower slab part (b). The correction factors ai and a2 are introduced to make sure that Tc = Tci = Tc2, and are calculated from:
The correction factors ai and a2 relate as 1/ai + l/a2 = 1. While finding the temperature distribution in the concrete slab, defined by Eq. (1.16), an iteration is performed to find the values of ai and a2 for which Tc = Tci = TC2. For reference, after circulating 30°C water during 4 h through a TABS slab of 0.2 m thickness with a zone temperature of 20°C above and below
the slab, the correction values for the equivalent core thermal resistance Rc are 1/ai = 1 - l/a2 = 0.49. Since a symmetrical slab is considered, with equal zone temperatures above and below, this difference is induced by the different h-values above and below. The ai-value can be understood
as follows:
· For the uncovered slab in heating regime, the heat transfer coefficient at the ceiling is lower (thermal resistance larger) than at the floor surface (Rdi > R<E).
• With equal zone temperatures T2 below and above the slab, qi < q2.
• If ai = a2, then Tci > TC2 (heating regime, so Iws > T2), which is contradictory to the physical meaning of Tc in the star RC- model of TABS.
· In order to have Tci = Tc2 with qi < q2, ai should be larger than a2. An iteration is required to find the values of ai and a2, because anic is an integral part of the total resistance between TWs and T2, which determines q'i.
To conclude, the approach of using the correction factors ai and a2 can be seen as adapting the size of the 'tunnel' through which the heat flows. A larger tunnel upwards and a smaller tunnel downwards makes sure that more heat flows upwards while still having equal ΔΤ upwards and downwards.
In order to assess the impact of the different terms and factors in Eqs. 1.16, 1.17 and 1.18, their numerical values are presented for Bii-values varying from 0 to 1 with a 0.1-step. These are typical values for concrete slabs. The values βη are the roots of Eq. 3.12, which represents a cotangent function subtracted by a linear increasing function. Except for the first root, its roots lie close to π as can be deduced from Fig. 14.
Fig. 15 (a) shows that, except for the first root, the roots of the β-function approach (η-1)π, which is indicated by the thick dashed line on the figure. The arrow indicates the impact of increasing values of Bii or B12. The value of An decreases for larger n-values. It is affected by Bii and to a minor extend and only for the first n-values, by B12. This indicates the dominance of the first terms in the infinite sum. The space dependent Zn-term is presented in Fig. 15(c) for two values of Bii, which affects the amplitude of the solution. The higher the Bi-number, the lower the space dependent term in the infinite sum. The frequency of the Zn-oscillation as a function of n, is determined by ξ: the graph presents solutions for ξ = 0 (constant), ξ = 0.1 and ξ = 1 (highest frequency). The two time dependent factors, the decay factor in the solution for T and q", and in the solution for q (Figs. 15(e) and 15(f) respectively) show that after a certain time, the influence of the initial condition will extinct. For higher βη- values this already occurs at a time which is only a fraction of the system's time constant. Since βη (n > 2) is only weakly dependent on the Bi-numbers (Fig. 15(a)), these decay times are almost independent of the specific situation. Supposing the nth term is negligible when it's value reaches 1% of its initial value, it follows that
Is 0.01
e(-A. => Fo = =—
n
The initial condition factor Zn,imt appears to decrease to zero for approximately n > 10 and will therefore have a large impact on the solution of the transient temperature profile. E.g., for uncovered concrete slabs with a thickness ranging from 10 cm to 40 cm, for n = 2, this time ranges from Fo = 0.4 (t = 1.1 h) to Fo = 0.3 (t = 13.9 h), so around 1/3 of the slab's time constant. For n = 3 and n = 4 this is approximately 10% and 5% of the time constant. Analogously, the same reasoning applied to the first term (n = 1) leads to the time at which the temperature has almost reached steady state. For the same concrete slabs, this appears to be after, respectively, Fo = 6.8 (t = 19 h) to Fo = 2.0 (t = 90 h). Therefore, this steady state time is a function of the Bi-number.
Fig. 16(a) shows the individual values of the terms of the sum in the temperature equation for Fo = 0 and ξ = 0. It shows that the solution is dominated by the first term. However, as presented in Fig. 16(b), for small values of Fo, it is crucial to include more than the first term of the temperature equation, in order to obtain a correct result. For Fo > 1, it is reasonable to approximate the temperature distribution by only taking into account the first term (n = 1). To conclude, although the n = 2-
decay term is very small for Fo > 0.4, the joint effect of the -sum seems to affect the solution up to Fo = 1. This is certainly true for larger Bi-numbers, as in the case of the free running TABS. For TABS with water flow, since upper and lower part are treated separately, the Bi-numbers are in the range of 0.3-0.4, for which the n > 2 decay more rapidly. However, as a general rule, using Fo = 1 as a threshold to neglect n > 2-terms seems appropriate.
Until now, we have treated TABS as a -dimensional system. However, a TABS floor is evidently a 3-dimensional system which means that the concrete temperature Tc is a distributed variable, so a function of both time and location. In the EMPA- model, the difference between T and is integrated in the model with the thermal resistance Rz. Koschenz and Lehmann proved that + T )/2, meaning that the effective temperature of the water along the tube length is approximated by a linear curve, as shown in Fig. (a). From the energy balance, Koschenz and Lehmann deduce the condition:
"77" C w,f 1c) = ~, iwa "~~ f- wr)
-I
(1
If Eq. is not fulfilled, Koschenz and Lehmann propose the solution to divide the tube length in n parts, as in Fig. 17(b), which changes Eq. into:
However, due to the nature of Rz, there is no thermal capacity between Tws and in the EMPA-model, which makes +T )/2, immediately after the pump is switched on and water at temperature enters the TABS. This still neglects the effect of the water flow propagating through the TABS tube, as shown in Fig. The effect of propagation time was already demonstrated above while analyzing the measurement results. Next to the concrete temperature T¾ this means that the mean water temperature is also a distributed variable. In order to determine the short term flow switching behaviour of the TABS, it is necessary to assess the effect of propagation time on the transferred energy from water to concrete. Furthermore, this propagation time might be the reason why model errors have been reported for pump cycling times lower than 40min.
In heat exchanger applications this problem is often resolved numerically. However, to account for propagation time in a controller, J.C.Cool et al. propose an analytical solution for a condensing fluid (constant temperature) around the tubes, while the fluid in the tubes is subjected to a step change. This approach is adapted to the TABS system according to embodiments of the invention.
Assume water conditioned at set point temperature is immediately available at the TABS tube entrance. When water flow is switched on, it takes a certain time before the change in water temperature is propagated through the whole TABS floor. The propagation time tp = /vw is evidently a function of the water speed and the length of a single loop, with vw = 4'mw/pw dtj2 (m/s) the water speed in the tube. Without taking into account the propagation of the water flow, a step in the supply temperature Tws will immediately result in a step change of the mean water temperature = (T )/2 in the TABS floor. For this case, from the steady state energy balance, Twm can be derived, leading to Eq. .20. This approach is used in the EMPA-model using in a device and method for controlling a zone variable according to embodiments of the invention.
with Tc the concrete core temperature from the equivalent star network as described above.
