WO2014014904A1 - Substituted cycloalkyl 1,2,4-triazine-3,5-diones as herbicides - Google Patents
Substituted cycloalkyl 1,2,4-triazine-3,5-diones as herbicides Download PDFInfo
- Publication number
- WO2014014904A1 WO2014014904A1 PCT/US2013/050671 US2013050671W WO2014014904A1 WO 2014014904 A1 WO2014014904 A1 WO 2014014904A1 US 2013050671 W US2013050671 W US 2013050671W WO 2014014904 A1 WO2014014904 A1 WO 2014014904A1
- Authority
- WO
- WIPO (PCT)
- Prior art keywords
- compound
- alkyl
- formula
- cycloalkyl
- mol
- Prior art date
- Legal status (The legal status is an assumption and is not a legal conclusion. Google has not performed a legal analysis and makes no representation as to the accuracy of the status listed.)
- Ceased
Links
- 0 *C(C(C(N1*)=*)=NN(*)C1=*)=O Chemical compound *C(C(C(N1*)=*)=NN(*)C1=*)=O 0.000 description 4
Classifications
-
- A—HUMAN NECESSITIES
- A01—AGRICULTURE; FORESTRY; ANIMAL HUSBANDRY; HUNTING; TRAPPING; FISHING
- A01N—PRESERVATION OF BODIES OF HUMANS OR ANIMALS OR PLANTS OR PARTS THEREOF; BIOCIDES, e.g. AS DISINFECTANTS, AS PESTICIDES OR AS HERBICIDES; PEST REPELLANTS OR ATTRACTANTS; PLANT GROWTH REGULATORS
- A01N43/00—Biocides, pest repellants or attractants, or plant growth regulators containing heterocyclic compounds
- A01N43/64—Biocides, pest repellants or attractants, or plant growth regulators containing heterocyclic compounds having rings with three nitrogen atoms as the only ring hetero atoms
- A01N43/707—1,2,3- or 1,2,4-triazines; Hydrogenated 1,2,3- or 1,2,4-triazines
-
- C—CHEMISTRY; METALLURGY
- C07—ORGANIC CHEMISTRY
- C07D—HETEROCYCLIC COMPOUNDS
- C07D253/00—Heterocyclic compounds containing six-membered rings having three nitrogen atoms as the only ring hetero atoms, not provided for by group C07D251/00
- C07D253/02—Heterocyclic compounds containing six-membered rings having three nitrogen atoms as the only ring hetero atoms, not provided for by group C07D251/00 not condensed with other rings
- C07D253/06—1,2,4-Triazines
- C07D253/065—1,2,4-Triazines having three double bonds between ring members or between ring members and non-ring members
- C07D253/07—1,2,4-Triazines having three double bonds between ring members or between ring members and non-ring members with hetero atoms, or with carbon atoms having three bonds to hetero atoms with at the most one bond to halogen, e.g. ester or nitrile radicals, directly attached to ring carbon atoms
- C07D253/075—Two hetero atoms, in positions 3 and 5
Definitions
- This invention relates to certain substituted l,2,4-triazine-3,5-diones, their salts and compositions, and methods of their use for controlling undesirable vegetation.
- the control of undesired vegetation is extremely important in achieving high crop efficiency. Achievement of selective control of the growth of weeds especially in such useful crops as rice, soybean, sugar beet, maize, potato, wheat, barley, tomato and plantation crops, among others, is very desirable. Unchecked weed growth in such useful crops can cause significant reduction in productivity and thereby result in increased costs to the consumer. The control of undesired vegetation in noncrop areas is also important. Many products are commercially available for these purposes, but the need continues for new compounds that are more effective, less costly, less toxic, environmentally safer or have different sites of action.
- each Y and Z is an oxygen atom or sulfur atom
- R 1 is a hydrogen atom or a Ci -Ci 2 alkyl group or a C2-Cg alkenyl group
- R 2 is a alkyl group
- A is a 5- or 6-membered cyclic group which may contain a nitrogen atom, an oxygen atom or a sulfur atom.
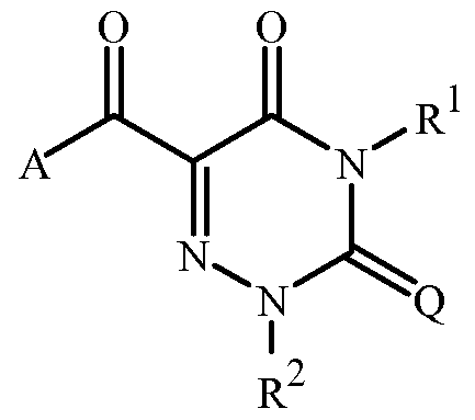
- This invention is directed to compounds of Formula 1 (including all stereoisomers), N-oxides, and salts thereof, agricultural compositions containing them and their use as herbicides:
- A is a radical selected from the group consisting of:
- B 1 and B 3 are each independently a radical selected from the group consisting of
- B 2 is a radical selected from the group consisting of
- Q is O or S
- R 1 is a 3- to 8-membered carbocyclic ring substituted with -YR A and optionally substituted with up to three substituents selected from R B ;
- R B is halogen, Ci -C4 alkyl, C 1-C4 alkoxy, cyano or nitro; or
- R c is H, C r C 4 alkyl or C r C 4 haloalkyl
- R 2 is C1-C4 alkyl, C 2 -C 4 alkenyl, C 1 -C4 cyanoalkyl, C3-C5 cycloalkyl, C 1 -C4 alkoxy, C 2 -C 4 alkoxyalkyl or C 4 -Cg cycloalkylalkyl;
- cycloalkylalkoxy C 2 -C 6 alkenyloxy, C 2 -C 6 haloalkenyloxy, C 2 -C 6 alkynyloxy, C 3 -C 6 haloalkynyloxy, C 2 -C 8 alkoxyalkoxy, C 2 -C 8 alkylcarbonyloxy, C 2 -C 8 haloalkylcarbonyloxy, C 4 -C 10 cycloalkylcarbonyloxy, C 3 -C 10
- alkylsulfonyl -Cg haloalkylsulfonyl, C 3 -C 8 cycloalkylsulfonyl, C j -Cg alkylsulfonyloxy, C j -Cg alkylamino, C 2 -C 8 dialkylamino, C j -Cg
- haloalkylamino C 2 -C 8 halodialkylamino, C3-C 8 cycloalkylamino, C 2 -C 8 alkylcarbonylamino, C 2 -C 8 haloalkylcarbonylamino, C ⁇ -Cg alkylsulfonylamino or C ⁇ -Cg haloalkylsulfonylamino; or benzyloxy, phenyloxy, benzylcarbonyloxy, phenylcarbonyloxy, phenylsulfonyloxy, benzylsulfonyloxy, phenylthio, benzylthio, phenylsulfmyl, benzylsulfinyl, phenylsulfonyl or benzylsulfonyl, each optionally substituted on ring members with up to five substituents selected from R 21 ;
- M + is an alkali metal cation or an ammonium cation
- R 4 , R 5 , R 6 and R 7 are each independently H, halogen, hydroxy, C j -Cg alkyl, C 2 -C 6 alkenyl, C 2 -C 6 alkynyl, C j -Cg haloalkyl, -Cg alkoxy, C j -Cg haloalkoxy, C3"C 8 cycloalkoxy or C3-C 8 halocycloalkoxy; or phenyl or benzyl, each optionally substituted on ring members with up to five substituents selected from R21 ;
- R 8 is H, C r C 6 alkyl, C 2 -C 6 alkenyl, C 2 -C 6 alkynyl, C r C 6 haloalkyl, C 2 -C 6
- R 9 is H, C r C 6 alkyl, C 2 -C 6 alkenyl, C 2 -C 6 alkynyl, C r C 6 haloalkyl, C 2 -C 6 haloalkenyl, C 2 -Cg haloalkynyl, C3-C 8 cycloalkyl, C3-C 8 halocycloalkyl, C 4 -C 10 alkylcycloalkyl, C 4 -C 10 cycloalkylalkyl, C 6 -C 14 cycloalkylcycloalkyl, C4-C10 halocycloalkylalkyl, C5-C ⁇ 2 alkylcycl
- R 10 is H, halogen, -Cg alkyl, C 2 -C 6 alkenyl, C 2 -C 6 alkynyl or C 3 -C 8 cycloalkyl;
- R 1 1 is H, halogen, cyano, hydroxy, amino, C j -Cg alkyl, C 2 -C 6 alkenyl, C 2 -C 6 alkynyl, C j -Cg haloalkyl, C 2 -C 6 haloalkenyl, C 2 -C 6 haloalkynyl, C 3 -C 8 cycloalkyl, C 3 -C 8 halocycloalkyl, C 4 -C 10 alkylcycloalkyl, C 4 -C 10 cycloalkylalkyl, C 4 -C 10 halocycloalkylalkyl, C5-C ⁇ 2 alkylcycloalkylalkyl, C3-C 8 cycloalkenyl, C3-Cg halocycloalkenyl, C 2 -C 8 alkoxyalkyl, C 4 -C 10 cycloalkoxyalkyl, C 3 -C 10
- R 12 is H, halogen, cyano, hydroxy, amino, C j -Cg alkyl, C 2 -C 6 alkenyl, C 2 -C 6 alkynyl, C j -Cg haloalkyl, C 2 -C 6 haloalkenyl, C 2 -C 6 haloalkynyl, C 3 -C 8 cycloalkyl, C 3 -C 8 halocycloalkyl, C 4 -C 10 alkylcycloalkyl, C 4 -C 10 cycloalkylalkyl, C 6 -C 14 cycloalkylcycloalkyl, C 4 -C ⁇ o halocycloalkylalkyl, C5-C ⁇ 2 alkylcycloalkylalkyl, C3"C 8 cycloalkenyl, C3-C 8 halocycloalkenyl or C 2 -C 8 alkoxycarbonylamino;
- R 13 is H, halogen, cyano, hydroxy, amino, nitro or C 2 -C 8 alkoxycarbonyl
- n 0, lor 2;
- each R 14 , R 15 , R 16 and R 17 is independently H, halogen, cyano, hydroxy or C j -Cg alkyl; or
- R 14 and R 16 is taken together as C 2 -Cg alkylene or C 2 -Cg alkenylene;
- R 18 is H, C j -Cg haloalkyl, C 2 -C 6 haloalkenyl, C j -Cg alkoxy, C j -Cg haloalkoxy, C 3 -C 8 cycloalkoxy, C j -Cg alkyl, C 2 -C 6 alkenyl, C 2 -C 6 alkynyl or C 3 -C 8 cycloalkyl; T is C j -Cg alkylene or C 2 -C 6 alkenylene; and
- alkoxyalkyl C 4 -C ⁇ Q cycloalkoxyalkyl, C3-C10 alkoxyalkoxyalkyl, C 2 -C 8 alkylthioalkyl, C 2 -C 8 alkylsulfinylalkyl, C 2 -C 8 alkoxyhaloalkyl, C 2 -C5 cyanoalkyl, C j -Cg hydroxyalkyl, -Cg alkoxy, C j -Cg haloalkoxy, C 3 -C 8 cycloalkoxy, C3-C 8 halocycloalkoxy, C 4 -C ⁇ o cycloalkylalkoxy, C 2 -Cg alkenyloxy, C 2 -C 6 haloalkenyloxy, C 2 -C 8 alkoxyalkoxy, C 2 -C 8 alkylcarbonyloxy, C ⁇ -Cg alkylthio, C ⁇ -Cg haloalky
- this invention pertains to a compound of Formula 1 (including all stereoisomers), an N-oxide or a salt thereof.
- This invention also relates to a herbicidal composition comprising a compound of the invention (i.e. in a herbicidally effective amount) and at least one component selected from the group consisting of surfactants, solid diluents and liquid diluents.
- This invention further relates to a method for controlling the growth of undesired vegetation comprising contacting the vegetation or its environment with a herbicidally effective amount of a compound of the invention (e.g., as a composition described herein).
- compositions comprising, “comprising,” “includes,” “including,” “has,” “having,” “contains”, “containing,” “characterized by” or any other variation thereof, are intended to cover a non-exclusive inclusion, subject to any limitation explicitly indicated.
- a composition, mixture, process or method that comprises a list of elements is not necessarily limited to only those elements but may include other elements not expressly listed or inherent to such composition, mixture, process or method.
- transitional phrase consisting essentially of is used to define a composition or method that includes materials, steps, features, components, or elements, in addition to those literally disclosed, provided that these additional materials, steps, features, components, or elements do not materially affect the basic and novel characteristic(s) of the claimed invention.
- seedling used either alone or in a combination of words means a young plant developing from the embryo of a seed.
- narrowlea ' used either alone or in words such as “broadleaf weed” means dicot or dicotyledon, a term used to describe a group of angiosperms characterized by embryos having two cotyledons.
- alkylating agent refers to a chemical compound in which a carbon-containing radical is bound through a carbon atom to leaving group such as halide or sulfonate, which is displaceable by bonding of a nucleophile to said carbon atom. Unless otherwise indicated, the term “alkylating” does not limit the carbon-containing radical to alkyl; the carbon-containing radicals in alkylating agents include the variety of carbon- bound.
- alkyl used either alone or in compound words such as “alkylthio” or “haloalkyl” includes straight-chain or branched alkyl, such as, methyl, ethyl, n-propyl, /-propyl, or the different butyl, pentyl or hexyl isomers.
- Alkenyl includes straight-chain or branched alkenes such as ethenyl, 1-propenyl, 2-propenyl, and the different butenyl, pentenyl and hexenyl isomers.
- Alkenyl also includes polyenes such as 1 ,2-propadienyl and 2,4-hexadienyl.
- Alkynyl includes straight-chain or branched alkynes such as ethynyl, 1-propynyl, 2-propynyl and the different butynyl, pentynyl and hexynyl isomers.
- Alkynyl can also include moieties comprised of multiple triple bonds such as 2,5-hexadiynyl.
- Alkylene denotes a straight-chain or branched alkanediyl.
- alkylene examples include CH 2 , CH 2 CH 2 , CH(CH 3 ), CH 2 CH 2 CH 2 , CH 2 CH(CH 3 ) and the different butylene isomers.
- Alkynylene denotes a straight-chain or branched alkynediyl containing one triple bond. Examples of “alkynylene” include C ⁇ C, CH 2 C ⁇ C, C ⁇ CCH 2 and the different butynylene isomers.
- Alkoxy includes, for example, methoxy, ethoxy, n-propyloxy, isopropyloxy and the different butoxy, pentoxy and hexyloxy isomers.
- Alkoxyalkyl denotes alkoxy substitution on alkyl. Examples of “alkoxyalkyl” include CH 3 OCH 2 , CH 3 OCH 2 CH 2 , CH 3 CH 2 OCH 2 , CH 3 CH 2 CH 2 CH 2 OCH 2 and CH 3 CH 2 OCH 2 CH 2 .
- Alkoxyalkoxy denotes alkoxy substitution on alkoxy.
- Alkoxyalkoxyalkyl denotes alkoxy substitution on alkoxyalkyl.
- Alkylthio includes branched or straight-chain alkylthio moieties such as methylthio, ethylthio, and the different propylthio, butylthio, pentylthio and hexylthio isomers.
- Alkylsulfmyl includes both enantiomers of an alkylsulfmyl group. Examples of “alkylsulfmyl” include CH 3 S(0)-, CH 3 CH 2 S(0)-, CH 3 CH 2 CH 2 S(0)-, (CH 3 ) 2 CHS(0)- and the different butylsulfmyl, pentylsulfmyl and hexylsulfmyl isomers.
- alkylsulfonyl examples include CH 3 S(0) 2 -, CH 3 CH 2 S(0) 2 -, CH 3 CH 2 CH 2 S(0) 2 -, (CH 3 ) 2 CHS(0) 2 -, and the different butylsulfonyl, pentylsulfonyl and hexylsulfonyl isomers.
- alkylsulfonyloxy denotes an alkylsulfonyl group bonded through oxygen. Examples of “alkylsulfonyloxy” include CH 3 S(0) 2 0-, CH 3 CH 2 S(0) 2 0- and CH 3 CH 2 CH 2 S(0) 2 0-.
- Alkylthioalkyl denotes alkylthio substitution on alkyl.
- alkylthioalkyl include CH 3 SCH 2 , CH 3 SCH 2 CH 2 , CH 3 CH 2 SCH 2 , CH 3 CH 2 CH 2 CH 2 SCH 2 and CH 3 CH 2 SCH 2 CH 2 .
- alkylsulfmylalkyl is defined analogously to alkylthioalkyl.
- Cyanoalkyl denotes an alkyl group substituted with one cyano group. Examples of “cyanoalkyl” include NCCH 2 , NCCH 2 CH 2 and CH 3 CH(CN)CH 2 .
- “Hydroxyalkyl” and “nitroalkyl” are defined analogously to cyanoalkyl.
- Alkylamino “dialkylamino”, and the like, are defined analogously to the above examples.
- Cycloalkyl includes, for example, cyclopropyl, cyclobutyl, cyclopentyl and cyclohexyl.
- alkylcycloalkyl denotes alkyl substitution on a cycloalkyl moiety and includes, for example, ethylcyclopropyl, z ' -propylcyclobutyl, 3-methylcyclopentyl and 4-methylcyclohexyl.
- cycloalkylalkyl denotes cycloalkyl substitution on an alkyl moiety.
- cycloalkylalkyl examples include cyclopropylmethyl, cyclopentylethyl, and other cycloalkyl moieties bonded to straight-chain or branched alkyl groups.
- alkylcyclalkylalkyl denotes alkyl substitution on the cycloalkyl portion of a “cycloalkylalkyl moiety.
- cycloalkylcycloalkyl denotes cycloalkyl substitution on a cycloalkyl group.
- cycloalkoxy denotes cycloalkyl linked through an oxygen atom such as cyclopentyloxy and cyclohexyloxy.
- cycloalkylthio denotes cycloalkyl linked through a sulfur atom.
- cycloalkylsulfonyl denotes cycloalkyl linked through a sulfonyl group.
- cycloalkylamino denotes cycloalkyl linked through an amino group (e.g., (cyclopropyl)NH-).
- Cycloalkylalkoxy denotes cycloalkylalkyl linked through an oxygen atom attached to the alkyl chain.
- Examples of “cycloalkylalkoxy” include cyclopropylmethoxy, cyclopentylethoxy, and other cycloalkyl moieties bonded to straight-chain or branched alkoxy groups.
- Cycloalkoxyalkyl denotes a cycloalkoxy group bonded through an alkyl group.
- Cycloalkenyl includes groups such as cyclopentenyl and cyclohexenyl as well as groups with more than one double bond such as 1,3- and 1,4-cyclohexadienyl.
- halogen either alone or in compound words such as "haloalkyl”, “haloalkenyl”, “haloalkenyloxy”, “haloalkoxy”, “haloalkylamino",
- haloalkylsulfonyl includes fluorine, chlorine, bromine or iodine.
- alkyl when used in compound words such as “haloalkyl”, or when used in descriptions such as “alkyl substituted with halogen” said alkyl may be partially or fully substituted with halogen atoms which may be the same or different.
- haloalkyl or “alkyl substituted with halogen” include F 3 C-, C1CH 2 -, CF 3 CH 2 - and CF 3 CC1 2 -.
- halocycloalkyl “haloalkoxy”, “haloalkylthio”, “haloalkenyl", “haloalkynyl”, and the like, are defined analogously to the term “haloalkyl".
- haloalkoxy examples include CF 3 0-, CC1 3 CH 2 0-, HCF 2 CH 2 CH 2 0- and CF 3 CH 2 0-.
- haloalkylthio examples include CCI3S-, CF 3 S-, CC1 3 CH 2 S- and C1CH 2 CH 2 CH 2 S-.
- haloalkylsulfmyl examples include CF 3 S(0)-, CC1 3 S(0)-, CF 3 CH 2 S(0)- and CF 3 CF 2 S(0)-.
- haloalkylsulfonyl examples include CF 3 S(0) 2 -, CC1 3 S(0) 2 -, CF 3 CH 2 S(0) 2 - and CF 3 CF 2 S(0) 2 -.
- haloalkynyl examples include HC ⁇ CCHC1-, CF 3 C ⁇ C-, CC1 3 C ⁇ C- and FCH 2 C ⁇ CCH 2 -.
- haloalkoxyalkoxy examples include CF 3 OCH 2 0-, C1CH 2 CH 2 0CH 2 CH 2 0-, Cl 3 CCH 2 OCH 2 0- as well as branched alkyl derivatives.
- alkoxyhaloalkyl examples include CH 3 OCHF-, CH 3 CH 2 0CHC1CH 2 - and CH 3 0CH 2 CHC1CH 2 0-.
- alkylcarbonyloxy denotes alkylcarbonyl substitution bonded through oxygen.
- C1-C4 alkylsulfonyl designates methylsulfonyl through butylsulfonyl
- C 2 alkoxyalkyl designates CH 3 OCH 2 -
- C 3 alkoxyalkyl designates, for example, CH 3 CH(OCH 3 )-, CH 3 OCH 2 CH 2 - or CH 3 CH 2 OCH 2 -
- C 4 alkoxyalkyl designates the various isomers of an alkyl group substituted with an alkoxy group containing a total of four carbon atoms, examples including CH 3 CH 2 CH 2 OCH 2 - and CH 3 CH 2 OCH 2 CH 2 -.
- substituents When a compound is substituted with a substituent bearing a subscript that indicates the number of said substituents can exceed 1, said substituents (when they exceed 1) are independently selected from the group of defined substituents, e.g., (R B ) n , n is 1, 2 or 3. Further, when the subscript indicates a range, e.g. (R)i j, then the number of substituents may be selected from the integers between i and j inclusive.
- a group contains a substituent which can be hydrogen, for example R c , R 3 , R 4 , R 5 , R 6 , R 10 , R 1 1 , R 12 , R 13 , R 14 , R 15 , R 16 and R 18 , then when this substituent is taken as hydrogen, it is recognized that this is equivalent to said group being unsubstituted.
- a variable group is shown to be optionally attached to a position, for example R B , wherin n may be 0, then hydrogen may be at the position even if not recited in the variable group definition.
- one or more positions on a group are said to be "not substituted” or "unsubstituted"
- hydrogen atoms are attached to take up any free valency.
- a "ring” as a component of Formula 1 is carbocyclic.
- R 1 is a 3- to 8-membered carbocyclic ring substituted with -YR A and optionally substituted with up to three substituents selected from R B .
- carrier ring refers to a ring having a backbone consisting of carbon atoms linked to one another by single bonds and the remaining carbon valences are occupied by hydrogen atoms when not otherwise substituted with -YR A or optionally with R B .
- R A and R B when taken together can be connected to the same carbocyclic ring member and can be taken together as -OCH 2 CH 2 0-, -OCH 2 CH 2 CH 2 0-, -SCH 2 CH 2 S- or -SCH 2 CH 2 CH 2 S-.
- one carbon valence of a carbon atom making up the carboncyclic ring is taken up as -YR A and the other carbon valence is taken up by R B and they are taken together as -OCH 2 CH 2 0-, -OCH 2 CH 2 CH 2 0-, -SCH 2 CH 2 S- or -SCH 2 CH 2 CH 2 S-.
- R A and R B are taken together (connected to the same carbocyclic ring member) as -OCH 2 CH 2 0- the resulting R 1 variable is:
- optionally substituted in connection with the carbocyclic ring refers to groups which are unsubstituted or have at least one non-hydrogen substituent that does not extinguish the biological activity possessed by the unsubstituted analog. As used herein, the following definitions shall apply unless otherwise indicated.
- optionally substituted is used interchangeably with the phrase “substituted or unsubstituted” or with the term “(un)substituted.” Unless otherwise indicated, an optionally substituted group may have a substituent at each substitutable position of the group, and each substitution is independent of the other.
- the compounds of this invention can exist as one or more stereoisomers.
- the various stereoisomers include enantiomers, diastereomers, atropisomers and geometric isomers.
- one stereoisomer may be more active and/or may exhibit beneficial effects when enriched relative to the other stereoisomer(s) or when separated from the other stereoisomer(s). Additionally, the skilled artisan knows how to separate, enrich, and/or to selectively prepare said stereoisomers.
- the compounds of the invention may be present as a mixture of stereoisomers, individual stereoisomers or as an optically active form.
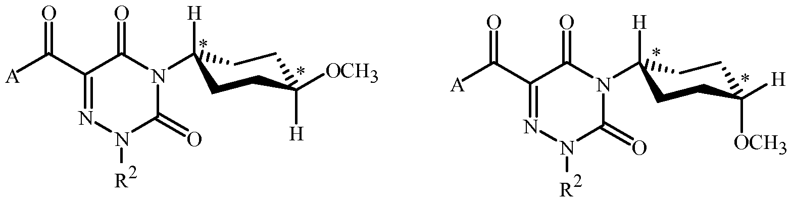
- Formula 1 when R 1 is 4-methoxycyclohexyl, then Formula 1 possesses two chiral centers: one at the carbon atom to which the -OCH 3 moiety is bonded, and the other at the attachment point to the remainder of Formula 1. Two enantiomers are depicted as Formula 1' and Formula 1" with the chiral centers identified with an asterisk (*).
- R 1 in a compound of Formula 1 is a 6-membered carbocyclic ring substituted with YR A at the 4-position; Y is O; and R A is CH 3 , the more biologically active enantiomer is believed to be Formula 1' as shown above.
- This invention comprises racemic mixtures, for example, equal amounts of the enantiomers of Formulae 1' and 1".
- this invention includes compounds that are enriched compared to the racemic mixture in an enantiomer of Formula 1. Also included are the essentially pure enantiomers of compounds of Formula 1, for example, Formula 1' and Formula 1".
- enantiomeric excess which is defined as (2 ⁇ -1) ⁇ 100 %, where x is the mole fraction of the dominant enantiomer in the mixture (e.g., an ee of 20 % corresponds to a 60:40 ratio of enantiomers).
- compositions of this invention have at least a 50 % enantiomeric excess; more preferably at least a 75 % enantiomeric excess; still more preferably at least a 90 % enantiomeric excess; and the most preferably at least a 94 % enantiomeric excess of the more active isomer.
- enantiomerically pure embodiments of the more active isomer are enantiomerically pure embodiments of the more active isomer.
- Compounds of Formula 1 can comprise additional chiral centers.
- substituents and other molecular constituents such as R 2 and R 3 may themselves contain chiral centers.
- This invention comprises racemic mixtures as well as enriched and essentially pure stereoconfigurations at these additional chiral centers.
- Non- crystalline forms include embodiments which are solids such as waxes and gums as well as embodiments which are liquids such as solutions and melts.
- Crystalline forms include embodiments which represent essentially a single crystal type and embodiments which represent a mixture of polymorphs (i.e. different crystalline types).
- polymorph refers to a particular crystalline form of a chemical compound that can crystallize in different crystalline forms, these forms having different arrangements and/or conformations of the molecules in the crystal lattice.
- polymorphs can have the same chemical composition, they can also differ in composition due the presence or absence of co- crystallized water or other molecules, which can be weakly or strongly bound in the lattice. Polymorphs can differ in such chemical, physical and biological properties as crystal shape, density, hardness, color, chemical stability, melting point, hygroscopicity, suspensibility, dissolution rate and biological availability.
- a polymorph of a compound of Formula 1 can exhibit beneficial effects (e.g., suitability for preparation of useful formulations, improved biological performance) relative to another polymorph or a mixture of polymorphs of the same compound of Formula 1.
- Preparation and isolation of a particular polymorph of a compound of Formula 1 can be achieved by methods known to those skilled in the art including, for example, crystallization using selected solvents and temperatures.
- nitrogen-containing heterocycles can form N-oxides since the nitrogen requires an available lone pair for oxidation to the oxide; one skilled in the art will recognize those nitrogen-containing heterocycles which can form N-oxides.
- nitrogen-containing heterocycles which can form N-oxides.
- tertiary amines can form N-oxides.
- N-oxides of heterocycles and tertiary amines are very well known by one skilled in the art including the oxidation of heterocycles and tertiary amines with peroxy acids such as peracetic and m-chloroperbenzoic acid (MCPBA), hydrogen peroxide, alkyl hydroperoxides such as t-butyl hydroperoxide, sodium perborate, and dioxiranes such as dimethyldioxirane.
- MCPBA peroxy acids
- alkyl hydroperoxides such as t-butyl hydroperoxide
- sodium perborate sodium perborate
- dioxiranes such as dimethyldioxirane
- salts of chemical compounds are in equilibrium with their corresponding nonsalt forms, salts share the biological utility of the nonsalt forms.
- the salts of a compound of Formula 1 include acid-addition salts with inorganic or organic acids such as hydrobromic, hydrochloric, nitric, phosphoric, sulfuric, acetic, butyric, fumaric, lactic, maleic, malonic, oxalic, propionic, salicylic, tartaric, 4-toluenesulfonic or valeric acids.
- salts also include those formed with organic or inorganic bases such as pyridine, triethylamine or ammonia, or amides, hydrides, hydroxides or carbonates of sodium, potassium, lithium, calcium, magnesium or barium. Accordingly, the present invention comprises compounds selected from Formula 1, N-oxides and agriculturally suitable salts thereof.
- Embodiments of the present invention as described in the Summary of the Invention include (where Formula 1 as used in the following Embodiments includes N-oxides and salts thereof ):
- Embodiment 1 A compound of Formula 1 (including all stereoisomers), N-oxides, and salts thereof, agricultural compositions containing them and their use as herbicides as described in the Summary of the Invention.
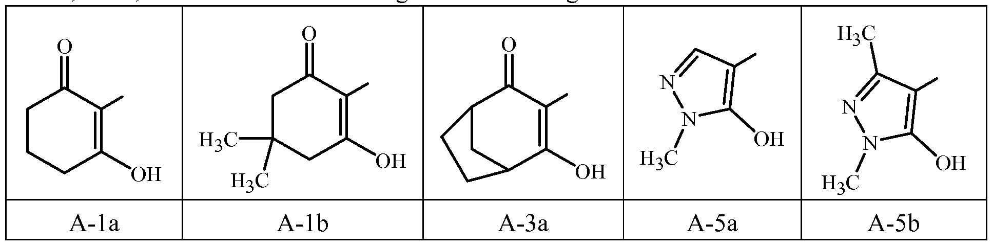
- Embodiment 2 A compound of Embodiment 1 wherein A is A-l, A-3, A-5 or A-6.
- Embodiment 3 A compound of Embodiment 2 wherein A is A-l, A-3 or A-5.
- Embodiment 4 A compound of Embodiment 3 wherein A is A-l or A-3.
- Embodiment 5 A compound of Embodiment 4 wherein A is A-l .
- Embodiment 6 A compound of Embodiment 4 wherein A is A-3.
- Embodiment 7 A compound of any one of Embodiments 1 through 5 wherein A is other than A-l .
- Embodiment 8 A compound of any one of Embodiments 1 through 7 wherein B 1 is C-l .
- Embodiment 9 A compound of any one of Embodiments 1 through 7 wherein B 1 is C-2.
- Embodiment 10 A compound of any one of Embodiments 1 through 9 wherein B 2 is C-3.
- Embodiment 11 A compound of any one of Embodiments 1 through 9 wherein B 2 is C-4.
- Embodiment 12 A compound of any one of Embodiments 1 through 11 wherein B 3 is
- Embodiment 13 A compound of any one of Embodiments 1 through 11 wherein B 3 is C-2.
- Embodiment 14 A compound of any one of Embodiments 1 through 13 wherein Q is O.
- Embodiment 15 A compound of any one of Embodiments 1 through 14 wherein R 1 is a 4- to 7-membered carbocyclic ring substituted with -YR A and optionally substituted with up to two substituents selected from R B .
- Embodiment 16 A compound of Embodiment 15 wherein R 1 is a 4- to 7-membered carbocyclic ring substituted with -YR A and optionally substituted with up to one substituents selected from R B .
- Embodiment 17 A compound of Embodiment 16 wherein R 1 is a 4- to 7-membered carbocyclic ring substituted with -YR A (i.e substituted only with -YR A ).
- Embodiment 18 A compound of Embodiment 17 wherein R 1 is a 5- to 6-membered carbocyclic ring substituted with -YR A .
- Embodiment 19 A compound of Embodiment 18 wherein R 1 is a 6-membered
- Embodiment 20 A compound of Embodiment 19 wherein R 1 is cyclohexyl substituted with -YR A at the 3- or 4-position (i.e. relative to the attachment point to the remainder of Formula 1).
- Embodiment 20A A compound of any one of Embodiments 1 through 20 wherein Y is
- Embodiment 20B A compound of any one of Embodiments 1 through 20 wherein Y is
- Embodiment 21 A compound of any one of Embodiments 1 through 20 wherein R A is (i.e. R A is taken alone) Ci -C4 alkyl, C 3 -C 8 cycloalkyl, C 4 -C 10 cycloalkylalkyl, C 2 -C 6 alkoxyalkyl, C1 -C4 haloalkyl, C 4 -C 10 halocycloalkyl, C 4 -C 10
- Embodiment 22 A compound of Embodiment 21 wherein R A is C1 -C4 alkyl, C3 ⁇ Cg cycloalkyl, C4-C10 cycloalkylalkyl, C 2 -Cg alkoxyalkyl or C1 -C4 haloalkyl.
- Embodiment 23 A compound of Embodiment 22 wherein R A is C1 -C4 alkyl, C 2 -Cg alkoxyalkyl or Ci -C4 haloalkyl.
- Embodiment 24 A compound of Embodiment 23 wherein R A is C1 -C4 alkyl or C1 -C4 haloalkyl.
- Embodiment 25 A compound of Embodiment 24 wherein R A is C1 -C4 alkyl.
- Embodiment 26 A compound of Embodiment 25 wherein R A is CH 3 .
- Embodiment 27 A compound of any one of Embodiments 1 through 16 or 21 through 26 wherein R B (i.e. R B is taken alone) is halogen, Ci -C4 alkyl or Ci -C4 alkoxy.
- Embodiment 28 A compound of Embodiment 27 wherein R B is halogen or Ci -C4 alkyl.
- Embodiment 29 A compound of Embodiment 28 wherein R B is halogen or CH 3 .
- Embodiment 30 A compound of any one of Embodiments 1 through 29 wherein R A and R B (i.e. are taken together) connected to the same carbocyclic ring member taken together as -OCH 2 CH 2 0- or -OCH 2 CH 2 CH 2 0-.
- Embodiment 31 A compound of Embodiment 30 wherein R A and R B connected to the same carbocyclic ring member and taken together as -OCH 2 CH 2 0-.
- Embodiment 31 A A compound of any one of Embodiments 1 through 29 wherein R A and R B (i.e. are taken together) connected to the same carbocyclic ring member taken together as -SCH 2 CH 2 S-.
- Embodiment 32 A compound of any one of Embodiments 1 through 21 wherein R c is H or C r C 4 alkyl.
- Embodiment 33 A compound of Embodiment 32 wherein R c is H or CH 3 .
- Embodiment 34 A compound of Embodiment 33 wherein R c is CH 3 .
- Embodiment 35 A compound of any one of Embodiments 1 through 34 wherein R 2 is
- Embodiment 36 A compound of Embodiment 35 wherein R 2 is C1-C4 alkyl,
- Embodiment 37 A compound of Embodiment 36 wherein R 2 is CH 3 or cyclopropyl.
- Embodiment 37 A. A compound of Embodiment 37 wherein R 2 is CH 3 .
- Embodiment 38 A compound of any one of Embodiments 1 through 37 wherein R 3 is hydroxy, -0 ⁇ M + , C 2 -C 8 alkylcarbonyloxy, C 2 -C 8 haloalkylcarbonyloxy, C 4 -C 10 cycloalkylcarbonyloxy or C 3 -CIQ alkylcarbonylalkoxy; or benzyloxy, phenyloxy, benzylcarbonyloxy, phenylcarbonyloxy, phenylsulfonyloxy or benzylsulfonyloxy, each optionally substituted on ring members with up to two substituents selected from R 21 .
- Embodiment 39 A compound of Embodiment 38 wherein R 3 is hydroxy, -0 ⁇ M + or
- Embodiment 40 A compound of Embodiment 39 wherein R 3 is hydroxy or C 2 -Cg alkylcarbonyloxy.
- Embodiment 41 A compound of Embodiment 40 wherein R 3 is hydroxy or
- Embodiment 42 A compound of Embodiment 39 wherein M + is a sodium or
- Embodiment 43 A compound of any one of Embodiments 1 or 14 through 42 wherein R 4 , R 5 , R 6 and R 7 are each independently H or C r C 6 alkyl.
- Embodiment 44 A compound of any one of Embodiments 1 or 14 through 43 wherein
- R 8 is C r C 6 alkyl or C 3 -C 8 cycloalkyl.
- Embodiment 45 A compound of Embodiment 44 wherein R 8 is CH 3 , CH 2 CH 3 or cyclopropyl.
- Embodiment 46 A compound of any one of Embodiments 1 through 3 or 14 through
- R 9 is C r C 6 alkyl.
- Embodiment 47 A compound of Embodiment 46 wherein R 9 is CH 2 CH 3 .
- Embodiment 48 A compound of any one of Embodiments 1 through 3 or 14 through
- R 10 is H, halogen or C ⁇ -Cg alkyl.
- Embodiment 49 A compound of Embodiment 48 wherein R 10 is H or CH 3 .
- Embodiment 50 A compound of any one of Embodiments 1, 2, or 14 through 42 wherein R 1 1 is H or C ⁇ -Cg alkyl.
- Embodiment 51 A compound of Embodiment 50 wherein R 1 1 is H.
- Embodiment 52 A compound of any one of Embodiments 1, 2 or 14 through 42
- R 12 is H, halogen, cyano, hydroxy, amino or C j -Cg alkyl.
- Embodiment 53 A compound of Embodiment 52 wherein R 12 is H, halogen, cyano, C r C 6 alkyl or C 3 -C 8 cycloalkyl.
- Embodiment 54 A compound of Embodiment 53 wherein R 12 is CH 3 , CH2CH3 or cyclopropyl.
- Embodiment 55 A compound of any one of Embodiments 1 or 14 through 42 wherein
- R 13 is H, halogen, cyano or nitro.
- Embodiment 56 A compound of Embodiment 55 wherein R 13 is cyano or nitro.
- Embodiment 57 A compound of any one of Embodiments 1 through 5, 8, 10, 12 or 14 through 42 wherein each R 14 , R 15 , R 16 and R 17 is independently H, CI or CH 3 .
- Embodiment 57A A compound of Embodiment 57 wherein R 14 and R 15 are both H.
- Embodiment 58 A compound of any one of Embodiments 1 through 5, 8, 10, 12 or 14 through 42 wherein when instances of R 14 and R 16 are taken alone (i.e. R 14 and
- R 16 are not taken together as alkylene or alkenylene), then independently said instances of R 14 and R 16 are H or C ⁇ -Cg alkyl.
- Embodiment 59 A compound of Embodiment 58 wherein when instances of R 1 and
- R 16 are taken alone, then independently said instances of R 14 and R 16 are H or CH 3 .
- Embodiment 60 A compound of Embodiment 29 wherein when instances of R 1 and
- R 16 are taken alone, then independently said instances of R 14 and R 16 are H.
- Embodiment 61 A compound of any one of Embodiments 1 through 5, 8, 10, 12 or 14 through 42 wherein all instances of R 14 and R 16 are taken alone.
- Embodiment 63 A compound of any one of Embodiments 1 through 5, 8, 10, 12 or 14 through 42 wherein each R 16 and R 17 is independently H or CH 3 .
- Embodiment 64 A compound of Embodiment 63 wherein R 16 and R 17 are both H.
- Embodiment 65 A compound of Embodiment 63 wherein R 16 and R 17 are both CH 3 .
- Embodiment 66 A A compound Embodiment 66 wherein T is -CH 2 CH 2 -.
- Embodiment 67 A compound of any one of Embodiments 1 through 66 A wherein each R 21 is independently halogen, cyano, hydroxy, nitro, -CHO, -SH, C j -Cg alkyl, C 2 -C 6 alkenyl, C 2 -C 6 alkynyl, C j -Cg haloalkyl, C 2 -C 6 haloalkenyl, C 2 -C 6 haloalkynyl, C 3 -C 8 cycloalkyl, C 3 -C 8 halocycloalkyl, C 4 -C 10 alkylcycloalkyl, C 4 -C 10 cycloalkylalkyl, C 3 -C 8 cycloalkenyl, C 3 -C 8 halocycloalkenyl, C 2 -C 8 alkoxyalkyl, C4-C10 cycloalkoxyalkyl, C 3 -C ⁇ Q alkoxy
- alkylcarbonyloxy C ⁇ -Cg alkylthio, C ⁇ -Cg haloalkylthio, C 3 -C 8 cycloalkylthio, C j -Cg alkylsulfinyl, -Cg haloalkylsulfinyl, C j -Cg alkylsulfonyl, -Cg haloalkylsulfonyl or C 3 -C 8 cycloalkylsulfonyl.
- Embodiment 68 A compound of Embodiment 67 wherein each R 21 is independently halogen, nitro, C j -Cg alkyl, C j -Cg haloalkyl, -Cg alkoxy, C j -Cg haloalkoxy or C r C 6 alkylthio.
- Embodiment 69 A compound of Embodiment 68 wherein each R 21 is independently fluorine, chlorine, bromine, CH 3 , CF 3 , OCH 3 , OCF 3 or SCH 3 .
- Embodiments of the present invention as described in the Summary of the Invention and any of Embodiments 1 through 69 can be combined in any way. Combined Embodiments from above can be illustrated as:
- Embodiment A is a diagrammatic representation of Embodiment A.
- a compound of Formula 1 (including all stereoisomers), N-oxides, and salts thereof, agricultural compositions containing them and their use as herbicides as described in the Summary of the Invention wherein
- A is A-l, A-3, A-5 or A-6;
- R 1 is a 4- to 7-membered carbocyclic ring substituted with -YR A and optionally
- R B is halogen, -C4 alkyl or -C4 alkoxy
- R c is H or C r C 4 alkyl
- R 2 is C1-C4 alkyl or C3-C5 cycloalkyl
- R 3 is hydroxy, -0 ⁇ M + , C 2 -C 8 alkylcarbonyloxy, C 2 -C 8 haloalkylcarbonyloxy, C 4 -C 10 cycloalkylcarbonyloxy or C 3 -CI Q alkylcarbonylalkoxy; or benzyloxy, phenyloxy, benzylcarbonyloxy, phenylcarbonyloxy, phenylsulfonyloxy or benzylsulfonyloxy, each optionally substituted on ring members with up to two substituents selected from R 21 ;
- R 9 is C r C 6 alkyl
- R 10 is H, halogen or C r C 6 alkyl
- R 1 1 is H or C r C 6 alkyl
- R 12 is H, halogen, cyano, C j -Cg alkyl or C 3 -C 8 cycloalkyl;
- R 14 and R 16 are taken alone and are H or C ⁇ -Cg alkyl; or
- each R 21 is independently halogen, cyano, hydroxy, nitro, -CHO, -SH, C j -Cg alkyl, C 2 -C 6 alkenyl, C 2 -C 6 alkynyl, C j -Cg haloalkyl, C 2 -C 6 haloalkenyl, C 2 -C 6 haloalkynyl, C 3 -C 8 cycloalkyl, C 3 -C 8 halocycloalkyl, C 4 -C 10 alkylcycloalkyl, C 4 -C 10 cycloalkylalkyl, C 3 -C 8 cycloalkenyl, C 3 -C 8 halocycloalkenyl, C 2 -C 8 alkoxyalkyl, C 4 -C ⁇ Q cycloalkoxyalkyl, C 3 -C ⁇ Q alkoxyalkoxyalkyl, C 2 -C 8 alkylthioalkyl
- alkylcarbonyloxy C ⁇ -Cg alkylthio, C ⁇ -Cg haloalkylthio, C 3 -C 8 cycloalkylthio, C j -Cg alkylsulfinyl, -Cg haloalkylsulfinyl, -Cg alkylsulfonyl, -Cg haloalkylsulfonyl or C 3 -C 8 cycloalkylsulfonyl.
- A is A-l, A-3 or A-5;
- B 1 is C-l
- B 2 is C-3;
- B 3 is C-l
- R 1 is a 4- to 7-membered carbocyclic ring substituted with -YR A ;
- R A is C j -C 4 alkyl, C 3 -C 8 cycloalkyl, C 4 -C 10 cycloalkylalkyl, C 2 -C 6 alkoxyalkyl or
- R 2 is C j -Cz j alkyl, cyclopropyl or cyclobutyl;
- R 3 is hydroxy, -0 ⁇ M + or C 2 -C 8 alkylcarbonyloxy; or phenylsulfonyloxy optionally substituted with up to two substituents selected from R 21 ;
- R 9 is CH 2 CH 3 ;
- R 10 is H or CH 3 ;
- each R 14 , R 15 , R 16 and R 17 is independently H, CI or CH 3 ;
- R 21 is independently halogen, nitro, C j -Cg alkyl, C j -Cg haloalkyl, -Cg alkoxy, C ⁇ -Cg haloalkoxy or C ⁇ -Cg alkylthio.