The water temperature as a function of time and location can be used in embodiments of the invention. With the propagation time taken into account, the energy balance between a water temperature Tw at some point in the slab and a constant, for the moment not specified, concrete temperature TCOncr on a TABS-piece dz along the length of the tube is: f'wPm
With T„(z + dz) = Tw(z) + (δΤ„(ζ)/δζ) 6z Eq. 1.21 becomes:
4i½. tft &x tfZ
(1.22)
With
T = Ficmlcrc;wpwndf^i Aclx [s]
(1.23)
and vw the water speed, the Laplace transform is an ordinary differential equation in z:
<Jz (1.24) On the assumption that Tconcr is constant during the propagation time tp, θ∞ηπ = 0 and Tw(z, t) is the solution of the homogeneous part of Eq. 1.24:
+ i
■ 1 (1.25)
The constant A can be found by putting 6W = 9W(0, s) for z = 0, which results in the final transfer function: M = C "¾ e °™ (L26)
Ψ
Tw(z. t) = T«, (0. t)(-^u(t -— )
v (1.27)
From Eq. 1.27 it follows that the response to a change of the water temperature at the entrance of the TABS module is delayed by a time z/vw and damped by a factor e_z/T™, which is a function of the heat transfer characteristics through the factor T.
Another useful parameter to deduct is the mean water temperature TWm as a function of time. The effect of the propagation time on the mean water temperature TWm can be found by averaging Tw(z, t) over the total length Lt of the tube:
1 Γ^' T (ft f) Γ^'
Twm(t) = - / Tw(z, t)dz = / e-^«(t -—)dz
Jo Lt JO 'l'w
(1.28)
Two regions can be distinguished for which this integral is solved: t <Lt/vw and t > Lt/vw, where Lt/vw = tp is the propagation time of the concrete slab. The integral is solved with the assumption that the initial water temperature Tw(z, 0) = 0. When this is not the case, a simple transformation justifies this assumption.
t < tp: before the end of the flow propagation
The delay factor u(t - z/vw) divides the z-interval [0,Lt] in two parts (see Fig. 18):
1. z < tvw t > zfvw : u{t - = 1
2. z > tvw t < z/vm I u(t - = 0
i ,.(o, f) tl½
= j—Tvwe
¼ o
= Γ„(0, ί)^ (ΐ - π-τ)
>P (1.29) By way of illustration, embodiments of the present invention not being limited thereto, examples of a method and system according to embodiments of the present invention are described and experimental results are discussed below.
t≥ tp: after the end of the flow propagation
The delay factor u(t - z/vw) always equals 1, resulting in a mean water temperature given by:
. , Tw(0, t) fL>
i
= j TV„e «.„
Lt In
A summation of Eqs. 1.29 and 1.30 results in a global formulation (see Eq. 1.31) of the mean water temperature Twm as a function of time t, the propagation time tp, the inlet condition Tw(0, t) and the heat transfer to the TABS, incorporated in the parameter τ :
Twm (t) = Tw(Q, t)
Now we will be describing the heat transfer parameter, which is used to enable embodiments of the present invention. In the derivation of the Twm-equation described above, the concrete temperature T∞ncr and the heat transfer resistance R concr are not specified. They can be determined by stating that for t = tp, the Twm-value from the steady state energy balance (Eq. 1.20) is equal to TWm from the propagation energy balance (Eq. 1.30). Because T∞ncr, and therefore also Tc is assumed to be constant, this variable can be put equal to zero in the energy balance.
Tws R zr£- [■I t ~ 1c -)— 1 \ 1 — " RrTc" 1 Zw(■0, l■\ — 2tp(0, t)■— tp ( 1— β
(1.32)
Since τ = f(Rconcr) (Eq. 1.23), it follows from Eq. 1.32 that Rconcr is a function of the propagation time tp and the ratio Rz/Rc, or, in terms of the TABS dimensions, a function of the water speed vw = f(m" w,dt,i), the tube length Lt, the tube spacing dx and the TABS thickness d.
Fig. 19 shows a parameter analysis of the thermal resistance RCOECI(I) as a function of dx, which give the 5 sets of data along the linear curve, (2) within 1 dx data set, as a function of m' w (decreasing Rconcr with increasing m' w), and (3) within 1 dx-m w-data set, as a function of d (a very small influence, which is only noticeable at low m™ -values). With Eq. 1.32 solved for R∞ncr, Fig. 19 shows that dx has the largest influence on the value of R∞ncr, followed by m' w and finally d. Moreover, the figure shows that the thermal resistance Rw + Rt + Rx between mean water temperature Twm and the equivalent mean concrete core temperature Tc is a valuable first approximation for Rconcr: the error is over 40% for the smallest value
of dx and drops to 17% for the largest.
Another parameter which is derived an can be used in embodiments of the present invention is the influence of flow propagation on the heat transfer. Using the star network (Fig. 5) to calculate heat transfer in the TABS floor, the flow propagation has an influence on the transferred heat from water to concrete. Starting from Eq. 1.31, the heat power and the transferred energy during the propagation time for a step change of the water supply temperature can be expressed as:
<i = (T,„„ - 0)
dt
T Q,
(1.33)
Without taking into account the propagation time, this would have been:
1
i .,(o. t)
^ 34)
Therefore, the impact on the heat transfer by taking into account the propagation time can be expressed by the ratio of ^~
(1.35)
The ratio of qprop to qnoprop (Eq. 1.35) allows to define an equivalent mean water temperature for which the energy transferred in the period [0 - tp] equals q However, since i™— f(T it is equally valid to define a constant equivalent
As a result, using the star network approach to calculate TABS heat transfer (see for instance Fig. 38) and because flow propagation causes a delayed increase of the mean water temperature in the slab, the effect on the heat transfer from water to concrete can be calculated by using the constant equivalent water supply temperature Tws,eq during the flow propagation time tp.
The -approach is applied for a 10°C step change of the water supply temperature in an uncovered concrete slab of thickness d = 0.2m having a total area of 12m2. For a mass flow m' w = 150 kg h the propagation time tp = 319 s. Fig. 20(a) shows the effect of the propagation time on the mean water temperature in the slab, while Fig. 20(b) demonstrates the use of to calculate the cumulated heat transfer: at the end of the propagation time, the energy transferred is equal to the case where propagation is taken into account in detail. The ratio q /q is 65.6% in this case.
While setting up the analytical solution of the transient heat transfer in TABS, two important simplification are made in preferred embodiments of the invention. Firstly, a simplification originating from the EMPA-model is that the mean water temperature is the mean of the water supply and return temperature, T and In reality this is an exponential- shaped curve, as shown in Fig. 17. Secondly, by deriving the Equivalent Mean Temperature to account for the propagation time, the assumption was made that during this propagation time, the temperature of the concrete is constant. Both assumptions tend to overestimate the heat transfer from water to TABS, which is proportional to - Tc). To analyze the impact of these assumptions on the calculated temperatures and heat transfer rates in the TABS, a comparative calculation is set up between 3 cases:
• Case 1: the 'finite difference'-approach, the analytical solution for a slab divided into n parts, to have a good
approximation of the real water temperature profile and heat transfer from water to TABS.
• Case 2: the 'no-propagation' -approach, the analytical solution for a slab without propagation time and
• Case 3: the 'propagation'-approach, the analytical solution for a slab with propagation time
The TABS is initially at 20°C and the water temperature experiences a step to 30°C. The dimensions of the example TABS piece, as shown in Fig. 21, are chosen such that they fulfill the EMPA steady state conditions and the EMPA energy balance condition. This means that the EMPA star-RC-network can be applied to this TABS. The TABS is divided into 10 parts and the calculation time step dt is chosen to be 5s.
The water speed vw is such that the water flows through 1 TABS part in 1 time step dt. This means that the effect of water propagation in 1 TABS part is not present from t to t + dt. The EMPA energy balance condition is fulfilled for both the whole TABS piece as well as for 1 dz-TABS part. The propagation time of the TABS is tp = 50 s = lOxdt. Table 3 shows the data of the example TABS piece more specifically data of the example TABS piece used for validating the simplifications of the analytical expression.
Table 3:
Parameter Value Units
10 (m)
20 (in)
The tubes axe located in the center of the slab
20 (mm)
0.15 (m)
1.00 (m)
vw 0.20 (m/s)
dj'l
> 0.3 0.67 (-)
< 0.2 0.13 (-)
Rc(Lt)(calcuiated) 0.031 (m2K/W)
— J > 1 3.2 (-)
0.026 (m2K/W)
> 1 27.1 (-)
outer tube diameter The energy balance condition of the dz-part, equal to 27.1, shows that the division of the 10m TABS into 10 parts is sufficient: this value means that the water temperature drop (Tws-Twr) will only be 4% (1/27.1) of the difference between water and concrete (Tws-Tc). The linear interpolation over dz to obtain Tw,mean will therefore be sufficient to approximate the real Tw
To show the effect of the three approaches, Fig. 22 presents the water supply, water return, and mean water temperatures, Tws, Twr and Tw,mean- Remember that the heat transfer from water to concrete is proportional to (Tw,mean-Tc), with Tc the concrete core temperature (cfr. The EMPA-star-RC network). Without propagation (n-line), the lumped analytical solution immediately results in a high Twr and Tw,mean. With the 'finite difference'-approach (°-line), Twr remains at 20°C until the propagation time tp = 50 s. With propagation (x-line), the impact of the increasing Tw,mcan in the TABS is compensated by using a lower water supply temperature Tws during the propagation time tp. The mean water temperature Tw.me u in Fig. 22(b) corresponds well the results from the analytical solution in Fig. 20(a), where T' w.mem was calculated with Eq. 1.31 for the 'propagation'-approach.
Fig. 23(a) shows the impact of taking into account the flow propagation in the calculation of the heat transfer q. In the 'propagation'-approach, q matches the 'finite difference'-approach much closer, which is also shown by looking at the ratio
and in Fig. 23(b). Where both ratios are in the first seconds very high— but the absolute value of very low— the 'propagation'-ratio quickly drops towards a very small value: 0.07% after 4min and increasing slightly to 0.6% after lOmin. For the 'no-propagation'-approach, this is 10% after 4min and over 4% after lOmin. These figures show that the two simplifications made in the analytical expression -linear interpolation of the water temperature and the constant concrete temperature- do not lead to significant errors. After the propagation time, is almost equal for the three approaches, as can be seen in Fig. 22(b), showing the small effect of the linear interpolation. The 'finite difference' -approach (°-line in Fig. 24(a)) indeed shows that the concrete core temperature Tc is not constant during the propagation time. So the constant Tc which was needed to derive the expression for the Equivalent Supply Temperature, is not valid. However, the cumulated heat transfer q in Fig. 23 shows that this error does not compensate for the benefits of taking into account the propagation time using the 'propagation'-approach (Mean Supply Temperature).
Fig. 24(b) shows that the 'finite difference' -approach leads to slightly higher surface temperatures than calculated by both simplified expressions. Also for Tc, the 'finite difference' -approach leads to higher temperatures: 'finite difference' : 21.92°C, 'no-propagation': 21.91°C and 'propagation': 21.88°C after lOmin. However, the difference is very small, and therefore the impact on the heat transfer is negligible.
Analysis of transient heat transfer in TABS. Case 1 : Heating up TABS during 8 h
Table 4:
Value Unit
Uncovered TABS
Thickness d 0.2
Tubes spacing rix 0.15 m
Area AgTO$t 12
Area A„et 10 m2
Calculated R 0.0564 m2K/W
As a first application, in order to demonstrate the analytical solution, the results of TABS being heated for 80 h are shown for an uncovered concrete slab with specifications as presented in Table 4. In this case, the temperatures of the zones below and above are kept constant at 20 °C. Heat transfer is considered in both directions, upwards and downwards, so into both zones. The energy balance condition Eq. 1.19, as formulated for the EMPA model, is fulfilled, with m d = 1.03. In this case, the TABS are heated during 8 hours with water at 30°C, while in the next case, the pump stops running after 4 hours and the TABS are free running during the last 4 hours. The time is presented by the dimensionless Fourier number, with Fo = 1 <^ t = 11.2 h.
The calculation is performed with a time step of lOmin, while Fig. 25 (a)-(f) show the hourly results. The results are presented in 6 figures (a)-(f). Fig. 25 (a) shows the temperature. Τ(ξ, Fo) is present on the X-axis in °C and on the y-axis ξ is presented, the thick dashed line (- -) shows the upper and lower TABS surface, each line represents the temperature distribution of 1 h later. E.g. when heating, Τ(ξ, Fo) is evolving from left to right. Fig. 25 (b) shows the specific heat power, with on the x-axis q'( , Fo) in W/m2 and on the y-axis ξ is presented, the sign is determined by the direction of the heat flow; positive in the positive ξ-direction and negative in the negative ξ-direction. E.g. in a heating situation, q' is positive for the upper part and negative for the lower part. With water flow, the q' -profile has the largest difference between the center and the surfaces at small Fo, and evolves to a constant value (see Eq. 2.15) for large values of Fo (after a long time). Without water flow, the q'-profile has no discontinuity at ξ = 0.5. Fig. 25 (c) illustrates the specific cumulated heat, on the x-axis q is given in kWh/m2 and on the y-axis ξ. The q-profile starts from 0 at Fo = 0. In the center (ξ = 0.5), q increases more rapidly
when the water flow (heating or cooling) is on. Here the equal sign convention as for q is applied. Fig. 25 (d) shows the electricity use for production: heat pump (in heating mode) or chiller (in cooling mode) (Ede¾heatpmnp chiiiei) illustrated as a (x) in kWh/m2. In addition fig. 25 (d) illustrates the electricity use for production and circulation pump Eeiectotai represented as a solid line. The latter is accomplished for an air- water heat pump with a COP = 3.9, a chiller with an COP = 3.5 and a circulation pump consuming 0.84W/m2 or 252W/1 Fig. 25 (e) illustrates the specific heat power (q') in function of Fo. Moreover Fig. 25 (e) illustrates the sum of heat power to upper and lower slab part as q' water in W/m2 represented by (x) and the sum of heat power to the zone below and above represented by a solid line. Fig. 25 (f) illustrates the specific cumulated heat (q) in function of Fo, whereby the sum of heat to upper and lower slab part (qwater-TABs) is represented as (°) and the sum of heat to the zone below and above (qTABs-zone) represented by a solid line.
From Fig. 25 different aspects of the transient heat transfer occurring in the concrete slab can be analyzed. General conclusions that can be drawn for this case are:
1. Initially, the temperature increases more in the middle than at the edges (a), gradually evolving towards the steady state situation given by Cξ + D (see Eq. 1.16).