- A is A-l or A-3;
- R 1 is a 5- to 6-membered carbocyclic ring substituted with -YR A ;
- Y is O
- R A is Ci -C4 alkyl, C 2 -Cg alkoxyalkyl or Ci -C4 haloalkyl;
- R 2 is CH 3 or cyclopropyl
- R 3 is hydroxy or C 2 -C 8 alkylcarbonyloxy
- R 14 and R 15 are both H;
- each R 16 and R 17 is independently H or CH 3
- A is A-l
- R 1 is a 6-membered carbocyclic ring substituted with -YR A ;
- R A is C r C 4 alkyl
- R 2 is CH 3 ;
- A is A-3;
- T is -CH 2 CH 2 -;
- R 1 is cyclohexyl substituted with -YR A at the 3- or 4-position
- R A is CH 3 .
- Embodiments of this invention can be combined in any manner, and the descriptions of variables in the embodiments pertain not only to the compounds of Formula 1 but also to the starting compounds and intermediate compounds useful for preparing the compounds of Formula 1.
- embodiments of this invention including Embodiments 1-69 above as well as any other embodiments described herein, and any combination thereof, pertain to the compositions and methods of the present invention.
- Specific embodiments include compounds of Formula 1 selected from the group consisting of: 6-[(2-hydroxy-6-oxo- 1 -cyclohexen- 1 -yl)carbonyl]-4-(4-methoxycyclohexyl)-2-methyl- l,2,4-triazine-3,5(2H,4H)-dione (i.e. Compound 1)
- Embodimenent BP A compound of Embodiment A wherein A is A-l, A-3 or A-5; B 1 is C-l; B 2 is C-3; B 3 is C-l; R 1 is a 4- to 7-membered carbocyclic ring substituted with -YR A ; R A is -C4 alkyl, C 3 -C 8 cycloalkyl, C 4 -C 10 cycloalkylalkyl, C 2 -C 6 alkoxyalkyl or C 1-C4 haloalkyl; R 2 is C 1-C4 alkyl, cyclopropyl or cyclobutyl; R 3 is hydroxy, -0 " M + or C 2 -C 8 alkylcarbonyloxy; or phenylsulfonyloxy optionally substituted with up to two substituents selected from R 21 ; R 10 is H or CH 3 ; R 1 1 is H; R 12 is H, halogen, cyano, C j
- This invention also relates to a method for controlling undesired vegetation comprising applying to the locus of the vegetation herbicidally effective amounts of the compounds of the invention (e.g., as a composition described herein).
- the compounds of the invention e.g., as a composition described herein.
- embodiments relating to methods of use are those involving the compounds of embodiments described above.
- Compounds of the invention are particularly useful for selective control of weeds in wheat, corn and rice.
- herbicidal compositions of the present invention comprising the compounds of embodiments described above.
- Compounds of Formulae 3a, 3b, 3c, 3d and 3e are various subsets of the compounds of Formula 3, and all substituents for Formulae 3a, 3b, 3c, 3d, 3e and 3f are as defined above for Formula 3.
- Compounds of Formulae 5a and 5b are subsets of each other, and are defined analogously to each other.
- Compounds of Formulae 6a and 6b are also subsets of each other and are defined analogously to each other.
- Compounds of Formulae 10a and 10b are various subsets of the compounds of Formula 10, and all substituents for Formulae 10a and 10b are as defined above for Formula 10.
- Compounds of Formulae 14a and 14b are various subsets of the compounds of Formula 14, and all substituents for Formulae 17a are as defined above for Formula 17.
- a compound of Formula 1 (i.e. the compounds of the invention, their N-oxides and their salts) can be prepared according to various methods and consistant with the procedures reported in WO 2012/002096. Representative examples are given below, but the process for preparing a compound of Formula 1 are not limited to these examples.
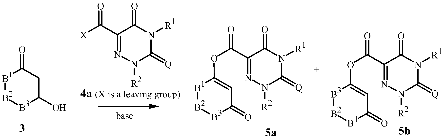
- a compound of Formula la is a compound of the invention wherein A is A-l and can be produced according to the method shown below in Scheme 1 (wherein R 1 , R 2 , B 1 , B 2 , B 3 and Q are as defined in the Summary of the Invention, and X represents a leaving group such as a halogen atom; or an alkylcarbonyloxy, alkoxycarbonyloxy, haloalkylcarbonyloxy, haloalkoxycarbonyloxy, benzoyloxy, pyridyl or imidazolyl group).
- Scheme 1 wherein R 1 , R 2 , B 1 , B 2 , B 3 and Q are as defined in the Summary of the Invention, and X represents a leaving group such as a halogen atom; or an alkylcarbonyloxy, alkoxycarbonyloxy, haloalkylcarbonyloxy, haloalkoxycarbonyloxy, benzoyloxy, pyridyl or imid
- Reaction of a compound of Formula 3 and a compound of Formula 4a in a solvent and in the presence of a base can be used to prepare the enolester of a compound of Formulae 5a and/or 5b.
- the amount of a compound Formula 4a can be appropriately selected from the range of about 0.5 to about 10 mol (typically from 1.0 to 1.2 mol) per 1 mol of a compound of Formula 3.
- Examples of the base which can be used for the present process include organic amines such as triethylamine, pyridine, 4-dimethylammopyridine, N,N- dimethylaniline and l,8-diazabicyclo[5.4.0]undec-7-ene; metal carbonates such as sodium carbonate, potassium carbonate, magnesium carbonate and calcium carbonate; metal hydrogen carbonates such as sodium hydrogen carbonate and potassium hydrogen carbonate; metal carboxylate salts represented by metal acetate salts such as sodium acetate, potassium acetate, calcium acetate and magnesium acetate; metal alkoxides such as sodium methoxide, sodium ethoxide, sodium tertiary butoxide, potassium methoxide and potassium tertiary butoxide; metal hydroxides such as sodium hydroxide, potassium hydroxide, calcium hydroxide; and magnesium hydroxide such metal hydrides such as lithium hydride, sodium hydride, potassium hydride and calcium hydride.
- organic amines such as tri
- the amount of the base is appropriately selected from the range of about 0.5 to about 10 mol (typically from 1.0 to 1.2 mol) per 1 mol of a compound of Formula 3.
- the solvent that can be used for the present process can be any solvent if it does not inhibit the progress of the reaction.
- Solvents including nitriles such as acetonitrile; ethers such as diethyl ether, diisopropyl ether, tetrahydrofuran, dioxane, monoglyme and diglyme; halogenated hydrocarbons such as dichloroethane, chloroform, carbon tetrachloride and tetrachloroethane; aromatic hydrocarbons such as benzene, chlorobenzene, nitrobenzene and toluene; amides such as N,N-dimethylformamide and N,N-dimethylacetamide; imidazolinones such as l,3-dimemyl-2-imidazolinone; sulfur compounds such as dimethyl sulfoxide; and mixtures thereof can also be used.
- nitriles such as acetonitrile
- ethers such as diethyl ether, diisopropyl ether, tetrahydrofuran, di
- the reaction temperature may be selected from the range of from -20 °C to the boiling point of an inert solvent used. Typically the reaction is carried out in the range of from 0 °C to 100 °C.
- a phase transfer catalyst such as quaternary ammonium salt, the reaction can be carried out in a two-phase system.
- a compound of Formulae 5a and/or 5b can be collected from the reaction system by general methods, and if necessary, purified by a process such as column chromatography and recrystallization.
- a compound of Formulae 5a and/or 5b can be also produced by reacting a compound of Formula 3 with a compound of Formula 4b with a dehydrating condensing agent in a solvent, in the presence or absence of a base as shown in Scheme 2.
- the amount of a compound of Formula 4b used for the present process can be appropriately selected from the range of about 0.5 to about 10 mol (typically from 1.0 to 1.2 mol) per 1 mol of a compound of Formula 3.
- Examples of the dehydrating condensing agents include dicyclohexyl carbodiimide, ⁇ -(S-dimethylaminopropy ⁇ -N'-ethylcarbodiimide, N,N-carbonyldiimidazole, 2-chloro-l,3-dimethylimidazolium chloride and 2-chloro-l-methylpyridinium iodide.
- Examples of the base and solvent which can be used for the present process include those described above for Scheme 1.
- the reaction temperature may be selected from the range of from -20 °C to the boiling point of an inert solvent used. Typically, the reaction is carried out in the range of from 0 °C to 100 °C.
- the compounds of Formulae 5a and/or 5b can be separated and purified in the same manner as described for Scheme 1.
- a compound of Formula la can be produced by reacting the compound of Formulae 5a and/or 5b as shown in Scheme 3 with a cyano compound in the presence of a base.
- a cyano compound which can be used for the present process include potassium cyanide, sodium cyanide and acetone cyanohydrin.
- the amount of the cyano compound can be appropriately selected from the range of about 0.01 to about 1.0 mol (typically from 0.05 to 0.2 mol) per 1 mol of a compound of Formulae 5a and 5b.
- Examples of the base which can be used for the present process include those described above for Scheme 1.
- the amount of base can be appropriately selected from the range of about 0.5 to about 10 mol (typically from 1.0 to 1.2 mol) per 1 mol of a compound of Formula 5a and a compound of Formula 5b.
- a small amount of a phase transfer catalyst such as crown ether can also be used.
- the solvent which can be used for the present process include those described above for Scheme 1.
- the reaction temperature is selected from the range of -20 °C to the boiling point of an inert solvent used. Typically, the reaction is carried out in the range of from 0 °C to 100 °C.
- a compound of Formula la can be also produced by reacting a compound of Formula 3 and a compound of Formula 4c in the presence of a base or a Lewis acid as shown in Scheme 4.
- the amount of a compound of Formula 4c that is used for the present process can be appropriately selected from the range of about 0.5 to about 10 mol (typically from 1.0 to 1.2 mol) per 1 mol of a compound of Formula 3.
- the Lewis acid include zinc chloride and aluminum chloride.
- Examples of the base which can be used for the present process include those described above for Scheme 1.
- the amount of the base that can be used for the present process can be appropriately selected from the range of about 0.5 to about 10 mol (typically from 1.0 to 1.2 mol) per 1 mol of a compound of Formula 3.
- Examples of the solvent which can be used for the present process include those described above for Scheme 1.
- the reaction temperature is selected from the range of from -20 °C to the boiling point of an inert solvent used. Typically, the reaction is carried out in the range of from 0 °C to 100 °C.
- a compound of Formula la which is produced according to Schemes 2 or 3 can be collected from the reaction system by general method, and if necessary, purified by a process such as column chromatography and recrystallization.
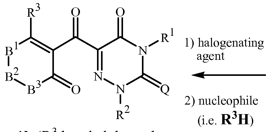
- a compound of Formula la can also be prepared as shown in Scheme 5 where the hydroxyl group can be converted to other substituent groups according to the method shown in Scheme 5 (i.e. a compound of Formula 1 wherein R 1 , R 2 , R 3 , B 1 , B 2 , B 3 and Q each have the same definitions as described in the Summary of the invention).
- a compound of Formula lb wherein R 3 is bonded through nitrogen, sulfur or carbon can be produced by reacting a compound of Formula la with a halogenating agent followed by nucleophilic displacement with an appropriate reagent.
- a halogenating agent that can be used for the process include thionyl chloride, thionyl bromide, phosphorus oxychloride, phosphorus oxybromide, phenyltrimethyl ammonium tribromide and Meldrum's acid tribromide.
- the amount of the halogenating agent can be appropriately selected from the range of about 0.1 to about 10 mol (typically from 1.0 to 1.2 mol) per 1 mol of a compound of Formula la.
- reaction temperature is selected from the range of from -20 °C to the boiling point of an inert solvent used. Typically, the reaction is carried out in the range of from 0 °C to 100 °C.
- the nucleophilic reagent for the process for obtaining a compound of Formula lc is, for example, a compound represented by the formula R 3 -H and examples thereof include alcohols such as methanol, ethanol and benzyl alcohol; mercaptans such as methyl mercaptan and ethyl mercaptan; amines such as ammonia, methyl amine and ethyl amine; phenols such as /?-cresol and phenol; thiophenols such as /?-chlorothiophenol; Ci -Cg alkyl acids such as acetic acid and benzoic acids.
- alcohols such as methanol, ethanol and benzyl alcohol
- mercaptans such as methyl mercaptan and ethyl mercaptan
- amines such as ammonia, methyl amine and ethyl amine
- phenols such as /?-cresol and phenol
- thiophenols such
- the amount of the nucleophilic reagent can be appropriately selected from the range of about 0.1 to about 10 mol (typically from 1.0 to 1.2 mol) per 1 mol of a compound of Formula la.
- the solvent which can be used for the present process include those described above for Scheme 1.
- the reaction temperature is selected from the range of from -20 °C to the boiling point of an inert solvent used. Typically, the reaction is carried out in the range of from 0 °C to 100 °C.
- a compound of Formula lb i.e. the target compound of this reaction
- a compound of Formula lb wherein R 3 is bonded through oxygen can be prepared by reacting a compound of Formula la and an electrophillic reagent in a solvent, in the presence or absence of a base.
- the electrophillic reagent that can be used indicates a compound represented by a compound of Formula L-R 3 (where L represents a leaving group) including C j -Cg alkyl halides such as methyl iodide and propyl chloride; benzyl halides such as benzyl bromide; C j -Cg alkylcarbonyl halides such as acetyl chloride and propionyl chloride; benzoyl halides such as benzoyl chloride; C j -Cg alkyl sulfonyl halides such as methane sulfonyl chloride and ethane sulfonyl chloride; benzene sulfonyl halides such as benzene
- the amount of the electrophilic reagent can be appropriately selected from the range of about 0.1 to about 10 mol (typically from 1.0 to 1.2 mol) per 1 mol of a compound of Formula la.
- Examples of the base and the solvent which can be used for the present process include those described above for Scheme 1.
- the amount of the base can be appropriately selected from the range of about 0.1 to about 10 mol (typically from 1.0 to 1.2 mol) per 1 mol of a compound of Formula la.
- the reaction temperature is selected from the range of from -20 °C to the boiling point of an inert solvent used. Typically, the reaction is carried out in the range of from 0 °C to 100 °C.
- a compound of Formula lb i.e. the target compound of this reaction
- a compound of Formula lc can be prepared by the method as shown in Scheme 6 (i.e. wherein R 1 , R 2 , R 4 , R 5 , R 6 , R 7 , R 8 and Q each have the same definitions as in the Summary of the Invention, and X represents a leaving group such as a halogen atom; or an alkylcarbonyloxy, alkoxycarbonyloxy, haloalkylcarbonyloxy, haloalkoxycarbonyloxy, benzoyloxy, pyridyl or imidazolyl group).
- a compound of Formula lc can be produced by reacting the compound of Formula 3c with a compound of Formula 4a in a solvent, in the presence of a Lewis base.
- the amount of a compound of Formula 4a can be appropriately selected from the range of about 0.5 to about 10 mol (typically from about 1.0 to 1.2 mol) per 1 mol of a compound of Formula 3c.
- Lewis base examples include organo lithium compounds such methyl lithium, ethyl lithium, n-butyl lithium, sec -butyl lithium, tert-butyl lithium and benzyl lithium; Grignard reagents such as methyl magnesium iodide and ethyl magnesium bromide; metal compounds such as lithium, potassium and sodium; organo copper compounds produced from Grignard reagent or organometallic compound and monovalent copper salts; alkali metal amides such as lithium diisopropyl amide; and; organic amines such as trimethylamine, pyridine, 4-dimethylaminopyridine, N,N dimethylaniline and l,8-diazabicyclo[5.4.0]undec-7-ene.
- organo lithium compounds such methyl lithium, ethyl lithium, n-butyl lithium, sec -butyl lithium, tert-butyl lithium and benzyl lithium
- Grignard reagents such as methyl magnesium i
- n-Butyl lithium and lithium diisopropyl amide are particularly preferable.
- the amount of Lewis acid can be appropriately selected from the range of about 0.5 to about 10 mol (typically from 1.0 to 1.2 mol) per 1 mol of a compound of Formula 3c.
- Examples of the solvent which can be used for the present process include those described above for Scheme 1. Diethyl ether and tetrahydrofuran are particularly preferable.
- the reaction temperature is selected from the range of from -20 °C to the boiling point of the inert solvent used. Typically, the reaction is carried out in the range of from about 0 °C to 100 °C.
- a compound of Formula lc i.e. the target compound of this reaction
- a process such as column chromatography and recrystallization.
- a compound of Formula Id can be prepared by the method shown in Scheme 7 (wherein R 1 , R 2 , R 9 , R 10 and Q each have the same definitions as defined in the Summary of the Invention, and X represents a leaving group such as a halogen atom; or an alkylcarbonyloxy, alkoxycarbonyloxy, haloalkylcarbonyloxy, haloalkoxycarbonyloxy, benzoyloxy, pyridyl or imidazolyl group).
- a compound of Formula 5c can be prepared by reacting a compound of Formula 3d and a compound of Formula 4a in a solvent and in the presence of a base, and a compound of Formula Id can be produced by reacting a compound of Formula 5c with a cyano compound in the presence of a base.
- the amount of a compound of Formula 4a for preparing a compound of Formula 5c from a compound of Formula 3d can be appropriately selected from the range of about 0.1 to about 10 mol (typically from 1.0 to 1.2 mol) per 1 mol of a compound of Formula 3d.
- Examples of the base and solvent that can be used include those described above for Scheme 1.
- the reaction temperature is selected from the range of from -20 °C to the boiling point of the inert solvent used. Typically, the reaction is carried out in the range of from 0 °C to 100 °C.
- Examples of the cyano compound of Scheme 6 for obtaining a compound of Formula lc from a compound of Formula 5c include potassium cyanide, sodium cyanide and acetone cyanohydrin.
- the amount of the cyano compound can be appropriately selected from the range of about 0.01 to about 1.0 mol (typically from 0.05 to 0.2 mol) per 1 mol of a compound of Formula 3d.
- Examples of the base that can be used include those described above for Scheme 1.
- the amount of the base can be appropriately selected from the range of about 0.1 to about 1.0 mol (typically from 1.0 to 1.2 mol) per 1 mol of a compound of Formula 3d.
- the solvent which can be used for the present process include those described above for Scheme 1.
- the reaction temperature is selected from the range of from -20 °C to the boiling point of an inert solvent used. Typically, the reaction is carried out in the range of from 0 °C to 100 °C.
- a compound of Formula Id i.e. the target compound of this reaction
- a compound of Formula le in which the substituent on the pyrazole ring is further modified can be also produced from a compound of Formula Id by the method shown in Scheme 8 (wherein R 1 , R 2 , R 3 , R 9 , R 10 and Q each have the same definitions as in the Summary of the Invention).
- a compound of Formula le (wherein R 3 is bonded through nitrogen sulfur or carbon) can be produced by reacting a compound of Formula Id with a halogenating agent followed by nucleophilic displacement with an appropriate reagent.
- a halogenating agent that can be used for the process include thionyl chloride, thionyl bromide, phosphorus oxychloride, phosphorus oxybromide, phenyltrimethyl ammonium tribromide and Meldrum's acid tribromide.
- the amount of halogenating agent can be appropriately selected from the range of about 0.1 to about 10 mol (typically from 1.0 to 1.2 mol) per 1 mol of a compound of Formula Id.
- the reaction temperature is selected from a range of about -20 °C to the boiling point of the inert solvent used. Typically, the reaction is carried out in the range of from 0 °C to 100 °C.
- the nucleophilic reagent for the process for obtaining a compound of Formula le is, for example, a compound represented by the formula R 3 -H. Appropriate examples of R 3 -H in this reaction are listed in the discussed for Scheme 5.
- the amount of the nucleophilic reagent can be appropriately selected from the range of about 0.1 to about 10 mol (typically from 1.0 to 1.2 mol) per 1 mol of a compound of Formula Id.
- Examples of the solvent which can be used for the present process include those described above for Scheme 1.
- the reaction temperature is selected from the range of from -20 °C to the boiling point of an inert solvent used. Typically, the reaction is carried out in the range of from 0 °C to 100 °C.
- a compound of Formula le (i.e. the target compound of this reaction) can be collected from the reaction system by general method, and if necessary, purified by a process such as column chromatography and recrystallization.
- a compound of Formula le wherein R 3 is bonded through oxygen can be prepared by reacting a compound of Formula Id and an electrophilic reagent in a solvent, in the presence or absence of a base.
- the electrophilic reagent that can be used indicates a compound represented by the formula L-R 3 (L represents a leaving group), and examples thereof include C j -Cg alkyl halide such as methyl iodide and propyl chloride; benzyl halide such as benzyl bromide; C j -Cg alkylcarbonyl halide such as acetyl chloride and propionyl chloride; benzoyl halides such as benzoyl chloride; C j -Cg alkyl sulfonyl halides such as methane sulfonyl chloride and ethane sulfonyl chloride; benzene sulfonyl halides such as benzene s
- the amount of the electrophilic reagent can be appropriately selected from the range of about 0.1 to about 10 mol (typically from 1.0 to 1.2 mol) per 1 mol of a compound of Formula Id.
- Examples of the base and the solvent which can be used for the present process include those described above for Scheme 1.
- the amount of the base can be appropriately selected from the range of about 0.1 to about 10 mol (typically from 1.0 to 1.2 mol) per 1 mol of a compound of Formula le.
- the reaction temperature is selected from the range of from -20 °C to the boiling point of an inert solvent used. Typically, the reaction is carried out in the range of from 0 °C to 100 °C.
- a compound of Formula le can be collected from the reaction system by general methods, and if necessary, purified by a process such as column chromatography and recrystallization.
- a compound of Formula If can be produced by the method as shown in Scheme 9 (wherein, R 1 , R 2 , R 12 , R 13 and Q each have the same definitions as described in the Summary of the Invention, and X represents a leaving group such as a halogen atom; or an alkylcarbonyloxy, alkoxycarbonyloxy, haloalkylcarbonyloxy, haloalkoxycarbonyloxy, benzoyloxy, pyridyl or imidazolyl group).
- a compound of Formula 5d can be produced by reacting a compound of Formula 3e with a compound of Formula 4a in a solvent, in the presence of a base, and a compound of Formula If can be produced by reacting a compound of Formula 5d and a cyano compound in the presence of a base.
- the amount of a compound of Formula 4a for preparing a compound of Formula 5d from a compound of Formula 3e can be appropriately selected from the range of about 0.1 to about 10 mol (typically from 1.0 to 1.2 mol) per 1 mol of a compound of Formula 3e.
- Examples of the base that can be used include those described above for Scheme 1.
- the amount of base can be appropriately selected from the range of about 0.1 to about 10 mol (typically from 1.0 to 1.2 mol) per 1 mol of a compound of Formula 3e.
- the solvent that can be used include those described above for Scheme 1.
- Examples of the cyano compound which can be used for the reaction above for obtaining a compound of Formula If from a compound of Formula 5d include potassium cyanide, sodium cyanide and acetone cyanohydrin.
- the amount of the cyano compound can be appropriately selected from the range of about 0.01 to about 1.0 mol (typically from 0.05 to 0.2 mol) per 1 mol of a compound of Formula 5d.
- Examples of the base that can be used include those described above for Scheme 1.
- the amount of the base can be appropriately selected from the range of 0.1 to 1.0 mol (typically from 1.0 to 1.2 mol) per 1 mol of a compound of Formula 5d.
- Examples of the solvent that can be used include those described above for Scheme 1.
- the reaction temperature is selected from the range of from -20 °C to the boiling point of an inert solvent used. Typically, the reaction is carried out in the range of from 0 °C to 100 °C.
- a compound of Formula If can be collected from the reaction system by general methods, and if necessary, purified by a process such as column chromatography and recrystallization.
- a compound of Formula 6a can be prepared by the method shown in Scheme 10 (wherein in the formula, R 1 , R 2 , R 12 and Q each have the same definitions as in the Summary of the Invention, and R 13 represents a C ⁇ -Cg alkoxycarbonyl group).
- a compound of Formula 6a can be prepared by reacting a compound of Formula If and acid with or without using a solvent.
- the acid that can be used for the present process include sulfonic acids such as / ⁇ -toluene sulfonic acid.
- the amount of acid can be appropriately selected from the range of about 0.1 to about 10 mol (typically from 1.0 to 1.2 mol) per 1 mol of a compound of Formula If.
- the solvent that can be used include those described above for Scheme 1.
- the reaction temperature is selected from the range of from -20 °C to the boiling point of an inert solvent used. Typically, the reaction is carried out in the range of from 0 °C to 100 °C.
- a compound of Formula 6b By reacting a compound of Formula 6a and an orthoformate ester or N,N- dimethylformamide dimethylacetal in the presence of an acid, a compound of Formula 6b can be obtained.
- the amount of orthoformate ester or N,N-dimethylformamide dimethylacetal can be appropriately selected from the range of about 0.1 to about 10 mol (typically from 1.0 to 3.0 mol) per 1 mol of a compound of Formula 6a.
- the reaction temperature is selected from the range of from -20 °C to the boiling point of an inert solvent used. Typically, the reaction is carried out in the range of from 0 °C to 150 °C.
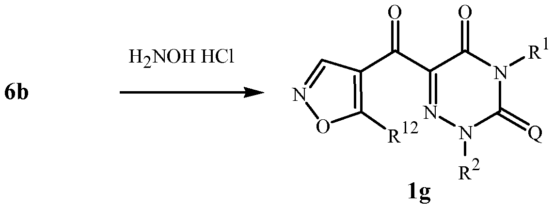
- a compound of Formula l can be obtained by reacting a compound of Formula 6b from Scheme 11 above with hydroxylamine hydrochloride in a solvent as shown in Scheme 12 below.
- Scheme 12
- the amount of hydroxylamine hydrochloride can be appropriately selected from the range of about 0.1 to about 10 mol (typically from 1.0 to 1.2 mol) per 1 mol of a compound of Formula 6b.
- the solvent that can be used for the present process include those described above for Scheme 1.
- the reaction temperature is selected from the range of from -20 °C to the boiling point of an inert solvent used. Typically, the reaction is carried out in the range of from 0 °C to 100 °C.
- a compound of Formula lg i.e. the target compound of this reaction
- a compound of Formula 3a can be produced according to the method shown below in Scheme 13 (wherin R 1 , R 2 and Q each have the same definitions as above and X represents a chlorine or a bromine).
- a compound of Formula 4a can be produced by reacting a compound of Formula 4b and an appropriate halogenating agent with or without a solvent.
- the halogenating agent that can be used include oxalyl chloride and thionyl chloride.
- the amount of the halogenating agent can be appropriately selected from the range of about 0.01 to about 20 mol (typically from 1 to 10 mol) per 1 mol of a compound of Formula 4b.
- the solvent include halogenated hydrocarbons such as dichloromethane and chloroform, ethers such as diethyl ether and tetrahydrofuran and aromatic hydrocarbons such as benzene and toluene.
- the amount of the solvent is about 0.01 to about 100 L (typically from 0.1 to 10 L) per 1 mol of a compound of Formula 4b.
- the reaction temperature is selected from the range of from -20 °C to the boiling point of an inert solvent used. Typically, the reaction is carried out in the range of from 0 °C to 100 °C.
- a compound of Formula 4a i.e. the target compound of this reaction
- a compound of Formula 2 can be produced according to the method shown in
- a compound of Formula 4b can be obtained by hydro lyzing the compound of Formula 2.
- the production can be carried out by hydrolysis in water, organic solvent, or a mixture solvent in the presence of an acid or a base.
- the base that can be used include those described above for Scheme 1.
- the amount of the base can be appropriately selected from the range of about 0.01 to about 100 mol (typically from 0.1 to 10 mol) per 1 mol of a compound of Formula 2.
- the acid that can be used include inorganic acids such as hydrochloric acid, hydrobromic acid and sulfuric acid; and organic acids such as acetic acid and trifluoroacetic acid.
- the amount of the acid can be appropriately selected from the range of about 1 mol to an excess amount (typically from 1 to 100 mol) per 1 mol of a compound of Formula 2.
- the organic solvent that can be used include a mixture solvent of water and an organic solvent.
- the organic solvent include alcohols such as methanol and ethanol; ether such as tetrahydrofuran, ketones such as acetone and methyl isobutyl ketone; amides such as N,N- dimethyl formamide and N,N-dimethyl acetamide; sulfur compounds such as dimethyl sulfoxide and sulfolane, acetonitrile; and their mixtures.
- the amount of the solvent is about 0.01 to about 100 L (typically from 0.1 to 1.0 L) per 1 mol of a compound of Formula 2.
- the reaction temperature is selected from the range of from -20 °C to the boiling point of an inert solvent used. Typically, the reaction is carried out in the range of from 0 °C to 100 °C.
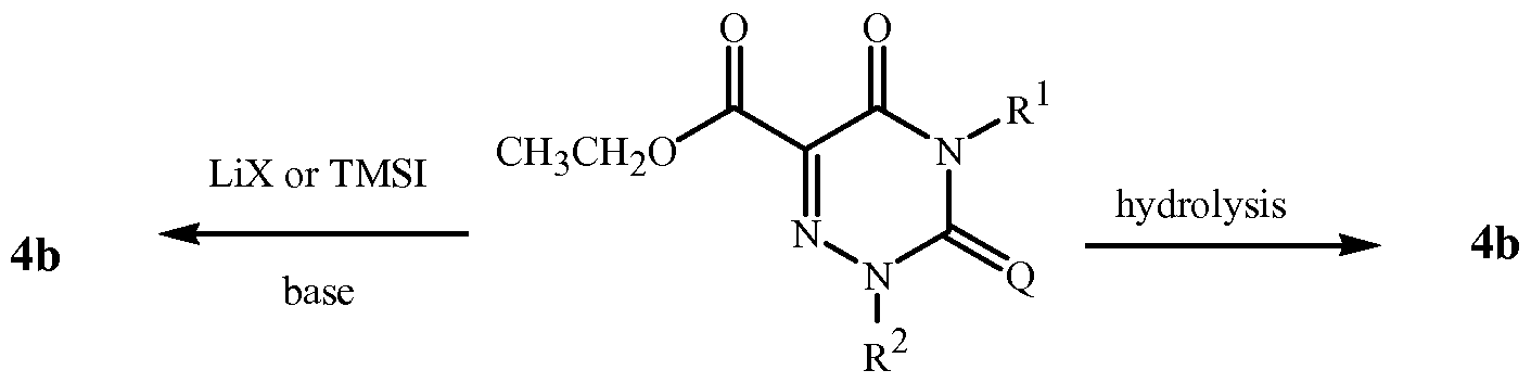
- a compound of Formula 4b can be obtained from a compound of Formula 2 using a dealkylating agent in water, organic solvent, or a mixture of solvents with a dealkylating agent and a base.
- the dealkylating agent that can be used include lithium iodide, lithium bromide or trimethylsilyl iodide.
- the amount of the dealkylating can be appropriately selected from the range of about 0.01 to about 100 mol (typically, it is 0.1 to 10 mol) per 1 mol of a compound of Formula 2.
- Examples of the base that can be used include those described above for Scheme 1.
- the amount of the base can be appropriately selected from the range of about 0.01 to about 100 mol (typically from 0.1 to 10 mol) per 1 mol of a compound of Formula 2.
- the organic solvent that can be used include a mixture solvent of water and an organic solvent.
- the organic solvent include pyridine ethyl acetate, acetonitrile and mixtures thereof.
- the amount of the solvent is about 0.01 to about 100 L (typically from 0.1 to 1.0 L) per 1 mol of a compound of Formula 2.
- the reaction temperature is selected from the range of from -20 °C to the boiling point of an inert solvent used. Typically, the reaction is carried out in the range of from 0 °C to 100 °C.
- a compound of Formula 2 can be produced by the method with the following reaction Schemes 15, 16, 17 and 18 (in the Schemes, R 1 , R 2 and Q each have the same definitions as in the Summary of the Invention).
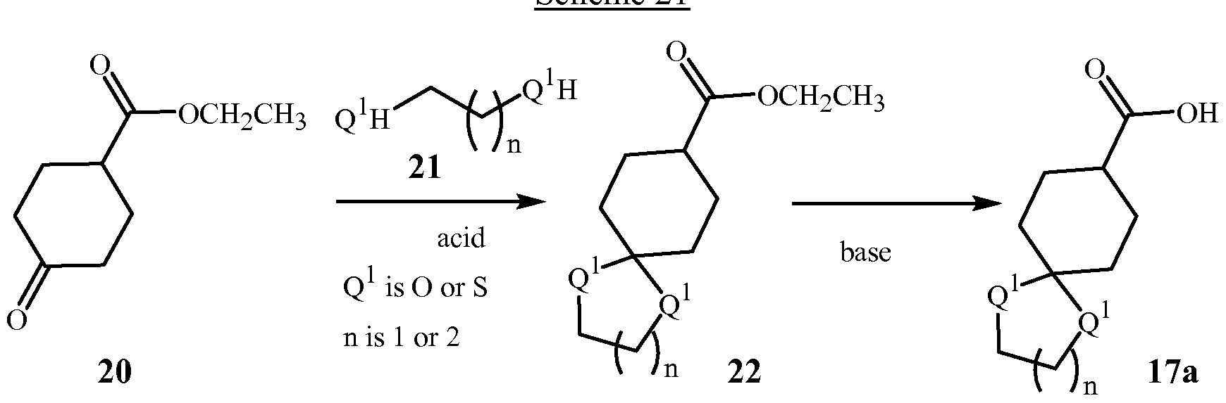
- a compound of Formula 9 can be obtained by reacting a compound of Formula 7 with diethyl ketomalonate 8.
- a compound of Formula 2 can be obtained by reacting a compound of Formula 9 and the compound of Formula 10 in the presence of a base.
- the amount of diethyl ketomalonate 8 for the process of producing a compound of Formula 9 from a compound of Formula 7 can be appropriately selected from the range of about 1.0 to about 1.5 mol (typically from 1.0 to 1.2 mol) per 1 mol of a compound of Formula 7.
- Examples of the solvent that can be used for the present process include those described above for Scheme 1.
- the reaction temperature is selected from the range of from -20 °C to the boiling point of an inert solvent used.
- the reaction is carried out in the range of from 0 °C to 100 °C.
- the amount of a compound of Formulae 10 for the process of producing a compound of Formula 2 from a compound of Formula 9 can be appropriately selected from the range of about 1.0 to about 1.5 mol (typically from 1.0 to 1.2 mol) per 1 mol of a compound of Formula 9.
- Examples of the base that can be used for the present process include those described above for Scheme 1.
- the amount of the base can be appropriately selected from the range of about 0.1 to about 10 mol (typically from 1.0 to 1.2 mol) per 1 mol of a compound of Formula 9.
- Examples of the solvent that can be used for the present process include those described above for Scheme 1.
- the reaction temperature is selected from the range of from -20 °C to the boiling point of an inert solvent used.
- the reaction is carried out in the range of from 0 °C to 100 °C.
- a compound of Formula 12 can be obtained by reacting a compound of Formula 7 with a compound of Formula 11 (wherein M 1 represents sodium, potassium or trimethylsilyl).
- a compound of Formula 13 can be obtained by reacting a compound of Formula 12 and diethyl ketomalonate 8. Subsequently, a compound of Formula 2 can be obtained by reacting a compound of Formula 13 with an alkylating agent (i.e. RiX, where X is a leaving group) in the presence of a base.
- the amount of a compound of Formula 11 for the process of producing a compound of Formula 12 from a compound of Formula 7 can be appropriately selected from the range of about 1.0 to about 1.5 mol (typically from 1.0 to 1.2 mol) per 1 mol of a compound of Formula 7.
- the reaction temperature is selected from the range of from -20 °C to the boiling point of an inert solvent used. Typically, the reaction is carried out in the range of from 0 °C to 100 °C.
- the amount of diethyl ketomalonate 8 for the process of producing a compound of Formula 13 from a compound of Formula 12 can be appropriately selected from the range of about 1.0 to about 1.5 mol (typically from 1.0 to 1.2 mol) per 1 mol of a compound of Formula 12.
- Examples of the solvent that can be used for the present process include those described above for Scheme 1.
- the reaction temperature is selected from the range of from -20 °C to the boiling point of an inert solvent used.
- the reaction is carried out in the range of from 0 °C to 100 °C.
- the amount of the alkylating agent for the process of producing a compound of Formula 2 from a compound of Formula 13 can be appropriately selected from the range of about 1.0 to about 3.0 mol (typically from 1.0 to 1.5 mol) per 1 mol of a compound of Formula 13.
- the alkylating agent that can be used include cycloalkyl halides and sulfonic acid esters such as cyclopentylmethane sulfonate.
- Examples of the base that can be used for the present process include those described above for Scheme 1.
- the amount of base can be appropriately selected from the range of about 0.1 to about 10 mol (typically from 1.0 to 1.2 mol) per 1 mol of a compound of Formula 13.
- Examples of the solvent that can be used for the present process include those described above for Scheme 1.
- the reaction temperature is selected from the range of from -20 °C to the boiling point of an inert solvent used. Typically, the reaction is carried out in the range of from 0 °C to 100 °C.
- a compound of Formula 14a can be obtained by reacting a compound of Formula 10 and hydrazine hydrate as shown in Scheme 17.
- a compound of Formula 15 can be obtained by reacting a compound of Formula 14a and diethyl ketomalonate 8.
- a compound of Formula 2 can be obtained by reacting a compound of Formula 15 and an alkylating agent in the presence of a base.
- the amount of hydrazine hydrate for the process of producing a compound of Formula 14a from a compound of a compound of Formula 10 can be appropriately selected from the range of about 1.0 to about 1.5 mol (typically from 1.0 to 1.2 mol) per 1 mol of hydrazine hydrate.
- Examples of the solvent that can be used for the present process include those described above for Scheme 1.
- the reaction temperature is selected from the range of from -20 °C to the boiling point of an inert solvent used.
- the reaction is carried out in the range of from 0 °C to 100 °C.
- the amount of diethyl ketomalonate 8 for the process of producing a compound of Formula 15 from a compound of Formula 14a can be appropriately selected from the range of about 1.0 to about 1.5 mol (typically from 1.0 to 1.2 mol) per 1 mol of a compound of Formula 14a.
- Examples of the solvent that can be used for the present process include those described above for Scheme 1.
- the reaction temperature is selected from the range of from -20 °C to the boiling point of an inert solvent used.
- the reaction is carried out in the range of from 0 °C to 100 °C.
- the amount of the alkylating agent for the process of producing a compound of Formula 2 from a compound of Formula 15 can be appropriately selected from the range of about 1.0 to about 3.0 mol (typically from 1.0 to 1.5 mol) per 1 mol of a compound of Formula 15.
- alkylating agent examples include alkyl sulfates such as dimethyl sulfate and diethyl sulfate; alkyl halides such as methyl iodide, ethyl iodide, benzyl chloride, benzyl bromide, propargyl bromide, ethyl bromoacetate and chloroacetonitrile; and sulfonic acid esters such as ethoxyethyl / ⁇ -toluene sulfonate and cyclopentylmethane sulfonate.
- Examples of the base that can be used for the present process include those described above for Scheme 1.
- the amount of the base can be appropriately selected from the range of about 0.1 to about 10 mol (typically from 1.0 to 1.2 mol) per 1 mol of a compound of Formula 15.
- Examples of the solvent that can be used for the present process include those described above for Scheme 1.
- the reaction temperature is selected from the range of from -20 °C to the boiling point of an inert solvent used. Typically, the reaction is carried out in the range of from 0 °C to 100 °C.
- a compound of Formula 14b can be obtained by reacting the compound of Formula
- a compound of Formula 2 can then be obtained by reacting a compound of Formula 14b with diethyl ketomalonate 8 using an acid followed by treatment with a base.
- the amount of a compound of Formula 10 for the process of producing a compound of Formula 14b from a compound of Formula 10 can be appropriately selected from the range of about 1.0 to about 1.5 mol (typically from 1.0 to 1.2 mol) per 1 mol of Formula 7.
- Examples of the solvent that can be used for the present process include those described above for Scheme 1.
- the reaction temperature is selected from the range of from -20°C to the boiling point of an inert solvent used.
- the reaction is carried out in the range of 0 °C to 100 °C.
- the amount of diethyl ketomalonate 8 for the process of producing a compound of Formula 2 from a compound of Formula 14b can be appropriately selected from the range of about 1.0 to about 1.5 mol (typically from 1.0 to 1.2 mol) per 1 mol of Formula 14b.
- the acid that can be used include organic sulfonic acids such as / ⁇ -toluene sulfonic acid, methane sulfonic acid, and benzene sulfonic acid; hydrogen halide acids such as hydrochloric acid and hydrogen bromic acid; and inorganic acids such as sulfuric acid and phosphoric acid. These acids can be used either singly or in combination of two or more.
- the reaction temperature is selected from the range of from -20 °C to the boiling point of an inert solvent used. Preferably, the reaction is carried out in the range of from 0 °C to 100 °C.
- the compound of Formula 2 i.e. the target compound of this reaction
- a compound of Formula 10 can be produced by the method shown in Scheme 19 (wherein R 1 and Q each have the same definitions as described in the Summary of the Invention).
- a compound of Formula 10 can be prepared by reaction of a compound of Formula 16 with a phosgene source (i.e. when Q is oxygen), or a thiophosgene source (i.e. when Q is sulfur) in an organic solvent.
- the amount of phosgene or thiophosgene source for the process of producing a compound of Formula 10 from a compound of Formula 16 can be appropriately selected from the range of 0.33 to 8.0 mol (typically from 0.33 to 2.0 mol) per 1 mol of a compound of Formula 16.
- phosgene sources that can be used include phosgene, diphosgene and triphosgene.
- the solvent that can be used include those described above for Scheme 1. Typically the solvent is toluene.
- the reaction temperature is selected from the range of from -20 °C to the boiling point of an inert solvent used. Typically, the reaction is carried out in the range of from 0 °C to 100 °C.
- a compound of Formula 10 can be collected from the reaction system by general methods, and if necessary, purified by a process such as column chromatography and recrystallization.
- a compound of Formula 10 when Q is oxygen, can be prepared by reaction with a compound of Formula 17 with diphenylphosphoryl azide in an organic solvent in the presence of a base.
- the amount of diphenylphosphoryl azide for the process of producing a compound of Formula 10 from a compound of Formula 17 can be appropriately selected from the range of about 1.0 to about 8.0 mol (typically from 1.0 to 2.0 mol) per 1 mol of a compound of Formula 17.
- the amount of base for the process of producing a compound of Formula 10 from a compound of Formula 17 can be appropriately selected from the range of about 1.0 to about 8.0 mol (typically from 1.0 to 2.0 mol) per 1 mol of a compound of Formula 17.
- Examples of the base include organic bases such as triethylamine and l,8-diazabicyclo[5.4.0]undec-7-ene and inorganic bases such as sodium hydride, sodium methoxide and sodium ethoxide. Typically the base is triethylamine.
- Examples of the solvent that can be used include those described above for Scheme 1. Typically the solvent is toluene.
- the reaction temperature is selected from the range of from -20 °C to the boiling point of an inert solvent used. Typically, the reaction is carried out in the range of from 0 °C to 100 °C. After completion of the reaction a compound of Formula 10 can be collected from the reaction system by general method, and if necessary, purified by a process such as column chromatography and recrystallization.
- a compound of Formula 16 can be prepared by the method shown in Scheme 20 (wherein R 1 has the same definitions as in the Summary of the Invention).
- a compound of Formula 16 can be prepared by reaction of a compound of Formula 18 (wherein W is a 3- to 8-membered carbocyclic ring substituted with -YH and optionally substituted with up to three substituents selected from R B ; and Y is O or S) with an alkylating agent in the presence of base in an organic solvent followed by deprotection under acidic conditions with or without an organic solvent.
- the amount of alkylating agent for the process of producing a compound of Formula 19 (wherein R A is defined in the Summary of the Invention) from a compound of Formula 18 can be appropriately selected from the range of 1.0 to 8.0 mol (typically from 1.0 to 2.0 mol) per 1 mol of a compound of Formula 18.
- alkylating agent examples include alkyl sulfates such as dimethyl sulfate and diethyl sulfate; alkyl halides such as methyl iodide, ethyl iodide, benzyl chloride, benzyl bromide, propargyl bromide, ethyl bromoacetate and chloroacetonitrile; sulfonic acid esters such as ethoxyethyl / ⁇ -toluene sulfonate and cyclopentylmethane sulfonate; and tetrafluoroborate salts such as triethyloxonium tetrafluoroborate and trimethyloxonium tetrafluoroborate.
- alkyl sulfates such as dimethyl sulfate and diethyl sulfate
- alkyl halides such as methyl iodide, ethyl iod
- Examples of the base which can be used for the process of producing a compound of Formula 19 from a compound of Formula 18 can be appropriately selected from those named for Scheme 1.
- the amount of base is appropriately selected from the range of about 0.5 to about 10 mol (typically from 1.0 to 2.0 mol) per 1 mol of a compound of Formula 18.