2. The power profile follows this trend with initially a large difference between power from the water and power to the zone (b)-(e), while evolving to the steady state heat power - CC L (see Eq. 1.17), which is 65W/m2 in this case.
3. The heat power the heat pump has to supply is larger than the steady state power for which the unit would normally be designed. In both cases a maximum of 153W/m2 is attained (reached in the first hour of operation, between the first two x- markers in Fig. 25, which is a factor 2.4 higher compared to the steady state design power.
4. The center of the TABS is loaded with heat prior to heat transfer starting up at the edges (c)-(f). This results in a large amount of heat stored in the slab after 8 h run time: 0.53 kWh/m2, as can be seen from the difference between the two curves in Fig. 25 (f).
5. The electricity use (solid line (— ) in Fig. 25 (d)) is directly related to the cumulated heat (Fig. 25 (f)) at ξ = 0.5, the tube level of the slab. The electricity consumption of the circulation pump is only a minor part of the heat pump electricity use. Analysis of transient heat transfer in TABS. Case 2: Heating up TABS during 4 h
Compared to case 1, the water flow is now switched off during the last 4 h. The first 4 lines in Fig. 26 (a) are equal to case 1, but then a cosine-like T-profile arises in the concrete slab, when it is cooling down towards the zone temperature (next 4 lines). In the last 4 hour, the q' -distribution in Fig. 26 (b) shows that no more power is added to the slab by the water: q' = 0 at ξ = 0.5. The q-distribution in Fig. 26 (c) shows clearly that for the zero-water flow situation, no extra heat is added to the slab (for ξ = 0.5). The heat loaded in the slab during the first 4 h, is gradually released into the zone: q¾ = 0) and q¾ = 1) keeps increasing after the pump has shut down. This is also visible in Figs. 26 (d)-(e)-(f). No more heat is added to the slab after the 4fh hour, therefore the electricity use also stops increasing Fig. 26 (d). However, heat transfer in the zones below and above remains, though gradually decreasing as illustrated in Fig. 26 (e)-(f).
Again, the center of the TABS is loaded with heat prior to heat transfer starting up at the edges as illustrated in Figs. 26 (c)- (f). Due to the water flow stop after 4 h, the amount of heat stored in the slab after 8 h run time is lower than in case 1: 0.25 kWh/m2 in this case (Fig. 26 (f)), while this was 0.53 kWh/m2 in case 1. However, the difference in heat transfer to the zone is smaller: 0.22 kWh/m2 in this case (full line in Fig. 26 (f)), while this was 0.28 kWh/m2 in case 1. So, it can be concluded that the longer pump run time in case 1 especially increased the amount of heat stored in the slab, and does not have an equal effect on the heat transfer to the zone.
Analysis of transient heat transfer in TABS. Case 3: Cooling down TABS
In the case of cooling the general conclusions drawn for the 'heating up' case maintain. The results of TABS, starting at 23 °C and being cooled for 8 hours with water at 17 °C are presented in Fig. 27. The profiles are mirrored compared to the heating up case (Case 1, Fig. 25). Therefore, the conclusions drawn for the heating case, apply also to the cooling case. In order to shorten the simulation time, the next results are calculated with n = 1..20 instead of n = 1..100 in Eq. 1.16. This will only effect the initial values: for Fo = 0 this approximation results in a fluctuating temperature distribution, which result
is visible in the fluctuating pattern of the specific heat power at Fo = 0 in Fig. 27 (b). Since for Fo > 0 the first 20 terms of the sum are sufficient, this fluctuating disappears for these results. The solution is calculated with a 10 min time step, but presented with a 1 h time step.
Analysis of transient heat transfer in TABS. Case 4: TABS without water flow
In the case of a free running TABS, the cooling down to eventually zone temperature is visualized in Fig. 28. The TABS starts initially at a constant temperature of 25 °C, while the zones below and above remain at 20 °C throughout the whole period. As in Case 2 (Fig. 26) a cosine like temperature distribution arises in the slab, q' gradually evolves towards zero. However, after 8 h, the TABS is still heating the zones with more than 20W/m2. q in Fig. 28(f) will eventually stop increasing, but again here, this is certainly not the case after 8 h. Advantageously embodiments of the present invention and more specifically the model used to describe TABS, can be used to characterize TABS without water flow as well, resulting in the properties of the TABS which can be used in other applications as well, e.g. by the producers of TABS component to test their products and materials used in the process.
Since the resistance to heat transfer associated with heat conduction through the concrete slab is about double as large as the resistance to heat transfer between the supply water and the concrete it is possible to save on heat pump operation time, and therefore save on electricity cost. After all, shutting down the pump for a period allows the heat to diffuse through the concrete.
To analyze this effect, 6 different case are calculated:
1. pump-case 1 : 8 h period, sequence of 8 h pump operation
2. pump-case 2: 8 h period, sequence of 4 h pump operation, 4 h free running
3. pump-case 3: 8 h period, sequence of 2 h pump operation, 2 h free running
4. pump-case 4: 8 h period, sequence of 1 h pump operation, 1 h free running
5. pump-case 5: 8 h period, sequence of 30min pump operation, 30min free running
6. pump-case 6: 8 h period, sequence of lOmin pump operation, lOmin free running
For all cases, 1 ws 30 °C and Tzone = 20 °C, which means the TABS is heated by the water flow. Fig. 29 shows the following trends for the different pump operation modes. For pump-cases 2 to 6, the pump run time is equal over the 8 h period, and half of the run time of pump-case 1. The heat input from the water to the concrete slab appears to be almost equal for pump-cases 2-5 (Fig. 29(a)). Only pump-case 6 has a lower cumulated heat amount, due to the effect of the propagation time: from every lOmin pump operation, 5.3min are at the lower equivalent water supply temperature; However, the cumulated heat output to the zones below and above differ from case to case (Fig. 29(b)). For a longer continuous operation time of the pump (e.g. pump-case 2), the surface temperatures of the TABS reach higher values, resulting in a higher specific power output to the zones. Numerical values supporting this observation are given in Table 5, which presents in the first row the mean specific heat power to the zone over the 8 h period for the different pump-cases 1-6. Table 5:
Case 1 2 3 4 5 6
4o.itp.il (W/lli2) 34.4 27.3 23.6 21.4 20.0 17.4
<frtqmt {kWh/m2} 0.80 0.47 0.48 0.48 0.47 0.43
goutput (kWh/iii2 ) 1128 0.22 0.19 0.17 0.16 0.14
(fcWll/tll2) 0.53 0.25 0.29 0.31 0.31 0.29
J 06 53 61 64 06 67
Since the TABS have a large thermal capacity, operating the system implies that the TABS are 'loaded' with heat. Table 5 shows that operating the TABS with longer pump operation times (as in pump-case 2) also leads to the lowest qstomd. Pump- cases 3-6 are comparable, while pump-case 1 has the largest amount of energy stored in the concrete slab (which is mainly due to the larger amount of heat added by the water (see Fig. 30(a)). Comparing pump-case 1 and pump-case 2 shows that,
although pump-case 1 has 26% more heat output to the zone, 71% more heat input was needed to reach this situation. The remainder of the heat is stored in the TABS. To conclude, in pump-case 2 an amount of heat, almost equal to pump-case 3-5, is transferred to the TABS, but more heat is transferred to the zone, due to the higher surface temperatures. Therefore, less heat is stored.
Pump-case 5, which has, in contrast to pump-case 6, the lowest heat input, has the highest amount of stored heat for the 8 h period. These observations indicate that, in order to use the TABS as heating or cooling device, the pump operation time should be as continuous as possible for a certain operation time (case 2 has an operation duty load of 50%) in order to reach high surface temperatures. On the other hand, if the TABS are used to store energy, rather than transferring heat to the office zones, it is beneficial to operate the pump intermittently. Because of the propagation time an operation time period of less than 30min should be preferably avoided.
For other water supply temperatures, whether the TABS are heating or cooling, the conclusions of the previous section remain the same. For a period of 8 h, the pump-case 2 setting uses the heat input in the most efficient way. However, when the TABS have to transfer a certain amount of heat into the zone, by varying the water supply temperature and pump operation settings a different result is obtained.
Fig. 30 presents the simulation results for a 0.2 m thick slab to reach qreq = ±0.1 kWh/m2 cumulated heat transfer to the zone. In the case of heating, the supply temperature is varied between 25 °C, 30 °C or 40 °C, and in the case of cooling, 8 °C or 17 °C. The vertical axis presents heat pump and chiller electricity consumption, together with the electricity needed to drive the circulation pump, as a function of the dimensionless time Fo needed to reach qreq. A trade-off is visible between time and amount of electricity needed to reach the required heat output. For TW5 = 40 °C, the required 0.1 kWh/m2 is already reached within the first 4 h period, making the result for case 1 and case 2 identical: the 'first' -marker in Fig. 30(a) at Fo = 0.28, E = 0.21 represents the results of case 1 and case2. Remember from Figs. 25 (a)-(f) and 26 (a)-(f) that the difference between case 1 and 2 only starts after 4 h. This is equally true for Tws = 8 °C in the cooling regime (Fig. 30(b)). For these extreme temperatures, case 1 and case 2 both load to much energy into the slab to achieve the goal of qmq = ±0.1 kWh/m2. Only for the more restricted temperatures 25 °C for heating and 17 °C for cooling, the case 2 pump settings achieve qreq in the shortest time frame and at a comparable energy cost compared to cases 3-6, where case 1 always has the highest energy cost. In general, since pump-case 2 remains the best solution for all observed cases, it can be concluded that the pump cycle time should be around half of the time to reach qreq.
The previous conclusion suggests that a simplified expression that determines the time needed to reach qreq, would provide essential control information towards start up time and pump cycle time. As indicated above, it was demonstrated that calculating the temperature profile with only the first term of the infinite sum, only yields acceptable results for Fo > 1. However, this appears not to be true for the cumulated heat q. Fig. 31 shows the small deviation between the detailed solution in solid line (— ) and the solution where only the first term of the sum is taken into account (markers x and *). The dashed line is the steady-state solution 'LpcC Fo' indicating the slope to which both qti and q evolve. The Δ presents the stored energy q which is the difference between qin and q For small Fo-numbers, there is a difference between the exact and the approximated solution, which however does not result in large absolute errors. Therefore, the q-solution with the first term can be used as an approximation of the cumulated heat. Starting from Eq. 1.18, the cumulated heat at the zone side
(1.37)
qvatar = <j(0, Fo) = -Lpc Ι ΟΡθ +Αί βί
(1.38)
with
sin (ft )) Z nit
and
A
Furthermore, the heat stored in the slab is found by putting qeo(Fo) = q(0, Fo) - q(l, Fo). The term C Fo is cancelled out, resulting in:
¾.o(Fo) = -L c (A'2 - Ki) (l - e(-tf F°))
' (1.41)
Eqs. 1.39 and 1.40 are written in the form 1/e* = x, which is the exponential variant of the golden section equation 1/x = x -
1. The solution of this exponential variant is the 'omega constant' and is found by evaluating the Lambert W function in 1 :
W(l) - 0.567. Mathematica, by Wolfram research, uses this Lambert W function to suggest a solution for Fo for both heat. tr nsfers and the heat stored.
The above expressions are extremely useful for control purposes according to preferred embodiments of the invention. They advantageously provide an analytical solution to find the time required to either transfer a certain amount of heat to the zone qm» (Eq. 1.42) or to put an amount of heat into the slab qwsw (Eq. 1.43) or to store an amount of heat in the slab uo (Eq. 1.44). Moreover, this is achieved by taking into account the initial state of the slab (through Zij/ut the heat transfer rate at both sides of the slab (through Bii and Bii) and the water and zone temperatures Ti and Tz (through the parameter C). The Fo-expressions are valid for both the case with water flow, where every slab part is treated separately, and for the case without water flow. Fig.32 shows the three different heat flows for a slab without water flow, initially at a temperature of 25 °C and cooling down towards the zone temperature of 20 °C. The error caused by taking only the first term of the infinite sum was already addressed in Fig. 16 showing the large deviation of the temperature profiles for Fo < 1. Figs. 33 ( Mb) shows the relative error on the cumulated heat transfer q for both a situation with water flow (Fig. 33(a)) and a slab cooling down by convection to the zones below and above (Fig. 33(b)). The free running case does not seem to cause too much problems, with errors decreasing rapidly in time and below 15% for the full period observed. In the waterilow case however, the error on qw«er— the dashed line in Fig. 332(a)— increases to almost 50% in the beginning. The relative error on q««— the solid line in Fig. 33(a)— shows an extremely high value at the start of the water flow, up to 3.107%, after the first lOmin. However, since qzone is very small in the beginning, the relative error is blown up. The absolute error is very small (see Fig.31).
In a device according to preferred embodiments of the invention, the TABS will not be subject to a constant zone temperature as in the two previous examples. On the contrary, TABS systems e.g. buildings are known to experience a floating zone temperature during the course of the day. The moderate temperatures at which the TABS operate are of high
importance in this respect. In the case of heating, a rise in zone temperature will make the zone temperature T2 become equal or larger than the surface temperature of the slab. This means that heat transfer to the zone will stop and, when T2 rises above the slab surface temperature (e.g. by solar or internal gains), the slab will start absorbing heat, and therefore cools the zone. In the case of cooling, a rise in zone temperature will increase the heat transfer rate from the zone to the slab due to the increasing temperature difference. Fig. 34 shows that, in case the zone temperature rises, the heat transfer to the zone is blocked by the rising zone temperature (e), and is even reversed when T2 rises above the surface temperature of the slab. In order to take advantage of the self-regulating effect, the surface temperature of the TABS should be limited to a value within the thermal comfort band. The steady state surface temperature is given by the expression Tsmf e = u(l,∞) = C + D. In order to limit the surface tem erature to a chosen value Tiim, this can be rearranged to Ti:
Fig. 35 shows the tolerated water supply temperatures Ti as a function of the zone temperature in order to limit the surface temperature to 24 °C in the case of heating (Fig. 35(a)) and to 20 °C in the case of cooling (Fig. 35(b)).