- the amount of acid for the process of producing a compound of Formula 16 from a compound of Formula 19 can be appropriately selected from the range of 1 mol to excess amount per 1 mol of a compound of Formula 19, typically from 1 to 100 mol.
- Examples of the acid that can be used include inorganic acids such as hydrochloric acid, hydrobromic acid and sulfuric acid; and organic acids such as acetic acid and trifluoroacetic acid.
- Examples of the solvent that can be used include a mixture of water and an organic solvent.
- Examples of the organic solvent include alcohols such as methanol and ethanol; ethers such as tetrahydrofuran; ketones such as acetone and methyl isobutyl ketone; amides such as A ,N-dimethylformamide and N,N-dimethyl acetamide; sulfur compounds such as dimethyl sulfoxide and sulfolane; chlorinated hydrocarbons such as dichloromethane and chloroform; and acetonitrile and their mixtures thereof.
- alcohols such as methanol and ethanol
- ethers such as tetrahydrofuran
- ketones such as acetone and methyl isobutyl ketone
- amides such as A ,N-dimethylformamide and N,N-dimethyl acetamide
- sulfur compounds such as dimethyl sulfoxide and sulfolane
- chlorinated hydrocarbons such
- a compound of Formula 16 can be collected from the reaction system by general methods, and if necessary, purified by a process such as column chromatography and recrystallization.
- a compound of Formula 17a can be produced by the method as shown in Scheme 21 (wherein Q 1 is O or S; and n is equal to 1 or 2).
- a compound of Formula 22 can be obtained by reacting a compound of Formula 20 with the compound of Formula 21 in the presence of acid.
- a compound of Formula 17a can subsequently be obtained by hydrolysis of a compound of Formula 22 in the presence of base.
- the amount of a compound of Formula 21 for the process of producing a compound of Formula 22 from a compound of Formula 20 can be appropriately selected from the range of about 1.0 to about 1.5 mol (typically from 1.0 to 1.2 mol) per 1 mol of Formula 20.
- Examples of the acids that can be used include organic acids such as / ⁇ -toluene sulfonic acid, methane sulfonic acid, and benzene sulfonic acid; hydrogen halide acids represented by hydrochloric acid and hydrobromic acid; and inorganic acids such as sulfuric acid and phosphoric acid. These acids can be used either singly or in combination of two or more.
- the reaction temperature is selected from the range of from -20 °C to the boiling point of an inert solvent used. Typically, the reaction is carried out in the range of 0 °C to 100 °C.
- Examples of the solvent that can be used for the present process include those described above for Scheme 1.
- a compound of Formula 22 can be collected from the reaction system by general methods, and if necessary, purified by a process like column chromatography and recrystallization.
- Examples of the base that can be used for the hydrolysis of a compound of Formula 22 to prepare a compound of Formula 17a include those described above for Scheme 1.
- Examples of the solvent that can be used for the present process include those described above for Scheme 1 and any of those solvents in a mixture with water.
- the reaction temperature is selected from the range of from -20°C to the boiling point of an inert solvent used. Typically, the reaction is carried out in the range of 0 °C to 100 °C.
- a compound of Formula 17a can be collected from the reaction system by general method, and if necessary, purified by a process like column chromatography and recrystallization.
- Diphenylphosphoryl azide (1.79 g, 6.51 mmol) was added to a solution of 4-methoxycyclohexanecarboxylic acid (mixture of cis and trans isomers) (1.0 g, 6.3 mmol) and triethylamine (0.64 g, 6.3 mmol) in toluene (40 mL), which was then heated to reflux with stirring for 7 h. The solution was cooled to 0 °C and methyl hydrazine (0.29 g, 6.3 mmol) was added dropwise. The solution was allowed to warm to ambient temperature and stirred for 16 h.
- 4-methoxycyclohexanecarboxylic acid mixture of cis and trans isomers
- Step B Synthesis of 2,3,4,5-tetrahydro-4-(4-methoxycyclohexyl)-2-methyl-3,5- dioxo-l,2,4-triazine-6-carboxylic acid
- Step C Synthesis of 6-[(2-hydroxy-6-oxo-l-cyclohexen-l-yl)carbonyl]-4-(4- methoxy cyclohexyl)-2 -methyl- 1 ,2,4-triazine-3,5(2H,4H)-dione)
- the crude material was dissolved in 10 mL of dichloromethane and 1,3-cyclohexandione (0.211 g, 1.88 mmol) was added followed by triethylamine (0.26 g, 2.6 mmol). The solution was stirred at ambient temperature for 1 h and then concentrated in vacuo. The crude material was taken up in acetonitrile (8 mL) and acetone cyanohydrin (0.015 g, 0.15 mmol) followed by triethylamine (0.26 g, 2.6 mmol) were added. The solution was stirred at ambient temperature for 72 h then diluted with H 2 0 and dichloromethane and then acidified to pH 2 with 5% aqueous citric acid solution.
- n means normal, z means iso, c means cyclo, Me means methyl, Et means ethyl, Pr means propyl, Bu means butyl, Pen means pentyl, hex means hexyl, z ' -Pr means isopropyl, MeO means methoxy, EtO means ethoxy and CN means cyano.
- the variable A is defined for A- la, A- lb, A-3a, A-5a and A-5b according to the following chart:
- A is A-la; R 2 is CH 3 ; Q is O; and R 1 is
- A is A- la; R 2 is c-Pr; Q is O; and R 1 is
- A is A- la; R 2 is z ' -PrCH 2 ; Q is O; and R 1 is
- A is A- la; R 2 is c-PrCH 2 ; Q is 0; and R 1 is
- A is A- la; R 2 is MeOCH 2 ; Q is 0; and R 1 is
- A is A- la; R 2 is CNCH 2 ; Q is 0; and R 1 is
- A is A-la; R 2 is H; Q is 0; and R 1 is
- A is A-la; R 2 is Et; Q is S; and R 1 is
- A is A-la; R 2 is c-Pr; Q is S; and R 1 is
- A is A-la; R 2 is z ' -PrCH 2 ; Q is S; and R 1 is
- A is A-la; R 2 is c-PrCH 2 ; Q is S; and R 1 is
- A is A- la; R 2 is CNCH 2 ; Q is S; and R 1 is
- A is A- lb; R 2 is Me; Q is 0; and R 1 is
- A is A- lb; R 2 is Et; Q is 0; and R 1 is
- A is A- lb; R 2 is c-Pr; Q is 0; and R 1 is
- A is A- lb; R 2 is z-PrCH 2 ; Q is 0; and R 1 is
- A is A- lb; R 2 is c-PrCH 2 ; Q is 0; and R 1 is
- A is A- lb; R 2 is MeO; Q is 0; and R 1 is
- A is A- lb; R 2 is MeOCH 2 ; Q is 0; and R 1 is
- A is A- lb; R 2 is CNCH 2 ; Q is 0; and R 1 is
- A is A- lb; R 2 is H; Q is 0; and R 1 is
- A is A- lb; R 2 is Me; Q is S; and R 1 is
- A is A- lb; R 2 is Et; Q is S; and R 1 is
- A is A- lb; R 2 is c-Pr; Q is S; and R 1 is
- A is A- lb; R 2 is z-PrCH 2 ; Q is S; and R 1 is
- A is A- lb; R 2 is c-PrCH 2 ; Q is S; and R 1 is
- A is A- lb; R 2 is MeO; Q is S; and R 1 is
- A is A- lb; R 2 is MeOCH 2 ; Q is S; and R 1 is
- A is A- lb; R 2 is CNCH 2 ; Q is S; and R 1 is
- A is A- lb; R 2 is H; Q is S; and R 1 is
- A is A-3a; R 2 is Me; Q is 0; and R 1 is
- A is A-3a; R 2 is Et; Q is 0; and R 1 is
- A is A-3a; R 2 is c-Pr; Q is 0; and R 1 is
- A is A-3a; R 2 is z-PrCH 2 ; Q is 0; and R 1 is
- A is A-3a; R 2 is c-PrCH 2 ; Q is 0; and R 1 is
- A is A-3a; R 2 is MeO; Q is 0; and R 1 is
- A is A-3a; R 2 is MeOCH 2 ; Q is 0; and R 1 is
- A is A-3a; R 2 is CNCH 2 ; Q is 0; and R 1 is
- A is A-3a; R 2 is H; Q is 0; and R 1 is
- A is A-3a; R 2 is Me; Q is S; and R 1 is
- A is A-3a; R 2 is Et; Q is S; and R 1 is
- A is A-3a; R 2 is c-Pr; Q is S; and R 1 is
- A is A-3a; R 2 is z ' -PrCH 2 ; Q is S; and R 1 is A is A-3a; R 2 is c-PrCH 2 ; Q is S; and R 1 is
- A is A-3a; R 2 is MeO; Q is S; and R 1 is
- A is A-3a; R 2 is MeOCH 2 ; Q is S; and R 1 is
- A is A-3a;
- Q is S; and
- R 1 is
- A is A-3a; R 2 is CNCH 2 ; Q is S; and R 1 is
- A is A-3a; R 2 is H; Q is S; and R 1 is
- A is A-5a; R 2 is Me; Q is 0; and R 1 is
- A is A-5a; R 2 is Et; Q is 0; and R 1 is
- A is A-5a; R 2 is c-Pr; Q is 0; and R 1 is
- A is A-5a; R 2 is z-PrCH 2 ; Q is 0; and R 1 is
- A is A-5a; R 2 is c-PrCH 2 ; Q is 0; and R 1 is
- A is A-5a; R 2 is MeO; Q is 0; and R 1 is
- A is A-5a; R 2 is MeOCH 2 ; Q is 0; and R 1 is
- A is A-5a; R 2 is CNCH 2 ; Q is 0; and R 1 is
- A is A-5a; R 2 is H; Q is 0; and R 1 is
- A is A-5a; R 2 is Me; Q is S; and R 1 is
- A is A-5a; R 2 is Et; Q is S; and R 1 is
- A is A-5a; R 2 is c-Pr; Q is S; and R 1 is
- A is A-5a; R 2 is z-PrCH 2 ; Q is S; and R 1 is
- A is A-5a; R 2 is c-PrCH 2 ; Q is S; and R 1 is
- A is A-5a; R 2 is MeO; Q is S; and R 1 is
- A is A-5a; R 2 is MeOCH 2 ; Q is S; and R 1 is
- A is A-5a; R 2 is CNCH 2 ; Q is S; and R 1 is
- A is A-5a; R 2 is H; Q is S; and R 1 is
- A is A-5b; R 2 is Me; Q is 0; and R 1 is
- A is A-5b; R 2 is Et; Q is 0; and R 1 is
- A is A-5b; R 2 is c-Pr; Q is 0; and R 1 is
- A is A-5b; R 2 is z-PrCH 2 ; Q is 0; and R 1 is
- A is A-5b; R 2 is c-PrCH 2 ; Q is 0; and R 1 is
- A is A-5b; R 2 is MeO; Q is 0; and R 1 is
- A is A-5b; R 2 is MeOCH 2 ; Q is 0; and R 1 is
- A is A-5b; R 2 is CNCH 2 ; Q is 0; and R 1 is
- A is A-5b; R 2 is H; Q is 0; and R 1 is
- A is A-5b; R 2 is Me; Q is S; and R 1 is 92 A is A-5b; R 2 is Et; Q is S; and R 1 is
- a compound of this invention will generally be used as a herbicidal active ingredient in a composition, i.e. formulation, with at least one additional component selected from the group consisting of surfactants, solid diluents and liquid diluents, which serves as a carrier.
- a composition i.e. formulation
- additional component selected from the group consisting of surfactants, solid diluents and liquid diluents, which serves as a carrier.
- the formulation or composition ingredients are selected to be consistent with the physical properties of the active ingredient, mode of application and environmental factors such as soil type, moisture and temperature.
- Liquid compositions include solutions (including emulsifiable concentrates), suspensions, emulsions (including microemulsions and/or suspoemulsions) and the like, which optionally can be thickened into gels.
- aqueous liquid compositions are soluble concentrate, suspension concentrate, capsule suspension, concentrated emulsion, microemulsion and suspo-emulsion.
- nonaqueous liquid compositions are emulsifiable concentrate, microemulsifiable concentrate, dispersible concentrate and oil dispersion.
- compositions are dusts, powders, granules, pellets, prills, pastilles, tablets, filled films (including seed coatings) and the like, which can be water-dispersible ("wettable") or water-soluble. Films and coatings formed from film- forming solutions or flowable suspensions are particularly useful for seed treatment.
- Active ingredient can be (micro)encapsulated and further formed into a suspension or solid formulation; alternatively the entire formulation of active ingredient can be encapsulated (or "overcoated”). Encapsulation can control or delay release of the active ingredient.
- An emulsifiable granule combines the advantages of both an emulsifiable concentrate formulation and a dry granular formulation. High-strength compositions are primarily used as intermediates for further formulation.
- Sprayable formulations are typically extended in a suitable medium before spraying. Such liquid and solid formulations are formulated to be readily diluted in the spray medium, usually water. Spray volumes can range from about from about one to several thousand liters per hectare, but more typically are in the range from about ten to several hundred liters per hectare. Sprayable formulations can be tank mixed with water or another suitable medium for foliar treatment by aerial or ground application, or for application to the growing medium of the plant. Liquid and dry formulations can be metered directly into drip irrigation systems or metered into the furrow during planting.
- the formulations will typically contain effective amounts of active ingredient, diluent and surfactant within the following approximate ranges which add up to 100 percent by weight.
- Solid diluents include, for example, clays such as bentonite, montmorillonite, attapulgite and kaolin, gypsum, cellulose, titanium dioxide, zinc oxide, starch, dextrin, sugars (e.g., lactose, sucrose), silica, talc, mica, diatomaceous earth, urea, calcium carbonate, sodium carbonate and bicarbonate, and sodium sulfate.
- Typical solid diluents are described in Watkins et al., Handbook of Insecticide Dust Diluents and Carriers, 2nd Ed., Dorland Books, Caldwell, New Jersey.
- Liquid diluents include, for example, water, N,N-dimethylalkanamides (e.g., N,N-dimethylformamide), limonene, dimethyl sulfoxide, N-alkylpyrrolidones (e.g., N-methylpyrrolidinone), ethylene glycol, triethylene glycol, propylene glycol, dipropylene glycol, polypropylene glycol, propylene carbonate, butylene carbonate, paraffins (e.g., white mineral oils, normal paraffins, isoparaffins), alkylbenzenes, alkylnaphthalenes, glycerine, glycerol triacetate, sorbitol, aromatic hydrocarbons, dearomatized aliphatics, alkylbenzenes, alkylnaphthalenes, ketones such as cyclohexanone, 2-heptanone, isophorone and 4-hydroxy- 4-methyl-2-pentan
- Liquid diluents also include glycerol esters of saturated and unsaturated fatty acids (typically C6-C22), such as plant seed and fruit oils (e.g., oils of olive, castor, linseed, sesame, corn (maize), peanut, sunflower, grapeseed, safflower, cottonseed, soybean, rapeseed, coconut and palm kernel), animal-sourced fats (e.g., beef tallow, pork tallow, lard, cod liver oil, fish oil), and mixtures thereof.
- plant seed and fruit oils e.g., oils of olive, castor, linseed, sesame, corn (maize), peanut, sunflower, grapeseed, safflower, cottonseed, soybean, rapeseed, coconut and palm kernel
- animal-sourced fats e.g., beef tallow, pork tallow, lard, cod liver oil, fish oil
- Liquid diluents also include alkylated fatty acids (e.g., methylated, ethylated, butylated) wherein the fatty acids may be obtained by hydrolysis of glycerol esters from plant and animal sources, and can be purified by distillation.
- alkylated fatty acids e.g., methylated, ethylated, butylated
- Typical liquid diluents are described in Marsden, Solvents Guide, 2nd Ed., Interscience, New York, 1950.
- the solid and liquid compositions of the present invention often include one or more surfactants.
- surfactants also known as “surface-active agents”
- surface-active agents generally modify, most often reduce, the surface tension of the liquid.
- surfactants can be useful as wetting agents, dispersants, emulsifiers or defoaming agents.
- Nonionic surfactants useful for the present compositions include, but are not limited to: alcohol alkoxylates such as alcohol alkoxylates based on natural and synthetic alcohols (which may be branched or linear) and prepared from the alcohols and ethylene oxide, propylene oxide, butylene oxide or mixtures thereof; amine ethoxylates, alkanolamides and ethoxylated alkanolamides; alkoxylated triglycerides such as ethoxylated soybean, castor and rapeseed oils; alkylphenol alkoxylates such as octylphenol ethoxylates, nonylphenol ethoxylates, dinonyl phenol ethoxylates and dodecyl phenol ethoxylates (prepared from the phenols and ethylene oxide, propylene oxide, butylene oxide or mixtures thereof); block polymers prepared from ethylene oxide or propylene
- Useful anionic surfactants include, but are not limited to: alkylaryl sulfonic acids and their salts; carboxylated alcohol or alkylphenol ethoxylates; diphenyl sulfonate derivatives; lignin and lignin derivatives such as lignosulfonates; maleic or succinic acids or their anhydrides; olefin sulfonates; phosphate esters such as phosphate esters of alcohol alkoxylates, phosphate esters of alkylphenol alkoxylates and phosphate esters of styryl phenol ethoxylates; protein-based surfactants; sarcosine derivatives; styryl phenol ether sulfate; sulfates and sulfonates of oils and fatty acids; sulfates and sulfonates of ethoxylated alkylphenols; sulfates of alcohols; sulfates of e
- Useful cationic surfactants include, but are not limited to: amides and ethoxylated amides; amines such as N-alkyl propanediamines, tripropylenetriamines and dipropylenetetramines, and ethoxylated amines, ethoxylated diamines and propoxylated amines (prepared from the amines and ethylene oxide, propylene oxide, butylene oxide or mixtures thereof); amine salts such as amine acetates and diamine salts; quaternary ammonium salts such as quaternary salts, ethoxylated quaternary salts and diquaternary salts; and amine oxides such as alkyldimethylamine oxides and bis-(2-hydroxyethyl)-alkylamine oxides.
- amines such as N-alkyl propanediamines, tripropylenetriamines and dipropylenetetramines, and ethoxylated amine
- Nonionic, anionic and cationic surfactants and their recommended uses are disclosed in a variety of published references including McCutcheon 's Emulsifiers and Detergents, annual American and International Editions published by McCutcheon's Division, The Manufacturing Confectioner Publishing Co.; Sisely and Wood, Encyclopedia of Surface Active Agents, Chemical Publ. Co., Inc., New York, 1964; and A. S. Davidson and B. Milwidsky, Synthetic Detergents, Seventh Edition, John Wiley and Sons, New York, 1987.
- compositions of this invention may also contain formulation auxiliaries and additives, known to those skilled in the art as formulation aids (some of which may be considered to also function as solid diluents, liquid diluents or surfactants).
- formulation auxiliaries and additives may control: pH (buffers), foaming during processing (antifoams such polyorganosiloxanes), sedimentation of active ingredients (suspending agents), viscosity (thixotropic thickeners), in-container microbial growth (antimicrobials), product freezing (antifreezes), color (dyes/pigment dispersions), wash-off (film formers or stickers), evaporation (evaporation retardants), and other formulation attributes.
- Film formers include, for example, polyvinyl acetates, polyvinyl acetate copolymers, polyvinylpyrrolidone-vinyl acetate copolymer, polyvinyl alcohols, polyvinyl alcohol copolymers and waxes.
- formulation auxiliaries and additives include those listed in McCutcheon 's Volume 2: Functional Materials, annual International and North American editions published by McCutcheon's Division, The Manufacturing Confectioner Publishing Co.; and PCT Publication WO 03/024222.
- the compound of Formula 1 and any other active ingredients are typically incorporated into the present compositions by dissolving the active ingredient in a solvent or by grinding in a liquid or dry diluent.
- Solutions, including emulsifiable concentrates can be prepared by simply mixing the ingredients. If the solvent of a liquid composition intended for use as an emulsifiable concentrate is water-immiscible, an emulsifier is typically added to emulsify the active-containing solvent upon dilution with water.
- Active ingredient slurries, with particle diameters of up to 2,000 ⁇ can be wet milled using media mills to obtain particles with average diameters below 3 ⁇ .
- Aqueous slurries can be made into finished suspension concentrates (see, for example, U.S. 3,060,084) or further processed by spray drying to form water-dispersible granules. Dry formulations usually require dry milling processes, which produce average particle diameters in the 2 to 10 um range. Dusts and powders can be prepared by blending and usually grinding (such as with a hammer mill or fluid-energy mill). Granules and pellets can be prepared by spraying the active material upon preformed granular carriers or by agglomeration techniques.
- Pellets can be prepared as described in U.S. 4,172,714.
- Water-dispersible and water-soluble granules can be prepared as taught in U.S. 4,144,050, U.S. 3,920,442 and DE 3,246,493.
- Tablets can be prepared as taught in U.S. 5,180,587, U.S. 5,232,701 and U.S. 5,208,030.
- Films can be prepared as taught in GB 2,095,558 and U.S. 3,299,566.
- Compounds of this invention may show tolerance to important agronomic crops including, but is not limited to, alfalfa, barley, cotton, wheat, rape, sugar beets, corn (maize), sorghum, soybeans, rice, oats, peanuts, vegetables, tomato, potato, perennial plantation crops including coffee, cocoa, oil palm, rubber, sugarcane, citrus, grapes, fruit trees, nut trees, banana, plantain, pineapple, hops, tea and forests such as eucalyptus and conifers (e.g., loblolly pine), and turf species (e.g., Kentucky bluegrass, St. Augustine grass, Kentucky fescue and Bermuda grass).
- important agronomic crops including, but is not limited to, alfalfa, barley, cotton, wheat, rape, sugar beets, corn (maize), sorghum, soybeans, rice, oats, peanuts, vegetables, tomato, potato, perennial plantation crops including coffee, cocoa
- Compounds of this invention can be used in crops genetically transformed or bred to incorporate resistance to herbicides, express proteins toxic to invertebrate pests (such as Bacillus thuringiensis toxin), and/or express other useful traits. Those skilled in the art will appreciate that not all compounds are equally effective against all weeds. Alternatively, the subject compounds are useful to modify plant growth.
- the compounds of the invention have both preemergent and postemergent herbicidal activity, to control undesired vegetation by killing or injuring the vegetation or reducing its growth
- the compounds can be usefully applied by a variety of methods involving contacting a herbicidally effective amount of a compound of the invention, or a composition comprising said compound and at least one of a surfactant, a solid diluent or a liquid diluent, to the foliage or other part of the undesired vegetation or to the environment of the undesired vegetation such as the soil or water in which the undesired vegetation is growing or which surrounds the seed or other propagule of the undesired vegetation.
- a herbicidally effective amount of the compounds of this invention is determined by a number of factors. These factors include: formulation selected, method of application, amount and type of vegetation present, growing conditions, etc. In general, a herbicidally effective amount of compounds of this invention is about 0.001 to 20 kg/ha with a preferred range of about 0.004 to 1 kg/ha. One skilled in the art can easily determine the herbicidally effective amount necessary for the desired level of weed control.
- Compounds of this invention can also be mixed with one or more other biologically active compounds or agents including herbicides, herbicide safeners, fungicides, insecticides, nematocides, bactericides, acaricides, growth regulators such as insect molting inhibitors and rooting stimulants, chemosterilants, semiochemicals, repellents, attractants, pheromones, feeding stimulants, plant nutrients, other biologically active compounds or entomopathogenic bacteria, virus or fungi to form a multi-component pesticide giving an even broader spectrum of agricultural protection.
- Mixtures of the compounds of the invention with other herbicides can broaden the spectrum of activity against additional weed species, and suppress the proliferation of any resistant biotypes.
- the present invention also pertains to a composition
- a composition comprising a compound of Formula 1 (in a herbicidally effective amount) and at least one additional biologically active compound or agent (in a biologically effective amount) and can further comprise at least one of a surfactant, a solid diluent or a liquid diluent.
- the other biologically active compounds or agents can be formulated in compositions comprising at least one of a surfactant, solid or liquid diluent.
- one or more other biologically active compounds or agents can be formulated together with a compound of Formula 1, to form a premix, or one or more other biologically active compounds or agents can be formulated separately from the compound of Formula 1, and the formulations combined together before application (e.g., in a spray tank) or, alternatively, applied in succession.
- a mixture of one or more of the following herbicides with a compound of this invention may be particularly useful for weed control: acetochlor, acifluorfen and its sodium salt, aclonifen, acrolein (2-propenal), alachlor, alloxydim, ametryn, amicarbazone, amidosulfuron, aminocyclopyrachlor and its esters (e.g., methyl, ethyl) and salts (e.g., sodium, potassium), aminopyralid, amitrole, ammonium sulfamate, anilofos, asulam, atrazine, azimsulfuron, beflubutamid, benazolin, benazolin-ethyl, bencarbazone, benfluralin, benfuresate, bensulfuron-methyl, bensulide, bentazone, benzobicyclon, benzofenap, bicyclopyrone, bifenox, bilana
- herbicides also include bioherbicides such as Alternaria destruens Simmons, Colletotrichum gloeosporiodes (Penz.) Penz. & Sacc, Drechsiera monoceras (MTB-951), Myrothecium verrucaria (Albertini & Schweinitz) Ditmar: Fries, Phytophthora palmivora (Butl.) Butl. and Puccinia thlaspeos Schub.
- bioherbicides such as Alternaria destruens Simmons, Colletotrichum gloeosporiodes (Penz.) Penz. & Sacc, Drechsiera monoceras (MTB-951), Myrothecium verrucaria (Albertini & Schweinitz) Ditmar: Fries, Phytophthora palmivora (Butl.) Butl. and Puccinia thlaspeos Schub.
- Compounds of this invention can also be used in combination with plant growth regulators such as aviglycine, N-(phenylmethyl)-lH-purin-6-amine, epocholeone, gibberellic acid, gibberellin A 4 and A 7 , harpin protein, mepiquat chloride, prohexadione calcium, prohydrojasmon, sodium nitrophenolate and trinexapac-methyl, and plant growth modifying organisms such as Bacillus cereus strain BP01.
- plant growth regulators such as aviglycine, N-(phenylmethyl)-lH-purin-6-amine, epocholeone, gibberellic acid, gibberellin A 4 and A 7 , harpin protein, mepiquat chloride, prohexadione calcium, prohydrojasmon, sodium nitrophenolate and trinexapac-methyl
- plant growth regulators such as aviglycine, N-(phenylmethyl)-lH-purin-6-
- the weight ratio of these various mixing partners (in total) to the compound of Formula 1 is typically between about 1 :3000 and about 3000: 1. Of note are weight ratios between about 1 :300 and about 300: 1 (for example ratios between about 1 :30 and about 30: 1).
- weight ratios between about 1 :300 and about 300: 1 for example ratios between about 1 :30 and about 30: 1.
- One skilled in the art can easily determine through simple experimentation the biologically effective amounts of active ingredients necessary for the desired spectrum of biological activity. It will be evident that including these additional components may expand the spectrum of weeds controlled beyond the spectrum controlled by the compound of Formula 1 alone. In certain instances, combinations of a compound of this invention with other biologically active (particularly herbicidal) compounds or agents (i.e.
- active ingredients can result in a greater-than-additive (i.e. synergistic) effect on weeds and/or a less-than-additive effect (i.e. safening) on crops or other desirable plants. Reducing the quantity of active ingredients released in the environment while ensuring effective pest control is always desirable. Ability to use greater amounts of active ingredients to provide more effective weed control without excessive crop injury is also desirable.
- synergism of herbicidal active ingredients occurs on weeds at application rates giving agronomically satisfactory levels of weed control, such combinations can be advantageous for reducing crop production cost and decreasing environmental load.
- safening of herbicidal active ingredients occurs on crops, such combinations can be advantageous for increasing crop protection by reducing weed competition.
- a composition of the present invention can further comprise (in a herbicidally effective amount) at least one additional herbicidal active ingredient having a similar spectrum of control but a different site of action.
- herbicide safeners such as allidochlor, N-(aminocarbonyl)-2-methylbenzenesulfonamide, benoxacor, BCS (1- bromo-4-[(chloromethyl)sulfonyl]benzene), cloquintocet-mexyl, cyometrinil, cyprosulfonamide, dichlormid, 4-(dichloroacetyl)-l-oxa-4-azospiro[4.5]decane (MON 4660), 2-(dichloromethyl)-2-methyl-l,3-dioxolane (MG 191), dicyclonon, dietholate, ethyl l,6-dihydro-l-(2-methoxyphenyl)-6-oxo-2-phenyl-5-pyrimidinecarboxylate, fenchlorazole- ethyl, fenclorim, flurazole, flux
- herbicide safeners such as allidoch
- Antidotally effective amounts of the herbicide safeners can be applied at the same time as the compounds of this invention, or applied as seed treatments. Therefore an aspect of the present invention relates to a herbicidal mixture comprising a compound of this invention and an antidotally effective amount of a herbicide safener. Seed treatment is particularly useful for selective weed control, because it physically restricts antidoting to the crop plants. Therefore a particularly useful embodiment of the present invention is a method for selectively controlling the growth of undesired vegetation in a crop comprising contacting the locus of the crop with a herbicidally effective amount of a compound of this invention wherein seed from which the crop is grown is treated with an antidotally effective amount of safener. Antidotally effective amounts of safeners can be easily determined by one skilled in the art through simple experimentation.
- composition comprising a compound of the invention (in a herbicidally effective amount), at least one additional active ingredient selected from the group consisting of other herbicides and herbicide safeners (in an effective amount), and at least one component selected from the group consisting of surfactants, solid diluents and liquid diluents.
- Preferred for better control of undesired vegetation e.g., lower use rate such as from synergism, broader spectrum of weeds controlled, or enhanced crop safety
- a Component (a) with Component (b) illustrative of the mixtures, compositions and methods of the present invention.
- Compound 1 in the Component (a) column is identified in Index Table A.
- the second column of Table Al lists the specific Component (b) compound (e.g., "2,4-D" in the first line).
- the third, fourth and fifth columns of Table Al list ranges of weight ratios for rates at which the Component (a) compound is typically applied to a field-grown crop relative to Component (b) (i.e. (a):(b)).
- the first line of Table Al specifically discloses the combination of Component (a) (i.e. Compound 1 in Index Table A) with 2,4-D is typically applied in a weight ratio between 1 : 192 to 6: 1.
- the remaining lines of Table Al are to be construed similarly.
- Component (a) Component (b Weiaht Ratio Weiaht Ratio Weiaht Ratio Weiaht Ratio
- Component (a) Component (b Weiaht Ratio Weiaht Ratio Weiaht Ratio Weiaht Ratio
- Compound 1 Amitrole 1:768 to 2:1 1:256 to 1:2 1:96 to 1:11
- Compound 1 Anilofos 1:96 to 12:1 1:32 to 4:1 1:12 to 1:2
- Compound 1 Carfenstrole 1:192 to 6:1 1:64 to 2:1 1:24 to 1:3
- Compound 1 Carfentrazone-ethyl 1:128 to 9:1 1:42 to 3:1 1:16 to 1:2
- Component (a) Component (b Weiaht Ratio Weiaht Ratio Weiaht Ratio Weiaht Ratio
- Compound 1 Diclosulam 1:10 to 112:1 1:3 to 38:1 1:1 to 7:1
- Compound 1 Fenoxaprop-ethyl 1:120 to 10:1 1:40 to 4:1 1:15 to 1:2
- Component (a) Component (b Weiaht Ratio Weiaht Ratio Weiaht Ratio Weiaht Ratio
- Component (a) Component (b Weiaht Ratio Weiaht Ratio Weiaht Ratio Weiaht Ratio
- Component (a) Component (b Weiaht Ratio Weiaht Ratio Weiaht Ratio Weiaht Ratio
- Compound 1 Pretilachlor 1:192 to 6:1 1:64 to 2:1 1:24 to 1:3
- Compound 1 Prosulfocarb 1:1200 to 1:2 1:400 to 1:4 1:150 to 1:17
- Component (a) Component (b Weiaht Ratio Weiaht Ratio Weiaht Ratio Weiaht Ratio
- Compound 1 Terbacil 1:288 to 4:1 1:96 to 2:1 1:36 to 1:4
- Component (a) Component (b Weiaht Ratio Weiaht Ratio Weiaht Ratio Weiaht Ratio
- Table A2 is constructed the same as Table Al above except that entries below the "Component (a)” column heading are replaced with the respective Component (a) Column Entry shown below.
- Compound 2 in the Component (a) column is identified in Index Table A.
- Table A2 the entries below the "Component (a)” column heading all recite “Compound 2" (i.e. Compound 2 identified in Index Table A), and the first line below the column headings in Table A2 specifically discloses a mixture of Compound 2 with 2,4-D.
- Tables A3 through A14 are constructed similarly.
- Cis or trans denotes the relative stereochemistry relative to the attachment point to the remainder of Formula 1.
- the abbreviation “Ex.” stands for “Example” and is followed by a number indicating in which example the compound is prepared.
- the "A” groups i.e. A-la, A-lb, A-3a, A-5a and A-5b correspond to the following structures
- a NMR data are in ppm at 500 MHz downfield from tetramethylsilane. Couplings are designated by (s)-singlet, (t)-triplet and (m)-multiplet.
- Plants ranged in height from 2 to 10 cm and were in the one- to two-leaf stage for the postemergence treatment. Treated plants and untreated controls were maintained in a greenhouse for approximately 10 days, after which time all treated plants were compared to untreated controls and visually evaluated for injury. Plant response ratings, summarized in Table A, are based on a 0 to 100 scale where 0 is no effect and 100 is complete control. A dash (-) response means no test result.
- Morningglory 90 90 100 100 100 90 100 0 0 80 80 10
- Pigweed 100 100 100 100 100 100 100 100 100 100 100 100 100 100 0 0 30 80 80
- Velvetleaf 100 100 100 100 100 100 100 100 100 100 100 100 100 0 0 - 100 100
- Wheat 50 90 60 40 60 50 50 60 0 0 0 50 10
- Pigweed 100 100 100 100 90 90 90 100 0 0 20 40 20
- Morningglory 50 50 80 70 70 70 70 60 30 0 0 - 0 0
- Morningglory 30 10 50 30 - 10 0 - 0 0 0 - 0
- plants selected from these crop and weed species and also barley (winter barley, Hordeum vulgare), canarygrass (Phalaris minor), chickweed (common chickweed, Stellaria media), windgrass (Apera spica-venti) and deadnettle (henbit deadnettle, Lamium amplexicaule) were planted in pots containing Redi-Earth ® planting medium (Scotts Company, 14111 Scottslawn Road, Marysville, Ohio 43041) comprising spaghnum peat moss, vermiculite, wetting agent and starter nutrients and treated with postemergence applications of some of the test chemicals formulated in the same manner. Plants ranged in height from 2 to 18 cm (1- to 4-leaf stage) for postemergence treatments.
- Plant species in the flooded paddy test consisted of rice (Oryza sativa), small-flower umbrella sedge (Cyperus difformis), duck salad (Heteranthera limosa) and barnyardgrass (Echinochloa crus-galli) grown to the 2-leaf stage for testing.
- test pots were flooded to 3 cm above the soil surface, treated by application of test compounds directly to the paddy water, and then maintained at that water depth for the duration of the test.
- Plant response ratings are based on a scale of 0 to 100 where 0 is no effect and 100 is complete control. A dash (-) response means no test result.
- Duck salad 100 95 100 100 85 100 100 75 0 0 0 95 60
- Barley 35 40 70 60 Barley 25 20 50 35
- Canarygrass 60 90 95 80 Canarygrass 45 80 60 60
- Deadnettle 100 98 100 100 Deadnettle 100 85 90 80
- Morningglory 100 100 90 - Morningglory - 100 90 -
- Soybean 100 100 90 90 Soybean 100 98 90 90
- Velvetleaf 100 100 100
- Deadnettle 100 80 55 60 Deadnettle 80 70 50 60
- Lambsquarters 100 100 100 100 Lambsquarters 100 100 100 100 98 Morningglory 100 - 85 80 Morningglory 85 - 80 80
- Soybean 100 95 90 70 Soybean 95 80 75 55
- Morningglory 98 100 Morningglory 80 50
Landscapes
- Chemical & Material Sciences (AREA)
- Organic Chemistry (AREA)
- Life Sciences & Earth Sciences (AREA)
- Agronomy & Crop Science (AREA)
- Pest Control & Pesticides (AREA)
- Plant Pathology (AREA)
- Health & Medical Sciences (AREA)
- Engineering & Computer Science (AREA)
- Dentistry (AREA)
- General Health & Medical Sciences (AREA)
- Wood Science & Technology (AREA)
- Zoology (AREA)
- Environmental Sciences (AREA)
- Agricultural Chemicals And Associated Chemicals (AREA)
- Plural Heterocyclic Compounds (AREA)
Description
TITLE
SUBSTITUTED CYCLOALKYL l,2,4-TRIAZINE-3,5-DIONES AS HERBICIDES
FIELD OF THE INVENTION
This invention relates to certain substituted l,2,4-triazine-3,5-diones, their salts and compositions, and methods of their use for controlling undesirable vegetation.
BACKGROUND OF THE INVENTION
The control of undesired vegetation is extremely important in achieving high crop efficiency. Achievement of selective control of the growth of weeds especially in such useful crops as rice, soybean, sugar beet, maize, potato, wheat, barley, tomato and plantation crops, among others, is very desirable. Unchecked weed growth in such useful crops can cause significant reduction in productivity and thereby result in increased costs to the consumer. The control of undesired vegetation in noncrop areas is also important. Many products are commercially available for these purposes, but the need continues for new compounds that are more effective, less costly, less toxic, environmentally safer or have different sites of action.
International publication WO 2012/002096 discloses certain 6-acyl l,2,4-triazine-3,5- dione derivatives of Formula i as herbicides
wherein, inter alia, each Y and Z is an oxygen atom or sulfur atom; R1 is a hydrogen atom or a Ci -Ci 2 alkyl group or a C2-Cg alkenyl group; R2 is a
alkyl group; and A is a 5- or 6-membered cyclic group which may contain a nitrogen atom, an oxygen atom or a sulfur atom. The compounds of the present invention are not disclsosed in this publication.
SUMMARY OF THE INVENTION
This invention is directed to compounds of Formula 1 (including all stereoisomers), N-oxides, and salts thereof, agricultural compositions containing them and their use as herbicides:
1
wherein
A is a radical selected from the group consisting
A-5 A-6 A-7
C-l C-2
-3 C-4 C-5 C-6 C-7
Q is O or S;
R1 is a 3- to 8-membered carbocyclic ring substituted with -YRA and optionally substituted with up to three substituents selected from RB;
Y is O or S;
RA is CrC4 alkyl, C2-C6 alkenyl, C2-C6 alkynyl, C3-C8 cycloalkyl, C4-C10 cycloalkylalkyl, C2-C6 alkoxyalkyl, C i~C4 haloalkyl, C2-C6 haloalkenyl, C4-C10 halocycloalkyl, C4-C I Q halocycloalkylalkyl, C}-C4 cyanoalkyl, C}-C4 nitroalkyl or C(=0)Rc;
RB is halogen, Ci -C4 alkyl, C 1-C4 alkoxy, cyano or nitro; or
RA and RB connected to the same carbocyclic ring member are taken together as
-OCH2CH20-, -OCH2CH2CH20-, -SCH2CH2S- or -SCH2CH2CH2S-;
Rc is H, CrC4 alkyl or CrC4 haloalkyl;
R2 is C1-C4 alkyl, C2-C4 alkenyl, C 1 -C4 cyanoalkyl, C3-C5 cycloalkyl, C 1 -C4 alkoxy, C2-C4 alkoxyalkyl or C4-Cg cycloalkylalkyl;
R3 is H, halogen, cyano, hydroxy, -O M+, amino, nitro, -CHO, -C(=0)OH,
-C(=0)NH2, -C(=S)NH2, -SH, -S02NH2, -S02NHCN, -S02NHOH, -OCN, -SCN, -SF5, -NHNH2, -NHOH, -N=C=0, -N=C=S, CrC6 alkoxy, CrC6 haloalkoxy, C3-C8 cycloalkoxy, C3-C8 halocycloalkoxy, C4-C^o
cycloalkylalkoxy, C2-C6 alkenyloxy, C2-C6 haloalkenyloxy, C2-C6 alkynyloxy, C3-C6 haloalkynyloxy, C2-C8 alkoxyalkoxy, C2-C8 alkylcarbonyloxy, C2-C8 haloalkylcarbonyloxy, C4-C10 cycloalkylcarbonyloxy, C3-C10
alkylcarbonylalkoxy, C^-Cg alkylthio, C^-Cg haloalkylthio, C3-C8
cycloalkylthio, Cj-Cg alkylsulfinyl, Cj-Cg haloalkylsulfinyl, -Cg
alkylsulfonyl, -Cg haloalkylsulfonyl, C3-C8 cycloalkylsulfonyl, Cj-Cg alkylsulfonyloxy, Cj-Cg alkylamino, C2-C8 dialkylamino, Cj-Cg
haloalkylamino, C2-C8 halodialkylamino, C3-C8 cycloalkylamino, C2-C8 alkylcarbonylamino, C2-C8 haloalkylcarbonylamino, C^-Cg alkylsulfonylamino or C^-Cg haloalkylsulfonylamino; or benzyloxy, phenyloxy, benzylcarbonyloxy, phenylcarbonyloxy, phenylsulfonyloxy, benzylsulfonyloxy, phenylthio, benzylthio, phenylsulfmyl, benzylsulfinyl, phenylsulfonyl or benzylsulfonyl, each optionally substituted on ring members with up to five substituents selected from R21;
M+ is an alkali metal cation or an ammonium cation;
R4, R5, R6 and R7 are each independently H, halogen, hydroxy, Cj-Cg alkyl, C2-C6 alkenyl, C2-C6 alkynyl, Cj-Cg haloalkyl, -Cg alkoxy, Cj-Cg haloalkoxy, C3"C8 cycloalkoxy or C3-C8 halocycloalkoxy; or phenyl or benzyl, each optionally substituted on ring members with up to five substituents selected from R21 ;
R8 is H, CrC6 alkyl, C2-C6 alkenyl, C2-C6 alkynyl, CrC6 haloalkyl, C2-C6
haloalkenyl, C2-Cg haloalkynyl, C3-C8 cycloalkyl or C3-C8 halocycloalkyl; or benzyl optionally substituted on ring members with up to five substituents selected from R21;
R9 is H, CrC6 alkyl, C2-C6 alkenyl, C2-C6 alkynyl, CrC6 haloalkyl, C2-C6 haloalkenyl, C2-Cg haloalkynyl, C3-C8 cycloalkyl, C3-C8 halocycloalkyl, C4-C10 alkylcycloalkyl, C4-C10 cycloalkylalkyl, C6-C14 cycloalkylcycloalkyl, C4-C10 halocycloalkylalkyl, C5-C^2 alkylcycloalkylalkyl, C3-C8 cycloalkenyl, C3-C8 halocycloalkenyl, C2-C8 alkoxyalkyl, C4-C10 cycloalkoxyalkyl, C3-C10 alkoxyalkoxyalkyl or C2-C8 alkylthioalkyl;
R10 is H, halogen, -Cg alkyl, C2-C6 alkenyl, C2-C6 alkynyl or C3-C8 cycloalkyl;
R1 1 is H, halogen, cyano, hydroxy, amino, Cj-Cg alkyl, C2-C6 alkenyl, C2-C6 alkynyl, Cj-Cg haloalkyl, C2-C6 haloalkenyl, C2-C6 haloalkynyl, C3-C8 cycloalkyl, C3-C8 halocycloalkyl, C4-C10 alkylcycloalkyl, C4-C10 cycloalkylalkyl, C4-C10 halocycloalkylalkyl, C5-C^2 alkylcycloalkylalkyl, C3-C8 cycloalkenyl, C3-Cg halocycloalkenyl, C2-C8 alkoxyalkyl, C4-C10 cycloalkoxyalkyl, C3-C10 alkoxyalkoxyalkyl, C2-C8 alkylthioalkyl, C2-Cg alkylsulfinylalkyl or C2-Cg alkylsulfonylalkyl; or phenyl optionally substituted with up to five substituents selected from R21;
R12 is H, halogen, cyano, hydroxy, amino, Cj-Cg alkyl, C2-C6 alkenyl, C2-C6 alkynyl, Cj-Cg haloalkyl, C2-C6 haloalkenyl, C2-C6 haloalkynyl, C3-C8 cycloalkyl, C3-C8 halocycloalkyl, C4-C10 alkylcycloalkyl, C4-C10 cycloalkylalkyl, C6-C14 cycloalkylcycloalkyl, C4-C^o halocycloalkylalkyl, C5-C^2 alkylcycloalkylalkyl, C3"C8 cycloalkenyl, C3-C8 halocycloalkenyl or C2-C8 alkoxycarbonylamino;
R13 is H, halogen, cyano, hydroxy, amino, nitro or C2-C8 alkoxycarbonyl;
n is 0, lor 2;
each R14, R15, R16 and R17 is independently H, halogen, cyano, hydroxy or Cj-Cg alkyl; or
a pair of R14 and R16 is taken together as C2-Cg alkylene or C2-Cg alkenylene;
R18 is H, Cj-Cg haloalkyl, C2-C6 haloalkenyl, Cj-Cg alkoxy, Cj-Cg haloalkoxy, C3-C8 cycloalkoxy, Cj-Cg alkyl, C2-C6 alkenyl, C2-C6 alkynyl or C3-C8 cycloalkyl; T is Cj-Cg alkylene or C2-C6 alkenylene; and
each R21 is independently halogen, cyano, hydroxy, amino, nitro, -CHO, -C(=0)OH, -C(=0)NH2, -C(=S)NH2, -C(=0)NHCN, -C(=0)NHOH, -SH, -S02NH2, -S02NHCN, -S02NHOH, -OCN, -SCN, -SF5, CrC6 alkyl, C2-C6 alkenyl, C2-C6 alkynyl, -Cg haloalkyl, C2-C6 haloalkenyl, C2-C6 haloalkynyl, C3-C8 cycloalkyl, C3-C8 halocycloalkyl, C4-C10 alkylcycloalkyl, C4-C10
cycloalkylalkyl, C3-C8 cycloalkenyl, C3-C8 halocycloalkenyl, C2-C8
alkoxyalkyl, C4-C^Q cycloalkoxyalkyl, C3-C10 alkoxyalkoxyalkyl, C2-C8 alkylthioalkyl, C2-C8 alkylsulfinylalkyl, C2-C8 alkoxyhaloalkyl, C2-C5 cyanoalkyl, Cj-Cg hydroxyalkyl, -Cg alkoxy, Cj-Cg haloalkoxy, C3-C8 cycloalkoxy, C3-C8 halocycloalkoxy, C4-C^o cycloalkylalkoxy, C2-Cg
alkenyloxy, C2-C6 haloalkenyloxy, C2-C8 alkoxyalkoxy, C2-C8 alkylcarbonyloxy, C^-Cg alkylthio, C^-Cg haloalkylthio, C3-Cg cycloalkylthio, Cj-Cg alkylsulfinyl, -Cg haloalkylsulfinyl, Cj-Cg alkylsulfonyl, -Cg haloalkylsulfonyl, C3-C8 cycloalkylsulfonyl, -Cg alkylamino, C2-C8 dialkylamino, C^-Cg haloalkylamino, C2-Cg halodialkylamino or C3~Cg cycloalky lamino .
More particularly, this invention pertains to a compound of Formula 1 (including all stereoisomers), an N-oxide or a salt thereof. This invention also relates to a herbicidal composition comprising a compound of the invention (i.e. in a herbicidally effective amount) and at least one component selected from the group consisting of surfactants, solid diluents and liquid diluents. This invention further relates to a method for controlling the growth of undesired vegetation comprising contacting the vegetation or its environment with a herbicidally effective amount of a compound of the invention (e.g., as a composition described herein).
DETAILS OF THE INVENTION
As used herein, the terms "comprises," "comprising," "includes," "including," "has," "having," "contains", "containing," "characterized by" or any other variation thereof, are intended to cover a non-exclusive inclusion, subject to any limitation explicitly indicated. For example, a composition, mixture, process or method that comprises a list of elements is not necessarily limited to only those elements but may include other elements not expressly listed or inherent to such composition, mixture, process or method.
The transitional phrase "consisting of excludes any element, step, or ingredient not specified. If in the claim, such would close the claim to the inclusion of materials other than those recited except for impurities ordinarily associated therewith. When the phrase "consisting of appears in a clause of the body of a claim, rather than immediately following the preamble, it limits only the element set forth in that clause; other elements are not excluded from the claim as a whole.
The transitional phrase "consisting essentially of is used to define a composition or method that includes materials, steps, features, components, or elements, in addition to those literally disclosed, provided that these additional materials, steps, features, components, or elements do not materially affect the basic and novel characteristic(s) of the claimed invention. The term "consisting essentially of occupies a middle ground between "comprising" and "consisting of.
Where applicants have defined an invention or a portion thereof with an open-ended term such as "comprising," it should be readily understood that (unless otherwise stated) the description should be interpreted to also describe such an invention using the terms "consisting essentially of or "consisting of."
Further, unless expressly stated to the contrary, "or" refers to an inclusive or and not to an exclusive or. For example, a condition A or B is satisfied by any one of the following: A is true (or present) and B is false (or not present), A is false (or not present) and B is true (or present), and both A and B are true (or present).
Also, the indefinite articles "a" and "an" preceding an element or component of the invention are intended to be nonrestrictive regarding the number of instances (i.e. occurrences) of the element or component. Therefore "a" or "an" should be read to include one or at least one, and the singular word form of the element or component also includes the plural unless the number is obviously meant to be singular.
As referred to herein, the term "seedling", used either alone or in a combination of words means a young plant developing from the embryo of a seed.
As referred to herein, the term "broadlea ' used either alone or in words such as "broadleaf weed" means dicot or dicotyledon, a term used to describe a group of angiosperms characterized by embryos having two cotyledons.
As used herein, the term "alkylating agent" refers to a chemical compound in which a carbon-containing radical is bound through a carbon atom to leaving group such as halide or sulfonate, which is displaceable by bonding of a nucleophile to said carbon atom. Unless otherwise indicated, the term "alkylating" does not limit the carbon-containing radical to alkyl; the carbon-containing radicals in alkylating agents include the variety of carbon- bound.
In the above recitations, the term "alkyl", used either alone or in compound words such as "alkylthio" or "haloalkyl" includes straight-chain or branched alkyl, such as, methyl, ethyl, n-propyl, /-propyl, or the different butyl, pentyl or hexyl isomers. "Alkenyl" includes straight-chain or branched alkenes such as ethenyl, 1-propenyl, 2-propenyl, and the different butenyl, pentenyl and hexenyl isomers. "Alkenyl" also includes polyenes such as 1 ,2-propadienyl and 2,4-hexadienyl. "Alkynyl" includes straight-chain or branched alkynes such as ethynyl, 1-propynyl, 2-propynyl and the different butynyl, pentynyl and hexynyl isomers. "Alkynyl" can also include moieties comprised of multiple triple bonds such as 2,5-hexadiynyl. "Alkylene" denotes a straight-chain or branched alkanediyl. Examples of "alkylene" include CH2, CH2CH2, CH(CH3), CH2CH2CH2, CH2CH(CH3) and the different butylene isomers. "Alkenylene" denotes a straight-chain or branched alkenediyl containing one olefmic bond. Examples of "alkenylene" include CH=CH, CH2CH=CH, CH=C(CH3) and the different butenylene isomers. "Alkynylene" denotes a straight-chain or branched alkynediyl containing one triple bond. Examples of "alkynylene" include C≡C, CH2C≡C, C≡CCH2 and the different butynylene isomers.
"Alkoxy" includes, for example, methoxy, ethoxy, n-propyloxy, isopropyloxy and the different butoxy, pentoxy and hexyloxy isomers. "Alkoxyalkyl" denotes alkoxy substitution on alkyl. Examples of "alkoxyalkyl" include CH3OCH2, CH3OCH2CH2, CH3CH2OCH2,
CH3CH2CH2CH2OCH2 and CH3CH2OCH2CH2. "Alkoxyalkoxy" denotes alkoxy substitution on alkoxy. "Alkoxyalkoxyalkyl" denotes alkoxy substitution on alkoxyalkyl. "Alkenyloxy" includes straight-chain or branched alkenyloxy moieties. Examples of "alkenyloxy" include H2C=CHCH20, (CH3)2C=CHCH20, (CH3)CH=CHCH20, (CH3)CH=C(CH3)CH20 and CH2=CHCH2CH20. "Alkynyloxy" includes straight-chain or branched alkynyloxy moieties. Examples of "alkynyloxy" include HC≡CCH20, CH3C≡CCH20 and CH3C≡CCH2CH20. "Alkylthio" includes branched or straight-chain alkylthio moieties such as methylthio, ethylthio, and the different propylthio, butylthio, pentylthio and hexylthio isomers. "Alkylsulfmyl" includes both enantiomers of an alkylsulfmyl group. Examples of "alkylsulfmyl" include CH3S(0)-, CH3CH2S(0)-, CH3CH2CH2S(0)-, (CH3)2CHS(0)- and the different butylsulfmyl, pentylsulfmyl and hexylsulfmyl isomers. Examples of "alkylsulfonyl" include CH3S(0)2-, CH3CH2S(0)2-, CH3CH2CH2S(0)2-, (CH3)2CHS(0)2-, and the different butylsulfonyl, pentylsulfonyl and hexylsulfonyl isomers. The term "alkylsulfonyloxy" denotes an alkylsulfonyl group bonded through oxygen. Examples of "alkylsulfonyloxy" include CH3S(0)20-, CH3CH2S(0)20- and CH3CH2CH2S(0)20-. "Alkylthioalkyl" denotes alkylthio substitution on alkyl. Examples of "alkylthioalkyl" include CH3SCH2, CH3SCH2CH2, CH3CH2SCH2, CH3CH2CH2CH2SCH2 and CH3CH2SCH2CH2. The term "alkylsulfmylalkyl" is defined analogously to alkylthioalkyl. "Cyanoalkyl" denotes an alkyl group substituted with one cyano group. Examples of "cyanoalkyl" include NCCH2, NCCH2CH2 and CH3CH(CN)CH2. "Hydroxyalkyl" and "nitroalkyl" are defined analogously to cyanoalkyl. "Alkylamino", "dialkylamino", and the like, are defined analogously to the above examples. "Alkylcarbonylamino" denotes alkyl substitution on a carbonylamino moiety. Examples of "alkylcarbonylamino" include CH3C(=0)NH- and CH3CH2CH2C(=0)NH-. "Alkoxycarbonylamino" denotes alkoxy substitution on a carbonylamino moiety. Examples of "alkoxycarbonylamino" include CH3OC(=0)NH- and CH3CH2CH2OC(=0)NH-. The term "alkylsulfonylamino" denotes alkylsulfonyl substitution on an amino group. Examles of "alkylsulfonylamino" include CH3S(=0)2NH- and CH3CH2CH2S(=0)2NH-
"Cycloalkyl" includes, for example, cyclopropyl, cyclobutyl, cyclopentyl and cyclohexyl. The term "alkylcycloalkyl" denotes alkyl substitution on a cycloalkyl moiety and includes, for example, ethylcyclopropyl, z'-propylcyclobutyl, 3-methylcyclopentyl and 4-methylcyclohexyl. The term "cycloalkylalkyl" denotes cycloalkyl substitution on an alkyl moiety. Examples of "cycloalkylalkyl" include cyclopropylmethyl, cyclopentylethyl, and other cycloalkyl moieties bonded to straight-chain or branched alkyl groups. The term "alkylcyclalkylalkyl" denotes alkyl substitution on the cycloalkyl portion of a "cycloalkylalkyl moiety. The term "cycloalkylcycloalkyl" denotes cycloalkyl substitution on a cycloalkyl group. The term "cycloalkoxy" denotes cycloalkyl linked through an oxygen atom such as cyclopentyloxy and cyclohexyloxy. The term "cycloalkylthio" denotes
cycloalkyl linked through a sulfur atom. The term "cycloalkylsulfonyl" denotes cycloalkyl linked through a sulfonyl group. The term "cycloalkylamino" denotes cycloalkyl linked through an amino group (e.g., (cyclopropyl)NH-). The term "cycloalkylcarbonyloxy" denotes cycloalkyl linked through a carbonyloxy moiety (e.g., (cyclobutyl)C(=0)0-). "Cycloalkylalkoxy" denotes cycloalkylalkyl linked through an oxygen atom attached to the alkyl chain. Examples of "cycloalkylalkoxy" include cyclopropylmethoxy, cyclopentylethoxy, and other cycloalkyl moieties bonded to straight-chain or branched alkoxy groups. "Cycloalkoxyalkyl" denotes a cycloalkoxy group bonded through an alkyl group. "Cycloalkenyl" includes groups such as cyclopentenyl and cyclohexenyl as well as groups with more than one double bond such as 1,3- and 1,4-cyclohexadienyl.
The term "halogen", either alone or in compound words such as "haloalkyl", "haloalkenyl", "haloalkenyloxy", "haloalkoxy", "haloalkylamino",
"haloalkylcarbonylamino", "haloalkylcarbonyloxy", "haloalkylsulfmyl",
"haloalkylsulfonyl", "haloalkylsulfonylamino", "haloalkylthio", "haloalkynyl", "haloalkynyloxy", "halocycloalkenyl", "halocycloalkoxy", "halocycloalkyl", "halocycloalkylalkyl", or "halodialkylamino", or when used in descriptions such as "alkyl substituted with halogen" includes fluorine, chlorine, bromine or iodine. Further, when used in compound words such as "haloalkyl", or when used in descriptions such as "alkyl substituted with halogen" said alkyl may be partially or fully substituted with halogen atoms which may be the same or different. Examples of "haloalkyl" or "alkyl substituted with halogen" include F3C-, C1CH2-, CF3CH2- and CF3CC12-. The terms "halocycloalkyl", "haloalkoxy", "haloalkylthio", "haloalkenyl", "haloalkynyl", and the like, are defined analogously to the term "haloalkyl". Examples of "haloalkoxy" include CF30-, CC13CH20-, HCF2CH2CH20- and CF3CH20-. Examples of "haloalkylthio" include CCI3S-, CF3S-, CC13CH2S- and C1CH2CH2CH2S-. Examples of "haloalkylsulfmyl" include CF3S(0)-, CC13S(0)-, CF3CH2S(0)- and CF3CF2S(0)-. Examples of "haloalkylsulfonyl" include CF3S(0)2-, CC13S(0)2-, CF3CH2S(0)2- and CF3CF2S(0)2-. Examples of "haloalkenyl" include (C1)2C=CHCH2- and CF3CH2CH=CHCH2-. Examples of "haloalkynyl" include HC≡CCHC1-, CF3C≡C-, CC13C≡C- and FCH2C≡CCH2-. Examples of "haloalkoxyalkoxy" include CF3OCH20-, C1CH2CH20CH2CH20-, Cl3CCH2OCH20- as well as branched alkyl derivatives. Examples of "alkoxyhaloalkyl" include CH3OCHF-, CH3CH20CHC1CH2- and CH30CH2CHC1CH20-.
"Alkylcarbonyl" denotes a straight-chain or branched alkyl moieties bonded to a C(=0) moiety. Examples of "alkylcarbonyl" include CH3C(=0)-, CH3CH2CH2C(=0)- and (CH3)2CHC(=0)-. Examples of "alkoxycarbonyl" include CH3OC(=0)-, CH3CH2OC(=0)-, CH3CH2CH2OC(=0)-, (CH3)2CHOC(=0)- and the different butoxy- or pentoxycarbonyl isomers. The term "alkylcarbonyloxy" denotes alkylcarbonyl substitution bonded through oxygen. Examples of "alkylcarbonyloxy" include CH3C(=0)0-, CH3CH2C(=0)0- and
CH3CH2CH2CH2C(=0)0-. The term "alkylcarbonylalkoxy" denotes alkylcarbonyl substitution on an alkoxy moiety. Examples of "alkylcarbonylalkoxy" include CH3C(=0)CH20-, CH3CH2C(=0)CH20- and CH3CH2C(=0)CH2CH20-.
The total number of carbon atoms in a substituent group is indicated by the "Cj-Cj" prefix where i and j are numbers from 1 to 12. For example, C1-C4 alkylsulfonyl designates methylsulfonyl through butylsulfonyl; C2 alkoxyalkyl designates CH3OCH2-; C3 alkoxyalkyl designates, for example, CH3CH(OCH3)-, CH3OCH2CH2- or CH3CH2OCH2-; and C4 alkoxyalkyl designates the various isomers of an alkyl group substituted with an alkoxy group containing a total of four carbon atoms, examples including CH3CH2CH2OCH2- and CH3CH2OCH2CH2-.
When a compound is substituted with a substituent bearing a subscript that indicates the number of said substituents can exceed 1, said substituents (when they exceed 1) are independently selected from the group of defined substituents, e.g., (RB)n, n is 1, 2 or 3. Further, when the subscript indicates a range, e.g. (R)i j, then the number of substituents may be selected from the integers between i and j inclusive. When a group contains a substituent which can be hydrogen, for example Rc, R3, R4, R5, R6, R10, R1 1, R12, R13, R14, R15, R16 and R18, then when this substituent is taken as hydrogen, it is recognized that this is equivalent to said group being unsubstituted. When a variable group is shown to be optionally attached to a position, for example RB, wherin n may be 0, then hydrogen may be at the position even if not recited in the variable group definition. When one or more positions on a group are said to be "not substituted" or "unsubstituted", then hydrogen atoms are attached to take up any free valency.
Unless otherwise indicated, a "ring" as a component of Formula 1 (e.g., substituent R1) is carbocyclic. The term "ring member" refers to an atom or other moiety (e.g., C(=0), C(=S), S(O) or S(0)2) forming the backbone of a ring or ring system. The term "carbocyclic ring", denotes a ring wherein the atoms forming the ring backbone are selected only from carbon. As defined in the Summary of the Invention R1 is a 3- to 8-membered carbocyclic ring substituted with -YRA and optionally substituted with up to three substituents selected from RB. The term "carbocyclic ring" refers to a ring having a backbone consisting of carbon atoms linked to one another by single bonds and the remaining carbon valences are occupied by hydrogen atoms when not otherwise substituted with -YRA or optionally with RB. As noted in the Summary of the Invention RA and RB (when taken together) can be connected to the same carbocyclic ring member and can be taken together as -OCH2CH20-, -OCH2CH2CH20-, -SCH2CH2S- or -SCH2CH2CH2S-. In this instance, one carbon valence of a carbon atom making up the carboncyclic ring is taken up as -YRA and the other carbon valence is taken up by RB and they are taken together as -OCH2CH20-, -OCH2CH2CH20-, -SCH2CH2S- or -SCH2CH2CH2S-. For example, when RA and RB are taken together
(connected to the same carbocyclic ring member) as -OCH2CH20- the resulting R1 variable is:
and does not exclude the possibility of additional RB substitution on the carbocyclic ring.
The term "optionally substituted" in connection with the carbocyclic ring refers to groups which are unsubstituted or have at least one non-hydrogen substituent that does not extinguish the biological activity possessed by the unsubstituted analog. As used herein, the following definitions shall apply unless otherwise indicated. The term "optionally substituted" is used interchangeably with the phrase "substituted or unsubstituted" or with the term "(un)substituted." Unless otherwise indicated, an optionally substituted group may have a substituent at each substitutable position of the group, and each substitution is independent of the other.
A wide variety of synthetic methods are known in the art to enable preparation of aromatic and nonaromatic heterocyclic rings and ring systems; for extensive reviews see the eight volume set of Comprehensive Heterocyclic Chemistry, A. R. Katritzky and C. W. Rees editors-in-chief, Pergamon Press, Oxford, 1984 and the twelve volume set of Comprehensive Heterocyclic Chemistry II, A. R. Katritzky, C. W. Rees and E. F. V. Scriven editors-in-chief, Pergamon Press, Oxford, 1996.
The compounds of this invention can exist as one or more stereoisomers. The various stereoisomers include enantiomers, diastereomers, atropisomers and geometric isomers. One skilled in the art will appreciate that one stereoisomer may be more active and/or may exhibit beneficial effects when enriched relative to the other stereoisomer(s) or when separated from the other stereoisomer(s). Additionally, the skilled artisan knows how to separate, enrich, and/or to selectively prepare said stereoisomers. The compounds of the invention may be present as a mixture of stereoisomers, individual stereoisomers or as an optically active form. For example, when R1 is 4-methoxycyclohexyl, then Formula 1 possesses two chiral centers: one at the carbon atom to which the -OCH3 moiety is bonded, and the other at the attachment point to the remainder of Formula 1. Two enantiomers are depicted as Formula 1' and Formula 1" with the chiral centers identified with an asterisk (*).
1' 1"
The compounds of Formulae 1' are known referred to as "trans" and the compounds of Formula 1" are referred to as "cis". Molecular depictions drawn herein follow standard conventions for depicting stereochemistry. To indicate stereoconfiguration, bonds rising from the plane of the drawing and towards the viewer are denoted by solid wedges wherein the broad end of the wedge is attached to the atom rising from the plane of the drawing towards the viewer. Bonds going below the plane of the drawing and away from the viewer are denoted by dashed wedges wherein the narrow end of the wedge is attached to the atom further away from the viewer. Constant width lines indicate bonds with a direction opposite or neutral relative to bonds shown with solid or dashed wedges; constant width lines also depict bonds in molecules or parts of molecules in which no particular stereoconfiguration is intended to be specified.
When R1 in a compound of Formula 1 is a 6-membered carbocyclic ring substituted with YRA at the 4-position; Y is O; and RA is CH3, the more biologically active enantiomer is believed to be Formula 1' as shown above.
This invention comprises racemic mixtures, for example, equal amounts of the enantiomers of Formulae 1' and 1". In addition, this invention includes compounds that are enriched compared to the racemic mixture in an enantiomer of Formula 1. Also included are the essentially pure enantiomers of compounds of Formula 1, for example, Formula 1' and Formula 1".
When enantiomerically enriched, one enantiomer is present in greater amounts than the other, and the extent of enrichment can be defined by an expression of enantiomeric excess ("ee"), which is defined as (2χ-1)· 100 %, where x is the mole fraction of the dominant enantiomer in the mixture (e.g., an ee of 20 % corresponds to a 60:40 ratio of enantiomers).
Preferably the compositions of this invention have at least a 50 % enantiomeric excess; more preferably at least a 75 % enantiomeric excess; still more preferably at least a 90 % enantiomeric excess; and the most preferably at least a 94 % enantiomeric excess of the more active isomer. Of particular note are enantiomerically pure embodiments of the more active isomer.
Compounds of Formula 1 can comprise additional chiral centers. For example, substituents and other molecular constituents such as R2 and R3 may themselves contain chiral centers. This invention comprises racemic mixtures as well as enriched and essentially pure stereoconfigurations at these additional chiral centers.
Compounds of Formula 1 typically exist in more than one form, and Formula 1 thus include all crystalline and non-crystalline forms of the compounds they represent. Non- crystalline forms include embodiments which are solids such as waxes and gums as well as embodiments which are liquids such as solutions and melts. Crystalline forms include embodiments which represent essentially a single crystal type and embodiments which represent a mixture of polymorphs (i.e. different crystalline types). The term "polymorph"
refers to a particular crystalline form of a chemical compound that can crystallize in different crystalline forms, these forms having different arrangements and/or conformations of the molecules in the crystal lattice. Although polymorphs can have the same chemical composition, they can also differ in composition due the presence or absence of co- crystallized water or other molecules, which can be weakly or strongly bound in the lattice. Polymorphs can differ in such chemical, physical and biological properties as crystal shape, density, hardness, color, chemical stability, melting point, hygroscopicity, suspensibility, dissolution rate and biological availability. One skilled in the art will appreciate that a polymorph of a compound of Formula 1 can exhibit beneficial effects (e.g., suitability for preparation of useful formulations, improved biological performance) relative to another polymorph or a mixture of polymorphs of the same compound of Formula 1. Preparation and isolation of a particular polymorph of a compound of Formula 1 can be achieved by methods known to those skilled in the art including, for example, crystallization using selected solvents and temperatures.
One skilled in the art will appreciate that not all nitrogen-containing heterocycles can form N-oxides since the nitrogen requires an available lone pair for oxidation to the oxide; one skilled in the art will recognize those nitrogen-containing heterocycles which can form N-oxides. One skilled in the art will also recognize that tertiary amines can form N-oxides. Synthetic methods for the preparation of N-oxides of heterocycles and tertiary amines are very well known by one skilled in the art including the oxidation of heterocycles and tertiary amines with peroxy acids such as peracetic and m-chloroperbenzoic acid (MCPBA), hydrogen peroxide, alkyl hydroperoxides such as t-butyl hydroperoxide, sodium perborate, and dioxiranes such as dimethyldioxirane. These methods for the preparation of N-oxides have been extensively described and reviewed in the literature, see for example: T. L. Gilchrist in Comprehensive Organic Synthesis, vol. 7, pp 748-750, S. V. Ley, Ed., Pergamon Press; M. Tisler and B. Stanovnik in Comprehensive Heterocyclic Chemistry, vol. 3, pp 18-20, A. J. Boulton and A. McKillop, Eds., Pergamon Press; M. R. Grimmett and B. R. T. Keene in Advances in Heterocyclic Chemistry, vol. 43, pp 149-161, A. R. Katritzky, Ed., Academic Press; M. Tisler and B. Stanovnik in Advances in Heterocyclic Chemistry, vol. 9, pp 285-291, A. R. Katritzky and A. J. Boulton, Eds., Academic Press; and G. W. H. Cheeseman and E. S. G. Werstiuk in Advances in Heterocyclic Chemistry, vol. 22, pp 390-392, A. R. Katritzky and A. J. Boulton, Eds., Academic Press.
One skilled in the art recognizes that because in the environment and under physiological conditions salts of chemical compounds are in equilibrium with their corresponding nonsalt forms, salts share the biological utility of the nonsalt forms. Thus a wide variety of salts of a compound of Formula 1 are useful for control of undesired vegetation (i.e. are agriculturally suitable). The salts of a compound of Formula 1 include acid-addition salts with inorganic or organic acids such as hydrobromic, hydrochloric, nitric,
phosphoric, sulfuric, acetic, butyric, fumaric, lactic, maleic, malonic, oxalic, propionic, salicylic, tartaric, 4-toluenesulfonic or valeric acids. When a compound of Formula 1 contains an acidic moiety such as a carboxylic acid or phenol (or, for example, when R3 is 0"M+), salts also include those formed with organic or inorganic bases such as pyridine, triethylamine or ammonia, or amides, hydrides, hydroxides or carbonates of sodium, potassium, lithium, calcium, magnesium or barium. Accordingly, the present invention comprises compounds selected from Formula 1, N-oxides and agriculturally suitable salts thereof.
Embodiments of the present invention as described in the Summary of the Invention include (where Formula 1 as used in the following Embodiments includes N-oxides and salts thereof ):
Embodiment 1. A compound of Formula 1 (including all stereoisomers), N-oxides, and salts thereof, agricultural compositions containing them and their use as herbicides as described in the Summary of the Invention.
Embodiment 2. A compound of Embodiment 1 wherein A is A-l, A-3, A-5 or A-6.
Embodiment 3. A compound of Embodiment 2 wherein A is A-l, A-3 or A-5.
Embodiment 4. A compound of Embodiment 3 wherein A is A-l or A-3.
Embodiment 5. A compound of Embodiment 4 wherein A is A-l .
Embodiment 6. A compound of Embodiment 4 wherein A is A-3.
Embodiment 7. A compound of any one of Embodiments 1 through 5 wherein A is other than A-l .
Embodiment 8. A compound of any one of Embodiments 1 through 7 wherein B1 is C-l .
Embodiment 9. A compound of any one of Embodiments 1 through 7 wherein B1 is C-2.
Embodiment 10. A compound of any one of Embodiments 1 through 9 wherein B2 is C-3.
Embodiment 11. A compound of any one of Embodiments 1 through 9 wherein B2 is C-4.
Embodiment 12. A compound of any one of Embodiments 1 through 11 wherein B3 is
C-l .
Embodiment 13. A compound of any one of Embodiments 1 through 11 wherein B3 is C-2.
Embodiment 14. A compound of any one of Embodiments 1 through 13 wherein Q is O.
Embodiment 15. A compound of any one of Embodiments 1 through 14 wherein R1 is a 4- to 7-membered carbocyclic ring substituted with -YRA and optionally substituted with up to two substituents selected from RB.
Embodiment 16. A compound of Embodiment 15 wherein R1 is a 4- to 7-membered carbocyclic ring substituted with -YRA and optionally substituted with up to one substituents selected from RB.
Embodiment 17. A compound of Embodiment 16 wherein R1 is a 4- to 7-membered carbocyclic ring substituted with -YRA (i.e substituted only with -YRA).
Embodiment 18. A compound of Embodiment 17 wherein R1 is a 5- to 6-membered carbocyclic ring substituted with -YRA.
Embodiment 19. A compound of Embodiment 18 wherein R1 is a 6-membered
carbocyclic ring substituted with -YRA.
Embodiment 20. A compound of Embodiment 19 wherein R1 is cyclohexyl substituted with -YRA at the 3- or 4-position (i.e. relative to the attachment point to the remainder of Formula 1).
Embodiment 20A. A compound of any one of Embodiments 1 through 20 wherein Y is
O.
Embodiment 20B. A compound of any one of Embodiments 1 through 20 wherein Y is
S.
Embodiment 21. A compound of any one of Embodiments 1 through 20 wherein RA is (i.e. RA is taken alone) Ci -C4 alkyl, C3-C8 cycloalkyl, C4-C10 cycloalkylalkyl, C2-C6 alkoxyalkyl, C1 -C4 haloalkyl, C4-C10 halocycloalkyl, C4-C10
halocycloalkylalkyl or C(=0)Rc.
Embodiment 22. A compound of Embodiment 21 wherein RA is C1 -C4 alkyl, C3~Cg cycloalkyl, C4-C10 cycloalkylalkyl, C2-Cg alkoxyalkyl or C1 -C4 haloalkyl.
Embodiment 23. A compound of Embodiment 22 wherein RA is C1 -C4 alkyl, C2-Cg alkoxyalkyl or Ci -C4 haloalkyl.
Embodiment 24. A compound of Embodiment 23 wherein RA is C1 -C4 alkyl or C1 -C4 haloalkyl.
Embodiment 25. A compound of Embodiment 24 wherein RA is C1 -C4 alkyl.
Embodiment 26. A compound of Embodiment 25 wherein RA is CH3.
Embodiment 27. A compound of any one of Embodiments 1 through 16 or 21 through 26 wherein RB (i.e. RB is taken alone) is halogen, Ci -C4 alkyl or Ci -C4 alkoxy.
Embodiment 28. A compound of Embodiment 27 wherein RB is halogen or Ci -C4 alkyl.
Embodiment 29. A compound of Embodiment 28 wherein RB is halogen or CH3. Embodiment 30. A compound of any one of Embodiments 1 through 29 wherein RA and RB (i.e. are taken together) connected to the same carbocyclic ring member taken together as -OCH2CH20- or -OCH2CH2CH20-.
Embodiment 31. A compound of Embodiment 30 wherein RA and RB connected to the same carbocyclic ring member and taken together as -OCH2CH20-.
Embodiment 31 A. A compound of any one of Embodiments 1 through 29 wherein RA and RB (i.e. are taken together) connected to the same carbocyclic ring member taken together as -SCH2CH2S-.
Embodiment 32. A compound of any one of Embodiments 1 through 21 wherein Rc is H or CrC4 alkyl.
Embodiment 33. A compound of Embodiment 32 wherein Rc is H or CH3.
Embodiment 34. A compound of Embodiment 33 wherein Rc is CH3.
Embodiment 35. A compound of any one of Embodiments 1 through 34 wherein R2 is
C1-C4 alkyl or C3-C5 cycloalkyl.
Embodiment 36. A compound of Embodiment 35 wherein R2 is C1-C4 alkyl,
cyclopropyl or cyclobutyl.
Embodiment 37. A compound of Embodiment 36 wherein R2 is CH3 or cyclopropyl. Embodiment 37 A. A compound of Embodiment 37 wherein R2 is CH3.
Embodiment 38. A compound of any one of Embodiments 1 through 37 wherein R3 is hydroxy, -0~M+, C2-C8 alkylcarbonyloxy, C2-C8 haloalkylcarbonyloxy, C4-C10 cycloalkylcarbonyloxy or C3-CIQ alkylcarbonylalkoxy; or benzyloxy, phenyloxy, benzylcarbonyloxy, phenylcarbonyloxy, phenylsulfonyloxy or benzylsulfonyloxy, each optionally substituted on ring members with up to two substituents selected from R21.
Embodiment 39. A compound of Embodiment 38 wherein R3 is hydroxy, -0~M+ or
C2-C8 alkylcarbonyloxy; or phenylsulfonyloxy optionally substituted with up to two substituents selected from R21.
Embodiment 40. A compound of Embodiment 39 wherein R3 is hydroxy or C2-Cg alkylcarbonyloxy.
Embodiment 41. A compound of Embodiment 40 wherein R3 is hydroxy or
-OC(=0)CH2CH(CH3)2.
Embodiment 42. A compound of Embodiment 39 wherein M+ is a sodium or
potassium metal cation.
Embodiment 43. A compound of any one of Embodiments 1 or 14 through 42 wherein R4, R5, R6 and R7 are each independently H or CrC6 alkyl.
Embodiment 44. A compound of any one of Embodiments 1 or 14 through 43 wherein
R8 is CrC6 alkyl or C3-C8 cycloalkyl.
Embodiment 45. A compound of Embodiment 44 wherein R8 is CH3, CH2CH3 or cyclopropyl.
Embodiment 46. A compound of any one of Embodiments 1 through 3 or 14 through
42 wherein R9 is CrC6 alkyl.
Embodiment 47. A compound of Embodiment 46 wherein R9 is CH2CH3.
Embodiment 48. A compound of any one of Embodiments 1 through 3 or 14 through
42 wherein R10 is H, halogen or C^-Cg alkyl.
Embodiment 49. A compound of Embodiment 48 wherein R10 is H or CH3.
Embodiment 50. A compound of any one of Embodiments 1, 2, or 14 through 42 wherein R1 1 is H or C^-Cg alkyl.
Embodiment 51. A compound of Embodiment 50 wherein R1 1 is H.
Embodiment 52. A compound of any one of Embodiments 1, 2 or 14 through 42
wherein R12 is H, halogen, cyano, hydroxy, amino or Cj-Cg alkyl.
Embodiment 53. A compound of Embodiment 52 wherein R12 is H, halogen, cyano, CrC6 alkyl or C3-C8 cycloalkyl.
Embodiment 54. A compound of Embodiment 53 wherein R12 is CH3, CH2CH3 or cyclopropyl.
Embodiment 55. A compound of any one of Embodiments 1 or 14 through 42 wherein
R13 is H, halogen, cyano or nitro.
Embodiment 56. A compound of Embodiment 55 wherein R13 is cyano or nitro.
Embodiment 57. A compound of any one of Embodiments 1 through 5, 8, 10, 12 or 14 through 42 wherein each R14, R15, R16 and R17 is independently H, CI or CH3. Embodiment 57A. A compound of Embodiment 57 wherein R14 and R15 are both H. Embodiment 58. A compound of any one of Embodiments 1 through 5, 8, 10, 12 or 14 through 42 wherein when instances of R14 and R16 are taken alone (i.e. R14 and
R16 are not taken together as alkylene or alkenylene), then independently said instances of R14 and R16 are H or C^-Cg alkyl.
Embodiment 59. A compound of Embodiment 58 wherein when instances of R1 and
R16 are taken alone, then independently said instances of R14 and R16 are H or CH3.
Embodiment 60. A compound of Embodiment 29 wherein when instances of R1 and
R16 are taken alone, then independently said instances of R14 and R16 are H. Embodiment 61. A compound of any one of Embodiments 1 through 5, 8, 10, 12 or 14 through 42 wherein all instances of R14 and R16 are taken alone.
Embodiment 62. A compound of any one of Embodiments 1 through 5, 8, 10 12 or 14 through 42 wherein when instances of R14 and R16 are taken together, then said instances of R14 and R16 are taken together as -CH2CH2CH2- or -CH=CHCH2- wherein the bond pointing to the left represents the attachment point for R1 and the bond pointing to the right represents the attachment point for R16.
Embodiment 63. A compound of any one of Embodiments 1 through 5, 8, 10, 12 or 14 through 42 wherein each R16 and R17 is independently H or CH3.
Embodiment 64. A compound of Embodiment 63 wherein R16 and R17 are both H. Embodiment 65. A compound of Embodiment 63 wherein R16 and R17 are both CH3.
Embodiment 66. A compound of any one of Embodiments 1 through 4, 7, 10, 11 and 14 through 42 wherein T is -CH2CH2- or -CH=CH-.
Embodiment 66 A. A compound Embodiment 66 wherein T is -CH2CH2-.
Embodiment 67. A compound of any one of Embodiments 1 through 66 A wherein each R21 is independently halogen, cyano, hydroxy, nitro, -CHO, -SH, Cj-Cg alkyl, C2-C6 alkenyl, C2-C6 alkynyl, Cj-Cg haloalkyl, C2-C6 haloalkenyl, C2-C6 haloalkynyl, C3-C8 cycloalkyl, C3-C8 halocycloalkyl, C4-C10 alkylcycloalkyl, C4-C10 cycloalkylalkyl, C3-C8 cycloalkenyl, C3-C8 halocycloalkenyl, C2-C8 alkoxyalkyl, C4-C10 cycloalkoxyalkyl, C3-C^Q alkoxyalkoxyalkyl, C2-C8 alkylthioalkyl, C2-C8 alkylsulfinylalkyl, C2-C8 alkoxyhaloalkyl, C2-C5 cyanoalkyl, Cj-Cg hydroxyalkyl, -Cg alkoxy, Cj-Cg haloalkoxy, C3-C8 cycloalkoxy, C3-C8 halocycloalkoxy, C4-C10 cycloalkylalkoxy, C2-Cg alkenyloxy, C2-C6 haloalkenyloxy, C2-C8 alkoxyalkoxy, C2-C8
alkylcarbonyloxy, C^-Cg alkylthio, C^-Cg haloalkylthio, C3-C8 cycloalkylthio, Cj-Cg alkylsulfinyl, -Cg haloalkylsulfinyl, Cj-Cg alkylsulfonyl, -Cg haloalkylsulfonyl or C3-C8 cycloalkylsulfonyl.
Embodiment 68. A compound of Embodiment 67 wherein each R21 is independently halogen, nitro, Cj-Cg alkyl, Cj-Cg haloalkyl, -Cg alkoxy, Cj-Cg haloalkoxy or CrC6 alkylthio.
Embodiment 69. A compound of Embodiment 68 wherein each R21 is independently fluorine, chlorine, bromine, CH3, CF3, OCH3, OCF3 or SCH3.
Embodiments of the present invention as described in the Summary of the Invention and any of Embodiments 1 through 69 can be combined in any way. Combined Embodiments from above can be illustrated as:
Embodiment A.
A compound of Formula 1 (including all stereoisomers), N-oxides, and salts thereof, agricultural compositions containing them and their use as herbicides as described in the Summary of the Invention wherein
A is A-l, A-3, A-5 or A-6;
Q is O;
R1 is a 4- to 7-membered carbocyclic ring substituted with -YRA and optionally
substituted with up to two substituents selected from RB;
RA is C1-C4 alkyl, C3-C8 cycloalkyl, C4-C10 cycloalkylalkyl, C2-C6 alkoxyalkyl, C1-C4 haloalkyl, C4-C 10 halocycloalkyl, C4-C 10 halocycloalkylalkyl or C(=0)Rc;
RB is halogen, -C4 alkyl or -C4 alkoxy; or
RA and RB connected to the same carbocyclic ring member are taken together as
-OCH2CH20-;
Rc is H or CrC4 alkyl;
R2 is C1-C4 alkyl or C3-C5 cycloalkyl;
R3 is hydroxy, -0~M+, C2-C8 alkylcarbonyloxy, C2-C8 haloalkylcarbonyloxy, C4-C10 cycloalkylcarbonyloxy or C3-CIQ alkylcarbonylalkoxy; or benzyloxy, phenyloxy, benzylcarbonyloxy, phenylcarbonyloxy, phenylsulfonyloxy or benzylsulfonyloxy, each optionally substituted on ring members with up to two substituents selected from R21;
R9 is CrC6 alkyl;
R10 is H, halogen or CrC6 alkyl;
R1 1 is H or CrC6 alkyl;
R12 is H, halogen, cyano, Cj-Cg alkyl or C3-C8 cycloalkyl;
R14 and R16 are taken alone and are H or C^-Cg alkyl; or
R14 and R16 are taken together as -CH2CH2CH2- or -CH=CHCH2-;
T is -CH2CH2- or -CH=CH-; and
each R21 is independently halogen, cyano, hydroxy, nitro, -CHO, -SH, Cj-Cg alkyl, C2-C6 alkenyl, C2-C6 alkynyl, Cj-Cg haloalkyl, C2-C6 haloalkenyl, C2-C6 haloalkynyl, C3-C8 cycloalkyl, C3-C8 halocycloalkyl, C4-C10 alkylcycloalkyl, C4-C10 cycloalkylalkyl, C3-C8 cycloalkenyl, C3-C8 halocycloalkenyl, C2-C8 alkoxyalkyl, C4-C^Q cycloalkoxyalkyl, C3-C^Q alkoxyalkoxyalkyl, C2-C8 alkylthioalkyl, C2-C8 alkylsulfinylalkyl, C2-C8 alkoxyhaloalkyl, C2-C5 cyanoalkyl, Cj-Cg hydroxyalkyl, -Cg alkoxy, Cj-Cg haloalkoxy, C3-C8 cycloalkoxy, C3-C8 halocycloalkoxy, C4-C^o cycloalkylalkoxy, C2-Cg alkenyloxy, C2-C6 haloalkenyloxy, C2-C8 alkoxyalkoxy, C2-C8
alkylcarbonyloxy, C^-Cg alkylthio, C^-Cg haloalkylthio, C3-C8 cycloalkylthio, Cj-Cg alkylsulfinyl, -Cg haloalkylsulfinyl, -Cg alkylsulfonyl, -Cg haloalkylsulfonyl or C3-C8 cycloalkylsulfonyl.
Embodimenent B.
A compound of Embodiment A wherein
A is A-l, A-3 or A-5;
B1 is C-l;
B2 is C-3;
B3 is C-l;
R1 is a 4- to 7-membered carbocyclic ring substituted with -YRA;
RA is Cj-C4 alkyl, C3-C8 cycloalkyl, C4-C10 cycloalkylalkyl, C2-C6 alkoxyalkyl or
Cj-Czj haloalkyl;
R2 is Cj-Czj alkyl, cyclopropyl or cyclobutyl;
R3 is hydroxy, -0~M+ or C2-C8 alkylcarbonyloxy; or phenylsulfonyloxy optionally substituted with up to two substituents selected from R21;
R9 is CH2CH3;
R10 is H or CH3;
each R14, R15, R16 and R17 is independently H, CI or CH3; and
R21 is independently halogen, nitro, Cj-Cg alkyl, Cj-Cg haloalkyl, -Cg alkoxy, C^-Cg haloalkoxy or C^-Cg alkylthio.
Embodimenent C.
A compound of Embodiment B wherein
A is A-l or A-3;
R1 is a 5- to 6-membered carbocyclic ring substituted with -YRA;
Y is O;
RA is Ci -C4 alkyl, C2-Cg alkoxyalkyl or Ci -C4 haloalkyl;
R2 is CH3 or cyclopropyl;
R3 is hydroxy or C2-C8 alkylcarbonyloxy;
R14 and R15 are both H; and
each R16 and R17 is independently H or CH3
Embodiment D.
A compound of Embodiment C wherein
A is A-l;
R1 is a 6-membered carbocyclic ring substituted with -YRA;
RA is CrC4 alkyl;
R2 is CH3; and
R3 is hydroxy or -OC(=0)CH2CH(CH3)2.
Embodiment E.
A compound of Embodiment C wherein
A is A-3;
T is -CH2CH2-;
R1 is cyclohexyl substituted with -YRA at the 3- or 4-position; and
RA is CH3.
Embodiments of this invention, including Embodiments 1-69 above as well as any other embodiments described herein, can be combined in any manner, and the descriptions of variables in the embodiments pertain not only to the compounds of Formula 1 but also to the starting compounds and intermediate compounds useful for preparing the compounds of Formula 1. In addition, embodiments of this invention, including Embodiments 1-69 above as well as any other embodiments described herein, and any combination thereof, pertain to the compositions and methods of the present invention.