As indicated above controlling the TABS by a feedback on the zone temperature, holds the risk of a switching TABS behaviour: in the morning heating is needed, while due to the temperature rise caused by internal and solar gains, in the afternoon the cooling is switched on. In Fig. 35 a situation is presented in which the zone is initially at 18 °C in the morning. However, due to heat gains, the temperature increases in the zone with 1 °C/h. Heating is on until the zone reaches 20 °C. Cooling starts at 24 °C. Fig. 36 (f) shows the heat put into and extracted from the slab by the water and the heat exchanged between the slab and the zone (solid line). While a large amount of heat is exchanged between the water and the slab, this only has a minor effect on the heat exchange with the zone. Only for the 2 h cooling period, the cooling is able to keep the surface temperature constant instead of having it increased by the increasing zone temperature. Apparently, the TABS is not heating the zone, although heating is on during the first 2 h, as is clearly visible in Fig. 36(f), by the flat horizontal solid line for low Fo-values.
Figs. 37 (a)-(b) present the cumulated heat q for two cases. The case illustrated in Fig. 37 (a) is identical to the situation presented in Fig. 36. With these settings, the first 2 h of heating injects 0.31 kWh/m2 in the slab without causing a noticeable heat transfer into the zone (0 kWh/m2). During the next 4 h without water flow, the zone temperature increases above the TABS surface temperature: the TABS start cooling due to the self-regulating effect and extract 0.05 kWh/m2 from the zone, qwater remains at 0.31 kWh/m2. In the next period cooling starts up: the slab extracts another 0.10 kWh/m2 (0.15-0.05) from the zone. To obtain this, the water has extracted 0.17 kWh/m2 (0.14-0.31) from the slab. In the case depicted in Fig. 37 (b) the heating is switched off, and only the cooling period is identical to the previous situation: cooling starts at hour 6. Before the cooling is switched on, the TABS already extracts 0.18 kWh/m2 from the zone by the self-regulating effect. With the cooling on, another 0.13 kWh/m2 is extracted from the zone, which is equal to the heat extracted by the water flow. The actively produced heat is therefore perfectly used in this case and the self-regulating effect is maximized. For case illustrated in Fig. 37 (a), in total 0.13 kWhe/m2 electric energy was used to extract 0.15 kWh/m2 of heat from the zone (see Fig. 36(d)). In case of Fig. 37 (b) however, only 0.04 kWhe/m2 electric energy was used to extract in total 0.31 kWh/m2 of heat from the zone. This example clearly illustrates the drawback of applying a conventional, zone temperature feedback control to TABS. It can be concluded that there is a strong need for a dedicated control strategy for TABS.
Designing the production power to be installed by using the nominal steady state power q'ss of the TABS will result in a too low installed power. In Figs. 26-28(e), the difference between the heat power by the water (marked with x) and the steady state power (for Fo =>∞) is clearly visible. Since TABS are constantly operating in a transient regime, the temperature difference TW5 - Tc, which is the driving factor of the water- to-TABS heat transfer, will often be higher than the steady state value. Together with the thermal resistance Rc from water to concrete core, this temperature difference determines the desired heat power q'ta of the production units. Suppose the concrete slab is initially at zone conditions. With the steady
state core temperature = D the required installed production power is given by:
(1.47)
1 + Bl1 +
For the different cases and temperature levels as presented in the previous sections, using average Bi-numbers, this ratio is approximately 2.6-2.7. This means that, in order to guarantee the temperature levels required by the controller, the installed power should be almost 3 times higher than the value obtained by the steady state calculations.
Analysis of the transient behaviour of TABS with different pump operation times and temperature levels, delivers the required operation time which can be used to determine the settings of the TABS controller according to preferred embodiments of the present invention. Whether the objective is to transfer a certain amount of thermal energy to the zone, or to store an amount of thermal energy in the slab, the value of Fo obtained from Eqs. 1-42-1.44 is an indication for the start up time of the system.
From the indicative results described earlier, where different switching behaviour of the circulation pump was compared, a rule of thumb can be derived which can be used in embodiments of the invention. If heat transfer to the zone is required, the circulation pump should preferably run approximately for the first half of the period Fo obtained from Eqs. 1.24-1.44, in order not to overload the system. In preferred embodiments of the invention, an actuator, e.g. a water supply temperature T preferably is chosen according to Eq. 1.45 in order to not overheat or undercool the zone in case of a bad heat load prediction. Of course, the issue of installed production power (Eq. 1.47) is preferably addressed in combination with the controller design.
Various modifications and variations of the forming process described within embodiments of this invention are possible, which can be made without departing from the scope or spirit of the invention. Other embodiments will be apparent to those skilled in the practice of the invention, and the illustration, examples and specifications described herein can be considered as exemplary only.
It is to be understood that this invention is not limited to the particular features of the means and/or the process steps of the methods described as such means and methods may vary. It is also to be understood that the terminology used herein is for purposes of describing particular embodiments only, and is not intended to be limiting. It must be noted that, as used in the specification and the appended claims, the singular forms "a" "an" and "the" include singular and/or plural referents unless the context clearly dictates otherwise. It is also to be understood that plural forms include singular and/or plural referents unless the context clearly dictates otherwise. It is moreover to be understood that, in case parameter ranges are given which are delimited by numeric values, the ranges are deemed to include these limitation values.
Claims
1. A method for predicting and/or controlling and/or regulating at least one zone comfort variable in a thermally activated building system, said building system comprising at least one thermally activated building component, the method comprising:
- determining a quantity of energy stored in said at least one thermally activated building component taking into account a temperature distribution in the at least one thermally activated building component; and
-evaluating said quantity of energy stored in said thermally activated building component for predicting and/or controlling and/or regulating at least one zone comfort variable in said building system.
2. A method according to claim 1, wherein taking into account a temperature distribution in the at least one thermally activated building component comprises determining a time and space dependent temperature distribution in the at least one thermally activated building component.
3. A method according to any of the previous claims, wherein determining a quantity of energy stored comprises determining a quantity of energy stored in said at least one thermally activated building component taking into account a temperature distribution based on at least one measured temperature in the at least one thermally activated building component.
4. A method according to any of the previous claims, wherein said determining a quantity of energy stored in said at least one thermally activated building component comprises measuring a quantity of energy stored in said at least one thermally activated building component.
5. A method according to claim 4, wherein measuring a quantity of energy stored in said at least one thermally activated building component comprises measuring a temperature at at least a point at a side and a point inside the thermally activated building component.
6. A method according to any of claims 4 to 5, wherein measuring a quantity of energy stored in said at least one thermally activated building component comprises measuring a temperature at the surface of the thermally activated building component and at a middle of the thermally activated building component.
7. A method according to any of claims 4 to 6, wherein measuring a quantity of energy stored in said at least one thermally activated building component comprises measuring a temperature at the surface of the thermally activated building component and at a water zone region.
8. A method according to any of the previous claims, wherein taking into account a temperature distribution comprises taking into account an initial temperature distribution.
9. A method according to any of the previous claims, wherein determining a quantity of energy stored comprises taking into account a heat flux in the thermally activated building component.
10. A method according to any of the previous claims, wherein controlling and/or regulating at least one zone comfort variable comprises generating control signals for actuators of a heating and/or cooling system.
11. A method according to claim 10, wherein said heating and/or cooling system is an embedded water based system.
12. A method according to any of the previous claims, whereby said at least one zone comfort variable is the temperature of a zone of said building system.
13. A method according to any of the previous claims, whereby said quantity of energy stored is an amount of heat stored in said thermally activated building component.
14. A method according to any of previous claims, whereby said evaluating said quantity of energy comprises evaluating transient heat transferred to a zone of said building system as a result of heat stored in said thermally activated building component.