Specific embodiments include compounds of Formula 1 selected from the group consisting of:
6-[(2-hydroxy-6-oxo- 1 -cyclohexen- 1 -yl)carbonyl]-4-(4-methoxycyclohexyl)-2-methyl- l,2,4-triazine-3,5(2H,4H)-dione (i.e. Compound 1)
Additional Embodiments of the present Invention include: Embodiment AP. A compound of Formula 1 (including all stereoisomers), N-oxides, and salts thereof, agricultural compositions containing them and their use as herbicides as described in the Summary of the Invention wherein A is A-l, A-3, A-5 or A-6; Q is O; R1 is a 4- to 7- membered carbocyclic ring substituted with -YRA and optionally substituted with up to two substituents selected from RB; RA is -C4 alkyl, C3-C8 cycloalkyl, C4-C10 cycloalkylalkyl, C2-Cg alkoxyalkyl, C 1-C4 haloalkyl, C4-C 10 halocycloalkyl, C4-C10 halocycloalkylalkyl or C(=0)Rc; RB is halogen, C 1-C4 alkyl or -C4 alkoxy; or RA and RB connected to the same carbocyclic ring member are taken together as -OCH2CH2O-; Rc is H or C1-C4 alkyl; R2 is C1-C4 alkyl or C3-C5 cycloalkyl; R3 is hydroxy, -0~M+, C2-C8 alkylcarbonyloxy, C2-C8 haloalkylcarbonyloxy, C4-C10 cycloalkylcarbonyloxy or C3-C IQ alkylcarbonylalkoxy; or benzyloxy, phenyloxy, benzylcarbonyloxy, phenylcarbonyloxy, phenylsulfonyloxy or benzylsulfonyloxy, each optionally substituted on ring members with up to two substituents selected from R21; R9 is CrC6 alkyl; R10 is H, halogen or CrC6 alkyl; R1 1 is H or CrC6 alkyl; R14 and R16 are taken alone and are H or C^-Cg alkyl; or R14 and R16 are taken together as -CH2CH2CH2- or -CH=CHCH2-; T is -CH2CH2- or -CH=CH-; and each R21 is independently halogen, cyano, hydroxy, nitro, -CHO, -SH, Cj-Cg alkyl, C2-C6 alkenyl, C2-C6 alkynyl, -Cg haloalkyl, C2-C6 haloalkenyl, C2-C6 haloalkynyl, C3-C8 cycloalkyl, C3-C8 halocycloalkyl, C4-C10 alkylcycloalkyl, C4-C10 cycloalkylalkyl, C3-C8 cycloalkenyl, C3-C8 halocycloalkenyl, C2-C8 alkoxyalkyl, C4-C10 cycloalkoxyalkyl, C3-C10 alkoxyalkoxyalkyl, C2-C8 alkylthioalkyl, C2-C8 alkylsulfinylalkyl, C2-C8 alkoxyhaloalkyl, C2-C5 cyanoalkyl, Cj-Cg hydroxyalkyl, Cj-Cg alkoxy, Cj-Cg haloalkoxy, C3-C8 cycloalkoxy, C3-C8 halocycloalkoxy, C4-C10 cycloalkylalkoxy, C2-C6 alkenyloxy, C2-C6 haloalkenyloxy, C2-C8 alkoxyalkoxy, C2-C8 alkylcarbonyloxy, C^-Cg alkylthio, C^-Cg haloalkylthio, C3-C8 cycloalkylthio, Cj-Cg alkylsulfinyl, Cj-Cg haloalkylsulfinyl, -Cg alkylsulfonyl, C^-Cg haloalkylsulfonyl or C3-C8 cycloalkylsulfonyl. Embodimenent BP. A compound of Embodiment A wherein A is A-l, A-3 or A-5; B1 is C-l; B2 is C-3; B3 is C-l; R1 is a 4- to 7-membered carbocyclic ring substituted with -YRA; RA is -C4 alkyl, C3-C8 cycloalkyl, C4-C10 cycloalkylalkyl, C2-C6 alkoxyalkyl or C 1-C4 haloalkyl; R2 is C 1-C4 alkyl, cyclopropyl or cyclobutyl; R3 is hydroxy, -0"M+ or C2-C8 alkylcarbonyloxy; or phenylsulfonyloxy optionally substituted with up to two substituents selected from R21; R10 is H or CH3; R1 1 is H; R12 is H, halogen, cyano, Cj-Cg alkyl or C3-C8 cycloalkyl; each R14, R15, R16 and R17 is independently H, CI or CH3; and R21 is independently halogen, nitro, Cj-Cg alkyl, Cj-Cg haloalkyl, Cj-Cg alkoxy, Cj-Cg haloalkoxy or Cj-Cg alkylthio.
This invention also relates to a method for controlling undesired vegetation comprising applying to the locus of the vegetation herbicidally effective amounts of the compounds of
the invention (e.g., as a composition described herein). Of note as embodiments relating to methods of use are those involving the compounds of embodiments described above. Compounds of the invention are particularly useful for selective control of weeds in wheat, corn and rice.
Also noteworthy as embodiments are herbicidal compositions of the present invention comprising the compounds of embodiments described above.
One or more of the following methods and variations as described in Schemes 1-21 can be used to prepare the compounds of Formula 1. The definitions of A, R1, R2, Q, B1, B2, B3, R3, R4, R5, R6, R10, R11, R12, R13, R14, R15, R16 and R18 in the compounds of Formulae 1-21 below are as defined above in the Summary of the Invention unless otherwise noted. Compounds of Formulae la, lb, lc, Id, le, If are various subsets of the compounds of Formula 1 and all substituents for Formulae la, lb, lc, Id, le and If are as defined above for Formula 1. Compounds of Formulae 3a, 3b, 3c, 3d and 3e are various subsets of the compounds of Formula 3, and all substituents for Formulae 3a, 3b, 3c, 3d, 3e and 3f are as defined above for Formula 3. Compounds of Formulae 5a and 5b are subsets of each other, and are defined analogously to each other. Compounds of Formulae 6a and 6b are also subsets of each other and are defined analogously to each other. Compounds of Formulae 10a and 10b are various subsets of the compounds of Formula 10, and all substituents for Formulae 10a and 10b are as defined above for Formula 10. Compounds of Formulae 14a and 14b are various subsets of the compounds of Formula 14, and all substituents for Formulae 17a are as defined above for Formula 17.
A compound of Formula 1, (i.e. the compounds of the invention, their N-oxides and their salts) can be prepared according to various methods and consistant with the procedures reported in WO 2012/002096. Representative examples are given below, but the process for preparing a compound of Formula 1 are not limited to these examples. A compound of Formula la, is a compound of the invention wherein A is A-l and can be produced according to the method shown below in Scheme 1 (wherein R1, R2, B1, B2, B3 and Q are as defined in the Summary of the Invention, and X represents a leaving group such as a halogen atom; or an alkylcarbonyloxy, alkoxycarbonyloxy, haloalkylcarbonyloxy, haloalkoxycarbonyloxy, benzoyloxy, pyridyl or imidazolyl group).
heme 1
Reaction of a compound of Formula 3 and a compound of Formula 4a in a solvent and in the presence of a base, can be used to prepare the enolester of a compound of Formulae 5a and/or 5b. The amount of a compound Formula 4a can be appropriately selected from the range of about 0.5 to about 10 mol (typically from 1.0 to 1.2 mol) per 1 mol of a compound of Formula 3. Examples of the base which can be used for the present process include organic amines such as triethylamine, pyridine, 4-dimethylammopyridine, N,N- dimethylaniline and l,8-diazabicyclo[5.4.0]undec-7-ene; metal carbonates such as sodium carbonate, potassium carbonate, magnesium carbonate and calcium carbonate; metal hydrogen carbonates such as sodium hydrogen carbonate and potassium hydrogen carbonate; metal carboxylate salts represented by metal acetate salts such as sodium acetate, potassium acetate, calcium acetate and magnesium acetate; metal alkoxides such as sodium methoxide, sodium ethoxide, sodium tertiary butoxide, potassium methoxide and potassium tertiary butoxide; metal hydroxides such as sodium hydroxide, potassium hydroxide, calcium hydroxide; and magnesium hydroxide such metal hydrides such as lithium hydride, sodium hydride, potassium hydride and calcium hydride. The amount of the base is appropriately selected from the range of about 0.5 to about 10 mol (typically from 1.0 to 1.2 mol) per 1 mol of a compound of Formula 3. The solvent that can be used for the present process can be any solvent if it does not inhibit the progress of the reaction. Solvents including nitriles such as acetonitrile; ethers such as diethyl ether, diisopropyl ether, tetrahydrofuran, dioxane, monoglyme and diglyme; halogenated hydrocarbons such as dichloroethane, chloroform, carbon tetrachloride and tetrachloroethane; aromatic hydrocarbons such as benzene, chlorobenzene, nitrobenzene and toluene; amides such as N,N-dimethylformamide and N,N-dimethylacetamide; imidazolinones such as l,3-dimemyl-2-imidazolinone; sulfur compounds such as dimethyl sulfoxide; and mixtures thereof can also be used. The reaction temperature may be selected from the range of from -20 °C to the boiling point of an inert solvent used. Typically the reaction is carried out in the range of from 0 °C to 100 °C. By using a phase transfer catalyst such as quaternary ammonium salt, the reaction can be carried out in a two-phase system. After the completion of the reaction, a compound of Formulae 5a
and/or 5b can be collected from the reaction system by general methods, and if necessary, purified by a process such as column chromatography and recrystallization.
A compound of Formulae 5a and/or 5b can be also produced by reacting a compound of Formula 3 with a compound of Formula 4b with a dehydrating condensing agent in a solvent, in the presence or absence of a base as shown in Scheme 2. The amount of a compound of Formula 4b used for the present process can be appropriately selected from the range of about 0.5 to about 10 mol (typically from 1.0 to 1.2 mol) per 1 mol of a compound of Formula 3. Examples of the dehydrating condensing agents include dicyclohexyl carbodiimide, ^-(S-dimethylaminopropy^-N'-ethylcarbodiimide, N,N-carbonyldiimidazole, 2-chloro-l,3-dimethylimidazolium chloride and 2-chloro-l-methylpyridinium iodide. Examples of the base and solvent which can be used for the present process include those described above for Scheme 1. The reaction temperature may be selected from the range of from -20 °C to the boiling point of an inert solvent used. Typically, the reaction is carried out in the range of from 0 °C to 100 °C. The compounds of Formulae 5a and/or 5b can be separated and purified in the same manner as described for Scheme 1.
2
dehydrating condensing agent
A compound of Formula la can be produced by reacting the compound of Formulae 5a and/or 5b as shown in Scheme 3 with a cyano compound in the presence of a base. Examples of the cyano compound which can be used for the present process include potassium cyanide, sodium cyanide and acetone cyanohydrin. The amount of the cyano compound can be appropriately selected from the range of about 0.01 to about 1.0 mol (typically from 0.05 to 0.2 mol) per 1 mol of a compound of Formulae 5a and 5b. Examples of the base which can be used for the present process include those described above for Scheme 1. The amount of base can be appropriately selected from the range of about 0.5 to about 10 mol (typically from 1.0 to 1.2 mol) per 1 mol of a compound of Formula 5a and a compound of Formula 5b. For the present process, a small amount of a phase transfer catalyst such as crown ether can also be used. Examples of the solvent which can be used for the present process include those described above for Scheme 1. The reaction temperature is selected from the range of -20 °C to the boiling point of an inert solvent used. Typically, the reaction is carried out in the range of from 0 °C to 100 °C.
A compound of Formula la can be also produced by reacting a compound of Formula 3 and a compound of Formula 4c in the presence of a base or a Lewis acid as shown in Scheme 4. The amount of a compound of Formula 4c that is used for the present process can be appropriately selected from the range of about 0.5 to about 10 mol (typically from 1.0 to 1.2 mol) per 1 mol of a compound of Formula 3. Examples of the Lewis acid include zinc chloride and aluminum chloride. Examples of the base which can be used for the present process include those described above for Scheme 1. The amount of the base that can be used for the present process can be appropriately selected from the range of about 0.5 to about 10 mol (typically from 1.0 to 1.2 mol) per 1 mol of a compound of Formula 3. Examples of the solvent which can be used for the present process include those described above for Scheme 1. The reaction temperature is selected from the range of from -20 °C to the boiling point of an inert solvent used. Typically, the reaction is carried out in the range of from 0 °C to 100 °C. After the completion of the reaction, a compound of Formula la, which is produced according to Schemes 2 or 3, can be collected from the reaction system by general method, and if necessary, purified by a process such as column chromatography and recrystallization.
Scheme 4
base or Lewis acid
A compound of Formula la can also be prepared as shown in Scheme 5 where the hydroxyl group can be converted to other substituent groups according to the method shown in Scheme 5 (i.e. a compound of Formula 1 wherein R1, R2, R3, B1, B2, B3 and Q each have the same definitions as described in the Summary of the invention).
Scheme 5 electrophillic
reagent (i.e. L-R3) lb (R3 bonded
lb (R3 bonded through
nitrogen, sulfur or carbon)
A compound of Formula lb wherein R3 is bonded through nitrogen, sulfur or carbon can be produced by reacting a compound of Formula la with a halogenating agent followed by nucleophilic displacement with an appropriate reagent. Examples of the halogenating agent that can be used for the process include thionyl chloride, thionyl bromide, phosphorus oxychloride, phosphorus oxybromide, phenyltrimethyl ammonium tribromide and Meldrum's acid tribromide. The amount of the halogenating agent can be appropriately selected from the range of about 0.1 to about 10 mol (typically from 1.0 to 1.2 mol) per 1 mol of a compound of Formula la. Examples of the solvent which can be used for the present process include those described above for Scheme 1. The reaction temperature is selected from the range of from -20 °C to the boiling point of an inert solvent used. Typically, the reaction is carried out in the range of from 0 °C to 100 °C. The nucleophilic reagent for the process for obtaining a compound of Formula lc is, for example, a compound represented by the formula R3-H and examples thereof include alcohols such as methanol, ethanol and benzyl alcohol; mercaptans such as methyl mercaptan and ethyl mercaptan; amines such as ammonia, methyl amine and ethyl amine; phenols such as /?-cresol and phenol; thiophenols such as /?-chlorothiophenol; Ci -Cg alkyl acids such as acetic acid and benzoic acids. The amount of the nucleophilic reagent can be appropriately selected from the range of about 0.1 to about 10 mol (typically from 1.0 to 1.2 mol) per 1 mol of a compound of Formula la. Examples of the solvent which can be used for the present process include those described above for Scheme 1. The reaction temperature is selected from the range of from -20 °C to the boiling point of an inert solvent used. Typically, the reaction is carried out in the range of from 0 °C to 100 °C. After completion of the reaction, a compound of Formula lb (i.e. the target compound of this reaction), can be collected from the reaction system by general methods and if necessary, purified by a process such as column chromatography and recrystallization.
A compound of Formula lb wherein R3 is bonded through oxygen can be prepared by reacting a compound of Formula la and an electrophillic reagent in a solvent, in the presence or absence of a base. The electrophillic reagent that can be used indicates a compound represented by a compound of Formula L-R3 (where L represents a leaving
group) including Cj-Cg alkyl halides such as methyl iodide and propyl chloride; benzyl halides such as benzyl bromide; Cj-Cg alkylcarbonyl halides such as acetyl chloride and propionyl chloride; benzoyl halides such as benzoyl chloride; Cj-Cg alkyl sulfonyl halides such as methane sulfonyl chloride and ethane sulfonyl chloride; benzene sulfonyl halides such as benzene sulfonyl chloride and /^-toluene sulfonyl chloride; and di-Cj-Cg alkyl sulfate esters such as dimethyl sulfate and diethyl sulfate. The amount of the electrophilic reagent can be appropriately selected from the range of about 0.1 to about 10 mol (typically from 1.0 to 1.2 mol) per 1 mol of a compound of Formula la. Examples of the base and the solvent which can be used for the present process include those described above for Scheme 1. The amount of the base can be appropriately selected from the range of about 0.1 to about 10 mol (typically from 1.0 to 1.2 mol) per 1 mol of a compound of Formula la. The reaction temperature is selected from the range of from -20 °C to the boiling point of an inert solvent used. Typically, the reaction is carried out in the range of from 0 °C to 100 °C. After completion of the reaction, a compound of Formula lb (i.e. the target compound of this reaction), can be collected from the reaction system by general method, and if necessary, purified by a process such as column chromatography and recrystallization.
A compound of Formula lc can be prepared by the method as shown in Scheme 6 (i.e. wherein R1, R2, R4, R5, R6, R7, R8 and Q each have the same definitions as in the Summary of the Invention, and X represents a leaving group such as a halogen atom; or an alkylcarbonyloxy, alkoxycarbonyloxy, haloalkylcarbonyloxy, haloalkoxycarbonyloxy, benzoyloxy, pyridyl or imidazolyl group).
Scheme 6
3c lc
A compound of Formula lc can be produced by reacting the compound of Formula 3c with a compound of Formula 4a in a solvent, in the presence of a Lewis base. The amount of a compound of Formula 4a can be appropriately selected from the range of about 0.5 to about 10 mol (typically from about 1.0 to 1.2 mol) per 1 mol of a compound of Formula 3c. Examples of the Lewis base that can be used include organo lithium compounds such methyl lithium, ethyl lithium, n-butyl lithium, sec -butyl lithium, tert-butyl lithium and benzyl lithium; Grignard reagents such as methyl magnesium iodide and ethyl magnesium bromide; metal compounds such as lithium, potassium and sodium; organo copper compounds produced from Grignard reagent or organometallic compound and
monovalent copper salts; alkali metal amides such as lithium diisopropyl amide; and; organic amines such as trimethylamine, pyridine, 4-dimethylaminopyridine, N,N dimethylaniline and l,8-diazabicyclo[5.4.0]undec-7-ene. n-Butyl lithium and lithium diisopropyl amide are particularly preferable. The amount of Lewis acid can be appropriately selected from the range of about 0.5 to about 10 mol (typically from 1.0 to 1.2 mol) per 1 mol of a compound of Formula 3c. Examples of the solvent which can be used for the present process include those described above for Scheme 1. Diethyl ether and tetrahydrofuran are particularly preferable. The reaction temperature is selected from the range of from -20 °C to the boiling point of the inert solvent used. Typically, the reaction is carried out in the range of from about 0 °C to 100 °C. After the completion of the reaction, a compound of Formula lc (i.e. the target compound of this reaction) can be collected from the reaction system by general method, and if necessary, purified by a process such as column chromatography and recrystallization.
A compound of Formula Id can be prepared by the method shown in Scheme 7 (wherein R1, R2, R9, R10 and Q each have the same definitions as defined in the Summary of the Invention, and X represents a leaving group such as a halogen atom; or an alkylcarbonyloxy, alkoxycarbonyloxy, haloalkylcarbonyloxy, haloalkoxycarbonyloxy, benzoyloxy, pyridyl or imidazolyl group).
Scheme 7
A compound of Formula 5c can be prepared by reacting a compound of Formula 3d and a compound of Formula 4a in a solvent and in the presence of a base, and a compound of Formula Id can be produced by reacting a compound of Formula 5c with a cyano compound in the presence of a base. In the above reaction, the amount of a compound of Formula 4a for preparing a compound of Formula 5c from a compound of Formula 3d can be appropriately selected from the range of about 0.1 to about 10 mol (typically from 1.0 to 1.2 mol) per 1 mol of a compound of Formula 3d. Examples of the base and solvent that can be used include those described above for Scheme 1. The reaction temperature is selected from the range of from -20 °C to the boiling point of the inert solvent used. Typically, the reaction is carried out in the range of from 0 °C to 100 °C. Examples of the cyano
compound of Scheme 6 for obtaining a compound of Formula lc from a compound of Formula 5c include potassium cyanide, sodium cyanide and acetone cyanohydrin. The amount of the cyano compound can be appropriately selected from the range of about 0.01 to about 1.0 mol (typically from 0.05 to 0.2 mol) per 1 mol of a compound of Formula 3d. Examples of the base that can be used include those described above for Scheme 1. The amount of the base can be appropriately selected from the range of about 0.1 to about 1.0 mol (typically from 1.0 to 1.2 mol) per 1 mol of a compound of Formula 3d. Examples of the solvent which can be used for the present process include those described above for Scheme 1. The reaction temperature is selected from the range of from -20 °C to the boiling point of an inert solvent used. Typically, the reaction is carried out in the range of from 0 °C to 100 °C. After completion of the reaction, a compound of Formula Id (i.e. the target compound of this reaction) can be collected from the reaction system by general method, and if necessary, purified by a process such as column chromatography and recrystallization.
A compound of Formula le in which the substituent on the pyrazole ring is further modified can be also produced from a compound of Formula Id by the method shown in Scheme 8 (wherein R1, R2, R3, R9, R10 and Q each have the same definitions as in the Summary of the Invention).
heme 8
) le (R3 bonded
nitrogen, sulfur or carbon)
Specifically, a compound of Formula le (wherein R3 is bonded through nitrogen sulfur or carbon) can be produced by reacting a compound of Formula Id with a halogenating agent followed by nucleophilic displacement with an appropriate reagent. Examples of the halogenating agent that can be used for the process include thionyl chloride, thionyl bromide, phosphorus oxychloride, phosphorus oxybromide, phenyltrimethyl ammonium tribromide and Meldrum's acid tribromide. The amount of halogenating agent can be appropriately selected from the range of about 0.1 to about 10 mol (typically from 1.0 to 1.2 mol) per 1 mol of a compound of Formula Id. Examples of the solvent which can be used for the present process include those described above for Scheme 1. The reaction temperature is selected from a range of about -20 °C to the boiling point of the inert solvent used. Typically, the reaction is carried out in the range of from 0 °C to 100 °C. The nucleophilic reagent for the process for obtaining a compound of Formula le is, for example,
a compound represented by the formula R3-H. Appropriate examples of R3-H in this reaction are listed in the discussed for Scheme 5. The amount of the nucleophilic reagent can be appropriately selected from the range of about 0.1 to about 10 mol (typically from 1.0 to 1.2 mol) per 1 mol of a compound of Formula Id. Examples of the solvent which can be used for the present process include those described above for Scheme 1. The reaction temperature is selected from the range of from -20 °C to the boiling point of an inert solvent used. Typically, the reaction is carried out in the range of from 0 °C to 100 °C. After the completion of the reaction, a compound of Formula le, (i.e. the target compound of this reaction) can be collected from the reaction system by general method, and if necessary, purified by a process such as column chromatography and recrystallization.
Alternatively a compound of Formula le wherein R3 is bonded through oxygen can be prepared by reacting a compound of Formula Id and an electrophilic reagent in a solvent, in the presence or absence of a base. The electrophilic reagent that can be used indicates a compound represented by the formula L-R3 (L represents a leaving group), and examples thereof include Cj-Cg alkyl halide such as methyl iodide and propyl chloride; benzyl halide such as benzyl bromide; Cj-Cg alkylcarbonyl halide such as acetyl chloride and propionyl chloride; benzoyl halides such as benzoyl chloride; Cj-Cg alkyl sulfonyl halides such as methane sulfonyl chloride and ethane sulfonyl chloride; benzene sulfonyl halides such as benzene sulfonyl chloride and /^-toluene sulfonyl chloride; and di Cj-Cg alkyl sulfate esters such as dimethyl sulfate and diethyl sulfate. The amount of the electrophilic reagent can be appropriately selected from the range of about 0.1 to about 10 mol (typically from 1.0 to 1.2 mol) per 1 mol of a compound of Formula Id. Examples of the base and the solvent which can be used for the present process include those described above for Scheme 1. The amount of the base can be appropriately selected from the range of about 0.1 to about 10 mol (typically from 1.0 to 1.2 mol) per 1 mol of a compound of Formula le. The reaction temperature is selected from the range of from -20 °C to the boiling point of an inert solvent used. Typically, the reaction is carried out in the range of from 0 °C to 100 °C. After the completion of the reaction, a compound of Formula le can be collected from the reaction system by general methods, and if necessary, purified by a process such as column chromatography and recrystallization.
A compound of Formula If can be produced by the method as shown in Scheme 9 (wherein, R1, R2, R12, R13 and Q each have the same definitions as described in the Summary of the Invention, and X represents a leaving group such as a halogen atom; or an alkylcarbonyloxy, alkoxycarbonyloxy, haloalkylcarbonyloxy, haloalkoxycarbonyloxy, benzoyloxy, pyridyl or imidazolyl group).
heme 9
Specifically, a compound of Formula 5d can be produced by reacting a compound of Formula 3e with a compound of Formula 4a in a solvent, in the presence of a base, and a compound of Formula If can be produced by reacting a compound of Formula 5d and a cyano compound in the presence of a base. In this reaction the amount of a compound of Formula 4a for preparing a compound of Formula 5d from a compound of Formula 3e can be appropriately selected from the range of about 0.1 to about 10 mol (typically from 1.0 to 1.2 mol) per 1 mol of a compound of Formula 3e. Examples of the base that can be used include those described above for Scheme 1. The amount of base can be appropriately selected from the range of about 0.1 to about 10 mol (typically from 1.0 to 1.2 mol) per 1 mol of a compound of Formula 3e. Examples of the solvent that can be used include those described above for Scheme 1.
Examples of the cyano compound which can be used for the reaction above for obtaining a compound of Formula If from a compound of Formula 5d include potassium cyanide, sodium cyanide and acetone cyanohydrin. The amount of the cyano compound can be appropriately selected from the range of about 0.01 to about 1.0 mol (typically from 0.05 to 0.2 mol) per 1 mol of a compound of Formula 5d. Examples of the base that can be used include those described above for Scheme 1. The amount of the base can be appropriately selected from the range of 0.1 to 1.0 mol (typically from 1.0 to 1.2 mol) per 1 mol of a compound of Formula 5d. Examples of the solvent that can be used include those described above for Scheme 1. The reaction temperature is selected from the range of from -20 °C to the boiling point of an inert solvent used. Typically, the reaction is carried out in the range of from 0 °C to 100 °C. After the completion of the reaction, a compound of Formula If can be collected from the reaction system by general methods, and if necessary, purified by a process such as column chromatography and recrystallization.
A compound of Formula 6a can be prepared by the method shown in Scheme 10 (wherein in the formula, R1, R2, R12 and Q each have the same definitions as in the Summary of the Invention, and R13 represents a C^-Cg alkoxycarbonyl group).
Scheme 10
In this procedure, a compound of Formula 6a can be prepared by reacting a compound of Formula If and acid with or without using a solvent. Examples of the acid that can be used for the present process include sulfonic acids such as /^-toluene sulfonic acid. The amount of acid can be appropriately selected from the range of about 0.1 to about 10 mol (typically from 1.0 to 1.2 mol) per 1 mol of a compound of Formula If. Examples of the solvent that can be used include those described above for Scheme 1. The reaction temperature is selected from the range of from -20 °C to the boiling point of an inert solvent used. Typically, the reaction is carried out in the range of from 0 °C to 100 °C.
Scheme 11
By reacting a compound of Formula 6a and an orthoformate ester or N,N- dimethylformamide dimethylacetal in the presence of an acid, a compound of Formula 6b can be obtained. The amount of orthoformate ester or N,N-dimethylformamide dimethylacetal can be appropriately selected from the range of about 0.1 to about 10 mol (typically from 1.0 to 3.0 mol) per 1 mol of a compound of Formula 6a. The reaction temperature is selected from the range of from -20 °C to the boiling point of an inert solvent used. Typically, the reaction is carried out in the range of from 0 °C to 150 °C.
A compound of Formula l can be obtained by reacting a compound of Formula 6b from Scheme 11 above with hydroxylamine hydrochloride in a solvent as shown in Scheme 12 below.
Scheme 12
The amount of hydroxylamine hydrochloride can be appropriately selected from the range of about 0.1 to about 10 mol (typically from 1.0 to 1.2 mol) per 1 mol of a compound of Formula 6b. Examples of the solvent that can be used for the present process include those described above for Scheme 1. The reaction temperature is selected from the range of from -20 °C to the boiling point of an inert solvent used. Typically, the reaction is carried out in the range of from 0 °C to 100 °C. After the completion of the reaction, a compound of Formula lg (i.e. the target compound of this reaction) can be collected from the reaction system by general method, and if necessary, purified by a process such as column chromatography and recrystallization.
A compound of Formula 3a can be produced according to the method shown below in Scheme 13 (wherin R1, R2 and Q each have the same definitions as above and X represents a chlorine or a bromine).
Scheme 13
4b 4a
Specifically, a compound of Formula 4a can be produced by reacting a compound of Formula 4b and an appropriate halogenating agent with or without a solvent. Examples of the halogenating agent that can be used include oxalyl chloride and thionyl chloride. The amount of the halogenating agent can be appropriately selected from the range of about 0.01 to about 20 mol (typically from 1 to 10 mol) per 1 mol of a compound of Formula 4b. Examples of the solvent include halogenated hydrocarbons such as dichloromethane and chloroform, ethers such as diethyl ether and tetrahydrofuran and aromatic hydrocarbons such as benzene and toluene. The amount of the solvent is about 0.01 to about 100 L (typically from 0.1 to 10 L) per 1 mol of a compound of Formula 4b. The reaction temperature is selected from the range of from -20 °C to the boiling point of an inert solvent used.
Typically, the reaction is carried out in the range of from 0 °C to 100 °C. After the completion of the reaction, a compound of Formula 4a (i.e. the target compound of this reaction) can be collected from the reaction system by general method, and if necessary, purified by a process such as column chromatography and recrystallization.
A compound of Formula 2 can be produced according to the method shown in
Scheme 14 (in the formula, R1, R2 and Q each have the same definitions as above and X represents bromine or iodine).
Scheme 14
2
Specifically, a compound of Formula 4b can be obtained by hydro lyzing the compound of Formula 2. With regard to the process of obtaining a compound of Formula 4b from a compound of Formula 2, the production can be carried out by hydrolysis in water, organic solvent, or a mixture solvent in the presence of an acid or a base. Examples of the base that can be used include those described above for Scheme 1. The amount of the base can be appropriately selected from the range of about 0.01 to about 100 mol (typically from 0.1 to 10 mol) per 1 mol of a compound of Formula 2. Examples of the acid that can be used include inorganic acids such as hydrochloric acid, hydrobromic acid and sulfuric acid; and organic acids such as acetic acid and trifluoroacetic acid. The amount of the acid can be appropriately selected from the range of about 1 mol to an excess amount (typically from 1 to 100 mol) per 1 mol of a compound of Formula 2. Examples of the organic solvent that can be used include a mixture solvent of water and an organic solvent. Examples of the organic solvent include alcohols such as methanol and ethanol; ether such as tetrahydrofuran, ketones such as acetone and methyl isobutyl ketone; amides such as N,N- dimethyl formamide and N,N-dimethyl acetamide; sulfur compounds such as dimethyl sulfoxide and sulfolane, acetonitrile; and their mixtures. The amount of the solvent is about 0.01 to about 100 L (typically from 0.1 to 1.0 L) per 1 mol of a compound of Formula 2. The reaction temperature is selected from the range of from -20 °C to the boiling point of an inert solvent used. Typically, the reaction is carried out in the range of from 0 °C to 100 °C.
Alternatively, a compound of Formula 4b can be obtained from a compound of Formula 2 using a dealkylating agent in water, organic solvent, or a mixture of solvents with a dealkylating agent and a base. Examples of the dealkylating agent that can be used include lithium iodide, lithium bromide or trimethylsilyl iodide. The amount of the dealkylating can
be appropriately selected from the range of about 0.01 to about 100 mol (typically, it is 0.1 to 10 mol) per 1 mol of a compound of Formula 2. Examples of the base that can be used include those described above for Scheme 1. The amount of the base can be appropriately selected from the range of about 0.01 to about 100 mol (typically from 0.1 to 10 mol) per 1 mol of a compound of Formula 2. Examples of the organic solvent that can be used include a mixture solvent of water and an organic solvent. Examples of the organic solvent include pyridine ethyl acetate, acetonitrile and mixtures thereof. The amount of the solvent is about 0.01 to about 100 L (typically from 0.1 to 1.0 L) per 1 mol of a compound of Formula 2. The reaction temperature is selected from the range of from -20 °C to the boiling point of an inert solvent used. Typically, the reaction is carried out in the range of from 0 °C to 100 °C.
A compound of Formula 2 can be produced by the method with the following reaction Schemes 15, 16, 17 and 18 (in the Schemes, R1, R2 and Q each have the same definitions as in the Summary of the Invention).
Scheme 15
2NHNH2
8
A compound of Formula 9 can be obtained by reacting a compound of Formula 7 with diethyl ketomalonate 8. In addition, a compound of Formula 2 can be obtained by reacting a compound of Formula 9 and the compound of Formula 10 in the presence of a base. The amount of diethyl ketomalonate 8 for the process of producing a compound of Formula 9 from a compound of Formula 7 can be appropriately selected from the range of about 1.0 to about 1.5 mol (typically from 1.0 to 1.2 mol) per 1 mol of a compound of Formula 7. Examples of the solvent that can be used for the present process include those described above for Scheme 1. The reaction temperature is selected from the range of from -20 °C to the boiling point of an inert solvent used. Typically, the reaction is carried out in the range of from 0 °C to 100 °C. The amount of a compound of Formulae 10 for the process of producing a compound of Formula 2 from a compound of Formula 9 can be appropriately selected from the range of about 1.0 to about 1.5 mol (typically from 1.0 to 1.2 mol) per 1 mol of a compound of Formula 9. Examples of the base that can be used for the present process include those described above for Scheme 1. The amount of the base can be appropriately selected from the range of about 0.1 to about 10 mol (typically from 1.0 to 1.2 mol) per 1 mol of a compound of Formula 9. Examples of the solvent that can be used for
the present process include those described above for Scheme 1. The reaction temperature is selected from the range of from -20 °C to the boiling point of an inert solvent used. Typically, the reaction is carried out in the range of from 0 °C to 100 °C.
heme 16
13
A compound of Formula 12 can be obtained by reacting a compound of Formula 7 with a compound of Formula 11 (wherein M1 represents sodium, potassium or trimethylsilyl). A compound of Formula 13 can be obtained by reacting a compound of Formula 12 and diethyl ketomalonate 8. Subsequently, a compound of Formula 2 can be obtained by reacting a compound of Formula 13 with an alkylating agent (i.e. RiX, where X is a leaving group) in the presence of a base. The amount of a compound of Formula 11 for the process of producing a compound of Formula 12 from a compound of Formula 7 can be appropriately selected from the range of about 1.0 to about 1.5 mol (typically from 1.0 to 1.2 mol) per 1 mol of a compound of Formula 7. Examples of the solvent that can be used for the present process include those described above for Scheme 1. The reaction temperature is selected from the range of from -20 °C to the boiling point of an inert solvent used. Typically, the reaction is carried out in the range of from 0 °C to 100 °C. The amount of diethyl ketomalonate 8 for the process of producing a compound of Formula 13 from a compound of Formula 12 can be appropriately selected from the range of about 1.0 to about 1.5 mol (typically from 1.0 to 1.2 mol) per 1 mol of a compound of Formula 12. Examples of the solvent that can be used for the present process include those described above for Scheme 1. The reaction temperature is selected from the range of from -20 °C to the boiling point of an inert solvent used. Typically, the reaction is carried out in the range of from 0 °C to 100 °C. The amount of the alkylating agent for the process of producing a compound of Formula 2 from a compound of Formula 13 can be appropriately selected from the range of about 1.0 to about 3.0 mol (typically from 1.0 to 1.5 mol) per 1 mol of a compound of Formula 13. Examples of the alkylating agent that can be used include cycloalkyl halides and sulfonic acid esters such as cyclopentylmethane sulfonate. Examples of the base that can be used for the present process include those described above for Scheme 1. The amount of base can be appropriately selected from the range of about 0.1 to about 10 mol (typically from 1.0 to 1.2 mol) per 1 mol of a compound of Formula 13. Examples of the solvent that can be used for the present process include those described above for Scheme 1.
The reaction temperature is selected from the range of from -20 °C to the boiling point of an inert solvent used. Typically, the reaction is carried out in the range of from 0 °C to 100 °C.
A compound of Formula 14a can be obtained by reacting a compound of Formula 10 and hydrazine hydrate as shown in Scheme 17.
Scheme 17
14a 15
In addition, a compound of Formula 15 can be obtained by reacting a compound of Formula 14a and diethyl ketomalonate 8. In addition, a compound of Formula 2 can be obtained by reacting a compound of Formula 15 and an alkylating agent in the presence of a base. The amount of hydrazine hydrate for the process of producing a compound of Formula 14a from a compound of a compound of Formula 10 can be appropriately selected from the range of about 1.0 to about 1.5 mol (typically from 1.0 to 1.2 mol) per 1 mol of hydrazine hydrate. Examples of the solvent that can be used for the present process include those described above for Scheme 1. The reaction temperature is selected from the range of from -20 °C to the boiling point of an inert solvent used. Typically, the reaction is carried out in the range of from 0 °C to 100 °C. The amount of diethyl ketomalonate 8 for the process of producing a compound of Formula 15 from a compound of Formula 14a can be appropriately selected from the range of about 1.0 to about 1.5 mol (typically from 1.0 to 1.2 mol) per 1 mol of a compound of Formula 14a. Examples of the solvent that can be used for the present process include those described above for Scheme 1. The reaction temperature is selected from the range of from -20 °C to the boiling point of an inert solvent used. Typically, the reaction is carried out in the range of from 0 °C to 100 °C. The amount of the alkylating agent for the process of producing a compound of Formula 2 from a compound of Formula 15 can be appropriately selected from the range of about 1.0 to about 3.0 mol (typically from 1.0 to 1.5 mol) per 1 mol of a compound of Formula 15. Examples of the alkylating agent that can be used include alkyl sulfates such as dimethyl sulfate and diethyl sulfate; alkyl halides such as methyl iodide, ethyl iodide, benzyl chloride, benzyl bromide, propargyl bromide, ethyl bromoacetate and chloroacetonitrile; and sulfonic acid esters such as ethoxyethyl /^-toluene sulfonate and cyclopentylmethane sulfonate. Examples of the base that can be used for the present process include those described above for Scheme 1. The amount of the base can be appropriately selected from the range of about 0.1 to about 10 mol (typically from 1.0 to 1.2 mol) per 1 mol of a compound of Formula 15. Examples of the solvent that can be used for the present process include those described above for Scheme 1.
The reaction temperature is selected from the range of from -20 °C to the boiling point of an inert solvent used. Typically, the reaction is carried out in the range of from 0 °C to 100 °C.
14b acid, then base
A compound of Formula 14b can be obtained by reacting the compound of Formula
10 and a compound of Formula 7. A compound of Formula 2 can then be obtained by reacting a compound of Formula 14b with diethyl ketomalonate 8 using an acid followed by treatment with a base. The amount of a compound of Formula 10 for the process of producing a compound of Formula 14b from a compound of Formula 10 can be appropriately selected from the range of about 1.0 to about 1.5 mol (typically from 1.0 to 1.2 mol) per 1 mol of Formula 7. Examples of the solvent that can be used for the present process include those described above for Scheme 1. The reaction temperature is selected from the range of from -20°C to the boiling point of an inert solvent used. Preferably, the reaction is carried out in the range of 0 °C to 100 °C. The amount of diethyl ketomalonate 8 for the process of producing a compound of Formula 2 from a compound of Formula 14b can be appropriately selected from the range of about 1.0 to about 1.5 mol (typically from 1.0 to 1.2 mol) per 1 mol of Formula 14b. Examples of the acid that can be used include organic sulfonic acids such as /^-toluene sulfonic acid, methane sulfonic acid, and benzene sulfonic acid; hydrogen halide acids such as hydrochloric acid and hydrogen bromic acid; and inorganic acids such as sulfuric acid and phosphoric acid. These acids can be used either singly or in combination of two or more. Examples of the base and solvent that can be used for the present process include those described above for Scheme 1. The reaction temperature is selected from the range of from -20 °C to the boiling point of an inert solvent used. Preferably, the reaction is carried out in the range of from 0 °C to 100 °C. After completion of the reaction, the compound of Formula 2 (i.e. the target compound of this reaction) can be collected from the reaction system by general method, and if necessary, purified by a process like column chromatography and recrystallization.
A compound of Formula 10 can be produced by the method shown in Scheme 19 (wherein R1 and Q each have the same definitions as described in the Summary of the Invention).
Scheme 19
Specifically a compound of Formula 10 can be prepared by reaction of a compound of Formula 16 with a phosgene source (i.e. when Q is oxygen), or a thiophosgene source (i.e. when Q is sulfur) in an organic solvent. The amount of phosgene or thiophosgene source for the process of producing a compound of Formula 10 from a compound of Formula 16 can be appropriately selected from the range of 0.33 to 8.0 mol (typically from 0.33 to 2.0 mol) per 1 mol of a compound of Formula 16. Examples of phosgene sources that can be used include phosgene, diphosgene and triphosgene. Examples of the solvent that can be used include those described above for Scheme 1. Typically the solvent is toluene. The reaction temperature is selected from the range of from -20 °C to the boiling point of an inert solvent used. Typically, the reaction is carried out in the range of from 0 °C to 100 °C. After completion of the reaction, a compound of Formula 10 can be collected from the reaction system by general methods, and if necessary, purified by a process such as column chromatography and recrystallization.
Alternatively, when Q is oxygen, a compound of Formula 10 can be prepared by reaction with a compound of Formula 17 with diphenylphosphoryl azide in an organic solvent in the presence of a base. The amount of diphenylphosphoryl azide for the process of producing a compound of Formula 10 from a compound of Formula 17 can be appropriately selected from the range of about 1.0 to about 8.0 mol (typically from 1.0 to 2.0 mol) per 1 mol of a compound of Formula 17. The amount of base for the process of producing a compound of Formula 10 from a compound of Formula 17 can be appropriately selected from the range of about 1.0 to about 8.0 mol (typically from 1.0 to 2.0 mol) per 1 mol of a compound of Formula 17. Examples of the base include organic bases such as triethylamine and l,8-diazabicyclo[5.4.0]undec-7-ene and inorganic bases such as sodium hydride, sodium methoxide and sodium ethoxide. Typically the base is triethylamine. Examples of the solvent that can be used include those described above for Scheme 1. Typically the solvent is toluene. The reaction temperature is selected from the range of from -20 °C to the boiling point of an inert solvent used. Typically, the reaction is carried out in the range of from 0 °C to 100 °C. After completion of the reaction a compound of Formula 10 can be collected from the reaction system by general method, and if necessary, purified by a process such as column chromatography and recrystallization.
A compound of Formula 16 can be prepared by the method shown in Scheme 20 (wherein R1 has the same definitions as in the Summary of the Invention).
Scheme 20
18 19 16
A compound of Formula 16 can be prepared by reaction of a compound of Formula 18 (wherein W is a 3- to 8-membered carbocyclic ring substituted with -YH and optionally substituted with up to three substituents selected from RB; and Y is O or S) with an alkylating agent in the presence of base in an organic solvent followed by deprotection under acidic conditions with or without an organic solvent. The amount of alkylating agent for the process of producing a compound of Formula 19 (wherein RA is defined in the Summary of the Invention) from a compound of Formula 18 can be appropriately selected from the range of 1.0 to 8.0 mol (typically from 1.0 to 2.0 mol) per 1 mol of a compound of Formula 18. Examples of the alkylating agent that can be used include alkyl sulfates such as dimethyl sulfate and diethyl sulfate; alkyl halides such as methyl iodide, ethyl iodide, benzyl chloride, benzyl bromide, propargyl bromide, ethyl bromoacetate and chloroacetonitrile; sulfonic acid esters such as ethoxyethyl /^-toluene sulfonate and cyclopentylmethane sulfonate; and tetrafluoroborate salts such as triethyloxonium tetrafluoroborate and trimethyloxonium tetrafluoroborate. Examples of the base which can be used for the process of producing a compound of Formula 19 from a compound of Formula 18 can be appropriately selected from those named for Scheme 1. The amount of base is appropriately selected from the range of about 0.5 to about 10 mol (typically from 1.0 to 2.0 mol) per 1 mol of a compound of Formula 18. The amount of acid for the process of producing a compound of Formula 16 from a compound of Formula 19 can be appropriately selected from the range of 1 mol to excess amount per 1 mol of a compound of Formula 19, typically from 1 to 100 mol. Examples of the acid that can be used include inorganic acids such as hydrochloric acid, hydrobromic acid and sulfuric acid; and organic acids such as acetic acid and trifluoroacetic acid. Examples of the solvent that can be used include a mixture of water and an organic solvent. Examples of the organic solvent include alcohols such as methanol and ethanol; ethers such as tetrahydrofuran; ketones such as acetone and methyl isobutyl ketone; amides such as A ,N-dimethylformamide and N,N-dimethyl acetamide; sulfur compounds such as dimethyl sulfoxide and sulfolane; chlorinated hydrocarbons such as dichloromethane and chloroform; and acetonitrile and their mixtures thereof. After the completion of the reaction, a compound of Formula 16 can be collected from the reaction system by general methods, and if necessary, purified by a process such as column chromatography and recrystallization.
A compound of Formula 17a can be produced by the method as shown in Scheme 21 (wherein Q1 is O or S; and n is equal to 1 or 2).