15. A method according to claim 14, whereby said transient heat transfer is used to determine the temperature and heat flows inside the thermally activated building component.
16. A method according to claim 15, whereby said determining is performed as a function of both location and time.
17. A method according to any of claims 14 to 16, whereby heat transfer rates determine an indicative maximum or minimum water supply temperature.
18. A method according to any of previous claims, whereby said evaluating said quantity of energy comprises determining the time which is required to obtain a certain amount of heat transfer, taking into account heat transfer parameters and an initial condition of the thermally activated building component.
19. A method according to any of claims 14 to 18, whereby said heat transfer is from a thermally activated building component to a zone or from water to a thermally activated building component or to store thermal energy in a thermally activated building component.
20. A method according to any of previous claims, whereby said evaluating is used to determine the start up time of thermally activated building system.
21. A method according to any of the previous claims, wherein the method for predicting and/or controlling and/or regulating at least one zone comfort variable in a thermally activated building system comprises predicting and/or controlling and/or regulating at least one heat flow between water and concrete and/or concrete and a building zone thereby predicting and/or controlling and/or regulating at least one comfort variable in a thermally activated building system.
22. A computer program comprising computer program code means adapted to perform all the steps of the method according to any of previous claims when the computer program is run on a computer.
23. The computer program according to claim 22 embodied on a computer readable medium.
24. Transmission of a computer program product according to claim 22 over a network.
25. A device for predicting and/or controlling and/or regulating at least one zone comfort variable in a thermally activated building system, the building system comprising at least one thermally activated building component, the device comprising:
- a measuring unit, said measuring unit adapted to measure a quantity of energy stored in said at least one thermally activated building component taking into account a temperature distribution in the thermally activated building component,
- an evaluation unit, said evaluation unit adapted for evaluating a quantity of energy stored in said thermally activated building component for predicting, controlling and/or regulating at least one zone comfort variable in said building system.
26. A device according to claim 25, the device furthermore comprising a control unit programmed for generating control signals for actuators of a heating and/or cooling system for controlling and/or regulating at least one zone comfort variable in the building system based on the evaluated quantity of energy.
27. A device according to claim 26, wherein said device is a control module, whereby said control module is a standalone hardware component.
28. A controller for controlling and/or regulating a zone comfort variable in a building system, the controller being programmed for determining a quantity of energy stored in at least one thermally activated building component taking into account a temperature distribution in the thermally activated building component and for generating, based on an evaluation of the determined energy control signals for actuators for controlling and/or regulating at least one zone comfort variable in said building system.
29. A thermally activated building system, the thermally activated building system comprising
- at least one thermally activated building component,
- a measuring unit, said measuring unit adapted to measure a quantity of energy stored in said at least one thermally activated building component taking into account a temperature distribution in the thermally activated building component, - an evaluation unit, said evaluation unit adapted for evaluating a quantity of energy stored in said thermally activated building component for predicting, controlling and/or regulating at least one zone comfort variable in said building system.
Applications Claiming Priority (2)
| Application Number | Priority Date | Filing Date | Title |
|---|---|---|---|
| GB1215244.3 | 2012-08-28 | ||
| GBGB1215244.3A GB201215244D0 (en) | 2012-08-28 | 2012-08-28 | A device and method for controlling thermally activated building systems |
Publications (1)
| Publication Number | Publication Date |
|---|---|
| WO2014033189A1 true WO2014033189A1 (en) | 2014-03-06 |
Family
ID=47045462
Family Applications (1)
| Application Number | Title | Priority Date | Filing Date |
|---|---|---|---|
| PCT/EP2013/067852 Ceased WO2014033189A1 (en) | 2012-08-28 | 2013-08-28 | Control of thermally activated building systems |
Country Status (2)
| Country | Link |
|---|---|
| GB (1) | GB201215244D0 (en) |
| WO (1) | WO2014033189A1 (en) |
Cited By (14)
| Publication number | Priority date | Publication date | Assignee | Title |
|---|---|---|---|---|
| WO2015168127A1 (en) * | 2014-04-28 | 2015-11-05 | Delta T Corporation | Environmental condition control based on sensed conditions and related methods |
| WO2015171788A1 (en) * | 2014-05-07 | 2015-11-12 | Emerson Electric Co. | Hvac system and envelope grading systems and methods |
| WO2015171882A1 (en) * | 2014-05-07 | 2015-11-12 | Vivint, Inc. | Controlling a building system based on real time events |
| WO2015192073A1 (en) * | 2014-06-12 | 2015-12-17 | Emerson Electric Co. | Hvac system mode detection based on control line current |
| WO2016011040A1 (en) * | 2014-07-14 | 2016-01-21 | Delta T Corporation | Integrated thermal comfort control system with shading control |
| US9551495B2 (en) | 2014-05-07 | 2017-01-24 | Emerson Electric Co. | HVAC system grading systems and methods |
| US9903606B2 (en) | 2014-04-29 | 2018-02-27 | Vivint, Inc. | Controlling parameters in a building |
| US10126009B2 (en) | 2014-06-20 | 2018-11-13 | Honeywell International Inc. | HVAC zoning devices, systems, and methods |
| US10197979B2 (en) | 2014-05-30 | 2019-02-05 | Vivint, Inc. | Determining occupancy with user provided information |
| US10344997B2 (en) | 2014-05-07 | 2019-07-09 | Emerson Climate Technologies, Inc. | Heat pump and air conditioning grading systems and methods |
| US10352783B2 (en) | 2014-05-07 | 2019-07-16 | Emerson Climate Technologies, Inc. | Building envelope and interior grading systems and methods |
| US20200143491A1 (en) * | 2013-03-13 | 2020-05-07 | Johnson Controls Technology Company | Systems and methods for cascaded model predictive control |
| US11099533B2 (en) | 2014-05-07 | 2021-08-24 | Vivint, Inc. | Controlling a building system based on real time events |
| CN114035461A (en) * | 2021-10-22 | 2022-02-11 | 重庆电子工程职业学院 | Intelligent building energy-saving method through automatic control |
-
2012
- 2012-08-28 GB GBGB1215244.3A patent/GB201215244D0/en not_active Ceased
-
2013
- 2013-08-28 WO PCT/EP2013/067852 patent/WO2014033189A1/en not_active Ceased
Non-Patent Citations (2)
| Title |
|---|
| M SOURBRON ET AL: "THERMAL RESPONSE OF THERMALLY ACTIVATED BUILDING SYSTEMS (TABS) IN OFFICE BUILDINGS", PROCEEDINGS OF EFFSTOCK, 2009, Stockholm, Sweden, pages 57 - 64, XP055088140, Retrieved from the Internet <URL:http://intraweb.stockton.edu/eyos/energy_studies/content/docs/effstock09/Session_8_2 Models_and_Design%20tools/68.pdf> [retrieved on 20131113] * |
| WEBER T ET AL: "An optimized RC-network for thermally activated building components", BUILDING AND ENVIRONMENT, PERGAMON PRESS, OXFORD, GB, vol. 40, no. 1, 2005, pages 1 - 14, XP027748547, ISSN: 0360-1323, [retrieved on 20050101] * |
Cited By (28)
| Publication number | Priority date | Publication date | Assignee | Title |
|---|---|---|---|---|
| US12354174B2 (en) * | 2013-03-13 | 2025-07-08 | Johnson Controls Technology Company | Systems and methods for cascaded model predictive control |
| US20200143491A1 (en) * | 2013-03-13 | 2020-05-07 | Johnson Controls Technology Company | Systems and methods for cascaded model predictive control |
| US11384948B2 (en) | 2014-04-28 | 2022-07-12 | Delta T, Llc | Environmental condition control based on sensed conditions and related methods |
| WO2015168127A1 (en) * | 2014-04-28 | 2015-11-05 | Delta T Corporation | Environmental condition control based on sensed conditions and related methods |
| US9903606B2 (en) | 2014-04-29 | 2018-02-27 | Vivint, Inc. | Controlling parameters in a building |
| US10901379B2 (en) | 2014-04-29 | 2021-01-26 | Vivint, Inc. | Controlling parameters in a building |
| US11099533B2 (en) | 2014-05-07 | 2021-08-24 | Vivint, Inc. | Controlling a building system based on real time events |
| US10634378B2 (en) | 2014-05-07 | 2020-04-28 | Emerson Climate Technologies, Inc. | Heat pump and air conditioning grading systems and methods |
| CN106471431A (en) * | 2014-05-07 | 2017-03-01 | 艾默生电气公司 | Heating, ventilation and/or air handling system and building enclosure hierarchy system and method |
| WO2015171788A1 (en) * | 2014-05-07 | 2015-11-12 | Emerson Electric Co. | Hvac system and envelope grading systems and methods |
| WO2015171882A1 (en) * | 2014-05-07 | 2015-11-12 | Vivint, Inc. | Controlling a building system based on real time events |
| US9551495B2 (en) | 2014-05-07 | 2017-01-24 | Emerson Electric Co. | HVAC system grading systems and methods |
| US10352783B2 (en) | 2014-05-07 | 2019-07-16 | Emerson Climate Technologies, Inc. | Building envelope and interior grading systems and methods |
| CN106471431B (en) * | 2014-05-07 | 2019-05-14 | 艾默生电气公司 | Heating, ventilation and/or air conditioning systems and envelope grading systems and methods |
| US10344997B2 (en) | 2014-05-07 | 2019-07-09 | Emerson Climate Technologies, Inc. | Heat pump and air conditioning grading systems and methods |
| US10197979B2 (en) | 2014-05-30 | 2019-02-05 | Vivint, Inc. | Determining occupancy with user provided information |
| US11635737B1 (en) | 2014-05-30 | 2023-04-25 | Vivint, Inc. | Determining occupancy with user provided information |
| CN106575103A (en) * | 2014-06-12 | 2017-04-19 | 艾默生电气公司 | Hvac system mode detection based on control line current |
| WO2015192073A1 (en) * | 2014-06-12 | 2015-12-17 | Emerson Electric Co. | Hvac system mode detection based on control line current |
| US10670293B2 (en) | 2014-06-12 | 2020-06-02 | Emerson Electric Co. | HVAC system mode detection based on control line current |
| US10242129B2 (en) | 2014-06-20 | 2019-03-26 | Ademco Inc. | HVAC zoning devices, systems, and methods |
| US10915669B2 (en) | 2014-06-20 | 2021-02-09 | Ademco Inc. | HVAC zoning devices, systems, and methods |
| US10151502B2 (en) | 2014-06-20 | 2018-12-11 | Honeywell International Inc. | HVAC zoning devices, systems, and methods |
| US11692730B2 (en) | 2014-06-20 | 2023-07-04 | Ademco Inc. | HVAC zoning devices, systems, and methods |
| US10126009B2 (en) | 2014-06-20 | 2018-11-13 | Honeywell International Inc. | HVAC zoning devices, systems, and methods |
| WO2016011040A1 (en) * | 2014-07-14 | 2016-01-21 | Delta T Corporation | Integrated thermal comfort control system with shading control |
| CN114035461A (en) * | 2021-10-22 | 2022-02-11 | 重庆电子工程职业学院 | Intelligent building energy-saving method through automatic control |
| CN114035461B (en) * | 2021-10-22 | 2023-07-21 | 重庆电子工程职业学院 | Automatic control intelligent building energy saving method |
Also Published As
| Publication number | Publication date |
|---|---|
| GB201215244D0 (en) | 2012-10-10 |
Similar Documents
| Publication | Publication Date | Title |
|---|---|---|
| WO2014033189A1 (en) | Control of thermally activated building systems | |
| Schmelas et al. | Adaptive predictive control of thermo-active building systems (TABS) based on a multiple regression algorithm | |
| Chen et al. | Model predictive control optimization for rapid response and energy efficiency based on the state-space model of a radiant floor heating system | |
| Cho et al. | Predictive control of intermittently operated radiant floor heating systems | |
| Gwerder et al. | Control of thermally-activated building systems (TABS) | |
| Karlsson et al. | Application of model based predictive control for water-based floor heating in low energy residential buildings | |
| Ogunsola et al. | Application of a simplified thermal network model for real-time thermal load estimation | |
| Pandey et al. | A thermal comfort-driven model predictive controller for residential split air conditioner | |
| RU2376530C1 (en) | Control method of system with high thermal capacity | |
| Acikgoz et al. | Experimental and numerical investigation of the correlation between radiative and convective heat-transfer coefficients at the cooled wall of a real-sized room | |
| Yu et al. | Multi-structural fast nonlinear model-based predictive control of a hydronic heating system | |
| Ahn et al. | Control characteristics and heating performance analysis of automatic thermostatic valves for radiant slab heating system in residential apartments | |
| Chew et al. | Improving thermal model predictions for naturally ventilated buildings using large eddy simulations | |
| Chen et al. | Frequency domain and finite difference modeling of ventilated concrete slabs and comparison with field measurements: Part 1, modeling methodology | |
| Woo et al. | Framework for model predictive control (MPC)-based surface condensation prevention for thermo-active building systems (TABS) | |
| Arghand et al. | Control methods for a direct-ground cooling system: An experimental study on office cooling with ground-coupled ceiling cooling panels | |
| Keblawi et al. | Model-based optimal supervisory control of chilled ceiling displacement ventilation system | |
| Merabtine et al. | New transient simplified model for radiant heating slab surface temperature and heat transfer rate calculation | |
| Li et al. | Experimental and modeling investigation of thermally activated building systems integrated with ground source heat pump systems | |
| Brideau et al. | Inter-model comparison of embedded-tube radiant floor models in BPS tools | |
| Carrascal et al. | Model Predictive Control for the heating system of a public building | |
| Diaz | Modeling of a hydronic ceiling system and its environment as energetic auditing tool | |
| Arghand | Direct-ground cooling systems for office buildings: Design and control considerations | |
| Ferrarini et al. | Modeling and control of thermal energy of a large commercial building | |
| Fong et al. | Performance of a dynamic distributed element heat emitter model embedded into a third order lumped parameter building model |
Legal Events
| Date | Code | Title | Description |
|---|---|---|---|
| 121 | Ep: the epo has been informed by wipo that ep was designated in this application |
Ref document number: 13753435 Country of ref document: EP Kind code of ref document: A1 |
|
| NENP | Non-entry into the national phase |
Ref country code: DE |
|
| 122 | Ep: pct application non-entry in european phase |
Ref document number: 13753435 Country of ref document: EP Kind code of ref document: A1 |