Scheme 21
Specifically, a compound of Formula 22 can be obtained by reacting a compound of Formula 20 with the compound of Formula 21 in the presence of acid. A compound of Formula 17a can subsequently be obtained by hydrolysis of a compound of Formula 22 in the presence of base. The amount of a compound of Formula 21 for the process of producing a compound of Formula 22 from a compound of Formula 20 can be appropriately selected from the range of about 1.0 to about 1.5 mol (typically from 1.0 to 1.2 mol) per 1 mol of Formula 20. Examples of the acids that can be used include organic acids such as /^-toluene sulfonic acid, methane sulfonic acid, and benzene sulfonic acid; hydrogen halide acids represented by hydrochloric acid and hydrobromic acid; and inorganic acids such as sulfuric acid and phosphoric acid. These acids can be used either singly or in combination of two or more. The reaction temperature is selected from the range of from -20 °C to the boiling point of an inert solvent used. Typically, the reaction is carried out in the range of 0 °C to 100 °C. Examples of the solvent that can be used for the present process include those described above for Scheme 1. After completion of the reaction, a compound of Formula 22 can be collected from the reaction system by general methods, and if necessary, purified by a process like column chromatography and recrystallization. Examples of the base that can be used for the hydrolysis of a compound of Formula 22 to prepare a compound of Formula 17a include those described above for Scheme 1. Examples of the solvent that can be used for the present process include those described above for Scheme 1 and any of those solvents in a mixture with water. The reaction temperature is selected from the range of from -20°C to the boiling point of an inert solvent used. Typically, the reaction is carried out in the range of 0 °C to 100 °C. After the completion of the reaction, a compound of Formula 17a can be collected from the reaction system by general method, and if necessary, purified by a process like column chromatography and recrystallization.
It is recognized that some reagents and reaction conditions described above for preparing compounds of Formula 1 may not be compatible with certain functionalities present in the intermediates. In these instances, the incorporation of protection/deprotection
sequences or functional group interconversions into the synthesis will aid in obtaining the desired products. The use and choice of the protecting groups will be apparent to one skilled in chemical synthesis (see, for example, Greene, T. W.; Wuts, P. G. M. Protective Groups in Organic Synthesis, 2nd ed.; Wiley: New York, 1991). One skilled in the art will recognize that, in some cases, after the introduction of a given reagent as it is depicted in any individual scheme, it may be necessary to perform additional routine synthetic steps not described in detail to complete the synthesis of compounds of Formula 1. One skilled in the art will also recognize that it may be necessary to perform a combination of the steps illustrated in the above schemes in an order other than that implied by the particular sequence presented to prepare the compounds of Formula 1.
One skilled in the art will also recognize that compounds of Formula 1 and the intermediates described herein can be subjected to various electrophilic, nucleophilic, radical, organometallic, oxidation, and reduction reactions to add substituents or modify existing substituents.
Without further elaboration, it is believed that one skilled in the art using the preceding description can utilize the present invention to its fullest extent. The following Examples are, therefore, to be construed as merely illustrative, and not limiting of the disclosure in any way whatsoever. Steps in the following Examples illustrate a procedure for each step in an overall synthetic transformation, and the starting material for each step may not have necessarily been prepared by a particular preparative run whose procedure is described in other Examples or Steps. Percentages are by weight except for chromatographic solvent mixtures or where otherwise indicated. Parts and percentages for chromatographic solvent mixtures are by volume unless otherwise indicated. ¾ NMR spectra are reported in ppm downfield from tetramethylsilane; "s" means singlet, "t" means triplet, "m" means multiplet and "br s" means broad singlet.
EXAMPLE 1
Preparation of 6-[(2-hydroxy-6-oxo- 1 -cyclohexen- 1 -yl)carbonyl]-4-(4-methoxycyclohexyl)-
2-methyl-l,2,4-triazine-3,5(2H,4H)-dione (i.e. Compound 1) Step A: Preparation of ethyl 2,3,4,5-tetrahydro-4-(4-methoxycyclohexyl)-2-methyl- 3,5-dioxo-l ,2,4-triazine-6-carboxylate
Diphenylphosphoryl azide (1.79 g, 6.51 mmol) was added to a solution of 4-methoxycyclohexanecarboxylic acid (mixture of cis and trans isomers) (1.0 g, 6.3 mmol) and triethylamine (0.64 g, 6.3 mmol) in toluene (40 mL), which was then heated to reflux with stirring for 7 h. The solution was cooled to 0 °C and methyl hydrazine (0.29 g, 6.3 mmol) was added dropwise. The solution was allowed to warm to ambient temperature and stirred for 16 h. /?-Toluenesulfonic acid (0.024 g, 0.13 mmol) and diethyl ketomalonate (0.99 g, 5.7 mmol) were added and the solution was brought to reflux for 2 h. The solution
was cooled to ambient temperature and l,8-diazabicyclo[5.4.0]undec-7-ene (0.39 g, 2.5 mmol) was added and the solution was stirred for 72 h. Additional 1,8- diazabicyclo[5.4.0]undec-7-ene (0.39 g, 2.5 mmol) was added and the solution was heated at 90 °C for 16 h. The solution was then concentrated under reduced pressure and purified by medium pressure liquid chromatography on silica gel eluting with 0 to 70% ethyl acetate in hexanes to provide 1.3 g of the title compound as a white solid which was 70% pure by lH NMR as a 3: 1 mixture of isomers. Mass: 334 (ESI, M + Na).
!H NMR (500 MHz, CDC13) δ 4.75 (m, 1H), 4.40 (m, 2H), 3.68 (s, 3H), 3.36 (s, 3H), 3.21 (m, 1H), 2.47 (m, 2H), 2.17 (m, 2H), 1.71 (m, 2H), 1.46 (m, 2H), 1.39 (m, 3H) (Major isomer).
!H NMR (500 MHz, CDC13) δ 4.31 (m, 2H), 3.74 (m, 1H), 3.68 (s, 3H), 3.46 (m, 1H), 3.32 (s, 3H), 2.70 (m, 2H), 2.08 (m, 2H), 1.63 (m, 2H), 1.35 (m, 3H), 1.31 (m, 2H) (Minor isomer).
Step B: Synthesis of 2,3,4,5-tetrahydro-4-(4-methoxycyclohexyl)-2-methyl-3,5- dioxo-l,2,4-triazine-6-carboxylic acid
Ethyl 2,3,4,5-tetrahydro-4-(4-methoxycyclohexyl)-2-methyl-3,5-dioxo-l,2,4-triazine- 6-carboxylate (i.e. the product obtained in Step A) (1.3 g, 4.2 mmol) was dissolved in acetonitrile (15 mL, 2%> water by volume) and treated with lithium bromide powder (3.65 g, 45.8 mmol) and triethylamine (1.27 g, 12.6 mmol) and stirred at room temperature for 2 h. The crude reaction mixture was quenched with H2O and then extracted with diethyl ether (1 x 5 mL). The aqueous layer was acidified to pH 1 with concentrated HC1 and then extracted with dichloromethane (3 x 30 mL). The organic layers were combined, dried over MgSC"4, filtered and concentrated under reduced pressure to provide 0.970 g of the title compound as a white solid in a 3: 1 mixture of isomers. Mass: 284 (AP+).
lH NMR (400 MHz, CDC13) δ 12.48 (br s, 1H), 4.80 (s, 1H), 3.83 (s, 3H), 3.48 (br s, 1H), 3.35 (s, 3H), 2.72 (m, 2H), 2.14 (m, 2H), 1.47 (m, 4H) (Major isomer).
!H NMR (400 MHz, CDC13) δ 12.48 (br s, 1H), 3.83 (s, 3H), 3.37 (s, 3H), 3.23 (m, 1H), 3.14 (m, 1H), 2.47 (m, 2H), 2.22 (m, 2H), 1.72 (m, 2H), 1.35 (m, 2H) (Minor isomer).
Step C: Synthesis of 6-[(2-hydroxy-6-oxo-l-cyclohexen-l-yl)carbonyl]-4-(4- methoxy cyclohexyl)-2 -methyl- 1 ,2,4-triazine-3,5(2H,4H)-dione)
To 2,3,4,5-tetrahydro-4-(4-methoxycyclohexyl)-2-methyl-3,5-dioxo-l,2,4-triazine-6- carboxylic acid (i.e. the product obtained in Step B) (0.485 g, 1.71 mmol) in 8 mL of dichloromethane was added oxalyl chloride (0.326 g, 2.57 mmol) and 1 drop of N,N- dimethylformamide. The solution was stirred for 1 h under an atmosphere of nitrogen, then concentrated in vacuo. The crude material was dissolved in 10 mL of dichloromethane and 1,3-cyclohexandione (0.211 g, 1.88 mmol) was added followed by triethylamine (0.26 g, 2.6 mmol). The solution was stirred at ambient temperature for 1 h and then concentrated in vacuo. The crude material was taken up in acetonitrile (8 mL) and acetone cyanohydrin
(0.015 g, 0.15 mmol) followed by triethylamine (0.26 g, 2.6 mmol) were added. The solution was stirred at ambient temperature for 72 h then diluted with H20 and dichloromethane and then acidified to pH 2 with 5% aqueous citric acid solution. The layers were separated and the aqueous layer extracted with dichloromethane (3 x 20 mL). The combined organic layers were dried over MgS04, filtered and concentrated in vacuo. The crude material was purified by medium pressure liquid chromatography on silica gel eluting with 0 to 5% methanol in dichloromethane to provide 0.530 g of the title compound, a compound of the invention, as a solid in a 3: 1 mixture of isomers). Mass: 378 (AP+).
!H NMR (400 MHz, CDC13) δ 16.08 (s, 1H), 4.70 (m, 1H), 3.60 (s, 3H), 3.44 (m, 1H), 3.31 (s, 3H), 2.76 (m, 3H), 2.46 (t, 3H), 2.07 (m, 5H), 1.47 (m, 3H) (Major isomer).
!H NMR (400 MHz, CDC13) 516.08 (s, 1H), 4.70 (m, 1H), 3.60 (s, 3H), 3.35 (s, 3H), 3.20 (m, 1H), 2.69 (m, 6H), 2.16 (m, 2H), 1.76 (m, 2H), 1.41 (m, 2H), 1.31 (m, 2H) (Minor isomer).
By the procedures described herein together with methods known in the art, the following compounds of TABLE 1 through TABLE 100 can be prepared. The following abbreviations are used in the Tables which follow: n means normal, z means iso, c means cyclo, Me means methyl, Et means ethyl, Pr means propyl, Bu means butyl, Pen means pentyl, hex means hexyl, z'-Pr means isopropyl, MeO means methoxy, EtO means ethoxy and CN means cyano. In TABLE 1 through TABLE 100, the variable A is defined for A- la, A- lb, A-3a, A-5a and A-5b according to the following chart:
TABLE 1
A is A-la; R2 is CH3; Q is O; and R1 is
c-hex(4-MeO) c-hex(4-CNCH20) c-hex(3-CF3CH20) c-hex(4-z'-PrO) c-hex(3-MeO) c-hex(3-CNCH20) c-hex(4-CHF20) c-hex(3-z'-PrO) c-hex(4-EtO) c-hex(4-CF3CH20) c-hex(3-CHF20) c-hex(4-H2C=CHCH20)
c-hex(4-CF30) c-bu(3-MeO) c-hex(4-c-PrCH20) c-bu(3-i-PrO) c-hex(4-Cl2C=CHCH20) c-bu(3-CHF20) c-hex(3-EtO) c-bu(3-CF3CH20) c-hex(3-H2C=CHCH20) c-bu(3-CNCH20) c-hex(3-CF30) c-bu(3-/i-PrO) c-hex(3-c-PrCH20) c-bu(3-HC≡CCH20) c-hex(3-Cl2C=CHCH20) c-bu(3-F2CHCH20) c-hex(4-/?-PrO) c-bu(3-c-PrO) c-hex(4-HC≡CCH20) c-bu(3-EtO) c-hex(4-CHF2CH20) c-bu(3-H2C=CHCH20) c-hex(4-c-PrO) c-bu(3-CF30) c-hex(3-/?-PrO) c-bu(3-c-PrCH20) c-hex(3-HC≡CCH20) c-bu(3-Cl2C=CHCH20) c-hex(3-CHF2CH20)
The following Tables are constructed the same as TABLE 1 above except that the Row Heading in TABLE 1 (i.e. "A is A- la; R2 is CH3; Q is O; and R1 is") is replaced with the Row Heading listed in TABLE 2 through TABLE 100. For example, the first entry in TABLE 2 explicitly names a compound of Formula 1 wherein A is A- la, R1 is c-hexyl(4-
MeO); R2 is Et; and Q is O. TABLE 3 through TABLE 100 are each constructed similarly.
TABLE Row Heading
2 A is A- la; R2 is Et; Q is O; and R1 is
3 A is A- la; R2 is c-Pr; Q is O; and R1 is
4 A is A- la; R2 is z'-PrCH2; Q is O; and R1 is
5 A is A- la; R2 is c-PrCH2; Q is 0; and R1 is
6 A is A- la; R2 is MeO; Q is 0; and R1 is
7 A is A- la; R2 is MeOCH2; Q is 0; and R1 is
8 A is A- la; R2 is CH2=CHCH2; Q is 0; and R1 is
9 A is A- la; R2 is CNCH2; Q is 0; and R1 is
10 A is A-la; R2 is H; Q is 0; and R1 is
11 A is A-la; R2 is Me; Q is S; and R1 is
12 A is A-la; R2 is Et; Q is S; and R1 is
13 A is A-la; R2 is c-Pr; Q is S; and R1 is
14 A is A-la; R2 is z'-PrCH2; Q is S; and R1 is
15 A is A-la; R2 is c-PrCH2; Q is S; and R1 is
16 A is A-la; R2 is MeO; Q is S; and R1 is
17 A is A-la; R2 is MeOCH2; Q is S; and R1 is
A is A- la; R2 is CH2=CHCH2; Q is S; and R1 is
A is A- la; R2 is CNCH2; Q is S; and R1 is
A is A-la; R2 is H; Q is S; and R1 is
A is A- lb; R2 is Me; Q is 0; and R1 is
A is A- lb; R2 is Et; Q is 0; and R1 is
A is A- lb; R2 is c-Pr; Q is 0; and R1 is
A is A- lb; R2 is z-PrCH2; Q is 0; and R1 is
A is A- lb; R2 is c-PrCH2; Q is 0; and R1 is
A is A- lb; R2 is MeO; Q is 0; and R1 is
A is A- lb; R2 is MeOCH2; Q is 0; and R1 is
A is A- lb; R2 is CH2=CHCH2; Q is 0; and R1 is
A is A- lb; R2 is CNCH2; Q is 0; and R1 is
A is A- lb; R2 is H; Q is 0; and R1 is
A is A- lb; R2 is Me; Q is S; and R1 is
A is A- lb; R2 is Et; Q is S; and R1 is
A is A- lb; R2 is c-Pr; Q is S; and R1 is
A is A- lb; R2 is z-PrCH2; Q is S; and R1 is
A is A- lb; R2 is c-PrCH2; Q is S; and R1 is
A is A- lb; R2 is MeO; Q is S; and R1 is
A is A- lb; R2 is MeOCH2; Q is S; and R1 is
A is A- lb; R2 is CH2=CHCH2; Q is S; and R1 is
A is A- lb; R2 is CNCH2; Q is S; and R1 is
A is A- lb; R2 is H; Q is S; and R1 is
A is A-3a; R2 is Me; Q is 0; and R1 is
A is A-3a; R2 is Et; Q is 0; and R1 is
A is A-3a; R2 is c-Pr; Q is 0; and R1 is
A is A-3a; R2 is z-PrCH2; Q is 0; and R1 is
A is A-3a; R2 is c-PrCH2; Q is 0; and R1 is
A is A-3a; R2 is MeO; Q is 0; and R1 is
A is A-3a; R2 is MeOCH2; Q is 0; and R1 is
A is A-3a; R2 is CH2=CHCH2; Q is 0; and R1 is
A is A-3a; R2 is CNCH2; Q is 0; and R1 is
A is A-3a; R2 is H; Q is 0; and R1 is
A is A-3a; R2 is Me; Q is S; and R1 is
A is A-3a; R2 is Et; Q is S; and R1 is
A is A-3a; R2 is c-Pr; Q is S; and R1 is
A is A-3a; R2 is z'-PrCH2; Q is S; and R1 is
A is A-3a; R2 is c-PrCH2; Q is S; and R1 is
A is A-3a; R2 is MeO; Q is S; and R1 is
A is A-3a; R2 is MeOCH2; Q is S; and R1 is
A is A-3a; R2 is CH2=CHCH2; Q is S; and R1 is
A is A-3a; R2 is CNCH2; Q is S; and R1 is
A is A-3a; R2 is H; Q is S; and R1 is
A is A-5a; R2 is Me; Q is 0; and R1 is
A is A-5a; R2 is Et; Q is 0; and R1 is
A is A-5a; R2 is c-Pr; Q is 0; and R1 is
A is A-5a; R2 is z-PrCH2; Q is 0; and R1 is
A is A-5a; R2 is c-PrCH2; Q is 0; and R1 is
A is A-5a; R2 is MeO; Q is 0; and R1 is
A is A-5a; R2 is MeOCH2; Q is 0; and R1 is
A is A-5a; R2 is CH2=CHCH2; Q is 0; and R1 is
A is A-5a; R2 is CNCH2; Q is 0; and R1 is
A is A-5a; R2 is H; Q is 0; and R1 is
A is A-5a; R2 is Me; Q is S; and R1 is
A is A-5a; R2 is Et; Q is S; and R1 is
A is A-5a; R2 is c-Pr; Q is S; and R1 is
A is A-5a; R2 is z-PrCH2; Q is S; and R1 is
A is A-5a; R2 is c-PrCH2; Q is S; and R1 is
A is A-5a; R2 is MeO; Q is S; and R1 is
A is A-5a; R2 is MeOCH2; Q is S; and R1 is
A is A-5a; R2 is CH2=CHCH2; Q is S; and R1 is
A is A-5a; R2 is CNCH2; Q is S; and R1 is
A is A-5a; R2 is H; Q is S; and R1 is
A is A-5b; R2 is Me; Q is 0; and R1 is
A is A-5b; R2 is Et; Q is 0; and R1 is
A is A-5b; R2 is c-Pr; Q is 0; and R1 is
A is A-5b; R2 is z-PrCH2; Q is 0; and R1 is
A is A-5b; R2 is c-PrCH2; Q is 0; and R1 is
A is A-5b; R2 is MeO; Q is 0; and R1 is
A is A-5b; R2 is MeOCH2; Q is 0; and R1 is
A is A-5b; R2 is CH2=CHCH2; Q is 0; and R1 is
A is A-5b; R2 is CNCH2; Q is 0; and R1 is
A is A-5b; R2 is H; Q is 0; and R1 is
A is A-5b; R2 is Me; Q is S; and R1 is
92 A is A-5b; R2 is Et; Q is S; and R1 is
93 A is A-5b; R2 is c-Pr; Q is S; and R1 is
94 A is A-5b; R2 is z-PrCH2; Q is S; and R1 is
95 A is A-5b; R2 is c-PrCH2; Q is S; and R1 is
96 A is A-5b; R2 is MeO; Q is S; and R1 is
97 A is A-5b; R2 is MeOCH2; Q is S; and R1 is
98 A is A-5b; R2 is CH2=CHCH2; Q is S; and R1 is
99 A is A-5b; R2 is CNCH2; Q is S; and R1 is
100 A is A-5b; R2 is H; Q is S; and R1 is
A compound of this invention will generally be used as a herbicidal active ingredient in a composition, i.e. formulation, with at least one additional component selected from the group consisting of surfactants, solid diluents and liquid diluents, which serves as a carrier. The formulation or composition ingredients are selected to be consistent with the physical properties of the active ingredient, mode of application and environmental factors such as soil type, moisture and temperature.
Useful formulations include both liquid and solid compositions. Liquid compositions include solutions (including emulsifiable concentrates), suspensions, emulsions (including microemulsions and/or suspoemulsions) and the like, which optionally can be thickened into gels. The general types of aqueous liquid compositions are soluble concentrate, suspension concentrate, capsule suspension, concentrated emulsion, microemulsion and suspo-emulsion. The general types of nonaqueous liquid compositions are emulsifiable concentrate, microemulsifiable concentrate, dispersible concentrate and oil dispersion.
The general types of solid compositions are dusts, powders, granules, pellets, prills, pastilles, tablets, filled films (including seed coatings) and the like, which can be water-dispersible ("wettable") or water-soluble. Films and coatings formed from film- forming solutions or flowable suspensions are particularly useful for seed treatment. Active ingredient can be (micro)encapsulated and further formed into a suspension or solid formulation; alternatively the entire formulation of active ingredient can be encapsulated (or "overcoated"). Encapsulation can control or delay release of the active ingredient. An emulsifiable granule combines the advantages of both an emulsifiable concentrate formulation and a dry granular formulation. High-strength compositions are primarily used as intermediates for further formulation.
Sprayable formulations are typically extended in a suitable medium before spraying. Such liquid and solid formulations are formulated to be readily diluted in the spray medium, usually water. Spray volumes can range from about from about one to several thousand liters per hectare, but more typically are in the range from about ten to several hundred liters per hectare. Sprayable formulations can be tank mixed with water or another suitable
medium for foliar treatment by aerial or ground application, or for application to the growing medium of the plant. Liquid and dry formulations can be metered directly into drip irrigation systems or metered into the furrow during planting.
The formulations will typically contain effective amounts of active ingredient, diluent and surfactant within the following approximate ranges which add up to 100 percent by weight.
Weight Percent
Active
Ingredient Diluent Surfactant
Water-Dispersible and Water- 0.001-90 0-99.999 0-15
soluble Granules, Tablets and
Powders
Oil Dispersions, Suspensions, 1-50 40-99 0-50
Emulsions, Solutions
(including Emulsifiable
Concentrates)
Dusts 1-25 70-99 0-5
Granules and Pellets 0.001-99 5-99.999 0-15
High Strength Compositions 90-99 0-10 0-2
Solid diluents include, for example, clays such as bentonite, montmorillonite, attapulgite and kaolin, gypsum, cellulose, titanium dioxide, zinc oxide, starch, dextrin, sugars (e.g., lactose, sucrose), silica, talc, mica, diatomaceous earth, urea, calcium carbonate, sodium carbonate and bicarbonate, and sodium sulfate. Typical solid diluents are described in Watkins et al., Handbook of Insecticide Dust Diluents and Carriers, 2nd Ed., Dorland Books, Caldwell, New Jersey.
Liquid diluents include, for example, water, N,N-dimethylalkanamides (e.g., N,N-dimethylformamide), limonene, dimethyl sulfoxide, N-alkylpyrrolidones (e.g., N-methylpyrrolidinone), ethylene glycol, triethylene glycol, propylene glycol, dipropylene glycol, polypropylene glycol, propylene carbonate, butylene carbonate, paraffins (e.g., white mineral oils, normal paraffins, isoparaffins), alkylbenzenes, alkylnaphthalenes, glycerine, glycerol triacetate, sorbitol, aromatic hydrocarbons, dearomatized aliphatics, alkylbenzenes, alkylnaphthalenes, ketones such as cyclohexanone, 2-heptanone, isophorone and 4-hydroxy- 4-methyl-2-pentanone, acetates such as isoamyl acetate, hexyl acetate, heptyl acetate, octyl acetate, nonyl acetate, tridecyl acetate and isobornyl acetate, other esters such as alkylated lactate esters, dibasic esters and γ-butyrolactone, and alcohols, which can be linear, branched, saturated or unsaturated, such as methanol, ethanol, n-propanol, isopropyl alcohol, n-butanol, isobutyl alcohol, n-hexanol, 2-ethylhexanol, n-octanol, decanol, isodecyl alcohol, isooctadecanol, cetyl alcohol, lauryl alcohol, tridecyl alcohol, oleyl alcohol, cyclohexanol,
tetrahydrofurfuryl alcohol, diacetone alcohol and benzyl alcohol. Liquid diluents also include glycerol esters of saturated and unsaturated fatty acids (typically C6-C22), such as plant seed and fruit oils (e.g., oils of olive, castor, linseed, sesame, corn (maize), peanut, sunflower, grapeseed, safflower, cottonseed, soybean, rapeseed, coconut and palm kernel), animal-sourced fats (e.g., beef tallow, pork tallow, lard, cod liver oil, fish oil), and mixtures thereof. Liquid diluents also include alkylated fatty acids (e.g., methylated, ethylated, butylated) wherein the fatty acids may be obtained by hydrolysis of glycerol esters from plant and animal sources, and can be purified by distillation. Typical liquid diluents are described in Marsden, Solvents Guide, 2nd Ed., Interscience, New York, 1950.
The solid and liquid compositions of the present invention often include one or more surfactants. When added to a liquid, surfactants (also known as "surface-active agents") generally modify, most often reduce, the surface tension of the liquid. Depending on the nature of the hydrophilic and lipophilic groups in a surfactant molecule, surfactants can be useful as wetting agents, dispersants, emulsifiers or defoaming agents.
Surfactants can be classified as nonionic, anionic or cationic. Nonionic surfactants useful for the present compositions include, but are not limited to: alcohol alkoxylates such as alcohol alkoxylates based on natural and synthetic alcohols (which may be branched or linear) and prepared from the alcohols and ethylene oxide, propylene oxide, butylene oxide or mixtures thereof; amine ethoxylates, alkanolamides and ethoxylated alkanolamides; alkoxylated triglycerides such as ethoxylated soybean, castor and rapeseed oils; alkylphenol alkoxylates such as octylphenol ethoxylates, nonylphenol ethoxylates, dinonyl phenol ethoxylates and dodecyl phenol ethoxylates (prepared from the phenols and ethylene oxide, propylene oxide, butylene oxide or mixtures thereof); block polymers prepared from ethylene oxide or propylene oxide and reverse block polymers where the terminal blocks are prepared from propylene oxide; ethoxylated fatty acids; ethoxylated fatty esters and oils; ethoxylated methyl esters; ethoxylated tristyrylphenol (including those prepared from ethylene oxide, propylene oxide, butylene oxide or mixtures thereof); fatty acid esters, glycerol esters, lanolin-based derivatives, polyethoxylate esters such as polyethoxylated sorbitan fatty acid esters, polyethoxylated sorbitol fatty acid esters and polyethoxylated glycerol fatty acid esters; other sorbitan derivatives such as sorbitan esters; polymeric surfactants such as random copolymers, block copolymers, alkyd peg (polyethylene glycol) resins, graft or comb polymers and star polymers; polyethylene glycols (pegs); polyethylene glycol fatty acid esters; silicone-based surfactants; and sugar-derivatives such as sucrose esters, alkyl polyglycosides and alkyl polysaccharides.
Useful anionic surfactants include, but are not limited to: alkylaryl sulfonic acids and their salts; carboxylated alcohol or alkylphenol ethoxylates; diphenyl sulfonate derivatives; lignin and lignin derivatives such as lignosulfonates; maleic or succinic acids or their
anhydrides; olefin sulfonates; phosphate esters such as phosphate esters of alcohol alkoxylates, phosphate esters of alkylphenol alkoxylates and phosphate esters of styryl phenol ethoxylates; protein-based surfactants; sarcosine derivatives; styryl phenol ether sulfate; sulfates and sulfonates of oils and fatty acids; sulfates and sulfonates of ethoxylated alkylphenols; sulfates of alcohols; sulfates of ethoxylated alcohols; sulfonates of amines and amides such as N,N-alkyltaurates; sulfonates of benzene, cumene, toluene, xylene, and dodecyl and tridecylbenzenes; sulfonates of condensed naphthalenes; sulfonates of naphthalene and alkyl naphthalene; sulfonates of fractionated petroleum; sulfosuccinamates; and sulfosuccinates and their derivatives such as dialkyl sulfosuccinate salts.
Useful cationic surfactants include, but are not limited to: amides and ethoxylated amides; amines such as N-alkyl propanediamines, tripropylenetriamines and dipropylenetetramines, and ethoxylated amines, ethoxylated diamines and propoxylated amines (prepared from the amines and ethylene oxide, propylene oxide, butylene oxide or mixtures thereof); amine salts such as amine acetates and diamine salts; quaternary ammonium salts such as quaternary salts, ethoxylated quaternary salts and diquaternary salts; and amine oxides such as alkyldimethylamine oxides and bis-(2-hydroxyethyl)-alkylamine oxides.
Also useful for the present compositions are mixtures of nonionic and anionic surfactants or mixtures of nonionic and cationic surfactants. Nonionic, anionic and cationic surfactants and their recommended uses are disclosed in a variety of published references including McCutcheon 's Emulsifiers and Detergents, annual American and International Editions published by McCutcheon's Division, The Manufacturing Confectioner Publishing Co.; Sisely and Wood, Encyclopedia of Surface Active Agents, Chemical Publ. Co., Inc., New York, 1964; and A. S. Davidson and B. Milwidsky, Synthetic Detergents, Seventh Edition, John Wiley and Sons, New York, 1987.
Compositions of this invention may also contain formulation auxiliaries and additives, known to those skilled in the art as formulation aids (some of which may be considered to also function as solid diluents, liquid diluents or surfactants). Such formulation auxiliaries and additives may control: pH (buffers), foaming during processing (antifoams such polyorganosiloxanes), sedimentation of active ingredients (suspending agents), viscosity (thixotropic thickeners), in-container microbial growth (antimicrobials), product freezing (antifreezes), color (dyes/pigment dispersions), wash-off (film formers or stickers), evaporation (evaporation retardants), and other formulation attributes. Film formers include, for example, polyvinyl acetates, polyvinyl acetate copolymers, polyvinylpyrrolidone-vinyl acetate copolymer, polyvinyl alcohols, polyvinyl alcohol copolymers and waxes. Examples of formulation auxiliaries and additives include those listed in McCutcheon 's Volume 2: Functional Materials, annual International and North American editions published by
McCutcheon's Division, The Manufacturing Confectioner Publishing Co.; and PCT Publication WO 03/024222.
The compound of Formula 1 and any other active ingredients are typically incorporated into the present compositions by dissolving the active ingredient in a solvent or by grinding in a liquid or dry diluent. Solutions, including emulsifiable concentrates, can be prepared by simply mixing the ingredients. If the solvent of a liquid composition intended for use as an emulsifiable concentrate is water-immiscible, an emulsifier is typically added to emulsify the active-containing solvent upon dilution with water. Active ingredient slurries, with particle diameters of up to 2,000 μιη can be wet milled using media mills to obtain particles with average diameters below 3 μιη. Aqueous slurries can be made into finished suspension concentrates (see, for example, U.S. 3,060,084) or further processed by spray drying to form water-dispersible granules. Dry formulations usually require dry milling processes, which produce average particle diameters in the 2 to 10 um range. Dusts and powders can be prepared by blending and usually grinding (such as with a hammer mill or fluid-energy mill). Granules and pellets can be prepared by spraying the active material upon preformed granular carriers or by agglomeration techniques. See Browning, "Agglomeration", Chemical Engineering, December 4, 1967, pp 147-48, Perry 's Chemical Engineer's Handbook, 4th Ed., McGraw-Hill, New York, 1963, pages 8-57 and following, and WO 91/13546. Pellets can be prepared as described in U.S. 4,172,714. Water-dispersible and water-soluble granules can be prepared as taught in U.S. 4,144,050, U.S. 3,920,442 and DE 3,246,493. Tablets can be prepared as taught in U.S. 5,180,587, U.S. 5,232,701 and U.S. 5,208,030. Films can be prepared as taught in GB 2,095,558 and U.S. 3,299,566.
For further information regarding the art of formulation, see T. S. Woods, "The Formulator's Toolbox - Product Forms for Modern Agriculture" in Pesticide Chemistry and Bioscience, The Food-Environment Challenge, T. Brooks and T. R. Roberts, Eds., Proceedings of the 9th International Congress on Pesticide Chemistry, The Royal Society of Chemistry, Cambridge, 1999, pp. 120-133. See also U.S. 3,235,361, Col. 6, line 16 through Col. 7, line 19 and Examples 10-41; U.S. 3,309,192, Col. 5, line 43 through Col. 7, line 62 and Examples 8, 12, 15, 39, 41, 52, 53, 58, 132, 138-140, 162-164, 166, 167 and 169-182; U.S. 2,891,855, Col. 3, line 66 through Col. 5, line 17 and Examples 1-4; Klingman, Weed Control as a Science, John Wiley and Sons, Inc., New York, 1961, pp 81-96; Hance et al, Weed Control Handbook, 8th Ed., Blackwell Scientific Publications, Oxford, 1989; and Developments in formulation technology, PJB Publications, Richmond, UK, 2000.
In the following Examples, all percentages are by weight and all formulations are prepared in conventional ways. Compound numbers refer to compounds in Index Table A. Without further elaboration, it is believed that one skilled in the art using the preceding description can utilize the present invention to its fullest extent. The following Examples
are, therefore, to be construed as merely illustrative, and not limiting of the disclosure in any way whatsoever. Percentages are by weight except where otherwise indicated.
Example A
High Strength Concentrate
Compound 1, 2, 3, 4, 5, 6, 7, 8 or 11 98.5% silica aerogel 0.5% synthetic amorphous fine silica 1.0%
Example B
Wettable Powder
Compound 1, 2, 3, 4, 5, 6, 7, 8 or 11 65.0% dodecylphenol polyethylene glycol ether 2.0%> sodium ligninsulfonate 4.0% sodium silicoaluminate 6.0% montmorillonite (calcined) 23.0%
Example C
Granule
Compound 1, 2, 3, 4, 5, 6, 7, 8 or 11 10.0% attapulgite granules (low volatile matter, 0.71/0.30 mm; 90.0% U.S.S. No. 25-50 sieves)
Example D
Extruded Pellet
Compound 1, 2, 3, 4, 5, 6, 7, 8 or 11 25.0% anhydrous sodium sulfate 10.0% crude calcium ligninsulfonate 5.0%> sodium alkylnaphthalenesulfonate 1.0% calcium/magnesium bentonite 59.0%
Example E
Emulsifiable Concentrate
Compound 1, 2, 3, 4, 5, 6, 7, 8 or 11 10.0% polyoxyethylene sorbitol hexoleate 20.0%
C^-Cio fatty acid methyl ester 70.0%>
Example F
Microemulsion
Compound 1, 2, 3, 4, 5, 6, 7, 8 or 11 5.0% polyvinylpyrrolidone -vinyl acetate copolymer 30.0% alkylpolyglycoside 30.0%> glyceryl monooleate 15.0% water 20.0%
Test results indicate that the compounds of the present invention are highly active preemergent and/or postemergent herbicides and/or plant growth regulants. Many of them have utility for broad-spectrum pre- and/or postemergence weed control in areas where complete control of all vegetation is desired such as around fuel storage tanks, industrial storage areas, parking lots, drive-in theaters, air fields, river banks, irrigation and other waterways, around billboards and highway and railroad structures. Many of the compounds of this invention, by virtue of selective metabolism in crops versus weeds, or by selective activity at the locus of physiological inhibition in crops and weeds, or by selective placement on or within the environment of a mixture of crops and weeds, are useful for the selective control of grass and broadleaf weeds within a crop/weed mixture. One skilled in the art will recognize that the preferred combination of these selectivity factors within a compound or group of compounds can readily be determined by performing routine biological and/or biochemical assays. Compounds of this invention may show tolerance to important agronomic crops including, but is not limited to, alfalfa, barley, cotton, wheat, rape, sugar beets, corn (maize), sorghum, soybeans, rice, oats, peanuts, vegetables, tomato, potato, perennial plantation crops including coffee, cocoa, oil palm, rubber, sugarcane, citrus, grapes, fruit trees, nut trees, banana, plantain, pineapple, hops, tea and forests such as eucalyptus and conifers (e.g., loblolly pine), and turf species (e.g., Kentucky bluegrass, St. Augustine grass, Kentucky fescue and Bermuda grass). Compounds of this invention can be used in crops genetically transformed or bred to incorporate resistance to herbicides, express proteins toxic to invertebrate pests (such as Bacillus thuringiensis toxin), and/or express other useful traits. Those skilled in the art will appreciate that not all compounds are equally effective against all weeds. Alternatively, the subject compounds are useful to modify plant growth.
As the compounds of the invention have both preemergent and postemergent herbicidal activity, to control undesired vegetation by killing or injuring the vegetation or reducing its growth, the compounds can be usefully applied by a variety of methods involving contacting a herbicidally effective amount of a compound of the invention, or a composition comprising said compound and at least one of a surfactant, a solid diluent or a liquid diluent, to the foliage or other part of the undesired vegetation or to the environment of the undesired vegetation such as the soil or water in which the undesired vegetation is growing or which surrounds the seed or other propagule of the undesired vegetation.
A herbicidally effective amount of the compounds of this invention is determined by a number of factors. These factors include: formulation selected, method of application, amount and type of vegetation present, growing conditions, etc. In general, a herbicidally effective amount of compounds of this invention is about 0.001 to 20 kg/ha with a preferred range of about 0.004 to 1 kg/ha. One skilled in the art can easily determine the herbicidally effective amount necessary for the desired level of weed control.
Compounds of this invention can also be mixed with one or more other biologically active compounds or agents including herbicides, herbicide safeners, fungicides, insecticides, nematocides, bactericides, acaricides, growth regulators such as insect molting inhibitors and rooting stimulants, chemosterilants, semiochemicals, repellents, attractants, pheromones, feeding stimulants, plant nutrients, other biologically active compounds or entomopathogenic bacteria, virus or fungi to form a multi-component pesticide giving an even broader spectrum of agricultural protection. Mixtures of the compounds of the invention with other herbicides can broaden the spectrum of activity against additional weed species, and suppress the proliferation of any resistant biotypes. Thus the present invention also pertains to a composition comprising a compound of Formula 1 (in a herbicidally effective amount) and at least one additional biologically active compound or agent (in a biologically effective amount) and can further comprise at least one of a surfactant, a solid diluent or a liquid diluent. The other biologically active compounds or agents can be formulated in compositions comprising at least one of a surfactant, solid or liquid diluent. For mixtures of the present invention, one or more other biologically active compounds or agents can be formulated together with a compound of Formula 1, to form a premix, or one or more other biologically active compounds or agents can be formulated separately from the compound of Formula 1, and the formulations combined together before application (e.g., in a spray tank) or, alternatively, applied in succession.
A mixture of one or more of the following herbicides with a compound of this invention may be particularly useful for weed control: acetochlor, acifluorfen and its sodium salt, aclonifen, acrolein (2-propenal), alachlor, alloxydim, ametryn, amicarbazone, amidosulfuron, aminocyclopyrachlor and its esters (e.g., methyl, ethyl) and salts (e.g., sodium, potassium), aminopyralid, amitrole, ammonium sulfamate, anilofos, asulam, atrazine, azimsulfuron, beflubutamid, benazolin, benazolin-ethyl, bencarbazone, benfluralin, benfuresate, bensulfuron-methyl, bensulide, bentazone, benzobicyclon, benzofenap, bicyclopyrone, bifenox, bilanafos, bispyribac and its sodium salt, bromacil, bromobutide, bromofenoxim, bromoxynil, bromoxynil octanoate, butachlor, butafenacil, butamifos, butralin, butroxydim, butylate, cafenstrole, carbetamide, carfentrazone-ethyl, catechin, chlomethoxyfen, chloramben, chlorbromuron, chlorflurenol-methyl, chloridazon, chlorimuron-ethyl, chlorotoluron, chlorpropham, chlorsulfuron, chlorthal-dimethyl, chlorthiamid, cinidon-ethyl, cinmethylin, cinosulfuron, clacyfos
(l-(dimethoxyphosphinyl)ethyl 2-(2,4-dichlorophenoxy)acetate), clefoxydim, clethodim, clodinafop-propargyl, clomazone, clomeprop, clopyralid, clopyralid-olamine, cloransulam- methyl, cumyluron, cyanazine, cycloate, cyclopyrimorate (6-chloro-3-(2-cyclopropyl-6- methylphenoxy)-4-pyridazinyl 4-morpholinecarboxylate), cyclosulfamuron, cycloxydim, cyhalofop-butyl, 2,4-D and its butotyl, butyl, isoctyl and isopropyl esters and its dimethylammonium, diolamine and trolamine salts, daimuron, dalapon, dalapon-sodium,
dazomet, 2,4-DB and its dimethylammonium, potassium and sodium salts, desmedipham, desmetryn, dicamba and its diglycolammonium, dimethylammonium, potassium and sodium salts, dichlobenil, dichlorprop, diclofop-methyl, diclosulam, difenzoquat metilsulfate, diflufenican, diflufenzopyr, dimefuron, dimepiperate, dimethachlor, dimethametryn, dimethenamid, dimethenamid-P, dimethipin, dimethylarsinic acid and its sodium salt, dinitramine, dinoterb, diphenamid, diquat dibromide, dithiopyr, diuron, DNOC, endothal, EPTC, esprocarb, ethalfluralin, ethametsulfuron-methyl, ethiozin, ethofumesate, ethoxyfen, ethoxysulfuron, etobenzanid, fenoxaprop-ethyl, fenoxaprop-P-ethyl, fenoxasulfone, fenquinotrione (2-[[8-chloro-3,4-dihydro-4-(4-methoxyphenyl)-3-oxo-2-quinoxalinyl]car- bonyl]-l ,3-cyclohexanedione), fentrazamide, fenuron, fenuron-TCA, flamprop-methyl, flamprop-M-isopropyl, flamprop-M-methyl, flazasulfuron, florasulam, fluazifop-butyl, fluazifop-P-butyl, fluazolate, flucarbazone, flucetosulfuron, fluchloralin, flufenacet, flufenpyr, flufenpyr-ethyl, flumetsulam, flumiclorac-pentyl, flumioxazin, fluometuron, fluoroglycofen-ethyl, flupoxam, flupyrsulfuron-methyl and its sodium salt, flurenol, flurenol-butyl, fluridone, flurochloridone, fluroxypyr, flurtamone, fluthiacet-methyl, fomesafen, foramsulfuron, fosamine-ammonium, glufosinate, glufosinate-ammonium, glyphosate and its salts such as ammonium, isopropylammonium, potassium, sodium (including sesquisodium) and trimesium (alternatively named sulfosate), halauxifen (4- amino-3-chloro-6-(4-chloro-2-fluoro-3-methoxyphenyl)-2-pyridinecarboxylic acid) and its esters (e.g., methyl, ethyl) and salts (e.g., sodium, potassium), halosulfuron-methyl, haloxydine, haloxyfop-etotyl, haloxyfop-methyl, hexazinone, 5-[(2-hydroxy-6-oxo-l- cyclohexen- 1 -yl)carbonyl] -2-(3 -methoxyphenyl)-3 -(3 -methoxypropyl)-4(3H)-pyrimidinone, imazamethabenz-methyl, imazamox, imazapic, imazapyr, imazaquin, imazaquin-ammonium, imazethapyr, imazethapyr-ammonium, imazosulfuron, indanofan, indaziflam, iofensulfuron, iodosulfuron-methyl, ioxynil, ioxynil octanoate, ioxynil-sodium, ipfencarbazone, isoproturon, isouron, isoxaben, isoxaflutole, isoxachlortole, lactofen, lenacil, linuron, maleic hydrazide, MCPA and its salts (e.g., MCPA-dimethylammonium, MCPA-potassium and MCPA-sodium, esters (e.g., MCPA-2-ethylhexyl, MCPA-butotyl) and thioesters (e.g., MCPA-thioethyl), MCPB and its salts (e.g., MCPB-sodium) and esters (e.g., MCPB-ethyl), mecoprop, mecoprop-P, mefenacet, mefluidide, mesosulfuron-methyl, mesotrione, metam-sodium, metamifop, metamitron, metazachlor, metazosulfuron, methabenzthiazuron, methiozolin, methylarsonic acid and its calcium, monoammonium, monosodium and disodium salts, methyldymron, metobenzuron, metobromuron, metolachlor, S-metolachlor, metosulam, metoxuron, metribuzin, metsulfuron-methyl, molinate, monolinuron, naproanilide, napropamide, naptalam, neburon, nicosulfuron, norflurazon, orbencarb, orthosulfamuron, oryzalin, oxadiargyl, oxadiazon, oxasulfuron, oxaziclomefone, oxyfluorfen, paraquat dichloride, pebulate, pelargonic acid, pendimethalin, penoxsulam, pentanochlor, pentoxazone, perfluidone, pethoxamid, pethoxyamid, phenmedipham,
picloram, picloram-potassium, picolinafen, pinoxaden, piperophos, pretilachlor, primisulfuron-methyl, prodiamine, profoxydim, prometon, prometryn, propachlor, propanil, propaquizafop, propazine, propham, propisochlor, propoxycarbazone, propyzamide, prosulfocarb, prosulfuron, pyrachlor, pyraclonil, pyraflufen-ethyl, pyrasulfotole, pyrazogyl, pyrazolynate, pyrazoxyfen, pyrazosulfuron-ethyl, pyribenzoxim, pyributicarb, pyridate, pyriftalid, pyriminobac-methyl, pyrimisulfan, pyrithiobac, pyrithiobac-sodium, pyroxasulfone, pyroxsulam, quinclorac, quinmerac, quinoclamine, quizalofop-ethyl, quizalofop-P-ethyl, quizalofop-P-tefuryl, rimsulfuron, saflufenacil, sethoxydim, siduron, simazine, simetryn, sulcotrione, sulfentrazone, sulfometuron-methyl, sulfosulfuron, 2,3,6- TBA, TCA, TCA-sodium, tebutam, tebuthiuron, tefuryltrione, tembotrione, tepraloxydim, terbacil, terbumeton, terbuthylazine, terbutryn, thenylchlor, thiazopyr, thiencarbazone, thifensulfuron-methyl, thiobencarb, tiafenacil (methyl N-[2-[[2-chloro-5-[3,6-dihydro-3- methyl-2,6-dioxo-4-(trifluoromethyl)-l(2H)-pyrimidinyl]-4-fluorophenyl]thio]-l- oxopropyl]-P-alaninate), tiocarbazil, topramezone, tralkoxydim, tri-allate, triafamone, triasulfuron, triaziflam, tribenuron-methyl, triclopyr, triclopyr-butotyl, triclopyr- triethylammonium, tridiphane, trietazine, trifloxysulfuron, trifluralin, triflusulfuron-methyl, tritosulfuron and vernolate. Other herbicides also include bioherbicides such as Alternaria destruens Simmons, Colletotrichum gloeosporiodes (Penz.) Penz. & Sacc, Drechsiera monoceras (MTB-951), Myrothecium verrucaria (Albertini & Schweinitz) Ditmar: Fries, Phytophthora palmivora (Butl.) Butl. and Puccinia thlaspeos Schub.
Compounds of this invention can also be used in combination with plant growth regulators such as aviglycine, N-(phenylmethyl)-lH-purin-6-amine, epocholeone, gibberellic acid, gibberellin A4 and A7, harpin protein, mepiquat chloride, prohexadione calcium, prohydrojasmon, sodium nitrophenolate and trinexapac-methyl, and plant growth modifying organisms such as Bacillus cereus strain BP01.
General references for agricultural protectants (i.e. herbicides, herbicide safeners, insecticides, fungicides, nematocides, acaricides and biological agents) include The Pesticide Manual, 13th Edition, C. D. S. Tomlin, Ed., British Crop Protection Council, Farnham, Surrey, U.K., 2003 and The BioPesticide Manual, 2nd Edition, L. G. Copping, Ed., British Crop Protection Council, Farnham, Surrey, U.K., 2001.
For embodiments where one or more of these various mixing partners are used, the weight ratio of these various mixing partners (in total) to the compound of Formula 1 is typically between about 1 :3000 and about 3000: 1. Of note are weight ratios between about 1 :300 and about 300: 1 (for example ratios between about 1 :30 and about 30: 1). One skilled in the art can easily determine through simple experimentation the biologically effective amounts of active ingredients necessary for the desired spectrum of biological activity. It will be evident that including these additional components may expand the spectrum of weeds controlled beyond the spectrum controlled by the compound of Formula 1 alone.
In certain instances, combinations of a compound of this invention with other biologically active (particularly herbicidal) compounds or agents (i.e. active ingredients) can result in a greater-than-additive (i.e. synergistic) effect on weeds and/or a less-than-additive effect (i.e. safening) on crops or other desirable plants. Reducing the quantity of active ingredients released in the environment while ensuring effective pest control is always desirable. Ability to use greater amounts of active ingredients to provide more effective weed control without excessive crop injury is also desirable. When synergism of herbicidal active ingredients occurs on weeds at application rates giving agronomically satisfactory levels of weed control, such combinations can be advantageous for reducing crop production cost and decreasing environmental load. When safening of herbicidal active ingredients occurs on crops, such combinations can be advantageous for increasing crop protection by reducing weed competition.
Of note is a combination of a compound of the invention with at least one other herbicidal active ingredient. Of particular note is such a combination where the other herbicidal active ingredient has different site of action from the compound of the invention. In certain instances, a combination with at least one other herbicidal active ingredient having a similar spectrum of control but a different site of action will be particularly advantageous for resistance management. Thus, a composition of the present invention can further comprise (in a herbicidally effective amount) at least one additional herbicidal active ingredient having a similar spectrum of control but a different site of action.
Compounds of this invention can also be used in combination with herbicide safeners such as allidochlor, N-(aminocarbonyl)-2-methylbenzenesulfonamide, benoxacor, BCS (1- bromo-4-[(chloromethyl)sulfonyl]benzene), cloquintocet-mexyl, cyometrinil, cyprosulfonamide, dichlormid, 4-(dichloroacetyl)-l-oxa-4-azospiro[4.5]decane (MON 4660), 2-(dichloromethyl)-2-methyl-l,3-dioxolane (MG 191), dicyclonon, dietholate, ethyl l,6-dihydro-l-(2-methoxyphenyl)-6-oxo-2-phenyl-5-pyrimidinecarboxylate, fenchlorazole- ethyl, fenclorim, flurazole, fluxofenim, furilazole, 2-hydroxy-N,N-dimethyl-6- (trifluoromethyl)pyridine-3-carboxamide, isoxadifen-ethyl, mefenpyr-diethyl, mephenate, methoxyphenone ((4-methoxy-3 -methylphenyl)(3 -methylphenyl)methanone), naphthalic anhydride (1,8 -naphthalic anhydride) oxabetrinil and 3-oxo-l-cyclohexen-l-yl l-(3,4- dimethylphenyl)-l,6-dihydro-6-oxo-2-phenyl-5-pyrimidinecarboxylate to increase safety to certain crops. Antidotally effective amounts of the herbicide safeners can be applied at the same time as the compounds of this invention, or applied as seed treatments. Therefore an aspect of the present invention relates to a herbicidal mixture comprising a compound of this invention and an antidotally effective amount of a herbicide safener. Seed treatment is particularly useful for selective weed control, because it physically restricts antidoting to the crop plants. Therefore a particularly useful embodiment of the present invention is a method for selectively controlling the growth of undesired vegetation in a crop comprising
contacting the locus of the crop with a herbicidally effective amount of a compound of this invention wherein seed from which the crop is grown is treated with an antidotally effective amount of safener. Antidotally effective amounts of safeners can be easily determined by one skilled in the art through simple experimentation.
Of note is a composition comprising a compound of the invention (in a herbicidally effective amount), at least one additional active ingredient selected from the group consisting of other herbicides and herbicide safeners (in an effective amount), and at least one component selected from the group consisting of surfactants, solid diluents and liquid diluents.
Preferred for better control of undesired vegetation (e.g., lower use rate such as from synergism, broader spectrum of weeds controlled, or enhanced crop safety) or for preventing the development of resistant weeds are mixtures of a compound of this invention with another herbicide. Table Al lists specific combinations of a Component (a) with Component (b) illustrative of the mixtures, compositions and methods of the present invention. Compound 1 in the Component (a) column is identified in Index Table A. The second column of Table Al lists the specific Component (b) compound (e.g., "2,4-D" in the first line). The third, fourth and fifth columns of Table Al list ranges of weight ratios for rates at which the Component (a) compound is typically applied to a field-grown crop relative to Component (b) (i.e. (a):(b)). Thus, for example, the first line of Table Al specifically discloses the combination of Component (a) (i.e. Compound 1 in Index Table A) with 2,4-D is typically applied in a weight ratio between 1 : 192 to 6: 1. The remaining lines of Table Al are to be construed similarly.
TABLE Al
Typical More Typical Most Typical
Component (a) Component (b Weiaht Ratio Weiaht Ratio Weiaht Ratio
Compound 1 2,4-D 1 : 192 to 6: 1 1 :64 to 2: 1 1 :24 to 1 :3
4-amino-3-chloro-6-(4-chloro-2
-fluoro-3 -methoxyphenyl)-2-py
Compound 1 1 :20 to 56: 1 1 :6 to 19: 1 1 :2 to 4: 1 ridinecarboxylic acid
(halauxifen)
4-amino-3-chloro-6-(4-chloro-2
-fluoro-3 -methoxyphenyl)-2-py
Compound 1 1 :20 to 56: 1 1 :6 to 19: 1 1 :2 to 4: 1 ridinecarboxylic acid methyl
ester (halauxifen methyl)
Compound 1 Acetochlor 1 :768 to 2: 1 1 :256 to 1 :2 1 :96 to 1 : 11
Compound 1 Acifluorfen 1 :96 to 12: 1 1 :32 to 4: 1 1 : 12 to 1 :2
Compound 1 Aclonifen 1 :857 to 2: 1 1 :285 to 1 :3 1 : 107 to 1 : 12
Compound 1 Alachlor 1 :768 to 2: 1 1 :256 to 1 :2 1 :96 to 1 : 11
Typical More Typical Most Typical
Component (a) Component (b Weiaht Ratio Weiaht Ratio Weiaht Ratio
Compound 1 Ametryn 1:384 to 3:1 1:128 to 1:1 1:48 to 1:6
Compound 1 Amicarbazone 1:192 to 6:1 1:64 to 2:1 1:24 to 1:3
Compound 1 Amidosulfuron 1:6 to 168:1 1:2 to 56:1 1:1 to 11:1
Compound 1 Aminocyclopyrachlor 1:48 to 24:1 1:16 to 8:1 1:6 to 2:1
Compound 1 Aminopyralid 1:20 to 56:1 1:6 to 19:1 1:2 to 4:1
Compound 1 Amitrole 1:768 to 2:1 1:256 to 1:2 1:96 to 1:11
Compound 1 Anilofos 1:96 to 12:1 1:32 to 4:1 1:12 to 1:2
Compound 1 Asulam 1:960 to 2:1 1:320 to 1:3 1:120 to 1:14
Compound 1 Atrazine 1:192 to 6:1 1:64 to 2:1 1:24 to 1:3
Compound 1 Azimsulfuron 1:6 to 168:1 1:2 to 56:1 1:1 to 11:1
Compound 1 Beflubutamid 1:342 to 4:1 1:114 to 2:1 1:42 to 1:5
Compound 1 Benfuresate 1:617 to 2:1 1:205 to 1:2 1:77 to 1:9
Compound 1 Bensulfuron-methyl 1:25 to 45:1 1:8 to 15:1 1:3 to 3:1
Compound 1 Bentazone 1:192 to 6:1 1:64 to 2:1 1:24 to 1:3
Compound 1 Benzobicyclon 1:85 to 14:1 1:28 to 5:1 l:10to 1:2
Compound 1 Benzofenap 1:257 to 5:1 1:85 to 2:1 1:32 to 1:4
Compound 1 Bicyclopyrone 1:42 to 27:1 1:14 to 9:1 1:5 to 2:1
Compound 1 Bifenox 1:257 to 5:1 1:85 to 2:1 1:32 to 1:4
Compound 1 Bispyribac-sodium 1:10 to 112:1 1:3 to 38:1 1:1 to 7:1
Compound 1 Bromacil 1:384 to 3:1 1:128 to 1:1 1:48 to 1:6
Compound 1 Bromobutide 1:384 to 3:1 1:128 to 1:1 1:48 to 1:6
Compound 1 Bromoxynil 1:96 to 12:1 1:32 to 4:1 1:12 to 1:2
Compound 1 Butachlor 1:768 to 2:1 1:256 to 1:2 1:96 to 1:11
Compound 1 Butafenacil 1:42 to 27:1 1:14 to 9:1 1:5 to 2:1
Compound 1 Butylate 1:1542 to 1:2 1:514 to 1:5 1:192 to 1:22
Compound 1 Carfenstrole 1:192 to 6:1 1:64 to 2:1 1:24 to 1:3
Compound 1 Carfentrazone-ethyl 1:128 to 9:1 1:42 to 3:1 1:16 to 1:2
Compound 1 Chlorimuron-ethyl 1:8 to 135:1 1:2 to 45:1 1:1 to 9:1
Compound 1 Chlorotoluron 1:768 to 2:1 1:256 to 1:2 1:96 to 1:11
Compound 1 Chlorsulfuron 1:6 to 168:1 1:2 to 56:1 1:1 to 11:1
Compound 1 Cincosulfuron 1:17 to 68:1 1:5 to 23:1 1:2 to 5:1
Compound 1 Cinidon-ethyl 1:384 to 3:1 1:128 to 1:1 1:48 to 1:6
Compound 1 Cinmethylin 1:34 to 34:1 1:11 to 12:1 1:4 to 3:1
Compound 1 Clacyfos 1:34 to 34:1 1:11 to 12:1 1:4 to 3:1
Compound 1 Clethodim 1:48 to 24:1 1:16 to 8:1 1:6 to 2:1
Typical More Typical Most Typical
Component (a) Component (b Weiaht Ratio Weiaht Ratio Weiaht Ratio
Compound 1 Clodinafop-propargyl 1:20 to 56:1 1:6 to 19:1 1:2 to 4:1
Compound 1 Clomazone 1:384 to 3:1 1:128 to 1:1 1:48 to 1:6
Compound 1 Clomeprop 1:171 to 7:1 1:57 to 3:1 1:21 to 1:3
Compound 1 Clopyralid 1:192 to 6:1 1:64 to 2:1 1:24 to 1:3
Compound 1 Cloransulam-methyl 1:12 to 96:1 1:4 to 32:1 1:1 to 6:1
Compound 1 Cumyluron 1:384 to 3:1 1:128 to 1:1 1:48 to 1:6
Compound 1 Cyanazine 1:384 to 3:1 1:128 to 1:1 1:48 to 1:6
Compound 1 Cyclopyrimorate 1:17 to 68:1 1:5 to 23:1 1:2 to 5:1
Compound 1 Cyclosulfamuron 1:17 to 68:1 1:5 to 23:1 1:2 to 5:1
Compound 1 Cycloxydim 1:96 to 12:1 1:32 to 4:1 1:12 to 1:2
Compound 1 Cyhalofop 1:25 to 45:1 1:8 to 15:1 1:3 to 3:1
Compound 1 Daimuron 1:192 to 6:1 1:64 to 2:1 1:24 to 1:3
Compound 1 Desmedipham 1:322 to 4:1 1:107 to 2:1 1:40 to 1:5
Compound 1 Dicamba 1:192 to 6:1 1:64 to 2:1 1:24 to 1:3
Compound 1 Dichlobenil 1:1371 to 1:2 1:457 to 1:4 1:171 to 1:20
Compound 1 Dichlorprop 1:925 to 2:1 1:308 to 1:3 1:115 to 1:13
Compound 1 Diclofop-methyl 1:384 to 3:1 1:128 to 1:1 1:48 to 1:6
Compound 1 Diclosulam 1:10 to 112:1 1:3 to 38:1 1:1 to 7:1
Compound 1 Difenzoquat 1:288 to 4:1 1:96 to 2:1 1:36 to 1:4
Compound 1 Diflufenican 1:857 to 2:1 1:285 to 1:3 1:107 to 1:12
Compound 1 Diflufenzopyr 1:12 to 96:1 1:4 to 32:1 1:1 to 6:1
Compound 1 Dimethachlor 1:768 to 2:1 1:256 to 1:2 1:96 to 1:11
Compound 1 Dimethametryn 1:192 to 6:1 1:64 to 2:1 1:24 to 1:3
Compound 1 Dimethenamid-P 1:384 to 3:1 1:128 to 1:1 1:48 to 1:6
Compound 1 Dithiopyr 1:192 to 6:1 1:64 to 2:1 1:24 to 1:3
Compound 1 Diuron 1:384 to 3:1 1:128 to 1:1 1:48 to 1:6
Compound 1 EPTC 1:768 to 2:1 1:256 to 1:2 1:96 to 1:11
Compound 1 Esprocarb 1:1371 to 1:2 1:457 to 1:4 1:171 to 1:20
Compound 1 Ethalfluralin 1:384 to 3:1 1:128 to 1:1 1:48 to 1:6
Compound 1 Ethametsulfuron-methyl 1:17 to 68:1 1:5 to 23:1 1:2 to 5:1
Compound 1 Ethoxyfen 1:8 to 135:1 1:2 to 45:1 1:1 to 9:1
Compound 1 Ethoxysulfuron 1:20 to 56:1 1:6 to 19:1 1:2 to 4:1
Compound 1 Etobenzanid 1:257 to 5:1 1:85 to 2:1 1:32 to 1:4
Compound 1 Fenoxaprop-ethyl 1:120 to 10:1 1:40 to 4:1 1:15 to 1:2
Compound 1 Fenoxasulfone 1:85 to 14:1 1:28 to 5:1 l:10to 1:2
Typical More Typical Most Typical
Component (a) Component (b Weiaht Ratio Weiaht Ratio Weiaht Ratio
Compound 1 Fenquinotrione 1:17 to 68:1 1:5 to 23:1 1:2 to 5:1
Compound 1 Fentrazamide 1:17 to 68:1 1:5 to 23:1 1:2 to 5:1
Compound 1 Flazasulfuron l:17to68:l 1:5 to 23:1 1:2 to 5:1
Compound 1 Florasulam 1:2 to 420:1 1:1 to 140:1 2:1 to 27:1
Compound 1 Fluazifop-butyl 1:192 to 6:1 1:64 to 2:1 1:24 to 1:3
Compound 1 Flucarbazone 1:8 to 135:1 1:2 to 45:1 1:1 to 9:1
Compound 1 Flucetosulfuron 1:8 to 135:1 1:2 to 45:1 1:1 to 9:1
Compound 1 Flufenacet 1:257 to 5:1 1:85 to 2:1 1:32 to 1:4
Compound 1 Flumetsulam 1:24 to 48:1 1:8 to 16:1 1:3 to 3:1
Compound 1 F lumiclorac -pentyl 1:10 to 112:1 1:3 to 38:1 1:1 to 7:1
Compound 1 Flumioxazin 1:25 to 45:1 1:8 to 15:1 1:3 to 3:1
Compound 1 Fluometuron 1:384 to 3:1 1:128 to 1:1 1:48 to 1:6
Compound 1 Flupyrsulfuron-methyl 1:3 to 336:1 1:1 to 112:1 2:1 to 21:1
Compound 1 Fluridone 1:384 to 3:1 1:128 to 1:1 1:48 to 1:6
Compound 1 Fluroxypyr 1:96 to 12:1 1:32 to 4:1 1:12 to 1:2
Compound 1 Flurtamone 1:857 to 2:1 1:285 to 1:3 1:107 to 1:12
Compound 1 Fluthiacet-methyl 1:48 to 42:1 1:16 to 14:1 1:3 to 3:1
Compound 1 Fomesafen 1:96 to 12:1 1:32 to 4:1 1:12 to 1:2
Compound 1 Foramsulfuron 1:13 to 84:1 1:4 to 28:1 1:1 to 6:1
Compound 1 Glufosinate 1:288 to 4:1 1:96 to 2:1 1:36 to 1:4
Compound 1 Glyphosate 1:288 to 4:1 1:96 to 2:1 1:36 to 1:4
Compound 1 Halosulfuron-methyl 1:17 to 68:1 1:5 to 23:1 1:2 to 5:1
Compound 1 Haloxyfop-methyl 1:34 to 34:1 1:11 to 12:1 1:4 to 3:1
Compound 1 Hexazinone 1:192 to 6:1 1:64 to 2:1 1:24 to 1:3
Compound 1 Imazamox 1:13 to 84:1 1:4 to 28:1 1:1 to 6:1
Compound 1 Imazapic 1:20 to 56:1 1:6 to 19:1 1:2 to 4:1
Compound 1 Imazapyr 1:85 to 14:1 1:28 to 5:1 l:10to 1:2
Compound 1 Imazaquin 1:34 to 34:1 1:11 to 12:1 1:4 to 3:1
Compound 1 Imazethabenz-methyl 1:171 to 7:1 1:57 to 3:1 1:21 to 1:3
Compound 1 Imazethapyr 1:24 to 48:1 1:8 to 16:1 1:3 to 3:1
Compound 1 Imazosulfuron 1:27 to 42:1 1:9 to 14:1 1:3 to 3:1
Compound 1 Indanofan 1:342 to 4:1 1:114 to 2:1 1:42 to 1:5
Compound 1 Indaziflam 1:25 to 45:1 1:8 to 15:1 1:3 to 3:1
Compound 1 Iodosulfuron-methyl 1:3 to 336:1 1:1 to 112:1 2:1 to 21:1
Compound 1 Ioxynil 1:192 to 6:1 1:64 to 2:1 1:24 to 1:3
Typical More Typical Most Typical
Component (a) Component (b Weiaht Ratio Weiaht Ratio Weiaht Ratio
Compound 1 Ipfencarbazone 1:85 to 14:1 1:28 to 5:1 l:10to 1:2
Compound 1 Isoproturon 1:384 to 3:1 1:128 to 1:1 1:48 to 1:6
Compound 1 Isoxaben 1:288 to 4:1 1:96 to 2:1 1:36 to 1:4
Compound 1 Isoxaflutole 1:60 to 20:1 1:20 to 7:1 1:7 to 2:1
Compound 1 Lactofen 1:42 to 27:1 1:14 to 9:1 1:5 to 2:1
Compound 1 Lenacil 1:384 to 3:1 1:128 to 1:1 1:48 to 1:6
Compound 1 Linuron 1:384 to 3:1 1:128 to 1:1 1:48 to 1:6
Compound 1 MCPA 1:192 to 6:1 1:64 to 2:1 1:24 to 1:3
Compound 1 MCPB 1:288 to 4:1 1:96 to 2:1 1:36 to 1:4
Compound 1 Mecoprop 1:768 to 2:1 1:256 to 1:2 1:96 to 1:11
Compound 1 Mefenacet 1:384 to 3:1 1:128 to 1:1 1:48 to 1:6
Compound 1 Mefluidide 1:192 to 6:1 1:64 to 2:1 1:24 to 1:3
Compound 1 Mesosulfuron-methyl 1:5 to 224:1 1:1 to 75:1 1:1 to 14:1
Compound 1 Mesotrione 1:42 to 27:1 1:14 to 9:1 1:5 to 2:1
Compound 1 Metamifop 1:42 to 27:1 1:14 to 9:1 1:5 to 2:1
Compound 1 Metazachlor 1:384 to 3:1 1:128 to 1:1 1:48 to 1:6
Compound 1 Metazosulfuron 1:25 to 45:1 1:8 to 15:1 1:3 to 3:1
Compound 1 Methabenzthiazuron 1:768 to 2:1 1:256 to 1:2 1:96 to 1:11
Compound 1 Metolachlor 1:768 to 2:1 1:256 to 1:2 1:96 to 1:11
Compound 1 S-Metolachlor 1:576 to 2:1 1:192 to 1:3 1:32 to 1:5
Compound 1 Metosulam 1:8 to 135:1 1:2 to 45:1 1:1 to 9:1
Compound 1 Metribuzin 1:192 to 6:1 1:64 to 2:1 1:24 to 1:3
Compound 1 Metsulfuron-methyl 1:2 to 560:1 1:1 to 187:1 3:1 to 35:1
Compound 1 Molinate 1:1028 to 2:1 1:342 to 1:3 1:128 to 1:15
Compound 1 Napropamide 1:384 to 3:1 1:128 to 1:1 1:48 to 1:6
Compound 1 Naptalam 1:192 to 6:1 1:64 to 2:1 1:24 to 1:3
Compound 1 Nicosulfuron 1:12 to 96:1 1:4 to 32:1 1:1 to 6:1
Compound 1 Norflurazon 1:1152 to 1:1 1:384 to 1:3 1:144 to 1:16
Compound 1 Orbencarb 1:1371 to 1:2 1:457 to 1:4 1:171 to 1:20
Compound 1 Orthosulfamuron 1:20 to 56:1 1:6 to 19:1 1:2 to 4:1
Compound 1 Oryzalin 1:514 to3:l 1:171 to 1:2 1:64 to 1:8
Compound 1 Oxadiargyl 1:384 to 3:1 1:128 to 1:1 1:48 to 1:6
Compound 1 Oxadiazon 1:548 to 3:1 1:182 to 1:2 1:68 to 1:8
Compound 1 Oxasulfuron 1:27 to 42:1 1:9 to 14:1 1:3 to 3:1
Compound 1 Oxaziclomefone 1:42 to 27:1 1:14 to 9:1 1:5 to 2:1
Typical More Typical Most Typical
Component (a) Component (b Weiaht Ratio Weiaht Ratio Weiaht Ratio
Compound 1 Oxyfluorfen 1:384 to 3:1 1:128 to 1:1 1:48 to 1:6
Compound 1 Paraquat 1:192 to 6:1 1:64 to 2:1 1:24 to 1:3
Compound 1 Pendimethalin 1:384 to 3:1 1:128 to 1:1 1:48 to 1:6
Compound 1 Penoxsulam 1:10 to 112:1 1:3 to 38:1 1:1 to 7:1
Compound 1 Penthoxamid 1:384 to 3:1 1:128 to 1:1 1:48 to 1:6
Compound 1 Pentoxazone 1:102 to 12:1 1:34 to 4:1 1:12 to 1:2
Compound 1 Phenmedipham 1:102 to 12:1 1:34 to 4:1 1:12 to 1:2
Compound 1 Picloram 1:96 to 12:1 1:32 to 4:1 1:12 to 1:2
Compound 1 Picolinafen 1:34 to 34:1 1:11 to 12:1 1:4 to 3:1
Compound 1 Pinoxaden 1:25 to 45:1 1:8 to 15:1 1:3 to 3:1
Compound 1 Pretilachlor 1:192 to 6:1 1:64 to 2:1 1:24 to 1:3
Compound 1 Primisulfuron-methyl 1:8 to 135:1 1:2 to 45:1 1:1 to 9:1
Compound 1 Prodiamine 1:384 to 3:1 1:128 to 1:1 1:48 to 1:6
Compound 1 Profoxydim 1:42 to 27:1 1:14 to 9:1 1:5 to 2:1
Compound 1 Prometryn 1:384 to 3:1 1:128 to 1:1 1:48 to 1:6
Compound 1 Propachlor 1:1152 to 1:1 1:384 to 1:3 1:144 to 1:16
Compound 1 Propanil 1:384 to 3:1 1:128 to 1:1 1:48 to 1:6
Compound 1 Propaquizafop 1:48 to 24:1 1:16 to 8:1 1:6 to 2:1
Compound 1 Propoxycarbazone 1:17 to 68:1 1:5 to 23:1 1:2 to 5:1
Compound 1 Propyrisulfuron 1:17 to 68:1 1:5 to 23:1 1:2 to 5:1
Compound 1 Propyzamide 1:384 to 3:1 1:128 to 1:1 1:48 to 1:6
Compound 1 Prosulfocarb 1:1200 to 1:2 1:400 to 1:4 1:150 to 1:17
Compound 1 Prosulfuron 1:6 to 168:1 1:2 to 56:1 1:1 to 11:1
Compound 1 Pyraclonil 1:42 to 27:1 1:14 to 9:1 1:5 to 2:1
Compound 1 Pyraflufen-ethyl 1:5 to 224:1 1:1 to 75:1 1:1 to 14:1
Compound 1 Pyrasulfotole 1:13 to 84:1 1:4 to 28:1 1:1 to 6:1
Compound 1 Pyrazolynate 1:857 to 2:1 1:285 to 1:3 1:107 to 1:12
Compound 1 Pyrazosulfuron-ethyl 1:10 to 112:1 1:3 to 38:1 1:1 to 7:1
Compound 1 Pyrazoxyfen 1:5 to 224:1 1:1 to 75:1 1:1 to 14:1
Compound 1 Pyribenzoxim 1:10 to 112:1 1:3 to 38:1 1:1 to 7:1
Compound 1 Pyributicarb 1:384 to 3:1 1:128 to 1:1 1:48 to 1:6
Compound 1 Pyridate 1:288 to 4:1 1:96 to 2:1 1:36 to 1:4
Compound 1 Pyriftalid 1:10 to 112:1 1:3 to 38:1 1:1 to 7:1
Compound 1 Pyriminobac -methyl 1:20 to 56:1 1:6 to 19:1 1:2 to 4:1
Compound 1 Pyrimisulfan 1:17 to 68:1 1:5 to 23:1 1:2 to 5:1
Typical More Typical Most Typical
Component (a) Component (b Weiaht Ratio Weiaht Ratio Weiaht Ratio
Compound 1 Pyrithiobac 1:24 to 48:1 1:8 to 16:1 1:3 to 3:1
Compound 1 Pyroxasulfone 1:85 to 14:1 1:28 to 5:1 1:10 to 1:2
Compound 1 Pyroxsulam 1:5 to 224:1 1:1 to 75:1 1:1 to 14:1
Compound 1 Quinclorac 1:192 to 6:1 1:64 to 2:1 1:24 to 1:3
Compound 1 Quizalofop-ethyl 1:42 to 27:1 1:14 to 9:1 1:5 to 2:1
Compound 1 Rimsulfuron 1:13 to 84:1 1:4 to 28:1 1:1 to 6:1
Compound 1 Saflufenacil 1:25 to 45:1 1:8 to 15:1 1:3 to 3:1
Compound 1 Sethoxydim 1:96 to 12:1 1:32 to 4:1 1:12 to 1:2
Compound 1 Simazine 1:384 to 3:1 1:128 to 1:1 1:48 to 1:6
Compound 1 Sulcotrione 1:120 to 10:1 1:40 to 4:1 1:15 to 1:2
Compound 1 Sulfentrazone 1:147 to 8:1 1:49 to 3:1 l:18to 1:3
Compound 1 Sulfometuron-methyl 1:34 to 34:1 1:11 to 12:1 1:4 to 3:1
Compound 1 Sulfosulfuron 1:8 to 135:1 1:2 to 45:1 1:1 to 9:1
Compound 1 Tebuthiuron 1:384 to 3:1 1:128 to 1:1 1:48 to 1:6
Compound 1 Tefuryltrione 1:42 to 27:1 1:14 to 9:1 1:5 to 2:1
Compound 1 Tembotrione 1:31 to 37:1 1:10 to 13:1 1:3 to 3:1
Compound 1 Tepraloxydim 1:25 to 45:1 1:8 to 15:1 1:3 to 3:1
Compound 1 Terbacil 1:288 to 4:1 1:96 to 2:1 1:36 to 1:4
Compound 1 Terbuthylatrazine 1:857 to 2:1 1:285 to 1:3 1:107 to 1:12
Compound 1 Terbutryn 1:192 to 6:1 1:64 to 2:1 1:24 to 1:3
Compound 1 Thenylchlor 1:85 to 14:1 1:28 to 5:1 l:10to 1:2
Compound 1 Thiazopyr 1:384 to 3:1 1:128 to 1:1 1:48 to 1:6
Compound 1 Thiencarbazone 1:3 to 336:1 1:1 to 112:1 2:1 to21:l
Compound 1 Thifensulfuron-methyl 1:5 to 224:1 1:1 to 75:1 1:1 to 14:1
Compound 1 Thiobencarb 1:768 to 2:1 1:256 to 1:2 1:96 to 1:11
Compound 1 Tiafenacil l:17to68:l 1:5 to 23:1 1:2 to 5:1
Compound 1 Topramazone 1:6 to 168:1 1:2 to 56:1 1:1 to 11:1
Compound 1 Tralkoxydim 1:68 to 17:1 1:22 to 6:1 1:8 to 2:1
Compound 1 Triallate 1:768 to 2:1 1:256 to 1:2 1:96 to 1:11
Compound 1 Triasulfuron 1:5 to 224:1 1:1 to 75:1 1:1 to 14:1
Compound 1 Triaziflam 1:171 to 7:1 1:57 to 3:1 1:21 to 1:3
Compound 1 Tribenuron-methyl 1:3 to 336:1 1:1 to 112:1 2:1 to21:l
Compound 1 Triclopyr 1:192 to 6:1 1:64 to 2:1 1:24 to 1:3
Compound 1 Trifloxysulfuron 1:2 to 420:1 1:1 to 140:1 2:1 to 27:1
Compound 1 Trifluralin 1:288 to 4:1 1:96 to 2:1 1:36 to 1:4
Typical More Typical Most Typical
Component (a) Component (b Weiaht Ratio Weiaht Ratio Weiaht Ratio
Compound 1 Triflusulfuron-methyl 1: 17 to 68: 1 1:5 to 23:1 1:2 to 5:1
Compound 1 Tritosulfuron 1: 13 to 84: 1 1:4 to 28:1 1: 1 to 6:1
Table A2 is constructed the same as Table Al above except that entries below the "Component (a)" column heading are replaced with the respective Component (a) Column Entry shown below. Compound 2 in the Component (a) column is identified in Index Table A. Thus, for example, in Table A2 the entries below the "Component (a)" column heading all recite "Compound 2" (i.e. Compound 2 identified in Index Table A), and the first line below the column headings in Table A2 specifically discloses a mixture of Compound 2 with 2,4-D. Tables A3 through A14 are constructed similarly.
Table Number Component (a) Column Entries Table Number Component (a) Column Entries
A2 Compound 2 A9 Compound 11
A3 Compound 3 A10 Compound 12
A4 Compound 4 Al l Compound 13
A5 Compound 5 A12 Compound 14
A6 Compound 6 A13 Compound 15
A7 Compound 7 A14 Compound 16
A8 Compound 8
The following Tests (i.e. Biological Examples of the Invention) demonstrate the control efficacy of the compounds of this invention against specific weeds. The weed control afforded by the compounds is not limited, however, to these species. See Index Tables A for compound descriptions. The following abbreviations are used in the Index Table which follow: c is cyclo, and hex is hexyl, CH30 is methoxy, CH2CH30 is ethoxy, -SCH2CH2S- is 1,3-dithiolanyl and -OCH2CH20- is 1,3-dioxolanyl (i.e. attached to the same carbon atom. As an example, in com ound Compound 13 below, R1 is
Cis or trans denotes the relative stereochemistry relative to the attachment point to the remainder of Formula 1. The abbreviation "Ex." stands for "Example" and is followed by a number indicating in which example the compound is prepared. In Index Table A, the "A" groups (i.e. A-la, A-lb, A-3a, A-5a and A-5b) correspond to the following structures
INDEX TABLE A
1
Compound Rl Q R2 A M.S. (AP+)
1 (Ex. 1) c-hex(4-CH30) o CH3 A-la **
2 c-hex(4-CH30) o CH3 A-3a 404
3 trans c-hex(3-CH30) o CH3 A-la 378
4 cis c-hex(3-CH30) o CH3 A-la 378
5 trans c-hex(3-CH30) o CH3 A-3a 404
6 cis c-hex(3-CH30) o CH3 A-3a 404
7 trans c-hex(3-CH30) o CH3 A-lb 406
8 cis c-hex(3-CH30) o CH3 A-lb 406
9 trans c-hex(3-CH30) o CH3 A-5a *
10 cis c-hex(3-CH30) o CH3 A-5a *
11 trans c-hex(3-CH30) o CH3 A-5b 378
12 c-hex(4-OCH2CH20-) o CH3 A-la 406
13 c-hex(4-OCH2CH20-) o CH3 A-3a 432
14 c-hex(4-OCH2CH3) o CH3 A-la 414
15 c-hex(4-SCH2CH2S-) o CH3 A-la 438
16 c-hex(4-SCH2CH2S-) o CH3 A-3a 464
See Index Table B for lR NMR data.
See synthesis Example for ^H NMR data.
INDEX TABLE B
Compd. No. NMR Data (CDCI3 solution unless indicated otherwise)a
9 δ 5.10 (m, 1H), 3.69 (m, 4H), 3.30 (s, 3H), 2.45 (t, 1H), 2.35 (m, 1H), 1.88 (m, 5H), 1.80- 1.60 (m, 4H), 1.35(m, 1H)
10 δ 4.75 (m, 1H), 3.70 (s, 3H), 3.34 (s, 3H), 3.20 (m, 1H), 2.30 (m, 2H), 2.05 (m, 2H), 1.88 (m, 5H), 1.60 (m, 1H), 1.35-1.20 (m, 2H)
a NMR data are in ppm at 500 MHz downfield from tetramethylsilane. Couplings are designated by (s)-singlet, (t)-triplet and (m)-multiplet.
BIOLOGICAL EXAMPLES OF THE INVENTION
TEST A
Seeds of plant species selected from barnyardgrass {Echinochloa crus-galli), crabgrass, large (large crabgrass Digitaria sanguinalis), foxtail, giant (giant foxtail Setaria faberii), morningglory (Ipomoea spp.), pigweed (Amaranthus retroflexus), velvetleaf (Abutilon theophrasti), wheat (Triticum aestivum) and corn (Zea mays) were planted into a blend of loam soil and sand and treated preemergence with a directed soil spray using test chemicals formulated in a non-phytotoxic solvent mixture which included a surfactant. At the same time these species were also treated with postemergence applications of test compounds formulated in the same manner.
Plants ranged in height from 2 to 10 cm and were in the one- to two-leaf stage for the postemergence treatment. Treated plants and untreated controls were maintained in a greenhouse for approximately 10 days, after which time all treated plants were compared to untreated controls and visually evaluated for injury. Plant response ratings, summarized in Table A, are based on a 0 to 100 scale where 0 is no effect and 100 is complete control. A dash (-) response means no test result.
Table A Compounds
125 g ai/ha 1 2 3 4 5 6 7 8 9 10 11 15 16
Postemergence
Barnyardgrass 100 100 100 100 100 100 100 100 0 0 80 90 0
Corn 60 40 60 60 40 20 50 70 0 0 10 20 40
Crabgrass, Large 100 100 100 100 100 100 100 100 0 0 60 90 10
Foxtail, Giant 80 70 100 100 100 90 80 80 0 0 50 70 10
Morningglory 90 90 90 100 100 100 90 100 0 0 80 80 10
Pigweed 100 100 100 100 100 100 100 100 0 0 30 80 80
Velvetleaf 100 100 100 100 100 100 100 100 0 0 - 100 100
Wheat 50 90 60 40 60 50 50 60 0 0 0 50 10
Table A Compounds
31 g ai/ha 1 2 3 4 5 6 7 8 9 10 11 15 16
Postemergence
Barnyardgrass 100 100 100 100 100 90 90 80 0 0 10 10 0
Corn 10 20 30 20 10 0 10 30 0 0 0 0 0
Crabgrass, Large 90 70 100 100 60 70 70 90 0 0 30 10 0
Foxtail, Giant 50 30 90 80 70 50 60 60 0 0 10 10 0
Morningglory 90 90 90 90 90 90 90 100 0 0 10 20 0
Pigweed 100 100 100 100 90 90 90 100 0 0 20 40 20
Velvetleaf 100 100 100 100 100 100 100 100 0 0 90 90 70
Wheat 50 50 40 40 50 20 20 50 0 0 0 10 0
Table A Compounds
125 g ai/ha 1 2 3 4 5 6 7 8 9 10 11 15 16
Preemergence
Barnyardgrass 100 90 100 100 100 100 90 100 0 0 10 70 0
Corn 10 0 40 30 20 10 10 20 0 0 0 0 0
Crabgrass, Large 100 90 100 100 100 100 100 100 0 0 20 20 0
Foxtail, Giant 100 50 90 80 40 30 30 30 0 0 10 20 0
Morningglory 50 50 80 70 70 70 60 30 0 0 - 0 0
Pigweed 80 90 100 70 100 90 100 100 0 0 10 0 0
Velvetleaf 100 100 100 100 100 90 100 100 0 0 30 40 40
Wheat 30 30 40 40 30 30 20 40 0 0 0 20 0
Table A Compounds
31 g ai/ha 1 2 3 4 5 6 7 8 9 10 11 15 16
Preemergence
Barnyardgrass 80 40 100 80 50 30 40 50 0 0 0 0 0
Corn 0 0 0 0 0 0 0 0 0 0 0 0 0
Crabgrass, Large 90 60 100 90 70 20 70 80 0 0 0 10 0
Foxtail, Giant 60 0 50 50 10 0 10 20 0 0 0 0 0
Morningglory 30 10 50 30 - 10 0 - 0 0 0 - 0
Pigweed - 90 90 - 50 80 80 90 0 0 0 0 0
Velvetleaf 90 70 100 100 90 60 90 90 0 0 0 0 0
Wheat 0 30 30 20 0 - 0 0 0 0 0 0 0
TEST B
Seeds of plant species selected from blackgrass {Alopecurus myosuroides), downy bromegrass (Bromus tectorum), foxtail, green (green foxtail, Setaria viridis), ryegrass, Italian (Italian ryegrass, Lolium multiflorum), wheat (winter wheat, Triticum aestivum), oat, wild (wild oat, Avena fatua), galium (catchweed bedstraw, Galium aparine), bermudagrass (Cynodon dactylon), Surinam grass (Brachiaria decumbens), cocklebur (common cocklebur,
Xanthium strumarium), corn (Zea mays), large crabgrass (Digitaria sanguinalis), cupgrass, woolly (wooly cupgrass, Eriochloa villosa), foxtail, giant (giant foxtail, Setaria faberii), goosegrass (Eleusine indica), johnsongrass (Sorghum halepense), kochia (Kochia scoparia), lambsquarters (Chenopodium album), morningglory (Ipomoea coccinea), nightshade (eastern black nightshade, Solanum ptycanthum), nutsedge, yellow (yellow nutsedge, Cyperus esculentus), pigweed (Amaranthus retroflexus), ragweed (common ragweed, Ambrosia elatior), soybean (Glycine max), sunflower (common oilseed sunflower, Helianthus annuus), Russian thistle (Salsola kali) and velvetleaf (Abutilon theophrasti) were planted into a blend of loam soil and sand and treated preemergence with test compounds formulated in a non-phytotoxic solvent mixture which included a surfactant.
At the same time, plants selected from these crop and weed species and also barley (winter barley, Hordeum vulgare), canarygrass (Phalaris minor), chickweed (common chickweed, Stellaria media), windgrass (Apera spica-venti) and deadnettle (henbit deadnettle, Lamium amplexicaule) were planted in pots containing Redi-Earth® planting medium (Scotts Company, 14111 Scottslawn Road, Marysville, Ohio 43041) comprising spaghnum peat moss, vermiculite, wetting agent and starter nutrients and treated with postemergence applications of some of the test chemicals formulated in the same manner. Plants ranged in height from 2 to 18 cm (1- to 4-leaf stage) for postemergence treatments.
Plant species in the flooded paddy test consisted of rice (Oryza sativa), small-flower umbrella sedge (Cyperus difformis), duck salad (Heteranthera limosa) and barnyardgrass (Echinochloa crus-galli) grown to the 2-leaf stage for testing. At time of treatment, test pots were flooded to 3 cm above the soil surface, treated by application of test compounds directly to the paddy water, and then maintained at that water depth for the duration of the test.
Treated plants and controls were maintained in a greenhouse for 13 to 15 days, after which time all species were compared to controls and visually evaluated. Plant response ratings, summarized in Table B, are based on a scale of 0 to 100 where 0 is no effect and 100 is complete control. A dash (-) response means no test result.
Table B Compounds
250 g ai/ha 1 2 3 4 5 6 7 8 9 10 11 15 16 Flood
Barnyardgrass 90 50 95 90 85 85 75 65 0 0 0 20 0
Duck salad 100 95 100 100 85 100 100 75 0 0 0 95 60
Rice 100 80 80 70 80 85 80 80 0 0 0 60 20 Sedge, Umbrella 90 80 100 90 80 75 80 80 0 0 0 95 60
Table B Compounds
125 g ai/ha 1 2 3 4 5 6 7 8 9 10 11
Flood
Barnyardgrass 80 30 90 65 65 30 20 20 0 0 0
Duck salad 100 80 90 85 75 75 75 70 0 0 0
Rice 80 70 70 60 75 70 60 70 0 0 0
Sedge, Umbrella 85 65 95 85 75 70 35 0 0 0 0
Table B Compounds
62 g ai/ha 1 2 3 4 5 6 7 8 9 10 11
Flood
Barnyardgrass 50 0 75 50 40 20 0 20 0 0 0
Duck salad 75 40 90 80 65 40 60 60 0 0 0
Rice 40 20 40 30 40 0 40 20 0 0 0
Sedge, Umbrella 75 0 90 85 0 70 0 0 0 0 0
Table B Compounds
31 g ai/ha 1 2 3 4 5 6 7 8 9 10 11
Flood
Barnyardgrass 30 0 55 30 0 0 0 20 0 0 0
Duck salad 60 40 80 80 50 40 0 50 0 0 0
Rice 0 15 30 20 0 0 20 0 0 0 0
Sedge, Umbrella 60 0 85 85 0 0 0 0 0 0 0
Table B Compounds Table B Compounds
62 g ai/ha 1 2 3 4 31 g ai/ha 1 2 3 4
Postemergence Postemergence
Barley 35 40 70 60 Barley 25 20 50 35
Bermudagrass 98 98 100 98 Bermudagrass 95 90 98 98
Blackgrass 80 90 100 98 Blackgrass 60 60 90 75
Bromegrass, Downy 45 45 15 15 Bromegrass, Downy 20 40 15 15
Canarygrass 60 90 95 80 Canarygrass 45 80 60 60
Chickweed 100 100 - - Chickweed 100 100 - -
Cocklebur 100 100 98 98 Cocklebur 100 98 98 98
Corn 80 20 60 80 Corn 15 20 45 45
Crabgrass, Large 98 100 100 100 Crabgrass , Large 90 80 100 100
Cupgrass, Woolly 100 100 98 98 Cupgrass , Woolly 98 95 98 98
Deadnettle 100 98 100 100 Deadnettle 100 85 90 80
Foxtail, Giant 75 85 95 98 Foxtail , Giant 65 65 95 90
Foxtail, Green 90 85 98 100 Foxtail , Green 70 60 98 100
Galium 95 95 90 90 Galium 90 90 85 75
Goosegrass 98 98 98 98 Goosegrass 95 95 98 98
Johnsongrass 45 90 70 55 Johnsongrass 40 25 70 55
Kochia 100 100 100 100 Kochia 100 85 100 98
Lambsquarters 100 100 100 100 Lambsquarters 100 100 100 100
Morningglory 100 100 90 - Morningglory - 100 90 -
Nutsedge, Yellow 90 25 85 85 Nutsedge, Yellow 90 10 80 85
Oat, Wild 70 85 - 80 Oat, Wild 60 80 60 50
Pigweed 100 100 98 100 Pigweed 98 100 98 100
Ragweed 100 100 100 100 Ragweed 100 95 98 100
Ryegrass, Italian 80 95 - 60 Ryegrass, Italian 50 85 80 60
Soybean 100 100 90 90 Soybean 100 98 90 90
Surinam Grass 75 55 98 98 Surinam Grass 65 55 98 98
Velvetleaf 100 100 100 100 Velvetleaf 100 100 100 100
Wheat 35 80 60 60 Wheat 30 55 40 45
Windgrass 85 98 65 - Windgrass 70 60 65 70
Table B Compounds Table B Compounds
16 g ai/ha 1 2 3 4 8 g ai/ha 1 2 3 4
Postemergence Postemergence
Barley 10 5 15 20 Barley 0 0 5 5
Bermudagrass 80 80 98 95 Bermudagrass 75 75 85 85
Blackgrass 40 55 80 40 Blackgrass 20 30 35 5
Bromegrass, Downy 5 10 15 10 Bromegrass, Downy 0 5 5 5
Canarygrass 35 45 45 35 Canarygrass 20 25 35 10
Chickweed 100 100 - 98 Chickweed 100 100 98 95
Cocklebur 98 98 98 90 Cocklebur 98 98 98 75
Corn 10 15 20 20 Corn 5 15 10 10
Crabgrass, Large 85 50 95 95 Crabgrass, Large 65 45 95 85
Cupgrass, Woolly 70 85 98 90 Cupgrass, Woolly 70 60 85 85
Deadnettle 100 80 55 60 Deadnettle 80 70 50 60
Foxtail, Giant 65 60 80 80 Foxtail, Giant 60 60 70 65
Foxtail, Green 50 50 98 98 Foxtail, Green 30 25 65 50
Galium 90 85 80 75 Galium 85 80 50 75
Goosegrass 90 65 95 80 Goosegrass 90 65 85 80
Johnsongrass 10 20 50 45 Johnsongrass 5 5 40 30
Kochia 100 45 90 75 Kochia 100 45 60 65
Lambsquarters 100 100 100 100 Lambsquarters 100 100 100 98
Morningglory 100 - 85 80 Morningglory 85 - 80 80
Nutsedge, Yellow 85 10 80 75 Nutsedge, Yellow 70 5 70 65
Oat, Wild 35 30 25 10 Oat, Wild 30 30 0 5
Pigweed 85 95 90 70 Pigweed 80 90 85 70
Ragweed 98 85 98 98 Ragweed 98 85 90 98
Ryegrass, Italian 45 60 50 20 Ryegrass, Italian 30 50 30 15
Soybean 100 95 90 70 Soybean 95 80 75 55
Surinam Grass 60 45 85 75 Surinam Grass 60 10 65 60
Velvetleaf 100 95 100 98 Velvetleaf 98 75 98 85
Wheat 15 45 40 10 Wheat 5 30 0 5
Windgrass 60 40 50 30 Windgrass 40 20 45 30
Table B Compounds Table B Compounds
62 g ai/ha 3 4 31 g ai/ha 3 4
Preemergence Preemergence
Bermudagrass 100 100 Bermudagrass 100 100
Blackgrass 100 95 Blackgrass 85 -
Bromegrass, Downy 20 60 Bromegrass, Downy 20 0
Cocklebur 98 100 Cocklebur 98 85
Corn 75 20 Corn 30 0
Crabgrass, Large 100 100 Crabgrass, Large 100 100
Cupgrass, Woolly 90 95 Cupgrass, Woolly 85 85
Foxtail, Giant 95 95 Foxtail, Giant 85 80
Foxtail, Green 95 100 Foxtail, Green 85 80
Galium 100 100 Galium 100 100
Goosegrass 100 100 Goosegrass 100 100
Johnsongrass 20 45 Johnsongrass 0 25
Kochia 100 95 Kochia 95 95
Lambsquarters 100 100 Lambsquarters 100 100
Morningglory 98 100 Morningglory 80 50
Nightshade 100 100 Nightshade 100 100
Nutsedge, Yellow 98 98 Nutsedge, Yellow 95 98
Oat, Wild 70 85 Oat, Wild 40 80
Pigweed 100 100 Pigweed 100 100
Ragweed 100 98 Ragweed 95 95
Russian Thistle 95 100 Russian Thistle 95 100
Ryegrass, Italian 55 95 Ryegrass, Italian 55 70
Soybean 80 65 Soybean 75 40
Sunflower 100 100 Sunflower 100 95
Surinam Grass 100 95 Surinam Grass 98 90
Velvetleaf 100 100 Velvetleaf 100 100
Wheat 0 5 Wheat 0 0
Table B Compounds Table B Compounds
16 g ai/ha 3 4 8 g ai/ha 3 4
Preemergence Preemergence
Bermudagrass 100 100 Bermudagrass 98 85
Blackgrass 85 - Blackgrass 85 -
Bromegrass, Downy 0 0 Bromegrass, Downy 0 0
Cocklebur 85 85 Cocklebur 85 80
Corn 30 0 Corn 0 0
Crabgrass, Large 100 100 Crabgrass, Large 98 90
Cupgrass, Woolly 55 85 Cupgrass, Woolly 25 5
Foxtail, Giant 15 10 Foxtail, Giant 5 0
Foxtail, Green 20 5 Foxtail, Green 5 0
Galium 100 85 Galium 80 -
Goosegrass 100 95 Goosegrass 85 85
Johnsongrass 0 0 Johnsongrass 0 0
Kochia 95 65 Kochia 0 0
Lambsquarters 100 100 Lambsquarters 100 100
Morningglory 80 50 Morningglory 80 30
Nightshade 100 100 Nightshade 98 100
Nutsedge, Yellow 95 95 Nutsedge, Yellow 65 50
Oat, Wild 0 - Oat, Wild 0 0
Pigweed - 100 Pigweed 100 80
Ragweed 90 90 Ragweed 70 80
Russian Thistle 95 90 Russian Thistle 60 10
Ryegrass, Italian 5 55 Ryegrass, Italian 5 0
Soybean 45 0 Soybean - 0
Sunflower 98 85 Sunflower 65 75
Surinam Grass 75 55 Surinam Grass 25 0
Velvetleaf 100 100 Velvetleaf 100 100
Wheat 0 0 Wheat 0 0
TEST C
Seeds of plant species selected from corn (Zea mays), soybean (Glycine max), poinsettia, wild (wild poinsettia, Euphorbia heterophylla), pigweed, palmer (palmer pigweed Amaranthus palmeri), waterhemp (common waterhemp, Amaranthus rudis), waterhemp, res. (resistant common waterhemp; ALS & HPPD resistant, Amaranthus rudis), smartweed (ladysthumb smartweed, Polygonum persicaria), crabgrass, Brazil (Brazilian crabgrass, Digitaria horizontalis), panicum, fall (fall panicum, Panicum dichotomiflorum), barnyardgrass (Echinochloa crus-galli), sandbur (southern sandbur, Cenchrus echinatus), arrowleaf sida (Sida rhombifolia), ryegrass, Italian (Italian ryegrass, Lolium multiflorum), dayflower, VA (Virginia dayflower, Commelina virginica), field bindweed (Convolvulus arvensis), and beggarticks (hairy beggarticks, Bidens pilosa) were planted in pots containing Redi-Earth® planting medium (Scotts Company, 14111 Scottslawn Road, Marysville, Ohio 43041) comprising spaghnum peat moss, vermiculite, wetting agent and starter nutrients and treated with postemergence applications with test chemicals formulated in a non-phytotoxic solvent mixture which included a surfactant. Plants ranged in height from 2 to 18 cm (1- to 4-leaf stage) for postemergence treatments.
Treated plants and controls were maintained in a greenhouse for 14 days, after which time all species were compared to controls and visually evaluated. Plant response ratings, summarized in Table C, are based on a scale of 0 to 100 where 0 is no effect and 100 is complete control. A dash (-) response means no test result.
Table C Compound Table C Compounds
125 g ai/ha 2 62 g ai/ha 1 2
Postemergence Postemergence
Arrowleaf Sida 90 Arrowleaf Sida 90 75
Barnyardgrass 100 Barnyardgrass 100 100
Beggarticks 98 Beggarticks 98 95
Corn 55 Corn 20 20
Crabgrass, Brazil 80 Crabgrass, Brazil 85 70
Dayflower, VA 85 Dayflower, VA 95 75
Field Bindweed 90 Field Bindweed 90 90
Panicum, Fall 95 Panicum, Fall 70 85
Pigweed, Palmer 100 Pigweed, Palmer 95 98
Poinsettia, Wild 100 Poinsettia, Wild 98 100
Ryegrass, Italian 98 Ryegrass, Italian 70 98
Sandbur 60 Sandbur 50 50
Smartweed 98 Smartweed 100 98
Soybean 98 Soybean 98 95
Waterhemp 100 Waterhemp 98 100
Waterhemp, Res. 98 Waterhemp, Res 98 98
Table C Compounds Table C Compounds
31 g ai/ha 1 2 16 g ai/ha 1 2
Postemergence Postemergence
Arrowleaf Sida 75 75 Arrowleaf Sida 75 70
Barnyardgrass 98 100 Barnyardgrass 98 98
Beggarticks 95 95 Beggarticks 95 85
Corn 20 10 Corn 0 0
Crabgrass, Brazil 70 55 Crabgrass, Brazil 60 50
Dayflower, VA 80 60 Dayflower, VA 70 10
Field Bindweed 80 80 Field Bindweed 70 70
Panicum, Fall 60 70 Panicum, Fall 50 60
Pigweed, Palmer 90 90 Pigweed, Palmer 90 90
Poinsettia, Wild 95 90 Poinsettia, Wild 95 90
Ryegrass, Italian 65 90 Ryegrass, Italian 65 60
Sandbur 50 40 Sandbur 40 30
Smartweed 98 - Soybean 98 85
Soybean 98 95 Waterhemp 80 90
Waterhemp 80 90 Waterhemp, Res. 85 -
Waterhemp, Res. 98 85
Table C Compounds Table C Compound
8 g ai/ha 1 2 4 g ai/ha 1
Postemergence Postemergence
Arrowleaf Sida 75 50 Arrowleaf Sida 60
Barnyardgrass 98 90 Barnyardgrass 95
Beggarticks 75 75 Beggarticks 70
Corn 0 0 Corn 0
Crabgrass, Brazil 45 25 Crabgrass, Brazil 20
Dayflower, VA 20 0 Dayflower, VA 15
Field Bindweed 60 60 Field Bindweed 50
Panicum, Fall 35 50 Panicum, Fall 30
Pigweed, Palmer 90 90 Pigweed, Palmer 70
Poinsettia, Wild 80 75 Poinsettia, Wild 70
Ryegrass, Italian 50 50 Ryegrass, Italian 20
Sandbur 35 5 Sandbur 5
Soybean 90 60 Soybean 80
Waterhemp 60 85 Waterhemp 60
Waterhemp, Res. 75
TEST D
Seeds of plant species selected from blackgrass (Alopecurus myosuroides), downy bromegrass (Bromus tectorum), foxtail, Green (green foxtail, Setaria viridis), ryegrass, Italian (Italian ryegrass, Lolium multiflorum), wheat (winter wheat, Triticum aestivum), wild oat (Avena fatua), galium (catchweed bedstraw, Galium aparine), bermudagrass (Cynodon dactylon), Surinam grass (Brachiaria decumbens), cocklebur (common cocklebur, Xanthium strumarium), corn (Zea mays), crabgrass, Large (large crabgrass, Digitaria sanguinalis), cupgrass, Woolly (woolly cupgrass, Eriochloa villosa), foxtail, Giant (giant foxtail, Setaria faberii), goosegrass (Eleusine indica), johnsongrass (Sorghum halepense), kochia (Kochia scoparia), lambsquarters (Chenopodium album), morningglory (Ipomoea coccinea), nutsedge, Yellow (yellow nutsedge, Cyperus esculentus), pigweed (Amaranthus retroflexus), ragweed (common ragweed, Ambrosia elatior), soybean (Glycine max), barley (winter barley, Hordeum vulgare), canarygrass (Phalaris minor), chickweed (common chickweed, Stellaria media), windgrass (Apera spica-venti), deadnettle (henbit deadnettle, Lamium amplexicaule), and velvetleaf (Abutilon theophrasti) were planted in pots containing Redi- Earth® planting medium (Scotts Company, 14111 Scottslawn Road, Marysville, Ohio 43041) comprising spaghnum peat moss, vermiculite, wetting agent and starter nutrients and treated postemergence with test chemicals formulated in a non-phytotoxic solvent mixture which included a surfactant.
Plants ranged in height from 2 to 18 cm (1- to 4-leaf stage) for postemergence treatments. Treated plants and controls were maintained in a greenhouse for 13 to 15 days, after which time all species were compared to controls and visually evaluated. Plant response ratings, summarized in Table A, are based on a scale of 0 to 100 where 0 is no effect and 100 is complete control. A dash (-) response means no test result. In the following tables, Compound 1-19 refers to art compound 1-19 from International publication WO 2012/002096 (prepared as described in the reference publication) and is compared to Compound 1 which refers to Compound 1 in Index Table A, a compound of the present invention as shown below.
1-19
Table A Compounds Table A Compounds
62 g ai/ha 1-19 1 31 g ai/ha 1-19 1
Postemergence Postemergence
Barley 35 35 Barley 20 25
Bermudagrass 20 98 Bermudagrass 5 95
Blackgrass 50 80 Blackgrass 30 60
Bromegrass, Downy 15 45 Bromegrass, Downy 10 20
Canarygrass 85 60 Canarygrass 50 45
Chickweed 100 100 Chickweed 100 100
Cocklebur 100 100 Cocklebur 100 100
Corn 45 80 Corn 10 15
Crabgrass, Large 65 98 Crabgrass, Large 55 90
Cupgrass, Woolly 100 100 Cupgrass, Woolly 75 98
Deadnettle 95 100 Deadnettle 85 100
Foxtail, Giant 90 75 Foxtail, Giant 70 65
Foxtail, Green 80 90 Foxtail, Green 60 70
Galium 90 95 Galium 85 90
Goosegrass 45 98 Goosegrass 25 95
Johnsongrass 40 45 Johnsongrass 5 40
Kochia 45 100 Kochia 25 100
Lambsquarters 100 100 Lambsquarters 100 100
Morningglory 100 100 Morningglory 100 -
Nutsedge, Yellow 15 90 Nutsedge, Yellow 10 90
Oat, Wild 60 70 Oat, Wild 40 60
Pigweed 100 100 Pigweed 75 98
Ragweed 100 100 Ragweed 98 100
Ryegrass, Italian 55 80 Ryegrass, Italian 40 50
Soybean 98 100 Soybean 95 100
Surinam Grass 85 75 Surinam Grass 65 65
Velvetleaf 100 100 Velvetleaf 95 100
Wheat 45 35 Wheat 20 30
Windgrass 85 85 Windgrass 60 70
Table A Compounds Table A Compounds
16 g ai/ha 1-19 1 8 g ai/ha 1-19 1
Postemergence Postemergence
Barley 10 10 Barley 0 0
Bermudagrass 0 80 Bermudagrass 0 75
Blackgrass 15 40 Blackgrass 5 20
Bromegrass, Downy 5 5 Bromegrass, Downy 5 0
Canarygrass 15 35 Canarygrass 5 20
Chickweed 100 100 Chickweed 98 100
Cocklebur 98 98 Cocklebur 95 98
Corn 5 10 Corn 5 5
Crabgrass, Large 15 85 Crabgrass, Large 10 65
Cupgrass, Woolly 65 70 Cupgrass. Woolly 45 70
Deadnettle 80 100 Deadnettle 65 80
Foxtail, Giant 65 65 Foxtail, Giant 60 60
Foxtail, Green 35 50 Foxtail, Green 10 30
Galium 55 90 Galium 50 85
Goosegrass 20 90 Goosegrass 5 90
Johnsongrass 0 10 Johnsongrass 0 5
Kochia 10 100 Kochia 5 100
Lambsquarters 100 100 Lambsquarters 100 100
Morningglory 98 100 Morningglory 90 85
Nutsedge, Yellow 5 85 Nutsedge, Yellow 5 70
Oat, Wild 15 35 Oat, Wild 5 30
Pigweed 45 85 Pigweed 15 80
Ragweed 80 98 Ragweed 80 98
Ryegrass, Italian 30 45 Ryegrass, Italian 10 30
Soybean 80 100 Soybean 70 95
Surinam Grass 55 60 Surinam Grass 40 60
Velvetleaf 80 100 Velvetleaf 65 98
Wheat 0 15 Wheat 0 5
Windgrass 30 60 Windgrass 0 40
Claims
1. A compound selected from Formula 1, N-oxides and salts thereof,
1
wherein
A is a radical selected from the group consisting
A-5 A-6 A-7
B1 and B3 are each independently a radical selected from the group consisting of
,20
R"
^/^. and /"^
C-l C-2
C-3 C-4 C-5 C-6 C-7
Q is O or S;
R1 is a 3- to 8-membered carbocyclic ring substituted with -YRA and optionally
substituted with up to three substituents selected from RB;
Y is O or S;
RA is C1-C4 alkyl, C2-C6 alkenyl, C2-C6 alkynyl, C3-C8 cycloalkyl, C4-C10
cycloalkylalkyl, C2-Cg alkoxyalkyl, C 1 -C4 haloalkyl, C2-Cg haloalkenyl, C4-C10 halocycloalkyl, C4-C10 halocycloalkylalkyl, C 1 -C4 cyanoalkyl, C1 -C4 nitroalkyl or C(=0)Rc;
RB is halogen, Ci -C4 alkyl, Ci -C4 alkoxy, cyano or nitro; or
RA and RB connected to the same carbocyclic ring member are taken together as
-OCH2CH20-, -OCH2CH2CH20-, -SCH2CH2S- or -SCH2CH2CH2S-;
Rc is H, CrC4 alkyl or CrC4 haloalkyl;
R2 is C1 -C4 alkyl, C2-C4 alkenyl, C1 -C4 cyanoalkyl, C3-C5 cycloalkyl, C 1 -C4 alkoxy, C2-C4 alkoxyalkyl or C4-C8 cycloalkylalkyl;
R3 is H, halogen, cyano, hydroxy, -O M+, amino, nitro, -CHO, -C(=0)OH,
-C(=0)NH2, -C(=S)NH2, -SH, -S02NH2, -S02NHCN, -S02NHOH, -OCN, -SCN, -SF5, -NHNH2, -NHOH, -N=C=0, -N=C=S, CrC6 alkoxy, CrC6 haloalkoxy, C3-C8 cycloalkoxy, C3-C8 halocycloalkoxy, C4-C10
cycloalkylalkoxy, C2-Cg alkenyloxy,
haloalkenyloxy, alkynyloxy, C3-C6 haloalkynyloxy, C2-Cg alkoxyalkoxy, C2-Cg alkylcarbonyloxy, C2-Cg haloalkylcarbonyloxy, C4-C10 cycloalkylcarbonyloxy, C3-C10
alkylcarbonylalkoxy, C^-C^ alkylthio, C^-C^ haloalkylthio, C3-Cg
cycloalkylthio, C^-Cg alkylsulfinyl, C^-Cg haloalkylsulfinyl, C^-Cg
alkylsulfonyl, C^-Cg haloalkylsulfonyl, C3-Cg cycloalkylsulfonyl, C^-Cg alkylsulfonyloxy, C^-Cg alkylamino, C2-Cg dialkylamino, C^-Cg
haloalkylamino, C2-Cg halodialkylamino, C3-Cg cycloalkylamino, C2-Cg alkylcarbonylamino, C2-Cg haloalkylcarbonylamino, C^-C^ alkylsulfonylamino or C^-Cg haloalkylsulfonylamino; or benzyloxy, phenyloxy, benzylcarbonyloxy, phenylcarbonyloxy, phenylsulfonyloxy, benzylsulfonyloxy, phenylthio, benzylthio, phenylsulfmyl, benzylsulfinyl, phenylsulfonyl or benzylsulfonyl, each optionally substituted on ring members with up to five substituents selected from R21;
M+ is an alkali metal cation or an ammonium cation;
R4, R5, R6 and R7 are each independently H, halogen, hydroxy, C^-Cg alkyl, C2-Cg alkenyl, C2-Cg alkynyl, C^-Cg haloalkyl, C^-Cg alkoxy, C^-Cg haloalkoxy,
C3-Cg cycloalkoxy or C3-Cg halocycloalkoxy; or phenyl or benzyl, each optionally substituted on ring members with up to five substituents selected from R2l;
R8 is H, CrC6 alkyl, C2-C6 alkenyl, C2-C6 alkynyl, CrC6 haloalkyl, C2-C6 haloalkenyl, C2-Cg haloalkynyl, C3-C8 cycloalkyl or C3-C8 halocycloalkyl; or benzyl optionally substituted on ring members with up to five substituents selected from R21;
R9 is H, CrC6 alkyl, C2-C6 alkenyl, C2-C6 alkynyl, CrC6 haloalkyl, C2-C6
haloalkenyl, C2-Cg haloalkynyl, C3-C8 cycloalkyl, C3-C8 halocycloalkyl, C4-C10 alkylcycloalkyl, C4-C10 cycloalkylalkyl, Cg-C^ cycloalkylcycloalkyl, C4-C10 halocycloalkylalkyl, C5-Cj2 alkylcycloalkylalkyl, C3-C8 cycloalkenyl, C3-C8 halocycloalkenyl, C2-Cg alkoxyalkyl, C4-C10 cycloalkoxyalkyl, C3-C10 alkoxyalkoxyalkyl or C2-Cg alkylthioalkyl;
R10 is H, halogen, C^-Cg alkyl, C2-Cg alkenyl, C2-Cg alkynyl or C3-C8 cycloalkyl;
R1 1 is H, halogen, cyano, hydroxy, amino, C^-Cg alkyl, C2-Cg alkenyl, C2-Cg alkynyl, Cj-Cg haloalkyl, C2-Cg haloalkenyl, C2-Cg haloalkynyl, C3-C8 cycloalkyl, C3-C8 halocycloalkyl, C4-C10 alkylcycloalkyl, C4-C10 cycloalkylalkyl, C4-C10 halocycloalkylalkyl, C5-C^2 alkylcycloalkylalkyl, C3-C8 cycloalkenyl, C3-C8 halocycloalkenyl, C2-Cg alkoxyalkyl, C4-C10 cycloalkoxyalkyl, C3-C10 alkoxyalkoxyalkyl, C2-Cg alkylthioalkyl, C2-Cg alkylsulfinylalkyl or C2-Cg alkylsulfonylalkyl; or phenyl optionally substituted with up to five substituents selected from R21;
R12 is H, halogen, cyano, hydroxy, amino, C^-Cg alkyl, C2-Cg alkenyl, C2-Cg alkynyl, Cj-Cg haloalkyl, C2-Cg haloalkenyl, C2-Cg haloalkynyl, C3-Cg cycloalkyl, C3-Cg halocycloalkyl, C4-C10 alkylcycloalkyl, C4-C10 cycloalkylalkyl, Cg-C^ cycloalkylcycloalkyl, C4-C10 halocycloalkylalkyl, C5-C^2 alkylcycloalkylalkyl, C3-Cg cycloalkenyl, C3-Cg halocycloalkenyl or C2-Cg alkoxycarbonylamino;
R1 is H, halogen, cyano, hydroxy, amino, nitro or C2-Cg alkoxycarbonyl;
n is 0, lor 2;
each R14, R15, R16 and R17 is independently H, halogen, cyano, hydroxy or C^-Cg alkyl; or
R18 is H, Cj-Cg haloalkyl, C2-Cg haloalkenyl, C^-Cg alkoxy, C^-Cg haloalkoxy, C3-Cg cycloalkoxy, C^-Cg alkyl, C2-Cg alkenyl, C2-Cg alkynyl or C3-Cg cycloalkyl; T is Cj-Cg alkylene or C2-Cg alkenylene; and
each R21 is independently halogen, cyano, hydroxy, amino, nitro, -CHO, -C(=0)OH, -C(=0)NH2, -C(=S)NH2, -C(=0)NHCN, -C(=0)NHOH, -SH, -S02NH2, -S02NHCN, -S02NHOH, -OCN, -SCN, -SF5, CrC6 alkyl, C2-C6 alkenyl, C2-Cg alkynyl, C^-Cg haloalkyl, C2-Cg haloalkenyl, C2-Cg haloalkynyl, C3-Cg cycloalkyl, C3-Cg halocycloalkyl, C4-C10 alkylcycloalkyl, C4-C10
cycloalkylalkyl, C3-Cg cycloalkenyl, C3-Cg halocycloalkenyl, C2-Cg
alkoxyalkyl, C4-C10 cycloalkoxyalkyl, C3-C10 alkoxyalkoxyalkyl, C2-Cg alkylthioalkyl, C2-Cg alkylsulfinylalkyl, C2-Cg alkoxyhaloalkyl, C2-C5 cyanoalkyl, C^-Cg hydroxyalkyl, C^-Cg alkoxy, C^-Cg haloalkoxy, C3-Cg cycloalkoxy, C3-Cg halocycloalkoxy, C4-C10 cycloalkylalkoxy, C2-C6 alkenyloxy, C2-Cg haloalkenyloxy, C2-Cg alkoxyalkoxy, C2-Cg
alkylcarbonyloxy, C^-C^ alkylthio, C^-C^ haloalkylthio, C3-Cg cycloalkylthio, C^-Cg alkylsulfinyl, C^-Cg haloalkylsulfinyl, C^-Cg alkylsulfonyl, C^-Cg haloalkylsulfonyl, C3-Cg cycloalkylsulfonyl, C^-Cg alkylamino, C2-Cg dialkylamino, C^-C^ haloalkylamino, C2-Cg halodialkylamino or C3-Cg cycloalky lamino .
2. The compound of Claim 1 wherein
A is A-l, A-3, A-5 or A-6;
Q is O;
R1 is a 4- to 7-membered carbocyclic ring substituted with -YRA and optionally
substituted with up to two substituents selected from RB;
RA is C1-C4 alkyl, C3-C8 cycloalkyl, C4-C10 cycloalkylalkyl, C2-C6 alkoxyalkyl, Cj-
C4 haloalkyl, C4-C10 halocycloalkyl, C4-C10 halocycloalkylalkyl or C(=0)RC; RB is halogen, -C4 alkyl or -C4 alkoxy; or
RA and RB connected to the same carbocyclic ring member are taken together as
-OCH2CH20-;
Rc is H or CrC4 alkyl;
R2 is C1-C4 alkyl or C3-C5 cycloalkyl;
R3 is hydroxy, -0~M+, C2-Cg alkylcarbonyloxy, C2-Cg haloalkylcarbonyloxy, C4-C10 cycloalkylcarbonyloxy or C3-C10 alkylcarbonylalkoxy; or benzyloxy, phenyloxy, benzylcarbonyloxy, phenylcarbonyloxy, phenylsulfonyloxy or benzylsulfonyloxy, each optionally substituted on ring members with up to two substituents selected from R21;
R9 is CrC6 alkyl;
R10 is H, halogen or C^-Cg alkyl;
R11 is H or CrC6 alkyl;
R12 is H, halogen, cyano, C^-Cg alkyl or C3-Cg cycloalkyl;
R14 and R16 are taken alone and are H or C^-C^ alkyl; or
R14 and R16 are taken together as -CH2CH2CH2- or -CH=CHCH2-;
T is -CH2CH2- or -CH=CH-; and
each R21 is independently halogen, cyano, hydroxy, nitro, -CHO, -SH, C^-Cg alkyl, C2-C6 alkenyl, C2-Cg alkynyl, C^-Cg haloalkyl, C2-Cg haloalkenyl, C2-Cg haloalkynyl, C3-Cg cycloalkyl, C3-Cg halocycloalkyl, C4-C10 alkylcycloalkyl, C4-C10 cycloalkylalkyl, C3-Cg cycloalkenyl, C3-Cg halocycloalkenyl, C2-Cg
alkoxyalkyl, C4-C10 cycloalkoxyalkyl, C3-C10 alkoxyalkoxyalkyl, C2-Cg alkylthioalkyl, C2-Cg alkylsulfinylalkyl, C2-Cg alkoxyhaloalkyl, C2-C5 cyanoalkyl, C^-Cg hydroxyalkyl, C^-Cg alkoxy, C^-Cg haloalkoxy, C3-Cg cycloalkoxy, C3-Cg halocycloalkoxy, C4-C10 cycloalkylalkoxy, C2-C6 alkenyloxy, C2-Cg haloalkenyloxy, C2-Cg alkoxyalkoxy, C2-Cg
alkylcarbonyloxy, C^-C^ alkylthio, C^-C^ haloalkylthio, C3-Cg cycloalkylthio, C^-Cg alkylsulfmyl, C^-Cg haloalkylsulfinyl, C^-Cg alkylsulfonyl, C^-Cg haloalkylsulfonyl or C3-Cg cycloalkylsulfonyl.
3. The compound of Claim 2 wherein
A is A-l, A-3 or A-5;
B1 is C-l;
B2 is C-3;
B3 is C-l;
R1 is a 4- to 7-membered carbocyclic ring substituted with -YRA;
RA is C1 -C4 alkyl, C3-Cg cycloalkyl, C4-C10 cycloalkylalkyl, C2-Cg alkoxyalkyl or
C1 -C4 haloalkyl;
R2 is Ci -C4 alkyl, cyclopropyl or cyclobutyl;
R3 is hydroxy, -0~M+ or C2-Cg alkylcarbonyloxy; or phenylsulfonyloxy optionally substituted with up to two substituents selected from R21;
R9 is CH2CH3;
R10 is H or CH3;
each R14, R15, R16 and R17 is independently H, CI or CH3; and
4. The compound of Claim 3 wherein
A is A-l or A-3;
R1 is a 5- to 6-membered carbocyclic ring substituted with -YRA;
Y is O;
RA is Ci -C4 alkyl, C2-C6 alkoxyalkyl or Ci -C4 haloalkyl;
R2 is CH3 or cyclopropyl;
R3 is hydroxy or C2-Cg alkylcarbonyloxy;
R14 and R15 are both H; and
each R16 and R17 is independently H or CH3.
5. The compound of Claim 4 wherein
A is A-l;
R1 is a 6-membered carbocyclic ring substituted with -YRA;
RA is C1-C4 alkyl;
R2 is CH3; and
R3 is hydroxy or -OC(=0)CH2CH(CH3)2.
6. The compound of Claim 4 wherein
A is A-3;
T is -CH2CH ;
R1 is cyclohexyl substituted with -YRA at the 3- or 4-position; and
RA is CH3.
7. The compound of Claim 1 that is 6-[(2-hydroxy-6-oxo-l-cyclohexen-l- yl)carbonyl]-4-(4-methoxycyclohexyl)-2-methyl- 1 ,2,4-triazine-3 ,5(2H,4H)-dione.
8. A herbicidal composition comprising a compound of Claim 1 and at least one component selected from the group consisting of surfactants, solid diluents and liquid diluents.
9. A herbicidal composition comprising a compound of Claim 1, at least one additional active ingredient selected from the group consisting of other herbicides and herbicide safeners, and at least one component selected from the group consisting of surfactants, solid diluents and liquid diluents.
10. A method for controlling the growth of undesired vegetation comprising contacting the vegetation or its environment with a herbicidally effective amount of a compound of Claim 1.
Applications Claiming Priority (2)
| Application Number | Priority Date | Filing Date | Title |
|---|---|---|---|
| US201261674161P | 2012-07-20 | 2012-07-20 | |
| US61/674,161 | 2012-07-20 |
Publications (1)
| Publication Number | Publication Date |
|---|---|
| WO2014014904A1 true WO2014014904A1 (en) | 2014-01-23 |
Family
ID=48877561
Family Applications (1)
| Application Number | Title | Priority Date | Filing Date |
|---|---|---|---|
| PCT/US2013/050671 Ceased WO2014014904A1 (en) | 2012-07-20 | 2013-07-16 | Substituted cycloalkyl 1,2,4-triazine-3,5-diones as herbicides |
Country Status (1)
| Country | Link |
|---|---|
| WO (1) | WO2014014904A1 (en) |
Cited By (3)
| Publication number | Priority date | Publication date | Assignee | Title |
|---|---|---|---|---|
| WO2017042259A1 (en) | 2015-09-11 | 2017-03-16 | Bayer Cropscience Aktiengesellschaft | Hppd variants and methods of use |
| CN111620819A (en) * | 2020-06-22 | 2020-09-04 | 贵州医科大学 | Method for separating and purifying two new compounds of Japanese banana root and application thereof |
| US11180770B2 (en) | 2017-03-07 | 2021-11-23 | BASF Agricultural Solutions Seed US LLC | HPPD variants and methods of use |
Citations (17)
| Publication number | Priority date | Publication date | Assignee | Title |
|---|---|---|---|---|
| US2891855A (en) | 1954-08-16 | 1959-06-23 | Geigy Ag J R | Compositions and methods for influencing the growth of plants |
| US3060084A (en) | 1961-06-09 | 1962-10-23 | Du Pont | Improved homogeneous, readily dispersed, pesticidal concentrate |
| US3235361A (en) | 1962-10-29 | 1966-02-15 | Du Pont | Method for the control of undesirable vegetation |
| US3299566A (en) | 1964-06-01 | 1967-01-24 | Olin Mathieson | Water soluble film containing agricultural chemicals |
| US3309192A (en) | 1964-12-02 | 1967-03-14 | Du Pont | Method of controlling seedling weed grasses |
| US3920442A (en) | 1972-09-18 | 1975-11-18 | Du Pont | Water-dispersible pesticide aggregates |
| US4144050A (en) | 1969-02-05 | 1979-03-13 | Hoechst Aktiengesellschaft | Micro granules for pesticides and process for their manufacture |
| US4172714A (en) | 1976-12-20 | 1979-10-30 | E. I. Du Pont De Nemours And Company | Dry compactible, swellable herbicidal compositions and pellets produced therefrom |
| GB2095558A (en) | 1981-03-30 | 1982-10-06 | Avon Packers Ltd | Formulation of agricultural chemicals |
| DE3246493A1 (en) | 1982-12-16 | 1984-06-20 | Bayer Ag, 5090 Leverkusen | METHOD FOR PRODUCING WATER-DISPERSIBLE GRANULES |
| WO1991013546A1 (en) | 1990-03-12 | 1991-09-19 | E.I. Du Pont De Nemours And Company | Water-dispersible or water-soluble pesticide granules from heat-activated binders |
| US5180587A (en) | 1988-06-28 | 1993-01-19 | E. I. Du Pont De Nemours And Company | Tablet formulations of pesticides |
| US5208030A (en) | 1989-08-30 | 1993-05-04 | Imperial Chemical Industries Plc | Active ingredient dosage device |
| US5232701A (en) | 1990-10-11 | 1993-08-03 | Sumitomo Chemical Company, Limited | Boron carbonate and solid acid pesticidal composition |
| WO2003024222A1 (en) | 2001-09-21 | 2003-03-27 | E. I. Du Pont De Nemours And Company | Anthranilamide arthropodicide treatment |
| WO2011031658A1 (en) * | 2009-09-09 | 2011-03-17 | E. I. Du Pont De Nemours And Company | Herbicidal pyrimidone derivatives |
| WO2012002096A1 (en) | 2010-06-29 | 2012-01-05 | Kumiai Chemical Industry Co., Ltd. | 6-acyl-1,2,4-triazine-3,5-dione derivative and herbicides |
-
2013
- 2013-07-16 WO PCT/US2013/050671 patent/WO2014014904A1/en not_active Ceased
Patent Citations (17)
| Publication number | Priority date | Publication date | Assignee | Title |
|---|---|---|---|---|
| US2891855A (en) | 1954-08-16 | 1959-06-23 | Geigy Ag J R | Compositions and methods for influencing the growth of plants |
| US3060084A (en) | 1961-06-09 | 1962-10-23 | Du Pont | Improved homogeneous, readily dispersed, pesticidal concentrate |
| US3235361A (en) | 1962-10-29 | 1966-02-15 | Du Pont | Method for the control of undesirable vegetation |
| US3299566A (en) | 1964-06-01 | 1967-01-24 | Olin Mathieson | Water soluble film containing agricultural chemicals |
| US3309192A (en) | 1964-12-02 | 1967-03-14 | Du Pont | Method of controlling seedling weed grasses |
| US4144050A (en) | 1969-02-05 | 1979-03-13 | Hoechst Aktiengesellschaft | Micro granules for pesticides and process for their manufacture |
| US3920442A (en) | 1972-09-18 | 1975-11-18 | Du Pont | Water-dispersible pesticide aggregates |
| US4172714A (en) | 1976-12-20 | 1979-10-30 | E. I. Du Pont De Nemours And Company | Dry compactible, swellable herbicidal compositions and pellets produced therefrom |
| GB2095558A (en) | 1981-03-30 | 1982-10-06 | Avon Packers Ltd | Formulation of agricultural chemicals |
| DE3246493A1 (en) | 1982-12-16 | 1984-06-20 | Bayer Ag, 5090 Leverkusen | METHOD FOR PRODUCING WATER-DISPERSIBLE GRANULES |
| US5180587A (en) | 1988-06-28 | 1993-01-19 | E. I. Du Pont De Nemours And Company | Tablet formulations of pesticides |
| US5208030A (en) | 1989-08-30 | 1993-05-04 | Imperial Chemical Industries Plc | Active ingredient dosage device |
| WO1991013546A1 (en) | 1990-03-12 | 1991-09-19 | E.I. Du Pont De Nemours And Company | Water-dispersible or water-soluble pesticide granules from heat-activated binders |
| US5232701A (en) | 1990-10-11 | 1993-08-03 | Sumitomo Chemical Company, Limited | Boron carbonate and solid acid pesticidal composition |
| WO2003024222A1 (en) | 2001-09-21 | 2003-03-27 | E. I. Du Pont De Nemours And Company | Anthranilamide arthropodicide treatment |
| WO2011031658A1 (en) * | 2009-09-09 | 2011-03-17 | E. I. Du Pont De Nemours And Company | Herbicidal pyrimidone derivatives |
| WO2012002096A1 (en) | 2010-06-29 | 2012-01-05 | Kumiai Chemical Industry Co., Ltd. | 6-acyl-1,2,4-triazine-3,5-dione derivative and herbicides |
Non-Patent Citations (22)
| Title |
|---|
| "Comprehensive Heterocyclic Chemistry II", 1996, PERGAMON PRESS |
| "Comprehensive Heterocyclic Chemistry", 1994, PERGAMON PRESS |
| "Developments in formulation technology", 2000, PJB PUBLICATIONS |
| "McCutcheon'.s Emulsifiers and Detergents", MCCUTCHEON'S DIVISION, THE MANUFACTURING CONFECTIONER PUBLISHING CO. |
| "The BioPesticide Manual", 2001, ED., BRITISH CROP PROTECTION COUNCIL |
| "The Pesticide Manual", 2003, BRITISH CROP PROTECTION COUNCIL |
| A. S. DAVIDSON; B. MILWIDSKY: "Synthetic Detergents", 1987, JOHN WILEY AND SONS |
| BROWNING: "Agglomeration", CHEMICAL ENGINEERING, 4 December 1967 (1967-12-04), pages 147 - 48 |
| G. W. H. CHEESEMAN; E. S. G. WERSTIUK: "Advances in Heterocyclic Chemistry", vol. 22, ACADEMIC PRESS, pages: 390 - 392 |
| GREENE, T. W.; WUTS, P. G. M.: "Protective Groups in Organic Synthesis", 1991, WILEY |
| HANCE ET AL.: "Weed Control Handbook", 1989, BLACKWELL SCIENTIFIC PUBLICATIONS |
| KLINGMAN: "Weed Control as a Science", 1961, JOHN WILEY AND SONS, INC., pages: 81 - 96 |
| M. R. GRIMMETT; B. R. T. KEENE: "Advances in Heterocyclic Chemistry", vol. 43, ACADEMIC PRCSS, pages: 149 - 161 |
| M. TISLCR; B. STANOVNIK: "Advances in Heterocyclic Chemistry", vol. 9, ACADEMIC PRESS, pages: 285 - 291 |
| M. TISLER; B. STANOVNIK: "Comprehensive Heterocyclic Chemistry", vol. 3, PERGAMON PRESS, pages: 18 - 20 |
| MARSDEN: "Solvents Guide", 1950, INTERSCIENCE |
| MCCUTCHEON'S: "Functional Materials", vol. 2, MCCUTCHEON'S DIVISION, THE MANUFACTURING CONFECTIONER PUBLISHING CO. |
| PERRY'S: "Chemical Engineer's Handbook", 1963, MCGRAW-HILL, pages: 8 - 57 |
| SISELY; WOOD: "Encyclopedia of Surface Active Agents", 1964, CHEMICAL PUBL. CO., INC. |
| T. L. GILCHRIST: "Comprehensive Organic Synthesis", vol. 7, PERGAMON PRESS, pages: 748 - 750 |
| T. S. WOODS: "Pesticide Chemistry and Bioscience, The Food-Environment Challenge", 1999, THE ROYAL SOCIETY OF CHEMISTRY, article "The Formulator's Toolbox - Product Forms for Modern Agriculture", pages: 120 - 133 |
| WATKINS ET AL.: "Handbook of Insecticide Dust Diluents and Carriers", DORLAND BOOKS |
Cited By (4)
| Publication number | Priority date | Publication date | Assignee | Title |
|---|---|---|---|---|
| WO2017042259A1 (en) | 2015-09-11 | 2017-03-16 | Bayer Cropscience Aktiengesellschaft | Hppd variants and methods of use |
| US11180770B2 (en) | 2017-03-07 | 2021-11-23 | BASF Agricultural Solutions Seed US LLC | HPPD variants and methods of use |
| CN111620819A (en) * | 2020-06-22 | 2020-09-04 | 贵州医科大学 | Method for separating and purifying two new compounds of Japanese banana root and application thereof |
| CN111620819B (en) * | 2020-06-22 | 2022-05-13 | 贵州医科大学 | Separation and purification method and application of two compounds in plantain root |
Similar Documents
| Publication | Publication Date | Title |
|---|---|---|
| TWI709554B (en) | Pyrrolidinone herbicides | |
| AU2018239940B2 (en) | Herbicidal mixture, composition and method | |
| US20100298141A1 (en) | Substituted pyridine n-oxide herbicides | |
| US20100267561A1 (en) | Herbicidal pyridazinone derivatives | |
| EP3303321A1 (en) | Substituted cyclic amides and their use as herbicides | |
| AU2018277041B2 (en) | Herbicidal 3-substituted lactams | |
| EP3601263B1 (en) | Novel pyridazinone herbicides | |
| WO2016164201A1 (en) | Substituted cyclic amides as herbicides | |
| WO2016196019A1 (en) | Substituted cyclic amides as herbicides | |
| US11357230B2 (en) | Herbicidal amides | |
| AU2014364097A1 (en) | Herbicidal substituted pyrimidinyloxy benzene compounds | |
| EP3645515B1 (en) | 4-(3,4-dihydronaphth-1-yl or 2h-chromen-4-yl)-5-hydroxy-2h-pyradizin-3-ones as herbicides | |
| WO2014031971A1 (en) | Herbicidal pyridazinones | |
| WO2018204164A1 (en) | Pyrimidinyloxy benzo-fused compounds as herbicides | |
| US20140106968A1 (en) | Substituted 1,2,4-triazine-3,5-diones as herbicides | |
| WO2021183980A1 (en) | Substituted pyrimidines and triazines as herbicides | |
| WO2014014904A1 (en) | Substituted cycloalkyl 1,2,4-triazine-3,5-diones as herbicides | |
| EP3917914A1 (en) | Diamino-substituted pyridines and pyrimidines as herbicides | |
| JP2025172839A (en) | Substituted haloalkylsulfonanilide herbicides | |
| EP4294791A1 (en) | Herbicidal cyclic amides n-substituted with a haloalkylsulfonylanilide group | |
| IL269625A (en) | Novel pyridazinone herbicides |
Legal Events
| Date | Code | Title | Description |
|---|---|---|---|
| 121 | Ep: the epo has been informed by wipo that ep was designated in this application |
Ref document number: 13742347 Country of ref document: EP Kind code of ref document: A1 |
|
| NENP | Non-entry into the national phase |
Ref country code: DE |
|
| 122 | Ep: pct application non-entry in european phase |
Ref document number: 13742347 Country of ref document: EP Kind code of ref document: A1 |





































